ISSN 1977-1045

Uradni list

Evropske unije

C 406

European flag  

Slovenska izdaja

Informacije in objave

Letnik 59
4. november 2016


Obvestilo št.

Vsebina

Stran

 

II   Sporočila

 

SPOROČILA INSTITUCIJ, ORGANOV, URADOV IN AGENCIJ EVROPSKE UNIJE

 

Evropska komisija

2016/C 406/01

Odobritev državne pomoči v skladu s členoma 107 in 108 Pogodbe o delovanju Evropske unije – Primeri, v katerih Komisija ne vloži ugovora ( 1 )

1

2016/C 406/02

Odobritev državne pomoči v skladu s členoma 107 in 108 Pogodbe o delovanju Evropske unije – Primeri, v katerih Komisija ne vloži ugovora ( 2 )

20


 

V   Objave

 

POSTOPKI V ZVEZI Z IZVAJANJEM POLITIKE KONKURENCE

 

Evropska komisija

2016/C 406/03

Državna pomoč – Nemčija – Državna pomoč SA.42393 (2016/C) (ex 2015/N) – Reforma podpore za soproizvodnjo v Nemčiji – Poziv k predložitvi pripomb na podlagi člena 108(2) Pogodbe o delovanju Evropske unije ( 1 )

21

2016/C 406/04

Državne pomoči – Poljska – Državna pomoč SA.44351 (2016/C) (ex 2016/NN) – poljski davek za maloprodajni sektor – Poziv k predložitvi pripomb na podlagi člena 108(2) Pogodbe o delovanju Evropske unije ( 1 )

76

2016/C 406/05

Državne pomoči – Poljska – Državna pomoč SA.45447 (2016/C) (ex 2016/N) – Shema pomoči za proizvajalce mleka – Poziv k predložitvi pripomb na podlagi člena 108(2) Pogodbe o delovanju Evropske unije

86


 


 

(1)   Besedilo velja za EGP.

 

(2)   Besedilo velja za EGP, razen kar zadeva proizvode iz Priloge 1 k Pogodbi.

SL

 


II Sporočila

SPOROČILA INSTITUCIJ, ORGANOV, URADOV IN AGENCIJ EVROPSKE UNIJE

Evropska komisija

4.11.2016   

SL

Uradni list Evropske unije

C 406/1


Odobritev državne pomoči v skladu s členoma 107 in 108 Pogodbe o delovanju Evropske unije

Primeri, v katerih Komisija ne vloži ugovora

(Besedilo velja za EGP)

(2016/C 406/01)

Datum sprejetja odločitve

13.04.2015

Številka pomoči

SA.38085 (2013/N)

Država članica

Italija

Regija

Člen 107(3)(c)

Naziv (in/ali ime upravičenca)

Regime di imposizione sulla base del tonnelaggio per il trasporto marittimo

Pravna podlaga

Riferimento legislativo – Titolo II, Capo VI del T.U.I.R., di cui al D.P.R. 22 dicembre 1986, n. 917 come modificato dal decreto legislativo 12 dicembre 2003, n. 344

Vrsta ukrepa

shema pomoči

Cilj

Sektorski razvoj

Oblika pomoči

Zmanjšanje davčne osnove

Proračun

Skupni proračun: EUR 135 (v milijonih)

Letni proračun: EUR 13,5 (v milijonih)

Intenzivnost

%

Trajanje

01.01.2014 – 31.12.2023

Gospodarski sektorji

Pomorski potniški promet, Pomorski tovorni promet

Naziv in naslov organa, ki dodeli pomoč

Ministero dell'Economia e delle Finanze – Dipartimento delle Finanze

Via dei Normanni 5

Drugi podatki

Verodostojno besedilo odločitve, iz katerega so bili odstranjeni vsi zaupni podatki, je na voljo na spletni strani:

http://ec.europa.eu/competition/elojade/isef/index.cfm.

Datum sprejetja odločitve

19.01.2016

Številka pomoči

SA.38757 (2015/NN)

Država članica

Švedska

Regija

VAESTERBOTTENS LAEN

Naziv (in/ali ime upravičenca)

SGEI-stöd till Skellefteå Airport

Pravna podlaga

Förordnande av tjänst av allmänt ekonomiskt intresse

Vrsta ukrepa

ad hoc pomoč

Skellefteå City Airport AB

Cilj

Storitve splošnega gospodarskega pomena

Oblika pomoči

Neposredna subvencija

Proračun

Intenzivnost

%

Trajanje

01.01.2014 – 31.12.2023

Gospodarski sektorji

Potniški zračni promet

Naziv in naslov organa, ki dodeli pomoč

Skellefteå Stadshus AB

C/o Ekonomienheten, 931 85 Skellefteå

Drugi podatki

Verodostojno besedilo odločitve, iz katerega so bili odstranjeni vsi zaupni podatki, je na voljo na spletni strani:

http://ec.europa.eu/competition/elojade/isef/index.cfm.

Datum sprejetja odločitve

22.01.2015

Številka pomoči

SA.38796 (2014/N)

Država članica

Združeno kraljestvo

Regija

Naziv (in/ali ime upravičenca)

Investment Contract for Teesside Renewable Energy Project Dedicated Biomass with Combined Heat and Power

Pravna podlaga

Energy Act 2013

Vrsta ukrepa

Individualna pomoč

MGT Teesside Limited

Cilj

Varstvo okolja, Varčevanje z energijo

Oblika pomoči

Neposredna subvencija

Proračun

Skupni proračun: GBP 1 100 (v milijonih)

Intenzivnost

100 %

Trajanje

01.08.2018 – 01.08.2033

Gospodarski sektorji

Proizvodnja električne energije

Naziv in naslov organa, ki dodeli pomoč

DECC

3 Whitehall Place, London, SW1A 2AW

Drugi podatki

Verodostojno besedilo odločitve, iz katerega so bili odstranjeni vsi zaupni podatki, je na voljo na spletni strani:

http://ec.europa.eu/competition/elojade/isef/index.cfm.

Datum sprejetja odločitve

19.01.2016

Številka pomoči

SA.38892 (2015/NN)

Država članica

Švedska

Regija

VAESTERNORRLANDS LAEN

Naziv (in/ali ime upravičenca)

SGEI-stöd till Sundsvall Timrå Airport

Pravna podlaga

Förordnande av tjänst av allmänt ekonomiskt intresse

Vrsta ukrepa

ad hoc pomoč

Sundsvall Timrå Airport

Cilj

Storitve splošnega gospodarskega pomena

Oblika pomoči

Neposredna subvencija

Proračun

Intenzivnost

100 %

Trajanje

01.01.2014 – 31.12.2023

Gospodarski sektorji

Potniški zračni promet

Naziv in naslov organa, ki dodeli pomoč

Timrå kommun

Köpmangatan 14, 861 82 Timrå

Sundsvalls kommun

Norrmalmsgatan 4, 851 85 Sundsvall

Drugi podatki

Verodostojno besedilo odločitve, iz katerega so bili odstranjeni vsi zaupni podatki, je na voljo na spletni strani:

http://ec.europa.eu/competition/elojade/isef/index.cfm.

Datum sprejetja odločitve

09.08.2016

Številka pomoči

SA.38920 (2016/NN)

Država članica

Portugalska

Regija

Naziv (in/ali ime upravičenca)

Concessao do Apoio Mínimo à Santa Casa da Misericordia de Tomar (SCMT)

Pravna podlaga

Regulamento Específico „Reabilitação Urbana“

Vrsta ukrepa

Individualna pomoč

Santa Casa da Misericordia de Tomar

Cilj

Oblika pomoči

Neposredna subvencija

Proračun

Skupni proračun: EUR 1,872 (v milijonih)

Intenzivnost

%

Trajanje

Gospodarski sektorji

ZDRAVSTVO IN SOCIALNO VARSTVO

Naziv in naslov organa, ki dodeli pomoč

Commissão de Coordencão d Desenvolvimento da Região do Centro

Rua Bernardim Ribeiro, 80

3000-069 Coimbra

Drugi podatki

Verodostojno besedilo odločitve, iz katerega so bili odstranjeni vsi zaupni podatki, je na voljo na spletni strani:

http://ec.europa.eu/competition/elojade/isef/index.cfm.

Datum sprejetja odločitve

14.08.2015

Številka pomoči

SA.39457 (2015/N)

Država članica

Združeno kraljestvo

Regija

Naziv (in/ali ime upravičenca)

Reation Engines Ltd, SABRE design project

Pravna podlaga

Science and Technology Act 1965

Vrsta ukrepa

Individualna pomoč

Reaction Engines Limited

Cilj

Raziskave in razvoj

Oblika pomoči

Neposredna subvencija

Proračun

Skupni proračun: GBP 50 (v milijonih)

Intenzivnost

42 %

Trajanje

Od 01.04.2015

Gospodarski sektorji

Proizvodnja zračnih in vesoljskih plovil

Naziv in naslov organa, ki dodeli pomoč

United Kingdom Space Agency

Polaris House, North Star Avenue, Swindon SN2 1SZ

Drugi podatki

Verodostojno besedilo odločitve, iz katerega so bili odstranjeni vsi zaupni podatki, je na voljo na spletni strani:

http://ec.europa.eu/competition/elojade/isef/index.cfm.

Datum sprejetja odločitve

01.07.2015

Številka pomoči

SA.40098 (2015/N)

Država članica

Finska

Regija

Naziv (in/ali ime upravičenca)

Evaluation plan – Aid scheme for funding of research and development projects

Pravna podlaga

Valtioneuvoston asetus tutkimus-, kehittämis- ja innovaatiotoiminnan rahoituksesta (1444/2014) Valtioneuvoston asetus tutkimus-, kehittämis- ja innovaatiotoiminnan rahoituksesta (1444/2014);

Valtionavustuslaki (688/2001); Laki valtion lainanannosta sekä valtiontakauksesta ja valtiontakuusta (449/1988); Laki yritystuen yleisistä ehdoista (786/1997)

Please see attached the submitted GBER-form „Tukiohjelma tutkimus- ja kehittämishankkeisiin (Tekes)“ for more details.

Vrsta ukrepa

shema pomoči

Cilj

Raziskave in razvoj

Oblika pomoči

Neposredna subvencija, Posojilo/vračljivi predujmi

Proračun

Skupni proračun: EUR 2 000 (v milijonih)

Letni proračun: EUR 400 (v milijonih)

Intenzivnost

75 %

Trajanje

01.01.2015 – 31.12.2020

Gospodarski sektorji

Vsi gospodarski sektorji, upravičeni do pomoči

Naziv in naslov organa, ki dodeli pomoč

Tekes

PL 69, 00101 Helsinki

Drugi podatki

Verodostojno besedilo odločitve, iz katerega so bili odstranjeni vsi zaupni podatki, je na voljo na spletni strani:

http://ec.europa.eu/competition/elojade/isef/index.cfm.

Datum sprejetja odločitve

14.07.2016

Številka pomoči

SA.40680 (2016/N)

Država članica

Nemčija

Regija

BREMERHAVEN, KRFR.ST.

Člen 107(3)(c)

Naziv (in/ali ime upravičenca)

Offshore-Terminal Bremerhaven

Pravna podlaga

§ § 23, 24 der Haushaltsordnung der Freien Hansestadt Bremen (Landeshaushaltsordung) und dazu erlassene Verwaltungsvorschriften

Vrsta ukrepa

ad hoc pomoč

Landessondervermögen Fischereihafen

Cilj

Sektorski razvoj

Oblika pomoči

Neposredna subvencija

Proračun

Skupni proračun: EUR 155,3 (v milijonih)

Intenzivnost

0 %

Trajanje

Gospodarski sektorji

Pomorski tovorni promet

Naziv in naslov organa, ki dodeli pomoč

Der Senator für Wirtschaft, Arbeit und Häfen

Zweite Schlachtpforte 3, 28195 Bremen

Drugi podatki

Verodostojno besedilo odločitve, iz katerega so bili odstranjeni vsi zaupni podatki, je na voljo na spletni strani:

http://ec.europa.eu/competition/elojade/isef/index.cfm.

Datum sprejetja odločitve

10.12.2015

Številka pomoči

SA.40713 (2015/N)

Država članica

Francija

Regija

Naziv (in/ali ime upravičenca)

Soutien au développement des installations produisant de l'électricité à partir de la combustion ou de l'explosion du gaz de mine

Pravna podlaga

Code de l'énergie, Articles L314-1 (6o) et L121-7; Décret no2000-1196 du 6 décembre 2000 fixant par catégorie d'installations les limites de puissance des installations pouvant bénéficier de l'obligation d'achat d'électricité, Article 3-1; Décret 2001-410 du 10 mai 2001 relatif aux conditions d'achat de l''électricité produite par des producteurs bénéficiant de l'obligation d''achat; Arrêté (…) fixant les conditions d'achat de l'électricité produite par les installations utilisant l'énergie dégagée par la combustion ou l'explosion du gaz de mines

Vrsta ukrepa

shema pomoči

Cilj

Varstvo okolja, Varčevanje z energijo

Oblika pomoči

Neposredna subvencija

Proračun

Skupni proračun: EUR 22,8 (v milijonih)

Letni proračun: EUR 1,5 (v milijonih)

Intenzivnost

100 %

Trajanje

do 01.01.2020

Gospodarski sektorji

Proizvodnja električne energije

Naziv in naslov organa, ki dodeli pomoč

Ministère de l'Ecologie – Direction générale de l'énergie et du climat

DGEC – Tour Sequoia – 92055 La Défense Cedex

Drugi podatki

Verodostojno besedilo odločitve, iz katerega so bili odstranjeni vsi zaupni podatki, je na voljo na spletni strani:

http://ec.europa.eu/competition/elojade/isef/index.cfm.

Datum sprejetja odločitve

03.08.2016

Številka pomoči

SA.41342 (2016/N)

Država članica

Nemčija

Regija

DAHME-SPREEWALD, BRANDENBURG

Naziv (in/ali ime upravičenca)

Flughafen Berlin Brandenburg

Pravna podlaga

Gesellschafterbeschluss vom 17. April 2015 (TOP 3): 1,107 Mrd. EUR Hybridkapital

Gesellschafterbeschluss vom 16. Oktober 2015 (TOP 3): Aufnahme verbürgter Darlehen bis zur Höhe von 2,5 Mrd. EUR zur Refinanzierung des Konsortialkredits und zur Ausfinanzierung des FBB-Businessplans

Vrsta ukrepa

Individualna pomoč

Flughafen Berlin Brandenburg GmbH

Cilj

Drugo, Regionalni razvoj, Varstvo okolja

Oblika pomoči

Jamstvo, Drugi načini kapitalskega vlaganja – subordinate shareholder loan (quasi-equity);shareholder guarantee

Proračun

Skupni proračun: EUR 1 107 (v milijonih)

Intenzivnost

Ukrep, ki ne pomeni pomoči

Trajanje

Gospodarski sektorji

Zračni promet

Naziv in naslov organa, ki dodeli pomoč

Ministerium der Finanzen des Landes Brandenburg, Referat 43

Heinrich-Mann-Allee 107, 14473 Potsdam

Senatsverwaltung für Finanzen, Referat IC

Klosterstraße 59, 10179 Berlin

Bundesministerium für Verkehr und digitale Infrastruktur, Referat Z12

Invalidenstraße 44, 10115 Berlin

Drugi podatki

Verodostojno besedilo odločitve, iz katerega so bili odstranjeni vsi zaupni podatki, je na voljo na spletni strani:

http://ec.europa.eu/competition/elojade/isef/index.cfm.

Datum sprejetja odločitve

24.08.2015

Številka pomoči

SA.41471 (2015/N)

Država članica

Poljska

Regija

Poland

Naziv (in/ali ime upravičenca)

Warunki i tryb udzielania pomocy publicznej i pomocy de minimis za pośrednictwem Narodowego Centrum Badań i Rozwoju

Pravna podlaga

Art. 33 ust. 2 ustawy z dnia 30 kwietnia 2010 r. o Narodowym Centrum Badań i Rozwoju (Dz.U. z 2014 r. poz. 1788 oraz z 2015 r. poz. 249.).

Rozporządzenie Ministra Nauki i Szkolnictwa Wyższego z dnia 25 lutego 2015 r. w sprawie warunków i trybu udzielania pomocy publicznej i pomocy de minimis za pośrednictwem Narodowego Centrum Badań i Rozwoju (Dz.U. z 2015 r., poz.299).

Vrsta ukrepa

shema pomoči

Cilj

Pomoč za raziskave in razvoj v sektorju ribištva in akvakulture (člen 30), Pomoč za naložbe za MSP (člen 17), Pomoč za tvegano financiranje (člen 21), Pomoč za zagonska podjetja (člen 22), Pomoč za MSP – pomoč za stroške poizvedb (člen 24), Temeljne raziskave (člen 25(2)(a)), Industrijske raziskave (člen 25(2)(b)), Eksperimentalni razvoj (člen 25(2)(c)), Študije izvedljivosti (člen 25(2)(d)), Pomoč za inovacije za MSP (člen 28)

Oblika pomoči

Nepovratna sredstva/subvencionirane obrestne mere, Jamstvo (s sklicem na sklep Komisije, če je primerno(10)), Posojilo/vračljivi predujmi, Zagotavljanje financiranja tveganja

Proračun

Skupni proračun: PLN 22 649 (v milijonih)

Letni proračun: PLN 3 640,625 (v milijonih)

Intenzivnost

100 %

Trajanje

05.03.2015 – 30.06.2021

Gospodarski sektorji

Vsi gospodarski sektorji, upravičeni do pomoči

Naziv in naslov organa, ki dodeli pomoč

Narodowe Centrum Badań i Rozwoju

ul. Nowogrodzka 47a, 00-695 Warszawa

Drugi podatki

Verodostojno besedilo odločitve, iz katerega so bili odstranjeni vsi zaupni podatki, je na voljo na spletni strani:

http://ec.europa.eu/competition/elojade/isef/index.cfm.

Datum sprejetja odločitve

18.04.2016

Številka pomoči

SA.42476 (2015/N)

Država članica

Nizozemska

Regija

NEDERLAND

Naziv (in/ali ime upravičenca)

Betuweroute – Compensatie spoorvervoer tijdens bouwwerkzaamheden 2016-2020

Pravna podlaga

Artikel 3(1)(a) van de Kaderwet subsidies I en M, artikel 2(1) van het Kaderbesluit subsidies I en M.

Vrsta ukrepa

shema pomoči

Cilj

Sektorski razvoj

Oblika pomoči

Drugo

Proračun

Skupni proračun: EUR 13,2 (v milijonih)

Intenzivnost

15 %

Trajanje

01.01.2016 – 31.12.2020

Gospodarski sektorji

Železniški tovorni promet

Naziv in naslov organa, ki dodeli pomoč

Ministerie van Infrastructuur en Milieu

Plesmanweg 1-6, Postbus 20901, 2500 EX Den Haag

Drugi podatki

Verodostojno besedilo odločitve, iz katerega so bili odstranjeni vsi zaupni podatki, je na voljo na spletni strani:

http://ec.europa.eu/competition/elojade/isef/index.cfm.

Datum sprejetja odločitve

29.08.2016

Številka pomoči

SA.43168 (2015/N)

Država članica

Grčija

Regija

ATTIKI

Naziv (in/ali ime upravičenca)

Κρατική εγγύηση για το δάνειο της ΕΤΕπ προς τη ΔΕΗ (Έργα σε μη διασυνδεδεμένα νησιά)

Pravna podlaga

ΝΟΜΟΣ 2322/1995 (ΦΕΚ A 143)

Vrsta ukrepa

Individualna pomoč

PUBLIC POWER CORPORATION (PPC)

Cilj

Storitve splošnega gospodarskega pomena

Oblika pomoči

Jamstvo

Proračun

Intenzivnost

0 %

Trajanje

Gospodarski sektorji

Proizvodnja električne energije

Naziv in naslov organa, ki dodeli pomoč

ΓΕΝΙΚΟ ΛΟΓΙΣΤΗΡΙΟ ΤΟΥ ΚΡΑΤΟΥΣ – ΔΙΕΥΘΥΝΣΗ ΚΙΝΗΣΗΣ ΚΕΦΑΛΑΙΩΝ ΕΓΓΥΗΣΕΩΝ ΚΑΙ ΔΑΝΕΙΩΝ

ΠΑΝΕΠΙΣΤΗΜΙΟΥ 37 – ΑΘΗΝΑ 10165 – ΕΛΛΑΔΑ

Drugi podatki

Verodostojno besedilo odločitve, iz katerega so bili odstranjeni vsi zaupni podatki, je na voljo na spletni strani:

http://ec.europa.eu/competition/elojade/isef/index.cfm.

Datum sprejetja odločitve

04.08.2016

Številka pomoči

SA.43575 (2015/N)

Država članica

Latvija

Regija

Riga, Latvia

Naziv (in/ali ime upravičenca)

Aid for the construction of cultural and sport center „Daugavas stadions“

Pravna podlaga

Cabinet of Ministers Order No. 78 from 16 February 2015„Government''s Action Plan for the implementation of the Declaration of Cabinet of Ministers led by Laimdota Straujuma“

http://likumi.lv//ta/id/272247?&search=on

Cabinet of Ministers Session Protocol No. 38 from 11 August 2015

http://likumi.lv/ta/id/275917-ministru-kabineta-sedes-protokols

Vrsta ukrepa

Individualna pomoč

State owned limited liability company (VSIA)

Cilj

Sektorski razvoj, Kultura

Oblika pomoči

Neposredna subvencija, Drugo

Proračun

Skupni proračun: EUR 38,18 (v milijonih)

Intenzivnost

96,12  %

Trajanje

Gospodarski sektorji

Obratovanje športnih objektov

Naziv in naslov organa, ki dodeli pomoč

Ministry of Culture of the Republic of Latvia

K.Valdemāra iela 11-a, Riga, LV-1010, Latvia

Ministry of Education and Science of the Republic of Latvia

Valnu iela 2, Riga, LV-1050, Latvia

Drugi podatki

Verodostojno besedilo odločitve, iz katerega so bili odstranjeni vsi zaupni podatki, je na voljo na spletni strani:

http://ec.europa.eu/competition/elojade/isef/index.cfm.

Datum sprejetja odločitve

22.08.2016

Številka pomoči

SA.43666 (2015/N)

Država članica

Nemčija

Regija

Naziv (in/ali ime upravičenca)

Begrenzung der KWKG-Umlage für Schienenbahnen

Annexverfahren zu SA.42393 (2015/N), Novelle des KWKG (Kraft-Wärme-Kopplungsgesetz)

Pravna podlaga

Kraft-Wärme-Kopplungsgesetz (derzeit im parlamentarischen Verfahren)

Vrsta ukrepa

shema pomoči

Cilj

Varstvo okolja

Oblika pomoči

Drugo – The measure foresees a reduction of the costs of railways with regard to the surcharge that is recovered in order to support co-generated electricity.

The aid for co-generated electricity is financed by a surcharge for all consumers of electricity. According to § 26 Absatz 3 KWKG-E for railways this surcharge cannot be more than 0,04 ct/kWh per consumption point.

Proračun

Intenzivnost

%

Trajanje

01.01.2016 – 31.12.2020

Gospodarski sektorji

Železniški potniški promet

Naziv in naslov organa, ki dodeli pomoč

Directly by the grid operator on proof by the railway undertaking that the legal prerequisites are fulfilled.

Drugi podatki

Verodostojno besedilo odločitve, iz katerega so bili odstranjeni vsi zaupni podatki, je na voljo na spletni strani:

http://ec.europa.eu/competition/elojade/isef/index.cfm.

Datum sprejetja odločitve

01.08.2016

Številka pomoči

SA.43724 (2015/N)

Država članica

Švedska

Regija

VAESTERBOTTENS LAEN

Naziv (in/ali ime upravičenca)

Hillskär – investeringar i infrastruktur för effektiv samordning av transportslag vid Kvarken Ports

Pravna podlaga

Förordning (2014:1383) om förvaltning av EU:s strukturfonder.

Vrsta ukrepa

ad hoc pomoč

Umeå Hamn AB

Cilj

Sektorski razvoj, Regionalni razvoj

Oblika pomoči

Neposredna subvencija

Proračun

Skupni proračun: SEK 62 (v milijonih)

Intenzivnost

%

Trajanje

Gospodarski sektorji

Pomorski tovorni promet

Naziv in naslov organa, ki dodeli pomoč

Tillväxtverket

Box 4044, 102 61 STOCKHOLM

Drugi podatki

Verodostojno besedilo odločitve, iz katerega so bili odstranjeni vsi zaupni podatki, je na voljo na spletni strani:

http://ec.europa.eu/competition/elojade/isef/index.cfm.

Datum sprejetja odločitve

04.02.2016

Številka pomoči

SA.43861 (2015/N)

Država članica

Združeno kraljestvo

Regija

UNITED KINGDOM

Naziv (in/ali ime upravičenca)

UK Electricity Demand Reduction (EDR) Pilot (formerly pre-notified under SA.40956)

Pravna podlaga

Aid granted under the EDR Pilot would be pursuant to section 43 of the UK Energy Act 2013

Vrsta ukrepa

shema pomoči

Cilj

Varčevanje z energijo

Oblika pomoči

Neposredna subvencija

Proračun

Skupni proračun: GBP 6 (v milijonih)

Intenzivnost

100 %

Trajanje

21.01.2016 – 31.01.2019

Gospodarski sektorji

Vsi gospodarski sektorji, upravičeni do pomoči

Naziv in naslov organa, ki dodeli pomoč

DECC

3 Whitehall Place, London, SW1A 2AW

Drugi podatki

Verodostojno besedilo odločitve, iz katerega so bili odstranjeni vsi zaupni podatki, je na voljo na spletni strani:

http://ec.europa.eu/competition/elojade/isef/index.cfm.

Datum sprejetja odločitve

09.08.2016

Številka pomoči

SA.43983 (2015/N)

Država članica

Nemčija

Regija

DEUTSCHLAND, BAYERN, OBERFRANKEN, BAYREUTH, LANDKR.

Naziv (in/ali ime upravičenca)

BLSV-Sportcamp Nordbayern

Pravna podlaga

Gesetz über die Feststellung des Haushaltsplans des Freistaates Bayern für die Haushaltsjahre 2015 und 2016 (Haushaltsgesetz 2015/2016 – HG 2015/2016) vom 17. Dezember 2014, Kapitel 03 03 Titel 893 01-7

Haushaltsordnung des Freistaates Bayern (Bayerische Haushaltsordnung – BayHO)

Verwaltungsvorschriften zu Art. 44 der Bayerischen Haushaltsordnung (VV-BayHO)

Satzung der Oberfrankenstiftung vom 18.11.2010

Baugesetzbuch

Vrsta ukrepa

Individualna pomoč

Bayerischer Landes-Sportverband e.V. (BLSV)

Cilj

Oblika pomoči

Neposredna subvencija, Nepovratna sredstva/subvencionirane obrestne mere

Proračun

Skupni proračun: EUR 20,76 (v milijonih)

Intenzivnost

87,34  %

Trajanje

Gospodarski sektorji

Vsi gospodarski sektorji, upravičeni do pomoči

Naziv in naslov organa, ki dodeli pomoč

Regierung von Oberfranken

Postfach 11 01 65, D-95420 Bayreuth

Oberfrankenstiftung

Friedrichstraße 4, D-95444 Bayreuth

Gemeinde Bischofsgrün

Jägerstraße 9, D-95493 Bischofsgrün

Drugi podatki

Verodostojno besedilo odločitve, iz katerega so bili odstranjeni vsi zaupni podatki, je na voljo na spletni strani:

http://ec.europa.eu/competition/elojade/isef/index.cfm.

Datum sprejetja odločitve

13.06.2016

Številka pomoči

SA.44881 (2016/N)

Država članica

Nemčija

Regija

Naziv (in/ali ime upravičenca)

Thüringen: Fischerei Altenburger Land, Herrn Stefan Schröer

Pravna podlaga

§ § 23 und 44 Thüringer Landeshaushaltsordnung, zuletzt geändert durch Artikel 9 des Gesetztes vom 31. Januar 2015, GVBl. 22,23

Gesetz zur Errichtung eines Sondervermögens „Aufbauhilfe“ und zur Änderung weiterer Gesetze (Aufbauhilfefonds- Errichtungsgesetz, AufbHG) vom 15. Juli 2013, BGBl. I, S. 2401;

Verordnung über die Verteilung und Verwendung der Mittel des Fonds „Aufbauhilfe“ (Aufbauhilfeverordnung-AufbhV) vom 16. August 2013, BGBl. I S. 3233;

Thüringer Gesetz zur Errichtung eines Sondervermögens „Aufbauhilfefond Thüringen“ zur Beseitigung der vom Hochwasser 2013 verursachten Schäden (Thüringer Aufbauhilfefondsgesetz) vom 12. Juli 2013; GVBl S. 162;

Thüringer Verordnung über die Verteilung der Mittel des Aufbauhilfefonds Thüringen und die Durchführung des Aufbauhilfefondsgesetzes; ThürAufbhfVO vom 17. September 2013, GVBL. S. 288

Vrsta ukrepa

Individualna pomoč

Stefan Schröer, Fischerei Altenburger Land

Cilj

Povračilo škode, ki jo povzročijo naravne nesreče

Oblika pomoči

Proračun

Skupni proračun: EUR 0,5753 (v milijonih)

Intenzivnost

80 %

Trajanje

Gospodarski sektorji

KMETIJSTVO IN LOV; GOZDARSTVO; RIBIŠTVO

Naziv in naslov organa, ki dodeli pomoč

Thüringer Aufbaubank

Gorkistraße 9, 99084 Erfurt

Drugi podatki

Verodostojno besedilo odločitve, iz katerega so bili odstranjeni vsi zaupni podatki, je na voljo na spletni strani:

http://ec.europa.eu/competition/elojade/isef/index.cfm.

Datum sprejetja odločitve

23.09.2016

Številka pomoči

SA.45184 (2016/N)

Država članica

Italija

Regija

BASILICATA, PUGLIA, CAMPANIA, CALABRIA, SICILIA, ABRUZZO, MOLISE, SARDEGNA

Člen 107(3)(a), Člen 107(3)(c)

Naziv (in/ali ime upravičenca)

Piano di valutazione – Credito di imposta alle imprese che effettuano l''acquisizione di beni strumentali nuovi destinati a strutture produttive ubicate nelle zone assistite delle regioni Campania, Puglia, Basilicata, Calabria e Sicilia ammissibili alle deroghe ex art. 107 par. 3 lett. a) del TFUE e nelle zone assistite delle regioni Molise, Sardegna, Abruzzo, ammissibili alle deroghe previste dall''art. 107 par. 3 lett. c) del TFUE come individuate dalla Carta degli aiuti a finalità regionale 2014 – 2020 6424 final del 16.09.2014

Pravna podlaga

L. 28.12.2015 n. 208 (Disposizioni per la formazione del bilancio annuale e pluriennale dello Stato – legge di stabilità 2016), art. 1 commi da 98 a 106, pubblicata in Gazzetta Ufficiale n. 302 del 30.12.2015

Comunicazione per la fruizione del credito d'imposta per gli investimenti nel Mezzogiorno, Agenzia delle Entrate, Roma, 24.3.2016

Vrsta ukrepa

shema pomoči

Cilj

Regionalna pomoč – pomoč za naložbe (člen 14) – Shema

Oblika pomoči

Davčna ugodnost ali davčna oprostitev

Proračun

Letni proračun: EUR 617 (v milijonih)

Intenzivnost

0 %

Trajanje

01.01.2016 – 31.12.2019

Gospodarski sektorji

Vsi gospodarski sektorji, upravičeni do pomoči

Naziv in naslov organa, ki dodeli pomoč

Ministero dell'Economia e delle Finanze

Via dei Normanni 5 – 00184 Roma

Drugi podatki

Verodostojno besedilo odločitve, iz katerega so bili odstranjeni vsi zaupni podatki, je na voljo na spletni strani:

http://ec.europa.eu/competition/elojade/isef/index.cfm.

Datum sprejetja odločitve

01.07.2016

Številka pomoči

SA.45575 (2016/N)

Država članica

Poljska

Regija

Naziv (in/ali ime upravičenca)

Fourteenth prolongation of the Polish bank guarantee scheme – H2 2016

Pravna podlaga

Ustawa z dnia 12 lutego 2009 r. o udzielaniu przez Skarb Panstwa wsparcia instytucjom finansowym (Dz. U. Nr 39, poz. 308 ze zm.)

Vrsta ukrepa

shema pomoči

Cilj

Odpravljanje resne motnje v gospodarstvu

Oblika pomoči

Jamstvo

Proračun

Skupni proračun: PLN 160 000 (v milijonih)

Intenzivnost

Trajanje

01.07.2016 – 31.12.2016

Gospodarski sektorji

FINANČNE IN ZAVAROVALNIŠKE DEJAVNOSTI

Naziv in naslov organa, ki dodeli pomoč

Minister Waszczykowski

ul. Świętokrzyska 12, 00-916 Warszawa

Drugi podatki

Verodostojno besedilo odločitve, iz katerega so bili odstranjeni vsi zaupni podatki, je na voljo na spletni strani:

http://ec.europa.eu/competition/elojade/isef/index.cfm.

Datum sprejetja odločitve

23.09.2016

Številka pomoči

SA.46199 (2016/N)

Država članica

Italija

Regija

SARDEGNA

Člen 107(3)(a)

Naziv (in/ali ime upravičenca)

Revisione di medio termine della Carta degli aiuti a finalità regionale 2014-2020

Pravna podlaga

N.A.

Vrsta ukrepa

shema pomoči

Cilj

Regionalni razvoj (vključno s teritorialnim sodelovanjem)

Oblika pomoči

Drugo – Tutte le forme di aiuto sono ammissibili.

Proračun

Intenzivnost

25 %

Trajanje

01.01.2017 – 31.12.2020

Gospodarski sektorji

Vsi gospodarski sektorji, upravičeni do pomoči

Naziv in naslov organa, ki dodeli pomoč

Dipartimento per le Politiche di Coesione della Presidenza del Consiglio

Largo Chigi 19 – Roma

Drugi podatki

Verodostojno besedilo odločitve, iz katerega so bili odstranjeni vsi zaupni podatki, je na voljo na spletni strani:

http://ec.europa.eu/competition/elojade/isef/index.cfm.


4.11.2016   

SL

Uradni list Evropske unije

C 406/20


Odobritev državne pomoči v skladu s členoma 107 in 108 Pogodbe o delovanju Evropske unije

Primeri, v katerih Komisija ne vloži ugovora

(Besedilo velja za EGP, razen kar zadeva proizvode iz Priloge 1 k Pogodbi)

(2016/C 406/02)

Datum sprejetja odločitve

28.09.2016

Številka pomoči

SA.45613 (2016/N)

Država članica

Estonija

Regija

Naziv (in/ali ime upravičenca)

Sigade Aafrika katku likvideerimiskulude katmine ja kahjude hüvitamine suurettevõtjatele 2

Pravna podlaga

1.

Loomatauditõrje seadus (RT I, 16.06.2016, 14 https://www.riigiteataja.ee/akt/123032015264?leiaKehtiv)

2.

Nõuded eksperdi arvamusele ja looma, sealhulgas aretuslooma väärtuse arvutamise kord (RT I, 15.09.2015, 21 https://www.riigiteataja.ee/akt/128062014122?leiaKehtiv)

3.

Sigade klassikalise katku ja sigade aafrika katku tõrje eeskiri (RT I, 29.08.2015, 18 https://www.riigiteataja.ee/akt/114042015005?leiaKehtiv)

Vrsta ukrepa

shema pomoči

Cilj

Pomoč za stroške preprečevanja in izkoreninjenja bolezni živali in škodljivih organizmov na rastlinah ter pomoč za odpravo škode zaradi bolezni živali in škodljivih organizmov na rastlinah

Oblika pomoči

Neposredna subvencija, Subvencionirane storitve

Proračun

Skupni proračun: EUR 20 (v milijonih)

Intenzivnost

100 %

Trajanje

do 31.12.2020

Gospodarski sektorji

Prašičereja

Naziv in naslov organa, ki dodeli pomoč

Maaeluministeerium; Veterinaar- ja Toiduamet

Lai tn 39/Lai tn 41, 15056 Tallinn, Eesti; Väike-Paala 3, 11415 Tallinn, Eesti

Drugi podatki

Verodostojno besedilo odločitve, iz katerega so bili odstranjeni vsi zaupni podatki, je na voljo na spletni strani:

http://ec.europa.eu/competition/elojade/isef/index.cfm.


V Objave

POSTOPKI V ZVEZI Z IZVAJANJEM POLITIKE KONKURENCE

Evropska komisija

4.11.2016   

SL

Uradni list Evropske unije

C 406/21


DRŽAVNA POMOČ – NEMČIJA

Državna pomoč SA.42393 (2016/C) (ex 2015/N)

Reforma podpore za soproizvodnjo v Nemčiji

Poziv k predložitvi pripomb na podlagi člena 108(2) Pogodbe o delovanju Evropske unije

(Besedilo velja za EGP)

(2016/C 406/03)

Z dopisom v verodostojnem jeziku z dne 24. oktobra 2016 na straneh, ki sledijo temu povzetku, je Komisija uradno obvestila Nemčijo o svoji odločitvi, da začne postopek na podlagi člena 108(2) Pogodbe o delovanju Evropske unije v zvezi z zgoraj navedenim programom pomoči.

Komisija se je odločila, da ne sproži nobenih ugovorov v zvezi z nekaterimi drugimi ukrepi pomoči, navedenimi v dopisu, ki sledi temu povzetku.

Zainteresirane strani lahko v enem mesecu od dneva objave tega povzetka in dopisa, ki mu sledi, predložijo svoje pripombe o ukrepu pomoči, v zvezi s katerim Komisija začenja postopek, na naslov:

European Commission

Directorate-General for Competition

State Aid Greffe

B-1049 Bruxelles/Brussel

Faks + 32 22961242

Stateaidgreffe@ec.europa.eu

Te pripombe se pošljejo Nemčiji. Zainteresirana stran, ki predloži pripombe, lahko pisno zaprosi za zaupno obravnavo svoje identitete in navede razloge za to.

POSTOPEK

Nemški organi so 28. avgusta 2015 Komisiji priglasili osnutek zakona o reformi Zakona o soproizvodnji toplote in električne energije (KWKG 2016). Sprejet je bil 21. decembra 2015, veljati pa je začel 1. januarja 2016.

Nemčija je ukrep priglasila zaradi pravne varnosti. Meni, da ukrep ni financiran iz državnih sredstev, saj ni neposredno financiran iz državnega proračuna, temveč iz dajatev na porabo električne energije, ki se plačujejo upravljavcem omrežij.

OPIS UKREPA

Program podpore, ki ga je priglasila Nemčija, predvideva plačilo podpore upravljavcem obratov za soproizvodnjo toplote in električne energije (SPTE), pa tudi za gradnjo in širitev omrežij daljinskega ogrevanja in hlajenja ter za gradnjo in posodobitev sistemov ogrevanja in hlajenja v prostorih za skladiščenje.

Ukrep je financiran iz dajatev na porabo električne energije, ki se plačujejo upravljavcem omrežij kot dodatek k omrežnini (v nadaljnjem besedilu: dodatna dajatev SPTE).

Operaterji prenosnega sistema vsako leto izračunajo znesek dodatne dajatve SPTE v obliki enotne cene na porabljeno kWh (0,445 centa/kWh v letu 2016). Vendar Zakon o soproizvodnji toplote in električne energije določa, da za potrošnike z letno porabo nad 1 GWh („potrošniki kategorije B“) najvišja dodatna dajatev SPTE znaša 0,04 centa/kWh, za potrošnike, dejavne v proizvodnem sektorju, s porabo nad 1 GWh in stroški električne energije, ki predstavljajo več kot 4 % prometa („potrošniki kategorije C“), pa 0,03 centa/kWh.

OCENA

Zakon o soproizvodnji toplote in električne energije z omejitvijo dodatne dajatve SPTE na 0,04 centa/kWh in 0,03 centa/kWh zmanjšuje breme za podjetja, ki se opredeljujejo kot potrošniki kategorije B ali C. To pomeni selektivno prednost. V kategoriji C je do znižanj upravičen le proizvodni sektor. Teoretično lahko kategorija B vključuje podjetja v vseh sektorjih, vendar bodo imela večja podjetja z letno porabo nad 1 GWh prednost pred manjšimi, v vsakem primeru pa bodo v prednosti podjetja, dejavna v sektorjih, v katerih je poraba električne energije tradicionalno pomembna.

Prednost se financira iz državnih sredstev. Komisija meni, da je dodatna dajatev SPTE sredstvo, ki je pod državnim nadzorom. Tako kot v zadevi, v kateri je bila izdana sodba z dne 19. decembra 2013 glede Association Vent de Colère!  (1), je država v okviru Zakona o soproizvodnji toplote in električne energije vzpostavila sistem, po katerem se stroški upravljavcev omrežij, povezani s podporo za proizvodnjo električne energije iz soproizvodnje in izgradnjo prostorov za skladiščenje ter daljinskih omrežij ogrevanja in hlajenja, v celoti izravnajo z dodatno dajatvijo SPTE, naloženo porabnikom električne energije. Znižanja dodatne dajatve SPTE se prav tako financirajo iz državnih sredstev, saj pomenijo dodatno breme za državo. Z vsakim znižanjem zneska dodatne dajatve SPTE se namreč znižajo tudi zneski, ki jih plačujejo zadevni potrošniki (kategoriji B in C), to pa povzroča izgube prihodkov, ki jih je treba pozneje izterjati od drugih potrošnikov (tj. potrošnikov kategorije A) prek zvišane dodatne dajatve SPTE.

Znižanja, ki izhajajo iz dodatne dajatve SPTE, lahko privedejo do izkrivljanja konkurence med podjetji v istem sektorju, saj do njih niso upravičena vsa podjetja, zato bodo verjetno vplivala tudi na trgovino med državami članicami ter na konkurenco med podjetji v drugih državah članicah. Podjetjem v drugih državah članicah konkurirajo zlasti sektorji, ki bodo verjetno imeli korist od znižanj, na primer kemična industrija, papirna industrija ter proizvodnja avtomobilov in avtomobilske opreme.

Znižanja, ki izhajajo iz dodatnih dajatev SPTE, ne spadajo na področje uporabe Smernic o državni pomoči za varstvo okolja in energijo za obdobje 2014–2020 (2) (v nadaljnjem besedilu: smernice za varstvo okolja in energijo). Smernice za varstvo okolja in energijo vsebujejo določbe o pomoči v obliki znižanj finančne podpore za električno energijo iz obnovljivih virov, ne pa tudi o pomoči v obliki znižanj finančne podpore za soproizvodnjo toplote in električne energije ali drugih ukrepov glede energijske učinkovitosti. Vendar lahko Komisija ukrep pomoči razglasi za združljivega neposredno v skladu s členom 107(3)(c) Pogodbe o delovanju Evropske unije, kadar je to potrebno in sorazmerno ter ima več pozitivnih učinkov za doseganje skupnih ciljev kot negativnih učinkov na konkurenčnost in trgovino.

Lahko bi trdili, da znižane dodatne dajatve SPTE na eni strani prispevajo k skupnemu cilju, če je sama pomoč namenjena doseganju cilja skupnega interesa in je za to potrebna, ter na drugi strani, če so znižanja potrebna za zagotovitev financiranja ukrepa za doseganje tega cilja skupnega interesa.

Komisija je ugotovila, da so ukrepi podpore, financirani iz dodatne dajatve SPTE, (tj. spodbujanje obratov za soproizvodnjo toplote in električne energije, daljinska omrežja ogrevanja in hlajenja ter ogrevanje in hlajenje prostorov za skladiščenje) združljivi z notranjim trgom.

Nadalje bi lahko trdili, da bi bilo te ukrepe podpore primerno financirati na podlagi dajatve na porabo, in sicer zaradi tesne povezave med ukrepi podpore in porabo energije ter tudi zato, ker dajatev na porabo zagotavlja razmeroma stabilen vir financiranja in ne ovira proračunske discipline. Slednje je pomembno zaradi ciljev Unije glede povečanja energijske učinkovitosti. V zvezi s tem so države članice dolžne oceniti svoj potencial za izvajanje ukrepov za energijsko učinkovitost, vključno z objekti za soproizvodnjo toplote in električne energije ter daljinskim ogrevanjem, in za uporabo tega potenciala. Potrebe po financiranju za uporabo tega potenciala se lahko znatno povečajo, kar povečuje tudi potrebo po zmožnosti držav članic, da ukrepe financirajo iz dajatev na porabo.

V tem smislu je mogoče trditi, da so znižanja ustrezen instrument za doseganje cilja spodbujanja energijske učinkovitosti, če se izkaže, da bi odsotnost znižanj ogrozila dajatev na porabo ter posledično financiranje programa podpore in sam program podpore. Vendar bi do tega prišlo le, če bi se izkazalo, da bi bila brez znižanj ogrožena podpora, financirana iz dajatve, ker bi plačilo polne dajatve povzročilo selitev proizvodnje ali stečaj številnih podjetij. Tudi če se bodo znižanja izkazala za potrebna, morajo biti sorazmerna s ciljem in omejena na najnižji znesek, ki je potreben za zagotovitev financiranja pomoči.

Informacije, ki jih je v zvezi s tem predložila Nemčija, so omejene. Navedla je, da nima konkretnih podatkov v zvezi z različnimi upravičenci ali sektorji. Predvidevala je, da bi bili v mnogih primerih upravičenci podjetja, ki so upravičena tudi do znižane dodatne dajatve EEG, vendar svoje trditve ni utemeljila. Merila za upravičenost do znižane dodatne dajatve SPTE dejansko presegajo merila za upravičenost v skladu z EEG.

Poleg tega Nemčija ni predložila elementov, ki bi dokazovali, da so bila znižanja omejena na najnižji potrebni znesek. Natančneje, videti je, da znižanja presegajo raven znižanj, dovoljeno v skladu z EEG.

Zato Komisija dvomi v spodbujevalni učinek in sorazmernost pomoči. Ker spodbujevalni učinek in sorazmernost pomoči še nista bila dokazana, Komisija na tej stopnji dvomi, da ukrep pomoči zagotavlja omejitev izkrivljanja konkurence, ker so bila nekatera podjetja oproščena dela svojih običajnih operativnih stroškov, in pozitivno skupno ravnovesje ukrepa.

V skladu s členom 16 Uredbe Sveta (EU) 2015/1589 se lahko vse nezakonite pomoči izterjajo od prejemnika.

BESEDILO DOPISA

1.   PROCEDURE: NOTIFICATION, CORRESPONDENCE, DEADLINE ETC.

(1)

On 28 August 2015, further to pre-notification contacts, the German authorities notified to the Commission the draft bill on the Reform of the Combined Heat and Power Generation Act (Heat and Power Cogeneration Act, hereinafter: KWKG or KWKG 2016), which was then adopted into law on 21 December 2015. It replaces the Combined Heat and Power Generation Act enacted on 1 April 2002.

(2)

As at the time of the notification, the draft law was still under discussion in Germany; Germany submitted updated versions of the draft law and additional explanations to the notification on 31 August, 18 September, 21 September and 28 September 2015. On 29 September 2015 it also submitted a draft evaluation plan that was updated on 14 June 2016.

(3)

The Commission sent requests for information on 9 and 28 October, 13 November, 10 December 2015, 4 February, 19 May, 20 July, 30 August and 21 September 2016.

(4)

Replies were submitted on 12 November, 24 November and 17 December 2015, on 3 March and 30 May, in August and September 2016. The latest information was submitted on 28 September 2016.

(5)

On 4 August 2016, Germany waived its right under Article 342 TFEU in conjunction with Article 3 of Council Regulation (EEC) No 1/1958 (3) to have the decision adopted in German and agreed that the decision be adopted and notified in English.

(6)

Germany has notified the measure for legal certainty. It considers that the measure is not financed from State resources. It has indicated that the arguments put forward in the EEG 2012 (4) and EEG 2014 (5) State aid cases as well as in the EEG 2012 Court case (6) are valid for the CHP file as well, without however enumerating them. It has briefly pointed to the similarities with the EEG support: support based on a guaranteed feed-in tariff that is covered by a levy on electricity consumption and raised by network operators. It considers that such system does not qualify as financed from State resources.

2.   DETAILED DESCRIPTION OF THE MEASURE

2.1.   Overall objectives

(7)

The KWKG aims at improving the energy efficiency of energy production in Germany by increasing the net electricity production from combined heat and power generation (‘CHP’) installations to 110 TWh/year by 2020 and to 120 TWh/year by 2025, as compared to the current yearly production of 96 TWh.

(8)

The KWKG also aims at ensuring cohesion between support for CHP and the goals of the energy transition (Energiewende). The KWKG therefore also supports new heat/cooling storage facilities or retrofitted storage facilities, as they increase the flexibility of cogeneration facilities, and focuses on installations that can reduce CO2 emissions in the electricity sector. CHP installations are expected to contribute to an additional reduction of 4 million tonnes of CO2 emissions (7) by 2020 in the electricity sector as in Germany electricity from cogeneration installations displaces separated production of electricity by coal-fired power plants. In addition, new coal-fired and lignite-fired CHP installations are not supported and support under the KWKG is essentially directed at gas-fired CHP installations as they have lower CO2 emissions. Bio-energy CHP installations are in theory also eligible for support under the KWKG but in practice they ask for support under the Renewable Energy Sources Act (EEG) under which support levels are higher.

(9)

Under the KWKG, aid can also be granted for the construction or expansion of heating/cooling networks. Support to the latter is viewed as a complement to CHP-support, given that using CHP installations in connection with district heating increases the energy efficiency of the system.

(10)

The district heating sector is expected to be the largest contributor to the aims of the KWKG; however, Germany has indicated that CHP installations used by the service sector and by the industry are also needed to achieve the objectives of the KWKG (8).

(11)

The reform of the KWKG is based on a cost-benefit analysis concluded in 2014 (9) in line with Article 14 of the Energy Efficiency Directive (10). The cost-benefit analysis identified potential for new CHP installations in Germany but showed that under current market conditions new CHP installations could not be constructed without aid at least until 2020.

(12)

The cost-benefit analysis also showed that depreciated gas-fired plants used for district heating could still technically be operated but could not generate sufficient revenue from the market alone under current market conditions. District heating companies typically operate both CHP installations and heat boilers to cover the heat demand. The companies are equipped with software that continuously verifies which combination of those installations will deliver the heat at the lowest cost. When electricity prices are low, production costs of CHP installations are higher than production costs of heat boilers; in those cases the heat boilers are used by preference to CHP installations for the heat production. While the average price for base-load electricity on the exchange was still around 50 €/MWh in 2010, it fell to 25 €/MWh in 2016 (11). Under those deteriorated economic conditions, existing gas-fired CHP installations in the district heating sector are under the threat of being closed and replaced by separate production installations (12).

(13)

In order to maintain the current production level of 15 TWh/year of existing installations in the district heating sector and possibly bring it back to a previous level of 20 to 22 TWh/year, Germany intends to grant support to existing gas-fired CHP installations in the district heating sector until 2019.

2.2.   The different support measures involved

2.2.1.   CHP-support

(14)

Under the KWKG, support is granted to new, modernised and retrofitted highly efficient CHP installations. It is open to various cogeneration technologies (including gas and steam turbines, Organic Rankine Cycle and fuel cells).

(15)

CHP installations qualify as highly efficient if they comply with the high-efficiency criteria of Directive 2012/27/EU (13) (§ 2(8) KWKG).

(16)

The CHP installation can be fired by biogas, biomass, natural gas, oil, waste and waste heat. The support level does not vary depending on the type of fuel used. As gas-fired CHP installations are the main focus of the KWKG 2016, the support level has been set by reference to typical costs of gas-fired CHP installations. Germany indicated in this connection that CHP installations using bio-energy were in practice supported under the EEG given that renewable support was higher than CHP-support. As to oil-fired CHP installations, Germany indicated that production costs for those installations are higher than for gas-fired CHP installations given that oil prices are significantly higher than gas prices (57 €/MWh for light oil compared to 23-24 €/MWh for natural gas). Concerning CHP installations burning waste, Germany explained that waste-fired CHP installations cannot use the most efficient CHP technology (GuD) but can only use steam processes, also the amount of electricity used by the CHP installation itself is higher than for gas-fired CHP installations (among others because it needs electricity to filter the waste gases). As a result, investment costs per installed kW are around 10 times higher for waste-fired CHP installations than for gas-fired CHP installations. Germany further indicated that waste incineration businesses were as a rule subject to public procurement. Competition to obtain the waste incineration concession is generally high. As a result the support for the CHP installation would also be integrated into the bid and any overcompensation can be excluded.

(17)

The support is paid as a premium (the ‘CHP-support’) on top of the market price by the network operator to which the installation is connected. Operators of CHP installations with an electrical capacity of more than 100 kW have to sell their electricity on the market or consume it themselves. Operators of smaller CHP installations have the choice to sell the electricity on the market, consume it themselves or ask the network operator to buy it at an agreed price. If no agreement is reached, the purchase price will be the average price for base-load electricity on the EEX exchange of the previous trimester. In this respect, Germany has communicated that it intends to amend this section of the KWKG so that in the future price agreements will no longer be allowed and the purchase price will in all cases be the above mentioned average price.

(18)

Operators of CHP installations are subject to balancing responsibilities like any other generator. Those responsibilities are laid down in the Electricity Grid Access Ordinance (Stromnetzzugangsverordnung — StromNZV (14)).

(19)

The support is paid in principle for CHP electricity injected into the public grid for 30 000 full load hours as of the moment the installation entered into operation. When the installation has an electrical capacity below or equal to 50 kW the support is granted for 60 000 full load hours.

(20)

Germany has explained that according to normal accounting rules the usual depreciation period of CHP installations is 20 years. CHP installations operate between 3 000 and 8 000 full load hours per year, depending on the size of the installation and the sector concerned. 30 000 or 60 000 full load hours would thus be reached at the latest after 10 or 20 years in the case of an installation running only during 3 000 full load hours/year.

(21)

The level of the subsidy is determined on the basis of the rates described in Table 1.

Table 1

CHP-support for CHP electricity injected into the grid

Electric CHP capacity

Support for CHP electricity injected into the grid

 

€ cent/kWh

<=0.05 MW

8

> 0.05 and <=0.1 MW

6

> 0.1 and <=0.25 MW

5

> 0.25 and <=2 MW

4.4

> 2

3.1

(22)

For two categories of operators support is also paid for the auto-consumed part of the electricity. Those are on the one hand operators of small CHP plants with an electrical capacity of up to 100 kW and on the other hand operators of CHP installations who qualify as electro-intensive users (EIU) eligible for a reduced EEG-surcharge under the EEG. In the latter case, the installation generally has a capacity above 100 kW. The CHP-support for those two categories is determined based on the rates described under Table 2.

Table 2

CHP-support for auto-consumption

Electric CHP capacity

Small installations

EIU

 

€ cent/kWh

€ cent/kWh

<=0.05 MW

4

5.41

> 0.05 and <=0.1 MW

3

4.00

> 0.1 and <=0.25 MW

 

4.00

> 0.25 and <=2 MW

 

2.40

> 2

 

1.80

(23)

Support is also paid to operators supplying CHP electricity to third parties but using a private network (industrial parks) if the supplied customer bears the full EEG-surcharge (§ 6(4)(3) KWKG). This also covers the situation of an operator (the ‘Kontraktor’) supplying electricity to third parties from an installation located on the premises of the client. In that case, the installation could be providing energy to a single client and the Kontraktor is in charge of the construction, operation and maintenance of the installation. The CHP-support for that category of operators is calculated using the rates described in Table 3.

Table 3

CHP-support for ‘Kontraktoren’

Electric CHP capacity

Supply to third party outside public grid (‘Kontraktore’)

 

€ Cent/kWh

<=0.05 MW

4

> 0.05 and <=0.1 MW

3

> 0.1 and <=0.25 MW

2

> 0.25 and <=2 MW

1.5

> 2

1

(24)

Modernised installations are existing CHP plants where old system parts relevant to determine the efficiency of the installation are replaced with new components. If the cost of such a modernisation exceeds 25 % or 50 % of a complete new construction of the cogeneration plant, this modernised plant is eligible for support under the KWKG (§ 8(3) KWKG 2016) respectively for 15 000 (when modernisation costs exceed 25 % of a complete new construction of the cogeneration plant) or 30 000 full-load hours (when modernisation costs exceed 50 % of a complete new construction of the cogeneration plant). The modernised CHP plants must provide sufficient evidence that they are more efficient than the old plants. Modernisation is eligible for support only if the existing system has reached a certain age (5 or 10 years respectively). The CHP-support is determined on the basis of the rates described in Table 1 above.

(25)

Germany has explained that modernised CHP installations face higher operating costs than new CHP installations. Due to continuous technological progress, new installations will require less repair and maintenance costs and consume less fuel than modernised installations. Given that capital costs represent only 20 to 25 % of total production costs of a CHP installation, once the modernisation costs reach a certain level (i.e. 50 % of the costs of a new investment), the difference in capital costs compared to a new installation is outbalanced by additional operating costs of the modernised installation. For that reason, modernised installations are entitled to the same level of subsidy as new installations when modernisation costs represent more than 50 % of the investment costs of a new installation.

(26)

Retrofitted installations are un-combined installations which are converted into CHP installations. They are eligible for support under § 8(4) KWKG 2016 if the costs of the retrofitting correspond to at least 10 % of a new CHP installation with the same capacity. Depending on whether the costs of the retrofitting exceed 10 %, 25 % or 50 % of a new CHP installation with the same capacity, the aid will be granted for 10 000, 15 000 or 30 000 full-load hours.

(27)

An additional premium of 0.3 € cent/kWh is granted under § 7(5) of the KWKG 2016 for CHP facilities subject to the Greenhouse Gas Emission Trading Law (TEHG) as they face higher costs compared to CHP installations not subject to the ETS system (‘§ 7(5) premium’). The § 7(5) premium has been established based on current and projected costs of CO2 allowances, typical emission factor of CHP installation and has also taken account of the fact that CHP installations partially benefit from free allowances under Article 10a (4) of the ETS Directive (15). In addition, in order to incentivize CHP plant owners to replace their existing coal-fired or lignite-fired plant with a gas-fired installation, a bonus of 0,6 € cents/kWh over the entire funding period (fuel switch bonus) is provided to operators for the part of the cogeneration electricity capacity of the installation that is replacing an existing coal-fired or lignite-fired CHP installation. The operator must demonstrate that the coal-fired or lignite-fired CHP installation has been closed within 12 months after the new installation started operation but at the earliest after 1 January 2016, he must also demonstrate that he owns both installations or that they are feeding the same heating network.

(28)

In order to minimise the administrative burden for micro-cogeneration units, owners of CHP in the power range of up to 2 kW can receive their support payments as a flat one-time payment. This corresponds to a subsidy of 4 € cent/kWh multiplied by 60 000 full load hours.

(29)

Operators of existing (depreciated) high-efficiency gas-fired CHP plants with an electrical CHP capacity of more than 2 MW can obtain a support of 1.5 € cents/kWh if i) the CHP electricity is injected into the public grid, ii) the installation was in general used for public supply and iii) the electricity is not supported anymore under the EEG or under other provisions of the KWKG. The support is limited in time (31 December 2019) and full-load hours (up to 16 000).

(30)

Germany has estimated that the support to existing installations will increase the number of operating hours of the installations concerned. Per installation, the increase in the number of annual operating hours can vary between 300 and 1 000 hours. In some cases, the support will also prevent that the installation is closed altogether. Germany submitted the example of an installation which without support would be able to operate under economically acceptable conditions for 37 hours in 2016 and 3 hours in 2017. With a support of 1.5 € cent/kWh, it would be able to increase its operating hours to 751 in 2016 and 553 in 2017 allowing for the operation of the installation to be maintained.

(31)

When the value of hour contracts is null or negative on the EPEX Spot SE exchange in Paris (price zone Germany/Austria), no premium will be paid out for the CHP electricity produced during those hours (§ 7(8) KWKG). The electricity generated during this period is not taken into account for the calculation of the number of full load hours during which support can be granted.

(32)

Aid for CHP installations can be cumulated with investment aid. However, in that case, the cumulation of the investment aid and the operating aid can never exceed the difference between the levelized cost of electricity produced in the CHP installation and the market price for the electricity. When the support is granted to beneficiaries selected in a tender (see section 2.7.2 below) and is cumulated with investment aid, Germany committed to deducting the investment aid from the operating aid in line with point 151, read in conjunction with point 129 of the Guidelines on State aid for environmental protection and energy 2014-2020 (16) (‘EEAG’).

2.2.2.   Storage of heat and cooling

(33)

§ § 22-25 of the KWKG 2016 provide for investment support for the building of new or retrofitting of heat or cooling storage facilities.

(34)

While aid under the KWKG 2016 can also be granted when the owner of the storage and the CHP installations are different, Germany has indicated that storage facilities generally belong to the owner of the CHP installation to which it is connected. Storage facilities hence do no generate revenues. In addition, the increased flexibility of the CHP installation connected to the storage facility does not yield enough additional revenues for the CHP installation to trigger the investment into the storage facility.

(35)

Germany, however, would like to generalise the use of heat/cooling storage facilities in connection to CHP installations. Germany views those storage facilities as key elements to increase the energy efficiency and integration of CHP installations into the electricity market. As the heat/cold can be stored more easily than electricity (in the form of warm/cold water), CHP installations connected to storage facilities can adapt their production to produce in particular at times of higher electricity demand instead of cogenerating the electricity when there is heat demand but not necessarily electricity demand. A later heat requirement can then be covered from the storage facility. This flexibility allows CHP installations to run for an increased number of operating hours. Indeed, when electricity prices are too low, the heat demand is by preference produced from heat boilers and the CHP installation is not used or its production is reduced. The flexibility induced by the storage facility has therefore a direct environmental impact: the increased operation of CHP installations displaces separate production in heat boilers. In addition, in Germany, CHP electricity produced at times of high electricity demand displaces coal-fired electricity generation and thus significantly reduces CO2 emissions linked to electricity production. Finally, the induced flexibility also improves the integration of CHP installations into the electricity market as the electricity will be produced more in line with electricity demand.

(36)

In addition, storage facilities can also be filled with waste heat and renewable heat. As this type of heat is not necessarily produced when it is needed, the storage facility will increase the use of waste heat and renewable heat and reduce the need for heat only boilers.

(37)

Storage facilities are eligible for aid if the storage facility is mainly filled with heat produced by a CHP installation that is connected to the public electricity grid. Industrial waste heat and renewable heat are assimilated to CHP heat provided that the CHP heat still corresponds to at least 25 % of the stored heat. The storage facility must have a capacity of at least 1 m3 of water equivalent or 0.3 m3 per kW installed electrical capacity.

(38)

The aid amounts to 250 €/m3 water equivalent of the storage volume when the storage volume does not exceed 50 m3 water equivalent. This results in a maximum aid amount for small storage facilities of EUR 12 500. If it exceeds 50 m3 water equivalent, the aid is limited to 30 % of the eligible investment costs. In total the aid may not exceed EUR 10 million per project.

(39)

Eligible costs are all costs related to the construction of the storage facility and resulting from services and goods delivered by third parties. Not eligible are: administrative fees, internal costs for the construction and planning, imputed costs (‘kalkulatorische Kosten’), costs related to insurances, financing and land acquisition.

(40)

Germany has submitted an example of a concrete project for […] (*1) a heat storage installation. Its capacity would amount to […]m3 and project costs are estimated to amount to EUR […] million. The example shows that the aid makes it possible to increase the internal rate of return of the project from […]% to […]%. With only […]% projected internal rate of return the project would not have been implemented.

(41)

Aid for storage facilities under the KWKG 2016 can be cumulated with aid from local authorities, the Länder or other federal aid schemes. It is in principle deducted from the aid granted under the KWKG 2016 except if cumulation has been explicitly authorised. In that case Germany has committed to verifying that the cumulated aid would not exceed the aid intensity authorised under Annex 1 of the EEAG for cogeneration installations (17).

2.2.3.   District heating/cooling networks

(42)

Under § § 18-21 KWKG 2016 support is granted for the construction and expansion of energy-efficient district heating/cooling networks (i.e. networks for the public supply of heat and/or cooling).

(43)

Those networks are eligible for support if they are fed with at least 60 % of a combination of cogenerated heat, industrial waste heat and/or renewable heat. In this case, the share of cogenerated heat must in any event correspond to at least 25 % of the transported heat. For networks which are fed with CHP heat which is not combined with industrial waste heat or renewable heat, Germany has committed to granting investment aid only if at least 75 % of the heat injected into the district heating network is produced by CHP installations. The aid is granted according to the aid intensities described in Table 4 below.

Table 4

aid intensities for district heating/cooling networks

Small networks (diameter < 100 mm)

100 €/m pipe with a max. of 40 % of costs

Max. EUR 20 million per project

Larger networks (diameter > 100 mm)

30 % of costs

Max. EUR 20 million per project

(44)

Eligible costs are all costs related to the construction or expansion of the network and resulting from services and goods delivered by third parties. Not eligible are: administrative fees, internal costs for the construction and planning, imputed costs (‘kalkulatorische Kosten’), costs related to insurances, financing and land acquisition.

(45)

Germany has explained that for district heating/cooling networks the funding gap corresponds to between 30 % and 40 % of the investment costs, depending on the diameter of the pipes. It has submitted a detailed funding gap calculation for an average district heating system (town of 150 000 inhabitants, diameter >100 mm and aid amount of 30 % of investment costs, all values discounted with rate of 8 %). Table 5 below summarises the results of the funding gap calculation.

Table 5

Summary of funding gap calculation for average district heating system

(Net) Investments district heating network 1 after deduction of the costs that have to be borne by customers

19.310.951

Revenues and deduction of operating expenses (Operating Profit)

12.237.550

Ratio operating profit/net investment costs 1

63 %

Remaining Funding gap

37 %

Difference between net investment costs 1 and operating profit

- 7.073.401

Amount of support

5.793.285

Difference between net investment costs 1, operating profit and support

- 1.280.116

 

The value is negative

(46)

In case of additional aid at local, regional or federal level, Germany has committed to verifying that the cumulated aid would not exceed the funding gap authorised under the EEAG, i.e. the difference between the positive and the negative cash flows over the lifetime of the investment, discounted to their current value (typically using the cost of capital) (see Point 19(32) EEAG).

2.3.   Production costs

(47)

Germany has submitted Levelized Cost Of Electricity (LCOE) calculations for the production of cogenerated electricity in a series of representative installations for the district heating sector (one 10 MW, one 20 MW, one 100 MW, one 200 MW and one 450 MW installation) and 23 representative CHP installations used by households (single family houses or multiple family houses), service providers (retail, schools, hospitals, hotels) and the industry (construction of machines, car manufacturing, car repair, paper and chemistry sector). Germany has also provided LCOE calculations for CHP installations used by so-called contractors who operate a CHP installation to provide heat and power to a limited number of consumers (industry parks, for instance) as well as LCOE calculations for existing CHP installations. Finally they have also provided LCOE calculations for installations benefitting from the § 7(5) premium and the fuel switch bonus. All calculations concern gas-fired CHP installations.

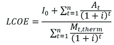
(48)

Germany has calculated the LCOE based on the following formula:

Image

Where:

LCOE

Levelized cost of electricity

I0

Investment in Euro

At

Annual total costs in Euro in the year t

Mt, therm

Volume of electricity produced in the concerned year in kWh

i

Discount factor in %

n

Economic lifetime of the installation in years

t

Year considered during the economic lifetime

(49)

For each calculation, Germany has also provided: the type of CHP installation used, the number of full load hours, the rate at which the installation is used for self-consumption (18), the sector concerned, the typical investment costs, the energy conversion efficiency rate, the heat and electricity outputs, and the fixed and variable operating costs. For the variable operating costs, Germany has further submitted the projected gas prices, electricity prices (both electricity price obtained when the electricity is injected into the grid and electricity price that is saved when the electricity generated is self-consumed), and the compensation for avoided network fees (19). The LCOE calculations also take into account reduced energy taxes and costs of CO2 emission allowances, where the installation is under the obligation to buy CO2 emmission allowances, and heat revenues. As far as heat revenues are concerned, Germany has taken the heat price into account for the district heating sector and the avoided heating costs for the other operators, since they would have had to buy or produce the heat in a boiler, had they not cogenerated it. The heat price obtained in the district heating sector has been computed based on the observation that the district heating sector needs to provide heat at the least cost possible as it has to compete with decentralized heat production. A CHP installation feeding heat into the grid is in competition essentially with gas boilers, other CHP installations and sometimes also incineration facilities or industrial heat. The heat price then corresponds to the marginal costs of the cheapest plant that is able to produce the demanded heat. For the purpose of determining the heat price taken into account for the LCOE calculations, Germany assumed that the heat demand would be covered 50 % by gas boilers and 50 % by CHP installations.

(50)

The tables below represent the assumptions used in terms of consumption, gas and electricity prices.

Table 6

Typical consumption in the sectors examined by Germany

Sector

Activity

Electricity

Heating

Electricity

Gas

 

 

MWh/a

MWh/a

Category

Category

Households

Single-family house

4

20

Households

Households

Households

Two-family house,

8

37

Households

Households

Housing

12-family apartment block

42

120

Households

GHD1

Housing

60-family apartment block

150

450

GHD1

GHD2

Trade and services

Services

50

125

GHD1

GHD1

Trade and services

School

80

700

GHD2a

GHD2

Trade and services

Retail

200

500

GHD2

GHD2

Trade and services

Hospital care

1 000

3 500

GHD3

GHD2

Trade and services

Hotel

1 000

1 400

GHD3

GHD2

Industry

E.g., manufacture of machinery and equipment

5 000

12 500

Industry 3

Industry 3

Industry

E.g., manufacture of automotive components

10 000

25 000

Industry 4

Industry 4

Industry

E.g., car plant

100 000

200 000

Industry 5

Industry 5

Industry

Paper

100 000

200 000

Industry 6

Industry 6

Industry

Chemistry

1 000 000

2 000 000

Industry 7

Industry 6

Source: Irees IFAM BHKW-Consult, Prognos

Table 7

Retail prices of gas to customers per category of consumer and consumption levels by 2050, real, gross calorific value, excluding VAT, duties and taxes in € cents 2013/kWh

Consumer category

2014

2020

2030

2040

2050

Households; < 55 500 kWh

4.8

5.4

5.6

6.0

5.9

Trade and services 1; < 55 500 kWh

4.6

5.3

5.5

5.7

5.9

Trade and services 2; > 55 555  kWh

4.3

5.0

5.2

5.4

5.6

Industry 1; < 277 MWh

4.4

5.1

5.2

5.3

5.4

Industry 2; < 2.7 GWh

4.2

4.9

5.0

5.1

5.2

Industry 3; < 27.7 GWh

3.8

4.5

4.6

4.7

4.8

Industry 4; < 278 GWh

3.2

3.9

4.0

4.1

4.2

Industry 5; < 1 111 GWh

2.8

3.5

3.6

3.7

3.8

Industry 6; > 1 111 GWh

2.6

3.3

3.4

3.5

3.6

Source: Prognos, based on Eurostat.

Table 8

Electricity prices for households, commercial customers and industrial customers in € cents 2013/kWh

Short name

Consumer category

2014

2020

2030

2040

2050

Household

Households, 3.500 kWh per year (incl. VAT)

26.7

28.2

27.6

27.5

27.5

GHD1

Trade and services, 50 MWh per year, low voltage, without electricity tax reduction

20.1

21.6

21

20.8

18.7

GHD2

Trade and services, 200 MWh per year, low voltage, without electricity tax reduction

19.8

21.3

20.7

20.5

20.4

GHD3

Trade and services, 1.000 MWh per year, medium voltage, without electricity tax reduction

17.4

18.8

18.1

17.9

17.8

IND1

IND (small), 50 MWh per year, low voltage, with electricity tax reduction

19.8

21.3

20.7

20.5

20.5

IND2

IND (SMEs) to 200 MWh per year, low voltage, with electricity tax reduction

19.1

20.7

20.1

19.9

19.8

IND3

IND (SMEs) to 1 000  MWh per year, medium voltage, with electricity tax reduction

16.1

17.5

17.4

17.1

17.0

IND4

IND (industrial), 10 000  MWh per year, medium voltage, with electricity tax reduction and spitzensteuerausgleich (i.e. additional electricity tax reduction), without EEG-surcharge reduction

14.6

16

15.5

15.2

15.1

IND5

Energy intensive industry, 100 000  MWh per year, high voltage, with electricity tax reduction and spitzensteuerausgleich (i.e. additional electricity tax reduction), with EEG-surcharge reduction

11.9

13.1

12.3

11.9

11.6

IND6

Energy intensive industry, 100 000  MWh per year, high voltage, with electricity tax reduction and spitzensteuerausgleich (i.e. additional electricity tax reduction), with EEG-surcharge reduction

4.5

4.9

7.3

8.8

9.2

IND7

Energy intensive industry, 1 000 000  MWh per year, high voltage, with electricity tax reduction and spitzensteuerausgleich (i.e. additional electricity tax reduction), with EEG-surcharge reduction

4.1

4.5

6.9

8.4

8.8

Source: Irees IFAM bhkw-consult, Prognos.

Table 9

Forecasted evolution of fuel and energy prices 2008-2020, nominal (source EEX 2014, Prognos 2014 from the CHP cost-benefit analysis).

Image

(51)

Germany has indicated that since Prognos made those forecasts for the purposes of the CHP cost-benefit analysis on the basis of which the reform was designed, the market situation has slightly changed, with electricity base-load prices (forward market, 2016-2019) having dropped to 28-29 €/MWh, the natural gas prices having also dropped to 23-24 €/MWh (Ho) at the end of 2015 but CO2 certificate prices having increased to 8.5 €/t. Germany noted that the drop in natural gas prices was more than compensated by the drop in electricity prices and the increase in CO2 emission certificate prices.

(52)

The following tables recap the resulting LCOE calculations. They include the rate of return of the investment taking into account the support under the KWKG when the installation is eligible for such support. They also contain a comparison with the average market price (average obtained from the market price of the energy injected into the grid and the market price of the electricity that would have had to be paid if the autoconsumed electricity had been purchased from a supplier) and with the support level.

Table 10

Housing, up to 100 kWel, calculation over 10 year period (2016-2025) with a discount rate of 10 % per year — in € cents/kWh

type of housing

Type of CHP installation

el. capacity

Full-load hours

Self-consumption rate

1-family house

BHKW 1

1 kW

5 000 h/a

50 %

2-family house

BHKW 1

1 kW

6 000 h/a

70 %

2-family house

BHKW 2

5 kW

3 000 h/a

40 %

12-appartment block

BHKW 2

5 kW

6 000 h/a

10 %

Rate of return with CHP-support

-24 %

-13 %

-13 %

-14 %

LCOE

57.69

49.91

37.16

22.77

Average market price

16.07

20.62

13.79

6.96

Difference between LCOE and market price

41.62

29.29

23.37

15.82

CHP-support

5.38

4.66

5.74

6.81

Table 11

Trade and services, outside the BesAR, up to 100 kWel, 10 year period (2016 to 2025) with a discount rate of 20 % per year — in € cents/kWh

designation

plant type

el. power

Full load hours

self-consumption rate

MFH 60

BHKW 2

5 kW

7 500 h/a

40 %

Services

BHKW 2

5 kW

6 000 h/a

80 %

School

BHKW 3

50 kW

4 500 h/a

30 %

retail

BHKW 3

50 kW

4 500 h/a

50 %

hospital

BHKW 3

50 kW

6 000 h/a

90 %

Hotel

BHKW 3

50 kW

6 000 h/a

90 %

local utility

BHKW 3a

100 kW

5 000 h/a

90 %

Rate of return (with CHP-support)

- 1 %

6 %

1 %

7 %

19 %

19 %

16 %

LCOE

24.02

28.37

22.57

22.57

18.76

18.76

18.66

Average market price

10.76

16.47

8.64

11.35

14.56

14.56

14.56

Difference between LCOE and market price

13.25

11.9

13.93

11.22

4.2

4.2

4.1

CHP-support

5.38

4.36

6.18

5.45

4

4

2.84

Table 12

Non electro-intensive industry (not eligible under BesAR, more than 100 kWel, 15 year period (2016-2030) up to 10 MWel and 20 year depreciation period (2016-2035) if more than 10 MWel; 30 % per year discount rate — in € cents/kWh

Sector

manufacture of machinery and equipment

manufacture of automotive components

manufacture of automotive components

automobile manufacturer

automobile manufacturer

automobile manufacturer

automobile manufacturer

automobile manufacturer

Installation type

BHKW 4

BHKW 4

BHKW 5

BHKW 5

DT 1

GT 1

BHKW 6

GUD 1

El capacity

500 kW

500 kW

2.000 kW

2.000 kW

5.000

kW

10.000

kW

10.000

kW

20.000

kW

Full-load hours

5 000 h/a

5 000 h/a

4 500 h/a

8 000 h/a

5 500 h/a

5 500 h/a

5 500 h/a

5 000 h/a

Self-consumption rate

80 %

90 %

50 %

100 %

100 %

100 %

100 %

80 %

Rate of return (including CHP-support)

27 %

27 %

32 %

58 %

21 %

42 %

41 %

21 %

LCOE

14

13.3

10.42

7.22

12.13

8.42

8.49

11.56

Average market price

12.44

12.03

8.64

10

10

10

10

8.84

Difference between LCOE and market price

1.56

1.27

1.78

- 2.77

2.13

- 1.57

- 1.51

2.72

CHP-support per electricity unit produced (incl. ETS premium of 0.3 ct/kWh as of 20 MW)

0.93

0.46

2.06

No support

No support

No support

No support

0.64

Table 13

Electro-intensive industry (eligible to BesAR) — 15 year period (2016-2030) up to 10 MWel and 20 year period (2016-2035) if more than 10 MWel; 30 % per year discount rate — in € cents/kWh

Sector

Papier

Papier

Papier

Papier

Chemie

Installation type

DT 1

GT 1

BHKW 6

GUD 1

GUD 1

El capacity

5 000  kW

10 000  kW

10 000  kW

20 000  kW

20 000  kW

Full-load hours

6 000 h/a

6 000 h/a

6 000 h/a

5 000 h/a

6 000 h/a

Self-consumption rate

90 %

90 %

90 %

80 %

90 %

Rate of return (including CHP)

1 %

16 %

15 %

7 %

6 %

LCOE

11.42

7.74

7.85

11.31

9.93

Average market price

4.79

4.79

4.79

4.73

4.45

Difference between LCOE and market price

6.63

2.95

3.05

6.57

5.48

CHP-support per electricity unit produced (incl. § 7(5) premium of 0.3 ct/kWh as of 20 MW and 0.6 ct/kWh bonus for fuel switch)

1.86

1.73

1.73

1.92

1.64

Table 14

LCOE calculations for projects implemented by contractors, outside the BesAR, larger than 100 kWel, over 15 years (2016-2030) up to 10 MW and over 20 years (2016 to 2035) above 10 MW, discount rate 30 % per year — in € cents/kWh (2013 values)

Sector in which the client of the contractor is active

manufacture of machinery and equipment

manufacture of automotive components

manufacture of automotive components

automobile manufacturer

automobile manufacturer

automobile manufacturer

automobile manufacturer

automobile manufacturer

Installation type

BHKW 4

BHKW 4

BHKW 5

BHKW 5

DT 1

GT 1

BHKW 6

GUD 1

El. Capacity

500 kW

500 kW

2 000  kW

2 000  kW

5 000  kW

10 000  kW

10 000  kW

20 000  kW

Full-load hours

5 000 h/a

5 000 h/a

4 500 h/a

8 000 h/a

5 500 h/a

5 500 h/a

5 500 h/a

5 000 h/a

Self-consumption rate

80 %

90 %

50 %

100 %

100 %

100 %

100 %

80 %

Rate of return (including CHP-support)

18 %

17 %

22 %

30 %

8 %

20 %

20 %

10 %

LCOE

14

13.3

10.42

7.22

12.13

8.42

8.49

11.56

Average market price

9.44

8.66

6.77

6.25

6.25

6.25

6.25

5.87

Difference between LCOE and market price

4.56

4.64

3.65

0.97

5.88

2.17

2.24

5.7

CHP-support per electricity unit produced (incl. § 7(5) premium of 0.3 ct/kWh as of 20 MW)

2.01

1.78

2.43

0.99

1.13

1.04

1.04

1.34

Table 15

LCOE district heating — new installations (with § 7(5) premium of 0.3 € cent/kWh) 20 year period (2016-2035) 8 % discount rate — in €/MWh

Installation type

BHKW6

GuD1

GuD2

GuD 3

GuD 4

El capacity

10MW

20MW

100 MW

200 MW

450 MW

LCOE

147

350

182

153

126

Average market price

48

46

47

48

48

Difference between LCOE and market price

99

304

135

106

78

Table 16

LCOE district heating — new installations (with fuel switch bonus and including § 7(5) premium of 0.3€ cent/kWh)

 

year

2014

2015

2016

2020

2025

2030

2035

Parameters

 

 

 

 

 

 

 

 

Full-load hours

h

 

[…]

[…]

[…]

[…]

[…]

[…]

Electricity production

MWh

 

[…]

[…]

[…]

[…]

[…]

[…]

Heat production

MWh

 

[…]

[…]

[…]

[…]

[…]

[…]

Gas price

€ 2013/MWh (Hu)

 

[…]

[…]

[…]

[…]

[…]

[…]

Heat price

€ 2013/MWh

 

[…]

[…]

[…]

[…]

[…]

[…]

Costs of CO2 certificates

€ 2013/t

 

[…]

[…]

[…]

[…]

[…]

[…]

Parameters

 

 

 

 

 

 

 

 

Costs — Total

€ 2013

[…]

[…]

[…]

[…]

[…]

[…]

[…]

Investment

€ 2013

[…]

 

 

 

 

 

 

Fuel

€ 2013

 

[…]

[…]

[…]

[…]

[…]

[…]

CO2 certificates

€ 2013

 

[…]

[…]

[…]

[…]

[…]

[…]

Variable operating costs

€ 2013

 

[…]

[…]

[…]

[…]

[…]

[…]

Fixed operating costs

€ 2013

 

[…]

[…]

[…]

[…]

[…]

[…]

Ramp up costs (fuel and wear and tear)

€ 2013

 

[…]

[…]

[…]

[…]

[…]

[…]

Revenues outside electricity production

€ 2013

 

[…]

[…]

[…]

[…]

[…]

[…]

Heat revenues

€ 2013

 

[…]

[…]

[…]

[…]

[…]

[…]

Compensation for avoided network fees

€ 2013

 

[…]

[…]

[…]

[…]

[…]

[…]

Remaining costs

€ 2013

[…]

[…]

[…]

[…]

[…]

[…]

[…]

LCOE

 

 

 

 

 

 

 

 

Electricity production — discounted

 

[…]

[…]

[…]

[…]

[…]

[…]

[…]

Remaining costs — discounted

 

[…]

[…]

[…]

[…]

[…]

[…]

[…]

LCOE without CHP-support

€ 2013/MWh

[90-120]

 

 

 

 

 

 

Market price and CHP-support

 

 

 

 

 

 

 

 

Average market price (base)

€ 2013/MWh

 

[…]

[…]

[…]

[…]

[…]

[…]

CHP-support incl. fuel switch and § 7(5) premium

€ 2013/MWh

 

[…]

[…]

[…]

[…]

[…]

[…]

Revenues from average market price base)

€ 2013

 

[…]

[…]

[…]

[…]

[…]

[…]

Revenues from CHP-support

€ 2013

 

[…]

[…]

[…]

[…]

[…]

[…]

Revenues from average market price (base) — discounted

€ 2013

 

[…]

[…]

[…]

[…]

[…]

[…]

Revenues from CHP-support — discounted

€ 2013

 

[…]

[…]

[…]

[…]

[…]

[…]

Leverlized market price

€ 2013/MWh

47.5

 

 

 

 

 

 

Leverlized CHP-support

€ 2013/MWh

28.6

 

 

 

 

 

 

[…]: business secrets: the data relates to a concrete undertaking and would give insights into its production costs.

Table 17

LCOE district heating — existing installation

Year

 

 

2016

2017

2018

2019

Parameters

 

 

 

 

 

 

Full-load hours

(h)

 

[…]

[…]

[…]

[…]

Electricity generation

MWh

 

[…]

[…]

[…]

[…]

Heat production

MWh

 

[…]

[…]

[…]

[…]

Prices

 

 

 

 

 

 

Natural gas price at power station

€ 2013/MWh (HU)

 

[…]

[…]

[…]

[…]

Heat price

€ 2013/MWh (HU)

 

[…]

[…]

[…]

[…]

price of CO2-allowances

€ 2013/t

 

[…]

[…]

[…]

[…]

Costs (total)

€ 2013

 

[…]

[…]

[…]

[…]

Investment

€ 2013

 

/

/

/

/

Fuel

€ 2013

 

[…]

[…]

[…]

[…]

CO2 allowances

€ 2013

 

[…]

[…]

[…]

[…]

Variable operating costs

€ 2013

 

[…]

[…]

[…]

[…]

Fixed operating costs

€ 2013

 

[…]

[…]

[…]

[…]

Ramp up costs (fuel and wear and tear)

€ 2013

 

[…]

[…]

[…]

[…]

Revenues outside generation

€ 2013

 

[…]

[…]

[…]

[…]

Revenue for heat generation

€ 2013

 

[…]

[…]

[…]

[…]

Compensation for avoided network fees

€ 2013

 

[…]

[…]

[…]

[…]

Remaining costs

€ 2013

 

 

 

 

 

Calculation of levelized cost of electricity

 

 

 

 

 

 

Discounted electricity production

 

 

[…]

[…]

[…]

[…]

Residual costs — discounted

 

 

[…]

[…]

[…]

[…]

Levelized cost of electricity without CHP-support

€ 2013/MWh

51.3

 

 

 

 

Calculation of market price and CHP-support

 

 

 

 

 

 

Average market price (base)

€ 2013/MWh

 

[…]

[…]

[…]

[…]

CHP-support

€ 2013/MWh

 

[…]

[…]

[…]

[…]

Proceeds from average market price (base)

€ 2013

 

[…]

[…]

[…]

[…]

Proceeds from CHP-support

€ 2013

 

[…]

[…]

[…]

[…]

Proceeds from average market price (base), discounted

€ 2013

 

[…]

[…]

[…]

[…]

Proceeds from CHP-support, discounted

€ 2013

 

[…]

[…]

[…]

[…]

Levelized market price

€ 2013/MWh

31.7

 

 

 

 

Levelized proceeds from CHP-support

€ 2013/MWh

13.9

 

 

 

 

[…]: business secrets: the data relates to concrete undertakings and would give insights into production costs.

(53)

The calculations use the following discount rates: 8 % for the district heating sector, 10 % for households, 20 % for the service sector and 30 % for the industry.

(54)

For the district heating sector, Germany indicated that 8 % corresponds to the average rate of return observed in the sector. It submitted a survey based on actual projects and conducted by the Fraunhofer Institute for Manufacturing Technology and Advanced Materials (IFAM) showing that the average rate of return for the surveyed projects was 8.1 %.

(55)

For households, the service sector and the industry, Germany has explained that the rates of return needed to trigger investments in those segments can vary greatly from one investor to another. For instance, while in the industry some project owners will engage into the project if it has a payback period of 5 years, others will require a payback period of 2 years. A 5-year payback period roughly equates to an annual project return of 20 % (20), a period of two years equates to an annual project return of 50 % and a payback period of three years equates to a project return of 33 %.

(56)

Based on this observation, when it designed the level of support Germany had to conciliate two objectives: on the one hand ensure that enough CHP projects outside the district heating sector would be incentivised so as to meet its target and at the same time maintain the budget of the scheme within a certain limit. The discount rates in the service sector and in the industry (respectively 20 % and 30 %) used by Germany correspond roughly to what a significant portion of project owners would require as project return to implement the CHP project in Germany.

(57)

Germany has submitted that the higher rates of return required by market participants in sectors other than the district heating can be explained by the fact that district heating companies are energy utilities and energy production belongs to their core business. The other sectors, however, are not specialised in energy production. While a more energy-efficient production could result in cost savings for them, it might also increase the complexity of operations. For those companies, the investment into the CHP installation does not constitute an investment into a side activity with its own costs and revenues but an investment having an impact on the production costs of the main activity of the company. Since operating a cogeneration installation is technically more complex than operating a heat boiler, investing in CHP projects will increase the risk of disrupting production. In addition, in most cases, the companies concerned, in particular in the industry, will have to invest into the CHP installation on top of a heat boiler that is needed to ensure security of energy supply in case the CHP installation is out of order or at times of maintenance. Companies would normally require higher rates of return to compensate for the additional risk.

(58)

Germany has submitted several surveys of businesses and industrial plants confirming that in Germany many undertakings only accept relatively short payback periods, between 2 and 5 years.

Graph 1

Payback period, projected total expenditures and financing sources — Source GfK 2014/GfK EEDL Monitor/Ergebnisbericht November 2014

Total/Subgroup: Planners of efficiency measures, weighted average, excluding no replies, in %.

Image

Basis:

n= 963/474 (not weighted)

F6.1:

In which period of time should costs linked to energy efficiency measures be paid back?

F6.2:

What total expenditures are you planning in the next 2 years for measures aimed at increasing the energy efficiency of your company?

F6.3:

How will you most likely finance the measures?

Graph 2

Payback periods and rates of return of energy-saving investments — Source Prognos, IFEU, HWR Marktanalyse und Marktbewertung im Bereich Energieeffizienz  (21)

Image

(59)

In 2015, the Association of Industrial Producers of Electricity (Verband der Industriellen Energie- und Kraftwirtschaft e.V. — VIK) has conducted a survey of its member companies on the issue of the profitability requirements for CHP projects. The following table presents the replies to the question: ‘What is your company's maximum acceptable payback period for projects in the field of energy supply, in particular the building or modernisation of plants for combined heat and power generation (CHP plants)?

Table 18

Maximum acceptable payback periods

Industry

Max. accepted payback period (in years)

Food (1)

3

Food (2)

3.5

Paper 1

3

Paper 2

3.5

Chemistry 1

3

Chemistry 2

3.5

Metalworking (non-iron)

4

Metalworking (iron)

2

(60)

Germany has also referred to a study commissioned by the Commission on Energy Efficiency and Energy Saving Potential in Industry from possible Policy Mechanisms (22). This study projected 2 output scenarios: a high and a low hurdle rate scenario. For the high hurdle rate scenario, the study uses a 2-year simple payback criterion as it has observed that this payback period represents a closer perspective of what industry might consider economically feasible. The study used a 5-year payback period in the lower hurdle rate scenario as projects with that longer payback period were often shortlisted but not implemented.

(61)

Finally, Germany has made a survey among CHP project owners. This survey shows that projects with a short payback period of 2 to 3 years (corresponding to a 50 % to 33 % rate of return) are realised while projects with payback periods above 4 years (25 % rate of return) tend to be abandoned — as shown below in Table 19.

Table 19

Analysis of CHP projects in the industry

Industrial sector

Type of CHP

Electricity capacity

Thermal capacity

Was the project implemented?

Pay-back period

 

 

kW

kW

 

Years

Manufacturing

Natural gas motor

[…]

[…]

Yes

2.0

Research

Natural gas motor

[…]

[…]

Yes

2.2

Logistics Centre

Natural gas motor

[…]

[…]

No

2.3

Reserach and development

Natural gas motor

[…]

[…]

Yes

2.6

Manufacturing

Natural gas motor

[…]

[…]

Yes

2.7

Motor vehicle manufacturers

Natural gas motor

[…]

[…]

Yes

3.0

Manufacturing

Natural gas motor

[…]

[…]

Yes

3.5

Automotive component manufacturers

Natural gas motor

[…]

[…]

Yes

3.5

Pharma

Natural gas motor

[…]

[…]

Yes

4.0

Automotive component manufacturers

Natural gas motor

[…]

[…]

No

4.5

Chemistry

Natural gas motor

[…]

[…]

Yes

4.5

Manufacturing

Natural gas motor

[…]

[…]

Possibly

4.5

Chemistry

Natural gas motor

[…]

[…]

No

5.0

Pharma

Gas turbine

[…]

[…]

No

5.1

Pharma

Natural gas motor

[…]

[…]

No

5.7

Food

Natural gas motor

[…]

[…]

Yes

6.0

Food

Gas turbine

[…]

[…]

Yes

8.0

Electroplating

Natural gas motor

[…]

[…]

No

8.0

Pharma

Natural gas motor

[…]

[…]

No

8.0

Manufacturing

Natural gas motor

[…]

[…]

No

8.5

Chemistry

Gas turbine

[…]

[…]

No

9.0

Source: non-public information by several planners

[…]: Business secret; the information concerns concrete individual projects and the combination of the sector, the electrical capacity and thermal capacity could allow identification of the projects and give insight into production costs of companies.

(62)

Germany has also observed that CHP projects of more than 100 kWel implemented in the non-electro-intensive industry and used 100 % for self-consumption generally yield rates of return of more than 30 % without support. Those categories are excluded from support under the KWKG.

(63)

Finally, Germany has explained that, in the case of contracting, the LCOE calculations have made use of the same discount rate as if the project had been implemented by the consumer directly. The reason for this is that contractors themselves require lower rates of return because energy production and supply to third parties is their main business. However, a consumer will engage into energy contracting only if this yields certain savings for him. If the savings are too low, he will abandon the project altogether or implement it himself directly (without resorting to the Kontraktor). This means that the project itself must yield both savings for the consumer and a reasonable rate of return for the contractor. In other terms the rate of return of the project is spread between the contractor and the consumer.

2.4.   Monitoring of production costs

(64)

Production costs will be examined on a yearly basis. Thereby, the Federal Ministry for Economic Affairs and Energy will verify that the support level is adequate and does not exceed the difference between production costs of CHP electricity and the market price for the electricity. Should there be indications that the support level would exceed that difference, the Federal Ministry for Economic will inform the Parliament by 31 August of the relevant year and introduce an amendment to the law if need be (§ 34(1) KWKG 2016).

2.5.   Granting procedure, entry into force of the KWKG 2016 and duration

(65)

Under the KWKG, support is paid out by network operators to operators of CHP installations, district heating/cooling networks and heat/cooling storage systems. In the case of CHP installations the payment responsibility rests on the distribution or transmission network operator to which the CHP installation is connected. In the case of district heating/cooling networks and storage facilities the responsibility rests on the transmission system operator to which the main CHP installation that feeds heat/cooling into the district heating/cooling network or the storage facility concerned is connected. The aid is paid out once the eligible installation or network enters into operation.

(66)

The beneficiaries are automatically entitled to support under the KWKG once all eligibility requirements of the KWKG are fulfilled. If they are fulfilled, the network operator concerned is obliged to pay out the support. Eligibility is verified by the Federal Office of Economics and Export Control (BAFA) upon request of the beneficiary. If all eligibility conditions are satisfied, the BAFA has to deliver a document confirming the eligibility (called a ‘Zulassung’).

(67)

The request submitted to the BAFA must contain the name and address of the operator, the description of the installation (installed capacity or size of the network/storage facility, fuel used, energy efficiency, costs), whether the electricity is injected into a public grid, date at which the installation entered into operation and more generally all information demonstrating that all eligibility conditions are met (including proof of compliance with high energy efficiency requirement).

(68)

In addition, in the case of district heating/cooling networks and storage facilities, Germany committed to verifying the incentive effect of the aid by requesting that the project owner also presents the counterfactual situation in the absence of aid.

(69)

The request is in principle introduced only after the start of operation as eligibility conditions are easier to verify when the installation is already in operation. Germany explained, however, that in case of complex projects, project owners would contact the BAFA in the planning phase and ask the BAFA to already provide a view on whether eligibility criteria are met before engaging into the project. Also operators can request a preliminary confirmation ‘Vorbescheid’ for CHP installations of more than 10 MW before they start building the installation. This will already confirm towards the operator the amount of the subsidy and its duration (§ 12 KWKG). A Vorbescheid can also be requested for district heating/cooling networks and heat/cooling storage facilities when project costs exceed EUR 5 million (§ 20(6) and § 24(6) KWKG 2016).

(70)

CHP projects are characterised by significant lead times between conception and starting of operations (23). Germany has explained that after a preparation and planning phase, projects will start once investors have verified that with the help of the support the project makes economic sense. They will then start the procedures to obtain building and environmental permits and will order the installation. For these reasons, while the KWKG 2016 entered into force on 1 January 2016 new projects entering into operation as of 1 January 2016 remain subject to the previous KWKG when it is demonstrated that certain parts of the project (for instance the ordering of the installation) were undertaken before 1 January 2016 given that those projects were undertaken based on the provisions of the previous KWKG (§ 35 KWKG 2016).

(71)

The KWKG 2016 will remain applicable to projects entering into operation at the latest by 31 December 2022. Germany indicated that the tender segment may require a longer applicability.

(72)

Certain provisions of the KWKG 2016 are subject to a standstill clause: no ‘Zulassung’ will be delivered for the projects listed below as long as the Commission has not approved the support scheme. Once it is approved, Germany indicated that payments would also relate to the CHP electricity produced since 1 January 2016 by the installation obtaining the ‘Zulassung’. The projects concerned by the standstill clause are:

(a)

new, modernised and retrofitted CHP installations under § 10 KWKG 2016;

(b)

construction or expansion of district/heating networks under § § 20-21 KWKG 2016;

(c)

new or retrofitted heat/cooling facilities under § § 24-25 KWKG; and

(d)

existing CHP installations requesting ai under § 13 KWKG 2016.

(73)

In addition, when the project owner of district heating/cooling network project is allocated more than EUR 15 million, the authorisation is issued only after Commission approval of the project (individual notification). The same applies when the CHP installation for which support is requested has an electric CHP capacity of more than 300 MW.

2.6.   The financing mechanism and the budget

2.6.1.   The CHP-surcharge (KWK-Umlage)

(74)

The measure is financed by a levy imposed on electricity consumption collected as a supplement to network charges (the so-called ‘KWKG-Umlage’). Network operators have to keep separate accounts in respect of the collected CHP-surcharge (§ 26 (1) KWKG).

(75)

The amount of the CHP-surcharge is calculated each year by the transmission system operators as a uniform rate per kWh consumed. Some categories of users benefit however from a reduced rate established in accordance with the CHP law. For consumers with a yearly consumption of more than 1 GWh (also called Category B consumers), the KWKG establishes a maximum CHP-surcharge of 0.04 € cent/kWh. The other category of consumers benefitting from a reduced CHP rate are consumers active in the manufacturing sector consuming more than 1 GWh and for which the electricity cost represents more than 4 % of turnover (also called Category C consumers). For the latter category of consumers, the KWKG establishes a maximum CHP-surcharge of 0.03 € cent/kWh (§ 26(2) KWKG). Consumers paying the full CHP-surcharge are called Category A consumers.

(76)

The current CHP-surcharge rates (in € cent/kWh) (24) are set out in Table 20 below

Table 20

Current CHP-surcharge rates

Category A

Category B

Category C

0.445

0.04

0.03

(77)

Based on the forecasts made by transmission network operators to determine the CHP-surcharge in 2016 (25), Germany has provided the following figures showing the relative size of each category and the importance of the reductions:

Table 21

Relative share in consumption and in the CHP funding by each consumer category

 

Total

Cat. A

Cat. B

Cat. C

Forecasted consumption in GWh

485 149

259 748

143 883

81 518

Share of total consumption

100.00 %

53.54 %

29.66 %

16.80 %

CHP-surcharge 2016 (€ cent/kWh), rounded

 

0.445

0.04

0.03

Forecasted CHP-surcharge (total in million €)

1 239

1 157

58

24

Share of total revenue

100.00 %

93 %

5 %

2 %

Notional CHP-surcharge 2016 (€ cent/kWh), rounded

0.255

 

 

 

Difference compared to notional CHP-surcharge

 

- 0.19

0.215

0.225

Advantage (in million €) — rounded

 

- 494

310

184

(78)

In order to make sure that each network operator is compensated for the extra costs resulting from his compensation obligation, the CHP law organizes a system by which the burden resulting from the purchase and compensation obligations is spread evenly between network operators in proportion to the consumption of consumers connected to their network and then compensated in the same way through the CHP-surcharge (which is proportionate to the consumption in their respective network, as well) (§ 28 KWKG). This system can be summarized as follows:

(a)

all distribution network operators can require full compensation of their extra-costs from their respective transmission network operator;

(b)

transmission network operators balance the financial burden out between themselves in such a way that each of them bears the same burden in proportion to the consumption of end consumers (directly or indirectly) connected to their grid; then

(c)

transmission network operators transfer part of the financial burden back to distribution network operators in such a way that each network operator (be it distribution or transmission) bears the same financial burden in respect of the consumption of the consumers directly connected to their grid.

(79)

§ 27 KWKG 2016 establishes the methodology to be used by transmission network operators to calculate the CHP-surcharge. The level of the CHP-surcharge is on the one hand a function of the projected aid amount (this projection is based on the estimates made by each network operator regarding the volume of CHP electricity eligible for support that would be produced in their network area and on the estimates made by the BNetzA on the subsidies to be paid out for storage and district heating/cooling networks) and the projected consumption by each category of consumers. On the other hand it will take into account corrections for preceding years. As the CHP-surcharge is calculated based on estimates, there could be a deviation between the forecasted aid amount and the aid amount actually paid out as well as a deviation between the forecasted consumption and the actual consumption. In year X, transmission network operators verify whether the estimated aid amount and consumption for year X-1 corresponded to the aid actually paid out and electricity consumed in year X-1 (see § 28(6) KWKG). If there are mismatches, it is corrected by a higher or lower CHP-surcharge in year X+1 (see § 27(3) KWKG, second part of the sentence).

2.6.2.   The maximum budget

(80)

The KWKG sets a yearly limit to the budget of the scheme and hence the total CHP-surcharge (§ 29 KWKG ‘Begrenzung der Höhe der KWKG-Umlage und der Zuschlagzahlungen’). The yearly amount of support paid to CHP installations, storage facilities and district heating/cooling networks under the KWKG may not exceed EUR 1.5 billion. Of this amount, the yearly support for storage and district heating/cooling networks may not exceed EUR 150 million, except if estimates indicate that the total budget of 1.5 billion will not be exhausted. Once the maximum budget has been reached, further storage or district heating/cooling projects will obtain authorisation in the following year.

(81)

If on the basis of the estimates used to determine the level of the CHP-surcharge, it is established that the EUR 1.5 billion budget will be exceeded in year X+1, the support for all CHP installations of more than 2 MW of installed capacity will be reduced in the same proportion. This reduction will be compensated in the following years. Transmission system operators will have to warn the BAFA when they observe a risk of the budget being exceeded. The BAFA will then determine the reduced support rates and publish them (§ 29 (4) KWKG).

2.6.3.   Arguments presented by the Member State on reduced CHP-levies

(82)

Germany has indicated that reductions from the CHP-surcharge were needed to ensure the international competitiveness of the companies concerned. It has also explained that previously reductions were granted already as of 100 000 kWh of consumption. This was however putting too heavy a burden on households and small undertakings and the threshold was therefore increased. Finally, it has explained that the reductions are needed in order to maintain the support as the support is only possible if the levies do not jeopardize the competitiveness of the companies concerned. Germany fears that the full surcharge could in the medium term lead to a deindustrialisation of Germany and possibly also Europe and adds that without the reductions the support as such as well as the objective of reduced CO2 emissions would not be accepted anymore.

(83)

Germany has further indicated that it had no data available on the beneficiaries and the impact on their production costs and gross value added.

(84)

However, as to Category C beneficiaries, Germany has indicated that most of them are likely to qualify as electro-intensive within the meaning of the ‘Besondere Ausgleichregelung’ under the EEG (BesAR). In that connection, Germany has indicated that companies benefitting from reduced EEG levies under the EEG were mainly active in the sectors set out in Table 22 below.

Table 22

Overview of the sectors of the BesAR (Source: BAFA, May 2016)

Economic activities [WZ 2008]

Number of delivery points

Privileged electricity [GWh]

0800 Mining and quarrying except energy producing materials

171

516

1000 Manufacture of food products

414

3 754

1100 Manufacture of beverages

[…]

[…]

1300 Manufacture of textiles

[…]

[…]

1600 Manufacture of wood and of products of wood and cork, except furniture; etc.

142

3 038

1700 Manufacture of pulp, paper and paper products

118

11 843

1800 Manufacture of paper and paper products etc.

[…]

[…]

1900 Manufacture of coke and refined petroleum products

[…]

[…]

2000 Manufacture of chemicals and chemical products

283

28 421

2200 Manufacture of rubber and plastic products

351

3 984

2300 Manufacture of glass and glass products, ceramic, etc.

285

7 550

2400 Manufacture of basic metals

280

24 351

2500 Manufacture of fabricated metal products, except machinery and equipment

205

1 453

2600 Manufacturing of computers, etc.

[…]

[…]

2700 Manufacture of electrical equipment

[…]

[…]

2800 Machinery

[…]

[…]

2900 Manufacture of motor vehicles, trailers and semi-trailers

[…]

[…]

3100 Manufacture of furniture

[…]

[…]

3800 Waste collection, treatment and disposal activities; etc.

[…]

[…]

4900 Land transport and transport via pipeline services

130

12 443

Aid to other sectors

61

1 624

Total

2 777

105 935

[…]: business secrets: due to the low number of delivery points, the data would enable identification of the company and give insights into its production costs. One undertaking might have more than one delivery point.

(85)

Also, based on the data available for companies eligible to reduced EEG levies, Germany could simulate that the full CHP-surcharge (amounting to 0.255 € cent/KWh if no reductions were to apply) would represent between 1 and 9 % of GVA for a sample of around 100 companies eligible to reduced EEG levies and having a consumption above 1 GWh.

(86)

Germany submitted that it had no exact information on the sectors in which beneficiaries of Category B would be active but has indicated that companies of the manufacturing sectors generally had consumption above 1 GWh with the exception of the following sectors in which average consumption is below 1 GWh/a:

Table 23

Overview of manufacturing sectors with average consumption below 1 GWh/a

CPA 2008

Sectors

9.1

Support services to petroleum and natural gas extraction

10.7

Manufacture of bakery and farinaceous products

14.1

Manufacture of wearing apparel, except fur apparel

15.2

Manufacture of footwear

23.6

Manufacture of articles of concrete, cement and plaster

23.7

Cut, shaped and finished stone

25.1

Steel and light alloys

25.3

Manufacture of steam generators, except central heating hot water boilers

26.2

Manufacture of computers and peripheral equipment

26.4

Manufacture of consumer electronics

28.9

Manufacture of machinery for other sectors

32.1

Manufacture of jewellery, bijouterie and related articles

32.2

Manufacture of musical instruments

32.3

Manufacture of sports goods

32.5

Manufacture of medical and dental instruments and supplies

33.1

Repair of fabricated metal products, machinery and equipment

33.2

Installation services of industrial machinery and equipment

(87)

It also submitted the following simulation to illustrate the possible impact of a full surcharge on companies:

Table 24

Simulation of the impact of a full surcharge

 

Notional CHP-surcharge

Surcharge under the CHP law 2016

End consumer

Consumption (GWh)

Burden w/out privilege (GWh)

Burden under the CHP law KWKG 2016 (EUR)

Increase in burden by factor

Cat B

0.255

0.04

Industry 1

10

0.0255

8 050

3.17

 

 

 

Industry 2

100

0.255

44 050

5.79

Cat C

0.255

0.03

Industry 3

1 000

2.55

304 150

8.38

(88)

Germany finally stressed that the burden of the CHP-surcharge adds to the burden already resulting from the EEG surcharge.

2.7.   Commitments

2.7.1.   Imported CHP

(89)

Germany has committed to opening the CHP-support to imported CHP electricity by allowing the participation of foreign operators in the CHP-support tenders (1-50 MW) described in section 2.7.2 as of Winter 2017/2018 on the basis of the following principles:

(a)

Foreign installations can be selected up to 5 % of the capacity of the 1-50 MW tender;

(b)

The payment of the premium will be subject to physical imports of the electricity; physical imports can be demonstrated similarly to the way physical imports of renewable electricity can be demonstrated when foreign operators take part in tenders for the support of renewable electricity (see also § 5 (2), sentence 2, number 3 of the draft EEG 2016 of 8 June 2016);

(c)

The support scheme will be opened to installations located abroad in a non-discriminatory way;

(d)

As regards local specifications and conditions (e.g. site restrictions, permission, grid connection etc.), the conditions of the country in which the installation will be located will apply (unless both countries agree differently);

(e)

The participation of an installation in another country in the opened tender will be subject to a cooperation agreement being concluded with the Member State in which the foreign installation is located; the following elements will be covered in that cooperation agreement:

i.

Allocation of CO2 emission reductions between the Member State who pays the support for the installation and the Member State where the generation takes place;

ii.

The other Member State's agreement on technical issues regarding the installations built on its territory; such technical issues can be linked to grid connection and grid congestion management as well as requirements regarding the system integration of the power plants (e.g., market responsiveness — no must-run —, flexible operation, heat storage, remote control for flexible redispatch);

iii.

The other Member State's agreement on the opening of the CHP-support scheme as such and on its scope.

(90)

Germany has further indicated that the necessary legal basis to empower the Government to open CHP-support would be adopted in 2016. The adoption of the necessary ordinance to implement the scheme, and thus the commencement of the opening up of funding, depend on the negotiations with the neighbouring countries. Germany committed to working towards a swift entry into force of such cooperation agreements.

2.7.2.   Tenders

(91)

Germany has committed that as of Winter 2017/2018 support to installations with an installed capacity between 1 and 50 MWel will be granted to operators selected in tenders. Operators of installations with installed capacity between 1 and 50 MWel will continue to obtain the premium upon request directly on the basis of the KWKG, provided they have obtained authorisation under the Federal Act of Germany for Emission Control (Bundes-Immissionsschutzgesetz ‘BimSchG’) or have made a binding order of the CHP installation by 31 December 2016 at the latest. Germany also indicated that in case of modernisation, the binding order should refer to essential parts for efficiency of the installation. In addition, the installations concerned must be in operation by end of 2018. If all these requirements are fulfilled, this category of operators would have a choice to claim premium directly under KWKG or take part in tenders (opt-out solution).

(92)

The following CHP plants will not be subject to the tender requirement and will obtain the premium upon request directly on the basis of the KWKG:

(a)

CHP plants with an installed capacity equal to or smaller than 1 MWel;

(b)

CHP plants with an installed capacity larger than 50 MWel;

(c)

Retrofitted CHP plants; and

(d)

Existing CHP plants (support under § 13 KWKG 2016).

(93)

As to the scope of the beneficiaries, Germany submitted that participation in the tender will be subject to the condition that the entire electricity produced in the CHP installation is injected into the public grid. Thus, if the electricity produced by the CHP installation is directly consumed by the owner of the CHP installation or is injected into a private grid without being first injected into the public grid, the installation concerned will not be eligible to participate in the tender. Germany explained that self-consumed CHP electricity is eligible for a reduced EEG-surcharge and that the exclusion aims at ensuring a level playing field between the different groups of CHP producers.

(94)

Concerning installations with an installed capacity of more than 50 MWel, Germany has explained that while support was needed to further incentivise the construction of that kind of installations which are indispensable to reach its CHP and energy efficiency targets, allowing their participation in the tenders risks undermining the competitiveness of the tenders; it also risks increasing the level of support as a result of possible strategic behaviour in the tender by operators of very large installations.

(95)

The study of Prognos et al (2014) (26) has estimated the German CHP potential to include around 356 projects above 1 MW for a total of 3 450 MWel and 14 100 GWh/a between 2017 and 2022, based on historical data (projects <50 MWel) and information from project owners (projects >50 MWel). This would include only eight projects bigger than 50 MW totalling 2 100 MWel and 8 250 GWh/a, i.e. around 60 % of capacity and production. Of those eight projects, four are still in planning phase and expected to concern installations between 100 and 300 MWel, the others are more advanced and would in any event not be subject to the tender requirements (see recital (91) above).

Table 25

Number, capacity and consumption of additional CHP plants (2017-2022)

 

Number of projects (2017-2022)

Additional CHP capacity (2017-2022)

CHP generation in 2022 (from plants built 2017-2022)

CHP generation eligible for support in 2022

 

 

MWel

GWh/a

GWh

Total (above 1 MW)

356

3 450

14 100

12 300

District heating

128

2 700

10 350

10 350

More than 50 MW

8

2 100

8 250

8 250

1 to 50 MW

120

600

2 100

2 100

Industry/GHD

228

750

3 750

1 950

More than 50 MW

0

0

0

0

1 to 50 MW

228

750

3 750

1 950

(96)

The eight projects above 50 MW of installed capacity in the district heating sector, mentioned in the table above, are the following:

Table 26

Projects above 50 MW in the district heating sector planned for the period 2017-2022

Company

Plant

Location

Planned entry into service

Electrical CHP capacity — net-nominal capacity

Planned CHP generation in GWh/year

Status of project

Total

 

 

 

2 100

8 250

 

[…]

[…]

[…]

2017

[…]

[…]

under construction

[…]

[…]

[…]

2018

[…]

[…]

project launched

[…]

[…]

[…]

2019

[…]

[…]

project launched

[…]

[…]

[…]

2019

[…]

[…]

planned

[…]

[…]

[…]

2020

[…]

[…]

approved

[…]

[…]

[…]

2020 or later

[…]

[…]

planned

[…]

[…]

[…]

2020 or later

[…]

[…]

planned

[…]

[…]

[…]

2020 or later

[…]

[…]

planned

[…]: business secrets: the information relate to concrete projects and would give competitors insights into expected production.

(97)

Germany has further submitted information showing that installations of more than 50 MW benefit from economies of scales leading to lower LCOE. For instance, for the same type of installation (GuD), the LCOE of a 20 MW installation is more than double the LCOE of 450 MW installations. Germany is concerned that if only a limited number of larger installations participate in a tender, such installations may bid strategically slightly below the LCOE costs of smaller installations (instead of submitting a bid reflective of their costs). This would result in the larger projects winning the tender and making windfall profits.

(98)

The following graph illustrates a hypothetical scenario in which all CHP plants above 1 MW are taken into consideration and the tendered capacity amounts to 500 MW, out of an estimated annual potential of around 575 MW (including larger projects). In that scenario, several smaller projects take part in the tender and bid at the level of their LCOE. However, it is likely that those small projects alone would not be sufficient to deliver the whole tendered capacity. Therefore, the only larger project taking part in the bid will be needed to reach the tendered capacity.

Graph 3

Hypothetical scenario for tenders for all CHP plants larger than 1 MW with only one larger project bidding in the tender.

Image

(99)

If the large project is aware of the situation, it will be able to bid at a level that corresponds to costs of smaller projects, which is higher than its own costs, and nevertheless be selected.

(100)

Germany has explained that larger project owners are in general better informed about other larger projects coming online soon (i.e., they have an asymmetric information advantage). First, part of the larger projects are developed by the same utilities, second given their limited number and their knowledge of the sector, they are able to perceive more easily in which tender another larger project might participate or not. As a result, they would likely be aware that they will be the only larger project to participate in the tender. They might also know that their large project will be needed to fill the capacity tendered out.

(101)

Germany has further submitted that even if in a given year several larger projects participate, they would have an incentive to bid just slightly below the costs of the smaller projects. Short of eliminating all the smaller projects, this will result in windfall profits for the larger projects.

Graph 4

Hypothetical Scenario for tenders for all CHP plants larger than 1 MW with two larger project bidding in the tender.

Image

(102)

Germany has explained that tendering out a more limited capacity does not solve the issue in the sense that it would have to be very limited to create sufficient competitive pressure on the larger installations to make them bid at their LCOE. But in that case, a likely outcome would be that the larger project decides not to take part in the tender in a given year (preferring to wait for a larger tender), resulting in an undersubscribed and thus uncompetitive tender. In addition, if Germany organises too small tenders, it will not reach its environmental objective of 110 TWh/a by 2020 and 120 TWh/a by 2025.

(103)

Also, organising separate tenders depending on the capacity of the installations would imply the risk that the tender for larger installations is not competitive enough due to the very small number of projects and the information advantage that project owners of larger project have (capacity to estimate in which tender they are likely to be the only bidder).

(104)

Over the years, this could also discourage smaller projects to take part in tenders, as they will have experienced that they are likely to be eliminated if larger projects take part in the tender. This would further reduce the competitive tension in tenders, including in those years in which larger installations would not bid (which other participants would not know in advance).

(105)

As to retrofitted CHP installations, Germany has explained that those installations are not comparable to new and modernised CHP installations. Retrofitted installations get support for upgrading an existing uncoupled installation into a CHP one. This covers installations that previously were not CHP installations but have so far produced electricity or heat without combining the two processes.

(106)

In practice, the CHP-upgrade is an exceptional case. So far, there has only been one case in this category (27). There is thus not enough competition for organising specific tenders for retrofitted CHP installations. If retrofitted installations were to be bound to participate in tenders along with new installations, it is likely that these installations would gain significant windfall profits as the CHP-upgrade is in general far less costly than a new installation.

(107)

Germany has further committed to organize test tenders for innovative CHP systems. This tender would concern particularly innovative CHP systems that are going beyond CHP usual standards and which are developing because of higher production costs (combination of CHP installations with geothermal/PV thermal/heat pumps. The legislation would be adopted in 2016 (empowering act) and in 2017 (implementing act). The tenders would start in Winter 2017/2018.

2.7.3.   Other commitments

(108)

Germany has committed to implementing all transparency requirements laid down in section 3.2.7 of the EEAG (publication on a comprehensive website of the text of the approved scheme, the identity of the granting authority and — except if the individual aid remains below EUR 500 000 — the identity of the beneficiaries, the form and amount of the aid, the date of granting, the type of undertaking, the region in which the beneficiaries are located and the principal economic sector in which beneficiaries have their activities).

(109)

Germany has further committed not to circumvent the waste hierarchy through the support to CHP installations. The waste hierarchy prioritizes the ways in which waste should be treated and consists of a) prevention, b) preparation for re-use, c) recycling, d) other recovery, for instance energy recovery and e) disposal.

2.8.   Evaluation of the scheme

(110)

Germany has submitted an evaluation plan for the measure. The main elements of the evaluation plan are described below.

(111)

The evaluation plan notified by Germany envisages 23 evaluation questions in order to assess the scheme's outputs, its direct effects, its indirect effects (both positive and negative), as well as the proportionality of the aid and the appropriateness of the chosen aid instrument.

(112)

The evaluation will provide general information, in particular, on whether the scheme achieves its objectives, on the number and type of beneficiaries, on the tenders to be organised, and on the participation of operators located in other EU Member States under the opening of the tenders (see section 2.7.1 above).

(113)

The direct effects of the scheme will be evaluated, in particular, by assessing developments in the production of energy from cogeneration installations, in the construction or modernisation of eligible CHP installations and in investments in heat/cooling storage installations.

(114)

The main indirect effects of the scheme that will be evaluated are its contribution to the reduction of CO2 emissions, as well as its potential negative effects on the electricity market and on other electricity producers.

(115)

The appropriateness of the aid instrument will be evaluated by comparing the scheme with alternative approaches used in other EU Member States. The proportionality of the aid will be evaluated in particular by assessing the economic viability of the assisted projects.

(116)

Evaluation questions related to the general outputs of the scheme will be mostly answered by providing quantitative statistical evidence, whereas questions related to the scheme's indirect effects and appropriateness of the aid instrument will be addressed through qualitative assessments supported where appropriate by quantitative analysis. To evaluate the direct effects of the scheme, Germany has committed to further extending the methodology used so far in the evaluation reports by employing, to the extent possible given data availability, counterfactual impact evaluation methods in line with the Commission Staff Working Document on Common methodology for State aid evaluation (28). In particular, where appropriate, the identification of suitable ‘control groups’ of similar non-assisted projects will be pursued in order to rigorously estimate the causal impact of the aid on its beneficiaries.

(117)

In order to perform the evaluation, Germany has committed to making available the detailed data collected throughout the scheme's implementation by the BAFA. General energy statistics will also be used, as well as some targeted qualitative information and ad hoc studies. The usual data protection rules apply.

(118)

Germany has committed to submitting the evaluation report to the Commission in 2021.

(119)

The evaluation will be conducted by an external independent evaluator to be selected through an open tender procedure. Germany has committed to duly considering the relevant experience of the tender applicants notably in the field of quantitative evaluation methods.

(120)

The evaluation report will be published on the website of the Federal Ministry for Economic Affairs and Energy (29). According to Germany, the evaluation results will be an important basis for optimising or refocusing the scheme in the future.

3.   ASSESSMENT

3.1.   Existence of aid

(121)

Article 107 (1) TFEU provides that ‘any aid granted by a Member State or through State resources in any form whatsoever which distorts or threatens to distort competition by favouring certain undertakings or the production of certain goods, shall, in so far as it affects trade between Member States, be incompatible with the common market’.

(122)

The Commission has identified the following measures and has found that each of them constituted an aid measure within the meaning of Article 107(1) TFEU for the reasons set out in sections 3.1.1 to 3.1.3 below:

(a)

the support to the production of CHP electricity in new, modernised and retrofitted highly efficient CHP installations;

(b)

the support to energy-efficient district heating/cooling networks;

(c)

the support to heat/cooling storage facilities;

(d)

the support to the production of CHP electricity in existing highly efficient gas-fired CHP installations of the district heating sector; and

(e)

the reduced CHP-levies.

3.1.1.   Selective advantage

(123)

For CHP installations, the aid takes the form of a premium that producers of CHP electricity obtain either in addition to the market price of the electricity they sell on the market or for the electricity they have used for their own consumption. It constitutes an advantage that operators would not have obtained under normal market conditions. It is also selective given that it is granted only to a certain sub-sector (CHP electricity production) or for the autogeneration of CHP electricity in certain sectors only (autogeneration in CHP installations of not more than 100 kW and autogeneration in certain electro-intensive manufacturing sectors, see recital (22) above).

(124)

In the case of heat/cooling storage installations and district heating/cooling networks, the aid takes the form of a direct grant covering part of the investment costs, which constitutes an advantage that the operators would not have obtained on the market. It is also selective as it favours only certain sectors (i.e., the district heating and/or district cooling sector and, for the aid to storage facilities, which are meant to be connected to CHP installations, the same companies/sectors as the aid for CHP electricity itself; in addition, the latter could also favour the development of a new sector, viz. providers of storage services).

(125)

As far as the reduced CHP-surcharge is concerned, by limiting the CHP-surcharge respectively to 0.04 € cent/kWh and to 0.03 € cent/kWh, the KWKG reduces the burden that companies qualifying as Category B or C consumers would normally have to bear without the reductions (see recital (75) for the description of the categories A, B and C). This constitutes an advantage (30).

(126)

This can be further illustrated as follows: out of a yearly electricity consumption of 485 TWh, the end consumer group A (no privilege) accounts for around 54 %, and the privileged end consumer groups B (electricity consumers with a consumption above 1 GWh/a) and C (electricity consumers in the manufacturing industry with a high electricity cost share and with a consumption above 1 GWh/a) account for approximately 30 % and 17 % respectively; however due to the reductions they enjoy, the two last-named groups contribute only to respectively 5 % and 3 % of the total CHP-surcharge’s revenue (compared to 93 % for end consumer group A (see recital (77) above).

(127)

The advantage is also selective. Indeed, as far as Category C is concerned, the reduction is limited to the manufacturing sector only. Within this sector, the reduction is further granted only to companies having an annual consumption of more than 1 GWh and having electricity costs that represent more than 4 % of their turnover. Such companies are typically found in certain manufacturing sectors where electricity costs represent a larger share of production costs (metal industry, paper and chemical sector, glass making industry, refineries, wood industry, food and feed sector). This reduction therefore favours manufacturing sectors over other sectors, companies reaching a certain electro-intensity over others, and larger companies over smaller companies. This is further confirmed by the data submitted by Germany showing that beneficiaries of reduced CHP-surcharge under Category C are concentrated in certain sectors (see Table 22, showing a concentration of beneficiaries in sectors 800, 1000, 1600, 1700, 2000, 2200, 2300, 2400, 2500) and that there are manufacturing sectors with average consumption below 1 GWh/a (see Table 23). As to Category B, it can include companies of all sectors in theory but will favour larger companies, consuming more than 1 GWh a year, over smaller companies and will in any event favour companies active in sectors in which electricity consumption is traditionally important. On the one hand, Germany indicated that reductions under Category B were likely to concern rather the manufacturing sector (see recital (86) above) as consumption above 1 GWh/a was more common in the manufacturing sector. Indeed, the data provided by Germany on consumption patterns show that the typical consumption for several service sectors is below or equal to 1 GWh/a (see in Table 6 and Table 7 the categories ‘Trade and services’). However, even within the manufacturing sector, there are groups of industrial companies with typical consumption below that level (see in Table 7 the category ‘Industry 1’ with typical consumption below 277 MWh, as well as Table 23). The reduction for Category B consumers is therefore selective as well.

3.1.2.   State resources and imputability

(128)

For all the types of aid at hand, the advantage is granted by law (KWKG 2016). Therefore, it is imputable to the State. In addition, the Commission observes that the BAFA (i.e. the Federal Office for Economic Affairs and Export Control, a superior federal authority subordinated to the Federal Ministry for Economic Affairs and Energy (BMWi)) is in charge of verifying that only eligible operators obtain the support.

(129)

According to settled case-law, only advantages which are granted directly or indirectly through State resources are to be regarded as aid within the meaning of Article 107(1) TFEU. The distinction between aid granted by the State and aid granted through State resources serves to bring within the definition of aid not only aid granted directly by the State, but also aid granted by public or private bodies designated or established by the State (31). Thus, resources do not need to transit through the State budget to be considered as State resources. It is sufficient that they remain under public control (32).

(130)

As explained more in detail below, the Commission observes that in order to finance the CHP-support, Germany introduced a special surcharge, the CHP-surcharge, and defined its purpose (i.e., the financing of the CHP-support and the investment subsidies for storage and district heating/cooling networks) and the methodology to determine its amount, which for some categories of consumers is set directly by the State. Also, deficits and surpluses of the collected CHP-surcharge (in comparison to the support needed) are corrected in the following year, thereby ensuring that network operators are entirely compensated for the extra costs resulting from their obligation to pay the support, but also implying that they cannot use the revenue from the surcharge for anything else than the financing of the support of CHP electricity, heating and cooling storage, and district heating/cooling. On that basis, the Commission concludes that, like in the case giving rise to the judgment of 19 December 2013 in Association Vent de Colère!  (33), the State has, within the framework of the CHP law, created a system where the costs incurred by the network operators in connection to the support of CHP electricity, storage facilities and district heating/cooling networks are fully compensated by the CHP-surcharge imposed on electricity consumers. This distinguishes this case from the case giving rise to the judgment of 13 March 2001 in PreussenElektra  (34), as in that case the electricity suppliers had to finance the additional costs from their own means.

(131)

The CHP-surcharge is established by law (see § 26 of the KWKG establishing the CHP-surcharge and giving the right to network operators to impose the CHP-surcharge on consumers). It serves to finance State policies, namely cogeneration and district heating and cooling support, which is not disputed by Germany. Germany itself has described the CHP-support as based on a guaranteed premium that is covered by a surcharge on electricity consumption and raised by network operators. In addition, neither the CHP-support granted to generators of CHP electricity nor the investment subsidies granted to operators of district heating and cooling networks and of storage facilities constitute prices or fees for goods or services. Indeed, the CHP-support is paid by the network operators to operators of CHP installations although the electricity is not sold to the network operators but to third parties; in certain cases, it is even consumed by the operator of the CHP installation itself. Also, as far as the district heating/cooling networks and the storage facilities are concerned, they remain in the ownership of the operator asking for the subsidy and the payment of the subsidy does not entitle the electricity network operators to any right in respect of the district heating/cooling networks and storage facilities concerned. Both the CHP-support and the CHP-surcharge are based on an initiative of the State and not on an initiative of the network operators. Paying out complementary revenues to producers of cogenerated electricity that the network operators have not even purchased or to owners of district heating/cooling networks or heat/cooling storage facilities does not correspond to the normal task of electricity grid operators. The CHP-surcharge serves to finance support for the deployment of CHP installations, storage facilities, and district heating and cooling networks, in order to reach the environmental and climate goals of the State (see § 1 of the KWKG setting out the purpose of the CHP-support).

(132)

The surcharge is calculated on the basis of the methodology determined by the law (see recital (79) above). The law also defines three categories of consumers and the respective level of the CHP-surcharge for each category: a maximum of 0.03 € cent/kWh for Category C consumers; a maximum of 0.04 € cent/kWh for Category B consumers; and for Category A consumers, an amount corresponding to the total CHP-support needed, minus the expected CHP-surcharge revenue from the other two categories of consumers, divided by the estimated consumption of Category A consumers.

(133)

The KWKG provides for a correction mechanism ensuring that any surpluses resulting from the CHP-surcharge are used to reduce the CHP-surcharge of the following year(s). As a result, network operators are not allowed to keep any additional revenues resulting from the CHP-surcharge. The CHP-surcharge is not at their free disposal. Conversely, the correction mechanism also ensures that deficits are recouped through the CHP-surcharge of the following year(s) with the result that the CHP-surcharge offsets in full the additional costs imposed on network operators because of an obligation to pay out premiums and grants to operators of CHP installations, storage facilities and district heating/cooling networks.

(134)

Transmission network operators play a special role in the system. They have been entrusted with the calculation of the CHP-surcharge based on the methodology set out in the KWKG and have to ensure that the financial burden and hence the compensation is equally spread between all network operators. They also have to warn the BAFA in case the budget would be exceeded. In that regard they display similarities with the situation of the Samenwerkende Elektriciteits-Produktiebedrijven NV in the case giving rise to the judgment of 17 July 2008 in Essent Network Noord  (35) and with that of the Transmission System Operators in the case giving rise to the judgment of 10 May 2016 in EEG 2012  (36).

(135)

Furthermore, the Commission finds that the following elements confirm that the CHP-surcharge is under State control: it is calculated and allocated as provided for by the law, it is collected by network operators, and has to be placed on a separate account so that the regulator can verify the absence of cross-subsidies between the various activities of the network operators. In addition, the law requires that the invoicing between transmission network operators be controlled by an auditor or a chartered accountant.

(136)

Finally, the law also limits the total budget of the measure and the total amount of the surcharge (see recital (80) above). When there is a risk that the budget would be exceeded, transmission network operators have to warn the BAFA which will then calculate new but reduced support rates to ensure that the budget is not exceeded. This is a further confirmation that the CHP-surcharge constitutes a resource under the control of the State.

(137)

Based on those elements, the Commission concludes that the support scheme for cogenerated electricity, district heating/cooling networks and heat/cooling storage facilities is financed from State resources.

(138)

As to the reduced CHP-surcharge rates, they are also financed from State resources. Those reductions constitute an additional burden for the State. Any reduction in the amount of the CHP-surcharge has the effect of reducing the amounts collected from the consumers concerned (categories B and C). They have to be regarded as leading to losses in revenues that subsequently have to be recovered from other consumers (Category A) via an increased CHP-surcharge. Thus, Category A consumers are involved in the subsidising of large (Category B) and electro-intensive (Category C) consumers. Therefore, also the reduced CHP-surcharge must be considered as financed from State resources (37).

3.1.3.   Effect on trade and impact on competition

(139)

As regards support to CHP installations, the granting of aid to German producers of CHP electricity strengthens their position on the relevant market vis-à-vis other electricity producers, including from other countries of the European Economic Area (EEA). On a liberalised electricity market, producers of cogenerated electricity that is injected into the grid compete with other electricity producers. The measure has therefore the potential to distort competition between electricity producers. As there is cross-border trade of electricity, the measure also affects trade on electricity markets across the EEA. The support can further have an impact on the heat market given that by triggering or increasing electricity production from CHP installations, the support concomitantly increases production of heat from the CHP installations.

(140)

As to the aid to CHP installations used for self-consumption, it can distort competition between undertakings within the same sector as not all undertakings are eligible (depending on the size of the installation and whether the undertaking is electro-intensive or not) and is also likely to affect trade between Member States. In particular, sectors like the chemical sector, the paper industry, automobile manufacturing and automotive supply that are likely to benefit from CHP-support are in competition with undertakings located in other Member States.

(141)

As regards aid to district heating/cooling networks, it can have an impact in particular on the heat market. Construction or expansion of district heating/cooling networks enables district heating/cooling companies to connect more consumers to the network and is likely to increase the number of consumers switching from decentralised heat/cooling generation to district heating/cooling. There is trade between Member States in the production of heat boilers. As the utilities have to use the district heating/cooling networks in combination with CHP installations, investment aid for the network can reinforce their position on the heat and on the electricity market. The measure has therefore also the potential to distort competition between electricity producers. As there is cross-border trade of electricity, the measure also affects trade on electricity markets across the EEA.

(142)

As regards aid to storage facilities, it can distort competition and affect trade between Member States in a similar way to the support for CHP installations, given that the storage facility will increase the number of operating hours of the CHP installations connected to the storage facility.

(143)

As regards reductions from CHP levies, they can distort competition between undertakings within the same sector as not all undertakings are eligible (depending on their consumption level and the respective importance of electricity costs compared to turnover) and are also likely to affect trade between Member States and competition with undertakings in other Member States. In particular, sectors like the chemical sector, the paper industry, automobile manufacturing and automotive supply that are likely to benefit from reductions are in competition with undertakings located in other Member States.

3.1.4.   Conclusion

(144)

For the reasons set out in sections 3.1.1 to 3.1.3 above, the Commission concludes that:

(a)

the support to the production of CHP electricity in new, modernised and retrofitted highly efficient CHP installations;

(b)

the support to energy-efficient district heating/cooling networks;

(c)

the support to heat/cooling storage facilities;

(d)

the support to the production of CHP electricity in existing highly efficient gas-fired CHP installations of the district heating sector; and

(e)

the reduced CHP-levies

constitute State aid within the meaning of Article 107 (1) TFEU

3.2.   Legality

(145)

Germany has notified the aid scheme and has subjected its application in respect of CHP installations, storage facilities and district heating/cooling networks to the approval by the Commission (§ 35 (12) KWKG). Germany has thus fulfilled its obligations under Article 108(3) TFEU.

(146)

The Commission notes however that the reductions from the CHP-surcharge for Category B and Category C consumers described under recital (75) above have not been subject to the standstill clause and are already in force. In this respect, Germany has not complied with its obligations under Article 108(3) TFEU.

3.3.   Compatibility

(147)

As the notified scheme relates to measures aimed at the support of energy efficiency measures, including cogeneration and district heating and cooling, the Commission has assessed the aid measures listed in recital (144) (b) to (c) on the basis of the EEAG, in particular section 3.4 thereof. The measures listed in recital (144) (d) and (e) have been assessed directly under Article 107(3)(c) TFEU.

3.3.1.   Support to the production of CHP electricity in new, modernised and retrofitted highly efficient CHP installations (aid measure mentioned under recital (144)(a))

3.3.1.1.   Contribution to an objective of common interest

(148)

Germany has explained that the notified scheme is aimed at incentivising production of electricity in high-efficiency heat and power cogeneration installations, which contributes to energy efficiency and CO2 reductions, having thus an environmental objective.

(149)

High-efficiency cogeneration has been recognised by the Energy Efficiency Directive (EED) (38) as having significant potential for saving primary energy and thus for energy efficiency.

(150)

In line with point 139 of the EEAG, Germany limits the support to CHP electricity satisfying the definition of high-efficiency cogeneration pursuant to Annex II EED.

(151)

State aid for cogeneration using waste as input fuel can make a positive contribution to environmental protection, provided that it does not circumvent the waste hierarchy principle as established under the Waste Framework Directive (39). The notified scheme will not create incentives to circumvent the waste hierarchy. First, Germany has shown that gas-fired CHP installations have lower LCOE than waste-burning CHP installations. As the support levels are determined based on the costs of gas-fired CHP installations, the support measure will not create any incentive to burn waste instead of recycling it. Second, the Commission observes that Germany is recycling 62 % of its waste, i.e. more than 50 % as required by the Waste Framework Directive by 2020. Finally, Germany has committed that it will not circumvent the waste hierarchy with the support measure (see recital (109) above).

(152)

The scheme is therefore directed at an increased level of environmental protection through promoting electricity from high energy-efficient cogeneration and thus, contributes to the objective of common interest in the form of energy efficiency.

3.3.1.2.   Need for State intervention

(153)

Member States need to demonstrate that State aid is necessary to remedy a market failure that otherwise would remain unaddressed (cf. point 37 of the EEAG). In the case of cogeneration, the Commission presumes that energy efficiency measures target negative externalities by creating individual incentives to attain environmental targets for energy efficiency and for the reduction of greenhouse gas emissions (cf. points 35 and 142 of the EEAG). The information provided by Germany shows that the market alone and the ETS system would not by themselves trigger investments in CHP installations. A residual market failure exists, as shown in particular by the extra costs borne by high-efficiency CHP plants (see Table 10 to Table 15 above showing that LCOE are higher than market price, with the exception of projects in which the electricity is 100 % self-consumed, which are not eligible for aid). This market failure can be addressed through aid to promote energy efficiency.

3.3.1.3.   Incentive effect

(154)

According to point 49 of the EEAG, the Member State must demonstrate that the aid has the effect of incentivising the beneficiaries to change their behaviour in line with the objective of common interest pursued.

(155)

The calculations provided by Germany (see Table 10 to Table 15) show that the production costs of electricity from high-efficiency CHP (LCOE) are higher than the electricity market price and that this will remain the case in the coming years as market conditions are projected to remain similar in the next years (see Table 9 showing that slight increases in electricity prices are compensated by increases in natural gas prices and CO2 emission certificate prices; see also the updated market information under recital (51) above). The calculations further show that the notified aid improves the rate of return of the projects and creates the incentives to undertake or carry on cogeneration of electricity in CHP plants in most of the sectors and situations covered by the notified measure and that, conversely, without support such activity would unlikely be economically viable.

(156)

For CHP installations above 100 kW by non-electro intensive companies with a rate of 100 % of self-consumption of electricity, Table 12 shows that no additional support under the KWKG is needed to trigger the investment, as the savings resulting from the self-production and consumption of electricity compensate for the higher costs of the CHP installation given the level of the retail electricity prices for those users (see also Table 8). Consequently, these installations are not eligible for support under the KWKG.

(157)

Finally, the Commission notes that the aid is granted under the KWKG automatically when all eligibility conditions are fulfilled. The BAFA has no discretion in delivering the ‘Zulassung’. It will verify on the basis of an application form and the needed evidence that all eligibility conditions are needed. If it is the case, it has the obligation to deliver the ‘Zulassung’.

(158)

Based on those elements and in particular the automatic character of the aid when all conditions are fulfilled and the fact that Germany demonstrated that without the aid the CHP projects supported under the KWKG 2016 would not be implemented, the Commission concludes that the aid scheme has an incentive effect.

3.3.1.4.   Appropriateness of the aid, proportionality and avoidance of undue distortion of competition

(159)

In line with point 145 of the EEAG, State aid may be considered an appropriate instrument to finance energy efficiency measures, independent of the form in which it is granted. Premiums on top of market price are appropriate aid instruments to compensate CHP plants for the higher production costs of electricity from highly efficient cogeneration as they target the additional cost element that is not covered by the market price.

(160)

The notified measure consists of operating aid for the production of electricity in highly energy-efficient CHP installations, thus point 151 of the EEAG is applicable for the assessment of proportionality.

(161)

The CHP plants benefiting from the measure fall into both categories defined in point 151 (a) and (b) of the EEAG: they either partly or entirely sell electricity to the public and their output partly serves for industrial use.

(162)

For the assessment of proportionality, point 151 of the EEAG makes reference to the conditions applying to operating aid for electricity from renewable energy sources as established in section 3.3.2.1 of the EEAG.

(163)

According to point 124 of the EEAG, in order to incentivise the market integration of electricity generators, it is important that beneficiaries sell their electricity directly on the market and are subject to market obligations. The following cumulative conditions apply from 1 January 2016 to all new aid schemes and measures:

(a)

The aid is granted as a premium in addition to the market price whereby the generators sell their electricity directly on the market;

(b)

The beneficiaries are subject to standard balancing responsibilities, unless no liquid intra-day balancing markets exist;

(c)

The scheme ensures that generators have no incentive to generate electricity when market prices are negative.

(164)

The aid scheme complies with point 124 (a) of the EEAG given that the aid is paid out as a premium on top of the market price and the operator of the CHP installation has to sell the electricity on the market (see recital (17) above). The operator is also subject to normal balancing responsibilities (see recital (17) above). Finally, the scheme does not create any incentives to produce at time of negative prices. First the aid is paid out as a fixed premium and for a limited amount of full load hours. This increases the incentives to sell the electricity at times of higher demand, as this will maximise the revenues and conversely reduces incentives to produce at times of negative prices. In addition, Germany suspends the support at times of negative prices (see recital (31) above).

(165)

The operator can also self-consume the electricity produced in line with point 151 (b) of the EEAG. The aid is paid in the form of a premium obtained in addition to the benefits resulting from the fact that the operators of the CHP installations do not need to pay the market price for the electricity they are self-consuming.

(166)

As set out in recital (17) above, CHP installations up to 100 kW have the possibility to request the network operators to purchase the electricity from them at an agreed price or at the average market price. This is in line with point 125 of the EEAG, which provides that smaller installations are exempted from the market integration obligations listed under point 124 of the EEAG.

(167)

Point 126 of the EEAG requires that, from 1 January 2017, aid is granted in a competitive bidding process.

(168)

As described under section 2.7.2 above, Germany committed to granting the aid for the production of electricity in highly efficient new or modernized CHP installations with a cogeneration electricity capacity between 1 and 50 MW on the basis of a competitive bidding process as of the Winter 2017/2018.

(169)

Installations with the same capacity having obtained their emission authorisation or having ordered the installation no later than 31 December 2016 will not be subject to competitive tender. The Commission considers that beneficiaries having obtained their emission authorisation or having ordered the installation no later than 31 December 2016 can be considered as having been granted aid before 1 January 2017 and are therefore not subject to the tender requirement under Point 126 EEAG. Indeed, under the KWKG 2016, aid is granted automatically when all eligibility conditions are met (see recital (66) above). Given the long lead times of CHP projects (see recital (70) above), the granting moment of the aid corresponds to the moment when all cost information is available to the project owners so as to enable them to estimate whether the aid amount is sufficient to undertake the project (final investment decision). After that point in time, the project owners will introduce the request for an emission authorisation and will order the installation. The Commission therefore concludes that Germany can continue granting the aid without competitive bidding process to beneficiaries having obtained their emission authorisation or having ordered their installations no later than 31 December 2016.

(170)

When the support is granted to beneficiaries selected in a tender and is cumulated with investment aid, Germany committed to deducting the investment aid from the operating aid in line with point 151, read in conjunction with point 129 of the EEAG (see recital (32) above).

(171)

As described under recital (92)(a) above, installations with a capacity of not more than 1 MWel will obtain aid without having to be selected in a competitive bidding process. This is in line with point 151 read in conjunction with point 127 of the EEAG.

(172)

As described under recital (92)(b) above, Germany will grant aid to installations with an installed capacity above 50 MWel without tender. The information submitted by Germany in this connection shows that in the relevant period (Winter 2017/2018 — 2022) only 4 larger projects are likely to participate in the tenders (see Table 26). Given their size (300 MW, see Table 26) compared to the probable size of the tender (500 MW, see recital (98)), the economies of scale and LCOE of those installations compared to smaller installations and the knowledge of the market by the utilities carrying out those projects (see recitals (97) to (100) above), the Commission concludes that it is very likely that owners of those large projects would be able to strategically bid in the tenders with the result that they would be largely overcompensated. Their participation in the tenders could also discourage participation of smaller projects and make the tenders uncompetitive, as also illustrated by the scenarios described under recitals (97) to (100) and (104) above. The Commission further notes that Germany has examined alternative tender designs which, however, do not solve the issue (see recitals (102) to (103) above).

(173)

Based on those elements, the Commission concludes that including installations of more than 50 MWel in the tenders would render the tenders uncompetitive and would lead to higher support levels and that the exclusion from tenders of those larger projects is needed to avoid strategic bidding. The aid can therefore be granted to those installations without their participation in a competitive bidding process (as per point 126, third indent, letter b of the EEAG).

(174)

The Commission further notes that Germany committed to complying with the obligation of individual notification for detailed assessment, in line with point 20(d) of the EEAG, when the aid is to be granted to installations with installed capacity of more than 300 MWel.

(175)

Retrofitted installations are also exempt from the tender requirement (see recital (92)(c) above). Their production costs being lower than production costs of new or modernised CHP installations, those installations would be able to obtain windfall profits if they were to participate to the same tenders as modernised and new installations. A separate tender cannot be envisaged as the number of retrofitted installations would be too small to ensure a competitive tender (see recital (106) above). The aid can therefore be granted to those installations without their participation in a competitive bidding process (as per point 126 third indent, a and b of the EEAG).

(176)

Point 128 of the EEAG stipulates that, in the absence of a competitive bidding process, the proportionality of the aid and distortion of competitions have to be assessed on the basis of the conditions of points 124, 125 and 131 of the EEAG. Compatibility with points 124 and 125 of the EEAG has already been examined above. The Commission will thus examine compatibility with point 131 of the EEAG as far as concerns the aid to installations listed under recitals (92)(a), (92)(b) and (92)(c) as well as to installations with a capacity between 1 and 50 MWel having obtained authorisation under the Federal Act of Germany for Emission Control or having made a binding order of the CHP installation by 31 December 2016.

(177)

Point 131 (a) and (b) of the EEAG provides that the aid per unit of energy shall not exceed the difference between the total levelized cost of producing energy (LCOE) from the particular technology in question and the market price of the form of energy concerned. The total LCOE may include the plant’s normal return on capital but any investment aid should be deducted from the total investment amount in calculating the costs.

(178)

The Commission has verified that the support, which is paid out as a fixed premium for a determined number of full-load hours, does not exceed the difference between the LCOE and the market price in those cases where support is given.

(179)

The Commission first observes that when it calculated the LCOE used to determine the level of the premium (see section 2.3 above), Germany correctly deducted from the production costs revenues generated by heat production (either in the form of price obtained for the heat or in the form of savings made due to the fact that the heat does not need to be purchased on the market or produced in a gas boiler) and other advantages (as for instance reduced energy tax for highly efficient CHP). The calculations take also into account the reduced EEG surcharge paid by autogenerators.

(180)

Second, concerning the market price used to determine the level of the premium, Germany correctly used the base-load market price as a reference given that CHP installations produce base-load electricity and in case of self-consumption of the electricity, it correctly used the market price that this category of consumer would have had to pay for the electricity concerned if he had to purchase it (see Table 8) above).

(181)

Third, for modernised and retrofitted CHP installations, the support is set in proportion to the importance of the investment costs compared to a new installation. Only when the investment costs reach 50 % of the costs of a new installation is the support level the same. This is justified by the fact that when the investment costs reach 50 % of investment costs of a new installation, the difference in investment costs is not sufficient anymore to outbalance the higher operating costs of modernised or retrofitted CHP installations (see also recital (25) above).

(182)

Fourth, as discount rate for the calculation of levelized cost, Germany has used 8 % in the district heating sector, 10 % for households, 20 % in the service industry and 30 % in the industry.

(183)

The information described under recital (54) above confirms that 8 % corresponds to the normal rate of return of the district heating sector. As to the discount rate used for households, it is in line with rates of return accepted as reasonable in other cases (40), reflects also the higher risk resulting from the form of the aid (fixed premium instead of floating premium or feed-in tariff). In addition, the support provided under the KWKG is not sufficient to lead to a project return of that level (see Table 10 showing a negative project return even with the support).

(184)

The discount rates used for the service sector and the industry are higher than what has been considered as reasonable in previous cases (41). However, the evidence submitted by Germany confirms that in the industry in Germany, CHP projects with a short payback period of 2 to 3 years (corresponding to a 50 % to 33 % rate of return) are realised, while projects with a payback period above 4 years (25 % rate of return) tend to be abandoned (see studies presented under recitals (58) to (61) above). Those rather short payback periods in those sectors can be explained by two factors: first, those sectors are not energy companies and choosing a CHP installation to cover their energy needs (instead of using a heat boiler and purchasing electricity from the grid) will have an impact on their core production process and costs. Investors in the service sector and industry will thus be more risk advert than energy utilities when they make the decision to invest into a CHP installation; they will require a shorter payback period. Second, the form of the subsidy (fixed premium) involves higher risks for the investor compared to floating premiums that are generally used for instance in renewable support schemes or to support CHP projects in other Member States (42). This in itself increases the rate of return that investors will want to obtain in order to make the investment decision.

(185)

The Commission further notes that for several categories of projects, the support will actually not yield 20 % or 30 % of rate of return. In particular in the electro-intensive industry, rates of return obtained with the support are much lower than 30 %. Also, since the moment when the data used to set the level of support was gathered, market conditions have further deteriorated (see recital (51)) and the rate of return of the projects will be lower than depicted in Table 10 to Table 14 above. The support will thus yield projects for which the project owner has accepted a longer payback period (and thus a lower rate of return).

(186)

Finally, the Commission notes that as of Winter 2017/2018 projects between 1 MW and 50 MW will be selected in a tender; the rate of return will thus be set by the market under competitive terms.

(187)

Based on those elements, the Commission considers that the rate of return of supported projects can be considered as reasonable. This conclusion is valid also for projects under contracting as the rate of return of the project must be sufficient to remunerate both the contractor and the consumer (see recital (63) above).

(188)

The calculations provided by Germany (see Table 10 to Table 16) which are based on the methodology assessed under recitals (179) to (187) show that the production costs of electricity from high-efficiency CHP (LCOE) are higher than the electricity market price and that the CHP-premium paid does not exceed the difference between the LCOE and the market price of electricity. This is also the case in situations where the beneficiaries obtain the fuel switch bonus and/or the additional § 7(5) premium to compensate for ETS costs (see in particular Table 16). Hence, the Commission concludes that, in line with point 151, read in conjunction with points 128 and 131 (a) and (b) of the EEAG, the aid is limited to the difference between the LCOE and the market price, including a reasonable rate of return on capital.

(189)

The Commission also notes that the aid can be cumulated with investment aid, but in that case the investment aid and the operating aid together may not exceed the difference between the LCOE of the CHP installation and the market price of the energy produced, in line with point 151, read in conjunction with points 128 and 131(b) of the EEAG.

(190)

The aid is limited to 30 000 hours or 60 000 hours, for smaller installations. As results from the elements set out in recital (20), aid granted for this amount of full-load hours does not exceed the normal depreciation period of CHP installations. Therefore, the notified scheme meets the criteria set out in points 131 (b) — 2nd sentence and 131 (d) of the EEAG.

(191)

Costs are also updated regularly, at least once a year (see recital (64) above). The notified scheme therefore meets the criterion set out in point of the 131 (c) of the EEAG.

(192)

Finally, the Commission notes that the scheme has a duration of less than 10 years, as it is limited to 2022.

3.3.2.   Aid to the production of CHP electricity in existing highly efficient gas-fired CHP installations in the district heating sector (aid measure mentioned under recital (144) (d))

(193)

Under the EEAG, the proportionality of operating aid to CHP installations is examined on the same compatibility criteria than for installations producing electricity from renewable energy sources (‘RES installations’). The EEAG provide that in principle operating aid for CHP installations should be limited to the duration of their depreciation. The only exception from this rule has been made for biomass installations (Chapter 3.3.2.3.), which face higher production costs due to the additional cost element of the input fuel (i.e. biomass), which is not present for other RES technologies (wind, solar, etc.). While CHP installations other than biomass CHP installations also have fuel costs contrary to RES installations using solar, wind of hydro power, it was in the past possible to operate those installations on economically viable terms once the investment had been depreciated. The main hurdle being higher investment costs for CHP installations compared to separate production of heat and electricity. For this reason, the aid was considered proportionate if limited to the depreciation of the investment, in the same way as for RES installations like wind, solar and hydro installations.

(194)

However, as it will be explained more in details below, Germany has shown that under current market conditions, existing gas-fired CHP installations in the district heating sector cannot operate economically anymore without support after the investment has been depreciated. Given the capacity of the installations involved, Germany also showed that the stop of activities of existing highly efficient gas-fired CHP installations would have damaging repercussions on climate protection in Germany (higher CO2 emissions), and by consequence in the EU given that the electricity and heat produced therein would be replaced by separate production of heat and electricity (see recital (12)). All the CO2 emission savings made by the gas-fired highly energy-efficient cogeneration would be lost. In addition, given the form of the aid (fixed premium limited to 1.5 € cent/kWh incentivizing the use of cogeneration at times of higher electricity demand), the cogenerated electricity production concerned would mainly be replaced by electricity produced from coal or lignite (see also recital (211) below).

(195)

For those reasons, the Commission considers it appropriate to examine the aid measure planned by Germany for existing gas-fired CHP installations in the district heating sector directly under the Treaty. In this respect the Commission notes that the EEAG provide for compatibility criteria for aid to existing biomass plants after depreciation. The criteria set out in Section 3.3.2.3 of the EEAG aim in particular at ensuring the proportionality of the aid. The Commission finds it appropriate to use those criteria as guidance for the assessment of the proportionality of the notified aid to depreciated gas-fired highly efficient CHP installations. Moreover, the Commission intends to amend the EEAG in order to expressly provide for the possibility to approve operating aid to depreciated CHP installations in a comparable factual and economic situation as the installations examined under this section and under the conditions examined in sections 3.3.2.1 to 3.3.2.5 below. Pending the amendment of the Guidelines, the Commission will apply the same criteria as in the present decision to any similar case.

(196)

The Commission may declare an aid measure compatible directly under Article 107(3)(c) TFEU if it is necessary and proportionate and if the positive effects for the common objective outweigh the negative effects on competition and trade.

(197)

In this regard, the Commission considers it appropriate to assess the following questions:

(a)

Is the aid measure aimed at a well-defined objective of common interest (43)?

(b)

Is it targeted towards a situation where aid can bring about a material improvement that the market alone cannot deliver (for example because it addresses a market failure)?

(c)

Is the aid well designed to deliver the objective of common interest (necessity of the aid) (44)? In particular:

i.

Is the aid measure an appropriate and necessary instrument, i.e. are there other, better-placed instruments?

ii.

Is there an incentive effect, i.e. does the aid change the behaviour of firms?

iii.

Is the aid measure proportional, i.e. could the same change in behaviour be obtained with less aid?

(d)

Are the distortions of competition and the effect on trade limited, so that the overall balance is positive?

3.3.2.1.   Contribution to an objective of common interest

(198)

German authorities have explained that due to the rise in fuel prices and taxes there is a risk that the CHP plants will go out of operation or significantly reduce their operating hours, although technically they could still produce or cogenerate during a higher number of hours.

(199)

The aid to existing gas-fired cogeneration installations in the district heating sector thus aims at maintaining and even slightly increasing energy efficiency as compared to the current situation and further aims at keeping CO2 emission reductions at their current level and even increasing the reductions. Germany has further limited the aid to highly efficient cogeneration installations and to installations using gas (instead of coal, lignite and oil) as this maximizes the reductions of CO2 emissions that can be achieved in the district heating sector with cogeneration installations (see also recital (8)).

(200)

The aid for existing gas-fired cogeneration installation is only available to highly efficient installations. High-efficiency cogeneration has been recognised by the Energy Efficiency Directive as having significant potential for saving primary energy and thus, for energy efficiency. The importance of reducing CO2 emission for climate protection has also been recognized.

(201)

The Commission therefore concludes that this aid measure aims at the same well-defined objectives of common interest as aid to new, modernized or retrofitted CHP installations (improvement of energy efficiency and climate protection, see section 3.4.1 of the EEAG).

3.3.2.2.   Need for State intervention

(202)

The Commission has further examined whether the aid measure is necessary to remedy a market failure that otherwise would remain unaddressed. The studies and information provided by Germany show that the market alone and the ETS system would not, in the coming 4 years, deliver sufficient incentives to keep existing gas-fired highly efficient CHP installations in operation in the district heating sector or to keep the same level of CHP production (see Recitals (12) and (30), Footnote 10 and Table 17). There is thus a residual market failure that the aid measure concerned aims at addressing.

3.3.2.3.   Incentive effect

(203)

An aid must have the effect of incentivising the beneficiaries to change their behaviour in line with the objective of common interest pursued.

(204)

The calculations provided by Germany (see Table 17, see also Footnote 10) show that the production costs of electricity from gas-fired high-efficiency CHP installations in the district heating sector are higher than the electricity market price even after depreciation of the investment. That is likely to remain so in the coming 4 years as shown by the projected LCOE of Table 17 and the data referred to under Footnote 10. The calculations further show that the notified aid improves the rate of return of the projects and creates the incentives to maintain the installations in operation or at least significantly increase the number of operating hours (see also recital (30) above on the number of operating hours with and without the aid). It follows that without support the existing CHP plants would not be operated anymore or the number of operating hours would drastically decrease.

(205)

Therefore, the Commission concludes that the notified measure has an incentive effect.

3.3.2.4.   Appropriateness of the aid

(206)

The Commission further finds that the aid is appropriate to address the residual market failure. In particular, other forms of aid like investment aid or research aid cannot impact the decision of existing and already depreciated installations to continue operating after depreciation.

(207)

Also, had Germany tried to reach the same aim (maintain at least the same level of CHP production of 15 TWh) with new investments, it would have had to significantly increase the level of the subsidy.

(208)

The Commission therefore concludes that the notified aid measure is an appropriate and necessary instrument.

3.3.2.5.   Proportionality, avoidance of undue distortion and balancing test

(209)

The aid is also proportionate to the aim. First the aid is only granted for the production of cogenerated electricity (see point 133 (a) of the EEAG by analogy) limited to the difference between the operating costs and the market price of electricity as the LCOE calculations show (see also point 133 (b) of the EEAG). The Commission observes in particular that the calculations include all types of revenues that the CHP installation can obtain and exclude any investment costs. Second, the evolution of costs is monitored on an annual basis to verify that the operating costs are still higher than the market price of energy (see also point 133 (c) of the EEAG). Should market conditions improve and the aid not be needed anymore, Germany would immediately inform the Parliament in order to adopt the needed amendment to the support (see section 2.4 above). Also, the scheme is limited to 16 000 full load hours and in time (2019) as it is expected that after 2019 the market situation might improve.

(210)

The distortions of competition on the heat market will remain limited given that in the district heating sector, it is most of the time the same company that operates the CHP installations and the heat boilers and determines the mix based on which production is the less costly for the company. The subsidy will thus essentially impact the type of installation that is used rather than influencing the company that will provide the heat.

(211)

The distortion of competition on the electricity market remains limited in comparison to the positive effects for the environment. In fact the distortion of competition resulting from the measure corresponds exactly to the environmental purpose of the measure. The support is rather limited and is not sufficient to enable CHP installations in the district heating sector to continuously run, but improves their economic conditions so as to produce electricity during a certain number of full load hours, in particular at times of higher electricity prices, i.e. of higher electricity demand. In those production hours the CHP installation will displace electricity produced from coal-fired plants and thus significantly reduce the CO2 emission resulting from the electricity production, which is exactly the environmental purpose pursued by the measure.

3.3.3.   Compliance with other provisions of EU law of the measures examined under sections 3.3.1 and 3.3.2

(212)

As the support for CHP electricity is financed by a charge levied on all electricity consumption, the Commission has examined its compliance with Articles 30 and 110 of the Treaty (see also point 29 of the EEAG).

(213)

According to the case-law, a charge which is imposed on domestic and imported products according to the same criteria may nevertheless be prohibited by the Treaty if the revenue from such a charge is intended to support activities which specifically benefit the taxed domestic products. If the advantages which those products enjoy wholly offset the burden imposed on them, the effects of that charge are apparent only with regard to imported products and that charge constitutes a charge having equivalent effect to custom duties, contrary to Article 30 of the Treaty. If, on the other hand, those advantages only partly offset the burden borne by domestic products, the charge in question constitutes discriminatory taxation for the purposes of Article 110 of the Treaty and will be contrary to that provision as regards the proportion used to offset the burden borne by the domestic products (45).

(214)

If domestic electricity production is supported by aid that is financed through a charge on all electricity consumption (including consumption of imported electricity), then the method of financing — which imposes a burden on imported electricity not benefitting from this financing — risks having a discriminatory effect on imported CHP electricity and thereby violating Article 30 or 110 of the Treaty (46).

(215)

As described under section 2.6.1 above the scheme will be financed by a surcharge on electricity consumption (KWK-Umlage). In this respect, therefore, the Commission notes that:

the notified aid scheme is financed through a charge imposed on electricity consumed in Germany, irrespective of whether domestically produced or imported;

the charge is calculated on the amount of electricity consumed (and thereby imposed on the product itself).

(216)

Where a Member State finances aid for domestic producers through a charge that is levied on imported and domestic products alike, the charge may have the effect of further exacerbating the distortion on the product market caused by the aid as such. For that matter, it is not necessary that the charge exclusively finances the aid, since the additional distortive effect can already be present if a sizable share of the revenue from the charge is used to finance the aid (here the largest part of the budget of the scheme is reserved to the support of the production of CHP electricity while only a small part is used for the other support measures).

(217)

In order to alleviate any concern regarding compliance with Articles 30 and 110 TFEU, Germany, as set out in section 2.7.1 above, ensures that producers located in other European Member States will be allowed to bid for 5 % of the capacity allocated within the tenders. This corresponds to the percentage also used to allow participation of foreign producers in tenders for the support for renewable electricity (47).

(218)

The participation of producers from other Member States in the support scheme is subject to an agreement with the relevant Member State having the content described under recital (89)(e) above. The Commission considers that this type of technical agreement is necessary for practical reasons in order to determine the allocation of CO2 emission reductions resulting from the CHP generation and also in order to obtain the agreement of the other Member State as to the conditions under which support can be given to a CHP installation located on its territory. The Commission therefore concludes that opening the scheme in this manner reduces the risk of possible discrimination against producers of CHP electricity in other Member States.

(219)

In light of the above, the Commission considers that the financing mechanism of the notified aid measure does not infringe Article 30 or Article 110 TFEU.

3.3.4.   District heating infrastructure (Section 3.4 of the EEAG)

3.3.4.1.   Common objective

(220)

The Union set an objective of saving 20 % of its primary energy consumption by 2020. In particular, the Union adopted the Energy Efficiency Directive, which establishes a common framework to promote energy efficiency within the Union. District heating/cooling networks can make an important contribution to energy efficiency when they are used to transport waste heat, renewable heat or cogenerated heat. Aid for district heating/cooling networks will therefore be considered as aiming at a common objective when it is granted to energy-efficient district heating/cooling networks. Efficient district heating and cooling within the meaning of Article 2(41) and 2(42) of the Energy Efficiency Directive is defined as a district heating or cooling system using at least 50 % renewable energy, 50 % waste heat, 75 % cogenerated heat or 50 % of a combination of such energy and heat.

(221)

As set out in recital (43) above, investment aid under the KWKG is granted to district heating networks only if at least 60 % of the transported heat stems from a combination of CHP installations, renewable heat or industrial waste heat with a minimum of 25 % stemming from cogenerated heat. When the heat does not result from a combination of those sources, Germany committed to verifying that it would stem from at least 75 % CHP heat. This complies with the definition of the energy-efficient district heating under point 19(14) of the EEAG).

(222)

The aid measure thus aims at a well-defined objective of common interest, viz. improvement of energy efficiency.

3.3.4.2.   Need for State intervention and appropriateness of aid

(223)

The investment aid for energy-efficient district heating aims at covering positive externalities linked to the use of efficient district heating network but which are not priced in. Energy-efficient district heating/cooling is more energy-efficient than the separate use of individual boilers. These positive externalities are however not priced in. On the one hand, negative externalities of individual boilers are only very partially priced in. Most of those boilers are not subject to the ETS or a similar system. In addition, Germany has explained that the use of the district heating network is not remunerated separately. The district heating network generally belongs to the owner of the main heat generating facility feeding heat into the district heating network (generally a CHP installation). The network costs have to be recouped with the heat revenues (and as the case may be with electricity revenues linked to the coproduced electricity), which, however, are not sufficient to cover infrastructure costs. On the heat market, owners of district heating facilities will be in competition with individual boiler solutions but also in competition with other heat sources injecting heat into the district heating network, including waste heat and heat from waste incineration. An aid measure is therefore necessary to trigger the investment.

(224)

The Commission considers that State aid can be considered an appropriate instrument to finance an energy-efficiency measure, independently of the form in which it is granted (point 145 of the EEAG).

3.3.4.3.   Incentive effect

(225)

As set out in recital (45) above, Germany has demonstrated that without support district heating or cooling networks could not be deployed as they typically have a funding gap of between 30 % and 40 % of investment costs. Also, in order to obtain the confirmation that the project is eligible for aid, the project owner has to submit the information requested under point 51 of the EEAG. In addition, Germany has committed to carrying out a credibility check of the counterfactual scenario as requested under point 52 of the EEAG (see recital (68) above). Based on those elements, the Commission concludes that the aid scheme has an incentive effect.

3.3.4.4.   Proportionality (investment aid for energy-efficiency measures)

(226)

Point 148 of the EEAG, read in conjunction with point 73, defines the eligible costs as the extra investment costs in tangible and/or intangible assets which are directly linked to the achievement of the common objective. Where the costs of achieving the common interest objective can be identified in the total investment costs as a separate investment, the costs of the separate investment constitute the eligible costs. In the case of district heating infrastructure, the entire investment constitutes the eligible costs given that the entire infrastructure is needed to achieve the energy efficiency and also the entire investment concerned would not have been made without the aid (see also Article 46(5) of the GBER (48)). However, the eligible costs will be limited to the funding gap (as per point 76 of the EEAG). The aid intensity can reach 100 % of eligible costs (see Annex 1 to the EEAG, for district heating infrastructure).

(227)

Point 19(32) of the EEAG defines the funding gap as the difference between the positive and negative cash flows over the lifetime of the investment, discounted to their current value (typically using the cost of capital).

(228)

Germany has submitted a detailed funding gap calculation that shows that the funding gap of district heating/cooling networks projects corresponded to between 30 % and 40 % of the investment costs, depending on the diameter of the pipes, and that aid limited to those rates will thus not exceed the funding gap (see Table 5).

(229)

In addition, as set out in recital (46) above, in cases where aid under the KWKG would be cumulated with aid from the Länder and local authorities or other federal aid schemes, Germany committed to limiting the aid to the funding gap within the meaning of point 19(32) of the EEAG.

3.3.4.5.   Distortion of competition

(230)

As described under recital (141) above, the main impact on competition of the investment aid for district heating/cooling networks is that it enables district heating/cooling companies to connect more heat consumers to the district heating network. Also, larger district heating/cooling networks and larger consumer basis can help increasing the number of operating hours of the CHP installations feeding the heat into the network and thus also help increasing CHP electricity production. The investment aid can thus have the effect of reducing the number of consumers using individual heat boilers and of displacing coal-fired electricity. This impact, however, corresponds exactly to the environmental purpose of the aid.

(231)

As the support is limited to the funding gap and available only to highly efficient networks, the Commission concludes that the negative effects of the aid on competition are sufficiently limited so that the overall balance of the measure is positive.

3.3.5.   Storage

3.3.5.1.   Common objective:

(232)

For the reasons set out in recitals (35)-(36) above, heat storage can make an important contribution to energy efficiency when used as required by the notified support scheme to store cogenerated heat, waste heat and renewable heat. In the case of the German support scheme, it will in particular help increasing the energy efficiency of district heating and CHP installations and reduce CO2 emissions from heat and electricity production in Germany.

(233)

The Union set an objective of saving 20 % of its primary energy consumption by 2020. The importance of reducing CO2 emission for climate protection has also been recognized.

(234)

The Commission therefore concludes that this aid measure aims at two well-defined objectives of common interest (improvement of energy efficiency and climate protection).

3.3.5.2.   Need for State intervention and appropriateness of aid

(235)

The investment aid for heat/cooling storage facilities aims at covering positive externalities linked to the use of storage facilities but which are not priced in. Storage facilities increase the energy efficiency of CHP installations and district heating/cooling systems but are not remunerated by separate fees. In addition, while they enable a more flexible use of CHP installations, the additional flexibility improves the economics of those installations only to a very limited extent, yielding a small surplus not sufficient to pay back the investment. Aid is therefore needed to achieve the objective pursued.

(236)

Germany has explained that investment subsidies were the most suitable to trigger investment in storage facilities as they do not cover the entire investment costs and therefore incentivise the operators to maximise the use of their storage facilities by running the connected CHP plants in line with the demand for electricity. This yields the best results in terms of energy efficiency and integration of the CHP plants into the electricity market. In addition, the Commission considers that State aid can be considered an appropriate instrument to finance an energy-efficiency measure, independently of the form in which it is granted (as per point 145 of the EEAG).

3.3.5.3.   Incentive effect

(237)

The information provided by Germany described under recitals (34) and (40) above shows that without support storage facilities are not deployed as the investment costs cannot be recouped through higher revenues from a more flexible use of the CHP installation. In addition, in order to obtain the confirmation that the project is eligible for aid, the project owner has to submit the information requested under point 51 of the EEAG. Finally, Germany has committed to carrying out a credibility check of the counterfactual scenario as requested under point 52 of the EEAG (see recital (68) above). Based on those elements, the Commission concludes that the aid measure has an incentive effect.

3.3.5.4.   Proportionality

(238)

Point 148 of the EEAG, read in conjunction with point 73, defines the eligible costs as the extra investment costs in tangible and/or intangible assets which are directly linked to the achievement of the common objective. Where the costs of achieving the common interest objective can be identified in the total investment costs as a separate investment, the costs of the separate investment constitute the eligible costs.

(239)

In the case of heat/cooling storage facilities used in connection with CHP installations, the entire investment constitutes the eligible costs given that the entire infrastructure is needed to achieve the energy efficiency and also the entire investment concerned would not have been made without the aid. As the storage facility has to be linked to a CHP installation, the Commission will examine the proportionality of the investment aid in line with aid intensities for CHP installations. When the concerned CHP installations are used in the district heating sector, the maximum aid intensities for district heating production plants should be used.

(240)

Under the KWKG, aid for storage facilities is limited to 30 % of the eligible investment costs. In addition, eligible costs exclude administrative fees, internal costs for the construction and planning, imputed costs (‘kalkulatorische Kosten’), costs related to insurances, financing and land acquisition. The aid amount under the KWKG is thus below the maximum aid intensities allowed under the Annex 1 of the EEAG and also the eligible costs are stricter than under the EEAG (see point 19(23), which under certain circumstances also considers investments in land as eligible costs when strictly necessary to meet environmental objectives).

(241)

For small storage facilities the aid is limited to EUR 12 500 (see recital (38) above), which is well below the de minimis ceiling.

(242)

Aid for storage under the KWKG can be cumulated with aid from the Länder, local authorities or other federal support schemes. As set out in recital (41) above, Germany has committed to limiting the aid to the aid intensities set out in Annex 1 to the EEAG for CHP installations.

3.3.5.5.   Distortion of competition

(243)

As described under recital (142) above, storage facilities can impact competition in the sense that they increase the flexibility of CHP installations and help increasing their number of operating hours.

(244)

Distortion of competition on the heat market will remain limited given that in the district heating sector, it is most of the time the same company that operates the storage facility, the CHP installation and the heat boilers. The subsidy will thus essentially impact the type of installation that is used rather than influence the company that will provide the heat.

(245)

The distortion of competition on the electricity market remains limited in comparison to the positive effects for the environment. In fact, it corresponds exactly to the environmental purpose of the measure. The storage facility enables CHP installations to produce at times of higher electricity demand, when they will displace electricity produced from coal-fired electricity plants in Germany. This will significantly reduce the CO2 emission resulting from electricity production, which is exactly the environmental purpose pursued by the measure.

(246)

As, the support is limited to the aid intensities set out in Annex 1 to the EEAG, the Commission concludes that the negative effects of the aid on competition are sufficiently limited so that the overall balance of the measure is positive.

3.3.6.   Transparency

(247)

As set out in recital (108) above, Germany has committed to implementing all conditions laid down in section 3.2.7 of the EEAG, thus the measures comply with the transparency provision for all aids granted as of 1 July 2016.

3.3.7.   Evaluation plan

(248)

The EEAG (paragraph 28 and Chapter 4) state that the Commission may require that certain aid schemes be subject to an evaluation, where the potential distortion of competition is particularly high, that is to say when the measure may risk significantly restricting or distorting competition if their implementation is not reviewed in due time. Given its objectives, evaluation only applies for aid schemes with large aid budgets, containing novel characteristics or when significant market, technology or regulatory changes are foreseen.

(249)

The present scheme fulfils the criteria of being a scheme with a large aid budget and containing novel characteristics; therefore it will be subject to an evaluation.

(250)

The scope and modalities of the evaluation have been defined, taking into account the Commission Staff Working Document on Common methodology for State aid evaluation, in an evaluation plan that Germany has notified together with the aid scheme and whose main elements are described in section 2.8 above.

(251)

The Commission considers that the notified evaluation plan contains the necessary elements: the objectives of the aid scheme to be evaluated, the evaluation questions, the result indicators, the envisaged methodology to conduct the evaluation, the data collection requirements, the proposed timing of the evaluation including the date of submission of the final evaluation report, the description of the independent body conducting the evaluation or the criteria that will be used for its selection and the modalities for ensuring the publicity of the evaluation.

(252)

The Commission notes that the scope of the evaluation is defined in an appropriate way. It comprises a list of evaluation questions with matched result indicators. Data sources are individually defined for each question. Moreover, the evaluation plan sets out and explains the main methods that will be used in order to identify the impacts of the scheme, and discusses why these methods are likely to be appropriate for the scheme in question.

(253)

The Commission acknowledges the commitments made by Germany (see recital (119) above) that the evaluation will be conducted according to the notified evaluation plan by an independent evaluation body. The procedures envisaged for selecting such evaluation body are appropriate in terms of independence and skills. Moreover, the proposed modalities for the publication of the evaluation results are adequate to ensure transparency.

(254)

The Commission notes the commitment made by Germany to submit the final evaluation report at the latest in 2021 (see recital (118) above).

3.3.8.   Reduced CHP-surcharges

(255)

Taking into account the conclusion that the capped CHP-surcharge constitutes State aid, the Commission assessed the possible compatibility of such a measure with State aid rules.

(256)

The capped surcharge relieves Category B and Category C consumers (see recital (75) above) from a part of the CHP-surcharge that they would normally have had to bear in their day-to-day operations as part of their electricity costs; it thus reduces operating costs for the companies concerned.

(257)

Article 107(1) TFEU provides for the general principle of prohibition of State aid within the Union. Article 107(2) and 107(3) TFEU provide for exemptions to the general incompatibility set out in Article 107(1).

(258)

According to settled case-law, it is for the Member State to put forward any grounds of compatibility and to demonstrate that the conditions thereof are met (49).

(259)

The aid measure under assessment does not fall within the scope of the EEAG. Those Guidelines contain provisions on aid in the form of reductions in the funding of support for energy from renewable sources but do not contain provisions on aid in the form of reductions in the funding of support for other energy policy objectives. In particular, they do not apply to aid in the form of reductions in the funding of support for cogeneration.

(260)

No other Guidelines are applicable to the notified measure. However, the Commission may declare an aid measure compatible directly under Article 107(3)(c) TFEU if it is necessary and proportionate and if the positive effects for the common objective outweigh the negative effects on competition and trade.

(261)

The above conditions can be considered as fulfilled if the following questions can be positively replied:

a)

Is the aid measure aimed at a well-defined objective of common interest (50)?

b)

Is it targeted towards a situation where aid can bring about a material improvement that the market alone cannot deliver (for example because it addresses a market failure)?

c)

Is the aid well designed to deliver the objective of common interest (necessity of the aid) (51)? In particular:

i.

Is the aid measure an appropriate and necessary instrument, i.e. are there other, better-placed instruments?

ii.

Is there an incentive effect, i.e. does the aid change the behaviour of firms?

iii.

Is the aid measure proportional, i.e. could the same change in behaviour be obtained with less aid?

d)

Are the distortions of competition and the effect on trade limited, so that the overall balance is positive?

3.3.8.1.   Objective of Common Interest

(262)

The Commission has examined whether the reductions from the CHP-surcharge aim at a well-defined objective of common interest.

(263)

Germany has submitted that the reductions aimed at preserving the competitiveness of German companies subject to CHP-surcharge and that this ultimately helped increasing the acceptance for the support measures financed from the CHP-surcharge, i.e. support to highly efficient cogeneration, highly efficient district heating infrastructure and heating/cooling storage.

(264)

While reductions from surcharges dedicated to support aid measures do not directly contribute to the objective pursued by the support measures (here energy efficiency), the Commission has however recognized that in certain cases reductions can indirectly contribute to the objective of the support measures because they help securing a sufficient financing base for the support measures themselves. This is for instance the case for reductions in the funding of support for energy from renewable sources (see section 3.7.2 of the EEAG and in particular point 182 of the EEAG).

(265)

With regard to the support of highly efficient CHP, the Union has not established mandatory targets per Member State for the production of highly efficient CHP electricity, and the funding needs for supporting CHP installations are generally lower than funding needs for the support to renewable energy, which makes it less imperative to finance the support measures from a levy on electricity consumption. However, the Energy Efficiency Directive has set a 20 % headline target on energy efficiency and provided for indicative national efficiency targets to which highly efficient CHP installations can make an important contribution. In addition Member States are under the obligation to assess their potential for the implementation of energy efficiency measures, including CHP installations, district heating and storage facilities and to deploy the identified potential. As a result, financing needs for energy efficiency support measures could also potentially become significant, thereby increasing the need for Member States to be able to finance the measures from energy consumption levies.

(266)

To avoid that electricity consumers particularly affected by the financing costs of the promotion of highly efficient CHP and of the other energy efficiency measures financed from the CHP-surcharge can be put at a significant competitive disadvantage, Member States may wish to grant partial reductions. In fact, bankruptcy or delocalisation of too many undertakings might erode the financing basis: instead of paying a reduced surcharge, the relevant companies would not contribute at all to the financing implying an even higher financial effort from other consumers to finance the support of CHP, again reducing acceptability of the surcharge and hence of the support of CHP as such.

(267)

The CHP-surcharge does not in itself have an environmental objective (it does not aim at changing the behaviour of the surcharge payers itself) but is dedicated to the funding of the support measures examined under sections 3.3.1, 3.3.2, 3.3.4 and 3.3.5 above. It therefore indirectly contributes to the achievement of the objectives pursued by those support measures, which the Commission found to correspond to objectives of common interest. If reductions are needed to secure the financing of those support measures, they would also indirectly contribute to the objectives pursued by the support measures examined under sections 3.3.1, 3.3.2, 3.3.4 and 3.3.5 above.

(268)

Based on those elements, the Commission considers that it could be argued that the reduced CHP-surcharges contribute to a common objective.

(269)

However if such reductions are too high or awarded to too many sectors or electricity consumers, the overall funding of CHP-support might be threatened as well and the public acceptance for CHP, district heating and heat storage support may be equally hampered. At the same time, distortions of competition and trade may be particularly significant. In addition, while the CHP-surcharge is not aimed at creating incentives to reduce energy consumption but only at financing energy efficiency measures, it should be avoided that the magnitude of the reductions induce companies to be less energy-efficient, as this would run counter to the objective of the supported energy efficiency measures. For that reason as well, the scope of the reductions should not be too broad and their amount should not be too high.

3.3.8.2.   Need for State intervention, appropriateness of aid and incentive effect

(270)

Under sections 3.3.1, 3.3.2, 3.3.4 and 3.3.5 above, the Commission has concluded that the promotion of highly efficient cogeneration installations, energy-efficient district heating networks and heating/cooling storage installations would not be delivered by the market alone and that the aid measures (and their financing) are needed to incentivise the investments into and/or operation of those installations and facilities.

(271)

The aid measures examined under sections 3.3.1, 3.3.2, 3.3.4 and 3.3.5 above are all directed at reducing energy consumption and the carbon footprint of energy production and consumption. While the CHP-surcharge is not the only conceivable financing mean, it can be argued that it is appropriate to finance aid measures for the production of cogenerated electricity, district heating networks and heat storage facilities on the basis of a levy on electricity consumption, because of the close link between the aided measures and energy consumption. Also, a consumption levy provides a relatively stable financing stream and does not impair budgetary discipline. Those are the reasons why this financing system is often used to finance support for the production of renewable electricity. As already mentioned in recital (265) above, financing needs for energy efficiency support measures could become significant, thereby increasing the need for Member States to be able to finance the measures from energy consumption levies.

(272)

The Commission considers therefore that a reduced CHP-surcharge could be deemed necessary to reach the objectives of energy efficiency and environmental protection pursued by the measures examined under sections 3.3.1, 3.3.2, 3.3.4 and 3.3.5 if in the absence of reductions the CHP-surcharge financing those measures (and hence the measures themselves) would be put at risk.

(273)

This could be the case if the payment of the full CHP-surcharge would imply the delocalisation or bankruptcy of too many undertakings or sectors. This would on its turn significantly reduce the acceptability of the CHP-surcharge as well as the number of surcharge payers and would risk jeopardizing the aid measures as such.

(274)

The Commission has set out criteria under section 3.7.2 of the EEAG according to which such risk can be considered as demonstrated in the case of reduced renewable surcharges. In particular, points 185 to 187 of the EEAG establish the criteria on the basis of which sectors exposed to the risks described above can be identified. The Commission considers it appropriate to use those criteria as guidance in the present assessment.

(275)

The German authorities have explained that the reduced CHP-surcharges were needed to ensure the competitiveness of the companies (energy users) concerned and that ultimately they would be needed to secure the financing for the support measures.

(276)

However, Germany has not provided sufficient information to show that the reduced CHP-surcharges are needed for all types of undertakings or sectors included within categories C and B consumers to secure the financing of aid measures laid down in KWKG 2016. In particular, it has not demonstrated that the full CHP-surcharge would put the various sectors or beneficiaries benefitting from the reductions at risk of bankruptcy or delocalisation.

(277)

No information was provided for beneficiaries of Category B (in particular, no information was provided on the sectors concerned, on the impact of the CHP-surcharge on GVA and on the market position of companies, on price elasticity, on exposure to international trade, etc.).

(278)

For beneficiaries of Category C, no conclusive data could be provided either. Germany merely indicated that it assumed that a large part of the beneficiaries in Category C would be the same as companies eligible also for reductions from the EEG-surcharge. Assuming that the beneficiaries would be companies eligible for EEG-surcharge reductions, Germany simulated that a full CHP-surcharge could represent up to between 1 and 9 % of the GVA for a significant number of companies.

(279)

The Commission has accepted that some sectors with high electro-intensity and high exposure to international trade were very likely to be significantly affected by the full EEG-surcharge and that this threat to their competitiveness and viability would be sufficiently material to jeopardize support for renewable energies (52). Assuming that beneficiaries would correspond to companies eligible for support under the EEG, the full CHP-surcharge would seem to represent for a significant number of those companies between 1 % and 9 % of GVA. This would constitute indeed a sizable burden.

(280)

However, Germany did not provide information allowing the Commission to verify which share of the beneficiaries would indeed correspond to undertakings eligible for reduced EEG-surcharges or for reductions under Section 3.7.2 of the EEAG. As Category B does not contain any criteria of electro-intensity and exposure to trade, and as Category C does not contain any requirement linked to trade exposure, there is no guarantee that beneficiaries would all or in most cases qualify as electro-intensive within the meaning of section 3.7.2 of the EEAG. The reductions granted by Germany thus seem to go beyond what the Commission had accepted in the EEG 2014 decision as constituting a significant risk that justifies reductions from EEG-surcharge, on the basis of Section 3.7.2 of the EEAG.

(281)

The Commission therefore has at this juncture doubts as to the need, appropriateness and incentive effect of the scope of beneficiaries of the reduced CHP-surcharge granted under the KWKG to secure the financing of the CHP-support.

3.3.8.3.   Proportionality

(282)

Even under the assumption that reductions were demonstrated to be necessary and appropriate for all beneficiaries, they cannot correspond to full exemptions or be so significant as to jeopardize the purpose of the support measure because they result in too heavy a burden on the other energy consumers. Also, too significant reductions increase the distortion of competition resulting from them. This is why under the EEAG, as far as reductions in the funding of support for energy from renewable sources are concerned, undertakings eligible for reductions should pay a minimum contribution corresponding in principle to 15 % of the normal levy (see point 188 of the EEAG), with additional reductions possible when the levy represents more than a certain share of the GVA of the company (point 189 of the EEAG).

(283)

Germany has not shown that the caps of 0.04 and 0.03 € cent/kWh were limited to the necessary minimum.

(284)

The Commission first notes that the minimum contribution paid by the beneficiaries did not always represent 15 % of the normal surcharge. In particular, for Category C companies in 2016, the minimum contribution was limited to 7 % of the normal CHP-surcharge.

(285)

Germany did not show that less significant reductions would not have been acceptable. It has insisted on the cumulation effect with the EEG but did not provide concrete information related to the beneficiaries of the reductions that would show the ratio between the reduced CHP-surcharge and the GVA and compared it with slightly higher CHP-surcharges (for instance 15 %) or with the applicable EEG-surcharge.

(286)

The reductions granted by Germany thus go beyond what the Commission had accepted as proportionate under the EEAG for renewable surcharges. At this juncture, in the absence of any additional information, the Commission therefore has doubts as to the proportionality of the CHP-surcharge reductions.

3.3.8.4.   Distortion of competition

(287)

Germany has not submitted any element that would enable the Commission to assess the overall balance of the potential distortion of competition and trade between Member States. Moreover, as the necessity, appropriateness, incentive effect and the proportionality of the aid have not yet been demonstrated, the Commission doubts at this stage that the aid measure ensures that the distortion of competition resulting from the relief of companies from part of their operating costs are limited and that the overall balance of the measure would be positive.

3.3.8.5.   Commission decision of 2002

(288)

The reduced CHP-surcharges were introduced in 2002, in the 2002 Law for the Safeguarding, modernisation and the deployment of combined heat and power. Germany has in this respect mentioned that in 2002 the Commission found that the then applicable CHP law did not contain State aid (53). The decision, however, was based on the 2000 Law for the protection of electricity generation on the basis of combined heat and power (‘Gesetz zum Schutz der Stromerzeugung aus Kraft-Wärme-Kopplung’), which entered into force on 18 May 2000. It was then replaced in 2002 by the ‘Gesetz für die Erhaltung, die Modernisierung und den Ausbau der Kraft-Wärme-Kopplung’ of 19 March 2002 that entered into force on 1 April 2002. However, if relevant, the Commission will examine to what extent the conclusions made by the Commission on the basis of the 2000 law could create legitimate expectations.

3.3.9.   Conclusions

(289)

Based on the reasons set out in sections 3.3.1, 3.3.3, 3.3.6 and 3.3.7, the Commission concludes that the support to new, modernised and retrofitted highly efficient CHP installations is in line with the EEAG, in particular section 3.4 thereof and is therefore compatible with Article 107(3)(c) of the TFUE.

(290)

Based on the reasons set out in sections 3.3.4, 3.3.6 and 3.3.7, the Commission concludes that the support to energy-efficient district heating and/or cooling networks is in line with the EEAG, in particular section 3.4 thereof and is therefore compatible with Article 107(3)(c) of the TFUE.

(291)

Based on the reasons set out in sections 3.3.5, 3.3.6 and 3.3.7, the Commission concludes that the support to heat/cooling storage facilities is in line with the EEAG, in particular section 3.4 thereof and is therefore compatible with Article 107(3)(c) of the TFUE.

(292)

Based on the reasons set out in sections 3.3.2, 3.3.3 and 3.3.7, the Commission concludes that the support to existing highly efficient gas-fired CHP installations in the district heating sector is compatible with Article 107(3)(c) of the TFUE.

(293)

At this stage, based on the information submitted and the reasons set out in section 3.3.8, the Commission does not have sufficient elements to conclude whether the conditions for the compatibility of the reduced CHP-levies with the internal market in accordance with Article 107(3)(c) TFEU are met, in particular whether the aid is necessary. Furthermore, the Commission has also doubts that the notified measure is proportionate and does not unduly distort competition.

(294)

The Commission has therefore, at this stage, doubts as to the compatibility with the internal market and, in accordance with Article 4(4) of Council Regulation (EU) No 2015/1589 (54), it has decided to open the formal investigation procedure, thereby inviting Germany to submit its comments as well as the requested information. The formal investigation procedure will also give the opportunity to third parties whose interests may be affected by the granting of the aid to comment on the measure.

(295)

In light of both the information notified by the Member State concerned and that provided by any third parties, the Commission will re-assess the measure and will take its final decision on the reduced CHP levies.

4.   AUTHENTIC LANGUAGE

(296)

As mentioned under section 1 above, Germany has accepted to have the decision adopted and notified in English. The authentic language will therefore be English.

5.   DECISION

The Commission has accordingly decided not to raise objections to the following aid measures on the grounds that they are compatible with the internal market pursuant to Article 107(3)(c) of the Treaty on the Functioning of the European Union:

the support to new, modernised and retrofitted highly efficient CHP installations;

the support to energy-efficient district heating/cooling networks;

the support to heat/cooling storage facilities; and

the support to existing highly efficient gas-fired CHP installations in the district heating sector.

The Commission reminds the German authorities that, in accordance with article 108 (3) TFEU, any plans to refinance, alter or change this aid have to be notified to the Commission pursuant to provisions of the Commission Regulation (EC) No 794/2004 implementing Council Regulation (EC) No 659/1999 laying down detailed rules for the application of Article 93 of the EC Treaty (now Article 108 TFEU) (55).

The Commission further reminds Germany that individual aid granted on the basis of the scheme remains subject to the notification obligation pursuant to Article 108(3) of the Treaty if the aid exceeds the notification thresholds set in point 20 of the EEAG and is not granted on the basis of a competitive bidding process.

The Commission also reminds the German authorities that the evaluation report must be submitted by December 2021 at the latest.

In addition, in the light of the considerations set out under sections 3.3.8 and 0 above, the Commission, acting under the procedure laid down in Article 108(2) of the Treaty on the Functioning of the European Union, requests Germany to submit its comments and to provide all such information as may help to assess the reduced CHP-surcharge, within one month of the date of receipt of this letter. It requests your authorities to forward a copy of this letter to the potential recipient of the aid immediately.

The Commission wishes to remind Germany that Article 108(3) of the Treaty on the Functioning of the European Union has suspensory effect, and would draw your attention to Article 16 of Council Regulation (EU) No 2015/1589, which provides that all unlawful and incompatible aid must be recovered from the recipients.

The Commission warns Germany that it will inform interested parties by publishing this letter and a meaningful summary of it in the Official Journal of the European Union. It will also inform interested parties in the EFTA countries which are signatories to the EEA Agreement, by publication of a notice in the EEA Supplement to the Official Journal of the European Union and will inform the EFTA Surveillance Authority by sending a copy of this letter. All such interested parties will be invited to submit their comments within one month of the date of such publication.


(1)  Zadeva C-262/12, Vent De Colère in drugi, ECLI:EU:C:2013:851.

(2)  UL C 200, 28.6.2014, str. 1.

(3)  Council Regulation No 1 of 15 April 1958 determining the languages to be used by the European Economic Community (OJ 017, 6.10.1958, p. 385).

(4)  Case SA.33995 (2013/C) (ex 2013/NN) on the aid scheme implemented by Germany for the support of renewable electricity and of energy-intensive users.

(5)  Case SA.38632 (2014/N) — Germany — EEG 2014 — Reform of the Renewable Energy Law.

(6)  Case T-47/15 Germany v Commission (EEG 2012) ECLI:EU:T:2016:281.

(7)  Germany has indicated that electricity production from the supported CHP installations can on average over a year help Germany save 900 g CO2 per kWh of cogenerated electricity.

(8)  In 2013 96 TWh represented 16.2 % of net electricity generation. Of this, around 50 TWh was generated by cogeneration installations providing district heating. The second largest amount of power (about 30 TWh) is attributable to industrial CHP plants. Around 12 TWh are attributable to bio-energy cogeneration plants. Around 5 TWh are attributable to small CHP plants (i.e. plants with not more than 1 MW of installed capacity).

(9)  Potenzial- und Kosten-Nutzen-Analyse zu den Einsatzmöglichkeiten von Kraft-Wärme-Kopplung (Umsetzung der EU-Energieeffizienzrichtlinie) sowie Evaluierung des KWKG im Jahr 2014, Endbericht zum Projekt I C 4 — 42/13, Prognos AG/Fraunhofer IFAM/IREES/BHKW-Consult, 01.10.2014, available under: https://ec.europa.eu/energy/sites/ener/files/documents/151221%20Mitteilung%20an%20KOM%20EED%20KWK%20Anlage%20Analyse.pdf.

(10)  Directive 2012/27/EU of the European Parliament and the Council of 25 October 2012 on energy efficiency, amending Directives 2009/125/EC and 2010/30/EU and repealing Directives 2004/8/EC and 2006/32/EC, OJ L 315, 14.11.2012, p. 1.

(11)  See figure 11 of: https://ec.europa.eu/energy/sites/ener/files/documents/quarterly_report_on_european_electricity_markets_q4_2015-q1_2016.pdf.

(12)  See in particular Figure 53 of the cost-benefit analysis referred to under Footnote 7 above showing that for all gas-fired CHP installations examined active in the district heating sector, operating costs (after depreciation) could not be covered with market revenues.

(13)  Directive 2012/27/EU of the European Parliament and of the Council of 25 October 2012 on energy efficiency, amending Directives 2009/125/EC and 2010/30/EU and repealing Directives 2004/8/EC and 2006/32/EC (OJ L 315, 14.11.2012, p. 1).

(14)  According to section 4, paragraph 3 of the StromNZV, every feed-in point and every exit-point has to be part of a balancing group. Network users have to name a balancing responsible party for every balancing group. The balancing responsible party is responsible for the balance of feed-ins and draw-offs of electrical energy in every quarter of an hour in a balancing group and assumes the economic responsibility for deviations (section 4, paragraph 2, StromNZV).

(15)  Directive 2003/87/EC of the European Parliament and of the Council of 13 October 2003 establishing a scheme for greenhouse gas emission allowance trading within the Community and amending Council Directive 96/61/EC, OJ L 275, 25.10.2003, p. 32.

(16)  OJ C 200, 28.6.2014, p. 1.

(*1)  Business secret

(17)  Annex 1 to the EEAG provide for the following aid intensities in the case of cogeneration installations: 65 % for small enterprises, 55 % for medium-sized enterprises, 45 % for large enterprises with a possible bonus of 5 % points in regions covered by Article 107(3)(c) TFEU and a bonus of 15 % points in regions covered by Article 107(3)(a) TFEU. If the aid is allocated through a competitive bidding process, the aid intensity allowed is 100 %.

(18)  Electricity produced from CHP installations used in the district heating sector is generally entirely injected into the public grid but electricity produced in CHP installations run by households, service providers and the industry is generally partially used for auto-consumption and partially injected into the grid.

(19)  In case of decentralised production connected to the distribution network, transmission costs and transformation network costs are avoided when the decentralised production is consumed directly within the network to which the decentralised production unit is connected. In those situation, the decentralised producer obtains a compensation (§ 18 of the Ordinance on electricity network fees).

(20)  In the case of short reference periods (up to five years), the rate roughly corresponds to 1 divided by the payback period.

(21)  The participants to the survey have been asked which payback period they apply to investments into energy efficiency measures. They had the choice between the following categories: 0-2 years; 2-5 years, 5-10 years, 10 years, ‘don't know’.

(22)  Study delivered by ICF Consulting Limited, December 2015, in the framework of Contract No. ENER/C3/2012-439/S12.666002, p. 6.

(23)  The normal lead time goes from around 2 years for installations between 1 to 10 MW to 6 years for installations of more than 50 MW. Normally project conception takes 0.5 to 1 year, project planning can take up to 0.5 for smaller installations and 1 year for larger installations, ordering of the installation can take up to 0.5 for smaller installations and 1 year for larger installations, construction can take up to 0.5 for smaller installations and 2 years for larger installations, and starting of operations can take up to 0.5 for smaller installations and 1 year for larger installations.

(24)  See https://www.netztransparenz.de/de/file/KWKG-Aufschlaege_2016_V01.pdf.

(25)  Forecasts available under: https://www.netztransparenz.de/de/file/KWKG Prognose 2016 nach KWKG 2016 Internet.pdf.

(26)  See above in footnote 7.

(27)  See p. 161 of cost benefit analysis referred to in Footnote 7.

(28)  Commission Staff Working Document on Common methodology for State aid evaluation, Brussels, 28.5.2014, SWD(2014) 179 final.

(29)  Currently http://www.bmwi.de/.

(30)  Case T-251/11 Austria v Commission ECLI:EU:T:2014:1060, paragraph 112, Case T-47/15 Germany v Commission (EEG 2012) ECLI:EU:T:2016:281, paragraph 55.

(31)  To this effect, see case C-78/76 March 1977 Steinike & Weinlig EU:C:1977:52, paragraph 21, joined cases C-72/91 and C-73/91 Sloman Neptun EU:C:1993:97, paragraph 19, and the case-law cited in the EEG 2014 Decision, paragraph 81.

(32)  See case C-482/99 France v Commission EU:C:2002:294, paragraph 37, and the case-law cited, in the EEG 2012 Decision, paragraph 83.

(33)  Case C-262/12 Vent De Colère and Others ECLI:EU:C:2013:851.

(34)  Case C-379/98 — PreussenElektra ECLI:EU:C:2001:160.

(35)  Case C-206/06 Essent Netwerk Noord and Others ECLI:EU:C:2008:413.

(36)  Case T-47/15 Germany v Commission (EEG 2012) ECLI:EU:T:2016:281

(37)  See also Case T-47/15 Germany v Commission (EEG 2012) ECLI:EU:T:2016:281, paragraph 112, and Case T-251/11 Austria v Commission ECLI:EU:T:2014:1060, paragraph 76.

(38)  Directive 2012/27/EU of the European Parliament and the Council of 25 October 2012 on energy efficiency, amending Directives 2009/125/EC and 2010/30/EU and repealing Directives 2004/8/EC and 2006/32/EC, OJ L 315, 14.11.2012, p. 1.

(39)  Directive 2008/98/EC of the European Parliament and of the Council of 19 November 2008 on waste and repealing certain Directives, OJ L 312, 22.11.2008, p. 3.

(40)  See for instance Commission decision of 15 June 2009 in case N354/2009 — Slovenia — Support for production of electricity from renewableenergy sources and in co-generation installations: the rate of return used was 12 %, the aid was granted as feed-in tariff or floating premium; Commission decision of 14 July 2015 in case SA.35486 — Denmark — Aid for electricity generation in industrial combined heat and power plants: the rate of return used was 10 % and the aid was in the form of a premium adapted on the basis of electricity price evolution.

(41)  See the examples referred to under Footnote 38; see also Commission decision of 9 August 2016 in case SA.43719 — France — CHP-support scheme: the rate of return was between 7 and 8 % and the aid had the form of feed-in tariffs or floating premiums.

(42)  See cases referred to under Footnotes 38 and 39.

(43)  Case T-162/06 Kronoply v Commission ECLI:EU:T:2009:2, especially paragraphs 65, 66, 74 and 75.

(44)  Case T-187/99 Agrana Zucker und Stärke v Commission ECLI:EU:T:2001:149, paragraph 74; Case T-126/99 Graphischer Maschinenbau v Commission ECLI:EU:T:2002:116, paragraphs 41-43; Case C-390/06 Nuova Agricast ECLI:EU:C:2008:224, paragraphs 68-69.

(45)  Joined Cases C-128/03 and C-129/03 AEM, EU:C:2005:224, paragraphs 44 to 47; Case C-206/06 Essent, EU:C:2008:413, paragraph 42.

(46)  Case 47/69 France v Commission, EU:C:1970:60, paragraph 20. See also Case SA.38632 (2014/N) Germany — EEG 2014 — Reform of the Renewable Energy Law.

(47)  This percentage has been established as a function of the total capacity of interconnectors connecting Germany to other Member States and EEA countries divided by the total electricity consumption in Germany and multiplied by the yearly new installed renewable capacity (expressed in production volumes). The Commission has considered that this was in line with Articles 30/110 TFEU given that the cumulated capacity of interconnectors in turn determines how much electricity can be imported (see Commission decision of 23 July 2014 in file SA.38632 (2014/N) — Germany — EEG 2014 — Reform of the Renewable Energy Law, recital 335).

(48)  Commission Regulation (EU) No 615/2014 of 17 June 2014 declaring certain categories of aid compatible with the internal market in application of Articles 107 and 108 of the Treaty, OJ L 187 of 26.6.2014, p. 1.

(49)  Case C-364/90 Italy v Commission ECLI:EU:C:1993:157, paragraph 20; Joined Cases T-132/96 and T-143/96 Freistaat Sachsen and Others v Commission ECLI:EU:T:1999:326, paragraph 140.

(50)  Case T-162/06 Kronoply v Commission ECLI:EU:T:2009:2,especially paragraphs 65, 66, 74 and 75.

(51)  Case T-187/99 Agrana Zucker und Stärke v Commission ECLI:EU:T:2001:149, paragraph 74; Case T-126/99 Graphischer Maschinenbau v Commission ECLI:EU:T:2002:116, paragraphs 41-43; Case C-390/06 Nuova Agricast ECLI:EU:C:2008:224, paragraphs 68-69.

(52)  See Decision of 24 July 2014 SA.38632 (EEG 2014 decision).

(53)  Commission decision of 22 May 2002 in case NN 68/2000 — Germany — Law for the protection of electricity generation on the basis of combined heat and power

(54)  Council Regulation (EU) 2015/1589 of 13 July 2015 laying down detailed rules for the application of Article 108 of the Treaty on the Functioning of the European Union, OJ L 248, 24.9.2015, p. 9.

(55)  OJ L 140, 30.4.2004, p. 1.


4.11.2016   

SL

Uradni list Evropske unije

C 406/76


DRŽAVNE POMOČI – POLJSKA

Državna pomoč SA.44351 (2016/C) (ex 2016/NN) – poljski davek za maloprodajni sektor

Poziv k predložitvi pripomb na podlagi člena 108(2) Pogodbe o delovanju Evropske unije

(Besedilo velja za EGP)

(2016/C 406/04)

Z dopisom v verodostojnem jeziku z dne 19. septembra 2016 na straneh, ki sledijo temu povzetku, je Komisija uradno obvestila Poljsko o svoji odločitvi, da začne postopek na podlagi člena 108(2) Pogodbe o delovanju Evropske unije v zvezi z zgoraj navedeno pomočjo/ukrepom.

Zainteresirane strani lahko v enem mesecu od dneva objave tega povzetka in dopisa, ki mu sledi, predložijo svoje pripombe na naslov:

European Commission

Directorate-General for Competition

State Aid Greffe

B-1049 Bruxelles/Brussel

Telefaks: + 32 22961242

Stateaidgreffe@ec.europa.eu

Te pripombe se pošljejo Poljski. Zainteresirana stran, ki predloži pripombe, lahko pisno zaprosi za zaupno obravnavo svoje identitete in navede razloge za to.

OPIS UKREPA, V ZVEZI S KATERIM KOMISIJA ZAČENJA POSTOPEK

Poljski parlament je 6. julija 2016 sprejel zakon o davku na maloprodajo (USTAWA z dnia 6 lipca 2016 r. o podatku od sprzedaży detalicznej (1), v nadaljnjem besedilu: zakon), ki je začel veljati 1. septembra 2016.

Ukrep je nov davek za maloprodajni sektor na Poljskem. Glavni namen davka je povečati prihodke državnega proračuna od davkov. Davek plačujejo podjetja, ki delujejo na Poljskem in se ukvarjajo z maloprodajo vseh vrst blaga. Osnova za odmero davka je mesečni promet, ki ga podjetje ustvari z maloprodajo.

Struktura davka je progresivna s tremi različnimi razredi in stopnjami:

0 % za mesečni promet podjetja od maloprodaje, ki je nižji od 17 milijonov PLN (približno 3,84 milijona EUR),

0,8 % za mesečni promet podjetja od maloprodaje od 17 milijonov PLN do 170 milijonov PLN in

1,4 % za mesečni promet podjetja od maloprodaje, ki je višji od 170 milijonov PLN.

Davek se plačuje mesečno do 25. dneva v mesecu, ki sledi mesecu, na katerega se davek nanaša.

OCENA UKREPA

Čeprav davek na podlagi prometa sam po sebi ne sproža pomislekov glede državne pomoči, Komisija na tej stopnji meni, da progresivne davčne stopnje pomenijo državno pomoč.

Komisija meni, da progresivne davčne stopnje razlikujejo med podjetji, ki se ukvarjajo z maloprodajo, in sicer na podlagi prometa in velikosti podjetja, čeprav so vsa v primerljivem pravnem in dejanskem položaju z vidika cilja davka, ter dajejo selektivno prednost podjetjem z nižjim prometom. Podjetja z nizkim prometom so obdavčena po bistveno nižji povprečni stopnji kot podjetja z visokim prometom, kar znižuje stroške podjetij z nizkim prometom v primerjavi s podjetji z visokim prometom.

Progresivni davki na podlagi prometa so lahko upravičeni, če posebni cilj davka zahteva progresivne stopnje. Vendar pa Poljska ni dokazala, da je progresivnost davčnih stopenj upravičena zaradi namena in razloga davka, ki je zbiranje sredstev za splošni proračun.

Komisija zato na tej stopnji meni, da progresivne davčne stopnje pomenijo državno pomoč, saj se zdi, da so vsa druga merila za tako ugotovitev izpolnjena.

Na podlagi predhodne ocene se ukrepi ne zdijo niti upravičeni glede na naravo ali splošno zasnovo sistema niti skladni z notranjim trgom.

Glede na to, da je davek na maloprodajo s progresivnimi stopnjami začel nedavno veljati in se uporablja na dan sklepa, Komisija meni, da je treba izdati odredbo o začasnem odlogu v skladu s členom 13(1) Uredbe Sveta (EU) 2015/1589 (2).

Odredba o začasnem odlogu je začasni ukrep, ki ga lahko sprejme Komisija in v katerem od države članice zahteva, da začasno odloži vso nezakonito pomoč, dokler Komisija ne sprejme končnega sklepa.

BESEDILO DOPISA

1.   PROCEDURA

(1)

Z informacji prasowych opublikowanych w lutym 2016 r. Komisja dowiedziała się, że Polska rozważa przyjęcie ustawy wprowadzającej podatek obrotowy od sprzedaży detalicznej obejmujący progresywne stawki podatku.

(2)

W dniach 11 lutego i 30 maja 2016 r. służby Komisji wystosowały do władz polskich dwa pisma, w których zwróciły się o więcej informacji na temat planowanej ustawy i wezwały władze polskie do skonsultowania się ze służbami Komisji przed jej przyjęciem. Służby Komisji podkreśliły podobieństwa między planowaną ustawą a węgierską opłatą z tytułu kontroli łańcucha żywnościowego i zwróciły uwagę władz polskich na przeprowadzoną przez Komisję wstępną ocenę pomocy państwa w związku z tą opłatą (3). Służby Komisji powiadomiły też Polskę, że w przypadku wprowadzenia środka stanowiącego pomoc państwa bez uprzedniej zgody Komisji Komisja może być zmuszona do wydania nakazu zawieszenia.

(3)

Władze polskie udzieliły odpowiedzi na pisma Komisji odpowiednio w dniach 2 marca i 27 czerwca 2016 r. W piśmie z dnia 2 marca 2016 r. władze polskie zobowiązały się, że przekażą Komisji projekt ustawy, kiedy będzie on gotowy. W piśmie z dnia 27 czerwca 2016 r. władze polskie powiadomiły Komisję, że projekt ustawy został już złożony w Sejmie i wkrótce zostanie przyjęty. Przekazały też służbom Komisji tekst projektu ustawy.

(4)

W dniu 6 lipca 2016 r. Sejm RP przyjął ustawę o podatku od sprzedaży detalicznej (4) (zwaną dalej „ustawą”). Ustawa weszła w życie w dniu 1 września 2016 r.

(5)

Pismem z dnia 8 lipca 2016 r. Komisja poinformowała Polskę o wstępnej opinii w sprawie ustawy i zwróciła się do polskich władz o wyrażenie opinii na temat ewentualnego wydania przez Komisję nakazu zawieszenia. Odpowiedź władz polskich otrzymano w dniu 22 lipca.

(6)

W dniu 4 sierpnia 2016 r. Komisja otrzymała skargę dotyczącą pomocy państwa w sprawie tego samego środka.

2.   OPIS ŚRODKA

(7)

Ustawa wprowadza nowy podatek dla sektora detalicznego w Polsce (zwany dalej „podatkiem od sprzedaży detalicznej”). Deklarowanym celem podatku od sprzedaży detalicznej jest zwiększenie dochodów podatkowych budżetu państwa. Zdaniem Polski dodatkowe środki pochodzące z podatku od sprzedaży detalicznej są niezbędne do sfinansowania programu świadczeń wychowawczych „Rodzina 500+”. Podatkiem objęte są wszystkie przedsiębiorstwa prowadzące w Polsce działalność w zakresie sprzedaży detalicznej dowolnych towarów. Podstawę opodatkowania stosowaną przy pobieraniu podatku od sprzedaży detalicznej stanowi miesięczny przychód przedsiębiorstwa ze sprzedaży detalicznej.

(8)

Ustawa określa progresywny charakter podatku od sprzedaży detalicznej i obejmuje trzy różne progi podatkowe i stawki podatku:

w przypadku miesięcznego przychodu przedsiębiorstwa ze sprzedaży detalicznej wynoszącego poniżej 17 mln PLN (ok. 3,84 mln EUR) stosowany jest podatek 0 %;

w przypadku miesięcznego przychodu przedsiębiorstwa ze sprzedaży detalicznej wynoszącego od 17 mln PLN do 170 mln PLN stosowany jest podatek 0,8 %;

w przypadku miesięcznego przychodu przedsiębiorstwa ze sprzedaży detalicznej przekraczającego 170 mln PLN stosowany jest podatek 1,4 %.

Podatnicy są zobowiązani wpłacać podatek od sprzedaży detalicznej w miesięcznych okresach rozliczeniowych w terminie do dwudziestego piątego dnia miesiąca następującego po miesiącu, w którym powstał obowiązek podatkowy.

3.   STANOWISKO STRONY POLSKIEJ

(9)

Polskie władze twierdzą, że ponieważ podatek od sprzedaży detalicznej stanowi podatek bezpośredni z tytułu odpłatnego zbycia towarów konsumentom, wchodzi on w zakres polskiej autonomii fiskalnej, Polska ma więc swobodę w zakresie decydowania o jego kształcie, tak aby zapewnić jak najskuteczniejsze osiągnięcie zakładanych celów środka. Strona polska twierdzi, że podatek zostanie wprowadzony w sposób, który zapewni, aby był prosty do zastosowania i oparty na obiektywnym kryterium – czyli na wielkości obrotów przedsiębiorstwa. Strona polska uważa ponadto, że podatek od sprzedaży detalicznej nie prowadzi do dyskryminacji ze względu na branżę, formę prawną, sposób organizacji działalności, zyskowność i pochodzenie kapitału.

(10)

Władze polskie są też zdania, że sprawy węgierskie przywołane w pismach Komisji (zob. pkt (2) powyżej) nie są właściwym punktem odniesienia w przedmiotowej sprawie, ponieważ podatek od sprzedaży detalicznej charakteryzuje się mniejszą progresywnością stawki podatkowej niż opłaty badane w związku ze sprawami węgierskimi (które zakładają od 4 do 8 stawek o ogromnym zróżnicowaniu (5)), ze względu na strukturę rynku w Polsce nie prowadzi do dyskryminacji między przedsiębiorstwami zagranicznymi i krajowymi, nie zakłada zróżnicowania ze względu na strukturę udziałową/kapitałową, a ponadto ma inny cel (dochód z podatku w Polsce ma trafiać do budżetu państwa i – zdaniem Polski – jest konieczny do pokrycia kosztów programu świadczeń wychowawczych „Rodzina 500+”). Strona polska twierdzi również, że progresywny charakter podatku jest spójny z ogólną logiką krajowego systemu podatkowego.

(11)

Ponadto Polska dokonuje rozróżnienia między szczeblową i globalną progresją podatkową. W przypadku progresji szczeblowej wyższa stawka stosowana jest jedynie do nadwyżki podstawy opodatkowania ponad próg, która wyznacza nową stawkę, podczas gdy w przypadku globalnej progresji podatkowej wyższe stawki stosuje się do całego przychodu. Strona polska twierdzi, że polski system podatkowy charakteryzuje się progresją szczeblową, co dotyczy również badanego środka. Argumentuje, że progresja szczeblowa nie prowadzi do zróżnicowanego opodatkowania podmiotów będących w porównywalnej sytuacji, a zatem przedmiotowy środek nie jest selektywny. Strona polska twierdzi też, że progresja szczeblowa badanego środka ma uzasadnienie wynikające z redystrybucji i większej zdolności płacenia przedsiębiorstw o dużych przychodach. Dodaje, że takie przedsiębiorstwa często stosują strategie optymalizacyjne i korzystają z ekonomii skali (im więcej sprzedają, tym mniejsze są koszty jednostkowe).

(12)

Polskie władze nie zgadzają się z wnioskami przedstawionymi przez Komisję w decyzjach dotyczących węgierskich podatków progresywnych. Ich zdaniem progresywne podatki nie różnicują podatników znajdujących się w porównywalnej sytuacji (nie ma de facto różnicy między stosowaniem progresywnego a liniowego podatku obrotowego, ponieważ żaden z nich nie uwzględnia kosztownego charakteru danej działalności). Dyskryminację wyklucza też konstrukcja podatku, zakładająca kwotę wolną od podatku. Wyższe stawki podatku mają de facto zastosowanie do przedsiębiorstw, które mają większe możliwości rozwoju. Zdaniem władz polskich podatek od sprzedaży detalicznej nie prowadzi więc do różnego traktowania przedsiębiorstw znajdujących się w podobnej sytuacji. W związku z tym podatek od sprzedaży detalicznej nie ma selektywnego charakteru i nie stanowi pomocy państwa.

4.   OCENA

(13)

Niniejsza decyzja dotyczy progresywnej struktury stawek środka i pozostaje bez uszczerbku dla prowadzonego przez Komisję dochodzenia w sprawie zgodności innych elementów środka z zasadami pomocy państwa.

4.1.   Istnienie pomocy państwa w rozumieniu art. 107 ust. 1 Traktatu

(14)

Zgodnie z art. 107 ust. 1 Traktatu, „wszelka pomoc przyznawana przez państwo członkowskie lub przy użyciu zasobów państwowych w jakiejkolwiek formie, która zakłóca lub grozi zakłóceniem konkurencji poprzez sprzyjanie niektórym przedsiębiorstwom lub produkcji niektórych towarów, jest niezgodna z rynkiem wewnętrznym w zakresie, w jakim wpływa na wymianę handlową między państwami członkowskimi”.

(15)

Aby środek został uznany za pomoc w rozumieniu przytoczonego przepisu, musi on spełniać wszystkie następujące warunki: (i) środek można przypisać państwu i musi on być finansowany z zasobów państwowych; (ii) środek musi zapewniać korzyść przedsiębiorstwu; (iii) korzyść ta musi być selektywna; oraz (iv) środek musi zakłócać konkurencję lub grozić zakłóceniem konkurencji i wpływać na wymianę handlową między państwami członkowskimi.

4.1.1.   Zasoby państwowe i możliwość przypisania środka państwu

(16)

Aby środek stanowił pomoc państwa, musi on być zarówno przypisany państwu, jak i finansowany z zasobów państwowych.

(17)

Ponieważ podatek od sprzedaży detalicznej został ustanowiony ustawą przyjętą przez Sejm, ewidentnie można go przypisać państwu polskiemu.

(18)

Jeżeli chodzi o finansowanie środka z zasobów państwowych, to w przypadku gdy w rezultacie zastosowania środka państwo zrzeka się dochodów, które w normalnych okolicznościach musiałoby pobrać od przedsiębiorstwa, warunek ten jest również spełniony (6). W obecnym przypadku Komisja zajmuje wstępnie stanowisko, że przez nałożenie na przedsiębiorstwa w Polsce progresywnego podatku obrotowego od sprzedaży detalicznej Polska zrzeka się zasobów, które byłaby uprawniona pobrać od przedsiębiorstw o niższych przychodach (a więc mniejszych przedsiębiorstw), gdyby zostały one objęte takim samym ogólnym podatkiem od sprzedaży detalicznej, jak przedsiębiorstwa o wyższych przychodach (a więc większe przedsiębiorstwa).

4.1.2.   Korzyść

(19)

Zgodnie z orzecznictwem unijnych sądów pojęcie pomocy obejmuje nie tylko świadczenia pozytywne, ale również różne postacie środków interwencyjnych, które zmniejszają koszty obciążające zwykle budżet przedsiębiorstwa (7). Korzyść może zostać przyznana przez różnego rodzaju obniżki obciążeń podatkowych przedsiębiorstwa, a w szczególności przez obniżenie mającej zastosowanie stawki podatku, podstawy opodatkowania lub kwoty należnego podatku (8). Środek polegający na obniżeniu podatku lub opłaty nie obejmuje wprawdzie przekazania zasobów państwowych, ale powoduje powstanie korzyści, gdyż stawia przedsiębiorstwo, do którego ma zastosowanie, w korzystniejszej sytuacji finansowej niż innych podatników oraz powoduje zmniejszenie dochodów budżetu państwa (9).

(20)

Ustawa określa progresywną skalę podatkową mającą zastosowanie do wszystkich przedsiębiorstw objętych podatkiem od sprzedaży detalicznej w zależności od progu podatkowego, do którego zalicza się przychód danego przedsiębiorstwa. Progresywny charakter podatku skutkuje tym, że średnia stawka podatku pobieranego od przychodu danego przedsiębiorstwa ze sprzedaży detalicznej rośnie, gdy wzrasta przychód przedsiębiorstwa i osiąga kolejny próg podatkowy. W rezultacie oznacza to, że przedsiębiorstwa o niskich przychodach (mniejsze przedsiębiorstwa) nie są objęte podatkiem lub są objęte znacznie niższymi średnimi stawkami podatkowymi niż przedsiębiorstwa o wysokich przychodach (większe przedsiębiorstwa), co obniża koszty, jakie przedsiębiorstwa o niskich przychodach muszą ponosić w porównaniu z przedsiębiorstwami o wysokich przychodach. Dlatego Komisja zajmuje wstępnie stanowisko, że w rozumieniu art. 107 ust. 1 Traktatu ustawa przyznaje korzyść gospodarczą mniejszym przedsiębiorstwom kosztem większych przedsiębiorstw.

4.1.3.   Selektywność

(21)

Środek jest selektywny, jeżeli sprzyja niektórym przedsiębiorstwom lub produkcji niektórych towarów w rozumieniu art. 107 ust. 1 Traktatu. Zgodnie z orzecznictwem Trybunału Sprawiedliwości w przypadku programów fiskalnych selektywność środka zasadniczo należy oceniać, stosując trzyetapową analizę (10). Najpierw należy określić mającą zastosowanie w danym państwie członkowskim powszechny lub normalny system podatkowy – „system odniesienia”. System odniesienia obejmuje spójny zbiór zasad, które zwykle mają zastosowanie – na podstawie obiektywnych kryteriów – do wszystkich przedsiębiorstw wchodzących w jego zakres, jak określono w celu tego systemu. Następnie należy ustalić, czy dany środek obejmuje odstępstwo od tego systemu w zakresie, w jakim wprowadza zróżnicowanie podmiotów gospodarczych, które w świetle zasadniczych celów tego systemu znajdują się w porównywalnej sytuacji faktycznej i prawnej. Jeżeli dany środek nie stanowi odstępstwa od systemu odniesienia, nie jest środkiem selektywnym. Jeżeli jednak stanowi odstępstwo (a tym samym jest selektywny na pierwszy rzut oka), nadal należy ustalić, na trzecim etapie badania, czy środek stanowiący odstępstwo jest uzasadniony charakterem lub ogólną strukturą systemu podatkowego (odniesienia). Jeżeli środek selektywny na pierwszy rzut oka jest uzasadniony charakterem lub ogólną strukturą systemu, nie zostanie uznany za selektywny i w związku z tym nie będzie objęty zakresem art. 107 ust. 1 Traktatu.

a)    System odniesienia

(22)

W niniejszym przypadku Komisja uważa, że systemem odniesienia jest podatek od sprzedaży detalicznej stosowany do przedsiębiorstw działających na terenie Polski w sektorze sprzedaży detalicznej wszystkich rodzajów towarów. Komisja nie uważa jednak, że progresywna skala podatkowa określona w ustawie stanowi część tego systemu odniesienia.

(23)

Zgodnie z orzecznictwem Trybunału Sprawiedliwości (11) analiza selektywności nie może ograniczać się do zbadania, czy dany środek stanowi odstępstwo od zasad systemu odniesienia zdefiniowanych przez dane państwo członkowskie. Należy również ocenić, czy państwo członkowskie określiło granice systemu odniesienia w sposób spójny, czy wręcz przeciwnie – w sposób wyraźnie arbitralny lub stronniczy, tak aby uprzywilejować niektóre przedsiębiorstwa. W przeciwnym wypadku, zamiast ustanawiać obowiązujące ogół przedsiębiorstw przepisy ogólne, od których ustanawia się odstępstwa na rzecz pewnych przedsiębiorstw, państwo członkowskie mogłoby osiągnąć ten sam skutek (i obejść zasady pomocy państwa), dostosowując i łącząc przepisy podatkowe w taki sposób, że ich zastosowanie w praktyce pociągałoby za sobą zróżnicowane obciążenie podatkowe różnych przedsiębiorstw (12). W tym kontekście należy w szczególności przypomnieć, że Trybunał Sprawiedliwości konsekwentnie utrzymuje, że w art. 107 ust. 1 Traktatu nie rozróżnia się środków interwencji państwa pod względem ich przyczyn lub celów, lecz definiuje się je ze względu na ich skutki, niezależnie od stosowanych technik (13).

(24)

Progresywna skala podatku określona w ustawie wydaje się być świadomie zaprojektowana celem uprzywilejowania mniejszych przedsiębiorstw w stosunku do przedsiębiorstw większych, mimo iż są one zaangażowane w taką samą działalność. Ponadto, zgodnie z informacjami dostarczonymi przez skarżącego lub zebranymi przez Komisję ze źródeł publicznych, wydaje się, że największa część przedmiotowego podatku byłaby płacona przez przedsiębiorstwa zagraniczne (14) i że taki podatek byłby nieproporcjonalny do ich udziału w rynku (15). Jednocześnie wiele tysięcy lokalnych sklepów detalicznych będzie całkowicie zwolnionych z podatku, gdyż ich miesięczny przychód z tej działalności wynosi poniżej 17 mln PLN.

(25)

Jak wspomniano w pkt (8) powyżej, przedsiębiorstwa podlegające podatkowi mogą zostać objęte jedną z trzech różnych stawek podatku (0 %, 0,8 % lub 1,4 %) w zależności od wielkości miesięcznych przychodów. W rezultacie, ponieważ w przypadku wyższych przychodów krańcowa stawka podatku wzrasta, średnia stawka podatku płaconego przez przedsiębiorstwa objęte podatkiem również rośnie wraz z ich przychodami.

(26)

Ponieważ każde przedsiębiorstwo płaci inną średnią stawkę podatku, Komisja nie może określić jednej stawki referencyjnej dla podatku od sprzedaży detalicznej. Polska nie podała ponadto żadnej konkretnej stawki jako stawki referencyjnej czy „normalnej”. Nie wyjaśniła też, jakie to szczególne okoliczności miałyby uzasadniać wyższą stawkę podatku dla podmiotów gospodarczych osiągających wyższe przychody i stawkę niższą dla podmiotów o niższych przychodach.

(27)

W rezultacie progresywnej skali podatkowej przedmiotowego podatku różne przedsiębiorstwa podlegają zatem różnym stawkom podatku uzależnionym od ich miesięcznych przychodów oraz od wielkości przedsiębiorstwa – gdyż wysokość przychodów przedsiębiorstwa jest do pewnego stopnia skorelowana z jego wielkością.

(28)

Polska twierdzi jednak, że celem podatku jest uzyskanie wpływów do budżetu państwa. W świetle tego celu Komisja uważa, że wszystkie podmioty działające w sektorze handlu detalicznego znajdują się w porównywalnej sytuacji prawnej i faktycznej, bez względu na ich działalność i poziom przychodów. Polska nie przedstawiła żadnych przekonywujących wyjaśnień, dlaczego w kontekście pobierania podatku od sprzedaży detalicznej większe i mniejsze podmioty gospodarcze są w innej sytuacji faktycznej i prawnej. Jeśli chodzi o rozróżnienie, jakie polskie władze przyjmują pomiędzy szczeblową i globalną progresją podatkową, Komisja pragnie zaznaczyć, że oba typy opodatkowania progresywnego wydają się prowadzić do różnych średnich stawek stosowanych do różnych przedsiębiorstw na podstawie ich przychodów i wielkości. Należy również podkreślić, że podanego przez polskie władze celu podatku – pokrycia kosztów programu świadczeń wychowawczych „Rodzina 500+” – nie można uznać za zasadniczy cel podatku. W istocie Polska nie wykazała, że dochody z podatku będą obowiązkowo przeznaczane na program „Rodzina 500+” – a nawet gdyby tak było, nie wyjaśniono, co opieka nad dziećmi ma wspólnego ze sprzedażą detaliczną, ani tym bardziej, jaki jest związek między kosztami programu świadczeń wychowawczych a wielkością przychodu sprzedawców detalicznych.

(29)

Wydaje się zatem, że Polska celowo zaprojektowała ten podatek w taki sposób, aby uznaniowo przyznać korzyść określonym przedsiębiorstwom, a mianowicie podmiotom o niższym poziomie przychodów (a więc mniejszym przedsiębiorstwom), ze szkodą dla innych przedsiębiorstw, a mianowicie większych przedsiębiorstw, które zwykle są własnością kapitału zagranicznego (16). System odniesienia jest zatem z zasady selektywny w sposób, którego nie można uzasadnić celem podatku, jakim jest uzyskanie wpływów do budżetu państwa. W rezultacie, na obecnym etapie, Komisja uważa, że odpowiednim systemem odniesienia w przedmiotowej sprawie jest opodatkowanie miesięcznych przychodów ze sprzedaży detalicznej bez progresywnej skali podatkowej będącej częścią tego systemu.

b)    Odstępstwo od systemu odniesienia

(30)

Na drugim etapie analizy konieczne jest ustalenie, czy przedmiotowy środek obejmuje odstępstwo od stosowania zasad odniesienia na korzyść określonych przedsiębiorstw, które w świetle zasadniczego celu systemu odniesienia znajdują się w podobnej sytuacji faktycznej i prawnej.

(31)

Zgodnie z pkt (28) oraz (29) powyżej celem podatku ma być uzyskanie wpływów do budżetu państwa. Jak dokładniej wyjaśniono powyżej, w świetle tego celu należy uznać, że wszystkie podmioty gospodarcze prowadzące sprzedaż detaliczną w Polsce znajdują się w podobnej sytuacji prawnej i faktycznej, niezależnie od rodzaju działalności i wielkości przychodów.

(32)

Progresywność skali podatkowej przedmiotowego podatku prowadzi do różnego traktowania – w zależności od ich wielkości – przedsiębiorstw prowadzących sprzedaż detaliczną, które w świetle celu tego podatku znajdują się w podobnej sytuacji prawnej i faktycznej. Ze względu na określony w ustawie progresywny charakter stawek podatku przedsiębiorstwa o wysokim poziomie przychodów są objęte zarówno znacznie wyższymi stawkami krańcowymi, jak i znacznie wyższymi średnimi stawkami podatku w porównaniu do podmiotów o niskim poziomie przychodów. Komisja uważa zatem, że progresywność skali podatkowej wprowadzona ustawą stanowi odstępstwo od systemu odniesienia, który zakłada opodatkowanie sprzedaży detalicznej wszystkich przedsiębiorstw prowadzących w Polsce działalność w zakresie sprzedaży detalicznej jednolitą stawką podatku (podatkiem liniowym). Odstępstwo to stanowi korzyść dla przedsiębiorstw o niższych przychodach (a zatem mniejszych przedsiębiorstw).

(33)

Na obecnym etapie Komisja jest zatem zdania, że środek jest na pierwszy rzut oka selektywny.

c)    Uzasadnienie

(34)

Środek, który stanowi odstępstwo od systemu odniesienia, nie jest selektywny, jeżeli jest on uzasadniony charakterem lub ogólną strukturą tego systemu. Tak jest w przypadku, gdy selektywne traktowanie wynika z mechanizmów stanowiących nieodłączną część systemu, które są niezbędne do zapewnienia jego funkcjonowania i skuteczności (17).

(35)

Uzasadnić musi to państwo członkowskie, czyli w niniejszej sprawie władze polskie. Do tego celu państwa członkowskie nie mogą liczyć na to, że cele polityki zewnętrznej, takie jak cele polityki regionalnej, środowiskowej lub przemysłowej, będą uzasadnieniem dla zróżnicowanego traktowania przedsiębiorstw w ramach określonego systemu.

(36)

Władze polskie twierdzą, że progresywna skala podatkowa przedmiotowego środka ma uzasadnienie wynikające z celów redystrybucji i większej zdolności płacenia przedsiębiorstw o wysokich przychodach. Twierdzą również, że przedsiębiorstwa o wysokich przychodach często stosują praktyki optymalizacyjne i korzystają z ekonomii skali (im więcej sprzedają, tym mniejsze są koszty jednostkowe).

(37)

Wprowadzona ustawą progresywna skala podatku dokonuje zróżnicowania przedsiębiorstw w zależności od wielkości ich przychodów i przyznaje selektywną korzyść przedsiębiorstwom o niskich przychodach, które są całkowicie zwolnione z podatku lub płacą go znacznie mniej w stosunku do swoich przychodów, niż przedsiębiorstwa o wyższych przychodach. Wobec braku konkretnych dowodów wskazujących na inny stan rzeczy można stwierdzić, że podatki obrotowe nie uwzględniają struktury kosztów podmiotów gospodarczych ani ich rentowności. Progresywne podatki obrotowe uderzają w przedsiębiorstwa według ich wielkości, a nie zyskowności czy wypłacalności. Prowadzą one do dyskryminacji między przedsiębiorstwami ze względu na ich przychody i mogą być przyczyną poważnych zakłóceń na rynku.

(38)

Progresywne podatki obrotowe mogą być uzasadnione wyłącznie ze względu na charakter systemu podatkowego i jego ogólną strukturę – czyli wewnętrzną logikę – jeżeli progresywne stawki podatku są niezbędne ze względu na cel podatku. Pewien stopień progresywności mógłby być na przykład uzasadniony, gdyby wykazano, że efekty zewnętrzne wywoływane przez działalność objętą podatkiem – przyjmując, że podatek ma ograniczać takie efekty zewnętrzne – rosną również stopniowo wraz ze zwiększaniem się przychodów (lub wielkości) podatnika. Władze polskie nie przedstawiły takich wyjaśnień. Ponadto strona polska nie wykazała występowania ekonomii skali, nie przedstawiła jej wielkości ani nie wykazała, że taka ekonomia skali nieuchronnie prowadziłaby do większej zyskowności czy wypłacalności. Władze polskie nie przedstawiły ponadto żadnych szczegółowych argumentów na temat rzekomych strategii optymalizacyjnych stosowanych przez większe lub wielonarodowe korporacje, ani powiązania między takim rzekomym postępowaniem a strukturą podatku.

(39)

Dlatego na obecnym etapie Komisja nie uważa, by środek był uzasadniony charakterem i ogólną strukturą systemu odniesienia.

4.1.4.   Potencjalne zakłócenie konkurencji oraz wpływ na handel wewnątrzunijny

(40)

Zgodnie z art. 107 ust. 1 Traktatu, aby środek można było uznać za pomoc państwa, musi on zakłócać konkurencję lub grozić jej zakłóceniem oraz wpływać na wymianę handlową wewnątrz Unii. Przedmiotowy środek ma zastosowanie do wszystkich przedsiębiorstw osiągających przychód ze sprzedaży detalicznej w Polsce. Sprzedaż detaliczna w Polsce jest otwarta na konkurencję i charakteryzuje się obecnością podmiotów z innych państw członkowskich. W związku z tym wszelka pomoc na korzyść określonych podmiotów gospodarczych będzie miała wpływ na handel wewnątrz UE.

(41)

W zakresie, w jakim środek zwalnia przedsiębiorstwa o niższych przychodach z podatku, który musiałyby płacić, gdyby były objęte taką samą stawką podatku, jak przedsiębiorstwa o wysokich przychodach, pomoc przyznana w ramach tego środka stanowi pomoc operacyjną. Trybunał Sprawiedliwości konsekwentnie utrzymuje, że pomoc operacyjna zakłóca konkurencję. Należy więc uznać, że wszelka pomoc przyznana przedsiębiorstwom o niskich przychodach zakłóca konkurencję lub grozi jej zakłóceniem, umacniając pozycję finansową tych przedsiębiorstw na polskim rynku sprzedaży detalicznej.

(42)

W związku z tym na tym etapie Komisja uważa, że przedmiotowy środek zakłóca konkurencję lub grozi jej zakłóceniem oraz wpływa na wymianę handlową wewnątrz Unii.

4.1.5.   Wniosek

(43)

W świetle powyższego Komisja zajmuje wstępnie stanowisko, że ustawa stanowi pomoc państwa w rozumieniu art. 107 ust. 1 Traktatu.

4.2.   Zgodność pomocy z rynkiem wewnętrznym

(44)

Środki stanowiące pomoc państwa można uznać za zgodne z rynkiem wewnętrznym na podstawie wyjątków określonych w Traktacie, w szczególności w art. 107 ust. 2 i 3 oraz art. 106 ust. 2 TFUE. Ciężar udowodnienia, że przyznana pomoc państwa jest zgodna z rynkiem wewnętrznym zgodnie z art. 107 ust. 2 lub 3 Traktatu, spoczywa na państwie członkowskim przyznającym pomoc.

(45)

Komisja pragnie zauważyć, że polskie władze nie przedstawiły żadnych argumentów uzasadniających, dlaczego przedmiotowa ustawa miałaby być zgodna z rynkiem wewnętrznym.

(46)

Na obecnym etapie Komisja jest zdania, że zastosowania nie ma żaden z wyjątków przewidzianych w powyższych przepisach, gdyż wydaje się, że celem środka nie jest żaden z celów wymienionych w tych przepisach.

(47)

Komisja przypomina również, że środek pomocy państwa, który narusza inne przepisy europejskiego prawa, takie jak swobody podstawowe gwarantowane przez Traktat lub prawodawstwo wtórne UE, nie może zostać uznany za zgodny z rynkiem wewnętrznym. Na obecnym etapie Komisja nie może wykluczyć, że środek jest wymierzony głównie w przedsiębiorstwa z kapitałem zagranicznym, co stanowiłoby naruszenie art. 49 Traktatu ustanawiającego podstawową swobodę przedsiębiorczości (18).

(48)

Komisja ma w związku z tym poważne wątpliwości, czy środek może zostać uznany za zgodny z rynkiem wewnętrznym.

5.   NIEZGODNOŚĆ POMOCY Z PRAWEM I EWENTUALNE ODZYSKANIE POMOCY

(49)

Ustawa nie została zgłoszona Komisji zgodnie z art. 108 ust. 3 Traktatu ani nie została uznana za zgodną z rynkiem wewnętrznym przez Komisję. Na podstawie wstępnej oceny przeprowadzonej przez Komisję ustawę należy uznać za stanowiącą pomoc państwa w rozumieniu art. 107 ust. 1 Traktatu i nową pomoc w rozumieniu art. 1 lit. c) rozporządzenia Rady (UE) 2015/1589 (19). Jako że środek został wdrożony z naruszeniem klauzuli zawieszającej ustanowionej w art. 108 ust. 3 Traktatu, na pierwszy rzut oka stanowi on również pomoc niezgodną z prawem w rozumieniu art. 1 lit. f) rozporządzenia (UE) 2015/1589.

(50)

Jeżeli formalne postępowanie wyjaśniające potwierdzi, że środek stanowi pomoc państwa niezgodną z prawem i z rynkiem wewnętrznym, pomoc trzeba będzie odzyskać od beneficjentów zgodnie z art. 16 rozporządzenia (UE) 2015/1589.

(51)

Zakładając, że progresywność skali podatkowej przedmiotowego podatku zostanie uznana za pomoc państwa, ewentualną kwotę przyznanej pomocy, która będzie podlegała windykacji od beneficjentów, trzeba będzie określić osobno dla każdego beneficjenta przez porównanie kwoty podatku faktycznie zapłaconego przez dany podmiot gospodarczy (jeżeli podatek ten zapłacono) oraz podatku, który ten sam podmiot gospodarczy musiałby zapłacić, gdyby do jego przychodu ze sprzedaży detalicznej zastosowano jednolitą stawkę podatku (podatek liniowy). Ze względu na brak lepszego punktu odniesienia za referencyjną jednolitą stawkę podatku można uznać najwyższą stawkę krańcową (1,4 %) lub najwyższą średnią stawkę płaconą przez podmioty gospodarcze objęte podatkiem. Do kompetencji Polski należy podjęcie decyzji w sprawie wysokości tej stałej stawki, która powinna zostać zastosowana z mocą wsteczną od dnia wejścia w życie przedmiotowego podatku. Następnie Polska będzie musiała pobrać należne kwoty od przedsiębiorstw, które zapłaciły mniej niż musiałyby zapłacić, gdyby od początku stosowano stałą stawkę podatku, oraz zwrócić nadpłacone kwoty przedsiębiorstwom, które zapłaciły więcej niż musiałyby zapłacić, gdyby od początku stosowano stałą stawkę podatku. Kwoty odzyskane od beneficjentów pomocy powinny również obejmować odsetki naliczane od dnia przyznania pomocy.

6.   NAKAZ ZAWIESZENIA

(52)

Pismem z dnia 8 lipca 2016 r. powiadomiono władze polskie, że Komisja rozważy wydanie nakazu zawieszenia zgodnie z art. 13 ust. 1 rozporządzenia Rady (UE) nr 2015/1589 (20). Władze polskie udzieliły na to pismo odpowiedzi pismem z dnia 22 lipca 2016 r. Nie przedstawiły jednak konkretnych uwag na temat wydania nakazu zawieszenia, twierdząc, że przedmiotowy środek nie stanowi pomocy państwa.

(53)

Ze względów przedstawionych w sekcji 4 powyżej Komisja na obecnym etapie uważa, że środek przyznaje selektywną korzyść określonym przedsiębiorstwom, że został przyznany przy użyciu zasobów państwowych oraz że można go przypisać państwu polskiemu; środek może też zakłócać konkurencję oraz wpływać na wymianę handlową wewnątrz Unii. Z tego powodu na obecnym etapie Komisja uznaje, że przedmiotowy środek stanowi pomoc państwa w rozumieniu art. 107 ust. 1 Traktatu. Ponadto ze względów określonych w pkt (49) powyżej Komisja uważa, że pomoc ta jest niezgodna z prawem, gdyż przed jej wdrożeniem przez Polskę nie została zgłoszona Komisji zgodnie z wymogami art. 108 ust. 3 Traktatu.

(54)

Nakaz zawieszenia jest środkiem tymczasowym, który Komisja może przyjąć na podstawie art. 13 ust. 1 rozporządzenia Rady (UE) 2015/1589, zobowiązującym państwo członkowskie do zawieszenia wszelkiej niezgodnej z prawem pomocy do momentu przyjęcia ostatecznej decyzji przez Komisję. Nakaz zawieszenia jest właściwym instrumentem w szczególności w sytuacji, gdy państwo członkowskie nadal przyznaje niezgodną z prawem pomoc, a jej wpływ na konkurencję jest istotny – tak jak w przedmiotowej sprawie.

(55)

Ponieważ na dzień wydania niniejszej decyzji wszystkie przedsiębiorstwa prowadzące sprzedaż detaliczną są przez polskie władze objęte progresywną skalą podatkową, Komisja jest zdania, że – z uwagi na skutki przedstawione powyżej w ocenie pomocy państwa – należy niezwłocznie zawiesić stosowanie progresywnej skali tego podatku. W związku z tym Komisja uważa, że niezbędne jest wydanie nakazu zawieszenia zgodnie z art. 13 ust. 1 rozporządzenia Rady (UE) 2015/1589.

7.   WNIOSEK

W świetle powyższych ustaleń Komisja podjęła decyzję o wszczęciu w sprawie przedmiotowego środka formalnego postępowania wyjaśniającego przewidzianego w art. 108 ust. 2 Traktatu.

W związku z tym wzywa się władze polskie i zainteresowane strony trzecie do udzielenia w swoich uwagach na temat decyzji o wszczęciu postępowania wszelkich informacji niezbędnych do przeprowadzenia pełnej oceny oraz do przedłożenia Komisji odpowiednich informacji.

W świetle powyższych rozważań Komisja, działając w ramach procedury określonej w art. 108 ust. 2 Traktatu, zwraca się do Polski o przedstawienie uwag i dostarczenie wszelkich informacji, które mogą pomóc w ocenie przedmiotowego środka, w terminie jednego miesiąca od daty otrzymania niniejszego pisma. Komisja wzywa polskie władze do niezwłocznego przekazania kopii niniejszej decyzji wszystkim (potencjalnym) beneficjentom pomocy lub co najmniej poinformowania ich w odpowiedni sposób o tej decyzji.

Komisja pragnie przypomnieć Polsce, że art. 108 ust. 3 Traktatu ma skutek zawieszający (tj. żadne przedsiębiorstwo nie powinno otrzymywać pomocy państwa w ramach przedmiotowego środka, dopóki Komisja nie zamknie formalnego postępowania wyjaśniającego). Komisja chciałaby też zwrócić uwagę władz polskich na art. 14 rozporządzenia (WE) nr 659/1999, zgodnie z którym „[w] przypadku gdy podjęte zostały decyzje negatywne w sprawach pomocy przyznanej bezprawnie, Komisja podejmuje decyzję, że zainteresowane państwo członkowskie podejmie wszelkie konieczne środki w celu windykacji pomocy od beneficjenta”.

Zgodnie z art. 13 ust. 1 rozporządzenia Rady (UE) nr 2015/1589 Komisja nakazuje Polsce zawieszenie stosowania progresywnych stawek w przedmiotowym podatku do czasu podjęcia przez Komisję decyzji w sprawie zgodności ustawy z rynkiem wewnętrznym (nakaz zawieszenia).

Postępowanie wyjaśniające w sprawie pomocy państwa odbywa się bez uszczerbku dla postępowań dotyczących zgodności środków z podstawowymi swobodami gwarantowanymi przez Traktat.

Komisja uprzedza polskie władze, że udostępni zainteresowanym stronom odpowiednie informacje, publikując niniejsze pismo wraz z jego streszczeniem w Dzienniku Urzędowym Unii Europejskiej. Poinformuje również zainteresowane strony z państw należących do EFTA, będących sygnatariuszami Porozumienia EOG, publikując ogłoszenie w Suplemencie EOG do Dziennika Urzędowego Unii Europejskiej, jak również powiadomi Urząd Nadzoru EFTA, przesyłając mu kopię niniejszego pisma. Wszystkie zainteresowane strony zostaną poproszone o przedstawienie uwag w ciągu miesiąca od dnia takiej publikacji.


(1)  Dz. U. z 2016 r. poz. 1155.

(2)  Glej Uredbo Sveta (EU) 2015/1589 z dne 13. julija 2015 o določitvi podrobnih pravil za uporabo člena 108 Pogodbe o delovanju Evropske unije (UL L 248, 24.9.2015, str. 19).

(3)  Zob. decyzja Komisji w sprawie poprawki w węgierskiej opłacie z tytułu kontroli łańcucha żywnościowego, Dz.U. C 277 z 21.8.2015; zob. też decyzje Komisji w sprawach: SA.39235 – Węgry – Podatek od reklam, Dz.U. C 136 z 24.4.2015; oraz SA.41187 – Węgry – Składka na cele zdrowotne wnoszona przez sektor tytoniowy, Dz.U. C 277 z 21.8.2015.

(4)  Dz. U. z 2016 r. poz. 1155.

(5)  Od 0,1 % do 6 % (x 60) na Węgrzech, natomiast w Polsce – od 0,8 % do 1,4 % (x 1,75).

(6)  Sprawa Francja przeciwko Ladbroke Racing Ltd i Komisji, C-83/98 P, ECLI:EU:C:2000:248 i ECLI:EU:C:1999:577, pkt 48–51. Podobnie środek umożliwiający niektórym przedsiębiorstwom redukcję podatku lub odroczenie płatności należnego w normalnych okolicznościach podatku może stanowić pomoc państwa, zob. sprawy połączone: C-78/08 do C-80/08 Paint Graphos i inni, pkt 46.

(7)  Sprawa Adria-Wien Pipeline, C-143/99, ECLI:EU:C:2001:598, pkt 38.

(8)  Zob. sprawa Włochy przeciwko Komisji, C-66/02, ECLI:EU:C:2005:768, pkt 78; sprawa Cassa di Risparmio di Firenze i inni, C-222/04, ECLI:EU:C:2006:8, pkt 132; sprawa Ministerio de Defensa i Navantia, C-522/13, ECLI:EU:C:2014:2262, pkt 21–31. Zob. również pkt 9 obwieszczenia Komisji w sprawie stosowania reguł pomocy publicznej do środków związanych z bezpośrednim opodatkowaniem działalności gospodarczej, Dz.U. C 384 z 10.12.1998, s. 3.

(9)  Sprawy połączone Air Liquide Industries Belgium, C-393/04 oraz C-41/05, ECLI:EU:C:2006:403, pkt 30, a także sprawa Banco Exterior de España, C-387/92, ECLI:EU:C:1994:100, pkt 14.

(10)  Zob. na przykład sprawa Komisja przeciwko Niderlandom (NOx), C-279/08 P, ECLI:EU:C:2011:551; sprawa Adria-Wien Pipeline, C-143/99, ECLI:EU:C:2001:598, pkt 38; sprawy połączone Paint Graphos i inni, od C-78/08 do C-80/08, ECLI:EU:C:2011:550; sprawa GIL Insurance, C-308/01, ECLI:EU:C:2004:252.

(11)  Sprawy połączone Komisja i Hiszpania przeciwko Government of Gibraltar i Zjednoczonemu Królestwu, C-106/09 P i C-107/09 P, ECLI:EU:C:2011:732.

(12)  Ibid., pkt 92.

(13)  Sprawa British Aggregates przeciwko Komisji, C-487/06 P, ECLI:EU:C:2008:757, pkt 85 i 89 oraz przytoczone tam orzecznictwo; a także sprawa Komisja przeciwko Niderlandom (NOx), C-279/08, ECLI:EU:C:2011:551, pkt 51.

(14)  Przykładowo, wydaje się, że na polskim rynku „towarów szybko zbywalnych” 9 z 10 największych przedsiębiorstw (według obrotów w 2014 r.) to przedsiębiorstwa z innych państw członkowskich, mianowicie z Danii, Francji, Niemiec, Portugalii i Zjednoczonego Królestwa. Zob. prezentacja dziennikarza ze specjalistycznego magazynu dlahandlu.pl w kontekście Targów Żywności w Warszawie w 2015 r. http://polen.nlambassade.org/binaries/content/assets/postenweb/p/polen/nederlandse-ambassade-in-warschau/import/nieuws/dlahandlu.pdf

Zob. również poświęcone temu tematowi artykuły prasowe: Financial Times, 29 maja 2016 r.: http://www.ft.com/cms/s/5e7e224c-23fe-11e6-9d4d-c11776a5124d,Authorised=false.html?siteedition=intl&_i_location=http%3A%2F%2Fwww.ft.com%2Fcms%2Fs%2F0%2F5e7e224c-23fe-11e6-9d4d-c11776a5124d.html%3Fsiteedition%3Dintl&_i_referer=http%3A%2F%2Fsearch.ft.com%2Fsearch%3FqueryText%3Dretailers%2Bbrace%2Bpoland&classification=conditional_standard&iab=barrier-app#axzz4IhUU8F5z; Bloomberg, 25 stycznia 2016 r.: http://www.bloomberg.com/news/articles/2016-01-25/poland-to-help-local-shops-as-new-tax-targets-bigger-retailers.

(15)  Według skarżącego 79 % podatku, który ma wynieść ogółem 1,9 mld PLN, zapłacone zostanie przez 20 działających w polskim sektorze detalicznym międzynarodowych przedsiębiorstw (mających 67 % udziałów w rynku). Skarżący podaje, że w sektorze handlu detalicznego produktami spożywczymi około 94 % podatku zapłacą międzynarodowe sieci sklepów spożywczych, podczas gdy zaledwie około 6 % podatku zapłacą krajowe sklepy spożywcze (mające 22 % udziałów w rynku).

(16)  Sprawy połączone Komisja i Hiszpania przeciwko Government of Gibraltar i Zjednoczonemu Królestwu, C-106/09 P i C-107/09 P, ECLI:EU:C:2011:732.

(17)  Zob. na przykład sprawy połączone Paint Graphos i inni, C-78/08 do C-80/08, ECLI:EU:C:2011:550, pkt 69.

(18)  Zob. też, przez analogię, sprawa Hervis Sport- és Divatkereskedelmi Kft., C-385/12, ECLI:EU:C:2014:47, w którym to wyroku Trybunał Sprawiedliwości stwierdził, że „art. 49 TFUE i 54 TFUE należy interpretować w ten sposób, że stoją one na przeszkodzie przepisom państwa członkowskiego dotyczącym podatku od obrotu handlu detalicznego w sklepach, który zobowiązuje podatników stanowiących w ramach grupy spółek »przedsiębiorstwa powiązane« w rozumieniu tych przepisów, do dodania swoich obrotów w celu zastosowania silnie progresywnej stawki, a następnie podzielenia uzyskanej w ten sposób kwoty podatku pomiędzy siebie proporcjonalnie do ich rzeczywistych obrotów, jeżeli – czego zbadanie należy do sądu odsyłającego – podatnicy należący do grupy spółek i objęci najwyższym przedziałem podatku szczególnego są »powiązani«, w większości wypadków, ze spółkami mającymi siedzibę w innym państwie członkowskim”.

(19)  Rozporządzenie Rady (UE) 2015/1589 z dnia 13 lipca 2015 r. ustanawiające szczegółowe zasady stosowania art. 108 Traktatu o funkcjonowaniu Unii Europejskiej (tekst jednolity), (Dz.U. L 248 z 24.9.2015, s. 9).

(20)  Zob. rozporządzenie Rady (UE) 2015/1589 z dnia 13 lipca 2015 r. ustanawiające szczegółowe zasady stosowania art. 108 Traktatu o funkcjonowaniu Unii Europejskiej, Dz.U. L 248 z 24.9.2015, s. 19.


4.11.2016   

SL

Uradni list Evropske unije

C 406/86


DRŽAVNE POMOČI – POLJSKA

Državna pomoč SA.45447 (2016/C) (ex 2016/N) – Shema pomoči za proizvajalce mleka

Poziv k predložitvi pripomb na podlagi člena 108(2) Pogodbe o delovanju Evropske unije

(2016/C 406/05)

Z dopisom v verodostojnem jeziku z dne 16. septembra 2016 na straneh, ki sledijo temu povzetku, je Komisija uradno obvestila Poljsko o svoji odločitvi, da začne postopek na podlagi člena 108(2) Pogodbe o delovanju Evropske unije v zvezi z zgoraj navedeno shemo pomoči.

Zainteresirane strani lahko v enem mesecu od dneva objave tega povzetka in dopisa, ki mu sledi, predložijo svoje pripombe o pomoči, v zvezi s katero Komisija začenja postopek, na naslov:

European Commission

Directorate-General for Agriculture and Rural Development

Directorate I. Agricultural Legislation and Procedures

Unit I.2 Competition

Office: Loi 130 5/114

B-1049 Bruxelles/Brussel

E-naslov: Agri-State-Aids@ec.europa.eu

Faks + 32 22967672

Te pripombe se pošljejo Poljski. Zainteresirana stran, ki predloži pripombe, lahko pisno zaprosi za zaupno obravnavo svoje identitete in navede razloge za to.

BESEDILO POVZETKA

OPIS

Sklep Sveta ministrov z dne 19. maja 2016 o vzpostavitvi sistema pomoči za proizvajalce mleka določa, da minister, pristojen za kmetijstvo in razvoj podeželja, lahko odpiše dajatev, ki so jo dolžni proizvajalci mleka za prekoračitev individualnih kvot v kvotnem letu 2014/2015. Upravičeni so proizvajalci mleka, ki:

1.

so v kvotnem letu 2014/2015 dali na trg količino mleka ali mlečnih proizvodov, ki presegajo individualno kvoto, ki je na voljo na določen dan v letu, v tem primeru na dan 31. marca 2015, in se je od njih zahtevalo, da plačajo dajatev, določeno v Uredbi Sveta (ES) št. 1234/2007 z dne 22. oktobra 2007 o vzpostavitvi skupne ureditve kmetijskih trgov in o posebnih določbah za nekatere kmetijske proizvode (Uredba o enotni SUT) (1);

2.

so plačali prvi obrok dajatve, ki so jo dolžni proizvajalci mleka za prekoračitev individualne kvote v kvotnem letu 2014/2015, in

3.

izpolnjujejo pogoje za odpis proračunskih terjatev iz členov 56 in 57 Zakona o javnih financah z dne 27. avgusta 2009.

Na podlagi sklepa Sveta ministrov se lahko pomoč dodeli od datuma odobritve Komisije do 31. oktobra 2017.

OCENJEVANJE

V tej fazi Komisija dvomi o združljivosti te sheme pomoči, ker se zdi, da ne ustreza nobeni vrsti pomoči, določeni v pravilih o državni pomoči, ki se uporabljajo v kmetijskem sektorju (Uredba Komisije (EU) št. 702/2014 z dne 25. junija 2014 o razglasitvi nekaterih vrst pomoči v kmetijskem in gozdarskem sektorju ter na podeželju za združljive z notranjim trgom z uporabo členov 107 in 108 Pogodbe o delovanju Evropske unije (2), Smernice Evropske unije o državni pomoči v kmetijskem in gozdarskem sektorju ter na podeželju za obdobje od 2014 do 2020 (3), Uredba Komisije (EU) št. 1408/2013 z dne 18. decembra 2013 o uporabi členov 107 in 108 Pogodbe o delovanju Evropske unije pri pomoči de minimis v kmetijskem sektorju (4)). Poleg tega ni videti, da bi olajšali razvoj sektorja mleka v smislu člena 107(3)(c) Pogodbe o delovanju Evropske unije.

Zdi se, da se s shemo pomoči prav tako kršijo pravila skupne ureditve trga (Uredba Komisije (ES) št. 595/2004 (5), kakor je bila spremenjena z Izvedbeno uredbo Komisije (EU) 2015/517 (6)), ki ureja plačilo dajatve na mleko.

SKLEP

Na podlagi zgoraj navedenih preudarkov se je Komisija odločila, da sproži formalni postopek preiskave iz člena 108(2) PDEU v zvezi z opisano shemo pomoči.

BESEDILO DOPISA

1.   PROCEDURA

(1)

W piśmie z dnia 23 maja 2016 r., zarejestrowanym przez Komisję tego samego dnia, Polska zgłosiła wyżej wymieniony program pomocy zgodnie z art. 108 ust. 3 TFUE.

(2)

Polskie władze przekazały dodatkowe informacje w piśmie z dnia 1 czerwca 2016 r., zarejestrowanym przez Komisję z tą samą datą. Pismem z dnia 11 lipca 2016 r. Komisja zwróciła się o udzielenie dodatkowych informacji, które władze polskie przekazały pismem z dnia 15 lipca 2016 r., zarejestrowanym przez Komisję z datą 18 lipca 2016 r.

2.   SZCZEGÓŁOWY OPIS ŚRODKÓW POMOCY

2.1.   Nazwa środka pomocy

(3)

Program pomocy producentom mleka

2.2.   Cel pomocy

(4)

W swoim powiadomieniu władze Polski informują, że pragną wprowadzić program pomocy w celu wsparcia producentów mleka, którzy są zobowiązani do uiszczenia opłaty za przekroczenie indywidualnych kwot w roku kwotowym 2014/2015.

2.3.   Podstawa prawna

(5)

Uchwała Rady Ministrów z dnia 19 maja 2016 r. w sprawie ustanowienia programu pomocy producentom mleka (zwana dalej „uchwałą Rady Ministrów”).

(6)

Ustawa z dnia 27 sierpnia 2009 r. o finansach publicznych (Dz.U. z 2013 r., poz. 885, z późn. zm.) (zwana dalej „ustawą o finansach publicznych”).

2.4.   Budżet

(7)

Pomoc zostanie sfinansowana z budżetu państwa, a całkowita kwota pomocy w ramach zgłoszonego programu nie przekroczy 395 mln PLN (ok. 91,35 mln EUR (7)).

2.5.   Intensywność pomocy

(8)

Maksymalnie 100 %.

2.6.   Czas trwania pomocy

(9)

Według krajowej podstawy prawnej pomoc może być przyznawana począwszy od daty wystosowania przez Komisję pozytywnej decyzji o zgodności pomocy państwa z rynkiem wewnętrznym. Pomoc może być przyznawana do dnia 31 października 2017 r.

2.7.   Beneficjenci

(10)

Beneficjenci to gospodarstwa rolne zajmujące się produkcją mleka, które są zobowiązane do uiszczenia opłaty za przekroczenie kwot indywidualnych w roku kwotowym 2014/2015.

(11)

Beneficjentami są małe i średnie przedsiębiorstwa. Liczbę beneficjentów szacuje się na ponad 1 000.

(12)

Władze polskie oświadczyły, że pomoc nie będzie przyznawana przedsiębiorstwom znajdującym się w trudnej sytuacji w rozumieniu pkt 35 ppkt 15 wytycznych Unii Europejskiej w sprawie pomocy państwa w sektorach rolnym i leśnym oraz na obszarach wiejskich w latach 2014–2020 (8) (zwanych dalej „wytycznymi”).

(13)

Władze polskie zobowiązały się do zawieszenia wypłaty pomocy, jeżeli beneficjent nadal dysponuje wcześniejszą pomocą niezgodną z prawem, która na podstawie decyzji Komisji została uznana na niezgodną ze wspólnym rynkiem (w odniesieniu do pomocy indywidualnej lub programu pomocy), aż do momentu zwrotu lub wpłaty na zablokowany rachunek bankowy całej kwoty pomocy niezgodnej z prawem i ze wspólnym rynkiem wraz z odpowiednimi odsetkami.

2.8.   Kontekst programu pomocy

(14)

Władze polskie wyjaśniły, że w roku kwotowym 2014/2015 kwota krajowa przeznaczona dla dostawców hurtowych (producentów mleka) w Polsce została przekroczona o 580,3 mln kg, co spowodowało konieczność wniesienia do budżetu UE opłaty w wysokości 659,8 mln PLN. Producenci mleka zostali zobowiązani do wniesienia opłaty za przekroczenie kwoty mlecznej, tj. 90,89 PLN za 100 kilogramów przekroczenia.

(15)

Art. 15 ust. 1 rozporządzenia Komisji (WE) nr 595/2004 z dnia 30 marca 2004 r. ustanawiającego szczegółowe zasady stosowania rozporządzenia Rady (WE) nr 1788/2003 ustanawiającego opłatę wyrównawczą w sektorze mleka i przetworów mlecznych (9), zmieniony dnia 29 lutego 2015 r. rozporządzeniem wykonawczym Komisji (UE) 2015/517 (10), stanowi, co następuje:

„Przed dniem 1 października każdego roku podmioty nabywające i, w przypadku sprzedaży bezpośredniej, producenci odpowiedzialni za opłaty wyrównawcze wpłacają do właściwego organu należną kwotę zgodnie z zasadami ustanowionymi przez państwo członkowskie; podmioty nabywające są odpowiedzialne za pobieranie opłat z tytułu nadwyżek w dostawach uiszczanych przez producentów na podstawie art. 79 rozporządzenia (WE) nr 1234/2007, zgodnie z art. 81 ust. 1 tego rozporządzenia.

Bez uszczerbku dla stosowania art. 107–109 Traktatu o funkcjonowaniu Unii Europejskiej państwa członkowskie mogą zdecydować, że płatność należnej kwoty związanej z 12-miesięcznym okresem rozpoczynającym się w dniu 1 kwietnia 2014 r. jest dokonywana w trzech rocznych, nieoprocentowanych ratach.

Pierwsza roczna opłata, stanowiąca co najmniej 1/3 łącznej należnej kwoty, wpłacana jest do dnia 30 września 2015 r. Do dnia 30 września 2016 r. wpłacana jest kwota stanowiąca co najmniej 2/3 łącznej należnej kwoty. Łączna należna kwota zostaje uregulowana do dnia 30 września 2017 r.

Państwa członkowskie zapewniają, by producenci byli beneficjentami takiego systemu płatności ratalnych”.

(16)

Władze polskie wyjaśniły, co następuje: Na podstawie wyżej wymienionego rozporządzenia wykonawczego Komisji (UE) 2015/517 Rada Ministrów w dniu 29 lipca 2015 r. przyjęła rozporządzenie w sprawie realizacji przez Agencję Rynku Rolnego zadania polegającego na rozkładaniu na raty opłaty należnej od producentów mleka za przekroczenie kwot indywidualnych w roku kwotowym 2014/2015 (11), które weszło w życie w dniu 6 sierpnia 2015 r. Umożliwiło to producentom mleka uiszczenie opłaty za przekroczenie kwot mlecznych w trzech ratach. Pierwsza rata opłaty, stanowiąca co najmniej 1/3 łącznej należnej kwoty wpłacona została przez podmioty nabywające do dnia 30 września 2015 r., natomiast do dnia 30 września 2016 r. należy wpłacić kwotę stanowiącą co najmniej 1/3 łącznej należnej kwoty opłaty. Całkowita należna kwota opłaty powinna zostać uregulowana do dnia 30 września 2017 r. Systemy płatności ratalnych zastosowano na warunkach określonych w rozporządzeniu Komisji (UE) nr 1408/2013 z dnia 18 grudnia 2013 r. w sprawie stosowania art. 107 i 108 Traktatu o funkcjonowaniu Unii Europejskiej do pomocy de minimis w sektorze rolnym („rozporządzenie w sprawie pomocy de minimis”) (12). Do dnia 15 lutego 2016 r. producenci mleka wpłacili do budżetu państwa kwotę ok. 264,8 mln PLN.

(17)

Zdaniem władz polskich niekorzystna sytuacja na rynku mleka, w tym drastyczny spadek cen mleka, powoduje konieczność wprowadzenia przedmiotowego programu pomocy.

2.9.   Opis programu pomocy

(18)

Uchwała Rady Ministrów określa zakres pomocy, która może być przyznana producentom mleka, którzy w roku kwotowym 2014/2015 wprowadzili do obrotu mleko lub przetwory mleczne w ilości przekraczającej kwotę indywidualną przysługującą na dany dzień roku, według stanu na dzień 31 marca 2015 r., i zostali zobowiązani do uiszczenia opłaty określonej w rozporządzeniu Rady (WE) nr 1234/2007 z dnia 22 października 2007 r. ustanawiającym wspólną organizację rynków rolnych oraz przepisy szczegółowe dotyczące niektórych produktów rolnych („rozporządzenie o jednolitej wspólnej organizacji rynku”) (13).

(19)

Pomoc będzie wypłacana producentom mleka, którzy uiścili pierwszą ratę opłaty należnej od producentów mleka za przekroczenie indywidualnych kwot w roku kwotowym 2014/2015.

(20)

Pomoc pociąga za sobą umorzenie w całości albo w części pozostałej do uiszczenia opłaty należnej od producentów mleka za przekroczenie indywidualnych kwot w roku kwotowym 2014/2015 (zwanej dalej „należną opłatą”).

(21)

Uchwała Rady Ministrów odwołuje się do ogólnych możliwości umorzenia niepodatkowych należności budżetowych o charakterze publicznoprawnym, co jest określone w ustawie o finansach publicznych; uchwała ta stanowi, co następuje:

(22)

Na podstawie art. 56–61 w związku z art. 64 ustawy o finansach publicznych Minister Rolnictwa i Rozwoju Wsi może – na wniosek producenta mleka – wydać decyzję o umorzeniu należnej opłaty w całości lub w części.

(23)

Przy rozpatrywaniu wniosku o umorzenie w całości albo w części spłaty należnej opłaty należy brać pod uwagę przesłanki dotyczące umarzania należności określone w art. 56 i 57 ustawy o finansach publicznych; innymi słowy, umorzenie będzie miało zastosowanie, jeżeli:

(a)

osoba fizyczna zmarła, nie pozostawiając żadnego majątku albo pozostawiła majątek niepodlegający egzekucji na podstawie odrębnych przepisów, albo pozostawiła przedmioty codziennego użytku domowego, których łączna wartość nie przekracza kwoty 6 000 PLN;

(b)

osoba prawna została wykreślona z właściwego rejestru osób prawnych przy jednoczesnym braku majątku, z którego można by egzekwować należność, a odpowiedzialność z tytułu tej należności nie przechodzi z mocy prawa na osoby trzecie;

(c)

zachodzi uzasadnione przypuszczenie, że w postępowaniu egzekucyjnym nie uzyska się kwoty wyższej od kosztów dochodzenia i egzekucji tej należnej opłaty lub postępowanie egzekucyjne okazało się nieskuteczne;

(d)

jednostka organizacyjna nieposiadająca osobowości prawnej uległa likwidacji;

(e)

zachodzi ważny interes dłużnika lub interes publiczny;

(f)

jest to uzasadnione względami społecznymi lub gospodarczymi, w szczególności możliwościami płatniczymi dłużnika oraz uzasadnionym interesem Skarbu Państwa.

(24)

We wniosku o umorzenie w całości albo w części spłaty pozostałych do uiszczenia należnych opłat producent mleka będzie obowiązany do przedstawienia swojej sytuacji materialnej i społecznej, aby podjęcie decyzji miało uzasadnienie względami społecznymi lub gospodarczymi, w szczególności możliwościami płatniczymi dłużnika, oraz było uzasadnione interesem Skarbu Państwa.

(25)

Na podstawie art. 61 ust. 1 pkt 1) ustawy o finansach publicznych decyzje o ewentualnym umorzeniu, w całości lub w części, kwoty należnej opłaty będzie wydawać Minister Rolnictwa i Rozwoju Wsi. Strona, która jest niezadowolona z decyzji, może zwrócić się do Ministra Rolnictwa i Rozwoju Wsi z wnioskiem o ponowne rozpatrzenie sprawy, a następnie wnieść odwołanie do wojewódzkiego sądu administracyjnego.

2.10.   Kumulacja pomocy

(26)

Władze polskie wyjaśniły, że pomoc może być łączona z pomocą de minimis, o której mowa w motywie (16).

2.11.   Przejrzystość

(27)

Władze polskie zobowiązują się spełniać wymagania dotyczące przejrzystości określone w pkt 128–132 wytycznych.

3.   OCENA POMOCY

3.1.   Istnienie pomocy państwa – zastosowanie art. 107 ust. 1 TFUE

(28)

Zgodnie z art. 107 ust. 1 Traktatu „z zastrzeżeniem innych postanowień przewidzianych w traktatach, wszelka pomoc przyznawana przez państwo członkowskie lub przy użyciu zasobów państwowych w jakiejkolwiek formie, która zakłóca lub grozi zakłóceniem konkurencji poprzez sprzyjanie niektórym przedsiębiorstwom lub produkcji niektórych towarów, jest niezgodna z rynkiem wewnętrznym w zakresie, w jakim wpływa na wymianę handlową między państwami członkowskimi”.

(29)

Aby środek został uznany za pomoc w rozumieniu przytoczonego przepisu, musi spełniać wszystkie następujące warunki: (i) środek można przypisać państwu i musi być finansowany z zasobów państwa; (ii) musi on przynosić korzyść beneficjentowi; (iii) korzyść ta musi być selektywna; oraz (iv) środek musi zakłócać konkurencję lub grozić zakłóceniem konkurencji i wpływać na handel między państwami członkowskimi.

(30)

Przedmiotowy program pomocy, który przewiduje umorzenie należnej opłaty, można przypisać państwu, ponieważ wynika z prawa krajowego i jest finansowany z budżetu państwa (motyw (7)), jako że Polska wniosła już opłatę do Europejskiego Funduszu Rolniczego Gwarancji (EFRG), a teraz – umarzając rolnikom należną opłatę – rezygnuje z dochodu, który mogłaby wykorzystać na inne potrzeby.

(31)

Wspomniany środek przynosi korzyść wybranym beneficjentom, ponieważ sprzyja niektórym gospodarstwom rolnym zajmującym się produkcją mleka (motyw (10)) (14).

(32)

Zgodnie z orzecznictwem Trybunału Sprawiedliwości sam fakt, że pozycja konkurencyjna przedsiębiorstwa jest wzmocniona w porównaniu z innymi konkurującymi przedsiębiorstwami poprzez przyznanie mu korzyści gospodarczej, która nie miałaby miejsca w normalnej działalności firmy, wskazuje na potencjalne zakłócenie konkurencji (15). Zgodnie z orzecznictwem Trybunału Sprawiedliwości pomoc przyznana przedsiębiorstwu może wpłynąć na wymianę handlową między państwami członkowskimi w przypadku, gdy przedsiębiorstwo to prowadzi działalność na rynku, który jest otwarty na wymianę handlową wewnątrz UE (16). Beneficjenci przedmiotowego programu pomocy prowadzą działalność w wysoce konkurencyjnych warunkach rynku międzynarodowego (17). Sektor mleczarski jest otwarty na konkurencję na poziomie UE, a zatem wpływa na niego każdy środek sprzyjający produkcji w jednym państwie członkowskim lub w większej ich liczbie. W związku z tym przedmiotowy program pomocy może zakłócać konkurencję i wywierać wpływ na wymianę handlową między państwami członkowskimi.

(33)

W świetle powyższego warunki art. 107 ust. 1 TFUE zostały spełnione. Można zatem stwierdzić, że proponowany program pomocy wiąże się z pomocą państwa w rozumieniu wspomnianego artykułu. Pomoc może zostać uznana za zgodną z rynkiem wewnętrznym jedynie wtedy, gdy istnieje możliwość objęcia jej jednym z odstępstw przewidzianych w TFUE.

3.2.   Zgodność pomocy z prawem – zastosowanie art. 108 ust. 3 TFUE

(34)

Program pomocy został zgłoszony Komisji w dniu 23 maja 2016 r. (motyw (1)). Nie został on jeszcze wdrażany. Polska spełniła zatem swój obowiązek wynikający z art. 108 ust. 3 TFUE.

3.3.   Zgodność pomocy

(35)

Ustaliwszy, że wspomniany program stanowi pomoc państwa w rozumieniu art. 107 ust. 1 TFUE, należy rozważyć, czy można uznać, że pomoc jest zgodna z rynkiem wewnętrznym zgodnie z odstępstwami przewidzianymi w art. 107 ust. 2 lub 3 TFUE.

(36)

Komisja jest zdania, że pomoc ta nie kwalifikuje się do objęcia odstępstwem przewidzianym w art. 107 ust. 2 lit. a) TFUE, jako że nie ma charakteru socjalnego. Nie stanowi ona również pomocy mającej na celu naprawienie szkód spowodowanych klęskami żywiołowymi lub innymi zdarzeniami nadzwyczajnymi (art. 107 ust. 2 lit. b)), ani nie stanowi pomocy objętej art. 107 ust. 2 lit. c) TFUE. Podobnie jest w przypadku odstępstw przewidzianych w art. 107 ust. 3 lit. a), b) i d) TFUE, biorąc pod uwagę fakt, że przedmiotowa pomoc nie była przeznaczona na sprzyjanie rozwojowi gospodarczemu regionów, w których poziom życia jest nienormalnie niski, lub regionów, w których istnieje poważny stan niedostatecznego zatrudnienia, ani na wspieranie realizacji ważnych projektów stanowiących przedmiot wspólnego europejskiego zainteresowania, ani też nie miała na celu zaradzenia poważnym zaburzeniom w gospodarce, ani nie była przeznaczona na wspieranie kultury czy zachowanie dziedzictwa kulturowego.

(37)

W analizowanym przypadku, uwzględniając charakter przedmiotowego programu, jedyne odstępstwo, na jakie można się powołać, to odstępstwo przewidziane w art. 107 ust. 3 lit. c) TFUE, który przewiduje, że za zgodną ze rynkiem wewnętrznym może zostać uznana pomoc przeznaczona na ułatwianie rozwoju niektórych działań gospodarczych lub niektórych regionów gospodarczych, o ile nie zmienia warunków wymiany handlowej w zakresie sprzecznym ze wspólnym interesem.

(38)

Biorąc pod uwagę, że program dotyczy sektora rolnego, odstępstwo na podstawie art. 107 ust. 3 lit. c) TFUE można przyznać, jeżeli planowany program pomocy spełnia warunki rozporządzenia Komisji (UE) nr 702/2014 („rozporządzenie w sprawie wyłączeń grupowych w sektorze rolnictwa”) (18) lub warunki wytycznych.

(39)

Na obecnym etapie Komisja ma wątpliwości co do zgodności tego programu z rynkiem wewnętrznym z następujących powodów:

koszty kwalifikowalne ocenianego programu pomocy (zaległa opłata należna od producentów mleka za przekroczenie indywidualnych kwot w roku kwotowym 2014/2015) nie wydają się odpowiadać żadnemu z kosztów przewidzianych w poszczególnych przepisach rozporządzenia w sprawie wyłączeń grupowych w sektorze rolnictwa, zgodnie z którym niektóre rodzaje pomocy mogłyby być zgodne z rynkiem wewnętrznym w zastosowaniu art.107 i 108 TFUE;

koszty kwalifikowalne ocenianego programu pomocy nie wydają się odpowiadać również żadnym kosztom przewidzianym w wytycznych;

podobnie informacje przekazane przez polskie władze nie pozwalają Komisji w żaden sposób stwierdzić, że przedmiotowe umorzenie mogłoby jednak zostać uzasadnione, jak wskazano w pkt 30 wytycznych, bezpośrednio na podstawie art. 107 ust. 3 lit. c) TFUE;

przeciwnie – umorzenie opłaty wydaje się na tym etapie zwykłym instrumentem służącym zmniejszeniu obciążenia finansowego beneficjentów, które normalnie musieliby ponieść sami. Zgodnie z pkt 67 wytycznych jednostronne środki pomocy państwa, których celem jest po prostu poprawa sytuacji finansowej producentów, a które w żadnym stopniu nie przyczyniają się do rozwoju sektora, stanowią pomoc operacyjną, która jest niezgodna z rynkiem wewnętrznym. Jak stwierdzono również w pkt 67 wytycznych, taka pomoc operacyjna niesie ryzyko zakłócenia mechanizmów regulujących organizację rynku wewnętrznego.

(40)

Ponadto zgodnie z pkt 44 wytycznych pomoc w sektorze rolnym powinna być zgodna z przepisami dotyczącymi wspólnej organizacji rynków produktów rolnych. W przedmiotowym sektorze (mleko i przetwory mleczne) odnośne przepisy zostały ustanowione w rozporządzeniu o jednolitej wspólnej organizacji rynku (motyw (18)) oraz rozporządzeniu Komisji (WE) nr 595/2004 (motyw (15)).

(41)

W sektorze mleka i przetworów mlecznych ilościowe ograniczanie produkcji (system kwot mlecznych) było od wielu lat istotnym instrumentem polityki rynkowej. Był on stosowany do dnia 31 marca 2015 r. (ostatnim rokiem kwotowym był zatem 2014/2015). Nadrzędnym celem wprowadzenia systemu kwot mlecznych było zmniejszenie zachwiań równowagi między podażą a popytem na rynku mleka i przetworów mlecznych oraz wynikających z nich nadwyżek strukturalnych, a tym samym zapewnianie większej równowagi rynkowej.

(42)

Opłata miała zastosowanie do ilości mleka skupionego lub sprzedanego do bezpośredniej konsumpcji, przekraczającej pewien gwarantowany próg. Opłata miała być uiszczana przez państwa członkowskie niezwłocznie po przekroczeniu kwoty krajowej. Państwa członkowskie musiały wnieść do Europejskiego Funduszu Rolniczego Gwarancji (EFRG) opłatę odpowiadającą wysokości przekroczenia ich krajowej kwoty obniżoną o zryczałtowaną sumę w wysokości 1 % w celu uwzględnienia przypadków upadłości lub definitywnej niezdolności niektórych producentów do zapłacenia należnej części opłaty. Państwo członkowskie dzieliło następnie ciężar płatności między podmioty skupujące, którzy przyczynili się do tego przekroczenia. Podmioty te odpowiadały przed danym państwem członkowskim za zapłacenie swojej części opłaty, z tytułu przekroczenia dostępnej im ilości.

(43)

Rozporządzenie Komisji (WE) nr 595/2004 (motyw (15)) określa szczegółowe zasady stosowania opłaty w sektorze mleka i przetworów mlecznych w odniesieniu, między innymi, do uiszczenia opłaty. Zmiana wprowadzona rozporządzeniem wykonawczym Komisji (UE) 2015/517 zezwoliła państwom członkowskim na podjęcie decyzji, by kwota należnej opłaty związanej z 12-miesięcznym okresem rozpoczynającym się w dniu 1 kwietnia 2014 r. była spłacona do dnia 30 września 2017 r. w trzech rocznych, nieoprocentowanych ratach (motyw (15)).

(44)

Polska skorzystała z tego zezwolenia poprzez wykorzystanie pomocy de minimis (motyw (16)).

(45)

Omawiany program pomocy wykracza jednak poza wyżej wymienione zezwolenie. Przewiduje on umorzenie części należnej kwoty opłaty (drugiej i trzeciej transzy). Rozporządzenie Komisji (WE) nr 595/2004 nie przewiduje takiej możliwości.

(46)

Na tej podstawie przedmiotowe umorzenie wydaje się stanowić również naruszenie rozporządzenia Komisji (WE) nr 595/2004, a więc przepisów dotyczących wspólnej organizacji rynku (19).

(47)

Jeżeli środek pomocy państwa lub warunki z nim związane ściśle wiążą się z naruszeniem prawa Unii, pomoc nie może zostać uznana za zgodną z rynkiem wewnętrznym (pkt 41 wytycznych).

(48)

Ponadto na podstawie opisu możliwych sytuacji beneficjentów w motywie (23) nie można wykluczyć, że odnośne przedsiębiorstwa można zaliczyć do przedsiębiorstw znajdujących się w trudnej sytuacji (zob. zwłaszcza motyw (23) lit. c)–f)). W tym kontekście władze polskie nie przedstawiły żadnych informacji na podstawie definicji przedsiębiorstw w trudnej sytuacji zawartej w Wytycznych dotyczących pomocy państwa na ratowanie i restrukturyzację przedsiębiorstw niefinansowych znajdujących się w trudnej sytuacji („wytyczne w sprawie ratowania i restrukturyzacji przedsiębiorstw”) (20); a w powiadomieniu nic nie wskazuje, że pomoc zostanie zwrócona ani że powstaną plany restrukturyzacji. W odniesieniu do wniosku zawartego w motywie (46) należy tutaj zauważyć, że zgodnie z pkt 41 wytycznych w sprawie ratowania i restrukturyzacji przedsiębiorstw pomoc nie może zostać uznana za zgodną z rynkiem wewnętrznym, jeżeli środek pomocy państwa lub warunki z nim związane ściśle wiążą się z naruszeniem prawa Unii.

(49)

Ponadto na podstawie dostępnych obecnie informacji Komisja nie jest w stanie stwierdzić, czy przedmiotowa pomoc może podlegać rozporządzeniu w sprawie pomocy de minimis, a zwłaszcza czy kumulacja tej pomocy z pomocą, o której mowa w motywie (16), byłaby możliwa w świetle ograniczeń i przepisów określonych w art. 3 ust. 2, 3 i 7 wspomnianego rozporządzenia.

(50)

W takiej sytuacji Komisja może jedynie na obecnym etapie wyrazić wątpliwości co do zgodności programu pomocy z rynkiem wewnętrznym.

4.   WNIOSEK

W świetle powyższych ustaleń Komisja, stanowiąc zgodnie z procedurą ustanowioną w art. 108 ust. 2 Traktatu o funkcjonowaniu Unii Europejskiej, zobowiązuje Polskę do przedstawienia uwag oraz wszystkich informacji, które mogą pomóc w ocenie przedmiotowej pomocy, w terminie jednego miesiąca od dnia otrzymania niniejszego pisma. Komisja prosi władze polskie o niezwłoczne przesłanie kopii niniejszego pisma do potencjalnych beneficjentów pomocy.

Komisja pragnie przypomnieć władzom polskim, że art. 108 ust. 3 Traktatu o funkcjonowaniu Unii Europejskiej ma skutek zawieszający, jak również chciałaby zwrócić uwagę na art. 16 rozporządzenia Rady (UE) 2015/1589 (21), który stanowi, że cała bezprawnie przyznana pomoc może zostać odzyskana od beneficjenta.

Komisja uprzedza władze polskie, że poinformuje zainteresowane strony, publikując niniejsze pismo i jego streszczenie w Dzienniku Urzędowym Unii Europejskiej. Wszystkie takie zainteresowane strony zostaną poproszone o przedstawienie uwag w terminie jednego miesiąca od dnia ukazania się takiej publikacji.


(1)  UL L 299, 16.11.2007, str. 1.

(2)  UL L 193, 1.7.2014, str. 1.

(3)  UL C 204, 1.7.2014, str. 1, kakor so bile spremenjene s Sporočilom Komisije o spremembi Smernic Evropske unije o državni pomoči v kmetijskem in gozdarskem sektorju ter na podeželju za obdobje od 2014 do 2020 (UL C 390, 24.11.2015, str. 4).

(4)  UL L 352, 24.12.2013, str. 9.

(5)  Uredba Komisije (ES) št. 595/2004 z dne 30. marca 2004 o podrobnih pravilih za uporabo Uredbe Sveta (ES) št. 1788/2003 o uvedbi dajatve v sektorju mleka in mlečnih proizvodov (UL L 94, 31.3.2004, str. 22).

(6)  Izvedbena uredba Komisije (EU) 2015/517 z dne 26. marca 2015 o spremembi Uredbe (ES) št. 595/2004 o podrobnih pravilih za uporabo Uredbe Sveta (ES) št. 1788/2003 o uvedbi dajatve v sektorju mleka in mlečnih proizvodov (UL L 82, 27.3.2015, str. 73).

(7)  Kurs wymiany z dnia 2 sierpnia 2016 r.

(8)  Dz.U. C 204 z 1.7.2014, s. 1, zmienione zawiadomieniem Komisji zmieniającym wytyczne Unii Europejskiej w sprawie pomocy państwa w sektorach rolnym i leśnym oraz na obszarach wiejskich w latach 2014–2020 (Dz.U. C 390 z 24.11.2015, s. 4).

(9)  Dz.U. L 94 z 31.3.2004, s. 22.

(10)  Rozporządzenie wykonawcze Komisji (UE) 2015/517 z dnia 26 marca 2015 r. zmieniające rozporządzenie (WE) nr 595/2004 ustanawiające szczegółowe zasady stosowania rozporządzenia Rady (WE) nr 1788/2003 ustanawiającego opłatę wyrównawczą w sektorze mleka i przetworów mlecznych (Dz.U. L 82 z 27.3.2015, s. 73).

(11)  Dz.U. z 2015 r., poz. 1105.

(12)  Dz.U. L 352 z 24.12.2013, s. 9.

(13)  Dz.U. L 299 z 16.11.2007, s. 1. Obowiązywało do dnia 30 czerwca 2015 r.

(14)  Dotyczy to zwłaszcza przypadków wymienionych w motywie (23) lit. c)–f), w których można stwierdzić, że pomoc przyniosła rzeczywistą korzyść przedsiębiorstwom.

(15)  Wyrok Trybunału z dnia 17 września 1980 r. w sprawie 730/79, Philip Morris Holland BV przeciwko Komisji Wspólnot Europejskich, ECLI:EU:C:1980:209.

(16)  Zob. w szczególności wyrok Trybunału z dnia 13 lipca 1988 r. w sprawie C-102/87 Republika Francuska przeciwko Komisji Wspólnot Europejskich, ECLI:EU:C:1988:391.

(17)  W 2014 r. Polska była szóstym największym producentem mleka krowiego w UE, wytwarzając 10 581 000 t. Jeśli zaś chodzi o handel wewnątrzunijny, w 2014 r. Polska importowała 307 175 t przetworów mlecznych, a eksportowała 576 213,4 t takich produktów. Źródło: dane Eurostatu.

(18)  Rozporządzenie Komisji (UE) nr 702/2014 z dnia 25 czerwca 2014 r. uznające niektóre kategorie pomocy w sektorach rolnym i leśnym oraz na obszarach wiejskich za zgodne z rynkiem wewnętrznym w zastosowaniu art. 107 i 108 Traktatu o funkcjonowaniu Unii Europejskiej (Dz.U. L 193 z 1.7.2014, s. 1).

(19)  Obecnie przeciwko Włochom toczy się postępowanie w sprawie uchybienia zobowiązaniom państwa członkowskiego, ponieważ państwo to nie wyegzekwowało od włoskich producentów opłat wyrównawczych za mleko (sprawa C-433/15).

(20)  Dz.U. C 249 z 31.7.2014, s. 1.

(21)  Rozporządzenie Rady (UE) 2015/1589 z dnia 13 lipca 2015 r. ustanawiające szczegółowe zasady stosowania art. 108 Traktatu o funkcjonowaniu Unii Europejskiej (Dz.U. L 248 z 24.9.2015, s. 9).