02008R0798 — SK — 31.01.2017 — 034.001


Tento text slúži výlučne ako dokumentačný nástroj a nemá žiadny právny účinok. Inštitúcie Únie nenesú nijakú zodpovednosť za jeho obsah. Autentické verzie príslušných aktov vrátane ich preambúl sú tie, ktoré boli uverejnené v Úradnom vestníku Európskej únie a ktoré sú dostupné na portáli EUR-Lex. Tieto úradné znenia sú priamo dostupné prostredníctvom odkazov v tomto dokumente

►B

NARIADENIE KOMISIE (ES) č. 798/2008

z 8. augusta 2008,

ktorým sa ustanovuje zoznam tretích krajín, území, oblastí alebo jednotiek, z ktorých možno do Spoločenstva dovážať alebo cez jeho územie prevážať hydinu a výrobky z hydiny, a podmienky veterinárneho osvedčovania

(Text s významom pre EHP)

(Ú. v. ES L 226 23.8.2008, s. 1)

Zmenené a doplnené:

 

 

Úradný vestník

  Č.

Strana

Dátum

►M1

NARIADENIE KOMISIE (ES) č. 1291/2008 z 18. decembra 2008

  L 340

22

19.12.2008

►M2

NARIADENIE KOMISIE (ES) č. 411/2009 z 18. mája 2009,

  L 124

3

20.5.2009

►M3

NARIADENIE KOMISIE (EÚ) č. 215/2010 z 5. marca 2010

  L 76

1

23.3.2010

 M4

NARIADENIE KOMISIE (EÚ) č. 241/2010 z 8. marca 2010,

  L 77

1

24.3.2010

►M5

NARIADENIE KOMISIE (EÚ) č. 254/2010 z 10. marca 2010,

  L 80

1

26.3.2010

 M6

NARIADENIE KOMISIE (EÚ) č. 332/2010 z 22. apríla 2010,

  L 102

10

23.4.2010

 M7

NARIADENIE KOMISIE (EÚ) č. 925/2010 z 15. októbra 2010,

  L 272

1

16.10.2010

 M8

Zmenené a doplnené: NARIADENIE KOMISIE (EÚ) č. 364/2011 z 13. apríla 2011,

  L 100

30

14.4.2011

►M9

NARIADENIE KOMISIE (EÚ) č. 955/2010 z 22. októbra 2010,

  L 279

3

23.10.2010

 M10

Zmenené a doplnené: NARIADENIE KOMISIE (EÚ) č. 364/2011 z 13. apríla 2011,

  L 100

30

14.4.2011

 M11

NARIADENIE KOMISIE (EÚ) č. 364/2011 z 13. apríla 2011,

  L 100

30

14.4.2011

 M12

VYKONÁVACIE NARIADENIE KOMISIE (EÚ) č. 427/2011 z 2. mája 2011,

  L 113

3

3.5.2011

 M13

VYKONÁVACIE NARIADENIE KOMISIE (EÚ) č. 536/2011 z 1. júna 2011,

  L 147

1

2.6.2011

 M14

VYKONÁVACIE NARIADENIE KOMISIE (EÚ) č. 991/2011 z 5. októbra 2011,

  L 261

19

6.10.2011

►M15

VYKONÁVACIE NARIADENIE KOMISIE (EÚ) č. 1132/2011 z 8. novembra 2011,

  L 290

1

9.11.2011

►M16

VYKONÁVACIE NARIADENIE KOMISIE (EÚ) č. 1380/2011 z 21. decembra 2011,

  L 343

25

23.12.2011

 M17

VYKONÁVACIE NARIADENIE KOMISIE (EÚ) č. 110/2012 z 9. februára 2012,

  L 37

50

10.2.2012

 M18

VYKONÁVACIE NARIADENIE KOMISIE (EÚ) č. 393/2012 zo 7. mája 2012,

  L 123

27

9.5.2012

 M19

VYKONÁVACIE NARIADENIE KOMISIE (EÚ) č. 532/2012 z 21. júna 2012,

  L 163

1

22.6.2012

 M20

VYKONÁVACIE NARIADENIE KOMISIE (EÚ) č. 1162/2012 zo 7. decembra 2012,

  L 336

17

8.12.2012

 M21

VYKONÁVACIE NARIADENIE KOMISIE (EÚ) č. 88/2013 z 31. januára 2013,

  L 32

8

1.2.2013

 M22

VYKONÁVACIE NARIADENIE KOMISIE (EÚ) č. 191/2013 z 5. marca 2013,

  L 62

22

6.3.2013

 M23

VYKONÁVACIE NARIADENIE KOMISIE (EÚ) č. 437/2013 z 8. mája 2013,

  L 129

25

14.5.2013

 M24

NARIADENIE KOMISIE (EÚ) č. 519/2013 z 21. februára 2013,

  L 158

74

10.6.2013

►M25

VYKONÁVACIE NARIADENIE KOMISIE (EÚ) č. 556/2013 zo 14. júna 2013,

  L 164

13

18.6.2013

►M26

VYKONÁVACIE NARIADENIE KOMISIE (EÚ) č. 866/2013 z 9. septembra 2013,

  L 241

4

10.9.2013

 M27

VYKONÁVACIE NARIADENIE KOMISIE (EÚ) č. 1204/2013 z 25. novembra 2013,

  L 316

6

27.11.2013

 M28

VYKONÁVACIE NARIADENIE KOMISIE (EÚ) č. 166/2014 zo 17. februára 2014,

  L 54

2

22.2.2014

►M29

VYKONÁVACIE NARIADENIE KOMISIE (EÚ) č. 952/2014 zo 4. septembra 2014,

  L 273

1

13.9.2014

 M30

VYKONÁVACIE NARIADENIE KOMISIE (EÚ) 2015/198 zo 6. februára 2015,

  L 33

9

10.2.2015

 M31

VYKONÁVACIE NARIADENIE KOMISIE (EÚ) 2015/243 z 13. februára 2015,

  L 41

5

17.2.2015

 M32

VYKONÁVACIE NARIADENIE KOMISIE (EÚ) 2015/342 z 2. marca 2015,

  L 60

31

4.3.2015

 M33

VYKONÁVACIE NARIADENIE KOMISIE (EÚ) 2015/526 z 27. marca 2015,

  L 84

30

28.3.2015

►M34

VYKONÁVACIE NARIADENIE KOMISIE (EÚ) 2015/608 zo 14. apríla 2015,

  L 101

1

18.4.2015

 M35

VYKONÁVACIE NARIADENIE KOMISIE (EÚ) 2015/796 z 21. mája 2015,

  L 127

9

22.5.2015

 M36

VYKONÁVACIE NARIADENIE KOMISIE (EÚ) 2015/908 z 11. júna 2015,

  L 148

11

13.6.2015

 M37

VYKONÁVACIE NARIADENIE KOMISIE (EÚ) 2015/1153 zo 14. júla 2015,

  L 187

10

15.7.2015

 M38

VYKONÁVACIE NARIADENIE KOMISIE (EÚ) 2015/1220 z 24. júla 2015,

  L 197

1

25.7.2015

 M39

VYKONÁVACIE NARIADENIE KOMISIE (EÚ) 2015/1349 z 3. augusta 2015,

  L 208

7

5.8.2015

 M40

VYKONÁVACIE NARIADENIE KOMISIE (EÚ) 2015/1363 zo 6. augusta 2015,

  L 210

24

7.8.2015

 M41

VYKONÁVACIE NARIADENIE KOMISIE (EÚ) 2015/1884 z 20. októbra 2015,

  L 276

28

21.10.2015

►M42

VYKONÁVACIE NARIADENIE KOMISIE (EÚ) 2015/2258 zo 4. decembra 2015,

  L 321

23

5.12.2015

 M43

VYKONÁVACIE NARIADENIE KOMISIE (EÚ) 2016/15 zo 7. januára 2016,

  L 5

1

8.1.2016

►M44

VYKONÁVACIE NARIADENIE KOMISIE (EÚ) 2016/39 zo 14. januára 2016,

  L 11

3

16.1.2016

►M45

VYKONÁVACIE NARIADENIE KOMISIE (EÚ) 2016/57 z 19. januára 2016,

  L 13

49

20.1.2016

 M46

VYKONÁVACIE NARIADENIE KOMISIE (EÚ) 2016/148 zo 4. februára 2016,

  L 30

17

5.2.2016

►M47

VYKONÁVACIE NARIADENIE KOMISIE (EÚ) 2016/433 z 22. marca 2016,

  L 76

29

23.3.2016

►M48

VYKONÁVACIE NARIADENIE KOMISIE (EÚ) 2017/151 z 27. januára 2017,

  L 23

7

28.1.2017


Opravené a doplnené:

 C1

Korigendum, Ú. v. ES L 326, 11.12.2015, s.  68 (2015/608)

 C2

Korigendum, Ú. v. ES L 326, 11.12.2015, s.  69 (2015/1884)




▼B

NARIADENIE KOMISIE (ES) č. 798/2008

z 8. augusta 2008,

ktorým sa ustanovuje zoznam tretích krajín, území, oblastí alebo jednotiek, z ktorých možno do Spoločenstva dovážať alebo cez jeho územie prevážať hydinu a výrobky z hydiny, a podmienky veterinárneho osvedčovania

(Text s významom pre EHP)



KAPITOLA I

PREDMET ÚPRAVY, ROZSAH PÔSOBNOSTI A VYMEDZENIE POJMOV

Článok 1

Predmet úpravy a rozsah pôsobnosti

1.  Týmto nariadením sa ustanovujú podmienky veterinárneho osvedčovania vzťahujúce sa na dovoz do Spoločenstva a prepravu cez jeho územie vrátane skladovania počas prepravy týchto komodít (ďalej len „komodity“):

a) hydina, násadové vajcia, jednodňové kurčatá a vajcia bez obsahu špecifikovaných patogénov;

b) mäso, mleté mäso a mechanicky separované mäso z hydiny, vrátane vtákov nadradu bežce a voľne žijúcej pernatej zveri, vajcia a výrobky z vajec.

Ustanovuje sa v ňom zoznam tretích krajín, území, oblastí alebo jednotiek, z ktorých možno komodity do Spoločenstva dovážať.

2.  Toto nariadenie sa nevzťahuje na hydinu určenú na výstavy, prehliadky alebo súťaže.

3.  Toto nariadenie sa uplatňuje bez toho, aby boli dotknuté osobitné požiadavky na osvedčovanie ustanovené v dohodách Spoločenstva s tretími krajinami.

Článok 2

Vymedzenie pojmov

Na účely tohto nariadenia sa pod pojmami:

1. „hydina“ rozumejú kury domáce, morky, perličky, kačice, husi, prepelice, holuby, bažanty, jarabice a vtáky nadradu bežce (ratitae), chované alebo držané v zajatí na účely chovu, produkcie mäsa alebo konzumných vajec alebo na zazverenie voľne žijúcou zverou;

2. „násadové vajcia“ rozumejú vajcia hydiny určené na inkubáciu;

3. „jednodňové kurčatá“ rozumie všetka hydina mladšia ako 72 hodín, ešte nekŕmená, a kačice pižmové (Cairina moschata) alebo ich krížence mladšie ako 72 hodín, kŕmené alebo nekŕmené;

4. „chovná hydina“ rozumie hydina vo veku 72 hodín alebo staršia určená na produkciu násadových vajec;

5. „úžitková hydina“ rozumie hydina vo veku 72 hodín alebo staršia chovaná na:

a) produkciu mäsa a/alebo konzumných vajec alebo

b) na zazverenie voľne žijúcou zverou;

6. „vajcia bez obsahu špecifikovaných patogénov“ rozumejú násadové vajcia, ktoré pochádzajú z „kŕdľov kurčiat bez výskytu špecifikovaných patogénov“ podľa Európskeho liekopisu ( 1 ) a ktoré sú určené iba na diagnostické, výskumné alebo farmaceutické použitie;

7. „mäso“ rozumejú jedlé časti týchto zvierat:

a) hydina, pod ktorou sa, pokiaľ ide o mäso, rozumejú vtáky z chovov vrátane vtákov, ktoré sa chovajú ako domáce zvieratá bez toho, aby sa za také považovali, s výnimkou vtákov nadradu bežce;

b) voľne žijúca pernatá zver, ktorá sa loví na ľudskú spotrebu;

c) vtáky nadradu bežce;

8. „mechanicky separované mäso“ rozumie produkt získaný oddelením mäsa z mäsitých kostí po vykostení alebo z tiel hydiny s použitím mechanických prostriedkov, ktoré má za následok stratu alebo zmenu štruktúry svalového vlákna;

9. „mleté mäso“ rozumie vykostené mäso pomleté na kúsky s obsahom menej ako 1 % soli;

10. „oblasť“ rozumie jasne vymedzená časť tretej krajiny, v ktorej sa nachádza subpopulácia zvierat s jednoznačným zdravotným statusom, pokiaľ ide o konkrétne ochorenie, v súvislosti s ktorým sa podľa tohto nariadenia vykonával požadovaný dohľad, kontrola a opatrenia biologickej bezpečnosti na účely dovozu;

11. „jednotka“ rozumie jeden alebo viac hydinárskych podnikov v tretej krajine, ktoré spadajú pod spoločný systém riadenia biologickej bezpečnosti a v ktorých sa nachádza subpopulácia hydiny s jednoznačným zdravotným statusom, pokiaľ ide o konkrétne ochorenie alebo ochorenia, v súvislosti s ktorými sa podľa tohto nariadenia vykonával požadovaný dohľad, kontrola a opatrenia biologickej bezpečnosti na účely dovozu;

12. „prevádzkareň“ rozumie zariadenie alebo jeho časť, ktoré je umiestnené na jednom mieste a je určené na jednu alebo viaceré z týchto činností:

a) prevádzkareň na výberový chov: prevádzkareň, ktorej činnosť spočíva v produkcii násadových vajec určených na produkciu chovnej hydiny;

b) chovná prevádzkareň: prevádzkareň, ktorej činnosť spočíva v produkcii násadových vajec určených na produkciu úžitkovej hydiny;

c) prevádzkareň na odchov:

i) buď prevádzkareň na odchov chovnej hydiny, ktorej činnosť spočíva v chove hydiny pred reprodukčným štádiom, alebo

ii) prevádzkareň na odchov úžitkovej hydiny, ktorej činnosť spočíva v chove úžitkovej hydiny znášajúcej vajcia pred štádiom znášania;

d) chov inej úžitkovej hydiny;

13. „liaheň“ rozumie prevádzkareň, ktorej náplňou činnosti je inkubácia vajec, liahnutie a dodávanie jednodňových kurčiat;

14. „kŕdeľ“ rozumie všetka hydina s rovnakým zdravotným statusom, ktorá je držaná v tých istých zariadeniach alebo v tej istej ohrade a ktorá tvorí jednu epidemiologickú jednotku; pokiaľ ide o ustajnenú hydinu, tento pojem zahŕňa všetky kusy, ktoré zdieľajú ten istý vzdušný priestor;

15. „vtáčia chrípka“ rozumie nákaza hydiny spôsobená akýmkoľvek chrípkovým vírusom A:

a) podtypov H5 alebo H7;

b) vykazujúcim u šesťtýždňových kurčiat index intravenóznej patogenity (IVPI) vyšší ako 1,2 alebo

c) spôsobujúcim najmenej 75 % úmrtnosť štvor- až osemtýždňových kurčiat nakazených intravenózne;

16. „vysokopatogénna vtáčia chrípka“ (HPAI, highly pathogenic avian influenza) rozumie nákaza hydiny spôsobená:

a) vírusmi vtáčej chrípky podtypov H5 alebo H7, pri ktorých sa analýzou sekvencií genómu preukázala prítomnosť mnohopočetných základných aminokyselín v mieste štiepenia molekuly hemaglutinínu, ktoré sú podobné genómovým sekvenciám pozorovaným pri ďalších vírusoch HPAI, čo znamená, že molekula hemaglutinínu sa môže štiepiť pomocou všadeprítomnej hostiteľskej proteázy;

b) vtáčou chrípkou, ako je vymedzená v bode 15 písm. b) a c);

17. „nízkopatogénna vtáčia chrípka“ (LPAI, low pathogenic avian influenza) rozumie nákaza hydiny spôsobená vírusmi vtáčej chrípky podtypov H5 alebo H7 inými ako vírusmi HPAI;

18. „pseudomor hydiny“ rozumie nákaza hydiny:

a) spôsobená vtáčím kmeňom paramyxovírusu 1 vykazujúcim u jednodňových kurčiat index intracerebrálnej patogenity (ICPI) vyšší ako 0,7 alebo

b) pri ktorej bola vo víruse preukázaná (buď priamo, alebo na základe dedukcie) prítomnosť mnohopočetných základných aminokyselín na C-konci proteínu F2 a fenylalanínu vo zvyšku 117, čo je N-koniec proteínu F1; pod pojmom „mnohopočetné základné aminokyseliny“ sa rozumejú najmenej tri arginínové alebo lyzínové zvyšky medzi zvyškami 113 a 116; v prípade nepreukázania charakteristického vzorca aminokyselinových zvyškov, ako sa opisuje v tomto písmene, je potrebné charakterizovať izolovaný vírus pomocou testu na zistenie indexu intracerebrálnej patogenity; pri tomto pojme sú aminokyselinové zvyšky očíslované od N-konca sekvencie aminokyselín odvodenej od sekvencie nukleotidov génu F0, zvyšky 113 – 116 zodpovedajú zvyškom -4 až -1 od miesta štiepenia;

19. „úradný veterinárny lekár“ rozumie veterinárny lekár určený príslušným orgánom;

20. „stratégia odlíšenia nakazeného zvieraťa od zaočkovaného zvieraťa (stratégia DIVA)“ rozumie stratégia očkovania, ktorá umožňuje rozlíšiť medzi zaočkovanými/nakazenými a zaočkovanými/nenakazenými zvieratami pomocou diagnostického testu určeného na detekovanie protilátok proti voľne sa vyskytujúcemu vírusu a využitia nezaočkovaných vtákov ako indikátorov.



KAPITOLA II

VŠEOBECNÉ PODMIENKY DOVOZU A PREVOZU

Článok 3

Zoznamy tretích krajín, území, oblastí alebo jednotiek pôvodu, z ktorých možno komodity do Spoločenstva dovážať alebo ich cez jeho územie prevážať

Komodity možno do Spoločenstva dovážať alebo cez jeho územie prevážať len z tretích krajín, území, oblastí alebo jednotiek uvedených v stĺpcoch 1 a 3 tabuľky v časti 1 prílohy I.

Článok 4

Veterinárne osvedčovanie

1.  Ku komoditám dovážaným do Spoločenstva musí byť pripojené veterinárne osvedčenie uvedené v stĺpci 4 tabuľky v časti 1 prílohy I pre príslušnú komoditu, vyplnené v súlade s poznámkami a vzormi veterinárnych osvedčení stanovenými v časti 2 uvedenej prílohy (ďalej len „osvedčenie“).

2.  K veterinárnym osvedčeniam na dovoz hydiny a jednodňových kurčiat sa musí pripojiť vyhlásenie veliteľa lode, ak preprava týchto komodít zahŕňa, hoci len na časť cesty, prepravu loďou.

3.  K hydine, násadovým vajciam a jednodňovým kurčatám prevážaným cez Spoločenstvo musí byť priložené:

a) veterinárne osvedčenie uvedené v odseku 1, na ktorom musia byť uvedené slová „na prevoz cez územie ES“, a

b) osvedčenie vyžadované treťou krajinou určenia.

4.  K vajciam bez obsahu špecifikovaných patogénov, mäsu, mletému mäsu a mechanicky separovanému mäsu hydiny, vtákov nadradu bežce a voľne žijúcej pernatej zveri, vajciam a k výrobkom z vajec prevážaným cez územie Spoločenstva musí byť priložené osvedčenie vystavené v súlade so vzorom osvedčenia uvedeným v prílohe XI a podmienkami stanovenými v uvedenej prílohe.

5.  Na účely tejto kapitoly môže prevoz zahŕňať skladovanie počas prevozu v súlade s článkami 12 a 13 smernice 97/78/ES.

6.  Môže sa používať elektronické osvedčovanie a ďalšie schválené systémy harmonizované na úrovni Spoločenstva.

▼M42

Článok 5

Podmienky dovozu a prevozu

1.  Komodity dovážané do Únie a prevážané cez jej územie musia spĺňať tieto podmienky a záruky:

a) podmienky stanovené v článkoch 6 a 7 a v kapitole III;

b) ďalšie záruky uvedené v stĺpci 5 tabuľky v časti 1 prílohy I;

c) osobitné podmienky stanovené v stĺpci 6 a prípadne dátumy uzávierky uvedené v stĺpci 6A a dátumy začatia uvedené v stĺpci 6B tabuľky v časti 1 prílohy I;

d) podmienky v súvislosti so schválením programu kontroly salmonely a súvisiace obmedzenia, ktoré sa uplatňujú len v prípade, že sú uvedené v príslušnom stĺpci tabuľky v časti 1 prílohy I;

e) ďalšie veterinárne záruky, ak ich vyžaduje členský štát určenia a ak sú uvedené v osvedčení.

2.  Na jednotlivé zásielky, ktoré pozostávajú z menej ako 20 jednotiek hydiny inej ako vtáky nadradu bežce, jej násadových vajec alebo jednodňových kurčiat, sa nevzťahujú tieto podmienky stanovené v odseku 1:

a) písm. b);

b) písm. d), ak sú určené na prvovýrobu hydiny na súkromné domáce použitie alebo na prvovýrobu vedúcu k priamym dodávkam malých množstiev primárnych výrobkov zo strany výrobcu, ako sa uvádza v článku 1 ods. 3 nariadenia (ES) č. 2160/2003.

▼B

Článok 6

Postupy vyšetrovania, odberu vzoriek a testovania

Ak sa na účely dovozu komodít do Spoločenstva v súlade s osvedčeniami vyžaduje vyšetrenie, odber vzoriek a testovanie na vtáčiu chrípku, mykoplazmu, pseudomor hydiny, salmonelu a iné patogény s významom pre zdravie zvierat a ľudí, takéto komodity sa do Spoločenstva môžu dovážať len v prípade, že príslušný orgán dotknutej tretej krajiny alebo prípadne príslušný orgán členského štátu určenia vykonal v súlade s prílohou III také vyšetrenia, odbery vzoriek a testovanie.

Článok 7

Požiadavky na hlásenie ochorení

Komodity možno do Spoločenstva dovážať z tretích krajín, území, oblastí alebo jednotiek, pokiaľ dotknutá tretia krajina:

▼M2

a) podá Komisii správu o nákazovej situácii do 24 hodín od potvrdenia každého primárneho ohniska LPAI, HPAI alebo pseudomoru hydiny;

b) bezodkladne predloží referenčnému laboratóriu Spoločenstva pre vtáčiu chrípku a pseudomor hydiny ( 2 ) izoláty vírusu z primárnych ohnísk HPAI a pseudomoru hydiny; takéto izoláty vírusu sa nevyžadujú v prípade dovozu vajec, výrobkov z vajec a vajec bez obsahu špecifikovaných patogénov z tretích krajín, území, oblastí alebo jednotiek, z ktorých je povolené dovážať tieto komodity do Spoločenstva;

▼B

c) predkladá Komisii pravidelné aktualizované správy o nákazovej situácii.



KAPITOLA III

ZDRAVOTNÝ STATUS ZVIERAT V TRETÍCH KRAJINÁCH, ÚZEMIACH, OBLASTIACH ALEBO JEDNOTKÁCH PÔVODU, POKIAĽ IDE O VTÁČIU CHRÍPKU A PSEUDOMOR HYDINY

Článok 8

Tretie krajiny, územia, oblasti alebo jednotky bez výskytu vtáčej chrípky

1.  Na účely tohto nariadenia je tretia krajina, územie, oblasť alebo jednotka, z ktorých sa do Spoločenstva dovážajú komodity, bez výskytu vtáčej chrípky vtedy, ak sa:

a) v danej tretej krajine, na území, v oblasti alebo jednotke nevyskytla vtáčia chrípka najmenej 12 mesiacov pred vydaním osvedčenia úradným veterinárnym lekárom;

b) vykonával program dohľadu nad vtáčou chrípkou v súlade s článkom 10 najmenej 6 mesiacov pred vydaním osvedčenia uvedeného v písmene a) tohto odseku, ak sa to v danom osvedčení vyžaduje.

2.  Ak sa vyskytne ohnisko vtáčej chrípky v tretej krajine, na území, v oblasti alebo jednotke, ktoré boli predtým bez výskytu tohto ochorenia v zmysle odseku 1, takáto tretia krajina, územie, oblasť alebo jednotka sa opätovne považujú za celky bez výskytu vtáčej chrípky za predpokladu splnenia týchto podmienok:

a) v prípade HPAI bola na účely kontroly ochorenia realizovaná politika depopulácie;

b) v prípade LPAI bola na účely kontroly ochorenia realizovaná politika depopulácie alebo bola hydina zabitá;

c) všetky prevádzky, v ktorých sa predtým vyskytla nákaza, boli náležite vyčistené a vydezinfikované;

d) v súlade s časťou II prílohy IV bol tri mesiace po ukončení čistenia a dezinfekcie uvedených v písmene c) tohto odseku vykonávaný dohľad nad vtáčou chrípkou s negatívnymi výsledkami.

Článok 9

Tretie krajiny, územia, oblasti alebo jednotky bez výskytu HPAI

1.  Na účely tohto nariadenia je tretia krajina, územie, oblasť alebo jednotka, z ktorých sa do Spoločenstva dovážajú komodity, bez výskytu HPAI, ak sa v danej tretej krajine, na území, v oblasti alebo jednotke nevyskytlo toto ochorenie najmenej 12 mesiacov pred vydaním osvedčenia úradným veterinárnym lekárom.

2.  Ak sa vyskytne ohnisko HPAI v tretej krajine, na území, v oblasti alebo jednotke, ktoré boli predtým bez výskytu tohto ochorenia v zmysle odseku 1, takáto tretia krajina, územie, oblasť alebo jednotka sa opätovne považujú za celky bez výskytu HPAI za predpokladu splnenia týchto podmienok:

a) na účely kontroly ochorenia sa realizovala politika depopulácie vrátane náležitého vyčistenia a dezinfekcie všetkých prevádzok, v ktorých sa predtým vyskytla nákaza;

b) v súlade s časťou II prílohy IV bol tri mesiace po ukončení depopulácie a čistenia a dezinfekcie uvedených v písmene a) vykonávaný dohľad nad vtáčou chrípkou.

Článok 10

Programy dohľadu nad vtáčou chrípkou

Ak sa v osvedčení vyžaduje program dohľadu nad vtáčou chrípkou, komodity sa do Spoločenstva môžu dovážať z tretích krajín, území, oblastí alebo jednotiek, ak:

a) sa v tretej krajine, na území, v oblasti lebo jednotke realizoval najmenej 6 mesiacov program dohľadu nad vtáčou chrípkou uvedený v stĺpci 7 tabuľky v časti 1 prílohy I a tento plán spĺňa požiadavky:

i) stanovené v časti I prílohy IV alebo

ii) stanovené v Kódexe zdravia suchozemských zvierat Svetovej organizácie pre zdravie zvierat ( 3 );

b) tretia krajina podá Komisii správu o akýchkoľvek zmenách programu dohľadu nad vtáčou chrípkou.

Článok 11

Očkovanie proti vtáčej chrípke

Ak sa v tretích krajinách, na územiach, v oblastiach alebo jednotkách vykonáva očkovanie proti vtáčej chrípke, môže sa do Spoločenstva dovážať hydina alebo iné komodity z očkovanej hydiny, len ak:

a) tretia krajina vykonáva očkovanie proti vtáčej chrípke v súlade s plánom očkovania uvedenom v stĺpci 8 tabuľky v časti 1 prílohy I a tento plán spĺňa požiadavky uvedené v prílohe V;

b) tretia krajina podá Komisii správu o akýchkoľvek zmenách programu očkovania proti vtáčej chrípke.

Článok 12

Tretie krajiny, územia, oblasti alebo jednotky bez výskytu pseudomoru hydiny

1.  Na účely tohto nariadenia je tretia krajina, územie, oblasť alebo jednotka, z ktorých sa do Spoločenstva dovážajú komodity, bez výskytu pseudomoru hydiny za predpokladu splnenia týchto podmienok:

a) v danej tretej krajine, na území, v oblasti alebo jednotke sa nevyskytol pseudomor hydiny najmenej 12 mesiacov pred vydaním osvedčenia úradným veterinárnym lekárom;

b) najmenej počas obdobia uvedeného v písmene a) sa nevykonávalo žiadne očkovanie proti pseudomoru hydiny očkovacími látkami, ktoré nespĺňajú kritériá na uznané očkovacie látky proti pseudomoru hydiny vymedzené v prílohe VI.

2.  Ak sa vyskytne ohnisko pseudomoru v tretej krajine, na území, v oblasti alebo jednotke, ktoré boli predtým bez výskytu tohto ochorenia v zmysle odseku 1, takáto tretia krajina, územie, oblasť alebo jednotka sa opätovne považujú za celky bez výskytu pseudomoru hydiny za predpokladu splnenia týchto podmienok:

a) na účely kontroly tohto ochorenia bola realizovaná politika depopulácie;

b) všetky prevádzky, v ktorých sa predtým vyskytla nákaza, boli náležite vyčistené a vydezinfikované;

c) počas obdobia najmenej 3 mesiacov po ukončení depopulácie a čistenia a dezinfekcie uvedených v písmenách a) a b):

i) príslušný orgán tretej krajiny môže preukázať neprítomnosť tohto ochorenia v tretej krajine, na území, v oblasti alebo jednotke pomocou intenzívnejších vyšetrovacích postupov vrátane laboratórneho testovania, pokiaľ ide o ohnisko;

ii) nebolo vykonané žiadne očkovanie proti pseudomoru hydiny očkovacími látkami, ktoré nespĺňajú kritériá na uznané očkovacie látky proti pseudomoru hydiny vymedzené v prílohe VI.

Článok 13

Výnimky týkajúce sa používania očkovacích látok proti pseudomoru hydiny

1.  Pokiaľ ide o komodity uvedené v článku 1 ods. 1 písm. a) a odchylne od článku 12 ods. 1 písm. b) a článku 12 ods. 2 písm. c) bodu ii), tretia krajina, územie, oblasť alebo jednotka sa považujú za celky bez výskytu pseudomoru hydiny v prípade splnenia týchto podmienok:

a) v tretej krajine, na území, v oblasti alebo jednotke je povolené používanie očkovacích látok, ktoré spĺňajú všeobecné kritériá vymedzené v časti I prílohy VI, ale nespĺňajú osobitné kritériá stanovené v časti II uvedenej prílohy;

b) sú splnené ďalšie zdravotné požiadavky stanovené v časti I prílohy VII.

2.  Pokiaľ ide o komodity uvedené v článku 1 ods. 1 písm. b) a odchylne od článku 12 ods. 1 písm. b) a článku 12 ods. 2 písm. c) bodu ii), tretia krajina, územie, oblasť alebo jednotka, z ktorých sa povoľuje dovoz hydinového mäsa do Spoločenstva, sa považujú za celky bez výskytu pseudomoru hydiny v prípade splnenia ďalších zdravotných požiadaviek stanovených v časti II prílohy VII.



KAPITOLA IV

OSOBITNÉ PODMIENKY DOVOZU

▼M42

Článok 14

Osobitné podmienky dovozu hydiny, násadových vajec a jednodňových kurčiat

1.  Okrem podmienok stanovených v kapitolách II a III platia tieto osobitné podmienky na dovoz:

a) chovnej a úžitkovej hydiny inej ako vtáky nadradu bežce, jej násadových vajec a jednodňových kurčiat: požiadavky stanovené v prílohe VIII;

b) chovných a úžitkových vtákov nadradu bežce, ich násadových vajec a jednodňových kurčiat: požiadavky stanovené v prílohe IX.

2.  Osobitné podmienky uvedené v odseku 1 písm. a) a b) sa nevzťahujú na jednotlivé zásielky, ktoré pozostávajú z menej ako 20 jednotiek hydiny inej ako vtáky nadradu bežce, jej násadových vajec alebo jednodňových kurčiat. Na uvedené zásielky sa však vzťahujú požiadavky uplatniteľné po dovoze, ktoré sú stanovené v prílohe VIII oddiele II.

▼B

Článok 15

Osobitné podmienky dovozu vajec bez obsahu špecifických patogénov

Okrem požiadaviek stanovených v článkoch 3 až 6 musia vajcia bez obsahu špecifických patogénov dovážané do Spoločenstva spĺňať tieto požiadavky:

a) musia byť označené odtlačkom pečiatky s kódom ISO tretej krajiny pôvodu a číslom schválenia prevádzkarne pôvodu;

b) každé balenie vajec bez obsahu špecifikovaných patogénov môže obsahovať iba vajcia z tej istej krajiny pôvodu, prevádzkarne a od toho istého odosielateľa, a musia byť na ňom vyznačené tieto údaje:

i) informácie uvádzané na vajciach stanovené v písmene a);

ii) dobre viditeľné a čitateľné označenie, že zásielka obsahuje vajcia bez obsahu špecifikovaných patogénov;

iii) meno alebo obchodné meno odosielateľa a jeho adresa;

c) vajcia bez obsahu špecifických patogénov dovážané do Spoločenstva musia byť priamo prepravené do konečného miesta určenia po vykonaní dovozných kontrol bez zistenia nezrovnalostí.

Článok 16

Osobitné podmienky prepravy hydiny, násadových vajec a jednodňových kurčiat

Hydina a jednodňové kurčatá dovážané do Spoločenstva sa nesmú:

a) nakladať na dopravné prostriedky prepravujúce inú hydinu a jednodňové kurčatá nižšieho zdravotného statusu;

b) v priebehu prepravy do Spoločenstva prepravovať cez tretiu krajinu, územie, oblasť alebo jednotku, z ktorých nie je povolený dovoz takejto hydiny a jednodňových kurčiat do Spoločenstva ani sa v nich nesmú vykladať.

Článok 17

Osobitné podmienky dovozu mäsa vtákov nadradu bežce

Do Spoločenstva sa môže dovážať len mäso pochádzajúce z vtákov nadradu bežce, ktoré podliehali ochranným opatreniam v súvislosti s krymsko-konžskou hemoragickou horúčkou, stanoveným v časti II prílohy X.



KAPITOLA V

OSOBITNÉ PODMIENKY PREVOZU

▼M15

Článok 18

Výnimky pre tranzit cez Lotyšsko, Litvu a Poľsko

1.  Odchylne od článku 4 ods. 4 sa medzi hraničnými inšpekčnými stanicami v Lotyšku, Litve a Poľsku uvedenými v prílohe k rozhodnutiu Komisie 2009/821/ES ( 4 ) povoľuje tranzit zásielok mäsa, mletého mäsa a mechanicky separovaného mäsa z hydiny vrátane vtákov nadradu bežce a voľne žijúcej pernatej zveri, vajec a vaječných výrobkov a vajec bez obsahu špecifikovaných patogénov pochádzajúcich z Ruska a smerujúcich do Ruska priamo alebo cez inú tretiu krajinu cestnou alebo železničnou dopravou za predpokladu splnenia týchto podmienok:

a) zásielka je úradným veterinárnym lekárom na hraničnej inšpekčnej stanici v mieste vstupu v Lotyšsku, Litve alebo Poľsku zapečatená pečaťou s poradovým číslom;

b) sprievodné doklady k zásielke stanovené v článku 7 smernice 97/78/ES označí úradný veterinárny lekár na hraničnej inšpekčnej stanici vstupu v Lotyšsku, Litve alebo Poľsku na každej strane pečiatkou „LEN NA TRANZIT DO RUSKA CEZ EÚ“;

c) sú splnené procedurálne požiadavky stanovené v článku 11 smernice 97/78/ES;

d) zásielka je na spoločnom veterinárnom vstupnom doklade vydanom úradným veterinárnym lekárom na hraničnej inšpekčnej stanici vstupu v Lotyšsku, Litve a Poľsku osvedčená za prípustnú na tranzit.

▼M26

2.  Odchylne od článku 4 ods. 4 sa povoľuje prevoz zásielok vajec, výrobkov z vajec a mäsa z hydiny pochádzajúcich z Bieloruska a smerujúcich na ruské územie Kaliningrad cestnou alebo železničnou dopravou medzi hraničnými inšpekčnými stanicami v Litve uvedenými v prílohe k rozhodnutiu 2009/821/ES, ak sú splnené tieto podmienky:

▼M15

a) zásielku na hraničnej inšpekčnej stanici vstupu v Litve zapečatí úradný veterinárny lekár pečaťou s poradovým číslom;

b) sprievodné doklady k zásielke stanovené v článku 7 smernice 97/78/ES označí úradný veterinárny lekár na hraničnej inšpekčnej stanici vstupu v Litve na každej strane pečiatkou „LEN NA TRANZIT DO RUSKA CEZ LITVU“;

c) sú splnené procedurálne požiadavky stanovené v článku 11 smernice 97/78/ES;

d) zásielka je na spoločnom veterinárnom vstupnom doklade vydanom úradným veterinárnym lekárom na hraničnej inšpekčnej stanici vstupu v Litve osvedčená za prípustnú na tranzit.

3.  Zásielky uvedené v odsekoch 1 a 2 sa nesmú v rámci Únie vykladať ani uskladňovať podľa článku 12 ods. 4 alebo článku 13 smernice 97/78/ES.

4.  Príslušný orgán vykonáva pravidelné audity s cieľom zabezpečiť, aby počet zásielok uvedených v odsekoch 1 a 2 a príslušné množstvá produktov opúšťajúcich Úniu zodpovedali počtu a množstvu, ktoré do Únie vstupujú.

▼M25

Článok 18a

Výnimka v prípade prevozu zásielok pochádzajúcich z Bosny a Hercegoviny určených do tretích krajín cez Chorvátsko

1.  Odchylne od článku 4 ods. 4 sa medzi hraničnou inšpekčnou stanicou Nova Sela a hraničnou inšpekčnou stanicou Ploče povoľuje priamy cestný prevoz zásielok mäsa, mletého mäsa a mechanicky separovaného mäsa z hydiny vrátane vtákov nadradu bežce a voľne žijúcej pernatej zveri, vajec a vaječných výrobkov a vajec bez obsahu špecifikovaných patogénov pochádzajúcich z Bosny a Hercegoviny a smerujúcich do tretích krajín za predpokladu splnenia týchto podmienok:

a) zásielka je úradným veterinárnym lekárom na hraničnej inšpekčnej stanici vstupu zapečatená pečaťou s poradovým číslom;

b) doklady priložené k zásielke uvedené v článku 7 smernice 97/78/ES úradný veterinárny lekár na hraničnej inšpekčnej stanici vstupu označí na každej strane odtlačkom pečiatky v znení „LEN NA PREPRAVU DO TRETÍCH KRAJÍN CEZ EÚ“;

c) sú splnené procedurálne požiadavky uvedené v článku 11 smernice 97/78/ES;

d) zásielka je na spoločnom veterinárnom vstupnom doklade uvedenom v článku 2 ods. 1 nariadenia Komisie (ES) č. 136/2004 ( 5 ) vydanom úradným veterinárnym lekárom na hraničnej inšpekčnej stanici vstupu osvedčená za prípustnú na prevoz.

2.  Takéto zásielky sa nesmú na území Únie vykladať ani uskladňovať podľa článku 12 ods. 4 alebo článku 13 smernice 97/78/ES.

3.  Príslušný orgán vykonáva pravidelné audity s cieľom zabezpečiť, aby počet zásielok a množstvo produktov opúšťajúcich Úniu zodpovedali počtu a množstvu, ktoré do Únie vstupujú.

▼B



KAPITOLA VI

PRECHODNÉ A KONEČNÉ USTANOVENIA

Článok 19

Zrušenia

Rozhodnutia 93/342/EHS, 94/438/ES a 2006/696/ES sa zrušujú.

Odkazy na zrušené rozhodnutia sa považujú za odkazy na toto nariadenie v súlade s tabuľkou zhody uvedenou v prílohe XII.

Článok 20

Prechodné ustanovenia

Komodity, na ktoré boli vystavené príslušné veterinárne osvedčenia v súlade s rozhodnutiami 93/342/EHS, 94/438/ES a 2006/696/ES, možno do Spoločenstva dovážať alebo cez jeho územie prevážať do 15. februára 2009.

Článok 21

Nadobudnutie účinnosti

Toto nariadenie nadobúda účinnosť dvadsiatym dňom po jeho uverejnení v Úradnom vestníku Európskej únie.

Uplatňuje sa od 1. januára 2009.

Toto nariadenie je záväzné v celom rozsahu a priamo uplatniteľné vo všetkých členských štátoch.




PRÍLOHA I

HYDINA, NÁSADOVÉ VAJCIA, JEDNODŇOVÉ KURČATÁ, VAJCIA BEZ OBSAHU ŠPECIFIKOVANÝCH PATOGÉNOV, MÄSO, MLETÉ MÄSO, MECHANICKY SEPAROVANÉ MÄSO, VAJCIA A VÝROBKY Z VAJEC

▼M42

ČASŤ 1

Zoznam tretích krajín, území, oblastí alebo jednotiek



Kód ISO a názov tretej krajiny alebo územia

Kód tretej krajiny, územia, oblasti alebo jednotky

Opis tretej krajiny, územia, oblasti alebo jednotky

Veterinárne osvedčenie

Osobitné podmienky

Osobitné podmienky

Status dohľadu nad vtáčou chrípkou

Status očkovania proti vtáčej chrípke

Status kontroly salmonely (6)

Vzor(-y)

Ďalšie záruky

Dátum ukončenia (1)

Dátum začatia (2)

1

2

3

4

5

6

6A

6B

7

8

9

AL – Albánsko

AL-0

Celá krajina

EP, E

 

 

 

 

 

 

S4

AR – Argentína

AR-0

Celá krajina

SPF

 

 

 

 

 

 

 

POU, RAT, EP, E

 

 

 

 

A

 

S4

WGM

VIII

 

 

 

 

 

 

AU – Austrália

AU – 0

Celá krajina

SPF

 

 

 

 

 

 

 

EP, E

 

 

 

 

 

 

S4

BPP, DOC, HEP, SRP, LT20

 

 

 

 

 

 

S0, ST0

BPR

I

 

 

 

 

 

 

DOR

II

 

 

 

 

 

 

HER

III

 

 

 

 

 

 

POU

VI

 

 

 

 

 

 

RAT

VII

 

 

 

 

 

 

BR – Brazília

BR-0

Celá krajina

SPF

 

 

 

 

 

 

 

BR-1

Štáty:

Rio Grande do Sul, Santa Catarina, Paraná, São Paulo a Mato Grosso do Sul

RAT, BPR, DOR, HER, SRA

 

N

 

 

A

 

 

BR-2

Štáty:

Mato Grosso, Paraná, Rio Grande do Sul, Santa Catarina a São Paulo

BPP, DOC, HEP, SRP, LT20

 

N

 

 

 

S5, ST0

BR-3

Distrito Federal a štáty:

Goiás, Minas Gerais, Mato Grosso, Mato Grosso do Sul, Paraná, Rio Grande do Sul, Santa Catarina a São Paulo

WGM

VIII

 

 

 

 

 

 

EP, E, POU

 

N

 

 

 

 

S4

BW – Botswana

BW-0

Celá krajina

SPF

 

 

 

 

 

 

 

EP, E

 

 

 

 

 

 

S4

BPR

I

 

 

 

 

 

 

DOR

II

 

 

 

 

 

 

HER

III

 

 

 

 

 

 

RAT

VII

 

 

 

 

 

 

BY – Bielorusko

BY-0

Celá krajina

EP a E (v oboch prípadoch len „na tranzit cez Litvu“)

IX

 

 

 

 

 

 

CA – Kanada

CA-0

Celá krajina

SPF

 

 

 

 

 

 

 

EP, E

 

 

 

 

 

 

S4

CA-1

Celé územie Kanady s výnimkou územia CA-2

WGM

VIII

 

 

 

 

 

 

BPR, BPP, DOC, DOR, HEP, HER, SRP, SRA, LT20

 

N

 

 

A

 

S1, ST1

POU, RAT

 

N

 

 

 

 

 

CA-2

Územie Kanady, ktoré zodpovedá:

 

 

 

 

 

 

 

 

CA-2.1

„primárne pásmo kontroly“

vymedzené týmito hranicami:

— na západe Tichým oceánom,

— na juhu hranicou so Spojenými štátmi americkými,

— na severe diaľnicou 16,

— na východe hranicou medzi provinciami Britská Kolumbia a Alberta.

WGM

VIII

P2

4.12.2014

9.6.2015

 

 

 

POU, RAT

 

N, P2

 

 

 

BPR, BPP, DOC, DOR, HEP, HER, SRP, SRA, LT20

 

A

 

S1, ST1

CA-2.2

Oblasť v provincii Ontario vymedzená týmito hranicami:

— od cesty County Road 119, na jej priesečníku s cestou County Road 64 a cestou 25th Line;

— na sever po ceste 25th Line po jej križovatku s cestou Road 68, ďalej na východ po ceste Road 68 až po opätovnú križovatku s cestou 25th Line, a ďalej na sever po ceste 25th Line až po cestu 74 Road;

— na východ po ceste 74 Road od cesty 25th Line po cestu 31st Line;

— na sever po ceste 31st Line od cesty 74 Road po cestu 78 Road;

— na východ po ceste 78 Road od cesty 31st Line po cestu 33rd Line;

— cesta 33rd Line, smer sever, od cesty 78 Road po cestu 84 Road;

— na východ po ceste 84 Road od cesty 33rd Line po diaľnicu Highway 59;

— na juh po diaľnici Highway 59 od cesty 84 Road po cestu Road 78;

— na východ po ceste Road 78 od diaľnice Highway 59 po cestu 13th Line;

— na juh po ceste 13th Line od cesty 78 Road po cestu Oxford Road 17;

— na východ po ceste Oxford Road 17 od cesty 13 Line po cestu Oxford Road 4;

— na juh po ceste Oxford Road 4 od cesty Oxford Road 17 po cestu County Road 15;

— na východ po ceste County Road 15, cez diaľnicu Highway 401, od cesty Oxford Road 4 po cestu Middletown Line;

— cesta Middletown Line, smer juh, cez diaľnicu 403, od cesty County Road 15 po cestu Old Stage Road;

— cesta Old Stage Road, smer západ, od cesty Middletown Line po cestu County Road 59;

— na juh po ceste County Road 59 od cesty Old Stage Road po cestu Curries Road;

— na západ po ceste Curries Road od cesty County Road 59 po cestu Cedar Line;

— cesta Cedar Line, smer juh, od cesty Curries Road po cestu Rivers Road;

— cesta Rivers Road, smer juhozápad, od cesty Cedar Line po cestu Foldens Line;

— cesta Foldens Line, severozápad, od cesty Rivers Road po cestu Sweaburg Road;

— cesta Sweaburg Road, juhozápad, od cesty Foldens Line po cestu Harris Street;

— cesta Harris Street, severozápad, od cesty Sweaburg Road po diaľnicu Highway 401;

— diaľnica Highway 401, smer západ, od cesty Harris Street po cestu Ingersoll Street, (County Road 10);

— cesta Ingersoll Street (County Road 10), smer sever, od diaľnice Highway 401 po cestu County Road 119;

— po ceste County Road 119 od cesty Ingersoll Street (County Road 10) po začiatočný bod v mieste priesečníka cesty County Road 119 a cesty 25 Line.

WGM

VIII

P2

8.4.2015

 

 

 

 

POU, RAT

 

N, P2

8.10.2015

 

 

 

BPR, BPP, DOC, DOR, HEP, HER, SRP, SRA, LT20

A

 

S1, ST1

CA-2.3

Oblasť v provincii Ontario vymedzená týmito hranicami:

— Twnshp Rd 4, smer západ, od priesečníka s diaľnicou Highway 401 po cestu Blandford Road;

— na sever po ceste Blandford Road od cesty Twnshp Rd 4 po cestu Oxford-Waterloo Road;

— na východ po ceste Oxfordu Waterloo Road od cesty Blandford Road po cestu Walker Road;

— na sever po ceste Walker Road od cesty Oxford-Waterloo Road po cestu Bridge St;

— na východ po ceste Bridge St od cesty Walker Road po cestu Puddicombe Road;

— na sever po ceste Puddicombe Road od cesty Bridge St po cestu Bethel Road;

— na východ po ceste Bethel Road od cesty Puddicombe road po cestu Queen Street;

— na juh po ceste Queen Street od cesty Bethel Road po cestu Bridge street;

— na východ po ceste Bridge Street od cesty Queen Street po cestu Trussler Road;

— cesta Trussler Road, smer juh, od cesty Bridge Street po cestu Oxford Road 8;

— cesta Oxford Road 8, smer východ, od cesty Trussler Road po cestu Northumberland Street;

— na juh po ceste Northumberland St od cesty Oxford Road 8, ďalej pozdĺž cesty Swan Street/Ayr Road po cestu Brant Waterloo Road;

— na západ po ceste Brant Waterloo Road od cesty Swan St/Ayr Road po cestu Trussler Road;

— na juh po ceste Trussler Road od cesty Brant Waterloo Road po cestu Township Road 5;

— na západ po ceste Township Road 5 od cesty Trussler Road po cestu Blenheim Road;

— na juh po ceste Blenheim Road od cesty Township Road 5 po cestu Township Road 3;

— na západ po ceste Township Road 3 od cesty Blenheim Road po cestu Oxford Road 22;

— na sever po ceste Oxford Road 22 od cesty Township Road 3 po cestu Township Road 4;

— na západ po ceste Township Road 4 od cesty Oxford Road 22 po cestu Highway 401.

WGM

VIII

P2

8.4.2015

8.10.2015

 

 

 

POU, RAT

 

N,

P2

 

 

 

BPR, BPP, DOC, DOR, HEP, HER, SRP, SRA, LT20

 

A

 

S1, ST1

CH – Švajčiarsko

CH-0

Celá krajina

 (3)

 

 

 

 

A

 

 (3)

CL – Čile

CL-0

Celá krajina

SPF

 

 

 

 

 

 

 

EP, E

 

 

 

 

 

 

S4

BPP, BPR, DOC, DOR, HEP, HER, SRP, SRA, LT20

 

N

 

 

A

 

S0, ST0

WGM

VIII

 

 

 

 

 

 

POU, RAT

 

N

 

 

 

 

 

KN – Čína

KN-0

Celá krajina

EP

 

 

 

 

 

 

 

KN-1

Provincia Shandong

POU, E

VI

P2

6.2.2004

 

 

S4

GL – Grónsko

GL-0

Celá krajina

SPF

 

 

 

 

 

 

 

EP, WGM

 

 

 

 

 

 

 

HK – Hongkong

HK-0

Celé územie osobitnej administratívnej oblasti Hongkong

EP

 

 

 

 

 

 

 

▼M48

IL – Izrael (5)

IL-0

Celá krajina

SPF, EP

 

 

 

 

 

 

 

BPP, BPR, DOC, DOR, HEP, HER, LT20

X

P3

28.1.2017

 

A

 

S5, ST1

SRP

 

P3

18.4.2015

 

 

 

 

RAT

X

P3

28.1.2017

 

 

 

 

WGM

VIII

P3

18.4.2015

 

 

 

 

E

X

P3

28.1.2017

 

 

 

S4

IL-1

Oblasť južne od cesty č. 5

POU

X

N

 

 

 

 

 

IL-2

Oblasť severne od cesty č. 5

POU

X

P3

28.1.2017

 

 

 

 

▼M42

IN – India

IN-0

Celá krajina

EP

 

 

 

 

 

 

 

IS – Island

IS-0

Celá krajina

SPF

 

 

 

 

 

 

 

EP, E

 

 

 

 

 

 

S4

KR – Kórejská republika

KR-0

Celá krajina

EP, E

 

 

 

 

 

 

S4

MD – Moldavsko

MD-0

Celá krajina

EP

 

 

 

 

 

 

 

ME – Čierna Hora

ME-0

Celá krajina

EP

 

 

 

 

 

 

 

MG – Madagaskar

MG-0

Celá krajina

SPF

 

 

 

 

 

 

 

EP, E, WGM

 

 

 

 

 

 

S4

MY – Malajzia

MY-0

 

 

 

 

 

 

 

MY-1

Západný polostrov

EP

 

 

 

 

 

 

 

E

 

 

 

 

 

 

S4

▼M48

MK – bývalá juhoslovanská republika Macedónsko (4)

MK-0 (4)

Celá krajina

POU

 

 

 

 

 

 

 

E, EP

 

 

 

 

 

 

 

▼M44

MX – Mexiko

MX-0

celá krajina

SPF

 

 

 

 

 

 

 

EP

 

 

 

5. februára 2016

 

 

 

▼M42

NA – Namíbia

NA-0

Celá krajina

SPF

 

 

 

 

 

 

 

BPR

I

 

 

 

 

 

 

DOR

II

 

 

 

 

 

 

HER

III

 

 

 

 

 

 

RAT, EP, E

VII

 

 

 

 

 

S4

NC – Nová Kaledónia

NC-0

Celá krajina

EP

 

 

 

 

 

 

 

NZ – Nový Zéland

NZ-0

Celá krajina

SPF

 

 

 

 

 

 

 

BPP, BPR, DOC, DOR, HEP, HER, SRP, SRA, LT20,

 

 

 

 

 

 

S0, ST0

WGM

VIII

 

 

 

 

 

 

EP, E, POU, RAT

 

 

 

 

 

 

S4

PM – Saint Pierre a Miquelon

PM-0

Celé územie

SPF

 

 

 

 

 

 

 

RS – Srbsko

RS-0

Celá krajina

EP

 

 

 

 

 

 

 

RU – Ruská federácia

RU-0

Celá krajina

EP, E, POU

 

 

 

 

 

 

S4

 

 

 

 

 

 

 

SG – Singapur

SG-0

Celá krajina

EP

 

 

 

 

 

 

 

TH – Thajsko

TH-0

Celá krajina

SPF, EP

 

 

 

 

 

 

 

WGM

VIII

 

 

1.7.2012

 

 

 

POU, RAT

 

 

 

1.7.2012

 

 

 

E

 

 

 

1.7.2012

 

 

S4

TN – Tunisko

TN-0

Celá krajina

SPF

 

 

 

 

 

 

 

BPP, LT20, BPR, DOR, HER

 

 

 

 

 

 

S0, ST0

WGM

VIII

 

 

 

 

 

 

EP, E, POU, RAT

 

 

 

 

 

 

S4

TR – Turecko

TR-0

Celá krajina

SPF

 

 

 

 

 

 

 

EP, E

 

 

 

 

 

 

S4

UA – Ukrajina

UA-0

Celá krajina

EP, E, POU, RAT, WGM

 

 

 

 

 

 

 

US – Spojené štáty americké

US-0

Celá krajina

SPF

 

 

 

 

 

 

 

EP, E

 

 

 

 

 

 

S4

US-1

oblasť Spojených štátov amerických s výnimkou územia US-2

WGM

VIII

 

 

 

 

 

 

POU, RAT

 

N

 

 

 

 

 

BPP, BPR, DOC, DOR, HEP, HER, SRP, SRA, LT20

 

 

 

A

 

S3, ST1

US-2

oblasť Spojených štátov amerických, ktorá zodpovedá:

 

 

 

 

 

 

 

 

US-2.1

štát Washington:

okres Benton

okres Franklin

WGM

VIII

P2

19.12.2014

7.4.2015

 

 

 

POU, RAT

 

N

P2

 

 

 

BPR, BPP, DOC, DOR, HEP, HER, SRP, SRA, LT20

 

A

 

S3, ST1

US-2.2

štát Washington:

okres Clallam

WGM

VIII

P2

19.12.2014

11.5.2015

 

 

 

POU, RAT

 

N

P2

 

 

 

BPR, BPP, DOC, DOR, HEP, HER, SRP, SRA, LT20

 

A

 

S3, ST1

US-2.3

štát Washington:

okres Okanogan (1):

a)  sever: Začiatok na križovatke cesty US 97 WA 20 a cesty S. Janis Road, zabočiť vpravo na cestu S. Janis Road. Zabočiť vľavo na cestu McLaughlin Canyon Road, potom vpravo na cestu Hardy Road a následne vľavo na cestu Chewilken Valley Road.

b)  východ: Od cesty Chewilken Valley Road zabočiť vpravo na cestu JH Green Road, potom vľavo na cestu Hosheit Road, odtiaľ doľava na cestu Tedrow Trail Road, následne vľavo na cestu Brown Pass Road až po hranicu rezervácie Colville Tribe. Po hranici rezervácie Colville Tribe na západ a potom na juh až po križovatku s US 97 WA 20.

c)  juh: Zabočiť vpravo na cestu US 97 WA 20, potom vľavo na cestu Cherokee Road, neskôr vpravo na cestu Robinson Canyon Road. Zabočiť doľava na Bide A Wee Road, potom vľavo na Duck Lake Road, ďalej vpravo na Soren Peterson Road, následne vľavo na Johnson Creek Road a vpravo na George Road. Doľava na Wetherstone Road a vpravo na Eplay Road.

d)  západ: Z Eplay Road zabočiť vpravo na cestu Conconully Road/6th Avenue, potom vľavo na cestu Green Lake Road, ďalej vpravo na cestu Salmon Creek Road, následne vpravo na cestu Happy Hill Road a potom vľavo na cestu Conconully Road (zmení sa na Main Street). Zabočiť doprava na ulicu Broadway, potom doľava na C Street, potom vpravo na Lake Street E, ďalej vpravo na Sinlahekin Road, pokračovať vpravo po S. Fish Lake Road a následne vpravo na Fish Lake Road. Zabočiť doľava na N. Pine Creek Road, potom vpravo na Henry Road (zmení sa na N. Pine Creek Road), potom doprava na cestu Indian Springs Road a následne vpravo na Hwy 7 až po US 97 WA 20.

WGM

VIII

P2

29.1.2015

16.6.2015

 

 

 

POU, RAT

 

N

P2

 

 

 

BPR, BPP, DOC, DOR, HEP, HER, SRP, SRA, LT20

 

A

 

S3, ST1

US-2.4

štát Washington:

okres Okanogan (2):

a)  sever: Od priesečníka diaľnice US Hwy 95 s kanadskou hranicou pokračovať na východ pozdĺž kanadskej hranice a potom zabočiť vpravo na cestu 9 Mile Road (County Hwy 4777).

b)  východ: Z cesty 9 Mile Road zabočiť vpravo na diaľnicu Old Hwy 4777, ktorá sa stáča na juh na cestu Molson Road. Zabočiť doprava na Chesaw Road, potom doľava na Forest Service 3525, následne vľavo na Forest Development Road 350, ktorá sa zmení na Forest Development Road 3625. Odtiaľ na západ, potom doľava na Forest Service 3525, ďalej doprava na Rone Road, opäť vpravo na Box Spring Road, následne doľava na Mosquito Creek Road a vpravo na Swanson Mill Road.

c)  juh: Zo Swanson Mill Road doľava na O'Neil Road a ďalej na juh po ceste 97N. Zabočiť vpravo na Ellis Forde Bridge Road, potom vľavo na cestu Janis Oroville (SR 7), ďalej vpravo na cestu Loomis Oroville Road, následne vpravo na cestu Wannacut Lake Road, potom vľavo na cestu Ellemeham Mountain Road, opäť vľavo na cestu Earth Dam Road, následne vľavo na bezmennú cestu, potom vpravo na bezmennú cestu, opäť vpravo na ďalšiu bezmennú cestu, potom vľavo na bezmennú cestu a opäť vľavo na ďalšiu bezmennú cestu.

d)  západ: Z poslednej bezmennej cesty zabočiť vpravo na cestu Loomis Oroville Road, potom vľavo na cestu Smilkameen Road až po kanadskú hranicu.

WGM

VIII

P2

3.2.2015

6.5.2015

 

 

 

POU, RAT

 

N

P2

 

 

 

BPR, BPP, DOC, DOR, HEP, HER, SRP, SRA, LT20

 

A

 

S3, ST1

 

US-2.5

štát Oregon:

okres Douglas

WGM

VIII

P2

19.12.2014

23.3.2015

 

 

 

POU, RAT

 

N

P2

 

 

 

BPR, BPP, DOC, DOR, HEP, HER, SRP, SRA, LT20

 

A

 

S3, ST1

 

US-2.6

štát Oregon:

okres Deschutes

WGM

VIII

P2

14.2.2015

19.5.2015

 

 

 

POU, RAT

 

N

P2

 

 

 

BPR, BPP, DOC, DOR, HEP, HER, SRP, SRA, LT20

 

A

 

S3, ST1

 

US-2.7

štát Oregon:

okres Malheur

WGM

VIII

P2

20.1.2015

11.5.2015

 

 

 

POU, RAT

 

N

P2

 

 

 

BPR, BPP, DOC, DOR, HEP, HER, SRP, SRA, LT20

 

A

 

S3, ST1

štát Idaho:

okres Canyon

okres Payette

WGM

VIII

P2

 

 

 

POU, RAT

 

N

P2

 

 

 

BPR, BPP, DOC, DOR, HEP, HER, SRP, SRA, LT20

 

A

 

S3, ST1

 

US-2.8

štát Kalifornia:

okres Stanislaus/okres Tuolumne:

zóna s priemerom 10 km so začiatkom v bode N nachádzajúcom sa na kružnici predstavujúcej hranicu kontrolnej oblasti, ktorá sa rozširuje v smere hodinových ručičiek:

a)  sever – 2,5 míle východne od križovatky diaľnice State Hwy. 108 s cestou Williams Road;

b)  severovýchod – 1,4 míle juhovýchodne od križovatky ciest Rock River Dr. a Tulloch Road;

c)  východ – 2,0 míle severozápadne od križovatky ciest Milpitas Road a Las Cruces Road;

d)  juhovýchod – 1,58 míle východne od severného konca Rushing Road;

e)  juh – 0,70 míle južne od križovatky diaľnice State Highway132 s Crabtree Road;

f)  juhozápad – 0,8 míle juhovýchodne od križovatky ciest Hazel Dean Road a Loneoak Road;

g)  západ – 2,5 míle juhozápadne od križovatky ciest Warnerville Road a Tim Bell Road;

h)  severozápad – 1,0 míle juhovýchodne od križovatky ciest CA-120 a Tim Bell Road.

WGM

VIII

P2

23.1.2015

5.5.2015

 

 

 

POU, RAT

 

N

P2

 

 

 

BPR, BPP, DOC, DOR, HEP, HER, SRP, SRA, LT20

 

A

 

S3, ST1

 

US-2.9

štát Kalifornia:

okres Kings:

zóna s priemerom 10 km so začiatkom v bode N nachádzajúcom sa na kružnici predstavujúcej hranicu kontrolnej oblasti, ktorá sa rozširuje v smere hodinových ručičiek:

a)  sever – 0,58 míle severne od Kansas Avenue

b)  severovýchod – 0,83 míle východne od cesty CA-43.

c)  východ – 0,04 míle východne od 5th Avenue

d)  juhovýchod – 0,1 míle východne od križovatky ciest Paris Avenue a 7th Avenue

e)  juh – 1,23 míle severne od Redding Avenue

f)  juhozápad – 0,6 míle západne od križovatky ciest Paris Avenue a 15th Avenue

g)  západ – 1,21 míle východne od 19th Avenue

h)  severozápad – 0,3 míle severne od križovatky ciest Laurel Avenue a 16th Avenue

WGM

VIII

P2

12.2.2015

26.5.2015

 

 

 

POU, RAT

 

N

P2

 

 

 

BPR, BPP, DOC, DOR, HEP, HER, SRP, SRA, LT20

 

A

 

S3, ST1

▼M45

US-2.10

štát Minnesota

WGM

VIII

P2

5.3.2015

10.9.2015

 

 

 

POU, RAT

 

N

P2

 

 

 

BPR, BPP, DOC, DOR, HEP, HER, SRP, SRA, LT20

 

A

 

S3, ST1

▼M42

US-2.11.1

štát Missouri:

okres Barton

okres Jasper

WGM

VIII

P2

8.3.2015

18.6.2015

 

 

 

POU, RAT

 

N

P2

 

 

 

BPR, BPP, DOC, DOR, HEP, HER, SRP, SRA, LT20

 

A

 

S3, ST1

 

US-2.11.2

štát Missouri:

okres Moniteau

okres Morgan

WGM

VIII

P2

10.3.2015

11.6.2015

 

 

 

POU, RAT

 

N

P2

 

 

 

BPR, BPP, DOC, DOR, HEP, HER, SRP, SRA, LT20

 

A

 

S3, ST1

US-2.11.3

štát Missouri:

okres Lewis

WGM

VIII

P2

5.5.2015

20.9.2015

 

 

 

POU, RAT

 

N

P2

 

 

 

BPR, BPP, DOC, DOR, HEP, HER, SRP, SRA, LT20

 

A

 

S3, ST1

 

US-2.13

štát Arkansas:

okres Boone

okres Marion

WGM

VIII

P2

11.3.2015

13.7.2015

 

 

 

POU, RAT

 

N

P2

 

 

 

BPR, BPP, DOC, DOR, HEP, HER, SRP, SRA, LT20

 

A

 

S3, ST1

 

US-2.14

štát Kansas:

okres Leavenworth

okres Wyandotte

WGM

VIII

P2

13.3.2015

12.6.2015

 

 

 

POU, RAT

 

N

P2

 

 

 

BPR, BPP, DOC, DOR, HEP, HER, SRP, SRA, LT20

 

A

 

S3, ST1

 

US-2.15

štát Kansas:

okres Cherokee

okres Crawford

WGM

VIII

P2

9.3.2015

18.6.2015

 

 

 

POU, RAT

 

N

P2

 

 

 

BPR, BPP, DOC, DOR, HEP, HER, SRP, SRA, LT20

 

A

 

S3, ST1

US-2.16

štát Montana:

okres Fergus

okres Judith Basin

WGM

VIII

P2

2.4.2015

2.7.2015

 

 

 

POU, RAT

 

N

P2

 

 

 

BPR, BPP, DOC, DOR, HEP, HER, SRP, SRA, LT20

 

A

 

S3, ST1

US-2.17

Štát Severná Dakota:

okres Dickey

okres La Moure

WGM

VIII

P2

11.4.2015

27.7.2015

 

 

 

POU, RAT

 

N

P2

 

 

 

BPR, BPP, DOC, DOR, HEP, HER, SRP, SRA, LT20

 

 

 

S3, ST1

US-2.18

štát Južná Dakota:

okres Beadle

okres Bon Homme

okres Brookings

okres Brown

okres Hutchinson

okres Kingsbury

okres Lake

okres McCook

okres McPherson

okres Minnehaha

okres Moody

okres Roberts

okres Spink

okres Yankton

WGM

VIII

P2

1.4.2015

10.9.2015

 

 

 

POU, RAT

 

N

P2

 

 

 

BPR, BPP, DOC, DOR, HEP, HER, SRP, SRA, LT20

 

A

 

S3, ST1

 

US-2.19.1

štát Wisconsin:

okres Barron

WGM

VIII

P2

16.4.2015

18.8.2015

 

 

 

POU, RAT

 

N

P2

 

 

 

BPR, BPP, DOC, DOR, HEP, HER, SRP, SRA, LT20

 

A

 

S3, ST1

US-2.19.2

štát Wisconsin:

okres Jefferson

WGM

VIII

P2

11.4.2015

17.8.2015

 

 

 

POU, RAT

 

N

P2

 

 

 

BPR, BPP, DOC, DOR, HEP, HER, SRP, SRA, LT20

 

A

 

S3, ST1

US-2.19.3

štát Wisconsin:

okres Chippewa

WGM

VIII

P2

23.4.2015

29.7.2015

 

 

 

POU, RAT

 

N,

P2

 

 

 

BPR, BPP, DOC, DOR, HEP, HER, SRP, SRA, LT20

 

A

 

S3, ST1

US-2.19.4

štát Wisconsin:

okres Juneau

WGM

VIII

P2

17.4.2015

6.8.2015

 

 

 

POU, RAT

 

N,

P2

 

 

 

BPR, BPP, DOC, DOR, HEP, HER, SRP, SRA, LT20

 

A

 

S3, ST1

US-2.20.1

štát Iowa:

okres Buena Vista

okres Calhoun

okres Cherokee

okres Clay

okres Dickinson

okres Emmet

okres Hamilton

okres Hardin

okres Humboldt

okres Ida

okres Kossuth

okres Lyon

okres O'Brien

okres Osceola

okres Palo Alto

okres Plymouth

okres Pocahontas

okres Sac

okres Sioux

okres Webster

okres Woodbury

okres Wright

WGM

VIII

P2

14.4.2015

11.11.2015

 

 

 

POU, RAT

 

N

P2

 

 

 

BPR, BPP, DOC, DOR, HEP, HER, SRP, SRA, LT20

 

A

 

S3, ST1

US-2.20.2

štát Iowa:

okres Adair

okres Guthrie

okres Madison

WGM

VIII

P2

4.5.2015

9.9.2015

 

 

 

POU, RAT

 

N

P2

 

 

 

BPR, BPP, DOC, DOR, HEP, HER, SRP, SRA, LT20

 

A

 

S3, ST1

 

US-2.21

štát Indiana:

okres Whitley

WGM

VIII

P2

10.5.2015

8.8.2015

 

 

 

POU, RAT

 

N

P2

 

 

 

BPR, BPP, DOC, DOR, HEP, HER, SRP, SRA, LT20

 

A

 

S3, ST1

▼M47

 

US-2.21.1

štát Indiana:

okres Dubois

okres Martin

WGM

VIII

P2

15.1.2016

1.5.2016

 

 

 

POU, RAT

 

N

P2

P2

 

 

 

BPR, BPP, DOC, DOR, HEP, HER, SRP, SRA, LT20

 

A

 

S3, ST1

▼M42

 

US-2.22

štát Nebraska:

okres Dakota

okres Dixon

okres Thurston

okres Wayne

WGM

VIII

P2

11.5.2015

21.10.2015

 

 

 

POU, RAT

 

N

P2

 

 

 

BPR, BPP, DOC, DOR, HEP, HER, SRP, SRA, LT20

 

A

 

S3, ST1

UY – Uruguaj

UY-0

Celá krajina

SPF

 

 

 

 

 

 

 

EP, E, RAT

 

 

 

 

 

 

S4

ZA – Južná Afrika

ZA-0

Celá krajina

SPF

 

 

 

 

 

 

 

EP, E

 

 

 

 

 

 

S4

BPR

I

P2

9.4.2011

 

A

 

 

DOR

II

 

 

 

HER

III

 

 

 

RAT

VII

H

9.4.2011

25.8.2015

 

 

 

ZW – Zimbabwe

ZW-0

Celá krajina

RAT

VII

 

 

 

 

 

 

EP, E

 

 

 

 

 

 

S4

(1)   Komodity vrátane komodít prepravovaných na otvorenom mori, vyprodukované pred týmto dátumom možno do Únie dovážať počas obdobia 90 dní od tohto dátumu.

(2)   Do Únie možno dovážať len komodity vyprodukované po tomto dátume.

(3)   V súlade s Dohodou medzi Európskou Úniou a Švajčiarskou konfederáciou o obchode s poľnohospodárskymi výrobkami (Ú. v. ES L 114, 30.4.2002, s. 132).

(4)   Bývalá juhoslovanská republika Macedónsko: konečné označenie tejto krajiny sa stanoví po ukončení rokovaní, ktoré v súčasnosti prebiehajú na úrovni OSN.

(5)   Rozumie sa tým štát Izrael bez území pod izraelskou správou od júna 1967, konkrétne bez Golanských výšin, pásma Gazy, východného Jeruzalema a zvyšku Predjordánska.

(6)   Obmedzenia týkajúce sa programov kontroly salmonely, ktoré sa uvádzajú v časti 2, sa nevzťahujú na jednotlivé zásielky pozostávajúce z menej ako 20 jednotiek hydiny inej ako vtáky nadradu bežce, jej násadových vajec a jednodňových kurčiat, ak sú určené na prvovýrobu hydiny na súkromné domáce použitie alebo na prvovýrobu vedúcu k priamym dodávkam zo strany výrobcu malých množstiev primárnych výrobkov ku konečnému spotrebiteľovi alebo do miestnych maloobchodných zariadení priamo zásobujúcich konečného spotrebiteľa prvovýrobkami a ak sú osvedčené v súlade so vzorom veterinárneho osvedčenia LT 20.

▼B

ČASŤ 2

Vzory veterinárnych osvedčení

Vzor(-y):

„BPP“

:

Vzor veterinárneho osvedčenia pre chovnú a úžitkovú hydinu inú ako vtáky nadradu bežce

„BPR“

:

Vzor veterinárneho osvedčenia pre chovné alebo úžitkové vtáky nadradu bežce

„DOC“

:

Vzor veterinárneho osvedčenia pre jednodňové kurčatá iné ako vtákov nadradu bežce

„DOR“

:

Vzor veterinárneho osvedčenia pre jednodňové kurčatá vtákov nadradu bežce

„HEP“

:

Vzor veterinárneho osvedčenia pre násadové vajcia hydiny inej ako vtákov nadradu bežce

„HER“

:

Vzor veterinárneho osvedčenia pre násadové vajcia vtákov nadradu bežce

„SPF“

:

Vzor veterinárneho osvedčenia pre vajcia bez obsahu špecifikovaných patogénov

„SRP“

:

Vzor veterinárneho osvedčenia pre jatočnú hydinu a hydinu určenú na zazverenie voľne žijúcou zverou inú ako vtáky nadradu bežce

„SRA“

:

Vzor veterinárneho osvedčenia pre jatočné vtáky nadradu bežce

▼M42

„LT 20“

:

Vzor veterinárneho osvedčenia pre jednotlivé zásielky, ktoré pozostávajú z menej ako 20 jednotiek hydiny inej ako vtáky nadradu bežce, jej násadových vajec alebo jednodňových kurčiat

▼B

„POU“

:

Vzor veterinárneho osvedčenia pre mäso z hydiny

„POU-MI/MSM“

:

Vzor veterinárneho osvedčenia pre mleté mäso a mechanicky separované mäso z hydiny

„RAT“

:

Vzor veterinárneho osvedčenia pre mäso vtákov nadradu bežce z farmových chovov na ľudskú spotrebu

„RAT-MI/MSM“

:

Vzor veterinárneho osvedčenia pre mleté mäso a mechanicky separované mäso vtákov nadradu bežce farmových chovov na ľudskú spotrebu

„WGM“

:

Vzor veterinárneho osvedčenia pre mäso z voľne žijúcej pernatej zveri

„WGM-MI/MSM“

:

Vzor veterinárneho osvedčenia pre mleté mäso a mechanicky separované mäso z voľne žijúcej pernatej zveri

„E“

:

Vzor veterinárneho osvedčenia pre vajcia

„EP“

:

Vzor veterinárneho osvedčenia pre výrobky z vajec

Ďalšie záruky (DZ):

„I“

:

Záruky v prípade chovných a úžitkových vtákov nadradu bežce pochádzajúcich z tretej krajiny, územia alebo oblasti s výskytom pseudomoru hydiny, osvedčené v súlade so vzorom BPR

„II“

:

Záruky v prípade jednodňových kurčiat vtákov nadradu bežce pochádzajúcich z tretej krajiny, územia alebo oblasti s výskytom pseudomoru hydiny, osvedčené v súlade so vzorom DOR

„III“

:

Záruky v prípade násadových vajec vtákov nadradu bežce pochádzajúcich z tretej krajiny, územia alebo oblasti s výskytom pseudomoru hydiny, osvedčené v súlade so vzorom HER

▼M1 —————

▼B

„V“

:

Záruky v prípade jatočných vtákov nadradu bežce pochádzajúcich z tretej krajiny, územia alebo oblasti s výskytom pseudomoru hydiny, osvedčené v súlade so vzorom SRA

„VI“

:

Ďalšie záruky, ktoré sa vzťahujú na hydinové mäso osvedčené v súlade so vzorom POU

„VII“

:

Ďalšie záruky, ktoré sa vzťahujú na mäso vtákov nadradu bežce z farmových chovov určené na ľudskú spotrebu, osvedčené v súlade so vzorom RAT

„VIII“

:

Ďalšie záruky v prípade mäsa z voľne žijúcej pernatej zveri osvedčené v súlade so vzorom WGM

▼M26

„IX“

:

Povoľuje sa len prevoz zásielok vajec, výrobkov z vajec a mäsa z hydiny pochádzajúcich z Bieloruska a smerujúcich na ruské územie Kaliningrad cez Litvu za predpokladu dodržania článku 18 ods. 2, 3 a 4.

▼M34

„X“

:

Ďalšie záruky, ktoré sa vzťahujú na komodity osvedčené v súlade s oddielom I bodom 8 prílohy III a so vzormi osvedčení BPP, BPR, DOC, DOR, HEP, HER, POU, RAT a E.

▼M1

Program kontroly salmonely:

„S0“

Zákaz vyvážať do Spoločenstva chovnú alebo úžitkovú hydinu (BPP) Gallus gallus, jednodňové kurčatá (DOC) Gallus gallus, jatočnú hydinu a hydinu na zazverenie (SRP) Gallus gallus a násadové vajcia (HEP) z Gallus gallus z toho dôvodu, že Komisii nebol predložený alebo ňou nebol schválený príslušný program kontroly salmonely v súlade s nariadením (ES) č. 2160/2003.

„S1“

Zákaz vyvážať do Spoločenstva chovnú alebo úžitkovú hydinu (BPP) Gallus gallus, jednodňové kurčatá (DOC) Gallus gallus a jatočnú hydinu a hydinu na zazverenie (SRP) Gallus gallus na iné účely ako na chov z toho dôvodu, že Komisii nebol predložený alebo ňou nebol schválený príslušný program kontroly salmonely v súlade s nariadením (ES) č. 2160/2003.

„S2“

Zákaz vyvážať do Spoločenstva chovnú alebo úžitkovú hydinu (BPP) Gallus gallus, jednodňové kurčatá (DOC) Gallus gallus a jatočnú hydinu a hydinu na zazverenie (SRP) Gallus gallus na iné účely ako na chov alebo znášanie vajec z toho dôvodu, že Komisii nebol predložený alebo ňou nebol schválený príslušný program kontroly salmonely v súlade s nariadením (ES) č. 2160/2003.

„S3“

Zákaz vyvážať do Spoločenstva chovnú alebo úžitkovú hydinu (BPP) Gallus gallus a jatočnú hydinu a hydinu na zazverenie (SRP) Gallus gallus na iné účely ako na chov z toho dôvodu, že Komisii nebol predložený alebo ňou nebol schválený príslušný program kontroly salmonely v súlade s nariadením (ES) č. 2160/2003.

„S4“

Zákaz vyvážať do Spoločenstva vajcia (E) Gallus gallus zaradené do triedy B v súlade s nariadením (ES) č. 557/2007 z toho dôvodu, že Komisii nebol predložený alebo ňou nebol schválený príslušný program kontroly salmonely v súlade s nariadením (ES) č. 2160/2003.

▼M5

„S5“

Zákaz vyvážať do Únie chovnú a úžitkovú hydinu druhu Gallus gallus (BPP), jatočnú hydinu a hydinu určenú na zazverenie (SRP) druhu Gallus gallus z toho dôvodu, že Komisii nebol predložený alebo ňou nebol schválený príslušný program kontroly salmonely v súlade s nariadením (ES) č. 2160/2003.

„ST0“

Zákaz vyvážať do Únie chovné alebo úžitkové (BPP) morky, jednodňové kurčatá (DOC) moriek, jatočné morky a morky určenú na zazverenie (SRP) a násadové vajcia (HEP) moriek z toho dôvodu, že Komisii nebol predložený alebo ňou nebol schválený príslušný program kontroly salmonely v súlade s nariadením (ES) č. 2160/2003.

„ST1“

Zákaz vyvážať do Únie chovné alebo úžitkové (BPP) morky, jatočné morky a morky určenú na zazverenie (SRP) z toho dôvodu, že Komisii nebol predložený alebo ňou nebol schválený príslušný program kontroly salmonely v súlade s nariadením (ES) č. 2160/2003.

▼B

Osobitné podmienky:

„P2“

:

Zákaz dovozu do Spoločenstva alebo prevozu cez jeho územie z dôvodu obmedzení súvisiacich s výskytom ohniska HPAI

„P3“

:

Zákaz dovozu do Spoločenstva alebo prevozu cez jeho územie z dôvodu obmedzení súvisiacich s výskytom ohniska pseudomoru hydiny

▼M3

„N“

:

Boli poskytnuté záruky toho, že právne predpisy týkajúce sa kontroly pseudomoru hydiny v tretej krajine alebo na území sú rovnocenné s tými, ktoré sa uplatňujú v Únii. V prípade výskytu pseudomoru hydiny môže byť dovoz z tretej krajiny alebo územia naďalej povolený bez toho, aby sa zmenil kód tretej krajiny alebo územia. Dovoz do Únie z akýchkoľvek oblastí, na ktoré sa vzťahujú úradné obmedzenia príslušného orgánu tretej krajiny alebo územia z dôvodu výskytu uvedenej choroby, je však automaticky zakázaný

▼M29 —————

▼M29

„H“

:

Boli poskytnuté záruky toho, že mäso z vtákov nadradu bežce z farmových chovov na ľudskú spotrebu (RAT) je získané z vtákov nadradu bežce pochádzajúcich z registrovaných uzavretých chovov vtákov nadradu bežce, ktoré schválil príslušný orgán tretej krajiny. V prípade výskytu ohniska HPAI na území tretej krajiny je dovoz takéhoto mäsa naďalej povolený, ale pod podmienkou, že toto mäso je získané z vtákov nadradu bežce pochádzajúcich z registrovaných uzavretých chovov vtákov nadradu bežce bez výskytu LPAI a HPAI, že v okruhu 100 km okolo tohto chovu, prípadne vrátane územia susediacej krajiny, sa nevyskytlo žiadne ohnisko LPAI alebo HPAI minimálne posledných 24 mesiacov a že toto mäso nemá žiadnu epidemiologickú súvislosť s chovom vtákov nadradu bežce alebo hydiny, v ktorom sa v priebehu najmenej posledných 24 mesiacov vyskytla LPAI alebo HPAI.

▼B

Program dohľadu nad vtáčou chrípkou a plán očkovania proti vtáčej chrípke:

„A“

:

V tretej krajine, na území, v oblasti alebo jednotke sa vykonáva program dohľadu nad vtáčou chrípkou v súlade s rozhodnutím (ES) č. 798/2008

„B“

:

V tretej krajine, na území, v oblasti alebo jednotke sa vykonáva plán očkovania proti vtáčej chrípke v súlade s rozhodnutím (ES) č. 798/2008

Poznámky

Všeobecné poznámky:

a) Veterinárne osvedčenia musí na základe vzorov v časti 2 tejto prílohy a v súlade so štruktúrou vzoru, ktorý zodpovedá príslušnej komodite, vydávať vyvážajúca tretia krajina, územie, oblasť alebo jednotka. V osvedčeniach predpísaných pre každú tretiu krajinu sa tam, kde to pripadá do úvahy, musia v poradí uvedenom vo vzore uviesť také ďalšie zdravotné požiadavky, ktoré sa požadujú pre vyvážajúcu tretiu krajinu, územie, oblasť alebo jednotku.

Ak členský štát EÚ určenia požaduje pre príslušnú komoditu ďalšie záruky, tieto musia byť zapísané aj v origináli veterinárneho osvedčenia.

b) Samostatné jednotlivé osvedčenie sa musí predložiť pri každej zásielke príslušnej komodity vyvážanej do toho istého miesta určenia z územia uvedeného v stĺpcoch 2 a 3 časti 1 tejto prílohy a prepravovanej v tom istom železničnom vagóne, nákladnom aute, lietadle alebo na tej istej lodi.

c) Originál osvedčení musí pozostávať z jedného listu potlačeného z obidvoch strán alebo v prípade dlhšieho textu musí byť vyhotovené tak, aby všetky strany tvorili nedeliteľný celok.

d) Osvedčenie musí byť vyhotovené aspoň v jednom úradnom jazyku členského štátu EÚ, v ktorom sa vykonáva hraničná kontrola, a v jednom úradnom jazyku členského štátu EÚ určenia. Tieto členské štáty však môžu namiesto vlastného jazyka povoliť aj iný jazyk Spoločenstva, ku ktorému musí byť v prípade potreby pripojený úradný preklad.

e) Ak sú z dôvodu identifikácie položiek tvoriacich zásielku k osvedčeniu pripojené ďalšie strany, aj tieto strany sa považujú za súčasť originálu osvedčenia za predpokladu, že podpis a pečiatka osvedčujúceho úradného veterinárneho lekára je uvedená na každej strane.

f) Ak osvedčenie vrátane všetkých ďalších strán podľa písmena e) obsahuje viac ako jednu stranu, každá strana musí byť v dolnej časti očíslovaná „–x(číslo strany) z y(celkový počet strán)–“ a v hornej časti musí byť uvedený kód osvedčenia pridelený príslušným orgánom.

g) Originál osvedčenia musí vyplniť a podpísať úradný veterinárny lekár najviac 24 hodín pred nakládkou zásielky na vývoz do Spoločenstva, ak nie je uvedené inak. Príslušné orgány vyvážajúcej krajiny musia na tento účel zabezpečiť dodržiavanie zásad osvedčovania, ktoré sú rovnocenné so zásadami uvedenými v smernici 96/93/ES.

Farba podpisu musí byť odlišná od farby potlače. Rovnaké pravidlo sa vzťahuje na pečiatky iné ako reliéfne pečiatky alebo vodoznaky.

h) Originál osvedčenia musí byť k zásielke pripojený až po hraničnú inšpekčnú stanicu EÚ.

Doplnkové poznámky pre hydinu a jednodňové kurčatá:

i) Osvedčenie má platnosť 10 dní od dátumu vystavenia, pokiaľ nie je uvedené inak.

V prípade prepravy loďou sa platnosť predlžuje o čas trvania plavby. Na tieto účely sa k veterinárnemu osvedčeniu priloží originál vyhlásenia veliteľa lode vyhotovený v súlade s prílohou II.

j) Hydina a jednodňové kurčatá sa nesmú prepravovať spolu s inou hydinou a jednodňovými kurčatami, ktoré buď nie sú určené pre Európske spoločenstvo, alebo majú nižší zdravotný status.

k) Hydina a jednodňové kurčatá sa v priebehu prepravy do Spoločenstva nesmú prepravovať cez tretiu krajinu, územie, oblasť alebo jednotku, z ktorých nie je povolený dovoz takejto hydiny a jednodňových kurčiat do Spoločenstva ani sa v nich nesmú vykladať.

▼M34

Vzor veterinárneho certifikátu pre chovnú alebo úžitkovú hydinu inú ako vtáky nadradu bežce (BPP)

image

image

image

image

image

Vzor veterinárneho certifikátu pre chovné alebo úžitkové vtáky nadradu bežce (BPR)

image

image

image

image

image

Vzor veterinárneho certifikátu pre jednodňové kurčatá iné ako vtákov nadradu bežce (DOC)

image

image

image

image

image

image

Vzor veterinárneho certifikátu pre jednodňové kurčatá vtákov nadradu bežce (DOR)

image

image

image

image

image

Vzor veterinárneho certifikátu pre násadové vajcia hydiny inej ako vtáky nadradu bežce (HEP)

image

image

image

image

image

Vzor veterinárneho certifikátu pre násadové vajcia vtákov nadradu bežce (HER)

image

image

image

image

image

▼B

Vzor veterinárneho osvedčenia pre vajcia bez obsahu špecifikovaných patogénov (SPF)

image

image

image

▼M34

Vzor veterinárneho certifikátu pre jatočnú hydinu a hydinu určenú na zazverenie voľne žijúcou zverou inú ako vtáky nadradu bežce (SRP)

image

image

image

image

image

▼M29

Vzor veterinárneho certifikátu pre jatočné vtáky nadradu bežce (SRA)

image

image

image

image

image

▼M42

Vzor veterinárneho osvedčenia pre jednotlivé zásielky, ktoré pozostávajú z menej ako 20 jednotiek hydiny inej ako vtáky nadradu bežce, jej násadových vajec alebo jednodňových kurčiat (LT20)

image

image

image

image

image

image

image

image

▼M48

image

image

image

image

image

▼B

Vzor veterinárneho osvedčenia pre mleté mäso a mechanicky separované mäso z hydiny (POU-MI/MSM)

(ZatiaĽ nie je stanovený)

▼M34

Vzor veterinárneho certifikátu pre mäso vtákov nadradu bežce z farmových chovov na ľudskú spotrebu (RAT)

image

image

image

image

image

▼B

Vzor veterinárneho osvedčenia pre mleté mäso a mechanicky separované mäso vtákov nadradu bežce z farmových chovov na ľudskú spotrebu (RAT-MI/MSM)

(ZatiaĽ nie je stanovený)

Vzor veterinárneho osvedčenia pre mäso z voľne žijúcej pernatej zveri (WGM)

image

image

image

Vzor veterinárneho osvedčenia pre mleté mäso a mechanicky separované mäso z voľne žijúcej pernatej zveri (WGM-MI/MSM)

(ZatiaĽ nie je stanovený)

▼M34

Vzor veterinárneho certifikátu pre vajcia (E)

image

image

Vzor veterinárneho certifikátu pre výrobky z vajec (EP)

image

image

image

►(1) M48  

▼B




PRÍLOHA II

(podľa článku 4)

(Vyplní a pripojí sa k veterinárnemu osvedčeniu, ak preprava hydiny a jednodňových kurčiat na hranicu Európskeho spoločenstva zahŕňa, hoci len na časť cesty, prepravu loďou.)

image




PRÍLOHA III

PRÁVNE PREDPISY SPOLOČENSTVA, MEDZINÁRODNÉ NORMY A POSTUPY VYŠETROVANIA, ODBERU VZORIEK A TESTOVANIA PODĽA ČLÁNKU 6

I.   Pred dovozom do Spoločenstva

Metódy normalizácie podkladov a postupov vyšetrovania, odberu vzoriek a testovania, pokiaľ ide o tieto choroby, resp. baktérie:

1.  Vtáčia chrípka

 diagnostická príručka pre vtáčiu chrípku stanovená v rozhodnutí Komisie 2006/437/ES ( 6 ) alebo

 Príručka diagnostických testov a vakcín pre suchozemské zvieratá vydaná Svetovou organizáciou pre zdravie zvierat (OIE) ( 7 ).

2.  Pseudomor hydiny

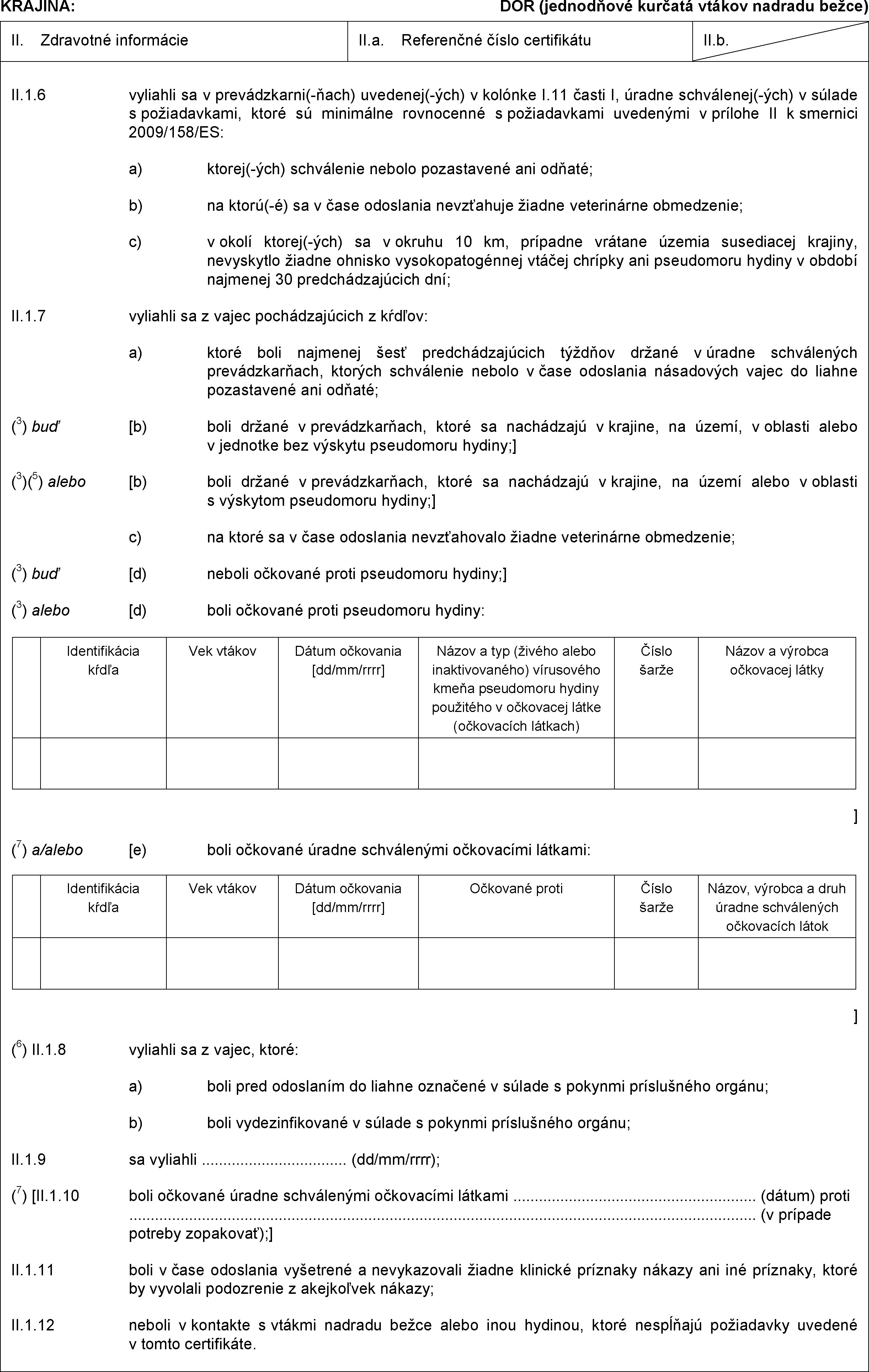
 príloha III k smernici Rady 92/66/EHS ( 8 ) alebo

 Príručka diagnostických testov a vakcín pre suchozemské zvieratá vydaná Svetovou organizáciou pre zdravie zvierat (OIE),

 ak sa uplatňuje článok 12 smernice ►M42  2009/158/ES ◄ , musia metódy odberu vzoriek a testovania zodpovedať metódam opísaným v prílohách k rozhodnutiu Komisie 92/340/EHS ( 9 ).

3.  Salmonella pullorum a Salmonella gallinarum

 kapitola III prílohy II k smernici ►M42  2009/158/ES ◄ alebo

 Príručka diagnostických testov a vakcín pre suchozemské zvieratá vydaná Svetovou organizáciou pre zdravie zvierat (OIE).

▼M2

4.  Salmonella arizonae

 kapitola III prílohy II k smernici ►M42  2009/158/ES ◄ ; alebo

 Príručka diagnostických testov a vakcín pre suchozemské zvieratá vydaná Svetovou organizáciou pre zdravie zvierat (OIE) (Manual of Diagnostic Tests and Vaccines for Terrestrial Animals of the World Organisation for animal Health).

▼B

5.  Mycoplasma gallisepticum

 kapitola III prílohy II k smernici ►M42  2009/158/ES ◄ alebo

 Príručka diagnostických testov a vakcín pre suchozemské zvieratá vydaná Svetovou organizáciou pre zdravie zvierat (OIE).

6.  Mycoplasma meleagridis

kapitola III prílohy II k smernici ►M42  2009/158/ES ◄ .

▼M42

7.  Salmonela s významom pre verejné zdravie

Odber vzoriek sa vykonáva v súlade s protokolom odberu vzoriek stanoveným v bode 2.2 prílohy k nariadeniu Komisie (EÚ) č. 200/2010.

Použije sa metóda detekcie odporúčaná referenčným laboratóriom EÚ (RLEÚ) pre salmonelu v Bilthovene v Holandsku alebo rovnocenná metóda. Táto metóda je opísaná v súčasnom znení prílohy D k norme ISO 6579 (2002): „Zisťovanie baktérií Salmonella spp. v truse zvierat a vo vzorkách v štádiu prvovýroby“. Pri tejto detekčnej metóde sa používa polotuhé médium (zmenené polotuhé médium Rappaport-Vassiladis, MSRV) ako jediné selektívne obohacujúce médium.

Sérotypizácia sa vykonáva podľa Kauffmannovej-Whiteovej schémy alebo podľa rovnocennej metódy.

▼M34

8.  Ďalšie záruky (X), pokiaľ ide o určité tretie krajiny výskytom pseudomoru hydiny

8.1. V prevádzkarňach uvedených v bode 8.2 musí úradný veterinárny lekár:

a) vykonať kontrolu záznamov o výrobe a zdravotných záznamov v prevádzkarni;

b) vykonať klinickú prehliadku v každej chovnej jednotke vrátane vyhodnotenia jej klinickej anamnézy a klinických vyšetrení hydiny – najmä takej, ktorá sa zdá byť chorá –v každej chovnej jednotke, z ktorej sa plánuje zásielka v zmysle bodu 8.2;

c) na účely laboratórnych vyšetrení na kontrolu prítomnosti vírusu pseudomoru hydiny odobrať vzorky aspoň 60 tracheálnych alebo orofaryngeálnych a 60 kloakálnych výterov z hydiny a vtákov nadradu bežce z každej chovnej jednotky, z ktorej sa plánuje zásielka akejkoľvek hydiny v zmysle bodu 8.2; ak je počet vtákov prítomných v danej epidemiologickej jednotke menší ako 60, výtery sa musia odobrať od všetkých vtákov. V prípade produktov uvedených v bode 8.2 písm. c) sa môžu vzorky odoberať aj na bitúnku.

8.2. Bod 8.1 sa vzťahuje na prevádzkarne, z ktorých sa plánujú zásielky do Únie:

a) chovná alebo úžitková hydina a chovné alebo úžitkové vtáky nadradu bežce (BPP, BPR);

b) jednodňové kurčatá hydiny, jednodňové kurčatá vtákov nadradu bežce, násadové vajcia hydiny alebo vtákov nadradu bežce a konzumné vajcia (DOC, DOR, HEP, HER, E);

c) mäso získané z hydiny a vtákov nadradu bežce držaných v takýchto chovoch (POU, RAT).

8.3. Postupy uvedené v bode 8.1 sa musia vykonať:

a) v prípade komodít uvedených v bode 8.2 písm. a) a c) najneskôr do 72 hodín pred odoslaním zásielky do Únie alebo pred zabitím hydiny a vtákov nadradu bežce;

b) v prípade komodít uvedených v bode 8.2 písm. b) v intervaloch 15 dní alebo v prípade zriedkavých zásielok do Únie najviac sedem dní pred zberom násadových vajec.

8.4. Výsledky postupov uvedených v bode 8.1 musia byť priaznivé a laboratórne vyšetrenia uvedené vyššie sa musia vykonávať v úradnom laboratóriu, ich výsledky musia byť negatívne a k dispozícii predtým, ako sa ktorýkoľvek produkt uvedený v bode 8.2 odošle do Únie.

▼B

II.   Po dovoze do Spoločenstva

Postupy odberu vzoriek a testovania na vtáčiu chrípku a pseudomor hydiny:

Počas obdobia uvedeného v bode II.1 prílohy VIII úradný veterinárny lekár odoberie vzorky z dovezenej hydiny na virologické vyšetrenie, ktoré sa majú testovať takto:

 medzi siedmym a pätnástym dňom odo dňa začatia izolácie sa musia odobrať kloakálne výtery u všetkých vtákov, ak zásielka obsahuje menej ako 60 vtákov, a u 60 vtákov v prípade, že zásielky obsahujú viac ako 60 vtákov,

 v úradných laboratóriách určených príslušným orgánom sa pomocou diagnostických postupov musí vykonať testovanie vzoriek na:

 

i) chrípku, ako je stanovené v diagnostickej príručke v rozhodnutí 2006/437/ES;

ii) pseudomor hydiny, ako je stanovené v prílohe III k smernici 92/66/EHS.

III.   Všeobecné požiadavky

 Vzorky sa môžu zlúčiť do jednej zlúčenej vzorky zahŕňajúcej najviac päť vzoriek od jednotlivých vtákov.

 Izoláty vírusu sa musia bezodkladne zaslať do národného referenčného laboratória.




PRÍLOHA IV

[podľa článku 8 ods. 2 písm. d), článku 9 ods. 2 písm. b) a článku 10]

POŽIADAVKY NA PROGRAMY DOHĽADU NAD VTÁČOU CHRÍPKOU A INFORMÁCIE, KTORÉ SA MAJÚ PREDLOŽIŤ ( 10 )

I.   Požiadavky na dohľad nad vtáčou chrípkou u hydiny, vykonávaný v tretích krajinách, na územiach, v oblastiach alebo jednotkách podľa článku 10

A.   Dohľad nad vtáčou chrípkou u hydiny:

1. Opis cieľov

2. Tretia krajina, územie, oblasť, jednotka (uveďte podľa prípadu):

3. Typ dohľadu:

 sérologický dohľad

 virologický dohľad

 cieľové podtypy vtáčej chrípky

4. Kritériá odberu vzoriek:

 cieľové druhy (napr. morky, kurčatá, jarabice)

 cieľové kategórie (napr. chovné zvieratá, nosnice)

 cieľové chovné systémy (napr. komerčné prevádzkarne, drobnochov)

5. Štatistický základ pre počet prevádzkarní, v ktorých sa vykonáva odber vzoriek:

 počet prevádzkarní v oblasti

 počet prevádzkarní určitej kategórie

 počet prevádzkarní, v ktorých sa má vykonať odber vzoriek, podľa kategórie hydiny

6. Frekvencia odberu vzoriek

7. Počet vzoriek odobratých z každej prevádzkarne/haly

8. Trvanie odberu vzoriek

9. Typ odobratých vzoriek (tkanivo, trus, kloakálne/orofaryngeálne/tracheálne výtery)

10. Použité laboratórne testy (napr. AGID, PCR, HI, izolácia vírusu)

11. Laboratóriá, ktoré vykonávajú testovanie na ústrednej, regionálnej alebo miestnej úrovni (uveďte podľa prípadu)

Referenčné laboratórium, ktoré vykonáva potvrdzujúce testovanie (národné referenčné laboratórium pre vtáčiu chrípku, OIE alebo referenčné laboratórium Spoločenstva pre vtáčiu chrípku)

12. Systém hlásenia/protokol o hlásení výsledkov dohľadu nad vtáčou chrípkou (vrátane výsledkov, ak sú k dispozícii)

13. Následné prešetrovanie pozitívnych výsledkov na podtypy H5 a H7

B.   Informácie o dohľade nad vtáčou chrípkou u voľne žijúceho vtáctva na účely posúdenia faktorov rizika prenosu vtáčej chrípky na hydinu, ak sú takéto informácie k dispozícii:

1. Typ dohľadu:

 sérologický dohľad

 virologický dohľad

 cieľové podtypy vtáčej chrípky

2. Kritériá odberu vzoriek

3. Cieľové voľne žijúce vtáctvo (uveďte latinské názvy druhov)

4. Cieľové vybrané oblasti

5. Informácie podľa bodu 6 a bodov 8 až 12 časti I.A

II.   Dohľad nad vtáčou chrípkou, ktorý sa má vykonávať po výskyte ohniska tejto nákazy v tretej krajine, na území, v oblasti alebo v jednotke, ktoré boli predtým bez výskytu tejto nákazy, podľa článku 8 ods. 2 písm. d) a článku 9 ods. 2 písm. b)

Dohľadom nad vtáčou chrípkou sa musí na základe náhodne vybratej reprezentatívnej vzorky ohrozených populácií poskytnúť prinajmenšom spoľahlivosť, na základe ktorej možno s prihliadnutím na osobitné epidemiologické okolnosti v súvislosti s predmetným(-i) ohniskom(-ami) preukázať neprítomnosť nákazy.




PRÍLOHA V

[podľa článku 11 písm. a)]

INFORMÁCIE, KTORÉ MÁ PREDLOŽIŤ TRETIA KRAJINA, V KTOREJ SA VYKONÁVA OČKOVANIE PROTI VTÁČEJ CHRÍPKE ( 11 )

I.   Požiadavky na plány očkovania vykonávané v tretej krajine, na území, v oblasti alebo jednotke podľa článku 11

1. Krajina, územie, oblasť, jednotka (uveďte podľa prípadu)

2. História nákazy (predchádzajúce ohniská HPAI/LPAI u hydiny alebo prípady HPAI/LPAI u voľne žijúceho vtáctva)

3. Opis dôvodov rozhodnutí o zavedení očkovania

4. Posúdenie rizika založené na:

 výskyte ohniska vtáčej chrípky v danej tretej krajine, na danom území, v danej oblasti alebo jednotke (uveďte podľa prípadu)

 výskyte ohniska vtáčej chrípky v blízkej krajine

 iných rizikových faktoroch ako napr. určité oblasti, typ chovu hydiny alebo kategórie hydiny alebo iných vtákov chovaných v zajatí

5. Zemepisná oblasť, v ktorej sa vykonáva očkovanie

6. Počet prevádzkarní v oblasti, v ktorej sa vykonáva očkovanie

7. Počet prevádzkarní, v ktorých sa vykonáva očkovanie, ak sa líši od počtu uvedeného v bode 6

8. Druhy a kategórie hydiny alebo iných vtákov chovaných v zajatí na území, v oblasti alebo jednotke, v ktorých sa vykonáva očkovanie

9. Približný počet hydiny alebo iných vtákov chovaných v prevádzkarňach uvedených v bode 7

10. Súhrn vlastností očkovacej látky

11. Schválenie očkovacích látok proti vtáčej chrípke, nakladanie s nimi, ich výroba, skladovanie, dodávanie, distribúcia a predaj na území štátu

12. Uplatňovanie stratégie DIVA

13. Predpokladané trvanie očkovacej kampane

14. Predpisy a obmedzenia týkajúce sa pohybu očkovanej hydiny a výrobkov z očkovanej hydiny alebo z iných očkovaných vtákov chovaných v zajatí

15. Klinické a laboratórne testovanie vykonávané v prevádzkarňach, v ktorých sa uskutočnilo očkovanie, a/alebo v prevádzkarňach nachádzajúcich sa v oblasti, v ktorej sa vykonáva očkovanie (napr. testovanie účinnosti a testovanie pred premiestnením atď.)

16. Vedenie záznamov (napr. podrobných informácií uvedených v bode 15) a registrácia chovov, v ktorých sa vykonáva očkovanie.

II.   Dohľad nad tretími krajinami, územiami, oblasťami alebo jednotkami, v ktorých sa vykonáva plán očkovania proti vtáčej chrípke podľa článku 11

Ak sa v tretej krajine, na území, v oblasti alebo jednotke vykonáva očkovanie, musí sa od všetkých komerčných prevádzkarní, v ktorých sa vykonáva očkovanie proti vtáčej chrípke, vyžadovať, aby sa podrobili laboratórnemu testovaniu, a okrem informácií podľa časti I.A prílohy IV sa musia predložiť aj tieto informácie:

1. počet prevádzkarní, v ktorých sa uskutočnilo očkovanie, podľa kategórie;

2. počet prevádzkarní, v ktorých sa uskutočnilo očkovanie, podľa kategórie hydiny;

3. použitie indikátorových vtákov (uveďte druh a počet indikátorových vtákov použitých v každej hale);

4. počet vzoriek odobratých z každej prevádzkarne/haly;

5. údaje o účinnosti očkovacej látky.

▼M9




PRÍLOHA VI

[podľa článku 12 ods. 1 písm. b), článku 12 ods. 2 písm. c) bodu ii) a článku 13 ods. 1 písm. a)]

KRITÉRIÁ PRE UZNANÉ OČKOVACIE LÁTKY PROTI PSEUDOMORU HYDINY

I.    Všeobecné kritériá

1. Očkovacie látky musia spĺňať normy stanovené v Príručke diagnostických testov a vakcín pre suchozemské zvieratá vydanej Svetovou organizáciou pre zdravie zvierat (OIE) v kapitole o pseudomore hydiny.

2. Predtým, ako sa povolí distribúcia a použitie očkovacích látok, musia byť zaregistrované príslušnými orgánmi príslušnej tretej krajiny. Aby bola takáto registrácia možná, musia príslušné orgány príslušnej tretej krajiny vychádzať z úplnej dokumentácie obsahujúcej údaje o účinnosti a neškodnosti očkovacej látky; pri dovážaných očkovacích látkach môžu príslušné orgány vychádzať z údajov kontrolovaných príslušnými orgánmi krajiny, v ktorej bola očkovacia látka vyrobená, pod podmienkou, že sa tieto kontroly uskutočnili v súlade s normami OIE.

3. Okrem toho musí dovoz alebo výroba a distribúcia očkovacích látok podliehať kontrole zo strany príslušných orgánov dotknutej tretej krajiny.

4. Predtým, ako sa povolí distribúcia, každá dávka očkovacej látky musí byť na základe poverenia príslušných organov testovaná na neškodnosť, predovšetkým vzhľadom na atenuáciu alebo inaktiváciu, a na neprítomnosť nežiaducich kontaminujúcich látok, ako aj na účinnosť.

II.    Osobitné kritériá

Živé oslabené očkovacie látky proti pseudomoru hydiny sa musia pripravovať z vírusového kmeňa pseudomoru hydiny, pre ktorý bola referenčná vzorka odskúšaná a ukázalo sa, že jej index intracerebrálnej patogenity (ICPI) je:

a) nižší ako 0,4, ak sa každému vtákovi v teste ICPI podalo najmenej 107 EID50; alebo

b) nižší ako 0,5, ak sa každému vtákovi v teste ICPI podalo najmenej 108 EID50.

▼B




PRÍLOHA VII

(podľa článku 13)

ĎALŠIE ZDRAVOTNÉ POŽIADAVKY

I.   Na hydinu, jednodňové kurčatá a násadové vajcia pochádzajúce z tretej krajiny, územia, oblasti alebo jednotky, v ktorých sa používajú očkovacie látky proti pseudomoru hydiny nepsĺňajúce kritériá stanovené v prílohe VI

1. Ak v tretej krajine, na území, v oblasti alebo jednotke nie je zakázané používanie očkovacích látok proti pseudomoru hydiny, ktoré nespĺňajú osobitné kritériá stanovené v prílohe VI, platia tieto ďalšie zdravotné požiadavky:

a) hydina vrátane jednodňových kurčiat nesmie byť očkovaná takými očkovacími látkami v období najmenej 12 mesiacov, ktoré predchádzajú dňu dovozu do Spoločenstva;

b) kŕdeľ alebo kŕdle sa musia najskôr dva týždne predo dňom dovozu do Spoločenstva alebo v prípade násadových vajec najskôr dva týždne predo dňom zberu vajec podrobiť testu na izoláciu vírusu pseudomoru hydiny:

i) vykonanému v úradnom laboratóriu;

ii) na náhodnej vzorke kloakálnych výterov odobratých z aspoň 60 vtákov v každom kŕdli;

iii) pri ktorom neboli zistené žiadne vtáčie paramyxovírusy s indexom intracerebrálnej patogenity vyšším ako 0,4;

c) hydina sa musí počas dvojtýždňového obdobia uvedeného v písmene b) držať v izolácii pod úradným dozorom v prevádzkarni pôvodu;

d) hydina nesmie byť počas 60 dní predo dňom dovozu do Spoločenstva alebo v prípade násadových vajec počas 60 dní predo dňom zberu vajec v kontakte s hydinou nespĺňajúcou požiadavky uvedené v písmenách a) a b).

2. V prípade, že sa jednodňové kurčatá dovážajú z tretej krajiny, územia, oblasti alebo jednotky uvedených v odseku 1, jednodňové kurčatá a násadové vajcia, z ktorých jednodňové kurčatá pochádzajú, nesmú byť v liahni ani počas prepravy v kontakte s hydinou alebo násadovými vajcami, ktoré nespĺňajú požiadavky uvedené v bode 1 písm. a) až d).

II.   na mäso z hydiny

Mäso z hydiny musí pochádzať z jatočnej hydiny, ktorá:

▼M9

a) nebola očkovaná živými oslabenými očkovacími látkami pripravenými z východiskovej kultúry vírusu pseudomoru hydiny vykazujúceho vyššiu patogenitu ako lentogénne kmene vírusu v období 30 dní pred zabitím;

▼B

b) bola podrobená testu na izoláciu pseudomoru hydiny vykonanému v úradnom laboratóriu v čase zabitia na náhodnej vzorke kloakálnych výterov najmenej 60 vtákov z každého dotknutého kŕdľa, pri ktorom neboli zistené žiadne vtáčie paramyxovírusy s indexom intracerebrálnej patogenity (ICPI) vyšším ako 0,4;

c) nebola v období 30 dní predo dňom zabitia v kontakte s hydinou nespĺňajúcou podmienky stanovené v písmenách a) a b).




PRÍLOHA VIII

[podľa článku 14 ods. 1 písm. a)]

CHOVNÁ A ÚŽITKOVÁ HYDINA INÁ AKO VTÁKY NADRADU BEŽCE, NÁSADOVÉ VAJCIA A JEDNODŇOVÉ KURČATÁ INÉ AKO VTÁKOV NADRADU BEŽCE

I.   Požiadavky uplatniteľné pred dovozom

1. Chovná a úžitková hydina iná ako vtáky nadradu bežce, násadové vajcia a jednodňové kurčatá iné ako vtákov nadradu bežce určené na dovoz do Spoločenstva môžu pochádzať len z prevádzkarní schválených príslušným orgánom dotknutej tretej krajiny v súlade s podmienkami, ktoré sú aspoň rovnako prísne ako podmienky uvedené v prílohe II k smernici ►M42  2009/158/ES ◄ , a za predpokladu, že takéto schválenie nebolo pozastavené ani odňaté.

2. Ak chovná a úžitková hydina iná ako vtáky nadradu bežce, násadové vajcia a jednodňové kurčatá iné ako vtákov nadradu bežce a/alebo ich kŕdle pôvodu majú byť podrobené testovaniu na účely splnenia požiadaviek príslušných veterinárnych osvedčení stanovených v tomto nariadení, odber vzoriek na účely testovania a samotné testovanie sa musia vykonávať v súlade s prílohou III.

3. Násadové vajcia určené na dovoz do Spoločenstva musia byť označené názvom tretej krajiny pôvodu a slovom „násadové“ s výškou písmen najmenej 3 mm v jednom z úradných jazykov Spoločenstva.

4. Každé balenie násadových vajec uvedených v bode 3 môže obsahovať len vajcia rovnakého druhu, kategórie a typu hydiny z tej istej tretej krajiny, územia, oblasti alebo jednotky pôvodu a od toho istého odosielateľa, a na tomto balení sú uvedené aspoň tieto údaje:

a) informácie vyznačené na vajciach stanovené v bode 3;

b) druh hydiny, od ktorej vajcia pochádzajú;

c) meno alebo obchodný názov a adresa odosielateľa.

5. Každá debna dovážaných jednodňových kurčiat môže obsahovať len jeden druh, kategóriu a typ hydiny z tej istej tretej krajiny, územia, oblasti alebo jednotky pôvodu, tej istej liahne a od toho istého odosielateľa a sú na nej uvedené aspoň tieto údaje:

a) názov tretej krajiny, územia, oblasti alebo jednotky pôvodu;

b) druh hydiny, ku ktorému jednodňové kurčatá patria;

c) rozlišovacie číslo liahne;

d) meno alebo obchodný názov a adresa odosielateľa.

II.   Požiadavky uplatniteľné po dovoze

1. Dovezená chovná a úžitková hydina iná ako vtáky nadradu bežce a jednodňové kurčatá iné ako vtákov nadradu bežce sa držia v prevádzkarni(-ňach) určenia odo dňa ich vstupu:

a) aspoň šesť týždňov alebo

b) v prípade, že sa vtáky zabijú pred uplynutím lehoty uvedenej v písmene a), do dňa zabitia.

Obdobie uvedené v písmene a) však možno skrátiť na tri týždne, ak výsledky odberu vzoriek a testovania vykonaných v súlade s prílohou III sú priaznivé.

2. Chovná a úžitková hydina iná ako vtáky nadradu bežce vyliahnutá z dovezených násadových vajec sa aspoň tri týždne odo dňa vyliahnutia drží v liahni alebo sa drží aspoň tri týždne v prevádzkarni(-ňach), do ktorej(-ých) bola hydina po vyliahnutí odoslaná.

Ak jednodňové kurčatá nie sú odchované v tom členskom štáte, ktorý násadové vajcia doviezol, dopravia sa priamo na miesto konečného určenia (ako je stanovené v bodoch 1.10 a 1.11 vzoru 2 zdravotného osvedčenia uvedeného v prílohe IV k smernici ►M42  2009/158/ES ◄ ) a držia sa tam aspoň tri týždne odo dňa vyliahnutia.

3. Počas príslušných období uvedených v bodoch 1 a 2 sa dovezená chovná a úžitková hydina a jednodňové kurčatá a chovná a úžitková hydina iná ako vtáky nadradu bežce vyliahnutá z dovezených násadových vajec drží v izolácii v hydinárňach, v ktorých sa nenachádzajú žiadne iné kŕdle.

Môžu byť však umiestnené do hydinární, v ktorých sa už nachádza chovná a úžitková hydina a jednodňové kurčatá.

V takomto prípade príslušné obdobia uvedené v bodoch 1 a 2 začínajú plynúť odo dňa umiestnenia posledného dovezeného vtáka a až do uplynutia týchto období nemožno z hydinární premiestniť žiadnu prítomnú hydinu.

4. Dovezené násadové vajcia sa liahnu v samostatných inkubátoroch a liahňach.

Dovezené násadové vajcia sa však môžu uložiť do inkubátorov a liahní, kde sa nachádzajú už iné násadové vajcia.

V takomto prípade obdobia uvedené v bodoch 1 a 2 začínajú plynúť odo dňa uloženia posledného dovezeného násadového vajca.

5. Najneskôr v deň uplynutia príslušných období uvedených v bodoch 1 alebo 2 sa dovezená chovná a úžitková hydina a jednodňové kurčatá podrobia klinickému vyšetreniu, ktoré vykoná úradný veterinárny lekár, a ak je to potrebné, odoberú sa vzorky na účely kontroly ich zdravotného stavu.




PRÍLOHA IX

[podľa článku 14 ods. 1 písm. b)]

CHOVNÉ A ÚŽITKOVÉ VTÁKY NADRADU BEŽCE, ICH NÁSADOVÉ VAJCIA A JEDNODŇOVÉ KURČATÁ

I.   Požiadavky uplatniteľné pred dovozom

1. Dovezené chovné a úžitkové vtáky nadradu bežce (ďalej len „vtáky nadradu bežce“) sa musia označiť štítkami na krku a/alebo mikročipmi, na ktorých je uvedený kód ISO tretej krajiny pôvodu. Takéto mikročipy musia vyhovovať normám ISO.

2. Dovezené násadové vajcia vtákov nadradu bežce musia byť označené pečiatkou s uvedením kódu ISO tretej krajiny pôvodu a čísla schválenia prevádzkarne pôvodu.

3. Každé balenie násadových vajec uvedených v bode 2 môže obsahovať len vajcia vtákov nadradu bežce z tej istej tretej krajiny, územia, oblasti alebo jednotky pôvodu a od toho istého odosielateľa a sú na ňom uvedené aspoň tieto údaje:

a) informácie vyznačené na vajciach stanovené v bode 2;

b) jasne viditeľné a čitateľné označenie, že zásielka obsahuje násadové vajcia vtákov nadradu bežce;

c) meno alebo obchodné meno odosielateľa a jeho adresa.

4. Každá debna dovezených jednodňových kurčiat chovných a úžitkových vtákov nadradu bežce môže obsahovať len vtáky nadradu bežce z tej istej tretej krajiny, územia, oblasti alebo jednotky pôvodu, tej istej prevádzkarne a od toho istého odosielateľa a sú na nej uvedené aspoň tieto údaje:

a) kód ISO tretej krajiny pôvodu a schvaľovacie číslo prevádzkarne pôvodu;

b) jasne viditeľné a čitateľné označenie, že zásielka obsahuje jednodňové kurčatá vtákov nadradu bežce;

c) meno alebo obchodné meno odosielateľa a jeho adresa.

II.   Požiadavky uplatniteľné po dovoze

1. Po vykonaní dovozných kontrol v súlade so smernicou 91/496/EHS sa zásielky vtákov nadradu bežce a ich násadových vajec a jednodňových kurčiat dopravia priamo na miesto konečného určenia.

2. Dovezené vtáky nadradu bežce a ich jednodňové kurčatá sa držia v prevádzkarni(-ňach) určenia odo dňa ich vstupu:

a) aspoň šesť týždňov alebo

b) v prípade, že sa vtáky zabijú pred uplynutím lehoty uvedenej v písmene a), do dňa zabitia.

▼M16

3. Vtáky nadradu bežce vyliahnuté z dovezených násadových vajec sa držia aspoň tri týždne od dátumu vyliahnutia v liahni alebo aspoň tri týždne v prevádzkarni(-ňach), do ktorej(-ých) boli po vyliahnutí odoslané.

Ak jednodňové kurčatá vtákov nadradu bežce nie sú odchované v tom členskom štáte, ktorý násadové vajcia doviezol, dopravia sa priamo na miesto konečného určenia (ako je stanovené v bodoch I.10 a I.11 vzoru 2 veterinárneho osvedčenia uvedeného v prílohe IV k smernici Rady 2009/158/ES ( 12 )) a držia sa tam aspoň tri týždne odo dňa vyliahnutia.

▼B

4. Počas príslušných období uvedených v bodoch 2 a 3 sa dovezené vtáky nadradu bežce a vtáky nadradu bežce, ktoré sa vyliahli z dovezených násadových vajec, držia v izolácii v hydinárňach, v ktorých sa nenachádzajú žiadne iné vtáky nadradu bežce ani hydina.

Môžu však byť umiestnené do hydinární, v ktorých sa už nachádzajú iné vtáky nadradu bežce alebo hydina. V takomto prípade obdobia uvedené v bodoch 2 a 3 začínajú plynúť odo dňa umiestnenia posledného dovezeného vtáka nadradu bežce a až do uplynutia týchto období nemožno z hydinární premiestniť žiadne prítomné vtáky nadradu bežce alebo hydinu.

5. Dovezené násadové vajcia sa liahnu v samostatných inkubátoroch a liahňach.

Dovezené násadové vajcia sa však môžu uložiť do inkubátorov a liahní, kde sa nachádzajú už iné násadové vajcia. V takomto prípade lehoty uvedené v bodoch 2 a 3 začínajú plynúť odo dňa uloženia posledného dovezeného násadového vajca a uplatňujú sa opatrenia stanovené v uvedených bodoch.

6. Najneskôr v deň uplynutia príslušných lehôt uvedených v bode 2 alebo 3 sa dovezené vtáky nadradu bežce a ich jednodňové kurčatá podrobia klinickému vyšetreniu, ktoré vykoná úradný veterinárny lekár a, ak je to potrebné, odoberú sa vzorky na účely kontroly ich zdravotného stavu.

III.   Požiadavky na chovné a úžitkové vtáky nadradu bežce a na ich jednodňové kurčatá z Ázie a Afriky uplatniteľné na ich dovoz do Spoločenstva

Na chovné a úžitkové vtáky nadradu bežce a ich jednodňové kurčatá pochádzajúce z tretích krajín, území, oblastí alebo jednotiek v Ázii a v Afrike sa vzťahujú ochranné opatrenia v súvislosti s krymsko-konžskou hemoragickou horúčkou stanovené v časti I prílohy X.

Všetky vtáky nadradu bežce vykazujúce pozitívny výsledok v kompetitívnom teste ELISA na prítomnosť protilátok proti krymsko-konžskej hemoragickej horúčke sa utratia.

Všetky vtáky z tej istej zásielky sa opätovne podrobia kompetitívnemu testu ELISA dvadsaťjeden dní odo dňa pôvodného odberu vzoriek. Ak ktorýkoľvek vták vykáže v teste pozitívny výsledok, utratia sa všetky vtáky z tej istej zásielky.

IV.   Požiadavky na chovné a úžitkové vtáky nadradu bežce z tretej krajiny, územia alebo oblasti, ktoré sa považujú za postihnuté pseudomorom hydiny

Na vtáky nadradu bežce a na ich násadové vajcia pochádzajúce z tretej krajiny, územia alebo oblasti, ktoré sa považujú za postihnuté pseudomorom hydiny, a na jednodňové kurčatá vyliahnuté z takýchto vajec sa vzťahujú tieto pravidlá:

a) predo dňom začatia obdobia izolácie príslušný orgán skontroluje izolačné zariadenia uvedené v bode 4 časti II tejto prílohy s cieľom overiť, či sú vyhovujúce;

b) počas príslušných období uvedených v bodoch 2 a 3 časti II tejto prílohy sa vykoná test na izoláciu vírusu pseudomoru hydiny na kloakálnom výtere alebo na vzorke trusu každého vtáka nadradu bežce;

c) ak sa vtáky nadradu bežce majú odoslať do členského štátu, ktorého status bol stanovený v súlade s článkom 12 ods. 2 smernice ►M42  2009/158/ES ◄ , každý vták nadradu bežce sa okrem testu na izoláciu vírusu stanovenému v písmene b) tejto časti podrobí aj sérologickému testu;

d) pred tým, ako sa ktorýkoľvek vták prepustí z izolácie, musia byť k dispozícii negatívne výsledky testov uvedených v písmenách b) a c).




PRÍLOHA X

(podľa článku 17)

OCHRANNÉ OPATRENIA VZHĽADOM NA KRYMSKO-KONŽSKÚ HEMORAGICKÚ HORÚČKU

I.   Pre vtáky nadradu bežce

Príslušný orgán zabezpečí, aby vtáky nadradu bežce boli izolované v prostredí chránenom pred hlodavcami a bez výskytu kliešťov aspoň 21 dní predo dňom dovozu do Spoločenstva.

Pred premiestnením do prostredia bez výskytu kliešťov musia byť vtáky nadradu bežce ošetrené na účely zničenia všetkých ektoparazitov, ktorými sú postihnuté. Po 14 dňoch pobytu v prostredí bez výskytu kliešťov sa vtáky nadradu bežce podrobia kompetitívnemu testu ELISA na protilátky proti krymsko-konžskej hemoragickej horúčke. Každé zviera umiestnené do izolácie musí v teste vykázať negatívny výsledok. Po vstupe vtákov nadradu bežce do Spoločenstva sa ošetrenie na ektoparazity a sérologický test zopakujú.

II.   Pre vtáky nadradu bežce, z ktorých pochádza mäso určené na dovoz

Príslušný orgán zabezpečí, aby vtáky nadradu bežce boli izolované v prostredí chránenom pred hlodavcami a bez výskytu kliešťov aspoň 14 dní predo dňom zabitia.

Pred premiestnením do prostredia bez výskytu kliešťov sa vtáky nadradu bežce buď vyšetria s cieľom overiť, že nie sú postihnuté kliešťami, alebo ošetria na účely zničenia všetkých kliešťov, ktorými sú postihnuté. Použitý spôsob ošetrenia sa musí špecifikovať v dovoznom osvedčení. Žiadny použitý spôsob ošetrenia nesmie mať za následok zistiteľné rezíduá v mäse z vtákov nadradu bežce.

Každá šarža vtákov nadradu bežce sa pred zabitím vyšetrí na kliešte. V prípade zistenia kliešťov sa celá šarža pred zabitím opätovne umiestni do izolácie.

▼M2




PRÍLOHA XI

(podľa článku 18 ods.2)

Vzor veterinárneho osvedčenia na prevoz/skladovanie vajec bez obsahu špecifikovaných patogénov, mäsa, mletého mäsa a mechanicky separovaného mäsa z hydiny, vtákov nadradu bežce a voľne žijúcej pernatej zveri, vajec a výrobkov z vajec

image

image

▼B




PRÍLOHA XII

(podľa článku 20)

TABUĽKA ZHODY



Toto nariadenie

Rozhodnutie 2006/696/ES

Rozhodnutie 94/438/ES

Rozhodnutie 93/342/EHS

článok 1 ods. 1 prvý pododsek

článok 1 prvý pododsek

 

 

článok 1 ods. 1 druhý pododsek

článok 5

 

 

článok 1 ods. 2

článok 1 druhý pododsek

 

 

článok 1 ods. 3

prílohy I a II (časť 1)

 

 

článok 2 ods. 1 až 5

článok 2 písm. a) až e)

 

 

článok 2 ods. 6

článok 2 písm. m)

 

 

článok 2 ods. 7

článok 2 písm. j)

 

 

článok 2 ods. 8

článok 2 písm. k)

 

 

článok 2 ods. 9

článok 2 písm. l)

 

 

článok 2 ods. 10

 

 

 

článok 2 ods. 11

 

 

 

článok 2 ods. 12 písm. a) až c)

článok 2 písm. g)

 

 

článok 2 ods. 12 písm. d)

 

 

 

článok 2 ods. 13

článok 2 písm. h)

 

 

článok 2 ods. 14

článok 2 písm. f)

 

 

článok 2 ods. 15

 

 

 

článok 2 ods. 16

 

 

 

článok 2 ods. 17

 

 

 

článok 2 ods. 18

 

 

 

článok 2 ods. 19

 

 

 

článok 2 ods. 20

 

 

 

článok 3

článok 5

 

 

článok 4 prvý pododsek

články 5 a 3

 

 

článok 4 druhý pododsek

príloha I časť 3

 

 

článok 4 tretí pododsek

článok 3 druhý pododsek

 

 

článok 5

článok 4

 

 

článok 6

 

 

 

článok 7 písm. a)

 

 

článok 2 písm. h)

článok 7 písm. b)

 

 

článok 2 písm. g)

článok 7 písm. c)

 

 

článok 2 písm. i)

článok 8

 

 

 

článok 9

 

 

 

článok 10

 

 

 

článok 11

 

 

 

článok 12

 

článok 4 ods. 1 a 2

článok 4 ods. 1 a 2

článok 13

 

článok 4 ods. 3

článok 4 ods. 4

článok 14 ods. 1 písm. a)

článok 9

 

 

článok 14 ods. 1 písm. b)

článok 11

 

 

článok 14 ods. 2

 

 

 

článok 15

článok 18

 

 

článok 16

článok 8

 

 

článok 17

článok 16 ods. 2

 

 

článok 18 ods. 1

 

 

 

článok 18 ods. 2

článok 19 písm. b)

 

 

článok 18 ods. 3

článok 19

 

 

článok 19

článok 20

 

 

článok 20

 

 

 

článok 21

 

 

 

článok 22

 

 

 

príloha I

prílohy I a II

 

 

príloha II

príloha I časť 3

 

 

príloha III časť I body 1 až 6

príloha I časť 4 oddiel A

 

 

príloha III časť I bod 7

 

 

 

príloha III časti II a III

príloha I časť 4 oddiel B

 

 

príloha IV

 

 

 

príloha V

 

 

 

príloha VI

 

 

príloha B

príloha VII časť I

článok 7

 

 

príloha VII časť II

 

príloha

 

príloha VIII časť I

článok 9

 

 

príloha VIII časť II

článok 10

 

 

príloha IX časť I

článok 11

 

 

príloha IX časť II

článok 12

 

 

príloha IX časť III

článok 13

 

 

príloha IX časť IV

článok 14

 

 

príloha X

príloha V

 

 

príloha XI

príloha IV

 

 

príloha XII

 

 

 



( 1 ) http://www.edqm.eu (posledné vydanie).

( 2 ) Veterinary Laboratories Agency, New Haw, Weybridge, Surrey KT 15 3NB, Spojené kráľovstvo.

( 3 ) http://www.oie.int/eng/normes/mcode/en_sommaire.htm

( 4 ) Ú. v. EÚ L 296, 12.11.2009, s. 1.

( 5 ) Ú. v. EÚ L 21, 28.1.2004, s. 11.

( 6 ) Ú. v. EÚ L 237, 31.8.2006, s. 1.

( 7 ) http://www.oie.int/eng/normes/mmanual/A_summry.htm

( 8 ) Ú. v. ES L 260, 5.9.1992, s. 1.

( 9 ) Ú. v. ES L 188, 8.7.1992, s. 34.

( 10 ) Uveďte, prosím, podrobné informácie v takom rozsahu, ktorý je potrebný na riadne posúdenie programu.

( 11 ) Uveďte, prosím, podrobné informácie v takom rozsahu, ktorý je potrebný na riadne posúdenie programu.

( 12 ) Ú. v. EÚ L 343, 22.12.2009, s. 74.