Choose the experimental features you want to try

This document is an excerpt from the EUR-Lex website

Document C:2019:375:FULL

Europos Sąjungos oficialusis leidinys, C 375, 2019 m. lapkričio 6 d.


Display all documents published in this Official Journal
 

ISSN 1977-0960

Europos Sąjungos

oficialusis leidinys

C 375

European flag  

Leidimas lietuvių kalba

Informacija ir pranešimai

62 metai
2019m. lapkričio 6d.


Turinys

Puslapis

 

II   Komunikatai

 

EUROPOS SĄJUNGOS INSTITUCIJŲ, ĮSTAIGŲ IR ORGANŲ PRIIMTI KOMUNIKATAI

 

Europos Komisija

2019/C 375/01

Komisijos Komunikatas Komisijos pranešimas dėl senosios infrastruktūros kapitalo kainos apskaičiavimo, skelbiamas Komisijai peržiūrėjus nacionalinius pranešimus ES elektroninių ryšių sektoriuje ( 1 )

1

2019/C 375/02

Neprieštaravimas koncentracijai, apie kurią pranešta (Byla M.9544 – Brookfield / Johnson Controls Autobatterie) ( 1 )

12


 

IV   Pranešimai

 

EUROPOS SĄJUNGOS INSTITUCIJŲ, ĮSTAIGŲ IR ORGANŲ PRANEŠIMAI

 

Europos Komisija

2019/C 375/03

2019 m. lapkričio 5 d. Euro kursas

13

2019/C 375/04

Konkurenciją ribojančios veiklos ir dominavimo patariamojo komiteto nuomonė, pareikšta 2019 m. liepos 5 d. pirmajame posėdyje dėl sprendimo Byloje AT.39711 – Qualcomm (agresyvus elgesys) projekto Pranešėjo valstybė narė –Ispanija

14

2019/C 375/05

Konkurenciją ribojančios veiklos ir dominavimo patariamojo komiteto nuomonė, pareikšta 2019 m. liepos 15 d. antrajame posėdyje dėl sprendimo Byloje AT.39711 – Qualcomm (agresyvus elgesys) projekto Pranešėjo valstybė narė – Ispanija

15

2019/C 375/06

Galutinė bylas nagrinėjančio pareigūno ataskaita Qualcomm (agresyvus elgesys) (AT.39711)

16

2019/C 375/07

2019 m. liepos 18 d. Komisijos sprendimo santrauka Sprendimo byloje pagal Sutarties dėl Europos Sąjungos veikimo 102 straipsnį ir EEE susitarimo 54 straipsnį santrauka (Byla AT.39711 – Qualcomm (agresyvus elgesys)) (pranešta dokumentu C(2019) 5361)  ( 1 )

25


 

V   Nuomonės

 

PROCEDŪROS, SUSIJUSIOS SU KONKURENCIJOS POLITIKOS ĮGYVENDINIMU

 

Europos Komisija

2019/C 375/08

Išankstinis pranešimas apie koncentraciją (Byla M.9331 – Danaher / GE Healthcare Life Sciences Biopharma) ( 1 )

28

 

KITI AKTAI

 

Europos Komisija

2019/C 375/09

Produkto specifikacijos reikšmingo pakeitimo paraiškos paskelbimas pagal Europos Parlamento ir Tarybos reglamento (ES) Nr. 1151/2012 dėl žemės ūkio ir maisto produktų kokybės sistemų 50 straipsnio 2 dalies a punktą

30


 


 

(1)   Tekstas svarbus EEE.

LT

 


II Komunikatai

EUROPOS SĄJUNGOS INSTITUCIJŲ, ĮSTAIGŲ IR ORGANŲ PRIIMTI KOMUNIKATAI

Europos Komisija

6.11.2019   

LT

Europos Sąjungos oficialusis leidinys

C 375/1


KOMISIJOS KOMUNIKATAS

Komisijos pranešimas dėl senosios infrastruktūros kapitalo kainos apskaičiavimo, skelbiamas Komisijai peržiūrėjus nacionalinius pranešimus ES elektroninių ryšių sektoriuje

(Tekstas svarbus EEE)

(2019/C 375/01)

1.   Įvadas

1.

Šiame pranešime išdėstoma Komisijos metodika, taikoma apskaičiuojant vidutinę svertinę kapitalo kainą (toliau – VSKK) (1), kuria remiamasi peržiūrint planuojamas priemones, apie kurias praneša nacionalinės reguliavimo institucijos (toliau – NRI arba reguliuotojai) pagal Pagrindų direktyvos, kuri yra ES elektroninių ryšių reguliavimo sistemos (toliau – reguliavimo sistema) (2) dalis, 7 straipsnį. Nuo 2020 m. gruodžio 21 d. Pagrindų direktyvos 7 straipsnis bus pakeistas naujojo Europos elektroninių ryšių kodekso (3) 32 straipsniu.

2.

Pagal VSKK nustatoma bendrovių kapitalo kaina. Pagal ekonomikos teoriją (4) kapitalo kaina yra alternatyviosios sąnaudos, patiriamos darant konkrečią investiciją vietoj kitos investicijos su vienoda rizika. Taigi, kapitalo kaina yra bendrovei reikalinga grąžos norma darant konkrečią investiciją. Kapitalo kainą galima pagal finansavimo šaltinį skaidyti į nuosavo kapitalo kainą ir skolinto kapitalo kainą.

3.

NRI naudoja VSKK reguliuodamos nustatytų didelę įtaką rinkoje turinčių operatorių veiklą. NRI gali nustatyti kainų kontrolės įpareigojimus, taikomus dėl konkrečių rūšių sujungimo ir (arba) prieigos teikimo tokiomis aplinkybėmis, kai nėra veiksmingos konkurencijos. Kainų kontrolės atvejais NRI turi atsižvelgti į operatoriaus daromą investiciją ir leisti taikyti pagrįstą grąžos normą (5).

4.

Teikiant pranešimus pagal 7 straipsnį, Komisija pastebėjo reikšmingų neatitikimų, susijusių su elektroninių ryšių tinkluose teikiamų paslaugų VSKK apskaičiavimu. Trūksta nuoseklumo ne tik tarp valstybių narių, bet ir nuoseklumo laikui bėgant (t. y. ta pati NRI įvairiu laiku taiko skirtingus metodus). Komisija mano, kad dėl tokio metodikos nenuoseklumo gali būti iškraipomos investavimo paskatos bendrojoje skaitmeninėje rinkoje (6) ir trikdoma vidaus rinkos plėtra, nes tai trukdo sudaryti vienodas sąlygas investicijoms į elektroninių ryšių tinklus (7).

5.

Reguliavimo sistemoje siekiama užtikrinti, kad NRI prisidėtų prie vidaus rinkos plėtros, bendradarbiaudamos tarpusavyje ir su Komisija, kad būtų išplėtota nuosekli reguliavimo praktika ir nuosekliai taikoma reguliavimo sistema (8). Laikantis reguliavimo sistemos tikslų, šiuo pranešimu siekiama padidinti VSKK skaičiavimo nuoseklumą visoje Sąjungoje.

6.

Šio pranešimo taikymo sritis apima tik senosios infrastruktūros VSKK apskaičiavimą. Šiame pranešime senoji infrastruktūra – didelę įtaką rinkoje turinčio operatoriaus infrastruktūra, kuriai netaikomas naujos kartos prieigos (toliau – NKP) priedas (9). Šiame pranešime nesvarstomas NKP rizikos priedų taikymo tinkamumas ar jų apskaičiavimas, taip pat visiškai nesvarstomas kainų kontrolės įpareigojimų tinkamumas naujiems itin didelio pralaidumo tinklams, apibrėžtiems Kodekso 2 straipsnio 2 punkte (10).

7.

Pagal reguliavimo sistemos tikslus NRI, BEREC ir Komisija turėtų prisidėti prie vidaus rinkos plėtros, skatindamos rinktis nuoseklius reguliavimo metodus ir nuosekliai taikyti reguliavimo sistemą (11). NRI taip pat turėtų taikyti objektyvius, skaidrius, nediskriminacinius ir proporcingus reguliavimo principus (12).

8.

Laikantis reguliavimo sistemos tikslų, keturi reguliavimo principai, kuriais grindžiamas šis pranešimas, yra: i) metodikos, pagal kurią nustatomi VSKK formulės parametrai, nuoseklumas; ii) reguliavimo nuspėjamumas siekiant, kad būtų mažiau netikėtų reguliavimo metodo keitimų ir parametrų verčių pokyčių laikui bėgant; iii) efektyvių investicijų ir inovacijų kuriant naują ir patobulintą infrastruktūrą skatinimas atsižvelgiant į riziką, kurią patiria investuojančios įmonės; iv) įmonių investicijų pagrįstos grąžos normos nustatymo metodo skaidrumas, vengiant nereikalingo sudėtingumo.

9.

Šiuo pranešimu tikimasi pasiekti šiuos tikslus ir padėti kurti stabilią reguliavimo aplinką, palankią efektyvioms investicijoms į elektroninių ryšių tinklus Sąjungoje galutinių naudotojų labui. Jis padės išvengti bendrosios skaitmeninės rinkos veikimui pakenkti galinčio investicijų iškraipymo dėl NRI požiūrių kitimo laikui bėgant ir jų nevienodumo visoje Sąjungoje.

10.

Komisija šiuo pranešimu siekia, kad jos politika ir sprendimų priėmimas elektroninių ryšių reguliavimo srityje būtų skaidresni ir nuspėjamesni. Pagal šiame pranešime pateiktą metodiką kiekvieno VSKK parametro vertės bus apskaičiuojamos ir skelbiamos kasmet. Komisija šiomis vertėmis remsis peržiūrėdama planuojamas priemones, apie kurias pranešama pagal Pagrindų direktyvos 7 straipsnį.

11.

Šis pranešimas kartu su kasmet pagal jį skelbiamomis VSKK parametrų vertėmis suteiks daugiau skaidrumo dėl to, kaip Komisija vertina kapitalo kainą, kai tai įeina į priemones, apie kurias jai pranešama pagal Pagrindų direktyvos 7 straipsnį.

12.

Šis pranešimas ir prie jo pridedamas Komisijos tarnybų darbinis dokumentas nedaro poveikio kapitalo kainos kituose ekonomikos sektoriuose aiškinimui, kurį gali pateikti Komisija.

2.   Vidutinės svertinės kapitalo kainos (VSKK) apskaičiavimas

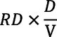
13.

VSKK apskaičiuojama kaip dviejų bendrovės lėšų šaltinių – skolinto kapitalo ir nuosavo kapitalo – kainos svertinis vidurkis. Šie svoriniai koeficientai parodo, kokią įmonės bendros vertės santykinę dalį sudaro kiekvienas finansavimo šaltinis:

Image 1

Šioje formulėje:

RE – nuosavo kapitalo kaina;

RD – skolinto kapitalo kaina;

E – nuosavo kapitalo vertė, o Image 2 parodo, kokią bendrovės vertės (D + E) dalį sudaro nuosavas kapitalas;

D – skolinto kapitalo vertė, o Image 3 parodo, kokią bendrovės vertės (D + E) dalį sudaro skolintas kapitalas.

2.1.   Nuosavo kapitalo kaina

14.

Nuosavo kapitalo kaina yra grąža, kuria bendrovė savo akcininkams turi atlyginti už riziką, kurią jie patiria dėl investicijų ar kaip bendrovės dalininkai. Dažniausiai taikomas nuosavo kapitalo kainos apskaičiavimo metodas – kapitalo įkainojimo modelis (angl. Capital Asset Pricing Model, toliau – CAPM) (13). Visos elektroninių ryšių sektoriaus NRI nuosavo kapitalo kainą apskaičiuoja taikydamos CAPM. Pagrindinės to priežastys yra santykinis šio skaičiavimo paprastumas ir ilgalaikė jo taikymo patirtis (palyginti su alternatyvomis) (14). Komisijos manymu, tai yra tinkamas metodas siekiant skatinti taikyti nuspėjamą ir vienodą metodiką visose NRI.

15.

Pagal CAPM daroma prielaida, kad konkurencingos rinkos investuotojai yra suinteresuoti turėti rizikingų nuosavybės vertybinių popierių, jei jų grąža yra didesnė negu grąža, kurią jie galėtų gauti iš nerizikingo turto (nerizikinga palūkanų norma, toliau – NPN) (15). Ši papildoma grąža vadinama rizikos priedu arba nuosavo kapitalo rizikos priedu (toliau – NKRP) (16).

16.

Pagal pagrindinę CAPM prielaidą gali būti skiriamos dvi rizikos kategorijos:

specifinė, arba diversifikuojamoji, rizika (17) – rizika, kurią galima pašalinti diversifikavimu. Specifinę (pavyzdžiui, bendrovės ar sektoriaus naudojamos žaliavos kainos pokyčio) riziką paprastai patiria atskira įmonė arba sektorius,

sisteminė, arba nediversifikuojamoji, rizika (18) – rizika, kurią patiria visos ekonomikos įmonės, pavyzdžiui, dėl palūkanų normų ir bendrųjų kainų lygių pokyčių arba makroekonominių sukrėtimų, turinčių poveikį paklausai.

17.

Pagal CAPM modelį apskaičiuojant kapitalo kainą neturi būti atsižvelgiama į specifinę, arba diversifikuojamąją, riziką. Taip yra todėl, kad efektyvių kapitalo rinkų investuotojai turėtų gebėti tokią riziką sumažinti turėdami diversifikuotą investicijų portfelį (19).

18.

Sisteminės rizikos, priešingai, pašalinti diversifikavimu neįmanoma. Dėl šios priežasties pagal CAPM modelį apskaičiuojama kapitalo kaina atitinka tik sisteminės rizikos kompensavimą.

19.

Pagal CAPM nuosavo kapitalo kaina yra lygi NPN ir NKRP sumai, padaugintai iš beta koeficiento (20). Beta koeficientas naudojamas nustatant nuosavo kapitalo specifinį jautrumą rinkos svyravimams ir atliekant atitinkamas korekcijas.

20.

Taigi, pagal CAPM modelį nuosavo kapitalo kaina apskaičiuojama taip:

RE = NPN + β × NKPR

Šioje formulėje:

RE – nuosavo kapitalo kaina;

NPN – nerizikinga palūkanų norma;

β – beta koeficientas;

NKRP – nuosavo kapitalo rizikos priedas.

2.2.   Skolinto kapitalo kaina

21.

Skolinto kapitalo kaina gali būti tiesiogiai apskaičiuojama kaip bendrovės mokamos savo skolos palūkanos, tačiau dažnai išreiškiama kaip NPN ir skolinimo priedo suma.

RD = NPN + skolinimo priedas

Šioje formulėje:

RD – skolinto kapitalo kaina;

NPN – nerizikinga palūkanų norma;

skolinimo priedas – papildoma NPN viršijanti grąža, kurios skolintojai reikalauja iš bendrovės su tam tikra kredito rizika.

2.3.   VSKK parametrų apskaičiavimas

22.

VSKK parametrų apskaičiavimo formulė:

Image 4

23.

Visoje Sąjungoje NRI apskaičiuojamoms VSKK vertėms turi įtakos dvejopos metodinės prielaidos. Kai kurios prielaidos yra bendros keliems parametrams (pvz., vidurkinimo laikotarpio trukmė), o kitos daromos tik dėl vieno VSKK formulės parametro (pvz., koregavimas apskaičiuojant beta koeficientą). Be to, turi būti skiriami dviejų tipų parametrai – tie, kurie atitinka bendrąsias ekonomines sąlygas (NPN ir NKRP), ir tie, kurie atitinka konkrečių bendrovių (ar pramonės sektoriaus) sąlygas (skolinimo priedas, beta koeficientas ir skolos santykis (21)).

24.

Tolesniuose skirsniuose aptariamos abejopos metodinės prielaidos – bendrieji parametrai ir atskiri parametrai, bendrosios ekonominės sąlygos ir konkrečios bendrovės sąlygos.

3.   Prielaidos, bendros keliems VSKK parametrams

25.

Tolesniuose poskirsniuose apibūdinamos prielaidos, bendrai daromos dėl kelių VSKK parametrų.

3.1.   Vidurkinimo laikotarpio trukmė

26.

Vidurkinimo laikotarpis yra atskaitos laikotarpio, reguliuotojų naudojamo nustatant vidutinę NPN vertę, beta koeficientą ir skolinto kapitalo kainą, trukmė.

27.

Komisijos manymu, siekiant užtikrinti nuoseklų VSKK parametrų apskaičiavimą, tikslinga tą patį vidurkinimo laikotarpį taikyti visiems parametrams. Ilgesni vidurkinimo laikotarpiai tikriausiai padėtų pasiekti didesnį parametrų verčių nuspėjamumą ir pastovumą, tačiau statinis efektyvumas (t. y. efektyvumas konkrečiu laiku) būtų mažesnis. 5 metų vidurkinimo laikotarpis, kurį dažniausiai renkasi NRI, tikriausiai yra tinkamas norint pasiekti reikiamą nuspėjamumo ir efektyvumo pusiausvyrą (22).

3.2.   Vidurkinimo metodas

28.

Reguliuotojai, apskaičiuodami VSKK parametrus, turi nuspręsti, kurį vidurkinimo metodą taikyti. Paprastai jie naudoja: i) aritmetinį vidurkį, ii) geometrinį vidurkį arba iii) medianą.

29.

Komisija mano, kad VSKK parametrams apskaičiuoti labiausiai tinka aritmetinio vidurkio metodas. Pirma, vieno vidurkinimo metodo taikymas tikriausiai suteiktų daugiau skaidrumo suinteresuotiesiems subjektams negu derinami keli metodai. Antra, aritmetinis vidurkis yra dažniausiai naudojamas metodas ir jį apskaičiuoti lengviausia (23).

3.3.   Imties sudarymo periodo dažnis

30.

Įprastas stebėjimų, kurių duomenis reguliuotojai naudoja NPN, beta koeficientui ir skolinimo priedui apskaičiuoti, dažnis yra kartą per dieną, kartą per savaitę arba kartą per mėnesį. Nuo pasirinkto stebėjimų dažnio (kartu su vidurkinimo laikotarpio trukme) priklauso imties dydis, todėl jis gali turėti įtakos parametrų vertėms ir galutinei VSKK vertei.

31.

Vienodas stebėjimų dažnis apskaičiuojant visus parametrus užtikrina nuoseklumą. Dažnis kartą per savaitę tikriausiai būtų efektyvus pasirinkimas, nes, kartu taikant 5 metų vidurkinimo laikotarpį, tikriausiai būtų gauta pakankamai stebėjimų duomenų, kad būtų nustatytas patikimas įvertis ir sumažintos galimos su mažu akcijų likvidumu susijusios problemos.

4.   Parametrai, atitinkantys bendrąsias ekonomines sąlygas

32.

Bendrąsias ekonomines sąlygas atitinka du VSKK parametrai – nerizikinga palūkanų norma ir nuosavo kapitalo rizikos priedas.

4.1.   Nerizikinga palūkanų norma (NPN)

33.

NPN yra tikėtina nerizikingos investicijos grąžos norma. Investicija yra nerizikinga, jeigu mokėjimo įsipareigojimų neįvykdymo rizika yra lygi nuliui ir nėra reinvestavimo rizikos (t. y. investuotojas būsimas palūkanas gali reinvestuoti esant tai pačiai grąžos normai kaip ir tada, kai iš pradžių pirktas tas turtas). NRI paprastai apytikriai apskaičiuoja NPN remdamosi savo šalies vyriausybės obligacijų pajamingumu.

34.

Vyriausybės obligacijų pajamingumas paprastai tiksliai parodo atitinkamą šalies NPN. Komisija mano, kad remiantis šalies vyriausybės obligacijomis ir kartu taikant nuoseklią metodiką bus užtikrinta, kad NPN skirtumai atitiktų realius finansavimo sąlygų skirtumus tarp valstybių narių.

35.

NRI dažnai naudoja vyriausybės obligacijas, kurių likutinis terminas (24) yra 10 metų. Dešimties metų obligacijų pajamingumas dažnai yra mažiau permainingas negu trumpesnio termino obligacijų ir labiau atitinka ilgą investicijų į elektroninių ryšių tinklus laikotarpį. Todėl Komisija šiame pranešime jas laiko tinkamiausiu lyginamuoju indeksu (25).

36.

Siekiant užtikrinti, kad NPN apskaičiavimas būtų nuoseklus, patartina naudoti vieną patikimą, skaidrų ir lengvai prieinamą informacijos apie vyriausybės obligacijų pajamingumą šaltinį (pvz., Eurostato duomenis (26)). Koregavimas dėl centrinio banko atliekamo kiekybinio skatinimo (angl. quantitative easing) programų nėra būtinas (27).

4.2.   Nuosavo kapitalo rizikos priedas (NKRP)

37.

NKRP yra tikėtina nuosavybės vertybinių popierių grąža, viršijanti NPN, t. y. tikėtinos papildomos turimų rizikingesnių nuosavybės vertybinių popierių palūkanos, palyginti su turimo nerizikingo turto palūkanomis. NKRP yra kompensacija už papildomą riziką, kai investuojama ne į nerizikingą turtą, o į nuosavą kapitalą.

38.

Komisija nustatė, kad reguliuotojai taiko skirtingus NKRP apskaičiavimo metodus – kai kurie naudoja ES lyginamąjį indeksą, kiti – nacionalinį NKRP ar jų abiejų derinį. Bendras Sąjungos NKRP atitinka empirinius įrodymus, iš kurių galima spręsti, kad finansų rinkos Sąjungoje vis labiau integruojamos (tai rodo didėjanti jų koreliacija), todėl jų NKRP vienodėja (28). Jo taikymas taip pat atitinka turimus įrodymus, kad ES telekomunikacijų sektoriaus investuotojai nėra linkę apsiriboti investicijomis vien savo šalyje – nemaža dalis elektroninių ryšių bendrovių akcininkų yra iš užsienio (29). Todėl, Komisijos manymu, pagal šį pranešimą tikslinga rinktis bendrą Sąjungos NKRP. Be to, Komisija mano, kad, laikantis reguliuotojų dažniausiai taikomo metodo, šį bendrą Sąjungos NKRP tikslinga apskaičiuoti naudojantis valstybių narių rinkos rizikos priedų ankstesnių laikotarpių duomenų eilutėmis.

5.   Konkrečios bendrovės parametrai

39.

Kai kurie VSKK parametrai parodo bendrąsias ekonomines sąlygas (NPN ir NKRP), o kiti (beta koeficientas, skolos santykis ir skolinimo priedas) atitinka konkrečios bendrovės, dėl kurios reguliuotojas apskaičiuoja VSKK, ekonomines sąlygas.

40.

Reguliuotojai konkrečios bendrovės VSKK parametrų vertes paprastai gauna remdamiesi elektroninių ryšių bendrovių grupe (panašių bendrovių grupe, angl. peer group), į kurią paprastai įtraukiamas ir nacionalinis didelę įtaką rinkoje turintis operatorius (-iai). Remdamosi šios panašių bendrovių grupės bendrovių parametrų vertėmis, NRI gauna atitinkamas konkrečios bendrovės parametrų vertes, kurias naudoja taikydamos savo reguliavimo priemones.

41.

Siekiant apskaičiuoti konkrečios bendrovės parametrus, pirmiausia svarbu nuspręsti dėl kriterijų, pagal kuriuos bendrovės atrenkamos į panašių bendrovių grupę.

5.1.   Panašių bendrovių grupės atrankos kriterijai

42.

Į panašių bendrovių grupę labiausiai tinka įtraukti biržines bendroves, turinčias likvidžių akcijų, kuriomis aktyviai prekiaujama (30). Be to, apskaičiuojant VSKK šiame pranešime numatytais tikslais labiausiai tinka remtis tomis bendrovėmis, kurios turi nuosavą elektroninių ryšių infrastruktūrą, o ne ją nuomoja, ir pagrindinę veiklą vykdo Sąjungoje.

43.

Siekiant efektyvumo, į panašių bendrovių grupę vertėtų įtraukti tik bendroves su investiciniu kredito reitingu (31) ir bendroves, kurios nėra jokių reikšmingų susijungimų ir įsigijimų sandorių šalys, nes tai turėtų įtakos bendrovės vertei, tačiau nebūtų susiję su jos pagrindine sistemine rizika.

44.

Apibendrinant šiame pranešime išdėstytus reguliavimo principus atitiktų šie kriterijai; į panašių bendrovių grupę atrenkamos bendrovės:

yra biržinės bendrovės ir turi likvidžių akcijų,

turi nuosavą elektroninių ryšių infrastruktūrą ir į ją investuoja,

savo pagrindinę veiklą vykdo Sąjungoje,

turi investicinį kredito reitingą,

nėra ir nėra neseniai buvusios jokių reikšmingų susijungimų ir įsigijimų sandorių šalys.

5.2.   Nuosavo kapitalo beta koeficientas

45.

Pagal CAPM modelį nuosavo kapitalo beta koeficientas parodo bendrovės sisteminę riziką, palyginti su vidutine bendrove rinkoje. Nuosavo kapitalo beta koeficientas praktiškai apskaičiuojamas atliekant regresinę analizę, t. y. įvertinant koreliaciją tarp bendrovės akcijų grąžos ir rinkos indekso (laikomo reprezentuojančiu visą ekonomiką) grąžos.

46.

Europos rinkos indeksas naudojant bendrą Sąjungos NKRP vertę yra tinkamesnis negu šalies indeksas. Akademinėje literatūroje teikiama pirmenybė platų pagrindą turintiems indeksams ir pagal vertę nustatytiems svertiniams indeksams (32). Yra keli šiuos kriterijus atitinkantys rinkos indeksai, apimantys Europos nuosavybės vertybinius popierius, kaip antai „STOXX Europe TMI“ (33), „S&P Europe 350“ (34), „Eurostoxx50“ (35) ir „MSCI Europe“ (36). Komisija mano, kad tikslinga naudoti rinkos indeksą, reprezentuojantį didelę dalį laisvųjų akcijų rinkos kapitalizacijos Sąjungoje (pvz., „STOXX Europe TMI“).

47.

Komisija mano, kad, apskaičiuojant nuosavo kapitalo beta koeficientą, netikslinga daryti korekcijų (37), nes jos tikriausiai nepadidintų beta įvertinio efektyvumo, o skaičiavimas būtų be reikalo sudėtingas ir mažiau skaidrus.

48.

Norint palyginti bendrovių beta koeficientus panašių bendrovių grupėje, būtina perskaičiuoti jų nuosavo kapitalo beta koeficientus (pašalinant finansinio sverto poveikį) į turto beta koeficientus (38). Turto beta koeficientai parodo bendrovių sisteminę riziką, atsietą nuo finansinės rizikos (t. y. rizikos, siejamos su finansinio sverto lygiu). Paprasta formulė, pagal kurią turto beta koeficientai gaunami iš nuosavo kapitalo beta koeficientų, yra tokia:

Image 5

Šioje formulėje:

βA = turto beta koeficientas;

βD = skolos beta koeficientas;

βE = nuosavo kapitalo beta koeficientas;

E = bendrovės nuosavas kapitalas;

D = bendrovės grynoji skola;

V = bendrovės vertė (E+D).

49.

Apskaičiuojant skolos beta koeficientus kyla nemažų praktinių sunkumų, tačiau paprastai gaunamos vertės nuo 0 iki 0,2 (39). Naudojant tik vieną skolos beta koeficiento vertę, VSKK apskaičiavimas būtų mažiau sudėtingas ir skaidresnis. Tarpinė skolos beta koeficiento vertė, lygi 0,1, atrodo tinkamas pasirinkimas.

50.

Apskaičiuojant VSKK, panašių bendrovių grupės turto beta koeficientas perskaičiuojamas (atgal) į nuosavo kapitalo beta koeficientą (t. y. vėl pridedamas skolos poveikis bendrovės beta koeficientui) taikant pirmiau pateiktą formulę, kuri, skaičiuojant nuosavo kapitalo beta koeficientą, yra tokia:

Image 6

5.3.   Skolos santykis

51.

Kaip minėta, bendrovių finansavimo šaltiniai gali būti skolintas (D) arba nuosavas kapitalas (E). Skolinto ir nuosavo kapitalo suma yra lygi bendrovės vertei (V):

V = D + E

52.

Bendrovės vertės dalis, kurią sudaro skola (t. y. Image 7), yra vadinama skolos santykiu (angl. gearing). Skolos santykis yra sverto koeficientas. Jis parodo, kiek bendrovė yra finansuojama skolintojų, palyginti su akcininkais.

53.

Skolinto kapitalo dalis (t. y. Image 8) ir nuosavo kapitalo dalis (t. y. Image 9) naudojamos skolinto kapitalo kainai (t. y. Image 10) ir nuosavo kapitalo kainai (t. y. Image 11 arba Image 12) skaičiuoti apskaičiuojant VSKK.

54.

Dažniausias skolos santykio apskaičiavimo metodas, šiame pranešime laikomas tinkamu, yra bendrovės grynosios skolos balansinės vertės, įskaitant finansinės nuomos vertę, naudojimas (40).

5.4.   Skolinimo priedas ir skolinto kapitalo kaina

55.

Skolinto kapitalo kaina gali būti apskaičiuojama tiesiogiai kaip palūkanos, kurias bendrovė moka už savo skolą, arba netiesiogiai kaip priedas prie NPN.

56.

Skolinimo priedas gali būti apskaičiuojamas kaip skirtumas tarp šalies NPN ir ilgalaikių įmonės obligacijų (kurių terminas kuo artimesnis 10 metų terminui, naudojamam nustatant NPN) pajamingumo (41).

57.

Komisija mano, kad dėl nuoseklumo tikslingiau apskaičiuoti skolinto kapitalo kainą (netiesiogiai) kaip NPN ir skolinimo priedo sumą.

6.   Mokesčiai ir infliacija

Skolos apmokestinimas ir tikėtina infliacija daro poveikį VSKK, todėl turi būti įtraukiami apskaičiuojant VSKK.

6.1.   Mokesčiai

58.

Skolos palūkanos yra išlaidos, kurias bendrovės gali įtraukti į mokesčių atskaitą. Apskaičiuojant VSKK po apmokestinimo, atsižvelgiama į šį palankų skolos apmokestinimo režimą:

Image 13

Šioje formulėje:

RE – nuosavo kapitalo kaina, RD – skolinto kapitalo kaina;

Image 14 ir Image 15 – svoriniai koeficientai, parodantys, kokią įmonės vertės dalį sudaro atitinkamai nuosavas kapitalas ir skola;

Tc – ribinis mokesčio tarifas.

59.

NRI paprastai padidina nuosavo kapitalo kainą (po apmokestinimo) (42) iki nuosavo kapitalo kainos, buvusios prieš apmokestinimą, kad ji atitiktų nuosavo kapitalo investuotojų reikalavimus, vertinamus pagal CAPM. VSKK prieš apmokestinimą apskaičiuojamas dalijant VSKK po apmokestinimo iš (1 – Tc ), kad būtų atsižvelgta į įmonių pelno mokesčius; tai galima išreikšti tokia formule:

Image 16

60.

Komisija mano, kad yra tikslinga naudoti atitinkamą šalies įmonių pelno mokesčio tarifą; tai yra NRI įprastai taikomas metodas apskaičiuojant VSKK prieš apmokestinimą.

6.2.   Infliacija

61.

Investuotojai siekia gauti kuo didesnę grąžą, pakoreguotą pagal infliaciją, arba realiąją grąžą. Paprastai NRI į infliaciją atsižvelgia dvejopai (43):

a)

infliacija kompensuojama per kasmetinį bendrovės turto indeksavimą ir yra leidžiama naudoti tik realiąją VSKK grąžą arba

b)

tikėtina infliacija įskaičiuojama į kapitalo grąžą naudojant nominaliąją VSKK nekoreguojant bendrovės turto bazės.

62.

Pirmąjį metodą taikančios NRI paprastai nominaliąją VSKK perskaičiuoja į realiąją VSKK. Vienas įprastas perskaičiavimo metodas yra Fišerio lygtis:

Image 17

Šioje lygtyje π yra infliacijos lygis.

63.

Komisija mano, kad euro zonos valstybėms narėms yra tikslinga taikyti visos euro zonos infliacijos įvertį, o ne euro zonos valstybės narės gali pagrįstai taikyti nacionalinius infliacijos įverčius. Abiem atvejais tinkamesni yra perspektyviniai įverčiai; geriausia būtų, kad jie apimtų laikotarpį, prilygstantį vyriausybės obligacijų, naudojamų apskaičiuojant NPN, 10 metų terminui. Praktikoje 10 metų infliacijos prognozės teikiamos retai, todėl galima naudoti trumpesnio laikotarpio prognozes (pvz., ECB 5 ateinančių metų infliacijos prognozę).

7.   BEREC ir Komisijos vaidmuo apskaičiuojant VSKK parametrus

64.

Atlikdamos parengiamuosius veiksmus prieš priimant šį pranešimą Komisijos tarnybos glaudžiai bendradarbiavo su BEREC. Taip bendradarbiaujant Komisija paprašė BEREC apskaičiuoti VSKK parametrus pagal šiame pranešime aprašytą metodą. BEREC sutiko apskaičiuoti parametrų vertes ir jas skelbti kasmet (44). Tai labai palengvins NRI darbą rengiant periodines VSKK peržiūras ir padės Komisijai peržiūrėti tokius pranešimus.

65.

Atlikdama kasmetinius skaičiavimus BEREC, glaudžiai bendradarbiaudama su Komisija, apskaičiuos: i) bendrąsias ekonomines sąlygas atitinkančius parametrus ir ii) konkrečių bendrovių parametrus panašių bendrovių grupėje.

66.

Nustatydama bendrąsias ekonomines sąlygas atitinkančius parametrus, BEREC apskaičiuos kiekvienos valstybės narės NPN ir bendrą Sąjungos NKRP.

67.

Nustatydama konkrečių bendrovių parametrus, BEREC parengs bendrovių, tinkamų įtraukti į panašių bendrovių grupę, sąrašą ir apskaičiuos kiekvienos į šį sąrašą įtrauktos bendrovės nuosavo kapitalo beta koeficientą, skolos santykį, skolinimo priedą ir skolinto kapitalo kainą. Be to, BEREC apibūdins veiksnius, dėl kurių NRI, atsižvelgdamos į nacionalinę specifiką, galėtų pagrįstai iš šio sąrašo išbraukti vieną ar daugiau bendrovių.

8.   VSKK peržiūrų dažnis

68.

NRI nustato ir peržiūri VSKK nevienodu periodiškumu – nuo daugiau kaip karto per metus iki vieno karto per 4–5 metus. Toks skirtingas dažnis yra vienas iš veiksnių, dėl kurių VSKK vertės įvairiose valstybėse narėse skiriasi.

69.

Jei VSKK skaičiavimų valstybėse narėse dažnis būtų vienodesnis, sumažėtų nepagrįstų skirtumų tarp VSKK verčių.

70.

Komisija mano, kad nacionalinę VSKK vertę tikslinga atnaujinti bent kartą per metus, atsižvelgiant į aktualias ekonomines sąlygas (45).

9.   Pereinamasis laikotarpis iki šiame pranešime išdėstytos metodikos patvirtinimo

71.

Peržiūrėdama pranešimus pagal 7 straipsnyje nustatytą procedūrą, Komisija laikysis taisyklės taikyti šiame pranešime aprašytą metodiką nuo 2020 m. liepos 1 d. Tačiau pagrįstais atvejais ir atsižvelgdama į pranešančios NRI prašymą Komisija, atlikdama planuojamų priemonių peržiūrą, nesivadovaus šia metodika pereinamuoju laikotarpiu, kuris truks ne ilgiau kaip vienus metus (pradedant nuo 2020 m. liepos 1 d.) (46). Tai gali būti pagrįsta, pavyzdžiui, tada, kai peržiūra pagal šią metodiką, jeigu ją taikytų nacionalinis reguliuotojas, nulemtų reikšmingus VSKK vertės pokyčius, kurie kliudytų pasiekti reguliavimo pastovumą ir nuspėjamumą. Vienų metų pereinamuoju laikotarpiu Komisija taip pat atsižvelgs į tai, ar turimi visi VSKK parametrai, kuriuos turi paskelbti BEREC, ir ar NRI turi galimybę savo analizėje remtis tais parametrais.

(1)  VSKK yra investuotojui atlygintina investicijos vertė. Telekomunikacijų reguliavimo srityje VSKK apskaičiuoja atitinkama nacionalinė reguliavimo institucija ir ji pridedama prie didžiausios leidžiamos didmeninės kainos, kurią reguliuojamas operatorius gali nustatyti už naudojimąsi jo infrastruktūra. Išsamų VSKK sąvokos paaiškinimą žr. prie šio pranešimo pridedamo Komisijos tarnybų darbinio dokumento 2 skirsnyje.

(2)  Šiuo metu galiojančią reguliavimo sistemą sudaro: i) 2002 m. kovo 7 d. Europos Parlamento ir Tarybos direktyva 2002/21/EB dėl elektroninių ryšių tinklų ir paslaugų bendrosios reguliavimo sistemos (Pagrindų direktyva) (OL L 108, 2002 4 24, p. 33), su pakeitimais, padarytais Direktyva 2009/140/EB (OL L 337, 2009 12 18, p. 37), ir Reglamentu (EB) Nr. 544/2009 (OL L 167, 2009 6 29, p. 12); ii) 2002 m. kovo 7 d. Europos Parlamento ir Tarybos direktyva 2002/20/EB dėl elektroninių ryšių tinklų ir paslaugų leidimo (Leidimų direktyva) (OL L 108, 2002 4 24, p. 21); iii) 2002 m. kovo 7 d. Europos Parlamento ir Tarybos direktyva 2002/19/EB dėl elektroninių ryšių tinklų ir susijusių priemonių sujungimo ir prieigos prie jų (Prieigos direktyva) (OL L 108, 2002 4 24, p. 7); iv) 2002 m. kovo 7 d. Europos Parlamento ir Tarybos direktyva 2002/22/EB dėl universaliųjų paslaugų ir paslaugų gavėjų teisių, susijusių su elektroninių ryšių tinklais ir paslaugomis (Universaliųjų paslaugų direktyva) (OL L 108, 2002 4 24, p. 51); v) 2012 m. birželio 13 d. Europos Parlamento ir Tarybos reglamentas (ES) Nr. 531/2012 dėl tarptinklinio ryšio per viešuosius judriojo ryšio tinklus Europos Sąjungoje (OL L 172, 2012 6 30, p. 10), su pakeitimais, padarytais 2015 m. lapkričio 25 d. Europos Parlamento ir Tarybos reglamentu (ES) 2015/2120 (OL L 310, 2015 11 26, p. 1), ir 2017 m. gegužės 17 d. Europos Parlamento ir Tarybos reglamentu (ES) 2017/920 (OL L 147, 2017 6 9, p. 1).

(3)  2018 m. gruodžio 11 d. Europos Parlamento ir Tarybos direktyva (ES) 2018/1972, kuria nustatomas Europos elektroninių ryšių kodeksas (OL L 231, 2018 12 17, p. 36). Pagal Europos elektroninių ryšių kodekso (toliau – Kodeksas) 124 straipsnio 1 dalį valstybės narės privalo priimti perkėlimo į nacionalinę teisę aktus iki 2020 m. gruodžio 21 d. ir juos taikyti nuo tos dienos. Galiojančiuose įstatymuose ir kituose teisės aktuose pateiktos nuorodos į direktyvas, kurios panaikinamos Kodeksu, laikomos nuorodomis Kodeksą.

(4)  Žr., pvz., Brealey, Myers, Allen (2014), Principles of Corporate Finance, McGraw Hill, 9 skyrių.

(5)  Pagal Pagrindų direktyvos 13 straipsnį. Taip pat žr. 2013 m. rugsėjo 11 d. Komisijos rekomendaciją 2013/466/ES dėl nuoseklaus nediskriminavimo įpareigojimų ir sąnaudų apskaičiavimo metodikų, skirtų konkurencijai skatinti ir geresnei investicijų į plačiajuostį ryšį aplinkai sukurti, taikymo (OL L 251, 2013 9 21, p. 13), dėl aplinkybių, kuriomis didmeninių kainų nustatymo lankstumas gali būti pagrįstas, o nuo 2020 m. gruodžio 21 d. – Kodekso 74 straipsnį.

(6)  Bendrosios skaitmeninės rinkos strategija (https://ec.europa.eu/digital-single-market/en/policies/shaping-digital-single-market) siekiama užtikrinti veiklos internete galimybes asmenims ir įmonėms sąžiningos konkurencijos, vartotojų ir duomenų apsaugos sąlygomis.

(7)  Pagal Pagrindų direktyvos 8 straipsnio 2 dalies b ir c punktuose nustatytus tikslus.

(8)  Pagal Pagrindų direktyvos 7 straipsnio 2 dalyje ir 8 straipsnio 3 dalies d punkte nustatytą tikslą.

(9)  Šiame pranešime nesprendžiama, ar papildomi priedai už konkrečias investicijas (pvz., naujos kartos prieigos tinklus) yra pagrįsti. Šiuo klausimu žr. 2010 m. rugsėjo 20 d. Komisijos rekomendaciją 2010/572/ES dėl naujos kartos prieigos (NKP) tinklų prieigos reguliavimo (NKP rekomendacija) (OL L 251, 2010 9 25, p. 35), ypač jos 25 punktą ir I priedą. Mažesnis investicijų į FTTN/VDSL rizikingumas, palyginti su FTTH, aptariamas NKP rekomendacijos I priedo 6 skirsnyje (FTTN – šviesolaidinė ryšio linija iki ryšio mazgo, VDSL – labai didelės spartos skaitmeninė abonento linija, FTTH – šviesolaidinė ryšio linija iki galutinio paslaugų gavėjo). Tokiais atvejais NKP tinklai įeina į senosios infrastruktūros apibrėžtį.

(10)  Kodekse Europos elektroninių ryšių reguliuotojų institucijai (BEREC) pavesta iki 2020 m. gruodžio 21 d. paskelbti gaires dėl kriterijų, kuriuos turi atitikti tinklas, kad būtų laikomas itin didelio pralaidumo tinklu. Taip pat Kodekse yra kelios nuostatos (pvz., 81 straipsnyje) dėl perėjimo nuo senosios infrastruktūros prie naujų itin didelio pralaidumo tinklų.

(11)  Žr. Pagrindų direktyvos 8 straipsnio 3 dalies d punktą ir 8 straipsnio 5 dalies a punktą.

(12)  Žr. Pagrindų direktyvos 8 straipsnio 5 dalį.

(13)  W. F. Sharpe, Capital Asset Prices: A Theory of Market Equilibrium under Conditions of Risk, The Journal of Finance, Vol. 19 (September 1964), p. 425–442; J. Lintner, The Valuation of Risk Assets and the Selection of Risky Investments in Stock Portfolios and Capital Budgets, The Review of Economics and Statistics, Vol. 47 (February 1965), p. 13–37.

(14)  Išsamiau žr. prie šio pranešimo pridedamo Komisijos tarnybų darbinio dokumento 2.1 skirsnyje.

(15)  Tai yra grąža, kurios investuotojai reikalauja iš nerizikingos investicijos.

(16)  NPN viršijanti grąža, kurią investuotojai tikisi gauti už papildomą su rinkos investicija susijusią riziką.

(17)  Specifinė rizika taip pat gali būti vadinama nesistemine rizika, likutine rizika, unikalia rizika ar išskaidoma rizika.

(18)  Nediversifikuojama rizika taip pat gali būti vadinama rinkos rizika, sistemine rizika ar neišskaidoma rizika.

(19)  Diversifikavimas yra veiksmingas todėl, kad įvairių akcijų kainos kinta nevisiškai vienodai (statistiškai tarp akcijų kainų pokyčių nėra visiškos koreliacijos). Diversifikuotame investicijų portfelyje atskirų turto vienetų pokyčius paprastai ilgainiui kompensuoja kito tam portfeliui priklausančio turto pokyčiai.

(20)  Beta koeficientas – turto grąžos (paprastai bendrovės rinkos vertės) ir rinkos grąžos (paprastai akcijų indekso, laikomo reprezentuojančiu visą rinką ar ekonomiką, rinkos vertės) kovariacija, padalyta iš rinkos grąžos variacijos. Akcijos, kurių beta koeficientai aukštesni nei 1,0, didina bendrus rinkos pokyčius, o tos akcijos, kurių beta koeficientai yra nuo 0 iki 1, bendrus rinkos pokyčius mažina. Pavyzdžiui, beta koeficientas 0,5 reiškia, kad, rinkai sumažėjus 1 proc., investicijos vertė tikriausiai sumažėtų 0,5 proc. Beta koeficientas 1,5 reiškia, kad, rinkai sumažėjus 1 proc., investicijos vertė tikriausiai sumažėtų 1,5 proc.

(21)  Skolos santykis yra bendrovės finansinio sverto matas. Tai yra skolos finansavimo sumos palyginimas su savininko nuosavo kapitalo suma. Pagal skolos santykį nustatomi skolinto kapitalo kainos ir nuosavo kapitalo kainos svoriniai koeficientai apskaičiuojant VSKK. Skolos santykis išsamiau paaiškintas šio pranešimo 5.3 skirsnyje.

(22)  Išsamiau žr. prie šio pranešimo pridedamo Komisijos tarnybų darbinio dokumento 5.1.1 skirsnyje (visų pirma 5.1.1.4).

(23)  Žr. prie šio pranešimo pridedamo Komisijos tarnybų darbinio dokumento 5.1.2 skirsnį.

(24)  Likutinis terminas yra iki obligacijos išpirkimo likęs laikas. Šiame pranešime obligacijos likutinis terminas vadinamas obligacijos terminu.

(25)  Žr. prie šio pranešimo pridedamo Komisijos tarnybų darbinio dokumento 5.2.1.3 ir 5.2.1.4 skirsnius.

(26)  Eurostatas kas mėnesį skelbia kiekvienos valstybės narės vyriausybės išleistų 10 metų obligacijų pajamingumą (žr. https://ec.europa.eu/eurostat/tgm/table.do?tab=table&plugin=1&language=en&pcode=teimf050).

(27)  Žr. prie šio pranešimo pridedamo Komisijos tarnybų darbinio dokumento 5.2.2 skirsnį.

(28)  Žr. prie šio pranešimo pridedamo Komisijos tarnybų darbinio dokumento 5.2.1.3 ir 5.2.1.4 skirsnius.

(29)  Žr. prie šio pranešimo pridedamo Komisijos tarnybų darbinio dokumento 5.2.2.3 skirsnį.

(30)  Akcijos, kuriomis nedaug prekiaujama, gali neatskleisti tikslios ir naujausius duomenis atitinkančios tų bendrovių vertės, nes jų lengvai parduoti be reikšmingo kainos pokyčio neįmanoma. Jų vertės svyravimai taip pat paprastai yra didesni negu likvidžių akcijų.

(31)  Investicinis kredito reitingas priklauso nuo konkrečios kredito reitingų agentūros: jį atitinka „Moody’s“ reitingai nuo Aaa iki Baa3 ir „Standard and Poor’s“ reitingai nuo AAA iki BBB.

(32)  Žr. prie šio pranešimo pridedamo Komisijos tarnybų darbinio dokumento 5.3.3.2 skirsnį.

(33)  https://www.stoxx.com/index-details?symbol=BKXP

(34)  http://us.spindices.com/indices/equity/sp-europe-350

(35)  https://www.stoxx.com/index-details?symbol=sx5e

(36)  https://www.msci.com/europe

(37)  Tradiciškai taikomas nuosavo kapitalo beta koeficiento korekcijas yra pasiūlęs E. Dimsonas (koreguoti beta įverčio iškraipymams, atsirandantiems naudojant dienos grąžą nes į rinkos indekso pokyčius bendrovės akcijos u sureaguoja ne iš karto), M. E. Blume (ilguoju laikotarpiu bendrovių beta koeficientas turėtų artėti prie vertės, lygios 1) arba O. Vašičekas (ilguoju laikotarpiu bendrovių beta koeficientas turėtų artėti prie sektoriaus vidurkio).

(38)  Šis perskaičiavimas (angl. unlevering) pašalina skolos poveikį nuosavo kapitalo (su finansiniu svertu susietam) beta koeficientui. Kitaip tariant, turto beta koeficientas atsiejamas nuo bendrovės finansavimo struktūros, todėl galima palyginti įvairių bendrovių (nepriklausomai nuo jų individualių finansavimo struktūrų) beta koeficientus.

(39)  Žr. The Brattle Group, Review of approaches to estimate a reasonable rate of return for investments in electronic communications networks in regulatory proceedings and options for EU harmonization, 2016 m. liepos 14 d. paskelbta galutinė ataskaita, p. 88. Paskelbta https://op.europa.eu/lt/publication-detail/-/publication/da1cbe44-4a4e-11e6-9c64-01aa75ed71a1.

(40)  Žr. prie šio pranešimo pridedamo Komisijos tarnybų darbinio dokumento 5.3.4 skirsnį.

(41)  Žr. prie šio pranešimo pridedamo Komisijos tarnybų darbinio dokumento 5.3.5 skirsnį ir jame nurodytą literatūrą.

(42)  Žr. prie šio pranešimo pridedamo Komisijos tarnybų darbinio dokumento 5.4.1 skirsnį.

(43)  Žr. prie šio pranešimo pridedamo Komisijos tarnybų darbinio dokumento 5.4 skirsnį.

(44)  Reguliuotojų valdybos 38-ajame eiliniame plenariniame posėdyje (2019 m. kovo 7–8 d.) BEREC sutiko apskaičiuoti VSKK parametrus (BEREC planuoja apskaičiuoti nerizikingą palūkanų normą ir nuosavo kapitalo rizikos priedą jau 2019 m., o beta koeficientą, skolos santykį ir skolinto kapitalo kainą – nuo 2020 m.). Taigi, EERRI tikisi iki 2020 m. vidurio paskelbti visus reikiamus parametrus. Šio posėdžio išvados (BoR (19) 45) paskelbtos:

https://berec.europa.eu/eng/document_register/subject_matter/berec/board_of_regulators_meetings/meeting_conclusions/8549-conclusions-of-the-38th-berec-board-of-regulators-plenary-meetings-on-7-8-march-2019-in-budapest-hungary.

(45)  Žr. prie šio pranešimo pridedamo Komisijos tarnybų darbinio dokumento 8 skirsnį.

(46)  Žr. prie šio pranešimo pridedamo Komisijos tarnybų darbinio dokumento 9 skirsnį.


6.11.2019   

LT

Europos Sąjungos oficialusis leidinys

C 375/12


Neprieštaravimas koncentracijai, apie kurią pranešta

(Byla M.9544 – Brookfield / Johnson Controls Autobatterie)

(Tekstas svarbus EEE)

(2019/C 375/02)

2019 m. spalio 24 d. Komisija nusprendė neprieštarauti pirmiau nurodytai koncentracijai, apie kurią pranešta, ir pripažinti ją suderinama su vidaus rinka. Šis sprendimas priimtas remiantis Tarybos reglamento (EB) Nr. 139/2004 (1) 6 straipsnio 1 dalies b punktu. Visas sprendimo tekstas pateikiamas tik anglų kalba ir bus viešai paskelbtas iš jo pašalinus visą konfidencialią su verslu susijusią informaciją. Sprendimo tekstą bus galima rasti:

Komisijos konkurencijos svetainės susijungimų skiltyje (http://ec.europa.eu/competition/mergers/cases/). Šioje svetainėje konkrečius sprendimus dėl susijungimo galima rasti įvairiais būdais, pavyzdžiui, pagal įmonės pavadinimą, bylos numerį, sprendimo priėmimo datą ir sektorių,

elektroniniu formatu EUR-Lex svetainėje (http://eur-lex.europa.eu/homepage.html?locale=lt). Dokumento Nr. 32019M9544. EUR-Lex svetainėje galima rasti įvairių Europos Sąjungos teisės aktų.


(1)  OL L 24, 2004 1 29, p. 1.


IV Pranešimai

EUROPOS SĄJUNGOS INSTITUCIJŲ, ĮSTAIGŲ IR ORGANŲ PRANEŠIMAI

Europos Komisija

6.11.2019   

LT

Europos Sąjungos oficialusis leidinys

C 375/13


Euro kursas (1)

2019 m. lapkričio 5 d.

(2019/C 375/03)

1 euro =


 

Valiuta

Valiutos kursas

USD

JAV doleris

1,1109

JPY

Japonijos jena

120,93

DKK

Danijos krona

7,4712

GBP

Svaras sterlingas

0,86113

SEK

Švedijos krona

10,6943

CHF

Šveicarijos frankas

1,1009

ISK

Islandijos krona

137,70

NOK

Norvegijos krona

10,1525

BGN

Bulgarijos levas

1,9558

CZK

Čekijos krona

25,536

HUF

Vengrijos forintas

329,84

PLN

Lenkijos zlotas

4,2643

RON

Rumunijos lėja

4,7583

TRY

Turkijos lira

6,3807

AUD

Australijos doleris

1,6079

CAD

Kanados doleris

1,4584

HKD

Honkongo doleris

8,7040

NZD

Naujosios Zelandijos doleris

1,7339

SGD

Singapūro doleris

1,5078

KRW

Pietų Korėjos vonas

1 284,34

ZAR

Pietų Afrikos randas

16,3876

CNY

Kinijos ženminbi juanis

7,7734

HRK

Kroatijos kuna

7,4486

IDR

Indonezijos rupija

15 516,50

MYR

Malaizijos ringitas

4,5886

PHP

Filipinų pesas

56,012

RUB

Rusijos rublis

70,4334

THB

Tailando batas

33,544

BRL

Brazilijos realas

4,4655

MXN

Meksikos pesas

21,3072

INR

Indijos rupija

78,5290


(1)  Šaltinis: valiutų perskaičiavimo kursai paskelbti ECB.


6.11.2019   

LT

Europos Sąjungos oficialusis leidinys

C 375/14


Konkurenciją ribojančios veiklos ir dominavimo patariamojo komiteto nuomonė, pareikšta 2019 m. liepos 5 d. pirmajame posėdyje dėl sprendimo Byloje

AT.39711 – Qualcomm (agresyvus elgesys) projekto

Pranešėjo valstybė narė –Ispanija

(2019/C 375/04)

1.   

Patariamasis komitetas (8 valstybės narės) pritaria Komisijai dėl pateiktos atitinkamos produkto rinkos, kuri apibrėžiama kaip UMTS (dažnių juostų) lustų rinkinių rinka, apibrėžties.

2.   

Patariamasis komitetas (8 valstybės narės) pritaria Komisijai, kad atitinkama geografinė UMTS lustų rinkinių rinka yra pasaulinio masto.

3.   

Patariamasis komitetas (8 valstybės narės) pritaria Komisijai, kad bent jau nuo 2009 m. sausio 1 d. iki 2011 m. gruodžio 31 d. įmonė „Qualcomm“ užėmė dominuojančią padėtį atitinkamoje rinkoje.

4.   

Patariamasis komitetas (8 valstybės narės) pritaria Komisijai, kad 2009 m. liepos 1 d. – 2011 m. birželio 30 d. vykdydama agresyvios kainodaros strategiją savo dviejų pagrindinių mobiliojo plačiajuosčio ryšio įrenginių užsakovų, įmonių „Huawei“ ir ZTE, atžvilgiu, kad eliminuotų iš rinkos įmonę „Icera“, įmonė „Qualcomm“ piktnaudžiavo dominuojančia padėtimi atitinkamoje rinkoje.

5.   

Patariamasis komitetas (8 valstybės narės) pritaria Komisijai, kad sprendimo projekte nurodytas elgesys yra piktnaudžiavimas dominuojančia padėtimi, kuriuo pažeidžiamas SESV 102 straipsnis ir EEE susitarimo 54 straipsnis.

6.   

Patariamasis komitetas (8 valstybės narės) pritaria sprendimo projekte Komisijos pateiktam pažeidimo trukmės vertinimui.

7.   

Patariamasis komitetas (8 valstybės narės) pritaria Komisijai, kad įmonė „Qualcomm“ privalo nebekartoti sprendimo projekte nurodytų veiksmų ar elgesio ir bet kokių veiksmų ar elgesio, kuriais siekiama to paties arba lygiaverčio tikslo arba kurie turi tą patį arba lygiavertį poveikį.

8.   

Patariamasis komitetas (8 valstybės narės) rekomenduoja jo nuomonę paskelbti Europos Sąjungos oficialiajame leidinyje.


6.11.2019   

LT

Europos Sąjungos oficialusis leidinys

C 375/15


Konkurenciją ribojančios veiklos ir dominavimo patariamojo komiteto nuomonė, pareikšta 2019 m. liepos 15 d. antrajame posėdyje dėl sprendimo Byloje AT.39711 – Qualcomm (agresyvus elgesys) projekto

Pranešėjo valstybė narė – Ispanija

(2019/C 375/05)

(1)   

Patariamasis komitetas (4 valstybės narės) pritaria Komisijai, kad šio sprendimo projekto adresatui turėtų būti skirta bauda.

(2)   

Patariamasis komitetas (4 valstybės narės) pritaria Komisijai, kad apskaičiuojant bazinį baudos dydį, reikėtų atsižvelgti į faktinę įmonės „Qualcomm“ pardavimo vertę per visą pažeidimo laikotarpį, remiantis įmonės „Qualcomm“ netiesioginio pardavimo trečiosioms šalims EEE įverčiu.

(3)   

Patariamasis komitetas (4 valstybės narės) pritaria Komisijai dėl šioje byloje nustatyto kintamo baudos dydžio.

(4)   

Patariamasis komitetas (4 valstybės narės) pritaria Komisijai, kad šioje byloje turėtų būti taikoma pridėtinė suma („prisijungimo mokestis“).

(5)   

Patariamasis komitetas (4 valstybės narės) pritaria Komisijai, kad šioje byloje taikytinų atsakomybę lengvinančių ar sunkinančių aplinkybių nėra.

(6)   

Patariamasis komitetas (4 valstybės narės) pritaria Komisijai dėl galutinio baudos dydžio.

(7)   

Patariamasis komitetas (4 valstybės narės) rekomenduoja jo nuomonę paskelbti Europos Sąjungos oficialiajame leidinyje.


6.11.2019   

LT

Europos Sąjungos oficialusis leidinys

C 375/16


Galutinė bylas nagrinėjančio pareigūno ataskaita (1)

Qualcomm (agresyvus elgesys)

(AT.39711)

(2019/C 375/06)

1.   Įvadas

(1)

Sprendimo projekte, su kuriuo yra susijusi ši ataskaita (toliau – sprendimo projektas), nustatyta, kad nuo 2009 m. liepos 1 d. iki 2011 m. birželio 30 d. įskaitytinai įmonė „Qualcomm Inc.“ (toliau – „Qualcomm“) dviem savo pagrindiniams užsakovams, įmonėms „Huawei“ ir ZTE, mažesne už savikainą kaina tiekė tam tikrą kiekį savo trijų universaliosios judriojo ryšio telekomunikacijų sistemos (UMTS) lustų rinkinių (2), norėdama eliminuoti įmonę „Icera Inc.“ (toliau – „Icera“ (3)), kuri tuo metu buvo pagrindinė jos konkurentė pažangios duomenų perdavimo spartos įrenginių rinkos segmente. Sprendimo projekte nurodyta, kad tokiu elgesiu buvo pažeistas SESV 102 straipsnis ir Europos ekonominės erdvės susitarimo 54 straipsnis.

2.   Pradinis tyrimo etapas

(2)

Byla AT.39711 buvo iškelta remiantis 2009 m. birželio 30 d. įmonės „Icera“ Komisijai pateiktu pradiniu skundu, kuris buvo pakeistas 2010 m. balandžio 8 d. peržiūrėta ir atnaujinta versija.

(3)

Komisija pradėjo tyrimą remdamasi šioje versijoje, kuria pakeista ankstesnė versija, pateiktais įtarimais. 2010 m. liepos 26 d. įmonė „Qualcomm“ pateikė pastabas dėl šios versijos.

(4)

2012 m. gegužės 1 d., gegužės 17 d. ir liepos 31 d. įmonė „Nvidia“, 2011 m. gegužės mėn. įsigijusi įmonę „Icera“, pateikė papildomos informacijos, kuria papildomi ir akcentuojami įtarimai dėl agresyvios kainodaros.

(5)

Nuo 2010 m. birželio mėn. iki 2015 m. balandžio mėn. Komisija įmonėms „Qualcomm“, „Icera“/„Nvidia“ ir kitiems dažnių juostų lustų rinkinių sektoriaus dalyviams nusiuntė kelis prašymus pateikti informaciją. 2013 m. rugpjūčio 8 d. bylas nagrinėjantis pareigūnas (4), remdamasis Sprendimo 2011/695/ES 3 straipsnio 7 dalimi ir 4 straipsnio 2 dalies c punktu, pratęsė įmonei „Qualcomm“ nustatytą terminą atsakyti į vieną iš šių prašymų, pateiktą 2013 m. liepos 10 d. (5)

(6)

2014 m. kovo 3 d. Komisijos konkurencijos generalinis direktoratas (toliau – Konkurencijos GD), atsižvelgdamas į 2013 m. įmonės „Qualcomm“ pateiktus prašymus, pateikė šiai įmonei 2009 m. pradinio skundo ir 2010 m. iš dalies pakeisto skundo mažesniu mastu kupiūruotas versijas.

(7)

2015 m. liepos 16 d. Komisija pradėjo bylos AT.39711 dėl įmonės „Qualcomm“ nagrinėjimą, kaip nustatyta Tarybos reglamento (EB) Nr. 1/2003 (6) 11 straipsnio 6 dalyje ir Komisijos reglamento (EB) Nr. 773/2004 (7) 2 straipsnio 1 dalyje.

(8)

Atsižvelgdamas į 2015 m. rugsėjo 3 d. Konkurencijos GD ir įmonės „Qualcomm“ susitikimo esamai padėčiai aptarti rezultatus, 2015 m. rugsėjo 11 d. Konkurencijos GD įmonei „Qualcomm“ pateikė 4 punkte minėtą įmonės „Nvidia“ pateiktą informaciją.

3.   Pirmasis prieštaravimo pareiškimas

(9)

2015 m. gruodžio 8 d. Komisija, remdamasi Reglamento (EB) Nr. 1/2003 27 straipsnio 1 dalimi ir Reglamento (EB) Nr. 773/2004 10 straipsnio 1 dalimi, priėmė įmonei „Qualcomm“ skirtą prieštaravimo pareiškimą.

3.1.    Galimybė susipažinti su byla pateikus prieštaravimo pareiškimą

(10)

2015 m. gruodžio 21 d. Konkurencijos GD įmonei „Qualcomm“ pateikė elektroninėje laikmenoje įrašytus dokumentus, kad, vadovaujantis Reglamento (EB) Nr. 1/2003 27 straipsnio 2 dalimi, įmonė galėtų susipažinti su bylos AT.39711 tyrimo medžiaga. Vėliau Konkurencijos GD įmonei „Qualcomm“ pateikė papildomą medžiagą, būtent mažesniu mastu kupiūruotas trečiosios šalies pateiktų dokumentų versijas. Tačiau Konkurencijos GD ir įmonė „Qualcomm“ negalėjo išspręsti visų klausimų, susijusių su galimybe susipažinti su byla.

(11)

2016 m. balandžio 18 d. man siųstu raštu įmonė „Qualcomm“ pagal Sprendimo 2011/695/ES 3 straipsnio 7 dalį ir 7 straipsnio 1 dalį paprašė suteikti jai galimybę papildomai susipažinti su tam tikra bylos medžiaga arba, kur reikia, ją patikslinti. 2016 m. liepos 13 d. mano sprendime apibūdinama, kaip nagrinėjau daug atitinkamų prašymų, stengdamasis išlaikyti pusiausvyrą tarp įmonės „Qualcomm“ teisės būti išklausytai ir konkurencinių konfidencialumo interesų. Iš esmės juose buvo prašoma pateikti kai kurių dokumentų, gautų iš įmonės „Icera“/„Nvidia“ ir įvairių kitų trečiųjų šalių, mažesniu mastu kupiūruotas versijas. Tam, kad būtų galima išklausyti susijusius informacijos teikėjus (8) ir prireikus parengti naujas atitinkamų dokumentų versijas, prireikė laiko, nes apskritai reikėjo aktyviai susirašinėti.

3.2.    Įmonei „Qualcomm“ nustatytas terminas pateikti rašytinį atsakymą į prieštaravimo pareiškimą

(12)

Kartu su prieštaravimo pareiškimu išsiųstame lydraštyje buvo nurodyta, kad įmonė „Qualcomm“ rašytinį atsakymą į prieštaravimo pareiškimą turi pateikti per keturis mėnesius. Nustatant šį terminą buvo atsižvelgta visų pirma į bylos dydį ir pobūdį, prieštaravimo pareiškimo turinį ir į tai, kad prieštaravimo pareiškimo priėmimo dieną prieštaravimo pareiškimas įmonės „Qualcomm“ atžvilgiu buvo priimtas ir byloje AT.40220 – Qualcomm (mokėjimai už išimtinumą). Šis terminas byloje AT.39711 turėjo būti pradėtas skaičiuoti iš esmės nuo galimybės susipažinti su byla suteikimo dienos. Atsižvelgdamas į įmonės „Qualcomm“ prašymą Konkurencijos GD nukėlė galutinį įmonės „Qualcomm“ rašytinio atsakymo pateikimo terminą į 2016 m. gegužės 6 d.

(13)

Man adresuotame 2016 m. balandžio 18 d. rašte, nurodytame 11 punkte, įmonė „Qualcomm“ nesutiko su patikslintu galutiniu terminu – 2016 m. gegužės 6 d., taip siekdama gauti daugiau laiko. 2016 m. balandžio 29 d. e. paštu įmonei „Qualcomm“ nurodžiau, kad sustabdau įmonės „Qualcomm“ rašytinio atsakymo į prieštaravimo pareiškimą pateikimo termino skaičiavimą.

(14)

Savo 2016 m. liepos 13 d. sprendime (žr. 11 punktą) panaikinau šį sustabdymą ir nustačiau naują galutinį terminą įmonei „Qualcomm“ pateikti rašytinį atsakymą į prieštaravimo pareiškimą – 2016 m. rugpjūčio 15 d. Tą dieną įmonė „Qualcomm“ pateikė savo rašytinį atsakymą (toliau – atsakymas į prieštaravimo pareiškimą).

3.3.    Pirmasis žodinis bylos nagrinėjimas

(15)

2016 m. lapkričio 10 d. įmonė „Qualcomm“ išdėstė savo argumentus žodiniame bylos nagrinėjime, kurio ji prašė savo atsakyme į prieštaravimo pareiškimą (9).

4.   Suinteresuotasis trečiasis asmuo

(16)

Vadovaudamasis Reglamento (EB) Nr. 1/2003 27 straipsnio 3 dalimi, Reglamento (EB) Nr. 773/2004 13 straipsnio 1 dalimi ir Sprendimo 2011/695/ES 5 straipsniu, 2016 m. gegužės mėn. į bylą AT.39711 įtraukiau suinteresuotąjį trečiąjį asmenį. Vadovaudamasis Reglamento (EB) Nr. 773/2004 13 straipsnio 1 dalimi, 2016 m. liepos mėn. Konkurencijos GD raštu informavo tą suinteresuotąjį trečiąjį asmenį apie procedūros pobūdį ir dalyką (10) ir nustatė terminą, per kurį šis asmuo galėjo raštu pareikšti savo nuomonę. 2016 m. rugpjūčio mėn. suinteresuotasis trečiasis asmuo e. paštu nurodė Konkurencijos GD, kad neturi jokių pastabų. Suinteresuotasis trečiasis asmuo neprašė leisti dalyvauti žodiniame bylos nagrinėjime ir daugiau nebedalyvavo nagrinėjant bylą AT.39711.

5.   Kitos tyrimo priemonės ir susijęs bylinėjimasis

(17)

Po pirmojo žodinio bylos nagrinėjimo Komisija, atsižvelgdama į rašytinį ir žodinį įmonės „Qualcomm“ atsakymą į prieštaravimo pareiškimą, ėmėsi kitų tyrimo priemonių.

(18)

Visų pirma, Komisija pagal Reglamento (EB) Nr. 1/2003 18 straipsnio 2 dalį 2017 m. sausio 30 d. įmonei „Qualcomm“ nusiuntė prašymą pateikti informaciją. Įmonė „Qualcomm“ atsakymo nepateikė. 2017 m. kovo 31 d. Komisija pareikalavo šios informacijos, priimdama sprendimą pagal to reglamento 18 straipsnio 3 dalį (toliau – sprendimas dėl prašymo pateikti informaciją). 2017 m. Komisija taip pat nusiuntė prašymus pateikti informaciją įmonei „Nvidia“ ir dviem trečiosioms šalims.

(19)

2017 m. balandžio 10 d. raštu įmonė „Qualcomm“ paprašė atsakymo į sprendimą dėl prašymo pateikti informaciją terminą pratęsti iki 2017 m. liepos 28 d.2017 m. balandžio 26 d. Konkurencijos GD atmetė tame rašte pateiktus argumentus, tačiau „iš mandagumo“ leido įmonei „Qualcomm“ atsakyti į kai kuriuos sprendime dėl prašymo pateikti informaciją pateiktus klausimus iki 2017 m. gegužės 26 d., o į kitus sprendime dėl prašymo pateikti informaciją nurodytus klausimus – iki 2017 m. birželio 9 d.

(20)

2017 m. gegužės 8 d. įmonė „Qualcomm“, vadovaudamasi Sprendimo 2011/695/ES 4 straipsnio 2 dalies c punktu, nesutiko su šiais galutiniais terminais. 2017 m. gegužės 15 d. sprendimu juos atitinkamai pakeičiau į 2017 m. birželio 16 d. ir birželio 30 d. Įmonė „Qualcomm“ pateikė savo motyvuotą atsakymą į sprendimą dėl prašymo pateikti informaciją, laikydamasi šių patikslintų galutinių terminų.

(21)

Vėliau Komisija įmonei „Qualcomm“ pateikė klausimus, skirtus informacijai patikslinti. Be to, 2017 m. lapkričio 10 d. Komisija, vadovaudamasi Reglamento (EB) Nr. 1/2003 18 straipsnio 2 dalimi, įmonei „Qualcomm“ nusiuntė papildomą prašymą pateikti informaciją.

(22)

2017 m. birželio 13 d. įmonė „Qualcomm“ pateikė prašymą panaikinti sprendimą dėl prašymo pateikti informaciją ir paprašė laikotarpiu, kol bus priimtas sprendimas dėl šio prašymo, taikyti laikinąsias apsaugos priemones, kuriomis suvaržomas sprendimo dėl prašymo pateikti informaciją vykdymas. 2017 m. liepos mėn. Bendrojo Teismo pirmininkas atmetė prašymą dėl laikinųjų apsaugos priemonių (11). 2019 m. balandžio mėn. Bendrasis Teismas atmetė įmonės „Qualcomm“ prašymą dėl sprendimo panaikinimo (12).

6.   Papildomas prieštaravimo pareiškimas

(23)

2018 m. liepos 19 d. Komisija priėmė įmonės „Qualcomm“ atžvilgiu papildomą prieštaravimo pareiškimą. Palyginti su prieštaravimo pareiškimu, papildomame prieštaravimo pareiškime konkrečiai buvo nurodyta trumpesnė agresyvaus elgesio trukmė ir naudojama patikslinta įmonės „Qualcomm“ kainų ir sąnaudų, susijusių su tariamai agresyviu pardavimu, palyginimo metodika.

6.1.    Galimybė susipažinti su byla pateikus papildomą prieštaravimo pareiškimą

(24)

2018 m. liepos 31 d. Konkurencijos GD įmonei „Qualcomm“ pateikė elektroninę laikmeną su dokumentų, su kuriais galima susipažinti ir kurie buvo įtraukti į Komisijos tyrimo medžiagą priėmus prieštaravimo pareiškimą, kopijomis.

(25)

2018 m. rugpjūčio 8 d. raštu įmonė „Qualcomm“ paprašė Konkurencijos GD, be kitų dalykų, leisti išsamiau susipažinti ir su tais dokumentais, kurie buvo įtraukti į tyrimo medžiagą priimant prieštaravimo pareiškimą, tačiau juose esanti informacija po tam tikro laiko, pasak įmonės „Qualcomm“, nebegalėjo būti laikoma visiškai konfidencialia. 2018 m. rugpjūčio 14 d. raštu Konkurencijos GD šį prašymą atmetė. Šiame rašte taip pat buvo aptarti kiti įmonės „Qualcomm“2018 m. rugpjūčio 8 d. rašte iškelti klausimai.

(26)

2018 m. rugsėjo 19 d. gavau įmonės „Qualcomm“ motyvuotą prašymą suteikti galimybę išsamiau susipažinti su byla. Tačiau šis prašymas iš esmės skyrėsi nuo bendresnio pobūdžio prašymo, kuris buvo atsiųstas Konkurencijos GD 2018 m. rugpjūčio 8 d. (žr. 25 punktą). Atsižvelgdamas į Sprendimo 2011/295/ES 3 straipsnio 7 dalį ir 7 straipsnio 1 dalį, konstatavau, kad 2018 m. rugsėjo 19 d. įmonės „Qualcomm“ prašymas nebuvo pakankamai argumentuotas, kad galėčiau atlikti nepriklausomą vertinimą. 2018 m. rugsėjo 21 d. e. paštu informavau įmonę „Qualcomm“, kad persiunčiau šį prašymą Konkurencijos GD.

(27)

2018 m. rugsėjo 28 d. Konkurencijos GD atsakė į 2018 m. rugsėjo 19 d. įmonės „Qualcomm“ raštą. Visų pirma, Konkurencijos GD įmonei „Qualcomm“ suteikė galimybę išsamiau susipažinti su dauguma šios įmonės išvardytų dokumentų ir paaiškino, kad informacijos, esančios tam tikrų tyrimo medžiagos dokumentų pradinėse versijose, pašalinimas buvo sietinas su įmonės „Nvidia“ reikalavimais dėl profesinės paslapties apsaugos.

(28)

2018 m. spalio 4 d. raštu įmonė „Qualcomm“ pateikė Konkurencijos GD kelis skundus, daugiausia susijusius su 2018 m. rugsėjo 28 d. Konkurencijos GD rašte pateiktais paaiškinimais dėl įmonės „Nvidia“ reikalavimų dėl profesinės paslapties apsaugos. 2018 m. spalio 9 d. raštu Konkurencijos GD atsakė į šiuos skundus.

(29)

2018 m. spalio 12 d. įmonė „Qualcomm“ kreipėsi į mane raštu, kuriame iš esmės pateikė tris prašymus: i) kad Konkurencijos GD nurodyčiau „patvirtinti, ar nustatė, kad <...> [nurodytuose dokumentuose] tam tikri duomenys buvo pašalinti remiantis teisėtais pareiškimais dėl profesinės paslapties apsaugos <...>“; ii) „suteikti galimybę susipažinti su nekupiūruotomis“ tam tikrų dokumentų, kurių kupiūruotas versijas įmonė „Qualcomm“ jau turi, versijomis, ir iii) kad Konkurencijos GD nurodyčiau „atsižvelgti į įmonės „Qualcomm“ prašymą pateikti visus dokumentus, su kuriais faktiškai buvo galima susipažinti, nepriklausomai nuo [bylos] rodyklėje pažymėto indekso“.

(30)

Savo 2018 m. lapkričio 7 d. sprendime paaiškinau, kad 29 punkte apibūdintas pirmas įmonės „Qualcomm“ prašymas nėra susijęs su galimybe susipažinti su byla ir kad bylas nagrinėjantis pareigūnas neturi sprendžiamosios galios nurodyti imtis tokio pobūdžio veiksmų. Dėl antro 29 punkte apibūdinto prašymo konstatavau, kad jis buvo patenkintas iki šio sprendimo priėmimo, nes tuo metu dvi suinteresuotosios trečiosios šalys buvo atsisakiusios savo atitinkamų reikalavimų dėl konfidencialumo. Trečią įmonės „Qualcomm“ prašymą patenkinau. Taigi, 2018 m. lapkričio 8 d. Konkurencijos GD įmonei „Qualcomm“ nusiuntė raštą, kuriame iš esmės paaiškino, kad tyrimo medžiagos indeksas buvo teisingas.

6.2.    Įmonei „Qualcomm“ nustatytas terminas pateikti rašytinį atsakymą į papildomą prieštaravimo pareiškimą

(31)

Pradžioje Komisija įmonei „Qualcomm“ nustatė aštuonių savaičių terminą pateikti rašytinį atsakymą į papildomą prieštaravimo pareiškimą. 2018 m. rugpjūčio 2 d. įmonė „Qualcomm“ papildomai paprašė Konkurencijos GD „mažiausiai <...> dar trijų mėnesių nuo darbo dienos, einančios po tos dienos, kai buvo suteikta galimybė susipažinti su byla“. 2018 m. rugpjūčio 9 d. raštu Konkurencijos GD įmonei „Qualcomm“„iš mandagumo“ laikotarpį pratęsė dviem savaitėms, nukeldamas galutinį terminą į 2018 m. spalio 10 d.

(32)

Nepatenkinta sprendimu, įmonė „Qualcomm“, remdamasi Sprendimo 2011/695/ES 9 straipsniu, 2018 m. rugpjūčio 14 d. paprašė „pratęsti terminą iki 2018 m gruodžio 23 d.“2018 m. rugpjūčio 20 d. sprendimu bylas nagrinėjantis pareigūnas (13) nustatė patikslintą galutinį terminą – 2018 m. spalio 22 d.

(33)

Patikslinto galutinio termino dieną įmonė „Qualcomm“ pateikė rašytinį atsakymą į papildomą prieštaravimo pareiškimą.

6.3.    Antrasis žodinis nagrinėjimas ir susiję klausimai

(34)

Savo atsakyme į papildomą prieštaravimo pareiškimą įmonė „Qualcomm“ paprašė žodinio bylos nagrinėjimo.

(35)

Pradžioje šis antrasis žodinis nagrinėjimas buvo paskirtas antradienį, 2018 m. gruodžio 11 d. Penktadienį, 2018 m. gruodžio 7 d., įmonė „Qualcomm“ paprašė nukelti šį nagrinėjimą iki 2019 m. sausio mėn. pradžios. Atsižvelgdamas į konkrečias įmonės „Qualcomm“ nurodytas priežastis, nukėliau šį nagrinėjimą į 2019 m. sausio 10 d.2018 m. gruodžio 19 d. bylas nagrinėjantis pareigūnas atmetė įmonės „Qualcomm“ vėlesnį prašymą nukelti nagrinėjimą į kitą 2019 m. sausio mėn. savaitę (14). Taigi, antrasis žodinis nagrinėjimas įvyko 2019 m. sausio 10 d.

(36)

2019 m. balandžio 25 d. įmonė „Qualcomm“ savo iniciatyva nusiuntė Komisijai „dokumentus, atsižvelgiant į [antrąjį] žodinį nagrinėjimą“.

7.   Faktų pranešimas

(37)

2019 m. vasario 22 d. Komisija nusiuntė įmonei „Qualcomm“ faktų pranešimą. Šis pranešimas (toliau – faktų pranešimas) buvo skirtas: i) pateikti įmonei „Qualcomm“ paaiškinimų dėl tam tikrų papildomame prieštaravimo pareiškime nurodytų aspektų, su kuriais įmonė „Qualcomm“ savo atsakyme į papildomą prieštaravimo pareiškimą nesutiko; ii) informuoti įmonę „Qualcomm“ apie anksčiau buvusius įrodymus, kurie konkrečiai nebuvo paminėti prieštaravimo pareiškime arba papildomame prieštaravimo pareiškime, ir iii) atkreipti įmonės „Qualcomm“ dėmesį į nežymius papildomame prieštaravimo pareiškime pateiktos kainos ir sąnaudų analizės atnaujinimus.

7.1.    Galimybė susipažinti su byla, susijusi su faktų pranešimu

(38)

Prie faktų pranešimo buvo pridėtas priedas, kurį sudarė „visų po papildomo prieštaravimo pareiškimo priėmimo bylos medžiagoje užregistruotų dokumentų, kuriuose atsispindi ryšiai su trečiosiomis šalimis, versijos, su kuriomis galima susipažinti ir kurios anksčiau nebuvo pateiktos įmonei „Qualcomm“, taip pat kiti du dokumentai“.

(39)

Vienas iš šių „kitų dviejų dokumentų“ buvo pradinė (nekupiūruota) lentelinės skaičiuoklės, dėl kurios jos rengėjas iki man priimant 30 punkte minėtą sprendimą atsisakė reikalavimų dėl konfidencialumo, versija (toliau – išsami lentelinės skaičiuoklės versija), tačiau dėl „persiuntimo klaidos“2018 m. spalio 19 d. įmonei „Qualcomm“ buvo nusiųsta ankstesnė kupiūruota šio dokumento versija, o ne išsamus pradinės formos dokumentas (žr. 53 punktą ir 54 punktus toliau).

7.2.    Galutinis atsakymo į faktų pranešimą terminas

(40)

Pradžioje nustatytas galutinis atsakymo į faktų pranešimą terminas buvo 2019 m. kovo 12 d.2019 m. kovo 8 d. įmonei „Qualcomm“ skirtu raštu Konkurencijos GD „iš mandagumo“ pakeitė šį galutinį terminą į penktadienį, 2019 m. kovo 22 d., nors ir laikėsi nuomonės, kad argumentai, pateikti 2019 m. kovo 1 d. įmonės „Qualcomm“ prašyme pratęsti terminą, buvo nepagrįsti.

(41)

2019 m. kovo 12 d. e. pašto pranešimu atmečiau įmonės „Qualcomm“2019 m. kovo 8 d. prašymą atsakymo į faktų pranešimą terminą pratęsti iki 2019 m. balandžio 9 d.

(42)

Vėliau Konkurencijos GD patenkino įmonės „Qualcomm“2019 m. kovo 19 d. prašymą leisti pateikti savo pastabas dėl faktų pranešimo iki pirmadienio, 2019 m. kovo 25 d. Įmonė „Qualcomm“ pateikė šias pastabas sekmadienį, 2019 m. kovo 24 d.

7.3.    Įmonės „Qualcomm“ prašymo dėl trečiojo žodinio nagrinėjimo atmetimas

(43)

Pateikdama savo pastabas dėl faktų pranešimo, įmonė „Qualcomm“, be kita ko, tvirtino, kad šis faktų pranešimas yra „iš esmės ne faktų pranešimas“, bet „dar vienas prieštaravimo pareiškimas“. Todėl šių pastabų išnašoje įmonė „Qualcomm“ prašė dar vieno žodinio nagrinėjimo.

(44)

2019 m. balandžio 26 d. e. pašto pranešimu įmonei „Qualcomm“ atmečiau tuos tvirtinimus ir prašymą (15).

8.   Įmonės „Qualcomm“ nurodytos procedūrinės problemos

8.1.    Tariamas terminų netinkamumas

8.1.1.   Atsakymo į prieštaravimo pareiškimą terminas

(45)

Atsakyme į prieštaravimo pareiškimą, be kita ko, buvo pareikštas nusiskundimas, kad pailgintas rašytinio atsakymo į prieštaravimo pareiškimą terminas buvo nepakankamas, kad įmonė „Qualcomm“ galėtų tinkamai parengti atsakymą į prieštaravimo pareiškimą. Būtent, įmonė „Qualcomm“ tvirtino, kad šis terminas yra neproporcingas ir prieštarauja pagrindiniams ES teisės principams, pavyzdžiui, teisei į gynybą ir šalių lygiateisiškumą, kurie buvo būtini, kad įmonė „Qualcomm“ galėtų parengti savo gynybą, ir šis terminas atsakyme į prieštaravimo pareiškimą buvo apibūdintas kaip „bylas nagrinėjančio pareigūno papildomai skirtas laikas atsakyti į prieštaravimo pareiškimą, suteiktas 2016 m. liepos 13 d. jam nustačius naują terminą“.

(46)

Kaip matyti iš 9–14 punktų ir priešingai, nei teigiama atsakyme į prieštaravimo pareiškimą, įmonei „Qualcomm“ iš viso buvo skirtas daugiau kaip aštuonių mėnesių terminas parengti atsakymą į prieštaravimo pareiškimą. Tokia trukmė atrodo pakankama, kad įmonė „Qualcomm“ būtų galėjusi veiksmingai pasinaudoti savo teise būti išklausytai raštu (16), turint omenyje reikalavimą nepagrįstai nevilkinti proceso (17) ir nepriklausomai nuo to, kad daugiau kaip šešis šio laikotarpio mėnesius įmonė „Qualcomm“ taip pat rengė savo atsakymą į kitą prieštaravimo pareiškimą, kuris buvo priimtas tą pačią dieną kaip ir prieštaravimo pareiškimas byloje AT.40220 Qualcomm (išimtinumas).

(47)

Atsakyme į prieštaravimo pareiškimą pateiktas tvirtinimas dėl netinkamo ir „neproporcingo“ termino parengti atsakymą į prieštaravimo pareiškimą yra grindžiamas teiginiu, kad įmonė „Qualcomm“ galėjo pradėti rengti atsakymą į prieštaravimo pareiškimą tik tada, kai 2016 m. liepos 13 d. panaikinau atsakymo į prieštaravimo pareiškimą pateikimo termino skaičiavimo sustabdymą. Tačiau, 2015 m. gruodžio mėn. pradžioje gavusi prieštaravimo pareiškimą, įmonė „Qualcomm“ galėjo pradėti rengti savo atsakymą į prieštaravimo pareiškimą.

8.1.2.   Atsakymo į papildomą prieštaravimo pareiškimą terminas

(48)

Atsakyme į papildomą prieštaravimo pareiškimą įmonė „Qualcomm“ pareiškė nusiskundimą, kad visas laikas, kurį Komisija skyrė atsakymui į papildomą prieštaravimo pareiškimą parengti, buvo „nepakankamas ir neproporcingas“. Tačiau atsakyme į papildomą prieštaravimo pareiškimą nenurodoma, dėl kokių priežasčių įmonė „Qualcomm“ laikosi nuomonės, kad peržiūrėtas terminas atsakyti į papildomą prieštaravimo pareiškimą buvo „nepakankamas“ arba kodėl kilo pavojus jos teisėms į gynybą. 32 punkte minėtame 2018 m. rugpjūčio 20 d. sprendime dėl termino pratęsimo bylas nagrinėjantis pareigūnas jau atsižvelgė į bylos AT.39711 pakeitimų, padarytų dėl papildomo prieštaravimo pareiškimo, mastą. Kalbant apie įmonės „Qualcomm“ teiginį, kad atsakymui į papildomą prieštaravimo pareiškimą skirtas laikotarpis buvo „neproporcingas“, paprasčiausiai susiejus atsakyme į papildomą prieštaravimo pareiškimą pateiktą įmonės „Qualcomm“ veiksmų, kurių ji ėmėsi, kad laikytųsi šio termino, apibūdinimą su laikotarpiu nuo pirmojo žodinio bylos nagrinėjimo iki papildomo prieštaravimo pareiškimo pateikimo, negalima įrodyti to, ką įmonė „Qualcomm“, panašu, laikė neteisėtai nepakankamu proporcingumu tarp atsakymui į papildomą prieštaravimo pareiškimą nustatyto termino ir laiko, kurį Komisija užtruko atlikdama visus veiksmus, reikalingus papildomam prieštaravimo pareiškimui parengti.

8.2.    Galimybė susipažinti su byla

8.2.1.   Galimybė susipažinti su byla pateikus prieštaravimo pareiškimą

(49)

Atsakyme į prieštaravimo pareiškimą įmonė „Qualcomm“ išreiškė nusiskundimą dėl to, kokiu mastu konfidencialumo užtikrinimo tikslais buvo pašalinti duomenys iš dokumentų, kurie pradžioje buvo pateikti įmonei „Qualcomm“, kad ji galėtų susipažinti su byla. Tačiau atsakyme į prieštaravimo pareiškimą įmonė „Qualcomm“ pripažino, kad „[p]o bylas nagrinėjančio pareigūno peržiūros [po kurios priėmiau savo 2016 m. liepos 13 d. sprendimą] įmonė „Qualcomm“ gavo papildomas mažesniu mastu kupiūruotas bylos dokumentų versijas“. Atsakyme į prieštaravimo pareiškimą taip pat iš esmės pripažinta, kad šia peržiūra buvo išspręsta problema, susijusi su trečiųjų šalių reikalavimų dėl tų dokumentų konfidencialumo teisėtumu.

8.2.2.   Galimybė susipažinti su byla pateikus papildomą prieštaravimo pareiškimą

(50)

Atsakyme į papildomą prieštaravimo pareiškimą tvirtinama, kad įmonės „Qualcomm“ gynybos teisių pažeidimą dėl, įmonės „Qualcomm“ manymu, nepakankamo laikotarpio atsakyti į papildomą prieštaravimo pareiškimą (žr. 48 punktą) „padidino daugybė susipažinimo su byla problemų, ir kai kurios iš jų lieka [liko] neišspręstos“.

(51)

Neaišku, kokias susipažinimo su byla problemas įmonė „Qualcomm“ laikė „likusiomis neišspręstomis“. Atsakyme į papildomą prieštaravimo pareiškimą nenurodyta jokia problema, kurios Komisija nebūtų išsprendusi prieš įmonei „Qualcomm“ pateikiant atsakymą į papildomą prieštaravimo pareiškimą. Iš esmės atsakymą į papildomą prieštaravimo pareiškimą sudarė vien tik tvirtinimas, kad, be jau minėto laikotarpio, kurį įmonė „Qualcomm“ laikė nepakankamu pateikti atsakymą į papildomą prieštaravimo pareiškimą, šiame dokumente apibūdintos susipažinimo su byla problemos rimtai ir nepataisomai pakenkė įmonės „Qualcomm“ gynybos galimybėms.

8.2.3.   Pavėluotas išsamios lentelinės skaičiuoklės versijos perdavimas

(52)

Atsakyme į papildomą prieštaravimo pareiškimą buvo teigiama, kad išsami dokumento, kurį įmonė „Qualcomm“ pavadino „lemiamu“ dokumentu, versija jai buvo pateikta netinkamai, likus tik vienai darbo dienai iki atsakymo į papildomą prieštaravimo pareiškimą pateikimo galutinio termino. Tačiau esminis atsakymo į papildomą prieštaravimo pareiškimą argumentas, tariamai pagrįstas šia to dokumento versija, taip pat lengvai galėjo būti pagrįstas to paties dokumento kupiūruota versija, su kuria buvo galima susipažinti anksčiau.

(53)

Iš tikrųjų vėliau paaiškėjo, kad tas argumentas faktiškai buvo grindžiamas kupiūruota versija, su kuria buvo galima susipažinti anksčiau. Taip yra todėl, kad aptariamas dokumentas yra išsami lentelinės skaičiuoklės versija, kuri, kaip minėta 39 punkte, pradinės formos buvo išsiųsta įmonei „Qualcomm“ tik po to, kai buvo pateiktas atsakymas į papildomą prieštaravimo pareiškimą.

(54)

Remiantis įmonės „Qualcomm“ atsakymu į faktų pranešimą, „pavėluotas“ išsamios lentelinės skaičiuoklės versijos perdavimas pakenkė šios įmonės teisėms į gynybą. Tačiau atsižvelgiant į tai, kad įmonė „Qualcomm“ niekada nepateikė dokumentų, konkrečiai susijusių su informacija, kuri buvo pašalinta ankstesnėje šio dokumento versijoje, šis tvirtinimas yra nepagrįstas.

8.3.    Tvirtinimas apie netinkamai ir ne laiku atliktą tyrimą

(55)

Atsakyme į papildomą prieštaravimo pareiškimą tvirtinama, kad Komisijos tyrimui buvo netinkamai vadovaujama ir jis buvo neįprastai ilgas, todėl turėjo poveikį įmonės „Qualcomm“ galimybei tinkamai vykdyti savo gynybą.

(56)

Administracinių procedūrų trukmės pagrįstumą turi įvertinti, jei reikia, ES teismai, atsižvelgdami į konkrečias kiekvienos bylos aplinkybes ir ypač į bylos pobūdį, įvairius vykdomus procedūrinius etapus, bylos sudėtingumą, jos svarbą įvairioms dalyvaujančioms šalims, taip pat suinteresuotosios šalies ir Komisijos elgesį (18). Tačiau šis kriterijų sąrašas nėra baigtinis ir vertinant, ar aptariamas terminas yra pagrįstas, nereikalaujama sistemiškai nagrinėti visų bylos aplinkybių, atsižvelgiant į kiekvieną iš jų, jei proceso trukmė atrodo pagrįsta vienos jų atžvilgiu. Šių kriterijų tikslas yra nustatyti, ar laikas, skirtas bylai nagrinėti, yra pagrįstas. Todėl bylos sudėtingumas ar vilkinimu pasižymintis suinteresuotosios šalies elgesys gali būti laikomi pateisinančiais trukmę, kuri iš pirmo žvilgsnio gali pasirodyti per ilga (19).

(57)

Šiuo atveju nemanau, kad proceso trukmė sutrukdė įmonei „Qualcomm“ veiksmingai naudotis savo teisėmis į gynybą. Be kita ko, byla nuo pat pradžių buvo techninio pobūdžio ir gana sudėtinga. Kaip matyti iš 2–4 punktų, Komisijai 2009 m. pateiktame ir 2010 m. peržiūrėtame skunde buvo nurodytas tariamas įmonės „Qualcomm“ piktnaudžiavimas, susijęs su įvairiais aspektais, tačiau tik 2012 m. įtariama agresyvi kainodara tapo svarbiausiu skundo pateikėjo įtarimų ir Komisijos tyrimo aspektu. Įmonės „Qualcomm“ skundai dėl to, kad proceso trukmė apsunkino įmonės gynybą, yra vertinami atsižvelgiant į tai, kad, kaip jau pažymėjo Bendrasis Teismas byloje AT.39711 (žr. 22 punktą), kadangi įmonė „Qualcomm“ nuo 2010 m. birželio 7 d. jau buvo gavusi prašymus pateikti informaciją pagal Reglamento (EB) Nr. 1/2003 18 straipsnio 2 ir 3 dalis, ji privalėjo bent jau nuo tos dienos dėti visas pastangas ir imtis visų reikiamų priemonių, kad būtų išsaugoti įrodymai, kuriais ji galėjo pagrįstai pasinaudoti (20). Bet kokiu atveju nepanašu, kad proceso trukmė būtų trukdžiusi įmonei „Qualcomm“ vykdyti savo gynybą. Pavyzdžiui, atsižvelgdama į kritiką, kurią įmonė „Qualcomm“ išsakė dėl prieštaravimo pareiškimo naudodamasi teise būti išklausytai, Komisija atnaujino savo argumentus, kaip tai jai leidžiama pagal atitinkamą teismo praktiką (žr. 59 punktą). Atitinkamai dėl papildomo prieštaravimo pareiškimo rengimo ir įmonės „Qualcomm“ atsakymo į papildomą prieštaravimo pareiškimą nagrinėjimo proceso trukmė neišvengiamai pailgėjo, bet jos negalima laikyti nepagrįsta.

8.4.    Tvirtinimai dėl kaltinamojo šališkumo ir nesąžiningo tyrimo

(58)

Kadangi įmonė „Qualcomm“ turėjo teisėtų lūkesčių, kad i) Komisija nustatys faktus iki prieštaravimo pareiškimo pateikimo ir ii) Komisija nutrauks tyrimą po pirmojo žodinio bylos nagrinėjimo, atsakyme į papildomą prieštaravimo pareiškimą tvirtinama, kad papildomas prieštaravimo pareiškimas buvo „akivaizdaus kaltinamojo šališkumo rezultatas“. Pasak įmonės „Qualcomm“, po pirmojo žodinio bylos nagrinėjimo Komisija atliko atsitiktinę paiešką, o turėjo baigti savo tyrimą, įmonei „Qualcomm“ paneigus prieštaravimo pareiškime išdėstytus argumentus. Panašiai, i) įmonės „Qualcomm“ atsakyme į faktų pranešimą teigiama, kad byla prieš įmonę „Qualcomm“ yra šališko ir nesąžiningo tyrimo rezultatas, ir ii) tuo, kad įmonė „Qualcomm“ pateikė „kitus dokumentus“, kaip nurodyta 36 punkte, apskritai bandoma kelti abejonių dėl antrojo žodinio bylos nagrinėjimo ir tyrimo byloje AT.39711 objektyvumo.

(59)

Įmonės „Qualcomm“ tvirtinimai dėl jos teisėtų lūkesčių yra nepagrįsti. Be to, vien tai, kad Komisija, ypač atsižvelgdama į klausimus, kuriuos iškėlė įmonė „Qualcomm“ atsakydama į prieštaravimo pareiškimą, po pirmojo žodinio bylos nagrinėjimo atliko tolesnius tyrimus, savaime nereiškia kaltinamojo šališkumo. Iš tikrųjų, remiantis teismų praktika, galima konstatuoti, jog kadangi Komisija turi atsižvelgti į administracinės procedūros metu atsirandančius veiksnius, norėdama arba atsisakyti tokių prieštaravimų, nes įrodyta, kad jie nepagrįsti, arba iš dalies pakeisti ir papildyti savo argumentus tiek faktiškai, tiek teisiškai, ji turi teisę iš dalies pakeisti savo argumentus (ar jų aspektus), prireikus pateikdama papildomą prieštaravimo pareiškimą (21). Taip pat reikėtų turėti omenyje, kad kai tokia byla, kaip AT.39711, yra pagrįsta oficialiais skundais, jos negalima paprasčiausiai nutraukti, šių skundų neatmetus.

8.5.    Tvirtinimai, kad papildomas prieštaravimo pareiškimas yra piktnaudžiavimas Komisijos įgaliojimais ir gero administravimo pareigos pažeidimas

(60)

Remiantis atsakymu į papildomą prieštaravimo pareiškimą, kadangi papildomas prieštaravimo pareiškimas „yra netinkamo vadovavimo ir kaltinamojo šališkumo rezultatas“, jis yra „piktnaudžiavimas Komisijai suteiktais tyrimo įgaliojimais“. Kitaip tariant, įmonė „Qualcomm“ teigė, kad Komisija pažeidė gero administravimo pareigą, kaip apibrėžta Chartijos 41 straipsnyje, nes papildomas prieštaravimo pareiškimas yra netinkamo administravimo įrodymas ir kaltinamojo šališkumo rezultatas.

(61)

Iš 45–59 punktų matyti, kad įmonės „Qualcomm“ tvirtinimai apie netinkamą administravimą ir kaltinamąjį šališkumą yra neįtikinantys. Taigi, šie papildomi tvirtinimai taip pat yra neįtikinantys.

Baigiamosios pastabos

(62)

Atsižvelgiant į įmonės „Qualcomm“ pateiktą informaciją, sprendimo projekte, be kita ko, įmonė „Qualcomm“ laikoma atsakinga už mažesnės trukmės, nei nurodyta prieštaravimo pareiškime, pažeidimą.

(63)

Vadovaudamasis Sprendimo 2011/695/ES 16 straipsniu, išnagrinėjau, ar sprendimo projektas yra susijęs tik su tais prieštaravimais, dėl kurių įmonei „Qualcomm“ buvo suteikta galimybė pareikšti savo nuomonę. Darau išvadą, kad taip ir yra.

(64)

Iš esmės konstatuoju, kad šioje byloje buvo užtikrinta galimybė veiksmingai naudotis procesinėmis teisėmis.

Briuselis, 2019 m. liepos 16 d.

Joos STRAGIER


(1)  Pagal 2011 m. spalio 13 d. Europos Komisijos Pirmininko sprendimo 2011/695/ES dėl bylas nagrinėjančio pareigūno pareigybės ir įgaliojimų nagrinėjant tam tikras konkurencijos bylas (OL L 275, 2011 10 20, p. 29) (toliau – Sprendimas 2011/695/ES) 16 ir 17 straipsnius.

(2)  Tai yra dažnių juostų lustų rinkiniai (komponentai, korinio ryšio prietaisuose padedantys sukurti judrųjį ryšį), kurių veikimas pagrįstas korinio ryšio technologijos standartu „Universalioji judriojo ryšio telekomunikacijų sistema“ ir kurie atitinka šį standartą.

(3)  2011 m. gegužės mėn. įmonę „Icera“ įsigijo įmonė „Nvidia Inc.“ (toliau – „Nvidia“) ir įmonė „Icera“ tapo įmonei „Nvidia“ nuosavybės teise visiškai priklausančia patronuojamąja įmone, todėl įmonė „Nvidia“ atstovavo įmonei „Icera“ kaip skundo pateikėja.

(4)  Iki 2015 m. gruodžio 3 d. bylas nagrinėjančio pareigūno pareigas šioje byloje ėjo Wouteris Wilsas.

(5)  Bylas nagrinėjantis pareigūnas pratęsė atitinkamą terminą iki 2013 m. lapkričio 18 d. Vėliau, įmonei „Qualcomm“ paprašius, Konkurencijos GD šį terminą dar pratęsė iki 2013 m. gruodžio 2 d.

(6)  2002 m. gruodžio 16 d. Tarybos reglamentas (EB) Nr. 1/2003 dėl konkurencijos taisyklių, nustatytų Sutarties 81 ir 82 straipsniuose, įgyvendinimo (OL L 1, 2003 1 4, p. 1) (toliau – Reglamentas (EB) Nr. 1/2003).

(7)  2004 m. balandžio 7 d. Komisijos reglamentas (EB) Nr. 773/2004 dėl bylų nagrinėjimo Komisijoje pagal Sutarties 81 ir 82 straipsnius tvarkos (OL L 123, 2004 4 27, p. 18) su pakeitimais, padarytais 2015 m. rugpjūčio 3 d. Komisijos reglamentu (ES) 2015/1348 (OL L 208, 2015 8 5, p. 3) (toliau – Reglamentas (EB) Nr. 773/2004).

(8)  Kaip reikalaujama visų pirma 1986 m. birželio 24 d. Sprendimo Akzo Chemie/Komisija, 53/85, EU:C:1986:256, 30 ir 31 punktuose.

(9)  Šiame žodiniame nagrinėjime taip pat dalyvavo įmonė „Nvidia“/„Icera“.

(10)  Pateikdamas nekonfidencialią prieštaravimo pareiškimo santrauką.

(11)  2017 m. liepos 12 d. Nutartis, Qualcomm ir Qualcomm Europe/Komisija, T-371/17 R, EU:T:2017:485.

(12)  2019 m. balandžio 9 d. Sprendimas Qualcomm ir Qualcomm Europe/Komisija, T-371/17, EU:T:2019:232.

(13)  Man nesant šį sprendimą priėmė Wouteris Wilsas.

(14)  Man nesant šį sprendimą priėmė Wouteris Wilsas.

(15)  Kitaip nei (papildomas) prieštaravimo pareiškimas, faktų pranešimas nesuteikia jo adresatams teisės per žodinį bylos nagrinėjimą išdėstyti savo rašytinių atsakymų argumentus.

(16)  Iki 2016 m. liepos 8 d. įmonei „Qualcomm“ buvo sudaryta galimybė dalimis susipažinti su visa papildoma susipažinimo su byla medžiaga, kurią, kaip konstatavau savo 2016 m. liepos 13 d. sprendime, turėjo teisę gauti įmonė „Qualcomm“.

(17)  Šis reikalavimas yra vienas iš aspektų, į kuriuos pagal Sprendimo 2011/695/ES 9 straipsnio 1 dalį bylas nagrinėjantis pareigūnas turi atsižvelgti spręsdamas, ar būtina pratęsti rašytinio atsakymo į prieštaravimo pareiškimą terminą.

(18)  Taip pat, be kita ko, žr. 2002 m. spalio 15 d. Sprendimo Limburgse Vinyl Maatschappij ir kt./Komisija, C-238/99 P, C-244/99 P, C-245/99 P, C-247/99 P, C-250/99 P–C-252/99 P ir C-254/99 P, EU:C:2002:582, 187 punktą ir 2016 m. rugsėjo 8 d. Sprendimo Merck/Komisija, T-470/13, EU:T:2016:452, 471 punktą.

(19)  Žr. 2002 m. spalio 15 d. Sprendimo Limburgse Vinyl Maatschappij ir kt./Komisija, C-238/99 P, C-244/99 P, C-245/99 P, C-247/99 P, C-250/99 P–C-252/99 P ir C-254/99 P, EU:C:2002:582, 188 punktą.

(20)  Žr. 2019 m. balandžio 9 d. Sprendimo Qualcomm ir Qualcomm Europe/Komisija, T–371/17, EU:T:2019:232, 136 punktą.

(21)  Šiuo klausimu visų pirma žr. 1972 m. liepos 14 d. Sprendimo Bayer/Komisija, 51/69, EU:C:1972:72, 11 punktą, 1981 m. lapkričio 11 d. Sprendimo IBM/Komisija 60/81, EU:C:1981:264, 18 punktą, 2006 m. rugsėjo 21 d. Sprendimo JCB Service/Komisija, C-167/04 P, EU:C:2006:594, 100 ir 101 punktus ir 2011 m. liepos 13 d. Sprendimo Polimeri Europe/Komisija, T-59/07, EU:T:2011:361, 73 punktą.


6.11.2019   

LT

Europos Sąjungos oficialusis leidinys

C 375/25


Komisijos sprendimo santrauka

2019 m. liepos 18 d.

Sprendimo byloje pagal Sutarties dėl Europos Sąjungos veikimo 102 straipsnį ir EEE susitarimo 54 straipsnį santrauka

(Byla AT.39711 – Qualcomm (agresyvus elgesys))

(pranešta dokumentu C(2019) 5361)

(Tekstas autentiškas tik anglų kalba)

(Tekstas svarbus EEE)

(2019/C 375/07)

2019 m. liepos 18 d. Komisija priėmė sprendimą byloje pagal Sutarties dėl Europos Sąjungos veikimo 102 straipsnį ir EEE susitarimo 54 straipsnį. Pagal Tarybos reglamento (EB) Nr. 1/2003 (1) 30 straipsnio nuostatas Komisija skelbia šalių pavadinimus ir pagrindinį sprendimo turinį, įskaitant visas skirtas baudas, atsižvelgdama į teisėtą įmonių interesą apsaugoti savo verslo paslaptis.

1.   Įvadas

(1)

Sprendime nustatyta, kad įmonė „Qualcomm Inc.“ (toliau – „Qualcomm“) pažeidė Sutarties dėl Europos Sąjungos veikimo (toliau – SESV) 102 straipsnį ir Europos ekonominės erdvės susitarimo (toliau – EEE susitarimas) 54 straipsnį, tiekdama tam tikrą trijų savo UMTS lustų rinkinių kiekį mažesne už savikainą kaina, kad eliminuotų įmonę „Icera“, kuri tuo metu buvo pagrindinė jos konkurentė pažangios duomenų perdavimo spartos įrenginių rinkos segmente (toliau – „pažangiųjų technologijų segmentas“).

(2)

Pažeidimas truko nuo 2009 m. liepos 1 d. iki 2011 m. birželio 30 d.

(3)

2019 m. liepos 5 d. ir 2019 m. liepos 15 d. Konkurenciją ribojančios veiklos ir dominavimo patariamasis komitetas pateikė palankias nuomones dėl sprendimo, priimto pagal Reglamento (EB) Nr. 1/2003 7 straipsnį, ir dėl įmonei „Qualcomm“ skirtos baudos.

2.   Rinkos apibrėžtis

(4)

Sprendime daroma išvada, kad atitinkama produkto rinka yra dažnių juostų lustų rinkinių, atitinkančių universaliosios judriojo ryšio telekomunikacijų sistemos (UTMS) standartą (toliau – UMTS lustų rinkiniai), prekybos rinka.

(5)

Sprendime daroma išvada, kad UMTS lustų rinkinių rinka yra pasaulinio masto.

3.   Dominavimas

(6)

Sprendime nustatyta, kad įmonė „Qualcomm“ bent jau nuo 2009 m. sausio 1 d. iki 2011 m. gruodžio 31 d. užėmė dominuojančią padėtį pasaulinėje UMTS lustų rinkinių rinkoje.

(7)

Pirma, per šį laikotarpį įmonė „Qualcomm“ užėmė maždaug 60 % siekiančią verte grindžiamą UMTS lustų rinkinių pasaulinės rinkos dalį.

(8)

Antra, norint patekti į UMTS lustų rinkinių pasaulinę rinką ir joje plėsti veiklą, susiduriama su daugybe kliūčių (pvz., didelės pradinės investicijos į mokslinius tyrimus ir technologinę plėtrą, kad būtų galima sukurti UMTS lustų rinkinius, ir įvairios kliūtys, susijusios su įmonės „Qualcomm“ intelektinės nuosavybės teisėmis).

(9)

Trečia, tuo laikotarpiu įmonės „Qualcomm“ lustų rinkinių užsakovų komercinis pajėgumas negalėjo daryti poveikio dominuojančiai jos padėčiai.

4.   Piktnaudžiavimas dominuojančia padėtimi

(10)

Sprendime nustatyta, kad įmonė „Qualcomm“ piktnaudžiavo dominuojančia padėtimi, mažesne už savikainą kaina tiekdama tam tikrą savo trijų modelių (MDM8200, MDM6200 ir MDM8200A lustų rinkiniai) UMTS lustų rinkinių kiekį dviem savo pagrindiniams užsakovams, įmonėms „Huawei“ ir ZTE, kad eliminuotų įmonę „Icera Inc.“ (toliau – „Icera“), kuri tuo metu buvo pagrindinė jos konkurentė UMTS lustų rinkinių rinkos pažangiųjų technologijų segmente.

(11)

Trukdydama įmonės „Icera“ augimui vykdant verslą su dviem pagrindiniais užsakovais šiame segmente, kurį tuo metu sudarė beveik vien tik lustų rinkiniai, naudojami mobiliojo plačiajuosčio ryšio įrenginiuose, įmonė „Qualcomm“ stengėsi neleisti mažam ir finansiškai suvaržytam startuoliui „Icera“ įgyti reikiamą reputaciją ir mastą, kad galėtų pasipriešinti įmonės „Qualcomm“ dominavimui UMTS lustų rinkinių rinkoje, ypač atsižvelgiant į numatomas šio pažangiųjų technologijų segmento augimo galimybes dėl išmaniųjų mobiliųjų įrenginių naudojimo pasaulyje, taip šio segmento originalios įrangos gamintojai prarado galimybę naudotis alternatyviu lustų rinkinių, kurių reikia jų tiekiamiems mobiliesiems telefonams, tiekimo šaltiniu, o vartotojams sumažėjo pasirinkimo galimybės.

(12)

Įmonės „Qualcomm“ kainodaros praktika buvo vykdoma didėjant įmonės „Icera“, kaip perspektyvios pažangiausių UMTS lustų rinkinių tiekėjos, patrauklumui rinkoje, kėlusiam vis didesnę grėsmę įmonės „Qualcomm“ lustų rinkinių verslui. Norėdama užsitikrinti, kad įmonės „Icera“ verslas nepasiektų tokio masto, kad darytų poveikį įmonės „Qualcomm“ padėčiai rinkoje, įmonė „Qualcomm“ ėmėsi prevencinių veiksmų, taikydama lengvatines kainas dviem strategiškai svarbiems užsakovams, įmonėms „Huawei“ ir ZTE, nes, įmonės „Qualcomm“ manymu, įmonės „Icera“ plėtros perspektyvos priklausė nuo jos galimybių užmegzti verslo ryšius su kiekviena iš minėtų įmonių. Įmonės „Qualcomm“ prevenciniai veiksmai buvo grindžiami kelių lustų rinkinių strategija, apimančia tris pažangiųjų technologijų lustų rinkinių modelius, tuo metu konkuravusius su pažangiausiais įmonės „Icera“ lustų rinkiniais, ir tuo buvo ypač siekiama apsaugoti stiprią įmonės „Qualcomm“ padėtį didelio masto mobiliųjų telefonų lustų rinkinių segmente, į kurį įmonė „Icera“ planavo patekti, kai tik bus įsitvirtinusi lustų rinkinių, skirtų mobiliojo plačiajuosčio ryšio įrenginiams, segmente.

(13)

Įmonės „Qualcomm“ kainų, nustatytų įmonėms „Huawei“ ir „ZTE“, bei įmonės „Qualcomm“ šių lustų rinkinių gamybos sąnaudų analizė rodo, kad įmonė „Qualcomm“ pardavė tam tikrus šių lustų rinkinių kiekius už ilgalaikes vidutines ribines sąnaudas mažesnėmis kainomis ir, bet kokiu atveju, mažesnėmis nei vidutinės bendrosios sąnaudos kainomis, taip pat nedidelį kiekį MDM6200 modelio lustų rinkinių mažesnėmis nei vidutinės kintamosios sąnaudos kainomis. Kainos ir sąnaudų tyrimo rezultatai atitinka įmonės „Qualcomm“ atitinkamo laikotarpio vidaus duomenis, kurie parodo įmonės „Qualcomm“ ketinimus eliminuoti įmonę „Icera“.

(14)

Sprendime daroma išvada, kad įmonė „Qualcomm“ nepateikė tinkamo objektyvaus savo elgesio pagrindimo ar argumentų dėl jo veiksmingumo.

(15)

Sprendime daroma išvada, kad įmonės „Qualcomm“ agresyvus pardavimas įmonėms „Huawei“ ir ZTE, vertinant bendrai, yra vienas tęstinis pažeidimas.

5.   Jurisdikcija

(16)

Sprendime daroma išvada, kad Komisija yra kompetentinga įmonės „Qualcomm“ pažeidimui taikyti SESV 102 straipsnį ir EEE 54 straipsnį, nes šis pažeidimas tiek buvo padarytas, tiek galėjo turėti esminį, tiesioginį ir iš anksto numatomą poveikį EEE.

6.   Poveikis prekybai

(17)

Sprendime daroma išvada, kad įmonės „Qualcomm“ elgesys turėjo stiprų poveikį prekybai tarp valstybių narių ir tarp EEE susitarimo šalių.

7.   Baudos ir taisomosios priemonės

(18)

Priimant sprendimą įmonė „Qualcomm“ jau buvo nutraukusi pažeidimą. Tačiau sprendime reikalaujama, kad ji nebekartotų sprendime apibūdinto elgesio ir bet kokių veiksmų ar elgesio, kuriais būtų siekiama to paties ar lygiaverčio tikslo arba kurie turėtų tą patį arba lygiavertį poveikį, kaip sprendime apibūdintas elgesys.

(19)

Bauda, skirta įmonei „Qualcomm“ už padarytą pažeidimą, apskaičiuota laikantis principų, nustatytų 2006 m. Pagal Reglamento (EB) Nr. 1/2003 23 straipsnio 2 dalies a punktą skirtų baudų apskaičiavimo gairėse. Sprendime daroma išvada, kad galutinis baudos, kuri turi būti skirta įmonei „Qualcomm“, dydis turėtų būti 242 042 000 EUR.

(1)  2002 m. gruodžio 16 d. Tarybos reglamentas (EB) Nr. 1/2003 dėl konkurencijos taisyklių, nustatytų Sutarties 81 ir 82 straipsniuose, įgyvendinimo (OL L 1, 2003 1 4, p. 1).


V Nuomonės

PROCEDŪROS, SUSIJUSIOS SU KONKURENCIJOS POLITIKOS ĮGYVENDINIMU

Europos Komisija

6.11.2019   

LT

Europos Sąjungos oficialusis leidinys

C 375/28


Išankstinis pranešimas apie koncentraciją

(Byla M.9331 – Danaher / GE Healthcare Life Sciences Biopharma)

(Tekstas svarbus EEE)

(2019/C 375/08)

1.   

2019 m. spalio 29 d. Komisija gavo pagal Tarybos reglamento (EB) Nr. 139/2004 (1) 4 straipsnį pateiktą pranešimą apie siūlomą koncentraciją.

Šis pranešimas susijęs su šiomis įmonėmis:

„Danaher Corporation“ (toliau – „Danaher“, JAV),

„GE Healthcare Life Sciences Biopharma Business“ (toliau – „GE Biopharma“, JAV), kontroliuojama įmonės „General Electric Company“.

Įmonė „Danaher“ įgyja, kaip apibrėžta Susijungimų reglamento 3 straipsnio 1 dalies b punkte, visos įmonės „GE Biopharma“ kontrolę.

Koncentracija vykdoma perkant akcijas ir turtą.

2.   

Įmonių verslo veikla:

„Danaher“: profesionalių, medicinos, pramoninių ir komercinių produktų gamyba ir tų sričių paslaugų teikimas, taip pat jų rinkodara,

„GE Biopharma“: biologinių vaistų, kaip antai monokloninių antikūnų, vakcinų ir ląstelių bei genų terapijų, mokslinių tyrimų, atradimo, procesų kūrimo ir gamybos darbo srautams skirtų priemonių, vartojimo reikmenų ir programinės įrangos tiekimas.

3.   

Preliminariai išnagrinėjusi pranešimą Komisija mano, kad sandoriui, apie kurį pranešta, galėtų būti taikomas Susijungimų reglamentas. Komisijai paliekama teisė dėl šio klausimo priimti galutinį sprendimą.

4.   

Komisija kviečia suinteresuotas trečiąsias šalis teikti pastabas dėl pasiūlyto veiksmo.

Pastabos Komisijai turi būti pateiktos per 10 dienų nuo šio pranešimo paskelbimo. Visoje korespondencijoje turėtų būti pateikiama ši nuoroda:

M.9331 – Danaher / GE Healthcare Life Sciences Biopharma

Pastabas Komisijai galima siųsti e. paštu, faksu arba paštu. Kontaktiniai duomenys:

E. paštas COMP-MERGER-REGISTRY@ec.europa.eu

Faksas +32 22964301

Pašto adresas

European Commission

Directorate-General for Competition

Merger Registry

1049 Bruxelles/Brussel

BELGIQUE/BELGIË


(1)  OL L 24, 2004 1 29, p. 1 (Susijungimų reglamentas).


KITI AKTAI

Europos Komisija

6.11.2019   

LT

Europos Sąjungos oficialusis leidinys

C 375/30


Produkto specifikacijos reikšmingo pakeitimo paraiškos paskelbimas pagal Europos Parlamento ir Tarybos reglamento (ES) Nr. 1151/2012 dėl žemės ūkio ir maisto produktų kokybės sistemų 50 straipsnio 2 dalies a punktą

(2019/C 375/09)

Šiuo paskelbimu suteikiama teisė per tris mėnesius nuo šio paskelbimo dienos pareikšti prieštaravimą pakeitimo paraiškai pagal Europos Parlamento ir Tarybos reglamento (ES) Nr. 1151/2012 (1) 51 straipsnį.

PRODUKTO SU SAUGOMA KILMĖS VIETOS NUORODA ARBA SAUGOMA GEOGRAFINE NUORODA SPECIFIKACIJOS REIKŠMINGO PAKEITIMO PATVIRTINIMO PARAIŠKA

Pakeitimo patvirtinimo paraiška pagal Reglamento (ES) Nr. 1151/2012 53 straipsnio 2 dalies pirmą pastraipą

„Queso de Valdeón“

ES Nr. PGI-ES-0267-AM01 – 5.7.2018

SKVN ( )

SGN (X)

1.   Pareiškėjų grupė ir teisėtas interesas

Grupės pavadinimas Consejo Regulador de la Indicación Geográfica Protegida „Queso de Valdeón“

Adresas C/El Cantón, s/n, 24915 Posada de Valdeón (León), Spain

Telefono numeris +34 987740514

E. paštas quesosv@quesospicosdeeuropa.com

Pareiškėjų grupė atstovauja bendriems „Queso de Valdeón“ gamintojų interesams, todėl ji yra teisėtai suinteresuota saugomos geografinės nuorodos „Queso de Valdeón“, kurios apsauga rūpinasi, specifikacijos pakeitimo paraiška.

2.   Valstybė narė arba trečioji šalis

Ispanija

3.   Keičiamos produkto specifikacijos dalys

Produkto pavadinimas

Produkto aprašymas

Geografinė vietovė

Kilmės įrodymas

Gamybos būdas

Ryšys su geografine vietove

Ženklinimas etiketėmis

Kita (kontrolės įstaiga)

4.   Pakeitimo (-ų) pobūdis

Produkto su registruota SKVN arba SGN specifikacijos pakeitimas, kuris nėra laikytinas nereikšmingu pagal Reglamento (ES) Nr. 1151/2012 53 straipsnio 2 dalies trečią pastraipą

Produkto su registruota SKVN arba SGN, kurio bendrasis (arba lygiavertis) dokumentas nepaskelbtas, specifikacijos pakeitimas, kuris nėra laikytinas nereikšmingu pagal Reglamento (ES) Nr. 1151/2012 53 straipsnio 2 dalies trečią pastraipą

5.   Pakeitimai

1 pakeitimas

Dalis „Produkto aprašymas“

Keitimo pagrindimas

Pirmoje pastraipoje sūris aprašytas išsamiau, kad būtų galima geriau apibrėžti produkto savybes.

Šis pakeitimas susijęs su pradinio bendrojo dokumento arba jo atitikmens 4.2 dalimi.

Dabartinės specifikacijos formuluotė

Sūriai, žymimi saugoma geografine nuoroda „Queso de Valdeón“, yra riebūs pelėsiniai sūriai, pagaminti iš karvės pieno arba karvės pieno ir avių ir (arba) ožkų pieno mišinio. Sūriai būna kieti ar tepami.

Siūlomas pakeitimas

Sūriai, žymimi saugoma geografine nuoroda „Queso de Valdeón“, yra riebūs pelėsiniai sūriai, pagaminti iš žalio ar pasterizuoto karvės pieno arba karvės ir avių ir (arba) ožkų pieno mišinio, naudojant pieno ar fermentinę koaguliaciją; iš žalio pieno pagaminti sūriai brandinami ne trumpiau kaip du mėnesius, iš pasterizuoto pieno – ne trumpiau kaip mėnesį. Sūriai būna kieti ar tepami.

2 pakeitimas

Dalis „Produkto aprašymas“

Keitimo pagrindimas

Šiek tiek padidintas kieto sūrio svorio intervalas (nuo 0,5–3 kg iki 0,2–3 kg). Šis padidinimas įtakos „Queso de Valdeón“ savybėms neturi. Pakeitimas padarytas dėl vartotojų mitybos įpročių kaitos, susijusios su socialiniais ir demografiniais visuomenės pokyčiais, kurie padarė įtaką vartojimo įpročiams. Vienas iš tokių pasikeitimų – maisto produktų paklausa mažesnėse pakuotėse, nes šeimos narių šiandien yra mažiau.

Šioje dalyje taip pat nurodoma, kad sūris gali būti parduodamas porcijomis.

Kita vertus, dėl to, kad įvairios įstaigos (viešbučiai, prekių platinimo grandinės ir pramonė) ėmė dažniau naudoti kokybiškų prekių ženklų sudedamąsias dalis, išaugo didesnių nekietųjų sudedamųjų dalių pakuočių, pvz., šia SGN žymimo tepamo sūrio, paklausa. Todėl tepamo sūrio pakuočių grynojo svorio intervalas padidintas iki 6 kg.

Dėl tokio paklausos grupė turi rasti naujų būdų savo produktams parduoti, tie būdai turi būti pritaikyti prie rinkos tendencijų ir reikalavimų, tačiau nuo to neturi suprastėti produktų kokybė.

Šie pakeitimai susiję su pradinio bendrojo dokumento arba jo atitikmens 4.2 dalimi.

Dabartinės specifikacijos formuluotė:

1.

Kieto sūrio savybės

Morfologinės savybės

sūris cilindro formos, viršutinė ir apatinė pusės yra šiek tiek įgaubtos;

didžiausias aukštis – 15 cm, o didžiausias skersmuo – 25 cm;

svoris 0,5–3 kg.

2.

Tepamo sūrio savybės

Morfologinės savybės

Sūrio pakuočių grynasis kiekis yra 20 g–1,5 kg.

Tepamas sūris yra visiškai vienalytis, be žievės.

Siūlomas pakeitimas

1.

Kieto sūrio savybės

Morfologinės savybės

sūris cilindro formos, viršutinė ir apatinė pusės yra šiek tiek įgaubtos;

didžiausias aukštis – 15 cm, o didžiausias skersmuo – 25 cm;

svoris 0,2–3 kg.

Sūris taip pat gali būti parduodamas porcijomis.

2.

Tepamo sūrio savybės

Morfologinės savybės

Sūrio pakuočių grynasis kiekis yra 20 g–6 kg. Pakuotės, kurių grynasis kiekis didesnis už 1,5 kg, skirtos tik maitinimo įstaigoms, prekių platinimo grandinėms ir pramonei.

Tepamas sūris yra visiškai vienalytis, be žievės.

3 pakeitimas

Dalis „Produkto aprašymas“ 1. – Kieto sūrio savybės

Keitimo pagrindimas

Išbraukiama paskutinė dalies pastraipa, kurioje nurodyti įvairūs sūrio pateikimo būdai. Manoma, kad šiuos paaiškinimus geriau įtraukti į 3.2 dalį nurodant, kad sūris gali būti parduodamas porcijomis, ir į 3.6 dalį, susijusią su ženklinimu, kurioje bus minima galimybė pardavinėti produktą porcijomis, su sąlyga, kad produktas supakuotas ir vartotojas gali žinoti jo kilmės vietą.

Produkto dalijimo į porcijas, kad būtų tenkinama vartotojų poreikis mažesnėms porcijoms, ir mažiausio porcijų svorio aprašymas išbrauktas, nes nei mažesnė už 250 g porcija, nei jos forma „Queso de Valdeón“ kokybei įtakos neturi.

Šis pakeitimas susijęs su pradinio bendrojo dokumento arba jo atitikmens 4.2 dalimi.

Išbrauktas specifikacijos tekstas

Kietas sūris taip pat gali būti parduodamas porcijomis, kurios gaunamos pjaunant sūrį skersai, pagal apskritimo spindulius; sūrio natūrali žievė išlieka, o mažiausias tokios porcijos svoris – 250 g.

4 pakeitimas

Dalis „Duomenys, kad produktas yra kilęs iš geografinės vietovės“

Keitimo pagrindimas

Kad būtų aiškesnė ir pritaikyta prie galiojančių teisės aktų, ši dalis buvo pertvarkyta.

Siekiant, kad nebūtų apribotas laisvas prekių ir paslaugų judėjimas, išbraukiamos nuorodos į Reguliavimo tarnybos išduotus leidimus ar atliktus patikrinimus.

Šis pakeitimas susijęs su pradinio bendrojo dokumento arba jo atitikmens 4.4 dalimi.

Dabartinės specifikacijos formuluotė:

Sūriai turi būti pagaminti tik į Reguliavimo tarnybos registrus įtrauktose pieninėse ir brandinimo patalpose.

Prieš pienines ir brandinimo patalpas įtraukiant į Reguliavimo tarnybos registrus turi būti atliktas jų pirminis įvertinimas; vėliau, norint, kad tie objektai iš registrų nebūtų išbraukti, tokie įvertinimai atliekami periodiškai.

Sūriai turi būti gaminami taikant šioje specifikacijoje aprašytą metodą.

Į rinką pateikiami tik sūriai su Reguliavimo tarnybos atitikties ženklu patvirtinta kilmės garantija, kurie buvo patikrinti pagal nustatytas taisykles.

Antrinių etikečių, kurias Reguliavimo tarnyba pateikia sūrio pramonei, skaičius apskaičiuojamas remiantis pagaminto pieno kiekiu ir įvairių rūšių sūrių svoriu.

Periodiški patikrinimai ir vertinimai turi būti grindžiami pieno, kai jis patenka į rauginimo talpą, analize, gamybos būdo patikrinimu, dokumentų tikrinimu, atsargų patikrinimu ir galutinio produkto mėginių ėmimu.

Galimų pažeidimų atveju Reguliavimo taryba tam tikrais atvejais taikys savo darbo tvarkos taisyklėse nustatytas sankcijas.

Reguliavimo taryba turi registrą, kuriame registruojamas numeruotų etikečių skaičius, narystės dokumentai ir išduoti sertifikatai.

Siūlomas pakeitimas

Sūriai turi būti pagaminti tik registruotose ir kontroliuojamose pieninėse ir brandinimo patalpose.

Prieš pienines ir brandinimo patalpas įtraukiant į registrus turi būti atliktas jų pirminis įvertinimas; vėliau, norint, kad tie objektai iš registrų nebūtų išbraukti, tokie įvertinimai atliekami periodiškai.

Sūriai turi būti gaminami taikant šios specifikacijos E punkte aprašytą metodą.

Į rinką pateikiami tik sūriai su etikete, kuri nurodo saugomą kilmės vietos nuorodą, patvirtinta kilmės garantija, kurie buvo patikrinti pagal gaminimo proceso metu numatytus patikrinimus.

Periodiški patikrinimai ir vertinimai turi būti grindžiami pieno, kai jis patenka į rauginimo talpą, analize, gamybos būdo patikrinimu, dokumentų tikrinimu, atsargų patikrinimu ir galutinio produkto mėginių ėmimu.

Visi veiklos vykdytojai turi gebėti nustatyti:

a)

viso gauto pieno tiekėją, kiekį ir kilmę;

b)

visų etiketėmis paženklintų sūrių gavėją, kiekį ir paskirtį;

c)

a punkte nurodyto gauto pieno ir kiekvienos etiketėmis paženklintų sūrių, nurodytų b punkte, partijos koreliaciją.

5 pakeitimas

Dalis „Gamybos būdas“

Keitimo pagrindimas

Trumpiausias sūrio, pagaminto iš pasterizuoto pieno, brandinimo laikotarpis sutrumpinamas nuo pusantro iki vieno mėnesio. Šis sutrumpinimas neturi jokios įtakos nei natūraliam brandinimo procesui, nei gatavo sūrio savybėms; tiesiog taip prisitaikoma prie sumažinto kietų sūrių svorio.

Šis pakeitimas susijęs su pradinio bendrojo dokumento arba jo atitikmens 4.5 dalimi.

Dabartinės specifikacijos formuluotė:

Iš žalio pieno pagaminti sūriai brandinami ne trumpiau kaip du mėnesius; iš pasterizuoto pieno pagaminti sūriai – ne trumpiau kaip pusantro mėnesio.

Siūlomas pakeitimas

Iš žalio pieno pagaminti sūriai brandinami ne trumpiau kaip du mėnesius; iš pasterizuoto pieno pagaminti sūriai – ne trumpiau kaip vieną mėnesį.

6 pakeitimas

Dalis „Gamybos būdas“

Keitimo pagrindimas

Su sūrių etiketėmis ir antrinėmis etiketėmis susijęs tekstas buvo išbrauktas, nes manoma, kad ši informacija tinkamesnė dalyje „Ženklinimas“. Žr. tekstą, įtrauktą į dalies „Ženklinimas“ pakeitimą, kur patikslinama naujoji teksto vieta specifikacijoje.

Šis pakeitimas nesusijęs su jokia pradinio bendrojo dokumento arba jo atitikmens dalimi.

Specifikacijos dalyje „Gamybos būdas“ išbrauktas tekstas

Etiketės ir antrinės etiketės prie sūrių ir tepamo sūrio pakuočių turi būti pritvirtintos prieš pat sūrius pateikiant į rinką.

7 pakeitimas

Ženklinimas etiketėmis

Keitimo pagrindimas

Į šią dalį perkeliamos visos nuorodos, susijusios su galimybe pardavinėti kietą, tepamą ar padalytą į porcijas sūrį su sąlyga, kad produktas supakuotas ir vartotojas gali žinoti jo kilmės vietą.

Siekiant, kad nebūtų apribotas laisvas judėjimas, išbraukiamos nuorodos į Reguliavimo tarnybos išduotus leidimus ar atliktus patikrinimus.

Patikslintas kai kurių įterptinų neprivalomų įrašų turinys ir pridėtas saugomos geografinės nuorodos logotipas, nes jo nėra galiojančioje specifikacijoje.

Įtrauktas 6 pakeitime iš dalies „Gamybos būdas“ išbrauktas tekstas.

Tekstas pertvarkytas siekiant aiškumo.

Šis pakeitimas susijęs su pradinio bendrojo dokumento arba jo atitikmens 4.8 dalimi.

Dabartinės specifikacijos formuluotė

Ant kiekvienos registruotos komercinės bendrovės komercinių etikečių turi būti įrašas „Indicación Geográfica Protegida „Queso de Valdeón““ ir Reguliavimo tarybos logotipas. Joms turi būti suteiktas Reguliavimo tarybos leidimas.

Prie jų taip pat turi būti pridėtas saugomos geografinės nuorodos atitikties ženklas – Reguliavimo tarybos išduota numeruota antrinė etiketė. Šiuo atitikties ženklu užtikrinamas produkto atsekamumas.

Sunumeruota antrinė etiketė turi būti pritvirtinta taip, kad jos nebūtų galima pakartotinai naudoti. Joje turi būti žodžiai „Consejo Regulador de la Indicación Geográfica Protegida „Queso de Valdeón““ ir Reguliavimo valdybos logotipas.

Reguliavimo taryba savo kokybės vadove nustato papildomas taisykles dėl saugomos geografinės nuorodos atitikties ženklo naudojimo – konkrečiai, dėl jo dydžio ir vietos ant gaminio.

Siūlomas pakeitimas

„Queso de Valdeón“ galima pardavinėti nepjaustytą, porcijomis arba tepamą, jei tik sūris supakuojamas ir vartotojui nurodoma jo kilmė.

Ant parduodamo saugomo produkto klijuojamose komercinėse etiketėse turi būti nurodytas saugomos geografinės nuorodos pavadinimas ir logotipas.

Ant kietų ir tepamų sūrių turi būti uždėtos antrinės etiketės su individualiu serijos numeriu. Šioje antrinėje etiketėje turi būti nurodytas saugomos geografinės nuorodos pavadinimas ir logotipas.

Ant porcijomis parduodamų sūrių etikečių turi būti nurodytas saugomos geografinės nuorodos pavadinimas ir logotipas, taip pat nuorodos apie sūrio kilmę.

Etiketės ir antrinės etiketės prie sūrių ir tepamo sūrio pakuočių turi būti pritvirtintos prieš sūrius pateikiant į rinką.

SGN logotipas:

Image 18

8 pakeitimas

Dalis „Kontrolės įstaiga“

Keitimo pagrindimas

Kompetentinga kontrolės įstaiga yra Instituto Tecnológico Agrario de Castilla y León (Kastilijos ir Leono technologinis žemės ūkio institutas).

Šis pakeitimas susijęs su pradinio bendrojo dokumento arba jo atitikmens 4.7 dalimi.

Dabartinės specifikacijos formuluotė:

Pavadinimas Consejo Regulador de la Indicación Geográfica Protegida „Queso de Valdeón“

Adresas C/El Cantón, s/n. 24915-Posada de Valdeón (León).

Telefono numeris +34 987740514

Faksas +34 987740568

Saugomos geografinės nuorodos „Queso de Valdeón“ Reguliavimo taryba atitinka standartą EN 45011 „Bendrieji reikalavimai produktų sertifikavimo sistemas valdančioms įstaigoms“.

Siūlomas pakeitimas

Instituto Tecnológico Agrario de Castilla y León

Ctra. de Burgos Km 119. Finca Zamadueñas

47071 Valladolid (Spain)

Telefono numeris +34 983412034

Faksas + 34 983412040

E. paštas controloficial@itacyl.es

Saugomos geografinės nuorodos „Queso de Valdeón“, specifikacijoje aprašytų sąlygų tikrinimas yra „Instituto Tecnológico Agrario de Castilla y León“ kompetencijoje tam pasitelkiant Maisto kokybės ir reklamos direktoratą pagal 2014 m. kovo 19 d. Įstatymo Nr. 1/2014 dėl Kastilijos ir Leono žemės ūkio įstatymo 139 straipsnį.

BENDRASIS DOKUMENTAS

„Queso de Valdeón“

ES Nr. PGI-ES-0267-AM01 – 5.7.2018

SKVN ( )

SGN (X)

1.   Pavadinimas

„Queso de Valdeón“

2.   Valstybė narė arba trečioji šalis

Ispanija

3.   Žemės ūkio produkto arba maisto produkto aprašymas

3.1.   Produkto rūšis

1.3. klasė. Sūriai

3.2.   Produkto, kurio pavadinimas nurodytas 1 punkte, aprašymas

Sūriai, žymimi saugoma geografine nuoroda „Queso de Valdeón“, yra riebūs pelėsiniai sūriai, pagaminti iš žalio ar pasterizuoto karvės pieno arba karvės ir avių ir (arba) ožkų pieno mišinio, naudojant pieno ar fermentinę koaguliaciją; iš žalio pieno pagaminti sūriai brandinami ne trumpiau kaip du mėnesius, iš pasterizuoto pieno – ne trumpiau kaip mėnesį. Sūriai būna kieti ar tepami.

1.

Kieto sūrio savybės

Morfologinės savybės

Sūris yra cilindro formos, viršutinė ir apatinė pusės yra šiek tiek įgaubtos.

Didžiausias aukštis – 15 cm, o didžiausias skersmuo – 25 cm.

Sūrio svoris – 0,2–3 kg.

Sūris taip pat gali būti parduodamas porcijomis.

Fizinės ir cheminės savybės

Riebalų kiekis sausojoje medžiagoje yra 45 % arba didesnis.

Mažiausias drėgnis – 30 %.

Druskos kiekis mažesnis nei 3,5 %.

Organoleptinės savybės

Žievė natūrali, plona, minkšta, gelsvos spalvos su pilkais atspalviais.

Prapjovus matoma lygi tekstūra, su daug vienodai pasiskirsčiusių įvairaus dydžio ertmių ir su žalsvai melsvu atspalviu.

Sūrio minkštimas yra dramblio kaulo – kreminės spalvos, labai blizgus, su įvairaus intensyvumo dėmėmis priklausomai nuo brandinimo laipsnio.

Minkštimas neelastingas ir trapus, nelabai kietas, vidutiniškai lankstus, tirpsta burnoje, tirpus ir nelipnus.

Pusiau brandintų sūrių aromatas rūgštokas ar pieniškas, jaučiamas tipiškas pelėsių kvapas.

Sūriui bręstant pieno kvapas išnyksta, aromatas tampa vis ilgalaikiškesnis ir intensyvus, atsiranda aštresnių, vaisinių ar net kvapių aromatų, tačiau pelėsių kvapas nedingsta.

Skonis intensyvus, sūrus ir aštrus, aitrokas; kuo ilgiau sūris brandinamas, tuo skonis išraiškingesnis ir stipresnis dėl ožkos ar avies pieno.

Skonis išlieka ilgai, ypač ilgiau brandintų sūrių.

2.

Tepamo sūrio savybės

Morfologinės savybės

Sūrio pakuočių grynasis kiekis yra 20 g–6 kg.

Pakuotės, kurių grynasis kiekis didesnis už 1,5 kg, skirtos tik maitinimo įstaigoms, prekių platinimo grandinėms ir pramonei.

Tepamas sūris yra visiškai vienalytis, be žievės.

Fizinės ir cheminės savybės

Riebalų kiekis sausojoje medžiagoje yra 45 % arba didesnis.

Mažiausias drėgnis – 30 %.

Druskos kiekis mažesnis nei 3,5 %.

Organoleptinės savybės

Masė yra dramblio kaulo baltumo su žalsvai mėlynu atspalviu, nelabai blizgi.

Kuo aukštesnė gaminio temperatūra, tuo masė tampa lipnesnė, jos konsistencija vidutinė, primena sviestą.

Kvapas šiek tiek rūgštokas arba pieniškas, jaučiamas nuolatinis stiprus pelėsių kvapas.

Sūris tirpsta burnoje, yra tirpus ir vidutiniškai lipnus.

Skonis yra intensyvus, aštrokas, jei naudojamas ožkos arba avies pienas, skonis dar intensyvesnis.

Sūris gana sūrus ir šiek tiek aštrus.

Skonis išlieka ilgai.

3.3.   Pašarai (taikoma tik gyvūniniams produktams) ir žaliavos (taikoma tik perdirbtiems produktams)

Mažiausi analitiniai dydžiai rauginimo talpoje sumaišius įvairių rūšių pieną:

riebalai (%): 3,5

baltymai (%): 3,1

sausoji medžiaga (%): 12,0

3.4.   Specialūs gamybos veiksmai, atliktini nustatytoje geografinėje vietovėje

Sūris gaminamas ir brandinamas nustatytoje geografinėje vietovėje.

3.5.   Specialios produkto registruotu pavadinimu pjaustymo, trynimo, pakavimo ir kt. taisyklės

3.6.   Specialios produkto registruotu pavadinimu ženklinimo taisyklės

„Queso de Valdeón“ galima pardavinėti nepjaustytą, porcijomis arba tepamą, jei tik sūris supakuojamas ir vartotojui nurodoma jo kilmė.

Ant parduodamo saugomo produkto klijuojamose komercinėse etiketėse turi būti nurodytas saugomos geografinės nuorodos pavadinimas ir logotipas.

Ant kietų ir tepamų sūrių turi būti uždėtos antrinės etiketės su individualiu serijos numeriu. Šioje antrinėje etiketėje turi būti nurodytas saugomos geografinės nuorodos pavadinimas ir logotipas.

Ant porcijomis parduodamų sūrių etikečių turi būti nurodytas saugomos geografinės nuorodos pavadinimas ir logotipas, taip pat nuorodos apie sūrio kilmę.

Etiketės ir antrinės etiketės prie sūrių ir tepamo sūrio pakuočių turi būti pritvirtintos prieš sūrius pateikiant į rinką.

SGN logotipas:

Image 19

4.   Glaustas geografinės vietovės apibūdinimas

Posada de Valdeón (León) savivaldybė.

5.   Ryšys su geografine vietove

Geografinės vietovės ir produkto ryšys yra pagrįstas įvairiais elementais, pavyzdžiui, vietovės klimatu, tradiciniu gamybos būdu ir geru produkto vardu.

„Queso de Valdeón“ pavadinimas kilo iš Posada de Valdeónsavivaldybės, esančios Picos de Europa nacionaliniame parke. Šią vietovę supa didelės gamtinės kliūtys, dėl kurių ji tampa gana atskira vieta. Šios kliūtys – tai Panderruedas (1 450 m), Pontón (1 311 m) ir Pandetrave (1 562 m) kalnai.

Tarp šių aukštų kalnų yra gilus slėnis, kurio vidutinis aukštis – 650 m.

Vietovės klimatas gali būti laikomas kalnų klimatu. Žiemos čia ilgos ir šaltos, šalnos laikosi daug dienų (nuo lapkričio iki balandžio mėn. – daugiau kaip 100 dienų), būdingi gausūs krituliai, dažniausiai sniegas. Vasaros trumpos ir vėsios (mažiausia vidutinė temperatūra – 5–6 °C, daugiausia – 18 °C), krituliai gausūs, nors ir trumpesni lyginant su likusiu metų laikotarpiu. Dėl rūko santykinis drėgnis vasarą išlieka didelis.

Vidutinis metinis kritulių kiekis slėnyje yra 1 100 mm, kalnų viršūnėse – 1 800.

Istoriškai šie veiksniai, kartu su grotų (olų) buvimu vietovėje, lėmė tam tikrų ypatingų savybių, susijusių su sūrių brandinimu, raidą. Tokios savybės susijusios su geografinėje vietovėje dėl kalnuotumo prieinama žaliava.

Specifinis šios vietovės mikroklimatas kartu su tradicine gamybos praktika yra palankus mikroflorai, kuri suteikia sūriams tam tikrų savybių.

Produkto savybės nuo pat pradžių yra specifinės: tai mėlynas sūris, kurio išvaizda skiriasi nuo kitų šioje vietovėje gaminamų sūrių, tačiau ši savybė ypač pastebima sūrį pjaustant, kai pasimato įvairaus dydžio žalsvai mėlynos spalvos skylutės. Sūris brandinamas esant žemai temperatūrai ir didelei drėgmei, pakartojant brandinimo geografinės vietovės grotose sąlygas. Tai aiškiai matyti iš matomų pelėsių ir iš sūrio kvapo bei skonio.

Keliuose XIX amžiaus ir XX amžiaus pradžios rašytiniuose šaltiniuose aprašoma šių saugomų sūrių amatininkiška gamyba tokiomis sąlygomis. Šiandien Valdeón slėnyje naudojami gamybos metodai, panašūs į naudotus prieš kelis šimtmečius, bet kartu taikomi ir kiti procesai, pasitelkiant naujas technologijas. Tačiau pagrindiniai šioje dalyje aprašomi gamybos proceso principai vis dar yra plačiai taikomi.

Sūrio Valdeón slėnyje gamybos ištakos siekia laikus, buvusius dar iki Romos imperijos atsiradimo, kai ožkos pienas buvo naudojamas kaip žaliava.

Pirmieji įrašai apie sūrio gamybą Valdeón slėnyje mus pasiekia iš XIX amžiaus vidurio. Pascual Madoz savo knygoje Diccionario (1845–1859 m.), užsimena apie sūrių gamybą ir apie ožkų reikšmę slėnio kaimeliuose.

Antroje XIX amžiaus pusėje Valdeón slėnyje sūrio gamyba užėmė svarbią vietą. Vasarą, kai bandos ganydavosi kalnų pievose, sūrį iš pieno gamindavo tiesiog piemenų trobelėse arba veždavo į žemyn slėnį. 1892 m. tai paliudijo Saint-Saud grafas: „Tvirtos Valdeón merginos avėdamos klumpes su trimis mediniais gumbeliais paduose ryte ir vakare lipa į kalnus, lipdamos aukštyn jos nešasi ožkos odos maišelius su užkandžiais, o grįždamos iš kalnų į jį įsideda vynmaišius su pienu“.

Iš daugelio pasakojimų matyti, kad mėlynojo sūrio gamyba slėnyje, o po to jo pardavimas apylinkių turguose nuo XX amžiaus pradžios buvo svarbi veikla. Labai išsamus Doña Marmeta Pérez Marcos pasakojimas: „Visi mano protėviai kilę iš Caín, aš pati irgi ten gimiau 1922 m. Tėvai receptą perėmė iš savo tėvų, o dar visai neseniai ir aš pagal jį gamindavau. Naudojome ožiuko šliužo fermentą 50–60 litrams pieno per dieną surauginti ir gamindavome maždaug kilogramo svorio sūrius. Su asilu gabendavome juos į Puentealmuey, tai daugiau nei 50 kilometrų. Po karo parduodavome sūrius už 36 pesetas už kilogramą. Arenas de Cabrales sūrius ėmėme pardavinėti jau po karo. Sūriai buvo pagaminti naudojant ožkos, avies ir šiek tiek karvės pieno, pridėdavome šliužo fermento. Susidarius varškei dėdavome juos į „arno“ (sūrio formą), po to į kubilą („duerna“), kur palikdavome dvi dienas, kad nubėgtų išrūgos. Tuomet išimdavome ir sudėdavome ant lentelių piemenų trobelėse, kad džiūtų. Po penkiolikos dienų sūriai būdavo gatavi. Tačiau tam, kad sūriai taptų geri, mėlyni, palikdavome juos grotose. Po mėnesio sūriai būdavo puikūs.“

Nuoroda į paskelbtą specifikaciją

(Šio reglamento 6 straipsnio 1 dalies antra pastraipa)

http://www.itacyl.es/documents/20143/342640/2019_02_8+Pliego+Q+Valde%C3%B3n+.pdf/fbc379cc-8473-8829-744b-6baf02ed5ba7


(1)  OL L 343, 2012 12 14, p. 1.


Top