Choose the experimental features you want to try

This document is an excerpt from the EUR-Lex website

Document 32011R1235

Uredba Komisije (EU) br. 1235/2011 od 29. studenoga 2011. o izmjeni Uredbe (EZ) br. 1222/2009 s razvrstavanjem guma s obzirom na prianjanja guma na mokroj podlozi, mjerenje otpora kotrljanja i postupke provjere Tekst značajan za EGP

SL L 317, 30.11.2011, pp. 17–23 (BG, ES, CS, DA, DE, ET, EL, EN, FR, IT, LV, LT, HU, MT, NL, PL, PT, RO, SK, SL, FI, SV)

Ovaj dokument objavljen je u određenim posebnim izdanjima (HR)

Legal status of the document No longer in force, Date of end of validity: 30/04/2021; Implicitno stavljeno izvan snage 32020R0740

ELI: http://data.europa.eu/eli/reg/2011/1235/oj

15/Sv. 24

HR

Službeni list Europske unije

6


32011R1235


L 317/17

SLUŽBENI LIST EUROPSKE UNIJE


UREDBA KOMISIJE (EU) br. 1235/2011

od 29. studenoga 2011.

o izmjeni Uredbe (EZ) br. 1222/2009 s razvrstavanjem guma s obzirom na prianjanja guma na mokroj podlozi, mjerenje otpora kotrljanja i postupke provjere

(Tekst značajan za EGP)

EUROPSKA KOMISIJA,

uzimajući u obzir Ugovor o funkcioniranju Europske unije,

uzimajući u obzir Uredbu (EZ) br. 1222/2009 Europskog parlamenta i Vijeća od 25. studenoga 2009. o označivanju guma s obzirom na učinkovitost potrošnje goriva i druge bitne parametre (1), a posebno njezin članak 11. točke (a) i (c),

budući da:

(1)

Uredba (EZ) br. 1222/2009 uspostavlja okvir za osiguravanje usklađenih podataka o parametrima guma putem označivanja, omogućujući krajnjim korisnicima odabir na temelju dobre obaviještenosti prilikom kupnje guma.

(2)

Otpor kotrljanja kod guma određuje njihovo razvrstavanje s obzirom na učinkovitost potrošnje goriva. Mjerenje otpora kotrljanja mora biti ponovljivo; ispitivanja na istom tipu guma u različitim laboratorijima moraju dati iste rezultate s ciljem osiguravanja pravedne usporedbe između guma različitih dobavljača. Pored toga, dobra ponovljivost ispitnih rezultata sprječava tijela za nadzor tržišta da dobiju različite rezultate od dobavljača prilikom ispitivanja istih guma.

(3)

Postupak za usklađivanje ispitnih laboratorija u pogledu mjerenja otpora kotrljanja povećao bi ponovljivost ispitnih rezultata.

(4)

S obzirom da je na razini ISO-a razvijena primjerena usklađena metoda za ispitivanje prianjanje na mokrim kolnicima, za gume razreda C2 i C3 treba uvesti razvrstavanje u pogledu prianjanja na mokroj podlozi, u skladu s člankom 11. točkom (a) Uredbe (EZ) br. 1222/2009.

(5)

Jasnoća sukladnosti postupka utvrđenog u Prilogu IV. Uredbe (EZ) br. 1222/2009 treba se poboljšati uvođenjem graničnih vrijednosti prema kojima se navedene vrijednosti, koje se koriste za zahtjeve označavanja, smatraju usklađenima s tom Uredbom.

(6)

Uredbu (EZ) br. 1222/2009 trebalo bi stoga izmijeniti na odgovarajući način.

(7)

Mjere predviđene ovom Uredbom u skladu su s mišljenjem Odbora uspostavljenog člankom 13. Uredbe (EZ) br. 1222/2009,

DONIJELA JE OVU UREDBU:

Članak 1.

Izmjena Uredbe (EZ) br. 1222/2009

Uredba (EZ) br. 1222/2009 mijenja se kako slijedi:

1.

U Prilogu I. dijelu A: razredi učinkovitosti potrošnje goriva, prva se rečenica zamjenjuje sljedećim:

„Razred učinkovitosti potrošnje goriva mora se odrediti na temelju koeficijenta otpora kotrljanja (RRC) prema niže navedenom rasponu od ‚A’ do ‚G’ i izmjeriti u skladu s Prilogom 6. Uredbi UNECE-a br. 117 i njezinim kasnijim izmjenama i uskladiti u skladu s postupkom utvrđenim u Prilogu IV.a.”

2.

U Prilogu I. dijelu B: razredi prianjanja na mokroj podlozi, tekst i tablica zamjenjuje se sljedećim:

„1.

Razred prianjanja na mokroj podlozi za gume C1 mora se odrediti na temelju indeksa prianjanja na mokroj podlozi (G) prema niže navedenom rasponu od ‚A’ do ‚G’ i izmjeriti u skladu s točkom 3. izmjeriti u skladu s Prilogom V.

2.

Razred prianjanja na mokroj podlozi za gume C2 i C3 mora se odrediti na temelju indeksa prianjanja na mokroj podlozi (G) prema rasponu od ‚A’do ‚G’navedenom u donjoj tablici u skladu s točkom 3. i izmjeriti u skladu s normom ISO 15222:2011 pri čemu se moraju koristiti standardne referentne ispitne gume (Standard Reference Test Tyres – SRTT):

i.

za C2 gume, SRTT 225/75 R 16 C, ASTM F 2872-11;

ii.

za C3 gume s nominalnom širinom presjeka manjom od 285 mm, SRTT 245/70R19.5, ASTM F 2871-11;

iii.

za C3 gume s nominalnom širinom presjeka manjom od 285 mm, SRTT 315/70R19.5, ASTM F 2870-11.

3.

Izračun indeksa prianjanja na mokru površinu (G)

G = G(T) – 0,03

gdje je: G(T) = indeks prianjanja na mokru površinu gume kandidata u jednom ispitnom ciklusu

C2 gume

C2 gume

C3 gume

G

Razred prianjanje na mokroj podlozi

G

Razred prianjanje na mokroj podlozi

G

Razred prianjanje na mokroj podlozi

1,55 ≤ G

A

1,40 ≤ G

A

1,25 ≤ G

A

1,40 ≤ G ≤ 1,54

B

1,25 ≤ G ≤ 1,39

B

1,10 ≤ G ≤ 1,24

B

1,25 ≤ G ≤ 1,39

C

1,10 ≤ G ≤ 1,24

C

0,95 ≤ G ≤ 1,09

C

prazno

D

prazno

D

0,80 ≤ G ≤ 0,94

D

1,10 ≤ G ≤ 1,24

E

0,95 ≤ G ≤ 1,09

E

0,65 ≤ G ≤ 0,79

E

G ≤ 1,09

F

G ≤ 0,94

F

G ≤ 0,64

F

prazno

G

prazno

G

prazno

G”

3.

u Prilogu IV. Postupak provjere se zamjenjuje sljedećim:

„PRILOG IV.

Postupak provjere

Sukladnost prijavljenih razreda učinkovitosti potrošnje goriva i prianjanja na mokroj podlozi, kao i prijavljenog razreda i izmjerene vrijednosti vanjske buke kotrljanja mora se ocijeniti za svaki tip gume ili svaku skupinu guma koju odredi dobavljač, u skladu s jednim od sljedećih postupaka:

(a)

i.

prvo se ispituje jedna guma. Ako izmjerena vrijednost udovoljava prijavljenom razredu ili izmjerenoj vrijednosti vanjske buke kotrljanja u okviru odstupanja, ispitivanje je uspješno; te

ii.

ako izmjerena vrijednost ne udovoljava prijavljenom razredu ili izmjerenoj vrijednosti vanjske buke kotrljanja u okviru raspona utvrđenog u tablici 1., ispituju se još tri gume ili kompleta guma. Prosječna izmjerena vrijednost koja proizlazi iz ispitivanja triju guma koristi se za ocjenu sukladnosti u okviru raspona utvrđenog u tablici 1.; ili

(b)

ako označeni razredi ili vrijednosti proizlaze iz rezultata ispitivanja homologacije dobivenih u skladu s Direktivom 2001/43/EZ, Uredbom (EZ) br. 661/2009 ili Uredbom UNECE-a br. 117 i njezinim kasnijim izmjenama, države članice mogu koristiti mjerne podatke dobivene iz tih ispitivanja sukladnosti proizvodnje guma.

Ocjenjivanje mjernih podataka dobivenih iz ispitivanja sukladnosti proizvodnje moraju uzeti u obzir odstupanja, koja su utvrđena u tablici 1.

Tablica 1.

Mjereni parametar

Dopuštena odstupanja pri provjeri

Koeficijent otpora kotrljanja (učinkovitost potrošnje goriva)

Usklađena izmjerena vrijednost ne smije biti veća od gornje granice (najviši RRC) za više od 0,3 kg/1 000 kg.

Vanjska buka kotrljanja

Izmjerena vrijednost ne smije biti veća od nazivne vrijednosti N za više od 1 dB(A).

Prianjanje na mokroj podlozi

Izmjerena vrijednost ne smije biti manja od donje granice (najmanja vrijednost G) navedenog razreda.”

4.

tekst naveden u Prilogu ovoj Uredbi dodaje se kao Prilog IV.a.

Članak 2.

Stupanje na snagu

Ova Uredba stupa na snagu dvadesetog dana od dana objave u Službenom listu Europske unije.

Ova se Uredba primjenjuje od 30. siječnja 2012.

Ova je Uredba u cijelosti obvezujuća i izravno se primjenjuje u svim državama članicama.

Sastavljeno u Bruxellesu 29. studenoga 2011.

Za Komisiju

Predsjednik

José Manuel BARROSO


(1)  SL L 342, 22.12.2009., str. 46.


PRILOG

„PRILOG IV.A

Postupak usklađivanja laboratorija u pogledu mjerenja otpora kotrljanja

1.   DEFINICIJE

Za potrebe postupka usklađivanja laboratorija, primjenjuju se sljedeće definicije:

1.

‚referentni laboratorij’ je laboratorij, koji je dio mreže laboratorija, čije su reference bile za namjene postupka usklađivanja objavljene Službenom listu Europske unije, i ima sposobnost postizanja točnosti ispitnih rezultata, koje su određene u odjeljku 3.;

2.

‚laboratorij kandidat’ je laboratorij, koji sudjeluje u postupku usklađivanja, a nije referentni laboratorij;

3.

‚guma za usklađivanje’ je guma koja se ispituje za svrhe provođenja postupka usklađivanja;

4.

‚komplet guma za usklađivanje’ je komplet od pet ili više guma za usklađivanje;

5.

‚dodijeljena vrijednost’ je teoretska vrijednost jedne guma za usklađivanje, kako je izmjerio teoretski reprezentativni laboratorij mreže referentnih laboratorija, koja se upotrebljava za postupak usklađivanja.

2.   OPĆE ODREDBE

2.1.   Načelo

Koeficijent otpora kotrljanja (RCCm ) izmjeren u referentnom laboratoriju (l) usklađuje se s dodijeljenim vrijednostima mreže referentnih laboratorija.

Koeficijent otpora kotrljanja (RCCm ) izmjeren u laboratoriju kandidatu (c) usklađuje se kroz jedan referentni laboratorij iz mreže po njegovom izboru.

2.2.   Zahtjevi za odabir guma

Komplet od pet ili više guma za usklađivanje odabire se za postupak usklađivanja u skladu s niže navedenim kriterijima. Komplet guma odabire se za C1 i C2 gume zajedno, te jedan komplet za C3 gume.

(a)

Komplet guma za usklađivanje odabire se tako da obuhvaća raspon različitih RRC-ova za za C1 i C2 gume zajedno, ili za C3 gume. U svakom slučaju, razlika između najvišeg RRCm -a kompleta guma i najnižeg RRCm -a kompleta guma mora iznositi najmanje:

i.

3 kg/t za C1 i C2 gume; te

ii.

2 kg/t za C3 gume.

(b)

RRCm u laboratoriju kandidatu ili referentnom laboratoriju (c ili l) na temelju navedenih vrijednosti RRC-a za svaku gumu za usklađivanje iz kompleta raspoređen je na sljedeći način i ravnomjerno razdijeljen:

i.

1,0 +/– 0,5 kg/t za C1 i C2 gume; te

ii.

1,0 +/– 0,5 kg/t za C3 gume.

(c)

Širina presjeka svake odabrane gume za usklađivanje iznosi:

i.

≤ 245 mm za strojeve koji mjere C1 i C2 gume; te

ii.

≤ 385 mm za strojeve koji mjere C3 gume.

(d)

Vanjski promjer svake odabrane gume za usklađivanje iznosi:

i.

između 510 i 800 mm za strojeve koji mjere C1 i C2 gume; te

ii.

između 771 i 1 143 mm strojeve koji mjere C3 gume.

(e)

Vrijednosti indeksa opterećenja primjereno obuhvaća skupinu guma, koje treba ispitati, pri čemu se osigurava da vrijednosti sile otpora kotrljanja (Rolling Resistance Force – RRF) također obuhvaćaju skupinu guma, koje treba ispitati.

Svaka gume za usklađivanje se prije upotrebe provjerava i zamjenjuje ako:

(a)

njeno stanje ne omogućava njenu uporabu za daljnja ispitivanja; i/ili

(b)

su odstupanja RRCm -a veća od 1,5 posto u donosu na ranija mjerenja nakon korekcije možebitnog odstupanja stroja.

2.3.   Metoda mjerenja

Referentni laboratorij mjeri svaku gumu za usklađivanje četiri puta i zadržava posljednja tri rezultata za daljnju analizi, u skladu s točkom 4. Priloga 6. Uredbi UNECE-a br. 117 i njenim kasnijim izmjenama te primjenjujući uvjete utvrđene u točki 3. Priloga 6. Uredbi UNECE-a br. 117 i njenim kasnijim izmjenama.

Laboratorij kandidat mjeri svaku gumu za usklađivanje (n + 1) puta s tim da je n određen u odjeljku 5. i zadržava posljednjih n rezultata za daljnju analizi, u skladu s točkom 4. Priloga 6. Uredbi UNECE-a br. 117 i njenim kasnijim izmjenama te primjenjujući uvjete utvrđene u točki 3. Priloga 6. Uredbi UNECE-a br. 117 i njenim kasnijim izmjenama.

Svaki put kada se mjeri gumu za usklađivanje, iz stroja se odstranjuje sklop guma/kotač, te se cjelokupni postupak ispitivanja određen u točki 4. Priloga 6. Uredbi UNECE-a br. 117 i njenim kasnijim izmjenama ponovno provodi ispočetka.

Laboratorij kandidat ili referentni laboratorij izračunava:

(a)

izmjerenu vrijednost svake gume za usklađivanje kako je određeno u Prilogu 6. točkama 6.2. i 6.3. Uredbe UNECE-a br. 117 i njenim kasnijim izmjenama (tj. prilagođeno za temperaturu od 25 °C i promjer bubnja veličine od 2 m);

(b)

srednja vrijednost tri (za referentne laboratorije) ili n (za laboratorije kandidate) posljednje izmjerene vrijednosti svake gumu za usklađivanje; te

(c)

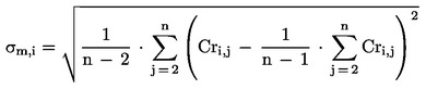
standardno odstupanje (σm) prema sljedećoj jednadžbi:

Formula Formula

gdje je:

i

brojač od 1 do p za broj guma za usklađivanje;

j

brojač od 2 do n za broj svakog ponovljenog mjerenja za određenu gumu za usklađivanje;

n

broj ponovljenih mjerenja gume (n ≥ 4);

p

broj guma za usklađivanje (p ≥ 5).

2.4.   Obrasci podataka, koji se upotrebljavaju za izračune i rezultate

Izmijenjene vrijednosti RRC-a, ispravljene na podlozi promjera bubnja i temperature zaokružuju se na dva decimalna mjesta.

Izračuni se prave sa svim znamenkama: nema dodatnih zaokruživanja, osim u konačnim jednadžbama usklađivanja.

Sve vrijednosti standardnih odstupanja se prikazuju na tri decimalna mjesta.

Sve vrijednosti RRC-a se prikazuju na dva decimalna mjesta.

Svi koeficijenti usklađivanja (A1l, B1l, A2c i B2c), zaokružuju se i prikazuju na dva decimalna mjesta.

3.   ZAHTJEVI KOJI SE PRIMJENJUJU NA REFERENTNE LABORATORIJE I ODREĐIVANJE DODIJELJENIH VRIJEDNOSTI

Dodijeljene vrijednosti svake gume za usklađivanje određuje mreža referentnih laboratorija. Nakon dvije godine mreža ocjenjuje stabilnost i valjanost dodijeljenih vrijednosti.

Svaki referentni laboratorij koji sudjeluje u mreži ispunjava specifikacije Priloga 6. Uredbi UNECE br. 117 i njenih kasnijih izmjena te ima standardno odstupanje (σm) kako slijedi:

i.

ne veće od 0,05 kg/t za gume razreda C1 i C2; te

ii.

ne veće od 0,05 kg/t za gume razreda C3.e

Svaki referentni laboratorij mreže mjeri komplete guma za usklađivanje, koji su sukladni specifikaciji iz odjeljka 2.2. mjeri se u skladu s odjeljkom 2.3.

Dodijeljena vrijednost svake gume za usklađivanje je prosjek izmjerenih vrijednosti, koje su predložili referentni laboratoriji iz mreže, za ovu gumu za usklađivanje.

4.   POSTUPAK ZA USKLAĐIVANJE REFERENTNOG LABORATORIJA S DODIJELJENIM VRIJEDNOSTIMA

Svaki referentni laboratorij (l) usklađuje se s dodijeljenim vrijednostima kompleta guma za usklađivanje koristeći tehniku linearne regresije, A1l i B1l, koji se izračunavaju prema sljedećoj jednadžbi:

RRC = A1 l * RRC m,l + B1 l

gdje je:

RRC

dodijeljena vrijednost koeficijenta otpora kotrljanja;

RRCm

vrijednost koeficijenta otpora kotrljanja koju je izmjerio referentni laboratorij „l” (uključujući ispravke temperature i promjera bubnja).

5.   ZAHTJEVI KOJI SE PRIMJENJUJU NA LABORATORIJE KANDIDATE

Laboratoriji kandidati ponavljaju postupak usklađivanja najmanje jednom u dvije godine te uvijek nakon značajne promjene strojeva ili možebitnog odstupanja podataka o kontrolnoj gumi stroja.

Uobičajeni komplet od pet različitih guma, koje su sukladne specifikaciji iz odjeljka 2.2. mjere se u skladu s odjeljkom 2.3. u laboratoriju kandidat i jednom referentnom laboratoriju. Više od pet guma za usklađivanje može se ispitati na zahtjev laboratorija kandidata.

Laboratorij kandidat mora dostaviti komplet guma za usklađivanje odabranom referentnom laboratoriju.

Laboratorij kandidat (c) ispunjava specifikacije Priloga 6. Uredbi UNECE br. 117 i njenim kasnijim izmjenama te ima standardno odstupanje (σm) kako slijedi:

i.

ne veće od 0,075 kg za gume razreda C1 i C2; te

ii.

ne veće od 0,06 kg za gume C3.

Ako je standardno odstupanje laboratorija kandidata veće od gornjih vrijednosti s tri mjerenja, tada se broj ponovljenih mjerenja povećava prema sljedećoj jednadžbi:

n = (σm)2, zaokruženo na najbliži veći cijeli broj

gdje je:

γ

=

0,043 kg/t za gume razreda C1 i C2; te

γ

=

0,035 kg/t za gume razreda C3.

6.   POSTUPAK ZA USKLAĐIVANJE LABORATORIJA KANDIDATA

Svaki referentni laboratorij (l) koji sudjeluje u mreži izračunava funkciju linearne regresije laboratorija kandidata (c), A2c i B2c, prema sljedećoj jednadžbi:

RRC m,l = A2c × RRCm,c + B2c

gdje je:

RRCm,l

je vrijednost koeficijenta otpora kotrljanja koju je izmjerio referentni laboratorij (l) (uključujući ispravke temperature i promjera bubnja)

RRCm,c

je vrijednost koeficijenta otpora kotrljanja koju je izmjerio laboratorij kandidat (c) (uključujući ispravke temperature i promjera bubnja)

Usklađeni RRC guma, koje ispituje laboratorij kandidat izračunava se prema sljedećoj jednadžbi:

RRC = (A1 l × A2c) × RRCm,c + (A1 l × B2c + B1 l )”


Top