Choose the experimental features you want to try

This document is an excerpt from the EUR-Lex website

Document C:2014:082E:FULL

Úřední věstník Evropské unie, CE 082, 21. březen 2014


Display all documents published in this Official Journal
 

ISSN 1977-0863

doi:10.3000/19770863.CE2014.082.ces

Úřední věstník

Evropské unie

C 82E

European flag  

České vydání

Informace a oznámení

Svazek 57
21. března 2014


Oznámeníč.

Obsah

Strana

 

III   Přípravné akty

 

RADA

2014/C 082E/01

Postoj Rady (EU) č. 3/2014 v prvním čtení k přijetí nařízení Evropského parlamentu a Rady o hladině akustického tlaku motorových vozidel a náhradních systémů tlumení hluku a o změně směrnice 2007/46/ES a o zrušení směrnice 70/157/EHS
Přijatý Radou dne 20. února 2014

1

CS

 


III Přípravné akty

RADA

21.3.2014   

CS

Úřední věstník Evropské unie

CE 82/1


POSTOJ RADY (EU) č. 3/2014 V PRVNÍM ČTENÍ

k přijetí nařízení Evropského parlamentu a Rady o hladině akustického tlaku motorových vozidel a náhradních systémů tlumení hluku a o změně směrnice 2007/46/ES a o zrušení směrnice 70/157/EHS

Přijatý Radou dne 20. února 2014

2014/C 82 E/01

EVROPSKÝ PARLAMENT A RADA EVROPSKÉ UNIE,

s ohledem na Smlouvu o fungování Evropské unie, a zejména na článek 114 této smlouvy,

s ohledem na návrh Evropské komise,

po postoupení návrhu legislativního aktu vnitrostátním parlamentům,

s ohledem na stanovisko Evropského hospodářského a sociálního výboru (1),

v souladu s řádným legislativním postupem (2),

vzhledem k těmto důvodům:

(1)

Podle čl. 26 odst. 2 Smlouvy o fungování Evropské unie (dále jen „Smlouva o fungování EU“) zahrnuje vnitřní trh prostor bez vnitřních hranic, v němž je třeba zajistit volný pohyb zboží, osob, služeb a kapitálu. Za tímto účelem byl v Unii zaveden komplexní systém EU schvalování typu motorových vozidel. Technické požadavky na EU schvalování typu motorových vozidel a jejich systémů tlumení hluku s ohledem na přípustné hladiny akustického tlaku by měly být harmonizovány, aby se zamezilo přijímání různých požadavků pro jednotlivé členské státy, aby bylo zajištěno řádné fungování vnitřního trhu a aby byla současně zajištěna vysoká úroveň ochrany životního prostředí a veřejné bezpečnosti a vyšší úroveň života a zdraví, a to vzhledem ke skutečnosti, že silniční vozidla jsou podstatným zdrojem hluku v odvětví dopravy.

(2)

Požadavky na EU schválení typu se již uplatňují v rámci právních předpisů Unie upravujících různé aspekty výkonnosti motorových vozidel, jako jsou emise CO2 z automobilů a lehkých užitkových vozidel, emise znečišťujících látek a bezpečnostní normy. Technické požadavky podle tohoto nařízení by měly být vypracovány způsobem, který zajistí konzistentní přístup napříč těmito právními předpisy Unie, a to při zohlednění všech příslušných faktorů hluku.

(3)

Hluk z dopravy škodí zdraví mnoha způsoby. Vleklý stres způsobený hlukem může vyčerpat lidské fyzické rezervy, narušit regulační kapacitu funkcí jednotlivých orgánů, a tím omezit jejich funkčnost. Hluk z dopravy je potenciálním rizikovým faktorem pro zvýšený výskyt zdravotních potíží a příhod, jako jsou vysoký krevní tlak a infarkt. Účinky hluku z dopravy by měly být dále zkoumány stejným způsobem, jako je stanoveno ve směrnici Evropského parlamentu a Rady 2002/49/ES (3).

(4)

Směrnice Rady 70/157/EHS (4) harmonizovala rozdílné technické požadavky členských států týkající se přípustné hladiny akustického tlaku motorových vozidel a jejich výfukových systémů za účelem vytvoření a fungování vnitřního trhu. Pro účely řádného fungování vnitřního trhu a zajištění jednotného a důsledného uplatňování v celé Unii je vhodné nahradit uvedenou směrnici tímto nařízením.

(5)

Toto nařízení je samostatným nařízením v rámci postupu schvalování typu podle směrnice Evropského parlamentu a Rady 2007/46/ES (5). Přílohy IV, VI a XI uvedené směrnice by proto měly být odpovídajícím způsobem změněny.

(6)

Směrnice 70/157/EHS odkazuje na předpis č. 51 Evropské hospodářské komise OSN (EHK OSN) o emisích hluku (6), v němž je stanovena zkušební metoda pro emise hluku, a na předpis č. 59 Evropské hospodářské komise OSN (EHK OSN) o jednotných ustanoveních pro schvalování typu náhradních systémů tlumení hluku výfuku (7). Jako smluvní strana dohody EHK OSN ze dne 20. března 1958 o přijetí jednotných technických pravidel pro kolová vozidla, zařízení a části, které se mohou montovat nebo užívat na kolových vozidlech, a o podmínkách pro vzájemné uznávání schválení typu udělených na základě těchto pravidel (8) se Unie rozhodla uvedené předpisy uplatňovat.

(7)

Od svého přijetí byla směrnice 70/157/EHS již několikrát podstatným způsobem změněna. Poslední snížení mezních hodnot akustického tlaku pro motorová vozidla, zavedené v roce 1995, nepřineslo očekávané účinky. Studie ukázaly, že zkušební metoda používaná podle uvedené směrnice již neodráží skutečný styl řízení v městském provozu. Zkušební metoda podcenila zejména podíl hluku způsobeného odvalováním pneumatik na celkových emisích hluku, na což poukázala Zelená kniha o budoucí politice ochrany proti hluku ze dne 4. listopadu 1996.

(8)

Toto nařízení by tedy mělo zavést jinou zkušební metodu, než která je stanovena ve směrnici 70/157/EHS. Tato nová metoda by měla být založena na zkušební metodě, kterou zveřejnila pracovní skupina EHK OSN zaměřená na hluk (GRB) v roce 2007 a která zahrnula verzi normy ISO 362 z roku 2007. Výsledky sledování původní a nové zkušební metody byly předloženy Komisi.

(9)

Tato nová zkušební metoda je považována za reprezentativní pro emise hluku při běžném provozu, ale má menší vypovídací hodnotu pro emise hluku v nejnepříznivějších podmínkách. Je tudíž nutné v rámci tohoto nařízení přijmout další ustanovení týkající se emisí hluku. Tato ustanovení by měla obsahovat preventivní požadavky, jejichž účelem je pokrýt jízdní podmínky vozidla ve skutečném provozu, které nejsou zahrnuty v jízdním cyklu schvalování typu, a předejít obcházení emisních požadavků (tzv. cycle beating). Tyto jízdní podmínky mají svůj význam z hlediska životního prostředí a je důležité zajistit, aby se hlukové emise vozidla za silničních jízdních podmínek významně nelišily od výsledků zkoušky schválení typu pro dané vozidlo.

(10)

Toto nařízení by mělo rovněž dále snížit mezní hodnoty hladiny akustického tlaku. Měly by v něm být zohledněny nové přísnější požadavky na hluk pocházející z pneumatik motorových vozidel stanovené v nařízení Evropského parlamentu a Rady (ES) č. 661/2009 (9). Je třeba také zohlednit studie, které zdůrazňují obtěžování a nepříznivé účinky na zdraví způsobené hlukem ze silniční dopravy a související náklady a výhody.

(11)

Celkové mezní hodnoty by měly být sníženy s ohledem na všechny zdroje hluku z motorových vozidel, včetně sání u pohonu a výfukového systému, s přihlédnutím k podílu pneumatik na snížení hluku podle nařízení (ES) č. 661/2009.

(12)

Na výrobky, na něž se vztahuje toto nařízení, se použije kapitola III nařízení Evropského parlamentu a Rady (ES) č. 765/2008 (10), podle níž mají členské státy provádět dozor nad trhem a kontrolu výrobků, které vstupují na trh Unie.

(13)

Hluk je komplexním problémem, má řadu různých zdrojů a pojí se k němu řada faktorů, jež ovlivňují zvuk vnímaný lidmi a dopad tohoto zvuku na ně. Hladiny hluku vozidel jsou částečně podmíněny prostředím, v němž se vozidla využívají, zejména kvalitou silniční infrastruktury, a proto vyžadují integrovanější přístup. Směrnice 2002/49/ES vyžaduje, aby byly pravidelně vypracovávány strategické hlukové mapy, a to mimo jiné u hlavních silnic. Informace uvedené v těchto mapách by mohly být základem pro budoucí výzkumnou práci zaměřenou na hluk ve venkovním prostředí obecně, a zejména na hluk související s povrchem vozovky, jakož i pro příručky s osvědčenými postupy pro rozvíjení technologické kvality silnic a případně klasifikace typů povrchů silnic.

(14)

Šestý akční program Společenství pro životní prostředí (11) stanovil rámec pro tvorbu politik v oblasti životního prostředí v Unii na období 2002–2012. Tento program vyzval k opatřením v oblasti znečištění hlukem, která by podstatně snížila počet osob pravidelně vystavených dlouhodobě průměrným hladinám hluku pocházejícího zejména z dopravy.

(15)

Technická opatření ke snížení hladiny akustického tlaku motorových vozidel mají za cíl plnit různé požadavky, které si mohou vzájemně odporovat, jako například snížení hluku a emisí znečišťujících látek a zvýšení bezpečnosti při zachování co nejnižší ceny a co nejvyšší účinnosti daného vozidla. Ve snaze splnit všechny tyto požadavky stejnou měrou a zajistit mezi nimi rovnováhu naráží automobilový průmysl příliš často na hranice toho, co je v současné době možné technicky provést. Konstruktérům vozidel se prostřednictvím využívání nových, inovativních materiálů a metod podařilo vždy znovu tuto hranici posunout. Právní předpisy Unie by měly stanovit jasný rámec pro inovace, který je časově realizovatelný. Toto nařízení právě takový rámec stanoví, čímž se neprodleně podpoří společensky podmíněný rozvoj inovací, přičemž nebude nijak omezena hospodářská svoboda, která má pro průmysl zásadní význam.

(16)

Znečištění hlukem je především lokální problém, který však vyžaduje řešení na úrovni Unie. Prvním krokem každé udržitelné politiky v oblasti emisí hluku musí být proto přijetí opatření na snížení hluku u zdroje. Jelikož se toto nařízení zaměřuje na motorové vozidlo jakožto zdroj hluku, který je z definice pohyblivý, nemohou být čistě vnitrostátní opatření dostatečná.

(17)

Poskytování informací o emisích hluku spotřebitelům a veřejným orgánům může mít vliv na jejich rozhodování o koupi vozidel a urychlit přechod k méně hlučným vozidlům. Proto by výrobci měli na prodejních místech a v propagačních technických materiálech poskytovat informace o hladinách akustického tlaku vozidel. O emisích hluku daného vozidla by měli být spotřebitelé informováni prostřednictvím značky, která by se podobala značkám informujícím o emisích CO2, spotřebě paliva a hlučnosti pneumatik. Komise by měla provést posouzení dopadů, pokud jde o podmínky označování, které se vztahují na míru znečištění ovzduší a hladinu znečištění hlukem a na informace pro spotřebitele. Toto posouzení dopadů by mělo zohlednit různé druhy vozidel, na něž se toto nařízení vztahuje (včetně elektrických vozidel), jakož i vliv, který by takové označování mohlo mít na automobilový průmysl.

(18)

S cílem snížit hluk ze silniční dopravy by měly mít veřejné orgány možnost zavést opatření a pobídky k podpoře používání méně hlučných vozidel.

(19)

Výhody pro životní prostředí očekávané od vozidel s hybridním elektrickým pohonem nebo elektrických vozidel přinesly výrazné snížení hluku, který tato vozidla generují. Byl tak odstraněn důležitý zdroj slyšitelného signálu, na základě něhož mohou vedle dalších účastníků silničního provozu i nevidomí a zrakově postižení chodci a cyklisté rozpoznat, že se tato vozidla přibližují, nacházejí se v jejich blízkosti nebo se vzdalují. V důsledku toho vyvíjí průmysl akustické varovné systémy vozidel (dále jen „systémy AVAS“), jejichž úkolem je tento chybějící slyšitelný signál u vozidel s hybridním elektrickým pohonem a elektrických vozidel nahradit. Výkonové vlastnosti systémů AVAS, které jsou do vozidel instalovány, by měly být harmonizovány. Při vývoji systémů AVAS je třeba přihlédnout k celkovému dopadu hluku na obyvatelstvo.

(20)

Komise by měla prověřit potenciál aktivních bezpečnostních systémů v tišších vozidlech, například vozidlech s hybridním elektrickým pohonem a elektrických vozidlech, aby lépe sloužil cíli, kterým je zvýšení bezpečnosti zranitelných účastníků silničního provozu v městských oblastech, jako jsou slepí, zrakově a sluchově postižení chodci, cyklisté a děti.

(21)

Hladiny akustického tlaku vozidel mají přímý dopad na kvalitu života občanů Unie zejména v městských oblastech, kde je elektrická nebo podzemní veřejná doprava poskytována jen v malé míře nebo vůbec a kde je infrastruktura pro chodce a cyklisty vyvinuta jen velmi málo nebo vůbec. Je také třeba zohlednit cíl zdvojnásobit počet uživatelů veřejné hromadné dopravy, který Evropský parlament stanovil ve svém usnesení ze dne 15. prosince 2011 nazvaném „Plán jednotného evropského dopravního prostoru – vytvoření konkurenčního dopravního systému účinně využívajícího zdroje“ (12). Za účelem snížení emisí hluku v městských oblastech by měla Komise a členské státy v souladu se zásadou subsidiarity podporovat veřejnou dopravu, pěší chůzi a jízdu na kole.

(22)

Hladina akustického tlaku vozidla se částečně odvíjí od toho, jak je vozidlo používáno a jak kvalitní je jeho údržba po nákupu. Proto by se měly učinit kroky ke zvýšení informovanosti veřejnosti v Unii o tom, jak je důležité osvojit si zásady plynulé jízdy a dodržovat rychlostní limity platné v jednotlivých členských státech.

(23)

Za účelem zjednodušení právních předpisů Unie pro schvalování typu a v souladu s doporučeními uvedenými ve zprávě skupiny CARS 21 z roku 2007 je vhodné toto nařízení založit na předpisu EHK OSN č. 51, pokud jde o zkušební metodu, a na předpisu č. 59, pokud jde o náhradní systémy tlumení hluku.

(24)

Aby Komise mohla přizpůsobit požadavky uvedené v přílohách I, IV, VIII a X tohoto nařízení technickému a vědeckému vývoji, měla by jí být svěřena pravomoc přijímat akty v souladu s článkem 290 Smlouvy o fungování Evropské unie, pokud jde o změny uvedených příloh tohoto nařízení týkající se zkušebních metod a hladin akustického tlaku. Je obzvláště důležité, aby Komise během přípravné práce prováděla náležité konzultace, a to i na odborné úrovni. Při přípravě a vypracovávání aktů v přenesené pravomoci by Komise měla zajistit, aby byly příslušné dokumenty předány současně, včas a vhodným způsobem Evropskému parlamentu a Radě.

(25)

Jelikož cíle tohoto nařízení, totiž stanovit správní a technické požadavky na EU schvalování typu všech nových vozidel z hlediska jejich hladiny akustického tlaku a náhradních systémů tlumení hluku a jejich konstrukčních částí, kterým je udělováno schválení typu jako samostatným technickým celkům a jež jsou určeny pro tato vozidla, nemůže být dosaženo uspokojivě na úrovni členských států, ale spíše jej z důvodu jeho rozsahu a účinků může být lépe dosaženo na úrovni Unie, smí Unie přijmout opatření v souladu se zásadou subsidiarity stanovenou v článku 5 Smlouvy o Evropské unii. V souladu se zásadou proporcionality stanovenou v uvedeném článku nepřekračuje toto nařízení rámec toho, co je nezbytné pro dosažení tohoto cíle.

(26)

V důsledku použití nového regulačního rámce podle tohoto nařízení by měla být směrnice 70/157/EHS zrušena,

PŘIJALY TOTO NAŘÍZENÍ:

Článek 1

Předmět

Toto nařízení stanoví správní a technické požadavky pro EU schválení typu všech nových vozidel kategorií uvedených v článku 2 z hlediska jejich hladiny akustického tlaku a náhradních systémů tlumení hluku a jejich konstrukčních částí, kterým je udělováno schválení typu jako samostatným technickým celkům navrženým a vyrobeným pro vozidla kategorií M1 a N1, za účelem usnadnění jejich registrace, prodeje a uvádění do provozu v Unii.

Článek 2

Oblast působnosti

Toto nařízení se vztahuje na vozidla kategorií M1, M2, M3, N1, N2 a N3, které jsou vymezeny v příloze II směrnice 2007/46/ES, a na náhradní systémy tlumení hluku a jejich konstrukční části, kterým je udělováno schválení typu jako samostatným technickým celkům navrženým a vyrobeným pro vozidla kategorií M1 a N1.

Článek 3

Definice

Pro účely tohoto nařízení se použijí definice stanovené v článku 3 směrnice 2007/46/ES.

Dále se pro účely tohoto nařízení rozumí:

1)

„schválením typu vozidla“ postup uvedený v článku 3 směrnice 2007/46/ES, pokud jde o hladiny akustického tlaku;

2)

„typem vozidla“ kategorie motorových vozidel, která se neliší v takových důležitých ohledech, jako jsou:

a)

v případě vozidel kategorií M1, M2 ≤ 3 500 kg a N1 zkoušených podle bodu 4.1.2.1 přílohy II:

i)

tvar nebo materiály karoserie (zvláště motorového prostoru a jeho zvukové izolace),

ii)

typ motoru (například zážehový nebo vznětový, dvoutakt nebo čtyřtakt, s vratným nebo s rotačním pístem), počet a objem válců, počet a typ karburátorů nebo vstřikovacího systému, uspořádání ventilů či druh elektrického motoru,

iii)

maximální jmenovitý netto výkon a odpovídající otáčky motoru; liší-li se však maximální jmenovitý výkon a odpovídající otáčky motoru pouze v důsledku rozdílného mapování vlastností motoru, mohou být tato vozidla považována za vozidla stejného typu,

iv)

systém tlumení hluku;

b)

v případě vozidel kategorií M2 > 3 500 kg, M3, N2 a N3 zkoušených podle bodu 4.1.2.2 přílohy II:

i)

tvar nebo materiály karoserie (zvláště motorového prostoru a jeho zvukové izolace),

ii)

typ motoru (například zážehový nebo vznětový, dvoutakt nebo čtyřtakt, s vratným nebo s rotačním pístem), počet a objem válců, typ vstřikovacího systému, uspořádání ventilů, jmenovité otáčky motoru či druh elektrického motoru,

iii)

vozidla se stejným typem motoru či různými celkovými převodovými poměry lze považovat za vozidla stejného typu.

Pokud však rozdíly podle písmene b) vyžadují odlišné cílové podmínky, jak je uvedeno v bodu 4.1.2.2 přílohy II, považují se za změnu typu;

3)

„maximální technicky přípustnou hmotností naloženého vozidla“ (M) maximální hmotnost stanovená pro vozidlo na základě jeho konstrukčních vlastností a konstrukční výkonnosti; technicky přípustná hmotnost naloženého přívěsu nebo návěsu zahrnuje statickou hmotnost přenesenou na připojené tažné vozidlo;

4)

„maximálním jmenovitým netto výkonem“ (Pn) výkon motoru vyjádřený v kW a měřený metodou EHK OSN podle předpisu EHK OSN č. 85 (13);

Pokud lze maximálního jmenovitého netto výkonu dosáhnout při různých otáčkách motoru, použijí se ty nejvyšší;

5)

„standardním vybavením“ základní konfigurace vozidla včetně veškerých prvků, které jsou namontovány, aniž by tím vznikaly nějaké další požadavky na konfiguraci nebo úroveň vybavení, ale jsou vybaveny všemi prvky požadovanými regulačními akty uvedenými v příloze IV nebo příloze XI směrnice 2007/46/ES;

6)

„hmotností řidiče“ se rozumí hmotnost 75 kg působící ve vztažném bodu místa k sezení řidiče;

7)

„hmotností vozidla v pohotovostním stavu“ (mro)

a)

u motorového vozidla:

hmotnost vozidla s palivovou nádrží (palivovými nádržemi) naplněnou (naplněnými) alespoň na 90 % jejího (jejich) objemu, včetně hmotnosti řidiče, paliva a kapalin, vybaveného standardním vybavením podle specifikací výrobce, a jsou-li namontovány, i včetně hmotnosti karoserie, kabiny, spojovacího zařízení a náhradního kola (náhradních kol) a nářadí;

b)

u přívěsu:

hmotnost vozidla včetně paliva a kapalin, vybaveného standardním vybavením podle specifikací výrobce, a jsou-li namontovány, i včetně hmotnosti karoserie, kabiny, dalšího spojovacího zařízení (dalších spojovacích zařízení), náhradního kola (náhradních kol) a nářadí;

8)

„jmenovitými otáčkami motoru“ (S) uváděné otáčky motoru v min–1 (ot./min.), při nichž má motor maximální jmenovitý netto výkon podle předpisu EHK OSN č. 85, nebo, pokud lze maximálního jmenovitého netto výkonu dosáhnout při různých otáčkách motoru, nejvyšší z těchto otáček;

9)

„indexem poměru výkonu k hmotnosti“ (PMR) číselná veličina vypočítaná podle vzorce uvedeného v bodě 4.1.2.1.1 přílohy II;

10)

„vztažným bodem“ jeden z těchto bodů:

a)

v případě vozidel kategorií M1 a N1:

i)

u vozidel s motorem vpředu přední konec vozidla,

ii)

u vozidel s motorem uprostřed střed vozidla,

iii)

u vozidel s motorem vzadu zadní konec vozidla;

b)

v případě vozidel kategorií M2, M3, N2 a N3 okraj motoru nejblíže přední části vozidla.

11)

„cílovou akcelerací“ akcelerace při částečném otevření klapky akcelerátoru při městském provozu, která je odvozena ze statistických šetření;

12)

„motorem“ zdroj energie bez oddělitelných částí;

13)

„vztažnou akcelerací“ požadovaná akcelerace při akcelerační zkoušce na zkušební dráze;

14)

„váhovým faktorem převodového poměru“ (k) bezrozměrná číselná veličina užívaná pro vážené sloučení výsledků akcelerační zkoušky a zkoušky při ustálené rychlosti dvou převodových poměrů;

15)

„faktorem částečného výkonu“ (kp) bezrozměrná číselná veličina užívaná pro vážené sloučení výsledků akcelerační zkoušky a zkoušky při ustálené rychlosti vozidel;

16)

„předčasnou akcelerací“ použití zařízení akcelerátoru před přímkou AA' za účelem dosažení stabilní akcelerace mezi přímkami AA' a BB', jak znázorňuje obrázek 1 dodatku 1 k příloze II;

17)

„uzamčenými převodovými poměry“ takové ovládání převodovky, při kterém se převodový stupeň během zkoušky nemůže změnit;

18)

„systémem tlumení hluku“ úplný soubor konstrukčních částí nutných k omezování hluku vytvářeného motorem a výfukem vozidla;

19)

„systémy tlumení hluku rozdílných typů“ systémy tlumení hluku, které se významně liší alespoň v jednom z těchto ohledů:

a)

obchodní názvy nebo značky jejich konstrukčních částí;

b)

charakteristiky materiálů, z nichž jsou vyrobeny jejich konstrukční části, s výjimkou povrchové úpravy těchto konstrukčních částí;

c)

tvar nebo velikost jejich konstrukčních částí;

d)

principy fungování alespoň jedné z jejich konstrukčních částí;

e)

montáž jejich konstrukčních částí;

f)

počet systémů tlumení hluku výfuku nebo konstrukčních částí;

20)

„konstrukční skupinou systému tlumení hluku nebo konstrukčních částí systému tlumení hluku“ skupina systémů tlumení hluku nebo jejich konstrukčních částí, v níž se všechny z následujících charakteristik shodují:

a)

přítomnost čistého toku plynu poté, co výfukové plyny projdou přes absorpční vláknitý materiál, se kterým jsou ve styku;

b)

druh vláken;

c)

případně specifikace pojiva;

d)

průměrné rozměry vlákna;

e)

minimální objemová hmotnost balení materiálu v kg/m3;

f)

maximální styčná plocha mezi proudícím plynem a absorpčním materiálem;

21)

„náhradním systémem tlumení hluku“ kterýkoli díl systému tlumení hluku nebo jeho konstrukčních částí určený k používání na vozidle, jiný než díl typu namontovaného na toto vozidlo při jeho přistavení k EU schválení typu podle tohoto nařízení;

22)

„akustickým varovným systémem vozidla“ (AVAS) systémy pro silniční vozidla s hybridním elektrickým pohonem a elektrická silniční vozidla, které vydávají zvuk pro signalizaci přítomnosti vozidla chodcům a jiným účastníkům silničního provozu;

23)

„místem prodeje“ místo, kde jsou vozidla skladována a nabízena k prodeji spotřebitelům;

24)

„propagačními materiály technického charakteru“ technické příručky, brožury, letáky a katalogy (ať už v podobě tištěné, elektronické či on-line), jakož i internetové stránky, jejichž účelem je propagovat vozidla u široké veřejnosti.

Článek 4

Obecné povinnosti členských států

1.   Podle dat pro uplatňování fází stanovených v příloze III tohoto nařízení, a aniž je dotčen článek 23 směrnice 2007/46/ES, členské státy odmítnou z důvodů týkajících se přípustné hladiny akustického tlaku udělit EU schválení typu ohledně typu motorového vozidla, který nesplňuje požadavky tohoto nařízení.

2.   Ode dne 1. července 2016 členské státy odmítnou z důvodů týkajících se přípustné hladiny akustického tlaku udělit EU schválení typu ohledně typu náhradního systému tlumení hluku nebo jeho konstrukčních částí jakožto samostatného technického celku, který nesplňuje požadavky tohoto nařízení.

Členské státy nadále udělují EU schválení typu za podmínek podle směrnice 70/157/EHS náhradním systémům tlumení hluku nebo jejich konstrukčním částem jako samostatným technickým celkům, které jsou určeny pro vozidla, jimž bylo schválení typu uděleno před daty pro uplatňování fází stanovenými v příloze III tohoto nařízení.

3.   Podle dat pro uplatňování fází stanovených v příloze III tohoto nařízení členské státy považují prohlášení o shodě pro nová vozidla za neplatná pro účely článku 26 směrnice 2007/46/ES z důvodů týkajících se přípustné hladiny akustického tlaku a zakáží registraci, prodej a uvádění takových vozidel do provozu, nejsou-li tato vozidla v souladu s tímto nařízením.

4.   Členské státy povolí z důvodů týkajících se přípustné hladiny akustického tlaku prodej a uvádění do provozu náhradních systémů tlumení hluku nebo jejich konstrukčních částí jako samostatných technických celků, pokud jsou ve shodě s typem, pro který bylo uděleno EU schválení typu v souladu s tímto nařízením.

Členské státy povolí prodej a uvádění do provozu náhradních systémů tlumení hluku nebo jejich konstrukčních částí, kterým bylo uděleno EU schválení typu jako samostatným technickým celkům za podmínek podle směrnice 70/157/EHS a jež jsou určeny pro vozidla, jimž bylo schválení typu uděleno před daty pro uplatňování fází stanovenými v příloze III tohoto nařízení.

Článek 5

Obecné povinnosti výrobců

1.   Výrobci zajistí, aby vozidla, jejich motory a jejich systémy tlumení hluku byly navrženy, vyrobeny a smontovány tak, aby vozidla při normálním použití mohla být v souladu s tímto nařízením navzdory vibracím, kterým jsou svojí podstatou vystavena.

2.   Výrobci zajistí, aby systémy tlumení hluku byly navrženy, vyrobeny a smontovány tak, aby mohly dostatečně odolávat korozi, které jsou vystaveny za podmínek používání vozidel, včetně regionálních klimatických podmínek.

3.   Výrobce odpovídá schvalovacímu orgánu za všechna hlediska postupu schvalování a za zajištění shodnosti výroby, ať již je výrobce přímo zapojen do všech fází výroby vozidla, systému, konstrukční části nebo samostatného technického celku, či nikoliv.

Článek 6

Další ustanovení týkající se emisí hluku („Additional sound emission provisions“ – ASEP)

1.   Tento článek se vztahuje na vozidla kategorií M1 a N1, která jsou vybavena spalovacím motorem opatřeným systémy tlumení hluku výrobce původního zařízení, a na náhradní systémy tlumení hluku určené pro tyto kategorie vozidel podle přílohy IX.

2.   Vozidla a náhradní systémy tlumení hluku musí splňovat požadavky přílohy VII.

3.   U vozidel a náhradních systémů tlumení hluku se má bez dalších zkoušek za to, že splňují požadavky přílohy VII, pokud výrobce vozidla předloží schvalovacímu orgánu technickou dokumentaci prokazující, že rozdíl mezi maximálními a minimálními otáčkami motoru vozidel na přímce BB’, jak je uvedeno na obrázku 1 dodatku k příloze II, při jakýchkoli podmínkách zkoušky v rámci regulačního rozsahu ASEP podle definice v bodě 2.3 přílohy VII s ohledem na podmínky stanovené v příloze II, nepřesahuje 0,15 × S.

4.   Emise hluku vozidla nebo náhradního systému tlumení hluku za typických podmínek jízdy na silnici, které se liší od podmínek, za nichž byla prováděna zkouška při schvalování typu stanovená v příloze II a v příloze VII, se nesmí výrazně odchylovat od výsledků zkoušky.

5.   Výrobce vozidla nesmí úmyslně měnit, upravovat ani zavádět či instalovat žádná mechanická, elektrická, tepelná nebo jiná zařízení nebo postupy pouze za účelem splnění požadavků na emise hluku stanovených v tomto nařízení, pokud tato zařízení či tyto postupy nejsou funkční při typických podmínkách jízdy na silnici.

6.   V žádosti o schválení typu uvede výrobce prohlášení podle vzoru uvedeného v dodatku k příloze VII, že typ vozidla nebo náhradní systém tlumení hluku, o jehož schválení se žádá, splňuje požadavky tohoto článku.

7.   Odstavce 1 až 6 se nepoužijí na vozidla kategorie N1, pokud je splněna jedna z těchto podmínek:

a)

zdvihový objem motoru nepřesahuje 660 cm3 a poměr výkonu k hmotnosti vypočtený na základě maximální technicky přípustné hmotnosti naloženého vozidla nepřesahuje hodnotu 35;

b)

užitečné zatížení dosahuje alespoň 850 kg a poměr výkonu k hmotnosti vypočtený na základě maximální technicky přípustné hmotnosti naloženého vozidla nepřesahuje hodnotu 40.

Článek 7

Informování spotřebitelů a označování

Výrobci a distributoři vozidel usilují o zajištění toho, aby hladina akustického tlaku každého vozidla v decibelech (dB(A)), naměřená podle tohoto nařízení, byla uvedena na dobře viditelném místě v místě prodeje a v propagačních materiálech technického charakteru.

S ohledem na zkušenosti vyplývající z uplatňování tohoto nařízení provede Komise do dne 1. července 2018 komplexní posouzení dopadů týkající se podmínek označování, pokud jde o míru znečištění ovzduší, hladinu znečištění hlukem a informování spotřebitelů. O svých závěrech z tohoto posouzení podá Komise zprávu Evropskému parlamentu a Radě a případně předloží legislativní návrh.

Článek 8

Akustický varovný systém vozidla („Acoustic Vehicle Alerting System“ – AVAS)

Nejpozději od 1. července 2019 musí výrobci instalovat systém AVAS, který splňuje požadavky stanovené v příloze VIII, do nových typů vozidel s hybridním elektrickým pohonem a elektrických vozidel. Nejpozději od 1. července 2021 musí výrobci instalovat systém AVAS do všech nových vozidel s hybridním elektrickým pohonem a elektrických vozidel. Pokud se výrobce rozhodne instalovat do vozidel systémy AVAS již před těmito daty, musí zajistit, že budou v souladu s požadavky stanovenými v příloze VIII.

Nejpozději od 1. července 2017 je Komise zmocněna přijímat akty v přenesené pravomoci v souladu s článkem 10 za účelem přezkumu přílohy VIII, pokud jde o podrobnější požadavky na výkonové vlastnosti systému AVAS nebo aktivních bezpečnostních systémů, při zohlednění činnosti EHK OSN v této oblasti.

Článek 9

Změny příloh

Komise je zmocněna přijímat akty v přenesené pravomoci podle článku 10 za účelem změny příloh I, IV, VIII a X a jejich přizpůsobení technickému pokroku.

Článek 10

Výkon přenesené pravomoci

1.   Pravomoc přijímat akty v přenesené pravomoci je Komisi svěřena za podmínek stanovených v tomto článku.

2.   Pravomoc přijímat akty v přenesené pravomoci uvedené ve druhém pododstavci článku 8 a v článku 9 je svěřena Komisi na dobu pěti let ode dne … (14).

3.   Přenesení pravomoci uvedené v druhém pododstavci článku 8 a v článku 9 může Evropský parlament či Rada kdykoli zrušit. Rozhodnutím o zrušení se ukončuje přenesení pravomocí v něm blíže určených. Rozhodnutí nabývá účinku prvním dnem po zveřejnění v Úředním věstníku Evropské unie nebo k pozdějšímu dni, který je v něm upřesněn. Nedotýká se platnosti již platných aktů v přenesené pravomoci.

4.   Přijetí aktu v přenesené pravomoci Komise neprodleně oznámí současně Evropskému parlamentu a Radě.

5.   Akt v přenesené pravomoci přijatý podle druhého odstavce článku 8 nebo podle článku 9 vstoupí v platnost, pouze pokud proti němu Evropský parlament nebo Rada nevysloví námitky ve lhůtě dvou měsíců ode dne, kdy jim byl tento akt oznámen, nebo pokud Evropský parlament i Rada před uplynutím této lhůty informují Komisi o tom, že námitky nevysloví. Z podnětu Evropského parlamentu nebo Rady se tato lhůta prodlouží o dva měsíce.

Článek 11

Ustanovení o přezkumu

Komise provede a zveřejní podrobnou studii o mezních hodnotách hladiny akustického tlaku do 1. července 2021 pro nové druhy vozidel. Studie vezme za základ vozidla splňující nejnovější regulační požadavky. Na základě závěrů této studie Komise případně předloží legislativní návrh.

Článek 12

Změny směrnice 2007/46/ES

Přílohy IV, VI a XI směrnice 2007/46/ES se mění v souladu s přílohou XI tohoto nařízení.

Článek 13

Přechodná ustanovení

1.   Do 30. června 2019 lze pro kontrolu shody zkušební dráhy podle bodu 3.1.1 přílohy II používat místo normy ISO 10844:2011 normu ISO 10844:1994.

2.   Do 30. června 2019 jsou od požadavků stanovených v článku 6 osvobozena vozidla se sériovým hybridním pohonem, která mají spalovací motor bez mechanického napojení na hnací ústrojí.

Článek 14

Zrušení

1.   Aniž je dotčen čl. 4 odst. 2 druhý pododstavec a čl. 4 odst. 4 druhý pododstavec, směrnice 70/157/EHS se zrušuje s účinkem ode dne 1. července 2027.

2.   Odkazy na zrušenou směrnici se považují za odkazy na toto nařízení v souladu se srovnávací tabulkou obsaženou v příloze XII tohoto nařízení.

Článek 15

Vstup v platnost

1.   Toto nařízení vstupuje v platnost dvacátým dnem po vyhlášení v Úředním věstníku Evropské unie.

2.   Použije se ode dne 1. července 2016.

3.   Bod 3.1.1 přílohy II se použije ode dne 1. července 2019.

4.   Část B přílohy XI se použije ode dne 1. července 2027

Toto nařízení je závazné v celém rozsahu a přímo použitelné ve všech členských státech.

V … dne …

Za Evropský parlament

předseda

Za Radu

předseda nebo předsedkyně


(1)  Úř. věst. C 191, 29.6.2012, s. 76.

(2)  Postoj Evropského parlamentu ze dne 6. února 2013 (dosud nezveřejněný v Úředním věstníku) a postoj Rady v prvním čtení ze dne 20. února 2014. Postoj Evropského parlamentu ze dne …

(3)  Směrnice Evropského parlamentu a Rady 2002/49/ES ze dne 25. června 2002 o hodnocení a řízení hluku ve venkovním prostředí (Úř. věst. L 189, 18.7.2002, s. 12).

(4)  Směrnice Rady 70/157/EHS ze dne 6. února 1970 o sbližování právních předpisů členských států týkajících se přípustné hladiny akustického tlaku a výfukového systému motorových vozidel (Úř. věst. L 42, 23.2.1970, s. 16).

(5)  Směrnice Evropského parlamentu a Rady 2007/46/ES ze dne 5. září 2007, kterou se stanoví rámec pro schvalování motorových vozidel a jejich přípojných vozidel, jakož i systémů, konstrukčních součástí a samostatných technických celků určených pro tato vozidla (rámcová směrnice) (Úř. věst. L 263, 9.10.2007, s. 1).

(6)  Předpis č. 51 Evropské hospodářské komise Spojených národů (EHK OSN) – Jednotná ustanovení o schvalování motorových vozidel, která mají nejméně čtyři kola, z hlediska jejich emisí hluku (Úř. věst. L 137, 30.5.2007, s. 68).

(7)  Předpis Evropské hospodářské komise Organizace spojených národů (EHK OSN) č. 59 - Jednotná ustanovení pro schvalování typu náhradních systémů tlumení hluku výfuku (Úř. věst. L 326, 24.11.2006, s. 43).

(8)  Rozhodnutí Rady 97/836/ES ze dne 27. listopadu 1997 o přistoupení Evropského společenství k Dohodě Evropské hospodářské Komise Organizace spojených národů o přijetí jednotných technických pravidel pro kolová vozidla, zařízení a části, které se mohou montovat nebo užívat na kolových vozidlech, a o podmínkách pro vzájemné uznávání schválení typu udělených na základě těchto pravidel (revidovaná dohoda z roku 1958) (Úř. věst. L 346, 17.12.1997, s. 78).

(9)  Nařízení Evropského parlamentu a Rady (ES) č. 661/2009 ze dne 13. července 2009 o požadavcích pro schvalování typu motorových vozidel, jejich přípojných vozidel a systémů, konstrukčních částí a samostatných technických celků určených pro tato vozidla z hlediska obecné bezpečnosti (Úř. věst. L 200, 31.7.2009, s. 1).

(10)  Nařízení Evropského parlamentu a Rady (ES) č. 765/2008 ze dne 9. července 2008, kterým se stanoví požadavky na akreditaci a dozor nad trhem týkající se uvádění výrobků na trh a kterým se zrušuje nařízení (EHS) č. 339/93 (Úř. věst. L 218, 13.8.2008, s. 30).

(11)  Rozhodnutí Evropského parlamentu a Rady č. 1600/2002/ES ze dne 22. července 2002 o šestém akčním programu Společenství pro životní prostředí (Úř. věst. L 242, 10.9.2002, s. 1).

(12)  Úř. věst. C 168E, 14.6.2013, s. 72.

(13)  Předpis Evropské hospodářské komise Organizace spojených národů (EHK OSN) č. 85 – Jednotná ustanovení pro schvalování spalovacích motorů nebo elektrických hnacích ústrojí určených k pohonu motorových vozidel kategorie M a N z hlediska měření netto výkonu a maximálního 30minutového výkonu elektrických hnacích ústrojí (Úř. věst. L 326, 24.11.2006, s. 55).

(14)  Pro Úřední věstník: vložte prosím den vstupu tohoto nařízení v platnost.


SEZNAM PŘÍLOH

PŘÍLOHA I

EU schválení typu vozidla z hlediska hladiny akustického tlaku

Dodatek 1

:

Informační dokument

Dodatek 2

:

Vzor certifikátu EU schválení typu

PŘÍLOHA II

Metody a zařízení na měření hluku motorových vozidel

Dodatek

:

Obrázky

PŘÍLOHA III

Mezní hodnoty

PŘÍLOHA IV

Systémy tlumení hluku s akusticky absorbujícími vláknitými materiály

Dodatek

:

Obrázek 1 – Zkušební zařízení pro stabilizaci pulzováním

PŘÍLOHA V

Hluk tlakovzdušných systémů

Dodatek

:

Obrázek 1 – Polohy mikrofonu pro měření hluku tlakovzdušného systému

PŘÍLOHA VI

Kontroly shodnosti výroby vozidel

PŘÍLOHA VII

Metoda měření pro posouzení shody s dalšími ustanoveními týkajícími se emisí hluku (ASEP)

Dodatek

:

Vzor prohlášení o shodě s dalšími ustanoveními týkajícími se emisí hluku (ASEP)

PŘÍLOHA VIII

Opatření týkající se akustického varovného systému vozidla (AVAS)

PŘÍLOHA IX

EU schválení typu systémů tlumení hluku jako samostatných technických celků z hlediska hladiny akustického tlaku (náhradní systémy tlumení hluku)

Dodatek 1

:

Informační dokument

Dodatek 2

:

Vzor certifikátu EU schválení typu

Dodatek 3

:

Vzor značky EU schválení typu

Dodatek 4

:

Zkušební zařízení

Dodatek 5

:

Měřicí body – zpětný tlak

PŘÍLOHA X

Kontroly shodnosti výroby náhradního systému tlumení hluku jako samostatného technického celku

PŘÍLOHA XI

Změny směrnice 2007/46/ES

PŘÍLOHA XII

Srovnávací tabulka

PŘÍLOHA I

EU schválení typu vozidla z hlediska hladiny akustického tlaku

1.   ŽÁDOST O EU SCHVÁLENÍ TYPU VOZIDLA

1.1.

Žádost o EU schválení typu podle čl. 7 odst. 1 a 2 směrnice 2007/46/ES pro typ vozidla z hlediska hladiny akustického tlaku podává výrobce vozidla.

1.2.

Vzor informačního dokumentu je uveden v dodatku 1.

1.3.

Výrobce vozidla dodá technické zkušebně odpovědné za zkoušky vozidlo představující typ, pro který je schválení typu požadováno. Při výběru vozidla představujícího typ zvolí technická zkušebna odpovědná za zkoušky vozidlo ke spokojenosti schvalovacího orgánu. K rozhodování během výběru lze využít zkušebních metod se simulací.

1.4

Na žádost technické zkušebny musí být rovněž dodán vzorek systému tlumení hluku a motor nejméně téhož objemu a maximálního jmenovitého výkonu, jako je motor namontovaný ve vozidle, pro něž je požadováno schválení typu.

2.   ZNAČENÍ

2.1.

Konstrukční části výfukového systému a sacího systému s výjimkou úchytů a potrubí musí být označeny:

2.1.1.

obchodní značkou nebo názvem výrobce systému a jeho konstrukčních částí;

2.1.2.

obchodním označením výrobce.

2.2.

Označení podle bodů 2.1.1 a 2.1.2 musí být zřetelně čitelná a nesmazatelná, i když je systém namontován na vozidle.

3.   UDĚLENÍ EU SCHVÁLENÍ TYPU VOZIDLA

3.1.

Jsou-li splněny příslušné požadavky, udělí se EU schválení typu podle čl. 9 odst. 3 a popřípadě podle čl. 10 odst. 4 směrnice 2007/46/ES.

3.2.

Vzor certifikátu EU schválení typu je uveden v dodatku 2.

3.3.

Každému schválenému typu vozidla se přidělí číslo schválení typu podle přílohy VII směrnice 2007/46/ES. Tentýž členský stát nesmí přidělit stejné číslo jinému typu vozidla.

3.3.1.

Splňuje-li typ vozidla mezní hodnoty fáze 1 přílohy III, za částí 3 čísla schválení typu následuje písmeno „A“. Splňuje-li typ vozidla mezní hodnoty fáze 2 přílohy III, za částí 3 čísla schválení typu následuje písmeno „B“. Splňuje-li typ vozidla mezní hodnoty fáze 3 přílohy III, za částí 3 čísla schválení typu následuje písmeno „C“.

4.   ZMĚNY EU SCHVÁLENÍ TYPU

Při změnách typu schváleného podle tohoto nařízení se použijí články 13, 14, 15 a 16 a čl. 17 odst. 4 směrnice 2007/46/ES.

5.   OPATŘENÍ PRO SHODNOST VÝROBY

5.1.

Opatření přijatá k zajištění shodnosti výroby musí odpovídat požadavkům článku 12 směrnice 2007/46/ES.

5.2.

Zvláštní ustanovení:

5.2.1.

Zkoušky stanovené v příloze VI tohoto nařízení odpovídají zkouškám uvedeným v bodě 2.3.5 přílohy X směrnice 2007/46/ES.

5.2.2.

Obvyklá četnost kontrol uvedených v bodě 3 přílohy X směrnice 2007/46/ES je jedna kontrola za dva roky.

Dodatek 1

Informační dokument č. … podle přílohy I směrnice 2007/46/ES týkající se EU schválení typu vozidla z hlediska přípustné hladiny akustického tlaku

Následující informace, přicházejí-li v úvahu, se spolu se soupisem obsahu předkládají trojmo. Předkládají-li se výkresy, musí být dodány ve vhodném měřítku a s dostatečnými podrobnosti na archu formátu A4, nebo musí být na tento formát složeny. Předkládají-li se fotografie, musí zobrazovat dostatečně podrobně.

Mají-li systémy, konstrukční části nebo samostatné technické celky elektronické řízení, musí být poskytnuty informace o jeho vlastnostech.

0.   Obecně

0.1.

Značka (obchodní název výrobce): …

0.2.

Typ: …

0.3.

Způsob označení typu, je-li na vozidle vyznačen (b): …

0.3.1.

Umístění uvedeného označení: …

0.4.

Kategorie vozidla (c): …

0.5.

Název společnosti a adresa výrobce: …

0.8.

Název/názvy a adresa/adresy montážního závodu/montážních závodů: …

0.9.

Jméno a adresa zástupce výrobce (existuje-li): …

1.   Obecné konstrukční vlastnosti vozidla

1.1.

Fotografie nebo výkresy představitele typu vozidla: …

1.3.

Počet náprav a kol (4): …

1.3.3.

Hnací nápravy (počet, umístění, propojení): …

1.6.

Umístění a uspořádání motoru: …

2.   Hmotnost a rozměry (f) (g) (7) (v kg a mm) (případně uveďte odkaz na výkres)

2.4.   Rozsah (vnějších) rozměrů vozidla: …

2.4.1.

U podvozku bez karoserie: …

2.4.1.1.

Délka (g5): …

2.4.1.2.

Šířka (g7): …

2.4.2.

U podvozku s karoserií: …

2.4.2.1.

Délka (g5): …

2.4.2.2.

Šířka (g7): …

2.6.   Hmotnost v pohotovostním stavu (h)

a)

minimální a maximální hodnota pro každou variantu: …

b)

hmotnost každé verze (musí být poskytnuta tabulka): …

2.8.   Maximální technicky přípustná hmotnost naloženého vozidla uvedená výrobcem (i) (3): …

3.   Hnací jednotka (q)

3.1.   Výrobce motoru: …

3.1.1.

Kód motoru podle výrobce (vyznačen na motoru nebo jinak identifikován): …

3.2.   Spalovací motor

3.2.1.1.   Pracovní princip: zážehový/vznětový, cyklus: čtyřdobý/dvoudobý/rotační (1)

3.2.1.2.   Počet a uspořádání válců: …

3.2.1.2.3.

Pořadí zapalování: …

3.2.1.3.   Zdvihový objem motoru (m): …cm3

3.2.1.8.   Maximální netto výkon (n): … kW při … min–1 (hodnota podle výrobce)

3.2.4.   Dodávka paliva

3.2.4.2.   Vstřikem paliva (pouze pro vznětový motor): ano/ne (1)

3.2.4.2.2.   Pracovní princip: přímý vstřik/komůrkový/vírová komůrka (1)

3.2.4.2.4.   Regulátor

3.2.4.2.4.1.

Typ: …

3.2.4.2.4.2.1.

Otáčky, při kterých začíná omezení při plném zatížení: … min–1

3.2.4.3.   Vstřikem paliva (pouze pro zážehový motor): ano/ne (1)

3.2.4.3.1.   Pracovní princip: vstřik do sacího potrubí (jednobodový/vícebodový (1)/přímý vstřik/jiný (uveďte) (1)

3.2.8.   Systém sání

3.2.8.1.   Přeplňovací dmychadlo: ano/ne (1)

3.2.8.4.2.   Čistič sání, výkresy: … nebo

3.2.8.4.2.1.

Značka/značky: …

3.2.8.4.2.2.

Typ/typy: …

3.2.8.4.3.   Tlumič sání, výkresy: … nebo

3.2.8.4.3.1.

Značka/značky: …

3.2.8.4.3.2.

Typ/typy: …

3.2.9.   Systém tlumení hluku

3.2.9.2.   Popis nebo výkres systému tlumení hluku: …

3.2.9.4.   Tlumič/tlumiče výfuku: …

Typ, označení tlumiče/tlumičů výfuku: …

Pokud je to pro vnější akustický tlak významné, protihluková opatření v motorovém prostoru a na motoru: …

3.2.9.5.   Umístění výustky výfuku: …

3.2.9.6.   Tlumič výfuku obsahující vláknité materiály: …

3.2.12.2.1.   Katalyzátor: ano/ne (1)

3.2.12.2.1.1.

Počet katalyzátorů a prvků (níže požadované informace uveďte pro každou samostatnou jednotku): …

3.2.12.2.6.   Filtr částic: ano/ne (1)

3.3.   Elektromotor

3.3.1.   Typ (vinutí, buzení): …

3.3.1.1.

Maximální hodinový výkon: … kW

3.3.1.2.

Pracovní napětí: … V

3.4.   Motory nebo jejich kombinace

3.4.1.   Vozidlo s hybridním elektrickým pohonem: ano/ne (1)

3.4.2.   Kategorie vozidla s hybridním elektrickým pohonem: externí nabíjení/jiné než externí nabíjení (1)

3.4.3   Spínač provozního režimu: je/není (1)

3.4.3.1.   Volitelné druhy provozu

3.4.3.1.1.   Pouze elektrický: ano/ne (1)

3.4.3.1.2.   Pouze na pohon palivem: ano/ne (1)

3.4.3.1.3.   Hybridní provoz: ano/ne (1) (pokud ano, stručný popis): …

3.4.5.   Elektromotor (každý typ elektromotoru popište samostatně)

3.4.5.1.   Značka: …

3.4.5.2.   Typ: …

3.4.5.4.   Maximální výkon: … kW

4.   Převod (p)

4.2.   Druh (mechanický, hydraulický, elektrický atd.): …

4.6.   Převodové poměry

Rychlostní stupeň

Vnitřní převodové poměry

(poměr otáček hřídele motoru k otáčkám výstupního hřídele převodovky)

Koncové převodové poměry

(poměr otáček výstupního hřídele převodovky k otáčkám hnaných kol)

Celkové převodové poměry

Max. pro CVT (1)

1

2

3

Min. pro CVT (1)

Zpětný chod

 

 

 

4.7.   Maximální konstrukční rychlost vozidla (v km/h) (w): …

6.   Zavěšení

6.6.   Pneumatiky a kola

6.6.1.   Kombinace pneumatika/kolo

a)

u pneumatik uveďte označení rozměru, index únosnosti a značku kategorie rychlosti,

b)

u kol uveďte rozměr/rozměry ráfku a hloubku zálisu/zálisů

6.6.2.   Horní a dolní mez poloměru valení

6.6.2.1.

Náprava 1: …

6.6.2.2.

Náprava 2: …

6.6.2.3.

Náprava 3: …

6.6.2.4.

Náprava 4: …

atd.

9.   Karoserie

9.1.

Druh karoserie podle kódů stanovených v části C přílohy II směrnice 2007/46/ES: …

9.2.

Užité materiály a postupy výroby: …

12.   Různé

12.5.

Podrobnosti o jakýchkoli zařízeních kromě motoru, která jsou určena ke snižování hluku (pokud nejsou uvedena v jiných bodech): …

Datum:

Podpis:

Funkce ve společnosti:


(1)  Plynule měnitelný převod

Dodatek 2

Vzor certifikátu EU schválení typu

(Maximální formát: A4 (210 × 297 mm))

Razítko schvalovacího orgánu

Sdělení o

schválení typu  (1)

rozšíření schválení typu  (1)

odmítnutí schválení typu  (1)

odejmutí schválení typu (1)

pro typ vozidla z hlediska hladiny akustického tlaku (nařízení (EU) č. …/… (2), naposledy pozměněné nařízením (EU) č. …/…).

Schválení typu č.: …

Důvod rozšíření: …

ČÁST I

0.1.

Značka (obchodní název výrobce): …

0.2.

Typ: …

0.3.

Způsob označení typu, je-li na vozidle vyznačen (3): …

0.3.1.

Umístění uvedeného označení: …

0.4.

Kategorie vozidla (4): …

0.5.

Název společnosti a adresa výrobce: …

0.8.

Název/názvy a adresa/adresy montážního závodu/závodů: …

0.9.

Jméno a adresa zástupce výrobce (existuje-li): …

ČÁST II

1.

Doplňující informace (přicházejí-li v úvahu): Viz doplněk

2.

Technická zkušebna provádějící zkoušky: …

3.

Datum zkušebního protokolu: …

4.

Číslo zkušebního protokolu: …

5.

Poznámky (jsou-li nějaké): Viz doplněk

6.

Místo: …

7.

Datum: …

8.

Podpis: …

Přílohy

:

Schvalovací dokumentace

Zkušební protokol (pro systémy) / výsledky zkoušek (pro celá vozidla)


(1)  Nehodící se škrtněte

(2)  Pro Úřední věstník: vložte prosím číslo tohoto nařízení.

(3)  Pokud způsob označení typu obsahuje znaky, které nejsou důležité pro popis typu vozidla, kterého se certifikát schválení typu týká, nahradí se takové znaky v dokumentaci znakem ‘?‘ (např. ABC??123??).)

(4)  Podle definice v příloze II části A směrnice 2007/46/ES.

Doplněk

k certifikátu EU schválení typu č. …

1.   Další informace

1.1.   Hnací jednotka

1.1.1.

Výrobce motoru: …

1.1.2.

Kód motoru podle výrobce: …

1.1.3.

Maximální netto výkon (g): … kW při … min–1 nebo maximálním trvalém jmenovitém výkonu (elektromotor) … kW (1)

1.1.4.

Přeplňovací dmychadlo/dmychadla, značka a typ: …

1.1.5.

Vzduchový filtr, značka a typ: …

1.1.6.

Tlumič/tlumiče sání, značka a typ: …

1.1.7.

Tlumič/tlumiče výfuku, značka a typ: …

1.1.8.

Katalyzátor, značka a typ: …

1.1.9.

Filtr/filtry částic, značka a typ: …

1.2.   Převod

1.2.1.

Druh (mechanický, hydraulický, elektrický atd.): …

1.3.   Zařízení kromě motoru, která jsou určena ke snižování hluku: …

2.   Výsledky zkoušek

2.1.   Hladina akustického tlaku vozidla za jízdy: … dB(A)

2.2.   Hladina akustického tlaku stojícího vozidla: … dB(A) při … min–1

2.2.1.

Hladina akustického tlaku tlakovzdušných systémů, provozní brzdy: … dB(A)

2.2.1.

Hladina akustického tlaku tlakovzdušných systémů, parkovací brzdy: … dB(A)

2.2.1.

Hladina akustického tlaku tlakovzdušných systémů během provozu regulátoru tlaku: … dB(A)

2.3.   Údaje pro usnadnění zkoušky shody v provozu u vozidel s hybridním elektrickým pohonem, u kterých spalovací motor nemůže běžet, pokud vozidlo stojí

2.3.1.

Rychlostní stupeň (i) či poloha voliče rychlostního stupně zvoleného pro zkoušku: …

2.3.2.

Poloha provozního spínače během měření Lwot,(i) (je-li spínač nainstalován)…

2.3.3.

Délka předčasné akcelerace lPA … m

2.3.4.

Rychlost vozidla na počátku akcelerace … km/h

2.3.5.

Hladina akustického tlaku L wot,(i) … dB(A)

3.   Poznámky: …


(1)  Nehodící se škrtněte.

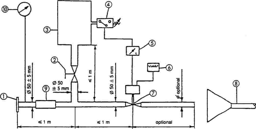
PŘÍLOHA II

Metody a zařízení na měření hluku motorových vozidel

1.   METODY MĚŘENÍ

1.1.

Hluk vydávaný typem vozidla předloženým k EU schválení typu se měří pomocí dvou metod popsaných v této příloze u vozidla za jízdy a u stojícího vozidla. U vozidla s hybridním elektrickým pohonem, u něhož spalovací motor nemůže běžet, pokud vozidlo stojí, se vydávaný hluk měří jen za jízdy.

Vozidla s maximální technicky přípustnou hmotností naloženého vozidla převyšující 2 800 kg se podrobí doplňujícím měřením hluku tlakovzdušných systémů se stojícím vozidlem podle ustanovení přílohy V, je-li vozidlo vybaveno odpovídajícím brzdovým zařízením

1.2.

Údaje naměřené v rámci zkoušek stanovených v bodě 1.1 této přílohy se zaznamenají do zkušebního protokolu a do formuláře shodného se vzorem uvedeným v dodatku 2 k příloze I.

2.   MĚŘICÍ PŘÍSTROJE

2.1.   Akustická měření

Pro měření hladiny akustického tlaku se použije přesný zvukoměr nebo rovnocenný měřicí systém, který splňuje požadavky na přístroje třídy 1 (včetně doporučeného krytu proti větru, pokud je použit). Tyto požadavky jsou popsány v normě „IEC 61672-1:2002: Přesné zvukoměry“, druhé vydání, Mezinárodní elektrotechnické komise (IEC).

Měří se při časové konstantě zvukoměru „rychle“ a při váhové křivce „A“, které jsou rovněž popsány v normě „IEC 61672-1:2002“. Pokud se použije systém, který zahrnuje periodické vzorkování hladiny akustického tlaku vážené váhovou křivkou A, interval měření nesmí přesahovat 30 ms (milisekund).

Přístroje se musejí udržovat a kalibrovat podle pokynů výrobce přístroje.

2.2.   Splnění požadavků

Splnění požadavků na zařízení pro akustická měření musí být ověřeno platným certifikátem shody. Certifikát shody se považuje za platný, pokud byla certifikace shody s normami u zvukového kalibrátoru provedena během posledních 12 měsíců a u přístrojového systému během posledních 24 měsíců. Veškeré ověřování shody musí provádět laboratoř, která je oprávněna provádět kalibrace podle příslušných norem.

2.3.   Kalibrace celého akustického měřicího systému na sérii měření

Na počátku a na konci každé série měření se celý akustický měřicí systém kalibruje zvukovým kalibrátorem, který splňuje požadavky na zvukové kalibrátory o třídě přesnosti 1 podle normy IEC 60942:2003. Rozdíl mezi kalibracemi musí být bez dalšího seřizování menší nebo roven 0,5 dB. Pokud je tato hodnota překročena, výsledky měření získané po poslední uspokojivé kalibraci se neberou v úvahu.

2.4.   Zařízení na měření rychlosti

Otáčky motoru se měří přístrojem s přesností ±2 %nebo lepší při otáčkách motoru požadovaných k provedení zkoušky.

Rychlost vozidla na silnici se měří přístroji s přesností nejméně ±0,5 km/h, pokud se používá zařízení pro kontinuální měření.

Pokud se rychlost měří pomocí nezávislých měření, musejí měřicí zařízení vyhovovat požadavkům na minimální přesnost ± 0,2 km/h.

2.5.   Meteorologické přístroje

Meteorologické přístroje ke sledování podmínek okolního prostředí během zkoušky musejí zahrnovat následující přístroje:

přístroj na měření teploty s přesností minimálně ± 1 °C,

přístroj na měření rychlosti větru s přesností minimálně ± 1,0 m/s,

přístroj na měření tlaku s přesností minimálně ± 5 hPa,

přístroj na měření relativní vlhkosti s přesností minimálně ± 5 %.

3.   PODMÍNKY MĚŘENÍ

3.1.   Zkušební místo a podmínky prostředí

3.1.1.

Povrch zkušební dráhy a rozměry zkušebního místa musejí vyhovovat normě ISO 10844:2011. Povrch místa musí být prost prachového sněhu, vysoké trávy, volné zeminy nebo škváry. V blízkosti mikrofonu a zdroje hluku nesmí být žádné překážky, které by mohly mít vliv na akustické pole. Osoba provádějící měření se musí postavit tak, aby neovlivňovala údaje na měřicím přístroji.

3.1.2.

Nesmí se měřit za nepříznivých povětrnostních podmínek. Musí se zajistit, že výsledky nebudou ovlivněny poryvy větru.

Meteorologické přístroje se musí nacházet těsně vedle zkušebního úseku ve výšce 1,2 m ± 0,02 m. Měření se provádí při teplotě okolního vzduchu od + 5 °C do + 40 °C.

Zkoušky se nesmějí provádět, pokud rychlost větru včetně poryvů překročí během měření akustického tlaku 5 m/s ve výšce mikrofonu.

Během měření akustického tlaku se zaznamenají reprezentativní hodnoty pro teplotu, rychlost a směr větru, relativní vlhkost a barometrický tlak.

Zvukové špičky, které zjevně nesouvisejí s celkovou hladinou akustického tlaku vozidla, se při zjišťování údajů neberou v úvahu.

Hluk pozadí se měří po dobu 10 sekund bezprostředně před a po sérii zkoušek vozidla. Měření se musejí provádět se stejnými mikrofony a při stejném umístění mikrofonů jako při zkoušce. Zaznamená se maximální hladina akustického tlaku vážená váhovou křivkou A.

Hluk pozadí (včetně hluku způsobeného větrem) musí být alespoň o 10 dB nižší než hladina akustického tlaku vážená váhovou křivkou A zkoušeného vozidla. Je-li rozdíl mezi hlukem pozadí a naměřeným hlukem v rozsahu od 10 do 15 dB(A), musí být pro výpočet výsledku měření od údaje na zvukoměru odečtena příslušná korekce podle této tabulky:

Rozdíl mezi hlukem pozadí a měřeným hlukem dB(A)

10

11

12

13

14

15

Korekce dB(A)

0,5

0,4

0,3

0,2

0,1

0,0

3.2.   Vozidlo

3.2.1.

Zkušební vozidlo musí být reprezentativním vzorkem vozidel, která mají být uváděna na trh; výrobce ho musí vybrat se souhlasem technické zkušebny tak, aby splňovalo požadavky tohoto nařízení. Měření se provádějí na vozidlech bez přívěsu, vyjma neoddělitelných vozidel. Na žádost výrobce lze u vozidel se zdvihatelnou nápravou/zdvihatelnými nápravami provádět měření ve zdvižené poloze.

Měření se provádějí s vozidly o zkušební hmotnosti mt stanovené podle této tabulky:

Kategorie vozidla

Zkušební hmotnost vozidla (mt)

M1

mt = mro

N1

mt = mro

N2, N3

mt = 50 kg/kW jmenovitého výkonu motoru

Nad poháněnou/poháněné zadní nápravu/nápravy se umístí dodatečný náklad, aby se dosáhlo zkušební hmotnosti. Dodatečný náklad je omezen na 75 % maximální technicky přípustné hmotnosti naloženého vozidla přípustné pro zadní nápravu. Zkušební hmotnost musí být splněna s dovolenou odchylkou ± 5 %.

Pokud těžiště dodatečného nákladu nemůže být v ose se středem zadní nápravy, zkušební hmotnost vozidla nesmí překročit součet zatížení přední a zadní nápravy bez nákladu a dodatečného nákladu.

Zkušební hmotnost vozidel s více než dvěma nápravami musí být stejná jako u vozidel se dvěma nápravami.

M2, M3

mt = mro – hmotnost případného člena posádky

nebo pokud se zkoušky provádějí na neúplném vozidle bez karoserie,

mt = 50 kg/kW jmenovitého výkonu motoru v souladu s výše uvedenými podmínkami (viz kategorie N2, N3).

3.2.2.

Na žádost žadatele se vozidlo kategorie M2, M3, N2 nebo N3 považuje za představitele jeho dokončeného typu, jsou-li zkoušky prováděny na neúplném vozidle bez karoserie. Při zkoušce na neúplném vozidle se vozidlo opatří všemi příslušnými izolačními materiály, panely a díly a systémy pro snížení hluku podle konstrukční předlohy výrobce, s výjimkou části karoserie, která je montována v pozdější fázi.

Novou zkoušku není třeba provést v případě namontování doplňkové palivové nádrže nebo v případě přemístění původní palivové nádrže, jestliže nebyly změněny další části či konstrukce vozidla mající zjevně vliv na emise hluku.

3.2.3.

Emise hluku související s odvalováním pneumatik jsou stanovené v nařízení (ES) č. 661/2009. Pneumatiky použité při zkoušce musí být pro dotyčné vozidlo reprezentativní a musí být zvoleny výrobcem vozidla a zaznamenány v doplňku k dodatku 2 k příloze I tohoto nařízení. Musejí odpovídat jednomu z rozměrů pneumatik určených pro vozidlo jako původní zařízení. Pneumatika je nebo bude komerčně dostupná na trhu ve stejnou dobu jako vozidlo (1). Pneumatiky musí být nahuštěny na tlak doporučený výrobcem vozidla pro zkušební hmotnost vozidla. Hloubka vzorku pneumatik musí být minimálně 1,6 mm.

3.2.4.

Před začátkem měření se motor uvede do běžných provozních podmínek.

3.2.5.

Je-li vozidlo vybaveno pohonem více než jedné nápravy, provede se zkouška s pohonem určeným pro normální použití na silnici.

3.2.6.

Je-li vozidlo vybaveno jedním nebo více ventilátory s automatickým ovládacím mechanismem, nesmí se během měření do tohoto mechanismu zasahovat.

3.2.7.

Je-li vozidlo vybaveno systémem tlumení hluku s vláknitými materiály, výfukový systém musí být před zkouškou uveden do stavu podle přílohy IV.

4.   ZKUŠEBNÍ METODY

4.1.   Měření akustického tlaku vozidel za jízdy

4.1.1.   Obecné zkušební podmínky

Na zkušební dráze se vyznačí dvě přímky, AA' a BB', rovnoběžné s přímkou PP' a umístěné 10 m před přímkou PP' a 10 m za ní.

Na každé straně vozidla a pro každý rychlostní stupeň se měří nejméně čtyřikrát. Pro účely seřízení je možno uskutečnit předběžná měření, na něž se nebere ohled.

Mikrofon se umístí ve vzdálenosti 7,5 ± 0,05 m od vztažné přímky CC' dráhy a 1,2 ± 0,02 m nad povrchem vozovky.

Vztažná osa pro volné pole (viz IEC 61672-1:2002) musí být vodorovná a směřovat kolmo k přímce dráhy vozidla CC'.

4.1.2.   Zvláštní zkušební podmínky pro vozidla

4.1.2.1.   Vozidla kategorií M1, M2 ≤ 3 500 kg, N1

Dráha osy vozidla musí během celé zkoušky, od nájezdu k přímce AA' po překročení přímky BB' zádí vozidla, co nejpřesněji sledovat přímku CC'. Je-li vozidlo vybaveno pohonem více než jedné nápravy, provede se zkouška s pohonem určeným pro normální použití na silnici.

Je-li vozidlo vybaveno přídavnou převodovkou s ručním řazením nebo vícestupňovou nápravou, použije se poloha užívaná pro normální městský provoz. V každém případě jsou nepřípustné převodové poměry pro pomalou jízdu, parkování nebo brzdění.

Zkušební hmotnost vozidla musí odpovídat tabulce v bodě 3.2.1.

Zkušební rychlost vtest je 50 km/h ± 1 km/h. Zkušební rychlosti se musí dosáhnout, když je vztažný bod v přímce PP’.

4.1.2.1.1.   Index poměru výkonu k hmotnosti (PMR)

PMR se vypočte podle tohoto vzorce:

Formula, kde Pn je měřeno v kW a mt je měřeno v kg podle bodu 3.2.1 této přílohy.

Bezrozměrný index poměru výkonu k hmotnosti (PMR) se používá pro výpočet akcelerace.

4.1.2.1.2.   Výpočet akcelerace

Výpočet akcelerace lze použít pouze pro kategorie M1, N1 a M2 ≤ 3 500 kg.

Akcelerace se vždy vypočítá z různých rychlostí vozidla na zkušební dráze. Uvedené rovnice se používají pro výpočet awot i, awot i+1 a awot test. Rychlost na AA' nebo PP' je vymezena jako rychlost vozidla, při které vztažný bod překračuje přímku AA' (vAA') nebo PP' (vPP'). Rychlost na přímce BB’ je vymezena jako rychlost, při které záď vozidla překračuje přímku BB' (vBB'). Metoda výpočtu akcelerace musí být zaznamenána ve zkušebním protokolu.

Kvůli definici vztažného bodu vozidla se délka vozidla (lveh) v rovnici níže uvažuje odlišně. Pokud se vztažný bod nachází na přední části vozidla, l = lveh, pokud uprostřed, l = ½ lveh a pokud v zadní části, l = 0.

4.1.2.1.2.1.   Postup pro výpočet u vozidel s převodovkou s ručním řazením, automatickou převodovkou, adaptivní převodovkou a převodovkou s plynule měnitelnými převody (CVT), u kterých zkouška probíhá s uzamčenými převodovými poměry:

Formula

awot test užitý pro výpočet výběru rychlostního stupně je aritmetický průměr čtyř awot test, i během každé platné měřené jízdy.

Lze použít předčasnou akceleraci. Místo sešlápnutí pedálu akcelerátoru před přímkou AA' se uvede do zkušebního protokolu.

4.1.2.1.2.2.   Postup výpočtu u vozidel s automatickou převodovkou, adaptivní převodovkou a převodovkou s plynule měnitelnými převody (CVT), u kterých zkouška probíhá s neuzamčenými převodovými poměry:

awot test užitý pro výpočet výběru rychlostního stupně je aritmetický průměr čtyř awot test, i během každé platné měřené jízdy.

Pokud lze pro ovládání převodů za účelem splnění požadavků zkoušky použít zařízení nebo opatření popsaná v bodě 4.1.2.1.4.2, výpočet awot test se provede podle tohoto vzorce:

Formula

Lze použít předčasnou akceleraci.

Pokud se nepoužijí zařízení nebo opatření popsaná v bodě 4.1.2.1.4.2, awot test se vypočte podle tohoto vzorce:

Formula

awot test PP-BB: akcelerace mezi body PP a BB

Předčasná akcelerace je nepřípustná.

Pedál akcelerátoru se sešlápne v místě, kde vztažný bod vozidla překročí přímku AA'.

4.1.2.1.2.3   Cílová akcelerace

Cílová akcelerace a urban vymezuje typickou akceleraci při městském provozu a je odvozena ze statistických šetření. Tato funkce je závislá na poměru výkonu k hmotnosti (PMR) vozidla.

Cílová akcelerace a urban se vypočte podle tohoto vzorce:

Formula

4.1.2.1.2.4.   Vztažná akcelerace

Vztažná akcelerace awot ref vymezuje požadovanou akceleraci při akcelerační zkoušce na zkušební dráze. Tato funkce je závislá na poměru výkonu k hmotnosti vozidla (PMR). Liší se v závislosti na kategorii vozidla.

Vztažná akcelerace awot ref se vypočte podle tohoto vzorce:

Formula pro PMR ≥ 25

awot ref= Formula pro PMR < 25

4.1.2.1.3.   Faktor částečného výkonu kP

Faktor částečného výkonu kP (viz bod 4.1.3.1) se použije pro vážené sloučení výsledků akcelerační zkoušky a zkoušky při ustálené rychlosti vozidel kategorie M1 a N1.

U jiných zkoušek než s jedním rychlostním stupněm se místo a wot ref použije a awot test (viz bod 4.1.3.1).

4.1.2.1.4.   Výběr převodového poměru

Výběr převodových poměrů pro zkoušku závisí na jejich specifické akcelerační kapacitě awot s plně otevřenou klapkou akcelerátoru podle vztažné akcelerace awot ref požadované při zkoušce akcelerace s plně otevřenou klapkou akcelerátoru.

Některá vozidla mohou mít odlišné softwarové programy nebo převodové režimy (např. sportovní, zimní, adaptivní). Pokud má vozidlo různé režimy umožňující platnou akceleraci, výrobce vozidla musí technické zkušebně uspokojivě prokázat, že vozidlo je zkoušeno v takovém režimu, při kterém se akcelerace nejvíce přibližuje a wot ref.

4.1.2.1.4.1.   Vozidla s převodovkou s ručním řazením, automatickou převodovkou, adaptivní převodovkou nebo převodovkou s plynule měnitelnými převody (CVT), u kterých zkouška probíhá s uzamčenými převodovými poměry

Tyto podmínky jsou možné při výběru převodových poměrů:

a)

Pokud některý poměr umožňuje akceleraci v pásmu dovolené odchylky ± 5 % vztažné akcelerace awot ref, která nepřevyšuje 2,0 m/s2, provádí se zkouška s tímto převodovým poměrem.

b)

Pokud žádný z převodových poměrů neumožňuje požadovanou akceleraci, vybere se převodový poměr i, který umožňuje vyšší akceleraci, a převodový poměr i + 1, který umožňuje nižší akceleraci, než je hodnota vztažné akcelerace. Pokud hodnota akcelerace při převodovém poměru i nepřekročí 2,0 m/s2, použijí se při zkoušce oba převodové poměry. Vážený poměr ve vztahu ke vztažné akceleraci awot ref se vypočítá takto:

Formula

c)

Pokud hodnota akcelerace při převodovém poměru i přesáhne 2,0 m/s2, použije se první převodový poměr, který umožňuje akceleraci nižší než 2,0 m/s2 za předpokladu, že převodový poměr i + 1 umožňuje akceleraci nižší než aurban. V takovém případě se použijí dva rychlostní stupně, i a i + 1, včetně rychlostního stupně i, při němž akcelerace překročí 2,0 m/s2. V ostatních případech se žádný jiný rychlostní stupeň nepoužije. Akcelerace awot test dosažená při zkoušce se použije pro výpočet faktoru částečného výkonu kP místo awot ref.

d)

Pokud má vozidlo převodovku, která umožňuje pouze jednu volbu převodového poměru, akcelerační zkouška se u takového vozidla provede s tímto výběrem rychlostního stupně. Dosažená akcelerace se poté použije pro výpočet faktoru částečného výkonu kP místo awot ref.

e)

Pokud se jmenovité otáčky při tomto převodovém poměru překročí předtím, než vozidlo překročí přímku BB', použije se následující vyšší rychlostní stupeň.

4.1.2.1.4.2.   Vozidla s automatickou převodovkou, adaptivní převodovkou a převodovkou s plynule měnitelnými převody (CVT), u kterých zkouška probíhá s neuzamčenými převodovými poměry:

Použije se poloha voliče rychlostního stupně pro plně automatický provoz.

Hodnota akcelerace awot test při zkoušce se vypočítá podle bodu 4.1.2.1.2.2.

Při zkoušce se poté může změnit rychlostní stupeň na nižší poměr a vyšší akceleraci. Změna rychlostního stupně na vyšší poměr a nižší akceleraci je nepřípustná. Nesmí se řadit na převodový poměr, který se nepoužívá při městském provozu.

Je proto dovoleno zavést a používat elektronická nebo mechanická zařízení, včetně náhradního voliče rychlostních stupňů, aby se zabránilo řazení na nižší převodový poměr, který se při uvedených zkušebních podmínkách pro městský provoz běžně nepoužívá.

Dosažená akcelerace awot test musí být větší nebo rovna aurban.

Pokud je to možné, přijme výrobce náležitá opatření, aby zabránil dosažení hodnoty akcelerace awot test vyšší než 2,0 m/s2.

Dosažená akcelerace awot test se poté použije pro výpočet faktoru částečného výkonu kP (viz bod 4.1.2.1.3) místo awot ref.

4.1.2.1.5.   Akcelerační zkouška

Výrobce stanoví polohu vztažného bodu před přímkou AA' pro plné sešlápnutí pedálu akcelerátoru. Akcelerátor se plně sešlápne (jak nejrychleji je to možné), jakmile vztažný bod vozidla dosáhne uvedeného bodu. Pedál akcelerátoru zůstane sešlápnutý, dokud záď vozidla nepřekročí přímku BB'. Akcelerátor se poté uvolní, jak nejrychleji je to možné. Místo plného sešlápnutí pedálu akcelerátoru se uvede do zkušebního protokolu. Technická zkušebna musí mít možnost provést předběžné zkoušky.

U kloubových vozidel, která sestávají ze dvou neoddělitelných jednotek považovaných za jediné vozidlo, se na návěs při stanovení okamžiku překročení přímky BB' nebere ohled.

4.1.2.1.6.   Zkouška při ustálené rychlosti

Zkouška při ustálené rychlosti se provádí se stejnými rychlostními stupni jako akcelerační zkouška a při ustálené rychlosti 50 km/h s dovolenou odchylkou ±1 km/h mezi přímkami AA' a BB'. Během zkoušky při ustálené rychlosti je akcelerátor v takové poloze, aby se udržovala ustálená rychlost mezi přímkami AA' a BB', jak je stanoveno. Pokud je při akcelerační zkoušce uzamčen rychlostní stupeň, při zkoušce při ustálené rychlosti se uzamkne tentýž rychlostní stupeň.

Zkouška při ustálené rychlosti se nevyžaduje u vozidel s PMR < 25.

4.1.2.2.   Vozidla kategorií M2 > 3 500 kg, M3, N2, N3

Dráha osy vozidla musí během celé zkoušky, od nájezdu k přímce AA' po překročení přímky BB' zádí vozidla, co nejpřesněji sledovat přímku CC'. Zkouška se provádí bez přívěsu nebo návěsu. Není-li přívěs snadno oddělitelný od tažného vozidla, nebere se na něj při určení překročení přímky BB' ohled. Má-li vozidlo zařízení jako míchačka na betonovou směs, kompresor atd., nesmí být takové zařízení během zkoušky v provozu. Zkušební hmotnost vozidla musí být uvedena v tabulce uvedené v bodě 3.2.1.

Cílové podmínky kategorie M2 > 3 500 kg, N2

V okamžiku, kdy vztažný bod překročí přímku BB', musejí být otáčky motoru nBB’ mezi 70 % a 74 % otáček S, při nichž motor dosahuje maximálního jmenovitého výkonu, a rychlost vozidla musí být 35 km/h ± 5 km/h. Mezi přímkou AA' a přímkou BB' je nutno zajistit stabilní akceleraci.

Cílové podmínky kategorie M3, N3:

V okamžiku, kdy vztažný bod překročí přímku BB', musejí být otáčky motoru nBB’ mezi 85 % a 89 % procenty otáček S, při nichž motor dosahuje maximálního jmenovitého výkonu, a rychlost vozidla musí být 35 km/h ± 5 km/h. Mezi přímkou AA' a přímkou BB' je nutno zajistit stabilní akceleraci.

4.1.2.2.1.   Výběr převodového poměru

4.1.2.2.1.1.   Vozidla s převodovkou s ručním řazením

Je nutné zajistit stabilní akceleraci. Výběr rychlostního stupně je určen cílovými podmínkami. Pokud rozdíl v rychlosti překročí stanovenou dovolenou odchylku, proběhne zkouška se dvěma rychlostními stupni, jedním s vyšší a jedním s nižší rychlostí, než je rychlost cílová.

Pokud cílové podmínky splňuje více než jeden rychlostní stupeň, zvolí se ten, který se nejvíce přibližuje 35 km/h. Pokud cílovou podmínku pro vtest nesplňuje žádný rychlostní stupeň, provede se zkouška se dvěma rychlostními stupni, jedním s vyšší a jedním s nižší rychlostí než vtest. Cílových otáček motoru se musí dosáhnout v každém případě.

Je nutné zajistit stabilní akceleraci. Pokud stabilní akceleraci nelze při některém rychlostním stupni zajistit, nebere se na tento rychlostní stupeň ohled.

4.1.2.2.1.2.   Vozidla s automatickou převodovkou, adaptivní převodovkou a převodovkou s plynule měnitelnými převody (CVT)

Použije se poloha voliče rychlostního stupně pro plně automatický provoz. Při zkoušce se poté může změnit rychlostní stupeň na nižší poměr a vyšší akceleraci. Změna rychlostního stupně na vyšší poměr a nižší akceleraci není dovolená. Při zkušebních podmínkách se nesmí řadit na převodový poměr, který se nepoužívá při městském provozu. Je proto dovoleno zavést a používat elektronické nebo mechanické zařízení, včetně náhradního voliče rychlostních stupňů, aby se zabránilo řazení na nižší převodový poměr, který se při uvedených zkušebních podmínkách pro městský provoz běžně nepoužívá.

Pokud konstrukce převodů vozidla poskytuje jen jednu volbu rychlostního stupně (pohonu), který během zkoušky omezuje otáčky motoru, proběhne zkouška pouze při cílové rychlosti vozidla. Pokud kombinace motoru a převodovky vozidla nesplňuje požadavky stanovené v bodě 4.1.2.2.1.1, provede se zkouška pouze při cílové rychlosti vozidla. Cílová zkušební rychlost vozidla (vBB') je rovna 35 km/h ± 5 km/h. Změna rychlostního stupně na vyšší poměr a nižší akceleraci je možná poté, co vztažný bod vozidla překročí přímku PP'. Musejí se provést dvě zkoušky, jedna při cílové rychlosti Formula a druhá při cílové rychlosti Formula. Hodnotou, která se zaznamená, je hladina akustického tlaku získaná při zkoušce s nejvyššími otáčkami motoru, které se dosáhlo mezi přímkami AA' a BB'.

4.1.2.2.2.   Akcelerační zkouška

V okamžiku, kdy vztažný bod vozidla překročí přímku AA', se akcelerátor plně sešlápne (aniž by se automaticky zařadil nižší rychlostní stupeň, než se běžně používá při městském provozu) a takto se podrží, dokud záď vozidla nepřekročí přímku BB'; vztažný bod ale musí být nejméně 5 m za přímkou BB'. Poté se akcelerátor uvolní.

U kloubových vozidel, která sestávají ze dvou neoddělitelných jednotek považovaných za jediné vozidlo, se na návěs při stanovení okamžiku překročení přímky BB' nebere ohled.

4.1.3.   Interpretace výsledků

Maximální hladina akustického tlaku vážená váhovou křivkou A zaznamenaná při každém průjezdu vozidla mezi přímkami AA' a BB' se zapíše. Jsou-li zaznamenány zvukové špičky, které zjevně nesouvisejí s celkovou hladinou akustického tlaku, k danému měření se nepřihlíží. Na každé straně vozidla a u každého převodového poměru se měří nejméně čtyřikrát u každé zkušební podmínky. Levá a pravá strana se může měřit souběžně nebo postupně. První čtyři po sobě následující platné výsledky měření v rozsahu 2 dB(A), které umožní vymazání neplatných výsledků (viz bod 3.1), se použijí pro výpočet konečného výsledku pro dotyčnou stranu vozidla. Vypočítá se aritmetický průměr pro každou stranu zvlášť. Průběžný výsledek je vyšší hodnota ze dvou aritmetických průměrů zaokrouhlených na jedno desetinné místo.

Měření rychlosti na přímkách AA', BB' a PP' se zaznamenají a použijí při výpočtu na jedno platné desetinné místo.

Vypočítaná akcelerace awot test se zaznamená na dvě desetinná místa.

4.1.3.1.   Vozidla kategorií M1, N1 a M2 ≤ 3 500 kg

Vypočítané hodnoty pro akcelerační zkoušku a zkoušku při ustálené rychlosti se získají takto:

Formula

Formula

kde k Formula

U zkoušky s jediným převodovým poměrem jsou tyto hodnoty výsledkem jednotlivé zkoušky.

Konečný výsledek se vypočítá kombinací Lwot rep a Lcrs rep pomocí této rovnice:

Formula

Váhový faktor kP udává faktor částečného výkonu pro městský provoz. U zkoušek pro více než jeden rychlostní stupeň se kP vypočítá takto:

Formula

U zkoušek, pro které je předepsán pouze jeden rychlostní stupeň, se kP vypočítá takto:

Formula

Je-li awot test nižší než aurban:

kP = 0

4.1.3.2.   Vozidla kategorií M2 > 3 500 kg, M3, N2, N3

Pokud se provádí zkouška pouze s jedním rychlostním stupněm, konečný výsledek odpovídá průběžnému výsledku. Pokud se zkouška provádí se dvěma rychlostními stupni, vypočítá se aritmetický průměr průběžných výsledků.

4.2.   Měření akustického tlaku stojících vozidel

4.2.1.   Hladina akustického tlaku v blízkosti vozidel

Výsledky měření se zanesou do zkušebního protokolu uvedeného v doplňku k dodatku 2 k příloze I.

4.2.2.   Akustická měření

Pro měření se použije přesný zvukoměr nebo rovnocenný měřicí systém, jak jsou definovány v bodě 2.1

4.2.3.   Zkušební místo – podmínky prostředí, viz obrázky 2 a 3a až 3d v dodatku

4.2.3.1.   V blízkosti mikrofonu nesmějí být žádné překážky, které by mohly mít vliv na akustické pole, a nikdo se nesmí nacházet mezi mikrofonem a zdrojem hluku. Osoba, která měří, se nesmí nacházet na místě, ze kterého by ovlivňovala naměřené údaje.

4.2.4.   Rušivé zvuky a vliv větru

Údaje na měřicím přístroji vyvolané hlukem pozadí a větrem musejí být nejméně o 10 dB(A) nižší než měřená hladina akustického tlaku. Na mikrofonu může být užit vhodný kryt proti větru za předpokladu, že se v úvahu vezme jeho vliv na citlivost mikrofonu (viz bod 2.1).

4.2.5.   Metoda měření

4.2.5.1.   Povaha a počet měření

V průběhu pracovní periody podle bodu 4.2.5.3.2.1 se změří maximální hladina akustického tlaku vážená váhovou křivkou A a vyjádřená v decibelech (dB(A)).

V každém bodě měření se provedou nejméně tři měření.

4.2.5.2.   Umístění a příprava vozidla

Vozidlo se umístí do středové části zkušebního úseku, volič rychlostního stupně je přeřazený do neutrální polohy a spojka sešlápnutá. Pokud to konstrukce vozidla neumožní, proběhne zkouška podle pravidel výrobce pro zkoušku motoru se stojícím vozidlem. Před každou sérií měření se motor musí uvést do běžných provozních podmínek, které uvádí výrobce.

Je-li vozidlo vybaveno jedním nebo více ventilátory s automatickým ovládacím mechanismem, nesmí se během měření hladiny akustického tlaku do tohoto mechanismu zasahovat.

Pokud je namontován kryt motoru nebo víko motorového prostoru, musí být uzavřen/o.

4.2.5.3.   Měření hluku v blízkosti výfuku, viz obrázky 2 a 3a až 3d v dodatku.

4.2.5.3.1.   Polohy mikrofonu

4.2.5.3.1.1.   Mikrofon musí být umístěn ve vzdálenosti 0,5 m ± 0,01 m od vztažného bodu výfukového potrubí uvedeného na obrázcích 2 a 3a až 3d v dodatku a s průtokovou osou konce potrubí musí svírat úhel 45° (± 5°). Mikrofon musí být ve výšce vztažného bodu, ne však níže než 0,2 m nad povrchem země. Vztažná osa mikrofonu musí ležet v rovině rovnoběžné s povrchem země a musí směřovat k vztažnému bodu na výustce výfuku. Pokud jsou možné dvě polohy mikrofonu, zvolí se umístění dále od podélné osy vozidla. Pokud průtoková osa potrubí výustky výfuku svírá s podélnou osou vozidla úhel 90°, umístí se mikrofon do bodu nejdále od motoru.

4.2.5.3.1.2.   U vozidel, jejichž výfuk má výustky vzdálené více než 0,3 m od sebe, se měření provádějí pro každou výustku. Nejvyšší hodnota se zaznamená.

4.2.5.3.1.3.   Má-li výfuk dvě a více výustek, které jsou od sebe vzdáleny méně než 0,3 m a které jsou napojeny na tentýž tlumič, provádí se pouze jedno měření. Poloha mikrofonu se určí vůči výustce, která se nachází nejblíže nejodlehlejšímu okraji vozidla nebo, pokud taková výstka neexistuje, vůči výustce, která je nejvýše nad zemí.

4.2.5.3.1.4.   U vozidel s výfukem ve svislé poloze (např. užitková vozidla) se mikrofon umístí ve výši výustky výfuku. Jeho osa bude svislá a mikrofon bude směřovat nahoru. Musí být ve vzdálenosti 0,5 m ± 0,01 m od vztažného bodu na výfukovém potrubí, ne však méně než 0,2 m od strany vozidla nejblíže k výustce výfuku.

4.2.5.3.1.5.   Nacházejí-li se výustky výfuku pod karosérií vozidla, mikrofon se umístí nejméně 0,2 m od nejbližší konstrukční části vozidla, co nejblíže, ale nikdy méně než 0,5 m, ke vztažnému bodu na výfukovém potrubí, ve výšce 0,2 m nad zemí a ne v přímce s průtokem výfukových plynů. Není-li to fyzicky možné, nemusí být požadavek na velikost úhlu podle bodu 4.2.5.3.1.1 splněn.

4.2.5.3.1.6.   Příklady polohy mikrofonu v závislosti na umístění výfukového potrubí jsou uvedeny na obrázcích 3a až 3d v dodatku 1.

4.2.5.3.2.   Provozní podmínky motoru

4.2.5.3.2.1.   Cílové otáčky motoru

75 % otáček motoru S u vozidel se jmenovitými otáčkami ≤ 5 000 min–1

3 750 min–1 u vozidel se jmenovitými otáčkami vyššími než 5 000 min–1, ale nižšími než 7 500 min–1

50 % otáček motoru S u vozidel se jmenovitými otáčkami ≥ 7 500 min–1.

Pokud vozidlo nemůže dosáhnout takové výše otáček motoru, cílové otáčky motoru musí být o 5 % nižší než maximální možné otáčky při zkoušce se stojícím vozidlem.

4.2.5.3.2.2.   Zkušební postup

Otáčky motoru se postupně zvyšují z volnoběžných na cílové, ale nepřekračují pásmo dovolené odchylky ± 3 % cílových otáček motoru a drží se na ustálené hladině. Poté se akcelerátor rychle uvolní a otáčky motoru se navrátí do volnoběhu. Hladina akustického tlaku se měří po pracovní periodu, která zahrnuje udržování ustálených otáček motoru po dobu 1 sekundy a celou dobu poklesu otáček. Maximální údaj zvukoměru v průběhu této doby měření zaokrouhlený na jedno desetinné místo představuje zkušební hodnotu.

4.2.5.3.2.3.   Potvrzení platnosti zkoušky

Měření se považuje za platné, pokud se zkušební otáčky motoru neodchylují od cílových otáček motoru o více než ±3 % minimálně po dobu 1 sekundy.

4.2.6.   Výsledky

U každé polohy se musí měřit nejméně třikrát. Zapíše se maximální hladina akustického tlaku vážená váhovou křivkou A zaznamenaná během každého ze tří měření. První tři po sobě následující platné výsledky měření v rozsahu 2 dB(A), které umožní vymazání neplatných výsledků (s přihlédnutím k požadavkům na zkušební místo uvedeným v bodě 3.1), se použijí pro stanovení konečného výsledku pro danou polohu měření. Konečný výsledek tvoří maximální hladina akustického tlaku ze všech poloh a ze všech tří výsledků měření.

5.   Hluk z vozidla s hybridním elektrickým pohonem kategorie M1 za jízdy, u kterého spalovací motor nemůže běžet, pokud vozidlo stojí (údaje zaznamenávané pro usnadnění zkoušení vozidla v provozu).

5.1.

Za účelem usnadnění zkoušky shody v provozu vozidel s hybridním elektrickým pohonem, u kterých spalovací motor nemůže běžet, pokud vozidlo stojí, se k následujícím informacím týkajícím se měření hladiny akustického tlaku provedených podle bodu 4.1 přílohy II pro motorová vozidla za jízdy odkazuje jako k referenčním údajům shody v provozu:

a)

rychlostní stupeň (i) nebo, u vozidel zkoušených bez uzamčených převodových poměrů, poloha voliče rychlostního stupně zvolená pro zkoušku;

b)

poloha provozního spínače během měření hladiny akustického tlaku Lwot,(i) (je-li spínač nainstalován)

c)

délka předčasné akcelerace IPA v m;

d)

průměrná rychlost vozidla v km/h na počátku akcelerační zkoušky s plně otevřenou škrticí klapkou na rychlostní stupeň (i) a

e)

hladina akustického tlaku Lwot,(i) v dB(A) při zkoušce s plně otevřenou škrticí klapkou a na převodový stupeň (i), definovaná jako vyšší ze dvou hodnot, které vzešly ze zprůměrování výsledků jednotlivých měření pro každou polohu mikrofonu.

5.2.

Referenční údaje shody v provozu se zanesou do certifikátu EU schválení typu podle bodu 2.3 doplňku dodatku 2 k příloze I.


(1)  Vzhledem k tomu, že podíl pneumatik na celkových emisích hluku je výrazný, je nutné vzít v úvahu stávající předpisy o emisi hluku ze styku pneumatika/vozovka. Trakční pneumatiky, pneumatiky pro jízdu na sněhu a pro zvláštní použití podle definice v odstavci 2 předpisu EHK OSN č. 117 by se na žádost výrobce neměly při měřeních pro schválení typu a měřeních shodnosti výroby podle předpisu EHK OSN č. 117 (Úř. věst. L 307, 23.11.2011, s. 19) používat.

Dodatek

Obrázky

Image

Obrázek 1:

Polohy pro měření vozidel za jízdy

Image

T= pohled shora

S= pohled z boku

A= měřená trubka

B= trubka ohnutá dolů

C= rovná trubka

D= svislá trubka

1= vztažný bod

2= povrch vozovky

Obrázek 2:

Vztažný bod

Image

Image

Image

Image

Obrázky 3a až 3d:

Příklady polohy mikrofonu v závislosti na umístění výfukového potrubí

PŘÍLOHA III

Mezní hodnoty

Hladina akustického tlaku naměřená v souladu s ustanoveními přílohy II, matematicky zaokrouhlená na nejbližší celé číslo, nesmí překročit tyto mezní hodnoty:

Kategorie vozidla

Popis kategorie vozidla

Mezní hodnoty vyjádřené v dB(A) [decibely(A)]

 

 

Fáze 1 použitelná pro nové typy vozidel ode dne 1. července 2016

Fáze 2 použitelná pro nový typ vozidla ode dne 1. července 2020 a pro první registraci ode dne 1. července 2022

Fáze 3 použitelná pro nový typ vozidla ode dne 1. července 2024 a pro první registraci ode dne 1. července 2026

M

Vozidla používaná pro přepravu cestujících

 

 

 

M1

poměr výkonu k hmotnosti ≤ 120 kW/1 000 kg

72 (1)

70 (1)

68 (1)

M1

120 kW/1 000 kg < poměr výkonu k hmotnosti ≤ 160 kW/1 000 kg

73

71

69

M1

160 kW /1 000 kg < poměr výkonu k hmotnosti

75

73

71

M1

poměr výkonu k hmotnosti > 200 kW//1 000 kg počet sedadel ≤ 4 bod R sedadla řidiče ≤ 450 mm od země

75

74

72

M2

hmotnost ≤ 2 500 kg

72

70

69

M2

2 500 kg < hmotnost ≤ 3 500 kg

74

72

71

M2

3 500 kg < hmotnost ≤ 5 000 kg; jmenovitý výkon motoru ≤ 135 kW

75

73

72

M2

3 500 kg < hmotnost ≤ 5 000 kg; jmenovitý výkon motoru > 135 kW

75

74

72

M3

jmenovitý výkon motoru ≤ 150 kW

76

74

73 (2)

M3

150 kW < jmenovitý výkon motoru ≤ 250 kW

78

77

76 (2)

M3

jmenovitý výkon motoru > 250 kW

80

78

77 (2)

N

Vozidla používaná pro přepravu nákladu

 

 

 

N1

hmotnost ≤ 2 500 kg

72

71

69

N1

2 500 kg < hmotnost ≤ 3 500 kg

74

73

71

N2

jmenovitý výkon motoru ≤ 135 kW

77

75 (2)

74 (2)

N2

jmenovitý výkon motoru > 135 kW

78

76 (2)

75 (2)

N3

jmenovitý výkon motoru ≤ 150 kW

79

77

76 (2)

N3

150 kW < jmenovitý výkon motoru ≤ 250 kW

81

79

77 (2)

N3

jmenovitý výkon motoru > 250 kW

82

81

79 (2)

Mezní hodnoty se zvyšují o 1dB (2 dB(A) pro kategorie N3 a M3) u vozidel, která splňují příslušnou definici terénních vozidel stanovenou v bodě 4 části A přílohy II směrnice 2007/46/ES.

U vozidel kategorie M1 platí zvýšené mezní hodnoty pro terénní vozidla pouze tehdy, pokud je maximální technicky přípustná hmotnost naloženého vozidla vyšší než 2 tuny.

Mezní hodnoty se zvyšují o 2 db(A) u vozidel přístupných pro invalidní vozík a u pancéřovaných vozidel definovaných v příloze II směrnice 2007/46/ES.


(1)  Vozidla M1 odvozená z vozidel N1:

Vozidla M1 s bodem R > 850 mm od země a celkovou přípustnou hmotností naloženého vozidla vyšší než 2 500 kg musí splňovat mezní hodnoty vozidel N1 (2 500 kg < hmotnost ≤ 3 500 kg)

(2)  + 2 roky pro nový typ vozidla a + 1 rok pro registraci nových vozidel

PŘÍLOHA IV

Systémy tlumení hluku s akusticky absorbujícími vláknitými materiály

1.   Obecně

Vláknité materiály tlumící hluk mohou být použity v systémech tlumení hluku nebo jejich konstrukčních částech, pokud je splněna alespoň jedna z následujících podmínek;

a)

výfukový plyn nepřichází do styku s vláknitými materiály;

b)

systém tlumení hluku nebo jeho konstrukční části patří do stejné konstrukční skupiny jako systémy nebo konstrukční části, u nichž bylo během procesu EU schválení typu v souladu s požadavky tohoto nařízení pro jiný typ vozidla prokázáno, že nepodléhají zhoršení stavu.

Pokud není splněna ani jedna z podmínek uvedených v prvním pododstavci písm. a) a b), celý systém tlumení hluku nebo jeho konstrukční části se podrobí obvyklému záběhu s použitím jednoho ze tří zařízení a postupů popsaných v bodech 1.1, 1.2 a 1.3.

Pro účely písm. b) prvního pododstavce se skupinou systému tlumení hluku nebo konstrukčních částí systému tlumení hluku rozumí skupina systémů tlumení hluku nebo jejich konstrukčních částí, v níž se všechny z následujících charakteristik shodují:

a)

přítomnost čistého toku plynu poté, co výfukové plyny projdou přes absorpční vláknitý materiál, se kterým jsou ve styku;

b)

druh vláken;

c)

případně specifikace pojiva;

d)

průměrné rozměry vláken;

e)

minimální objemová hmotnost balení materiálu v kg/m3;

f)

maximální styčná plocha mezi proudícím plynem a absorpčním materiálem.

1.1.   Průběžný silniční provoz v délce 10 000 km

1.1.1.

50 ± 20 % tohoto provozu zahrnuje městský provoz a zbytek dálkové jízdy při vysoké rychlosti. Průběžný silniční provoz může být nahrazen odpovídajícím programem na zkušební dráze.

1.1.2.

Oba rychlostní režimy by se měly prostřídat minimálně dvakrát.

1.1.3.

Úplný zkušební program zahrnuje nejméně 10 přestávek trvajících nejméně tři hodiny, aby se napodobil účinek ochlazení a případné kondenzace.

1.2.   Záběh na zkušebním stavu

1.2.1.

Při použití standardních součástí a v souladu s pokyny výrobce se systém tlumení hluku nebo jeho konstrukční části musí namontovat do vozidla uvedeného v bodě 1.3 přílohy I nebo na motor uvedený v bodě 1.4 přílohy I. V případě vozidla uvedeného v bodě 1.3 přílohy I musí být vozidlo postaveno na válcovém dynamometru. V případě motoru uvedeného v bodě 1.4 přílohy I musí být motor připojen k dynamometru.

1.2.2.

Zkouška se provádí v šestihodinových periodách s přestávkami mezi periodami po dobu nejméně 12 hodin, aby se napodobil účinek ochlazení a případné kondenzace.

1.2.3.

V průběhu každé šestihodinové periody je motor provozován za těchto po sobě jdoucích podmínek:

a)

pětiminutový úsek při volnoběhu;

b)

jednohodinový úsek při 1/4 zatížení a 3/4 maximálních jmenovitých otáček (S);

c)

jednohodinový úsek při 1/2 zatížení a 3/4 maximálních jmenovitých otáček (S);

d)

desetiminutový úsek při plném zatížení a 3/4 maximálních jmenovitých otáček (S);

e)

patnáctiminutový úsek při 1/2 zatížení a při maximálních jmenovitých otáčkách (S);

f)

třicetiminutový úsek při 1/4 zatížení a při maximálních jmenovitých otáčkách (S).

Celkové trvání těchto šesti úseků: tři hodiny.

Každá perioda musí zahrnovat dva sledy souborů těchto podmínek v pořadí od a) do f).

1.2.4.

Během zkoušky nesmějí být systém tlumení hluku nebo jeho konstrukční části chlazeny nuceným ofukováním napodobujícím obvyklé obtékání vozidla. Na žádost výrobce však mohou být systém tlumení hluku nebo jeho konstrukční části chlazeny tak, aby nebyla překročena teplota měřená na jeho vstupu za jízdy vozidla při maximální rychlosti.

1.3.   Záběh pulzováním

1.3.1.

Systém tlumení hluku nebo jeho konstrukční části musejí být namontovány do vozidla uvedeného v bodě 1.3 přílohy I nebo motoru uvedeného v bodě 1.4 přílohy I. V prvém případě musí být vozidlo postaveno na válcovém dynamometru.

V druhém případě musí být motor připojen k dynamometru. Na výustku systému tlumení hluku se připojí zkušební zařízení, jehož podrobné schéma je uvedeno na obrázku 1 v dodatku k této příloze. Jakákoli jiná aparatura poskytující rovnocenné výsledky je přijatelná.

1.3.2.

Zkušební zařízení se seřídí tak, aby průtok výfukových plynů byl střídavě přerušován a obnovován rychle působícím ventilem po 2 500 cyklů.

1.3.3.

Ventil se musí otevřít, jakmile protitlak ve výfuku měřený nejméně 100 mm od vstupní příruby po směru průtoku výfukových plynů dosáhne hodnoty mezi 0,35 a 0,40 kPa. Musí se uzavřít, jakmile se tento tlak neliší o více než 10 % od stabilizované hodnoty při otevřeném ventilu.

1.3.4.

Časový spínač se nastaví na dobu průtoku výfukového plynu, která vyplývá z ustanovení bodu 1.3.3.

1.3.5

Otáčky motoru se rovnají 75 % otáček (S), při nichž má motor maximální výkon.

1.3.6.

Výkon zaznamenaný dynamometrem musí činit 50 % výkonu měřeného s plně otevřenou klapkou akcelerátoru při 75 % otáček motoru (S).

1.3.7.

Při zkoušce se uzavřou všechny odvodňovací otvory.

1.3.8.

Celá zkouška musí být ukončena do 48 hodin.

V případě potřeby se po každé hodině zařadí doba na ochlazení.

Dodatek

Image

Obrázek 1

Zkušební zařízení pro záběh pulzováním

1.

Vstupní příruba nebo objímka pro připojení k zadní části zkoušeného systému tlumení hluku.

2.

Ručně ovládaný regulační ventil.

3.

Vyrovnávací nádrž o maximální kapacitě 40 l při době plnění nejméně jedna sekunda.

4.

Tlakový spínač pracující v rozsahu 0,05 až 2,5 barů.

5.

Časový spínač

6.

Počítadlo impulzů

7.

Rychle působící ventil, jako je ventil výfukové brzdy o průměru 60 mm ovládaný pneumatickým válcem vyvozujícím sílu 120 N při 4 barech. Doba odezvy jak při otevírání, tak při zavírání nesmí překročit 0,5 s.

8.

Odvod výfukových plynů.

9.

Ohebné potrubí.

10.

Tlakoměr.

PŘÍLOHA V

Hluk tlakovzdušných systémů

1.   Metoda měření

Měří se na stojícím vozidle s mikrofonem umístěným v polohách 2 a 6 zobrazených na obrázku 1 v dodatku. Zaznamenává se nejvyšší hladina akustického tlaku vážená váhovou křivkou A při odfouknutí regulátoru tlaku a při odfuku jak provozní, tak i parkovací brzdy.

Hluk při odfouknutí regulátoru tlaku se měří při chodu motoru s volnoběžnými otáčkami. Odfuk je zaznamenáván při ovládání provozní a parkovací brzdy; před každým měřením se tlakovzdušná jednotka naplní nejvyšším přípustným provozním tlakem a pak se motor vypne.

2.   Hodnocení výsledků

V každé poloze mikrofonu se provedou dvě měření. Každý údaj přístroje se sníží o 1 dB(A), aby byly vzaty v úvahu nepřesnosti měřicích přístrojů. Tato snížená hodnota je považována za výsledek měření. Výsledky se považují za platné, pokud rozdíl mezi měřeními v jedné poloze mikrofonu nepřekročí 2 dB(A). Jako výsledek se bere nejvyšší naměřená hodnota. Pokud tato hodnota překročí mezní hodnotu hladiny akustického tlaku o 1 dB(A), provedou se v odpovídající poloze mikrofonu dvě dodatečná měření. V tomto případě musejí tři ze čtyř výsledků měření získaných v této poloze musejí vyhovovat mezní hodnotě hladiny akustického tlaku.

3.   Mezní hodnota

Hladina akustického tlaku nesmí překročit mezní hodnotu 72 dB(A).

Dodatek

Obrázek 1:   Polohy mikrofonu pro měření hluku tlakovzdušného systému

Image

Měření se provádí na stojícím vozidle podle obrázku 1 při využití dvou poloh mikrofonu ve vzdálenosti 7 m od obrysu vozidla a ve výšce 1,2 m nad zemí.

PŘÍLOHA VI

Kontroly shodnosti výroby vozidel

1.   Obecně

Požadavky této přílohy odpovídají zkoušce, jíž se kontroluje shodnost výroby podle bodu 5 přílohy I.

2.   Zkušební postup

Zkušební místo a měřicí přístroje musejí odpovídat popisu v příloze II.

2.1.   Zkoušené vozidlo nebo vozidla se podrobí zkoušce měření hluku vozidla za jízdy stanovené v bodě 4.1 přílohy II.

2.2.   Hluk tlakovzdušných systémů

Vozidla s maximální technicky přípustnou hmotností naloženého vozidla převyšující 2 800 kg a vybavená tlakovzdušnými systémy se musejí podrobit doplňující zkoušce na měření hluku tlakovzdušných systémů stanovené v bodě 1 přílohy V.

2.3.   Další ustanovení týkající se emisí hluku (ASEP)

Výrobce vozidla posoudí shodu s ASEP prostřednictvím vhodného hodnocení nebo může provést zkoušku popsanou v příloze VII.

3.   Výběr vzorku a hodnocení výsledků

Vybere se jedno vozidlo, na němž se provedou zkoušky stanovené v bodě 2 této přílohy. Nepřekračuje-li hladina akustického tlaku zkoušeného vozidla mezní hodnotu stanovenou v příloze III, a případně v bodu 3 přílohy V, o více než 1 dB(A), typ vozidla se považuje za vyhovující požadavkům tohoto nařízení.

Jestliže jeden z výsledků zkoušky nesplňuje požadavky na shodnost výroby uvedené v příloze X směrnice 2007/46/ES, provede se zkouška na dalších dvou vozidlech stejného typu v souladu s bodem 2 této přílohy.

Jestliže výsledky zkoušek druhého a třetího vozidla splňují požadavky na shodnost výroby uvedené v příloze X směrnice 2007/46/ES, vozidlo se považuje za vyhovující ustanovením o shodnosti výroby.

Jestliže jeden z výsledků zkoušky druhého nebo třetího vozidla nesplňuje požadavky na shodnost výroby uvedené v příloze X směrnice 2007/46/ES, typ vozidla se považuje za nevyhovující požadavkům tohoto nařízení a výrobce musí přijmout nezbytná opatření k obnovení shodnosti.

PŘÍLOHA VII

Metoda měření pro posouzení shody s dalšími ustanoveními týkajícími se emisí hluku (ASEP)

1.   Obecně

Tato příloha popisuje metodu měření pro posouzení shody s dalšími ustanoveními týkajícími se emisí hluku (ASEP) stanovenými v článku 7.

Při žádosti o EU schválení typu není povinné provádět skutečné zkoušky. Výrobce podepíše prohlášení o shodě stanovené v dodatku 1 k této příloze. Schvalovací orgán si může vyžádat další informace ohledně prohlášení o shodě a provést níže popsané zkoušky.

Postup podle této přílohy vyžaduje provedení zkoušky podle přílohy II. Zkouška uvedená v příloze II se provede na stejné zkušební dráze za podmínek podobných podmínkám požadovaným pro zkoušky stanovené v této příloze.

2.   Metoda měření

2.1   Měřicí přístroje a podmínky měření

Není-li uvedeno jinak, jsou měřicí přístroje, podmínky měření a stav vozidla shodné s měřicími přístroji, podmínkami měření a stavem vozidla uvedenými v bodech 2 a 3 přílohy II.

Pokud má vozidlo různé režimy, které mají vliv na emise hluku, musejí všechny režimy splňovat požadavky stanovené v této příloze. Pokud výrobce provádí zkoušky jako důkaz schvalovacímu orgánu, že jsou tyto požadavky splněny, musí být režimy, které byly při těchto zkouškách použity, uvedeny ve zkušebním protokolu.

2.2.   Zkušební metoda

Není-li stanoveno jinak, použijí se podmínky a postupy uvedené v bodech 4.1 až 4.1.2.1.2.2 přílohy II. Pro účely této přílohy se měří a hodnotí vždy jen jedna zkušební jízda.

2.3.   Regulační rozsah

Provozní podmínky jsou následující:

Rychlost vozidla VAA ASEP:

vAA ≥ 20 km/h

Akcelerace vozidla awot ASEP:

awot ≤ 5,0 m/s2

Otáčky motoru nBB ASEP

Formula nebo

Formula, podle toho, která hodnota je nejnižší

Rychlost vozidla VBB ASEP:

jestliže nBB ASEP je dosaženo na jeden rychlostní stupeň vBB ≤ 70 km/h

ve všech ostatních případech vBB ≤ 80 km/h

rychlostní stupně K ≤ převodový poměr i je shodný s hodnotou stanovenou v příloze II

Jestliže vozidlo na nejnižší platný převodový stupeň nedosáhne maximálních otáček motoru při rychlosti pod 70 km/h, je nejvyšší dovolená rychlost vozidla 80 km/h.

2.4.   Převodové poměry

Požadavky ASEP platí pro každý převodový poměr K, při němž se výsledky zkoušek nacházejí v regulačním rozsahu stanoveném v bodě 2.3 této přílohy.

V případě vozidel s automatickou převodovkou, adaptivní převodovkou a převodovkou s plynule měnitelnými převody (CVT), u kterých zkouška probíhá s neuzamčenými převodovými poměry, může zkouška zahrnovat změnu převodového stupně na nižší poměr a vyšší akceleraci. Změna rychlostního stupně na vyšší poměr a nižší akceleraci je nepřípustná. Nesmí se řadit na převodový poměr, který vede ke stavu, jenž je v rozporu s hraničními podmínkami. V takovém případě je dovoleno zavést a používat elektronické nebo mechanické zařízení, včetně náhradního voliče rychlostních stupňů. Aby byla zkouška ASEP reprezentativní a opakovatelná (pro schvalovací orgán), vozidla se zkoušejí s použitím kalibrace sériových převodovek.

2.5.   Cílové podmínky

Emise hluku se měří při každém platném převodovém poměru ve čtyřech zkušebních bodech, jak je uvedeno níže.

První zkušební bod P1 je definován pomocí vstupní rychlosti vAA 20 km/h. Jestliže nelze dosáhnout stabilní akcelerace, zvyšuje se rychlost v krocích po 5 km/h, dokud není dosaženo stabilní akcelerace.

Čtvrtý zkušební bod P4 je definován maximální rychlostí vozidla na přímce BB' při převodovém poměru v rámci hraničních podmínek podle bodu 2.3.

Ostatní dva zkušební body se vypočtou podle tohoto vzorce:

Zkušební bod Pj: Formula pro j = 2 a 3

kde:

vBB_1

=

rychlost vozidla na přímce BB' zkušebního bodu P1

vBB_4

=

rychlost vozidla na přímce BB' zkušebního bodu P4

Dovolená odchylka pro vBB_j: ±3 km/h

Pro všechny zkušební body musejí být dodrženy hraniční podmínky stanovené v bodě 2.3.

2.6.   Zkouška vozidla

Dráha osy vozidla musí během celé zkoušky, od nájezdu k přímce AA' po překročení přímky BB' zádí vozidla, co nejpřesněji sledovat přímku CC'.

Na přímce AA' se akcelerátor plně sešlápne. Pro dosažení stabilnější akcelerace nebo zamezení podřazení mezi přímkami AA' a BB' lze použít předčasnou akceleraci před přímkou AA'. Pedál akcelerátoru zůstane sešlápnutý, dokud záď vozidla nepřekročí přímku BB'.

Pro každou samostatnou zkušební jízdu se stanoví a zaznamenají tyto parametry:

Maximální hladina akustického tlaku vážená váhovou křivkou A na obou stranách vozidla zaznamenaná při každém průjezdu vozidla mezi přímkami AA' a BB' se zaokrouhlí na jedno desetinné místo (Lwot,kj). Jsou-li zzaznamenány zvukové špičky, které zjevně nesouvisejí s celkovou hladinou akustického tlaku, k danému měření se nepřihlíží. Levá a pravá strana se může měřit souběžně nebo odděleně.

Naměřené hodnoty rychlosti vozidla na přímkách AA' a BB' se zaznamenají s přesností na jedno platné desetinné místo (vAA,kj; vBB,kj).

Případně se zaznamenají hodnoty otáček motoru na přímkách AA' a BB' jako celé číslo (nAA,kj; nBB,kj).

Vypočítaná akcelerace se stanoví podle vzorce uvedeného v bodě 4.1.2.1.2 přílohy II a zaznamená s přesností na dvě desetinná místa (awot,test,kj).

3.   Analýza výsledků

3.1.   Stanovení kotevního bodu pro každý převodový poměr

Pro měření při rychlostním stupni i a nižším tvoří kotevní bod maximální hladina akustického tlaku Lwoti, zaznamenané otáčky motoru nwoti a rychlost vozidla vwoti na přímce BB' rychlostního stupně i akcelerační zkoušky uvedené v příloze II.

Lanchor,i

=

Lwoti,příloha II

nanchor,i

=

nBB,woti,příloha II

vanchor,i

=

vBB,woti,příloha II

Pro měření při rychlostním stupni i+1 tvoří kotevní bod maximální hladina akustického tlaku Lwoti+1, zaznamenané otáčky motoru nwoti+1 a rychlost vozidla vwoti+1 na přímce BB' rychlostního stupně i+1 akcelerační zkoušky uvedené v příloze II.

Lanchor,i+1

=

Lwoti+1,příloha II

nanchor,i+1

=

nBB,woti+1,příloha II

vanchor,i+1

=

vBB,woti+1,příloha II

3.2.   Sklon regresní přímky u každého rychlostního stupně

Měření akustického tlaku se posoudí jako funkce otáček motoru podle bodu 3.2.1.

3.2.1.   Výpočet sklonu regresní přímky pro každý rychlostní stupeň

Lineární regresní přímka se vypočítá pomocí kotevního bodu a čtyř korelovaných doplňkových měření.

Formula (v dB/1 000 min–1)

kde Formula a Formula

kde nj= otáčky motoru měřené na přímce BB’.

3.2.2.   Sklon regresní přímky u každého rychlostního stupně

Sklonk určitého rychlostního stupně pro další výpočet se odvodí na základě výsledku výpočtu v bodě 3.2.1 zaokrouhleného na jedno desetinné místo, maximálně však 5 dB/1 000 min–1.

3.3.   Výpočet lineárního vzestupu hladiny akustického tlaku očekávaného u každého měření

Hladina akustického tlaku LASEP,kj v měřicím bodě j a při rychlostním stupni k se vypočítá za pomoci otáček motoru naměřených v každém měřicím bodě, sklonu uvedeném v bodě 3.2 ve vztahu k určitému kotevnímu bodu pro každý převodový poměr.

Pro nBB_k,j ≤ nanchor,k:

Formula

Pro nBB_k,j > nanchor,k:

Formula

kde Y = 1

3.4.   Vzorky

Na žádost schvalovacího orgánu se provedou dvě další jízdy při hraničních podmínkách podle bodu 2.3.

4.   Interpretace výsledků

Vyhodnotí se každé jednotlivé měření hluku.

Hladina akustického tlaku v každém stanoveném měřicím bodě nesmí překročit níže uvedené mezní hodnoty:

Formula

kde:

x

=

3 dB(A) pro vozidla s neuzamykatelnou automatickou převodovkou nebo neuzamykatelnou převodovkou s plynule měnitelnými převody (CVT)

x

=

2 dB(A) + mezní hodnota - Lurban z přílohy II pro všechna ostatní vozidla

Jestliže naměřená hladina akustického tlaku překročí v některém bodě mezní hodnotu, provedou se ve stejném bodě dvě další měření za účelem ověření nejistoty měření. Vozidlo splňuje ASEP, jestliže průměr těchto tří platných měření v daném bodě odpovídá specifikaci.

5.   Posouzení referenční hodnoty akustického tlaku

Referenční hodnota akustického tlaku se posuzuje v jediném bodě při jednom samostatném převodovém stupni, přičemž se simuluje akcelerace z počáteční rychlosti vaa rovnající se 50 km/h a předpokládá se koncová rychlost vbb rovnající se 61 km/h. Shoda se stanovenými hodnotami v tomto bodě se může buď vypočítat s použitím výsledků z bodu 3.2.2 a níže uvedených specifikací, nebo vyhodnotit pomocí přímého měření při převodovém stupni, jak je uvedeno níže.

5.1   Rychlostní stupeň K se stanoví takto:

K

=

3 pro všechny převodovky s ručním řazením a pro automatické převodovky s nejvýše 5 rychlostními stupni;

K

=

4 pro automatické převodovky s 6 nebo více rychlostními stupni

Jestliže nejsou k dispozici žádné samostatné rychlostní stupně, např. u neuzamykatelné automatické převodovky nebo neuzamykatelné převodovky s plynule měnitelnými převody (CVT), stanoví se převodový poměr na základě výsledku akcelerační zkoušky v příloze II za použití zaznamenaných otáček motoru a rychlosti vozidla na přímce BB’.

5.2.   Stanovení referenčních otáček motoru nref_K

Referenční otáčky motoru, nref_K, se vypočítají pomocí převodového poměru rychlostního stupně K při referenční rychlosti vref = 61 km/h.

5.3.   Výpočet Lref

Formula

Hodnota Lref musí být menší nebo rovna 76 dB(A).

U vozidel s manuální převodovkou, která mají více než čtyři dopředné rychlostní stupně, jsou vybavena motorem s maximálním jmenovitým netto výkonem vyšším než 140 kW a jejichž poměr maximálního jmenovitého netto výkonu k maximální hmotnosti převyšuje 75 kW/t, musí být hodnota Lref menší nebo rovna 79 dB(A).

U vozidel s automatickou převodovkou, která mají více než čtyři dopředné rychlostní stupně, jsou vybavena motorem s maximálním jmenovitým netto výkonem vyšším než 140 kW a jejichž poměr maximálního jmenovitého netto výkonu k maximální hmotnosti převyšuje 75 kW/t, musí být hodnota Lref menší nebo rovna 78 dB(A).

6.   Vyhodnocení dalších ustanovení týkajících se emisí hluku (ASEP) pomocí principu L-urban

6.1   Obecně

Tento hodnotící postup představuje alternativu pro výrobce k postupu popsanému v bodě 3 této přílohy a lze jej použít na všechny technologie vozidel. Za stanovení správného způsobu provádění zkoušek odpovídá výrobce. Není-li stanoveno jinak, provádí se veškeré zkoušky a výpočty podle ustanovení přílohy II tohoto nařízení.

6.2.   Výpočet Lurban ASEP

Z jakékoli hodnoty Lwot_ASEP získané na základě měření podle této přílohy se Lurban ASEP vypočítá takto:

a)

Vypočtěte awot_test_ASEP podle bodu 4.1.2.1.2.1, případně podle bodu 4.1.2.1.2.2 přílohy II;

b)

Stanovte rychlost vozidla (vBB ASEP) na přímce BB během zkoušky Lwot ASEP;

c)

Vypočtěte kp ASEP takto:

Formula

Na výsledky zkoušky, kde je hodnota awot test ASEP menší než aurban, se nebere ohled.

d)

Vypočtěte Lurban measured ASEP takto:

Formula

Pro další výpočet použijte nezaokrouhlenou hodnotu Lurban z přílohy II včetně číslice za desetinnou čárkou (xx,x).

e)

Vypočtěte Lurban normalized takto:

Formula

f)

Vypočtěte Lurban ASEP takto:

Formula

g)

Shoda s mezními hodnotami hladiny akustického tlaku:

Lurban ASEP musí být menší nebo rovno 3,0 dB.

Dodatek

Vzor prohlášení o shodě s dalšími ustanoveními týkajícími se emisí hluku (ASEP)

(Maximální formát: A4 (210 × 297 mm))

(Název výrobce) potvrzuje, že vozidla tohoto typu (typ z hlediska emisí hluku podle nařízení (EU) č. … (1)) splňují požadavky článku 7 nařízení (EU) č. … (1).

(Název výrobce) toto prohlášení vydává v dobré víře po provedení náležitého vyhodnocení emisí hluku vozidel.

Datum:

Jméno pověřeného zástupce:

Podpis pověřeného zástupce:


(1)  Pro Úřední věstník: vložte prosím číslo tohoto nařízení.

PRÍLOHA VIII

Opatření týkající se akustického varovného systému vozidla (AVAS)

Tato příloha stanoví opatření týkající se akustického varovného systému vozidla (AVAS) pro vozidla s hybridním elektrickým pohonem a elektrická vozidla.

Akustický varovný systém vozidla (AVAS)

1.   Činnost systému

Pokud je systém AVAS instalován na vozidle, musí splňovat níže uvedené požadavky.

2.   Provozní podmínky

a)   Způsob vydávání zvuku

Systém AVAS musí automaticky vydávat zvuk při minimálním rozsahu rychlosti vozidla od nastartování do zhruba 20 km/h a při zpětném chodu. Pokud je vozidlo vybavené spalovacím motorem, který je v chodu při výše uvedeném rychlostním rozpětí vozidla, nevydává systém AVAS žádný zvuk.

U vozidel vybavených výstražným zařízením v případě zpětného chodu nemusí systém AVAS při zpětném chodu vydávat žádný zvuk.

b)   Tlačítko

Systém AVAS musí být vybaven tlačítkem, které umožňuje jeho zapnutí a vypnutí a je snadno dosažitelné pro řidiče vozidla. Po opětovném nastartování vozidla se systém AVAS musí automaticky uvést do stavu „zapnuto“.

c)   Ztlumení

Hladina akustického tlaku systému AVAS může být v průběhu jízdy ztlumována.

3.   Druh a hlasitost zvuku

a)

Zvuk, který vydává systém AVAS, je nepřerušovaný zvuk, který chodce a další účastníky silničního provozu informuje o tom, že je vozidlo v provozu. Zvuk by měl jasně signalizovat chování vozidla a měl by znít podobně, jako zní vozidlo stejné kategorie vybavené spalovacím motorem.

b)

Zvuk vydávaný systémem AVAS musí umožňovat snadné rozpoznání chování vozidla, například pomocí automatické změny hladiny akustického tlaku nebo vlastností v závislosti na aktuální rychlosti vozidla.

c)

Hladina akustického tlaku generovaná systémem AVAS nepřekročí přibližnou hladinu akustického tlaku vozidla kategorie M1 vybaveného spalovacím motorem a provozovaného za stejných podmínek.

PŘÍLOHA IX

EU schválení typu systémů tlumení hluku jako samostatných technických celků z hlediska hladiny akustického tlaku (náhradní systémy tlumení hluku)

1.   ŽÁDOST O EU SCHVÁLENÍ TYPU

1.1.

Žádost o EU schválení typu podle čl. 7 odst. 1 a 2 směrnice 2007/46/ES pro náhradní systém tlumení hluku nebo jeho konstrukční části jako samostatný technický celek určený pro vozidla kategorií M1 a N1 podává výrobce vozidla nebo výrobce daného samostatného technického celku.

1.2.

Vzor informačního dokumentu je uveden v dodatku 1.

1.3.

Na žádost příslušné technické zkušebny dodá žadatel:

1.3.1

dva vzorky systému, ohledně nějž byla žádost o EU schválení typu podána,

1.3.2.

systém tlumení hluku typu, který byl na vozidlo původně namontován v době udělení EU schválení typu,

1.3.3.

vozidlo představující typ, na který má být systém montován a který vyhovuje požadavkům bodu 2.1 přílohy VI,

1.3.4.

samostatný motor příslušející popsanému typu vozidla.

2.   ZNAČENÍ

2.4.1.

Náhradní systém tlumení hluku nebo jeho konstrukční části musejí být s výjimkou upevňovacích součástí a potrubí opatřeny:

2.4.1.1.

výrobní nebo obchodní značkou výrobce náhradního systému tlumení hluku a jeho konstrukčních částí,

2.4.1.2.

obchodním označením výrobce.

2.4.2.

Tato označení musí být zřetelně čitelná a nesmazatelná, i když je systém namontován na vozidle.

3.   UDĚLENÍ EU SCHVÁLENÍ TYPU

3.1.

Jsou-li splněny příslušné požadavky, udělí se EU schválení typu podle čl. 9 odst. 3 a popřípadě podle čl. 10 odst. 4 směrnice 2007/46/ES.

3.2.

Vzor certifikátu EU schválení typu je uveden v dodatku 2.

3.3.

Každému typu náhradního systému tlumení hluku nebo jeho konstrukčních částí, schválených jako samostatný technický celek, se přidělí číslo schválení typu v souladu s přílohou VII směrnice 2007/46/ES; v části 3 čísla schválení typu se uvádí číslo tohoto nařízení. Je-li náhradní systém tlumení hluku určen k namontování na typy vozidel splňující pouze mezní hodnoty fáze 1 přílohy III, za částí 3 čísla schválení typu následuje písmeno „A“. Je-li náhradní systém tlumení hluku určen k namontování na typy vozidel splňující pouze mezní hodnoty fáze 2 přílohy III, za částí 3 čísla schválení typu následuje písmeno „B“. Je-li náhradní systém tlumení hluku určen k namontování na typy vozidel splňující mezní hodnoty fáze 3 přílohy III, za částí 3 čísla schválení typu následuje písmeno „C“. Týž členský stát nesmí přidělit stejné číslo jinému typu náhradního systému tlumení hluku nebo jeho konstrukčních částí.

4.   ZNAČKA EU SCHVÁLENÍ TYPU

4.1.

Každý náhradní systém tlumení hluku nebo jeho konstrukční části, s výjimkou úchytů a potrubí, které odpovídají typu schválenému podle tohoto nařízení, musí být opatřeny značkou EU schválení typu.

4.2.

Značka EU schválení typu je tvořena obdélníkem, v němž je vyznačeno malé písmeno „e“ následované rozlišovacím písmenem/písmeny nebo číslem členského státu, který schválení typu udělil:

„1“

pro Německo

„2“

pro Francii

„3“

pro Itálii

„4“

pro Nizozemsko

„5“

pro Švédsko

„6“

pro Belgii

„7“

pro Maďarsko

„8“

pro Českou republiku

„9“

pro Španělsko

„11“

pro Spojené království

„12“

pro Rakousko

„13“

pro Lucembursko

„17“

pro Finsko

„18“

pro Dánsko

„19“

pro Rumunsko

„20“

pro Polsko

„21“

pro Portugalsko

„23“

pro Řecko

„24“

pro Irsko

„25“

pro Chorvatsko

„26“

pro Slovinsko

„27“

pro Slovensko

„29“

pro Estonsko

„32“

pro Lotyšsko

„34“

pro Bulharsko

„36“

pro Litvu

„49“

pro Kypr

„50“

pro Maltu

V blízkosti obdélníku se též nachází „základní číslo schválení typu“ obsažené v části 4 čísla schválení typu podle přílohy VII směrnice 2007/46/ES; před tímto číslem jsou dvě číslice, které udávají pořadové číslo přidělené nejnovějším technickým změnám tohoto nařízení k datu, kdy bylo schválení typu vozidla uděleno. Pro toto nařízení v jeho původní podobě je pořadové číslo 00. Tomuto pořadovému číslu dále předchází písmeno „A“, je-li náhradní systém tlumení hluku určen k namontování na typy vozidel splňující pouze mezní hodnoty fáze 1 přílohy III, nebo písmeno „B“, je-li náhradní systém tlumení hluku určen k namontování na typy vozidel splňující mezní hodnoty fáze 2 přílohy III, nebo písmeno „C“, je-li náhradní systém tlumení hluku určen k namontování na typy vozidel splňující mezní hodnoty fáze 3 přílohy III.

4.3.

Značka musí být zřetelně čitelná a nesmazatelná, i když jsou náhradní systém tlumení hluku nebo jeho konstrukční části namontovány na vozidle.

4.4.

Vzor značky EU schválení typu je uveden v dodatku 3.

5.   POŽADAVKY

5.1.   Obecné požadavky

5.1.1.   Náhradní systém tlumení hluku nebo jeho konstrukční části musí být navrženy, zkonstruovány a schopny montáže tak, aby zajišťovaly, že vozidlo bude v souladu s tímto nařízením za obvyklých podmínek používání bez ohledu na vibrace, kterým může být vystaveno.

5.1.2.   Systém tlumení hluku nebo jeho konstrukční části musí být navrženy, zkonstruovány a schopny montáže tak, aby bylo dosaženo přiměřené odolnosti proti korozivním jevům, jimž je vystaven, se zřetelem na podmínky použití vozidla.

5.1.3.   Další předpisy týkající se možnosti provádění nedovolených změn a ručního nastavování výfukových systémů nebo systémů tlumení hluku s více režimy.

5.1.3.1.   Všechny výfukové systémy nebo systémy tlumení hluku musejí být zkonstruovány tak, aby nebylo možné snadno odstranit tlumiče hluku, výstupní kužele nebo další součásti, jejichž hlavní funkcí je být součástí tlumení / expanzní komory. Pokud je nezbytné takovou součást zahrnout, musí být namontována tak, aby nebylo snadné ji demontovat (např. pomocí konvenčního závitového upevnění) a zároveň musí být namontována tak, aby její odstranění mělo za následek trvalé/nevratné poškození montážního celku.

5.1.3.2.   Výfukové systémy nebo systémy tlumení hluku s více režimy, které lze ručně nastavovat, musejí splňovat všechny požadavky ve všech provozních režimech. Uváděné hladiny akustického tlaku musí být hladiny akustického tlaku při režimu s nejvyšší hladinou akustického tlaku.

5.2.   Požadavky týkající se hladin akustického tlaku

5.2.1.   Podmínky měření

5.2.1.1.   Hluková zkouška systému tlumení hluku a náhradního systému tlumení hluku se provede se stejnými normálními pneumatikami (jak je definováno v bodě 2 předpisu EHK OSN č. 117). Na žádost výrobce se zkoušky neprovádí s trakčními pneumatikami, pneumatikami pro zvláštní použití nebo pneumatikami pro jízdu na sněhu podle definice v bodě 2 předpisu EHK OSN č. 117. Tyto pneumatiky by mohly zvýšit hladinu akustického tlaku vozidla nebo by mohly mít zastírací účinek na srovnání výkonu tlumení hluku. Pneumatiky mohou být již použité, nicméně musejí splňovat zákonné požadavky pro použití v dopravě.

5.2.2.   Výkonnost tlumení hluku náhradního systému tlumení hluku nebo jeho konstrukčních částí se ověří pomocí metod popsaných v bodu 1 přílohy II. Pro provádění tohoto bodu je obzvláště důležité přihlédnout ke znění tohoto nařízení, které bylo platné k datu udělení schválení typu nového vozidla.

a)   Měření na jedoucím vozidle

Jsou-li náhradní systém tlumení hluku nebo jeho konstrukční části namontovány na vozidle popsaném v bodě 1.3.3, musí naměřené hladiny akustického tlaku splňovat jednu z následujících podmínek:

i)

Naměřená hodnota (zaokrouhlená na nejbližší celé číslo) nesmí přesáhnout hodnotu schválení typu podle tohoto nařízení pro daný typ vozidla o více než 1 dB(A).

ii)

Naměřená hodnota (před zaokrouhlením na nejbližší celé číslo) nesmí překročit hodnotu hluku naměřenou (před zaokrouhlením na nejbližší celé číslo) na vozidle popsaném v bodě 1.3.3 o více než 1 dB(A), je-li na tomto vozidle namontován systém tlumení hluku odpovídající typu namontovanému v daném vozidle při jeho přistavení ke schválení typu v souladu s tímto nařízením.

V případě srovnání náhradního systému tlumení hluku s původním systémem, pro použití bodu 4.1.2.1.4.2 nebo 4.1.2.2.1.2 přílohy II, je povoleno změnit rychlostní stupeň na vyšší akceleraci a použití elektronického nebo mechanického zařízení, které zabrání takovému podřazení, není povinné. Jestliže za těchto podmínek hladina akustického tlaku zkušebního vozidla stoupne nad hodnoty shodnosti výroby, rozhodne technická zkušebna o reprezentativnosti zkušebního vozidla.

b)   Měření na stojícím vozidle

Jsou-li náhradní systém tlumení hluku nebo jeho konstrukční části namontovány na vozidle popsaném v bodě 1.3.3, musí naměřené hladiny akustického tlaku splňovat jednu z následujících podmínek:

i)

Naměřená hodnota (zaokrouhlená na nejbližší celé číslo) nesmí přesáhnout hodnotu schválení typu podle tohoto nařízení pro daný typ vozidle o více než 2 dB(A).

ii)

Naměřená hodnota (před zaokrouhlením na nejbližší celé číslo) nesmí překročit hodnotu hluku naměřenou (před zaokrouhlením na nejbližší celé číslo) na vozidle popsaném v bodě 1.3.3 o více než 2 dB(A), je-li na tomto vozidle namontován systém tlumení hluku odpovídající typu namontovanému v daném vozidle při jeho přistavení ke schválení typu v souladu s tímto nařízením.

5.2.3.   Kromě požadavků přílohy II musejí každý náhradní systém tlumení hluku nebo jeho konstrukční části splňovat příslušné specifikace stanovené v příloze VII. Na náhradní systémy tlumení hluku určené pro vozidla, kterým bylo schválení typu uděleno podle směrnice 70/157/EHS, se požadavky přílohy VII a specifikace v bodech 5.2.3.1 až 5.2.3.3 této přílohy nepoužijí.

5.2.3.1.   Pokud je náhradní systém tlumení hluku nebo jeho konstrukční část systémem nebo konstrukční částí s variabilní geometrií, uvede výrobce v žádosti o schválení typu prohlášení v souladu s dodatkem k příloze VII, že typ systému tlumení hluku, o jehož schválení se žádá, splňuje požadavky stanovené v bodě 5.2.3 této přílohy. Schvalovací orgán může požadovat provedení jakékoli odpovídající zkoušky za účelem ověření shody typu systému tlumení hluku s ASEP.

5.2.3.2.   Pokud náhradní systém tlumení hluku nebo jeho konstrukční část není systémem nebo konstrukční částí s variabilní geometrií, postačí, když výrobce v žádosti o schválení typu uvede prohlášení v souladu s dodatkem k příloze VII, že typ systému tlumení hluku, o jehož schválení se žádá, splňuje požadavky stanovené v bodě 5.2.3 této přílohy.

5.2.3.3.   Prohlášení o shodě musí mít toto znění: „(Název výrobce) potvrzuje, že tento typ systému tlumení hluku splňuje požadavky stanovené v bodě 5.2.3 přílohy IX nařízení (EU) č. … (1). (Název výrobce) toto prohlášení činí v dobré víře a po provedení příslušného technického posouzení emisí hluku v příslušném rozsahu provozních podmínek.

5.3.   Měření výkonových vlastností vozidla

5.3.1.   Náhradní systém tlumení hluku nebo jeho konstrukční části musí být takové, aby zajistily, že výkonové vlastnosti vozidla budou srovnatelné s výkonovými vlastnostmi dosahovanými se systémem tlumení hluku, který je původním zařízením, nebo jeho konstrukčními částmi.

5.3.2.   Náhradní systém tlumení hluku nebo, dle volby výrobce, konstrukční části tohoto systému se porovnají s původním systémem tlumení hluku nebo jeho konstrukčními částmi, které jsou rovněž v novém stavu, namontovanými následně na vozidlo uvedené v bodě 1.3.3.

5.3.3.   Ověření se provádí změřením protitlaku podle bodu 5.3.4.

Hodnota naměřená s náhradním systémem tlumení hluku nesmí přesáhnout hodnotu naměřenou s původním systémem tlumení hluku za níže uvedených podmínek o více než 25 %.

5.3.4.   Zkušební metoda

5.3.4.1.   Zkušební metoda s motorem

Měří se na motoru uvedeném v bodě 1.3.4 a připojeném na dynamometr. Dynamometr musí být nastaven tak, aby při plném otevření klapky akcelerátoru bylo dosaženo otáček motoru (S), které odpovídají maximálnímu jmenovitému výkonu motoru.

Za účelem měření protitlaku se umístí příslušná odbočka k odběru tlaku ve vzdálenosti od sběrného výfukového potrubí uvedené v dodatku 5.

5.3.4.2.   Zkušební metoda s vozidlem

Měří se na vozidle uvedeném v bodě 1.3.3. Zkouška se provede buď na pozemní komunikaci, nebo na válcovém dynamometru.

Motor se musí zatěžovat tak, aby při plném otevření klapky akcelerátoru bylo dosaženo otáček motoru, které odpovídají maximálnímu jmenovitému výkonu motoru (otáčky motoru S).

Za účelem měření protitlaku se umístí příslušná odbočka k odběru tlaku ve vzdálenosti od sběrného výfukového potrubí uvedené v dodatku 5.

5.4.   Dodatečné požadavky týkající se náhradních systémů tlumení hluku nebo jejich konstrukčních částí s akusticky absorbujícími vláknitými materiály

5.4.1.   Obecně

Vláknité materiály tlumící hluk mohou být použity v systémech tlumení hluku nebo jejich konstrukčních částech, pouze pokud je splněna alespoň jedna z následujících podmínek:

a)

výfukový plyn nepřichází do styku s vláknitými materiály;

b)

systém tlumení hluku nebo jeho konstrukční části patří do stejné konstrukční skupiny jako systémy nebo konstrukční části, u nichž bylo během procesu schválení typu v souladu s požadavky tohoto nařízení prokázáno, že nepodléhají zhoršení stavu.

Pokud není splněna žádná z těchto podmínek, celý systém tlumení hluku nebo jeho konstrukční části se podrobí obvyklému záběhu s použitím jednoho ze tří níže popsaných zařízení a postupů.

Pro účely písm. b) prvního pododstavce se skupinou systému tlumení hluku nebo konstrukčních částí systému tlumení hluku rozumí skupina systémů tlumení hluku nebo jejich konstrukčních částí, v níž se všechny z následujících charakteristik shodují:

a)

přítomnost čistého toku plynu poté, co výfukové plyny projdou přes absorpční vláknitý materiál, se kterým jsou ve styku;

b)

druh vláken;

c)

případně specifikace pojiva;

d)

průměrné rozměry vlákna;

e)

minimální objemová hmotnost balení materiálu v kg/m3;

f)

maximální styčná plocha mezi proudícím plynem a absorpčním materiálem;

5.4.1.1.   Průběžný silniční provoz v délce 10 000 km

5.4.1.1.1.

50 ± 20 % tohoto provozu zahrnuje městský provoz a zbytek dálkové jízdy při vysoké rychlosti. Průběžný silniční provoz může být nahrazen odpovídajícím programem na zkušební dráze.

Oba rychlostní režimy se prostřídají minimálně dvakrát.

Úplný zkušební program zahrnuje nejméně 10 přestávek trvajících nejméně tři hodiny, aby se napodobil účinek ochlazení a případné kondenzace.

5.4.1.2.   Záběh na zkušebním stavu

5.4.1.2.1.

Při použití standardních součástí a v souladu s pokyny výrobce se systém tlumení hluku nebo jeho konstrukční části namontují do vozidla uvedeného v bodě 1.3.3 nebo na motor uvedený v bodě 1.3.4. V prvém případě musí být vozidlo postaveno na válcovém dynamometru. V druhém případě musí být motor připojen k dynamometru.

5.4.1.2.2.

Zkouší se v šesti šestihodinových periodách s přestávkami mezi periodami po dobu nejméně 12 hodin, aby se napodobil účinek ochlazení a případné kondenzace.

5.4.1.2.3.

V průběhu každé šestihodinové periody je motor provozován za těchto po sobě jdoucích podmínek:

a)

pětiminutový úsek při volnoběhu;

b)

jednohodinový úsek při 1/4 zatížení a 3/4 maximálních jmenovitých otáček (S);

c)

jednohodinový úsek při 1/2 zatížení a 3/4 maximálních jmenovitých otáček (S);

d)

desetiminutový úsek při plném zatížení a 3/4 maximálních jmenovitých otáček (S);

e)

patnáctiminutový úsek při 1/2 zatížení a při maximálních jmenovitých otáčkách (S);

f)

třicetiminutový úsek při 1/4 zatížení a při maximálních jmenovitých otáčkách (S).

Každá perioda musí zahrnovat dva sledy souborů těchto podmínek v pořadí od a) do f).

5.4.1.2.4.

Během zkoušky nesmějí být systém tlumení hluku nebo jeho konstrukční části chlazeny nuceným ofukováním napodobujícím obvyklé obtékání vozidla.

Na žádost výrobce však může být systém tlumení hluku nebo jeho konstrukční části chlazeny tak, aby nebyla překročena teplota naměřená na jeho vstupu za jízdy vozidla při maximální rychlosti.

5.4.1.3.   Záběh pulzováním

5.4.1.3.1.

Systém tlumení hluku nebo jeho konstrukční části musejí být namontovány do vozidla uvedeného v bodě 1.3.3 nebo na motor uvedený v bodě 1.3.4. V prvém případě musí být vozidlo postaveno na válcovém dynamometru a v druhém případě musí být motor připojen k dynamometru.

5.4.1.3.2.

Na výustku systému tlumení hluku se připojí zkušební zařízení, jehož podrobné schéma je uvedeno na obrázku 1 v dodatku k příloze IV. Jakékoli jiné zařízení zjišťující rovnocenné výsledky je přijatelné.

5.4.1.3.3.

Zkušební zařízení se seřídí tak, aby průtok výfukových plynů byl střídavě přerušován a obnovován rychle působícím ventilem po 2 500 cyklů.

5.4.1.3.4.

Ventil se musí otevřít, jakmile protitlak ve výfuku měřený nejméně 100 mm od vstupní příruby po směru průtoku výfukových plynů dosáhne hodnoty do 35 do 40 kPa. Musí se uzavřít, jakmile se tento tlak neliší o více než 10 % od stabilizované hodnoty při otevřeném ventilu.

5.4.1.3.5.

Časový spínač se nastaví na dobu průtoku výfukového plynu, která vyplývá z ustanovení bodu 5.4.1.3.4.

5.4.1.3.6.

Otáčky motoru jsou rovné 75 % otáček (S), při nichž má motor maximální výkon.

5.4.1.3.7.

Výkon zaznamenaný dynamometrem musí činit 50 % výkonu měřeného s plně otevřenou klapkou akcelerátoru při 75 % otáček motoru (S).

5.4.1.3.8.

Při zkoušce se uzavřou všechny odvodňovací otvory.

5.4.1.3.9.

Celá zkouška musí být ukončena v průběhu 48 hodin. V případě potřeby se po každé hodině zařadí doba na ochlazení.

5.4.1.3.10.

V souladu s bodem 5.2 se po záběhu zkouší hladina akustického tlaku.

6.   ROZŠÍŘENÍ EU SCHVÁLENÍ TYPU

Výrobce systému tlumení hluku nebo jeho zástupce může požádat správní orgán, který udělil EU schválení typu systému tlumení hluku pro jeden nebo více typů vozidel, o rozšíření schválení typu na jiné typy vozidel.

Postup je stanoven v bodě 1. Rozšíření EU schválení typu (či odmítnutí rozšíření) se členským státům oznámí postupem stanoveným ve směrnici 2007/46/ES.

7.   ZMĚNA TYPU SYSTÉMU TLUMENÍ HLUKU

Při změnách typu schváleného podle tohoto nařízení se použijí ustanovení článků 13 až 16 a čl. 17 odst. 4 směrnice 2007/46/ES.

8.   SHODNOST VÝROBY

8.1.

Opatření přijatá k zajištění shodnosti výroby musí odpovídat požadavkům článku 12 směrnice 2007/46/ES.

8.2.

Zvláštní ustanovení:

8.2.1.

Zkouškami stanovenými v bodě 2.3.5 přílohy X směrnice 2007/46/ES jsou zkoušky předepsané v příloze XI tohoto nařízení.

8.2.2.

Obvyklá četnost kontrol uvedených v bodě 3 přílohy X směrnice 2007/46/ES je jedna kontrola za dva roky.

9.   INFORMACE URČENÉ PRO UŽIVATELE A TECHNICKOU KONTROLU

9.1.

Ke každému náhradnímu systému tlumení hluku musí být přiložen dokument v papírové podobě vydaný výrobcem náhradního systému tlumení hluku nebo jeho zástupcem. Tento dokument musí obsahovat nejméně následující údaje:

a)

číslo EU schválení typu náhradního systému tlumení hluku (5. část uvádějící číslo rozšíření schválení typu je možno vynechat)

b)

značka EU schválení typu;

c)

značka (obchodní název výrobce);

d)

typ a obchodní popis nebo číslo součásti;

e)

název společnosti a adresa výrobce;

f)

jméno a adresa případného zástupce výrobce;

g)

údaje o vozidlech, pro něž je náhradní systém tlumení hluku určen:

i)

značka,

ii)

typ,

iii)

číslo schválení typu,

iv)

kód motoru,

v)

maximální výkon motoru,

vi)

druh převodovky,

vii)

jakákoliv omezení týkající se vozidel, do nichž může být systém namontován,

viii)

hladina akustického tlaku pro vozidlo za jízdy v dB(A) a hladina akustického tlaku stojícího vozidla v dB(A) při min–1 (liší-li se od hodnot schválení typu vozidla);

h)

pokyny pro montáž.

9.2.

Sestává-li papírový dokument uvedený v bodě 9.1 z více než jednoho listu papíru, musí být na všech listech uveden alespoň odkaz na číslo EU schválení typu.

9.3.

Informace ohledně bodu 9.1 písm. g) a h) je možno poskytnout na internetových stránkách výrobce, je-li na papírovém dokumentu uvedena internetová adresa.


(1)  Pro Úřední věstník: vložte prosím číslo tohoto nařízení

Dodatek 1

Informační dokument č. … týkající se EU schválení typu náhradních systémů tlumení hluku pro motorová vozidla jako samostatného technického celku (nařízení (EU) č. … (1).)

Následující informace, přicházejí-li v úvahu, se spolu se soupisem obsahu předkládají ve trojím vyhotovení. Předkládají-li se výkresy, musí být dodány ve vhodném měřítku a s dostatečnými podrobnosti na archu formátu A4, nebo musí být na tento formát složeny. Předkládají-li se fotografie, musí zobrazovat dostatečně podrobně.

Mají-li systémy, konstrukční části nebo samostatné technické celky elektronické řízení, musí být poskytnuty informace o jeho vlastnostech.

0.   Obecně

0.1.

Značka (obchodní název výrobce): …

0.2.

Typ a obecný obchodní název/obecné obchodní názvy: …

0.3

Způsob označení typu, je-li na samostatném technickém celku vyznačen (2): …

0.3.1.

Umístění uvedeného označení: …

0.5.

Název společnosti a adresa výrobce: …

0.7.

U konstrukčních částí a samostatných technických celků umístění a způsob připevnění značky EU schválení typu: …

0.8.

Adresa montážního závodu/montážních závodů: …

0.9.

Jméno a adresa zástupce výrobce (existuje-li): …

1.   Popis vozidla, pro které je zařízení určeno (pokud je zařízení určeno k montáži na více typů vozidel, musí se informace požadované tímto bodem uvést pro každý příslušný typ)

1.1.   Značka (obchodní název výrobce): …

1.2.   Typ a obecný obchodní název/obecné obchodní názvy: …

1.3.   Způsob označení typu, je-li na vozidle vyznačen: …

1.4.   Kategorie vozidla: …

1.5.   Číslo EU schválení typu celého vozidla: …

1.6   Hnací jednotka: …

1.6.1.

Výrobce motoru: …

1.6.2.

Kód motoru podle výrobce: …

1.6.3.

Maximální netto výkon (g): … kW při … min–1 nebo maximální trvalý jmenovitý výkon (elektromotor): … kW

1.6.4.

Přeplňovací dmychadlo/dmychadla: původní část nebo značka a označení (3): …

1.6.5.

Vzduchový filtr: původní část nebo značka a označení (3): …

1.6.6.

Tlumič/tlumiče sání: původní část nebo značka a označení (4)

1.6.7.

Tlumič/tlumiče výfuku: původní část nebo značka a označení (4): …

1.6.8.

Katalyzátor: původní část nebo značka a označení (4): …

1.6.9.

Filtr částic / filtry částic: původní část nebo značka a označení (4): …

1.7.   Převod

1.7.1.

Druh (mechanický, hydraulický, elektrický atd.): …

1.8.   Zařízení kromě motoru, která jsou určena ke snižování hluku: původní část nebo popis (4): …

1.9.   Hodnoty hladiny akustického tlaku:

 

vozidlo za jízdy: … dB(A), ustálená rychlost před akcelerací při … km/h;

 

stojící vozidlo dB(A), při … ot./min.

1.10.   Hodnota zpětného tlaku: … Pa

1.11.   Případná omezení užití a podmínky pro montáž: …

2.   Poznámky: …

3.   Popis zařízení

3.1.

Popis náhradního systému tlumení hluku udávající vzájemnou polohu každé konstrukční části systému spolu s montážním návodem:

3.2.

Podrobné výkresy každé konstrukční části, podle nichž by jej bylo možné snadno nalézt a identifikovat, údaje o užitých materiálech. Na těchto výkresech musí být zakresleno místo pro připevnění povinné značky EU schválení typu.

Datum: …

Podpis: …

Funkce ve společnosti: …


(1)  Pro Úřední věstník: vložte prosím číslo tohoto nařízení.

(2)  Pokud způsob označení typu obsahuje znaky, které nejsou důležité pro popis typů samostatného technického celku, kterých se týká informační dokument týká, nahradí se takové znaky v dokumentaci znakem „?“. (např. ABC??123??).

(3)  Nehodící se škrtněte.

(4)  Nehodící se škrtněte.

Dodatek 2

VZOR

Certifikátu EU schválení typu

(Maximální formát: A4 (210 × 297 mm))

Razítko schvalovacího orgánu

Sdělení o

schválení typu (1)

rozšíření schválení typu (1)

odmítnutí schválení typu (1)

odejmutí schválení typu (1)

pro typ systémů tlumení hluku jako samostatných technických celků s ohledem na nařízení (EU) č. …/… (2) naposledy pozměněné nařízením (EU) č. …/…

Schválení typu č.: …

Důvod rozšíření: …

ČÁST I

0.1.

Značka (obchodní název výrobce): …

0.2.

Typ a obecný obchodní název/obecné obchodní názvy: …

0.3.

Způsob označení typu, je-li na samostatném technickém celku vyznačen (3): …

0.3.1.

Umístění uvedeného označení: …

0.4.

Kategorie vozidla (4): …

0.5.

Název společnosti a adresa výrobce: …

0.7.

U konstrukčních částí a samostatných technických celků umístění a způsob připevnění značky EU schválení typu: …

0.8.

Adresa/adresy montážního závodu/montážních závodů: …

0.9.

Jméno a adresa zástupce výrobce (existuje-li): …

ČÁST II

1.

Doplňující informace (přicházejí-li v úvahu): viz doplněk

2.

Technická zkušebna provádějící zkoušky: …

3.

Datum zkušebního protokolu: …

4.

Číslo zkušebního protokolu: …

5.

Poznámky (jsou-li nějaké): viz doplněk

6.

Místo: …

7.

Datum: …

8.

Podpis: …

9.

Je přiložena schvalovací dokumentace uložená u schvalovacího orgánu, kterou lze na požádání obdržet.

Přílohy

:

Schvalovací dokumentace

Zkušební protokol


(1)  Nehodící se škrtněte

(2)  Pro Úřední věstník: vložte prosím číslo tohoto nařízení.

(3)  Pokud způsob označení typu obsahuje znaky, které nejsou důležité pro popis typů samostatných technických celků, kterých se certifikát schválení typu týká, nahradí se takové znaky v dokumentaci znakem „?“ (např. ABC??123??).

(4)  Podle definice v příloze II části A směrnice 2007/46/ES.

Doplněk

k certifikátu EU schválení typu č. …

1.   Další informace

1.1   Popis vozidla, pro které je zařízení určeno (pokud je zařízení určeno k montáži na více typů vozidel, musí se informace požadované tímto bodem uvést pro každý příslušný typ)

1.1.1.

Značka (obchodní název výrobce): …

1.1.2.

Typ a obecný obchodní název / obecné obchodní názvy: …

1.1.3.

Způsob označení typu, je-li na vozidle vyznačen: …

1.1.4.

Kategorie vozidla: …

1.1.5.

Číslo EU schválení typu celého vozidla:…

1.2.   Hnací jednotka:

1.2.1.

Výrobce motoru: …

1.2.2.

Kód motoru podle výrobce: …

1.2.3

Maximální netto výkon (g): … kW při … min–1 nebo maximálním trvalém jmenovitém výkonu (elektromotor) … kW

2.   Výsledky zkoušek

2.1.

Hladina akustického tlaku vozidla za jízdy: … dB(A)

2.2.

Hladina akustického tlaku stojícího vozidla: … dB(A) při … ot./min.

2.3.

Hodnota zpětného tlaku: … Pa

3.   Poznámky:…

Dodatek 3

Vzor značky EU schválení typu

Image

Systém tlumení hluku nebo jeho konstrukční části opatřené výše uvedenou značkou EU schválení typu jsou zařízení, která byla schválena ve Španělsku (e 9) podle nařízení (EU) č. … (1). pod základním číslem schválení typu 0148 a splňují mezní hodnoty fáze 2 podle přílohy III uvedeného nařízení.

Použitá čísla jsou pouze informativní.


(1)  Pro Úřední věstník: vložte prosím číslo tohoto nařízení.

Dodatek 4

Zkušební zařízení

Image

1

Vstupní příruba nebo objímka - připojení k zadní části celého zkoušeného systému tlumení hluku.

2

Regulační ventil (ručně ovládaný).

3

Vyrovnávací nádrž o objemu 35 až 40 l.

4

Tlakový spínač 5 kPa až 250 kPa - k otevírání položky 7.

5

Časový spínač - k uzavírání položky 7.

6

Počítadlo impulzů.

7

Ventil s rychlou odezvou – jako ventil systému výfukové brzdy o průměru 60 mm ovládaný pneumatickým válcem vyvozujícím sílu 120 N při tlaku 400 kpa. Doba odezvy jak při otevírání, tak při zavírání nesmí překročit 0,5 s.

8

Odvod výfukových plynů.

9

Ohebné potrubí.

10

Tlakoměr.

Dodatek 5

Měřicí body – zpětný tlak

Příklady možných měřicích bodů pro zkoušky tlakové ztráty. Přesný měřicí bod se uvede ve zkušebním protokolu. Musí se nacházet v oblasti pravidelného proudění plynů.

1.   Obrázek 1

Samostatná trubka

Image

2.   Obrázek 2

Rozdvojená trubka1 (1)

Image

3.   Obrázek 3

Dvojitá trubka

Image

 (2)

(1)  Není-li to možné, viz obrázek 3.

(2)  Dva měřicí body, jeden odečet.

PŘÍLOHA X

Kontroly shodnosti výroby náhradního systému tlumení hluku jako samostatného technického celku

1.   Obecně

Tyto požadavky odpovídají zkoušce, jíž se kontroluje shodnost výroby podle bodu 8 přílohy IX.

2.   Zkoušky a postupy

Metody zkoušení, měřicí přístroje a interpretace výsledků odpovídají popisu v bodě 5 přílohy IX. Zkoušený náhradní systém tlumení hluku nebo jeho konstrukční část se podrobí zkoušce popsané v bodech 5.2, 5.3 a 5.4 přílohy IX.

3.   Výběr vzorku a hodnocení výsledků

3.1.

Vybere se jeden systém tlumení hluku nebo jeho konstrukční část a podrobí se zkoušce podle bodu 2. Jestliže výsledky zkoušky splňují požadavky shodnosti výroby stanovené v bodě 8.1 přílohy IX, je tento typ systému tlumení hluku nebo jeho konstrukční část považována za vyhovující požadavkům shodnosti výroby.

3.2.

Jestliže jeden z výsledků zkoušky nesplňuje požadavky shodnosti výroby stanovené v bodě 8.1 přílohy IX, musí být zkoušce podrobeny dva další systémy tlumení hluku nebo jejich konstrukční části stejného typu podle bodu 2.

3.3.

Jestliže výsledky zkoušky druhého a třetího systému tlumení hluku nebo jeho konstrukční části splňují požadavky shodnosti výroby stanovené v bodě 8.1 přílohy IX, považuje se tento typ systému tlumení hluku nebo jeho konstrukční část za vyhovující požadavkům shodnosti výroby.

3.4.

Jestliže jeden z výsledků zkoušky druhého nebo třetího systému tlumení hluku nebo jeho konstrukční části nesplňuje požadavky shodnosti výroby stanovené v bodě 8.1 přílohy IX, typ systému tlumení hluku nebo jeho konstrukční části nebude shledán jako vyhovující požadavkům tohoto nařízení a výrobce musí přijmout nezbytná opatření k obnovení shodnosti.

PŘÍLOHA XI

Změny směrnice 2007/46/ES

Směrnice 2007/46/ES se mění takto:

Část A

1.

Příloha IV se mění takto:

a)   v části I se do tabulky vkládá tento řádek:

Bod

Předmět:

Regulační akt

Vztahuje se na

M1

M2

M3

N1

N2

N3

O1

O2

O3

O4

1A

Hladina akustického tlaku

Nařízení (EU) č. … (1)

X

X

X

X

X

X

 

 

 

 


b)   do tabulky 1 dodatku 1 části I se vkládá tento řádek:

Bod

Předmět

Regulační akt

Specifika

Použitelnost a zvláštní požadavky

1A

Hladina akustického tlaku

Nařízení (EU) č. … (1)

 

A


c)   do tabulky 2 dodatku 1 části I se vkládá tento řádek:

Bod

Předmět

Regulační akt

Specifika

Použitelnost a zvláštní požadavky

1A

Hladina akustického tlaku

Nařízení (EU) č. … (1)

 

A

2.

V příloze VI se do tabulky v dodatku ke vzoru A se vkládá tento řádek:

Bod

Předmět

Odkaz na regulační akt

ve znění:

Použitelný na verze

1A

Hladina akustického tlaku

Nařízení (EU) č. … (*)

 

 

3.

Příloha XI se mění takto:

a)   do tabulky v dodatku 1 se vkládá tento řádek:

Bod

Předmět

Odkaz na regulační akt

M1 ≤ 2 500 (1) kg

M1 > 2 500 (1) kg

M2

M3

1A

Hladina akustického tlaku

Nařízení (EU) č. … (2)

H

G+H

G+H

G+H


b)   do tabulky v dodatku 2 se vkládá tento řádek:

Bod

Předmět

Odkaz na regulační akt

M1

M2

M3

N1

N2

N3

O1

O2

O3

O4

1A

Hladina akustického tlaku

Nařízení (EU) č. … (2)

X

X

X

X

X

X

 

 

 

 


c)   do tabulky v dodatku 3 se vkládá tento řádek:

Bod

Předmět

Odkaz na regulační akt

M1

1A

Hladina akustického tlaku

Nařízení (EU) č. … (2)

X


d)   do tabulky v dodatku 4 se vkládá tento řádek:

Bod

Předmět

Odkaz na regulační akt

M1

M2

M3

N1

N2

N3

O1

O2

O3

O4

1A

Hladina akustického tlaku

Nařízení (EU) č. … (2)

 

H

H

H

H

H

 

 

 

 


e)   do tabulky v dodatku 5 se vkládá tento řádek:

Bod

Předmět

Odkaz na regulační akt

Automobilový jeřáb kategorie N2

1A

Hladina akustického tlaku

Nařízení (EU) č. … (2)

T

Část B

1.

Příloha IV se mění takto:

a)

bod 1 v tabulce v části I se zrušuje;

b)

bod 1 v tabulce 1 dodatku 1 k části I se zrušuje;

c)

bod 1 v tabulce 2 dodatku 1 k části I se zrušuje;

d)

bod 1 tabulky v části II se zrušuje.

2.

V příloze VI se bod 1 v tabulce v dodatku ke vzoru A zrušuje.

3.

Příloha XI se mění takto:

a)

bod 1 v tabulce v dodatku 1 se zrušuje;

b)

bod 1 v tabulce v dodatku 2 se zrušuje;

c)

bod 1 v tabulce v dodatku 3 se zrušuje;

d)

bod 1 v tabulce v dodatku 4 se zrušuje;

e)

bod 1 v tabulce v dodatku 5 se zrušuje.


(1)  Pro Úřední věstník: vložte prosím číslo tohoto nařízení.

(2)  Pro Úřední věstník: vložte prosím číslo tohoto nařízení.

PŘÍLOHA XII

Srovnávací tabulka

Směrnice 70/157/EHS

Toto nařízení

Článek 1

Článek 2

Čl. 4 odst. 1 a 2

Článek 2a

Čl. 4 odst. 3 a 4

Článek 3

Článek 4

Článek 5

Příloha I, bod 1

Příloha I, bod 1

Příloha I, bod 3

Příloha I, bod 2

Příloha I, bod 4

Příloha I, bod 3

Příloha I, bod 5

Příloha I, bod 4

Příloha I, bod 6

Příloha I, bod 5

Příloha I, dodatek 1

Příloha I, dodatek 1

Příloha I, dodatek 2

Příloha I, dodatek 2

Příloha I, bod 2

Příloha III

Příloha II, body 1, 2, 3 a 4

Příloha IX, body 1, 2, 3 a 4

Příloha II, body 5 a 6

Příloha IX, body 7 a 8

Příloha II, dodatek 1

Příloha X, dodatek 1

Příloha II, dodatek 2

Příloha IX, dodatek 2

Příloha II, dodatek 3

Příloha IX, dodatek 3

Příloha III


NÁVRH ODŮVODNĚNÍ RADY

I.   ÚVOD

1.

Komise dne 9. prosince 2011 předložila výše uvedený návrh Evropskému parlamentu a Radě.

2.

Evropský parlament přijal své stanovisko v prvním čtení dne 6. února 2013.

3.

Rada a Parlament zahájily jednání s cílem dosáhnout dohody ve druhém čtení. Tato jednání byla uzavřena dne 5. listopadu 2013 dohodou.

4.

Dne 28. listopadu 2013 zaslal předseda Výboru pro životní prostředí, veřejné zdraví a bezpečnost potravin předsednictví dopis, v němž uvedl, že pokud Rada formálně předá Parlamentu svůj postoj v té podobě, v jaké je prezentován v příloze uvedeného dopisu, doporučí plenárnímu zasedání Parlamentu, aby postoj Rady schválilo beze změn, s výhradou následného přezkumu právníky-lingvisty.

5.

Dne 9. prosince 2013 Rada potvrdila svou politickou dohodu ohledně znění tohoto nařízení v podobě dohodnuté těmito dvěma orgány.

II.   ÚVOD

Toto nařízení usiluje o zlepšení fungování vnitřního trhu stanovením správních a technických požadavků pro EU schválení typu některých nových vozidel z hlediska jejich hladiny akustického tlaku a jejich výfukových systémů a pro prodej součástí a vybavení určených pro tato vozidla a uvedení těchto součástí a vybavení do provozu. Rovněž zohlední cíle ochrany veřejného zdraví a ochrany životního prostředí.

Toto nařízení zavádí nové zkušební metody pro měření emisí hluku motorových vozidel a nižší mezní hodnoty hluku pro různé kategorie lehkých, středních a těžkých vozidel. Rovněž stanoví minimální hladinu akustického tlaku u elektrických a hybridních elektrických vozidel.

III.   ANALÝZA POSTOJE RADY V PRVNÍM ČTENÍ

A.   Obecně

Na základě hlasování na plenárním zasedání Parlament a Rada vedly jednání s cílem uzavřít dohodu ve druhém čtení na základě postoje Rady v prvním čtení, který by Parlament mohl schválit jako takový. Znění postoje Rady v prvním čtení plně zohledňuje kompromis dosažený mezi oběma normotvůrci.

B.   Klíčové otázky

Kompromisem zahrnutým do postoje Rady se zrušuje směrnice 70/157/EHS a mění směrnice 2007/46/ES, kterou se stanoví rámec pro schvalování motorových vozidel a jejich přípojných vozidel, a zavádí další ustanovení týkající se emisí hluku. Mezi hlavní body kompromisního znění dosaženého s Parlamentem patří:

mezní hodnoty emisí hluku a fáze pro jejich provádění u různých kategorií vozidel (příloha III);

akustické varovné systémy vozidel, které mají být nainstalovány do elektrických a hybridních elektrických vozidel;

nové zkušební parametry pro zkoušení emisí hluku vozidel;

informace pro spotřebitele ohledně emisí hluku vozidel;

nové definice;

jsou objasněny povinnosti členských států;

přílohy směrnice 2007/46/ES jsou upraveny.

IV.   ZÁVĚR

Postoj Rady plně odráží kompromis, jehož bylo dosaženo během jednání mezi Evropským parlamentem a Radou, které organizovala Komise. Tento kompromis je potvrzen dopisem, který předseda Výboru pro životní prostředí zaslal předsedovi Výboru stálých zástupců dne 28. Listopadu 2013. V tomto dopise předseda Výboru pro životní prostředí uvádí, že doporučí členům tohoto výboru a následně plenárnímu zasedání, aby postoj Rady v prvním čtení schválili v Evropském parlamentu ve druhém čtení beze změn, s výhradou ověření právníky-lingvisty obou orgánů.


Top