Choose the experimental features you want to try

This document is an excerpt from the EUR-Lex website

Document 02009R1222-20190726

Consolidated text: Nařízení Evropského parlamentu a Rady (ES) č. 1222/2009 ze dne 25. listopadu 2009 o označování pneumatik s ohledem na palivovou účinnost a jiné důležité parametry (Text s významem pro EHP)

ELI: http://data.europa.eu/eli/reg/2009/1222/2019-07-26

02009R1222 — CS — 26.07.2019 — 002.001


Tento dokument slouží výhradně k informačním účelům a nemá žádný právní účinek. Orgány a instituce Evropské unie nenesou za jeho obsah žádnou odpovědnost. Závazná znění příslušných právních předpisů, včetně jejich právních východisek a odůvodnění, jsou zveřejněna v Úředním věstníku Evropské unie a jsou k dispozici v databázi EUR-Lex. Tato úřední znění jsou přímo dostupná přes odkazy uvedené v tomto dokumentu

►B

NAŘÍZENÍ EVROPSKÉHO PARLAMENTU A RADY (ES) č. 1222/2009

ze dne 25. listopadu 2009

o označování pneumatik s ohledem na palivovou účinnost a jiné důležité parametry

(Text s významem pro EHP)

(Úř. věst. L 342 22.12.2009, s. 46)

Ve znění:

 

 

Úřední věstník

  Č.

Strana

Datum

►M1

NAŘÍZENÍ KOMISE (EU) č. 228/2011 ze dne 7. března 2011,

  L 62

1

9.3.2011

►M2

NAŘÍZENÍ KOMISE (EU) č. 1235/2011 ze dne 29. listopadu 2011,

  L 317

17

30.11.2011

►M3

NAŘÍZENÍ EVROPSKÉHO PARLAMENTU A RADY (EU) 2019/1243 ze dne 20. června 2019,

  L 198

241

25.7.2019




▼B

NAŘÍZENÍ EVROPSKÉHO PARLAMENTU A RADY (ES) č. 1222/2009

ze dne 25. listopadu 2009

o označování pneumatik s ohledem na palivovou účinnost a jiné důležité parametry

(Text s významem pro EHP)



Článek 1

Cíl a předmět

1.  Cílem tohoto nařízení je zvýšit bezpečnost a ekonomickou a environmentální účinnost silniční dopravy prostřednictvím podpory bezpečných pneumatik se sníženou spotřebou paliva a nízkou hlučností.

2.  Toto nařízení stanoví rámec pro poskytování harmonizovaných informací o parametrech pneumatik prostřednictvím jejich označování, jež umožní koncovým uživatelům, aby při nákupu pneumatik učinili informované rozhodnutí.

Článek 2

Oblast působnosti

1.  Toto nařízení se vztahuje na pneumatiky tříd C1, C2 a C3.

2.  Toto nařízení se nevztahuje na

a) protektorované pneumatiky;

b) profesionální terénní pneumatiky;

c) pneumatiky určené pouze pro montáž na vozidla poprvé zaregistrovaná před 1. říjnem 1990;

d) náhradní pneumatiky pro dočasné užití typu T;

e) pneumatiky s kategorií rychlosti nižší než 80 km/h;

f) pneumatiky se jmenovitým průměrem ráfku nepřekračujícím 254 mm nebo pneumatiky se jmenovitým průměrem ráfku 635 mm a více;

g) pneumatiky vybavené dalšími prostředky ke zlepšení trakčních vlastností, například pneumatiky s hroty;

h) pneumatiky určené pouze k montáži na závodní vozidla.

Článek 3

Definice

Pro účely tohoto nařízení se rozumí

1) „pneumatikami tříd C1, C2 a C3“ třídy pneumatik vymezené v článku 8 nařízení (ES) č. 661/2009;

2) „náhradními pneumatikami pro dočasné užití typu T“ náhradní pneumatiky pro dočasné užití navržené pro použití při tlaku v pneumatice vyšším, než jaký je stanoven pro standardní a zesílené pneumatiky;

3) „místem prodeje“ místo, kde jsou pneumatiky vystaveny nebo skladovány a nabízeny k prodeji konečným uživatelům, včetně předváděcích prostor pro automobily, pokud jde o pneumatiky nabízené k prodeji konečným uživatelům, které nejsou namontovány na vozidlech;

4) „technickým propagačním materiálem“ technické návody, brožury, letáky a katalogy (v tištěné nebo elektronické podobě nebo dostupné online), jakož i internetové stránky, jejichž cílem je prodej pneumatik koncovým uživatelům nebo distributorům a které uvádějí specifické technické parametry pneumatiky;

5) „technickou dokumentací“ informace o pneumatikách uvádějící mimo jiné výrobce a obchodní značky pneumatiky, popis typu pneumatiky nebo skupiny pneumatik určený pro prohlášení o třídě palivové účinnosti, třídě přilnavosti za mokra a naměřené hodnotě a třídě vnějšího hluku odvalování, zkušební zprávy a přesnost měření;

6) „výrobcem“ fyzická nebo právnická osoba uvádějící na trh pod svým jménem nebo ochrannou známkou výrobek, který vyrábí nebo který si nechává navrhnout nebo vyrobit;

7) „dovozcem“ fyzická nebo právnická osoba usazená ve Společenství, která uvádí na trh Společenství výrobek ze třetí země;

8) „zplnomocněným zástupcem“ fyzická nebo právnická osoba usazená ve Společenství, která byla písemně zplnomocněna výrobcem, aby jednala jeho jménem při plnění konkrétních úkolů souvisejících s povinnostmi výrobce podle tohoto nařízení;

9) „dodavatelem“ výrobce nebo jeho zplnomocněný zástupce ve Společenství nebo dovozce;

10) „distributorem“ fyzická nebo právnická osoba v dodavatelském řetězci jiná než dodavatel či dovozce, která pneumatiky dodává na trh;

11) „dodáním na trh“ dodání výrobku k distribuci nebo použití na trhu Společenství v rámci obchodní činnosti, ať už za úplatu nebo bezplatně;

12) „konečným uživatelem“ spotřebitel, jakož i správce vozového parku nebo autodopravce, který pneumatiky nakupuje, nebo se očekává, že je koupí;

13) „důležitým parametrem“ parametr pneumatik, například valivý odpor, přilnavost za mokra nebo vnější hluk odvalování, který má při užívání značný dopad na životní prostředí, bezpečnost silničního provozu nebo zdraví.

Článek 4

Povinnosti dodavatelů pneumatik

1.  Dodavatelé zajistí, aby pneumatiky tříd C1 a C2 dodávané distributorům nebo konečným uživatelům byly

a) opatřeny nálepkou na běhounu pneumatiky uvádějící označení třídy palivové účinnosti podle části A přílohy I, třídy a naměřené hodnoty vnějšího hluku odvalování podle části C přílohy I a případně třídy přilnavosti za mokra podle části B přílohy I

nebo

b) v případě každé dodané série jedné nebo více totožných pneumatik doplněny označením v tištěné podobě uvádějícím třídu palivové účinnosti podle části A přílohy I, třídu a naměřenou hodnotu vnějšího hluku odvalování podle části C přílohy I a případně třídu přilnavosti za mokra podle části B přílohy I.

2.  Předepsaný formát nálepky a označení podle odstavce 1 je uveden v příloze II.

3.  Dodavatelé uvádějí u pneumatik tříd C1, C2 a C3 třídu palivové účinnosti, třídu a naměřenou hodnotu vnějšího hluku odvalování a případně třídu přilnavosti za mokra ve všech technických propagačních materiálech i na svých internetových stránkách, v souladu s přílohou I a v pořadí určeném v příloze III.

4.  Dodavatelé na požádání zpřístupní orgánům členských států technickou dokumentaci za dobu pěti let od dodání poslední pneumatiky daného typu na trh. Technická dokumentace musí být dostatečně podrobná, aby orgány mohly ověřit správnost údajů o palivové účinnosti, přilnavosti za mokra a vnějším hluku odvalování, jež jsou uvedeny na označení.

Článek 5

Povinnosti distributorů pneumatik

1.  Distributoři zajistí, aby

a) pneumatiky byly v souladu s čl. 4 odst. 1 písm. a) v místě prodeje označeny na snadno viditelném místě nálepkou, kterou poskytne dodavatel,

nebo

b) označení podle čl. 4 odst. 1 písm. b) bylo jasně viditelné v bezprostřední blízkosti pneumatiky v místě prodeje a aby bylo ukázáno konečnému uživateli předtím, než k prodeji pneumatiky dojde.

2.  Pokud konečný uživatel pneumatiku nabízenou k prodeji fyzicky nevidí, poskytne mu distributor údaje o třídě palivové účinnosti, třídě přilnavosti za mokra a třídě a naměřené hodnotě hluku odvalování u těchto pneumatik.

3.  U pneumatik tříd C1, C2 a C3 uvádějí distributoři třídu palivové účinnosti, naměřenou hodnotu vnějšího hluku odvalování a případně třídu přilnavosti za mokra, jak je stanoveno v příloze I, na faktuře nebo spolu s fakturou dodanou konečnému uživateli v okamžiku nákupu pneumatik.

Článek 6

Povinnosti dodavatelů a distributorů vozidel

Pokud je konečným uživatelům v místě prodeje nabízena volba mezi různými typy pneumatik určených k montáži na vozidlo, jež konečný uživatel zamýšlí pořídit, poskytne mu dodavatel nebo distributor před uskutečněním prodeje pro každou nabízenou pneumatiku informace o třídě palivové účinnosti, třídě a naměřené hodnotě vnějšího hluku odvalování a případně o třídě přilnavosti za mokra u pneumatik tříd C1, C2 a C3, v souladu s přílohou I a v pořadí určeném v příloze III. Tyto informace se uvedou alespoň v technických propagačních materiálech.

Článek 7

Harmonizované zkušební metody

Informace, které mají být poskytnuty podle článků 4, 5 a 6 o třídě palivové účinnosti pneumatik, třídě a naměřené hodnotě vnějšího hluku odvalování a třídě přilnavosti za mokra, se získávají použitím harmonizovaných zkušebních metod uvedených v příloze I.

Článek 8

Postup ověřování

Členské státy postupem stanoveným v příloze IV posoudí shodnost uvedených tříd palivové účinnosti a přilnavosti za mokra ve smyslu částí A a B přílohy I, jakož i uvedené třídy a naměřené hodnoty vnějšího hluku odvalování ve smyslu části C přílohy I.

Článek 9

Vnitřní trh

1.  Jsou-li požadavky tohoto nařízení splněny, členské státy nezakážou ani neomezí dodávání pneumatik uvedených v článku 2 na trh z důvodu informací o výrobku.

2.  Členské státy mají za to, že označení výrobku a informace o něm jsou v souladu s tímto nařízením, pokud není prokázán opak. Mohou požadovat, aby dodavatelé poskytli v souladu s čl. 4 odst. 4 technickou dokumentaci za účelem posouzení správnosti uvedených hodnot a tříd.

Článek 10

Pobídky

Členské státy neposkytnou pobídky pro pneumatiky třídy nižší než C v případě palivové účinnosti nebo přilnavosti za mokra ve smyslu částí A a B přílohy I. Daňová a fiskální opatření nepředstavují pobídky pro účely tohoto nařízení.

▼M3

Článek 11

Změny a úpravy podle technického pokroku

Komisi je svěřena pravomoc přijímat akty v přenesené pravomoci v souladu s článkem 12a, kterými se toto nařízení mění s ohledem na:

a) zavedení požadavků na informace v souvislosti se stupněm přilnavosti za mokra u pneumatik tříd C2 a C3, pokud budou k dispozici vhodné harmonizované zkušební metody;

b) případné přizpůsobení klasifikace přilnavosti technickým zvláštnostem pneumatik určených především k dosažení lepších jízdních vlastností při jízdě na ledě, na sněhu nebo v obou případech než běžné pneumatiky, pokud jde o jejich schopnost způsobit, udržet nebo zastavit pohyb vozidla;

c) úpravu příloh I až V podle technického pokroku.

▼B

Článek 12

Prosazování

V souladu s nařízením (ES) č. 765/2008 členské státy zajistí, aby orgány pověřené dozorem nad trhem ověřily dodržování článků 4, 5 a 6 tohoto nařízení.

▼M3

Článek 12a

Výkon přenesené pravomoci

1.  Pravomoc přijímat akty v přenesené pravomoci je svěřena Komisi za podmínek stanovených v tomto článku.

2.  Pravomoc přijímat akty v přenesené pravomoci uvedené v článku 11 je svěřena Komisi na dobu pěti let od 26. července 2019. Komise vypracuje zprávu o přenesené pravomoci nejpozději devět měsíců před koncem tohoto pětiletého období. Přenesení pravomoci se automaticky prodlužuje o stejně dlouhá období, pokud Evropský parlament nebo Rada nevysloví proti tomuto prodloužení námitku nejpozději tři měsíce před koncem každého z těchto období.

3.  Evropský parlament nebo Rada mohou přenesení pravomoci uvedené v článku 11 kdykoli zrušit. Rozhodnutím o zrušení se ukončuje přenesení pravomoci v něm blíže určené. Rozhodnutí nabývá účinku prvním dnem po zveřejnění v Úředním věstníku Evropské unie nebo k pozdějšímu dni, který je v něm upřesněn. Nedotýká se platnosti již platných aktů v přenesené pravomoci.

4.  Před přijetím aktu v přenesené pravomoci Komise vede konzultace s odborníky jmenovanými jednotlivými členskými státy v souladu se zásadami stanovenými v interinstitucionální dohodě ze dne 13. dubna 2016 o zdokonalení tvorby právních předpisů ( 1 ).

5.  Přijetí aktu v přenesené pravomoci Komise neprodleně oznámí současně Evropskému parlamentu a Radě.

6.  Akt v přenesené pravomoci přijatý podle článku 11 vstoupí v platnost, pouze pokud proti němu Evropský parlament nebo Rada nevysloví námitky ve lhůtě dvou měsíců ode dne, kdy jim byl tento akt oznámen, nebo pokud Evropský parlament i Rada před uplynutím této lhůty informují Komisi o tom, že námitky nevysloví. Z podnětu Evropského parlamentu nebo Rady se tato lhůta prodlouží o dva měsíce.

▼M3 —————

▼B

Článek 14

Přezkum

1.  Komise posoudí, zda je nutné přezkoumat toto nařízení, a zohlední mimo jiné

a) účinnost označení, pokud jde o informovanost konečného uživatele, a zejména, zda byl čl. 4 odst. 1 písm. b) stejně účinný jako čl. 4 odst. 1 písm. a) z hlediska přispění k cílům tohoto nařízení;

b) zda by systém označování měl být rozšířen na protektorované pneumatiky;

c) zda by měly být zavedeny nové parametry pneumatik, jako je počet kilometrů;

d) informace o parametrech pneumatik poskytované dodavateli a distributory vozidel konečným uživatelům.

2.  Komise předloží výsledky tohoto posouzení Evropskému parlamentu a Radě do 1. března 2016 a případně předloží Evropskému parlamentu a Radě návrhy.

Článek 15

Přechodné ustanovení

Články 4 a 5 se nepoužijí na pneumatiky vyrobené před 1. červencem 2012.

Článek 16

Vstup v platnost

Toto nařízení vstupuje v platnost dvacátým dnem po vyhlášení v Úředním věstníku Evropské unie.

Použije se ode dne 1. listopadu 2012.

Toto nařízení je závazné v celém rozsahu a přímo použitelné ve všech členských státech.




PŘÍLOHA I

KLASIFIKACE PARAMETRŮ PNEUMATIK

Část A: Třídy palivové účinnosti

▼M2

Třída palivové účinnosti se stanoví na základě koeficientu valivého odporu (rolling resistance coefficient, RRC) podle níže uvedené stupnice od A do G a měří v souladu s přílohou 6 předpisu EHK OSN č. 117 ve znění pozdějších předpisů a je sladěna podle postupu stanoveného v příloze IVa.

▼B

Je-li jeden typ pneumatiky schválen pro více než jednu třídu pneumatik (např. C1 a C2), měl by být pro stanovení třídy palivové účinnosti tohoto typu pneumatiky použit stupeň použitelný na nejvyšší třídu pneumatik (např. C2, nikoli C1).



Pneumatiky třídy C1

Pneumatiky třídy C2

Pneumatiky třídy C3

RRC v kg/t

Třída energetické účinnosti

RRC v kg/t

Třída energetické účinnosti

RRC v kg/t

Třída energetické účinnosti

RRC ≤ 6,5

A

RRC ≤ 5,5

A

RRC ≤ 4,0

A

6,6 ≤ RRC ≤ 7,7

B

5,6 ≤ RRC ≤ 6,7

B

4,1 ≤RRC ≤ 5,0

B

7,8 ≤ RRC ≤ 9,0

C

6,8 ≤ RRC ≤ 8,0

C

5,1 ≤ RRC ≤ 6,0

C

Prázdná

D

Prázdná

D

6,1 ≤ RRC ≤ 7,0

D

9,1 ≤ RRC ≤ 10,5

E

8,1 ≤ RRC ≤ 9,2

E

7,1 ≤ RRC ≤ 8,0

E

10,6 ≤ RRC ≤ 12,0

F

9,3 ≤ RRC ≤ 10,5

F

RRC ≥ 8,1

F

RRC≥ 12,1

G

RRC ≥ 10,6

G

Prázdná

G

Část B: Třídy přilnavosti za mokra

▼M2

1. Třídy přilnavosti za mokra u pneumatik třídy C1 se stanoví na základě indexu přilnavosti za mokra (G) podle níže uvedené stupnice od A do G, vypočítají v souladu s bodem 3 a měří se podle přílohy V.

2. Třídy přilnavosti za mokra u pneumatik třídy C2 a C3 se stanoví na základě indexu přilnavosti za mokra (G) podle níže uvedené stupnice od A do G, vypočítají v souladu s bodem 3 a měří v souladu s normou ISO 15222:2011, podle které se musí použít tyto normalizované referenční zkušební pneumatiky (Standard Reference Test Tyres, SRTT):

i) pro pneumatiky C2 SRTT 225/75 R 16 C, ASTM F 2872-11,

ii) pro pneumatiky C3, které mají jmenovitou šířku průřezu menší než 285 mm, SRTT 245/70R19,5, ASTM F 2871-11,

iii) pro pneumatiky C3, které mají jmenovitou šířku průřezu 285 mm nebo větší, SRTT 315/70R22,5, ASTM F 2870-11.

3. Výpočet indexu přilnavosti za mokra (G)

G = G(T) – 0,03

kde: G(T) = index přilnavosti zkoušené pneumatiky za mokra, měřeno v jednom zkušebním cyklu



Pneumatiky C1

Pneumatiky C2

Pneumatiky C3

G

Třída přilnavosti za mokra

G

Třída přilnavosti za mokra

G

Třída přilnavosti za mokra

1,55 ≤ G

A

1,40 ≤ G

A

1,25 ≤ G

A

1,40 ≤ G ≤ 1,54

B

1,25 ≤ G ≤ 1,39

B

1,10 ≤ G ≤ 1,24

B

1,25 ≤ G ≤ 1,39

C

1,10 ≤ G ≤ 1,24

C

0,95 ≤ G ≤ 1,09

C

Nevyplněno

D

Nevyplněno

D

0,80 ≤ G ≤ 0,94

D

1,10 ≤ G ≤ 1,24

E

0,95 ≤ G ≤ 1,09

E

0,65 ≤ G ≤ 0,79

E

G ≤ 1,09

F

G ≤ 0,94

F

G ≤ 0,64

F

Nevyplněno

G

Nevyplněno

G

Nevyplněno

G

▼B

Část C: Třídy a naměřená hodnota vnějšího hluku odvalování

Naměřená hodnota vnějšího hluku odvalování (N) se uvádí v decibelech a měří se podle předpisu EHK OSN č. 117 ve znění pozdějších předpisů.

Třída vnějšího hluku odvalování se stanoví na základě mezních hodnot (LV) uvedených v části C přílohy II nařízení (ES) č. 661/2009 takto:



N v dB

Třída vnějšího hluku odvalování

N ≤ LV – 3

image

LV-3 < N ≤ LV

image

N > LV

image




PŘÍLOHA II

FORMÁT OZNAČENÍ

1.   Návrh označení

1.1

Označení podle čl. 4 odst. 1 a čl. 5 odst. 1 se musí shodovat s níže uvedeným obrázkem:

image

1.2

Specifikace označení:

image

1.3

Označení musí mít minimální šířku 75 mm a výšku 110 mm. V případech, kdy je označení vytištěno ve větším formátu, musí jeho obsah zachovat poměry dle výše uvedené specifikace.

1.4

Označení musí splňovat tyto požadavky:

a) barevné provedení CMYK – azurová, purpurová, žlutá a černá – podle tohoto vzoru: 00-70-X-00: 0 % azurová, 70 % purpurová, 100 % žlutá, 0 % černá;

b) níže uvedené číselné údaje se vztahují k vyobrazení v bodě 1.2:

image   Palivová účinnost

Piktogram podle vzoru: šířka: 19,5 mm, výška: 18,5 mm – rámeček piktogramu: tloušťka čáry: 3,5 bodu, šířka: 26 mm, výška: 23 mm – rámeček pro klasifikaci: tloušťka čáry: 1 bod – zakončení rámečku: tloušťka čáry: 3,5 bodu, šířka: 36 mm – barva: X-10-00-05.

image   Přilnavost za mokra

Piktogram podle vzoru: šířka: 19 mm, výška: 19 mm – rámeček piktogramu: tloušťka čáry: 3,5 bodu, šířka: 26 mm, výška: 23 mm – rámeček pro klasifikaci: tloušťka čáry: 1 bod – zakončení rámečku: tloušťka čáry: 3,5 bodu, šířka: 26 mm – barva: X-10-00-05.

image   Vnější hluk odvalování

Piktogram podle vzoru: šířka: 14 mm, výška: 15 mm – rámeček piktogramu: tloušťka čáry: 3,5 bodu, šířka: 26 mm, výška: 24 mm – rámeček pro uvedení hodnoty: tloušťka čáry: 1 bod – zakončení rámečku: tloušťka čáry: 3,5 bodu, výška: 24 mm – barva: X-10-00-05.

image   Okraje označení: tloušťka čáry: 1,5 bodu – barva: X-10-00-05.

image   Stupnice A–G

Šipky: výška: 4,75 mm, mezera: 0,75 mm, tloušťka černé čáry: 0,5 bodu – barva:

 A: X-00-X-00;

 B: 70-00-X-00;

 C: 30-00-X-00;

 D: 00-00-X-00;

 E: 00-30-X-00;

 F: 00-70-X-00;

 G: 00-X-X-00.

Text: Helvetica Bold 12 bodů, 100 % bílá, černé okraje: 0,5 bodu.

image   Klasifikace

Šipky: šířka: 16 mm, výška: 10 mm, 100 % černá.

Text: Helvetica Bold 27 bodů, 100 % bílá.

image   Řádky na stupnici: tloušťka čáry: 0,5 bodu, vzdálenost čárkovaných čar: 5,5 mm, 100 % černá.

image   Text na stupnici: Helvetica Bold 11 bodů, 100 % černá.

image   Naměřená hodnota vnějšího hluku odvalování

Šipky: šířka: 25,25 mm, výška: 10 mm, 100 % černá.

Text: Helvetica Bold 20 bodů, 100 % bílá.

Text jednotky: Helvetica Bold 13 bodů, 100 % bílá.

image   Logo EU: šířka: 9 mm, výška: 6 mm.

image   Odkaz na nařízení: Helvetica Regular 7,5 bodu, 100 % černá.

Odkaz na třídu pneumatik: Helvetica Bold 7,5 bodu, 100 % černá.

image   Třída vnějšího hluku odvalování podle části C přílohy I: šířka: 8,25 mm, výška: 15,5 mm – 100 % černá;

c) pozadí musí být bílé.

1.5

Třída pneumatik (C1 nebo C2) musí být na označení uvedena ve formátu předepsaném na obrázku v bodě 1.2.

2.   Nálepka

2.1

Nálepka uvedená v čl. 4 odst. 1 a čl. 5 odst. 1 má dvě části: i) tištěné označení ve formátu předepsaném v bodě 1 této přílohy a ii) místo pro značku vytištěnou v souladu se specifikacemi uvedenými v bodě 2.2 této přílohy.

2.2

Místo pro značku: Dodavatelé na nálepce uvedou své obchodní jméno nebo obchodní značku, řadu pneumatiky, rozměr pneumatiky, index zatížení, kategorii rychlosti a další technické specifikace spolu s označením v jakékoli barvě, formátu či vyobrazení, za předpokladu, že to neodvede pozornost od textu uvedeného na označení, jak je stanoven v bodě 1 této přílohy, ani tento text nenaruší. Celková plocha nálepky nesmí překročit 250 cm2 a celková výška nálepky nesmí být větší než 220 mm.




PŘÍLOHA III

Informace poskytované v technických propagačních materiálech

1.

Informace o pneumatikách se uvádějí v tomto pořadí:

i) třída palivové účinnosti (písmeno A až G),

ii) třída přilnavosti za mokra (písmeno A až G),

iii) třída a naměřená hodnota vnějšího hluku odvalování (dB).

2.

Informace uvedené v bodě 1 musí splňovat tyto požadavky:

i) snadná čitelnost,

ii) snadná srozumitelnost,

iii) existují-li pro daný typ pneumatiky různé klasifikace v závislosti na rozměru nebo dalších parametrech, uvede se rozsah klasifikací mezi nejhorší a nejlepší pneumatikou.

3.

Dodavatelé musí na svých internetových stránkách rovněž uvést

i) odkaz na příslušnou internetovou stránku Komise věnovanou tomuto nařízení,

ii) vysvětlení piktogramů uvedených na označení,

iii) upozornění, že skutečná úspora paliva a bezpečnost silničního provozu závisí především na chování řidičů, a zejména uvést, že

 ekologická jízda může výrazně snížit spotřebu paliva,

 pro optimalizaci přilnavosti za mokra a palivové účinnosti by měl být pravidelně kontrolován tlak v pneumatikách,

 je třeba vždy přísně dodržovat vzdálenosti mezi vozidly s ohledem na brzdnou dráhu.

▼M2




PŘÍLOHA IV

Postup ověřování

Shodnost uvedených tříd palivové účinnosti a přilnavosti za mokra i uvedené třídy a uvedené hodnoty vnějšího hluku odvalování se posuzuje u každého typu pneumatiky nebo skupiny pneumatik podle rozhodnutí dodavatele, a to použitím jednoho z těchto postupů:

a)

 

i) nejprve se provede zkouška na jedné pneumatice nebo sadě pneumatik. Splňují-li naměřené hodnoty parametry uvedených tříd nebo shodují-li se s uvedenou hodnotou vnějšího hluku odvalování v rámci tolerance definované v tabulce 1, je zkouška úspěšná, a

ii) nesplňují-li naměřené hodnoty parametry uvedených tříd nebo neshodují-li se s uvedenou hodnotou vnějšího hluku odvalování v rozsahu definovaném v tabulce 1, přezkouší se ještě tři další pneumatiky nebo sady pneumatik. Průměrná hodnota naměřená u těchto tří odzkoušených pneumatik nebo sad pneumatik se použije pro posouzení shody s uvedenými údaji v rozsahu definovaném v tabulce 1 nebo

b) pokud jsou třídy nebo hodnoty uvedené na označení odvozeny z výsledků zkoušek schvalování typu, které byly získány v souladu se směrnicí 2001/43/ES, nařízením (ES) č. 661/2009 nebo předpisem EHK OSN č. 117 ve znění pozdějších předpisů, mohou členské státy využít údaje naměřené při zkouškách shodnosti výroby pneumatik.

Při posuzování údajů naměřených při zkouškách shodnosti výroby se musí přihlížet k tolerancím definovaným v tabulce 1.



Tabulka 1

Měřený parametr

Tolerance pro ověřování

Koeficient valivého odporu (palivová účinnost)

Sladěná naměřená hodnota nesmí být větší než horní mez (nejvyšší RRC) uvedené třídy o více než 0,3 kg/1 000  kg.

Vnější hluk odvalování

Naměřená hodnota nesmí být větší než uvedená hodnota N o více než 1 dB(A).

Přilnavost za mokra

Naměřená hodnota nesmí být nižší než dolní mez (nejnižší hodnota G) uvedené třídy.

▼M2




PŘÍLOHA IVa

Postup pro sladění laboratoří pro měření valivého odporu

1.   DEFINICE

Pro účely postupu pro sladění laboratoří se použijí tyto definice:

1) „referenční laboratoří“ se rozumí laboratoř, která je součástí sítě laboratoří, jež byly pro účely postupu sladění zveřejněny v Úředním věstníku Evropské unie, a je schopna dosahovat přesnosti výsledků zkoušek stanovené v bodě 3;

2) „posuzovanou laboratoří“ se rozumí laboratoř, která se účastní postupu sladění, ale nejedná se o referenční laboratoř;

3) „sladěnou pneumatikou“ se rozumí pneumatika, která je zkoušena za účelem provedení postupu sladění;

4) „sadou sladěných pneumatik“ se rozumí sada pěti nebo více sladěných pneumatik.

5) „přiřazenou hodnotou“ se rozumí teoretická hodnota jedné sladěné pneumatiky, měřeno teoretickou laboratoří, která je reprezentativní pro síť referenčních laboratoří, jež se používá v rámci postupu sladění.

2.   OBECNÁ USTANOVENÍ

2.1    Princip

Naměřený koeficient valivého odporu (RRCm ) v referenční laboratoři (l) se sladí s přiřazenými hodnotami sítě referenčních laboratoří.

Posuzovaná laboratoř (c) si sladí RRCm prostřednictvím jedné referenční laboratoře sítě podle své volby.

2.2    Požadavky na výběr pneumatik

Pro postup sladění se vybere sada pěti nebo více sladěných pneumatik v souladu s níže uvedenými kritérii. Jedna sada se vybere pro pneumatiky C1 spolu s pneumatikami C2 a jedna sada pro pneumatiky C3.

a) Sada sladěných pneumatik musí být vybrána tak, aby pokrývala škálu různých RRC pneumatik C1 spolu s pneumatikami C2, nebo pneumatik C3. V každém případě musí být rozdíl mezi nejvyšším RRCm sady pneumatik a nejnižším RRCm sady pneumatik alespoň roven

i) 3 kg/t u pneumatik C1 a C2 a

ii) 2 kg/t u pneumatik C3.

b)  RRCm v posuzovaných nebo referenčních laboratořích (c nebo l) na základě uvedených hodnot RRC u každé sladěné pneumatiky sady musí být rovnoměrně rozmístěn v tomto rozsahu:

i) 1,0 +/– 0,5 kg/t u pneumatik C1 a C2 a

ii) 1,0 +/– 0,5 kg/t u pneumatik C3.

c) Šířka průřezu vybrané pneumatiky musí u každé sladěné pneumatiky být:

i) ≤ 245 mm u zařízení měřících pneumatiky C1 a C2 a

ii) ≤ 385 mm u zařízení měřících pneumatiky C3.

d) Vnější průměr vybrané pneumatiky musí u každé sladěné pneumatiky být:

i) 510 až 800 mm u zařízení měřících pneumatiky C1 a C2 a

ii) 771 až 1 143  mm u zařízení měřících pneumatiky C3.

e) Hodnoty indexu zatížení musí náležitě pokrývat škálu pneumatik, které mají být zkoušeny, tak, aby hodnoty valivého odporu (rolling resistance force, RRF) rovněž zahrnovaly celou řadu pneumatik, které mají být zkoušeny.

Každá sladěná pneumatika musí být před použitím zkontrolována a nahrazena, pokud:

a) je ve stavu, který ji činí nepoužitelnou pro další zkoušky a/nebo

b) objevují se odchylky RRCm , které jsou vyšší než 1,5 % v porovnání s dřívějším měřením po korekci jakéhokoli vybočení zařízení.

2.3    Metoda měření

Referenční laboratoř měří každou sladěnou pneumatiku čtyřikrát a tři poslední výsledky použije pro další analýzu v souladu s odstavcem 4 přílohy 6 předpisu EHK OSN č. 117 ve znění pozdějších předpisů, přičemž uplatní podmínky uvedené v odstavci 3 přílohy 6 předpisu EHK OSN č. 117 ve znění pozdějších předpisů.

Posuzovaná laboratoř měří každou sladěnou pneumatiku (n + 1)krát, kde n je specifikováno v oddíle 5, a n posledních výsledků použije pro další analýzu v souladu s odstavcem 4 přílohy 6 předpisu EHK OSN č. 117 ve znění pozdějších předpisů, přičemž uplatní podmínky uvedené v odstavci 3 přílohy 6 předpisu EHK OSN č. 117 ve znění pozdějších předpisů.

Pokaždé, kdy je měřena sladěná pneumatika, musí být sestava pneumatik/kol ze zařízení odstraněna a celý zkušební postup podle odstavce 4 přílohy 6 předpisu EHK OSN č. 117 ve znění pozdějších předpisů musí být proveden znovu od začátku.

Posuzovaná nebo referenční laboratoř vypočítá:

a) naměřenou hodnotu každé sladěné pneumatiky pro každé měření, jak je uvedeno v bodech 6.2 a 6.3 přílohy 6 předpisu EHK OSN č. 117 ve znění pozdějších předpisů (tj. korigovanou na teplotu 25 °C a na průměr bubnu 2 m);

b) střední hodnotu ze tří (v případě referenčních laboratoří) nebo n (v případě posuzovaných laboratoří) posledně naměřených hodnot u každé sladěné pneumatiky a

c) standardní odchylku (σm) podle tohoto vzorce:

image

image

kde:

i

je počitadlo od 1 do p pro počet sladěných pneumatik;

j

je počitadlo od 2 do n pro počet opakování každého měření pro danou sladěnou pneumatiku;

n

je počet opakování měření pneumatiky (n ≥ 4);

p

je počet sladěných pneumatik (p ≥ 5).

2.4    Formáty dat pro použití při výpočtech a pro výsledky

 Naměřené hodnoty RRC korigované na průměr bubnu a na teplotu se zaokrouhlí na 2 desetinná místa.

 Výpočty se následně provádějí se všemi desetinnými místy: s výjimkou konečných rovnic pro sladění se již dále nezaokrouhluje.

 Všechny hodnoty standardních odchylek se uvedou na 3 desetinná místa.

 Všechny hodnoty RRC se uvedou na 2 desetinná místa.

 Všechny sladěné koeficienty (A1l, B1l, A2c a B2c) se zaokrouhlí a zobrazí na 4 desetinná místa.

3.   POŽADAVKY NA REFERENČNÍ LABORATOŘE A STANOVENÍ PŘIŘAZENÝCH HODNOT

Přiřazené hodnoty každé sladěné pneumatiky určí síť referenčních laboratoří. Po dvou letech posoudí síť stálost a platnost přiřazených hodnot.

Každá referenční laboratoř zapojená do sítě musí být v souladu s požadavky přílohy 6 předpisu EHK OSN č. 117 ve znění pozdějších předpisů a musí mít tuto standardní odchylku (σm):

i) ne větší než 0,05 kg/t pro pneumatiky třídy C1 a C2 a

ii) ne větší než 0,05 kg/t pro pneumatiky třídy C3.

Sady sladěných pneumatik odpovídajících požadavkům bodu 2.2 měří každá referenční laboratoř sítě podle bodu 2.3.

Přiřazená hodnota každé sladěné pneumatiky je průměrem naměřených hodnot poskytnutých referenčními laboratořemi sítě pro tuto sladěnou pneumatiku.

4.   POSTUP PRO SLADĚNÍ REFERENČNÍ LABORATOŘE S PŘIŘAZENÝMI HODNOTAMI

Každá referenční laboratoř (l) se sladí s přiřazenými hodnotami sady sladěných pneumatik pomocí techniky lineární regrese, A1l a B1l, která se vypočítá takto:

RRC = A1 l * RRC m,l + B1 l

kde:

RRC

je přiřazená hodnota koeficientu valivého odporu;

RRCm,

je naměřená hodnota koeficientu valivého odporu v referenční laboratoři „l“ (včetně korekcí teploty a průměru bubnu).

5.   POŽADAVKY NA POSUZOVANÉ LABORATOŘE

Posuzované laboratoře musí postup pro sladění opakovat alespoň jednou za dva roky a vždy po každé významné úpravě zařízení nebo v případě jakéhokoli posunu v údajích o sledování kontrolní pneumatiky vozidla.

Běžná sada pěti různých pneumatik, které odpovídají požadavkům bodu 2.2, se měří v souladu s bodem 2.3 v posuzované laboratoři a v jedné referenční laboratoři. Na žádost posuzované laboratoře může být testováno více než pět sladěných pneumatik.

Posuzovaná laboratoř poskytne sadu sladěných pneumatik vybrané referenční laboratoři.

Posuzovaná laboratoř (c) musí být v souladu s požadavky přílohy 6 předpisu EHK OSN č. 117 ve znění pozdějších předpisů a pokud možno musí mít tyto standardní odchylky (σm):

i) ne větší než 0,075 kg/t pro pneumatiky C1 a C2 a

ii) ne větší než 0,06 kg/t pro pneumatiky C3.

Jsou-li standardní odchylky (σm) u tří měření v posuzované laboratoři vyšší než výše uvedené hodnoty, musí se počet opakování měření zvýšit takto:

n = (σm)2, zaokrouhleno nahoru na nejbližší vyšší celé číslo

kde:

γ

=

0,043 kg/t pro pneumatiky třídy C1 a C2;

γ

=

0,035 kg/t pro pneumatiky třídy C3.

6.   POSTUP PRO SLADĚNÍ POSUZOVANÉ LABORATOŘE

Jedna z referenčních laboratoří (l) sítě vypočítá funkci lineární regrese posuzované laboratoře (c), A2c a B2c, takto:

RRC m,l = A2c × RRCm,c + B2c

kde:

RRCm,l

je naměřená hodnota koeficientu valivého odporu v referenční laboratoři (l) (včetně korekcí teploty a průměru bubnu)

RRCm,c

je naměřená hodnota koeficientu valivého odporu v posuzované laboratoři (c) (včetně korekcí teploty a průměru bubnu)

Sladěný koeficient RRC pneumatik zkoušených v posuzované laboratoři se vypočte takto:

RRC = (A1 l × A2c) × RRCm,c + (A1 l × B2c + B1 l )

▼M1




PŘÍLOHA V

Zkušební metoda pro měření indexu přilnavosti za mokra (G) u pneumatik třídy C1

1.   POVINNÉ STANDARDY

Použijí se následující dokumenty.

1) ASTM E 303-93 (opětovně schváleno v roce 2008), Standard Test Method for Measuring Surface Frictional Properties Using the British Pendulum Tester;

2) ASTM E 501-08, Standard Specification for Standard Rib Tire for Pavement Skid-Resistance Tests;

3) ASTM E 965-96 (opětovně schváleno v roce 2006), Standard Test Method for Measuring Pavement Macrotexture Depth Using a Volumetric Technique;

4) ASTM E 1136-93 (opětovně schváleno v roce 2003), Standard Specification for a Radial Standard Reference Test Tire (SRTT14″);

5) ASTM F 2493-08, Standard Specification for a Radial Standard Reference Test Tire (SRTT16″).

2.   DEFINICE

Pro účely zkoušek přilnavosti za mokra u pneumatik třídy C1 se použijí tyto definice:

1) „zkušební jízdou“ se rozumí jednotlivý přejezd zatížené pneumatiky po daném povrchu zkušební dráhy;

2) „zkušební pneumatikou / zkušebními pneumatikami“ se rozumí zkoušená pneumatika, referenční pneumatika nebo kontrolní pneumatika či sada pneumatik, jež jsou použity v rámci zkušební jízdy;

3) „zkoušenou pneumatikou / zkoušenými pneumatikami (T)“ se rozumí pneumatika či sada pneumatik, které jsou zkoušeny za účelem výpočtu indexu přilnavosti za mokra;

4) „referenční pneumatikou / referenčními pneumatikami (R)“ se rozumí pneumatika či sada pneumatik, které mají vlastnosti uvedené v ASTM F 2493-08 a jsou označovány jako 16palcové normalizované referenční zkušební pneumatiky (SRTT16″);

5) „kontrolní pneumatikou / kontrolními pneumatikami (C)“ se rozumí náhradní pneumatika či sada náhradních pneumatik, které jsou použity v případě, že zkoušená a referenční pneumatika nemohou být přímo srovnány na stejném vozidle;

6) „brzdnou silou pneumatiky“ se rozumí podélně působící síla vyjádřená v newtonech, jež je výsledkem brzdného momentu;

7) „koeficientem brzdné síly pneumatiky (BFC)“ se rozumí poměr brzdné síly vůči svislému zatížení;

8) „koeficientem maximální brzdné síly pneumatiky“ se rozumí maximální hodnota koeficientu brzdné síly pneumatiky, které je dosaženo před zablokováním kola při postupném zvyšování brzdného momentu;

9) „zablokováním kola“ se rozumí stav, kdy se rychlost otáček kola kolem své osy rovná nule a kdy je zabráněno jeho otáčení v důsledku brzdného momentu;

10) „svislým zatížením“ se rozumí zatížení vyjádřené v newtonech vyvinuté na pneumatiku kolmo k povrchu silnice;

11) „vozidlem, na němž je prováděna zkouška pneumatik“ se rozumí vozidlo vyhrazené pro zvláštní účely, které disponuje přístroji k měření svislých a podélných sil působících na jednu zkoušenou pneumatiku během brzdění.

3.   OBECNÉ ZKUŠEBNÍ PODMÍNKY

3.1    Vlastnosti dráhy

Zkušební dráha musí mít tyto vlastnosti:

1) Musí mít povrch z hutného asfaltu a jednotný sklon ne vyšší než 2 % a při zkoušení za použití příložného pravítka o délce 3 m se nesmí odchýlit více než o 6 mm.

2) Povrch musí být ve všech místech téhož stáří, složení a opotřebení. Zkušební povrch nesmí obsahovat sypký materiál a nános jiného materiálu.

3) Maximální rozměr zrna musí být 10 mm (s povolenou tolerancí 8 až 13 mm).

4) Hloubka struktury povrchu měřená hloubkou písku musí být 0,7 ± 0,3 mm. Musí být měřena v souladu s normou ASTM E 965-96 (opětovně schválenou v roce 2006).

5) Třecí vlastnosti u mokrého povrchu se měří buď metodou uvedenou v písmeni a) nebo b) v oddílu 3.2.

3.2    Metody používané k měření třecích vlastností u mokrého povrchu

a)    Metoda BPN („British pendulum number“) za použití kyvadla

Metoda za použití kyvadla musí odpovídat normě ASTM E 303-93 (opětovně schválené v roce 2008).

Složení a fyzikální vlastnosti pryžového brzdového obložení musí být v souladu s normou ASTM E 501-08.

Průměrná hodnota BPN musí být mezi 42 a 60 BPN po korekci na teplotu. Je třeba postupovat tímto způsobem:

BPN se koriguje teplotou mokrého povrchu silnice. Pokud doporučení ohledně korekce na teplotu neuvádí výrobce kyvadla, použije se tato rovnice:

BPN = BPN (naměřená hodnota) + korekce na teplotu

korekce na teplotu = – 0,0018 t 2 + 0,34 t – 6,1

kde „t“ je teplota mokrého povrchu silnice ve stupních Celsia.

Vliv opotřebení obložení slideru: Obložení musí být odstraněno při maximálním opotřebení, když opotřebení nárazového okraje slideru dosáhne 3,2 mm v rovině slideru nebo 1,6 mm svisle od něj v souladu s oddílem 5.2.2 a obrázkem 3 normy ASTM E 303-93 (opětovně schválené v roce 2008).

Pro účely kontroly souladu povrchu dráhy s BPN při měření přilnavosti za mokra u osobního automobilu vybaveného přístroji: hodnoty BPN zkušební dráhy se v průběhu celé brzdné dráhy nesmí změnit, aby se snížil rozptyl výsledků zkoušky. Třecí vlastnosti u mokrého povrchu se měří v každém bodě měření BPN pětkrát po každých deseti metrech a variační koeficient průměrných hodnot BPN nesmí přesáhnout 10 %.

b)    Metoda používající referenční zkušební pneumatiku (SRTT14″) podle normy ASTM E 1136

Odchylně od bodu 4 oddílu 2 používá tato metoda referenční pneumatiku, která má vlastnosti uvedené v normě ASTM E 1136-93 (opětovně schválené v roce 2003) a je označována jako SRTT14″ ( 2 ).

Průměrný koeficient maximální brzdné síly (μ peak,ave) pneumatiky SRTT14″ se pohybuje mezi 0,7 ± 0,1 při 65 km/h.

Průměrný koeficient maximální brzdné síly (μ peak,ave) pneumatiky SRTT14″ se koriguje vzhledem k teplotě mokrého povrchu silnice následujícím způsobem:

koeficient maximální brzdné síly (μ peak,ave) = koeficient maximální brzdné síly (naměřený) + korekce na teplotu

korekce na teplotu = 0,0035 × (t – 20)

kde „t“ je teplota mokrého povrchu silnice ve stupních Celsia.

3.3    Meteorologické podmínky

Vlhčení povrchu nesmí být narušeno větrem (je možno použít kryty proti větru).

Teplota navlhčeného povrchu a teplota okolí musí být v rozmezí od 2 °C do 20 °C u pneumatik pro jízdu na sněhu a v rozmezí od 5 °C do 35 °C u běžných pneumatik.

Teplota navlhčeného povrchu se během zkoušky nesmí změnit o více než 10 °C.

Teplota okolí se musí blížit teplotě navlhčeného povrchu; rozdíl mezi teplotou okolí a teplotou navlhčeného povrchu musí být menší než 10 °C.

4.   ZKUŠEBNÍ METODY MĚŘENÍ PŘILNAVOSTI ZA MOKRA

Při výpočtu indexu přilnavosti za mokra (G) zkoušené pneumatiky je brzdný účinek na mokrém povrchu zkoušené pneumatiky porovnán s brzdným účinkem na mokrém povrchu referenční pneumatiky u vozidla jedoucího přímým směrem po mokrém pevném povrchu. Index přilnavosti za mokra se měří za pomoci jedné z těchto metod:

 metodou spočívající ve zkoušení soupravy pneumatik namontovaných na osobním automobilu vybaveném přístroji;

 zkušební metodou s využitím přívěsu taženého vozidlem nebo vozidla, na němž je prováděna zkouška pneumatik a jež je vybaveno zkušební pneumatikou / zkušebními pneumatikami.

4.1    Zkušební metoda využívající osobní automobil vybavený přístroji

4.1.1    Zásada

Zkušební metoda zahrnuje postup měření výkonnosti pneumatik C1, pokud jde o zpomalení při brzdění, v jehož rámci je používán osobní automobil vybavený protiblokovacím brzdovým systémem (ABS), přičemž „osobním automobilem vybaveným přístroji“ se rozumí osobní automobil vybavený měřicím zařízením pro účely této zkušební metody, uvedeným v oddílu 4.1.2.2. Při stanovené počáteční rychlosti se s dostatečnou silou na všech čtyřech kolech současně použijí brzdy, čímž je aktivován protiblokovací brzdový systém. Průměrná hodnota zpomalení se stanoví mezi dvěma předem stanovenými rychlostmi.

4.1.2    Zařízení

4.1.2.1    Vozidlo

Povolené změny částí osobního automobilu jsou následující:

 změny umožňující zvýšení počtu velikostí pneumatik, jež lze namontovat na vozidlo,

 změny umožňující automatickou aktivaci brzdného zařízení, jež má být instalováno.

Provádění jakýchkoli dalších změn brzdového systému je zakázáno.

4.1.2.2    Měřicí zařízení

Vozidlo musí být vybaveno čidlem vhodným k měření rychlosti na mokrém povrchu a vzdálenosti dosažené mezi dvěma rychlostmi.

K měření rychlosti vozidla musí být použito páté kolo nebo bezkontaktní systém pro měření rychlosti.

4.1.3    Stabilizace zkušební dráhy a podmínky vlhčení

Zkušební povrch musí být alespoň půl hodiny před zkouškou navlhčen, aby se vyrovnala teplota povrchu a vody. Vlhčení zvnějšku by mělo pokračovat nepřetržitě v průběhu zkoušky. V rámci celého zkušebního úseku musí být hloubka vody, měřená od nejvyššího bodu vozovky, v rozmezí 1,0 ± 0,5 mm.

Zkušební dráha by poté měla být stabilizována provedením alespoň deseti zkušebních jízd při rychlosti 90 km/hod za použití pneumatik, které nejsou předmětem zkušebního programu.

4.1.4    Pneumatiky a ráfky

4.1.4.1    Příprava pneumatik a brzdění

Ze zkušebních pneumatik se odstraní veškeré výčnělky na povrchu běhounu způsobené tvářením větracích otvorů, případně otřepy ve vylisovaných spojích.

Zkušební pneumatiky se namontují na zkušební ráfek udaný výrobcem pneumatiky.

Za použití vhodného maziva je třeba náležitým způsobem vytvořit sedlo pro patku pláště. Je třeba se vyhnout nadměrnému používání maziva, jež může způsobit uklouznutí pneumatiky po ráfku kola.

Sestavy zkušebních pneumatik / ráfků se skladují na příslušném místě minimálně dvě hodiny, tak, aby před zahájením zkoušky měly všechny stejnou teplotu odpovídající okolnímu prostředí. Tyto sestavy by měly být chráněny proti slunci, aby se zabránilo nadměrnému zahřívání slunečním svitem.

Pokud jde o brzdění pneumatik, provedou se dvě zkušební jízdy za účelem ověření účinnosti brzd.

4.1.4.2    Zatížení pneumatiky

Statické zatížení pneumatiky na každé nápravě musí být v rozmezí 60 % až 90 % kapacity zátěže zkoušené pneumatiky. Zatížení pneumatik na téže nápravě by se nemělo lišit o více než 10 %.

4.1.4.3    Tlak v pneumatice

Na předních a zadních nápravách musí být tlak v pneumatikách 220 kPa (u pneumatik pro běžné zatížení a pneumatik pro vysoké zatížení). Tlak v pneumatikách by měl být bezprostředně před zkouškou zkontrolován a podle potřeby upraven při teplotě odpovídající okolnímu prostředí.

4.1.5    Postup

4.1.5.1    Zkušební jízda

U každé zkušební jízdy se použije následující zkušební postup:

1) Osobní automobil je řízen po přímce rychlostí do 85 ± 2 km/h.

2) Jakmile osobní automobil dosáhne rychlosti 85 ± 2 km/h, brzdy jsou vždy aktivovány na stejném místě zkušební dráhy nazývaném „výchozí bod brzdění“, s dovolenou podélnou odchylkou 5 m a dovolenou příčnou odchylkou 0,5 m.

3) Brzdy jsou aktivovány buď automaticky, nebo ručně.

i) Automatická aktivace brzd se provádí prostřednictvím systému detekce tvořeného dvěma částmi, z nichž jedna je indexována na zkušební dráze a druhá v osobním automobilu.

ii) Ruční aktivace brzd závisí na typu řazení, jak je uvedeno níže. V obou případech je vyžadována ovládací síla alespoň 600 N.

Při ručním řazení by měl řidič uvolnit spojku a prudce stlačit pedál brzdy, přičemž pedál je třeba ponechat stlačen po dobu nezbytnou k provedení měření.

Při automatickém řazení by měl řidič zvolit polohu řadicí páky bez zařazeného převodu a prudce stlačit pedál brzdy, přičemž pedál je třeba ponechat stlačen po dobu nezbytnou k provedení měření.

4) Průměrná hodnota zpomalení se vypočítá mezi rychlostmi 80 km/h and 20 km/h.

Jestliže v rámci zkušební jízdy nejsou splněny některé ze specifikací uvedených výše (včetně dovolené odchylky u rychlosti, podélné a příčné dovolené odchylky u výchozího bodu brzdění a doby brzdění), měření se nebere v úvahu a provede se nová zkušební jízda.

4.1.5.2    Zkušební cyklus

Na základě následujícího postupu se provede řada zkušebních jízd za účelem měření indexu přilnavosti za mokra u sady zkoušených pneumatik (T), přičemž každá zkušební jízda se provede ve stejném směru a v rámci téhož zkušebního cyklu je možné měřit až tři různé sady zkoušených pneumatik:

1) Nejprve je sada referenčních pneumatik namontována na osobní automobil vybavený přístroji.

2) Po provedení alespoň tří platných měření v souladu s oddílem 4.1.5.1 je sada referenčních pneumatik nahrazena sadou zkoušených pneumatik.

3) Po provedení šesti platných měření zkoušených pneumatik lze uskutečnit měření dalších dvou sad zkoušených pneumatik.

4) Zkušební cyklus je ukončen třemi dalšími platnými měřeními stejné sady referenčních pneumatik jako na začátku zkušebního cyklu.

 Sled zkušebního cyklu tří sad zkoušených pneumatik (T1 až T3) a sady referenčních pneumatik (R) vypadá takto:

 R-T1-T2-T3-R

 Sled zkušebního cyklu pěti sad zkoušených pneumatik (T1 až T5) a sady referenčních pneumatik (R) vypadá takto:

 R-T1-T2-T3-R-T4-T5-R

4.1.6    Zpracování výsledků měření

4.1.6.1    Výpočet průměrné hodnoty zpomalení (AD)

Průměrná hodnota zpomalení (AD) se vypočítá u každé platné zkušební jízdy v m.s– 2 následujícím způsobem:

image

kde:

Sf je konečná rychlost v m·s– 1; Sf = 20 km/h = 5,556 m.s– 1

Si je počáteční rychlost v m·s– 1; Si = 80 km/h = 22,222 m.s– 1

d je vzdálenost v metrech mezi Si a Sf .

4.1.6.2    Validace výsledků

Variační koeficient AD se vypočítá následujícím způsobem:

(standardní odchylka / průměr) × 100

U referenčních pneumatik (R) : Jestliže je variační koeficient AD jakýchkoli dvou po sobě následujících skupin tří zkušebních jízd sady referenčních pneumatik vyšší než 3 %, žádné údaje se neberou v úvahu a zkoušku je třeba provést znovu u všech zkušebních pneumatik (zkoušených i referenčních pneumatik).

U zkoušených pneumatik (T) : Variační koeficienty AD se vypočítají u každé sady zkoušených pneumatik. Pokud je některý z koeficientů vyšší než 3 %, všechny údaje je třeba vyřadit a zkoušku je třeba u dotčené sady zkoušených pneumatik opakovat.

4.1.6.3    Výpočet upravené průměrné hodnoty zpomalení (Ra)

Průměrné zpomalení (AD) sady referenčních pneumatik použitých pro výpočet koeficientu brzdné síly je upraveno v závislosti na umístění každé sady zkoušených pneumatik v daném zkušebním cyklu.

Tato upravené AD referenční pneumatiky (Ra) se vypočítá v m.s– 2 podle tabulky 1, kde R1 je průměrem hodnot AD zaznamenaných při první zkoušce sady referenčních pneumatik (R) a R2 průměrem hodnot AD zaznamenaných v rámci druhé zkoušky stejné sady referenčních pneumatik (R).



Tabulka 1

Počet sad zkoušených pneumatik v rámci jednoho zkušebního cyklu

Sada zkoušených pneumatik

Ra

1

(R1 -T1-R2 )

T1

Ra = 1/2 (R1 + R2 )

2

(R1 -T1-T2-R2 )

T1

Ra = 2/3 R1 + 1/3 R2

T2

Ra = 1/3 R1 + 2/3 R2

3

(R1 -T1-T2-T3-R2 )

T1

Ra = 3/4 R1 + 1/4 R2

T2

Ra = 1/2 (R1 + R2 )

T3

Ra = 1/4 R1 + 3/4 R2

4.1.6.4    Výpočet koeficientu brzdné síly (BFC)

Koeficient brzdné síly (BFC) se vypočítá u brzdění na obou nápravách podle tabulky 2, kde Ta (a = 1, 2 nebo 3) je průměrem hodnot AD u každé sady zkoušených pneumatik (T), která je součástí zkušebního cyklu.



Tabulka 2

Zkoušená pneumatika

Koeficient brzdné síly

Referenční pneumatika

BFC(T) = |Ta/g|

Zkoušená pneumatika

BFC(T) = |Ta/g|

g je gravitační zrychlení, g = 9,81 m·s–2

4.1.6.5    Výpočet indexu přilnavosti za mokra zkoušené pneumatiky

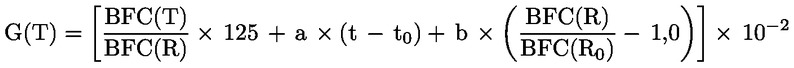
Index přilnavosti za mokra zkoušené pneumatiky (G(T)) se vypočítá takto:

image

kde:

  t je teplota mokrého povrchu silnice ve stupních Celsia naměřená při zkoušení zkušební pneumatiky (T)

  t0 je podmínkou referenční teploty mokrého povrchu, t0 = 20 °C u běžných pneumatik a t0 = 10 °C u pneumatik pro jízdu na sněhu

  BFC(R0) je koeficient brzdné síly u referenčních pneumatik při dodržení referenčních podmínek, BFC(R0) = 0,68

  a = –0,4232 a b = –8,297 u běžných pneumatik, a = 0,7721 a b = 31,18 u pneumatik pro jízdu na sněhu

4.1.7    Srovnání přilnavosti za mokra zkoušené a referenční pneumatiky za použití kontrolní pneumatiky

4.1.7.1    Obecně

Pokud se velikost zkoušené pneumatiky výrazně liší od velikosti referenční pneumatiky, přímé srovnání na tomtéž osobním automobilu vybaveném přístroji nemusí být možné. V rámci této zkušební metody se využívá náhradní pneumatika, dále nazývaná jen kontrolní pneumatika, definovaná v bodě 5 oddílu 2.

4.1.7.2    Princip přístupu

Princip spočívá v použití sady kontrolních pneumatik a dvou různých osobních automobilů vybavených přístroji v rámci zkušebního cyklu sady zkoušených pneumatik srovnávaných se sadou referenčních pneumatik.

Na jeden osobní automobil vybavený přístroji je namontována sada referenčních pneumatik, za níž následuje sada kontrolních pneumatik, a na druhý automobil je namontována sada kontrolních pneumatik, za níž následuje sada zkoušených pneumatik.

Použijí se specifikace uvedené v oddílech 4.1.2. až 4.1.4.

V rámci prvního zkušebního cyklu je prováděno srovnání sady kontrolních pneumatik se sadou referenčních pneumatik.

V rámci druhého zkušebního cyklu je prováděno srovnání sady zkoušených pneumatik a sady kontrolních pneumatik. Tento cyklus probíhá na stejné zkušební dráze a v tentýž den jako první zkušební cyklus. Teplota navlhčeného povrchu se musí pohybovat v rozmezí ± 5 °C v porovnání s teplotou prvního zkušebního cyklu. Při prvním a druhém zkušebním cyklu se použije stejná sada kontrolních pneumatik.

Index přilnavosti za mokra zkoušené pneumatiky (G(T)) se vypočítá takto:

G(T) = G 1 × G 2

kde:

  G 1 je relativní index přilnavosti za mokra kontrolní pneumatiky (C) srovnané s referenční pneumatikou (R), jenž se vypočítá následujícím způsobem:

 
image

  G 2 je relativní index přilnavosti za mokra zkoušené pneumatiky (T) srovnané s kontrolní pneumatikou (C), jenž se vypočítá následujícím způsobem:

 
image

4.1.7.3    Skladování a uchovávání

Je nezbytné, aby všechny pneumatiky ze sady kontrolních pneumatik byly skladovány za týchž podmínek. Jakmile sada kontrolních pneumatik prošla zkouškou, v jejímž rámci bylo provedeno srovnání s referenční pneumatikou, zajistí se specifické podmínky skladování definované v ASTM E 1136-93 (opětovně schválené v roce 2003).

4.1.7.4    Nahrazení referenčních pneumatik a kontrolních pneumatik

Pneumatiky se nadále nepoužívají, pokud při zkoušce dojde k jejich nepřiměřenému opotřebování nebo poškození, nebo pokud má opotřebení vliv na výsledek zkoušky.

4.2    Zkušební metoda s využitím přívěsu taženého vozidlem nebo vozidla, na němž je prováděna zkouška pneumatik

4.2.1    Princip

Měření se provádí na zkušebních pneumatikách namontovaných na přívěsu taženém vozidlem (dále jen tažné vozidlo) nebo na vozidle, na němž je prováděna zkouška pneumatik. Brzda ve zkušební pozici se pevně stlačí, dokud se nevyvine dostatečný brzdný moment k dosažení maximální brzdné síly, která se objeví před zablokováním kola při zkušební rychlosti 65 km/h.

4.2.2    Zařízení

4.2.2.1    Tažné vozidlo a přívěs nebo vozidlo, na němž je prováděna zkouška pneumatik

 Tažné vozidlo nebo vozidlo, na němž je prováděna zkouška pneumatik, musí mít schopnost udržet specifikovanou rychlost 65 ± 2 km/h i při maximálním působení brzdných sil.

 Přívěs nebo vozidlo, na němž je prováděna zkouška pneumatik, musí být vybaveno jedním místem, na nějž lze připevnit pneumatiku pro účely měření, dále jen „zkušební pozice“, a tímto příslušenstvím:

 

i) zařízení k aktivaci brzd ve zkušební pozici,

ii) vodní nádrž ke skladování dostatečného množství vody potřebné k zásobování systému pro vlhčení povrchu silnice, pokud není používáno vnější vlhčení,

iii) záznamové zařízení sloužící k záznamu signálů ze snímačů nainstalovaných ve zkušební pozici a monitorování množství použité vody, pokud je zvolena možnost samozavlažování.

 Maximální změna sbíhavosti a úhlu odklonu u zkušební pozice musí být ± 0,5° za maximálního svislého zatížení. Ramena náprav a lůžka musí být dostatečně pevná, aby se minimalizovalo samovolné působení a aby se zajistil soulad při maximálním působení brzdných sil. Systém zavěšení musí zajistit přiměřenou nosnost a musí být navržen tak, aby izoloval rezonanci zavěšení.

 Zkušební pozice se vybaví typickým nebo zvláštním automobilovým brzdovým systémem, který může vyvinout dostatečný brzdný moment k dosažení maximální hodnoty podélné brzdné síly u zkušební pneumatiky za stanovených podmínek.

 Brzdový systém musí být schopen kontrolovat časový interval mezi počátečním brzděním a maximální podélnou silou, jak je stanoveno v oddílu 4.2.7.1.

 Přívěs nebo vozidlo, na němž je prováděna zkouška pneumatik, musí být navrženy pro použití všech velikostí zkoušených pneumatik.

 Přívěs nebo vozidlo, na němž je prováděna zkouška pneumatik, musí mít vybavení potřebné k nastavení svislého zatížení podle odstavce 4.2.5.2.

4.2.2.2    Měřicí zařízení

 Zkušební kola na přívěsu nebo vozidle, na němž je prováděna zkouška pneumatik, budou vybavena systémem měření rychlosti s rotačním kolem a snímači určenými k měření brzdné síly a svislého zatížení zkušebního kola.

 Obecné požadavky na měřicí systém: Přístrojový systém musí splňovat následující celkové požadavky při teplotě okolního prostředí v rozmezí 0 °C a 45 °C:

 

i) celková přesnost systému, síla: ±1,5 % plného rozsahu svislého zatížení či brzdné síly,

ii) celková přesnost systému, rychlost: ±1,5 % rychlosti nebo ±1,0 km/h, podle toho, která hodnota je větší;

 Rychlost vozidla: K měření rychlosti vozidla musí být použito páté kolo nebo bezkontaktní systém pro přesné měření rychlosti.

 Brzdné síly: Snímače určené k měření brzdných sil měří podélnou sílu vyvíjenou na rozhraní pneumatik a silnice v důsledku použití brzd v rozmezí 0 % až min. 125 % použitého svislého zatížení. Konstrukce a umístění snímačů musí minimalizovat setrvačný účinek a mechanickou rezonanci způsobenou vibracemi.

 Svislé zatížení: Snímač sloužící k měření svislého zatížení musí měřit svislé zatížení ve zkušební pozici při brzdění. Na snímač se vztahují specifikace, které byly popsány výše.

 Systém stabilizace signálu a systém pro záznam: Veškerá zařízení pro stabilizaci signálu a záznamová zařízení musí zajistit lineární výstup potřebné síly a rozlišení zjišťovaných údajů, aby byly splněny stanovené požadavky uvedené výše. Kromě toho platí tyto požadavky:

 

i) Minimální kmitočtová charakteristika musí být plochá v rozmezí od 0 Hz do 50 Hz (100 Hz) s přesností na ±1 % plného rozsahu.

ii) Odstup signálu od šumu musí být alespoň 20/1.

iii) Zesílení by mělo být dostatečné intenzity, aby umožnilo zobrazení v plném rozsahu u hladiny vstupního signálu v plném rozsahu.

iv) Vstupní impedance musí být alespoň desetkrát větší než výstupní impedance zdroje signálu.

v) Zařízení musí být necitlivé vůči vibracím, zrychlení a změnám teploty okolí.

4.2.3    Stabilizace zkušební dráhy

Zkušební dráha by měla být stabilizována provedením alespoň deseti zkušebních jízd při rychlosti 65 ± 2 km/hod za použití pneumatik, které nejsou předmětem zkušebního programu.

4.2.4    Podmínky vlhčení

Tažné vozidlo a přívěs nebo vozidlo, na němž je prováděna zkouška pneumatik, mohou být nepovinně vybaveny systémem pro vlhčení vozovky, kromě nádrže, která je v případě přívěsu namontována na tažné vozidlo. Voda musí být aplikována na vozovku před zkušebními pneumatikami tryskou navrženou tak, aby bylo zajištěno, že vodní vrstva, která přijde do styku se zkušební pneumatikou, je při zkušební rychlosti stejnoměrná, s minimálním postřikem mimo cílovou plochu.

Konfigurace a umístění trysky musí být takové, aby bylo zajištěno, že proudy vody směřují přímo ke zkušební pneumatice a jsou namířeny k vozovce pod úhlem 20° až 30°.

Voda musí dopadat na vozovku v rozmezí od 0,25 do 0,45 m před středem stykové plochy pneumatiky. Tryska musí být umístěna ve výšce 25 mm nad vozovkou nebo minimálně tak vysoko, aby se vyhnula překážkám, které se v rámci zkoušky mohou objevit, v žádném případě však nesmí být umístěna výše než 100 mm nad vozovkou.

Vodní vrstva musí být alespoň o 25 mm širší než běhoun zkoušené pneumatiky a musí být aplikována tak, aby pneumatika byla umístěna ve středu mezi okraji. Množství vody musí být dostatečné k tomu, aby vrstva vody byla hluboká 1,0 ± 0,5 mm, a musí být během zkoušky stejnoměrné v rozmezí ±10 %. Množství vody na jednotku vlhčené šířky musí být přímo úměrné zkušební rychlosti. Množství vody použité při rychlosti 65 km/h je 18 l·s-1 na metr šířky vlhčeného povrchu v případě, že je hloubka vody 1,0 mm.

4.2.5    Pneumatiky a ráfky

4.2.5.1    Příprava pneumatik a brzdění

Ze zkušebních pneumatik se odstraní veškeré výčnělky na povrchu běhounu způsobené tvářením větracích otvorů, případně otřepy ve vylisovaných spojích.

Zkušební pneumatika se namontuje na zkušební ráfek udaný výrobcem pneumatiky.

Za použití vhodného maziva je třeba náležitým způsobem vytvořit sedlo pro patku pláště. Je třeba se vyhnout nadměrnému používání maziva, jež může způsobit uklouznutí pneumatiky po ráfku kola.

Sestavy zkušebních pneumatik / ráfků se skladují na příslušném místě minimálně dvě hodiny, tak, aby měly před zahájením zkoušky všechny stejnou teplotu odpovídající okolnímu prostředí. Tyto sestavy by měly být chráněny proti slunci, aby se zabránilo nadměrnému zahřívání slunečním zářením.

Pokud jde o brzdění pneumatik, provedou se dvě zkušební jízdy za účelem ověření účinnosti brzd při zatížení, tlaku a rychlosti, jak je uvedeno v oddílech 4.2.5.2, 4.2.5.3 a 4.2.7.1.

4.2.5.2    Zatížení pneumatiky

Zkušební zatížení zkušební pneumatiky je 75 ± 5 % únosnosti pneumatiky.

4.2.5.3    Tlak v pneumatice

Tlak ve zkušební pneumatice za studena je 180 kPa u pneumatik pro běžné zatížení. U pneumatik pro vysoké zatížení je tlak za studena 220 kPa.

Tlak v pneumatikách by měl být bezprostředně před zkouškou zkontrolován a podle potřeby upraven při teplotě odpovídající okolnímu prostředí.

4.2.6    Příprava tažného vozidla a přívěsu nebo vozidla, na němž je prováděna zkouška pneumatik

4.2.6.1    Přívěs

U přívěsů s jednou nápravou se výška přívěsného zařízení a příčná poloha upraví, jakmile je zkušební pneumatika nastavena na stanovenou hodnotu zkušebního zatížení, aby se zabránilo narušení výsledků měření. Podélná vzdálenost od střednice připojení spojovacího zařízení k příčné střednici nápravy přívěsu musí být alespoň desetinásobkem „výšky přívěsného zařízení“ nebo „výšky spojovacího zařízení (přívěsného zařízení)“.

4.2.6.2    Přístrojové vybavení a zařízení

Nainstalujte páté kolo, je-li používáno, v souladu se specifikacemi výrobce a umístěte je co nejblíže prostředku dráhy tažného vozidla nebo vozidla, na němž je prováděna zkouška pneumatik.

4.2.7    Postup

4.2.7.1    Zkušební jízda

U každé zkušební jízdy se použije následující postup:

1) Tažné vozidlo nebo vozidlo, na němž je prováděna zkouška pneumatik, je na zkušební dráze řízeno po přímce při stanovené rychlosti 65 ± 2 km/h.

2) Je spuštěn systém pro záznam.

3) Voda je na vozovku před zkušebními pneumatikami aplikována cca 0,5 s před použitím brzd (u vnitřního systému vlhčení).

4) Brzdy přívěsu jsou aktivovány v rozmezí 2 metrů od bodu měření třecích vlastností u mokrého povrchu a vrstvy písku podle bodů 4 a 5 oddílu 3.1. Hodnota brzdné síly musí být taková, aby se časový interval mezi počátečním použitím brzdné síly a maximální podélnou silou pohyboval v rozmezí 0,2 s až 0,5 s.

5) Systém pro záznam je zastaven.

4.2.7.2    Zkušební cyklus

Na základě následujícího postupu se provede řada zkušebních jízd za účelem měření indexu přilnavosti za mokra u zkoušených pneumatik (T), přičemž se každá zkušební jízda provede na stejném místě zkušební dráhy a ve stejném směru. V rámci téhož zkušebního cyklu lze měřit až tři zkoušené pneumatiky, za předpokladu, že jsou zkoušky provedeny tentýž den.

1) Nejprve je provedena zkouška referenční pneumatiky.

2) Po provedení alespoň šesti platných měření v souladu s oddílem 4.2.7.1 je referenční pneumatika nahrazena zkoušenou pneumatikou.

3) Po provedení šesti platných měření zkoušené pneumatiky lze uskutečnit měření dalších dvou zkoušených pneumatik.

4) Zkušební cyklus je ukončen šesti dalšími platnými měřeními stejné referenční pneumatiky jako na začátku zkušebního cyklu.

 Sled zkušebního cyklu tří zkoušených pneumatik (T1 až T3) a referenční pneumatiky (R) vypadá takto:

 R-T1-T2-T3-R

 Sled zkušebního cyklu pěti zkoušených pneumatik (T1 až T5) a referenční pneumatiky (R) vypadá takto:

 R-T1-T2-T3-R-T4-T5-R

4.2.8    Zpracování výsledků měření

4.2.8.1    Výpočet koeficientu maximální brzdné síly pneumatiky

Koeficient maximální brzdné síly pneumatiky (μpeak) je nejvyšší hodnotou μ(t) dosaženou před zablokováním, která se vypočítá při každé zkušební jízdě následujícím způsobem. Za účelem odstranění hluku by měly být filtrovány analogové signály. Digitálně zaznamenávané signály musí být filtrovány za použití techniky klouzavého průměru.

image

kde:

μ(t) je dynamický koeficient brzdné síly pneumatiky v reálném čase

fh(t) je dynamická brzdná síla v reálném čase v N

fv(t) je dynamické svislé zatížení v reálném čase v N

4.2.8.2    Validace výsledků

Variační koeficient μpeak se vypočítá následujícím způsobem:

(standardní odchylka / průměr) x 100

U referenčních pneumatik (R) : Pokud je variační koeficient koeficientu maximální brzdné síly (μpeak) referenční pneumatiky vyšší než 5 %, žádné údaje se neberou v úvahu a zkoušku je třeba provést znovu u všech zkušebních pneumatik (u zkoušené pneumatiky / zkoušených pneumatik i referenční pneumatiky).

U zkoušené pneumatiky / zkoušených pneumatik (T). : Variační koeficient koeficientu maximální brzdné síly (μpeak) se vypočítá u každé zkoušené pneumatiky. Pokud je některý z variačních koeficientů vyšší než 5 %, je třeba údaje vyřadit a zkoušku je třeba u dotčené zkoušené pneumatiky opakovat.

4.2.8.3    Výpočet upraveného průměrného koeficientu maximální brzdné síly

Průměrný koeficient maximální brzdné síly referenční pneumatiky použitý při výpočtu jejího koeficientu brzdné síly je upraven v závislosti na umístění každé zkoušené pneumatiky v daném zkušebním cyklu.

Tento upravený průměrný koeficient maximální brzdné síly referenční pneumatiky (Ra) se vypočítá podle tabulky 3, kde R1 je průměrný koeficient maximální brzdné síly pneumatiky zjištěný v rámci první zkoušky referenční pneumatiky (R) a R2 je průměrný koeficient maximální brzdné síly pneumatiky v rámci druhé zkoušky téže referenční pneumatiky (R).



Tabulka 3

Počet zkoušených pneumatik v rámci jednoho zkušebního cyklu

Zkoušená pneumatika

Ra

1

(R1 -T1-R2 )

T1

Ra = 1/2 (R1 + R2 )

2

(R1 -T1-T2-R2 )

T1

Ra = 2/3 R1 + 1/3 R2

T2

Ra = 1/3 R1 + 2/3 R2

3

(R1 -T1-T2-T3-R2 )

T1

Ra = 3/4 R1 + 1/4 R2

T2

Ra = 1/2 (R1 +R2 )

T3

Ra = 1/4 R1 + 3/4 R2

4.2.8.4    Výpočet průměrného koeficientu maximální brzdné síly pneumatiky (μ peak,ave)

Průměrná hodnota koeficientů maximální brzdné síly (μpeak,ave ) se vypočítá podle tabulky 4, kde Ta (a = 1, 2 nebo 3) je průměr koeficientů maximální brzdné síly měřený u jedné zkoušené pneumatiky v rámci jednoho zkušebního cyklu.



Tabulka 4

Zkušební pneumatika

μpeak,ave

Referenční pneumatika

μpeak,ave(R) = Ra jako u tabulky 3

Zkoušená pneumatika

μpeak,ave (T) = Ta

4.2.8.5    Výpočet indexu přilnavosti za mokra zkoušené pneumatiky

Index přilnavosti za mokra zkoušené pneumatiky (G(T)) se vypočítá takto:

image

kde:

  t je teplota mokrého povrchu silnice ve stupních Celsia naměřená při zkoušení zkušební pneumatiky (T)

  t0 je referenční teplota mokrého povrchu

  t0 = 20 °C u běžných pneumatik a t0 = 10 °C u pneumatik pro jízdu na sněhu

  μpeak,ave(R0) = 0,85 je koeficient maximální brzdné síly u referenčních pneumatik při dodržení referenčních podmínek

  a = –0,4232 a b = -8,297 u běžných pneumatik, a = 0,7721 a b = 31,18 u pneumatik pro jízdu na sněhu




Dodatek A

Příklady zkušebních protokolů týkajících se indexu přilnavosti za mokra

PŘÍKLAD 1:   Zkušební protokol týkající se indexu přilnavosti za mokra za použití metody s využitím přívěsu



Číslo zkušebního protokolu:

 

Datum zkoušky:

Typ povrchu vozovky:

 

Hloubka struktury povrchu:

μ peak (SRTT14″ E 1136):

 

BPN:

Rychlost (km/h):

 

Hloubka vody (mm):



Č.

1

2

3

4

5

6

7

8

9

10

Velikost

 

 

 

 

 

 

 

 

 

 

Provozní popis

 

 

 

 

 

 

 

 

 

 

Identifikace pneumatiky

 

 

 

 

 

 

 

 

 

 

Ráfek

 

 

 

 

 

 

 

 

 

 

Vzorek

 

 

 

 

 

 

 

 

 

 

Zatížení (N)

 

 

 

 

 

 

 

 

 

 

Tlak (kPa)

 

 

 

 

 

 

 

 

 

 

μ peak

1

 

 

 

 

 

 

 

 

 

 

 

2

 

 

 

 

 

 

 

 

 

 

 

3

 

 

 

 

 

 

 

 

 

 

 

4

 

 

 

 

 

 

 

 

 

 

 

5

 

 

 

 

 

 

 

 

 

 

 

6

 

 

 

 

 

 

 

 

 

 

 

7

 

 

 

 

 

 

 

 

 

 

 

8

 

 

 

 

 

 

 

 

 

 

Průměr

 

 

 

 

 

 

 

 

 

 

Standardní odchylka σ

 

 

 

 

 

 

 

 

 

 

(σ/průměr) ≤ 5 %

 

 

 

 

 

 

 

 

 

 

Ra, upravené

 

 

 

 

 

 

 

 

 

 

Index přilnavosti za mokra

 

 

 

 

 

 

 

 

 

 

Teplota povrchu (°C)

 

 

 

 

 

 

 

 

 

 

Teplota okolního prostředí (°C)

 

 

 

 

 

 

 

 

 

 

Poznámky

 

 

 

 

 

 

 

 

 

 

PŘÍKLAD 2:   Zkušební protokol týkající se indexu přilnavosti za mokra za použití metody využívající osobní automobil



Řidič:

 

Datum zkoušky:

 

 

 

 

 

 

 

Dráha:

 

Osobní vozidlo:

 

Počáteční rychlost (km/h):

 

Hloubka struktury povrchu (mm):

 

Značka:

 

Konečná rychlost (km/h):

BPN:

 

Model:

 

 

Hloubka vody (mm):

 

Typ:

 

 



Č.

1

2

3

4

5

Značka

Uniroyal

PNEUMATIKA B

PNEUMATIKA C

PNEUMATIKA D

Uniroyal

Vzorek

ASTM F 2493 SRTT16″

VZOREK B

VZOREK C

VZOREK D

ASTM F 2493 SRTT16″

Velikost

P225/60R16

VELIKOST B

VELIKOST C

VELIKOST D

P225/60R16

Provozní popis

97S

LI/SS

LI/SS

LI/SS

97S

Identifikace pneumatiky

XXXXXXXXX

YYYYYYYYY

ZZZZZZZZZ

NNNNNNNNN

XXXXXXXXX

Ráfek

 

 

 

 

 

Tlak na přední nápravu (kPa)

 

 

 

 

 

Tlak na zadní nápravu (kPa)

 

 

 

 

 

Zatížení přední nápravy (N)

 

 

 

 

 

Teplota mokrého povrchu (°C)

 

 

 

 

 

Okolní teplota (°C)

 

 

 

 

 

 

Brzdná vzdálenost

(m)

Průměrné zpomalení

(m/s2)

Brzdná vzdálenost

(m)

Průměrné zpomalení

(m/s2)

Brzdná vzdálenost

(m)

Průměrné zpomalení

(m/s2)

Brzdná vzdálenost

(m)

Průměrné zpomalení

(m/s2)

Brzdná vzdálenost

(m)

Průměrné zpomalení

(m/s2)

Měření

1

 

 

 

 

 

 

 

 

 

 

 

2

 

 

 

 

 

 

 

 

 

 

 

3

 

 

 

 

 

 

 

 

 

 

 

4

 

 

 

 

 

 

 

 

 

 

 

5

 

 

 

 

 

 

 

 

 

 

 

6

 

 

 

 

 

 

 

 

 

 

 

7

 

 

 

 

 

 

 

 

 

 

 

8

 

 

 

 

 

 

 

 

 

 

 

9

 

 

 

 

 

 

 

 

 

 

 

10

 

 

 

 

 

 

 

 

 

 

Průměrná AD (m/s2)

 

 

 

 

 

Standardní odchylka (m/s2)

 

 

 

 

 

Validace výsledků

Variační koeficient (%) < 3 %

 

 

 

 

 

Upravené průměrné AD ref. pneumatiky:

R a (m/s2)

 

 

 

 

 

BFC(R) referenční pneumatiky (SRTT16″)

 

 

 

 

 

BFC(T) zkoušená pneumatika

 

 

 

 

 

Index přilnavosti za mokra (%)

 

 

 

 

 



( 1 ) Úř. věst. L 123, 12.5.2016, s. 1.

( 2 ) Rozměr ASTM E 1136 SRTT je P195/75R14.

Top