01976L0211 — SL — 26.07.2019 — 003.001


To besedilo je zgolj informativne narave in nima pravnega učinka. Institucije Unije za njegovo vsebino ne prevzemajo nobene odgovornosti. Verodostojne različice zadevnih aktov, vključno z uvodnimi izjavami, so objavljene v Uradnem listu Evropske unije. Na voljo so na portalu EUR-Lex. Uradna besedila so neposredno dostopna prek povezav v tem dokumentu

►B

DIREKTIVA SVETA

z dne 20. januarja 1976

o približevanju zakonodaje držav članic v zvezi s pripravo določenih predpakiranih proizvodov glede na maso ali prostornino

(76/211/EGS)

(UL L 046 21.2.1976, str. 1)

spremenjena z:

 

 

Uradni list

  št.

stran

datum

►M1

DIREKTIVA KOMISIJE 78/891/EGS z dne 28. septembra 1978

  L 311

21

4.11.1978

►M2

DIREKTIVA 2007/45/ES EVROPSKEGA PARLAMENTA IN SVETA z dne 5. septembra 2007

  L 247

17

21.9.2007

►M3

UREDBA (EU) 2019/1243 EVROPSKEGA PARLAMENTA IN SVETA z dne 20. junija 2019

  L 198

241

25.7.2019




▼B

DIREKTIVA SVETA

z dne 20. januarja 1976

o približevanju zakonodaje držav članic v zvezi s pripravo določenih predpakiranih proizvodov glede na maso ali prostornino

(76/211/EGS)



Člen 1

Ta direktiva ureja predpakirane proizvode, ki vsebujejo izdelke ►M2  —————19. decembra 1974————— ( 1 )————— ◄ in so namenjeni dajanju v promet v nazivnih količinah s konstantno enoto, ki so:

 enake vrednostim, ki jih določi tisti, ki pakira,

 izražene v enotah mase ali prostornine,

 ne manjše kot 5 g ali 5 ml in ne večje kot 10 kg ali 10 l.

Člen 2

1.  Predpakirani proizvod je v smislu te direktive kombinacija proizvoda in posamezne embalaže, v kateri je le-ta v naprej pakiran.

2.  Proizvod je predpakiran, če je v embalažo kakršnekoli narave vstavljen v odsotnosti kupca in ima količina, ki jo predpakirani proizvod vsebuje, neko v naprej določeno vrednost, ki je ni mogoče spremeniti, ne da bi spremenili embalažo.

Člen 3

1.  Predpakirani proizvodi, ki se lahko označijo z znakom EGS, navedenim v oddelku 3.3 Priloge I, morajo biti skladni z zahtevami te direktive in Priloge I k njej.

2.  Biti morajo predmet meroslovnega nadzora pod pogoji, ki so določeni v poglavju 5 Priloge I in v Prilogi II.

Člen 4

1.  Vsi predpakirani proizvodi, na katere se nanaša člen 3, morajo v skladu s Prilogo I nositi oznako mase ali prostornine proizvoda, imenovano „nazivna masa“ ali „nazivna prostornina“, ki jo morajo vsebovati.

2.  Predpakirani proizvodi, ki vsebujejo tekoče proizvode, morajo imeti označeno svojo nazivno prostornino, medtem ko mora biti embalaža drugih predpakiranih proizvodov označena z njihovo nazivno maso, razen če pravila trgovanja ali nacionalni predpisi, ki so enaki v vseh državah članicah, določajo drugače, ali če bi bilo to v nasprotju s pravili Skupnosti.

3.  Če pravila trgovanja ali nacionalni predpisi za določeno kategorijo proizvodov ali za določeno vrsto predpakiranega proizvoda niso enaki v vseh državah članicah, morajo biti na takšnih predpakiranih proizvodih vsaj tiste meroslovne informacije, ki so v skladu s pravili trgovanja ali z nacionalnimi predpisi, ki veljajo v državi, v katero so proizvodi namenjeni.

4.  Do poteka prehodnega obdobja, ko je v Skupnosti še dovoljena uporaba imperialnih merskih enot, ki so navedene v Prilogi II k direktivi Sveta št. 71/354/EGS z dne 18. oktobra 1971 o približevanju zakonodaje držav članic o merskih enotah ( 2 ), kakor je bila nazadnje spremenjena z Aktom o pristopu, mora biti nazivna masa in/ali nazivna prostornina vsebine izražena v merskih enotah SI v skladu z oddelkom 3.1 Priloge I k tej direktivi, če Združeno kraljestvo ali Irska tako želi, pa na njunem državnem ozemlju dodatno označena tudi ustrezna veličina v imperialnih merskih enotah (UK), preračunanih na podlagi naslednjih pretvornikov:

1 g = 0,0353 unče (avoirdupois),

1 kg = 2,205 funta,

1ml = 0,0352 tekočinske unče,

1 l = 1,760 pinte ali 0,220 galone.

Člen 5

Države članice ne smejo zavrniti, prepovedati ali omejiti dajanja na trg predpakiranih proizvodov, ki izpolnjujejo zahteve in preglede, ki so navedeni v tej direktivi, zaradi vzrokov, ki zadevajo zahtevano označevanje takih predpakiranih proizvodov v skladu z določbami te direktive, ugotavljanje njihove prostornine ali mase ali zaradi metod, po katerih so bili izmerjeni ali preverjeni.

▼M3

Člen 6

Na Komisijo se prenese pooblastilo za sprejemanje delegiranih aktov v skladu s členom 6a za spremembo prilog I in II, da se prilagodita tehničnemu napredku.

▼M3

Člen 6a

1.  Pooblastilo za sprejemanje delegiranih aktov je preneseno na Komisijo pod pogoji, določenimi v tem členu.

2.  Pooblastilo za sprejemanje delegiranih aktov iz člena 6 se prenese na Komisijo za obdobje petih let od 26. julija 2019. Komisija pripravi poročilo o prenosu pooblastila najpozneje devet mesecev pred koncem petletnega obdobja. Prenos pooblastila se samodejno podaljšuje za enako dolga obdobja, razen če Evropski parlament ali Svet nasprotuje temu podaljšanju najpozneje tri mesece pred koncem vsakega obdobja.

3.  Prenos pooblastila iz člena 6 lahko kadar koli prekliče Evropski parlament ali Svet. S sklepom o preklicu preneha veljati prenos pooblastila iz navedenega sklepa. Sklep začne učinkovati dan po njegovi objavi v Uradnem listu Evropske unije ali na poznejši dan, ki je določen v navedenem sklepu. Sklep ne vpliva na veljavnost že veljavnih delegiranih aktov.

4.  Komisija se pred sprejetjem delegiranega akta posvetuje s strokovnjaki, ki jih imenujejo države članice, v skladu z načeli, določenimi v Medinstitucionalnem sporazumu z dne 13. aprila 2016 o boljši pripravi zakonodaje ( 3 ).

5.  Komisija takoj po sprejetju delegiranega akta o njem sočasno uradno obvesti Evropski parlament in Svet.

6.  Delegirani akt, sprejet na podlagi člena 6, začne veljati le, če mu niti Evropski parlament niti Svet ne nasprotuje v roku treh mesecev od uradnega obvestila Evropskemu parlamentu in Svetu o tem aktu ali če pred iztekom tega roka tako Evropski parlament kot Svet obvestita Komisijo, da mu ne bosta nasprotovala. Ta rok se na pobudo Evropskega parlamenta ali Sveta podaljša za dva meseca.

▼B

Člen 7

1.  Države članice sprejmejo zakone in druge predpise, potrebne za uskladitev s to direktivo, v osemnajstih mesecih od notifikacije te direktive in o tem takoj obvestijo Komisijo.

2.  Belgija, Irska, Nizozemska in Združeno kraljestvo lahko z odstopanjem od odstavka 1 odložijo izvajanje te direktive in njenih prilog najkasneje do 31. decembra 1979.

3.  V obdobju, ko se direktiva v določeni državi članici še ne uporablja, ta država članica ne sme uvesti strožjih nadzornih ukrepov v zvezi s količino, vsebovano v predpakiranih proizvodih, ki jih ureja ta direktiva in prihajajo iz druge države članice, kot so tisti, ki so bili v veljavi v času sprejema te direktive.

4.  V istem obdobju morajo države članice, ki so prenesle direktivo, sprejeti predpakirane proizvode, ki prihajajo iz držav članic, ki koristijo ugodnosti iz odstavka 2 tega člena, če ti proizvodi izpolnjujejo pogoje iz oddelka 1 Priloge I k direktivi, tudi če ne nosijo oznake EGS, navedene oddelku 3.3 Priloge I, in to na enaki podlagi in pod enakimi pogoji kot tiste predpakirane proizvode, ki so skladni z vsemi zahtevami direktive.

5.  Če se predpakirani proizvodi, proizvedeni zunaj Skupnosti, uvažajo na ozemlje Skupnosti v državo članico, ki še ni prenesla direktive v skladu s tem členom, morajo preglede, ki jih določa oddelek 5 Priloge I, izvajati pristojni organi namembne države članice.

6.  Države članice predložijo Komisiji besedila temeljnih predpisov nacionalne zakonodaje, sprejetih na področju, ki ga ureja ta direktiva.

Člen 8

Ta direktiva je naslovljena na države članice.




PRILOGA I

1.   CILJI

Predpakirani proizvodi, ki jih zajema ta direktiva, morajo biti izdelani na tak način, da dokončani zadostijo naslednjim zahtevam:

1.1

dejanska vsebina v povprečju ne sme biti manjša od nazivne količine;

1.2

delež predpakiranih proizvodov, ki imajo negativni pogrešek večji od dovoljenega negativnega pogreška, navedenega v 2.4, mora biti dovolj majhen, da bodo partije predpakiranih proizvodov zadostile zahtevam pregledov, določenih v Prilogi II;

1.3

nobeden predpakirani proizvod, ki ima negativni pogrešek dvakrat večji od dovoljenega negativnega pogreška, podanega v tabeli v 2.4, ne sme biti označen z znakom EGS, predvidenim v 3.3.

2.   DEFINICIJE IN TEMELJNE DOLOČBE

2.1

Nazivna količina (nazivna masa ali nazivna prostornina) vsebine predpakiranega proizvoda je masa ali prostornina, ki je označena na embalaži, to je količina proizvoda, ki naj bi ga vseboval predpakirani proizvod.

2.2

Dejanska vsebina predpakiranega proizvoda je količina (masa ali prostornina) proizvoda, ki ga le-ta resnično vsebuje. V vseh postopkih pregledovanja količine proizvoda mora biti vrednost, uporabljena za dejansko vsebino, merjena ali korigirana pri temperaturi 20°C, ne glede na temperaturo, pri kateri se izvaja pakiranje ali pregledovanje. To pravilo pa ne velja za globoko zamrznjene ali zamrznjene proizvode, katerih količina je izražena v enotah prostornine.

2.3

Negativni pogrešek predpakiranega proizvoda je količina, za katero je dejanska prostornina vsebine predpakiranega proizvoda manjša od nazivne količine vsebine.

▼M1

2.4

Dovoljeni negativni pogrešek vsebine predpakiranega proizvoda se določi v skladu z naslednjo preglednico:



Nazivna količina v gramih oz. mililitrih

Dovoljeni negativni pogrešek

v % Qn

g oz. ml

od 5 do 50

9

od 50 do 100

4,5

od 100 do 200

4,5

od 200 do 300

9

od 300 do 500

3

od 500 do 1 000

15

od 1 000 do 10 000

1,5

Pri uporabi gornje preglednice je treba dovoljeni negativni pogrešek, ki je v preglednici prikazan kot odstotek, preračunan v enote mase ali prostornine, zaokrožiti na najbližjo desetino grama ali mililitra.

▼M1 —————

▼B

3.   NAPISI IN OZNAKE

Vsi predpakirani proizvodi, ki so izdelani v skladu s to direktivo, morajo na embalaži nositi naslednje oznake, ki morajo biti odtisnjene na tak način, da jih ni mogoče izbrisati, da so v normalnih razmerah predstavljanja lahko čitljive in vidne. Te oznake so:

▼M1

3.1

nazivna količina (nazivna masa oziroma nazivna prostornina), izražena v kilogramih, gramih, litrih, centilitrih ali mililitrih in označena s številkami, ki so visoke najmanj 6 mm, če nazivna količina presega 1 000  g oz. 100 cl; 4 mm, če je nazivna količina od vključno 1 000  g oz. 100 cl do, a ne vključno z 200 g oz. 20 cl; 3 mm, če je nazivna količina od 200 g oz. 20 cl do, a ne vključno z 50 g ali 5 cl; 2 mm, če nazivna količina ni večja od 50 g oz. 5 cl; sledi ji simbol za uporabljeno mersko enoto ali, kjer je to primerno, ime enote v skladu z Direktivo 71/354/EGS, kakor je bila nazadnje spremenjena z Direktivo 76/770/EGS;

oznake v imperialnih (UK) enotah morajo biti v črkah in številkah, ki niso večje od ustreznih oznak v enotah SI;

▼B

3.2

znak ali napis, ki omogoča pristojnemu organu, da prepozna tistega, ki je pakiral, oz. je za to odgovoren, ali uvoznika s sedežem v Skupnosti;

3.3

majhna črka „e“, visoka najmanj 3 mm, nameščena v istem vidnem polju kot navedba nazivne mase ali prostornine, s katero tisti, ki pakira oziroma uvoznik potrjuje, da predpakirani proizvod izpolnjuje zahteve te direktive.

Ta črka mora imeti obliko, ki jo kaže risba v poglavju 3 Priloge II k direktivi Sveta št. 71/316/EGS.

Smiselno se uporablja člen 12 slednje direktive.

4.   ODGOVORNOST TISTEGA, KI PAKIRA, ALI UVOZNIKA

Za to, da predpakirani proizvodi izpolnjujejo zahteve iz te direktive, je odgovoren tisti, ki pakira, oziroma uvoznik.

Za merjenje mase ali prostornine oziroma pregled količine proizvoda (ali vsebine zavitka), vsebovane v predpakiranem proizvodu, poznane kot „dejanska vsebina“, je odgovoren tisti, ki pakira in/ali uvaža. Merjenje oziroma pregled se mora izvajati z overjenim merilom, primernim za izvajanje potrebnih postopkov.

Pregled je možno izvesti z vzorčenjem.

Če se dejanska prostornina vsebine ne meri, mora biti pregled, ki ga izvaja tisti, ki pakira, organiziran tako, da je nazivna količina vsebine dejansko zagotovljena.

Ta pogoj je izpolnjen, če tisti, ki pakira, med proizvodnjo izvaja preglede v skladu s postopki, ki jih priznavajo pristojni organi v državi članici in če daje tem organom na voljo dokumente, ki vsebujejo rezultate teh pregledov, da bodo lahko potrdili, da so bili ti pregledi skupaj s potrebnimi popravki in prilagoditvami pravilno in točno izvedeni.

V primerih uvoza iz držav, ki niso članice Evropske skupnosti, lahko uvoznik namesto merjenja in pregledovanja predloži dokazila, da razpolaga z ustreznimi zagotovili, na podlagi katerih lahko prevzame odgovornost.

V primerih, ko so količine proizvodov izražene v enotah prostornine, je ena od mnogih metod izpolnjevanja zahtev glede merjenja in pregledovanja, da pri predpakiranju uporabljamo merilno posodo, kakršna je določena v direktivi, ki se na to nanaša, in jo polnimo pod pogoji, ki jih predpisujeta ta direktiva in tista o merilnih bučkah.

▼M1

5.   PREGLEDI, KI JIH PRISTOJNI ORGANI IZVAJAJO V PROSTORIH TISTEGA, KI PAKIRA, ALI UVOZNIKA ALI NJEGOVEGA ZASTOPNIKA V SKUPNOSTI

Preglede, s katerimi preverjajo, ali predpakirani proizvodi ustrezajo zahtevam te direktive, izvajajo pristojni organi držav članic z vzorčenjem v prostorih tistega, ki pakira, oziroma če to ni izvedljivo, v prostorih uvoznika ali njegovega zastopnika s sedežem v Skupnosti.

Ta pregled z vzorčenjem in statistično obdelavo rezultatov se izvaja v skladu s sprejetimi metodami za prevzemno kontrolo kakovosti. Njegova učinkovitost mora biti primerljiva z referenčno metodo, ki je določena v Prilogi II.

Tako se, kar zadeva kriterij za najmanjšo dopustno vsebino, način vzorčenja, ki ga uporablja država članica, šteje za primerljivega s tistim, ki ga priporoča Priloga II, če abscisa ordinatne točke 0,10 značilne delovne krivulje prvega načina (verjetnost sprejemljivosti partije = 0,10) za manj kot 15 % odstopa od abscise ustrezne točke značilne delovne krivulje načina vzorčenja, ki ga priporoča Priloga II.

Kar zadeva kriterij za srednjo vrednost, izračunan z metodo standardnega odmika, se način vzorčenja, ki ga uporablja država članica, šteje za primerljivega s tistim, ki ga priporoča Priloga II, če ob upoštevanju značilnih delovnih krivulj obeh načinov, ki imata kot abscisno os
image , ( 4 ) abscisa ordinatne točke 0,10 krivulje prvega načina (verjetnost sprejemljivosti partije = 0,10) ne odstopa za več kot 0,05 od abscise ustrezne točke krivulje načina vzorčenja, ki ga priporoča Priloga II.

▼B

6.   DRUGI PREGLEDI, KI JIH IZVAJAJO PRISTOJNI ORGANI

Ta direktiva ne izključuje nobenih pregledov, ki jih lahko izvajajo pristojni organi držav članic na katerikoli stopnji procesa trženja, zlasti z namenom, da preverijo, ali so predpakirani proizvodi skladni z zahtevami direktive.

Smiselno se uporablja člen 15(2) Direktive 71/316/EGS.




▼M1

PRILOGA II

S to prilogo so določeni postopki referenčne metode za pregled dejanske vsebine partij predpakiranih proizvodov in statistično obdelavo rezultatov, da bi se izpolnile zahteve člena 3 direktive in oddelka 5 Priloge I k tej direktivi.

1.   ZAHTEVE ZA MERJENJE DEJANSKE VSEBINE PREDPAKIRANIH PROIZVODOV

Dejanska vsebina predpakiranih proizvodov se lahko meri neposredno z merili za maso ali prostornino, v primeru tekočin pa posredno s tehtanjem predpakiranega proizvoda in z merjenjem njegove gostote.

Ne glede na uporabljeno metodo pa merilni pogrešek pri merjenju dejanske vsebine predpakiranega proizvoda ne sme presegati ene petine dovoljenega negativnega pogreška za nazivno količino predpakiranega proizvoda.

Postopek merjenja dejanske vsebine predpakiranega proizvoda je lahko predmet internih predpisov, ki veljajo v posamezni državi članici.

2.   ZAHTEVE ZA PREGLED PARTIJ PREDPAKIRANIH PROIZVODOV

Pregled predpakiranih proizvodov se izvaja z vzorčenjem, in to v dveh delih:

 pregled dejanske vsebine posameznega predpakiranega proizvoda v vzorcu,

 statistična obdelava rezultatov, ki ugotavlja povprečje dejanskih vsebin predpakiranih proizvodov v vzorcu.

Šteje se, da je partija predpakiranih proizvodov sprejemljiva, če rezultati obeh pregledov izpolnjujejo kriterije sprejemljivosti.

Za vsakega od teh pregledov obstajata dva načina pregleda

 prvi za neporušitvene preglede, to je za preglede, ki ne vključujejo odpiranja embalaže,

 drugi za porušitvene preglede, to je za preglede, ki vključujejo odpiranje ali uničenje embalaže.

Iz ekonomskih in praktičnih razlogov mora biti slednji preskus omejen na absolutno najnujnejši minimum in je manj učinkovit od neporušitvenega pregleda.

Porušitveni pregled se sme zato uporabiti le takrat, ko je neporušitveni pregled neizvedljiv. Velja splošno pravilo, da naj se ne uporabi za partije, ki so manjše od 100 enot.

2.1   Partije predpakiranih proizvodov

2.1.1

Partija mora biti sestavljena iz vseh predpakiranih proizvodov iste nazivne količine, istega tipa in iste proizvodne serije, pakiranih na istem mestu, ki naj bi jih kontrolirali. Velikost serije naj bo omejena na števila, določena v nadaljevanju.

2.1.2

Če se predpakirani proizvodi pregledujejo na koncu pakirne linije, mora biti število v posamezni partiji ne glede na velikost partije enako največji urni proizvodnji pakirne linije.

V drugih primerih mora biti velikost partije omejena na 10 000 .

2.1.3

Pri partijah, manjših od 100 predpakiranih proizvodov, mora biti neporušitveni pregled, če se izvaja, izveden 100 %-no.

2.1.4

Pred izvedbo pregledov pod 2.2 in 2.3 se iz partije naključno izbere zadostno število predpakiranih proizvodov, tako da je mogoče izvesti pregled, za katerega je potreben večji vzorec.

Za drugi pregled se potrebni vzorec naključno izbere iz prvega vzorca in označi.

To označevanja vzorca se mora zaključiti pred pričetkom merilnih operacij.

2.2   Pregled dejanske vsebine predpakiranega proizvoda

Najmanjša sprejemljiva vsebina se izračuna tako, da se od nazivne količine predpakiranega proizvoda odšteje dovoljeni negativni pogrešek za zadevno vsebino

Predpakirani proizvodi v partiji, katerih dejanska vsebina je manjša od najmanjše sprejemljive vsebine, se štejejo za hibne.

2.2.1   Neporušitveni pregled

Neporušitveni pregled se izvaja v skladu z dvojnim načinom vzorčenja, kot je prikazano na spodnji preglednici:

Prvo število pregledanih predpakiranih proizvodov mora biti enako številu enot v prvem vzorcu, kot je razvidno iz načina vzorčenja:

 če je število hibnih enot, najdenih v prvem vzorcu, manjše ali enako prvemu kriteriju za sprejemljivost, se šteje, da je partija sprejemljiva za namen tega pregleda,

 če je število hibnih enot, najdenih v prvem vzorcu, enako ali večje kot prvi kriterij za nesprejemljivost, je partija nesprejemljiva,

 če je število hibnih enot, najdenih v prvem vzorcu, med prvim kriterijem za sprejemljivost in prvim kriterijem za nesprejemljivost, se pregleda drugi vzorec, število enot v njem pa je označeno v načinu vzorčenja.

Hibne enote, najdene v prvem in drugem vzorcu, se seštejejo, in:

 če je skupno število hibnih enot manjše ali enako drugemu kriteriju za sprejemljivost, se šteje, da je partija sprejemljiva za namen pregleda,

 če je skupno število hibnih enot večje ali enako drugemu kriteriju za nesprejemljivost, je partija nesprejemljiva.

 



Število v partiji

Vzorci

Število hibnih enot

Vrstni red

Število

Skupno število

Kriterij sprejemljivosti

Kriterij nesprejemljivosti

Od 100 do 500

1.

30

30

1

3

 

2.

30

60

4

5

od 501 do 3 200

1.

50

50

2

5

 

2.

50

100

6

7

3 201 in več

1.

80

80

3

7

 

2.

80

160

8

9

2.2.2   Porušitveni pregled

Porušitveni pregled se izvaja v skladu z enojnim načinom vzorčenja po spodnji preglednici in se uporabi samo za partije 100 ali več proizvodov.

Število pregledanih predpakiranih proizvodov mora biti enako 20.

 Če je število najdenih hibnih enot v vzorcu manjše ali enako kriteriju za sprejemljivost, se šteje, da je partija predpakiranih proizvodov sprejemljiva.

 Če je število najdenih hibnih enot v vzorcu enako ali večje od kriterija za nesprejemljivost, je partija predpakiranih proizvodov nesprejemljiva.

 



Število v partiji

Število v vzorcu

Število hibnih enot

Kriterij sprejemljivosti

Kriterij nesprejemljivosti

Kadarkoli je število (≥ 100)

20

1

2

▼B

2.3   Pregled povprečne dejanske vsebine posameznih predpakiranih proizvodov v partiji

2.3.1.

Šteje se, da je partija predpakiranih proizvodov sprejemljiva za namene tega pregleda, če je srednja vrednost
image dejanske prostornine vsebine xi od n predpakiranih proizvodov v vzorcu večja kot vrednost:

image

V tej enačbi je:

Qn = nazivna količina predpakiranega proizvoda,

n = število predpakiranih proizvodov v vzorcu za ta pregled,

s = ocenjeni standardni odmik dejanske vsebine v partiji,

t(1-α) = 0995 stopnja zaupanja po Studentovi porazdelitvi z ν = n -1 stopnjo prostosti

2.3.2

Če je xi izmerjena vrednost dejanske vsebine i-te enote v vzorcu, ki ima n enot, potem:

2.3.2.1

dobimo povprečje izmerjenih vrednosti za vzorec z naslednjo enačbo:

image

2.3.2.2

in ocenjeno vrednost standardnega odmika s z naslednjo enačbo:

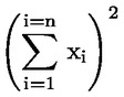
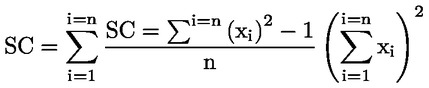
 vsota kvadratov izmerjenih vrednosti:
image

 kvadrat vsote izmerjenih vrednosti:
image

 potem
image

 popravljena vsota:
image

 ocenjena varianca:
image

 Ocenjena vrednost standardnega odmika
image

2.3.3

Kriteriji za sprejemljivost ali nesprejemljivost partij predpakiranih proizvodov, pregledanih s tem pregledom:

2.3.3.1

Kriteriji za neporušitveni pregled



Število enot v partiji

Število enot v vzorcu

Kriterij

Sprejemljivo

Nesprejemljivo

100 do 500 (vključno)

30

image

image

> 500

50

image

image

2.3.3.2

Kriteriji za porušitveni pregled



Število enot v partiji

Število enot v vzorcu

Kriterij

Sprejemljivo

Nesprejemljivo

Katero koli število (≥ 100)

20

image

image



( 1 ) UL L 42, 15.2.1975, str. 1

( 2 ) UL L 243, 29.10.1971, str. 29

( 3 ) UL L 123, 12.5.2016, str. 1.

( 4 ) m = povprečna vrednost dejanske partije.