2005L0055 — SL — 10.06.2006 — 002.001


Ta dokument je mišljen zgolj kot dokumentacijsko orodje in institucije za njegovo vsebino ne prevzemajo nobene odgovornosti

►B

DIREKTIVA 2005/55/ES EVROPSKEGA PARLAMENTA IN SVETA

z dne 28. septembra 2005

o približevanju zakonodaje držav članic v zvezi z ukrepi, ki jih je treba sprejeti proti emisijam plinastih in trdnih onesnaževal iz motorjev na kompresijski vžig, ki se uporabljajo v vozilih, ter emisijam plinastih onesnaževal iz motorjev na prisilni vžig, ki za gorivo uporabljajo zemeljski plin ali utekočinjeni naftni plin in se uporabljajo v vozilih

(Besedilo velja za EGP)

(UL L 275, 20.10.2005, p.1)

spremenjena z:

 

 

Uradni list

  No

page

date

►M1

DIREKTIVA KOMISIJE 2005/78/ES Besedilo velja za EGP z dne 14. novembra 2005

  L 313

1

29.11.2005

►M2

DIREKTIVA KOMISIJE 2006/51/ES Besedilo velja za EGP z dne 6. junija 2006

  L 152

11

7.6.2006




▼B

DIREKTIVA 2005/55/ES EVROPSKEGA PARLAMENTA IN SVETA

z dne 28. septembra 2005

o približevanju zakonodaje držav članic v zvezi z ukrepi, ki jih je treba sprejeti proti emisijam plinastih in trdnih onesnaževal iz motorjev na kompresijski vžig, ki se uporabljajo v vozilih, ter emisijam plinastih onesnaževal iz motorjev na prisilni vžig, ki za gorivo uporabljajo zemeljski plin ali utekočinjeni naftni plin in se uporabljajo v vozilih

(Besedilo velja za EGP)



EVROPSKI PARLAMENT IN SVET EVROPSKE UNIJE STA –

ob upoštevanju Pogodbe o ustanovitvi Evropske skupnosti in zlasti člena 95 Pogodbe,

ob upoštevanju predloga Komisije,

ob upoštevanju mnenja Evropskega ekonomsko – socialnega odbora ( 1 ),

v skladu s postopkom iz člena 251 Pogodbe ( 2 ),

ob upoštevanju naslednjega:

(1)

Direktiva Sveta 88/77/EGS z dne 3. decembra 1987 o približevanju zakonodaj držav članic v zvezi z ukrepi, ki jih je treba sprejeti proti emisijam plinastih snovi in delcev, ki onesnažujejo iz motorjev na kompresijski vžig, ki se uporabljajo v vozilih, ter emisijam plinastih snovi, ki onesnažujejo iz motorjev na prisilni vžig, ki za gorivo uporabljajo zemeljski plin ali utekočinjeni naftni plin in se uporabljajo v vozilih ( 3 ), je ena od posebnih direktiv po homologacijskem postopku iz Direktive Sveta 70/156/EGS z dne 6. februarja 1970 o približevanju zakonodaje držav članic o homologaciji motornih in priklopnih vozil ( 4 ). Direktiva 88/77/EGS je bila večkrat bistveno spremenjena zaradi postopnega uvajanja strožjih omejitev za emisije onesnaževal. Ker so predvidene nadaljnje spremembe, jo je treba zaradi jasnosti prenoviti.

(2)

Direktiva Sveta 91/542/EGS ( 5 ) o spremembi Direktive 88/77/EGS, Direktiva 1999/96/ES Evropskega parlamenta in Sveta z dne 13. decembra 1999 o približevanju zakonodaje držav članic v zvezi z ukrepi, ki jih je treba sprejeti proti emisijam plinastih in trdnih onesnaževal iz motorjev na kompresijski vžig, ki se uporabljajo v vozilih, in emisijam plinastih onesnaževal iz motorjev na prisilni vžig, ki za gorivo uporabljajo zemeljski plin ali utekočinjeni naftni plin in se uporabljajo v vozilih, ter o spremembah Direktive Sveta 88/77/EGS ( 6 ), in Direktiva Komisije 2001/27/ES ( 7 ) o prilagajanju tehničnemu napredku Direktive Sveta 88/77/EGS so uvedle določbe, ki so kljub svoji avtonomnosti tesno povezane s programom iz Direktive 88/77/EGS. Zaradi jasnosti in pravne varnosti je treba te avtonomne določbe v celoti vključiti v prenovljeno besedilo Direktive 88/77/EGS.

(3)

Vse države članice morajo sprejeti iste zahteve, predvsem zato, da se za vsak tip vozila omogoči uvedba ES-homologacijskega sistema po Direktivi 70/156/EGS.

(4)

Program Komisije o kakovosti zraka, emisijah cestnega prevoza, gorivih in tehnologijah za znižanje emisij, v nadaljevanju „prvi program avtomobilskih goriv“, je pokazal, da je za doseganje prihodnjih standardov kakovosti zraka treba dodatno zniževati emisije onesnaževal iz težkih vozil.

(5)

Znižanja omejitev emisij, ki se uporabljajo od leta 2000 in ustrezajo znižanju emisij za 30 % za ogljikov monoksid, skupne ogljikovodike, dušikove okside in delce, so v prvem programu avtomobilskih goriv opredeljena kot ključni ukrepi za doseganje srednjeročne kakovosti zraka. Znižanje za 30 % v motnosti izpušnih dimov bi moralo dodatno prispevati k znižanju delcev. Dodatna znižanja omejitev emisij, ki se uporabljajo od leta 2005 in ustrezajo dodatnim znižanjem za 30 % za ogljikov monoksid, skupne ogljikovodike in dušikove okside ter za 80 % za delce, bi morala srednje- in dolgoročno bistveno prispevati k izboljšanju kakovosti zraka. Dodatna omejitev za dušikove okside, ki se bo uporabljala v letu 2008, bi morala doseči še dodatno 43 % znižanje omejitve emisij za to onesnaževalo.

(6)

Homologacijski preskusi za plinasta in trdna onesnaževala ter motnost dima se uporabljajo za pravilnejšo oceno emisij motorjev v preskusnih razmerah, ki so bolj podobne tistim med dejansko uporabo vozila. Od leta 2000 se konvencionalni motorji na kompresijski vžig in tisti motorji na kompresijski vžig, ki imajo določeno opremo za uravnavanje emisij, preskušajo s preskusnim ciklom v ustaljenem stanju in z novim preskusom odzivnosti za motnost dima med obremenitvijo. Motorji na kompresijski vžig, opremljeni z izpopolnjenimi sistemi za uravnavanje emisij, se dodatno preskušajo z novim prehodnim preskusnim ciklom. Od leta 2005 je treba vse motorje na kompresijski vžig preskusiti z vsemi temi preskusnimi cikli. Motorji na plinasto gorivo se preskušajo samo z novim prehodnim preskusnim ciklom.

(7)

Mejne vrednosti pri naključno izbranih obremenitvenih pogojih znotraj določenega območja delovanja ne smejo presegati ustreznega odstotka.

(8)

Pri določanju novih standardov in preskusnih postopkov je treba upoštevati učinek prihodnje rasti prometa v Skupnosti na kakovost zraka. Delo, ki ga je na tem področju opravila Komisija, kaže, da je avtomobilska industrija v Skupnosti zelo napredovala pri izpopolnjevanju tehnologije, ki omogoča precejšnje znižanje emisij plinastih in trdnih onesnaževal. Vendar si je treba zaradi zaščite okolja in javnega zdravja še vedno prizadevati za dodatne izboljšave na področju omejitev emisij in drugih tehničnih zahtev. Prihodnji ukrepi morajo zlasti upoštevati rezultate stalnih raziskav o značilnostih ultra-finih delcev.

(9)

Za zagotavljanje učinkovitosti in vzdržljivosti uporabljenih sistemov za uravnavanje emisij je treba poskrbeti za dodatne izboljšave kakovosti motornih goriv.

(10)

Od leta 2005 je treba uvesti nove določbe za vgrajen sistem za diagnostiko na vozilu (OBD) zaradi lažjega takojšnjega odkrivanja slabšega delovanja ali zatajitve opreme za uravnavanje emisij motorja. To bi moralo povečati zmožnost diagnostike in popravil, kar bi bistveno izboljšalo trajnostne emisijske značilnosti težkih vozil v uporabi. Ker je OBD za težke dizelske motorje v svetovnem merilu še v povojih, ga je v Skupnosti treba uvesti v dveh stopnjah, da se omogoči razvoj sistema, tako da sistem OBD ne bi sporočal napačnih podatkov. Za pomoč državam članicam pri zagotavljanju, da lastniki in upravljavci težkih vozil dejansko odpravljajo okvare, na katere jih je opozoril sistem OBD, je treba zabeležiti prevoženo razdaljo ali pretekli čas od takrat, ko je bil voznik opozorjen na okvaro.

(11)

Motorji na kompresijski vžig so že sami po sebi vzdržljivi in so dokazali, da lahko ob pravilnem in učinkovitem vzdrževanju ohranijo nizko raven emisij pri bistveno daljših razdaljah, ki jih prevozijo težka vozila v komercialne namene. Vendar bodo prihodnji standardi emisij uvedli sisteme za uravnavanje emisij po izhodu iz motorja, kot so na primer sistemi za odstranjevanje NOx, filtri za dizelske delce in sistemi, ki so kombinacija obojega, ter mogoče še druge sisteme, ki jih je treba še opredeliti. Zato je treba uvesti zahtevo o življenjski dobi, ki se bo uporabljala kot podlaga za postopke zagotavljanja ustreznosti sistema za uravnavanje emisij motorja v vsem referenčnem obdobju. Pri oblikovanju take zahteve je treba ustrezno upoštevati precejšnje razdalje, ki jih prevozijo težka vozila, potrebo po vključitvi ustreznega in pravočasnega vzdrževanja ter možnosti homologacije vozil kategorije N1 skladno bodisi s to direktivo bodisi z Direktivo Sveta 70/220/EGS z dne 20. marca 1970 o približevanju zakonodaje držav članic o ukrepih proti onesnaževanju zraka z emisijami iz motornih vozil ( 8 ).

(12)

Državam članicam je treba z davčnimi spodbudami omogočiti, da pospešijo uvedbo vozil, ki izpolnjujejo zahteve, sprejete na ravni Skupnosti, na trg, če so take spodbude skladne z določbami Pogodbe in izpolnjujejo določene pogoje za preprečevanje izkrivljanja notranjega trga. Ta direktiva ne vpliva na pravico držav članic do vključitve emisij onesnaževal in drugih snovi v osnovo za izračun cestnih prometnih davkov na motorna vozila.

(13)

Ker nekatere teh davčnih spodbud po členu 87(1) Pogodbe veljajo za državno pomoč, je po členu 88(3) Pogodbe o njih treba obvestiti Komisijo, da jih preveri v skladu z ustreznimi merili združljivosti. Obveščanje o tovrstnih ukrepih v skladu s to direktivo ne vpliva na obveznost obveščanja po členu 88(3) Pogodbe.

(14)

Za poenostavitev in pospešitev postopka je Komisiji treba zaupati nalogo sprejetja ukrepov za izvajanje temeljnih določb iz te direktive ter ukrepov za prilagajanje prilog k tej direktivi znanstvenemu in tehničnemu napredku.

(15)

Potrebni ukrepi za izvajanje te direktive in njenega prilagajanja znanstvenemu in tehničnemu napredku se morajo sprejeti v skladu s Sklepom Sveta 1999/468/ES z dne 28. junija 1999 o določitvi postopkov za uresničevanje Komisiji podeljenih izvedbenih pooblastil ( 9 ).

(16)

Komisija mora preverjati potrebo po uvedbi omejitev emisij za onesnaževala, ki še niso regulirana in ki nastanejo kot posledica širše uporabe novih alternativnih goriv in novih sistemov za nadzor izpušnih emisij.

(17)

Komisija mora čim hitreje podati ustrezne predloge za naslednjo stopnjo mejnih vrednosti za NOx in emisije delcev.

(18)

Ker cilja te direktive, in sicer uresničitve notranjega trga z uvedbo skupnih tehničnih zahtev glede emisij plinov in delcev za vse tipe vozil, države članice ne morejo zadovoljivo doseči in ker ta cilj zaradi obsega ukrepa lažje doseže Skupnost, lahko Skupnost sprejme ukrepe v skladu z načelom subsidiarnosti iz člena 5 Pogodbe. Skladno z načelom sorazmernosti iz navedenega člena ta direktiva ne prekoračuje okvira, ki je potreben za doseganje navedenega cilja.

(19)

Obveznost prenosa te direktive v nacionalno zakonodajo se mora omejiti na določbe, ki bistveno spreminjajo predhodne direktive. Obveznost prenosa nespremenjenih določb izhaja iz predhodnih direktiv.

(20)

Ta direktiva ne sme vplivati na obveznosti držav članic v zvezi z roki za prenos v državno zakonodajo in uporabo direktiv iz dela B Priloge IX –

SPREJELA NASLEDNJO DIREKTIVO:



Člen 1

Opredelitve pojmov

V tej direktivi se uporabljajo naslednje opredelitve:

(a) „vozilo“ pomeni katero koli vozilo, kakor je opredeljeno v členu 2 Direktive 70/156/EGS, ki ga poganja motor na kompresijski vžig ali plinski motor, razen vozil kategorije M1 z največjo tehnično dovoljeno maso 3,5 tone ali manj;

(b) „motor na kompresijski vžig ali plinski motor“ pomeni pogonski vir vozila, za katerega se lahko podeli homologacija kot samostojni tehnični enoti, kakor je opredeljena v členu 2 Direktive 70/156/EGS;

(c) „do okolja bolj prijazno vozilo (EEV)“ pomeni vozilo, ki ga poganja motor, ki ustreza dopustnim mejnim vrednostim emisij iz vrstice C tabel v točki 6.2.1 Priloge I.

Člen 2

Obveznosti držav članic

1.  Za tipe motorjev na kompresijski vžig ali plinske motorje ter tipe vozil, ki jih poganjajo motorji na kompresijski vžig ali plinski motorji, kadar niso izpolnjene zahteve iz Prilog I do VIII in zlasti kadar emisije plinastih in trdnih onesnaževal ter motnost dima iz motorja ne ustreza predpisanim mejnim vrednostim iz vrstice A tabel v točki 6.2.1 Priloge I, države članice:

(a) zavrnejo podelitev ES-homologacije na podlagi člena 4(1) Direktive 70/156/EGS; in

(b) zavrnejo nacionalno homologacijo.

2.  Razen pri vozilih in motorjih, namenjenih za izvoz v tretje države, ali nadomestnih motorjih za vozila v uporabi države članice, kadar niso izpolnjene zahteve iz Prilog I do VIII in zlasti kadar emisije plinastih in trdnih onesnaževal ter motnost dima iz motorja ne ustrezajo predpisanim mejnim vrednostim iz vrstice A tabel v točki 6.2.1 Priloge I:

(a) štejejo, da potrdila o skladnosti, ki so priložena novim vozilom ali novim motorjem na podlagi Direktive 70/156/EGS, niso več veljavna za namene člena 7(1) navedene direktive; in

(b) prepovejo registracijo, prodajo, začetek uporabe ali uporabo novih vozil, ki jih poganja motor na kompresijski vžig ali plinski motor, ter prodajo ali uporabo novih motorjev na kompresijski vžig ali plinskih motorjev.

3.  Brez vpliva na odstavka 1 in 2 države članice od 1. oktobra 2003, razen za vozila in motorje, namenjene za izvoz v tretje države, ali nadomestne motorje za vozila v uporabi za tipe plinskih motorjev in tipe vozil, ki jih poganja motor na kompresijski vžig ali plinski motor, ki ne izpolnjujejo zahtev iz Prilog I do VIII:

(a) štejejo, da potrdila o skladnosti, ki so priložena novim vozilom ali novim motorjem na podlagi Direktive 70/156/EGS, niso več veljavna za namene člena 7(1) navedene direktive; in

(b) prepovejo registracijo, prodajo, začetek uporabe ali uporabo novih vozil ter prodajo ali uporabo novih motorjev.

4.  Če so izpolnjene zahteve iz Prilog I do VIII ter členov 3 in 4, zlasti kadar emisije plinastih in trdnih onesnaževal ter motnost dima iz motorja ustrezajo predpisanim mejnim vrednostim iz vrstice B1 ali vrstice B2 ali dopustnim mejnim vrednostim iz vrstice C tabel v točki 6.2.1 Priloge I, ne sme nobena država članica zaradi razlogov, povezanih s plinskimi in trdnimi onesnaževali ter motnostjo emisij dima iz motorja:

(a) zavrniti podelitev ES-homologacije na podlagi člena 4(1) Direktive 70/156/EGS ali podelitev nacionalne homologacije za tip vozila, ki ga poganja motor na kompresijski vžig ali plinski motor;

(b) prepovedati registracije, prodaje, začetek uporabe ali uporabe novih vozil, ki jih poganja motor na kompresijski vžig ali plinski motor;

(c) zavrniti podelitev ES-homologacije za tip motorja na kompresijski vžig ali plinski motor;

(d) prepovedati prodajo ali uporabo novih motorjev na kompresijski vžig ali plinskih motorjev.

5.  Z učinkom od 1. oktobra 2005 in zlasti kadar emisije plinastih snovi in delcev ter motnost dima iz motorja ne ustrezajo predpisanim mejnim vrednostim iz vrstice B1 tabel v točki 6.2.1 Priloge I, države članice za tipe motorjev na kompresijski vžig ali plinske motorje ter tipe vozil, ki jih poganjajo motorji na kompresijski vžig ali plinski motorji, ki ne izpolnjujejo zahtev iz Prilog I do VIII ter členov 3 in 4:

(a) zavrnejo podelitev ES-homologacije na podlagi člena 4(1) Direktive 70/156/EGS; in

(b) zavrnejo nacionalno homologacijo.

6.  Z učinkom od 1. oktobra 2006, razen za vozila in motorje, namenjene za izvoz v tretje države, ali nadomestne motorje za vozila v uporabi države članice, kadar niso izpolnjene zahteve iz Prilog I do VIII ter členov 3 in 4 in zlasti kadar emisije plinastih in trdnih onesnaževal ter motnost dima iz motorja ne ustrezajo predpisanim mejnim vrednostim iz vrstice B1 tabel v točki 6.2.1 Priloge I:

(a) štejejo, da potrdila o skladnosti, ki so priložena novim vozilom ali novim motorjem na podlagi Direktive 70/156/EGS, niso več veljavna za namene člena 7(1) navedene direktive; in

(b) prepovejo registracijo, prodajo, začetek uporabe ali uporabo novih vozil, ki jih poganja motor na kompresijski vžig ali plinski motor, ter prodajo ali uporabo novih motorjev na kompresijski vžig ali plinskih motorjev.

7.  Z učinkom od 1. oktobra 2008, zlasti kadar emisije plinastih onesnaževal ter motnost dima iz motorja ne ustrezajo predpisanim mejnim vrednostim iz vrstice B2 tabel v točki 6.2.1 Priloge I, države članice za tipe motorjev na kompresijski vžig ali plinske motorje ter tipe vozil, ki jih poganjajo motorji na kompresijski vžig ali plinski motorji, ki ne izpolnjujejo zahtev iz Prilog I do VIII ter členov 3 in 4:

(a) zavrnejo podelitev ES-homologacije na podlagi člena 4(1) Direktive 70/156/EGS; in

(b) zavrnejo nacionalno homologacijo.

8.  Z učinkom od 1. oktobra 2009, zlasti kadar emisije plinastih in trdnih onesnaževal ter motnost dima iz motorja ne ustrezajo predpisanim mejnim vrednostim iz vrstice B2 tabel v točki 6.2.1 Priloge I, države članice, kadar niso izpolnjene zahteve iz Prilog I do VIII ter členov 3 in 4, razen za vozila in motorje, namenjene za izvoz v tretje države, ali nadomestne motorje za vozila v uporabi:

(a) štejejo, da potrdila o skladnosti, ki so priložena novim vozilom ali novim motorjem na podlagi Direktive 70/156/EGS, niso več veljavna za namene člena 7(1) navedene direktive; in

(b) prepovejo registracijo, prodajo, začetek uporabe ali uporabo novih vozil, ki jih poganja motor na kompresijski vžig ali plinski motor, ter prodajo ali uporabo novih motorjev na kompresijski vžig ali plinskih motorjev.

9.  V skladu z odstavkom 4 se šteje, da motor, ki izpolnjuje pogoje iz Prilog I do VIII, in zlasti tisti, ki ustreza predpisanim mejnim vrednostim iz vrstice C tabel v točki 6.2.1 Priloge I, izpolnjuje zahteve iz odstavkov 1 do 3.

Skladno z odstavkom 4 se šteje, da motor, ki izpolnjuje zahteve iz Prilog I do VIII ter členov 3 in 4, in zlasti tisti, ki ustreza predpisanim mejnim vrednostim iz vrstice C tabel v točki 6.2.1 Priloge I, izpolnjuje zahteve iz odstavkov 1 do 3 ter 5 do 8.

10.  Za motorje na kompresijski vžig ali plinske motorje, ki morajo ustrezati mejnim vrednostim, določenim v točki 6.2.1 Priloge I pod homologacijskim sistemom, velja naslednje:

emisije, vzorčene v časovnem intervalu 30 sekund, pri naključno izbranih obremenitvenih pogojih, ki sodijo v določeno nadzorovano območje, z izjemo specifičnih pogojev delovanja motorja, ki niso podvrženi temu predpisu, ne smejo presegati mejnih vrednosti iz vrstic B2 in C tabel v točki 6.2.1 Priloge I za več kot 100 %. Nadzorovano območje, na katerega se nanaša odstotni delež, ki se ne sme prekoračiti, iz njega izvzeti pogoji delovanja motorja in drugi ustrezni pogoji se opredelijo v skladu s postopkom iz člena 7(1).

Člen 3

Vzdržljivost sistemov za uravnavanje emisij

1.  Od 1. oktobra 2005 za nove homologacije in od 1. oktobra 2006 za vse homologacije proizvajalec dokaže, da bo motor na kompresijski vžig ali plinski motor s homologacijo po sklicu na mejne vrednosti iz vrstice B1, B2 ali C tabel v točki 6.2.1 Priloge I s svojo življenjsko dobo ustrezal tem mejnim vrednostim:

(a) 100 000 km ali pet let, kar nastopi prej, za motorje, ki se vgradijo v vozila kategorije N1 in M2;

(b) 200 000 km ali šest let, kar nastopi prej, za motorje, ki se vgradijo v vozila kategorij N2,N3 z največjo tehnično dovoljeno maso, ki ne presega 16 ton, in vozila kategorije M3 razreda I, razreda II ter razreda A in razreda B z največjo tehnično dovoljeno maso, ki ne presega 7,5 ton;

(c) 500 000 km ali sedem let, kar nastopi prej, za motorje, ki se vgradijo v vozila kategorij N3 z največjo tehnično dovoljeno maso, ki ne presega 16 ton, in vozila kategorije M3 razreda III ter razreda B z največjo tehnično dovoljeno maso, ki presega 7,5 ton.

Od 1. oktobra 2005 je za podelitev homologacije za nove tipe vozil ter od 1. oktobra 2006 za vse tipe vozil potrebno potrdilo o pravilnem delovanju naprav za uravnavanje emisij med normalno življenjsko dobo vozila pri normalni uporabi (skladnost primerno vzdrževanih in uporabljanih vozil v prometu).

2.  Ukrepi za izvajanje odstavka 1 se sprejmejo najkasneje do 28. decembra 2005.

Člen 4

Vgrajeni sistemi za diagnostiko na vozilu

1.  Od 1. oktobra 2005 za vse nove homologacije vozil in od 1. oktobra 2006 za vse homologacije se motor na kompresijski vžig s homologacijo po sklicu na mejne vrednosti emisij iz vrstice B1 ali vrstice C tabel v točki 6.2.1 Priloge I, ali vozilo, ki ga poganja tak motor, opremi z vgrajenim sistemom za diagnostiko (OBD), ki voznika pri preseženih mejnih vrednostih praga OBD iz vrstice B1 ali vrstice C tabel v odstavku 3 opozarja na okvaro.

Pri sistemih za naknadno čiščenje izpušnih plinov sistem OBD lahko nadzoruje večjo okvaro funkcionalnosti naslednjega:

(a) katalizatorja, kadar je vgrajen kot ločena enota, ne glede na to, ali je ali ni del sistema za odstranjevanje NOx ali dizel filtra za delce;

(b) sistema za odstranjevanje NOx, kadar je vgrajen;

(c) dizelskega filtra za delce, kadar je vgrajen;

(d) kombiniranega sistema za odstranjevanje NOx in dizelskega filtra za delce.

2.  Od 1. oktobra 2008 za nove homologacije in od 1. oktobra 2009 za vse homologacije se motor na kompresijski vžig ali plinski motor s homologacijo po sklicu na mejne vrednosti emisij iz vrstice B2 ali vrstice C tabel v točki 6.2.1 Priloge I ali vozilo, ki ga poganja tak motor, opremi s sistemom OBD, ki voznika pri preseženih mejnih vrednostih praga OBD iz vrstice B2 ali vrstice C tabel v odstavku 3 opozarja na okvaro.

Sistem OBD prav tako vsebuje vmesnik med enoto za elektronsko krmiljenje motorja (EECU) ter katerim koli drugim električnim ali elektronskim sistemom za motorje ali vozila, ki dajejo vhodne podatke za ali prejemajo izhodne podatke iz EECU in ki vplivajo na pravilnost delovanja sistema za uravnavanje emisij, kot je na primer vmesnik med EECU in elektronsko krmilno enoto za prenos moči.

3.  Mejne vrednosti praga OBD so naslednje:



Vrstica

Motorji na kompresijski vžig

Masa dušikovih oksidov

(NOx) g/kWh

Masa delcev

(PT) g/kWh

B1 (2005)

7,0

0,1

B2 (2008)

7,0

0,1

C (EEV)

7,0

0,1

4.  Za namene testiranja, diagnoze, servisiranja in popravil, v skladu z ustreznimi določbami Direktive 70/220/EGS in določbami, ki se nanašajo na skladnost rezervnih delov s sistemi OBD, mora biti zagotovljen popoln in enoten dostop do informacij v zvezi s sistemi OBD.

5.  Ukrepi za izvajanje odstavkov 1 do 3 se sprejmejo najpozneje do 28. decembra 2005.

Člen 5

Sistemi za uravnavanje emisij, ki uporabljajo potrošne reagente

Pri določitvi ukrepov, ki so potrebni za izvajanje člena 4, kakor je predvideno v členu 7(1), bo Komisija po potrebi vključila tehnične ukrepe za zmanjšanje tveganja pri neprimernem vzdrževanju in servisiranju sistemov za uravnavanje emisij, ki uporabljajo potrošne reagente. Ob tem se po potrebi vključijo tudi ukrepi, ki zagotovijo zmanjšanje emisije amonijaka zaradi uporabe potrošnih reagentov.

Člen 6

Davčne spodbude

1.  Države članice lahko predvidijo davčne spodbude samo za vozila, ki so skladna z določbami te direktive. Take spodbude morajo biti skladne z določbami Pogodbe ter bodisi z odstavkom 2 bodisi odstavkom 3 tega člena.

2.  Spodbude se uporabijo za vsa nova vozila, ki so naprodaj na trgu države članice, ki predhodno ustrezajo mejni vrednosti iz vrstice B1 ali vrstice B2 tabel v točki 6.2.1 Priloge I.

Ukinejo se po obvezni uporabi mejnih vrednosti iz vrstice B1, kakor je določeno v členu 2(6), ali po obvezni uporabi mejnih vrednosti iz vrstice B2, kakor je določeno v členu 2(8).

3.  Spodbude se uporabijo za vsa nova vozila naprodaj na trgu države članice, ki predhodno ustrezajo dopustnim mejnim vrednostim iz vrstice C tabel v točki 6.2.1 Priloge I.

4.  Poleg pogojev iz odstavka 1, za vsak tip vozila, spodbude ne smejo preseči dodatnih stroškov tehničnih rešitev, uvedenih za zagotavljanje ustreznosti mejnim vrednostim iz vrstice B1 ali vrstice B2 ali dopustnim mejnim vrednostim iz vrstice C tabel v točki 6.2.1 Priloge I, ter njihove vgradnje v vozilo.

5.  Države članice pravočasno obvestijo Komisijo o načrtih za uvedbo ali spremembo davčnih spodbud iz tega člena, da lahko ta predloži svoje pripombe.

Člen 7

Izvedbeni ukrepi in spremembe

1.  Ukrepe, potrebne za izvajanje členov 2(10), 3 in 4 te direktive, sprejme Komisija s pomočjo odbora, ustanovljenega v skladu s členom 13(1) Direktive 70/156/EGS, skladno s postopkom iz člena 13(3) navedene direktive.

2.  Spremembe te direktive, ki so potrebne za njeno prilagoditev znanstvenemu in tehničnemu napredku, sprejme Komisija s pomočjo odbora, ustanovljenega po členu 13(1) Direktive 70/156/EGS, skladno s postopkom iz člena 13(3) navedene direktive.

Člen 8

Pregledi in poročila

1.  Komisija preuči potrebo po uvedbi novih omejitev emisij, ki se uporabljajo za težka vozila in motorje za onesnaževala, ki še niso regulirana. Presoja temelji na širši uvedbi na trg novih alternativnih goriv in uvedbi novih sistemov za nadzor izpušnih emisij z dodatki zaradi izpolnjevanja prihodnjih standardov iz te direktive. Komisija po potrebi predloži predlog Evropskemu parlamentu in Svetu.

2.  Komisija predloži Evropskemu parlamentu in Svetu zakonodajne predloge o nadaljnjih omejitvah emisije NOx in emisije delcev za težka vozila.

Po potrebi preuči, ali je potrebna postavitev dodatne omejitve za stopnje in velikost delcev, in če je temu tako, dodatno omejitev vključi v predlog.

3.  Komisija Evropskemu parlamentu in Svetu poroča o napredku pri pogajanjih o svetovno harmoniziranem delovnem ciklu (WHDC).

4.  Komisija Evropskemu parlamentu in Svetu predloži poročilo o zahtevah za delovanje merilnega (OBM) sistema na vozilu. Na podlagi tega poročila Komisija, kadar je to primerno, predlaga ukrepe za vključitev tehničnih zahtev in ustreznih prilog za predpisano homologacijo sistemov OBM, ki zagotavljajo najmanj enako ustrezne ravni nadzora kot sistemi OBD in ki so kompatibilni z njimi.

Člen 9

Prenos

1.  Države članice sprejmejo in objavijo potrebne zakone in druge predpise za uskladitev s to direktivo najpozneje pred 9. novembrom 2006. Če se sprejetje izvedbenih ukrepov iz člena 7 zavleče preko 28. decembra 2005 države članice izpolnijo to obveznost do datuma prenosa, ki izhaja iz direktive s temi izvedbenimi ukrepi. Komisiji nemudoma sporočijo besedilo teh predpisov ter korelacijsko tabelo med temi predpisi in to direktivo.

Te predpise uporabljajo od 9. novembra 2006 ali, če se sprejetje izvedbenih ukrepov iz člena 7 nadalje zavleče preko 28. decembra 2005 od datuma prenosa, določenega v direktivi s temi izvedbenimi ukrepi.

Države članice se v sprejetih predpisih sklicujejo na to direktivo ali pa sklic nanjo navedejo ob njihovi uradni objavi. Vključijo tudi izjavo, da v predpisih sklici na direktive, ki so s to direktivo preklicane, pomenijo sklice na to direktivo. Način sklicevanja in obliko izjave določijo države članice.

2.  Države članice Komisiji sporočijo besedilo glavnih predpisov državne zakonodaje, sprejetih na področju, ki ga pokriva ta direktiva.

Člen 10

Preklic

Direktive iz dela A Priloge IX se prekličejo z učinkom od 9. novembra 2006, kar ne posega v obveznosti držav članic v zvezi z roki za prenos v državno zakonodajo ter uporabo direktiv iz dela B Priloge IX.

Sklici na preklicane direktive se razumejo kot sklici na to direktivo in se berejo skladno s korelacijsko tabelo v Prilogi X.

Člen 11

Začetek veljavnosti

Ta direktiva začne veljati dvajseti dan po objavi v Uradnem listu Evropskih skupnosti.

Člen 12

Naslovljenci

Ta direktiva je naslovljena na države članice.




PRILOGA I

PODROČJE UPORABE, OPREDELITVE IN OKRAJŠAVE, VLOGA ZA PODELITEV ES-HOMOLOGACIJE, TEHNIČNE ZAHTEVE IN PRESKUSI TER SKLADNOST PROIZVODNJE

▼M1

1.   PODROČJE UPORABE

Ta direktiva se uporablja za nadzor emisij plinastih in trdnih onesnaževal, uporabne življenjske dobe naprav za uravnavanje emisij, skladnost vozil v prometu/motorjev in vgrajenih sistemov za diagnostiko na vozilu (v nadaljevanju: sistemi OBD) vseh motornih vozil, opremljenih z motorji na kompresijski vžig, in za vsa motorna vozila, opremljena z motorji na prisilni vžig, ki za gorivo uporabljajo naravni plin ali utekočinjeni naftni plin (LPG) in za motorje na kompresijski vžig in motorje na prisilni vžig iz člena 1, razen motorjev na kompresijski vžig vozil kategorij N1, N2 in M2 in motorjev na prisilni vžig, ki za gorivo uporabljajo naravni plin ali LPG, vozil kategorije N1 za katera je bila homologacija podeljena z Direktivo Sveta 70/220/EGS ( 10 ).

2.   OPREDELITVE

2.1

V tej direktivi se uporabljajo naslednje opredelitve:

homologacija motorja (družine motorjev) pomeni homologacijo določenega tipa motorja (družine motorjev) glede na raven emisij plinastih in trdnih onesnaževal;

„pomožna strategija za nadzor emisij (AECS)“ pomeni strategijo za nadzor emisij, ki se aktivira ali ki spremeni osnovno strategijo za nadzor emisij za določen namen ali namene kot odziv na določene zunanje pogoje in/ali pogoje delovanja, npr. hitrost vozila, hitrost motorja, uporabljeno prestavo, temperaturo vstopnega zraka ali tlak vstopnega zraka;

„osnovna strategija za nadzor emisij (BECS)“ pomeni strategijo za nadzor emisij, ki je aktivna v celotnem obsegu delovanja hitrosti in bremena motorja, razen če se aktivira AECS. Primeri BECS vključujejo, niso pa omejeni na:

 diagram vžiga motorja,

 diagram EGR,

 diagram doziranja reagenta katalizatorja SCR;

„kombinirani filter za NOx in delce“ pomeni sistem za naknadno obdelavo izpušnih plinov, ki je namenjen hkratnemu zmanjševanju emisij dušikovih oksidov (NOx) in trdnih onesnaževal (PT);

„stalna regeneracija“ pomeni postopek regeneracije sistema za naknadno obdelavo izpušnih plinov, ki se izvaja stalno ali vsaj dvakrat na vsak preskus ETC. Takšen postopek regeneracije ne zahteva posebnega preskusnega postopka;

„upravljano območje“ pomeni območje med vrtilnimi frekvencami motorja A in C ter 25 % do 100 % obremenitvijo;

„največja deklarirana moč (Pmax)“ pomeni največjo moč v ES-kW (neto moč), ki jo proizvajalec deklarira v svoji vlogi za podelitev homologacije;

▼M2

„odklopna strategija“ pomeni:

 AECS, ki zmanjša učinkovitost nadzora emisij v zvezi z BECS pod pogoji, za katere se razumno pričakuje, da bodo nastopili pri normalnem delovanju in normalni uporabi vozila,

 BECS, ki razlikuje med delovanjem na standardiziranem homologacijskem preskusu in siceršnjim delovanjem ter zagotavlja nižjo raven nadzora emisij pod pogoji, ki niso vključeni v postopke homologacijskih preskusov, ki se uporabljajo, ali

 OBD ali strategija spremljanja nadzora emisij, ki razlikuje med delovanjem na standardiziranem homologacijskem preskusu in drugim delovanjem ter omogoča nižjo raven zmogljivosti spremljanja (pravočasno in natančno) pod pogoji, ki niso bistveno vključeni v uporabljene postopke homologacijskega preskusa;

▼M1

„sistem za NOx“ pomeni sistem za naknadno obdelavo izpušnih plinov, namenjen zmanjšanju emisij dušikovih oksidov (NOx) (npr. trenutno obstajajo pasivni in aktivni katalizatorji NOx, adsorberji NOx in sistemi selektivne katalitične redukcije (sistemi SCR));

„časovni zamik“ pomeni čas med spremembo komponente, ki se meri na referenčni točki, in odzivom sistema 10 % končnega odčitka (t 10). Za plinaste komponente je to v bistvu čas prenosa merjene komponente od sonde za vzorčenje do detektorja. Za časovni zamik je sonda za vzorčenje opredeljena kot referenčna točka;

„dizelski motor“ pomeni motor, ki deluje na principu kompresijskega vžiga;

„preskus ELR“ pomeni preskusni cikel, ki ga sestavlja zaporedje korakov obremenitve pri konstantni vrtilni frekvenci motorja, izvedenih v skladu s točko 6.2 te priloge;

„preskus ESC“ pomeni preskusni cikel, ki ga sestavlja 13 faz delovanja v ustaljenem stanju, izvedenih v skladu s točko 6.2 te priloge;

„preskus ESC“ pomeni preskusni cikel, ki ga sestavlja 1 800 prehodnih faz delovanja od sekunde do sekunde, izvedenih v skladu s točko 6.2 te priloge;

„element konstrukcije“ pomeni v zvezi z vozilom ali motorjem,

 kakršen koli upravljalni sistem, vključno s programsko opremo računalnika, električnimi upravljalnimi sistemi in računalniško logiko,

 kakršno koli kalibriranje upravljalnega sistema,

 rezultat medsebojnega delovanja sistemov,

 ali

 vsi deli strojne opreme;

„napaka v zvezi z emisijami“ pomeni napako ali odklon od normalno dovoljenih proizvodnih odstopanj v oblikovanju, materialih ali izdelavi naprave, sistema ali montaže, ki vpliva na kateri koli parameter, specifikacijo ali del, ki pripada sistemu za nadzor emisij. Manjkajoč del je mogoče obravnavati kot „napako v zvezi z emisijami“;

„strategija za nadzor emisij (ECS)“ pomeni element ali garnituro elementov sestave, ki je vključena v skupno sestavo sistema motorja ali vozila za nadzor emisij izpušnih plinov in vsebuje eno BECS in eno garnituro AECS;

„sistem za uravnavanje emisij“ pomeni sistem za naknadno obdelavo izpušnih plinov, krmilnik(-e) za elektronsko upravljanje s sistemom motorja in vse komponente, povezane z emisijami, sistema motorja v izpuhu, ki vnašajo informacije v to(te) napravo(-e) ali jih sprejemajo iz nje(njih), in, kjer se to uporablja, komunikacijski vmesnik (strojna oprema in sporočila) med enoto(-ami) za elektronsko krmiljenje sistema motorja (EECU) in drugimi prenosi moči ali, v zvezi z upravljanjem z emisijami, enoto za krmiljenje vozila;

„družina sistemov za naknadno obdelavo motorja“ pomeni, za preskušanje po razporedu kopičenja prevozov za ugotavljanje dejavnikov poslabšanja v skladu s Prilogo III k Direktivi Komisije 2005/78/ES z dne 14. novembra 2005 o izvajanju Direktive Evropskega parlamenta in Sveta 200/55/ES o približevanju zakonodaje držav članic v zvezi z ukrepi, ki jih je treba sprejeti proti emisijam plinastih in trdnih onesnaževal iz motorjev na kompresijski vžig, ki se uporabljajo v vozilih, ter emisijam plinastih onesnaževal iz motorjev na prisilni vžig, ki za gorivo uporabljajo zemeljski plin ali utekočinjeni naftni plin, in se uporabljajo v vozilih in o spremembi prilog I, II, III, IV in VI ( 11 ) k Direktivi in za preverjanje skladnosti vozil/motorjev v prometu v skladu s Prilogo III k Direktivi 2005/78/ES, proizvajalčevo razvrstitev motorjev, ki so skladni z definicijo družine motorjev, vendar so še naprej razvrščeni v skupine motorjev, ki uporabljajo podobne sisteme za naknadno obdelavo izpušnih plinov;

„sistem motorja“ pomeni motor, sistem za nadzor emisij, komunikacijski vmesnik (strojna oprema in sporočila) med elektronsko krmilno enoto sistema motorja (elektronskimi krmilnimi enotami sistema motorja) (EECU) in kakršen koli prenos moči ali krmilno enoto vozila;

„družina motorjev“ pomeni proizvajalčevo razvrstitev sistemov motorjev, ki imajo po obliki, kakor je opredeljeno v Prilogi II, Dodatku 2, k tej direktivi, podobne lastnosti izpuha emisij, vsi člani družine pa morajo biti skladni z mejnimi vrednostmi emisij, ki se uporabljajo;

„območje vrtilnih frekvenc obratovanja motorja“ pomeni tisto območje vrtilnih frekvenc motorja, ki se najpogosteje uporablja med obratovanjem motorja na terenu, in ki leži med nizko in visoko vrtilno frekvenco, kakor je opredeljeno v Prilogi III k tej direktivi;

„vrtilna frekvenca motorjev A, B in C“ pomeni preskusne vrtilne frekvence motorja v območju vrtilnih frekvenc obratovanja motorja, ki se uporabljajo za preskusa ESC in ELR, kakor je opredeljeno v Dodatku 1 Priloge III k tej direktivi;

„nastavitev motorja“ pomeni določeno nastavitev motorja/vozila, ki vključuje strategijo za nadzor emisij (ECS), eno ocenitev zmogljivosti posameznega motorja (homologirano krivuljo polne obremenitve) in, če se uporablja, en nabor omejevalnikov navora;

„tip motorja“ pomeni kategorijo motorjev, ki se ne razlikujejo v takšnih bistvenih vidikih, kot so lastnosti motorja, opredeljene v Prilogi II k tej direktivi;

„sistem za naknadno obdelavo izpušnih plinov“ pomeni katalizator (oksidacijski ali tristezni), filter delcev, sistem za NOx, kombinirani filter za NOx in delce ali katero koli drugo napravo za zmanjševanje emisij, ki je nameščena za motorjem. Ta definicija izključuje vračanje izpušnih plinov v valj, ki se, kjer je nameščena, obravnava kot notranji del sistema motorja;

„plinski motor“ pomeni motor, ki za gorivo uporablja zemeljski plin (NG) ali utekočinjeni naftni plin (LPG);

„plinasta onesnaževala“ pomeni ogljikov monoksid, ogljikovodike (predpostavlja se razmerje CH1,85 za dizel, CH2,525 za LPG in CH2,93 za NG (NMHC) in predpostavljeno molekulo CH3O0,5 za dizelske motorje, ki za gorivo uporabljajo etanol), metan (predpostavlja se razmerje CH4 za NG) in dušikove okside, ki se izražajo kot ekvivalent dušikovega dioksida (NO2);

visoka vrtilna frekvenca (nhi )“ pomeni najvišjo vrtilno frekvenco motorja, pri kateri doseže 70 % največje deklarirane moči;

nizka vrtilna frekvenca (nlo )“ pomeni najnižjo vrtilno frekvenco motorja, pri kateri doseže 50 % največje deklarirane moči;

„velika napaka v delovanju“ ( 12 ) pomeni stalno ali začasno napako v delovanju katerega koli sistema za naknadno obdelavo izpušnih plinov, ki naj bi povzročila takojšnje ali zakasnelo povečanje emisij plinastih snovi ali delcev sistema motorja in ki je ni mogoče natančno oceniti s sistemom OBD;

„napaka“ pomeni:

 vsako poslabšanje ali odpoved, vključno z odpovedmi elektronike, sistema za nadzor emisij, ki bi povzročila, da emisije presežejo mejne vrednosti sistema OBD ali, kjer se to uporablja, da ne bi več dosegale območja funkcionalnega delovanja sistema za naknadno obdelavo izpušnih plinov, kjer emisije katerih koli s predpisi urejenih okolju škodljivih snovi presegajo mejne vrednosti OBD,

 v vsakem primeru, kjer sistem OBD ni zmožen izpolnjevati zahtev te direktive glede nadzora.

Proizvajalec pa lahko kljub temu sklene, da je poslabšanje ali odpoved, ki ne bi povzročila, da emisije presežejo mejne vrednosti OBD, napaka;

„indikator za javljanje napak (MI)“ pomeni vidni indikator, ki razločno opozori voznika, če pride do napake v smislu te direktive;

„motor z več nastavitvami“ pomeni motor, ki vsebuje več kot eno nastavitev;

„območje zemeljskega plina NG“ pomeni eno od območij (H — visoko ali L — nizko), določenih v evropskem standardu EN 437 iz novembra 1993;

„izhodna moč“ pomeni na preskusni napravi izmerjeno moč na koncu ročične gredi v ES-kW, ali enakovredno moč, izmerjeno po metodi ES za merjenje moči, kot jo določa Direktiva Komisije 80/1269/EEC ( 13 );

„OBD“ pomeni vgrajen sistem za diagnostiko za nadzor nad emisijami, ki je zmožen odkriti napako in verjetno mesto napake s pomočjo kod napak, shranjenih v računalniškem spominu;

„družina motorjev OBD“ pomeni, za homologacijo sistema OBD v skladu z zahtevami Priloge IV k Direktivi 2005/78/ES, proizvajalčevo razvrstitev sistemov motorjev, ki imajo skupne parametre sestave sistema OBD v skladu s točko 8 te priloge;

„merilnik motnosti“ pomeni napravo, namenjeno za merjenje motnosti zaradi delcev saj po načelu slabljenja svetlobe;

„osnovni motor“ pomeni motor, izbran izmed družine motorjev tako, da bodo njegove emisijske lastnosti reprezentativne za to družino motorjev;

„naprava za naknadno obdelavo delcev“ pomeni sistem za naknadno obdelavo izpušnih plinov, namenjen zmanjševanju emisij trdnih onesnaževal (PT), z mehanskim, aerodinamičnim, difuzijskim ali inercijskim ločevanjem;

„trdna onesnaževala“ pomeni snovi, ki se naberejo na specificiranem filtru, ko se izpušni plini razredčijo s čistim filtriranim zrakom, tako da temperatura ne presega 325 K (52 °C);

„odstotek obremenitve“ pomeni delež največjega razpoložljivega navora pri določeni vrtilni frekvenci motorja;

„periodična regeneracija“ pomeni postopek regeneracija naprave za nadzor nad emisijami, ki se izvaja periodično v manj kot 100 urah normalnega delovanja motorja. V ciklih, ko se izvaja regeneracija, lahko pride do prekoračitve emisijskih standardov;

►M2  privzeti način emisij ◄ “ pomeni AECS, ki se aktivira, če pride do napake v ECS, ki jo zazna sistem OBD, na podlagi tega pa se aktivira MI, to pa ne zahteva vnosa informacij iz komponente ali sistema v okvari;

„Odgon“ pomeni enoto za zagotovitev potrebne moči za pogon pomožne opreme, vgrajene na vozilo, ki jo poganja motor;

„reagent“ pomeni vsak medij, ki je shranjen v posodi v vozilu in se dovaja sistemu za naknadno obdelavo izpušnih plinov (če se to zahteva) na podlagi zahteve sistema za nadzor emisij;

„ponovno kalibriranje“ pomeni fino nastavitev določenega motorja na NG, da bo enako zmogljiv (moč, poraba goriva) v različnem območju zemeljskega plina;

„referenčna vrtilna frekvenca (nref)“ pomeni 100-odstotno vrednost vrtilne frekvence, ki jo je treba uporabiti za denormalizacijo vrednosti relativne vrtilne frekvence preskusa ETC, kakor je opredeljeno v Dodatku 2 Priloge III k tej direktivi;

„odzivni čas“ pomeni razliko med hitro spremembo komponente, ki se meri na referenčni točki, in ustrezno spremembo v odzivu merilnega sistema, kjer je sprememba merjene komponente vsaj 60 % FS in se zgodi v manj kot 0,1 sekunde. Odzivni čas sistema (t 90) je sestavljen iz časovnega zamika proti sistemu in časa vzpona sistema (glej tudi ISO 16183);

„čas vzpona“ pomeni čas med 10 % in 90 % odzivom končnega odčitka (t 90t 10). To je odziv instrumenta po tem, ko je merjena komponenta instrument dosegla. Za čas vzpona je sonda za vzorčenje opredeljena kot referenčna točka;

„samoprilagodljivost“ pomeni vsako napravo motorja, ki omogoča vzdrževanje konstantnega razmerja zrak/gorivo;

„saje“ pomeni delce, ki so v obliki suspenzije razporejeni v toku izpušnih plinov iz dizelskega motorja in ki absorbirajo, odbijajo ali lomijo svetlobo;

„preskusni cikel“ pomeni zaporedje preskusnih točk, od katerih ima vsaka točno določeno vrtilno frekvenco in navor in ki jim mora motor slediti v stacionarnem stanju (preskus ESC) ali v prehodnih pogojih delovanja (preskusa ETC in ELR);

„omejevalnik navora“ pomeni napravo, ki začasno omeji največji navor motorja;

„transformacijski čas“ pomeni čas med spremembo komponente, ki se meri na sondi za vzorčenje, in odzivom sistema 50 % končnega odčitka (t 50). Transformacijski čas se uporablja za razvrščanje signalov različnih merilnih instrumentov;

„življenjska doba“ pomeni, za vozila in motorje, homologirane za vrsto B1, vrsto B2 ali vrsto C tabele, podane v točki 6.2.1 te priloge, ustrezno dobo razdalje in/ali časa, ki je opredeljena v členu 3 (trajnost sistemov za nadzor emisij) te direktive, preko katere je treba, kot del homologacije, zagotoviti skladnost z ustreznimi mejnimi vrednostmi za emisije plinov, delcev in saj;

„Wobbejev indeks (spodnji Wl; ali zgornji Wu)“ pomeni razmerje med ustrezno kalorično vrednostjo določenega plina na enoto prostornine in kvadratnim korenom njegove relativne gostote pod enakimi referenčnimi pogoji:

FOR-CL2005L0055SL0020010.0001.0001.xml.jpg

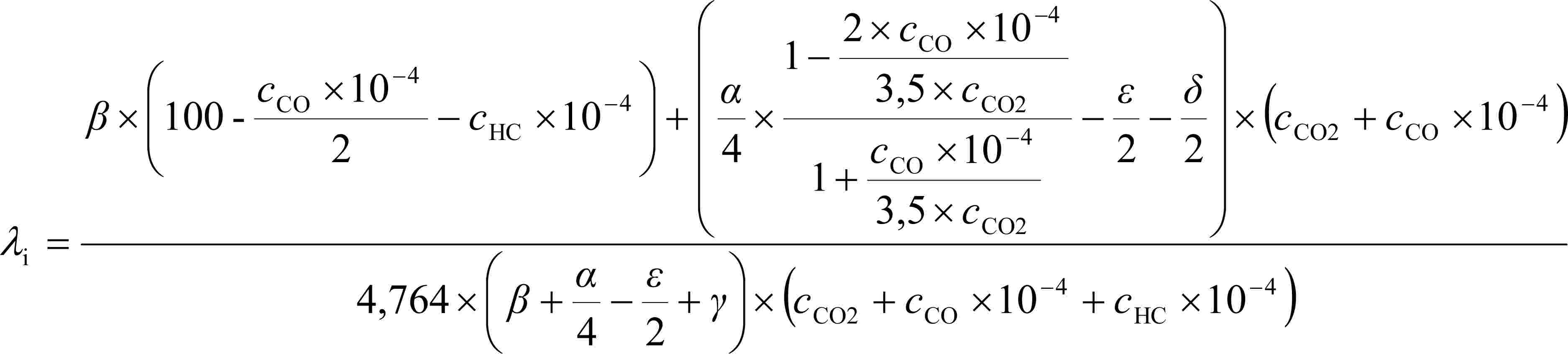
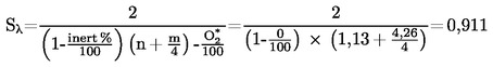
„faktor λ-premika (Sλ)“ pomeni izraz, ki opisuje potrebno prožnost sistema upravljanja motorja glede spremembe razmerja presežnega zraka λ, če uporablja motor za gorivo plinasto spojino, ki se razlikuje od čistega metana (za izračun Sλ glej Prilogo VII);

▼M2

„sistem za spremljanje nadzora emisij“ pomeni sistem, ki zagotavlja pravilno delovanje nadzornih ukrepov za NOx, ki se izvajajo v sistemu motorja v skladu z zahtevami iz točke 6.5 Priloge I.

▼M1

2.2

Simboli, okrajšave in mednarodni standardi

2.2.1   Simboli za preskusne parametre



Simbol

Enota

Izraz

A p

m2

površina preseka izokinetične sonde za vzorčenje

A e

m2

površina preseka izpušne cevi

c

ppm/vol. %

koncentracija

C d

koeficient odvajanja v SSV-CVS

C1

ogljikovodik, ekvivalenten ogljiku 1

d

m

premer

D 0

m3/s

odsek na osi za kalibracijsko funkcijo PDP črpalke

D

faktor redčenja

D

konstanta Besselove funkcije

E

konstanta Besselove funkcije

E E

učinkovitost etana

E M

učinkovitost metana

E Z

g/kWh

interpolirane emisije NOx kontrolne točke

f

1/s

frekvenca

f a

laboratorijski atmosferski faktor

fc

s–1

mejna frekvenca Besselovega filtra

F s

stehiometrični faktor

H

MJ/m3

kalorična vrednost

H a

g/kg

absolutna vlažnost polnilnega zraka

H d

g/kg

absolutna vlažnost zraka za redčenje

i

spodnji indeks, ki označuje posamezno fazo ali trenutno meritev

K

Besselova konstanta

k

m–1

absorpcijski koeficient svetlobe

k f

 

specifični korekcijski faktor goriva za preračun iz suhega v mokro

k h,D

korekcijski faktor zaradi vlažnosti NOx za dizelske motorje

k h,G

korekcijski faktor zaradi vlažnosti NOx za plinske motorje

K V

 

kalibracijska funkcija CFV

k W,a

korekcijski faktor polnilnega zraka iz suhega v mokrega

k W,d

korekcijski faktor zraka za redčenje iz suhega v mokrega

k W,e

korekcijski faktor razredčenih izpušnih plinov iz suhih v mokre

k W,r

korekcijski faktor nerazredčenih izpušnih plinov iz suhih v mokre

L

%

odstotek navora glede na največji navor pri preskusnem motorju

La

m

dejanska dolžina optične poti

M ra

g/mol

molekulska masa polnilnega zraka

M re

g/mol

molekulska masa izpušnih plinov

m d

kg

masa zbranega vzorca delcev v zraku za redčenje, ki je šel skozi filtre za vzorčenje delcev

m ed

kg

skupna masa razredčenih izpušnih plinov skozi ves cikel

m edf

kg

masa ekvivalenta razredčenih izpušnih plinov skozi ves cikel

m ew

kg

skupna masa izpušnih plinov skozi ves cikel

m f

mg

masa vzorca zbranih delcev

m f,d

mg

masa vzorca zbranih delcev iz zraka za redčenje

m gas

g/h ali g

masni pretok plinastih emisij (stopnja)

m se

kg

masa vzorca skozi ves cikel

m sep

kg

masa zbranega vzorca delcev v razredčenih izpušnih plinih, ki so šli skozi filtre za vzorčenje delcev

m set

kg

masa zbranega vzorca delcev v dvojno redčenih izpušnih plinih, ki so šli skozi filtre za vzorčenje delcev

m ssd

kg

masa sekundarnega zraka za redčenje

N

%

motnost

N P

skupno število vrtljajev PDP v ciklu

N P,i

število vrtljajev PDP v enem časovnem intervalu

n

min–1

vrtilna frekvenca motorja

n p

s–1

vrtilna frekvenca PDP

nhi

min–1

visoka vrtilna frekvenca motorja

nlo

min–1

nizka vrtilna frekvenca motorja

nref

min–1

referenčna vrtilna frekvenca motorja za preskus ETC

p a

kPa

tlak nasičene pare polnilnega zraka motorja

p b

kPa

skupni atmosferski tlak

p d

kPa

tlak nasičene pare zraka za redčenje

p p

kPa

absolutni tlak

p r

kPa

tlak vodne pare po hladilni kopeli

p s

kPa

suh atmosferski tlak

p 1

kPa

podtlak pri vstopu v črpalko

P(a)

kW

moč, ki jo odvzame dodatna oprema, nameščena za preskus

P(b)

kW

moč, ki jo odvzame dodatna oprema, odstranjena za preskus

P(n)

kW

nekorigirana izhodna moč

P(m)

kW

na preskusni napravi izmerjena moč

q maw

kg/h ali kg/s

stopnja masnega pretoka polnilnega zraka na mokri osnovi

q mad

kg/h ali kg/s

stopnja masnega pretoka polnilnega zraka na suhi osnovi

q mdw

kg/h ali kg/s

stopnja masnega pretoka zraka za redčenje na mokri osnovi

q mdew

kg/h ali kg/s

stopnja masnega pretoka razredčenih izpušnih plinov na mokri osnovi

q mdew,i

kg/s

trenutna stopnja masnega pretoka CVS na mokri osnovi

q medf

kg/h ali kg/s

stopnja ekvivalentnega masnega pretoka razredčenih izpušnih plinov na mokri osnovi

q mew

kg/h ali kg/s

stopnja masnega pretoka izpušnih plinov na mokri osnovi

q mf

kg/h ali kg/s

stopnja masnega pretoka goriva

q mp

kg/h ali kg/s

stopnja masnega pretoka vzorca delcev

q vs

dm3/min

stopnja pretoka vzorca v napravo za analizo

q vt

cm3/min

stopnja pretoka sledilnega plina

Ω

Besselova konstanta

Q s

m3/s

stopnja prostorninskega pretoka v PDP/CFV-CVS

Q SSV

m3/s

stopnja prostorninskega pretoka v SSV-CVS

ra

razmerje površin presekov izokinetične sonde in izpušne cevi

r d

razmerje redčenja

r D

razmerje premerov SSV-CVS

r p

razmerje tlakov SSV-CVS

r s

razmerje vzorcev

Rf

faktor odzivnosti FID

ρ

kg/m3

gostota

S

kW

nastavitev dinamometra

Si

m–1

trenutna stopnja dimljenja

Sλ

faktor λ-premika

T

K

absolutna temperatura

T a

K

absolutna temperatura polnilnega zraka

t

s

čas merjenja

te

s

električni odzivni čas

tf

s

odzivni čas filtra za Besselovo funkcijo

tp

s

fizični odzivni čas

Δt

s

časovni interval med zaporednimi podatki o dimljenju (= 1/frekvenca vzorčenja)

Δt i

s

časovni interval za trenutni pretok skozi sistem CVS

τ

%

prepustnost svetlobe v dimu

u

razmerje gostot plinske komponente in izpušnega plina

V 0

m3/rev

prostorninski pretok v sistemu PDP na en vrtljaj

V s

l

prostornina sistema naprave za analizo

W

Wobbejev indeks

Wact

kWh

dejansko delo cikla ETC

Wref

kWh

referenčno delo cikla ETC

W F

utežni faktor

WFE

efektivni utežni faktor

X 0

m3/rev

kalibracijska funkcija prostorninskega pretoka PDP

Yi

m–1

povprečna 1 s vrednost dimljenja po Besselu

▼B

►M1  2.2.2. ◄

Simboli kemičnih sestavin



CH4

metan

C2H6

etan

C2H5OH

etanol

C3H8

propan

CO

ogljikov monoksid

DOP

dioktilftalat

CO2

ogljikov dioksid

HC

ogljikovodiki

NMHC

ne-metanski ogljikovodiki

NOx

dušikovi oksidi

NO

dušikov oksid

NO2

dušikov dioksid

PT

delci

►M1  2.2.3. ◄

Okrajšave



CFV

venturijeva cev s kritičnim pretokom (Critical flow venturi)

CLD

kemiluminescenčni detektor (Chemiluminiscent detector)

ELR

Evropski preskus odzivnosti na obremenitev (European load response test)

ESC

Evropski cikel ustaljenega stanja (European steady state cycle)

ETC

Evropski prehodni cikel (European transient cycle)

FID

plamensko-ionizacijski detektor (Flame ionisation detector)

GC

plinski kromatograf (Gas chromatograph)

HCLD

ogrevani kemiluminescenčni detektor (Heated chemiluminescent detector)

HFID

ogrevani plamensko-ionizacijski detektor (Heated flame ionisation detector)

LPG

utekočinjeni naftni plin (Liquefied petroleum gas)

NDIR

analizator CO in CO2 po nedisperzni infrardeči spektroskopski metodi (Non-dispersive infrared analyser)

NG

zemeljski plin (Natural gas)

NMC

izločevalnik ne-metanov (Non-methane cutter)

▼M1

2.2.4

Simboli za sestavo goriva



w ALF

Vsebnost vodika v gorivu, v % mase

w BET

Vsebnost ogljika v gorivu, v % mase

w GAM

Vsebnost žvepla v gorivu, v % mase

w DEL

Vsebnost dušika v gorivu, v % mase

w EPS

Vsebnost kisika v gorivu, v % mase

α

Molarno razmerje vodika (H/C)

β

Molarno razmerje ogljika (C/C)

γ

Molarno razmerje žvepla (S/C)

δ

Molarno razmerje dušika (N/C)

ε

Molarno razmerje kisika (O/C)

V zvezi z gorivom C βHαOεNδSγ

β = 1 za goriva na osnovi ogljika, β = 0 za vodikovo gorivo

2.2.5.

Standardi, na katere se sklicuje ta direktiva



ISO 15031-1

ISO 15031-1: 2001 Road vehicles — Communication between vehicle and external equipment for emissions related diagnostics — Part 1: General information. (Cestna vozila — Komunikacija med vozilom in zunanjo preskuševalno opremo za diagnostiko, povezano z emisijami — Del 1: Splošne informacije.)

ISO 15031-2

ISO/PRF TR 15031-2: 2004 Road vehicles — Communication between vehicle and external equipment for emissions related diagnostics — Part 2: Terms, definitions, abbreviations and acronyms. (Cestna vozila — Komunikacija med vozilom in zunanjo opremo za diagnostiko, povezane z emisijami — Del 2: Izrazi, opredelitve, okrajšave in kratice.)

ISO 15031-3

ISO 15031-3: 2004 Road vehicles — Communication between vehicle and external equipment for emissions related diagnostics — Part 3: Diagnostic connector and related electrical circuits, specification and use. (Cestna vozila — Komunikacija med vozilom in zunanjo preskuševalno opremo za diagnostiko, povezano z emisijami — Del 3: Diagnostični konektor in z njim povezani električni tokokrogi, specifikacije in uporaba.)

SAE J1939-13

SAE J1939-13: Off-Board Diagnostic Connector. (Diagnostični konektor, ki ni na vozilu.)

ISO 15031-4

ISO DIS 15031-4.3: 2004 Road vehicles — Communication between vehicle and external equipment for emissions related diagnostics — Part 4: External test equipment. (Cestna vozila — Komunikacija med vozilom in zunanjo preskuševalno opremo za diagnostiko, povezano z emisijami — Del 4: Zunanja preskusna oprema.)

SAE J1939-73

SAE J1939-73: Application Layer — Diagnostics. (Aplikacijski sloj — Diagnostika.)

ISO 15031-5

ISO DIS 15031-5.4: 2004 Road vehicles — Communication between vehicle and external equipment for emissions related diagnostics — Part 5: Emissions-related diagnostic services. (Cestna vozila — Komunikacija med vozilom in zunanjo preskuševalno opremo za diagnostiko, povezano z emisijami — Del 5: Diagnostične storitve, povezane z emisijami.)

ISO 15031-6

ISO DIS 15031-6.4: 2004 Road vehicles — Communication between vehicle and external equipment for emissions related diagnostics — Part 6: Diagnostic trouble code definitions. (Cestna vozila — Komunikacija med vozilom in zunanjo preskuševalno opremo za diagnostiko, povezano z emisijami — Del 6: Opredelitve diagnostičnih kod težav.)

SAE J2012

SAE J2012: Diagnostic Trouble Code Definitions Equivalent to ISO/DIS 15031-6, April 30, 2002. (Ekvivalent opredelitev diagnostičnih kod težav za ISO/DIS 15031-6, 30. aprila 2002.)

ISO 15031-7

ISO 15031-7: 2001 Road vehicles — Communication between vehicle and external equipment for emissions related diagnostics — Part 7: Data link security. (Cestna vozila — Komunikacija med vozilom in zunanjo preskuševalno opremo za diagnostiko, povezano z emisijami — Del 7: Varnost podatkovne povezave.)

SAE J2186

SAE J2186: E/E Data Link Security, dated October 1996. (Varnost podatkovne povezave E/E, oktober 1996.)

ISO 15765-4

ISO 15765-4: 2001 Road vehicles — Diagnostics on Controller Area Network (CAN) — Part 4: Requirements for emissions-related systems. (Cestna vozila — Diagnoza na omrežju CAN (Controller Area Network) — Del 4: Zahteve za sisteme, povezane z emisijami.)

SAE J1939

SAE J1939: Recommended Practice for a Serial Control and Communications Vehicle Network. (Priporočena praksa za serijsko krmilno in komunikacijsko omrežje vozila).

ISO 16185

ISO 16185: 2000 Road vehicles — Engine family for homologation. (Cestna vozila — Družina motorjev za homologacijo.)

ISO 2575

ISO 2575: 2000 Road vehicles — Symbols for controls, indicators and tell-tales. (Cestna vozila — Simboli za kontrolne indikatorje in opozorilne naprave.)

ISO 16183

ISO 16183: 2002 Heavy duty engines — Measurement of gaseous emissions from raw exhaust gas and of particulate emissions using partial flow dilution systems under transient test conditions. (Težki motorji — Merjenje plinastih emisij iz nerazredčenih izpušnih plinov in emisij delcev z uporabo sistemov redčenja z delnim tokom v okviru pogojev prehodnega preskusa.)

▼B

3.   VLOGA ZA ES-HOMOLOGACIJO

3.1   Vloga za ES-homologacijo za določen tip motorja oziroma družino motorjev kot samostojne tehnične enote

▼M1

3.1.1

Vlogo za homologacijo določenega tipa motorja oziroma družine motorjev glede na raven emisij plinastih in trdnih onesnaževal za dizelske motorje ter glede na raven emisij plinastih onesnaževal za plinske motorje, pa tudi glede življenjske dobe in sistema za diagnostiko na vozilu (sistema OBD), vloži proizvajalec motorja ali njegov ustrezno pooblaščeni zastopnik.

Če vloga zadeva motor, opremljen s sistemom za diagnostiko na vozilu (sistemom OBD), morajo biti izpolnjeni pogoji, navedeni v točki 3.4.

▼B

3.1.2

Vlogi morajo biti priloženi spodaj navedeni dokumenti v treh izvodih in naslednji podatki:

3.1.2.1

Opis tipa motorja oziroma družine motorjev, če je ustrezno, s podatki iz Priloge II k tej direktivi, ki so v skladu z zahtevami iz členov 3 in 4 Direktive 70/156/EGS z dne 6. februarja 1970 o približevanju zakonodaje držav članic o homologaciji motornih in priklopnih vozil ( 14 ).

3.1.3

Motor, katerega značilnosti ustrezajo „tipu motorja“ oziroma „osnovnemu motorju“ iz Priloge II, se predloži tehnični službi, pristojni za opravljanje homologacijskih preskusov, opredeljenih v točki 6.

3.2   Vloga za ES-homologacijo za določen tip vozila glede na njegov motor

▼M1

3.2.1

Vlogo za homologacijo vozila glede na raven emisij plinastih in trdnih onesnaževal za vozila z dizelskim motorjem ali z motorjem iz družine dizelskih motorjev ter glede na raven emisij plinastih onesnaževal za vozila s plinskim motorjem ali z motorjem iz družine plinskih motorjev, pa tudi glede življenjske dobe in sistema za diagnostiko na vozilu (sistema OBD), vloži proizvajalec motorja ali njegov ustrezno pooblaščeni zastopnik.

Če vloga zadeva motor, opremljen s sistemom za diagnostiko na vozilu (sistemom OBD), morajo biti izpolnjeni pogoji, navedeni v točki 3.4.

▼B

3.2.2

Vlogi morajo biti priloženi spodaj navedeni dokumenti v treh izvodih in naslednji podatki:

3.2.2.1

Opis tipa vozila, delov vozila, ki so povezani z motorjem, ter tipa motorja, če je ustrezno, ki vsebuje podatke iz Priloge II, skupaj s potrebno dokumentacijo za uporabo člena 3 Direktive 70/156/EGS.

▼M1

3.2.3

Proizvajalec zagotovi opis indikatorja za javljanje napak (MI), ki ga uporablja sistem OBD, da voznika opozarja na napake na vozilu.

Proizvajalec zagotovi opis indikatorja in načina opozarjanja, ki se uporablja za obveščanje voznika, da je na vozilu prišlo do pomanjkanja zahtevanega reagenta.

▼B

3.3   Vloga za ES-homologacijo za tip vozila s homologiranim motorjem

▼M1

3.3.1

Vlogo za homologacijo vozila glede na raven emisij plinastih in trdnih onesnaževal za vozila z dizelskim motorjem ali z motorjem iz družine dizelskih motorjev ter glede na raven emisij plinastih onesnaževal za vozila s plinskim motorjem ali z motorjem iz družine plinskih motorjev, pa tudi glede življenjske dobe in sistema za diagnostiko na vozilu (sistema OBD), vloži proizvajalec motorja ali njegov ustrezno pooblaščeni zastopnik.

▼B

3.3.2

Vlogi morajo biti priloženi spodaj navedeni dokumenti v treh izvodih in naslednji podatki:

3.3.2.1

Opis tipa vozila in delov vozila, povezanih z motorjem, ki vsebuje podatke iz Priloge II, kot je ustrezno, ter kopijo certifikata o ES-homologaciji (Priloga VI) za motor oziroma družino motorjev, če je ustrezno, kot samostojne tehnične enote, ki je vgrajena v tip vozila, skupaj s potrebno dokumentacijo za uporabo člena 3 Direktive 70/156/EGS.

▼M1

3.3.3

Proizvajalec zagotovi opis indikatorja za javljanje napak (MI), ki ga uporablja sistem OBD, da voznika opozarja na napake na vozilu.

Proizvajalec zagotovi opis indikatorja in načina opozarjanja, ki se uporablja za obveščanje voznika, da je na vozilu prišlo do pomanjkanja zahtevanega reagenta.

3.4   Sistemi za diagnostiko na vozilu

3.4.1

Vlogi za homologacijo motorja, opremljenega s sistemom za diagnostiko na vozilu (sistemom OBD), morajo biti priloženi podatki, ki se zahtevajo v točki 9 Dodatka 1 k Prilogi II (opis osnovnega motorja) in/ali v točki 6 Dodatka 3 k Prilogi II (opis tipa motorja znotraj družine motorjev), skupaj z/s:

3.4.1.1

Natančnimi pisnimi podatki o značilnostih delovanja sistema OBD, vključno s seznamom vseh delov, povezanih z napravami za nadzor emisij iz motorja, tj. senzorjev, naprav za aktiviranje in komponent, ki jih nadzoruje sistem OBD.

3.4.1.2

Če je smotrno, z izjavo proizvajalca o parametrih, ki se uporabljajo kot podlaga za nadzorovanje večjih napak v delovanju, in:

3.4.1.2.1

Proizvajalec zagotovi tehnično službo z opisom možnih napak v sistemu za nadzor emisij, ki vplivajo na emisije. Ti podatki so predmet razprave in dogovora med tehnično službo in proizvajalcem vozila.

3.4.1.3

Če je smotrno, opisom komunikacijskega vmesnika (strojne opreme in sporočil) med elektronsko krmilno enoto motorja (EECU) in drugimi prenosi moči ali krmilno enoto vozila, če imajo podatki, ki se izmenjujejo, vpliv na pravilno delovanje sistema za nadzor emisij.

3.4.1.4

Če je smotrno, kopijami drugih homologacij z ustreznimi podatki, ki so potrebni za razširitev homologacij.

3.4.1.5

Če je smotrno, podatki o družini motorja iz točke 8 te priloge.

3.4.1.6

Proizvajalec mora opisati ukrepe, ki jih je sprejel za preprečevanje ponarejanja in popravljanja EECU ali katerega koli parametra vmesnika iz točke 3.4.1.3.

▼B

4.   ES-HOMOLOGACIJA

4.1   Podelitev ES-homologacije za univerzalno gorivo

ES-homologacija za večgorivni motor (ki lahko uporablja različna goriva) se podeli na podlagi naslednjih zahtev:

4.1.1

Za dizelsko gorivo, če osnovni motor izpolnjuje zahteve te direktive za referenčno gorivo iz Priloge IV.

4.1.2

Za zemeljski plin, če se osnovni motor dokazano lahko prilagodi na katero koli sestavo goriva, ki se lahko pojavi na trgu. Pri zemeljskem plinu v splošnem obstajata dve vrsti goriv, visokokalorično gorivo (H-plin) in nizkokalorično gorivo (L-plin), vendar s precejšnjim razponom znotraj obeh območij; bistveno se razlikujeta po svoji energijski vsebnosti, izraženi z Wobbejevim indeksom, in po svojem faktorju λ-premika (Sλ). Formule za izračun Wobbejevega indeksa ter Sλ so podane v točkah 2.27 in 2.28. Za zemeljske pline s faktorjem λ-premika med 0,89 in 1,08 (0,89 ≤ Sλ ≤ 1,08) velja, da sodijo v območje H, medtem ko za zemeljske pline s faktorjem λ-premika med 1,08 in 1,19 (1,08 ≤ Sλ ≤ 1,19) velja, da sodijo v območje L. Sestava referenčnih goriv upošteva skrajne variacije vrednosti Sλ.

Osnovni motor mora izpolnjevati zahteve te direktive za referenčni gorivi GR (gorivo 1) in G25 (gorivo 2), kakor je opredeljeno v Prilogi IV, brez kakršnega koli prilagajanja gorivu med obema preskusoma. Vendar pa je po menjavi goriva dovoljen en prilagoditveni tek v enem ciklu ETC brez merjenja. Pred preskusom se osnovni motor uteče po postopku, podanem v odstavku 3 Dodatka 2 k Prilogi III.

4.1.2.1

Na zahtevo proizvajalca se motor lahko preskusi s tretjim gorivom (gorivo 3), če je faktor λ-premika (Sλ) med 0,89 (tj. spodnjim območjem GR) in 1,19 (tj. gornjim območjem G25), na primer kadar je gorivo 3 komercialno gorivo. Rezultati tega preskusa se lahko uporabijo kot podlaga za ovrednotenje skladnosti proizvodnje.

4.1.3

Za motor, ki za gorivo uporablja zemeljski plin in je samoprilagodljiv tako za območje H-plinov kot za območje L-plinov in ki s stikalom preklaplja med območjem H ter območjem L, se osnovni motor pri vsakem položaju stikala preskusi na ustrezno referenčno gorivo, kot je za vsako območje posebej opredeljeno v Prilogi IV. Goriva so GR (gorivo 1) in G23 (gorivo 3) za H-območje plinov ter G25 (gorivo 2) in G23 (gorivo 3) za L-območje plinov. Osnovni motor mora izpolnjevati zahteve te direktive za oba položaja stikala brez kakršnega koli prilagajanja gorivu med obema preskusoma na vsakem položaju stikala. Vendar pa je po menjavi goriva dovoljen en prilagoditveni tek v enem ciklu ETC brez merjenja. Pred preskusom se osnovni motor uteče po postopku, podanem v odstavku 3 Dodatka 2 k Prilogi III.

4.1.3.1

4.1.3.1 Na zahtevo proizvajalca se motor lahko preskusi s tretjim gorivom namesto G23 (gorivo 3), če je faktor λ-premika (Sλ) med 0,89 (tj. spodnjim območjem GR) in 1,19 (tj. gornjim območjem G25), na primer kadar je gorivo 3 komercialno gorivo. Rezultati tega preskusa se lahko uporabijo kot podlaga za ovrednotenje skladnosti proizvodnje.

4.1.4

Za motorje, ki za gorivo uporabljajo zemeljski plin, se razmerje med rezultati emisij „r“ določi za vsako onesnaževalo takole:

image

ali

image

in

image

4.1.5

Za LPG je treba za osnovni motor dokazati, da se lahko prilagodi na katero koli sestavo goriva, ki se lahko pojavi na trgu. Pri LPG se spreminja sestava C3/C4. Te spremembe se izražajo v referenčnih gorivih. Osnovni motor mora izpolnjevati emisijske zahteve glede referenčnih goriv A in B, kakor je opredeljeno v Prilogi IV, brez kakršnega koli prilagajanja gorivu med obema preskusoma. Vendar pa je po menjavi goriva dovoljen en prilagoditveni tek v enem ciklu ETC brez merjenja. Pred preskusom se osnovni motor uteče po postopku, podanem v točki 3 Dodatka 2 k Prilogi III.

4.1.5.1

Razmerje med rezultati emisij „r“ se določi za vsako onesnaževalo takole:

image

4.2   Izdaja ES-homologacije, omejene na vrsto goriva

ES-homologacija, omejena na vrsto goriva, se izda na podlagi naslednjih zahtev:

4.2.1

Homologacija emisij izpuha iz motorja, ki za gorivo uporablja zemeljski plin in je prirejen za delovanje bodisi v območju H-plinov bodisi v območju L-plinov

Osnovni motor se preskusi na ustrezno referenčno gorivo, kot je opredeljeno v Prilogi IV, za ustrezno območje. Gorivi sta GR (gorivo 1) in G23 (gorivo 3) za H-območje plinov ter G25 (gorivo 2) in G23 (gorivo 3) za L-območje plinov. Osnovni motor mora izpolnjevati zahteve te direktive, kot je določeno v prilogi IV, brez kakršnega koli prilagajanja gorivu med obema preskusoma. Vendar pa je po menjavi goriva dovoljen en prilagoditveni tek v enem ciklu ETC brez merjenja. Pred preskusom se osnovni motor uteče po postopku, podanem v točki 3 Dodatka 2 k Prilogi III.

4.2.1.1

Na zahtevo proizvajalca se motor lahko preskusi s tretjim gorivom namesto G23 (gorivo 3), če faktor λ-premika (Sλ) leži med 0,89 (tj. spodnjim območjem GR) in 1,19 (tj. gornjim območjem G25), na primer kadar je gorivo 3 komercialno gorivo. Rezultati tega preskusa se lahko uporabijo kot podlaga za ovrednotenje skladnosti proizvodnje.

4.2.1.2

Razmerje med rezultati emisij „r“ se določi za vsako onesnaževalo takole:

image

ali

image

in

image

4.2.1.3

Ob dobavi naročniku mora biti motor opremljen z napisno tablico (glej odstavek 5.1.5), ki navaja, za katero območje plinov je motor homologiran.

4.2.2

Homologacija emisij izpuha iz motorja, ki za gorivo uporablja LPG in je prirejen za delovanje na eno samo, specifično sestavo goriva

4.2.2.1

Osnovni motor mora izpolnjevati zahteve te direktive za referenčni gorivi GR in G25 za zemeljski plin ali za referenčni gorivi A in B za LPG, kakor je opredeljeno v Prilogi IV. Med preskusoma je dovoljeno fino uravnavanje sistema dovajanja goriva. Fino uravnavanje obsega ponovno kalibracijo podatkovne baze dovajanja goriva, ne da bi se pri tem kakor koli spreminjala bodisi osnovna strategija krmiljenja bodisi osnovna struktura podatkovne baze. Po potrebi se dovoli zamenjava delov, ki so neposredno povezani s količino pretoka goriva (kakor na primer vbrizgalne šobe).

4.2.2.2

Na zahtevo proizvajalca se motor lahko preskusi na referenčni gorivi GR in G23 ali na referenčni gorivi G25 in G23, in v tem primeru homologacija velja samo za H-območje ali pa samo za L-območje plinov, kot je ustrezno.

4.2.2.3

Ob dobavi naročniku mora biti motor opremljen z napisno tablico (glej točko 5.1.5), ki navaja, za katero območje plinov je motor kalibriran.

4.3   Homologacija emisij izpuha za motor iz družine motorjev

4.3.1

Razen v primeru iz točke 4.3.2 se homologacija osnovnega motorja brez nadaljnjega preskušanja razširi na vso družino, za katero koli sestavo goriva v območju, za katerega je homologiran osnovni motor (za motorje iz točke 4.2.2), ali za isti razpon goriv (za motorje iz točke 4.1 ali 4.2), za katerega je homologiran osnovni motor.

4.3.2

Sekundarni preskusni motor

Pri vlogi za homologacijo motorja ali vozila glede na njegov motor, če ta motor pripada družini motorjev, lahko tehnična služba, ki ugotovi, da predložena vloga glede na izbrani osnovni motor ne predstavlja celotne družine motorjev, opredeljene v Dodatku 1 k Prilogi I, izbere in preskusi alternativen in po potrebi dodaten referenčni preskusni motor.

4.4   Certifikat o homologaciji

Za homologacijo iz točk 3.1, 3.2 in 3.3 se izda certifikat, skladno z vzorcem iz Priloge VI.

5.   OZNAKE MOTORJA

5.1   Na motorju, ki je homologiran kot tehnična enota, morajo biti naslednje oznake:

5.1.1

blagovna znamka ali tovarniška znamka proizvajalca motorja;

5.1.2

trgovska oznaka proizvajalca;

5.1.3

številka ES-homologacije, pred njo pa črkovna ali številčna oznaka države izdaje ES-homologacije ►M1   ( 15 ) ◄ .

5.1.4

pri motorju na zemeljski plin se za številko ES-homologacije navede ena od naslednjih oznak:

 H, kadar je motor homologiran in kalibriran za H-območje plinov,

 L, kadar je motor homologiran in kalibriran za L-območje plinov,

 HL, kadar je motor homologiran in kalibriran za H-območje in L-območje plinov,

 Ht, kadar je motor homologiran in kalibriran za specifično sestavo plina v H-območju plinov in ga je mogoče s fino nastavitvijo dovajanja goriva motorju nastaviti na drug specifičen plin iz območja H,

 Lt, kadar je motor homologiran in kalibriran za specifično sestavo plina v L-območju plinov in ga je mogoče s fino nastavitvijo dovajanja goriva motorju nastaviti na drug specifičen plin iz območja L,

 HLt, kadar je motor homologiran in kalibriran za specifično sestavo plina v H-območju ali L-območju plinov in ga je mogoče s fino nastavitvijo dovajanja goriva motorju nastaviti na drug specifičen plin iz območja H ali L.

5.1.5

Napisne tablice

Za motorje, ki za gorivo uporabljajo NG ali LPG in je njihova homologacija omejena na vrsto goriva, se uporabljajo naslednje napisne tablice:

5.1.5.1   Vsebina

Treba je navesti naslednje informacije:

V primeru iz odstavka 4.2.1.3 naj bo na napisni tablici navedeno „SAMO ZA UPORABO Z ZEMELJSKIM PLINOM OBMOČJA H“. Če je ustrezno, se „H“ nadomesti z „L“.

V primeru iz odstavka 4.2.2.3 naj bo na napisni tablici navedeno „SAMO ZA UPORABO Z ZEMELJSKIM PLINOM SPECIFIKACIJE …“ ali „SAMO ZA UPORABO Z UTEKOČINJENIM NAFTNIM PLINOM SPECIFIKACIJE …“, kot je ustrezno. Vse informacije v ustreznih tabelah v Prilogi IV se podajo s posamičnimi sestavinami in mejnimi vrednostmi, ki jih navede proizvajalec motorja.

Črke in številke morajo biti visoke najmanj 4 mm.

Opomba:

Če zaradi pomanjkanja prostora tako označevanje ni mogoče, se lahko uporabi poenostavljena koda. V tem primeru morajo biti vsaki osebi, ki polni rezervoar za gorivo ali izvaja vzdrževanje ali popravilo motorja in njegove dodatne opreme, ter pristojnim organom na voljo lahko dostopne ustrezne razlage, ki vsebujejo vse gornje informacije. Mesto in vsebina teh razlag se opredelita z dogovorom med proizvajalcem in homologacijskim organom.

5.1.5.2   Lastnosti

Napisne tablice morajo trajati celotno življenjsko dobo motorja. Napisne tablice morajo biti jasno berljive, uporabljene črke in številke pa morajo biti neizbrisne. Poleg tega morajo biti napisne tablice pritrjene tako, da bodo ostale pritrjene življenjsko dobo motorja, in ne sme jih biti mogoče odstraniti, ne da bi se pri tem uničile ali poškodovale.

5.1.5.3   Namestitev

Napisne tablice morajo biti pritrjene na del motorja, ki je potreben za normalno delovanje motorja in ga med življenjsko dobo motorja običajno ni treba zamenjati. Poleg tega morajo biti napisne tablice nameščene tako, da so povprečni osebi jasno vidne potem, ko je motor opremljen z vsem priborom za njegovo delovanje.

5.2

V primeru vloge za ES-homologacijo za tip vozila glede na njegov motor se oznake iz točke 5.1.5 namestijo tudi v bližino odprtine za polnjenje goriva.

5.3

V primeru vloge za ES-homologacijo za tip vozila s homologiranim motorjem se oznake iz točke 5.1.5 namestijo tudi v bližino odprtine za polnjenje goriva.

6.   TEHNIČNE ZAHTEVE IN PRESKUSI

▼M1

6.1   Splošno

6.1.1   Oprema za nadzor emisij

6.1.1.1

Komponente, ki lahko vplivajo, če je to smotrno, na emisije plinastih in trdnih onesnaževal iz dizelskih in plinskih motorjev, se načrtujejo, izdelajo, sestavijo in namestijo tako, da se motorju omogoči, da je ob normalni uporabi skladen z določbami te direktive.

6.1.2

Uporaba odklopne strategije je prepovedana.

6.1.2.1

Uporaba motorja z več nastavitvami je prepovedana, dokler se v okviru te direktive ne določijo ustrezne in okvirne določbe za motorje z več nastavitvami ( 16 ).

6.1.3

Strategija za nadzor emisij

6.1.3.1

Kateri koli del projekta ali strategije za nadzor emisij (ECS), ki lahko vpliva na emisije plinastih in trdnih onesnaževal iz dizelskih in plinskih motorjev, in emisije plinastih onesnaževal iz plinskih motorjev, se načrtuje, izdela, sestavi in namesti tako, da se motorju omogoči, da je ob normalni uporabi skladen z določbami te direktive. ECS tvori osnovna strategija za nadzor emisij (BECS) in po navadi ena ali več pomožnih strategij za nadzor emisij (AECS).

6.1.4

Zahteve za osnovno strategijo za nadzor emisij

6.1.4.1

Osnovna strategije za nadzor emisij (BECS) se načrtuje tako, da se motorju omogoči, da je ob normalni uporabi skladen z določbami te direktive. Normalna uporaba ni omejena na pogoje uporabe, kot so navedeni v odstavku 6.1.5.4.

6.1.5

Zahteve za pomožno strategijo za nadzor emisij

6.1.5.1

Pomožna strategija za nadzor emisij (AECS) se lahko namesti na motor ali na vozilo, če AECS:

 deluje izključno izven pogojev uporabe, določenih v odstavku 6.1.5.4 za namene, opredeljene v odstavku 6.1.5.5,

 ali

 se aktivira se izjemoma v pogojih uporabe, določenih v odstavku 6.1.5.4 za namene, opredeljene v odstavku 6.1.5.6, in ne deluje dlje, kot je potrebno za te namene.

6.1.5.2

Pomožna strategija za nadzor emisij (AECS), ki deluje v pogojih uporabe, opredeljenih v točki 6.1.5.4 in ki pomeni uporabo drugačne ali spremenjene strategije za nadzor emisij (ECS) od tiste, ki se navadno uporablja pri preskusnih ciklih emisij, ki se uporabljajo, bo dovoljena, če se, ob skladnosti z zahtevami iz točke 6.1.7, v celoti pokaže, da ukrepi ne zmanjšujejo trajne učinkovitosti sistema za nadzor emisij. V vseh drugih primerih se takšna strategija obravnava kot odklopna strategija.

6.1.5.3.

Pomožna strategija za nadzor emisij (AECS), ki deluje zunaj pogojev uporabe, opredeljenih v točki 6.1.5.4 bo dovoljena, če se, ob skladnosti z zahtevami iz točke 6.1.7, v celoti pokaže, da je ukrep minimalna strategija, ki je potrebna za namene odstavka 6.1.5.6 v zvezi z okoljsko zaščito in drugimi tehničnimi vidiki. V vseh drugih primerih se takšna strategija obravnava kot odklopna strategija.

6.1.5.4

Kot je predvideno v točki 6.1.5.1, se uporabljajo naslednji pogoji uporabe za stacionarno stanje in prehodno delovanje motorja:

 višina, ki ne presega 1 000 m (ali ekvivalenta atmosferskega tlaka 90 kPa),

 temperatura okolja mora biti med 275 K in 303 K (2 °C do 30 °C) ( 17 ) ( 18 ),

 in

 temperatura hladilne tekočine motorja mora biti med 343 K in 373 K (70 °C do 100 °C).

6.1.5.5

Pomožna strategija za nadzor emisij (AECS) se lahko namesti na motor ali na vozilo, če je delovanje AECS vključeno v homologacijski preskus, ki se uporablja, in se aktivira v skladu s točko 6.1.5.6.

6.1.5.6.

AECS se aktivira:

 samo s signali na vozilu, zato da se zaščiti sistem motorja (vključno z zaščito naprave za upravljanje s prezračevanjem) in/ali vozilo pred poškodbami,

 ali

 za namene, kot so varnost obratovanja, ►M2  privzeti načini emisij ◄ in zasilne strategije,

 ali

 za namene, kot so preprečevanje prevelikih emisij, hladni zagon ali ogrevanje,

 ali

 če je ob natančno določenih okoljskih pogojih in pogojih delovanja treba povečati emisije ene vrste s predpisi urejenih onesnaževal, da se ohrani raven emisij vseh ostalih vrst s predpisi urejenih onesnaževal v mejah, ki ustrezajo zadevnemu motorju. Eine AECS soll natürliche Erscheinungen so kompensieren, dass die Emissionen aller Schadstoffe innerhalb annehmbarer Grenzen bleiben Na ta način AECS kompenzira naravne pojave in sicer na način, ki zagotavlja sprejemljiv nadzor nad vsemi sestavinami emisij.

6.1.6.

Zahteve za omejevalnike navora

6.1.6.1

Omejevalnik navora je dovoljen, če je skladen z zahtevami v točki 6.1.6.2 ali 6.5.5. V vseh drugih primerih se omejevalniki navora obravnavajo kot odklopne strategije.

6.1.6.2

Omejevalnik navora se lahko namesti na motor ali na vozilo, če:

 se omejevalnik navora aktivira le na podlagi signalov na vozilu za namen zaščite prenosa moči ali konstrukcije vozila pred poškodbami in/ali za namen varnosti vozila, aktiviranje priključne gredi, če vozilo stoji na mestu, ali zaradi ukrepov, ki zagotavljajo pravilno delovanje sistema za NOx,

 in

 je omejevalnik hitrosti aktiven le začasno,

 in

 omejevalnik navora ne spreminja strategije za nadzor emisij (ECS),

 in

 je v primeru zaščite priključne gredi ali prenosa moči navor omejen na konstantno vrednost, neodvisno od vrtilne frekvence motorja, pri tem pa nikoli ne preseže navora pri polni obremenitvi,

 in

 se aktivira na enak način za omejevanje zmogljivosti vozila, da spodbudi voznika, da izvede vse potrebno, da zagotovi pravilno delovanje ukrepov za nadzor emisij NOx v sistemu motorja.

6.1.7

Posebne zahteve za elektronske sisteme za uravnavanje emisij

6.1.7.1   Dokumentacijske zahteve

Proizvajalec zagotovi dokumentacijski paket, ki omogoča dostop do katerega koli elementa načrta, strategije za nadzor emisij (ECS), omejevalnika navora sistema motorja in načinov, s katerimi omejevalnik nadzira izhodne spremenljivke, ne glede na to, ali je nadzor posreden ali neposreden. Dokumentacija se izdela v dveh delih:

(a) formalni dokumentacijski paket, ki se predloži tehnični službi ob predložitvi vloge za homologacijo, vsebuje popoln opis ECS-a in, če je to primerno, omejevalnika navora. Ta dokumentacija je lahko kratka, če vsebuje dokaze, da so bile vse izstopne vrednosti, ki jih dovoljuje matrica, pridobljena iz obsega nadzora vnosov posameznih enot, opredeljeni. Ti podatki se priložijo dokumentaciji, ki se zahteva v točki 3 te priloge;

(b) dodatni material, ki prikazuje parametre, ki jih je spremenila katera koli pomožna strategija za nadzor emisij (AECS), in mejne pogoje, v okviru katerih AECS deluje. Dodatni material vsebuje opise logike sistema za uravnavanje goriva, strategij krmiljenja in stikalnih točk v vseh načinih delovanja. Vsebuje tudi opis omejevalnika navora, opisanega v točki 6.5.5 te priloge.

Dodatni material mora vsebovati tudi upravičenje za uporabo katere koli AECS, dodatne podatke in podatke s preskusov, da se pokaže učinek katere koli AECS, nameščene na motorju ali na vozilu, na emisije izpušnih plinov. Upravičenje za uporabo določene AECS lahko temelji na podatkih s preskusov in/ali zdravi inženirski analizi.

Ti dodatni podatki ostanejo strogo zaupni in se homologacijskemu organu predložijo na zahtevo. Homologacijski organ te podatke obravnava zaupno.

6.1.8

Specifično za homologacijo motorjev iz vrste A tabel v točki 6.2.1 (motorji, ki se po navadi ne preskušajo na ETC)

6.1.8.1

Da se preveri, ali je treba določeno strategijo ali ukrep obravnavati kot odklopno strategijo v skladu z opredelitvami, podanimi v točki 2, lahko homologacijski organ in/ali tehnična služba dodatno zahteva presejalni preskus NOx z uporabo ETC, ki ga je mogoče izvesti v kombinaciji s homologacijskim preskusom ali postopki za preverjanje skladnosti proizvodnje.

6.1.8.2

Pri preverjanju, ali je določeno strategijo oziroma ukrep treba obravnavati kot odklopno strategijo v skladu z opredelitvami, podanimi v točki 2, se v zvezi s primerno mejno vrednostjo NOx sprejme dodatna stopnja 10 %.

6.1.9

Prehodne določbe za razširitev homologacije so podane v točki 6.1.5 Priloge I k Direktivi 2001/27/ES.

Do 8. novembra 2006 bo obstoječa številka certifikata o homologaciji ostala veljavna. V primeru razširitve se spremeni le zaporedna številka, ki označuje razširitev osnovne homologacije, in sicer na naslednji način:

primer za drugo razširitev četrte homologacije, ki ustreza datumu zahtevka A, ki ga je izdala Nemčija:

e1*88/77*2001/27A*0004*02

6.1.10

Določbe za varnost elektronskega sistema

6.1.10.1

Vsako vozilo z enoto za uravnavanje emisij mora biti zaščiteno pred spremembami, ki jih ni odobril proizvajalec. Proizvajalec mora odobriti spremembe, če so potrebne zaradi diagnoze, servisiranja, pregleda, dodatnega opremljanja ali popravila vozila. Vse računalniške kode, ki jih je mogoče reprogramirati, ali obratovalni parametri morajo biti zaščiteni pred nedovoljenimi posegi in morajo dosegati vsaj tako raven zaščite, ki ustreza določbam v ISO 15031-7 (SAE J2186), pod pogojem, da zamenjava podatkov o varnosti poteka ob uporabi protokolov in diagnostičnih konektorjev, opisanih v točki 6 Priloge IV k Direktivi 2005/78/ES. Vsi odstranljivi kalibracijski spominski čipi morajo biti zaprti v svojem ohišju, ki je zapečateno ali zaščiteno z elektronskimi algoritmi, in jih ne sme biti mogoče menjati brez uporabe posebnih naprav in postopkov.

6.1.10.2

Delovnih parametrov računalniško kodiranega motorja ne sme biti mogoče spreminjati brez uporabe posebnih naprav in postopkov (računalniške komponente morajo biti npr. spajkane ali zaščitene in računalniška ohišja zapečatene ali spajkana).

6.1.10.3

Proizvajalci sprejmejo ustrezne ukrepe, da nastavitve največje količine dotoka goriva ni mogoče prirejati, ko je vozilo v prometu.

6.1.10.4

Proizvajalci lahko pri homologacijskem organu zaprosijo za oprostitev ene od teh zahtev za vozila, na katerih zaščita verjetno ni potrebna. Merila, ki jih organ za izdajo certifikatov upošteva pri odločanju o oprostitvi, vključujejo, med drugim, trenutno razpoložljivost delovnih čipov, največjo zmogljivost vozila in predvideni prodajni obseg vozila.

6.1.10.5

Proizvajalci, ki uporabljajo sisteme računalniških kod, ki se dajo programirati (npr. električni izbrisljivi bralni pomnilnik, ki se da programirati, EEPROM), morajo preprečiti nedovoljeno reprogramiranje. Proizvajalci morajo vključiti izboljšane strategije za zaščito pred prirejanjem in zaščito pred zapisovanjem, ki zahteva elektronski dostop do proizvajalčevega računalnika na drugem mestu. Organ lahko odobri alternativne metode, ki zagotavljajo enako stopnjo zaščite pred prirejanjem.

6.2   Zahteve glede emisij plinastih in trdnih onesnaževal ter dima

Za homologacijo v skladu z vrsti A tabel v točki 6.2.1 se emisije določijo na podlagi preskusov ESC in ELR pri običajnih dizelskih motorjih, vključno z motorji, opremljenimi z elektronsko opremo za vbrizgavanje goriva, vračanjem izpušnih plinov v valj (EGR) in/ali oksidacijskimi katalizatorji. Dizelske motorje, ki so opremljeni s sodobnimi sistemi za naknadno obdelavo (čiščenje) izpušnih plinov, ki vključujejo katalizatorje NOx in/ali lovilnike delcev, je treba dodatno preskusiti s preskusom ETC.

Za homologacijsko preskušanje v skladu z vrsto B1 ali B2 ali C tabel v točki 6.2.1 se emisije določijo na podlagi preskusov ESC, ELR in ETC.

Za plinske motorje se plinaste emisije določijo na podlagi preskusa ETC.

Preskusna postopka ESC in ELR sta opisana v Prilogi III, Dodatek 1, preskusni postopek ETC pa v Prilogi III, dodatka 2 in 3.

Emisije plinastih snovi, in če je to ustrezno, trdnih onesnaževal, ter če je to ustrezno, dima iz motorja, ki je bil predložen v preskušanje, se merijo z metodami, opisanimi v Dodatku 4 k Prilogi III. Priloga V opisuje priporočene analitične sisteme za plinasta onesnaževala, priporočene sisteme za vzorčenje delcev in priporočeni sistem za merjenje dima.

Tehnična služba lahko odobri tudi druge sisteme oziroma analizatorje, če ugotovi, da v ustreznem preskusnem ciklu dajejo enakovredne rezultate. Ugotavljanje enakovrednosti sistema temelji na študiji korelacije med paroma 7 (ali več) vzorcev obravnavanega sistema in enega od referenčnih sistemov te direktive. Za emisije delcev se kot referenčna sistema priznavata samo sistem redčenja s celotnim tokom in sistem redčenja z delnim tokom, ki izpolnjuje zahteve ISO 16183. „Rezultati“ se nanašajo na vrednost emisij posameznega cikla. Korelacijsko preskušanje se izvede v istem laboratoriju, z enako preskusno opremo in na istem motorju, in je zaželeno, da poteka istočasno. Enakovrednost povprečij para vzorcev se določi s statistiko, ki se pridobi v tem laboratoriju, s to preskusno opremo in na tem motorju, F-testa in t-testa, kot je opisano v Dodatku 4 k tej prilogi. Izločeni se določijo v skladu z ISO 5725 in se izključijo iz baze podatkov. Nov sistem se lahko vključi v Direktivo samo, če ugotavljanje enakovrednosti temelji na izračunu ponovljivosti in obnovljivosti, kakor je opredeljeno v ISO 5725.

▼B

6.2.1   Mejne vrednosti

Specifična masa ogljikovega monoksida, skupnih ogljikovodikov, dušikovih oksidov in delcev, ugotovljena pri preskusu ESC, ter motnosti dima, ugotovljena pri preskusu ELR, ne sme presegati vrednosti iz tabele 1.



Tabela 1

Mejne vrednosti – preskusa ESC in ELR

Vrstica

Masa ogljikovega monoksida

(CO) g/kWh

Masa ogljikovodikov

(HC) g/kWh

Masa dušikovih oksidov

(NOx) g/kWh

Masa delcev

(PT) g/kWh

Dimljenjem

m–1

A (2000)

2,1

0,66

5,0

0,10

0,13 (1)

0,8

B 1 (2005)

1,5

0,46

3,5

0,02

0,5

B 2 (2008)

1,5

0,46

2,0

0,02

0,5

C (EEV)

1,5

0,25

2,0

0,02

0,15

(1)   Za motorje z gibno prostornino, manjšo od 0,75 dm3 na valj, in nazivno vrtilno frekvenco nad 3 000 min-1.

Pri dizelskih motorjih, ki se dodatno preskusijo s preskusom ETC, in zlasti pri plinskih motorjih specifične mase ogljikovega monoksida, ne-metanskih ogljikovodikov, metana (kadar je ustrezno), dušikovih oksidov in delcev (kadar je ustrezno) ne smejo presegati vrednosti iz tabele 2.



Tabela 2

Mejne vrednosti – preskusi ETC

Vrstica

Masa ogljikovega monoksida

(CO) g/kWh

Masa ne-metanskih ogljikovodikov

(NMHC) g/kWh

Masa metana

(CH4(1) g/kWh

Masa dušikovih oksidov

(NOx) g/kWh

Masa delcev

(PT) (2) g/kWh

A (2000)

5,45

0,78

1,6

5,0

0,16

0,21 (3)

B 1 (2005)

4,0

0,55

1,1

3,5

0,03

B 2 (2008)

4,0

0,55

1,1

2,0

0,03

C (EEV)

3,0

0,40

0,65

2,0

0,02

(1)   Samo za motorje na zemeljski plin.

(2)   Se ne uporablja za motorje na plinasto gorivo na stopnji A ter stopnjah B1 in B2.

(3)   Za motorje z gibno prostornino, manjšo od 0,75 dm3 na valj, in nazivno vrtilno frekvenco nad 3 000 min-1.

6.2.2   Merjenje ogljikovodikov pri dizelskih in plinskih motorjih

6.2.2.1

Proizvajalec se lahko na preskusu ETC odloči za merjenje mase skupnih ogljikovodikov (THC) namesto merjenja mase ne-metanskih ogljikovodikov. V tem primeru je meja za maso skupnih ogljikovodikov ista kot za maso ne-metanskih ogljikovodikov v tabeli 2.

6.2.3   Specifične zahteve za dizelske motorje

6.2.3.1

Specifična masa dušikovih oksidov, izmerjena v naključnih kontrolnih točkah v upravljanem območju preskusa ESC, ne sme za več kot 10 odstotkov presegati vrednosti, interpoliranih iz sosednjih faz preskusa (glej točki 4.6.2 in 4.6.3 Dodatka 1 k Prilogi III).

6.2.3.2

Stopnja dimljenja pri naključni vrtilni frekvenci pri preskusu ELR ne sme presegati največje stopnje dimljenja dveh sosednjih vrtilnih frekvenc pri preskusu za več kot 20 odstotkov ali za več kot 5 odstotkov od mejne vrednosti, kar je več.

▼M1

6.3   Trajnost in faktorji poslabšanja

6.3.1

Proizvajalec za to direktivo določi faktorje poslabšanja, ki se bodo uporabljali za prikaz, da so plinaste emisije in emisije delcev iz družine motorjev ali družine sistemov za naknadno obdelavo motorja skladne z ustreznimi mejnimi vrednostmi emisij, ki so določene v tabelah v točki 6.2.1 te priloge, v ustreznem obdobju trajanja, določenem v členu 3 te direktive.

6.3.2

Postopki za prikaz skladnosti družine motorjev ali družine sistemov za naknadno obdelavo motorja z ustreznimi mejnimi vrednostmi emisij v ustreznem obdobju trajanja so podani v Prilogi II k Direktivi 2005/78/ES.

6.4   Sistem OBD

6.4.1

Kakor je določeno v členih 4(1) in 4(2) te direktive, mora biti na dizelskih motorjih ali vozilih, opremljenih z dizelskimi motorji, nameščen sistem OBD za nadzor emisij v skladu z zahtevami Priloge IV k Direktivi 2005/78/ES.

Kakor je določeno v členu 4(2) te direktive, mora biti na plinskih motorjih ali vozilih, opremljenih s plinskimi motorji, nameščen sistem OBD za nadzor emisij v skladu z zahtevami Priloge IV k Direktivi 2005/78/ES.

6.4.2

Proizvodnja motorjev v malih serijah

Poleg zahtev te točke pa lahko proizvajalci motorjev, katerih svetovna letna proizvodnja tipa motorjev, ki pripada družini motorjev OBD,

 znaša manj kot 500 enot na leto, pridobijo ES-homologacijo na podlagi zahtev te direktive, če se motor pregleduje le za neprekinjenost tokokroga in sistem za naknadno obdelavo za večjo napako v delovanju,

 znaša manj kot 50 enot na leto, pridobijo ES-homologacijo na podlagi zahtev te direktive, če se celotni sistem za nadzor emisij (tj. motor in sistem za naknadno obdelavo) pregleduje le za neprekinjenost tokokroga.

Homologacijski organ mora Komisiji predložiti opis okoliščin vsake homologacije, podeljene v okviru te določbe.

▼M2

6.5   Zahteve za zagotovitev pravilnega delovanja nadzornih ukrepov za NOx.

6.5.1   Splošno

6.5.1.1

Ta točka se uporablja za sisteme z motorji na kompresijski vžig, ne glede na uporabljeno tehnologijo, s katero se izpolnijo mejne vrednosti emisij iz tabel v točki 6.2.1.

6.5.1.2

Datumi začetka uporabe

Zahteve točk 6.5.3, 6.5.4 in 6.5.5 se uporabljajo od 9. novembra 2006 za nove homologacije in od 1. oktobra 2007 za vse registracije novih vozil.

6.5.1.3

Vsi sistemi motorjev iz te točke so zasnovani, konstruirani in nameščeni tako, da so sposobni izpolniti te zahteve v celotnem uporabnem življenjskem obdobju motorja.

6.5.1.4

Informacije, ki v celoti opisujejo funkcionalne značilnosti delovanja sistema motorja iz te točke, preskrbi proizvajalec iz Priloge II.

6.5.1.5

Pri vlogi za homologacijo, če sistem motorja zahteva reagent, proizvajalec specificira značilnosti vseh reagentov, ki jih potroši kateri koli sistem za dodatno obdelavo izpušnih plinov, npr. tip in koncentracije, delovne temperaturne pogoje, sklicevanje na mednarodne standarde itd.

6.5.1.6

V skladu z zahtevami iz točke 6.1 vsak sistem motorja, za katerega velja ta točka, zadrži svojo funkcijo nadzora emisij pod pogoji, ki običajno veljajo na območju Skupnosti, zlasti pri nizkih temperaturah okolja.

6.5.1.7

Za namene homologacije proizvajalec tehnični službi dokaže, da za sistem motorja, ki zahteva reagent, vse emisije amoniaka v uporabljenem testnem ciklusu emisij ne presežejo povprečne vrednosti 25 ppm.

6.5.1.8

Za sistem motorja, ki zahteva reagent, vsaka posamezna posoda z reagentom, nameščena na vozilo, vključuje sredstva za odvzem vzorcev vseh tekočin v posodi. Mesto vzorčenja mora biti lahko dostopno brez uporabe posebnega orodja ali naprave.

6.5.2   Zahteve za vzdrževanje

6.5.2.1

Proizvajalec vsem lastnikom novih težkih vozil ali novih težkih motorjev dostavi ali poskrbi za dostavo pisnih navodil, ki navajajo, da mora voznika v primeru, ko sistem za nadzor emisij ne deluje pravilno, o problemu informirati z indikatorjem o okvari (MI), motor pa mora delovati z zmanjšano zmogljivostjo.

6.5.2.2

Navodila navajajo zahteve za pravilno uporabo in vzdrževanje vozil, vključno z ustrezno uporabo potrošnih reagentov.

6.5.2.3

Navodila so napisana v jasnem netehničnem jeziku in v jeziku države, v kateri je prodano ali registrirano novo težko vozilo ali nov težki motor.

6.5.2.4

Navodila določajo ali mora obratovalec vozila potrošne reagente dodatno polniti v običajnih časovnih razmikih vzdrževanja, in navajajo porabo reagenta glede na tip novega težkega vozila.

6.5.2.5

Navodila določajo, da sta uporaba in dodatno polnjenje z zahtevanimi reagenti, ki ustrezajo specifikacijam, če je tako navedeno, obvezna, da lahko vozilo izpolnjuje pogoje certifikata skladnosti, ki se izda za to vozilo ali tip motorja.

6.5.2.6

Navodila določajo, da je uporaba vozila, ki ne porablja nobenega reagenta, lahko kaznivo dejanje, če se poraba reagenta zahteva zaradi zmanjšanja emisij onesnaževal, in da so posledično neveljavni vsi ugodni pogoji za nakup ali delovanje vozila, pridobljenega v državi, kjer je registrirano, ali drugi državi, v kateri se vozilo uporablja.

6.5.3   Nadzor NOx v sistemu motorja

6.5.3.1

Nepravilno delovanje sistema motorja glede nadzora emisij NOx (npr. zaradi pomanjkanja zahtevanega reagenta, nepravilnega toka EGR ali deaktiviranja EGR) se ugotavlja s senzorji za spremljanje ravni NOx, nameščenimi v izpušnem sistemu.

6.5.3.2

O vsakem odstopanju ravni NOx za več kot 1,5 g/kWh nad določeno mejno vrednost iz tabele 1 v točki 6.2.1 Priloge I je voznik obveščen s sprožitvijo MI, kot je navedeno v točki 3.6.5 Priloge IV k Direktivi 2005/78/ES.

6.5.3.3

Dodatno se shrani neizbrisna koda okvare, ki označuje vzrok za prekoračitev ravni NOx, določne v točki 6.5.3.2, v skladu s točko 3.9.2 Priloge IV k Direktivi 2005/78/ES, vsaj za 400 dni ali 9 600 ur delovanja motorja.

Kjer je primerno, je treba ugotoviti razloge za preseganje NOx vsaj pri izpraznitvi posode za reagent, motnjah doziranja reagenta, neustrezni kakovosti reagenta, prenizki porabi reagenta, nepravilnem toku EGR ali deaktivaciji EGR. V vseh drugih primerih se proizvajalec lahko sklicuje na neizbrisno kodo okvare„visok NOx – vzrok neznan“.

6.5.3.4

Če raven NOx presega mejne vrednosti OBD iz tabele v členu 4(3), omejevalnik navora omeji zmogljivost motorja v skladu z zahtevami iz točke 6.5.5 tako, da voznik vozila to jasno zazna. Ko se sproži omejevalnik navora, mora biti voznik vseskozi opozorjen v skladu z zahtevami iz točke 6.5.3.2, v skladu s točko 6.5.3.3 pa se shrani tudi neizbrisna koda okvare.

6.5.3.5

V primeru sistema motorja, ki temelji na uporabi EGR in na nobenem drugem dodatnem sistemu za nadzor emisij NOx, lahko proizvajalec za določitev ravni NOx uporabi drugo metodo, po zahtevah iz točke 6.5.3.1. Ob homologaciji proizvajalec dokazuje, da je druga metoda enako pravočasna in točna pri določanju ravni NOx v primerjavi z zahtevami iz točke 6.5.3.1 in da povzroči iste učinke kot metode iz točk 6.5.3.2, 6.5.3.3 in 6.5.3.4.

6.5.4   Nadzor reagenta

6.5.4.1

Za vozila, ki za izpolnitev zahtev te točke zahtevajo uporabo reagenta, mora biti s pomočjo posebne mehanske ali elektronske indikacije na armaturni plošči vozila voznik obveščen o ravni reagenta v posodi za reagent na vozilu. To obsega opozorilo, ko raven reagenta pade:

 pod 10 % posode ali pod višji odstotek, ki ga izbere proizvajalec, ali

 pod raven, ki ustreza prevoženi razdalji, ki se lahko opravi z rezervno količino goriva, ki jo določi proizvajalec.

Indikator za reagent se namesti v bližini indikatorja goriva.

6.5.4.2

Voznik je v skladu z zahtevami iz točke 3.6.5 Priloge IV k Direktivi 2005/78/ES informiran, če se posoda z reagentom sprazni.

6.5.4.3

Kakor hitro se posoda za reagent sprazni, veljajo poleg zahtev iz točke 6.5.4.2 še zahteve iz točke 6.5.5.

6.5.4.4

Proizvajalec lahko kot drugo možnost izbere skladnost s točkami 6.5.4.5 do 6.5.4.12 namesto skladnosti z zahtevami iz točke 6.5.3.

6.5.4.5

Sistemi motorjev vključujejo sredstva za ugotavljanje, ali je v vozilu tekočina, ki ustreza značilnostim reagenta, kot jih je določil proizvajalec in so zapisana v Prilogi II k tej direktivi.

6.5.4.6

Če tekočina v posodi z reagentom ne ustreza minimalnim zahtevam, ki jih je določil proizvajalec, kot je zapisano v Prilogi II k tej direktivi, veljajo dodatne zahteve iz točke 6.5.4.12.

6.5.4.7

Sistem motorja vključuje sredstva za določanje porabe reagenta in zagotavljanje zunanjega dostopa do informacij o porabi.

6.5.4.8

Povprečna poraba reagenta in povprečna poraba zahtevanega reagenta v sistemu motorja, v primerjavi bodisi s predhodnim 48 urnim obdobjem delovanja motorja bodisi z obdobjem, potrebnim za porabo najmanj 15 litrov zahtevanega reagenta – kar od obojega traja dlje – sta na razpolago preko serijskega vmesnika na standardnem konektorju za diagnostiko, kot je navedeno v točki 6.8.3 Priloge IV k Direktivi 2005/78/ES.

6.5.4.9

Za nadzor porabe reagenta je treba spremljati vsaj naslednje parametre motorja:

 raven reagenta v posodi na vozilu,

 pretok reagenta ali vbrizgavanje reagenta v dodatni izpušni sistem tako blizu točke vbrizgavanja, kot je tehnično mogoče.

6.5.4.10

Vsa odstopanja za več kot 50 % od povprečne porabe reagenta in povprečne porabe zahtevanega reagenta v sistemu motorja, v primerjavi z obdobjem določenim v točki 6.5.4.8, imajo za posledico uporabo ukrepov iz točke 6.5.4.12.

6.5.4.11

V primeru prekinitve doziranja reagenta veljajo ukrepi iz točke 6.5.4.12. Ti se ne zahtevajo, če takšno prekinitev povzroči ECU motorja zaradi takšnih lastnih delovnih pogojev, da rezultat emisije motorja ne zahteva doziranja reagenta, pod pogojem, da je proizvajalec jasno informiral homologacijski organ o tem, kdaj takšni delovni pogoji veljajo.

6.5.4.12

Vsaka odkrita okvara iz točk 6.5.4.6, 6.5.4.10 ali 6.5.4.11 sproži enake posledice in v enakem zaporedju kot okvare, navedene v točkah 6.5.3.2, 6.5.3.3 ali 6.5.3.4.

6.5.5   Ukrepi za odvračanje od nedovoljenih dodatnih izpušnih sistemov

6.5.5.1

Vsak sistem motorja iz te točke vključuje omejevalnik navora, ki opozori voznika o nepravilnem delovanju sistema motorja ali da vozilo deluje na nepravilen način, in s tem vzpodbuja k takojšnji odpravi okvar(-e).

6.5.5.2

Omejevalnik navora se sproži, ko se vozilo prvič ustavi po tem, ko so izpolnjeni pogoji iz točk 6.5.3.4, 6.5.4.3, 6.5.4.6, 6.5.4.10 ali 6.5.4.11.

6.5.5.3

Kadar deluje omejevalnik navora, navor motorja v nobenem primeru ne sme preseči stalne vrednosti:

 60 % največjega navora motorja vozil kategorij N3 >16 ton, M1 > 7,5 ton, M3/III in M3/B > 7,5 ton,

 75 % največjega navora motorja vozil kategorij N1, N2, N3 ≤ 16 ton, 3,5 < M1 7,5 ton, M2, M3/I, M3/II, M3/A in M3/B ≤ 7,5 ton.

6.5.5.4

Zahteve glede dokumentacije in omejevalnika navora so določene v točkah 6.5.5.5 do 6.5.5.8.

6.5.5.5

Natančne informacije v pisni obliki, ki v celoti opisujejo funkcionalne značilnosti delovanja sistema za spremljanje nadzora emisij in omejevalnik navora, se določijo v skladu z zahtevami za dokumentacijo iz točke 6.1.7.1(b). Proizvajalec posebej zagotovi informacije o algoritmih, ki jih uporablja ECU za določanje koncentracije NOx za določene emisije NOx (v g/kWh) na ETC v skladu s točko 6.5.6.5.

6.5.5.6

Omejevalnik navora se deaktivira v praznem teku motorja, če so pogoji za njegovo sprožitev prenehali obstajati. Omejevalnik navora se ne deaktivira samodejno, če ni odpravljen vzrok za njegovo sprožitev.

6.5.5.7

Deaktiviranje omejevalnika navora se ne sme izvesti s stikalom ali orodjem za vzdrževanje.

6.5.5.8

Omejevalnik navora ne velja za motorje ali vozila, ki jih uporabljajo oborožene sile, reševalne službe in gasilci ter reševalna vozila. Stalno deaktiviranje lahko opravi le proizvajalec motorja ali vozila, posebni tipi iz družine motorjev morajo biti ustrezno označeni.

6.5.6   Delovni pogoji sistema za spremljanje nadzora emisij

6.5.6.1

Sistem za spremljanje nadzora emisij deluje:

 pri temperaturah okolja med 266 K in 308 K (– 7 °C in 35 °C),

 na vseh nadmorskih višinah pod 1 600 m,

 pri temperaturah hladilne tekočine motorja nad 343 K (70 °C).

Ta točka ne velja v primeru spremljanja ravni reagenta v posodi, v kateri se spremljanje opravlja pod kakršnimi koli pogoji uporabe.

6.5.6.2

Sistem spremljanja nadzora emisij se deaktivira, ko je sprožena zasilna strategija, ki ima za posledico večje zmanjšanje navora, kot je za ustrezno kategorijo vozil navedeno v točki 6.5.5.3.

6.5.6.3

Če je aktiven privzeti način emisij, sistem za spremljanje nadzora emisij ostane v delovanju in v skladu z določili točke 6.5.

6.5.6.4

Nepravilno delovanje nadzornih ukrepov za NOx se ugotovi s štirimi preskusnimi ciklusi OBD, kot je navedeno v opredelitvi pojmov v točki 6.1 Dodatka 1 Priloge IV k Direktivi 2005/78/ES.

6.5.6.5

Algoritmi, ki jih uporablja ECU za določanje trenutne koncentracije NOx za določene emisije NOx (v g/kWh) na ETC, ne štejejo kot odklopna strategija.

6.5.6.6

Če se sproži AECS, ki jo je odobril homologacijski organ v skladu s točko 6.1.5, se vsako povečanje NOx zaradi delovanja AECS lahko uporabi za ustrezno raven NOx iz točke 6.5.3.2. V vseh takih primerih se vpliv AECS na mejne vrednosti NOx opiše v skladu s točko 6.5.5.5.

6.5.7   Okvara sistema za spremljanje nadzora emisij

6.5.7.1

Sistem za spremljanje nadzora emisij se preverja glede električnih okvar in odstranitve ali deaktiviranja katerega koli senzorja, ki preprečuje diagnosticiranje povečanja emisij, kot se zahteva v točkah 6.5.3.2 in 6.5.3.4.

Senzorji, ki vplivajo na zmogljivost diagnosticiranja, so npr. senzorji za neposredno merjenje koncentracij NOx, senzorji za mejenje kakovosti sečnine in senzorji, ki se uporabljajo za spremljanje doziranja reagentov, ravni reagentov, porabe reagentov ali pretoka EGR.

6.5.7.2

Če je potrjena okvara sistema za spremljanje nadzora emisij, voznika v skladu s točko 3.6.5 Priloge IV k Direktivi 2005/78/ES na to takoj opozori sproženi opozorilni signal.

6.5.7.3

Omejevalnik navora se sproži v skladu s točko 6.5.5, če napaka ni odpravljena po 50 urah delovanja motorja.

Obdobje iz prvega pododstavka se od datumov, določenih v členu 2(7) in 2(8), skrajša na 36 ur.

6.5.7.4

Ko je sistem spremljanja nadzora emisij ugotovil, da okvare ni več, se iz pomnilnika sistema lahko izbriše(-jo) koda(-e) okvare(-) v zvezi s to okvaro, razen v primerih iz točke 6.5.7.5, omejevalnik navora, če obstaja, pa se deaktivira v skladu s točko 6.5.5.6.

Vsem pregledovalnikom mora biti onemogočeno brisanje kod(-e) okvare v zvezi z okvaro sistema za spremljanje nadzora emisij.

6.5.7.5

V primeru odstranitve ali deaktiviranja elementov sistema za spremljanje nadzora emisij v skladu s točko 6.5.7.1 se neizbrisna koda okvare v skladu s točko 3.9.2 Priloge IV k Direktivi 2005/78/ES shrani za najmanj 400 dni ali 9 600 ur delovanja motorja.

6.5.8   Prikaz delovanja sistema za spremljanje nadzora emisij

6.5.8.1

Kot del vloge za homologacijo, kot je predvideno v poglavju 3, proizvajalec dokaže skladnost s predpisi iz tega poglavja s preskusi na dinamometru motorja, v skladu s točkami 6.5.8.2 do 6.5.8.7.

6.5.8.2

Skladnost celotne družine motorjev ali družine motorjev OBD z zahtevami iz tega poglavja se dokaže s preskušanjem sistema za spremljanje nadzora emisij za enega od članov družine (starševski motor), če proizvajalec dokaže homologacijskemu organu, da so si sistemi za spremljanje nadzora emisij v družini podobni.

Ta dokaz se lahko izvede s predstavitvijo elementov, kot so algoritmi, funkcionalne analize ipd., homologacijskim organom.

Starševski motor izbere proizvajalec v soglasju s homologacijskim organom.

6.5.8.3

Preskušanje sistema za spremljanje nadzora emisij sestavljajo naslednje tri faze:

Izbira:

Organ s seznama nepravilnega delovanja, ki ga predloži proizvajalec, izbere nepravilno delovanje nadzornih ukrepov za NOx ali okvaro sistema za spremljanje nadzora emisij.

Kvalificiranje:

Vpliv nepravilnega delovanja se na preskuševališču motorja preveri z merjenjem ravni NOx z ETC.

Dokazovanje:

Odziv sistema (zmanjšanje navora, opozorilni signal itd.) se dokaže s tekom motorja v štirih preskusnih ciklusih OBD.

6.5.8.3.1

Za fazo izbiranja proizvajalec predloži homologacijskemu organu opis strategij spremljanja, uporabljenih za določitev potencialno nepravilnega delovanja nadzornih ukrepov za NOx in potencialnih okvar sistema za spremljanje nadzora emisij, ki lahko privedejo do sproženja omejevalnika navora ali samo sproženja opozorilnega signala.

Značilni primeri nepravilnega delovanja za ta seznam so prazna posoda z reagentom, nepravilno delovanje, ki privede do prekinitve doziranja reagenta, neustrezna kakovost reagenta, nepravilno delovanje, ki privede do nizke porabe reagenta, nepravilni pretok EGR ali deaktiviranje EGR.

Homologacijski organ s tega seznama izbere najmanj dva in največ tri nepravilna delovanja sistema za nadzor NOx ali napake sistema za spremljanje nadzora emisij.

6.5.8.3.2

Za fazo kvalificiranja se merijo emisije NOx v preskusnem ciklusu ETC v skladu z določbami iz Dodatka 2 Priloge III. Rezultat preskusa ETC se uporablja za določanje predvidenega delovanja sistema za nadzor NOx med postopkom dokazovanja (zmanjšanje navora in/ali opozorilni signal). Simulira se okvara, tako da raven NOx ne preseže nobene izmed mejnih vrednosti iz točke 6.5.3.2 ali 6.5.3.4 za več kot 1 g/kWh.

Kvalificiranje emisij se ne zahteva v primeru prazne posode za reagent ali za prikaz okvare sistema za spremljanje nadzora emisij.

Omejevalnik navora se deaktivira med fazo kvalificiranja.

6.5.8.3.3

Za fazo dokazovanja motor deluje v največ štirih preskusnih ciklusih OBD.

Ne smejo se pojaviti druge okvare razen tistih, ki se pojavijo za namene dokazovanja.

6.5.8.3.4

Pred začetkom preskusnega zaporedja iz točke 6.5.8.3.3 je treba sistem za spremljanje nadzora emisij postaviti v stanje „ni okvare“.

6.5.8.3.5

V odvisnosti od izbrane ravni NOx sistem kadar koli pred koncem zaporedja detekcij sproži opozorilni signal in, če je ustrezno, omejevalnik navora. Zaporedje detekcije se prekine, ko se sistem za spremljanje nadzora NOx ustrezno odzove.

6.5.8.4

V primeru sistema za spremljanje nadzora emisij, ki ima podlago v spremljanju ravni NOx s pomočjo senzorjev, nameščenih v izpušni tok, lahko proizvajalec za dokazovanje skladnosti izbere neposredno spremljanje določenih funkcionalnosti (npr. prekinitev doziranja, zaprtje ventila EGR). V takem primeru se dokazuje izbrana funkcionalnost sistema.

6.5.8.5

Raven znižanja navora, zahtevana v točki 6.5.5.3 za omejevalnik navora, se v skladu z Direktivo 80/1269/EHS odobri skupaj z odobritvijo splošnih zmogljivosti motorja. Za postopek dokazovanja proizvajalec dokaže homologacijskemu organu vgradnjo pravilnega omejevalnika navora v motor ECU. Ne zahteva se ločeno merjenje navora med dokazovanjem.

6.5.8.6

Kot druga možnost k točkam 6.5.8.3.3 do 6.5.8.3.5 se lahko dokazovanje delovanja sistema za spremljanje emisij in omejevalnika navora izvede s preskušanjem vozila. Vozilo se pelje po cesti ali po preskusni progi z izbranimi nepravilnimi delovanji ali okvarami sistema za spremljanje nadzora emisij, da se tako dokaže, da opozorilni signal in sprožitev delovanja omejevalnika navora delujeta v skladu z zahtevami iz točke 6.5 in zlasti zahtevami iz točk 6.5.5.2 in 6.5.5.3.

6.5.8.7

Če se za skladnost z zahtevami iz točke 6.5 zahteva shranjevanje neizbrisne kode okvare v računalniškem pomnilniku, morajo biti na koncu zaporedja dokazovanja izpolnjeni naslednji trije pogoji:

 da je s pregledovalnikom OBD možno potrditi prisotnost računalniškega pomnilnika OBD za ustrezno neizbrisno kodo okvare, opisano v točki 6.5.3.3, in da se lahko homologacijskemu organu zadovoljivo dokaže, da pregledovalnik kode ne more izbrisati, in

 da je možno potrditi porabljeni čas med zaporedjem detekcije z opozorilnim signalom, sproženim ob branju neizbrisnega števca iz točke 3.9.2 Priloge IV k Direktivi 2005/78/ES, in da se lahko homologacijskemu organu zadovoljivo dokaže, da pregledovalnik kode ne more izbrisati, in

 da je homologacijski organ odobril elemente zasnove, ki dokazujejo, da je ta neizbrisna informacija v skladu s točko 3.9.2 Priloge IV k Direktivi 2005/78/ES shranjena za najmanj 400 dni ali 9 600 ur delovanja motorja.

▼B

7.   VGRADNJA V VOZILO

7.1

Pri vgradnji motorja v vozilo morajo biti izpolnjeni naslednji pogoji glede na homologacijo motorja:

7.1.1

podtlak v sesalni cevi ne sme biti višji od tistega, ki je za homologirani motor naveden v Prilogi VI;

7.1.2

protitlak v izpušnem sistemu ne sme biti višji od tistega, ki je za homologirani motor naveden v Prilogi VI;

7.1.3

prostornina izpušne naprave sme odstopati za največ 40 % od vrednosti, navedene v Prilogi VI za homologiran motor;

7.1.4

moč, ki jo absorbira dodatna oprema, potrebna za delovanje motorja, ne sme biti višja od tiste, ki je za homologirani motor navedena v Prilogi VI.

8.   DRUŽINA MOTORJEV

▼M1

8.1   Parametri, ki opredeljujejo družino motorjev

Družina motorjev, kot jo določi proizvajalec, mora biti skladna z zahtevami ISO 16185.

▼B

8.2   Izbira osnovnega motorja

8.2.1   Dizelski motorji

Za izbor osnovnega motorja iz družine se kot primarno merilo uporabi največja dobava goriva na gib pri navedeni vrtilni frekvenci pri največjem deklariranem navoru. Če dva ali več motorjev izpolnjujeta to primarno merilo, se osnovni motor izbere z uporabo sekundarnega merila, to je največje dobave goriva na gib pri nazivni vrtilni frekvenci. V določenih okoliščinah lahko homologacijski organ odloči, da je najslabši možni primer emisije za družino motorjev najbolje določiti s preskusom še enega motorja. Tako lahko homologacijski organ izbere še dodaten motor za preskus na podlagi značilnosti, ki kažejo, da bi lahko imel najvišjo raven emisije med motorji v tej družini.

Če imajo motorji znotraj družine še druge spremenljive značilnosti, za katere se lahko smatra, da vplivajo na emisije izpuha, jih je treba tudi prepoznati in upoštevati pri izbiri osnovnega motorja.

8.2.2   Plinski motorji

Primarno merilo za izbor osnovnega motorja iz družine je največja gibna prostornina. Če to primarno merilo izpolnjujeta dva ali več motorjev, se osnovni motor izbere z uporabo sekundarnih meril po naslednjem vrstnem redu:

 največja dobava goriva na gib pri vrtilni frekvenci pri deklarirani nazivni moči,

 največji predvžig,

 najnižja stopnja vračanja izpušnih plinov (EGR),

 brez zračne črpalke oziroma s črpalko z najmanjšim dejanskim zračnim pretokom.

V nekaterih okoliščinah lahko homologacijski organ odloči, da je najslabši možni primer emisije za družino motorjev najbolje določiti s preskusom še enega motorja. Tako lahko homologacijski organ izbere še dodaten motor za preskus na podlagi značilnosti, ki kažejo, da bi lahko imel najvišjo raven emisije med motorji v tej družini.

▼M1

8.3   Parametri, ki opredeljujejo družino motorjev OBD

Družino OBD je mogoče opredeliti po osnovnih značilnostih konstrukcije, skupnih sistemom motorjev v družini.

Sistemi motorjev, ki spadajo v isto družino motorjev OBD, morajo imeti skupen naslednji seznam osnovnih parametrov:

 metode nadziranja OBD,

 metode za ugotavljanje napak;

razen če proizvajalec z ustreznim inženirskim prikazom ali s kakšnim drugim ustreznim postopkom prikaže, da so te metode ekvivalentne.

Opomba: motorji, ki ne pripadajo isti družini motorjev, lahko vseeno pripadajo isti družini motorjev OBD, če so izpolnjeni zgornji kriteriji.

▼B

9.   SKLADNOST PROIZVODNJE

9.1

▼M1

Treba je sprejeti ukrepe za zagotovitev skladnosti proizvodnje skladno z določbami člena 10 Direktive 70/156/EGS. Skladnost proizvodnje se preverja na podlagi opisa v certifikatih o homologaciji iz Priloge VI k tej direktivi. Pri uporabi Dodatkov 1, 2 ali 3 se izmerjene emisije plinastih in trdnih onesnaževal iz motorjev, ki so predmet preverjanja skladnosti proizvodnje, prilagodijo z uporabo ustreznih faktorjev poslabšanja (DF-jev) za tisti motor, kot je navedeno v točki 1.5 Dodatka k Prilogi VI.

Če pristojni organi niso zadovoljni s proizvajalčevim postopkom preverjanja, se uporabljata točki 2.4.2 in 2.4.3 Priloge X k Direktivi 70/156/EGS.

▼B

9.1.1

Če se merijo emisije onesnaževal in je bila homologacija motorja enkrat ali večkrat razširjena, se preskusi opravijo na motorju(-jih), opisanem(-ih) v opisni dokumentaciji za ustrezno razširitev.

9.1.1.1

Skladnost motorja, predloženega v preskus na onesnaževala:

Po predložitvi motorja pristojnim organom proizvajalec ne sme napraviti nobenih prilagoditev na izbranih motorjih.

9.1.1.1.1

Iz serije se naključno izberejo trije motorji. Na motorjih za preskušanje samo s preskusoma ESC in ELR ali samo s preskusom ETC za homologacijo v skladu z vrstico A v tabelah iz točke 6.2.1 se opravijo ustrezni preskusi za preverjanje skladnosti proizvodnje. Če se pristojni organ strinja, se na vseh drugih motorjih, homologiranih v skladu z vrsticami A, B1 ali B2 oziroma C v tabelah iz točke 6.2.1, za preverjanje skladnosti proizvodnje opravijo preskusi bodisi s cikli ESC in ELR bodisi s ciklom ETC. Mejne vrednosti so podane v točki 6.2.1 te priloge.

9.1.1.1.2

Preskusi se izvedejo v skladu z Dodatkom 1 k tej prilogi, kadar je pristojni organ zadovoljen s standardnim odstopanjem pri proizvodnji, ki ga navede proizvajalec, skladno s Prilogo X k Direktivi 70/156/EGS, ki se uporablja za motorna vozila in njihove priklopnike.

Kadar pristojni organ ni zadovoljen s standardnim odstopanjem pri proizvodnji, ki ga navede proizvajalec, skladno s Prilogo X k Direktivi 70/156/EGS, ki se uporablja za motorna vozila in njihove priklopnike, se preskusi izvedejo v skladu z Dodatkom 2 k tej prilogi.

Na zahtevo proizvajalca se preskusi lahko izvedejo v skladu z Dodatkom 3 k tej prilogi.

9.1.1.1.3

Na podlagi preskusa naključno izbranega motorja se šteje, da je proizvodna serija skladna, če je sprejeta pozitivna odločitev, da so emisije vseh onesnaževal ustrezne, ter da ni skladna, če je za eno od onesnaževal sprejeta odločitev o zavrnitvi skladno z uporabljenimi merili za preskus iz ustreznega dodatka.

Ko je za eno od onesnaževal sprejeta pozitivna odločitev o ustreznosti, te odločitve ne morejo spremeniti nobeni dodatni preskusi, ki se opravijo za odločanje o drugih onesnaževalih.

Če ni sprejeta pozitivna odločitev o ustreznosti za vsa onesnaževala in če za neko onesnaževalo ni sprejeta odločitev o zavrnitvi, se preskus opravi na drugem motorju (glej sliko 2).

Če ni sprejeta nobena odločitev, se lahko proizvajalec kadar koli odloči, da ustavi preskušanje. V tem primeru se zabeleži odločitev o zavrnitvi.

9.1.1.2

Preskusi se morajo izvajati na novo izdelanih motorjih. Motorji na plinasto gorivo se utečejo po postopku, opredeljenem v točki 3 Dodatka 2 k Prilogi III.

9.1.1.2.1

Vendar se na zahtevo proizvajalca preskusi lahko opravijo tudi na dizelskih ali plinskih motorjih, ki so se utekali daljše obdobje, kot je navedeno v točki 9.1.1.2, vendar največ do 100 ur. V tem primeru mora postopek utekanja motorja opraviti proizvajalec, ki se obveže, da na teh motorjih ne bo napravil nobenih prilagoditev.

9.1.1.2.2

Kadar želi proizvajalec opraviti postopek utekanja skladno s točko 9.1.1.2.1, se le-ta lahko opravi:

 na vseh motorjih, ki se preskusijo,

 ali

 na prvem motorju, ki se preskusi, pri čemer se koeficient naraščanja emisij opredeli takole:

 

 emisije onesnaževal se na prvem motorju, ki se preskusi, izmerijo pri nič in pri „x“ urah,

 za vsako onesnaževalo se izračuna koeficient naraščanja emisij od nič do „x“ ur:

 

emisije pri „x“ urah/emisije pri nič urah;

lahko je manjši kot ena.

Naslednji motorji, ki se preskusijo, se ne utekajo, ampak se njihove emisije pri nič urah popravijo s koeficientom naraščanja emisij.

V tem primeru se upoštevajo naslednje vrednosti:

 za prvi motor vrednosti pri „x“ urah,

 za druge motorje vrednosti pri nič urah, pomnožene s koeficientom naraščanja emisij.

9.1.1.2.3

Pri dizelskih motorjih in motorjih, ki za gorivo uporabljajo LPG, se lahko vsi ti preskusi opravijo s komercialnim gorivom. Vendar pa se na zahtevo proizvajalca lahko uporabijo referenčna goriva iz Priloge IV. To pomeni, da se preskusi iz točke 4 te priloge pri vsakem plinskem motorju opravijo najmanj z dvema referenčnima gorivoma.

9.1.1.2.4

Pri motorjih, ki za gorivo uporabljajo NG, se lahko vsi ti preskusi opravijo s komercialnim gorivom, kakor sledi:

 za motorje, označene s H, s komercialnim gorivom v območju H (0,89 ≤ Sλ ≤ 1,00);

 za motorje, označene z L, s komercialnim gorivom v območju L (1,00 ≤ Sλ ≤ 1,19);

 za motorje, označene s HL, s komercialnim gorivom v skrajnem območju faktorja λ-premika (0,89 ≤ Sλ ≤ 1,19).

Vendar pa se na zahtevo proizvajalca lahko uporabijo referenčna goriva iz Priloge IV. To pomeni preskuse, kot so opisani v točki 4 te priloge.

9.1.1.2.5

V primeru spora zaradi neustreznosti motorjev na plinasto gorivo, kadar uporabljajo komercialno gorivo, se preskusi izvedejo z referenčnim gorivom, na katerega je bil preskušen osnovni motor, ali z možnim dodatnim gorivom 3 iz točk 4.1.3.1 in 4.2.1.1, na katero je bil morda preskušen osnovni motor. V tem primeru se rezultat pretvori z izračunom z uporabo ustreznih faktorjev „r“, „ra“ ali „rb“, kot je opisano v točkah 4.1.4, 4.1.5.1 in 4.2.1.2. Če so r, ra ali rb manjši od ena, ni korekcije. Izmerjeni rezultati in izračunani rezultati morajo pokazati, da motor ustreza mejnim vrednostim z vsemi ustreznimi gorivi (gorivi 1, 2 in, če je ustrezno, gorivo 3 za motorje na zemeljski plin ter gorivi A in B za motorje na LPG).

9.1.1.2.6

Preskusi skladnosti proizvodnje za motor na plinasto gorivo, ki je predviden za delovanje na eno samo, specifično sestavo goriva, se izvedejo na gorivu, za katerega je motor kalibriran.

Preskus treh motorjevIzračun statističnih vrednosti preskusaAli statistične vrednosti preskusa glede na odgovarjajoč Dodatek ustrezajo kriterijem za sprejem serije zu najmani eno snov,ki onesnažuje?NEDAAli statistične vrednosti preskusa glede na odgovarjajoč Dodatek ustrezajo kriterijem za sprejem serije za najmanj eno snov,ki onesnažuje?NESerija zavrnjenaJAHJAHSerijasprejetaOdločitev o sprejemu dosežena za eno ali več snovi,ki onesnažujejoOdločitev o sprejemu dosežena za vse snovi, ki onesnažujejo?EIPreskus dodatnega motorja

Slika 2

Shematski prikaz preskušanja skladnosti proizvodnje

▼M1

9.1.2

Diagnostika na vozilu (OBD)

9.1.2.1

Če se izvaja preverjanje skladnosti proizvodnje sistema OBD, mora biti izvedeno v skladu z naslednjim:

9.1.2.2

Kadar homologacijski organ meni, da je kakovost proizvodnje nezadovoljiva, se iz serije naključno izbere motor za preskušanje, kot je navedeno v Dodatku 1 k Prilogi IV k Direktivi 2005/78/ES. Preskusi se lahko izvajajo na motorjih, ki so se utekali do največ 100 ur.

9.1.2.3

Proizvodnja se šteje za skladno, če motor izpolnjuje zahteve preskusov, opisane v Dodatku I k Prilogi IV k Direktivi 2005/78/ES.

9.1.2.4

Če iz serije izbrani motor ne izpolnjuje zahtev točke 9.1.2.2, se iz serije izbere še naključni vzorec štirih motorjev za preskuse, opisane v Dodatku 1 k Prilogi IV k Direktivi 2005/78/ES. Preskusi se lahko izvajajo na motorjih, ki so se utekali do največ 100 ur.

9.1.2.5

Proizvodnja se šteje za skladno, če vsaj trije motorji iz naključnega vzorca dodatnih štirih motorjev izpolnjujejo zahteve preskusov, opisanih v Dodatku 1 k Prilogi IV k Direktivi 2005/78/ES.

10.   SKLADNOST VOZIL/MOTORJEV V PROMETU

10.1

Za namene te direktive se skladnost vozil/motorjev preverja periodično v obdobju življenjske dobe motorja, nameščenega v vozilo.

10.2

Glede na homologacije, podeljene za emisije, so za potrjevanje funkcionalnosti naprav za nadzor emisij med življenjsko dobo motorja, nameščenega v vozilo, pri normalnih pogojih uporabe primerni dodatni ukrepi.

10.3

Ustrezni postopki, ki jih je treba izvajati v zvezi s skladnostjo vozil/motorjev v prometu, so podani v Prilogi III k Direktivi 2005/78/ES.

▼B




Dodatek 1

POSTOPEK ZA PRESKUŠANJE SKLADNOSTI PROIZVODNJE, ČE JE STANDARDNO ODSTOPANJE ZADOVOLJIVO

1. Ta dodatek opisuje postopek, ki se uporablja za preverjanje skladnosti proizvodnje glede emisij onesnaževal, če je standardno odstopanje proizvodnje proizvajalca zadovoljivo.

2. Pri najmanjši velikosti vzorca treh motorjev je postopek vzorčenja zastavljen tako, da je verjetnost uspešno opravljenega preskusa serije, kadar je 40 % motorjev neustrezne kakovosti, 0,95 (tveganje proizvajalca = 5 %), verjetnost, da bo serija sprejeta, kadar je 65 % motorjev neustrezne kakovosti, pa 0,10 (tveganje potrošnika = 10 %).

▼M1

3. Za vsako onesnaževalo iz točke 6.2.1 Priloge I (glej sliko 2) se uporablja naslednji postopek:

Velja:

L

=

naravni logaritem mejne vrednosti onesnaževala

xi

=

naravni logaritem meritve (po uporabi ustreznih DF-jev) za i-ti motor iz vzorca

s

=

ocena standardnega odstopanja pri proizvodnji (ko se ugotovi naravni logaritem meritev)

n

=

številka tekočega vzorca.

▼B

4. Za vsak vzorec se izračuna vsota standardnih odstopanj od dovoljene meje po naslednji formuli:

image

5. Potem velja:

 če je statistični rezultat preskusa večji od vrednosti za odločitev o sprejemu za dano velikost vzorca iz tabele 3, se za tako onesnaževalo sprejme odločitev o sprejemu,

 če je statistični rezultat preskusa manjši od vrednosti za odločitev o zavrnitvi za dano velikost vzorca iz tabele 3, se za tako onesnaževalo sprejme odločitev o zavrnitvi,

 v drugih primerih se preskusi dodaten motor v skladu s točko 9.1.1.1 Priloge I in postopek izračuna se uporabi za vzorec, povečan za še eno enoto.



Tabela 3

Vrednosti za odločitve o sprejemu in zavrnitvi v načrtu vzorčenja iz Dodatka 1

Najmanjša velikost vzorca: 3

Skupno število preskušenih motorjev (velikost vzorca)

Vrednost za odločitev o sprejemu An

Vrednost za odločitev o zavrnitvi Bn

3

3,327

– 4,724

4

3,261

– 4,790

5

3,195

– 4,856

6

3,129

– 4,922

7

3,063

– 4,988

8

2,997

– 5,054

9

2,931

– 5,120

10

2,865

– 5,185

11

2,799

– 5,251

12

2,733

– 5,317

13

2,667

– 5,383

14

2,601

– 5,449

15

2,535

– 5,515

16

2,469

– 5,581

17

2,403

– 5,647

18

2,337

– 5,713

19

2,271

– 5,779

20

2,205

– 5,845

21

2,139

– 5,911

22

2,073

– 5,977

23

2,007

– 6,043

24

1,941

– 6,109

25

1,875

– 6,175

26

1,809

– 6,241

27

1,743

– 6,307

28

1,677

– 6,373

29

1,611

– 6,439

30

1,545

– 6,505

31

1,479

– 6,571

32

– 2,112

– 2,112




Dodatek 2

POSTOPEK ZA PRESKUŠANJE SKLADNOSTI PROIZVODNJE, ČE JE STANDARDNO ODSTOPANJE NEZADOVOLJIVO ALI PODATEK NI NA VOLJO

1. Ta dodatek opisuje postopek, ki se uporablja za preverjanje skladnosti proizvodnje glede emisij onesnaževal, kadar standardno odstopanje proizvodnje proizvajalca bodisi ni zadovoljivo bodisi podatek ni na voljo.

2. Pri najmanjši velikosti vzorca treh motorjev je postopek vzorčenja zastavljen tako, da je verjetnost uspešno opravljenega preskusa serije, kadar je 40 % motorjev neustrezne kakovosti, 0,95 (tveganje proizvajalca = 5 %), verjetnost, da bo serija sprejeta, kadar je 65 % motorjev neustrezne kakovosti, pa 0,10 (tveganje potrošnika = 10 %).

▼M1

3. Šteje se, da imajo vrednosti onesnaževal iz točke 6.2.1 Priloge I, po uporabi ustreznih DF-jev, normalno logaritemsko porazdelitev in da jih je treba pretvoriti tako, da se jim določijo naravni logaritmi. Vzemimo, da m0 in m označujeta najmanjšo in največjo velikost vzorca (m0 = 3 in m = 32) in da n označuje tekočo številko vzorca.

4. Če so naravni logaritmi merjenih vrednosti (po uporabi ustreznih DF-jev) v seriji x1, x2, … xi in je L naravni logaritem mejne vrednosti za onesnaževala, potem se uporablja:

image

in

image

image

5. Tabela 4 prikazuje vrednosti, pri katerih se glede na tekočo številko vzorca sprejme odločitev o sprejemu (An) oziroma zavrnitvi (Bn). Statistični rezultat preskusa je razmerje:

image

in se uporabi za ugotavljanje, ali se serija sprejme ali zavrne takole:

Za m0 ≤ n < m:

 serija se sprejme, če je

image

,

 serija se zavrne, če je

image

,

 če je

image

, se opravi še ena meritev.

6. Opombe

Za izračun zaporednih vrednosti statistike preskusa se uporabijo naslednje rekurzivne formule:

image

image

image



Tabela 4

Vrednosti za odločitve o sprejemu in zavrnitvi v načrtu vzorčenja iz Dodatka 2

Najmanjša velikost vzorca: 3

Skupno število preskušenih motorjev (velikost vzorca)

Vrednost za odločitev o sprejemu An

Vrednost za odločitev o zavrnitvi Bn

3

- 0,80381

16,64743

4

- 0,76339

7,68627

5

- 0,72982

4,67136

6

- 0,69962

3,25573

7

- 0,67129

2,45431

8

- 0,64406

1,94369

9

- 0,61750

1,59105

10

- 0,59135

1,33295

11

- 0,56542

1,13566

12

- 0,53960

0,97970

13

- 0,51379

0,85307

14

- 0,48791

0,74801

15

- 0,46191

0,65928

16

- 0,43573

0,58321

17

- 0,40933

0,51718

18

- 0,38266

0,45922

19

- 0,35570

0,40788

20

- 0,32840

0,36203

21

- 0,30072

0,32078

22

- 0,27263

0,28343

23

- 0,24410

0,24943

24

- 0,21509

0,21831

25

- 0,18557

0,18970

26

- 0,15550

0,16328

27

- 0,12483

0,13880

28

- 0,09354

0,11603

29

- 0,06159

0,09480

30

- 0,02892

0,07493

31

- 0,00449

0,05629

32

- 0,03876

0,03876




Dodatek 3

POSTOPEK ZA PRESKUŠANJE SKLADNOSTI PROIZVODNJE NA ZAHTEVO PROIZVAJALCA

1. Ta dodatek opisuje postopek, ki se uporablja za preverjanje skladnosti proizvodnje glede emisij onesnaževal na zahtevo proizvajalca.

2. Pri najmanjši velikosti vzorca treh motorjev je postopek vzorčenja zastavljen tako, da je verjetnost uspešno opravljenega preskusa serije, kadar je 30 % motorjev neustrezne kakovosti, 0,90 (tveganje proizvajalca = 10 %), verjetnost, da bo serija sprejeta, kadar je 65 % motorjev neustrezne kakovosti, pa 0,10 (tveganje potrošnika = 10 %).

▼M1

3. Za vsako onesnaževalo iz točke 6.2.1 Priloge I (glej sliko 2) se uporablja naslednji postopek:

Velja:

L

=

naravni logaritem mejne vrednosti onesnaževala

xi

=

naravni logaritem meritve (po uporabi ustreznih DF-jev) za i-ti motor iz vzorca

s

=

ocena standardnega odstopanja pri proizvodnji (ko se ugotovi naravni logaritem meritev)

n

=

številka tekočega vzorca.

▼B

4. Za vzorec se izračuna statistika preskusa, ki opredeli število neskladnih motorjev, tj. xi ≥ L.

5. Potem velja:

 če je statistični rezultat preskusa manjši ali enak vrednosti za odločitev o sprejemu za dano velikost vzorca iz tabele 5, se za tako onesnaževalo sprejme odločitev o sprejemu,

 če je statistični rezultat preskusa večji ali enak vrednosti za odločitev o zavrnitvi za dano velikost vzorca iz tabele 5, se za tako onesnaževalo sprejme odločitev o zavrnitvi,

 sicer se preskusi dodaten motor v skladu s točko 9.1.1.1 Priloge I in postopek izračuna se uporabi za vzorec, povečan za še eno enoto.

V tabeli 5 so vrednosti za odločitev o sprejemu in neustreznosti izračunane po mednarodnem standardu ISO 8422/1991.



Tabela 5

Vrednosti za odločitve o sprejemu in zavrnitvi v načrtu vzorčenja iz Dodatka 3

Najmanjša velikost vzorca: 3

Skupno število preskušenih motorjev (velikost vzorca)

Vrednost za odločitev o sprejemu

Vrednost za odločitev o zavrnitvi

3

3

4

0

4

5

0

4

6

1

5

7

1

5

8

2

6

9

2

6

10

3

7

11

3

7

12

4

8

13

4

8

14

5

9

15

5

9

16

6

10

17

6

10

18

7

11

19

8

9

▼M1




Dodatek 4

OPREDELITEV ENAKOVREDNOSTI SISTEMA

Opredelitev enakovrednosti sistema v skladu s točko 6.2 te priloge temelji na študiji korelacije med paroma 7 (ali več) vzorcev obravnavanega sistema in enega od sprejetih sistemov te direktive z uporabo primernih preskusnih ciklov. Kriteriji enakovrednosti, ki se uporabljajo, so F-test in dvostranski Studentov t-test.

Ta statistična metoda preverja hipotezo, da se standardni odmik in srednja vrednost populacije za emisije, izmerjene z obravnavanim sistemom, ne razlikujeta od standardnega odmika in srednje vrednosti populacije za te emisije, izmerjene z referenčnim sistemom. Hipoteza se preskusi na podlagi 5 % stopnje pomembnosti za vrednosti F in t. Kritične vrednosti F in t za 7 do 10 parov vzorcev so podane v spodnji tabeli. Če so vrednosti F in t, izračunane v skladu s formulami spodaj, višje od kritičnih vrednosti F in t, potem obravnavani sistem ni enakovreden.

Uporabi se naslednji postopek. Indeksa R in C se nanašata na referenčni oziroma obravnavani sistem:

(a) z obravnavanim sistemom in referenčnim sistemom se izvede najmanj 7 preskusov, pri tem pa je najbolje, če delujeta vzporedno. Število preskusov se navede v nR in nC.

(b) Izračunajo se srednje vrednosti xR in xC ter standardni odmiki sR and sC.

(c) Vrednost F se izračuna takole:

FOR-CL2005L0055SL0020010.0001.0020.xml.jpg

(večji od obeh standardnih odklonov SR ali SC mora biti v števcu.)

(d) Vrednost t se izračuna takole:

FOR-CL2005L0055SL0020010.0001.0021.xml.jpg

(e) Izračunane vrednosti F in t se primerjajo s kritičnimi vrednostmi F in t, ki ustrezajo številom preskusov, navedenih v tabeli spodaj. Če se izbere večji vzorec, je treba upoštevati statistične tabele za 5 % stopnjo pomembnosti (95 % stopnjo zaupnosti).

(f) Prostostne stopnje (df) je treba določiti takole:

za preskus F

:

df = nR – 1 / nC – 1

za preskus t

:

df = nC + nR – 2



Vrednosti F in t za izbrane velikosti vzorcev

Velikost vzorca

Preskus F

Preskus t

 

df

Fcrit

df

tcrit

7

6/6

4,284

12

2,179

8

7/7

3,787

14

2,145

9

8/8

3,438

16

2,120

10

9/9

3,179

18

2,101

(g) Enakovrednost se določi takole:

 če F < Fcrit in t < tcrit, potem je obravnavani sistem enakovreden referenčnemu sistemu te direktive,

 če F ≥ Fcrit in t ≥ tcrit, potem obravnavani sistem ni enakovreden referenčnemu sistemu te direktive.

▼B




PRILOGA II

OPISNI LIST št. …V SKLADU S PRILOGO I K DIREKTIVI SVETA 70/156/EGS O ES-HOMOLOGACIJIin v zvezi z ukrepi, ki jih je treba sprejeti proti emisijam plinastih in trdnih onesnaževal iz motorjev na kompresijski vžig, ki se uporabljajo v vozilih, in emisijam plinastih onesnaževal iz motorjev na prisilni vžig, ki za gorivo uporabljajo zemeljski plin ali utekočinjeni naftni plin in se uporabljajo v vozilih(Direktiva 2005/55/ES)Tip vozila/osnovni motor/tip motorjaNeustrezno prečrtajte.:0. SPLOŠNO0.1 Znamka (tovarniško ime proizvajalca):0.2 Tip in trgovska oznaka (navedite morebitne različice):0.3 Način in mesto identifikacije tipa, če je označen na vozilu:0.4 Kategorija vozila (če je ustrezno):0.5 Kategorija motorja: dizelski/na zemeljski plin (NG)/na utekočinjeni naftni plin (LPG)/na etanol (1):0.6 Ime in naslov proizvajalca:0.7 Mesto predpisanih tablic in napisov ter način pritrditve:0.8 Mesto in način pritrditve znaka ES-homologacije pri sestavnih delih in samostojnih tehničnih enotah:0.9 Naslov(-i) proizvodne(proizvodnih) tovarne (tovarn):Priloge1. Bistvene značilnosti (osnovnega) motorja in informacije o poteku preskusa.2. Bistvene značilnosti družine motorjev.3. Bistvene značilnosti tipov motorjev znotraj družine.4. Značilnosti delov vozila, ki so povezani z motorjem (če je ustrezno).5. Fotografije oz. risbe osnovnega motorja/tipa motorja in, kjer je ustrezno, motornega prostora.6. Seznam morebitnih drugih prilog.Datum, dokument

►(5) M1  

►(5) M1  

►(5) M1  

►(5) M1  

►(5) M1  




Dodatek 1

BISTVENE ZNAČILNOSTI (OSNOVNEGA) MOTORJA IN INFORMACIJE O POTEKU PRESKUSAZa nekonvencionalne motorje in sisteme proizvajalci predložijo ustrezne podatke iz tega dokumenta.1. Opis motorja1.1 Proizvajalec:1.2 Proizvajalčeva oznaka motorja:1.3 Način delovanja: štiritaktni/dvotaktniNeustrezno prečrtajte.1.4 Število in razporeditev valjev:1.4.1 Premer valja: mm1.4.2 Gib: mm1.4.3 Zaporedje vžigov:1.5 Delovna prostornina motorja: cm31.6 Kompresijsko razmerjeNavedite dovoljeno odstopanje.:1.7 Risba(-e) zgorevalne komore in čela bata:1.8 Najmanjši presek sesalnega in izstopnega kanala: cm21.9 Vrtilna frekvenca v prostem teku: min-11.10 Največja izhodna moč: kW bei min-11.11 Največja dovoljena vrtilna frekvenca motorja: min-11.12 Največji neto navor: Nm pri min-11.13 Sistem zgorevanja: kompresijski vžig/prisilni vžig (2)1.14Gorivo: dizel/LPG/NG-H/NG-L/NG-HL/etanol (2)1.15Hladilni sistem1.15.1 Tekočinsko hlajenje1.15.1.1 Vrsta tekočine:1.15.1.2 Vodna(-e) črpalka(-e): da/ne (2)1.15.1.3 Značilnosti ali znamka-(e) in tip(-i) (če je ustrezno):1.15.1.4 Stopnja(-e) prenosa pogona (če je ustrezno):1.15.2 Zračno hlajenje1.15.2.1 Puhalo: da/ne (2)1.15.2.2 Značilnosti ali znamka(-e) in tip(-i) (če je ustrezno):1.15.2.3 Stopnja(-e) prenosa pogona (če je ustrezno):1.16Temperatura, ki jo dopušča proizvajalec1.16.1 Tekočinsko hlajenje: najvišja temperatura na izhodu: K1.16.2 Zračno hlajenje: referenčna točka:Najvišja temperatura na referenčni točki: K

1.16.3 Najvišja temperatura zraka na izhodu iz hladilnika polnilnega zraka (če je ustrezno):K1.16.4 Najvišja temperatura izpušnih plinov v točki izpušne(-ih) cevi, ki je(so) najbližja(-e) zunanji(-m) prirobnici(-am) izpušnega(-ih) kolektorja(-ev) ali turbopuhala(turbopuhal):K1.16.5 Temperatura goriva: najnižja K, najvišja Kza dizelske motorje na vstopu v tlačilko za vbrizgavanje goriva, za motorje na plinasto gorivo na končni stopnji krmilnika tlaka1.16.6 Tlak goriva: najnižja: kPa, najvišja kPana končni stopnji krmilnika tlaka samo motorji, ki za gorivo uporabljajo NG.1.16.7 Temperatura maziva: najnižja K, najvišja K1.17 Tlačni polnilnik: da/neNeustrezno prečrtajte.1.17.1 Znamka:1.17.2 Tip:1.17.3 Opis sistema (npr.: največji polnilni tlak, krmilni obtočni kanal, če je ustrezno):1.17.4 Hladilnik polnilnega zraka: da/ne (1)1.18Sesalni sistemNajvečji dopustni podtlak v sesalni cevi pri nazivni vrtilni frekvenci motorja in pri 100 % obremenitvi, kot je opredeljeno v pogojih obratovanja v Direktivi Sveta 80/126/EGS z dne 16. decembra 1980 o približevanju zakonodaje držav članic, ki se nanaša na moč motorja motornih vozilUL L 375, 31.12.1980, str. 46. Direktiva, kakor je bila nazadnje spremenjena z Direktivo Komisije 1999/99/ES (UL L 334, 28.12.1999, str. 32).:kPa1.19Izpušni sistemNajvečji dopustni protitlak v izpušni cevi pri nazivni vrtilni frekvenci motorja in pri maksimalni obremenitvi, kot je opredeljeno v pogojih obratovanja v Direktivi 80/1269/EGSkPaProstornina izpušnega sistema: dm3

►(1) M1  

2.Ukrepi proti onesnaževanju zraka2.1 Naprava za recikliranje plinov iz okrova ročične gredi (opis in risbe):2.2 Dodatne naprave proti onesnaževanju(če obstajajo in če niso opisane drugod):2.2.1 Katalitični pretvornik izpušnih plinov: da/ne (1)2.2.1.1 Znamka(-e):2.2.1.2 Tip(-i):2.2.1.3 Število katalitičnih pretvornikov in elementov:2.2.1.4 Mere, oblika in prostornina katalitičnega(-ih) pretvornika(-kov):2.2.1.5 Vrsta katalitičnega delovanja:2.2.1.6 Skupna količina plemenitih kovin:2.2.1.7 Relativna koncentracija:2.2.1.8 Substrat (zgradba in material):2.2.1.9 Gostota celic:2.2.1.10 Tip okrova katalitičnega(-ih) pretvornika(-kov):2.2.1.11 Mesto vgradnje katalitičnega(-ih) pretvornika(-ov) (mesto in referenčna razdalja na izpušni liniji):2.2.2 Lambda sonda: da/neNeustrezno prečrtajte.Navedite dovoljeno odstopanje.2.2.2.1 Znamka(-e):2.2.2.2 Tip:2.2.2.3 Mesto vgradnje:2.2.3 Vpihavanje zraka: da/ne (1)2.2.3.1 Tip (pulziranje zraka, zračna črpalka itd.):

►(1) M1  

2.2.4 EGR: da/ne (1)2.2.4.1 Značilnosti (stopnja pretoka itd):2.2.5 Filter za delce: da/ne (1)2.2.5.1 Mere, oblika in prostornina filtra za delce:2.2.5.2 Tip in konstrukcija filtra za delcev:2.2.5.3 Mesto vgradnje (referenčna razdalja na izpušni liniji):2.2.5.4 Način oziroma sistem regeneracije, opis in/ali risba:2.2.6 Drugi sistemi: da/ne (1)2.2.6.1 Opis in delovanje:3.Napajanje z gorivom:3.1Dizelski motorji3.1.1 Napajalna črpalka za gorivoTlakNavedite dovoljeno odstopanje.: kPa ali krivulja (1):3.1.2 Sistem vbrizgavanja3.1.2.1 Tlačilka3.1.2.1.1 Znamka(-e):3.1.2.1.2 Tip(-i):3.1.2.1.3 Količina vbrizga: mm3 (2) na gib pri vrtilni frekvenci motorja min-1 vrt./min pri največji količini vbrizga ali karakteristika (1) (2):Navedite uporabljeno metodo: na motorju/na preskusni napravi (1)Če ima motor samodejno krmiljenje vbrizgane količine goriva v odvisnosti od tlaka, navedite karakteristično količino vbrizga in tlak glede na vrtilno frekvenco motorja.3.1.2.1.4 Predvbrizg3.1.2.1.4.1 Krivulja predvbrizga (2):3.1.2.1.4.2 Statično krmiljenje vbrizga (2):3.1.2.2 Visokotlačne cevi3.1.2.2.1 Dolžina: mm3.1.2.2.2 Notranji premer: mm3.1.2.3 Vbrizgalna(-e) šoba(-e)

►(3) M1  

►(3) M1  

►(3) M1  

3.1.2.3.1 Znamka(-e):3.1.2.3.2 Tip(-i):3.1.2.3.3Tlak odpiranja: kPa (2)ali karakteristika odpiranjaNeustrezno prečrtajte.Navedite dovoljeno odstopanje.:3.1.2.4 Regulator3.1.2.4.1 Znamka(-e):3.1.2.4.2 Tip(-i):3.1.2.4.3 Vrtilna frekvenca, pri kateri se pri polni obremenitvi začne zapiranje dovoda goriva: vrt./min3.1.2.4.4 Največja vrtilna frekvenca brez obremenitve: vrt./min3.1.2.4.5 Vrtilna frekvenca v prostem teku: vrt./min3.1.3 Sistem za zagon hladnega motorja3.1.3.1 Znamka(-e):3.1.3.2 Tip(-i):3.1.3.3 Opis:3.1.3.4 Pomožna naprava za pomoč pri zagonu:3.1.3.4.1 Znamka:3.1.3.4.2 Tip:3.2 Motorji na plinasto gorivoZa drugačne sisteme navedite ekvivalentne informacije (za odstavek 3.2).3.2.1 Gorivo: Zemeljski plin/LPG (1)3.2.2 Krmilnik(-i) tlaka oziroma uparjalnik(-i)/krmilnik(-i) tlaka (2)3.2.2.1 Znamka(-e):3.2.2.2 Tip(-i):3.2.2.3 Število stopenj zmanjševanja tlaka:3.2.2.4 Tlak v končni fazi: najnižja kPa, najvišja kPa3.2.2.5 Število glavnih nastavitvenih točk:3.2.2.6 Število nastavitvenih točk v prostem teku:3.2.2.7 Številka certifikata po Direktivi 1999/96/ESDirektiva 1999/96/ES Evropskega parlamenta in Sveta z dne 13. decembra 1999 o približevanju zakonodaje držav članic v zvezi z ukrepi, ki jih je treba sprejeti proti emisijam plinastih snovi in delcev, ki onesnažujejo, iz motorjev na kompresijski vžig, ki se uporabljajo v vozilih, ter emisijam plinastih snovi, ki onesnažujejo, iz motorjev na prisilni vžig, ki za gorivo uporabljajo zemeljski plin ali utekočinjeni naftni plin in se uporabljajo v vozilih (UL L 44, 16.2.2000, str. 1).:3.2.3 Sistem za dovajanje goriva: mešalna enota/vbrizgavanje plina/vbrizgavanje tekočine/neposredno vbrizgavanje (1)3.2.3.1 Uravnavanje moči zmesi:3.2.3.2 Opis sistema in/ali shema in risbe:3.2.3.3 Številka certifikata po Direktivi 1999/96/ES:3.2.4 Mešalna enota3.2.4.1 Število:3.2.4.2 Znamka(-e):3.2.4.3 Tip(-i):3.2.4.4 Mesto vgradnje:3.2.4.5 Možnosti nastavitve:

3.2.4.6 Številka certifikata po Direktivi 1999/96/ES:3.2.5 Vbrizgavanje v sesalni zbiralnik3.2.5.1 Vbrizgavanje: enotočkovno/večtočkovnoNeustrezno prečrtajte.3.2.5.2 Vbrizgavanje: neprekinjeno/simultano/zaporedno (1)3.2.5.3 Oprema za vbrizgavanje3.2.5.3.1 Znamka(-e):3.2.5.3.2 Tip(-i):3.2.5.3.3 Možnosti nastavitve:3.2.5.3.4 Številka certifikata po Direktivi 1999/96/ES:3.2.5.4 Napajalna črpalka (če je ustrezno):3.2.5.4.1 Znamka(-e):3.2.5.4.2 Tip(-i):3.2.5.4.3 Številka certifikata po Direktivi 1999/96/ES:3.2.5.5 Vbrizgalna(-e) šoba(-e):3.2.5.5.1 Znamka(-e):3.2.5.5.2 Tip(-i):3.2.5.5.3 Številka certifikata po Direktivi 1999/96/ES:3.2.6 Neposredno vbrizgavanje3.2.6.1 Tlačilka za vbrizgavanje/krmilnik tlaka (1)3.2.6.1.1 Znamka(-e):3.2.6.1.2 Tip(-i):3.2.6.1.3 Krmiljenje začetka vbrizgavanja:3.2.6.1.4 Številka certifikata po Direktivi 1999/96/ES:3.2.6.2 Vbrizgalna(-e) šoba(-e)3.2.6.2.1 Znamka(-e):3.2.6.2.2 Tip(-i):3.2.6.2.3 Tlak odpiranja ali karakteristika vbrizgaNavedite dovoljeno odstopanje.:3.2.6.2.4 Številka certifikata po Direktivi 1999/96/ES:3.2.7 Elektronska krmilna enota (ECU)3.2.7.1 Znamka(-e):3.2.7.2 Tip(-i):3.2.7.3 Možnosti nastavitve:3.2.8 Oprema, značilna za motorje na zemeljski plin (NG)3.2.8.1 Različica 1(samo v primeru homologacije motorja za več specifičnih sestav goriva)

3.2.8.1.1 Sestava goriva:3.2.8.1.2 Vbrizgalna(-e) šoba(-e)3.2.8.1.2.1 Znamka(-e):3.2.8.1.2.2 Tip(-i):3.2.8.1.3 Drugo (če je ustrezno):3.2.8.2 Različica 2(samo v primeru homologacij za več specifičnih sestav goriva)4. Krmilni časi ventilov:4.1 Največji gib ventilov in koti odpiranja in zapiranja glede na mrtve lege batov ali enakovredni podatki:4.2 Referenčna območja in/ali območja nastavitevNeustrezno prečrtajte.:5. Sistem vžiga (samo motorji na prisilni vžig)5.1 Vrsta sistema vžiga: skupna tuljava in vžigalne svečke/posamezna tuljava in vžigalne svečke/tuljava na vžigalni svečki/drugo (navedite) (1)5.2 Enota za krmiljenje vžiga5.2.1 Znamka(-e):5.2.2 Tip(-i):5.3 Krivulja predvžiga/diagram predvžiga (1)Navedite dovoljeno odstopanje.:5.4 Krmiljenje vžiga (2): stopinj pred zgornjo mrtvo točko pri vrtilni frekvenci vrt./min in pri absolutnem tlaku zraka v sesalnem zbiralniku (MAP) kPa5.5 Vžigalne svečke5.5.1 Znamka(-e):5.5.2 Tip(-i):5.5.3 Nastavitev razdalje med elektrodama: mm5.6 Vžigalna(-e) tuljava(-e)5.6.1 Znamka(-e):5.6.2 Tip(-i):

6. Oprema, ki jo poganja motorMotor se predloži v preskušanje z dodatno opremo, potrebno za njegovo delovanje (npr. ventilator, vodna črpalka itd.), kot je opredeljeno v pogojih obratovanja v točki 5.1.1 Priloge I k Direktivi 80/1269/EGS), kakor je bila nazadnje spremenjena s točko 5.1.1. Priloge I k Direktivi 97/211/ES.6.1 Dodatna oprema, ki se namesti za preskusČe dodatne opreme ni mogoče ali ni primerno namestiti na preskusno napravo, se moč, ki jo absorbira ta oprema, ugotovi in odšteje od izmerjene moči motorja v celotnem območju delovanja preskusnega cikla oziroma ciklov.6.2 Dodatna oprema, ki se odstrani za preskusDodatna oprema, ki je potrebna samo za delovanje vozila (npr. kompresor za zrak, klimatizacijski sistem itd.), se za preskus odstrani. Kadar dodatne opreme ni mogoče odstraniti, se moč, ki jo ta oprema absorbira, ugotovi in prišteje izmerjeni moči motorja v celotnem območju delovanja preskusnega cikla oziroma ciklov.7. Dodatne informacije o pogojih preskušanja7.1 Uporabljeno mazivo7.1.1 Znamka:7.1.2 Tip:(Navedite odstotek olja v mešanici, če sta mazivo in gorivo zmešana):7.2 Oprema, ki jo poganja motor (če je ustrezno):Izhodna moč, ki jo absorbira dodatna oprema, se ugotavlja samo:če dodatna oprema, potrebna za delovanje motorja, ni nameščena na motor in/aliče je na motor nameščena dodatna oprema, ki ni potrebna za delovanje motorja.7.2.1 Seznam in način identifikacije:7.2.2 Odjem moči pri različnih opredeljenih vrtilnih frekvencah motorja:

8. Zmogljivost motorja8.1 Vrtilna frekvenca motorjaNavedite dovoljeno odstopanje; biti mora znotraj ± 3 % navedene vrednosti proizvajalca.Nizka vrtilna frekvenca (nlo): min-1Visoka vrtilna frekvenca (nhi): min-1za cikle ESC in ELRProsti tek: vrt./minVrtilna frekvenca A: vrt./minVrtilna frekvenca B: vrt./minVrtilna frekvenca C: vrt./minza cikel ETCReferenčna vrtilna frekvenca: vrt./min8.2Moč motorja, izmerjena v skladu z določbami Direktive 80/1269/EGS v kW.

8.3 Nastavitve dinamometra (kW)Nastavitve dinamometra za preskusa ESC in ELR ter za referenčni cikel preskusa ETC temeljijo na izhodni moči motorja P(n) iz točke 8.2. Priporoča se namestitev motorja na preskusno napravo v neto stanju. V tem primeru sta P(m) in P(n) identični. Če delovanje motorja v neto stanju ni mogoče ali ni primerno, se nastavitve dinamometra popravijo na neto stanje z uporabo gornje formule.8.3.1 Preskusa ESC in ELRNastavitve dinamometra se izračunajo po formuli v točki 1.2 Dodatka 1 k Prilogi III.8.3.2 Preskus ETCČe se motor ne preskusi v neto stanju, proizvajalec za celotno območje delovanja cikla predloži korekcijsko formulo, ki jo odobri tehnična služba, za pretvorbo izhodne moči oziroma neto dela cikla, ki se ugotovi skladno s točko 2 Dodatka 2 k Prilogi III.

►(2) M1  

►(2) M1  




Dodatek 2

BISTVENE ZNAČILNOSTI DRUŽINE MOTORJEV

1. Skupni parametri1.1 Način delovanja:1.2 Hladilno sredstvo:1.3 Število valjevČe se ne uporablja, označi N.U.:1.4 Gibna prostornina posameznega valja:1.5 Način polnjenja z zrakom:1.6 Tip/konstrukcija izgorevalne komore:1.7 Ventili in odprtine – konfiguracija, velikost in število:1.8 Sistem za dovajanje goriva:1.9 Sistem vžiga (plinski motorji):1.10 Razne značilnosti:sistem za hlajenje polnilnega (stisnjenega) zrakaČe se ne uporablja, označi N.U.:vračanje izpušnih plinov v valjČe se ne uporablja, označi N.U.:vbrizgavanje vode/emulzijeČe se ne uporablja, označi N.U.:vbrizgavanje zrakaČe se ne uporablja, označi N.U.:1.11 Naknadna obdelava izpušnih plinovČe se ne uporablja, označi N.U.:Dokaz o enakem (ali najnižjem za osnovni motor) razmerju: zmogljivost sistema/dobava goriva na gib, v skladu s številko(-ami) diagrama(-ov):2. Seznam družine motorjev2.1 Ime družine dizelskih motorjev:2.1.1 Specifikacije motorjev v tej družini:

►(1) M1  

2.2 Ime družine plinskih motorjev:2.2.1 Specifikacije motorjev v tej družini:




Dodatek 3

BISTVENE ZNAČILNOSTI MOTORJA ZNOTRAJ DRUŽINEPredložiti za vsak motor iz družine.1.Opis motorja1.1 Proizvajalec:1.2 Proizvajalčeva oznaka motorja:1.3 Način delovanja: štiritaktni/dvotaktniNeustrezno prečrtajte.1.4 Število in razporeditev valjev:1.4.1 Premer valja: mm1.4.2 Gib: mm1.4.3 Zaporedje vžigov:1.5 Delovna prostornina motorja: cm31.6 Kompresijsko razmerjeNavedite dovoljeno odstopanje.1.7 Risba(-e) izgorevalne komore in čela bata:1.8 Najmanjši presek sesalnega in izstopnega kanala: cm21.9 Vrtilna frekvenca v prostem teku: min-11.10 Največja izhodna moč: kW pri min-11.11 Največja dovoljena vrtilna frekvenca motorja: min-11.12 Največji neto navor: Nm pri min-11.13Sistem zgorevanja: kompresijski vžig/prisilni vžigNeustrezno prečrtajte.1.14Gorivo: Dizel/LPG/NG-H/NG-L/NG-HL/etanolNeustrezno prečrtajte.1.15Hladilni sistem1.15.1 Tekočinsko hlajenje1.15.1.1 Vrsta tekočine:1.15.1.2 Vodna(-e) črpalka(-e): da/neNeustrezno prečrtajte.1.15.1.3 Značilnosti ali znamka(-e) in tip(-i) (če je ustrezno):1.15.1.4 Stopnja(-e) prenosa pogona (če je ustrezno):1.15.2 Zračno hlajenje1.15.2.1 Puhalo: da/neNeustrezno prečrtajte.1.15.2.2 Značilnosti ali znamka(-e) in tip(-i) (če je ustrezno):1.15.2.3 Stopnja(-e) prenosa pogona (če je ustrezno):1.16Temperatura, ki jo dopušča proizvajalec1.16.1 Tekočinsko hlajenje: Najvišja temperatura na izhodu: K1.16.2 Zračno hlajenje:referenčna točka:

Najvišja temperatura na referenčni točki: K1.16.3 Najvišja temperatura zraka na izhodu iz hladilnika polnilnega zraka (če je ustrezno): K1.16.4 Najvišja temperatura izpušnih plinov v točki izpušne(-ih) cevi, ki je(so) najbližja(-e) zunanji(-m) prirobnici (-am) izpušnega(-ih) kolektorja(-ev) ali turbopuhala(turbopuhal): K1.16.5 Temperatura goriva: najnižja K, najvišja Kza dizelske motorje na vstopu v tlačilko za vbrizgavanje goriva, za motorje na plinasto gorivo na končni stopnji krmilnika tlaka1.16.6 Tlak goriva: najmanj kPa, največ kPana končni stopnji krmilnika tlaka samo motorji, ki za gorivo uporabljajo NG.1.16.7 Temperatura maziva: najnižja K, najvišja K1.17Tlačni polnilnik: da/neNeustrezno prečrtajte.1.17.1 Znamka:1.17.2 Tip:1.17.3 Opis sistema (npr.: največji polnilni tlak, krmilni obtočni kanal, če je ustrezno):1.17.4 Hladilnik polnilnega zraka: da/neNeustrezno prečrtajte.1.18Sesalni sistemNajvečji dopustni podtlak v sesalni cevi pri nazivni vrtilni frekvenci motorja in pri 100 % obremenitvi, kakor je opredeljeno v pogojih obratovanja v Direktivi 80/1269/EGS:kPa1.19Izpušni sistemNajvečji dopustni protitlak v izpušni cevi pri nazivni vrtilni frekvenci motorja in pri 100 % obremenitvi, kakor je opredeljeno v pogojih obratovanja v Direktivi 80/1269/EGS:kPaProstornina izpušnega sistema: dm3

►(1) M1  

2.Ukrepi proti onesnaževanju zraka2.1 Naprava za recikliranje plinov iz okrova ročične gredi (opis in risbe):2.2 Dodatne naprave proti onesnaževanju (če obstajajo in če niso opisane drugod):2.2.1 Katalitični pretvornik izpušnih plinov: da/neNeustrezno prečrtajte.2.2.1.1 Znamka(-e):2.2.1.2 Tip(-i):2.2.1.3 Število katalitičnih pretvornikov in elementov:2.2.1.4 Mere, oblika in prostornina katalitičnega(-ih) pretvornika(-kov):2.2.1.5 Vrsta katalitičnega delovanja:2.2.1.6 Skupna količina plemenitih kovin:2.2.1.7 Relativna koncentracija:2.2.1.8 Substrat (zgradba in material):2.2.1.9 Gostota celic:2.2.1.10 Tip okrova katalitičnega(-ih) pretvornika(-kov):2.2.1.11 Mesto vgradnje katalitičnega(-ih) pretvornika(-ov)(mesto in referenčna razdalja na izpušni liniji):2.2.2 Lambda sonda: da/neNeustrezno prečrtajte.2.2.2.1 Znamka:2.2.2.2 Tip:2.2.2.3 Mesto vgradnje:2.2.3 Vpihavanje zraka: da/neNeustrezno prečrtajte.2.2.3.1 Tip (pulziranje zraka, zračna črpalka itd.):

►(1) M1  

2.2.4 EGR: da/neNeustrezno prečrtajte.2.2.4.1 Značilnosti (stopnja pretoka itd):2.2.5 Filter za delce: da/neNeustrezno prečrtajte.2.2.5.1 Mere, oblika in prostornina filtra za delce:2.2.5.2 Tip in konstrukcija filtra za delce:2.2.5.3 Mesto vgradnje (referenčna razdalja na izpušni liniji):2.2.5.4 Način oziroma sistem regeneracije, opis in/ali risba:2.2.6 Drugi sistemi: da/neNeustrezno prečrtajte.2.2.6.1 Opis in delovanje:3.Dovajanje goriva:3.1Dizelski motorji3.1.1 Črpalka za gorivoTlakNavedite dovoljeno odstopanje. kPa ali karakteristikaNeustrezno prečrtajte.:3.1.2 Sistem vbrizgavanja3.1.2.1 Tlačilka3.1.2.1.1 Znamka(-e):3.1.2.1.2 Tip(-i):3.1.2.1.3 Količina vbrizga: mm3Navedite dovoljeno odstopanje. na gib pri vrtilni frekvenci motorja vrt./min pri največji količini vbrizga ali karakteristikaNeustrezno prečrtajte.Navedite dovoljeno odstopanje.:Navedite uporabljeno metodo: na motorju/na preskusni napraviNeustrezno prečrtajte.Če ima motor samodejno krmiljenje vbrizgane količine goriva v odvisnosti od tlaka, navedite značilno količino vbrizga in tlak glede na vrtilno frekvenco motorja.3.1.2.1.4 Predvbrizg3.1.2.1.4.1 Krivulja predvbrizgaNavedite dovoljeno odstopanje.:3.1.2.1.4.2 Statično krmiljenje vbrizgaNavedite dovoljeno odstopanje.:3.1.2.2 Visokotlačne cevi3.1.2.2.1 Dolžina: mm3.1.2.2.2 Notranji premer: mm3.1.2.3 Vbrizgalna(-e) šoba(-e3.1.2.3.1 Znamka(-e):3.1.2.3.2 Tip(-i):3.1.2.3.3Tlak odpiranja: kPANavedite dovoljeno odstopanje. ali karakteristika odpiranjaNeustrezno prečrtajte.Navedite dovoljeno odstopanje.:

►(3) M1  

►(3) M1  

►(3) M1  

3.1.2.4 Regulator3.1.2.4.1 Znamka(-e):3.1.2.4.2 Tip(-i):3.1.2.4.3 Vrtilna frekvenca, pri katerih se pri polni obremenitvi začne zapiranje dovoda goriva: vrt./min3.1.2.4.4 Največja vrtilna frekvenca brez obremenitve: vrt./min3.1.2.4.5 Vrtilna frekvenca v prostem teku: vrt./min3.1.3 Sistem za zagon hladnega motorja3.1.3.1 Znamka(-e):3.1.3.2 Tip(-i):3.1.3.3 Opis:3.1.3.4 Pomožna naprava za pomoč pri zagonu:3.1.3.4.1 Znamka:3.1.3.4.2 Tip:3.2Motorji na plinasto gorivoZa drugačne sisteme navedite ekvivalentne informacije (za odstavek 3.2).3.2.1 Gorivo: Zemeljski plin/LPGNeustrezno prečrtajte.3.2.2 Krmilnik(-i) tlaka oziroma uparjalnik(-i)/krmilnik(-i) tlakaNavedite dovoljeno odstopanje.3.2.2.1 Znamka(-e):3.2.2.2 Tip(-i):3.2.2.3 Število stopenj zmanjševanja tlaka:3.2.2.4 Tlak v končni fazi: najmanj kPa, največ kPa3.2.2.5 Število glavnih nastavitvenih točk:3.2.2.6 Število nastavitvenih točk v prostem teku:3.2.2.7 Številka certifikata po Direktivi 1999/96/ES:3.2.3 Sistem za dovajanje goriva: mešalna enota/vbrizgavanje plina/vbrizgavanje tekočine/neposredno vbrizgavanjeNeustrezno prečrtajte.3.2.3.1 Uravnavanje moči zmesi:3.2.3.2 Opis sistema in/ali shema in risbe:3.2.3.3 Številka certifikata po Direktivi 1999/96/ES:3.2.4 Mešalna enota3.2.4.1 Število:3.2.4.2 Znamka(-e):3.2.4.3 Tip(-i):3.2.4.4 Mesto vgradnje:3.2.4.5 Možnosti nastavitve:3.2.4.6 Številka certifikata po Direktivi 1999/96/ES:3.2.5 Vbrizgavanje v sesalni zbiralnik3.2.5.1 Vbrizgavanje: enotočkovno/večtočkovnoNeustrezno prečrtajte.3.2.5.2 Vbrizgavanje: neprekinjeno/simultano/zaporednoNeustrezno prečrtajte.3.2.5.3 Oprema za vbrizgavanje

3.2.5.3.1 Znamka(-e):3.2.5.3.2 Tip(-i):3.2.5.3.3 Možnosti nastavitve:3.2.5.3.4 Številka certifikata po Direktivi 1999/96/ES:3.2.5.4 Napajalna črpalka (če je ustrezno)3.2.5.4.1 Znamka(-e):3.2.5.4.2 Tip(-i):3.2.5.4.3 Številka certifikata po Direktivi 1999/96/ES:3.2.5.5 Vbrizgalna(-e) šoba(-e)3.2.5.5.1 Znamka(-e):3.2.5.5.2 Tip(-i):3.2.5.5.3 Številka certifikata po Direktivi 1999/96/ES:3.2.6 Neposredno vbrizgavanje3.2.6.1 Tlačilka za vbrizgavanje/krmilnik tlakaNeustrezno prečrtajte.3.2.6.1.1 Znamka(-e):3.2.6.1.2 Tip(-i):3.2.6.1.3 Krmiljenje vbrizgavanja:3.2.6.1.4 Številka certifikata po Direktivi 1999/96/ES:3.2.6.2 Vbrizgalna(-e) šoba(-e)3.2.6.2.1 Znamka(-e):3.2.6.2.2 Tip(-i):3.2.6.2.3 Tlak odpiranja ali karakteristikaNavedite dovoljeno odstopanje.:3.2.6.2.4 Številka certifikata po Direktivi 1999/96/ES:3.2.7 Elektronska krmilna enota (ECU)3.2.7.1 Znamka(-e):3.2.7.2 Tip(-i):3.2.7.3 Možnosti nastavitve:3.2.8 Oprema, značilna za motorje na zemeljski plin (NG)3.2.8.1 Različica 1(samo v primeru homologacije motorja za več specifičnih sestav goriva)3.2.8.1.1 Sestava goriva:

3.2.8.1.2 Vbrizgalna(-e) šoba(-e)3.2.8.1.2.1 Znamka(-e):3.2.8.1.2.2 Tip(-i):3.2.8.1.3 Drugo (če je ustrezno):3.2.8.2 Različica 2(samo v primeru homologacije motorja za več specifičnih sestav goriva)4.Krmilni časi ventilov:4.1 Največji gib ventilov in koti odpiranja in zapiranja glede na mrtve lege batov ali enakovredni podatki:4.2 Referenčna območja in/ali območja nastavitevNeustrezno prečrtajte.:5.Sistem vžiga (samo motorji na prisilni vžig)5.1Vrsta sistema vžiga: skupna tuljava in vžigalne svečke/posamezna tuljava in vžigalne svečke/tuljava na vžigalni svečki/drugo (navesti)Neustrezno prečrtajte.5.2.Enota za krmiljenje vžiga5.2.1 Znamka(-e):5.2.2 Tip(-i):5.3 Krivulja predvžiga/diagram predvžigaNeustrezno prečrtajte.Navedite dovoljeno odstopanje.:5.4 Krmiljenje vžigaNeustrezno prečrtajte.: stopinj pred zgornjo mrtvo točko pri vrtilni frekvenci vrt./min in pri absolutnem tlaku zraka v sesalnem zbiralniku (MAP) kPa5.5Vžigalne svečke5.5.1 Znamka(-e):5.5.2 Tip(-i):5.5.3 Nastavitev razdalje med elektrodama: mm5.6Vžigalna(-e) tuljava(-e)5.6.1 Znamka(-e):5.6.2 Tip(-i):

►(1) M1  




Dodatek 4

ZNAČILNOSTI Z MOTORJEM POVEZANIH DELOV VOZILA

1.Podtlak v sesalni cevi pri nazivni vrtilni frekvenci motorja in pri 100-odstotni obremenitvi: kPa2.Protitlak v izpušnem sistemu pri nazivni vrtilni frekvenci motorja in pri 100-odstotni obremenitvi: kPa3.Prostornina izpušnega sistema: cm34.Moč, ki jo absorbira dodatna oprema, potrebna za delovanje motorja, kot je opredeljeno v pogojih obratovanja v točki 5.1.1. Priloge I k Direktivi 80/1269/EGS.

▼M1




Dodatek 5

PODATKI V ZVEZI Z OBD

1.

V skladu z določbami točke 5 Priloge IV k Direktivi 2005/78/ES, mora proizvajalec vozila predložiti naslednje dodatne podatke, da omogoči izdelavo nadomestnih ali rezervnih delov, diagnostičnih orodij in preskusne opreme, ki so združljivi z OBD, razen če so ti podatki zajeti v pravicah intelektualne lastnine ali predstavljajo posebno znanje in izkušnje proizvajalca ali dobavitelja (dobaviteljev) originalne opreme.

Kjer je to ustrezno, se podatki, podani v tej točki, ponovijo v Dodatku 2 k certifikatu o ES-homologaciji (Priloga VI k tej direktivi):

1.1

Opis tipa in števila ciklov predhodne priprave, ki so bili izvedeni za izvirno homologacijo vozila.

1.2

Opis tipa demonstracijskega cikla OBD, ki je bil izveden za izvirno homologacijo vozila za komponento, ki jo nadzira sistem OBD.

1.3

Izčrpen dokument, ki opisuje vse zaznane komponente s strategijo za odkrivanje napak in aktivacijo MI (stalno število voznih ciklov ali statistična metoda), vključno s seznamom ustreznih sekundarnih zaznanih parametrov za vsako komponento, ki jo nadzira sistem OBD. Seznam vseh izhodnih kod in obrazcev, ki jih uporablja OBD (z ustreznimi pojasnili), povezanih s posameznimi komponentami prenosa moči, ki so povezane z emisijami, in s posameznimi komponentami, ki niso povezane z emisijami, kjer se nadzor komponent uporablja za določitev aktivacije MI.

1.3.1

Podatke, ki se zahtevajo v tej točki, je mogoče, na primer, opredeliti tako, da se izpolni spodnja tabela, ki se priloži k tej prilogi:



Komponenta

Koda o napaki

Strategija spremljanja

Kriteriji za odkrivanje napak

Kriteriji za aktivacijo MI

Sekundarni parametri

Predhodna priprava

Demonstracijski preskus

katalizator SCR

Pxxxx

signali senzorjev NOx 1 in 2

razlika med signali senzorja 1 in senzorja 2

tretji cikel

vrtilna frekvenca motorja, obremenitev motorja, temperatura katalizatorja, aktivnost reagenta

trije preskusni cikli OBD (3 kratki cikli ESC)

preskusni cikel OBD (kratek cikel ESC)

1.3.2

Podatki, ki se zahtevajo v tem Dodatku, se lahko omejijo le na popoln seznam kod o napakah, ki jih zapiše sistem OBD, kjer se točka 5.1.2.1 Priloge IV k Direktivi 2005/78/ES ne uporablja, kot je v primeru nadomestnih ali rezervnih komponent. Podatke je mogoče, na primer, opredeliti tako, da se izpolnita prvi dve koloni tabele iz točke 1.3.1 zgoraj.

Popolno opisno dokumentacijo je treba homologacijskemu organu predložiti kot del dodatnega materiala, ki se zahteva v točki 6.1.7.1 Priloge I k tej direktivi, „dokumentacijske zahteve“.

1.3.3

Informacije, ki se zahtevajo v tej točki, se ponovijo v Dodatku 2 k certifikatu o ES-homologaciji (Priloga VI k tej direktivi):

V primeru nadomestnih ali rezervnih komponent, kjer se točka 5.1.2.1 Priloge IV k Direktivi 2005/78/ES ne uporablja, je podatke iz Dodatka 2 k certifikatu o ES-homologaciji (Priloga VI k tej direktivi) mogoče omejiti tako, kot je navedeno v točki 1.3.2.

▼B




PRILOGA III

POSTOPEK PRESKUSA

1.   UVOD

1.1

Ta priloga opisuje metode ugotavljanja emisij plinastih sestavin, delcev in dima iz motorjev, ki se preskušajo. Opisani so trije preskusni cikli, ki se uporabijo skladno z določbami točke 6.2 Priloge I:

 ESC, ki ga sestavlja cikel 13 ustaljenih preskusnih faz,

 ELR, sestavljen iz faz prehodnih stopenj obremenitve pri različnih vrtilnih frekvencah motorja, ki so sestavni del enega preskusnega postopka in se izvajajo zaporedno,

 ETC, ki sestoji iz sekundnega zaporedja prehodnih stanj.

1.2

Preskus se izvaja na motorju, ki je pritrjen na preskusno napravo in priključen na dinamometer.

1.3

Princip merjenja

Emisije iz izpuha motorja, ki se merijo, obsegajo plinaste sestavine (ogljikov monoksid, skupne ogljikovodike za dizelske motorje samo pri preskusu ESC; ne-metanske ogljikovodike za dizelske in plinske motorje samo pri preskusu ETC; metan za plinske motorje samo pri preskusu ETC ter dušikove okside), delce (samo dizelski motorji) in dimljenje (dizelski motorji samo pri preskusu ELR). Poleg tega se ogljikov dioksid pogosto uporablja kot sledilni plin za ugotavljanje razmerja redčenja v sistemih redčenja z delnim in celotnim tokom. V skladu z dobro inženirsko prakso je priporočljivo splošno merjenje ogljikovega dioksida, saj je to odličen način za odkrivanje težav pri merjenju med potekom preskusa.

▼M1

1.3.1   Preskus ESC

Na motorju, ki se pred preskusom ogreje na delovno temperaturo, se v predpisanem zaporedju z odvzemanjem vzorca nerazredčenih ali razredčenih izpušnih plinov neprekinjeno merijo količine emisij zgornjih izpušnih plinov. Preskusni cikel obsega več različnih faz števila vrtljajev in moči v tipičnem delovnem območju dizelskih motorjev. Pri vsaki vrtilni frekvenci in moči se izmeri koncentracija vsakega plinastega onesnaževala, pretok izpušnih plinov in izstopna moč, izmerjene vrednosti pa se ovrednotijo (utežijo). Za merjenje delcev se izpušni plini razredčijo s kondicioniranim okoliškim zrakom z uporabo sistema redčenja s celotnim tokom ali sistema redčenja z delnim tokom. Delci se zberejo na enem ustreznem filtru, sorazmerno z utežnimi faktorji vsake faze (vrtilna frekvenca motorja). Za vsako onesnaževalo se izračuna emisija v gramih na kilovatno uro na način, ki je opisan v Dodatku 1 k tej prilogi. Poleg tega se na treh preskusnih točkah v območju kontrole, ki jih izbere tehnična služba, izmeri NOx, izmerjene vrednosti pa se primerjajo z vrednostmi, izračunanimi iz tistih faz preskusnega cikla, ki zajemajo izbrane preskusne točke. S kontrolnim preverjanjem NOx se zagotovi učinkovitost nadzora nad emisijami motorja v njegovem tipičnem delovnem območju.

▼B

1.3.2   Preskus ELR

Med predpisanim preskusom odzivnosti na obremenitev se z merilnikom motnosti meri dimljenje ogretega motorja. Preskus sestoji iz obremenjevanja motorja pri konstantni vrtilni frekvenci pri obremenitvi 10 % do 100 % pri treh različnih vrtilnih frekvencah. Dodatno se izvede še četrta stopnja obremenitve, ki jo izbere tehnična služba ( 51 ), dobljena vrednost pa se primerja z vrednostmi prejšnjih stopenj obremenitve. Največja vrednost dimljenja se ugotovi z uporabo algoritma za izračun povprečja, skladno z opisom v Dodatku 1 k tej prilogi.

▼M1

1.3.3   Preskus ETC

Med predpisanim prehodnim (neustaljenim) ciklom, ko je motor segret na delovno temperaturo, in ki temelji na cestnih voznih vzorcih za težke motorje, vgrajene v tovornjake in avtobuse, se merijo zgoraj navedena onesnaževala, s tem da se izpušni plini redčijo s kondicioniranim okoliškim zrakom (sistem CVS z dvojnim redčenjem za delce) ali tako, da se s sistemom redčenja z delnim tokom plinaste komponente določijo v nerazredčenih izpušnih plinih in delcih. S pomočjo izmerjenih signalov o navoru in vrtilni frekvenci, ki jih oddaja dinamometer motorja, se integrira moč glede na čas cikla in rezultat je delo, ki ga motor proizvede v tem ciklu. Pri sistemu CVS je mogoče z integriranjem signala analizatorja v ciklu določiti koncentraciji NOx in HC, medtem ko je koncentracije CO, CO2, in NMHC mogoče določiti z integriranjem signala analizatorja ali z vzorčenjem v vreče. Če se merijo v nerazredčenih izpušnih plinih, se vse plinaste komponente v ciklu določijo z integriranjem signala analizatorja. Za delce se na ustreznem filtru zbere sorazmeren vzorec. V ciklu se določi stopnja pretoka nerazredčenih ali razredčenih izpušnih plinov, s pomočjo katere se izračunajo masne emisijske vrednosti onesnaževal. S povezavo masnih emisijskih vrednosti in dela motorja se za posamezno onesnaževalo izračuna emisija v gramih na kilovatno uro, kot je opisano v Dodatku 2 k tej prilogi.

▼B

2.   PRESKUSNI POGOJI

▼M1

2.1   Preskusni pogoji za motorje

2.1.1

Izmeri se absolutna temperatura (T a) zraka motorja pri vstopu v motor, izražena v kelvinih, in suh atmosferski tlak (p s), izražen v kPa, ter določi parameter f a, v skladu z naslednjim določili. Pri večvaljnih motorjih, ki imajo ločene skupine kolektorjev, kot npr. pri V-motorju, se vzame povprečna temperatura posameznih ločenih skupin.

(a) za motorje na kompresijski vžig:

Motorji, polnjeni pri tlaku okolice in mehansko tlačno polnjeni motorji:

FOR-CL2005L0055SL0020010.0001.0022.xml.jpg

Tlačno polnjeni motorji s turbopuhalom na izpušne pline z ali brez hlajenja polnilnega zraka:

FOR-CL2005L0055SL0020010.0001.0023.xml.jpg

(b) za motorje na prisilni vžig:

FOR-CL2005L0055SL0020010.0001.0024.xml.jpg

2.1.2

Veljavnost preskusa

Da se preskus prizna za veljavnega, mora biti parameter fa tak, da je:

0,96 ≤ f a ≤ 1,06

▼B

2.2   Motorji s hlajenjem polnilnega (stisnjenega) zraka

Temperatura polnilnega zraka se zabeleži in mora biti, pri vrtilni frekvenci ob največji deklarirani moči in polni obremenitvi, v območju ± 5 K od najvišje temperature polnilnega zraka, opredeljene v točki 1.16.3 Dodatka 1 k Prilogi II. Temperatura hladilnega sredstva naj bo najmanj 293 K (20 °C).

Če se uporabi sistem, ki je del preskuševališča, ali zunanje puhalo, mora biti temperatura polnilnega zraka pri vrtilni frekvenci ob največji deklarirani moči in polni obremenitvi v območju ± 5 K od najvišje temperature polnilnega zraka, opredeljene v točki 1.16.3 Dodatka 1 k Prilogi II. Nastavitev hladilnika polnilnega zraka mora izpolnjevati gornje pogoje med celotnim preskusnim ciklom.

2.3   Sesalni sistem

Uporabi se tak sesalni sistem za dovajanje zraka v motor, katerega sesalni upor je v območju ± 100 Pa zgornje meje pri delovanju motorja pri vrtilni frekvenci pri največji deklarirani moči ter polni obremenitvi.

2.4   Izpušni sistem motorja

Uporabi se tak izpušni sistem, katerega protitlak je v območju ± 1 000 Pa zgornje meje za motor, ki deluje pri vrtilni frekvenci pri največji deklarirani moči in pri polni obremenitvi ter ima prostornino v območju ± 40 % tiste, ki jo navede proizvajalec. Lahko se uporabi sistem, ki je del preskuševališča, če predstavlja dejanske pogoje delovanja motorja. Izpušni sistem mora biti v skladu z zahtevami za vzorčenje izpušnih plinov, skladno s točko 3.4 Dodatka 4 k Prilogi III ter točko 2.2.1, EP in točko 2.3.1, EP Priloge V.

Če je motor opremljen z napravo za naknadno obdelavo izpušnih plinov, mora imeti izpušna cev enak premer, kot se dejansko uporablja na motorju, še najmanj 4 premere cevi v smeri proti toku od začetka razširjenega dela, ki vsebuje napravo za naknadno obdelavo. Razdalja od prirobnice izpušnega kolektorja ali izstopa iz turbopuhala do naprave za naknadno obdelavo izpušnih plinov mora biti enaka kot pri konfiguraciji vozila ali v okviru proizvajalčevih tehničnih zahtev glede razdalje. Protitlak v izpušnem sistemu oziroma njegova omejitev naj sledi istim merilom kot zgoraj in je lahko nastavljiv z ventilom. Posoda za naknadno obdelavo se lahko med navideznimi preskusi in med ugotavljanjem karakterističnega diagrama motorja odstrani in zamenja z enakovredno posodo s katalitično neaktivno podlago.

2.5.   Hladilni sistem

Uporabi se hladilni sistem z zadostno zmogljivostjo, da ohranja motor na normalni delovni temperaturi, ki jo predpiše proizvajalec.

2.6   Mazalno olje

Tehnični podatki o uporabljenem mazalnem olju se zabeležijo in predstavijo skupaj z rezultati preskusa, kakor je opredeljeno v točki 7.1 Dodatka k 1 Prilogi II.

2.7   Gorivo

Uporabi se referenčno gorivo, opredeljeno v Prilogi IV.

Temperaturo goriva in merilno točko opredeli proizvajalec v mejah iz točke 1.16.5 Dodatka 1 k Prilogi II. Temperatura goriva ne sme biti nižja od 306 K (33 °C). Če temperatura ni opredeljena, naj bo ob vstopu v napajanje z gorivom 311 K ± 5 K (38 ± 5 °C).

Za motorje, ki za gorivo uporabljajo NG ali LPG, naj bosta temperatura goriva in merilna točka v mejah, navedenih v točki 1.16.5 Dodatka 1 k Prilogi II oziroma v točki 1.16.5 Dodatka 3 k Prilogi II, če motor ni osnovni motor.

▼M1

2.8

Če je motor opremljen s sistemom za naknadno obdelavo izpušnih plinov, so emisije, izmerjene v preskusnem ciklu, reprezentativne za emisije v prometu. V primeru, da je motor opremljen s sistemom za naknadno obdelavo izpušnih plinov, ki zahteva porabo reagenta, mora biti reagent, ki se uporablja pri preskusih, skladen s točko 2.2.1.13 Dodatka 1 k Prilogi II.

2.8.1

Za sistem za naknadno obdelavo izpušnih plinov, ki temelji na postopku stalne regeneracije, se emisije izmerijo na stabiliziranem sistemu za naknadno obdelavo izpušnih plinov.

Postopek regeneracije se izvede vsaj enkrat v preskusu ETC, proizvajalec pa mora deklarirati normalne pogoje, v katerih pride do regeneracije (obremenitev saj, temperatura, protitlak izpušnih plinov itd.).

Izvede se vsaj 5 preskusov ETC, da se preveri postopek regeneracije. Med preskusi se beležita temperatura in tlak izpušnih plinov (temperatura pred in po sistemu za naknadno obdelavo izpušnih plinov, protitlak izpušnih plinov itd.).

Sistem za naknadno obdelavo izpušnih plinov se obravnava kot zadovoljiv, če med preskusom pride do pogojev, ki jih deklarira proizvajalec, v zadostnem času.

Končni rezultat preskusa je aritmetična sredina različnih rezultatov preskusov ETC.

Če je sistem za naknadno obdelavo izpušnih plinov v varnostni fazi, ki preklopi v fazo periodične regeneracije, ga je treba v skladu s točko 2.8.2 pregledati. Mejne vrednosti emisij iz tabele 2 Priloge I je v tem specifičnem primeru mogoče preseči in se ne tehtajo.

2.8.2

Za sistem za naknadno obdelavo izpušnih plinov, ki temelji na postopku periodične regeneracije, se emisije merijo na vsaj dveh preskusih ETC; enem v času regeneracije in enem v času, ko se regeneracija ne izvaja, na stabiliziranem sistemu za naknadno obdelavo izpušnih plinov, rezultati pa se tehtajo.

Postopek regeneracije se mora v preskusu ETC izvesti vsaj enkrat. Motor je mogoče opremiti s stikalom, ki lahko prepreči ali omogoči postopek regeneracije, če delovanje tega stikala nima nobenega vpliva na izvirno kalibracijo motorja.

Proizvajalec deklarira normalne pogoje parametrov, v okviru katerih pride do postopka regeneracije (obremenitev saj, temperatura, protitlak izpušnih plinov itd.), in čas trajanja (n2). Proizvajalec zagotovi tudi vse podatke za določitev časa med dvema regeneracijama (n1). Natančen postopek, kako določiti ta čas, opredelita proizvajalec in tehnična služba na podlagi dobre inženirske presoje.

Proizvajalec zagotovi sistem za naknadno obdelavo izpušnih plinov, ki je obremenjen, da pride do regeneracije med preskusom ETC. Do regeneracije ne sme priti med fazo pripravljanja motorja.

Povprečne emisije med fazami regeneracije se določijo iz aritmetične sredine več približno enako oddaljenih preskusov ETC. Priporoča se, da se vsaj en preskus ETC izvede tik pred preskusom regeneracije in en tik po preskusu regeneracije. Kot alternativo lahko proizvajalec zagotovi podatke, ki kažejo, da emisije med fazami regeneracije ostanejo konstantne (± 15 %). V tem primeru se lahko uporabijo emisije samo enega preskusa ETC.

Med preskusom regeneracije se zabeležijo vsi podatki, ki so potrebni za odkrivanje regeneracije (emisije CO ali NOx, temperatura pred in za sistemom za naknadno obdelavo izpušnih plinov, protitlak izpušnih plinov itd.).

V postopku regeneracije se mejne vrednosti emisij iz tabele 2 Priloge I lahko presežejo.

Merjene emisije se tehtajo v skladu s točkama 5.5 in 6.3 Dodatka 2 k tej prilogi, končni rezultat pa ne sme presegati mejnih vrednosti v tabeli 2 Priloge I.

▼B




Dodatek 1

PRESKUSNA CIKLA ESC IN ELR

1.   NASTAVITVE MOTORJA IN DINAMOMETRA

1.1   Določanje vrtilnih frekvenc motorja A, B in C

Proizvajalec deklarira vrtljaje motorja A, B in C skladno z naslednjimi določbami:

Visoka vrtilna frekvenca nhi se določa z izračunom 70 % največje deklarirane izhodne moči P(n), kakor je opredeljeno v točki 8.2 Dodatka 1 k Prilogi II. Najvišja vrtilna frekvenca motorja za to vrednost izhodne moči je na krivulji moči označeno z nhi.

Nizka vrtilna frekvenca nhi se določa z izračunom 50 % največje deklarirane izhodne moči P(n), kakor je opredeljeno v točki 8.2 Dodatka 1 k Prilogi II. Najnižja vrtilna frekvenca motorja za to vrednost izhodne moči je na krivulji moči označeno z nlo.

Vrtilne frekvence motorja A, B in C se izračunajo takole:

image

image

image

Vrtilne frekvence A, B in C se lahko preverijo po kateri koli od naslednjih metod:

(a) Za točno opredelitev nhi in nlo se med homologacijo moči motorja izmerijo dodatne preskusne točke v skladu z Direktivo 80/1269/EGS. Največja moč, nhi in nlo se razberejo s krivulje moči, vrtilne frekvence motorja A, B in C pa se izračunajo skladno z gornjimi določbami.

(b) Karakteristični diagram motorja se izriše po krivulji pri polni obremenitvi, od največje vrtilne frekvence brez obremenitve do vrtilne frekvence v prostem teku, z uporabo najmanj 5 merilnih točk v presledkih 1 000 vrt/min ter merilnih točk v območju ± 50 vrt./min pri največji deklarirani moči. Največja moč, nhi in nlo se razberejo s te krivulje karakterističnega diagrama, vrtljaji motorja A, B in C pa se izračunajo skladno z gornjimi določbami.

Če so izmerjene vrtilne frekvence motorja A, B in C v mejah ± 3 % vrtilnih frekvenc motorja, kot jih je deklariral proizvajalec, se za preskus emisij uporabijo deklarirane vrtilne frekvence. Če je za katero koli vrtilno frekvenco prekoračeno dovoljeno odstopanje, se za preskus emisij uporabijo izmerjene vrtilne frekvence.

1.2   Določanje nastavitev dinamometra

S preskusi se določi krivulja navora pri polni obremenitvi, na podlagi katere se izračunajo vrednosti navora za navedene faze preskušanja pri dejanskih pogojih, kakor je opredeljeno v točki 8.2 Dodatka 1 k Prilogi II. Če je ustrezno, se pri tem upošteva moč, ki jo absorbira oprema, ki jo poganja motor. Nastavitev dinamometra za posamezno fazo preskušanja se izračuna po naslednji formuli:

image

, če je preskus opravljen v neto pogojih

image

, če preskus ni opravljen v neto pogojih

kjer je:

s

=

nastavitev dinamometra, v kW

P(n)

=

izhodna moč motorja, kakor je opredeljena v točki 8.2 Dodatka 1 k Prilogi II, v kW

L

=

odstotek obremenitve, kakor je opredeljeno v točki 2.7.1, v %

P(a)

=

moč, ki jo absorbira dodatna oprema, ki se namesti, kakor je opredeljeno v točki 6.1 Dodatka 1 k Prilogi II

P(b)

=

moč, ki jo absorbira dodatna oprema, ki se odstrani, kakor je opredeljeno v točki 6.2 Dodatka 1 k Prilogi II

2.   POTEK PRESKUSA ESC

Na zahtevo proizvajalca se lahko pred ciklom merjenja izvede navidezni preskus za kondicioniranje motorja in izpušnega sistema.

▼M1

2.1   Priprava filtra za vzorčenje

Najmanj eno uro pred preskusom se vsak filter vstavi v delno pokrito petrijevko, ki je zaščitena pred prahom, in položi v tehtalno komoro na stabilizacijo. Ob koncu stabilizacije se vsak filter stehta, zabeleži pa se tara teža. Filter se nato shrani v zaprto petrijevko ali zatesnjeno posodo za filtre, dokler ni potreben za preskušanje. Filter se uporabi v osmih urah po tem, ko se ga vzame iz tehtalne komore. Tara teža se zabeleži.

▼B

2.2   Namestitev merilne opreme

Merila in sonde za odvzem vzorcev se namestijo v skladu z zahtevami. Kadar se za redčenje izpušnih plinov uporablja sistem redčenja s celotnim tokom, se na sistem priključi zadnji (izstopni) del izpušne cevi.

2.3   Zagon sistema redčenja in motorja

Sistem redčenja in motor se zaženeta in ogrevata, dokler niso vse temperature in tlaki stabilizirani pri največji moči skladno s priporočilom proizvajalca in dobro inženirsko prakso.

2.4   Zagon sistema za vzorčenje delcev

Sistem za vzorčenje delcev se zažene in poteka na obvodu. Količina delcev v zraku za redčenje se lahko opredeli s pošiljanjem zraka za redčenje skozi filtre za delce. Če se uporablja filtriran zrak za redčenje, se lahko opravi ena meritev pred preskusom ali po njem. Če zrak za redčenje ni filtriran, se lahko opravita meritvi na začetku in na koncu cikla ter izračuna povprečje vrednosti.

2.5   Nastavitev razmerja redčenja

Zrak za redčenje se nastavi tako, da temperatura razredčenih izpušnih plinov, izmerjena tik pred primarnim filtrom, v nobeni fazi ne presega 325 K (52 °C). Razmerje redčenja (q) ne sme biti manjše od 4.

Pri sistemih, ki za nadzor razmerja redčenja uporabljajo merjenje koncentracije CO2 ali NOx, je treba vsebnost CO2 ali NOx v zraku za redčenje izmeriti na začetku in na koncu vsakega preskusa. Meritve koncentracije ozadja CO2 ali NOx v zraku za redčenje pred preskusom in po njem morajo biti v medsebojnem odnosu 100 ppm oziroma 5 ppm.

2.6   Preverjanje analizatorjev

Analizatorji emisij se nastavijo na ničlo in kalibrirajo.

2.7   Preskusni cikel

2.7.1   Pri preskusu motorja na dinamometru se upošteva naslednji delovni cikel, ki ga sestavlja 13 faz:



Faza št.

Vrtilna frekvenca motorja

Odstotek obremenitve

Utežni faktor

Trajanje faze

1

prosti tek

0,15

4 minute

2

A

100

0,08

2 minuti

3

B

50

0,10

2 minuti

4

B

75

0,10

2 minuti

5

A

50

0,05

2 minuti

6

A

75

0,05

2 minuti

7

A

25

0,05

2 minuti

8

B

100

0,09

2 minuti

9

B

25

0,10

2 minuti

10

C

100

0,08

2 minuti

11

C

25

0,05

2 minuti

12

C

75

0,05

2 minuti

13

C

50

0,05

2 minuti

2.7.2   Zaporedje preskusov

Sproži se zaporedje preskusov. Preskus se izvede po vrstnem redu številk faz iz točke 2.7.1.

V vsaki fazi deluje motor predpisani čas, s tem da se celotna sprememba vrtilne frekvence motorja in obremenitve izvede v prvih 20 sekundah. Predpisana vrtilna frekvenca se vzdržuje v območju ± 50 vrt./min, predpisani navor pa v območju ± 2 % največjega navora pri preskusni vrtilni frekvenci.

Na zahtevo proizvajalca se lahko zaporedje preskusov ponovi tolikokrat, kot je potrebno, da se nabere večja masa delcev na filtru. Proizvajalec mora predložiti podroben opis postopkov ovrednotenja podatkov in izračunavanja. Plinaste emisije se ugotavljajo samo v prvem ciklu.

2.7.3   Odziv analizatorja

Izstopni podatki iz analizatorjev se zapisujejo na tračnem zapisovalniku ali pa merijo z enakovrednim sistemom za zbiranje podatkov, pri čemer izpušni plini med preskusnim ciklom stalno tečejo skozi analizatorje.

▼M1

2.7.4   Vzorčenje delcev

Za celoten postopek preskušanja se uporabi en filter. Pri jemanju vzorca, sorazmernega masnemu pretoku izpušnih plinov v posamezni fazi cikla, se upoštevajo utežni (vplivni) faktorji za posamezno fazo, opredeljeni v postopku preskusnega cikla. To se doseže z ustreznim prilagajanjem stopnje pretoka vzorca, časa vzorčenja in/ali razmerja redčenja, tako da je izpolnjen kriterij za učinkovite utežne faktorje iz točke 5.6.

Čas vzorčenja v posamezni fazi mora biti vsaj 4 sekunde na utežni faktor 0,01. Vzorce se odvzame čim bolj na koncu vsake faze. Vzorčenje delcev se ne sme zaključiti prej kot 5 sekund pred koncem posamezne faze.

▼B

2.7.5   Stanja motorja

Za vsako fazo se zapiše vrtilna frekvenca in obremenitev motorja, temperatura in podtlak polnilnega zraka, temperatura in protitlak izpušnih plinov, pretok goriva in pretok zraka oziroma izpušnih plinov, temperatura polnilnega zraka, temperatura goriva in vlažnost, s tem da morajo biti med vzorčenjem delcev, vsekakor pa zadnjo minuto v vsaki fazi, izpolnjene zahteve glede vrtilne frekvence in obremenitve (glej točko 2.7.2).

Zapišejo se tudi vsi morebitni dodatni podatki, potrebni za izračun (glej točki 4 in 5).

2.7.6   Preverjanje NOx v upravljanem območju

Preverjanje NOx v upravljanem območju se izvede neposredno po koncu faze 13.

Pred začetkom meritev se motor za tri minute kondicionira v 13. fazi. Meritve se v upravljanem območju opravijo na različnih mestih, ki jih izbere tehnična služba ( 52 ). Posamezna meritev traja 2 minuti.

Postopek merjenja je enak merjenju NOx v 13-faznem ciklu, izvaja pa se v skladu s točkami 2.7.3, 2.7.5 in 4.1 te priloge ter točko 3 Dodatka 4 k Prilogi III.

Izračun se izvede v skladu s točko 4.

2.7.7   Ponovno preverjanje analizatorjev

Po preskusu emisij se za ponovno preverjanje uporabi ničelni plin in enak kalibrirni plin. Velja, da je preskus sprejemljiv, če je razlika med rezultati predhodnega in naknadnega preskusa manj kot 2 % vrednosti kalibrirnega plina.

3.   POTEK PRESKUSA ELR

3.1   Namestitev merilne opreme

Merilnik motnosti in sonde za vzorčenje, če je ustrezno, se namestijo za izpušnim glušnikom oziroma za napravo za naknadno obdelavo izpušnih plinov, če je nameščena, skladno s splošnimi postopki za montažo, ki jih navede proizvajalec instrumenta. Poleg tega se po potrebi upoštevajo zahteve iz točke 10 standarda ISO DIS 11614.

Pred kakršno koli kontrolo ničle in obsega skale se merilnik motnosti ogreje in stabilizira skladno s priporočili proizvajalca instrumenta. Če je merilnik motnosti opremljen s sistemom za splakovanje z zrakom za preprečevanje nanašanja saj na optiko merila, mora biti tudi ta sistem vklopljen in nastavljen skladno s priporočili proizvajalca.

3.2   Preverjanje merilnika motnosti

Opravijo se pregledi ničle in obsega skale v načinu prikazovanja motnosti, saj ima skala motnosti dve jasno opredeljivi kalibracijski točki, in sicer motnost 0 % in motnost 100 %. Ko se merilnik vrne v stanje za preskušanje v načinu prikazovanja absorpcijskega koeficienta, se koeficient absorpcije svetlobe nato pravilno izračuna na podlagi izmerjene motnosti in LA, kot jo navede proizvajalec merilnika motnosti.

Brez blokade svetlobnega žarka merilnika motnosti se prikaz naravna na motnost 0,0 % ± 1,0 %. S preprečitvijo svetlobi, da doseže sprejemnik, pa se prikaz naravna na motnost 100,0 % ± 1,0 %.

3.3   Preskusni cikel

3.3.1   Kondicioniranje motorja

Motor in sistem se ogrevata pri največji moči, da se parametri motorja stabilizirajo skladno s priporočilom proizvajalca. Faza predkondicioniranja mora tudi preprečiti, da bi obloge v izpušnem sistemu, ki so ostale tam od prejšnjega preskusa, vplivale na dejansko meritev.

Ko je motor stabiliziran, se v času 20 ± 2 s po fazi kondicioniranja zažene cikel. Na zahtevo proizvajalca se za dodatno kondicioniranje lahko izvede navidezni preskus pred ciklom merjenja.

3.3.2   Zaporedje preskusov

Preskus sestavlja zaporedje treh faz obremenitve pri vsaki od treh skupin vrtilnih frekvenc, A (cikel 1), B (cikel 2) in C (cikel 3), ki se opredelijo skladno s točko 1.1 Priloge III, temu pa sledi cikel 4 pri vrtilni frekvenci v upravljanem območju in obremenitvi med 10 % in 100 %, ki jih izbere tehnična služba ( 53 ). Pri delovanju dinamometra na preskušanem motorju je treba upoštevati zaporedje na sliki 3.

Vrtilna frekvenca motorjaCikel 1Cikel 2Cikel 4Cikel 3Izbrana točkaObremenitevCBA100 %10 %

Slika 3

Zaporedje preskusa ELR

(a) Motor naj 20 ± 2 s deluje pri vrtilni frekvenci A in 10-odstotni obremenitvi. Predpisana vrtilna frekvenca se vzdržuje v območju ± 20 vrt./min, predpisani navor pa v območju ± 2 % največjega navora pri preskusni vrtilni frekvenci.

(b) Na koncu prejšnjega segmenta se ročica za upravljanje vrtilčne frekvence hitro prestavi v široko odprt položaj in se v njem obdrži 10 ± 1 s. Za ohranjanje vrtilne frekvence motorja v območju ± 150 vrt./min prve 3 s in v območju ± 20 vrt./min v preostalem času segmenta se motor ustrezno obremeni z dinamometrom.

(c) Zaporedje, opisano pod (a) in (b), se dvakrat ponovi.

(d) Na koncu tretje faze obremenitve se motor za 20 ± 2 s naravna na vrtilno frekvenco B in 10-odstotno obremenitev.

(e) Med delovanjem motorja pri vrtljajih B se izvede zaporedje (a) do (c).

(f) Na koncu tretje faze obremenitve se motor za 20 ± 2 s naravna na vrtilno frekvenco C in 10-odstotno obremenitev.

(g) Med delovanjem motorja pri vrtljajih C se izvede zaporedje (a) do (c).

(h) Na koncu tretje faze obremenitve se motor za 20 ± 2 s naravna na izbrano vrtilno frekvenco in katero koli obremenitev, večjo od 10 odstotkov.

(i) Med delovanjem motorja pri izbrani vrtilni frekvenci se izvede zaporedje (a) do (c).

3.4   Validacija cikla

Relativna standardna odstopanja srednjih stopenj dimljenja pri vsaki preskusni vrtilni frekvenci (SVA, SVB, SVC, izračunano skladno s točko 6.3.3 tega dodatka iz treh zaporednih faz obremenitve pri vsaki preskusni vrtilni frekvenci) morajo biti manjša od 15 % od srednje vrednosti, oziroma 10 % od mejne vrednosti iz tabele 1 v Prilogi I, in sicer od vrednosti, ki je večja. Če je razlika večja, se zaporedje ponavlja, dokler meril validacije ne izpolnjujejo 3 zaporedne faze obremenitve.

3.5   Ponovno preverjanje merilnika motnosti

Premik ničlišča merilnika motnosti po preskusu ne sme presegati ± 5,0 % mejne vrednosti iz tabele 1 v Prilogi I.

▼M1

4.   IZRAČUN PRETOKA IZPUŠNIH PLINOV

4.1   Določanje masnega pretoka nerazredčenih izpušnih plinov

Za izračun emisij nerazredčenih izpušnih plinov je treba poznati pretok izpušnih plinov. Stopnja masnega pretoka izpušnih plinov se določi v skladu s točko 4.1.1 ali točko 4.1.2 Točnost določanja pretoka izpušnih plinov mora biti ± 2,5 % odčitka ali ± 1,5 % največje vrednosti motorja, kar je večje. Uporabiti je mogoče enakovredne metode (npr. tiste, opisane v točki 4.2 Dodatka 2 k tej prilogi).

4.1.1   Metoda neposrednega merjenja

Neposredno merjenje pretoka izpušnih plinov je mogoče izvesti s sistemi, kot so:

 naprave za razlike tlakov, kot je šoba na izpušni cevi,

 ultrazvočni merilnik pretoka,

 vortex merilnik pretoka.

Sprejeti je treba ukrepe, da se preprečijo napake pri merjenju, ki vplivajo na napake pri emisijskih vrednostih. Takšni ukrepi so, med drugim, previdna namestitev naprave v izpušni sistem motorja v skladu z navodili proizvajalca in dobro inženirsko prakso. Namestitev naprave zlasti ne sme vplivati na zmogljivost motorja in na emisije.

4.1.2   Metoda merjenja zraka in goriva

Ta metoda vključuje merjenje pretoka zraka in pretoka goriva. Uporabijo se merilniki pretoka zraka in merilniki pretoka goriva, ki so skladni z zahtevami o skupni točnosti iz točke 4.1. Izračun pretoka izpušnih plinov je naslednji:

q mew = q maw + q mf

4.2   Določanje masnega pretoka razredčenih izpušnih plinov

Za izračun emisij razredčenih izpušnih plinov s pomočjo sistema redčenja s celotnim tokom je treba poznati pretok razredčenih izpušnih plinov. Stopnja pretoka razredčenih izpušnih plinov (q mdew) se meri v vsaki fazi s PDP-CVS, CFV-CVS ali SSV-CVS v skladu s splošnimi formulami, podanimi v točki 4.1 Dodatka 2 k tej prilogi. Točnost mora biti ± 2 % odčitka ali večja in se določi v skladu z določbami točke 2.4 Dodatka 5 k tej prilogi.

▼M1

5.   IZRAČUN PLINASTIH EMISIJ

5.1   Ovrednotenje podatkov

Plinaste emisije se ovrednotijo tako, da se izračuna povprečje odčitkov na traku zadnjih 30 sekund vsake faze, iz povprečnih odčitkov na traku in ustreznih kalibracijskih podatkov pa se določijo povprečne koncentracije (conc) HC, CO in NOx med posamezno fazo. Uporabi se lahko tudi drugačna vrsta zapisa, če je z njo zagotovljeno enakovredno pridobivanje podatkov.

Pri preverjanju NOx v upravljalnem območju se uporabljajo zgornje zahteve samo za NOx.

Pretok izpušnih plinov q mew ali pretok razredčenih izpušnih plinov q mdew, če se po izbiri uporabi, se določi v skladu s točko 2.3 Dodatka 4 k tej prilogi.

5.2   Korekcija iz suhega v mokro stanje

Če koncentracija ni že izmerjena na mokri osnovi, se pretvori na mokro osnovo po naslednjih formulah: Pretvorba se opravi za vsako posamezno fazo.

cwet = kw × cdry

Za nerazredčene izpušne pline:

FOR-CL2005L0055SL0020010.0001.0030.xml.jpg

ali

FOR-CL2005L0055SL0020010.0001.0031.xml.jpg

kjer je:

pr

=

tlak vodne pare po hladilni kopeli, kPa,

pb

=

skupni atmosferski tlak, kPa,

Ha

=

vlažnost polnilnega zraka, g vode na kg suhega zraka,

kf

=

0,055584 × wALF – 0,0001083 × wBET – 0,0001562 × wGAM + 0,0079936 × wDEL + 0,0069978 × wEPS

Za razredčene izpušne pline:

FOR-CL2005L0055SL0020010.0001.0032.xml.jpg

ali

FOR-CL2005L0055SL0020010.0001.0033.xml.jpg

Za zrak za redčenje:

KWd = 1 – KW1

FOR-CL2005L0055SL0020010.0001.0034.xml.jpg

Za polnilni zrak:

KWa = 1 – KW2

FOR-CL2005L0055SL0020010.0001.0035.xml.jpg

kjer je:

H a

=

vlažnost polnilnega zraka, g vode na kg suhega zraka

H d

=

vlažnost zraka za redčenje, g vode na kg suhega zraka

in to je mogoče izpeljati iz meritve relativne vlažnosti, meritve rosišča, meritve tlaka pare ali meritve z mokrim/suhim termometrom z uporabo splošno sprejetih formul.

5.3   Korekcija NOx za vlažnost in temperaturo

Ker je emisija NOx odvisna od pogojev okoliškega zraka, se koncentracija NOx korigira na temperaturo in vlažnost okoliškega zraka s pomočjo faktorjev, podanih v naslednjih formulah. Faktorji se uporabljajo v območju od 0 do 25 g/kg suhega zraka.

(a) za motorje na kompresijski vžig:

FOR-CL2005L0055SL0020010.0001.0036.xml.jpg

kjer je:

T a

=

temperatura polnilnega zraka, K

H a

=

vlažnost polnilnega zraka, količina v g vode na kg suhega zraka

kjer je:

H a mogoče izpeljati iz meritve relativne vlažnosti, meritve rosišča, meritve tlaka pare ali meritve z mokrim/suhim termometrom z uporabo splošno sprejetih formul.

(b) za motorje na prisilni vžig:

k h.G = 0,6272 + 44,030 × 10–3 × H a – 0,862 × 10–3 × H a 2

kjer je:

H a mogoče izpeljati iz meritve relativne vlažnosti, meritve rosišča, meritve tlaka pare ali meritve z mokrim/suhim termometrom z uporabo splošno sprejetih formul.

5.4   Izračun masnih pretokov emisij

Stopnje masnih pretokov emisij (g/h) za posamezno fazo se izračunajo na naslednji način. Za izračun NOx se uporabi korekcijski faktor zaradi vlažnosti k h,D ali k h,G, kakor je ustrezno, kakor je določeno v točki 5.3.

Če koncentracija ni že izmerjena na mokri osnovi, se v skladu s točko 5.2 pretvori na mokro osnovo. Vrednosti za u gas so podane v tabeli 6 za izbrane sestavine, ki temeljijo na lastnostih idealnih plinov in gorivih, pomembnih za to direktivo.

(a) Za nerazredčene izpušne pline

m gas = u gas × c gas × q mew

kjer je:

u gas

=

razmerje gostot sestavine izpušnih plinov in izpušnih plinov

c gas

=

koncentracija ustrezne sestavine v nerazredčenih izpušnih plinih, ppm

q mew

=

masni pretok izpušnih plinov, v kg/h

(b) za razredčene izpušne pline

m gas = u gas × c gas,c × q mdew

kjer je:

u gas

=

razmerje gostot sestavine izpušnih plinov in gostote zraka.

c gas,c

=

koncentracija, korigirana glede na ozadje, ustrezne sestavine v razredčenih izpušnih plinih, ppm

q mdew

=

masni pretok razredčenih izpušnih plinov, kg/h

kjer je:

FOR-CL2005L0055SL0020010.0001.0037.xml.jpg

Faktor redčenja D se izračuna v skladu s točko 5.4.1 Dodatka 2 k tej prilogi.

5.5   Izračun specifičnih emisij

Emisije (g/kWh) se za vse sestavine izračunajo takole:

FOR-CL2005L0055SL0020010.0001.0038.xml.jpg

kjer je:

m gas je masa posameznega plina;

P n je neto moč, ki se določi v skladu s točko 8.2 v Prilogi II.

V zgornjem izračunu se uporabijo utežni faktorji, ki so v skladu s točko 2.7.1.



Tabela 6

Vrednosti u gas v nerazredčenih in razredčenih izpušnih plinih za različne sestavine izpušnih plinov:

Gorivo

 

NOx

CO

THC/NMHC

CO2

CH4

Dizel

Nerazredčeno

0,001587

0,000966

0,000479

0,001518

0,000553

Razredčeno

0,001588

0,000967

0,000480

0,001519

0,000553

Etanol

Nerazredčeno

0,001609

0,000980

0,000805

0,001539

0,000561

Razredčeno

0,001588

0,000967

0,000795

0,001519

0,000553

CNG

Nerazredčeno

0,001622

0,000987

0,000523

0,001552

0,000565

Razredčeno

0,001588

0,000967

0,000584

0,001519

0,000553

Propan

Nerazredčeno

0,001603

0,000976

0,000511

0,001533

0,000559

Razredčeno

0,001588

0,000967

0,000507

0,001519

0,000553

Butan

Nerazredčeno

0,001600

0,000974

0,000505

0,001530

0,000558

Razredčeno

0,001588

0,000967

0,000501

0,001519

0,000553

Opombe:

— u vrednosti nerazredčenih izpušnih plinov, ki temeljijo na idealnih lastnostih goriv, kjer je λ = 2, suh zrak, 273 K, 101,3 kPa

— u vrednosti razredčenih izpušnih plinov, ki temeljijo na idealnih lastnostih goriv in gostoto zraka

— u vrednosti CNG, natančne do 0,2 %, za sestavo mase: C = 66–76 %; H = 22–25 %; N = 0–12 %

— u vrednost CNG za HC ustreza CH2,93 (za skupen HC je treba uporabiti u vrednost CH4)

5.6   Izračun vrednosti upravljanega območja

Za vse tri kontrolne točke, izbrane v skladu s točko 2.7.6, se emisija NOx izmeri in izračuna v skladu s točko 5.6.1 in pa določi z interpolacijo iz tistih faz preskusnega cikla, ki so najbližje določeni kontrolni točki iz točke 5.6.2. Izmerjene vrednosti se nato primerjajo z interpoliranimi vrednostmi iz točke 5.6.3.

5.6.1   Izračun specifične emisije

Emisija NOx v posamezni kontrolni točki (Z) se izračuna takole:

m NOx,Z = 0,001587 × c NOx,Z × k h,D × q mew

FOR-CL2005L0055SL0020010.0001.0039.xml.jpg

5.6.2   Določanje vrednosti emisije iz preskusnega cikla

Emisija NOx se za vsako kontrolno točko interpolira iz vseh štirih najbližjih faz preskusnega cikla, ki obdajajo izbrano kontrolno točko Z, kakor kaže Slika 4. Za te faze (R, S, T, U) se uporabljajo naslednje definicije:

vrtilna frekvenca (R) = vrtilna frekvenca (T) = nRT

vrtilna frekvenca (S) = vrtilna frekvenca (U) = nSU

odstotek obremenitve (R) = odstotek obremenitve (S)

odstotek obremenitve (T) = odstotek obremenitve (U)

Emisija NOx v izbrani kontrolni točki Z se izračuna takole:

FOR-CL2005L0055SL0020010.0001.0040.xml.jpg

in:

FOR-CL2005L0055SL0020010.0001.0041.xml.jpg

FOR-CL2005L0055SL0020010.0001.0042.xml.jpg

FOR-CL2005L0055SL0020010.0001.0043.xml.jpg

FOR-CL2005L0055SL0020010.0001.0044.xml.jpg

kjer je:

ER, ES, ET, EU = specifična emisija NOx v fazah, ki obdajajo določeno kontrolno točko, izračunana v skladu s točko 5.6.1.

MR, MS, MT, MU = navor motorja v fazah, ki obdajajo določeno kontrolno točko.

NavorVrtilna ferkvenca

Slika 4

Interpolacija kontrolne točke NOx

5.6.3   Primerjava emisijskih vrednosti NOx

Izmerjena specifična emisija NOx kontrolne točke Z (NOx,Z) se primerja z interpolirano vrednostjo (EZ) takole:

FOR-CL2005L0055SL0020010.0001.0045.xml.jpg

6.   IZRAČUN EMISIJ DELCEV

6.1   Ovrednotenje podatkov

Za vrednotenje delcev se za vsako fazo zapiše skupni masni pretok vzorca (m sep) skozi filter.

Filter se vrne v tehtalno komoro in kondicionira vsaj eno uro, vendar ne več kot 80 ur, nato pa stehta. Zapiše se bruto teža filtrov, tara teža (glej točko 2.1) pa se odšteje, rezultat česar je masa vzorca delcev m f.

Če je treba uporabiti korekcijo ozadja, se zapišeta masa zraka za redčenje (m d) skozi filter in masa delcev (m f,d). Če je bilo izvedenih več meritev, se za vsako meritev izračuna količnik m f,d/m d in izračuna povprečje.

6.2   Sistem redčenja z delnim tokom

Končne rezultate emisije delcev za poročilo o preskusu se izpelje v naslednjih korakih. Glede na to, da je mogoče uporabiti različne vrste krmiljenja stopnje redčenja, se uporabljajo različne metode za izračun q medf. Vsi izračuni morajo temeljiti na povprečnih vrednostih posameznih faz v času vzorčenja.

6.2.1   Izokinetični sistemi

q medf = q mew × rd

FOR-CL2005L0055SL0020010.0001.0046.xml.jpg

kjer r a ustreza razmerju med površinama presekov izokinetične sonde in izpušne cevi:

FOR-CL2005L0055SL0020010.0001.0047.xml.jpg

6.2.2   Sistemi z merjenjem koncentracije CO2 ali NOx

qmedf = qmew × rd

FOR-CL2005L0055SL0020010.0001.0048.xml.jpg

kjer je:

c wE

=

mokra koncentracija sledilnega plina v nerazredčenih izpušnih plinih

c wD

=

mokra koncentracija sledilnega plina v razredčenih izpušnih plinih

c wA

=

mokra koncentracija sledilnega plina v zraku za redčenje

Koncentracije, izmerjene na suhi osnovi, se skladno s točko 5.2 tega Dodatka pretvorijo na mokro osnovo.

6.2.3   Sistemi z merjenjem CO2 in metoda ravnotežja ogljika ( 54 )

FOR-CL2005L0055SL0020010.0001.0049.xml.jpg

kjer je:

c (CO2)D

=

koncentracija CO2 v razredčenih izpušnih plinih

c (CO2)A

=

koncentracija CO2 v zraku za redčenje

(koncentracija v prostorninskih % na mokri osnovi)

Ta enačba temelji na domnevnem ravnotežju ogljika (atome ogljika, ki se dovajajo v motor, le-ta odda kot CO2) in se določi v naslednjih dveh korakih:

qmedf = qmew × r d

in

FOR-CL2005L0055SL0020010.0001.0050.xml.jpg

6.2.4   Sistemi z merjenjem pretoka

qmedf = qmew × rd

FOR-CL2005L0055SL0020010.0001.0051.xml.jpg

6.3   Sistem redčenja s celotnim tokom

Vsi izračuni morajo temeljiti na povprečnih vrednostih posameznih faz v času vzorčenja. Pretok razredčenih izpušnih plinov q mdew se določi v skladu s točko 4.1 Dodatka 2 k tej prilogi. Skupna masa vzorca m sep se izračuna v skladu s točko 6.2.1 Dodatka 2 k tej prilogi.

6.4   Izračun stopnje masnega pretoka delcev

Stopnja masnega pretoka delcev se izračuna na naslednji način. Če se uporabi sistem redčenja s celotnim tokom, se q medf, kakor je določeno v točki 6.2, nadomesti s q mdew, kakor je določeno v točki 6.3.

PTmass = mf msep × qmedf 1000

qmedf = Σ i = 1 i = n qmedfi × Wfi

msep = Σ i = 1 i = n msepi

i = 1, … n

Stopnjo masnega pretoka delcev je mogoče v ozadju korigirati na naslednji način:

PTmass = {mf msep - [mf,d md × Σ i = 1 i = n (1 - 1 Di) × Wfi]} × qmedf 1000

kjer se D izračuna v skladu s točko 5.4.1 Dodatka 2 k tej prilogi.

▼B

►M1  7. ◄    IZRAČUN VREDNOSTI DIMLJENJA

►M1  7.1. ◄    Besselov algoritem

Za izračun 1 s (eno sekundnih) povprečnih vrednosti trenutnih odčitkov dimljenja, ki se pretvorijo skladno s točko 6.3.1, se uporabi Besselov algoritem. Algoritem posnema nizkopretočni filter drugega razreda in zahteva uporabo iterativnih izračunov za določanje koeficientov. Ti koeficienti so odvisni od odzivnega časa sistema merjenja motnosti in frekvence vzorčenja. Zato je treba točko 6.1.1 ponoviti vsakokrat, ko se spremeni odzivni čas sistema in/ali frekvenca vzorčenja.

►M1   7.1.1. ◄    Izračun odzivnega časa filtra in Besselovih konstant

Potrebni odzivni čas filtra za Besselovo funkcijo (tF) je funkcija fizičnega in električnega odzivnega časa sistema za merjenje motnosti, kot je opredeljeno v točki 5.2.4 Dodatka 4 k Prilogi III, in se izračuna z naslednjo enačbo:

image

kjer je:

tp

=

fizični odzivni čas, v s

te

=

električni odzivni čas, v s

Izračuni za oceno mejne frekvence filtra (fc) temeljijo na stopničastem vhodnem signalu od 0 do 1 v času ≤ 0,01 s (glej Prilogo VII). Odzivni čas je opredeljen kot čas, ki preteče od takrat, ko Besselov izhod doseže 10 % (t10), do takrat, ko doseže 90 % (t90) te stopničaste funkcije. To je treba doseči s ponavljanjem fc, dokler ni t90 - t10 ≈ tF. Prva ponovitev za fc je podana z naslednjo formulo:

image

Besselovi konstanti E in K se izračunata z naslednjima enačbama:

image

image

kjer je:

D

=

0,618034

Δt

=

image

Ω

=

image

►M1   7.1.2. ◄    Izračun Besselovega algoritma

Z uporabo vrednosti E in K se izračuna 1 s povprečni Besselov odziv na trenutno stopnjo dimljenja Si takole:

image

kjer je:

Si-2

=

Si-1 = 0

Si

=

1

Yi-2

=

Yi-1 = 0

Časa t10 in t90 se interpolirata. Časovna razlika med t90 in t10 opredeli odzivni čas tF za to vrednost fc. Če ta odzivni čas ni dovolj blizu predpisanemu odzivnemu času, se ponovitve nadaljujejo, dokler dejanski odzivni čas ni v območju 1 % predpisanega odzivnega časa, takole:

image

►M1   7.2. ◄    Ovrednotenje podatkov

Vzorčenje za merjenje stopnje dimljenja se izvaja s frekvenco najmanj 20 Hz.

►M1   7.3. ◄    Določanje dimljenja

►M1   7.3.1. ◄    Pretvorba podatkov

Ker je osnovna merska enota vseh merilnikov motnosti presevnost, se vrednosti stopnje dimljenja pretvorijo iz presevnosti (τ) v koeficient absorpcije svetlobe (k) takole:

image

in

image

kjer je:

k

=

koeficient absorpcije svetlobe, v m-1

LA

=

dejanska dolžina optične poti, ki jo navede proizvajalec instrumenta, v m

N

=

motnost, v %

τ

=

presevnost, v %

Pretvorba se opravi pred kakršno koli nadaljnjo obdelavo podatkov.

►M1  7.3.2. ◄    Izračun povprečne vrednosti dimljenja po Besselu

Prava mejna frekvenca filtra fc je tista, ki povzroči predpisani odzivni čas filtra rF. Ko se ta frekvenca določi z iterativnim procesom iz točke 6.1.1, se izračunata ustrezni konstanti Besselovega algoritma E in K. Besselov algoritem se nato uporabi za določanje krivulje trenutnega dimljenja (vrednost k), kot je opisano v točki 6.1.2:

image

Besselov algoritem je po svoji naravi povraten (rekurziven). Tako za začetek potrebuje nekaj vhodnih vrednosti Si-1 in Si-2 ter začetnih izstopnih vrednosti Yi-1 in Yi-2. Za te vrednosti se lahko predpostavi, da so 0.

Za vsako obremenitev pri vseh treh vrtilnih frekvencah A, B in C se za vsako krivuljo dimljenja iz posameznih vrednosti Yi izbere največja 1 s vrednost Ymax.

►M1  7.3.3. ◄    Končni rezultat

Srednje vrednosti dimljenja (SV) iz vsakega cikla (preskusne vrtilne frekvence) se izračunajo takole:

Za preskusno vrtilno frekvenco A

:

SVA = (Ymax1,A + Ymax2,A + Ymax3,A) / 3

Za preskusno vrtilno frekvenco B

:

SVB = (Ymax1,B + Ymax2,B + Ymax3,B) / 3

Za preskusno vrtilno frekvenco C

:

SVC = (Ymax1,C + Ymax2,C + Ymax3,C) / 3

kjer je:

Ymax1, Ymax2, Ymax3 = najvišja povprečna 1 s vrednost dimljenja po Besselu za vsako od treh stopenj obremenitev

Končna vrednost se izračuna takole:

SV = (0,43 × SVA) + (0,56 × SVB) + (0,01 × SVC)




Dodatek 2

PRESKUSNI CIKEL ETC

1.   POSTOPEK DOLOČANJA KARAKTERISTIČNEGA DIAGRAMA MOTORJA

1.1   Določanje karakterističnega diagrama območja vrtilne frekvence

Za generiranje ETC na preskusni napravi je treba motorju pred preskusnim ciklom določiti karakteristično krivuljo vrtilne frekvence: navor. Najnižja in najvišja vrtilna frekvenca za določanje karakterističnega diagrama je opredeljena takole:

Najnižja vrtilna frekvenca za določitev karakterističnega diagrama

=

vrtilna frekvenca v prostem teku

Najvišja vrtilna frekvenca za določitev karakterističnega diagrama

=

nhi × 1,02 ali, če je nižje, vrtilna frekvenca, pri kateri navor pri polni obremenitvi pade na nič

1.2   Določanje karakterističnega diagrama moči motorja

Motor se ogreva pri največji moči, da se parametri motorja stabilizirajo skladno s priporočilom proizvajalca in dobro inženirsko prakso. Ko je motor stabiliziran, se karakteristični diagram določi takole:

(a) motor se razbremeni in obratuje v prostem teku;

(b) motor obratuje pri nastavitvi tlačilke za vbrizgavanje goriva na polno obremenitev in pri najnižji vrtilni frekvenci za določanje karakterističnega diagrama;

(c) vrtilna frekvenca motorja se s povprečno hitrostjo 8 ± 1 min-1/s povečuje od najnižje do najvišje vrtilne frekvence za določitev karakterističnega diagrama. Točke vrtilne frekvence motorja in navora se beležijo s frekvenco vzorčenja najmanj ene točke na sekundo.

1.3   Določanje krivulje karakterističnega diagrama

Vse zabeležene podatkovne točke iz točke 1.2 se povežejo z uporabo linearne interpolacije med točkami. Nastala krivulja navora je krivulja karakterističnega diagrama in se uporabi za pretvorbo normiranih vrednosti navora motornega cikla v dejanske vrednosti navora preskusnega cikla, kakor je opisano v točki 2.

1.4   Alternativno določanje karakterističnega diagrama

Če proizvajalec meni, da gornje tehnike določanja karakterističnega diagrama niso varne ali da za določen motor niso reprezentativne, se lahko uporabijo alternativne tehnike določanja karakterističnega diagrama. Te alternativne tehnike morajo ustrezati namenu navedenih postopkov določanja karakterističnega diagrama za ugotavljanje največjega razpoložljivega navora pri vsaki vrtilni frekvenci motorja, doseženih med preskusnimi cikli. Odstopanja od tehnik določanja karakterističnega diagrama iz varnostnih razlogov oziroma zaradi reprezentativnosti, navedenih v tej točki, mora odobriti tehnična služba skupaj z utemeljitvijo njihove uporabe. V nobenem primeru pa se zvezno padajoče spreminjanje vrtilne frekvence motorja ne sme uporabiti za motorje z regulatorjem ali tlačno polnjene motorje s turbopuhalom na izpušne pline.

1.5   Ponovljeni preskusi

Motorju ni treba določati karakterističnega diagrama pred vsakim preskusnim ciklom. Motorju se ponovno določi karakteristični diagram pred preskusnim ciklom:

 če je, po oceni inženirjev, od zadnjega določanja karakterističnega diagrama preteklo nerazumno veliko časa

 ali

 če so bile na motorju izvedene fizične spremembe ali ponovne kalibracije, ki bi lahko vplivale na zmogljivost motorja.

2.   DOLOČANJE REFERENČNEGA PRESKUSNEGA CIKLA

Preskusni cikel prehodnega stanja je opisan v Dodatku 3 k tej prilogi. Normirane vrednosti za navor in vrtilno frekvenco se na naslednji način spremenijo v dejanske vrednosti, rezultat pa je referenčni cikel.

2.1   Dejanska vrtilna frekvenca

Vrtilna frekvenca se destandardizira z naslednjo enačbo:

image

Referenčna vrtilna frekvenca (nref) ustreza 100 % vrednostim vrtilne frekvence v časovnem poteku delovanja dinamometra za motor iz Dodatka 3. Opredeli se takole (glej sliko 1 v Prilogi I):

image

kjer sta nhi in nlo bodisi določeni skladno s točko 2 Priloge I bodisi opredeljeni skladno s točko 1.1 Dodatka 1 k Prilogi III.

2.2   Dejanski navor

Navor je standardiziran na največji navor pri ustrezni vrtilni frekvenci. Vrednosti navora referenčnega cikla se destandardizirajo z uporabo krivulje karakterističnega diagrama, določene skladno s točko 1.3, takole:

Dejanski navor = (% navora × največji navor/100)

za ustrezno dejansko vrtilno frekvenco iz točke 2.1

Negativne vrednosti navora točk delovanja motorja („m“ prevzamejo, pri določanju referenčnega cikla, destandardizirane vrednosti, ki se določijo na enega od naslednjih načinov:

 negativnih 40 % razpoložljivega pozitivnega navora na ustrezni točki vrtilne frekvence,

 določanje karakterističnega diagrama negativnega navora, potrebnega za večanje vrtilne frekvence za določanje karakterističnega diagrama motorja od najnižjega do najvišjega,

 določanje negativnega navora, potrebnega za poganjanje motorja v prostem teku in pri referenčni vrtilni frekvenci, ter linearna interpolacija med tema dvema točkama.

2.3   Primer postopka destandardizacije

Kot primer se destandardizirajo naslednje preskusne točke:

% vrtilne frekvence

=

43

% navora

=

82

Pri naslednjih vrednostih:

referenčna vrtilna frekvenca

=

2 200 min- 1

vrt. frek. v prostem teku

=

600 min- 1

je rezultat

dejanska vrtilna frekvenca = (43 × (2 200 – 600)/100) + 600 = 1 288 min-1

dejanski navor = (82 × 700/100) = 574 Nm

pri čemer je največji navor, razviden iz krivulje karakterističnega diagrama pri 1 288 min- 1, 700 Nm.

▼M1

3.   IZVEDBA PRESKUŠANJA ZA DOLOČANJE EMISIJ

Na zahtevo proizvajalca se lahko za kondicioniranje motorja in izpušnega sistema pred merilnim ciklom izvede navidezni preskus.

Motorji, ki za gorivo uporabljajo NG ali LPG, se utečejo s preskusom ETC. Motor naj teče najmanj dva cikla ETC in dokler izmerjena emisija CO v enem ciklu ETC ne preseže za največ 10 % emisije CO, izmerjene v predhodnem ciklu ETC.

3.1   Priprava filtrov za vzorčenje (če je to ustrezno)

Najmanj eno uro pred preskusom se vsak filter vstavi v delno pokrito petrijevko, ki je zaščitena pred prahom, in položi v tehtalno komoro na stabilizacijo. Ob koncu stabilizacije se vsak filter stehta, zabeleži pa se tara teža. Filter se nato shrani v zaprto petrijevko ali zatesnjeno posodo za filtre, dokler ni potreben za preskušanje. Filter se uporabi v osmih urah po tem, ko se ga vzame iz tehtalne komore. Tara teža se zabeleži.

3.2   Namestitev merilne opreme

Merila in sonde za vzorčenje se namestijo v skladu z zahtevami. Zadnji del izpušne cevi se priključi na sistem redčenja s celotnim tokom, če se uporablja.

3.3   Zagon sistema za redčenje in motorja

Sistem za redčenje in motor se zaženeta in segrevata, dokler se vse temperature in tlaki ne stabilizirajo pri največji moči v skladu s priporočilom proizvajalca in z dobro inženirsko prakso.

3.4   Zagon sistema za vzorčenje delcev (samo dizelski motorji)

Sistem za vzorčenje delcev se zažene in teče na obvodu. Količina delcev v zraku za redčenje se lahko določi tako, da se zrak za redčenje spusti skozi filtre za delce. Če se uporablja filtriran zrak za redčenje, se lahko opravi ena meritev pred ali po preskusu. Če zrak za redčenje ni filtriran, se meritve lahko opravijo na začetku in na koncu cikla, iz dobljenih vrednosti pa se izračuna povprečje.

Sistem za redčenje in motor se zaženeta in segrevata, dokler se vse temperature in tlaki ne stabilizirajo v skladu s priporočilom proizvajalca in z dobro inženirsko prakso.

V primeru periodične regeneracije z naknadno obdelavo do regeneracije ne sme priti v času segrevanja motorja.

3.5   Nastavitev sistema redčenja

Stopnje pretoka sistema redčenja (s celotnim ali z delnim tokom) se nastavijo tako, da se prepreči kondenziranje vode in dobi najvišja temperatura na dotoku v filter 325 K (52 °C) ali manj (glej točko 2.3.1 DT Priloge V DT).

3.6   Preverjanje analizatorjev

Analizatorji emisije se nastavijo na nič in na določen razpon. Če se uporabljajo vreče za vzorce, jih je treba odstraniti.

3.7   Postopek zagona motorja

Stabiliziran motor se zažene v skladu s proizvajalčevim priporočilom za postopek zagona v navodilu lastniku, in sicer z uporabo bodisi serijskega zaganjalnika bodisi dinamometra. Preskus se lahko po izbiri začne neposredno iz faze kondicioniranja brez zaustavitve motorja, ko je motor dosegel vrtilno frekvenco prostega teka.

3.8   Preskusni cikel

3.8.1   Zaporedje preskusov

Zaporedje preskusov se začne, ko je motor dosegel vrtilno frekvenco prostega teka. Preskus se izvede v skladu z referenčnim ciklom, kot je navedeno v točko 2 tega Dodatka. Predvidene vodilne vrednosti za vrtilno frekvenco motorja in navor se izdajo pri frekvenci 5 Hz (priporočljivo 10 Hz) ali višji. Izmerjeni podatki o vrtilni frekvenci motorja in navoru se med preskusnim ciklom zapišejo najmanj enkrat na sekundo, signali pa se lahko elektronsko filtrirajo.

3.8.2   Meritev plinastih emisij

3.8.2.1   Sistem redčenja s celotnim tokom

Hkrati z zagonom motorja oziroma zaporedja preskusov, če se cikel začne neposredno iz kondicioniranja, se zažene tudi merilna oprema, in sicer:

 začetek zbiranja oziroma analiziranja zraka za redčenje,

 začetek zbiranja oziroma analiziranja razredčenih izpušnih plinov,

 začetek merjenja količine razredčenih izpušnih plinov (sistem CVS) in predpisanih temperatur ter tlakov,

 začetek zapisovanja izmerjenih podatkov o vrtilni frekvenci in navoru dinamometra.

V tunelu za redčenje se HC in NOx neprekinjeno merita s frekvenco 2 Hz. Povprečne koncentracije se določijo z integriranjem signalov analizatorja skozi ves preskusni cikel. Odzivni čas sistema ne sme biti daljši od 20 s in ga je treba uskladiti z nihanjem pretoka v sistemu CVS in z odstopanjem časa vzorčenja oziroma preskusnega cikla. CO, CO2, NMHC in CH4 se določijo z integriranjem ali analizo koncentracij, ki so se med ciklom nabrale v vreči za vzorce. Koncentracije plinastih onesnaževal v zraku za redčenje se določijo z integriranjem ali zbiranjem v vrečo za ozadje. Vse ostale vrednosti se zapišejo na podlagi najmanj ene meritve na sekundo (1 Hz).

3.8.2.2   Merjenje nerazredčenih izpušnih plinov

Hkrati z zagonom motorja oziroma zaporedja preskusov, če se cikel začne neposredno iz kondicioniranja, se zažene tudi merilna oprema, in sicer:

 začetek analiziranja koncentracij nerazredčenih izpušnih plinov,

 začetek merjenja izpušnih plinov ali polnilnega zraka in pretoka goriva,

 začetek zapisovanja izmerjenih podatkov o vrtilni frekvenci in navoru dinamometra.

Za ovrednotenje plinastih emisij se koncentracije emisij (HC, CO in NOx) ter masni pretok izpušnh plinov zapišejo in shranijo v računalniškem sistemu pri vsaj 2 Hz. Odzivni čas sistema ne sme biti večji od 10 s. Vse ostale podatke je mogoče zapisati s frekvenco vzorčenja vsaj 1 Hz. Pri analognih analizatorjih se zapiše odzivni čas, kalibracijske podatke pa je mogoče uporabiti na spletu ali drugače med ovrednotenjem podatkov.

Za izračun masne emisije plinastih komponent se s časom pretvorbe, kakor je določeno v točki 2 Priloge I, časovno uskladijo sledi zapisanih koncentracij in sledi masnega pretoka izpušnih plinov. Zato se odzivni čas vsakega analizatorja plinastih emisij in sistema masnega pretoka izpušnih plinov določi v skladu z določbami točke 4.2.1 in točke 1.5 Dodatka 5 k tej prilogi in zapiše.

3.8.3   Vzorčenje delcev (če je ustrezno)

3.8.3.1   Sistem redčenja s celotnim tokom

Hkrati z zagonom motorja oziroma zaporedja preskusov, če se cikel začne neposredno iz kondicioniranja, se sistem za vzorčenje delcev preklopi z obvoda na zbiranje delcev.

Če se ne uporablja kompenzacija pretoka, je treba črpalko(e) za vzorčenje naravnati tako, da je stopnja pretoka skozi sondo za vzorčenje delcev ali cev za prenos vzorca stalno v območju 5 % nastavljene stopnje pretoka. Če se kompenzacija pretoka (tj. sorazmerno krmiljenje pretoka vzorcev) uporablja, mora biti dokazano, da se razmerje med pretokom v glavnem tunelu in pretokom vzorca delcev ne spreminja za več kot 5 % nastavljene vrednosti (razen v prvih 10 sekundah vzorčenja).

Opomba: Pri delovanju z dvojnim redčenjem je pretok vzorcev dejanska razlika med stopnjo pretoka skozi filtre za vzorčenje in stopnjo pretoka sekundarnega zraka za redčenje.

Povprečna temperatura in tlak na vstopu v plinomer(e) oziroma v merila za merjenje pretoka se zapišeta. Če nastavljene stopnje pretoka ni mogoče ohranjati skozi celoten cikel (v območju 5 %) zaradi prevelike obremenitve filtra z delci, se preskus razveljavi. Preskus se ponovi pri manjši stopnji pretoka in/ali večjem premeru filtra.

3.8.3.2   Sistem redčenja z delnim tokom

Hkrati z zagonom motorja oziroma zaporedja preskusov, če se cikel začne neposredno iz kondicioniranja, se sistem za vzorčenje delcev preklopi z obvoda na zbiranje delcev.

Pri nadzoru sistema redčenja z delnim tokom se zahteva hiter odzivni čas sistema. Čas pretvorbe za sistem se določi s postopkom iz točke 3.3 Dodatka 5 k Prilogi III. Če je skupen čas pretvorbe meritve pretoka izpušnih plinov (glej točko 4.2.1) in sistema redčenja z delnim tokom manj kot 0,3 sekunde, se lahko uporabi nadzor na spletu. Če čas pretvorbe presega 0,3 sekunde, je treba uporabiti nadzor s pogledom naprej, ki temelji na vnaprej zapisanem poteku preskusa. V tem primeru mora biti čas vzpona ≤ 1 sekundi, skupen čas zamika pa ≤ 10 sekundam.

Skupen odziv sistema se izvede tako, da se zagotovi reprezentativen vzorec delcev, qmp,i, ki je sorazmeren z masnim pretokom izpušnih plinov. Za določitev sorazmernosti se uporabi regresivna analiza qmp,i proti qmew,i pri frekvenci pridobivanja podatkov najmanj 1 Hz, izpolnjeni pa morajo biti naslednji kriteriji:

 korelacijski koeficient R2 linearne regresije med qmp,i in qmew,i ne sme biti manj kot 0,95,

 standardna napaka ocene qmp,i za qmew,i ne sme preseči 5 % največje vrednoti qmp,

 qmp odsek regresijske krivulje ne sme preseči ± 2 % največje vrednosti qmp.

Po izbiri je mogoče izvesti tudi predpreskus, za nadzor vzorčnega pretoka v sistem delcev (nadzor s pogledom naprej) pa se uporabi signal masnega pretoka izpušnih plinov iz predpreskusa. Takšen postopek se zahteva, če je čas pretvorbe sistema delcev, t50,P, ali čas pretvorbe signala masnega pretoka izpušnih plinov, t50,F, ali oba > 0.3 sec. Do pravilnega nadzora sistema redčenja z delnim tokom pride, če se časovna sled qmew,pre predpreskusa, ki nadzoruje qmp, premakne za čas nadzora s pogledom naprej t50,P + t50,F.

Za ugotovitev korelacije med qmp,i in qmew,i se uporabijo podatki iz dejanskega preskusa, kjer se qmew,i časovno uskladi za t50,F relativno do qmp,i (brez prispevka od t50,P k časovni uskladitvi). To pomeni, da je časovni premik med qmew in qmp razlika v njunih časih pretvorb, ki so bili določeni v točki 3.3 Dodatka 5 k Prilogi III.

3.8.4   Nehotena zaustavitev motorja

Če se motor kadarkoli med preskusnim ciklom sam zaustavi, ga je treba kondicionirati in ponovno zagnati, preskus pa ponoviti. Če pride na katerikoli predpisani preskusni opremi med preskusnim ciklom do okvare, se preskus razveljavi.

3.8.5   Postopki po preskusu

Ob zaključku preskusa se ustavijo meritev prostornine razredčenih izpušnih plinov ali pretok nerazredčenih izpušnih plinov, pretok plinov v zbiralne vreče in črpalka za vzorčenje delcev. Pri integracijskem analiznem sistemu se vzorčenje nadaljuje, dokler ne potečejo odzivni časi sistema.

Če se uporabljajo zbiralne vreče, je treba njihove koncentracije čim prej analizirati, najpozneje pa v 20 minutah po koncu preskusnega cikla.

Po preskusu emisije se za ponovno preverjanje analizatorjev uporabi ničelni plin in enak kalibrirni plin. Preskus šteje kot sprejemljiv, če je razlika med rezultati predhodnega preskusa in naknadnega preskusa manjša od 2 % vrednosti kalibrirnega plina.

3.9   Overjanje poteka preskusa

3.9.1   Zamik podatkov

Da bi čimbolj zmanjšali efekt popačenja zaradi zakasnitve med izmerjenimi in referenčnimi vrednostmi cikla, se lahko celotno zaporedje izmerjenih signalov o vrtilni frekvenci in navoru motorja časovno premakne naprej ali nazaj glede na referenčno zaporedje vrtilnih frekvenc in navora. Če so izmerjeni signali zamaknjeni, se morata za enak obseg v isto smer zamakniti tudi vrtilna frekvenca in navor.

3.9.2   Izračun dela v ciklu

Dejansko delo cikla Wact (kWh) se izračuna s pomočjo posameznih parov zapisanih izmerjenih podatkov o vrtilni frekvenci in navoru. To se naredi vsakič, ko je prišlo do zamika izmerjenih podatkov, če je ta možnost izbrana. Dejansko delo cikla Wact se uporablja za primerjavo z referenčnim delom cikla Wref in za izračun emisij, specifičnih za zavoro (glej točki 4.4 in 5.2). Ista metodologija se uporabi za integriranje referenčne in dejanske moči motorja. Če je treba določiti vrednost med sosednjimi referenčnimi oziroma sosednjimi izmerjenimi vrednostmi, se uporabi linearna interpolacija.

Pri integriranju referenčnega in dejanskega dela cikla se vse negativne vrednosti navora postavijo na nič in vključijo. Če se izvaja integracija pri frekvenci, ki je nižja od 5 Hz, in če se med danim časom vrednost navora spremeni iz pozitivne v negativno ali iz negativne v pozitivno, se izračuna negativni delež in postavi na nič. Pozitivni delež se vključi v integrirano vrednost.

Wact mora biti med – 15 % in + 5 % Wref.

3.9.3   Validacijska statistika preskusnega cikla

Za vrtilno frekvenco, navor in moč se opravi linearna regresija izmerjenih vrednosti glede na referenčne vrednosti. To se naredi vsakič, ko je prišlo do zamika izmerjenih podatkov, če je ta možnost izbrana. Uporabi se metoda najmanjših kvadratov, s tem da ima najustreznejša enačba naslednjo obliko:

y = mx + b

kjer je:

y

=

izmerjena (dejanska) vrednost vrtilne frekvence (min–1), navora (Nm) ali moči (kW)

m

=

naklon regresijske krivulje

x

=

referenčna vrednost vrtilne frekvence (min–1), navora (Nm) ali moči (kW)

b

=

odsek regresijske krivulje na osi y

Za vsako regresijsko krivuljo se izračunata standardna napaka (standard error — SE) ocene y na x in koeficient določanja (r2).

Priporoča se, da se ta analiza opravi pri 1 Hz. Vse negativne referenčne vrednosti navora in pripadajoče izmerjene vrednosti se iz izračuna vrednosti navora in statistike validacije moči izbrišejo. Da se preskus šteje kot veljaven, morajo biti izpolnjeni kriteriji iz tabele 7.



Tabela 7

Dovoljena odstopanja regresijske krivulje

 

Vrtil. frekv.

Navor

Moč

Standardna napaka (SE) ocene Y na X

Največ 100 min–1

Največ 13 % (15 %) (1) največjega navora z diagrama moči motorja

Največ 8 % (15 %) (1) največje moči z diagrama moči motorja

naklon regresijske krivulje, m

0,95 do 1,03

0,83–1,03

0,89–1,03

(0,83–1,03) (1)

Koeficient določanja, r2

najmanj 0,9700

(najmanj 0,9500) (1)

najmanj 0,8800

(najmanj 0,7500) (1)

najmanj 0,9100

(najmanj 0,7500) (1)

odsek regresijske krivulje na osi Y, b

± 50 min–1

± 20 Nm ali ± 2 % (± 20 Nm ali ± 3 %) (1) največjega navora, kar je večje

± 4 kW ali ± 2 % (± 4 kW ali ± 3 %) (1) največje moči, kar je večje

(1)   Do 1. oktobra 2005 je za preskuse za homologacijo plinastih motorjev mogoče uporabiti številke, prikazane v oklepajih. (Komisija bo poročala o razvoju tehnologije plinastih motorjev, da se potrdijo ali spremenijo dovoljena odstopanja regresijske krivulje, ki se uporabljajo za plinske motorje, podane v tej tabeli.)

Brisanje točk iz regresijskih analiz je dovoljeno, če je tako označeno v tabeli 8.



Tabela 8

Dopustno črtanje točk iz regresijske analize

Pogoji

Točke, ki se črtajo

Polna zahteva po tovoru in signalih o navoru < 95 % referenčnega navora

Navor in/ali moč

Polna zahteva po tovoru in signalih o vrtilni frekvenci < 95 % referenčne vrtilne frekvence

Vrtilna frekvenca in/ali moč

Brez tovora, točka, ki ni v prostem teku, in signal o navoru > referenčni navora

Navor in/ali moč

Brez tovora, signali o vrtilni frekvenci ≤ prosti tek + 50 min–1 in signali o navoru = navor v prostem teku, ki ga določi/izmeri proizvajalec ± 2 % največjega navora

Vrtilna frekvenca in/ali moč

Brez tovora, signali o vrtilni frekvenci > vrtilna frekvenca v prostem teku+ 50 min–1 in signali o navoru > 105 % referenčnega navora

Navor in/ali moč

Brez tovora in signali o vrtilni frekvenci < 105 % referenčne vrtilne frekvence

Vrtilna frekvenca in/ali moč

▼M1

4.   IZRAČUN PRETOKA IZPUŠNIH PLINOV

4.1   Določanje pretoka razredčenih izpušnih plinov

Skupni pretok razredčenih izpušnih plinov v ciklu (kg/preskus) se izračuna iz merilnih vrednosti skozi ves cikel in iz ustreznih kalibracijskih podatkov naprave za merjenje pretoka (V 0 za PDP, K V za CFV, C d za SSV), kakor je določeno v točki 2 Dodatka 5 k Prilogi III). Naslednje formule se uporabijo, če se temperatura razredčenih izpušnih plinov s pomočjo izmenjevalnika toplote ohranja konstantna skozi ves cikel (± 6 K za PDP-CVS, ± 11 K za CFV-CVS ali ± 11 K za SSV-CVS), glej točko 2.3 Priloge V).

Za sistem PDP-CVS:

m ed = 1,293 × V 0 × N P × (p bp 1) × 273 / (101,3 × T)

kjer je:

V 0

=

prostorninski pretok v sistemu PDP na en vrtljaj pri preskusnih pogojih, v m3/vrt

N P

=

skupno število vrtljajev črpalke na preskus

p b

=

atmosferski tlak v preskusni napravi, v kPa

p 1

=

podtlak pri vstopu v črpalko, v kPa

T

=

povprečna temperatura razredčenih izpušnih plinov pri vstopu v črpalko skozi ves cikel, v K

Za sistem CFV-CVS:

m ed = 1,293 × t × K v × p p / T 0,5

kjer je:

t

=

čas cikla, s

K v

=

kalibracijski koeficient venturijeve cevi s kritičnim pretokom za standardne pogoje

p p

=

absolutni tlak pri vstopu v venturijevo cev, kPa

T

=

absolutna temperatura pri vstopu v venturijevo cev, K

Za sistem SSV-CVS:

m ed = 1,293 × QSSV

kjer je:

QSSV = A0d2Cdpp √[1 T (rp 1,4286 - rp 1,7143) × (1 - 1 rD4rp1,4286)]

kjer je:

A 0

=

zbirka konstant in pretvorb enot

(m3 min) (K1 2 kPa) (1 mm2)

= 0,006111 v enotah SI:

d

=

premer grla SSV, m

C d

=

koeficient odvajanja v SSV

p p

=

absolutni tlak pri vstopu v venturijevo cev, kPa

T

=

temperatura pri vstopu v venturijevo cev, K

r p

=

razmerje absolutnega statičnega tlaka med grlom SSV in vstopom =1 - ΔP PA

rD

=

razmerje med premerom grla SSV, d, in notranjim premerom vstopne cevi =d D

Če se uporabi sistem s kompenzacijo pretoka (tj. brez izmenjevalnika toplote), se skozi ves cikel izračunavajo in integrirajo trenutne emisije mase. V takem primeru se trenutna masa razredčenih izpušnih plinov izračuna takole:

Za sistem PDP-CVS:

m ed,i = 1,293 × V 0 × N P,i × (p bp 1) × 273 / (101,3 × T)

kjer je:

N P,i = skupno število vrtljajev črpalke na časovni interval

Za sistem CFV-CVS:

m ed,i = 1,293 × Δt i × K V × p p / T 0,5

kjer je:

Δt i = časovni interval, s

Za sistem SSV-CVS:

med = 1,293 × QSSV × Δti

kjer je:

Δt i = časovni interval, s

Izračun v realnem času se začne ali z ustrezno vrednostjo za C d, na primer 0,98, ali ustrezno vrednostjo Q ssv. Če se izračun začne s Q ssv, se za ovrednotenje Re uporabi začetna vrednost Q ssv.

Pri vseh preskusih emisij mora biti Reynoldsovo število na grlu SSV v območju Reynoldsovih števil, ki se uporabljajo za izpeljavo kalibracijske krivulje, izpeljane v točki 2.4 Dodatka 5 k tej prilogi.

4.2   Določanje masnega pretoka nerazredčenih izpušnih plinov

Za izračun emisij v nerazredčenih izpušnih plinih in za nadzor nad sistemom redčenja z delnim tokom mora biti znan masni pretok izpušnih plinov. Za določanje masnega pretoka izpušnih plinov se lahko uporabi katera koli od metod, opisanih v točkah od 4.2.2 do 4.2.5.

4.2.1   Odzivni čas

Za izračun emisij mora biti odzivni čas katere koli spodaj opisane metode enak ali manjši odzivnemu času, ki se zahteva za analizator, kakor je opredeljeno v točki 1.5 Dodatka 5 k tej prilogi.

Za nadzor sistema redčenja z delnim tokom se zahteva hitrejši odzivni čas. Za sistem redčenja z delnim tokom z nadzorom na spletu se zahteva odzivni čas ≤ 0,3 sekunde. Za sisteme redčenja z delnim tokom z nadzorom s pogledom naprej, ki temelji na vnaprej zapisanem poteku preskusa, se zahteva odzivni čas sistema merjenja pretoka izpušnih plinov ≤ 5 sekund s časom vzpona ≤ 1 sekundo. Odzivni čas sistema določi proizvajalec opreme. Zahteve za skupni odzivni čas za pretok izpušnih plinov in sistem redčenja z delnim tokom so navedene v točki 3.8.3.2.

4.2.2   Metoda neposrednega merjenja

Neposredno merjenje trenutnega pretoka izpušnih plinov je mogoče izvesti s sistemi, kot so:

 naprave za razlike tlakov, kot je šoba na izpušni cevi,

 ultrazvočni merilnik pretoka,

 vortex merilnik pretoka.

Sprejeti je treba ukrepe, da se preprečijo napake pri merjenju, ki vplivajo na napake pri emisijskih vrednostih. Takšni ukrepi so, med drugim, previdna namestitev naprave v izpušni sistem motorja v skladu z navodili proizvajalca in dobro inženirsko prakso. Namestitev naprave zlasti ne sme vplivati na zmogljivost motorja in na emisije.

Točnost določanja pretoka izpušnih plinov mora biti ± 2,5 % odčitka ali ± 1,5 % največje vrednosti motorja, kar je večje.

4.2.3   Metoda merjenja zraka in goriva

To vključuje merjenje pretoka zraka in pretoka goriva. Uporabljajo se merilniki pretoka zraka in merilniki pretoka goriva, ki izpolnjujejo zahteve za točnost merjenja skupnega pretoka izpušnih plinov iz točke 4.2.2. Izračun pretoka izpušnih plinov je naslednji:

qmew = qmaw + qmf

4.2.4   Metoda merjenja markerjev

To vključuje merjenje koncentracije sledilnega plina v izpušnih plinih. Znana količina inertnega plina (npr. čisti helij) se vbrizga v pretok izpušnih plinov kot marker. Plin se pomeša in razredči z izpušnimi plini, vendar ne reagira v izpušni cevi. Koncentracija plina se nato meri v vzorcu izpušnih plinov.

Da se zagotovi popolno mešanje sledilnega plina, je treba sondo za vzorčenje izpušnih plinov namestiti vsaj 1 m ali 30 krat premer izpušne cevi, kar je večje, nižje od mesta, kjer se vbrizga sledilni plin. Sondo za vzorčenje je mogoče namestiti bližje mestu, kjer je bil vbrizgan sledilni plin, če se s primerjavo koncentracije sledilnega plina in referenčne koncentracije, ko se sledilni plin vbrizga višje v smeri motorja, dokaže popolno mešanje sledilnega plina iz izpušnih plinov.

Pretok sledilnega plina se nastavi tako, da koncentracija sledilnega plina, če je motor v prostem teku, po mešanju postane nižja od obsega skale analizatorja sledilnega plina.

Izračun pretoka izpušnih plinov je naslednji:

qmew,i = qvt × ρe 60 × (cmix,i - ca)

kjer je:

q mew,i

=

trenutni masni pretok izpušnih plinov, v kg/s

q vt

=

pretok sledilnega plina, v cm3/min

c mix.i

=

trenutna koncentracija sledilnega plina po mešanju, v ppm

ρ e

=

gostota izpušnih plinov, v kg/m3 (glej tabelo 3)

c a

=

koncentracija v ozadju sledilnega plina v polnilnem zraku, v ppm

Če je koncentracija v ozadju manj kot 1 % koncentracije sledilnega plina po mešanju (c mix.i) pri največjem toku izpušnih plinov, je koncentracijo v ozadju mogoče zanemariti.

Celoten sistem mora izpolnjevati zahteve po točnosti za pretok izpušnih plinov ter mora biti kalibriran v skladu s točko 1.7 Dodatka 5 k tej prilogi.

4.2.5   Metoda merjenja zračnega pretoka in razmerja zrak-gorivo

Ta metoda vključuje izračun mase izpušnih plinov iz zračnega pretoka in razmerja zrak-gorivo. Izračun trenutnega masnega pretoka izpušnih plinov je naslednji:

qmew,i = qmaw,i × (1 + 1 A/Fst × λi)

kjer je:

A/Fst = 138,0 × (β + α 4 - ε 2 + γ) 12,011 × β + 1,00794 × α + 15,9994 × ε + 14,0067 × δ + 32,065 × γ

λi = β × (100 - cCO × 10–4 2 - cHC × 10–4) + (α 4 × 1 - 2 × cCO × 10–4 3,5 × cCO2 1 + cCO × 10–4 3,5 × cCO2 - ε 2 - δ 2) × (cCO2 + cCO × 10–4) 4,764 × (β + α 4 - ε 2 + γ) × (cCO2 + cCO × 10–4 + cHC × 10–4)

kjer je:

A/F st

=

stehiometrično razmerje zrak-gorivo, kg/kg

λ

=

razmerje presežnega zraka

c CO2

=

koncentracija suhega CO2, %

c CO

=

koncentracija suhega CO, ppm

c HC

=

koncentracija HC, ppm

Opomba: β je lahko 1 za goriva, ki vsebujejo ogljik in 0 za vodikova goriva.

Merilnik pretoka zraka mora izpolnjevati zahteve o točnosti iz točke 2.2 Dodatka 4 k tej prilogi, uporabljeni analizator CO2 mora biti skladen z zahtevami iz točke 3.3.2 Dodatka 4 k tej prilogi, celoten sistem pa mora izpolnjevati zahteve o točnosti za pretok izpušnih plinov.

Po izbiri je za merjenje razmerja presežnega zraka mogoče uporabiti opremo za merjenje razmerja zrak-gorivo, kot je senzor tipa zirconia, ki je skladna z zahtevami iz točke 3.3.6 Dodatka 4 k tej prilogi.

▼M1

5.   IZRAČUN PLINASTIH EMISIJ

5.1   Ovrednotenje podatkov

Plinaste emisije v razredčenih izpušnih plinih se ovrednotijo tako, da se v skladu s točko 3.8.2.1 zapišejo koncentracije emisij (HC, CO in NOx) in masni pretok razredčenih izpušnih plinov ter shranijo v računalniškem sistemu. Pri analognih analizatorjih se zapiše odzivni čas, podatke o kalibraciji pa je mogoče uporabiti na spletu ali drugače med ovrednotenjem podatkov.

Plinaste emisije v nerazredčenih izpušnih plinih se ovrednotijo tako, da se v skladu s točko 3.8.2.2 zapišejo koncentracije emisij (HC, CO in NOx) in masni pretok nerazredčenih izpušnih plinov ter shranijo v računalniškem sistemu. Pri analognih analizatorjih se zapiše odzivni čas, kalibracijske podatke pa je mogoče uporabiti na spletu ali drugače med ovrednotenjem podatkov.

5.2   Korekcija iz suhega v mokro stanje

Če se koncentracija meri na suhi osnovi, se po naslednji formuli pretvori na mokro osnovo. Pri stalnem merjenju se ta pretvorba uporabi za vsako merjenje pred kakršnimi koli nadaljnjimi izračuni.

cwet = kW × cdry

Uporabljajo se enačbe iz točke 5.2 Dodatka 1 k tej prilogi.

5.3   Korekcija NOx za vlažnost in temperaturo

Ker je emisija NOx odvisna od pogojev okoliškega zraka, se koncentracija NOx korigira na temperaturo in vlažnost okoliškega zraka s pomočjo faktorjev, podanih v točki 5.3 Dodatka 1 k tej prilogi. Faktorji se uporabljajo v območju od 0 do 25 g/kg suhega zraka.

5.4   Izračun masnih pretokov emisij

Masa emisije v ciklu (g/preskus) se izračuna na naslednji način, odvisno od uporabljene metode merjenja. Če koncentracija ni že izmerjena na mokri osnovi, se v skladu s točko 5.2 Dodatka 1 k tej prilogi pretvori na mokro osnovo. Uporabijo se ustrezne vrednosti za u gas, ki so podane v tabeli 6 Dodatka 1 k tej prilogi za izbrane komponente, ki temeljijo na lastnostih idealnih plinov in gorivih, pomembnih za to direktivo.

(a)  za nerazredčene izpušne pline:

mgas ugas Σ i 1 i n cgas,i qmew,i 1 f

kjer je:

u gas

=

razmerje gostot sestavine izpušnih plinov in izpušnih plinov iz tabele 6

c gas,i

=

trenutna koncentracija ustrezne sestavine v nerazredčenih izpušnih plinih, v ppm

q mew,i

=

trenutni masni pretok izpušnih plinov, v kg/s

f

=

hitrost vzorčenja podatkov, v Hz

n

=

število meritev

(b)  za razredčene izpušne pline brez kompenzacije pretoka:

mgas = ugas × cgas × med

kjer je:

u gas

=

razmerje gostot sestavine izpušnih plinov in zraka iz tabele 6

c gas

=

povprečna koncentracija, korigirana glede na ozadje, ustrezne sestavine, v ppm

m ed

=

skupna masa razredčenih izpušnih plinov skozi ves cikel, v kg

(c)  za razredčene izpušne pline s kompenzacijo pretoka:

mgas = [ugas × Σ i = 1 i = n (ce,i × qmdew,i × 1 f)] - [(med × cd × (1 - 1/D) × ugas)]

kjer je:

c e,i

=

trenutna koncentracija ustrezne sestavine, merjene v razredčenih izpušnih plinih, ppm

c d

=

koncentracija ustrezne sestavine, merjene v zraku za redčenje, ppm

q mdew,i

=

trenutni masni pretok razredčenih izpušnih plinov, kg/s

m ed

=

skupna masa razredčenih izpušnih plinov skozi ves cikel, kg

u gas

=

razmerje gostot sestavine izpušnih plinov in zraka iz tabele 6

D

=

faktor redčenja (glej točko 5.4.1)

Po potrebi se koncentraciji NMHC in CH4 izračunata po eni od metod iz točke 3.3.4 Dodatka 4 k tej prilogi takole:

(a)  Metoda GC (samo sistem redčenja s celotnim tokom):

cNMHC = cHC – cCH4

(b)  Metoda NMC

cNMHC = cHC(w/oCutter) × (1 - EM) - cHC (w/Cutter) EE - EM

cCH4 = cHC(w/Cutter) - cHC(w/oCutter) × (1 - EE) EE - EM

kjer je:

c HC(w/Cutter)

=

koncentracija HC, če vzorčni plin teče skozi NMC

c HC(w/oCutter)

=

koncentracija HC, če teče vzorčni plin mimo NMC

5.4.1   Določanje koncentracij, korigiranih glede na ozadje (samo sistem redčenja s celotnim tokom)

Neto koncentracije plinastih onesnaževal dobimo tako, da od izmerjenih koncentracij odštejemo povprečno koncentracijo onesnaževala iz ozadja, v zraku za redčenje. Povprečne vrednosti koncentracij ozadja lahko določimo z metodo vreč za vzorce ali z neprekinjenim merjenjem z integriranjem. Uporabi se naslednja formula.

c = ce - cd × (1 - 1 D)

kjer je:

c e

=

koncentracija določenega onesnaževala, izmerjena v razredčenih izpušnih plinih, v ppm

c d

=

koncentracija določenega onesnaževala, izmerjena v zraku za redčenje, v ppm

D

=

faktor redčenja

Faktor redčenja se izračuna takole:

(a) za dizelske motorje in motorje na utekočinjeni naftni plin

D = FS cCO2 + (cHC + cCO) × 10–4

(b) za plinske motorje, ki za gorivo uporabljajo NG

D = FS cCO2 + (cNMHC + cCO) × 10–4

kjer je:

c CO2

=

koncentracija CO2 v razredčenih izpušnih plinih, % vol

c HC

=

koncentracija HC v razredčenih izpušnih plinih, ppm C1

c NMHC

=

koncentracija NMHC v razredčenih izpušnih plinih, ppm C1

c CO

=

koncentracija CO v razredčenih izpušnih plinih, ppm

F S

=

stehiometrični faktor

Koncentracije, izmerjene na suhi osnovi, se skladno s točko 5.2 Dodatka 1 k tej prilogi pretvorijo na mokro osnovo.

Stehiometrični faktor se izračuna takole:

FS = 100 × 1 1 + α 2 + 3,76 × (1 + α 4 - ε 2)

kjer je:

α, ε sta molarni razmerji, ki se nanašata na gorivo C H α O ε

Če sestava goriva ni znana, se lahko alternativno uporabijo naslednji stehiometrični faktorji:

F S (dizel)

=

13,4

F S (LPG)

=

11,6

F S (NG)

=

9,5

5.5   Izračun specifičnih emisij

Emisije (g/kWh) se izračunajo takole:

(a) vse sestavine, razen NOx:

Mgas = mgas Wact

(b) NOx:

Mgas = mgas × kh Wact

kjer je:

W act = dejansko delo cikla, kakor je določeno v točki 3.9.2.

5.5.1

V primeru periodičnega sistema za naknadno obdelavo izpušnih plinov se emisije tehtajo takole:

MGas = (n1 × MGas,n1 + n2 × MGas,n2) / (n1 + n2)

kjer je:

n1

=

število preskusov ETC med dvema regeneracijama,

n2

=

število ETC med regeneracijo (minimalno en preskus ETC),

M gas,n2

=

emisije med regeneracijo,

M gas,n1

=

emisije po regeneraciji.

6.   IZRAČUN EMISIJE DELCEV (ČE JE PRIMERNO)

6.1   Ovrednotenje podatkov

Filter za delce se vrne v tehtalno komoro najpozneje eno uro po zaključku preskusa. Kondicionira se v delno pokriti petrijevki, ki je zaščitena pred prahom, vsaj eno uro, vendar ne več kot 80 ur, nato pa stehta. Zapiše se bruto teža filtrov, tara teža pa se odšteje, rezultat česar je masa vzorca delcev m f. Za ovrednotenje koncentracije delcev se zapiše skupni masni pretok vzorca (m sep) skozi filtre v preskusnem ciklu.

Če je treba uporabiti korekcijo ozadja, se zapišeta masa zraka za redčenje (m d) skozi filter in masa delcev (m f,d).

6.2   Izračun masnega pretoka

6.2.1   Sistem redčenja s celotnim tokom

Masa delcev (g/preskus) se izračuna na naslednji način:

mPT = mf msep med × 1000

kjer je:

m f

=

masa delcev, vzorčenih skozi ves cikel, mg

m sep

=

masa razredčenih izpušnih plinov, ki prehajajo skozi filtre za zbiranje delcev, kg

m ed

=

masa razredčenih izpušnih plinov skozi ves cikel, kg

Če se uporablja sistem dvojnega redčenja, je treba maso sekundarnega zraka redčenja odšteti od skupne mase dvojno redčenih izpušnih plinov, vzorčenih skozi filtre za delce.

msep = mset – mssd

kjer je:

m set

=

masa dvojno redčenih izpušnih plinov skozi filter za delce, kg

m ssd

=

masa sekundarnega zraka za redčenje, kg

Če je raven ozadja (okolice) zraka za redčenje za delce določen v skladu s točko 3.4, se lahko masa delcev korigira z ozadjem. V tem primeru se masa delcev (g/preskus) izračuna na naslednji način:

mPT = [mf msep - (mf,d md × (1 - 1 D))] × med 1000

kjer je:

mPT, msep, med

=

glej zgoraj

md

=

masa primarnega zraka za redčenje, vzorčenega z napravo za vzorčenje delcev iz ozadja, kg

mf,d

=

masa zbranih delcev iz ozadja primarnega zraka za redčenje, mg

D

=

faktor redčenja, kakor je opredeljeno v točki 5.4.1.

6.2.2   Sistem redčenja z delnim tokom

Masa delcev (g/preskus) se izračuna po eni od naslednjih metod:

(a)  mPT = mf msep × medf 1000

kjer je:

m f

=

masa delcev, vzorčenih skozi ves cikel, mg

m sep

=

masa razredčenih izpušnih plinov, ki prehajajo skozi filtre za zbiranje delcev, kg

m edf

=

masa ekvivalenta razredčenih izpušnih plinov skozi ves cikel, kg

Skupna masa ekvivalenta razredčenih izpušnih plinov skozi ves cikel se določi takole:

medf = i = n Σ i = 1 qmedf,i × 1 f

qmedf,i = qmew,i × rd,i

rd,i = qmdew,,i (qmdew,,i - qmdw,,i)

kjer je:

q medf,i

=

trenutni ekvivalent masnega pretoka izpušnih plinov, kg/s

q mew,i

=

trenutni masni pretok izpušnih plinov, v kg/s

r d,i

=

trenutno razmerje redčenja

q mdew,i

=

trenutni masni pretok razredčenih izpušnih plinov skozi tunel za redčenje, kg/s

q mdw,i

=

trenutni masni pretok zraka za redčenje, kg/s

f

=

hitrost vzorčenja podatkov, Hz

n

=

število meritev

(b)  mPT = mf rs × 1000

kjer je:

m f

=

masa delcev, vzorčenih skozi ves cikel, mg

r s

=

povprečno razmerje vzorčenja v preskusnem ciklu

kjer je:

rs = mse mew × msep msed

kjer je:

m se

=

masa vzorca v ciklu, kg

m ew

=

skupni masni pretok izpušnih plinov v ciklu, kg

m sep

=

masa razredčenih izpušnih plinov, ki prehajajo skozi filtre za zbiranje delcev, kg

m sed

=

masa razredčenih izpušnih plinov skozi ves cikel, ki prehajajo skozi tunel za redčenje, kg

Opomba: V primeru celotnega sistema načina vzorčenja sta m sep in msed identična.

6.3   Izračun specifične emisije

Emisija delcev (g/kWh) se izračuna takole:

MPT = mPT Wact

kjer je:

W act = dejansko delo cikla, kakor je določeno v točki 3.9.2, kWh.

6.3.1

V primeru sistema za naknadno obdelavo izpušnih plinov s periodično regeneracijo se emisije tehtajo takole:

PT = (n1 × PTn1 + n2 × PT n2) / (n1 + n2)

kjer je:

n1

=

število preskusov ETC med dvema regeneracijama

n2

=

število ETC med regeneracijo (minimalno en preskus ETC)

PTn2

=

emisije med regeneracjio

PTn1

=

emisije izven regeneracije.

▼B




Dodatek 3



ČASOVNI POTEK ETC PRESKUSA MOTORJA NA DINAMOMETRU

Čas

s

Normirana vrtilna frekvenca

%

Normiran navor

%

1

0

0

2

0

0

3

0

0

4

0

0

5

0

0

6

0

0

7

0

0

8

0

0

9

0

0

10

0

0

11

0

0

12

0

0

13

0

0

14

0

0

15

0

0

16

0,1

1,5

17

23,1

21,5

18

12,6

28,5

19

21,8

71

20

19,7

76,8

21

54,6

80,9

22

71,3

4,9

23

55,9

18,1

24

72

85,4

25

86,7

61,8

26

51,7

0

27

53,4

48,9

28

34,2

87,6

29

45,5

92,7

30

54,6

99,5

31

64,5

96,8

32

71,7

85,4

33

79,4

54,8

34

89,7

99,4

35

57,4

0

36

59,7

30,6

37

90,1

„m“

38

82,9

„m“

39

51,3

„m“

40

28,5

„m“

41

29,3

„m“

42

26,7

„m“

43

20,4

„m“

44

14,1

0

45

6,5

0

46

0

0

47

0

0

48

0

0

49

0

0

50

0

0

51

0

0

52

0

0

53

0

0

54

0

0

55

0

0

56

0

0

57

0

0

58

0

0

59

0

0

60

0

0

61

0

0

62

25,5

11,1

63

28,5

20,9

64

32

73,9

65

4

82,3

66

34,5

80,4

67

64,1

86

68

58

0

69

50,3

83,4

70

66,4

99,1

71

81,4

99,6

72

88,7

73,4

73

52,5

0

74

46,4

58,5

75

48,6

90,9

76

55,2

99,4

77

62,3

99

78

68,4

91,5

79

74,5

73,7

80

38

0

81

41,8

89,6

82

47,1

99,2

83

52,5

99,8

84

56,9

80,8

85

58,3

11,8

86

56,2

„m“

87

52

„m“

88

43,3

„m“

89

36,1

„m“

90

27,6

„m“

91

21,1

„m“

92

8

0

93

0

0

94

0

0

95

0

0

96

0

0

97

0

0

98

0

0

99

0

0

100

0

0

101

0

0

102

0

0

103

0

0

104

0

0

105

0

0

106

0

0

107

0

0

108

11,6

14,8

109

0

0

110

27,2

74,8

111

17

76,9

112

36

78

113

59,7

86

114

80,8

17,9

115

49,7

0

116

65,6

86

117

78,6

72,2

118

64,9

„m“

119

44,3

„m“

120

51,4

83,4

121

58,1

97

122

69,3

99,3

123

72

20,8

124

72,1

„m“

125

65,3

„m“

126

64

„m“

127

59,7

„m“

128

52,8

„m“

129

45,9

„m“

130

38,7

„m“

131

32,4

„m“

132

27

„m“

133

21,7

„m“

134

19,1

0,4

135

34,7

14

136

16,4

48,6

137

0

11,2

138

1,2

2,1

139

30,1

19,3

140

30

73,9

141

54,4

74,4

142

77,2

55,6

143

58,1

0

144

45

82,1

145

68,7

98,1

146

85,7

67,2

147

60,2

0

148

59,4

98

149

72,7

99,6

150

79,9

45

151

44,3

0

152

41,5

84,4

153

56,2

98,2

154

65,7

99,1

155

74,4

84,7

156

54,4

0

157

47,9

89,7

158

54,5

99,5

159

62,7

96,8

160

62,3

0

161

46,2

54,2

162

44,3

83,2

163

48,2

13,3

164

51

„m“

165

50

„m“

166

49,2

„m“

167

49,3

„m“

168

49,9

„m“

169

51,6

„m“

170

49,7

„m“

171

48,5

„m“

172

50,3

72,5

173

51,1

84,5

174

54,6

64,8

175

56,6

76,5

176

58

„m“

177

53,6

„m“

178

40,8

„m“

179

32,9

„m“

180

26,3

„m“

181

20,9

„m“

182

10

0

183

0

0

184

0

0

185

0

0

186

0

0

187

0

0

188

0

0

189

0

0

190

0

0

191

0

0

192

0

0

193

0

0

194

0

0

195

0

0

196

0

0

197

0

0

198

0

0

199

0

0

200

0

0

201

0

0

202

0

0

203

0

0

204

0

0

205

0

0

206

0

0

207

0

0

208

0

0

209

0

0

210

0

0

211

0

0

212

0

0

213

0

0

214

0

0

215

0

0

216

0

0

217

0

0

218

0

0

219

0

0

220

0

0

221

0

0

222

0

0

223

0

0

224

0

0

225

21,2

62,7

226

30,8

75,1

227

5,9

82,7

228

34,6

80,3

229

59,9

87

230

84,3

86,2

231

68,7

„m“

232

43,6

„m“

233

41,5

85,4

234

49,9

94,3

235

60,8

99

236

70,2

99,4

237

81,1

92,4

238

49,2

0

239

56

86,2

240

56,2

99,3

241

61,7

99

242

69,2

99,3

243

74,1

99,8

244

72,4

8,4

245

71,3

0

246

71,2

9,1

247

67,1

„m“

248

65,5

„m“

249

64,4

„m“

250

62,9

25,6

251

62,2

35,6

252

62,9

24,4

253

58,8

„m“

254

56,9

„m“

255

54,5

„m“

256

51,7

17

257

56,2

78,7

258

59,5

94,7

259

65,5

99,1

260

71,2

99,5

261

76,6

99,9

262

79

0

263

52,9

97,5

264

53,1

99,7

265

59

99,1

266

62,2

99

267

65

99,1

268

69

83,1

269

69,9

28,4

270

70,6

12,5

271

68,9

8,4

272

69,8

9,1

273

69,6

7

274

65,7

„m“

275

67,1

„m“

276

66,7

„m“

277

65,6

„m“

278

64,5

„m“

279

62,9

„m“

280

59,3

„m“

281

54,1

„m“

282

51,3

„m“

283

47,9

„m“

284

43,6

„m“

285

39,4

„m“

286

34,7

„m“

287

29,8

„m“

288

20,9

73,4

289

36,9

„m“

290

35,5

„m“

291

20,9

„m“

292

49,7

11,9

293

42,5

„m“

294

32

„m“

295

23,6

„m“

296

19,1

0

297

15,7

73,5

298

25,1

76,8

299

34,5

81,4

300

44,1

87,4

301

52,8

98,6

302

63,6

99

303

73,6

99,7

304

62,2

„m“

305

29,2

„m“

306

46,4

22

307

47,3

13,8

308

47,2

12,5

309

47,9

11,5

310

47,8

35,5

311

49,2

83,3

312

52,7

96,4

313

57,4

99,2

314

61,8

99

315

66,4

60,9

316

65,8

„m“

317

59

„m“

318

50,7

„m“

319

41,8

„m“

320

34,7

„m“

321

28,7

„m“

322

25,2

„m“

323

43

24,8

324

38,7

0

325

48,1

31,9

326

40,3

61

327

42,4

52,1

328

46,4

47,7

329

46,9

30,7

330

46,1

23,1

331

45,7

23,2

332

45,5

31,9

333

46,4

73,6

334

51,3

60,7

335

51,3

51,1

336

53,2

46,8

337

53,9

50

338

53,4

52,1

339

53,8

45,7

340

50,6

22,1

341

47,8

26

342

41,6

17,8

343

38,7

29,8

344

35,9

71,6

345

34,6

47,3

346

34,8

80,3

347

35,9

87,2

348

38,8

90,8

349

41,5

94,7

350

47,1

99,2

351

53,1

99,7

352

46,4

0

353

42,5

0,7

354

43,6

58,6

355

47,1

87,5

356

54,1

99,5

357

62,9

99

358

72,6

99,6

359

82,4

99,5

360

88

99,4

361

46,4

0

362

53,4

95,2

363

58,4

99,2

364

61,5

99

365

64,8

99

366

68,1

99,2

367

73,4

99,7

368

73,3

29,8

369

73,5

14,6

370

68,3

0

371

45,4

49,9

372

47,2

75,7

373

44,5

9

374

47,8

10,3

375

46,8

15,9

376

46,9

12,7

377

46,8

8,9

378

46,1

6,2

379

46,1

„m“

380

45,5

„m“

381

44,7

„m“

382

43,8

„m“

383

41

„m“

384

41,1

6,4

385

38

6,3

386

35,9

0,3

387

33,5

0

388

53,1

48,9

389

48,3

„m“

390

49,9

„m“

391

48

„m“

392

45,3

„m“

393

41,6

3,1

394

44,3

79

395

44,3

89,5

396

43,4

98,8

397

44,3

98,9

398

43

98,8

399

42,2

98,8

400

42,7

98,8

401

45

99

402

43,6

98,9

403

42,2

98,8

404

44,8

99

405

43,4

98,8

406

45

99

407

42,2

54,3

408

61,2

31,9

409

56,3

72,3

410

59,7

99,1

411

62,3

99

412

67,9

99,2

413

69,5

99,3

414

73,1

99,7

415

77,7

99,8

416

79,7

99,7

417

82,5

99,5

418

85,3

99,4

419

86,6

99,4

420

89,4

99,4

421

62,2

0

422

52,7

96,4

423

50,2

99,8

424

49,3

99,6

425

52,2

99,8

426

51,3

100

427

51,3

100

428

51,1

100

429

51,1

100

430

51,8

99,9

431

51,3

100

432

51,1

100

433

51,3

100

434

52,3

99,8

435

52,9

99,7

436

53,8

99,6

437

51,7

99,9

438

53,5

99,6

439

52

99,8

440

51,7

99,9

441

53,2

99,7

442

54,2

99,5

443

55,2

99,4

444

53,8

99,6

445

53,1

99,7

446

55

99,4

447

57

99,2

448

61,5

99

449

59,4

5,7

450

59

0

451

57,3

59,8

452

64,1

99

453

70,9

90,5

454

58

0

455

41,5

59,8

456

44,1

92,6

457

46,8

99,2

458

47,2

99,3

459

51

100

460

53,2

99,7

461

53,1

99,7

462

55,9

53,1

463

53,9

13,9

464

52,5

„m“

465

51,7

„m“

466

51,5

52,2

467

52,8

80

468

54,9

95

469

57,3

99,2

470

60,7

99,1

471

62,4

„m“

472

60,1

„m“

473

53,2

„m“

474

44

„m“

475

35,2

„m“

476

30,5

„m“

477

26,5

„m“

478

22,5

„m“

479

20,4

„m“

480

19,1

„m“

481

19,1

„m“

482

13,4

„m“

483

6,7

„m“

484

3,2

„m“

485

14,3

63,8

486

34,1

0

487

23,9

75,7

488

31,7

79,2

489

32,1

19,4

490

35,9

5,8

491

36,6

0,8

492

38,7

„m“

493

38,4

„m“

494

39,4

„m“

495

39,7

„m“

496

40,5

„m“

497

40,8

„m“

498

39,7

„m“

499

39,2

„m“

500

38,7

„m“

501

32,7

„m“

502

30,1

„m“

503

21,9

„m“

504

12,8

0

505

0

0

506

0

0

507

0

0

508

0

0

509

0

0

510

0

0

511

0

0

512

0

0

513

0

0

514

30,5

25,6

515

19,7

56,9

516

16,3

45,1

517

27,2

4,6

518

21,7

1,3

519

29,7

28,6

520

36,6

73,7

521

61,3

59,5

522

40,8

0

523

36,6

27,8

524

39,4

80,4

525

51,3

88,9

526

58,5

11,1

527

60,7

„m“

528

54,5

„m“

529

51,3

„m“

530

45,5

„m“

531

40,8

„m“

532

38,9

„m“

533

36,6

„m“

534

36,1

72,7

535

44,8

78,9

536

51,6

91,1

537

59,1

99,1

538

66

99,1

539

75,1

99,9

540

81

8

541

39,1

0

542

53,8

89,7

543

59,7

99,1

544

64,8

99

545

70,6

96,1

546

72,6

19,6

547

72

6,3

548

68,9

0,1

549

67,7

„m“

550

66,8

„m“

551

64,3

16,9

552

64,9

7

553

63,6

12,5

554

63

7,7

555

64,4

38,2

556

63

11,8

557

63,6

0

558

63,3

5

559

60,1

9,1

560

61

8,4

561

59,7

0,9

562

58,7

„m“

563

56

„m“

564

53,9

„m“

565

52,1

„m“

566

49,9

„m“

567

46,4

„m“

568

43,6

„m“

569

40,8

„m“

570

37,5

„m“

571

27,8

„m“

572

17,1

0,6

573

12,2

0,9

574

11,5

1,1

575

8,7

0,5

576

8

0,9

577

5,3

0,2

578

4

0

579

3,9

0

580

0

0

581

0

0

582

0

0

583

0

0

584

0

0

585

0

0

586

0

0

587

8,7

22,8

588

16,2

49,4

589

23,6

56

590

21,1

56,1

591

23,6

56

592

46,2

68,8

593

68,4

61,2

594

58,7

„m“

595

31,6

„m“

596

19,9

8,8

597

32,9

70,2

598

43

79

599

57,4

98,9

600

72,1

73,8

601

53

0

602

48,1

86

603

56,2

99

604

65,4

98,9

605

72,9

99,7

606

67,5

„m“

607

39

„m“

608

41,9

38,1

609

44,1

80,4

610

46,8

99,4

611

48,7

99,9

612

50,5

99,7

613

52,5

90,3

614

51

1,8

615

50

„m“

616

49,1

„m“

617

47

„m“

618

43,1

„m“

619

39,2

„m“

620

40,6

0,5

621

41,8

53,4

622

44,4

65,1

623

48,1

67,8

624

53,8

99,2

625

58,6

98,9

626

63,6

98,8

627

68,5

99,2

628

72,2

89,4

629

77,1

0

630

57,8

79,1

631

60,3

98,8

632

61,9

98,8

633

63,8

98,8

634

64,7

98,9

635

65,4

46,5

636

65,7

44,5

637

65,6

3,5

638

49,1

0

639

50,4

73,1

640

50,5

„m“

641

51

„m“

642

49,4

„m“

643

49,2

„m“

644

48,6

„m“

645

47,5

„m“

646

46,5

„m“

647

46

11,3

648

45,6

42,8

649

47,1

83

650

46,2

99,3

651

47,9

99,7

652

49,5

99,9

653

50,6

99,7

654

51

99,6

655

53

99,3

656

54,9

99,1

657

55,7

99

658

56

99

659

56,1

9,3

660

55,6

„m“

661

55,4

„m“

662

54,9

51,3

663

54,9

59,8

664

54

39,3

665

53,8

„m“

666

52

„m“

667

50,4

„m“

668

50,6

0

669

49,3

41,7

670

50

73,2

671

50,4

99,7

672

51,9

99,5

673

53,6

99,3

674

54,6

99,1

675

56

99

676

55,8

99

677

58,4

98,9

678

59,9

98,8

679

60,9

98,8

680

63

98,8

681

64,3

98,9

682

64,8

64

683

65,9

46,5

684

66,2

28,7

685

65,2

1,8

686

65

6,8

687

63,6

53,6

688

62,4

82,5

689

61,8

98,8

690

59,8

98,8

691

59,2

98,8

692

59,7

98,8

693

61,2

98,8

694

62,2

49,4

695

62,8

37,2

696

63,5

46,3

697

64,7

72,3

698

64,7

72,3

699

65,4

77,4

700

66,1

69,3

701

64,3

„m“

702

64,3

„m“

703

63

„m“

704

62,2

„m“

705

61,6

„m“

706

62,4

„m“

707

62,2

„m“

708

61

„m“

709

58,7

„m“

710

55,5

„m“

711

51,7

„m“

712

49,2

„m“

713

48,8

40,4

714

47,9

„m“

715

46,2

„m“

716

45,6

9,8

717

45,6

34,5

718

45,5

37,1

719

43,8

„m“

720

41,9

„m“

721

41,3

„m“

722

41,4

„m“

723

41,2

„m“

724

41,8

„m“

725

41,8

„m“

726

43,2

17,4

727

45

29

728

44,2

„m“

729

43,9

„m“

730

38

10,7

731

56,8

„m“

732

57,1

„m“

733

52

„m“

734

44,4

„m“

735

40,2

„m“

736

39,2

16,5

737

38,9

73,2

738

39,9

89,8

739

42,3

98,6

740

43,7

98,8

741

45,5

99,1

742

45,6

99,2

743

48,1

99,7

744

49

100

745

49,8

99,9

746

49,8

99,9

747

51,9

99,5

748

52,3

99,4

749

53,3

99,3

750

52,9

99,3

751

54,3

99,2

752

55,5

99,1

753

56,7

99

754

61,7

98,8

755

64,3

47,4

756

64,7

1,8

757

66,2

„m“

758

49,1

„m“

759

52,1

46

760

52,6

61

761

52,9

0

762

52,3

20,4

763

54,2

56,7

764

55,4

59,8

765

56,1

49,2

766

56,8

33,7

767

57,2

96

768

58,6

98,9

769

59,5

98,8

770

61,2

98,8

771

62,1

98,8

772

62,7

98,8

773

62,8

98,8

774

64

98,9

775

63,2

46,3

776

62,4

„m“

777

60,3

„m“

778

58,7

„m“

779

57,2

„m“

780

56,1

„m“

781

56

9,3

782

55,2

26,3

783

54,8

42,8

784

55,7

47,1

785

56,6

52,4

786

58

50,3

787

58,6

20,6

788

58,7

„m“

789

59,3

„m“

790

58,6

„m“

791

60,5

9,7

792

59,2

9,6

793

59,9

9,6

794

59,6

9,6

795

59,9

6,2

796

59,9

9,6

797

60,5

13,1

798

60,3

20,7

799

59,9

31

800

60,5

42

801

61,5

52,5

802

60,9

51,4

803

61,2

57,7

804

62,8

98,8

805

63,4

96,1

806

64,6

45,4

807

64,1

5

808

63

3,2

809

62,7

14,9

810

63,5

35,8

811

64,1

73,3

812

64,3

37,4

813

64,1

21

814

63,7

21

815

62,9

18

816

62,4

32,7

817

61,7

46,2

818

59,8

45,1

819

57,4

43,9

820

54,8

42,8

821

54,3

65,2

822

52,9

62,1

823

52,4

30,6

824

50,4

„m“

825

48,6

„m“

826

47,9

„m“

827

46,8

„m“

828

46,9

9,4

829

49,5

41,7

830

50,5

37,8

831

52,3

20,4

832

54,1

30,7

833

56,3

41,8

834

58,7

26,5

835

57,3

„m“

836

59

„m“

837

59,8

„m“

838

60,3

„m“

839

61,2

„m“

840

61,8

„m“

841

62,5

„m“

842

62,4

„m“

843

61,5

„m“

844

63,7

„m“

845

61,9

„m“

846

61,6

29,7

847

60,3

„m“

848

59,2

„m“

849

57,3

„m“

850

52,3

„m“

851

49,3

„m“

852

47,3

„m“

853

46,3

38,8

854

46,8

35,1

855

46,6

„m“

856

44,3

„m“

857

43,1

„m“

858

42,4

2,1

859

41,8

2,4

860

43,8

68,8

861

44,6

89,2

862

46

99,2

863

46,9

99,4

864

47,9

99,7

865

50,2

99,8

866

51,2

99,6

867

52,3

99,4

868

53

99,3

869

54,2

99,2

870

55,5

99,1

871

56,7

99

872

57,3

98,9

873

58

98,9

874

60,5

31,1

875

60,2

„m“

876

60,3

„m“

877

60,5

6,3

878

61,4

19,3

879

60,3

1,2

880

60,5

2,9

881

61,2

34,1

882

61,6

13,2

883

61,5

16,4

884

61,2

16,4

885

61,3

„m“

886

63,1

„m“

887

63,2

4,8

888

62,3

22,3

889

62

38,5

890

61,6

29,6

891

61,6

26,6

892

61,8

28,1

893

62

29,6

894

62

16,3

895

61,1

„m“

896

61,2

„m“

897

60,7

19,2

898

60,7

32,5

899

60,9

17,8

900

60,1

19,2

901

59,3

38,2

902

59,9

45

903

59,4

32,4

904

59,2

23,5

905

59,5

40,8

906

58,3

„m“

907

58,2

„m“

908

57,6

„m“

909

57,1

„m“

910

57

0,6

911

57

26,3

912

56,5

29,2

913

56,3

20,5

914

56,1

„m“

915

55,2

„m“

916

54,7

17,5

917

55,2

29,2

918

55,2

29,2

919

55,9

16

920

55,9

26,3

921

56,1

36,5

922

55,8

19

923

55,9

9,2

924

55,8

21,9

925

56,4

42,8

926

56,4

38

927

56,4

11

928

56,4

35,1

929

54

7,3

930

53,4

5,4

931

52,3

27,6

932

52,1

32

933

52,3

33,4

934

52,2

34,9

935

52,8

60,1

936

53,7

69,7

937

54

70,7

938

55,1

71,7

939

55,2

46

940

54,7

12,6

941

52,5

0

942

51,8

24,7

943

51,4

43,9

944

50,9

71,1

945

51,2

76,8

946

50,3

87,5

947

50,2

99,8

948

50,9

100

949

49,9

99,7

950

50,9

100

951

49,8

99,7

952

50,4

99,8

953

50,4

99,8

954

49,7

99,7

955

51

100

956

50,3

99,8

957

50,2

99,8

958

49,9

99,7

959

50,9

100

960

50

99,7

961

50,2

99,8

962

50,2

99,8

963

49,9

99,7

964

50,4

99,8

965

50,2

99,8

966

50,3

99,8

967

49,9

99,7

968

51,1

100

969

50,6

99,9

970

49,9

99,7

971

49,6

99,6

972

49,4

99,6

973

49

99,5

974

49,8

99,7

975

50,9

100

976

50,4

99,8

977

49,8

99,7

978

49,1

99,5

979

50,4

99,8

980

49,8

99,7

981

49,3

99,5

982

49,1

99,5

983

49,9

99,7

984

49,1

99,5

985

50,4

99,8

986

50,9

100

987

51,4

99,9

988

51,5

99,9

989

52,2

99,7

990

52,8

74,1

991

53,3

46

992

53,6

36,4

993

53,4

33,5

994

53,9

58,9

995

55,2

73,8

996

55,8

52,4

997

55,7

9,2

998

55,8

2,2

999

56,4

33,6

1000

55,4

„m“

1001

55,2

„m“

1002

55,8

26,3

1003

55,8

23,3

1004

56,4

50,2

1005

57,6

68,3

1006

58,8

90,2

1007

59,9

98,9

1008

62,3

98,8

1009

63,1

74,4

1010

63,7

49,4

1011

63,3

9,8

1012

48

0

1013

47,9

73,5

1014

49,9

99,7

1015

49,9

48,8

1016

49,6

2,3

1017

49,9

„m“

1018

49,3

„m“

1019

49,7

47,5

1020

49,1

„m“

1021

49,4

„m“

1022

48,3

„m“

1023

49,4

„m“

1024

48,5

„m“

1025

48,7

„m“

1026

48,7

„m“

1027

49,1

„m“

1028

49

„m“

1029

49,8

„m“

1030

48,7

„m“

1031

48,5

„m“

1032

49,3

31,3

1033

49,7

45,3

1034

48,3

44,5

1035

49,8

61

1036

49,4

64,3

1037

49,8

64,4

1038

50,5

65,6

1039

50,3

64,5

1040

51,2

82,9

1041

50,5

86

1042

50,6

89

1043

50,4

81,4

1044

49,9

49,9

1045

49,1

20,1

1046

47,9

24

1047

48,1

36,2

1048

47,5

34,5

1049

46,9

30,3

1050

47,7

53,5

1051

46,9

61,6

1052

46,5

73,6

1053

48

84,6

1054

47,2

87,7

1055

48,7

80

1056

48,7

50,4

1057

47,8

38,6

1058

48,8

63,1

1059

47,4

5

1060

47,3

47,4

1061

47,3

49,8

1062

46,9

23,9

1063

46,7

44,6

1064

46,8

65,2

1065

46,9

60,4

1066

46,7

61,5

1067

45,5

„m“

1068

45,5

„m“

1069

44,2

„m“

1070

43

„m“

1071

42,5

„m“

1072

41

„m“

1073

39,9

„m“

1074

39,9

38,2

1075

40,1

48,1

1076

39,9

48

1077

39,4

59,3

1078

43,8

19,8

1079

52,9

0

1080

52,8

88,9

1081

53,4

99,5

1082

54,7

99,3

1083

56,3

99,1

1084

57,5

99

1085

59

98,9

1086

59,8

98,9

1087

60,1

98,9

1088

61,8

48,3

1089

61,8

55,6

1090

61,7

59,8

1091

62

55,6

1092

62,3

29,6

1093

62

19,3

1094

61,3

7,9

1095

61,1

19,2

1096

61,2

43

1097

61,1

59,7

1098

61,1

98,8

1099

61,3

98,8

1100

61,3

26,6

1101

60,4

„m“

1102

58,8

„m“

1103

57,7

„m“

1104

56

„m“

1105

54,7

„m“

1106

53,3

„m“

1107

52,6

23,2

1108

53,4

84,2

1109

53,9

99,4

1110

54,9

99,3

1111

55,8

99,2

1112

57,1

99

1113

56,5

99,1

1114

58,9

98,9

1115

58,7

98,9

1116

59,8

98,9

1117

61

98,8

1118

60,7

19,2

1119

59,4

„m“

1120

57,9

„m“

1121

57,6

„m“

1122

56,3

„m“

1123

55

„m“

1124

53,7

„m“

1125

52,1

„m“

1126

51,1

„m“

1127

49,7

25,8

1128

49,1

46,1

1129

48,7

46,9

1130

48,2

46,7

1131

48

70

1132

48

70

1133

47,2

67,6

1134

47,3

67,6

1135

46,6

74,7

1136

47,4

13

1137

46,3

„m“

1138

45,4

„m“

1139

45,5

24,8

1140

44,8

73,8

1141

46,6

99

1142

46,3

98,9

1143

48,5

99,4

1144

49,9

99,7

1145

49,1

99,5

1146

49,1

99,5

1147

51

100

1148

51,5

99,9

1149

50,9

100

1150

51,6

99,9

1151

52,1

99,7

1152

50,9

100

1153

52,2

99,7

1154

51,5

98,3

1155

51,5

47,2

1156

50,8

78,4

1157

50,3

83

1158

50,3

31,7

1159

49,3

31,3

1160

48,8

21,5

1161

47,8

59,4

1162

48,1

77,1

1163

48,4

87,6

1164

49,6

87,5

1165

51

81,4

1166

51,6

66,7

1167

53,3

63,2

1168

55,2

62

1169

55,7

43,9

1170

56,4

30,7

1171

56,8

23,4

1172

57

„m“

1173

57,6

„m“

1174

56,9

„m“

1175

56,4

4

1176

57

23,4

1177

56,4

41,7

1178

57

49,2

1179

57,7

56,6

1180

58,6

56,6

1181

58,9

64

1182

59,4

68,2

1183

58,8

71,4

1184

60,1

71,3

1185

60,6

79,1

1186

60,7

83,3

1187

60,7

77,1

1188

60

73,5

1189

60,2

55,5

1190

59,7

54,4

1191

59,8

73,3

1192

59,8

77,9

1193

59,8

73,9

1194

60

76,5

1195

59,5

82,3

1196

59,9

82,8

1197

59,8

65,8

1198

59

48,6

1199

58,9

62,2

1200

59,1

70,4

1201

58,9

62,1

1202

58,4

67,4

1203

58,7

58,9

1204

58,3

57,7

1205

57,5

57,8

1206

57,2

57,6

1207

57,1

42,6

1208

57

70,1

1209

56,4

59,6

1210

56,7

39

1211

55,9

68,1

1212

56,3

79,1

1213

56,7

89,7

1214

56

89,4

1215

56

93,1

1216

56,4

93,1

1217

56,7

94,4

1218

56,9

94,8

1219

57

94,1

1220

57,7

94,3

1221

57,5

93,7

1222

58,4

93,2

1223

58,7

93,2

1224

58,2

93,7

1225

58,5

93,1

1226

58,8

86,2

1227

59

72,9

1228

58,2

59,9

1229

57,6

8,5

1230

57,1

47,6

1231

57,2

74,4

1232

57

79,1

1233

56,7

67,2

1234

56,8

69,1

1235

56,9

71,3

1236

57

77,3

1237

57,4

78,2

1238

57,3

70,6

1239

57,7

64

1240

57,5

55,6

1241

58,6

49,6

1242

58,2

41,1

1243

58,8

40,6

1244

58,3

21,1

1245

58,7

24,9

1246

59,1

24,8

1247

58,6

„m“

1248

58,8

„m“

1249

58,8

„m“

1250

58,7

„m“

1251

59,1

„m“

1252

59,1

„m“

1253

59,4

„m“

1254

60,6

2,6

1255

59,6

„m“

1256

60,1

„m“

1257

60,6

„m“

1258

59,6

4,1

1259

60,7

7,1

1260

60,5

„m“

1261

59,7

„m“

1262

59,6

„m“

1263

59,8

„m“

1264

59,6

4,9

1265

60,1

5,9

1266

59,9

6,1

1267

59,7

„m“

1268

59,6

„m“

1269

59,7

22

1270

59,8

10,3

1271

59,9

10

1272

60,6

6,2

1273

60,5

7,3

1274

60,2

14,8

1275

60,6

8,2

1276

60,6

5,5

1277

61

14,3

1278

61

12

1279

61,3

34,2

1280

61,2

17,1

1281

61,5

15,7

1282

61

9,5

1283

61,1

9,2

1284

60,5

4,3

1285

60,2

7,8

1286

60,2

5,9

1287

60,2

5,3

1288

59,9

4,6

1289

59,4

21,5

1290

59,6

15,8

1291

59,3

10,1

1292

58,9

9,4

1293

58,8

9

1294

58,9

35,4

1295

58,9

30,7

1296

58,9

25,9

1297

58,7

22,9

1298

58,7

24,4

1299

59,3

61

1300

60,1

56

1301

60,5

50,6

1302

59,5

16,2

1303

59,7

50

1304

59,7

31,4

1305

60,1

43,1

1306

60,8

38,4

1307

60,9

40,2

1308

61,3

49,7

1309

61,8

45,9

1310

62

45,9

1311

62,2

45,8

1312

62,6

46,8

1313

62,7

44,3

1314

62,9

44,4

1315

63,1

43,7

1316

63,5

46,1

1317

63,6

40,7

1318

64,3

49,5

1319

63,7

27

1320

63,8

15

1321

63,6

18,7

1322

63,4

8,4

1323

63,2

8,7

1324

63,3

21,6

1325

62,9

19,7

1326

63

22,1

1327

63,1

20,3

1328

61,8

19,1

1329

61,6

17,1

1330

61

0

1331

61,2

22

1332

60,8

40,3

1333

61,1

34,3

1334

60,7

16,1

1335

60,6

16,6

1336

60,5

18,5

1337

60,6

29,8

1338

60,9

19,5

1339

60,9

22,3

1340

61,4

35,8

1341

61,3

42,9

1342

61,5

31

1343

61,3

19,2

1344

61

9,3

1345

60,8

44,2

1346

60,9

55,3

1347

61,2

56

1348

60,9

60,1

1349

60,7

59,1

1350

60,9

56,8

1351

60,7

58,1

1352

59,6

78,4

1353

59,6

84,6

1354

59,4

66,6

1355

59,3

75,5

1356

58,9

49,6

1357

59,1

75,8

1358

59

77,6

1359

59

67,8

1360

59

56,7

1361

58,8

54,2

1362

58,9

59,6

1363

58,9

60,8

1364

59,3

56,1

1365

58,9

48,5

1366

59,3

42,9

1367

59,4

41,4

1368

59,6

38,9

1369

59,4

32,9

1370

59,3

30,6

1371

59,4

30

1372

59,4

25,3

1373

58,8

18,6

1374

59,1

18

1375

58,5

10,6

1376

58,8

10,5

1377

58,5

8,2

1378

58,7

13,7

1379

59,1

7,8

1380

59,1

6

1381

59,1

6

1382

59,4

13,1

1383

59,7

22,3

1384

60,7

10,5

1385

59,8

9,8

1386

60,2

8,8

1387

59,9

8,7

1388

61

9,1

1389

60,6

28,2

1390

60,6

22

1391

59,6

23,2

1392

59,6

19

1393

60,6

38,4

1394

59,8

41,6

1395

60

47,3

1396

60,5

55,4

1397

60,9

58,7

1398

61,3

37,9

1399

61,2

38,3

1400

61,4

58,7

1401

61,3

51,3

1402

61,4

71,1

1403

61,1

51

1404

61,5

56,6

1405

61

60,6

1406

61,1

75,4

1407

61,4

69,4

1408

61,6

69,9

1409

61,7

59,6

1410

61,8

54,8

1411

61,6

53,6

1412

61,3

53,5

1413

61,3

52,9

1414

61,2

54,1

1415

61,3

53,2

1416

61,2

52,2

1417

61,2

52,3

1418

61

48

1419

60,9

41,5

1420

61

32,2

1421

60,7

22

1422

60,7

23,3

1423

60,8

38,8

1424

61

40,7

1425

61

30,6

1426

61,3

62,6

1427

61,7

55,9

1428

62,3

43,4

1429

62,3

37,4

1430

62,3

35,7

1431

62,8

34,4

1432

62,8

31,5

1433

62,9

31,7

1434

62,9

29,9

1435

62,8

29,4

1436

62,7

28,7

1437

61,5

14,7

1438

61,9

17,2

1439

61,5

6,1

1440

61

9,9

1441

60,9

4,8

1442

60,6

11,1

1443

60,3

6,9

1444

60,8

7

1445

60,2

9,2

1446

60,5

21,7

1447

60,2

22,4

1448

60,7

31,6

1449

60,9

28,9

1450

59,6

21,7

1451

60,2

18

1452

59,5

16,7

1453

59,8

15,7

1454

59,6

15,7

1455

59,3

15,7

1456

59

7,5

1457

58,8

7,1

1458

58,7

16,5

1459

59,2

50,7

1460

59,7

60,2

1461

60,4

44

1462

60,2

35,3

1463

60,4

17,1

1464

59,9

13,5

1465

59,9

12,8

1466

59,6

14,8

1467

59,4

15,9

1468

59,4

22

1469

60,4

38,4

1470

59,5

38,8

1471

59,3

31,9

1472

60,9

40,8

1473

60,7

39

1474

60,9

30,1

1475

61

29,3

1476

60,6

28,4

1477

60,9

36,3

1478

60,8

30,5

1479

60,7

26,7

1480

60,1

4,7

1481

59,9

0

1482

60,4

36,2

1483

60,7

32,5

1484

59,9

3,1

1485

59,7

„m“

1486

59,5

„m“

1487

59,2

„m“

1488

58,8

0,6

1489

58,7

„m“

1490

58,7

„m“

1491

57,9

„m“

1492

58,2

„m“

1493

57,6

„m“

1494

58,3

9,5

1495

57,2

6

1496

57,4

27,3

1497

58,3

59,9

1498

58,3

7,3

1499

58,8

21,7

1500

58,8

38,9

1501

59,4

26,2

1502

59,1

25,5

1503

59,1

26

1504

59

39,1

1505

59,5

52,3

1506

59,4

31

1507

59,4

27

1508

59,4

29,8

1509

59,4

23,1

1510

58,9

16

1511

59

31,5

1512

58,8

25,9

1513

58,9

40,2

1514

58,8

28,4

1515

58,9

38,9

1516

59,1

35,3

1517

58,8

30,3

1518

59

19

1519

58,7

3

1520

57,9

0

1521

58

2,4

1522

57,1

„m“

1523

56,7

„m“

1524

56,7

5,3

1525

56,6

2,1

1526

56,8

„m“

1527

56,3

„m“

1528

56,3

„m“

1529

56

„m“

1530

56,7

„m“

1531

56,6

3,8

1532

56,9

„m“

1533

56,9

„m“

1534

57,4

„m“

1535

57,4

„m“

1536

58,3

13,9

1537

58,5

„m“

1538

59,1

„m“

1539

59,4

„m“

1540

59,6

„m“

1541

59,5

„m“

1542

59,6

0,5

1543

59,3

9,2

1544

59,4

11,2

1545

59,1

26,8

1546

59

11,7

1547

58,8

6,4

1548

58,7

5

1549

57,5

„m“

1550

57,4

„m“

1551

57,1

1,1

1552

57,1

0

1553

57

4,5

1554

57,1

3,7

1555

57,3

3,3

1556

57,3

16,8

1557

58,2

29,3

1558

58,7

12,5

1559

58,3

12,2

1560

58,6

12,7

1561

59

13,6

1562

59,8

21,9

1563

59,3

20,9

1564

59,7

19,2

1565

60,1

15,9

1566

60,7

16,7

1567

60,7

18,1

1568

60,7

40,6

1569

60,7

59,7

1570

61,1

66,8

1571

61,1

58,8

1572

60,8

64,7

1573

60,1

63,6

1574

60,7

83,2

1575

60,4

82,2

1576

60

80,5

1577

59,9

78,7

1578

60,8

67,9

1579

60,4

57,7

1580

60,2

60,6

1581

59,6

72,7

1582

59,9

73,6

1583

59,8

74,1

1584

59,6

84,6

1585

59,4

76,1

1586

60,1

76,9

1587

59,5

84,6

1588

59,8

77,5

1589

60,6

67,9

1590

59,3

47,3

1591

59,3

43,1

1592

59,4

38,3

1593

58,7

38,2

1594

58,8

39,2

1595

59,1

67,9

1596

59,7

60,5

1597

59,5

32,9

1598

59,6

20

1599

59,6

34,4

1600

59,4

23,9

1601

59,6

15,7

1602

59,9

41

1603

60,5

26,3

1604

59,6

14

1605

59,7

21,2

1606

60,9

19,6

1607

60,1

34,3

1608

59,9

27

1609

60,8

25,6

1610

60,6

26,3

1611

60,9

26,1

1612

61,1

38

1613

61,2

31,6

1614

61,4

30,6

1615

61,7

29,6

1616

61,5

28,8

1617

61,7

27,8

1618

62,2

20,3

1619

61,4

19,6

1620

61,8

19,7

1621

61,8

18,7

1622

61,6

17,7

1623

61,7

8,7

1624

61,7

1,4

1625

61,7

5,9

1626

61,2

8,1

1627

61,9

45,8

1628

61,4

31,5

1629

61,7

22,3

1630

62,4

21,7

1631

62,8

21,9

1632

62,2

22,2

1633

62,5

31

1634

62,3

31,3

1635

62,6

31,7

1636

62,3

22,8

1637

62,7

12,6

1638

62,2

15,2

1639

61,9

32,6

1640

62,5

23,1

1641

61,7

19,4

1642

61,7

10,8

1643

61,6

10,2

1644

61,4

„m“

1645

60,8

„m“

1646

60,7

„m“

1647

61

12,4

1648

60,4

5,3

1649

61

13,1

1650

60,7

29,6

1651

60,5

28,9

1652

60,8

27,1

1653

61,2

27,3

1654

60,9

20,6

1655

61,1

13,9

1656

60,7

13,4

1657

61,3

26,1

1658

60,9

23,7

1659

61,4

32,1

1660

61,7

33,5

1661

61,8

34,1

1662

61,7

17

1663

61,7

2,5

1664

61,5

5,9

1665

61,3

14,9

1666

61,5

17,2

1667

61,1

„m“

1668

61,4

„m“

1669

61,4

8,8

1670

61,3

8,8

1671

61

18

1672

61,5

13

1673

61

3,7

1674

60,9

3,1

1675

60,9

4,7

1676

60,6

4,1

1677

60,6

6,7

1678

60,6

12,8

1679

60,7

11,9

1680

60,6

12,4

1681

60,1

12,4

1682

60,5

12

1683

60,4

11,8

1684

59,9

12,4

1685

59,6

12,4

1686

59,6

9,1

1687

59,9

0

1688

59,9

20,4

1689

59,8

4,4

1690

59,4

3,1

1691

59,5

26,3

1692

59,6

20,1

1693

59,4

35

1694

60,9

22,1

1695

60,5

12,2

1696

60,1

11

1697

60,1

8,2

1698

60,5

6,7

1699

60

5,1

1700

60

5,1

1701

60

9

1702

60,1

5,7

1703

59,9

8,5

1704

59,4

6

1705

59,5

5,5

1706

59,5

14,2

1707

59,5

6,2

1708

59,4

10,3

1709

59,6

13,8

1710

59,5

13,9

1711

60,1

18,9

1712

59,4

13,1

1713

59,8

5,4

1714

59,9

2,9

1715

60,1

7,1

1716

59,6

12

1717

59,6

4,9

1718

59,4

22,7

1719

59,6

22

1720

60,1

17,4

1721

60,2

16,6

1722

59,4

28,6

1723

60,3

22,4

1724

59,9

20

1725

60,2

18,6

1726

60,3

11,9

1727

60,4

11,6

1728

60,6

10,6

1729

60,8

16

1730

60,9

17

1731

60,9

16,1

1732

60,7

11,4

1733

60,9

11,3

1734

61,1

11,2

1735

61,1

25,6

1736

61

14,6

1737

61

10,4

1738

60,6

„m“

1739

60,9

„m“

1740

60,8

4,8

1741

59,9

„m“

1742

59,8

„m“

1743

59,1

„m“

1744

58,8

„m“

1745

58,8

„m“

1746

58,2

„m“

1747

58,5

14,3

1748

57,5

4,4

1749

57,9

0

1750

57,8

20,9

1751

58,3

9,2

1752

57,8

8,2

1753

57,5

15,3

1754

58,4

38

1755

58,1

15,4

1756

58,8

11,8

1757

58,3

8,1

1758

58,3

5,5

1759

59

4,1

1760

58,2

4,9

1761

57,9

10,1

1762

58,5

7,5

1763

57,4

7

1764

58,2

6,7

1765

58,2

6,6

1766

57,3

17,3

1767

58

11,4

1768

57,5

47,4

1769

57,4

28,8

1770

58,8

24,3

1771

57,7

25,5

1772

58,4

35,5

1773

58,4

29,3

1774

59

33,8

1775

59

18,7

1776

58,8

9,8

1777

58,8

23,9

1778

59,1

48,2

1779

59,4

37,2

1780

59,6

29,1

1781

50

25

1782

40

20

1783

30

15

1784

20

10

1785

10

5

1786

0

0

1787

0

0

1788

0

0

1789

0

0

1790

0

0

1791

0

0

1792

0

0

1793

0

0

1794

0

0

1795

0

0

1796

0

0

1797

0

0

1798

0

0

1799

0

0

1800

0

0

„m“ = delovanje motorja.

Grafični prikaz časovnega poteka dinamometra ETC je podan na sliki 5.

Mestne uliceRegionalne cesteAvtocesteNavor (%)Čas [s]Vrtilna frekvenca (%)ETC

Slika 5

Časovni potek dinamometra ETC




Dodatek

POSTOPKI MERJENJA IN VZORČENJA

▼M1

1.   UVOD

Plinaste sestavine, delci in dim, ki ga oddaja motor v preskušanju, se merijo z metodami, opisanimi v Prilogi V. V ustreznih točkah Priloge V so opisani priporočljivi analitični sistemi za plinaste emisije (točka 1), priporočljivi sistemi za redčenje in vzorčenje delcev (točka 2) ter priporočljivi merilniki motnosti za merjenje dimljenja (točka 3).

Za ESC se plinaste komponente določijo v nerazredčenih izpušnih plinih. Po izbiri jih je mogoče določati v razredčenih izpušnih plinih, če se za določanje delcev uporablja sistem redčenja s celotnim tokom. Delci se določajo s sistemom redčenja z delnim ali s celotnim tokom.

Za ETC se lahko uporabijo naslednji sistemi:

 sistem redčenja CVS s celotnim tokom za določanje plinastih emisij in emisij delcev (dovoljeni so sistemi dvojnega redčenja),

 ali

 kombinacija merjenja nerazredčenih izpušnih plinov za plinaste emisije in sistema redčenja z delnim tokom za emisije delcev,

 ali

 kakršna koli kombinacija teh dveh metod (npr. merjenje nerazredčenih izpušnih plinov in merjenje delcev s celotnim tokom).

▼B

2.   DINAMOMETER IN PRESKUSNA OPREMA

Za preskušanje emisij motorjev na dinamometrih motorja se uporablja naslednja oprema.

2.1   Dinamometer motorja

Za izvajanje preskusnih ciklov iz Dodatkov 1 in 2 k tej prilogi se uporabi dinamometer motorja z ustreznimi značilnostmi. Sistem za merjenje vrtilne frekvence naj ima točnost ± 2 % zapisa. Sistem za merjenje navora naj ima točnost ± 3 % zapisa v območju >20 % obsega skale in točnost ± 0,6 % obsega skale v območju ≤ 20 % obsega skale.

▼M1

2.2   Drugi instrumenti

Merilniki porabe goriva, porabe zraka, temperature hladilnega sredstva in maziva, tlaka izpušnih plinov in podtlaka v polnilnem zbiralniku, temperature izpušnih plinov, temperature vstopnega zraka, atmosferskega tlaka, vlažnosti in temperature goriva se uporabijo v skladu z zahtevami. Ti instrumenti morajo izpolnjevati zahteve iz tabele 9:



Tabela 9

Točnost merilnih instrumentov

Merilni instrument

Točnost

Poraba goriva

± 2 % največje vrednosti motorja

Poraba zraka

± 2 % odčitka ali ± 1 % največje vrednosti motorja, kar je večje

Pretok izpušnih plinov

± 2,5 % odčitka ali ± 1,5 % največje vrednosti motorja, kar je večje

Temperature ≤ 600 K (327 °C)

± 2 K absolutno

Temperature ≥ 600 K (327 °C)

± 1 % odčitka

Atmosferski tlak

± 0,1 kPa absolutno

Tlak izpušnih plinov

± 0,2 kPa absolutno

Podtlak v sesalni cevi

± 0,05 kPa absolutno

Drugi tlaki

± 0,1 kPa absolutno

Relativna vlažnost

± 3 % absolutno

Absolutna vlažnost

± 5 % odčitka

Pretok zraka za redčenje

± 2 % odčitka

Pretok razredčenih izpušnih plinov

± 2 % odčitka

▼M1 —————

▼M1

3.   DOLOČANJE PLINASTIH SESTAVIN

3.1   Splošne tehnične zahteve za analizator

Analizator mora imeti ustrezno merilno območje za točnost, potrebno pri merjenju koncentracij sestavin izpušnih plinov (točka 3.1.1). Priporoča se tako upravljanje analizatorjev, da znaša merjena koncentracija med 15 % in 100 % obsega skale.

Če lahko sistemi za odčitavanje (računalniki, zapisovalniki podatkov) nudijo zadostno točnost in ločljivost pod 15 % obsega skale, so sprejemljive tudi meritve pod 15 % obsega skale. V takem primeru je treba opraviti dodatne kalibracije najmanj 4 enakomerno razporejenih točk, ki niso ničelne, da se zagotovi točnost kalibracijskih krivulj v skladu s točko 1.6.4 Dodatka 5 k tej prilogi.

Elektromagnetna združljivost (EMC) opreme mora biti na taki ravni, da je možnost dodatnih napak čim manjša.

3.1.1   Točnost

Odstopanje analizatorja od nominalne kalibracijske točke ne sme biti večje kot ± 2 % odčitka v celotnem obsegu merjenja, razen ničle, ali ± 0,3 % obsega skale, kar je večje. Točnost se določi v skladu z zahtevami za kalibracijo, določenimi v točki 1.6 Dodatka 5 k tej prilogi.

Opomba: Za to direktivo je točnost določena kot odstopanje odčitka analizatorja od nominalnih kalibracijskih vrednosti z uporabo kalibracijskega plina (= prava vrednost).

3.1.2   Natančnost

Natančnost, ki je opredeljena kot 2,5-kratno standardno odstopanje 10 ponavljajočih se odzivov za dani kalibrirni plin, ne sme biti večja od ± 1 % koncentracije obsega skale za posamezno uporabljeno območje nad 155 ppm (ali ppmC) ali ± 2 % posameznega uporabljenega območja pod 155 ppm (ali ppmC).

3.1.3   Šum

Medtemenski odziv analizatorja na ničelni in kalibracijski plin v katerem koli 10-sekundnem obdobju ne sme na nobenem uporabljenem območju presegati 2 % obsega skale.

3.1.4   Premik ničlišča

Odziv na ničlo je opredeljen kot srednji odziv, vključno s šumom, na ničelni plin v časovnem intervalu 30 sekund. Premik odziva na ničlo v obdobju ene ure mora biti manj kot 2 % obsega skale na najnižjem uporabljenem območju.

3.1.5   Premik razpona

Kalibracijski odziv je opredeljen kot srednji odziv, vključno s šumom, na kalibracijski plin v časovnem intervalu 30 sekund. Premik kalibracijskega odziva v obdobju ene ure mora biti manj kot 2 % obsega skale na najnižjem uporabljenem območju.

3.1.6   Čas vzpona

Čas vzpona analizatorja, nameščenega v sistemu za merjenje, ne sme biti večji od 3,5 s.

Opomba: Ovrednotenje samo odzivnega časa analizatorja ne bo jasno opredelilo, ali je celoten sistem primeren za prehodno preskušanje. Prostornine in zlasti mrtve prostornine ne bodo vplivale samo na čas prenosa od sonde do analizatorja, ampak tudi na čas vzpona. Tudi časi prenosa znotraj analizatorja se opredelijo kot odzivni čas analizatorja, tako kot pretvornik ali lovilci vode znotraj analizatorjev NOx. Določitev skupnega odzivnega časa sistema je opisana v točki 1.5 Dodatka 5 k tej prilogi.

3.2   Sušenje plinov

Naprava za sušenje plinov po izbiri mora v najmanjši možni meri vplivati na koncentracijo merjenih plinov. Kemična sredstva za sušenje niso sprejemljiva za odstranjevanje vode iz vzorca.

3.3   Analizatorji

V točkah od 3.3.1 do 3.3.4 so opisani merilni principi, ki naj se uporabijo. Podroben opis merilnih sistemov je podan v Prilogi V. Pline, ki se merijo, je treba analizirati z naslednjimi instrumenti. Pri nelinearnih analizatorjih je dovoljena uporaba vezja za linearizacijo.

3.3.1   Analiza ogljikovega monoksida (CO)

Analizator ogljikovega monoksida mora biti nedisperzni infrardeči absorpcijski analizator (NDIR).

3.3.2   Analiza ogljikovega dioksida (CO2)

Analizator ogljikovega dioksida mora biti nedisperzni infrardeči absorpcijski analizator (NDIR).

3.3.3   Analiza ogljikovodikov (HC)

Analizator ogljikovodikov za dizelske motorje in motorje na utekočinjeni naftni plin mora biti vrste HFID (Heated Flame Ionisation Detector — ogrevani detektor s plamensko ionizacijo) za merjenje nezgorelih ogljikovodikov z ogrevanim detektorjem, ventili in cevmi itd., tako da lahko vzdržuje temperaturo plinov pri 463 K ± 10 K (190 ± 10 °C). Za plinske motorje, ki za gorivo uporabljajo zemeljski plin, je lahko analizator ogljikovodikov vrste FID (Non heated Flame Ionisation Detector — neogravani detektor s plamensko ionizacijo), ki ni ogrevan, odvisno od uporabljenega postopka (glej točko 1.3 Priloge V).

3.3.4   Analiza nemetanskih ogljikovodikov (NMHC) (samo za plinske motorje, ki za gorivo uporabljajo NG)

Nemetanski ogljikovodiki se določajo z eno od naslednjih metod:

3.3.4.1   Metoda GC (s plinskim kromatografom)

Nemetanske ogljikovodike določimo tako, da od ogljikovodikov, izmerjenih skladno s točko 3.3.3, odštejemo metan, analiziran s plinskim kromatografom (Gas Chromatograph — GC), kondicioniranim na 423 K (150 °C).

3.3.4.2   Metoda NMC (z izločevalnikom nemetanov)

Določanje nemetanske frakcije se izvaja z ogrevanim izločevalnikom nemetanov (Non-Methane Cutter — NMC), ki deluje podobno kot FID iz točke 3.3.3, z odštevanjem metana od ogljikovodikov.

3.3.5   Analiza dušikovih oksidov (NOx)

Analizator dušikovih oksidov naj bo vrste CLD (ChemiLuminescent Detector — kemiluminescenčni detektor) ali HCLD (Heated ChemiLuminescent Detector — ogrevani kemiluminescenčni detektor) s pretvornikom NO2/NO, če se meritev izvaja na suhi osnovi. Če se meritev izvaja na mokri osnovi, je treba uporabiti HCLD s pretvornikom, ki vzdržuje temperaturo nad 328 K (55 °C), pod pogojem, da je bil zadovoljivo opravljen preskus moteče občutljivosti na vodno paro (glej točko 1.9.2.2 Dodatka 5 k tej prilogi).

3.3.6   Merjenje razmerja zrak/gorivo

Oprema za merjenje razmerja zrak/gorivo, ki se uporablja za določanje pretoka izpušnih plinov, kakor je opredeljeno v točki 4.2.5 Dodatka 2 k tej prilogi, mora biti senzor s širokim območjem razmerja zrak/gorivo ali lambda senzor na osnovi cirkonijevega dioksida. Senzor se namesti neposredno na izpušno cev, kjer je temperatura izpušnih plinov dovolj visoka, da se prepreči kondenziranje vode.

Točnost senzorja z vgrajeno elektroniko mora biti v okviru:

± 3 % odčitka

λ < 2

± 5 % odčitka

2 ≤ λ < 5

± 10 % odčitka

5 ≤ λ

Za izpolnitev zgornjih zahtev, mora biti senzor kalibriran v skladu z navodili proizvajalca instrumenta.

3.4   Vzorčenje plinastih emisij

3.4.1   Nerazredčeni izpušni plini

Sonde za vzorčenje plinastih emisij se namestijo najmanj 0,5 m ali za trikratni premer izpušne cevi — kar je večje — v smeri proti toku od izstopa iz izpušnega sistema, vendar dovolj blizu motorja, da je na sondi zagotovljena temperatura izpušnih plinov najmanj 343 K (70 °C).

Če gre za večvaljni motor z razvejanim izpušnim kolektorjem, se mora vstop v sondo nahajati dovolj daleč v smeri toka, da bo vzorec lahko reprezentativen za povprečno emisijo izpušnih plinov iz vseh valjev. Pri večvaljnih motorjih, ki imajo ločene skupine kolektorjev, kot npr. pri V-motorju, je priporočeno, da se kolektorji združijo višje od sonde za vzorčenje. Če to ni praktično izvedljivo, je dopustno odvzeti vzorec od skupine z največjo emisijo CO2. Uporabiti je mogoče tudi druge metode, za katere je bilo dokazano, da ustrezajo zgoraj omenjenim metodam. Za izračun emisij izpušnih plinov se uporabi skupni masni pretok izpušnih plinov.

Če je motor opremljen s sistemom za naknadno obdelavo izpušnih plinov, se vzorec izpušnih plinov vzame nižje od sistema za naknadno obdelavo izpušnih plinov.

3.4.2   Razredčeni izpušni plini

Izpušna cev med motorjem in sistemom redčenja s celotnim tokom mora biti v skladu z zahtevami točke 2.3.1 EP Priloge V.

Sonda(e) za vzorčenje plinastih emisij se namesti(jo) v tunel za redčenje v točki, kjer so zrak za redčenje in izpušni plini dobro premešani, ter v neposredni bližini sonde za vzorčenje delcev.

Vzorčenje je v splošnem mogoče opraviti na dva načina:

 onesnaževala se vzorčijo v vreče za vzorce skozi ves cikel in merijo po zaključku preskusa,

 onesnaževala se neprekinjeno vzorčijo in integrirajo skozi ves cikel; ta metoda je obvezna za HC in NOx.

4.   DOLOČANJE DELCEV

Za določanje delcev je potreben sistem redčenja. Redčenje se lahko izvaja s sistemom redčenja z delnim tokom ali s sistemom dvojnega redčenja s celotnim tokom. Kapaciteta pretoka sistema redčenja mora biti zadosti velika, da se v celoti odpravi kondenzacija vode v sistemih redčenja in vzorčenja. Temperatura razredčenih izpušnih plinov mora biti takoj nad posodami s filtri nižja od 325 K (52 °C) ( 55 ). Dovoljen je nadzor vlažnosti zraka za redčenje pred vstopom v sistem redčenja, zlasti uporabno je razvlaževanje, če je vlažnost zraka za redčenje visoka. Temperatura zraka za redčenje v bližini vstopa v tunel za redčenje mora biti višja od 288 K (15 °C).

Sistem redčenja z delnim tokom mora biti izdelan tako, da iz motorjevega toka izpušnih plinov izvleče sorazmeren vzorec nerazredčenih izpušnih plinov in se tako odzove na odklone v pretoku izpušnih plinov ter vnese zrak za redčenje v ta vzorec, da se doseže temperatura pod 325 K (52 °C) na preskusnem filtru. Za to je nujno, da se razmerje redčenja ali razmerje vzorčenja, r dil ali r s, določita tako, da so izpolnjene mejne vrednosti glede točnosti iz točke 3.2.1 Dodatka 5 k tej prilogi. Uporabijo se lahko različne ekstrakcijske metode, kjer vrsta ekstrakcije, ki se uporablja, v veliki meri odloča o tem, katera strojna oprema in kateri postopki se za uporabijo vzorčenje (točka 2.2 Priloge V).

V splošnem se sonda za vzorčenje delcev namesti v bližini sonde za vzorčenje plinastih emisij, vendar dovolj daleč, da je ne moti. Zato tudi za vzorčenje delcev se uporabljajo določbe glede nameščanja iz točke 3.4.1. Linija vzorčenja mora biti skladna z zahtevami iz točke 2 Priloge V.

Če gre za večvaljni motor z razvejanim izpušnim kolektorjem, se mora vstop v sondo nahajati dovolj daleč v smeri toka, da bo vzorec lahko reprezentativen za povprečno emisijo izpušnih plinov iz vseh valjev. Pri večvaljnih motorjih, ki imajo ločene skupine kolektorjev, kot npr. pri V-motorju, je priporočeno, da se kolektorji združijo višje od sonde za vzorčenje. Če to ni praktično izvedljivo, je dopustno odvzeti vzorec od skupine z največjo emisijo delcev. Uporabiti je mogoče tudi druge metode, za katere je bilo dokazano, da ustrezajo zgoraj omenjenim metodam. Za izračun emisij izpušnih plinov se uporabi skupni masni pretok izpušnih plinov.

Za določanje mase delcev so potrebni sistem za vzorčenje delcev, filtri za vzorčenje delcev, mikrogramska tehtnica ter klimatizirana tehtalna komora.

Za vzorčenje delcev se uporabi metoda z enojnim filtrom, pri kateri se uporablja en filter (glej točko 4.1.3) za celotni preskusni cikel. Pri ciklu ESC je treba zlasti paziti na čase vzorčenja in pretoke med fazo vzorčenja pri preskusu.

4.1   Filtri za vzorčenje delcev

Vzorci razredčenih izpušnih plinov se odvzemajo s filtrom, ki izpolnjuje zahteve točk 4.1.1 in 4.1.2 med zaporedjem preskusov.

4.1.1   Predpisi za filter

Prepisani so filtri iz steklenih vlaken, prevlečeni s fluorogljikom. Vsi tipi filtrov morajo imeti 0,3 μm DOP (dioktilftalat) zbiralno učinkovitost vsaj 99 % pri hitrosti dotoka plinov med 35 in 100 cm/s.

4.1.2   Velikost filtrov

Priporočajo se filtri za delce s premerom 47 mm ali 70 mm. Dovoljeni so filtri z večjim premerom (glej točko 4.1.4), filtri z manjšim premerom pa ne.

4.1.3   Hitrost dotoka v filter

Dosežena mora biti hitrost dotoka plinov v filter od 35 do 100 cm/s. Porast padca tlaka med začetkom in koncem preskusa ne sme biti večja od 25 kPa.

4.1.4   Obremenitev filtra

Zahtevane minimalne obremenitve filtrov za najpogosteje uporabljene velikosti filtrov so prikazane v tabeli 10. Za večje filtre je najmanjša obremenitev 0,065 mg/1 000 mm2 površine filtra.



Tabela 10

Najmanjše obremenitve filtrov

Premer filtra (mm)

Najmanjša obremenitev (mg)

47

0,11

70

0,25

90

0,41

110

0,62

Če se na podlagi prejšnjih preskusov domneva, da najmanjša obremenitev filtra po optimizaciji pretokov in razmerja redčenja v preskusnem ciklu ne bo dosežena, je dovoljena manjša obremenitev filtra, če se zadevne strani strinjajo, pod pogojem, da je mogoče pokazati, da ta obremenitev izpolnjuje zahteve o točnosti iz točke 4.2, npr. z ravnovesjem 0,1μg.

4.1.5   Držalo za filter

Filtri se za preskus emisij namestijo v držalo za filter, ki izpolnjuje zahteve iz točke 2.2 Priloge V. Držalo za filter mora biti oblikovano tako, da zagotavlja enakomerno porazdelitev pretoka po delovni površini filtra. Ventili s hitrim odzivom se namestijo pred ali za držalom za filter. Tik pred držalom za filter se lahko namesti inercijski predklasifikator s 50 % odrezom med 2,5 μm in 10 μm. Uporaba predklasifikatorja se izrecno priporoča, če se uporablja sonda za vzorčenje z odprto cevjo, ki je obrnjena navzgor proti pretoku izpušnih plinov.

4.2   Tehnične zahteve za tehtalno komoro in analizno tehtnico

4.2.1   Razmere v tehtalni komori

Temperatura v komori (ali prostoru) za kondicioniranje in tehtanje filtrov za delce mora biti med celotnim kondicioniranjem in tehtanjem filtrov v območju 295 K ± 3 K (22 °C ± 3 °C). Vlažnost mora biti pri rosišču 282,5 K ± 3 K (9,5 °C ± 3 °C), relativna vlažnost pa v območju 45 % ± 8 %.

4.2.2   Tehtanje referenčnih filtrov

V komori (ali prostoru) ne sme biti nobenih onesnaževalcev iz okolice (kot je prah), ki bi se med stabiliziranjem filtrov za delce lahko nanje usedali. Motnje v tehničnih zahtevah tehtalnega prostora, podanih v 4.2.1, so dopustne, če določena motnja ne traja več kot 30 minut. Tehtalni prostor mora ustrezati predpisanim tehničnim zahtevam pred vstopom oseb vanj. Vsaj dva neuporabljena referenčna filtra se stehtata v roku štirih ur po tehtanju vzorčnega filtra, najbolje pa je, da se to izvede istočasno. Morata (morajo) biti enake velikosti in iz enakega materiala kot vzorčni filtri.

Če se povprečna teža referenčnih filtrov med tehtanjem filtrov z vzorcem spremeni za več kot 10 μg, potem se vsi filtri z vzorci zavržejo in preskus emisij ponovi.

Če kriteriji glede stabilnosti tehtalnega prostora, podani v točki 4.2.1, niso izpolnjeni, tehtanja referenčnega filtra pa izpolnjujejo zgornje kriterije, ima proizvajalec motorja na izbiro, da teže filtrov z vzorcem bodisi sprejme ali pa preskuse razveljavi, popravi sistem krmiljenja tehtalnega prostora in preskus ponovi.

4.2.3   Analitska tehtnica

Analizna tehtnica, ki se uporablja za ugotavljanje teže filtra, mora biti na vsaj 2 μg natančna (standardno odstopanje) in imeti razločljivost vsaj 1 μg (1 števka = 10 μg), kar določi proizvajalec tehtnice.

4.2.4   Odpravljanje učinkov statične elektrike

Da se odpravijo učinki statične elektrike, morajo biti filtri pred tehtanjem nevtralizirani, npr. s polonijevim nevtralizatorjem, faradajevo kletko ali napravo s podobnim učinkom.

4.2.5   Zahteve za merjenje pretoka

4.2.5.1   Splošne zahteve

Absolutne točnosti naprav za merjenje pretoka ali instrumentov za merjenje pretoka so določene v točki 2.2.

4.2.5.2   Posebne določbe za sisteme redčenja z delnim tokom

Točnost vzorčnega pretoka q mp je za sisteme redčenja z delnim pretokom zelo pomembna, če se ne meri neposredno, ampak se določi z diferencialnim merjenjem pretoka:

q mp = qmdew qmdw

V tem primeru točnost ± 2 % za q mdew in q mdw ni dovolj za jamstvo, da bodo točnosti za q mp sprejemljive. Če se pretok plinov določa z merjenjem razlike tlakov, mora biti največja napaka razlike takšen, da je točnost q mp v območju ± 5 %, če je razmerje redčenja manj kot 15. Izračuna se lahko s srednjo vrednostjo kvadratov napak za vsako merilo.

Sprejemljive točnosti q mp je mogoče pridobiti z eno od naslednjih metod:

absolutni točnosti q mdew in q mdw sta ± 0,2 %, kar zagotavlja točnost q mp ≤ 5 % pri razmerju redčenja 15. Pri večjih razmerjih redčenja pa bo prišlo do večjih napak;

kalibracija q mdw relativno na q mdew se izvede tako, da se pridobijo enake točnosti za q mp kot v a). Navodila za takšno kalibracijo so v točki 3.2.1 Dodatka 5 k Prilogi III;

točnost q mp se določi posredno iz točnosti razmerja redčenja, ki ga določi sledilni plin, na primer CO2. Tudi tukaj se zahtevajo točnosti za q mp, ki so enakovredne tistim iz a);

absolutna točnost q mdew in q mdw je v območju ± 2 % obsega skale, največja napaka razlike med q mdew in q mdw je v območju 0,2 % in napaka linearnosti je v območju ± 0,2 % največje vrednosti q mdew, ki se pojavi v preskusu.

▼B

5.   DOLOČANJE DIMLJENJA

V tej točki so podane tehnične zahteve za predpisano ali neobvezno opremo, ki se uporablja pri preskusu ELR. Dimljenje se meri z merilnikom motnosti, ki omogoča merjenje po načinu prikazovanja motnosti in koeficienta absorpcije svetlobe. Način prikazovanja motnosti se uporablja samo za kalibracijo in preverjanje merilnika motnosti. Stopnje dimljenja v preskusnem ciklu se merijo v načinu prikazovanja koeficienta absorpcije svetlobe.

5.1   Splošne zahteve

ELR zahteva uporabo sistema za merjenja dimljenja in obdelavo podatkov, ki vključuje tri funkcionalne enote. Te enote so lahko združene v eno samo komponento ali pa izvedene kot sistem med seboj povezanih komponent. Te tri funkcionalne enote so:

 merilnik motnosti, ki izpolnjuje tehnične zahteve točke 3 Priloge V,

 enota za obdelavo podatkov s sposobnostjo opravljanja funkcij iz točke 6 Dodatka 1 k Prilogi III,

 tiskalnik in/ali elektronski pomnilniški medij za zapisovanje in izpisovanje zahtevanih stopenj dimljenja iz točke 6.3 Dodatka 1 k Prilogi III.

5.2   Posebne zahteve

5.2.1   Linearnost

Linearnost naj bo v območju ± 2 % motnosti.

5.2.2   Premik ničlišča

Premik ničlišča v enournem obdobju ne sme preseči ± 1 % motnosti.

5.2.3   Prikazovanje in območje merilnika motnosti

Prikazovanje motnosti mora biti v območju 0 do 100 % motnosti, ločljivost instrumenta pa 0,1 % motnosti. Prikazovanje koeficienta absorpcije svetlobe mora biti v območju 0 do 30 m-1 koeficienta absorpcije svetlobe, ločljivost pa 0,01 m-1 koeficienta absorpcije svetlobe.

5.2.4   Odzivni čas instrumenta

Fizični odzivni čas merilnika motnosti ne sme preseči 0,2 s. Fizični odzivni čas je razlika med časom doseganja 10 % in 90 % celotnega odklona kazalca sprejemnika s hitro odzivnostjo, kadar se motnost merjenih plinov spremeni v manj kot 0,1 s.

Električni odzivni čas merilnika motnosti ne sme preseči 0,05 s. Električni odzivni čas je razlika med časoma, ko merilnik motnosti doseže odklon 10 % in 90 % celotnega obsega skale, kadar je svetlobni vir prekinjen ali popolnoma ugasne v manj kot 0,01 s.

5.2.5   Nevtralni filtri

Vsak nevtralni filter, ki se uporablja v povezavi s kalibracijo merilnika motnosti, z merjenjem linearnosti ali z nastavitvijo razpona, mora imeti znano vrednost v območju 1,0 % motnosti. Točnost nazivne vrednosti filtra se najmanj enkrat na leto preveri z referenčnima etalonom v povezavi z nacionalnim ali mednarodnim etalonom.

Nevtralni filtri so natančne naprave in se med uporabo lahko hitro poškodujejo. Treba jih je čim manj prijemati, ko pa je to potrebno, je treba z njimi ravnati previdno, da se ne popraskajo ali umažejo.




Dodatek 5

POSTOPEK KALIBRACIJE

1.   KALIBRACIJA INSTRUMENTOV ZA ANALIZO

1.1   Uvod

Vsak analizator se kalibrira tako pogosto, kot je potrebno za izpolnjevanje zahtev te direktive glede točnosti. Kalibracijska metoda, ki se uporabi, je v tej točki opisana za analizatorje iz točke 3 Dodatka 4 k Prilogi III in iz točke 1 Priloge V.

1.2   Kalibracijski plini

Upošteva se rok trajanja vseh kalibracijskih plinov.

Zabeleži se datum izteka roka trajanja kalibracijskih plinov, ki ga navede proizvajalec.

1.2.1   Čisti plini

Predpisana čistost plinov je opredeljena s spodaj navedenimi mejami onesnaženosti. Za delovanje morajo biti na voljo naslednji plini:

Prečiščeni dušik

(onesnaženost z ≤ 1 ppm C1, ≤ 1 ppm CO, ≤ 400 ppm CO2, ≤ 0,1 ppm NO)

Prečiščeni kisik

(čistost > 99,5 % vol O2)

Mešanica vodika in helija

(40 ± 2 % vodika, preostanek helij)

(onesnaženost z ≤ 1 ppm C1, ≤ 400 ppm CO2)

Prečiščeni sintetični zrak

(onesnaženost z ≤ 1 ppm C1, ≤ 1 ppm CO, ≤ 400 ppm CO2, ≤ 0,1 ppm NO)

(vsebnost kisika 18–21 % vol.)

Prečiščeni propan ali CO za preverjanje CVS

1.2.2   Kalibracijski plini

Na voljo naj bodo mešanice plinov z naslednjimi kemijskimi sestavami:

C3H8 in prečiščeni sintetični zrak (glej točko 1.2.1);

CO in prečiščeni dušik;

NOx in prečiščeni dušik (množina NO2, vsebovanega v tem kalibracijskem plinu, ne sme presegati 5 % vsebnosti NO):

CO2 in prečiščeni dušik

CH4 in prečiščeni sintetični zrak

C2H6 in prečiščeni sintetični zrak

Opomba:

Dovoljene so tudi druge kombinacije plinov, pod pogojem, da ti plini med seboj ne reagirajo.

Prava koncentracija kalibracijskega plina mora biti v območju ± 2 % nazivne vrednosti. Vse koncentracije kalibrirnih plinov naj bodo na prostorninski podlagi (prostorninski odstotek ali prostorninski ppm).

Pline, ki se uporabljajo za kalibracijo, je mogoče dobiti tudi z delilnikom plinov, z redčenjem s prečiščenim N2 ali s prečiščenim sintetičnim zrakom. Točnost mešalne naprave mora biti taka, da se koncentracija razredčenih kalibracijskih plinov lahko določi v območju ± 2 %.

▼M1

1.2.3   Uporaba naprav za natančno mešanje

Pline, ki se uporabljajo za kalibracijo, je mogoče pridobiti z napravami za natančno mešanje (razločevalniki plinov), redčenjem s prečiščenim N2 ali s prečiščenim sintetičnim zrakom. Točnost mešalne naprave mora biti takšna, da je koncentracija zmešanih kalibracijskih plinov točna na ± 2 %. Ta natančnost zahteva, da morajo biti primarni plini, ki se uporabljajo pri mešanju, znani vsaj na ± 1 % in sledljivi na nacionalne in mednarodne plinske standarde. Preverjanje se opravlja med 15 in 50 % obsega skale za vsako kalibracijo, ki vključuje uporabo naprave za mešanje.

Po izbiri se lahko naprava za mešanje pregleda z instrumentom, ki je po naravi linearen, npr. z uporabo plina NO s CLD. Kalibracijska vrednost instrumenta se uskladi z kalibracijskim plinom, ki je neposredno povezan z instrumentom. Naprava za mešanje se pregleda pri nastavitvah, ki so bile uporabljene, nominalna vrednost pa se primerja z izmerjeno koncentracijo instrumenta. Ta razlika mora v vsaki točki biti v okviru ± 1 % nominalne vrednosti.

▼B

1.3   Postopek dela z analizatorji in s sistemom vzorčenja

Pri delu z analizatorji se upoštevajo navodila proizvajalca instrumenta za zagon in delo. Upoštevajo se tudi najnižje zahteve iz točk 1.4 in 1.9.

▼M1

1.4   Preskus puščanja

Izvede se preskus puščanja sistema. Sondo se odklopi iz izpušnega sistema in njen konec zamaši. Vklopi se črpalka analizatorja. Po začetni stabilizaciji morajo vsi merilniki pretoka kazati vrednost nič. Če je vrednost drugačna, je treba preveriti cevi za vzorčenje in odpraviti napako.

Največja dovoljena stopnja puščanja na vakuumski strani za tisti del sistema, ki ga pregledujemo, naj bo 0,5 % od stopnje pretoka med uporabo. Za oceno stopnje pretoka med uporabo se lahko uporablja pretok skozi analizator in pretok po obvodu.

Sistem je mogoče spraviti tudi na vakuumski tlak 20 kPa (80 kPa absolutno). Po začetni stabilizaciji povečanje tlaka Δp (kPa/min) v sistemu ne sme preseči:

Δp = p / V s × 0,005 × q vs

kjer je:

V s

=

prostornina sistema, v l

q vs

=

pretok sistema, v l/min

Druga metoda je uvajanje spremembe v stopnji koncentracije na začetku cevi za vzorčenje s preklopom z ničelnega na kalibracijski plin. Če odčitek po ustreznem časovnem obdobju kaže približno 1 % nižjo koncentracijo od uvedene, to nakazuje na težave pri kalibriranju ali na puščanje.

▼M1

1.5   Pregled odzivnega časa analiznega sistema

Sistemske nastavitve za pregled odzivnega časa morajo biti popolnoma enake kot med merjenjem v poteku preskusa (tj. tlak, pretoki, nastavitve filtrov na analizatorjih in drugi dejavniki, ki lahko vplivajo na odzivne čase). Določitev odzivnega časa se izvede z zamenjavo plinov neposredno pri vstopu v sondo za vzorčenje. Izmenjava plinov se izvaja na manj kot 0,1 sekundo. Plini, ki se uporabijo pri preskusu, morajo povzročiti spremembo koncentracije vsaj 60 % FS.

Sled koncentracije vsake posamezne sestavine plina se zapiše. Odzivni čas je opredeljen kot razlika v času med zamenjavo plina in ustrezno spremembo zapisane koncentracije. Odzivni čas sistema (t 90) je sestavljen iz časovnega zamika do merilnega detektorja in časa vzpona tega detektorja. Časovni zamik je opredeljen kot čas od spremembe (t 0) in dokler odziv ni 10 % končnega odčitka (t 10). Čas vzpona je opredeljen kot čas med 10 % in 90 % odziva končnega odčitka (t 90t 10).

Za časovno uskladitev analizatorja in signalov pretoka izpušnih plinov za merjenje nerazredčenih izpušnih plinov je čas pretvorbe opredeljen kot čas od spremembe (t 0) pa dokler odziv ni 50 % končnega odčitka (t 50).

Odzivni čas sistema mora biti ≤ 10 sekund, čas vzpona pa ≤ 3,5 sekunde za vse omejene sestavine (CO, NOx, HC ali NMHC) in v vseh območjih, ki se uporabljajo.

▼M1

1.6   Kalibracija

1.6.1   Sestav merilnih instrumentov

Sestav merilnih instrumentov se kalibrira, kalibracijske krivulje pa preverijo glede na etalonske pline. Uporabijo se iste stopnje pretoka plinov kot pri vzorčenju izpušnih plinov.

1.6.2   Čas ogrevanja

Čas ogrevanja naj bo v skladu s priporočili proizvajalca. Če ni naveden, se za ogrevanje analizatorjev priporočata najmanj dve uri.

1.6.3   Analizatorja NDIR in HFID

Analizator NDIR mora biti ustrezno kalibriran, plamen detektorja HFID pa optimiziran (točka 1.8.1).

1.6.4   Določitev kalibracijske krivulje

 Kalibrirati je treba vsako normalno uporabljano območje delovanja.

 Analizatorji CO, CO2, NOx in HC se s pomočjo prečiščenega sintetičnega zraka (ali dušika) nastavijo na nič.

 V analizatorje se vnesejo ustrezni kalibracijski plini, zapišejo se vrednosti in določi se kalibracijska krivulja.

 Kalibracijska krivulja se določi z vsaj 6 kalibracijskimi točkami (razen ničle), ki so približno enakomerno razporejene po območju delovanja. Največja nominalna koncentracija mora biti enaka ali večja od 90 % obsega skale.

 Kalibracijska krivulja se izračuna po metodi najmanjših kvadratov. Uporabi se lahko linearna ali nelinearna enačba, ki se najbolje ujema.

 Kalibracijske točke se od črte najmanjših kvadratov, ki se najbolje prilega, ne smejo razlikovati za več kot ± 2 % odčitka ali ± 0,3 % obsega skale, kar je večje.

 Ponovno se preveri nastavitev ničle in po potrebi ponovi kalibracijski postopek.

1.6.5   Alternativne metode

Alternativne metode se lahko uporabijo, če je mogoče dokazati, da taka alternativna tehnika (npr. računalnik, elektronsko krmiljenje merilnega območja itd.) zagotavlja enako točnost.

1.6.6   Kalibracija analizatorja sledilnega plina za merjenje pretoka izpušnih plinov

Kalibracijska krivulja se določi z vsaj 6 kalibracijskimi točkami (izključujoč ničlo), ki so približno enakomerno razporejene po območju delovanja. Največja nominalna koncentracija mora biti enaka ali večja od 90 % obsega skale. Kalibracijska krivulja se izračuna po metodi najmanjših kvadratov.

Kalibracijske točke se od najboljše linije najmanjših kvadratov ne smejo razlikovati za več kot ± 2 % odčitka ali ± 0,3 % obsega skale, kar je večje.

Pred preskusom se analizator nastavi na nič, razpon pa se nastavi z uporabo ničelnega in kalibrirnega plina, katerih nominalna vrednost je več kot 80 % obsega skale analizatorja.

▼B

►M1  1.6.7. ◄    Preverjanje kalibracije

Pred posamezno analizo se vsako običajno uporabljeno območje delovanja preveri skladno z naslednjim postopkom.

Kalibracija se preveri z ničelnim in kalibrirnim plinom, katerega nazivna vrednost je več kot 80 % obsega skale merilnega območja.

Če ugotovljena vrednost pri nobeni od obeh obravnavanih točk ne odstopa od deklarirane referenčne vrednosti za več kot ± 4 % obsega skale, se lahko parametri nastavitve spremenijo. Če ni tako, se določi nova kalibracijska krivulja skladno s točko 1.5.5.

1.7   Preskus učinkovitosti pretvornika NOx

Učinkovitost pretvornika, ki se uporablja za pretvorbo NO2 v NO, se preskusi skladno s točkami 1.7.1 do 1.7.8 (slika 6).

1.7.1   Nastavitev za preskus

S preskusno nastavitvijo po sliki 6 (glej tudi točko 3.3.5 Dodatka 4 k Prilogi III) in spodnjem postopku se učinkovitost pretvornikov lahko preskusi z uporabo ozonatorja.

1.7.2   Kalibracija

Z ničelnim in kalibrirnim plinom (v katerem mora vsebnost NO znašati 80 % delovnega območja, koncentracija NO2 v mešanici plinov pa manj kot 5 % koncentracije NO) se kemiluminescenčni detektor (CLD) in ogrevani kemiluminescenčni detektor (HCLD) po navodilih proizvajalca kalibrirata v najobičajnejšem delovnem območju. Analizator NOx mora biti v načinu NO, tako da kalibrirni plin ne gre skozi pretvornik. Prikazana koncentracija se zabeleži.

1.7.3   Izračun

Učinkovitost pretvornika NOx se izračuna takole:

image

kjer je:

a

=

koncentracija NOx skladno s točko 1.7.6

b

=

koncentracija NOx skladno s točko 1.7.7

c

=

koncentracija NO skladno s točko 1.7.4

d

=

koncentracija NO skladno s točko 1.7.5

1.7.4   Dodajanje kisika

Prek T-kosa se v tok plinov stalno dodaja kisik ali ničelni plin, dokler pokazana koncentracija ni približno 20 % manjša od pokazane kalibracijske koncentracije iz točke 1.7.2 (analizator je v načinu NO). Prikazana koncentracija c se zabeleži. Med celotnim postopkom ozonator ni aktiviran.

1.7.5   Aktiviranje ozonatorja

Ozonator se zdaj aktivira za proizvodnjo zadostne količine ozona za znižanje koncentracije NO na približno 20 % (najmanj 10 %) kalibracijske koncentracije iz točke 1.7.2. Prikazana koncentracija d se zabeleži (analizator je v načinu NO).

1.7.6   Način NOx

Nato se analizator NO preklopi na način NOx, tako da sedaj mešanica plinov (ki jo sestavljajo NO, NO2, O2 in N2) teče skozi pretvornik. Prikazana koncentracija a se zabeleži. (Analizator je v načinu NOx).

1.7.7   Deaktiviranje ozonatorja

Ozonator se nato deaktivira. Mešanica plinov iz točke 1.7.6 teče skozi pretvornik v detektor. Prikazana koncentracija b se zabeleži. (Analizator je v načinu NOx).

1.7.8   Način NO

Ko je analizator preklopljen v način NO in ozonator deaktiviran, se prekine tudi pretok kisika ali sintetičnega zraka. Zapis NOx na analizatorju ne sme za več kot ± 5 % odstopati od vrednosti, izmerjene skladno s točko 1.7.2. (Analizator je v načinu NO).

1.7.9   Preskusni interval

Učinkovitost pretvornika NOx je treba preskusiti pred vsako kalibracijo analizatorja NOx.

1.7.10   Zahteva glede učinkovitosti

Učinkovitost pretvornika ne sme biti manjša od 90 %, zelo priporočljiva pa je višja učinkovitost 95 %.

Opomba:

Če takrat, ko je analizator v najobičajnejšem območju, ozonator ne more omogočiti znižanja koncentracije od 80 % do 20 % skladno s točko 1.7.5, se uporabi najvišje območje, pri katerem še pride do znižanja.

Elektromagnetni ventilOzonatorK analizatorjuRegulatorAC

Slika 6

Shematski prikaz naprave za preskušanje učinkovitosti pretvornika NOx

1.8   Nastavitev plamensko-ionizacijskega detektorja (FID)

1.8.1   Optimiranje odziva detektorja

FID mora biti nastavljen skladno z navodili proizvajalca instrumenta. Za optimiranje odziva v najobičajnejšem delovnem območju je treba za kalibrirni plin uporabiti propan v zraku.

Ko je stopnja pretoka goriva in zraka nastavljena skladno s priporočili proizvajalca, se v analizator spusti 350 ± 75 ppm kalibrirnega plina C. Odziv pri danem pretoku goriva se določi iz razlike med odzivom kalibrirnega plina in odzivom ničelnega plina. Pretok goriva se naraščajoče naravna nad in pod specifikacijo proizvajalca. Kalibrirni in ničelni odziv pri teh pretokih goriva se zabeležita. Razlika med kalibrirnim in ničelnim odzivom se izriše, pretok goriva pa naravna na bogatejšo stran krivulje.

1.8.2   Faktorji odzivnosti za ogljikovodike

Analizator se kalibrira z uporabo propana v zraku in prečiščenega sintetičnega zraka, skladno s točko 1.5.

Faktorji odzivnosti se določijo ob prvi uporabi analizatorja in po prekinitvah obratovanja zaradi večjih servisnih posegov. Faktor odzivnosti (Rf) za konkretno vrsto ogljikovodika je razmerje med prikazom FID C1 in koncentracijo plinov v valju, izraženo v ppm C1.

Koncentracija preskusnega plina mora biti na ravni, ki povzroči odziv približno 80 % obsega skale. Koncentracija mora biti znana z natančnostjo ± 2 % glede na gravimetrično standardno vrednost, izraženo v obliki prostornine. Poleg tega je treba jeklenko s plinom 24 ur predkondicionirati pri temperaturi 298 K ± 5 K (25 °C ± 5 °C).

Preskusni plini, ki se uporabljajo, in priporočena območja relativnih faktorjev odzivnosti so naslednji:

metan in prečiščeni sintetični zrak 1,00 ≤ Rf ≤ 1,15

propilen in prečiščeni sintetični zrak 0,90 ≤ Rf ≤ 1,10

toluen in prečiščeni sintetični zrak 0,90 ≤ Rf ≤ 1,10

Te vrednosti se nanašajo na faktor odzivnosti (Rf) 1,00 za propan in prečiščeni sintetični zrak.

1.8.3   Preskus moteče občutljivosti za kisik

Preskus moteče občutljivosti za kisik se opravi ob prvi uporabi analizatorja in po prekinitvah obratovanja zaradi večjih servisnih posegov.

Faktor odzivnosti se opredeli in določi skladno s točko 1.8.2. Preskusni plin, ki se uporablja, in priporočeno območje relativnih faktorjev odzivnosti sta naslednja:

image

Ta vrednost se nanaša na faktor odzivnosti (Rf) 1,00 za propan in prečiščeni sintetični zrak.

Koncentracija kisika v zraku gorilnika FID mora biti v območju ± 1 mol % koncentracije kisika zraka v gorilniku, uporabljenega pri zadnjem preverjanju stranske občutljivosti za kisik. Če je razlika večja, je treba preveriti motečo občutljivost za kisik in po potrebi naravnati analizator.

1.8.4   Učinkovitost izločevalnika ne-metanov (NMC, samo motorji na zemeljski plin)

Izločevalnik ne-metanov NMC se uporablja za odstranjevanje ne-metanskih ogljikovodikov iz vzorca plinov z oksidacijo vseh ogljikovodikov razen metana. V idealnih razmerah je pretvorba za metan 0 %, za druge ogljikovodike, ki jih zastopa etan, pa 100 %. Za točno merjenje NHMC se določita obe učinkovitosti in se uporabita za izračun stopnje masnega pretoka emisij NMHC (glej točko 4.3 Dodatka 2 k Prilogi III).

1.8.4.1   Učinkovitost na metan

Kalibracijski plin metan se spusti skozi FID z obvodom NMC in brez njega, obe koncentraciji pa se zabeležita. Učinkovitost se določi takole:

image

kjer je:

concw

=

koncentracija HC, če teče CH4 skozi NMC

concw/o

=

koncentracija HC, če teče CH4 mimo NMC

1.8.4.2   Učinkovitost na etan

Kalibracijski plin etan se spusti skozi FID z obvodom NMC in brez njega, obe koncentraciji pa se zabeležita. Učinkovitost se določi takole:

image

kjer je:

concw

=

koncentracija HC, če teče C2H6 skozi NMC

concw/o

=

koncentracija HC, če teče C2H6 mimo NMC

1.9   Učinki moteče občutljivosti pri analizatorjih CO, CO2 in NOx

Plini v izpuhu, ki se ne analizirajo, lahko pri zapisu povzročajo motnje na različne načine. Pozitivne motnje nastanejo pri analizatorjih NDIR, kjer daje moteči plin isti učinek kot merjeni plin, vendar v manjši meri. Negativne motnje pri analizatorjih NDIR povzroča moteči plin, ki širi absorpcijski pas merjenega plina, pri detektorjih CLD pa moteči plin, ki duši sevanje. Pred prvo uporabo analizatorja in po prekinitvah obratovanja zaradi večjih servisnih posegov se opravi pregled motečih občutljivosti iz točk 1.9.1 in 1.9.2.

1.9.1   Pregled motečih občutljivosti pri analizatorju CO

Voda in CO2 lahko motita delovanje analizatorja CO. Zato se skozi vodo pri sobni temperaturi pošljejo mehurčki kalibrirnega plina CO2 s koncentracijo 80 do 100 % obsega skale največjega območja delovanja, ki se uporablja med preskušanjem, odziv analizatorja pa se zabeleži. Odziv analizatorja ne sme biti večji od 1 % obsega skale za območja, ki so enaka ali nad 300 ppm, oziroma večji od 3 ppm za območja pod 300 ppm.

1.9.2   Pregledi moteče občutljivosti analizatorja NOx za vodno paro

Plina, ki zadevata analizator CLD (in HCLD), sta CO2 in vodna para. Odzivi na dušenje s tema dvema plinoma so sorazmerni z njuno koncentracijo, zato so potrebne preskusne tehnike za določanje dušenja pri najvišjih predvidenih koncentracijah med preskušanjem.

1.9.2.1   Pregled moteče občutljivosti CO2 za vodno paro

Kalibrirni plin CO2 s koncentracijo 80 do 100 % obsega skale največjega območja delovanja se spusti skozi analizator NDIR, vrednost CO2 pa se zabeleži kot A. Nato se približno 50-odstotno razredči s kalibrirnim plinom NO ter pošlje skozi NDIR in (H)CLD, vrednost CO2 oziroma NO pa se zabeleži kot B oziroma C. Nato se dotok CO2 zapre, skozi (H)CLD pa se pošlje samo kalibrirni plin NO, katerega vrednost se zabeleži kot D.

Dušenje, ki ne sme biti večje od 3 % obsega skale, se izračuna takole:

image

kjer je:

A

=

je koncentracija nerazredčenega CO2, izmerjena z NDIR, v %

B

=

je koncentracija razredčenega CO2, izmerjena z NDIR, v %

C

=

je koncentracija razredčenega NO, izmerjena s (H)CLD, v ppm

D

=

je koncentracija nerazredčenega NO, izmerjena s (H)CLD, v ppm

Uporabijo se lahko tudi alternativne metode redčenja in kvantifikacije vrednosti kalibrirnih plinov CO2 in NO, kot je npr. dinamično mešanje.

1.9.2.2   Pregled moteče občutljivosti za vodno paro

Ta pregled velja samo za merjenje koncentracije mokrih plinov. Pri izračunu dušenja z vodo je treba upoštevati redčenje kalibrirnega plina NO z vodno paro in primerjavo koncentracije vodne pare v mešanici s predvideno koncentracijo med preskušanjem.

Skozi (H)CLD se pošlje kalibrirni plin NO s koncentracijo 80 do 100 % obsega skale običajnega območja delovanja, vrednost NO pa se zabeleži kot D. Določita se absolutni delovni tlak analizatorja in temperatura vode in se zabeležita kot E oziroma F. Določi se tlak nasičene pare mešanice, ki ustreza temperaturi vode z mehurčki F, in se zabeleži kot G. Koncentracija vodne pare (H, v %) v mešanici se izračuna takole:

image

Predvidena koncentracija (De) razredčenega kalibrirnega plina NO (v vodni pari) se izračuna takole:

image

Pri izpušnih plinih iz dizelskih motorjev se največja predvidena koncentracija vodne pare v izpuhu (Hm, v %) med preskušanjem, pri domnevnem razmerju H/C atoma goriva 1,8:1, iz koncentracije nerazredčenega kalibrirnega plina CO2 (A, kot je izmerjena v točki 1.9.2.1) oceni takole:

image

Dušenje zaradi vodne pare, ki ne sme biti večje od 3 %, se izračuna takole:

image

kjer je:

De

=

predvidena koncentracija razredčenega NO, v ppm

C

=

koncentracija razredčenega NO, v ppm

Hm

=

največja koncentracija vodne pare, v %

H

=

dejanska koncentracija vodne pare, v %

Za ta pregled je pomembno, da kalibrirni plin NO vsebuje najmanjšo možno koncentracijo NO2, saj se absorpcija NO2 v vodi v izračunih dušenja ne upošteva.

1.10   Presledki med kalibracijami

Analizatorji se skladno s točko 1.5 kalibrirajo najmanj vsake 3 mesece oziroma vsakokrat, ko je bil izvedeno popravilo ali sprememba sistema, ki bi utegnila vplivati na kalibracijo.

2.   KALIBRACIJA SISTEMA CVS

2.1   Splošno

Sistem CVS se kalibrira z uporabo točnega merilnika pretoka, ki je sledljiv na nacionalne ali mednarodne etalone, ter regulatorja pretoka. Pretok skozi sistem se meri pri različnih nastavitvah regulatorja in krmilni parametri sistema se merijo in povežejo s pretokom.

Uporabijo se lahko razne vrste merilnikov pretoka, npr. kalibrirana venturijeva cev, kalibriran laminarni merilnik pretoka, kalibriran turbinski merilnik pretoka.

2.2   Kalibracija črpalke s prisilnim pretokom za natančno odvzemanje vzorcev (PDP)

Vsi parametri, povezani s črpalko, se izmerijo hkrati s parametri, povezanimi z merilnikom pretoka, ki je na črpalko priključen zaporedno. Izračunana stopnja pretoka (v m3/min na vstopu v črpalko, pri absolutnem tlaku in temperaturi) se zabeleži glede na korelacijsko funkcijo, ki je vrednost specifične kombinacije parametrov črpalke. Nato se določi linearna enačba, ki povezuje pretok črpalke in korelacijsko funkcijo. Če ima CVS pogon z več različnimi vrtilnimi frekvencami, se kalibracija izvede za vsako uporabljeno območje. Med kalibracijo se ohranja stabilnost temperature.

2.2.1   Analiza podatkov

Stopnja pretoka zraka (Qs) na vsakem dušilnem mestu (najmanj 6 dušilnih mest) se izračuna v standardnih m3/min iz podatkov merilnika pretoka po metodi, ki jo predpiše proizvajalec. Stopnja pretoka zraka se nato pretvori v pretok črpalke (V0) v m3/vrt pri absolutni temperaturi in tlaku na vstopu v črpalko, in sicer takole:

image

kjer je:

Qs

=

stopnja pretoka zraka pri standardnih pogojih (101,3 kPa, 273 K), v m3/s

T

=

temperatura na vstopu v črpalko, v K

pA

=

absolutni tlak na vstopu v črpalko (pB-p1), v kPa

n

=

vrtilna frekvenca črpalke, v vrt/s

Zaradi upoštevanja medsebojnega delovanja raznih tlakov pri črpalki ter stopnjo izgube črpalke se izračuna korelacijska funkcija (X0) med vrtilno frekvenco črpalke, razliko tlakov od vstopa do izstopa črpalke ter absolutnim tlakom na izhodu črpalke, in sicer takole:

image

kjer je:

Δpp

=

razlika tlaka od vstopa do izstopa črpalke, v kPa

pA

=

absolutni izhodni tlak na izhodu črpalke, v kPa

Za generiranje kalibracijske enačbe se opravi linearna prilagoditev po metodi najmanjših kvadratov, in sicer takole:

image

D0 in m sta konstanti odseka in naklona, ki opisujeta regresijske premice.

Pri sistemu CVS z več vrtilnimi frekvencami morajo kalibracijske krivulje, generirane pri različnih stopnjah pretoka črpalke, potekati približno vzporedno, vrednosti odseka (D0) pa morajo z manjšanjem stopnje pretoka črpalke naraščati.

Vrednosti, izračunane na podlagi enačbe, morajo biti v območju ± 0,5 % izmerjene vrednosti V0. Vrednosti m so od črpalke do črpalke različne. Dotok delcev s časom povzroči zmanjšanje izgube črpalke, kar je razvidno iz nižjih vrednosti za m. Zato se kalibracija izvede ob zagonu črpalke po večjem vzdrževalnem posegu in če preverjanje celotnega sistema (točka 2.4) pokaže spremembo stopnje izgube.

2.3   Kalibracija venturijeve cevi s kritičnim pretokom (CFV)

Kalibracija CFV temelji na enačbi za kritični pretok venturijeve cevi. Pretok plinov je odvisen od tlaka in temperature na vstopu, kot je prikazano spodaj:

image

kjer je:

Kv

=

kalibracijski koeficient

pA

=

absolutni tlak na vstopu v venturijevo cev, v kPa

T

=

temperatura na vstopu v venturijevo cev, v K

2.3.1   Analiza podatkov

Stopnja pretoka zraka (Qs) na vsakem dušilnem mestu (najmanj 8 dušilnih mest) se izračuna v standardni enoti m3/min iz podatkov merilnika pretoka po metodi, ki jo predpiše proizvajalec. Kalibracijski koeficient se izračuna iz kalibracijskih podatkov za posamezno nastavitev, in sicer takole:

image

kjer je:

Qs

=

stopnja pretoka zraka pri standardnih pogojih (101,3 kPa, 273 K), v m3/s

T

=

temperatura na vstopu v venturijevo cev, v K

pA

=

absolutni tlak na vstopu v venturijevo cev, v kPa

Za določanje območja kritičnega pretoka se Kv zapiše kot funkcija tlaka na vstopu v venturijevo cev. Kv ima pri kritičnem (dušenem) pretoku relativno konstantno vrednost. Z upadanjem tlaka (naraščanjem vakuuma) se venturijeva cev odduši in Kv zmanjša, kar kaže, da CFV obratuje zunaj dopustnega območja.

Za najmanj osem točk v območju kritičnega pretoka se izračunata povprečni Kv in standardno odstopanje. Standardno odstopanje ne sme preseči ± 0,3 % povprečnega KV.

▼M1

2.4   Kalibracija podzvočne venturijeve cevi (SSV)

Kalibracija SSV temelji na enačbi za pretok za podzvočno venturijevo cev. Pretok plina je funkcija vstopnega tlaka, temperature in padca tlaka med vstopom v SSV in grlom.

2.4.1   Analiza podatkov

Stopnja pretoka zraka (QSSV) na vsakem dušilnem mestu (najmanj 16 dušilnih mest) se izračuna v standardni enoti m3/min iz podatkov merilnika pretoka s pomočjo metode, ki jo predpiše proizvajalec. Koeficient odvajanja se izračuna iz kalibracijskih podatkov za vsako dušilno mesto takole:

QSSV = A0d2Cdpp √ [1 T (rp1,4286 - rp1,7143) × (1 1 - rD 4rp1,4286)]

kjer je:

Q SSV

=

stopnja pretoka zraka pri standardnih pogojih (101,3 kPa, 273 K), m3/s

T

=

temperatura pri vstopu v venturijevo cev, K

d

=

premer grla SSV, m

r p

=

razmerje absolutnega statičnega tlaka med grlom SSV in vstopom =1 - ΔP PA

rD

=

razmerje med premerom grla SSV, d, in notranjim premerom vstopne cevi =d D

Za določitev območja podzvočnega pretoka se C d zapiše kot funkcija Reynoldsovega števila na grlu SSV. Re na grlu SSV se izračuna po naslednji formuli:

Re = A1 QSSV dμ

kjer je:

A 1

=

zbirka konstant in pretvorb enot

= 25,55152 (1m3) (min s) (mm m)

Q SSV

=

stopnja pretoka zraka pri standardnih pogojih (101,3 kPa, 273 K), m3/s

d

=

premer grla SSV, m

μ

=

absolutna ali dinamična viskoznost plina, izračunana po naslednji formuli:

μ = bT 3/2 S + T = bT 1/2 1 + S T kg/m–s

b

=

empirična konstanta =1,458 × 10 6 kg msK 1/2

S

=

empirična konstanta = 110,4 K

Ker je Q SSV vnos za formulo Re, je treba izračun začeti s predhodno domnevo za Q SSV ali C d venturijeve cevi za kalibracijo in ponavljati, dokler Q SSV ne konvergira. Metoda konvergence mora biti točna na 0,1 % točke ali boljša.

Izračunane vrednosti C d iz dobljene enačbe kalibracijske krivulje za najmanj šestnajst točk v območju podzvočnega pretoka morajo biti v območju ± 0,5 % izmerjene vrednosti C d za vsako kalibracijsko točko.

▼B

►M1  2.5. ◄    Preverjanje celotnega sistema

Skupna točnost sistema vzorčenja CVS in analiznega sistema se določi z uvajanjem znane mase plinastega onesnaževala v sistem, medtem ko ta deluje na običajen način. Onesnaževalo se analizira, njegova masa pa se izračuna skladno s točko 4.3 Dodatka 2 k Prilogi III, razen pri propanu, kjer se za HC uporabi faktor 0,000472 namesto 0,000479. Uporabi se ena od naslednjih dveh tehnik.

►M1  2.5.1. ◄    Merjenje z zaslonko s kritičnim pretokom

V sistem CVS se skozi kalibrirano zaslonko s kritičnim pretokom vnese znana količina čistega plina (ogljikovega monoksida ali propana). Če je tlak na vstopu dovolj visok, je stopnja pretoka, ki se nastavi z zaslonko s kritičnim pretokom, neodvisna od tlaka na izstopu iz zaslonke (= kritični pretok). Sistem CVS naj približno 5 do 10 minut deluje kot pri običajnem preskusu emisije izpušnih plinov. Z običajno opremo (vreča za vzorce ali integracijska metoda) se analizira vzorec plina in izračuna masa plina. Tako ugotovljena masa mora biti v območju ± 3 % znane mase vbrizganega plina.

►M1  2.5.2. ◄    Merjenje z gravimetrično tehniko

Teža majhne jeklenke, napolnjene z ogljikovim monoksidom ali propanom, se določi z natančnostjo ± 0,01 grama. Sistem CVS naj približno 5 do 10 minut deluje kot pri običajnem preskusu emisije izpušnih plinov, medtem ko se ogljikov monoksid ali propan vbrizgava v sistem. Količina sproščenega čistega plina se določi z merjenjem razlike mas. Z običajno opremo (vreča za vzorce ali integracijska metoda) se analizira vzorec plina in izračuna masa plina. Tako ugotovljena masa mora biti v območju ± 3 % znane mase vbrizganega plina.

▼M1

3.   KALIBRACIJA SISTEMA ZA MERJENJE DELCEV

3.1   Uvod

Kalibracija merjenja delcev je omejena na merilnike pretoka, ki se uporabljajo za določitev vzorčnega pretoka in razmerja redčenja. Vsak merilnik pretoka je treba kalibrirati tolikokrat, kolikor je potrebno za izpolnitev zahtev o točnosti te direktive. Kalibracijska metoda, ki jo je treba uporabiti, je opisana v točki 3.2.

3.2   Merjenje pretoka

3.2.1   Periodična kalibracija

 Za doseganje absolutne točnosti merilnikov pretoka, kakor je določeno v točki 2.2 Dodatka 4 k tej prilogi, se merilniki pretoka ali instrumenti za merjenje pretoka kalibrirajo s točnim merilnikom pretoka, ki je sledljiv na nacionalne in mednarodne standarde.

 Če se pretok vzorčnega plina določi z diferencialnim merjenjem pretoka, je treba merilnik pretoka ali instrument za merjenje pretoka kalibrirati po enem od naslednjih postopkov tako, da pretok sonde q mp v tunel izpolnjuje zahteve o točnosti iz točke 4.2.5.2 Dodatka 4 k tej prilogi.

 

(a) Merilnik pretoka za q mdw se priklopi zaporedno na merilnik pretoka za q mdew, razlika med tema dvema merilnikoma pretoka pa se kalibrira na vsaj 5 točk, pri čemer morajo biti vrednosti pretoka enakomerno razporejene med najnižjo vrednostjo q mdw, ki se uporabi na preskusu, in vrednostjo q mdew, ki se uporabi na preskusu. Tunel za redčenje je mogoče obiti.

(b) Kalibrirana naprava za masni pretok se priklopi zaporedno na merilnik pretoka za q mdew, točnost pa se preveri za vrednost, ki se uporabi na preskusu. Nato se kalibrirana naprava za masni pretok priklopi zaporedno na merilnik pretoka za q mdw, točnost pa se preveri za vsaj 5 nastavitev, ki ustrezajo razmerju redčenja med 3 in 50, relativno na q mdew, ki se uporabi na preskusu.

(c) Cev za prenos vzorca TT se izklopi iz izpuha, na njo pa se priklopi kalibrirana naprava za merjenje pretoka z ustreznim območjem delovanja, da je mogoče meriti q mp. Nato se q mdew nastavi na vrednost, uporabljeno na preskusu, q mdw pa se nato nastavi na vsaj 5 vrednosti, ki ustrezajo razmerjem redčenja med 3 in 50. Zagotoviti je mogoče tudi poseben kalibrirani iztok, v katerem se tunel obide, skupni pretok in pretok zraka za redčenje ustreznih merilnikov pa ostane kot na dejanskem preskusu.

(d) V izpušno cev za prenos vzorca TT se dovaja sledilni plin. Ta sledilni plin je lahko sestavni del izpušnega plina, na primer CO2 ali NOx. Sestavina sledilnega plina se meri po redčenju v tunelu. Merjenje se izvede za 5 razmerij redčenja med 3 in 50. Točnost pretoka vzorca se določi iz razmerja redčenja r d:

qmp = qmdew rd

 Upoštevajo se točnosti analizatorjev plina, zato da se zagotovi točnost q mp.

3.2.2   Pregled pretoka ogljika

 Pregled pretoka ogljika z uporabo dejanskih izpušnih plinov se priporoča za iskanje težav pri merjenju in nadzoru ter preverjanje pravilnega delovanja sistema redčenja z delnim tokom. Pregled pretoka ogljika je treba izvesti vsaj vsakič, ko je nameščen nov motor ali ko pride do kakšne spremembe v nastavitvah preskusne opreme.

 Motor mora delovati pri polni obremenitvi navora in vrtilni frekvenci ali kateri koli stabilni fazi delovanja, ki proizvede 5 % ali več CO2. Sistem redčenja z delnim tokom mora delovati pri faktorju redčenja od približno 15 do 1.

 Če se izvede pregled pretoka ogljika, se uporablja postopek, podan v Dodatku 6 k tej prilogi. Stopnje pretoka ogljika se izračunajo v skladu s točkami od 2.1 do 2.3 Dodatka 6 k tej prilogi. Vse stopnje pretoka ogljika morajo biti v območju 6 % druga drugi.

3.2.3   Pregled pred preskusom

 Pregled pred preskusom se izvede v roku dveh ur pred izvedbo preskusa na naslednji način:

 Točnost merilnikov pretoka se pregleda na enak način, kot se uporabi za kalibracijo (glej točko 3.2.1), za vsaj dve točki, vključno z vrednostmi pretoka q mdw, ki ustrezajo razmerjem redčenja med 5 in 15 za vrednost q mdew, ki se uporabi med preskusom.

 Če je z zapisi kalibracijskega postopka v okviru točke 3.2.1 mogoče prikazati, da kalibracija merilnika pretoka ostane nespremenjena dlje časa, je pregled pred preskusom mogoče izpustiti.

3.3   Določitev časa pretvorbe (samo za sisteme redčenja z delnim tokom na ETC)

 Sistemske nastavitve za ovrednotenje časa pretvorbe morajo biti enake tistim, ki so se uporabljale med merjenjem v poteku preskusa. Čas pretvorbe se določi po naslednji metodi:

 Zaporedno na in v bližnjem sklopu s sondo se priklopi vsak neodvisen referenčni merilnik pretoka, ki ima območje merjenja primerno za pretok sonde. Ta merilnik pretoka mora imeti čas pretvorbe manjši od 100 ms za uporabljeni pretok pri merjenju odzivnega časa, pri čemer mora biti omejitev pretoka dovolj nizka, da ne vpliva na dinamično zmogljivost sistema redčenja z delnim tokom in skladna z dobro inženirsko prakso.

 V vhod pretoka izpušnih plinov (ali pretok zraka, če se računa pretok izpušnih plinov) sistema redčenja z delnim tokom se uvede sprememba iz nizkega pretoka na vsaj 90 % obsega skale. Sprožilec za spremembo mora biti enak tistemu, ki se uporabi za začetek nadzora s pogledom naprej v dejanskem preskušanju. Dražljaj spremembe pretoka izpušnih plinov in odziv merilnika pretoka se zapišeta s frekvenco vzorčenja vsaj 10 Hz.

 Iz teh podatkov se za sistem redčenja z delnim tokom določi čas pretvorbe, ki je čas od začetka spremembe do 50 % odziva merilnika pretoka. Na podoben način se določita časa pretvorbe signala q mp sistema redčenja z delnim tokom in signala q mew,i merilnika pretoka izpušnih plinov. Signala se uporabita pri pregledovanju regresije, ki se izvede po vsakem preskusu (glej točko 3.8.3.2 Dodatka 2 k tej prilogi).

 Izračun se ponovi za vsaj 5 dražljajev za vzpon in padec, rezultat pa se izrazi kot povprečje delnih rezultatov. Od te vrednosti se odšteje notranji čas pretvorbe (< 100 msec) referenčnega merilnika pretoka. To je vrednost „s pogledom naprej“ sistema redčenja z delnim tokom, ki se uporabi v skladu s točko 3.8.3.2 Dodatka 2 k tej prilogi.

3.4   Pregled pogojev delnega pretoka

Območje hitrosti izpušnih plinov in nihanje tlaka se pregledajo in naravnajo v skladu z zahtevami točke 2.2.1 Priloge V (EP), če pride v poštev.

3.5   Presledki med kalibracijami

Merila za merjenje pretoka je treba kalibrirati najmanj vsake 3 mesece oziroma po vsakem popravilu ali spremembi sistema, ki bi lahko vplivala na kalibracijo.

▼B

4.   KALIBRACIJA OPREME ZA MERJENJE DIMLJENJA

4.1   Uvod

Vsak merilnik motnosti se kalibrira tako pogosto, kot je potrebno za izpolnjevanje zahtev te direktive glede točnosti. Kalibracijska metoda, ki se uporabi, je v tej točki opisana za sestavne dele iz točke 5 Dodatka 4 k Prilogi III in iz točke 3 Priloge V.

4.2   Postopek kalibracije

4.2.1   Čas ogrevanja

Merilnik motnosti se ogreva in stabilizira skladno s priporočili proizvajalca. Če je merilnik motnosti opremljen s sistemom za splakovanje z zrakom za preprečevanje nanašanja saj na optiko merila, mora biti tudi ta sistem vklopljen in nastavljen skladno s priporočili proizvajalca.

4.2.2   Ugotavljanje linearnosti odziva

Linearnost merilnika motnosti se preveri v načinu odčitavanja motnosti po priporočilih proizvajalca. V merilnik motnosti se vstavijo trije nevtralni filtri z znano prepustnostjo, ki izpolnjujejo zahteve točke 5.2.5 Dodatka 4 k Prilogi III, vrednost pa se zabeleži. Nazivne motnosti nevtralnih filtrov naj bodo približno 10 %, 20 % in 40 %.

Linearnost ne sme odstopati od nazivne vrednosti nevtralnega filtra za več kot ± 2 % motnosti. Vsako nelinearnost, ki presega zgornjo vrednost, je treba pred preskusom odpraviti.

4.3   Presledki med kalibracijami

Merilnik motnosti se skladno s točko 4.2.2 kalibrira najmanj vsake 3 mesece oziroma vsakokrat, ko je bilo izvedeno popravilo ali sprememba sistema, ki bi utegnila vplivati na kalibracijo.

▼M1




Dodatek 6

PREGLED PRETOKA OGLJIKA

1.   UVOD

Skoraj ves ogljik v izpušnih plinih pride iz goriva in skoraj ves del tega ogljika se nahaja v izpušnih plinih kot CO2. To je osnova za pregled preverjanja sistema, ki temelji na merjenjih CO2.

Pretok ogljika v sisteme merjenja izpušnih plinov se določi iz stopnje pretoka goriva. Pretok ogljika na različnih točkah vzorčenja sistemov vzorčenja emisij in delcev se določi s koncentracijami CO2 in stopnjami pretoka plina na teh točkah.

V tem smislu motor zagotavlja poznan vir pretoka ogljika in z opazovanjem tega pretoka ogljika v izpušni cevi in na izhodu iz sistema vzorčenja PM z delnim tokom se preverja, ali obstajajo luknje in točnost merjenja pretoka. Ta pregled ima prednost, ker sestavni deli delujejo pod dejanskimi preskusnimi pogoji (temperatura in pretok) motorja.

Spodnja shema prikazuje točke vzorčenja, na katerih se preverjajo pretoki ogljika. Specifične enačbe za pretoke ogljika za vsako točko vzorčenja so podane spodaj.

Točke merjenja za pregled pretoka ogljikaZrakGorivoCO2 NERAZ.MOTORSistem redčenja z delnim tokomCO2 PFS

Slika 7

2.   IZRAČUNI

2.1   Pretok ogljika v motor (mesto 1)

Stopnja masnega pretoka ogljika v motor za gorivo CH α O ε se poda z:

qmCf = 12,011 12,011 + α + 15,9994 × ε × qmf

kjer je:

q mf = masni pretok goriva, kg/s

2.2   Pretok ogljika v nerazredčenih izpušnih plinih (mesto 2)

Masni pretok ogljika v izpušni cevi motorja se določi iz koncentracije nerazredčenega CO2 in masnega pretoka izpušnih plinov.

qmCe = (cCO2,r - cCO2,a 100) × qmew × 12,011 Mre

kjer je:

c CO2,r

=

mokra koncentracija CO2 v nerazredčenih izpušnih plinih, %

c CO2,a

=

mokra koncentracija CO2 v okoliškem zraku, % (približno 0,04 %)

q mew

=

masni pretok izpušnih plinov na mokri osnovi, kg/s

M re

=

molekulska masa izpušnih plinov

Koncentracije CO2, izmerjene na suhi osnovi, se skladno s točko 5.2 Dodatka 1 k tej prilogi pretvorijo na mokro osnovo.

2.3   Pretok ogljika v sistemu za redčenje (mesto 3)

Masni pretok ogljika se določi iz koncentracije razredčenega CO2, masnega pretoka izpušnih plinov in stopnje pretoka vzorca:

qmCp = (cCO2,d - cCO2,a 100) × qmdew × 12,011 Mre × qmew qmp

kjer je:

c CO2,d

=

mokra koncentracija CO2 v razredčenih izpušnih plinih na izhodu iz tunela za redčenje, %

c CO2,a

=

mokra koncentracija CO2 v okoliškem zraku, % (približno 0,04 %)

q mdew

=

masni pretok razredčenih izpušnih plinov na mokri osnovi, kg/s

q mew

=

masni pretok izpušnih plinov na mokri osnovi, kg/s (samo sistem redčenja z delnim tokom)

q mp

=

pretok vzorca izpušnih plinov v sistem redčenja z delnim tokom, kg/s (samo sistem redčenja z delnim tokom)

M re

=

molekulska masa izpušnih plinov

CO2, izmerjen na suhi osnovi, se skladno s točko 5.2 Dodatka 1 k tej prilogi pretvori na mokro osnovo.

2.4

Molekulska masa (Mre) izpušnih plinov se izračuna takole:

Mre = 1 + qmf qmaw qmf qmaw × α 4 + ε 2 + δ 2 12,011 + 1,00794 × α + 15,9994 × ε + 14,0067 × δ + 32,065 × γ + Ha × 10–3 2 × 1,00794 + 15,9994 + 1 Mra 1 + Ha × 10–3

kjer je:

q mf

=

masni pretok goriva, kg/s

q maw

=

masni pretok polnilnega zraka na mokri osnovi, kg/s

H a

=

vlažnost polnilnega zraka, g vode na kg suhega zraka

M ra

=

molekulska masa suhega polnilnega zraka (= 28,9 g/mol)

α, δ, ε, γ

=

molarna razmerja, ki se nanašajo na gorivo CH α O δ N ε S γ

Alternativno je mogoče uporabiti tudi naslednje molekulske mase:

M re (dizel)

=

28,9 g/mol

M re (LPG)

=

28,6 g/mol

M re (NG)

=

28,3 g/mol

▼B




PRILOGA IV

TEHNIČNE ZNAČILNOSTI REFERENČNEGA GORIVA, PREDPISANEGA ZA HOMOLOGACIJSKE PRESKUSE IN ZA PREVERJANJE SKLADNOSTI PROIZVODNJE



1.1  Dizelsko referenčno gorivo za preskušanje motorjev za mejne vrednosti emisij, podane v vrsti A tabel v točki 6.2.1 Priloge I (1)

Parameter

Enota

Mejne vrednosti (2)

Preskusna metoda

Objava

najnižja

najvišja

cetansko število (3)

 

52,0

54,0

EN-ISO 5165

1998 (4)

gostota pri 15 °C

kg/m3

833

837

EN-ISO 3675

1995

destilacija:

 
 
 
 
 

— 50 %

°C

245

EN-ISO 3405

1998

— 95 %

°C

345

350

EN-ISO 3405

1998

— vrelišče

°C

370

EN-ISO 3405

1998

plamenišče

°C

55

EN 27719

1993

sposobnost filtra CFPP (Cold Filter Plugging Point)

°C

- 5

EN 116

1981

viskoznost pri 40 °C

mm2/s

2,5

3,5

EN-ISO 3104

1996

policiklični aromatični ogljikovodiki

% m/m

3,0

6,0

IP 391 (7)

1995

vsebnost žvepla (5)

mg/kg

300

pr. EN-ISO/DIS 14596

1998 (4)

korozija bakra

 

1

EN-ISO 2160

1995

ostanki ogljika po Conradsonu (10 % DR)

% m/m

0,2

EN-ISO 10370

 

vsebnost pepela

% m/m

0,01

EN-ISO 6245

1995

vsebnost vode

% m/m

0,05

EN-ISO 12937

1995

nevtralizacijsko število (močna kislina)

mg KOH/g

0,02

ASTM D 974-95

1998 (4)

stabilnost oksidacije (6)

mg/ml

0,025

EN-ISO 12205

1996

% m/m

EN 12916

[2000] (4)

▼B

(1)   Če je treba izračunati toplotno učinkovitost motorja ali vozila, se lahko kalorična vrednost izračuna iz naslednjih podatkov:

(2)   Vrednosti, navedene v specifikaciji, so „prave vrednosti“. Pri ugotavljanju njihovih mejnih vrednosti so bile uporabljene določbe standarda ISO 4259, Naftni izdelki – Določanje in uporaba natančnih podatkov v zvezi s preskusnimi metodami, pri določanju najnižje vrednosti pa je bila upoštevana najmanjša razlika 2R nad nič; pri določanju najvišje in najnižje vrednosti je najmanjša razlika 4R (R = obnovljivost). Ne glede na ta ukrep, ki je potreben iz statističnih razlogov, bi moral imeti proizvajalec goriva za cilj ničelno vrednost, če je najvišja vrednost 2R, in povprečno vrednost pri najvišji in najnižji mejni vrednosti. Če je treba razjasniti vprašanje, ali gorivo izpolnjuje zahteve po specifikaciji, se uporabijo določbe standarda ISO 4259.

(3)   Območje cetanskih števil ni v skladu z zahtevo, da je najmanjše območje 4R. Vendar pa se pri morebitnem sporu med dobaviteljem in uporabnikom goriva pri reševanju spora lahko uporabijo določbe standarda ISO 4259, pod pogojem, da se namesto ene same meritve raje izvede dovolj ponovnih meritev, da se doseže predpisana natančnost.

(4)   Mesec objave bo dodan pravočasno.

(5)   Sporoči se dejanska vsebnost žvepla v gorivu, uporabljenem za preskus. Poleg tega mora imeti referenčno gorivo, ki se uporabi za homologacijo vozila oziroma motorja glede na mejne vrednosti iz vrstice B tabele v točki 6.2.1 Priloge I k tej direktivi, največjo vsebnost žvepla 50 ppm. Komisija bo, takoj ko bo mogoče, pripravila spremembo te priloge, ki bo izražala tržno povprečje za vsebnost žvepla v gorivu za gorivo, opredeljeno v Prilogi IV k Direktivi 98/70/ES.

(6)   Čeprav je stabilnost oksidacije nadzorovana, je verjetno, da bo čas skladiščenja omejen. V zvezi s pogoji skladiščenja in življenjsko dobo se je treba posvetovati z dobaviteljem.

(7)   V razvoju je nova in boljša metoda za policiklične aromatične ogljikovodike

▼M1

1.2

Dizelsko referenčno gorivo za preskušanje motorjev za mejne vrednosti emisij, podane v vrstah B1, B2 ali C tabel v točki 6.2.1 Priloge I



Parameter

Enota

Mejne vrednosti (1)

Preskusni postopek

najmanj

največ

Cetansko število (2)

 

52,0

54,0

EN-ISO 5165

Gostota pri 15 °C

kg/m3

833

837

EN-ISO 3675

Destilacija:

 
 
 
 

— Točka 50 %

°C

245

EN-ISO 3405

— Točka 95 %

°C

345

350

EN-ISO 3405

— Zaključno vrelišče

°C

370

EN-ISO 3405

Točka vžiga

°C

55

EN 22719

CFPP

°C

–5

EN 116

Viskoznost pri 40 °C

Mm2/s

2,3

3,3

EN-ISO 3104

Policiklični aromatični ogljikovodiki

% m/m

2,0

6,0

IP 391

Vsebnost žvepla (3)

mg/kg

10

ASTM D 5453

Korozija bakra

 

razred 1

EN-ISO 2160

Ostanki ogljika po Conradsonu (10 % DR)

% m/m

0,2

EN-ISO 10370

Vsebnost pepela

% m/m

0,01

EN-ISO 6245

Vsebnost vode

% m/m

0,02

EN-ISO 12937

Nevtralizacijsko število (močna kislina)

mg KOH/g

0,02

ASTM D 974

Stabilnost oksidacije (4)

mg/ml

0,025

EN-ISO 12205

Lubrikativnost (premer pregledovalnika obrabe HFRR pri 60 °C)

μm

400

CEC F-06-A-96

FAME

prepovedano

(1)   Vrednosti, navedene v specifikacijah, so „resnične vrednosti“. Pri določanju njihovih mejnih vrednosti se uporablja standard ISO 4259 „Naftni proizvodi — Določanje in uporaba stopenj natančnosti pri preskusnih metodah“, pri določanju njihove najmanjše vrednosti pa se upošteva najmanjša razlika 2R nad ničlo; pri določanju največje in najmanjše vrednosti je najmanjša razlika 4R (R = možnost ponovljivosti).

(2)   Razpon za cetanski indeks ni v skladu z zahtevo po najmanjšem razponu 4R. Vendar se v primeru spora med dobaviteljem goriva in porabnikom goriva lahko za reševanje takšnih sporov uporabljajo določbe ISO 4259, če je za dosego potrebne natančnosti namesto ene narejenih zadostno število ponovljenih meritev.

(3)   Zabeleži se dejanska vrednost žvepla v gorivu za preskus tipa I.

(4)   Čeprav je oksidacijska stabilnost nadzirana, bo rok trajanja verjetno omejen. Za navodila o skladiščenju in podatke o trajnosti se je treba posvetovati z dobaviteljem.

▼B



►M1  1.3. ◄   Etanol za dizelske motorje (1)

Parameter

Enota

Mejne vrednosti (2)

Preskusna metoda (3)

najnižja

najvišja

alkohol, masa

% m/m

92,4

ASTM D 5501

drugi alkoholi v skupnem alkoholu poleg etanola, masa

% m/m

2

ADTM D 5501

gostota pri 15 °C

kg/m3

795

815

ASTM D 4052

vsebnost pepela

% m/m

 

0,001

ISO 6245

plamenišče

°C

10

 

ISO 2719

kislost, izračunana kot ocetna kislina

% m/m

0,0025

ISO 1388-2

nevtralizacijsko število (močna kislina)

KOH mg/l

1

 

barva

skladno z barvno lestvico

10

ASTM D 1209

ostanek po sušenju pri 100 °C

mg/kg

 

15

ISO 759

vsebnost vode

% m/m

 

6,5

ISO 760

aldehidi, izračunani kot ocetna kislina

% m/m

 

0,0025

ISO 1388-4

vsebnost žvepla

mg/kg

10

ASTM D 5453

estri, izračunani kot etilacetat

% m/m

0,1

ASSTM D 1617

(1)   Etanolskemu gorivu se lahko dodajo dodatki za višji cetan po specifikaciji proizvajalca motorja. Največja dopustna količina je 10 % m/m.

(2)   Vrednosti, navedene v specifikaciji, so „prave vrednosti“. Pri ugotavljanju njihovih mejnih vrednosti so bile uporabljene določbe standarda ISO 4259, „Naftni izdelki – Določanje in uporaba natančnih podatkov v zvezi s preskusnimi metodami“, pri določanju najnižje vrednosti pa je bila upoštevana najmanjša razlika 2R nad nič; pri določanju najvišje in najnižje vrednosti je najmanjša razlika 4R (R = obnovljivost). Ne glede na ta ukrep, ki je potreben iz statističnih razlogov, bi moral imeti proizvajalec goriva za cilj ničelno vrednost, če je najvišja vrednost 2R, in povprečno vrednost pri najvišji in najnižji mejni vrednosti. Če je treba razjasniti vprašanje, ali gorivo izpolnjuje zahteve po specifikaciji, se uporabijo določbe standarda ISO 4259.

(3)   Enakovredne metode ISO bodo sprejete, ko bodo izdane za vse zgoraj navedene značilnosti.

2.

ZEMELJSKI PLIN (NG)

Na evropskem trgu sta na voljo dve vrsti goriv:

 goriva H, med katera sodita skrajni referenčni gorivi GR in G23;

 goriva L, med katera sodita skrajni referenčni gorivi G23 in G25.

Značilnosti referenčnih goriv GR, G23 in G25 so povzete v spodnji tabeli:



Referenčno gorivo GR

Značilnosti

Enote

Osnova

Mejne vrednosti

Preskusna metoda

najnižja

najvišja

Sestava:

 
 
 
 
 

metan

 

87

84

89

 

etan

 

13

11

15

 

razlika (1)

%-mol

1

ISO 6974

vsebnost žvepla

mg/m3 (2)

10

ISO 6326-5

(1)   Inertni plini +C2+.

(2)   Vrednost se določi pri standardnih pogojih (293,2 K (20 °C) in 101,3 kPa).



Referenčno gorivo G23

Značilnosti

Enote

Osnova

Mejne vrednosti

Preskusna metoda

najnižja

najvišja

Sestava:

 
 
 
 
 

metan

 

92,5

91,5

93,5

 

razlika (1)

%-mol

1

ISO 6974

N2

 

7,5

6,5

8,5

 

vsebnost žvepla

mg/m3 (2)

10

ISO 6326-5

(1)   Inertni plini (ki se razlikujejo od N2) +C2+ +C2+.

(2)   Vrednost se določi pri standardnih pogojih (293,2 K (20 °C) in 101,3 kPa).



Referenčno gorivo G25

Značilnosti

Enote

Osnova

Mejne vrednosti

Preskusna metoda

najnižja

najvišja

Sestava:

 
 
 
 
 

metan

 

86

84

88

 

razlika (1)

%-mol

1

ISO 6974

N2

 

14

12

16

 

vsebnost žvepla

mg/m3 (2)

10

ISO 6326-5

(1)   Inertni plini (ki se razlikujejo od N2) +C2+ +C2+.

(2)   Vrednost se določi pri standardnih pogojih (293,2 K (20 °C) in 101,3 kPa).

▼M1

3.

TEHNIČNI PODATKI O REFERENČNEM GORIVU IZ TEKOČEGA NAFTNEGA PLINA (LPG)

A.   Tehnični podatki o referenčnem gorivu iz tekočega naftnega plina, ki se uporablja pri preskušanju vozil za mejne vrednosti emisij, podane v vrsti A tabel v točki 6.2.1 Priloge I



Parameter

Enota

Gorivo A

Gorivo B

Preskusni postopek

Sestava:

 
 
 

ISO 7941

Vsebnost C3

% vol

50 ± 2

85 ± 2

 

Vsebnost C4

% vol

ravnotežje

ravnotežje

 

< C3, > C4

% vol

maks. 2

maks. 2

 

Nenasičeni ogljikovodiki

% vol

maks. 12

maks. 14

 

Ostanki uparjanja

mg/kg

maks. 50

maks. 50

ISO 13757

Voda pri 0 °C

 

prosto

prosto

Vizualni pregled

Skupna vsebnost žvepla

mg/kg

maks. 50

maks. 50

EN 24260

Vodikov sulfid

 

nič

nič

ISO 8819

Korozija bakrenega traku

rating

razred 1

razred 1

ISO 6251 (1)

Vonj

 

značilen

značilen

 

Oktansko število po motorni metodi

 

min. 92,5

min. 92,5

EN 589 Priloga B

(1)   Ta način lahko nenatančno določi prisotnost korozivnih snovi, če so v vzorcu protikorozijske snovi ali druge kemikalije, ki zmanjšujejo korozivnost vzorca na bakru. Zato je dodajanje takšnih zmesi za vplivanje na preskusno metodo prepovedano.

B.   Tehnični podatki o referenčnem gorivu iz tekočega naftnega plina, ki se uporablja pri preskušanju vozil za mejne vrednosti emisij, podane v vrstah B1, B2 ali C tabel v točki 6.2.1 Priloge I



Parameter

Enota

Gorivo A

Gorivo B

Preskusni postopek

Sestava:

 
 
 

ISO 7941

Vsebnost C3

% vol

50 ± 2

85 ± 2

 

Vsebnost C4

% vol

ravnotežje

ravnotežje

 

< C3, > C4

% vol

maks. 2

maks. 2

 

Nenasičeni ogljikovodiki

% vol

maks. 12

maks. 14

 

Ostanki uparjanja

mg/kg

maks. 50

maks. 50

ISO 13757

Voda pri 0 °C

 

prosto

prosto

Vizualni pregled

Skupna vsebnost žvepla

mg/kg

maks. 10

maks. 10

EN 24260

Vodikov sulfid

 

nič

nič

ISO 8819

Korozija bakrenega traku

Rating

razred 1

razred 1

ISO 6251 (1)

Vonj

 

characteristic

characteristic

 

Oktansko število po motorni metodi

 

min. 92,5

min. 92,5

EN 589 Priloga B

(1)   Ta način lahko nenatančno določi prisotnost korozivnih snovi, če so v vzorcu protikorozijske snovi ali druge kemikalije, ki zmanjšujejo korozivnost vzorca na bakru. Zato je dodajanje takšnih zmesi za vplivanje na preskusno metodo prepovedano.

▼B




PRILOGA V

SISTEMI ZA ANALIZO IN VZORČENJE

1.   DOLOČANJE PLINASTIH EMISIJ

1.1   Uvod

V točki 1.2 ter na slikah 7 in 8 so podani podrobni opisi priporočenih sistemov za vzorčenje in analizo. Ker je mogoče doseči enake rezultate z različnimi konfiguracijami, se ne zahteva dosledna skladnost s slikama 7 in 8. Za pridobivanje dodatnih informacij in usklajevanje funkcij sestavnih sistemov se lahko uporabijo dodatni sestavni deli, kot so merilni instrumenti, ventili, elektromagneti, črpalke in stikala. Sestavni deli, ki niso potrebni za vzdrževanje točnosti nekaterih sistemov, se lahko izločijo, če njihova izločitev temelji na dobri inženirski presoji.

Ničelni plinNičelni plinNičelni plinNičelni plinPo želji dve sondi za vzorčenjeV ozračjeV ozračjeZrakGorívoKalibrini plinV ozračjeV ozračjeV ozračjeKalibrini plinNičelni plinKalibrini plinKalibrini plinNičelni plinV ozračjeV ozračje

Slika 7

Shema poteka v sistemu za analizo nerazredčenih izpušnih plinov CO, CO2, NOx, HC (samo ESC)

1.2   Opis analiznega sistema

Analizni sistem za ugotavljanje emisij v nerazredčenih (slika 7, samo ESC) oziroma razredčenih (slika 8, ETC in ESC) izpušnih plinih je opisan na podlagi uporabe:

 analizatorja HFID za merjenje ogljikovodikov,

 analizatorjev NDIR za merjenje ogljikovega monoksida in ogljikovega dioksida,

 HCLD ali enakovrednega analizatorja za merjenje dušikovih oksidov.

Za vse sestavine se lahko vzame vzorec z eno sondo za vzorčenje ali z dvema sondama za vzorčenje, ki sta nameščeni blizu skupaj in notranje razcepljeni na različne analizatorje. Paziti je treba, da na nobeni točki analiznega sistema ne pride do kondenzacije sestavin izpuha (vključno z vodo in žveplovo kislino).

Ničelni plinK PSS glej sliko 21Ničelni plinZrakravninaglej sliko 21Glejsliko 20Kalibrirni plinGorivoV ozračjeV ozračjeV ozračjeV ozračjeNičelni plinKalibrirni plinNičelni plinKalibrirni plinV ozračjeKalibrirni plinNičelni plinV ozračjeV ozračjeIsta

Slika 8

Shema poteka v sistemu za analizo razredčenih izpušnih plinov CO, CO2, NOx, HC (ETC, po izbiri ESC)

1.2.1   Opisi k slikam 7 in 8

EP – izpušna cev

SP1 – sonda za vzorčenje izpušnih plinov (samo slika 7)

Priporoča se statična sonda iz nerjavečega jekla z več luknjami, ki je na koncu zaprta. Notranji premer ne sme biti večji od notranjega premera cevi za prenos vzorcev. Debelina sten sonde ne sme biti večja od 1 mm. V sondi morajo biti najmanj 3 luknje v 3 različnih radialnih ravninah, ki so take velikosti, da vzorčijo približno enak pretok. Sonda naj sega najmanj 80 % prečno v izpušno cev. Uporabi se lahko ena ali dve sondi.

SP2 – sonda za vzorčenje razredčenih izpušnih plinov HC (samo slika 8)

Sonda mora:

 tvoriti prvih 254 mm do 762 mm ogrevane cevi za prenos vzorcev HSL1,

 imeti notranji premer najmanj 5 mm,

 biti nameščena v tunelu za redčenje DT (glej točko 2.3, slika 20) na točki, kjer je zrak za redčenje dobro premešan z izpušnimi plini (tj. približno 10 premerov tunela v smeri toka od točke, kjer izpušni plini vstopajo v tunel za redčenje),

 biti dovolj (radialno) oddaljena od drugih sond in od stene tunela, da nanjo ne morejo vplivati nikakršni valovi ali vrtinci,

 biti ogrevana, tako da se temperatura plinskega toka na izstopu iz sonde poveča na 463 K ± 10 K (190 °C ± 10 °C).

SP3 – sonda za vzorčenje razredčenih izpušnih plinov CO, CO2, NOx (samo slika 8)

Sonda mora:

 biti v isti ravnini kot SP 2,

 biti dovolj (radialno) oddaljena od drugih sond in stene tunela, da nanjo ne morejo vplivati nikakršni valovi ali vrtinci,

 biti po vsej dolžini izolirana in ogrevana najmanj na temperaturo 328 K (55 °C), da ne pride do kondenzacije vode.

HSL1 – ogrevana cev za prenos vzorcev

Cev za prenos vzorcev se uporablja za prenos vzorca plina od ene same sonde do razcepa(-ov) in HC analizatorja.

Cev za prenos vzorcev mora:

 imeti notranji premer najmanj 5 mm in največ 13,5 mm,

 biti iz nerjavečega jekla ali iz PTFE (politetrafluoretilena),

 vzdrževati temperaturo sten 463 K ±10 K (190 °C ±10 °C), izmerjeno na vsakem, ločeno krmiljenem ogrevanem odseku, če je temperatura izpušnih plinov na sondi za vzorčenje enaka ali manjša od 463 K (190 °C),

 vzdrževati temperaturo sten večjo od 453 K (180 °C), če je temperatura izpušnih plinov na sondi za vzorčenje nad 463 K (190 °C),

 vzdrževati temperaturo plinov 463 K ± 10 K (190 °C ± 10 °C) tik pred ogrevanim filtrom F2 in HFID.

HSL2 – ogrevana cev za prenos vzorcev NOx

Cev za prenos vzorcev mora:

 vzdrževati temperaturo sten od 328 K do 473 K (od 55 °C do 200 °C) do pretvornika C, če se uporabi hladilna kopel B, ter do analizatorja, če se hladilna kopel B ne uporablja,

 biti iz nerjavečega jekla ali iz PTFE (politetrafluoretilena).

SL – cev za prenos vzorcev CO in CO2

Cev mora biti iz PTFE (politetrafluoretilena) ali iz nerjavečega jekla. Lahko je ogrevana ali neogrevana.

BK – vreča za vzorce ozadja (po izbiri; samo slika 8)

Za vzorčenje koncentracij ozadja.

BG – vreča za vzorce (po izbiri; slika 8, samo CO in CO2)

Za vzorčenje koncentracij vzorcev

F1 – ogrevani predfilter (po izbiri)

Temperatura naj bo enaka kot pri HSL1.

F2 – ogrevani filter

Filter izloča vse trdne delce iz vzorca plinov pred analizatorjem. Temperatura naj bo enaka kot pri HSL1. Filter se zamenja po potrebi.

P – ogrevana črpalka za vzorčenje

Črpalka se ogreje na temperaturo HSL1.

HC

Ogrevan plamensko-ionizacijski detektor (HFID) za merjenje ogljikovodikov. Temperatura se vzdržuje v območju od 453 K do 473 K (180 °C do 200 °C).

CO, CO2

Analizatorji za merjenje ogljikovega monoksida in ogljikovega dioksida po nedisperzni infrardeči spektroskopski metodi (NDIR) (po izbiri za določanje razmerja redčenja pri merjenju PT).

NO

Analizator CLD ali HCLD za merjenje dušikovih oksidov. Če se uporabi HCLD, se ohranja v temperaturnem območju od 328 K do 473 K (od 55 °C do 200 °C).

C – pretvornik

Pred analizo v CLD ali HCLD se za katalitično redukcijo NO2 v NO uporabi pretvornik.

B – hladilna kopel (po izbiri)

Za hlajenje in kondenziranje vode iz vzorca izpušnih plinov. Temperatura kopeli se z ledom ali s hlajenjem vzdržuje med 273 K in 277 K (0 °C do 4 °C). Kopel ni obvezna, če analizator nima motenj zaradi vodne pare, kakor je opredeljeno v točkah 1.9.1 in 1.9.2 Dodatka 5 k Prilogi III. Če se voda odstranjuje s kondenzacijo, se spremlja temperatura ali rosišče vzorčnega plina bodisi v lovilcu vode bodisi v smeri toka. Temperatura oziroma rosišče vzorčnega plina ne sme preseči 280 K (7 °C). Uporaba kemičnih sušilnih sredstev za odstranjevanje vode iz vzorca ni dovoljena.

T1, T2, T3 – temperaturni senzor

Za spremljanje temperature plinskega toka.

T4 – temperaturni senzor

Za spremljanje temperature pretvornika NO2-NO.

T5 – temperaturni senzor

Za spremljanje temperature hladilne kopeli.

G1, G2, G3 – manometer

Za merjenje tlaka v ceveh za prenos vzorcev.

R1, R2 – regulator tlaka

Za krmiljenje tlaka zraka oziroma goriva v HFID.

R3, R4, R5 – regulator tlaka

Za krmiljenje tlaka v ceveh za prenos vzorcev ter pretoka do analizatorjev.

FL1, FL2, FL3 – merilnik pretoka

Za spremljanje pretoka vzorca skozi obvodno cev.

FL4 do FL6 – merilnik pretoka (po izbiri)

Za spremljanje stopnje pretoka skozi analizatorje.

V1 do V5 – preklopni ventil

Ustrezni ventili za preklapljanje med pretoki vzorca, kalibrirnega plina ali ničelnega plina v analizatorje.

V6, V7 – elektromagnetni ventil

Za obvod pretvornika NO2-NO.

V8 – igelni ventil

Za uravnovešanje toka skozi pretvornik NO2-NO C in obvod.

V9, V10 – igelni ventil

Za reguliranje tokov v analizatorje.

V11, V12 – izpustna pipa (po izbiri)

Za odvajanje kondenzata iz kopeli B.

1.3   Analiza ne-metanskih ogljikovodikov (NMHC) (samo motorji na zemeljski plin)

1.3.1   Metoda s plinskim kromatografom (GC, slika 9)

Pri uporabi metode GC se vzorec z majhno izmerjeno prostornino vbrizga v analizno kolono, skozi katero ga nosi inerten nosilni plin. Na koloni se različne sestavine medsebojno ločijo glede na vrelišče, tako da iz nje uhajajo ob različnih časih. Nato gredo skozi detektor, ki odda električni signal, odvisen od njihove koncentracije. Ker taka analizna tehnika ni zvezna, se lahko uporablja samo v povezavi z metodo vzorčenja v vreče iz točke 3.4.2 Dodatka 4 k Prilogi III.

Za NMHC se uporabi avtomatiziran plinski kromatograf (GC) s plamensko-ionizacijskim detektorjem (FID). Izpušni plini se vzorčijo v vrečo za vzorce, iz katere se odvzame del in vbrizga v GC. V Porapakovi koloni se vzorec loči na dva dela (CH4/zrak/CO in NMHC/CO2/H2O). Kolona z molekulnim sitom loči CH4 od zraka in CO, preden gre v FID, kjer se izmeri njegova koncentracija. Celotni cikel, od vbrizga enega vzorca do vbrizga naslednjega, se lahko izvede v 30 s. NMHC se določi tako, da se koncentracija CH4 odšteje od skupne koncentracije CH (glej točko 4.3.1 Dodatka 2 k Prilogi III).

Slika 9 prikazuje tipičen plinski kromatograf (GC), sestavljen za rutinsko določanje CH4. Na podlagi dobre inženirske presoje se lahko uporabljajo tudi druge metode GC.

Vstop gorivak xVstop zrakaV ozračjePecKalibrirni plink yV ozračjeVzorecxy

Slika 9

Shema poteka pri analizi metana (metoda GC)

Opisi k sliki 9

Uporabi se Porapak N, 180/300 μm (zanka 50/80), dolžina 610 mm × notranji premer 2,16 mm, ki se pred prvo uporabo najmanj 12 ur kondicionira z nosilnim plinom pri 423 K (150 °C).

Uporabi se tip 13X, 250/350 μm (zanka 45/60), dolžina 1220 mm × notranji premer 2,16 mm, ki se pred prvo uporabo najmanj 12 ur kondicionira z nosilnim plinom pri 423 K (150 °C).

Za vzdrževanje kolon in ventilov pri enakomerni temperaturi, potrebni za delovanje analizatorja, in za kondicioniranje kolon pri 423 K (150 °C).

Cev iz nerjavečega stekla z zadostno dolžino za približno 1 cm3 prostornine.

Za dovajanje vzorca v plinski kromatograf.

Uporabi se sušilnik z molekulnim sitom za odstranjevanje vode in drugih onesnaževal, ki bi lahko bila prisotna v nosilnem plinu.

Plamensko-ionizacijski detektor (FID) za merjenje koncentracije metana.

Za vbrizgavanje vzorca, odvzetega iz vreče za vzorce prek cevi za prenos vzorca (SL) na sliki 8. Imeti mora majhno mrtvo prostornino, biti neprepusten za plin in tak, da ga je mogoče ogreti na 423 K (150 °C).

Za izbiro kalibrirnega plina, vzorca ali zapiranje.

Za nastavitev pretokov v sistemu.

Za krmiljenje pretoka goriva (= nosilnega plina), vzorca oziroma zraka.

Za krmiljenje stopnje zračnega pretoka v FID.

za krmiljenje pretoka goriva (= nosilnega plina), vzorca oziroma zraka.

Filtri iz sintrirane kovine za preprečevanje vstopa peska v črpalko ali merilni instrument.

Za merjenje stopnje pretoka obvoda vzorca.

1.3.2   Metoda z izločevalnikom ne-metanov (NMC, slika 10)

Izločevalnik oksidira vse ogljikovodike razen CH4 v CO2 in H2O, tako da FID ob prehodu vzorca skozi NMC zazna samo CH4. Če se uporabi vzorčenje v vreče, se na cev za prenos vzorca (SL) namesti sistem za preusmeritev toka (glej točko 1.2, slika 8), s katerim lahko teče tok ali skozi ali okrog izločevalnika, skladno z zgornjim delom slike 10. Pri merjenju NMHC se na FID opazujeta in zabeležita obe vrednosti (HC in CH4). Če se uporabi integracijska metoda, se v HSL1 namesti NMC kot dodatni FID vzporedno z rednim detektorjem FID (glej točko 1.2, slika 8), skladno s spodnjim delom slike 10. Pri merjenju NMHC se na obeh plamensko-ionizacijskih detektorjih (FID) opazujeta in zabeležita obe vrednosti (HC in CH4).

Izločevalnik se pred preskusom pri 600 K (327 °C) ali več okarakterizira glede na njegov katalitični učinek na CH4 in C2H6 pri vrednostih H2O, ki so reprezentančne za razmere izpušnega toka. Znana morata biti rosišče in raven O2 vzorčenega izpušnega toka. Treba je zabeležiti relativni odziv FID na CH4 (glej točko 1.8.2 Dodatka 5 k Prilogi III).

Ničelni plinVzorecKalibrirni plin(glej sliko 8)V ozračjeV ozračjeV ozračjePostopek vzorčenja v vrečeNičelni plinKalibrirni plinVzorec(glej sliko 8)Integracijski postopek

Slika 10

Shema poteka pri analizi metana z izločevalnikom ne-metanov (NMC)

Opisi k sliki 10

Za oksidacijo vseh ogljikovodikov razen metana.

Ogrevan plamensko-ionizacijski detektor (HFID) za merjenje koncentracijeogljikovodikov in CH4. Temperatura se vzdržuje v območju od 453 K do 473 K (180 °C do 200 °C).

Za izbiranje vzorca, ničelnega plina ali kalibrirnega plina. V1 je identičen z V2 na sliki 8.

Za obvod NMC.

Za uravnovešanje toka skozi NMC in obvod.

Za krmiljenje tlaka v cevi za vzorčenje ter pretoka do HFID. R1 je identičen z R3 na sliki 8.

Za merjenje stopnje pretoka obvoda vzorca. FL1 je identičen s FL1 na sliki 8.

2.   REDČENJE IZPUŠNIH PLINOV IN DOLOČANJE DELCEV

2.1   Uvod

V točkah 2.2, 2.3 in 2.4 ter na slikah 11 do 22 so podani podrobni opisi priporočenih sistemov za redčenje in vzorčenje. Ker je mogoče doseči enakovredne rezultate z različnimi konfiguracijami, se ne zahteva dosledna skladnost s temi slikami. Za pridobivanje dodatnih informacij in usklajevanje funkcij sestavnih sistemov se lahko uporabijo dodatni sestavni deli, kot so merilni instrumenti, ventili, elektromagneti, črpalke in stikala. Sestavni deli, ki niso potrebni za vzdrževanje točnosti nekaterih sistemov, se lahko izločijo, če njihova izločitev temelji na dobri inženirski presoji.

2.2   Sistem redčenja z delnim tokom

Na slikah 11 do 19 je opisan sistem redčenja, ki temelji na redčenju dela izpušnega toka. Razcepitev izpušnega toka in proces redčenja, ki sledi, se lahko izvedeta z različnimi tipi sistemov redčenja. Za zbiranje delcev, ki sledi, se skozi sistem za vzorčenje delcev pošljejo celotni razredčeni izpušni plini ali pa samo del razredčenih izpušnih plinov (točka 2.4, slika 21). Prvo metodo imenujemo celotno vzorčenje, drugo pa delno vzorčenje.

Izračun razmerja redčenja je odvisen od tipa uporabljenega sistema. Priporočajo se naslednji tipi:

Izokinetični sistemi (sliki 11, 12)

Pri teh sistemih se tok v cev za prenos vzorca glede hitrosti in/ali tlaka plinov ujema s tokom celotnega izpuha, kar zahteva nemoten in enoten tok izpušnih plinov pri sondi za vzorčenje. To se običajno doseže z uporabo resonatorja in ravnega dela cevi v smeri proti toku od točke odvzema vzorca. Nato se na podlagi lahko izmerljivih vrednosti, kot je npr. premer cevi, izračuna razcepitveno razmerje. Omeniti je treba, da se izokineza uporablja samo za ujemanje pogojev pretoka in ne za ujemanje velikosti razdelitve. Slednje navadno ni potrebno, saj so delci dovolj majhni, da lahko sledijo tokovnicam izpušnih plinov.

Sistemi s krmiljenim pretokom z merjenjem koncentracije (slike 13–17)

Pri teh sistemih se vzorec od toka celotnega izpuha odvzame z nastavitvijo pretoka zraka za redčenje in skupnega pretoka izpušnih plinov. Razmerje redčenja se določi iz koncentracije sledilnih plinov kot npr. CO2 ali NOx, ki se naravno pojavljajo v izpuhu motorja. Izmeri se koncentracija v razredčenih izpušnih plinih in v zraku za redčenje, medtem ko se lahko koncentracija nerazredčenih izpušnih plinov izmeri bodisi neposredno bodisi določi na podlagi pretoka goriva in enačbe za ravnotežje ogljika, če je sestava goriva znana. Sistemi se lahko krmilijo z izračunanim razmerjem redčenja (sliki 13, 14) ali s tokom v cev za prenos vzorca (slike 12, 13, 14).

Sistemi s krmiljenim pretokom z merjenjem pretoka (sliki 18, 19)

Pri teh sistemih se vzorec od toka celotnega izpuha odvzame z nastavitvijo pretoka zraka za redčenje in skupnega pretoka izpušnih plinov. Razmerje redčenja se določi iz razlike med obema stopnjama pretoka. Predpisana je točna kalibracija merilnikov pretoka v odvisnosti drug od drugega, saj lahko relativna velikost obeh stopenj pretoka pripelje do večjih pogreškov pri višjih razmerjih redčenja (15 in več). Pretok se krmili zelo enostavno z ohranjanjem konstantne stopnje pretoka razredčenih izpušnih plinov in po potrebi s spreminjanjem stopnje pretoka zraka za redčenje.

Pri uporabi sistemov redčenja z delnim tokom moramo paziti, da se izognemo možnim problemom izgube delcev v cevi za prenos vzorca z zagotovitvijo, da se iz izpuha motorja odvzame reprezentančni vzorec in da je določeno razmerje delitve. Opisani sistemi ta kritična področja upoštevajo.

V ozračjeK sistemu za vzorčenje delcevIzpušni pliniZrakGlej sliko 21

Slika 11

Sistem redčenja z delnim tokom z izokinetično sondo in delnim vzorčenjem (krmiljenje SB)

Izokinetična sonda za vzorčenje ISP pošilja nerazredčene izpušne pline iz izpušne cevi EP po cevi za prenos vzorca TT v tunel za redčenje DT. Tipalo diferenčnega tlaka DPT meri razliko tlakov izpušnih plinov med izpušno cevjo in vstopom v sondo. Ta signal se prenaša v krmilnik pretoka FC1, ki krmili sesalno puhalo SB, da na konici sonde vzdržuje diferenčni tlak nič. V teh razmerah sta hitrosti izpušnih plinov v EP in ISP identični in pretok skozi ISP in TT je konstanten (razcepljen) del pretoka izpušnih plinov. Razmerje delitve se določi iz prerezov EP in ISP. Stopnja pretoka zraka za redčenje se meri z napravo za merjenje pretoka FM1. Razmerje redčenja se določi iz stopnje pretoka zraka za redčenje in razmerja delitve.

V ozračjeK sistemu za vzorčenje delcevIzpušnipliniZrakGlej sliko 21

Slika 12

Sistem redčenja z delnim tokom z izokinetično sondo in delnim vzorčenjem (krmiljenje PB)

Izokinetična sonda za vzorčenje ISP pošilja nerazredčene izpušne pline iz izpušne cevi EP po cevi za prenos vzorca TT v tunel za redčenje DT. Tipalo diferenčnega tlaka DPT meri razliko tlakov izpušnih plinov med izpušno cevjo in vstopom v sondo. Ta signal se prenaša v krmilnik pretoka FC1, ki krmili talčno puhalo PB, da na konici sonde vzdržuje diferenčni tlak nič. To se izvede z odvzemom majhnega dela zraka za redčenje, katerega stopnja pretoka je že bila izmerjena z napravo za merjenje pretoka FM1, in s polnjenjem tega dela s pnevmatsko zaslonko v TT. V teh razmerah sta hitrosti izpušnih plinov v EP in ISP identični in pretok skozi ISP in TT je konstanten (razcepljen) del pretoka izpušnih plinov. Razmerje delitve se določi iz prerezov EP in ISP. Sesalno puhalo SB sesa zrak za redčenje skozi DT, FM1 pa meri stopnjo pretoka zraka za redčenje na vstopu v DT. Razmerje redčenja se določi iz stopnje pretoka zraka za redčenje in razmerja delitve.

V ozračjeK sistemu za vzorčenje delcevIzpušni pliniZrakGlej sliko 21k PB ali SBPo želji

Slika 13

Sistem redčenja z delnim tokom z merjenjem koncentracije CO2 ali NOx in delnim vzorčenjem

Nerazredčeni izpušni plini se iz izpušne cevi EP skozi sondo za vzorčenje SP in cev za prenos vzorca TT prenašajo v tunel za redčenje DT. Z analizatorjem(-ji) EGA se izmeri koncentracija sledilnega plina (CO2 ali NOx) v nerazredčenih in razredčenih izpušnih plinih ter v zraku za redčenje. Ti signali se prenašajo v krmilnik pretoka FC2, ki krmili tlačno puhalo PB ali sesalno puhalo SB, da vzdržuje želeno razmerje delitve in razmerje redčenja v DT. Razmerje redčenja se izračuna iz koncentracije sledilnega plina v nerazredčenih izpušnih plinih, v razredčenih izpušnih plinih in v zraku za redčenje.

Za podrobnostiglej sliko 21Izpušni pliniZrakPo izbiri od FC2Po želji k P

Slika 14

Sistem redčenja z delnim tokom z merjenjem koncentracije CO2, ravnotežja ogljika in s celotnim vzorčenjem

Nerazredčeni izpušni plini se iz izpušne cevi EP skozi sondo za vzorčenje SP in cev za prenos vzorca TT prenašajo v tunel za redčenje DT. Z analizatorjem(-ji) EGA se izmeri koncentracija CO2 v razredčenih izpušnih plinih in v zraku za redčenje. Signali CO2 in pretoka goriva GFUEL se prenašajo bodisi v krmilnik pretoka FC2 bodisi v krmilnik pretoka FC3 sistema za vzorčenje delcev (glej sliko 21). FC2 krmili tlačno puhalo PB, FC3 pa črpalko za vzorčenje P (glej sliko 21), s čimer naravnavata tokove v sistem in iz njega tako, da se v DT ohranja želeno razmerje delitve in razmerje redčenja izpušnih plinov. Razmerje redčenja se izračuna iz koncentracije CO2 in GFUEL z domnevnim ravnotežjem ogljika.

K sistemu za vzorčenje delcevIzpušni pliniZrakV ozračjeGlej sliko 21

Slika 15

Sistem redčenja z delnim tokom z enojno venturijevo cevjo, merjenjem koncentracije in z delnim vzorčenjem

Nerazredčeni izpušni plini se iz izpušne cevi EP skozi sondo za vzorčenje SP in cev za prenos vzorca TT zaradi negativnega tlaka, ki ga v DT ustvarja venturijeva cev, prenašajo v tunel za redčenje DT. Stopnja pretoka plinov skozi TT je odvisna od izmenjave impulzov na območju venturijeve cevi, zato nanjo vpliva absolutna temperatura plinov na izstopu iz TT. Posledica tega je, da razcepitev izpušnih plinov za dano stopnjo pretoka v tunelu ni konstantna in je razmerje redčenja pri manjši obremenitvi nekoliko nižje kot pri večji obremenitvi. Z analizatorjem(-ji) izpušnih plinov EGA se izmeri koncentracija sledilnih plinov (CO2 ali NOx) v nerazredčenih izpušnih plinih, v razredčenih izpušnih plinih ter v zraku za redčenje, iz izmerjenih vrednosti pa se izračuna razmerje redčenja.

K sistemu za vzorčenje delcevIzpušni pliniZrakV ozračjeGlej sliko 21

Slika 16

Sistem redčenja z delnim tokom z dvojno venturijevo cevjo ali dvema zaslonkama, merjenjem koncentracije in z delnim vzorčenjem

Nerazredčeni izpušni plini se iz izpušne cevi EP skozi sondo za vzorčenje SP in cev za prenos vzorca TT z delilnikom toka, ki vsebuje vrsto zaslonk in venturijevih cevi, prenašajo v tunel za redčenje DT. Prva (FD1) se nahaja v EP, druga (FD2) pa v TT. Poleg tega sta potrebna dva ventila za krmiljenje tlaka (PCV1 in PCV2), ki s krmiljenjem protitlaka v EP in tlaka v DT vzdržujeta konstantno cepljenje izpušnih plinov. PCV1 se nahaja v smeri toka od SP v EP, PCV2 pa med tlačnim puhalom PB in DT. Z analizatorjem(-ji) izpušnih plinov EGA se izmeri koncentracija sledilnih plinov (CO2 ali NOx) v nerazredčenih izpušnih plinih, v razredčenih izpušnih plinih ter v zraku za redčenje. Potrebna je za preverjanje razcepitve izpušnih plinov in se lahko uporabi za naravnavanje PCV1 in PCV2 za natančno krmiljenje razcepitve. Razmerje redčenja se izračuna iz koncentracije sledilnih plinov.

K sistemuza vzorčenjedelcevVpihavanje svežega zrakuZrakV ozračjeGlej sliko 21Zrak

Slika 17

Sistem redčenja z delnim tokom s cepitvijo na več cevi, merjenjem koncentracije in z delnim vzorčenjem

Nerazredčeni izpušni plini se iz izpušne cevi EP prenašajo v tunel za redčenje DT skozi cev za prenos vzorca TT z delilnikom toka FD3, ki ga sestavlja več cevi enake velikosti (enak premer, dolžina in krivinski polmer), nameščenih v EP. Izpušni plini se skozi eno od teh cevi privedejo v DT, skozi druge cevi pa se izpušni plini prenašajo skozi dušilno komoro DC. Tako je razcepitev izpušnih plinov določena s skupnim številom cevi. Stalno krmiljenje cepitve zahteva diferenčni tlak nič med DC in izstopom iz TT, ki se izmeri s tipalom diferenčnega tlaka DPT. Diferenčni tlak nič se doseže tako, da se v DT pri izstopu iz TT vbrizga svež zrak. Z analizatorjem(-ji) izpušnih plinov EGA se izmeri koncentracija sledilnih plinov (CO2 ali NOx) v nerazredčenih izpušnih plinih, v razredčenih izpušnih plinih ter v zraku za redčenje. Potrebna je za preverjanje razcepitve izpušnih plinov in se lahko uporabi za krmiljenje stopnje pretoka vbrizganega zraka za natančno krmiljenje razcepitve. Razmerje redčenja se izračuna iz koncentracije sledilnih plinov.

Po izbiri k P (PSS)VozračjeZa podrobnostiglej sliko 21Izpušni pliniZrak

Slika 18

Sistem redčenja z delnim tokom s krmiljenjem pretoka in celotnim vzorčenjem

Nerazredčeni izpušni plini se iz izpušne cevi EP skozi sondo za vzorčenje SP in cev za prenos vzorca TT prenašajo v tunel za redčenje DT. Skupni pretok skozi tunel se naravna s krmilnikom pretoka FC3 in s črpalko za vzorčenje P sistema za vzorčenje delcev (glej sliko 18). Pretok zraka za redčenje se krmili s krmilnikom pretoka FC2, ki lahko kot ukazne signale za želeno razcepitev izpušnih plinov uporablja GEXHW, GAIRW ali GFUEL (Gizpuh, Gzrak ali Ggorivo). Pretok vzorca v DT je razlika med skupnim pretokom in pretokom zraka za redčenje. Stopnja pretoka zraka za redčenje se meri z napravo za merjenje pretoka FM1, stopnja skupnega pretoka pa z napravo za merjenje pretoka FM3 sistema za vzorčenje delcev (glej sliko 21). Razmerje redčenja se izračuna iz teh dveh stopenj pretoka.

k PB ali SBV ozračjeK sistemu za vzorčenje delcevglej sliko 21Izpušni pliniZrakGlej sliko 21

Slika 19

Sistem redčenja z delnim tokom s krmiljenjem pretoka in delnim vzorčenjem

Nerazredčeni izpušni plini se iz izpušne cevi EP skozi sondo za vzorčenje SP in cev za prenos vzorca TT prenašajo v tunel za redčenje DT. Razcepitev izpušnih plinov in pretok v DT se krmilita s krmilnikom pretoka FC2, ki ustrezno uravnava pretok (oz. vrtilno frekvenco) tlačnega puhala PB ter sesalnega puhala SB, kot je ustrezno. To je mogoče, ker se vzorec, odvzet s sistemom vzorčenja delcev, vrne v DT. Kot ukazni signali za FC2 se lahko uporabijo GEXHW, GAIRW ali GFUEL (Gizpuh, Gzrak ali Ggorivo). Stopnja pretoka zraka za redčenje se meri z napravo za merjenje pretoka FM1, skupni pretok pa z napravo za merjenje pretoka FM2. Razmerje redčenja se izračuna iz teh dveh stopenj pretoka.

2.2.1   Opisi k slikam 11 do 19

EP – izpušna cev

Izpušna cev je lahko izolirana. Za zmanjšanje toplotne vztrajnosti izpušne cevi se priporoča razmerje debelina/premer 0,015 ali manj. Uporaba prožnih odsekov je omejena na razmerje dolžina/premer 12 ali manj. Zavojev naj bo čim manj, da se prepreči odlaganje zaradi vztrajnosti. Če sistem vključuje glušnik preskusne naprave, je lahko izoliran tudi glušnik.

Pri izokinetičnem sistemu izpušna cev ne sme imeti kolen, zavojev in nenadnih sprememb premera vsaj 6 premerov cevi v smeri proti toku in 3 premere cevi v smeri toka od konice sonde. Hitrost izpušnih plinov v območju vzorčenja mora biti večja od 10 m/s, razen v prostem teku. Nihanja tlaka izpušnih plinov v povprečju ne smejo presegati ± 500 Pa. Morebitni ukrepi za zmanjšanje nihanj tlaka, razen uporabe izpušnega sistema na šasiji vozila (skupaj z glušnikom in napravami za naknadno obdelavo), ne smejo spreminjati zmogljivosti motorja niti povzročati odlaganja delcev.

Pri sistemih brez izokinetične sonde se priporoča ravna cev 6 premerov cevi v smeri proti toku in 3 premere cevi v smeri toka od konice sonde.

SP – sonda za vzorčenje (slike 10, 14, 15, 16, 18, 19)

Najmanjši notranji premer naj bo 4 mm. Najmanjše razmerje med premerom izpušne cevi in sonde naj bo 4. Sonda naj bo odprta cev na središčni črti izpušne cevi, ki gleda v smeri proti toku, ali sonda z več luknjami, skladno z opisom pod SP1 v točki 1.2.1, slika 5.

ISP – izokinetična sonda za vzorčenje (sliki 11, 12)

Izokinetično sondo za vzorčenje je treba namestiti na središčno črto izpušne cevi tako, da gleda v smeri proti toku, kjer so na odseku EP izpolnjeni pogoji pretoka, zasnovana pa mora biti tako, da zagotavlja sorazmeren vzorec nerazredčenih izpušnih plinov. Najmanjši notranji premer naj bo 12 mm.

Za izokinetično cepitev izpušnih plinov je potreben regulirni sistem, ki med EP in ISP vzdržuje diferenčni tlak nič. Pod temi pogoji je hitrost izpušnih plinov v EP in ISP enaka, masni pretok skozi ISP pa je konstanten del pretoka izpušnih plinov. ISP mora biti povezana s tipalom diferenčnega tlaka DPT. Krmiljenje, ki med EP in ISP zagotavlja diferenčni tlak nič, se zagotovi s krmilnikom pretoka FC1.

FD1, FD2 – delilnik toka (slika 16)

V izpušni cevi EP in v cevi za prenos vzorca TT je nameščen komplet venturijevih cevi oziroma zaslonk, ki zagotavlja sorazmeren vzorec nerazredčenih izpušnih plinov. Za sorazmerno cepitev je potreben regulirni sistem, ki sestoji iz dveh ventilov za krmiljenje tlaka PCV1 in PCV2 in regulira tlak v EP in DT.

FD3 – delilnik toka (slika 17)

V izpušni cevi EP je nameščen komplet cevi (enota z več cevmi), ki zagotavlja sorazmeren vzorec nerazredčenih izpušnih plinov. Ena od cevi izpušne pline dovaja v tunel za redčenje DT, druge cevi pa izpušne pline odvajajo v dušilno komoro DC. Cevi morajo biti enake velikosti (enak premer, dolžina, krivinski polmer), tako da je razcepitev izpušnih plinov odvisna od skupnega števila cevi. Za sorazmerno cepitev je potreben regulirni sistem, ki med izstopom iz enote z več cevmi v DC in izstopom iz TT vzdržuje diferenčni tlak nič. Pod temi pogoji sta hitrosti izpušnih plinov v EP in FD3 sorazmerni, pretok skozi TT pa je konstanten del pretoka izpušnih plinov. Obe točki morata biti povezani s tipalom diferenčnega tlaka DPT. S krmilnikom pretoka FC1 je omogočeno krmiljenje, ki zagotavlja diferenčni tlak nič.

EGA – analizator izpušnih plinov (slike 13, 14, 15, 16, 17)

Lahko se uporabljajo analizatorji CO2 ali NOx (pri metodi ugotavljanja ravnotežja ogljika samo CO2). Analizatorji se kalibrirajo enako kot analizatorji za merjenje plinastih emisij. Za določanje razlik koncentracije se lahko uporabi en ali več analizatorjev. Točnost merilnih sistemov mora biti taka, da je točnost GEDFW,i v območju ± 4 %.

TT – cev za prenos vzorca (slike 11 do 19)

Cev za prenos vzorca mora:

 biti čim krajša, vendar ne daljša od 5 m,

 imeti enak ali večji premer, kot je premer sonde, vendar ne večjega od 25 mm,

 izstopati na središčni črti tunela za redčenje in gledati v smeri toka.

Če je cev dolga 1 meter ali manj, mora biti izolirana z materialom, ki ima največjo toplotno prevodnost 0,05 W/m*K, radialna debelina izolacije pa mora ustrezati premeru sonde. Če je cev daljša kot 1 meter, mora biti izolirana in ogrevana na temperaturo sten najmanj 523 K (250 °C).

DPT – tipalo diferenčnega tlaka (slike 11, 12, 17)

Tipalo diferenčnega tlaka mora zajemati območje ± 500 Pa ali manj.

FC1 – krmilnik pretoka (slike 11, 12, 17)

Pri izokinetičnih sistemih (sliki 11, 12) je potreben krmilnik pretoka za vzdrževanje diferenčnega tlaka nič med EP in ISP. Krmiljenje se lahko izvaja:

(a) s krmiljenjem vrtilne frekvence oziroma pretoka sesalnega puhala SB in z ohranjanjem konstantne vrtilne frekvence oziroma pretoka tlačnega puhala PB v posameznem načinu (slika 11) ali

(b) z naravnavanjem sesalnega puhala SB na konstanten masni pretok razredčenih izpušnih plinov in s krmiljenjem pretoka tlačnega puhala PB in s tem pretoka vzorca izpušnih plinov v območju na koncu cevi za prenos vzorca TT (slika 12).

Pri sistemu s krmiljenjem tlaka preostali pogrešek v krmilni zanki ne sme presegati ± 3 Pa. Nihanja tlaka v tunelu za redčenje v povprečju ne smejo presegati ± 250 Pa.

Pri sistemu z več cevmi (slika 17) je potreben krmilnik pretoka za sorazmerno razcepitev izpušnih plinov za vzdrževanje diferenčnega tlaka nič med izstopom iz enote z več cevmi in izstopom iz TT. Prilagoditev se izvede s krmiljenjem stopnje pretoka zraka, vbrizganega v DT na izstopu iz TT.

PCV1, PCV2 – ventil za krmiljenje tlaka (slika 16)

Pri sistemu z dvojno venturijevo cevjo oziroma z dvojno zaslonko sta za sorazmerno razcepitev pretoka potrebna dva ventila za krmiljenje tlaka, ki krmilita protitlak v EP in tlak v DT. Ventila se namestita v smeri toka od SP v EP ter med PB in DT.

DC – dušilna komora (slika 17)

Na izstopu iz enote z več cevmi se namesti dušilna komora, ki zmanjšuje nihanje tlaka v izpušni cevi EP na najmanjšo možno mero.

VN – venturijeva cev (slika 15)

Venturijeva cev je v tunelu za redčenje DT nameščena zato, da ustvarja negativen tlak v območju izstopa iz cevi za prenos vzorca TT. Stopnja pretoka plinov skozi TT se določa z izmenjavo impulzov v območju venturijeve cevi in je v osnovi sorazmerna stopnji pretoka tlačnega puhala PB, kar vodi v konstantno razmerje redčenja. Ker na izmenjavo impulzov vpliva temperatura na izstopu iz TT ter razlika v tlaku med EP in DT, je dejansko razmerje redčenja nekoliko nižje pri manjši kot pri večji obremenitvi.

FC2 – krmilnik pretoka (slike 13, 14, 18, 19, po izbiri)

Krmilnik pretoka se lahko uporablja za krmiljenje pretoka tlačnega puhala PB in/ali sesalnega puhala SB. Lahko je priključen na izpuh, na polnilni zrak ali na signale pretoka goriva in/ali na diferenčne signale CO2 ali NOx. Kadar se uporablja dovod stisnjenega zraka (slika 18), FC2 neposredno krmili pretok zraka.

FM1 – merilnik pretoka (slike 11, 12, 18, 19)

Plinomer ali drugi merilni instrumenti pretoka za merjenje zraka za redčenje. FM1 ni obvezen, če je tlačno puhalo PB kalibrirano za merjenje pretoka.

FM2 – merilnik pretoka (slika 19)

Plinomer ali drugi merilni instrumenti pretoka za merjenje razdredčenih izpušnih plinov. FM2 ni obvezen, če je sesalno puhalo SB kalibrirano za merjenje pretoka.

PB – tlačno puhalo (slike 11, 12, 13, 14, 15, 16, 19)

Za krmiljenje stopnje pretoka zraka za redčenje se na krmilnik pretoka FC1 ali FC2 lahko priključi tlačno puhalo PB. PB ni potrebno, če se uporablja dušilna loputa. Če je PB kalibrirano, se lahko uporablja za merjenje pretoka zraka za redčenje.

SB – sesalno puhalo (slike 11, 12, 13, 16, 17, 19)

Samo pri sistemih za delno vzorčenje. Če je SB kalibrirano, se lahko uporablja za merjenje pretoka razredčenih izpušnih plinov.

DAF – filter zraka za redčenje (slike 11 do 19)

Priporoča se filtriranje zraka za redčenje in čiščenje skozi aktivno oglje, da se iz ozadja odstranijo ogljikovodiki. Na zahtevo proizvajalca motorja se zrak za redčenje vzorči skladno z dobro inženirsko prakso, da se določijo ravni delcev v ozadju, ti pa se nato lahko odštejejo od izmerjenih vrednosti v razredčenih izpušnih plinih.

DT – tunel za redčenje (slike 11 do 19)

Za tunel za redčenje velja, da:

 mora biti dovolj dolg, da se izpušni plini in zrak za redčenje v vrtinčastem toku popolnoma premešajo,

 mora biti izdelan iz nerjavečega jekla in imeti:

 

 za tunele za redčenje z notranjim premerom, večjim od 75 mm, razmerje debelina/premer 0,025 ali manj,

 za tunele za redčenje z notranjim premerom, enakim ali manjšim od 75 mm, nazivno debelino najmanj 1,5 mm,

 mora imeti za delno vzorčenje premer najmanj 75 mm,

 je priporočljivo, da ima za celotno vzorčenje premer najmanj 25 mm,

 se lahko z neposrednim ogrevanjem ali s predogrevanjem zraka za redčenje ogreje na temperaturo sten največ 325 K (52 °C), pod pogojem, da temperatura zraka pred uvajanjem izpušnih plinov v tunel za redčenje ne preseže 325 K (52 °C),

 je lahko izoliran.

Izpušni plini iz motorja morajo biti temeljito premešani z zrakom za redčenje. Pri sistemih za delno vzorčenje je treba ob začetku uporabe kakovost mešanja preveriti s profilom CO2 v tunelu pri delujočem motorju (najmanj štiri enakomerno razmaknjene merilne točke). Po potrebi se lahko uporabi mešalna zaslonka.

Opomba:

Če je temperatura okolice v bližini tunela za redčenje (DT) pod 293 K (20 °C), je treba preprečiti izgubo delcev na hladnih stenah tunela za redčenje. Zato se priporoča ogrevanje in/ali izoliranje tunela v okviru zgoraj navedenih mejnih vrednosti.

Pri velikih obremenitvah motorja se lahko tunel hladi z neagresivnimi sredstvi, npr. z ventilatorjem, dokler temperatura hladilnega sredstva ni pod 293 K (20 °C).

HE – izmenjevalnik toplote (sliki 16, 17)

Izmenjevalnik toplote mora biti dovolj zmogljiv, da na vstopu v sesalno puhalo SB ohranja temperaturo v območju ± 11 K povprečne delovne temperature, izmerjene med preskusom.

2.3   Sistem redčenja s celotnim tokom

Na sliki 20 je opisan sistem redčenja, ki temelji na redčenju celotnega izpuha z uporabo koncepta CVS (Constant Volume Sampling – vzorčenje s konstantno prostornino). Izmeriti je treba skupno prostornino mešanice izpušnih plinov in zraka za redčenje. Uporabi se lahko sistem PDP ali CFV.

Za zbiranje delcev, ki sledi, se skozi sistem za vzorčenje delcev pošlje vzorec razredčenih izpušnih plinov (točka 2.4, sliki 21 in 22). Če se to izvaja neposredno, se imenuje enojnoredčenje. Če se vzorec ponovno razredči v sekundarnem tunelu za redčenje, se to imenuje dvojno redčenje. To pride v poštev, če z enojnim redčenjem ni mogoče izpolniti zahteve o temperaturi na dotoku v filter. Čeprav je dvojni sistem redčenja pravzaprav delno sistem redčenja, je opisan kot modifikacija sistema za vzorčenje delcev v oddelku 2.4, slika 22, saj ima večino delov skupnih s tipičnim sistemom za vzorčenje delcev.

Če se uporablja EFCPo izbiriV ozračjeGlej sliko 21Izpušni pliniK sistemu za vzorčenje delcevali k DDS glej sliko 22ZrakK filtru ozadjaV ozračjePo izbiri

Slika 20

Sistem redčenja s celotnim tokom

Celotni nerazredčeni izpušni plini se v tunelu za redčenje DT premešajo z zrakom za redčenje. Stopnja pretoka razredčenih izpušnih plinov se izmeri bodisi s črpalko s prisilnim pretokom za natančno odvzemanje vzorcev PDP ali z venturijevo cevjo s kritičnim pretokom CFV. Za sorazmerno vzorčenje delcev in za določanje pretoka se lahko uporabi izmenjevalnik toplote HE ali elektronska kompenzacija pretoka EFC. Ker določanje mase delcev temelji na skupnem pretoku razredčenih izpušnih plinov, razmerja redčenja ni treba izračunavati.

2.3.1   Opisi k sliki 20

EP – izpušna cev

Dolžina izpušne cevi od izhoda izpušnega kolektorja motorja, izstopa iz turbopuhala ali od naprave za naknadno obdelavo izpušnih plinov do tunela za redčenje ne sme biti večja od 10 m. Če je izpušna cev v smeri toka od izpušnega kolektorja motorja, izstopa iz turbopuhala ali od naprave za naknadno obdelavo izpušnih plinov daljša od 4 m, se izolirajo vse cevi, daljše od 4 m, razen merilnika dimljenja izpušnih plinov, če je vgrajen v izpušni sistem. Radialna debelina izolacije mora biti najmanj 25 mm. Toplotna prevodnost izolacijskega materiala, izmerjena pri 673 K (400 °C), ne sme biti večja od 0,1 W/mK. Za zmanjšanje toplotne vztrajnosti izpušne cevi se priporoča razmerje debelina/premer 0,015 ali manj. Uporaba prožnih odsekov je omejena na razmerje dolžina/premer 12 ali manj.

PDP – črpalka s prisilnim pretokom za natančno odvzemanje vzorcev

PDP meri skupni pretok razredčenih izpušnih plinov iz števila obratov črpalke ter njene delovne prostornine. PDP ali sistem za polnjenje zraka za redčenje ne sme umetno zniževati protitlaka v izpušnem sistemu. Statični protitlak izpušnih plinov, izmerjen, ko sistem PDP deluje, mora ostati v območju ± 1,5 kPa statičnega tlaka, izmerjenega pri enaki vrtilni frekvenci in obremenitvi motorja, kadar PDP ni priključena. Temperatura mešanice plinov tik pred PDP mora biti v območju ± 6 K povprečne delovne temperature, izmerjene med preskusom, če se ne uporablja kompenzacija pretoka. Kompenzacija pretoka se lahko uporabi samo, če temperatura na vstopu v PDP ne presega 323 K (50 °C).

CFV – venturijeva cev s kritičnim pretokom

CFV meri skupni pretok razredčenih izpušnih plinov pri pretoku pod pogoji nasičenja (pri kritičnem pretoku). Statični protitlak izpušnih plinov, izmerjen, ko sistem CFV deluje, mora ostati v območju ± 1,5 kPa statičnega tlaka, izmerjenega pri enaki vrtilni frekvenci in obremenitvi motorja, kadar CFV ni priključena. Temperatura mešanice plinov tik pred CFV mora biti v območju ± 11 K povprečne delovne temperature, izmerjene med preskusom, če se ne uporablja kompenzacija pretoka.

HE – izmenjevalnik toplote (po izbiri, če se uporablja EFC)

Izmenjevalnik toplote mora biti dovolj zmogljiv, da ohranja temperaturo v zgoraj predpisanih mejah.

EFC – elektronska kompenzacija pretoka (po izbiri, če se uporablja HE)

Če se temperatura na vstopu v PDP oziroma v CFV ne ohranja v zgoraj navedenih mejah, je za zvezno merjenje stopnje pretoka in krmiljenje sorazmernega vzorčenja v sistemu za vzorčenje delcev potreben sistem za kompenzacijo pretoka. V ta namen se za korekcijo stopnje pretoka vzorca skozi filtre za vzorce v sistemu za vzorčenje delcev (glej točko 2.4, sliki 21, 22) ustrezno uporabljajo signali zvezno izmerjene stopnje pretoka.

DT – tunel za redčenje

Tunel za redčenje:

 mora imeti dovolj majhen premer, da nastane vrtinčast tok (Reynoldsovo število je večje od 4 000), in biti dovolj dolg, da se izpušni plini in zrak za redčenje popolnoma premešajo; uporabi se lahko mešalna zaslonka,

 mora pri enojnem sistemu za redčenje imeti premer najmanj 460 mm,

 mora pri dvojnem sistemu za redčenje imeti premer najmanj 210 mm,

 je lahko izoliran.

Izpušni plini iz motorja morajo biti na točki vstopa v tunel za redčenje usmerjeni v smeri toka in temeljito premešani.

Če se uporablja enojno redčenje, se vzorec iz tunela za redčenje prenese v sistem za vzorčenje delcev (točka 2.4, slika 21). PDP oziroma CFV mora imeti zadostno pretočno zmogljivost, da se razredčeni izpušni plini tik pred primarnim filtrom za delce ohranjajo pri temperaturi, manjši ali enaki 325 K (52 °C).

Če se uporablja dvojno redčenje, se vzorec iz tunela za redčenje prenese v sekundarni tunel za redčenje, kjer se redči naprej, nato pa pošlje skozi filtre za vzorčenje (točka 2.4, slika 22). PDP oziroma CFV mora imeti zadostno pretočno zmogljivost, da se tok razredčenih izpušnih plinov v DT na območju vzorčenja ohranja pri temperaturi, manjši ali enaki 464 K (191 °C). Sekundarni sistem za redčenje mora zagotavljati dovolj zraka za sekundarno redčenje, da se tok dvojno razredčenih izpušnih plinov tik pred primarnim filtrom za delce ohranja pri temperaturi, manjši ali enaki 325 K (52 °C).

DAF – filter zraka za redčenje

Priporoča se filtriranje zraka za redčenje in čiščenje skozi aktivno oglje, da se iz ozadja odstranijo ogljikovodiki. Na zahtevo proizvajalca motorja se zrak za redčenje vzorči skladno z dobro inženirsko prakso, da se določijo ravni delcev v ozadju, ti pa se nato lahko odštejejo od izmerjenih vrednosti v razredčenih izpušnih plinih.

PSP – sonda za vzorčenje delcev

Sonda je vodilni del cevi za prenos delcev PTT in:

 mora biti usmerjena proti toku in nameščena na točki, kjer so zrak za redčenje in izpušni plini dobro premešani, tj. na središčni črti tunela za redčenje (DT), približno 10 premerov tunela v smeri toka od točke, kjer izpušni plini vstopajo v tunel za redčenje,

 mora imeti notranji premer najmanj 12 mm,

 se lahko z neposrednim ogrevanjem ali s predogrevanjem zraka za redčenje ogreje na temperaturo sten največ 325 K (52 °C), pod pogojem, da temperatura zraka pred uvajanjem izpušnih plinov v tunel za redčenje ne preseže 325 K (52 °C),

 je lahko izolirana.

2.4   Sistem za vzorčenje delcev

Sistem za vzorčenje delcev je potreben za zbiranje delcev na filtru. Pri redčenju z delnim tokom s skupnim vzorčenjem, ki sestoji iz pošiljanja celotnega vzorca razredčenih plinov skozi filtre, tvori sistem redčenja (točka 2.2, sliki 14, 18) in vzorčenja ponavadi integrirano enoto. Pri redčenju z delnim tokom z delnim vzorčenjem ali redčenju s celotnim tokom, ki sestoji iz pošiljanja samo dela razredčenih izpušnih plinov skozi filtre, sistema redčenja (točka 2.2, slike 11, 12, 13, 15, 16, 17, 19; točka 2.3, slika 20) in vzorčenja ponavadi tvorita dve različni enoti.

Po tej direktivi je dvojni sistem redčenja (slika 22), v sistemu redčenja s celotnim tokom, posebna modifikacija tipičnega sistema za vzorčenje delcev, kot je prikazan na sliki 21. Dvojni sistem redčenja vključuje vse pomembne dele sistema za vzorčenje delcev, kot so posode za filtre in črpalka za vzorčenje, ter dodatno nekaj značilnosti redčenja, kot je npr. dovajanje zraka za redčenje in sekundarni tunel za redčenje.

Zaradi izogiba morebitnemu vplivu na krmilne zanke se priporoča, da črpalka za vzorce teče skozi celoten postopek preskušanja. Pri metodi z enojnim filtrom se uporabi sistem obvoda, ki pošilja vzorec skozi filtre za vzorčenje ob želenih časih. Vpliv postopka preklapljanja na krmilne zanke mora biti zmanjšan na najmanjšo možno mero.

Po izbiriiz EGAaliiz PDPaliiz CFValiiz GFUELIz tunela za redčenje DTglej slike 11 do 20

Slika 21

Sistem za vzorčenje delcev

Iz tunela za redčenje DT sistema za redčenje z delnim ali s celotnim tokom se skozi sondo za vzorčenje delcev PSP in cev za prenos delcev PTT s črpalko za vzorčenje P odvzame vzorec razredčenih izpušnih plinov. Vzorec se pošlje skozi posodo(-e) za filter FH, ki vsebuje(-jo) filtre za vzorčenje delcev. Stopnja pretoka vzorca se krmili s krmilnikom pretoka FC3. Če se uporablja elektronska kompenzacija pretoka EFC (glej sliko 20), se kot ukazni signal za FC3 uporabi pretok razredčenih izpušnih plinov.

Iz tunela za redčenje DT glej sliko 20Po izbiriV ozračje

Slika 22

Dvojni sistem redčenja (samo pri sistemu s celotnim tokom)

Iz tunela za redčenje DT sistema redčenja s celotnim tokom se skozi sondo za vzorčenje delcev PSP in cev za prenos delcev PTT vzorec razredčenih izpušnih plinov prenese v sekundarni tunel za redčenje SDT, kjer se ponovno razredči. Nato se vzorec pošlje skozi posodo(-e) za filter FH, ki vsebuje(-jo) filtre za vzorčenje delcev. Stopnja pretoka zraka za redčenje je običajno konstantna, medtem ko se stopnja pretoka vzorca krmili s krmilnikom pretoka FC3. Če se uporablja elektronska kompenzacija pretoka EFC (glej sliko 20), se kot ukazni signal za FC3 uporabi celoten pretok razredčenih izpušnih plinov.

2.4.1   Opisi k slikam 21 in 22

PTT – cev za prenos delcev (sliki 21, 22)

Cev za prenos delcev ne sme biti daljša od 1 020 mm in mora, če je le mogoče, imeti najmanjšo mogočo dolžino. Kadar je ustrezno (npr. pri sistemih za delno vzorčenje pri redčenju z delnim tokom in pri sistemih redčenja s celotnim tokom), se vključi dolžina sond za vzorčenje (SP, ISP oziroma PSP, glej točki 2.2 in 2.3).

Mere veljajo za:

 sistem za delno vzorčenje pri redčenju z delnim tokom in za enojni sistem redčenja s celotnim tokom, od konice sonde (SP, ISP oziroma PSP) do posode za filter,

 sistem za celotno vzorčenje pri redčenju z delnim tokom, od konca tunela za redčenje do posode za filter,

 dvojni sistem redčenja s celotnim tokom, od konice sonde (PSP) do sekundarnega tunela za redčenje.

Cev za prenos vzorca:

 se sme z neposrednim ogrevanjem ali s predogrevanjem zraka za redčenje ogreti na temperaturo sten največ 325 K (52 °C), pod pogojem, da temperatura zraka pred uvajanjem izpušnih plinov v tunel za redčenje ne presega 325 K (52 °C);

 je lahko izolirana.

SDT – sekundarni tunel za redčenje (slika 22)

Sekundarni tunel za redčenje mora imeti premer najmanj 75 mm in biti dovolj dolg, da dvojno razredčeni vzorec ostane v njem najmanj 0,25 sekunde. Posoda za primarni filter FH se namesti v območju 300 mm od izstopa iz SDT.

Sekundarni tunel za redčenje:

 se sme z neposrednim ogrevanjem ali s predogrevanjem zraka za redčenje ogreti na temperaturo sten največ 325 K (52 °C), pod pogojem, da temperatura zraka pred uvajanjem izpušnih plinov v tunel za redčenje ne presega 325 K (52 °C),

 je lahko izoliran.

FH – posoda(-i) za filtre (sliki 21, 22)

Za primarni in sekundarni filter se lahko uporablja eno ohišje ali dve ločeni ohišji. Izpolnjene morajo biti zahteve iz točke 4.1.3 Dodatka 4 k Prilogi III.

Posoda(-e) za filtre:

 se sme z neposrednim ogrevanjem ali s predogrevanjem zraka za redčenje ogreti na temperaturo sten največ 325 K (52 °C), pod pogojem, da temperatura zraka pred uvajanjem izpušnih plinov v tunel za redčenje ne presega 325 K (52 °C),

 je lahko izolirana.

P – črpalka za vzorčenje (sliki 21, 22)

Črpalka za vzorčenje delcev se namesti dovolj daleč od tunela, da ostaja temperatura vhodnih plinov konstantna (± 3 K), če se ne uporablja korekcija pretoka s FC3.

DP – črpalka zraka za redčenje (slika 22)

Črpalka zraka za redčenje se namesti tako, da se sekundarni zrak za redčenje, če ni predogrevan, dovaja pri temperaturi 298 K ± 5 K (25 °C ± 5 °C).

FC3 – krmilnik pretoka (sliki 21, 22)

Za kompenziranje stopnje pretoka delcev glede na nihanja temperature in protitlaka na poti vzorca se uporabi krmilnik pretoka, če ni na voljo noben drug način. Krmilnik pretoka se zahteva, če je uporabljena elektronska kompenzacija pretoka EFC (glej sliko 20).

FM3 – merilnik pretoka (sliki 21, 22)

Plinomer ali merilni instrumenti pretoka delcev se namestijo dovolj daleč od črpalke za vzorčenje P, da ostane temperatura vhodnega plina, če ni uporabljena korekcija pretoka s FC3, konstantna (± 3 K).

FM4 – merilnik pretoka (slika 22)

Plinomer ali merilni instrumenti pretoka zraka za redčenje se namestijo tako, da ostane temperatura vhodnega plina pri 298 K ± 5 K (25 °C ± 5 °C)

BV – kroglasti ventil (po izbiri)

Notranji premer kroglastega ventila ne sme biti manjši od notranjega premera cevi za prenos delcev PTT, čas preklopa pa ne krajši od 0,5 sekunde.

Opomba:

Če je temperatura okolice v bližini PSP, PTT, SDT in FH pod 293 K (20 °C), je treba preprečiti izgube delcev na hladnih stenah teh delov. Zato se priporoča ogrevanje in/ali izoliranje teh delov v mejah, podanih v ustreznih opisih. Prav tako se priporoča, da med vzorčenjem temperatura na dotoku v filter ni nižja od 293 K (20 °C).

Pri velikih obremenitvah motorja se lahko zgoraj navedeni deli hladijo z neagresivnimi sredstvi, kot je npr. ventilator, dokler temperatura hladilnega sredstva ni pod 293 K (20 °C).

3.   DOLOČANJE DIMLJENJA

3.1   Uvod

V točkah 3.2 in 3.3 ter na slikah 23 in 24 so podani podrobni opisi priporočenih sistemov za merjenje motnosti. Ker je mogoče doseči enakovredne rezultate z različnimi konfiguracijami, se ne zahteva dosledna skladnost s slikama 23 in 24. Za pridobivanje dodatnih informacij in usklajevanje funkcij sestavnih sistemov se lahko uporabijo dodatni sestavni deli, kot so merilni instrumenti, ventili, elektromagneti, črpalke in stikala. Sestavni deli, ki niso potrebni za vzdrževanje točnosti nekaterih sistemov, se lahko izločijo, če njihova izločitev temelji na dobri inženirski presoji.

Načelo merjenja je, da se svetloba prenaša skozi konkretno dolžino merjenega dima, delež vpadne svetlobe, ki doseže sprejemnik, pa se uporabi za oceno zamračitvenih lastnosti medija. Merjenje dimljenja je odvisno od konstrukcije aparata in se lahko izvaja v izpušni cevi (vrstni merilnik motnosti v celotnem toku), na koncu izpušne cevi (končni merilnik motnosti v celotnem toku) ali z odvzemanjem vzorca iz izpušne cevi (merilnik motnosti v delnem toku). Za določanje koeficienta absorpcije svetlobe iz signala motnosti mora proizvajalec merilnika motnosti navesti dolžino optične poti merila.

3.2   Merilnik motnosti v celotnem toku

Uporabita se lahko dva splošna tipa merilnika motnosti v celotnem toku (slika 23). Pri vrstnem merilniku motnosti se meri motnost celotnega dima v izpušni cevi. Pri tem tipu merilnika motnosti je dejanska dolžina optične poti funkcija konstrukcije merilnika motnosti.

Pri končnem merilniku motnosti se meri motnost celotnega izpušnega dima, ko ta izstopa iz izpušne cevi. Pri tem tipu merilnika motnosti je dejanska dolžina optične poti funkcija konstrukcije izpušne cevi in razdalje med koncem izpušne cevi ter merilnikom motnosti.

(Po izbiri)

Slika 23

Merilnik motnosti v celotnem toku

3.2.1   Opisi k sliki 23

EP – izpušna cev

Pri vrstnem merilniku motnosti se premer izpušne cevi ne sme spreminjati v območju 3 premerov izpušne cevi pred ali za merilnim območjem. Če je premer merilnega območja večji od premera izpušne cevi, se priporoča cev, ki pred merilnim območjem postopoma konvergira.

Pri končnem merilniku motnosti mora imeti zadnjih 0,6 m izpušne cevi krožni presek in ne sme imeti kolen ali zavojev. Konec izpušne cevi mora biti ravno odrezan. Merilnik motnosti se namesti središčno na tok izpušnih plinov v območju 25 ± 5 mm od konca izpušne cevi.

OPL – dolžina optične poti

Dolžina z dimom zamračene optične poti med svetlobnim virom merilnika motnosti in sprejemnikom, po potrebi korigirana za neenakomernost zaradi stopnje spreminjanja gostote in učinka obrobnih plasti. Dolžino optične poti navede proizvajalec merilnika motnosti ob upoštevanju morebitnih ukrepov proti osajenosti (npr. splakovanje z zrakom). Če dolžina optične poti ni na voljo, se določi skladno z ISO DIS 11614, točka 11.6.5. Za pravilno določitev dolžine optične poti se zahteva najmanjša hitrost izpušnih plinov 20 m/s.

LS – svetlobni vir

Vir svetlobe mora biti žarnica z žarilno nitko z barvo temperature v območju od 2 800 do 3 250 K ali zelena svetleča dioda (LED) s temensko spektralno vrednostjo med 550 in 570 nm. Svetlobni vir mora biti zaščiten proti osajenju s sredstvi, ki na dolžino optične poti ne vplivajo prek meja, ki jih je postavil proizvajalec.

LD – detektor svetlobe

Detektor svetlobe naj bo fotocelica ali fotodioda (po potrebi s filtrom). Če je svetlobni vir žarnica z žarilno nitko, mora imeti sprejemnik v območju od 550 do 570 nm največjo spektralno občutljivost podobno kot pri krivulji občutljivosti za svetlobo človeškega očesa (največja občutljivost), pod 430 nm in nad 680 nm pa mora biti v območju manj kot 4 % te največje občutljivosti. Detektor svetlobe mora biti zaščiten proti osajenju s sredstvi, ki na dolžino optične poti ne vplivajo prek meja, ki jih je postavil proizvajalec.

CL – kolimator

Izstopna svetloba se kolimira v pramen z največjim premerom 30 nm. Žarki svetlobnega pramena morajo biti vzporedni, z dovoljenim odstopanjem od optične osi za 3°.

T1 – temperaturni senzor (po izbiri)

Med preskusom se lahko spremlja temperatura izpušnih plinov.

3.3   Merilnik motnosti v delnem toku

Pri merilniku motnosti v delnem toku (slika 24) se iz izpušne cevi odvzame reprezentančen vzorec izpušnih plinov in pošlje po cevi za prenos vzorca v merilno komoro. Pri tem tipu merilnika motnosti je dejanska dolžina optične poti funkcija konstrukcije merilnika motnosti. Odzivni časi, navedeni v nadaljevanju, se nanašajo na najmanjšo stopnjo pretoka merilnika motnosti, kot jo določi proizvajalec merila.

(po izbiri)Izpušni plini

Slika 24

Merilnik motnosti v delnem toku

3.3.1   Opisi k sliki 24

EP – izpušna cev

Izpušna cev mora biti od konice sonde ravna najmanj 6 premerov cevi v smeri proti toku in 3 premere cevi v smeri s tokom.

SP – sonda za vzorčenje

Sonda za vzorčenje naj bo odprta cev, ki gleda v smeri proti toku, na ali ob središčni črti izpušne cevi. Oddaljenost od stene izpušne cevi naj bo najmanj 5 mm. Premer sonde mora zagotavljati reprezentančno vzorčenje in zadosten pretok skozi merilnik motnosti.

TT – cev za prenos vzorca

Cev za prenos vzorca:

 mora biti čim krajša in mora ob vstopu v merilno komoro zagotavljati temperaturo izpušnih plinov 373 ± 30 K (100 °C ± 30 °C),

 mora imeti temperaturo sten zadosti višjo od rosišča izpušnih plinov, da se prepreči kondenzacija,

 mora po vsej dolžini imeti enak premer kot sonda za vzorčenje,

 mora imeti pri najmanjšem pretoku skozi merilni instrument odzivni čas krajši od 0,05 s, določeno skladno s točko 5.2.4 Dodatka 4 k Prilogi III,

 ne sme bistveno vplivati na največjo koncentracijo dima.

FM – merilnik pretoka

Merilni instrument pretoka za zaznavanje pravilnega pretoka v merilno komoro. Največjo in najmanjšo stopnjo pretoka določi proizvajalec merilnega instrumenta in mora biti takšna, da sta izpolnjeni zahtevi o odzivnem času TT in dolžini optične poti. Naprava za merjenje pretoka se lahko namesti v bližini črpalke za vzorčenje P, če se le-ta uporablja.

MC – merilna komora

Merilna komora mora imeti neodbojno notranjo površino ali enakovredno optično okolje. Škodljivi vpliv razpršene svetlobe na detektor zaradi notranjih odbojev ali učinkov razprševanja je treba zmanjšati na najmanjšo možno mero.

Tlak plinov v merilni komori se od atmosferskega tlaka ne sme razlikovati za več kot 0,75 kPa. Če konstrukcija tega ne omogoča, se odčitki merilnika motnosti pretvorijo na atmosferski tlak.

Temperatura sten merilne komore se nastavi na območje od 343 K (70 °C) do 373 K (100 °C) ± 5 K, vsekakor pa zadosti nad rosiščem izpušnih plinov, da se prepreči kondenzacija. Merilna komora se opremi z ustreznimi napravami za merjenje temperature.

OPL – dolžina optične poti

Dolžina z dimom zamračene optične poti med svetlobnim virom merilnika motnosti in sprejemnikom, po potrebi korigirana za neenakomernost zaradi stopnje spreminjanja gostote in učinka obrobnih plasti. Dolžino optične poti navede proizvajalec merilnika motnosti ob upoštevanju morebitnih ukrepov proti osajenosti (npr. splakovanje z zrakom). Če dolžina optične poti ni na voljo, se določi skladno z ISO DIS 11614, točka 11.6.5.

LS – svetlobni vir

Svetlobni vir mora biti žarnica z žarilno nitko z barvo temperature v območju od 2 800 do 3 250 K ali zelena svetleča dioda (LED) s temensko spektralno vrednostjo med 550 in 570 nm. Svetlobni vir mora biti zaščiten proti osajenju s sredstvi, ki na dolžino optične poti ne vplivajo prek meja, ki jih je postavil proizvajalec.

LD – detektor svetlobe

Detektor svetlobe naj bo fotocelica ali fotodioda (po potrebi s filtrom). Če je svetlobni vir žarnica, mora imeti sprejemnik v območju od 550 do 570 nm največjo spektralno občutljivost podobno kot pri krivulji občutljivosti za svetlobo človeškega očesa (največja občutljivost), pod 430 nm in nad 680 nm pa mora biti v območju manj kot 4 % te največje občutljivosti. Detektor svetlobe mora biti zaščiten proti osajenju s sredstvi, ki na dolžino optične poti ne vplivajo prek meja, ki jih je postavil proizvajalec.

CL – kolimator

Izstopna svetloba se kolimira v pramen z največjim premerom 30 nm. Žarki svetlobnega pramena morajo biti vzporedni, z dovoljenim odstopanjem od optične osi za 3°.

T1 – temperaturni senzor

Za spremljanje temperature izpušnih plinov na vstopu v merilno komoro.

P – črpalka za vzorčenje (po izbiri)

Za prenos vzorčnih plinov skozi merilno komoro se lahko v smeri toka od merilne komore uporabi črpalka za vzorčenje.




PRILOGA VI

CERTIFIKAT O ES-HOMOLOGACIJISporočilo o:homologacijiNeustrezno prečrtajte.razširitvi homologacijeNeustrezno prečrtajte.vozila/samostojne tehnične enote (tip motorja/družina motorjev)/sestavnega delaNeustrezno prečrtajte. glede na Direktivo 88/77/EGS.Številka ES-homologacije: Številka razširitve:DEL I0.Splošno0.1 Znamka vozila/samostojne tehnične enote/sestavnega delaNeustrezno prečrtajte.:0.2 Proizvajalčeva oznaka vozila/samostojne tehnične enote (tip motorja/družina motorjev)/sestavnega delaNeustrezno prečrtajte.:0.3 Proizvajalčeva koda tipa, kot je označena na vozilu/samostojni tehnični enoti (tip motorja/družina motorjev)/sestavnem deluNeustrezno prečrtajte.:0.4 Kategorija vozila:0.5 Kategorija motorja: dizelski/na zemeljski plin NG/na utekočinjeni naftni plin LPG/na etanolNeustrezno prečrtajte.:0.6 Ime in naslov proizvajalca:0.7 Ime in naslov pooblaščenega zastopnika proizvajalca (če je ustrezno):DEL II1. Kratek opis (kadar je to primerno): glej Prilogo I.2. Tehnična služba, odgovorna za opravljanje preskusov:3. Datum poročila o preskusu:4. Številka poročila o preskusu:5. Razlog(-i) za razširitev homologacije (kadar je to primerno):6. Pripombe (po potrebi): glej Prilogo I.7. Kraj:8. Datum:9. Podpis:10. Priložen je seznam dokumentov, ki sestavljajo homologacijsko dokumentacijo, ki se nahaja pri homologacijskem organu in jo je na zahtevo mogoče dobiti.




▼M1

Dodatek 1

▼B

k certifikatu o ES-homologaciji št. […] v zvezi s homologacijo vozila/samostojne tehnične enote/sestavnega dela ( 57 )

1 Kratek opis1.1 Podrobni podatki, ki jih je treba izpolniti v zvezi s homologacijo vozila z vgrajenim motorjem:1.1.1 Znamka motorja (ime podjetja):1.1.2 Tip in komercialni opis (navesti morebitne različice):1.1.3 Koda proizvajalca, kot je označena na motorju:1.1.4 Kategorija vozila (če je ustrezno):1.1.5 Kategorija motorja: dizelski/na zemeljski plin NG/na utekočinjeni naftni plin LPG/na etanol (1):1.1.6 Ime in naslov proizvajalca:1.1.7 Ime in naslov pooblaščenega zastopnika proizvajalca (če je ustrezno):1.2 Če je bil motor iz točke 1.1 homologiran kot samostojna tehnična enota:1.2.1 Homologacijska številka motorja/družine motorjev (1):1.3 Podrobni podatki, ki jih je treba izpolniti v zvezi s homologacijo motorja/družine motorjev (1) kot samostojne tehnične enote (pogoji, ki jih je treba upoštevati pri vgradnji motorja v vozilo):1.3.1 Največji in/ali najmanjši podtlak na sesalni strani: kPa1.3.2 Največji dovoljeni protitlak: kPa1.3.3 Prostornina izpušnega sistema: cm31.3.4 Moč, ki jo absorbira dodatna oprema, potrebna za delovanje motorja:1.3.4.1 prosti tek: kW; nizka vrtilna frekvenca: kW; visoka vrtilna frekvenca: kWvrtilna frekvenca A: kW; vrtilna frekvenca B: kW; vrtilna frekvenca C: kW;referenčna vrtilna frekvenca: kW1.3.5 Omejitve uporabe (če je ustrezno):1.4 Raven emisije motorja/osnovnega motorja (1)1.4.1 Preskus ESC (če je ustrezno):CO: g/kWhTHC: g/kWhNOx: g/kWhPT: g/kWh1.4.2 Preskus ELR (če je ustrezno):Stopnja dimljenja: m-11.4.3 Preskus ETC (če je ustrezno):CO: g/kWhTHC: g/kWh (1)NMHC: g/kWh (1)CH4: g/kWh (1)NOx: g/kWh (1)PT: g/kWh (1)

►(1) M1  

▼M1

1.4   Ravni emisij motorja/osnovnega motorja ( 58 ):

1.4.1   Preskus ESC:

Faktor poslabšanja (DF): izračunan/fiksen (58) 

Vrednosti za DF in emisije na preskusu ESC je treba navesti v tabeli spodaj:



Preskus ESC

DF:

CO

THC

NOx

PT

 
 
 
 

Emisije

CO

(g/kWh)

THC

(g/kWh)

NOx

(g/kWh)

PT

(g/kWh)

Izmerjene:

 
 
 
 

Izračunane z DF:

 
 
 
 

1.4.2   Preskus ELR:

stopnja dimljenja: … m–1

1.4.3   Preskus ETC:

Faktor poslabšanja (DF): izračunan/fiksen (58) 



Preskus ETC

DF:

CO

NMHC

CH4

NOx

PT

 
 
 
 
 

Emisije

CO

(g/kWh)

NMHC

(g/kWh) (1)

CH4

(g/kWh) (1)

NOx

(g/kWh)

PT

(g/kWh) (1)

Izmerjene z regeneracijo

 
 
 
 
 

Izmerjene brez regeneracije

 
 
 
 
 

Izmerjene/tehtane:

 
 
 
 
 

Izračunane z DF:

 
 
 
 
 

(1)   Neustrezno črtati.

▼M1




Dodatek 2

PODATKI V ZVEZI Z OBD

Kot je omenjeno v Dodatku 5 Priloge II k tej direktivi, podatke v tem Dodatku zagotovi proizvajalec vozila, da omogoči izdelavo nadomestnih ali rezervnih delov, diagnostičnih orodij in preskusne opreme, ki so združljivi z OBD. Proizvajalec vozila teh podatkov ni dolžan predložiti, če so zajeti v pravicah intelektualne lastnine ali predstavljajo posebno znanje proizvajalca ali dobavitelja (dobaviteljev) originalne opreme.

Na zahtevo je ta Dodatek na razpolago vsakemu zainteresiranemu proizvajalcu sestavnih delov, diagnostičnih orodij ali preskusne opreme, in sicer brez diskriminacije.

V skladu z določbami iz točke 1.3.3 Dodatka 5 k Prilogi II, morajo biti podatki, ki se zahtevajo v tej točki, enaki tistim, ki so predloženi v omenjenem Dodatku.

1. Opis tipa in števila ciklov predhodne priprave, ki so bili izvedeni za izvirno homologacijo vozila.

2. Opis tipa demonstracijskega cikla OBD, ki je bil izveden za izvirno homologacijo vozila za komponento, ki jo nadzira sistem OBD.

3. Izčrpen dokument, ki opisuje vse zaznane komponente s strategijo za odkrivanje napak in aktivacijo MI (stalno število voznih ciklov ali statistična metoda), vključno s seznamom ustreznih sekundarnih zaznanih parametrov za vsako komponento, ki jo nadzira sistem OBD. Seznam vseh izhodnih kod in obrazcev, ki jih uporablja OBD (z ustreznimi pojasnili), povezanih s posameznimi komponentami prenosa moči, ki so povezane z emisijami, in s posameznimi komponentami, ki niso povezane z emisijami, kjer se nadzor komponent uporablja za določitev aktivacije MI.

▼B




PRILOGA VII

PRIMER POSTOPKA IZRAČUNAVANJA

1.   PRESKUS ESC

1.1   Plinaste emisije

V nadaljevanju so podani merilni podatki za izračunavanje rezultatov v posameznih načinih. V tem primeru se CO in NOx merita na suhi osnovi, HC pa na vlažni osnovi. Koncentracija HC je podana z ekvivalentom propana (C3) in jo je treba pomnožiti s 3, da dobimo ekvivalent C1. Za druge načine je postopek izračunavanja enak.



P

(kW)

Ta

(K)

Ha

(g/kg)

GEXH

(kg)

GAIRW

(kg)

GFUEL

(kg)

HC

(ppm)

CO

(ppm)

NOx

(ppm)

82,9

294,8

7,81

563,38

545,29

18,09

6,3

41,2

495

Izračun korekcijskega faktorja iz suhega v vlažno KW,r (točka 4.2 Dodatka 1 k Prilogi III):

image

in

image

image

Izračun vlažnih koncentracij:

image

image

Izračun korekcijskega faktorja vlažnosti NOx KH,D (točka 4.3 Dodatka 1 k Prilogi III):

image

image

image

Izračun stopenj masnih pretokov emisij (točka 4.4 Dodatka 1 k Prilogi III):

image

image

image

Izračun specifičnih emisij (točka 4.5 Dodatka 1 k Prilogi III):

Naslednji primer izračuna je podan za CO; postopek izračunavanja je enak tudi za druge sestavine.

Stopnje masnih pretokov emisij za posamezne načine se pomnožijo z ustreznimi vplivnimi (utežnimi) faktorji, kot je nakazano v točki 2.7.1 Dodatka 1 k Prilogi III, in seštejejo, rezultat pa je srednja vrednost masnih pretokov emisij skozi ves cikel:



CO

=

image

 

=

30,91 g/h

Moč motorja v posameznih načinih se pomnoži z ustreznimi vplivnimi (utežnimi) faktorji, kot je nakazano v točki 2.7.1 Dodatka 1 k Prilogi III, in sešteje, rezultat pa je srednja moč v ciklu:



image

=

image

 

=

60,006 kW

image

Izračun specifične emisije NOx v naključni točki (točka 4.6.1 Dodatka 1 k Prilogi III):

Predpostavlja se, da so bile v naključni točki ugotovljene naslednje vrednosti:

nZ

=

1 600 min-1

MZ

=

495 Nm

NOx mass.Z

=

487,9 g/h (izračunano po prejšnjih formulah)

P(n)Z

=

83 kW

NOx,Z

=

487,9/83 = 5,878 g/kWh

Določanje vrednosti emisije iz preskusnega cikla (točka 4.6.2 Dodatka 1 k Prilogi III):

Predpostavlja se, da so vrednosti v vseh štirih načinih pri ESC naslednje:



nRT

nSU

ER

ES

ET

EU

MR

MS

MT

MU

1 368

1 785

5,943

5,565

5,889

4,973

515

460

681

610

image

image

image

image

image

Primerjava emisijskih vrednosti NOx (točka 4.6.3 Dodatka 1 k Prilogi III):

image

1.2   Emisije delcev

Merjenje delcev temelji na načelu vzorčenja delcev skozi celoten cikel, medtem ko se vzorec in stopnje pretoka (MSAM in GEDF) določajo med posameznimi načini. Izračun GEDF je odvisen od uporabljenega sistema. V nadaljevanju sta kot primera uporabljena sistem z merjenjem CO2 in metodo ravnotežja ogljika ter sistem z merjenjem pretoka. Kadar se uporabi sistem redčenja s celotnim tokom, se GEDF meri neposredno z opremo CVS.

Izračun GEDF (točki 5.2.3 in 5.2.4 Dodatka 1 k Prilogi III):

Predpostavljajo se naslednji merilni podatki v načinu 4. Tudi za druge načine je postopek izračunavanja enak.



GEXH

(kg/h)

GFUEL

(kg/h)

GDILW

(kg/h)

GTOTW

(kg/h)

CO2D

(%)

CO2A

(%)

334,02

10,76

5,4435

6,0

0,657

0,040

(a) metoda ravnotežja ogljika

image

(b) metoda merjenja pretoka

image

image

Izračun stopnje masnega pretoka (točka 5.4 Dodatka 1 k Prilogi III):

Stopnje pretoka GEDFW pri posameznih načinih se pomnožijo z ustreznimi vplivnimi (utežnimi) faktorji, kot je nakazano v točki 2.7.1 Dodatka 1 k Prilogi III, in seštejejo, rezultat pa je srednja vrednost GEDF skozi ves cikel. Skupna stopnja vzorcev MSAM se sešteje iz stopenj vzorcev v posameznih načinih.



image

=

image

 

=

3 604,6 kg/h

image

=

0,226 + 0,122 + 0,151 + 0,152 + 0,076 + 0,076 + 0,076 + 0,136 + 0,151 + 0,121 + 0,076 + 0,076 + 0,075

 

=

1,515 kg

Če predpostavimo, da je masa delcev na filtrih 2,5 mg, potem je

image

Korekcija glede na ozadje (ni obvezna)

Predpostavimo eno meritev ozadja z naslednjimi vrednostmi. Izračun faktorja redčenja DF je enak kot v točki 3.1 tega dodatka in tukaj ni prikazan.

image



Vsota DF

=

image

 

=

0,923

image

Izračun specifične emisije (točka 5.5 Dodatka 1 k Prilogi III):



image

=

image

 

=

60,006 kW

image

image

Izračun specifičnega vplivnega (utežnega) faktorja (točka 5.6 Dodatka 1 k Prilogi III):

Če predpostavimo vrednosti, izračunane za način 4 zgoraj, potem velja:

image

Ta vrednost je v okviru predpisane vrednosti 0,10 ± 0,003.

2.   PRESKUS ELR

Ker je filtriranje po Besselu popolnoma nov postopek povprečevanja v evropski zakonodaji o izpušnih plinih, so v nadaljevanju podani obrazložitev Besselovega filtra, primer zasnove Besselovega algoritma in primer izračuna končne vrednosti dimljenja. Konstante Besselovega algoritma so odvisne samo od konstrukcije merilnika motnosti in od frekvence vzorčenja (zajemanja podatkov) v sistemu za pridobivanje podatkov. Priporoča se, da proizvajalec navede končne Besselove konstante za filter pri različnih frekvencah vzorčenja ter da odjemalec te konstante uporabi za zasnovo Besselovega algoritma in za izračunavanje stopnje dimljenja.

2.1   Splošne pripombe glede Besselovega filtra

Zaradi popačenj v visokofrekvenčnem področju neobdelan signal ponavadi kaže močno razpršeno sled. Za odstranitev teh popačenj v visokofrekvenčnem področju se za preskus ELR zahteva Besselov filter. Sam Besselov filter je rekurzivni, nizkopasovni filter drugega reda, ki zagotavlja najhitrejši vzpon signala brez prekoračitve.

Če vzamemo snop izpušnih plinov v izpušni cevi v realnem času, kaže vsak merilnik motnosti zakasnjeno in drugače izmerjeno krivuljo motnosti. Zakasnitev in velikost krivulje izmerjene motnosti je odvisna predvsem od geometrije merilne komore merilnika motnosti, vključno s cevmi z vzorci izpušnih plinov, ter od časa, ki ga elektronika merilnika motnosti potrebuje za obdelavo signala. Vrednosti, ki označujeta ta dva učinka, se imenujeta fizični in električni odzivni čas in označujeta posamezni filter za vsak tip merilnika motnosti.

Namen uporabe Besselovega filtra je zagotoviti enotne filtrirne značilnosti celotnega sistema za merjenje motnosti, ki vključujejo:

 fizični odzivni čas merilnika motnosti (tp),

 električni odzivni čas merilnika motnosti (te)

 odzivni čas uporabljenega Besselovega filtra (tF).

Skupni odzivni čas sistema tAver je podan s formulo:

image

in mora biti enak za vse vrste merilnikov motnosti, da bo dal isto stopnjo dimljenja. Zato mora biti Besselov filter izdelan tako, da bo odzivni čas filtra (tF) skupaj s fizičnim odzivnim časom (tp) in električnim odzivnim časom (te) posameznega merilnika motnosti povzročil predpisani povprečni odzivni čas (tAver). Ker sta tp in te dani vrednosti za vsak merilnik motnosti posebej, tAver pa je po tej direktivi 1,0 s, se tF lahko izračuna takole:

image

Po definiciji je odzivni čas filtra tF čas vzpona filtriranega izhodnega signala med 10 % in 90 % na stopničastem vhodnem signalu. Zato se mora mejna frekvenca Besselovega filtra določiti s ponovitvami tako, da se odzivni čas Besselovega filtra ujema s predpisanim časom vzpona.

Čas [s]Stopniňast vhodni signalSignal [-]Izhodni signalfiltriran po Besslu

Slika a

Krivulji stopničastega vhodnega signala in filtriranega izhodnega signala

Slika a kaže krivulji stopničastega vhodnega signala in po Besselu filtriranega izhodnega signala ter odzivni čas Besselovega filtra (tF).

Zasnova končnega algoritma Besselovega filtra je večstopenjski proces, ki zahteva več ponovitvenih ciklov. Spodaj je podana shema postopka ponovitve.

Značilnosti merilnika motnostitp, tc [s]RegulacijatAver [s]Frekvenca pridobivanja podatkov vzorca [Hz]Zahtevani skupni odzivni čas Besslovega filtra tpDoločitev algoritma Besslovega filtrafc, E, KUporaba Besslovega filtrana stopničasti vhodt(10%), t(90%)Izračun ponovnega odzivnega časa filtratF,iter = t(90%) – t(10%)Odstopanje med tF in tF,iterFOR-CL2005L0055SL0020010.0001.0117.xml.jpgPreverjanje kriterijev za ponovitevnedaKončna konstanta in algoritemBesslovega filtraYi = …PonovitevNastavitevfrekvencefc, new = fc x (1 + Δ)fc = fc,newKorak 1Korak 2Korak 3Korak 4Korak 5Korak 6Korak 7|Δ| ≤ 0,01

2.2   Izračun Besselovega algoritma

V tem primeru se Besselov algoritem določa v več korakih, skladno z zgornjim ponovitvenim postopkom, ki temelji na točki 6.1 Dodatka 1 k Prilogi III.

Za merilnik motnosti in za sistem pridobivanja podatkov se predpostavijo naslednje značilnosti:

 fizični odzivni čas tp 0,15 s

 električni odzivni čas te 0,05 s

 povprečni odzivni čas tAver 1,00 s (po definiciji v tej direktivi)

 frekvenca vzorčenja 150 Hz

Korak 1   Predpisani odzivni čas Besselovega filtra tF:

image

Korak 2   Ocena mejne frekvence in izračun Besselovih konstant E, K za prvo ponovitev:

fc

=

image

Δt

=

1/150 = 0,006667 s

Ω

=

image

E

=

image

K

=

image

Rezultat je Besselov algoritem:

image

kjer Si predstavlja vrednosti vhodnega signala za to stopnjo (ali „0“ ali „1“), Yi pa filtrirane vrednosti izhodnega signala.

Korak 3   Uporaba Besselovega filtra na stopničastem vhodu:

Odzivni čas Besselovega filtra tF na stopničastem vhodnem signalu je opredeljen kot čas vzpona filtriranega izhodnega signala med 10 % in 90 %. Za določanje časov 10 % (t10) in 90 % (t90) izhodnega signala se mora Besselov filter uporabiti na stopničastem vhodu z uporabo zgornjih vrednosti fc, E in K.

Indeksi, čas in vrednosti stopničastega vhodnega signala ter vrednosti, ki so rezultat filtriranega izhodnega signala za prvo in drugo ponovitev, so prikazani v tabeli B. Sosednje točke t10 in t90 so označene s številkami v krepkem tisku.

V tabeli B se pri prvi ponovitvi vrednost 10 % pojavi med indeksom 30 in 31, vrednost 90 % pa med indeksom 191 in 192. Za izračun tF,iter se točni vrednosti t10 in t90 določita z linearno interpolacijo med sosednjima merilnima točkama takole:

image

image

kjer sta outupper oziroma outlower sosednji točki po Besselu filtriranega izhodnega signala, tlower pa je čas sosednje časovne točke, kot je prikazan v tabeli B.

image

image

Korak 4   Odzivni čas filtra v prvem ponovitvenem ciklu:

image

Korak 5   Odstopanje med predpisanim in dobljenim odzivnim časom filtra v prvem ponovitvenem ciklu:

image

Korak 6   Preverjanje meril za ponovitev:

zahteva se |Δ| ≤ 0,01. Ker je 0,081641 >0,01, merila za ponovitev niso izpolnjena in je treba začeti nov ponovitveni cikel. Za ta ponovitveni cikel se iz fc in Δ izračuna mejna frekvenca takole: fc,new = 0,318152 × (1 + 0,081641) = 0,344126 Hz

image

Ta nova mejna frekvenca se uporabi v drugem ponovitvenem ciklu, s ponovnim začetkom s korakom 2. Ponovitev je treba ponavljati, dokler niso izpolnjena merila za ponovitev. Vrednosti, dobljene v prvi in drugi ponovitvi, so povzete v tabeli A.



Tabela A

Vrednosti prve in druge ponovitve

Parameter

1. Ponovitev

2. Ponovitev

fc

(Hz)

0,318152

0,344126

E

(-)

7,07948 E-5

8,272777 E-5

K

(-)

0,970783

0,968410

t10

(s)

0,200945

0,185523

t90

(s)

1,276147

1,179562

tF,iter

(s)

1,075202

0,994039

Δ

(-)

0,081641

0,006657

fc,new

(Hz)

0,344126

0,346417

Korak 7   Končni Besselov algoritem:

Takoj ko so izpolnjena merila za ponovitev, se skladno s korakom 2 izračunajo končne konstante Besselovega filtra in končni Besselov algoritem. V tem primeru so bila merila za ponovitev izpolnjena po drugi ponovitvi (Δ = 0,006657 ≤ 0,01). Končni algoritem se nato uporabi za določanje povprečnih stopenj dimljenja (glej naslednjo točko 2.3).

image



Tabela B

Vrednosti stopničastega vhodnega signala in izhodnega signala, filtriranega po Besselu, za prvi in drugi ponovitveni cikel

Index i

[-]

Čas

[s]

Stopničast vhodni signal Si

[-]

Filtriran izhodni signal Yi

[-]

1. ponovitev

2. ponovitev

- 2

- 0,013333

0

0,000000

0,000000

- 1

- 0,006667

0

0,000000

0,000000

0

0,000000

1

0,000071

0,000083

1

0,006667

1

0,000352

0,000411

2

0,013333

1

0,000908

0,001060

3

0,020000

1

0,001731

0,002019

4

0,026667

1

0,002813

0,003278

5

0,033333

1

0,004145

0,004828

~

~

~

~

~

24

0,160000

1

0,067877

0,077876

25

0,166667

1

0,072816

0,083476

26

0,173333

1

0,077874

0,089205

27

0,180000

1

0,083047

0,095056

28

0,186667

1

0,088331

0,101024

29

0,193333

1

0,093719

0,107102

30

0,200000

1

0,099208

0,113286

31

0,206667

1

0,104794

0,119570

32

0,213333

1

0,110471

0,125949

33

0,220000

1

0,116236

0,132418

34

0,226667

1

0,122085

0,138972

35

0,233333

1

0,128013

0,145605

36

0,240000

1

0,134016

0,152314

37

0,246667

1

0,140091

0,159094

~

~

~

~

~

175

1,166667

1

0,862416

0,895701

176

1,173333

1

0,864968

0,897941

177

1,180000

1

0,867484

0,900145

178

1,186667

1

0,869964

0,902312

179

1,193333

1

0,872410

0,904445

180

1,200000

1

0,874821

0,906542

181

1,206667

1

0,877197

0,908605

182

1,213333

1

0,879540

0,910633

183

1,220000

1

0,881849

0,912628

184

1,226667

1

0,884125

0,914589

185

1,233333

1

0,886367

0,916517

186

1,240000

1

0,888577

0,918412

187

1,246667

1

0,890755

0,920276

188

1,253333

1

0,892900

0,922107

189

1,260000

1

0,895014

0,923907

190

1,266667

1

0,897096

0,925676

191

1,273333

1

0,899147

0,927414

192

1,280000

1

0,901168

0,929121

193

1,286667

1

0,903158

0,930799

194

1,293333

1

0,905117

0,932448

195

1,300000

1

0,907047

0,934067

~

~

~

~

~

2.3   Izračun stopnje dimljenja

Na spodnji shemi je podan splošni postopek za določanje končne stopnje dimljenja.

Vrtljaji A Obremenitev 1Vrtljaji A Obremenitev 2Vrtljaji A Obremenitev 3Vrtljaji B Obremenitev 1Vrtljaji B Obremenitev 2Vrtljaji B Obremenitev 3Vrtljaji C Obremenitev 1Vrtljaji C Obremenitev 2Vrtljaji C Obremenitev 3Surove vrednosti motnosti N [%]Pretvorba v koeficient absorpcije svetlobe k [1/m]k = – (1/LA) × ln (1 – N/100)Filtriranje z Besslovim filtromIzbira najvišje vrednosti k za vsako število vrtljajevin stopnjo obremenitveYmax1,AYmax1,BYmax1,CYmax2,AYmax2,BYmax2,CYmax3,AYmax3,BYmax3,CPotrditev ciklov za vsako število vrtljajevIzračun povprečne vrednosti dimljenja za vsako število vrtljajevSVA = (Ymax1,A + Ymax2,A + Ymax3,A)/3SVB = (Ymax1,B + Ymax2,B + Ymax3,B)/3SVC = (Ymax1,C + Ymax2,C + Ymax3,C)/3Izračun končne vrednosti dimljenjaSV = 0,43 × SVA + 0,56 × SVB + 0,01 × SVC

Na sliki b so prikazane krivulje izmerjenega neobdelanega signala motnosti ter nefiltriranih in filtriranih koeficientov absorpcije svetlobe (vrednost k) prve stopnje obremenitve pri preskusu ELR in nakazana največja (temenska) vrednost Ymax1,A filtrirane krivulje k. Tabela c vsebuje ustrezne številčne vrednosti indeksa i, časa (frekvenca vzorčenja 150 Hz), neobdelanega signala, nefiltrirane vrednosti k in filtrirane vrednosti k. Filtriranje je bilo izvedeno s konstantami Besselovega algoritma, določenega v točki 2.2 tega dodatka. Zaradi velikega števila podatkov so v tabeli samo odseki krivulje dimljenja, ki so okrog začetka in temena.

Motnost N [%]Čas [s]Vrh = 0,5424 m-1Absorpcijski koeficient dima k [1/m]Motnost N [%]Nefiltrirana vrednost kFiltrirana vrednost k

Slika b

Krivulje izmerjene motnosti N, nefiltrirane stopnje dimljenja k in filtrirane stopnje dimljenja k

Temenska vrednost (i = 272) se izračuna s predpostavljanjem naslednjih podatkov v tabeli C. Vse druge posamične stopnje dimljenja se izračunajo enako. Za začetek algoritma se vrednosti S-1, S-2, Y-1 in Y-2 nastavijo na nič.



LA (m)

0,430

Index i

272

N (%)

16,783

S271 (m-1)

0,427392

S270 (m-1)

0,427532

Y271 (m-1)

0,542383

Y270 (m-1)

0,542337

Izračun vrednosti k (točka 6.3.1 Dodatka 1 k Prilogi III):

image

Ta vrednost ustreza S272 v naslednji enačbi.

Izračun povprečne vrednosti dimljenja po Besselu (točka 6.3.2 Dodatka 1 k Prilogi III):

V naslednji enačbi se uporabijo Besselove konstante iz prejšnje točke 2.2. Dejanska nefiltrirana vrednost k, kot je izračunana zgoraj, ustreza S272 (Si). S271 (Si-1) in S270 (Si-2) sta predhodni nefiltrirani vrednosti k, Y271 (Yi-1) in Y270 (Yi-2) pa sta predhodni filtrirani vrednosti k.



image

=

image

 

=

image

Ta vrednost ustreza Ymax1,A v naslednji enačbi.

Izračun končne stopnje dimljenja (točka 6.3.3 Dodatka 1 k Prilogi III):

Od vsake krivulje dimljenja se za nadaljnji izračun vzame največja filtrirana vrednost k.

Predpostavijo se naslednje vrednosti



Vrtilna frekvenca

Ymax (m-1)

Cikel 1

Cikel 2

Cikel 3

A

0,5424

0,5435

0,5587

B

0,5596

0,5400

0,5389

C

0,4912

0,5207

0,5177

image

image

image

image

Validacija cikla (točka 3.4 Dodatka 1 k Prilogi III):

Pred izračunavanjem SV je treba cikel validirati z izračunom relativnih standardnih odstopanj dimljenja vseh treh ciklov za vsako vrtilno frekvenco



Vrtilna frekvenca

Srednja SV

(m-1)

absolutno standardno odstopanje

(m-1)

relativno standardno odstopanje

(%)

A

0,5482

0,0091

1,7

B

0,5462

0,0116

2,1

C

0,5099

0,0162

3,2

V tem primeru je za vsako vrtilno frekvenco izpolnjeno merilo validacije 15 %.



Tabela C

Vrednosti dimljenja N, nefiltrirana in filtrirana vrednost k na začetku obremenitvene stopnje

Index i

[-]

Čas

[s]

Motnost N

[%]

nefiltrirana vrednost k

[m-1]

filtrirana vrednost k

[m-1]

- 2

0,000000

0,000000

0,000000

0,000000

- 1

0,000000

0,000000

0,000000

0,000000

0

0,000000

0,000000

0,000000

0,000000

1

0,006667

0,020000

0,000465

0,000000

2

0,013333

0,020000

0,000465

0,000000

3

0,020000

0,020000

0,000465

0,000000

4

0,026667

0,020000

0,000465

0,000001

5

0,033333

0,020000

0,000465

0,000002

6

0,040000

0,020000

0,000465

0,000002

7

0,046667

0,020000

0,000465

0,000003

8

0,053333

0,020000

0,000465

0,000004

9

0,060000

0,020000

0,000465

0,000005

10

0,066667

0,020000

0,000465

0,000006

11

0,073333

0,020000

0,000465

0,000008

12

0,080000

0,020000

0,000465

0,000009

13

0,086667

0,020000

0,000465

0,000011

14

0,093333

0,020000

0,000465

0,000012

15

0,100000

0,192000

0,004469

0,000014

16

0,106667

0,212000

0,004935

0,000018

17

0,113333

0,212000

0,004935

0,000022

18

0,120000

0,212000

0,004935

0,000028

19

0,126667

0,343000

0,007990

0,000036

20

0,133333

0,566000

0,013200

0,000047

21

0,140000

0,889000

0,020767

0,000061

22

0,146667

0,929000

0,021706

0,000082

23

0,153333

0,929000

0,021706

0,000109

24

0,160000

1,263000

0,029559

0,000143

25

0,166667

1,455000

0,034086

0,000185

26

0,173333

1,697000

0,039804

0,000237

27

0,180000

2,030000

0,047695

0,000301

28

0,186667

2,081000

0,048906

0,000378

29

0,193333

2,081000

0,048906

0,000469

30

0,200000

2,424000

0,057067

0,000573

31

0,206667

2,475000

0,058282

0,000693

32

0,213333

2,475000

0,058282

0,000827

33

0,220000

2,808000

0,066237

0,000977

34

0,226667

3,010000

0,071075

0,001144

35

0,233333

3,253000

0,076909

0,001328

36

0,240000

3,606000

0,085410

0,001533

37

0,246667

3,960000

0,093966

0,001758

38

0,253333

4,455000

0,105983

0,002007

39

0,260000

4,818000

0,114836

0,002283

40

0,266667

5,020000

0,119776

0,002587



Vrednosti dimljenja N, nefiltrirana in filtrirana vrednost k okoli Ymax1,A (≡ temenska vrednost, nakazana s številko v krepkem tisku)

Index i

[-]

Čas

[s]

Motnost N

[%]

nefiltrirana vrednost k

[m-1]

filtrirana vrednost k

[m-1]

259

1,726667

17,182000

0,438429

0,538856

260

1,733333

16,949000

0,431896

0,539423

261

1,740000

16,788000

0,427392

0,539936

262

1,746667

16,798000

0,427671

0,540396

263

1,753333

16,788000

0,427392

0,540805

264

1,760000

16,798000

0,427671

0,541163

265

1,766667

16,798000

0,427671

0,541473

266

1,773333

16,788000

0,427392

0,541735

267

1,780000

16,788000

0,427392

0,541951

268

1,786667

16,798000

0,427671

0,542123

269

1,793333

16,798000

0,427671

0,542251

270

1,800000

16,793000

0,427532

0,542337

271

1,806667

16,788000

0,427392

0,542383

272

1,813333

16,783000

0,427252

0,542389

273

1,820000

16,780000

0,427168

0,542357

274

1,826667

16,798000

0,427671

0,542288

275

1,833333

16,778000

0,427112

0,542183

276

1,840000

16,808000

0,427951

0,542043

277

1,846667

16,768000

0,426833

0,541870

278

1,853333

16,010000

0,405750

0,541662

279

1,860000

16,010000

0,405750

0,541418

280

1,866667

16,000000

0,405473

0,541136

281

1,873333

16,010000

0,405750

0,540819

282

1,880000

16,000000

0,405473

0,540466

283

1,886667

16,010000

0,405750

0,540080

284

1,893333

16,394000

0,416406

0,539663

285

1,900000

16,394000

0,416406

0,539216

286

1,906667

16,404000

0,416685

0,538744

287

1,913333

16,394000

0,416406

0,538245

288

1,920000

16,394000

0,416406

0,537722

289

1,926667

16,384000

0,416128

0,537175

290

1,933333

16,010000

0,405750

0,536604

291

1,940000

16,010000

0,405750

0,536009

292

1,946667

16,000000

0,405473

0,535389

293

1,953333

16,010000

0,405750

0,534745

294

1,960000

16,212000

0,411349

0,534079

295

1,966667

16,394000

0,416406

0,533394

296

1,973333

16,394000

0,416406

0,532691

297

1,980000

16,192000

0,410794

0,531971

298

1,986667

16,000000

0,405473

0,531233

299

1,993333

16,000000

0,405473

0,530477

300

2,000000

16,000000

0,405473

0,529704

3.   PRESKUS ETC

3.1   Plinaste emisije (dizelski motor)

Predpostavimo naslednje rezultate preskusa za sistem PDP-CVS



V0 (m3/rev)

0,1776

Np (rev)

23 073

pB (kPa)

98,0

p1 (kPa)

2,3

T (K)

322,5

Ha (g/kg)

12,8

NOx conce (ppm)

53,7

NOx concd (ppm)

0,4

COconce (ppm)

38,9

COconcd (ppm)

1,0

HCconce (ppm)

9,00

HCconcd (ppm)

3,02

CO2,conce (%)

0,723

Wact (kWh)

62,72

Izračun pretoka razredčenih izpušnih plinov (točka 4.1 Dodatka 2 k Prilogi III):

image

Izračun korekcijskega faktorja NOx (točka 4.2 Dodatka 2 k Prilogi III):

image

Izračun korigiranih koncentracij ozadja (točka 4.3.1.1 Dodatka 2 k Prilogi III):

Ob predpostavki, da ima dizelsko gorivo sestavo C1H1,8

image

image

image

image

image

Izračun masnega pretoka emisij (točka 4.3.1 Dodatka 2 k Prilogi III):

image

image

image

Izračun specifičnih emisij (točka 4.4 Dodatka 2 k Prilogi III):

image

image

image

3.2   Emisije delcev (dizelski motor)

Predpostavimo naslednje rezultate preskusa za sistem PDP-CVS z dvojnim redčenjem



MTOTW (kg)

4 237,2

Mf,p (mg)

3,030

Mf,b (mg)

0,044

MTOT (kg)

2,159

MSEC (kg)

0,909

Md (mg)

0,341

MDIL (kg)

1,245

DF

18,69

Wact (kWh)

62,72

Izračun masne emisije (točka 5.1 Dodatka 2 k Prilogi III):

image

image

image

Izračun masne emisije ob upoštevanju korekcije glede na ozadje (točka 5.1 Dodatka 2 k Prilogi III):

image

Izračun specifične emisije (točka 5.2 Dodatka 2 k Prilogi III):

image

image

3.3   Plinaste emisije (motor na CNG)

Predpostavimo naslednje rezultate preskusa za sistem PDP-CVS z dvojnim redčenjem



MTOTW (kg)

4 237,2

Ha (g/kg)

12,8

NOx conce (ppm)

17,2

NOx concd (ppm)

0,4

COconce (ppm)

44,3

COconcd (ppm)

1,0

HCconce (ppm)

27,0

HCconcd (ppm)

3,02

CH4 conce (ppm)

18,0

CH4 concd (ppm)

1,7

CO2,conce ( %)

0,723

Wact (kWh)

62,72

Izračun korekcijskega faktorja NOx (točka 4.2 Dodatka 2 k Prilogi III):

image

Izračun koncentracije NMHC (točka 4.3.1 Dodatka 2 k Prilogi III):

(a) metoda GC

image

(b) metoda NMC

Predpostavimo učinkovitost metana 0,04 in učinkovitost etana 0,98 (glej oddelek 1.8.4 Dodatka 5 k Prilogi III)

image

Izračun koncentracij, korigiranih glede na ozadje (okolje) (točka 4.3.1.1 Dodatka 2 k Prilogi III):

Predpostavimo referenčno gorivo G20 (100 % metan) s sestavo C1H4:

image

image

Za NMHC je koncentracija ozadja razlika med HCconcd in CH4 concd

image

image

image

image

Izračun masnega pretoka emisij (točka 4.3.1 Dodatka 2 k Prilogi III):

image

image

image

image

Izračun specifičnih emisij (točka 4.4 Dodatka 2 k Prilogi III):

image

image

image

image

4.   FAKTOR λ-PREMIKA (Sλ)

4.1   Izračun faktorja λ-premika (Sλ) ( 59 )

image

kjer je:

Sλ

=

faktor λ-premika;

inert %

=

prostorninski % inertnih plinov (N2, CO2, He itd.) v gorivu;

O2 *

=

prostorninski % prvotnega kisika v gorivu;

N in m

=

se nanašata na povprečni CnHm, ki predstavlja ogljikovodike v gorivu, tj.:

image

image

kjer je:

CH4

=

prostorninski % metana v gorivu;

C2

=

prostorninski % vseh C2-ogljikovodikov (npr. C2H6, C2H4 itd.) v gorivu;

C3

=

prostorninski % vseh C3-ogljikovodikov (npr. C3H8, C3H6 itd.) v gorivu;

C4

=

prostorninski % vseh C4-ogljikovodikov (npr. C4H10, C4H8 itd.) v gorivu;

C5

=

prostorninski % vseh C5-ogljikovodikov (npr. C5H12, C5H10 itd.) v gorivu;

redčilo

=

prostorninski % plinov za redčenje (tj. O2 *, N2, CO2, He itd.) v gorivu.

4.2   Primeri izračuna faktorja λ-premika Sλ:

1. primer:  G25: CH4 = 86 %, N2 = 14 % (prostorninskih)

image

image

image

2. primer:  CH4 = 87 %, C2H6 = 13 % (prostorninskih)

image

image

image

3. primer:  ZDA: CH4 = 89 %, C2H6 = 4,5 %, C3H8 = 2,3 %, C6H14 = 0,2 %, O2 = 0,6 %, N2 = 4 %

image

image

image




PRILOGA VIII

SPECIFIČNE TEHNIČNE ZAHTEVE ZA DIZELSKE MOTORJE NA ETANOL

Pri dizelskih motorjih na etanol se bodo za preskusne postopke iz Priloge III k tej direktivi uporabljale naslednje specifične modifikacije ustreznih odstavkov, enačb in faktorjev.

V DODATKU 1 K PRILOGI III:

4.2   Korekcija iz suhega v vlažno stanje

image

4.3   Korekcija NOx na vlažnost in temperaturo

image

kjer je:

A

=

0,181 GFUEL/GAIRD - 0,0266.

B

=

– 0,123 GFUEL/GAIRD + 0,00954.

Ta

=

temperatura zraka, v K

Ha

=

vlaga polnilnega zraka, v g vode na kg suhega zraka

4.4   Izračun stopenj masnih pretokov emisij

Stopnje masnih pretokov emisij (v g/h) v vsakem načinu se izračunajo takole, ob predpostavki, da je gostota izpušnih plinov 1,272 kg/m3 pri 273 K (0 °C) in 101,3 kPa:

image

image

image

kjer je:

NOx conc, COconc, HCconc ( 60 ) so povprečne koncentracije (ppm) v nerazredčenih izpušnih plinih, kot so določene v točki 4.1.

Če se, po izbiri, plinaste emisije določajo s sistemom redčenja s celotnim tokom, se uporabijo naslednje formule:

image

image

image

kjer je:

NOx conc, COconc, HCconc (60)  so povprečne koncentracije, korigirane glede na ozadje (v ppm) v vsakem načinu v nerazredčenih izpušnih plinih, kot so določene v točki 4.3.1.1 Dodatka 2 k Prilogi III.

V DODATKU 2 K PRILOGI III:

Točke 3.1, 3.4, 3.8.3 in 5 Dodatka 2 se ne uporabljajo samo za dizelske motorje. Uporabljajo se tudi za dizelske motorje na etanol.

4.2

Preskusni pogoji se uredijo tako, da sta izmerjena temperatura zraka in vlažnost pri vstopu v motor med potekom preskusa nastavljena na standardne pogoje. Standard mora biti 6 ± 0,5 g vode na kg suhega zraka pri temeraturnem razponu 298 ± 3 K. Znotraj teh omejitev nadaljnja korekcija NOx ni dovoljena. Če ti pogoji niso izpolnjeni, je preskus neveljaven.

4.3

Izračun masnega pretoka emisije

4.3.1   Sistemi s konstantnim masnim pretokom

Pri sistemih z izmenjevalnikom toplote se masa onesnaževal (v g/preskus) določi z naslednjimi enačbami:

image

image

image

kjer je:

NOx conc, COconc, HCconc ( 61 ), NMHCconc = povprečne, glede na ozadje korigirane koncentracije prek celotnega cikla od merjenja z integracijo (obvezno za NOx in HC) ali vrečo, v ppm;

MTOTW = skupna masa razredčenih izpušnih plinov prek celotnega cikla, kakor je določeno v točki 4.1, v kg.

4.3.1.1   Določanje koncentracije, korigirane glede na ozadje

Neto koncentracije plinastih onesnaževal ozadja dobimo tako, da od izmerjenih koncentracij odštejemo povprečno koncentracijo onesnaževal v zraku za redčenje. Povprečne vrednosti koncentracij ozadja lahko določimo z metodo vreč za vzorce ali z neprekinjenim merjenjem z integracijo. Uporabi se naslednja formula:

image

kjer je:

conc

=

koncentracija ustreznega onesnaževala v razredčenih izpušnih plinih, korigirana z množino ustreznega onesnaževala, ki jo vsebuje zrak za redčenje, v ppm;

conce

=

koncentracija ustreznega onesnaževala, izmerjena v razredčenih izpušnih plinih, v ppm;

concd

=

koncentracija ustreznega onesnaževala, izmerjena v zraku za redčenje, v ppm;

DF

=

faktor redčenja.

Faktor redčenja se izračuna takole:

image

kjer je:

CO2conce

=

koncentracija CO2 v razredčenih izpušnih plinih, v % vol

HCconce

=

koncentracija HC v razredčenih izpušnih plinih, v ppm C1

COconce

=

koncentracija CO v razredčenih izpušnih plinih, v ppm

FS

=

stehiometrični faktor

Koncentracije, izmerjene na suhi osnovi, se pretvorijo na mokro osnovo skladno s točko 4.2 Dodatka 1 k Prilogi III.

Za splošno sestavo goriva CHαOβNγ se stehiometrični faktor izračuna takole:

image

Če sestava goriva ni znana, se lahko alternativno uporabijo naslednji stehiometrični faktorji:

FS (ethanol) = 12,3.

4.3.2   Sistemi s kompenzacijo pretoka

Pri sistemih, ki nimajo izmenjevalnika toplote, se masa onesnaževal (v g/preskus) določi z izračunom trenutnih masnih emisij in integracijo trenutnih vrednosti prek celotnega cikla. Prav tako se korekcija glede na ozadje uporabi neposredno za vrednost trenutne koncentracije. Uporabijo se naslednje formule:

image

image

image

kjer je:

conce

=

koncentracija ustreznega onesnaževala, izmerjena v razredčenih izpušnih plinih, v ppm;

concd

=

koncentracija ustreznega onesnaževala, izmerjena v zraku za redčenje, v ppm;

MTOTW,i

=

trenutna masa razredčenih izpušnih plinov (glej točko 4.1), v kg;

MTOTW

=

skupna masa razredčenih izpušnih plinov prek celotnega cikla (glej točko 4.1), v kg;

DF

=

faktor redčenja, skladno s točko 4.3.1.1

4.4

Izračun specifičnih emisij

Emisije (v g/kWh) se za vse posamične sestavine izračunajo na naslednji način:

image

image

image

kjer je:

Wact = dejansko delo cikla, kakor je določeno v točki 3.9.2, v kWh.




PRILOGA IX

ČASOVNE OMEJITVE ZA PRENOS PREKLICANIH DIREKTIV V DRŽAVNE ZAKONE

iz člena 10



Del A

Razveljavljene direktive

Direktive

Uradni list

Direktiva 88/77/EGS

L 36, 9.2.1988, str. 33.

Direktiva 91/542/EGS

L 295, 25.10.1991, str. 1.

Direktiva 96/1/ES

L 40, 17.2.1996, str. 1.

Direktiva 1999/96/ES

L 44, 16.2.2000, str. 1.

Direktiva 2001/27/ES

L 107, 18.4.2001, str. 10.



Del B

Časovne omejitve za prenos v nacionalno pravo

Direktiva

Časovne omejitve za prenos

Datum uporabe:

Direktiva 88/77/EGS

1. julij 1988

 

Direktiva 91/542/EGS

1. januar 1992

 

Direktiva 96/1/ES

1. julij 1996

 

Direktiva 1999/96/ES

1. julij 2000

 

Direktiva 2001/27/ES

1. oktober 2001

1. oktober 2001




PRILOGA X

KORELACIJSKA TABELA

(iz drugega odstavka člena 10)



Direktiva 88/77/EGS

Direktiva 91/542/EGS

Direktiva 1999/96/ES

Direktiva 2001/27/ES

Ta direktiva

člen 1

 

člen 1

člen 2(1)

člen 2(1)

člen 2(1)

člen 2(1)

člen 2(4)

člen 2(2)

člen 2(2)

člen 2(2)

člen 2(2)

člen 2(1)

člen 2(3)

člen 2(3)

člen 2(4)

člen 2(4)

člen 2(3)

člen 2(3)

člen 2(2)

člen 2(4)

člen 2(3)

člen 2(5)

člen 2(4)

člen 2(5)

člen 2(5)

člen 2(6)

člen 2(6)

člen 2(7)

člen 2(7)

člen 2(8)

člen 2(8)

člen 2(9)

člen 3

člena 5 in 6

člen 3

člen 4

člen 4

člen 3(1)

člen 3(1)

člen 6(1)

člen 3(1)(a)

člen 3(1)(a)

člen 6 (2)

člen 3(1)(b)

člen 3(1)(b)

člen 6 (3)

člen 3(2)

člen 3(2)

člen 6 (4)

člen 3(3)

člen 3(3)

člen 6 (5)

člen 4

člen 7

člen 6

člena 5 in 6

člen 7

člen 8

člen 5

člen 4

člen 8

člen 3

člen 9

člen 10

člen 9

člen 4

člen 11

člen 7

člen 7

člen 10

člen 5

člen 12

priloge I do VII

priloge I do VII

Priloga VIII

Priloga VIII

Priloga IX

Priloga IX



( 1 ) UL C 108, 30.4.2004, str. 32.

( 2 ) Mnenje Evropskega parlamenta z dne 9. marca 2004 (UL C 102 E, 28.4.2004, str. 272) in Sklep Sveta z dne 19. septembra 2005.

( 3 ) UL L 36, 9.2.1988, str. 33. Direktiva, kakor je bila nazadnje spremenjena z Aktom o pristopu iz leta 2003.

( 4 ) UL L 42, 23.2.1970, str. 1. Direktiva, kakor je bila nazadnje spremenjena z Direktivo Komisije 2005/49/ES (UL L 194, 26.7.2005, str. 12).

( 5 ) UL L 295, 25.10.1991, str. 1.

( 6 ) UL L 44, 16.2.2000, str. 1.

( 7 ) UL L 107, 18.4.2001, str. 10.

( 8 ) UL L 76, 6.4.1970, str. 1. Direktiva, kakor je bila nazadnje spremenjena z Direktivo Komisije 2003/76/ES (UL L 206, 15.8.2003, str. 29).

( 9 ) UL L 184, 17.7.1999, str. 23.

( 10 ) UL L 76, 6.4.1970, str. 1. Direktiva, kakor je bila nazadnje spremenjena z Direktivo Komisije 2003/76/ES (UL L 206, 15.8.2003, str. 29).

( 11 ) UL L 313, 29.11.2005, str. 1

( 12 ) Člen 4(1) te direktive predvideva nadzorovanje velikih napak v delovanju namesto nadzorovanja razpadanja oziroma poslabšanja učinkovitosti katalizatorjev/filtrov sistema za naknadno obdelavo izpušnih plinov. Primeri velikih napak v delovanju so podani v točkah 3.2.3.2 in 3.2.3.3 Priloge IV k Direktivi 2005/78/ES.

( 13 ) UL L 375, 31.12.1980, str. 46. Direktiva, kakor je bila spremenjena z Direktivo 1999/99/ES (UL L 334, 28.12.1999, str. 32).

( 14 ) UL L 42, 23.2.1970, str. 1. Direktiva, kakor je bila nazadnje spremenjena z Direktivo Komisije 2004/104/ES (UL L 337, 13.11.2004, str. 13).

( 15 ) 1 = Nemčija, 2 = Francija, 3 = Italija, 4 = Nizozemska, 5 = Švedska, 6 = Belgija, 7 = Madžarska, 8 = Češka republika, 9 = Španija, 11 = Združeno kraljestvo, 12 = Avstrija, 13 = Luksemburg, 17 = Finska, 18 = Danska, 20 = Poljska, 21 = Portugalska, 23 = Grčija, 24 = Irska, 26 = Slovenija, 27 = Slovaška, 29 = Estonija, 32 = Latvija, 36 = Litva, 49 = Ciper, 50 = Malta.

( 16 ) Komisija bo odločila, ali je v tej direktivi treba določiti specifične ukrepe v zvezi z motorji z več nastavitvami hkrati s predlogom, ki se nanaša na zahteve člena 10 te direktive.

( 17 ) Do 1. oktobra 2008 velja naslednje: „temperatura okolja mora biti med 279 K in 303 K (6 °C do 30 °C)“.

( 18 ) Ta temperaturni razpon se ponovno preuči kot del pregleda te direktive, s posebnim poudarkom na primernost spodnje temperaturne omejitve.

( 19 ) Neustrezno prečrtajte.

( 20 ) Za nekonvencionalne motorje in sisteme proizvajalci predložijo ustrezne podatke iz tega dokumenta.

( 21 ) Neustrezno prečrtajte.

( 22 ) Navedite dovoljeno odstopanje.

( 23 ) Neustrezno prečrtajte.

( 24 ) UL L 375, 31.12.1980, str. 46. Direktiva, kakor je bila nazadnje spremenjena z Direktivo Komisije 1999/99/ES (UL L 334, 28.12.1999, str. 32).

( 25 ) Neustrezno prečrtajte.

( 26 ) Navedite dovoljeno odstopanje.

( 27 ) Navedite dovoljeno odstopanje.

( 28 ) Neustrezno prečrtajte.

( 29 ) Navedite dovoljeno odstopanje.

( 30 ) Za drugačne sisteme navedite ekvivalentne informacije (za odstavek 3.2).

( 31 ) Direktiva 1999/96/ES Evropskega parlamenta in Sveta z dne 13. decembra 1999 o približevanju zakonodaje držav članic v zvezi z ukrepi, ki jih je treba sprejeti proti emisijam plinastih snovi in delcev, ki onesnažujejo, iz motorjev na kompresijski vžig, ki se uporabljajo v vozilih, ter emisijam plinastih snovi, ki onesnažujejo, iz motorjev na prisilni vžig, ki za gorivo uporabljajo zemeljski plin ali utekočinjeni naftni plin in se uporabljajo v vozilih (UL L 44, 16.2.2000, str. 1).

( 32 ) Neustrezno prečrtajte.

( 33 ) Navedite dovoljeno odstopanje.

( 34 ) Neustrezno prečrtajte.

( 35 ) Navedite dovoljeno odstopanje.

( 36 ) Navedite dovoljeno odstopanje; biti mora znotraj ± 3 % navedene vrednosti proizvajalca.

( 37 ) Če se ne uporablja, označi N.U.

( 38 ) Predložiti za vsak motor iz družine.

( 39 ) Neustrezno prečrtajte.

( 40 ) Navedite dovoljeno odstopanje.

( 41 ) Neustrezno prečrtajte.

( 42 ) Neustrezno prečrtajte.

( 43 ) Navedite dovoljeno odstopanje.

( 44 ) Za drugačne sisteme navedite ekvivalentne informacije (za odstavek 3.2).

( 45 ) Neustrezno prečrtajte.

( 46 ) Navedite dovoljeno odstopanje.

( 47 ) Neustrezno prečrtajte.

( 48 ) Navedite dovoljeno odstopanje.

( 49 ) Neustrezno prečrtajte.

( 50 ) Navedite dovoljeno odstopanje.

( 51 ) Preskusne točke se izberejo z uporabo odobrenih statističnih metod za naključno izbiranje.

( 52 ) Preskusne točke se izberejo z uporabo odobrenih statističnih metod za naključno izbiranje.

( 53 ) Preskusne točke se izberejo z uporabo odobrenih statističnih metod za naključnost.

( 54 ) Vrednost velja samo za referenčno gorivo, določeno v Prilogi IV.

( 55 ) Komisija bo presodila o višini temperature nad posodami s filtri, 325 K (52 °C), in, če bo to potrebno, predlagala novo temperaturo, ki se bo uporabljala za homologacijo novih tipov od prvega oktobra 2008.

( 56 ) Neustrezno prečrtajte.

( 57 ) Neustrezno prečrtajte.

( 58 ) Neustrezno črtati.

( 59 ) Stehiometrična razmerja zrak/gorivo za avtomobilska goriva – SAE J1829, junij 1987. John B. Heywood, Internal combustion engine fundamentals, McGraw-Hill, 1988, Chapter 3.4 „Combustion stoichiometry“ (strani 68 do 72).

( 60 ) Na podlagi ekvivalentne vrednosti C1.

( 61 ) Na podlagi ekvivalentne vrednosti C1.