2008R0692 — SL — 01.01.2016 — 009.001


Ta dokument je mišljen zgolj kot dokumentacijsko orodje in institucije za njegovo vsebino ne prevzemajo nobene odgovornosti

►B

UREDBA KOMISIJE (ES) št. 692/2008

z dne 18. julij 2008

o izvajanju in spremembi Uredbe (ES) št. 715/2007 Evropskega parlamenta in Sveta o homologaciji motornih vozil glede na emisije iz lahkih potniških in gospodarskih vozil (Euro 5 in Euro 6) in o dostopu do informacij o popravilu in vzdrževanju vozil

(Besedilo velja za EGP)

(UL L 199 28.7.2008, str. 1)

spremenjena z:

 

 

Uradni list

  št.

stran

datum

►M1

UREDBA KOMISIJE (EU) št. 566/2011 z dne 8. junija 2011

  L 158

1

16.6.2011

►M2

UREDBA KOMISIJE (EU) št. 459/2012 z dne 29. maja 2012

  L 142

16

1.6.2012

►M3

UREDBA KOMISIJE (EU) št. 630/2012 z dne 12. julija 2012

  L 182

14

13.7.2012

►M4

UREDBA KOMISIJE (EU) št. 143/2013 z dne 19. februarja 2013

  L 47

51

20.2.2013

►M5

UREDBA KOMISIJE (EU) št. 171/2013 z dne 26. februarja 2013

  L 55

9

27.2.2013

►M6

UREDBA KOMISIJE (EU) št. 195/2013 z dne 7. marca 2013

  L 65

1

8.3.2013

►M7

UREDBA KOMISIJE (EU) št. 519/2013 z dne 21. februarja 2013

  L 158

74

10.6.2013

►M8

UREDBA KOMISIJE (EU) št. 136/2014 z dne 11. februarja 2014

  L 43

12

13.2.2014

►M9

UREDBA KOMISIJE (EU) 2015/45 z dne 14. januarja 2015

  L 9

1

15.1.2015

►M10

UREDBA KOMISIJE (EU) 2016/427 z dne 10. marca 2016

  L 82

1

31.3.2016


popravljena z:

 C1

Popravek, UL L 336, 21.12.2010, str.  68 (692/2008)




▼B

UREDBA KOMISIJE (ES) št. 692/2008

z dne 18. julij 2008

o izvajanju in spremembi Uredbe (ES) št. 715/2007 Evropskega parlamenta in Sveta o homologaciji motornih vozil glede na emisije iz lahkih potniških in gospodarskih vozil (Euro 5 in Euro 6) in o dostopu do informacij o popravilu in vzdrževanju vozil

(Besedilo velja za EGP)



KOMISIJA EVROPSKIH SKUPNOSTI JE –

ob upoštevanju Pogodbe o ustanovitvi Evropske skupnosti in zlasti člena 95 Pogodbe,

ob upoštevanju Uredbe (ES) št. 715/2007 Evropskega parlamenta in Sveta z dne 20. junija 2007 o homologaciji motornih vozil glede na emisije iz lahkih potniških in gospodarskih vozil (Euro 5 in Euro 6) in o dostopu do informacij o popravilu in vzdrževanju vozil ( 1 ) in zlasti členov 4(4), 5(3) in 8 Uredbe,

ob upoštevanju naslednjega:

(1)

Uredba (ES) št. 715/2007 je eden od ločenih regulativnih aktov v okviru postopka homologacije iz Direktive Sveta 70/156/EGS z dne 6. februarja 1970 o približevanju zakonodaje držav članic v zvezi s homologacijo motornih in njihovih priklopnih vozil ( 2 ).

(2)

Uredba (ES) št. 715/2007 zahteva, da so nova lahka vozila skladna z novimi mejnimi vrednostmi emisij in postavlja dodatne zahteve za dostop do informacij. Tehnične zahteve začnejo veljati v dveh fazah, pri čemer začne stopnja Euro 5 veljati 1. septembra 2009, stopnja Euro 6 pa 1. septembra 2014. Sprejeti bi bilo treba ukrepe, potrebne za izvajanje te uredbe. Namen te uredbe je zato določiti zahteve, potrebne za homologacijo vozil s specifikacijo Euro 5 in 6.

(3)

Člen 5 Uredbe (ES) št. 715/2007 določa umestitev posebnih tehničnih zahtev, ki se nanašajo na uravnavanje emisij iz vozil, v izvedbeno zakonodajo. Zato je primerno, da se takšne zahteve sprejmejo.

(4)

Po sprejetju glavnih zahtev za homologacijo v Uredbi (ES) št. 715/2007 je treba določiti upravne določbe za ES-homologacijo lahkih vozil. Te upravne zahteve vključujejo določbe o skladnosti proizvodnje in skladnosti v uporabi, da se zagotovi stalna dobra učinkovitost proizvedenih vozil.

(5)

V skladu s členom 11 Uredbe (ES) št. 715/2007 je treba določiti zahteve za homologacijo nadomestnih naprav za uravnavanje onesnaževanja, da se zagotovi njihovo pravilno delovanje.

(6)

V skladu s členoma 6 in 7 Uredbe (ES) št. 715/2007 je treba določiti tudi zahteve za zagotovitev lahkega dostopa do informacij o popravilu in vzdrževanju vgrajenega sistema za diagnostiko na vozilu (OBD) in vozila, tako da se neodvisnim izvajalcem zagotovi dostop do takšnih informacij.

(7)

V skladu z Uredbo (ES) št. 715/2007 v tej uredbi predvideni ukrepi za dostop do informacij o popravilu in vzdrževanju vozil, informacij za diagnostična orodja in skladnost nadomestnih delov z vgrajenimi sistemi za diagnostiko na vozilu ne smejo biti omejeni na sestavne dele in sisteme, ki so povezani z emisijami, temveč pokrivajo vse vidike vozila, ki so predmet homologacije v okviru te uredbe.

(8)

Kot določa člen 14(2) Uredbe (ES) št. 715/2007, se uvedejo ponovno določene mejne vrednosti za maso trdnih delcev in nove mejne vrednosti za število oddanih trdnih delcev.

(9)

Ukrepi, predvideni s to uredbo, so v skladu z mnenjem Tehničnega odbora za motorna vozila, ustanovljenega s členom 40 Direktive 2007/46/ES Evropskega parlamenta in Sveta z dne 5. septembra 2007 o vzpostavitvi okvira za odobritev motornih in priklopnih vozil ter sistemov, sestavnih delov ter samostojnih tehničnih enot, namenjenih za taka vozila (okvirna direktiva) ( 3 ).

(10)

Ustanoviti bi bilo treba forum za preučitev vseh pomislekov glede izvajanja oddelka 2.2. Priloge XIV o dostopu do informacij o varnostni značilnosti vozil. Izmenjava informacij znotraj foruma bi morala prispevati k zmanjšanju tveganja zlorabe informacij o varnosti vozil. Zaradi občutljivosti tega vprašanja bi morale biti razprave in ugotovitve foruma zaupne –

SPREJELA NASLEDNJO UREDBO:



Člen 1

Vsebina

Ta uredba določa ukrepe za izvajanje členov 4, 5 in 8 Uredbe (ES) št. 715/2007.

Člen 2

Opredelitve pojmov

V tej uredbi se uporabljajo naslednje opredelitve pojmov:

1. „tip vozila glede na emisije in informacije o popravilu in vzdrževanju vozila“ pomeni skupino vozil, ki se ne razlikujejo v naslednjih vidikih:

(a) enakovredna vztrajnost, ugotovljena v zvezi z referenčno maso, kakor je določeno v odstavku 5.1 Priloge 4 k Pravilniku št. 83 Gospodarske komisije Združenih narodov za Evropo (UN/ECE) ( 4 );

(b) lastnosti motorja in vozila, kot so opredeljene v Dodatku 3 k Prilogi I;

2. „ES-homologacija vozila glede emisij in informacij o popravilu in vzdrževanju vozila“ pomeni ES-homologacijo vozila glede na emisije iz izpušne cevi, emisije iz bloka motorja, emisije izhlapevanja, porabo goriva ter dostop do informacij o popravilu in vzdrževanju vgrajenega sistema za diagnostiko na vozilu ter vozila;

3. „plinasta onesnaževala“ pomeni emisije izpušnih plinov iz ogljikovega monoksida, dušikovih oksidov, izraženih z ekvivalentom dušikovega dioksida (NO2), in ogljikovodikov v naslednjem razmerju:

(a) C1H1,89O0,016 za bencin (E5);

(b) C1H1,86O0,005 za dizelsko gorivo (B5);

(c) C1H2,525 za utekočinjeni naftni plin (UNP);

(d) CH4 za zemeljski plin (ZP) in biometan;

(e) C1H2,74O0,385 za etanol (E85);

4. „pomoč pri zagonu“ pomeni ogrevalno svečko, spremembe krmiljenja začetka vbrizgavanja goriva in druge naprave, ki pomagajo pri vžigu motorja brez obogatitve zmesi zraka in goriva v motorju;

5. „delovna prostornina motorja“ pomeni eno od naslednjega:

(a) pri batnih motorjih s premočrtnim gibanjem batov, nazivno gibno prostornino motorja;

(b) pri motorjih z rotacijskimi bati (Wanklovi motorji) dvojno nazivno prostornino zgorevalnega prostora;

6. „sistem z redno regeneracijo“ pomeni katalizatorje, filtre za trdne delce ali druge naprave za uravnavanje onesnaževanja, ki potrebujejo periodičen postopek obnovitve po manj kot 4 000 km normalnega delovanja vozila;

7. „originalna nadomestna naprava za uravnavanje onesnaževanja“ pomeni napravo za uravnavanje onesnaževanja ali sestav naprav za uravnavanje onesnaževanja, katerih tipi so navedeni v Dodatku 4 k Prilogi I k tej uredbi, vendar jih nosilec homologacije vozila ponuja na trgu kot samostojne tehnične enote;

8. „tip naprave za uravnavanje onesnaževanja“ pomeni katalizatorje in filtre za trdne delce, ki se ne razlikujejo v nobenem od naslednjih bistvenih vidikov:

(a) število podlag, sestava in material;

(b) vrsta delovanja vsake podlage;

(c) prostornina, razmerje med čelno površino in dolžino podlage;

(d) vsebnost katalitičnega materiala;

(e) razmerje katalitičnega materiala;

(f) gostota celic;

(g) mere in oblika;

(h) toplotna zaščita;

9. „vozilo z enogorivnim motorjem“ pomeni vozilo, ki je zasnovano predvsem za eno vrsto goriva;

10. „vozilo z enogorivnim motorjem na plin“ pomeni vozilo z enogorivnim motorjem, ki za gorivo uporablja predvsem UNP, ZP/biometan ali vodik, vendar ima lahko tudi bencinski sistem za zasilne primere ali samo za zagon, kadar posoda za bencin ne sprejme več kot 15 litrov bencina;

11. „vozilo z dvogorivnim motorjem“ pomeni vozilo, ki ima dva ločena sistema za hranjenje goriva in lahko za gorivo začasno uporablja dve različni vrsti goriva ter je zasnovano tako, da ga poganja le eno gorivo naenkrat;

12. „vozilo z dvogorivnim motorjem na plin“ pomeni vozilo z dvogorivnim motorjem, ki lahko za gorivo uporablja bencin in tudi UNP, ZP/biometan ali vodik;

13. „vozilo s prilagodljivim tipom goriva“ pomeni vozilo z enim sistemom za hranjenje goriva, ki lahko za gorivo uporablja različne mešanice dveh ali več goriv;

14. „vozilo s prilagodljivim tipom goriva na etanol“ pomeni vozilo s prilagodljivim tipom goriva, ki lahko za gorivo uporablja bencin ali mešanico etanola in bencina z do 85 % deležem etanola (E85);

15. „vozilo s prilagodljivim tipom goriva na biodizel“ pomeni vozilo s prilagodljivim tipom goriva, ki lahko za gorivo uporablja mineralno dizelsko gorivo ali mešanico mineralnega dizelskega goriva in biodizla;

▼M3

16. „hibridno električno vozilo (HEV)“ pomeni vozilo – vključno z vozili, ki energijo iz porabljivega goriva pridobivajo zgolj za polnjenje naprave za shranjevanje električne energije/moči – ki za mehanski pogon pridobiva energijo iz obeh od naslednjih virov shranjene energije/moči v vozilu:

(a) porabljivo gorivo;

(b) akumulator, kondenzator, vztrajnik/generator ali druga naprava za shranjevanje električne energije/moči;

▼B

17. „ustrezno vzdrževan in uporabljen“ pomeni za preskusno vozilo, da takšno vozilo izpolnjuje merila za sprejetje izbranega vozila, ki so določena v oddelku 2 Dodatka 1 k Prilogi II;

18. „sistem za uravnavanje emisij“ pomeni, v okviru vgrajenega sistema za diagnostiko na vozilu, napravo za elektronski nadzor upravljanja motorja in druge sestavne dele v sistemu uravnavanja emisij v izpušnih plinih ali sistemu izhlapevanja, ki vnašajo informacije v to napravo ali jih sprejemajo iz njega;

19. „indikator za javljanje napak (MI)“ pomeni vidni ali slišni indikator, ki razločno opozori voznika vozila ob napaki na katerem koli delu v zvezi z emisijami, ki je povezan s sistemom OBD, ali pa je na sistemu OBD samem;

20. „napaka“ pomeni okvaro z emisijami povezanega dela ali sistema, zaradi katere bi emisije presegle mejne vrednosti iz oddelka 3.3.2 Priloge XI, ali primer ko vgrajeni sistem za diagnostiko na vozilu ne more izpolniti osnovnih zahtev za nadzor, ki so navedene v Prilogi XI;

21. „sekundarni zrak“ pomeni zrak, ki prihaja v izpušni sistem s črpalko ali sesalnim ventilom ali kako drugače in je namenjen pospeševanju oksidacije HC in CO v toku izpušnih plinov;

22. „vozni cikel“, v zvezi z vgrajenim sistemom za diagnostiko na vozilu, je sestavljen iz zagona motorja, vožnje, pri kateri bi se odkrile morebitne napake in zaustavitve motorja;

23. „dostop do informacij“ pomeni dosegljivost vseh informacij o popravilu in vzdrževanju vgrajenega sistema za diagnostiko na vozilu ter vozila, ki so potrebne za pregled, diagnozo, servisiranje ali popravilo vozila;

24. „pomanjkljivost“ pomeni pri vozilih z vgrajenim sistemom za diagnostiko na vozilu (OBD), da imata največ dva posamična sestavna dela ali sistema, ki ju spremlja vgrajeni sistem za diagnostiko, začasne ali trajne delovne značilnosti, ki škodljivo vplivajo na sicer učinkovito spremljanje teh sestavnih delov ali sistemov z vgrajenim sistemom za diagnostiko ali ne izpolnjujejo vseh drugih specificiranih zahtev za vgrajeni sistem za diagnostiko;

25. „dotrajana nadomestna naprava za uravnavanje onesnaževanja“ pomeni napravo za uravnavanje onesnaževanja, kot je opredeljeno v členu 3(11) Uredbe (ES) št. 715/2007, ki je zaradi starosti ali umetnih vplivov toliko dotrajana, da izpolnjuje zahteve iz oddelka 1 v Dodatku 1 k Prilogi XI k Pravilniku št. 83 (UN/ECE);

26. „informacije o vgrajenemu sistemu za diagnostiko na vozilu“ pomenijo informacije, ki se nanašajo na vgrajeni sistem za diagnostiko kateregakoli sistema na vozilu;

27. „reagent“ pomeni kateri koli izdelek razen goriva, ki je shranjen v vozilu in se dovaja sistemu za naknadno obdelavo izpušnih plinov na zahtevo sistema za uravnavanje emisij;

28. „masa vozila v stanju, pripravljenem za vožnjo“ pomeni maso, kot je opisana v točki 2.6 Priloge I k Direktivi 2007/46/ES;

29. „neuspel vžig v motorju“ pomeni odsotnost zgorevanja v posameznem valju motorja na prisilni vžig zaradi odsotnosti iskre, preslabega odmerjanja goriva, preslabe kompresije ali zaradi kakšnega drugega razloga;

30. „sistem ali naprava za zagon hladnega motorja“ pomeni sistem, ki začasno obogati zmes zraka in goriva v motorju in s tem pripomore k zagonu motorja;

31. „enota za odjem moči“ pomeni napravo, ki zagotavlja potrebno moč za pogon pomožne opreme, vgrajene na vozilo, ki jo poganja motor;

32. „manjši proizvajalci“ pomenijo izdelovalce vozil, katerih letna svetovna proizvodnja ne presega 10 000 enot;

▼M3

33. „električni prenos moči“ pomeni sistem, ki ga sestavljajo ena ali več naprav za shranjevanje električne energije, ena ali več naprav za kondicioniranje električne energije ter eden ali več električnih strojev, ki za pogon vozila pretvarjajo shranjeno električno energijo v mehansko energijo pri kolesih;

▼M3

34. „povsem električno vozilo“ pomeni vozilo z izključno električnim prenosom moči;

35. „vozilo s prilagodljivim tipom goriva na H2ZP“ pomeni vozilo s prilagodljivim tipom goriva, za pogon katerega se lahko uporabljajo različne mešanice vodika in zemeljskega plina/biometana;

36. „vozilo s pogonom na vodikovo gorivno celico“ pomeni vozilo s pogonom na gorivno celico, ki za pogon vozila pretvarja kemično energijo iz vodika v električno energijo;

▼M8

37. „nazivna moč“ pomeni moč na koncu ročične gredi, izmerjeno na preskusni napravi, ali enakovredno moč, izmerjeno pri ustreznem številu vrtljajev motorja s pomožnimi agregati ali brez njih, preskušeno v skladu s Prilogo XX (Merjenje nazivne moči motorja, nazivne moči in največje 30-minutne moči električnega sistema za prenos moči) ter izračunano pri referenčnih atmosferskih pogojih;

38. „največja nazivna moč“ pomeni največjo vrednost nazivne moči, izmerjeno pri polni obremenitvi motorja;

39. „največja 30-minutna moč“ pomeni največjo nazivno moč električnega pogonskega sklopa pri enosmerni napetosti, kot je opredeljena v točki 5.3.2 Pravilnika št. 85 Gospodarske komisije Združenih narodov za Evropo ( 5 );

40. „hladni zagon“ pomeni, da je temperatura hladilne tekočine motorja (ali enakovredna temperatura) ob zagonu motorja največ 35 °C in največ 7 K višja od temperature okolja (če je primerno);

▼M10

41. „dejanske emisije, ki nastajajo med vožnjo (RDE)“ pomenijo emisije iz vozila v njegovih normalnih pogojih uporabe;

42. „prenosni sistem za merjenje emisij (PEMS)“ pomeni prenosni sistem za merjenje emisij, ki izpolnjuje zahteve iz Dodatka 1 Priloge IIIA.

▼B

Člen 3

Zahteve za homologacijo

▼M8

1.  Za pridobitev homologacije ES glede emisij ter informacij o popravilu in vzdrževanju vozila mora proizvajalec dokazati, da so vozila skladna s preskusnimi postopki, ki so določeni v prilogah III do VIII, X do XII, XIV, XVI in XX k tej uredbi. Proizvajalec mora zagotoviti tudi skladnost s specifikacijami za referenčna goriva, ki so navedene v Prilogi IX k tej uredbi.

▼B

2.  Vozila morajo biti preskušena s preskusi, ki so določeni na sliki I.2.4 v Prilogi 1.

3.  Manjši proizvajalci lahko zahtevajo dodelitev ES-homologacije za vozilo, za katero je homologacijo izdal organ tretje države, na podlagi zakonodajnih aktov iz oddelka 2.1 Priloge I, namesto na podlagi zahtev, določenih v prilogah II, III, V do XI in XVI.

4. Preskusi emisij za tehnične preglede, določene v Prilogi IV, preskusi porabe goriva in emisij CO2, določeni v Prilogi XII in zahteve za dostop do informacij o popravilu in vzdrževanju vozila, določene v Prilogi XIV se še vedno zahtevajo za pridobitev ES-homologacije glede na emisije in informacije o popravilu in vzdrževanju vozila na podlagi tega odstavka.

Homologacijski organ obvesti Komisijo o okoliščinah vsake homologacije, ki je podeljena v skladu s tem odstavkom.

4.  Posebne zahteve za dovodne odprtine posod za gorivo in varnost elektronskih sistemov so določene v oddelku 2.2 in 2.3 Priloge I.

5.  Proizvajalec izvede tehnične ukrepe, da zagotovi, da se v skladu s to uredbo emisije iz izpušne cevi in emisije izhlapevanja učinkovito omejujejo, skozi celotno običajno življenjsko dobo vozila in pri uporabi v normalnih razmerah.

Ti ukrepi vključujejo zagotovitev varnosti cevi, spojev in priključkov, ki se uporabljajo v sistemih za uravnavanje emisij ter zasnova cevi, spojev in priključkov, tako da so skladni z izvirnim namenom načrtovanja.

6.  Proizvajalec zagotovi, da rezultati preskusov emisij ustrezajo veljavnim mejnim vrednostim po predpisanih preskusnih pogojih iz te uredbe.

7.  Za preskus tipa 2, ki je določen v Dodatku 1 k Prilogi IV, je pri normalnem prostem teku najvišja dovoljena vsebnost ogljikovega monoksida v izpušnih plinih tista, ki jo navaja proizvajalec vozila. Kljub temu pa najvišja vsebnost ogljikovega monoksida ne sme presegati 0,3 vol. %.

Pri visokem prostem teku vsebnost ogljikovega monoksida na prostornino izpušnih plinov ne sme presegati 0,2 %, pri tem pa mora biti hitrost motorja vsaj 2 000 min-1 in vrednost lambda 1 ± 0,03 ali v skladu s tehničnimi podatki proizvajalca.

8.  Proizvajalec zagotovi, da za preskus tipa 3, ki je določen v Prilogi V, prezračevalni sistem bloka motorja ne dovoljuje emisije nobenega plina iz bloka motorja v ozračje.

9.  Preskus tipa 6, s katerim merimo emisije pri nizkih temperaturah in je določen v Prilogi VIII, se ne uporablja za dizelska vozila.

Kljub temu pa pri vlogi za homologacijo proizvajalci homologacijskemu organu predložijo informacije, ki kažejo da naprava za naknadno obdelavo dušikovih oksidov doseže dovolj visoko temperaturo za učinkovito delovanje v 400 sekundah po hladnem zagonu pri – 7 °C, kot je opisano v preskusu tipa 6.

Poleg tega proizvajalec predloži homologacijskemu organu informacije o strategiji delovanja sistema za vračanje izpušnih plinov v valj (EGR), vključno z informacijami o delovanju pri nizkih temperaturah.

Te informacije morajo vključevati tudi opis morebitnih učinkov na emisije.

Homologacijski organ ne podeli homologacije, če so predložene informacije nezadostne, da bi pokazale da naprava za naknadno obdelavo dejansko doseže dovolj visoko temperaturo za učinkovito delovanje v navedenem času.

Na zahtevo Komisije homologacijski organ predloži informacije o učinkovitosti naprav za naknadno obdelavo dušikovih oksidov in sistema za vračanje izpušnih plinov v valj (EGR) pri nizkih temperaturah.

▼M10

10.  Proizvajalec zagotovi, da v celotni običajni življenjski dobi vozila, ki je homologirano v skladu z Uredbo (ES) št. 715/2007, emisije iz vozila, določene v skladu z zahtevami iz Priloge IIIA k tej uredbi in oddane med preskusom dejanskih emisij, ki nastajajo med vožnjo, opravljenem v skladu z navedeno prilogo, ne presežejo vrednosti iz navedene priloge.

Homologacija v skladu z Uredbo (ES) št. 715/2007 se lahko podeli samo, če je vozilo del validirane družine preskusov PEMS v skladu z Dodatkom 7 Priloge IIIA.

Do sprejetja posebnih vrednosti za parametre CFonesnaževalo v tabeli iz točke 2.1 Priloge IIIA k tej uredbi se uporabljajo naslednje določbe:

(a) zahteve iz točke 2.1 Priloge IIIA k tej uredbi se uporabljajo šele po sprejetju posebnih vrednosti za parametre CFonesnaževalo v tabeli iz točke 2.1 Priloge IIIA k tej uredbi;

(b) druge zahteve iz Priloge IIIA, zlasti v zvezi s preskusi dejanskih emisij, ki nastajajo med vožnjo, ki jih je treba opraviti, in podatki, ki jih je treba zapisati ter dati na voljo, se uporabljajo samo za nove homologacije v skladu z Uredbo (ES) št. 715/2007, podeljene več kot dvajset dni po objavi Priloge IIIA v Uradnem listu Evropske unije;

(c) zahteve iz Priloge IIIA se ne uporabljajo za homologacije, podeljene manjšim proizvajalcem iz člena 2(32) te uredbe;

(d) če so zahteve iz dodatkov 5 in 6 Priloge IIIA izpolnjene samo za eno od dveh metod za ocenjevanje podatkov, opisanih v navedenih dodatkih, se uporabijo naslednji postopki:

(i) opravi se en dodatni preskus dejanskih emisij, ki nastajajo med vožnjo;

(ii) če so navedene zahteve spet izpolnjene samo za eno metodo, se zapiše analiza popolnosti in normalnosti za obe metodi, izračun, zahtevan v točki 9.3 Priloge IIIA, pa se lahko omeji na metodo, za katero so izpolnjene zahteve za popolnost in normalnost.

Podatki obeh preskusov dejanskih emisij, ki nastajajo med vožnjo, ter analize popolnosti in normalnosti se zapišejo in dajo na voljo za proučitev razlike v rezultatih obeh metod za ocenjevanje podatkov;

(e) moč na kolesih preskusnega vozila se določi z merjenjem navora na pestu kolesa ali iz masnega pretoka CO2 tako, da se uporabi „Velines“ v skladu s točko 4 Dodatka 6 Priloge IIIA.

▼B

Člen 4

Zahteve za homologacijo glede vgrajenih sistemov za diagnostiko na vozilu (OBD)

1.  Proizvajalec zagotovi, da so vsa vozila opremljena z vgrajenim sistemom za diagnostiko na vozilu (OBD).

2.  Vgrajeni sistem za diagnostiko na vozilu mora biti zasnovan, sestavljen in nameščen na vozilu tako, da lahko prepoznava vrsto okvare ali napake skozi celotno življenjsko dobo vozila.

3.  Vgrajeni sistem za diagnostiko na vozilu mora biti pod pogoji normalne uporabe skladen z zahtevami te uredbe.

4.  Pri preskusu z okvarjenim sestavnim delom v skladu z Dodatkom 1 k Prilogi XI se mora aktivirati indikator za javljanje napak vgrajenega sistema za diagnostiko na vozilu.

Indikator za javljanje napak vgrajenega sistema za diagnostiko na vozilu se lahko pri tem preskusu aktivira tudi, ko ravni emisij padejo pod mejne vrednosti vgrajenega sistema za diagnostiko na vozilu, ki so navedene v Prilogi XI.

5.  Proizvajalec mora zagotoviti, da je vgrajeni sistem za diagnostiko na vozilu v skladu z zahtevami za učinkovitost med uporabo, ki so določene v oddelku 3 Dodatka 1 k Prilogi XI te uredbe, v vseh razumno predvidljivih.

6.  Proizvajalec mora nacionalnim organom in neodvisnim izvajalcem omogočiti preprost dostop do podatkov, ki se nanašajo na učinkovitost med uporabo in jih mora vgrajeni sistem za diagnostiko na vozilu shranjevati ter sporočati v skladu z določbami točke 3.6 v Dodatku 1 k Prilogi XI, brez kakršnegakoli šifriranja.

▼M2 —————

▼B

Člen 5

Vloga za podelitev ES-homologacije za vozilo glede emisij in dostopa do informacij o popravilu in vzdrževanju vozil

1.  Proizvajalec predloži homologacijskemu organu vlogo za podelitev ES-homologacije za vozilo glede emisij in dostopa do informacij o popravilu in vzdrževanju vozil.

2.  Vloga iz odstavka 1 se sestavi v skladu z vzorcem opisnega lista, ki je določen v Dodatku 3 k Prilogi I.

3.  Poleg tega proizvajalec predloži naslednje informacije:

(a) Pri vozilih, ki so opremljena z motorjem s prisilnim vžigom, izjavo proizvajalca o najmanjšem odstotku neuspelih vžigov na skupno število vžigov, ki bi bodisi povzročili, da emisije presežejo vrednosti, navedene v oddelku 2.3 Priloge XI, če bi ta odstotek neuspelih vžigov obstajal od začetka preskusa tipa 1, kot je opisano v Prilogi III k tej uredbi, bodisi bi lahko privedli do pregrevanja katalizatorja ali katalizatorjev izpušnih plinov, preden bi nastala nepopravljiva škoda;

(b) podrobne pisne informacije, ki v celoti opisujejo delovne značilnosti vgrajenega sistema za diagnostiko na vozilu, vključno s seznamom vseh pomembnih sestavnih delov sistema za uravnavanje emisij vozila, ki jih nadzoruje vgrajeni sistem za diagnostiko na vozilu;

(c) opis indikatorja za javljanje napak, ki ga uporablja vgrajeni sistem za diagnostiko na vozilu, da voznika vozila opozori na prisotnost napake;

(d) izjavo proizvajalca, da je vgrajeni sistem za diagnostiko na vozilu skladen z določbami oddelka 3 Dodatka 1 k Prilogi XI, ki se nanašajo na učinkovitost med uporabo v vseh razumno predvidljivih voznih razmerah

(e) načrt, ki opisuje podrobna tehnična merila in utemeljitve za povečanje števca in imenovalca vsake nadzorne enote in mora izpolniti zahteve iz oddelkov 3.2 in 3.3 Dodatka 1 k Prilogi XI, kot tudi tehnična merila za onemogočenje števcev, imenovalcev in splošnega imenovalca pod pogoji, ki so navedeni v oddelku 3.7 Dodatka 1 k Prilogi XI;

(f) opis uvedenih ukrepov za uravnavanje nedovoljenih posegov in sprememb na računalniku sistema za uravnavanje emisij;

(g) če je primerno, podrobnosti o družini vozil, kot so navedene v Dodatku 2 k Prilogi XI;

(h) kadar je to primerno, kopije drugih homologacij z ustreznimi podatki za razširitev homologacij in določitev faktorjev poslabšanja.

4.  Za namene točke (d) iz odstavka 3 bo proizvajalec uporabil vzorec proizvajalčevega certifikata o skladnosti z zahtevami za učinkovitost vgrajenega sistema za diagnostiko na vozilu med uporabo, kot je določen v Dodatku 7 k Prilogi I.

5.  Za namene točke (e) iz odstavka 3 bo homologacijski organ, ki je podelil homologacijo, dal informacije iz navedene točke na voljo homologacijskim organom ali Komisiji na njihovo zahtevo.

6.  Za namene točk (d) in (e) iz odstavka 3 homologacijski organi ne odobrijo vozila, če so predložene informacije neprimerne za izpolnitev zahtev iz oddelka 3 Dodatka 1 k Prilogi XI.

Oddelki 3.2., 3.3. in 3.7. v Dodatku 1 k Prilogi XI se uporabljajo v vseh razumno predvidljivih voznih razmerah.

Pri oceni izvajanja zahtev iz prvega in drugega pododstavka bodo homologacijski organi upoštevali stopnjo tehnološkega razvoja.

7.  Za namene točke (f) iz odstavka 3 uvedeni ukrepi za uravnavanje nedovoljenih posegov in sprememb na računalniku sistema za uravnavanje emisij vključujejo dele sistema za posodobitev s programom, ki ga je odobril proizvajalec, ali kalibriranje.

8.  Za preskuse, ki so opredeljeni na sliki I.2.4 v Prilogi I bo proizvajalec tehnični službi, ki je pristojna za homologacijske preskuse, predložil vozilo, ki je reprezentativno za tip, ki se homologira.

9.  Vloga za podelitev homologacije za vozila z enogorivnim motorjem, dvogorivnim motorjem in izmenljivim gorivom mora izpolnjevati dodatne zahteve, ki so navedene v oddelkih 1.1 in 1.2 v Prilogi I.

10.  Sprememba znamke sistema, sestavnega dela ali samostojne tehnične enote, do katerih pride po homologaciji, homologacije ne razveljavijo avtomatično, razen če se njihove izvirne tehnične lastnosti ali tehnični parametri spremenijo tako, da to vpliva na funkcionalnost motorja ali sistema za uravnavanje onesnaževanja.

Člen 6

Upravne določbe za ES-homologacijo vozila glede emisij in dostopa do informacij o popravilu in vzdrževanju vozil

▼M8

1.  Če so vse ustrezne zahteve izpolnjene, homologacijski organ podeli ES-homologacijo in izda homologacijsko številko v skladu s sistemom številčenja, ki je določen v Prilogi VII k Direktivi 2007/46/ES.

Ne glede na določbe iz Priloge VII k Direktivi 2007/46/ES se del 3 homologacijske številke sestavi v skladu z Dodatkom 6 Priloge I k tej uredbi.

Homologacijski organ ne sme dodeliti iste številke drugemu tipu vozila.

▼M10

Šteje se, da so zahteve iz Uredbe (ES) 715/2007 izpolnjene, če so izpolnjeni naslednji pogoji:

(a) izpolnjene so zahteve iz člena 3(10);

(b) izpolnjene so zahteve iz člena 13 te uredbe;

(c) v primeru vozil, homologiranih na podlagi zahtev mejnih vrednosti emisij Euro 5 iz tabele 1 Priloge I k Uredbi 715/2007, je vozilo homologirano v skladu s pravilniki UN/ECE št. 83 (spremembe 06), št. 85, št. 101 (spremembe 01) in v primeru vozil z motorjem s kompresijskim vžigom še v skladu s pravilnikom št. 24 (del III, spremembe 03);

(d) v primeru vozil, homologiranih na podlagi zahtev mejnih vrednosti emisij Euro 6 iz tabele 2 Priloge I k Uredbi 715/2007, je vozilo homologirano v skladu s pravilniki UN/ECE št. 83 (spremembe 07), št. 85 in njegovimi dopolnili, št. 101 (revizija 3, ki vključuje spremembe 01 in njihova dopolnila) in v primeru vozil z motorjem s kompresijskim vžigom še v skladu s pravilnikom št. 24 (del III, spremembe 03).

▼M8

V primeru iz četrtega pododstavka se uporablja tudi člen 14.

▼B

2.  Z odstopanjem od odstavka 1 se na zahtevo proizvajalca vozilo z vgrajenim sistemom za diagnostiko na vozilu lahko sprejme za homologacijo glede emisij in dostopa do informacij o popravilu in vzdrževanju vozil, čeprav ima sistem eno ali več pomanjkljivosti zaradi katerih ne izpolnjuje posebnih zahtev iz Priloge XI, pod pogojem, da so izpolnjene posebne upravne določbe, ki so določene v oddelku 3 navedene priloge.

Homologacijski organ o odločitvi za podelitev takšne homologacije obvesti vse homologacijske organe v drugih državah članicah v skladu z zahtevami iz člena 8 Direktive 2007/46/ES.

3.  Pri podeljevanju ES-homologacije po določilih odstavka 1, homologacijski organ izda certifikat o ES-homologaciji, ki se pripravi po vzorcu iz Dodatka 4 k Prilogi I.

Člen 7

Spremembe homologacij

Členi 13, 14 in 16 Direktive 2007/46/ES veljajo za vse spremembe homologacij.

Na zahtevo proizvajalca veljajo določbe, opredeljene v oddelku 3 Priloge I, brez potrebe po dodatnih preskusih samo za vozila istega tipa.

Člen 8

Skladnost proizvodnje

1.  V skladu z določbami člena 12 Direktive 2007/46/ES se uporabljajo ukrepi za zagotovitev skladnosti proizvodnje.

2.  Skladnost proizvodnje se preveri na osnovi opisa v certifikatu o homologaciji, ki je določen v dodatku 4 k Prilogi I k tej uredbi.

3.  Posebne določbe v zvezi s skladnostjo proizvodnje so navedene v oddelku 4 Priloge I k tej uredbi, pomembne statistične metode pa v dodatkih 1 in 2 k navedeni prilogi.

Člen 9

Skladnost v prometu

1.  Določbe za skladnost v prometu so navedene v Prilogi II k tej uredbi in, za vozila homologirana po Direktivi Sveta 70/220/EGS ( 6 ), v Prilogi XV k tej uredbi.

2.  V skladu z določbami člena 12 Direktive 2007/46/ES se uporabljajo ukrepi za zagotovitev skladnosti v prometu za vozila, homologirana na podlagi te uredbe ali Direktive 70/220/EGS.

3.  Ukrepi za skladnost v prometu morajo biti primerni za potrjevanje funkcionalnosti naprav za uravnavanje onesnaževanja med normalno uporabno življenjsko dobo vozila pri normalnih pogojih uporabe, kot je določeno v Prilogi II k tej uredbi.

4.  Ukrepi za skladnost v prometu se preverjajo v obdobju do 5 let starosti ali do 100 000 km, kar nastopi prej.

5.  Proizvajalec ni zavezan izvesti ocene skladnosti v prometu, če število prodanih vozil onemogoča pridobitev zadostnega števila vzorcev za preskus. Ocena zato ni potrebna, če je letna prodaja tega tipa vozila manj kot 5 000 vozil v celotni Skupnosti.

Kljub temu mora izdelovalec takšnega maloserijskega vozila homologacijskemu organu predložiti poročilo o morebitnih garancijskih zahtevkih in zahtevkih za popravilo, ki so povezani z emisijami ter o morebitnih napakah na vgrajenih sistemih za diagnostiko na vozilu, kot je določeno v točki 2.3. Priloge II k tej uredbi. Poleg tega lahko homologacijski organ lahko zahteva preskus takih tipov vozil v skladu z dodatkom 1 k Prilogi II k tej uredbi.

6.  Kadar homologacijski organ ni zadovoljen z rezultati preskusov v skladu z merili iz dodatka 2 k Prilogi II v zvezi z vozili, homologiranimi po tej uredbi se popravni ukrepi, navedeni v členu 30(1) in v Prilogi X k Direktivi 2007/46/ES, razširijo na vozila v prometu, ki pripadajo istemu tipu vozil in ki bodo verjetno imela enake pomanjkljivosti v skladu z oddelkom 6 Dodatka 1 k Prilogi II.

Načrt popravnih ukrepov, ki ga predloži proizvajalec v skladu z oddelkom 6.1 dodatka 1 Priloge II k tej uredbi, mora potrditi homologacijski organ. Za izvajanje potrjenega popravnega načrta je odgovoren proizvajalec.

Homologacijski organ sporoči svojo odločitev vsem državam članicam v 30 dneh. Države članice lahko zahtevajo, da se isti načrt popravnih ukrepov uporablja za vsa vozila enakega tipa, ki so registrirana na njihovem ozemlju.

7.  Če homologacijski organ ugotovi, da tip vozila ne izpolnjuje zahtevanih pogojev iz Dodatka 1, nemudoma obvesti državo članico, ki je podelila prvotno homologacijo v skladu z zahtevami člena 30(3) Direktive 2007/46/ES.

Po navedenem obvestilu in v skladu z določbo člena 30(6) Direktive 2007/46/ES homologacijski organ, ki je podelil prvotno homologacijo, sporoči proizvajalcu, da tip vozila ne izpolnjuje zahtev teh določb in da od proizvajalca pričakuje določene ukrepe. Proizvajalec mora temu organu v dveh mesecih od tega uradnega obvestila predložiti načrt ukrepov za odpravo pomanjkljivosti, katerega vsebina naj ustreza zahtevam iz oddelkov 6.1 do 6.8 v Dodatku 1. Pristojni organ, ki je izdal prvotno homologacijo, se v dveh mesecih posvetuje s proizvajalcem in se dogovori za načrt ukrepov in za izvedbo načrta. Če homologacijski organ, ki je izdal prvotno homologacijo, ugotovi, da sporazuma ni mogoče doseči, se začne postopek v skladu s členom 30(3) in (4) Direktive 2007/46/ES.

Člen 10

Naprave za uravnavanje onesnaževanja

1.  Proizvajalec zagotovi, da so nadomestne naprave za uravnavanje onesnaževanja namenjene namestitvi na ES-homologirana vozila, zajeta v okviru Uredbe (ES) št. 715/2007, ES-homologirane kot samostojne tehnične enote v smislu člena 10(2) Direktive 2007/46/ES, v skladu s členom 12, členom 13 in Prilogo XIII k tej uredbi.

Za namene te uredbe se katalizatorji in filtri za trdne delce razumejo kot naprave za uravnavanje onesnaževanja.

▼M1

Zadevne zahteve veljajo za izpolnjene, če so izpolnjeni vsi naslednji pogoji:

(a) izpolnjene so zahteve iz člena 13;

(b) nadomestne naprave za uravnavanje onesnaževanja so bile odobrene v skladu s pravilnikom UN/ECE št. 103.

V primeru iz tretjega pododstavka se prav tako uporablja člen 14.

▼B

2.  Za originalne nadomestne naprave za uravnavanje onesnaževanja, ki se uvrščajo pod tip, obravnavan v točki 2.3 Dopolnila k Dodatku4 k Prilogi I in so namenjene za namestitev na vozilo, na katerega se ustrezni dokument o homologaciji nanaša, ni potrebno da so skladne s Prilogo XIII, pod pogojem da izpolnjujejo zahteve iz točk 2.1 in 2.2. navedene Priloge.

3.  Proizvajalec zagotovi, da originalna naprava za uravnavanje onesnaževanja nosi identifikacijske oznake.

4.  Identifikacijske oznake iz odstavka 3 sestavljajo naslednji podatki:

(a) ime ali blagovna znamka proizvajalca vozila ali motorja;

(b) znamka in številka dela originalne naprave za uravnavanje onesnaževanja skladno z informacijami, navedenimi v točki 3.2.12.2. Dodatka 3 k Prilogi I.

Člen 11

Vloga za podelitev ES-homologacije za tip nadomestne naprave za uravnavanje onesnaževanja kot samostojne tehnične enote

1.  Proizvajalec predloži homologacijskemu organu vlogo za podelitev ES-homologacije za tip nadomestne naprave za uravnavanje onesnaževanja kot samostojne tehnične enote.

Vloga se sestavi v skladu z vzorcem opisnega lista, ki je določen v Dodatku 1 k Prilogi XIII.

2.  Poleg izpolnitve zahtev, določenih v odstavku 1, bo proizvajalec tehnični službi, ki je pristojna za homologacijski preskus, predložil naslednje:

(a) vozilo ali vozila tipov homologiranih v skladu s to uredbo, ki imajo nameščene nove originalne naprave za uravnavanje onesnaževanja,

(b) en vzorec tipa nadomestne naprave za uravnavanje onesnaževanja,

(c) če gre za nadomestno napravo za uravnavanje onesnaževanja, ki je namenjena namestitvi na vozilo z vgrajenim sistemom za diagnostiko na vozilu, dodaten vzorec tipa nadomestne naprave za uravnavanje onesnaževanja.

3.  Za namene točke (a) iz odstavka 2 preskusna vozila izbere prosilec, ob soglasju tehnične službe.

Preskusna vozila morajo biti skladna z zahtevami iz oddelka 3.1. Priloge 4 k Pravilniku št. 83 (UN/ECE).

Preskusna vozila morajo izpolnjevati naslednje zahteve:

(a) njihov sistem za uravnavanje emisij vozila nima pomanjkljivosti;

(b) vsak preveč obrabljen ali okvarjen originalni del, ki je povezan z emisijami, mora biti popravljen ali zamenjan;

(c) pred preskusom emisij, morajo biti vozila pravilno naravnana in nastavljena v skladu s specifikacijami proizvajalca.

4.  Za namene točk (b) in (c) iz odstavka 2 mora biti vzorec jasno in neizbrisno označen s prosilčevim blagovnim imenom ali blagovno znamko in njegovo blagovno oznako.

5.  Za namene točke (c) iz odstavka 2, bo vzorec poslabšan, kot je določeno v točki 25 člena 2.

Člen 12

Upravne določbe za ES-homologacijo za tip nadomestne naprave za uravnavanje onesnaževanja kot samostojne tehnične enote

1.  Če so vse ustrezne zahteve izpolnjene, homologacijski organ podeli ES-homologacijo za nadomestno napravo za uravnavanje onesnaževanja kot samostojne tehnične enote in izda homologacijsko številko v skladu s sistemom številčenja, ki je določen v Prilogi VII k Direktivi 2007/46/ES.

Homologacijski organ iste številke ne bo dodelil drugemu tipu nadomestne naprave za uravnavanje onesnaževanja.

Ista homologacijska številka lahko obsega uporabo tega tipa nadomestne naprave za uravnavanje onesnaževanja na več različnih tipih vozil.

2.  Za namene odstavka 1 homologacijski organ izda certifikat o ES-homologaciji, sklenjen v skladu z vzorcem iz Dodatka 2 k Prilogi XIII.

3.  Če prosilec za homologacijo homologacijskemu organu ali tehnični službi lahko dokaže, da je nadomestna naprava za uravnavanje onesnaževanja enakega tipa kot je navedeno v oddelku 2.3 Dopolnila k Dodatku 4 k Prilogi I, podelitev homologacije ni odvisna od preverjanja skladnosti z zahtevami iz oddelka 4 Priloge XIII.

Člen 13

Dostop do informacij o popravilu in vzdrževanju vgrajenih sistemov za diagnostiko na vozilu ter vozil

1.  Proizvajalci uvedejo potrebne ukrepe in postopke v skladu s členoma 6 in 7 Uredbe (ES) št. 715/2007 in Prilogo XIV te uredbe, s katerimi zagotovijo, da so informacije o popravilu in vzdrževanju vgrajenega sistema za diagnostiko na vozilu ter vozila lahko dostopne.

2.  Homologacijski organi podelijo homologacijo, šele ko proizvajalec predloži Spričevalo o dostopu do informacij o popravilu in vzdrževanju vgrajenih sistemov za diagnostiko na vozilu ter vozil

3.  Spričevalo o dostopu do informacij o popravilu in vzdrževanju vgrajenih sistemov za diagnostiko na vozilu ter vozil se šteje kot dokazilo o skladnosti s členom 6(7) Uredbe (ES) št. 715/2007.

4.  Spričevalo o dostopu do informacij o popravilu in vzdrževanju vgrajenih sistemov za diagnostiko na vozilu ter vozil se sestavi v skladu z vzorcem iz Dodatka 1 k Prilogi XIV.

5.  Če informacije o popravilu in vzdrževanju vgrajenih sistemov za diagnostiko na vozilu ter vozil niso na voljo, ali če niso skladne s členoma 6 in 7 Uredbe (ES) št. 715/2007 in Prilogo XIV te uredbe ob vložitvi vloge za homologacijo, proizvajalec zagotovi te informacije v roku šestih mesecev od ustreznega datuma, ki je določen v odstavku 2 člena 10 Uredbe (ES) št. 715/2007, ali v šestih mesecih od datuma homologacije, kar od tega je pozneje.

6.  Obveznost zagotovitve informacij v roku, določenem v odstavku 5, velja samo, če je vozilo po homologaciji dano v promet.

Kadar je vozilo dano v promet več kot šest mesecev po homologaciji, se zagotovijo informacije o dnevu, ko je bilo vozilo dano v promet.

7.  Homologacijski organ lahko na osnovi Spričevala o dostopu do informacij o popravilu in vzdrževanju vgrajenih sistemov za diagnostiko na vozilu ter vozil predvideva, da je proizvajalec uvedel zadovoljive ukrepe in postopke glede dostopa do informacij o popravilu in vzdrževanju vgrajenih sistemov za diagnostiko na vozilu ter vozil, če ni bila podana nobena pritožba in če je proizvajalec te informacije zagotovil v roku, ki je naveden v odstavku 5.

8.  Poleg izpolnjevanja zahtev o dostopu do informacij o vgrajenih sistemih za diagnostiko na vozilu, ki so določene v oddelku 4 Priloge XI, proizvajalec zainteresiranim strankam zagotovi naslednje informacije:

(a) pomembne informacije, ki omogočajo razvoj nadomestnih sestavnih delov, nujno potrebnih za pravilno delovanje vgrajenega sistema za diagnostiko na vozilu,

(b) informacije, ki omogočajo razvoj generičnih diagnostičnih orodij.

Za namene točke (a) razvoj nadomestnih sestavnih delov ne sme biti omejen z: nedosegljivostjo ustreznih informacij; tehničnimi zahtevami, ki se nanašajo na strategije za javljanje napak, če so presežene mejne vrednosti vgrajenega sistema za diagnostiko na vozilu ali če vgrajeni sistem za diagnostiko na vozilu ne more izpolniti osnovnih zahtev za nadzor vgrajenega sistema za diagnostiko na vozilu iz te uredbe; s posebnimi spremembami v upravljanju vgrajenega sistema za diagnostiko na vozilu z informacijami, zaradi katerih se različno obravnava delovanje vozila na plin in na bencin; in s homologacijo vozil s pogonom na plin, ki imajo omejeno število manjših pomanjkljivosti.

Za namene točke (b), kadar proizvajalci v franšiznih omrežjih uporabljajo diagnostična in preskusna orodja v skladu s standardom ISO 22900 Modular vehicle Communication Interface – MVCI (modularni komunikacijski vmesnik za vozila) in standardom ISO 22901 Open Diagnostic Data Exchange – ODX (odprta izmenjava diagnostičnih podatkov), morajo biti datoteke ODX dostopne neodvisnim izvajalcem na spletnem mestu proizvajalca.

▼M1

9.  Ustanovi se Forum o dostopu do informacij o vozilih (v nadaljevanju „Forum“).

Forum preuči, ali dostop do informacij vpliva na napredek pri zmanjševanju kraj avtomobilov, in pripravi priporočila za izboljšanje zahtev v zvezi z dostopom do informacij. Forum zlasti svetuje Komisiji o uvedbi postopka za odobritve in pooblastitve neodvisnih izvajalcev, s katerim jim akreditirane organizacije zagotovijo dostop do informacij o varnostni vozil.

Komisija se lahko odloči, da razprave in ugotovitve Foruma obravnava kot zaupne.

▼B

Člen 14

Izpolnjevanje obveznosti glede dostopa do informacij o popravilu in vzdrževanju vgrajenih sistemov za diagnostiko na vozilu ter vozil

1.  Homologacijski organ lahko kadar koli na osnovi lastne pobude, pritožbe ali ocene tehnične službe preveri, ali proizvajalec izpolnjuje določbe Uredbe (ES) št. 715/2007, te uredbe in pogoje Spričevala o dostopu do informacij o popravilu in vzdrževanju vgrajenih sistemov za diagnostiko na vozilu ter vozil.

2.  Kadar homologacijski organ ugotovi, da proizvajalec ne izpolnjuje svojih obveznosti glede dostopa do informacij o popravilu in vzdrževanju vgrajenih sistemov za diagnostiko na vozilu ter vozil, homologacijski organ, ki je podelil ustrezno homologacijo, sprejme vse ustrezne ukrepe za izboljšanje stanja.

3.  Ti ukrepi lahko vključujejo preklic ali mirovanje homologacije, globo ali druge ukrepe, ki se sprejmejo v skladu s členom 13 Uredbe (ES) št. 715/2007.

4.  Homologacijski organ izvede presojo, s katero preveri, ali proizvajalec izpolnjuje svoje obveznosti glede dostopa do informacij o popravilu in vzdrževanju vgrajenih sistemov za diagnostiko na vozilu ter vozil, če neodvisni izvajalec ali poslovno združenje, ki zastopa neodvisne izvajalce, vloži pritožbo pri homologacijskem organu.

5.  Pri izvajanju presoje lahko homologacijski organ zaprosi tehnično službo ali kateregakoli drugega neodvisnega strokovnjaka, da oceni, ali so te obveznosti izpolnjene.

Člen 15

Posebne zahteve glede informacij o homologaciji

1.  Z odstopanjem od Priloge I k Direktivi Sveta 70/156/EGS ( 7 ) in do 29. aprila 2009 se uporabljajo tudi dodatne zahteve iz Priloge XVIII k tej uredbi.

2.  Z odstopanjem od Priloge III k Direktivi Sveta 70/156/EGS in do 29. aprila 2009 se uporabljajo tudi dodatne zahteve iz Priloge XIX k tej uredbi.

Člen 16

Spremembe Uredbe (ES) št. 715/2007

Uredba (ES) št. 715/2007 se spremeni v skladu s Prilogo XVII k tej uredbi.

Člen 17

Začetek veljavnosti

Ta uredba začne veljati tretji dan po objavi v Uradnem listu Evropske unije.

Vendar pa se obveznosti iz členov 4(5), 4(6), 5(3)(d) in 5(3)(e) začnejo uporabljati od 1. septembra 2011 za homologacijo novih tipov vozil in od 1. januarja 2014 za vsa nova vozila, ki so prodana, registrirana ali so se začela uporabljati v Skupnosti.

Ta uredba je v celoti zavezujoča in se neposredno uporablja v vseh državah članicah.




SEZNAM PRILOG



PRILOGA I

Upravne določbe za ES-homologacijo

Dodatek 1

Potrditev skladnosti proizvodnje (1. statistična metoda)

Dodatek 2

Potrditev skladnosti proizvodnje (2. statistična metoda)

Dodatek 3

Vzorec opisnega lista

Dodatek 4

Vzorec certifikata o ES-homologaciji

Dodatek 5

Informacije v povezavi z vgrajenimi sistemi za diagnostiko na vozilu

Dodatek 6

Sistem številčenja certifikatov o ES-homologaciji

Dodatek 7

Proizvajalčev certifikat o skladnosti z zahtevami za učinkovitost vgrajenega sistema za diagnostiko na vozilu med uporabo

PRILOGA II

Skladnost v prometu

Dodatek 1

Preverjanje skladnosti v prometu

Dodatek 2

Statistični postopek za preskušanje skladnosti v prometu

Dodatek 3

Odgovornost za skladnost v prometu

PRILOGA III

Preverjanje povprečnih emisij iz izpušne cevi pri okoljskih pogojih (preskus tipa 1)

PRILOGA IIIA

Preverjanje dejanskih emisij, ki nastajajo med vožnjo

Dodatek 1

Preskusni postopek za preskušanje emisij iz vozil s prenosnim sistemom za merjenje emisij (PEMS)

Dodatek 2

Specifikacije in umerjanje sestavnih delov prenosnega sistema za merjenje emisij in signalov

Dodatek 3

Validacija prenosnega sistema za merjenje emisij in nesledljivega masnega pretoka izpušnih plinov

Dodatek 4

Določanje emisij

Dodatek 5

Preverjanje dinamičnih pogojev vožnje z metodo 1 (okno drsečega povprečenja)

Dodatek 6

Preverjanje dinamičnih pogojev vožnje z metodo 2 (diskretizacija glede na moč)

Dodatek 7

Izbira vozil za preskušanje PEMS pri prvotni homologaciji

Dodatek 8

Zahteve za izmenjavo podatkov in poročanje

Dodatek 9

Proizvajalčevo potrdilo o skladnosti

PRILOGA IV

Podatki o emisijah, zahtevani pri homologaciji zaradi tehničnega pregleda

Dodatek 1

Merjenje emisij ogljikovega monoksida v prostem teku motorja (preskus tipa 2)

Dodatek 2

Merjenje motnosti izpušnih plinov

PRILOGA V

Preverjanje emisij plinov iz bloka motorja (preskus tipa 3)

PRILOGA VI

Določanje emisij izhlapevanja (preskus tipa 4)

PRILOGA VII

Preverjanje trajnosti naprav za uravnavanje onesnaževanja (preskus tipa 5)

Dodatek 1

Standardni ciklus preskusne naprave (SBC)

Dodatek 2

Standardni ciklus preskusne naprave za dizelske motorje (SDBC)

Dodatek 3

Standardni cestni cikel (SRC)

PRILOGA VIII

Preverjanje povprečnih emisij iz izpušne cevi pri nizkih temperaturah okolice (preskus tipa 6)

PRILOGA IX

Specifikacije referenčnih goriv

PRILOGA X

Postopek preskusa emisij za hibridna električna vozila (HEV)

PRILOGA XI

Vgrajene naprave za diagnostiko na vozilu (OBD) za motorna vozila

Dodatek 1

Funkcionalni vidiki sistemov OBD

Dodatek 2

Osnovne značilnosti družine vozil

PRILOGA XII

Določanje emisij CO2, porabe goriva in električne energije ter dosega električnega pogona

PRILOGA XIII

ES-homologacija za tipe nadomestnih naprav za uravnavanje onesnaževanja kot samostojnih tehničnih enot

Dodatek 1

Vzorec opisnega lista

Dodatek 2

Vzorec certifikata o ES-homologaciji

Dodatek 3

Vzorec oznake ES-homologacije

PRILOGA XIV

Dostop do informacij o popravilu in vzdrževanju vgrajenih sistemov za diagnostiko na vozilu ter vozil

Dodatek 1

Certifikat o skladnosti

PRILOGA XV

Skladnost vozil homologiranih po Direktivi 70/220/ES v prometu

Dodatek 1

Preverjanje skladnosti v prometu

Dodatek 2

Statistični postopek za preskušanje skladnosti v prometu

PRILOGA XVI

Zahteve za vozila, ki uporabljajo reagent v sistemih za naknadno obdelavo izpušnih plinov

PRILOGA XVII

Spremembe Uredbe (ES) št. 715/2007

PRILOGA XVIII

Posebne določbe glede priloge I k Direktivi sveta 70/156/EGS

PRILOGA XIX

Posebne določbe glede priloge III k Direktivi sveta 70/156/EGS

▼M8

PRILOGA XX

Merjenje nazivne moči motorja

▼B




PRILOGA I

UPRAVNE DOLOČBE ZA ES-HOMOLOGACIJO

1.   DODATNE ZAHTEVE ZA PODELITEV ES-HOMOLOGACIJE

▼M3

1.1.   Dodatne zahteve za vozila z enogorivnim motorjem na plin, vozila z dvogorivnim motorjem na plin in vozila s prilagodljivim tipom goriva na H2ZP

▼B

1.1.1

Za namene oddelka 1.1 se uporabljajo naslednje opredelitve pojmov:

▼M3

1.1.1.1.

Družina pomeni skupino tipov vozil s pogonom na UNP, ZP/biometan ali H2ZP, ki se določijo z matičnim vozilom.

▼B

1.1.1.2

Matično vozilo pomeni vozilo, izbrano za vozilo, s katerim se dokazuje prilagodljivost sistema za napajanje motorja in na katerega se sklicujejo člani družine. V družini je lahko tudi več kot eno matično vozilo.

1.1.1.3

Član družine je vozilo, ki si z matičnim vozilom deli naslednje osnovne značilnosti:

(a) proizvaja ga isti proizvajalec vozil,

(b) za vozilo veljajo iste omejitve emisij,

(c) če je na sistemu napajanja motorja s plinom osrednja merilno-dozirna enota za celoten motor, ima potrjeno izhodno moč med 0,7- in 1,15-kratno močjo motorja matičnega vozila,

(d) če je na sistemu napajanja motorja s plinom ločena merilno-dozirna enota za vsak valj, ima potrjeno izhodno moč za vsak valj med 0,7- in 1,15-kratno močjo na valj pri motorju matičnega vozila,

(e) če je opremljeno s katalizatorjem, ima isti tip katalizatorja, to je tristezni, oksidacijski, redukcijski,

(f) ima sistem napajanja motorja s plinom (vključno z regulatorjem tlaka) istega proizvajalca in istega tipa: sesanje, vbrizgavanje plina v plinastem stanju (enotočkovno, večtočkovno), vbrizgavanje plina v tekočem stanju (enotočkovno, večtočkovno).

(g) ta sistem napajanja s plinom upravlja elektronska upravljalna enota (ECU) istega tipa z enakimi tehničnimi specifikacijami in enakimi principi programske opreme ter enakim načinom upravljanja. Vozilo ima lahko v primerjavi z matičnim vozilom še dodatno elektronsko upravljalno enoto (ECU) pod pogojem, da ta elektronska upravljalna enota upravlja samo vbrizgalne šobe, dodatne zaporne ventile in pridobiva podatke iz dodatnih tipal.

Če glede na zahteve navedene v točkah (c) in (d) predstavitev pokaže, da bi bili lahko dve vozili na plin člana iste družine, vendar imata različno potrjeno izhodno moč P1 ali P2 (P1 < P2) in sta obe preskušeni, kot če bi bili matični vozili, se družinska vez šteje za veljavno za vsako vozilo, ki ima potrjeno izhodno moč med 0,7 × P1 in 1,15 × P2.

1.1.2.

▼M3

Pri vozilih, ki za gorivo uporabljajo UNP, ZP/biometan ali H2ZP, se ES-homologacija podeli pod naslednjimi pogoji:

▼B

1.1.2.1

Pri homologaciji matičnega vozila izkaže matično vozilo sposobnost prilagoditve kateri koli sestavi goriva, ki bi se pojavila na tržišču. Pri utekočinjenem naftnem plinu (UNP) obstajajo razlike v sestavi C3/C4. Pri zemeljskem plinu navadno obstajata dve vrsti goriva, visokokalorično gorivo (H-plin) in nizkokalorično gorivo (L-plin), vendar imata zelo širok razpon; občutno se razlikujeta v Wobbejevem indeksu. Te razlike se kažejo v referenčnih gorivih.

▼M3

Pri vozilu s prilagodljivim tipom goriva na H2ZP lahko razpon sestave zajema vse od 0 % vodika do največjega deleža vodika v mešanici, ki ga določi proizvajalec. Matično vozilo ima sposobnost, da se prilagodi kateremu koli deležu znotraj razpona, ki ga je določil proizvajalec. Ima tudi sposobnost prilagoditve kateri koli mešanici ZP/biometana, ki je na voljo na trgu ne glede na delež vodika v mešanici.

▼M3

1.1.2.2.

Pri vozilih, pri katerih se kot gorivo uporablja UNP ali ZP/biometan, se matično vozilo preskusi s preskusom tipa 1 z dvema skrajnima referenčnima gorivoma iz Priloge IX. Pri ZP/biometanu, če se prehod z enega goriva na drugega v praksi opravi s stikalom, se to stikalo ne sme uporabljati med preskušanjem za pridobitev homologacije.

Pri vozilih H2ZP se matično vozilo preskusi s preskusom tipa 1 z naslednjimi sestavami goriva:

 100 % H-plin;

 100 % L-plin;

 mešanica H-plina in največjega deleža vodika, ki ga je določil proizvajalec;

 mešanica L-plina in največjega deleža vodika, ki ga je določil proizvajalec.

1.1.2.3.

Šteje se, da vozilo ustreza predpisom, če pri preskušanju z referenčnimi gorivi iz točke 1.1.2.2 izpolnjuje omejitve emisij.

1.1.2.4.

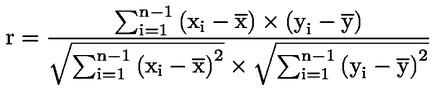
Pri vozilih na UNP ali ZP/biometan se razmerje med rezultati emisij „r“ za vsako onesnaževalo določi, kot sledi:



Vrsta goriva

Referenčna goriva

Izračun „r“

UNP

gorivo A

image

gorivo B

ZP/biometan

gorivo G20

image

gorivo G25

▼M3

1.1.2.5.

Pri vozilih s prilagodljivim tipom goriva na H2ZP se razmerji med rezultati emisij „r1“ in „r2“ za vsako onesnaževalo določita, kot sledi:



Vrsta goriva

Referenčna goriva

Izračun „r“

ZP/biometan

gorivo G20

image

gorivo G25

H2ZP

mešanica vodika in G20 z največjim deležem vodika, ki ga je določil proizvajalec

image

mešanica vodika in G25 z največjim deležem vodika, ki ga je določil proizvajalec

▼B

1.1.3

►M3  

Pri homologaciji vozila z enogorivnim motorjem na plin in vozila z dvogorivnim motorjem na plin, ki se uporablja v načinu na plin z UNP ali ZP/biometanom, kot člana družine, se preskus tipa 1 izvede z enim referenčnim plinskim gorivom. To referenčno gorivo je lahko katero koli od referenčnih plinskih goriv. Vozilo ustreza predpisom, če izpolnjuje naslednje zahteve:

 ◄

(a) vozilo ustreza opredelitvi člana družine, kakor je določena v oddelku 1.1.1.3.,

(b) če je preskusno gorivo referenčno gorivo A za UNP ali G 20 za ZP/biometan, se rezultat emisij za vsako onesnaževalo pomnoži z ustreznim faktorjem „r“, ki je bil izračunan v oddelku 1.1.2.4., če je faktor r > 1; če je r < 1, popravek ni potreben,

(c) če je preskusno gorivo referenčno gorivo B za UNP ali G 25 za ZP/biometan, se rezultat emisij za vsako onesnaževalo deli z ustreznim faktorjem „r“, ki je bil izračunan v oddelku 1.1.2.4., če je faktor r > 1; če je r < 1, popravek ni potreben,

(d) na zahtevo proizvajalca se preskus tipa 1 lahko izvede z obema referenčnima gorivoma, tako da popravek ni potreben,

(e) vozilo izpolnjuje omejitve emisij, ki veljajo za ustrezno kategorijo za izmerjene in tudi izračunane emisije,

(f) če se na istem motorju izvede več preskusov, se iz rezultatov za referenčno gorivo G 20 ali A in iz rezultatov za referenčno gorivo G 25 ali B najprej izračuna povprečje; iz teh povprečnih vrednosti se nato izračuna faktor „r“,

(g) med preskusom tipa 1 sme vozilo uporabljati bencin največ 60 sekund, ko deluje v načinu na plin.

▼M3

1.1.4.

Pri homologaciji vozila s prilagodljivim tipom goriva na H2ZP kot člana družine se opravita dva preskusa tipa 1, prvi s 100 % G20 ali G25 ter drugi z mešanico vodika in istim gorivom ZP/biometan, ki je bil uporabljen v prvem preskusu, z največjim deležem vodika, ki ga je določil proizvajalec.

Vozilo, ki se preskusi v skladu s prvim odstavkom, ustreza predpisom, če poleg zahtev iz točk (a), (e) in (g) iz točke 1.1.3 izpolnjuje naslednje zahteve:

(a) če je gorivo ZP/biometan referenčno gorivo G20, se rezultat emisij za vsako onesnaževalo pomnoži z ustreznimi faktorji (r1 za prvi preskus in r2 za drugi preskus), izračunanimi v oddelku 1.1.2.5, če je ustrezni faktor > 1; če je ustrezni faktor < 1, popravek ni potreben;

(b) če je gorivo ZP/biometan referenčno gorivo G25, se rezultat emisij za vsako onesnaževalo deli z ustreznim faktorjem (r1 za prvi preskus in r2 za drugi preskus), izračunanim v skladu s točko 1.1.2.5, če je ustrezni faktor < 1; če je ustrezni faktor > 1, popravek ni potreben;

(c) na zahtevo proizvajalca je treba preskus tipa 1 opraviti s štirimi možnimi kombinacijami referenčnih goriv v skladu z oddelkom 1.1.2.5, tako da popravek ni potreben;

(d) če se na enem motorju opravi več preskusov, se za rezultate z referenčnim gorivom G20 ali H2G20 in z referenčnim gorivom G25 ali H2G25 z največjim deležem vodika, ki ga je določil proizvajalec, najprej izračuna srednja vrednost; iz te srednje vrednosti se nato izračunata faktorja „r1“ in „r2“.

▼B

1.2   Dodatne zahteve za vozila s prilagodljivim tipom goriva.

1.2.1

Pri homologaciji vozila s prilagodljivim tipom goriva na etanol ali biodizel, proizvajalec vozila opiše sposobnost vozila, da se prilagodi kateri koli mešanici bencina in etanola (z do 85 % deležem etanola) ali dizelskega goriva in biodizla, ki bi se pojavila na tržišču.

1.2.2

Pri vozilih s prilagodljivim tipom goriva se prehod z enega goriva na drugega med preskusi izvede brez ročnega nastavljanja nastavitev motorja.

2.   DODATNE TEHNIČNE ZAHTEVE IN PRESKUSI

2.1   Manjši proizvajalci

2.1.1

Seznam zakonodajnih aktov iz člena 3(3):



Zakonodajni akt

Zahteve

California Code of Regulations, Naslov 13, oddelki 1961(a) in 1961(b)1(C)(1) za modele vozil od leta 2001 ter 1968,1, 1968,2, 1968,5, 1976 and 1975, ki jih je objavila založba Barclay’s Publishing.

Homologacijo je treba dodeliti na podlagi California Code of Regulations, ki se uporablja za najnovejše modele lahkih tovornih vozil.

2.2   Dovodne odprtine posod za gorivo

2.2.1

Dovodna odprtina posode za bencin ali etanol mora bit zasnovana tako, da je onemogočeno polnjenje posode iz šobe za točenje goriva z zunanjim premerom 23,6 mm ali več.

2.2.2

Določba iz oddelka 2.2.1 se ne uporablja za vozila, pri katerih sta izpolnjena oba naslednja pogoja:

(a) vozilo je zasnovano in izdelano tako da na nobeno napravo, ki je zasnovana za uravnavanje emisij plinastih onesnaževal osvinčeni bencin nima vpliva, in

(b) na mestu, vidnem osebi, ki polni posodo, je vidno, čitljivo in neizbrisno označeno s simbolom za gorivo za neosvinčeni bencin, določen v ISO 2575:2004. Dovoljene so dodatne oznake.

2.2.3

Izvedejo se ukrepi, s katerimi se preprečijo prekomerne emisije izhlapevanja in prekomerno polivanje goriva zaradi manjkajočega pokrova na posodi za gorivo. To je mogoče doseči na enega od naslednjih načinov:

(a) s pokrovom posode za gorivo, ki ga ni mogoče odstraniti in se samodejno odpira in zapira,

(b) z zasnovo, ki preprečuje čezmerne emisije izhlapevanja, če manjka pokrov posode za gorivo,

(c) na kakršen koli drug način, ki ima enak učinek. Primeri lahko vključujejo, vendar niso omejeni na privezan pokrov posode za gorivo, priklenjen pokrov ali pokrov, ki se odklepa s ključem za vžig vozila. V takšnem primeru, mora biti mogoče ključ odstraniti iz pokrova posode za gorivo samo ko je zaklenjen.

2.3   Določbe za varnost elektronskega sistema

▼M1

2.3.1

Vsa vozila z računalniškim nadzorom emisij morajo biti zaščitena pred spre membami, ki jih ni odobril proizvajalec. Proizvajalec odobri spremembe, če so te potrebne zaradi diagnoze, servisiranja, pregleda, dodatnega opremljanja ali popravila vozila. Vse računalniške kode ali obratovalni parametri, ki jih je mogoče reprogramirati, morajo biti zaščiteni pred nedovoljenimi posegi z ravnjo zaščite iz določb standarda ISO 15031–7 z dne 15. marca 2001 (SAE J2186 iz oktobra 1996). Vsi odstranljivi kalibracijski pomnilniški čipi morajo biti zaprti v svojem ohišju, ki je zapečateno ali zaščiteno z elektronskimi algoritmi, in jih ne sme biti mogoče menjati brez uporabe posebnega orodja in postopkov. Na tak način so lahko zaščitene samo značilnosti, ki so neposredno povezane s kalibracijo emisij ali preprečevanjem kraje vozila.

▼B

2.3.2

Delovnih parametrov računalniško kodiranega motorja ne sme biti mogoče spreminjati brez uporabe posebnih naprav in postopkov (npr. zalotane oziroma zaščitene računalniške komponente ali zapečatena računalniška ohišja).

2.3.3

Kadar so na motorje na kompresijski vžig vgrajene mehanske črpalke za vbrizg goriva, proizvajalci sprejmejo ustrezne ukrepe, da nastavitve največje količine dotoka goriva ni mogoče prirejati, ko je vozilo v prometu.

2.3.4

Proizvajalci lahko pri organu za izdajanje certifikatov zaprosijo za oprostitev ene izmed zahtev iz oddelka 2.3 za vozila, na katerih zaščita verjetno ni potrebna. Merila, ki jih organ za izdajo certifikatov upošteva pri odločanju o oprostitvi, vključujejo trenutno razpoložljivost delovnih čipov, največjo zmogljivost vozila in predvideni prodajni obseg vozila.

2.3.5

Proizvajalci, ki uporabljajo sisteme računalniških kod, ki jih je mogoče programirati (npr. električni izbrisljivi bralni pomnilnik, ki ga je mogoče programirati, EEPROM), morajo preprečiti nedovoljeno reprogramiranje. Proizvajalci morajo vključiti izboljšane strategije za zaščito pred prirejanjem in zaščito pred zapisovanjem, ki zahteva elektronski dostop do proizvajalčevega računalnika na drugem mestu, do katerega imajo dostop tudi neodvisni izvajalci z uporabo zaščite, določene v oddelku 2.3.1 in oddelku 2.2 Priloge XIV. Homologacijski organ bo odobril metode, ki zagotavljajo ustrezno stopnjo zaščite pred nedovoljenimi posegi.

▼M8

2.4    Uporaba preskusov

2.4.1

Slika I.2.4 ponazarja uporabo preskusov za homologacijo vozila. Posebni preskusni postopki so opisani v Prilogah II, III, IV, V, VI, VII, VIII, X, XI, XII, XVI ( 8 ) in XX.



Slika I.2.4

Uporaba preskusnih zahtev za homologacijo- in razširitve

Kategorija vozila

Vozila z motorji na prisilni vžig vključno s hibridi

Vozila z motorji na kompresijski vžig vključno s hibridi

Povsem električna vozila

Vozila na vodik z gorivnimi celicami

Vozila z enogorivnim motorjem

Vozila z dvogorivnim motorjem (1)

Vozila s prilagodljivim tipom goriva (1)

Vozila s prilagodljivim tipom goriva

Vozila z enogorivnim motorjem

Referenčno gorivo

Bencin

(E5/E10) (5)

UNP

ZP/Biometan

Vodik

Bencin (E5/E10) (5)

Bencin (E5/E10) (5)

Bencin (E5/E10) (5)

Bencin (E5/E10) (5)

ZP/biometan

Dizelsko gorivo

(B5/B7) (5)

Dizelsko gorivo

(B5/B7) (5)

UNP

ZP/biometan

Vodik

Etanol

(E85)

H2ZP

Biodizel

Plinasta onesnaževala

(Preskus tipa 1)

Da

Da

Da

Da (4)

Da

(obe gorivi)

Da

(obe gorivi)

Da

(obe gorivi) (4)

Da

(obe gorivi)

Da

(obe gorivi)

Da (samo B5/B7) (2) (5)

Da

Masa delcev in število delcev

(Preskus tipa 1)

Da

Da

(samo bencin)

Da

(samo bencin)

Da

(samo bencin)

Da

(obe gorivi)

Da (samo B5/B7) (2) (5)

Da

▼M10

Plinasta onesnaževala, RDE (preskus tipa 1A)

da

da

da

da (4)

da (obe gorivi)

da (obe gorivi)

da (obe gorivi)

da (obe gorivi)

da (obe gorivi)

da (obe gorivi)

da

Število delcev, RDE (preskus 1A) (6)

da

da (obe gorivi)

da (obe gorivi)

da (obe gorivi)

da (obe gorivi)

da (obe gorivi)

da

▼M8

Emisije pri prostem teku

(Preskus tipa 2)

Da

Da

Da

Da

(obe gorivi)

Da

(obe gorivi)

Da

(samo bencin)

Da

(obe gorivi)

Da

(samo ZP/biometan)

Emisije plinov iz bloka motorja

(Preskus tipa 3)

Da

Da

Da

Da

(samo bencin)

Da

(samo bencin)

Da

(samo bencin)

Da

(samo bencin)

Da

(samo ZP/biometan)

Emisije zaradi izhlapevanja

(Preskus tipa 4)

Da

Da

(samo bencin)

Da

(samo bencin)

Da

(samo bencin)

Da

(samo bencin)

Trajnost

(Preskus tipa 5)

Da

Da

Da

Da

Da

(samo bencin)

Da

(samo bencin)

Da

(samo bencin)

Da

(samo bencin)

Da

(samo ZP/biometan)

Da (samo B5/B7) (2) (5)

Da

(Preskus tipa 6)

Da

Da

(samo bencin)

Da

(samo bencin)

Da

(samo bencin)

Da (3)

(obe gorivi)

Skladnost med uporabo

Da

Da

Da

Da

Da

(obe gorivi)

Da

(obe gorivi)

Da

(obe gorivi)

Da

(obe gorivi)

Da

(obe gorivi)

Da (samo B5/B7) (2) (5)

Da

Diagnostika na vozilu

Da

Da

Da

Da

Da

Da

Da

Da

Da

Da

Da

Emisije CO2, poraba goriva, poraba električne energije in doseg na električni pogon

Da

Da

Da

Da

Da

(obe gorivi)

Da

(obe gorivi)

Da

(obe gorivi)

Da

(obe gorivi)

Da

(obe gorivi)

Da (samo B5/B7) (2) (5)

Da

Da

Da

Motnost izpušnih plinov

Da (samo B5/B7) (2) (5)

Da

Moč motorja

Da

Da

Da

Da

Da

Da

Da

Da

Da

Da

Da

Da

Da

(1)   Pri kombinaciji vozila z dvogorivnim motorjem in vozila s prilagodljivim tipom goriva, se uporabljata obe zahtevi.

(2)   Ta določba je začasna, dodatne zahteve za biodizel bodo predlagane kasneje.

(3)   Preskus samo z bencinom pred datumi iz člena 10(6) Uredbe (ES) št. 715/2007. Po teh datumih se preskus izvede z obema tipoma goriva. Uporabiti je treba preskusno referenčno gorivo E75 iz oddelka B Priloge IX.

(4)   Pri vozilih s pogonom na vodik se določijo le emisije NOx.

(5)   Po izbiri proizvajalca se lahko vozila z motorjem na prisilni in kompresijski vžig preskušajo z gorivom E5 ali E10 oziroma B5 ali B7. Vendar se: — najpozneje šestnajst mesecev po datumih iz člena 10(4) Uredbe (ES) št. 715/2007 za nove homologacije uporabljata samo gorivi E10 in B7, — najpozneje tri leta po datumih iz člena 10(5) Uredbe (ES) št. 715/2007 vsa nova vozila homologirajo z gorivoma E10 in B7.

(6)   Preskus števila delcev v dejanskih emisijah, ki nastajajo med vožnjo, se uporablja samo za vozila, za katera so določene mejne vrednosti emisij Euro 6 za število delcev v tabeli 2 Priloge I k Uredbi (ES) 715/2007.

▼M8

Pojasnilo:

Datumi uporabe referenčnih goriv E10 in B7 za vsa nova vozila so bili določeni zato, da se zmanjšajo obremenitve s preskusi. Vendar, če se na podlagi tehničnih dokazov izkaže, da so pri vozilih, homologiranih z referenčnim gorivom E5 ali B5, emisije občutno višje pri preskušanju z gorivom E10 ali B7, mora Komisija predlagati hitrejši začetek uporabe teh goriv.

▼B

3.   RAZŠIRITEV HOMOLOGACIJ

3.1   Razširitev glede emisij iz izpušne cevi (preskusi tipa 1, 2 in 6)

3.1.1

Vozila z drugačnimi referenčnimi masami

3.1.1.1

Homologacija se lahko razširi samo na vozila, katerih referenčna masa zahteva uporabo naslednjih dveh višjih ali katerekoli nižje enakovredne vztrajnosti.

3.1.1.2

Za vozila kategorije N se homologacija podaljša samo na vozila z nižjo referenčno maso, če so emisije že homologiranega vozila v okviru mejnih vrednosti določenih za vozila, za katera se zahteva razširitev homologacije.

3.1.2

Vozila z drugačnimi skupnimi prestavnimi razmerji

3.1.2.1

Homologacija se razširi na vozila z drugačnimi prestavnimi razmerji samo pod naslednjimi pogoji.

3.1.2.2

Pri ugotavljanju ali je mogoče razširiti homologacijo, se za vsako prestavno razmerje, ki se uporablja v preskusih tipa 1 in 6, ugotovi razmerje

image

kjer je pri hitrosti motorja 1 000 vrt./min V1 hitrost homologiranega vozila in V2 hitrost vozila, za katero se zahteva razširitev homologacije.

3.1.2.3

Če je za vsako prestavno razmerje E ≤ 8 %, se razširitev homologacije podeli brez ponovitve preskusov tipa 1 in 6.

3.1.2.4

Če je vsaj za eno prestavno razmerje E > 8 %, in če je za vsako prestavno razmerje E ≤ 3 %, se preskusa tipa 1 in 6 ponovita. Preskus se lahko izvede v laboratoriju, ki ga izbere proizvajalec, pod pogojem da ga odobri tehnična služba. Poročilo preskusov se pošlje tehnični službi, ki je odgovorna za homologacijske preskuse.

3.1.3

Vozila z različnimi referenčnimi masami in prestavnimi razmerji

Homologacija se razširi na vozila z drugačnimi referenčnimi masami in prestavnimi razmerji, če so izpolnjeni vsi pogoji, ki so določeni v oddelkih 3.1.1 in 3.1.2.

3.1.4

Vozila s sistemi z redno regeneracijo

Homologacija vozila, ki je opremljeno s sistemom z redno regeneracijo se razširi na druga vozila s sistemi z redno regeneracijo, katerih spodaj opisani parametri so enaki ali znotraj navedenih omejitev. Razširitev se nanaša samo na meritve, ki so značilne za opredeljene sisteme z redno regeneracijo.

3.1.4.1

Identični parametri za razširitev homologacije so:

(1) motor,

(2) proces zgorevanja,

(3) sistem z redno regeneracijo (t.j. katalizator, lovilnik trdnih delcev),

(4) zgradba (t.j. tip ohišja, vrsta plemenite kovine, vrsta podlage, gostota celic),

(5) tip in princip delovanja,

(6) sistem odmerjanja in dodajanja,

(7) prostornina ± 10 odstotkov,

(8) položaj (temperatura ± 50 °C pri 120 km/h ali 5-odstotna razlika najvišje temperature/pritiska)

3.1.4.2

Uporaba faktorjev Ki za vozila z različnimi referenčnimi masami

Faktorje Ki, določene s postopki iz oddelka 3 Priloge 13 k Pravilniku št. 83 (UN/ECE) za homologacijo tipa vozila s sistemom z redno regeneracijo lahko uporabljajo druga vozila, ki izpolnjujejo pogoje navedene v oddelku 3.1.4.1. in imajo referenčno maso znotraj naslednjih dveh višjih razredov vztrajnosti ali kateregakoli nižjega razreda enakovredne vztrajnosti.

3.1.5

Uporaba razširitev na druga vozila

Ko je razširitev odobrena v skladu z oddelki od 3.1.1 do 3.1.4, takšne homologacije ni mogoče dodatno razširiti na druga vozila.

3.2   Razširitev za emisije izhlapevanja (preskus tipa 4)

3.2.1

Homologacija se razširi na vozila, ki so opremljena s sistemi za uravnavanje emisij izhlapevanja in izpolnjujejo naslednje pogoje:

3.2.1.1

Osnovni princip merjenja goriva/zraka (npr. enotočkovno vbrizgavanje) je enak.

3.2.1.2

Oblika posode za gorivo in material, iz katerega so posoda za gorivo in cevi za tekoče gorivo, sta enaka.

3.2.1.3

Preskusi se vozilo, ki ima najbolj neugoden presek in približno dolžino cevi. Tehnična služba, ki je odgovorna za homologacijske preskuse, se odloči, ali so neidentični ločevalniki hlapov/tekočine sprejemljivi.

3.2.1.4

Prostornina posode za gorivo je v območju ± 10 %.

3.2.1.5

Nastavitev varnostnega ventila posode za gorivo je enaka.

3.2.1.6

Način shranjevanja hlapov goriva je enak, t.j. oblika in prostornina lovilnika, shranjevalni medij, filter za zrak (če se uporablja za uravnavanje emisij izhlapevanja), itd.

3.2.1.7

Način odvajanja shranjenih hlapov je enak (npr. zračni tok, začetna točka ali prostornina odvoda skozi cikel predkondicioniranja).

3.2.1.8

Način zatesnitve in zračenja sistema za odmerjanje goriva je enak.

3.2.2

Homologacija se razširi na vozila, ki imajo:

3.2.2.1

drugačne velikosti motorja,

3.2.2.2

drugačne moči motorja,

3.2.2.3

samodejne in ročne menjalnike,

3.2.2.4

pogon na dve kolesi in štiri kolesa,

3.2.2.5

različne oblike karoserij, in

3.2.2.6

različne velikosti koles ter pnevmatik.

3.3   Razširitev glede trajnosti naprav za uravnavanje onesnaževanja (preskus tipa 5)

3.3.1

Homologacija se razširi na druge tipe vozil pod pogojem, da so spodaj navedeni parametri vozila, motorja ali sistema za uravnavanje onesnaževanja enaki, ali ostanejo v okviru predpisanih omejitev:

3.3.1.1

Vozilo:

Kategorija vztrajnosti: naslednja dva višja razreda vztrajnosti ali kateri koli nižji razred vztrajnosti.

Skupna obremenitev vozila pri vožnji po cesti pri 80 km/h: + 5 % več in katera koli nižja vrednost.

3.3.1.2

Motor

(a) prostornina valjev motorja (± 15 %),

(b) število in nadzor ventilov,

(c) sistem za gorivo,

(d) tip hladilnega sistema,

(e) proces zgorevanja.

3.3.1.3

Parametri sistema za uravnavanje onesnaževanja:

(a) Katalizatorji in filtri za trdne delce:

število katalizatorjev, filtrov in elementov,

velikost katalizatorjev in filtrov za trdne delce (prostornina monolita ± 10 %),

vrsta katalitičnega procesa (oksidacijski, tristezni, redukcijski lovilnik, selektivni redukcijski katalizator, redukcijski katalizator ali drugo),

delež plemenite kovine (enaka ali višja),

vrsta in razmerje plemenite kovine (± 15 %),

podlaga (sestava in material),

gostota celic,

spremembe temperature na vhodu katalizatorja ali filtra, ki ne presegajo 50 K. Te spremembe temperature se preveri pri stabiliziranih pogojih pri hitrosti 120 km/h in pri nastavitvi obremenitve za preskus tipa 1.

(b) Vpihavanje zraka:

z vpihavanjem ali brez vpihavanja

vrsta (samosesanje, zračne črpalke, drugo)

(c) Vračanje izpušnih plinov v valj (EGR):

z vračanjem ali brez vračanja

vrsta (hlajeno ali nehlajeno, aktivni ali pasivni nadzor, visokotlačno ali nizkotlačno).

3.3.1.4

Preskus trajnosti se lahko izvede na vozilu, ki ima drugačno karoserijo, menjalnik (samodejni ali ročni) in velikost koles ali pnevmatik kot tip vozila za katerega se pridobiva homologacijo.

3.4   Razširitev za vgrajene naprave za diagnostiko na vozilu

3.4.1

Homologacija se razširi na drugačna vozila z enakimi motorji in sistemi za uravnavanje emisij v skladu s Prilogo XI, Dodatkom 2. Homologacija se razširi ne glede na naslednje tehnične značilnosti vozila:

(a) oprema motorja,

(b) pnevmatike,

(c) enakovredna vztrajnost,

(d) hladilni sistem,

(e) skupno prestavno razmerje,

(f) vrsta prenosa moči,

(g) vrsta karoserije.

3.5   Razširitev glede emisij CO2 in porabe goriva

3.5.1

Vozila, ki jih poganja samo motor z notranjim izgorevanjem, razen vozil, opremljenih s sistemi z redno regeneracijo za uravnavanje emisij.

3.5.1.1

Homologacija se razširi na vozila, ki se razlikujejo v naslednjih tehničnih značilnostih, pod pogojem da emisije CO2, ki jih je izmerila tehnična služba, ne presegajo homologacijske vrednosti za več kot 4 % za vozila kategorije M in 6 % za vozila kategorije N:

 referenčna masa,

 največja tehnično dovoljena masa obremenjenega vozila,

 vrsta karoserije, kot je določeno v oddelku C Priloge II k Direktivi 2007/46/ES,

 skupna prestavna razmerja,

 oprema in dodatki motorja.

3.5.2

Vozila, ki jih poganja samo motor z notranjim izgorevanjem in so opremljena s sistemi z redno regeneracijo za uravnavanje emisij

3.5.2.1

Homologacija se razširi na vozila, ki se razlikujejo v tehničnih značilnostih, navedenih v zgornjem oddelku 3.5.1.1, vendar ne presegajo tehničnih značilnosti družine iz Priloge 10 k Pravilniku št. 101 (UN/ECE) ( 9 ), če emisije, ki jih je izmerila tehnična služba, ne presegajo homologacijske vrednosti za več kot 4 % za vozila kategorije M in 6 % za vozila kategorije N ter kadar velja isti faktor Ki.

3.5.2.2

Homologacija se razširi na vozila z drugačnim faktorjem Ki če emisije CO2, ki jih je izmerila tehnična služba ne presegajo homologacijske vrednosti za več kot 4 % za vozila kategorije M in 6 % za vozila kategorije N.

3.5.3

Vozila, ki jih poganja samo električna pogonska naprava

Razširitev se odobri po dogovoru s tehnično službo, ki je zadolžena za izvajanje preskusov.

3.5.4

Vozila, ki jih poganja hibridna električna pogonska naprava

Homologacija se razširi na vozila, ki se razlikujejo v naslednjih tehničnih značilnostih, pod pogojem da emisije CO2 in poraba električne energije, ki jih je izmerila tehnična služba ne presegajo homologacijske vrednosti za več kot 4 % za vozila kategorije M in 6 % za vozila kategorije N:

 referenčna masa,

 največja tehnično dovoljena masa obremenjenega vozila,

 vrsta karoserije, kot je določeno v oddelku C Priloge II k Direktivi 2007/46/ES,

 pri spremembah katerihkoli drugih tehničnih lastnosti se razširitev lahko odobri po dogovoru s tehnično službo, ki je zadolžena za izvajanje preskusov.

3.5.5

Razširitev homologacije za vozila kategorije N znotraj družine:

3.5.5.1

Pri vozilih kategorije N, ki jim je bila podeljena homologacija kot vozilom iz družine vozil, po postopku iz oddelka 3.6.2, se homologacija lahko razširi na vozila iz iste družine, samo če tehnična služba oceni, da poraba goriva novega vozila ne presega vrednosti porabe goriva vozila, na katerem temeljijo vrednosti porabe goriva te družine vozil.

Homologacija se lahko razširi tudi na vozila, ki:

 so do 110 kg težja od preskušanega vozila iz družine vozil, če so ta največ 220 kg težja od najlažjega vozila iz zadevne družine,

 imajo samo zaradi dimenzije pnevmatik skupno prestavno razmerje nižje kot preskušano vozilo iz zadevne družine, in

 so v vseh drugih vidikih skladna z zadevno družino vozil.

3.5.5.2

Pri vozilih kategorije N, ki jim je bila podeljena homologacija kot vozilom iz družine vozil, po postopku iz točke 3.6.3, se homologacija lahko razširi na vozila iz iste družine brez opravljanja dodatnih preskusov, samo če tehnična služba oceni, da je poraba goriva novega vozila znotraj mejnih vrednosti porabe goriva, ki jih imata dve vozili iz zadevne družine vozil, ki imata najnižjo oziroma najvišjo vrednost porabe goriva.

3.6   Razširitev homologacije za vozila kategorije N glede porabe goriva in emisij CO2 v okviru družine

Za vozila kategorije N se lahko podeli homologacija v okviru družine vozil v skladu s točko 3.6.1 na podlagi enega izmed obeh postopkov, opisanih v točkah 3.6.2 in 3.6.3

3.6.1

Za merjenje porabe goriva in emisij CO2 se vozila kategorije N lahko uvrstijo v družino vozil, če imajo naslednje parametre identične, ali pa se ti nahajajo znotraj določenih mejnih vrednosti:

3.6.1.1

Identični parametri so:

 proizvajalec in tip, kot je določeno v oddelku I Dodatka 4,

 delovna prostornina motorja,

 vrsta sistema za uravnavanje emisij,

 vrsta sistema za dovajanje goriva, kot je določeno v točki 1.10.2 Dodatka 4,

3.6.1.2

Naslednji parametri morajo biti znotraj naslednjih mejnih vrednosti:

 skupna prenosna razmerja (največ 8 % višja od najnižje vrednosti), kakor je določeno v točki 1.13.3 Dodatka 4,

 referenčna masa (največ 220 kg manj od največje),

 prednja površina (največ 15 % manj od največje)

 moč motorja (največ 10 % manjša od najvišje vrednosti).

3.6.2

Za družino vozil, kakor je določena v točki 3.6.1, se lahko podeli homologacija na podlagi vrednosti emisij CO2 in porabe goriva, ki so skupne za vsa vozila družine vozil. Tehnična služba za preskus izbere tisto vozilo iz družine vozil, ki ima po njihovi presoji najvišjo vrednost emisij CO2. Merjenja se izvajajo skladno z opisom v Prilogi XII, rezultati pridobljeni po postopku, opisanem v oddelku 5.5 Pravilnika št. 101 (UN/ECE), pa se uporabljajo kot homologacijske vrednosti, ki so skupne vsem vozilom iz zadevne družine vozil.

3.6.3

Za vozila, uvrščena v družino vozil, kakor je določena v točki 3.6.1, se lahko podeli homologacija na podlagi vrednosti emisij CO2 in porabe goriva posameznih vozil iz družine vozil. Tehnična služba mora za preskus izbrati dve vozili iz družine vozil, ki imata po njeni presoji najvišjo oziroma najnižjo vrednost emisij CO2. Meritve se izvedejo v skladu z opisom v Prilogi XII. Če so podatki proizvajalca za ti dve vozili znotraj mejnih vrednosti iz oddelka 5.5 Pravilnika št. 101 (UN/ECE), se vrednosti emisij CO2 po navedbi proizvajalca lahko uporabijo kot homologacijske vrednosti za vsa vozila iz zadevne družine vozil. Če se podatki proizvajalca ne nahajajo znotraj dovoljenih mejnih vrednosti, se kot homologacijske vrednosti uporabijo rezultati, pridobljeni po postopku iz oddelka 5.5 Pravilnika št. 101 (UN/ECE), tehnična služba pa izbere ustrezno število drugih vozil iz družine vozil za dodatne preskuse.

4.   SKLADNOST PROIZVODNJE

4.1   Uvod

4.1.1

Kadar je primerno, se izvedejo preskusi tipov 1, 2, 3, 4, preskus vgrajenega sistema za diagnostiko na vozilu, preskus emisij CO2 in porabe goriva ter preskus motnosti dima, kot je opisano v oddelku 2.4. Posebni postopki za ocenjevanje skladnosti proizvodnje so določeni v oddelkih 4.2 do 4.10.

4.2   Ocenjevanje skladnosti vozila s preskusom tipa 1

4.2.1

Preskus tipa 1 se izvede na vozilu z enakimi specifikacijami, kot so opisane v certifikatu o homologaciji. Če je treba opraviti preskus tipa I, homologacija vozila pa ima eno ali več razširitev, se preskusi opravijo na vozilu, opisanem v prvotnih opisnih dokumentih, ali pa na vozilu, opisanem v opisnih dokumentih, ki se nanašajo na zadevno razširitev.

4.2.2

Po zaključeni izbiri proizvajalec ne sme opraviti nobenih sprememb na vozilih, ki jih je izbral homologacijski organ.

4.2.2.1

Iz serije se naključno izberejo tri vozila in se preskušajo v skladu z opisom iz Priloge III k tej uredbi. Na enak način se uporabijo faktorji poslabšanja. Mejne vrednosti so navedene v Tabelah 1 in 2 v Prilogi 1 k Uredbi (ES) št. 715/2007.

4.2.2.2

Če se homologacijski organ strinja s standardnim odstopanjem proizvodnje, kakor ga podaja proizvajalec skladno s Prilogo X k Direktivi 2007/46/ES, se preskusi opravijo skladno z Dodatkom 1 k tej prilogi.

Če se homologacijski organ ne strinja s standardnim odstopanjem proizvodnje, kakor ga podaja proizvajalec skladno s Prilogo X k Direktivi 2007/46/ES, se preskusi opravijo skladno z Dodatkom 2 k tej prilogi.

4.2.2.3

Šteje se, da skladnost proizvodnje serije na podlagi preskusa vzorca vozil ustreza predpisom, če se skladno s preskusnimi merili iz ustreznega dodatka sprejme pozitivna odločitev za vsa onesnaževala, ali da ne ustreza predpisom, če se skladno z navedenimi merili sprejme negativna odločitev za eno onesnaževalo.

Če se za eno onesnaževalo sprejme pozitivna odločitev, se ta odločitev ne spremeni zaradi dodatnih preskusov, katerih cilj je sprejeti tako odločitev za druga onesnaževala.

Če pozitivna odločitev za vsa onesnaževala oziroma negativna odločitev za eno onesnaževalo ni sprejeta, je treba opraviti preskus na drugem vozilu (glej sliko I.4.2).

image

4.2.3

Ne glede na zahteve iz Priloge III se preskusi opravljajo na vozilih, ki prihajajo neposredno iz proizvodnega obrata.

4.2.3.1

Vendar se na zahtevo proizvajalca preskusi lahko opravijo na vozilih, ki so opravila:

(a) največ 3 000 km pri vozilih z motorjem na prisilni vžig,

(b) največ 15 000 km pri vozilih z motorjem na kompresijski vžig.

Postopek utekanja vozila opravi proizvajalec, ki se obveže, da na teh vozilih ne bo naredil nobenih sprememb.

4.2.3.2

Če proizvajalec zahteva preskušanje utečenih vozil („x“ km, kjer je x ≤ 3 000 km za vozila z motorjem na prisilni vžig in x ≤ 15 000 km za vozila z motorjem na kompresijski vžig), se uporabi naslednji postopek:

(a) emisije onesnaževal (tip 1) se merijo na prvem preskušanem vozilu pri 0 km in pri „x“ km,

(b) koeficient spreminjanja emisij med 0 in „x“ km se izračuna za vsako onesnaževalo, kakor sledi:

Emisije pri „x“ km/emisije pri 0 km

Ta je lahko manjši od 1 in

(c) druga vozila se ne utekajo, njihove emisije pri 0 km se pomnožijo s koeficientom spreminjanja emisij. V tem primeru se upoštevajo naslednje vrednosti:

(i) vrednosti pri „x“ km za prvo vozilo,

(ii) vrednosti pri 0 km, pomnožene s koeficientom spreminjanja emisij za druga vozila.

4.2.3.3

Vsi ti preskusi se opravijo s komercialnim gorivom. Vendar se na zahtevo proizvajalca lahko uporabijo referenčna goriva, kakor so navedena v Prilogi IX.

4.3   Preverjanje skladnosti vozila glede emisij CO2

4.3.1

Če ima homologacija vozila eno ali več razširitev, se preskusi opravijo na vozilu(-ih), opisanem(-ih) v opisnih dokumentih, ki so spremljali prvo vlogo za homologacijo, ali pa na vozilu, opisanem v opisnih dokumentih, ki so spremljali zadevno razširitev.

4.3.2

Če homologacijski organ ni zadovoljen s postopkom preverjanja, ki ga izvaja proizvajalec, se uporabita točki 3.3 in 3.4 Priloge X k Direktivi 2007/46/ES.

4.3.3

Za namene tega oddelka in Dodatkov 1 in 2, izraz „onesnaževalo“ vključuje s predpisi urejena onesnaževala (navedena v Tabelah 1 in 2 Priloge I k Uredbi (ES) št. 715/2007) in emisije CO2.

4.3.4

Skladnost vozila glede emisij CO2 se ugotovi v skladu s postopkom, ki je opisan v točki 4.2.2., z naslednjimi izjemami:

4.3.4.1

Določbe oddelka 4.2.2.1. se nadomestijo z:

Iz serije se vzamejo tri naključna vozila in na njih se opravijo preskusi, kakor je opisano v Prilogi XII.

4.3.4.2

Določbe oddelka 4.2.3.1. se nadomestijo z:

Vendar se lahko na zahtevo proizvajalca preskusi opravijo na vozilih, ki so opravila največ 15 000 km.

V tem primeru, postopek utekanja vozila opravi proizvajalec, ki se obveže, da na teh vozilih ne bo naredil nobenih sprememb.

4.3.4.3

Določbe oddelka 4.2.3.2. se nadomestijo z:

Če proizvajalec zahteva preskušanje utečenih vozil („x“ km, kjer je x ≤ 15 000 km), se uporabi naslednji postopek:

(a) emisije onesnaževal se merijo na prvem preskušanem vozilu pri 0 km in pri „x“ km,

(b) koeficient spreminjanja emisij med 0 in „x“ km se izračuna za vsako onesnaževalo, kakor sledi:

Emisije pri „x“ km/emisije pri 0 km

Ta je lahko manjši od 1 in

(c) druga vozila se ne utekajo, njihove emisije pri 0 km se pomnožijo s koeficientom spreminjanja emisij. V tem primeru se upoštevajo naslednje vrednosti:

(i) vrednosti pri „x“ km za prvo vozilo,

(ii) vrednosti pri 0 km, pomnožene s koeficientom spreminjanja emisij za druga vozila.

4.3.4.4

Določbe oddelka 4.2.3.3. se nadomestijo z:

Pri preskusih se uporabijo referenčna goriva, opisana v Prilogi IX k tej uredbi.

4.3.4.5

Pri preverjanju skladnosti vozila glede emisij CO2, lahko proizvajalec namesto postopka iz oddelka 4.3.4.3 uporabi fiksni koeficient naraščanja (spremembe) EC = 0,92 in vse vrednosti CO2, izmerjene pri nič km, pomnoži s tem koeficientom.

▼M6

4.3.5.

Vozilo z vgrajenimi ekološkimi inovacijami

▼M9

4.3.5.1.

Pri tipih vozil z vgrajenimi ekološkimi inovacijami v smislu člena 12 Uredbe (ES) št. 443/2009 za vozila kategorije M1 oziroma člena 12 Uredbe (EU) št. 510/2011 za vozila kategorije N1 se skladnost proizvodnje dokaže v zvezi z ekološkimi inovacijami, in sicer z izvedbo preskusov iz sklepa Komisije o odobritvi zadevne ekološke inovacije.

▼M6

4.3.5.2.

Uporabljajo se točke 4.3.1, 4.3.2 in 4.3.4.

▼B

4.4   Vozila, ki jih poganja samo električna pogonska naprava

Ukrepi za zagotavljanje skladnosti proizvodnje glede porabe električne energije se preverijo na osnovi opisa v certifikatu o homologaciji, ki je določen v Dodatku 4 k tej prilogi.

4.4.1

Imetnik homologacije mora zlasti:

4.4.1.1

zagotoviti postopke za učinkovito kontrolo kakovosti proizvodnje;

4.4.1.2

imeti dostop do opreme, potrebne za preverjanje skladnosti z vsakim homologiranim tipom;

4.4.1.3

zagotoviti, da so podatki o rezultatih preskusov zabeleženi in da so priloženi dokumenti na voljo tako dolgo, kakor je določeno v dogovoru z upravno službo;

4.4.1.4

analizirati rezultate vsake vrste preskusov zaradi spremljanja in zagotavljanja stalnosti lastnosti izdelka, ob upoštevanju dovoljenih odklonov pri industrijski proizvodnji;

4.4.1.5

zagotoviti, da se za vsako vrsto izvedenih preskusov vozil, navedenih v Prilogi XII k tej uredbi; ne glede na zahteve odstavka 2.3.1.6 v Prilogi 7 k Pravilniku št. 101 (UN/ECE), na zahtevo proizvajalca preskusi opravijo na vozilih brez prevoženih kilometrov;

4.4.1.6

zagotoviti, da so vsi odvzeti vzorci ali preskušanci, ki dokazujejo neskladnost z obravnavanim preskusom tipa predmet naknadnega vzorčenja in dodatnega preskusa. Izvedejo se vsi ukrepi, potrebni za ponovno vzpostavitev skladnosti proizvodnje.

4.4.2

Homologacijski organ lahko kadar koli preveri metode, ki se uporabljajo v vsaki od proizvodnih enot.

4.4.2.1

Pri vsakem pregledu se inšpektorju predloži dokumentacija o preskusih in spremljanju proizvodnje.

4.4.2.2

Inšpektor lahko v proizvajalčevem laboratoriju naključno izbere vzorce za preskus. Najmanjše število vzorcev se določi na osnovi rezultatov proizvajalčevih lastnih pregledov.

4.4.2.3

Če se zdi da standard kakovosti ni zadovoljiv ali da je treba preveriti veljavnost preskusov iz oddelka 4.4.2.2., inšpektor izbere vzorce in jih pošlje tehnični službi, ki je izvedla homologacijski preskus.

4.4.2.4

Homologacijski organi lahko izvedejo vse preskuse, ki so navedeni v tej uredbi.

4.5   Vozila, ki jih poganja hibridna električna pogonska naprava

4.5.1

Ukrepi za zagotavljanje skladnosti proizvodnje glede emisij CO2 in porabe električne energije hibridnih električnih vozil se preverijo na osnovi opisa v certifikatu o homologaciji, ki je skladen z vzorcem v Dodatku 4.

4.5.2

Nadzor skladnosti proizvodnje mora temeljiti na oceni proizvajalčevega postopka preverjanja, ki jo pripravi homologacijski organ, da se zagotovi skladnost tipa vozila glede na emisije CO2 in porabe električne energije.

4.5.3

Če homologacijski organ ni zadovoljen s proizvajalčevim postopkom preverjanja, bo zahteval da se na vozilih v proizvodnji izvedejo preveritveni preskusi.

4.5.4

Skladnost glede emisij CO2 se preveri s statističnimi postopki, opredeljenimi v oddelku 4.3 v dodatkih 1 in 2. Vozila se preskusijo v skladu s postopkom iz Priloge XII.

4.6   Ocenjevanje skladnosti vozila za preskus tipa 3

4.6.1

Če je treba izvesti preskus tipa 3, se ta izvede na vseh vozilih, ki so bila izbrana za preskus tipa 1 za skladnost proizvodnje iz oddelka 4.2. Zanj veljajo pogoji, določeni v Prilogi V.

4.7   Ocenjevanje skladnosti vozila za preskus tipa 4

4.7.1

Če je treba izvesti preskus tipa 4, se ta izvede v skladu s Prilogo VI.

4.8   Preverjanje skladnosti vozila glede vgrajene naprave za diagnostiko na vozilu (OBD)

4.8.1

Če je treba izvesti potrditev učinkovitosti vgrajenega sistema za diagnostiko na vozilu, se ta izvede v skladu z naslednjimi zahtevami:

4.8.1.1

Ko homologacijski organ ugotovi, da se kakovost proizvodnje zdi nezadovoljiva, se iz serije vzame naključno vozilo in na njem se opravijo preskusi, ki so opisani v Dodatku 1 k Prilogi XI.

4.8.1.2

Šteje se, da je proizvodnja skladna, če vozilo izpolnjuje zahteve preskusov, ki so opisane v Dodatku 1 k Prilogi XI.

4.8.1.3

Če iz serije vzeto vozilo ne izpolnjuje zahtev iz oddelka 4.8.1.1, se iz serije vzamejo dodatna štiri naključna vozila, na njih pa se opravijo preskusi, ki so opisani v Dodatku 1 k Prilogi XI. Preskusi se lahko opravijo na vozilih, ki so bila utečena in so opravila največ 15 000 km.

4.8.1.4

Šteje se, da je proizvodnja skladna, če vsaj tri vozila izpolnjujejo zahteve preskusov, ki so opisane v Prilogi XI, Dodatku 1.

▼M3

4.9.   Ocenjevanje skladnosti vozila, ki za gorivo uporablja UNP, zemeljski plin ali H2ZP

4.9.1.

Preskusi skladnosti proizvodnje se lahko opravljajo s komercialnim gorivom, katerega razmerje C3/C4 je med razmerji referenčnih goriv pri tekočem naftnem plinu ali katerega Wobbejev indeks je med indeksi skrajnih referenčnih goriv pri ZP ali H2ZP. V tem primeru se homologacijskemu organu predloži analiza goriva.

▼B

4.10   Preverjanje skladnosti vozila glede motnosti dima

4.10.1

Skladnost vozila s homologiranim tipom glede na emisije onesnaževal pri motorjih s kompresijskim vžigom se preveri na podlagi rezultatov, naštetih v Dopolnilu k certifikatu o homologaciji, določenim v točki 2.4 Dodatka 4.

4.10.2

Kadar se preverjanje izvede na vozilu iz serije, se poleg preverjanja iz točke 10.1, preskusi opravijo še na naslednji način:

4.10.2.1 Na vozilu, ki ni bilo utečeno, se izvede preskus pri prostem pospeševanju, opisan v oddelku 4.3 Dodatka 2 k Prilogi IV. Šteje se, da vozilo ustreza homologiranemu tipu, če ugotovljeni absorpcijski koeficient ne preseže za več kot 0,5 m–1 številke iz homologacijskega znaka.

4.10.2.2 Če številka, ugotovljena v preskusu iz točke 4.10.2.1 zgoraj, za več kot 0,5 m-1 presega številko iz homologacijskega znaka, se na vozilu tega tipa ali njegovem motorju opravi preskus pri stalnih vrtljajih na krivulji polne obremenitve, kakor je navedeno v oddelku 4.2 Dodatka 2 k Prilogi IV. Ravni emisij ne smejo preseči omejitev, predpisanih v Prilogi 7 k Pravilniku št. 24 (UN/ECE) ( 10 ).




Dodatek 1

Preverjanje skladnosti proizvodnje – Prva statistična metoda

1.

Prva statistična metoda se uporabi pri preverjanju skladnosti proizvodnje za preskus tipa I, ko je proizvajalčevo standardno odstopanje proizvodnje zadovoljivo. Veljavna statistična metoda je določena v Dodatku 1 k Pravilniku št. 83 (UN/ECE). Izjeme pri teh postopkih so naslednje:

1.1

V odstavku 3 se sklicevanje na odstavek 5.3.1.4 razume kot sklicevanje na veljavno tabelo iz Priloge 1 k Uredbi (ES) št. 715/2007.

1.2

V odstavku 3 se sklicevanje na Sliko 2 razume kot sklicevanje na Sliko I.4.2 iz te uredbe.




Dodatek 2

Potrditev skladnosti proizvodnje – Druga statistična metoda

1.

Druga statistična metoda se uporabi pri preverjanju zahtev za skladnost proizvodnje za preskus tipa I, ko so proizvajalčeva dokazila o standardnem odstopanju proizvodnje nezadovoljiva ali pa niso na voljo. Veljavna statistična metoda je določena v Dodatku 2 k Pravilniku št. 83 (UN/ECE). Izjeme pri teh postopkih so naslednje:

1.1

V odstavku 3 se sklicevanje na odstavek 5.3.1.4 razume kot sklicevanje na veljavno tabelo iz Priloge 1 k Uredbi (ES) št. 715/2007.




Dodatek 3

VZOREC

OPISNEGA LISTA Št. …

ki se nanaša na ES-homologacijo vozila glede emisij in dostopa do informacij o popravilu in vzdrževanju vozil

Naslednji podatki, kjer to pride v poštev, morajo biti posredovani v trojniku in morajo vsebovati seznam priloženih dokumentov. Risbe, če so priložene, morajo biti v ustreznem merilu in dovolj podrobne ter v formatu A4 ali zložene na ta format. Morebitne fotografije morajo biti dovolj podrobne.

Če so sistemi, sestavni deli ali samostojne tehnične enote elektronsko upravljani, morajo biti predloženi podatki o njihovem delovanju.

0.   SPLOŠNO

0.1

Znamka (blagovno ime proizvajalca):

0.2

Tip:

0.2.1

Trgovsko(a) ime(na), če obstaja

0.3

Podatki za identifikacijo tipa vozila, če je oznaka na vozilu ( 11 ) ( 12 )

0.3.1

Mesto te oznake:

0.4

Kategorija vozila ( 13 ):

0.5

Ime in naslov proizvajalca:

0.8

Ime(na) in naslov(i) proizvodnih tovarn:

0.9

Ime in naslov proizvajalčevega predstavnika (če obstaja)

1.   SPLOŠNI KONSTRUKCIJSKI PODATKI O VOZILU

1.1

Fotografije in/ali risbe vzorčnega vozila:

1.3.3

Pogonske osi (število, lega, povezava):

2.   MASE IN MERE ( 14 ) (v kg in mm)

(Navesti povezavo z risbo, kjer je to mogoče)

2.6

Masa vozila z nadgradnjo, in z napravo za vleko v primeru vlečnega vozila, ki ni kategorije M1, če jo je namestil proizvajalec v stanju, pripravljenem za vožnjo; ali masa šasije, oziroma masa šasije s kabino brez nadgradnje in/ali naprave za vleko, če proizvajalec ne dobavlja nadgradnje in naprave za vleko (vključno s tekočinami, orodjem, rezervnim kolesom, če je nameščeno, in voznikom, ter pri avtobusih s sovoznikom, če je v vozilu sedež za sovoznika) ( 15 ) (največja in najmanjša za vsako varianto):

2.8

Največja tehnično dovoljena masa, ki jo je podal proizvajalec ( 16 ) ( 17 )

▼M4

2.17

Vozila v postopku večstopenjske homologacije (samo za nedodelana ali dodelana vozila kategorije N1, ki spadajo v področje uporabe Uredbe (ES) št. 715/2007: da/ne (17) 

2.17.1

Masa osnovnega vozila, pripravljenega za vožnjo: … kg.

2.17.2

Privzeta dodana masa, izračunana v skladu z Oddelkom 5 Priloge XII k Uredbi (ES) št. 692/2008: … kg.

▼B

3.   POGONSKI MOTOR ( 18 ) (pri vozilih s pogonom bodisi samo na bencin, dizelsko gorivo itd. ali tudi v kombinaciji z drugim gorivom kombinaciji z drugim gorivom, se postavke ponovijo ( 19 ))

3.1

Proizvajalec:

3.1.1

Proizvajalčeva koda motorja, kot je označena na motorju:

3.2

Motor z notranjim zgorevanjem

3.2.1.1

Princip delovanja: prisilni vžig/kompresijski vžig (19)  …

štiritaktni/dvotaktni/rotacijski (19)  …

3.2.1.2

Število in razporeditev valjev:

3.2.1.2.1

Premer valja ( 20 ): m

3.2.1.2.2

Hod (20) : m

3.2.1.2.3

Zaporedje vžiga:

3.2.1.3

Delovna(e) prostornina(e) motorja: … m3

3.2.1.4

Kompresijsko razmerje ( 21 )

3.2.1.5

Risbe zgorevalnega prostora, zgornjega dela bata in pri motorjih s prisilnim vžigom batnih obročkov:

3.2.1.6

Normalni prosti tek motorja (21)  … in-1

3.2.1.6.1

Visoki prosti tek motorja (21)  … in-1

3.2.1.7

Prostorninska vsebnost ogljikovega monoksida v izpušnih plinih pri prostem teku motorja (21)  …%, kot jo je podal proizvajalec (samo motorji na prisilni vžig)

3.2.1.8

Največja nazivna moč ►M8   ( 22 ) ◄ …kW pri … in-1 (po navedbi proizvajalca)

3.2.1.9

Največje dovoljeno število vrtljajev motorja, kot ga je določil proizvajalec. … in-1

3.2.1.10

Največji nazivni navor ►M8   (22)  ◄ : m pri … min-1 (po navedbi proizvajalca)

3.2.2.

▼M3

Gorivo

▼M3

3.2.2.1.

Lahka tovorna vozila: Dizelsko gorivo/bencin/UNP/ZP ali biometan/etanol (E85)/biodizel/vodik/H2ZP ( 23 ) ( 24 )

▼B

3.2.2.2

Oktansko število, neosvinčeni:

3.2.2.3

Dovodna odprtina posode za gorivo: zožen premer/oznaka (24) 

3.2.2.4

Vrsta goriva za vozilo: enojno gorivo, dvojno gorivo, prilagodljivo gorivo

3.2.2.5

Največja sprejemljiva količina bigoriva v gorivu (po navedbi proizvajalca): …% na prostornino

3.2.4

Dovod goriva

3.2.4.2

Z vbrizgavanjem goriva (samo za motorje s kompresijskim vžigom): da/ne (24) 

3.2.4.2.1

Opis sistema:

3.2.4.2.2

Princip delovanja: neposredni vbrizg/predkomora/vrtinčna komora (24) 

3.2.4.2.3

Tlačilka za vbrizgavanje goriva

3.2.4.2.3.1.

Znamka(e):

3.2.4.2.3.2.

Tip(i):

3.2.4.2.3.3.

Največja količina vbrizga goriva (24)  (24) : … mm3/gib ali vrtljaj pri hitrosti motorja … min-1 ali, namesto tega, diagram karakteristik vbrizga:

3.2.4.2.3.5.

Krivulja predvbrizga (24) :

3.2.4.2.4

Regulator

3.2.4.2.4.2.

Točka zapiranja dovoda goriva

3.2.4.2.4.2.1.

Točka zapiranja dovoda goriva pod obremenitvijo … min-1

3.2.4.2.4.2.2.

Točka zapiranja dovoda goriva brez obremenitve motorja … min-1

3.2.4.2.6

Vbrizgalna(e) šoba(e)

3.2.4.2.6.1.

Znamka(e):

3.2.4.2.6.2.

Tip(i):

3.2.4.2.7

Sistem za zagon hladnega motorja

3.2.4.2.7.1.

Znamka(e):

3.2.4.2.7.2.

Tip(i):

3.2.4.2.7.3.

Opis:

3.2.4.2.8

Pomožna naprava za pomoč pri zagonu

3.2.4.2.8.1.

Znamka(e):

3.2.4.2.8.2.

Tip(i):

3.2.4.2.8.3.

Opis sistema:

3.2.4.2.9

Elektronsko nadzorovan vbrizg goriva: da/ne (24) 

3.2.4.2.9.1.

Znamka(e):

3.2.4.2.9.2.

Tip(i):

3.2.4.2.9.3.

Opis sistema, oziroma pri sistemih, ki nimajo neprekinjenega vbrizgavanja, enakovredne podrobnosti:

3.2.4.2.9.3.1

Znamka in vrsta kontrolne enote:

3.2.4.2.9.3.2

Znamka in vrsta regulatorja goriva:

3.2.4.2.9.3.3

Znamka in vrsta tipala pretoka zraka:

3.2.4.2.9.3.4

Znamka in vrsta naprave za distribucijo goriva:

3.2.4.2.9.3.5

Znamka in vrsta ohišja lopute za zrak:

3.2.4.2.9.3.6

Znamka in vrsta senzorja temperature vode:

3.2.4.2.9.3.7

Znamka in vrsta senzorja temperature zraka:

3.2.4.2.9.3.8

Znamka in vrsta tipala zračnega tlaka:

3.2.4.3

Z vbrizgavanjem goriva (samo za motorje s prisilnim vžigom): da/ne (24) 

3.2.4.3.1

Princip delovanja: vbrizgavanje v sesalno cev (eno-/večtočkovno (24) )/neposredni vbrizg/drugo (natančen opis) (24) 

3.2.4.3.2

Znamka(e):

3.2.4.3.3

Tip(i):

3.2.4.3.4

Opis sistema, oziroma pri sistemih, ki nimajo neprekinjenega vbrizgavanja, enakovredne podrobnosti:

3.2.4.3.4.1.

Znamka in vrsta kontrolne enote:

3.2.4.3.4.3.

Znamka in vrsta tipala pretoka zraka:

3.2.4.3.4.6.

Znamka in vrsta mikro stikala:

3.2.4.3.4.8.

Znamka in vrsta ohišja lopute za zrak:

3.2.4.3.4.9.

Znamka in vrsta tipala temperature vode:

3.2.4.3.4.10.

Znamka in vrsta tipala temperature zraka:

3.2.4.3.4.11.

Znamka in vrsta tipala zračnega tlaka:

3.2.4.3.5

Vbrizgalne šobe: tlak odpiranja (24)  … kPa ali diagram karakteristik:

3.2.4.3.5.1.

Znamka(e)

3.2.4.3.5.2.

Tip(i)

3.2.4.3.6

Čas vbrizga

3.2.4.3.7

Sistem za zagon hladnega motorja

3.2.4.3.7.1.

Princip(i) delovanja:

3.2.4.3.7.2.

Delovno območje/nastavitve (24)  (24) .

3.2.4.4

Črpalka za gorivo

3.2.4.4.1

Tlak (24)  … kPa ali diagram karakteristik (24) :

3.2.5

Električni sistem

3.2.5.1

Nazivna napetost: …V, pozitivni/negativni priključek mase (24) 

3.2.5.2

Alternator

3.2.5.2.1

Tip:

3.2.5.2.2

Nazivna moč: … VA

3.2.6

Vžig

3.2.6.1

Znamka(e):

3.2.6.2

Tip(i):

3.2.6.3

Princip delovanja:

3.2.6.4

Krivulja predvžiga (24) :

3.2.6.5

Statični predvžig (24)  … stopinj pred ZML

3.2.7

Hladilni sistem: tekočina/zrak (24) 

3.2.7.1

Nazivna nastavitev naprave za kontrolo temperature motorja:

3.2.7.2

Tekočina

3.2.7.2.1

Narava tekočine:

3.2.7.2.2

Vodna(e) črpalka(e): da/ne (24) 

3.2.7.2.3

Značilnosti , ali

3.2.7.2.3.1.

Znamka(e):

3.2.7.2.3.2.

Tip(i):

3.2.7.2.4

Pogonsko(a) razmerje(a):

3.2.7.2.5

Opis ventilatorja in njegovega pogonskega mehanizma:

3.2.7.3

Zrak

3.2.7.3.1

Puhalo: da/ne (24) 

3.2.7.3.2

Značilnosti: , ali

3.2.7.3.2.1.

Znamka(e):

3.2.7.3.2.2.

Tip(i):

3.2.7.3.3

Pogonsko(a) razmerje(a):

3.2.8

Sesalni sistem

3.2.8.1

Nadtlačno polnjenje: da/ne (24) 

3.2.8.1.1

Znamka(e)

3.2.8.1.2

Tip(i):

3.2.8.1.3

Opis sistema (npr. največji polnilni tlak: …..kPa, krmilni obtočni kanal, če je potrebno):

3.2.8.2

Hladilnik polnilnega zraka: da/ne (24) 

3.2.8.2.1

Tip: zrak–zrak/zrak–voda (24) 

3.2.8.3

Podtlak dovoda zraka pri nazivni hitrosti motorja in pri 100 % obremenitvi (samo motorji s kompresijskim vžigom)

Najmanjši dovoljen: kPa

Najvišji dovoljen: kPa

3.2.8.4

Opis in risbe sesalnih cevi in njihovih dodatkov (posoda za vsesani zrak, grelne naprave, dodatni vstopi za zrak itd.):

3.2.8.4.1

Opis sesalnega kolektorja (vključno z risbami in/ali fotografijami):

3.2.8.4.2

Zračni filter, risbe: …, ali

3.2.8.4.2.1.

Znamka(e):

3.2.8.4.2.2.

Tip(i):

3.2.8.4.3

Dušilnik zvoka na sesalni strani, risbe: , ali

3.2.8.4.3.1.

Znamka(e):

3.2.8.4.3.2.

Tip(i):

3.2.9

Izpušni sistem

3.2.9.1

Opis in/ali risba izpušnega kolektorja:

3.2.9.2

Opis in/ali risba izpušnega sistema:

3.2.9.3

Najvišji dovoljeni protitlak izpuha pri nazivni hitrosti motorja in pri 100 % obremenitvi (samo motorji s kompresijskim vžigom): … kPa

3.2.10

Najmanjša površina preseka vstopnih in izstopnih kanalov:

3.2.11

Časi odpiranja ventilov ali drugi ustrezni podatki

3.2.11.1

Največji dvig ventilov, koti odpiranja in zapiranja ali natančni podatki o krmilnih časih alternativnih sistemov dovoda goriva glede na zgornje mrtve točke. Za spremenljive krmilne sisteme, najkrajši in najdaljši krmilni čas:

3.2.11.2

Referenčna in/ali nastavitvena območja (24) 

3.2.12

Ukrepi proti onesnaževanju zraka

3.2.12.1

Naprava za recikliranje plinov iz bloka motorja (opis in risbe):

3.2.12.2

Dodatne naprave za uravnavanje onesnaževanja (če so nameščene in če niso zajete pod drugim naslovom)

3.2.12.2.1

Katalizator: da/ne (24) 

3.2.12.2.1.1.

Število katalizatorjev in katalitičnih elementov (informacije vpišite spodaj za vsako posamezno enoto):

3.2.12.2.1.2.

Mere, oblika in prostornina katalizatorja:

3.2.12.2.1.3.

Način katalitične reakcije:

3.2.12.2.1.4.

Celotna prevleka s plemenito kovino:

3.2.12.2.1.5.

Relativna koncentracija.

3.2.12.2.1.6.

Podlaga (sestava in material).

3.2.12.2.1.7.

Gostota celic:

3.2.12.2.1.8.

Vrsta ohišja katalizatorja(ev):

3.2.12.2.1.9.

Lega katalizatorja(ev) (mesto in referenčna razdalja v izpušnem sistemu):

3.2.12.2.1.10.

Ščitnik proti toploti: da/ne (24) 

3.2.12.2.1.11.

Sistemi regeneracije/metode sistemov za naknadno obdelavo izpušnih plinov, opis:

3.2.12.2.1.11.1.

Število ciklov delovanja tipa 1, ali enakovrednih ciklov na napravi za preskušanje, med dvema cikloma, kjer pride do regenerativne faze pod pogoji, ki so enakovredni preskusu tipa 1 (Razdalja „D“ na sliki 1 v Prilogi 13 k Pravilniku št. 83 (UN/ECE)):

3.2.12.2.1.11.2.

Opis postopka, ki je bi uporabljen za določitev števila ciklov med dvema cikloma, kjer pride do regenerativnih faz:

3.2.12.2.1.11.3.

Parametri, uporabljeni za določanje obremenitve, ki je potrebna preden pride do regeneracije (t.j. temperatura, tlak, itd.):

3.2.12.2.1.11.4.

Opis postopka, uporabljenega za obremenitev sistema v preskusnem postopku, ki je opisan v odstavku 3.1. Priloge 13 k Pravilniku št. 83 (UN/ECE):

3.2.12.2.1.11.5.

Normalno območje delovne temperature (K):

3.2.12.2.1.11.6.

Porabljivi reagenti (kjer je to primerno):

3.2.12.2.1.11.7.

Vrsta in koncentracija reagenta, ki je potreben za katalitično delovanje (kjer je to primerno):

3.2.12.2.1.11.8.

Normalno delovno temperaturno območje reagenta (kjer je to primerno):

3.2.12.2.1.11.9.

Mednarodni standard (kjer je to primerno):

3.2.12.2.1.11.10.

Pogostnost dodajanja reagenta: nepretrgoma/vzdrževanje (24)  (kjer je to primerno):

3.2.12.2.1.12.

Znamka katalizatorja:

3.2.12.2.1.13.

Številka dela:

3.2.12.2.2

Lambda sonda: da/ne (24) 

3.2.12.2.2.1.

Tip:

3.2.12.2.2.2.

Lega:

3.2.12.2.2.3.

Območje delovanja:

3.2.12.2.2.4.

Znamka lambda sonde:

3.2.12.2.2.5.

Številka dela:

3.2.12.2.3

Vpihavanje zraka: da/ne (24) 

3.2.12.2.3.1.

Vrsta (samosesanje, zračna črpalka itd.):

3.2.12.2.4

Vračanje izpušnih plinov v valj: da/ne (24) 

3.2.12.2.4.1.

Značilnosti (količina pretoka itd.):

3.2.12.2.4.2.

Vodno hlajeni sistem: da/ne (24) 

3.2.12.2.5

Sistem za uravnavanje emisij izhlapevanja: da/ne (24) 

3.2.12.2.5.1.

Podroben opis naprav in njihove nastavitve:

3.2.12.2.5.2.

Risba sistema za uravnavanje emisij izhlapevanja:

3.2.12.2.5.3.

Risba posode z aktivnim ogljem:

3.2.12.2.5.4.

Masa suhega aktivnega oglja: …g

3.2.12.2.5.5.

Shematska risba posode za gorivo s podatki o prostornini za gorivo in materialu:

3.2.12.2.5.6.

Risba ščitnika proti toploti med posodo za gorivo in izpušnim sistemom:

3.2.12.2.6

Lovilnik trdnih delcev: da/ne (24) 

3.2.12.2.6.1.

Mere, oblika in prostornina lovilnika trdnih delcev:

3.2.12.2.6.2.

Tip in konstrukcija lovilnika trdnih delcev:

3.2.12.2.6.3.

Lega (referenčna razdalja v izpušnem sistemu):

3.2.12.2.6.4.

Postopek ali naprava za regeneracijo, opis in/ali risba:

3.2.12.2.6.4.1.

Število ciklov delovanja tipa 1 ali enakovreden cikel na napravi za preskušanje med dvema cikloma, kjer pride do regenerativnih faz pod pogoji, ki so enakovredni preskusu tipa 1 (Razdalja „D“ na sliki 1 v Prilogi 13 k Pravilniku št. 83 (UN/ECE)):

3.2.12.2.6.4.2.

Opis postopka, ki je bi uporabljen za določitev števila ciklov med dvema cikloma, kjer pride do regenerativnih faz:

3.2.12.2.6.4.3.

Parametri, ki so uporabljeni za določanje obremenitve, ki je potrebna preden pride do regeneracije (t.j. temperatura, tlak, itd.):

3.2.12.2.6.4.4.

Opis postopka, ki je bil uporabljen za obremenitev sistema v preskusnem postopku, ki je opisan v odstavku 3.1. Priloge 13 k Pravilniku št. 83 (UN/ECE):

3.2.12.2.6.5.

Znamka lovilnika trdnih delcev:

3.2.12.2.6.6.

Številka dela:

3.2.12.2.7

Vgrajena naprava za diagnostiko na vozilu (OBD): (da/ne) (24) 

3.2.12.2.7.1.

Pisni opis in/ali risba MI:

3.2.12.2.7.2.

Seznam in namen vseh sestavnih delov, ki jih nadzira vgrajena naprava za diagnostiko na vozilu:

3.2.12.2.7.3.

Pisni opis (splošna načela delovanja) za:

3.2.12.2.7.3.1.

Motorji na prisilni vžig (24) 

3.2.12.2.7.3.1.1.

Nadzor katalizatorja (24) :

3.2.12.2.7.3.1.2.

Odkrivanje neuspelih vžigov (24) :

3.2.12.2.7.3.1.3.

Nadzor lambda sonde (24) :

3.2.12.2.7.3.1.4.

Drugi sestavni deli, ki jih nadzira vgrajena naprava za diagnostiko na vozilu (24) 

3.2.12.2.7.3.2.

Motorji s kompresijskim vžigom (24) 

3.2.12.2.7.3.2.1.

Nadzor katalizatorja (24) :

3.2.12.2.7.3.2.2.

Nadzor lovilnika trdnih delcev (24) :

3.2.12.2.7.3.2.3.

Nadzor elektronskega sistema za dovod goriva (24) :

3.2.12.2.7.3.2.4.

Drugi sestavni deli, ki jih nadzira vgrajena naprava za diagnostiko na vozilu (24) 

3.2.12.2.7.4.

Merila za aktiviranje MI (stalno število voznih ciklov ali statistična metoda):

3.2.12.2.7.5.

Seznam vseh izhodnih kod in obrazcev, ki jih uporablja vgrajena naprava za diagnostiko na vozilu (z ustreznimi pojasnili):

3.2.12.2.7.6.

Naslednje dodatne informacije poda proizvajalec vozila, da se omogoči proizvodnja nadomestnih ali servisnih delov, ki so združljivi z vgrajenim sistemom za diagnostiko na vozilu, ter diagnostičnim orodjem in preskusno opremo.

Informacije, ki so podane v tem oddelku se ponovijo v Dodatku 5 k tej prilogi (dodatek o informacijah o vgrajeni napravi za diagnostiko na vozilu k certifikatu o ES-homologaciji):

3.2.12.2.7.6.1.

Opis vrste in števila ciklov predkondicioniranja, ki so bili uporabljeni za izvirno homologacijo vozila.

3.2.12.2.7.6.2.

Opis vrste demonstracijskega cikla vgrajenega sistema za diagnostiko na vozilu, ki je bil uporabljen za izvirno homologacijo vozila za sestavni del, ki ga nadzoruje vgrajeni sistem za diagnostiko na vozilu.

3.2.12.2.7.6.3.

Celovit dokument, ki opisuje vse sestavne dele, ki jih spremljajo tipala s strategijo za zaznavanje napak in aktiviranje MI (stalno število voznih ciklov ali statistična metoda), vključno s seznamom zaznanih pomembnih sekundarnih parametrov za vsako komponento, ki jo spremlja vgrajeni sistem za diagnostiko na vozilu. Seznam vseh izhodnih kod in obrazcev vgrajenega sistema za diagnostiko na vozilu (z razlago vsakega od njih), povezanih z elementi prenosa moči, ki so povezani z emisijami, in posameznimi sestavnimi deli, ki niso povezani z emisijami, kjer se spremljanje sestavnega dela uporabi za določanje aktivacije MI. Še posebej mora biti podana podrobna razlaga podatkov, podanih pri storitvi $05 ID preskusa $21 do FF, in podatkov podanih pri storitvi $06. Pri tipih vozil, ki uporabljajo komunikacijsko povezavo v skladu z ISO 15765–4 „Road vehicles – diagnostics on controller area network (CAN) – part 4: requirements for emissions-related systems (Cestna vozila – diagnoza na omrežju CAN – Del 4: zahteve za sisteme povezane z emisijami)“, je treba za vsak podprt ID vgrajenega sistema za diagnostiko na vozilu podati celovito razlago podatkov, ki so podani pri storitvi $06 ID preskusa $00 do FF.

3.2.12.2.7.6.4.

Informacije, ki jih zahteva ta oddelek, je mogoče na primer določiti tako, da na spodaj opisani način izpolnite tabelo, ki bo priložena tej prilogi.



Sestavni del

Koda napake

Strategija spremljanja

Kriteriji za zaznavanje napak

Kriteriji za aktivacijo MI

Sekundarni parametri

Predkondicioniranje

Demonstracijski preskus

Katalizator

PO420

Signala lambda sond 1 in 2

Razlika med signaloma lambda sond 1 in 2

Tretji cikel

Hitrost motorja, obremenitev motorja, način zrak/gorivo, temperatura katalizatorja

Dva cikla tipa 1

Tip 1

3.2.12.2.8

Drugi sistemi (opis in delovanje):

3.2.13

Položaj simbola absorpcijskega koeficienta (samo motorji na kompresijski vžig):

3.2.14

Podrobnosti o vseh napravah, ki vplivajo na ekonomičnost porabe goriva (če niso opisane drugje):

3.2.15

Sistem za napajanje motorja z utekočinjenim naftnim plinom (UNP): da/ne (24) 

3.2.15.1

Številka homologacije ES v skladu z Direktivo Sveta 70/221/EGS (UL 76 L, 6.4.1970, str. 23) (ko bo Direktiva spremenjena, tako da bo vključevala rezervoarje za plinasta goriva) ali homologacijska številka v skladu s Pravilnikom št. 67 (UN/ECE).

3.2.15.2

Elektronska enota za upravljanje motorja s pogonom na tekoči naftni plin

3.2.15.2.1

Znamka(e):

3.2.15.2.2

Tip(i):

3.2.15.2.3

Možnosti nastavljanja glede emisij:

3.2.15.3

Dodatna dokumentacija

3.2.15.3.1

Opis varovanja katalizatorja pri preklopu z bencina na utekočinjeni naftni plin ali nazaj:

3.2.15.3.2

Načrt sistema (električne povezave, vakuumske povezave, kompenzacijske cevi itd.):

3.2.15.3.3

Risba simbola:

3.2.16

Sistem za napajanje motorja z zemeljskim plinom (ZP): da/ne (24) 

3.2.16.1

Številka homologacije ES v skladu z Direktivo 70/221/EGS (ko bo Direktiva spremenjena, tako da bo vključevala rezervoarje za plinasta goriva) ali homologacijsko številko v skladu s Pravilnikom št. 110 (UN/ECE):

3.2.16.2

Elektronska enota za upravljanje motorja s pogonom na zemeljski plin

3.2.16.2.1

Znamka(e):

3.2.16.2.2

Tip(i):

3.2.16.2.3

Možnosti nastavljanja glede emisij:

3.2.16.3

Dodatna dokumentacija

3.2.16.3.1

Opis varovanja katalizatorja pri preklopu z bencina na zemeljski plin ali nazaj:

3.2.16.3.2

Načrt sistema (električne povezave, vakuumske povezave, kompenzacijske cevi itd.):

3.2.16.3.3

Risba simbola:

▼M3

3.2.18.

Sistem za dovod vodika: da/ne (24) 

3.2.18.1.

Številka ES-homologacije v skladu z Uredbo (ES) št. 79/2009:

3.2.18.2.

Elektronska enota za upravljanje motorja za dovod vodika

3.2.18.2.1.

Znamke:

3.2.18.2.2.

Tipi:

3.2.18.2.3.

Možnosti nastavljanja glede emisij:

3.2.18.3.

Dodatna dokumentacija

3.2.18.3.1.

Opis zaščite katalizatorja pri preklopu z bencina na vodik ali obratno:

3.2.18.3.2.

Načrt sistema (električni priključki, priključne cevi za izravnavo tlaka itd.):

3.2.18.3.3.

Risba simbola:

3.2.19.

Sistem za dovod H2ZP: da/ne (24) 

3.2.19.1.

Delež vodika v gorivu (največji delež, ki ga je določil proizvajalec):

3.2.19.2.

Številka ES-homologacije v skladu s Pravilnikom UN/ECE št. 110 ( 25 )

3.2.19.3.

Elektronska enota za upravljanje motorja za dovod H2ZP

3.2.19.3.1.

Znamke:

3.2.19.3.2.

Tipi:

3.2.19.3.3.

Možnosti nastavljanja glede emisij:

3.2.19.4.

Dodatna dokumentacija

3.2.19.4.1.

Opis zaščite katalizatorja pri preklopu z bencina na H2ZP ali obratno:

3.2.19.4.2.

Načrt sistema (električni priključki, priključne cevi za izravnavo tlaka itd.):

3.2.19.4.3.

Risba simbola:

3.3.

Električni motor

3.3.1.

Tip (tuljava, vzbujanje): …

▼M8

3.3.1.1

Največja urna moč: kW

(po navedbi proizvajalca)

3.3.1.1.1

Največja nazivna moč (a) kW

(po navedbi proizvajalca)

3.3.1.1.2

Največja 30-minutna moč (a) kW

(po navedbi proizvajalca)

▼M3

3.3.1.2.

Delovna napetost: … V

3.3.2.

Akumulator

3.3.2.1.

Število celic:

3.3.2.2.

Masa: kg

3.3.2.3.

Zmogljivost: … Ah (amperske ure)

3.3.2.4.

Položaj:

▼B

3.4

Kombinacije motorjev

3.4.1.

. Hibridno električno vozilo: da/ne (25) 

3.4.2

Kategorija hibridnega električnega vozila

Vozila z zunanjim napajanjem/Vozila brez zunanjega napajanja (25) 

3.4.3

Stikalo za način delovanja: z/brez (25) 

3.4.3.1

Izbirni načini

3.4.3.1.1

Povsem električni: da/ne (25) 

3.4.3.1.2

Samo poraba goriva: da/ne (25) 

3.4.3.1.3

Hibridni načini: da/ne (25) 

(če da, na kratko opišite)

3.4.4

Opis naprave za shranjevanje energije: (akumulator, kondenzator, vztrajnik, generator)

3.4.4.1

Znamka(e):

3.4.4.2

Tip(i):

3.4.4.3

Identifikacijska številka:

3.4.4.4

Vrsta elektrokemijskega spoja:

3.4.4.5

Energija: … (za baterijo: napetost in kapaciteta Ah v 2 h, za kondenzator: J, …)

3.4.4.6

Polnilec akumulatorja: v vozilu/zunanji/brez (25) 

3.4.5

Električni motor (opišite vsako vrsto električnega motorja posebej)

3.4.5.1

Znamka:

3.4.5.2

Tip:

3.4.5.3

Glavni namen uporabe: pogonski motor/generator

3.4.5.3.1

Pri uporabi kot pogonski motor: z enim motorjem/z več motorji (število):

3.4.5.4

Največja moč: … kW

3.4.5.5

Princip delovanja:

3.4.5.5.1

enosmerni tok/izmenični tok/število faz

3.4.5.5.2

ločeno vzbujanje/serijsko/kombinirano (25) 

3.4.5.5.3

 (25)  sinhroni/asinhroni

3.4.6

Kontrolna enota

3.4.6.1

Znamka(e):

3.4.6.2

Tip(i):

3.4.6.3

Identifikacijska številka:

3.4.7

Krmilnik moči

3.4.7.1

Znamka:

3.4.7.2

Tip:

3.4.7.3

Identifikacijska številka:

▼M3

3.4.8.

Električni domet vozila … … km (v skladu s Prilogo 9 k Pravilniku UN/ECE št. 101) ( 26 )

▼B

3.4.9

Priporočilo proizvajalca o predkondicioniranju:

3.5

Emisije CO2/poraba goriva ( 27 )(po navedbi proizvajalca)

3.5.1

Masne emisije CO2 (podatek predložite za vsako preskušeno referenčno gorivo)

3.5.1.1

Masne emisije CO2 (mestna vožnja): … g/km

3.5.1.2

Masne emisije CO2 (vožnja izven mesta): … g/km

3.5.1.3

Masne emisije CO2 (kombinirana vožnja): … g/km

3.5.2

Poraba goriva (podatek predložite za vsako preskušeno referenčno gorivo)

▼M3

3.5.2.1.

Poraba goriva (mestna vožnja) … l/100 km ali m3/100 km ali kg/100 km (27) 

3.5.2.2.

Poraba goriva (vožnja zunaj naselja) … l/100 km ali m3/100 km ali kg/100 km (27) 

3.5.2.3.

Poraba goriva (kombinirana vožnja) … l/100 km ali m3/100 km ali kg/100 km (27) 

3.5.3.

Poraba električne energije pri električnih vozilih

▼M8

▼M5

3.5.3.1

Tip/varianta/izvedenka osnovnega vozila, kot je opredeljeno v členu 5 Izvedbene uredbe (EU) št. 725/2011 ( 28 ):

▼M8

3.5.3.1.

Poraba električne energije pri povsem električnih vozilih … Wh/km

▼M5

3.5.3.2

Medsebojni vplivi med posameznimi ekološkimi inovacijami: da/ne (28) 

▼M8

3.5.3.2

Poraba električne energije pri hibridnih električnih vozilih z zunanjim napajanjem

3.5.3.2.1

Poraba električne energije (pogoj A, kombinirana vožnja) … (Wh/km)

3.5.3.2.2

Poraba električne energije (pogoj B, kombinirana vožnja) … (Wh/km)

3.5.3.2.3

Poraba električne energije (utežena kombinirana) Wh/km

▼M5

3.5.3.3

Podatki o emisijah, povezani z uporabo ekoloških inovacij ( 29 ) ( 30 )



Sklep o odobritvi ekološke inovacije (1)

Koda ekološke inovacije (2)

1.  Emisije CO2 pri osnovnem vozilu

(g/km)

2.  Emisije CO2 pri ekološko inovativnem vozilu

(g/km)

3.  Emisije CO2 pri osnovnem vozilu v preskusnem ciklu tipa 1 (3)

4.  Emisije CO2 pri ekološko inovativnem vozilu v preskusnem ciklu tipa 1

(= 3.5.1.3)

5.  Faktor uporabe (UF), to je časovni delež uporabe tehnologije v normalnih pogojih delovanja

Prihranek CO2

image

xxxx/201x (1)

 

 

 

 

 

 

 

 

 

 

 

 

 

 

 

 

 

 

 

 

 

 

 

Skupni prihranek CO2 (g/km) (4)

 

(1)   Številka sklepa Komisije o odobritvi ekološke inovacije.

(2)   Dodeljena v sklepu Komisije o odobritvi ekološke inovacije.

(3)   Če se po dogovoru s homologacijskim organom namesto preskusnega cikla tipa 1 uporabi tehnologija modeliranja, se uporabi vrednost, pridobljena s tehnologijo modeliranja.

(4)   Vsota prihrankov emisij za posamezne ekološke inovacije.

▼M8 —————

3.5.6

▼M9

Vozilo, v katero je vgrajena ekološka inovacija v smislu člena 12 Uredbe (ES) št. 443/2009 za vozila kategorije M1 oziroma člena 12 Uredbe (EU) št. 510/2011 za vozila kategorije N1: da/ne ( 31 )

3.5.6.1

Tip/varianta/izvedenka osnovnega vozila iz člena 5 Izvedbene uredbe (EU) št. 725/2011 za vozila kategorije M1 oziroma člena 5 Izvedbene uredbe (EU) št. 427/2014 za vozila kategorije N1 (če je ustrezno) ( 32 )

▼M6

3.5.6.2

Medsebojni vplivi med posameznimi ekološkimi inovacijami: da/ne (32) 

3.5.6.3

Podatki o emisijah, povezani z uporabo ekoloških inovacij ( 33 ) ( 34 )



Sklep o odobritvi ekološke inovacije (1)

Koda ekološke inovacije (2)

1.  Emisije CO2 pri osnovnem vozilu (g/km)

2.  Emisije CO2 pri vozilu z ekološko inovativno tehnologijo (g/km)

3.  Emisije CO2 pri osnovnem vozilu v preskusnem ciklu tipa 1 (3)

4.  Emisije CO2 pri vozilu z ekološko inovativno tehnologijo v preskusnem ciklu tipa 1 (= 3.5.1.3)

5.  Faktor uporabe (UF), tj. časovni delež uporabe tehnologije v normalnih pogojih delovanja

Prihranek emisij CO2

image

xxxx/201x (1)

 

 

 

 

 

 

 

 

 

 

 

 

 

 

 

 

 

 

 

 

 

 

 

Skupni prihranek emisij CO2 (g/km) (4)

 

(1)   Številka sklepa Komisije o odobritvi ekološke inovacije.

(2)   Dodeljena v sklepu Komisije o odobritvi ekološke inovacije.

(3)   Če se po dogovoru s homologacijskim organom namesto preskusnega cikla tipa 1 uporabi vzorčenje, se uporabi vrednost, pridobljena z metodologijo vzorčenja.

(4)   Skupni prihranek emisij za posamezno ekološko inovacijo.

▼B

3.6

Temperature, ki jih dovoljuje proizvajalec

3.6.1

Hladilni sistem

3.6.1.1

Tekočinsko hlajenje

Najvišja temperatura na izhodu: K

3.6.1.2

Zračno hlajenje

3.6.1.2.1

Referenčna točka: …

3.6.1.2.2

Najvišja temperatura v referenčni točki: K

3.6.2

Najvišja izhodna temperatura hladilnika polnilnega zraka: K

3.6.3

Najvišja temperatura izpušnih plinov v točki izpušne(ih) cevi, ki je najbližja zunanji(m) prirobnici(am) izpušnega kolektorja: K

3.6.4

Temperatura goriva

Najnižja: K

Najnižja K

3.6.5

Temperatura maziva

Najnižja: K

Najvišja: K

3.8

Mazalni sistem

3.8.1

Opis sistema

3.8.1.1

Lega posode za mazivo:

3.8.1.2

Sistem dovajanja (s črpalko/vbrizgavanjem v dovod/mešanje z gorivom. itd.) (34) 

3.8.2

Črpalka za mazivo

3.8.2.1

Znamka(e):

3.8.2.2

Tip(i):

3.8.3

Mešanica z gorivom

3.8.3.1

Odstotek:

3.8.4

Hladilnik olja: da/ne (34) 

3.8.4.1

Risba(e): …, ali

3.8.4.1.1

Znamka(e):

3.8.4.1.2

Tip(i):

4.   MENJALNIK ( 35 )

4.3

Vztrajnostni moment vztrajnika motorja:

4.3.1

Dodatni vztrajnostni moment brez vklopljene prestave:

4.4

Sklopka (tip):

4.4.1

Največji prenos navora:

4.5

Menjalnik

4.5.1

Vrsta (ročni, samodejni/brezstopenjski menjalnik (CVT – continuously variable transmission)) (35) 

4.6

Prestavna razmerja



Prestava

Prestava menjalnika (prestavno razmerje med motorjem in odgonsko gredjo menjalnika)

Končno pogonsko razmerje (prestavno razmerje med odgonsko gredjo menjalnika in pogonskim kolesom)

Skupno prestavno razmerje

Najvišja pri brezstopenjskem menjalniku

1

2

3

Najnižja pri brezstopenjskem menjalniku

Vzvratna

 

 

 

6.   VZMETENJE

6.6

Pnevmatike in kolesa

6.6.1

Kombinacija(e) pnevmatike/kolesa

(a) za vse možnosti pnevmatik predložite oznako dimenzij, indeks nosilnosti, oznako hitrostnega razreda, kotalni upor po ISO 28580 (kadar je to primerno)

(b) za pnevmatike razreda Z, ki so namenjene za vozila, katerih najvišja hitrost preseže 300 km/h, se podajo enakovredni podatki; za platišča navedite premer(e), širino(e) in globino(e) naleganja

6.6.1.1

Osi

6.6.1.1.1

Os 1:

6.6.1.1.2

Os 2:

itd.

6.6.2

Zgornja in spodnja meja dinamičnega polmera kolesa

6.6.2.1

Os 1:

6.6.2.2

Os 2:

itd.

6.6.3

Tlak v pnevmatikah, kot ga priporoča proizvajalec vozila: kPa

9.   KAROSERIJA

9.1

Vrsta karoserije: (uporabite oznake, ki so določene v Oddelku C Priloge II k Direktivi 2007/46/ES):

9.10.3

Sedeži

9.10.3.1

Število:

16.   DOSTOP DO INFORMACIJ O POPRAVILU IN VZDRŽEVANJU VOZIL

16.1

Naslov glavnega spletnega mesta za dostop do informacij o popravilu in vzdrževanju vozil:

16.1.1

Datum, od katerega je na voljo (najpozneje v 6 mesecih od dneva homologacije):

16.2

Določbe in pogoji za dostop do spletne strani, omenjene v Oddelku 16.1.:

16.3

Oblika zapisa informacij o popravilu in vzdrževanju vozil, ki so dosegljive na spletni strani, omenjeni v Oddelku 16.1.:




Dodatek k opisnemu listu

PODATKI O POGOJIH PRESKUSA

1.   Vžigalne svečke

1.1

Znamka:

1.2

Tip:

1.3

Nastavitev razmika med elektrodami vžigalnih svečk:

2.   Vžigalna tuljava

2.1

Znamka:

2.2

Tip:

3.   Uporabljeno mazivo

3.1

Znamka:

3.2

Tip:

(če je gorivu primešano kakršnokoli mazivo, navedite odstotek olja v gorivu)

4.   Informacije o nastavljeni obremenitvi dinamometra (ponovite podatke za vsak preskus z dinamometrom)

4.1

Tip karoserije vozila (različica/izvedenka)

4.2

Vrsta menjalnika (ročni/samodejni/brezstopenjski – CVT)

4.3

Informacije o nastavitvi dinamometra s stalno krivuljo obremenitve (če se uporablja)

4.3.1

Uporabljena alternativna metoda nastavitve obremenitve dinamometra (da/ne)

4.3.2

Vztrajnostna masa (kg):

4.3.3

Dejanska absorbirana moč pri 80 km/h, vključno z izgubami pri teku vozila na dinamometru (kW)

4.3.4

Dejanska absorbirana moč pri 50 km/h, vključno z izgubami pri teku vozila na dinamometru (kW)

4.4

Informacije o nastavitvi dinamometra s prilagodljivo krivuljo obremenitve (če se uporablja)

4.4.1

Informacije o pojemanju hitrosti vozila s preskusne steze.

4.4.2

Znamka in vrsta pnevmatik:

4.4.3

Mere pnevmatik (spredaj/zadaj):

4.4.4

Tlak v pnevmatikah (spredaj/zadaj) (kPa):

4.4.5

Preskusna masa vozila skupaj z voznikom (kg):

4.4.6

Podatki o iztekanju vozila na cesti (če se uporabljajo)



V (km/h)

V2 (km/h)

V1 (km/h)

Povprečni popravljeni čas(i) pojemanja hitrosti vozila

120

 

 

 

100

 

 

 

80

 

 

 

60

 

 

 

40

 

 

 

20

 

 

 

4.4.7

Povprečna popravljena moč, potrebna za pogon vozila na cesti (če se uporablja)



V (km/h)

CP popravljena (kW)

120

 

100

 

80

 

60

 

40

 

20

 




Dodatek 4

VZOREC CERTIFIKATA O ES-HOMOLOGACIJI

(Največji format: A4 (210 × 297 mm))

CERTIFIKAT O ES-HOMOLOGACIJI

Žig homologacijskega organa

Sporočilo o:

 ES-homologaciji ( 36 ),

 razširitvi ES-homologacije (36) ,

 zavrnitvi ES-homologacije (36) ,

 preklicu ES-homologacije (36) ,

 tipa sistema/tipa vozila glede sistema (36)  v zvezi z Uredbo (ES) št. 715/2007 ( 37 ) in Uredbo [ta uredba] ( 38 )

Številka ES-homologacije:

Razlog za razširitev:

ODDELEK I

0.1

Znamka (blagovno ime proizvajalca):

0.2

Tip:

0.2.1

Trgovsko(a) ime(na) (če obstaja(-jo)):

0.3

Podatki za identifikacijo tipa vozila, če je oznaka na vozilu ( 39 )

0.3.1

Mesto te oznake:

0.4

Kategorija vozila ( 40 )

0.5

Ime in naslov proizvajalca:

0.8

Ime(na) in naslov(i) proizvodnih tovarn:

0.9

Predstavnik proizvajalca:

ODDELEK II

1.

Dodatne informacije (kadar je to primerno): (glej dopolnilo)

2.

Tehnična služba, ki je zadolžena za izvajanje preskusov:

3.

Datum poročila o preskusu:

4.

Številka poročila o preskusu:

5.

Opombe (če obstajajo): (glej dopolnilo)

6.

Kraj:

7.

Datum:

8.

Podpis:



Dodatki:

Opisna dokumentacija,

Poročilo o preskusu.




Dopolnilo k certifikatu o ES-homologaciji št. …

v zvezi s homologacijo vozila glede emisij in dostopa do informacij o popravilu in vzdrževanju vozil v skladu z Uredbo (ES) št. 715/2007

1.   Dodatne informacije

1.1

Masa vozila v stanju, pripravljenem za vožnjo:

1.2

Največja dovoljena masa:

1.3

Referenčna masa:

1.4

Število sedežev:

1.6

Vrsta karoserije:

1.6.1

za vozila kategorije M1, M2: limuzina, vozilo z dvižnimi vrati zadaj, karavan, kupe, kabriolet, večnamensko vozilo ( 41 )

1.6.2

za vozila kategorije N1, N2: tovorno vozilo s kesonom, furgon (41) ,

1.7

Pogonska kolesa: spredaj, zadaj, 4 x 4 (41) 

1.8

Povsem električno vozilo: da/ne (41) 

1.9

Hibridno električno vozilo: da/ne (41) 

1.9.1

Kategorija hibridnega električnega vozila: vozila z zunanjim napajanjem/vozila brez zunanjega napajanja (41) 

1.9.2

Stikalo za način delovanja: z/brez (41) 

1.10

Oznaka motorja:

1.10.1

Prostornina motorja:

1.10.2

Sistem za dovod goriva: neposredni vbrizg/posredni vbrizg (41) 

1.10.3

Gorivo, ki ga priporoča proizvajalec:

1.10.4

Največja moč: kW pri min’

1.10.5

Naprava za nadtlačno polnjenje: da/ne (41) 

1.10.6

Vžigalni sistem: kompresijski vžig/prisilni vžig (41) 

1.11

Pogonska naprava (za povsem električno vozilo ali hibridno električno vozilo) (41) 

1.11.1

Največja nazivna moč: … kW, pri: … do … min-1

1.11.2

Največja moč v tridesetih minutah: kW

▼M8

1.11.3

Največji nazivni navor: … Nm pri … min–1

▼B

1.12

Pogonski akumulator (za povsem električno vozilo ali hibridno električno vozilo)(1)

1.12.1

Nazivna napetost: V

1.12.2

Kapaciteta (v času 2h): Ah

1.13

Menjalnik:

1.13.1

Vrsta menjalnika: ročni/samodejni/brezstopenjski menjalnik (41) 

1.13.2

Število prestavnih razmerij:

1.13.3

Skupno prestavno razmerje (vključno s kotalnim obodom pnevmatik pod obremenitvijo): hitrosti vožnje pri 1 000 min-1 v km/h



Prva prestava:

Šesta prestava:

Druga prestava:

Sedma prestava:

Tretja prestava:

Osma prestava:

Četrta prestava:

Hitra (direktna) prestava:

Peta prestava:

 

1.13.4

Končno pogonsko razmerje:

1.14

Pnevmatike: …

Tip: …Mere:

Kotalni obod pod obremenitvijo:

Kotalni obod pnevmatik, uporabljenih v preskusu tipa 1

2.   Rezultati preskusov:

2.1

Rezultati preskusov emisij iz izpušne cevi

Razvrstitev glede na emisije: Euro 5/Euro 6 (41) 

Rezultati preskusa tipa 1, kjer je to primerno:

Številka homologacije, če ne gre za matično vozilo (41) :



Rezultat tipa 1

Preskus

CO

(mg/km)

Skupne emisije ogljikovodikov

(mg/km)

Nemetanski ogljikovodiki

(mg/km)

Dušikovi oksidi

(mg/km)

Skupne emisije ogljikovodikov + dušikovi oksidi

(mg/km)

Trdni delci

(mg/km)

Delci

(#/km)

Izmerjena vrednost () ()

1

 

 

 

 

 

 

 

2

 

 

 

 

 

 

 

3

 

 

 

 

 

 

 

Izmerjena povprečna vrednost (M) () ()

 

 

 

 

 

 

 

 

Faktor Ki () ()

 

 

 

 

 

 ()

 

 

Povprečna vrednost, izračunana s Ki (M.Ki) ()

 

 

 

 

 

 ()

 

 

Faktor poslabšanja DF () ()

 

 

 

 

 

 

 

 

Končna povprečna vrednost, izračunana s Ki in DF (M.Ki.DF) ()

 

 

 

 

 

 

 

 

Mejna vrednost

 

 

 

 

 

 

 

 

(1)   Kadar je primerno

(2)   Se ne uporablja

(3)   Povprečna vrednost, izračunana s seštevanjem povprečnih vrednosti (M.Ki), ki sta izračunani za skupne emisije ogljikovodikov in dušikovih oksidov

(4)   Zaokrožite na 2 decimalni mesti

(5)   Zaokrožite na 4 decimalna mesta

(6)   Zaokrožite na 1 decimalno mesto več, kot jih ima mejna vrednost

Informacije o strategiji regeneracije

D – število ciklov delovanja med dvema cikloma, kjer pride do regenerativnih faz:

d – število ciklov delovanja, potrebnih za regeneracijo:

Tip 2: … %

Tip 3:

Tip 4: … g/preskus



Tip 5:

— Preskus trajnosti: preskus celotnega vozila/preskus staranja na preskusni napravi/brez preskusa (1)

— Faktor poslabšanja DF: izračunan/dodeljen (1)

— Določite vrednosti:

(1)   Neustrezno črtati (so primeri, kjer ni treba ničesar črtati, če pride v poštev več kot ena navedba).

▼M6



Tip 6

CO (g/km)

THC (g/km)

Izmerjena vrednost

 

 

2.1.1

Pri vozilih z dvogorivnim motorjem se tabela tipa 1 ponovi za obe gorivi. Pri vozilih s prilagodljivim tipom goriva (če se preskus tipa 1 izvede za obe gorivi v skladu s sliko I.2.4 iz Priloge I k Uredbi (ES) št. 692/2008) in pri vozilih s pogonom na utekočinjen naftni plin ali zemeljski plin/biometan z dvogorivnim ali enogorivnim motorjem se tabela ponovi za posamezna referenčna goriva, ki so bila uporabljena pri preskusu, v dodatni tabeli pa se navedejo najslabši rezultati. Po potrebi se v skladu z oddelkoma 1.1.2.4 in 1.1.2.5 Priloge I k Uredbi (ES) št. 692/2008 prikaže, ali so rezultati izmerjeni ali izračunani.

▼B

2.1.2

Pisni opis in/ali risba MI:

2.1.3

Seznam in vloga vseh sestavnih delov, ki jih nadzira vgrajena naprava za diagnostiko na vozilu:

2.1.4

Pisni opis (splošna načela delovanja) za:

2.1.4.1

Odkrivanje neuspelih vžigov ( 42 ):

2.1.4.2

Nadzor katalizatorja (42) 

2.1.4.3

Nadzor lambda sonde (42) :

2.1.4.4

Drugi sestavni deli, ki jih nadzira vgrajena naprava za diagnostiko na vozilu (42) 

2.1.4.5

Nadzor katalizatorja ( 43 )

2.1.4.6

Nadzor lovilnika trdnih delcev (43) 

2.1.4.7

Nadzor aktivatorja elektronskega sistema za dovod goriva (43) 

2.1.4.8

Drugi sestavni deli, ki jih nadzira vgrajena naprava za diagnostiko na vozilu

2.1.5

Merila za aktiviranje MI (stalno število voznih ciklov ali statistična metoda):

2.1.6

Seznam vseh izhodnih kod in obrazcev, ki jih uporablja vgrajena naprava za diagnostiko na vozilu (z ustreznimi pojasnili):

2.2

Podatki o emisijah, potrebni za izvajanje tehničnega pregleda



Preskus

Vrednost CO

(% vol)

Lambda (1)

Hitrost motorja

(min-1)

Temperatura motornega olja

(°C)

Preskus pri nizki vrtilni frekvenci prostega teka

 

Ni ustrezno

 

 

Preskus pri nizki vrtilni frekvenci prostega teka

 

 

 

 

(1)   Preskus pri nizki vrtilni frekvenci prostega teka

2.3

Katalizatorji: da/ne (43) 

2.3.1

Originalni katalizator je bil preskušen po vseh ustreznih zahtevah iz te uredbe: da/ne (43) 

2.4

Rezultati preskusa motnosti dima (43) 

2.4.1

Pri enakomerni hitrosti: Glej poročilo tehnične službe o preskusu številka

2.4.2

Preskusi pri prostem pospeševanju

2.4.2.1

Izmerjena vrednost absorpcijskega koeficienta: … m-1

2.4.2.2

Popravljena vrednost absorpcijskega koeficienta: … m-1

2.4.2.3

Položaj simbola absorpcijskega koeficienta na vozilu:

2.5

Rezultati preskusov emisij CO2 in porabe goriva

2.5.1

Vozilo z motorjem z notranjim zgorevanjem in hibridno električno vozilo brez zunanjega napajanja

2.5.1.1

Masne emisije CO2 (predložite navedene vrednosti za vsako preskušeno referenčno gorivo)

2.5.1.1.1

Masne emisije CO2 (mestna vožnja): … g/km

2.5.1.1.2

Masne emisije CO2 (vožnja izven mesta): … g/km

2.5.1.1.3

Masne emisije CO2 (kombinirana vožnja): … g/km

2.5.1.2

Poraba goriva (predložite navedene vrednosti za vsako preskušeno referenčno gorivo)

2.5.1.2.1

Poraba goriva (mestna vožnja): … l/100 km ( 44 )

2.5.1.2.2

Poraba goriva (vožnja izven mesta): … l/100 km

2.5.1.2.3

Poraba goriva (kombinirana vožnja): … 1/100 km (44) 

2.5.1.3

Za vozila, ki jih poganja samo motor z notranjim izgorevanjem in so opremljena s sistemi z redno regeneracijo, kot so opredeljena v odstavku 6 Člena 2 te uredbe, se rezultati preskusov pomnožijo s faktorjem Ki, kot je določeno v Prilogi 10 k Pravilniku št. 101 (UN/ECE).

2.5.1.3.1

Informacije o strategiji regeneracije za emisije CO2 in porabo goriva

D – število ciklov delovanja med dvema cikloma, kjer pride do regenerativnih faz:

d – število ciklov delovanja, potrebnih za regeneracijo:



 

Mestna vožnja

Vožnja izven mesta

Kombinirana vožnja

Ki

Vrednosti za CO2

in porabo goriva (1)

 

 

 

(1)   Zaokrožite na 4 decimalna mesta

2.5.2

Povsem električna vozila (44) 

2.5.2.1

Poraba električne energije (po navedbi)

2.5.2.1.1

Poraba električne energije: …Wh/km

2.5.2.1.2

Skupni iztek odstopanja za izvedbo cikla: s

2.5.2.2

Doseg (po navedbi): km

2.5.3

Hibridno električno vozilo z zunanjim napajanjem:

2.5.3.1

Masne emisije CO2 (pogoj A, kombinirana vožnja) ( 45 ): g/km

2.5.3.2

Masne emisije CO2 (pogoj B, kombinirana vožnja) (45) : g/km

2.5.3.3

Masne emisije CO2 (uteženo, kombinirana vožnja) (45) : g/km

2.5.3.4

Poraba goriva (pogoj A, kombinirana vožnja) (45) : … l/100 km

2.5.3.5

Poraba goriva (pogoj B, kombinirana vožnja) (45) : … l/100 km

2.5.3.6

Poraba goriva (uteženo, kombinirana vožnja) (45) : … l/100 km

2.5.3.7

Poraba električne energije (pogoj A, kombinirana vožnja) (45) : Wh/km

2.5.3.8

Poraba električne energije (pogoj B, kombinirana vožnja) (45) : Wh/km

2.5.3.9

Poraba električne energije (uteženo in kombinirana vožnja) (45) : Wh/km

2.5.3.10

Doseg samo z električnim pogonom: km

▼M6

2.6

Rezultati preskusa ekoloških inovacij ( 46 ) ( 47 )



Sklep o odobritvi ekološke inovacije (1)

Koda ekološke inovacije (2)

1.  Emisije CO2 pri osnovnem vozilu (g/km)

2.  Emisije CO2 pri vozilu z ekološko inovativno tehnologijo (g/km)

3.  Emisije CO2 pri osnovnem vozilu v preskusnem ciklu tipa 1 (3)

4.  Emisije CO2 pri vozilu z ekološko inovativno tehnologijo v preskusnem ciklu tipa 1 (= 3.5.1.3)

5.  Faktor uporabe (UF), tj. časovni delež uporabe tehnologije v normalnih pogojih delovanja

Prihranek emisij CO2

image

xxxx/201x

 

 

 

 

 

 

 

 

 

 

 

 

 

 

 

 

 

 

 

 

 

 

 

Skupni prihranek emisij CO2 (g/km) (4)

 

(1)   Številka sklepa Komisije o odobritvi ekološke inovacije.

(2)   Dodeljena v sklepu Komisije o odobritvi ekološke inovacije.

(3)   Če se namesto preskusnega cikla tipa 1 uporabi vzorčenje, se uporabi vrednost, pridobljena z metodologijo vzorčenja.

(4)   Splošna koda ekološke inovacije je sestavljena iz naslednjih elementov, ki so ločeni s presledkom:

2.6.1   Splošna koda ekološke inovacije ( 48 ): …

▼B

3.

Informacije o popravilu vozil

3.1

Naslov spletnega mesta za dostop do informacij o popravilu in vzdrževanju vozil:

3.1.1

Datum, od katerega je na voljo (do 6 mesecev po dnevu homologacije):

▼M1

3.2

Pogoji dostopa (tj. trajanje dostopa, cena dostopa na urni, dnevni, mesečni in letni osnovi ter za posamezno transakcijo) do spletnih mest iz oddelka 3.1):

▼B

3.3

Oblika zapisa informacij o popravilu in vzdrževanju vozil, dosegljivih na spletni strani, omenjeni v oddelku 3.1.:

3.4

Proizvajalčev certifikat o dostopu do ponujenih informacij o popravilu in vzdrževanju vozil:

▼M8

4.

Merjenje moči

Največja nazivna moč motorja z notranjim izgorevanjem, nazivna moč in največja 30-minutna moč električnega pogonskega sklopa

4.1   Nazivna moč motorja z notranjim izgorevanjem

4.1.1

Vrtilna frekvenca motorja (vrt./min)

4.1.2

Izmerjeni pretok goriva (g/h)

4.1.3

Izmerjeni navor (Nm)

4.1.4

Izmerjena moč (kW)

4.1.5

Zračni tlak (kPa)

4.1.6

Tlak vodne pare (kPa)

4.1.7

Temperatura vsesanega zraka (K)

4.1.8

Korekcijski faktor za moč, kadar se uporablja

4.1.9

Korigirana moč (kW)

4.1.10

Pomožna moč (kW)

4.1.11

Nazivna moč (kW)

4.1.12

Nazivni navor (Nm)

4.1.13

Korigirana specifična poraba goriva (g/kWh)

4.2   Električni sistemi za prenos moči:

4.2.1

Navedene vrednosti

4.2.2

Največja nazivna moč … kW, pri … min–1

4.2.3

Največji nazivni navor … Nm, pri … min–1

4.2.4

Največji nazivni navor pri hitrosti nič: … Nm

4.2.5

Največja 30-minutna moč: … kW

4.2.6

Bistvene značilnosti električnega sistema za prenos moči

4.2.7

Preskusna enosmerna napetost: V

4.2.8

Način delovanja:

4.2.9

Hladilni sistem:

4.2.10

Motor: tekočina/zrak ( 49 )

4.2.11

Variator: tekočina/zrak (49) 

▼M8

5.

Opombe:

▼B




Dodatek 5

Informacije o vgrajeni napravi za diagnostiko na vozilu

1.

Informacije, ki jih zahteva ta dodatek, navede proizvajalec vozila z namenom, da se omogoči proizvodnja nadomestnih ali servisnih delov, združljivih z vgrajenim sistemom za diagnostiko na vozilu, ter diagnostičnim orodjem in preskusno opremo

2.

Na zahtevo se naslednje informacije dajo na razpolago vsem zainteresiranim proizvajalcem sestavnih delov, diagnostičnih orodij ali preskusne opreme na nediskriminatorni osnovi:

2.1

Opis tipa in števila ciklov predkondicioniranja, ki so bili uporabljeni za izvirno homologacijo vozila;

2.2

Opis vrste demonstracijskega cikla vgrajenega sistema za diagnostiko na vozilu, uporabljenega za izvirno homologacijo vozila za sestavni del, ki ga nadzoruje vgrajeni sistem za diagnostiko na vozilu;

2.3

Celovit dokument opisuje vse sestavne dele, ki jih spremljajo tipala s strategijo zaznavanja napak in aktiviranja MI (stalno število voznih ciklov ali statistična metoda), vključno s seznamom zaznanih pomembnih sekundarnih parametrov za vsako komponento, ki jo spremlja vgrajena naprava za diagnostiko na vozilu ter seznam vseh izhodnih kod in obrazcev, ki jih uporablja vgrajena naprava za diagnostiko na vozilu (z ustreznimi pojasnili) in so povezani s posameznimi elementi prenosa moči, ki so povezani z emisijami, in posameznimi sestavnimi deli, ki niso povezani z emisijami, kjer se spremljanje sestavnega dela uporabi za določanje aktivacije MI. Še posebej mora biti podana podrobna razlaga podatkov, navedenih pri storitvi $ 05 ID preskusa 21 do FF, in podatkov, navedenih pri storitvi $ 06. Pri tipih vozil, ki uporabljajo komunikacijsko povezavo v skladu z ISO 15765–4 „Road vehicles – diagnostics on controller area network (CAN) – part 4: requirements for emissions-related systems (Cestna vozila – diagnoza na omrežju CAN – Del 4: zahteve za sisteme povezane z emisijami)“, je treba za vsak podprt ID vgrajenega sistema za diagnostiko na vozilu navesti celovito razlago podatkov, ki so navedeni pri storitvi $ 06 ID preskusa $ 00 do FF.

Te informacije so lahko navedene v obliki tabele, kot sledi:



Sestavni del

Koda napake

Strategija spremljanja

Kriteriji za zaznavanje napak

Kriteriji za aktivacijo MI

Sekundarni parametri

Kondicioniranje

Demonstracijski preskus

Katalizator

P0420

Signala lambda sond 1 in 2

Razlika med signaloma lambda sond 1 in 2

Tretji cikel

Hitrost motorja, obremenitev motorja, način zrak/gorivo, temperatura katalizatorja

Dva cikla tipa 1

Tip 1

3.

Informacije, ki so potrebne za izdelavo diagnostičnih orodij.

Da se olajša zagotovitev generičnih diagnostičnih orodij za serviserje več znamk, proizvajalci vozil omogočijo dostop do informacij iz točk 3.1 do 3.3 na spletnih mestih z informacijami o popravilu. Te informacije morajo vključevati vse funkcije diagnostičnih orodij in vse povezave do informacij o popravilu ter navodila za odpravljanje težav. Proizvajalec lahko za dostop do teh informacij zaračuna razumno ceno.

3.1   Informacije o komunikacijskih protokolih

Naslednje informacije morajo biti razdeljene po znamki, modelu in različici vozila, ali po drugi uporabni definiciji, na primer identifikacijski številki vozila (VIN) ali identifikaciji vozila in sistema.

(a) Morebitni dodatni informacijski sistem za spremljanje protokolov, ki je potreben za izvedbo popolne diagnostike, poleg standardov, določenih v oddelku 4 Priloge XI, vključno z morebitnimi dodatnimi informacijami o protokolih strojne ali programske opreme, prepoznavanjem parametrov, funkcijami prenosa, zahtevah za ohranjevanje povezave (keep alive) ali s pogoji za napake;

(b) Podrobnosti o pridobivanju in razlagi vseh kod napak, ki niso skladne s standardi iz oddelka 4 Priloge XI;

(c) Seznam vseh parametrov živih podatkov, vključno z informacijami o primerjanju in dostopu, ki so na voljo;

(d) Seznam vseh preskusov delovanja, ki so na voljo, vključno z aktiviranjem ali upravljanjem naprave in načinom za njihovo izvajanje;

(e) Podrobnosti o pridobitvi vseh informacij o sestavnih delih in stanju, časovnih oznak, kod diagnostičnih napak (DTC) in zamrznjenih nizih;

(f) Ponastavitev prilagodljivih parametrov učenja, nastavitev kodiranja različic in nadomestnih sestavnih delov ter izbirnih nastavitev strank;

(g) Identifikacija enote za nadzor motorja (ECU) in kodiranje različic;

(h) Podrobnosti o ponastavitvi servisnih lučk;

(i) Položaj diagnostičnega priključka in podrobnosti o priključku;

(j) Identifikacija kode motorja.

3.2   Preskus in diagnoza sestavnih delov, ki jih spremlja vgrajeni sistem za diagnostiko na vozilu

Zahtevajo se naslednji podatki:

(a) opis preskusov, s katerimi se potrdi delovanje na sestavnem delu ali na kabelskem snopu,

(b) preskusni postopek, vključno s preskusnimi parametri in informacijami o sestavnih delih,

(c) podrobnosti o povezavi, vključno z najmanjšim in največjim vhodom in izhodom ter vrednostmi pri vožnji in pod obremenitvijo,

(d) vrednosti, ki so pričakovane v določenih voznih razmerah, vključno s prostim tekom,

(e) električne vrednosti za sestavni del v mirujočem in delujočem stanju,

(f) vrednosti pri napaki za vsako od zgornjih situacij,

(g) diagnostična zaporedja pri napakah, vključno z drevesno strukturo napak in vodeno izključevanje diagnoz.

3.3   Podatki, ki so potrebni za izvedbo popravila

Zahtevajo se naslednji podatki:

(a) inicializacija enote za nadzor motorja (ECU) in sestavnih delov (v primeru, da se namesti nadomestni del),

(b) inicializacija novih ali nadomestnih enot za nadzor motorja, kadar je to primerno, s tehnikami prepustnega (pre)programiranja.




Dodatek 6

Sistem številčenja certifikatov o ES-homologaciji

1.

Del 3 številke ES-homologacije, ki je bila izdana v skladu s členom 6(1), je sestavljen iz številke izvedbenega regulativnega akta ali zadnje spremembe regulativnega akta, ki se uporablja za ES-homologacijo. ►M2  Tej številki sledi en ali več znakov, ki odražajo različne kategorije v skladu s tabelo 1. ◄ Te črke hkrati tudi razlikujejo mejne vrednosti emisij Euro 5 in 6, v skladu s katerimi je bilo izdano soglasje.

▼M8



Tabela 1

Znak

Emisijski standard

OBD standard

Kategorija in razred vozila

Motor

Datum uveljavitve: novi tipi

Datum uveljavitve: nova vozila

Zadnji datum registracije

A

Euro 5a

Euro 5

M, N1 razred I

PV, KV

1.9.2009

1.1.2011

31.12.2012

B

Euro 5a

Euro 5

M1 za izpolnitev posebnih družbenih potreb (razen M1G)

KV

1.9.2009

1.1.2012

31.12.2012

C

Euro 5a

Euro 5

M1G za izpolnitev posebnih družbenih potreb

KV

1.9.2009

1.1.2012

31.8.2012

D

Euro 5a

Euro 5

N1 razred II

PV, KV

1.9.2010

1.1.2012

31.12.2012

E

Euro 5a

Euro 5

N1 razred III, N2

PV, KV

1.9.2010

1.1.2012

31.12.2012

F

Euro 5b

Euro 5

M, N1 razred I

PV, KV

1.9.2011

1.1.2013

31.12.2013

G

Euro 5b

Euro 5

M1 za izpolnitev posebnih družbenih potreb (razen M1G)

KV

1.9.2011

1.1.2013

31.12.2013

H

Euro 5b

Euro 5

N1 razred II

PV, KV

1.9.2011

1.1.2013

31.12.2013

I

Euro 5b

Euro 5

N1 razred III, N2

PV, KV

1.9.2011

1.1.2013

31.12.2013

J

Euro 5b

Euro 5+

M, N1 razred I

PV, KV

1.9.2011

1.1.2014

31.8.2015

K

Euro 5b

Euro 5+

M1 za izpolnitev posebnih družbenih potreb (razen M1G)

KV

1.9.2011

1.1.2014

31.8.2015

L

Euro 5b

Euro 5+

N1 razred II

PV, KV

1.9.2011

1.1.2014

31.8.2016

M

Euro 5b

Euro 5+

N1 razred III, N2

PV, KV

1.9.2011

1.1.2014

31.8.2016

N

Euro 6a

Euro 6-

M, N1 razred I

KV

 

 

31.12.2012

O

Euro 6a

Euro 6-

N1 razred II

KV

 

 

31.12.2012

P

Euro 6a

Euro 6-

N1 razred III, N2

KV

 

 

31.12.2012

Q

Euro 6b

Euro 6-

M, N1 razred I

KV

 

 

31.12.2013

R

Euro 6b

Euro 6-

N1 razred II

KV

 

 

31.12.2013

S

Euro 6b

Euro 6-

N1 razred III, N2

KV

 

 

31.12.2013

T

Euro 6b

Euro 6- plus IUPR

M, N1 razred I

KV

 

 

31.8.2015

U

Euro 6b

Euro 6- plus IUPR

N1 razred II

KV

 

 

31.8.2016

V

Euro 6b

Euro 6- plus IUPR

N1 razred III, N2

KV

 

 

31.8.2016

W

Euro 6b

Euro 6-1

M, N1 razred I

PV, KV

1.9.2014

1.9.2015

31.8.2018

X

Euro 6b

Euro 6-1

N1 razred II

PV, KV

1.9.2015

1.9.2016

31.8.2019

Y

Euro 6b

Euro 6-1

N1 razred III, N2

PV, KV

1.9.2015

1.9.2016

31.8.2019

ZA

Euro 6c

Euro 6-1

M, N1 razred I

PV, KV

 

 

31.8.2018

ZB

Euro 6c

Euro 6-1

N1 razred II

PV, KV

 

 

31.8.2019

ZC

Euro 6c

Euro 6-1

N1 razred III, N2

PV, KV

 

 

31.8.2019

ZD

Euro 6c

Euro 6-2

M, N1 razred I

PV, KV

1.9.2017

1.9.2018

 

ZE

Euro 6c

Euro 6-2

N1 razred II

PV, KV

1.9.2018

1.9.2019

 

ZF

Euro 6c

Euro 6-2

N1 razred III, N2

PV, KV

1.9.2018

1.9.2019

 

ZX

n.r.

n.r.

vsa vozila

povsem električna z akumulatorji

1.9.2009

1.1.2011

 

ZY

n.r.

n.r.

vsa vozila

povsem električna z gorivnimi celicami

1.9.2009

1.1.2011

 

ZZ

n.r.

n.r.

vsa vozila s certifikati v skladu s točko 2.1.1 Priloge I

PV, KV

1.9.2009

1.1.2011

 

Legenda:

Standard emisij „Euro 5a“ = izključuje spremenjen postopek merjenja za trdne delce, standard za število delcev in preskus emisij pri nizkih temperaturah z biogorivom za vozila s prilagodljivim tipom goriva.

Standard emisij „Euro 5b“ = popolne zahteve za emisije Euro 5, vključno s spremenjenim postopkom merjenja za trdne delce, standardom za število delcev za vozila z motorjem na kompresijski vžig in preskusom emisij pri nizki temperaturi z biogorivom za vozila s prilagodljivim tipom goriva.

Standard emisij „Euro 6 a“ = izključuje spremenjen postopek merjenja za trdne delce, standard za število delcev in preskus emisij pri nizkih temperaturah z biogorivom za vozila s prilagodljivim tipom goriva.

Standard emisij „Euro 6b“ = zahteve za emisije Euro 6, vključno s spremenjenim postopkom merjenja za trdne delce, standardom za število delcev (predhodne vrednosti za vozila z motorjem na prisilni vžig) in preskusom emisij pri nizki temperaturi z biogorivom za vozila s prilagodljivim tipom goriva.

Standard emisij „Euro 6c“ = popolne zahteve za emisije Euro 6, tj. standard emisij Euro 6b in končni standardi za število delcev za vozila z motorjem na prisilni vžig ter uporabo referenčnih goriv E10 in B7 (kadar je primerno).

„Euro 5“ standard za vgrajene naprave za diagnostiko na vozilu = osnovne zahteve Euro 5 za vgrajene naprave za diagnostiko, brez razmerja učinkovitosti med uporabo (IUPR), spremljanja dušikovih oksidov pri vozilih s pogonom na bencin in poostrenih mejnih vrednosti za trdne delce (PM) pri dizelskih vozilih.

„Euro 5+“ standard za vgrajene naprave za diagnostiko na vozilu = vključujejo ublaženo razmerje učinkovitosti med uporabo (IUPR), spremljanje dušikovih oksidov za vozila s pogonom na bencin in poostrene mejne vrednosti za trdne delce (PM) pri dizelskih vozilih.

„Euro 6-“ standard za vgrajene naprave za diagnostiko na vozilu = ublažene mejne vrednosti za vgrajene naprave za diagnostiko na dizelskih vozilih.

„Euro 6- plus IUPR“ standard za vgrajene naprave za diagnostiko na vozilu = vključuje ublažene mejne vrednosti za vgrajene naprave za diagnostiko na vozilih in ublaženo razmerje učinkovitosti med uporabo (IUPR).

„Euro 6-1“ standard za vgrajene naprave za diagnostiko na vozilu = popolne zahteve Euro 6 za vgrajene naprave za diagnostiko, vendar s predhodnimi mejnimi vrednostmi za vgrajene naprave za diagnostiko na vozilu, kakor so opredeljene v točki 2.3.4 Priloge XI, in delno ublaženim razmerjem učinkovitosti med uporabo (IUPR).

„Euro 6-2“ standard za vgrajene naprave za diagnostiko na vozilu = popolne zahteve Euro 6 za vgrajene naprave za diagnostiko, vendar s končnimi mejnimi vrednostmi za vgrajene naprave za diagnostiko na vozilu, kakor so opredeljene v točki 2.3.3 Priloge XI.

▼B

2.

Primeri homologacijskih številk

2.1

Spodaj je prikazan primer prve homologacije brez razširitev za lahko potniško vozilo stopnje Euro 5. Homologacija je bila podeljena po določilih osnovne uredbe in njene izvedbene uredbe, zato je četrti sestavni del 0001. Vozilo je kategorije M1, kar predstavlja črka A. Homologacijo je podelila Nizozemska:

e4*715/2007*692/2008A*0001*00

2.2

Drugi primer prikazuje četrto homologacijo za drugo razširitev lahkega potniškega vozila stopnje Euro 5 in kategorije M1G, ki ustreza zahtevam za posebne družbene potrebe (črka C). Homologacija je bila podeljena po določilih osnovne uredbe in uredbe o spremembi v letu 2009, podeljena pa je bila v Nemčiji:

e1*715/2007*…/2009C*0004*02




Dodatek 7

image

▼M1




PRILOGA II

SKLADNOST V PROMETU

1.   UVOD

1.1

Ta priloga določa emisije iz izpušne cevi in zahteve OBD (vključno z IUPRM) za skladnost v prometu za tipe vozil, homologirane v skladu s to uredbo.

2.   PRESOJA SKLADNOSTI V PROMETU

2.1

Homologacijski organ izvede presojo skladnosti v prometu na osnovi vseh pomembnih informacij, ki jih ima proizvajalec, po enakih postopkih kot za skladnost proizvodnje, določenih v členu 12(1) in (2) Direktive 2007/46/ES ter v točkah 1 in 2 Priloge X k navedeni direktivi. Informacije iz nadzornih preskusov homologacijskega organa in države članice lahko dopolnjujejo poročilo o spremljanju v prometu, ki ga predloži proizvajalec.

2.2

Slika iz točke 9 Dodatka 2 k tej prilogi, in slika 4/2 iz Dodatka 4 k Pravilniku UN/ECE št. 83 (samo za emisije iz izpušne cevi) prikazujeta postopek za preverjanje skladnosti v prometu. Postopek za preverjanje skladnosti v prometu je opisan v Dodatku 3 k tej prilogi.

2.3

Proizvajalec na zahtevo homologacijskega organa kot del informacij za nadzor skladnosti v prometu homologacijskemu organu predloži poročilo o garancijskih zahtevkih, garancijskih popravilih in napakah vgrajenega sistema za diagnostiko, ki so bile zabeležene med servisiranjem, in sicer v obliki, ki je bila dogovorjena ob homologaciji. Informacije morajo vključevati pogostost in vsebino napak pri sestavnih delih in sistemih, ki so povezani z emisijami. Poročila se v obdobju, ki je določeno v členu 9(4) te uredbe, predložijo vsaj enkrat letno za vsak model vozila.

2.4

Parametri, ki opredeljujejo družine vozil v prometu glede na emisije iz izpušne cevi

Družina v prometu se lahko opredeli po osnovnih parametrih konstrukcije, ki morajo biti skupni vozilom v družini. Skladno s tem v isto družino v prometu spadajo tisti tipi vozil, ki imajo skupne, ali v mejah navedenih dovoljenih odstopanj, naslednje parametre:

2.4.1 proces zgorevanja (2-taktni, 4-taktni, rotacijski);

2.4.2 število valjev;

2.4.3 konfiguracija valjev (vrstni motor, V-motor, radialni motor, motor z nasprotno ležečimi valji, drugo); naklon ali usmeritev valjev ni merilo,

2.4.4 način dovoda goriva v motor (tj. posredno ali neposredno vbrizgavanje);

2.4.5 vrsta hladilnega sistema (zrak, voda, olje);

2.4.6 način dovoda zraka (sesalni motor, tlačno polnjeni motor);

2.4.7 gorivo, za katerega je motor zasnovan (bencin, dizelsko gorivo, ZP, UNP itd.); vozila z dvogorivnim motorjem so lahko razvrščena v skupino vozil z eno vrsto goriva, če jim je ena vrsta goriva skupna;

2.4.8 vrsta katalizatorja (tristezni, redukcijski lovilnik, SCR, redukcijski katalizator ali drugo);

2.4.9 vrsta lovilnika trdnih delcev (z ali brez);

2.4.10 vračanje izpušnih plinov v valj (z ali brez, hlajeno ali nehlajeno), in

2.4.11 prostornina valja največjega motorja v družini minus 30 odstotkov.

2.5

Zahtevane informacije

Homologacijski organ opravi presojo skladnosti vozil v prometu na podlagi podatkov, ki jih predloži proizvajalec. Ti podatki morajo vsebovati predvsem naslednje:

2.5.1 ime in naslov proizvajalca;

2.5.2 ime, naslov, telefonsko številko in številko faksa ter elektronski naslov pooblaščenega zastopnika za področja, ki jih vključujejo podatki proizvajalca;

2.5.3 imena modelov vozil, ki so vključena v podatke proizvajalca;

2.5.4 kadar je primerno, seznam tipov vozil, ki jih vključujejo podatki proizvajalca, tj. za emisije iz izpušne cevi skupina družin v prometu v skladu s točko 2.4, in za OBD in IUPRM družina vgrajenih sistemov za diagnostiko (OBD) v skladu z Dodatkom 2 k Prilogi XI;

2.5.5 kode identifikacijske številke vozila (VIN), ki se uporabljajo za te tipe vozil znotraj družine (predpona VIN);

2.5.6 številke homologacij, ki se uporabljajo za te tipe vozil znotraj družine, vključno s številkami vseh razširitev ter večjih sprememb/odpoklicev (predelav), kadar je primerno;

2.5.7 podrobnosti razširitev, večjih spremembah/odpoklicev za vozila, ki jih vključujejo podatki proizvajalca (če to zahteva homologacijski organ);

2.5.8 obdobje, v katerem je proizvajalec zbiral podatke;

2.5.9 obdobje proizvodnje vozil, vključeno v podatke proizvajalca (npr. vozila, izdelana v koledarskem letu 2007);

2.5.10 postopek proizvajalca za preverjanje skladnosti v prometu, vključno z:

(i) načinom določanja položaja vozil;

(ii) merili za izbiro in zavrnitev vozil;

(iii) tipi preskusov in preskusnimi postopki, uporabljenimi v programu;

(iv) merili proizvajalca za sprejem/zavrnitev skupine družin;

(v) geografskimi območji, na katerih je proizvajalec zbiral podatke;

(vi) velikostjo vzorca in uporabljenim načrtom vzorčenja;

2.5.11 rezultati postopka preverjanja skladnosti v prometu, vključno z:

(i) identifikacijo vozil, vključenih v program (preskušanih ali ne). Identifikacija mora vključevati:

 ime modela,

 identifikacijsko številko vozila (VIN),

 registrsko številko vozila,

 datum izdelave,

 regijo uporabe (če je znana),

 nameščene pnevmatike (samo za emisije iz izpušne cevi);

(ii) razlogi za izločitev vozila iz vzorca;

(iii) podatki o vzdrževanju vsakega vozila iz vzorca (vključno s kakršnimi koli predelavami);

(iv) podatki o popravilih vsakega vozila iz vzorca (če so znani);

(v) podatki o preskusu, ki vključujejo:

 datum preskusa/prenosa,

 kraj preskusa/prenosa,

 število prevoženih kilometrov na števcu;

(vi) podatki o preskusu samo za emisije iz izpušne cevi;

 specifikacije preskusnega goriva (npr. preskusno referenčno gorivo ali komercialno gorivo),

 preskusni pogoji (temperatura, vlažnost zraka, vztrajnostna masa dinamometra),

 nastavitve dinamometra (npr. nastavitev moči),

 rezultati preskusa (za najmanj tri različna vozila iz vsake družine vozil);

(vii) podatki o preskusu samo za IUPRM:

 vsi zahtevani podatki, preneseni z vozila,

 za vsako nadzorno napravo, ki se poroča, razmerje učinkovitosti med uporabo IUPRM;

2.5.12 zapise prikazov vgrajenega sistema za diagnostiko (OBD);

2.5.13 za vzorčenje IUPRM naslednje:

 povprečje razmerij učinkovitosti med uporabo IUPRM vseh izbranih vozil za vsako nadzorno napravo v skladu s točkama 3.1.4 in 3.1.5 Dodatka 1 k Prilogi XI;

 odstotek izbranih vozil, pri katerih je IUPRM večje ali enako najmanjši vrednosti, ki velja za nadzorno napravo, v skladu s točkama 3.1.4 in 3.1.5 Dodatka 1 k Prilogi XI.

3.   IZBIRA VOZIL ZA PREVERJANJE SKLADNOSTI V PROMETU

3.1

Podatki, ki jih zbere proizvajalec, morajo biti dovolj izčrpni, da je mogoče oceniti delovanje vozila v prometu pri običajnih pogojih uporabe. Proizvajalec izbere vzorce iz vsaj dveh držav članic z bistveno različnimi pogoji uporabe vozila (razen če se vozilo prodaja samo v eni državi članici). Pri izbiri držav članic se upoštevajo dejavniki, kot so razlike med gorivi, okoljski pogoji, povprečne hitrosti na cestah in porazdelitev vožnje po mestu/avtocesti.

Za preskušanje OBD IUPRM se v preskusni vzorec vključijo le tista vozila, ki izpolnjujejo merila iz točke 2.2.1 Dodatka 1.

3.2

Pri izbiri držav članic za vzorčenje vozil lahko proizvajalec izbere vozila iz države članice, ki je posebej reprezentativna. V tem primeru mora proizvajalec homologacijskemu organu, ki je podelil homologacijo, dokazati, da je izbor reprezentativen (npr. s tem, da gre za trg z najvišjo letno prodajo družine vozila v Uniji). Če je za družino treba preskusiti več kot eno vzorčno skupino v skladu s točko 3.5, morajo vozila v drugi in tretji vzorčni skupini odražati drugačne pogoje uporabe vozila kot vozila iz prvega vzorca.

3.3

Preskus emisij se lahko izvede v preskuševalnem laboratoriju na drugem trgu ali v drugi regiji.

3.4

Proizvajalec nenehno izvaja preskuse skladnosti v prometu glede na emisije iz izpušne cevi, tako da odražajo proizvodni cikel ustreznih tipov vozil znotraj določene družine vozil v prometu. Obdobje med začetkoma dveh preverjanj skladnosti v prometu ne sme presegati 18 mesecev. V primeru tipov vozil, ki so vključeni v razširitev homologacije, za katero ni bil potreben preskus emisij, se to obdobje lahko podaljša na največ 24 mesecev.

3.5

Velikost vzorca

3.5.1 Pri uporabi statističnega postopka iz Dodatka 2 (npr. za emisije iz izpušne cevi) je število vzorčnih skupin odvisno od letne prodane količine vozil iz družine v prometu v Uniji, kot je določeno v spodnji tabeli:



EU registracije

— v koledarskem letu (za preskuse emisij iz izpušne cevi)

— vozil družine OBD z IUPR v času vzorčenja

Število vzorčnih skupin

do 100 000

1

100 001 do 200 000

2

nad 200 000

3

3.5.2 Za IUPR je število vzorčnih skupin navedeno v tabeli iz točke 3.5.1 in temelji na številu vozil družine OBD, ki so odobrena z IUPR (obvezno vzorčenje).

Za prvo obdobje vzorčenja družine OBD velja obvezno vzorčenje za vse tipe vozil v družini, homologiranih na podlagi IUPR. Za nadaljnja obdobja vzorčenja velja obvezno vzorčenje samo za tipe vozil, ki še niso bila preskušena ali so zajeta v homologacijah na podlagi vrednosti emisij, ki so bile razširjene od prejšnjega obdobja vzorčenja.

Za družine z manj kot 5 000 EU registracijami, za katere velja obvezno vzorčenje v obdobju vzorčenja, je najmanjše število vozil v vzorčni skupini šest. Za vse druge družine je najmanjše število vzorčenih vozil v vzorčni skupini petnajst.

Vsaka vzorčna skupina primerno predstavlja vzorec prodaje, tj. zastopani so vsaj najbolj prodajani tipi vozil (≥ 20 % celotne družine).

4.

Na osnovi presoje iz oddelka 2 homologacijski organ sprejme eno od naslednjih odločitev in ukrepov:

(a) odloči, da je skladnost v prometu za tip vozila, družino vozil v prometu ali družino OBD vozil zadovoljiva in ne sprejme nadaljnjih ukrepov;

(b) odloči, da so podatki, ki jih je predložil proizvajalec, nezadostni za sprejem odločitve, in od proizvajalca zahteva dodatne informacije ali preskusne podatke;

(c) odloči, da so na osnovi podatkov iz programov nadzornega preskušanja, ki jih izvaja homologacijski organ ali država članica, podatki, ki jih je predložil proizvajalec, nezadostni za sprejem odločitve, in od proizvajalca zahteva dodatne informacije ali preskusne podatke;

(d) odloči, da je skladnost tipa vozila v prometu, ki je del družine vozil v prometu ali družine OBD, nezadovoljiva in nadaljuje s preskusom tipa vozila ali družine OBD skladno z Dodatkom 1.

Če so v skladu z revizijo IUPRM preskusna merila točke 6.1.2, točka (a) ali (b), Dodatka 1 izpolnjena za vozila v vzorčni skupini, mora homologacijski organ sprejeti nadaljnje ukrepe, opisane v točki (d) te točke.

4.1

Če so preskusi tipa 1 potrebni za preverjanje skladnosti naprav za uravnavanje emisij z zahtevami o njihovem delovanju v prometu, se takšni preskusi izvajajo s preskusnim postopkom, ki izpolnjuje statistična merila iz Dodatka 2.

4.2

Homologacijski organ v sodelovanju s proizvajalcem izbere vzorec vozil z zadostnim številom prevoženih kilometrov, pri katerih je mogoče zagotoviti uporabo pri običajnih pogojih. O izbiri vozil v vzorcu se posvetuje s proizvajalcem, ki mu je dovoljeno prisostvovati pri potrditvenih pregledih vozil.

4.3

Proizvajalec lahko pod nadzorom homologacijskega organa opravi preglede, tudi porušitvene narave, na vozilih, pri katerih ravni emisij presegajo mejne vrednosti, da se ugotovijo morebitni vzroki za poslabšanje, ki ga ni mogoče pripisati proizvajalcu samemu (npr. uporaba osvinčenega bencina pred datumom preskusa). Če rezultati pregledov potrdijo takšne vzroke, se taki rezultati preskusov izključijo iz preverjanja skladnosti.




Dodatek 1

Preverjanje skladnosti v prometu

1.   UVOD

1.1 Ta dodatek določa merila iz oddelka 4 v zvezi z izbiro vozil za preskušanje in postopki za preverjanje skladnosti vozil v prometu.

2.   MERILA ZA IZBOR

Merila za sprejem izbranega vozila so za emisije iz izpušne cevi določena v točkah 2.1 do 2.8, za IUPRM pa v spodnjih točkah 2.1 do 2.5.

2.1 Pri vozilu gre za tip vozila, ki je homologiran po tej uredbi in ima potrdilo o skladnosti v skladu z Direktivo št. 2007/46/ES. Za preverjanje IUPRM mora biti vozilo homologirano po standardih OBD Euro 5+, Euro 6- plus IUPR ali kasnejših. Registrira in uporablja se v Uniji.

2.2 Vozilo je bilo v prometu vsaj 15 000 km ali 6 mesecev, kar se zgodi pozneje, in največ 100 000 km ali 5 let, kar se zgodi prej.

2.2.1 Za preverjanje IUPRM preskusni vzorec vključuje samo vozila, ki:

(a) so zbrala dovolj podatkov o delovanju vozila, da se nadzorna naprava lahko preskusi.

Za nadzorne naprave, ki morajo izpolnjevati razmerje učinkovitosti med uporabo nadzorne naprave ter spremljati in sporočati podatke o razmerju v skladu s točko 3.6.1 Dodatka 1 k Prilogi XI, zadostni podatki o delovanju vozila pomenijo, da imenovalec izpolnjuje spodaj navedena merila. Imenovalec, kot je opredeljen v točkah 3.3 in 3.5 Dodatka 1 k Prilogi XI, mora imeti za preskušano nadzorno napravo vrednost, ki je enaka ali večja od ene od naslednjih vrednosti:

(i) 75 za nadzorne naprave sistema izhlapevanja, nadzorne naprave sistema za sekundarni zrak in nadzorne naprave, ki uporabljajo imenovalec, povečan v skladu s točko 3.3.2(a), (b) ali (c) Dodatka 1 k Prilogi XI (npr. nadzorne naprave, povezane z zagonom pri hladnem motorju, nadzorne naprave klimatskih sistemov itd.), ali

(ii) 25 za nadzorne naprave filtra za trdne delce in nadzorne naprave oksidacijskega katalizatorja, ki uporabljajo imenovalec, povečan v skladu s točko 3.3.2(d) Dodatka 1 k prilogi XI, ali

(iii) 150 za katalizatorje, lambda sonde, EGR, VVT in vse druge nadzorne naprave sestavnih delov.

(b) ki niso bila prirejena ali opremljena z dodatki ali spremenjenimi deli, zaradi katerih sistem OBD ne bi izpolnjeval zahtev Priloge XI.

2.3 Na voljo je evidenca o vzdrževanju, ki dokazuje, da je bilo vozilo primerno vzdrževano (npr. servisirano v skladu s priporočili proizvajalca).

2.4 Na vozilu ni nobenih znakov zlorabe (npr. dirkanje, čezmerno natovarjanje, uporaba napačnih goriv ali druge zlorabe) ali drugih dejavnikov (npr. prirejanje), ki lahko vplivajo na nastajanje emisij. Upoštevajo se koda okvare in podatki o prevoženih kilometrih, ki so shranjeni v računalniku. Vozilo se ne izbere za preskušanje, če je iz podatkov v računalniku razvidno, da se je vozilo uporabljajo še potem, ko je bila shranjena koda okvare in popravilo ni bilo izvedeno v sorazmerno kratkem času.

2.5 Na vozilu niso bila opravljena večja popravila ali večja nepooblaščena popravila motorja.

2.6 Vsebnost svinca in žvepla v vzorcu goriva iz posode za gorivo vozila mora ustrezati veljavnim standardom iz Direktive št. 98/70/ES Evropskega parlamenta in Sveta ( 50 ), in na vozilu ne sme biti sledi o uporabi napačnih goriv. Preverjanja se lahko opravijo v izpušni cevi.

2.7 Na vozilu ne sme biti znakov težav, ki lahko ogrozijo varnost osebja v laboratoriju.

2.8 Vsi vgrajeni sestavni deli sistema za uravnavanje onesnaževanja morajo biti skladni z veljavno homologacijo.

3.   UGOTAVLJANJE NAPAK IN VZDRŽEVANJE

Na vozilih, sprejetih za preskušanje, se pred merjenjem emisij izpušnih plinov v skladu s postopkom iz točk 3.1 do 3.7 opravita ugotavljanje napak in potrebno redno vzdrževanje.

3.1 Opravijo se naslednji pregledi: pregled zračnega filtra, vseh pogonskih jermenov, nivojev vseh tekočin, pokrova hladilnika, vseh vakuumskih cevi in električne napeljave, povezane s sistemom za uravnavanje onesnaževanja; pregled vžiga, odmerjanja goriva in sestavnih delov naprave za uravnavanje onesnaževanja zaradi morebitnih napak v nastavitvah in/ali prirejanja. Vsa odstopanja se zapišejo.

3.2 Preveri se pravilno delovanje vgrajenega sistema za diagnostiko (OBD). Vsa sporočila o napaki v spominu vgrajenega sistema za diagnostiko se zabeležijo in opravijo se potrebna popravila. Če indikator napak vgrajenega sistema za diagnostiko ugotovi napako v ciklu predkondicioniranja, se lahko okvara identificira in odpravi. Preskus se lahko ponovi in uporabijo se rezultati popravljenega vozila.

3.3 Pregleda se sistem vžiga in pomanjkljivi sestavni deli, na primer vžigalne svečke, kabli itd., se zamenjajo.

3.4 Preveri se kompresija. Če rezultat ni zadovoljiv, se vozilo zavrne.

3.5 Parametri motorja se preverijo po specifikacijah proizvajalca in se po potrebi nastavijo.

3.6 Če vozilu manjka manj kot 800 km do naslednjega rednega servisa, se servis opravi po navodilih proizvajalca. Ne glede na zapis prevoženih kilometrov na števcu se lahko na zahtevo proizvajalca zamenjata oljni in zračni filter.

3.7 Ob sprejemu vozila se gorivo nadomesti s primernim referenčnim gorivom za preskušanje emisij, razen če proizvajalec soglaša z uporabo komercialnega goriva.

4.   PRESKUŠANJE VOZIL V PROMETU

4.1 Če je potreben pregled vozil,, se preskusi emisij v skladu s Prilogo III opravijo na predkondicioniranih vozilih, izbranih v skladu z zahtevami iz oddelkov 2 in 3 tega dodatka. Ta preskus vključuje merjenje emisij števila trdnih delcev samo pri vozilih, ki so homologirana po emisijskih standardih Euro 6 v kategorijah W, X in Y, kot so opredeljene v tabeli 1 Dodatka 6 k Prilogi 1. Dodatni cikli predkondicioniranja poleg tistih, ki so določeni v točki 5.3 Priloge 4 k Pravilniku UN/ECE št. 83, se dovolijo samo, če so reprezentativni za normalno vožnjo.

4.2 Pri vozilih, opremljenih z vgrajenim sistemom za diagnostiko, se lahko preverja pravilno delovanje indikatorja napak v prometu itd. glede na ravni emisij (npr. omejitve za sporočanje napak iz Priloge XI) za homologirane specifikacije.

4.3 Vgrajeni sistem za diagnostiko se lahko preveri na primer glede ravni emisij nad veljavnimi mejnimi vrednostmi brez sporočila o napaki, glede sistematičnega zmotnega vklapljanja indikatorja napak in pomanjkljivega ali okvarjenega sestavnega dela vgrajenega sistema za diagnostiko.

4.4 Če sestavni del ali sistem deluje na način, ki ni zajet v podrobnem opisu v certifikatu o homologaciji in/ali v opisni dokumentaciji za take tipe vozil in tako odstopanje ni bilo dovoljeno v skladu s členom 13(1) ali (2) Direktive 2007/46/ES ter vgrajeni sistem za diagnostiko ne javlja napak, se sestavni del ali sistem pred preskušanjem emisij ne zamenja, razen če se ugotovi, da je bil sestavni del ali sistem prirejen ali zlorabljen tako, da vgrajeni sistem za diagnostiko napak ne zaznava več.

5.   VREDNOTENJE REZULTATOV PRESKUSOV EMISIJ

5.1 Rezultati preskusov se predložijo v postopek vrednotenja v skladu z Dodatkom 2.

5.2 Rezultati preskusov se ne množijo s faktorji poslabšanja.

6.   NAČRT ODPRAVE NESKLADNOSTI

6.1 Homologacijski organ zahteva od proizvajalca, da predloži načrt ukrepov za odpravo neskladnosti, če:

6.1.1 se za emisije iz izpušne cevi pri več kot enem vozilu ugotovi, da njegova emisija izstopa in izpolnjuje katerega koli od naslednjih pogojev:

(a) pogoje iz točke 3.2.3 Dodatka 4 k Pravilniku UN/ECE št. 83 in kadar se homologacijski organ in proizvajalec strinjata, da je emisija čezmerna iz istega vzroka, ali

(b) pogoje iz točke 3.2.4 Dodatka 4 k Pravilniku UN/ECE št. 83, kadar homologacijski organ ugotovi, da je emisija čezmerna iz istega vzroka.

6.1.2 Za IUPRM določene nadzorne naprave M so izpolnjeni naslednji statistični pogoji v preskusnem vzorcu, katerega velikost se določi v skladu s točko 3.5 te priloge:

(a) pri vozilih, certificiranih za razmerje 0,1 v skladu s točko 3.1.5 Dodatka 1 k Prilogi XI, podatki, zbrani z vozil, za najmanj eno nadzorno napravo M v preskusnem vzorcu kažejo, da je bodisi povprečno razmerje učinkovitosti med uporabo preskusnega vzorca manjše od 0,1 bodisi da ima 66 odstotkov ali več vozil v preskusnem vzorcu razmerje učinkovitosti med uporabo manjše od 0,1;

(b) pri vozilih, certificiranih za polna razmerja v skladu s točko 3.1.4 Dodatka 1 k Prilogi XI, podatki, zbrani z vozil, za najmanj eno nadzorno napravo M v preskusnem vzorcu kažejo, da je bodisi povprečno razmerje učinkovitosti med uporabo preskusnega vzorca manjše od vrednosti Testmin(M) bodisi da ima 66 odstotkov ali več vozil v preskusnem vzorcu razmerje učinkovitosti med uporabo manjše od Testmin(M).

Vrednost Testmin(M) je:

(i) 0,230, če mora imeti nadzorna naprava M razmerje med uporabo 0,26;

(ii) 0,460, če mora imeti nadzorna naprava M razmerje med uporabo 0,52;

(iii) 0,297, če mora imeti nadzorna naprava M razmerje med uporabo 0,336;

v skladu s točko 3.1.4 Dodatka 1 k Prilogi XI.

6.2 Načrt ukrepov za odpravo neskladnosti se predloži homologacijskemu organu najpozneje v 60 delovnih dneh od datuma uradnega obvestila iz točke 6.1. Homologacijski organ v 30 delovnih dneh načrt potrdi ali. Če proizvajalec lahko zadovoljivo dokaže pristojnemu homologacijskemu organu, da potrebuje več časa za preučitev neskladnosti zaradi priprave načrta odprave te neskladnosti, se mu podaljšanje odobri.

6.3 Popravni ukrepi veljajo za vsa vozila, ki bi lahko imela enake pomanjkljivosti. Oceni se potreba po spremembi dokumentov o homologaciji.

6.4 Proizvajalec predloži izvod vseh sporočil, povezanih z načrtom popravnih ukrepov, in vodi evidenco odpoklicev ter homologacijskemu organu dostavlja redna poročila o stanju.

6.5 Načrt popravnih ukrepov vključuje zahteve iz točk 6.5.1 do 6.5.11. Proizvajalec dodeli enotno identifikacijsko ime ali številko za načrt popravnih ukrepov.

6.5.1 Opis vseh tipov vozil, vključenih v načrt popravnih ukrepov.

6.5.2 Opis posebnih modifikacij, prikrojitev, popravil, popravkov, prilagoditev ali drugih sprememb, potrebnih za zagotovitev skladnosti vozil, vključno s kratkim povzetkom podatkov in tehničnih študij, ki podpirajo proizvajalčevo odločitev o posebnih ukrepih, potrebnih za odpravo neskladnosti.

6.5.3 Opis postopka, po katerem proizvajalec obvešča lastnike vozil.

6.5.4 Opis pravilnega vzdrževanja ali uporabe, če obstaja, ki ju proizvajalec postavlja kot pogoj za upravičenost do popravila v skladu z načrtom ukrepov za odpravo neskladnosti, ter pojasnila razlogov za postavljanje takih pogojev. Pogoji za vzdrževanje ali uporabo se ne smejo postaviti, če ni mogoče dokazati, da so povezani z neskladnostjo in ukrepi za njeno odpravo.

6.5.5 Opis postopka za lastnike vozil za uveljavljanje odprave neskladnosti. Ta opis mora vključevati datum, po katerem se lahko sprejmejo ukrepi za odpravo neskladnosti, oceno časa, v katerem lahko delavnica opravi popravila, in informacijo o tem, kje se lahko opravijo. Popravila se opravijo hitro, v primernem času po dostavi vozila.

6.5.6 Izvod informacij, ki so bili poslane lastniku vozila.

6.5.7 Kratek opis sistema, ki ga uporablja proizvajalec za zagotovitev primerne oskrbe s sestavnimi deli ali sistemi za izvajanje ukrepa za odpravo neskladnosti. Navede se, kdaj bo mogoča primerna oskrba s sestavnimi deli ali sistemi za začetek akcije.

6.5.8 Izvod vseh navodil, ki se pošljejo osebam, ki bodo izvajale popravila.

6.5.9 Opis učinka predlaganih popravnih ukrepov na emisije, porabo goriva, vozne lastnosti in varnost vsakega tipa vozila, zajetega v načrt popravnih ukrepov, s podatki in tehničnimi študijami, ki so podlaga za te ugotovitve.

6.5.10 Vse druge informacije, poročila ali podatki, ki jih lahko homologacijski organ upravičeno določi kot potrebne za oceno načrta popravnih ukrepov.

6.5.11 Če načrt ukrepov za odpravo neskladnosti vključuje odpoklic, se homologacijskemu organu predloži opis načina, kako se bo evidentiralo popravilo. Če se uporablja nalepka, se predloži vzorec.

6.6 Od proizvajalca se lahko zahteva izvedba razumno načrtovanih in potrebnih preskusov na sestavnih delih in vozilih, za katera se predlaga sprememba, popravilo ali modifikacija, da prikaže učinkovitost spremembe, popravila ali modifikacije.

6.7 Proizvajalec mora voditi evidenco o vsakem vozilu, odpoklicanem in popravljenem, ter delavnici, ki je opravila popravilo. Homologacijskemu organu se na zahtevo omogoči dostop do evidence v obdobju petih let od začetka izvajanja načrta ukrepov za odpravo neskladnosti.

6.8 Popravilo in modifikacija ali dodajanje novega dela opreme se zapiše v potrdilo, ki ga proizvajalec predloži lastniku vozila.




Dodatek 2

Statistični postopek za preskušanje skladnosti v prometu

1. Ta postopek se uporablja za preverjanje zahtev za skladnost vozil v prometu za preskus tipa 1. Uporablja se veljavna statistična metoda iz Dodatka 4 k Pravilniku UN/ECE št. 83, z izjemami iz oddelkov 2 do 9 tega dodatka.

2. Opomba 1 se ne uporablja.

3. Točka 3.2 se glasi:

Za vozilo se šteje, da njegova emisija izstopa, če so izpolnjeni pogoji iz točke 3.2.2.

4. Točka 3.2.1 se ne uporablja.

5. V točki 3.2.2 se sklicevanje na vrstico B tabele v točki 5.3.1.4 razume kot sklicevanje na tabelo 1 iz Priloge I k Uredbi (ES) št. 715/2007 za vozila Euro 5 in na tabelo 2 iz Priloge I k Uredbi (ES) št. 715/2007 za vozila Euro 6.

6. V točkah 3.2.3.2.1 in 3.2.4.2 se sklicevanje na točko 6 Dodatka 3 razume kot sklicevanje na oddelek 6 Dodatka 1 k Prilogi II k tej uredbi.

7. V opombah 2 in 3 se sklicevanje na vrstico A tabele v točki 5.3.1.4 razume kot sklicevanje na tabelo 1 iz Priloge I k Uredbi (ES) št. 715/2007 za vozila Euro 5 in na tabelo 2 iz Priloge I k Uredbi (ES) št. 715/2007 za vozila Euro 6.

8. V točki 4.2 se sklicevanje na točko 5.3.1.4 razume kot sklicevanje na tabelo 1 iz Priloge I k Uredbi (ES) št. 715/2007 za vozila Euro 5 in na tabelo 2 iz Priloge I k Uredbi (ES) št. 715/2007 za vozila Euro 6.

9. Slika 4/1 se nadomesti z naslednjo sliko:

Slika 4/1 image




Dodatek 3

Odgovornost za skladnost v prometu

1. Postopek revizije preverjanja skladnosti v prometu je ponazorjen na sliki 1.

2. Proizvajalec pripravi vse informacije, ki so potrebne za skladnost z zahtevami iz te priloge. Homologacijski organ lahko upošteva tudi podatke iz programov za spremljanje.

3. Homologacijski organ izvede vse postopke in preskuse, ki so potrebni za zagotovitev, da so vse zahteve glede skladnosti v prometu izpolnjene (faze od 2 do 4).

4. V primeru razhajanj ali nesoglasij pri oceni predloženih informacij homologacijski organ zahteva pojasnilo od tehnične službe, ki je izvedla homologacijski preskus.

5. Proizvajalec določi in izvede načrt popravnih ukrepov. Ta načrt mora pred izvedbo odobriti homologacijski organ (faza 5).

Slika 1

Ponazoritev postopka skladnosti vozil v prometu

image

▼B




PRILOGA III

PREVERJANJE POVPREČNIH EMISIJ IZ IZPUŠNE CEVI PRI OKOLJSKIH POGOJIH

(PRESKUS TIPA 1)

1.   UVOD

Ta priloga opisuje postopek za preskus tipa 1 za preverjanje povprečnih emisij iz izpušne cevi pri okoljskih pogojih.

2.   SPLOŠNE ZAHTEVE

2.1

Splošne zahteve so navedene v odstavku 5.3.1. Pravilnika št. 83 (UN/ECE) z izjemami iz oddelkov 2.2 do 2.5.

2.2

Vozila, ki morajo biti preskušena s preskusom iz odstavka 5.3.1.1, se štejejo za vsa vozila, zajeta v okviru te uredbe.

2.3

Onesnaževala, navedena v odstavku 5.3.1.2.4. se štejejo za vsa onesnaževala, ki so navedena v tabelah 1 in 2 v Prilogi 1 k Uredbi (ES) št. 715/2007.

2.4

Sklicevanje na faktorje poslabšanja iz odstavka 5.3.6. v odstavku 5.3.1.4. se razume kot sklicevanje na faktorje poslabšanja, določene v Prilogi VII k tej uredbi.

2.5

Mejne vrednosti emisij iz odstavka 5.3.1.4. se razumejo kot sklicevanje na mejne vrednosti emisij, določene v tabeli 1 Priloge 1 k Uredbi (ES) št. 715/2007 za vozila stopnje Euro 5 in tabeli 2 Priloge 1 k Uredbi (ES) št. 715/2007 za vozila stopnje Euro 6.

2.6

Zahteve za vozila, ki za gorivo uporabljajo UNP, zemeljski plin ali biometan

2.6.1

Splošne zahteve za preskus vozil, ki za gorivo uporabljajo UNP, zemeljski plin ali biometan, so navedene v oddelku 1 Priloge 12 k Pravilniku št. 83 (UN/ECE).

3.   TEHNIČNE ZAHTEVE

▼M1

3.1

Uporabljajo se tehnične zahteve iz Priloge 4 k Pravilniku UN/ECE št. 83 z izjemami iz točk od 3.2 do 3.12. Od datumov iz drugega stavka člena 10(6) Uredbe (ES) št. 715/2007 se masa trdnih delcev (PM) in število trdnih delcev (P) določita v skladu s postopkom preskusa emisij iz oddelka 6 Priloge 4a k Pravilniku UN/ECE št. 83, sprememb 05, dodatka 07, pri čemer se uporablja preskusna oprema iz točk 4.4 in 4.5.

▼B

3.2

Referenčna goriva iz odstavka 3.2. se razumejo kot sklicevanje na ustrezne specifikacije referenčnih goriv iz Priloge IX k tej uredbi.

▼M3

3.3.

Izpušni plini iz odstavka 4.3.1.1. vsebujejo metan, vodo in vodik:

„… (HFID). Umeri se s propanom, izraženim v ekvivalentu ogljikovih atomov (C1).

Analiza metana (CH4):

Analizator je plinski kromatograf s plamensko ionizacijskim detektorjem (FID) ali s plamensko ionizacijskim detektorjem z ločevalnikom nemetanov, umerjen z metanom, izraženim v ekvivalentu ogljikovih atomov (C1).

Analiza vode (H2O):

Uporabi se nedisperzijski infrardeči analizator (NDIR) absorpcijskega tipa. NDIR se umeri z vodno paro ali propilenom (C3H6). Če se NDIR umeri z vodno paro, se zagotovi, da med postopkom umerjanja ne more priti do kondenzacije vode v ceveh in priključkih. Če se NDIR umeri s propilenom, proizvajalec analizatorja zagotovi informacije za pretvorbo koncentracije propilena v ustrezno koncentracijo vodne pare. Proizvajalec analizatorja redno, najmanj enkrat letno, preveri vrednosti za pretvorbo.

Analiza vodika (H2):

Kot analizator se uporabi sektorski masni spektrometer, umerjen z vodikom.

Dušikov oksid (NOx) …“

▼M3

3.3.a.

Čisti plini iz odstavka 4.5.1. vsebujejo propilen:

„… propan: (najmanjša čistost 99,5 %).

propilen: (najmanjša čistost 99,5 %).“

▼M8

3.4

Razmerja ogljikovodikov iz odstavka 8.2 se razumejo na naslednji način:



Za bencin (E5) (C1H1,89O0,016)

D = 0,631 g/l

Za bencin (E10) (C1H1,93O0,033)

D = 0,645 g/l

Za dizelsko gorivo (B5) (C1H1,86O0,005)

D = 0,622 g/l

Za dizelsko gorivo (B7) (C1H1,86O0,007)

D = 0,623 g/l

Za UNP (C1H2,525)

D = 0,649 g/l

Za ZP/biometan (CH4)

D = 0,714 g/l

Za etanol (E85) (C1H2,74O0,385)

D = 0,932 g/l

Za etanol (E75) (C1H2,61O0,329)

D = 0,886 g/l

za H2ZP

image

g/l

pri čemer je A količina ZP/biometana v mešanici H2ZP, izražena v odstotkih prostornine.

▼B

3.5

Od ustreznih datumov, določenih v členih 10 (4) in 10 (5) Uredbe (ES) št. 715/2007, se odstavek 4.1.2 Dodatka 3 k Prilogi 4 razume na naslednji način:

„Pnevmatike

Pnevmatike se izberejo na podlagi kotalnega upora. Izberejo se pnevmatike z najvišjim kotalnim uporom, izmerjenim v skladu s standardom ISO 28580.

Če obstajajo več kot trije kotalni upori pnevmatik, se izberejo pnevmatike z drugim največjim kotalnim uporom.

Karakteristike kotalnega upora pnevmatik, nameščenih na proizvodna vozila odražajo značilnosti pnevmatik, ki so bile uporabljene za homologacijo.“

3.6

Odstavek 2.2.2. Dodatka 5 k Prilogi 4 je treba razumeti tako, da zajema:

„…..koncentracije CO2, CO, skupnih emisij ogljikovodikov, CH4 in dušikovih oksidov…“

3.7

Odstavek 1 Dodatka 8 k Prilogi 4 se spremeni:

„… Za skupne emisije ogljikovodikov, CH4 in CO ni korekcijske vlažnosti, …“

▼M3

3.8.

Drugi pododstavek odstavka 1.3 iz Dodatka 8 k Prilogi 4 se razume na naslednji način:

„… Faktor redčenja se izračuna:

Za vsako referenčno gorivo razen vodika:

image

Za gorivo s sestavo CxHyOz je splošna formula:

image

Za H2ZP je formula:

image

Za vodik se faktor redčenja izračuna, kot sledi:

image

Za referenčna goriva iz Priloge IX so vrednosti ‚X‘ naslednje:

▼M8



Gorivo

X

Bencin (E5)

13,4

Bencin (E10)

13,4

Dizelsko gorivo (B5)

13,5

Dizelsko gorivo (B7)

13,5

UNP

11,9

ZP/biometan

9,5

Etanol (E85)

12,5

Etanol (E75)

12,7

▼M3

V teh enačbah je:

CCO2

=

koncentracija CO2 v razredčenem izpušnem plinu v vreči za vzorčenje, izražena v % prostornine,

CHC

=

koncentracija ogljikovodikov v razredčenem izpušnem plinu v vreči za vzorčenje, izražena v ppm ekvivalenta ogljika,

CCO

=

koncentracija CO v razredčenem izpušnem plinu v vreči za vzorčenje, izražena v ppm,

CH20

=

koncentracija H2O v razredčenem izpušnem plinu v vreči za vzorčenje, izražena v % prostornine,

CH20-DA

=

koncentracija H2O v zraku, uporabljenem za redčenje, izražena v % prostornine,

CH2

=

koncentracija vodika v razredčenem izpušnem plinu v vreči za vzorčenje, izražena v ppm,

A

=

količina ZP/biometana v mešanici H2ZP, izražena v odstotkih prostornine“.

▼B

3.9

Poleg zahtev iz odstavka 1.3. Dodatka 8 k Prilogi 4 veljajo naslednje zahteve:

Koncentracija nemetanskih ogljikovodikov se izračuna takole:

CNMHC = CTHC – (Rf CH4 × CCH4)

kjer je:

CNMHC

=

popravljena koncentracija nemetanskih ogljikovodikov (NHMC) v razredčenem izpušnem plinu, izražena v ppm ekvivalenta ogljika,

CTHC

=

koncentracija skupnih emisij ogljikovodikov (THC) v razredčenem izpušnem plinu, izražena v ppm ekvivalenta ogljika ter popravljena za količino skupnih ogljikovodikov v zraku za redčenje,

CCH4

=

koncentracija CH4 v razredčenem izpušnem plinu, izražena v ppm ekvivalenta ogljika ter popravljena za količino CH4 v zraku za redčenje,

RfCH4

=

je faktor odzivnosti FID na metan, kot je opredeljen v odstavku 2.3 Dodatka 6 k Prilogi 4.

3.10

Odstavek 1.5.2.3. Dodatka 8 k Prilogi 4 je treba razumeti tako, da vključuje naslednje:



QTHC = 0,932

pri etanolu (E85)

▼M1

QTHC = 0,886

pri etanolu (E75)

▼B

3.11

Sklicevanje na HC se razume kot sklicevanje na skupne emisije ogljikovodikov (THC) v naslednjih odstavkih:

(a) odstavek 4.3.1.1,

(b) odstavek 4.3.2,

(c) Dodatek 6 – odstavek 2.2,

(d) Dodatek 8 – odstavek 1.3,

(e) Dodatek 8 – odstavek 1.5.1.3,

(f) Dodatek 8 – odstavek 1.5.2.3,

(g) Dodatek 8 – odstavek 2.1.

3.12

Sklicevanje na ogljikovodike se razume kot sklicevanje na skupne emisije ogljikovodikov v naslednjih odstavkih:

(a) odstavek 4.3.1.1,

(b) odstavek 4.3.2,

(c) odstavek 7.2.8.

3.13

Tehnične zahteve za vozila, opremljena s sistemi z redno regeneracijo

3.13.1

Tehnične zahteve so določene v oddelku 3 Priloge 13 k Pravilniku št. 83 (UN/ECE), z izjemami, ki so opisane v oddelkih 3.13.2. do 3.13.4.

3.13.2

Sklicevanje na Prilogo 1, točke 4.2.11.2.1.10.1. do 4.2.11.2.1.10.4. ali točke 4.2.11.2.5.4.1. do 4.2.11.2.5.4.4. v oddelku 3.1.3. se razume kot sklicevanje na točke 3.2.12.2.1.11.1. do 3.2.12.2.1.11.4 ali točke 3.2.12.2.6.4.1 do 3.2.12.2.6.4.4 v Dodatku 3 k Prilogi I k Uredbi (ES) št. 692/2008.

3.13.3

Na zahtevo proizvajalca se preskusni postopek, določen za sisteme z redno regeneracijo, ne uporablja za regeneracijsko napravo, če proizvajalec homologacijskemu organu predloži podatke, da emisije med obdobji regeneracije ostanejo pod standardi iz tabele 1 ali 2 v Prilogi I k Uredbi (ES) št. 715/2007, ki se uporablja za zadevno kategorijo vozil po dogovoru s tehnično službo.

3.13.4

Pri napravah z redno regeneracijo se med cikli, v katerih se izvede regeneracija, emisijski standardi lahko presežejo. Če regeneracija naprave za uravnavanje onesnaževanja nastopi vsaj enkrat med preskusom tipa 1, potem ko se je naprava že regenerirala vsaj enkrat med ciklom priprave vozila, potem naprava velja za sistem s stalno regeneracijo, za katerega ni potreben posebni preskusni postopek.

▼M1

3.14

Od datumov iz člena 2 Direktive Komisije 2008/89/ES ( 51 ) so svetilke za dnevno vožnjo na vozilu, kot so opredeljene v oddelku 2 Pravilnika UN/ECE št. 48 ( 52 ), med preskusnim ciklom prižgane. Preskušano vozilo mora biti opremljeno s sistemom svetilk za dnevno vožnjo z največjo porabo električne energije med vsemi sistemi svetilk za dnevno vožnjo, ki jih proizvajalec vgrajuje v vozila iz skupine, ki jo predstavlja homologirano vozilo. Proizvajalec mora v zvezi s tem homologacijskim organom predložiti ustrezno tehnično dokumentacijo.

▼M10




PRILOGA IIIA

PREVERJANJE DEJANSKIH EMISIJ, KI NASTAJAJO MED VOŽNJO

1.   UVOD, OPREDELITEV POJMOV IN OKRAJŠAVE

1.1   Uvod

V tej prilogi je opisan postopek preverjanja dejanskih emisij iz lahkih potniških in gospodarskih vozil, ki nastajajo med vožnjo (RDE).

1.2   Opredelitev pojmov

1.2.1

„Točnost“ pomeni odstopanje med izmerjeno ali izračunano vrednostjo in sledljivo referenčno vrednostjo.

1.2.2

„Analizator“ pomeni vsako merilno napravo, ki ni del vozila, ampak je nameščena za določitev koncentracije ali količine plinastih ali trdnih onesnaževal.

1.2.3

„Osni odsek“ linearne regresije (a 0) pomeni:

image

pri čemer je:

a1

naklon regresijske premice,

image

povprečna vrednost referenčnega parametra,

image

povprečna vrednost parametra, ki ga je treba preveriti.

1.2.4

„Umerjanje“ pomeni nastavitev odziva analizatorja, merilnika pretoka, tipala ali signala tako, da se njegova izhodna vrednost ujema z enim ali več referenčnimi signali.

1.2.5

„Determinacijski koeficient“ (r 2) pomeni:

image

pri čemer je:

a 0

osni odsek linearne regresijske premice,

a 1

naklon linearne regresijske premice,

x i

izmerjena referenčna vrednost,

y i

izmerjena vrednost parametra, ki ga je treba preveriti,

image

povprečna vrednost parametra, ki ga je treba preveriti,

n

število vrednosti.

1.2.6

Korelacijski koeficient“ (r) pomeni:

image

pri čemer je:

x i

izmerjena referenčna vrednost,

y i

izmerjena vrednost parametra, ki ga je treba preveriti,

image

povprečna referenčna vrednost,

image

povprečna vrednost parametra, ki ga je treba preveriti,

n

število vrednosti.

1.2.7

„Zakasnilni čas“ pomeni čas od preklopa pretoka plina (t0) do točke, v kateri odziv doseže 10 odstotkov (t10) končnega odčitka.

1.2.8

„Signali ali podatki krmilne enote motorja“ pomenijo vse podatke in signale vozila, ki so zapisani iz omrežja vozila s protokoli, navedenimi v točki 3.4.5 Dodatka 1.

1.2.9

„Krmilna enota motorja“ pomeni elektronsko enoto, ki krmili različna sprožila in zagotavlja optimalno delovanje pogonskega sistema.

1.2.10

„Emisije“, imenovane tudi „sestavine“, „sestavine onesnaževal“ ali „emisije onesnaževal“, pomenijo pravno urejene plinaste ali trdne komponente izpuha.

1.2.11

„Izpuh“, imenovan tudi izpušni plin, pomeni skupek vseh plinastih in trdnih sestavin, ki kot rezultat zgorevanja goriva v motorju z notranjim zgorevanjem vozila izhajajo iz izpušne odprtine ali izpušne cevi.

1.2.12

„Emisije izpušnih plinov“ pomenijo emisije delcev, ki so prikazane kot delci in število delcev, ter plinastih sestavin iz izpušne cevi vozila.

1.2.13

„Obseg skale“ pomeni celotno merilno območje analizatorja, merilnika pretoka ali tipala, kot ga navede proizvajalec opreme. Če se za meritve uporabi podobmočje analizatorja, merilnika pretoka ali tipala, se obseg skale razume kot največji odčitek.

1.2.14

„Faktor odzivnosti za ogljikovodike“ posamezne vrste ogljikovodika pomeni razmerje med odčitkom FID in koncentracijo obravnavane vrste ogljikovodika v referenčni plinski jeklenki, izraženo v ppmC1.

1.2.15

„Večje vzdrževanje“ pomeni nastavitev, popravilo ali zamenjavo analizatorja, merilnika pretoka ali tipala, ki bi lahko vplivala na točnost meritev.

1.2.16

„Šum“ pomeni dvakratnik kvadratne sredine desetih standardnih odklonov, od katerih je vsak izračunan iz ničelnih odzivov, izmerjenih pri stalni frekvenci zapisovanja najmanj 1,0 Hz v 30-sekundnem obdobju.

1.2.17

„Nemetanski ogljikovodiki“ (NMHC) pomenijo skupne ogljikovodike (THC) brez metana (CH4).

1.2.18

„Število delcev“ pomeni skupno število trdnih delcev, ki izhajajo iz izpuha vozila, kot je opredeljeno z merilnim postopkom iz te uredbe za oceno zadevne mejne vrednosti emisij Euro 6, opredeljene v tabeli 2 Priloge I k Uredbi (ES) št. 715/2007.

1.2.19

„Natančnost“ pomeni 2,5-kratnik standardnega odklona 10 ponavljajočih se odzivov na dano sledljivo standardno vrednost.

1.2.20

„Odčitek“ pomeni številsko vrednost, ki jo prikaže analizator, merilnik pretoka, tipalo ali katera koli druga merilna naprava, uporabljena pri meritvah emisij iz vozil.

1.2.21

„Odzivni čas“ (t 90) pomeni vsoto zakasnilnega časa in časa vzpona.

1.2.22

„Čas vzpona“ pomeni čas med 10-odstotnim in 90-odstotnim odzivom (t 90t 10) končnega odčitka.

1.2.23

„Kvadratna sredina“ (x rms) pomeni kvadratni koren aritmetične sredine kvadratov vrednosti in je opredeljena kot:

image

pri čemer je:

x

izmerjena ali izračunana vrednost,

n

število vrednosti.

1.2.24

„Tipalo“ pomeni vsako merilno napravo, ki ni del samega vozila, ampak je nameščena za določitev parametrov, razen koncentracije plinastih in trdnih onesnaževal ter masnega pretoka izpušnih plinov.

1.2.25

„Določitev razpona“ pomeni umeritev analizatorja, merilnika pretoka ali tipala tako, da se točno odziva na standard, ki se kar najbolj ujema z največjo vrednostjo, pričakovano med preskusom dejanskih emisij.

1.2.26

„Razponski odziv“ pomeni srednji odziv na razponski signal v časovnem intervalu najmanj 30 sekund.

1.2.27

„Premik razponskega odziva“ pomeni razliko med srednjim odzivom na razponski signal in dejanskim razponskim signalom v določenem časovnem obdobju po točni določitvi razpona analizatorja, merilnika pretoka ali tipala.

1.2.28

„Naklon“ linearne regresije (a 1) pomeni:

image

pri čemer je:

image

povprečna vrednost referenčnega parametra,

image

povprečna vrednost parametra, ki ga je treba preveriti,

x i

dejanska vrednost referenčnega parametra,

y i

dejanska vrednost parametra, ki ga je treba preveriti,

n

število vrednosti.

1.2.29

„Standardna napaka ocene“ pomeni:

image

pri čemer je:

ý

ocenjena vrednost parametra, ki ga je treba preveriti,

y i

dejanska vrednost parametra, ki ga je treba preveriti,

x max

največja dejanska vrednost referenčnega parametra,

n

število vrednosti.

1.2.30

„Skupni ogljikovodiki“ (THC) pomenijo vsoto vseh hlapnih snovi, ki jih je mogoče izmeriti s plamensko-ionizacijskim detektorjem (FID).

1.2.31

„Sledljiv“ pomeni zmožen povezave meritve ali odčitka z znanim in skupno dogovorjenim standardom na podlagi neprekinjene verige primerjav.

1.2.32

„Transformacijski čas“ pomeni časovno razliko med spremembo koncentracije ali pretoka (t 0) na referenčni točki in 50-odstotnim odzivom sistema končnega odčitka (t 50).

1.2.33

„Tip analizatorja“ pomeni skupino analizatorjev, ki jih proizvaja isti proizvajalec in ki koncentracijo posamezne plinaste sestavine ali število delcev določijo na podlagi enakega načela.

1.2.34

„Tip merilnika masnega pretoka izpušnih plinov“ pomeni skupino merilnikov masnega pretoka izpušnih plinov, ki jih proizvaja isti proizvajalec, imajo podoben notranji premer cevi in masni pretok izpušnih plinov določijo na podlagi enakega načela.

1.2.35

„Validacija“ pomeni postopek ocenjevanja pravilne namestitve in delovanja prenosnega sistema za merjenje emisij in pravilnosti meritev masnega pretoka izpušnih plinov, pridobljenih iz enega ali več nesledljivih merilnikov masnega pretoka izpušnih plinov ali izračunanih iz tipal ali signalov krmilne enote motorja.

1.2.36

„Preverjanje“ pomeni postopek ocenjevanja, ali se izmerjena ali izračunana izhodna vrednost analizatorja, merilnika pretoka, tipala ali signala ujema z referenčnim signalom v eni ali več vnaprej določenih mejnih vrednostih sprejemljivosti.

1.2.37

„Ničlišče“ pomeni takšno umerjenost analizatorja, merilnika pretoka ali tipala, ki zagotavlja točen odziv na ničelni signal.

1.2.38

„Ničelni odziv“ pomeni srednji odziv na ničelni signal v časovnem intervalu najmanj 30 sekund.

1.2.39

„Premik ničelnega odziva“ pomeni razliko med srednjim odzivom na ničelni signal in dejanskim ničelnim signalom, ki se izmeri v določenem časovnem obdobju po točnem ničliranju analizatorja, merilnika pretoka ali tipala.

1.3   Okrajšave

Okrajšave se na splošno uporabljajo tako za edninske kot množinske oblike okrajšanih izrazov.

CH4

metan

CLD

kemiluminiscenčni detektor (ChemiLuminescence Detector)

CO

ogljikov monoksid

CO2

ogljikov dioksid

CVS

vzorčevalnik s konstantno prostornino (Constant Volume Sampler)

DCT

prenos z dvojno sklopko (Dual Clutch Transmission)

ECU

krmilna enota motorja (Engine Control Unit)

EFM

merilnik masnega pretoka izpušnih plinov (Exhaust mass Flow Meter)

FID

plamensko-ionizacijski detektor (Flame Ionisation Detector)

FS

obseg skale (full scale)

GPS

globalni pozicionirni sistem (Global Positioning System)

H2O

voda

HC

ogljikovodiki

HCLD

ogrevani kemiluminiscenčni detektor (Heated ChemiLuminescence Detector)

HEV

hibridno električno vozilo (Hybrid Electric Vehicle)

ICE

motor z notranjim zgorevanjem (Internal Combustion Engine)

ID

identifikacijska številka ali koda

UNP

utekočinjeni naftni plin (Liquid Petroleum Gas)

MAW

okno drsečega povprečenja (Moving Average Window)

najv.

največja vrednost

N2

dušik

NDIR

nerazpršilni infrardeči (Non-Dispersive InfraRead)

NDUV

nerazpršilni ultravijolični (Non-Dispersive UltraViolet)

NEDC

novi evropski vozni cikel (New European Driving Cycle)

ZP

zemeljski plin

NMC

izločevalnik nemetanov (Non-Methane Cutter)

NMC-FID

izločevalnik nemetanov v kombinaciji s plamensko- ionizacijskim detektorjem (Non-Methane Cutter in combination with a Flame-Ionisation Detector )

NMHC

nemetanski ogljikovodiki (Non-Methane HydroCarbons)

NO

dušikov monoksid

št.

številka

NO2

dušikov dioksid

NOX

dušikovi oksidi

NTE

ki se ne sme(-jo) preseči (not-to-exceed)

O2

kisik

OBD

diagnostika na vozilu (On-Board Diagnostics)

PEMS

prenosni sistem za merjenje emisij (Portable Emissions Measurement System)

PHEV

priključno hibridno električno vozilo (Plug-in Hybrid Electric Vehicle)

PN

število delcev (particle number)

RDE

dejanske emisije, ki nastajajo med vožnjo (Real Driving Emissions)

SCR

selektivna katalitična redukcija (Selective Catalytic Reduction)

SEE

standardna napaka ocene (Standard Error of Estimate)

THC

skupni ogljikovodiki (Total HydroCarbons)

UN/ECE

Ekonomska komisija Združenih narodov za Evropo (United Nations Economic Commission for Europe)

VIN

identifikacijska številka vozila (Vehicle Identification Number)

WLTC

globalno usklajeni preskusni cikel za lahka vozila (Worldwide harmonized Light vehicles Test Cycle)

WWH-OBD

globalno usklajena diagnostika na vozilu (Worldwide Harmonized On-Board Diagnostics)

2.   SPLOŠNE ZAHTEVE

2.1

Emisije iz vozila, homologiranega v skladu z Uredbo (ES) št. 715/2007, kot so določene v skladu z zahtevami iz te priloge in oddane pri preskusu dejanskih emisij, ki nastajajo med vožnjo, izvedenem v skladu z zahtevami iz te priloge, v celotni običajni življenjski dobi ne presežejo naslednjih vrednosti, ki se ne smejo preseči (NTE):

NTEonesnaževalo = CFonesnaževalo × EURO-6,

pri čemer je EURO-6 veljavna mejna vrednost emisij Euro 6 iz tabele 2 v Prilogi I k Uredbi (ES) št. 715/2007 in CFonesnaževalo faktor skladnosti za zadevno onesnaževalo, naveden spodaj:



Onesnaževalo

Masa dušikovih oksidov (NOx)

Število delcev (PN)

Masa ogljikovega monoksida (CO) (1)

Masa skupnih ogljikovodikov (THC)

Vsota mase skupnih ogljikovodikov in dušikovih oksidov (THC + NOx)

CFonesnaževalo

še ni določeno

še ni določeno

(1)   Emisije CO se izmerijo in zapišejo pri preskusih dejanskih emisij, ki nastajajo med vožnjo.

2.2

Proizvajalec potrdi skladnost s točko 2.1 tako, da izpolni potrdilo iz Dodatka 9.

2.3

Preskusi dejanskih emisij, ki nastajajo med vožnjo, ki jih zahteva ta priloga pri homologaciji in med življenjsko dobo vozila, določajo domnevo o skladnosti z zahtevo iz točke 2.1. Domnevna skladnost se lahko ponovno oceni z dodatnimi preskusi dejanskih emisij, ki nastajajo med vožnjo.

2.4

Države članice zagotovijo, da je vozila mogoče preskušati s prenosnim sistemom za merjenje emisij na javnih cestah v skladu s postopki po njihovi nacionalni zakonodaji, pri čemer se upoštevajo lokalni cestnoprometni predpisi in varnostne zahteve.

2.5

Proizvajalci zagotovijo, da lahko v okviru izpolnjevanja zahtev iz točke 2.4 neodvisna stran preskuša vozila s prenosnim sistemom za merjenje emisij na javnih cestah, in sicer tako, da zagotovijo ustrezne adapterje za izpušne cevi, omogočijo dostop do signalov krmilne enote motorja in izvedejo potrebne upravne postopke. Če ta uredba ne zahteva zadevnega preskusa s prenosnim sistemom za merjenje emisij, lahko proizvajalec zaračuna razumno pristojbino, kot je določeno v členu 7(1) Uredbe (ES) št. 715/2007.

3.   ZAHTEVE ZA PRESKUS DEJANSKIH EMISIJ, KI NASTAJAJO MED VOŽNJO

3.1

Naslednje zahteve veljajo za preskuse s prenosnim sistemom za merjenje emisij iz drugega pododstavka člena 3(10).

3.1.1

Za homologacijo se masni pretok izpušnih plinov določi z merilno opremo, ki deluje neodvisno od vozila, in v zvezi s tem se ne smejo uporabiti nobeni podatki krmilne enote motorja vozila. Zunaj okvira homologacije se lahko v skladu z oddelkom 7.2 Dodatka 2 za določitev masnega pretoka izpušnih plinov uporabijo alternativne metode.

3.1.2

Če homologacijski organ ni zadovoljen s preverjanjem kakovosti podatkov in rezultati validacije preskusa s prenosnim sistemom za merjenje emisij, izvedenega v skladu z dodatkoma 1 in 4, lahko oceni, da je preskus neveljaven. V tem primeru homologacijski organ zapiše podatke o preskusu in razloge za razveljavitev preskusa.

3.1.3

Poročanje in razširjanje informacij o preskusu dejanskih emisij, ki nastajajo med vožnjo

3.1.3.1

Homologacijskemu organu se zagotovi dostop do tehničnega poročila, ki ga je v skladu z Dodatkom 8 pripravil proizvajalec.

3.1.3.2

Proizvajalec zagotovi, da so na javno dostopnem spletnem mestu brezplačno na voljo naslednje informacije:

3.1.3.2.1 z vnosom homologacijske številke vozila in podatkov o tipu, varianti in izvedenki, kot so navedeni v oddelkih 0.10 in 0.2 izjave ES o skladnosti vozila iz Priloge IX k Direktivi 2007/46/ES: enotna identifikacijska številka družine preskusov s prenosnim sistemom za merjenje emisij, v katero spada navedeni tip vozila glede na emisije, kot je določeno v točki 5.2 Dodatka 7;

3.1.3.2.2 z vnosom enotne identifikacijske številke družine preskusov s prenosnim sistemom za merjenje emisij:

 popolne informacije, zahtevane v točki 5.1 Dodatka 7,

 seznami, opisani v točkah 5.3 in 5.4 Dodatka 7,

 rezultati preskusov s prenosnim sistemom za merjenje emisij, kot je določeno v točki 6.3 Dodatka 5 in točki 3.9 Dodatka 6, za vse tipe vozila glede na emisije na seznamu, opisanem v točki 5.4 Dodatka 7.

3.1.3.3

Proizvajalec na zahtevo katere koli zainteresirane strani v 30 dneh zagotovi brezplačni dostop do tehničnega poročila iz točke 3.1.3.1.

3.1.3.4

Homologacijski organ na zahtevo zagotovi dostop do informacij iz točk 3.1.3.1 in 3.1.3.2 v 30 dneh po prejemu zahteve. Homologacijski organ lahko zaračuna razumno in sorazmerno pristojbino, ki ne odvrne poizvedovalca z upravičenim interesom od zahtevanja zadevnih informacij ali preseže notranjih stroškov, ki jih ima organ z zagotovitvijo dostopa do informacij.

4.   SPLOŠNE ZAHTEVE

4.1

Dejanske emisije, ki nastajajo med vožnjo, se preverijo s preskusom vozil na cesti z uporabo običajnih voznih vzorcev, pogojev in obremenitev. Preskus dejanskih emisij, ki nastajajo med vožnjo, je reprezentativen za vozila na njihovih dejanskih voznih poteh in z njihovo običajno obremenitvijo.

4.2

Proizvajalec homologacijskemu organu dokaže, da so izbrano vozilo, vozni vzorci, pogoji in obremenitve reprezentativni za družino vozil. Zahteve za obremenitev in nadmorsko višino iz točk 5.1 in 5.2 se predhodno uporabijo, da se določi sprejemljivost pogojev za preskušanje dejanskih emisij, ki nastajajo med vožnjo.

4.3

Homologacijski organ predlaga preskusno vožnjo v mestnem, zunajmestnem in avtocestnem okolju, ki izpolnjuje zahteve iz točke 6. Opredelitev delovanja v mestnem, zunajmestnem in avtocestnem okolju, ki se uporabi za izbiro vožnje, temelji na topografski karti.

4.4

Če zbiranje podatkov krmilne enote motorja vozila vpliva na emisije iz vozila ali zmogljivost vozila, se celotna družina preskusov s prenosnim sistemom za merjenje emisij, v katero spada vozilo, kot je opredeljeno v Dodatku 7, šteje za neskladno. Takšna funkcija se šteje za „odklopno napravo“ iz člena 3(10) Uredbe (ES) št. 715/2007.

5.   ROBNI POGOJI

5.1   Obremenitev vozila in preskusna masa

5.1.1

Osnovna obremenitev vozila vključuje voznika, pričo preskusa (če pride v poštev) in preskusno opremo, vključno z napravami za namestitev in napajanje.

5.1.2

Pri preskušanju se lahko doda umetna obremenitev, pri čemer skupna masa osnovne in umetne obremenitve ne presega 90 % vsote „mase potnikov“ in „koristne nosilnosti“ iz točk 19 in 21 člena 2 Uredbe Komisije (EU) št. 1230/2012 ( 53 ).

5.2   Okoljski pogoji

5.2.1

Preskus se izvede v okoljskih pogojih, ki so določeni v tem oddelku. Ko se najmanj en pogoj temperature in nadmorske višine „razširi“, se okoljski pogoji razširijo.

5.2.2

Zmerni pogoji nadmorske višine: nadmorska višina največ 700 metrov.

5.2.3

Razširjeni pogoji nadmorske višine: nadmorska višina nad 700 metrov do največ 1 300  metrov.

5.2.4

Zmerni pogoji temperature: najmanj 273 K (0 °C) in največ 303 K (30 °C).

5.2.5

Razširjeni pogoji temperature: najmanj 266 K (– 7 °C) in manj od 273 K (0 °C) ali več od 303 K (30 °C) in največ 308 K (35 °C).

5.2.6

Z odstopanjem od določb iz točk 5.2.4 in 5.2.5 od začetka uvedbe zavezujočih mejnih vrednosti emisij iz oddelka 2.1, ki ne smejo biti presežene, do pet let po datumih iz odstavkov 4 in 5 člena 10 Uredbe (ES) št. 715/2007 znašata spodnja temperatura za zmerne pogoje najmanj 276 K (3 °C) in spodnja temperatura za razširjene pogoje najmanj 271 K (– 2 °C).

5.3

Dinamični pogoji

5.4

Dinamični pogoji zajemajo učinek naklona ceste, čelnega vetra, dinamike vožnje (pospeševanja, upočasnjevanja) in dodatnih sistemov na porabo energije in emisije iz preskusnega vozila. Preverjanje normalnosti dinamičnih pogojev se z uporabo zapisanih podatkov prenosnega sistema za merjenje emisij izvede po končanem preskusu. Metode za preverjanje normalnosti dinamičnih pogojev so določene v dodatkih 5 in 6 te priloge. Vsaka metoda vključuje referenco za dinamične pogoje, območja okoli reference in zahteve za najmanjšo pokritost, ki morajo biti izpolnjene za veljavni preskus.

5.5

Stanje in delovanje vozila

5.5.1

Dodatni sistemi

Klimatska naprava ali drugi dodatni sistemi se upravljajo na način, ki ustreza njihovi možni uporabi s strani uporabnika med dejansko vožnjo na cesti.

5.5.2

Vozila, opremljena s sistemi z redno regeneracijo

5.5.2.1

„Sistemi z redno regeneracijo“ so opredeljeni v členu 2(6).

5.5.2.2

Če se med preskusom izvede redna regeneracija, se lahko na zahtevo proizvajalca preskus razveljavi in enkrat ponovi.

5.5.2.3

Proizvajalec lahko pred drugim preskusom poskrbi za dokončanje regeneracije in vozilo ustrezno predkondicionira.

5.5.2.4

Če se tudi med ponovitvijo preskusa dejanskih emisij, ki nastajajo med vožnjo, izvede regeneracija, se onesnaževala, oddana med ponovljenim preskusom, vključijo v ocenjevanje emisij.

6.   ZAHTEVE ZA VOŽNJO

6.1

Deleži mestne, zunajmestne in avtocestne vožnje, opredeljeni glede na trenutno hitrost iz točk 6.3 do 6.5, se izrazijo v odstotkih celotne prevožene razdalje.

6.2

Vožnja se začne z mestno vožnjo, ki ji sledita najprej zunajmestna in nato še avtocestna vožnja v skladu z deleži iz točke 6.6. Mestna, zunajmestna in avtocestna vožnja se izvaja neprekinjeno. Zunajmestna vožnja se med vožnjo po mestnih območjih lahko prekine s kratkimi obdobji mestne vožnje. Avtocestna vožnja se lahko prekine s kratkimi obdobji mestne ali zunajmestne vožnje, npr. na cestninskih postajah ali odsekih z delom na cesti. V primeru drugačnega vrstnega reda preskušanja zaradi praktičnih razlogov in po odobritvi homologacijskega organa se lahko uporabi drugačen vrstni red mestne, zunajmestne in avtocestne vožnje.

6.3

Za mestno vožnjo so značilne hitrosti vozil do 60 km/h.

6.4

Za zunajmestno vožnjo so značilne hitrosti vozil med 60 in 90 km/h.

6.5

Za avtocestno vožnjo so značilne hitrosti vozil nad 90 km/h.

6.6

Vožnja je sestavljena iz približno 34 % mestne, 33 % zunajmestne in 33 % avtocestne vožnje, opredeljene glede na hitrost iz točk od 6.3 do 6.5. „Približno“ pomeni območje ±10 odstotnih točk okoli navedenih odstotkov. Mestna vožnja ne sme v nobenem primeru obsegati manj kot 29 % celotne prevožene razdalje.

6.7

Hitrost vozila običajno ne presega 145 km/h. Največja hitrost se lahko preseže za 15 km/h za najdlje 3 % trajanja avtocestne vožnje. Med preskusom s prenosnim sistemom za merjenje emisij veljajo lokalne omejitve hitrosti, ne glede na druge pravne posledice. Kršitve lokalnih omejitev hitrosti same po sebi ne razveljavijo rezultatov preskusa s prenosnim sistemom za merjenje emisij.

6.8

Povprečna hitrost (vključno s postanki) mestnega dela vožnje bi morala biti med 15 in 30 km/h. Obdobja postankov, opredeljena kot hitrost vozila pod 1 km/h, zavzemajo najmanj 10 % trajanja mestne vožnje. Mestna vožnja vsebuje več postankov, ki trajajo 10 sekund ali dlje. Predolgi postanek, ki obsega več kot 80 % celotnega trajanja postankov med mestno vožnjo, se ne vključi.

6.9

Območje hitrosti avtocestne vožnje ustrezno pokriva razpon med 90 in najmanj 110 km/h. Hitrost vozila presega 100 km/h najmanj 5 minut.

6.10

Vožnja traja med 90 in 120 minut.

6.11

Razlika v nadmorski višini začetne in končne točke ni večja od 100 m.

6.12

Najmanjša razdalja vsakega dela, tj. mestne, zunajmestne in avtocestne vožnje, je 16 km.

7.   OPERATIVNE ZAHTEVE

7.1

Vožnja se izbere tako, da je preskušanje nemoteno in da se podatki neprekinjeno zapisujejo, da se doseže najkrajše trajanje preskusa iz točke 6.10.

7.2

Električno napajanje prenosnega sistema za merjenje emisij izvira iz zunanje napajalne enote in ne iz vira, ki energijo pridobiva neposredno ali posredno iz motorja preskusnega vozila.

7.3

Namestitev opreme prenosnega sistema za merjenje emisij je izvedena tako, da v najmanjši možni meri vpliva na emisije in/ali zmogljivost vozila. Masa nameščene opreme in morebitne spremembe aerodinamičnih lastnosti preskusnega vozila naj bi bila čim manjša. Obremenitev vozila je skladna s točko 5.1.

7.4

Preskusi dejanskih emisij, ki nastajajo med vožnjo, se izvajajo ob delovnih dneh, kot so za Unijo opredeljeni v Uredbi (EGS, Euratom) št. 1182/71 Sveta ( 54 ).

7.5

Preskusi dejanskih emisij, ki nastajajo med vožnjo, se izvajajo na tlakovanih cestah in ulicah (terenska vožnja ni dovoljena).

7.6

Podaljšanemu delovanju v prostem teku po prvem vžigu zgorevalnega motorja na začetku preskusa emisij se je treba izogibati. Če se motor med preskusom zaustavi, se lahko znova zažene, vzorčenje pa se ne prekine.

8.   MAZALNO OLJE, GORIVO IN REAGENT

8.1

Gorivo, mazivo in reagent (če pride v poštev), ki se uporabijo za preskušanje dejanskih emisij, ki nastajajo med vožnjo, ustrezajo specifikacijam, ki jih izda proizvajalec za upravljanje vozila s strani kupca.

8.2

Vzamejo se vzorci goriva, maziva in reagenta (če pride v poštev), ki se hranijo najmanj 1 leto.

9.   OCENJEVANJE EMISIJ IN VOŽNJE

9.1

Preskus se izvede v skladu z Dodatkom 1 te priloge.

9.2

Vožnja izpolnjuje zahteve iz točk od 4 do 8.

9.3

Prepovedano je združevati podatke z različnih voženj, spreminjati podatke ali odstranjevati podatke v zvezi z vožnjo.

9.4

Po ugotovitvi veljavnosti vožnje v skladu s točko 9.2 se z metodami, določenimi v dodatkih 5 in 6 te priloge, izračunajo rezultati emisij.

9.5

Če se v določenem časovnem intervalu okoljski pogoji razširijo v skladu s točko 5.2, se emisije, oddane v tem časovnem intervalu in izračunane v skladu z Dodatkom 4 te priloge, pred preverjanjem skladnosti z zahtevami iz te priloge delijo z vrednostjo ext.

9.6

Hladni zagon je opredeljen v skladu s točko 4 Dodatka 4 te priloge. Dokler se ne uporabijo posebne zahteve za emisije pri hladnem zagonu, se emisije pri hladnem zagonu zapišejo, vendar se ne upoštevajo pri ocenjevanju emisij.




Dodatek 1

Preskusni postopek za preskušanje emisij iz vozil s prenosnim sistemom za merjenje emisij (PEMS)

1.   UVOD

V tem dodatku je opisan preskusni postopek za ugotavljanje emisij izpušnih plinov iz lahkih potniških in gospodarskih vozil s prenosnim sistemom za merjenje emisij.

2.   SIMBOLI

manjše ali enako

#

število

#/m3

število na kubični meter

%

odstotek

°C

stopinja Celzija

g

gram

g/s

gram na sekundo

h

ura

Hz

herc

K

kelvin

kg

kilogram

kg/s

kilogram na sekundo

km

kilometer

km/h

kilometer na uro

kPa

kilopaskal

kPa/min

kilopaskal na minuto

l

liter

l/min

liter na minuto

m

meter

m3

kubični meter

mg

miligram

min

minuta

p e

podtlak [kPa]

qvs

prostorninski pretok sistema [l/min]

ppm

deli na milijon

ppmC1

deli na milijon ekvivalenta ogljika

vrt/min

vrtljaji na minuto

s

sekunda

V s

prostornina sistema [l]

3.   SPLOŠNE ZAHTEVE

3.1    Prenosni sistem za merjenje emisij

Preskus se izvede s prenosnim sistemom za merjenje emisij, ki ga sestavljajo sestavni deli iz točk od 3.1.1 do 3.1.5. Po potrebi se lahko vzpostavi povezava s krmilno enoto motorja vozila, da se določijo potrebni parametri motorja in vozila iz točke 3.2.

3.1.1

Analizatorji za določanje koncentracije onesnaževal v izpušnih plinih.

3.1.2

En ali več instrumentov ali tipal za merjenje ali določanje masnega pretoka izpušnih plinov.

3.1.3

Globalni pozicionirni sistem za določanje položaja, nadmorske višine in hitrosti vozila.

3.1.4

Po potrebi tipala in druge naprave, ki niso del vozila, npr. za merjenje temperature okolja, relativne vlažnosti, zračnega tlaka in hitrosti vozila.

3.1.5

Vir energije za napajanje prenosnega sistema za merjenje emisij, ki je neodvisen od vozila.

3.2    Preskusni parametri

Preskusni parametri, navedeni v tabeli 1 te priloge, se merijo, zapisujejo pri stalni frekvenci najmanj 1,0 Hz in poročajo v skladu z zahtevami iz Dodatka 8. Če se pridobijo parametri krmilne enote motorja, morajo biti na voljo pri znatno višji frekvenci kot parametri, ki jih zapiše prenosni sistem za merjenje emisij, da se zagotovi pravilno vzorčenje. Analizatorji prenosnih sistemov za merjenje emisij, merilniki pretoka in tipala izpolnjujejo zahteve iz dodatkov 2 in 3 te priloge.



Tabela 1

Preskusni parametri

Parameter

Priporočena enota

Vir (8)

koncentracija THC (1) (4)

ppm

analizator

koncentracija CH4 (1) (4)

ppm

analizator

koncentracija NMHC (1) (4)

ppm

analizator (6)

koncentracija CO (1) (4)

ppm

analizator

koncentracija CO2 (1)

ppm

analizator

koncentracija NOX (1) (4)

ppm

analizator (7)

koncentracija PN (4)

#/m3

analizator

masni pretok izpušnih plinov

kg/s

EFM, vse metode iz točke 7 Dodatka 2

vlažnost okolja

%

tipalo

temperatura okolja

K

tipalo

tlak okolja

kPa

tipalo

hitrost vozila

km/h

tipalo, GPS ali krmilna enota motorja (3)

zemljepisna širina vozila

stopinja

GPS

zemljepisna dolžina vozila

stopinja

GPS

nadmorska višina vozila (5) (9)

m

GPS ali tipalo

temperatura izpušnih plinov (5)

K

tipalo

temperatura hladilne tekočine motorja (5)

K

tipalo ali krmilna enota motorja

vrtilna frekvenca motorja (5)

vrt/min

tipalo ali krmilna enota motorja

navor motorja (5)

Nm

tipalo ali krmilna enota motorja

navor na gnani osi (5)

Nm

merilnik navora na platišču

položaj stopalke (5)

%

tipalo ali krmilna enota motorja

pretok goriva motorja (2)

g/s

tipalo ali krmilna enota motorja

pretok polnilnega zraka motorja (2)

g/s

tipalo ali krmilna enota motorja

stanje napake (5)

krmilna enota motorja

temperatura pretoka polnilnega zraka

K

tipalo ali krmilna enota motorja

stanje regeneracije (5)

krmilna enota motorja

temperatura motornega olja (5)

K

tipalo ali krmilna enota motorja

dejanska prestava (5)

#

krmilna enota motorja

želena prestava (npr. kazalnik menjanja prestav) (5)

#

krmilna enota motorja

drugi podatki o vozilu (5)

ni določeno

krmilna enota motorja

(1)   Izmeri se na vlažni osnovi ali se popravi v skladu z opisom iz točke 8.1 Dodatka 4.

(2)   Določi se samo, če so za izračun masnega pretoka izpušnih plinov uporabljene posredne metode, kot je opisano v odstavkih 10.2 in 10.3 Dodatka 4.

(3)   Metoda določitve hitrosti vozila se izbere v skladu s točko 4.7.

(4)   Parameter je obvezen samo, če se meritev zahteva v oddelku 2.1 Priloge IIIA.

(5)   Določi se samo po potrebi zaradi preverjanja stanja vozila in pogojev delovanja.

(6)   Lahko se izračuna iz koncentracij THC in CH4 v skladu s točko 9.2 Dodatka 4.

(7)   Lahko se izračuna iz izmerjenih koncentracij NO in NO2.

(8)   Uporabiti je mogoče več virov parametrov.

(9)   Priporočeni vir je tipalo tlaka okolja.

3.3    Priprava vozila

Priprava vozila vključuje splošni tehnični pregled in pregled delovanja.

3.4    Namestitev prenosnega sistema za merjenje emisij

3.4.1    Splošno

Pri namestitvi prenosnega sistema za merjenje emisij se upoštevajo navodila proizvajalca prenosnega sistema za merjenje emisij ter lokalni zdravstveni in varnostni predpisi. Prenosni sistem za merjenje emisij bi moral biti nameščen tako, da so elektromagnetne motnje, izpostavljenost udarcem, tresljajem in prahu ter spreminjanje temperature med preskusom čim manjši. Prenosni sistem za merjenje emisij je nameščen in deluje tako, da je neprepusten in da je toplotna izguba čim manjša. Zaradi namestitve in delovanja prenosnega sistema za merjenje emisij se ne smejo spremeniti lastnosti izpušnega plina in izpušna cev se ne sme preveč podaljšati. Da se prepreči nastajanje delcev, morajo biti priključki toplotno stabilni pri temperaturah izpušnih plinov, pričakovanih med preskusom. Za povezavo izpušne odprtine vozila in povezovalne cevi se ne priporoča uporaba priključkov iz elastomera. Če so uporabljeni priključki iz elastomera, morajo biti čim manj izpostavljeni izpušnim plinom, da se pri veliki obremenitvi motorja preprečijo izkrivljeni rezultati.

3.4.2    Dovoljeni protitlak

Zaradi namestitve in delovanja prenosnega sistema za merjenje emisij se statični tlak v izpušni odprtini ne sme preveč povečati. Če je tehnično izvedljivo, ima morebitni podaljšek, potreben za vzorčenje ali povezavo z merilnikom masnega pretoka izpušnih plinov, enako ali večjo površino prereza kot izpušna cev.

3.4.3    Merilnik masnega pretoka izpušnih plinov

Merilnik masnega pretoka izpušnih plinov, če je uporabljen, se priključi na izpušne cevi vozila v skladu s priporočili proizvajalca merilnika masnega pretoka izpušnih plinov. Merilno območje merilnika masnega pretoka izpušnih plinov se ujema z območjem masnega pretoka izpušnih plinov, ki se pričakuje med preskusom. Namestitev merilnika masnega pretoka izpušnih plinov in adapterjev izpušnih cevi ali spojev ne sme negativno vplivati na delovanje motorja ali sistema za naknadno obdelavo izpušnih plinov. Na vsako stran elementa za zaznavanje pretoka se namesti ravna cev, dolga najmanj štiri premere cevi ali 150 mm, kar od tega je večje. Pri preskušanju večvaljnega motorja z razvejanim izpušnim kolektorjem se priporoča, da se kolektorji združijo pred merilnikom masnega pretoka izpušnih plinov in da se zaradi zmanjšanja protitlaka v izpuhu ustrezno poveča prerez cevi. Če to ni izvedljivo, se razmisli o meritvah pretoka izpušnih plinov z več merilniki masnega pretoka izpušnih plinov. Zaradi širokega nabora različnih konfiguracij izpušnih cevi, mer in pričakovanih masnih pretokov izpušnih plinov je morda treba pri izbiri in namestitvi merilnikov masnega pretoka izpušnih plinov na podlagi dobre inženirske presoje sprejeti določene kompromise. Zaradi točnosti merjenja je dovoljeno namestiti merilnik masnega pretoka izpušnih plinov, ki ima manjši premer od izpušne odprtine ali skupne površine prereza več odprtin, in sicer pod pogojem, da to ne vpliva negativno na delovanje ali naknadno obdelavo izpušnih plinov iz točke 3.4.2.

3.4.4    Globalni pozicionirni sistem

Antena GPS se namesti tako, npr. na najvišje možno mesto, da se zagotovi dober sprejem satelitskega signala. Nameščena antena GPS mora čim manj motiti delovanje vozila.

3.4.5    Povezava s krmilno enoto motorja

Po potrebi se lahko zahtevani parametri vozila in motorja iz tabele 1 zapišejo z zapisovalnikom podatkov, ki je s krmilno enoto motorja ali omrežjem vozila povezan z upoštevanjem standardov, npr. ISO 15031-5 ali SAE J1979, OBD-II, EOBD ali WWH-OBD. Če pride v poštev, proizvajalci razkrijejo oznake parametrov, da se omogoči identifikacija zahtevanih parametrov.

3.4.6    Tipala in dodatna oprema

Tipala hitrosti vozila, tipala temperature, termočleni za hladilno tekočino ali katere koli druge merilne naprave, ki niso del vozila, se za merjenje zadevnega parametra namestijo na reprezentativen, zanesljiv in točen način brez nepotrebnega poseganja v delovanje vozila in drugih analizatorjev, merilnikov pretoka, tipal in signalov. Tipala in dodatna oprema se napajajo neodvisno od vozila.

3.5    Vzorčenje emisij

Vzorčenje emisij je reprezentativno in se izvaja na mestih z dobro premešanim izpuhom, na katerih je vpliv zunanjega zraka za točko vzorčenja minimalen. Po potrebi se emisije vzorčijo za merilnikom masnega pretoka izpušnih plinov, pri čemer se upošteva razdalja vsaj 150 mm do elementa za zaznavanje pretoka. Sonde za vzorčenje se namestijo najmanj 200 mm ali za trikratni premer izpušne cevi, kar od tega je večje, pred izhod izpušne odprtine vozila, ki je točka, kjer izpušni plini zapustijo napravo za vzorčenje v prenosnem sistemu za merjenje emisij in se sprostijo v okolje. Če prenosni sistem za merjenje emisij dovaja pretok nazaj v izpušno cev, mora to potekati za sondo za vzorčenje in tako, da med delovanjem motorja ne vpliva na lastnosti izpušnega plina na točkah vzorčenja. Če se spremeni dolžina cevi za vzorčenje, je treba preveriti čase prenosa v sistemu in jih po potrebi popraviti.

Če je motor opremljen s sistemom za naknadno obdelavo izpušnih plinov, se vzorec izpušnih plinov vzame za sistemom za naknadno obdelavo izpušnih plinov. Pri preskušanju vozila z večvaljnim motorjem in razvejanim izpušnim kolektorjem mora biti vstop v sondo za vzorčenje dovolj daleč naprej, da se zagotovi, da je vzorec reprezentativen za povprečne emisije izpušnih plinov iz vseh valjev. Pri večvaljnih motorjih, ki imajo ločene skupine kolektorjev, npr. pri „V-motorju“, se kolektorji združijo pred sondo za vzorčenje. Če to ni tehnično izvedljivo, se razmisli o večtočkovnem vzorčenju na mestih z dobro premešanim izpuhom, ki ne vsebuje zunanjega zraka. V tem primeru se število in mesto sond za vzorčenje čim bolj ujemata z merilniki masnega pretoka izpušnih plinov. V primeru neenakomernih pretokov izpušnih plinov se razmisli o sorazmernem vzorčenju ali vzorčenju z več analizatorji.

Če se merijo delci, se izpuh vzorči iz sredine toka izpušnih plinov. Če se za vzorčenje emisij uporablja več sond, se sonda za vzorčenje delcev namesti pred druge sonde za vzorčenje.

Če se merijo ogljikovodiki, se cev za vzorčenje segreje na 463 ± 10 K (190 ± 10 °C). Za merjenje drugih plinastih sestavin s hladilnikom ali brez njega je temperatura cevi za vzorčenje najmanj 333 K (60 °C), da se prepreči kondenziranje in zagotovijo ustrezne učinkovitosti penetracije različnih plinov. Pri nizkotlačnih sistemih za vzorčenje se temperatura lahko zniža skladno z znižanjem tlaka pod pogojem, da sistem za vzorčenje zagotavlja 95-odstotno učinkovitost penetracije za vsa pravno urejena plinasta onesnaževala. Če se vzorčijo delci, se cev za vzorčenje iz točke vzorčenja nerazredčenih izpušnih plinov segreje na najmanj 373 K (100 °C). Čas zadrževanja vzorca v cevi za vzorčenje delcev je krajši od 3 sekund, dokler se ne doseže prvo redčenje ali števec delcev.

4.   POSTOPKI PRED PRESKUSOM

4.1    Preverjanje puščanja prenosnega sistema za merjenje emisij

Po končani namestitvi prenosnega sistema za merjenje emisij se najmanj enkrat izvede preverjanje puščanja za vsako konfiguracijo „prenosni sistem za merjenje emisij-vozilo“ po določilih proizvajalca ali na naslednji način. Sonda se odklopi z izpušnega sistema in njen konec se zamaši. Vklopi se črpalka analizatorja. Po začetnem obdobju stabilizacije vsi merilniki pretoka kažejo približno nič, če ni puščanja. V nasprotnem primeru se preverijo cevi za vzorčenje in napaka se odpravi.

Stopnja puščanja na vakuumski strani za tisti del sistema, ki se preverja, ne presega 0,5 odstotka pretoka med uporabo. Za oceno pretoka med uporabo se lahko uporabita pretok skozi analizator in obvodni pretok.

Druga možnost je, da se v sistemu vzpostavi podtlak najmanj 20 kPa (80 kPa absolutno). Po začetnem obdobju stabilizacije dvig tlaka Dp (kPa/min) v sistemu ne preseže:

image

Druga možnost je uvedba spremembe v stopnji koncentracije na začetku cevi za vzorčenje s preklopom z ničelnega na razponski plin, pri čemer se ohranijo enaki tlačni pogoji kot pri običajnem delovanju sistema. Če je odčitek na pravilno umerjenem analizatorju po zadostnem časovnem obdobju ≤ 99 % uvedene koncentracije, je treba odpraviti puščanje.

4.2    Zagon in stabiliziranje prenosnega sistema za merjenje emisij

Prenosni sistem za merjenje emisij se vklopi, ogreje in stabilizira v skladu s specifikacijami proizvajalca prenosnega sistema za merjenje emisij, dokler npr. tlaki, temperature in pretoki ne dosežejo nastavljenih vrednosti delovanja.

4.3    Priprava sistema za vzorčenje

Sistem za vzorčenje, ki ga sestavljajo sonda za vzorčenje, cevi za vzorčenje in analizatorji, se pripravi za preskušanje z upoštevanjem navodil proizvajalca prenosnega sistema za merjenje emisij. Zagotovi se, da je sistem za vzorčenje čist in brez kondenzacijske vlage.

4.4    Priprava merilnika masnega pretoka izpušnih plinov

Če se merilnik masnega pretoka izpušnih plinov uporablja za merjenje masnega pretoka izpušnih plinov, se v skladu s specifikacijami proizvajalca merilnika masnega pretoka izpušnih plinov očisti in pripravi za delovanje. S tem postopkom, če pride v poštev, se odstranijo kondenzat in obloge iz cevi in povezanih priključkov za merjenje.

4.5    Preverjanje in umerjanje analizatorjev za merjenje plinastih emisij

Prilagoditve umerjanja ničlišča in razpona analizatorjev se izvedejo s kalibrirnimi plini, ki izpolnjujejo zahteve iz točke 5 Dodatka 2. Kalibrirni plini se izberejo tako, da se ujemajo z območjem koncentracij onesnaževal, pričakovanih med preskusom emisij.

4.6    Preverjanje analizatorja za merjenje emisij delcev

Ničelna stopnja analizatorja se zapiše z vzorčenjem zunanjega zraka, filtriranega skozi filter HEPA. Signal se zapisuje pri stalni frekvenci najmanj 1,0 Hz v obdobju 2 minut in povpreči; dovoljena vrednost koncentracije se določi, ko je na voljo ustrezna merilna oprema.

4.7    Merjenje hitrosti vozila

Hitrost vozila se določi z najmanj eno od naslednjih metod:

(a) GPS; če se hitrost vozila določi s sistemom GPS, se celotna prevožena razdalja primerja z meritvami druge metode v skladu s točko 7 Dodatka 4;

(b) tipalo (npr. optično ali mikrovalovno tipalo); če se hitrost vozila določi s tipalom, meritve hitrosti izpolnjujejo zahteve iz točke 8 Dodatka 2, druga možnost pa je, da se celotna prevožena razdalja, določena s tipalom, primerja z referenčno razdaljo, pridobljeno iz digitalnega cestnega omrežja ali s topografske karte. Celotna prevožena razdalja, določena s tipalom, lahko od referenčne razdalje odstopa za največ 4 %;

(c) krmilna enota motorja; če se hitrost vozila določi s krmilno enoto motorja, se celotna prevožena razdalja validira v skladu s točko 3 Dodatka 3, signal hitrosti krmilne enote motorja pa se po potrebi prilagodi, da se izpolnijo zahteve iz točke 3.3 Dodatka 3. Druga možnost je, da se celotna prevožena razdalja, določena s krmilno enoto motorja, primerja z referenčno razdaljo, pridobljeno iz digitalnega cestnega omrežja ali s topografske karte. Celotna prevožena razdalja, določena s krmilno enoto motorja, lahko od reference odstopa za največ 4 %.

4.8    Preverjanje namestitve prenosnega sistema za merjenje emisij

Preveri se pravilnost povezav z vsemi tipali in, če pride v poštev, s krmilno enoto motorja. Če so pridobljeni parametri motorja, se zagotovi, da krmilna enota motorja pravilno sporoča vrednosti (npr. vrtilna frekvenca motorja [vrt/min], ko je zgorevalni motor v položaju zagon/motor izklopljen, znaša nič). Prenosni sistem za merjenje emisij deluje brez opozorilnih signalov in prikazanih napak.

5.   PRESKUS EMISIJ

5.1    Začetek preskusa

Vzorčenje, merjenje in zapisovanje parametrov se začnejo pred zagonom motorja. Priporoča se, da se zaradi lažje časovne uskladitve parametri, ki jih je treba časovno uskladiti, zapišejo v eni napravi za zapisovanje podatkov ali s sinhroniziranim časovnim žigom. Pred zagonom motorja in tudi neposredno po njem se potrdi, da je zapisovalnik podatkov zapisal vse potrebne parametre.

5.2    Preskus

Vzorčenje, merjenje in zapisovanje parametrov se nadaljujejo med cestnim preskusom vozila. Motor se lahko ustavi in zažene, vzorčenje emisij in zapisovanje parametrov pa se nadaljujeta. Morebitni opozorilni signali, ki opozarjajo na nepravilno delovanje prenosnega sistema za merjenje emisij, se dokumentirajo in preverijo. Zapisovanje parametrov doseže popolnost podatkov nad 99 %. Merjenje in zapisovanje podatkov se lahko prekineta za manj kot 1 % celotnega trajanja vožnje, vendar za največ 30-sekundno zaporedno obdobje izključno v primeru nenamerne izgube signala ali vzdrževanja prenosnega sistema za merjenje emisij. Prekinitve se lahko zapišejo neposredno s prenosnim sistemom za merjenje emisij, ni pa dovoljeno povzročati prekinitev zapisanega parametra s predobdelavo, izmenjavo ali poobdelavo podatkov. Morebitno samodejno ničliranje se izvede na podlagi sledljivega standarda za ničliranje, podobnega tistemu, ki se uporablja za ničliranje analizatorja. Močno se priporoča, da se vzdrževanje prenosnega sistema za merjenje emisij sproži med obdobji ničelne hitrosti vozila.

5.3    Konec preskusa

Konec preskusa se doseže, ko vozilo zaključi vožnjo in se zgorevalni motor izklopi. Zapisovanje podatkov se nadaljuje, dokler ne poteče odzivni čas sistemov za vzorčenje.

6.   POSTOPEK PO PRESKUSU

6.1    Preverjanje analizatorjev za merjenje plinastih emisij

S kalibrirnimi plini, ki so enaki tistim, uporabljenim v točki 4.5, se preverita ničlišče in razpon analizatorja plinastih sestavin, da se oceni premik odziva analizatorja v primerjavi z umerjenostjo pred preskusom. Če je bilo določeno, da je premik ničlišča znotraj dovoljenega območja, je pred preverjanjem premika razpona dovoljeno ničlirati analizator. Preverjanje premika po preskusu se opravi čim prej po preskusu in preden se prenosni sistem za merjenje emisij ali posamezni analizatorji ali tipala izklopijo ali preidejo v način nedelovanja. Razlika med rezultati pred preskusom in rezultati po preskusu izpolnjuje zahteve iz tabele 2.



Tabela 2

Dovoljeni premik analizatorja med preskusom s prenosnim sistemom za merjenje emisij

Onesnaževalo

Premik ničelnega odziva

Premik razponskega odziva (1)

CO2

≤ 2 000  ppm na preskus

≤ 2 % odčitka ali ≤ 2 000  ppm na preskus, kar od tega je večje

CO

≤ 75 ppm na preskus

≤ 2 % odčitka ali ≤ 75 ppm na preskus, kar od tega je večje

NO2

≤ 5 ppm na preskus

≤ 2 % odčitka ali ≤ 5 ppm na preskus, kar od tega je večje

NO/NOX

≤ 5 ppm na preskus

≤ 2 % odčitka ali ≤ 5 ppm na preskus, kar od tega je večje

CH4

≤ 10 ppmC1 na preskus

≤ 2 % odčitka ali ≤ 10 ppmC1 na preskus, kar od tega je večje

THC

≤ 10 ppmC1 na preskus

≤ 2 % odčitka ali ≤ 10 ppmC1 na preskus, kar od tega je večje

(1)   Če je premik ničlišča znotraj dovoljenega območja, je dovoljeno ničlirati analizator pred preverjanjem premika razpona.

Če je razlika med rezultati pred preskusom in rezultati po preskusu za premik ničlišča in premik razpona večja od dovoljene, se vsi rezultati preskusa razveljavijo in preskus se ponovi.

6.2    Preverjanje analizatorja za merjenje emisij delcev

Ničelna stopnja analizatorja se zapiše z vzorčenjem zunanjega zraka, filtriranega skozi filter HEPA. Signal se zapisuje v obdobju 2 minut in povpreči; dovoljena končna koncentracija se določi, ko je na voljo ustrezna merilna oprema. Če je razlika med preverjanjem ničlišča in razpona pred preskusom in po preskusu večja od dovoljene, se vsi rezultati preskusa razveljavijo in preskus se ponovi.

6.3    Preverjanje meritev emisij na cesti

Umerjeno območje analizatorjev zavzema najmanj 90 % vrednosti koncentracije, pridobljenih iz 99 % meritev veljavnih delov preskusa emisij. Dovoljeno je, da 1 % skupnega števila meritev, uporabljenih za ocenjevanje, presega umerjeno območje analizatorjev za največ faktor dva. Če te zahteve niso izpolnjene, se preskus razveljavi.




Dodatek 2

Specifikacije in umerjanje sestavnih delov prenosnega sistema za merjenje emisij in signalov

1.   UVOD

V tem dodatku so določene specifikacije in umerjanje sestavnih delov prenosnega sistema za merjenje emisij in signalov.

2.   SIMBOLI

>

večje od

večje ali enako

%

odstotek

manjše ali enako

A

koncentracija nerazredčenega CO2 [%]

a 0

odsek linearne regresijske premice na osi y

a 1

naklon linearne regresijske premice

B

koncentracija razredčenega CO2 [%]

C

koncentracija razredčenega NO [ppm]

c

odziv analizatorja pri preskusu stranske občutljivosti na kisik

c FS,b

koncentracija HC obsega skale v koraku (b) [ppmC1]

c FS,d

koncentracija HC obsega skale v koraku (d) [ppmC1]

c HC(w/NMC)

koncentracija HC, če CH4 ali C2H6 teče skozi NMC [ppmC1]

c HC(w/o NMC)

koncentracija HC, če CH4 ali C2H6 teče mimo NMC [ppmC1]

c m,b

izmerjena koncentracija HC v koraku (b) [ppmC1]

c m,d

izmerjena koncentracija HC v koraku (d) [ppmC1]

c ref,b

referenčna koncentracija HC v koraku (b) [ppmC1]

c ref,d

referenčna koncentracija HC v koraku (d) [ppmC1]

°C

stopinja Celzija

D

koncentracija nerazredčenega NO [ppm]

D e

pričakovana koncentracija razredčenega NO [ppm]

E

absolutni delovni tlak [kPa]

E CO2

odstotek dušenja s CO2

E E

učinkovitost etana

E H2O

odstotek dušenja z vodo

E M

učinkovitost metana

EO2

stranska občutljivost na kisik

F

temperatura vode [K]

G

tlak nasičene pare [kPa]

g

gram

gH2O/kg

gram vode na kilogram

h

ura

H

koncentracija vodne pare [%]

H m

največja koncentracija vodne pare [%]

Hz

herc

K

kelvin

kg

kilogram

km/h

kilometer na uro

kPa

kilopaskal

najv.

največja vrednost

NOX,dry

srednja koncentracija stabiliziranih zapisov NOX s popravkom za vlažnost

NOX,m

srednja koncentracija stabiliziranih zapisov NOX

NOX,ref

referenčna srednja koncentracija stabiliziranih zapisov NOX

ppm

deli na milijon

ppmC1

deli na milijon ekvivalenta ogljika

r2

determinacijski koeficient

s

sekunda

t0

časovna točka vklopa pretoka plina [s]

t10

časovna točka 10-odstotnega odziva končnega odčitka

t50

časovna točka 50-odstotnega odziva končnega odčitka

t90

časovna točka 90-odstotnega odziva končnega odčitka

x

neodvisna spremenljivka ali referenčna vrednost

χmin

najmanjša vrednost

y

odvisna spremenljivka ali izmerjena vrednost

3.   PREVERJANJE LINEARNOSTI

3.1    Splošno

Linearnost analizatorjev, merilnikov pretoka, tipal in signalov je sledljiva po mednarodnih ali nacionalnih standardih. Tipala ali signali, ki niso neposredno sledljivi, npr. enostavni merilniki pretoka, se namesto tega umerijo na podlagi laboratorijske opreme dinamometra z valji, ki je umerjena na podlagi mednarodnih ali nacionalnih standardov.

3.2    Zahteve za linearnost

Vsi analizatorji, merilniki pretoka, tipala in signali izpolnjujejo zahteve za linearnost iz tabele 1. Če je pretok zraka, pretok goriva, razmerje zrak-gorivo ali masni pretok izpušnih plinov pridobljen iz krmilne enote motorja, izračunani masni pretok izpušnih plinov izpolnjuje zahteve za linearnost iz tabele 1.



Tabela 1

Zahteve za linearnost merilnih parametrov in sistemov

Merilni parameter/instrument

image

Naklon

a1

Standardna napaka

SEE

Determinacijski koeficient

r2

pretok goriva (1)

najv. ≤ 1 %

0,98–1,02

najv. ≤ 2 %

≥ 0,990

pretok zraka (1)

najv. ≤ 1 %

0,98–1,02

najv. ≤ 2 %

≥ 0,990

masni pretok izpušnih plinov

najv. ≤ 2 %

0,97–1,03

najv. ≤ 2 %

≥ 0,990

analizatorji plina

najv. ≤ 0,5 %

0,99–1,01

najv. ≤ 1 %

≥ 0,998

navor (2)

najv. ≤ 1 %

0,98–1,02

najv. ≤ 2 %

≥ 0,990

analizatorji PN (3)

še ni določeno

še ni določeno

še ni določeno

še ni določeno

(1)   Neobvezno za določitev masnega pretoka izpušnih plinov.

(2)   Neobvezni parameter.

(3)   Določi se, ko je na voljo oprema.

3.3    Pogostost preverjanja linearnosti

Zahteve za linearnost v skladu s točko 3.2 se preverjajo:

(a) za posamezni analizator: najmanj vsake tri mesece ali pri vsakem popravilu ali spremembi sistema, ki bi lahko vplivala na umerjenost;

(b) za druge ustrezne instrumente, kot so merilniki masnega pretoka izpušnih plinov in sledljivo umerjena tipala: če so opaženi znaki poškodb, v skladu z zahtevami postopkov notranje revizije, zahtevami proizvajalca instrumenta ali zahtevami standarda ISO 9000, vendar največ eno leto pred dejanskim preskusom.

Zahteve za linearnost v skladu s točko 3.2 za tipala ali signale krmilne enote motorja, ki niso neposredno sledljivi, se izvedejo enkrat za vsako namestitev prenosnega sistema za merjenje emisij s sledljivo umerjeno merilno napravo na dinamometru z valji.

3.4    Postopek preverjanja linearnosti

3.4.1    Splošne zahteve

Ustrezni analizatorji, instrumenti in tipala se privedejo v običajno stanje delovanja v skladu s priporočili njihovega proizvajalca. Analizatorji, instrumenti in tipala delujejo pri svojih nazivnih temperaturah, tlakih in pretokih.

3.4.2    Splošni postopek

Linearnost se preveri za vsako običajno območje delovanja z izvedbo naslednjih korakov:

(a) Analizator, merilnik pretoka ali tipalo se z vnosom ničelnega signala nastavi na ničlo. Pri analizatorjih plina se v vrata analizatorja prek čim bolj neposredne in kratke poti plina dovaja prečiščeni sintetični zrak ali dušik.

(b) Z vnosom razponskega signala se določi razpon analizatorja, merilnika pretoka ali tipala. Pri analizatorjih plina se v vrata analizatorja prek čim bolj neposredne in kratke poti plina dovaja ustrezni razponski plin.

(c) Ponovi se postopek ničliranja iz točke (a).

(d) Preverjanje se začne z vnosom najmanj 10 referenčnih vrednosti (vključno z ničlo), ki so približno enakomerno razmaknjene in veljavne. Referenčne vrednosti v zvezi s koncentracijo sestavin, masnim pretokom izpušnih plinov ali katerim koli drugim ustreznim parametrom se izberejo tako, da se ujemajo z vrednostmi, pričakovanimi med preskusom emisij. Pri meritvah masnega pretoka izpušnih plinov se lahko referenčne točke pod 5 % največje vrednosti za umerjanje izključijo iz preverjanja linearnosti.

(e) Pri analizatorjih plina se v vrata analizatorja dovajajo znane koncentracije plinov v skladu s točko 5. Zagotovi se dovolj časa za stabilizacijo signala.

(f) Vrednosti, ki se ocenjujejo, in po potrebi tudi referenčne vrednosti se zapisujejo pri stalni frekvenci najmanj 1,0 Hz v 30-sekundnem obdobju.

(g) Vrednosti aritmetične sredine v 30-sekundnem obdobju se uporabijo za izračun parametrov linearne regresije najmanjših kvadratov, pri čemer ima regresijska enačba naslednjo obliko:

y = a 1 x + a 0

pri čemer je:

y

dejanska vrednost merilnega sistema,

a 1

naklon regresijske premice,

x

referenčna vrednost,

a 0

odsek regresijske premice na osi y.

Za vsak merilni parameter in sistem se izračunata standardna napaka ocene y na x in determinacijski koeficient (r2).

(h) Parametri linearne regresije izpolnjujejo zahteve iz tabele 1.

3.4.3    Zahteve za preverjanje linearnosti na dinamometru z valji

Nesledljivi merilniki pretoka, tipala ali signali krmilne enote motorja, ki jih ni mogoče neposredno umeriti po sledljivih standardih, se umerijo na dinamometru z valji. Postopek v največji izvedljivi meri izpolnjuje zahteve iz Priloge 4a k Pravilniku UN/ECE št. 83. Instrument ali tipalo, ki ga je treba umeriti, se po potrebi namesti na preskusno vozilo in upravlja v skladu z zahtevami iz Dodatka 1. Postopek umerjanja izpolnjuje zahteve iz točke 3.4.2, kadar koli je to mogoče; izbere se najmanj 10 ustreznih referenčnih vrednosti, da se zagotovi, da je pokritih najmanj 90 % največje vrednosti, ki se pričakuje med preskusom emisij.

Če je treba umeriti merilnik pretoka, tipalo ali signal krmilne enote motorja za določitev pretoka izpušnih plinov, ki ni neposredno sledljiv, se na izpušno cev vozila priključi sledljivo umerjen referenčni merilnik masnega pretoka izpušnih plinov ali vzorčevalnik s konstantno prostornino (CVS). Zagotovi se točno merjenje izpuha vozila z merilnikom masnega pretoka izpušnih plinov v skladu s točko 3.4.3 Dodatka 1. Vozilo se upravlja s stalnim plinom pri stalni izbiri prestave in obremenitvi dinamometra z valji.

4.   ANALIZATORJI ZA MERJENJE PLINASTIH SESTAVIN

4.1    Dovoljeni tipi analizatorjev

4.1.1    Standardni analizatorji

Plinaste sestavine se merijo z analizatorji iz točk od 1.3.1 do 1.3.5 Dodatka 3 Priloge 4A k spremembam 07 Pravilnika UN/ECE št. 83. Če nerazpršilni ultravijolični analizator meri NO in NO2, pretvornik NO2/NO ni potreben.

4.1.2    Alternativni analizatorji

Dovoljen je kateri koli analizator, ki ne izpolnjuje specifikacij zasnove iz točke 4.1.1, pod pogojem, da izpolnjuje zahteve iz točke 4.2. Proizvajalec zagotovi, da alternativni analizator dosega enakovredno ali večjo merilno zmogljivost v primerjavi s standardnim analizatorjem v območju koncentracij onesnaževal in soobstoječih plinov, ki se lahko pričakujejo iz vozil, v katerih se uporabljajo dovoljena goriva v zmernih in razširjenih pogojih veljavnega preskušanja na cesti iz točk 5, 6 in 7. Proizvajalec analizatorja na zahtevo predloži dodatne pisne informacije, ki dokazujejo, da je merilna zmogljivost alternativnega analizatorja dosledno in zanesljivo usklajena z merilno zmogljivostjo standardnih analizatorjev. Dodatne informacije vključujejo:

(a) opis teoretične podlage in tehničnih sestavnih delov alternativnega analizatorja;

(b) dokaz enakovrednosti zadevnemu standardnemu analizatorju iz točke 4.1.1 v pričakovanem območju koncentracij onesnaževal in okoljskih pogojev homologacijskega preskusa iz Priloge 4a k spremembam 07 Pravilnika UN/ECE št. 83 in validacijski preskus iz točke 3 Dodatka 3 za vozilo z motorjem s prisilnim vžigom in kompresijskim vžigom; proizvajalec analizatorja dokaže značilnost enakovrednosti znotraj dovoljenih odstopanj iz točke 3.3 Dodatka 3;

(c) dokaz enakovrednosti zadevnemu standardnemu analizatorju iz točke 4.1.1 v zvezi z vplivom atmosferskega tlaka na merilno zmogljivost analizatorja; demonstracijski preskus določi odziv na razponski plin s koncentracijo znotraj območja analizatorja za preverjanje vpliva atmosferskega tlaka v zmernih in razširjenih pogojih nadmorske višine iz točke 5.2. Takšen preskus se lahko opravi v komori za višinske preskuse;

(d) dokaz enakovrednosti zadevnemu standardnemu analizatorju iz točke 4.1.1 v najmanj treh cestnih preskusih, ki izpolnjujejo zahteve iz te priloge;

(e) dokaz, da vpliv tresljajev, pospeškov in temperature okolja na odčitek analizatorja ne presega zahtev za šum za analizatorje iz točke 4.2.4.

Homologacijski organi lahko zahtevajo dodatne informacije za potrditev enakovrednosti ali zavrnejo homologacijo, če meritve pokažejo, da alternativni analizator ni enakovreden standardnemu analizatorju.

4.2    Specifikacije za analizator

4.2.1    Splošno

Proizvajalec analizatorja poleg zahtev za linearnost za posamezni analizator iz točke 3 dokaže tudi skladnost tipov analizatorjev s specifikacijami iz točk od 4.2.2 do 4.2.8. Analizatorji imajo merilno območje in odzivni čas, ki omogočata merjenje koncentracij sestavin izpušnih plinov z zadostno točnostjo po veljavnem emisijskem standardu v prehodnih pogojih in pogojih ustaljenega stanja. Občutljivost analizatorjev na udarce, tresljaje, staranje, spreminjanje temperature in zračnega tlaka ter elektromagnetne motnje in druge vplive v zvezi z vozilom in delovanjem analizatorja se omeji, kolikor je mogoče.

4.2.2    Točnost

Točnost, ki je opredeljena kot odklon odčitka analizatorja od referenčne vrednosti, ne presega 2 % odčitka ali 0,3 % obsega skale, kar od tega je večje.

4.2.3    Natančnost

Natančnost, ki je opredeljena kot 2,5-kratni standardni odklon 10 ponavljajočih se odzivov na dani kalibrirni ali razponski plin, ni večja od 1 % koncentracije obsega skale za merilno območje, ki je enako ali nad 155 ppm (ali ppmC1), in 2 % koncentracije obsega skale za merilno območje pod 155 ppm (ali ppmC1).

4.2.4    Šum

Šum, ki je opredeljen kot dvakratnik kvadratne sredine desetih standardnih odklonov, od katerih je vsak izračunan iz ničelnih odzivov, izmerjenih pri stalni frekvenci zapisovanja najmanj 1,0 Hz v 30-sekundnem obdobju, ne presega 2 % obsega skale. Vsako od 10 obdobij merjenja se prekine s 30-sekundnim intervalom, v katerem je analizator izpostavljen ustreznemu razponskemu plinu. Pred vsakim obdobjem vzorčenja in pred vsakim obdobjem določanja razpona se zagotovi dovolj časa za čiščenje analizatorja in cevi za vzorčenje.

4.2.5    Premik ničelnega odziva

Premik ničelnega odziva, ki je opredeljen kot srednji odziv na ničelni plin v časovnem intervalu najmanj 30 sekund, je skladen s specifikacijami iz tabele 2.

4.2.6    Premik razponskega odziva

Premik razponskega odziva, ki je opredeljen kot srednji odziv na razponski plin v časovnem intervalu najmanj 30 sekund, je skladen s specifikacijami iz tabele 2.



Tabela 2

Dovoljeni premik ničelnega in razponskega odziva analizatorjev za merjenje plinastih sestavin v laboratorijskih pogojih

Onesnaževalo

Premik ničelnega odziva

Premik razponskega odziva

CO2

≤ 1 000  ppm v 4 urah

≤ 2 % odčitka ali ≤ 1 000  ppm v 4 urah, kar od tega je večje

CO

≤ 50 ppm v 4 urah

≤ 2 % odčitka ali ≤ 50 ppm v 4 urah, kar od tega je večje

NO2

≤ 5 ppm v 4 urah

≤ 2 % odčitka ali ≤ 5 ppm v 4 urah, kar od tega je večje

NO/NOX

≤ 5 ppm v 4 urah

≤ 2 % odčitka ali 5 ppm v 4 urah, kar od tega je večje

CH4

≤ 10 ppmC1

≤ 2 % odčitka ali ≤ 10 ppmC1 v 4 urah, kar od tega je večje

THC

≤ 10 ppmC1

≤ 2 % odčitka ali ≤ 10 ppmC1 v 4 urah, kar od tega je večje

4.2.7    Čas vzpona

Čas vzpona je opredeljen kot čas med 10-odstotnim in 90-odstotnim odzivom končnega odčitka (t 90t 10; glej točko 4.4). Čas vzpona analizatorjev prenosnih sistemov za merjenje emisij ne presega 3 sekund.

4.2.8    Sušenje plinov

Izpušni plini se lahko merijo vlažni ali suhi. Če se uporablja naprava za sušenje plinov, mora ta čim manj vplivati na sestavo merjenih plinov. Kemični sušilniki niso dovoljeni.

4.3    Dodatne zahteve

4.3.1    Splošno

Določbe iz točk od 4.3.2 do 4.3.5 opredeljujejo dodatne zahteve za zmogljivost za posebne vrste analizatorjev in veljajo samo v primerih, v katerih se zadevni analizator uporablja za merjenje emisij s prenosnim sistemom za merjenje emisij.

4.3.2    Preskus učinkovitosti za pretvornike NOX

Če se uporablja pretvornik NOX, na primer za pretvarjanje NO2 v NO za analizo s kemiluminiscenčnim analizatorjem, se njegova učinkovitost preskusi z upoštevanjem zahtev iz točke 2.4 Dodatka 3 Priloge 4a k spremembam 07 Pravilnika UN/ECE št. 83. Učinkovitost pretvornika NOX se lahko preveri največ en mesec pred preskusom emisij.

4.3.3    Nastavitev plamensko-ionizacijskega detektorja

(a)   Optimizacija odziva detektorja

Če se merijo ogljikovodiki, se plamensko-ionizacijski detektor nastavi v intervalih, ki jih določi proizvajalec analizatorja, pri čemer se upošteva točka 2.3.1 Dodatka 3 Priloge 4a k spremembam 07 Pravilnika UN/ECE št. 83. Za optimizacijo odziva v najobičajnejšem območju delovanja se za razponski plin uporabi propan v zraku ali propan v dušiku.

(b)   Faktorji odzivnosti za ogljikovodike

Če se merijo ogljikovodiki, se faktor odzivnosti za ogljikovodike plamensko-ionizacijskega detektorja preveri z upoštevanjem določb iz točke 2.3.3 Dodatka 3 Priloge 4a k spremembam 07 Pravilnika UN/ECE št. 83 in s propanom v zraku ali propanom v dušiku kot razponskim plinom oziroma prečiščenim sintetičnim zrakom ali dušikom kot ničelnim plinom.

(c)   Preskus stranske občutljivosti na kisik

Preskus stranske občutljivosti na kisik se izvede ob prvi uporabi analizatorja in po večjih vzdrževanjih. Izbere se merilno območje, v katerem plini za preskus stranske občutljivosti na kisik spadajo v zgornjih 50 odstotkov. Za izvedbo preskusa mora biti temperatura peči nastavljena v skladu s predpisi. Specifikacije plinov za preskus stranske občutljivosti na kisik so opisane v točki 5.3.

Uporabi se naslednji postopek:

(i) analizator se nastavi na ničlo;

(ii) analizatorju se določi razpon z 0-odstotno kisikovo mešanico za motorje s prisilnim vžigom in 21-odstotno kisikovo mešanico za motorje s kompresijskim vžigom;

(iii) znova se preveri ničelni odziv. Če se je spremenil za več kot 0,5 odstotka obsega skale, se ponovita koraka (i) in (ii);

(iv) vnesejo se 5-odstotni in 10-odstotni plini za preskus stranske občutljivosti na kisik;

(v) znova se preveri ničelni odziv. Če se je spremenil za več kot ±1 odstotek obsega skale, se preskus ponovi;

(vi) za vsak plin za preskus stranske občutljivosti na kisik v koraku (d) se na naslednji način izračuna stranska občutljivost na kisik E O2:

image

pri čemer je odziv analizatorja:

image

pri čemer je:

c ref,b

referenčna koncentracija HC v koraku (b) [ppmC1],

c ref,d

referenčna koncentracija HC v koraku (d) [ppmC1],

c FS,b

koncentracija HC obsega skale v koraku (b) [ppmC1],

c FS,d

koncentracija HC obsega skale v koraku (d) [ppmC1],

c m,b

izmerjena koncentracija HC v koraku (b) [ppmC1],

c m,d

izmerjena koncentracija HC v koraku (d) [ppmC1];

(vii) stranska občutljivost na kisik E O2 je manjša od ±1,5 odstotka za vse potrebne pline za preskus stranske občutljivosti na kisik;

(viii) če je stranska občutljivost na kisik E O2 večja od ±1,5 odstotka, se lahko izvedejo popravljalni ukrepi tako, da se postopno naravnajo pretok zraka (nad in pod specifikacijami proizvajalca), pretok goriva in pretok vzorca;

(ix) preskus stranske občutljivosti na kisik se ponovi za vsako novo nastavitev.

4.3.4    Pretvorbena učinkovitost izločevalnika nemetanov (NMC)

Če se analizirajo ogljikovodiki, se lahko uporabi NMC, ki z oksidacijo vseh ogljikovodikov razen metana odstranjuje nemetanske ogljikovodike iz vzorca plina. V idealnih razmerah je pretvorba za metan 0 odstotkov, za druge ogljikovodike, ki jih zastopa etan, pa 100 odstotkov. Da bo merjenje nemetanskih ogljikovodikov točno, se določita obe učinkovitosti in se uporabita za izračun emisij nemetanskih ogljikovodikov (glej točko 9.2 Dodatka 4). Če je izločevalnik nemetanov v kombinaciji s plamensko-ionizacijskim detektorjem umerjen v skladu z metodo (b) iz točke 9.2 Dodatka 4 s pretokom kalibrirnega plina metana/zraka skozi NMC, ni treba določiti učinkovitosti pretvorbe metana.

(a) Učinkovitost pretvorbe metana

Kalibrirni plin metan se spusti skozi plamensko-ionizacijski detektor z obvodom izločevalnika nemetanov in brez njega; zapišeta se obe koncentraciji. Učinkovitost metana se določi na naslednji način:

image

pri čemer je:

cHC(w/NMC)

koncentracija HC, če CH4 teče skozi NMC [ppmC1]

cHC(w/o NMC)

koncentracija HC, če CH4 teče mimo NMC [ppmC1]

(b) Učinkovitost pretvorbe etana

Kalibrirni plin etan se spusti skozi plamensko-ionizacijski detektor z obvodom izločevalnika nemetanov in brez njega; zapišeta se obe koncentraciji. Učinkovitost etana se določi na naslednji način:

image

pri čemer je:

c HC(w/NMC)

koncentracija HC, če C2H6 teče skozi NMC [ppmC1]

c HC(w/o NMC)

koncentracija HC, če C2H6 teče mimo NMC [ppmC1]

4.3.5    Učinki stranske občutljivosti

(a)   Splošno

Drugi plini, ki se ne analizirajo, lahko vplivajo na odčitek analizatorja. Proizvajalec analizatorja pred uvedbo na trg najmanj enkrat za vsak tip analizatorja ali naprave iz točk od (b) do (f) preveri učinke stranske občutljivosti in pravilno delovanje analizatorjev.

(b)   Preskus stranske občutljivosti analizatorja CO

Voda in CO2 lahko motita meritve analizatorja CO. Zato se skozi vodo pri sobni temperaturi pošljejo mehurčki razponskega plina CO2 s koncentracijo od 80 do 100 odstotkov obsega skale največjega območja delovanja analizatorja CO, ki se uporablja med preskusom, pri čemer se zabeleži odziv analizatorja. Odziv analizatorja ne presega 2 odstotkov povprečne koncentracije CO, pričakovane med običajnim preskušanjem na cesti, ali ±50 ppm, kar od tega je večje. Preskus stranske občutljivosti za H2O in CO2 se lahko zažene v obliki ločenih postopkov. Če so ravni H2O in CO2, uporabljene za preskus stranske občutljivosti, višje od najvišjih ravni, pričakovanih med preskusom, se vsaka izmerjena vrednost stranske občutljivosti zmanjša tako, da se izmerjena stranska občutljivost pomnoži z razmerjem med največjo vrednostjo koncentracije, pričakovano med preskusom, in dejansko vrednostjo koncentracije, uporabljeno med tem preskusom. Lahko se izvedejo ločeni preskusi stranske občutljivosti s koncentracijami H2O, ki so nižje od največje koncentracije, pričakovane med preskusom, izmerjena stranska občutljivost na H2O pa se poveča tako, da se izmerjena stranska občutljivost pomnoži z razmerjem med največjo vrednostjo koncentracije H2O, pričakovano med preskusom, in dejansko vrednostjo koncentracije, uporabljeno med tem preskusom. Vsota dveh prilagojenih vrednosti stranske občutljivosti je znotraj dovoljenega odstopanja iz te točke.

(c)   Preskus dušenja pri analizatorju NOX

Plina, ki sta pomembna za analizatorje CLD in HCLD, sta CO2 in vodna para. Odziv na dušenje s tema plinoma je sorazmeren s koncentracijo plinov. S preskusom se določi dušenje pri najvišjih koncentracijah, pričakovanih med preskusom. Če analizatorja CLD in HCLD uporabljata algoritme izravnave dušenja, ki uporabljajo analizatorje za merjenje H2O in/ali CO2, se ocenjevanje dušenja izvede z aktivnimi analizatorji in uporabljenimi algoritmi izravnave.

(i)   Preskus dušenja s CO2

Razponski plin CO2 s koncentracijo od 80 do 100 odstotkov največjega območja delovanja se pošlje skozi analizator NDIR; vrednost CO2 se zabeleži kot A. Nato se razponski plin CO2 razredči na približno 50 odstotkov z razponskim plinom NO ter pošlje skozi NDIR in CLD ali HCLD; vrednosti CO2 in NO se zabeležita kot B oziroma C. Nato se pretok plina CO2 zapre, skozi CLD ali HCLD pa teče samo razponski plin NO; vrednost NO se zabeleži kot D. Odstotek dušenja se izračuna na naslednji način:

image

pri čemer je:

A

koncentracija nerazredčenega CO2, izmerjena z NDIR [%]

B

koncentracija razredčenega CO2, izmerjena z NDIR [%]

C

koncentracija razredčenega NO, izmerjena s CLD ali HCLD [ppm]

D

koncentracija nerazredčenega NO, izmerjena s CLD ali HCLD [ppm]

Dovoljene so tudi alternativne metode redčenja in kvantifikacije vrednosti razponskih plinov CO2 in NO, na primer dinamično mešanje, če to odobri homologacijski organ.

(ii)   Preskus dušenja z vodo

Ta preskus se uporablja samo za meritve koncentracij vlažnih plinov. Pri izračunu dušenja z vodo je treba upoštevati redčenje razponskega plina NO z vodno paro in prilagajanje koncentracije vodne pare v mešanici plinov ravnem koncentracije, ki se pričakujejo med preskusom emisij. Skozi CLD ali HCLD se pošlje razponski plin NO s koncentracijo od 80 do 100 odstotkov obsega skale običajnega območja delovanja; vrednost NO se zabeleži kot D. Nato se skozi vodo pri sobni temperaturi in skozi CLD ali HCLD pošljejo mehurčki razponskega plina NO; vrednost NO se zabeleži kot C. Določita se absolutni delovni tlak analizatorja in temperatura vode, ki se zabeležita kot E oziroma F. Določi se tlak nasičene pare mešanice, ki ustreza temperaturi vode z mehurčki F; zabeleži se kot G. Koncentracija vodne pare H [%] v plinski mešanici se izračuna na naslednji način:

image

Pričakovana koncentracija razredčenega razponskega plina NO v vodni pari se izračuna na naslednji način:

image

in se zabeleži kot D e. Pri izpušnih plinih iz dizelskih motorjev se največja koncentracija vodne pare v izpušnih plinih (v odstotkih), pričakovana med preskusom, pri predpostavljenem razmerju H/C goriva 1,8: 1 iz največje koncentracije CO2 v izpušnih plinih A oceni na naslednji način:

image

in se zabeleži kot H m. Odstotek dušenja z vodo se izračuna na naslednji način:

image

pri čemer je:

D e

pričakovana koncentracija razredčenega NO [ppm]

C

izmerjena koncentracija razredčenega NO [ppm]

H m

največja koncentracija vodne pare [%]

H

dejanska koncentracija vodne pare [%]

(iii)   Največje dovoljeno dušenje

Dušenje s CO2 in vodo ne presega 2 odstotkov obsega skale.

(d)   Preskus dušenja za analizatorje NDUV

Ogljikovodiki in voda lahko povzročijo pozitivne motnje pri analizatorjih NDUV s povzročitvijo podobnega odziva kot NOX. Proizvajalec analizatorja NDUV z naslednjim postopkom preveri, ali so učinki dušenja omejeni:

(i) Analizator in ohlajevalnik se namestita z upoštevanjem proizvajalčevih navodil za uporabo; izvedejo se prilagoditve, ki so potrebne za optimiziranje delovanja analizatorja in ohlajevalnika.

(ii) Za analizator se izvede umerjanje ničlišča in razpona pri vrednostih koncentracij, ki so pričakovane med preskušanjem emisij.

(iii) Izbere se kalibrirni plin NO2, ki se čim bolj ujema z največjo koncentracijo NO2, ki je pričakovana med preskušanjem emisij.

(iv) Kalibrirni plin NO2 preplavlja pri sondi sistema za vzorčenje plina, dokler se odziv analizatorja na NOX ne stabilizira.

(v) Izračuna se srednja koncentracija stabiliziranih zapisov NOX v 30-sekundnem obdobju; zapiše se kot NOX,ref.

(vi) Pretok kalibrirnega plina NO2 se ustavi in sistem za vzorčenje se nasiči z izlitjem iztoka iz naprave za ustvarjanje rosišča, nastavljene na rosišče pri 50 °C. Iztok iz naprave za ustvarjanje rosišča se vzorči skozi sistem za vzorčenje in ohlajevalnik najmanj 10 minut, dokler ohlajevalnik predvidoma ne odpravlja stalne količine vode.

(vii) Ko je korak (iv) opravljen, se sistem za vzorčenje znova preplavi s kalibrirnim plinom NO2, uporabljenim za določitev NOX,ref, dokler ni odziv skupnega NOX stabiliziran.

(viii) Izračuna se srednja koncentracija stabiliziranih zapisov NOX v 30-sekundnem obdobju; zapiše se kot NOX,m.

(ix) NOX,m se popravi v NOX,dry na podlagi preostale vodne pare, ki je tekla skozi ohlajevalnik pri izhodni temperaturi in izhodnem tlaku ohlajevalnika.

Izračunana vrednost NOX,dry znaša najmanj 95 % od NOX,ref.

(e)   Sušilnik vzorca

Sušilnik vzorca odstrani vodo, ki lahko povzroča motnje pri merjenju NOX. Za suhe analizatorje CLD se dokaže, da pri najvišji pričakovani koncentraciji vodne pare H m sušilnik vzorca ohranja vlažnost CLD pri ≤ 5 g vode/kg suhega zraka (ali približno 0,8 odstotka H2O), kar je 100-odstotna relativna vlažnost pri 3,9 °C in 101,3 kPa ali približno 25-odstotna relativna vlažnost pri 25 °C in 101,3 kPa. Skladnost je mogoče dokazati tako, da se izmeri temperatura na izhodu iz toplotnega sušilnika vzorca ali vlažnost v točki tik pred CLD. Izmeri se lahko tudi vlažnost izpuha iz CLD, če je edini dotok v CLD pretok iz sušilnika vzorca.

(f)   Penetracija NO2 pri sušilniku vzorca

Tekoča voda, ki ostane v nepravilno zasnovanem sušilniku vzorca, lahko iz vzorca odstrani NO2. Če se sušilnik vzorca uporabi skupaj z analizatorjem NDUV in brez pretvornika NO2/NO v smeri proti toku, lahko voda pred merjenjem NOX iz vzorca odstrani NO2. Sušilnik vzorca omogoča merjenje vsaj 95 % NO2 v plinu, ki je nasičen z vodno paro in sestavljen iz največje koncentracije NO2, pričakovane med preskusom vozila.

4.4    Preverjanje odzivnega časa analiznega sistema

Nastavitve analiznega sistema za preverjanje odzivnega časa so popolnoma enake kot med preskusom emisij (tj. tlak, pretoki, nastavitve filtrov na analizatorjih in vsi drugi parametri, ki vplivajo na odzivni čas). Določitev odzivnega časa se opravi s preklopom plinov neposredno pri vstopu v sondo za vzorčenje. Preklop plinov se opravi v manj kot 0,1 sekunde. Plini, ki se uporabijo pri preskusu, povzročijo spremembo koncentracije, ki znaša vsaj 60 odstotkov obsega skale analizatorja.

Zabeležiti je treba sled koncentracije vsake posamezne plinaste sestavine. Zakasnilni čas je opredeljen kot čas od preklopa plina (t 0) do točke, v kateri odziv doseže 10 odstotkov končnega odčitka (t 10). Čas vzpona je opredeljen kot čas med 10-odstotnim in 90-odstotnim odzivom končnega odčitka (t 90t 10). Odzivni čas sistema (t 90) je sestavljen iz zakasnilnega časa do merilnega detektorja in časa vzpona detektorja.

Za časovno uskladitev analizatorja in signalov pretoka izpušnih plinov je transformacijski čas opredeljen kot čas od spremembe (t 0) do točke, v kateri odziv doseže 50 odstotkov končnega odčitka (t 50).

Odzivni čas sistema je ≤ 12 s pri času vzpona ≤ 3 s za vse uporabljene sestavine in vsa območja. Če se za merjenje NMHC uporablja NMC, lahko odzivni čas sistema preseže 12 s.

5.   PLINI

5.1    Splošno

Upošteva se rok trajanja vseh kalibrirnih in razponskih plinov. Čisti in mešani kalibrirni in razponski plini so skladni s specifikacijami iz točk 3.1 in 3.2 Dodatka 3 Priloge 4A k spremembam 07 Pravilnika UN/ECE št. 83. Dovoljen je tudi kalibrirni plin NO2. Koncentracija kalibrirnega plina NO2 je znotraj dveh odstotkov navedene vrednosti koncentracije. Količina NO v kalibrirnem plinu NO2 ne presega 5 odstotkov vsebnosti NO2.

5.2    Delilniki plinov

Delilniki plinov, tj. naprave za natančno mešanje, ki izvajajo redčenje s prečiščenim N2 ali sintetičnim zrakom, se lahko uporabljajo za pridobitev kalibrirnih in razponskih plinov. Točnost delilnika plinov je takšna, da je koncentracija zmešanih kalibrirnih plinov točna na ±2 odstotka. Preverjanje se opravlja med 15 in 50 odstotki obsega skale za vsako umerjanje, ki vključuje uporabo delilnika plinov. Če prvo preverjanje ni uspešno, se lahko izvede dodatno preverjanje z drugim kalibrirnim plinom.

Neobvezno se lahko delilnik plinov pregleda z instrumentom, ki je po naravi linearen, npr. z uporabo plina NO v kombinaciji s CLD. Vrednost razpona instrumenta se nastavi z razponskim plinom, ki je neposredno priključen na instrument. Delilnik plinov se pregleda pri nastavitvah, ki se običajno uporabljajo, nazivna vrednost pa se primerja s koncentracijo, ki jo izmeri instrument. Razlika mora biti v vsaki točki v območju ±1 odstotek nazivne vrednosti koncentracije.

5.3    Plini za preskus stranske občutljivosti na kisik

Plini za preskus stranske občutljivosti na kisik so mešanica propana, kisika in dušika ter vsebujejo propan pri koncentraciji 350 ±75 ppmC1. Koncentracija se določi z gravimetričnimi metodami, dinamičnim mešanjem ali kromatografsko analizo skupnih ogljikovodikov in nečistoč. Koncentracije kisika v plinih za preskus stranske občutljivosti na kisik izpolnjujejo zahteve iz tabele 3; ostanek plina za preskus stranske občutljivosti na kisik je prečiščeni dušik.



Tabela 3

Plini za preskus stranske občutljivosti na kisik

 

Tip motorja

kompresijski vžig

prisilni vžig

Koncentracija O2

21 ± 1 %

10 ± 1 %

10 ± 1 %

5 ± 1 %

5 ± 1 %

0,5 ± 0,5 %

6.   ANALIZATORJI ZA MERJENJE EMISIJ DELCEV

V teh oddelkih bodo opredeljene prihodnje zahteve za analizatorje za merjenje emisij delcev, ko bo to merjenje postalo obvezno.

7.   INSTRUMENTI ZA MERJENJE MASNEGA PRETOKA IZPUŠNIH PLINOV

7.1    Splošno

Instrumenti, tipala ali signali za merjenje masnega pretoka izpušnih plinov imajo merilno območje in odzivni čas, ki omogočata točnost, potrebno za merjenje masnega pretoka izpušnih plinov v prehodnih pogojih in pogojih ustaljenega stanja. Občutljivost instrumentov, tipal in signalov na udarce, tresljaje, staranje, spreminjanje temperature, tlak zunanjega zraka, elektromagnetne motnje in druge vplive, povezane z delovanjem vozila in instrumentov, je takšna, da se pojavlja čim manj dodatnih napak.

7.2    Specifikacije instrumentov

Masni pretok izpušnih plinov se določi z metodo neposrednega merjenja, uporabljeno v katerem koli od naslednjih instrumentov:

(a) naprave za merjenje pretoka po Pitotovem načelu;

(b) naprave za merjenje razlike tlakov, kot je pretočna šoba (za podrobnosti glej ISO 5167);

(c) ultrazvočni merilnik pretoka;

(d) vrtinčni merilnik pretoka.

Vsak posamezni merilnik masnega pretoka izpušnih plinov izpolnjuje zahteve za linearnost iz točke 3. Poleg tega proizvajalec instrumenta dokaže skladnost vsakega tipa merilnika masnega pretoka izpušnih plinov s specifikacijami iz točk od 7.2.3 do 7.2.9.

Masni pretok izpušnih plinov je dovoljeno izračunati na podlagi meritev pretoka zraka in pretoka goriva, pridobljenih iz sledljivo umerjenih tipal, če tipala izpolnjujejo zahteve za linearnost iz točke 3 in zahteve za točnost iz točke 8 ter če se dobljeni masni pretok izpušnih plinov validira v skladu s točko 4 Dodatka 3.

Dovoljene so tudi druge metode, ki določijo masni pretok izpušnih plinov na podlagi instrumentov in signalov, ki niso neposredno sledljivi, kot so enostavni merilniki masnega pretoka izpušnih plinov ali signali krmilne enote motorja, če dobljeni masni pretok izpušnih plinov izpolnjuje zahteve za linearnost iz točke 3 in se validira v skladu s točko 4 Dodatka 3.

7.2.1    Standardi za umerjanje in preverjanje

Merilna zmogljivost merilnikov masnega pretoka izpušnih plinov se preveri z zrakom ali izpušnimi plini na podlagi sledljivega standarda, kot je npr. umerjeni merilnik masnega pretoka izpušnih plinov ali tunel za redčenje celotnega toka.

7.2.2    Pogostost preverjanja

Skladnost merilnikov masnega pretoka izpušnih plinov s točkama 7.2.3 in 7.2.9 se preveri največ eno leto pred dejanskim preskusom.

7.2.3    Točnost

Točnost, ki je opredeljena kot odklon odčitka merilnika masnega pretoka izpušnih plinov od referenčne vrednosti pretoka, ne presega ± 2 % odčitka, 0,5 % obsega skale ali ± 1,0 % največjega pretoka, pri katerem je merilnik masnega pretoka izpušnih plinov umerjen, kar od tega je večje.

7.2.4    Natančnost

Natančnost, ki je opredeljena kot 2,5-kratni standardni odklon 10 ponavljajočih se odzivov na dani nazivni pretok, približno na sredini območja umerjanja, ni večja od ± 1 % največjega pretoka, pri katerem je merilnik masnega pretoka izpušnih plinov umerjen.

7.2.5    Šum

Šum, ki je opredeljen kot dvakratnik kvadratne sredine desetih standardnih odklonov, od katerih je vsak izračunan iz ničelnih odzivov, izmerjenih pri stalni frekvenci zapisovanja najmanj 1,0 Hz v 30-sekundnem obdobju, ne presega 2 % vrednosti največjega umerjenega pretoka. Vsako od 10 obdobij merjenja se prekine s 30-sekundnim intervalom, v katerem je merilnik masnega pretoka izpušnih plinov izpostavljen največjemu umerjenemu pretoku.

7.2.6    Premik ničelnega odziva

Ničelni odziv je opredeljen kot srednji odziv na ničelni pretok v časovnem intervalu najmanj 30 sekund. Premik ničelnega odziva je mogoče preveriti na podlagi poročanih primarnih signalov, npr. tlaka. Premik primarnih signalov v 4-urnem obdobju je manjši od ± 2 % največje vrednosti primarnega signala, zapisane pri pretoku, pri katerem je bil umerjen merilnik masnega pretoka izpušnih plinov.

7.2.7    Premik razponskega odziva

Razponski odziv je opredeljen kot srednji odziv na razponski pretok v časovnem intervalu najmanj 30 sekund. Premik razponskega odziva je mogoče preveriti na podlagi poročanih primarnih signalov, npr. tlaka. Premik primarnih signalov v 4-urnem obdobju je manjši od ± 2 % največje vrednosti primarnega signala, zapisane pri pretoku, pri katerem je bil umerjen merilnik masnega pretoka izpušnih plinov.

7.2.8    Čas vzpona

Čas vzpona instrumentov in metod za pretok izpušnih plinov se čim bolj ujema s časom vzpona analizatorjev plina, kot je navedeno v točki 4.2.7, vendar ne presega 1 s.

7.2.9    Preverjanje odzivnega časa

Odzivni čas merilnikov masnega pretoka izpušnih plinov se določi z uporabo parametrov, ki so podobni tistim, ki so uporabljeni za preskus emisij (tj. tlak, pretoki, nastavitve filtrov in vsi drugi vplivi na odzivni čas). Določitev odzivnega časa se opravi s preklopom plinov neposredno pri vstopu v merilnik masnega pretoka izpušnih plinov. Preklop pretoka plina se opravi čim hitreje, močno se priporoča, da v manj kot 0,1 s. Pretok plina, ki se uporabi pri preskusu, povzroči spremembo pretoka, ki znaša vsaj 60 odstotkov obsega skale (FS) merilnika masnega pretoka izpušnih plinov. Zabeleži se pretok plina. Zakasnilni čas je opredeljen kot čas od preklopa pretoka plina (t 0) do točke, v kateri odziv doseže 10 odstotkov (t 10) končnega odčitka. Čas vzpona je opredeljen kot čas med 10-odstotnim in 90-odstotnim odzivom (t 90t 10) končnega odčitka. Odzivni čas (t 90) je opredeljen kot vsota zakasnilnega časa in časa vzpona. Odzivni čas merilnika masnega pretoka izpušnih plinov (t90 ) je ≤ 3 s s časom vzpona (t 90t 10) ≤ 1 s v skladu s točko 7.2.8.

8.   TIPALA IN DODATNA OPREMA

Nobeno tipalo ali dodatna oprema, ki se uporablja za določitev npr. temperature, atmosferskega tlaka, vlažnosti okolja, hitrosti vozila, pretoka goriva ali pretoka polnilnega zraka, ne spremeni ali po nepotrebnem vpliva na zmogljivost motorja vozila in sistema za naknadno obdelavo izpušnih plinov. Točnost tipal in dodatne opreme izpolnjuje zahteve iz tabele 4. Skladnost z zahtevami iz tabele 4 se dokazuje v intervalih, ki jih navede proizvajalec instrumenta, v skladu z zahtevami postopkov notranje revizije ali zahtevami standarda ISO 9000.



Tabela 4

Zahteve za točnost merilnih parametrov

Merilni parameter

Točnost

pretok goriva (1)

± 1 % odčitka (3)

pretok zraka (1)

± 2 % odčitka

hitrost vozila na tleh (2)

± 1,0 km/h absolutno

temperature ≤ 600 K

± 2 K absolutno

temperature > 600 K

± 0,4 % odčitka v kelvinih

tlak okolja

± 0,2 kPa absolutno

relativna vlažnost

± 5 % absolutno

absolutna vlažnost

± 10 % odčitka ali 1 g H2O/kg suhega zraka, kar od tega je večje

(1)   Neobvezno za določitev masnega pretoka izpušnih plinov.

(2)   Zahteva velja samo za tipalo za hitrost.

(3)   Točnost znaša 0,02 % odčitka, če se uporabi za izračun masnega pretoka zraka in izpušnih plinov iz pretoka goriva v skladu s točko 10 Dodatka 4.




Dodatek 3

Validacija prenosnega sistema za merjenje emisij in nesledljivega masnega pretoka izpušnih plinov

1.   UVOD

V tem dodatku so opisane zahteve za validacijo delovanja nameščenega prenosnega sistema za merjenje emisij v prehodnih pogojih in validacijo pravilnosti masnega pretoka izpušnih plinov, pridobljenega iz nesledljivih merilnikov masnega pretoka izpušnih plinov ali izračunanega iz signalov krmilne enote motorja.

2.   SIMBOLI

%

odstotek

#/km

število na kilometer

a 0

odsek regresijske premice na osi y

a 1

naklon regresijske premice

g/km

gram na kilometer

Hz

herc

km

kilometer

m

meter

mg/km

miligram na kilometer

r2

determinacijski koeficient

x

dejanska vrednost referenčnega signala

y

dejanska vrednost signala, ki se validira

3.   POSTOPEK VALIDACIJE ZA PRENOSNI SISTEM ZA MERJENJE EMISIJ

3.1    Pogostost validacije prenosnega sistema za merjenje emisij

Priporoča se, da se nameščeni prenosni sistem za merjenje emisij validira enkrat za vsako kombinacijo prenosnega sistema za merjenje emisij-vozila, in sicer pred preskusom ali, alternativno, po zaključenem cestnem preskusu. Namestitev prenosnega sistema za merjenje emisij ostane nespremenjena v obdobju med cestnim preskusom in validacijo.

3.2    Postopek validacije prenosnega sistema za merjenje emisij

3.2.1    Namestitev prenosnega sistema za merjenje emisij

Prenosni sistem za merjenje emisij se namesti in pripravi v skladu z zahtevami iz Dodatka 1. V času od zaključka validacijskega preskusa do začetka cestnega preskusa se namestitev prenosnega sistema za merjenje emisij ne spreminja.

3.2.2    Preskusni pogoji

Validacijski preskus se izvede na dinamometru z valji in, kolikor je le mogoče, v homologacijskih pogojih z upoštevanjem zahtev iz Priloge 4a k spremembam 07 Pravilnika UN/ECE št. 83 ali katere koli druge ustrezne merilne metode. Priporoča se, da se validacijski preskus izvede z globalno usklajenim preskusnim ciklom za lahka vozila (WLTC), kot je navedeno v Prilogi 1 h globalnemu tehničnemu pravilniku UN/ECE št. 15. Temperatura okolja je znotraj območja iz točke 5.2 te priloge.

Priporoča se, da se pretok izpušnih plinov, ki ga med validacijskim preskusom izvleče prenosni sistem za merjenje emisij, dovede nazaj v vzorčevalnik s konstantno prostornino. Če to ni izvedljivo, se rezultati vzorčevalnika s konstantno prostornino popravijo za maso izvlečenih izpušnih plinov. Če se masni pretok izpušnih plinov validira z merilnikom masnega pretoka izpušnih plinov, se priporoča navzkrižno preverjanje meritev masnega pretoka izpušnih plinov s podatki, pridobljenimi iz tipala ali krmilne enote motorja.

3.2.3    Analiza podatkov

Skupne emisije za posamezno razdaljo [g/km], izmerjene z laboratorijsko opremo, se izračunajo z upoštevanjem Priloge 4a k spremembam 07 Pravilnika UN/ECE št. 83. Emisije, kot so izmerjene s prenosnim sistemom za merjenje emisij, se izračunajo v skladu s točko 9 Dodatka 4, seštejejo za izračun skupne mase emisij onesnaževal [g] in nato delijo s preskusno razdaljo [km], pridobljeno iz dinamometra z valji. Skupna masa onesnaževal za posamezno razdaljo [g/km], določena s prenosnim sistemom za merjenje emisij in referenčnim laboratorijskim sistemom, se primerja in oceni glede na zahteve iz točke 3.3. Pri validaciji meritev emisij NOX se uporabi popravek vlažnosti v skladu s točko 6.6.5 Priloge 4a k spremembam 07 Pravilnika UN/ECE št. 83.

3.3    Dovoljena odstopanja za validacijo prenosnega sistema za merjenje emisij

Rezultati validacije prenosnega sistema za merjenje emisij izpolnjujejo zahteve iz tabele 1. Če rezultati niso skladni z dovoljenimi odstopanji, se izvede popravljalni ukrep in validacija prenosnega sistema za merjenje emisij se ponovi.



Tabela 1

Dovoljena odstopanja

Parameter [enota]

Dovoljeno odstopanje

razdalja [km] (1)

± 250 m laboratorijske reference

THC (2) [mg/km]

± 15 mg/km ali 15 % laboratorijske reference, kar od tega je večje

CH4 (2) [mg/km]

± 15 mg/km ali 15 % laboratorijske reference, kar od tega je večje

NMHC (2) [mg/km]

± 20 mg/km ali 20 % laboratorijske reference, kar od tega je večje

PN (2) [#/km]

 (3)

CO (2) [mg/km]

± 150 mg/km ali 15 % laboratorijske reference, kar od tega je večje

CO2 [g/km]

± 10 g/km ali 10 % laboratorijske reference, kar od tega je večje

NOx (2) [mg/km]

± 15 mg/km ali 15 % laboratorijske reference, kar od tega je večje

(1)   Upošteva se samo, če hitrost vozila določi krmilna enota motorja; za skladnost z dovoljenim odstopanjem je na podlagi rezultata validacijskega preskusa dovoljeno prilagoditi meritve hitrosti vozila krmilne enote motorja.

(2)   Parameter je obvezen samo, če se meritev zahteva v oddelku 2.1 Priloge IIIA.

(3)   Še ni določeno.

4.   POSTOPEK VALIDACIJE ZA MASNI PRETOK IZPUŠNIH PLINOV, DOLOČEN Z NESLEDLJIVIMI INSTRUMENTI IN TIPALI

4.1    Pogostost validacije

Poleg izpolnjevanja zahtev za linearnost iz točke 3 Dodatka 2 v pogojih ustaljenega stanja se v prehodnih pogojih za vsako preskusno vozilo na podlagi umerjenega merilnika masnega pretoka izpušnih plinov ali vzorčevalnika s konstantno prostornino validira linearnost nesledljivih merilnikov masnega pretoka izpušnih plinov ali masni pretok izpušnih plinov, izračunan iz nesledljivih tipal ali signalov krmilne enote motorja. Postopek validacijskega preskusa se lahko izvede brez namestitve prenosnega sistema za merjenje emisij, v splošnem pa se upoštevajo zahteve iz Priloge 4a k spremembam 07 Pravilnika UN/ECE št. 83 in zahteve za merilnike masnega pretoka izpušnih plinov iz Dodatka 1.

4.2    Postopek validacije

Validacijski preskus se izvede na dinamometru z valji in, kolikor je le mogoče, v homologacijskih pogojih z upoštevanjem zahtev iz Priloge 4a k spremembam 07 Pravilnika UN/ECE št. 83. Preskusni cikel, ki se uporabi, je globalno usklajeni preskusni cikel za lahka vozila (WLTC), kot je navedeno v Prilogi 1 h globalnemu tehničnemu pravilniku UN/ECE št. 15. Kot referenca se uporabi sledljivo umerjen merilnik pretoka. Temperatura okolja je lahko katera koli vrednost znotraj območja iz točke 5.2 te priloge. Namestitev merilnika masnega pretoka izpušnih plinov in izvedba preskusa izpolnjujeta zahtevo iz točke 3.4.3 Dodatka 1 te priloge.

Validacija linearnosti se izvede z naslednjimi računskimi koraki:

(a) Signal, ki se validira, in referenčni signal se časovno popravita, kolikor je le mogoče, z upoštevanjem zahtev iz točke 3 Dodatka 4.

(b) Točke pod 10 % vrednosti največjega pretoka se izključijo iz nadaljnje analize.

(c) Pri stalni frekvenci najmanj 1,0 Hz se signal, ki se validira, in referenčni signal korelirata z uporabo regresijske enačbe, ki ima naslednjo obliko:

y = a 1 x + a 0

pri čemer je:

y

dejanska vrednost signala, ki se validira,

a 1

naklon regresijske premice,

x

dejanska vrednost referenčnega signala,

a 0

odsek regresijske premice na osi y.

Za vsak merilni parameter in sistem se izračunata standardna napaka ocene y na x in determinacijski koeficient (r2).

(d) Parametri linearne regresije izpolnjujejo zahteve iz tabele 2.

4.3    Zahteve

Izpolnijo se zahteve za linearnost iz tabele 2. Če rezultati niso skladni z dovoljenimi odstopanji, se izvede popravljalni ukrep in validacija se ponovi.



Tabela 2

Zahteve za linearnost izračunanega in izmerjenega masnega pretoka izpušnih plinov

Merilni parameter/sistem

a0

Naklon a1

Standardna napaka

SEE

Determinacijski koeficient

r2

masni pretok izpušnih plinov

0,0 ± 3,0 kg/h

1,00 ± 0,075

najv. ≤ 10 %

≥ 0,90




Dodatek 4

Določanje emisij

1.   UVOD

V tem dodatku je opisan postopek določanja trenutne mase in števila delcev v emisijah [g/s; #/s], ki se uporabi za naknadno ocenjevanje preskusne vožnje in izračun končnega rezultata emisij, kot je opisano v dodatkih 5 in 6.

2.   SIMBOLI

%

odstotek

<

manjše od

#/s

število na sekundo

α

molarno razmerje vodika (H/C)

β

molarno razmerje ogljika (C/C)

γ

molarno razmerje žvepla (S/C)

δ

molarno razmerje dušika (N/C)

Δtt,i

transformacijski čas t analizatorja [s]

Δtt,m

transformacijski čas t merilnika masnega pretoka izpušnih plinov [s]

ε

molarno razmerje kisika (O/C)

ρ e

gostota izpušnih plinov

ρ gas

gostota sestavine izpušnih plinov „plin“

λ

razmerje presežnega zraka

λ i

trenutno razmerje presežnega zraka

A/F st

stehiometrično razmerje zrak/gorivo [kg/kg]

°C

stopinja Celzija

c CH4

koncentracija metana

c CO

suha koncentracija CO [%]

c CO2

suha koncentracija CO2 [%]

c dry

suha koncentracija onesnaževala v ppm ali volumskih odstotkih

c gas,i

trenutna koncentracija sestavine izpušnih plinov „plin“ [ppm]

c HCw

vlažna koncentracija HC [ppm]

c HC(w/NMC)

koncentracija HC, če CH4 ali C2H6 teče skozi NMC [ppmC1]

c HC(w/oNMC)

koncentracija HC, če CH4 ali C2H6 teče mimo NMC [ppmC1]

c i,c

časovno popravljena koncentracija sestavine i [ppm]

c i,r

koncentracija sestavine i [ppm] v izpušnih plinih

c NMHC

koncentracija nemetanskih ogljikovodikov

c wet

vlažna koncentracija onesnaževala v ppm ali volumskih odstotkih

E E

učinkovitost etana

E M

učinkovitost metana

g

gram

g/s

gram na sekundo

H a

vlažnost polnilnega zraka [g vode na kg suhega zraka]

i

število meritev

kg

kilogram

kg/h

kilogram na uro

kg/s

kilogram na sekundo

k w

korekcijski faktor suho-vlažno

m

meter

m gas,i

masa sestavine izpušnih plinov „plin“ [g/s]

qm aw,i

trenutni masni pretok polnilnega zraka [kg/s]

q m,c

časovno popravljen masni pretok izpušnih plinov [kg/s]

qm ew,i

trenutni masni pretok izpušnih plinov [kg/s]

qm f,i

trenutni masni pretok goriva [kg/s]

q m,r

masni pretok nerazredčenih izpušnih plinov [kg/s]

r

korelacijski koeficient

r2

determinacijski koeficient

r h

faktor odzivnosti za ogljikovodike

vrt/min

vrtljaji na minuto

s

sekunda

u gas

vrednost u sestavine izpušnih plinov „plin“

3.   ČASOVNO POPRAVLJANJE PARAMETROV

Za pravilen izračun emisij za posamezno razdaljo je treba časovno popraviti zapisane sledi koncentracij sestavin, masni pretok izpušnih plinov, hitrost vozila in druge podatke o vozilu. Priporoča se, da se zaradi lažjega časovnega popravljanja podatki, ki jih je treba časovno uskladiti, zapišejo v eni napravi za zapisovanje podatkov ali s sinhroniziranim časovnim žigom v skladu s točko 5.1 Dodatka 1. Časovno popravljanje in uskladitev parametrov se izvedeta po korakih iz točk od 3.1 do 3.3.

3.1    Časovno popravljanje koncentracij sestavin

Zapisane sledi vseh koncentracij sestavin se časovno popravijo z obratnim prestavljanjem v skladu s transformacijskimi časi zadevnih analizatorjev. Transformacijski čas analizatorjev se določi v skladu s točko 4.4 Dodatka 2:

c i,c(tΔt t,i) = ci,r(t)

pri čemer je:

c i,c

časovno popravljena koncentracija sestavine i kot funkcija časa t

c i,r

nerazredčena koncentracija sestavine i kot funkcija časa t

Δtt,i

transformacijski čas t analizatorja za merjenje sestavine i

3.2    Časovno popravljanje masnega pretoka izpušnih plinov

Masni pretok izpušnih plinov, izmerjen z merilnikom masnega pretoka izpušnih plinov, se časovno popravi z obratnim prestavljanjem v skladu s transformacijskim časom merilnika masnega pretoka izpušnih plinov. Transformacijski čas merilnika masnega pretoka se določi v skladu s točko 4.4.9 Dodatka 2:

q m,c(tΔt t,m) = qm,r(t)

pri čemer je:

q m,c

časovno popravljen masni pretok izpušnih plinov kot funkcija časa t

q m,r

masni pretok nerazredčenih izpušnih plinov kot funkcija časa t

Δtt,m

transformacijski čas t merilnika masnega pretoka izpušnih plinov

Če se masni pretok izpušnih plinov določi s podatki krmilne enote motorja ali tipalom, se upošteva dodatni transformacijski čas, ki se pridobi z navzkrižno korelacijo med izračunanim masnim pretokom izpušnih plinov in masnim pretokom izpušnih plinov, izmerjenim v skladu s točko 4 Dodatka 3.

3.3    Časovna uskladitev podatkov o vozilu

Drugi podatki, pridobljeni iz tipala ali krmilne enote motorja, se časovno uskladijo z navzkrižno korelacijo z ustreznimi podatki o emisijah (npr. koncentracijami sestavin).

3.3.1    Hitrost vozila iz različnih virov

Za časovno uskladitev hitrosti vozila z masnim pretokom izpušnih plinov je najprej treba določiti eno veljavno sled hitrosti. Če se hitrost vozila pridobiva iz več virov (npr. iz sistema GPS, tipala ali krmilne enote motorja), se vrednosti hitrosti časovno uskladijo z navzkrižno korelacijo.

3.3.2    Hitrost vozila z masnim pretokom izpušnih plinov

Hitrost vozila se časovno uskladi z masnim pretokom izpušnih plinov z uporabo navzkrižne korelacije med masnim pretokom izpušnih plinov ter produktom hitrosti vozila in pozitivnega pospeška.

3.3.3    Drugi signali

Časovne uskladitve signalov, katerih vrednosti se spreminjajo počasi in v majhnem območju vrednosti, npr. temperatura okolja, ni treba izvesti.

4.   HLADNI ZAGON

Obdobje hladnega zagona traja prvih 5 minut po prvem zagonu zgorevalnega motorja. Če je mogoče zanesljivo določiti temperaturo hladilne tekočine, se obdobje hladnega zagona konča, ko hladilna tekočina prvič doseže 343 K (70 °C), vendar ne pozneje kot 5 minut po prvem zagonu motorja. Emisije med hladnim zagonom se zapišejo.

5.   MERITVE EMISIJ MED USTAVITVIJO MOTORJA

Zapišejo se vse trenutne emisije ali meritve pretoka izpušnih plinov, pridobljene pri deaktiviranem zgorevalnem motorju. V ločenem koraku se nato zapisane vrednosti s poobdelavo podatkov nastavijo na nič. Šteje se, da je zgorevalni motor deaktiviran, če sta izpolnjena dva od naslednjih pogojev: zapisana vrtilna frekvenca motorja je < 50 vrt/min; masni pretok izpušnih plinov se meri pri < 3 kg/h; izmerjeni masni pretok izpušnih plinov pade na < 15 % masnega pretoka izpušnih plinov v ustaljenem stanju v prostem teku.

6.   PREVERJANJE DOSLEDNOSTI NADMORSKE VIŠINE VOZILA

Če obstaja dobro utemeljen dvom, da je bila vožnja opravljena nad dovoljeno nadmorsko višino iz točke 5.2 Priloge IIIA, in če je bila nadmorska višina izmerjena samo s sistemom GPS, se preveri in po potrebi popravi doslednost podatkov višine sistema GPS. Doslednost podatkov se preveri s primerjavo podatkov zemljepisne širine, zemljepisne dolžine in nadmorske višine, pridobljenih iz sistema GPS, in nadmorske višine, prikazane na digitalnem modelu terena ali topografski karti z ustreznim merilom. Meritve, ki odstopajo za več kot 40 m od nadmorske višine, prikazane na topografski karti, se ročno popravijo in označijo.

7.   PREVERJANJE DOSLEDNOSTI HITROSTI VOZILA SISTEMA GPS

Preveri se doslednost hitrosti vozila, ki jo določi sistem GPS, in sicer tako, da se izračuna celotna prevožena razdalja, ki se primerja z referenčnimi meritvami, pridobljenimi iz tipala, validirane krmilne enote motorja ali, alternativno, iz digitalnega cestnega omrežja ali s topografske karte. Pred preverjanjem doslednosti je treba obvezno popraviti očitne napake v podatkih sistema GPS, npr. z uporabo tipala za seštevno navigacijo. Prvotna in nepopravljena podatkovna datoteka se ohrani, popravljeni podatki pa se označijo. Popravljeni podatki ne presegajo neprekinjenega časovnega obdobja 120 s ali skupaj 300 s. Celotna prevožena razdalja, izračunana iz popravljenih podatkov sistema GPS, lahko odstopa od reference za največ 4 %. Če podatki sistema GPS ne izpolnjujejo teh zahtev in ni na voljo noben drug zanesljiv vir hitrosti, se rezultati preskusa razveljavijo.

8.   POPRAVKI EMISIJ

8.1    Popravek suho-vlažno

Če se emisije merijo na suhi osnovi, se izmerjene koncentracije pretvorijo na vlažno osnovo:

c wet= k w· c dry

pri čemer je:

c wet

vlažna koncentracija onesnaževala v ppm ali volumskih odstotkih

c dry

suha koncentracija onesnaževala v ppm ali volumskih odstotkih

k w

korekcijski faktor suho-vlažno

Za izračun k w se uporabi naslednja enačba:

image

pri čemer je:

image

pri čemer je:

H a

vlažnost polnilnega zraka [g vode na kg suhega zraka]

c CO2

suha koncentracija CO2 [%]

c CO

suha koncentracija CO [%]

α

molarno razmerje vodika

8.2    Popravek NOx glede vlažnosti in temperature okolja

Emisije NOx se ne popravljajo glede temperature in vlažnosti okolja.

9.   DOLOČANJE TRENUTNIH PLINASTIH SESTAVIN IZPUŠNIH PLINOV

9.1    Uvod

Sestavine v nerazredčenih izpušnih plinih se izmerijo z analizatorji za merjenje in vzorčenje, ki so opisani v Dodatku 2. Nerazredčene koncentracije ustreznih sestavin se izmerijo v skladu z Dodatkom 1. Podatki se časovno popravijo in uskladijo v skladu s točko 3.

9.2    Izračun koncentracij NMHC in CH4

Pri merjenju metana z uporabo NMC-FID je izračun NMHC odvisen od kalibrirnega plina/metode, ki se uporabi za prilagoditev umerjanja ničlišča/razpona. Če se FID uporabi za merjenje THC brez NMC, se po običajnem postopku umeri s propanom/zrakom ali propanom/N2. Za zaporedno umerjanje FID z NMC sta dovoljeni naslednji metodi:

(a) kalibrirni plin, ki vsebuje propan/zrak, teče mimo NMC;

(b) kalibrirni plin, ki vsebuje metan/zrak, teče skozi NMC.

Močno se priporoča, da se FID za metan umeri z metanom/zrakom skozi NMC.

Pri metodi (a) se koncentraciji CH4 in NMHC izračunata na naslednji način:

image

image

V primeru (b) se koncentraciji CH4 in NMHC izračunata na naslednji način:

image

image

pri čemer je:

c HC(w/oNMC)

koncentracija HC, če CH4 ali C2H6 teče mimo NMC [ppmC1]

c HC(w/NMC)

koncentracija HC, če CH4 ali C2H6 teče skozi NMC [ppmC1]

r h

faktor odzivnosti za ogljikovodike iz točke 4.3.3(b) Dodatka 2

E M

učinkovitost metana iz točke 4.3.4(a) Dodatka 2

E E

učinkovitost etana iz točke 4.3.4(b) Dodatka 2

Če je FID za metan umerjen skozi izločevalnik (metoda b), je učinkovitost pretvorbe metana iz točke 4.3.4(a) Dodatka 2 nična. Gostota, uporabljena za izračune mase NMHC, je enaka gostoti skupnih ogljikovodikov pri 273,15 K in 101,325 kPa ter je odvisna od goriva.

10.   DOLOČANJE MASNEGA PRETOKA IZPUŠNIH PLINOV

10.1    Uvod

Za izračun trenutnih masnih emisij v skladu s točkama 11 in 12 je treba določiti masni pretok izpušnih plinov. Masni pretok izpušnih plinov se določi z eno od metod neposrednega merjenja iz točke 7.2 Dodatka 2. Dovoljeno je tudi, da se masni pretok izpušnih plinov izračuna v skladu s točkami od 10.2 do 10.4.

10.2    Metoda izračuna z uporabo masnega pretoka zraka in masnega pretoka goriva

Trenutni masni pretok izpušnih plinov je mogoče izračunati iz masnega pretoka zraka in masnega pretoka goriva na naslednji način:

q mew,i = q maw,i + q mf,i

pri čemer je:

qm ew,i

trenutni masni pretok izpušnih plinov [kg/s]

qm aw,i

trenutni masni pretok polnilnega zraka [kg/s]

qm f,i

trenutni masni pretok goriva [kg/s]

Če sta masni pretok zraka in masni pretok goriva ali masni pretok izpušnih plinov določena iz zapisa krmilne enote motorja, mora izračunan trenutni masni pretok izpušnih plinov izpolnjevati zahteve za linearnost, navedene za masni pretok izpušnih plinov v točki 3 Dodatka 2, in zahteve za validacijo iz točke 4.3 Dodatka 3.

10.3    Metoda izračuna z uporabo masnega pretoka zraka in razmerja zrak/gorivo

Trenutni masni pretok izpušnih plinov je mogoče izračunati iz masnega pretoka zraka in razmerja zrak/gorivo na naslednji način:

image

pri čemer je:

image

image

pri čemer je:

qm aw,i

trenutni masni pretok polnilnega zraka [kg/s]

A/F st

stehiometrično razmerje zrak/gorivo [kg/kg]

λ i

trenutno razmerje presežnega zraka

c CO2

suha koncentracija CO2 [%]

c CO

suha koncentracija CO [ppm]

c HCw

vlažna koncentracija HC [ppm]

α

molarno razmerje vodika (H/C)

β

molarno razmerje ogljika (C/C)

γ

molarno razmerje žvepla (S/C)

δ

molarno razmerje dušika (N/C)

ε

molarno razmerje kisika (O/C)

Koeficienti se nanašajo na gorivo Cβ Hα Oε Nδ Sγ z β = 1 za goriva na osnovi ogljika. Koncentracija emisij HC je značilno nizka in je ni treba upoštevati pri izračunu λ i.

Če sta masni pretok zraka in razmerje zrak/gorivo določena iz zapisa krmilne enote motorja, mora izračunan trenutni masni pretok izpušnih plinov izpolnjevati zahteve za linearnost, navedene za masni pretok izpušnih plinov v točki 3 Dodatka 2, in zahteve za validacijo iz točke 4.3 Dodatka 3.

10.4    Metoda izračuna z uporabo masnega pretoka goriva in razmerja zrak/gorivo

Trenutni masni pretok izpušnih plinov se lahko izračuna iz pretoka goriva in razmerja zrak/gorivo (izračunano z A/Fst in λ i v skladu s točko 10.3) na naslednji način:

q mew,i = q mf,i × (1 + A/F st × λ i)

Izračunan trenutni masni pretok izpušnih plinov mora izpolnjevati zahteve za linearnost, navedene za masni pretok izpušnih plinov v točki 3 Dodatka 2, in zahteve za validacijo iz točke 4.3 Dodatka 3.

11.   IZRAČUN TRENUTNIH MASNIH EMISIJ

Trenutne masne emisije [g/s] se določijo tako, da se trenutna koncentracija zadevnega onesnaževala [ppm] pomnoži s trenutnim masnim pretokom izpušnih plinov [kg/s], pri čemer sta obe vrednosti popravljeni in usklajeni za transformacijski čas, in z ustrezno vrednostjo u iz tabele 1. Če se merjenje izvaja na suhi osnovi, se pred izvedbo kakršnih koli nadaljnjih izračunov za trenutne koncentracije sestavin uporabi popravek suho-vlažno v skladu s točko 8.1. Po potrebi se negativne trenutne vrednosti emisij vnesejo v vsa naslednja ocenjevanja podatkov. V izračun trenutnih emisij se vnesejo vse pomembne števke vmesnih rezultatov. Uporabi se naslednja enačba:

m gas,i = u gas · c gas,i · q mew,i

pri čemer je:

m gas,i

masa sestavine izpušnih plinov „plin“ [g/s]

u gas

razmerje gostote sestavine izpušnih plinov „plin“ in skupne gostote izpušnih plinov iz tabele 1

c gas,i

izmerjena koncentracija sestavine izpušnih plinov „plin“ v izpušnih plinih [ppm]

qm ew,i

izmerjeni masni pretok izpušnih plinov [kg/s]

gas

zadevna sestavina

i

število meritev



Tabela 1

Vrednosti u za nerazredčene izpušne pline, ki prikazujejo razmerje med gostotami sestavine izpušnih plinov ali onesnaževala i [kg/m3] in gostoto izpušnih plinov [kg/m3] (6)

Gorivo

ρ e [kg/m3]

Sestavina ali onesnaževalo i

NOx

CO

HC

CO2

O2

CH4

ρ gas [kg/m3]

2,053

1,250

 (1)

1,9636

1,4277

0,716

u gas (2) (6)

dizelsko gorivo (B7)

1,2943

0,001586

0,000966

0,000482

0,001517

0,001103

0,000553

etanol (ED95)

1,2768

0,001609

0,000980

0,000780

0,001539

0,001119

0,000561

SZP (3)

1,2661

0,001621

0,000987

0,000528 (4)

0,001551

0,001128

0,000565

propan

1,2805

0,001603

0,000976

0,000512

0,001533

0,001115

0,000559

butan

1,2832

0,001600

0,000974

0,000505

0,001530

0,001113

0,000558

UNP (5)

1,2811

0,001602

0,000976

0,000510

0,001533

0,001115

0,000559

bencin (E10)

1,2931

0,001587

0,000966

0,000499

0,001518

0,001104

0,000553

etanol (E85)

1,2797

0,001604

0,000977

0,000730

0,001534

0,001116

0,000559

(1)   Odvisno od goriva.

(2)   Pri l = 2, suh zrak, 273 K, 101,3 kPa.

(3)   Vrednosti u točne do 0,2 % za masno sestavo: C = 66–76 %; H = 22–25 %; N = 0–12 %.

(4)   NMHC na osnovi CH2.93 (za THC se uporablja koeficient u gas CH4).

(5)   Vrednosti u točne do 0,2 % za masno sestavo: C3 = 70–90 %; C4 = 10–30 %.

(6)   ugas je parameter brez enote; vrednosti u gas vključujejo pretvorbe enot, da se zagotovi, da so trenutne emisije pridobljene v navedeni fizični enoti, tj. g/s.

12.   IZRAČUN TRENUTNEGA ŠTEVILA DELCEV V EMISIJAH

V teh oddelkih bodo opredeljene prihodnje zahteve za izračun trenutnega števila delcev v emisijah, ko bo to merjenje postalo obvezno.

13.   POROČANJE IN IZMENJAVA PODATKOV

Podatki se izmenjujejo med merilnimi sistemi in programsko opremo za ocenjevanje podatkov v standardizirani datoteki za poročanje, kot je navedeno v točki 2 Dodatka 8. Morebitna predobdelava podatkov (npr. časovno popravljanje v skladu s točko 3 ali popravljanje signala hitrosti vozila sistema GPS v skladu s točko 7) se izvaja z nadzorno programsko opremo merilnih sistemov in se mora zaključiti, preden se ustvari datoteka za poročanje podatkov. Če so podatki popravljeni ali obdelani pred vnosom datoteke za poročanje podatkov, se za zagotavljanje kakovosti in nadzor obdržijo prvotni neobdelani podatki. Zaokroževanje vmesnih vrednosti ni dovoljeno. Namesto tega se vmesne vrednosti vnesejo v izračun trenutnih emisij [g/s; #/s] v takšni obliki, kot jih je navedel analizator, merilnik pretoka, tipalo ali krmilna enota motorja.




Dodatek 5

Preverjanje dinamičnih pogojev vožnje z metodo 1 (okno drsečega povprečenja)

1.   UVOD

Metoda okna drsečega povprečenja omogoča vpogled v dejanske emisije, ki nastajajo med vožnjo (RDE) in ki so bile ugotovljene med preskusom pri danem obsegu. Preskus je razdeljen na poddele (okna), z naknadno statistično obdelavo pa se poskuša določiti, katera okna so primerna za ocenjevanje dejanskih emisij, ki jih odda vozilo med vožnjo.

„Normalnost“ oken se zagotovi tako, da se primerjajo njihove emisije CO2 za določeno razdaljo ( 55 ) z referenčno krivuljo. Preskus je dokončan, ko vključuje zadostno število normalnih oken, ki pokrivajo različna hitrostna območja (mestna, zunajmestna in avtocestna vožnja).

Korak 1.

Segmentacija podatkov in izključitev emisij med hladnim zagonom.

Korak 2.

Izračun emisij s podmnožicami ali „okni“ (točka 3.1).

Korak 3.

Identifikacija normalnih oken (točka 4).

Korak 4.

Preverjanje popolnosti in normalnosti preskusa (točka 5).

Korak 5.

Izračun emisij z normalnimi okni (točka 6).

2.   SIMBOLI, PARAMETRI IN ENOTE

Indeks (i) se nanaša na časovni korak

Indeks (j) se nanaša na okno

Indeks (k) se nanaša na kategorijo (t = celotna vožnja, u = mestna vožnja, r = zunajmestna vožnja, m = avtocestna vožnja) ali na značilno krivuljo (cc) CO2

Indeks „gas“ (plin) se nanaša na pravno urejene sestavine izpušnih plinov (npr. NOx, CO, PN)

Δ

razlika

večje ali enako

#

število

%

odstotek

manjše ali enako

a 1, b 1

koeficienta značilne krivulje CO2

a 2, b 2

koeficienta značilne krivulje CO2

dj

razdalja, ki jo pokriva okno j [km]

fk

faktorji tehtanja za mestni, zunajmestni in avtocestni delež

h

oddaljenost oken do značilne krivulje CO2 [%]

hj

oddaljenost okna j do značilne krivulje CO2 [%]

image

indeks resnosti za mestni, zunajmestni in avtocestni delež ter celotno vožnjo

k 11, k 12

koeficienta funkcije tehtanja

k 21, k 21

koeficienta funkcije tehtanja

M CO2,ref

referenčna masa CO2 [g]

Mgas

masa ali število delcev sestavine izpušnih plinov „gas“ (plin), [g] ali [#]

Mgas,j

masa ali število delcev sestavine izpušnih plinov „gas“ (plin) v oknu j, [g] ali [#]

Mgas,d

emisije za določeno razdaljo za sestavino izpušnih plinov „gas“ (plin), [g/km] ali [#/km]

Mgas,d,j

emisije za določeno razdaljo za sestavino izpušnih plinov „gas“ (plin) v oknu j, [g/km] ali [#/km]

N k

število oken za mestni, zunajmestni in avtocestni delež

P 1, P 2, P 3

referenčne točke

t

čas [s]

t 1,j

prva sekunda j-tega okna povprečenja [s]

t 2,j

zadnja sekunda j-tega okna povprečenja [s]

ti

skupni čas v koraku i [s]

t i,j

skupni čas v koraku i z upoštevanjem okna j [s]

tol 1

primarno dovoljeno odstopanje za značilno krivuljo CO2 vozila [%]

tol 2

sekundarno dovoljeno odstopanje za značilno krivuljo CO2 vozila [%]

tt

trajanje preskusa [s]

v

hitrost vozila [km/h]

image

povprečna hitrost oken [km/h]

vi

dejanska hitrost vozila v časovnem koraku i [km/h]

image

povprečna hitrost vozila v oknu j [km/h]

image

povprečna hitrost faze Nizka hitrost cikla WLTP

image

povprečna hitrost faze Visoka hitrost cikla WLTP

image

povprečna hitrost faze Zelo visoka hitrost cikla WLTP

w

faktor tehtanja za okna

wj

faktor tehtanja okna j

3.   OKNA DRSEČEGA POVPREČENJA

3.1    Opredelitev oken povprečenja

Trenutne emisije, izračunane v skladu z Dodatkom 4, se integrirajo z metodo okna drsečega povprečenja na podlagi referenčne mase CO2. Princip izračuna je naslednji: masne emisije se ne izračunajo za celoten nabor podatkov, ampak za podmnožice celotnega nabora podatkov. Dolžina teh podmnožic se določi tako, da se ujema z maso CO2, ki ga odda vozilo v referenčnem laboratorijskem ciklu. Izračuni drsečega povprečja se izvedejo s časovnim korakom, ki ustreza frekvenci vzorčenja podatkov. Podmnožice, ki se uporabljajo za povprečenje podatkov o emisijah, se imenujejo „okna povprečenja“. Izračun, opisan v tej točki, se lahko izvede od zadnje točke (nazaj) ali od prve točke (naprej).

Naslednji podatki se ne upoštevajo pri izračunu mase CO2, emisij in razdalje oken povprečenja:

 redno preverjanje instrumentov in/ali preverjanja po premiku ničlišča,

 emisije med hladnim zagonom, opredeljene v skladu s točko 4.4 Dodatka 4,

 hitrost vozila na tleh < 1 km/h,

 kateri koli del preskusa, v katerem je zgorevalni motor izklopljen.

Masne emisije (ali emisije delcev) M gas,j se določijo z integriranjem trenutnih emisij v g/s (ali #/s za PN), izračunanih v skladu z Dodatkom 4.

Slika 1

Hitrost vozila glede na čas – povprečene emisije vozila glede na čas, začetek pri prvem oknu povprečenja

image

Slika 2

Opredelitev oken povprečenja na osnovi mase CO2

image

Trajanje (t2,j – t1,j ) j-tega okna povprečenja se določi na naslednji način:

image

pri čemer je:

image masa CO2, izmerjena med začetkom preskusa in časom (ti,j ), [g];

image polovica mase CO2 [g], ki ga odda vozilo v ciklu WLTP (preskus tipa I, vključno s hladnim zagonom);

t 2,j se izbere tako, da velja:

image

pri čemer je Δt obdobje vzorčenja podatkov.

Mase CO2 se izračunajo v oknih z integriranjem trenutnih emisij, izračunanih v skladu z Dodatkom 4 te priloge.

3.2    Izračun emisij oken in povprečij

Za vsako okno, določeno v skladu s točko 3.1, se izračunajo naslednje vrednosti:

 emisije za določeno razdaljo Mgas,d,j za vsa onesnaževala, navedena v tej prilogi,

 emisije CO2 za določeno razdaljo MCO2,d,j ,

 povprečna hitrost vozila. image

4.   OVREDNOTENJE OKEN

4.1    Uvod

Referenčni dinamični pogoji preskusnega vozila se določijo na podlagi emisij CO2 vozila glede na povprečno hitrost, ki so bile izmerjene pri homologaciji in se imenujejo „značilna krivulja CO2 vozila“.

Za pridobitev emisij CO2 za določeno razdaljo se vozilo preskusi z uporabo nastavitev cestne obremenitve, predpisanih v globalnem tehničnem pravilniku UN/ECE št. 15 – globalno usklajeni preskusni postopek za lahka vozila (ECE/TRANS/180/Add.15).

4.2    Referenčne točke značilne krivulje CO2

Referenčne točke P 1, P 2 in P 3, zahtevane za opredelitev krivulje, se določijo na naslednji način:

4.2.1    Točka P1

image

(povprečna hitrost faze Nizka hitrost cikla WLTP)

image = emisije CO2 vozila v fazi Nizka hitrost cikla WLTP × 1,2 [g/km]

4.2.2    Točka P2

4.2.3

image

(povprečna hitrost faze Visoka hitrost cikla WLTP)

image = emisije CO2 vozila v fazi Visoka hitrost cikla WLTP × 1,1 [g/km]

4.2.4

Točka P3

4.2.5

image

(povprečna hitrost faze Zelo visoka hitrost cikla WLTP)

image = emisije CO2 vozila v fazi Zelo visoka hitrost cikla WLTP × 1,05 [g/km]

4.3    Opredelitev značilne krivulje CO2

Emisije CO2 značilne krivulje se z uporabo referenčnih točk iz točke 4.2 izračunajo kot funkcija povprečne hitrosti, pri čemer se uporabita dva linearna dela (P 1, P 2) in (P 2, P 3). Del (P 2, P 3) je omejen na 145 km/h na osi hitrosti vozila. Značilna krivulja je opredeljena z enačbami na naslednji način:

Za del (P 1, P 2):

image

with: image

and: image

Za del (P 2, P 3):

image

with: image

and: image

Slika 3

Značilna krivulja CO2 vozila

image

4.4    Mestna, zunajmestna in avtocestna okna

4.4.1

Za mestna okna je značilna povprečna hitrost vozila

image

na tleh pod 45 km/h.

4.4.2

Za zunajmestna okna je značilna povprečna hitrost vozila

image

na tleh najmanj 45 km/h in pod 80 km/h.

4.4.3

Za avtocestna okna je značilna povprečna hitrost vozila

image

na tleh najmanj 80 km/h in pod 145 km/h.

Slika 4

Značilna krivulja CO2 vozila: opredelitve mestne, zunajmestne in avtocestne vožnje

image

5.   PREVERJANJE POPOLNOSTI IN NORMALNOSTI VOŽNJE

5.1    Dovoljena odstopanja od značilne krivulje CO2 vozila

Primarno dovoljeno odstopanje in sekundarno dovoljeno odstopanje značilne krivulje CO2 vozila je tol 1= 25 % oziroma tol2 = 50 %.

5.2    Preverjanje popolnosti preskusa

Preskus je dokončan, ko od skupnega števila oken vsebuje najmanj 15 % mestnih, zunajmestnih in avtocestnih oken.

5.3    Preverjanje normalnosti preskusa

Preskus je normalen, ko je najmanj 50 % mestnih, zunajmestnih in avtocestnih oken znotraj primarnega dovoljenega odstopanja, določenega za značilno krivuljo.

Če navedena zahteva za najmanj 50 % oken ni izpolnjena, se lahko zgornje pozitivno dovoljeno odstopanje tol 1 povečuje v korakih po 1 %, dokler ni dosežen cilj 50 % normalnih oken. Pri uporabi tega mehanizma tol1 nikoli ne preseže 30 %.

6.   IZRAČUN EMISIJ

6.1    Izračun tehtanih emisij za določeno razdaljo

Emisije se izračunajo kot tehtano povprečje emisij za določeno razdaljo oken ločeno za mestno, zunajmestno in avtocestno kategorijo ter za celotno vožnjo.

image

Faktor tehtanja w j za vsako okno se določi na naslednji način:

Če je,

image

potem je w j = 1.

Če je

image

potem je wj = k11hj + k12,

pri čemer je k11 = 1/(tol1 – tol2)

in k12: tol2/(tol2 – tol1).

Če je

image

potem je wj = k21hj + K22,

pri čemer je k21 = 1/(tol2 – tol1)

in k22 = k21 = tol2/(tol2 – tol1).

Če je

image

ali

image

potem je w j = 0,

pri čemer je:

image

Slika 5

Funkcija tehtanja okna povprečenja

image

6.2    Izračun indeksov resnosti

Indeksi resnosti se izračunajo ločeno za mestno, zunajmestno in avtocestno kategorijo:

image

ter za celotno vožnjo:

image

pri čemer, fu, fr fm znašajo 0,34, 0,33 in 0,33.

6.3    Izračun emisij za celotno vožnjo

Z uporabo tehtanih emisij za določeno razdaljo, izračunanih v točki 6.1, se emisije za določeno razdaljo v [mg/km] za vsako plinasto onesnaževalo celotne vožnje izračunajo na naslednji način:

image

in za število delcev:

image

pri čemer fu, fr fm znašajo 0,34, 0,33 in 0,33.

7.   ŠTEVILSKI PRIMERI

7.1    Izračuni okna povprečenja



Tabela 1

Glavne nastavitve izračuna

image

[g]

610

Smer za izračun okna povprečenja

Naprej

Frekvenca pridobivanja [Hz]

1

Na sliki 6 je prikazano, kako so okna povprečenja določena na podlagi podatkov, zapisanih med cestnim preskusom, opravljenim s prenosnim sistemom za merjenje emisij. Zaradi jasnosti je v nadaljevanju prikazanih samo prvih 1 200  sekund vožnje.

Sekunde od 0 do 43 in od 81 do 86 so izključene zaradi delovanja pri ničelni hitrosti vozila.

Prvo okno povprečenja se začne pri t 1,1 = 0 s in se konča pri drugem t 2,1 = 524 s (tabela 3). Povprečna hitrost vozila okna ter integrirane mase CO in NOx [g], ki so oddane in ustrezajo veljavnim podatkom v prvem oknu povprečenja, so navedene v tabeli 4.

image

image

image

Slika 6

Trenutne emisije CO2, zapisane med cestnim preskusom s prenosnim sistemom za merjenje emisij, kot funkcija časa. Pravokotni okvirji prikazujejo trajanje j-tega okna. Podatkovni nizi, imenovani „veljavno = 100/neveljavno = 0“, prikazujejo podatke po sekundah, ki se izključijo iz analize

image

7.2    Ovrednotenje oken



Tabela 2

Nastavitve izračuna za značilno krivuljo CO2

CO2, nizka hitrost cikla WLTC (P1) [g/km]

154

CO2, visoka hitrost cikla WLTC (P2) [g/km]

96

CO2, zelo visoka hitrost cikla WLTC (P3) [g/km]

120



Referenčna točka

 

 

P 1

image

image

P 2

image

image

P 3

image

image

Značilna krivulja CO2 se opredeli na naslednji način:

Za del (P 1, P 2):

image

pri čemer je:

image

in: b1 = 154 – (–1,543) × 19,0 = 154 + 29,317 = 183,317

Za del (P 2, P 3):

image

pri čemer je:

image

in: b2 = 96 – 0,672 × 56,6 = 96 – 38,035 = 57,965

Primeri izračuna faktorjev tehtanja in kategorizacije okna kot mestnega, zunajmestnega ali avtocestnega:

Za okno št. 45:

image

image

Za značilno krivuljo:

image

Preverjanje:

image

image

124,498 × (1 – 25/100) ≤ 122,62 ≤ 124,498 × (1 + 25/100)

93,373 ≤ 122,62 ≤ 155,622

Rezultat: w 45= 1

Za okno št. 556:

image

image

Za značilno krivuljo:

image

Preverjanje:

image

image

105,982 × (1 – 50/100) ≤ 72,15 ≤ 105,982 × (1 + 25/100)

52,991 ≤ 72,15 ≤ 79,487

Rezultat:

image

w 556 = k 21 h 556 + k 22 = 0,04 · (– 31,922) + 2 = 0,723

with k 21 = 1/(tol 2tol 1) = 1/(50 – 25) = 0,04

and k 22 = k 21 = tol 2/(tol 2tol 1) = 50/(50 – 25) = 2



Tabela 3

Številski podatki o emisijah

Okno [št.]

t 1,j

[s]

t 2,j – Δt

[s]

t 2,j

[s]

image

[g]

image

[g]

1

0

523

524

609,06

610,22

2

1

523

524

609,06

610,22

 

43

42

523

524

609,06

610,22

44

43

523

524

609,06

610,22

45

44

523

524

609,06

610,22

46

45

524

525

609,68

610,86

47

46

524

525

609,17

610,34

 

100

99

563

564

609,69

612,74

 

200

199

686

687

608,44

610,01

 

474

473

1 024

1 025

609,84

610,60

475

474

1 029

1 030

609,80

610,49

 

 

556

555

1 173

1 174

609,96

610,59

557

556

1 174

1 175

609,09

610,08

558

557

1 176

1 177

609,09

610,59

559

558

1 180

1 181

609,79

611,23



Tabela 4

Številski podatki o oknih

Okno [št.]

t1,j [s]

t2,j [s]

dj [km]

image

[km/h]

MCO2,j

[g]

MCO,j

[g]

MNOx,j

[g]

MCO2,d,j

[g/km]

MCO,d,j

[g/km]

MNOx,d,j

[g/km]

MCO2,d,cc ( image )

[g/km]

Okno (M/Z/A)

hj

[%]

wj

[%]

1

0

524

4,98

38,12

610,22

2,25

3,51

122,61

0,45

0,71

124,51

MESTNO

– 1,53

1,00

2

1

524

4,98

38,12

610,22

2,25

3,51

122,61

0,45

0,71

124,51

MESTNO

– 1,53

1,00

43

42

524

4,98

38,12

610,22

2,25

3,51

122,61

0,45

0,71

124,51

MESTNO

– 1,53

1,00

44

43

524

4,98

38,12

610,22

2,25

3,51

122,61

0,45

0,71

124,51

MESTNO

– 1,53

1,00

45

44

524

4,98

38,12

610,22

2,25

3,51

122,62

0,45

0,71

124,51

MESTNO

– 1,51

1,00

46

45

525

4,99

38,25

610,86

2,25

3,52

122,36

0,45

0,71

124,30

MESTNO

– 1,57

1,00

100

99

564

5,25

41,23

612,74

2,00

3,68

116,77

0,38

0,70

119,70

MESTNO

– 2,45

1,00

200

199

687

6,17

46,32

610,01

2,07

4,32

98,93

0,34

0,70

111,85

ZUNAJMESTNO

– 11,55

1,00

474

473

1 025

7,82

52,00

610,60

2,05

4,82

78,11

0,26

0,62

103,10

ZUNAJMESTNO

– 24,24

1,00

475

474

1 030

7,87

51,98

610,49

2,06

4,82

77,57

0,26

0,61

103,13

ZUNAJMESTNO

– 24,79

1,00

 

556

555

1 174

8,46

50,12

610,59

2,23

4,98

72,15

0,26

0,59

105,99

ZUNAJMESTNO

– 31,93

0,72

557

556

1 175

8,46

50,12

610,08

2,23

4,98

72,10

0,26

0,59

106,00

ZUNAJMESTNO

– 31,98

0,72

558

557

1 177

8,46

50,07

610,59

2,23

4,98

72,13

0,26

0,59

106,08

ZUNAJMESTNO

– 32,00

0,72

559

558

1 181

8,48

49,93

611,23

2,23

5,00

72,06

0,26

0,59

106,28

ZUNAJMESTNO

– 32,20

0,71

7.3    Mestna, zunajmestna in avtocestna okna – popolnost vožnje

V tem številskem primeru je vožnja sestavljena iz 7 036 oken povprečenja. V tabeli 5 je navedeno število oken, ki so opredeljena kot mestna, zunajmestna in avtocestna glede na povprečno hitrost vozila in razdeljena v območja glede na oddaljenost do značilne krivulje CO2. Vožnja je dokončana, ker od skupnega števila oken vsebuje najmanj 15 % mestnih, zunajmestnih in avtocestnih oken. Poleg tega je vožnja opredeljena kot normalna, ker je najmanj 50 % mestnih, zunajmestnih in avtocestnih oken znotraj primarnega dovoljenega odstopanja, določenega za značilno krivuljo.



Tabela 5

Preverjanje popolnosti in normalnosti vožnje

Vozni pogoji

Števila

Odstotek oken

vsa okna

mestna okna

1 909

1 909 /7 036 × 100 = 27,1 > 15

zunajmestna okna

2 011

2 011 /7 036 × 100 = 28,6 > 15

avtocestna okna

3 116

3 116 /7 036 × 100 = 44,3 > 15

skupaj

1 909 + 2 011 + 3 116 = 7 036

 

normalna okna

mestna okna

1 514

1 514 /1 909 × 100 = 79,3 > 50

zunajmestna okna

1 395

1 395 /2 011 × 100 = 69,4 > 50

avtocestna okna

2 708

2 708 /3 116 × 100 = 86,9 > 50

skupaj

1 514 + 1 395 + 2 708 = 5 617

 




Dodatek 6

Preverjanje dinamičnih pogojev vožnje z metodo 2 (diskretizacija glede na moč)

1.   UVOD

V tem dodatku je opisano ocenjevanje podatkov z metodo diskretizacije glede na moč, ki se v tem dodatku imenuje „ocenjevanje z normalizacijo na porazdelitev standardizirane frekvence moči (SPF)“.

2.   SIMBOLI, PARAMETRI IN ENOTE

ai

dejanski pospešek v časovnem koraku i, opredeljen z enačbo:

image

aref

referenčni pospešek za Pdrive, [0,45 m/s2]

DWLTC

odsek Veline iz WLTC

f0, f1, f2

koeficienti voznega upora

i

časovni korak za trenutne meritve, najmanjša razločljivost 1 Hz

j

razred moči na kolesu, j = 1–9

kWLTC

naklon Veline iz WLTC

mgas, i

trenutna masa sestavine izpušnih plinov „plin“ v časovnem koraku i, [g/s]

mgas, 3s, k

3-sekundno drseče povprečje masnega pretoka za sestavino izpušnih plinov „plin“ v časovnem koraku k, podanem v razločljivosti 1 Hz [g/s]

image

povprečna vrednost emisij sestavine izpušnih plinov v razredu moči na kolesu j, g/s

Mgas,d

emisije za določeno razdaljo za sestavino izpušnih plinov „plin“ [g/km]

p

faza WLTC (nizka, srednja, visoka in zelo visoka), p = 1–4

Pdrag

moč upora motorja pri pristopu Veline, pri čemer je vbrizgavanje goriva enako nič, [kW]

Prated

največja nazivna moč motorja, kot jo navede proizvajalec, [kW]

Prequired,i

moč, ki je potrebna, da se premagata cestna obremenitev in vztrajnost vozila v časovnem koraku i, [kW]

Pr,i

enako kot Prequired,i zgoraj, uporablja se v daljših enačbah

Pwot(nnorm)

krivulja moči pri polni obremenitvi, [kW]

Pc,j

meje razreda moči na kolesu za številko razreda j, [kW] (Pc,j, lower bound je spodnja meja in Pc,j, upper bound je zgornja meja)

Pc,norm, j

meje razreda moči na kolesu za razred j kot normalizirana vrednost moči, [–]

Pr, i

moč, ki je zahtevana na kolesu vozila, da se premagajo vozni upori v časovnem koraku i [kW]

Pw,3s,k

3-sekundno drseče povprečje moči, ki je zahtevana na kolesu vozila, da se premagajo vozni upori v časovnem koraku k v razločljivosti 1 Hz [kW]

Pdrive

zahtevana moč na pestu kolesa za vozilo pri referenčni hitrosti in pospešku [kW]

Pnorm

normalizirana zahtevana moč na pestu kolesa [–]

ti

skupni čas v koraku i, [s]

tc,j

časovni delež razreda moči na kolesu j, [ %]

ts

čas začetka faze WLTC p, [s]

te

čas konca faze WLTC p, [s]

TM

preskusna masa vozila, [kg]; navede se na oddelek: dejanska preskusna teža pri preskusu PEMS, teža vztrajnostnega razreda NEDC ali mase WLTP (TML, TMH ali TMind)

SPF

porazdelitev standardizirane frekvence moči

vi

dejanska hitrost vozila v časovnem koraku i, [km/h]

image

povprečna hitrost vozila v razredu moči na kolesu j, km/h

vref

referenčna hitrost za Pdrive, [70 km/h]

v3s,k

3-sekundno drseče povprečje hitrosti vozila v časovnem koraku k, [km/h]

3.   OCENJEVANJE IZMERJENIH EMISIJ S PORAZDELITVIJO STANDARDIZIRANE FREKVENCE MOČI NA KOLESU

Metoda diskretizacije glede na moč uporablja trenutne emisije onesnaževal, mgas, i (g/s), izračunane v skladu z Dodatkom 4.

Vrednosti mgas, i se razvrstijo v skladu z ustrezno močjo na kolesih in razvrščene povprečne emisije na razred moči se tehtajo, da se pridobijo vrednosti emisij za preskus z normalno porazdelitvijo moči v skladu z naslednjimi točkami.

3.1    Viri za dejansko moč na kolesu

Dejanska moč na kolesu Pr,i je skupna moč, ki je potrebna, da se premagajo zračni upor, kotalni upor, vzdolžna vztrajnost vozila in vrtilna vztrajnost koles.

Ko je izmerjen in zabeležen, se za signal moči na kolesu uporabi signal navora, ki izpolnjuje zahteve za linearnost iz točke 3.2 Dodatka 2.

Druga možnost je, da se dejanska moč na kolesu določi iz trenutnih emisij CO2 po postopku iz točke 4 tega dodatka.

3.2    Razvrstitev drsečih povprečij na mestne, zunajmestne in avtocestne

Standardne frekvence moči so opredeljene za mestno vožnjo in za celotno vožnjo (glej odstavek 3.4). Opravi se ločeno ocenjevanje emisij za celotno vožnjo in mestni del. Trisekundna drseča povprečja, izračunana v skladu z odstavkom 3.3, se zato pozneje dodelijo mestnim in zunajmestnim voznim pogojem v skladu s signalom hitrosti (v3s,k) iz tabele 1-1.



Tabela 1-1

Območja hitrosti za dodelitev preskusnih podatkov mestnim, zunajmestnim in avtocestnim pogojem v metodi diskretizacije glede na moč

 

Mestni pogoji

Zunajmestni pogoji (1)

Avtocestni pogoji (1)

v3s,k [km/h]

0 do ≤ 60

> 60 do ≤ 90

> 90

(1)   Za ocenjevanje je treba trisekundna drseča povprečja pozneje samo razvrstiti v dogodke pri pogojih mestne hitrosti za „mestni“ del vožnje. Pri „celotni“ vožnji se vsa trisekundna drseča povprečja uporabljajo neodvisno od hitrosti.

pri čemer je

v3s,k

3-sekundno drseče povprečje hitrosti vozila v časovnem koraku k, [km/h],

k

časovni korak za vrednosti drsečih povprečij.

3.3    Izračun drsečih povprečij trenutnih preskusnih podatkov

Trisekundna drseča povprečja se izračunajo iz vseh relevantnih trenutnih preskusnih podatkov, da se zmanjša vpliv morebitne nepopolne časovne uskladitve med masnim pretokom emisij in močjo na kolesu. Vrednosti drsečih povprečij se računajo s frekvenco 1 Hz:

image

image

image

pri čemer je

k

časovni korak za vrednosti drsečih povprečij,

i

časovni korak za trenutne preskusne podatke.

3.4    Določitev razredov moči na kolesu za razvrstitev emisij

3.4.1

Razredi moči in ustrezni časovni deleži razredov moči pri običajni vožnji so določeni za normalizirane vrednosti moči, ki so reprezentativne za katero koli lahko gospodarsko vozilo (tabela 1–2).



Tabela 1-2

Normalizirane standardne frekvence moči za mestno vožnjo in za tehtano povprečje za celotno vožnjo, sestavljeno iz 1/3 mestne, 1/3 zunajmestne in 1/3 avtocestne vožnje

Št. razreda moči

Pc,norm,j [–]

Mestna vožnja

Celotna vožnja

od >

do ≤

časovni delež, tC,j

1

 

– 0,1

21,9700 %

18,5611 %

2

– 0,1

0,1

28,7900 %

21,8580 %

3

0,1

1

44,0000 %

43,45 %

4

1

1,9

4,7400 %

13,2690 %

5

1,9

2,8

0,4500 %

2,3767 %

6

2,8

3,7

0,0450 %

0,4232 %

7

3,7

4,6

0,0040 %

0,0511 %

8

4,6

5,5

0,0004 %

0,0024 %

9

5,5

 

0,0003 %

0,0003 %

Stolpca Pc,norm v tabeli 1–2 se denormalizirata tako, da se pomnožita s Pdrive, pri čemer je Pdrive dejanska moč na kolesu preskušenega avtomobila pri homologacijskih nastavitvah na dinamometru z valji pri vref in aref.

Pc,j [kW] = Pc,norm, j × Pdrive

image

pri čemer je

 j indeks razreda moči v skladu s tabelo 1–2,

 koeficiente voznega upora f0, f1, f2 je treba izračunati z analizo regresije najmanjših kvadratov na podlagi naslednje formule:

  Ppopravljena/v = f0 + f1 × v + f2 × v2,

 pri čemer je (Ppopravljena/v) sila cestne obremenitve pri hitrosti vozila v za cikel preskusa NEDC, opredeljena v točki 5.1.1.2.8 Dodatka 7 k Prilogi 4a Pravilnika UN/ECE št. 83, spremembe 07,

 TMNEDC vztrajnostni razred vozila v homologacijskem preskusu, [kg].

3.4.2

Popravek razredov moči na kolesu

Najvišji razred moči na kolesu, ki se upošteva, je najvišji razred v tabeli 1–2, ki vključuje (Prated × 0,9). Časovni deleži vseh izključenih razredov se dodajo najvišjemu preostalemu razredu.

Iz vsake vrednosti Pc,norm,j se izračuna ustrezna vrednost Pc,j, da se določita zgornja in spodnja meja v kW na razred moči na kolesu za preskušeno vozilo, kot je prikazano na sliki 1.

image

Primer te denormalizacije je naveden spodaj.

Primer vhodnih podatkov:



Parameter

Vrednost

f0 [N]

79,19

f1 [N/(km/h)]

0,73

f2 [N/(km/h)2]

0,03

TM [kg]

1 470

Prated [kW]

120 (primer 1)

Prated [kW]

75 (primer 2)

Ustrezni rezultati:

Pdrive = 70 [km/h]/3,6 × (79,19 + 0,73 [N/(km/h)] × 70 [km/h] + 0,03 [N/(km/h)2] × (70 [km/h])2 + 1 470 [kg] × 0,45 [m/s2]) × 0,001

Pdrive = 18,25 kW



Tabela 2

Denormalizirane vrednosti standardne frekvence moči iz tabele 1-2 (za primer 1)

Št. razreda moči

Pc,j [kW]

Mestna vožnja

Celotna vožnja

od >

do ≤

časovni delež, tC,j [%]

1

vse < – 1,825

– 1,825

21,97 %

18,5611 %

2

– 1,825

1,825

28,79 %

21,8580 %

3

1,825

18,25

44,00 %

43,4583 %

4

18,25

34,675

4,74 %

13,2690 %

5

34,675

51,1

0,45 %

2,3767 %

6

51,1

67,525

0,045 %

0,4232 %

7

67,525

83,95

0,004 %

0,0511 %

8

83,95

100,375

0,0004 %

0,0024 %

(1)

100,375

vse > 100,375

0,00025 %

0,0003 %

(1)   Najvišji razred moči na kolesu, ki se upošteva, je tisti, ki vsebuje 0,9 × Prated. V tem primeru je to 0,9 × 120 = 108.



Tabela 3

Denormalizirane vrednosti standardne frekvence moči iz tabele 1-2 (za primer 2)

Št. razreda moči

Pc,j [kW]

Mestna vožnja

Celotna vožnja

od >

do ≤

časovni delež, tC,j [%]

1

vse < – 1,825

– 1,825

21,97 %

18,5611 %

2

– 1,825

1,825

28,79 %

21,8580 %

3

1,825

18,25

44,00 %

43,4583 %

4

18,25

34,675

4,74 %

13,2690 %

5

34,675

51,1

0,45 %

2,3767 %

(1)

51,1

vse > 51,1

0,04965 %

0,4770 %

7

67,525

83,95

8

83,95

100,375

9

100,375

vse > 100,375

(1)   Najvišji razred moči na kolesu, ki se upošteva, je tisti, ki vsebuje 0,9 × Prated. V tem primeru je to 0,9 × 75 = 67,5.

3.5    Razvrstitev vrednosti drsečih povprečij

Vsaka vrednost drsečega povprečja, izračunana v skladu s točko 3.2, se razvrsti v denormaliziran razred moči na kolesu, v katerega se prilega dejansko 3-sekundno drseče povprečje moči na kolesu Pw,3s,k. Meje denormaliziranega razreda moči na kolesu se izračunajo v skladu s točko 3.3.

Razvrstitev se opravi za vsa trisekundna drseča povprečja vseh veljavnih podatkov vožnje in tudi za vse mestne dele vožnje. Dodatno se vsa drseča povprečja, razvrščena v mestno vožnjo v skladu z omejitvami hitrosti iz tabele 1-1, razvrstijo v en nabor razredov moči mestnega dela neodvisno od časa, ob katerem se je drseče povprečje pojavilo v vožnji.

Nato se za vsak razred moči na kolesu na parameter izračuna povprečje vseh vrednosti trisekundnih drsečih povprečij v razredu moči na kolesu. Enačbe so opisane spodaj in se uporabijo enkrat za nabor podatkov mestne vožnje in enkrat za nabor podatkov celotne vožnje.

Razvrstitev vrednosti 3-sekundnih drsečih povprečij v razred moči j (j = 1–9):

if image

potem: indeks razreda za emisije in hitrost = j

Število vrednosti 3-sekundnih drsečih povprečij se šteje za vsak razred moči:

if image

potem: štetjaj = n + 1 (štetjaj pomeni štetje števila vrednosti emisij 3-sekundnega drsečega povprečja v razredu moči za poznejše preverjanje zahtev za najmanjšo pokritost)

3.6    Preverjanje pokritosti razreda moči in normalnosti porazdelitve moči

Preskus je veljaven, če so časovni deleži posameznih razredov moči na kolesu v območjih iz tabele 4.



Tabela 4

Najmanjši in največji deleži na razred moči za veljavni preskus

 

Pc,norm,j [–]

Celotna vožnja

Mestni deli vožnje

Št. razreda moči

od >

do ≤

spodnja meja

zgornja meja

spodnja meja

zgornja meja

vsota 1 + 2 (1)

 

0,1

15 %

60 %

5 % (1)

60 %

3

0,1

1

35 %

50 %

28 %

50 %

4

1

1,9

7 %

25 %

0,7 %

25 %

5

1,9

2,8

1,0 %

10 %

> 5 štetij

5 %

6

2,8

3,7

> 5 štetij

2,5 %

0 %

2 %

7

3,7

4,6

0 %

1,0 %

0 %

1 %

8

4,6

5,5

0 %

0,5 %

0 %

0,5 %

9

5,5

 

0 %

0,25 %

0 %

0,25 %

(1)   Skupna vrednost delovanja motorja in pogojev majhne moči.

Poleg zahtev iz tabele 4 se zahteva najmanjša pokritost 5 štetij za celotno vožnjo v vsakem razredu moči na kolesu do razreda, ki vsebuje 90 % nazivne moči, da se zagotovi zadostna velikost vzorca.

Za mestni del vožnje se v vsakem razredu moči na kolesu do razreda št. 5 zahteva najmanjša pokritost 5 štetij. Če je število štetij v mestnem delu vožnje v razredu moči na kolesu nad št. 5 manjše od 5, se povprečna vrednost emisij razreda nastavi na nič.

3.7    Povprečenje izmerjenih vrednosti na razred moči na kolesu

Drseča povprečja, razvrščena v vsak razred moči na kolesu, se povprečijo na naslednji način:

image

image

pri čemer je

j

razred moči na kolesu od 1 do 9 v skladu s tabelo 1,

image

povprečna vrednost emisij sestavine izpušnih plinov v razredu moči na kolesu (ločena vrednost za podatke celotne vožnje in za mestne dele vožnje), [g/s],

image

povprečna hitrost v razredu moči na kolesu (ločena vrednost za podatke celotne vožnje in za mestne dele vožnje), [km/h],

k

časovni korak za vrednosti drsečih povprečij.

3.8    Tehtanje povprečnih vrednosti na razred moči na kolesu

Povprečne vrednosti vsakega razreda moči na kolesu se pomnožijo s časovnim deležem (tC,j) na razred v skladu s tabelo 1–2 in seštejejo, da se izračuna tehtana povprečna vrednost za vsak parameter. Ta vrednost je tehtani rezultat za vožnjo s standardiziranimi frekvencami moči. Tehtana povprečja se izračunajo za mestni del preskusnih podatkov z uporabo časovnih deležev za porazdelitev moči mestnega dela in za celotno vožnjo z uporabo časovnih deležev za celoto.

Enačbe so opisane spodaj in se uporabijo enkrat za nabor podatkov mestne vožnje in enkrat za nabor podatkov celotne vožnje.

image

image

3.9    Izračun tehtane vrednosti emisij za določeno razdaljo

Tehtana povprečja emisij na osnovi časa v preskusu se pretvorijo v emisije na osnovi razdalje enkrat za nabor podatkov mestne vožnje in enkrat za nabor podatkov celotne vožnje na naslednji način:

image

S to formulo se izračunajo tehtana povprečja za naslednja onesnaževala:

Mw,NOx,d

tehtani rezultat preskusa NOx v [mg/km],

Mw,CO,d

tehtani rezultat preskusa CO v [mg/km].

4.   OCENA MOČI NA KOLESU IZ TRENUTNEGA MASNEGA PRETOKA CO2

Moč na kolesih (Pw,i) se lahko izračuna iz izmerjenega masnega pretoka CO2 na 1-Hz osnovi. Za ta izračun se uporabijo premice CO2 za določeno vozilo („Veline“).

Veline se izračuna iz homologacijskega preskusa vozila v WLTC v skladu s preskusnim postopkom, opisanim v globalnem tehničnem pravilniku UN/ECE št. 15 – globalno usklajeni preskusni postopek za lahka vozila (ECE/TRANS/180/Add.15).

Povprečna moč na kolesu na fazo WLTC se izračuna na 1-Hz osnovi iz vozne hitrosti in iz nastavitev dinamometra z valji. Vse vrednosti moči na kolesu, nižje od moči upora, se nastavijo na vrednost moči upora.

image

pri čemer so

f0, f1, f2

koeficienti cestne obremenitve, uporabljeni v preskusu WLTP, opravljenem z vozilom,

TM

preskusna masa vozila v preskusu WLTP, opravljenem z vozilom, v [kg].

P drag = – 0,04 × P rated

if Pw,i < Pdrag then Pw,i = Pdrag

Povprečna moč na fazo WLTC se izračuna iz 1-Hz moči na kolesu z naslednjo enačbo:

image

pri čemer je

p

faza WLTC (nizka, srednja, visoka in zelo visoka),

ts

čas začetka faze WLTC p, [s],

te

čas konca faze WLTC p, [s].

Nato se izvede linearna regresija z masnim pretokom CO2 iz vrednosti vreče WLTC na osi y in iz povprečne moči na kolesu Pw,p na fazo na osi x, kot je prikazano na sliki 2.

Dobljena enačba Veline opredeljuje masni pretok CO2 kot funkcijo moči na kolesu:



image

CO2 v [g/h]

pri čemer je

kWLTC

naklon Veline iz WLTC, [g/kWh],

DWLTC

odsek Veline iz WLTC, [g/h].

Slika 2

Shematska slika določitve Veline za določeno vozilo iz rezultatov preskusa CO2 v 4 fazah WLTC

image

Dejanska moč na kolesu se izračuna iz izmerjenega masnega pretoka CO2 z naslednjo enačbo:

image

pri čemer je

vrednost CO2 navedena v [g/h] in

vrednost PW,j navedena v [kW].

Zgornjo enačbo je mogoče uporabiti za izračun vrednosti PWi za razvrstitev izmerjenih emisij, kot je opisano v točki 3, pri čemer izračun vključuje naslednje dodatne pogoje:



če je vi < 0,5 in če je ai < 0, potem je Pw,i = 0

v v [m/s],

če je CO2i < 0,5 X DWLTC, potem je Pw,i = Pdrag

v v [m/s].




Dodatek 7

Izbira vozil za preskušanje PEMS pri prvotni homologaciji

1.   UVOD

Preskusov PEMS zaradi njihovih posebnih značilnosti ni treba izvesti za vsak „tip vozila glede na emisije ter informacije o popravilu in vzdrževanju vozila“, kot je opredeljeno v členu 2(1) te uredbe, ki se v nadaljevanju imenuje „tip vozila glede na emisije“. Proizvajalec vozila lahko združi več tipov vozila glede na emisije in ustvari „družino preskusov PEMS“ v skladu z zahtevami iz točke 3, ki se validirajo v skladu z zahtevami iz točke 4.

2.   SIMBOLI, PARAMETRI IN ENOTE

N

število tipov vozila glede na emisije

NT

najmanjše število tipov vozila glede na emisije

PMRH

največje razmerje moči in mase med vsemi vozili v družini preskusov PEMS

PMRL

najmanjše razmerje moči in mase med vsemi vozili v družini preskusov PEMS

V_eng_max

največja prostornina motorja med vsemi vozili v družini preskusov PEMS

3.   SESTAVLJANJE DRUŽINE PRESKUSOV PEMS

Družina preskusov PEMS vključuje vozila s podobnimi emisijskimi značilnostmi. Tipi vozila glede na emisije so lahko po izbiri proizvajalca vključeni v družino preskusov PEMS samo, če so enaki glede značilnosti iz točk 3.1 in 3.2.

3.1    Upravna merila

3.1.1

Homologacijski organ, ki izda homologacijo glede emisij v skladu z Uredbo (ES) 715/2007

3.1.2

Posamezni proizvajalec vozila

3.2    Tehnična merila

3.2.1

Tip pogona (npr. ICE, HEV, PHEV)

3.2.2

Tipi goriv (npr. bencin, dizelsko gorivo, UNP, ZP …). Vozila z dvogorivnim motorjem ali vozila s prilagodljivim tipom goriva so lahko združena z drugimi vozili, s katerimi imajo skupno eno gorivo.

3.2.3

Proces zgorevanja (npr. dvotaktni, štiritaktni)

3.2.4

Število valjev

3.2.5

Konfiguracija valjev v bloku (npr. vrstni motor, V-motor, radialni motor, motor z nasprotno ležečimi valji)

3.2.6

Prostornina motorja

Proizvajalec vozila določi vrednost V_eng_max (= največja prostornina motorja med vsemi vozili v družini preskusov PEMS). Prostornine motorjev vozil v družini preskusov PEMS ne odstopajo za več kot – 22 % od vrednosti V_eng_max, če je V_eng_max ≥ 1 500  ccm, in – 32 % od vrednosti V_eng_max, če je V_eng_max < 1 500  ccm.

3.2.7

Način dovoda goriva v motor (npr. posredno ali neposredno ali kombinirano vbrizgavanje)

3.2.8

Vrsta hladilnega sistema (npr. zrak, voda, olje)

3.2.9

Način dovoda zraka, npr. sesalni motor, tlačno polnjeni, tip tlačnega pomnilnika (npr. z zunanjim pogonom, enojni ali večkratni turbo, spremenljive geometrije …)

3.2.10

Tipi in zaporedje sestavnih delov za naknadno obdelavo izpušnih plinov (npr. tristezni katalizator, oksidacijski katalizator, redukcijski lovilnik NOx, SCR, redukcijski katalizator NOx, filter za delce)

3.2.11

Vračanje izpušnih plinov (z ali brez, notranje/zunanje, hlajeno/nehlajeno, nizki/visoki tlak)

3.3    Razširitev družine preskusov PEMS

Obstoječo družino preskusov PEMS je mogoče razširiti z dodajanjem novih tipov vozila glede na emisije. Tudi razširjena družina preskusov PEMS in njena validacija morata izpolnjevati zahteve iz točk 3 in 4. To lahko zlasti zahteva preskušanje PEMS dodatnih vozil za validiranje razširjene družine preskusov PEMS v skladu s točko 4.

3.4    Alternativna družina preskusov PEMS

Kot alternativo določbam iz točk 3.1 in 3.2 lahko proizvajalec vozila določi družino preskusov PEMS, ki je enaka enemu tipu vozila glede na emisije. Pri tem zahteva iz točke 4.1.2 za validiranje družine preskusov PEMS ne velja.

4.   VALIDACIJA DRUŽINE PRESKUSOV PEMS

4.1    Splošne zahteve za validiranje družine preskusov PEMS

4.1.1

Proizvajalec vozila predloži homologacijskemu organu reprezentativno vozilo družine preskusov PEMS. Na vozilu se opravi preskus PEMS, ki ga izvede tehnična služba, da se dokaže skladnost reprezentativnega vozila z zahtevami iz te priloge.

4.1.2

Organ, odgovoren za izdajo homologacije glede emisij v skladu z Uredbo (ES) št. 715/2007, izbere dodatna vozila v skladu z zahtevami iz točke 4.2 tega dodatka za preskušanje PEMS, ki ga izvede tehnična služba, da se dokaže skladnost izbranih vozil z zahtevami iz te priloge. Z rezultati preskusa se zabeležijo tehnična merila za izbiro dodatnega vozila v skladu s točko 4.2 tega dodatka.

4.1.3

Če to odobri homologacijski organ, je mogoče preskus PEMS izvesti tudi z drugim izvajalcem v prisotnosti tehnične službe pod pogojem, da tehnična služba izvede vsaj preskuse vozil, zahtevane v točkah 4.2.2 in 4.2.6 tega dodatka, in skupaj najmanj 50 % preskusov PEMS, ki jih zahteva ta dodatek za validiranje družine preskusov PEMS. V tem primeru ostane tehnična služba odgovorna za pravilno izvedbo preskusa PEMS v skladu z zahtevami iz te priloge.

4.1.4

Rezultati preskusa PEMS za določeno vozilo se lahko uporabijo za validiranje različnih družin preskusov PEMS v skladu z zahtevami iz tega dodatka pod naslednjimi pogoji:

 vozila, vključena v vse družine preskusov PEMS, ki jih je treba validirati, homologira en organ v skladu z zahtevami iz Uredbe (ES) 715/2007 in ta organ soglaša z uporabo rezultatov preskusa PEMS za določeno vozilo za validiranje različnih družin preskusov PEMS,

 vsaka družina preskusov PEMS, ki jo je treba validirati, vključuje tip vozila glede na emisije, ki vključuje določeno vozilo;

Pri vsaki validaciji se šteje, da proizvajalec vozil v zadevni družini nosi veljavne odgovornosti ne glede na to, ali je ta proizvajalec sodeloval pri preskusu PEMS določenega tipa vozila glede na emisije.

4.2    Izbira vozil za preskušanje PEMS pri validiranju družine preskusov PEMS

Z izbiro vozil iz družine preskusov PEMS naj bi se zagotovilo, da so s preskusom PEMS pokrite naslednje tehnične značilnosti, pomembne za emisije onesnaževal. Eno vozilo, izbrano za preskušanje, je lahko reprezentativno za različne tehnične značilnosti. Za validacijo družine preskusov PEMS se vozila izberejo za preskušanje PEMS na naslednji način:

4.2.1

Za vsako kombinacijo goriv (npr. bencin-UNP, bencin-ZP, samo bencin), na katero lahko delujejo nekatera vozila iz družine preskusov PEMS, se za preskušanje PEMS izbere najmanj eno vozilo, ki lahko deluje na to kombinacijo goriv.

4.2.2

Proizvajalec določi vrednost PMRH (= največje razmerje moči in mase med vsemi vozili v družini preskusov PEMS) in vrednost PMRL (= najmanjše razmerje moči in mase med vsemi vozili v družini preskusov PEMS). Tukaj „razmerje moči in mase“ ustreza razmerju največje neto moči motorja z notranjim zgorevanjem iz točke 3.2.1.8 Dodatka 3 Priloge I k tej uredbi in referenčne mase iz člena 3(3) Uredbe (ES) št. 715/2007. Za preskušanje se iz družine preskusov PEMS izbereta najmanj ena konfiguracija vozila, reprezentativna za navedeno vrednost PMRH, in ena konfiguracija vozila, reprezentativna za navedeno vrednost PMRL. Če razmerje moči in mase vozila odstopa za največ 5 % od navedene vrednosti PMRH ali PMRL, se vozilo šteje za reprezentativno za to vrednost.

4.2.3

Za preskušanje se izbere najmanj eno vozilo za vsak tip menjalnika (npr. ročni, samodejni, DCT), vgrajen v vozila družine preskusov PEMS.

4.2.4

Za preskušanje se izbere najmanj eno vozilo s štirikolesnim pogonom (vozilo 4×4), če so takšna vozila del družine preskusov PEMS.

4.2.5

Za vsako prostornino motorja vozila v družini PEMS se preskusi najmanj eno reprezentativno vozilo.

4.2.6

Za preskušanje se izbere najmanj eno vozilo za vsako število vgrajenih sestavnih delov za naknadno obdelavo izpušnih plinov.

4.2.7

Ne glede na določbe iz točk od 4.2.1 do 4.2.6 se za preskušanje izbere najmanj naslednje število tipov vozila glede na emisije navedene družine preskusov PEMS:



Število N tipov vozila glede na emisije v družini preskusov PEMS

Najmanjše število NT tipov vozila glede na emisije, izbranih za preskušanje PEMS

1

1

od 2 do 4

2

od 5 do 7

3

od 8 do 10

4

od 11 do 49

NT = 3 + 0,1 × N (1)

več kot 49

NT = 0,15 × N (1)

(1)   NT se zaokroži na naslednje višje celo število.

5.   POROČANJE

5.1

Proizvajalec vozila zagotovi popoln opis družine preskusov PEMS, ki vključuje zlasti tehnična merila iz točke 3.2, in ga predloži odgovornemu homologacijskemu organu.

5.2

Proizvajalec družini preskusov PEMS dodeli enotno identifikacijsko številko v obliki MS-OEM-X-Y, ki jo sporoči homologacijskemu organu. Tukaj je MS številčna oznaka države članice, ki je izdala homologacijo ES ( 56 ), OEM je 3-mestna oznaka proizvajalca, X je zaporedna identifikacijska številka prvotne družine preskusov PEMS in Y je številčna oznaka za njene razširitve (začne se z 0 za družino preskusov PEMS, ki še ni razširjena).

5.3

Homologacijski organ in proizvajalec vozila vzdržujeta seznam tipov vozila glede na emisije, ki so del navedene družine preskusov PEMS na osnovi homologacijskih številk tipov emisij. Za vsak tip emisij se zagotovijo tudi vse ustrezne kombinacije homologacijskih številk tipov vozil, tipov, variant in izvedenk iz oddelkov 0.10 in 0.2 izjave o skladnosti ES za vozilo.

5.4

Homologacijski organ in proizvajalec vozila vzdržujeta seznam tipov vozila glede na emisije, izbranih za preskušanje PEMS, da se izvede validacija družine preskusov PEMS v skladu s točko 4, ki vsebuje tudi zahtevane informacije o pokritosti meril za izbiro iz točke 4.2. Na tem seznamu je navedeno tudi, ali so bile za posamezen preskus PEMS uporabljene določbe iz točke 4.1.3.




Dodatek 8

Zahteve za izmenjavo podatkov in poročanje

1.   UVOD

V tem dodatku so opisane zahteve za izmenjavo podatkov med merilnimi sistemi in programsko opremo za ocenjevanje podatkov ter za poročanje in izmenjavo vmesnih in končnih rezultatov po izvedbi ocenjevanja podatkov.

Pri izmenjavi in poročanju obveznih in neobveznih parametrov se upoštevajo zahteve iz točke 3.2 Dodatka 1. Podatki, navedeni v datotekah za izmenjavo in poročanje iz točke 3, se poročajo, da se zagotovi popolna sledljivost končnih rezultatov.

2.   SIMBOLI, PARAMETRI IN ENOTE

a 1

koeficient značilne krivulje CO2

b 1

koeficient značilne krivulje CO2

a 2

koeficient značilne krivulje CO2

b 2

koeficient značilne krivulje CO2

k 11

koeficient funkcije tehtanja

k 12

koeficient funkcije tehtanja

k 21

koeficient funkcije tehtanja

k 22

koeficient funkcije tehtanja

tol 1

primarno dovoljeno odstopanje

tol 2

sekundarno dovoljeno odstopanje

3.   OBLIKA ZAPISA ZA IZMENJAVO PODATKOV IN POROČANJE

3.1    Splošno

Vrednosti emisij in drugi pomembni parametri se poročajo in izmenjujejo v podatkovni datoteki csv. Vrednosti parametrov so ločene z vejico, koda ASCII #h2C. Decimalno ločilo številskih vrednosti je pika, koda ASCII #h2E. Vrstice so zaključene s prehodom v novo vrstico, koda ASCII #h0D. Ločila tisočic se ne uporabljajo.

3.2    Izmenjava podatkov

Podatki se med merilnimi sistemi in programsko opremo za ocenjevanje podatkov izmenjujejo s standardizirano datoteko za poročanje, ki vsebuje minimalni nabor obveznih in neobveznih parametrov. Datoteka za izmenjavo podatkov je zgrajena na naslednji način: prvih 195 vrstic je rezerviranih za glavo, v kateri so posebne informacije o npr. preskusnih pogojih, identiteti in umerjanju opreme PEMS (tabela 1). Vrstice 198–200 vsebujejo oznake in enote parametrov. Vrstica 201 in vse naslednje podatkovne vrstice sestavljajo telo datoteke za izmenjavo podatkov in vrednosti parametrov za poročanje (tabela 2). Telo datoteke za izmenjavo podatkov vsebuje najmanj toliko podatkovnih vrstic, kot znaša trajanje preskusa v sekundah, pomnoženo s frekvenco zapisovanja v hercih.

3.3    Vmesni in končni rezultati

Proizvajalci zapišejo zbirne parametre vmesnih rezultatov tako, kot je prikazano v tabeli 3. Informacije v tabeli 3 se pridobijo pred uporabo metod za ocenjevanje podatkov iz dodatkov 5 in 6.

Proizvajalec vozila zapiše rezultate obeh metod za ocenjevanje podatkov v ločene datoteke. Rezultati ocenjevanja podatkov z metodo iz Dodatka 5 se poročajo v skladu s tabelami 4, 5 in 6. Rezultati ocenjevanja podatkov z metodo iz Dodatka 6 se poročajo v skladu s tabelami 7, 8 in 9. Glava datoteke za poročanje podatkov je sestavljena iz treh delov. Prvih 95 vrstic je rezerviranih za posebne informacije o nastavitvah metode za ocenjevanje podatkov. V vrsticah 101–195 se poročajo rezultati metode za ocenjevanje podatkov. Vrstice 201–490 so rezervirane za poročanje končnih rezultatov emisij. Vrstica 501 in vse naslednje podatkovne vrstice sestavljajo telo datoteke za poročanje podatkov in vsebujejo podrobne rezultate ocenjevanja podatkov.

4.   TABELE ZA TEHNIČNO POROČANJE

4.1    Izmenjava podatkov



Tabela 1

Glava datoteke za izmenjavo podatkov

Vrstica

Parameter

Opis/enota

1

ID PRESKUSA

[koda]

2

datum preskusa

[dan.mesec.leto]

3

organizacija, ki nadzoruje preskus

[ime organizacije]

4

lokacija preskusa

[mesto, država]

5

oseba, ki nadzoruje preskus

[ime glavnega nadzornika]

6

voznik vozila

[ime voznika]

7

tip vozila

[ime vozila]

8

proizvajalec vozila

[ime]

9

modelno leto vozila

[leto]

10

ID vozila

[koda VIN]

11

vrednost na števcu prevoženih kilometrov na začetku preskusa

[km]

12

vrednost na števcu prevoženih kilometrov na koncu preskusa

[km]

13

kategorija vozila

[kategorija]

14

mejna vrednost emisij za homologacijo

[Euro X]

15

tip motorja

[npr. s prisilnim vžigom, s kompresijskim vžigom]

16

nazivna moč motorja

[kW]

17

največji navor

[Nm]

18

delovna prostornina motorja

[ccm]

19

menjalnik

[npr. ročni, samodejni]

20

število prestav za vožnjo naprej

[#]

21

gorivo

[npr. bencin, dizelsko gorivo]

22

mazivo

[oznaka izdelka]

23

velikost pnevmatik

[širina/višina/premer platišča]

24

tlak v pnevmatikah na sprednji in zadnji osi

[bar; bar]

25

parametri cestne obremenitve

[F0, F1, F2]

26

cikel homologacijskega preskusa

[NEDC, WLTC]

27

emisije CO2 za homologacijo

[g/km]

28

emisije CO2 v nizkem načinu WLTC

[g/km]

29

emisije CO2 v srednjem načinu WLTC

[g/km]

30

emisije CO2 v visokem načinu WLTC

[g/km]

31

emisije CO2 v zelo visokem načinu WLTC

[g/km]

32

preskusna masa vozila (1)

[kg; % (2)]

33

proizvajalec prenosnega sistema za merjenje emisij (PEMS)

[ime]

34

tip prenosnega sistema za merjenje emisij

[ime prenosnega sistema za merjenje emisij]

35

serijska številka prenosnega sistema za merjenje emisij

[številka]

36

napajanje prenosnega sistema za merjenje emisij

[npr. tip baterije]

37

proizvajalec analizatorja plinov

[ime]

38

tip analizatorja plinov

[tip]

39

serijska številka analizatorja plinov

[številka]

40–50 (3)

51

proizvajalec merilnika masnega pretoka izpušnih plinov (EFM) (4)

[ime]

52

tip tipala merilnika masnega pretoka izpušnih plinov (4)

[princip delovanja]

53

serijska številka merilnika masnega pretoka izpušnih plinov (4)

[številka]

54

vir masnega pretoka izpušnih plinov

[merilnik masnega pretoka izpušnih plinov/krmilna enota motorja (ECU)/tipalo]

55

tipalo zračnega tlaka

[tip, proizvajalec]

56

datum preskusa

[dan.mesec.leto]

57

čas začetka postopka pred preskusom

[u:min]

58

čas začetka vožnje

[u:min]

59

čas začetka postopka po preskusu

[u:min]

60

čas konca postopka pred preskusom

[u:min]

61

čas konca vožnje

[u:min]

62

čas konca postopka po preskusu

[u:min]

63–70 (5)

71

časovno popravljanje: premik THC

[s]

72

časovno popravljanje: premik CH4

[s]

73

časovno popravljanje: premik NMHC

[s]

74

časovno popravljanje: premik O2

[s]

75

časovno popravljanje: premik PN

[s]

76

časovno popravljanje: premik CO

[s]

77

časovno popravljanje: premik CO2

[s]

78

časovno popravljanje: premik NO

[s]

79

časovno popravljanje: premik NO2

[s]

80

časovno popravljanje: premik masnega pretoka izpušnih plinov

[s]

81

razponska referenčna vrednost THC

[ppm]

82

razponska referenčna vrednost CH4

[ppm]

83

razponska referenčna vrednost NMHC

[ppm]

84

razponska referenčna vrednost O2

[%]

85

razponska referenčna vrednost PN

[#]

86

razponska referenčna vrednost CO

[ppm]

87

razponska referenčna vrednost CO2

[%]

88

razponska referenčna vrednost NO

[ppm]

89

razponska referenčna vrednost NO2

[ppm]

90–95 (5)

96

ničelni odziv pred preskusom, THC

[ppm]

97

ničelni odziv pred preskusom, CH4

[ppm]

98

ničelni odziv pred preskusom, NMHC

[ppm]

99

ničelni odziv pred preskusom, O2

[%]

100

ničelni odziv pred preskusom, PN

[#]

101

ničelni odziv pred preskusom, CO

[ppm]

102

ničelni odziv pred preskusom, CO2

[%]

103

ničelni odziv pred preskusom, NO

[ppm]

104

ničelni odziv pred preskusom, NO2

[ppm]

105

razponski odziv pred preskusom, THC

[ppm]

106

razponski odziv pred preskusom, CH4

[ppm]

107

razponski odziv pred preskusom, NMHC

[ppm]

108

razponski odziv pred preskusom, O2

[%]

109

razponski odziv pred preskusom, PN

[#]

110

razponski odziv pred preskusom, CO

[ppm]

111

razponski odziv pred preskusom, CO2

[%]

112

razponski odziv pred preskusom, NO

[ppm]

113

razponski odziv pred preskusom, NO2

[ppm]

114

ničelni odziv po preskusu, THC

[ppm]

115

ničelni odziv po preskusu, CH4

[ppm]

116

ničelni odziv po preskusu, NMHC

[ppm]

117

ničelni odziv po preskusu, O2

[%]

118

ničelni odziv po preskusu, PN

[#]

119

ničelni odziv po preskusu, CO

[ppm]

120

ničelni odziv po preskusu, CO2

[%]

121

ničelni odziv po preskusu, NO

[ppm]

122

ničelni odziv po preskusu, NO2

[ppm]

123

razponski odziv po preskusu, THC

[ppm]

124

razponski odziv po preskusu, CH4

[ppm]

125

razponski odziv po preskusu, NMHC

[ppm]

126

razponski odziv po preskusu, O2

[%]

127

razponski odziv po preskusu, PN

[#]

128

razponski odziv po preskusu, CO

[ppm]

129

razponski odziv po preskusu, CO2

[%]

130

razponski odziv po preskusu, NO

[ppm]

131

razponski odziv po preskusu, NO2

[ppm]

132

validacija PEMS – rezultati THC

[mg/km; %] (6)

133

validacija PEMS – rezultati CH4

[mg/km; %] (6)

134

validacija PEMS – rezultati NMHC

[mg/km; %] (6)

135

validacija PEMS – rezultati PN

[#/km; %] (6)

136

validacija PEMS – rezultati CO

[mg/km; %] (6)

137

validacija PEMS – rezultati CO2

[g/km; %] (6)

138

validacija PEMS – rezultati NOX

[mg/km; %] (6)

… (7)

… (7)

… (7)

(1)   Masa vozila pri preskusu na cesti, vključno z maso voznika in vseh sestavnih delov prenosnega sistema za merjenje emisij (PEMS).

(2)   Odstotek prikazuje odstopanje od največje dovoljene mase vozila.

(3)   Označba mesta za dodatne informacije o proizvajalcu in serijski številki analizatorja, če se uporablja več analizatorjev. Število rezerviranih vrstic je samo okvirno; v zaključeni datoteki za poročanje podatkov ne sme biti praznih vrstic.

(4)   Obvezno, če je masni pretok izpušnih plinov določen z merilnikom masnega pretoka izpušnih plinov.

(5)   Po potrebi je tukaj mogoče dodati dodatne informacije.

(6)   Validacija PEMS je neobvezna; s PEMS se merijo emisije za določeno razdaljo; odstotek prikazuje odstopanje od laboratorijske reference.

(7)   Za opredelitev in označitev preskusa je mogoče dodati dodatne parametre do vrstice 195.



Tabela 2

Telo datoteke za izmenjavo podatkov; vrstice in stolpci te tabele se prenesejo v telo datoteke za izmenjavo podatkov

Vrstica

198

199 (1)

200

201

 

čas

vožnja

[s]

 (2)

 

hitrost vozila (3)

tipalo

[km/h]

 (2)

 

hitrost vozila (3)

GPS

[km/h]

 (2)

 

hitrost vozila (3)

krmilna enota motorja

[km/h]

 (2)

 

zemljepisna širina

GPS

[st:min:s]

 (2)

 

zemljepisna dolžina

GPS

[st:min:s]

 (2)

 

nadmorska višina (3)

GPS

[m]

 (2)

 

nadmorska višina (3)

tipalo

[m]

 (2)

 

tlak okolja

tipalo

[kPa]

 (2)

 

temperatura okolja

tipalo

[K]

 (2)

 

vlažnost okolja

tipalo

[g/kg; %]

 (2)

 

koncentracija THC

analizator

[ppm]

 (2)

 

koncentracija CH4

analizator

[ppm]

 (2)

 

koncentracija NMHC

analizator

[ppm]

 (2)

 

koncentracija CO

analizator

[ppm]

 (2)

 

koncentracija CO2

analizator

[ppm]

 (2)

 

koncentracija NOX

analizator

[ppm]

 (2)

 

koncentracija NO

analizator

[ppm]

 (2)

 

koncentracija NO2

analizator

[ppm]

 (2)

 

koncentracija O2

analizator

[ppm]

 (2)

 

koncentracija PN

analizator

[#/m (3)]

 (2)

 

masni pretok izpušnih plinov

merilnik masnega pretoka izpušnih plinov (EFM)

[kg/s]

 (2)

 

temperatura izpušnih plinov v EFM

merilnik masnega pretoka izpušnih plinov (EFM)

[K]

 (2)

 

masni pretok izpušnih plinov

tipalo

[kg/s]

 (2)

 

masni pretok izpušnih plinov

krmilna enota motorja

[kg/s]

 (2)

 

masa THC

analizator

[g/s]

 (2)

 

masa CH4

analizator

[g/s]

 (2)

 

masa NMHC

analizator

[g/s]

 (2)

 

masa CO

analizator

[g/s]

 (2)

 

masa CO2

analizator

[g/s]

 (2)

 

masa NOX

analizator

[g/s]

 (2)

 

masa NO

analizator

[g/s]

 (2)

 

masa NO2

analizator

[g/s]

 (2)

 

masa O2

analizator

[g/s]

 (2)

 

PN

analizator

[#/s]

 (2)

 

merjenje plinov aktivno

PEMS

[aktivno (1); neaktivno (0); napaka (> 1)]

 (2)

 

vrtilna frekvenca motorja

krmilna enota motorja

[vrt/min]

 (2)

 

navor motorja

krmilna enota motorja

[Nm]

 (2)

 

navor na gnani osi

tipalo

[Nm]

 (2)

 

vrtilna hitrost kolesa

tipalo

[rad/s]

 (2)

 

pretok goriva

krmilna enota motorja

[g/s]

 (2)

 

pretok goriva motorja

krmilna enota motorja

[g/s]

 (2)

 

pretok polnilnega zraka motorja

krmilna enota motorja

[g/s]

 (2)

 

temperatura hladilne tekočine

krmilna enota motorja

[K]

 (2)

 

temperatura olja

krmilna enota motorja

[K]

 (2)

 

stanje regeneracije

krmilna enota motorja

 (2)

 

položaj stopalke

krmilna enota motorja

[%]

 (2)

 

stanje vozila

krmilna enota motorja

[napaka (1); običajno (0)]

 (2)

 

odstotek navora

krmilna enota motorja

[%]

 (2)

 

odstotek tornega navora

krmilna enota motorja

[%]

 (2)

 

stanje napolnjenosti

krmilna enota motorja

[%]

 (2)

 

… (4)

… (4)

… (4)

 (2) (4)

(1)   Ta stolpec se lahko izpusti, če je vir parametra del oznake v stolpcu 198.

(2)   Dejanske vrednosti za vključitev od vrstice 201 naprej do konca podatkov.

(3)   Določi se z najmanj eno metodo.

(4)   Za opredelitev vozila in preskusnih pogojev je mogoče dodati dodatne parametre.

4.2    Vmesni in končni rezultati

4.2.1    Vmesni rezultati



Tabela 3

Datoteka za poročanje št. 1 – zbirni parametri vmesnih rezultatov

Vrstica

Parameter

Opis/enota

1

celotna prevožena razdalja

[km]

2

celotno trajanje vožnje

[u:min:s]

3

skupni čas postankov

[min:s]

4

povprečna hitrost vožnje

[km/h]

5

največja hitrost vožnje

[km/h]

6

povprečna koncentracija THC

[ppm]

7

povprečna koncentracija CH4

[ppm]

8

povprečna koncentracija NMHC

[ppm]

9

povprečna koncentracija CO

[ppm]

10

povprečna koncentracija CO2

[ppm]

11

povprečna koncentracija NOX

[ppm]

12

povprečna koncentracija PN

[#/m3]

13

povprečni masni pretok izpušnih plinov

[kg/s]

14

povprečna temperatura izpušnih plinov

[K]

15

najvišja temperatura izpušnih plinov

[K]

16

skupna masa THC

[g]

17

skupna masa CH4

[g]

18

skupna masa NMHC

[g]

19

skupna masa CO

[g]

20

skupna masa CO2

[g]

21

skupna masa NOX

[g]

22

skupno število PN

[#]

23

emisije THC celotne vožnje

[mg/km]

24

emisije CH4 celotne vožnje

[mg/km]

25

emisije NMHC celotne vožnje

[mg/km]

26

emisije CO celotne vožnje

[mg/km]

27

emisije CO2 celotne vožnje

[g/km]

28

emisije NOX celotne vožnje

[mg/km]

29

emisije PN celotne vožnje

[#/km]

30

razdalja mestnega dela

[km]

31

trajanje mestnega dela

[u:min:s]

32

čas postankov v mestnem delu

[min:s]

33

povprečna hitrost mestnega dela

[km/h]

34

največja hitrost mestnega dela

[km/h]

35

povprečna koncentracija THC mestnega dela

[ppm]

36

povprečna koncentracija CH4 mestnega dela

[ppm]

37

povprečna koncentracija NMHC mestnega dela

[ppm]

38

povprečna koncentracija CO mestnega dela

[ppm]

39

povprečna koncentracija CO2 mestnega dela

[ppm]

40

povprečna koncentracija NOX mestnega dela

[ppm]

41

povprečna koncentracija PN mestnega dela

[#/m3]

42

povprečni masni pretok izpušnih plinov mestnega dela

[kg/s]

43

povprečna temperatura izpušnih plinov mestnega dela

[K]

44

najvišja temperatura izpušnih plinov mestnega dela

[K]

45

skupna masa THC mestnega dela

[g]

46

skupna masa CH4 mestnega dela

[g]

47

skupna masa NMHC mestnega dela

[g]

48

skupna masa CO mestnega dela

[g]

49

skupna masa CO2 mestnega dela

[g]

50

skupna masa NOX mestnega dela

[g]

51

skupno število PN mestnega dela

[#]

52

emisije THC mestnega dela

[mg/km]

53

emisije CH4 mestnega dela

[mg/km]

54

emisije NMHC mestnega dela

[mg/km]

55

emisije CO mestnega dela

[mg/km]

56

emisije CO2 mestnega dela

[g/km]

57

emisije NOX mestnega dela

[mg/km]

58

emisije PN mestnega dela

[#/km]

59

razdalja zunajmestnega dela

[km]

60

trajanje zunajmestnega dela

[u:min:s]

61

čas postankov v zunajmestnem delu

[min:s]

62

povprečna hitrost zunajmestnega dela

[km/h]

63

največja hitrost zunajmestnega dela

[km/h]

64

povprečna koncentracija THC zunajmestnega dela

[ppm]

65

povprečna koncentracija CH4 zunajmestnega dela

[ppm]

66

povprečna koncentracija NMHC zunajmestnega dela

[ppm]

67

povprečna koncentracija CO zunajmestnega dela

[ppm]

68

povprečna koncentracija CO2 zunajmestnega dela

[ppm]

69

povprečna koncentracija NOX zunajmestnega dela

[ppm]

70

povprečna koncentracija PN zunajmestnega dela

[#/m3]

71

povprečni masni pretok izpušnih plinov zunajmestnega dela

[kg/s]

72

povprečna temperatura izpušnih plinov zunajmestnega dela

[K]

73

najvišja temperatura izpušnih plinov zunajmestnega dela

[K]

74

skupna masa THC zunajmestnega dela

[g]

75

skupna masa CH4 zunajmestnega dela

[g]

76

skupna masa NMHC zunajmestnega dela

[g]

77

skupna masa CO zunajmestnega dela

[g]

78

skupna masa CO2 zunajmestnega dela

[g]

79

skupna masa NOX zunajmestnega dela

[g]

80

skupno število PN zunajmestnega dela

[#]

81

emisije THC zunajmestnega dela

[mg/km]

82

emisije CH4 zunajmestnega dela

[mg/km]

83

emisije NMHC zunajmestnega dela

[mg/km]

84

emisije CO zunajmestnega dela

[mg/km]

85

emisije CO2 zunajmestnega dela

[g/km]

86

emisije NOX zunajmestnega dela

[mg/km]

87

emisije PN zunajmestnega dela

[#/km]

88

razdalja avtocestnega dela

[km]

89

trajanje avtocestnega dela

[u:min:s]

90

čas postankov v avtocestnem delu

[min:s]

91

povprečna hitrost avtocestnega dela

[km/h]

92

največja hitrost avtocestnega dela

[km/h]

93

povprečna koncentracija THC avtocestnega dela

[ppm]

94

povprečna koncentracija CH4 avtocestnega dela

[ppm]

95

povprečna koncentracija NMHC avtocestnega dela

[ppm]

96

povprečna koncentracija CO avtocestnega dela

[ppm]

97

povprečna koncentracija CO2 avtocestnega dela

[ppm]

98

povprečna koncentracija NOX avtocestnega dela

[ppm]

99

povprečna koncentracija PN avtocestnega dela

[#/m3]

100

povprečni masni pretok izpušnih plinov avtocestnega dela

[kg/s]

101

povprečna temperatura izpušnih plinov avtocestnega dela

[K]

102

najvišja temperatura izpušnih plinov avtocestnega dela

[K]

103

skupna masa THC avtocestnega dela

[g]

104

skupna masa CH4 avtocestnega dela

[g]

105

skupna masa NMHC avtocestnega dela

[g]

106

skupna masa CO avtocestnega dela

[g]

107

skupna masa CO2 avtocestnega dela

[g]

108

skupna masa NOX avtocestnega dela

[g]

109

skupno število PN avtocestnega dela

[#]

110

emisije THC avtocestnega dela

[mg/km]

111

emisije CH4 avtocestnega dela

[mg/km]

112

emisije NMHC avtocestnega dela

[mg/km]

113

emisije NO avtocestnega dela

[mg/km]

114

emisije CO2 avtocestnega dela

[g/km]

115

emisije NOX avtocestnega dela

[mg/km]

116

emisije PN avtocestnega dela

[#/km]

… (1)

… (1)

… (1)

(1)   Za opredelitev dodatnih elementov je mogoče dodati dodatne parametre.

4.2.2    Rezultati ocenjevanja podatkov



Tabela 4

Glava datoteke za poročanje št. 2 – nastavitve izračuna metode za ocenjevanje podatkov v skladu z Dodatkom 5

Vrstica

Parameter

Enota

1

referenčna masa CO2

[g]

2

koeficient a 1 značilne krivulje CO2

 

3

koeficient b 1 značilne krivulje CO2

 

4

koeficient a 2 značilne krivulje CO2

 

5

koeficient b 2 značilne krivulje CO2

 

6

koeficient k 11 funkcije tehtanja

 

7

koeficient k 12 funkcije tehtanja

 

8

koeficient k 22 = k 21 funkcije tehtanja

 

9

primarno dovoljeno odstopanje tol 1

[%]

10

sekundarno dovoljeno odstopanje tol 2

[%]

11

programska oprema za izračun in različica

(npr. EMROAD 5.8)

… (1)

… (1)

… (1)

(1)   Za opredelitev nastavitev izračuna je mogoče dodati dodatne parametre do vrstice 95.



Tabela 5a

Glava datoteke za poročanje št. 2 – rezultati metode za ocenjevanje podatkov v skladu z Dodatkom 5

Vrstica

Parameter

Enota

101

število oken

 

102

število oken mestnega dela

 

103

število oken zunajmestnega dela

 

104

število oken avtocestnega dela

 

105

delež oken mestnega dela

[%]

106

delež oken zunajmestnega dela

[%]

107

delež oken avtocestnega dela

[%]

108

delež oken mestnega dela večji od 15 %

(1 = da, 0 = ne)

109

delež oken zunajmestnega dela večji od 15 %

(1 = da, 0 = ne)

110

delež oken avtocestnega dela večji od 15 %

(1 = da, 0 = ne)

111

število oken v območju ± tol 1

 

112

število oken mestnega dela v območju ± tol 1

 

113

število oken zunajmestnega dela v območju ± tol 1

 

114

število oken avtocestnega dela v območju ± tol 1

 

115

število oken v območju ± tol 2

 

116

število oken mestnega dela v območju ± tol 2

 

117

število oken zunajmestnega dela v območju ± tol 2

 

118

število oken avtocestnega dela v območju ± tol 2

 

119

delež oken mestnega dela v območju ± tol 1

[%]

120

delež oken zunajmestnega dela v območju ± tol 1

[%]

121

delež oken avtocestnega dela v območju ± tol 1

[%]

122

delež oken mestnega dela v območju ± tol 1 večji od 50 %

(1 = da, 0 = ne)

123

delež oken zunajmestnega dela v območju ± tol 1 večji od 50 %

(1 = da, 0 = ne)

124

delež oken avtocestnega dela v območju ± tol 1 večji od 50 %

(1 = da, 0 = ne)

125

povprečen indeks resnosti vseh oken

[%]

126

povprečen indeks resnosti oken mestnega dela

[%]

127

povprečen indeks resnosti oken zunajmestnega dela

[%]

128

povprečen indeks resnosti oken avtocestnega dela

[%]

129

tehtane emisije THC oken mestnega dela

[mg/km]

130

tehtane emisije THC oken zunajmestnega dela

[mg/km]

131

tehtane emisije THC oken avtocestnega dela

[mg/km]

132

tehtane emisije CH4 oken mestnega dela

[mg/km]

133

tehtane emisije CH4 oken zunajmestnega dela

[mg/km]

134

tehtane emisije CH4 oken avtocestnega dela

[mg/km]

135

tehtane emisije NMHC oken mestnega dela

[mg/km]

136

tehtane emisije NMHC oken zunajmestnega dela

[mg/km]

137

tehtane emisije NMHC oken avtocestnega dela

[mg/km]

138

tehtane emisije CO oken mestnega dela

[mg/km]

139

tehtane emisije CO oken zunajmestnega dela

[mg/km]

140

tehtane emisije CO oken avtocestnega dela

[mg/km]

141

tehtane emisije NOx oken mestnega dela

[mg/km]

142

tehtane emisije NOx oken zunajmestnega dela

[mg/km]

143

tehtane emisije NOx oken avtocestnega dela

[mg/km]

144

tehtane emisije NO oken mestnega dela

[mg/km]

145

tehtane emisije NO oken zunajmestnega dela

[mg/km]

146

tehtane emisije NO oken avtocestnega dela

[mg/km]

147

tehtane emisije NO2 oken mestnega dela

[mg/km]

148

tehtane emisije NO2 oken zunajmestnega dela

[mg/km]

149

tehtane emisije NO2 oken avtocestnega dela

[mg/km]

150

tehtane emisije PN oken mestnega dela

[#/km]

151

tehtane emisije PN oken zunajmestnega dela

[#/km]

152

tehtane emisije PN oken avtocestnega dela

[#/km]

… (1)

… (1)

… (1)

(1)   Do vrstice 195 je mogoče dodati dodatne parametre.



Tabela 5b

Glava datoteke za poročanje št. 2 – končni rezultati emisij v skladu z Dodatkom 5

Vrstica

Parameter

Enota

201

celotna vožnja – emisije THC

[mg/km]

202

celotna vožnja – emisije CH4

[mg/km]

203

celotna vožnja – emisije NMHC

[mg/km]

204

celotna vožnja – emisije CO

[mg/km]

205

celotna vožnja – emisije NOx

[mg/km]

206

celotna vožnja – emisije PN

[#/km]

… (1)

… (1)

… (1)

(1)   Dodati je mogoče dodatne parametre.



Tabela 6

Telo datoteke za poročanje št. 2 – podrobni rezultati metode za ocenjevanje podatkov v skladu z Dodatkom 5; vrstice in stolpci te tabele se prenesejo v telo datoteke za poročanje podatkov

Vrstica

498

499

500

501

 

čas začetka okna

 

[s]

 (1)

 

čas konca okna

 

[s]

 (1)

 

trajanje okna

 

[s]

 (1)

 

razdalja okna

vir (1 = GPS, 2 = ECU, 3 = tipalo)

[km]

 (1)

 

emisije THC okna

 

[g]

 (1)

 

emisije CH4 okna

 

[g]

 (1)

 

emisije NMHC okna

 

[g]

 (1)

 

emisije CO okna

 

[g]

 (1)

 

emisije CO2 okna

 

[g]

 (1)

 

emisije NOX okna

 

[g]

 (1)

 

emisije NO okna

 

[g]

 (1)

 

emisije NO2 okna

 

[g]

 (1)

 

emisije O2 okna

 

[g]

 (1)

 

emisije PN okna

 

[#]

 (1)

 

emisije THC okna

 

[mg/km]

 (1)

 

emisije CH4 okna

 

[mg/km]

 (1)

 

emisije NMHC okna

 

[mg/km]

 (1)

 

emisije CO okna

 

[mg/km]

 (1)

 

emisije CO2 okna

 

[g/km]

 (1)

 

emisije NOX okna

 

[mg/km]

 (1)

 

emisije NO okna

 

[mg/km]

 (1)

 

emisije NO2 okna

 

[mg/km]

 (1)

 

emisije O2 okna

 

[mg/km]

 (1)

 

emisije PN okna

 

[#/km]

 (1)

 

oddaljenost okna do značilne krivulje CO2 h j

 

[%]

 (1)

 

faktor tehtanja okna w j

 

[–]

 (1)

 

povprečna hitrost vozila okna

vir (1 = GPS, 2 = ECU, 3 = tipalo)

[km/h]

 (1)

 

… (2)

… (2)

… (2)

 (1) (2)

(1)   Dejanske vrednosti za vključitev od vrstice 501 do vrstice naprej do konca podatkov.

(2)   Za opredelitev značilnosti okna je mogoče dodati dodatne parametre.



Tabela 7

Glava datoteke za poročanje št. 3 – nastavitve izračuna metode za ocenjevanje podatkov v skladu z Dodatkom 6

Vrstica

Parameter

Enota

1

vir navora za moč na kolesih

tipalo/ECU/„Veline“

2

naklon Veline

[g/kWh]

3

odsek Veline

[g/h]

4

trajanje drsečega povprečja

[s]

5

referenčna hitrost za denormalizacijo ciljnega vzorca

[km/h]

6

referenčni pospešek

[m/s2]

7

zahtevana moč na pestu kolesa za vozilo pri referenčni hitrosti in pospešku

[kW]

8

število razredov moči, vključno z 90 % Prated

9

razporeditev ciljnega vzorca

(raztegnjeno/skrčeno)

10

programska oprema za izračun in različica

(npr. CLEAR 1.8)

… (1)

… (1)

… (1)

(1)   Za opredelitev nastavitev izračuna je mogoče dodati dodatne parametre do vrstice 95.



Tabela 8a

Glava datoteke za poročanje št. 3 – rezultati metode za ocenjevanje podatkov v skladu z Dodatkom 6

Vrstica

Parameter

Enota

101

pokritost razreda moči (štetja > 5)

(1 = da, 0 = ne)

102

normalnost razreda moči

(1 = da, 0 = ne)

103

celotna vožnja – tehtane povprečne emisije THC

[g/s]

104

celotna vožnja – tehtane povprečne emisije CH4

[g/s]

105

celotna vožnja – tehtane povprečne emisije NMHC

[g/s]

106

celotna vožnja – tehtane povprečne emisije CO

[g/s]

107

celotna vožnja – tehtane povprečne emisije CO2

[g/s]

108

celotna vožnja – tehtane povprečne emisije NOX

[g/s]

109

celotna vožnja – tehtane povprečne emisije NO

[g/s]

110

celotna vožnja – tehtane povprečne emisije NO2

[g/s]

111

celotna vožnja – tehtane povprečne emisije O2

[g/s]

112

celotna vožnja – tehtane povprečne emisije PN

[#/s]

113

celotna vožnja – tehtana povprečna hitrost vozila

[km/h]

114

mestni del – tehtane povprečne emisije THC

[g/s]

115

mestni del – tehtane povprečne emisije CH4

[g/s]

116

mestni del – tehtane povprečne emisije NMHC

[g/s]

117

mestni del – tehtane povprečne emisije CO

[g/s]

118

mestni del – tehtane povprečne emisije CO2

[g/s]

119

mestni del – tehtane povprečne emisije NOX

[g/s]

120

mestni del – tehtane povprečne emisije NO

[g/s]

121

mestni del – tehtane povprečne emisije NO2

[g/s]

122

mestni del – tehtane povprečne emisije O2

[g/s]

123

mestni del – tehtane povprečne emisije PN

[#/s]

124

mestni del – tehtana povprečna hitrost vozila

[km/h]

… (1)

… (1)

… (1)

(1)   Do vrstice 195 je mogoče dodati dodatne parametre.



Tabela 8b

Glava datoteke za poročanje št. 3 – končni rezultati emisij v skladu z Dodatkom 6

Vrstica

Parameter

Enota

201

celotna vožnja – emisije THC

[mg/km]

202

celotna vožnja – emisije CH4

[mg/km]

203

celotna vožnja – emisije NMHC

[mg/km]

204

celotna vožnja – emisije CO

[mg/km]

205

celotna vožnja – emisije NOx

[mg/km]

206

celotna vožnja – emisije PN

[#/km]

… (1)

… (1)

… (1)

(1)   Dodati je mogoče dodatne parametre.



Tabela 9

Telo datoteke za poročanje št. 3 – podrobni rezultati metode za ocenjevanje podatkov v skladu z Dodatkom 6; vrstice in stolpci te tabele se prenesejo v telo datoteke za poročanje podatkov

Vrstica

498

499

500

501

 

celotna vožnja – število razredov moči (1)

 

 

 

celotna vožnja – spodnja meja razreda moči (1)

 

[kW]

 

 

celotna vožnja – zgornja meja razreda moči (1)

 

[kW]

 

 

celotna vožnja – uporabljen ciljni vzorec (porazdelitev) (1)

 

[%]

 (2)

 

celotna vožnja – pojavitev razreda moči (1)

 

 (2)

 

celotna vožnja – pokritost razreda moči > 5 štetij (1)

 

(1 = da, 0 = ne) (2)

 

celotna vožnja – normalnost razreda moči (1)

 

(1 = da, 0 = ne) (2)

 

celotna vožnja – povprečne emisije THC razreda moči (1)

 

[g/s]

 (2)

 

celotna vožnja – povprečne emisije CH4 razreda moči (1)

 

[g/s]

 (2)

 

celotna vožnja – povprečne emisije NMHC razreda moči (1)

 

[g/s]

 (2)

 

celotna vožnja – povprečne emisije CO razreda moči (1)

 

[g/s]

 (2)

 

celotna vožnja – povprečne emisije CO2 razreda moči (1)

 

[g/s]

 (2)

 

celotna vožnja – povprečne emisije NOX razreda moči (1)

 

[g/s]

 (2)

 

celotna vožnja – povprečne emisije NO razreda moči (1)

 

[g/s]

 (2)

 

celotna vožnja – povprečne emisije NO2 razreda moči (1)

 

[g/s]

 (2)

 

celotna vožnja – povprečne emisije O2 razreda moči (1)

 

[g/s]

 (2)

 

celotna vožnja – povprečne emisije PN razreda moči (1)

 

[#/s]

 (2)

 

celotna vožnja – povprečna hitrost vozila razreda moči (1)

vir (1 = GPS, 2 = ECU, 3 = tipalo)

[km/h]

 (2)

 

mestna vožnja – število razredov moči (1)

 

 

 

mestna vožnja – spodnja meja razreda moči (1)

 

[kW]

 

 

mestna vožnja – zgornja meja razreda moči (1)

 

[kW]

 

 

mestna vožnja – uporabljen ciljni vzorec (porazdelitev) (1)

 

[%]

 (2)

 

mestna vožnja – pojavitev razreda moči (1)

 

 (2)

 

mestna vožnja – pokritost razreda moči > 5 štetij (3)

 

(1 = da, 0 = ne) (2)

 

mestna vožnja – normalnost razreda moči (1)

 

(1 = da, 0 = ne) (2)

 

mestna vožnja – povprečne emisije THC razreda moči (1)

 

[g/s]

 (2)

 

mestna vožnja – povprečne emisije CH4 razreda moči (1)

 

[g/s]

 (2)

 

mestna vožnja – povprečne emisije NMHC razreda moči (1)

 

[g/s]

 (2)

 

mestna vožnja – povprečne emisije CO razreda moči (1)

 

[g/s]

 (2)

 

mestna vožnja – povprečne emisije CO2 razreda moči (1)

 

[g/s]

 (2)

 

mestna vožnja – povprečne emisije NOX razreda moči (1)

 

[g/s]

 (2)

 

mestna vožnja – povprečne emisije NO razreda moči (1)

 

[g/s]

 (2)

 

mestna vožnja – povprečne emisije NO2 razreda moči (1)

 

[g/s]

 (2)

 

mestna vožnja – povprečne emisije O2 razreda moči (1)

 

[g/s]

 (2)

 

mestna vožnja – povprečne emisije PN razreda moči (1)

 

[#/s]

 (2)

 

mestna vožnja – povprečna hitrost vozila razreda moči (1)

vir (1 = GPS, 2 = ECU, 3 = tipalo)

[km/h]

 (2)

 

… (4)

… (4)

… (4)

 (2) (4)

(1)   Rezultati, poročani za vsak razred moči, od razreda moči št. 1 do razreda moči, ki vključuje 90 % Prated.

(2)   Dejanske vrednosti za vključitev od vrstice 501 do vrstice naprej do konca podatkov.

(3)   Rezultati, poročani za vsak razred moči, od razreda moči št. 1 do razreda moči št. 5.

(4)   Dodati je mogoče dodatne parametre.

4.3    Opis vozila in motorja

Proizvajalec zagotovi opis vozila in motorja v skladu z Dodatkom 4 Priloge I.




Dodatek 9

Proizvajalčevo potrdilo o skladnosti

Proizvajalčevo potrdilo o skladnosti z zahtevami za dejanske emisije, ki nastajajo med vožnjo

(Proizvajalec):

(Naslov proizvajalca):

potrjuje, da

tipi vozil, navedeni v prilogi k temu potrdilu, izpolnjujejo zahteve iz točke 2.1 Priloge IIIA k Uredbi (ES) št. 692/2008 v zvezi z dejanskimi emisijami, ki nastajajo med vožnjo (RDE), za vse mogoče preskuse RDE, ki so v skladu z zahtevami iz te priloge.

V [ …(kraj)]

dne [ …(datum)]

(Žig in podpis zastopnika proizvajalca)

Priloga:

 seznam tipov vozil, za katere velja to potrdilo.

▼B




PRILOGA IV

PODATKI O EMISIJAH, ZAHTEVANI PRI HOMOLOGACIJI ZARADI TEHNIČNEGA PREGLEDA




Dodatek 1

MERJENJE EMISIJ OGLJIKOVEGA MONOKSIDA V PROSTEM TEKU MOTORJA

(PRESKUS TIPA 2)

1.   UVOD

1.1

Ta dodatek opisuje postopek za preskus tipa 2, pri katerem se izmerijo emisije ogljikovega monoksida v prostem teku motorja (normalna in visoka vrtilna frekvenca)

2.   SPLOŠNE ZAHTEVE

2.1

Splošne zahteve so določene v odstavkih 5.3.7.1. do 5.3.7.4 Pravilnika št. 83 (UN/ECE) z izjemami iz oddelkov 2.2.. 2.3. in 2.4.

▼M8

2.2

Atomska razmerja, določena v točki 5.3.7.3, se razumejo na naslednji način:

Hcv

=

atomsko razmerje med vodikom in ogljikom

 za bencin (E5) 1,89

 za bencin (E10) 1,93

 za UNP 2,53

 za ZP/biometan 4,0

 za etanol (E85) 2,74

 za etanol (E75) 2,61

Ocv

=

atomsko razmerje med kisikom in ogljikom

 za bencin (E5) 0,016

 za bencin (E10) 0,033

 za UNP 0,0

 za ZP/biometan 0,0

 za etanol (E85) 0,39

 za etanol (E75) 0,329

▼B

2.3

Tabela v oddelku 2.2 Dodatka 4 k Prilogi I k tej uredbi se izpolni na osnovi zahtev, ki so določene v oddelkih 2.2. in 2.4. te priloge.

2.4

Proizvajalec potrdi točnost vrednosti lambda, ki je bila izmerjena v času homologacije v odstavku 2.1 tega dodatka kot vrednost, ki je reprezentativna za tipično proizvedeno vozilo, in sicer v roku 24 mesecev od dneva, ko je tehnična služba podelila homologacijo. Na osnovi pregledov in študij proizvedenih vozil se izvede ocena.

3.   TEHNIČNE ZAHTEVE

3.1

Tehnične zahteve so določene v Prilogi 5 k Pravilniku št. 83 (UN/ECE) z izjemami, ki so opisane v oddelku 3.2.

3.2

Referenčna goriva iz odstavka 2.1. Priloge 5 k Pravilniku št. 83 (UN/ECE) se razumejo kot sklicevanje na ustrezne specifikacije referenčnih goriv iz Priloge IX k tej uredbi.




Dodatek 2

MERJENJE MOTNOSTI DIMA

1.   UVOD

1.1

Ta dodatek opisuje zahteve za merjenje motnosti izpušnih emisij.

2.   SIMBOL KORIGIRANEGA ABSORPCIJSKEGA KOEFICIENTA

2.1

Simbol korigiranega absorpcijskega koeficienta se pritrdi na vsako vozilo, ki ustreza tipu vozila, za katerega se uporablja ta preskus. Simbol ima obliko pravokotnika, ki obkroža številko, ki v m–1 izraža korigirani absorpcijski koeficient, ugotovljen v času homologacije s preskusom pri prostem pospeševanju. Preskusna metoda je opisana v oddelku 4.

2.2

Simbol mora biti jasno čitljiv in neizbrisen. Pritrdi se na vidno in zlahka dostopno mesto, opredeljeno v Dopolnilu k certifikatu o homologaciji, ki je prikazano v Dodatku 4 k Prilogi I.

2.3

Slika IV.2.1 prikazuje vzorec simbola.

Slika IV.2.1

image

Zgornji simbol prikazuje, da je korigirani absorpcijski koeficient 1,30 m–1.

3.   SPECIFIKACIJE IN PRESKUSI

3.1

Specifikacije in preskusi so navedeni v delu III, oddelku 24 Pravilnika št. 24 (UN/ECE), z izjemo postopkov navedenih v oddelku 3.2.

3.2

Sklicevanje na Prilogo 2 v odstavku 24.1 Pravilnika št. 24 (UN/ECE) se šteje kot sklicevanje na Dodatek 2 k Prilogi X k tej uredbi.

4.   TEHNIČNE ZAHTEVE

4.1

Tehnične zahteve so določene v Prilogah 4, 5, 7, 8, 9 in 10 k Pravilniku št. 24 (UN/ECE), z izjemami, ki so navedene v oddelkih 4.2., 4.3. in 4.4.

4.2

Preskus pri stalnih vrtljajih na krivulji polne obremenitve

4.2.1

Sklicevanje na Prilogo 1 v odstavku 3.1. Priloge 4 k Pravilniku št. 24 (UN/ECE) se šteje kot sklicevanje na Dodatek 3 k Prilogi I k tej uredbi.

4.2.2

Referenčno gorivo, ki je določeno v odstavku 3.2 Priloge 4 k Pravilniku št. 24 (UN/ECE) se šteje kot sklicevanje na referenčno gorivo v Prilogi IX k tej uredbi, ki ustreza mejnim vrednostim emisij, glede na katere se vozilo homologira.

4.3

Preskus pri prostem pospeševanju

4.3.1

Sklicevanje na tabelo 2 iz Priloge 2 v odstavku 2.2 Priloge 5 k Pravilniku št. 24 (UN/ECE) se šteje kot sklicevanje na tabelo iz točke 2.4.2.1 v Dodatku 4 k Prilogi I k tej uredbi.

4.3.2

Sklicevanje na odstavek 7.3 Priloge 1 v odstavku 2.3 Priloge 5 k Pravilniku št. 24 (UN/ECE) se šteje kot sklicevanje na Dodatek 3 k Prilogi I k tej uredbi.

4.4

Metoda merjenja koristne moči motorjev na kompresijski vžig v skladu s pravilnikom ECE

4.4.1

Sklicevanje v odstavku 7 Priloge 10 k Pravilniku št. 24 (UN/ECE) na „Dodatek k tej prilogi“ in sklicevanje v odstavkih 7 in 8 Priloge 10 k Pravilniku št. 24 (UN/ECE) na „Prilogo 1“ se šteje kot sklicevanje na Dodatek 3 k Prilogi I k tej uredbi.




PRILOGA V

PREVERJANJE EMISIJ PLINOV IZ BLOKA MOTORJA

(PRESKUS TIPA 3)

1.   UVOD

1.1

Ta priloga opisuje postopek za preskus tipa 3 za preverjanje emisij plinov iz bloka motorja.

2.   SPLOŠNE ZAHTEVE

2.1

Splošne zahteve za izvajanje preskusa tipa 3 so navedene v oddelku 2 Priloge 6 k Pravilniku št. 83 (UN/ECE).

3.   TEHNIČNE ZAHTEVE

3.1

Tehnične zahteve so določene v oddelkih 3 do 6 Priloge 6 k Pravilniku št. 83 (UN/ECE).




PRILOGA VI

UGOTAVLJANJE EMISIJ IZHLAPEVANJA

(PRESKUS TIPA 4)

1.   UVOD

1.1

Ta priloga opisuje postopek za preskus tipa 4, s katerim se določijo emisije ogljikovodikov zaradi izhlapevanja iz sistemov za dovajanje goriva na vozilih.

2.   TEHNIČNE ZAHTEVE

2.1

Tehnične zahteve in specifikacije so določene v oddelkih 2 do 7 in dodatkih 1 in 2 k Prilogi 7 k Pravilniku št. 83 (UN/ECE) z izjemami, ki so navedene v oddelkih 2.2. in 2.3.

2.2

Referenčna goriva iz odstavka 3.2. v Prilogi 7 k Pravilniku št. 83 (UN/ECE) se razumejo kot sklicevanje na ustrezne specifikacije referenčnih goriv iz Priloge IX k tej uredbi.

2.3

Sklicevanje na odstavek 8.2.5 v odstavku 7.5.2. Priloge 7 k Pravilniku št. 83 (UN/ECE) se šteje kot sklicevanje na oddelek 4 k Prilogi I k tej uredbi.




PRILOGA VII

PREVERJANJE TRAJNOSTI NAPRAV ZA URAVNAVANJE ONESNAŽEVANJA

(PRESKUS TIPA 5)

1.   UVOD

1.1

Ta priloga opisuje preskuse za preverjanje trajnosti naprav za uravnavanje onesnaževanja. Zahteve za trajnosti se dokažejo z eno od treh možnosti, določenih v točkah 1.2, 1.3 in 1.4.

1.2

Preskus trajnosti celotnega vozila predstavlja preskus staranja pri 160 000 kilometrih, prevoženih na preskusni stezi, cesti ali dinamometru.

1.3

Proizvajalec se lahko odloči za preskus staranja na preskusni napravi.

1.4

Namesto preskusa trajnosti se lahko proizvajalec odloči za uporabo določenih faktorjev poslabšanja iz naslednje tabele.



Kategorija motorja

Določeni faktorji poslabšanja

CO

Skupne emisije ogljikovodikov

Nemetanski ogljikovodiki

NOx

HC + NOx

Trdni delci

Delci

Prisilni vžig

1,5

1,3

1,3

1,6

1,0

1,0

Kompresijski vžig (Euro 5)

1,5

1,1

1,1

1,0

1,0

Kompresijski vžig (Euro 6) (1)

 

 

 

 

 

 

 

(1)   Faktorji poslabšanja Euro 6 bodo določeni

1.5

Na zahtevo proizvajalca lahko tehnična služba izvede preskus tipa 1 pred končanim preskusom trajnosti celotnega vozila ali preskusom trajnosti s staranjem na preskusni napravi z uporabo faktorjev poslabšanja iz tabele zgoraj. Po koncu preskusa trajnosti celotnega vozila ali preskusa trajnosti s staranjem na preskusni napravi lahko tehnična služba spremeni rezultate homologacije, zapisane v Dodatku 4 k Prilogi I, tako da zamenja faktorje poslabšanja v tabeli zgoraj s tistimi, ki so bili izmerjeni pri preskusu trajnosti celotnega vozila ali preskusa trajnosti s staranjem na preskusni napravi.

1.6

Če faktorji poslabšanja, določeni za vozila z motorji na kompresijski vžig Euro 6, ne obstajajo, bodo proizvajalci za določitev faktorjev poslabšanja uporabili postopke preskusa trajnosti celotnega vozila ali preskusa trajnosti s staranjem na preskusni napravi.

1.7

Faktorji poslabšanja se določijo s postopki iz točk 1.2 in 1.3 ali z uporabo določenih vrednosti iz tabele v točki 1.4. Faktorji poslabšanja se uporabljajo za določanje skladnosti z zahtevami ustreznih mejnih vrednosti emisij, določenih v tabelah 1 in 2 Priloge 1 k Uredbi (ES) št. 715/2007 med uporabno življenjsko dobo vozila.

2.   TEHNIČNE ZAHTEVE

2.1

Tehnične zahteve so določene v oddelku 2 do 6 Priloge 9 k Pravilniku št. 83 (UN/ECE), z izjemami, ki so opisane v pododdelkih 2.1.1. do 2.1.4.

2.1.1

Kot alternativo ciklom delovanja iz odstavka 5.1, Priloge 9 k Pravilniku št. 83 (UN/ECE) za preskus trajnosti celotnega vozila, lahko proizvajalec vozila uporabi standardni cestni cikel (SRC), opisan v Dodatku 3 k tej prilogi. Preskusni cikel se izvaja, dokler vozilo ne naredi najmanj 160 000 km.

2.1.2

Sklicevanje na 80 000 km v odstavku 5.3. in odstavku 6 Priloge 9 k Pravilniku št. 83 (UN/ECE) se šteje kot sklicevanje na 160 000 km.

2.1.3

Sklicevanje na odstavek 5.3.1.4. v prvem delu odstavka 6 Priloge 9 k Pravilniku št. 83 (UN/ECE) se razume kot sklicevanje na tabelo 1 iz Priloge I k Uredbi (ES) št. 715/2007 za vozila Euro 5 in na tabelo 2 iz Priloge I k Uredbi (ES) št. 715/2007 za vozila Euro 6.

2.1.4

V oddelku 6 Priloge 9 k Pravilniku št. 83 (UN/ECE) se šesti pododstavek razume:

Multiplikativni faktor poslabšanja emisij izpušnih plinov se izračuna za vsako onesnaževalo:

image

Na zahtevo proizvajalca se izračuna aditivni faktor poslabšanja emisij izpušnih plinov za vsako onesnaževalo:

image

2.2

Preskus trajnosti s staranjem na preskusni napravi

2.2.1

Poleg tehničnih zahtev za preskus s staranjem na preskusni napravi iz oddelka 1.3 veljajo tehnične zahteve iz tega oddelka.

Gorivo, ki se uporabi med preskusom je gorivo, določeno v odstavku 3 Priloge 9 k Pravilniku št. 83.

2.3.1   Vozila z motorji na prisilni vžig

2.3.1.1

Naslednji postopek staranja na preskusni napravi se uporablja za vozila z motorji na prisilni vžig, vključno s hibridnimi vozili, ki uporabljajo katalizator kot osnovno napravo za naknadno obdelavo izpušnih plinov.

Postopek staranja na preskusni napravi zahteva namestitev sistema s katalizatorjem in lambda sondo na napravi za staranje katalizatorja.

Staranje na preskusni napravi se izvede tako, da se v času, izračunanemu iz enačbe za čas staranja na preskusni napravi (BAT), sledi standardnemu ciklu preskusne naprave (SBC). V enačbo BAT je treba vnesti podatke o času pri temperaturi za katalizator, izmerjene med standardnim cestnim ciklom (SRC), ki je opisan v Dodatku 3 k tej prilogi.

2.3.1.2

Standardni ciklus preskusne naprave (SBC). Standardni postopek staranja katalizatorja se izvede tako, da se sledi SBC. SBC se izvaja skozi časovno obdobje, izračunano z enačbo BAT. SBC je opisan v Dodatku 1 k tej prilogi.

2.3.1.3

Podatki o času pri temperaturi za katalizator. Temperatura katalizatorja se izmeri med vsaj dvema polnima cikloma cikla SRC, kot je opisano v Dodatku 3 k tej prilogi.

Temperatura katalizatorja se izmeri na mestu z najvišjo temperaturo v najbolj vročem katalizatorju na preskusnem vozilu. Temperatura se lahko izmeri tudi na drugem mestu, pod pogojem, da je na podlagi dobre inženirske presoje mesto prilagojeno tako, da predstavlja temperaturo, izmerjeno na mestu z najvišjo temperaturo.

Temperatura katalizatorja se meri s frekvenco najmanj 1 Hz (ena meritev na sekundo).

Izmerjeni rezultati temperature katalizatorja se razporedijo v histogram, v katerem skupine temperatur ne smejo biti višje od 25 °C.

2.3.1.4

Čas staranja na preskusni napravi. Čas staranja na preskusni napravi se izračuna z enačbo za čas staranja na preskusni napravi (BAT):

te za temperaturni interval = th e((R/Tr)-(R/Tv))

Skupni te = vsota te iz vseh temperaturnih skupin

Čas staranja na preskusni napravi = A (Skupni te)

kjer je:

A

=

1.1. Ta vrednost korigira čas staranja katalizatorja, da upošteva poslabšanje zaradi drugih vzrokov poleg toplotnega staranja katalizatorja.

R

=

toplotna reaktivnost katalizatorja = 17 500

th

=

čas (v urah), izmerjen znotraj predpisanega temperaturnega intervala na histogramu temperature katalizatorja vozila in prilagojen na celotno življenjsko dobo; npr. če histogram predstavlja 400 km in je življenjska doba 160 000 km, se vsi časovni vnosi v histogramu pomnožijo s 400 (160 000 /400).

Skupni te

=

enakovreden čas (v urah), v katerem se katalizator pri temperaturi Tr na napravi za staranje katalizatorja postara toliko, da kaže enako stopnjo poslabšanja kot je prisotna pri katalizatorju po 160 000 km zaradi termalne deaktivacije.

te za interval

=

enakovreden čas (v urah), v katerem se katalizator pri temperaturi Tr na napravi za staranje katalizatorja postara toliko, da kaže enako stopnjo poslabšanja kot je prisotna pri katalizatorju po 160 000 km zaradi termalne deaktivacije pri temperaturnem intervalu Tv.

Tr

=

efektivna referenčna temperatura katalizatorja (v K) pri preskusu katalizatorja na preskusni napravi med ciklom staranja na preskusni napravi. Efektivna temperatura je konstantna temperatura, ki bi povzročila enako stopnjo staranja kot različne temperature, ki bi nastale med ciklom staranja na preskusni napravi.

Tv

=

sredinska temperatura (v K) temperaturnega intervala v histogramu temperature katalizatorja vozila pri vožnji po cesti.

2.3.1.5

Efektivna referenčna temperatura pri SBC. Določi se efektivna referenčna temperatura standardnega cikla preskusne naprave za dejansko zasnovo sistema katalizatorja in za dejansko napravo za staranje pri uporabi naslednjih postopkov:

(a) Merjenje podatkov o času pri temperaturi v sistemu katalizatorja na preskusni napravi za staranje katalizatorja po SBC. Temperatura katalizatorja se izmeri na mestu z najvišjo temperaturo na najbolj vročem katalizatorju v sistemu. Temperatura se lahko izmeri tudi na drugem mestu, pod pogojem da je mesto prilagojeno tako, da predstavlja temperaturo, izmerjeno na mestu z najvišjo temperaturo.

Temperatura katalizatorja se meri s frekvenco najmanj 1 Hz (ena meritev na sekundo) med preskusom staranja na preskusni napravi, ki traja vsaj 20 minut. Izmerjeni rezultati temperature katalizatorja se razporedijo v histogram, v katerem skupine temperatur ne smejo biti višje od 10 °C.

(b) Enačba BAT se uporabi za izračun efektivne referenčne temperature s ponovitvenimi spremembami referenčne temperature (Tr), dokler izračunani čas staranja ni enak ali ne presega dejanskega časa, predstavljenega v histogramu temperature katalizatorja. Izračunana temperatura je efektivna referenčna temperatura pri SBC za ta sistem katalizatorja in preskusno napravo za staranje.

2.3.1.6

Preskusna naprava za staranje katalizatorja. Preskusna naprava za staranje katalizatorja sledi SBC in čelni strani katalizatorja dovaja izpušne pline z ustreznim pretokom, sestavinami in temperaturo izpušnih plinov.

Vsa oprema in postopki za staranje na poskusni napravi zapisujejo ustrezne informacije (na primer izmerjena razmerja Z/G in čas pri temperaturi v katalizatorju), za zagotovitev, da je do zadostnega staranja zares prišlo.

2.3.1.7

Potrebni preskusi. Za izračun faktorjev poslabšanja morata biti na preskusnem vozilu izvedena vsaj dva preskusa tipa 1 pred preskusom s staranjem strojne opreme naprave za uravnavanje emisij in vsaj dva preskusa tipa 1 po ponovni namestitvi na preskusni napravi postarane strojne opreme naprave za uravnavanje emisij.

Proizvajalec lahko izvede dodatne preskuse. Faktorji poslabšanja se izračunajo v skladu z metodo izračuna, določeno v odstavku 6 Priloge 9 k Pravilniku št. 83 (UN/ECE), kakor je bil spremenjen s to uredbo.

2.3.2   Vozila z motorji na kompresijski vžig

2.3.2.1

Naslednji postopek staranja na preskusni napravi se uporablja za vozila z motorji na kompresijski vžig, vključno s hibridnimi vozili.

Postopek staranja na preskusni napravi zahteva namestitev sistema za naknadno obdelavo izpušnih plinov na napravi za staranje sistema za naknadno obdelavo izpušnih plinov.

Staranje na preskusni napravi se izvede tako, da se sledi standardnemu dizelskemu ciklu preskusne naprave za dizelske motorje (SDBC) za število regeneracij/razžvepljevanj, izračunano iz enačbe za trajanje staranja na preskusni napravi (BAD).

2.3.2.2

Standardni cikel preskusne naprave za dizelske motorje (SDBC). Standardno staranje na preskusni napravi se izvede tako, da sledi SDBC. SDBC se izvaja skozi časovno obdobje, izračunano z enačbo za trajanje staranja na preskusni napravi (BAD). SDBC je opisan v Dodatku 2 k tej prilogi.

2.3.2.3

Podatki o regeneraciji. Intervali regeneracije se izmerijo med vsaj 10 polnimi cikli cikla SRC, kot je opisano v Dodatku 3. Alternativno se lahko uporabijo tudi intervali iz postopka za določitev Ki.

Če je to primerno, se na osnovi proizvajalčevih podatkov preučijo tudi intervali razžvepljevanja.

2.3.2.4

Trajanje staranja na preskusni napravi za dizelske motorje. Trajanje staranja na preskusni napravi se izračuna z enačbo BAD:

Trajanje staranja na preskusni napravi = število ciklov regeneracije in/ali razžvepljevanja (kar je daljše), enakovredno 160 000 km vožnje

2.3.2.5

Preskusna naprava za staranje. Preskusna naprava za staranje sledi SDBC in dovodni odprtini sistema za naknadno obdelavo izpušnih plinov dovaja izpušne pline z ustreznim pretokom, sestavinami in temperaturo izpušnih plinov.

Proizvajalec zapiše število regeneracij/razžvepljevanj (kadar je to primerno), za zagotovitev, da je do zadostnega staranja zares prišlo.

2.3.2.6

Potrebni preskusi. Za izračun faktorjev poslabšanja morata biti izvedena vsaj dva preskusa tipa 1 pred preskusom s staranjem strojne opreme naprave za uravnavanje emisij in vsaj dva preskusa tipa 1 po ponovni namestitvi na preskusni napravi postarane strojne opreme naprave za uravnavanje emisij. Proizvajalec lahko izvede dodatne preskuse. Faktorji poslabšanja se izračunajo v skladu z metodo izračuna, določeno v odstavku 6 Priloge 9 k Pravilniku št. 83 (UN/ECE) in v skladu z dodatnimi zahtevami iz te uredbe.




Dodatek 1

Standardni ciklus preskusne naprave (SBC)

1.   Uvod

Standardni postopek za preskus trajnosti s staranjem je sestavljen iz staranja sistema s katalizatorjem/lambda sondo na preskusni napravi za staranje, ki sledi standardnemu ciklu preskusne naprave (SBC), opisanem v tem dodatku. SBC zahteva uporabo preskusne naprave za staranje z motorjem, ki je vir dovedenega plina za katalizator. SBC je 60-sekundni cikel, ki se po potrebi ponavlja na preskusni napravi za staranje, s katerim izvajamo staranje skozi zahtevano časovno obdobje. SBC se določi na osnovi temperature katalizatorja, razmerja med zrakom in gorivom (Z/G) v motorju in količine vpihanega sekundarnega zraka, ki se dodaja pred prvim katalizatorjem.

2.   Nadzor temperature katalizatorja

2.1

Temperatura katalizatorja se izmeri v substratu katalizatorja na mestu z najvišjo temperaturo v najbolj vročem katalizatorju. Alternativno se lahko izmeri temperatura dovedenega plina in pretvori v temperaturo substrata katalizatorja z linearno pretvorbo, ki se izračuna iz korelacijskih podatkov, zbranih o zasnovi katalizatorja in preskusni napravi za staranje, ki se bo uporabila pri postopku staranja.

2.2

Temperaturo katalizatorja uravnavajte pri stehiometričnem delovanju (1 do 40 sekund na ciklu) do najmanj 800 °C (± 10 °C), tako da izberete ustrezno vrtilno frekvenco motorja, obremenitev in časovno nastavitev vžiga pri motorju. Najvišjo temperaturo katalizatorja, do katere pride med ciklom uravnavajte do 890 °C (± 10 °C), tako da izberete ustrezno razmerje Z/G v motorju med „bogato“ fazo, opisano v tabeli spodaj.

2.3

Če se uporabi drugačna nizka nadzorna temperatura kot 800 °C, mora biti visoka nadzorna temperatura 90 °C višja od nizke nadzorne temperature.



Standardni ciklus preskusne naprave (SBC)

Čas

(v sekundah)

Razmerje zrak/gorivo v motorju

Vpihavanje sekundarnega zraka

1–40

Stehiometrično z nadzorovano obremenitvijo motorja, časovno nastavitvijo vžiga in vrtilno frekvenco motorja, da se doseže najnižja temperatura katalizatorja 800 °C

Brez

41–45

„Bogato“ (razmerje Z/G je izbrano tako, da se skozi celoten cikel doseže najvišja temperatura katalizatorja 890 °C ali 90 °C višja temperatura od spodnje nadzorne temperature

Brez

46–55

„Bogato“ (razmerje Z/G je izbrano tako, da se skozi celoten cikel doseže najvišja temperatura katalizatorja 890 °C ali 90 °C višja temperatura kot nizka nadzorna temperatura

3 % (± 1 %)

56–60

Stehiometrično z nadzorovano obremenitvijo motorja, časovno nastavitvijo vžiga in vrtilno frekvenco motorja, da se doseže najnižja temperatura katalizatorja 800 °C

3 % (± 1 %)

image

3.   Oprema in postopki preskusne naprave za staranje

3.1

Konfiguracija preskusne naprave za staranje. Preskusna naprava za staranje dovaja izpušne pline z ustreznim pretokom, temperaturo in sestavinami, ustrezno razmerje goriva in zraka ter vpihava sekundarni zrak na čelni strani katalizatorja.

Standardna preskusna naprava za staranje je sestavljena iz motorja, krmilnika motorja in dinamometra motorja. Sprejemljive so lahko tudi druge konfiguracije (npr. celo vozilo na dinamometru ali gorilnik, ki ustvarja pravilne pogoje izpuha), dokler so izpolnjeni pogoji za dovod v katalizator in nadzorne funkcije iz tega dodatka.

Ena preskusna naprava za staranje ima lahko izpušni tok razdeljen v več curkov, pod pogojem da vsak izpušni curek izpolnjuje zahteve iz tega dodatka. Če ima preskusna naprava več kot en izpušni tok, je staranju lahko hkrati izpostavljenih več sistemov s katalizatorji.

3.2

Namestitev izpušnega sistema. Celotni sistem katalizatorja(ev) in lambda sond(e), skupaj z vsemi izpušnimi cevmi, ki povezujejo te sestavne dele, se namesti na preskusno napravo. Za motorje z več izpušnimi tokovi (na primer nekateri motorji V6 in V8), se vsaka vrsta izpušnega sistema posebej namesti na preskusno napravo vzporedno.

Pri izpušnih sistemih, ki vsebujejo več zaporednih katalizatorjev, se celotni sistem katalizatorja skupaj z vsemi katalizatorji, lambda sondami in povezanimi izpušnimi cevmi namesti kot enota za staranje. Alternativno se lahko vsak posamezni katalizator ločeno izpostavi staranju za ustrezen čas.

3.3

Merjenje temperature. Temperatura katalizatorja se izmeri s termočlenom, položenim v substrat katalizatorja na mestu z najvišjo temperaturo v najbolj vroč katalizator. Alternativno se lahko izmeri temperatura dovedenega plina neposredno pred čelno stranjo katalizatorja in pretvori v temperaturo substrata katalizatorja z linearno pretvorbo, ki se izračuna iz korelacijskih podatkov, zbranih o zasnovi katalizatorja in preskusni napravi za staranje, ki se bo uporabila pri postopku staranja. Temperatura katalizatorja se shranjuje v digitalni obliki s frekvenco 1 Hz (ena meritev na sekundo).

3.4

Merjenje zraka/goriva. Poskrbi se za možnost merjenja razmerja zrak/gorivo (Z/G) (na primer s tipalom kisika s širokim razponom) čim bližje vhodni in izhodni prirobnici katalizatorja. Informacije iz teh tipal se shranjujejo v digitalni obliki s frekvenco 1 Hz (ena meritev na sekundo).

3.5

Uravnoteženost izpušnega toka. Poskrbi se, da je zagotovljena pravilna količina pretoka izpušnih plinov (merjena v gramih na sekundo pri stehiometriji, z dovoljenim odstopanjem ± 5 g/s) skozi vsak sistem katalizatorja, ki je izpostavljen staranju na preskusni napravi.

Pravilni pretok izpušnih plinov se določi na osnovi pretoka izpušnih plinov, do katerega bi prišlo iz motorja izvirnega vozila pri vrtilni frekvenci motorja v ustaljenem stanju in obremenitvi, izbrani za staranje na preskusni napravi iz odstavka 3.6 tega dodatka.

3.6

Nastavitev. Vrtilna frekvenca motorja, obremenitev in časovna nastavitev vžiga so izbrani tako, da se doseže temperatura substrata katalizatorja 800 °C (± 10 °C) pri stehiometričnem delovanju v ustaljenem stanju.

Sistem za vpihavanje zraka je nastavljen tako, da se neposredno pred prvim katalizatorjem doseže pretok, ki je potreben za dosego 3,0 % vsebnosti kisika (± 0,1 %) v toku izpušnih plinov pri stehiometričnem delovanju v ustaljenem stanju. Tipična meritev na točki merjenja razmerja Z/G pred katalizatorjem (zahtevana v odstavku 5) je lambda 1,16 (kar pomeni približno 3 % kisika).

Pri vključenem vpihavanju zraka, nastavite „bogato“ razmerje Z/G, da dosežete temperaturo substrata katalizatorja 890 °C (± 10 °C). Tipična vrednost Z/G pri tem koraku je lambda 0,94 (približno 2 % CO).

3.7

Cikel staranja. Pri standardnih postopkih staranja na preskusnih napravah se uporablja standardni ciklus preskusne naprave (SBC). SBC se ponavlja, dokler se ne doseže postaranje, ki je izračunano z enačbo za čas staranja na preskusni napravi (BAT).

3.8

Zagotavljanje kakovosti. Temperatura in razmerje Z/G iz odstavkov 3.3. in 3.4. tega dodatka se redno pregledujeta (vsaj na vsakih 50 ur) med staranjem. Izvedejo se potrebne prilagoditve, s katerimi se zagotovi pravilno upoštevanje SBC skozi celoten postopek staranja.

Po končanem staranju, se izmerjeni rezultati časov pri temperaturi katalizatorja, zbrani med postopkom staranja razporedijo v histogram s skupinami temperatur, ki ne smejo biti višje od 10 °C. Z enačbo BAT in izračunano efektivno referenčno temperaturo za cikel staranja v skladu z odstavkom 2.3.1.4. Priloge VII se ugotovi, ali je dejansko prišlo do ustrezne stopnje toplotnega staranja katalizatorja. Staranje na preskusni napravi se podaljša, če toplotni učinek izračunanega časa staranja ne dosega vsaj 95 % ciljnega toplotnega staranja.

3.9

Zagon in zaustavitev. Treba je paziti, da med zagonom ali zaustavitvijo ni dosežena najvišja temperatura katalizatorja za hitro poslabšanje (npr. 1 050 °C). Za zmanjšanje te nevarnosti se lahko uporabijo posebni postopki za zagon in zaustavitev pri nizki temperaturi.

4.   Določanje faktorja R za preskus trajnosti s staranjem s poskusom

4.1

Faktor R je koeficient toplotne reaktivnosti katalizatorja, ki se uporabi v enačbi za čas staranja na preskusni napravi (BAT). Proizvajalci lahko določijo vrednost R s poskusom, tako da uporabijo naslednje postopke.

4.1.1

Z uporabo ustreznega cikla preskusne naprave in strojne opreme preskusne naprave za preskus s staranjem, starajte več katalizatorjev (najmanj 3 katalizatorje z enako zasnovo) pri različnih nadzornih temperaturah med normalno delovno temperaturo in mejno temperaturo, pri kateri pride do poškodb. Izmerite emisije (ali neučinkovitost katalizatorja (1-učinkovitost katalizatorja)) za vsako sestavino izpuha. Zagotovite, da pri končnem preskusu dobite podatke, katerih vrednost je med ena- in dva-kratno vrednostjo standarda emisij.

4.1.2

Ocenite vrednost R in izračunajte efektivno referenčno temperaturo (Tr) za cikel staranja na preskusni napravi za vsako nadzorno temperaturo, v skladu z odstavkom 2.4.4. Priloge VII.

4.1.3

Narišite graf emisij (ali neučinkovitosti katalizatorja) glede na čas za vsak katalizator. Z metodo najmanjših kvadratov izračunajte črto z najboljšim ujemanjem s podatki. Če želimo, da so podatki uporabni za ta namen, morajo podatki imeti približno enako presečišče med 0 in 6 400 km. Kot primer si oglejte naslednji grafikon.

4.1.4

Izračunajte nagib črte z najboljšim ujemanjem za vsako temperaturo staranja.

4.1.5

Narišite naravni logaritem (ln) nagiba vsake črte z najboljšim ujemanjem (določene v koraku 4.1.4.) vzdolž navpične osi glede na preobrat temperature staranja (1/(temperatura staranja, deg K)) vzdolž vodoravne osi. Z metodo najmanjših kvadratov izračunajte črte z najboljšim ujemanjem s podatki. Nagib črte je faktor R. Kot primer si oglejte naslednji grafikon.

image

4.1.6

Primerjajte faktor R z začetno vrednostjo, ki je bila uporabljena v koraku 4.1.2. Če se izračunani faktor R razlikuje od začetne vrednosti za več kot 5 %, izberite novi faktor R, ki je med začetno in izračunano vrednostjo in ponovite korake 2 do 6, da izpeljete nov faktor R. Ta postopek ponavljajte, dokler izračunani faktor R ni v območju 5 % od začetnega faktorja R.

4.1.7

Primerjajte faktorje R, ki ste jih določili ločeno za vsako sestavino izpuha. Za enačbo BAT uporabite najnižji faktor R (najslabši).

image




Dodatek 2

Standardni cikel preskusne naprave za dizelske motorje (SDBC)

1.   Uvod

Število regeneracij je bistvenega pomena za postopek staranja pri filtrih za trdne delce. Ta postopek je tudi pomemben pri sistemih, ki zahtevajo cikle razžvepljevanja (npr. zbiralni katalizatorji za NOx).

Standardni postopek za preskus trajnosti s staranjem na preskusni napravi za dizelske motorje je sestavljen iz staranja sistema za naknadno obdelavo izpušnih plinov na preskusni napravi za staranje, ki sledi standardnemu ciklu preskusne naprave za dizelske motorje (SDBC), opisanem v tem dodatku. SDBC zahteva uporabo preskusne naprave za staranje z motorjem, ki je vir dovodnega plina za sistem.

Med SDBC morajo strategije regeneracije/razžvepljevanja sistema ostati v normalnih obratovalnih pogojih.

2.

Standardni cikel preskusne naprave za dizelske motorje reproducira pogoje vrtilnih frekvenc motorja in obremenitev, do katerih pride med ciklom SRC, kot je primerno za obdobje, za katero je treba določiti trajanje. Za pospešitev postopka staranja se nastavitve motorja na preskusni napravi lahko spremenijo, da se zmanjšajo časi obremenjevanja sistema. Spremeni se lahko na primer časovna nastavitev vbrizgavanja goriva ali strategija vračanja izpušnih plinov v valj (EGR).

3.

Oprema in postopki preskusne naprave za staranje

3.1

Standardna preskusna naprava za staranje je sestavljena iz motorja, krmilnika motorja in dinamometra motorja. Sprejemljive so lahko tudi druge konfiguracije (npr. celo vozilo na dinamometru ali gorilnik, ki ustvarja pravilne pogoje izpuha), dokler so izpolnjeni pogoji za dovod v sistem za naknadno obdelavo izpušnih plinov in nadzorne funkcije, določeni v tem dodatku.

Enojna preskusna naprava za staranje ima lahko izpušni tok razdeljen v več curkov, pod pogojem da vsak izpušni curek izpolnjuje zahteve iz tega dodatka. Če ima preskusna naprava več kot en izpušni tok, je staranju lahko hkrati izpostavljenih več sistemov za naknadno obdelavo izpušnih plinov.

3.2

Namestitev izpušnega sistema. Celotni sistem za naknadno obdelavo izpušnih plinov, skupaj z vsemi izpušnimi cevmi, ki povezujejo te sestavne dele, se namesti na preskusno napravo. Za motorje z več izpušnimi tokovi (na primer nekateri motorji V6 in V8) se vsaka vrsta izpušnega sistema posebej namesti na preskusno napravo.

Celotni sistem za naknadno obdelavo izpušnih plinov se namesti kot enota za staranje. Alternativno se lahko vsaka posamezna enota ločeno izpostavi staranju za ustrezen čas.




Dodatek 3

Standardni cestni cikel (SRC)

Uvod

Standardni cestni cikel (SRC) je cikel nabiranja kilometrov. Vozilo se lahko pelje na preskusni progi ali deluje na dinamometru za nabiranje kilometrov.

Cikel je sestavljen iz 7 krogov na progi z dolžino 6 km. Dolžina kroga se lahko spremeni in prilagodi dolžini preskusne proge za polnjenje med vožnjo.

Standardni cestni cikel



Krog

Opis

Tipičen pospešek m/s2

1

(zagon motorja) prosti tek 10 s

0

1

Zmerno pospeševanje do 48 km/h

1,79

1

Vožnja pri 48 km/h 1/4 kroga

0

1

Zmerno zmanjševanje hitrosti na 32 km/h

– 2,23

1

Zmerno pospeševanje do 48 km/h

1,79

1

Vožnja pri 48 km/h 1/4 kroga

0

1

Zmerno zmanjševanje hitrosti do zaustavitve

– 2,23

1

Prosti tek 5 s

0

1

Zmerno pospeševanje do 56 km/h

1,79

1

Vožnja pri 56 km/h 1/4 kroga

0

1

Zmerno zmanjševanje hitrosti na 40 km/h

– 2,23

1

Zmerno pospeševanje do 56 km/h

1,79

1

Vožnja pri 56 km/h 1/4 kroga

0

1

Zmerno zmanjševanje hitrosti do zaustavitve

– 2,23

2

Prosti tek 10 s

0

2

Zmerno pospeševanje do 64 km/h

1,34

2

Vožnja pri 64 km/h 1/4 kroga

0

2

Zmerno zmanjševanje hitrosti na 48 km/h

– 2,23

2

Zmerno pospeševanje do 64 km/h

1,34

2

Vožnja pri 64 km/h 1/4 kroga

0

2

Zmerno zmanjševanje hitrosti do zaustavitve

– 2,23

2

Prosti tek 5 s

0

2

Zmerno pospeševanje do 72 km/h

1,34

2

Vožnja pri 72 km/h 1/4 kroga

0

2

Zmerno zmanjševanje hitrosti na 56 km/h

– 2,23

2

Zmerno pospeševanje do 72 km/h

1,34

2

Vožnja pri 72 km/h 1/4 kroga

0

2

Zmerno zmanjševanje hitrosti do zaustavitve

– 2,23

3

Prosti tek 10 s

0

3

Močno pospeševanje do 88 km/h

1,79

3

Vožnja pri 88 km/h 1/4 kroga

0

3

Zmerno zmanjševanje hitrosti na 72 km/h

– 2,23

3

Zmerno pospeševanje do 88 km/h

0,89

3

Vožnja pri 88 km/h 1/4 kroga

0

3

Zmerno zmanjševanje hitrosti na 72 km/h

– 2,23

3

Zmerno pospeševanje do 97 km/h

0,89

3

Vožnja pri 97 km/h 1/4 kroga

0

3

Zmerno zmanjševanje hitrosti na 80 km/h

– 2,23

3

Zmerno pospeševanje do 97 km/h

0,89

3

Vožnja pri 97 km/h 1/4 kroga

0

3

Zmerno zmanjševanje hitrosti do zaustavitve

– 1,79

4

Prosti tek 10 s

0

4

Močno pospeševanje do 129 km/h

1,34

4

Pojemanje hitrosti vozila na 113 km/h

– 0,45

4

Vožnja pri 113 km/h 1/2 kroga

0

4

Zmerno zmanjševanje hitrosti na 80 km/h

– 1,34

4

Zmerno pospeševanje do 105 km/h

0,89

4

Vožnja pri 105 km/h 1/2 kroga

0

4

Zmerno zmanjševanje hitrosti na 80 km/h

– 1,34

5

Zmerno pospeševanje do 121 km/h

0,45

5

Vožnja pri 121 km/h 1/2 kroga

0

5

Zmerno zmanjševanje hitrosti na 80 km/h

– 1,34

5

Rahlo pospeševanje do 113 km/h

0,45

5

Vožnja pri 113 km/h 1/2 kroga

0

5

Zmerno zmanjševanje hitrosti na 80 km/h

– 1,34

6

Zmerno pospeševanje do 113 km/h

0,89

6

Pojemanje hitrosti vozila na 97 km/h

– 0,45

6

Vožnja pri 97 km/h 1/2 kroga

0

6

Zmerno zmanjševanje hitrosti na 80 km/h

– 1,79

6

Zmerno pospeševanje do 104 km/h

0,45

6

Vožnja pri 104 km/h 1/2 kroga

0

6

Zmerno zmanjševanje hitrosti do zaustavitve

– 1,79

7

Prosti tek 45 s

0

7

Močno pospeševanje do 88 km/h

1,79

7

Vožnja pri 88 km/h 1/4 kroga

0

7

Zmerno zmanjševanje hitrosti na 64 km/h

– 2,23

7

Zmerno pospeševanje do 88 km/h

0,89

7

Vožnja pri 88 km/h 1/4 kroga

0

7

Zmerno zmanjševanje hitrosti na 64 km/h

– 2,23

7

Zmerno pospeševanje do 80 km/h

0,89

7

Vožnja pri 80 km/h 1/4 kroga

0

7

Zmerno zmanjševanje hitrosti na 64 km/h

– 2,23

7

Zmerno pospeševanje do 80 km/h

0,89

7

Vožnja pri 80 km/h 1/4 kroga

0

7

Zmerno zmanjševanje hitrosti do zaustavitve

– 2,23

Standardni cestni cikel je grafično predstavljen na naslednji sliki:

image




PRILOGA VIII

PREVERJANJE POVPREČNIH EMISIJ PRI NIZKIH TEMPERATURAH OKOLJA

(PRESKUS TIPA 6)

1.   UVOD

1.1

Ta priloga opisuje potrebno opremo in postopek za preskus tipa 6 za preverjanje emisij pri nizkih temperaturah.

2.   SPLOŠNE ZAHTEVE

2.1

Splošne zahteve za preskus tipa 6 so določene v odstavkih 5.3.5.1.1. do 5.3.5.3.2. Pravilnika št. 83 (UN/ECE) z izjemami, ki so navedene spodaj.

2.2

Sklicevanje na „ogljikovodike“ v odstavku 5.3.5.1.4. Pravilnika št. 83 (UN/ECE) se razume kot sklicevanje na „skupne emisije ogljikovodikov“.

▼M1

2.3

Mejne vrednosti, navedene v točki 5.3.5.2 Pravilnika UN/ECE št. 83, se nanašajo na mejne vrednosti iz tabele 4 v Prilogi 1 k Uredbi (ES) št. 715/2007.

▼B

3.   TEHNIČNE ZAHTEVE

3.1

Tehnične zahteve in specifikacije so določene v oddelkih 2 do 6 Priloge 8 k Pravilniku št. 83 (UN/ECE), z izjemami, ki so opisane v naslednjih oddelkih.

3.2

Sklicevanje na odstavek 3 Priloge 10 v odstavku 3.4.1. Priloge 8 k Pravilniku št. 83 (UN/ECE) se šteje kot sklicevanje na oddelek B Priloge IX k tej uredbi.

3.3

Sklicevanje na „ogljikovodike“ se šteje kot sklicevanje na „skupne emisije ogljikovodikov“ v naslednjih oddelkih Priloge 8 k Pravilniku št. 83 (UN/ECE):

Odstavek 2.4.1

Odstavek 5.1.1




PRILOGA IX

SPECIFIKACIJE REFERENČNIH GORIV

A.   REFERENČNA GORIVA

1.   Tehnični podatki o gorivih za preskušanje vozil z motorjem na prisilni vžig

Vrsta: Bencin (E5)



Parameter

Enota

Mejne vrednosti (1)

Preskusna metoda

Najmanj

Največ

Raziskovalno oktansko število, RON

 

95,0

EN 25164

prEN ISO 5164

Motorsko oktansko število, MON

 

85,0

EN 25163

prEN ISO 5163

Gostota pri 15 °C

kg/m3

743

756

EN ISO 3675

EN ISO 12185

Parni tlak

kPa

56,0

60,0

EN ISO 13016–1 (DVPE)

Vsebnost vode

% v/v

 

0,015

ASTM E 1064

Destilacija:

 

 

 

 

— Uparjeno pri 70 °C

% v/v

24,0

44,0

EN-ISO 3405

— Uparjeno pri 100 °C

% v/v

48,0

60,0

EN-ISO 3405

— Uparjeno pri 150 °C

% v/v

82,0

90,0

EN-ISO 3405

— Končno vrelišče

°C

190

210

EN-ISO 3405

Ostanek

% v/v

2,0

EN-ISO 3405

Analiza ogljikovodikov:

 

 

 

 

— nenasičeni ogljikovodiki

% v/v

3,0

13,0

ASTM D 1319

— aromati

% v/v

29,0

35,0

ASTM D 1319

— benzen

% v/v

1,0

EN 12177

— nasičene spojine

% v/v

Zapisana vrednost

ASTM 1319

Razmerje ogljik/vodik

 

Zapisana vrednost

 

Razmerje ogljik/kisik

 

Zapisana vrednost

 

Indukcijsko obdobje (2)

min

480

EN-ISO 7536

Vsebnost kisika (3)

% m/m

Zapisana vrednost

EN 1601

Obstoječe lepilo

mg/ml

0,04

EN-ISO 6246

Vsebnost žvepla (4)

mg/kg

10

EN ISO 20846

EN ISO 20884

Korozija bakra

 

Razred 1

EN-ISO 2160

Vsebnost svinca

mg/l

5

EN 237

Vsebnost fosforja (5)

mg/l

1,3

ASTM D 3231

Etanol (3)

% v/v

4,7

5,3

EN 1601

EN 13132

(1)   Vrednosti, navedene v specifikacijah, so „prave vrednosti“. Pri ugotavljanju njihovih mejnih vrednosti so bile uporabljene določbe standarda ISO 4259 „Naftni izdelki – Določanje in uporaba natančnih podatkov v zvezi s preskusnimi metodami“, pri določanju najmanjše vrednosti pa je bila upoštevana najmanjša razlika 2R nad nič; pri določanju največje in najmanjše vrednosti je najmanjša razlika 4R (R = možnost ponovljivosti). Ne glede na ta ukrep, potreben iz tehničnih razlogov, mora proizvajalec goriv skušati doseči ničelno vrednost, kadar je določena največja vrednost 2R, in povprečno vrednost, kadar sta navedeni največja in najmanjša mejna vrednost. Če je treba razjasniti, ali gorivo ustreza zahtevam specifikacij, se uporabijo določbe standarda ISO 4259.

(2)   Gorivo lahko vsebuje antioksidante in deaktivatorje kovin, ki se običajno uporabljajo za stabiliziranje rafinerijskih bencinskih tokov, ne smejo pa se dodajati detergenti/disperzijska sredstva in topilna olja.

(3)   Etanol, ki izpolnjuje specifikacije standarda EN 15376 je edina kisikova spojina, ki se namerno doda gorivu.

(4)   Zapiše se dejanska vsebnost žvepla v gorivu za preskus tipa 1.

(5)   Temu referenčnemu gorivu se namerno ne sme dodajati spojin, ki vsebujejo fosfor, železo, mangan ali svinec.

▼M8

Tip: bencin (E10):



Parameter

Enota

Mejne vrednosti (1)

Preskusna metoda

najnižja

najvišja

Raziskovalno oktansko število (RON) (2)

 

95,0

98,0

EN ISO 5164

Motorsko oktansko število (MON) (2)

 

85,0

89,0

EN ISO 5163

Gostota pri 15 °C

kg/m3

743,0

756,0

EN ISO 12185

Parni tlak (DVPE)

kPa

56,0

60,0

EN 13016-1

Vsebnost vode

 

največ 0,05 vol. %

Videz pri – 7 °C: čist in svetel

EN 12937

Destilacija:

 

 

 

 

—  uparjeno pri 70 °C

% vol

34,0

46,0

EN ISO 3405

—  uparjeno pri 100 °C

% vol

54,0

62,0

EN ISO 3405

—  uparjeno pri 150 °C

% vol

86,0

94,0

EN ISO 3405

—  končno vrelišče

°C

170

195

EN ISO 3405

Ostanek

% vol

2,0

EN ISO 3405

Analiza ogljikovodikov:

 

 

 

 

—  olefini

% vol

6,0

13,0

EN 22854

—  aromati

% vol

25,0

32,0

EN 22854

—  benzen

% vol

1,00

EN 22854

EN 238

—  nasičene spojine

% vol

poročilo

EN 22854

Razmerje ogljik/vodik

 

poročilo

 

Razmerje ogljik/kisik

 

poročilo

 

Indukcijsko obdobje (3)

minut

480

EN ISO 7536

Vsebnost kisika (4)

% mase

3,3

3,7

EN 22854

Lepilo, izprano s topilom

(vsebnost obstoječega lepila)

mg/100 ml

4

EN ISO 6246

Vsebnost žvepla (5)

mg/kg

10

EN ISO 20846

EN ISO 20884

Korozija bakra, 3 ure, 50 °C

 

razred 1

EN ISO 2160

Vsebnost svinca

mg/l

5

EN 237

Vsebnost fosforja (6)

mg/l

1,3

ASTM D 3231

Etanol (4)

% vol

9,0

10,0

EN 22854

(1)   Vrednosti, navedene v specifikacijah, so „prave vrednosti“. Pri ugotavljanju njihovih mejnih vrednosti so bile uporabljene določbe standarda ISO 4259 „Naftni izdelki – Določanje in uporaba natančnih podatkov v zvezi s preskusnimi metodami“ pri določanju najmanjše vrednosti pa je bila upoštevana najmanjša razlika 2R nad nič; pri določanju največje in najmanjše vrednosti je najmanjša razlika 4R (R = ponovljivost). Ne glede na ta ukrep, potreben iz tehničnih razlogov, mora proizvajalec goriv poskusiti doseči ničelno vrednost, kadar je določena največja vrednost 2R, in povprečno vrednost, kadar sta navedeni največja in najmanjša mejna vrednost. Če je treba razjasniti, ali gorivo ustreza zahtevam specifikacij, se uporabijo določbe standarda ISO 4259.

(2)   Pri izračunu končnega rezultata v skladu s standardom EN 228:2008 se odšteje korekcijski faktor 0,2 za MON in RON.

(3)   Gorivo lahko vsebuje antioksidante in deaktivatorje kovin, ki se običajno uporabljajo za stabiliziranje rafinerijskih bencinskih tokov, ne smejo pa se dodajati detergenti/disperzijska sredstva in topilna olja.

(4)   Etanol je edina kisikova spojina, ki se namerno doda referenčnemu gorivu. Uporabljeni etanol mora biti v skladu s standardom EN 15376.

(5)   Zapiše se dejanska vsebnost žvepla v gorivu za preskus tipa 1.

(6)   Temu referenčnemu gorivu se namerno ne sme dodajati spojin, ki vsebujejo fosfor, železo, mangan ali svinec.

(2)  Enakovredne metode EN/ISO bodo sprejete, ko bodo izdane za vse zgoraj navedene lastnosti.

▼B

Vrsta: Etanol (E85)



Parameter

Enota

Mejne vrednosti (1)

Preskusna metoda (2)

Najnižja

Najvišja

Raziskovalno oktansko število, RON

 

95,0

EN ISO 5164

Motorsko oktansko število, MON

 

85,0

EN ISO 5163

Gostota pri 15 °C

kg/m3

Zapisana vrednost

ISO 3675

Parni tlak

kPa

40,0

60,0

EN ISO 13016–1 (DVPE)

Vsebnost žvepla (3) (4)

mg/kg

10

EN ISO 20846 EN ISO 20884

Oksidacijska stabilnost

min

360

 

EN ISO 7536

Vsebnost obstoječega lepila (izprano s topilom)

mg/100 ml

5

EN-ISO 6246

Videz Videz se ugotavlja pri temperaturi okolice ali pri temperaturi 15 °C, kar je višje.

 

Čist in svetel, ni nobenih vidnih suspenzij ali usedlin onesnaževal

Vizualni pregled

Etanol in višji alkoholi (7)

% (v/v)

83

85

EN 1601

EN 13132

EN 14517

Višji alkoholi (C3 – C8)

% (v/v)

2,0

 

Metanol

% (v/v)

 

0,5

 

Bencin (5)

% (v/v)

Ravnotežje

EN 228

Fosfor

mg/l

0,3 (6)

ASTM D 3231

Vsebnost vode

% (v/v)

 

0,3

ASTM E 1064

Vsebnost anorganskih kloridov

mg/l

 

1

ISO 6227

pHe

 

6,5

9,0

ASTM D 6423

Korozija bakrenega traku (3 h pri 50 °C)

Ocena

Razred 1

 

EN ISO 2160

Kislost (izražena kot ocetna kislina CH3COOH)

% (m/m) (mg/l)

0,005(40)

ASTM D 1613

Razmerje ogljik/vodik

 

Zapisana vrednost

 

Razmerje ogljik/kisik

 

Zapisana vrednost

 

(1)   Vrednosti, navedene v specifikacijah, so „prave vrednosti“. Pri ugotavljanju njihovih mejnih vrednosti so bile uporabljene določbe standarda ISO 4259 „Naftni izdelki – Določanje in uporaba natančnih podatkov v zvezi s preskusnimi metodami“, pri določanju najmanjše vrednosti pa je bila upoštevana najmanjša razlika 2R nad nič; pri določanju največje in najmanjše vrednosti je najmanjša razlika 4R (R = možnost ponovljivosti). Ne glede na ta ukrep, potreben iz tehničnih razlogov, mora proizvajalec goriv skušati doseči ničelno vrednost, kadar je določena največja vrednost 2R, in povprečno vrednost, kadar sta navedeni največja in najmanjša mejna vrednost. Če je treba razjasniti, ali gorivo ustreza zahtevam specifikacij, se uporabijo določbe standarda ISO 4259.

(2)   V primeru spora se za rešitev spora in razlago rezultatov na podlagi natančnosti preskusne metode uporabijo postopki iz standarda EN ISO 4259.

(3)   V primeru nacionalnega spora glede vsebnosti žvepla, se sklicuje na standard EN ISO 20846 ali EN ISO 20884, podobno sklicu v nacionalni prilogi k standardu EN 228.

(4)   Zapiše se dejanska vsebnost žvepla v gorivu za preskus tipa 1.

(5)   Vsebnost neosvinčenega bencina se lahko določi kot 100 minus vsota vsebnosti vode in alkoholov v odstotkih.

(6)   Temu referenčnemu gorivu se namerno ne sme dodajati spojin, ki vsebujejo fosfor, železo, mangan ali svinec.

(7)   Etanol, ki izpolnjuje specifikacije standarda EN 15376 je edina kisikova spojina, ki se namerno doda temu referenčnemu gorivu.

Vrsta: UNP



Parameter

Enota

Gorivo A

Gorivo B

Preskusna metoda

Sestava:

 

 

 

ISO 7941

Vsebnost C3

% vol

30 ± 2

85 ± 2

 

Vsebnost C4

% vol

Ravnotežje

Ravnotežje

 

< C3, > C4

% vol

Največ 2

Največ 2

 

nenasičeni ogljikovodiki

% vol

Največ 12

Največ 15

 

Ostanki uparjanja

mg/kg

Največ 50

Največ 50

prEN 15470

Voda pri 0 °C

 

Prosto

Prosto

prEN 15469

Skupna vsebnost žvepla

mg/kg

Največ 10

Največ 10

ASTM 6667

Vodikov sulfid

 

Brez

Brez

ISO 8819

Korozija bakrenega traku

Ocena

Razred 1

Razred 1

ISO 6251 (1)

Vonj

 

Značilen

Značilen

 

Motorsko oktansko število

 

Najmanj 89

Najmanj 89

EN 589 Priloga B

(1)   S to metodo ni mogoče natančno določiti prisotnosti korozivnih materialov, če vzorec vsebuje antikorozijska sredstva ali druge kemikalije, ki zmanjšujejo korozivnost vzorca na bakreni trak. Zato je dodajanje takih spojin z edinim namenom vplivanja na preskusno metodo, prepovedano.

Vrsta: ZP/biometan



Značilnosti

Enote

Osnova

Mejne vrednosti

Preskusna metoda

Najnižja

Najvišja

Referenčno gorivo G20

Sestava:

 

 

 

 

 

Metan

%-mol

100

99

100

ISO 6974

Ravnotežje (1)

%-mol

1

ISO 6974

N2

%-mol

 

 

 

ISO 6974

Vsebnost žvepla

mg/m3 (2)

10

ISO 6326–5

Wobbejev indeks (neto)

MJ/m3 (3)

48,2

47,2

49,2

 

Referenčno gorivo G25

Sestava:

 

 

 

 

 

Metan

%-mol

86

84

88

ISO 6974

Ravnotežje (1)

%-mol

1

ISO 6974

N2

%-mol

14

12

16

ISO 6974

Vsebnost žvepla

mg/m3 (2)

10

ISO 6326–5

Wobbejev indeks (neto)

MJ/m3 (3)

39,4

38,2

40,6

 

(1)   Inertni plini (ki se razlikujejo od N2) + C2 + C2+.

(2)   Vrednost se določi pri 293,2 K (20 °C) in 101,3 kPa.

(3)   Vrednost se določi pri 273,2 K (0 °C) in 101,3 kPa.

▼M3

Vrsta: Vodik za motorje z notranjim zgorevanjem



Značilnosti

Enote

Mejne vrednosti

Preskusna metoda

Najmanj

Največ

Čistost vodika

% mol

98

100

ISO 14687-1

Ogljikovodiki skupaj

μmol/mol

0

100

ISO 14687-1

Voda (1)

μmol/mol

0

 (2)

ISO 14687-1

Kisik

μmol/mol

0

 (2)

ISO 14687-1

Argon

μmol/mol

0

 (2)

ISO 14687-1

Dušik

μmol/mol

0

 (2)

ISO 14687-1

CO

μmol/mol

0

1

ISO 14687-1

Žveplo

μmol/mol

0

2

ISO 14687-1

Stalni delci (3)

 

 

 

ISO 14687-1

(1)   Ne sme kondenzirati.

(2)   Voda, kisik, dušik in argon skupaj: 1,900 μmol/mol.

(3)   Vodik ne sme vsebovati prahu, peska, umazanije, gume, olj ali drugih snovi v količini, ki bi lahko poškodovala opremo za dovod goriva v vozilu (motorju).

Vrsta: Vodik za vozila na gorivne celice



Značilnosti

Enote

Mejne vrednosti

Preskusna metoda

Najmanj

Največ

Vodik (1)

% mol

99,99

100

ISO 14687-2

Plini skupaj (2)

μmol/mol

0

100

 

Ogljikovodiki skupaj

μmol/mol

0

2

ISO 14687-2

Voda

μmol/mol

0

5

ISO 14687-2

Kisik

μmol/mol

0

5

ISO 14687-2

Helij (He), dušik (N2), argon (Ar)

μmol/mol

0

100

ISO 14687-2

CO2

μmol/mol

0

2

ISO 14687-2

CO

μmol/mol

0

0,2

ISO 14687-2

Žveplove spojine skupaj

μmol/mol

0

0,004

ISO 14687-2

Formaldehid (HCHO)

μmol/mol

0

0,01

ISO 14687-2

Mravljična kislina (HCOOH)

μmol/mol

0

0,2

ISO 14687-2

Amoniak (NH3)

μmol/mol

0

0,1

ISO 14687-2

Halogenirane spojine skupaj

μmol/mol

0

0,05

ISO 14687-2

Velikost delcev

μm

0

10

ISO 14687-2

Koncentracija delcev

μg/l

0

1

ISO 14687-2

(1)   Indeks za vodikovo gorivo se določi tako, da se odšteje vsebnost vseh nevodikovih plinastih sestavin iz tabele (plini skupaj), izražena v % mol, od 100 % mol. Je manjši od vsote največjih mejnih vrednosti vseh nevodikovih sestavin iz tabele.

(2)   Vrednost plinov skupaj je vsota vrednosti nevodikovih sestavin iz tabele razen delcev.

Vrsta: H2ZP

Vodik in ZP/biometan, ki sestavljata mešanico H2ZP, morata ločeno izpolnjevati ustrezne značilnosti iz te priloge.

▼B

2.   Tehnični podatki o gorivih za preskušanje vozil z motorjem na kompresijski vžig

Vrsta: Dizelsko gorivo (B5)



Parameter

Enota

Mejne vrednosti (1)

Preskusna metoda

Najnižja

Najvišja

Cetansko število (2)

 

52,0

54,0

EN-ISO 5165

Gostota pri 15 °C

kg/m3

833

837

EN-ISO 3675

Destilacija:

 

 

 

 

—  50 %

°C

245

EN-ISO 3405

—  95 %

°C

345

350

EN-ISO 3405

—  vrelišče

°C

370

EN-ISO 3405

Plamenišče

°C

55

EN 22719

Sposobnost filtra CFPP (Cold Filter Plugging Point)

°C

– 5

EN 116

Viskoznost pri 40 °C

mm2/s

2,3

3,3

EN-ISO 3104

Policiklični aromatični ogljikovodiki

% m/m

2,0

6,0

EN 12916

Vsebnost žvepla (3)

mg/kg

10

EN ISO 20846/EN ISO 20884

Korozija bakra

 

Razred 1

EN-ISO 2160

Ostanki ogljika po Conradsonu (10 % DR)

% m/m

0,2

EN-ISO 10370

Vsebnost pepela

% m/m

0,01

EN-ISO 6245

Vsebnost vode

% m/m

0,02

EN-ISO 12937

Nevtralizacijsko število (močna kislina)

mg KOH/g

0,02

ASTM D 974

Stabilnost oksidacije (4)

mg/ml

0,025

EN-ISO 12205

Mazalnost (premer pregledovalnika obrabe HFRR pri 60 °C)

μm

400

EN ISO 12156

Stabilnost oksidacije pri 110 °C (4) (6)

H

20,0

 

EN 14112

FAME (5)

% v/v

4,5

5,5

EN 14078

(1)   Vrednosti, navedene v specifikacijah, so „prave vrednosti“. Pri ugotavljanju njihovih mejnih vrednosti so bile uporabljene določbe standarda ISO 4259 „Naftni izdelki – Določanje in uporaba natančnih podatkov v zvezi s preskusnimi metodami“, pri določanju najmanjše vrednosti pa je bila upoštevana najmanjša razlika 2R nad nič; pri določanju največje in najmanjše vrednosti je najmanjša razlika 4R (R = možnost ponovljivosti). Ne glede na ta ukrep, potreben iz tehničnih razlogov, mora proizvajalec goriv skušati doseči ničelno vrednost, kadar je določena največja vrednost 2R, in povprečno vrednost, kadar sta navedeni največja in najmanjša mejna vrednost. Če je treba razjasniti, ali gorivo ustreza zahtevam specifikacij, se uporabijo določbe standarda ISO 4259.

(2)   Območje cetanskega števila ni v skladu z zahtevami, da je najmanjše območje 4R. Vseeno se pri morebitnem sporu med dobaviteljem in uporabnikom goriva pri reševanju spora lahko uporabijo določbe standarda ISO 4259, če se namesto ene meritve izvede raje dovolj ponovnih meritev, da se doseže predpisana natančnost.

(3)   Zapiše se dejanska vsebnost žvepla v gorivu za preskus tipa 1.

(4)   Čeprav je stabilnost oksidacije nadzorovana, je verjetno, da bo rok uporabnosti omejen. V zvezi s pogoji skladiščenja in življenjsko dobo se je treba posvetovati z dobaviteljem.

(5)   Vsebnost FAME mora ustrezati specifikacijam iz standarda EN 14214.

(6)   Stabilnost oksidacije se lahko prikaže z uporabo standarda EN-ISO 12205 ali EN 14112. Ta zahteva se preuči na osnovi ocen stabilnosti oksidacije in preskusnih mejnih vrednosti CEN/TC19.

▼M8

Tip: dizelsko gorivo (B7):



Parameter

Enota

Mejne vrednosti (1)

Preskusna metoda

najnižja

najvišja

Cetanski indeks

 

46,0

 

EN ISO 4264

Cetansko število (2)

 

52,0

56,0

EN ISO 5165

Gostota pri 15 °C

kg/m3

833,0

837,0

EN ISO 12185

Destilacija:

 

 

 

 

—  točka 50 %

°C

245,0

EN ISO 3405

—  točka 95 %

°C

345,0

360,0

EN ISO 3405

—  končno vrelišče

°C

370,0

EN ISO 3405

Plamenišče

°C

55

EN ISO 2719

Motnišče

°C

– 10

EN 23015

Viskoznost pri 40 °C

mm2/s

2,30

3,30

EN ISO 3104

Policiklični aromatski ogljikovodiki

% mase

2,0

4,0

EN 12916

Vsebnost žvepla

mg/kg

10,0

EN ISO 20846

EN ISO 20884

Korozija bakra, 3 ure, 50 °C

 

razred 1

EN ISO 2160

Ostanek ogljika po Conradsonu (10 % DR)

% mase

0,20

EN ISO 10370

Vsebnost pepela

% mase

0,010

EN ISO 6245

Skupaj nečistoče

mg/kg

24

EN 12662

Vsebnost vode

mg/kg

200

EN ISO 12937

Kislinsko število

mg KOH/g

0,10

EN ISO 6618

Lubrikativnost (premer pregledovalnika obrabe HFRR pri 60 °C)

μm

400

EN ISO 12156

Stabilnost oksidacije pri 110 °C (3)

h

20,0

 

EN 15751

FAME (4)

% vol

6,0

7,0

EN 14078

(1)   Vrednosti, navedene v specifikacijah, so „prave vrednosti“. Pri ugotavljanju njihovih mejnih vrednosti so bile uporabljene določbe standarda ISO 4259 „Naftni izdelki – Določanje in uporaba natančnih podatkov v zvezi s preskusnimi metodami“ pri določanju najmanjše vrednosti pa je bila upoštevana najmanjša razlika 2R nad nič; pri določanju največje in najmanjše vrednosti je najmanjša razlika 4R (R = ponovljivost). Ne glede na ta ukrep, potreben iz tehničnih razlogov, mora proizvajalec goriv poskusiti doseči ničelno vrednost, kadar je določena največja vrednost 2R, in povprečno vrednost, kadar sta navedeni največja in najmanjša mejna vrednost. Če je treba razjasniti, ali gorivo ustreza zahtevam specifikacij, se uporabijo določbe standarda ISO 4259.

(2)   Območje cetanskega števila ni v skladu z zahtevami, da je najmanjše območje 4R. Vseeno se pri morebitnem sporu med dobaviteljem in uporabnikom goriva pri reševanju spora lahko uporabijo določbe standarda ISO 4259, če se namesto ene meritve izvede raje dovolj ponovnih meritev, da se doseže predpisana natančnost.

(3)   Čeprav je stabilnost oksidacije nadzorovana, je verjetno, da bo rok uporabnosti omejen. V zvezi s pogoji skladiščenja in življenjsko dobo se je treba posvetovati z dobaviteljem.

(4)   Vsebnost FAME mora ustrezati specifikacijam iz standarda EN 14214.

▼B

B.   REFERENČNA GORIVA ZA PRESKUŠANJE EMISIJ PRI NIZKIH TEMPERATURAH OKOLJA – PRESKUS TIPA 6

Vrsta: Bencin (E5)



Parameter

Enota

Mejne vrednosti (1)

Preskusna metoda

Najnižja

Najvišja

Raziskovalno oktansko število, RON

 

95,0

EN 25164

prEN ISO 5164

Motorsko oktansko število, MON

 

85,0

EN 25163

prEN ISO 5163

Gostota pri 15 °C

kg/m3

743

756

ISO 3675

EN ISO 12185

Parni tlak

kPa

56,0

95,0

EN ISO 13016–1 (DVPE)

Vsebnost vode

% v/v

 

0,015

ASTM E 1064

Destilacija:

 

 

 

 

—  uparjeno pri 70 °C

% v/v

24,0

44,0

EN-ISO 3405

—  uparjeno pri 100 °C

% v/v

50,0

60,0

EN-ISO 3405

—  uparjeno pri 150 °C

% v/v

82,0

90,0

EN-ISO 3405

—  vrelišče

°C

190

210

EN-ISO 3405

Ostanek

% v/v

2,0

EN-ISO 3405

Analiza ogljikovodikov:

 

 

 

 

—  nenasičeni ogljikovodiki

% v/v

3,0

13,0

ASTM D 1319

—  aromati

% v/v

29,0

35,0

ASTM D 1319

—  benzen

% v/v

1,0

EN 12177

—  nasičene spojine

% v/v

Zapisana vrednost

ASTM D 1319

Razmerje ogljik/vodik

 

Zapisana vrednost

 

Razmerje ogljik/kisik

 

Zapisana vrednost

 

Indukcijsko obdobje (2)

min

480

EN-ISO 7536

Vsebnost kisika (3)

% m/m

Zapisana vrednost

EN 1601

Obstoječe lepilo

mg/ml

0,04

EN-ISO 6246

Vsebnost žvepla (4)

mg/kg

10

EN ISO 20846

EN ISO 20884

Korozija bakra

 

Razred 1

EN-ISO 2160

Vsebnost svinca

mg/l

5

EN 237

Vsebnost fosforja (5)

mg/l

1,3

ASTM D 3231

Ethanol (3)

% v/v

4,7

5,3

EN 1601

EN 13132

(1)   Vrednosti, navedene v specifikacijah, so „prave vrednosti“. Pri ugotavljanju njihovih mejnih vrednosti so bile uporabljene določbe standarda ISO 4259 „Naftni izdelki – Določanje in uporaba natančnih podatkov v zvezi s preskusnimi metodami“, pri določanju najmanjše vrednosti pa je bila upoštevana najmanjša razlika 2R nad nič; pri določanju največje in najmanjše vrednosti je najmanjša razlika 4R (R = možnost ponovljivosti). Ne glede na ta ukrep, potreben iz tehničnih razlogov, mora proizvajalec goriv skušati doseči ničelno vrednost, kadar je določena največja vrednost 2R, in povprečno vrednost, kadar sta navedeni največja in najmanjša mejna vrednost. Če je treba razjasniti, ali gorivo ustreza zahtevam specifikacij, se uporabijo določbe standarda ISO 4259.

(2)   Gorivo lahko vsebuje antioksidante in deaktivatorje kovin, ki se običajno uporabljajo za stabiliziranje rafinerijskih bencinskih tokov, ne smejo pa se dodajati detergenti/disperzijska sredstva in topilna olja.

(3)   Etanol, ki izpolnjuje specifikacije standarda EN 15376, je edina kisikova spojina, ki se namerno doda temu referenčnemu gorivu.

(4)   Zapiše se dejanska vsebnost žvepla v gorivu za preskus tipa 6.

(5)   Temu referenčnemu gorivu se namerno ne sme dodajati spojin, ki vsebujejo fosfor, železo, mangan ali svinec.

▼M8

Tip: bencin (E10)



Parameter

Enota

Mejne vrednosti (1)

Preskusna metoda

najnižja

najvišja

Raziskovalno oktansko število (RON) (2)

 

95,0

98,0

EN ISO 5164

Motorsko oktansko število (MON) (2)

 

85,0

89,0

EN ISO 5163

Gostota pri 15 °C

kg/m3

743,0

756,0

EN ISO 12185

Parni tlak (DVPE)

kPa

56,0

95,0

EN 13016-1

Vsebnost vode

 

največ 0,05 vol. %

Videz pri – 7 °C: čist in svetel

EN 12937

Destilacija:

 

 

 

 

—  uparjeno pri 70 °C

% vol

34,0

46,0

EN ISO 3405

—  uparjeno pri 100 °C

% vol

54,0

62,0

EN ISO 3405

—  uparjeno pri 150 °C

% vol

86,0

94,0

EN ISO 3405

—  končno vrelišče

°C

170

195

EN ISO 3405

Ostanek

% vol

2,0

EN ISO 3405

Analiza ogljikovodikov:

 

 

 

 

—  olefini

% vol

6,0

13,0

EN 22854

—  aromati

% vol

25,0

32,0

EN 22854

—  benzen

% vol

1,00

EN 22854

EN 238

—  nasičene spojine

% vol

poročilo

EN 22854

Razmerje ogljik/vodik

 

poročilo

 

Razmerje ogljik/kisik

 

poročilo

 

Indukcijsko obdobje (3)

minut

480

EN ISO 7536

Vsebnost kisika (4)

% mase

3,3

3,7

EN 22854

Lepilo, izprano s topilom

(vsebnost obstoječega lepila)

mg/100 ml

4

EN ISO 6246

Vsebnost žvepla (5)

mg/kg

10

EN ISO 20846

EN ISO 20884

Korozija bakra, 3 ure, 50 °C

 

razred 1

EN ISO 2160

Vsebnost svinca

mg/l

5

EN 237

Vsebnost fosforja (6)

mg/l

1,3

ASTM D 3231

Etanol (4)

% vol

9,0

10,0

EN 22854

(1)   Vrednosti, navedene v specifikacijah, so „prave vrednosti“. Pri ugotavljanju njihovih mejnih vrednosti so bile uporabljene določbe standarda ISO 4259 „Naftni izdelki – Določanje in uporaba natančnih podatkov v zvezi s preskusnimi metodami“ pri določanju najmanjše vrednosti pa je bila upoštevana najmanjša razlika 2R nad nič; pri določanju največje in najmanjše vrednosti je najmanjša razlika 4R (R = ponovljivost). Ne glede na ta ukrep, potreben iz tehničnih razlogov, mora proizvajalec goriv poskusiti doseči ničelno vrednost, kadar je določena največja vrednost 2R, in povprečno vrednost, kadar sta navedeni največja in najmanjša mejna vrednost. Če je treba razjasniti, ali gorivo ustreza zahtevam specifikacij, se uporabijo določbe standarda ISO 4259.

(2)   Pri izračunu končnega rezultata v skladu s standardom EN 228:2008 se odšteje korekcijski faktor 0,2 za MON in RON.

(3)   Gorivo lahko vsebuje antioksidante in deaktivatorje kovin, ki se običajno uporabljajo za stabiliziranje rafinerijskih bencinskih tokov, ne smejo pa se dodajati detergenti/disperzijska sredstva in topilna olja.

(4)   Etanol je edina kisikova spojina, ki se namerno doda referenčnemu gorivu. Uporabljeni etanol mora biti v skladu s standardom EN 15376.

(5)   Zapiše se dejanska vsebnost žvepla v gorivu za preskus tipa 6.

(6)   Temu referenčnemu gorivu se namerno ne sme dodajati spojin, ki vsebujejo fosfor, železo, mangan ali svinec.

(2)  Enakovredne metode EN/ISO bodo sprejete, ko bodo izdane za vse zgoraj navedene lastnosti.

▼B

Vrsta: Etanol (E75)

▼M1



Parameter

Enota

Mejne vrednosti (1)

Preskusna metoda (2)

Spodnja

Zgornja

Raziskovalno oktansko število, RON

 

95

EN ISO 5164

Motorsko oktansko število, MON

 

85

EN ISO 5163

Gostota pri 15 °C

kg/m3

poročilo

EN ISO 12185

Parni tlak

kPa

50

60

EN ISO 13016-1 (DVPE)

Vsebnost žvepla (3) (4)

mg/kg

10

EN ISO 20846

EN ISO 20884

Oksidacijska stabilnost

minute

360

EN ISO 7536

Vsebnost obstoječega lepila (izprano s topilom)

mg/100ml

4

EN ISO 6246

Videz se ugotavlja pri temperaturi okolice ali pri temperaturi 15 °C, kar je višje.

 

čist in svetel, brez vidnih suspenzij ali usedlin onesnaževal

vizualni pregled

Etanol in višji alkoholi (7)

% (V/V)

70

80

EN 1601

EN 13132

EN 14517

Višji alkoholi (C3 - C8)

% (V/V)

2

 

Metanol

 

0,5

 

Bencin (5)

% (V/V)

ravnotežje

EN 228

Fosfor

mg/l

0,30  (6)

ASTM D 3231

EN 15487

Vsebnost vode

% (V/V)

0,3

ASTM E 1064

EN 15489

Vsebnost anorganskih kloridov

mg/l

1

ISO 6227 - EN 15492

pHe

 

6,50

9

ASTM D 6423

EN 15490

Korozija bakrenega traku (3h pri 50 °C)

ocena

razred 1

 

EN ISO 2160

Kislost (izražena kot ocetna kislina CH3COOH)

% (m/m)

 

0,005

ASTM D1613

EN 15491

mg/l

 

40

Razmerje ogljik/vodik

 

poročilo

 

Razmerje ogljik/kisik

 

poročilo

 

(1)   Vrednosti, navedene v specifikacijah, so „prave vrednosti“. Pri določanju njihovih mejnih vrednosti so bile uporabljene določbe standarda ISO 4259 „Naftni izdelki – Določanje in uporaba natančnih podatkov v zvezi s preskusnimi metodami“, pri določanju najmanjše vrednosti pa je bila upoštevana najmanjša razlika 2R nad nič; pri določanju največje in najmanjše vrednosti je najmanjša razlika 4R (R = ponovljivost). Ne glede na ta postopek, potreben iz tehničnih razlogov, si mora proizvajalec goriv prizadevati doseči ničelno vrednost, kadar je določena največja vrednost 2R, in povprečno vrednost, kadar sta navedeni zgornja in spodnja mejna vrednost. Če obstaja dvom, ali gorivo izpolnjuje zahteve, se uporabijo določbe standarda ISO 4259.

(2)   V primeru spora se za rešitev spora in razlago rezultatov na podlagi natančnosti preskusne metode uporabijo postopki iz standarda EN ISO 4259.

(3)   V primeru nacionalnega spora glede vsebnosti žvepla se sklicuje na standard EN ISO 20846 ali EN ISO 20884, podobno sklicu v nacionalni prilogi k standardu EN 228.

(4)   Zapiše se dejanska vsebnost žvepla v gorivu za preskus tipa 6.

(5)   Vsebnost neosvinčenega bencina se lahko določi kot 100 minus vsota vsebnosti vode in alkoholov v odstotkih.

(6)   Temu referenčnemu gorivu se ne smejo namerno dodajati spojine, ki vsebujejo fosfor, železo, mangan ali svinec.

(7)   Etanol, ki izpolnjuje specifikacije iz standarda EN 15376, je edina kisikova spojina, ki se namerno doda temu referenčnemu gorivu.

▼B




PRILOGA X

POSTOPEK PRESKUSA EMISIJ ZA HIBRIDNA ELEKTRIČNA VOZILA (HEV)

1.   UVOD

1.1

Ta priloga določa dodatne posebne določbe o homologaciji hibridnih električnih vozil (HEV).

2.   TEHNIČNE ZAHTEVE

2.1

Tehnične zahteve in specifikacije so določene v Prilogi 14 k Pravilniku št. 83 (UN/ECE), z izjemami, ki so opisane v naslednjem oddelku.

2.2

Sklicevanje na odstavek 5.3.1.4. v oddelkih 3.1.2.6., 3.1.3.5., 3.2.2.7. in 3.2.3.5. Priloge 14 k Pravilniku št. 83 (UN/ECE) se razume kot sklicevanje na tabelo 1 iz Priloge I k Uredbi (ES) št. 715/2007 za vozila Euro 5 in na tabelo 2 iz Priloge I k Uredbi (ES) št. 715/2007 za vozila Euro 6.




PRILOGA XI

VGRAJENE NAPRAVE ZA DIAGNOSTIKO NA VOZILU (OBD) ZA MOTORNA VOZILA

1.   UVOD

1.1

Ta priloga določa funkcionalne vidike vgrajenih sistemov za diagnostiko na vozilu (OBD) za uravnavanje emisij iz motornih vozil.

2.   ZAHTEVE IN PRESKUSI

2.1

Zahteve in preskusi za vgrajene sisteme za diagnostiko na vozilu (OBD) so določeni v oddelku 3 Priloge 11 k Pravilniku št. 83 (UN/ECE). Izjeme pri teh zahtevah in dodatne zahteve so opisane v naslednjih oddelkih.

2.2

Razdalja za preskus trajnosti, navedena v oddelkih 3.1 in 3.3.1 Priloge 11 k Pravilniku št. 83 (UN/ECE) se razume kot sklicevanje na zahteve iz Priloge VII k tej uredbi.

2.3

Mejne vrednosti, določene v oddelku 3.3.2 Priloge 11 k Pravilniku št. 83 (UN/ECE) se razumejo kot sklicevanje na tabele spodaj.

2.3.1

Mejne vrednosti za vgrajene sisteme za diagnostiko za vozila, ki se homologirajo glede na omejitve emisij, določene v tabeli 1 Priloge 1 k Uredbi (ES) št. 715/2007 so navedene v naslednji tabeli.



Mejne vrednosti za vgrajene naprave za diagnostiko Euro 5

 

Referenčna masa

(RW)

(kg)

Masa ogljikovega monoksida

Masa nemetanskih ogljikovodikov

Masa dušikovih oksidov

Masa delcev

(CO)

(mg/km)

(NMHC)

(mg/km)

(NOx)

(mg/km)

(PM)

(mg/km)

Kategorija

Razred

 

PV

KV

PV

KV

PV

KV

PV (1)

KV (2)

M

Vsa

1 900

1 900

250

320

300

540

50

50

N1 (3)

I

RW ≤ 1 305

1 900

1 900

250

320

300

540

50

50

II

1 305 < RW ≤ 1 760

3 400

2 400

330

360

375

705

50

50

III

1 760 < RW

4 300

2 800

400

400

410

840

50

50

N2

Vsa

4 300

2 800

400

400

410

840

50

50

(1)   Standardi za maso delcev pri prisilnem vžigu veljajo samo za vozila z motorji z neposrednim vbrizgavanjem goriva

(2)   Do datumov iz člena 17 a bo mejna vrednost za maso delcev 80 mg/km veljala za vozila kategorij M in N z referenčno maso nad 1 760 kg.

(3)   Vključuje vozila M1, ki ustrezajo opredelitvi za „posebne družbene potrebe“ iz Uredbe (ES) št. 715/2007

Ključ: PV = prisilni vžig, KV = kompresijski vžig

2.3.2

Mejne vrednosti za vgrajene sisteme za diagnostiko za vozila z motorji s prisilnim vžigom, ki so skladna z mejnimi vrednostmi emisij Euro 6, podanimi v tabeli 2 Priloge 1 k Uredbi (ES) št. 715/2007 in ki so bila homologirana pred datumi, navedenimi v členu 10(4) Uredbe (ES) št. 715/2007 so navedene v naslednji tabeli. Te mejne vrednosti prenehajo veljati z datumi iz člena 10(5) Uredbe (ES) št. 715/2007 za nova vozila, ki bodo registrirana, prodana ali dana v promet.



Začasne mejne vrednosti za vgrajene naprave za diagnostiko na vozilu Euro 6

 

Referenčna masa

(RW)

(kg)

Masa ogljikovega monoksida

Masa nemetanskih ogljikovodikov

Masa dušikovih oksidov

Masa delcev

(CO)

(mg/km)

(NMHC)

(mg/km)

(NOx)

(mg/km)

(PM)

(mg/km)

Kategorija

Razred

 

KV

KV

KV

KV

M

Vsa

1900

320

240

50

N1

I

RW ≤ 1 305

1900

320

240

50

II

1 305 < RW ≤ 1 760

2 400

360

315

50

III

1 760 < RW

2 800

400

375

50

N2

Vsa

2 800

400

375

50

Ključ: KV = kompresijski vžig

▼M2

2.3.3

Mejne vrednosti za vgrajene sisteme za diagnostiko na vozilih, ki so homologirana v skladu z mejnimi vrednostmi emisij Euro 6 iz tabele 2 Priloge I k Uredbi (ES) št. 715/2007 za obdobje po preteku treh let po datumih iz člena 10(4) in 10(5) te uredbe, so navedene v naslednji tabeli:

▼M8



Končne mejne vrednosti za vgrajene naprave za diagnostiko na vozilu Euro 6

 

 

Referenčna masa

(RM) (kg)

Masa ogljikovega monoksida

Masa nemetanskih ogljikovodikov

Masa dušikovih oksidov

Masa trdnih delcev (1)

Število delcev (1)

 

(CO)

(mg/km)

(Nemetanski ogljikovodiki)

(mg/km)

(NOx)

(mg/km)

(trdni delci)

(mg/km)

(število delcev)

(število/km)

Kategorija

Razred

 

PV

KV

PV

KV

PV

KV

KV

PV

KV

PV

M

Vsa

1 900

1 750

170

290

90

140

12

12

 

 

N1

I

RM ≤ 1 305

1 900

1 750

170

290

90

140

12

12

 

 

II

1 305 < RM ≤ 1 760

3 400

2 200

225

320

110

180

12

12

 

 

III

1 760 < RM

4 300

2 500

270

350

120

220

12

12

 

 

N2

Vsa

4 300

2 500

270

350

120

220

12

12

 

 

(1)   Mejne vrednosti za maso in število delcev pri prisilnem vžigu se uporabljajo samo za vozila z motorji z neposrednim vbrizgavanjem goriva.

Legenda: PI = prisilni vžig, CI = kompresijski vžig

▼M2

Pojasnilo:

Komisija do 1. septembra 2014 opravi pregled mejnih vrednosti za vgrajene naprave za diagnostiko iz tabele. Če se izkažejo za tehnično neizvedljive, je treba vrednosti ali obvezni datum uporabe ob upoštevanju učinka drugih novih zahtev in preskusov, ki bodo uvedeni za vozila Euro 6, ustrezno spremeniti. Če pregled pokaže okoljsko potrebo, tehnično izvedljivost in čisto finančno korist, je treba sprejeti strožje vrednosti in uvesti mejne vrednosti za vgrajene sisteme za diagnostiko na vozilu za število delcev in po potrebi za druga, s predpisi urejena onesnaževala. Pri tem je treba industriji dati dovolj časa za uvedbo tehničnih sprememb.

2.3.4

Do tri leta po datumih iz člena 10(4) in (5) Uredbe (ES) št. 715/2007 za nove homologacije oziroma nova vozila se, po izbiri proizvajalca, za vozila, homologirana v skladu z mejnimi vrednostmi emisij Euro 6 iz tabele 2 Priloge I k Uredbi (ES) št. 715/2007, uporabljajo naslednje mejne vrednosti za vgrajene sisteme za diagnostiko na vozilu:

▼M8



Predhodne mejne vrednosti za vgrajene naprave za diagnostiko na vozilu Euro 6

 

 

Referenčna masa

(RM) (kg)

Masa ogljikovega monoksida

Masa nemetanskih ogljikovodikov

Masa dušikovih oksidov

Masa trdnih delcev (1)

 

(CO)

(mg/km)

(Nemetanski ogljikovodiki)

(mg/km)

(NOx)

(mg/km)

(trdni delci)

(mg/km)

Kategorija

Razred

 

PV

KV

PV

KV

PV

KV

KV

PV

M

Vsa

1 900

1 750

170

290

150

180

25

25

N1

I

RM ≤ 1 305

1 900

1 750

170

290

150

180

25

25

 

II

1 305 < RM ≤ 1 760

3 400

2 200

225

320

190

220

25

25

 

III

1 760 < RM

4 300

2 500

270

350

210

280

30

30

N2

Vsa

4 300

2 500

270

350

210

280

30

30

(1)   Mejne vrednosti za maso delcev pri prisilnem vžigu veljajo samo za vozila z motorji z neposrednim vbrizgavanjem goriva.

Legenda: PI = prisilni vžig, CI = kompresijski vžig

▼B

2.4

Poleg določb iz oddelka 3.2.1 Priloge 11 k Pravilniku št. 83 (UN/ECE) lahko proizvajalec začasno izklopi vgrajeni sistem za diagnostiko na vozilu pod naslednjimi pogoji:

(a) Pri vozilih s prilagodljivim tipom goriva ali vozilih z enogorivnim/dvogorivnim motorjem na plin za 1 minuto po dolivanju goriva, da lahko enota za nadzor motorja (ECU) prepozna kakovost in sestavo goriva;

(b) Pri vozilih z dvogorivnim motorjem za 5 sekund po zamenjavi goriva, da se omogoči prilagoditev parametrov motorja.

Proizvajalec lahko odstopa od teh časovnih omejitev, če lahko dokaže, da ustalitev sistema za dovod goriva po dolivanju goriva ali zamenjavi goriva traja dlje iz utemeljenih tehničnih razlogov. Vgrajeni sistem za diagnostiko na vozilu se v vsakem primeru ponovno vklopi takoj, ko je prepoznana kakovost in sestava goriva ali ko se parametri motorja prilagodijo.

▼M8

2.5

Oddelek 3.3.3.1 Priloge 11 k Pravilniku UNECE št. 83 se razume tako:

Vgrajeni sistem za diagnostiko na vozilu spremlja zmanjšanje učinkovitosti katalizatorja glede skupnih emisij nemetanskih ogljikovodikov (NMHC) in emisij NOx. Proizvajalci lahko nadzorujejo le prvi katalizator ali skupino katalizatorjev v smeri toka izpušnih plinov. Za vsak spremljani katalizator ali skupino katalizatorjev se šteje, da ne deluje, če so emisije večje od mejnih vrednosti za nemetanske ogljikovodike (NMHC) ali dušikove okside (NOx) iz oddelka 2.3 te priloge. Z odstopanjem od tega začne zahteva po spremljanju zmanjšanja učinkovitosti katalizatorja glede emisij dušikovih oksidov (NOx) veljati šele z datumi, določenimi v členu 17.

▼B

2.6

Oddelek 3.3.3.3 Priloge 11 k Pravilniku št. 83 (UN/ECE) pomeni, da se spremlja slabšanje vseh lambda sond, ki so nameščene in se uporabljajo za spremljanje napak v delovanju katalizatorja v skladu z zahtevami iz te priloge:

2.7

Poleg zahtev iz oddelka 3.3.3 Priloge 11 k Pravilniku št. 83 (UN/ECE) se spremlja vsaka napaka v delovanju pri motorjih s prisilnim vžigom in neposrednim vbrizgavanjem motorja, ki lahko povzroči, da emisije presežejo mejne vrednosti za delce iz oddelka 2.3 te priloge in jo je treba spremljati v skladu z zahtevami iz te priloge za motorje s kompresijskim vžigom.

2.8

Poleg zahtev iz oddelka 3.3.4 Priloge 11 k Pravilniku št. 83 (UN/ECE) se spremljajo napake v delovanju in zmanjševanje učinkovitosti sistema za vračanje izpušnih plinov v valj (EGR).

2.9

Poleg zahtev iz oddelka 3.3.4 Priloge 11 k Pravilniku št. 83 (UN/ECE) se spremljajo napake v delovanju in zmanjševanje učinkovitosti sistema za naknadno obdelavo dušikovih oksidov (NOx), ki uporablja reagent in podsistem za doziranje reagenta.

2.10

Poleg zahtev iz oddelka 3.3.4 Priloge 11 k Pravilniku št. 83 (UN/ECE) se spremljajo napake v delovanju in zmanjševanje učinkovitosti sistema za naknadno obdelavo dušikovih oksidov (NOx), ki ne uporablja reagenta.

2.11

Poleg zahtev iz oddelka 6.3.2 Dodatka 1 k Prilogi 11 k Pravilniku št. 83 (UN/ECE), mora proizvajalec dokazati, da vgrajeni sistem za diagnostiko na vozilu zazna napake v pretoku in hladilniku sistema za vračanje izpušnih plinov v valj (EGR) med svojim homologacijskim preskusom.

2.12

Sklicevanje na „HC“ (ogljikovodike) se šteje kot sklicevanje na „NMHC“ (nemetanske ogljikovodike) v oddelku 6.4.1.2 Dodatka 1 k Prilogi 11 k Pravilniku št. 83 (UN/ECE).

2.13

Poleg zahtev iz oddelka 6.5.1.3 Dodatka 1 k Prilogi 11 k Pravilniku št. 83 (UN/ECE), bodo vsi podatki, ki morajo biti shranjeni v skladu z določbami oddelka 3.6 Dodatka 1 k tej prilogi na voljo preko serijskega podatkovnega vmesnika s standardiziranim priključkom za prenos podatkov v skladu s specifikacijami iz oddelka 6.5.3 Dodatka 1 k Prilogi 11 k Pravilniku št. 83 (UN/ECE).

▼M2

2.14.

V nasprotju s točko 3.3.5. Priloge 11 k Pravilniku UN/ECE št. 83 se naslednje naprave spremljajo glede popolne odpovedi ali odstranitve, če je slednja povzročila prekoračitev veljavnih mejnih vrednosti emisij:

 od 1. septembra 2011, lovilnik delcev, ki je na motor na kompresijski vžig nameščen kot samostojna enota ali vgrajen v kombinirano napravo za uravnavanje emisij,

 pri vozilih, certificiranih na podlagi mejnih vrednosti za vgrajene sisteme za diagnostiko na vozilu, navedenih v tabelah iz točke 2.3.3. ali 2.3.4., sistem za naknadno obdelavo dušikovih oksidov, ki je na motor na kompresijski vžig nameščen kot samostojna enota ali vgrajen v kombinirano napravo za uravnavanje emisij,

 pri vozilih, certificiranih na podlagi mejnih vrednosti za vgrajene sisteme za diagnostiko na vozilu, navedenih v tabelah iz točke 2.3.3. ali 2.3.4., dizelski oksidacijski katalizatorji (DOC), ki so na motorje na kompresijski vžig nameščeni kot samostojna enota ali vgrajeni v kombinirano napravo za uravnavanje emisij.

Naprave iz prvega odstavka se spremljajo tudi glede morebitne odpovedi, če je slednja povzročila prekoračitev veljavnih mejnih vrednosti za vgrajene sisteme za diagnostiko na vozilu.

▼B

3.   UPRAVNE DOLOČBE GLEDE POMANJKLJIVOSTI VGRAJENIH SISTEMOV ZA DIAGNOSTIKO NA VOZILU

3.1

Pri obravnavi zahteve za podelitev homologacije vozilu s pomanjkljivostjo ali pomanjkljivostmi v skladu s členom 6(2) homologacijski organ ugotovi, ali je skladnost z zahtevami iz te priloge nemogoča ali pa nesmiselna.

3.2

Pri tem homologacijski organ upošteva navedbe proizvajalca, ki med drugim vsebujejo tudi podatke, kot so tehnična izvedljivost, čas zagona proizvodnje in proizvodni cikli, ki vključujejo fazo uvajanja oziroma fazo izteka proizvodnje motorjev ali konstrukcijo vozila, programirane izboljšave računalnikov, stopnjo pričakovane učinkovitosti vgrajenega sistema za diagnostiko na vozilu glede izpolnjevanja zahtev te direktive in ali si je proizvajalec dovolj prizadeval, da bi kar najbolj izpolnil zahteve te uredbe.

▼M1

3.3

Homologacijski organ ne ugodi zahtevi za podelitev homologacije za sistem s pomanjkljivostmi, če nadzorne naprave sploh ni ali ni zahtevanega evidentiranja in sporočanja podatkov, povezanih z nadzorno napravo.

▼B

3.4

Ravno tako homologacijski organ ne bo ugodil zahtevi za podelitev homologacije za vgrajeni sistem za diagnostiko na vozilu, če niso upoštevane mejne vrednosti za vgrajeni sistem za diagnostiko na vozilu iz oddelka 2.3.

3.5

Pri ugotavljanju pomanjkljivosti je treba najprej preveriti pomanjkljivosti, ki se nanašajo na oddelke 3.3.3.1, 3.3.3.2 in 3.3.3.3 Priloge 11 k Pravilniku št. 83 (UN/ECE) za motorje na prisilni vžig ter oddelke 3.3.4.1, 3.3.4.2 in 3.3.4.3 Priloge 11 k Pravilniku št. 83 (UN/ECE) za motorje na kompresijski vžig.

3.6

Pred podelitvijo homologacije ali ob podelitvi homologacije niso dopustne pomanjkljivosti glede na zahteve oddelka 6.5 (razen oddelka 6.5.3.4) Dodatka 1 k Prilogi 11 k Pravilniku št. 83 (UN/ECE).

3.6

Obdobje, v katerem so pomanjkljivosti dopustne

3.6.1

Pomanjkljivost je dopustna še dve leti od datuma podelitve homologacije za tip vozila, razen če je mogoče dokazati, da so za odpravo pomanjkljivosti potrebne večje spremembe računalniške opreme ter več kakor dvoletni časovni zamik. V tem primeru je pomanjkljivost dovoljena za obdobje do treh let.

3.6.2

Proizvajalec lahko od homologacijskega organa zahteva sprejetje pomanjkljivosti s povratnim učinkom, če se pomanjkljivost ugotovi, ko je bila homologacija že podeljena. V tem primeru je pomanjkljivost dovoljena še dve leti od datuma uradnega obvestila homologacijskemu organu, razen če je mogoče dokazati, da so za odpravo pomanjkljivosti potrebne večje spremembe računalniške opreme ter več kakor dvoletno obdobje. V tem primeru je pomanjkljivost dovoljena za obdobje do treh let.

3.7

Homologacijski organ sporoči svojo odločitev o ugoditvi zahtevi za sprejetje pomanjkljivosti v skladu s členom 6(2).

4.   DOSTOP DO INFORMACIJ O VGRAJENEM SISTEMU ZA DIAGNOSTIKO NA VOZILU

4.1

Zahteve za dostop do informacij o vgrajenih sistemih za diagnostiko na vozilu (OBD) so določene v oddelku 5 Priloge 11 k Pravilniku št. 83 (UN/ECE). Izjeme pri teh zahtevah so opisane v naslednjih oddelkih.

4.2

Sklicevanje na Dodatek 1 k Prilogi 2 k Pravilniku št. 83 (UN/ECE) se razume kot sklicevanje na Dodatek 5 k Prilogi I k tej uredbi.

4.3

Sklicevanje na oddelek 4.2.11.2.7.6 Priloge 1 k Pravilniku št. 83 (UN/ECE) se razume kot sklicevanje na oddelek 3.2.12.2.7.6 Dodatka 3 k Prilogi I k tej uredbi.

4.4

Sklicevanje na „pogodbenice“ se razume kot sklicevanje na „države članice“.

4.5

Sklicevanje na homologacijo, podeljeno v skladu s Pravilnikom št. 83 se šteje kot sklicevanje na homologacijo, podeljeno v skladu s to uredbo in Direktivo Sveta 70/220/EGS ( 57 ).

4.6

Homologacija v skladu z UN/ECE se razume kot ES-homologacija.




Dodatek 1

FUNKCIONALNI VIDIKI VGRAJENIH SISTEMOV ZA DIAGNOSTIKO NA VOZILU (OBD)

1.   UVOD

1.1

Ta dodatek opisuje postopek preskusa v skladu z oddelkom 2 te priloge.

2.   TEHNIČNE ZAHTEVE

2.1

Tehnične zahteve in specifikacije so določene v Dodatku 1 k Prilogi 11 k Pravilniku št. 83 (UN/ECE), z izjemami in dodatnimi zahtevami, ki so opisane v naslednjih oddelkih.

2.2

Sklicevanje na mejne vrednosti za vgrajene sisteme za diagnostiko na vozilu, navedene v odstavku 3.3.2 Priloge 11 k Pravilniku št. 83 (UN/ECE) se šteje kot sklicevanje na mejne vrednosti, določene v oddelku 2.3 te priloge.

2.3

Referenčna goriva iz odstavka 3.2. Dodatka 1 k Prilogi 11 k Pravilniku št. 83 (UN/ECE) se razumejo kot sklicevanje na ustrezne specifikacije referenčnih goriv iz Priloge IX k tej uredbi.

2.4

Sklicevanje na Prilogo 11 v odstavku 6.5.1.4 v Dodatka 1 k Prilogi 11 k Pravilniku št. 83 (UN/ECE) se šteje kot sklicevanje na Prilogo XI k tej uredbi.

2.5

Za vozila, homologirana po mejnih vrednostih Euro 6, navedenih v tabeli 2 Priloge 1 k Uredbi (ES) št. 715/2007, se oddelek 6.5.3.1 Dodatka 1 k Prilogi 11 k Pravilniku št. 83 (UN/ECE) nadomesti z naslednjim:

„Za diagnostiko, povezano z emisijami se za prenos komunikacije med sistemom na vozilu in stacionarno napravo uporablja naslednji standard:

ISO 15765–4 ‚Cestna vozila – Diagnoza na omrežju CAN – Del 4: Zahteve za sisteme, povezane z emisijami‘, izdaja 10. januarja 2005.“

3.   UČINKOVITOST MED UPORABO

3.1   Splošne zahteve.

3.1.1

Vsaka nadzorna naprava vgrajenega sistema za diagnostiko se zažene vsaj enkrat na vozni cikel, pri katerem so izpolnjeni pogoji za spremljanje iz oddelka 3.2. Proizvajalci ne smejo uporabiti izračunanega razmerja (ali kateregakoli njegovega elementa) ali katerekoli druge navedbe pogostosti spremljanja kot pogoja za spremljanje katerekoli nadzorne naprave.

3.1.2

Razmerje učinkovitosti med uporabo (IUPR) določene nadzorne naprave M vgrajenega sistema za diagnostiko na vozilu, navedeno v členu 5(3) je:

IUPRM = števecM/imenovalecM

3.1.3

Primerjava števca in imenovalca je pokazatelj, kako pogosto določena nadzorna naprava deluje glede na delovanje vozila. Za zagotovitev, da vsi proizvajalci spremljajo IUPRM na enak način, so podane podrobne zahteve za določanje in povečevanje teh števcev.

3.1.4

Če je v skladu z zahtevami iz te priloge vozilu opremljeno z določeno nadzorno napravo M, mora biti IUPRM večji od ali enak naslednjim najmanjšim vrednostim:

(i) 0,260 za nadzorne naprave sistema za sekundarni zrak in druge nadzorne naprave, povezane z zagonom hladnega motorja,

(ii) 0,520 za nadzorne naprave za uravnavanje emisij izhlapevanja,

(iii) 0,336 za vse druge nadzorne naprave.

3.1.5

Vozila morajo biti skladna z zahtevami iz oddelka 3.1.4. do vsaj 160 000 prevoženih km. Z odstopanjem od tega, morajo vozila, ki so homologirana registrirana, prodana ali dana v promet pred ustreznimi datumi iz člena 10(4), (5) Uredbe (ES) št. 715/2007, imeti IUPRM večji ali enak 0,1 za vse nadzorne naprave M. ►M2  Za nove homologacije in nova vozila ima nadzorna naprava iz točke 2.9. te priloge razmerje učinkovitosti med uporabo (IUPR) večje ali enako 0,1 do tri leta po datumih iz člena 10(4) in (5) Uredbe (ES) št. 715/2007. ◄

3.1.6

Šteje se, da so zahteve iz tega oddelka za določeno nadzorno napravo M izpolnjene, če za vsa vozila z določeno družino vgrajenih sistemov za diagnostiko na vozilu, izdelana v določenem koledarskem letu, veljajo naslednji statistični pogoji:

(a) povprečni IUPRM je enak ali večji od najmanjše vrednosti, ustrezne za nadzorno napravo,

(b) več kot 50 % vseh vozil ima povprečni IUPRM enak ali večji od najmanjše vrednosti, ki se uporabljajo za nadzorno napravo.

▼M1

3.1.7

Proizvajalec najkasneje 18 mesecev po vstopu na trg prvega tipa vozila z IUPR v družini vgrajenih sistemov za diagnostiko in nato vsakih 18 mesecev dokaže homologacijskemu organu in na zahtevo Komisije, da so ti statistični pogoji izpolnjeni za vse nadzorne naprave, katerih podatke mora sporočiti vgrajeni sistem za diagnostiko v skladu s točko 3.6 tega dodatka. Za ta namen se za družine vgrajenih sistemov za diagnostiko z več kot 1 000 registracijami v Uniji, ki so predmet vzorčenja v času vzorčenja, postopek iz Priloge II uporablja brez poseganja v določbe točke 3.1.9 tega dodatka.

Poleg zahtev iz Priloge II in ne glede na rezultate revizije iz oddelka 2 Priloge II organ, ki je podelil homologacijo, izvede preverjanja skladnosti v prometu za IUPR iz Dodatka 1 k Prilogi II na primernem številu naključno določenih primerov. „Primerno število naključno določenih primerov“ pomeni, da ima ta ukrep odvračilni učinek na neskladnost z zahtevami oddelka 3 te priloge ali predložitev prilagojenih, napačnih ali nereprezentativnih podatkov za revizijo. Če ni posebnih okoliščin in lahko homologacijski organi to dokažejo, se naključno preverjanje skladnosti v prometu pri 5 % homologiranih družin vgrajenih sistemov za diagnostiko šteje za zadostno za potrditev skladnost s to zahtevo. V ta namen se lahko homologacijski organi s proizvajalcem dogovorijo o zmanjšanje dvojnega preskušanja določene družine vgrajenih sistemov za diagnostiko, če takšni dogovori ne ovirajo odvračilnega učinka preverjanja skladnosti v prometu, ki ga izvede homologacijski organ, na neskladnost z zahtevami oddelka 3 te priloge. Podatki, ki jih države članice zberejo v okviru programov nadzornega preskušanja, se lahko uporabijo za preverjanja skladnosti v prometu. Homologacijski organi Komisiji in drugim homologacijskim organom na zahtevo sporočijo podatke opravljenih revizij in naključnih preverjanj skladnosti v prometu, vključno z metodologijo, uporabljeno za identifikacijo tistih primerov, pri katerih se izvede naključno preverjanje skladnosti v prometu.

3.1.8

Za celoten preskusni vzorec vozil mora proizvajalec ustreznim organom sporočiti vse podatke o učinkovitosti med uporabo, ki jih mora poročati vgrajeni sistem za diagnostiko v skladu s točko 3.6 tega dodatka, skupaj z identifikacijo vozila, ki se preskuša, in metodologijo, ki se uporablja za izbiro vozil za preskušanje. Homologacijski organ, ki podeli homologacijo, te podatke in rezultate statističnega vrednotenja na zahtevo predloži Komisiji in drugim homologacijskim organom.

▼B

3.1.9

Organi oblasti in njihovi predstavniki lahko izvajajo dodatne preskuse na vozilih ali zbirajo ustrezne podatke, ki jih je zapisalo vozilo, da preverijo skladnost z zahtevami iz te priloge.

▼M1

3.1.10

Neizpolnjevanje zahtev točke 3.1.6, ugotovljeno s preskusi, opisanimi v točki 3.1.7 ali 3.1.9, se šteje za kršitev, za katero so predpisane kazni iz člena 13 Uredbe (ES) št. 715/2007. To sklicevanje ne omejuje uporabe takih kazni za kršitve drugih določb Uredbe (ES) št. 715/2007 ali te uredbe, ki se ne nanašajo izrecno na člen 13 Uredbe (ES) št. 715/2007.

▼B

3.2   ŠtevecM

3.2.1

Števec določene nadzorne naprave je števec, ki šteje kolikokrat je bilo vozilo uporabljeno, tako da so bili zaznani vsi pogoji za spremljanje ki jih je uvedel proizvajalec in so potrebni, da določena nadzorna naprava zazna napako ter opozori voznika nanjo. Števec se ne poveča več kot enkrat na vozni cikel, razen če za to obstaja razumna tehnična utemeljitev.

3.3   ImenovalecM

3.3.1

Namen imenovalca je, da poda števec, ki označuje kolikokrat je bilo vozilo voženo, pri tem pa upošteva posebne pogoje za določeno nadzorno napravo. Imenovalec se poveča vsaj enkrat na vozni cikel, če so med tem voznim ciklom izpolnjeni pogoji in če se poveča splošni imenovalec, kot je določeno v oddelku 3.5, razen če je imenovalec onemogočen, skladno z oddelkom 3.7 tega dodatka.

3.3.2

Poleg zahtev iz oddelka 3.3.1 velja naslednje:

(a) Imenovalec(ci) nadzorne naprave sistema za sekundarni zrak se poveča, če pride do ukazanega delovanja sistema za sekundarni zrak za 10 sekund ali več. Za namene določanja tega ukazanega časa delovanja vgrajeni sistem za diagnostiko na vozilu ne sme vključevati časa med vsiljenim delovanjem sistema za sekundarni zrak samo za namen spremljanja;

(b) Imenovalci nadzornih naprav sistemov, ki delujejo samo med zagonom hladnega motorja se povečajo, samo če ukazano delovanje sestavnega dela ali strategije traja 10 sekund ali več;

(c) Imenovalec(ci) nadzornih naprav sistemov za spremenljivo krmiljenje ventilov (VVT) in/ali nadzornih sistemov, ki delujejo samo med zagonom hladnega motorja, se poveča(jo) samo, če do ukazanega delovanja sestavnega dela ali strategije (t.j. prejme ukaz za vključitev, odpiranje, zapiranje, zaklepanje itd.) pride dvakrat ali večkrat med voznim ciklom ali če ukazano delovanje traja 10 sekund ali več, kar nastopi prej;

(d) Za naslednje nadzorne naprave se imenovalec(ci) poveča(jo) za ena če je bilo, poleg upoštevanja zahtev iz tega oddelka pri vsaj enem voznem ciklu, skupaj opravljenih vsaj 800 kilometrov delovanja vozila od zadnjega povečanja imenovalca:

(i) oksidacijski katalizator za dizelske motorje,

(ii) filter za trdne delce za dizelske motorje;

▼M1

(e) Brez poseganja v zahteve za povečanje imenovalcev drugih nadzornih naprav se imenovalci nadzornih naprav naslednjih sestavnih delov povečajo, če in samo če se je vozni cikel začel s hladnim zagonom:

(i) temperaturni senzorji za tekočine (olje, hladilna tekočina motorja, gorivo, reagent SCR;

(ii) temperaturni senzorji za čisti zrak (zunanji zrak, vsesani zrak, polnilni zrak, polnilni zbiralnik);

(iii) temperaturni senzorji za izpušne pline (vračanje in hlajenje izpušnih plinov, visokotlačno polnjenje z izkoriščanjem energije izpušnih plinov, katalizator);

(f) Imenovalci nadzornih naprav sistema za nadzor tlaka polnilnega zraka se povečajo, če so izpolnjeni vsi naslednji pogoji:

(i) če so izpolnjeni splošni pogoji imenovalcev;

(ii) če sistem za nadzor tlaka polnilnega zraka deluje 15 sekund ali več.

▼B

3.3.3

Za hibridna vozila, vozila ki uporabljajo alternativno opremo ali strategije za zagon motorja (npr. združen zaganjač in dinama), ali vozila z alternativnim tipom goriva (npr. vozila z eno vrsto goriva, vozila z dvogorivnim motorjem ali uporaba dvojnega goriva) lahko proizvajalec zaprosi homologacijski organ za odobritev, da lahko uporabi drugačna merila za povečevanje imenovalca kot merila, navedena v tem oddelku. Homologacijski organ na splošno ne odobri drugačnih meril za vozila, ki uporabljajo izklop motorja pri ali blizu pogojev prostega teka/mirovanja vozila. Odobritev drugačnih kriterijev homologacijskega organa temelji na enakovrednosti drugačnih meril za določanje časa delovanja vozila glede na delovanje običajnega vozila v skladu z merili iz tega oddelka.

3.4   Števec ciklov vžiga

3.4.1

Števec ciklov vžiga določa število ciklov vžiga, do katerih je prišlo na vozilu. Števec ciklov vžiga se ne sme povečati več kot enkrat na vozni cikel.

3.5   Splošni imenovalec

3.5.1

Splošni imenovalec je števec, ki meri kolikokrat je vozilo delovalo. Poveča se v času 10 sekund, če in samo v primeru da so izpolnjena naslednja merila med enim voznim ciklom:

 Skupni čas od zagona motorja je 600 sekund ali več pri nadmorski višini do 2 440 m in temperaturi okolja, ki je višja ali enaka – 7 °C.

 Skupni čas delovanja vozila pri 40 km/h ali več traja 300 sekund ali več pri nadmorski višini do 2 440 m in temperaturi okolja, ki je višja ali enaka – 7 °C.

 Nepretrgan čas delovanja vozila pri prostem teku (t.j. voznik ne pritiska pedala za plin, hitrost vozila pa je 1,6 km/h ali manj) je večji od ali enak 30 sekundam pri nadmorski višini pod 2 440 m in temperaturi okolja, ki je višja ali enaka – 7 °C.

3.6   Sporočanje in povečevanje števcev

3.6.1

Vgrajeni sistem za diagnostiko na vozilu v skladu s specifikacijami standarda ISO 15031–5 poroča stanje števca ciklov vžiga in splošni imenovalec ter tudi posamezne števce in imenovalce nadzornih naprav za naslednje sisteme, če se v skladu s to prilogo zahteva, da so prisotni na vozilu:

 katalizatorji (poročilo za vsako vrsto posebej),

 lambda sonde/tipala za izpušne pline, vključno s sekundarnimi lambda sondami (poročilo za vsako tipalo in lambda sondo posebej),

 sistem za uravnavanje emisij izhlapevanja,

 sistem za vračanje izpušnih plinov v valj (EGR),

 sistem za spremenljivo krmiljenje ventilov (VVT),

 sistem za sekundarni zrak,

 filter za trdne delce,

 sistem za naknadno obdelavo dušikovih oksidov (NOx) (npr. adsorber NOx, sistem z reagentom ali katalizatorjem za NOx),

 sistem za nadzor tlaka polnilnega zraka.

▼M1

3.6.2

Za določene sestavne dele ali sisteme, ki imajo več nadzornih naprav, katerih podatke je treba sporočati v skladu s to točko (npr. vrsta lambda sond 1 ima lahko več nadzornih naprav za odziv sond ali druge lastnosti sond), vgrajeni sistem za diagnostiko ločeno spremlja števce in imenovalce za vsako določeno nadzorno napravo, razen naprav za spremljanje okvar kratkega stika ali odprtega vezja, in sporoča samo ustrezni števec in imenovalec za določeno nadzorno napravo, ki ima najnižje številčno razmerje. Če imata dve ali več določenih nadzornih naprav enaka razmerja, se za določen sestavni del sporočita ustrezni števec in imenovalec določene nadzorne naprave, ki ima najvišji imenovalec.

▼B

3.6.3

Vsi števci se pri povečanju povečajo za celo število ena.

3.6.4

Najmanjša vrednost vsakega števca je 0, največja vrednost pa ne sme biti višja od 65 535 , ne glede na druge zahteve za standardizirano shranjevanje in poročanje vgrajenega sistema za diagnostiko na vozilu.

3.6.5

Če doseže števec ali imenovalec določene nadzorne naprave svojo najvišjo vrednost, se oba števca za to določeno nadzorno napravo deli z dva, preden se spet poveča v skladu z določbami iz oddelkov 3.2 in 3.3. Če števec ciklov vžiga ali splošni imenovalec doseže svojo najvišjo vrednost, se ustrezni števec pri naslednjem povečevanju nastavi na nič, skladno z določbami iz oddelkov 3.4 in 3.5.

3.6.6

Vsi števci se nastavijo na nič samo v primeru, ko pride do ponastavitve trajnega pomnilnika (npr. zaradi preprogramiranja itd.) ali, če so številke shranjene v pomnilniku KAM (keep-alive memory), ko se pomnilnik KAM izbriše zaradi prekinitve električnega napajanja krmilnega modula (npr. odklop akumulatorja itd.).

3.6.7

Proizvajalec sprejme ukrepe, s katerimi zagotovi, da vrednosti števca in imenovalca ni mogoče ponastaviti ali spreminjati, razen v primerih ki so izrecno določeni v tem oddelku.

3.7   Onemogočanje števcev in imenovalcev ter splošnega imenovalca

3.7.1

V 10 sekundah po zaznavi napake, ki izklopi nadzorno napravo, potrebno za izpolnitev meril za spremljanje iz te priloge (t.j. shrani se koda v teku ali koda potrditve), vgrajeni sistem za diagnostiko na vozilu onemogoči nadaljnje povečevanje ustreznega števca in imenovalca za vsako nadzorno napravo, ki je onemogočena. Ko napake ni več mogoče zaznati (t.j. koda v čakanju se samodejno izbriše ali pa jo izbriše ukaz pregledovalnika), se povečevanje vseh ustreznih števcev in imenovalcev nadaljuje v 10 sekundah.

3.7.2

V 10 sekundah po zagonu enote za odjem moči, kar izklopi nadzorno napravo, potrebno za izpolnitev meril za spremljanje iz te priloge, vgrajeni sistem za diagnostiko na vozilu onemogoči nadaljnje povečevanje ustreznega števca in imenovalca za vsako nadzorno napravo, ki je onemogočena. Ko enota za odjem moči preneha delovati, se povečevanje vseh ustreznih števcev in imenovalcev nadaljuje v 10 sekundah.

3.7.3

Vgrajeni sistem za diagnostiko na vozilu v 10 sekundah onemogoči nadaljnje povečevanje števca in imenovalca določene nadzorne naprave, če je zaznana napaka kateregakoli sestavnega dela, uporabljenega za določanje meril znotraj opredelitve imenovalca določene nadzorne naprave (t.j. hitrost vozila, temperatura okolja, višina, prosti tek, hladen zagon motorja ali čas delovanja) in se shrani ustrezna koda napake v čakanju. Ko napaka ni več prisotna (t.j. koda v čakanju se samodejno izbriše ali pa jo izbriše ukaz pregledovalnika), se povečevanje števca in imenovalca nadaljuje v 10 sekundah.

3.7.4

Vgrajeni sistem za diagnostiko na vozilu v 10 sekundah onemogoči nadaljnje povečevanje splošnega imenovalca, če je zaznana napaka kateregakoli sestavnega dela, uporabljenega pri ugotavljanju ali so merila iz oddelka 3.5 izpolnjena (t.j. hitrost vozila, temperatura okolja, višina, prosti tek, hladen zagon motorja ali čas delovanja) in se shrani ustrezna koda napake v čakanju. Povečevanje splošnega imenovalca ne sme biti onemogočeno v nobenem drugem primeru. Ko napaka ni več prisotna (npr. koda v čakanju se samodejno izbriše ali pa jo izbriše ukaz pregledovalnika), se povečevanje splošnega imenovalca nadaljuje v 10 sekundah.




Dodatek 2

OSNOVNE ZNAČILNOSTI DRUŽINE VOZIL

1.   PARAMETRI ZA OPREDELITEV DRUŽINE VGRAJENIH NAPRAV ZA DIAGNOSTIKO NA VOZILU

1.1

Družina vgrajenih naprav za diagnostiko na vozilu pomeni proizvajalčevo razvrstitev vozil, za katera se zaradi njihove zasnove pričakuje, da bodo imela podobne emisije izpušnih plinov in podobne značilnosti vgrajenega sistema za diagnostiko na vozilu. Vsak motor iz te družine mora izpolnjevati zahteve iz te uredbe.

1.2

Družina vgrajenih naprav za diagnostiko na vozilu se lahko opredeli po osnovnih parametrih konstrukcije, skupnih vozilom v družini. V nekaterih primerih je mogoče medsebojno učinkovanje parametrov. Ti učinki se upoštevajo tudi zaradi zagotovitve, da so v določeno družino vgrajenih naprav za diagnostiko na vozilu vključena le vozila s podobnimi značilnostmi emisij izpušnih plinov.

2.

V ta namen se za tiste tipe vozil, katerih spodaj opisani parametri so enaki, šteje, da imajo enako kombinacijo motorja/uravnavanja emisij/vgrajenega sistema za diagnostiko na vozilu.

Motor:

 postopek zgorevanja (tj. na prisilni vžig, na kompresijski vžig, dvotaktni/štiritaktni/rotacijski),

 način dovajanja goriva v motor (tj. enotočkovno ali večtočkovno vbrizgavanje),

 vrsta goriva (tj. bencin, dizelsko gorivo, prilagodljivo gorivo – bencin/etanol, prilagodljivo gorivo – dizelsko gorivo/biodizel, ZP/biometan, UNP, dvogorivni motor – bencin/ZP/biometan, dvogorivni motor – bencin/UNP).

Sistem za uravnavanje emisij:

 vrsta katalizatorja (tj. oksidacijski, tristezni, ogrevani, SCR, drugo),

 tip lovilnika delcev,

 vpihavanje sekundarnega zraka (tj. z vpihavanjem ali brez njega),

 vračanje izpušnih plinov v valj (tj. z ali brez).

Deli in delovanje vgrajenega sistema za diagnostiko na vozilu:

 načini funkcionalnega spremljanja vgrajenega sistema za diagnostiko na vozilu, prijava napak in opozarjanje voznika na napake.




PRILOGA XII

▼M3

DOLOČANJE EMISIJ CO2, PORABE GORIVA IN ELEKTRIČNE ENERGIJE TER DOSEGA ELEKTRIČNEGA POGONA

▼B

1.   UVOD

▼M3

Ta priloga določa zahteve za merjenje emisij CO2, porabe goriva in električne energije ter dosega električnega pogona

▼B

2.   SPLOŠNE ZAHTEVE

2.1

Splošni tehnični podatki za izvajanje preskusov in razlago rezultatov so določeni v oddelku 5 Pravilnika št. 101 (UN/ECE), z izjemami, ki so navedene spodaj.

2.2

Preskusno gorivo

2.2.1

Za preskušanje se uporabijo primerna referenčna goriva, opisana v Prilogi IX k tej uredbi.

▼M8

2.2.2

Pri UNP in ZP se uporabi gorivo, ki ga izbere proizvajalec za merjenje nazivne moči v skladu s Prilogo XX k tej uredbi. Izbrano gorivo se navede v opisnem listu, kot je določeno v Dodatku 3 k Prilogi I k tej uredbi.

2.3.

Točka 5.2.4 Pravilnika UNECE št. 101 se razume na naslednji način:

(1) gostota: izmerjena na preskusnem gorivu po standardu ISO 3675 ali enakovredni metodi. Pri bencinu, dizelskem gorivu, biodizlu in etanolu (E85 in E75) se uporabi gostota, izmerjena pri 15 °C; pri utekočinjenem naftnem plinu (UNP) in zemeljskem plinu (ZP)/biometanu se uporabi referenčna gostota:

0,538 kg/liter za UNP,

0,654 kg/m3 za ZP (povprečna vrednost referenčnih goriv G20 in G23 pri 15 °C.)

(2) razmerje med vodikom, ogljikom in kisikom: uporabljajo se naslednje nespremenljive vrednosti:

C1H1,89O0,016 za bencin (E5),

C1H1,93O0,033 za bencin (E10),

C1H1,86O0,005 za dizelsko gorivo (B5),

C1H1,86O0,007 za dizelsko gorivo (B7),

C1H2,525 za UNP (utekočinjeni naftni plin),

CH4 za ZP (zemeljski plin) in biometan,

C1H2,74O0,385 za etanol (E85),

C1H2,61O0,329 za etanol (E75).

▼B

3.   TEHNIČNE ZAHTEVE

▼M3

3.1.

Za merjenje emisij CO2, porabe goriva in električne energije ter dosega električnega pogona se uporabljajo ttehnične zahteve in specifikacije iz Prilog od 6 do 10 k Pravilniku UN/ECE št. 101, razen pri izjemah, navedenih spodaj.

▼B

3.2

Uporabljene pnevmatike iz oddelka 1.3.5. Priloge 6 k Pravilniku št. 101 (UN/ECE) morajo izpolnjevati enaka merila za izbiro kot pnevmatike za preskus emisij tipa 1, določene v oddelku 3.5 Priloge III k tej uredbi.

▼M8

3.3

V Prilogi 6 k Pravilniku UN/ECE št. 101 se oddelek 1.4.3 nadomesti z naslednjim:

1.4.3 Poraba goriva, izražena v litrih na 100 km (pri bencinu (E5/E10), UNP, etanolu (E85) in dizelskem gorivu (B5/B7)), v m3 na 100 km (pri ZP/biometanu in H2ZP) ali v kg na 100 km (pri vodiku), se izračuna po naslednjih formulah:

(a) pri vozilih z motorjem na prisilni vžig, ki za gorivo uporabljajo bencin (E5):

image

(b) pri vozilih z motorjem na prisilni vžig, ki za gorivo uporabljajo bencin (E10):

image

(c) pri vozilih z motorjem na prisilni vžig, ki za gorivo uporabljajo UNP:

image

Če se sestava goriva, uporabljenega za preskus, razlikuje od sestave, predvidene za izračun normirane porabe, se lahko na zahtevo proizvajalca uporabi korekcijski faktor cf, in sicer na naslednji način:

image

Korekcijski faktor cf, ki se lahko uporabi, se določi na naslednji način:

image

pri čemer je:

ndejansko = dejansko razmerje H/C za uporabljeno gorivo

(d) pri vozilih z motorjem na prisilni vžig, ki za gorivo uporabljajo ZP/biometan:

image

(e) pri vozilih z motorjem na prisilni vžig, ki za gorivo uporabljajo etanol (E85):

image

(f) pri vozilih z motorjem na kompresijski vžig, ki za gorivo uporabljajo dizelsko gorivo (B5):

image

(g) pri vozilih z motorjem na kompresijski vžig, ki za gorivo uporabljajo dizelsko gorivo (B7):

image

(h) pri vozilih z motorjem na prisilni vžig, ki za gorivo uporabljajo H2ZP:

image

(i) pri vozilih s pogonom na plinasti vodik:

image

Po dogovoru s homologacijskim organom lahko proizvajalec za vozila s pogonom na plinasti ali tekoči vodik izbere tudi formulo

image

ali metodo v skladu s standardnim protokolom, npr. SAE J2572.

V zgornjih formulah je:

FC = poraba goriva v litrih na 100 km (pri bencinu, etanolu, UNP, dizelskem gorivu ali biodizlu), v m3 na 100 km (pri zemeljskem plinu in H2ZP) ali v kg na 100 km pri vodiku;

HC = izmerjena emisija ogljikovodikov v g/km

CO = izmerjena emisija ogljikovega monoksida v g/km

CO2 = izmerjena emisija ogljikovega dioksida v g/km

H2O = izmerjena emisija H2O v g/km

H2 = izmerjena emisija H2 v g/km

A = količina ZP/biometana v mešanici H2ZP, izražena v odstotkih prostornine;

D = gostota preskusnega goriva.

Pri plinastih gorivih je D gostota pri 15 °C. d

d = teoretična razdalja v km, ki jo prevozi vozilo, preskušeno po preskusu tipa 1.

p1 = tlak v posodi s plinastim gorivom pred obratovalnim ciklom v Pa;

p2 = tlak v posodi s plinastim gorivom po obratovalnem ciklu v Pa;

T1 = temperatura v posodi s plinastim gorivom pred obratovalnim ciklom v K;

T2 = temperatura v posodi s plinastim gorivom po obratovalnem ciklu v K;

Z1 = faktor stisljivosti plinastega goriva pri p1 in T1

Z2 = faktor stisljivosti plinastega goriva pri p2 in t2

V = notranja prostornina posode za plinasto gorivo v m3

Faktor stisljivosti se pridobi iz naslednje tabele:



T (K)

p (bar)\

33

53

73

93

113

133

153

173

193

213

233

248

263

278

293

308

323

338

353

5

0,8589

0,9651

0,9888

0,9970

1,0004

1,0019

1,0026

1,0029

1,0030

1,0028

1,0035

1,0034

1,0033

1,0032

1,0031

1,0030

1,0029

1,0028

1,0027

100

1,0508

0,9221

0,9911

1,0422

1,0659

1,0757

1,0788

1,0785

1,0765

1,0705

1,0712

1,0687

1,0663

1,0640

1,0617

1,0595

1,0574

1,0554

1,0535

200

1,8854

1,4158

1,2779

1,2334

1,2131

1,1990

1,1868

1,1757

1,1653

1,1468

1,1475

1,1413

1,1355

1,1300

1,1249

1,1201

1,1156

1,1113

1,1073

300

2,6477

1,8906

1,6038

1,4696

1,3951

1,3471

1,3123

1,2851

1,2628

1,2276

1,2282

1,2173

1,2073

1,1982

1,1897

1,1819

1,1747

1,1680

1,1617

400

3,3652

2,3384

1,9225

1,7107

1,5860

1,5039

1,4453

1,4006

1,3651

1,3111

1,3118

1,2956

1,2811

1,2679

1,2558

1,2448

1,2347

1,2253

1,2166

500

4,0509

2,7646

2,2292

1,9472

1,7764

1,6623

1,5804

1,5183

1,4693

1,3962

1,3968

1,3752

1,3559

1,3385

1,3227

1,3083

1,2952

1,2830

1,2718

600

4,7119

3,1739

2,5247

2,1771

1,9633

1,8190

1,7150

1,6361

1,5739

1,4817

1,4823

1,4552

1,4311

1,4094

1,3899

1,3721

1,3559

1,3410

1,3272

700

5,3519

3,5697

2,8104

2,4003

2,1458

1,9730

1,8479

1,7528

1,6779

1,5669

1,5675

1,5350

1,5062

1,4803

1,4570

1,4358

1,4165

1,3988

1,3826

800

5,9730

3,9541

3,0877

2,6172

2,3239

2,1238

1,9785

1,8679

1,7807

1,6515

1,6521

1,6143

1,5808

1,5508

1,5237

1,4992

1,4769

1,4565

1,4377

900

6,5759

4,3287

3,3577

2,8286

2,4978

2,2714

2,1067

1,9811

1,8820

1,7352

1,7358

1,6929

1,6548

1,6207

1,5900

1,5623

1,5370

1,5138

1,4926

Če potrebne vhodne vrednosti za p in T niso navedene v tabeli, se faktor stisljivosti pridobi z linearno interpolacijo faktorjev stisljivosti iz tabele, pri čemer je treba izbrati tiste, ki so najbliže iskani vrednosti.

▼B

3.4

Sklicevanje na Prilogo 4 v Prilogi 8 k Pravilniku št. 101 (UN/ECE) se šteje kot sklicevanje na Dodatek 4 k Prilogi I k tej uredbi.

▼M1

3.5

Med preskusnim ciklom za določitev emisij CO2 in porabe goriva vozila se uporablja določba točke 3.14 Priloge III.

▼M6

4.   HOMOLOGACIJA VOZIL Z VGRAJENIMI EKOLOŠKIMI INOVACIJAMI

▼M9

4.1

Člen 11(1) Izvedbene uredbe (EU) št. 725/2011 za vozila kategorije M1 in člen 11(1) Izvedbene uredbe (EU) št. 427/2014 za vozila kategorije N1 določata, da proizvajalec, ki želi izkoristiti ugodnosti, ker je s prihranki zaradi ekoloških inovacij, vgrajenih v vozilo, zmanjšal povprečne specifične emisije CO2, pri homologacijskem organu zaprosi za potrdilo o ES-homologaciji za vozilo z vgrajeno ekološko inovacijo.

4.2

Prihranek CO2 za vozilo z vgrajeno ekološko inovacijo se za namene homologacije opredeli po postopku in metodologiji preskušanja iz sklepa Komisije o odobritvi ekološke inovacije v skladu s členom 10 Izvedbene uredbe (EU) št. 725/2011 za vozila kategorije M1 oziroma členom 10 Izvedbene uredbe (EU) št. 427/2014 za vozila kategorije N1.

▼M6

4.3

Preskusi za določitev prihranka emisij CO2 zaradi ekoloških inovacij se po potrebi izvajajo brez poseganja v dokazovanje skladnosti ekoloških inovacij s tehničnimi predpisi iz Direktive 2007/46/ES.

▼M9

4.4

Homologacija se ne podeli, če ni dokazano, da so se emisije pri ekološko inovativnem vozilu zmanjšale vsaj za 1 g CO2/km v primerjavi z osnovnim vozilom, kot je opredeljeno v členu 5 Izvedbene uredbe (EU) št. 725/2011 za vozila kategorije M1 oziroma členu 5 Izvedbene uredbe (EU) št. 427/2014 za vozila kategorije N1.

▼M4

5.   DOLOČANJE EMISIJ CO2 IN PORABE GORIVA VOZIL KATEGORIJE N1 V POSTOPKU VEČSTOPENJSKE HOMOLOGACIJE

5.1

Za namene določanja emisij CO2 in porabe goriva vozila v postopku večstopenjske homologacije, kot je opredeljena v členu 3(7) Direktive 2007/46/ES, se v skladu s točkama 2 in 3 te Priloge preskusi osnovno vozilo, kot je opredeljeno s členom 3(18) navedene direktive.

5.2

Referenčna masa, ki se uporabi za preskušanje, se izračuna po naslednji formuli:

image

,

kjer je:

RM

=

referenčna masa v kg, ki se uporablja za preskušanje,

RMOsnovno vozilo

=

referenčna masa osnovnega vozila v kg, kot je opredeljena v členu 3(3) Uredbe (ES) št. 715/2007,

DAM

=

privzeta dodana masa v kg, izračunana v skladu s formulo, določeno v točki 5.3, ki ustreza ocenjeni teži nadgradnje, nameščene na osnovno vozilo.

5.3

Privzeta dodana masa se izračuna v skladu z naslednjo formulo:

DAM: image ,

kjer je:

DAM

=

privzeta dodana masa v kg,

a

=

množilni factor, izračunan v skladu s formulo iz točke 5.4,

TPMLM

=

tehnično dovoljena največja masa obremenjenega vozila v kg, ki jo navaja proizvajalec osnovnega vozila,

RMOsnovno vozilo

=

referenčna masa osnovnega vozila v kg, kot je opredeljena v členu 3(3) Uredbe (ES) št. 715/2007.

5.4

Množilni faktor se izračuna v skladu z naslednjo formulo:

image

kjer je:

a

=

množilni faktor,

RMOsnovno vozilo

=

referenčna masa osnovnega vozila v kg, kot je opredeljena v členu 3(3) Uredbe (ES) št. 715/2007.

5.5

Proizvajalec osnovnega vozila je odgovoren za pravilno uporabo zahtev iz točk 5.1 do 5.4.

5.6

Proizvajalec dodelanega vozila v certifikat o skladnosti vključi podatke o osnovnem vozilu v skladu s Prilogo IX k Direktivi 2007/46/ES.

5.7

Pri vozilih v postopku posamične odobritve vozila certifikat o posamični odobritvi vozila vključuje naslednje podatke:

(a) emisije CO2, izmerjene v skladu z metodologijo iz točk 5.1 do 5.4;

(b) maso dodelanega vozila, pripravljenega za vožnjo;

(c) identifikacijsko kodo, ki ustreza tipu, varianti in izvedenki osnovnega vozila;

(d) številko homologacije osnovnega vozila, vključno s številko razširitve;

(e) ime in naslov proizvajalca osnovnega vozila;

(f) maso osnovnega vozila, pripravljenega za vožnjo.

5.8

Postopek iz točk 5.1 do 5.7 velja za osnovna vozila kategorije N1, kot so opredeljena v točki 1.2.1 dela A Priloge II k Direktivi 2007/46/ES, ki spadajo v področje uporabe Uredbe (ES) št. 715/2007.

▼B




PRILOGA XIII

ES-HOMOLOGACIJA ZA TIPE NADOMESTNIH NAPRAV ZA URAVNAVANJE ONESNAŽEVANJA KOT SAMOSTOJNIH TEHNIČNIH ENOT

1.   UVOD

1.1

Ta priloga vsebuje dodatne zahteve za homologacijo naprav za uravnavanje onesnaževanja kot samostojnih tehničnih enot.

2.   SPLOŠNE ZAHTEVE

2.1   Oznaka

Originalne nadomestne naprave za uravnavanje onesnaževanja morajo imeti vsaj naslednje oznake:

(a) ime ali blagovna znamka proizvajalca vozila;

(b) znamka in številka dela originalne nadomestne naprave za uravnavanje onesnaževanja skladno z informacijami, navedenimi v točki 2.3.

2.2   Dokumentacija

Originalni nadomestni napravi za uravnavanje onesnaževanja morajo biti priložene naslednje informacije:

(a) ime ali blagovna znamka proizvajalca vozila;

(b) znamka in številka dela originalne nadomestne naprave za uravnavanje onesnaževanja skladno z informacijami, navedenimi v točki 2.3;

(c) pri vozilih, za katera je originalna nadomestna naprava za uravnavanje onesnaževanja tipa, kakor je naveden v točki 2.3 Dopolnila k Dodatku 4 k Prilogi I, kjer je ustrezno, oznaka, ki označuje ali je originalna nadomestna naprava za uravnavanje onesnaževanja primerna za namestitev na vozilo, opremljeno z vgrajenim sistemom za diagnostiko na vozilu (OBD).

(d) navodila za namestitev, če je to potrebno.

Te informacije morajo biti na voljo v katalogu izdelkov, ki jih proizvajalec vozila razdeli med prodajna mesta.

2.3

Proizvajalec vozila mora tehnični službi in/ali homologacijskemu organu predložiti potrebne podatke v elektronski obliki, ki omogočajo povezavo med ustreznimi številkami delov in ustrezno homologacijsko dokumentacijo.

Ti podatki vsebujejo naslednje:

(a) znamko(-e) in tip(-e) vozila,

(b) znamko(-e) in tip(-e) originalne nadomestne naprave za uravnavanje onesnaževanja,

(c) številko(e) dela(ov) originalne nadomestne naprave za uravnavanje onesnaževanja,

(d) homologacijsko številko določenega(ih) tipa(ov) vozila.

3.   OZNAKA ES-HOMOLOGACIJE ZA SAMOSTOJNE TEHNIČNE ENOTE

3.1

Vsaka nadomestna naprava za uravnavanje onesnaževanja, ki je homologirana na podlagi te uredbe kot samostojna tehnična enota, mora nositi oznako ES-homologacije.

3.2

To oznako sestavlja pravokotnik, v katerem je črka „e“, ki ji sledi številčna ali črkovna oznaka države članice, ki je podelila ES-homologacijo.

1. za Nemčijo,

2. za Francijo,

3. za Italijo,

4. za Nizozemsko,

5. za Švedsko,

6. za Belgijo,

7. za Madžarsko,

8. za Češko,

9. za Španijo,

11. za Združeno kraljestvo,

12. za Avstrijo,

13. za Luksemburg,

17. za Finsko,

18. za Dansko,

19. za Romunijo,

20. za Poljsko,

21. za Portugalsko,

23. za Grčijo,

24. za Irsko,

▼M7

25. za Hrvaško,

▼B

26. za Slovenijo,

27. za Slovaško,

29. za Estonijo,

32. za Latvijo,

34. za Bolgarijo,

36. za Litvo,

49. za Ciper,

50. za Malto.

Oznaka ES-homologacije vključuje „osnovno številko homologacije“ v bližini pravokotnika, ki je vsebovana v delu 4 homologacijske številke, navedene v Prilogi VII k Direktivi 2007/46/ES, pred katero je dvomestna številka, ki označuje zaporedno številko, podeljeno za zadnjo večjo tehnično spremembo Uredbe (ES) št. 715/2007 ali te uredbe na dan, ko je bila podeljena ES-homologacija za samostojno tehnično enoto.“ Za to uredbo je zaporedna številka 00.

3.3

Oznaka ES-homologacije se namesti na nadomestno napravo za uravnavanje onesnaževanja, tako da je jasno čitljiva in neizbrisna. Kadar koli je to mogoče, bo oznaka vidna pri namestitvi nadomestne naprave za uravnavanje onesnaževanja na vozilo.

3.4

Dodatek 3 k tej prilogi prikazuje primer oznake ES-homologacije.

4.   TEHNIČNE ZAHTEVE

4.1

Zahteve za homologacijo nadomestnih naprav za uravnavanje onesnaževanja so navedene v oddelku 5 Pravilnika št. 103 (UN/ECE), z izjemami, ki so opisane v oddelkih 4.1.1 do 4.1.4.

4.1.1

Izraz „katalizator“, uporabljen v oddelku 5 Pravilnika št. 103 (UN/ECE) se razume kot „naprava za uravnavanje onesnaževanja“.

4.1.2

S predpisi urejena onesnaževala iz oddelka 5.2.3 Pravilnika št. 103 (UN/ECE) se nadomestijo z vsemi onesnaževali, določenimi v tabelah 1 in 2 Priloge 1 k Uredbi (ES) št. 715/2007 za nadomestne naprave za uravnavanje onesnaževanja, namenjene namestitvi na vozila, homologirana na podlagi Uredbe (ES) št. 715/2007.

4.1.3

Za standarde za nadomestne naprave za uravnavanje onesnaževanja, namenjene namestitvi na vozila, homologirana na podlagi Uredbe (ES) št. 715/2007, se zahteve glede vzdržljivosti in povezani faktorji poslabšanja, določeni v oddelku 5 Pravilnika št. 103 (UN/ECE) nanašajo na tiste, ki so navedeni v Prilogi VII k tej uredbi.

4.1.4

Sklicevanje na Dodatek 1 k certifikatu o homologaciji v oddelku 5.5.3. Pravilnika št. 103 (UN/ECE) se razume kot sklicevanje na Dopolnilo k certifikatu o homologaciji o vgrajenih sistemih za diagnostiko na vozilu (Dodatek 5 k Prilogi I).

4.2

Če so emisije skupnih ogljikovodikov (THC) in nemetanskih ogljikovodikov (NMHC) pri vozilih z motorjem na prisilni vžig, izmerjene med demonstracijskim preskusom novega originalnega katalizatorja v skladu z odstavkom 5.2.1. Pravilnika št. 103 (UN/ECE) višje od vrednosti, izmerjenih med homologacijo vozila, se razlika prišteje mejnim vrednostim za vgrajene sisteme za diagnostiko na vozilu. Mejne vrednosti za vgrajene sisteme za diagnostiko na vozilu so določene bodisi v:

(a) točki 3.3.2. Priloge 11 k Pravilniku št. 83 (UN/ECE) za nadomestne dele, namenjene namestitvi na vozila, homologirana na podlagi Direktive 70/220/EGS; ali

(b) točki 2.3 Priloge XI k tej uredbi za nadomestne dele, namenjene namestitvi na vozila, homologirana na podlagi Uredbe (ES) št. 715/2007.

4.3

Spremenjene mejne vrednosti za vgrajene sisteme za diagnostiko na vozilu se uporabijo med preskusi skladnosti z vgrajenim sistemom za diagnostiko na vozilu, določenimi v odstavkih 5.5. do 5.5.5. Priloge 11 k Pravilniku št. 83 (UN/ECE), še posebej če se uporabi preseganje, dovoljeno v odstavku 1 Dodatka 1 k Prilogi 11 k Pravilniku št. 83 (UN/ECE).

4.4

Zahteve za nadomestne sisteme z redno regeneracijo

4.4.1   Zahteve v zvezi z emisijami

4.4.1.1

Vozilo(a) iz člena 11(3), opremljena z nadomestnim sistemom z redno regeneracijo tipa, za katerega se zahteva homologacija, se preskusijo s preskusi, določenimi v oddelku 3 Priloge 13 k Pravilniku št. 83 (UN/ECE), da se primerja njegova učinkovitost v primerjavi z enakim vozilom, opremljenim z originalnim sistemom z redno regeneracijo.

4.4.2   Določanje osnove za primerjavo

4.4.2.1

Vozilo je opremljeno z novim originalnim sistemom z redno regeneracijo. Emisije tega sistema se določijo v skladu s preskusnim postopkom iz oddelka 3 Priloge 13 k Pravilniku št. 83 (UN/ECE).

4.4.2.2

Na zahtevo prosilca za homologacijo nadomestnega sestavnega dela, homologacijski organ za vsako vozilo na nediskriminatorni osnovi da na razpolago informacije, navedene v točkah 3.2.12.2.1.11.1 in 3.2.12.2.6.4.1 opisnega lista, ki ga vsebuje Dodatek 3 k Prilogi I k tej uredbi.

4.4.3   Preskus izpušnih plinov z nadomestnim sistemom z redno regeneracijo.

4.4.3.1

Originalni sistem z redno regeneracijo preskusnega(ih) vozila(vozil) se zamenja z nadomestnim sistemom z redno regeneracijo. Emisije tega sistema se določijo v skladu s preskusnim postopkom iz odstavka 3 Priloge 13 k Pravilniku št. 83 (UN/ECE).

4.4.3.2

Za določanje faktorja D nadomestnega sistema z redno regeneracijo se lahko uporabi katerakoli metoda na preskusni napravi za motor, ki je opisana v odstavku 3 Priloge 13 k Pravilniku št. 83 (UN/ECE).

4.4.4   Druge zahteve

Za nadomestne sisteme z redno regeneracijo veljajo zahteve iz odstavkov 5.2.3., 5.3., 5.4. in 5.5. Pravilnika št. 103 (UN/ECE). V teh odstavkih se izraz „katalizator“ razume kot „sistem z redno regeneracijo“. Poleg tega veljajo za sisteme z redno regeneracijo tudi izjeme pri teh odstavkih iz oddelka 4.1. te priloge.

5.   DOKUMENTACIJA

5.1

Vsaka nadomestna naprava za uravnavanje onesnaževanja mora biti jasno in neizbrisno označena z imenom ali blagovno znamko proizvajalca in opremljena z naslednjimi informacijami:

(a) vozila (vključno z letom izdelave), za katera je originalna nadomestna naprava za uravnavanje onesnaževanja tipa homologirana, vključno z oznako, ki označuje ali je originalna nadomestna naprava za uravnavanje onesnaževanja primerna za namestitev na vozilo, opremljeno z vgrajenim sistemom za diagnostiko na vozilu (OBD), kadar je to primerno;

(b) navodila za namestitev, če je to potrebno.

Te informacije morajo biti na voljo v katalogu izdelkov, ki jih proizvajalec nadomestne naprave za uravnavanje onesnaževanja razdeli med prodajna mesta.

6.   SKLADNOST PROIZVODNJE

6.1

V skladu z določbami iz člena 12 Direktive 2007/46/ES se uporabijo ukrepi za zagotovitev skladnosti proizvodnje.

6.2

Posebne določbe

6.2.1

Preverjanja iz točke 2.2 Priloge X k Direktivi 2007/46/ES vključujejo preverjanje skladnosti z značilnostmi, kot so določene v točki 8 člena 2 te uredbe.

6.2.2

Za uporabo člena 12(2) Direktive 2007/46/ES, se lahko izvedejo preskusi iz oddelka 4.4.1. te priloge in oddelka 5.2. Pravilnika št. 103 (UN/ECE) (zahteve glede emisij). V takšnem primeru lahko imetnik homologacije zaprosi, da se kot osnovo za primerjavo ne uporabi naprava za uravnavanje onesnaževanja, ki je del originalne opreme, temveč nadomestna naprava za uravnavanje onesnaževanja, uporabljena med homologacijskimi preskusi (ali drug vzorec, ki dokazano ustreza homologiranemu tipu). Vrednosti emisij, izmerjene na preverjanem vzorcu, potem ne smejo presegati srednjih vrednosti, izmerjenih na referenčnem vzorcu, v povprečju za več kakor 15 %.




Dodatek 1

VZOREC

Opisni list št. …

za ES-homologacijo nadomestnih naprav za uravnavanje onesnaževanja

Naslednji podatki, kjer to pride v poštev, morajo biti posredovani v trojniku in morajo vsebovati seznam priloženih dokumentov. Risbe, če so priložene, morajo biti v ustreznem merilu in dovolj podrobne ter v formatu A4 ali zložene na ta format. Morebitne fotografije morajo biti dovolj podrobne.

Če so sistemi, sestavni deli ali samostojne tehnične enote elektronsko upravljani, morajo biti predloženi podatki o njihovem delovanju.

0.   SPLOŠNO

0.1

Znamka (blagovno ime proizvajalca):

0.2

Tip:

0.2.1

Trgovsko(a) ime(na), če obstaja:

0.5

Ime in naslov proizvajalca

Ime in naslov pooblaščenega predstavnika, če obstaja:

0.7

Mesto in način pritrditve oznake ES-homologacije pri sestavnih delih in samostojnih tehničnih enotah:

0.8

Naslov(i) proizvodne tovarne (proizvodnih tovarn):

1.   OPIS NAPRAVE

1.1

Znamka in tip nadomestne naprave za uravnavanje onesnaževanja:

1.2

Risbe nadomestne naprave za uravnavanje onesnaževanja, ki prikazujejo predvsem vse značilnosti, navedene v točki 8 člena 2 [te uredbe]:

1.3

Opis tipa vozila ali tipov, katerim je nadomestna naprava za uravnavanje onesnaževanja namenjena:

1.3.1

Številka(e) in/ali simbol(i), ki označuje(jo) tip(e) motorja in vozila:

1.3.2

Ali je nadomestna naprava za uravnavanje onesnaževanja združljiva z zahtevami za vgrajene sisteme za diagnostiko na vozilu (Da/Ne) ( 58 )

1.4

Opis in risbe, ki prikazujejo položaj nadomestne naprave za uravnavanje onesnaževanja glede na izpušni(-e) kolektor(-je) motorja:




Dodatek 2

VZOREC CERTIFIKATA O ES-HOMOLOGACIJI

(Največji format: A4 (210 mm × 297 mm))

CERTIFIKAT O ES-HOMOLOGACIJI

Žig homologacijskega organa

Sporočilo o:

 ES-homologaciji ( 59 )

 razširitvi ES-homologacije (59) ,

 zavrnitvi ES-homologacije (59) ,

 preklicu ES-homologacije (59) ,

tipa sestavnega dela/samostojne tehnične enote (59) :

ob upoštevanju Uredbe (ES) št. 715/2007, kakor se izvaja s Uredbe (ES) št. 692/2008,

Uredbe (ES) št. 715/2007 ali Uredbe (ES) št. 692/2008, kakor je bila nazadnje spremenjena z

Številka ES-homologacije: …

Razlog za razširitev: …

ODDELEK I

0.1

Znamka (blagovno ime proizvajalca):

0.2

Tip:

0.3

Podatki za identifikacijo tipa, če je oznaka na sestavnem delu/samostojni tehnični enoti ( 60 ):

0.3.1

Mesto oznake:

0.5

Ime in naslov proizvajalca:

0.7

Mesto in način pritrditve oznake ES-homologacije pri sestavnih delih in samostojnih tehničnih enotah:

0.8

Ime(na) in naslov(i) proizvodne tovarne (proizvodnih tovarn):

0.9

Ime in naslov proizvajalčevega predstavnika (če obstaja):

ODDELEK II

1.

Dodatne informacije

1.1

Znamka in tip nadomestne naprave za uravnavanje onesnaževanja:

1.2

Tip(i) vozil, za katera se tip naprave za uravnavanje onesnaževanja uporablja kot nadomestni del:

1.3

Tip(i) vozil, na katerih je bila nadomestna naprava za uravnavanje onesnaževanja preskušana:

1.3.1

Ali je nadomestna naprava za uravnavanje onesnaževanja združljiva z zahtevami za vgrajene sisteme za diagnostiko na vozilu (Da/Ne) (60) : …

2.

Tehnična služba, odgovorna za izvajanje preskusov:

3.

Datum poročila o preskusu:

4.

Številka poročila o preskusu:

5.

Opombe:

6.

Kraj:

7.

Datum:

8.

Podpis:



Priloženi dokumenti:

Opisna dokumentacija,

Poročilo o preskusu.




Dodatek 3

Primer oznak ES-homologacije

(glej točko 5.2 te priloge)

image

Zgornja homologacijska oznaka, nameščena na sestavni del nadomestne naprave za uravnavanje onesnaževanja kaže, da je bil ta tip homologiran v Franciji (e 2) v skladu s to uredbo. Prvi dve števki homologacijske številke (00) pomenita, da je bil ta del homologiran v skladu s to uredbo. Naslednje štiri števke (1234) homologacijski organ dodeli nadomestni napravi za uravnavanje onesnaževanja kot osnovno homologacijsko številko.




PRILOGA XIV

Dostop do informacij o popravilu in vzdrževanju vgrajenih sistemov za diagnostiko na vozilu ter vozil

1.   UVOD

1.1

Ta priloga določa tehnične zahteve za dostop do informacij o popravilu in vzdrževanju vgrajenih sistemov za diagnostiko na vozilu ter vozil.

2.   ZAHTEVE

2.1

Informacije o popravilu in vzdrževanju vgrajenih sistemov za diagnostiko na vozilu in vozil, ki so na voljo na spletnih straneh, morajo upoštevati tehnične specifikacije iz dokumenta OASIS SC2-D5, Oblika informacij za popravilo vozil, različica 1.0, 28. maj 2003 ( 61 ), in oddelkov 3.2, 3.5, (razen 3.5.2), 3.6, 3.7 in 3.8 dokumenta OASIS SC1-D2, Specifikacije v zvezi z zahtevami za popravilo vozil, različica 6.1, z dne 10.1.2003 ( 62 ), ter smejo uporabljati samo odprto besedilo in grafične formate ali formate, ki si jih je mogoče ogledati in natisniti samo z uporabo standardnih vtičnikov za programsko opremo, ki so prosto dostopni, se preprosto namestijo in tečejo na pogosto uporabljenih operacijskih sistemih računalnikov. Kadar je mogoče, morajo biti metapodatki skladni s standardom ISO 15031–2. Informacije morajo biti vedno na voljo, razen ko se opravlja vzdrževanje spletne strani. Osebe, ki potrebujejo pravico do kopiranja ali ponovne objave informacij, se pogajajo neposredno z ustreznim proizvajalcem. Na voljo morajo biti tudi informacije za izobraževalno gradivo, vendar so lahko predstavljene tudi z drugimi mediji poleg spletnih strani.

▼M1

Informacije o vseh delih vozila, s katerimi je proizvajalec vozila opremil vozilo, kot je opredeljeno z identifikacijsko številko vozila (VIN) in drugimi merili, kot so medosna razdalja, moč motorja, paket opreme ali možnosti, in ki jih je mogoče zamenjati z nadomestnimi deli, ki jih proizvajalec vozila nudi pooblaščenim serviserjem ali trgovcem ali tretjim osebam s sklicem na številko dela originalne opreme (OE), se zagotovijo v zbirki podatkov, ki je prosto dostopna neodvisnim izvajalcem.

Ta zbirka podatkov vsebuje VIN, številke delov originalne opreme (OE), poimenovanje delov OE, podatke o veljavnosti (veljavno od/do), navodila za vgradnjo in po potrebi strukturne značilnosti.

Informacije v zbirki podatkov se morajo redno posodabljati. Posodobitve morajo vključevati zlasti vse spremembe posameznih vozil po njihovi izdelavi, če so te informacije na voljo pooblaščenim trgovcem.

▼M1

2.2

Dostop do informacij o varnostnih značilnostih vozila, ki jih uporabljajo pooblaščeni trgovci in serviserji, se zagotovi neodvisnim izvajalcem zaščiten z varnostno tehnologijo v skladu z naslednjimi zahtevami:

(i) podatki se izmenjujejo ob zagotavljanju zaupnosti, celovitosti in zaščite pred ponovitvami;

(ii) uporablja se standard https//ssl-tls (RFC4346);

(iii) uporabljajo se varnostna potrdila v skladu z ISO 20828 za vzajemno potrjevanje neodvisnih izvajalcev in proizvajalcev;

(iv) zasebni ključ neodvisnega izvajalca mora biti zaščiten z varno strojno opremo.

Forum o dostopu do informacij o vozilih iz odstavka 9 člena 13 določi parametre za izpolnjevanje teh zahtev v skladu z najnovejšo tehnologijo.

Neodvisni izvajalec mora biti akreditiran in pooblaščen za dostop na podlagi dokumentov, ki dokazujejo, da opravlja zakonito poslovno dejavnost in ni bil obsojen za s tem povezane kriminalne dejavnosti.

2.3

Reprogramiranje krmilnih enot vozil, izdelanih po 31. avgustu 2010, se izvede v skladu z ISO 22900 ali SAE J2534, ne glede na datum homologacije. Za potrjevanje združljivosti aplikacij, specifičnih za proizvajalca, in komunikacijskih vmesnikov vozila (VCI), skladnih z ISO 22900 ali SAE J2534, proizvajalec ponudi bodisi vrednotenje neodvisno razvitih VCI bodisi informacije ter da na posodo morebitno posebno strojno opremo, ki jo proizvajalec VCI potrebuje za samostojno izvedbo takega vrednotenja. Pogoji člena 7(1) Uredbe (ES) št. 715/2007 se uporabljajo za pristojbine za tako vrednotenje ali informacije in strojno opremo.

Za vozila, izdelana pred 1. septembrom 2010, lahko proizvajalec ponudi bodisi popolno reprogramiranje v skladu z ISO 22900 ali SAE J2534 bodisi reprogramiranje preko prodaje ali izposoje lastniškega orodja. V slednjem primeru mora biti neodvisnim izvajalcem zagotovljen nediskriminatoren, hiter in sorazmeren dostop, orodje pa mora biti zagotovljeno v uporabni obliki. Določbe člena 7 Uredbe (ES) št. 715/2007 se uporabljajo za pristojbine za dostop do teh orodij.

▼B

2.4

Vse kode napak, povezane z emisijami, morajo biti skladne z Dodatkom 1 k Prilogi XI.

2.5

Za dostop do vseh informacij o popravilu in vzdrževanju vgrajenih sistemov za diagnostiko na vozilu in vozil, ki se ne nanašajo na varna območja vozila, bodo za registracijo neodvisnega izvajalca za uporabo proizvajalčeve spletne strani potrebne samo informacije, ki so potrebne za potrditev načina plačila informacij. Za informacije glede dostopa do varnih območij vozila neodvisni izvajalec predloži potrdilo v skladu s standardom ISO 20828, s katerim identificira sebe in organizacijo ki ji pripada, proizvajalec pa odgovori s svojim lastnim potrdilom, skladno s standardom ISO 20828, s katerim neodvisnemu izvajalcu potrdi, da dostopa do prave strani želenega proizvajalca. Obe stranki vodita dnevnik vseh takšnih transakcij, ki označuje vozila in spremembe na njih v skladu s to določbo.

2.6

Če informacije o popravilu in vzdrževanju vgrajenih sistemov za diagnostiko na vozilu in vozil, ki so na voljo na spletni strani proizvajalca, ne vsebujejo določenih pomembnih informacij, ki bi omogočale ustrezno načrtovanje in proizvodnjo naknadno vgradljivih sistemov za alternativna goriva, lahko vsi zainteresirani proizvajalci naknadno vgradljivih sistemov za alternativna goriva dostopajo do informacij iz odstavkov 0, 2 in 3 Dodatka 3 k Prilogi 1, tako da se s to zahtevo obrnejo neposredno na proizvajalca. Kontaktni podatki za ta namen bodo jasno navedeni na spletni strani proizvajalca, informacije pa bodo zagotovljene v 30 dneh. Takšne informacije je potrebno zagotoviti samo za naknadno vgradljive sisteme za alternativna goriva za katere velja Pravilnik št. 115 (UN/ECE) ali za sestavne dele naknadno vgradljivih sistemov za alternativna goriva, ki so del sistema za katerega velja Pravilnik št. 115 (UN/ECE) ter jih je potrebno zagotoviti samo na zahtevo, ki jasno določa natančno specifikacijo modela vozila, za katerega se zahtevajo informacije in ki natančno potrjuje, da so informacije potrebne za razvoj naknadno vgradljivih sistemov za alternativna goriva ali njihovih sestavnih delov v skladu s Pravilnikom št. 115 (UN/ECE).

2.7

Proizvajalci na svojih spletnih straneh z informacijami o popravilu navedejo homologacijske številke po modelih.

▼M1

2.8

Proizvajalci določijo primerne in sorazmerne pristojbine za dostop do njihovih spletnih mest z informacijami o popravilu in vzdrževanju na urni, dnevni, mesečni in letni osnovi ter za dostop za posamezno transakcijo.

▼B




Dodatek 1

image

image

image




PRILOGA XV

SKLADNOST VOZIL HOMOLOGIRANIH PO DIREKTIVI 70/220/EGS V PROMETU

1.   SKLADNOST VOZIL V PROMETU

1.1

Homologacijski organ opravi revizijo skladnosti vozil v prometu na podlagi vseh pomembnih podatkov, ki jih ima proizvajalec po postopkih, ki so podobni tistim, določenim v členih 10(1) in (2) ter točkah 1 in 2 Priloge X k Direktivi 70/156/EGS.

1.2

Slika, na katero se sklicuje točka 4 Dodatka 2 k tej prilogi in slika 4/2 iz Dodatka 4 k Pravilniku št. 83 (UN/ECE) prikazujeta postopek za preverjanje skladnosti v prometu.

1.3

Parametri, ki opredeljujejo družine vozil v prometu

Družina v prometu se lahko opredeli po osnovnih parametrih konstrukcije, ki morajo biti skupni vozilom v družini. Skladno s tem se za tiste tipe vozil, ki imajo skupne, ali v mejah navedenih dovoljenih odstopanj, vsaj parametre iz točk 1.3.1. do 1.3.11., šteje, da spadajo v isto družino v prometu.

1.3.1

proces zgorevanja (2-taktni, 4-taktni, rotacijski);

1.3.2

število valjev.

1.3.3

konfiguracija valjev v bloku (vrstni motor, V-motor, radialni motor, motor z nasprotno ležečimi valji, drugo). Naklon ali usmeritev valjev ni merilo;

1.3.4

način dovoda goriva v motor (tj. posredno ali neposredno vbrizgavanje);

1.3.5

vrsta hladilnega sistema (z zrakom, vodo, oljem);

1.3.6

način dovoda zraka (sesalni motor, tlačno polnjeni motor);

1.3.7

gorivo, za katerega je motor zasnovan (bencin, dizelsko gorivo, ZP, UNP itd.). Vozila z dvogorivnim motorjem so lahko razvrščena v skupino vozil z eno vrsto goriva, če je ena vrsta goriva skupna;

1.3.8

vrsta katalizatorja (tristezni ali drugo);

1.3.9

vrsta lovilnika trdnih delcev (z ali brez);

1.3.10

vračanje izpušnih plinov v valj (z ali brez);

1.3.11

prostornina valja največjega motorja v družini minus 30 %.

1.4

Homologacijski organ opravi revizijo skladnosti vozil v prometu na podlagi podatkov, ki jih predloži proizvajalec. Te informacije morajo vsebovati, vendar niso omejeni na naslednje podatke:

1.4.1

ime in naslov proizvajalca;

1.4.2

ime, naslov, telefonsko številko in številko faksa ter elektronski naslov pooblaščenega predstavnika za področja, ki jih vključujejo podatki proizvajalca;

1.4.3

ime(na) modela vozil, ki so vključena v podatke proizvajalca;

1.4.4

kadar je primerno, seznam tipov vozila, ki jih vključujejo podatki proizvajalca, tj. skupina družin v prometu v skladu z oddelkom 1.3.;

1.4.5

kode identifikacijske številke vozila (VIN), ki se uporabljajo za te tipe vozil znotraj družine v prometu (številka VIN);

1.4.6

številke homologacij, ki se uporabljajo za te tipe vozil znotraj družine v prometu, vključno s številkami vseh razširitev ter večjih sprememb/preklicev (predelav), kadar je primerno;

1.4.7

podrobnosti o razširitvah, večjih spremembah/preklicih homologacij za vozila, ki jih vključujejo podatki proizvajalca (če to zahteva homologacijski organ);

1.4.8

obdobje, v katerem je proizvajalec zbiral podatke;

1.4.9

obdobje proizvodnje vozil, vključeno v podatke proizvajalca (npr. vozila, izdelana v koledarskem letu 2001);

1.4.10

postopek proizvajalca za preverjanje skladnosti v prometu, vključno z:

(a) načinom določanja položaja vozil;

(b) merili za izbiro in zavrnitev vozil;

(c) tipi preskusov in preskusnimi postopki, uporabljenimi v programu;

(d) merili proizvajalca za sprejem/zavrnitev skupine družin v prometu;

(e) geografskim območjem/geografskimi območji, na katerem/katerih je proizvajalec zbral podatke;

(f) velikostjo vzorca in uporabljenim načrtom vzorčenja;

1.4.11

rezultate postopka proizvajalca za preverjanje skladnosti v prometu, vključno z:

(a) identifikacijo vozil, vključenih v program (preskušanih ali ne). Ta identifikacija mora vključevati:

 ime modela,

 identifikacijsko številko vozila (VIN),

 registrsko številko vozila,

 datum izdelave,

 regijo uporabe (če je znana),

 nameščene pnevmatike.

(b) razlogom(gi) za izločitev vozila iz vzorca;

(c) podatki o vzdrževanju vsakega vozila iz vzorca (vključno s kakršnimikoli predelavami);

(d) podatki o popravilih vsakega vozila iz vzorca (če so znani);

(e) podatki o preskusu, ki vključujejo:

 datum preskusa,

 kraj preskusa,

 število prevoženih kilometrov na števcu,

 specifikacije preskusnega goriva (npr. preskusno referenčno gorivo ali gorivo na trgu),

 preskusne pogoje (temperaturo, vlažnost, vztrajnostno maso dinamometra),

 nastavitve dinamometra (npr. nastavitev moči),

 rezultate preskusa (za najmanj tri različna vozila iz vsake družine);

1.4.12

Zapisi prikazov vgrajenega sistema za diagnostiko na vozilu (OBD).

2.

Podatki, ki jih zbere proizvajalec, morajo biti dovolj izčrpni, da je mogoče oceniti delovanje vozila v prometu za običajne pogoje uporabe iz oddelka 1, in morajo ustrezno prikazati geografsko širjenje proizvajalca.

Za namene te uredbe proizvajalec ni obvezan opraviti revizije skladnosti vozil v prometu za tip vozila, če lahko homologacijskemu organu zadovoljivo dokaže, da je letna prodaja tega tipa vozila v Skupnosti manjša od 5 000 vozil.

3.

Na osnovi revizije iz oddelka 1.2, homologacijski organ sprejme eno od naslednjih odločitev in ukrepov:

(a) odloči, da je skladnost v prometu za tip vozila ali družino vozil v prometu zadovoljiva in ne sprejme nadaljnjih ukrepov;

(b) odloči, da so podatki ki jih je predložil proizvajalec nezadostni za sprejem odločitve in od proizvajalca zahteva dodatne informacije ali preskusne podatke;

(c) odloči, da je skladnost tipa vozila v prometu, ki je del družine vozil v prometu nezadovoljiva in nadaljuje s preskusom tipa na vozilu skladno z Dodatkom 1 k Prilogi I.

Če je bilo proizvajalcu dovoljeno, da ne izvaja revizije za določen tip vozila v skladu z oddelkom 2, lahko upravni organ nadalje preskuša takšne tipe vozil v skladu z Dodatkom 1 k Prilogi I.

3.1

Če so preskusi tipa 1 potrebni za preverjanje skladnosti naprav za uravnavanje emisij z zahtevami o njihovem delovanju v prometu, se takšni preskusi izvajajo s preskusnim postopkom, ki izpolnjuje statistična merila iz Dodatka 2 k tej prilogi.

3.2

Homologacijski organ v sodelovanju s proizvajalcem izbere vzorec vozil z zadostnim številom prevoženih kilometrov, za katera je ustrezno zagotovljeno, da so bila uporabljena pri običajnih pogojih. Pri izbiri vozil v vzorcu se posvetuje s proizvajalcem in se mu omogoči prisotnost pri potrditvenih pregledih vozil.

3.3

Proizvajalec je pooblaščen, da pod nadzorom homologacijskega organa opravi preglede, tudi porušitvene narave, na vozilih, katerih ravni emisij presegajo mejne vrednosti, da se ugotovijo morebitni vzroki za poslabšanje, ki jih ni mogoče pripisati proizvajalcu samemu. Če rezultati pregledov potrdijo takšne vzroke, se takšni rezultati preskusov izključijo iz preverjanja skladnosti.

3.4

Kadar homologacijski organ ni zadovoljen z rezultati preskusov v skladu z merili iz Dodatka 2, se popravni ukrepi, navedeni v členu 11(2) in v Prilogi X k Direktivi 70/156/EGS, razširijo na vozila v prometu, ki pripadajo istemu tipu vozil in ki bodo verjetno imela enake pomanjkljivosti skladno z oddelkom 6 Dodatka 1.

Načrt popravnih ukrepov, ki ga predloži proizvajalec, mora potrditi homologacijski organ. Proizvajalec je zadolžen za izvajanje načrta popravnih ukrepov, kot je bil potrjen.

Homologacijski organ sporoči svojo odločitev vsem državam članicam v 30 dneh. Države članice lahko zahtevajo, da se isti načrt popravnih ukrepov uporablja za vsa vozila enakega tipa, ki so registrirana na njihovem ozemlju.

3.5

Če homologacijski organ ugotovi, da tip vozila ne izpolnjuje zahtevanih pogojev iz Dodatka 1 k tej prilogi, nemudoma obvesti državo članico, ki je podelila prvotno homologacijo v skladu z zahtevami člena 11(3) Direktive 70/156/EGS.

Po tem obvestilu in v skladu z določbo člena 11(6) Direktive 70/156/EGS, pristojni organ države članice, ki je podelil prvotno homologacijo sporoči proizvajalcu, da tip vozila ne izpolnjuje zahtev teh določb in da od proizvajalca pričakuje določene ukrepe. Proizvajalec mora temu organu v dveh mesecih od tega uradnega obvestila predložiti načrt ukrepov za odpravo pomanjkljivosti, katerega vsebina naj ustreza zahtevam iz oddelkov 6.1 do 6.8 v Dodatku 1. Pristojni organ, ki je izdal prvotno homologacijo, se v dveh mesecih posvetuje s proizvajalcem in se dogovori za načrt ukrepov in za izvedbo načrta. Če pristojni organ, ki je izdal prvotno homologacijo, ugotovi, da sporazuma ni mogoče doseči, se začne postopek v skladu s členom 11(3) in (4) Direktive 70/156/EGS.




Dodatek 1

Preverjanje skladnosti v prometu

1.   UVOD

Ta dodatek določa merila za nadzor skladnosti vozil v prometu, homologiranih v skladu z Direktivo 70/220/EGS.

2.   MERILA ZA IZBOR

Merila za sprejem izbranega vozila so določena v oddelkih 2.1 do 2.8. Podatki se zbirajo s pregledom vozila in pogovorom z lastnikom/voznikom.

2.1

Vozilo spada v tip vozila, ki je homologiran po Direktivi 70/220/EGS, in ima certifikat o skladnosti v skladu z Direktivo 70/156/EGS. Registrira in uporablja se v državah pogodbenicah.

2.2

Vozilo je bilo v prometu vsaj 15 000 km ali 6 mesecev, kar se zgodi pozneje, in največ 100 000 km ali 5 let, kar se zgodi prej.

2.3

Na voljo je evidenca o vzdrževanju, ki pokaže, da je bilo vozilo primerno vzdrževano, npr. servisirano v skladu s priporočili proizvajalca.

2.4

Na vozilu ni nobenih znakov zlorabe (npr. dirkanje, čezmerno natovarjanje, uporaba napačnih goriv ali druge zlorabe) ali drugih dejavnikov (npr. prirejanje), ki lahko vplivajo na nastajanje emisij. Pri vozilih, opremljenih z vgrajenim sistemom za diagnostiko, se upoštevajo kode okvar in podatki o prevoženih kilometrih, ki so shranjeni v računalniku. Vozilo ni izbrano za preskušanje, če je iz podatkov v računalniku razvidno, da je vozilo delovalo tudi potem, ko je računalnik shranil kodo okvare in popravilo ni bilo izvedeno v sorazmerno kratkem času.

2.5

Na vozilu niso bila opravljena večja popravila ali večja nepooblaščena popravila motorja.

2.6

Vsebnost svinca in žvepla v vzorcu goriva iz posode za gorivo vozila ustreza veljavnim standardom, določenim v Direktivi 98/70/ES ( 63 ) Evropskega parlamenta in Sveta in na vozilu ni sledov uporabe napačnih goriv. Pregledi se lahko opravijo v izpušni cevi itd.

2.7

Na vozilu ni nobenih znakov kakršnihkoli težav, ki lahko ogrožajo varnost osebja v laboratoriju.

2.8

Vsi sestavni deli sistema za uravnavanje onesnaževanja na vozilu so skladni z veljavno homologacijo.

3.   UGOTAVLJANJE NAPAK IN VZDRŽEVANJE

Ugotavljanje napak in potrebno redno vzdrževanje se na vozilih, sprejetih za preskušanje, opravita pred merjenjem emisij izpušnih plinov v skladu s postopkom iz oddelkov 3.1 do 3.7.

3.1

Opravijo se naslednji pregledi: pregled neoporečnosti zračnega filtra, vseh pogonskih jermenov, vseh nivojev tekočin, pokrova hladilnika, vseh vakuumskih cevi in električne napeljave, povezane s sistemom za uravnavanje onesnaževanja; pregled vžiga, odmerjanja goriva in sestavnih delov naprave za uravnavanje onesnaževanja zaradi morebitnih napak v nastavitvah in/ali prirejanja. Vsa odstopanja se zapišejo.

3.2

Preveri se pravilno delovanje vgrajenega sistema za diagnostiko. Vse prijave napak v spominu vgrajenega sistema za diagnostiko se zabeležijo in opravijo se potrebna popravila. Če indikator napak vgrajenega sistema za diagnostiko na vozilu ugotovi napako v ciklu predkondicioniranja, se lahko okvara identificira in odpravi. Preskus se lahko ponovi in uporabijo se rezultati popravljenega vozila.

3.3

Pregleda se sistem vžiga in pomanjkljivi sestavni deli se zamenjajo, na primer vžigalne svečke, kabli itd.

3.4

Preveri se kompresija. Če rezultat ni zadovoljiv, se vozilo zavrne.

3.5

Parametri motorja se preverijo po specifikacijah proizvajalca in se po potrebi nastavijo.

3.6

Če vozilu manjka manj kot 800 km do naslednjega rednega servisa, se servis opravi po navodilih proizvajalca. Ne glede na zapis prevoženih kilometrov na števcu se lahko na zahtevo proizvajalca zamenjata olje in zračni filter.

3.7

Ob sprejemu vozila se gorivo nadomesti s primernim referenčnim gorivom za preskušanje emisij, razen če proizvajalec soglaša z uporabo goriva, ki je na trgu.

4.   PRESKUŠANJE VOZIL V PROMETU

4.1

Če se meni, da je pregled vozil potreben, se preskusi emisij v skladu s Prilogo III k Direktivi 70/220/EGS opravijo na predkondicioniranih vozilih, izbranih v skladu z zahtevami iz oddelkov 2 in 3 tega dodatka.

4.2

Na vozilih, opremljenih z vgrajenim sistemom za diagnostiko, se lahko preverja pravilno delovanje indikatorja napak v prometu itd. glede na ravni emisij (npr. omejitve za prijavo napak iz Priloge XI k Direktivi 70/220/EGS) za homologirane specifikacije.

4.3

Vgrajeni sistem za diagnostiko se lahko na primer preverja, če so ravni emisij nad veljavnimi mejnimi vrednostmi in ni prijav napak, če se indikator napak sistematično napačno vključuje in so ugotovljeni pomanjkljivi ali okvarjeni sestavni deli vgrajenega sistema za diagnostiko.

4.4

Če sestavni del ali sistem deluje na način, ki ni zajet v podrobnem opisu v certifikatu o homologaciji in/ali v opisni dokumentaciji za te tipe vozila, in to odstopanje ni bilo dovoljeno v skladu s členom 5(3) ali (4) Direktive 70/156/EGS ter vgrajeni sistem za diagnostiko ne javlja napak, se sestavni del ali sistem ne zamenja pred preskušanjem emisij, razen če je ugotovljeno, da je bil sestavni del ali sistem prirejen ali zlorabljen tako, da vgrajeni sistem za diagnostiko napak ne zaznava več.

5.   VREDNOTENJE REZULTATOV

5.1

Rezultati preskusov se predložijo v postopek vrednotenja v skladu z Dodatkom 2 k tej prilogi.

5.2

Rezultati preskusov se ne množijo s faktorji poslabšanja.

6.   NAČRT POPRAVNIH UKREPOV

6.1

Homologacijski organ zahteva od proizvajalca, da predloži načrt popravnih ukrepov za odpravo neskladnosti, če se za več kot eno vozilo ugotovi, da njegova emisija izstopa in izpolnjuje kateregakoli od naslednjih pogojev:

(a) izpolnjuje pogoje iz odstavka 3.2.3 Dodatka 4 k Pravilniku št. 83 (UN/ECE), homologacijski organ in proizvajalec pa se strinjata, da je emisija čezmerna iz istega vzroka, ali

(b) izpolnjuje pogoje iz oddelka 3.2.4 Dodatka 4 k Pravilniku št. 83 (UN/ECE), je homologacijski organ pa je ugotovil, da je emisija čezmerna iz istega vzroka.

6.2

Načrt popravnih ukrepov se vloži pri homologacijskem organu najpozneje v 60 delovnih dneh od datuma uradnega obvestila iz oddelka 6.1. Homologacijski organ v 30 delovnih dneh potrdi ali zavrne načrt popravnih ukrepov. Kadar pa proizvajalec pristojnemu homologacijskemu organu zadovoljivo dokaže, da potrebuje več časa za preučitev neskladnosti zaradi priprave načrta popravnih ukrepov, se mu podaljšanje odobri.

6.3

Popravni ukrepi veljajo za vsa vozila, ki bi lahko imela enake pomanjkljivosti. Oceni se potreba po spremembi dokumentov o homologaciji.

6.4

Proizvajalec zagotovi izvod vseh sporočil, povezanih z načrtom popravnih ukrepov, in vodi evidenco pozivov kupcem k vrnitvi izdelkov s serijsko napako ter homologacijskemu organu dostavlja redna poročila o stanju.

6.5

Načrt popravnih ukrepov vključuje zahteve iz točk 6.5.1 do 6.5.11. Proizvajalec dodeli enotno identifikacijsko ime ali številko za načrt popravnih ukrepov.

6.5.1

Opis vseh tipov vozil, vključenih v načrt popravnih ukrepov.

6.5.2

Opis posebnih modifikacij, prikrojitev, popravil, popravkov, prilagoditev ali drugih sprememb, potrebnih za zagotovitev skladnosti vozil, vključno s kratkim povzetkom podatkov in tehničnih študij, ki podpirajo proizvajalčevo odločitev o posebnih ukrepih, potrebnih za odpravo neskladnosti.

6.5.3

Opis postopka, po katerem proizvajalec obvešča lastnike vozil.

6.5.4

Opis pravilnega vzdrževanja ali uporabe, če obstaja, ki jo proizvajalec postavlja kot pogoj za upravičenost do popravila v skladu z načrtom popravnih ukrepov, ter razlago proizvajalčevih razlogov za postavljanje takih pogojev. Pogojev za vzdrževanje ali uporabo se ne sme postaviti, če ni mogoče dokazati, da so povezani z neskladnostjo in s popravnimi ukrepi.

6.5.5

Opis postopka, po katerem se morajo ravnati lastniki vozil, da dosežejo popravek neskladnosti. Ta opis vključuje datum, po katerem se lahko sprejmejo popravni ukrepi, oceno časa, v katerem lahko delavnica opravi popravila, in informacijo o tem, kje se lahko opravijo. Popravila se opravijo primerno v razumnem času po dostavi vozila.

6.5.6

Izvod podatkov, ki so bili poslani lastniku vozila.

6.5.7

Kratek opis sistema, ki ga uporablja proizvajalec za zagotovitev primerne preskrbe s sestavnimi deli ali sistemi za izvajanje popravnega ukrepa. Navede se, kdaj bo mogoča primerna oskrba s sestavnimi deli ali sistemi za začetek akcije.

6.5.8

Izvod vseh navodil, ki se pošljejo osebam, ki bodo izvajale popravila.

6.5.9

Opis učinka predlaganih popravnih ukrepov na emisije, porabo goriva, obnašanje vozila pri vožnji in varnost vsakega tipa vozila, zajetega v načrt popravnih ukrepov, s podatki in tehničnimi študijami itd., ki so podlaga za te ugotovitve.

6.5.10

Vse druge informacije, poročila ali podatki, ki jih lahko homologacijski organ upravičeno določi kot potrebne za oceno načrta popravnih ukrepov.

6.5.11

Če načrt popravnih ukrepov vključuje pozivanje kupcev k vrnitvi izdelkov v popravilo, se homologacijskemu organu predloži opis načina, kako se bo evidentiralo popravilo. Če se uporablja nalepka, se predloži vzorec.

6.6

Od proizvajalca je mogoče zahtevati, da opravlja razumno načrtovane in potrebne preskuse na sestavnih delih in vozilih, za katera je predlagana sprememba, popravilo ali modifikacija, da prikaže učinkovitost spremembe, popravila ali modifikacije.

6.7

Proizvajalec mora voditi evidenco o vsakem vozilu, vrnjenem v popravilo in popravljenem vozilu, ter o delavnici, ki je popravilo opravila. Homologacijski organ ima na zahtevo dostop do evidence v obdobju 5 let od začetka izvajanja načrta popravnih ukrepov.

6.8

Popravilo in/ali modifikacija ali dodajanje novega dela opreme se zapiše v certifikat, ki ga predloži proizvajalec lastniku vozila.




Dodatek 2

Statistični postopek za preskušanje skladnosti v prometu

1.

Ta postopek se uporabi za preverjanje zahtev za skladnost vozil v prometu za preskus tipa 1. Veljavna statistična metoda je določena v Dodatku 4 k Pravilniku št. 83 (UN/ECE), z izjemami iz oddelkov 2., 3. in 4.

2.

Opomba 1 se ne uporablja.

3.

V odstavkih 3.2.3.2.1 in 3.2.4.2. v Dodatku 4 k Pravilniku št. 83 (UN/ECE) se sklicevanje na odstavek 6 Dodatka 3 razume kot sklicevanje na oddelek 6 Dodatka 1 k Prilogi XV k tej uredbi.

4.

Na sliki 4/1 v Dodatku 4 k Pravilniku št. 83 (UN/ECE) velja naslednje:

(a) sklicevanje na odstavek 8.2.1 se šteje kot sklicevanje na oddelek 1.1 k Prilogi XV k tej uredbi;

(b) sklicevanje na Dodatek 3 se razume kot sklicevanje na Dodatek 1 k Prilogi XV k tej uredbi;

(c) opomba 1 se razume na naslednji način: TAA v tem primeru pomeni homologacijski organ, ki je podelil homologacijo v skladu z Direktivo 70/220/ES.




PRILOGA XVI

ZAHTEVE ZA VOZILA, KI UPORABLJAJO REAGENT V SISTEMIH ZA NAKNADNO OBDELAVO IZPUŠNIH PLINOV

1.   UVOD

Ta priloga določa zahteve za vozila, ki se za zmanjšanje emisij opirajo na uporabo reagenta v sistemu za naknadno obdelavo izpušnih plinov.

2.   PRIKAZOVALNIK KOLIČINE REAGENTA

2.1

Vozilo mora imeti poseben prikazovalnik na armaturni plošči, ki voznika obvešča o nizkem nivoju reagenta v posodi za shranjevanje reagenta in ga obvesti, ko se posoda za reagent izprazni.

3.   SISTEM ZA OPOZARJANJE VOZNIKA

3.1

Vozilo mora imeti opozorilni sistem z vidnimi opozorili, ki opozarja voznika, ko je nivo reagenta nizek, ko je treba posodo za reagent kmalu napolniti ali ko reagent ni ustrezne kakovosti, kot jo je določil proizvajalec. Opozorilni sistem lahko poleg tega voznika opozarja tudi zvočno.

3.2

Intenzivnost opozarjanja bo naraščala z zmanjševanjem količine reagenta. Opozarjanja pri največji intenzivnosti ni mogoče preprosto spregledati ali ne upoštevati. Sistema ne bo mogoče izključiti, dokler ni reagent dopolnjen.

3.3

Vidno opozorilo bo prikazovalo sporočilo, ki označuje nizek nivo reagenta. Opozorilo ne bo enako opozorilom, ki se uporabljajo za vgrajene sisteme za diagnostiko na vozilu ali vzdrževanje motorja. Opozorilo mora biti dovolj jasno, da voznik razume, da je nivo reagenta nizek (npr. „nizek nivo sečnine“, „nizek nivo AdBlue“ ali „nizek nivo reagenta“).

3.4

Za opozorilni sistem ni potrebno, da bi na začetku deloval neprekinjeno, vendar se opozorilo stopnjuje, tako da postane neprekinjeno, ko se nivo reagenta približa točki, v kateri se vključi sistem za prisilo voznika iz oddelka 8. Prikaže se izrecno opozorilo (npr. „dopolnite sečnino“, „dopolnite AdBlue“, „dopolnite reagent“). Neprekinjeni opozorilni sistem se lahko začasno prekine zaradi drugih opozorilnih signalov, ki sporočajo pomembna varnostna sporočila.

3.5

Opozorilni sistem se vključi na razdalji, ki je enakovredna dosegu vozila 2 400 km preden se izprazni posoda z reagentom.

4.   PREPOZNAVANJE NEPRAVILNEGA REAGENTA

4.1

Vozilo mora imeti sredstva, s katerimi prepozna, ali je v vozilu prisoten reagent, ki ustreza značilnostim, ki jih je navedel proizvajalec in so navedene v Dodatku 3 k Prilogi I k tej uredbi.

4.2

Če reagent v posodi ne ustreza najmanjšim zahtevam, ki jih je navedel proizvajalec, se vključi sistem za opozarjanje voznika iz oddelka 3 in prikaže sporočilo z ustreznim opozorilom (npr. „zaznana neustrezna sečnina“, „zaznan neustrezen AdBlue“ ali „zaznan neustrezen reagent“). Če se kakovost reagenta ne popravi v 50 km od vključitve opozorilnega sistema, veljajo zahteve za prisilo voznika iz oddelka 8.

5.   SPREMLJANJE PORABE REAGENTA

5.1

Vozilo mora imeti sredstva, s katerimi prepoznava porabo reagenta in omogoča dostop do podatkov o porabi z zunanjo napravo.

5.2

Povprečna poraba reagenta in povprečna zahtevana poraba reagenta sistema motorja morata biti na voljo prek serijskega vmesnika standardnega diagnostičnega priključka. Podatki bodo na voljo za celotnih preteklih 2 400 km delovanja vozila.

5.3

Za spremljanje porabe reagenta se spremljajo vsaj naslednji parametri na vozilu:

(a) nivo reagenta v posodi za shranjevanje reagenta na vozilu,

(b) pretok reagenta ali vbrizgavanje reagenta kolikor je tehnično mogoče blizu točki vbrizgavanja v sistem za naknadno obdelavo izpušnih plinov.

5.4

Odstopanje za več kot 50 % med povprečno porabo reagenta in povprečno zahtevano porabo reagenta sistema motorja v obdobju 30 minut delovanja vozila povzroči vključitev sistema za opozarjanje voznika iz oddelka 3, ki prikaže sporočilo z ustreznim opozorilom (npr. „napaka pri odmerjanju sečnine“, „napaka pri odmerjanju AdBlue“ ali „napaka pri odmerjanju reagenta“). Če se poraba reagenta ne popravi po 50 km od vključitve opozorilnega sistema, veljajo zahteve za prisilo voznika iz oddelka 8.

5.5

Če pride do prekinitve pri doziranju reagenta, se vključi sistem za opozarjanje voznika iz oddelka 3, ki prikaže sporočilo z ustreznim opozorilom. Vključitev ni potrebna, če prekinitev doziranja zahteva enota za nadzor motorja (ECU), ker so pogoji delovanja takšni, da glede na emisije vozila odmerjanje reagenta ni potrebno, pod pogojem da je proizvajalec jasno obvestil homologacijski organ, kdaj veljajo takšni delovni pogoji. Če se doziranje reagenta ne popravi v 50 km od vključitve opozorilnega sistema, veljajo zahteve za prisilo voznika iz oddelka 8.

6.   SPREMLJANJE EMISIJ DIŠIKOVIH OKSIDOV

6.1

Namesto zahtev za spremljanje iz oddelkov 4 in 5, lahko proizvajalci neposredno uporabijo tipala za izpušne pline, s katerimi zaznajo prekomerno raven dušikovih oksidov (NOX) v izpušnih plinih.

▼M2

6.2.

Proizvajalec dokaže, da se pri uporabi tipal iz točke 6.1. in drugih tipal na vozilu vključi sistem za opozarjanje voznika iz točke 3., prikaže sporočilo z ustreznim opozorilom (npr. „previsoke emisije – preverite sečnino“, „previsoke emisije – preverite AdBlue“, „previsoke emisije – preverite reagent“) in vključi sistem za prisilo voznika, kot je določeno v točki 8.3., če nastanejo okoliščine iz točk 4.2., 5.4. in 5.5.

Za namene te točke se predvideva, da te okoliščine nastopijo:

 pri vozilih, homologiranih za mejne vrednosti emisij Euro 5 iz tabele 1 Priloge I k Uredbi (ES) št. 715/2007, če se preseže veljavna mejna vrednost emisij NOx iz te tabele, pomnožena s faktorjem 1,5,

 pri vozilih, homologiranih za mejne vrednosti emisij Euro 6 iz tabele 2. Priloge I k Uredbi (ES) št. 715/2007, če se preseže veljavna mejna vrednost za vgrajene sisteme za diagnostiko na vozilu za emisije NOx iz točk 2.3.2, 2.3.3 in 2.3.4. Priloge XI.

Emisije NOx med preskusom za dokazovanje skladnosti s temi zahtevami ne smejo presegati vrednosti iz drugega odstavka za več kot 20 %.

▼B

7.   SHRANJEVANJE INFORMACIJ O NAPAKAH

▼M1

7.1

Kadar je naveden sklic na to točko, se shrani neizbrisljiv identifikator parametra (PID), ki določa razlog za vključitev sistema za prisilo in razdaljo, ki jo je vozilo prevozilo med vključitvijo sistema za prisilo. Vozilo ohrani zapis o PID vsaj 800 dni ali 30 000 km delovanja vozila. PID se zagotovi na zahtevo univerzalnega diagnostičnega orodja prek serijskega vmesnika na standardnem konektorju za diagnostiko, v skladu z določbami točke 6.5.3.1 Dodatka 1 v Prilogi 11 k Pravilniku UN/ECE št. 83 in točke 2.5 Dodatka 1 v Prilogi XI k tej uredbi. Od datumov iz člena 17 se informacije, shranjene v PID, povežejo z obdobjem skupnega delovanja vozila, med katerim so nastale, z natančnostjo najmanj 300 dni ali 10 000 km.

▼B

7.2

Napake v sistemu za odmerjanje reagenta, ki se pripisuje tehničnim napakam (npr. mehanska ali električna okvara), bodo predmet zahtev za vgrajene sisteme za diagnostiko na vozilu iz Priloge XI.

8.   SISTEM ZA PRISILO VOZNIKA

8.1

Vozilo mora imeti sistem za prisilo voznika, s katerim se zagotovi, da vozilo vedno deluje z delujočim sistemom za uravnavanje emisij. Sistem za prisilo voznika mora biti zasnovan tako, da zagotavlja, da vozila ni mogoče upravljati s prazno posodo za reagent.

8.2

Sistem za prisilo se vključi najpozneje takrat, ko raven reagenta v posodi za shranjevanje reagenta doseže raven, enakovredno povprečnemu dosegu vozila s polno posodo goriva. Sistem se mora vključiti tudi ko pride do napak iz oddelkov 4., 5. ali 6., odvisno od pristopa za merjenje emisij dušikovih oksidov. Pri zaznavi prazne posode za shranjevanje reagenta in napak iz oddelkov 4., 5. ali 6. začnejo veljati zahteve za shranjevanje informacij o napakah iz oddelka 7.

8.3

Proizvajalec izbere tip sistema za prisilo, ki ga bo namestil. Možnosti sistemov so opisane v naslednjih točkah 8.3.1., 8.3.2., 8.3.3. in 8.3.4.

8.3.1

Pristop „ni zagona motorja po odštevanju“ dovoljuje odštevanje ponovnih zagonov in preostale razdalje po vključitvi sistema za prisilo. Zagoni motorja, ki jih sproži sistem za krmiljenje vozila, na primer sistemi zagon-zaustavitev, niso vključeni v to odštevanje. Ponovni zagon motorja se onemogoči, takoj ko se izprazni posoda za shranjevanje reagenta ali ko je presežena razdalja, enakovredna polni posodi za gorivo od vključitve sistema za prisilo voznika, kar nastopi prej.

8.3.2

Sistem „ni zagona po dolivanju goriva“ povzroči, da vozila ni mogoče zagnati po dolivanju goriva, potem ko se je vključil sistem za prisilo.

8.3.3

Pristop „zaklepanje posode za gorivo“ preprečuje dolivanje goriva v vozilo, tako da se sistem odprtine za dolivanje goriva zaklene po vključitvi sistema za prisilo. Sistem za zaklepanje mora biti robusten, da se preprečijo nedovoljeni posegi.

8.3.4

Pristop „omejitev zmogljivosti“ omeji zmogljivosti vozila po vključitvi sistema za prisilo. Stopnja hitrostne omejitve bo vozniku opazna in bo občutno zmanjšala najvišjo hitrost vozila. Ta omejitev bo pričela delovati postopoma ali po zagonu motorja. Malo pred preprečitvijo ponovnega zagona motorja hitrost vozila ne sme presegati 50 km/h. Ponovni zagon motorja se onemogoči, takoj ko se izprazni posoda za shranjevanje reagenta ali ko je presežena razdalja, enakovredna polni posodi za gorivo od vključitve sistema za prisilo voznika, kar nastopi prej.

8.4

Po popolni vključitvi sistema za prisilo in onemogočitvi vozila se sistem za prisilo izključi samo, če se v vozilo dolije količina reagenta, ki je enakovredna 2 400 km povprečne prevožene poti, ali če so napake iz oddelkov 4, 5 ali 6 bile odpravljene. Po popravilu, s katerim se odpravi napaka, pri kateri se je sprožil vgrajeni sistem za diagnostiko na vozilu v skladu s točko 7.2., se sistem za prisilo lahko nastavi na začetno vrednost prek serijskega vmesnika vgrajene naprave za diagnostiko (npr. s splošnim pregledovalnikom), kar omogoči ponovni zagon vozila, da se lahko izvede samodiagnoza. Vozilo bo delovalo največ 50 km za potrditev uspešnega popravila. Sistem za prisilo se ponovno popolnoma vključi, če se po potrditvi napaka še naprej ponavlja.

8.5

Sistem za opozarjanje voznika iz oddelka 3 prikaže sporočilo, ki jasno navaja:

(a) število preostalih ponovnih zagonov vozila in/ali preostalo razdaljo, in

(b) pogoje, pod katerimi je vozilo mogoče ponovno zagnati.

8.6

Sistem za prisilo voznika se izključi, ko prenehajo obstajati pogoji za njegovo vključitev. Sistem za prisilo voznika se ne sme samodejno izključiti, če razlogi za njegovo vključitev niso odpravljeni.

8.7

Pri homologaciji se homologacijskemu organu predložijo podrobne pisne informacije, ki v celoti opisujejo delovne značilnosti sistema za prisilo voznika.

8.8

Proizvajalec bo kot del vloge za podelitev homologacije v skladu s to uredbo prikazal delovanje sistema za opozarjanje voznika in sistema za prisilo.

9.   ZAHTEVE ZA INFORMACIJE

9.1

Proizvajalec priloži vsem lastnikom novih vozil pisne informacije o sistemu za uravnavanje emisij. V teh informacijah mora biti zapisano, da bo sistem za opozarjanje voznika obvestil o težavi, če sistem za uravnavanje emisij vozila ne deluje pravilno in da zaradi vključitve sistema za prisilo voznika vozila ne bo mogoče zagnati.

9.2

Navodila morajo navajati zahteve za pravilno uporabo in vzdrževanje vozil, vključno s pravilno uporabo potrošnih reagentov.

9.3

Navodila morajo opredeliti, ali mora voznik potrošne reagente doliti med običajnimi intervali vzdrževanja. Določati morajo tudi, na kakšen način mora voznik doliti reagent v posodo. Informacije morajo tudi vključevati informacije o verjetni porabi reagenta za tip vozila in pogostosti dolivanja reagenta.

9.4

Navodila morajo navajati, da je uporaba in dolivanje potrebnega reagenta z ustreznimi specifikacijami nujno potrebna, da je vozilo skladno s certifikatom o skladnosti, izdanim za ta tip vozila.

9.5

Navodila morajo vsebovati opozorilo, da je uporaba vozila, ki ne porablja reagenta, če je ta potreben za zmanjšanje emisij, lahko kaznivo dejanje

9.6

Navodila morajo razložiti delovanje sistema za opozarjanje voznika in sistema za prisilo voznika. Poleg tega morajo biti razložene posledice, če sistema za opozarjanje ne upoštevate ali če ne dolijete reagenta.

10.   POGOJI DELOVANJA SISTEMA ZA NAKNADNO OBDELAVO IZPUŠNIH PLINOV

Proizvajalci morajo zagotoviti, da sistem za uravnavanje emisij ohrani svojo vlogo uravnavanja emisij pri vseh pogojih okolja, ki jih redno najdemo v Evropski uniji, še posebej pri nizkih temperaturah. To vključuje ukrepe za uravnavanje popolne zamrznitve reagenta med parkiranjem za največ 7 dni pri 258 K (– 15 °C), ko je posoda za shranjevanje reagenta 50 % polna. Če reagent zamrzne, proizvajalec zagotovi, da bo reagent na voljo za uporabo v 20 minutah od zagona vozila pri temperaturi 258 K (– 15 °C), izmerjeni v posodi za shranjevanje reagenta, tako da se zagotovi pravilno delovanje sistema za uravnavanje emisij.




PRILOGA XVII

SPREMEMBE UREDBE (ES) št. 715/2007

Uredba (ES) št. 715/2007 se spremeni:

1.

Členu 10 se doda naslednji odstavek 6:

„6.  Mejna vrednost emisij za trdne delce 5,0 mg/km iz tabel 1 in 2 Priloge I začne veljati od ustreznih datumov, ki so določeni v odstavkih 1, 2 in 3.

Mejna vrednost emisij za trdne delce 4,5 mg/km in omejitev števila delcev iz tabel 1 in 2 Priloge I začne veljati 1. septembra 2011 za homologacijo novih tipov vozil in 1. januarja 2013 za vsa nova vozila, prodana, registrirana ali dana v promet v Skupnosti.“

2.

Tabeli 1 in 2 v Prilogi I nadomestita naslednji tabeli:



„Tabela 1

Mejne vrednosti emisij Euro 5

 

Referenčna masa

(RM)

(kg)

Mejne vrednosti

Masa ogljikovega monoksida

(CO)

Masa skupnih ogljikovodikov

(THC)

Masa nemetanskih ogljikovodikov

(NMHC)

Masa dušikovih oksidov

(NOx)

Skupna masa ogljikovodikov in dušikovih oksidov

(THC + NOx)

Masa trdnih delcev (1)

(PM)

Število delcev (2)

(P)

L1

(mg/km)

L2

(mg/km)

L3

(mg/km)

L4

(mg/km)

L2 + L4

(mg/km)

L5

(mg/km)

L6

(#/km)

Kategorija

Razred

 

PV

KV

PV

KV

PV

KV

PV

KV

PV

KV

PV (3)

KV

PV

KV

M

Vsa

1 000

500

100

68

60

180

230

5,0/4,5

5,0/4,5

6,0 × 1011

N1

I

RM ≤ 1 305

1 000

500

100

68

60

180

230

5,0/4,5

5,0/4,5

6,0 × 1011

II

1 305 < RM ≤ 1 760

1 810

630

130

90

75

235

295

5,0/4,5

5,0/4,5

6,0 × 1011

III

1 760 < RM

2 270

740

160

108

82

280

350

5,0/4,5

5,0/4,5

6,0 × 1011

N2

Vsa

2 270

740

160

108

82

280

350

5,0/4,5

5,0/4,5

6,0 × 1011

(1)   Pred veljavnostjo mejne vrednosti 4,5 mg/km se bo uvedel revidiran merilni postopek.

(2)   Pred veljavnostjo mejne vrednosti se bo uvedel nov merilni postopek.

(3)   Standardi za maso delcev pri prisilnem vžigu veljajo samo za vozila z motorji z neposrednim vbrizgavanjem goriva.

Ključ: PV = prisilni vžig, KV = kompresijski vžig



Tabela 2

Mejne vrednosti emisij Euro 6

 

Referenčna masa

(RM)

(kg)

Mejne vrednosti

Masa ogljikovega monoksida

(CO)

Masa skupnih ogljikovodikov

(THC)

Masa nemetanskih ogljikovodikov

(NMHC)

Masa dušikovih oksidov

(NOx)

Skupna masa ogljikovodikov in dušikovih oksidov

(THC + NOx)

Masa trdnih delcev (1)

(PM)

Število delcev (2)

(P)

L1

(mg/km)

L2

(mg/km)

L3

(mg/km)

L4

(mg/km)

L2 + L4

(mg/km)

L5

(mg/km)

L6

(#/km)

Kategorija

Razred

 

PV

KV

PV

KV

PV

KV

PV

KV

PV

KV

PV (3)

KV

PV (4)

KV (5)

M

Vsa

1 000

500

100

68

60

80

170

5,0/4,5

5,0/4,5

 

6,0 × 1011

N1

I

RM ≤ 1 305

1 000

500

100

68

60

80

170

5,0/4,5

5,0/4,5

 

6,0 × 1011

II

1 305 < RM ≤ 1 760

1 810

630

130

90

75

105

195

5,0/4,5

5,0/4,5

 

6,0 × 1011

III

1 760 < RM

2 270

740

160

108

82

125

215

5,0/4,5

5,0/4,5

 

6,0 × 1011

N2

Vsa

2 270

740

160

108

82

125

215

5,0/4,5

5,0/4,5

 

6,0 × 1011

(1)   Pred veljavnostjo mejne vrednosti 4,5 mg/km se bo uvedel revidiran merilni postopek.

(2)   Za to stopnjo se bodo za vozila z motorjem na prisilni vžig določile številske vrednosti.

(3)   Standardi za maso delcev pri prisilnem vžigu veljajo samo za vozila z motorji z neposrednim vbrizgavanjem goriva.

(4)   Številske vrednosti se bodo določile pred 1. septembrom 2014.

(5)   Pred veljavnostjo mejne vrednosti se bo uvedel nov merilni postopek.“

Ključ: PV = prisilni vžig, KV = kompresijski vžig




PRILOGA XVIII

POSEBNE DOLOČBE GLEDE PRILOGE I K DIREKTIVI SVETA 70/156/EGS

3.2.1.1

Način delovanja: prisilni vžig/kompresijski vžig ( 64 )

štiritaktni/dvotaktni/rotacijski (64) 

3.2.2

Gorivo: Dizelsko gorivo/bencin/UNP/ZP-biometan/etanol (E85)/biodizel/vodik (64) 

3.2.2.4

Vozilo glede na tip goriva: enogorivno, dvogorivno, s prilagodljivim tipom goriva (64) 

3.2.2.5

Največja sprejemljiva količina biogoriva v gorivu (po navedbi proizvajalca): … % na prostornino

3.2.4.2.3.3.

Največja količina vbrizga goriva (64)  ( 65 ): … mm3/gib ali vrtljaj pri vrtilni frekvenci motorja … min-1 ali, namesto tega, karakteristika vbrizga:

3.2.4.2.9

Elektronsko nadzorovan vbrizg goriva: da/ne (65) 

3.2.4.2.9.2

Tip(i):

3.2.4.2.9.3

Opis sistema; pri sistemih, drugačnih od zveznega vbrizgavanja, navesti enakovredne podrobnosti:

3.2.4.2.9.3.1

Znamka in tip kontrolne enote:

3.2.4.2.9.3.2

Znamka in tip regulatorja goriva:

3.2.4.2.9.3.3

Znamka in tip senzorja pretoka zraka:

3.2.4.2.9.3.4

Znamka in tip naprave za razdeljevanje goriva:

3.2.4.2.9.3.5

Znamka in tip ohišja lopute za zrak:

3.2.4.2.9.3.6

Znamka in tip senzorja temperature vode:

3.2.4.2.9.3.7

Znamka in tip senzorja temperature zraka:

3.2.4.2.9.3.8

Znamka in tip senzorja zračnega tlaka:

3.2.4.3.4

Opis sistema; pri sistemih, drugačnih od zveznega vbrizgavanja, navesti enakovredne podrobnosti:

3.2.4.3.4.1.

Znamka in tip kontrolne enote:

3.2.4.3.4.3.

Znamka in tip senzorja pretoka zraka:

3.2.4.3.4.6.

Znamka in tip mikrostikala:

3.2.4.3.4.8.

Znamka in tip ohišja lopute za zrak:

3.2.4.3.4.9.

Znamka in tip temperaturnega senzorja za vodo:

3.2.4.3.4.10.

Znamka in tip temperaturnega senzorja za zrak:

3.2.4.3.4.11.

Znamka in tip senzorja zračnega tlaka:

3.2.4.3.5.1.

Znamka(e)

3.2.4.3.5.2.

Tip(i):

3.2.8.2.1

Tip: zrak-zrak/zrak-voda (65) 

3.2.8.3

Podtlak v sesalni cevi pri nazivni vrtilni frekvenci in polni obremenitvi (samo motorji s kompresijskim vžigom)

Najmanjši dovoljeni: kPa

Najvišji dovoljeni: kPa

3.2.9.3

Največji dovoljeni protitlak izpušnih plinov pri nazivni vrtilni frekvenci motorja in 100 % polni obremenitvi (samo motorji s kompresijskim vžigom): … kPa

3.2.11.1

Največji gib ventilov, koti odpiranja in zapiranja ali podatki o časih odpiranja in zapiranja glede na mrtve točke batov pri alternativnih sistemih krmiljenja. Pri spremenljivih krmilnih sistemih, najkrajši in najdaljši krmilni čas:

3.2.12.2

Dodatne naprave za preprečevanje onesnaževanja (če so nameščene in niso zajete pod drugim naslovom);

3.2.12.2.1.1.

Število katalizatorjev in elementov (informacije vpišite spodaj za vsako posamezno enoto):

3.2.12.2.1.11.

Regeneracijski sistemi/metoda sistema za naknadno obdelavo izpušnih plinov, opis:

3.2.12.2.1.11.1.

Število obratovalnih ciklov tipa 1 ali enakovrednih ciklov na napravi za preskušanje motorja med dvema cikloma, v katerih regenerativne faze nastopijo pod pogoji, enakimi preskusu tipa 1 (Razdalja „D“ na sliki 1 v Prilogi 13 k Pravilniku št. 83 Gospodarske komisije Združenih narodov za Evropo (UN/ECE):

3.2.12.2.1.11.2.

Opis metode za določitev števila ciklov med dvema cikloma, v katerih nastopijo regenerativne faze:

3.2.12.2.1.11.3.

Parametri za določitev ravni potrebne obremenitve pred nastopom regeneracije (tj. temperatura, tlak itd.):

3.2.12.2.1.11.4.

Opis metode za obremenitev sistema v preskusnem postopku, opisanem v odstavku 3.1. Priloge 13 k Pravilniku št. 83 (UN/ECE):

3.2.12.2.1.11.5.

Normalno območje obratovalne temperature (K):

3.2.12.2.1.11.6.

Potrošni reagenti (kadar je to primerno):

3.2.12.2.1.11.7.

Tip in koncentracija reagenta, potrebnega za katalitične reakcije (kadar je to primerno):

3.2.12.2.1.11.8.

Običajen obseg obratovalne temperature reagenta (kadar je to primerno):

3.2.12.2.1.11.9.

Mednarodni standard (kadar je to primerno):

3.2.12.2.1.11.10.

Pogostost ponovnega polnjenja reagenta: nepretrgano/vzdrževanje (65)  (kadar je to primerno)

3.2.12.2.1.12.

Znamka katalizatorja:

3.2.12.2.1.13.

Številka dela:

3.2.12.2.2.4.

Znamka lambda sonde:

3.2.12.2.2.5.

Številka dela:

3.2.12.2.4.2.

Vodno hlajeni sistem: da/ne (65) 

3.2.12.2.6.4.1.

Število obratovalnih ciklov tipa 1 ali enakovrednih ciklov na napravi za preskušanje motorja med dvema cikloma, v katerih regenerativne faze nastopijo pod pogoji, enakimi preskusu tipa 1 (Razdalja „D“ na sliki 1 v Prilogi 13 k Pravilniku št. 83 (UN/ECE)):

3.2.12.2.6.4.2.

Opis metode za določitev števila ciklov med dvema cikloma, v katerih nastopijo regenerativne faze:

3.2.12.2.6.4.3.

Parametri, ki so uporabljeni za določanje obremenitve, ki je potrebna preden pride do regeneracije (t.j. temperatura, tlak, itd.):

3.2.12.2.6.4.4.

Opis metode za obremenitev sistema v preskusnem postopku, opisanem v odstavku 3.1. Priloge 13 k Pravilniku št. 83 (UN/ECE):

3.2.12.2.6.5.

Znamka filtra za delce:

3.2.12.2.6.6.

Številka dela:

3.2.12.2.7.6.

Proizvajalec vozila predloži naslednje dodatne podatke, da omogoči izdelavo nadomestnih ali servisnih delov, združljivih z vgrajenim sistemom za diagnostiko na vozilu, diagnostičnih orodij in preskusne opreme.

3.2.12.2.7.6.1.

Opis tipa in števila ciklov predkondicioniranja, ki so bili izvedeni za izvirno homologacijo vozila.

3.2.12.2.7.6.2.

Opis tipa demonstracijskega cikla vgrajenega sistema za diagnostiko, ki se uporablja za izvirno homologacijo vozila za sestavni del, ki ga spremlja vgrajeni sistem za diagnostiko (OBD).

3.2.12.2.7.6.3.

Izčrpen dokument, ki opisuje vse zaznane sestavne dele s strategijo za odkrivanje okvar in vključitev MI (stalno število voznih ciklov ali statistična metoda), vključno s seznamom ustreznih sekundarnih zaznanih parametrov za vsak sestavni del, ki ga spremlja vgrajeni sistem za diagnostiko. Seznam vseh izhodnih kod in obrazcev, ki jih uporablja vgrajeni sistem za diagnostiko (z ustreznimi pojasnili), povezanih s posameznimi sestavnimi deli prenosa moči, ki so povezani z emisijami, in s posameznimi sestavnimi deli, ki niso povezani z emisijami, kadar se spremljanje sestavnih delov uporablja za določitev vključitve MI. Zlasti je treba podrobno razložiti podatke, navedene v modulu $ 05 Test ID $ 21 do FF, in podatke, navedene v modulu $ 06. V primeru tipov vozila, ki uporabljajo komunikacijsko povezavo v skladu s standardom ISO 15765–4 „Cestna vozila – Diagnoza na omrežju CAN – Del 4: Zahteve za sisteme, povezane z emisijami“, je treba podrobno razložiti podatke, navedene v modulu $ 06 Test ID $ 00 do FF za vsak nadzorovani ID vgrajenega sistema za diagnostiko.

3.2.12.2.7.6.4.

Informacije, ki so potrebne za ta oddelek, je mogoče določiti tako, da izpolnite preglednico na naslednji način,



Sestavni del

Koda okvare

Strategija spremljanja

Merila za odkrivanje okvar

Merila za vključitev MI

Sekundarni parametri

Predkondicioniranje

Demonstracijski preskus

Katalizator

PO420

Signali lambda sonde 1 in 2

Razlika med signali lambda sonde 1 in 2

Tretji cikel

Hitrost motorja, obremenitev motorja, način zrak/gorivo, temperatura katalizatorja

Dva cikla tipa 1

Tip 1

3.2.15.1

Številka ES-homologacije v skladu z Direktivo Sveta 70/221/EGS (UL 76 L, 6.4.1970, str. 23) (ko bo ta direktiva spremenjena tako, da bo zajemala tudi posode za plinasta goriva) ali homologacijsko številko Pravilnika št. 67 (UN/ECE).

3.2.16.1

Številka ES-homologacije v skladu z Direktivo 70/221/EGS (ko bo ta direktiva spremenjena tako, da bo zajemala tudi posode za plinasta goriva) ali homologacijsko številko Pravilnika št. 110 (UN/ECE)

3.4

Kombinacije motorjev ali agregatov

3.4.1

Hibridno električno vozilo: da/ne (65) 

3.4.2

Kategorija hibridnega električnega vozila

z zunanjim napajanjem/brez zunanjega napajanja (65) 

3.4.3

Stikalo za način delovanja: z/brez (65) 

3.4.3.1

Izbirni načini

3.4.3.1.1

Le električni: da/ne (65) 

3.4.3.1.2

Le poraba goriva: da/ne (65) 

3.4.3.1.3

Hibridni načini: da/ne (65) 

če da, na kratko opišite)

3.4.4

Opis naprave za shranjevanje energije: (akumulator, kondenzator, vztrajnik, dinamo)

3.4.4.1

Znamka(e):

3.4.4.2

Tip(i):

3.4.4.3

Identifikacijska številka:

3.4.4.4

Vrsta elektrokemične sklopke:

3.4.4.5

Energija: … (za baterijo: napetost in zmogljivost Ah v 2 h, za kondenzator: J, …)

3.4.4.6

Napajalnik: na vozilu/zunanji/brez (65) 

3.4.5

Električni stroji (opišite vsak tip električnega stroja posebej)

3.4.5.1

Znamka:

3.4.5.2

Tip:

3.4.5.3

Prvotna uporaba: pogonski motor/dinamo

3.4.5.3.1

Kadar se uporablja kot pogonski motor: enomotorni/večmotorni (število)

3.4.5.4

Največja moč: … kW

3.4.5.5

Način delovanja:

3.4.5.5.1

enosmerni tok/izmenični tok/število faz

3.4.5.5.2

ločeno vzbujalno/serije/zmes (65) 

3.4.5.5.3

sinhrono/asinhrono (65) 

3.4.6

Krmilna enota

3.4.6.1

Znamka(e):

3.4.6.2

Tip(i):

3.4.6.3

Identifikacijska številka:

3.4.7

Krmilnik moči

3.4.7.1

Znamka:

3.4.7.2

Tip:

3.4.7.6.3

Identifikacijska številka:

▼M1

3.4.8

Doseg vozila z električnim pogonom … km (v skladu s Prilogo 9 k Pravilniku UN/ECE št. 101)

▼B

3.4.9

Priporočilo proizvajalca o predkondicioniranju:

3.5.2

Poraba goriva (podatek predložite za vsako preskušeno referenčno gorivo)

6.6.1

Kombinacija(e) pnevmatika/platišče

(a) za vse možnosti pnevmatik predložite oznako dimenzij, indeks nosilnosti, oznako hitrostnega razreda, kotalni upor po ISO 28580 (kadar je to primerno)

(b) za pnevmatike razreda Z, ki so namenjene vozilom, katerih najvišja hitrost preseže 300 km/h, se navedejo enakovredni podatki; za platišča navedite premer(e), širino(e) in globino(e) naleganja

9.1

Vrsta nadgradnje: (uporabite kode, določene v Prilogi II, oddelku C)

16.

Dostop do informacij o popravilu in vzdrževanju vozil

16.1

Naslov glavne spletne strani za dostop do informacij o popravilu in vzdrževanju vozil:

16.1.1

Datum, od katerega je na voljo (najkasneje v 6 mesecih od dneva homologacije):

16.2

Določbe in pogoji za dostop do spletne strani, ki je omenjena v oddelku 16.1.:

16.3

Oblika informacij o popravilu in vzdrževanju vozil, ki so dosegljive na spletnem mestu, omenjenem v oddelku 16.1.:




PRILOGA XIX

POSEBNE DOLOČBE GLEDE PRILOGE III K DIREKTIVI SVETA 70/156/EGS

3.2.1.1

Način delovanja: prisilni vžig/kompresijski vžig ( 66 )

štiritaktni/dvotaktni/rotacijski (66) 

3.2.2

Gorivo: Dizelsko gorivo/bencin/UNP/ZP-biometan/etanol (E85)/biodizel/vodik (66) 

3.2.2.4

Vozilo glede na tip goriva: enogorivno, dvogorivno, s prilagodljivim tipom goriva (66) 

3.2.2.5

Največja sprejemljiva količina biogoriva v gorivu (po navedbi proizvajalca): … % na prostornino

3.2.12.2

Dodatne naprave za preprečevanje onesnaževanja (če so nameščene in če niso zajete pod drugim naslovom);

3.4

Kombinacije motorjev ali agregatov

3.4.1

Hibridno električno vozilo: da/ne (66) 

3.4.2

Kategorija hibridnega električnega vozila

z zunanjim napajanjem/brez zunanjega napajanja (66) 

6.6.1

Kombinacija(e) pnevmatike/platišča

(a) za vse možnosti pnevmatik predložite oznako dimenzij, indeks nosilnosti, oznako hitrostnega razreda, kotalni upor po ISO 28580 (kadar je to primerno)

(b) za pnevmatike razreda Z, ki so namenjene vozilom, katerih najvišja hitrost preseže 300 km/h, se navedejo enakovredni podatki; za platišča navedite premer(e), širino(e) in globino(e) naleganja

9.1

Vrsta nadgradnje: (uporabite kode, določene v oddelku C Priloge II)

16.

Dostop do informacij o popravilu in vzdrževanju vozil

16.1

Naslov glavne spletne strani za dostop do informacij o popravilu in vzdrževanju vozil:

▼M8




PRILOGA XX

MERJENJE NAZIVNE MOČI MOTORJA, NAZIVNE MOČI IN NAJVEČJE 30-MINUTNE MOČI ELEKTRIČNEGA POGONSKEGA SKLOPA

1.   UVOD

Ta Priloga določa zahteve za merjenje nazivne moči motorja, nazivne moči in največje 30-minutne moči električnega pogonskega sklopa.

2.   SPLOŠNE ZAHTEVE

2.1

Splošni tehnični podatki za izvajanje preskusov in razlago rezultatov so določeni v oddelku 5 Pravilnika UNECE št. 85 ( 67 ) z izjemami, ki so navedene v tej prilogi.

2.2

Preskusno gorivo

Odstavki 5.2.3.1, 5.2.3.2.1, 5.2.3.3.1 in 5.2.3.4 Pravilnika UNECE št. 85 se razumejo na naslednji način:

uporabi se običajno komercialno gorivo. V primeru spora se uporabi ustrezno referenčno gorivo, določeno v Prilogi IX k Uredbi (ES) št. 692/2008.

2.3

Korekcijski faktorji za moč

Z odstopanjem od odstavka 5.1 Priloge V Pravilnika UNECE št. 85 se pri tlačno polnjenih motorjih s turbopuhalom, opremljenih s sistemom, ki omogoča kompenzacijo temperature okolja in nadmorske višine, za korekcijski faktor αa ali αd na zahtevo proizvajalca uporabi vrednost 1.



( 1 ) UL L 171, 29.6.2007, str. 1.

( 2 ) UL L 42, 23.2.1970, str. 1 Direktiva, kakor je bila nazadnje spremenjena z Uredbo (ES) št. 715/2007

( 3 ) UL L 263, 9.10.2007, str. 1.

( 4 ) UL L 375, 27.12.2006, str. 223.

( 5 ) UL L 326, 24.11.2006, str. 55.

( 6 ) UL L 76, 6.4.1970, str. 1.

( 7 ) UL L 42, 23.2.1970, str. 1. Direktiva, kakor je bila nazadnje spremenjena z Direktivo Komisije 2007/37/ES.

( 8 ) Posebni preskusni postopki za vozila na vodik in vozila s prilagodljivim tipom goriva na biodizel bodo opredeljeni kasneje.

( 9 ) UL L 158, 19.6.2007, str. 34.

( 10 ) UL L 326, 24.11.2006, str. 1.

( 11 ) Neustrezno črtati (so primeri, kjer ni treba ničesar črtati, če pride v poštev več kot ena navedba).

( 12 ) Če oznake za identifikacijo tipa vsebujejo znake, ki niso bistveni za opis vozila, sestavnih delov ali samostojnih tehničnih enot, vsebovanih v tem dokumentu, je treba te znake nadomestiti s simbolom:? (npr. ABC??123??).

( 13 ) Razvrstitev v skladu z opredelitvami iz oddelka A Priloge II.

( 14 ) Če obstaja izvedenka z običajno kabino in izvedenka s spalno kabino, se navedejo mase in mere za obe izvedenki.

( 15 ) Teža voznika in, če pride v poštev, člana posadke je ocenjena na 75 kilogramov (68 kg teža potnika in 7 kg teža prtljage po standardu ISO 2416–1992), posoda za gorivo je napolnjena na 90 %, drugi sistemi, ki vsebujejo tekočino (razen tistih za odpadno vodo), na 100 % zmogljivosti, ki jo navaja proizvajalec.

( 16 ) Za priklopna vozila in polpriklopnike in za vozila, povezana s priklopnim vozilom ali polpriklopnikom, ki pritiska na vlečno napravo ali na sedlo z znatno navpično silo, mora biti ta sila, deljena z gravitacijskim pospeškom, vključena v največjo tehnično dovoljeno maso.

( 17 ) Tukaj je treba vpisati največje in najmanjše vrednosti za vsako varianto.

( 18 ) Za nekonvencionalne motorje in sisteme proizvajalec zagotovi podatke, ki ustrezajo tukaj navedenim.

( 19 ) Vozila lahko uporabljajo tako bencin kot plinasto gorivo, vendar če je bencinski sistem vgrajen samo za uporabo v sili ali samo za zagon motorja, in katerih posoda za bencin lahko vsebuje največ 15 litrov bencina, se pri preskusih štejejo za vozila, ki jih poganja samo plinasto gorivo.

( 20 ) Vrednost mora biti zaokrožena na najbližjo desetinko milimetra.

( 21 ) Navesti dovoljeno odstopanje.

( 22 ) Določeno v skladu z zahtevami Priloge XX k tej uredbi.

( 23 ) Neustrezno črtati (v nekaterih primerih ni treba ničesar črtati, ker pride v poštev več kot ena navedba).

( 24 ) Vozila lahko uporabljajo tako bencin kot plinasto gorivo, kadar pa je bencinski sistem vgrajen samo za uporabo v sili ali samo za zagon motorja s posodo za gorivo za največ 15 litrov bencina, se pri preskusih štejejo za vozila s pogonom samo na plinasto gorivo.

( 25 ) UL L 72, 14.3.2008, str. 113.

( 26 ) UL L 158, 19.6.2007, str. 34.

( 27 ) Določeno v skladu z zahtevami Direktive 80/1268/EGS.

( 28 ) Če pride v poštev.

( 29 ) Tabela se ponovi za vsako preskušeno referenčno gorivo.

( 30 ) Tabela se po potrebi razširi tako, da se za vsako ekološko inovacijo doda vrstica.

( 31 ) Neustrezno črtati.

( 32 ) Če pride v poštev.

( 33 ) Tabela se ponovi za vsako preskušeno referenčno gorivo.

( 34 ) Tabela se po potrebi razširi tako, da se za vsako ekološko inovacijo doda vrstica.

( 35 ) Zahtevane podrobnosti morajo biti podane za vsako od predvidenih variant.

( 36 ) Neustrezno črtati (so primeri, kjer ni treba ničesar črtati, če pride v poštev več kot ena navedba).

( 37 ) UL L 171, 29.6.2007, str. 1.

( 38 ) UL L 199, 28.7.2008, str. 1

( 39 ) Če oznake za identifikacijo tipa vsebujejo znake, ki niso bistveni za opis vozila, sestavnih delov ali samostojnih tehničnih enot, vsebovanih v tem dokumentu, je treba te znake nadomestiti s simbolom „?“ (npr. ABC??123??)

( 40 ) Kot je določeno v oddelku A Priloge II

( 41 ) Neustrezno črtati (so primeri, kjer ni treba ničesar črtati, če pride v poštev več kot ena navedba).

( 42 ) Za vozila z motorji na prisilni vžig.

( 43 ) Za vozila z motorji na kompresijski vžig

( 44 ) Za vozila, ki za gorivo uporabljajo plin, se enota nadomesti z m3/km.

( 45 ) Merjeno ves čas kombiniranega cikla, tj. tako cikla prvega dela (mestna vožnja) kot cikla drugega dela (izvenmestna vožnja).

( 46 ) Tabela se ponovi za vsako preskušeno referenčno gorivo.

( 47 ) Tabela se po potrebi razširi tako, da se za vsako ekološko inovacijo doda vrstica.

( 48 ) Številka sklepa Komisije o odobritvi ekološke inovacije.

 oznake homologacijskega organa iz Priloge VII k Direktivi 2007/46/ES,

 kod vseh ekoloških inovacij, vgrajenih v vozilo, ki se navedejo kronološko na podlagi sklepov Komisije o odobritvi.

 (Splošna koda treh ekoloških inovacij, ki so bile kronološko odobrene pod številkami 10, 15 in 16 ter so vgrajene v vozilo, ki ga je certificiral nemški homologacijski organ, bi na primer bila: „e1 10 15 16“.)

( 49 ) Nepotrebno prečrtaj.

( 50 ) UL L 350, 28.12.1998, str. 58.

( 51 ) UL L 257, 25.9.2008, str. 14.

( 52 ) UL L 135, 23.5.2008, str. 1.

( 53 ) Uredba Komisije (EU) št. 1230/2012 z dne 12. decembra 2012 o izvajanju Uredbe (ES) št. 661/2009 Evropskega parlamenta in Sveta glede zahtev za homologacijo za mase in mere motornih vozil in njihovih priklopnikov ter o spremembi Direktive 2007/46/ES Evropskega parlamenta in Sveta (UL L 353, 21.12.2012, str. 31).

( 54 ) Uredba (EGS, Euratom) št. 1182/71 Sveta z dne 3. junija 1971 o določitvi pravil glede rokov, datumov in iztekov rokov (UL L 124, 8.6.1971, str. 1).

( 55 ) Pri hibridih se skupna poraba energije pretvori v CO2. Pravila za to pretvorbo bodo predstavljena v drugem koraku.

( 56 ) 1 za Nemčijo, 2 za Francijo, 3 za Italijo, 4 za Nizozemsko, 5 za Švedsko, 6 za Belgijo, 7 za Madžarsko, 8 za Češko, 9 za Španijo, 11 za Združeno kraljestvo, 12 za Avstrijo, 13 za Luksemburg, 17 za Finsko, 18 za Dansko, 19 za Romunijo, 20 za Poljsko, 21 za Portugalsko, 23 za Grčijo, 24 za Irsko, 25 za Hrvaško, 26 za Slovenijo, 27 za Slovaško, 29 za Estonijo, 32 za Latvijo, 34 za Bolgarijo, 36 za Litvo, 49 za Ciper, 50 za Malto.

( 57 ) UL L 76, 6.4.1971, str. 1.

( 58 ) Neustrezno črtati

( 59 ) Neustrezno črtati

( 60 ) Če oznake za identifikacijo tipa vsebujejo znake, ki niso bistveni za opis vozila, sestavnih delov ali samostojnih tehničnih enot, vsebovanih v tem dokumentu, je treba te znake nadomestiti s simbolom:„?“ (npr. ABC??123??).

( 61 ) Dostopno na: http://www.oasis-open.org/committees/download.php/2412/Draft %20Committee %20Specification.pdf

( 62 ) Dostopno na: http://lists.oasis-open.org/archives/autorepair/200302/pdf00005.pdf

( 63 ) UL L 350, 28.12.1998, str. 58.

( 64 ) Neustrezno črtati (so primeri, kjer ni treba ničesar črtati, če pride v poštev več kot ena navedba).

( 65 ) Navesti dovoljeno odstopanje.

( 66 ) Neustrezno črtati (so primeri, kjer ni treba ničesar črtati, če pride v poštev več kot ena navedba).

( 67 ) UL L 326, 24.11.2006, str. 55.