This document is an excerpt from the EUR-Lex website
Document 02017R0653-20191128
Commission Delegated Regulation (EU) 2017/653 of 8 March 2017 supplementing Regulation (EU) No 1286/2014 of the European Parliament and of the Council on key information documents for packaged retail and insurance-based investment products (PRIIPs) by laying down regulatory technical standards with regard to the presentation, content, review and revision of key information documents and the conditions for fulfilling the requirement to provide such documents (Text with EEA relevance)Text with EEA relevance
Consolidated text: Kommissionens delegerede forordning (EU) 2017/653 af 8. marts 2017 om supplerende regler til Europa-Parlamentets og Rådets forordning (EU) nr. 1286/2014 om dokumenter med central information om sammensatte og forsikringsbaserede investeringsprodukter til detailinvestorer (PRIIP'er) vedrørende reguleringsmæssige tekniske standarder for præsentation, indhold, gennemgang og revision af dokumenter med central information og betingelser for opfyldelse af kravet om at stille sådanne dokumenter til rådighed (EØS-relevant tekst)EØS-relevant tekst.
Kommissionens delegerede forordning (EU) 2017/653 af 8. marts 2017 om supplerende regler til Europa-Parlamentets og Rådets forordning (EU) nr. 1286/2014 om dokumenter med central information om sammensatte og forsikringsbaserede investeringsprodukter til detailinvestorer (PRIIP'er) vedrørende reguleringsmæssige tekniske standarder for præsentation, indhold, gennemgang og revision af dokumenter med central information og betingelser for opfyldelse af kravet om at stille sådanne dokumenter til rådighed (EØS-relevant tekst)EØS-relevant tekst.
02017R0653 — DA — 28.11.2019 — 002.001
Denne tekst tjener udelukkende som dokumentationsværktøj og har ingen retsvirkning. EU's institutioner påtager sig intet ansvar for dens indhold. De autentiske udgaver af de relevante retsakter, inklusive deres betragtninger, er offentliggjort i den Europæiske Unions Tidende og kan findes i EUR-Lex. Disse officielle tekster er tilgængelige direkte via linkene i dette dokument
|
KOMMISSIONENS DELEGEREDE FORORDNING (EU) 2017/653 af 8. marts 2017 om supplerende regler til Europa-Parlamentets og Rådets forordning (EU) nr. 1286/2014 om dokumenter med central information om sammensatte og forsikringsbaserede investeringsprodukter til detailinvestorer (PRIIP'er) vedrørende reguleringsmæssige tekniske standarder for præsentation, indhold, gennemgang og revision af dokumenter med central information og betingelser for opfyldelse af kravet om at stille sådanne dokumenter til rådighed (EUT L 100 af 12.4.2017, s. 1) |
Ændret ved:
|
|
|
Tidende |
||
|
nr. |
side |
dato |
||
|
KOMMISSIONENS DELEGEREDE FORORDNING (EU) 2018/977 af 4. april 2018 |
L 176 |
1 |
12.7.2018 |
|
|
KOMMISSIONENS DELEGEREDE FORORDNING (EU) 2019/1866 af 3. juli 2019 |
L 289 |
4 |
8.11.2019 |
|
Berigtiget ved:
KOMMISSIONENS DELEGEREDE FORORDNING (EU) 2017/653
af 8. marts 2017
om supplerende regler til Europa-Parlamentets og Rådets forordning (EU) nr. 1286/2014 om dokumenter med central information om sammensatte og forsikringsbaserede investeringsprodukter til detailinvestorer (PRIIP'er) vedrørende reguleringsmæssige tekniske standarder for præsentation, indhold, gennemgang og revision af dokumenter med central information og betingelser for opfyldelse af kravet om at stille sådanne dokumenter til rådighed
(EØS-relevant tekst)
KAPITEL I
INDHOLD OG PRÆSENTATION AF DOKUMENTET MED CENTRAL INFORMATION
Artikel 1
Afsnit om generelle informationer
Afsnittet i dokumentet med central information, der omhandler PRIIP-producentens identitet og vedkommendes kompetente myndighed, skal indeholde samtlige af følgende informationer:
a) navnet på det PRIIP, der er tildelt af PRIIP-producenten, og, såfremt det forefindes, PRIIP'ets internationale identifikationsnummer for værdipapirer eller unikke produktidentifikator
b) PRIIP-producentens juridiske navn
c) PRIIP-producentens specifikke webstedadresse, hvor der stilles informationer til rådighed for detailinvestorer, om, hvordan de kommer i kontakt med PRIIP-producenten, og et telefonnummer
d) navnet på den kompetente myndighed, der er ansvarlig for at føre tilsyn med PRIIP-producenten i forbindelse med dokumentet med central information
e) produktionsdato eller, hvis dokumentet med central information efterfølgende er blevet revideret, datoen for den seneste revision af dokumentet med central information.
Oplysningerne i det dokumentafsnit, der er omhandlet i første afsnit, skal også omfatte den advarsel vedrørende forståelighed, der er omhandlet i artikel 8, stk. 3, litra b), i forordning (EU) nr. 1286/2014, når PRIIP'et opfylder en af følgende betingelser:
a) det er et forsikringsbaseret investeringsprodukt, som ikke opfylder kravene i artikel 30, stk. 3, litra a), i Europa-Parlamentets og Rådets direktiv (EU) 2016/97 ( 1 )
b) det er et PRIIP, som ikke opfylder kravene i artikel 25, stk. 4, litra a), nr. i-vi), i Europa-Parlamentets og Rådets direktiv 2014/65/EU ( 2 ).
Artikel 2
Afsnittet »Hvad dette produkt drejer sig om«
1. Informationer, der omhandler typen af PRIIP i afsnittet med titlen »Hvad dette produkt drejer sig om« i dokumentet med central information, skal beskrive dets juridiske form.
2. Informationer, der angiver PRIIP'ets mål og midlerne til opnåelse af disse mål i afsnittet med titlen »Hvad dette produkt drejer sig om« i dokumentet med central information, skal formuleres på en kortfattet, klar og letforståelig måde. Disse informationer skal angive de vigtigste faktorer, som afkastet afhænger af, de underliggende investeringsaktiver eller referenceværdier, samt hvordan afkastet fastsættes, og forholdet mellem PRIIP'ets afkast og afkastet for de underliggende investeringsaktiver eller referenceværdier. Disse informationer skal afspejle forholdet mellem den anbefalede investeringsperiode og PRIIP'ets risiko/afkast-profil.
Hvis antallet af aktiver eller referenceværdier omhandlet i første afsnit er således, at der ikke kan stilles specifikke referencer til rådighed for dem alle sammen i et dokument med central information, skal der kun angives markedssegmenter eller instrumenttyper med hensyn til de underliggende investeringsaktiver eller referenceværdier.
3. Beskrivelsen af den type detailinvestor, som det tilsigtes at markedsføre PRIIP'et over for, i afsnittet med titlen »Hvad dette produkt drejer sig om« i dokumentet med central information skal indeholde informationer om måldetailinvestorer identificeret af PRIIP-producenten, nærmere bestemt afhængigt af behovene, egenskaberne og målene for den type kunde, som PRIIP'et passer til. Denne bestemmelse skal tage udgangspunkt i detailinvestorernes evne til at bære investeringstab og deres investeringshorisont, deres teoretiske viden om og tidligere erfaringer med PRIIP'er, de finansielle markeder samt behovene, egenskaberne og målene for potentielle slutkunder.
4. Oplysningerne om forsikringsydelserne i afsnittet med titlen »Hvad dette produkt drejer sig om« i dokumentet med central information skal omfatte, i en overordnet sammenfatning, forsikringskontraktens vigtigste karakteristika, en definition af hver inkluderet ydelse, med en forklaring om, at værdien af disse ydelser er angivet i afsnittet med titlen »Hvilke risici er der, og hvilke afkast kan jeg få?«, og informationer, der afspejler de typiske biometriske egenskaber for måldetailinvestorerne ved at vise den overordnede præmie, den biometriske risikopræmie, der udgør en del af denne overordnede præmie, og enten den indvirkning, som den biometriske risikopræmie har på investeringsafkastet ved afslutningen af den anbefalede investeringsperiode, eller indvirkningen af den biometriske risikopræmies omkostningsandel, der tages i betragtning i de løbende omkostninger i tabellen »Omkostninger over tid«, beregnet i overensstemmelse med bilag VII. Hvis præmien betales i form af et enkelt fast beløb, skal oplysningerne omfatte det investerede beløb. Hvis præmien betales periodisk, skal antallet af de periodiske betalinger, en vurdering af den gennemsnitlige biometriske risikopræmie som en procentdel af den årlige præmie og en vurdering af det gennemsnitlige beløb, der investeres, inkluderes i informationen.
De oplysninger, der er omhandlet i første afsnit, skal også omfatte en redegørelse for den indvirkning, som forsikringspræmieudbetalingerne, svarende til den skønnede værdi af forsikringsydelser, har på investeringsafkastet for detailinvestoren.
5. Informationer, der omhandler PRIIP'ets løbetid i afsnittet med titlen »Hvad dette produkt drejer sig om« i dokumentet med central information, skal indeholde samtlige af de følgende:
a) PRIIP'ets udløbsdato eller en angivelse om, at der ikke er nogen udløbsdato
b) en angivelse af, hvorvidt PRIIP-producenten har ret til på egen hånd at lukke PRIIP'et
c) en beskrivelse af omstændighederne for en automatisk lukning af PRIIP'et og lukningsdatoer, hvis disse kendes.
Artikel 3
Afsnittet »Hvilke risici er der, og hvilke afkast kan jeg få?«
1. I afsnittet med titlen »Hvilke risici er der, og hvilke afkast kan jeg få?« i dokumentet med central information skal PRIIP-producenterne anvende metoden for præsentation af risikoen fastlagt i bilag II, inkludere de tekniske aspekter for præsentation af den sammenfattende risikoindikator fastlagt i bilag III og overholde den tekniske vejledning, formaterne og metoden for præsentation af resultatscenarier, som fastlagt i bilag IV og V.
2. I afsnittet med titlen »Hvilke risici er der, og hvilke afkast kan jeg få?« i dokumentet med central information skal PRIIP-producenterne inkludere følgende:
a) PRIIP'ets risikoniveau i form af en risikoklasse ved brug af en sammenfattende risikoindikator med en numerisk skala fra 1 til 7
b) en eksplicit henvisning til eventuelle ikke-likvide PRIIP'er eller PRIIP'er med materielt relevant likviditetsrisiko, som defineret i del 4 i bilag II, i form af en advarsel om dette i præsentationen af den sammenfattende risikoindikator
c) en tekst under den sammenfattende risikoindikator, der forklarer, at hvis et PRIIP er udtrykt i en valuta, der ikke er den officielle valuta for medlemsstaten, hvor PRIIP'et markedsføres, kan afkastet, når det er udtrykt i den officielle valuta for medlemsstaten, hvor PRIIP'et markedsføres, ændrer sig afhængigt af valutakursfluktuationer
d) en kort beskrivelse af PRIIP'ets risiko- og afkastprofil og en advarsel om, at PRIIP'ets risiko kan være væsentligt højere end den i den sammenfattende risikoindikator, hvis PRIIP'et ikke holdes til løbetidens udløb eller i den anbefalede investeringsperiode, hvor dette er tilfældet
e) for PRIIP'er med bøder for tidlig exit eller lange desinvesteringsmeddelelsesperioder fastsat i kontrakten en henvisning til de relevante underliggende betingelser i afsnittet »Hvor længe bør jeg beholde det, og kan jeg tage penge ud undervejs?«
f) en angivelse af det mulige maksimale tab og information om, at investeringen kan mistes, hvis den ikke beskyttes, eller hvis PRIIP-producenten ikke kan foretage udbetalinger, eller at det kan være nødvendigt med yderligere investeringsbetalinger til den første investering, og at det samlede tab væsentligt kan overstige den samlede oprindelige investering.
3. PRIIP-producenter skal inkludere fire passende resultatscenarier som fastsat i bilag V i afsnittet med titlen »Hvilke risici er der, og hvilke afkast kan jeg få?« i dokumentet med central information. Disse fire resultatscenarier skal repræsentere et stressscenarie, et ufordelagtigt scenarie, et moderat scenarie og et fordelagtigt scenarie.
4. For forsikringsbaserede investeringsprodukter skal der inkluderes et yderligere resultatscenarie i afsnittet med titlen »Hvilke risici er der, og hvilke afkast kan jeg få?« i dokumentet med central information, der afspejler forsikringsydelser, som modtages af modtageren i tilfælde af en dækket forsikringsbegivenhed.
5. For PRIIP'er, der er optioner på termin, call-optioner og put-optioner, der handles på et reguleret marked eller på en tredjelandsmarkedsplads, der svarer til et reguleret marked, jf. artikel 28 i Europa-Parlamentets og Rådets forordning (EU) 600/2014 ( 3 ), skal resultatscenarier inkluderes i form af afkaststrukturgrafer som fastsat i bilag V i afsnittet med titlen »Hvilke risici er der, og hvilke afkast kan jeg få?« i dokumentet med central information.
Artikel 4
Afsnittet »Hvad sker der, hvis [navnet på PRIIP-producenten] ikke er i stand til at foretage udbetalinger?«
PRIIP-producenter skal inkludere følgende i afsnittet med titlen »Hvad sker der, hvis [navnet på PRIIP-producenten] ikke er i stand til at foretage udbetalinger?« i dokumentet med central information:
a) en angivelse af, hvorvidt detailinvestoren kan lide et finansielt tab som følge af misligholdelse grundet PRIIP-producenten eller en enhed, som ikke er PRIIP-producenten, samt denne enheds identitet
b) en præcisering af, om tabet omhandlet i litra a) er dækket af en investorkompensations- eller investorgarantiordning, og af denne dæknings eventuelle begrænsninger eller betingelser.
Artikel 5
Afsnittet »Hvilke omkostninger er der?«
1. PRIIP-producenterne skal anvende følgende i afsnittet med titlen »Hvilke omkostninger er der?« i dokumentet med central information:
a) metoden for beregning af omkostningerne fastsat i bilag VI
b) tabellerne »Omkostninger over tid« og »Omkostningernes sammensætning« til informationer om omkostninger, som fastsat i bilag VII i overensstemmelse med den relevante tekniske vejledning deri.
2. I tabellen »Omkostninger over tid« i afsnittet med titlen »Hvilke omkostninger er der?« skal PRIIP-producenterne angive den sammenfattende omkostningsindikator for de samlede omkostninger for PRIIP'et som et enkelt tal udtrykt i beløb og procent for de forskellige tidsperioder fastsat i bilag VI.
3. I tabellen »Omkostningernes sammensætning« i afsnittet med titlen »Hvilke omkostninger er der?« i dokumentet med central information skal PRIIP-producenterne angive følgende:
a) eventuelle engangsomkostninger som oprettelses- og exitomkostninger, udtrykt i procent
b) eventuelle løbende omkostninger, som årlige omkostninger for porteføljetransaktioner, og andre løbende årlige omkostninger, udtrykt i procent
c) eventuelle yderligere omkostninger, såsom resultatgebyrer eller carried interest, udtrykt i procent.
4. PRIIP-producenterne skal tilføje en beskrivelse af hver af de forskellige omkostninger i tabellen »Omkostningernes sammensætning« i afsnittet med titlen »Hvilke omkostninger er der?« i dokumentet med central information med angivelse af, hvor og hvordan sådanne omkostninger kan afvige fra de faktiske omkostninger, som detailinvestoren kan pådrage sig, eller kan være afhængige af dennes beslutning om at vælge eller ikke vælge visse optioner.
Artikel 6
Afsnittet »Hvor længe bør jeg beholde det, og kan jeg tage penge ud undervejs?«
PRIIP-producenterne skal inkludere følgende i afsnittet med titlen »Hvor længe bør jeg beholde det, og kan jeg tage penge ud undervejs?« i dokumentet med central information:
a) en kort beskrivelse af grundene for valget af den anbefalede investeringsperiode eller minimumsinvesteringsperioden
b) en beskrivelse af karakteristikaene for desinvesteringsproceduren og af, hvornår desinvesteringen er mulig, herunder en angivelse af konsekvenserne ved tidlig indløsning for risiko- eller resultatprofilen for PRIIP'et eller for anvendelsen af kapitalgarantier
c) informationer om eventuelle gebyrer og bøder, der pådrages i forbindelse med desinvesteringer forud for løbetidens udløb eller andre angivne datoer, som ikke er den anbefalede investeringsperiode, herunder en krydshenvisning til informationer om omkostninger, der skal inkluderes i dokumentet med central information i henhold til artikel 5, og præcisering af konsekvenserne ved sådanne gebyrer og bøder for forskellige investeringsperioder.
Artikel 7
Afsnittet »Hvordan kan jeg klage?«
PRIIP-producenterne skal angive følgende informationer i afsnittet med titlen »Hvordan kan jeg klage?« i dokumentet med central information, i form af en sammenfatning:
a) skridt, der skal tages for at indgive en klage over produktet eller PRIIP-producentens adfærd eller en person, som rådgiver om eller sælger produktet
b) et link til det relevante websted for sådanne klager
c) en aktuel postadresse og en e-mailadresse, som sådanne klager kan sendes til.
Artikel 8
Afsnittet »Anden relevant information«
1. PRIIP-producenterne skal i afsnittet med titlen »Anden relevant information« i dokumentet med central information angive eventuelle yderligere informationsdokumenter, der kan stilles til rådighed, og hvorvidt sådanne yderligere informationsdokumenter stilles til rådighed på baggrund af et retligt krav eller kun efter anmodning fra detailinvestoren.
2. Informationerne i afsnittet med titlen »Anden relevant information« i dokumentet med central information kan stilles til rådighed i form af en sammenfatning med et link til webstedet, hvor der stilles yderligere oplysninger til rådighed ud over dokumenterne omhandlet i stk. 1.
Artikel 9
Skema
PRIIP-producenterne skal præsentere dokumentet med central information ved hjælp af skemaet i bilag I. Skemaet skal udfyldes i overensstemmelse med kravene fastsat i denne delegerede forordning og i forordning (EU) nr. 1286/2014.
KAPITEL II
SPECIFIKKE BESTEMMELSER OM DOKUMENTET MED CENTRAL INFORMATION
Artikel 10
PRIIP'er, der tilbyder en række investeringsmuligheder
Hvis et PRIIP tilbyder en række underliggende investeringsmuligheder, og informationerne om disse underliggende investeringsmuligheder ikke kan stilles til rådighed i et enkelt, kortfattet og selvstændigt dokument med central information, skal PRIIP-producenterne fremlægge et af de følgende:
a) et dokument med central information for hver af de underliggende investeringsmuligheder i PRIIP'et inklusive informationer om PRIIP'et i overensstemmelse med kapitel I
b) et almindeligt dokument med central information, der beskriver PRIIP'et i overensstemmelse med kapitel I, medmindre andet er angivet i artikel 11 til 14.
Artikel 11
Afsnittet »Hvad dette produkt drejer sig om« i det almindelige dokument med central information
PRIIP-producenterne skal angive følgende i afsnittet med titlen »Hvad dette produkt drejer sig om«, jf. dog artikel 2, stk. 2 og 3:
a) en beskrivelse af typerne af de underliggende investeringsmuligheder, herunder markedssegmenter eller instrumenttyper, samt de hovedfaktorer, som afkastet afhænger af
b) en erklæring, der angiver, at den type investor, som det tilsigtes at markedsføre PRIIP'et over for, varierer på grundlag af den underliggende investeringsmulighed
c) en angivelse af, hvor man finder specifikke informationer om hver underliggende investeringsmulighed.
Artikel 12
Afsnittet »Hvilke risici er der, og hvilke afkast kan jeg få?« i det almindelige dokument med central information
1. PRIIP-producenterne skal angive følgende i afsnittet med titlen »Hvilke risici er der, og hvilke afkast kan jeg få?«, jf. dog artikel 3, stk. 2, litra a), og stk. 3:
a) viften af risikoklasser for alle underliggende investeringsmuligheder, der tilbydes inden for rammerne af PRIIP'et ved brug af en sammenfattende risikoindikator med en numerisk skala fra 1 til 7, som fastsat i bilag III
b) en erklæring, der angiver, at risikoen og afkastet for investeringen varierer på grundlag af den underliggende investeringsmulighed
c) en kort beskrivelse af, hvordan PRIIP'ets resultat som helhed afhænger af de underliggende investeringsmuligheder
d) en angivelse af, hvor man finder specifikke informationer om hver underliggende investeringsmulighed.
2. Når PRIIP-producenter anvender dokumentet med central information i overensstemmelse med artikel 14, stk. 2, med henblik på at præcisere de risikoklasser, der er omhandlet i stk. 1, litra a), skal de anvende den syntetiske indikator for risici og rewards i henhold til artikel 8 i Kommissionens forordning (EU) nr. 583/2010 i forbindelse med UCITS eller investeringsinstitutter, som ikke er UCITS, som underliggende investeringsmuligheder.
Artikel 13
Afsnittet »Hvilke omkostninger er der?« i det almindelige dokument med central information
1. PRIIP-producenterne skal angive følgende i afsnittet med titlen »Hvilke omkostninger er der?«, jf. dog artikel 5, stk. 1, litra b):
a) omfanget af omkostningerne for PRIIP'et i tabellerne »Omkostninger over tid« og »Omkostningernes sammensætning« fastsat i bilag VII
b) en erklæring, der angiver, at omkostningerne for detailinvestoren varierer på grundlag af den underliggende investeringsmulighed
c) en angivelse af, hvor man finder specifikke informationer om hver underliggende investeringsmulighed.
2. Uanset kravene i artikel 5, stk. 1, litra a), og som en undtagelse fra punkt 12-20 i bilag VI, kan PRIIP-producenter, når de anvender dokumentet med central information i overensstemmelse med artikel 14, stk. 2, anvende den metode, der er omhandlet i punkt 21 i bilag VI for eksisterende UCITS eller investeringsinstitutter, der ikke er UCITS.
3. Som en undtagelse fra artikel 5 kan PRIIP-producenter, når de anvender dokumentet med central information i overensstemmelse med artikel 14, stk. 2, med UCITS eller investeringsinstitutter, som ikke er UCITS, som de eneste underliggende investeringsmuligheder, præcisere omfanget af gebyrer for PRIIP'et i overensstemmelse med artikel 10 i forordning (EU) nr. 583/2010.
Artikel 14
Specifikke informationer om hver underliggende investeringsmulighed
1. I forbindelse med specifikke informationer omhandlet i artikel 11, 12 og 13 skal PRIIP-producenterne inkludere samtlige af de følgende for hver underliggende investeringsmulighed:
a) en advarsel vedrørende forståelighed, såfremt relevant
b) investeringsmålene, midlerne til at opnå disse og det tilsigtede målmarked i overensstemmelse med artikel 2, stk. 2 og 3
c) en sammenfattende risikoindikator og forklaring og resultatscenarier i overensstemmelse med artikel 3
d) en præsentation af omkostningerne i overensstemmelse med artikel 5.
2. Uanset stk. 1 kan PRIIP-producenter anvende dokumentet med central investorinformation, udarbejdet i overensstemmelse med artikel 78-81 i direktiv 2009/65/EF, til at give specifikke informationer med henblik på artikel 11-13 i denne delegerede forordning, når mindst en af de i stk. 1 omhandlede underliggende investeringsmuligheder er en UCITS eller et investeringsinstitut, som ikke er en UCITS, som omhandlet i artikel 32 i forordning (EU) nr. 1286/2014.
KAPITEL III
GENNEMGANG OG REVISION AF DOKUMENTET MED CENTRAL INFORMATION
Artikel 15
Gennemgang
1. PRIIP-producenterne skal gennemgå informationerne, der er indeholdt i dokumentet med central information, hver gang der er en ændring, der væsentligt påvirker eller sandsynligvis vil påvirke informationerne indeholdt i dokumentet med central information, og mindst én gang hver tolvte måned efter datoen for den første offentliggørelse af dokumentet med central information.
2. Gennemgangen omhandlet i stk. 1 skal verificere, om informationerne indeholdt i dokumentet med central information fortsat er nøjagtige, redelige, tydelige og stadig ikke er vildledende. Den verificerer navnlig følgende:
a) om informationerne indeholdt i dokumentet med central information er i overensstemmelse med de generelle krav til form og indhold i henhold til forordning (EU) nr. 1286/2014 eller med de specifikke krav til form og indhold, som fastsat i denne delegerede forordning
b) om PRIIP'ets markedsrisiko- eller kreditrisikoforanstaltninger er blevet ændret, når en sådan ændring har en kombineret virkning, der gør det nødvendigt at flytte PRIIP'et til en anden klasse af sammenfattende risikoindikator end den, der er tildelt i dokumentet med central information, der er genstand for gennemgangen
c) om det gennemsnitlige afkast for PRIIP'ets moderate resultatscenarie, udtrykt som et årligt procentafkast, har ændret sig mere end fem procentpoint.
3. Hvad angår stk. 1, skal PRIIP-producenterne oprette og gennem hele PRIIP'ets levetid, hvor det er tilgængeligt for detailinvestorer, opretholde passende procedurer med henblik på uden unødigt ophold at registrere eventuelle omstændigheder, der måtte resultere i en ændring, der påvirker eller sandsynligvis vil påvirke nøjagtigheden, redeligheden eller tydeligheden af de informationer, der er indeholdt i dokumentet med central information.
Artikel 16
Revision
1. PRIIP-producenterne skal uden unødigt ophold revidere dokumentet med central information, hvis det i forbindelse med en gennemgang i henhold til artikel 15 kan konkluderes, at der skal foretages ændringer af dokumentet med central information.
2. PRIIP-producenterne skal sikre, at alle afsnittene i dokumentet med central information, der påvirkes af sådanne ændringer, opdateres.
3. PRIIP-producenten skal stille det reviderede dokument med central information til rådighed på sit websted.
KAPITEL IV
LEVERING AF DOKUMENTET MED CENTRAL INFORMATION
Artikel 17
Betingelser vedrørende god tid
1. Personer, der rådgiver om eller sælger et PRIIP, skal stille dokumentet med central information til rådighed i tilstrækkelig god tid for at give detailinvestorerne tilstrækkelig tid til at tage dokumentet i betragtning, inden de bindes af eventuelle kontrakter eller tilbud vedrørende det pågældende PRIIP, uafhængigt af om detailinvestoren har betænkningstid eller ej.
2. Hvad angår stk. 1, skal personer, der rådgiver om eller sælger et PRIIP, vurdere den tid, der er nødvendig for hver detailinvestor til at tage dokumentet med central information i betragtning, under hensyntagen til følgende:
a) detailinvestorens viden og erfaring med PRIIP'et eller med lignende PRIIP'er eller PRIIP'er med risici, der ligner dem, der opstår i forbindelse med PRIIP'et
b) PRIIP'et kompleksitet
c) hvis rådgivning eller salg sker på detailinvestorens initiativ, det behov for hurtigt at indgå den foreslåede kontrakt eller det foreslåede tilbud, som detailinvestoren eksplicit har givet udtryk for.
Artikel 18
Afsluttende bestemmelse
Denne forordning træder i kraft på tyvendedagen efter offentliggørelsen i Den Europæiske Unions Tidende.
Den anvendes fra den 1. januar 2018.
Artikel 14, stk. 2, anvendes indtil den 31. december 2021.
Denne forordning er bindende i alle enkeltheder og gælder umiddelbart i hver medlemsstat.
BILAG I
SKEMA TIL DOKUMENT MED CENTRAL INFORMATION
PRIIP-producenter skal overholde afsnittenes rækkefølge og overskrifter i skemaet, som dog ikke fastlægger parametre vedrørende længden på de enkelte afsnit og indsættelse af sideskift, og som højst må fylde maksimalt tre sider A4-papir, når det udskrives.
BILAG II
METODE TIL ANGIVELSE AF RISIKO
DEL 1
Vurdering af markedsrisiko
Fastlæggelse af markedsrisikomåling (MRM)
1. Markedsrisiko måles ved hjælp af volatiliteten på årsbasis, som svarer til den potentielle risikoværdi (VaR) ved en konfidenskoefficient på 97,5 % i den anbefalede investeringsperiode, medmindre andet er angivet. VaR er den procentsats af det investerede beløb, som udbetales til detailinvestoren.
2. En PRIIP skal være tilknyttet en MRM-klasse i henhold til følgende tabel:
|
MRM-klasse |
VaR-ækvivalent volatilitet (VEV) |
|
1 |
< 0,5 % |
|
2 |
0,5 % – 5,0 % |
|
3 |
5,0 % – 12 % |
|
4 |
12 % – 20 % |
|
5 |
20 % – 30 % |
|
6 |
30 % – 80 % |
|
7 |
> 80 % |
Specifikation af PRIIP-kategorier hvad angår vurdering af markedsrisiko
3. Med henblik på at fastlægge markedsrisikoen opdeles PRIIP'erne i fire kategorier.
4. Kategori 1 omfatter følgende:
a) PRIIP'er, hvor investorer kan miste mere end det beløb, de har investeret
b) PRIIP'er, der er omfattet af en af de kategorier, der er angivet i punkt 4 til 10 i afsnit C i bilag I til Europa-Parlamentets og Rådets direktiv 2014/65/EU ( 4 )
c) PRIIP'er eller underliggende investeringer foretaget af PRIIP'er, på hvilke kursen fastsættes hyppigere end én gang om måneden eller ikke har et relevant benchmark eller en relevant reference, eller hvis relevante benchmark eller relevante reference kursfastsættes mindre end én gang om måneden.
5. Kategori 2 omfatter PRIIP'er, som enten direkte eller på syntetisk basis indeholder en ikke-gearet eksponering i forhold til kurserne på underliggende investeringer eller en gearet eksponering i forhold til underliggende investeringer, der giver et konstant afkast i forhold til kursen på disse underliggende investeringer, hvor der findes mindst 2 års historiske dagskurser eller 4 års historiske ugekurser eller 5 års månedskurser for den pågældende PRIIP, eller hvor der findes relevante benchmarks eller referencer, forudsat at disse benchmarks eller referencer opfylder samme kriterier for kurshistorikkens længde og hyppighed.
6. Kategori 3 omfatter PRIIP'er, hvis værdi reflekterer kurserne på underliggende investeringer, men ikke som et konstant afkast i forhold til kursen på disse underliggende investeringer, hvor der findes mindst 2 års dagskurser for de underliggende aktiver, 4 års ugekurser eller 5 års månedskurser, eller hvor der findes relevante benchmarks eller referencer, forudsat at disse benchmarks eller referencer opfylder samme kriterier for kurshistorikkens længde og hyppighed.
7. Kategori 4 omfatter PRIIP'er, hvis værdi delvist afhænger af faktorer, der ikke observeres i markedet, inklusive forsikringsbaserede PRIIP'er, som fordeler en del af PRIIP-producentens overskud til detailinvestorer.
Brug af relevante benchmarks eller referencer til at præcisere PRIIP-kategorier
I de tilfælde, hvor PRIIP-producenter anvender relevante benchmarks eller referencer, skal disse benchmarks eller referencer være repræsentative for de aktiver eller den eksponering, som afgør den pågældende PRIIP's resultat. PRIIP-producenten skal dokumentere brugen af sådanne benchmarks eller referencer.
Fastlæggelse af MRM-klasse for PRIIP'er i kategori 1
8. MRM-klassen for PRIIP'er i kategori 1 er 7, med undtagelse af PRIIP'er, til hvilke der henvises i punkt 4, litra c), i dette bilag, for hvilke MRM-klassen er 6.
Fastlæggelse af MRM-klasse for PRIIP'er i kategori 2
9. VaR beregnes på tidspunkterne for PRIIP'ens observerede afkastfordeling eller dens benchmark eller referencekurs i de sidste 5 år. Minimumshyppigheden for observationer er pr. måned. Hvis kurserne er tilgængelige på daglig basis, er hyppigheden pr. dag. Hvis kurserne er tilgængelige på ugentlig basis, er hyppigheden pr. uge. Hvis kurserne er tilgængelige hver anden måned, er hyppigheden hver anden måned.
10. I de tilfælde, hvor der ikke findes data om dagskurser i en periode på 5 år, kan der anvendes en kortere periode. I forbindelse med daglige observationer af kursen på en PRIIP eller dens benchmark eller referencekurs skal der være mindst 2 års observerede afkast. I forbindelse med ugentlige observationer af kursen på en PRIIP skal der være mindst 4 års observerede data. I forbindelse med månedlige observationer af kursen på en PRIIP skal der være observerede data, der dækker en periode på mindst 5 år.
11. Afkastet i hver periode er defineret som den naturlige logaritme af forholdet mellem kursen ved markedets lukning ved afslutningen af den aktuelle periode og markedets lukning ved afslutningen af den foregående periode.
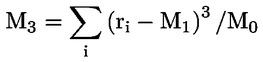
12. VaR-målingen i afkastforholdet fremkommer ved Cornish-Fisher-forøgelsen som følger:
hvor N er antal handelsperioder i den anbefalede investeringsperiode, og σ, μ1, μ2 er henholdsvis volatiliteten, drejningen og den overstegne kurtosis målt ud fra afkastfordelingen. Volatiliteten, drejningen og den overstegne kurtosis er beregnet ud fra afkastfordelingens målte momenter i overensstemmelse med følgende:
— det 0-te moment, M0 , er antallet af observationer i perioden som i punkt 10 i dette bilag
— det første moment, M1 , er gennemsnittet af samtlige observerede afkast i stikprøven
— det andet M2 , tredje M3 og fjerde M4 moment er defineret på den standardiserede måde:
—
— hvor ri er det målte afkast i den i-te periode af historiske afkast.
—
— volatiliteten σ fremkommer ved
.
— drejningen μ1 er lig med M3/σ3.
— den overstegne kurtosis μ2 er lig med M4/σ4 – 3.
13. VEV fremkommer ved:
hvor T er længden på den anbefalede investeringsperiode i år.
14. For PRIIP'er, der styres efter investeringspolitikker eller -strategier, der følger særlige målsætninger om gevinst ved at deltage i fleksible investeringer i forskellige finansielle aktivklasser (f.eks. i både aktiemarkedet og markedet for fast forrentede værdipapirer), skal den VEV, der skal anvendes, beregnes som følger:
a) i de tilfælde, hvor investeringspolitikken i den periode, til hvilken der henvises i punkt 10 i dette bilag, ikke er revideret, skal den VEV, der skal anvendes, være den højeste af følgende VEV'er
i) VEV beregnet i overensstemmelse med punkt 9 til 13 i dette bilag
ii) VEV for afkastene på den pro-forma blanding af aktiver, som er i overensstemmelse med fondens aktivfordeling på tidspunktet for beregningen
iii) VEV, som er i overensstemmelse med fondens risikogrænse, om nogen og hvis relevant.
b) i de tilfælde, hvor investeringspolitikken er revideret i den periode, til hvilken der henvises i punkt 10 i dette bilag, er den VEV, der skal anvendes, den højeste af de VEV'er, til hvilke der henvises i litra a), nr. ii) og iii).
15. En PRIIP skal være tilknyttet en MRM-klasse, som fastlagt i punkt 2 i dette bilag, afhængigt af VEV. Hvis en PRIIP kun har månedlige kursdata, skal den tilknyttede MRM-klasse i henhold til punkt 2 i dette bilag øges med en yderligere klasse.
Fastlæggelse af MRM-klasse for PRIIP'er i kategori 3
16. VaR i kursforholdet beregnes på baggrund af en fordeling af PRIIP-værdier ved afslutningen af den anbefalede investeringsperiode. Fordelingen skal fastlægges ved simulering af kursen eller kurserne, som bestemmer den pågældende PRIIP's værdi, ved afslutningen af den anbefalede investeringsperiode. VaR er værdien af en PRIIP ved en konfidenskoefficient på 97,5 % ved afslutningen af den anbefalede investeringsperiode og foruddiskonteret til den aktuelle dato, idet den forventede risikofrie diskonteringsfaktor anvendes fra den aktuelle dato frem til afslutningen af den anbefalede investeringsperiode.
17. VEV fremkommer ved:
hvor T er længden på den anbefalede investeringsperiode i år. Kun i de tilfælde, hvor produktet sælges eller annulleres inden afslutningen af den anbefalede investeringsperiode ifølge simuleringen, anvendes perioden i år indtil salget eller annulleringen ved beregningen.
18. En PRIIP skal være tilknyttet en MRM-klasse, som fastlagt i punkt 2 i dette bilag, afhængigt af VEV. Hvis en PRIIP kun har månedlige kursdata, skal den tilknyttede MRM-klasse i henhold til punkt 2 i dette bilag øges med en yderligere klasse.
19. Minimumsantallet af simuleringer er 10 000 .
20. Simuleringen er baseret på en bootstrapping af den forventede fordeling af kurser eller kursniveauer for den pågældende PRIIP's underliggende kontrakter fra den observerede afkastfordeling på disse kontrakter med genanskaffelse.
21. Med henblik på den simulering, til hvilken der henvises i punkt 16 til 20 i dette bilag, findes der to typer af markedsobservationer, der kan medvirke til en PRIIP's værdi: spotkurser (eller kursniveauer) og kurver.
22. For hver simulering af en spotkurs (eller et niveau) skal PRIIP-producenten:
a) beregne afkastet for hver observeret periode i de sidste 5 år eller de år, til hvilke der henvises i punkt 6 i dette bilag, ved at dividere logaritmen for kursen ved afslutningen af hver periode med kursen ved afslutningen af den foregående periode
b) tilfældigt vælge en observeret periode, som svarer til afkastet på alle underliggende kontrakter for hver simuleret periode i den anbefalede investeringsperiode (den samme observerede periode kan anvendes flere gange i den samme simulering)
c) beregne afkastet for hver kontrakt ved at lægge afkastene fra de valgte perioder sammen og korrigere dette afkast for at sikre, at det forventede afkast, der er fremkommet på baggrund af den simulerede afkastfordeling, er den risikoneutrale afkastforventning i den anbefalede investeringsperiode. Den endelige afkastværdi fremkommer ved:
hvor:
— det andet udtryk korrigerer for virkningen af gennemsnittet af de observerede afkast
— det tredje udtryk korrigerer for virkningen af variansen af de observerede afkast
— det sidste udtryk korrigerer for »quanto«-virkningen, hvis strikevalutaen er forskellig fra aktivets valuta. Udtrykkene bidrager til korrektionen som følger:
—
— ρ er forholdet mellem aktivets kurs og den relevante valutakurs målt over den anbefalede investeringsperiode
— σ er aktivets målte volatilitet
— σccy er valutakursens målte volatilitet.
d) beregne kursen for hver underliggende kontrakt ved hjælp af afkastets eksponentiel.
23. I forbindelse med kurver skal der foretages en hovedkomponentanalyse (PCA) for at sikre, at bevægelsen for hvert af kurvens punkter over en længere periode resulterer i en pålidelig kurve.
a) PCA foretages ved:
i) at indhente de historiske data for løbetidspunkter, som definerer kurven for hver handelsperiode i de sidste 5 år eller de år, til hvilke der henvises i punkt 6 i dette bilag
ii) at sikre, at hver løbetidspunkt er positivt — i tilfælde af et negativt løbetidspunkt skal alle løbetidspunkter forskydes med mindst det hele tal eller den hele procentsats for at sikre positive værdier for alle løbetidspunkter
iii) at beregne afkastet i hver periode for hvert løbetidspunkt ved hjælp af den naturlige logaritme for forholdet mellem kursen/niveauet ved afslutningen af hver observeret periode og kursen/niveauet ved afslutningen af den foregående periode
iv) at korrigere de observerede afkast ved hvert løbetidspunkt, så de heraf resulterende afkast har en middelværdi på nul ved hvert løbetidspunkt
v) at beregne kovariansmatrix mellem de forskellige løbetider ved at summere via afkastene
vi) at beregne egenvektorerne og egenværdierne for kovariansmatrixen
vii) at vælge de egenvektorer, der svarer til de tre største egenværdier
viii) at udarbejde en matrix med 3 kolonner, i hvilken den første kolonne er egenvektoren med den største egenværdi, den midterste kolonne er egenvektoren med den næststørste egenværdi, og den sidste kolonne er egenvektoren med den tredjestørste egenværdi
ix) at overføre afkastene til de 3 vigtigste egenvektorer, der er beregnet i de tidligere trin, ved at multiplicere NxM-matrixen for afkast, der er fremkommet i nr. iv), med Mx3-matrixen for egenvektorer, der er fremkommet i nr. viii)
x) at beregne den afkastmatrix, der skal anvendes i simuleringen, ved at multiplicere resultaterne i nr. ix) med den transponerede matrix for egenvektorer, der er fremkommet i nr. viii). Dette er det værdisæt, der skal anvendes i simuleringen.
b) Kurvesimuleringen udføres som følger:
i) tidsspringet i simuleringen er en periode. For hver observationsperiode i den anbefalede investeringsperiode vælges en tilfældig række fra den beregnede afkastmatrix. Afkastet for hvert løbetidspunkt T er summen af de valgte rækker i kolonnen, der svarer til løbetidspunktet T.
ii) den simulerede kurs for hvert løbetidspunkt T er den aktuelle kurs ved løbetidspunktet T:
— multipliceret med det simulerede afkasts eksponentiel
— justeret for eventuelle forskydninger, der er anvendt for at sikre positive værdier for alle løbetidspunkter
— justeret, så den forventede middelværdi passer til de aktuelle forventninger om kursen ved løbetidspunktet T ved afslutningen af den anbefalede investeringsperiode.
24. I forbindelse med PRIIP'er i kategori 3, som er karakteriseret ved ubetinget kapitalbeskyttelse, kan PRIIP-producenten antage, at VaR ved en konfidenskoefficient på 97,5 % er lig med niveauet for den ubetingede kapitalbeskyttelse ved afslutningen af den anbefalede investeringsperiode, foruddiskonteret til den aktuelle dato ved anvendelse af den forventede risikofrie diskonteringsfaktor.
Fastlæggelse af MRM-klasse for PRIIP'er i kategori 4
25. Hvis en PRIIP's resultat afhænger af en faktor eller faktorer, der ikke observeres i markedet eller i et vist omfang er under PRIIP-producentens kontrol, eller dette er tilfældet for en af den pågældende PRIIP's komponenter, skal PRIIP-producenten følge metoden i dette afsnit til at dokumentere denne faktor eller disse faktorer.
26. De forskellige komponenter i en PRIIP, der bidrager til denne PRIIP's resultat, skal dokumenteres, så de komponenter, der ikke helt eller delvist afhænger af en faktor eller faktorer, der ikke observeres i markedet, behandles i henhold til de relevante metoder, der er fastlagt for PRIIP'er i kategori 1, 2 eller 3 i dette bilag. Der skal beregnes en VEV for hver af disse komponenter.
27. Den komponent i en PRIIP, der helt eller delvist afhænger af en faktor eller flere faktorer, der ikke observeres i markedet, skal følge pålidelige og anerkendte branche- eller reguleringsstandarder ved fastlæggelse af de relevante forventninger hvad angår den fremtidige indflydelse af disse faktorer og den usikkerhed, der måtte opstå på grund af denne indflydelse. Hvis komponenten ikke fuldt ud afhænger af en faktor, der ikke observeres i markedet, skal der anvendes en bootstrap-metode til dokumentation for de markedsfaktorer, som er fastlagt for PRIIP'er i kategori 3. VEV for komponenten i den pågældende PRIIP er resultatet af en kombination af bootstrap-metoden og pålidelige og anerkendte branche- og reguleringsstandarder ved fastlæggelse af de relevante forventninger hvad angår den fremtidige indflydelse af disse faktorer, som ikke observeres i markedet.
28. VEV for hver komponent i den pågældende PRIIP vægtes proportionalt for at få en gennemsnitlig VEV for den pågældende PRIIP. Ved vægtningen af komponenterne skal der tages hensyn til produktets egenskaber. Om nødvendigt skal der tages hensyn til produktalgoritmer, der reducerer markedsrisikoen, og særlige omstændigheder ved komponenter med fortjeneste.
29. I forbindelse med PRIIP'er i kategori 4, som er karakteriseret ved ubetinget kapitalbeskyttelse, kan PRIIP-producenten antage, at VaR ved en konfidenskoefficient på 97,5 % er lig med niveauet for den ubetingede kapitalbeskyttelse ved afslutningen af den anbefalede investeringsperiode, foruddiskonteret til den akutelle dato ved anvendelse af den forventede risikofrie diskonteringsfaktor.
DEL 2
Metode til vurdering af kreditrisiko
I. GENERELLE KRAV
30. En PRIIP eller dens underliggende investeringer eller eksponeringer anses for at medføre en kreditrisiko, hvis afkastet på den pågældende PRIIP eller dens underliggende investeringer eller eksponeringer afhænger af producentens kreditværdighed eller kreditværdigheden af en tredjepart, der direkte eller indirekte er forpligtet til at foretage relevante betalinger til investoren. En PRIIP med en MRM på 7 er ikke forpligtet til at vurdere kreditrisikoen.
31. Hvis en enhed direkte står for betalingen til en detailinvestor på vegne af en PRIIP, vurderes kreditrisikoen for den enhed, som er den direkte låntager.
32. Hvis alle betalingsforpligtelser, der er indgået af en låntager eller af en eller flere indirekte låntagere, er ubetinget og uigenkaldeligt garanteret af en anden enhed (garantistiller), kan kreditrisikovurderingen af garantistiller anvendes, hvis denne er mere favorabel end kreditrisikovurderingen af den eller de pågældende låntagere.
33. PRIIP'er, der er eksponeret mod underliggende investeringer eller metoder, inklusive PRIIP'er, som selv medfører en kreditrisiko eller foretager underliggende investeringer, der medfører en kreditrisiko, skal kreditrisikoen vurderes i forhold til den kreditrisiko, som både den pågældende PRIIP selv medfører, og som de underliggende investeringer eller eksponeringer medfører (inklusive eksponeringer mod andre PRIIP'er), på en transparent måde og om nødvendigt ved anvendelse af en kaskadevurdering.
34. Hvis kreditrisikoen alene skyldes niveauet af underliggende investeringer eller eksponeringer (inklusive eksponering mod andre PRIIP'er), vurderes kreditrisikoen ikke på selve den pågældende PRIIP's niveau, men i stedet på disse underliggende investeringers eller eksponeringers niveau på en transparent måde. Hvis en PRIIP er et institut for kollektiv investering i værdipapirer (UCITS) eller en alternativ investeringsfond (AIF), antages selve den pågældende UCITS eller AIF ikke at medføre nogen kreditrisiko, hvorimod instituttets eller fondens underliggende investeringer eller eksponeringer om nødvendigt skal vurderes.
35. Hvis en PRIIP er eksponeret mod flere underliggende investeringer, der medfører en kreditrisiko, vurderes den medførte kreditrisiko for hver underliggende investering, der udgør en eksponering på 10 % eller mere af den pågældende PRIIP's samlede aktiver eller værdi, hver for sig.
36. Underliggende investeringer i eller eksponeringer mod børshandlede derivater eller registrerede OTC-derivater antages hvad angår vurdering af kreditrisiko for at være uden kreditrisiko. Kreditrisiko antages for ikke at være til stede i de tilfælde, hvor der er stillet fuld og passende sikkerhed for en eksponering eller i forbindelse med eksponeringer uden sikkerhedsstillelse, der medfører en kreditrisiko på mindre end 10 % af den pågældende PRIIP's samlede aktiver eller samlede værdi.
II. VURDERING AF KREDITRISIKO
Kreditvurdering af låntagere
37. En PRIIP-producent skal forudgående angive et eller flere eksterne kreditvurderingsinstitutter (ECAI), der er godkendt af eller registreret hos Den Europæiske Værdipapir- og Markedstilsynsmyndighed (ESMA) i overensstemmelse med Europa-Parlamentets og Rådets forordning (EF) nr. 1060/2009 ( 5 ), hvis kreditvurderinger altid vil blive anvendt i forbindelse med vurdering af kreditrisikoen. I de tilfælde, hvor der findes flere kreditvurderinger i henhold til denne politik, anvendes median-ratingen, idet den laveste af de to midterværdier anvendes i tilfælde af et lige antal vurderinger.
38. Alt efter hvad der er relevant, vurderes kreditrisikoniveauet for den pågældende PRIIP og for hver låntager på baggrund af:
a) den kreditvurdering, som et ECAI har givet den pågældende PRIIP
b) den kreditvurdering, som et ECAI har givet den pågældende låntager
c) en standard-kreditvurdering i henhold til punkt 43 i dette bilag, hvis der ikke foreligger en kreditvurdering i henhold til enten litra a) eller b) eller begge.
Inddeling af kreditvurderinger i kreditkvalitetstrin
39. Inddelingen af kreditvurderinger fra ECAI'er i en objektiv skala over kreditkvalitetstrin er baseret på Kommissionens gennemførelsesforordning (EU) 2016/1800 ( 6 ).
40. I forbindelse med transparent kreditrisikovurdering skal det tildelte kreditkvalitetstrin svare til de vægtede, gennemsnitlige kreditkvalitetstrin for hver relevant låntager, som skal underkastes en kreditvurdering, i forhold til de samlede aktiver, som disse hver især repræsenterer.
41. I forbindelse med kaskadevurdering af kreditrisikoen skal alle kreditrisikoeksponeringer vurderes hver for sig, pr. lag, og det tildelte kreditkvalitetstrin skal være det højeste kreditkvalitetstrin, forstået på den måde, at mellem et kreditkvalitetstrin på 1 og et kreditkvalitetstrin på 3 er 3 den højeste af de to.
42. Kreditkvalitetstrinnet i henhold til punkt 38 i dette bilag tilpasses løbetiden eller den anbefalede investeringsperiode for den pågældende PRIIP i henhold til følgende tabel, med undtagelse af de tilfælde, hvor der er givet en kreditvurdering, som afspejler løbetiden eller den anbefalede investeringsperiode:
|
Kreditkvalitetstrin i henhold til punkt 38 i dette bilag |
Tilpasset kreditkvalitetstrin i de tilfælde, hvor løbetiden for den pågældende PRIIP eller dens anbefalede investeringsperiode, hvis en PRIIP ikke har nogen løbetid, er indtil et år |
Tilpasset kreditkvalitetstrin i de tilfælde, hvor løbetiden for den pågældende PRIIP eller dens anbefalede investeringsperiode, hvis en PRIIP ikke har nogen løbetid, ligger fra et år og indtil tolv år |
Tilpasset kreditkvalitetstrin i de tilfælde, hvor løbetiden for den pågældende PRIIP eller dens anbefalede investeringsperiode, hvis en PRIIP ikke har nogen løbetid, overstiger tolv år |
|
0 |
0 |
0 |
0 |
|
1 |
1 |
1 |
1 |
|
2 |
1 |
2 |
2 |
|
3 |
2 |
3 |
3 |
|
4 |
3 |
4 |
5 |
|
5 |
4 |
5 |
6 |
|
6 |
6 |
6 |
6 |
43. Hvis der ikke findes en ekstern kreditvurdering af låntager, er standard-kreditvurderingen i henhold til punkt 38 i dette bilag:
a) kreditkvalitetstrin 3, hvis låntager er omfattet af bestemmelserne for et kreditinstitut eller en forsikringsvirksomhed i den gældende EU-lov eller den retlige ramme, der anses for ækvivalent i henhold til EU-lov, og hvor ratingen i medlemsstaten, i hvilken låntager har domicil, er kreditkvalitetstrin 3
b) kreditkvalitetstrin 5 for enhver anden låntager.
III. MÅLING AF KREDITRISIKO
44. En PRIIP tildeles en kreditrisikomåling (CRM) på en skala fra 1 til 6 på baggrund af den fastlagte inddelingstabel i punkt 45 i dette bilag og ved anvendelse af de kreditrisikoreducerende faktorer i punkt 46, 47, 48 og 49 i dette bilag eller de kreditrisikoforøgende faktorer i punkt 50 og 51 i dette bilag, hvor det er relevant.
45. Tabel over inddeling af kreditkvalitetstrin i en CRM:
|
Tilpasset kreditkvalitetstrin |
Måling af kreditrisiko |
|
0 |
1 |
|
1 |
1 |
|
2 |
2 |
|
3 |
3 |
|
4 |
4 |
|
5 |
5 |
|
6 |
6 |
46. CRM kan være 1 i de tilfælde, hvor en PRIIP's aktiver eller passende sikkerhedsstillelser eller aktiver, der anvendes som sikkerhed for den pågældende PRIIP's betalingsforpligtelser, er:
a) modsvarende til den pågældende PRIIP's betalingsforpligtelse overfor dens investorer til enhver tid indtil udløbet
b) indehavet af tredjepart på en særskilt konto med lignende vilkår og betingelser som dem, der er fastlagt i Europa-Parlamentets og Rådets direktiv 2011/61/EU ( 7 ) eller direktiv 2014/91/EU ( 8 ), og
c) er utilgængelige for andre af producentens kreditorer under alle omstændigheder i henhold til gældende lov.
47. CRM kan være 2 i de tilfælde, hvor en PRIIP's aktiver eller passende sikkerhedsstillelser eller aktiver, der anvendes som sikkerhed for den pågældende PRIIP's betalingsforpligtelser, er:
a) modsvarende til den pågældende PRIIP's betalingsforpligtelse over for dens investorer til enhver tid indtil udløbet
b) dokumenteret og indsat på konti eller i registre, i henhold til gældende lov, inklusive artikel 275 og 276 i Europa-Parlamentets og Rådet direktiv 2009/138/EF ( 9 ), og
c) således, at detailinvestorers krav har prioritet i forhold til krav fra PRIIP-producentens øvrige kreditorer eller kreditorerne hos tredjepart, der direkte eller indirekte er forpligtet til at foretage relevante betalinger til investoren.
48. Hvis kreditrisikoen skal vurderes på en transparent måde eller ved kaskademetoden, kan de reducerende faktorer i henhold til punkt 46 og 47 i dette bilag også anvendes ved vurdering af kreditrisikoen i forhold til hver enkelt af de underliggende låntagere.
49. Hvis en PRIIP ikke er i stand til at opfylde kriterierne i henhold til punkt 47 i dette bilag, kan CRM i henhold til punkt 45 i dette bilag reduceres med en klasse, hvis detailinvestorernes krav har prioritet i forhold til de ordinære kreditorers krav, som fastlagt i artikel 108 i direktiv 2014/59/EU, for PRIIP-producenten eller tredjepart, der direkte eller indirekte er forpligtet til at foretage relevante betalinger til investoren for så vidt at låntager er underlagt de relevante tilsynsmæssige krav hvad angår sikring af en passende fordeling af aktiver og passiver.
50. CRM i henhold til punkt 45 i dette bilag øges med to klasser, hvis en detailinvestors krav er efterstillet de privilegerede kreditorers krav.
51. CRM i henhold til punkt 45 i dette bilag øges med tre klasser, hvis en PRIIP udgør en del af PRIIP-låntagerens kapitalgrundlag, som defineret i artikel 4, stk. 1, nr. 118), i Europa-Parlamentets og Rådets forordning 575/2013 ( 10 ) eller i artikel 93 i direktiv 2009/138/EU.
DEL 3
Aggregering af markeds- og kreditrisiko til en summarisk risikoindikator
52. Den generelle summariske risikoindikator (SRI) tildeles ifølge en kombination af CRM- og MRM-klasserne, i overensstemmelse med følgende tabel:
|
MRM-klasse CRM-klasse |
MR1 |
MR2 |
MR3 |
MR4 |
MR5 |
MR6 |
MR7 |
|
CR1 |
1 |
2 |
3 |
4 |
5 |
6 |
7 |
|
CR2 |
1 |
2 |
3 |
4 |
5 |
6 |
7 |
|
CR3 |
3 |
3 |
3 |
4 |
5 |
6 |
7 |
|
CR4 |
5 |
5 |
5 |
5 |
5 |
6 |
7 |
|
CR5 |
5 |
5 |
5 |
5 |
5 |
6 |
7 |
|
CR6 |
6 |
6 |
6 |
6 |
6 |
6 |
7 |
Overvågningsdata med relevans for den summariske risikoindikator
53. PRIIP-producenten skal overvåge de relevante markedsdata, der er relevante for beregningen af MRM-klassen, og hvis MRM-klassen ændres til en anden MRM-klasse, skal den pågældende PRIIP-producent tilføje den tilsvarende MRM-klasse til den MRM-klasse, som har været gældende for den pågældende PRIIP hvad angår flertallet af referencepunkter i de foregående fire måneder.
54. PRIIP-producenten skal også overvåge de kreditrisikokriterier, der er relevante for beregningen af CRM, og den pågældende PRIIP skal ændre CRM til den relevante CRM-klasse, hvis CRM ifølge disse kriterier ændres til en anden CRM-klasse.
55. Der skal altid foretages en revision af MRM-klassen, når PRIIP-producenten træffer beslutninger vedrørende PRIIP'ens investeringspolitik og/eller -strategi. I så fald anses enhver ændring af MRM for at være en ny fastlæggelse af den pågældende PRIIP's MRM-klasse og skal derfor udføres i overensstemmelse med de generelle regler vedrørende fastlæggelse af MRM-klassen for PRIIP-kategorien.
DEL 4
Likviditetsrisiko
56. En PRIIP anses for at have en væsentlig, relevant likviditetsrisiko, hvis et af følgende kriterier er opfyldt:
a) PRIIP'en får tilladelse til at handle på et sekundært marked eller en alternativ likviditetsfacilitet, og der foreligger ikke likviditetstilsagn fra børsmæglere eller PRIIP-producenten, så likviditeten afhænger alene af eventuelle købere og sælgere på det sekundære marked eller den alternative likviditetsfacilitet, under hensyntagen til at regelmæssig handel med et produkt på et givet tidspunkt ikke garanterer regelmæssig handel med samme produkt på alle andre tidspunkter.
b) Den gennemsnitlige likviditetsprofil for de underliggende investeringer er markant lavere end den pågældende PRIIP's tilbagebetalingsfrekvens, hvis og i det omfang den tilbudte likviditet fra PRIIP'en er betinget af opløsning af dens underliggende aktiver.
c) PRIIP-producenten anslår, at detailinvestoren skal regne med alvorlige problemer hvad angår tid eller omkostninger vedrørende investeringsafvikling i produktets levetid på grund af særlige markedsbetingelser.
57. En PRIIP anses for at være ikke-likvid, kontraktmæssigt eller ej, hvis et af følgende kriterier er opfyldt:
a) PRIIP'en får ikke tilladelse til at handle på et sekundært marked, og PRIIP-producenten støtter ikke en alternativ likviditetsfacilitet eller en tredjepart, eller den alternative likviditetsfacilitet er underlagt markante begrænsende betingelser, inklusive betydelige strafgebyrer for exit før tiden eller skønsmæssige indfrielseskurser, eller hvis der ikke foreligger likviditetsordninger.
b) PRIIP'en tilbyder mulighed for exit eller indfrielse før den gældende udløbstid, men dette er omfattet af markante begrænsende betingelser, inklusive betydelige strafgebyrer for exit før tiden eller skønsmæssige indfrielseskurser, eller afhænger af PRIIP-producentens forudgående tilsagn og skøn
c) PRIIP'en tilbyder ikke mulighed for exit eller indfrielse før den gældende udløbstid.
58. I alle andre tilfælde anses en PRIIP for at være likvid.
BILAG III
PRÆSENTATION AF SRI
Præsentationsformat
1. PRIIP-producenter skal anvende nedenstående SRI-præsentation i dokumentet med central information. Det pågældende tal skal være fremhævet som vist, afhængigt af den pågældende SRI for PRIIP'en.
Vejledning i udfyldning med henblik på SRI
2. Den forklarende beskrivelse efter SRI skal kort forklare formålet med en SRI og de underliggende risici.
3. Tidshorisonten for den anbefalede investeringsperiode skal fremgå umiddelbart under den pågældende SRI. Derudover skal der angives en advarsel lige under den pågældende SRI i følgende tilfælde:
a) hvis risikoen i forbindelse med den pågældende PRIIP anses for at være markant højere, hvis investeringsperioden er en anden
b) hvis en PRIIP anses for at have en væsentlig, relevant likviditetsrisiko eller at være ikke-likvid, uanset om dette er af kontraktmæssig årsag eller ej.
4. Den forklarende beskrivelse, som gælder for hver enkelt PRIIP, skal indeholde:
a) en fremhævet advarsel i de tilfælde, hvor:
i) en PRIIP anses for at have en valutarisiko, som angivet i artikel 3, stk. 2, litra c), i nærværende forordning (rubrik C)
ii) en PRIIP har en eventuel forpligtelse til at supplere den oprindelige investering (rubrik D)
b) en forklaring på væsentlige risici med relevans for den pågældende PRIIP, hvor dette er relevant, som ikke er tilstrækkeligt omfattet af SRI (rubrik E)
c) en præcisering:
i) om, at den pågældende PRIIP har en (delvis) kapitalbeskyttelse mod markedsrisici, hvis relevant, inklusive en angivelse af den procentdel af den investerede kapital, der er beskyttet (rubrik F)
ii) af de særlige betingelser for begrænsningerne, hvor den (delvise) kapitalbeskyttelse mod markedsrisici er begrænset (rubrik G)
iii) om at den pågældende PRIIP ikke har nogen kapitalbeskyttelse mod markedsrisici, hvis det er relevant (rubrik H)
iv) om at den pågældende PRIIP ikke har nogen kapitalgaranti mod kreditrisici, hvis det er relevant (rubrik I)
v) af de særlige betingelser for begrænsningerne, hvor beskyttelsen mod kreditrisici er begrænset (rubrik J).
5. I forbindelse med PRIIP'er, der tilbyder flere investeringsmuligheder, skal PRIIP-producenter anvende det format, til hvilket der henvises i punkt 1 i dette bilag, til præsentation af SRI, med angivelse af alle relevante risikoklasser fra den laveste risikoklasse til den højeste risikoklasse.
6. I forbindelse med derivater, som er futures, call options og put options, og som handles på et reguleret marked eller på et marked i et tredjeland, der anses for at svare til et reguleret marked i overensstemmelse med artikel 28 i forordning (EU) 600/2014, skal rubrikkerne A, B og, hvis relevant, H være inkluderet.
Forklarende beskrivelser
7. Hvad angår SRI-præsentationen, inklusive punkt 4 i dette bilag, skal følgende forklarende beskrivelser anvendes, hvis relevant:
[Rubrik A] Den summariske risikoindikator angiver dette produkts risikoniveau i forhold til andre produkter. Den viser sandsynligheden for, at produktet vil tabe penge på grund af bevægelser i markedet, eller fordi vi ikke er i stand til at betale dig.
[Rubrik B] Vi har klassificeret dette produkt som [1/2/3/4/5/6/7] ud af 7, som er [1=»den laveste«/2=»en lav«/3=»en middel-lav«/4=»en middel«/5=»en middel-høj«/6=»den næsthøjeste«/7=»den højeste«] risikoklasse.
[Indsæt derudover en kort forklaring om klassificeringen af produktet på maksimalt 300 tegn i et letforståeligt sprog]
[Et forklaringseksempel: Dermed vurderes de mulige tab ved den fremtidige performance på et [1=»meget lavt«/2=»lavt«/3=»middel-lavt«/4=»middel«/5=»middel-højt«/6=»højt«/7=»meget højt«] niveau, og dårlige markedsbetingelser [1, 2= »påvirker med stor sandsynlighed ikke«/3=»sandsynligvis ikke«/4=»kan«/5=»vil sandsynligvis påvirke«/6=»påvirker med stor sandsynlighed«] [vores] [X's] evne [til] at betale dig].
[[Hvis relevant:] Rubrik C, fremhævet] Vær opmærksom på valutarisiko. Du vil modtage betaling i en anden valuta, så det endelige afkast, som du modtager, afhænger af valutakursen mellem de to valutaer. Denne risiko er ikke omfattet af den ovenstående indikator.
[[Hvis relevant:] Rubrik D] Under nogle omstændigheder kan du blive afkrævet yderligere betalinger til dækning af tab. (fremhævet) Det samlede tab, som du kan lide, kan være væsentligt større end det investerede beløb.
[[Hvis relevant:] [Rubrik E] [Andre væsentlige risici med relevans for den pågældende PRIIP, som ikke er omfattet af den summariske risikoindikator, skal forklares med maksimalt 200 tegn]
[[Hvis relevant:] [Rubrik F] [Du har ret til tilbagebetaling af mindst [indsæt %] af din kapital. Ethvert beløb herover, og ethvert yderligere afkast, afhænger af den fremtidige udvikling i markedet og er usikker.]
[[Hvis relevant:] [Rubrik G] [Denne beskyttelse med den fremtidige udvikling i markedet bortfalder, hvis du [..]
— [I tilfælde af exitbetingelser] indløser før [… år/måneder/dage]]
— [I tilfælde af at der skal foretages løbende betaling] undlader at betale rettidigt.
— [I tilfælde af andre begrænsninger: forklar disse med maksimalt […] tegn i et letforståeligt sprog.]
[[Hvis relevant:] [Rubrik H] [Dette produkt indeholder ikke nogen beskyttelse mod den fremtidige udvikling i markedet, så du kan tabe noget af eller hele din investering.]
[[Hvis relevant:] [Rubrik I] [Hvis (vi) ikke (er) i stand til at betale det, vi skylder, kan du tabe hele din investering.]
[[Hvis relevant:] [Hvis relevant:] [Rubrik J] [Men du kan være beskyttet ifølge en ordning om forbrugerbeskyttelse (se afsnittet »Hvad sker der, hvis vi ikke er i stand til at betale dig«). Ovenstående indikator tager ikke højde for denne beskyttelse.]
BILAG IV
RESULTATSCENARIER
Antal scenarier
1. De fire resultatscenarier i henhold til nærværende forordning, som skal angive en række af mulige afkast, er følgende:
a) et fordelagtigt scenarie
b) et moderat scenarie
c) et ufordelagtigt scenarie
d) et stressscenarie.
2. Stressscenariet omfatter særligt ufordelagtige konsekvenser for produktet, som ikke er omfattet af det ufordelagtige scenarie, der er angivet i punkt 1, litra c), i dette bilag. Stressscenariet skal vise mellemliggende perioder i de tilfælde, hvor disse perioder ville være vist i forbindelse med resultatscenarierne under punkt 1, litra a-c), i dette bilag.
3. Et yderligere scenarie for forsikringsbaserede investeringsprodukter tager udgangspunkt i det moderate scenarie i punkt 1, litra b), hvor resultatet er relevant i forbindelse med investeringens afkast.
Beregning af scenarieværdier for den anbefalede investeringsperiode
4. Scenarieværdierne for de forskellige resultatscenarier beregnes på lignende måde som markedsrisikomålingen. Scenarieværdierne beregnes for den anbefalede investeringsperiode.
5. Det ufordelagtige scenarie er den pågældende PRIIP's værdi ved den 10. percentil.
6. Det moderate scenarie er den pågældende PRIIP's værdi ved den 50. percentil.
7. Det fordelagtige scenarie er den pågældende PRIIP's værdi ved den 90. percentil.
8. Stressscenariet er den pågældende PRIIP's værdi ved brug af metoden i punkt 10 og 11 i dette bilag for PRIIP'er i kategori 2 og i punkt 12 og 13 i dette bilag for PRIIP'er i kategori 3.
9. For PRIIP'er i kategori 2 er de forventede værdier ved afslutningen af den anbefalede investeringsperiode:
a) Det ufordelagtige scenarie:
b) Det moderate scenarie:
c) Det fordelagtige scenarie:
hvor N er antallet af handelsperioder i den anbefalede investeringsperiode, og hvor de øvrige termer er defineret i punkt 12 i bilag II.
10. For PRIIP'er i kategori 2 beregnes stressscenariet i følgende trin:
a) Bestem et underinterval af længden w, som svarer til følgende intervaller:
|
|
1 år |
> 1 år |
|
Dagskurser |
21 |
63 |
|
Ugekurser |
8 |
16 |
|
Månedskurser |
6 |
12 |
b) Bestem for hvert underinterval af længden w de historiske lognormale afkast rt, hvor t = t0, t1, t2, …, tN.
c) Mål volatiliteten baseret på nedenstående formel, idet der startes fra ti = t0 og fortsættes til ti = t N – w
hvor Mw er antallet af observationer i underintervallet, og
er gennemsnittet af alle de historiske lognormale afkast i det tilsvarende underinterval.
d) Udled den værdi, som svarer til den 99. percentil for 1 år og den 90. percentil for de øvrige investeringsperioder. Denne værdi svarer til den stressede volatilitet
.
11. For PRIIP'er i kategori 2 er de forventede værdier ved afslutningen af den anbefalede investeringsperiode for stressscenariet:
hvor zα er en passende valgt værdi for PRIIP'en ved den ekstreme percentil, som svarer til 1 % for 1 år og til 5 % for de øvrige investeringsperioder.
12. For PRIIP'er i kategori 3 foretages følgende justeringer ved beregning af fordelagtige, moderate og ufordelagtige resultatscenarier:
a) det forventede afkast for hvert aktiv eller aktiverne er det observerede afkast over en periode, som fastlagt i punkt 6 i bilag II
b) det forventede resultat beregnes ved afslutningen af den anbefalede investeringsperiode, og uden fremdiskontering af det forventede resultat ved anvendelse af den forventede risikofrie diskonteringsfaktor.
13. For PRIIP'er i kategori 3 foretages følgende justeringer ved beregning af stressscenariet:
a) Udled stressvolatilitet baseret på den metode, der er defineret i punkt 10 i dette bilag.
b) Omskaler historiske afkast baseret på nedenstående formel.
c) Foretag bootstrapping på som beskrevet i punkt 22 i bilag II.
d) Beregn afkastet for hver kontrakt ved at lægge afkastene fra de valgte perioder sammen og korrigere disse afkast for at sikre, at det forventede afkast, der er fremkommet på baggrund af den simulerede afkastfordeling, er som nedenstående
hvor E*[rbootstrapped] er det nye simulerede gennemsnit.
14. For PRIIP'er i kategori 3 er stressscenariet den pågældende PRIIP's værdi ved den ekstreme zα percentil, som defineret i punkt 11 i dette bilag, af den simulerede distribution i henhold til punkt 13 i dette bilag.
15. I forbindelse med PRIIP'er i kategori 4 anvendes metoden i punkt 27 i bilag II hvad angår de faktorer, der ikke observeres i markedet, om nødvendigt kombineret med metoden for PRIIP'er i kategori 3. De relevante metoder for PRIIP'er i kategori 2, der er fastlagt i punkt 9-11 i dette bilag, og de relevante metoder for PRIIP'er i kategori 3, der er fastlagt i punkt 12-14 i dette bilag, anvendes på den pågældende PRIIP's relevante komponenter i de tilfælde, hvor den pågældende PRIIP indeholder en kombination af forskellige komponenter. Resultatscenarierne vægtes gennemsnitligt i forhold til de relevante komponenter. Der skal tages højde for produktegenskaber og kapitalgarantier ved resultatberegningerne.
16. For PRIIP'er i kategori 1, som defineret i punkt 4, litra a) i bilag II, og PRIIP'er i kategori 1, som defineret i punkt 4, litra b), i bilag II, som ikke er futures, call options og put options, der handles på et reguleret marked eller på et marked i et tredjeland, der anses for at svare til et reguleret marked i overensstemmelse med artikel 28 i forordning (EU) 600/2014, beregnes resultatscenarierne i overensstemmelse med punkt 12-14 i dette bilag.
17. For PRIIP'er i kategori 1, som er futures, call options og put options, og som handles på et reguleret marked eller på et marked i et tredjeland, der anses for at svare til et reguleret marked i overensstemmelse med artikel 28 i forordning (EU) 600/2014, vises resultatscenarierne i form af afkastgrafer. Der skal angives en graf, der viser resultatet for alle scenarier for de forskellige niveauer af den underliggende værdi. Grafens horisontale akse skal vise de forskellige mulige kurser for den underliggende værdi, og den vertikale akse skal vise overskuddet eller tabet ved de forskellige kurser for den underliggende værdi. For hver kurs på den underliggende værdi skal grafen vise det resulterende overskud eller tab og den kurs for den underliggende værdi, ved hvilken overskuddet eller tabet er nul.
18. For PRIIP'er i kategori 1, som defineret i punkt 4, litra c), i bilag II, angives et rimeligt og konservativt bedste skøn over de forventede værdier for de resultatscenarier, der er fastlagt i punkt 1, litra a-c), i dette bilag, ved afslutningen af den anbefalede investeringsperiode.
De valgte og viste scenarier skal være i overensstemmelse med og supplere de øvrige oplysninger i dokumentet med central information, inklusive den pågældende PRIIP's generelle risikoprofil. PRIIP-producenten skal sikre overensstemmelse mellem scenarierne og interne produktforvaltningskonklusioner, inklusive blandt andet eventuelle stress-test, der er foretaget af PRIIP-producenten på den pågældende PRIIP, samt data og analyser, der indgår i udarbejdelsen af de øvrige oplysninger i dokumentet med central information.
Scenarierne vælges, så der gives en afbalanceret præsentation af de mulige resultater for produktet under både fordelagtige og ufordelagtige betingelser, men der vises kun scenarier, der med rimelighed kan forventes. Scenarierne må ikke vælges på en sådan måde, at fordelagtige resultater fremhæves på bekostning af ufordelagtige resultater.
Beregning af forventede værdier for mellemliggende investeringsperioder
19. For PRIIP'er med en anbefalet investeringsperiode mellem 1 og 3 år vises resultatet ved 2 forskellige investeringsperioder: ved afslutningen af det første år og ved afslutningen af den anbefalede investeringsperiode.
20. For PRIIP'er med en anbefalet investeringsperiode på 3 år eller mere vises resultatet ved 3 investeringsperioder: ved afslutningen af det første år, efter halvdelen af den anbefalede investeringsperiode rundet op til afslutningen af det nærmeste år og ved afslutningen af den anbefalede investeringsperiode.
21. For PRIIP'er med en anbefalet investeringsperiode på 1 år eller mindre vises ingen resultatscenarier for mellemliggende investeringsperioder.
22. For PRIIP'er i kategori 2 beregnes de værdier, der skal vises for de mellemliggende perioder, ved hjælp af formlerne i punkt 9-11 i dette bilag, hvor N er defineret som antallet af handelsperioder fra startdatoen til afslutningen af den mellemliggende periode.
23. For PRIIP'er i kategori 1 og PRIIP'er i kategori 4 estimeres de værdier, der skal vises for de mellemliggende perioder, af PRIIP-producenten på en måde, der svarer til vurderingen ved afslutningen af den anbefalede investeringsperiode. I den forbindelse skal metoden, der anvendes til vurdering af den pågældende PRIIP's værdi ved starten af hver mellemliggende periode, give den samme værdi for hele den anbefalede investeringsperiode, som ved anvendelse af de foreskrevne metoder i hhv. punkt 16 og 15 i dette bilag.
24. For at fremstille de fordelagtige, moderate og ufordelagtige scenarier samt stressscenarierne ved en mellemliggende periode før afslutningen af den anbefalede investeringsperiode i forbindelse med PRIIP'er i kategori 3 skal producenten vælge tre underliggende simuleringer i henhold til punkt 16 og 24 i bilag II, der anvendes til beregning af MRM, og én underliggende simulering i henhold til punkt 13 i dette bilag, på baggrund af de underliggende niveauer alene og på en sådan måde, at den simulerede værdi for de pågældende PRIIP'er i den mellemliggende periode må forventes at være i overensstemmelse med det relevante scenarie.
a) For at fremstille de fordelagtige, moderate og ufordelagtige scenarier samt stressscenarierne ved en mellemliggende periode for en PRIIP i kategori 3 med én underliggende, og hvis værdi vides at have en forøgende funktion i forbindelse med det underliggende niveau, skal producenten vælge tre underliggende simuleringer i henhold til punkt 16 til 24 i bilag II, der anvendes til beregning af MRM, og én underliggende simulering i henhold til punkt 13 i dette bilag, som henholdsvis medfører niveauet for den 90. percentil i forbindelse med det fordelagtige scenarie, niveauet for den 50. percentil i forbindelse med det moderate scenarie, niveauet for den 10. percentil i forbindelse med det ufordelagtige scenarie og det percentilniveau, der svarer til 1 % for 1 år og til 5 % for de øvrige investeringsperioder i forbindelse med stressscenariet.
b) For at fremstille de fordelagtige, moderate og ufordelagtige scenarier samt stressscenarierne ved en mellemliggende periode for en PRIIP i kategori 3 med én underliggende, og hvis værdi vides at have en forringende funktion i forbindelse med det underliggende niveau, skal producenten vælge tre underliggende simuleringer i henhold til punkt 16 til 24 i bilag II, der anvendes til beregning af MRM, og én underliggende simulering i henhold til punkt 13 i dette bilag, som henholdsvis medfører niveauet for den 90. percentil i forbindelse med det ufordelagtige scenarie, niveauet for den 50. percentil i forbindelse med det moderate scenarie, niveauet for den 10. percentil i forbindelse med det fordelagtige scenarie og det percentilniveau, der svarer til 1 % for 1 år og til 5 % for de øvrige investeringsperioder i forbindelse med stressscenariet.
c) For at fremstille de fordelagtige, moderate og ufordelagtige scenarier samt stressscenarierne ved en mellemliggende periode for en PRIIP i kategori 3, der ikke er nævnt i litra a) og b), skal producenten vælge underliggende værdier i overensstemmelse med niveauerne for den 90., 50. og 10. percentil og det percentilniveau, der svarer til 1 % for 1 år og til 5 % for de øvrige investeringsperioder af den pågældende PRIIP, og anvende disse værdier som initialværdier for en simulering til bestemmelse af den pågældende PRIIP's værdi.
25. For PRIIP'er i kategori 1, som er futures, call options og put options, og som handles på et reguleret marked eller på et marked i et tredjeland, der anses for at svare til et reguleret marked i overensstemmelse med artikel 28 i forordning (EU) 600/2014, vises ingen resultatscenarier for mellemliggende investeringsperioder.
26. I forbindelse med fordelagtige, moderate og ufordelagtige scenarier ved mellemliggende perioder skal vurderingen af den anvendte distribution til læsning af den pågældende PRIIP's værdi ved forskellige percentiler være i overensstemmelse med det observerede afkast og den volatilitet, der er observeret i de sidste 5 år for alle markedsinstrumenter, som er afgørende for den pågældende PRIIP's værdi. I forbindelse med stressscenarierne ved mellemliggende perioder skal vurderingen af den anvendte distribution til læsning af den pågældende PRIIP's værdi ved forskellige percentiler være i overensstemmelse med den simulerede distribution for alle markedsinstrumenter, som er afgørende for den pågældende PRIIP's værdi i henhold til punkt 11 og 13.
27. Det ufordelagtige scenarie estimeres som den pågældende PRIIP's værdi ved starten af den mellemliggende periode i overensstemmelse med den 10. percentil.
28. Det moderate scenarie estimeres som den pågældende PRIIP's værdi ved starten af den mellemliggende periode i overensstemmelse med den 50. percentil.
29. Det fordelagtige scenarie estimeres som den pågældende PRIIP's værdi ved starten af den mellemliggende periode i overensstemmelse med den 90. percentil.
30. Stressscenariet estimeres som den pågældende PRIIP's værdi ved starten af den mellemliggende periode i overensstemmelse med det percentilniveau, der svarer til 1 % for 1 år og til 5 % for de øvrige investeringsperioder af den simulerede distribution i henhold til punkt 13.
Generelle krav
31. Resultatet for den pågældende PRIIP beregnes eksklusive alle relevante omkostninger i overensstemmelse med bilag VI for det pågældende scenarie og den pågældende investeringsperiode.
32. Resultatet skal angives i monetære enheder. De anvendte beløb skal være i overensstemmelse med beløbene, til hvilke der henvises i punkt 90 i bilag VI.
33. Resultatet skal også angives som en procentdel som det gennemsnitlige årlige afkast på investeringen. Dette tal beregnes med nettoresultatet som tælleren og det oprindelige investeringsbeløb eller den betalte kurs som nævneren.
I forbindelse med PRIIP'er, hvor der ikke foreligger en oprindelig investering eller betalt kurs, såsom futures-kontrakter eller swaps, skal procentdelen beregnes ved hjælp af kontraktens nominelle værdi, og der skal tilføjes en fodnote med en forklaring af beregningen.
34. I forbindelse med et forsikringsbaseret investeringsprodukt gælder foruden de ovennævnte metoder inklusive under punkt 15 følgende ved beregning af resultatscenarierne for investeringen:
a) der skal tages højde for fremtidig andel i overskuddet
b) forventninger om fremtidig andel i overskuddet skal være i overensstemmelse med forventningen om de årlige afkastgrader på de underliggende aktiver
c) forventninger om, hvordan fremtidige overskud fordeles mellem PRIIP-producenten og detailinvestoren og andre forventninger om fremtidig overskudsdeling skal være realistiske og i overensstemmelse med PRIIP-producentens nuværende forretningspraksis og forretningsstrategi. Hvis der er tilstrækkelig dokumentation for, at selskabet vil ændre sin praksis eller strategi, skal forventningerne om fremtidig overskudsdeling stemme overens med den ændrede praksis eller strategi. For livsforsikringsselskaber inden for rammerne af direktiv 2009/138/EF skal disse forventninger være i overensstemmelse med forventningerne om fremtidige ledelseshandlinger anvendt til værdiansættelse af forsikringsmæssige hensættelser i Solvens II-regnskabet
d) hvis en af resultatkomponenterne vedrører overskudsdeling, der udbetales på skønsmæssig basis, må denne komponent kun antages i de fordelagtige resultatscenarier:
e) resultatscenarierne beregnes på baggrund af de investeringsbeløb, der er angivet i punkt 32 i dette bilag.
BILAG V
METODE TIL PRÆSENTATION AF RESULTATSCENARIER
DEL 1
Generelle præsentationsspecifikationer
1. Resultatscenarierne skal præsenteres på en måde, som er fair, præcis, klar og ikke misvisende, og som må forventes at blive forstået af gennemsnitsdetailinvestoren.
2. Hvis resultatscenarier kun vises ved udløbsdatoen eller ved afslutningen af den anbefalede investeringsperiode, som i forbindelse med de angivne PRIIP'er i punkt 21 i bilag IV, skal dette forklares tydeligt i den forklarende beskrivelse i henhold til rubrik E i del 2 i dette bilag.
3. I alle tilfælde skal de forklarende beskrivelser, som der er redegjort for i rubrik A, B, C, D og F i del 2 i dette bilag være angivet, med undtagelse af de PRIIP'er i kategori 1, til hvilke der henvises i punkt 17 i bilag IV, hvor de forklarende beskrivelser, der er angivet i rubrik G til K, skal anvendes i stedet.
DEL 2
Præsentation af resultatscenarier
PRIIP-producenter skal præsenterer resultatscenarier i nedenstående formater for alle PRIIP'er, med undtagelse af de angivne PRIIP'er i kategori 1 i punkt 17 i bilag IV, afhængigt af om den pågældende PRIIP er en enkeltinvesterings- eller præmie- eller en normal udbetalings- eller præmie-PRIIP. Interimsperioderne kan variere afhængigt af længden af den anbefalede investeringsperiode. For forsikringsbaserede investeringsprodukter findes der yderligere rækker vedrørende scenariet for forsikringsydelser, inklusive kumulative biometriske risikopræmier for et forsikringsbaseret investeringsprodukt med normal præmie. Afkast i forbindelse med dette scenarie vises kun i absolutte værdier.
Skema A: Enkeltinvestering og/eller engangspræmie betalt.
Enkeltinvestering betalt
Engangspræmie betalt
Skema B: Normale investeringer og/eller præmier betalt.
Normale investeringer betalt
Normale præmier betalt
Resultatscenarier
[Rubrik A] Denne [tabel/graf] viser det beløb, som du kan få tilbage i løbet af de næste [anbefalet investeringsperiode] år, under forskellige scenarier, hvis du investerer […] EUR [pr. år].
[Rubrik B] De viste scenarier illustrerer, hvorledes din investering kan udvikle sig. Du kan sammenligne dem med scenarierne for andre produkter.
[Rubrik C] De viste scenarier er et skøn over den fremtidige udvikling, baseret på historiske resultater, som viser, hvordan værdien af denne investering varierer, og er ikke en præcis indikator. Hvad du får, afhænger af udviklingen i markedet, og hvor længe du beholder investeringen/produktet.
[Rubrik D] Stressscenariet viser, hvad du eventuelt får tilbage under ekstreme markedsforhold, og der er ikke taget højde for den situation, at vi ikke er i stand til at betale dig.
[Hvis relevant:] [Rubrik E] Dette produkt kan ikke [uden videre] indløses. Det betyder, at det er svært at vurdere, hvor meget du får tilbage, hvis du indløser før [afslutningen af den anbefalede investeringsperiode/udløbstiden]. Enten kan du ikke indløse før tiden, eller du skal betale store omkostninger eller lide et stort tab, hvis du gør det.
[Rubrik F] De viste tal inkluderer alle omkostninger ved selve produktet, [hvis relevant]:[men inkluderer måske ikke alle de omkostninger, som du betaler til din rådgiver eller forening][og inkluderer omkostningerne til din rådgiver eller forening]. Der tages ikke højde for dine personlige skatteforhold, som også har betydning for, hvor meget du får tilbage.
[Rubrik G] Denne graf illustrerer, hvorledes din investering kan udvikle sig. Du kan sammenligne den med afkastgraferne for andre derivater.
[Rubrik H] Den viste graf angiver omfanget af mulige resultater og er ikke en præcis indikation af, hvad du får tilbage. Hvad du får, vil variere og afhænge af udviklingen i det underliggende. Grafen viser, hvad overskuddet eller tabet for produktet vil være for hver enkelt af de underliggendes værdier. Den horisontale akse viser de forskellige kursmuligheder for den underliggende værdi ved udløbsdatoen, og den vertikale akse viser overskuddet eller tabet.
[Rubrik I] Hvis du køber dette produkt, forventer du, at den underliggende kurs vil [stige/falde].
[Rubrik J] Dit maksimale tab vil være, at du taber hele din investering (betalte præmie).
[Rubrik K] De viste tal inkluderer alle omkostninger ved selve produktet, men inkluderer måske ikke alle de omkostninger, som du betaler til din rådgiver eller forening. Der tages ikke højde for dine personlige skatteforhold, som også kan have betydning for, hvor meget du får tilbage.
BILAG VI
METODE TIL BEREGNING AF OMKOSTNINGER
DEL 1
Liste over omkostninger
I. LISTE OVER OMKOSTNINGER I INVESTERINGSFONDE (AIF OG UCITS)
Omkostninger, der skal oplyses
Engangsomkostninger
1. En engangsomkostning er en oprettelses- eller exitomkostning, der enten:
a) betales direkte af detailinvestoren eller
b) fratrækkes en betaling, der er modtaget af eller skal betales til detailinvestoren.
2. Engangsomkostninger er omkostninger, der bæres af detailinvestoren, og som ikke fratrækkes aktiverne i den pågældende AIF eller UCITS.
3. Engangsomkostninger inkluderer, men er ikke begrænset til følgende typer af forudbetalte startomkostninger, som der skal tages højde for i omkostningsbeløbet, og som skal fremgå af dokumentet med central information:
a) distributionsgebyr, for så vidt at beløbet kendes af administrationsselskabet. Hvis det faktiske beløb ikke kendes af administrationsselskabet, angives de maksimalt mulige og kendte distributionsomkostninger for den pågældende PRIIP:
b) bidragsomkostninger (forudbetalt del)
c) markedsføringsomkostninger (forudbetalt del)
d) tegningsgebyr inklusive skatter.
Periodiske omkostninger
4. Periodiske omkostninger er betalinger, der fratrækkes aktiverne i den pågældende AIF eller UCITS, og omfatter følgende:
a) omkostninger, der er nødvendige for driften af disse
b) enhver betaling, inklusive vederlag, til personer, der har tilknytning til den pågældende AIF eller UCITS, eller som udfører tjenesteydelser for dem
c) transaktionsomkostninger.
5. Periodiske omkostninger inkluderer, men er ikke begrænset til følgende typer af omkostninger, som fratrækkes aktiverne i den pågældende AIF eller UCITS, og som der skal tages højde for i omkostningsbeløbet, der skal fremgå af dokumentet med central information:
a) alle betalinger til følgende personer, inklusive enhver af de følgende personer, til hvilke de har overdraget eventuelle funktioner:
i) fondens administrationsselskab
ii) fondens direktører, hvis der er tale om et investeringsselskab
iii) depositaren
iv) depotinstitutionen(-erne)
v) enhver investeringsrådgiver
b) alle betalinger til enhver person, der udfører outsourcede tjenesteydelser for enhver af de ovenstående, inklusive:
i) udbydere af værdiansættelses- og regnskabstjenesteydelser
ii) udbydere af tjenesteydelser for aktionærer, såsom transfer-agenten og børsmæglere, som er registrerede ejere af fondens aktier og udfører underliggende regnskabstjenesteydelser for de egentlige ejere af disse aktier
iii) udbydere af collateral management-tjenesteydelser
iv) udbydere af mæglertjenesteydelser
v) udbydere af sikkerhedsstillelse
vi) udbydere af ejendomsadministration og lignende tjenesteydelser
c) registreringsgebyrer, noteringsgebyrer, lovpligtige afgifter og lignende afgifter, inklusive pasordningsgebyrer
d) provisionsrelaterede gebyrer for særlig håndtering af overskud og tab
e) revisionsgebyrer
f) betalinger til juridiske og professionelle rådgivere
g) eventuelle distributions- og markedsføringsomkostninger, for så vidt at beløbet kendes af administrationsselskabet. Hvis det faktiske beløb ikke kendes af administrationsselskabet, angives de maksimalt mulige og kendte distributionsomkostninger for den pågældende PRIIP
h) finansieringsomkostninger i forbindelse med låntagning (som ydes af tilknyttede parter)
i) omkostninger vedrørende kapitalgaranti, der stilles af tredjeparts-garantistillere
j) betalinger til tredjeparter vedrørende nødvendige omkostninger opstået i forbindelse med erhvervelse eller salg af aktiver i fondens portefølje (inklusive transaktionsomkostninger i henhold til punkt 7 til 23 i dette bilag)
k) værdier af varer eller tjenesteydelser, der er modtaget af administrationsselskabet eller enhver tilknyttet person, til gengæld for indbringelse af handelsordre
l) i tilfælde, hvor en fond investerer sine aktiver i UCITS eller AIF'er, skal dens summariske omkostningsindikator tage højde for de afholdte udgifter i de pågældende UCITS eller AIF'er. Følgende skal indgå i beregningen:
i) hvis den underliggende er en UCITS eller AIF, skal tallet for den senest tilgængelige summariske omkostningsindikator anvendes; det kan være det tal, som offentliggøres af den pågældende UCITS eller AIF, eller dens drifts- eller administrationsselskab, eller et tal, der er beregnet af en pålidelig tredjeparts-kilde, hvis dette tal er mere aktuelt end det offentliggjorte tal
ii) den summariske omkostningsindikator kan reduceres, hvis der foreligger ordninger (og dette ikke allerede er indregnet i fondens driftsregnskab), ifølge hvilke investeringsfonden modtager en udgiftsnedsættelse eller -retrocession fra den underliggende AIF eller UCITS
iii) hvis erhvervelse eller salg af enheder ikke foretages til middelkursen for den pågældende UCITS eller AIF, skal værdien af forskellen mellem transaktionskursen og middelkursen medtages som transaktionsomkostninger, for så vidt at disse ikke er inkluderet i den summariske omkostningsindikator
m) hvis en fond investerer i en PRIIP, der ikke er en UCITS eller AIF, skal dens summariske omkostningsindikator tage højde for de afholdte udgifter i den underliggende PRIIP. Følgende skal indgå i beregningen:
i) den senest tilgængelige summariske omkostningsindikator for den underliggende PRIIP skal indgå i beregningen
ii) den summariske omkostningsindikator kan reduceres, hvis der foreligger ordninger (og dette ikke allerede er indregnet i fondens driftsregnskab), ifølge hvilke investeringsfonden modtager en udgiftsnedsættelse eller -retrocession fra den underliggende PRIIP
iii) hvis erhvervelse eller salg af enheder ikke foretages til middelkursen for den underliggende PRIIP, skal værdien af forskellen mellem transaktionskursen og middelkursen medtages som transaktionsomkostninger for så vidt, at disse ikke er inkluderet i den summariske omkostningsindikator
n) hvis en fond investerer i et investeringsprodukt, der ikke er en PRIIP, skal dens summariske omkostningsindikator tage højde for de afholdte udgifter i det underliggende investeringsprodukt. PRIIP-producenten skal enten gøre brug af eventuelt offentliggjorte oplysninger, som udgør en rimelig substitut for den summariske omkostningsindikator eller på bedst mulig måde skønne dens maksimale niveau baseret på en gennemgang af investeringsproduktets aktuelle prospekt og de senest offentliggjorte beretninger og regnskaber
o) driftsomkostninger (eller enhver form for vederlag) i henhold til en gebyrdelingsordning med en tredjepart i det omfang, at disse ikke allerede er inkluderet i en af ovenstående omkostningstyper
p) indtægter fra effektive porteføjleplejemetoder, hvis disse ikke indgår i porteføljen
q) implicitte omkostninger afholdt af strukturerede fonde, til hvilke der henvises i afsnit II i dette bilag og især punkt 36 til 46 i dette bilag
r) dividende på aktier, der indgår i fondens portefølje, indgår ikke i fondens indtjening.
Yderligere omkostninger
6. Følgende typer af yderligere omkostninger skal indgå i det oplyste beløb:
a) et resultatafhængigt gebyr, der udbetales til administrationsselskabet eller til en investeringsrådgiver, inklusive resultatgebyrer i henhold til punkt 24 i dette bilag
b) carry interests i henhold til punkt 25 i dette bilag.
Beregning af særlige omkostningstyper for investeringsfonde
Transaktionsomkostninger
7. Transaktionsomkostninger beregnes på årsbasis på baggrund af den pågældende PRIIP's gennemsnitlige afholdte transaktionsomkostninger i de tre foregående år. Hvis den pågældende PRIIP har været aktiv i mindre end tre år, skal transaktionsomkostningerne beregnes i henhold til den fastlagte metode i punkt 21 i dette bilag.
8. De samlede transaktionsomkostninger for en PRIIP beregnes som summen af transaktionsomkostninger, der er beregnet i overensstemmelse med punkt 9 til 23 i dette bilag, i den pågældende PRIIP's primære valuta for alle individuelle transaktioner, der er foretaget af den pågældende PRIIP i den angivne periode. Denne sum omregnes til en procentdel ved at dividere med den pågældende PRIIP's gennemsnitlige nettoaktiver i samme periode.
9. Ved beregningen af den pågældende PRIIP's afholdte transaktionsomkostninger i de seneste tre år skal de faktiske transaktionsomkostninger beregnes ved hjælp af den beskrevne metode i punkt 12 til 18 i dette bilag i forbindelse med investeringer i følgende instrumenter:
a) værdipapirer i henhold til artikel 2 i Kommissionens direktiv 2007/16/EF ( 11 )
b) andre instrumenter, der ofte kan afhændes, indløses eller på anden måde realiseres til en kurs, der er offentligt tilgængelig for markedsdeltagerne, og som er enten markedskursen eller kurser, der gøres tilgængelige eller er godkendte ved hjælp af værdiansættelsessystemer, der er uafhængige af udstederen.
10. Skøn over transaktionsomkostninger i henhold til den nedenfor beskrevne metode i punkt 19 til 20 i dette bilag skal anvendes i forbindelse med investeringer i andre instrumenter eller aktiver.
Håndtering af anti-dilution-mekanismer
11. Hvis en PRIIP har en kursfastsættelsesmekanisme, der udligner dilutions-effekten af transaktioner inden for den pågældende PRIIP selv, kan det indtjente beløb til ejerne af den pågældende PRIIP fra anti-dilution-mekanismer fratrækkes de afholdte transaktionsomkostninger inden for PRIIP(en) ved hjælp af den følgende metode:
a) det monetære beløb for enhver anti-dilution-opkrævning eller anden betaling i forbindelse med en transaktion inden for den pågældende PRIIP selv, som er betalt til den pågældende PRIIP, kan fratrækkes de samlede transaktionsomkostninger
b) den pågældende PRIIP's gevinst ved at udstede enheder (eller på anden vis muliggøre investering i den pågældende PRIIP) til en anden kurs end middelkursen eller ved at annullere enheder (eller på anden vis muliggøre indfrielse af midler fra den pågældende PRIIP) til en anden kurs end middelkursen, beregnes som følger under forudsætning af, at den pågældende PRIIP selv modtager denne gevinst, og kan fratrækkes de samlede transaktionsomkostninger:
i) forskellen mellem kursen på de udstedte enheder og middelkursen, multipliceret med antallet af udstedte enheder
ii) forskellen mellem kursen på de annullerede enheder og middelkursen, multipliceret med antallet af annullerede enheder.
Faktiske transaktionsomkostninger
12. De faktiske transaktionsomkostninger for hver transaktion beregnes på baggrund af følgende:
a) for hvert køb, der foretages af den pågældende PRIIP, fratrækkes instrumentets kurs på det tidspunkt, hvor købsordren sendes til afvikling af en anden person (købets »ankomstskurs«) fra transaktionens realiserede netto-afviklingskurs. Den resulterende værdi multipliceres med antallet af købte enheder
b) for hvert salg, der foretages af den pågældende PRIIP, fratrækkes transaktionens realiserede netto-afviklingskurs fra instrumentets kurs på det tidspunkt, hvor salgsordren sendes til afvikling af en anden person (salgets »ankomstkurs«). Den resulterende værdi multipliceres med antallet af solgte enheder
13. Den realiserede netto-afviklingskurs defineres som den kurs, ved hvilken transaktionen afvikles, inklusive alle udgifter, provisioner, skatter og andre direkte eller indirekte betalinger (såsom anti-dilution-opkrævninger) i forbindelse med transaktionen, som betales med den pågældende PRIIP's aktiver.
14. Ankomstkursen defineres som markedets middelkurs for investeringen på det tidspunkt, hvor afviklingsordren sendes til en anden person. For ordre, der ikke effektueres på den dag, hvor de oprindeligt blev fremsendt til en anden person, defineres ankomstkursen som investeringens åbningskurs på dagen for transaktionen eller den foregående lukkekurs, hvis åbningskursen ikke er tilgængelig. I tilfælde, hvor kursen ikke er tilgængelig på det tidspunkt, hvor ordren til effektuering fremsendes til en anden person (fordi ordren afgives uden for markedets åbningstider eller for eksempel på OTC-markeder, hvor der ikke findes transparente intra-dagskurser), defineres ankomstkursen som åbningskursen på dagen for transaktionen eller den foregående lukkekurs, hvis åbningskursen ikke er tilgængelig. Hvis ordren effektueres, uden at den sendes til en anden person, defineres ankomstkursen som markedets middelkurs for investeringen på det tidspunkt, hvor transaktionen blev effektueret.
15. I de tilfælde, hvor der ikke findes oplysninger om det tidspunkt, på hvilket ordren om effektuering blev fremsendt til en anden person (eller ikke findes med tilstrækkelig sikkerhed), eller hvor der ikke findes oplysninger om kursen på dette tidspunkt, kan åbningskursen for investeringen på dagen for transaktionen eller den foregående lukkekurs, hvis åbningskursen ikke er tilgængelig, anvendes som ankomstkurs. Ved beregning af transaktionskurser på baggrund af data før den 31. december 2017 kan intra-dagskurser antages at være ikke tilgængelige.
16. Omkostninger i forbindelse med transaktioner, der foretages af PRIIP'er, og som vedrører finansielle instrumenter inden for en af følgende kategorier, til hvilke der henvises i punkt 4 til 10 i afsnit C i bilag I til direktiv 2014/65/EU, beregnes på følgende måde:
a) i forbindelse med instrumenter, som er standardiserede, og hvor instrumentet selv handles regelmæssigt (for eksempel en indeksfuture på et større aktieindeks), beregnes transaktionsomkostningerne på baggrund af selve instrumentet. Ankomstkursen defineres som instrumentets middelkurs
b) i forbindelse med lineære standardiserede instrumenter uden kurstransparens eller regelmæssig handel i selve instrumentet, beregnes transaktionsomkostningerne på baggrund af de(t) underliggende aktiv(er). Ankomstkursen beregnes på baggrund af de underliggende aktivers kurs(er) ved anvendelse af relevante vægtninger, hvis der findes mere end et underliggende aktiv. Hvis omkostningerne ved transaktionerne med instrumentet er markant højere end omkostningerne ved transaktionerne med de underliggende aktiver, skal dette indgå i beregningen af transaktionsomkostningerne
c) i forbindelse med ikke-lineære instrumenter kan transaktionsomkostningerne beregnes som forskellen mellem den betalte eller modtagne kurs for instrumentet og instrumentets dagsværdi på den baggrund, som er beskrevet i punkt 36 til 46 i dette bilag.
17. Ved beregning af omkostninger i forbindelse med udenlandsk valuta skal ankomstkursen afspejle et rimeligt skøn over den konsoliderede kurs, og må ikke bare være den tilgængelige kurs fra en enkelt modpart eller valutaplatform, selv om der findes ordninger til afvikling af alle valutatransaktioner med en enkelt modpart.
18. Ved beregning af omkostninger vedrørende ordrer, som oprindeligt er placeret på en auktion, beregnes ankomstkursen som middelkursen umiddelbart inden auktionen.
Transaktionsomkostninger for andre aktiver
19. Ved beregning af transaktionsomkostninger vedrørende andre aktiver end dem, der er angivet i punkt 9 i dette bilag, anvendes metoden i punkt 12 i dette bilag, og ankomstkursen beregnes som følger:
a) ved salg:
i) Ankomstkursen beregnes som den tidligere uafhængige værdiansættelseskurs for aktivet, justeret for bevægelser i markedet, hvis relevant, ved anvendelse af et relevant benchmark-indeks.
ii) Hvis der ikke foreligger en tidligere uafhængig værdiansættelseskurs, skal der foretages et skøn over transaktionsomkostningerne på baggrund af differencen mellem transaktionskursen og en vurdering af aktivets dagsværdi før salget.
b) ved køb:
i) Ankomstkursen beregnes som den tidligere uafhængige værdiansættelseskurs for aktivet, justeret for bevægelser i markedet, hvis relevant, ved anvendelse af et relevant benchmark-indeks, i hvilket en sådan kurs findes.
ii) Hvis der ikke foreligger en tidligere uafhængig værdiansættelseskurs, skal der foretages et skøn over transaktionsomkostningerne på baggrund af differencen mellem transaktionskursen og en vurdering af aktivets dagsværdi før købet.
20. De skønnede transaktionsomkostninger må ikke være mindre end de faktisk afholdte omkostninger, der er direkte forbundet med transaktionen.
Transaktionsomkostninger for nye PRIIP'er
21. Transaktionsomkostningerne for PRIIP'er, der har været aktive mindre end tre år, og som primært investerer i aktiver, til hvilke der henvises i punkt 9 i dette bilag, kan beregnes enten ved multiplikation af en skønnet porteføljeomsætning i hver aktivklasse, hvor omkostningerne beregnes i overensstemmelse med den angivne metode i litra c) eller som et gennemsnit af de faktisk afholdte transaktionsomkostninger i driftsperioden og et standardiseret skøn på baggrund af følgende:
a) For det højeste multiplum af seks måneder, hvor den pågældende PRIIP har været aktiv, beregnes transaktionsomkostningerne på den baggrund, der er beskrevet i punkt 12 til 18 i dette bilag.
b) For den resterende periode op til tre år foretages et skøn over transaktionsomkostningerne ved at multiplicere en skønnet porteføljeomsætning for hver aktivklasse i overensstemmelse med den angivne metode i litra c).
c) Metoden, der skal anvendes, varierer afhængigt af aktivklassen og fastlægges som følger:
i) I forbindelse med aktivklasserne i nedenstående tabel beregnes transaktionsomkostningerne som gennemsnittet af de skønnede transaktionsomkostninger (baseret på bud-/udbudsdifferencerne divideret med to) for den relevante aktivklasse under normale markedsbetingelser.
Ved omkostningernes skøn skal der angives et eller flere indeks for hver aktivklasse. Derefter skal de pågældende bud-/udbudsdifferencer for de underliggende indeks indhentes. De indhentede data skal omfatte bud-/udbudsdifferencen ved lukningen af den tiende handelsdag i hver måned i det sidste år.
De indhentede bud-/udbudsdifferencer divideres derefter med to for at få de skønnede transaktionsomkostninger for hvert af disse tidspunkter. Gennemsnittet af disse værdier er de skønnede transaktionsomkostninger for hver aktivklasse under normale markedsbetingelser.
|
Aktivklasser |
|
|
Statsobligationer |
Statsobligationer og lignende instrumenter i udviklede markeder med rating AAA-A |
|
Statsobligationer og lignende instrumenter i udviklede markeder med anden rating under A |
|
|
Statsobligationer i nye markeder (hård og blød valuta) |
Statsobligationer i nye markeder (hård og blød valuta) |
|
Sikre virksomhedsobligationer |
Sikre virksomhedsobligationer |
|
Andre virksomhedsobligationer |
Virksomhedsobligationer med højt afkast |
ii) I forbindelse med aktivklasserne i nedenstående tabel foretages et skøn over transaktionsomkostningerne (inklusive eksplicitte og implicitte omkostninger) ved enten at bruge sammenlignelige oplysninger eller ved at lægge skøn over de eksplicitte omkostninger sammen med skøn over halvdelen af bud-/udbudsdifferencen under anvendelse af den beskrevne metode i punkt (i).
|
Aktivklasser |
|
|
Likviditet |
Pengemarkedsinstrumenter (af hensyn til gennemsigtigheden er pengemarkedsfonde ikke inkluderet) |
|
Aktier i udviklede markeder |
Large-cap-aktier (udviklede markeder) |
|
Mid-cap-aktier (udviklede markeder) |
|
|
Small-cap-aktier (udviklede markeder) |
|
|
Aktier i nye markeder |
Large-cap-aktier (nye markeder) |
|
Mid-cap-aktier (nye markeder) |
|
|
Small-cap-aktier (nye markeder) |
|
|
Noterede derivater |
Noterede derivater |
iii) I forbindelse med aktivklasserne i nedenstående tabel er transaktionsomkostningerne gennemsnittet af de observerede transaktionsomkostninger (baseret på bud-/udbudsdifferencer divideret med to) i denne aktivklasse under normale markedsbetingelser.
Resultatet af en panelundersøgelse kan indgå i fastlæggelsen af de observerede transaktionsomkostninger.
|
Aktivklasser |
|
|
OTC |
OTC eksotiske optioner |
|
OTC almindelige optioner |
|
|
OTC IRS, CDS og lignende |
|
|
OTC swaps og lignende instrumenter (ikke IRS, CDS og lignende) |
|
|
OTC FX terminskontrakter i udviklede markeder |
|
|
OTC FX terminskontrakter i nye markeder |
|
22. Skøn over porteføljeomsætningen for en PRIIP, der har været aktiv i mindre end et år, skal foretages på et ensartet grundlag og investeringspolitikken skal fremgå af tilbudsdokumenterne. Skøn over porteføljeomsætningen for en PRIIP, der har været aktiv i mere end et år, skal være i overensstemmelse med den faktiske porteføljeomsætning.
23. I forbindelse med PRIIP'er, der har været aktive i mindre end tre år, og som primært investerer i andre aktiver end de aktiver, til hvilke der henvises i punkt 9 i dette bilag, skal PRIIP-producenten foretage et skøn over transaktionsomkostningerne på basis af dagsværdimetoden ved anvendelse af sammenlignelige aktiver.
Resultatrelaterede gebyrer
24. Følgende trin skal udføres ved beregning af resultatrelaterede gebyrer:
a) Udregn gebyrerne på baggrund af de historiske data for de seneste 5 år. De gennemsnitlige årlige resultatgebyrer udregnes i procent.
b) Hvis der ikke foreligger en komplet historik over resultatgebyrerne, fordi fonds-/aktieklassen er ny eller fondens vilkår har ændret sig på grund af indførelsen af resultatgebyrer eller en ændring i et af disse parametre, justeres den ovennævnte metode i overensstemmelse med følgende trin:
i) Tag den relevante historik vedrørende fondens-/aktieklassens resultatgebyrer, der findes.
ii) For de år, for hvilke der ikke findes nogle data, foretages et skøn over fondens-/aktieklassens afkast, og der tages højde for de historiske serier af benchmarkafkast/kritiske afkast, hvis der er tale om en model med relative resultatgebyrer.
I forbindelse med nye fonde skønnes afkastet ved hjælp af afkastet for sammenlignelige fonde eller en lignende gruppe. Det skønnede afkast skal omfatte alle omkostninger vedrørende den nye fond. Derfor skal afkastet for lignende grupper justeres ved at addere de gennemsnitlige relevante omkostninger, der er opkrævet i overensstemmelse med den nye fonds regler. Afkastet for en ny klasse justeres for eksempel under hensyntagen til den eksisterende klasses omkostninger, hvis der er tale om en ny klasse med en anden gebyrstruktur.
iii) Udregn gebyrerne fra begyndelsen af prøveperioden, som krævet i litra a), indtil den dato, på hvilken dataene om fondens faktiske resultatgebyrer foreligger, og anvend den relevante algoritme på de ovennævnte historiske serier.
iv) Kæd begge resultatgebyrserier sammen til en serie for hele prøveperioden, som krævet i litra a).
v) Udregn resultatgebyrerne ved hjælp af metoden, til hvilken der henvises i litra a) (gennemsnit af årlige resultatgebyrer).
Carried interests
25. Følgende trin skal udføres ved beregning af carried interests:
a) Udregn gebyrerne på baggrund af de historiske data for de seneste 5 år. De gennemsnitlige årlige carried interests udregnes i procent.
b) Hvis der ikke foreligger en komplet historik over carried interests, fordi fonds-/aktieklassen er ny eller fondens vilkår har ændret sig på grund af indførelsen af carried interests eller en ændring i et af disse parametre, justeres den ovennævnte metode i overensstemmelse med følgende trin:
i) Tag den relevante historik vedrørende fonds-/aktieklassens carry, der findes.
— Foretag et skøn over fonds-/aktieklassens afkast for de år, for hvilke der ikke foreligger data.
— I forbindelse med nye fonde skønnes afkastet ved hjælp af afkastet for sammenlignelige fonde eller en lignende gruppe. Det skønnede afkast skal omfatte alle omkostninger vedrørende den nye fond. Derfor skal afkastet for lignende grupper justeres ved at addere de gennemsnitlige relevante omkostninger, der er opkrævet i overensstemmelse med den nye fonds regler. Afkastet for en ny klasse justeres for eksempel under hensyntagen til den eksisterende klasses omkostninger, hvis der er tale om en ny klasse med en anden gebyrstruktur.
ii) Udregn carried interests fra begyndelsen af prøveperioden, som krævet i litra a), indtil den dato, på hvilken dataene om fondens faktiske carry foreligger, og anvend den relevante algoritme på de ovennævnte historiske serier
iii) Kæd begge carried interests-serier sammen til en serie for hele prøveperioden, som krævet i litra a).
iv) Udregn carried interests ved hjælp af metoden, til hvilken der henvises i litra a) (gennemsnit af årlige carried interests).
26. Hvis der ikke beregnes carried interests over hele investeringsperioden, skal der tilføjes en advarsel til angivelsen af nul carried interests i sammensætningen af omkostningstabellen med henblik på at præcisere, at der skal betales x % af det endelige afkast efter exit fra investeringen.
II. LISTE OVER OMKOSTNINGER I FORBINDELSE MED PRIP'er, DER IKKE ER INVESTERINGSFONDE
Omkostninger, der skal oplyses
Engangsomkostninger
27. En engangsomkostning er en oprettelses- eller exitomkostning, der omfatter startomkostninger, provisioner eller andre beløb, der betales direkte af detailinvestoren eller fratrækkes en betaling, der er modtaget af eller skal betales til detailinvestoren.
28. Engangsomkostninger bæres af en PRIP, der ikke er en investeringsfond, hvad enten der er tale om nødvendige udgifter i forbindelse med driften eller vederlag til en tredjepart, der er tilknyttet eller udfører tjenesteydelser for den pågældende PRIP.
Engangsoprettelsesomkostninger og -udgifter
29. Engangsoprettelsesomkostninger og -udgifter omfatter, men er ikke begrænset til følgende typer, som skal inkluderes i det omkostningsbeløb, der skal oplyses for PRIP'er og andre investeringsfonde:
a) salgsprovision
b) strukturelle omkostninger, inklusive dealer-omkostninger (differencer) og afviklingsomkostninger
c) omkostninger til risikoafdækning (for at sikre, at PRIIP-producenten er i stand til at gentage resultatet af den afledte komponent i det strukturerede produkt — disse omkostninger omfatter transaktionsomkostninger)
d) notaromkostninger
e) omkostninger vedrørende kapitalgarantier
f) implicit præmie betalt til udstederen.
Engangsexitomkostninger og -udgifter
30. Engangsexitomkostninger og -udgifter omfatter, men er ikke begrænset til følgende typer, som skal inkluderes i det beløb, der skal oplyses for andre PRIP'er end investeringsfonde:
a) proportionelle gebyrer
b) middelbudsdifference for at sælge produktet og alle eksplicitte omkostninger eller opkrævede strafgebyrer for exit før tiden. Vurderingen af middelbudsdifferencen skal foretages i relation til tilstedeværelsen af et sekundært marked, i forhold til markedsbetingelserne og produkttypen. Hvis PRIIP-producenten (eller en tilknyttet tredjepart) er den eneste modpart til at købe produktet på det sekundære marked, skal denne foretage et skøn over exitomkostningerne, der skal tillægges produktets dagsværdi i overensstemmelse med de interne politikker
c) omkostninger vedrørende differencekontrakter (CFD) såsom:
i) provisioner opkrævet af CFD-udbydere — generel provision eller provision for hver handel — dvs. ved åbning og lukning af en kontrakt
ii) CFD-handel såsom bud-/udbudsdifferencer, daglige finansieringsomkostninger og finansieringsomkostninger fra en dag til næste, depotplejegebyrer og skatter, som ikke allerede er indeholdt i dagsværdien.
Periodiske omkostninger
31. Periodiske omkostninger er betalinger, der regelmæssigt fratrækkes alle beløb, der udbetales til detailinvestoren eller fra det investerede beløb.
32. Periodiske omkostninger omfatter alle typer af omkostninger, der bæres af en PRIP, der ikke er en investeringsfond, hvad enten der er tale om nødvendige udgifter i forbindelse med driften eller vederlag til en tredjepart, der er tilknyttet eller udfører tjenesteydelser for den pågældende PRIP.
33. Den følgende liste er vejledende, men ikke udtømmende for de typer af periodiske omkostninger, der skal medtages i det beløb, der skal oplyses, hvis de fratrækkes eller opkræves separat:
a) omkostninger vedrørende kuponbetalinger
b) eventuelle omkostninger vedrørende det underliggende.
Omkostninger vedrørende PRIP'er, til hvilke der henvises i punkt 17 i bilag IV
34. Engangsexitomkostninger og -udgifter er vekselgebyrer, clearing-gebyrer og afviklingsgebyrer, såfremt de kendes.
35. Periodiske omkostninger er omkostninger til risikoafdækning, der er afholdt under normale markedsbetingelser og særligt anspændte markedsbetingelser.
Beregning af implicitte omkostninger i forbindelse med PRIP'er, der ikke er investeringsfonde
36. Ved beregning af de afholdte implicitte omkostninger i PRIP'er skal PRIIP-producenten anvende emissionskursen og den tilgængelig kurs ved køb af produktet på et sekundært marked efter tegningsperioden.
37. Differencen mellem kursen og produktets dagsværdi vurderes som et skøn over de samlede oprettelsesomkostninger, der er inkluderet i kursen. Hvis PRIIP-producenten ikke er i stand til at skelne mellem de relevante implicitte omkostninger, der skal oplyses i henhold til punkt 29 i dette bilag, når denne anvender differencen mellem kursen og dagsværdien, skal denne kontakte udstederen af produktets forskellige komponenter eller den relevante institution med henblik på at indhente de relevante oplysninger om disse omkostninger.
38. Dagsværdien er kursen opnået ved at sælge et aktiv eller det beløb, der er betalt for at overdrage en forpligtelse i en velordnet transaktion på det primære (eller mest fordelagtige) marked på målingstidspunktet under de aktuelle markedsforhold (dvs. en exit-kurs), uanset om den pågældende kurs kan observeres direkte eller skønnes ved hjælp af en anden værdiansættelsesmetode.
39. Den dagsværdipolitik, der ligger til grund for målingen af dagsværdien, skal indeholde et sæt regler, der omfatter følgende områder:
a) forvaltning
b) metode til beregning af dagsværdien
40. Reglerne, til hvilke der henvises i punkt 39 i dette bilag, skal bidrage til fastlæggelse af en værdiansættelsesproces, der:
a) opfylder gældende regnskabsstandarder vedrørende dagsværdien
b) sikrer, at de interne kursansættelsesmodeller for PRIP'er er i overensstemmelse med de metoder, modeller og standarder, der anvendes af PRIIP-producenten ved værdiansættelsen af dennes egen portefølje under den hypotese, at produktet er udbudt til salg eller indehaves med henblik på handel
c) er i overensstemmelse med graden af produktets kompleksitet og typen af det underliggende
d) tager højde for emissionskreditrisikoen og usikkerheden omkring det underliggende
e) fastsætter parametre til identifikation af et aktivt marked, så risikoen for forkert kursfastsættelse, der i ekstreme tilfælde kan medføre meget upræcise skøn, undgås
f) sikrer maksimal anvendelse af de relevante markedsinput, der kan observeres, og minimal anvendelse af input, der ikke kan observeres.
41. Et struktureret produkts dagsværdi fastlægges på basis af:
a) markedskurserne, hvis de er tilgængelige eller fastlagt på effektiv vis
b) interne kursberegningsmodeller, i hvilke indgår kursværdier, som er indirekte forbundet med produktet og afledt af produkter med lignende karakteristika (sammenligningsopgørelse)
c) interne kursberegningsmodeller baseret på input, der ikke direkte er afledt af markedsdata, for hvilke der skal formuleres skøn og forventninger (opgørelse til modelværdi).
42. Hvis dagsværdien ikke kan afledes af kursværdierne, beregnes den ved anvendelse af en værdiansættelsesmetode, som på tilstrækkelig vis er i stand til at gengive de faktorer, der påvirker produktets afkaststruktur under maksimal anvendelse af markedsdata.
43. Værdiansættelsesmetoden, til hvilken der henvises i punkt 42 i dette bilag, skal tage højde for følgende afhængigt af produktets kompleksitet:
a) anvendelse af uafhængige markedstransaktioner mellem kyndige, professionelle modparter
b) henvisning til den aktuelle kursværdi på et andet instrument, som i alt væsentligt er det samme
c) anvendelse af en hensigtsmæssig model for diskontering af fremtidige betalinger, hvor sandsynligheden for hvert cash flow fastlægges ved anvendelse af en passende værdiansættelsesmodel for aktiver.
44. I forbindelse med tegningsprodukter beregnes dagsværdien på den dato, på hvilken produktets vilkår fastlægges. Denne værdiansættelsesdato skal være tæt på tegningsperiodens begyndelse. I tilfælde af lange udbudsperioder eller stor volatilitet i markedet skal der udarbejdes kriterier vedrørende opdatering af omkostningsoplysningerne.
45. Hvis der anvendes foreløbige vilkår, beregnes omkostningerne ved anvendelse af produktets minimumsvilkår.
46. Hvis der anvendes variable tegningskurser, skal der udarbejdes en procedure, der viser, hvordan omkostningseffekten af den varierende tegningskurs indregnes og oplyses.
III. LISTE OVER OMKOSTNINGER VEDRØRENDE FORSIKRINGSBASEREDE INVESTERINGSPRODUKTER
Omkostninger, der skal oplyses
Engangsomkostninger
47. En engangsomkostning er en oprettelses- eller exitomkostning, der omfatter startomkostninger, vederlag eller ethvert andet beløb, der betales direkte af detailinvestoren eller fratrækkes den første betaling eller et begrænset antal betalinger til detailinvestoren eller en betaling ved indfrielse eller opsigelse af produktet.
48. Engangsomkostninger bæres af et forsikringsbaseret investeringsprodukt, hvad enten der er tale om nødvendige udgifter i forbindelse med driften eller vederlag til en tredjepart, der er tilknyttet eller udfører tjenesteydelser i forbindelse med produktet.
49. Engangsomkostninger inkluderer, men er ikke begrænset til følgende typer af oprettelsesomkostninger og -udgifter, som der skal tages højde for i beløbet, der skal oplyses for forsikringsbaserede investeringsprodukter:
a) strukturelle eller markedsføringsrelaterede omkostninger
b) købs-, distributions- og salgsomkostninger
c) håndterings-/driftsomkostninger (inklusive omkostninger vedrørende forvaltning af forsikringsdækning)
d) omkostninger, der udgør en del af de biometriske risikopræmier, jf. punkt 59 i dette bilag
e) omkostninger vedrørende etablering af nødvendig kapital (forudbetalt del skal oplyses, hvis den opkræves).
Periodiske omkostninger
50. Periodiske omkostninger er betalinger, der regelmæssigt fratrækkes alle betalinger fra detailinvestoren eller fra det investerede beløb eller beløb, der ikke udbetales til detailinvestoren i henhold til en ordning om overskudsdeling.
51. Periodiske omkostninger omfatter alle typer omkostninger, der bæres af et forsikringsbaseret investeringsprodukt, hvad enten der er tale om nødvendige udgifter i forbindelse med driften eller vederlag til en tredjepart, der er tilknyttet eller udfører tjenesteydelser i forbindelse med produktet.
52. Den følgende liste er vejledende, men ikke udtømmende for de typer af periodiske omkostninger, der skal medtages i »Andre løbende omkostninger« i tabel 2 i bilag VII:
a) strukturelle eller markedsføringsrelaterede omkostninger
b) købs-, distributions- og salgsomkostninger
c) håndterings-/driftsomkostninger (inklusive omkostninger vedrørende forvaltning af forsikringsdækning)
d) omkostninger, der udgør en del af de biometriske risikopræmier, jf. punkt 59 i dette bilag
e) andre administrative omkostninger
f) omkostninger vedrørende etablering af kapital (periodisk del skal oplyses, hvis den opkræves)
g) ethvert beløb, der implicit fratrækkes det investerede beløb, såsom afholdte omkostninger i forbindelse med forvaltning af forsikringsselskabets investeringer (depotgebyrer, omkostninger vedrørende nye investeringer etc.)
h) betalinger til tredjeparter vedrørende nødvendige omkostninger afholdt i forbindelse med erhvervelse eller salg af aktiver, der ejes af det forsikringsbaserede investeringsprodukt (inklusive transaktionsomkostninger i henhold til punkt 7 til 23 i dette bilag).
53. Hvis et forsikringsbaseret investeringsprodukt investerer en del af sine aktiver i UCITS eller AIF'er i en PRIIP, der ikke er UCITS eller AIF'er, eller i et investeringsprodukt, der ikke er en PRIIP, finder hhv. punkt 5, litra l), m) og n), i dette bilag anvendelse.
Oplysning om omkostninger vedrørende biometrisk risikopræmie for forsikringsbaserede investeringsprodukter
Omkostninger, der udgør en del af biometriske risikopræmier
54. Biometriske risikopræmier er de præmier, der betales direkte af detailinvestoren eller fratrækkes de beløb, der krediteres den matematiske provision eller forsikringspolicens deltagelsesbonus, som anvendes til dækning af den statistiske risiko vedrørende tilbagebetalinger i forbindelse med risikodækning.
55. Dagsværdien for biometriske risikopræmier er den forventede aktuelle værdi i henhold til de angivne rentesatser i punkt 71, litra a), i dette bilag af fremtidige tilbagebetalinger fra forsikringsdækning under hensyntagen til følgende:
a) bedste forventede skøn vedrørende disse tilbagebetalinger, afledt af den individuelle risikoprofil for den individuelle producents portefølje
b) øvrige gevinster vedrørende forsikringsdækning (nedsættelse af biometriske risikopræmier, der tilbagebetales til detailinvestorerne, stigning i tilbagebetalingerne, nedsættelse af fremtidige præmier etc.), som skyldes ordninger vedrørende overskudsdeling (lovpligtige og/eller kontraktmæssige).
56. Bedste forventede skøn om fremtidige tilbagebetalinger vedrørende forsikringsdækning skal foretages på en realistisk måde.
57. De skønnede fremtidige tilbagebetalinger må ikke indeholde forsigtighedsmarginer eller omkostninger vedrørende forvaltning af forsikringsdækning.
58. Producenter inden for rammerne af direktiv 2009/138/EF skal foretage disse bedste forventede skøn i overensstemmelse med de pågældende forventninger, der anvendes til beregning af de forsikringsmæssige hensættelser i Solvens II-regnskabet.
59. Omkostningsdelen af biometriske risikopræmier er forskellen mellem biometriske risikopræmier, der opkræves fra detailinvestoren i henhold til punkt 54 i dette bilag, og dagsværdien for de biometriske risikopræmier i henhold til punkt 55 i dette bilag.
60. En PRIIP-producent kan medtage de fulde biometriske risikopræmier i beregningen af engangsomkostninger eller periodiske omkostninger i stedet for omkostningsdelen af disse præmier.
DEL 2
Summariske omkostningsindikatorer og omkostningernes tilskrivningseffekt
I. SUMMARISKE OMKOSTNINGSINDIKATORER
61. Den summariske omkostningsindikator for den pågældende PRIIP er reduceringen af afkastet på grund af de samlede omkostninger, der er beregnet i overensstemmelse med punkt 70 til 72 i dette bilag.
62. Ved beregning af den summariske omkostningsindikator skal de omkostninger, der skal oplyses i henhold til punkt 72 i dette bilag, være de samlede omkostninger. Dette skal i forbindelse med investeringsfonde være lig med summen af de omkostninger, til hvilke der henvises i punkt 1 og 2 i dette bilag, plus summen af de angivne omkostninger i punkt 4 og 6 i dette bilag; i forbindelse med PRIP'er, der ikke er investeringsfonde, med undtagelse af PRIIP'er, til hvilke der henvises i punkt 17 i bilag IV, summen af omkostninger i henhold til punkt 27 og 28 i dette bilag, plus summen af omkostninger i henhold til punkt 31 og 32 i dette bilag; i forbindelse med PRIIP'er, til hvilke der henvises i punkt 17 i bilag IV, summen af omkostninger i henhold til punkt 34 og 35 i dette bilag; i forbindelse med forsikringsbaserede investeringsprodukter, summen af omkostninger i henhold til punkt 47 og 48, plus summen af omkostninger i henhold til punkt 50 og 51 i dette bilag. De samlede omkostninger skal også omfatte exitgebyrer, hvis relevant.
Engangsomkostninger og kvoter for engangsomkostninger
63. Kvoten for oprettelses- og exitomkostningerne i den pågældende PRIIP er reduceringen af det årlige afkast på grund af oprettelses- og ophævelsesomkostninger, der er beregnet i overensstemmelse med punkt 70 til 72 i dette bilag.
64. Ved beregning af kvoten for oprettelses- og exitomkostninger skal de omkostninger, der skal oplyses i henhold til punkt 72 i dette bilag, i forbindelse med investeringsfonde være oprettelses- og exitomkostningerne ifølge punkt 1 og 2 i dette bilag; punkt 27 og 28 i dette bilag i forbindelse med PRIP'er, der ikke er investeringsfonde, med undtagelse af PRIIP'er, til hvilke der henvises i punkt 17 i bilag IV; punkt 35 i forbindelse med PRIIP'er, til hvilke der henvises i punkt 17 i bilag IV; og punkt 47 og 48 i dette bilag i forbindelse med forsikringsbaserede investeringsprodukter. Exitomkostninger skal også omfatte exitgebyrer, hvis relevant.
Kvoter for periodiske omkostninger, omkostninger vedrørende porteføljetransaktioner og forsikringsomkostninger/andre periodiske omkostninger
65. Kvoten for omkostninger vedrørende porteføljetransaktioner, forsikringsomkostninger og andre periodiske omkostninger i den pågældende PRIIP er reduceringen af det årlige afkast på grund af omkostninger vedrørende porteføljetransaktioner og øvrige periodiske omkostninger, der er beregnet i overensstemmelse med punkt 70 til 72 i dette bilag.
66. Ved beregning af kvoten for omkostninger vedrørende porteføljetransaktioner og forsikringsomkostninger gælder følgende:
a) ved beregning af omkostninger vedrørende porteføljetransaktioner skal de omkostninger, der skal oplyses i henhold til punkt 72, være omkostninger vedrørende porteføljetransaktionerne i henhold til punkt 7 til 23 i dette bilag i forbindelse med investeringsforeninger; punkt 29, litra c), i dette bilag i forbindelse med PRIP'er, der ikke er investeringsfonde, med undtagelse af de PRIIP'er, til hvilke der henvises i punkt 17 i bilag IV, punkt 52, litra h), i dette bilag i forbindelse med forsikringsbaserede investeringsprodukter
b) ved beregning af kvoten for forsikringsomkostninger skal de omkostninger, der skal oplyses i henhold til punkt 72 i dette bilag, være forsikringsomkostningerne i henhold til punkt 59 og 60 i dette bilag i forbindelse med forsikringsbaserede investeringsproduktet.
67. Kvoten for øvrige periodiske omkostninger er lig med reduceringen af det årlige afkast på grund af øvrige periodiske omkostninger, der er beregnet som forskellen mellem den summariske omkostningsindikator i henhold til punkt 61 i dette bilag og summen af kvoten for engangsomkostningerne i henhold til punkt 63 i dette bilag, plus kvoten for omkostningerne vedrørende porteføljetransaktioner i henhold til punkt 66, litra a), plus kvoten for forsikringsomkostningerne i henhold til punkt 66, litra b), i dette bilag, plus kvoten for de yderligere omkostninger i henhold til punkt 68 i dette bilag.
Yderligere omkostninger og kvoter for yderligere omkostninger (kvote for resultatgebyrer og carried interests)
68. Ved beregning af kvoten for resultatgebyrer skal de omkostninger, der skal oplyses i henhold til punkt 72, være de yderligere porteføljeomkostninger i henhold til punkt 6, litra a), i dette bilag i forbindelse med investeringsfonde. Ved beregning af kvoten for carried interests skal de omkostninger, der skal oplyses i henhold til punkt 72 i dette bilag, være de yderligere porteføljeomkostninger i henhold til punkt 6, litra b), i dette bilag i forbindelse med investeringsfonde.
69. De »løbende omkostninger«, »resultatgebyrerne« og »carried interests«, til hvilke der henvises i bilag VII, er hhv. de »periodiske omkostninger«, »kvoten for resultatgebyrer« og »kvoten for carried interests« i henhold til dette bilag og i artikel 5.
Beregning af den summariske omkostningsindikator
70. Den summariske omkostningsindikator beregnes som forskellen mellem de to procentsatser i og r, hvor r er den årlige interne forrentning i forhold til detailinvestorens bruttobetalinger og skønnede tilbagebetalinger til detailinvestoren i løbet af den anbefalede investeringsperiode og i er den årlige interne forrentning i det pågældende omkostningsfrie scenarie.
71. Skønnet vedrørende fremtidige tilbagebetalinger i henhold til punkt 70 i dette bilag skal foretages på baggrund af følgende forventninger:
a) med undtagelse af PRIIP'er, til hvilke der henvises i punkt 17 i bilag IV, beregnes den årlige interne forrentning, dvs. resultatet, for den pågældende PRIIP ved hjælp af den metode og den underliggende hypotese, der blev anvendt ved vurderingen af det moderate scenarie fra afsnittet om resultatscenarier i dokumentet med central information
b) der skal foretages et skøn over tilbagebetalingerne med en forventning om, at alle omkostninger, der er inkluderet i de samlede omkostninger i henhold til punkt 62 i dette bilag, er fratrukket
c) i forbindelse med PRIIP'er som omhandlet i punkt 17 i bilag IV og i forbindelse med UCITS-fonde eller andre fonde end UCITS-fonde, for hvilke PRIIP-producenter anvender dokumentet med central information til investorer i overensstemmelse med denne forordnings artikel 14, stk. 2, er resultatet 3 %.
72. I forbindelse med beregningen af det omkostningsfrie scenarie i henhold til punkt 70 i dette bilag gælder følgende:
a) ved beregning af i skal enten bruttobetalingerne fra detailinvestoren ved beregning af r reduceres med de omkostninger, der skal oplyses, eller de forventede tilbagebetalinger til detailinvestoren ved beregning af r skal øges ud fra den antagelse, at de omkostningsbeløb, der skal oplyses, indgik i investeringen. Så er i den årlige interne forrentning i forhold til disse justerede betalinger fra og til detailinvestoren
b) i de tilfælde, hvor de omkostninger, der skal oplyses, kan udtrykkes som en fast procentsats af aktivernes værdi, kan der ses bort fra disse ved den angivne beregning i punkt 72, litra a), i dette bilag, og de kan i stedet lægges sammen med procentsatsen for den årlige interne forrentning i i forbindelse med det efterfølgende omkostningsfrie scenarie.
Særlige krav vedrørende PRIP'er, der ikke er investeringsfonde
73. Ved beregning af det omkostningsfrie scenarie, til hvilket der henvises i punkt 70 i dette bilag, i forbindelse med PRIP'er, der ikke er investeringsfonde, skal bruttobetalinger fra detailinvestoren i beregningen af r i henhold til punkt 72 i dette bilag reduceres med de omkostninger, der skal oplyses.
Særlige krav vedrørende forsikringsbaserede investeringsprodukter
74. Ved de beskrevne beregninger i punkt 70 til 72 i dette bilag antages det, at der i forbindelse med forsikringsbaserede investeringsprodukter ikke finder betalinger sted som et resultat af forsikringsdækning i løbet af investeringsperioden. Derfor skal beregningen af den summariske omkostningsindikator alene være baseret på skønnede kapitaltilbagebetalinger.
75. I det omfang, at periodiske omkostninger og engangsomkostninger er dækket af de eksplicitte omkostninger, som er en fast del af præmieberegningen for produktet, beregnes periodiske omkostninger og engangsomkostninger på baggrund af disse eksplicitte omkostninger.
76. I forbindelse med overskudsdeling gælder følgende for forsikringsbaserede investeringsprodukter:
a) ved beregning af periodiske omkostninger og engangsomkostninger for forsikringsbaserede investeringsprodukter anses beløb, der tilbageholdes fra afkastet på investeringen på grund af ordninger om overskudsdeling, for at være omkostninger
b) hvis en del af omkostningerne tilbagebetales til detailinvestorerne i form af separate omkostningsbonusser, anses dette for at være en omkostningsnedsættelse, som reducerer de fratrukne omkostninger under forudsætning af:
i) at omkostningsbonusserne deklareres adskilt fra andre dele af deltagelsesbonussen og anvendes til tilbagebetaling af en del af omkostningerne ved produktets kontraktmæssige vilkår
ii) at PRIIP-producenten ved hjælp af gode aktuarmæssige metoder kan dokumentere, at forventede fremtidige omkostningsbonusser er dækket af forventede fremtidige overskud, som er et resultat af forsigtige forventninger vedrørende fremtidige omkostninger.
Beregning af kvoter
Anti-dobbelttællingsprincip
77. Hvis en type omkostning er dækket af to eller flere typer af omkostninger i henhold til dette bilag, må denne type af omkostninger kun medtages en gang i beregningen af indikatorerne (kvoterne), som er baseret på disse.
Andre specifikationer
78. Kvoterne skal angives som en procentsats med to decimaler.
79. Kvoterne skal beregnes mindst en gang om året.
80. Kvoterne skal være baseret på de seneste omkostningsberegninger, som er fastlagt af PRIIP-producenten. Med forbehold for punkt 77 i dette bilag foretages skøn over omkostninger »inklusive alle skatter«.
For investeringsfonde gælder følgende:
a) der skal foretages en separat beregning for hver aktieklasse, men hvis enhederne i to eller flere klasser sidestilles, kan der foretages en enkelt beregning for dem
b) hvis fonden er en paraplyfond, skal hver deltagende afdeling eller underfond behandles separat for så vidt angår dette bilag, men udgifter, der bæres af fonden i sin helhed, skal fordeles mellem alle underfondene på en måde, som er rimelig overfor alle investorer.
81. Med undtagelse af den første beregning i forbindelse med en ny PRIIP, og andet ikke er angivet, beregnes kvoterne mindst en gang om året på ex-post basis. Hvis de ex-post tallene anses for uegnede på grund af væsentlige ændringer, kan der i stedet anvendes et skøn, indtil der foreligger pålidelige ex-post tal, der afspejler effekten af disse væsentlige ændringer.
82. Ex-post tallene skal være baseret på de seneste omkostningsberegninger, som på en rimelig baggrund anses for at være egnede til dette formål af PRIIP-producenten. Tallene kan være baseret på omkostninger, der er angivet i den pågældende PRIIP's resultatopgørelse og offentliggjort i dens seneste års- eller halvårsberetning, hvis den opgørelse er tilstrækkelig aktuel. Hvis den ikke er tilstrækkelig aktuel, skal der i stedet anvendes en lignende beregning baseret på afholdte omkostninger i løbet af en 12-måneders periode, der er mere aktuel.
83. Information om gældende kvoter for tidligere år/perioder skal offentliggøres på det sted, der er angivet i dokumentet med central information som en generel kilde til yderligere information for investorer, der rekvirerer det.
84. I tilfælde, hvor der skal tages højde for omkostningerne vedrørende en underliggende UCITS eller AIF, gælder følgende:
a) omkostningsindikatoren for hver underliggende UCITS eller AIF skal beregnes pro rata i overensstemmelse med andelen af nettoværdien for den pågældende PRIIP's aktiver, som den pågældende UCITS eller AIF repræsenterer på den relevante dato, som er den dato, på hvilken den pågældende PRIIP's tal konstateres
b) alle pro rata-tallene lægges sammen med tallet for de samlede omkostninger i den investerende PRIIP, hvorved der fremkommer en enkelt sum.
Beregningsmetode for nye PRIIP'er
85. I stedet for ex-post data skal der anvendes skøn ved beregning af de forskellige omkostningstyper. Sådanne skøn skal foretages ved hjælp af enten en sammenlignelig PRIIP eller en lignende gruppe som reference.
86. I forbindelse med PRIIP'er, der opkræver et fast alt-inklusive gebyr, anvendes dette gebyr, under forudsætning af at det inkluderer alle omkostninger, der skal oplyses i henhold til kravene vedrørende oplysning af omkostninger for den pågældende PRIIP.
87. I forbindelse med PRIIP'er, der fastlægger et loft eller maksimum for det beløb, der kan opkræves, og under forudsætning af at det inkluderer alle omkostninger, der skal oplyses i henhold til kravene vedrørende oplysning af omkostninger for den pågældende PRIIP, anvendes dette loft eller maksimum i stedet, såfremt PRIIP-producenten forpligter sig til at overholde det oplyste tal og til at afholde eventuelle omkostninger, som ellers ville overstige dette tal.
88. Hvis et tal med to decimaler efter PRIIP-producentens mening ikke præsenterer den korrekte grad af nøjagtighed over for investorerne, er det tilstrækkeligt at angive dette tal med en decimal.
89. PRIIP-producenten skal sikre, at der holdes øje med nøjagtigheden af det skønnede tal. PRIIP-producenten skal fastlægge, hvornår det er rimeligt at anvende ex-post tal i stedet for skøn; men under alle omstændigheder skal der senest 12 måneder efter den dato, på hvilken den pågældende PRIIP blev udbudt til salg første gang i et medlemsland, foretages en vurdering af dette skøns nøjagtighed ved at beregne et tal på ex-post basis.
II. OMKOSTNINGERNES TILSKRIVNINGSEFFEKT
Generelle krav vedrørende alle PRIIP-typer
90. De(n) angivne tabel(ler) i artikel 5 giver en indikation af de samlede omkostninger udtrykt i beløb og som en procentsats for så vidt at en detailinvestor investerer hhv. 10 000 EUR (for alle PRIIP'er med undtagelse af forsikringsbaserede investeringsprodukter med normal præmie) eller 1 000 EUR om året (for forsikringsbaserede investeringsprodukter med normal præmie) i løbet af forskellige investeringsperioder, inklusive den anbefalede investeringsperiode. De investeringsperioder, der skal vises, er de perioder, til hvilke der henvises i punkt 14 til 16 i bilag IV. Hvis et produkt ikke anses for at have en alternativ likviditetsfacilitet, der er støttet af PRIIP-producenten eller en tredjepart, eller hvor der ikke foreligger likviditetsordninger, eller det drejer sig om de angivne PRIIP'er i punkt 17 i bilag IV, kan denne omkostningsindikation alene være vist ved udløbsdatoen eller ved afslutningen af den anbefalede investeringsperiode.
91. Hvis den pågældende PRIIP's valuta ikke er euro, skal der anvendes et beløb af lignende størrelse som de beløb, der er fastlagt i punkt 90 i dette bilag og som kan divideres rent med 1 000 .
92. De samlede omkostninger skal omfatte engangsomkostninger, periodiske og yderligere omkostninger samt exitgebyrer, hvis relevant.
93. Exitgebyrer skal adskilles fra andre opsigelsesomkostninger, som altid skal betales, og skal derfor altid være inkluderet i engangsomkostningerne.
94. Exitgebyrernes relevans afhænger af investeringsperioden og det præcise øjeblik, på hvilket produktet indløses. Exitgebyrer er ikke relevante, hvis investeringen holdes i den anbefalede investeringsperiode.
BILAG VII
PRÆSENTATION AF OMKOSTNINGER
Afkastforringelsen (RIY) viser, hvad effekten af de samlede omkostninger, som du betaler, har for det afkast på investeringen, som du eventuelt får. De samlede omkostninger omfatter engangsomkostninger, løbende omkostninger og yderligere omkostninger.
De her viste beløb er selve produktets kumulative omkostninger i tre forskellige investeringsperioder. De omfatter eventuelle strafgebyrer for exit før tiden. Det forudsættes, at du investerer [10 000 EUR (ELLER 1 000 EUR hvert år i PRIIP'er med normal præmie)]. Tallene er et skøn og kan ændre sig i fremtiden.
Tabel 1
Omkostninger over tid
Den person, der sælger dig dette produkt eller rådgiver dig om det, kan opkræve yderligere omkostninger. Hvis det er tilfældet, oplyser denne person dig om disse omkostninger og viser dig, hvordan din investering påvirkes af alle omkostningerne over tid.
Tabel 2
Omkostningernes sammensætning
Nedenstående tabel viser:
— hvordan det investeringsafkast, som du eventuelt får ved afslutningen af den anbefalede investeringsperiode, hvert år påvirkes af de forskellige omkostningstyper
— betydningen af de forskellige omkostningskategorier.
I forbindelse med PRIIP'er, der tilbyder en bred vifte af investeringsmuligheder, skal PRIIP-producenten anvende tabel 1 og tabel 2 i dette bilag til præsentation af omkostningerne, med angivelse af omkostningernes omfang for hvert af tallene i hver tabel, hvis relevant.
( 1 ) Europa-Parlamentets og Rådets direktiv (EU) 2016/97 af 20. januar 2016 om forsikringsdistribution (omarbejdning) (EUT L 26 af 2.2.2016, s. 19).
( 2 ) Europa-Parlamentets og Rådets direktiv 2014/65/EU af 15. maj 2014 om markeder for finansielle instrumenter og om ændring af direktiv 2002/92/EF og direktiv 2011/61/EU (EUT L 173 af 12.6.2014, s. 349).
( 3 ) Europa-Parlamentets og Rådets forordning (EU) nr. 600/2014 af 15. maj 2014 om markeder for finansielle instrumenter og om ændring af forordning (EU) nr. 648/2012 (EUT L 173 af 12.6.2014, s. 84)
( 4 ) Europa-Parlamentets og Rådets direktiv 2014/65/EU af 15. maj 2014 om markeder for finansielle instrumenter og om ændring af direktiv 2002/92/EF og direktiv 2011/61/EU (EUT L 173 af 12.6.2014, s. 349).
( 5 ) Europa-Parlamentets og Rådets forordning (EF) nr. 1060/2009 af 16. september 2009 om kreditvurderingsbureauer (EUT L 302 af 17.11.2009, s. 1).
( 6 ) Kommissionens gennemførelsesforordning (EU) 2016/1800 af 11. oktober 2016 om gennemførelsesmæssige tekniske standarder vedrørende fordelingen af kreditvurderinger fra eksterne kreditvurderingsbureauer på en objektiv skala med kreditkvalitetstrin i overensstemmelse med Europa-Parlamentets og Rådets direktiv 2009/138/EF (EUT L 275 af 12.10.2016, s. 19).
( 7 ) Europa-Parlamentets og Rådets direktiv 2011/61/EU af 8. juni 2011 om forvaltere af alternative investeringsfonde og om ændring af direktiv 2003/41/EF og 2009/65/EF samt forordning (EF) nr. 1060/2009 og (EU) nr. 1095/2010 (EUT L 174 af 1.7.2011, s. 1).
( 8 ) Europa-Parlamentets og Rådets direktiv 2014/91/EU af 23. juli 2014 om ændring af direktiv 2009/65/EF om samordning af love og administrative bestemmelser om visse institutter for kollektiv investering i værdipapirer (investeringsinstitutter) for så vidt angår depositarfunktioner, aflønningspolitik og sanktioner (EUT L 257 af 28.8.2014, s. 186).
( 9 ) Europa-Parlamentets og Rådets direktiv 2009/138/EF af 25. november 2009 om adgang til og udøvelse af forsikrings- og genforsikringsvirksomhed (Solvens II) (EUT L 335 af 17.12.2009, s. 1).
( 10 ) Europa-Parlamentets og Rådets forordning (EU) nr. 575/2013 af 26. juni 2013 om tilsynsmæssige krav til kreditinstitutter og investeringsselskaber og om ændring af forordning (EU) nr. 648/2012 (EUT L 176 af 27.6.2013, s. 1).
( 11 ) Kommissionens direktiv 2007/16/EF af 19. marts 2007 om gennemførelse af Rådets direktiv 85/611/EØF om samordning af love og administrative bestemmelser om visse institutter for kollektiv investering i værdipapirer (investeringsinstitutter) med hensyn til afklaring af bestemte definitioner (EUT L 79 af 20.3.2007, s. 11).