13/Volumul 43

RO

Jurnalul Ofícial al Uniunii Europene

3


32003R2003


L 304/1

JURNALUL OFÍCIAL AL UNIUNII EUROPENE


REGULAMENTUL (CE) NR. 2003/2003 AL PARLAMENTULUI EUROPEAN ȘI AL CONSILIULUI

din 13 octombrie 2003

privind îngrășămintele

(Text cu relevanță pentru SEE)

PARLAMENTUL EUROPEAN ȘI CONSILIUL UNIUNII EUROPENE,

având în vedere Tratatul de instituire a Comunității Europene, în special articolul 95,

având în vedere propunerea Comisiei (1),

având în vedere avizul Comitetului Economic și Social (2),

hotărând în conformitate cu procedura prevăzută la articolul 251 din tratat (3),

întrucât:

(1)

Directiva 76/116/CEE a Consiliului din 18 decembrie 1975 de apropiere a legislațiilor statelor membre referitoare la îngrășăminte (4), Directiva 80/876/CEE a Consiliului din 15 iulie 1980 de apropiere a legislațiilor statelor membre referitoare la îngrășămintele simple pe bază de azotat de amoniu cu un conținut ridicat de azot (5), Directiva 87/94/CEE a Comisiei din 8 decembrie 1986 de apropiere a legislațiilor statelor membre referitoare la procedurile pentru controlul caracteristicilor, limitelor și rezistenței la detonare ale îngrășămintelor simple pe bază de azotat de amoniu cu un mare conținut de azot (6) și Directiva 77/535/CEE a Comisiei din 22 iunie 1977 de apropiere a legislațiilor statelor membre privind modalitățile de prelevare de probe și metodele comunitare de analiză a îngrășămintelor (7) au fost modificate substanțial, în repetate rânduri. În conformitate cu comunicarea Comisiei către Parlamentul European și Consiliu, „Simplificarea legislației privind piața internă” (SLPI), și cu planul de acțiune în favoarea pieței unice, este oportun ca directivele în cauză să fie abrogate și înlocuite, din motive de claritate, cu un singur instrument juridic.

(2)

Legislația comunitară privind îngrășămintele are un conținut foarte tehnic. Prin urmare, instrumentul juridic cel mai adecvat îl reprezintă un regulament, întrucât impune direct fabricanților obligații precise care trebuie aplicate simultan și unitar pe întreg teritoriul Comunității.

(3)

În fiecare stat membru, îngrășămintele trebuie să aibă anumite caracteristici tehnice stabilite prin dispoziții obligatorii. Dispozițiile în cauză, care vizează în special compoziția și definiția tipurilor de îngrășăminte, denumirea acestor tipuri, identificarea și ambalarea lor, diferă de la un stat membru la altul. Din cauza diferențelor, ele constituie un obstacol în calea schimburilor comerciale din interiorul Comunității și, prin urmare, ar trebui armonizate.

(4)

Întrucât obiectivul acțiunii avute în vedere, și anume asigurarea pieței interne a îngrășămintelor, nu poate fi realizat la un nivel suficient de către statele membre în absența unor criterii tehnice comune și, prin urmare, dată fiind amploarea acțiunii, poate fi atins mai ușor la nivel comunitar, Comunitatea poate lua măsuri, conform principiului subsidiarității, consacrat de articolul 5 din tratat. În conformitate cu principiul proporționalității, enunțat în articolul menționat, prezentul regulament nu depășește ceea ce este necesar pentru atingerea obiectivelor în cauză.

(5)

Este necesar să se stabilească, la nivel comunitar, denumirea, definiția și compoziția anumitor îngrășăminte (îngrășăminte CE).

(6)

Este necesar, de asemenea, să se stabilească, pentru îngrășămintele CE, norme comunitare privind identificarea, trasabilitatea și etichetarea lor, precum și închiderea ambalajelor.

(7)

Ar trebui să se stabilească, la nivel comunitar, o procedură de aplicat în cazurile în care un stat membru consideră necesar să impună restricții de introducere pe piață a îngrășămintelor CE.

(8)

Producția de îngrășăminte este supusă unor fluctuații mai mult sau mai puțin importante determinate de tehnicile de producție și de materiile prime. Printre altele, fluctuațiile pot fi cauzate și de metodele de eșantionare și analiză. Prin urmare, este necesar să se admită toleranțe privind conținutul garantat de nutrienți. În interesul utilizatorilor agricoli, este preferabil să se mențină aceste toleranțe în limite strânse.

(9)

Controalele oficiale privind conformitatea îngrășămintelor CE cu cerințele prezentului regulament privind calitatea și compoziția ar trebui să fie efectuate de către laboratoare autorizate de statele membre și să fie notificate Comisiei.

(10)

Azotatul de amoniu constituie principala componentă într-o serie de produse dintre care o parte sunt utilizate ca îngrășăminte, iar altele ca explozibili. Având în vedere natura specială a îngrășămintelor pe bază de azotat de amoniu cu un conținut ridicat de azot și cerințele care rezultă în ceea ce privește siguranța publică, sănătatea și protecția muncii, este necesar să se prevadă norme comunitare suplimentare pentru îngrășămintele CE de acest tip.

(11)

Anumite produse ar putea fi periculoase și, în anumite cazuri, ar putea fi folosite în alte scopuri decât cele cărora le sunt destinate. Acest lucru ar putea pune în pericol siguranța persoanelor și a bunurilor. Prin urmare, este necesar ca fabricanții să fie obligați să ia măsurile adecvate pentru a evita astfel de utilizări și în special pentru a asigura trasabilitatea îngrășămintelor în cauză.

(12)

În interesul siguranței publice, este deosebit de important să se stabilească la nivel comunitar caracteristicile și proprietățile care disting îngrășămintele CE pe bază de azotat de amoniu cu un conținut ridicat de azot de varietățile de azotat de amoniu utilizate pentru fabricarea produselor utilizate ca explozibili.

(13)

Îngrășămintele CE pe bază de azotat de amoniu cu un conținut ridicat de azot trebuie să aibă anumite caracteristici pentru a li se putea garanta inocuitatea. Fabricanții trebuie să se asigure că toate îngrășămintele pe bază de azotat de amoniu cu un conținut ridicat de azot au trecut, cu succes, un test de rezistență la detonare înainte de a fi introduse pe piață.

(14)

Este necesar să se stabilească reguli privind metodele ciclurilor termice închise, chiar dacă este posibil ca aceste metode să nu simuleze neapărat toate condițiile care apar în timpul transportului și al depozitării.

(15)

Există posibilitatea ca îngrășămintele să fie contaminate cu substanțe care pot prezenta riscuri pentru sănătatea oamenilor și sănătatea animală și pentru mediu. Ca urmare a avizului Comitetului științific pentru toxicitate, ecotoxicitate și mediu (CSTEM), Comisia intenționează să abordeze chestiunea prezenței neintenționate a cadmiului în îngrășămintele minerale și va elabora, dacă este cazul, o propunere de regulament pe care să o prezinte Parlamentului European și Consiliului. Dacă este cazul, se va întreprinde un studiu similar pentru alți contaminanți.

(16)

Ar trebui să se stabilească o procedură care să fie aplicată de orice fabricant sau reprezentant al unui fabricant care solicită includerea unui nou tip de îngrășământ în anexa I, pentru a putea utiliza mențiunea „îngrășământ CE”.

(17)

Măsurile necesare pentru punerea în aplicare a prezentului regulament vor fi adoptate în conformitate cu Decizia 1999/468/CE a Consiliului din 28 iunie 1999 de definire a modalităților de exercitare a competențelor de executare conferite Comisiei (8).

(18)

Este necesar ca statele membre să determine sancțiunile care se aplică în cazul unor încălcări ale dispozițiilor din prezentul regulament. Statele membre pot să prevadă că un fabricant care încalcă dispozițiile articolului 27 este pasibil de o amendă a cărei valoare reprezintă de zece ori valoarea comercială a transportului care nu este conform cu articolul menționat anterior.

(19)

Directivele 76/116/CEE, 77/535/CEE, 80/876/CEE și 87/94/CEE ar trebui abrogate,

ADOPTĂ PREZENTUL REGULAMENT:

TITLUL I

DISPOZIȚII GENERALE

CAPITOLUL I

Domeniu de aplicare și definiții

Articolul 1

Domeniu de aplicare

Prezentul regulament se aplică produselor care sunt introduse pe piață ca îngrășăminte și sunt marcate cu mențiunea „îngrășământ CE”.

Articolul 2

Definiții

În înțelesul prezentului regulament:

(a)

„îngrășământ” înseamnă un material a cărui funcție principală este aportul de substanțe nutritive plantelor;

(b)

„nutrient principal” înseamnă exclusiv azotul, fosforul și potasiul;

(c)

„nutrient secundar” înseamnă calciu, magneziu, sodiu și sulf;

(d)

„oligoelemente” înseamnă bor, cobalt, cupru, fier, mangan, molibden și zinc, esențiale pentru creșterea plantelor, dar în cantități reduse față de cantitățile de nutrienți principali și secundari;

(e)

„îngrășământ anorganic” înseamnă un îngrășământ ai cărui nutrienți declarați se găsesc sub formă de minerale obținute prin extracție sau prin procedee industriale fizice și/sau chimice. Cianamida de calciu, ureea și produsele sale de condensare sau de asociere, precum și îngrășămintele care conțin oligoelemente chelate sau complexate pot fi clasate, prin convenție, în categoria îngrășămintelor anorganice;

(f)

„oligoelement chelat” înseamnă un oligoelement care este legat de una dintre moleculele organice enumerate la secțiunea E.3.1 din anexa I;

(g)

„oligoelement complexat” înseamnă un oligoelement care este legat de una dintre moleculele organice enumerate la secțiunea E.3.2 din anexa I;

(h)

„tip de îngrășământ” înseamnă îngrășăminte care au o denumire de tip comună, prevăzută la anexa I;

(i)

„îngrășământ simplu” înseamnă un îngrășământ azotat, fosfatat sau potasic care conține, într-o proporție care trebuie declarată, doar unul dintre nutrienții principali;

(j)

„îngrășământ compus” înseamnă un îngrășământ care conține, într-o proporție care trebuie declarată, cel puțin doi nutrienți principali și care a fost obținut printr-o reacție chimică sau prin amestec sau combinația acestora;

(k)

„îngrășământ complex” înseamnă un îngrășământ compus, obținut printr-o reacție chimică, prin soluție sau, în stare solidă, prin granulare, care conține, într-o proporție care trebuie declarată, cel puțin doi nutrienți principali. În stare solidă, fiecare granulă conține toți nutrienții în compoziția declarată;

(l)

„îngrășământ de amestec” înseamnă un îngrășământ obținut prin amestecarea uscată a diferitelor îngrășăminte, fără nici o reacție chimică;

(m)

„îngrășământ foliar” înseamnă un îngrășământ destinat aplicării pe frunzișul plantelor în vederea absorbției foliare a nutrienților;

(n)

„îngrășământ lichid” înseamnă un îngrășământ în suspensie sau în soluție;

(o)

„îngrășământ în soluție” înseamnă un îngrășământ lichid care nu conține particule solide;

(p)

„îngrășământ în suspensie” înseamnă îngrășământ bifazic în care particulele solide sunt menținute în suspensie în faza lichidă;

(q)

„declarație” înseamnă menționarea cantității de nutrienți, inclusiv a formei și a solubilității lor, garantate cu toleranțele prevăzute;

(r)

„conținut declarat” înseamnă conținutul menționat pentru un element sau un oxid al acestuia, pe eticheta unui îngrășământ CE sau pe documentul de însoțire, în temeiul legislației comunitare;

(s)

„toleranță” înseamnă abaterea autorizată a valorii măsurate față de valoarea declarată a conținutului de nutrienți;

(t)

„standard european” înseamnă un standard CEN (Comitetul European pentru Standardizare) care a fost recunoscut oficial de către Comunitate și al cărui număr de referință a fost publicat în Jurnalul Oficial al Comunităților Europene;

(u)

„ambalaj” înseamnă un recipient care poate fi sigilat, utilizat pentru conservarea, protejarea, manipularea și distribuirea îngrășămintelor, cu o capacitate maximă de 1 000 kg;

(v)

„îngrășământ vrac” înseamnă un îngrășământ care nu este ambalat conform prevederilor prezentului regulament;

(w)

„introducere pe piață” înseamnă furnizarea, cu titlu oneros sau gratuit, a unui îngrășământ sau depozitarea în vederea furnizării. Importul unui îngrășământ pe teritoriul vamal al Comunității Europene este considerat o formă de introducere pe piață;

(x)

„fabricant” înseamnă persoana fizică sau juridică care răspunde pentru introducerea pe piață a unui îngrășământ; sunt considerați fabricanți în special producătorii, importatorii, ambalatorii care operează pe cont propriu sau orice persoană care schimbă caracteristicile unui îngrășământ. Cu toate acestea, un distribuitor care nu schimbă caracteristicile îngrășământului nu este considerat fabricant.

CAPITOLUL II

Introducere pe piață

Articolul 3

Îngrășământ CE

Orice îngrășământ care aparține unuia dintre tipurile de îngrășăminte menționate în anexa I și care îndeplinește condițiile prevăzute de prezentul regulament poate avea mențiunea „îngrășământ CE”.

Mențiunea „îngrășământ CE” nu poate fi utilizată pentru un îngrășământ care nu este conform cu prezentul regulament.

Articolul 4

Stabilirea în Comunitate

Fabricantul este stabilit în Comunitate și este responsabil de conformitatea „îngrășământului CE” cu dispozițiile prezentului regulament.

Articolul 5

Libera circulație

(1)   Fără a aduce atingere articolului 15 și altor reglementări comunitare, statele membre nu pot să interzică, să limiteze sau să obstrucționeze, din motive legate de compoziția, identificarea, etichetarea sau ambalarea sau de alte dispoziții din prezentul regulament, introducerea pe piață a îngrășămintelor marcate „îngrășământ CE” care sunt conforme cu dispozițiile prezentului regulament.

(2)   Îngrășămintele marcate „îngrășământ CE” în conformitate cu prezentul regulament circulă liber în Comunitate.

Articolul 6

Mențiuni obligatorii

(1)   Pentru a se conforma cerințelor din articolul 9, statele membre pot să impună ca menționarea conținutului de azot, fosfor și potasiu din îngrășămintele introduse pe piețele lor să se facă după cum urmează:

(a)

azot, numai în forma elementară (N) și/sau

(b)

fosfor și potasiu, numai în forma elementară (P, K) sau

(c)

fosfor și potasiu, numai ca oxizi (P2O5, K2O) sau

(d)

simultan fosfor și potasiu, atât în formă elementară, cât și ca oxizi.

În cazul în care se optează să se menționeze conținutul de fosfor și de potasiu sub formă de elemente, toate mențiunile din anexe la forma de oxizi se interpretează ca fiind în forma elementară, iar valorile numerice se convertesc cu ajutorul următorilor factori:

(a)

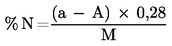
fosfor (P) = anhidridă fosforică (P2O5) × 0,436;

(b)

potasiu (K) = oxid de potasiu (K2O) × 0,830.

(2)   Statele membre pot impune ca menționarea conținutului de calciu, magneziu, sodiu și sulf din îngrășămintele cu nutrienți secundari și, în cazul în care sunt îndeplinite condițiile prevăzute la articolul 17, din îngrășămintele cu nutrienți principali introduse pe piețele lor, să fie exprimate astfel:

(a)

sub formă de oxid (CaO, MgO, Na2O, SO3) sau

(b)

în formă elementară (Ca, Mg, Na, S) sau

(c)

în ambele forme.

Pentru transformarea conținutului de oxid de calciu, oxid de magneziu, oxid de sodiu și anhidridă sulfurică în conținut de calciu, magneziu, sodiu și sulf, se utilizează următorii factori:

(a)

calciu (Ca) = oxid de calciu (CaO) × 0,715;

(b)

magneziu (Mg) = oxid de magneziu (MgO) × 0,603;

(c)

sodiu (Na) = oxid de sodiu (Na2O) × 0,742;

(d)

sulf (S) = anhidridă sulfurică (SO3) × 0,400.

Valoarea reținută pentru declarație este valoarea rotunjită la zecimala cea mai apropiată atât în cazul în care conținutul se exprimă sub formă de oxizi, cât și în cazul în care se exprimă în forma elementară.

(3)   Statele membre nu pot împiedica introducerea pe piață a unui „îngrășământ CE” etichetat în cele două forme menționate la alineatele (1) și (2).

(4)   Conținutul de unul sau mai multe dintre oligoelementele bor, cobalt, cupru, fier, mangan, molibden sau zinc al îngrășămintelor CE din tipurile de îngrășăminte enumerate în secțiunile A, B, C și D din anexa I se declară în cazul în care sunt îndeplinite cumulativ următoarele condiții:

(a)

oligoelementele se adaugă și se prezintă în cantități cel puțin egale cu cele specificate în secțiunile E.2.2 și E.2.3 din anexa I;

(b)

„îngrășământul CE” îndeplinește în continuare cerințele din secțiunile A, B, C și D din anexa I.

(5)   În cazul în care oligoelementele reprezintă componente obișnuite ale materiilor prime utilizate pentru aportul de nutrienți principali (N, P, K) și secundari (Ca, Mg, Na, S), ele pot fi declarate, cu condiția să fie prezente în cantități cel puțin egale cu cele specificate în secțiunile E.2.2 și E.2.3 din anexa I.

(6)   Conținutul de oligoelemente se declară după cum urmează:

(a)

pentru îngrășămintele din tipurile de îngrășăminte enumerate în secțiunea E.1 din anexa I, în conformitate cu cerințele menționate la coloana 6 din secțiunea în cauză;

(b)

pentru amestecurile de îngrășăminte menționate la litera (a) care conțin cel puțin două oligoelemente diferite și corespund cerințelor din secțiunea E.2.1 din anexa I, precum și pentru îngrășămintele din tipurile de îngrășăminte enumerate în secțiunile A, B, C și D din anexa I, se indică:

(i)

conținutul total exprimat procentual din masa îngrășământului;

(ii)

conținutul solubil în apă, exprimat procentual din masa îngrășământului, în cazul în care conținutul solubil este cel puțin egal cu jumătate din conținutul total.

În cazul în care un oligoelement este integral solubil în apă, se declară exclusiv conținutul solubil în apă.

În cazul în care un oligoelement este legat chimic de o moleculă organică, conținutul de acest oligoelement al îngrășământului se declară imediat după conținutul solubil în apă, procentual din masa produsului, urmat de expresia „chelat cu” sau „complexat cu” și denumirea moleculei organice prezentată în secțiunea E.3 din anexa I. Denumirea moleculei organice poate fi înlocuită cu abrevierea sa.

Articolul 7

Identificare

(1)   Fabricantul furnizează îngrășămintele CE însoțite de mențiunile de identificare enumerate la articolul 9.

(2)   În cazul în care îngrășămintele sunt ambalate, mențiunile de identificare în cauză apar pe ambalaje sau pe etichetele lipite pe ambalaje. În cazul în care îngrășămintele sunt în vrac, mențiunile în cauză apar pe documentele de însoțire.

Articolul 8

Trasabilitate

Fără a aduce atingere articolului 26 alineatul (3), fabricantul păstrează dosarele privind originea îngrășămintelor CE pentru a asigura trasabilitatea acestora. Dosarele în cauză se pun la dispoziția statelor membre în vederea inspectării, pe întreaga durată de introducere de piață a îngrășământului și pentru o perioadă suplimentară de doi ani de la încheierea perioadei de furnizare.

Articolul 9

Mențiuni

(1)   Fără a aduce atingere altor reglementări comunitare, ambalajele, etichetele și documentele de însoțire prevăzute la articolul 7 se marchează cu următoarele mențiuni:

(a)

identificarea obligatorie:

mențiunea „ÎNGRĂȘĂMÂNT CE”, cu litere majuscule;

dacă există, denumirea tipului de îngrășământ, în conformitate cu anexa I;

pentru îngrășămintele de amestec, mențiunea „de amestec” după denumirea tipului de îngrășământ;

mențiunile suplimentare prevăzute la articolul 19, 21 sau 23;

nutrienții sunt indicați atât prin denumirea lor literală, cât și prin simbolul lor chimic, precum azot (N), fosfor (P), anhidridă fosforică (P2O5), potasiu (K), oxid de potasiu (K2O), calciu (Ca), oxid de calciu (CaO), magneziu (Mg), oxid de magneziu (MgO), sodiu (Na), oxid de sodiu (Na2O), sulf (S), anhidridă sulfurică (SO3), bor (B), cupru (Cu), cobalt (Co), fier (Fe), mangan (Mn), molibden (Mo), zinc (Z);

în cazul în care îngrășământul conține oligoelemente care sunt, integral sau parțial, legate chimic de o moleculă organică, denumirea oligoelementului este urmată de unul dintre următoarele calificative:

(i)

„chelat cu…” (denumirea sau abrevierea agentului de chelare, conform secțiunii E.3.1 din anexa I);

(ii)

„complexat cu…” (denumirea agentului de complexare conform secțiunii E.3.2 din anexa I);

oligoelementele prezente în îngrășământ, enumerate în ordinea alfabetică a simbolurilor lor chimice: B, Co, Cu, Fe, Mn, Mo, Zn;

instrucțiunile specifice de utilizare pentru produsele enumerate în secțiunile E.1 și E.2 din anexa I;

cantitățile de îngrășăminte lichide, exprimate în masă. Indicarea cantităților de îngrășăminte lichide în volum sau în masă pe volum (kilograme pe hectolitru sau grame pe litru) este facultativă;

masa netă sau brută și, facultativ, volumul pentru îngrășămintele lichide. În cazul în care se indică masa brută, se menționează alături și tara, în masă;

denumirea sau denumirea socială și adresa fabricantului;

(b)

identificarea facultativă:

mențiunile enumerate la anexa I;

instrucțiunile de depozitare și manipulare și, pentru îngrășămintele care nu sunt enumerate la anexa I secțiunile E.1 și E.2, instrucțiuni specifice de utilizare a îngrășământului;

indicații privind dozele și condițiile de utilizare adecvate pentru condițiile de sol și de cultură în care se utilizează îngrășământul;

marca fabricantului și denumirea comercială a produsului.

Mențiunile de identificare prevăzute la litera (b) nu trebuie să contravină celor prevăzute la litera (a) și trebuie să fie separate clar de cele din urmă.

(2)   Toate mențiunile prevăzute la alineatul (1) trebuie să fie clar separate de alte informații care apar pe ambalaje, etichete și documentele de însoțire.

(3)   Îngrășămintele lichide nu pot fi introduse pe piață decât dacă fabricantul oferă instrucțiuni suplimentare corespunzătoare, în special cu privire la temperatura de depozitare și prevenirea accidentelor în cursul depozitării.

(4)   Normele de aplicare a prezentului articol se adoptă în conformitate cu procedura prevăzută la articolul 32 alineatul (2).

Articolul 10

Etichetare

(1)   Etichetele sau indicațiile imprimate pe ambalaj care conțin mențiunile prevăzute la articolul 9 se plasează într-un loc ușor vizibil. Etichetele se fixează pe ambalaj sau pe sistemul său de închidere. În cazul în care sistemul de închidere constă într-un sigiliu, acesta trebuie marcat cu denumirea sau marca ambalatorului.

(2)   Mențiunile prevăzute la alineatul (1) trebuie să fie și să rămână indelebile și ușor lizibile.

(3)   În cazul îngrășămintelor în vrac menționate la articolul 7 alineatul (2) teza a doua, un exemplar din documentele de însoțire care conțin mențiunile de identificare trebuie să însoțească mărfurile și să fie disponibil organismelor de control.

Articolul 11

Limbi

Eticheta, mențiunile înscrise pe ambalaj sau în documentele de însoțire trebuie să fie redactate cel puțin în limba sau limbile naționale ale statului membru pe teritoriul căruia se comercializează îngrășământul CE.

Articolul 12

Ambalaj

În cazul îngrășămintelor CE ambalate, ambalajul trebuie închis astfel încât sau cu un astfel de dispozitiv încât, la deschiderea ambalajului, dispozitivul de închidere, sigiliul sau ambalajul însuși să fie deteriorat iremediabil. Este permisă utilizarea sacilor cu valvă.

Articolul 13

Toleranțe

(1)   Conținutul de nutrienți al îngrășămintelor CE trebuie să se încadreze în toleranțele prevăzute la anexa II. Toleranțele în cauză sunt prevăzute pentru a ține seama de variațiile de fabricație, la prelevarea probelor și analize.

(2)   Fabricantul nu trebuie să profite sistematic de toleranțele definite la anexa II.

(3)   Nu este permisă nici o toleranță față de conținuturile minime și maxime menționate la anexa I.

Articolul 14

Cerințe privind îngrășămintele

Un tip de îngrășăminte este inclus în anexa I exclusiv în cazul în care:

(a)

asigură în mod eficient un aport de nutrienți;

(b)

există modalități adecvate de prelevare de probe, metode de analiză și, dacă este necesar, de testare;

(c)

în condiții normale de utilizare, nu are efecte negative asupra sănătății oamenilor sau a plantelor, asupra sănătății animale sau asupra mediului.

Articolul 15

Clauză de salvgardare

(1)   În cazul în care un stat membru are motive justificate să considere că un anumit îngrășământ CE, chiar dacă este conform cu dispozițiile prezentului regulament, prezintă riscuri pentru siguranța și sănătatea oamenilor, sănătatea animală sau sănătatea plantelor sau pentru mediu, el poate interzice temporar sau poate impune condiții speciale pentru introducerea pe piață a îngrășământului în cauză pe teritoriul său. Statul membru în cauză informează de îndată celelalte state membre și Comisia cu privire la acest lucru, motivându-și decizia.

(2)   Comisia ia o decizie în această privință, în termen de 90 de zile de la primirea informațiilor, conform procedurii prevăzute la articolul 32 alineatul (2).

(3)   Dispozițiile din prezentul regulament nu împiedică adoptarea de către Comisie sau de către un stat membru a unor măsuri, justificate din motive de siguranță publică, pentru a interzice, restricționa sau împiedica introducerea pe piață a îngrășămintelor CE.

TITLUL II

DISPOZIȚII APLICABILE ANUMITOR TIPURI DE ÎNGRĂȘĂMINTE

CAPITOLUL I

Îngrășăminte anorganice cu nutrienți principali

Articolul 16

Domeniu de aplicare

Prezentul capitol se aplică pentru îngrășămintele anorganice solide sau lichide, simple sau compuse, cu nutrienți principali, inclusiv celor care conțin nutrienți secundari și/sau oligoelemente, cu un conținut minim de nutrienți stabilit de secțiunile A, B, C, E.2.2 sau E.2.3 din anexa I.

Articolul 17

Declararea nutrienților secundari din îngrășămintele care conțin nutrienți principali

Se poate declara conținutul de calciu, magneziu, sodiu și sulf, ca nutrienți secundari, din îngrășămintele CE din tipurile de îngrășăminte enumerate la secțiunile A, B și C din anexa I, cu condiția ca elementele în cauză să fie prezente cel puțin în cantitățile minime de mai jos:

(a)

2 % oxid de calciu (CaO), adică 1,4 % Ca;

(b)

2 % oxid de magneziu (MgO), adică 1,2 % Mg;

(c)

3 % oxid de sodiu (Na2O), adică 2,2 % Na;

(d)

5 % anhidridă sulfurică (SO3), adică 2 % S.

În acest caz, denumirea tipului de îngrășământ se completează cu mențiunile suplimentare prevăzute la articolul 19 alineatul (2) punctul (ii).

Articolul 18

Calciu, magneziu, sodiu și sulf

(1)   Conținutul de magneziu, sodiu și sulf al îngrășămintelor enumerate la secțiunile A, B și C din anexa I se declară într-una dintre următoarele modalități:

(a)

conținutul total exprimat în procente din masa îngrășământului;

(b)

conținutul total și conținutul solubil în apă, exprimate în procente din masa îngrășământului, în cazul în care conținutul solubil în apă este cel puțin egal cu un sfert din conținutul total;

(c)

în cazul în care un element este complet solubil în apă, se declară exclusiv conținutul solubil în apă, în procente de masă.

(2)   Cu excepția cazurilor pentru care anexa I conține dispoziții contrare, conținutul de calciu se declară exclusiv în cazul în care este solubil în apă; se exprimă în procente din masa îngrășământului.

Articolul 19

Identificare

(1)   În plus față de mențiunile obligatorii de identificare prevăzute la articolul 9 alineatul (1) litera (a), se indică mențiunile prevăzute la alineatele (2), (3), (4), (5) și (6) din prezentul articol.

(2)   Pentru îngrășămintele compuse, după denumirea tipului de îngrășământ se adaugă următoarele mențiuni:

(i)

simbolurile chimice ale nutrienților secundari declarați, între paranteze, după simbolurile nutrienților principali;

(ii)

cifrele indicând conținutul de nutrienți principali. Conținutul de nutrienți secundari declarați se menționează, între paranteze, după conținutul de nutrienți principali.

(3)   Denumirea tipului de îngrășământ este urmată doar de cifrele ce arată conținutul de nutrienți principali și secundari.

(4)   În cazul în care se declară oligoelemente, se include mențiunea „conține oligoelemente” sau mențiunea „conține” urmată de denumirea sau denumirile oligoelementelor prezente și de simbolurile lor chimice.

(5)   Conținutul declarat de nutrienți principali și secundari se menționează, în procente de masă, ca număr întreg sau, dacă este cazul, atunci când există o metodă adecvată de analiză, cu o zecimală.

Pentru îngrășămintele care conțin mai mulți nutrienți declarați, nutrienții principali se menționează în următoarea ordine: N, P2O5 și/sau P, K2O și/sau K, iar nutrienții secundari în următoarea ordine: CaO și/sau Ca, MgO și/sau Mg, Na2O și/sau Na, SO3 și/sau S.

Pentru conținutul declarat de oligoelemente se specifică denumirea și simbolul chimic ale fiecărui oligoelement, cu precizarea procentului de masă conform secțiunilor E.2.2 și E.2.3 din anexa I, precum și solubilitățile.

(6)   Formele și solubilitățile nutrienților se exprimă, de asemenea, în procent din masa îngrășământului, cu excepția cazului în care anexa I specifică explicit o altă modalitate de menționare.

Numerele se dau cu o zecimală, cu excepția cazului oligoelementelor, pentru care numărul de zecimale este prevăzut în secțiunile E.2.2 și E.2.3 din anexa I.

CAPITOLUL II

Îngrășăminte anorganice cu nutrienți secundari

Articolul 20

Domeniu de aplicare

Prezentul capitol se aplică pentru îngrășămintele anorganice solide sau lichide cu nutrienți secundari, inclusiv celor care conțin oligoelemente, având un conținut minim de nutrienți secundari corespunzător valorilor prevăzute la secțiunile D, E.2.2 și E.2.3 din anexa I.

Articolul 21

Identificare

(1)   În afara mențiunilor obligatorii de identificare prevăzute la articolul 9 alineatul (1) litera (a), se indică mențiunile prevăzute la alineatele (2), (3), (4) și (5) din prezentul articol.

(2)   În cazul în care se declară oligoelemente, se include mențiunea „conține oligoelemente” sau mențiunea „conține” urmată de denumirea sau denumirile oligoelementelor prezente și de simbolurile lor chimice.

(3)   Conținutul declarat de nutrienți secundari se indică, în procente de masă, ca număr întreg sau, dacă este cazul, atunci când există o metodă adecvată de analiză, cu o zecimală.

În cazul în care există mai mulți nutrienți secundari, aceștia se indică în următoarea ordine:

 

CaO și/sau Ca, MgO și/sau Mg, Na2O și/sau Na, SO3 și/sau S.

Pentru conținutul declarat de oligoelemente, se specifică denumirea și simbolul chimic ale fiecărui oligoelement, precizând procentul de masă conform secțiunilor E.2.2 și E.2.3 din anexa I, precum și solubilitățile.

(4)   Formele și solubilitățile nutrienților se exprimă, de asemenea, în procent din masa îngrășământului, cu excepția cazului în care anexa I specifică explicit o altă modalitate de indicare.

Numerele se dau cu o zecimală, cu excepția cazului oligoelementelor, pentru care numărul de zecimale este prevăzut la secțiunile E.2.2 și E.2.3 din anexa I.

(5)   Cu excepția cazurilor pentru care anexa I conține dispoziții contrare, conținutul de calciu se declară numai dacă este solubil în apă; se exprimă în procente din masa îngrășământului.

CAPITOLUL III

Îngrășăminte anorganice cu oligoelemente

Articolul 22

Domeniu de aplicare

Prezentul capitol se aplică îngrășămintelor anorganice solide sau lichide cu oligoelemente, cu un conținut minim de nutrienți, corespunzător valorilor prevăzute la secțiunile E.1 și E.2.1 din anexa I.

Articolul 23

Identificare

(1)   În plus față de mențiunile obligatorii de identificare prevăzute la articolul 9 alineatul (1) litera (a), se indică mențiunile prevăzute la alineatele (2), (3), (4) și (5) din prezentul articol.

(2)   În cazul în care îngrășământul conține mai multe oligoelemente, se indică denumirea „amestec de oligoelemente”, urmată de denumirea și simbolul chimic al oligoelementelor prezente.

(3)   Pentru îngrășămintele care conțin un singur oligoelement (secțiunea E.1 din anexa I), conținutul declarat de oligoelemente se indică, în procent de masă, ca număr întreg sau, dacă este cazul, cu o zecimală.

(4)   Formele și solubilitățile oligoelementelor se exprimă ca procente din masa îngrășământului, cu excepția cazului în care anexa I specifică explicit o altă modalitate de indicare.

Pentru oligoelemente, numărul de zecimale este prevăzut la anexa E.2.1 din anexa I.

(5)   În ceea ce privește produsele menționate la secțiunile E.1 și E.2.1 din anexa I, pe etichetă și pe documentele de însoțire se indică următoarea mențiune, sub declarațiile obligatorii sau facultative:

„A se utiliza exclusiv în caz de necesitate recunoscută. A nu se depăși dozele adecvate.”

Articolul 24

Ambalaj

Îngrășămintele CE care intră sub incidența prezentului capitol se ambalează.

CAPITOLUL IV

Îngrășăminte pe bază de azotat de amoniu cu un conținut ridicat de azot

Articolul 25

Domeniu de aplicare

În sensul prezentului capitol, îngrășămintele pe bază de azotat de amoniu cu un conținut ridicat de azot, simple sau compuse, sunt produse pe bază de azotat de amoniu fabricate pentru a fi utilizate ca îngrășăminte care conțin peste 28 % din greutate azot provenind din azotat de amoniu.

Acest tip de îngrășăminte poate conține substanțe anorganice sau inerte.

Substanțele care sunt utilizate la fabricarea acestui tip de îngrășăminte nu trebuie să îi amplifice sensibilitatea termică sau rezistența la detonare.

Articolul 26

Măsuri și controale de siguranță

(1)   Fabricantul se asigură că îngrășămintele simple pe bază de azotat de amoniu cu un conținut ridicat de azot sunt conforme cu dispozițiile prevăzute la secțiunea 1 din anexa III.

(2)   În cursul controalelor oficiale privind îngrășămintele simple pe bază de azotat de amoniu cu un conținut ridicat de azot prevăzute de prezentul capitol, metodele de control, de analiză și de testare se aplică în conformitate cu dispozițiile prevăzute la secțiunea 3 din anexa III.

(3)   Pentru a se asigura trasabilitatea îngrășămintelor CE pe bază de azotat de amoniu cu un conținut ridicat de azot introduse pe piață, fabricantul păstrează dosarele privind denumirea și adresa locațiilor în care au fost produse îngrășământul în cauză și principalele sale componente, precum și denumirea și adresa operatorilor locațiilor respective. Dosarele respective sunt la dispoziția statelor membre pentru inspecție, pe întreaga durată de introducere pe piață a îngrășământului și pentru o perioadă suplimentară de doi ani de la data la care s-a încheiat furnizarea.

Articolul 27

Test de rezistență la detonare

Fără a aduce atingere măsurilor prevăzute la articolul 26, fabricantul se asigură că toate tipurile de îngrășăminte CE pe bază de azotat de amoniu cu un conținut ridicat de azot introduse pe piață sunt supuse cu succes testului de rezistență la detonare descris în secțiunile 2, 3 (metoda 1, punctul 3) și 4 din anexa III la prezentul regulament. Testul respectiv trebuie efectuat de unul dintre laboratoarele autorizate menționate la articolul 30 alineatul (1) sau la articolul 33 alineatul (1). Fabricantul prezintă rezultatele testului autorității competente din statul membru în cauză cu cel puțin cinci zile înainte de introducerea pe piață a îngrășământului sau cu cel puțin cinci zile înainte de sosirea îngrășământului la frontiera Comunității Europene pentru importuri. Fabricantul continuă să garanteze că toate livrările din îngrășământul introdus pe piață pot trece cu succes testul menționat.

Articolul 28

Ambalaj

Îngrășămintele pe bază de azotat de amoniu cu un conținut ridicat de azot se pun la dispoziția utilizatorului final numai ambalate.

TITLUL III

EVALUAREA CONFORMITĂȚII ÎNGRĂȘĂMINTELOR

Articolul 29

Măsuri de control

(1)   Statele membre pot supune îngrășămintele marcate „îngrășământ CE” unor controale oficiale, în vederea verificării conformității lor cu prezentul regulament.

Statele membre pot să impună taxe care să nu fie mai mari decât costurile testelor necesare în cadrul măsurilor de control, fără ca acest lucru să oblige fabricanții să repete testele ori să plătească pentru repetarea testelor, atunci când primul test s-a efectuat de către un laborator care îndeplinește condițiile prevăzute la articolul 30, iar testul a stabilit conformitatea îngrășămintelor respective.

(2)   Statele membre se asigură că, la controalele oficiale privind îngrășămintele CE care fac parte din tipurile de îngrășăminte enumerate la anexa I, prelevarea de probe și analizele se efectuează în conformitate cu metodele descrise la anexele III și IV.

(3)   Respectarea dispozițiilor din prezentul regulament în ceea ce privește conformitatea cu tipurile de îngrășăminte, precum și respectarea conținutului declarat de nutrienți și/sau cu ocazia controalelor oficiale se pot stabili numai prin utilizarea modalităților de prelevare de probe și de analiză stabilite în conformitate cu anexele III și IV și pe baza toleranțelor menționate la anexa II.

(4)   Metodele de măsurare, modalitățile de prelevare de probe și metodele de analiză se adaptează și se actualizează conform procedurii menționate la articolul 32 alineatul (2), utilizând, ori de câte ori este posibil, standarde europene. Aceeași procedură se aplică la adoptarea normelor de aplicare necesare pentru precizarea măsurilor de control prevăzute în temeiul prezentului articol și al articolelor 8, 26 și 27 din prezentul regulament. Normele respective se referă în special la frecvența cu care trebuie efectuate testele, precum și la măsurile menite să garanteze că îngrășământul introdus pe piață este identic cu îngrășământul testat.

Articolul 30

Laboratoare

(1)   Comisiei i se notifică de către statele membre lista laboratoarelor autorizate de pe teritoriul lor care au competența de a furniza serviciile necesare pentru verificarea conformității îngrășămintelor CE cu prevederile din prezentul regulament. Laboratoarele în cauză trebuie să respecte standardele menționate la secțiunea B din anexa V. Notificarea se face până la 11 iunie 2004 și la fiecare modificare ulterioară.

(2)   Comisia publică lista laboratoarelor autorizate în Jurnalul Oficial al Uniunii Europene.

(3)   În cazul în care un stat membru are motive întemeiate să considere că un laborator autorizat nu respectă standardele menționate la alineatul (1), statul membru în cauză ridică această problemă în cadrul comitetului prevăzut la articolul 32. În cazul în care comitetul este de acord că laboratorul în cauză nu respectă standardele, Comisia retrage numele acestuia de pe lista menționată la alineatul (2).

(4)   Comisia adoptă o decizie în această privință în termen de 90 de zile de la data primirii informațiilor în conformitate cu procedura prevăzută la articolul 32 alineatul (2).

(5)   Comisia publică lista modificată în Jurnalul Oficial al Uniunii Europene.

TITLUL IV

DISPOZIȚII FINALE

CAPITOLUL I

Adaptarea anexelor

Articolul 31

Noi îngrășăminte CE

(1)   Introducerea unui nou tip de îngrășământ în anexa I la prezentul regulament se adoptă în conformitate cu procedura prevăzută la articolul 32 alineatul (2).

(2)   Un fabricant sau un reprezentant al acestuia care dorește să propună un nou tip de îngrășământ pentru includerea în anexa I și care trebuie să constituie în acest sens un dosar tehnic va face aceasta pe baza documentelor tehnice prevăzute la secțiunea A din anexa V.

(3)   Modificările necesare pentru adaptarea anexelor la progresul tehnic se adoptă conform procedurii prevăzute la articolul 32 alineatul (2).

Articolul 32

Procedura comitetului

(1)   Comisia este asistată de un comitet.

(2)   În cazul în care se face trimitere la prezentul alineat, se aplică articolele 5 și 7 din Decizia 1999/468/CE, cu respectarea dispozițiilor articolului 8 din decizia în cauză.

Perioada prevăzută la articolul 5 alineatul (6) din Decizia 1999/468/CE se stabilește la trei luni.

(3)   Comitetul își stabilește propriul regulament de procedură.

CAPITOLUL II

Dispoziții tranzitorii

Articolul 33

Laboratoare competente

(1)   Fără a aduce atingere dispozițiilor din articolul 30 alineatul (1), statele membre pot să aplice în continuare, pentru o perioadă tranzitorie care se încheie la 11 decembrie 2007, dispoziții de drept intern pentru a autoriza laboratoarele care au competența de a furniza serviciile necesare pentru verificarea conformității îngrășămintelor CE cu dispozițiile prezentului regulament.

(2)   Comisiei i se notifică de către statele membre lista laboratoarelor în cauză, cu precizări privind sistemul lor de autorizare. Notificarea se face până la 11 iunie 2004 și la fiecare modificare ulterioară.

Articolul 34

Ambalaj și etichetare

Sub rezerva dispozițiilor din articolul 35 alineatul (1), mențiunile, ambalajele și documentele de însoțire ale îngrășămintelor CE care intră sub incidența directivelor anterioare pot fi utilizate în continuare până la 11 iunie 2005.

CAPITOLUL III

Dispoziții finale

Articolul 35

Directive abrogate

(1)   Directivele 76/116/CEE, 77/535/CEE, 80/876/CEE și 87/94/CEE se abrogă.

(2)   Trimiterile la directivele abrogate se înțeleg ca trimiteri la prezentul regulament. În special, derogările prevăzute la articolul 7 din Directiva 76/116/CEE acordate de către Comisie în temeiul articolului 95 alineatul (6) din tratat se înțeleg ca derogări de la articolul 5 din prezentul regulament și continuă să producă efecte fără a aduce atingere intrării în vigoare a prezentului regulament. Până la adoptarea sancțiunilor prevăzute la articolul 36, statele membre aplică în continuare sancțiunile prevăzute pentru încălcarea dispozițiilor de drept intern de punere în aplicare a directivelor enumerate la alineatul (1).

Articolul 36

Sancțiuni

Statele membre stabilesc regimul de sancțiuni aplicabil pentru nerespectarea dispozițiilor din prezentul regulament și iau toate măsurile necesare pentru a asigura punerea sa în aplicare. Sancțiunile prevăzute trebuie să fie efective, proporționale și disuasive.

Articolul 37

Dispoziții interne

Comisiei i se notifică până la 11 iunie 2005 de către statele membre toate dispozițiile de drept intern adoptate în temeiul articolului 6 alineatele (1) și (2), al articolului 29 alineatul (1) și al articolului 36 din prezentul regulament și i se notifică de îndată orice modificare ulterioară a dispozițiilor în cauză.

Articolul 38

Intrare în vigoare

Prezentul regulament intră în vigoare în a douăzecea zi de la data publicării în Jurnalul Oficial al Uniunii Europene, cu excepția articolului 8 și a articolului 26 alineatul (3), care intră în vigoare la 11 iunie 2005.

Prezentul regulament este obligatoriu în toate elementele sale și se aplică direct în toate statele membre.

Adoptat la Luxemburg, 13 octombrie 2003.

Pentru Parlamentul European

Președintele

P. COX

Pentru Consiliu

Președintele

G. ALEMANNO


(1)  JO C 51 E, 26.2.2002, p. 1 și JO C 227 E, 24.9.2002, p. 503.

(2)  JO C 80, 3.4.2002, p. 6.

(3)  Avizul Parlamentului European din 10 aprilie 2002 (JO C 127 E, 29.5.2002, p. 160), Poziția comună a Consiliului din 14 aprilie 2003 (JO C 153 E, 1.7.2003, p. 56) și Decizia Parlamentului European din 2 septembrie 2003 (nepublicată încă în Jurnalul Oficial).

(4)  JO L 24, 30.1.1976, p. 21, astfel cum a fost modificată ultima dată prin Directiva 98/97/CE a Parlamentului European și a Consiliului (JO L 18, 23.1.1999, p. 60).

(5)  JO L 250, 23.9.1980, p. 7, astfel cum a fost modificată prin Directiva 97/63/CE a Parlamentului European și a Consiliului (JO L 335, 6.12.1997, p. 15).

(6)  JO L 38, 7.2.1987, p. 1, astfel cum a fost modificată prin Directiva 88/126/CEE (JO L 63, 9.3.1988, p. 12).

(7)  JO L 213, 22.8.1977, p. 1, astfel cum a fost modificată ultima dată prin Directiva 95/8/CE (JO L 86, 20.4.1995, p. 41).

(8)  JO L 184, 17.7.1999, p. 23.


CUPRINS

ANEXA I – Lista tipurilor de îngrășăminte CE

A. Îngrășăminte anorganice simple cu nutrienți principali …

A.1. Îngrășăminte cu azot …

A.2. Îngrășăminte fosfatate …

A.3. Îngrășăminte cu potasiu …

B. Îngrășăminte anorganice complexe cu nutrienți principali …

B.1. Îngrășăminte NPK …

B.2. Îngrășăminte NP …

B.3. Îngrășăminte NK …

B.4. Îngrășăminte PK …

C. Îngrășăminte anorganice lichide …

C.1. Îngrășăminte lichide simple …

C.2. Îngrășăminte lichide complexe …

D. Îngrășăminte anorganice cu nutrienți secundari …

E. Îngrășăminte anorganice cu oligoelemente …

E.1. Îngrășăminte cu un singur oligoelement declarat …

E.1.1. Bor …

E.1.2. Cobalt …

E.1.3. Cupru …

E.1.4. Fier …

E.1.5. Mangan …

E.1.6. Molibden …

E.1.7. Zinc …

E.2. Concentrații minime de oligoelemente, în procent de masă de îngrășământ …

E.3. Lista substanțelor organice autorizate pentru chelarea și complexarea oligoelementelor …

ANEXA II – Toleranțe

1. Îngrășăminte anorganice simple cu nutrienți principali – valori absolute în procent de masă exprimate ca N, P2O5, K2O, MgO, Cl …

2. Îngrășăminte anorganice complexe cu nutrienți principali …

3. Nutrienți secundari din îngrășăminte …

4. Oligoelemente din îngrășăminte …

ANEXA III – Dispoziții tehnice privind îngrășămintele pe bază de azotat de amoniu cu conținut ridicat de azot

1. Caracteristici și limite ale îngrășămintelor simple pe bază de azotat de amoniu cu conținut ridicat de azot …

2. Descrierea testului de rezistență la detonare privind îngrășămintele pe bază de azotat de amoniu cu conținut ridicat de azot …

3. Metode de verificare a respectării limitelor stabilite la anexele III-1 și III-2 …

4. Determinarea rezistenței la detonare …

ANEXA IV — Modalități de prelevare de probe și metode de analiză

A. Modalități de prelevare a probei pentru controlul îngrășămintelor …

1. Obiect și domeniu de aplicare …

2. Agenți autorizați pentru prelevarea probelor …

3. Definiții …

4. Aparatură …

5. Cerințe cantitative …

6. Instrucțiuni privind prelevarea, prepararea și ambalarea probelor …

7. Ambalarea probelor finale …

8. Proces-verbal de prelevare …

9. Destinația probelor …

B. Metode de analiză a îngrășămintelor …

Observații generale …

Dispoziții generale privind metodele de analiză a îngrășămintelor …

Metoda 1 — Prepararea probei în vederea analizei …

Metoda 2 — Azot …

Metoda 2.1 — Determinarea azotului amoniacal …

Metoda 2.2 — Determinarea azotului nitric și amoniacal …

Metoda 2.2.1 — Determinarea azotului nitric și amoniacal după Ulsch …

Metoda 2.2.2 — Determinarea azotului nitric și amoniacal după Arnd …

Metoda 2.2.3 — Determinarea azotului nitric și amoniacal după Devarda …

Metoda 2.3 — Determinarea azotului total …

Metoda 2.3.1 — Determinarea azotului total din cianamida de calciu ce nu conține azotați …

Metoda 2.3.2 — Determinarea azotului total din cianamida de calciu ce conține azotați …

Metoda 2.3.3 — Determinarea azotului total din uree …

Metoda 2.4 — Determinarea azotului cianamidic …

Metoda 2.5 — Determinarea spectrofotometrică a biuretelui din uree …

Metoda 2.6 — Determinarea diferitelor forme de azot din aceeași probă …

Metoda 2.6.1 — Determinarea diferitelor forme de azot dintr-o probă de îngrășământ ce conține azot nitric, azot amoniacal, azot din uree și azot cianamidic …

Metoda 2.6.2 — Determinarea diferitelor forme de azot în îngrășămintele ce conțin azot numai în formă nitrică și amoniacală și azot din uree …

Metoda 3 — Fosfor …

Metoda 3.1 — Extracții …

Metoda 3.1.1 — Extracția fosforului solubil în acizi minerali …

Metoda 3.1.2 — Extracția fosforului solubil într-o soluție de acid formic 2 % (20 g/l) …

Metoda 3.1.3 — Extracția fosforului solubil în acid citric 2 % (20 g/l) …

Metoda 3.1.4 — Extracția fosforului care este solubil în citrat de amoniu neutru …

Metoda 3.1.5 — Extracția în citrat de amoniu alcalin …

Metoda 3.1.5.1 — Extracția fosforului solubil după Petermann la 65 °C …

Metoda 3.1.5.2 — Extracția fosforului solubil după Petermann, la temperatură ambiantă …

Metoda 3.1.5.3 — Extracția fosforului solubil în citrat de amoniu alcalin Joulie …

Metoda 3.1.6 — Extracția fosforului solubil în apă …

Metoda 3.2 — Determinarea fosforului extras (metoda gravimetrică cu fosfomolibdat de chinolină) …

Metoda 4 — Potasiu …

Metoda 4.1 — Determinarea conținutului de potasiu solubil în apă …

Metoda 5 — …

Metoda 6 — Clor …

Metoda 6.1 — Determinarea clorului în absența materialelor organice …

Metoda 7 — Finețea măcinării …

Metoda 7.1 — Determinarea fineții de măcinare (procedura uscată) …

Metoda 7.2 — Determinarea fineții de măcinare a fosfaților naturali moi …

Metoda 8 — Nutrienți secundari …

Metoda 8.1 — Extracția calciului total, a magneziului total, a sodiului total și a sulfului total prezent sub formă de sulfați …

Metoda 8.2 — Extracția sulfului total prezent sub diferite forme …

Metoda 8.3 — Extracția formelor solubile în apă ale calciului, magneziului, sodiului și sulfului (sub formă de sulfați) …

Metoda 8.4 — Extracția sulfului solubil în apă atunci când sulful este prezent sub diferite forme …

Metoda 8.5 — Extracția și determinarea sulfului elementar …

Metoda 8.6 — Determinarea manganometrică a calciului extras după precipitarea sub formă de oxalat …

Metoda 8.7 — Determinarea magneziului prin spectrometrie de absorbție atomică …

Metoda 8.8 — Determinarea magneziului prin complexometrie …

Metoda 8.9 — Determinarea sulfaților …

Metoda 8.10 — Determinarea sodiului extras …

Metoda 9 — Oligoelemente cu o concentrație de maximum 10 % …

Metoda 9.1 — Extragerea oligoelementelor totale …

Metoda 9.2 — Extragerea oligoelementelor solubile în apă …

Metoda 9.3 — Îndepărtarea compușilor organici din extractele de îngrășăminte …

Metoda 9.4 — Determinarea oligoelementelor în extractele de îngrășăminte prin spectrometrie de absorbție atomică (procedură generală) …

Metoda 9.5 — Determinarea spectrometrică a borului din extractele de îngrășăminte cu azometină-H …

Metoda 9.6 — Determinarea cobaltului din extractele de îngrășăminte prin spectrometrie de absorbție atomică …

Metoda 9.7 — Determinarea cuprului din extractele de îngrășăminte chimice prin spectrometrie de absorbție atomică …

Metoda 9.8 — Determinarea fierului din extractele de îngrășăminte prin spectrometrie de absorbție atomică …

Metoda 9.9 — Determinarea manganului din extractele de îngrășăminte prin spectrometrie de absorbție atomică …

Metoda 9.10 — Determinarea spectrometrică a molibdenului din extractele de îngrășăminte prin intermediul unui complex cu tiocianat de amoniu …

Metoda 9.11 — Determinarea zincului din extractele de îngrășăminte prin spectrometrie de absorbție atomică …

Metoda 10 — Oligoelemente cu o concentrație mai mare de 10 % …

Metoda 10.1 — Extracția oligoelementelor totale …

Metoda 10.2 — Extracția oligoelementelor solubile în apă …

Metoda 10.3 — Îndepărtarea compușilor organici din extractele de îngrășăminte …

Metoda 10.4 — Determinarea oligoelementelor din extractele de îngrășăminte prin spectrometrie de absorbție atomică (procedură generală) …

Metoda 10.5 — Determinarea borului în extractele de îngrășăminte prin intermediul titrării acidimetrice …

Metoda 10.6 — Determinarea cobaltului din extractele de îngrășăminte prin metoda gravimetrică cu 1-nitroso-2-naftol …

Metoda 10.7 — Determinarea cuprului din extractele de îngrășăminte prin metoda titrimetrică …

Metoda 10.8 — Determinarea fierului din extractele de îngrășăminte prin spectrometrie de absorbție atomică …

Metoda 10.9 — Determinarea manganului din extractele de îngrășăminte prin titrarea permanganatului …

Metoda 10.10 — Determinarea molibdenului din extractele de îngrășăminte prin gravimetria cu 8-hidroxiquinolină …

Metoda 10.11 — Determinarea zincului în extractele de îngrășăminte prin spectrometrie de absorbție atomică …

ANEXA V …

A. Lista documentelor ce trebuie consultate de producători și reprezentanții lor pentru întocmirea unui dosar tehnic pentru un nou tip de îngrășământ care să fie adăugat anexei I la prezentul regulament …

B. Norme de acreditare privind laboratoarele competente să furnizeze serviciile necesare verificării îngrășămintelor CE pentru conformitate cu dispozițiile prezentului regulament și ale anexelor …

ANEXA I

LISTA TIPURILOR DE ÎNGRĂȘĂMINTE „CE”

A.   Îngrășăminte anorganice simple cu nutrienți principali

A.1.   Îngrășăminte azotate

Nr.

Denumire de tip

Date referitoare la modul de fabricație și componentele principale

Concentrația minimă de nutrient (procente de masă)

Date privind exprimarea nutrienților

Alte cerințe

Alte date despre denumirea de tip

Conținutul de nutrient care trebuie declarat

Formele și solubilitățile nutrienților

Alte criterii

1

2

3

4

5

6

1(a)

Azotat de calciu (nitrocalcar)

Produs obținut pe cale chimică; componente principale: azotat de calciu și, eventual, azotat de amoniu

15 % N

Azotul exprimat ca azot total sau ca azot nitric și azot amoniacal. Conținutul maxim de azot amoniacal: 1,5 % N

 

Azot total

Mențiuni opționale:

 

Azot nitric

 

Azot amoniacal

1(b)

Azotat de calciu și magneziu

Produs obținut pe cale chimică; componente principale: azotat de calciu și azotat de magneziu

13 % N

Azotul exprimat ca azot nitric. Conținutul minim de magneziu sub formă de săruri solubile în apă, exprimat ca oxid de magneziu: 5 % MgO

 

Azot nitric

Oxid de magneziu solubil în apă

1(c)

Azotat de magneziu

Produs obținut pe cale chimică; component principal: azotat de magneziu hexahidrat.

10 % N

Azotul exprimat ca azot nitric

Atunci când este comercializat sub formă de cristale se poate adăuga mențiunea „sub formă cristalizată”.

Azot nitric

Oxid de magneziu solubil în apă

14 % MgO

Magneziul exprimat ca oxid de magneziu solubil în apă.

2(a)

Azotat de sodiu

Produs obținut pe cale chimică; component principal: azotat de sodiu

15 % N

Azotul exprimat ca azot nitric

 

Azot nitric

2(b)

Azotat de Chile (salpetru de Chile)

Produs obținut din calice; component principal: azotat de sodiu

15 % N

Azotul exprimat ca azot nitric

 

Azot nitric

3(a)

Cianamidă de calciu

Produs obținut pe cale chimică; componente principale: cianamidă de calciu, oxid de calciu și eventual mici cantități de săruri de amoniu și uree

18 % N

Azotul exprimat ca azot total, minimum 75 % din azotul nitric declarat se găsește sub formă de cianamidă

 

Azot total

3(b)

Cianamidă de calciu azotoasă

Produs obținut pe cale chimică; componente principale: cianamidă de calciu, oxid de calciu și, eventual, mici cantități de săruri de amoniu și uree și un adaos de azotat

18 % N

Azotul exprimat ca azot total, minimum 75 % din azotul ne-nitric declarat se găsește sub formă de cianamidă. Conținutul de azot nitric:

minim: 1 % N

maxim: 3 % N

 

Azot total

Azot nitric

4

Sulfat de amoniu

Produs obținut pe cale chimică; component principal: sulfat de amoniu

20 % N

Azotul exprimat ca azot amoniacal

 

Azot amoniacal

5

Azotat de amoniu sau azotat de calciu și amoniu

Produs obținut pe cale chimică; component principal: azotat de amoniu; poate conține umpluturi cum ar fi calcar măcinat, sulfat de calciu, dolomită măcinată, sulfat de magneziu, kieserit

20 % N

Azotul exprimat ca azot amoniacal și azot nitric, fiecare din cele două forme conținând circa jumătate din azotul prezent.

A se vedea, eventual, anexele III-1 și III-2 la prezentul regulament

Denumirea de „azotat de calciu și amoniu” este rezervată exclusiv unui îngrășământ care conține, pe lângă azotatul de amoniu, numai carbonat de calciu (de exemplu, calcar) și/sau carbonat de magneziu și carbonat de calciu (de exemplu, dolomită). Concentrația minimă în carbonați a acestor îngrășăminte trebuie să fie de 20 %, iar puritatea lor minimă de 90 %

Azot total

Azot nitric

Azot amoniacal

6

Sulfoazotat de amoniu

Produs obținut pe cale chimică; componente principale: azotat de amoniu și sulfat de amoniu

25 % N

Azotul exprimat ca azot amoniacal și azot nitric Conținutul minim de azot nitric: 5 %

 

Azot total

Azot nitric

Azot amoniacal

7

Sulfoazotat de magneziu

Produs obținut pe cale chimică; componente principale: azotat de amoniu, sulfat de amoniu și sulfat de magneziu

19 % N

Azotul exprimat ca azot amoniacal și azot nitric. Conținutul minim de azot nitric: 6 % N

 

Azot total

Azot nitric

5 % MgO

Conținutul de magneziu sub formă de săruri solubile în apă, exprimat ca oxid de magneziu

 

Azot amoniacal

Oxid de magneziu solubil în apă

8

Îngrășământ azotat cu magneziu

Produs obținut pe cale chimică; componente principale: azotat de amoniu și săruri complexe de magneziu (dolomită carbonat de magneziu și/sau sulfat de magneziu)

19 % N

Azotul exprimat ca azot amoniacal și azot nitric. Conținutul minim de azot nitric: 6 % N

 

Azot total

Azot nitric

Azot amoniacal

5 % MgO

Oxid de magneziu total și, eventual, oxid de magneziu solubil în apă

 

Conținutul de magneziu oxid de magneziu total

9

Uree

Produs obținut pe cale chimică; component principal: carbonil diimidă (carbamidă)

44 % N

Azot ureic total (inclusiv biuret). Conținut maxim de biuret: 1,2 %

 

Azot total, exprimat ca azot ureic

10

Crotoniliden diuree

Produs obținut prin reacția ureei cu aldehida crotonică

Compus monomer

28 % N

Azotul exprimat ca azot total

Minimum 25 % N din crotoniliden diuree

Conținutul maxim de azot ureic: 3 %

 

Azot total

Azot ureic dacă există, minimum 1 % procente de masă

Azot din crotoniliden diuree

11

Izobutiliden diuree

Produs obținut prin reacția ureei cu aldehida izobutirică

Compus monomer

28 % N

Azotul exprimat ca azot total.

Minimum 25 % N din izobutiliden diuree

Conținutul maxim de azot ureic: 3 %

 

Azot total

Azot ureic dacă există, minimum 1 % procente de masă

Azot din izobutiliden diuree

12

Uree formaldehidă

Produs obținut prin reacția ureei cu formaldehida; component principal: molecule de uree formaldehidă

Produs polimer

36 % azot total

Azotul exprimat ca azot total.

Minimum 3/5 din conținutul declarat de azot total trebuie să fie solubil în apă fierbinte

Minimum 31 % N din uree formaldehidă

Conținutul maxim de azot ureic: 5 %.

 

Azot total

Azot ureic dacă există, minimum 1 % procente de masă

Azot din uree formaldehidă solubil în apă rece

Azot din uree formaldehidă solubil numai în apă fierbinte

13

Îngrășământ azotat conținând crotoniliden diuree

Produs obținut pe cale chimică, conținând crotoniliden diuree și un îngrășământ simplu cu azot [Lista A-1, cu excepția pozițiilor 3(a), 3(b) și 5]

18 % N exprimat ca azot total.

Minimum 3 % azot sub formă de azot amoniacal și/sau azot nitric și/sau azot ureic

Minimum 1/3 din conținutul declarat de azot total trebuie să fie derivat din crotoniliden diuree

Conținutul maxim de biuret:

 

(azot ureic și azot din crotoniliden diuree) × 0,026

 

Azot total

Pentru fiecare formă, în cantitate de minimum 1 %:

azot nitric

azot amoniacal

azot ureic

Azot din crotoniliden diuree

14

Îngrășământ azotat conținând izobutiliden diuree

Produs obținut pe cale chimică, conținând izobutiliden diuree și un îngrășământ simplu cu azot [Lista A-1, cu excepția pozițiilor 3(a), 3(b) și 5]

18 % N exprimat ca azot total

Minimum 3 % azot sub formă de azot amoniacal și/sau azot nitric și/sau azot ureic

Minimum 1/3 din conținutul declarat de azot total trebuie să fie derivat din izobutiliden diuree

Conținutul maxim de biuret:

 

(azot ureic și azot din izobutiliden diuree) × 0,026

 

Azot total

Pentru fiecare formă, în cantitate de minimum 1 %:

azot nitric

azot amoniacal

azot ureic

Azot din izobutiliden diuree

15

Îngrășământ azotat conținând uree formaldehidă

Produs obținut pe cale chimică, conținând uree formaldehidă și un îngrășământ simplu cu azot [Lista A-1, cu excepția pozițiilor 3(a), 3(b) și 5]

18 % N exprimat ca azot total

Minimum 3 % azot sub formă de azot amoniacal și/sau azot nitric și/sau azot ureic

Minimum 1/3 din conținutul declarat de azot total trebuie să fie derivat din uree formaldehidă

Azotul din uree formaldehidă trebuie să conțină minimum 3/5 azot solubil în apă caldă

Conținutul maxim de biuret:

 

(azot ureic și azot din uree formaldehidă) × 0,026

 

Azot total

Pentru fiecare formă, în cantitate de minimum 1 %:

azot nitric

azot amoniacal

azot ureic

Azot din uree formaldehidă

Azot din uree formaldehidă solubilă în apă rece

Azot din uree formaldehidă solubilă numai în apă fierbinte

16

Sulfat de amoniu cu inhibitor de nitrificare (diciandiamidă)

Produs obținut pe cale chimică, conținând sulfat de amoniu și diciandiamidă

20 % N

Azotul exprimat ca azot total

Conținutul minim de azot amoniacal: 18 %

Conținutul minim de azot din diciandiamidă: 1,5 %

 

Azot total

Azot amoniacal

Azot din diciandiamidă

Informații tehnice (1)

17

Sulfoazotat de amoniu cu inhibitor de nitrificare (diciandiamidă)

Produs obținut pe cale chimică, conținând sulfoazotat de amoniu și diciandiamidă

24 % N

Azotul exprimat ca azot total

Conținutul minim de azot nitric: 3 % N

Conținutul minim de azot din diciandiamidă: 1,5 %

 

Azot total

Azot nitric

Azot amoniacal

Azot din diciandiamidă

Informatii tehnice (1)

18

Uree-sulfat de amoniu

Produs obținut pe cale chimică din uree și sulfat de amoniu

30 % N

Azot exprimat ca azot amoniacal și ureic

Conținutul minim de azot amoniacal: 4 %

Conținutul minim de sulf exprimat ca trioxid de sulf: 12 %

Conținutul maxim de biuret: 0,9 %

 

Cantitatea totală de azot

Azot amoniacal

Azot ureic

Trioxid de sulf solubil în apă

A.2.   Îngrășăminte fosfatate

În cazul îngrășămintelor sub formă granulată la care compușii de bază au un criteriu de finețe a particulelor (nr. 1, 3, 4, 5, 6, și 7), acesta va fi stabilit printr-o metodă analitică adecvată.

Nr.

Denumire de tip

Date referitoare la modul de fabricație și componentele principale

Concentrația minimă de nutrient (procente de masă)

Date privind exprimarea nutrienților

Alte cerințe

Alte date despre denumirea de tip

Conținutul de nutrient care trebuie declarat

Formele și solubilitățile nutrienților

Alte criterii

1

2

3

4

5

6

1

Zgură alcalină

Fosfați Thomas

Zgură Thomas

Produs obținut în siderurgie prin prelucrarea fontei fosforoase având drept componente principale fosfosilicați de calciu

12 % P2O5

Fosforul se exprimă ca anhidridă fosforică (pentaoxid de fosfor) solubilă în acizi minerali, din care minimum 75 % din conținutul declarat de pentaoxid de fosfor este solubil în acid citric 2 % sau 10 % P2O5

Fosforul se exprimă ca pentaoxid de fosfor solubil în acid citric 2 %

Dimensiunea particulelor:

minimum 75 % trebuie să treacă prin sita cu ochiuri de 0,160 mm

minimum 96 % trebuie să treacă prin sita cu ochiuri de 0,630 mm

 

Pentaoxid de fosfor total (solubil în acizi minerali) din care 75 % (a fi exprimat în procente de masă) este solubil în acid citric 2 % (pentru comercializare în Franța, Italia, Spania, Portugalia și Grecia)

Pentaoxid de fosfor total (solubil în acizi minerali) și pentaoxid de fosfor solubil în acid citric 2 % (pentru comercializare în Regatul Unit)

Pentaoxid de fosfor solubil în acid citric 2 % (pentru comercializare în Germania, Belgia, Danemarca, Irlanda, Luxemburg, Țările de Jos și Austria)

2(a)

Superfosfat simplu

Produs obținut prin reacția unui fosfat mineral măcinat cu acid sulfuric; componente principale: fosfat monocalcic și sulfat de calciu

16 % P2O5

Fosforul este exprimat ca pentaoxid de fosfor (P2O5) solubil în citrat neutru de amoniu și minimum 93 % din conținutul declarat de P2O5 este solubil în apă

Proba de analiză: 1 g

 

Pentaoxid de fosfor solubil în citrat neutru de amoniu

Pentaoxid de fosfor solubil în apă

2(b)

Superfosfat concentrat

Produs obținut prin reacția unui fosfat mineral măcinat cu acid sulfuric și acid fosforic; componente principale: fosfat monocalcic și sulfat de calciu

25 % P2O5

Fosforul este exprimat ca P2O5 solubil în citrat neutru de amoniu, și minimum 93 % din conținutul declarat de P2O5 este solubil în apă

Proba de analiză: 1 g

 

Pentaoxid de fosfor solubil în citrat neutru de amoniu

Pentaoxid de fosfor solubil în apă

2 (c)

Superfosfat triplu

Produs obținut prin reacția unui fosfat mineral măcinat cu acid fosforic; component principal: fosfat monocalcic

38 % P2O5

Fosforul este exprimat ca P2O5 solubil în citrat neutru de amoniu și minimum 93 % din conținutul declarat de P2O5 este solubil în apă

Proba de analiză: 3 g

 

Pentaoxid de fosfor solubil în citrat neutru de amoniu

Pentaoxid de fosfor solubil în apă

3

Fosfat natural parțial solubilizat

Produs obținut prin solubilizarea parțială a rocii fosfatice măcinate cu acid sulfuric sau fosforic; componente principale: fosfatul monocalcic, fosfatul tricalcic și sulfatul de calciu

20 % P2O5

Fosforul este exprimat ca P2O5 solubil în acizi minerali și minimum 40 % din conținutul declarat de P2O5 este solubil în apă

Dimensiunea particulelor:

minimum 90 % trebuie să treacă prin sita cu ochiuri de 0,160 mm

minimum 98 % trebuie să treacă prin sita cu ochiuri de 0,630 mm

 

Pentaoxid de fosfor total (solubil în acizi minerali)

Pentaoxid de fosfor solubil în apă

4

Fosfat precipitat dicalcic deshidratat

Produs obținut prin precipitarea acidului fosforic din fosfați minerali sau din oase; component principal: fosfat dicalcic dihidrat

38 % P2O5

Fosforul este exprimat ca P2O5 solubil în citrat bazic de amoniu (Petermann)

Dimensiunea particulelor:

minimum 90 % trebuie să treacă prin sita cu ochiuri de 0,160 mm

minimum 98 % trebuie să treacă prin sita cu ochiuri de 0,630 mm

 

Pentaoxid de fosfor solubil în citrat bazic de amoniu

5

Fosfat calcinat

Produs obținut prin tratamentul termic al rocii fosfatice măcinate cu compuși alcalini și acid silicic; componente principale: fosfat bazic de calciu și silicat de calciu

25 % P2O5

Fosforul este exprimat ca P2O5 solubil în citrat bazic de amoniu (Petermann)

Dimensiunea particulelor:

minimum 75 % trebuie să treacă prin sita cu ochiuri de 0,160 mm

minimum 96 % trebuie să treacă prin sita cu ochiuri de 0,630 mm

 

Pentaoxid de fosfor solubil în citrat bazic de amoniu

6

Fosfat de calciu și aluminiu

Produs obținut în formă amorfă prin tratament termic și măcinare, care conține fosfați de calciu și aluminiu drept componente principale

30 % P2O5

Fosforul este exprimat ca P2O5 solubil în acizi minerali, din care minimum 75 % din conținutul de P2O5 declarat fiind solubil în citrat bazic de amoniu (Joulie)

Dimensiunea particulelor:

minimum 90 % trebuie să treacă prin sita cu ochiuri de 0,160 mm

minimum 98 % trebuie să treacă prin sita cu ochiuri de 0,630 mm

 

Pentaoxid de fosfor total (solubil în acizi minerali)

Pentaoxid de fosfor solubil în citrat bazic de amoniu

7

Fosfat natural moale

Produs obținut prin măcinarea fosfaților minerali moi; componente principale: trifosfat de calciu și carbonat de calciu

25 % P2O5

Fosforul este exprimat ca P2O5 solubil în acizi minerali, din care minimum 55 % din conținutul de P2O5 declarat este solubil în acid formic 2 %

Dimensiunea particulelor:

minimum 90 % trebuie să treacă prin sita cu ochiuri de 0,063 mm

minimum 99 % trebuie să treacă prin sita cu ochiuri de 0,125 mm

 

Pentaoxid de fosfor total (solubil în acizi minerali)

Pentaoxid de fosfor solubil în acid formic 2 %

Produsul care poate trece prin sita cu ochiuri de 0,063 mm (procente de masă)

A.3.   Îngrășăminte cu potasiu

Nr.

Denumire de tip

Date referitoare la modul de fabricație și componentele principale

Concentrația minimă de nutrient (procente de masă)

Date privind exprimarea nutrienților

Alte cerințe

Alte date despre denumirea de tip

Conținutul de nutrient care trebuie declarat

Formele și solubilitățile nutrienților

Alte criterii

1

2

3

4

5

6

1

Kainit (sare brută de potasiu)

Produs obținut din săruri de potasiu brute

10 % K2O

Potasiul exprimat ca K2O solubil în apă

Se pot adăuga denumiri comerciale uzuale

Oxid de potasiu solubil în apă

Oxid de magneziu solubil în apă

5 % MgO

Magneziul sub formă de săruri solubile în apă, exprimat ca oxid de magneziu

2

Kainit îmbogățit

Produs obținut din săruri de potasiu brute îmbogățit prin amestecare cu clorură de potasiu

18 % K2O

Potasiul exprimat ca K2O solubil în apă

Se pot adăuga denumiri comerciale uzuale

Oxid de potasiu solubil în apă

Opțional se poate menționa conținutul de oxid de magneziu solubil în apă în cazul în care este mai mare de 5 % MgO

3

Clorură de potasiu

Produs obținut din săruri de potasiu brute, care conține clorură de potasiu drept component principal

37 % K2O

Potasiul exprimat ca K2O solubil în apă

Se pot adăuga denumiri comerciale uzuale

Oxid de potasiu solubil în apă

4

Clorură de potasiu cu conținut de săruri de magneziu

Produs obținut din săruri de potasiu brute cu adaos de săruri de magneziu care conține clorură de potasiu și săruri de magneziu drept componente principale

37 % K2O

Potasiul exprimat ca K2O solubil în apă

 

Oxid de potasiu solubil în apă

Oxid de magneziu solubil în apă

5 % MgO

Magneziul sub formă de săruri solubile în apă este exprimat ca oxid de magneziu

 

5

Sulfat de potasiu

Produs obținut chimic din săruri de potasiu; componente principale: sulfat de potasiu

47 % K2O

Potasiul exprimat ca K2O solubil în apă

Conținutul maxim de clor: 3 % Cl

 

Oxid de potasiu solubil în apă

Menționare opțională a conținutului de clor

6

Sulfat de potasiu cu conținut de săruri de magneziu

Produs obținut chimic din săruri de potasiu, cu adaos posibil de săruri de magneziu; componente principale: sulfat de potasiu și sulfat de magneziu

22 % K2O

Potasiul exprimat ca K2O solubil în apă

Se pot adăuga denumiri comerciale uzuale

Oxid de potasiu solubil în apă

Oxid de magneziu solubil în apă

Menționare opțională a conținutului de clor

8 % MgO

Magneziul sub formă de săruri solubile în apă este exprimat ca oxid de magneziu

Conținutul maxim de clor: 3 % Cl

7

Kieserit cu sulfat de potasiu

Produs obținut din kiserit prin adăugare de sulfat de potasiu

8 % MgO

Magneziul exprimat ca oxid de magneziu solubil în apă

Se pot adăuga denumiri comerciale uzuale

Oxid de magneziu solubil în apă

Oxid de potasiu solubil în apă

Menționare opțională a conținutului de clor

6 % K2O

Potasiul exprimat ca K2O solubil în apă

Total MgO + K2O: 20 %

Conținutul maxim de clor: 3 % Cl

B.   Îngrășăminte anorganice complexe cu nutrienți principali

B.1.   Îngrășăminte NPK

B.1.1.

Denumire de tip

Îngrășământ NPK

Date referitoare la modul de fabricație

Produs obținut pe cale chimică sau prin amestecare fără adaos de nutrienți organici de origine animală sau vegetală

Concentrația minimă de nutrienți (procente de masă)

Total: 20 % (N + P2O5 + K2O)

Pentru fiecare nutrient 3 % N, 5 % P2O5, 5 % K2O


Formele, solubilitățile și conținutul de nutrienți ce trebuie declarat conform coloanelor 4, 5 și 6

Dimensiunea particulelor

Date de identificare a îngrășămintelor

Alte cerințe

N

P2O5

K2O

N

P2O5

K2O

1

2

3

4

5

6

(1)

Azot total

(2)

Azot nitric

(3)

Azot amoniacal

(4)

Azot ureic

(5)

Azot cianamidic

(1)

P2O5 solubil în apă

(2)

P2O5 solubil în citrat de amoniu neutru

(3)

P2O5 solubil în citrat de amoniu neutru și în apă

(4)

P2O5 solubil numai în acizi minerali

(5)

P2O5 solubil în citrat alcalin de amoniu (Petermann)

(6a)

P2O5 solubil în acizi minerali, din care minimum 75 % din conținutul declarat de P2O5 este solubil în acid citric 2 %

(6b)

P2O5 solubil în acid citric 2 %

(7)

P2O5 solubil în acizi minerali, din care minimum 75 % din conținutul declarat de P2O5 este solubil în citrat alcalin de amoniu (Joulie)

(8)

P2O5 solubil în acizi minerali, din care minimum 55 % din conținutul declarat de P2O5 este solubil în acid formic 2 %

K2O solubil în apă

(1)

Azot total

(2)

În cazul în care o formă de azot (2)-(5) atinge cantitativ minimum 1 % procent de masă, trebuie declarată

(3)

În cazul în care este mai mare de 28 %, a se vedea anexa III.2

1.

Un îngrășământ NPK fără zgură Thomas, fosfat calcinat, fosfat de aluminiu și calciu, rocă fosfatică parțial solubilizată și rocă fosfatică moale măcinată trebuie să fie declarat în concordanță cu solubilitățile (1), (2) sau (3):

atunci când P2O5 solubil în apă nu atinge 2 %, numai solubilitatea (2) trebuie declarată;

atunci când P2O5 solubil în apă atinge minimum 2 %, solubilitatea (3) trebuie declarată și conținutul de P2O5 solubil în apă trebuie indicat [solubilitatea (1)]

Conținutul P2O5 solubil numai în acizi minerali nu trebuie să depășească 2 %

Pentru acest tip 1, proba de analiză pentru determinarea solubilităților (2) și (3) este de 1 g

2(a)

Un îngrășământ NPK care conține rocă fosfatică moale măcinată sau rocă fosfatică parțial solubilizată trebuie să nu conțină zgură Thomas, fosfat calcinat și fosfat de aluminiu și calciu El trebuie să fie declarat în concordanță cu solubilitățile (1), (3) și (4)

Acest tip de îngrășământ trebuie să conțină:

minimum 2 % P2O5 solubil numai în acizi minerali [solubilitatea (4)];

minimum 5 % P2O5 solubil în apă și citrat de amoniu neutru [solubilitatea (3)];

minimum 2,5 % P2O5 solubil în apă [solubilitatea (1)]

Acest tip de îngrășământ NPK trebuie să fie comercializat sub denumirea „îngrășământ NPK cu conținut de rocă fosfatică moale măcinată” sau „îngrășământ NPK cu conținut de rocă fosfatică parțial solubilizată”. Pentru acest tip 2(a) proba de analiză pentru determinarea solubilității (3) este de 3 g

(1)

Oxid de potasiu solubil în apă

(2)

Indicația „cu conținut redus de clor” se leagă de un conținut maxim de 2 % Cl

(3)

Conținutul de clor poate fi declarat

Dimensiunea particulelor componentelor fosfatice de bază

Zgura Thomas

:

minimum 75 % trebuie să treacă prin sita cu ochiuri de 0,160 mm

Fosfat de aluminiu și calciu

:

minimum 90 % trebuie să treacă prin sita cu ochiuri de 0,160 mm

Fosfat calcinat

:

minimum 75 % trebuie să treacă prin sita cu ochiuri de 0,160 mm

Rocă fosfatică moale măcinată

:

minimum 90 % trebuie să treacă prin sita cu ochiuri de 0,063 mm

Rocă fosfatică parțial solubilizată

:

minimum 90 % trebuie să treacă prin sita cu ochiuri de 0,160 mm

 

2(b)

Un îngrășământ NPK care conține fosfat de calciu și aluminiu trebuie să nu conțină zgură Thomas, fosfat calcinat, rocă fosfatică moale măcinată sau rocă fosfatică parțial solubilizată

El trebuie să fie declarat în concordanță cu solubilitățile (1) și (7), cea de-a doua aplicându-se după deducerea solubilității în apă

Acest tip de îngrășământ trebuie să conțină:

minimum 2 % P2O5 solubil în apă [solubilitatea (1)];

minimum 5 % P2O5 corespunzător solubilității (7)

Acest tip de îngrășământ trebuie să fie comercializat sub denumirea „îngrășământ NPK cu conținut de fosfat de aluminiu și calciu”

3.

În cazul îngrășămintelor NPK conținând doar unul dintre îngrășămintele fosfatice: zgură Thomas, fosfat calcinat, fosfat de aluminiu și calciu, rocă fosfatică moale măcinată, desemnarea tipului trebuie urmată de indicarea componentului fosfatic.

Declararea solubilității P2O5 trebuie dată în conformitate cu una dintre solubilitățile:

pentru îngrășăminte pe bază de zgură Thomas: solubilitate (6a) (Franța, Italia, Spania, Portugalia, Grecia), (6b) (Germania, Belgia, Danemarca, Irlanda, Luxemburg, Țările de Jos, Regatul Unit și Austria);

pentru îngrășăminte pe bază de fosfat calcinat: solubilitate (5);

pentru îngrășăminte pe bază de fosfat de aluminiu și calciu: solubilitate (7);

pentru îngrășăminte pe bază de rocă fosfatică moale măcinată: solubilitate (8).

 


B.1.2.

Denumire de tip

Îngrășământ NPK care conține crotoniliden diuree sau izobutiliden diuree, sau uree formaldehidă (după caz)

Date referitoare la modul de fabricație

Produs obținut pe cale chimică fără adaos de nutrienți organici de origine animală sau vegetală care conține crotoniliden diuree sau izobutiliden diuree, sau uree formaldehidă

Concentrația minimă de nutrienți (procente de masă)

Total: 20 % (N + P2O5 + K2O)

Pentru fiecare nutrient:

5 % N. Minimum 1/4 din concentrația de azot total declarată trebuie să provină din formele de azot (5) sau (6) sau (7). Minimum 3/5 din concentrația declarată de azot (7) trebuie să fie solubilă în apă caldă;

5 % P2O5;

5 % K2O


Formele, solubilitățile și conținutul de nutrient care trebuie declarat conform coloanelor 4, 5 și 6

Dimensiunea particulelor

Date de identificare a îngrășămintelor

Alte cerințe

N

P2O5

K2O

N

P2O5

K2O

1

2

3

4

5

6

(1)

Azot total

(2)

Azot nitric

(3)

Azot amoniacal

(4)

Azot ureic

(5)

Azot din crotoniliden diuree

(6)

Azot din izobutil diuree

(7)

Azot din uree formaldehidă

(8)

Azot din uree formaldehidă solubilă numai în apa caldă

(9)

Azot din uree formaldehidă solubilă numai în apa rece

(1)

P2O5 solubil în apă

(2)

P2O5 solubil în citrat de amoniu neutru

(3)

P2O5 solubil în citrat de amoniu neutru și în apă

K2O solubil în apă

(1)

Azot total

(2)

În cazul în care o formă de azot (2)-(4) atinge cantitativ minimum 1 % procent de masă, trebuie declarată

(3)

Una dintre formele de azot (5)-(7), după caz Forma de azot (7) trebuie declarată sub formă de azot (8) și (9)

Un îngrășământ NPK fără zgură Thomas, fosfat calcinat, fosfat de aluminiu și calciu, rocă fosfatică parțial solubilizată și rocă fosfatică moale măcinată trebuie să fie declarat în concordanță cu solubilitățile (1), (2) sau (3):

atunci când P2O5 solubil în apă nu atinge 2 %, numai solubilitatea (2) trebuie declarată;

atunci când P2O5 solubil în apă atinge minimum 2 %, solubilitatea (3) trebuie declarată și conținutul de P2O5 solubil în apă trebuie indicat [solubilitatea (1)]

Conținutul P2O5 solubil numai în acizi minerali nu trebuie să depășească 2 %

Proba de analiză pentru determinarea solubilităților (2) și (3) este de 1 g

(1)

Oxid de potasiu solubil în apă

(2)

Indicația „cu conținut redus de clor” se leagă de un conținut maxim de 2 % Cl

(3)

Conținutul de clor poate fi declarat

B.2.   Îngrășăminte NP

B.2.1.

Denumire de tip

Îngrășământ NP

Date referitoare la modul de fabricație

Produs obținut pe cale chimică sau prin amestecare fără adaos de nutrienți organici de origine animală sau vegetală

Concentrația minimă de nutrienți (procente de masă)

Total: 18 % (N + P2O5)

Pentru fiecare nutrient 3 % N, 5 % P2O5


Formele, solubilitățile și conținutul de nutrient care trebuie declarat conform coloanelor 4, 5 și 6

Dimensiunea particulelor

Date de identificare a îngrășămintelor

Alte cerințe

N

P2O5

K2O

N

P2O5

K2O

1

2

3

4

5

6

(1)

Azot total

(2)

Azot nitric

(3)

Azot amoniacal

(4)

Azot ureic

(5)

Azot cianamidic

(1)

P2O5 solubil în apă

(2)

P2O5 solubil în citrat de amoniu neutru

(3)

P2O5 solubil în citrat de amoniu neutru și în apă

(4)

P2O5 solubil numai în acizi minerali

(5)

P2O5 solubil în citrat alcalin de amoniu (Petermann)

(6a)

P2O5 solubil în acizi minerali, din care minimum 75 % din conținutul declarat de P2O5 este solubil în acid citric 2 %

(6b)

P2O5 solubil în acid citric 2 %

(7)

P2O5 solubil în acizi minerali, din care minimum 75 % din conținutul declarat de P2O5 este solubil în citrat alcalin de amoniu (Joulie)

(8)

P2O5 solubil în acizi minerali, din care minimum 55 % din conținutul declarat de P2O5 este solubil în acid formic 2 %

 

(1)

Azot total

(2)

În cazul în care o formă de azot (2)-(5) atinge cantitativ minimum 1 % procent de masă, trebuie declarată

1.

Un îngrășământ NP fără zgură Thomas, fosfat calcinat, fosfat de aluminiu și calciu, rocă fosfatică parțial solubilizată și rocă fosfatică moale măcinată trebuie să fie declarat în concordanță cu solubilitățile (1), (2) sau (3):

atunci când P2O5 solubil în apă nu atinge 2 %, numai solubilitatea (2) trebuie declarată;

atunci când P2O5 solubil în apă atinge minimum 2 %, solubilitatea (3) trebuie declarată și conținutul de P2O5 solubil în apă trebuie indicat [solubilitatea (1)]

Conținutul P2O5 solubil numai în acizi minerali nu trebuie să depășească 2 %

Pentru acest tip 1, proba de analiză pentru determinarea solubilităților (2) și (3) este de 1 g

2(a)

Un îngrășământ NP care conține rocă fosfatică moale măcinată sau rocă fosfatică parțial solubilizată trebuie să nu conțină zgură Thomas, fosfat calcinat și fosfat de aluminiu și calciu

El trebuie să fie declarat în concordanță cu solubilitățile (1), (3) și (4)

Acest tip de îngrășământ trebuie să conțină:

minimum 2 % P2O5 solubil numai în acizi minerali [solubilitatea (4)];

minimum 5 % P2O5 solubil în apă și citrat de amoniu neutru [solubilitatea (3)];

minimum 2,5 % P2O5 solubil în apă [solubilitatea (1)]

Acest tip de îngrășământ NP trebuie să fie comercializat sub denumirea „îngrășământ NP cu conținut de rocă fosfatică moale măcinată” sau „îngrășământ NP cu conținut de rocă fosfatică parțial solubilizată”

Pentru acest tip 2(a) proba de analiză pentru determinarea solubilității (3) este de 3 g

 

Dimensiunea particulelor componentelor fosfatice de bază

Zgura Thomas

:

minimum 75 % trebuie să treacă prin sita cu ochiuri de 0,160 mm

Fosfat de aluminiu și calciu

:

minimum 90 % trebuie să treacă prin sita cu ochiuri de 0,160 mm

Fosfat calcinat

:

minimum 75 % trebuie să treacă prin sita cu ochiuri de 0,160 mm

Rocă fosfatică moale măcinată

:

minimum 90 % trebuie să treacă prin sita cu ochiuri de 0,063 mm

Rocă fosfatică parțial solubilizată

:

minimum 90 % trebuie să treacă prin sita cu ochiuri de 0,160 mm

 

2(b)

Un îngrășământ NP care conține fosfat de calciu și aluminiu trebuie să nu conțină zgură Thomas, fosfat calcinat, rocă fosfatică moale măcinată sau rocă fosfatică parțial solubilizată

El trebuie să fie declarat în concordanță cu solubilitățile (1) și (7), cea de-a doua aplicându-se după deducerea solubilității în apă

Acest tip de îngrășământ trebuie să conțină:

minimum 2 % P2O5 solubil în apă [solubilitatea (1)];

minimum 5 % P2O5 corespunzător solubilității (7)

Acest tip de îngrășământ NP trebuie să fie comercializat sub denumirea „îngrășământ NP cu conținut de fosfat de aluminiu și calciu”

3.

În cazul îngrășămintelor NP conținând doar unul dintre îngrășămintele fosfatice: zgură Thomas, fosfat calcinat, fosfat de aluminiu și calciu, rocă fosfatică moale măcinată, desemnarea tipului trebuie urmată de indicarea componentului fosfatic.

Declararea solubilității P2O5 trebuie dată în acord cu una dintre solubilitățile:

pentru îngrășăminte pe bază de zgură Thomas: solubilitate (6a) (Franța, Italia, Spania, Portugalia, Grecia), (6b) (Germania, Belgia, Danemarca, Irlanda, Luxemburg, Țările de Jos, Regatul Unit și Austria);

pentru îngrășăminte pe bază de fosfat calcinat: solubilitate (5);

pentru îngrășăminte pe bază de fosfat de aluminiu și calciu: solubilitate (7);

pentru îngrășăminte pe bază de rocă fosfatică moale măcinată: solubilitate (8)

 


B.2.2.

Denumire de tip

Îngrășământ NP care conține crotoniliden diuree sau izobutiliden diuree, sau uree formaldehidă (după caz)

Date referitoare la modul de fabricație

Produs obținut pe cale chimică fără adaos de nutrienți organici de origine animală sau vegetală care conține crotoniliden diuree sau izobutiliden diuree, sau uree formaldehidă

Concentrația minimă de nutrienți (procente de masă)

Total: 18 % (N + P2O5)

Pentru fiecare nutrient:

5 % N

Minimum ¼ din concentrația de azot total declarată trebuie să provină din formele de azot (5) sau (6), sau (7)

Minimum 3/5 din concentrația declarată de azot (7) trebuie să fie solubilă în apă caldă;

5 % P2O5


Formele, solubilitățile și conținutul de nutrient care trebuie declarat conform coloanelor 4, 5 și 6

Dimensiunea particulelor

Date de identificare a îngrășămintelor

Alte cerințe

N

P2O5

K2O

N

P2O5

K2O

1

2

3

4

5

6

(1)

Azot total

(2)

Azot nitric

(3)

Azot amoniacal

(4)

Azot ureic

(5)

Azot din crotoniliden diuree

(6)

Azot din izobutiliden-diuree

(7)

Azot din uree formaldehidă

(8)

Azot din uree formaldehidă solubilă numai în apa caldă

(9)

Azot din uree formaldehidă solubilă numai în apa rece

(1)

P2O5 solubil în apă

(2)

P2O5 solubil în citrat de amoniu neutru

(3)

P2O5 solubil în citrat de amoniu neutru și în apă

 

(1)

Azot total

(2)

În cazul în care o formă de azot (2)-(4) atinge cantitativ minimum 1 % procent de masă, trebuie declarată

(3)

Una dintre formele de azot (5)-(7), după caz Forma de azot (7) trebuie declarată sub formă de azot (8) și (9)

Un îngrășământ NP fără zgură Thomas, fosfat calcinat, fosfat de aluminiu și calciu, rocă fosfatică parțial solubilizată și rocă fosfatică moale măcinată trebuie să fie declarat în concordanță cu solubilitățile (1), (2) sau (3):

atunci când P2O5 solubil în apă nu atinge 2 %, numai solubilitatea (2) trebuie declarată;

atunci când P2O5 solubil în apă atinge minimum 2 %, solubilitatea (3) trebuie declarată și conținutul de P2O5 solubil în apă trebuie indicat [solubilitatea (1)]

Conținutul P2O5 solubil numai în acizi minerali nu trebuie să depășească 2 %

Proba de analiză pentru determinarea solubilităților (2) și (3) este de 1 g

 

B.3.   Îngrășăminte NK

B.3.1.

Denumire de tip

Îngrășământ NK

Date referitoare la modul de fabricație

Produs obținut pe cale chimică sau prin amestecare fără adaos de nutrienți organici de origine animală sau vegetală

Concentrația minimă de nutrienți (procente de masă)

Total: 18 % (N + K2O);

Pentru fiecare nutrient: 3 % N, 5 % K2O


Formele, solubilitățile și conținutul de nutrient care trebuie declarat conform coloanelor 4, 5 și 6

Dimensiunea particulelor

Date de identificare a îngrășămintelor

Alte cerințe

N

P2O5

K2O

N

P2O5

K2O

1

2

3

4

5

6

(1)

Azot total

(2)

Azot nitric

(3)

Azot amoniacal

(4)

Azot ureic

(5)

Azot cianamidic

 

K2O solubil în apă

(1)

Azot total

(2)

În cazul în care o formă de azot (2)-(5) atinge cantitativ minimum 1 % procent de masă, trebuie declarată

 

(1)

Oxid de potasiu solubil în apă

(2)

Indicația „cu conținut redus de clor” se leagă de un conținut maxim de 2 % Cl

(3)

Conținutul de clor poate fi declarat


B.3.2.

Denumire de tip

Îngrășământ NK care conține crotoniliden diuree sau izobutiliden diuree, sau uree formaldehidă (după caz)

Date referitoare la modul de fabricație

Produs obținut pe cale chimică sau prin amestecare fără adaos de nutrienți organici de origine animală sau vegetală care conține crotoniliden diuree sau izobutiliden diuree, sau uree formaldehidă

Concentrația minimă de nutrienți (procente de masă)

Total: 18 % (N + K2O);

Pentru fiecare nutrient

5 % N

Minimum ¼ din concentrația de azot total declarată trebuie să provină din formele de azot (5) sau (6), sau (7)

Minimum 3/5 din concentrația declarată de azot (7) trebuie să fie solubilă în apă caldă

5 % K2O


Formele, solubilitățile și conținutul de nutrient care trebuie declarat conform coloanelor 4, 5 și 6

Dimensiunea particulelor

Date de identificare a îngrășămintelor

Alte cerințe

N

P2O5

K2O

N

P2O5

K2O

1

2

3

4

5

6

(1)

Azot total

(2)

Azot nitric

(3)

Azot amoniacal

(4)

Azot ureic

(5)

Azot din crotoniliden diuree

(6)

Azot din izobutil diuree

(7)

Azot din uree formaldehidă

(8)

Azot din uree formaldehidă solubilă numai în apa caldă

(9)

Azot din uree formaldehidă solubilă numai în apa rece

 

K2O solubil în apă

(1)

Azot total

(2)

În cazul în care o formă de azot (2)-(4) atinge cantitativ minimum 1 % procent de masă, trebuie declarată

(3)

Una dintre formele de azot (5)-(7), după caz Forma de azot (7) trebuie declarată sub formă de azot (8) și (9)

 

(1)

Oxid de potasiu solubil în apă

(2)

Indicația „cu conținut redus de clor” se leagă de un conținut maxim de 2 % Cl

(3)

Conținutul de clor poate fi declarat

B.4.   Îngrășăminte PK

Denumire de tip

Îngrășământ PK

Date referitoare la modul de fabricație

Produs obținut pe cale chimică sau prin amestecare fără adaos de nutrienți organici de origine animală sau vegetală

Concentrația minimă de nutrienți (procente de masă)

Total: 18 % (N + K2O)

Pentru fiecare nutrient 3 % N, 5 % K2O


Formele, solubilitățile și conținutul de nutrient care trebuie declarat conform coloanelor 4, 5 și 6

Dimensiunea particulelor

Date de identificare a îngrășămintelor

Alte cerințe

N

P2O5

K2O

N

P2O5

K2O

1

2

3

4

5

6

 

(1)

P2O5 solubil în apă

(2)

P2O5 solubil în citrat de amoniu neutru

(3)

P2O5 solubil în citrat de amoniu neutru și în apă

(4)

P2O5 solubil numai în acizi minerali

(5)

P2O5 solubil în citrat alcalin de amoniu (Petermann)

(6a)

P2O5 solubil în acizi minerali, din care minimum 75 % din conținutul declarat de P2O5 este solubil în acid citric 2 %

(6b)

P2O5 solubil în acid citric 2 %

(7)

P2O5 solubil în acizi minerali, din care minimum 75 % din conținutul declarat de P2O5 este solubil în citrat alcalin de amoniu (Joulie)

(8)

P2O5 solubil în acizi minerali, din care minimum 55 % din conținutul declarat de P2O5 este solubil în acid formic 2 %

K2O solubil în apă

 

1.

Un îngrășământ PK fără zgură Thomas, fosfat calcinat, fosfat de aluminiu și calciu, rocă fosfatică parțial solubilizată și rocă fosfatică moale măcinată trebuie să fie declarat în concordanță cu solubilitățile (1), (2) sau (3):

atunci când P2O5 solubil în apă nu atinge 2 %, numai solubilitatea (2) trebuie declarată;

atunci când P2O5 solubil în apă atinge minimum 2 %, solubilitatea (3) trebuie declarată și conținutul de P2O5 solubil în apă trebuie indicat [solubilitatea (1)]

Conținutul P2O5 solubil numai în acizi minerali nu trebuie să depășească 2 %

Pentru acest tip 1, proba de analiză pentru determinarea solubilităților (2) și (3) este de 1 g

2(a)

Un îngrășământ PK care conține rocă fosfatică moale măcinată sau rocă fosfatică parțial solubilizată trebuie să nu conțină zgură Thomas, fosfat calcinat și fosfat de aluminiu și calciu.

El trebuie să fie declarat în concordanță cu solubilitățile (1), (3) și (4)

Acest tip de îngrășământ trebuie să conțină:

minimum 2 % P2O5 solubil numai în acizi minerali [solubilitatea (4)];

minimum 5 % P2O5 solubil în citrat de amoniu neutru [solubilitatea (3)];

minimum 2,5 % P2O5 solubil în apă [solubilitatea (1)]

Acest tip de îngrășământ PK trebuie să fie comercializat sub denumirea „îngrășământ PK cu conținut de rocă fosfatică moale măcinată” sau „îngrășământ PK cu conținut de rocă fosfatică parțial solubilizată”

Pentru acest tip 2(a) proba de analiză pentru determinarea solubilității (3) este de 3 g

(1)

Oxid de potasiu solubil în apă

(2)

Indicația „cu conținut redus de clor” se leagă de un conținut maxim de 2 % Cl

(3)

Conținutul de clor poate fi declarat

Dimensiunea particulelor componentelor fosfatice de bază

Zgura Thomas

:

minimum 75 % trebuie să treacă prin sita cu ochiuri de 0,160 mm

Fosfat de aluminiu și calciu

:

minimum 90 % trebuie să treacă prin sita cu ochiuri de 0,160 mm

Fosfat calcinat

:

minimum 75 % trebuie să treacă prin sita cu ochiuri de 0,160 mm

Rocă fosfatică moale măcinată

:

minimum 90 % trebuie să treacă prin sita cu ochiuri de 0,063 mm

Rocă fosfatică parțial solubilizată

:

minimum 90 % trebuie să treacă prin sita cu ochiuri de 0,160 mm

 

2(b)

Un îngrășământ PK care conține fosfat de calciu și aluminiu trebuie să nu conțină zgură Thomas, fosfat calcinat sau rocă fosfatică parțial solubilizată

El trebuie să fie declarat în concordanță cu solubilitățile (1) și (7), cea de-a doua aplicându-se după deducerea solubilității în apă

Acest tip de îngrășământ trebuie să conțină:

minimum 2 % P2O5 solubil în apă [solubilitatea (1)];

minimum 5 % P2O5 corespunzător solubilității (7)

Acest tip de îngrășământ trebuie să fie comercializat sub denumirea „îngrășământ PK cu conținut de fosfat de aluminiu și calciu”

3.

În cazul îngrășămintelor PK conținând doar unul dintre îngrășămintele fosfatice: zgură Thomas, fosfat calcinat, fosfat de aluminiu și calciu, rocă fosfatică moale măcinată, desemnarea tipului trebuie urmată de indicarea componentului fosfatic

Declararea solubilității P2O5 trebuie făcută în conformitate cu una dintre solubilitățile:

pentru îngrășăminte pe bază de zgură Thomas: solubilitate (6a) (Franța, Italia, Spania, Portugalia, Grecia), (6b) (Germania, Belgia, Danemarca, Irlanda, Luxemburg, Țările de Jos, Regatul Unit și Austria);

pentru îngrășăminte pe bază de fosfat calcinat: solubilitate (5);

pentru îngrășăminte pe bază de fosfat de aluminiu și calciu: solubilitate (7);

pentru îngrășăminte pe bază de rocă fosfatică moale măcinată: solubilitate (8)

 

C.   Îngrășăminte anorganice lichide

C.1.   Îngrășăminte lichide simple

Nr.

Denumirea de tip

Date referitoare la modul de fabricație și componentele principale

Concentrația minimă de nutrienți (procente de masă)

Date privind exprimarea nutrienților

Alte cerințe

Alte date despre denumirea de tip

Conținutul de nutrienți care trebuie declarat

Formele și solubilitățile nutrienților

Alte criterii

1

2

3

4

5

6

1

Soluție de îngrășământ azotat

Produs obținut pe cale chimică prin dizolvare în apă, sub formă stabilă la presiunea atmosferică, fără adaos de nutrienți organici de origine animală sau vegetală

15 % N

Azotul este exprimat ca azot total sau, în cazul în care există o singură formă, ca azot nitric sau azot amoniacal, sau azot ureic

Concentrație maximă în biuret:

 

N ureic × 0,026

 

Azotul total și/sau, pentru fiecare formă de minimum 1 %, azotatul amoniacal, azotatul nitric și/sau azotatul ureic

În cazul în care concentrația în biuret este mai mică de 0,2 % se poate adăuga mențiunea „sărac în biuret”

2

Soluție de azotat de amoniu-uree

Produs obținut pe cale chimică și prin dizolvarea în apă, conținând azotat de amoniu și uree

26 % N

Azotul este exprimat ca azot total, azotul ureic reprezentând numai circa jumătate din azotul prezent

Concentrație maximă în biuret: 0,5 %

 

Azotul total

Azotatul nitric, azotatul amoniacal, azotatul ureic

În cazul în care concentrația în biuret este mai mică de 0,2 % se poate adăuga mențiunea „cu conținut redus de biuret”

3

Soluție de azotat de calciu

Produs obținut prin dizolvarea azotatului de calciu în apă

8 % N

Azotul este exprimat ca azot nitric, cu maximum 1 % de azot sub formă de amoniac

Calciu exprimat ca oxid de calciu solubil în apă

Denumirea de tip poate fi urmată, după caz, de una dintre mențiunile următoare:

pentru aplicare foliară;

pentru fabricarea soluțiilor nutritive;

pentru irigații fertilizante

Azotul total

Oxid de calciu solubil în apă pentru utilizările menționate în coloana 5

Opțional:

azot sub formă nitrică;

azot sub formă de amoniac

4

Soluție de azotat de magneziu

Produs obținut pe cale chimică prin dizolvarea azotatului de magneziu în apă

6 % N

Azotul este exprimat ca azot nitric

 

Azot nitric

Oxid de magneziu solubil în apă

9 % MgO

Magneziul este exprimat ca oxid de magneziu solubil în apă

pH minim: 4

 

5

Azotat de calciu în suspensie

Produs obținut prin suspensia azotatului de calciu în apă

8 % N

Azot exprimat ca azot total sau ca azot nitric și ca azot amoniacal

Concentrația maximă de azot amoniacal: 1,0 %

Denumirea de tip poate fi urmată de una dintre mențiunile următoare:

pentru aplicare foliară;

pentru fabricarea soluțiilor și suspensiilor nutritive;

pentru irigații fertilizante

Azot total

Azot nitric

Oxid de calciu solubil în apă pentru utilizările menționate în coloana 5

14 % CaO Calciu exprimat ca oxid de calciu solubil în apă

6

Îngrășământ cu azot în soluție, conținând uree formaldehidă

Produs obținut pe cale chimică sau prin dizolvarea în apă a ureei formaldehidă și a unui îngrășământ cu azot menționat în lista A.1 din prezentul regulament, cu excepția produselor 3(a), 3(b) și 5

18 % N exprimat ca azot total

Minimum 1/3 din concentrația declarată de azot total trebuie să provină din ureea formaldehidă

Concentrația maximă în biuret: (N ureic + N uree formaldehidă) × 0,026

 

Azot total

Pentru minimum 1 %:

azot nitric;

azot amoniacal;

azot ureic

Azotul din ureea formaldehidă

7

Îngrășământ cu azot în suspensie, conținând uree formaldehidă

Produs obținut pe cale chimică sau prin dizolvarea în apă a ureei formaldehidă și a unui îngrășământ cu azot menționat în lista A-1 din prezentul regulament, cu excepția produselor 3(a), 3(b) și 5

18 % N exprimat ca azot total

Minimum 1/3 din concentrația declarată de azot total trebuie să provină din ureea formaldehidă, din care minimum 3/5 trebuie să fie solubilă în apa caldă

Concentrația maximă în biuret: (N ureic + N uree formaldehidă) × 0,026

 

Azot total

Pentru minimum 1 %:

azot nitric;

azot amoniacal;

azot ureic

Azotul din ureea formaldehidă

Azotul din ureea formaldehidă solubilă în apă rece

Azotul din ureea formaldehidă solubilă în apă caldă

C.2.   Îngrășăminte lichide complexe

C.2.1.

Denumire de tip

Soluție de îngrășământ NPK

Date referitoare la modul de fabricație

Produs obținut pe cale chimică și prin soluție în apă, sub formă stabilă la presiunea atmosferică, fără adaos de nutrienți organici de origine animală sau vegetală

Concentrația minimă de nutrienți (procente de masă) și alte cerințe

Total: 15 % (N + P2O5 + K2O)

Pentru fiecare nutrient: 2 % N, 3 % P2O5, 3 % K2O

Concentrație maximă în biuret: N ureic × 0,026


Formele, solubilitățile și conținutul de nutrienți care trebuie declarați conform coloanelor 4, 5 și 6;

Dimensiunea particulelor

Date de identificare a îngrășămintelor

Alte cerințe

N

P2O5

K2O

N

P2O5

K2O

1

2

3

4

5

6

(1)

Azot total

(2)

Azot nitric

(3)

Azot amoniacal

(4)

Azot ureic

P2O5 solubil în apă

K2O solubil în apă

(1)

Azot total

(2)

În cazul în care o formă de azot (2)-(4) atinge cantitativ minimum 1 % procent de masă, trebuie declarată

(3)

În cazul în care concentrația în biuret este mai mică de 0,2 % se poate adăuga mențiunea „cu conținut redus de biuret”

P2O5 solubil în apă

(1)

Oxid de potasiu solubil în apă

(2)

Indicația „cu conținut redus de clor” se leagă de un conținut maxim de 2 % Cl

(3)

Conținutul de clor poate fi declarat


C.2.2.

Denumire de tip

Suspensie de îngrășământ NPK

Date referitoare la modul de fabricație

Produsul este sub formă lichidă, nutrienții provenind din substanțe aflate în suspensie în apă și în soluție, fără adaos de nutrienți organici de origine animală sau vegetală

Concentrația minimă de nutrienți (procente de masă) și alte cerințe

Total: 20 % (N + P2O5 + K2O);

Pentru fiecare nutrient: 3 % N, 4 % P2O5, 4 % K2O;

Concentrație maximă în biuret: N ureic × 0,026


Formele, solubilitățile și conținutul de nutrienți care trebuie declarați conform coloanelor 4, 5 și 6

Dimensiunea particulelor

Date de identificare a îngrășămintelor

Alte cerințe

N

P2O5

K2O

N

P2O5

K2O

1

2

3

4

5

6

(1)

Azot total

(2)

Azot nitric

(3)

Azot amoniacal

(4)

Azot ureic

(1)

P2O5 solubil în apă

(2)

P2O5 solubil în citrat de amoniu neutru

(3)

P2O5 solubil în citrat de amoniu și apă

K2O solubil în apă

(1)

Azot total

(2)

În cazul în care o formă de azot (2)-(4) atinge cantitativ minimum 1 % procent de masă, trebuie declarată

(3)

În cazul în care concentrația în biuret este mai mică de 0,2 % se poate adăuga mențiunea „cu conținut redus de biuret”

Îngrășămintele nu pot conține nici zgură Thomas, nici fosfat alumino-calcic, nici fosfați calcinați, nici fosfați parțial solubilizați și fosfați naturali

(1)

În cazul în care P2O5 solubil în apă se situează sub 2 %, se declară numai solubilitatea (2)

(2)

În cazul în care P2O5 solubil în apă atinge 2 %, se declară solubilitatea (3) și concentrația în P2O5 solubil în apă

(1)

Oxid de potasiu solubil în apă

(2)

Indicația „cu conținut redus de clor” se leagă de un conținut maxim de 2 % Cl

(3)

Conținutul de clor poate fi declarat


C.2.3.

Denumire de tip

Soluție de îngrășământ NP

Date referitoare la modul de fabricație

Produs obținut pe cale chimică și prin soluție în apă, sub formă stabilă la presiunea atmosferică, fără adaos de nutrienți organici de origine animală sau vegetală

Concentrația minimă de nutrienți (procente de masă) și alte cerințe

Total: 18 % (N + P2O5)

Pentru fiecare nutrient: 3 % N, 5 % P2O5

Concentrație maximă în biuret: N ureic × 0,026


Formele, solubilitățile și conținutul de nutrienți care trebuie declarați conform coloanelor 4, 5 și 6

Dimensiunea particulelor

Date de identificare a îngrășămintelor

Alte cerințe

N

P2O5

K2O

N

P2O5

K2O

1

2

3

4

5

6

(1)

Azot total

(2)

Azot nitric

(3)

Azot amoniacal

(4)

Azot ureic

P2O5 solubil în apă

 

(1)

Azot total

(2)

În cazul în care o formă de azot (2)-(4) atinge cantitativ minimum 1 % procent de masă, trebuie declarată

(3)

În cazul în care concentrația în biuret este mai mică de 0,2 % se poate adăuga mențiunea „cu conținut redus de biuret”

P2O5 solubil în apă

 


C.2.4.

Denumire de tip

Suspensie de îngrășământ NP

Date referitoare la modul de fabricație

Produsul este sub formă lichidă, nutrienții provenind din substanțe aflate în suspensie în apă și în soluție, fără adaos de nutrienți organici de origine animală sau vegetală

Concentrația minimă de nutrienți (procente de masă) și alte cerințe

Total: 18 % (N + P2O5);

Pentru fiecare nutrient: 3 % N, 5 % P2O5;

Concentrație maximă în biuret: N ureic × 0,026


Formele, solubilitățile și conținutul de nutrienți care trebuie declarați conform coloanelor 4, 5 și 6

Dimensiunea particulelor

Date de identificare a îngrășămintelor

Alte cerințe

N

P2O5

K2O

N

P2O5

K2O

1

2

3

4

5

6

(1)

Azot total

(2)

Azot nitric

(3)

Azot amoniacal

(4)

Azot ureic

(1)

P2O5 solubil în apă

(2)

P2O5 solubil în citrat de amoniu neutru

(3)

P2O5 solubil în citrat de amoniu și apă

 

(1)

Azot total

(2)

În cazul în care o formă de azot (2)-(4) atinge cantitativ minimum 1 % procent de masă, trebuie declarată

(3)

În cazul în care concentrația în biuret este mai mică de 0,2 % se poate adăuga mențiunea „cu conținut redus de biuret”

(1)

În cazul în care P2O5 solubil în apă se situează sub 2 %, se declară numai solubilitatea (2)

(2)

În cazul în care P2O5 solubil în apă atinge 2 %, se declară solubilitatea (3) și concentrația în P2O5 solubil în apă

Îngrășămintele nu pot conține nici zgură Thomas, nici fosfat alumino-calcic, nici fosfați calcinați, nici fosfați parțial solubilizați și fosfați naturali

 


C.2.5.

Denumire de tip

Soluție de îngrășământ NK

Date referitoare la modul de fabricație

Produs obținut pe cale chimică și prin soluție în apă, sub formă stabilă la presiunea atmosferică, fără adaos de nutrienți organici de origine animală sau vegetală

Concentrația minimă de nutrienți (procente de masă) și alte cerințe

Total: 15 % (N + K2O);

Pentru fiecare nutrient: 3 % N, 5 % K2O;

Concentrație maximă în biuret: N ureic × 0,026


Formele, solubilitățile și conținutul de nutrienți care trebuie declarați conform coloanelor 4, 5 și 6

Dimensiunea particulelor

Date de identificare a îngrășămintelor

Alte cerințe

N

P2O5

K2O

N

P2O5

K2O

1

2

3

4

5

6

(1)

Azot total

(2)

Azot nitric

(3)

Azot amoniacal

(4)

Azot ureic

 

K2O solubil în apă

(1)

Azot total

(2)

În cazul în care o formă de azot (2)-(4) atinge cantitativ minimum 1 % procent de masă, trebuie declarată

(3)

În cazul în care concentrația în biuret este mai mică de 0,2 % se poate adăuga mențiunea „cu conținut redus de biuret”

 

(1)

Oxid de potasiu solubil în apă

(2)

Indicația „cu conținut redus de clor” se leagă de un conținut maxim de 2 % Cl

(3)

Conținutul de clor poate fi declarat


C.2.6.

Denumire de tip

Suspensie de îngrășământ NK

Date referitoare la modul de fabricație

Produsul este sub formă lichidă, nutrienții provenind din substanțe aflate în suspensie în apă și în soluție, fără adaos de nutrienți organici de origine animală sau vegetală

Concentrația minimă de nutrienți (procente de masă)

Total: 18 % (N + K2O);

Pentru fiecare nutrient: 3 % N, 5 % K2O;

Concentrație maximă în biuret: N ureic × 0,026


Formele, solubilitățile și conținutul de nutrienți care trebuie declarați conform coloanelor 4, 5 și 6

Dimensiunea particulelor

Date de identificare a îngrășămintelor

Alte cerințe

N

P2O5

K2O

N

P2O5

K2O

1

2

3

4

5

6

(1)

Azot total

(2)

Azot nitric

(3)

Azot amoniacal

(4)

Azot ureic

 

K2O solubil în apă

(1)

Azot total

(2)

În cazul în care o formă de azot (2)-(4) atinge cantitativ minimum 1 % procent de masă, trebuie declarată

(3)

În cazul în care concentrația în biuret este mai mică de 0,2 % se poate adăuga mențiunea „cu conținut redus de biuret”

 

(1)

Oxid de potasiu solubil în apă

(2)

Indicația „cu conținut redus de clor” se leagă de un conținut maxim de 2 % Cl

(3)

Conținutul de clor poate fi declarat


C.2.7.

Denumire de tip

Soluție de îngrășământ PK

Date referitoare la modul de fabricație

Produs obținut pe cale chimică și prin soluție în apă, fără adaos de nutrienți organici de origine animală sau vegetală

Concentrația minimă de nutrienți (procente de masă):

Total: 18 % (P2O5 + K2O);

Pentru fiecare nutrient: 5 % P2O5, 5 % K2O


Formele, solubilitățile și conținutul de nutrienți care trebuie declarați conform coloanelor 4, 5 și 6

Dimensiunea particulelor

Date de identificare a îngrășămintelor

Alte cerințe

N

P2O5

K2O

N

P2O5

K2O

1

2

3

4

5

6

 

P2O5 solubil în apă

K2O solubil în apă

 

P2O5 solubil în apă

(1)

Oxid de potasiu solubil în apă

(2)

Indicația „cu conținut redus de clor” se leagă de un conținut maxim de 2 % Cl

(3)

Conținutul de clor poate fi declarat


C.2.8.

Denumire de tip

Suspensie de îngrășământ PK

Date referitoare la modul de fabricație

Produsul este sub formă lichidă, nutrienții provenind din substanțe aflate în suspensie în apă și în soluție, fără adaos de nutrienți organici de origine animală sau vegetală

Concentrația minimă de nutrienți (procente de masă)

Total: 18 % (P2O5 + K2O);

Pentru fiecare nutrient: 5 % P2O5, 5 % K2O


Formele, solubilitățile și conținutul de nutrienți care trebuie declarați conform coloanelor 4, 5 și 6

Dimensiunea particulelor

Date de identificare a îngrășămintelor

Alte cerințe

N

P2O5

K2O

N

P2O5

K2O

1

2

3

4

5

6

 

(1)

P2O5 solubil în apă

(2)

P2O5 solubil în citrat de amoniu neutru

(3)

P2O5 solubil în citrat de amoniu și apă

K2O solubil în apă

 

(1)

În cazul în care P2O5 solubil în apă se situează sub 2 %, se declară numai solubilitatea (2)

(2)

În cazul în care P2O5 solubil în apă atinge 2 %, se declară solubilitatea (3) și concentrația în P2O5 solubil în apă

Îngrășămintele nu pot conține nici zgură Thomas, nici fosfat alumino-calcic, nici fosfați calcinați, nici fosfați parțial solubilizați și fosfați naturali

(1)

Oxid de potasiu solubil în apă

(2)

Indicația „cu conținut redus de clor” se leagă de un conținut maxim de 2 % Cl

(3)

Conținutul de clor poate fi declarat

D.   Îngrășăminte anorganice cu nutrienți secundari

Nr.

Denumire de tip

Date referitoare la modul de fabricație și componentele principale

Concentrația minimă de nutrienți (procente de masă)

Date privind exprimarea nutrienților

Alte cerințe

Alte date despre denumirea de tip

Conținutul de nutrienți care trebuie declarat

Formele și solubilitățile nutrienților

Alte criterii

1

2

3

4

5

6

1

Sulfat de calciu

Produs de origine naturală sau industrială, conținând sulfat de calciu la diferite grade de hidratare

25 % CaO

35 % SO3

Calciu și sulf exprimate ca CaO + SO3 total

Dimensiunile particulelor:

minimum 80 % trebuie să treacă prin sita cu ochiuri de 2 mm;

minimum 99 % trebuie să treacă prin sita cu ochiuri de 10 mm

Se pot adăuga denumiri comerciale curente

Trioxid de sulf total

Opțional: CaO total

2

Soluție de clorură de calciu

Soluție de clorură de calciu de origine industrială

12 % CaO

Calciul exprimat ca oxid de calciu solubil în apă

 

Oxid de calciu

Opțional: pentru pulverizare pe plante

3

Sulf elementar

Produs de origine naturală sau industrială, relativ rafinat

98 % S (245 %: SO3)

Sulful exprimat ca SO3 total

 

Trioxid de sulf total

4

Kieserit

Produs de origine minerală, cu component esențial sulfatul de magneziu monohidrat

24 % MgO

45 % SO3

Magneziul și sulful exprimate ca oxid de magneziu și trioxid de sulf solubili în apă

Se pot adăuga denumiri comerciale curente

Oxid de magneziu solubil în apă

Opțional: trioxid de sulf solubil în apă

5

Sulfat de magneziu

Produs conținând component esențial sulfatul de magneziu heptahidrat

15 % MgO

28 % SO3

Magneziul și sulful exprimate ca oxid de magneziu și trioxid de sulf solubili în apă

Se pot adăuga denumiri comerciale curente

Oxid de magneziu solubil în apă

Opțional: anhidridă sulfurică solubilă în apă

5.1

Soluție de sulfat de magneziu

Produs obținut prin dizolvarea în apă a sulfatului de magneziu de origine industrială

5 % MgO

10 % SO3

Magneziul și sulful exprimate ca oxid de magneziu și trioxid de sulf solubili în apă

Se pot adăuga denumiri comerciale curente

Oxid de magneziu solubil în apă

Opțional: anhidridă sulfurică solubilă în apă

5.2

Hidroxid de magneziu

Produs chimic, cu component esențial hidroxidul de magneziu

60 % MgO

Dimensiunile particulelor: – minimum 99 % trebuie să treacă prin sita cu ochiuri de 0,063 mm

 

Oxid de magneziu total

5.3

Suspensie de hidroxid de magneziu

Produs obținut prin suspensia tipului 5.2.

24 % MgO

 

Oxid de magneziu total

6

Soluție de clorură de magneziu

Produs obținut prin dizolvarea clorurii de magneziu de origine industrială

13 % MgO

Magneziul exprimat ca oxid de magneziu

Concentrație maximă de calciu: 3 % CaO

 

Oxid de magneziu

E.   Îngrășăminte anorganice cu oligoelemente

Notă explicativă: notele de mai jos se aplică întregii părți E

Nota 1: un agent chelat poate fi desemnat prin intermediul inițialelor sale, așa cum este stabilit în secțiunea E.3.

Nota 2: În cazul în care produsul nu depune un reziduu solid după dizolvarea în apă, el poate fi desemnat ca „pentru dizolvare”.

Nota 3: pentru oligoelementele sub formă de chelat, trebuie menționat domeniul de pH care garantează o stabilitate acceptabilă a fracției chelate.

E.1.   Îngrășăminte conținând un singur oligoelement declarat

E.1.1.   Bor

Nr.

Denumire de tip

Date referitoare la modul de fabricație și componentele principale

Concentrația minimă de nutrienți (procente de masă)

Date privind exprimarea nutrienților

Alte cerințe

Alte date despre denumirea de tip

Conținutul de nutrienți care trebuie declarat

Formele și solubilitățile nutrienților

Alte criterii

1

2

3

4

5

6

1(a)

Acid boric

Produs obținut prin acțiunea unui acid asupra unui borat

14 % B solubil în apă

Se pot adăuga denumiri comerciale uzuale

Bor solubil în apă (B)

1(b)

Borat de sodiu

Produs obținut pe cale chimică ce conține ca un component esențial un borat de sodiu

10 % B solubil în apă

Se pot adăuga denumiri comerciale uzuale

Bor solubil în apă (B)

1(c)

Borat de calciu

Produs obținut din colemanit sau pandermit; componente principale: borați de calciu

7 % bor total

Dimensiunea particulelor: minimum 98 % trec prin sita de 0,063 mm

Se pot adăuga denumiri comerciale uzuale

Bor total (B)

1(d)

Bor-etanolamină

Produs obținut prin reacția unui acid boric cu o etanolamină

8 % B solubil în apă

 

Bor solubil în apă (B)

1(e)

Îngrășământ cu bor în soluție

Produs obținut prin dizolvarea tipurilor 1(a) și/sau 1(b) și/sau 1(d)

2 % B solubil în apă

Denumirea trebuie să includă denumirile compușilor prezenți

Bor solubil în apă (B)

1(f)

Îngrășământ cu bor în suspensie

Produs obținut prin suspendarea tipurilor 1(a) și/sau 1(b) și/sau 1(d) în apă

2 % B solubil în apă

Denumirea trebuie să includă denumirile componentelor prezente

Bor solubil în apă (B)

E.1.2.   Cobalt

Nr.

Denumire de tip

Date referitoare la modul de fabricație și componentele principale

Concentrația minimă de nutrienți (procente de masă)

Date privind exprimarea nutrienților

Alte cerințe

Alte date despre denumirea de tip

Conținutul de nutrienți care trebuie declarat

Formele și solubilitățile nutrienților

Alte criterii

1

2

3

4

5

6

2(a)

Sare de cobalt

Produs obținut pe cale chimică ce conține drept component esențial o sare minerală de cobalt

19 % Co solubil în apă

Denumirea trebuie să includă numele anionului mineral

Cobalt solubil în apă (Co)

2(b)

Chelat de cobalt

Produs solubil în apă obținut prin combinarea chimică a cobaltului cu un agent de chelare

2 % Co solubil în apă, minimum 8/10 din valoarea declarată a ceea ce a fost chelat

Denumirea agentului de chelare

Cobalt solubil în apă (Co)

Cobalt chelat (Co)

2(c)

Soluție de îngrășământ cu cobalt

Produs obținut prin dizolvarea în apă a tipurilor 2(a) și/sau a unuia dintre tipurile 2(b)

2 % Co solubil în apă

Denumirea trebuie să includă

(1)

numele anionului (anionilor) mineral(i)

(2)

denumirea agentului de chelare, dacă este prezent

Cobalt solubil în apă (Co)

Cobalt chelat (Co), dacă este prezent

E.1.3.   Cupru

Nr.

Denumire de tip

Date referitoare la modul de fabricație și componentele principale

Concentrația minimă de nutrienți (procente de masă)

Date privind exprimarea nutrienților

Alte cerințe

Alte date despre denumirea de tip

Conținutul de nutrienți care trebuie declarat

Formele și solubilitățile nutrienților

Alte criterii

1

2

3

4

5

6

3(a)

Sare de cupru

Produs obținut pe cale chimică ce conține drept component esențial o sare minerală de cupru

20 % Cu solubil în apă

Denumirea trebuie să includă numele anionului mineral

Cupru solubil în apă (Cu)

3(b)

Oxid de cupru

Produs obținut pe cale chimică ce conține drept component esențial oxid de cupru

70 % Cu total

Dimensiunea particulelor: minimum 98 % trec prin sita de 0,063 mm

 

Cupru total (Cu)

3(c)

Hidroxid de cupru

Produs obținut pe cale chimică ce conține drept component esențial hidroxid de cupru

45 % Cu total

Dimensiunea particulelor: minimum 98 % trec prin sita de 0,063 mm

 

Cupru total (Cu)

3(d)

Chelat de cupru

Produs solubil în apă obținut prin combinarea chimică a cuprului cu un agent de chelare

9 % Cu solubil în apă, minimum 8/10 din valoarea declarată a ceea ce a fost chelat

Denumirea agentului de chelare

Cupru (Cu) solubil în apă

Cupru chelat (Cu)

3(e)

Îngrășământ pe bază de cupru

Produs obținut prin amestecarea tipurilor 3(a) și/sau 3(b) și/sau 3(c) și/sau a unui singur tip 3(d) și, în cazul în care se cere, material de umplutură care nu este nici nutritiv, nici toxic

5 % Cu total

Denumirea trebuie să includă:

(1)

numele componentelor cu cupru;

(2)

denumirea agentului de chelare, dacă este prezent

Cupru (Cu) total

Cupru (Cu) solubil în apă, în cazul în care justifică cel puțin 1/4 din cuprul total

Cupru chelat (Cu), dacă este prezent

3(f)

Soluție de îngrășământ cu cupru

Produs obținut prin dizolvarea în apă a tipurilor 3(a) și/sau 3(d)

3 % Co solubil în apă

Denumirea trebuie să includă

(1)

numele anionului (anionilor) mineral(i);

(2)

denumirea agentului de chelare, dacă este prezent

Cupru (Cu) solubil în apă

Cupru chelat (Cu), dacă este prezent

3(g)

Oxiclorură de cupru

Produs obținut pe cale chimică ce conține drept component esențial oxiclorură de cupru [Cu2Cl(OH)3]

50 % Cu total

Dimensiunea particulelor: minimum 98 % trec prin sita de 0,063 mm

 

Cupru (Cu) total

3(h)

Oxiclorură de cupru în suspensie

Produs obținut prin suspendarea tipului 3(g)

17 % Cu total

 

Cupru (Cu) total

E.1.4.   Fier

Nr.

Denumire de tip

Date referitoare la modul de fabricație și componentele principale

Concentrația minimă de nutrienți (procente de masă)

Date privind exprimarea nutrienților

Alte cerințe

Alte date despre denumirea de tip

Conținutul de nutrienți care trebuie declarat

Formele și solubilitățile nutrienților

Alte criterii

1

2

3

4

5

6

4(a)

Sare de fier

Produs obținut pe cale chimică ce conține drept component esențial o sare minerală de fier

12 % Fe solubil în apă

Denumirea trebuie să includă numele anionului mineral

Fier solubil în apă (Fe)

4(b)

Chelat de fier

Produs solubil în apă obținut prin combinarea chimică a fierului cu un agent de chelare

5 % Fe solubil în apă, minimum 8/10 din valoarea declarată a ceea ce a fost chelat

Denumirea agentului de chelare

Fier (Fe) solubil în apă

Fracțiune chelată (EN 1 3366)

Fier (Fe) chelat pe fiecare agent de chelare, cu condiția ca fiecare fracție să fie mai mare de 2 % (EN 1 3368 părțile 1 și 2)

4(c)

Soluție de îngrășământ cu fier

Produs obținut prin dizolvarea în apă a tipurilor 4a și/sau a unuia din tipul 4b

2 % Fe solubil în apă

Denumirea trebuie să includă

(1)

numele anionului (anionilor) mineral(i);

(2)

denumirea agentului de chelare, dacă este prezent

Fier (Fe) solubil în apă

Fier (Fe) chelat, dacă este prezent

E. 1. 5.   Mangan

Nr.

Denumire de tip

Date referitoare la modul de fabricație și componentele principale

Concentrația minimă de nutrienți (procente de masă)

Date privind exprimarea nutrienților

Alte cerințe

Alte date despre denumirea de tip

Conținutul de nutrienți care trebuie declarat

Formele și solubilitățile nutrienților

Alte criterii

1

2

3

4

5

6

5(a)

Sare de mangan

Produs obținut pe cale chimică ce conține drept component esențial o sare minerală de mangan (Mn II)

17 % Mn solubil în apă

Denumirea trebuie să includă numele anionului combinat

Mangan (Mn) solubil în apă

5(b)

Chelat de mangan

Produs solubil în apă obținut prin combinarea chimică a manganului cu un agent de chelare

5 % Mn solubil în apă, minimum 8/10 din valoarea declarată a ceea ce a fost chelat

Denumirea agentului de chelare

Mangan (Mn) solubil în apă

Mangan (Mn) chelat

5(c)

Oxid de mangan

Produs obținut pe cale chimică ce conține drept componente esențiale oxizi de cupru

40 % Mn total

Dimensiunea particulelor: minimum 80 % trec prin sita de 0,063 mm

 

Mangan (Mn) total

5(d)

Îngrășământ pe bază de mangan

Produs obținut prin amestecarea tipurilor 5(a) și 5(c)

17 % Mn total

Denumirea trebuie să includă numele componentelor cu mangan

Mangan (Mn) total

Mangan (Mn) solubil în apă, în cazul în care justifică cel puțin 1/4 din manganul (Mn) total

5(e)

Soluție de îngrășământ cu mangan

Produs obținut prin dizolvarea în apă a tipurilor 5(a) și/sau a unuia de tipul 5(b)

3 % Mn solubil în apă

Denumirea trebuie să includă

(1)

numele anionului (anionilor) mineral(i);

(2)

denumirea agentului de chelare, dacă este prezent

Mangan (Mn) solubil în apă

Mangan (Mn) chelat, dacă este prezent

E.1.6.   Molibden

Nr.

Denumire de tip

Date referitoare la modul de fabricație și componentele principale

Concentrația minimă de nutrienți (procente de masă)

Date privind exprimarea nutrienților

Alte cerințe

Alte date despre denumirea de tip

Conținutul de nutrienți care trebuie declarat

Formele și solubilitățile nutrienților

Alte criterii

1

2

3

4

5

6

6(a)

Molibdat de sodiu

Produs obținut pe cale chimică ce conține drept component esențial molibdat de sodiu

35 % Mo solubil în apă

 

Molibden (Mo) solubil în apă

6(b)

Molibdat de amoniu

Produs obținut pe cale chimică ce conține drept component esențial molibdat de amoniu

50 % Mo solubil în apă

 

Molibden (Mo) solubil în apă

6(c)

Îngrășământ pe bază de molibden

Produs obținut prin amestecarea tipurilor 6(a) și 6(b)

35 % Mo solubil în apă

Denumirea trebuie să includă numele componentelor cu molibden

Molibden (Mo) solubil în apă

6(d)

Soluție de îngrășământ cu molibden

Produs obținut prin dizolvarea în apă a tipurilor 6(a) și/sau a unuia de tipul 6(b)

3 % Mo solubil în apă

Denumirea trebuie să includă numele componentelor cu molibden

Molibden (Mo) solubil în apă

E.1.7.   Zinc

Nr.

Denumire de tip

Date referitoare la modul de fabricație și componentele principale

Concentrația minimă de nutrienți (procente de masă)

Date privind exprimarea nutrienților

Alte cerințe

Alte date despre denumirea de tip

Conținutul de nutrienți care trebuie declarat

Formele și solubilitățile nutrienților

Alte criterii

1

2

3

4

5

6

7(a)

Sare de zinc

Produs obținut pe cale chimică ce conține drept component esențial o sare minerală de zinc

15 % Zn solubil în apă

Denumirea trebuie să includă numele anionului mineral

Zinc (Zn) solubil în apă

7(b)

Chelat de zinc

Produs solubil în apă obținut prin combinarea chimică a zincului cu un agent de chelare

5 % Zn solubil în apă, minimum 8/10 din valoarea declarată a ceea ce a fost chelat

Denumirea agentului de chelare

Zinc (Zn) solubil în apă

Zinc (Zn) chelat

7(c)

Oxid de zinc

Produs obținut pe cale chimică ce conține drept component esențial oxid de zinc

70 % Zn total

Dimensiunea particulelor: minimum 80 % trec prin sita de 0,063 mm

 

Zinc (Zn) total

7(d)

Îngrășământ pe bază de zinc

Produs obținut prin amestecarea tipurilor 7a și 7c

30 % Zn total

Denumirea trebuie să includă numele componentelor cu zinc

Zinc (Zn) total

Zinc (Zn) solubil în apă, în cazul în care acesta justifică cel puțin 1/4 din zincul (Zn) total

7(e)

Soluție de îngrășământ cu zinc

Produs obținut prin dizolvarea în apă a tipurilor 7a și/sau a unuia de tipul 7b

3 % Zn solubil în apă

Denumirea trebuie să includă:

(1)

numele anionului (anionilor) mineral(i);

(2)

denumirea agentului de chelare, dacă este prezent

Zinc (Zn) solubil în apă

Zinc (Zn) chelat, dacă este prezent

E.2.   Concentrațiile minime de oligoelemente, în procent de masă de îngrășământ

E.2.1.   Amestecuri solide sau lichide de oligoelemente

 

Forma de prezentare a oligoelementului

exclusiv minerală

chelată sau complexată

Pentru un oligoelement:

Bor (B)

0,2

0,2

Cobalt (Co)

0,02

0,02

Cupru (Cu)

0,5

0,1

Fier (Fe)

2,0

0,3

Mangan (Mn)

0,5

0,1

Molibden (Mo)

0,02

Zinc (Zn)

0,5

0,1

Total minim de oligoelemente într-un amestec solid: 5 % din masa îngrășământului.

Total minim de oligoelemente într-un amestec lichid: 2 % din masa îngrășământului.

E.2.2.   Îngrășăminte CE conținând nutrienți principali și/sau secundari cu oligoelemente aplicate pe sol

 

Pentru culturi de câmp și fânețe

Pentru uz horticol

Bor (B)

0,01

0,01

Cobalt (Co)

0,002

Cupru (Cu)

0,01

0,002

Fier (Fe)

0,5

0,02

Mangan (Mn)

0,1

0,01

Molibden (Mo)

0,001

0,001

Zinc (Zn)

0,01

0,002

E.2.3.   Îngrășăminte CE conținând nutrienți principali și/sau secundari cu oligoelemente pentru pulverizare foliară

Bor (B)

0,010

Cobalt (Co)

0,002

Cupru (Cu)

0,002

Fier (Fe)

0,020

Mangan (Mn)

0,010

Molibden (Mo)

0,001

Zinc (Zn)

0,002

E.3.   Lista substanțelor organice autorizate pentru chelarea și complexarea oligoelementelor

Produsele menționate mai jos sunt autorizate, cu condiția să îndeplinească cerințele stabilite în Directiva 67/548/CEE (2) cu modificările ulterioare.

E.3.1.   Agenți de chelare (3)

Acizi sau săruri de sodiu, potasiu sau amoniu ale următorilor acizi:

Acid etilendiaminotetraacetic

EDTA

C10H16O8N2

Acid etilentriaminopentaacetic

DTPA

C14H23O10N3

[o,o]: acid etilendiamino-di (o-hidroxifenil acetic)

EDDHA

C18H20O6N2

[o,p]: acid etilendiamino-N-(o-hidroxifenil acetic)-N′-(p-hidroxifenil acetic)

EDDHA

C18H20O6N2

Acid 2-hidroxietiletilendiaminotriacetic

HEEDTA

C10H18O7N2

[o,o]: acid etilendiamino-di (o-hidroxi-o-metilfenil acetic)

EDDHMA

C20H24O6N2

[o,p]: acid etilendiamino-di (o-hidroxi-p-metilfenil acetic)

EDDHMA

C20H24O6N2

[p,o]: acid etilendiamino-di (p-hidroxi-o-metilfenil acetic)

EDDHMA

C20H24O6N2

[2,4]: acid etilendiamino-di (2-hidroxi-4-carboxifenil acetic)

EDDCHA

C20H20O10N2

[2,5]: acid etilendiamino-di (2-carboxi-5-hidroxifenil acetic)

EDDCHA

C20H20O10N2

[5,2]: acid etilendiamino-di (5-carboxi-2-hidroxifenil acetic)

EDDCHA

C20H20O10N2

E.3.2.   Agenți de complexare:

lista urmează să fie stabilită.


(1)  Persoana răspunzătoare pentru introducerea pe piață trebuie să furnizeze, o dată cu fiecare ambalaj sau cu documentele însoțitoare, în cazul în care este o livrare în vrac, o fișă tehnică completă. Aceste informații trebuie să permită utilizatorului, în special, să stabilească perioadele de introducere pe piață și dozele de aplicare, în funcție de culturile cărora le sunt destinate îngrășămintele.

(2)  JO L 196, 16.8.1967, p. 1.

(3)  Agenții de chelare trebuie identificați și cuantificați prin norma europeană EN 1 3368, părțile 1 și 2, în măsura în care norma respectivă se referă la agenții menționați anterior.

ANEXA II

TOLERANȚE

Toleranțele prevăzute de prezenta anexă sunt valori negative exprimate în procent de masă.

Toleranțele admise față de concentrația declarată de nutrienți din diferitele îngrășăminte CE sunt următoarele:

1.   Îngrășăminte anorganice simple cu nutrienți principali, valori absolute în procent de masă exprimate ca N, P2O5, K2O, MgO, Cl

1.1.   Îngrășăminte azotate

Azotat de calciu

0,4

Azotat de calciu și magneziu

0,4

Azotat de sodiu

0,4

Azotat de Chile

0,4

Cianamidă de calciu

1,0

Cianamidă de calciu azotoasă

1,0

Sulfat de amoniu

0,3

Azotat de amoniu sau azotat de calciu și amoniu:

până la 32 % inclusiv

0,8

peste 32 %

0,6

Sulfoazotat de amoniu

0,8

Sulfoazotat de magneziu și amoniu

0,8

Îngrășământ azotat cu magneziu

0,8

Uree

0,4

Azotat de calciu în suspensie

0,4

Îngrășământ azotat în soluție conținând uree formaldehidă

0,4

Îngrășământ azotat în suspensie conținând uree formaldehidă

0,4

Uree – sulfat de amoniu

0,5

Soluție de îngrășământ azotat

0,6

Soluție de azotat de amoniu-uree

0,6

1.2.   Îngrășăminte cu fosfor

Zgură Thomas

garanție exprimată în limita a 2 % procente de masă

0,0

declarația exprimată ca o singură cifră

1,0

Alte îngrășăminte cu fosfor

Solubilitatea P2O5 în:

(numărul îngrășământului în anexa I)

 

acid mineral

(3, 6, 7)

0,8

acid formic

(7)

0,8

citrat de amoniu neutru

(2a, 2b, 2c)

0,8

citrat de amoniu alcalin

(4, 5, 6)

0,8

apă

(2a, 2b, 3)

0,9

(2c)

1,3

1.3.   Îngrășăminte cu potasiu

Sare brută de potasiu (kainit)

1,5

Sare brută de potasiu îmbogățită

1,0

Clorură de potasiu:

până la 55 %

1,0

peste 55 %

0,5

Clorură de potasiu conținând sare de magneziu

1,5

Sulfat de potasiu

0,5

Sulfat de potasiu conținând sare de magneziu

1,5

1.4.   Alte componente

Clor

0,2

2.   Îngrășăminte anorganice complexe cu nutrienți principali

2.1.   Nutrienți

N

1,1

P2O5

1,1

K2O

1,1

2.2.   Deviații negative totale față de valoarea declarată

Îngrășăminte binare

1,5

Îngrășăminte ternare

1,9

3.   Nutrienți secundari din îngrășăminte

Toleranțele admise față de valorile declarate ale calciului, magneziului, sodiului și sulfului reprezintă un sfert din concentrațiile declarate din aceste elemente, cu limita maximă de 0,9 % în valoare absolută pentru CaO, MgO, Na2O și SO3, respectiv 0,64 pentru Ca, 0,55 pentru Mg, 0,67 pentru Na și 0,36 pentru S.

4.   Oligoelemente din îngrășăminte

Toleranțele admise față de conținutul declarat în oligoelemente sunt de:

0,4 % în valoare absolută pentru concentrații de peste 2 %;

1/5 din valoarea declarată pentru concentrații de până la 2 % inclusiv.

Toleranțele admise față de conținutul declarat al diverselor forme de azot sau față de solubilitățile declarate ale pentaoxidului de fosfor sunt de o zecime din conținutul total în elementul respectiv, cu maximum 2 % procente de masă, cu condiția ca acest conținut total de nutrient să se încadreze în limitele prevăzute la anexa I și corespunzător toleranțelor menționate anterior.

ANEXA III

DISPOZIȚII TEHNICE PRIVIND ÎNGRĂȘĂMINTELE PE BAZĂ DE AZOTAT DE AMONIU, CU CONȚINUT RIDICAT DE AZOT

1.   Caracteristiciși limite ale îngrășămintelor simple pe bază de azotat de amoniu și cu conținut ridicat de azot

1.1.   Porozitate (retenția uleiului)

Retenția uleiului din îngrășământ, care în prealabil a fost supus la două cicluri termice la o temperatură de 25-50 °C și conform dispozițiilor din anexa III-2, nu poate depăși 4 % în masă.

1.2.   Componente combustibile

Procentul de masă de materie combustibilă, măsurată sub formă de carbon, nu poate fi mai mare de 0,2 % pentru îngrășămintele cu o concentrație de azot de minimum 31,5 % inclusiv și nu poate depăși 0,4 % pentru îngrășămintele cu o concentrație de azot de minimum 28 % și maximum 31,5 % în masă.

1.3.   pH

O soluție constituită din 10 g de îngrășământ în 100 ml apă trebuie să prezinte un pH de minimum 4,5 inclusiv.

1.4.   Analiză granulometrică

Fracțiunea de îngrășământ care trece prin sita cu ochiuri de 1 mm nu trebuie să depășească 5 % în masă, respectiv 3 % în masă, în cazul în care ochiurile sunt de 0,5 mm.

1.5.   Clor

Concentrația maximă de clor este stabilită la 0,02 % în masă.

1.6.   Metale grele

Nu trebuie să intervină nici o adăugare deliberată de metale grele și pentru toate urmele de metale grele care ar putea rezulta din procesul de producție trebuie respectate limitele stabilite de comitet.

Concentrația în cupru nu poate depăși 10 mg/kg.

Nu s-au specificat limite pentru celelalte metale grele.

2.   Descrierea testului de rezistență la detonare privind îngrășămintele pe bază de azotat de amoniu cu conținut ridicat de azot

Testul se efectuează pe un eșantion reprezentativ de îngrășământ. Întregul eșantion va fi supus la cinci cicluri termice, conform dispozițiilor din anexa III-3, înainte de executarea testului de rezistență la detonare.

Îngrășământul este supus testului de rezistență la detonare într-un tub de oțel orizontal, cu îndeplinirea următoarelor condiții:

tub de oțel fără sudură;

lungimea tubului: minimum 1 000 mm;

diametrul exterior: minimum 114 mm;

grosimea pereților: minimum 5 mm;

încărcătura de detonare: natura și dimensiunile încărcăturii de detonare trebuie alese în așa fel încât să se obțină o maximizare a presiunii de detonare care propagă detonarea;

temperatura de testare: 15-25 °C;

cilindri-martori de plumb pentru rezistență la detonare: 50 mm diametru, 100 mm înălțime;

poziționate la intervale de 150 mm și susținând orizontal tubul. Se întreprind două teste. Testul este considerat semnificativ în cazul în care unul sau mai mulți cilindri de sprijin nu sunt comprimați cu mai mult de 5 %.

3.   Metode de verificare a respectării limitelor stabilite în anexele III-1 și III-2

Metoda 1

Metode pentru aplicarea ciclurilor termice

1.   Obiect și domeniu de aplicare

Prezentul document definește procedurile pentru aplicarea ciclurilor termice înainte de efectuarea testului de reținere a uleiului pe un îngrășământ simplu pe bază de azotat de amoniu cu conținut ridicat de azot și a testului de rezistență la detonare pe un îngrășământ simplu sau compus pe bază de azotat de amoniu cu conținut ridicat de azot.

Metodele ciclurilor termice închise prezentate în prezenta secțiune sunt considerate ca stimulând în măsură satisfăcătoare condițiile cerute în cadrul aplicării titlului II, capitolul IV; totuși, aceste condiții nu stimulează în mod necesar toate condițiile în timpul stocării și al transportului.

2.   Ciclurile termice menționate în anexa III-1

2.1.   Domeniu de aplicare

Această procedură se aplică la efectuarea ciclurilor termice înainte de determinarea retenției de ulei a îngrășământului.

2.2.   Principii și definiții

Proba se încălzește într-un vas Erlenmeyer de la temperatura ambiantă la 50 °C și se menține la această temperatură timp de două ore (faza la 50 °C). Se răcește proba la o temperatură de 25 °C și se menține la această temperatură timp de două ore (faza la 25 °C). Cele două faze succesive, la 50 °C și la 25 °C, formează împreună un ciclu termic. După ce a fost supusă la două cicluri termice, proba este ținută la o temperatură de 20 ± 3 °C, pentru determinarea retenției de ulei.

2.3.   Aparatură

Aparatură de laborator obișnuită, în special:

băi de apă cu termostat pentru 25 (± 1) °C și respectiv 50 (± 1) °C

vase Erlenmeyer cu o volume individuale de 150 ml

2.4.   Mod de lucru

Se pune fiecare probă de 70 (± 5) grame în câte un vas Erlenmeyer, care se închide apoi etanș cu un dop.

La fiecare două ore, fiecare balon se mută din baia la 50 °C în baia la 25 °C și invers.

Se menține apa din fiecare baie la temperatură constantă și în mișcare, agitând rapid pentru a se asigura menținerea nivelului apei deasupra nivelului probei. Dopul se protejează de condens cu un capac de cauciuc.

3.   Cicluri termice pentru aplicarea anexei III-2

3.1.   Domeniu de aplicare

Această procedură este pentru efectuarea ciclurilor termice înaintea testului de rezistență la detonare.

3.2.   Principiu și definiție

Proba se pune într-un recipient etanș; se încălzește de la temperatura ambiantă la 50 °C și se menține la această temperatură timp de o oră (faza la 50 °C). Proba se răcește apoi până se ajunge la temperatura de 25 °C și se menține la această temperatură timp de o oră (faza la 25 °C). Combinația fazelor succesive, la 50 °C și 25 °C, formează un ciclu termic. După efectuarea numărului de cicluri necesar, proba este ținută la o temperatură de 20 ± 3 °C până la executarea testului de rezistență la detonare.

3.3.   Aparatură

Baie de apă termostatată între 20 °C și 51 °C, cu o capacitate minimă de încălzire și răcire de 10 °C/oră, sau două băi de apă, una termostatată la 20 °C, cealaltă la 51 °C. Se amestecă continuu apa din baie (băi), al cărei (căror) volum trebuie să fie suficient de mare pentru a permite o bună circulație a apei.

Un recipient din oțel inoxidabil, etanșat de jur împrejur și prevăzut în centru cu un termocuplu. Lățimea exterioară a recipientului este 45 (± 2) mm, iar grosimea peretelui este de 1,5 mm (a se vedea figura 1). Înălțimea și lungimea recipientului pot fi alese pentru a se potrivi cu dimensiunile băii de apă, de exemplu lungime 600 mm, înălțime 400 mm.

3.4.   Mod de lucru

Se introduce în recipient o cantitate de îngrășământ suficientă pentru o singură detonare. Se închide capacul. Se pune recipientul în baia de apă. Se încălzește apa la 51 °C și se măsoară temperatura în centrul îngrășământului. La o oră după ce temperatura în centru a atins 25 °C, se reîncălzește apa pentru a începe al doilea ciclu. În cazul cu două băi, se transferă recipientul dintr-o baie într-alta după fiecare perioadă de încălzire/răcire.

Figura 1

Image

Metoda 2

Determinarea retenției de ulei

1.   Obiect și domeniu de aplicare

Prezentul document definește procedura pentru determinarea retenției de ulei a unui îngrășământ simplu pe bază de azotat de amoniu cu conținut ridicat de azot.

Metoda se aplică atât în cazul îngrășămintelor perlate, cât și al celor granulare, care nu conțin materiale solubile în ulei.

2.   Definiție

Retenția de ulei a unui îngrășământ: cantitatea de ulei reținută de îngrășământ, determinată în condițiile de operare specificate, exprimată în procente de masă.

3.   Principiu

Imersia totală a probei testate în motorină pentru o perioadă de timp specificată, urmată de îndepărtarea surplusului de motorină în condiții specificate. Măsurarea creșterii masei probei testate.

4.   Reactivi

Motorină

Vâscozitate max.: 5 mPas la 40 °C

Densitate: 0,8 până la 0,85 g/ml la 20 °C

Conținut de sulf: ≤ l,0 % (m/m)

Cenuși: ≤ 0,l % (m/m)

5.   Aparatură

Aparatură obișnuită de laborator, precum și:

5.1.

Balanța cu precizia de 0,01 grame

5.2.

Vase de laborator de 500 ml

5.3.

Pâlnie, din material plastic, preferabil cu un perete cilindric în partea superioară; diametru aproximativ 200 mm

5.4.

Sită de testare, cu ochiuri de 0,5 mm, care să se potrivească în pâlnie (5.3)

Observație: Dimensiunile pâlniei și sitei se aleg astfel încât numai câteva granule să stea unele peste altele și motorina să se poată scurge ușor.

5.5.

Hârtie de filtru pentru filtrare rapidă, creponată, moale, greutate: 150 g/m2

5.6.

Țesătură absorbantă (tip laborator)

6.   Mod de lucru

6.1.   Se efectuează succesiv două determinări individuale rapide pe porțiuni separate din aceeași probă.

6.2.   Se îndepărtează particulele mai mici de 0,5 mm folosind sita (5.4). Se cântăresc cu o precizie de 0,01 g aproximativ 50 g de probă într-un vas (5.2). Se adaugă suficientă motorină (secțiunea 4) pentru a acoperi complet granulele și se amestecă cu grijă pentru a se asigura umezirea tuturor granulelor. Se acoperă vasul cu o sticlă de ceas și se lasă să stea o oră la 25 (± 2) °C.

6.3.   Se filtrează întregul conținut al vasului prin pâlnie (5.3), care conține sita de testare (5.4). Porțiunea reținută se lasă pe sită o oră astfel încât cea mai mare parte a excesului de motorină să se scurgă.

6.4.   Se pun două foi de hârtie de filtru (5.5) (aproximativ 500 × 500 mm) una peste alta pe o suprafață netedă; se îndoaie cele 4 margini ale ambelor hârtii de filtru în sus la o înălțime de aproximativ 40 mm pentru a împiedica granulele să se rostogolească în afară. Se pun două straturi de țesătură absorbantă (5.6) în centrul hârtiilor de filtru. Se toarnă întregul conținut al sitei (5.4) peste țesăturile absorbante și se împrăștie granulele în mod uniform cu o pensulă plată și moale. După două minute se ridică o latură a țesăturilor pentru a transfera granulele dedesubt pe hârtiile de filtru, împrăștiindu-le uniform cu pensula. Se așază pe probă o altă foaie de hârtie de filtru, tot cu marginile îndoite în sus, și se rostogolesc granulele între hârtiile de filtru cu mișcări circulare, apăsându-se ușor. Se face o pauză după fiecare opt mișcări circulare pentru a se ridica marginile opuse ale hârtiilor de filtru și a readuce în centru granulele care s-au rostogolit către margini. Următoarea procedură: patru mișcări circulare complete, întâi în sensul acelor de ceasornic, apoi în sens invers. Se readuc granulele în centru așa cum este descris mai sus. Această procedură se execută de trei ori (24 de mișcări circulare, cu ridicarea marginilor de două ori). Se introduce cu grijă o nouă hârtie de filtru între cea de jos și cea de deasupra și se transferă granulele pe noua hârtie de filtru ridicând marginile hârtiei superioare. Se acoperă granulele cu o nouă hârtie de filtru și se repetă aceeași procedură așa cum s-a arătat mai sus. Imediat după rostogolire, se pun granulele pe o sticlă de ceas tarată și se recântărește cu precizie de 0,01 grame pentru a determina cantitatea de motorină reținută.

6.5.   Se repetă procedura de rostogolire și recântărire

În cazul în care motorina reținută în probă cântărește mai mult de 2 g, se pune proba pe un set nou de hârtii de filtru și se repetă procedura de rostogolire, ridicând colțurile conform secțiunii 6.3 (de două ori opt mișcări circulare, ridicând o dată). Apoi se recântărește cantitatea de granule.

7.   Exprimarea rezultatelor

7.1.   Metodă de calcul și formulă

Retenția de motorină, la fiecare determinare (6.1), exprimată în procente de masă din cantitatea de granule trecute prin sită, este dată de ecuația:

Formula

unde:

 

m1 este masa, în grame, a probei cernute (6.2);

 

m2 este masa, în grame, a probei conform secțiunii 6.4 sau, respectiv, 6.5, ca rezultat al ultimei cântăriri.

Ca rezultat se consideră media aritmetică a celor două determinări.

Metoda 3

Determinarea componentelor combustibile

1.   Obiect și domeniu de aplicare

Prezentul document definește procedura pentru determinarea conținutului combustibil al îngrășămintelor simple pe bază de azotat de amoniu cu conținut ridicat de azot.

2.   Principiu

Dioxidul de carbon produs de umpluturile anorganice este înlăturat în prealabil cu un acid. Compușii organici sunt oxidați cu un amestec de acid cromic/acid sulfuric. Dioxidul de carbon format este absorbit într-o soluție de hidroxid de bariu. Precipitatul este dizolvat într-o soluție de acid clorhidric și măsurat prin retitrare cu soluție de hidroxid de sodiu.

3.   Reactivi

3.1.   Trioxid de crom (Cr203), de puritate analitică (VI)

3.2.   Acid sulfuric, 60 % în volum; se toarnă 360 ml de apă într-un vas de laborator de 1 litru peste care se adaugă cu grijă 640 ml de acid sulfuric (densitate la 20 °C = 1,83 g/ml).

3.3.   Azotat de argint: soluție 0,1 mol/l;

3.4.   Hidroxid de bariu

Se cântăresc 15 grame de hidroxid de bariu [Ba(OH)2 8H2O] și se dizolvă complet în apă fierbinte. Se lasă să se răcească și se transferă într-un balon cotat de 1 litru. Se aduce la semn și se amestecă. Se filtrează printr-o hârtie de filtru cutată.

3.5.   Acid clorhidric: soluție etalon 0,1 mol/l

3.6.   Hidroxid de sodiu: soluție etalon 0,1 mol/l

3.7.   Albastru de bromfenol: soluție de 0,4 g/l în apă

3.8.   Fenolftaleină: soluție de 2 g/l în etanol 60 %

3.9.   Calce sodată: particule de aproximativ 1,0-1,5 mm

3.10.   Apă demineralizată, proaspăt fiartă pentru îndepărtarea dioxidului de carbon

4.   Aparatură

4.1.   Aparatură de laborator standard, în special:

creuzet filtrant cu o placă din sticlă sinterizată cu o capacitate de 15 ml; diametrul plăcii: 20 mm; înălțimea totală: 50 mm; porozitate: 4 (diametrul porilor: de la 5 la 15 µm);

vas de laborator de 600 ml.

4.2.   Alimentare cu azot comprimat

4.3.   Aparat alcătuit din următoarele piese asamblate, dacă este posibil, cu ajutorul îmbinărilor sferice rodate (a se vedea figura 2)

4.3.1.

Tub de absorbție, A, de 200 mm lungime și 30 mm diametru, umplut cu calce sodată (3.9), menținut cu tampoane din fibră de sticlă

4.3.2.

Vas de reacție, B, de 500 ml, cu gât lateral și fund rotund

4.3.3.

Coloană de fracționare Vigreux (C′) de 150 mm lungime

4.3.4.

Condensator C, cu suprafață dublă, de 200 mm lungime

4.3.5.

Flacon Drechsel D, cu rol de a reține acidul distilat în exces

4.3.6.

Baie de gheață E pentru răcirea flaconului Drechsel

4.3.7.

Două vase de absorbție, F1 și F2, cu diametre de 32 până la 35 mm, al căror distribuitor de gaz include un disc de 10 mm din sticlă sinterizată cu porozitate mică

4.3.8.

Pompă de aspirație și dispozitiv de reglaj al aspirației, G, incluzând o piesă de sticlă în formă de T introdusă în circuit, al cărei braț liber este conectat la tubul cu capilară fină printr-un tub scurt de cauciuc prevăzut cu o clemă cu șurub

Atenție: Folosirea soluției fierbinți de acid cromic într-un aparat sub presiune redusă este o operație periculoasă, care necesită precauții adecvate.

5.   Mod de lucru

5.1.   Proba pentru analiză

Se cântăresc aproximativ 10 grame de azotat de amoniu, cu o precizie de 0,001grame.

5.2.   Înlăturarea carbonaților

Se pune proba analizată în balonul de reacție B. Se adaugă 100 ml H2SO4 (3.2). Granulele se dizolvă după aproximativ 10 minute la temperatura ambiantă. Se asamblează aparatul așa cum se indică în schemă: se conectează un capăt al tubului de absorbție (A) la sursa de azot (4.2) printr-un dispozitiv care nu permite reîntoarcerea debitului, ce conține 5-6 mm mercur și celălalt capăt la tubul de alimentare care intră în balonul de reacție. Se pun pe poziție coloana de fracționare Vigreux (C′) și condensatorul (C) alimentat cu apă de răcire. Se trece un flux moderat de azot prin soluție, se aduce soluția la punctul de fierbere și se menține așa două minute. La sfârșitul acestei perioade de timp, soluția nu trebuie să mai fie efervescentă. În cazul în care se degajă bule, se continuă încălzirea 30 minute. Se lasă soluția să se răcească cel puțin 20 minute, cu azotul trecând prin ea.

Se asamblează complet aparatul așa cum indică schema, conectând tubul condensatorului la balonul Drechsel (D) și balonul la vasele de absorbție F1 și F2. Azotul trebuie să treacă continuu prin soluție în timpul operației de asamblare. Se introduc rapid 50 ml din soluția de hidroxid de bariu (3.4) în fiecare din vasele de absorbție (F1 și F2).

Se barbotează un curent de azot timp de 10 minute. Soluția trebuie să rămână limpede în vasele absorbante. Dacă nu, trebuie repetat procesul de înlăturare a carbonaților.

5.3.   Oxidarea și absorbția

După scoaterea tubului de alimentare cu azot, se introduc rapid 20 grame de trioxid de crom (3.1) și 6 ml din soluția de azotat de argint (3.3) prin brațul lateral al balonului de reacție (B). Se conectează aparatul la pompa de aspirație și se reglează debitul de azot astfel încât prin sticla sinterizată F1 și F2 să treacă un curent constant de bule de gaz.

Se încălzește balonul de reacție (B) până când lichidul fierbe timp de o oră și jumătate (1). Poate fi necesară reglarea supapei de reglaj al aspirației (G) pentru controlul debitului de azot deoarece este posibil ca precipitarea carbonatului de bariu în timpul testului să blocheze discurile de sticlă sinterizată. Operația este satisfăcătoare atunci când soluția de hidroxid de bariu din absorberul F2 rămâne limpede. Altminteri se repetă testul. Se oprește încălzirea și se demontează aparatul. Se spală fiecare dintre distribuitori atât în interior, cât și în exterior pentru a îndepărta hidroxidul de bariu și se colectează apele de spălare în absorberul corespunzător. Se pun distribuitorii unul după celălalt într-un vas de 600 ml, care va fi folosit apoi pentru determinare.

Se filtrează rapid sub vid întâi conținutul absorbantului F2 și apoi cel al absorbantului F1, folosind creuzetul din sticlă sinterizată. Se colectează precipitatul rezultat la clătirea absorbanților cu apă (3.10) și se spală creuzetul cu 50 ml din aceeași apă. Se pune creuzetul în vasul de 600 ml și se adaugă aproximativ 100 ml apă fiartă (3.10). Se introduc 50 ml de apă fiartă în fiecare dintre absorbanți și se trece azot prin distribuitori timp de cinci minute. Se amestecă apa formată cu cea din vas. Se repetă operația o dată, pentru a se asigura clătirea completă a distribuitorilor.

5.4.   Măsurarea carbonaților care provin din material organic

Se adaugă 5 picături de fenolftaleină (3.8) la conținutul vasului. Soluția capătă o culoare roșie. Se titrează cu acid clorhidric (3.5) până când culoarea roz dispare. Se amestecă bine soluția în creuzet, pentru a verifica dacă culoarea roz nu reapare. Se adaugă 5 picături de albastru de bromfenol (3.7) și se titrează cu acid clorhidric până când soluția devine galbenă. Se adaugă încă 10 ml de acid clorhidric.

Se încălzește soluția la punctul de fierbere și se continuă fierberea pentru maximum un minut. Se verifică cu atenție dacă nu a mai rămas precipitat în lichid.

Se răcește și se retitrează cu soluție de hidroxid de sodiu (3.6).

6.   Test martor

Se efectuează un test-martor, respectând aceeași procedură și folosind aceleași cantități din toți reactivii.

7.   Exprimarea rezultatelor

Conținutul de componente combustibile (C), exprimat în carbon, ca procente de masă din probă, este dat de relația:

Formula

unde:

E

=

masa în grame a probei testate;

V1

=

volumul total de acid clorhidric 0,1 mol/l, în ml, adăugat după schimbarea de culoare a fenolftaleinei;

V2

=

volumul în ml al soluției de hidroxid de sodiu 0,1 mol/l folosită pentru reținere.

Figura 2

Image

Metoda 4

Determinarea valorii pH-ului

1.   Obiect și domeniu de aplicare

Prezentul document definește procedura de măsurarea valorii pH-ului unei soluții de îngrășământ simplu pe bază de azotat de amoniu cu conținut ridicat de azot.

2.   Principiu

Măsurarea pH-ului unei soluții de azotat de amoniu cu ajutorul unui pH-metru.

3.   Reactivi

Apă distilată sau demineralizată, fără dioxid de carbon.

3.1.   Soluție tampon, pH 6,88 la 20 °C

Se dizolvă 3,40 ± 0,01 g ortofosfat monopotasic (KH2PO4) în aproximativ 400 ml apă. Se dizolvă 3,55 ± 0,01 grame ortofosfat acid de sodiu (Na2HPO4) în aproximativ 400 ml apă. Se transferă cantitativ cele două soluții într-un balon cotat de 1 000 ml, se aduce la semn și se amestecă. Această soluție se păstrează într-un vas etanș la aer.

3.2.   Soluție tampon, pH 4,00 la 20 °C

Se dizolvă 10,21 ± 0,01 g ftalat acid de potasiu (KHC8O4H4) în apă, se transferă cantitativ într-un balon cotat de 1 000 ml, se aduce la semn și se amestecă.

Această soluție se păstrează într-un vas etanș la aer.

3.3.   Se pot folosi și soluții etalon cu pH din comerț.

4.   Aparatură

pH-metru prevăzut cu electrozi din sticlă și calomel sau echivalent, sensibilitate: 0,05 unități pH.

5.   Mod de lucru

5.1.   Calibrarea pH-metrului.

Se calibrează pH-metrul (4) la o temperatură de 20 (± 1) °C, folosind soluțiile tampon (3.1), (3.2) sau (3.3). Se trece un curent ușor de azot pe suprafața soluției și se menține acest curent pe toată perioada testului.

5.2.   Determinare

Se toarnă 100 ml apă peste 10 (± 0,01) g de probă, într-un vas de 250 ml. Se îndepărtează reziduurile insolubile prin filtrare, decantare sau centrifugarea lichidului. Se măsoară valoarea pH-ului soluției limpezi, la o temperatură de 20 (± 1) °C, conform aceleiași proceduri ca pentru calibrarea pH-metrului.

6.   Exprimarea rezultatelor

Rezultatul se exprimă în unități pH, cu o precizie de 0,1 unități, specificând temperatura.

Metoda 5

Determinarea dimensiunii particulelor

1.   Obiect și domeniu de aplicare

Prezentul document definește procedura testării prin cernere a îngrășămintelor simple pe bază de azotat de amoniu cu conținut ridicat de azot.

2.   Principiu

Proba este cernută pe un cuib de trei site, fie manual, fie mecanic. Se notează masa reținută pe fiecare sită și se calculează procentul de material care trece prin site.

3.   Aparatură

3.1.   Site de testare din împletitură de sârmă, cu diametrul de 200 mm și cu ochiuri standard de 2 mm, 1 mm și, respectiv, 0,5 mm. Un capac și un recipient colector pentru aceste site.

3.2.   Balanță cu precizia de 0,1 g.

3.3.   Vibrator mecanic pentru site (dacă este disponibil), capabil să miște proba testată atât pe verticală, cât și pe orizontală

4.   Mod de lucru

4.1.   Proba este împărțită în porțiuni de aproximativ 100 grame.

4.2.   Se cântărește una dintre aceste porțiuni, cu o precizie de 0,1 grame.

4.3.   Se așază sitele în ordinea crescătoare a ochiurilor (0,5 mm, 1 mm și 2 mm). Proba, cântărită în prealabil, se pune pe sita de deasupra. Se potrivește capacul pe sita superioară.

4.4.   Se scutură manual sau mecanic, atât pe verticală, cât și pe orizontală. În cazul în care se scutură manual, se lovește ușor cu palma cuibul sitelor, din când în când. Se continuă acest proces 10 minute sau până când cantitatea trecută prin fiecare sită într-un minut este mai mică de 0,1 grame.

4.5.   Se scot sitele din cuibul lor și se colectează materialul reținut; dacă este cazul, se curăță ușor și dosul sitelor cu o pensulă moale.

4.6.   Se cântărește materialul reținut pe fiecare sită și cel din recipientul colector, cu o precizie de 0,1 grame.

5.   Evaluarea rezultatelor

5.1.   Se transformă masele fracționate în procente din totalul maselor fracționate (nu al încărcăturii inițiale).

Se calculează procentul de materiale reținute în recipientul colector (particule cu diametru mai mic de 0,5 mm): A %.

Se calculează procentul reținut pe sita de 0,5 mm: B %.

Se calculează procentul care trece prin sita de 1,0 mm, adică (A + B) %.

Suma maselor fracțiunilor trebuie să se situeze în limita a 2 % din masa inițială.

5.2.   Trebuie efectuate cel puțin două analize separate și rezultatele individuale pentru A nu trebuie să difere cu mai mult de 1 % în valoare absolută, iar pentru B cu mai mult de 1,5 % în valoare absolută. În caz contrar, se repetă testul.

6.   Exprimarea rezultatelor

Se raportează media celor două valori pentru A și pentru A + B.

Metoda 6

Determinarea conținutului de clor (ca ion clorură)

1.   Obiect și domeniu de aplicare

Prezentul document definește procedura pentru determinarea conținutului de clor (ca ion de clorură) al îngrășămintelor simple pe bază de azotat de amoniu cu conținut ridicat de azot.

2.   Principiu

Ionii clorură dizolvați în apă sunt determinați prin titrare potențiometrică cu azotat de argint într-un mediu acid.

3.   Reactivi

Apă distilată sau demineralizată, fără ioni de clorură.

3.1.   Acetonă AR

3.2.   Acid azotic concentrat (densitate la 20 °C, p = 1,40 g/ml)

3.3.   Azotat de argint, soluție etalon de 0,1 mol/l; această soluție se păstrează într-o sticlă de culoare brună

3.4.   Azotat de argint, soluție etalon de 0,004 mol/l – această soluție se prepară chiar înainte de a fi folosită

3.5.   Clorură de potasiu. Soluție etalon de 0,1 mol/l. Se cântăresc, cu o precizie de 0,1 mg, 3,7276 grame din clorura de potasiu de puritate analitică, uscată în prealabil timp de o oră în cuptor la 130 °C și răcită într-un exsicator la temperatura ambiantă. Se dizolvă în puțină apă, se transferă cantitativ soluția într-un balon standard de 500 ml, se aduce la semn și se amestecă.

3.6.   Clorură de potasiu, soluție etalon de 0,004 mol/l – soluția se prepară chiar înainte de folosire

4.   Aparatură

4.1.   Potențiometru cu electrod indicator din argint și electrod de referință din calomel, sensibilitate: 2 mV, domeniu: – 500 până la + 500 mV

4.2.   Punte conținând o soluție saturată de azotat de potasiu, conectată la electrodul de calomel (4.1), prevăzută la capete cu fișe poroase de conectare

4.3.   Agitator magnetic cu o baghetă căptușită cu teflon

4.4.   Oligobiuretă cu vârf fin, gradată cu diviziuni de 0,01 ml

5.   Mod de lucru

5.1.   Etalonarea soluției de azotat de argint

Se iau 5,00 ml și 10,00 ml din soluția etalon de clorură de potasiu (3.6) și se pun în două vase de laborator de capacitate potrivită (de exemplu 250 ml). Se realizează următoarele titrări ale conținutului fiecărui vas.

Se adaugă 5 ml soluție de acid azotic (3.2), 120 ml acetonă (3.1) și apă, pentru a aduce volumul total la 150 ml. Se pune bagheta agitatorului magnetic (4.3) în vas și se pornește agitarea. Se cufundă electrodul de argint (4.1) și capătul liber al punții (4.2) în soluție. Se conectează electrozii la potențiometru (4.1) și, după verificarea poziției de zero a aparatului, se notează valoarea potențialului de început.

Se titrează folosind oligobiureta (4.4), adăugând inițial 4 sau, respectiv, 9 ml soluție de azotat de argint, în funcție de soluția etalon de clorură de potasiu folosită. Se continuă adăugarea în porțiuni de 0,1 ml a soluției de 0,004 mol/l și în porțiuni de 0,05 ml pentru soluția 0,1 mol/l. După fiecare adăugare, se așteaptă stabilizarea potențialului.

Se notează în primele două coloane ale unui tabel volumele adăugate și valorile corespunzătoare ale potențialului.

În a treia coloană a tabelului se notează creșterile succesive (Δ1E) ale potențialului E. În a patra coloană se notează diferențele (Δ2E), pozitive sau negative, între creșterile de potențial (Δ1E). Sfârșitul titrării corespunde adăugării a 0,1 sau 0,05 ml (V1) de soluție azotat de argint care dă valoarea maximă pentru Δ1E.

Pentru a calcula volumul exact (Veq) al soluției de azotat de argint corespunzător sfârșitului reacției, se folosește formula:

Formula

unde:

 

V0 = volumul total, în ml, al soluției de azotat de argint, imediat inferior volumului ce dă incrementul maxim pentru Δ1E.

 

V1 = volumul, în ml, ultimei porțiuni de soluție de azotat de argint adăugată (0,1 sau 0,05 ml).

 

b = ultima valoare pozitivă a Δ2E.

 

B = suma valorilor absolute ale ultimei valori pozitive a D2E și primaei valori negative a lui Δ2E (a se vedea exemplul din tabelul 1).

5.2.   Proba-martor

Se realizează un test martor și se ține cont de acesta atunci când se calculează rezultatul final.

Rezultatul testului-martor efectuat reactivilor, V4, este dat, în ml, de formula:

Formula

unde:

 

V2 este valoarea în ml a volumului exact (Veq) de soluție de azotat de argint, corespunzător titrării a 10 ml soluție etalon de clorură de potasiu.

 

V3 este valoarea în ml a volumului exact (Veq) de soluție de azotat de argint, corespunzător titrării a 5 ml de clorură de potasiu soluție etalon.

5.3.   Test de verificare

Testul-martor poate servi în același timp și ca o verificare a bunei funcționări a aparatelor și a aplicării corecte a procedeului de testare.

5.4.   Determinare

Se ia o porțiune din probă de circa 10-20 g și se cântărește cu precizie de 0,01 g. Se transferă cantitativ într-un vas de 250 ml. Se adaugă 20 ml apă, 5 ml soluție de acid azotic (3.2), 120 ml acetonă (3.1) și apă suficientă pentru a aduce volumul total la 150 ml.

Se introduce brațul agitatorului magnetic (4.3) în vas, se pune vasul pe agitator și se pornește agitatorul. Se cufundă electrodul de argint (4.1) și capătul liber al punții (4.2) în soluție, se conectează electrozii la potențiometru (4.1) și, după verificarea poziției de zero a aparatului, se notează valoarea potențialului inițial.

Se titrează cu soluție de azotat de argint, prin adăugarea unor porțiuni de 0,1 ml din oligobiuretă (4.4). După fiecare adăugare se așteaptă stabilizarea potențialului.

Se continuă titrarea cum s-a specificat la punctul 5.1, începând de la paragraful 4: „Se notează volumele adăugate și valorile corespunzătoare potențialului în primele două coloane ale tabelului …”

6.   Exprimarea rezultatelor

Rezultatul analizei se exprimă ca procent de clor în proba primită pentru analiză. Se calculează conținutul procentual de clor (Cl), cu formula:

Formula

unde:

 

T = molaritatea soluției de azotat de argint;

 

V4 = rezultatul, în ml, al testului-martor (5.2);

 

V5 = valoarea, în ml, a Veq corespunzător determinării (5.4);

 

m = masa probei, în grame.

Tabelul 1: exemplu

Volumul soluției de azotat de argint

V

ml

Potențial

E

(mV)

ΔlE

Δ2E

4,80

176

 

 

4,90

211

35

+ 37

5,00

283

72

– 49

5,10

306

23

– 10

5,20

319

13

 

Formula

Metoda 7

Determinarea cuprului

1.   Obiect și domeniu de aplicare

Prezentul document definește procedura de determinare a conținutului de cupru din îngrășăminte simple pe bază de azotat de amoniu cu conținut ridicat de azot.

2.   Principiu

Proba este dizolvată în acid clorhidric diluat și conținutul de cupru este determinat prin spectrofotometrie de absorbție atomică.

3.   Reactivi

3.1.   Acid clorhidric (densitate la 20 °C = 1,18 g/ml)

3.2.   Acid clorhidric, soluție 6 mol/l

3.3.   Acid clorhidric, soluție 0,5 mol/l

3.4.   Azotat de amoniu

3.5.   Peroxid de hidrogen, 30 % (m/m)

Soluție de cupru (2) (stoc): se cântărește, cu o precizie de ± 0,001 g, 1 gram de cupru pur, care se dizolvă în 25 ml soluție de acid clorhidric 6 mol/l (3.2); se adaugă 5 ml peroxid de hidrogen (3.5) în porțiuni mici și se aduce la 1 litru cu apă. 1 ml din această soluție conține 1 000 µg cupru (Cu).

3.6.1.   Soluție de cupru (diluată): se diluează 10 ml soluție stoc de cupru (3.6) la 100 ml cu apă și apoi se diluează 10 ml din soluția rezultată la 100 ml cu apă; 1 ml din soluția cu diluție finală conține 10 µg cupru (Cu).

Soluția se prepară chiar înainte de utilizare.

4.   Aparatură

Spectrofotometru de absorbție atomică cu lampă de cupru (324,8 nm)

5.   Mod de lucru

5.1.   Prepararea soluției pentru analiză

Se cântăresc 25 ± 0,001 grame de probă, se pun într-un vas de 400 ml și se adaugă cu atenție 20 ml acid clorhidric (3.1) (se poate produce o reacție puternică din cauza formării dioxidului de carbon). Dacă este necesar, se mai adaugă acid clorhidric. Atunci când s-a oprit efervescența, se evaporă până la sec pe o baie cu abur, amestecând din când în când cu o baghetă de sticlă. Se adaugă 15 ml soluție 6 mol/l de acid clorhidric (3.2) și 120 ml apă. Se amestecă cu bagheta de sticlă, care trebuie lăsată în vas, și se acoperă vasul cu sticlă de ceas. Se fierbe ușor soluția până când dizolvarea este completă și apoi se răcește.

Se transvazează soluția cantitativ într-un balon cotat de 250 ml, spălând vasul cu 5 ml soluție 6 mol/l de acid clorhidric (3.2) și de două ori cu 5 ml apă fiartă, colectând soluțiile de spălare în balonul cotat; se aduce la semn cu acid clorhidric 0,5 mol/l (3.3) și se amestecă cu grijă.

Se filtrează printr-o hârtie de filtru fără cupru (3), aruncând primii 50 ml.

5.2.   Soluția-martor

Se pregătește o soluție-martor din care se omite doar proba și se tine cont de ea la calculul rezultatelor finale.

5.3.   Determinare

5.3.1.   Pregătirea soluției de probă și a soluției pentru testul-martor.

Se diluează soluția (5.1) și soluția pentru testul-martor (5.2) cu soluție de acid clorhidric 0,5 mol/l (3.3) până la o concentrație a cuprului aflată în domeniul optim de măsurare al spectrofotometrului. În mod normal, nu este necesară nici o diluare.

5.3.2.   Pregătirea soluțiilor de etalonare

Prin diluarea soluției etalon (3.6.1) cu soluție 0,5 mol/l de acid clorhidric (3.3), se pregătesc cel puțin cinci soluții etalon corespunzătoare domeniului optim de măsurare al spectrofotometrului (0-5,0 mg/l Cu). Înainte de a aduce la semn, se adaugă soluție de azotat de amoniu (3.4) în fiecare soluție, pentru a obține o concentrație de 100 mg/ml.

5.4.   Măsurare

Se reglează spectrofotometrul (4) la lungimea de undă de 324,8 nm, folosind o flacără de oxidare aer-acetilenă. Se pulverizează, în trei reprize, soluțiile etalon (5.3.2), soluția de analizat și soluția-martor (5.3.1), spălând instrumentul cu apă distilată înaintea fiecărei pulverizări. Se trasează curba de etalonare, reprezentând pe ordonată absorbanțele medii pentru fiecare etalon folosit, iar pe abscisă concentrația corespunzătoare de cupru, în µg/ml.

Se determină concentrația de cupru din proba de analizat și din soluția-martor, pe baza curbei de etalonare.

6.   Exprimarea rezultatelor

Se calculează conținutul de cupru al probei, ținând cont de masa probei, de diluția efectuată pe parcursul analizei și de concentrația probei-martor. Se exprimă rezultatul în mg Cu/kg.

4.   Determinarea detonabilității

4.1.   Obiect și domeniu de aplicare

Prezentul document definește procedura pentru determinarea detonabilității la îngrășămintele simple pe bază de azotat de amoniu cu conținut ridicat de azot.

4.2.   Principiu

Se poate folosi și o soluție etalon de cupru din comerț. Proba este ținută într-un tub din oțel și supusă șocului provocat de detonarea unei încărcături de detonare. Propagarea exploziei este determinată de gradul de compresie al cilindrilor de plumb pe care tubul rămâne orizontal în timpul testului.

4.3.   Materiale

4.3.1.   Exploziv din material plastic conținând 83-86 % pentrită

Densitate: 1 500-1 600 kg/m3.

Viteza de detonare: 7 300-7 700 m/s.

Masa: 500 ± 1 g.

4.3.2.   Șapte fitile detonate flexibile cu manșon nemetalic

Densitatea umplerii: 11-13 g/m.

Lungimea fiecărui fitil: 400 ± 2 mm.

4.3.3.   Tablete de exploziv secundar comprimate, cu o alveolă pentru detonator

Exploziv: hexogen/ceară 95/5 sau tetril ori alt exploziv similar, cu sau fără adaos de grafit.

Densitate: 1 500-1 600 kg/m

Diametru: 19-21 mm.

Înălțime: 19-23 mm.

Alveola pentru detonator: diametru 7-7,3 mm; adâncime 12 mm.

4.3.4.   Tub laminat (fără sudură) din oțel, conform ISO 65-1981 – rezistență ridicată; dimensiuni nominale: DN 100 (4 inch)

Diametrul exterior: 113,1-115,0 mm.

Grosimea peretelui: 5,0-6,5 mm.

Lungime: 1 005 (± 2) mm.

4.3.5.   Taler de bază

Material

:

oțel care se sudează ușor.

Dimensiuni

:

160 × 160 mm.

Grosime

:

5-6 mm.

4.3.6.   Șase cilindri de plumb.

Diametru

:

50 (± 1) mm.

Înălțime

:

100-101 mm.

Materiale

:

plumb moale; puritate 99,5 %.

4.3.7.   Lingou de oțel

Lungime: minimum 1 000 mm.

Lățime: minimum 150 mm.

Înălțime: minimum 150 mm.

Greutate: cel puțin 300 kg în cazul în care nu există o bază solidă pentru lingou.

4.3.8.   Cilindru de material plastic sau carton pentru amorsarea detonării

Grosimea pereților: 1,5-2,5 mm.

Diametru: 92-96 mm.

Înălțime: 64-67 mm.

4.3.9.   Detonator (electric sau de altă natură) cu forță de 8-10

4.3.10.   Disc de lemn

Diametru

:

92-96 mm. Diametrul va fi potrivit diametrului interior al tubului de oțel (4.3.8).

Grosime

:

20 mm.

4.3.11.   Baghetă de lemn de aceleași dimensiuni ca și detonatorul (4.3.9)

4.3.12.   Ace de croitor (maximum 20 mm lungime)

4.4.   Mod de lucru

4.4.1.   Pregătirea încărcăturii pentru introducerea în tubul de oțel

Există două metode de inițiere a exploziei în încărcătura de detonare, în funcție de materialul disponibil.

4.4.1.1.   Inițiere simultană în șapte puncte

Încărcătura pregătită pentru a fi folosită este prezentată în figura 1.

4.4.1.1.1.   Se perforează găuri în discul de lemn (4.3.10), paralel cu axa discului, prin centru și prin șase puncte distribuite simetric pe un cerc concentric cu diametrul de 55 mm. Diametrul găurilor trebuie să fie 6-7 mm (a se vedea secțiunea A-B în figura 1), în funcție de diametrul fitilului de detonare folosit (4.3.2).

4.4.1.1.2.   Se taie șapte bucăți de fitil detonat (4.3.2), fiecare de 400 mm lungime. Se fac tăieturi netede și se izolează imediat capetele cu ajutorul unui adeziv, pentru a evita orice pierdere de exploziv pe la extremități. Se împing cele șapte corzi de fitil prin cele șapte găuri din discul de lemn (4.3.10), până când capetele fitilelor ies cu câțiva centimetri pe partea cealaltă a discului. Se introduce transversal un știft (4.3.12) în cămașa textilă a fiecărui fitil, la 5-6 mm de la fiecare capăt și se aplică adeziv de jur împrejurul fitilului (pe lungime) – bandă de 2 cm grosime la nivelul știftului. În final, se trage partea lungă a fiecărui fitil pentru a aduce știftul în contact cu discul de lemn.

4.4.1.1.3.   Se modelează explozivul plastic (4.3.1) pentru a forma un cilindru cu diametrul de 92-96 mm, în funcție de diametrul cilindrului (4.3.8). Se așază acest cilindru perpendicular pe o suprafață plană și se introduce explozivul modelat. Se introduce discul de lemn (4), ținând cele șapte corzi de fitil detonat în partea superioară a cilindrului și se presează pe exploziv. Se ajustează înălțimea cilindrului (64-67 mm), astfel încât marginea de sus să nu depășească nivelul lemnului. În final, se fixează cilindrul de discul de lemn cu cleme sau cuițe, de-a lungul întregii circumferințe.

4.4.1.1.4.   Se grupează capetele libere ale celor șapte fitile de jur împrejurul circumferinței baghetei de lemn (4.3.11.), astfel încât capetele lor să fie într-un plan perpendicular pe baghetă. Se strâng într-un mănunchi împrejurul baghetei, cu o bandă adezivă (5).

4.4.1.2.   Inițiere centrală cu o tabletă comprimată

Încărcătura pregătită pentru a fi folosită este ilustrată în figura 2.

4.4.1.2.1.   Pregătirea tabletei comprimate

Luând măsurile de siguranță necesare, se pun 10 g din explozivul secundar (4.3.3) într-o matriță cu diametru interior de 19-21 mm și se comprimă la forma și densitatea corecte.

(Raportul diametru:înălțime trebuie să fie aproximativ 1:1.)

În centrul bazei matriței există un bolț cu înălțimea de 12 mm și diametrul de 7-7,3 mm (în funcție de diametrul detonatorului folosit), care formează o nișă cilindrică în cartușul comprimat, pentru introducerea ulterioară a detonatorului.

4.4.1.2.2.   Pregătirea încărcătorului

Se pune explozivul (4.3.1) în cilindrul (4.3.8), în poziție verticală pe o suprafață plană, apoi se presează în jos cu un poanson din lemn, pentru a da explozivului o formă cilindrică cu o nișă centrală. Se introduce tableta comprimată în această nișă. Se acoperă explozivul de formă cilindrică, conținând tableta comprimată, cu un disc de lemn (4.3.10) având o gaură centrală cu diametrul de 7-7,3 mm pentru introducerea detonatorului. Se fixează discul de lemn și cilindrul împreună, aplicând în cruce bandă adezivă. Se verifică, prin introducerea baghetei de lemn (4.3.11), dacă gaura din disc și nișa din tableta comprimată sunt coaxiale.

4.4.2.   Pregătirea tubului de oțel pentru test

La un capăt al tubului (4.3.4) se fac două găuri diametral opuse, cu diametru de 4 mm, perpendicular pe suprafața peretelui, la o distanță de 4 mm față de margine.

Se sudează cap la cap talerul de bază (4.3.5) și capătul opus al tubului, umplând complet unghiul drept dintre talerul de bază și peretele tubului cu metal de adaos de-a lungul întregii circumferințe a tubului.

4.4.3.   Umplerea și încărcarea tubului

A se vedea figurile 1 și 2.

4.4.3.1.   Proba, tubul de oțel și încărcătura de detonare trebuie ținute la temperatura de 20 °C (± 5 °C). Sunt necesare 16-18 kg de probă pentru două testări.

4.4.3.2.   Se pune tubul vertical cu talerul de bază pătrat sprijinit pe o suprafață plată, stabilă, de preferință din beton. Se umple tubul de probă până la aproape o treime din înălțimea sa cu probă și se lasă să cadă de la 10 cm vertical pe sol, de cinci ori, pentru a tasa granulele cât mai mult posibil. Pentru a accelera compactarea granulelor, se lovește peretele lateral al tubului cu un ciocan de 750-1 000 g. Se aplică, în total, 10 lovituri.

Se introduce în tub o altă probă și se repetă operația. În final, cantitatea adăugată trebuie să permită ca, după gruparea granulelor prin ridicarea și căderea tubului de 10 ori și un total de 20 de lovituri intermitente cu ciocanul, încărcătura să umple tubul până la o distanță de 70 mm față de orificii.

Înălțimea umpluturii trebuie corectată în tub așa încât încărcătura de detonare (4.4.1.1 sau 4.4.1.2) care va fi introdusă ulterior să fie în contact strâns cu proba pe toată suprafața acesteia.

4.4.3.3.   Se introduce încărcătura de detonare în tub astfel încât să fie în contact cu proba; suprafața superioară a discului de lemn trebuie să fie cu 6 mm sub capătul tubului. Se asigură contactul strâns, foarte important, între exploziv și probă, adăugând sau îndepărtând mici cantități de material din probă. Se inserează bolțurile de siguranță prin găurile de lângă capătul liber al tubului (a se vedea figurile 1 și 2).

4.4.4.   Poziționarea tubului de otel și a cilindrilor de plumb (a se vedea figura 3).

4.4.4.1.   Se numerotează bazele cilindrilor de plumb (4.3.6) de la 1 la 6. Se fac șase semne la 150 mm distanță de linia centrală a blocului de oțel (4.3.7), poziționate într-un plan orizontal, cu primul semn la cel puțin 75 mm față de marginea blocului. Se pune câte un cilindru de plumb vertical pe fiecare dintre aceste semne, cu baza fiecărui cilindru centrată pe semnul corespunzător.

4.4.4.2.   Se așază tubul de oțel pregătit conform punctului 4.4.3 orizontal pe cilindrul de plumb, astfel încât axa tubului să fie paralelă cu linia centrală a blocului de oțel, iar capătul sudat al tubului să depășească cu 50 mm cilindrul de plumb nr. 6. Pentru a împiedica rostogolirea tubului, se introduc mici pene de lemn între partea de sus a cilindrului de plumb și peretele tubului (câte una de fiecare parte) sau se pune o cruce de lemn între tub și lingoul de oțel.

Observație: Trebuie asigurat contactul dintre tub și toți cei șase cilindri de plumb; o ușoară curbare a suprafeței tubului poate fi compensată prin rotirea tubului în jurul axei sale longitudinale. În cazul în care un cilindru de plumb este prea înalt, se corectează prin turtire, cu lovituri ușoare de ciocan.

4.4.5.   Pregătirea pentru detonare

4.4.5.1.   Se montează aparatele conform punctului 4.4.4, într-un buncăr sau într-o incintă subterană pregătită corespunzător (de exemplu mină sau tunel). Trebuie asigurată menținerea temperaturii tubului de oțel la 20 (± 5)°C înainte de detonare.

Observație: În cazul în care asemenea locuri nu sunt disponibile, testul poate fi făcut într-o groapă căptușită cu beton și acoperită cu grinzi de lemn. Detonarea poate proiecta fragmente de oțel cu energie cinetică mare și de aceea explozia trebuie efectuată la o distantă apreciabilă față de locuințe sau artere de circulație.

4.4.5.2.   În cazul în care se folosește încărcătura de detonare cu șapte puncte de inițiere, trebuie asigurată întinderea fitilelor de detonare conform notei de subsol de la punctul 4.4.1.1.4 și aranjarea acestora cât mai orizontal posibil.

4.4.5.3.   În final, se îndepărtează bagheta de lemn și se înlocuiește cu detonatorul. Nu se declanșează până când zona nu a fost evacuată și personalul adăpostit.

4.4.5.4.   Detonarea explozibilului.

4.4.6.   Se așteaptă un timp pentru ca fumul (gaze de descompunere, gaze nitrice toxice) să se disperseze, după care se adună cilindrii de plumb și li se măsoară înălțimile cu un șubler cu vernier.

Se notează, pentru fiecare cilindru de plumb marcat, gradul de compresie exprimat ca procent din înălțimea inițială de 100 mm. În cazul în care cilindrii sunt striviți oblic, se notează valoarea cea mai mare și cea mai mică și apoi se calculează media.

4.4.7.   În cazul în care este necesar, poate fi folosită o sondă pentru măsurarea continuă a vitezei de detonare. Sonda trebuie inserată longitudinal pe axa tubului sau de-a lungul peretelui său lateral.

4.4.8.   Se efectuează două teste de detonare pentru fiecare probă.

4.5.   Buletin de analiză

În buletinul de analiză, pentru fiecare test vor fi specificați următorii parametrii:

valorile măsurate ale diametrului exterior al tubului de oțel și ale grosimii peretelui;

duritatea Brinell a tubului de oțel;

temperatura tubului și a probei chiar înainte de detonare;

densitatea aparentă (în kg/m3) a probei din tubul de oțel;

înălțimea fiecărui cilindru de plumb după explozie, specificând corespunzător numărul cilindrului;

metoda de inițiere a încărcăturii de detonare.

4.5.1.   Evaluarea rezultatelor testului

Testul se consideră concludent, iar proba se consideră în conformitate cu dispozițiile cuprinse în anexa III-2, în cazul în care, la fiecare explozie, comprimarea cel puțin a unui cilindru de plumb nu depășește 5 %.

Figura 1

Image

Figura 2

Image

Figura 3

Image


(1)  Un timp de reacție de o oră și jumătate este suficient pentru majoritatea substanțelor organice în prezența unui catalizator cu nitrat de argint.

(2)  Se poate utiliza o soluție-etalon de cupru din comerț.

(3)  Tip Whatman 541 sau echivalentă.

(4)  Diametrul discului trebuie să corespundă întotdeauna cu diametrul interior al cilindrului.

(5)  

NB: Când cele șase fitile periferice sunt întinse după asamblare, cel central trebuie ușor slăbit.

ANEXA IV

MODALITĂȚI DE PRELEVARE DE PROBE ȘI METODE DE ANALIZĂ

A.   MODALITĂȚI DE PRELEVARE DE PROBE PENTRU CONTROLUL ÎNGRĂȘĂMINTELOR

INTRODUCERE

Prelevarea corectă a probelor este o operație dificilă care solicită cea mai mare atenție. Prin urmare, subliniem în mod insistent necesitatea de o obține o probă suficient de reprezentativă în vederea efectuării controlului oficial al îngrășămintelor.

Modalitatea descrisă mai jos de prelevare a probelor trebuie aplicată cu cea mai mare strictețe de către specialiști care au experiență în prelevarea tradițională a probelor.

1.   Obiect și domeniu de aplicare

Probele destinate unui control al îngrășămintelor privind calitatea și compoziția se prelevează în conformitate cu modalitățile descrise mai jos. Probele astfel prelevate se consideră reprezentative pentru loturile respective.

2.   Agenți

autorizați cu prelevarea probelorPrelevările se efectuează de către agenți autorizați în acest scop de către statele membre.

3.   Definiții

Lot: cantitate de produse care constituie o unitate și având caracteristici presupuse a fi uniforme.

Prelevare elementară: prelevare efectuată într-un punct al lotului.

Probă globală: ansamblu de prelevări elementare efectuate din același lot.

Probă redusă: parte reprezentativă a probei globale, obținută prin reducerea acesteia.

Probă finală: parte a probei reduse.

4.   Aparatură

4.1.   Aparatele pentru prelevări se confecționează din materiale care să nu contamineze probele. Aceste aparate pot fi omologate de către statele membre.

4.2.   Aparate recomandate pentru prelevarea probelor din îngrășămintele solide

4.2.1.   Prelevarea manuală

4.2.1.1.

Lopată cu fund plat și margini verticale

4.2.1.2.

Sondă cu fantă lungă sau compartimentată. Dimensiunile sondei trebuie adaptate caracteristicilor lotului (adâncimea recipientului, dimensiunile sacului etc.) și dimensiunilor particulelor care compun îngrășământul.

4.2.2.   Prelevare mecanică

Pentru prelevarea de probe din îngrășămintele în curs de transportare pot fi utilizate aparate mecanice omologate.

4.2.3.   Separator

Aparat proiectat în scopul împărțirii probei în părți egale; poate fi utilizat atât pentru prelevarea probelor elementare, cât și pentru pregătirea probelor reduse și a probelor finale.

4.3.   Aparate recomandate pentru prelevarea probelor din îngrășăminte lichide

4.3.1.   Prelevare manuală

Pipetă, epruvetă, flacon sau un alt echipament similar cu care pot fi prelevate în mod aleator probe din lotul testat

4.3.2.   Prelevare mecanică

Pentru prelevarea probelor din îngrășăminte lichide ce urmează a fi mutate sau transportate se pot folosi aparate mecanice omologate.

5.   Cerințe cantitative

5.1.   Lotul

Dimensiunile lotului trebuie să permită prelevarea probelor din toate părțile componente.

5.2.   Prelevare elementară

5.2.1.   Îngrășăminte solide în vrac sau îngrășăminte lichide în containere ce depășesc 100 kg.

5.2.1.1.

Lot de maximum 2,5 tone:

 

Număr minim de prelevări elementare: 7.

5.2.1.2.

Lot de peste 2,5 tone, până la 80 de tone:

Număr minim de prelevări elementare:

Formula

5.2.1.3.

Lot de peste 80 de tone:

 

Număr minim de prelevări elementare: 40.

5.2.2.   Îngrășăminte solide ambalate sau îngrășăminte lichide în containere (= ambalaje de o capacitate de maximum 100 kg fiecare).

5.2.2.1.

Ambalaje cu un conținut de peste 1 kg

5.2.2.1.1.

Loturi compuse din minimum 5 ambalaje:

 

Numărul minim de ambalaje pentru prelevări (2): toate ambalajele.

5.2.2.1.2.

Loturi compuse din 5-16 ambalaje:

 

Numărul minim de ambalaje pentru prelevări (2): 4.

5.2.2.1.3.

Loturi compuse din 17-400 ambalaje:

Numărul minim de ambalaje pentru prelevări (2):

Formula

5.2.2.1.4.

Loturi compuse din peste 400 ambalaje:

 

Numărul minim de ambalaje pentru prelevări (2): 20.

5.2.2.2.

Ambalaje cu un conținut de până la 1 kg:

 

Numărul minim de ambalaje pentru prelevări (2): 4.

5.3.   Proba globală

Se cere o probă globală pe lot. Masa totală a prelevărilor elementare care constituie eșantionul global nu poate fi mai mică decât cantitățile precizate mai jos:

5.3.1.

Îngrășăminte solide în vrac sau îngrășăminte lichide în containere ce depășesc 100 kg: 4 kg.

5.3.2.

Îngrășăminte solide ambalate sau îngrășăminte lichide în containere (= ambalaje), fiecare nedepășind 100 kg.

5.3.2.1.

Ambalaje cu un conținut mai mare de 1 kg: 4 kg.

5.3.2.2.

Ambalaje cu un conținut de până la 1 kg: masa conținutului a patru ambalaje de origine.

5.3.3.

Probe de îngrășământ cu azotat de amoniu, prelevate conform anexei III-2: 75 kg.

5.4.   Probe finale

Proba finală se obține, dacă este cazul, prin reducerea probei totale. Se cere analiza a minimum o probă finală. Masa probei finale de analizat nu poate fi mai mică de 500 de grame.

5.4.1.   Îngrășăminte solide și lichide

5.4.2.   Probe de îngrășăminte cu azotat de amoniu, prelevate pentru teste.

Proba finală se obține, dacă este cazul, prin reducerea probei totale.

5.4.2.1.   Masa minimă a probei finale pentru testele prevăzute de anexa III-1: 1 kg.

5.4.2.2.   Masa minimă a probei finale pentru testele prevăzute de anexa III-2: 25 kg.

6.   Instrucțiuni privind prelevarea, prepararea și ambalarea probelor

6.1.   Prevederi generale

Prelevarea și prepararea probelor se face cât se poate de rapid, cu respectarea tuturor precauțiilor prevăzute pentru ca probele să fie reprezentative pentru îngrășământul respectiv. Instrumentele, suprafețele de lucru și recipientele trebuie să fie curate și uscate.

În cazul îngrășămintelor lichide, dacă este posibil, se amestecă lotul înainte de prelevarea probelor.

6.2.   Prelevări elementare

Prelevările elementare trebuie efectuate în mod aleatoriu din ansamblul lotului. Masele lor trebuie să fie aproximativ egale.

6.2.1.   Îngrășăminte în vrac sau îngrășăminte lichide în recipiente de o capacitate de peste 100 kg.

Lotul se împarte în mod virtual în mai multe părți aproximativ egale. În mod aleatoriu se alege un număr de părți, conform numărului de prelevări elementare prevăzute la punctul 5.2 și se prelevează cel puțin o probă din fiecare parte. Atunci când nu este posibilă respectarea cerințelor de la punctul 5.1, la testarea îngrășămintelor solide în vrac sau a îngrășămintelor lichide din recipiente care depășesc 100 kg, prelevarea se face atunci când lotul este mutat (încărcat sau descărcat). În acest caz, probele sunt prelevate în mod aleatoriu, pornind de la părți delimitate virtual, așa cum s-a precizat anterior, în momentul mutării.

6.2.2.   Îngrășăminte solide ambalate sau îngrășăminte fluide în recipiente (= ambalaje) ce nu depășesc 100 kg fiecare.

Numărul cerut de ambalaje din care se prelevează probele se determină conform indicațiilor de la punctul 5.2, apoi se prelevează o parte din conținutul fiecărui ambalaj. Dacă este cazul, probele se prelevează după ce s-au golit separat ambalajele.

6.3.   Pregătirea probei globale

Se pun împreună toate probele elementare și se amestecă bine.

6.4.   Pregătirea probelor finale

Materia eșantionului global se amestecă bine (3).

Dacă este cazul, se reduce proba globală până la cel puțin 2 kg (proba redusă) cu ajutorul fie a unui separator mecanic, fie prin metoda sferturilor.

Se prepară după aceea cel puțin trei probe finale de mase aproximativ egale, cu respectarea cerințelor prevăzute la punctul 5.4. Se introduce fiecare probă într-un recipient potrivit, închis ermetic. Se iau toate precauțiile necesare pentru a se păstra nemodificate toate caracteristicile probei.

Pentru testele prevăzute la anexa III secțiunile 1 și 2, probele finale trebuie păstrate la temperaturi cuprinse între 0 și 25 °C.

7.   Ambalarea probelor finale

Recipientele sau ambalajele sunt sigilate și etichetate (eticheta trebuie încorporată în sigiliu), astfel încât recipientul să poată fi deschis numai prin ruperea sigiliului.

8.   Proces-verbal de prelevare

Pentru fiecare prelevare se întocmește un proces-verbal de prelevare care permite identificarea fără ambiguități a lotului de origine a probelor.

9.   Destinația probelor

Cel puțin o probă finală din fiecare lot, însoțită de toate informațiile necesare pentru analiză sau test, se trimite cât se poate de repede la un laborator de analiză autorizat sau la un institut de testare.

B.   METODE DE ANALIZĂ A ÎNGRĂȘĂMINTELOR

(A se vedea cuprinsul, pagina 2)

Observații generale

Aparatura de laborator

La descrierea metodelor nu s-a menționat aparatura curentă de laborator, cu excepția vaselor sau a pipetelor de o anumită capacitate. Ca regulă generală, aparatura trebuie să fie bine curățată, în special în cazul determinărilor efectuate cu cantități mici de substanțe.

Teste de control

Înainte de efectuarea analizelor trebuie controlată buna funcționare a aparaturii, precum și executarea corectă a tehnicilor analitice, prin utilizarea de compuși chimici cu compoziția teoretică bine definită (de exemplu, sulfatul de amoniu, fosfatul monopotasic etc.). Cu toate acestea, îngrășămintele pot prezenta compuși chimici ce pot perturba dozările, în cazul în care tehnica analitică nu este urmată întocmai. Pe de o parte, un anumit număr de determinări sunt absolut convenționale și legate de produși cu o compoziție chimică complexă. De aceea, în măsura în care laboratorul poate dispune de probe de referință, cu compoziții sau specificații bine definite, se recomandă utilizarea acestora.

Dispoziții generale privind metodele de analiză a îngrășămintelor

1.   Reactivii

În cazul în care nu se precizează altfel în descrierea metodei de analiză, toți reactivii trebuie să fie de tip puritate analitică (p.a.). Pentru analiza oligoelementelor, puritatea reactivilor trebuie controlată printr-o testare cu test-martor. În funcție de rezultatul obținut, o purificare suplimentară s-ar putea dovedi necesară.

2.   Apa

Operațiile de dizolvare, diluție, clătire sau spălare menționate în metodele de analiză fără precizarea naturii solventului sau a diluantului presupun implicit utilizarea apei. În mod normal apa este demineralizată sau distilată. În anumite cazuri particulare, precizate în metoda de analiză, apa trebuie purificată prin metode speciale.

3.   Aparatura de laborator

Luând în considerare aparatura curentă din laboratoarele de control, aparatura descrisă în metodele de analiză se limitează la instrumente sau aparate speciale sau care impun exigențe specifice. Echipamentul trebuie utilizat în stare de perfectă curățire, în special în cazul determinărilor efectuate cu cantități mici de substanțe. În cazul sticlăriei gradate de laborator, trebuie verificată precizia acesteia, cu referire la standarde metrologice corespunzătoare.

Metoda 1

Prepararea probei în vederea analizei

1.   Obiect

Prezentul document are ca obiect stabilirea unei metode de preparare a probei pornind de la proba finală.

2.   Principiu

Prepararea unei probe finale primite la laborator reprezintă o serie de operații, cel mai adesea de cernere, mărunțire și omogenizare, astfel încât:

pe de o parte, cea mai mică cantitate prevăzută prin metodele de analiză să fie reprezentativă pentru proba de laborator;

pe de altă parte, finețea îngrășământului să nu fie modificată prin preparare, cu consecințe semnificative asupra solubilităților în diferiți reactivi de extracție.

3.   Aparatură

Separator de probă (opțional)

Site cu ochiuri de 0,2-0,5 mm

Vase de 250 ml cu posibilitate de închidere ermetică

Mojar și pistil de porțelan sau dispozitiv de măcinare

4.   Alegerea tratamentului de efectuat

Observație preliminară

În cazul în care produsul permite, se poate păstra numai o parte reprezentativă din proba finală.

4.1.   Probe finale care nu trebuie măcinate

Azotat de calciu, azotat de calciu și magneziu, azotat de sodiu, salpetru de Chile, cianamidă de calciu, cianamidă de calciu azotoasă, sulfat de amoniu, azotat de amoniu cu peste 30 % N, uree, zguri alcaline, fosfat natural parțial solubilizat, fosfatul dicalcic dihidrat precipitat, fosfat calcinat, fosfat alumino-calcic, fosfat natural moale.

4.2.   Probe finale care trebuie divizate, din care o parte se macină

Este vorba despre produse pentru care se efectuează anumite determinări fără măcinare prealabilă (dimensiunea particulelor, de exemplu), iar alte determinări, după măcinare. Se cuprind aici toate îngrășămintele complexe cu componente fosfatate: zgură Thomas, fosfat alumino-calcic, fosfat calcinat, fosfat natural moale, fosfat natural parțial solubilizat. În acest scop, cu ajutorul unui separator sau prin metoda sferturilor, se separă proba finală în două fracțiuni cât se poate de egale.

4.3.   Probe finale pentru care toate determinările se fac pe material măcinat

Măcinarea se poate efectua numai pentru o parte semnificativă a probei finale. Este vorba despre toate celelalte îngrășăminte de pe listă, nemenționate la punctele 4.1 și 4.2.

5.   Mod de lucru

Partea din proba finală menționată la punctele 4.2 și 4.3 se trece rapid printr-o sită cu ochiuri de 0,5 mm. Materialul rămas în sită se macină grosier, pentru a se obține un produs cu cât mai puține particule fine, și se cerne. Măcinarea trebuie astfel efectuată încât să nu ducă la încălzirea semnificativă a materialului. Operațiunea se repetă de câte ori este necesar, până nu mai rămâne reziduu în sită. Operațiunea se efectuează cu rapiditate, pentru a se evita pierderea sau câștigul de material (apă, amoniac). Totalitatea produsului măcinat și trecut prin sită se introduce într-un vas curat care se închide ermetic.

Înaintea cântăririi pentru analiză, totalitatea probei trebuie omogenizată cu grijă.

6.   Cazuri particulare

(a)

Îngrășăminte care conțin mai multe categorii de cristale

În acest caz, adesea se produce o separare. Este deci absolut necesar să se realizeze o măcinare și o trecere a probei prin sita cu ochiuri de 0,2 mm. De exemplu: amestecul de fosfat de amoniu și de azotat de potasiu. Se recomandă pentru aceste produse o măcinare în întregime a probei finale.

(b)

Reziduu dificil de măcinat sau care nu conține nutrienți

Se cântărește reziduul și se ține cont de masa respectivă la calcularea rezultatului final.

(c)

Produse care se descompun la căldură

Măcinarea trebuie astfel efectuată încât să se evite încălzirea materialului. E de preferat, în acest caz, măcinarea în mojar. Exemplu: îngrășăminte complexe conținând cianamidă calcică sau uree.

(d)

Produse conținând neobișnuit de multă apă sau devenite păstoase în urma măcinării

Pentru a se asigura o anumită omogenitate, se va alege sita cu cea mai mică deschidere care se potrivește cu mărunțirea manuală a bulgărilor sau în mojar. Este cazul probabil al amestecurilor cu componente care conțin apă de cristalizare.

Metodele 2

Azot

Metoda 2.1

Determinarea azotului amoniacal

1.   Obiect

Prezentul document definește procedura de determinare a azotului amoniacal.

2.   Domeniu de aplicare

Prezenta metodă se aplică tuturor îngrășămintelor cu azot, inclusiv îngrășămintelor complexe, în care azotul este prezent numai sub formă de săruri de amoniu sau săruri de amoniu ce conțin azotați.

Prezenta metodă nu se aplică îngrășămintelor ce conțin uree, cianamidă sau alți compuși organici cu azot.

3.   Principiu

Dezlocuirea amoniacului folosind hidroxid de sodiu în exces; distilare; determinarea cantității de amoniac dintr-un volum cunoscut de soluție standard de acid sulfuric și titrarea excesului de acid cu o soluție standard de hidroxid de sodiu sau de potasiu.

4.   Reactivi

Apă distilată sau demineralizată, fără dioxid de carbon și fără nici un compus cu azot

4.1.   Acid clorhidric diluat: un volum de acid clorhidric (d20 = 1,18 g/ml) plus un volum de apă

4.2.

Acid sulfuric 0,1 mol/l

pentru varianta a

4.3.

Soluție 0,1 mol/l de hidroxid de sodiu sau de potasiu, fără carbonați

4.4.

Acid sulfuric 0,2 mol/l

pentru varianta b (a se vedea nota 2)

4.5.

Soluție 0,2 mol/l de hidroxid de sodiu sau de potasiu fără carbonați

4.6.

Acid sulfuric 0,5 mol/l

pentru varianta c (a se vedea nota 2)

4.7.

Soluție 0,5 mol/l de hidroxid de sodiu sau de potasiu, fără carbonați

4.8.   Hidroxid de sodiu, fără amoniac, conținând circa 30 % NaOH (d20 = 1,33 g/ml)

4.9.   Soluții de indicatori

4.9.1.   Indicator mixt

Soluția A: Se dizolvă 1 g roșu de metil în 37 ml soluție de hidroxid de sodiu 0,1 mol/l și se completează cu apă până la un litru.

Soluția B: Se dizolvă 1 g albastru de metilen în apă și se completează cu apă până la un litru.

Se amestecă un volum din A cu două volume din B.

Acest indicator este violet în soluție acidă, gri în soluție neutră și verde în soluție bazică. Se utilizează 0,5 ml (10 picături) din această soluție.

4.9.2.   Soluție de roșu de metil

Se dizolvă 0,1 g roșu de metil în 50 ml alcool etilic 95 %. Se aduce la 100 ml cu apă și, dacă este necesar, se filtrează. Acest indicator poate fi utilizat (patru-cinci picături) în locul celui de mai sus.

4.10.   Granule din piatră ponce pentru omogenizarea fierberii, spălate cu acid clorhidric și calcinate

4.11.   Sulfat de amoniu pentru analiză

5.   Aparatură

5.1.   Aparat de distilare compus dintr-un balon cu fund rotund de capacitate corespunzătoare, conectat la un condensator prin intermediul unui cap stropitor

Nota 1

Diferitele tipuri de instalații aprobate și recomandate pentru această determinare sunt ilustrate, împreună cu toate caracteristicile constructive, sunt prezentate în figurile 1, 2, 3 și 4.

5.2.   Pipete gradate de 10, 20, 25, 50, 100 și 200 ml

5.3.   Vas gradat de 500 ml

5.4.   Agitator rotativ (35-40 rotații pe minut)

6.   Pregătirea probei

A se vedea metoda 1.

7.   Mod de lucru

7.1.   Pregătirea soluției

Se testează solubilitatea probei în apă la temperatura camerei și în proporție de 2 % (m/V). Se cântăresc, cu o precizie de 0,001 g (conform indicațiilor din tabelul 1), 5, 7 sau 10 g din proba pregătită și se trec în vasul gradat de 500 ml. În funcție de rezultatul testului de solubilitate, se procedează după cum urmează:

(a)

Produși complet solubili în apă

Se adaugă în recipient cantitatea de apă necesară pentru dizolvarea probei, se agită și, după dizolvarea completă, se aduce la semn și se amestecă în întregime.

(b)

Produși parțial solubili în apă

Se adaugă în recipient 50 ml apă și apoi 20 ml acid clorhidric (4.1). Se agită, se lasă soluția să se liniștească până când degajarea de dioxid de carbon încetează. Se adaugă 400 ml apă și se agită jumătate de oră folosind un agitator rotativ (5.4). Se aduce la semn cu apă, se amestecă și se filtrează printr-un filtru uscat într-un vas colector uscat.

7.2.   Analiza soluției

În funcție de varianta aleasă, se pune în vasul de colectare o cantitate măsurată de soluție standard de acid sulfuric, așa cum se indică în tabelul 1. Se adaugă indicatorul ales (4.9.1 sau 4.9.2) și – dacă este necesar – apă, pentru a obține un volum de cel puțin 50 ml. Capătul tubului din prelungirea condensatorului trebuie să se afle sub suprafața acestei soluții.

O porțiune (4) din soluția limpede se transferă în interiorul recipientului aparatului de distilare cu ajutorul unei pipete de precizie, conform detaliilor din în tabel. Se adaugă apă până la obținerea unui volum de aproximativ 350 ml și câteva granule de piatră ponce pentru omogenizarea fierberii.

Se asamblează aparatul de distilare și, cu grijă, pentru a se evita orice pierdere de amoniac, se adaugă în recipientul de distilare 10 ml hidroxid de sodiu concentrat (4.8) sau 20 ml de reactiv, în cazul în care pentru dizolvarea probei testate s-au utilizat 20 ml acid clorhidric (4.1). Se încălzește treptat recipientul, pentru a evita fierberea viguroasă. Atunci când începe fierberea, se distilează aproximativ 100 ml în 10-15 minute; volumul total de distilat trebuie să fie de aproximativ 250 ml (5). Atunci când nu se mai degajă amoniac, se coboară vasul de colectare astfel încât capătul condensatorului să fie deasupra suprafeței lichidului.

Distilatul se testează ulterior cu ajutorul unui reactiv potrivit, pentru a fi siguri că tot amoniacul din probă a fost distilat. Se spală tubul din prelungirea condensatorului cu puțină apă și se titrează surplusul de acid din vasul de colectare cu o soluție standard de hidroxid de sodiu sau de potasiu prescrisă pentru varianta adoptată (a se vedea nota 2).

Nota 2

Pentru retitrare pot fi utilizate soluții standard de diferite concentrații, cu condiția ca volumele folosite pentru titrare să nu depășească, pe cât posibil, 40-45 ml.

7.3.   Probă-martor

Se testează o probă-martor în aceleași condiții și se ține cont de rezultat la calculul rezultatului final.

7.4.   Test de control

Înainte de efectuarea analizelor se verifică dacă aparatura funcționează corespunzător și dacă aplicarea metodei se face corect, folosind o porțiune din soluția de sulfat de amoniu proaspăt preparată (4.11) care conține cantitatea maximă de azot indicată pentru varianta aleasă.

8.   Exprimarea rezultatelor

Se exprimă rezultatul analizei ca procent de azot amoniacal în îngrășământul primit pentru analiză.

9.   Anexe

Având în vedere nota 1 de la punctul 5.1, „Aparatură”, a se vedea figurile 1, 2, 3 și 4 pentru caracteristicile constructive ale diferitelor tipuri de instalații utilizate în acest document.

Tabelul 1

Determinarea azotului amoniacal și a azotului amoniacal și nitric din îngrășăminte

Tabel de cantități, diluții și calcule ce se realizează pentru fiecare dintre variantele a, b și c ale metodei

Varianta a

Cantitatea maximă aproximativă a azotului ce trebuie distilat: 50 mg.

Acid sulfuric 0,1 mol/l ce se va pune în vasul de colectare: 50ml.

Retitrarea se face cu NaOH sau KOH 0,1 mol/l.


% N

declarat

Cântărire

(g)

Diluția

(ml)

Proba pentru distilare

(ml)

Exprimarea rezultatelor (6)

[% N = (50 – A) F]

0-5

10

500

50

(50 — A) × 0,14

5-10

10

500

25

(50 — A) × 0,28

10-15

7

500

25

(50 — A) × 0,40

15-20

5

500

25

(50 — A) × 0,56

20-40

7

500

10

(50 — A) × 1,00


Varianta b

Cantitatea maximă aproximativă a azotului ce trebuie distilat: 100 mg.

Acid sulfuric 0,2 mol/l ce se va pune în vasul de colectare: 50 ml.

Retitrarea se face cu NaOH sau KOH 0,2 mol/l.


% N

declarat

Cântărire

(g)

Diluția

(ml)

Proba pentru distilare

(ml)

Exprimarea rezultatelor (7)

[% N = (50 – A) F]

0-5

10

500

100

(50 — A) × 0,14

5-10

10

500

50

(50 — A) × 0,28

10-15

7

500

50

(50 — A) × 0,40

15-20

5

500

50

(50 — A) × 0,56

20-40

7

500

20

(50 — A) × 1,00


Varianta C

Cantitatea maximă aproximativă a azotului ce trebuie distilat: 200 mg.

Acid sulfuric 0,5 mol/l ce se va pune în vasul de colectare: 35 ml.

Retitrarea se face cu NaOH sau KOH 0,5 mol/l.


% N

declarat

Cântărire

(g)

Diluția

(ml)

Proba pentru distilare

(ml)

Exprimarea rezultatelor (8)

[% N = (35 – A) F]

0-5

10

500

200

(35 — A) × 0,175

5-10

10

500

100

(35 — A) × 0,350

10-15

7

500

100

(35 — A) × 0,500

15-20

5

500

100

(35 — A) × 0,700

20-40

5

500

50

(35 — A) × 1,400

Figura 1

Image

Figura 2

Image

Figura 3

Image

Figura 4

Image

Legendele figurilor 1, 2, 3 și 4

Figura 1

(a)

Balon cu fund rotund, cu gât lung și volum de 1 000 ml.

(b)

Tub de distilare cu cap stropitor, conectat la condensator prin intermediul unei îmbinări sferice (nr. 18); îmbinarea sferică pentru conectarea la condensator poate fi înlocuită cu o legătură din cauciuc adecvată.

(c)

Pâlnie cu robinet din teflon pentru adăugarea hidroxidului de sodiu (acest robinet poate fi înlocuit cu un racord din cauciuc cu clamă Hofmann).

(d)

Condensator cu șase bule, cu îmbinare sferică la intrare (nr. 18) și îmbinat la ieșirea către tubul de curgere prin intermediul unei legături mici din cauciuc (atunci când legătura cu tubul de distilare este realizată prin intermediul unui furtun din cauciuc, legătura sferică poate fi înlocuită cu un cauciuc adecvat).

(e)

Vas de 500 ml pentru colectarea distilatului.

Instalația este realizată din sticlă rezistentă la substanțele alcaline din distilat, în condițiile de utilizare (sticlă borosilicată).

Figura 2

(a)

Balon cu fund rotund, cu gât scurt, gură sferică (nr. 35) și volum de 1 000 ml.

(b)

Tub de distilare cu cap stropitor, prevăzut cu o îmbinare sferică (nr. 35) la intrare și o îmbinare sferică la ieșire (nr. 18), conectat lateral la o pâlnie cu robinet din teflon pentru adăugarea hidroxidului de sodiu.

(c)

Condensator cu șase bule, cu îmbinare sferică (nr. 18) la intrare și îmbinat la ieșire cu un tub prelungitor din sticlă prin intermediul unei legături mici din cauciuc.

(d)

Vas de 500 ml pentru colectarea distilatului.

Instalația este realizată din sticlă rezistentă la substanțele alcaline din distilat, în condițiile de utilizare (sticlă borosilicată).

Figura 3

(a)

Balon cu fund rotund, cu gât lung și gură tip clopot, de 750 sau 1 000 ml.

(b)

Tub de distilare cu cap stropitor, prevăzut cu îmbinare sferică (nr. 18) la ieșire.

(c)

Tub cotit cu îmbinare sferică (nr. 18) la intrare și con de picurare (conexiunea cu tubul de distilare poate fi realizată folosind un tub de cauciuc în locul îmbinării sferice).

(d)

Condensator cu șase bule, îmbinat la ieșire cu tubul prelungitor prin intermediul unei legături din cauciuc.

(e)

Vas de 500 ml pentru colectarea distilatului.

Instalația este realizată din sticlă rezistentă la substanțele alcaline din distilat, în condițiile de utilizare (sticlă borosilicată).

Figura 4

(a)

Balon cu fund rotund, cu gât lung și gură tip clopot, de 1 000 ml.

(b)

Tub de distilare cu cap stropitor, prevăzut cu îmbinare sferică (nr. 18) la ieșire conectat într-o parte la o pâlnie cu robinet de teflon pentru adăugarea hidroxidului de sodiu (acest robinet poate fi înlocuit printr-o legătură de cauciuc cu clamă Hofmann).

(c)

Condensator cu 6 bule cu îmbinare sferică (nr. 18) la intrare și îmbinat la ieșire cu tubul de sticlă prelungitor printr-o legătură de cauciuc (atunci când legătura cu tubul de distilare este realizată prin intermediul unui furtun de cauciuc, legătura sferică poate fi înlocuită cu un cauciuc adecvat).

(d)

Vas de 500 ml pentru colectarea distilatului.

Instalația este realizată din sticlă rezistentă la substanțele alcaline din distilat, în condițiile de utilizare (sticlă borosilicată).

Metodele 2.2

Determinarea azotului nitric și amoniacal

Metoda 2.2.1

Determinarea azotului nitric și amoniacal după Ulsch

1.   Obiect

Prezentul document definește procedura descrisă de Ulsch pentru determinarea azotului nitric și amoniacal prin reducere.

2.   Domeniu de aplicare

Prezenta metodă se aplică tuturor îngrășămintelor cu azot, inclusiv îngrășămintelor complexe, în care azotul se găsește numai sub formă de azot nitric și amoniacal.

3.   Principiu

Reducerea azotiților și azotaților la amoniac cu ajutorul fierului metalic în mediu acid; dezlocuirea amoniacului format prin adăugare de hidroxid de sodiu în exces; distilarea amoniacului și determinarea cantității de amoniac dintr-un volum cunoscut de soluție standard de acid sulfuric. Titrarea excesului de acid sulfuric cu ajutorul unei soluții titrate de hidroxid de sodiu sau de potasiu.

4.   Reactivi

Apă distilată sau demineralizată, fără dioxid de carbon și fără nici un compus cu azot.

4.1.   Acid clorhidric diluat: un volum de HCl (d20 = 1,18 g/ml) la care se adaugă un volum de apă

4.2.   Acid sulfuric 0,1 mol/l

4.3.   Soluție 0,1 mol/l de hidroxid de sodiu sau de potasiu, necarbonatată

4.4.   Soluție de acid sulfuric, aproximativ 30 % H2SO4 (m/V), ce nu conține amoniac

4.5.   Pulbere de fier redusă în hidrogen (cantitatea de fier prescrisă trebuie să poată reduce cel puțin 0,05 g azot nitric)

4.6.   Soluție de hidroxid de sodiu, aproximativ 30 % NaOH (d20 = 1,33 g/ml), ce nu conține amoniac

4.7.   Soluții de indicatori

4.7.1.   Indicator mixt

Soluția A: Se dizolvă 1 g roșu de metil în 37 ml soluție de hidroxid de sodiu 0,1 mol/l și se completează la un litru cu apă.

Soluția B: Se dizolvă 1 g albastru de metilen în apă și se aduce la un litru cu apă.

Se amestecă un volum din A cu două volume din B.

Acest indicator este violet în soluție acidă, gri în soluție neutră și verde în soluție bazică. Se utilizează 0,5 ml (10 picături) din această soluție.

4.7.2.   Soluție de roșu de metil

Se dizolvă 0,1 g roșu de metil în 50 ml alcool etilic 95 %. Se aduce la 100 ml cu apă și, dacă este necesar, se filtrează.

Acest indicator poate fi utilizat (patru-cinci picături) în locul celui de mai sus.

4.8.   Granule din piatră ponce pentru omogenizarea fierberii, spălate cu acid clorhidric și calcinate.

4.9.   Azotat de sodiu pentru analiză.

5.   Aparatură

A se vedea metoda 2.1, „Determinarea azotului amoniacal”.

6.   Pregătirea probei

A se vedea metoda 1, „Pregătirea probei”.

7.   Mod de lucru

7.1.   Pregătirea soluției

A se vedea metoda 2.1, „Determinarea azotului amoniacal”.

7.2.   Mod de lucru

Se pune în vasul de colectare o cantitate măsurată 50 ml de soluție standard de acid sulfuric, așa cum se indică în tabelul 1 de la metoda 2.1 (varianta a), și se adăugă cantitatea corespunzătoare din indicatorul 4.7.1 sau 4.7.2. Capătul tubului din prelungirea condensatorului trebuie să se afle sub suprafața soluției din vasul de colectare.

O porțiune din soluția limpede se transferă în interiorul recipientului aparatului de distilare cu ajutorul unei pipete de precizie, conform detaliilor din tabelul 1 – metoda 2.1 (varianta a). Se adaugă 350 ml apă, 20 ml soluție de acid sulfuric 30 % (4.4), se amestecă și se adaugă 5 g fier redus (4.5). Se spală gâtul vasului cu câțiva mililitri de apă și se montează deasupra recipientului o mică pâlnie cu picior lung. Se încălzește pe baie de apă timp de o oră, după care se spală piciorul pâlniei cu câțiva mililitri de apă.

În vasul de distilare se adaugă cu atenție, pentru a evita pierderile de amoniac, 50 ml soluție de hidroxid de sodiu concentrat (4.6) sau, în cazul în care s-au utilizat 20 ml acid clorhidric pentru dizolvarea probei (1 + 1) (4.1), 60 ml soluție hidroxid de sodiu (4.6). Se montează aparatul de distilare. Se distilează amoniacul după procedura descrisă la metoda 2.1.

7.3.   Probă-martor

Se testează o probă-martor în aceleași condiții și se ține cont de rezultat la calculul rezultatului final.

7.4.   Test de control

Înainte de efectuarea analizelor se verifică dacă aparatura funcționează corespunzător și dacă aplicarea metodei se face corect, folosind o porțiune din soluția proaspăt preparată de azotat de sodiu (4.9) conținând 0,045-0,050 g azot.

8.   Exprimarea rezultatului

Rezultatul analizei se exprimă ca procente de azot nitric sau azot nitric și azot amoniacal conținute în îngrășământul primit pentru analiză.

Metoda 2.2.2

Determinarea azotului nitric și amoniacal după Arnd

1.   Obiect

Prezentul document definește procedura descrisă de Arnd pentru determinarea azotului amoniacal și nitric din îngrășăminte prin reducere (modificată pentru fiecare dintre variantele A, B și C).

2.   Domeniu de aplicare

A se vedea metoda 2.2.1.

3.   Principiu

Reducerea azotaților și azotiților la amoniac în soluție apoasă neutră, cu ajutorul unui aliaj metalic conținând 60 % Cu și 40 % Mg (aliaj Arnd), în prezența clorurii de magneziu (MgCl2).

Distilarea amoniacului și determinarea cantității de amoniac dintr-un volum cunoscut de soluție standard de acid sulfuric. Titrarea excesului de acid cu o soluție standard de hidroxid de sodiu sau de potasiu.

4.   Reactivi

Apă distilată sau demineralizată, fără dioxid de carbon și fără compuși cu azot

4.1.   Acid clorhidric diluat: un volum de acid clorhidric (d = 1,18) plus un volum de apă

4.2.

Acid sulfuric 0,1 mol/l

pentru varianta a

4.3.

Soluție 0,1 mol/l de hidroxid de sodiu sau de potasiu, fără carbonați

4.4.

Acid sulfuric 0,2 mol/l

pentru varianta b (a se vedea nota 2, metoda 2.1)

4.5.

Soluție 0,2 mol/l de hidroxid de sodiu sau de potasiu, fără carbonați

4.6.

Acid sulfuric 0,5 mol/l.

pentru varianta c (a se vedea nota 2, metoda 2.1)

4.7.

Soluție 0,5 mol/l de hidroxid de sodiu sau de potasiu, fără carbonați

4.8.   Soluție de hidroxid de sodiu, aproximativ 2 mol/l

4.9.   Aliaj Arnd pentru analiză: pulbere care să treacă printr-o sită cu ochiuri de mai mici de 1 mm

4.10.   Soluție de clorură de magneziu 20 %

Într-un vas gradat de un litru se dizolvă 200 g clorură de magneziu (MgCl2 · 6H2O) în aproximativ 600-700 ml apă. Pentru a preveni spumarea se adaugă 15 g sulfat de magneziu (MgSO4 · 7H2O).

După dizolvare se adaugă 2 g oxid de magneziu și câteva granule de piatră ponce pentru a omogeniza fierberea și se concentrează suspensia până la 200 ml prin fierbere, eliminând astfel orice urmă de amoniac din reactivi. Se răcește, se completează volumul cu apă până la un litru și se filtrează.

4.11.   Soluții de indicatori

4.11.1.   Indicator mixt

Soluția A: Se dizolvă 1 g roșu de metil în 37 ml soluție de hidroxid de sodiu 0,1 mol/l și se completează la un litru cu apă.

Soluția B: Se dizolvă 1 g albastru de metilen în apă și se aduce la un litru cu apă.

Se amestecă un volum din A cu două volume din B.

Acest indicator este violet în soluție acidă, gri în soluție neutră și verde în soluție bazică. Se utilizează 0,5 ml (10 picături) din această soluție.

4.11.2.   Soluție de roșu de metil

Se dizolvă 0,1 g roșu de metil în 50 ml alcool etilic 95 %. Se aduce la 100 ml cu apă și, dacă este necesar, se filtrează. Acest indicator poate fi utilizat (patru-cinci picături) în locul celui de mai sus.

4.11.3.   Soluție de roșu de Congo

Se dizolvă 3 g roșu de Congo într-un litru de apă caldă și, dacă este necesar, se filtrează după răcire. Acest indicator poate fi folosit în locul celor două de mai sus în neutralizarea extractului acid înainte de distilare, utilizând 0,5 ml la 100 ml lichid ce trebuie neutralizat.

4.12.   Granule din piatră ponce, spălate cu acid clorhidric și calcinate

4.13.   Azotat de sodiu pentru analiză

5.   Aparatură

A se vedea metoda 2.1, „Determinarea azotului amoniacal”.

6.   Pregătirea probei

A se vedea metoda 1.

7.   Mod de lucru

7.1.   Pregătirea soluției pentru analiză

A se vedea metoda 2.1, „Determinarea azotului amoniacal”.

7.2.   Analiza soluției

În funcție de varianta aleasă, se pune în vasul de colectare o cantitate de soluție standard de acid sulfuric măsurată exact, așa cum se indică în tabelul 1 de la metoda 2.1. Se adăugă cantitatea corespunzătoare din indicatorul 4.11.1 sau 4.11.2 și, în final, suficientă apă pentru a aduce volumul la aproximativ 50 ml. Capătul tubului din prelungirea condensatorului trebuie să se afle sub suprafața soluției din vasul de colectare.

O porțiune din soluția limpede se transferă în vasul aparatului de distilare cu ajutorul unei pipete de precizie, conform tabelului 1.

Se adaugă suficientă apă pentru a obține un volum total de 350 ml (a se vedea nota 1), 10 g aliaj Arnd (4.9), 50 ml soluție de clorură de magneziu (4.10.) și câteva granule de piatră ponce (4.12). Se conectează repede vasul la aparatul de distilare. Se încălzește ușor timp de 30 minute. Se accelerează apoi încălzirea pentru a distila amoniacul. Se continuă distilarea pentru aproximativ o oră. După acest timp, reziduul din vas va avea probabil consistență siropoasă. După terminarea distilării se titrează excesul de acid din vasul de colectare a amoniacului, conform procedurii descrise la metoda 2.1.

Nota 1

Atunci când soluția de probă este acidă [pentru dizolvarea probei s-au adăugat 20 ml HCl (4.1.)], porțiunea de analizat se neutralizează în modul următor: în vasul de distilare ce conține porțiunea de analizat se adaugă aproximativ 250 ml apă și cantitatea necesară dintr-unul dintre indicatori (4.11.1, 4.11.2, 4.11.3) și se amestecă atent.

Se neutralizează cu soluție de hidroxid de sodiu 2 mol/l (4.8) și se acidulează din nou cu o picătură de acid clorhidric (4.1). Se procedează apoi conform indicațiilor de la punctul 7.2 (al doilea paragraf).

7.3.   Test-martor

Se testează o probă-martor în aceleași condiții și se ține cont de rezultat la calculul rezultatului final.

7.4.   Test de control

Înainte de efectuarea analizelor se verifică dacă aparatura funcționează corespunzător și dacă aplicarea metodei se face corect, folosind o porțiune din soluția de azotat de sodiu proaspăt preparată (4.13) care conține 0,050-0,150 g azot, în funcție de varianta aleasă.

8.   Exprimarea rezultatelor

A se vedea metoda 2.2.1.

Metoda 2.2.3

Determinarea azotului nitric și amoniacal după Devarda

1.   Obiect

Prezentul document definește procedura descrisă de Devarda pentru determinarea azotului amoniacal și nitric din îngrășăminte prin reducere (modificată pentru fiecare dintre variantele A, B și C).

2.   Domeniu de aplicare

A se vedea metoda 2.2.1.

3.   Principiu

Reducerea azotaților și azotiților la amoniac în soluție puternic alcalină, cu ajutorul unui aliaj metalic conținând 45 % Al, 5 % Zn și 50 % Cu (aliaj Devarda). Distilarea amoniacului și determinarea cantității de amoniac dintr-un volum cunoscut de soluție standard de acid sulfuric; titrarea excesului de acid cu o soluție standard de hidroxid de sodiu sau de potasiu.

4.   Reactivi

Apă distilată sau demineralizată, fără dioxid de carbon și fără nici un compus cu azot

4.1.   Acid clorhidric diluat: un volum de acid clorhidric (d = 1,18) plus un volum de apă

4.2.

Acid sulfuric 0,1 mol/l

pentru varianta a

4.3.

Soluție 0,1 mol/l de hidroxid de sodiu sau de potasiu, fără carbonați

4.4.

Acid sulfuric 0,2 mol/l

pentru varianta b (a se vedea nota 2, metoda 2.1)

4.5.

Soluție 0,2 mol/l de hidroxid de sodiu sau de potasiu, fără carbonați

4.6.

Acid sulfuric 0,5 mol/l

pentru varianta c (a se vedea nota 2, metoda 2.1)

4.7.

Soluție 0,5 mol/l de hidroxid de sodiu sau de potasiu, fără carbonați

4.8.   Aliaj Devarda pentru analiză

Granulație:

90-100 % sub 0,25 mm2;

50-75 % sub 0,075 mm2.

Se recomandă sticle preambalate cu conținut maxim de 100 g.

4.9.   Soluție de hidroxid de sodiu, aproximativ 30 % NaOH (d20 =1,33 g/ml), fără amoniac

4.10.   Soluții de indicatori

4.10.1.   Indicator mixt

Soluția A: Se dizolvă 1 g roșu de metil în 37 ml soluție de hidroxid de sodiu 0,1 mol/l și se completează la un litru cu apă.

Soluția B: Se dizolvă 1 g albastru de metilen în apă și se aduce la un litru cu apă.

Se amestecă un volum din A cu două volume din B.

Acest indicator este violet în soluție acidă, gri în soluție neutră și verde în soluție bazică. Se utilizează 0,5 ml (10 picături) din această soluție.

4.10.2.   Indicator colorat cu roșu de metil.

Se dizolvă 0,1 g roșu de metil în 50 ml alcool etilic 95 %. Se aduce la 100 ml cu apă și, dacă este necesar, se filtrează.

Acest indicator poate fi utilizat (patru-cinci picături) în locul celui de mai sus.

4.11.   Alcool etilic, 95-96 %

4.12.   Azotat de sodiu pentru analiză

5.   Aparatură

A se vedea metoda 2.1.

5.1.   Aparat de distilare format dintr-un balon cu fund rotund de capitate corespunzătoare, legat la un condensator printr-un tub de distilare prevăzut cu cap de pulverizare și echipat, în plus, cu un sistem de captare a vaporilor (capcană de vapori) într-un vas receptor, cu rolul de a preveni eventualele pierderi de amoniac.

Tipul de instalație aprobat pentru această determinare este reprodus, cu indicarea tuturor detaliilor constructive, în figura 5.

5.2.   Pipete de 10, 20, 25, 50, 100 și 200 ml

5.3.   Vas gradat de 500 ml

5.4.   Agitator rotativ (35-40 rotații pe minut)

6.   Pregătirea probei

A se vedea metoda 1.

7.   Mod de lucru

7.1.   Pregătirea soluției pentru analiză

A se vedea metoda 2.1, „Determinarea azotului amoniacal”.

7.2.   Analiza soluției

Cantitatea de azot nitric prezentă într-o porțiune din soluție nu trebuie să depășească cantitatea maximă redată în tabelul 1.

În funcție de varianta aleasă, se pune în vasul de colectare o cantitate măsurată de soluție standard de acid sulfuric, așa cum se indică în tabelul 1. Se adăugă cantitatea corespunzătoare din indicatorul ales (4.10.1 sau 4.10.2) și, la sfârșit, suficientă apă pentru a aduce volumul la aproximativ 50 ml. Capătul tubului din prelungirea condensatorului trebuie să se afle sub suprafața soluției din vasul de colectare. Se umple capcana de vapori cu apă distilată.

O porțiune se transferă în interiorul vasului de distilare cu ajutorul unei pipete de precizie, conform indicațiilor din tabelul 1 de la metoda 2.1.

Se adaugă apă până la obținerea unui volum total de 250-350 ml (a se vedea nota 1), 5 ml etanol (4.11) și 4 g aliaj Devarda (4.8) (a se vedea nota 2).

Luându-se toate precauțiile pentru a preveni pierderile de amoniac, se adaugă în balonul de distilare circa 30 ml soluție de hidroxid de sodiu 30 % (4.9) și, în final, în cazul în care proba a fost solubilizată cu acid, se mai adaugă o cantitate suficientă de hidroxid de sodiu pentru neutralizarea acidului clorhidric prezent în porțiunea de analizat. Se conectează balonul de distilare la aparat, asigurând etanșeitatea legăturilor. Se agită cu atenție balonul pentru amestecarea conținutului.

Se încălzește ușor, astfel încât degajarea de hidrogen să scadă considerabil în aproximativ o jumătate de oră și lichidul să fiarbă. Se continuă distilarea mărind fluxul de căldură, astfel încât să se distileze cel puțin 200 ml lichid în circa 30 de minute (fără a prelungi distilarea mai mult de 45 de minute).

Atunci când distilarea este terminată, se desface vasul de colectare a amoniacului și se spală tubul prelungitor și capcana de vapori, colectând apele de spălare în vasul de titrare (vasul de colectare a amoniacului). Se titrează excesul de acid conform procedurii din metoda 2.1.

Nota 2

În prezența sărurilor de calciu, cum ar fi azotatul de calciu și azotatul de calciu și amoniu, este necesar ca înainte de distilare să se adauge pentru fiecare gram prezent în probă 0,700 g fosfat de sodiu (NaH2PO4 · 2H2O), pentru a preveni formarea Ca(OH)2.

7.3.   Probă-martor

Se testează o probă-martor în aceleași condiții și se ține cont de rezultat la calculul rezultatului final.

7.4.   Test de control

Înainte de efectuarea analizelor se verifică dacă aparatura funcționează corespunzător și dacă aplicarea metodei se face corect, folosind o porțiune din soluția de azotat de sodiu proaspăt preparată (4.12) care conține, în funcție de varianta aleasă, 0,050-0,150 g azot nitric.

8.   Exprimarea rezultatelor

A se vedea metoda 2.2.1.

Figura 5

Image

Metoda 2.3.

Determinarea azotului total

Metoda 2.3.1

Determinarea azotului total din cianamida de calciu ce nu conține azotați

1.   Obiect

Prezentul document definește metoda de determinare a azotului nitric din îngrășăminte cu cianamidă de calciu ce nu conțin azotați.

2.   Domeniu de aplicare

Prezenta metodă se aplică numai pentru cianamida de calciu (fără azotați).

3.   Principiu

După degradarea Kjeldahl, azotul amoniacal format este dezlocuit cu hidroxid de sodiu; amoniacul se colectează și se determină dintr-o soluție standard de acid sulfuric.

4.   Reactivi

Apă distilată sau demineralizată, fără dioxid de carbon și fără nici un compus cu azot

4.1.   Acid sulfuric diluat (d20 = 1,54 g/ml): un volum de acid sulfuric (d20 =1,84 g/ml) plus un volum de apă

4.2.   Sulfat de potasiu pentru analiză

4.3.   Oxid de cupru (CuO): 0,3-0,4 g pentru fiecare determinare sau cantitatea echivalentă de sulfat de cupru pentahidrat (CuSO4 · 5H2O), adică 0,95-1,25 g pentru fiecare determinare

4.4.   Soluție de hidroxid de sodiu, aproximativ 30 % NaOH (d20 = 1,33), fără amoniac

4.5.

Acid sulfuric 0,1 mol/l

pentru varianta a (a se vedea metoda 2.1)

4.6.

Soluție 0,1 mol/l de hidroxid de sodiu sau de potasiu, fără carbonați

4.7.

Acid sulfuric 0,2 mol/l

pentru varianta b (a se vedea nota 2, metoda 2.1)

4.8.

Soluție 0,2 mol/l de hidroxid de sodiu sau de potasiu, fără carbonați

4.9.

Acid sulfuric 0,5 mol/l

pentru varianta c (a se vedea nota 2, metoda 2.1)

4.10.

Soluție 0,5 mol/l de hidroxid de sodiu sau de potasiu, fără carbonați

4.11.   Soluții de indicatori

4.11.1.   Indicator mixt

Soluția A: Se dizolvă 1 g roșu de metil în 37 ml soluție de hidroxid de sodiu 0,1 mol/l și se aduce la un litru cu apă.

Soluția B: Se dizolvă 1 g albastru de metilen în apă și se aduce la un litru cu apă.

Se amestecă un volum din A cu două volume din B.

Acest indicator este violet în soluție acidă, gri în soluție neutră și verde în soluție bazică. Se utilizează 0,5 ml (10 picături) din această soluție.

4.11.2.   Soluție de roșu de metil

Se dizolvă 0,1 g roșu de metil în 50 ml alcool etilic 95 %. Se aduce la 100 ml cu apă și, dacă este necesar, se filtrează. Acest indicator poate fi utilizat (patru-cinci picături) în locul celui de mai sus.

4.12.   Granule din piatră ponce pentru omogenizarea fierberii, spălate cu acid clorhidric și calcinate

4.13.   Tiocianat de potasiu pentru analiză

5.   Aparatură

5.1.   Aparat de distilare, a se vedea metoda 2.1, „Determinarea azotului amoniacal”

5.2.   Vas Kjeldahl cu gât lung și capacitate corespunzătoare

5.3.   Pipete de 50, 100 și 200 ml

5.4.   Vas cotat de 250 ml

6.   Pregătirea probei

A se vedea metoda 1.

7.   Mod de lucru

7.1.   Pregătirea soluției

Se cântărește, cu o precizie de 0,001 g, 1 g din probă și se trece în vasul Kjeldahl. Se adaugă 50 ml acid sulfuric diluat (4.1), 10-15 g sulfat de potasiu (4.2) și catalizatorul prescris (4.3). Se încălzește ușor pentru a elibera apa, după care se fierbe blând timp de două ore, se lasă să se răcească și se diluează cu 100-150 ml apă. Se răcește din nou și se transferă cantitativ suspensia într-un vas gradat de 250 ml, se aduce la semn cu apă, se agită și se filtrează pe un filtru uscat direct într-un vas uscat.

7.2.   Analiza soluției

În funcție de varianta aleasă (a se vedea metoda 2.1), se transferă cu o pipetă 50, 100 sau 200 ml din soluția obținută mai sus și se distilează amoniacul conform metodei 2.1, adăugând suficientă soluție de NaOH (4.4) pentru a se asigura un exces semnificativ.

7.3.   Test-martor

Se realizează un test-martor (omițând proba) în aceleași condiții și rezultatul acestuia se ia în considerare la calculul rezultatului final.

7.4.   Test de control

Înainte de efectuarea analizelor se verifică dacă aparatura funcționează corespunzător și dacă aplicarea metodei se face corect, folosind o porțiune din soluția de tiocianat de potasiu (4.13) conținând o cantitate de azot egală cu cea din proba de analizat.

8.   Exprimarea rezultatelor

Rezultatele se exprimă ca procente de azot (N) conținute în îngrășământul primit pentru analiză.

Varianta A: % N = (50 – A) × 0,7

Varianta B: % N = (50 – A) × 0,7

Varianta C: % N = (35 – A) × 0,875

Metoda 2.3.2

Determinarea azotului total din cianamida de calciu ce conține azotați

1.   Obiect

Prezentul document definește procedura pentru determinarea azotului total din cianamida de calciu.

2.   Domeniu de aplicare

Prezenta metodă se aplică pentru cianamida de calciu ce conține azotați.

3.   Principiu

Metoda Kjeldahl nu poate fi aplicată direct pentru cianamida de calciu ce conține azotați. De aceea, înainte de degradarea Kjeldahl, azotul nitric este redus la amoniac cu fier metalic și clorură stanoasă.

4.   Reactivi

Apă distilată sau demineralizată, fără dioxid de carbon și fără nici un compus cu azot.

4.1.   Acid sulfuric (d = 1,84 g/ml)

4.2.   Fier pulbere redus în hidrogen

4.3.   Sulfat de potasiu pulbere fină pentru analiză

4.4.

Soluție standard de acid sulfuric 0,1 mol/l

pentru varianta a (a se vedea metoda 2.1)

4.5.

Soluție 0,1 mol/l de hidroxid de sodiu sau de potasiu, fără carbonați

4.6.

Soluție standard de acid sulfuric 0,2 mol/l

pentru varianta b (a se vedea nota 2, metoda 2.1)

4.7.

Soluție 0,2 mol/l de hidroxid de sodiu sau de potasiu, fără carbonați

4.8.

Soluție standard de acid sulfuric 0,5 mol/l

pentru varianta c (a se vedea nota 2, metoda 2.1)

4.9.

Soluție 0,5 mol/l de hidroxid de sodiu sau de potasiu, fără carbonați

4.10.   Soluții de indicatori

4.10.1.   Indicator mixt

Soluția A: Se dizolvă 1 g roșu de metil în 37 ml soluție de hidroxid de sodiu 0,1 mol/l și se aduce la un litru cu apă.

Soluția B: Se dizolvă 1 g albastru de metilen în apă și se aduce la un litru cu apă.

Se amestecă un volum din A cu două volume din B.

Acest indicator este violet în soluție acidă, gri în soluție neutră și verde în soluție bazică. Se utilizează 0,5 ml (10 picături) din această soluție.

4.10.2.   Soluție de roșu de metil

Se dizolvă 0,1 g roșu de metil în 50 ml alcool etilic 95 %. Se aduce la 100 ml cu apă și, dacă este necesar, se filtrează. Acest indicator poate fi utilizat (patru-cinci picături) în locul celui de mai sus.

4.11.   Soluție de clorură stanoasă

Într-un balon cotat cu volum de 1 litru se dizolvă 120 g SnCl2 · 2H2O în 400 ml acid clorhidric concentrat (d20 = 1,18 g/ml) și se aduce la semn cu apă. Această soluție trebuie să fie complet limpede și trebuie preparată chiar înainte de a fi utilizată. Este important să se verifice capacitatea reducătoare a clorurii stanoase.

Notă

Se dizolvă 0,5 g SnCl2 · 2H2O în 2 ml acid clorhidric concentrat (d20 = 1,18 g/ml) și se aduce volumul la 50 ml cu apă. Se adaugă apoi 5 g sare Rochelle (tartrat de sodiu și potasiu) și o cantitate suficientă de bicarbonat de sodiu pentru analiză; soluția obținută trebuie să dea la testul cu hârtie de pH o reacție alcalină.

Se titrează cu soluție de iod 0,1 mol/l, folosind ca indicator o soluție amidon.

Un mililitru de soluție de iod 0,1 mol/l corespunde la 0,01128 g SnCl2 · 2H2O.

Cel puțin 80 % din staniul prezent în soluție trebuie să fie sub formă bivalentă. Pentru titrare trebuie să se folosească cel puțin 35 ml soluție de iod 0,1 mol/l.

4.12.   Soluție de hidroxid de sodiu conținând aproximativ 30 % NaOH (d20 = 1,33 g/ml), fără amoniac

4.13.   Soluție standard cu azot nitric și amoniacal

Se cântăresc 2,5 g azotat de potasiu pentru analiză și 10,16 g sulfat de amoniu pentru analiză și se pun într-un balon cotat de 250 ml. Se dizolvă în apă și se completează până la 250 ml cu apă. 1 ml din această soluție conține 0,01 g azot.

4.14.   Granule din piatră ponce, spălate cu acid clorhidric și calcinate

5.   Aparatură

A se vedea metoda 2.3.1.

6.   Pregătirea probei

A se vedea metoda 1.

7.   Mod de lucru

7.1.   Prepararea soluției

Se cântărește, cu o precizie de 0,001 g, 1 g din probă și se pune în vasul Kjeldahl. Se adaugă 0,5 g pulbere de fier (4.2) și 50 ml soluție de clorură stanoasă (4.11), se amestecă și se lasă să stea jumătate de oră. În acest timp se amestecă din nou soluția după 10 și, respectiv, 20 de minute, apoi se adaugă 10 g sulfat de potasiu (4.3) și 30 ml acid sulfuric (4.1). Se fierbe și se continuă procesul timp de o oră de la apariția unui fum alb. Se lasă să se răcească și se diluează cu 100-150 ml apă. Se transvazează suspensia cantitativ într-un balon cotat de 250 ml, se răcește, se aduce la semn cu apă, se amestecă și se filtrează printr-un filtru uscat într-un vas uscat. În locul sifonării suspensiei cu scopul aplicării uneia dintre variantele a, b sau c de la metoda 2.1, azotul amoniacal din această soluție poate fi distilat direct, după ce se adaugă suficient hidroxid de sodiu (4.12) pentru a se asigura un exces semnificativ.

7.2.   Analiza soluției

În funcție de varianta a, b sau c de la metoda 2.1, se transferă cu o pipetă 50, 100 sau 200 ml din soluția obținută mai sus. Se distilă amoniacul conform procedeului descris în metoda 2.1, adăugând cu atenție în vasul de distilare suficientă soluție NaOH pentru ca aceasta să fie considerabil în exces (4.2).

7.3.   Test-martor

Se realizează un test-martor (omițând proba) în aceleași condiții și rezultatul acestuia se ia în considerare la calculul rezultatului final.

7.4.   Test de control

Înainte de efectuarea analizelor se verifică dacă aparatura funcționează corespunzător și dacă aplicarea metodei se face corect, folosind o porțiune din soluția etalon (4.13.) conținând o cantitate de azot nitric și amoniacal comparabilă cu cantitatea de azot nitric și cianamidic conținut în cianamida de calciu ce conține azotați.

În acest scop se pun 20 ml din soluția etalon (4.13) în vasul Kjeldahl.

Se conduce analiza cu atenție, conform metodei descrise la punctele 7.1 și 7.2.

8.   Exprimarea rezultatelor

Rezultatele se exprimă ca procente de azot total (N) conținute în îngrășământul primit pentru analiză.

Varianta a: % N = (50 – A) × 0,7

Varianta b: % N = (50 – A) × 0,7

Varianta c: % N = (35 – A) × 0,875

Metoda 2.3.3

Determinarea azotului total din uree

1.   Obiect

Prezentul document definește procedura pentru determinarea azotului total din uree.

2.   Domeniu de aplicare

Prezenta metodă se aplică numai pentru îngrășămintele cu uree ce nu conțin azotați.

3.   Principiu

Ureea se transformă cantitativ în amoniac prin fierbere în prezența acidului sulfuric. Amoniacul astfel obținut este distilat dintr-un mediu alcalin, distilatul fiind prins într-o soluție standard de acid sulfuric aflat în exces. Excesul de acid se titrează cu ajutorul unei soluții alcaline standard.

4.   Reactivi

Apă distilată sau demineralizată, fără dioxid de carbon și fără nici un compus cu azot

4.1.   Acid sulfuric concentrat (d20 =1,84 g/ml)

4.2.   Soluție hidroxid de sodiu, aproximativ 30 % NaOH (d20 = 1,33 g/ml), fără amoniac

4.3.

Acid sulfuric 0,1 mol/l

pentru varianta a (a se vedea metoda 2.1)

4.4.

Soluție 0,1 mol/l de hidroxid de sodiu sau de potasiu, fără carbonați

4.5.

Acid sulfuric 0,2 mol/l

pentru varianta b (a se vedea nota 2, metoda 2.1)

4.6.

Soluție 0,2 mol/l de hidroxid de sodiu sau de potasiu, fără carbonați

4.7.

Soluție standard de acid sulfuric 0,5 mol/l

pentru varianta c (a se vedea nota 2, metoda 2.1)

4.8.

Soluție 0,5 mol/l de hidroxid de sodiu sau de potasiu, fără carbonați

4.9.   Soluții de indicatori

4.9.1.   Indicator mixt

Soluția A: Se dizolvă 1 g roșu de metil în 37 ml soluție de hidroxid de sodiu 0,1 mol/l și se aduce la un litru cu apă.

Soluția B: Se dizolvă 1 g albastru de metilen în apă și se aduce la un litru cu apă.

Se amestecă un volum din A cu două volume din B.

Acest indicator este violet în soluție acidă, gri în soluție neutră și verde în soluție bazică. Se utilizează 0,5 ml (10 picături) din această soluție.

4.9.2.   Soluție de roșu de metil

Se dizolvă 0,1 g roșu de metil în 50 ml alcool etilic 95 %. Se aduce la 100 ml cu apă și, dacă este necesar, se filtrează. Acest indicator poate fi utilizat (patru-cinci picături) în locul celui de mai sus.

4.10.   Granule din piatră ponce, spălate cu acid clorhidric și calcinate

4.11.   Uree pentru analiză

5.   Aparatură

5.1.   Aparat de distilare, a se vedea metoda 2.1, „Determinarea azotului amoniacal”

5.2.   Vas gradat de 500 ml

5.3.   Pipete de 25, 50 și 100 ml

6.   Pregătirea probei

A se vedea metoda 1.

7.   Mod de lucru

7.1.   Prepararea soluției

Se cântăresc, cu o precizie de 0,001 g, 2,5 g din probă se pune cantitatea cântărită într-un vas Kjeldahl de 300 ml, după care se umezește cu 20 ml apă. Se toarnă 20 ml acid sulfuric concentrat (4.1), se adaugă câteva bile de sticlă pentru a preveni antrenarea probei și se amestecă. Pentru a preveni împroșcarea se introduce prin gâtul sticlei o pâlnie din sticlă cu gât lung. Se încălzește ușor la început, apoi din ce în ce mai intens până când se observă degajarea unui fum alb (30-40 minute).

Se răcește și se diluează cu 100-150 ml apă. Se transferă cantitativ într-un vas cotat de 500 ml, înlăturând toate sedimentele. Se lasă să se răcească la temperatura camerei, se aduce la semn cu apă, se amestecă și, dacă este necesar, se filtrează printr-un filtru uscat într-un vas de colectare uscat.

7.2.   Analiza soluției

În funcție de varianta aleasă (a se vedea metoda 2.1), se transferă în vasul de distilare 25, 50 sau 100 ml din soluția obținută, cu ajutorul unei pipete. Se distilează amoniacul conform procedeului descris la metoda 2.1, adăugând suficientă soluție NaOH (d20 = 1,33 g/ml) (4.2) în vasul de distilare pentru a se asigura un exces semnificativ.

7.3.   Test-martor

Se realizează un test-martor (omițând proba) în aceleași condiții și rezultatul acestuia se ia în considerare la calculul rezultatului final.

7.4.   Test de control

Înainte de efectuarea analizelor se verifică dacă aparatura funcționează corespunzător și dacă aplicarea metodei se face corect, folosind o porțiune din soluția de uree proaspăt preparată pentru analiză (4.11).

8.   Exprimarea rezultatelor

Rezultatele se exprimă ca procente de azot (N) conținute în îngrășământul primit pentru analiză.

Varianta A: % N = (50 – A) × 1,12

Varianta B: % N = (50 – A) × 1,12

Varianta C: % N = (35 – A) × 1,40

Metoda 2.4

Determinarea azotului cianamidic

1.   Obiect

Prezentul document definește procedura pentru determinarea azotului cianamidic.

2.   Domeniu de aplicare

Prezenta metodă se aplică pentru îngrășămintele ce conțin cianamidă de calciu sau cianamidă de calciu și azotați.

3.   Principiu

Azotul cianamidic se precipită sub forma unui complex cu argint și se determină din precipitat prin metoda Kjeldahl.

4.   Reactivi

Apă distilată sau demineralizată, fără dioxid de carbon și fără nici un compus cu azot.

4.1.   Acid acetic glacial

4.2.   Soluție de amoniac cu 10 % (procente de masă) amoniac gazos (d20 = 0,96 g/ml)

4.3.   Soluție amoniacală de argint (reactiv Tollens)

Se amestecă 500 ml soluție 10 % azotat de argint în apă cu 500 ml amoniac 10 % (4.2).

În cazul în care nu este necesar, nu se expune la lumină, căldură sau aer. În mod normal, soluția se poate păstra mai mulți ani. În cazul în care soluția rămâne limpede mai mult timp, reactivii sunt de bună calitate.

4.4.   Acid sulfuric concentrat (d20 = 1,84 g/ml)

4.5.   Sulfat de potasiu pentru analiză

4.6.   Oxid de cupru (CuO), 0,3-0,4 g pentru fiecare determinare, sau cantitatea echivalentă de sulfat de cupru pentahidrat (CuSO4 · 5H2O) de la 0,95 până la 1,25 pentru fiecare determinare

4.7.   Soluție hidroxid de sodiu, aproximativ 30 % NaOH (d20 = 1,33 g/ml), fără amoniac

4.8.   Acid sulfuric 0,1 mol/l

4.9.   Soluție 0,1 mol/l de hidroxid de sodiu sau de potasiu

4.10.   Soluții de indicatori

4.10.1.   Indicator mixt

Soluția A: Se dizolvă 1 g roșu de metil în 37 ml soluție hidroxid de sodiu 0,1 mol/l și se aduce la un litru cu apă.

Soluția B: Se dizolvă 1 g albastru de metilen în apă și se aduce la un litru cu apă.

Se amestecă un volum din A cu două volume din B.

Acest indicator este violet în soluție acidă, gri în soluție neutră și verde în soluție bazică. Se utilizează 0,5 ml (10 picături) din această soluție.

4.10.2.   Soluție de indicator roșu de metil

Se dizolvă 0,1 g roșu de metil în 50 ml alcool etilic 95 %. Se aduce la 100 ml cu apă și dacă este necesar, se filtrează. Acest indicator poate fi utilizat (patru-cinci picături) în locul celui de mai sus.

4.11.   Granule din piatră ponce, spălate cu acid clorhidric și calcinate

4.12.   Tiocianat de potasiu pentru analiză.

5.   Aparatură

5.1.   Aparat de distilare, a se vedea metoda 2.1, „Determinarea azotului amoniacal”

5.2.   Vas gradat de 500 ml (de exemplu, vas Stohmann)

5.3.   Vas Kjeldahl cu gât lung, de capacitate corespunzătoare (300-500 ml)

5.4.   Pipete de 50 ml

5.5.   Agitator rotativ (35-40 rotații pe minut)

6.   Pregătirea probei

A se vedea metoda 1.

7.   Mod de lucru

7.1.   Măsuri de siguranță

La utilizarea oricărei soluții amoniacale de argint este obligatorie folosirea ochelarilor de protecție. Imediat după formarea unei membrane subțiri la suprafața lichidului, agitarea poate declanșa o explozie și este deosebit de important să se lucreze cu atenție.

7.2.   Pregătirea soluției pentru analiză

Se cântăresc, cu o precizie de 0,001 g, 2,5 g din probă și se pun într-un mojar mic din sticlă. Se mărunțește soluția prin mojarare cu apă. Mojararea se face în trei rânduri, de fiecare dată scurgând apa într-un vas gradat de 500 ml (5.2). Proba din mojar se transferă cantitativ în vasul gradat, spălând mojarul, pistilul și pâlnia cu apă. Se completează cu apă până la aproximativ 400 ml și apoi se adaugă 15 ml acid acetic (4.1). Se amestecă cu un agitator rotativ (5.5) timp de două ore.

Se aduce la 500 ml cu apă, se amestecă și se filtrează.

Analiza trebuie realizată cât mai repede posibil.

7.3.   Analiza soluției

Se transferă 50 ml din filtrat într-un pahar de 250 ml.

Se adaugă soluția de amoniac (4.2) până la realizarea unui mediu ușor alcalin, după care se adaugă 30 ml azotat de argint amoniacal cald (4.3), cu scopul precipitării complexului galben de argint cu cianamidă.

Se lasă să stea peste noapte, se filtrează și se spală precipitatul cu apă rece până când acesta nu mai conține deloc amoniac.

Se pun filtrul și precipitatul, încă umed, într-un balon Kjeldahl. Se adaugă 10-15 g sulfat de potasiu (4.5), catalizatorul (4.6) în cantitatea prescrisă, apoi 50 ml apă și 25 ml acid sulfuric concentrat (4.4).

Se încălzește ușor balonul, agitând ușor conținutul, până la începerea fierberii. Se mărește intensitatea încălzirii și se fierbe până când conținutul vasului devine incolor sau verde pal.

Se continuă fierberea încă o oră, după care se lasă să se răcească.

Se transferă cantitativ lichidul din balonul Kjeldahl într-un vas de distilare, se adaugă câteva granule de piatră ponce (4.11) și se completează cu apă până la un volum de aproximativ 350 ml. Se amestecă și se răcește.

Se distilează amoniacul conform metodei 2.1, varianta a, adăugând suficientă soluție de hidroxid de sodiu (4.7) pentru a se asigura un exces semnificativ.

7.4.   Test-martor

Se realizează un test-martor (omițând proba) în aceleași condiții și rezultatul acestuia se ia în considerare la calculul rezultatului final.

7.5.   Test de control

Înainte de efectuarea analizelor, se verifică dacă aparatura funcționează corespunzător și dacă aplicarea metodei se face corect, folosind o porțiune din soluția standard de tiocianat de potasiu (4.12) corespunzătoare cantității de 0,05 g azot.

8.   Exprimarea rezultatelor

Rezultatele se exprimă ca procente de azot cianamidic conținute în îngrășământul ce a fost primit pentru analiză.

Formula

Metoda 2.5

Determinarea spectrofotometrică a biuretelui din uree

1.   Obiect

Prezentul document definește procedura pentru determinarea biuretelui din uree, în cazul analizei îngrășămintelor.

2.   Domeniu de aplicare

Prezenta metodă se aplică numai pentru uree.

3.   Principiu

În mediu alcalin, în prezența tartratului de sodiu și potasiu, biuretul și cuprul bivalent formează un complex cupric violet. Densitatea optică a soluției se măsoară la o lungime de undă de aproximativ 546 nm (nanometri).

4.   Reactivi

Apă distilată sau demineralizată, fără dioxid de carbon sau amoniac. Calitatea apei are o importanță deosebită în această determinare

4.1.   Metanol

4.2.   Soluție acid sulfuric, aproximativ 0,1 mol/l

4.3.   Soluție hidroxid de sodiu, aproximativ 0,1 mol/l

4.4.   Soluție alcalină de tartrat de sodiu și potasiu

Într-un balon cotat de un litru se dizolvă 40 g hidroxid de sodiu în 500 ml apă, după care se lasă să se răcească. Se adaugă 50 g tartrat de sodiu și potasiu (NaKC4H4O6 · 4H2O). Se aduce la semn cu apă. Se lasă să stea 24 ore înainte de utilizare.

4.5.   Soluție de sulfat de cupru

Într-un balon cotat de un litru se dizolvă 15 g sulfat de cupru pentahidrat (CuSO4 · 5H2O) în 500 ml apă. Se aduce la semn cu apă.

4.6.   Soluție standard de biuret proaspăt preparată

Într-un balon cotat de 250 ml se dizolvă în apă 0,250 g biuret pur (9). Se aduce balonul la semn cu apă. 1 ml din această soluție conține 0,001 g biuret.

4.7.   Soluție de indicator

Într-un balon cotat de 100 ml se dizolvă 0,1 g roșu de metil în 50 ml etanol 95 %, după care se aduce la semn cu apă. În cazul în care solubilizarea nu este completă, soluția se filtrează.

5.   Aparatură

5.1.   Spectrofotometru sau fotometru cu filtre, având sensibilitate și precizie care să permită reproducerea unor măsuri mai mici de 0,5 %T (10)

5.2.   Vase gradate de 100, 250 și 1 000 ml

5.3.   Pipete gradate de 2, 5, 10, 20, 25 și 50 ml sau o biuretă de 25 ml gradată la 0,05 ml

5.4.   Vas de 250 ml

6.   Pregătirea probei

A se vedea metoda 1.

7.   Mod de lucru

7.1.   Curba de etalonare

Se transferă porțiuni de 0, 2, 5, 10, 20, 25 și 50 ml din soluția standard de biuret (4.6) într-o serie de 7 baloane cotate de 100 ml. Se aduce conținutul fiecărui balon până la aproximativ 50 ml cu apă, se adaugă o picătură de indicator (4.7) și, dacă este necesar, se neutralizează cu acid sulfuric 0,1 mol/l (4.2). Se adaugă, amestecând, 20 ml soluție alcalină de tartrat (4.4) și 20 ml soluție de sulfat de cupru (4.5).

Notă

Aceste soluții (4.4 și 4.5) trebuie să fie măsurate precis cu două biurete sau, cel mai bine, cu pipete.

Se aduc baloanele cotate la 100 ml cu apă distilată, se amestecă și se lasă să stea 15 minute la 30 (± 2) °C.

Cu soluția de biuret de referință 0 se măsoară absorbanța fiecărei soluții la lungimea de undă de aproximativ 546 nm, utilizând celule de grosimi adecvate.

Se trasează curba de etalonare, reprezentând pe ordonată absorbanțele, iar pe abscisă cantitățile corespunzătoare de biuret, în miligrame.

7.2.   Pregătirea soluției ce trebuie analizată

Se cântăresc, cu o precizie de 0,001 g, 10 grame din proba pregătită; cantitatea cântărită se dizolvă în aproximativ 150 ml apă într-un balon cotat de 250 ml, după care se aduce la semn cu apă. Dacă este necesar, se filtrează.

Observația 1

În cazul în care proba analizată conține mai mult de 0,015 g azot amoniacal, aceasta se dizolvă în 50 ml metanol (4.1), într-un pahar de 250 ml. Se reduce volumul prin evaporare până la 25 ml. Se transferă cantitativ într-un balon cotat de 250 ml și se aduce la semn cu apă. Dacă este necesar, se filtrează printr-un filtru uscat într-un recipient uscat.

Observația 2

Eliminarea opalescenței: în cazul în care sunt prezente substanțe coloidale, în timpul filtrării pot apărea dificultăți. În acest caz, soluția pentru analiză se prepară astfel: se dizolvă proba de analizat în 150 ml apă, se adaugă 2 ml acid clorhidric 1 mol/l și se filtrează soluția direct prin două filtre plate foarte fine, într-un balon cotat de 250 ml. Se spală filtrele cu apă și se aduce la semn cu apă. Procesul se continuă conform metodei de la punctul 7.3, „Determinarea”.

7.3.   Determinarea

În funcție de conținutul de biuret presupus a fi în de probă, 25 sau 50 ml din soluția menționată la punctul 7.2 se transferă cu o pipetă într-un balon de 100 ml. Dacă este necesar, se neutralizează cu reactiv 0,1 mol/l (4.2 sau 4.3), folosind ca indicator soluție de roșu de metil, și se adaugă, cu aceeași acuratețe ca la trasarea curbei de etalonare, 20 ml din soluția alcalină de tartrat de sodiu și potasiu (4.4) și 20 ml din soluția de cupru (4.5). Se aduce la semn cu apă, se amestecă în întregime și se lasă soluția să stea aproximativ 15 minute la 30 (± 2) °C.

Se realizează măsurarea fotometrică și se calculează cantitatea de biuret conținută în uree.

8.   Exprimarea rezultatelor

Formula

unde

 

„C” este masa de biuret, în miligrame, citită de pe graficul standardizat;

 

„V” este volumul porțiunii de analizat.

9.   Anexă

Dacă „Jo” este intensitatea radiației monocromatice (determinată de lungimea de undă) înainte de trecerea prin corpul transparent, iar „J” este intensitatea acesteia după trecere, atunci:

— factorul de transmisie:

Formula

— opacitatea:

Formula

— densitatea optică:

Formula

— densitatea optică pe unitatea de drum optic:

Formula

— coeficientul specific de densitate optică:

Formula

unde:

s= grosimea stratului, în centimetri;

c= concentrația, în mg/l;

k= factorul din Legea Lambert-Beer, specific fiecărei substanțe;

Metodele 2.6

Determinarea diferitelor forme de azot din aceeași probă

Metoda 2.6.1

Determinarea diferitelor forme de azot dintr-o probă de îngrășământ ce conține azot nitric, azot amoniacal, azot din uree și azot cianamidic

1.   Obiect

Prezentul document definește procedura pentru determinarea oricărei forme de azot în prezența oricăror alte forme de azot.

2.   Domeniu de aplicare

Prezenta metodă se aplică tuturor îngrășămintelor prevăzute la anexa I care conțin azot în diferite forme.

3.   Principiu

3.1.   Azot total, solubil și insolubil

Conform listei îngrășămintelor standard (îngrășămintelor-etalon) (anexa I), aceste determinări se aplică tuturor produselor ce conțin cianamidă de calciu.

3.1.1.

În absența azotaților, proba analizată se mineralizează prin degradare Kjeldahl directă.

3.1.2.

În prezența azotaților, proba analizată se mineralizează prin degradare Kjeldahl după reducerea cu fier metalic și clorură stanoasă.

În ambele cazuri, amoniacul se determină conform metodei 2.1.

Notă

În cazul în care analiza indică un conținut de azot insolubil mai mare de 0,5, se conchide că îngrășământul conține alte forme de azot insolubil, care nu sunt incluse în lista din anexa I.

3.2.   Forme de azot solubil

Următoarele forme se determină din diferite porțiuni luate din soluția aceleiași probe:

3.2.1.

azot total solubil:

3.2.1.1.

în absența azotaților, prin degradare Kjeldahl directă,

3.2.1.2.

în prezența azotaților, prin degradare Kjeldahl a unei porțiuni din soluție, după reducere prin metoda Ulsch, amoniacul urmând a fi determinat, în ambele cazuri, așa cum se arată în metoda 2.1;

3.2.2.

azotul total solubil, cu excepția azotului nitric, prin degradare Kjeldahl după eliminarea azotului nitric cu sulfat feros în mediu acid, amoniacul urmând a fi determinat așa cum se arată la metoda 2.1;

3.2.3.

azot nitric, prin diferența:

3.2.3.1.

în absența azotului cianamidic, dintre 3.2.1.2 și 3.2.2 și/sau între azotul total solubil (3.2.1.2) și suma dintre azotul amoniacal și azotul organic din uree (3.2.4 + 3.2.5);

3.2.3.2.

în prezența cianamidei de calciu, dintre 3.2.1.2. și 3.2.2. sau dintre 3.2.1.2. și suma 3.2.4 + 3.2.5 + 3.2.6;

3.2.4.

azot amoniacal:

3.2.4.1.

numai în prezență de azot amoniacal și azot amoniacal plus azot nitric, prin aplicarea metodei 1;

3.2.4.2.

în prezența azotului din uree și/sau a azotului cianamidic, prin distilarea la rece după ce se realizează un mediului ușor alcalin, amoniacul format fiind absorbit într-o soluție standard de acid sulfuric și determinat așa cum se arată în metoda 2.1;

3.2.5.

azot din uree:

3.2.5.1.

prin conversia la amoniac utilizând ureaza, amoniacul format fiind titrat cu o soluție standard de acid clorhidric

sau

3.2.5.2.

gravimetric, cu xanthydrol: biuretul coprecipitat poate fi socotit, fără eroare mare, ca azot din uree, deoarece în îngrășământul compus conținutul de biuret rămâne în general mic în valoarea absolută

sau

3.2.5.3.

prin diferență, conform tabelului următor:

Cazul

Azot nitric

Azot amoniacal

Azot cianamidic

Diferență

1

Absent

Prezent

Prezent

(3.2.1.1) — (3.2.4.2 + 3.2.6)

2

Prezent

Prezent

Prezent

(3.2.2) — (3.2.4.2 + 3.2.6)

3

Absent

Prezent

Absent

(3.2.1.1) — (3.2.4.2)

4

Prezent

Prezent

Absent

(3.2.2) — (3.2.4.2)

3.2.6.

azotul cianamidic, prin precipitare sub formă de compus de argint, azotul urmând a fi determinat din precipitat prin metoda Kjeldahl.

4.   Reactivi

Apă distilată sau demineralizată

4.1.   Sulfat de potasiu pentru analiză

4.2.   Pulbere de fier, redusă cu hidrogen (cantitatea prescrisă de fier trebuie să poată reduce cel puțin 50 mg azot nitric)

4.3.   Tiocianat de potasiu pentru analiză

4.4.   Azotat de potasiu pentru analiză

4.5.   Sulfat de amoniu pentru analiză

4.6.   Uree pentru analiză

4.7.   Acid sulfuric diluat 1:1 (volume): 1 volum acid sulfuric (d20 = 1,18 g/ml) și 1 volum apă

4.8.   Soluție titrată de acid sulfuric: 0,2 mol/l

4.9.   Soluție concentrată de hidroxid de sodiu. Soluție apoasă de hidroxid de sodiu 30 % (m/V), fără amoniac.

4.10.   Soluție etalon de hidroxid de sodiu sau de potasiu: 0,2 mol/l, fără carbonați.

4.11.   Soluție de clorură stanoasă

Într-un balon cotat de 1 litru se dizolvă 120 g SnCl2 · 2H2O în 400 ml acid clorhidric concentrat (d20 =1,18 g/ml) și se aduce la semn cu apă. Soluția trebuie să fie perfect limpede și este necesar să fie preparată chiar înainte de utilizare.

Notă

Este esențial să se verifice puterea reducătoare a clorurii stanoase. Pentru aceasta se dizolvă 0,5 g SnCl2 · 2H2O în 2 ml acid clorhidric concentrat (d20 =1,18 g/ml) și se completează cu apă până la 50 ml. Se adaugă 5 g sare Rochelle (tartrat de sodiu și potasiu), apoi suficient bicarbonat de sodiu pentru ca hârtia de pH să indice un mediu alcalin.

Se titrează cu o soluție de iod 0,1 mol/l, în prezența amidonului ca indicator.

1 ml soluție 0,1 mol/l corespunde la 0,01128 g SnCl2 · 2H2O.

Cel puțin 80 % din cantitatea de staniu prezentă în soluția preparată trebuie să fie în formă bivalentă. De aceea, pentru titrare trebuie să se folosească cel puțin 35 ml soluție de iod 0,1 mol/l.

4.12.   Acid sulfuric (d20 =1,84 g/ml)

4.13.   Acid clorhidric diluat: 1 volum de acid clorhidric (d20 = 1,18 g/ml) și 1 volum apă

4.14.   Acid acetic: 96-100 %

4.15.   Soluție de acid sulfuric aproximativ 30 % (m/V)

4.16.   Sulfat feros, cristale, FeSO4 · 7H2O

4.17.   Soluție etalon de acid sulfuric 0,1 mol/l

4.18.   Octanol

4.19.   Soluție saturată de carbonat de potasiu

4.20.   Soluție standard de hidroxid de sodiu sau de potasiu 0,1 mol/l (fără carbonați)

4.21.   Soluție saturată de hidroxid de bariu

4.22.   Soluție carbonat de sodiu 10 % (m/V)

4.23.   Acid clorhidric 2 mol/l

4.24.   Soluție standard de acid clorhidric 0,1 mol/l.

4.25.   Soluție de urează

Se face o suspensie de 0,5 g urează activă în 100 ml apă. Se adaugă acid clorhidric 0,1 mol/l până când pH-ul soluției (măsurat cu un pH-metru) ajunge la 5,4.

4.26.   Xanthydrol

Soluție 5 % în etanol sau metanol (4.31) (nu se vor utiliza produse ce dau cantități mari de compuși insolubili în apă). Soluția poate fi păstrată timp de 3 luni într-o sticlă bine închisă, la întuneric.

4.27.   Oxid de cupru (CuO), 0,3-0,4 g pentru fiecare determinare, sau cantitatea echivalentă de sulfat de cupru pentahidrat (CuSO4 · 5H2O): 0,95-1,25 g pentru fiecare determinare

4.28.   Granule piatră ponce, spălate cu acid clorhidric și calcinate

4.29.   Soluții de indicatori

4.29.1.   Soluția A: Se dizolvă 1 g roșu de metil în 37 ml soluție de hidroxid de sodiu 0,1 mol/l și se aduce la un litru cu apă.

Soluția B: Se dizolvă 1 g albastru de metilen în apă și se aduce la un litru cu apă.

Se amestecă un volum din A cu două volume din B.

Acest indicator este violet în soluție acidă, gri în soluție neutră și verde în soluție bazică. Se utilizează 0,5 ml (10 picături) din această soluție.

4.29.2.   Soluție de roșu de metil

Se dizolvă 0,1 g roșu de metil în 50 ml alcool etilic 95 %. Se aduce la 100 ml cu apă și, dacă este necesar, se filtrează. Acest indicator poate fi utilizat (patru-cinci picături) în locul celui de mai sus.

4.30.   Hârtie indicatoare

Hârtie de pH, albastru de bromtimol (sau altă hârtie sensibilă la pH 6-8).

4.31.   Etanol sau metanol, soluție 95 %

5.   Aparatură

5.1.   Aparat de distilare

A se vedea metoda 2.1.

5.2.   Aparat pentru determinarea azotului amoniacal conform metodei 7.2.5.3 (a se vedea figura 6)

Aparatura este realizată dintr-un vas colector cu o formă specială, cu gât larg de sticlă și gât lateral, un tub cu cap de pulverizare și un tub perpendicular pentru introducerea aerului. Tuburile pot fi conectate la vasul colector prin intermediul unui dop de cauciuc găurit. Este important ca partea finală a tubului prin care se introduce aer să aibă o formă potrivită, deoarece bulele de gaz trebuie să fie perfect distribuite în soluția din vasul colector și în absorber. Cel mai bun aranjament constă într-o mică piesă de forma unei ciuperci cu un diametru exterior de 20 mm și șase deschizături de 1 mm în jurul periferiei.

5.3.   Aparatură pentru determinarea azotului din uree conform metodei de determinare cu urează (7.2.6.1)

Această aparatură constă într-un vas Erlenmeyer de 300 ml, cu o pâlnie de separare și un mic absorber (a se vedea figura 7).

5.4.   Agitator rotativ (35-40 rotații pe minut)

5.5.   pH-metru

5.6.   Cuptor reglabil

5.7.   Sticlărie:

pipete de 2, 5, 10, 20, 25, 50 și 100 ml;

vase Kjeldahl cu gât lung, de 300 și 500 ml;

baloane cotate de 100, 250, 500 și 1 000 ml;

pâlnie filtrantă din sticlă sinterizată, cu diametrul porilor de 5 până la 15 μ;

mojare.

6.   Pregătirea probei

A se vedea metoda 1.

7.   Tehnică analitică

7.1.   Azotul total, solubil și insolubil

7.1.1.   În absența azotaților

7.1.1.1.   Degradare

Se cântărește, cu o precizie de 0,001 g, o cantitate de probă conținând cel mult 100 mg azot. Cantitatea cântărită se pune în vasul de distilare (5.1). Se adaugă 10-15 g sulfat de potasiu (4.1), catalizatorul (4.27) și câteva granule pentru omogenizarea fierberii (4.28). După aceea se adaugă 50 ml acid sulfuric diluat (4.7) și se amestecă. Se încălzește la început ușor, amestecând din când în când, până când nu mai spumează. Apoi se încălzește astfel încât lichidul să fiarbă constant și se menține la fierbere încă o oră după ce soluția devine limpede, prevenind lipirea oricăror materiale organice de pereții vasului. Se lasă să se răcească. Se adaugă cu atenție 350 ml apă, sub agitare. Se verifică dacă dizolvarea este pe cât posibil completă. Se lasă să se răcească și se conectează vasul la aparatul de distilare (5.1).

7.1.1.2.   Distilarea amoniacului

50 ml soluție standard de acid sulfuric 0,2 mol/l (4.8) se transferă cu o pipetă de precizie în vasul de colectare al aparatului. Se adaugă indicatorul (4.29.1 sau 4.29.2). Se asigură ca terminația condensatorului să fie la cel puțin 1 cm sub suprafața soluției.

Luându-se toate precauțiile necesare pentru evitarea scăpărilor de amoniac, se adaugă cu atenție în vasul de distilare suficientă soluție concentrată de hidroxid de sodiu (4.9) pentru ca soluția să fie puternic alcalină (în general 120 ml sunt suficienți; se verifică prin adăugarea câtorva picături de fenolftaleină. La sfârșitul distilării soluția din vas trebuie să fie clar alcalină). Se reglează încălzirea vasului astfel încât să se distileze 150 ml în jumătate de oră. Se verifică folosind hârtie indicatoare (4.30) dacă distilarea este completă. În cazul în care distilarea nu s-a terminat, se distilează încă 50 ml și se repetă testul până când distilatul dă reacție neutră la hârtia indicatoare (4.30). Se coboară apoi vasul de colectare, se mai distilează câțiva mililitri de soluție și se spală capătul condensatorului. Se titrează excesul de acid cu o soluție standard de hidroxid de sodiu sau de potasiu 0,2 mol/l (4.10), până când indicatorul își schimbă culoarea.

7.1.1.3.   Test-martor

Se realizează un test-martor (omițând proba) în aceleași condiții și rezultatul acestuia se ia în considerare la calculul rezultatului final.

7.1.1.4.   Exprimarea rezultatelor

Formula

unde:

a

=

ml soluție standard de hidroxid de sodiu sau de potasiu 0,2 mol/l utilizați pentru testul-martor, realizat prin pipetarea a 50 ml soluție standard de acid sulfuric 0,2 mol/l (4.8) în vasul de colectare al aparatului (5.1);

A

=

ml soluție standard de hidroxid de sodiu sau de potasiu 0,2 mol/l utilizați pentru analiză;

M

=

masa probei, în grame.

7.1.2.   În prezența azotaților

7.1.2.1.   Proba

Se cântărește, cu o acuratețe de 1 mg, o cantitate de probă ce nu conține mai mult de 40 mg azot nitric.

7.1.2.2.   Reducerea azotaților

Se amestecă proba cu 50 ml apă, într-un mojar mic. Se transferă conținutul cu o cantitate minimă de apă distilată într-un vas Kjeldahl de 500 ml. Se adaugă 5 g fier redus (4.2) și 50 ml din soluția de clorură stanoasă (4.11). Se agită și se lasă soluția în repaus timp de o jumătate de oră. În acest timp, se amestecă din nou după 10 și, respectiv, 20 de minute.

7.1.2.3.   Degradare Kjeldahl

Se adaugă 30 ml acid sulfuric (4.12), 5 g sulfat de potasiu (4.1), cantitatea prescrisă de catalizator (4.27) și câteva granule pentru omogenizarea fierberii (4.28). Se încălzește ușor ținând vasul un pic înclinat. Se intensifică treptat încălzirea și se agită soluția des pentru a menține amestecul în suspensie: lichidul se închide la culoare și apoi se limpezește, formându-se o suspensie galben-verde de sulfat de fier anhidru. Se continuă încălzirea încă o oră după obținerea unei soluții limpezi, menținând fierberea la foc mic. Se lasă să se răcească. Conținutul vasului se ia cu atenție în puțină apă și se adaugă 100 ml apă, puțin câte puțin. Se amestecă și se transferă conținutul vasului într-un balon cotat de 500 ml. Se aduce la semn cu apă. Se amestecă. Se filtrează printr-un filtru uscat într-un vas colector uscat.

7.1.2.4.   Analiza soluției

O porțiune conținând cel mult 100 mg azot se transferă cu o pipetă în vasul de distilare al aparatului (5.1). Se diluează cu apă distilată până la aproximativ 350 ml, se adaugă câteva granule pentru omogenizarea fierberii (4.28), se conectează vasul la aparatul de distilare și se continuă determinarea așa cum este indicat la 7.1.1.2.

7.1.2.5.   Proba-martor.

A se vedea 7.1.1.3.

7.1.2.6.   Exprimarea rezultatelor

Formula

unde:

a

=

ml soluție standard de hidroxid de sodiu sau de potasiu 0,2 mol/l utilizați pentru testul-martor, realizat prin pipetarea în vasul de colectare al aparatului (5.1) a 50 ml soluție standard de acid sulfuric 0,2 mol/l (4.8);

A

=

ml soluție standard de hidroxid de sodiu sau de potasiu 0,2 mol/l utilizați pentru analiză;

M

=

masa probei, în grame, prezentă în porțiunea de analizat luată la 7.1.2.4.

7.2.   Forme de azot solubil

7.2.1.   Pregătirea soluției care trebuie analizată

Se cântăresc, cu o precizie de 1 mg, 10 g din probă și se pun într-un vas cotat de 500 ml.

7.2.1.1.   În cazul în care îngrășământul nu conține azot cianamidic

Se adaugă în vas 50 ml apă și 20 ml acid clorhidric diluat (4.13). Se agită și se lasă vasul să stea până când degajarea de dioxid de carbon încetează. După aceea se adaugă 400 ml apă și se amestecă cu un agitator rotativ (5.4) timp de jumătate de oră. Se aduce vasul la semn cu apă, se amestecă și se filtrează printr-un filtru uscat într-un vas uscat.

7.2.1.2.   În cazul în care îngrășământul conține azot cianamidic

Se adaugă în vas 400 ml apă și câteva picături de roșu de metil (4.29.2). Dacă este necesar, se acidulează soluția adăugând 15 ml acid acetic (4.14). Se amestecă cu un agitator rotativ timp de două ore (5.4). Dacă este necesar, se reacidulează soluția în timpul acestei operații, utilizând acid acetic (4.14). Se aduce la semn cu apă, se amestecă, se filtrează imediat printr-un filtru uscat într-un vas uscat și se determină imediat azotul cianamidic.

În ambele cazuri, diferitele forme de azot solubil se determină în ziua preparării soluției, începând cu azotul cianamidic și azotul din uree, dacă acestea sunt prezente.

7.2.2.   Azot solubil total

7.2.2.1.   În absența azotaților

Se pipetează într-un vas Kjeldahl de 300 ml o porțiune din filtrat (7.2.1.1 sau 7.2.1.2.), conținând cel mult 100 mg azot. Se adaugă 15 ml acid sulfuric concentrat (4.12), 0,4 g oxid de cupru sau 1,25 g sulfat de cupru (4.27) și câteva granule pentru omogenizarea fierberii (4.28). Se încălzește ușor la început pentru inițierea degradării și apoi la temperatură mai mare, până când soluția devine incoloră sau devine ușor verzuie și apare clar un fum alb. După răcire se transferă cantitativ soluția în vasul de distilare, se diluează cu aproximativ 500 ml apă și se adaugă câteva granule pentru omogenizarea fierberii (4.28). Se conectează vasul la aparatul de distilare (5.1) și se continuă distilarea așa cum s-a arătat la punctul 7.1.1.2.

7.2.2.2.   În prezența azotaților

O porțiune din filtrat (7.2.1.1 sau 7.2.1.2), conținând cel mult 40 mg azot nitric, se transferă cu o pipetă de precizie într-un vas Erlenmeyer de 500 ml. În această etapă a analizei, cantitatea totală de azot nu este importantă. Se adaugă 10 ml acid sulfuric 30 % (4.15) și 5 g fier redus (4.2) și se acoperă imediat paharul Erlenmeyer cu o sticlă de ceas. Se încălzește ușor până ce reacția este fermă, dar nu puternică. În această fază se întrerupe încălzirea și se lasă vasul să stea la temperatura camerei cel puțin trei ore. Se transferă cantitativ lichidul cu apă într-un vas gradat de 250 ml și se aduce la semn cu apă, neținând cont de fierul nedizolvat. Se amestecă bine și o porțiune ce conține maximum 100 mg azot se transferă cu o pipetă de precizie într-un vas Kjeldahl de 300 ml. Se adaugă 15 ml acid sulfuric concentrat (4.12), 0,4 g oxid de cupru sau 1,25 g sulfat de cupru (4.27) și câteva granule pentru omogenizarea fierberii (4.28). Se încălzește la început ușor pentru începerea degradării și apoi se intensifică încălzirea până când soluția devine incoloră sau ușor verzuie și apare clar un fum alb. După răcire se transferă soluția cantitativ în vasul de distilare, se diluează cu aproximativ 500 ml apă și se adaugă câteva granule pentru omogenizarea fierberii (4.28). Se leagă vasul la aparatul de distilare (5.1) și se continuă determinarea așa cum s-a arătat la punctul 7.1.1.2.

7.2.2.3.   Probă-martor

A se vedea punctul 7.1.1.3.

7.2.2.4.   Exprimarea rezultatelor

Formula

unde:

a

=

ml soluție standard de hidroxid de sodiu sau de potasiu 0,2 mol/l utilizați pentru testul-martor, efectuat prin pipetarea a 50 ml soluție standard de acid sulfuric 0,2 mol/l (4.8) în vasul de colectare al aparatului (5.1);

A

=

ml soluție standard de hidroxid de sodiu sau de potasiu 0,2 mol/l utilizați pentru analiză;

M

=

masa probei, exprimată în grame, prezentă în porțiunea de analizat luată la 7.2.2.1 sau 7.2.2.2.

7.2.3.   Determinarea azotului solubil, cu excepția azotului nitric

O porțiune din filtrat (7.2.1.1 sau 7.2.1.2), ce nu conține mai mult de 50 mg azot care trebuie determinat, se transferă cu o pipetă de precizie într-un vas Kjeldahl de 300 ml. Se diluează cu 100 ml apă, se adaugă 5 g sulfat feros (4.16), 20 ml acid sulfuric concentrat (4.12) și câteva granule pentru omogenizarea fierberii (4.28). Se încălzește la început ușor și apoi mai puternic, până la apariția unui un fum alb. Se continuă degradarea încă 15 minute. Se întrerupe încălzirea, se introduce catalizatorul de oxid de cupru (4.27) și se menține la o temperatură care să permită ca fumul alb să se degaje timp de 10-15 minute. După răcire se transferă cantitativ conținutul din vasul Kjeldahl în vasul de distilare al aparatului (5.1). Se diluează la aproximativ 500 ml cu apă și se adaugă câteva granule pentru omogenizarea fierberii (4.28). Se conectează vasul la aparatul de distilare și se continuă determinarea așa cum s-a indicat la 7.1.1.2.

7.2.3.1.   Proba-martor

A se vedea punctul 7.1.1.3.

7.2.3.2.   Exprimarea rezultatelor

Formula

unde:

a

=

ml soluție standard de hidroxid de sodiu sau de potasiu 0,2 mol/l utilizați pentru testul-martor, realizat prin pipetarea a 50 ml soluție standard de acid sulfuric 0,2 mol/l (4.8.) în vasul de colectare al aparatului (5.1);

A

=

ml soluție standard de hidroxid de sodiu sau potasiu 0,2 mol/l utilizați pentru analiză;

M

=

masa probei, în grame, prezentă în porțiunea de analizat.

7.2.4.   Azot nitric

7.2.4.1.   În absența cianamidei de calciu

Se obține prin diferența dintre rezultatele obținute la 7.2.2.4 și 7.2.3.2 și/sau dintre rezultatul obținut la 7.2.2.4 și suma rezultatelor obținute la (7.2.5.2 sau 7.2.5.5) și (7.2.6.3 sau 7.2.6.5, sau 7.2.6.6).

7.2.4.2.   În prezența cianamidei de calciu

Se obține prin diferența dintre rezultatele obținute la 7.2.2.4 și 7.2.3.2 și dintre rezultatul obținut la 7.2.2.4 și suma rezultatelor obținute la (7.2.5.5), (7.2.6.3 sau 7.2.6.5 sau 7.2.6.6) și (7.2.7).

7.2.5.   Azot amoniacal

7.2.5.1.   Numai în prezență de azot amoniacal și azot amoniacal și nitric

O porțiune din proba filtrată (7.2.1.1), conținând cel mult 100 mg azot amoniacal și nitric, se transferă cu o pipetă de precizie în vasul aparatului de distilare (5.1). Se adaugă apă până la 350 ml și câteva granule pentru omogenizarea fierberii (4.28). Se leagă vasul la aparatul de distilare, se adaugă 20 ml soluție de hidroxid de sodiu (4.9) și se distilează așa cum s-a indicat la 7.1.1.2.

7.2.5.2.   Exprimarea rezultatelor

Formula

unde:

a

=

ml soluție standard de hidroxid de sodiu sau potasiu 0,2 mol/l utilizați pentru testul-martor, realizat prin pipetarea a 50 ml soluție standard de acid sulfuric 0,2 mol/l (4.8) în vasul de colectare al aparatului (5.1);

A

=

ml soluție standard de hidroxid de sodiu sau potasiu 0,2 mol/l utilizați pentru analiză;

M

=

masa probei, în grame, prezentă în porțiunea de analizat.

7.2.5.3.   În prezența azotului din uree și/sau din cianamidă

O porțiune din filtrat (7.2.1.1 sau 7.2.1.2), care conține cel mult de 20 mg azot amoniacal, se transferă cu o pipetă de precizie în vasul uscat al aparatului (5.2). Se asamblează aparatul. Într-un pahar Erlenmeyer de 300 ml se pipetează 50 ml din soluția standard de acid sulfuric 0,1 mol/l (4.17) și suficientă apă distilată pentru ca nivelul lichidului să se afle cu aproximativ 5 cm deasupra tubului de alimentare. Se introduce apă distilată prin gâtul lateral al vasului de reacție, până la un volum de 50 ml. Se amestecă. Pentru a evita spumarea în timpul aerării se adaugă câteva picături de octanol (4.18). Se alcalinizează soluția cu 50 ml soluție saturată de carbonat de potasiu (4.19) și se începe imediat antrenarea amoniacului eliberat din soluția rece. Curentul puternic de aer necesar pentru aceasta (debit de aproximativ 3 l/minut) se purifică înainte de utilizare prin trecere printr-o serie de vase de spălare ce conțin acid sulfuric diluat și hidroxid de sodiu diluat. În locul aerului sub presiune, se poate lucra sub vid, folosind o pompă de apă, cu condiția ca tubul acesteia să fie conectat suficient de etanș la vasul în care se colectează amoniacul. În general, eliminarea amoniacului este completă după trei ore. Cu toate acestea, este bine ca acest lucru să fie verificat prin schimbarea vasului de colectare. Atunci când operația s-a sfârșit se separă vasul din instalație și se spală extremitatea tubului și pereții vasului cu puțină apă distilată. Se titrează excesul de acid din vasul de colectare cu o soluție standard de hidroxid de sodiu 0,1 mol/l (4.20), până când indicatorul virează la culoarea gri (4.29.1).

7.2.5.4.   Test-martor

A se vedea punctul 7.1.1.3.

7.2.5.5.   Exprimarea rezultatelor

Formula

unde:

a

=

ml soluție standard de hidroxid de sodiu sau de potasiu 0,1 mol/l utilizați pentru testul-martor, realizat prin pipetarea a 50 ml soluție standard de acid sulfuric 0,1 mol/l (4.7) în vasul Erlenmeyer de 300 ml al aparatului (5.2);

A

=

ml soluție standard de hidroxid de sodiu sau de potasiu 0,1 mol/l utilizați pentru analiză;

M

=

masa probei, în grame, prezentă în porțiunea de analizat.

7.2.6.   Azotul din uree

7.2.6.1.   Metoda cu urează

O porțiune din filtrat (7.2.1.1 sau 7.2.1.2), care conține cel mult 250 mg azot din uree, se transferă cu o pipetă de precizie într-un vas gradat de 500 ml. Pentru a precipita fosfații se adaugă soluție saturată de hidroxid de bariu (4.21), până când nu mai apare precipitat. Se elimină ionii de bariu în exces (și toți ionii de calciu dizolvați), cu ajutorul unei soluții de carbonat de sodiu 10 % (4.22).

Se lasă soluția în repaus și se verifică dacă precipitarea s-a realizat în totalitate. Se aduce la semn cu apă, se amestecă bine și se filtrează printr-un filtru cutat. Se pipetează 50 ml din filtrat în vasul Erlenmeyer de 300 ml (5.3) al instalației. Se acidulează filtratul cu acid clorhidric 2 mol/l (4.23), până când pH-ul, măsurat cu pH-metrul (5.5), ajunge la valoarea 3. Se ridică pH-ul la 5,4 cu hidroxid de sodiu 0,1 mol/l (4.20).

Pentru a evita pierderile de amoniac în timpul descompunerii cu urează, se închide paharul Erlenmeyer cu un dop prevăzut cu o pâlnie de separare și o capcană cu bule conținând exact 2 ml soluție standard de acid clorhidric 0,1 mol/l (4.24). Prin pâlnia de separare se introduc 20 ml din soluția de urează (4.25) și se lasă să stea o oră la 20-25 °C. După aceea se adaugă prin pâlnia de separare, lăsând să treacă în întregime în soluție, 25 ml dintr-o soluție standard de acid clorhidric 0,1 mol/l (4.24) și se spală cu puțină apă. În același fel se transferă cantitativ conținutul din vasul colector de protecție în soluția din paharul Erlenmeyer. Se titrează excesul de acid cu o soluție standard 0,1 mol/l de hidroxid de sodiu (4.20), până la un pH de 5,4, măsurat cu pH-metru.

7.2.6.2.   Test-martor

A se vedea punctul 7.1.1.3.

7.2.6.3.   Exprimarea rezultatelor

Formula

unde:

a

=

ml soluție standard de hidroxid de sodiu sau de potasiu 0,1 mol/l utilizați pentru testul-martor efectuat exact în aceleași condiții ca și analiza;

A

=

ml soluție standard de hidroxid de sodiu sau de potasiu 0,1 mol/l utilizați pentru analiză;

M

=

masa probei, în grame, prezentă în porțiunea de analizat.

Observații

1.

După precipitarea cu soluție de hidroxid de bariu și carbonat de sodiu se aduce la semn cu apă, se filtrează și se neutralizează cât se poate de repede.

2.

Titrarea poate fi făcută fără indicator (4.29.2), dar în acest caz punctul final este mai greu de observat.

7.2.6.4.   Metoda gravimetrică cu xanthydrol

O porțiune din filtrat (7.2.1.1 sau 7.2.1.2), care nu conține mai mult de 20 mg uree, se transferă cu o pipetă de precizie într-un pahar de 250 ml. Se adaugă 40 ml acid acetic (4.14). Se amestecă cu o baghetă de sticlă un minut și se lasă timp de cinci minute pentru ca tot precipitatul să se depună. Se filtrează, pe un filtru întins, într-un vas de 100 ml, se spală filtrul cu câțiva mililitri de acid acetic (4.14), după care în filtrat se adaugă, picătură cu picătură, 10 ml xanthydrol (4.26), amestecând continuu cu o baghetă de sticlă. Se lasă să stea până nu se mai depune precipitat, după care se amestecă din nou unu sau două minute. Se lasă să stea o oră și jumătate. Se filtrează printr-un creuzet filtrant care a fost în prealabil uscat și cântărit, se tasează ușor și se spală de trei ori cu câte 5 ml etanol (4.31), fără a se încerca însă eliminarea totală a acidului acetic. Se pune creuzetul în cuptor și se lasă să stea la 130 °C timp de o oră (fără a se depăși 145 °C). Se lasă să se răcească în exsicator și se cântărește.

7.2.6.5.   Exprimarea rezultatelor

Formula

unde:

m1= masa precipitatului obținut, în grame;

M2= masa probei, în grame, prezentă în porțiunea de analizat.

Corecție pentru testul-martor. În general, biuretul poate fi asimilat azotului din uree fără erori semnificative, deoarece în îngrășămintele compuse conținutul biuretului din uree rămâne mic în valoare absolută.

7.2.6.6.   Metoda diferenței

Azotul din uree mai poate fi calculat conform tabelului următor:

Cazul

Azot nitric

Azot amoniacal

Azot cianamidic

Azot din uree

1

Absent

Prezent

Prezent

(7.2.2.4) — (7.2.5.5 + 7.2.7)

2

Prezent

Prezent

Prezent

(7.2.3.2) — (7.2.5.5 + 7.2.7)

3

Absent

Prezent

Absent

(7.2.2.4) — (7.2.5.5)

4

Prezent

Prezent

Absent

(7.2.3.2) — (7.2.5.5)

7.2.6.7.   Azot cianamidic

Se ia o porțiune din filtrat (7.2.1.2), care conține 10-30 mg azot cianamidic și se pune într-un pahar de 250 ml. Se continuă analiza conform metodei 2.4.

8.   Verificarea rezultatelor

8.1.   În unele cazuri pot apărea diferențe între azotul total obținut direct prin cântărirea probei (7.1) și azotul solubil total (7.2.2). Cu toate acestea, diferența nu trebuie să fie mai mare de 0,5 %. În cazul în care această condiție nu este îndeplinită înseamnă că îngrășământul conține forme insolubile de azot ce nu sunt incluse în lista din anexa I.

8.2.   Înainte de fiecare analiză se verifică dacă instalația funcționează corespunzător și dacă metoda utilizată este aplicată corect, folosind o soluție standard ce conține diferite forme de azot în proporții similare cu cele din proba testată. Aceste soluții standard se prepară din soluții standard de tiocianat de potasiu (4.3), azotat de potasiu (4.4), sulfat de amoniu (4.5) și uree (4.6).

Figura 6

Aparat pentru determinarea azotului amoniacal (7.2.5.3)

Image

Figura 7

Aparat pentru determinarea azotului din uree (7.2.6.1)

Image

Metoda 2.6.2

Determinarea diferitelor forme de azot în îngrășămintele ce conțin azot numai sub formă nitrică și amoniacală și azot din uree

1.   Obiect

Obiectul prezentului document este de a specifica o metodă simplificată pentru determinarea diferitelor forme de azot din îngrășămintele ce conțin azot numai sub formă nitrică și amoniacală și azot din uree.

2.   Domeniu de aplicare

Prezenta metodă poate fi utilizată pentru toate îngrășămintele menționate la anexa I care conțin numai azot nitric, azot amoniacal și azot din uree.

3.   Principiu

Următoarele determinări se fac pe porțiuni diferite ale unei singure probe de soluție:

3.1.

Azot solubil total:

3.1.1.

În absența azotaților, direct prin degradarea Kjeldahl a soluției;

3.1.2.

În prezența azotaților, prin degradarea Kjeldahl a unei părți din soluție ce a fost în prealabil redusă prin metoda Ulsch; în ambele cazuri, amoniacul se determină așa cum s-a arătat la metoda 2.1;

3.2.

Azotul solubil total, cu excepția azotului nitric, prin degradare Kjeldahl după ce ionii azotat au fost eliminați în mediu acid cu ajutorul sulfatului feros; amoniacul se determină așa cum s-a arătat la metoda 2.1;

3.3.

Azotul nitric, prin diferența dintre 3.1.2 și 3.2 sau dintre azotul solubil total (3.1.2) și suma dintre azotul amoniacal și azotul din uree (3.4 + 3.5);

3.4.

Azotul amoniacal, prin distilarea la rece după o alcalinizare ușoară; amoniacul se prinde într-o soluție de acid sulfuric și se determină conform metodei 2.1;

3.5.

Azotul din uree, printr-una dintre metodele următoare:

3.5.1.

transformare în amoniac cu ajutorul ureazei; amoniacul format se determină prin titrare cu o soluție standard de acid clorhidric;

3.5.2.

gravimetric, utilizând xanthydrol; biuretul coprecipitat poate fi asimilat cu o eroare mică azotului din uree; în îngrășămintele compuse, concentrația acestuia este de obicei mică în valoare absolută;

3.5.3.

prin diferență, conform următorului tabel:

Cazul

Azot nitric

Azot amoniacal

Diferență

1

Absent

Prezent

(3.1.1) – (3.4)

2

Prezent

Prezent

(3.2) – (3.4)

4.   Reactivi

Apă distilată sau demineralizată

4.1.   Sulfat de potasiu pentru analiză

4.2.   Fier pentru analiză, redus cu hidrogen (cantitatea de fier specificată trebuie să poată reduce cel puțin 50 mg azot nitric)

4.3.   Azotat de potasiu pentru analiză

4.4.   Sulfat de amoniu pentru analiză

4.5.   Uree pentru analiză

4.6.   Soluție de acid sulfuric 0,2 mol/l

4.7.   Soluție concentrată de hidroxid de sodiu: aproximativ 30 % (m/V) soluție apoasă de hidroxid de sodiu, fără amoniac

4.8.   Soluție 0,2 mol/l de hidroxid de sodiu sau de potasiu, fără carbonați

4.9.   Acid sulfuric (d20 =1,84 g/ml)

4.10.   Acid clorhidric diluat: 1 volum de acid clorhidric (d20 = 1,18 g/ml) și 1 volum apă

4.11.   Acid acetic 96-100 %

4.12.   Soluție de acid sulfuric conținând aproximativ 30 % H2SO4 (m/V), fără amoniac

4.13.   Sulfat feros, cristale FeSO4 · 7H2O

4.14.   Soluție etalon de acid sulfuric 0,1 mol/l

4.15.   Octanol

4.16.   Soluție saturată de carbonat de potasiu

4.17.   Soluție 0,1 mol/l de hidroxid de sodiu sau de potasiu

4.18.   Soluția saturată de hidroxid de bariu

4.19.   Soluție de carbonat de sodiu 10 % (m/V)

4.20.   Acid clorhidric 2 mol/l

4.21.   Soluție acid clorhidric 0,1 mol/l

4.22.   Soluție de urează

Se realizează o suspensie din 0,5 g urează activă în 100 ml apă distilată, căreia i se ajustează pH-ul la valoarea 5,4 cu ajutorul unei soluții 0,1 mol/l de acid clorhidric.

4.23.   Xanthydrol

Soluție 5 % în metanol sau etanol (4.28) (nu se vor utiliza produse ce dau un mare procent de materiale insolubile); soluția poate fi păstrată trei luni într-o sticlă bine închisă, la întuneric.

4.24.   Catalizator

Oxid de cupru (CuO), 0,3-0,4 g oxid pentru fiecare determinare, sau o cantitate echivalentă de sulfat de cupru pentahidrat (CuSO4 · 5H2O), respectiv 0,95-1,25 g pentru fiecare determinare

4.25.   Granule de piatră ponce spălate cu acid clorhidric și calcinate

4.26.   Soluții de indicator

4.26.1.   Indicator mixt:

Soluția A: Se dizolvă 1 g roșu de metil în 37 ml soluție de hidroxid de sodiu 0,1 mol/l și se aduce la un litru cu apă.

Soluția B: Se dizolvă 1 g albastru de metilen în apă și se aduce la un litru cu apă.

Se amestecă un volum din A cu două volume din B.

Acest indicator este violet în soluție acidă, gri în soluție neutră și verde în soluție bazică. Se utilizează 0,5 ml (10 picături) din această soluție.

4.26.2.   Soluție de roșu de metil

Se dizolvă 0,1 g roșu de metil în 50 ml alcool etilic 95 %. Se aduce la 100 ml cu apă și, dacă este necesar, se filtrează. Acest indicator poate fi utilizat (patru-cinci picături) în locul celui de mai sus.

4.27.   Hârtie indicatoare

Litmus, albastru de bromtimol (sau altă hârtie sensibilă la pH 6-8).

4.28.   Etanol sau metanol 95 % (m/V)

5.   Aparatură

5.1.   Aparat de distilare

A se vedea metoda 2.1.

5.2.   Aparat pentru determinarea azotului amoniacal (7.5.1)

A se vedea metoda 2.6.l. și figura 6.

5.3.   Aparat pentru determinarea azotului ureic cu tehnica cu urează (7.6.1)

A se vedea metoda 2.6.l. și figura 7.

5.4.   Agitator rotativ (35-40 rotații pe minut)

5.5.   pH-metru

5.6.   Sticlărie:

pipete de precizie de 2, 5, 10, 25, 50 și 100 ml;

balon Kjeldahl cu gât lung, de 300 și 500 ml;

baloane cotate de 100, 250, 500 și 1 000 ml;

pâlnie filtrantă din sticlă sinterizată, cu diametrul porilor între 5 și 15 µm;

mojar.

6.   Pregătirea probei

A se vedea metoda 1.

7.   Metode

7.1.   Prepararea soluției pentru analiză

Se cântăresc, cu o precizie de 1 mg, 10 g din probă și se pun într-un vas gradat de 500 ml. Se adaugă 50 ml apă și apoi 20 ml acid clorhidric diluat (4.10). Se amestecă. Se lasă soluția să stea până la încetarea degajării de CO2. Se adaugă 400 ml apă, se amestecă timp de jumătate de oră, se aduce la semn cu apă, se omogenizează și se filtrează pe un filtru uscat într-un recipient uscat.

7.2.   Azot total

7.2.1.   În absența azotaților

O porțiune din filtrat (7.1), care conține maximum 100 mg azot, se pipetează într-un vas Kjeldahl de 300 ml. Se adaugă 15 ml acid sulfuric concentrat (4.9), 0,4 g oxid de cupru sau 1,25 g sulfat de cupru (4.24) și câteva bile de sticlă pentru omogenizarea fierberii. Se încălzește la început moderat, cu scopul inițierii reacției, apoi din ce în ce mai puternic, până când lichidul devine incolor sau ușor verzui și apare clar un fum alb. După răcire se transferă soluția în vasul de distilare, se diluează până la 500 ml cu apă și se adaugă câteva granule de piatră ponce (4.25). Se conectează la aparatul de distilare (5.1), realizându-se determinarea așa cum s-a arătat la 7.1.1.2, metoda 2.6.1.

7.2.2.   În prezența azotaților

O porțiune din filtrat (7.1), care conține cel mult 40 mg azot nitric, se pune într-un vas Erlenmeyer de 500 ml. În această etapă a analizei, cantitatea totală de azot nu este importantă. Se adaugă 10 ml acid sulfuric 30 % (4.12), 5 g fier redus (4.2) și se acoperă paharul Erlenmeyer imediat cu o sticlă de ceas. Se încălzește ușor până când reacția devine puternică, dar nu violentă. Se întrerupe încălzirea și se lasă soluția să stea la temperatura camerei cel puțin 3 ore. Lichidul se transferă cantitativ într-un balon cotat de 250 ml, făcând abstracție de fierul nedizolvat. Se aduce la semn cu apă. Se omogenizează cu atenție. Se pipetează o porțiune conținând maximum 100 mg mol/l într-un balon Kjeldahl de 300 ml. Se adaugă 15 ml acid sulfuric concentrat (4.9), 0,4 g oxid de cupru sau 1,25 g sulfat de cupru (4.24) și câteva bile de sticlă pentru controlul fierberii. Se încălzește moderat la început, cu scopul inițierii reacției, apoi din ce în ce mai mult până când lichidul devine incolor sau ușor verzui și apare clar un fum alb. După răcire se transferă soluția cantitativ în vasul de distilare, se diluează cu aproximativ 500 ml apă și se adaugă câteva granule de piatră ponce (4.25). Se conectează vasul la aparatul de distilare (5.1) și se continuă determinarea așa cum s-a arătat la 7.1.1.2, metoda 2.6.1.

7.2.3.   Test-martor

Se realizează un test-martor (omițând proba) în aceleași condiții și rezultatul acestuia se ia în considerare la calculul rezultatului final.

7.2.4.   Exprimarea rezultatelor

Formula

unde

a

=

ml soluție hidroxid de sodiu sau de potasiu 0,2 mol/l (4.8) utilizați în testul-martor, realizat prin introducerea a 50 ml soluție standard de acid sulfuric 0,2 mol/l în vasul de colectare al aparatului (4.6);

A

=

ml de soluție standard de hidroxid de sodiu sau potasiu 0,2 mol/l (4.8) utilizați pentru analiză;

M

=

masa probei, în grame, prezentă în porțiunea de analizat (7.2.1 sau 7.2.2).

7.3.   Azot total fără azot nitric

7.3.1.   Analiză

O porțiune din filtrat (7.1) care conține cel mult 50 mg N ce trebuie determinat se pipetează într-un balon Kjeldahl de 300 ml. Se diluează la 100 ml apă, se adaugă 5 g sulfat feros (4.13), 20 ml acid sulfuric concentrat (4.9) și câteva bile de sticlă pentru controlul fierberii. La început se încălzește ușor, apoi din ce în ce mai puternic, până la apariția unui fum alb. Se continuă reacția timp de 15 minute. Se întrerupe încălzirea și se introduc 0,4 g oxid de cupru sau 1,25 g sulfat de cupru (4.24) drept catalizator. Menținând încălzirea, se întreține degajarea fumului alb încă 10-15 minute. După răcire se transferă cantitativ conținutul balonului Kjeldahl în vasul de distilare (5.1), se diluează la aproximativ 500 ml cu apă și se adaugă câteva granule de piatră ponce (4.25). Se conectează vasul la aparatul de distilare și se continua determinarea ca la punctul 7.1.1.2, metoda 2.6.1.

7.3.2.   Test-martor

A se vedea 7.2.3.

7.3.3.   Exprimarea rezultatelor

Formula

unde:

a

=

ml soluție hidroxid de sodiu sau de potasiu 0,2 mol/l (4.8) utilizați în testul-martor, realizat prin introducerea a 50 ml soluție standard de acid sulfuric 0,2 mol/l în vasul de colectare al aparatului (4.6);

A

=

ml soluție standard de hidroxid de sodiu sau de potasiu (4.8) utilizați pentru analiză;

M

=

masa probei, în grame, prezentă în porțiunea de analizat.

7.4.   Azot nitric

Se obține prin diferența dintre:

 

7.2.4 – (7.5.3 + 7.6.3)

sau

 

7.2.4 – (7.5.3 + 7.6.5)

sau

 

7.2.4 – (7.5.3 + 7.6.6).

7.5.   Azot amoniacal

7.5.1.   Analiză

O porțiune din filtratul (7.1), care conține maximum 20 mg azot amoniacal, se pipetează în vasul uscat al aparatului (5.2). Se conectează vasul la aparat. Se pipetează într-un vas Erlenmeyer de 300 ml exact 50 ml soluție standard de acid sulfuric 0,1 mol/l (4.14) și o cantitate de apă distilată astfel încât nivelul soluției să fie cu aproximativ 5 cm deasupra deschiderii tubului de alimentare. Prin gâtul lateral al vasului de reacție se introduce apă distilată până la volumul de 50 ml. Se amestecă. Pentru a evita formarea spumei la introducerea fluxului gazos, se introduc câteva picături de octanol (4.15). Se adaugă 50 ml soluție saturată de carbonat de potasiu (4.16) și se începe imediat eliminarea amoniacului astfel eliberat din suspensia rece. Fluxul intens de aer necesar pentru aceasta (debit de aproximativ 3 litri pe minut) este purificat în prealabil prin trecere printr-o serie de vase de spălare conținând acid sulfuric diluat și hidroxid de sodiu diluat. În locul aerului sub presiune se poate lucra la vid (folosind o pompă de vid), cu condiția asigurării unor legături etanșe între aparate.

În general, eliminarea amoniacului este completă după trei ore.

Cu toate acestea, este bine ca acest lucru să fie verificat prin schimbarea vasului Erlenmeyer. Atunci când procesul s-a terminat, se separă vasul Erlenmeyer de aparat, se spală tubul interior și pereții paharului cu apă distilată și se titrează excesul de acid cu o soluție standard de hidroxid de sodiu 0,1 mol/l (4.17).

7.5.2.   Test-martor

A se vedea 7.2.3.

7.5.3.   Exprimarea rezultatelor

Formula

unde:

a

=

ml soluție standard de hidroxid de sodiu sau potasiu 0,1 mol/l (4.17) utilizați în testul-martor, realizat prin introducerea a 50 ml soluție standard de acid sulfuric 0,1 mol/l în vasul Erlenmeyer de 300 ml al aparatului (4.14);

A

=

ml soluție standard de hidroxid de sodiu sau de potasiu 0,1 mol/l (4.17) utilizați pentru analiză;

M

=

masa probei, în grame, prezentă în porțiunea de analizat.

7.6.   Azot din uree

7.6.1.   Metoda cu urează

O porțiune din filtrat (7.1.) care conține cel mult 250 mg azot din uree se pipetează într-un vas gradat de 500 ml. Pentru a precipita fosfații, se adaugă o cantitate suficientă de soluție saturată de hidroxid de bariu (4.18), până când continuarea adăugării nu mai produce precipitat. Se elimină ionii de bariu în exces (și ionii de calciu dizolvați) cu ajutorul unei soluții de carbonat de sodiu 10 % (4.19). Se lasă suspensia să se depună și se verifică dacă precipitarea este completă. Se aduce la semn cu apă distilată, se omogenizează și se filtrează printr-un filtru cutat. Se pipetează 50 ml din filtrat în vasul Erlenmeyer de 300 ml al aparatului (5.3). Se acidulează cu soluție de acid clorhidric 2 mol/l (4.20), până la pH = 3,0 măsurat cu ajutorul unui pH-metru. Se ridică pH-ul la 5,4 cu ajutorul unei soluții 0,1 mol/l de hidroxid de sodiu. (4.17). Pentru a evita pierderile de amoniac format la hidroliza cu urează, se închide paharul Erlenmeyer cu un dop conectat la o pâlnie picurătoare din sticlă și un mic vas de protecție conținând exact 2 ml acid clorhidric 0,1 mol/l (4.21). Prin intermediul pâlniei picurătoare se introduc 20 ml soluție de urează (4.22). Se lasă vasul să stea o oră la 20-25 °C. Se pipetează 25 ml dintr-o soluție standard de acid clorhidric 0,1 mol/l (4.21) prin pâlnia picurătoare, se lasă să pătrundă în soluție, după care se spală cu puțină apă. Se transferă cantitativ și conținutul micului vas de protecție în soluția din paharul Erlenmeyer. Se titrează excesul de acid utilizând o soluție standard de hidroxid de sodiu 0,1 mol/l (4.17), până la obținerea unui pH de 5,4, măsurat de un pH-metru.

Observații

1.

După precipitarea cu soluție de hidroxid de bariu și carbonat de sodiu se aduce la semn, se filtrează și se neutralizează cât mai repede posibil.

2.

Titrarea mai poarte fi realizată utilizând un indicator (4.26), deși schimbarea culorii este dificil de observat.

7.6.2.   Test-martor

A se vedea 7.2.3.

7.6.3.   Exprimarea rezultatului

Formula

unde:

a

=

ml soluție hidroxid de sodiu sau potasiu 0,1 mol/l (4.17) utilizați în testul-martor, realizat exact în aceleași condiții;

A

=

ml soluție de hidroxid de sodiu sau potasiu 0,1 mol/l (4.17) utilizați pentru analiză;

M

=

masa probei, în grame, prezentă în porțiunea de analizat.

7.6.4.   Metoda gravimetrică cu xanthydrol

O porțiune din filtrat (7.1) care conține cel mult 20 mg uree se pipetează într-un pahar de 100 ml. Se adaugă 40 ml acid acetic (4.11). Se amestecă cu o baghetă de sticlă timp de un minut. Se lasă precipitatul să se depună timp de cinci minute. Se filtrează și apoi se spală solidul de pe filtru cu câțiva mililitri de acid acetic (4.11). Se adaugă 10 ml xanthydrol (4.23) în filtrat, picătură cu picătură, amestecând continuu cu un o baghetă de sticlă. Se lasă soluția să stea până la apariția unui precipitat și atunci se reia agitarea încă 1-2 minute. Se lasă soluția să stea o oră și jumătate. Se filtrează printr-un creuzet filtrant din sticlă, care în prealabil a fost bine spălat și uscat, utilizând o ușoară reducere a presiunii; se spală precipitatul din pâlnie de trei ori cu 5 ml etanol (4.28), fără a avea ca scop eliminarea întregii cantități de acid acetic. Se scoate pâlnia filtrantă și se introduce într-un cuptor, unde se menține la 130 °C timp de o oră (nu se va depăși temperatura de 145 °C). Se răcește în exsicator și apoi se cântărește.

7.6.5.   Exprimarea rezultatelor

Formula

unde:

m= masa precipitatului obținut, în grame;

M= masa probei, în grame, prezentă în porțiunea de analizat.

Se va face corecția pentru proba-martor. În general, biuretul poate fi asimilat azotului din uree fără erori semnificative, concentrația acestuia în valoare absolută fiind mică în îngrășămintele compuse.

7.6.6.   Metoda diferenței

Azotul din uree mai poate fi calculat așa cum se indică în tabelul următor:

Cazul

Azot nitric

Azot amoniacal

Azot ureic

1

Absent

Prezent

(7.2.4) – (7.5.3)

2

Prezent

Prezent

(7.3.3) – (7.5.3)

8.   Verificarea rezultatelor

Înainte de a începe fiecare analiză se verifică dacă aparatura funcționează corespunzător și dacă metoda utilizată este corect aplicată, utilizând soluții standard ce conțin diferite forme de azot în proporții similare celor din probă. Aceste soluții standard se prepară din soluții titrate de azotat de potasiu (4.3), sulfat de amoniu (4.4) și uree (4.5).

Metodele 3

Fosfor

Metoda 3.1

Extracții

Metoda 3.1.1

Extracția fosforului solubil în acizi minerali

1.   Obiect

Prezentul document stabilește procedura pentru determinarea fosforului solubil în acizi minerali.

2.   Domeniu de aplicare

Prezenta metodă se aplică numai pentru îngrășămintele fosfatice prezentate la anexa I.

3.   Principiu

Extracția fosforului din îngrășăminte cu un amestec de acid azotic și acid sulfuric.

4.   Reactivi

Apă distilată sau demineralizată

4.1.   Acid sulfuric (d20 = 1,84 g/ml)

4.2.   Acid azotic (d20 = 1,40 g/ml)

5.   Aparatură

Instalație standard de laborator

5.1.   Un balon Kjeldahl cu o capacitate de cel puțin 500 ml sau un balon de 250 ml cu un tub de sticlă ce formează un condensator cu reflux

5.2.   Vas gradat de 500 ml

6.   Pregătirea probei

A se vedea metoda 1.

7.   Mod de lucru

7.1.   Proba

Se cântăresc, cu o precizie de 0,001 g, 2,5 g din probă și se pun într-un vas Kjeldahl uscat.

7.2.   Extracția

Se adaugă 15 ml apă și se amestecă până la obținerea unei suspensii. Se adaugă 20 ml acid azotic (4.2) și, cu atenție, încă 30 ml acid sulfuric (4.1).

După ce reacția, violentă la început, încetează, se aduce ușor conținutul vasului la fierbere și se fierbe timp de 30 de minute. Se lasă să se răcească și se adaugă cu atenție 150 ml apă, sub agitare. Se continuă fierberea încă 15 minute.

Se răcește complet și se transferă cantitatea de lichid într-un vas gradat de 500 ml. Se aduce la semn cu apă, se filtrează printr-un filtru cutat, fără fosfați, aruncându-se primele porțiuni de filtrat.

7.3.   Determinare

Determinarea fosforului se face după metoda 3.2 pe o porțiune din soluția astfel obținută.

Metoda 3.1.2

Extracția fosforului solubil într-o soluție de acid formic 2 % (20 g/l)

1.   Obiect

Prezentul document stabilește procedura pentru determinarea fosforului solubil în acid formic 2 % (20 g/l).

2.   Domeniu de aplicare

Prezenta metodă se aplică exclusiv pentru fosfați naturali moi.

3.   Principiu

Pentru a diferenția fosfații naturali moi de cei duri, fosforul solubil în acid formic este extras în condiții specifice.

4.   Reactivi

4.1.   Acid formic 2 % (20 g/l)

Notă

Se iau 82 ml acid formic (concentrație între 98 și 100 %; d20 = 1,22 g/ml) și se aduc la 5 litri cu apă distilată.

5.   Aparatură

Instalație standard de laborator

5.1.   Vas gradat de 500 ml (de exemplu, vas Stohmann)

5.2.   Agitator rotativ (35-40 rotații pe minut)

6.   Pregătirea probei

A se vedea metoda 1.

7.   Mod de lucru

7.1.   Proba

Se cântăresc, cu o precizie de 0,001 g, 5 g din probă și se pun într-un vas Stohmann cu gât larg, de 500 ml (5.1), uscat.

7.2.   Extracția

Rotind continuu vasul cu mâna, se adaugă acidul formic 2 % la 20 (± 1) °C (4.1), până când nivelul lichidului ajunge la aproximativ 1 cm deasupra marcajului de gradare și se aduce la semn. Se astupă vasul cu un dop din cauciuc și se amestecă bine timp de 30 de minute la 20 (± 2) °C, folosind un agitator rotativ (5.2).

Se filtrează soluția printr-un filtru cutat uscat, fără fosfați, direct într-un recipient din sticlă uscat. Se aruncă primele porțiuni de filtrat.

7.3.   Determinare

Se determină fosforul după metoda 3.2 dintr-o porțiune a filtratului complet limpede.

Metoda 3.1.3

Extracția fosforului solubil în acid citric 2 % (20 g/l)

1.   Obiect

Prezentul document definește procedura pentru determinarea fosforului solubil în acid citric 2 % (20 g/l).

2.   Domeniu de aplicare

Prezenta metodă se aplică numai pentru zgurile bazice (a se vedea anexa I A).

3.   Principiu

Extracția fosforului din îngrășăminte cu o soluție 2 % de acid citric (20 g/l), în condiții date.

4.   Reactivi

Apă distilată sau demineralizată

4.1.   Acid citric, soluție 2 % (20 g/litru) obținută din acid citric cristalizat (C6H8O7 H2O)

Notă

Se verifică concentrația soluției de acid citric prin titrarea a 10 ml din acesta cu o soluție standard de hidroxid de sodiu 0,1 mol/l, utilizând ca indicator fenolftaleina.

În cazul în care pentru titrare s-au folosit 28,55 ml soluție de hidroxid de sodiu, concentrația soluției de acid citric este corectă.

5.   Aparatură

5.1.   Agitator rotativ (35-40 rotații pe minut)

6.   Pregătirea probei

Analiza se realizează pe un produs primit după ce proba inițială a fost bine amestecată pentru a se asigura omogenitatea ei (a se vedea metoda 1).

7.   Mod de lucru

7.1.   Proba

Se cântăresc, cu o precizie de 0,001 g, 5 g din proba preparată și se trec într-un vas uscat cu gât suficient de larg, de 600 ml, în care lichidul să poată fi amestecat în întregime.

7.2.   Extracție

Se adaugă 500 (± 1) ml soluție de acid citric la 20 (± 1) °C. La adăugarea primilor mililitri de reactiv, se agită puternic cu mâna pentru a opri formarea bulgărilor și pentru a preveni lipirea substanței de pereții vasului. Se închide vasul cu un dop de cauciuc și se agită cu un agitator rotativ (5.1) exact 30 de minute, la temperatura de 20 (± 2) °C.

Se filtrează soluția printr-un filtru cutat uscat, fără fosfați, direct într-un recipient uscat și se aruncă primii 20 ml de filtrat. Se continuă filtrarea până la obținerea unei cantități suficiente de filtrat din care să se poată realiza determinarea fosforului.

7.3.   Determinare

Se determină fosforul extras conform metodei 3.2, dintr-o porțiune a soluției obținute.

Metoda 3.1.4

Extracția fosforului care este solubil în citrat de amoniu neutru

1.   Obiect

Prezentul document stabilește procedura de determinare a fosforului solubil în citrat de amoniu neutru.

2.   Domeniu de aplicare

Prezenta metodă se aplică pentru toate îngrășămintele la care se prevede solubilitate în citrat de amoniu (a se vedea anexa I).

3.   Principiu

Extracția fosforului la temperatura de 65 °C, utilizând o soluție de citrat de amoniu neutră (pH = 7,0), în condiții specifice.

4.   Reactivi

Apă distilată sau demineralizată.

4.1.   Soluție neutră de citrat de amoniu (pH = 7,1)

Această soluție trebuie să conțină 185 g/l acid citric cristalizat și trebuie să aibă greutatea specifică de 1,09 la 20 °C și pH de 7,0.

Reactivul se prepară după cum urmează:

 

Se dizolvă 370 g acid citric cristalin (C6H8O7 · H2O) în aproximativ 1,5 l apă și se aduce la pH aproximativ neutru prin adăugarea a 345 ml soluție hidroxid de amoniu (28-29 % NH3). În cazul în care concentrația soluției de amoniac este mai mică de 28 %, se adaugă o cantitate corespunzătoare, mai mare, de hidroxid de amoniu soluție și acid citric diluat cu cantitatea corespunzătoare de apă.

 

Se răcește și se neutralizează prin cufundarea electrozilor pH-metrului în soluție. Se adaugă soluție de amoniac de concentrație 28-29 %, picătură cu picătură, amestecând continuu cu un agitator mecanic, până la obținerea unui pH de exact 7,0 la temperatura de 20 °C. La acest punct se completează volumul la 2 litri și se verifică din nou pH-ul. Se păstrează reactivul într-un recipient închis și se verifică pH-ul la intervale regulate.

5.   Aparatură

5.1.   Pahar de 2 litri

5.2.   pH-metru

5.3.   Vas Erlenmeyer de 200 sau 250 ml

5.4.   Baloane cotate de 500 ml și unul de 2 000 ml

5.5.   Baie de apă termostatată la 65 °C, prevăzută cu agitator adecvat (a se vedea figura 8)

6.   Pregătirea probei

A se vedea metoda 1.

7.   Mod de lucru

7.1.   Proba

Se transferă 1 sau 3 g din îngrășământul ce trebuie analizat (a se vedea anexa I A și B la regulament) într-un pahar Erlenmeyer de 200-250 ml conținând 100 ml citrat de amoniu încălzit în prealabil la 65 °C.

7.2.   Analiza soluției

Se închide paharul Erlenmeyer cu un dop și se agită bine pentru a obține o suspensie de îngrășământ fără bulgări. Se scoate dopul pentru o fracțiune mică de timp pentru a echilibra presiunea, apoi dopul se pune la loc. Se pune paharul pe baia de apă reglată pentru a menține conținutul vasului la exact 65 °C și se conectează agitatorul (a se vedea figura 8). În timpul amestecării, nivelul suspensiei din vas trebuie să rămână mereu sub nivelul apei din baia de apă (11). Agitatorul mecanic trebuie să fie reglat astfel încât să asigure menținerea în suspensie a întregii soluții.

După amestecarea timp de exact o oră, se scoate paharul Erlenmeyer din baia de apă.

Se răcește imediat la temperatura camerei, sub jet de apă, și se transferă cantitativ conținutul din paharul Erlenmeyer într-un vas gradat de 500 ml cu jet de apă (spălare vas). Se aduce vasul la semn cu apă. Se amestecă bine. Se filtrează printr-un filtru cutat uscat (de viteză medie și fără fosfați) direct într-un recipient uscat, aruncând primele porțiuni din filtrat (în jur de 50 ml).

Se colectează aproximativ 100 ml de filtrat.

7.3.   Determinarea

Determinarea fosforului din extractul obținut se face conform metodei 3.2.

Figura 8

Image

Metoda 3.1.5

Extracția în citrat de amoniu alcalin

Metoda 3.1.5.1.

Extracția fosforului solubil după Petermann la 65 °C

1.   Obiect

Prezentul document definește procedura de determinare a fosforului solubil în citrat de amoniu alcalin.

2.   Domeniu de aplicare

Prezenta metodă se aplică numai pentru fosfatul dicalcic dihidrat precipitat (CaHPO4 · 2H2O).

3.   Principiu

Extracția fosforului la temperatura de 65 °C cu o soluție alcalină de citrat alcalin (Petermann), în condiții specifice.

4.   Reactivi

Apă distilată sau apă demineralizată având aceleași caracteristici cu apa distilată.

4.1.   Soluție Petermann

4.2.   Caracteristici

Acid citric (C6H8O7 · H2O): 173 g/l

Amoniac: 42 g per litru azot amoniacal

pH = 9,4-9,7

Prepararea din citrat diamoniacal

Se dizolvă 931 g citrat diamoniacal (masă moleculară 226,19) în aproximativ 3 500 ml apă, într-o balon cotat standard de 5 litri. Se lasă să stea într-o baie prin care apa curge tot timpul, se amestecă, se răcește și se adaugă cantități mici de amoniac. De exemplu, pentru densitatea d20 = 906 g/ml, corespunzătoare unei concentrații de azot amoniacal de 20,81 % (procente de masă), este necesar să se utilizeze 502 ml soluție amoniacală. Se aduce temperatura la 20 °C și se aduce la semn cu apă distilată. Se amestecă.

Prepararea din acid citric și amoniac

Se dizolvă 865 g acid citric monohidrat în aproximativ 2 500 ml apă distilată într-un vas de aproximativ 5 litri. Se pune vasul într-o baie cu gheață. Se adaugă, printr-o pâlnie al cărei picior este cufundat în soluția de acid citric, cantități mici de soluție de amoniac, amestecând continuu. De exemplu, pentru densitatea d20 = 906 g/ml, corespunzătoare unei concentrații de azot amoniacal de 20,81 % (procente de masă), este necesar să se adauge 1 114 ml soluție de amoniac. Se aduce temperatura la 20 °C, se transferă soluția într-un vas standard de 5 litri, se aduce la semn cu apă și se amestecă.

Se verifică conținutul de azot amoniacal după cum urmează:

Se transferă 25 ml din soluție într-un balon standard de 250 ml și se aduce la semn cu apă distilată. Se amestecă. Se determină conținutul de azot amoniacal din 25 ml din această soluție conform metodei 2.1. În cazul în care soluția este corectă, trebuie să se utilizeze 15 ml soluție 0,5 mol/l H2SO4.

În cazul în care concentrația azotului amoniacal este mai mare de 42 g/l, amoniacul poate fi antrenat cu un flux de gaz inert sau prin încălzire moderată pentru a aduce pH-ul înapoi la 9,7. Se face o a doua determinare.

În cazul în care concentrația azotului amoniacal este mai mică de 42 g/l, este necesar să se adauge o cantitate M de soluție de amoniac:

Formula

adică un volumFormulala 20 °C

În cazul în care V este mai mic de 25 ml, se adaugă direct în vasul de cinci litri o masă de V × 0,173 g acid citric pulbere.

În cazul în care V este mai mare de 25 ml, este mai convenabil să se prepare încă un litru de reactiv, în felul următor:

Se cântăresc 173 g acid citric. Se dizolvă în 500 ml apă. În continuare, respectând precauțiile indicate, se adaugă cel mult 225 + V × 1 206 ml din soluția de amoniac folosită pentru prepararea celor cinci litri de reactiv. Se aduce la semn cu apă. Se amestecă.

Se amestecă acest volum cu cei 4 975 ml preparați anterior.

5.   Aparatură

5.1.   Baia de apă trebuie menținută la temperatura de 65 (± 1) °C.

5.2.   Vas gradat de 500 ml (de exemplu vas Stohmann)

6.   Pregătirea probei

A se vedea metoda 1.

7.   Mod de lucru

7.1.   Proba

Se cântărește, cu o precizie de 0,001 g, 1 g din probă și se trece într-un balon cotat de 500 ml.

7.2.   Extracția

Se adaugă 200 ml soluție alcalină de citrat de amoniu (4.1). Se închide vasul cu un dop și se amestecă bine agitând cu mâna pentru a preveni formarea bulgărilor și lipirea substanței de pereții vasului.

Se pune vasul în baia de apă fixată la 65 °C și se agită din cinci în cinci minute în prima jumătate de oră. După fiecare agitare se scoate dopul pentru a echilibra presiunea. Nivelul apei din baie trebuie să fie deasupra nivelului soluției din vas. Se lasă vasul să stea în baia de apă încă o oră la 65 °C, amestecând la fiecare 10 minute. Se scoate vasul din baie, se lasă să se răcească la aproximativ 20 °C și se aduce la 500 ml cu apă. Se amestecă și se filtrează direct pe un filtru uscat, fără fosfați, aruncând primele porțiuni din filtrat.

7.3.   Determinare

Determinarea fosforului extras se face dintr-o porțiune a soluției obținute prin metoda 3.2.

Metoda 3.1.5.2

Extracția fosforului solubil după Petermann, la temperatură ambiantă

1.   Obiect

Prezentul document stabilește procedura de determinare a fosforului solubil în citrat de amoniu alcalin rece.

2.   Domeniu de aplicare

Prezenta metodă se aplică numai pentru fosfați dezintegrați.

3.   Principiu

Extracția fosforului la temperatura de 20 °C cu o soluție alcalină de citrat de amoniu (soluție Petermann), în condiții specifice.

4.   Reactivi

A se vedea metoda 3.1.5.1.

5.   Aparatură

5.1.   Instalație standard de laborator și un vas cotat de 250 ml (de exemplu vas Stohmann)

5.2.   Agitator rotativ (35-40 rotații pe minut)

6.   Pregătirea probei

A se vedea metoda 1.

7.   Mod de lucru

7.1.   Proba

Se cântăresc, cu o precizie de 0,001 g, 2,5 g din probă și se trec într-un vas gradat de 250 ml (5.1).

7.2.   Extracție

Se adaugă o cantitate mică din soluția Petermann la 20 °C și se amestecă bine pentru a evita formarea bulgărilor și lipirea substanței de pereții vasului. Se aduce la semn cu soluție Petermann și se închide vasul cu un dop de cauciuc.

Se amestecă timp de două ore cu un agitator rotativ (5.2). Se filtrează imediat printr-un filtru cutat fără fosfați într-un recipient uscat, aruncând primele porțiuni din filtrat.

7.3.   Determinare

Determinarea fosforului se realizează dintr-o porțiune a filtratului obținut conform metodei 3.2.

Metoda 3.1.5.3.

Extracția fosforului solubil în citrat de amoniu alcalin Joulie

1.   Obiect

Acest document definește procedura de determinare a fosforului solubil în citrat de amoniu alcalin Joulie.

2.   Domeniu de aplicare

Prezenta metodă se aplică numai pentru îngrășăminte fosfatice normale, în care fosforul se găsește sub formă de fosfați de calciu și aluminiu.

3.   Principiu

Extracția prin contactare intensă la temperatura de 20 °C cu o soluție alcalină de citrat de amoniu, în condiții specifice (sau, atunci când este cazul, în prezența oxinei).

4.   Reactivi

Apă distilată sau apă demineralizată

4.1.   Soluție Joulie de citrat de amoniu alcalină

Această soluție conține 400 g acid citric și 153 g NH3 per litru. Conținutul propriu de amoniac liber este aproximativ 55 g/l. Soluția poate fi preparată printr-una dintre metodele următoare.

4.1.1.

Într-un vas gradat de 1 litru se dizolvă 400 g acid citric (C6H8O7 · H2O) în aproximativ 600 ml amoniac (d20 = 0,925, adică 200 g NH3 per litru). Acidul citric se adaugă succesiv, în cantități de 50-80 g, menținând temperatura sub 50 °C. Se aduce volumul la un litru cu amoniac.

4.1.2.

Într-un vas gradat de 1 litru se dizolvă 432 g citrat de amoniu dibazic (C6H14N2O7) în 300 ml apă. Se adaugă 440 ml amoniac (d20 = 0,925 g/ml). Se aduce volumul la un litru cu apă.

Notă

Verificarea conținutului total de amoniac.

Se ia o probă de 10 ml din soluția de citrat și se trece într-un balon de 250 ml. Se aduce la semn cu apă distilată. Se determină conținutul de azot amoniacal din 25 ml din această soluție, conform metodei 2.1.

1 ml H2SO4 0,5 mol/l = 0,008516 g NH3

În aceste condiții, se consideră că reactivul este corect dacă pentru titrare se folosesc 17,7-18 ml.

În cazul în care această condiție nu este îndeplinită, se adaugă 4,25 ml amoniac (d20 = 0,925 g/ml) pentru fiecare 0,1 ml lipsă din cei 18 mililitri menționați mai sus.

4.2.   Pulbere de 8-hidroxichinolină (oxină)

5.   Aparatură

5.1.   Instalații standard de laborator și un mic mojar cu pistil, din sticlă sau porțelan

5.2.   Vas gradat de 500 ml

5.3.   Un balon cotat de 1 000 ml

5.4.   Agitator rotativ (35-40 rotații pe minut)

6.   Pregătirea probei

A se vedea metoda 1.

7.   Mod de lucru

7.1.   Proba

Se cântărește, cu o precizie de 0,0005 g, 1 g din probă și se trece într-un mojar mic. Se adaugă în jur de 10 picături de citrat (4.1) pentru umezire și se mojarează foarte atent cu pistilul.

7.2.   Extracție

Se adaugă 20 ml soluție de citrat de amoniu (4.1) și se amestecă până când se formează o pastă. Se lasă să se liniștească timp de un minut.

Se decantează lichidul într-un vas gradat de 500 ml, având grijă să nu treacă și particule solide rămase din operația precedentă. Peste reziduul rămas se adaugă 20 ml soluție citrat (4.1), se mojarează ca mai sus, după care limpedele decantat se pune în vasul cotat. Se repetă această procedură de patru ori, iar la a cincia se toarnă tot produsul din mojar în vas. Cantitatea totală de citrat utilizată în aceste procese trebuie să fie de aproximativ 100 ml.

Se spală pistilul și mojarul cu 40 ml apă distilată, deasupra vasului cotat.

Vasul închis cu dop se amestecă timp de trei ore pe un agitator rotativ (5.4).

Se lasă vasul să stea 15-16 ore și se amestecă din nou, în aceleași condiții, timp de trei ore. Pe parcursul întregului proces, temperatura trebuie să fie menținută la 20 (± 2) °C.

Se aduce la semn cu apă distilată. Se filtrează printr-un filtru uscat, aruncând primele porțiuni din filtrat și colectând filtratul limpede într-un vas uscat.

7.3.   Determinare

Determinarea fosforului extras se face după metoda 3.2, dintr-o porțiune a soluției obținute.

8.   Anexă

Utilizarea oxinei face posibilă aplicarea acestei metode la îngrășăminte ce conțin magneziu. Se recomandă folosirea ei atunci când raportul Mg:P2O5 este mai mare de 0,03 (Mg/P2O5 > 0,03). În acest caz se adaugă 3 g oxină în proba de analizat umezită. În plus, folosirea oxinei în absența magneziului nu perturbă determinările ulterioare. Cu toate acestea, dacă se știe că îngrășământul nu conține magneziu, este posibil să nu se folosească oxină.

Metoda 3.1.6.

Extracția fosforului solubil în apă

1.   Obiect

Prezentul document stabilește procedura de determinare a fosforului solubil în apă.

2.   Domeniu de aplicare

Prezenta metodă se aplică tuturor îngrășămintelor, inclusiv îngrășămintelor compuse, pentru care se impune determinarea fosforului solubil în apă.

3.   Principiu

Extracția fosforului în condiții specifice.

4.   Reactivi

Apă distilată sau apă demineralizată

5.   Aparatură

5.1.   Vas gradat de 500 ml (de exemplu, vas Stohmann)

5.2.   Agitator rotativ (35-40 rotații pe minut)

6.   Pregătireaprobei

A se vedea metoda 1.

7.   Mod de lucru

7.1.   Proba

Se cântăresc, cu o precizie de 0,001 g, 5 g din probă și se trec într-un vas gradat de 500 ml (5.1).

7.2.   Extracția

Se adaugă în vas 450 ml apă, a cărei temperatură trebuie să fie de 20-25 °C.

Se amestecă cu agitatorul rotativ (5.2) timp de 30 minute.

Se aduce la semn cu apă, se amestecă în întregime prin agitare și se filtrează pe un filtru cutat uscat, fără fosfați, într-un recipient uscat.

7.3.   Determinare

Determinarea fosforului extras se face dintr-o porțiune a soluției obținute, conform metodei 3.2.

Metoda 3.2

Determinarea fosforului extras

(Metoda gravimetrică cu fosfomolibdat de chinolină)

1.   Obiect

Prezentul document stabilește procedura de determinare a fosforului din extractele de îngrășăminte.

2.   Domeniu de aplicare

Prezenta metodă se aplică tuturor extractelor de îngrășăminte (12) pentru determinarea diferitelor forme de fosfor.

3.   Principiu

După eventuala hidroliză, fosforul se precipită în mediu acid sub formă de fosfomolibdat de chinolină.

După filtrare și spălare, precipitatul se usucă la 250 °C și se cântărește.

În condițiile de mai sus, compușii care se găsesc, probabil, în soluție (acizi minerali sau organici, ioni de amoniu, silicați solubili etc.) nu dau interferențe în cazul în care la precipitare se utilizează reactivi de tipul molibdatului de sodiu sau molibdatului de amoniu.

4.   Reactivi

Apă distilată sau apă demineralizată

4.1.   Acid azotic concentrat (d20 = 1,40 g/ml)

4.2.   Prepararea reactivului

4.2.1.   Prepararea reactivului pe bază de molibdat de sodiu

Soluția A: Se dizolvă 70 g molibdat de sodiu dihidrat în 100 ml apă distilată.

Soluția B: se dizolvă 60 g acid citric monohidrat în 100 ml apă distilată și se adaugă 85 ml acid azotic concentrat (4.1).

Soluția C: Se amestecă soluția A cu soluția B pentru a se obține soluția C.

Soluția D: Se adaugă la 50 ml apă distilată 35 ml acid azotic concentrat (4.1) și apoi 5 ml chinolină proaspăt distilată. Se adaugă această soluție la soluția C, se amestecă bine și se lasă să stea peste noapte la întuneric. După aceasta se aduce la 500 ml cu apă distilată, se amestecă din nou și se filtrează direct printr-o pâlnie filtrantă din sticlă sinterizată (5.6).

4.2.2.   Prepararea reactivului pe bază de molibdat de amoniu

Soluția A: În 300 ml apă distilată se dizolvă 100 g molibdat de amoniu, încălzind ușor și amestecând soluția din când în când.

Soluția B: Se dizolvă 120 g acid citric monohidrat în 200 ml apă și se adaugă 170 ml acid azotic concentrat (4.1).

Soluția C: Se adaugă 10 ml chinolină proaspăt distilată în 70 ml acid azotic concentrat (4.1).

Soluția D: Soluția A se adaugă ușor în soluția B, agitând bine. După amestecare, se adaugă soluția C în acest amestec și se aduce la un litru. Se lasă să stea două zile într-un loc întunecos și apoi se filtrează direct printr-o pâlnie filtrantă din sticlă sinterizată (5.6).

Reactivii 4.2.1. și 4.2.2. pot fi utilizați în același mod, dar aceștia trebuie să fie păstrați la întuneric în recipiente din polietilenă bine închise.

5.   Aparatură

5.1.   Instalații standard de laborator și vase Erlenmeyer de 500 ml cu gât larg

5.2.   Pipete gradate de 10, 25 și 50 ml

5.3.   Creuzete filtrante cu porozitatea de 5-20 µm

5.4.   Vas pentru filtrare sub vid (vas Buchner)

5.5.   Cuptor de uscare fixat la 250 (+ 10) °C

5.6.   Pâlnii filtrante din sticlă sinterizată cu porozitate între 5–20 µm

6.   Mod de lucru

6.1.   Prelevarea soluției

Se ia cu o pipetă o porțiune din extractul de îngrășământ (a se vedea tabelul 2) conținând în jur de 0,01 g P2O5 și se pune într-un vas Erlenmeyer de 500 ml. Se adaugă 15 ml acid azotic concentrat (13) (4.1) și se diluează cu apă până la aproximativ 100 ml.

Tabelul 2

Determinarea porțiunilor de analizat din soluțiile de fosfați

% P2O5 în îngrășământ

% P în îngrășământ

Proba pentru analiză

(g)

Diluția

(la ml)

Proba

(ml)

Diluția

(la ml)

Proba ce va fi precipitată

(ml)

Factor de conversie fosfomolibdat de chinolină (F) în % P2O5

Factor de conversie fosfomolibdat de chinolină (F) în % P

5-10

2.2-4.4

1

500

50

32,074

13,984

5

500

10

32,074

13,984

10-25

4.4-11.0

1

500

25

64,148

27,968

5

500

50

500

50

64,148

27,968

+ 25

+ 11

1

500

10

160,370

69,921

5

500

50

500

25

128,296

55,937

6.2.   Hidroliza

În cazul în care se bănuiește că în soluție există în suspensie metafosfați, pirofosfați sau polifosfați, hidroliza se realizează după cum urmează:

Se aduce ușor la fierbere conținutul paharului Erlenmeyer și se menține la această temperatură până când hidroliza este completă (de obicei, într-o oră). Procesul trebuie condus cu multă atenție, pentru a preveni pierderile datorate împrăștierii și evaporării excesive, care ar reduce volumul inițial cu mai mult de jumătate; pentru aceasta se folosește un condensator de reflux. După hidroliză se readuce soluția la volumul inițial cu apă distilată.

6.3.   Cântărirea creuzetului

Se usucă creuzetul filtrant (5.3) cel puțin 15 minute într-un cuptor de uscare fixat la 250 (± 10) °C. Se cântărește creuzetul după răcire în exsicator.

6.4.   Precipitarea

Soluția acidă din vasul Erlenmeyer se încălzește până când începe să fiarbă; în acel moment se inițiază precipitarea fosfomolibdatului de chinolină prin adăugarea a 40 ml reactiv de precipitare (reactivul 4.2.1. sau 4.2.2.) (14), picătură cu picătură, amestecând continuu. Se pune vasul Erlenmeyer într-o baie de abur și se lasă să stea timp de 15 minute, amestecând din când în când. Soluția poate fi filtrată imediat sau după ce se răcește bine.

6.5.   Filtrarea și spălarea

Soluția se filtrează sub vid prin decantare. Se spală precipitatul în vasul Erlenmeyer cu 30 ml apă. Se decantează și se filtrează soluția. Se repetă acest proces de cinci ori. Restul precipitatului se transferă cantitativ, cu apă, în creuzetul filtrant. Se spală cu 20 ml apă, lăsând lichidul să se scurgă după fiecare adăugare. Se usucă precipitatul în întregime.

6.6.   Uscarea și cântărirea

Se șterge exteriorul creuzetului filtrant cu o hârtie de filtru. Se pune creuzetul în cuptorul de uscare și se ține acolo până la masă constantă, la temperatura de 250 °C (5.5) (de obicei, 15 minute); se lasă să se răcească în exsicator la temperatura camerei și se cântărește rapid.

6.7.   Test-martor

Pentru fiecare serie de determinări se realizează un test-martor, utilizând numai reactivii și solvenții în proporțiile utilizate la extracție (soluție de citrat etc.) și se ia în considerare la calcularea rezultatului final.

6.8.   Verificarea

Se realizează o determinare utilizând o porțiune dintr-o soluție de fosfat de potasiu monobazic (KH2PO4) conținând 0,01 g P2O5.

7.   Exprimarea rezultatelor

În cazul în care se utilizează pentru analiză probele și diluțiile indicate în tabelul 2, se folosesc următoarele formule:

 

Formula

sau

 

Formula

unde:

A

=

masa, în grame, de fosfomolibdat de chinolină;

a

=

masa, în grame, de fosfomolibdat de chinolină obținută în testul-martor;

F și F′

=

factorii indicați în ultimele două coloane ale tabelului 2.

Atunci când probele de analizat și diluțiile diferă de cele din tabelul 2, se aplică următoarea formulă:

 

Formula

sau

 

Formula

unde:

f și f′

=

factorii de conversie ai fosfomolibdatului de chinolină în P2O5 = 0,032074, (f) sau în P = 0,013984 (f′);

D

=

factorul de diluție,

M

=

masa, în grame, a probei analizate.

Metoda 4

Potasiu

Metoda 4.1

Determinarea conținutului de potasiu solubil în apă

1.   Obiect

Prezentul document stabilește procedura de determinare a potasiului solubil în apă.

2.   Domeniu de aplicare

Toate îngrășămintele cu potasiu enumerate la anexa I.

3.   Principiu

Potasiul din proba ce trebuie analizată se dizolvă în apă. După eliminarea sau fixarea substanțelor ce pot interfera la determinarea cantitativă, potasiul este precipitat într-un mediu ușor alcalin, sub formă de tetrafenilborat de potasiu.

4.   Reactivi

Apă distilată sau demineralizată

4.1.   Formaldehidă

Soluție limpede de formaldehidă 25-35 %

4.2.   Clorură de potasiu pentru analiză

4.3.   Soluție hidroxid de sodiu 10 mol/l

Trebuie să se verifice cu atenție dacă hidroxidul de potasiu folosit nu conține hidroxid de sodiu.

4.4.   Soluție de indicator

Se dizolvă 0,5 g fenolftaleină în etanol 90 % și se aduce volumul până la 100 ml.

4.5.   Soluție EDTA

Se dizolvă 4 g sare disodică dihidrată a acidului etilendiaminotetraacetic în apă, într-un balon cotat de 100 ml. Se aduce balonul la semn și se amestecă.

Acest reactiv se păstrează într-un recipient din plastic.

4.6.   Soluție STPB

Se dizolvă 32,5 g de tetrafenilborat de sodiu în 480 ml apă, se adaugă 2 ml soluție hidroxid de sodiu (4.3) și 20 ml soluție clorură de magneziu (100 g MgCl2 · 6H2O/litru).

Se agită 15 minute și se filtrează printr-un filtru fin, fără cenuși.

Reactivul se păstrează într-un recipient din plastic.

4.7.   Lichid de spălare

Se diluează 20 ml din soluția SBTP (4.6) la 1 000 ml cu apă.

4.8.   Apă de brom

Soluție saturată de brom în apă

5.   Aparatură

5.1.   Vase gradate de 1 000 ml

5.2.   Balon cotat de 250 ml

5.3.   Creuzete filtrante cu pori între 5-20 µ

5.4.   Cuptor fixat la 120 (± 10) °C

5.5.   Exsicator

6.   Pregătirea probei

A se vedea metoda 1.

În cazul sărurilor de potasiu, proba trebuie să fie măcinată fin pentru a obține o probă reprezentativă pentru analiză; se recomandă respectarea prevederilor din metoda 1, punctul 6 (a).

7.   Mod de lucru

7.1.   Proba

Se cântăresc, cu o precizie de 0,001 g, 10 g din proba pregătită (5 g sare de potasiu conținând mai mult de 50 % oxid de potasiu). Se aduce proba cântărită într-un pahar de 600 ml cu aproximativ 400 ml apă.

Se aduce la fierbere și se lasă să fiarbă 30 de minute. Se răcește și se transferă cantitativ într-un vas gradat de 1 000 ml, se aduce la semn, se amestecă și se filtrează într-un recipient uscat. Se aruncă primii 50 ml filtrat (a se vedea 7.6, nota la procedură).

7.2.   Pregătirea porțiunii pentru precipitare

Se ia cu o pipetă o porțiune din filtrat, conținând 25-50 mg potasiu (a se vedea tabelul 3), și se trece într-un pahar de 250 ml. Dacă este necesar, se aduce la 50 ml cu apă.

Pentru a elimina orice interferențe, se adaugă 10 ml soluție EDTA (4.5), câteva picături de soluție de fenolftaleină (4.4) și apoi hidroxid de sodiu (4.3), picătură cu picătură, agitând continuu, până când soluția se colorează în roșu; în final se mai adaugă câteva picături de hidroxid de sodiu pentru a se asigura un exces (de obicei 1 ml hidroxid de sodiu este suficient pentru a neutraliza proba și pentru a realiza excesul dorit).

Pentru a elimina cea mai mare parte a amoniacului [a se vedea 7.6 (b), nota la procedură], se fierbe ușor timp de 15 minute.

Dacă este necesar, se adaugă apă pentru a aduce volumul la 60 ml.

Se aduce soluția la fierbere, se îndepărtează sursa de căldură și se adaugă în pahar 10 ml formaldehidă (4.1). Se adaugă câteva picături de fenolftaleină și, dacă este necesar, încă puțin hidroxid de sodiu, până când apare clar culoarea roșie. Se acoperă paharul cu o sticlă de ceas și se lasă să stea 15 minute într-o baie de abur.

7.3.   Cântărirea creuzetului

Se usucă creuzetul filtrant (a se vedea 5, „Aparatură”) până la masă constantă (aproximativ 15 minute) în cuptor, la 120 °C (5.4).

Se lasă creuzetul să se răcească în exsicator și apoi se cântărește.

7.4.   Precipitarea

Se ia paharul din baia de abur, se adaugă sub agitare, picătură cu picătură, 10 ml soluție STPB (4.6). Această adăugare durează aproximativ două minute. Se așteaptă cel puțin 10 minute înainte de filtrare.

7.5.   Filtrarea și spălarea

Se filtrează sub vid într-un creuzet filtrant cântărit, se clătește paharul cu lichidul de spălare (4.7), se spală precipitatul de trei ori cu lichid de spălare (60 ml fiind toată soluția de spălare) și de două ori cu 5-10 ml apă.

Se usucă precipitatul în întregime.

7.6.   Uscarea și cântărirea

Se șterge exteriorul creuzetului cu o hârtie de filtru. Se pune creuzetul cu precipitat în cuptor pentru o oră și jumătate, la temperatura de 120 °C. Se lasă creuzetul să se răcească în exsicator la temperatura ambiantă și se cântărește repede.

Observații la modul de lucru:

(a)

În cazul în care filtratul este întunecat la culoare, se ia cu o pipetă o porțiune conținând cel mult 100 mg K2O și se pune într-un vas gradat de 100 ml, se adaugă apă de brom și se aduce la fierbere pentru eliminarea surplusului de brom. După răcire se aduce vasul la semn, se filtrează și se determină cantitatea de potasiu dintr-o porțiune de filtrat.

(b)

În cazul în care azotul amoniacal este în cantitate mică sau nu este prezent, nu mai sunt necesare cele 15 minute de fierbere.

7.7.   Porțiuni care se iau ca probă și factorii de conversie

Tabelul 3

Pentru metoda 4

% K2O în îngrășământ

% K în îngrășământ

Proba pentru analiză

(g)

Proba din soluția de extract pentru diluție

(ml)

Diluția

(la ml)

Porțiunea de analizat ce trebuie luată ca probă pentru precipitare

(ml)

Factor de conversie

(F)Formula

Factor de conversie

F′Formula

5-10

4,2-8,3

10

50

26,280

21,812

10-20

8,3-16,6

10

25

52,560

43,624

20-50

16,6-41,5

10

fie —

 

10

131,400

109,060

 

 

or 50

250

50

131,400

109,060

peste 50

peste 41,5

5

fie —

10

262,800

218,120

 

 

or 50

250

50

262,800

218,120

7.8.   Test-martor

Pentru fiecare serie de determinări se realizează un test-martor, utilizând numai reactivii în proporțiile utilizate la analiză, și se ia în considerare la calcularea rezultatului final.

7.9.   Test de control

Pentru a avea un control asupra metodei de analiză, se realizează o determinare pe o porțiune a unei soluții de clorură de potasiu ce trebuie să conțină cel mult 40 mg K2O.

8.   Exprimarea rezultatelor

În cazul în care se utilizează pentru analiză probele și diluțiile indicate în tabelul 3, se folosesc următoarele formule:

 

Formula

sau

 

Formula

unde:

A

=

masa, în grame, a precipitatului din probă;

a

=

masa în grame, a precipitatului din proba-martor;

F și F′

=

factori (a se vedea tabelul 3).

Pentru probe și diluții diferite de cele din tabelul 3, se utilizează următoarea formulă:

 

Formula

sau

 

Formula

unde:

f

=

factor de conversie, TPKB în K2O = 0,1314;

f′

=

factor de conversie TPKB în K = 0,109;

D

=

factor de diluție;

M

=

masa, în grame, a probei de analizat.

Metoda 5

Lipsă

Metoda 6

Clor

Metoda 6.1

Determinarea clorului în absența materialelor organice

1.   Obiect

Prezentul document stabilește procedura pentru determinarea clorului din cloruri în absența materialelor organice.

2.   Domeniu de aplicare

Prezenta metodă se aplică tuturor îngrășămintelor ce nu conțin materiale organice.

3.   Principiu

Clorurile, dizolvate în apă, sunt precipitate în mediu acid cu soluție standard de azotat de argint în exces. Excesul se titrează cu o soluție de tiocianat de amoniu, în prezența sulfatului feric de amoniu (metoda Volhard).

4.   Reactivi

Apă distilată sau complet demineralizată, fără cloruri

4.1.   Nitrobenzen sau dietil eter

4.2.   Acid azotic 10 mol/l

4.3.   Soluție de indicator

Se dizolvă 40 g sulfat de amoniu feric Fe2(SO4)3 · (NH4)2SO4 · 24H2O în apă și se aduce la un litru.

4.4.   Soluție standard de azotat de argint 0,1 mol/l

Preparare

Deoarece această sare este higroscopică și nu poate fi uscată fără riscul descompunerii, este preferabil să se cântărească aproximativ 9 g, care se dizolvă în apă aducându-se volumul la 1 litru. Se ajustează concentrația la 0,1 mol/l prin titrare cu AgNO3 0,1 mol/l.

5.   Aparatură

5.1.   Agitator rotativ (35-40 rotații pe minut)

5.2.   Biurete

5.3.   Vas gradat de 500 ml

5.4.   Vas conic (Erlenmeyer) de 250 ml

6.   Pregătirea probei

A se vedea metoda 1.

7.   Mod de lucru

7.1.   Proba și pregătirea soluției

Se pun 5 g din probă, cântărite cu o precizie de 0,001 g, într-un vas gradat de 500 ml și se adaugă 450 ml apă. Se amestecă pe agitator (5.1) jumătate de oră, se aduce la 500 ml cu apă distilată, se amestecă și se filtrează într-un pahar.

7.2.   Determinare

Se ia o porțiune din filtrat conținând cel mult 0,150 g cloruri. De exemplu, 25 ml (0,25 g), 50 ml (0,5 g) sau 100 ml (1 g). În cazul în care proba luată este mai mică de 50 ml, este necesar să se aducă volumul la 50 ml cu apă distilată.

Se adaugă 5 ml acid azotic 10 mol/l (4.2), 20 ml soluție de indicator (4.3) și două picături de soluție standard de tiocianat de amoniu (o probă din ultimul reactiv se ia cu o biuretă adusă la zero în acest scop).

Se adaugă cu o biuretă soluție standard de azotat de argint (4.4), până la obținerea unui exces de 2-5 ml. Se adaugă 5 ml nitrobenzen sau 5 ml dietil eter (4.1) și se amestecă bine pentru a aglomera precipitatul. Se titrează excesul de azotat de argint cu tiocianat de amoniu 0,1 mol/l (4.5) până la apariția unei culori roșu-brun, persistentă după agitarea ușoară a vasului.

Notă

Nitrobenzenul și dietileterul (în special nitrobenzenul) previn reacția clorurii de argint cu ionii tiocianat. În acest fel, punctul de viraj este evident.

7.3.   Test-martor

Se realizează un test-martor (omițând proba) în aceleași condiții și rezultatul acestuia se ia în considerare la calculul rezultatului final.

7.4.   Test de control

Înainte de începerea determinărilor se verifică acuratețea metodei, prin utilizarea unei porțiuni dintr-o soluție proaspăt preparată de clorură de potasiu care conține o cantitate cunoscută de clor, de ordinul a 100 mg.

8.   Exprimarea rezultatului

Rezultatul analizei se exprimă în procent de clor conținut de proba recepționată pentru analiză.

Se calculează procentului de cloruri (Cl) cu formula:

Formula

unde:

Vz

=

numărul de mililitri de azotat de argint 0,1 mol/l;

Vcz

=

numărul de mililitri de azotat de argint 0,1 mol/l folosiți în testul-martor;

Va

=

numărul de mililitri de tiocianat de amoniu 0,1 mol/l;

Vca

=

numărul de mililitri de tiocianat de amoniu 0,1 mol/l folosiți în testul-martor;

M

=

masa probei luate, în grame (7.2).

Metodele 7

Finețea măcinării

Metoda 7.1

Determinarea fineții de măcinare

(procedeu uscat)

1.   Obiect

Prezentul document stabilește o metodă de determinare a fineții de măcinare.

2.   Domeniu de aplicare

Prezenta metodă se aplică tuturor tipurilor de îngrășăminte CE pentru care se prevede finețea de măcinare cu referire la site cu ochiuri între 0,630-0,160 mm.

3.   Principiu

Cu o sită mecanică vibratoare se determină cantitățile de produs cu granulație mai mare de 0,630 mm, precum și cele cu granulație între 0,160-0,630 mm, și se calculează finețea de măcinare.

4.   Aparatură

4.1.   Sită mecanică vibratoare

4.2.   Site cu ochiuri de 0,160 și, respectiv, 0,630 mm, cu dimensiuni standard (diametru 20 cm și înălțime 5 cm)

5.   Mod de lucru

Se cântăresc, cu o precizie de 50 mg, 50 g de substanță. Se montează cele două site și containerul de colectare pe vibrator (4.1), sita cu ochiuri mari fiind pusă deasupra. Se pune proba de analizat deasupra. Se cerne timp de 10 minute și se îndepărtează porțiunea de analizat colectată în partea inferioară. Se pornește din nou aparatul și după un minut se verifică dacă masa cantității colectate în partea inferioară nu depășește 250 mg. Se repetă procesul (timp de un minut de fiecare dată) până când cantitatea colectată este mai mică de 250 mg. Se cântăresc separat reziduurile rămase pe cele două site.

6.   Exprimarea rezultatelor

Formula

Formula

unde

M1= masa, în grame, a reziduului de pe sita cu ochiuri de 0,630 mm;

M2= masa, în grame, a reziduului de pe sita cu ochiuri de 0,160 mm;

Restul de pe sita cu ochiuri de 0,630 mm fusese deja eliminat.

Rezultatele se rotunjesc până la unitatea apropiată.

Metoda 7.2

Determinarea fineții de măcinare a fosfaților naturali moi

1.   Obiect

Prezenta metodă se utilizează pentru determinarea fineții de măcinare a fosfaților naturali moi.

2.   Domeniu de aplicare

Prezenta metodă se aplică exclusiv pentru fosfați naturali moi.

3.   Principiu

Datorită fineții deosebite, probele cu particule fine se pot aglomera, făcând dificilă cernerea uscată. Din acest motiv, de obicei se utilizează cernerea umedă.

4.   Reactivi

Soluție de hexametafosfat de sodiu 1 %.

5.   Aparatură

5.1.   Site cu ochiuri de 0,063 mm și, respectiv, 0,125 mm, cu dimensiuni standard (diametru 20 cm și înălțime 5 cm); containere de colectare.

5.2.   Pâlnie de sticlă cu diametru de 20 cm, montată pe un stand

5.3.   Pahare de 250 ml

5.4.   Cuptor de uscare

6.   Mod de lucru

6.1.   Proba

Se cântăresc, cu o precizie de 50 mg, 50 g substanță. Se spală ambele fețe ale sitei cu apă și se pune sita cu ochiuri de 0,125 mm deasupra celei cu ochiuri de 0,063 mm.

6.2.   Mod de lucru

Se pune proba de analizat pe sita de deasupra. Se cerne sub un jet mic de apă rece (se poate utiliza apă de la robinet) până când apa este practic limpede după trecerea prin site. Se supraveghează debitul apei pentru ca sita de jos să nu se umple cu apă.

Atunci când reziduul de pe prima sită pare să rămână mai mult sau mai puțin constant, se îndepărtează această sită și se pune, între timp, pe containerul colector.

Se continuă cernerea umedă prin sita mică timp de câteva minute, până când apa ce trece prin aceasta este aproape limpede.

Se înlocuiește sita cu ochiuri de 0,125 mm cu cea cu ochiuri de 0,063 mm. Se trece tot materialul din containerul colector pe sita de deasupra și se reîncepe cernerea sub un jet mic de apă, până când apa devine și de această dată aproape limpede.

Se transferă cantitativ fiecare reziduu în câte un pahar, prin intermediul pâlniei. Se realizează o suspensie cu fiecare reziduu, prin umplerea paharelor cu apă. Se lasă să stea aproximativ un minut și se decantează cât mai multă apă.

Se pun paharele în cuptor la 150 °C, timp de două ore.

Se lasă apoi la răcit, se scot reziduurile cu ajutorul unei perii și se cântăresc.

7.   Exprimarea rezultatelor

Rezultatele calculelor se rotunjesc până la unitatea apropiată

Formula

Formula

unde

M1= masa, în grame, a reziduului de pe sita cu ochiuri de 0,125 mm;

M2= masa, în grame, a reziduului de pe sita cu ochiuri de 0,063 mm.

8.   Observații

În cazul în care după cernere se observă prezența unor bulgări, analiza se repetă în felul următor.

 

Se toarnă ușor 50 g din probă într-un vas de 1 litru conținând 500 ml soluție de hexametafosfat de sodiu, amestecând continuu. Se închide vasul cu un dop și se agită puternic cu mâna, pentru a sparge bulgării. Se transferă toată suspensia pe sita de deasupra și se spală vasul. Se continuă analiza așa cum s-a arătat la punctul 6.2.

Metodele 8

Elemente secundare

Metoda 8.1

Extracția calciului total, a magneziului total, a sodiului total și a sulfului total prezent sub formă de sulfați

1.   Obiect

Prezentul document stabilește procedeul de extracție a calciului total, a magneziului total și a sodiului total, precum și a sulfului total prezent sub formă de sulfați, astfel încât același extract să poată fi folosit pentru determinarea fiecăruia dintre aceste elemente.

2.   Domeniu de aplicare

Prezenta metodă se aplică pentru îngrășămintele CE pentru care se prevede în prezentul regulament declararea conținutului de calciu total, de magneziu total, de sodiu total și de sulf total, prezent sub formă de sulfați.

3.   Principiu

Solubilizare prin fierbere în acid clorhidric diluat.

4.   Reactivi

4.1.   Acid clorhidric diluat

Un volum de acid clorhidric (d20 = 1,18 g/ml) și un volum de apă.

5.   Aparatură

Plită electrică cu temperatură reglabilă.

6.   Pregătirea probei

A se vedea metoda 1.

7.   Mod de lucru

7.1.   Proba

Calciul, magneziul, sodiul și sulful sub formă de sulfați se extrag dintr-o probă de 5 g, cântărită cu precizie de 1 mg.

Cu toate acestea, atunci când îngrășământul conține mai mult de 15 % sulf (S), respectiv 37,5 % SO3, și mai mult de 18,8 % calciu (Ca), adică 26,3 % CaO, extracția calciului și sulfului se face dintr-o probă de 1 g, cântărită cu o precizie de 1 mg. Proba se pune într-un vas de 600 ml.

7.2.   Pregătirea soluției

Se adaugă aproximativ 400 ml apă și, cu grijă atunci când proba conține o cantitate semnificativă de carbonați, 50 ml acid clorhidric diluat (4.1), în porții mici. Se aduce la fierbere și se fierbe timp de 30 de minute. Se lasă să se răcească, amestecând din când în când. Se decantează cantitativ într-un vas gradat de 500 ml. Se aduce la semn cu apă și se amestecă. Se filtrează printr-un filtru uscat într-un vas uscat, aruncând primele porțiuni. Extractul trebuie să fie complet transparent. În cazul în care filtratul nu este folosit imediat, se astupă vasul cu un dop.

Metoda 8.2

Extracția sulfului total prezent sub diferite forme

1.   Obiect

Prezentul document stabilește procedeul de extracție a sulfului total conținut în îngrășăminte sub formă elementară și/sau sub diferite forme.

2.   Domeniu de aplicare

Prezenta metodă se aplică pentru îngrășămintele CE pentru care se prevede în prezentul regulament declararea sulfului total prezent sub diferite forme (sulf elementar, tiosulfat, sulfit, sulfat).

3.   Principiu

Sulful elementar este transformat, în mediu alcalin, în polisulfiți și tiosulfat; aceștia, împreună cu sulfiții ce pot fi prezenți în probă, se oxidează apoi cu peroxid de hidrogen. Diferitele forme de sulf sunt astfel convertite în sulfat, care se determină prin precipitare sub formă de sulfat de bariu (metoda 8.9).

4.   Reactivi

4.1.   Acid clorhidric diluat

1 volum de acid clorhidric (d = 1,18) și 1 volum de apă.

4.2.   Soluție de NaOH minimum 30 % (d = 1,33)

4.3.   Soluție peroxid de hidrogen, 30 % m/m

4.4.   Soluție apoasă de clorură de bariu (BaCl2 · 2H2O), 122 g/l

5.   Aparatură

Plită electrică cu temperatura reglabilă

6.   Pregătirea probei

A se vedea metoda 1.

7.   Mod de lucru

7.1.   Proba

Se cântărește, cu o precizie de 1 mg, o cantitate de îngrășământ ce conține între 80 și 350 miligrame sulf (S) sau între 200 și 875 mg SO3.

Ca regulă (atunci când sulful este sub 15 %), se cântăresc 2,5 g. Se pune proba într-un vas de 400 ml.

7.2.   Oxidarea

Se adaugă 20 ml soluție hidroxid de sodiu (4.2) și 20 ml apă. Se acoperă vasul cu o sticlă de ceas. Se fierbe timp de 5 minute pe o plită încinsă (5.1). Se ia de pe plită. Folosind un jet de apă fierbinte, se colectează sulful lipit de pereții vasului și se fierbe timp de 20 de minute. Se lasă apoi să se răcească.

Se adaugă apă oxigenată (4.3) în porțiuni de câte 2 ml, până nu se mai observă nici o reacție. Sunt necesari 6-8 ml peroxid de hidrogen. Se lasă oxidarea să continue timp de o oră, apoi se fierbe jumătate de oră, după care se lasă să se răcească.

7.3.   Pregătirea soluției ce urmează a fi analizată

Se adaugă aproximativ 50 ml apă și 50 ml soluție acid clorhidric (4.1).

În cazul în care concentrația sulfului (S) este mai mică de 5 %:

Se filtrează într-un vas de 600 ml. Se spală reziduul de pe filtru de câteva ori cu apă rece. După spălare se verifică absența sulfatului în ultimele picături de filtrat, folosind o soluție de clorură de bariu (4.4). Filtratul trebuie să fie perfect limpede. Sulfatul se determină în întregul filtrat, conform metodei 8.9.

În cazul în care concentrația sulfului este mai mare de 5 %:

Se transferă cantitativ într-un vas de 250 ml, se aduce la semn cu apă și apoi se amestecă. Se filtrează pe un filtru uscat într-un vas uscat; filtratul trebuie să fie complet limpede. În cazul în care soluția nu se folosește imediat, se astupă sticla cu un dop. Se determină sulfații dintr-o porțiune de soluție prin precipitare sub formă de sulfat de bariu (metoda 8.9).

Metoda 8.3

Extracția formelor solubile în apă ale calciului, magneziului, sodiului și sulfului

(sub formă de sulfați)

1.   Obiect

Prezentul document stabilește procedeele pentru extracția formelor solubile în apă ale calciului, magneziului, sodiului și sulfului (sub formă de sulfați), astfel încât același extract să poată fi folosit la determinarea fiecăruia dintre aceste elemente.

2.   Domeniu de aplicare

Prezenta metodă se aplică numai pentru îngrășămintele pentru care anexa I prevede declararea formelor solubile în apă ale calciului, magneziului, sodiului și sulfului (sub formă de sulfați).

3.   Principiu

Elementele se solubilizează în apă la fierbere.

4.   Reactivi

Apă distilată sau apă demineralizată de calitate echivalentă

5.   Aparatură

Plită electrică cu temperatura reglabilă

6.   Pregătirea probei

A se vedea metoda 1.

7.   Mod de lucru

7.1.   Proba

(a)

Atunci când îngrășămintele nu conțin sulf sau atunci când acestea conțin, în același timp, mai puțin de 3 % S, adică 7,5 % SO3, și mai puțin de 4 % Ca, adică 5,6 % CaO, se cântăresc 5 g de îngrășământ, cu o precizie de 1 mg.

(b)

În cazul în care îngrășămintele conțin mai mult de 3 % S și mai mult de 4 % Ca, se cântărește 1 g de îngrășământ, cu o precizie de 1 mg.

Se pune proba într-un vas gradat de 600 ml.

7.2.   Pregătirea soluției

Se adaugă aproximativ 400 ml de apă și se fierbe timp de 30 minute. Se lasă să se răcească, amestecând din când în când, și se decantează într-un vas gradat de 500 ml. Se aduce la semn cu apă și se amestecă.

Se filtrează, printr-un filtru uscat, într-un recipient uscat. Se aruncă primele porțiuni de filtrat. Filtratul trebuie să fie complet transparent.

În cazul în care soluția nu se folosește imediat, se astupă vasul cu un dop.

Metoda 8.4

Extracția sulfului solubil în apă atunci când sulful este prezent sub diferite forme

1.   Obiect

Prezentul document definește procedeul de extracție a sulfului solubil în apă prezent în îngrășăminte sub diferite forme.

2.   Domeniu de aplicare

Prezenta metodă se aplică în cazul îngrășămintelor pentru care anexa I prevede specificarea concentrației de trioxid de sulf solubil în apă.

3.   Principiu

Sulful se dizolvă în apă rece și se transformă în sulfat prin oxidare cu apă oxigenată în mediu alcalin.

4.   Reactivi

4.1.   Acid clorhidric diluat

1 volum de acid clorhidric (d20 = 1,18 g/ml) și 1 volum de apă.

4.2.   Soluție hidroxid de sodiu conținând minimum 30 % NaOH (d20 = 1,33 g/ml)

4.3.   Apă oxigenată: soluție 30 % (procente de masă)

5.   Aparatură

5.1.   Vas Stohmann de 500 ml

5.2.   Agitator rotativ, 30-40 rotații pe minut

5.3.   Plită electrică cu temperatura reglabilă

6.   Pregătirea probei

A se vedea metoda 1.

7.   Mod de lucru

7.1.   Proba

(a)

Atunci când îngrășămintele conțin cel mult 3 % sulf (S), adică 7,5 % SO3, împreună cu cel mult 4 % calciu (Ca), adică 5,6 % CaO, se cântăresc 5 g de îngrășământ, cu precizie de 1 mg.

(b)

Atunci când îngrășămintele conțin mai mult de 3 % sulf (S) și mai mult de 4 % calciu (Ca) se cântărește 1 g de îngrășământ, cu o precizie de 1 mg.

Se pune proba într-un vas de 500 ml (5.1.).

7.2.   Pregătirea soluției

Se adaugă aproximativ 400 ml apă. Se astupă cu un dop. Se agită (5.2) timp de 30 minute. Se aduce la semn cu apă și se amestecă. Se filtrează printr-un filtru uscat într-un recipient uscat. Se astupă vasul cu un dop în cazul în care soluția nu se utilizează imediat.

7.3.   Oxidarea unei porțiuni de probă ce urmează a fi analizată

Se ia o porțiune de probă din soluția de extract, care să nu depășească 50 ml și, dacă este posibil, să conțină între 20 și 100 mg sulf (S).

Dacă este necesar, se completează volumul până la 50 ml cu apă. Se adăugă 3 ml soluție hidroxid de sodiu (4.2) și 2 ml soluție de apă oxigenată (4.3). Se acoperă cu o sticlă de ceas și se fierbe la foc mic timp de o oră (5.3). Se continuă adăugarea de porțiuni de 1 ml de soluție de apă oxigenată atât timp cât reacția continuă (maximum 5 ml).

Se lasă să se răcească. Se îndepărtează sticla de ceas și se spală (partea de dedesubt) în vas. Se adaugă aproximativ 20 ml acid clorhidric diluat (4.1). Se completează până la aproximativ 300 ml cu apă.

Se determină conținutul de sulfați din toată soluția oxidată conform metodei 8.9.

Metoda 8.5

Extracția și determinarea sulfului elementar

Atenție

Prezenta metodă de analiză implică folosirea disulfurii de carbon (CS2). Prin urmare, trebuie luate măsuri de siguranță speciale, referitoare mai ales la:

depozitarea CS2;

echipamente de protecție pentru personal;

igiena muncii;

prevenirea exploziilor și a incendiilor;

eliminarea reactivului.

Prezenta metodă necesită personal foarte bine pregătit și instalații de laborator corespunzătoare.

1.   Obiect

Prezenta metodă stabilește procedeele de extracție și de determinare a sulfului elementar conținut în îngrășăminte.

2.   Domeniu de aplicare

Prezenta metodă se aplică îngrășămintelor CE pentru care se prevede la anexa I specificarea sulfului total prezent sub formă elementară.

3.   Principiu

După îndepărtarea componenților solubili, sulful elementar se extrage folosind disulfură de carbon și apoi sulful extras se determină gravimetric.

4.   Reactivi

Disulfură de carbon

5.   Aparatură

5.1.   Balon de 100 ml cu dop de sticlă rodată

5.2.   Aparat Soxhlet cu elemente de filtrare potrivite

5.3.   Evaporator rotativ sub vid

5.4.   Cuptor electric cu ventilator, reglat la 90 (± 2) °C

5.5.   Cutii Petri rotunde, din porțelan, cu diametru între 5 și 7 cm și maximum 5 cm înălțime

5.6.   Cuptor electric cu temperatură reglabilă.

6.   Pregătirea probei

A se vedea metoda 1.

7.   Mod de lucru

7.1.   Proba

Se cântăresc 5-10 g din probă, cu o precizie de 1 mg, și se trec în cartușul de extracție al aparatului Soxhlet (5.2).

7.2.   Extracția sulfului

Se spală bine cu apă fierbinte conținutul pentru a îndepărta toți compușii solubili. Se usucă în cuptor la 90 °C (5.4) timp de cel puțin o oră. Se introduce filtrul în aparatul Soxhlet (5.2).

Se pun câteva granule de sticlă în recipientul aparatului (5.1), se cântărește (P0) și apoi se adăugă 50 ml disulfură de carbon (4.1).

Se conectează aparatul și se lasă ca sulful elementar să fie extras timp de șase ore. Se întrerupe încălzirea și, după răcire, se deconectează recipientul. Se conectează recipientul la evaporatorul rotativ (5.3) și se evaporă până când conținutul recipientului se solidifică, devenind o masă spongioasă.

Se usucă recipientul în cuptor la 90 °C (5.4) (în general, este necesară o oră) până la masă constantă (P1).

7.3.   Determinarea purității sulfului elementar

Concomitent cu extracția sulfului elementar în disulfură de carbon pot fi extrase și alte substanțe. Puritatea sulfului elementar se determină după cum urmează:

 

Se omogenizează conținutul vasului cât mai bine, după care se iau 2-3 g, cântărite cu o exactitate de 1 mg (n). Se pun într-o cutie Petri (5.5). Se cântăresc împreună cutia și conținutul (P2). Se pune cutia pe o plită fierbinte (5.6) a cărei temperatură se fixează sub 220 °C, astfel încât să nu aibă loc combustia sulfului. Se continuă sublimarea trei sau patru ore, până la masă constantă (P3).

Observație:

Pentru unele îngrășăminte este posibil să nu fie necesară determinarea purității sulfului. În acest caz se renunță la etapa 7.2.

8.   Exprimarea rezultatelor

Procentul de sulf elementar (S) conținut în îngrășământ este următorul:

 

Formula

 

Formula

 

Formula

unde:

m

=

masa probei de îngrășământ, în grame;

P0

=

masa vasului Soxhlet în grame;

P1

=

masa vasului Soxhlet și a sulfului impur după uscare;

n

=

masa sulfului impur ce urmează a fi purificat, în grame;

P2

=

masa cutiei Petri;

P3

=

masa cutiei Petri după sublimarea sulfului, în grame.

Metoda 8.6

Determinarea manganometrică a calciului extras după precipitarea sub formă de oxalat

1.   Obiect

Prezentul document stabilește procedeul de determinare a calciului din extractele de îngrășăminte.

2.   Domeniu de aplicare

Prezenta metodă se aplică pentru îngrășămintele CE pentru care anexa I prevede declararea calciului total și/sau a calciului solubil în apă.

3.   Principiu

Precipitarea calciului conținut într-o porțiune de probă din soluția de extract sub formă de oxalat, care se determină prin titrare cu permanganat de potasiu.

4.   Reactivi

4.1.   Acid clorhidric diluat

1 volum de acid clorhidric (d20 = 1,18 g/ml) și 1 volum de apă.

4.2.   Acid sulfuric diluat 1:10

1 volum de acid sulfuric (d20 = 1,84 g/ml) în 10 volume apă.

4.3.   Soluție de amoniac diluată 1:1

1 volum de amoniac (d20 = 0,88 g/ml) și 1 volum de apă.

4.4.   Soluție saturată de oxalat de amoniu [(NH4)2C2O4 H2O] la temperatura camerei (aproximativ 40 g/l)

4.5.   Acid citric: soluție 30 % (m/V)

4.6.   Clorură de amoniu: soluție 5 % (m/V)

4.7.   Soluție de albastru de bromotimol în etanol, la 95 %, 0,1 % (m/V)

4.8.   Soluție de verde de bromcresol în etanol, la 95 %, 0,04 % (m/V)

4.9.   Soluție etalon de permanganat de potasiu, 0,02 mol/l

5.   Aparatură

5.1.   Creuzet filtrant din sticlă sinterizată, cu porozitate de 5-20 µ

5.2.   Baie de apă fierbinte

6.   Pregătirea porțiunii de probă ce urmează a fi analizată

Se ia cu o pipetă o porțiune de probă din soluția de extract obținută prin metoda 8.1 sau 8.3, conținând 15-50 mg calciu (= 21-70 mg CaO). Fie v2 volumul porțiunii din proba de analizat. Se toarnă într-un vas de 400 ml. Dacă este necesar, se neutralizează cu câteva picături de soluție de amoniac (4.3); indicatorul (4.7) virează de la galben-verde la albastru.

Se adaugă un ml soluție acid citric (4.5) și 5 ml soluție clorură de amoniu (4.6).

7.   Precipitarea oxalatului de calciu

Se adaugă aproximativ 100 ml apă. Se aduce la fierbere, se adaugă 8-10 picături de soluție de indicator (4.8) și, încet, 50 ml dintr-o soluție fierbinte de oxalat de amoniu (4.4). În cazul în care se formează precipitat, acesta se dizolvă prin adăugarea câtorva picături de acid clorhidric (4.1). Se neutralizează foarte încet cu o soluție de amoniac (4.3), amestecând continuu, până la pH 4,4-4,6; indicatorul (4.8) virează de la verde la albastru). Se pune vasul într-o baie de apă adusă la fierbere (5.2), pentru aproximativ 30 de minute.

Se scoate vasul din baie, se lasă să stea o oră și se filtrează printr-un creuzet filtrant (5.1).

8.   Titrarea precipitatului de oxalat

Se spală vasul și creuzetul filtrant până la îndepărtarea completă a excesului de oxalat de amoniu (ceea ce se poate verifica prin absența clorurilor în apa de spălare). Se pune creuzetul într-un vas de 400 ml și se dizolvă precipitatul în 50 ml acid sulfuric fierbinte (4.2). Se adaugă apă în vas până la obținerea unui volum de aproximativ 100 ml. Se aduce soluția la temperatura de 70-80 °C și se titrează, picătură cu picătură, cu o soluție de permanganat (4.9), până când culoarea roz persistă timp de un minut. Fie n acest volumul.

9.   Exprimarea rezultatelor

Conținutul de calciu (Ca) în îngrășământ este următorul:

 

Formula

unde:

n

=

numărul de mililitri de permanganat utilizați;

m

=

masa probei, în grame;

v2

=

volumul porțiunii de probă, în ml;

v1

=

volumul de soluție de extracție, în ml;

t

=

molaritatea soluție de permanganat, în mol/l.

CaOFormula= CaFormula× 1,400

Metoda 8.7

Determinarea magneziului prin spectrometrie de absorbție atomică

1.   Obiect

Prezentul document stabilește procedura pentru determinarea magneziului din extractele de îngrășăminte.

2.   Domeniu de aplicare

Prezenta metodă se aplică pentru extractele de îngrășăminte CE obținute prin metodele 8.1 și 8.3 pentru care se prevede declararea magneziului total și/sau a magneziului solubil în apă, cu excepția îngrășămintelor cuprinse în lista din anexa I D privind nutrienții secundari:

tip 4 (kieserit);

tip 5 (sulfat de magneziu) și tip 5.1 (soluție de sulfat de magneziu);

și, cu excepția îngrășământului următor menționat în anexa I A 3, privind îngrășămintele cu potasiu:

tip 7 (kieserit cu sulfat de potasiu);

pentru care se aplică metoda 8.8.

Prezenta metoda se aplică la toate extractele de îngrășăminte ce conțin elemente în cantități ce pot interfera cu determinarea complexometrică a magneziului.

3.   Principiu

Determinarea magneziului prin spectrofotometrie de absorbție atomică, după diluarea corespunzătoare a extractului.

4.   Reactivi

4.1.   Soluție 1 mol/l de acid clorhidric

4.2.   Soluție 0,5 mol/l de acid clorhidric

4.3.   Soluție etalon de magneziu, 1,00 mg/ml

4.3.1.

Se dizolvă 1,013 g sulfat de magneziu (MgSO4 · 7H2O) în soluție de acid clorhidric 0,5 mol/l (4.2).

4.3.2.

Se cântăresc 1,658 g oxid de magneziu (MgO), calcinat în prealabil pentru a îndepărta toate urmele de carbonat. Se pun într-un vas gradat împreună cu 100 ml apă și 120 ml acid clorhidric 1 mol/l (4.1). După dizolvare se decantează cantitativ într-un vas gradat de 1 000 ml. Se aduce la semn și se amestecă.

sau

4.3.3.

Soluție etalon comercială

Laboratorul este răspunzător pentru testarea acestor soluții.

4.4.   Soluție clorură de stronțiu

Se dizolvă 75 g clorură de stronțiu (SrCl2 · 6H2O) într-o soluție de acid clorhidric (4.2) și se completează până la 500 ml cu aceeași soluție de acid.

5.   Aparatură

Spectrometru pentru absorbție atomică, cu lampă de magneziu, fixat la 285,2 nm

Flacăra aer-acetilenă

6.   Pregătirea probei

A se vedea metodele 8.1 și 8.3.

7.   Mod de lucru

7.1.   În cazul în care îngrășământul are un conținut declarat de magneziu (Mg) mai mare de 6 % (adică 10 % MgO), se iau 25 ml (V1) din soluția de extract (6). Se trec într-un balon cotat de 100 ml, se aduce la semn cu apă și se omogenizează. Factorul de diluție este D1 = 100/V1.

7.2.   Se iau cu o pipetă 10 ml din soluția de extract (6) sau din soluția (7.1). Se trec într-un vas gradat de 200 ml. Se aduce la semn cu soluție de acid clorhidric 0,5 mol/l (4.2) și se omogenizează. Factorul de diluție este 200/10.

7.3.   Se diluează această soluție (7.2) cu soluție de acid clorhidric 0,5 m (4.2), astfel încât să se obțină o concentrație în intervalul optim de lucru al spectrometrului (5.1). V2 este volumul probei în 100 ml. Factorul de diluție este D2 = 100/V2.

Soluția finală trebuie să conțină 10 % (procente volumetrice) din soluția de clorură de stronțiu (4.4).

7.4.   Pregătirea soluției-martor

Se prepară o soluție-martor repetând întregul procedeu de la extracție (metoda 8.1 sau 8.3), omițând numai proba de îngrășământ.

7.5.   Pregătirea soluțiilor-etalon

Prin diluarea soluției standard (4.3) cu acid clorhidric 0,5 mol/l se prepară cel puțin 5 soluții-etalon de concentrații crescătoare, în domeniul optim de măsurare al aparatului (5.1).

Aceste soluții trebuie să conțină 10 % (procente volumetrice) din soluția de clorură de stronțiu (4.4).

7.6.   Măsurare

Se fixează spectrometrul (5.1) la lungimea de undă de 285,2 nm.

Se pulverizează succesiv soluțiile-etalon (7.5), soluția de probă (7.3) și soluția-martor (7.4), spălând instrumentul cu următoarea soluție care urmează să fie măsurată. Se repetă această operație de trei ori. Se reprezintă curba de etalonare punând pe ordonată absorbanțele medii pentru fiecare soluție de calibrare (7.5) și pe abscisă concentrația corespunzătoare de magneziu, în µg/ml. Se determină concentrația de magneziu în probă (7.3), Xs, și în soluția-martor (7.4), Xb, prin interpolare pe curba de etalonare.

8.   Exprimarea rezultatelor

Se calculează cantitatea de magneziu (Mg) sau de oxid de magneziu (MgO) din probă în funcție de soluțiile de etalonare și luând în considerare proba-martor.

Procentul de magneziu în îngrășământ este egal cu:

 

Formula

unde:

 

Xs = concentrația soluției de analizat, determinată de pe curba de etalonare, în µg/ml;

 

Xb = concentrația soluției-martor, determinată de pe curba de etalonare, în µg/ml;

 

D1 = factorul de diluție atunci când soluția este diluată (7.1).

Acesta este egal cu 4 dacă se iau 25 ml.

Acesta este egal cu 1 atunci când soluția nu este diluată.

D2 = factorul de diluție din 7.3.

M = masa probei supusă extracției.

MgOFormula= MgFormula/0,6

Metoda 8.8

Determinarea magneziului prin complexometrie

1.   Obiect

Prezentul document stabilește procedura de determinare a magneziului din extractele de îngrășăminte.

2.   Domeniu de aplicare

Prezenta metodă se aplică pentru următoarele extracte de îngrășăminte CE pentru care se prevede declararea magneziului total și/sau a magneziului solubil în apă:

îngrășămintele menționate la anexa I: îngrășăminte azotate simple, tip 1b + 1c (azotat de calciu și magneziu), tip 7 (sulfonitrat de magneziu), tip 8 (îngrășăminte azotate cu magneziu) și îngrășăminte potasice simple, tip 2 (kainită îmbogățită), tip 4 (clorură de potasiu ce conține magneziu), tip 6 (sulfat de potasiu ce conține sare de magneziu);

îngrășămintele menționate la anexa I D privind nutrienții secundari.

3.   Principiu

Solubilizarea magneziului prin metoda 8.1 și/sau 8.3. Prima titrare: Ca și Mg cu EDTA în prezență de negru eriocrom T. A doua titrare: a calciului cu EDTA în prezență de calceină sau acid calconcarbonic. Determinarea magneziului prin diferență.

4.   Reactivi

4.1.   Soluție etalon de magneziu 0,05 mol/l

4.1.1.

Se dizolvă 1,232 g sulfat de magneziu (MgSO4 7H2O) în soluție de acid clorhidric 0,5 mol/l (4.1) și se aduce la 100 ml cu același acid

sau

4.1.2.

Se cântăresc 2,016 g oxid de magneziu, calcinat în prealabil pentru îndepărtarea tuturor urmelor de carbonați. Se pun într-un vas împreună cu 100 ml apă.

Se amestecă cu aproximativ 120 ml acid clorhidric 1 mol/l (4.12).

După dizolvare se transferă cantitativ într-un vas gradat de 1 000 ml. Se aduce la semn și se amestecă.

1 ml din această soluție trebuie să conțină 1,216 mg de Mg (= 2,016 mg MgO).

Laboratorul este răspunzător pentru testarea concentrației acestei soluții standard.

4.2.   Soluție de EDTA 0,05 mol/l

Se cântăresc 18,61 grame de sare disodică dihidrată a acidului etilendiaminotetraacetic (C10H14N2Na2O8 · 2H2O). Se trec într-un vas gradat de 1 000 ml și se dizolvă în 600-800 ml apă. Se transferă soluția cantitativ într-un vas gradat de 1 000 ml. Se aduce la semn și se amestecă. Se verifică această soluție cu soluția standard (4.1) luând o probă de 20 ml din aceasta din urmă și titrând conform procedeului descris la (7.2).

1 ml de soluție EDTA trebuie să corespundă la 1,216 mg de Mg (= 2,016 mg MgO) și la 2,004 miligrame Ca (= 2,804 mg CaO) (a se vedea observațiile 10.1 și 10.6).

4.3.   Soluție standard de calciu 0,05 mol/l

Se cântăresc 5,004 g carbonat de calciu uscat. Se trec într-un vas cu 100 ml de apă. Se amestecă progresiv cu 120 ml soluție de acid clorhidric aproximativ 1 mol/l (4.12).

Se încălzește la fierbere pentru a îndepărta tot dioxidul de carbon, se răcește, se transferă cantitativ într-un vas gradat de un litru, se aduce la semn cu apă și se amestecă. Se verifică soluția cu soluție de EDTA (4.2), urmând procedeul 7.3. 1 ml din această soluție trebuie să conțină 2,004 mg de calciu (= 2,804 mg CaO) și trebuie să corespundă la 1 ml de soluție de EDTA 0,05 m (4.2).

4.4.   Indicator calceină

Într-un mojar se amestecă cu atenție, 1 g de calceină cu 100 g clorură de sodiu. Se utilizează 10 mg de mixtură. Indicatorul virează de la verde la portocaliu. Titrarea trebuie să se facă până la obținerea unei culori portocalii fără nuanțe de verde.

4.5.   Indicator acid calconcarbonic

Se dizolvă 0,40 g acid calconcarbonic în 100 ml metanol. Această soluție poate fi păstrată aproximativ patru săptămâni. Se folosesc trei picături din această soluție. Indicatorul virează de la roșu la albastru. Titrarea trebuie să se facă până la obținerea unei culori albastre fără nuanțe de roșu.

4.6.   Indicatorul negru eriocrom T

Se dizolvă 0,30 g negru eriocrom T într-un amestec obținut din 25 ml 1-propanol și 15 ml trietanolamină. Această soluție poate fi păstrată doar aproximativ 4 săptămâni. Se utilizează trei picături din această soluție. Indicatorul virează de la roșu la albastru și trebuie făcută titrarea până la obținerea unui albastru fără nuanțe de roșu. Acest indicator virează numai în prezența magneziului. Dacă este nevoie, se adaugă un mililitru de soluție standard (4.1).

Atunci când în soluție există și calciu, și magneziu, EDTA complexează întâi calciul și apoi magneziul. În acest caz, cele două elemente se determină concomitent.

4.7.   Soluție de cianură de potasiu

Soluție apoasă de KCN 2 %. (Nu se trage cu gura din pipetă; a se vedea 10.7).

4.8.   Soluție de hidroxid de potasiu și cianură de potasiu

Se dizolvă 280 g KOH și 66 g KCN în apă, se aduce volumul la un litru și se amestecă.

4.9.   Soluție tampon pH 10,5

Într-un vas gradat de 500 ml se dizolvă 33 g clorură de amoniu în 200 ml apă, se adaugă 250 ml amoniac (d20 = 0,91 g/ml), se aduce la semn cu apă și se amestecă. Se verifică periodic pH-ul acestei soluții.

4.10.   Acid clorhidric diluat: un volum de acid clorhidric (d20 = 1,18 g/ml) plus un volum de apă

4.11.   Soluție de acid clorhidric aproximativ 0,5 mol/l

4.12.   Soluție de acid clorhidric aproximativ 1 mol/l

4.13.   Soluție de hidroxid de sodiu 5 mol/l

5.   Aparatură

5.1.   Agitator magnetic sau mecanic

5.2.   pH-metru

6.   Test de control

Se realizează o determinare pe porțiuni de probă din soluțiile 4.1 și 4.3, astfel încât raportul Ca/Mg să fie aproximativ egal cu cel din soluția ce urmează a fi analizată. Pentru aceasta se iau (a) ml din soluția standard (4.3) și (b-a) ml din soluția standard (4.1). (a) și (b) reprezintă numărul de mililitri de soluție EDTA folosiți în cele două titrări realizate pentru soluția analizată. Acest procedeu este corect numai dacă soluțiile de EDTA, de calciu și de magneziu sunt exact echivalente. În cazul în care această condiție nu este îndeplinită, sunt necesare corecții.

7.   Pregătirea probei

A se vedea metodele 8.1 și 8.3.

8.   Determinare

8.1.   Porțiuni de probă care se prelevează

Porțiunea de probă va conține, pe cât posibil, între 9 și 18 miligrame de magneziu (= 15-30 mg MgO).

8.2.   Titrare în prezență de negru eriocrom T

Se pipetează o porțiune de probă (8.1) din soluția de analizat într-un vas de 400 ml. Se neutralizează surplusul de acid cu soluție de hidroxid de sodiu 5 mol/l (4.12) folosind pH-metrul. Se diluează cu apă la aproximativ 100 ml. Se adaugă 5 ml din soluția tampon (4.9); pH-ul măsurat de aparat trebuie să fie 10,5 ± 0,1. Se adaugă 2 ml soluție de cianură de potasiu (4.7) și 3 picături de indicator negru eriocrom T (4.6). Se titrează cu soluție EDTA (4.2). Se amestecă ușor cu agitatorul (5.1) (a se vedea 10.2, 10.3 și 10.4). Fie „b” numărul de mililitri de soluție EDTA 0,05 mol/l.

8.3.   Titrarea în prezență de calceină sau acid calconcarbonic

Se ia cu pipeta o porțiune de probă din soluția de analizat, egală cu cea luată pentru titrarea de mai sus, și se pune într-un vas de 400 ml. Se neutralizează surplusul de acid cu soluție de hidroxid de sodiu 5 mol/l (4.13), folosind pH-metrul. Se diluează cu apă până la aproximativ 100 ml. Se adaugă 10 ml de soluție KOH/KCN (4.8) și indicatorul (4.4 sau 4.5). Se amestecă ușor cu un agitator (5.1) și se titrează cu soluție de EDTA (4.2) (a se vedea 10.2, 10.3 și 10.4). Fie „a” numărul de mililitri de soluție de EDTA 0,5 mol/l.

9.   Exprimarea rezultatelor

Pentru îngrășămintele CEE pentru care metoda este aplicabilă (5 grame de îngrășământ în 500 mililitri de extract), conținutul în procente din îngrășăminte este:

 

Formula

 

Formula

unde:

a

=

numărul de mililitri de soluție EDTA 0,05 mol/l folosiți pentru titrare în prezență de calceină sau acid calconcarbonic;

b

=

numărul de mililitri de soluție de EDTA 0,05 mol/l folosiți pentru titrare în prezență de negru eriocrom T;

M

=

masa probei prezentă în porțiunea de probă luată (în grame);

T

=

0,2016 × molaritatea soluției de EDTA/0,05 (a se vedea 4.2);

T′

=

0,1216 × molaritatea soluției de EDTA/0,05 (a se vedea 4.2).

10.   Observații

10.1.   În analizele complexonometrice raportul stoechiometric EDTA-metal este întotdeauna 1:1, indiferent de valența metalului, chiar dacă EDTA este tetravalent. Soluția de EDTA de titrare și soluțiile standard vor fi molare, și nu normale.

10.2.   Indicatorii complexonometrici sunt adesea sensibili la aer. Soluția își poate pierde culoarea în timpul titrării. În acest caz, trebuie să se adauge una sau două picături de indicator. Acest lucru este adevărat în special pentru negru eriocrom T și acid calconcarbonic.

10.3.   Complecșii indicator-metal sunt relativ stabili și poate trece un timp până la viraj. Prin urmare, ultimele picături de EDTA trebuie adăugate încet și trebuie adăugată o picătură de soluție 0,05 mol/l de magneziu (4.1) sau de calciu (4.3) pentru a fi siguri că virajul nu a avut loc deja. Acest lucru este valabil în special în cazul complexului magneziu-eriocrom.

10.4.   Virajul indicatorului trebuie observat privind vasul orizontal, la nivelul soluției, și nu de sus; vasul cu soluție trebuie plasat pe un fundal alb, într-un loc bine luminat. Virajul poate fi observat ușor plasând vasul pe o sticlă mată luminată moderat pe dedesubt (bec de 25 W).

10.5.   Această analiză necesită o oarecare experiență. Operația implică, printre altele, observarea punctelor de viraj ale soluțiilor standard 4.1 și 4.3 Se recomandă ca determinările să fie efectuate de către același chimist.

10.6.   În cazul în care se folosește soluție de EDTA de concentrație garantată (de exemplu, Titrisol sau Normex), acest lucru poate simplifica controlul echivalenței soluțiilor standard 4.1, 4.2 și 4.3.

10.7.   Soluțiile ce conțin cianură de potasiu nu se aruncă înainte de a transforma cianura într-un compus inofensiv, de exemplu, printr-un proces de oxidare cu hipoclorit de sodiu după alcalinizare.

Metoda 8.9

Determinarea sulfaților

1.   Obiect

Prezentul document stabilește procedura de determinare a sulfului prezent sub formă de sulfați în extractele de îngrășământ.

2.   Domeniu de aplicare

Prezenta metodă se aplică la determinarea sulfaților prezenți în extractele efectuate la metodele 8.1, 8.2, 8.3 și 8.4.

3.   Principiu

Determinarea gravimetrică sub formă de sulfat de bariu

4.   Reactivi

4.1.   Acid clorhidric diluat

1 volum acid clorhidric (d20 = 1,18 g/ml) și 1 volum de apă.

4.2.   Soluție apoasă de clorură de bariu BaCl2 2H2O: 122 g/l

4.3.   Soluție apoasă de azotat de argint: 5 g/l

5.   Aparatură

5.1.   Creuzete de porțelan

5.2.   Baie de apă fierbinte

5.3.   Cuptor reglat la 105 °C (± 1) °C

5.4.   Cuptor electric reglat la 800 °C (± 50) °C

6.   Mod de lucru

6.1.   Probele de soluție

Se pipetează o porțiune de probă din una dintre soluțiile de extract indicate la punctul 2, conținând între 20-100 mg S sau 50-250 mg SO3.

Se pune această porțiune de probă într-un vas gradat de mărime corespunzătoare. Se adaugă 20 ml acid clorhidric diluat (4.1). Se completează până la 300 ml cu apă.

6.2.   Pregătirea precipitatului

Se aduce soluția la fierbere. Se adaugă, picătură cu picătură, aproximativ 20 ml soluție clorură de bariu (4.2), sub agitare puternică. Se fierbe câteva minute.

Se pune vasul, acoperit cu o sticlă de ceas, într-o baie de apă în fierbere (5.2), timp de o oră. Se lasă să stea fierbinte (aproximativ 60 °C) până se limpezește conținutul. Se decantează soluția limpede filtrând printr-un filtru de viteză mică, fără cenușă. Se spală precipitatul de mai multe ori cu apă fierbinte. Se continuă spălarea precipitatului pe filtru până când filtratul nu mai conține cloruri, ceea ce se poate verifica folosind o soluție de azotat de argint (4.3).

6.3.   Incinerarea și cântărirea precipitatului

Se pun hârtia de filtru și precipitatul într-un creuzet de porțelan (5.1), cântărit în prealabil, cu precizie de 0,1 mg. Se usucă în cuptor (5.3.) și se calcinează la aproximativ 800 °C timp de jumătate de oră. (5.4). Se lasă să se răcească într-un exsicator și apoi se cântărește cu o precizie de 0,1 mg.

7.   Exprimarea rezultatelor

1 mg de sulfat de bariu corespunde la 0,137 mg S sau la 0,343 mg SO3.

Procentul de sulf conținut în îngrășământ este:

 

Formula

 

Formula

unde:

w= masa precipitatului de sulfat de bariu, în mg;

v1= volumul soluției de extract, în ml,

v2= volumul porțiunii de probă, în ml;

m= masa probei, în grame.

Metoda 8.10

Determinarea sodiului extras

1.   Obiect

Prezentul document stabilește procedura de determinare a sodiului din extractele de îngrășăminte.

2.   Domeniu de aplicare

Prezenta metodă se aplică pentru îngrășămintele CE pentru care anexa I prevede declararea sodiului.

3.   Principiu

După diluarea corespunzătoare a extractelor obținute prin metoda 8.1 și/sau metoda 8.3, conținutul de sodiu se determină prin spectrometrie de emisie în flacără.

4.   Reactivi

4.1.   Acid clorhidric diluat

1 volum de acid clorhidric pentru analiză (d20 = 1,18 g/ml) și 1 volum de apă.

4.2.   Azotat de aluminiu Al(NO3)3 · 9H2O

4.3.   Clorură de cesiu, CsCl

4.4.   Clorură de sodiu anhidră, NaCl

4.5.   Soluție de clorură de cesiu și azotat de aluminiu

Se dizolvă în apă 50 g clorură de cesiu (4.3) și 250 g grame azotat de aluminiu (4.2), într-un vas gradat de 1 000 ml. Se aduce la semn cu apă și se amestecă.

4.6.   Soluție standard de sodiu ce conține 1 mg/ml Na

Se dizolvă în apă 2,542 g clorură de sodiu (4.4), într-un vas gradat de 1 000 ml. Se adaugă 10 ml acid clorhidric (4.1). Se aduce la semn cu apă și se amestecă.

5.   Aparatură

Spectrometru echipat pentru emisie în flacără, reglat la 589,3 nm

6.   Soluții de etalonare

6.1.   Se pun 10 ml soluție standard (4.6) într-un vas gradat de 250 ml. Se aduce la semn și se amestecă. Concentrația soluției: 40 µg/ml Na.

6.2.   Se pun câte 0, 5, 10, 15, 20, 25 ml din soluția intermediară (6.1) în vase gradate de 100 ml. Se adaugă 10 ml soluție (4.5). Se aduc la semn și se amestecă. Concentrațiile soluțiilor rezultate sunt: 0, 2, 4, 6, 8, 10 µg/ml Na.

7.   Pregătirea soluțiilor ce urmează a fi măsurate

În funcție de conținutul de sodiu previzionat în soluțiile de extract obținute prin metoda 8.1 sau 8.3 (5 g de îngrășământ în 500 ml), se obțin diluții conform tabelului următor:

Na2O

FOR-L_2003304RO.01007301.notes.0053.xml.jpg

Na %

Diluție intermediară

Diluție finală

Grad de diluție

Proba (ml) (v2)

Diluție până la ml (v3)

Proba (ml) (v4)

Diluția până la ml

3-5

2,2-3,7

10

50

10

100

50

5-10

3,7-7,4

10

100

10

100

100

10-20

7,4-15

10

100

5

100

200

20-38

15-28

5

100

5

100

400

Diluția intermediară se face cu apă. Pentru diluția finală se adaugă 10 ml soluție (4.5.) în vasul gradat de 100 ml.

Pentru o probă de un gram se înmulțește volumul pentru diluția finală (v4) cu cinci.

8.   Determinare

Se pregătește spectrometrul (5.1) pentru măsurători la 589,3 nm. Se calibrează instrumentul prin măsurarea răspunsului soluțiilor de etalonare (6.2). După aceea se reglează sensibilitatea instrumentului pentru a permite folosirea întregii scale atunci când se folosește soluția de etalonare cea mai concentrată. Se măsoară apoi răspunsul soluției analizate (7). Se repetă această operație de trei ori.

9.   Calcularea rezultatelor

Se trasează o curbă de calibrare reprezentând pe ordonată răspunsul mediu pentru fiecare soluție de calibrare și pe abscisă concentrațiile corespunzătoare, exprimate în µg/ml. De pe această curbă de calibrare se determină concentrația de sodiu a soluției testate. Se calculează cantitatea de sodiu din soluțiile standard luând în considerare gradele de diluție. Se exprimă rezultatele ca procente din probă.

Procentul de sodiu (Na) în îngrășământ este următorul:

 

Formula

 

Formula

unde:

x

=

concentrația soluției introduse în spectrometru, în µg/ml;

v1

=

volumul de soluție de extract, în ml;

v2

=

volumul porțiunii de probă pentru diluarea intermediară, în ml;

v3

=

volumul pentru diluarea intermediară, în ml;

v4

=

volumul porțiunii de probă pentru diluarea finală, (în 100 ml);

m

=

masa probei, în grame.

Metodele 9

Oligoelemente cu o concentrație maximă de 10 %

Metoda 9.1

Extragerea oligoelementelor totale

1.   Obiect

Această metodă definește procedura de extragere a următoarelor oligoelemente: bor total, cobalt total, cupru total, fier total, mangan total, molibden total și zinc total. Scopul este să se realizeze un număr minim de extracții, utilizând pe cât se poate același extract pentru a determina concentrația totală a fiecăruia dintre oligoelementele enumerate mai sus.

2.   Domeniu de aplicare

Această procedură se referă la îngrășămintele din CE menționate la anexa I E, care conțin unul sau mai multe dintre următoarele oligoelemente: bor, cobalt, cupru, fier, mangan, molibden și zinc. Ea se aplică pentru fiecare oligoelement al cărui conținut declarat este de maximum 10 %.

3.   Principiu

Dizolvarea în acid clorhidric diluat la fierbere.

Notă

Extracția este empirică și poate să nu fie cantitativă, în funcție de produs sau de ceilalți componenți ai îngrășământului. În speță, în cazul anumitor oxizi de mangan, cantitatea extrasă poate fi semnificativ mai mică decât cantitatea totală de mangan pe care o conține produsul. Producătorii de îngrășăminte au responsabilitatea de a asigura ca nivelul declarat al conținutului să corespundă în realitate cu cantitatea extrasă în condițiile acestei metode.

4.   Reactivi

4.1.   Soluție de acid clorhidric diluat (HCl) aproximativ 6 mol/l

Se amestecă 1 volum de acid clorhidric (d20 = 1,18 g/ml) cu 1 volum de apă.

4.2.   Soluție concentrată de amoniac (NH4OH, d20 = 0,9 mg/l)

5.   Aparatură

Plită electrică cu control al temperaturii

Notă

În cazul în care se determină conținutul de bor al extractului, nu se vor folosi recipiente din borosilicați. Având în vedere că metoda implică fierbere, se preferă teflonul sau recipientele pe bază de siliciu. Se va clăti cu grijă sticlăria folosită în cazul în care aceasta a fost spălată cu detergenți ce conțin borați.

6.   Pregătirea probei

A se vedea metoda 1.

7.   Mod de lucru

7.1.   Proba de testat

Se ia o cantitate de îngrășământ ce cântărește 2-10 grame, în funcție de conținutul de element declarat în produs. Se va folosi tabelul următor pentru a obține o soluție finală, care după o diluare corespunzătoare se va încadra în intervalul de măsurare pentru fiecare metodă. Probele vor fi cântărite cu o precizie de 1 mg.

Conținutul declarat al oligoelementului în îngrășământ (%)

< 0,01

0,01-< 5

≥ 5-10

Masa probei de testat (g)

10

5

2

Masa elementului în probă (mg)

1

0,5-250

100-200

Volumul de extract V (ml)

250

500

500

Concentrația elementului în extract (mg/l)

4

1-500

200-400

Probele se pun în vase de 250 ml.

7.2.   Pregătirea soluției

Dacă este necesar se umectează proba cu puțină apă, se adaugă 10 ml acid clorhidric diluat (4.1) per gram de îngrășământ, cu atenție, în cantități mici, apoi se adaugă aproximativ 50 ml de apă. Se acoperă vasul cu o sticlă de ceas și se amestecă. Se aduce la fierbere pe plită și se fierbe timp de 30 minute. Se lasă să se răcească, amestecându-se din când în când. Se transferă cantitativ într-un balon cotat de 250 ml sau de 500 ml (a se vedea tabelul). Se aduce la semn cu apă și se amestecă bine. Se filtrează printr-un filtru uscat într-un vas uscat. Se aruncă primele porțiuni de filtrat. Extractul trebuie să fie perfect limpede.

Se recomandă ca determinările să se facă rapid, pe porțiuni din soluția filtrată; în caz contrar, vasele trebuie închise cu dop.

Observație

Pentru extractele în care se determină conținutul de bor: se ajustează pH-l între 4 și 6 cu amoniac concentrat (4.2).

8.   Determinare

Determinarea fiecărui oligoelement se va face în porțiuni indicate în metoda specifică pentru fiecare oligoelement.

Dacă este necesar, se îndepărtează substanțele complexante sau chelatizante dintr-o porțiune a extractului folosind metoda 9.3. În cazul determinării prin spectrometrie de absorbție atomică, o astfel de îndepărtare poate să nu fie necesară.

Metoda 9.2

Extragerea oligoelementelor solubile în apă

1.   Obiect

Această metodă definește procedura pentru extragerea formelor hidrosolubile ale următoarelor oligoelemente: bor, cobalt, cupru, fier, mangan, molibden și zinc. Scopul este să se realizeze un număr minim de extracții, folosind de câte ori este posibil același extract pentru a determina concentrația totală a fiecăruia dintre oligoelementele enumerate mai sus.

2.   Domeniu de aplicare

Această procedură se referă la îngrășămintele CE menționate la anexa I, ce conțin unul sau mai multe dintre următoarele oligoelemente: bor, cobalt, cupru, fier, mangan, molibden și zinc. Ea se aplică pentru fiecare oligoelement al cărui conținut declarat este de maximum 10 %.

3.   Principiu

Oligoelementele se extrag prin amestecarea îngrășământului cu apa, la 20 (± 2) °C.

Notă

Extracția este empirică și poate fi incompletă.

4.   Reactivi

4.1.   Soluție diluată de acid clorhidric (HCl), aproximativ 6 mol/l

Se amestecă 1 volum de acid clorhidric (d20 = 1,18 g/ml) cu 1 volum de apă.

5.   Aparatură

5.1.   Agitator rotativ fixat la 35-40 rpm

5.2.   pH-metru

Notă

În cazul în care se determină conținutul de bor al extractului, nu se va folosi sticlărie pe bază de borosilicați. Se preferă în acest caz teflonul sau materialele pe bază de siliciu. Se va clăti cu grijă sticlăria folosită în cazul în care aceasta a fost spălată cu detergenți ce conțin borați.

6.   Pregătirea probei

A se vedea metoda 1.

7.   Mod de lucru

7.1.   Proba de testat

Se ia o cantitate de îngrășământ ce cântărește între 2 și 10 g, în funcție de conținutul declarat al elementului în produs. Se va folosi tabelul următor pentru a obține soluția finală, care după o diluare corespunzătoare va fi cuprinsă în intervalul de măsurare pentru fiecare metodă. Probele trebuie cântărite cu o precizie de 1 mg.

Conținutul declarat al oligoelementului în îngrășământ (%)

< 0,01

0,01-< 5

≥ 5-10

Masa probei de testat (g)

10

5

2

Masa elementului în probă (mg)

1

0,5-250

100-200

Volumul de extract V (ml)

250

500

500

Concentrația elementului în extract (mg/l)

4

1-500

200-400

Se pune proba într-un balon de 250 sau 500 ml (conform tabelului).

7.2.   Pregătirea soluției

Se adaugă aproximativ 200 ml de apă în balonul de 250 ml sau 400 ml apă în balonul de 500 ml.

Se închide bine vasul, se agită bine pentru a dispersa proba, apoi se pune pe agitator și se agită 30 minute.

Se aduce la semn cu apă și se amestecă bine.

7.3.   Pregătirea soluției de analizat

Se filtrează rapid într-un balon curat și uscat. Se închide balonul. Se face determinarea imediat după filtrare.

Notă:

În cazul în care filtratul se tulbură treptat, se efectuează o altă extracție urmând indicațiile 7.1 și 7.2 într-un balon de volum Ve. Se filtrează într-un balon gradat de volum W care a fost anterior uscat și în care s-au adăugat 5,00 ml acid clorhidric diluat (4.1). Se oprește filtrarea exact în momentul în care lichidul a ajuns la semn. Se amestecă bine.

În aceste condiții valoarea lui V în exprimarea rezultatelor este:

 

Formula

Diluțiile care apar la exprimarea rezultatelor depind de această valoare a lui V.

8.   Determinarea

Determinarea fiecărui oligoelement se face în porțiuni indicate în metoda specifică pentru fiecare element în parte.

Dacă este necesar se elimină agenții organici de chelare sau complexare dintr-o porțiune, prin utilizarea metodei 9.3. În cazul determinării prin spectrometrie de absorbție atomică, în general, această eliminare este inutilă.

Metoda 9.3

Eliminarea compușilor organici din extractele de îngrășăminte

1.   Obiect

Acest document stabilește o metodă de eliminare a compușilor organici din extractul de îngrășăminte.

2.   Domeniu de aplicare

Această procedură se aplică la analiza probelor de îngrășăminte din extractul obținut conform metodelor 9.1 și 9.2 pentru care se cere o declarare a elementelor totale și sau hidrosolubile, conform dispozițiilor cuprinse în anexa I la prezentul regulament.

Notă:

Prezența unor cantități mici de materii organice nu afectează de obicei determinările făcute prin spectrometrie de absorbție atomică.

3.   Principiu

Componentele organice se oxidează cu peroxid de hidrogen într-o porțiune de extract.

4.   Reactivi

4.1.   Soluție de acid clorhidric diluat (HCl) aproximativ 0,5 mol/l

Se amestecă 1 volum de acid clorhidric (d20 = 1,18 g/ml) cu 20 volume de apă.

4.2.   Soluție de peroxid de hidrogen (30 % H2O2, d20 = 1,11 g/ml), fără oligoelemente.

5.   Aparatură

Plită electrică cu temperatură reglabilă

6.   Mod de lucru

Se iau 25 ml din soluția de extract obținută prin metoda 9.1 sau metoda 9.2 și se pun într-un vas de 100 ml. În cazul metodei 9.2 se adaugă 5 ml de soluție diluată de acid clorhidric (4.1), după care se adaugă 5 ml soluție de peroxid de hidrogen (4.2). Se acoperă vasul cu o sticlă de ceas. Se lasă să se oxideze la temperatura camerei timp de o oră, apoi se aduce încet la fierbere și se fierbe timp de o jumătate de oră. Dacă este necesar se mai adaugă 5 ml de soluție de peroxid de hidrogen în soluție, după ce aceasta s-a răcit. Se fierbe din nou pentru a îndepărta excesul de peroxid. Se lasă să se răcească și se transferă cantitativ într-un balon gradat de 50 ml și se aduce la semn. Dacă este necesar, se filtrează.

Se va ține seama de această diluare atunci când se iau porțiunile de probă și se calculează procentul de oligoelemente din produs.

Metoda 9.4

Determinarea oligoelementelor din extractele de îngrășăminte prin spectrometria de absorbție atomică

(Procedură generală)

1.   Obiect

Prezentul document definește o procedură generală pentru determinarea concentrației anumitor oligoelemente din extractele de îngrășăminte prin spectrometrie de absorbție atomică.

2.   Domeniu de aplicare

Această procedură se aplică la analiza probelor de îngrășăminte din extractele obținute prin metodele 9.1 și 9.2 pentru care se cere declararea elementelor totale și/sau hidrosolubile, conform anexei I E la prezentul regulament.

Adaptările acestei proceduri la dozarea diferitelor oligoelemente sunt detaliate în metodele corespunzătoare fiecărui element.

Notă

În majoritatea cazurilor, prezența unor cantități mici de substanțe organice nu va afecta determinările făcute prin spectrometrie de absorbție atomică.

3.   Principiu

După eventuala tratare a extractului pentru a se reduce sau elimina particulele chimice nedorite, extractul se diluează astfel încât să aibă o concentrație care să se situeze în zona de răspuns optimă a spectrometrului, la o lungime de undă adaptată oligoelementului determinat.

4.   Reactivi

4.1.   Soluție diluată de acid clorhidric (HCl) aproximativ 6 mol/l

Se amestecă 1 volum de acid clorhidric (d20 = 1,18 g/ml) cu 1 volum de apă.

4.2.   Soluție diluată de acid clorhidric (HCl) aproximativ 0,5 mol/l

Se amestecă 1 volum de acid clorhidric (d20 = 1,18 g/ml) cu 20 de volume de apă.

4.3.   Soluție de sare de lantan (10 g lantan per litru)

Acest reactiv se folosește pentru determinările de cobalt, fier, mangan și zinc. Se poate pregăti fie:

(a)

cu oxid de lantan dizolvat în acid clorhidric (4.1). Se pun 11,73 g oxid de lantan (La2O3) cu 150 ml apă într-un balon cotat de 1 l, peste care se adaugă 120 ml acid clorhidric 6 mol/l (4.1). Se lasă să se dizolve și se aduce la semn cu apă, după care se amestecă bine. Această soluție are o concentrație de aproximativ 0,5 mol/l acid clorhidric; sau

(b)

cu soluție de clorură de lantan, sulfat sau azotat. Se dizolvă 26,7 g clorură de lantan heptahidrată (LaCl3 · 7H2O) sau 31,2 grame de azotat de lantan hexahidrat [La(NO3)3 · 6H2O], sau 26,2 g de sulfat de lantan nonahidrat [La2(SO4)3 · 9 H2O] în 150 ml apă, peste care se adaugă 85 ml de acid clorhidric 6 mol/l (4.1). Se lasă să se dizolve după care se aduce la 1 litru cu apă. Se amestecă bine. Aceasta soluție are o concentrație de aproximativ 0,5 mol/l acid clorhidric.

4.4.   Soluțiile de calibrare

Pentru pregătirea acestora este necesar a se vedea metodele de determinare pentru fiecare oligoelement.

5.   Aparatură

Spectrometru de absorbție atomică prevăzut cu surse care emit radiații caracteristice oligoelementelor ce trebuie determinate.

Analistul trebuie să urmeze instrucțiunile producătorului și trebuie să fie familiarizat cu aparatura. Aparatul trebuie să permită realizarea de corecturi astfel încât să poată fi utilizat atunci când este necesar (Co și Zn) Gazele utilizate sunt aerul și acetilena.

6.   Pregătirea soluției

6.1.   Pregătirea soluției de extract pentru oligoelementele ce trebuie determinate

A se vedea metodele 9.1 și/sau 9.2 și, eventual, metoda 9.3.

6.2.   Tratarea soluției de testat

Se diluează o porțiune din extractul obținut prin metoda 9.1, 9.2. sau 9.3 cu apă și/sau acid clorhidric (4.1) sau (4.2) astfel încât să se obțină în soluția finală de măsurat o concentrație a elementului ce trebuie determinat care să fie adecvată intervalului de calibrare utilizat (7.2) și o concentrație a acidului clorhidric de cel puțin 0,5 mol/l și nu mai mult de 2,5 mol/l. Această operație poate necesita una sau mai multe diluări succesive.

Se ia o porțiune din soluția finală obținută prin diluarea extractului, fie (a) volumul ei în mililitri, și se toarnă într-un balon cotat de 100 ml. Atunci când se determină conținutul de cobalt, fier, mangan sau zinc, se adaugă 10 ml din soluția de sare de lantan (4.3). Se aduce la semn cu soluție de acid clorhidric 0,5 mol/l (4.2) și se amestecă bine. Aceasta este soluția finală pentru măsurare. Fie D factorul de diluare.

7.   Mod de lucru

7.1.   Pregătirea unei probe-martor

Se pregătește o probă-martor prin repetarea întregii proceduri din etapa de extracție fără a pune eșantionul de îngrășământ.

7.2.   Pregătirea soluțiilor de calibrare

Din soluția de calibrare pentru lucru pregătită utilizând metoda dată pentru fiecare oligoelement în parte, se pregătește în baloane cotate de 100 ml o serie de cel puțin 5 soluții de calibrare de concentrații crescătoare în cadrul intervalului optim de măsurare al spectrometrului. Dacă este necesar, se ajustează concentrația de acid clorhidric pentru a o aduce cât mai aproape de soluția diluată de testat (6.2). Pentru determinarea cobaltului, a fierului, a manganului și a zincului se adaugă 10 ml din aceeași soluție de sare de lantan (4.3) ca cea utilizată în 6.2. Se aduce la semn cu soluție 0,5 mol/l acid clorhidric (4.2) și se amestecă bine.

7.3.   Determinarea

Se pregătește spectrometrul (5) pentru determinare și se aduce la lungimea de undă dată în metoda pentru oligoelementul avut în vedere.

Se pulverizează de trei ori succesiv soluțiile de calibrare (7.2), soluția de testat (6.2) și proba-martor (7.1), notându-se fiecare rezultat și spălând capul de pulverizare cu apă distilată după fiecare pulverizare.

Se trasează curba de calibrare reprezentând grafic pe ordonată media rezultatelor citite la spectrometru pentru fiecare soluție de calibrare (7.2), și pe abscisă concentrația corespunzătoare a elementului, în µg/ml.

De pe această curbă, se determină concentrația oligoelementelor în soluția testată xs (6.2.) și în proba-martor xb (7.1.), exprimând aceste concentrații în µg/ml.

8.   Exprimarea rezultatelor

Procentul oligoelementului (E) din îngrășământ este dat de relația:

 

Formula

În cazul în care s-a folosit metoda 9.3.:

 

Formula

unde:

 

E = cantitatea de oligoelement determinat, exprimat ca procente din îngrășământ;

 

xs = concentrația soluției de testat (6.2) în µg/ml;

 

xb = concentrația probei-martor (7.1) în µg/ml;

 

V = volumul de extract obținut prin metoda 9.1 sau 9.2, în ml;

 

D = este factorul corespunzător gradului de diluție efectuat în 6.2;

 

M = masa eșantionului luat pentru analiză, în concordanță cu metoda 9.1 sau 9.2, în grame.

Calculul factorului de diluție D:

 

Dacă (a1), (a2), (a3) … (ai) și (a) sunt porțiuni din proba de analizat, iar (v1), (v2), (v3) … (vi) și (100) sunt volumele în ml corespunzătoare diluării respective, factorul de diluție D este:

 

Formula

Metoda 9.5

Determinarea spectrometrică a borului din extractele de îngrășăminte cu azometină-H

1.   Obiect

Prezenta metodă descrie o procedură de determinare a borului din extractele de îngrășăminte.

2.   Domeniu de aplicare

Prezenta metodă se aplică la analiza extractelor de îngrășăminte obținute prin metoda 9.1 și 9.2 pentru care se cere declararea conținutului de bor total și/sau hidrosolubil conform anexei I E la prezentul regulament.

3.   Principiu

Într-o soluție de azometină-H, ionii borat formează un complex galben a cărui concentrație se determină spectrometric prin absorbție moleculară la o lungime de undă de 410 nm. Ionii care dau interferențe sunt mascați cu EDTA.

4.   Reactivi

4.1.   Soluție tampon EDTA

Într-un balon cotat de 500 ml ce conține 300 ml apă, se pun următoarele:

75 g acetat de amoniu (NH4COOCH3);

10 g sare disodică a acidului etilendiaminotetraacetic (Na2EDTA);

40 ml acid acetic (CH3COOH, d20= 1,05 g/ml).

Se aduce vasul la semn cu apă și se amestecă bine; pH-ul soluției se verifică cu un electrod de sticlă și trebuie să fie = 4,8 ± 0,1

4.2.   Soluție de azometină-H

Într-un balon cotat de 200 ml se pun următoarele:

10 ml soluție tampon (4.1);

400 mg azometină-H (C17H12NNaO8S2);

2 g de acid ascorbic (C6H8O6).

Se aduce la semn cu apă și se amestecă bine. Nu se prepară cantități mari din acest reactiv pentru că este stabil numai câteva zile.

4.3.   Soluții de calibrare cu bor

4.3.1.   Soluție stoc cu bor (100 µg/ml)

Se dizolvă 0,5719 g acid boric (H3BO3) în apă într-un balon cotat de 1 000 ml. Se aduce la semn cu apă și se amestecă bine. Se transferă apoi într-o sticlă de plastic pentru a putea fi păstrată în frigider.

4.3.2.   Soluție de lucru cu bor (10 µg/ml)

Se pun 50 ml soluție stoc (4.3.1) într-un balon cotat de 500 ml. Se aduce la semn cu apă și se amestecă bine.

5.   Aparatură

Spectrometru adecvat pentru absorbție moleculară fixat la lungimea de undă de 410 nm și dotat cu celule cu drumul optic de 10 mm.

6.   Pregătirea soluției de analizat

6.1.   Pregătirea soluției de bor

A se vedea metodele 9.1 și/sau 9.2 și, eventual, 9.3.

6.2.   Pregătirea soluției de testat

Se diluează cu apă o porțiune a extractului de analizat (6.1) pentru a obține o concentrație a borului corespunzătoare dozării, conform punctului 7.2. Ar putea fi necesare două diluări succesive. Fie D factorul de diluție.

6.3.   Pregătirea soluției de corecție

În cazul în care soluția de testat (6.2) este colorată, se pregătește o soluție de corecție corespunzătoare astfel: se pun într-un recipient de plastic 5 ml din soluția de testat (6.2), 5 ml de soluție tampon EDTA (4.1) și 5 ml apă și se amestecă bine.

7.   Mod de lucru

7.1.   Pregătirea soluției-martor

Se pregătește o soluție-martor prin repetarea întregii proceduri de la etapa de extracție fără a pune proba de îngrășământ.

7.2.   Pregătirea soluțiilor de calibrare

Se transferă 0, 5, 10, 15, 20 și 25 ml din soluția de lucru cu bor (4.3.3 într-o serie de baloane cotate de 100 ml, se aduc la semn cu apă și se amestecă bine. Aceste soluții conțin între 0 și 2,5 µg/ml bor.

7.3.   Developarea culorii

Se transferă 5 ml din soluțiile de calibrare (7.2), din soluția de testat (6.2) și din soluția-martor (7.1) într-o serie de vase din plastic peste care se adaugă 5 ml soluție tampon EDTA (4.1). Se adaugă apoi 5 ml soluție de azometină-H (4.2).

Se amestecă bine și se lasă culoarea să se developeze la întuneric timp de 2,5 până la 3 ore.

7.4.   Determinarea

Se măsoară absorbanța soluțiilor obținute la 7.3 și, dacă este cazul, a soluției de corecție (6.3) față de apă la o lungime de undă de 410 nm. Cuvele se spală cu apă înainte de fiecare măsurare.

8.   Exprimarea rezultatelor

Se reprezintă grafic o curbă de calibrare (7.2) reprezentând pe abscisă concentrația soluțiilor de calibrare, iar pe ordonată absorbanța citită la spectrofotometru (7.4).

Se citește pe curba de calibrare concentrația de bor în soluția-martor (7.1), concentrația de bor în soluția de testat (6.2) și, dacă soluția de testat este colorată, concentrația corectată a soluției de testat. Pentru a o calcula pe cea din urmă, se scade absorbanța soluției de corecție (6.3) din absorbanța soluției de testat (6.2) și se determină concentrația corectă a soluției de testat. Se notează concentrația soluției de testat (6.2) cu sau fără corecție X(xs) și a probei-martor (xb).

Procentul de bor din îngrășământ este dat de relația:

 

Formula

În cazul în care s-a folosit metoda 9.3:

 

Formula

unde:

 

B = cantitatea de bor, exprimată ca procente din îngrășământ;

 

xs = concentrația soluției de testat (6.2), în µg/ml, cu sau fără corecție;

 

xb = concentrația probei-martor (7.1), în µg/ml;

 

V = volumul de extract obținut prin metoda 9.1 sau 9.2, în ml;

 

D = este factorul corespunzător gradului de diluție realizat la 6.2;

 

M = masa probei luată pentru analiză, în concordanță cu metoda 9.1 sau 9.2, în grame.

Calculul factorului de diluție D: dacă (a1) și (a2) sunt porțiuni succesive și (v1) și (v2) sunt volumele în mililitri corespunzătoare diluțiilor respective, factorul de diluție este:

 

Formula

Metoda 9.6

Determinarea cobaltului din extractele de îngrășăminte prin spectrometrie de absorbție atomică

1.   Obiect

Prezenta metodă descrie o procedură pentru determinarea cobaltului în extractele de îngrășăminte.

2.   Domeniu de aplicare

Această procedură se aplică pentru analizarea extractelor de îngrășăminte obținute prin metodele 9.1 și 9.2 pentru care se cere declararea cobaltului total și/sau a celui hidrosolubil, conform anexei I E la prezentul regulament.

3.   Principiu

După tratarea și diluarea corespunzătoare a extractelor, conținutul de cobalt se determină prin spectrometrie de absorbție atomică.

4.   Reactivi

4.1.   Soluție de acid clorhidric aproximativ 6 mol/l

A se vedea metoda 9.4 punctul 4.1.

4.2.   Soluție de acid clorhidric aproximativ 0,5 mol/l

A se vedea metoda 9.4 punctul 4.2.

4.3.   Soluție de sare de lantan, 10 g de La/l

A se vedea metoda 9.4 punctul 4.3.

4.4.   Soluții de calibrare pentru cobalt

4.4.1.   Soluție stoc de cobalt (1 000 µg/ml)

Într-un vas de 250 ml se pune 1 g de cobalt, cântărit cu o precizie de 0,1 mg, peste care se adaugă 25 ml acid clorhidric 6 mol/l (4.1) și se încălzește pe plita electrică până când cobaltul se dizolvă complet. După ce s-a răcit, se transferă cantitativ într-un balon cotat de 1 000 ml. Se aduce la semn cu apă și se amestecă bine.

4.4.2.   Soluție de lucru cu cobalt (100 µg/ml)

Se pun 10 ml din soluția stoc (4.4.1) într-un balon cotat de 100 ml. Se aduce la semn cu soluție de acid clorhidric 0,5 mol/l (4.2) și se amestecă bine.

5.   Aparatură

Spectrometru de absorbție atomică: a se vedea metoda 9.4 punctul 5. Aparatul trebuie să fie echipat cu sursă de radiații caracteristice pentru cobalt (240,7 nm). Spectrometrul trebuie să permită efectuarea de corecturi.

6.   Pregătirea soluției

6.1.   Soluția de extract de cobalt

A se vedea metodele 9.1 și/sau 9.2 și, eventual, 9.3.

6.2.   Pregătirea soluției de testat

A se vedea metoda 9.4 punctul 6.2. Soluția de testat trebuie să conțină 10 % (v/v) dintr-o soluție de sare de lantan (4.3).

7.   Mod de lucru

7.1.   Pregătirea soluției-martor

A se vedea metoda 9.4 punctul 7.1. Soluția-martor trebuie să conțină 10 % (v/v) dintr-o soluție de sare de lantan folosită la 6.2.

7.2.   Pregătirea soluțiilor de calibrare

A se vedea metoda 9.4 punctul 7.2.

Pentru un interval optim de determinare de la 0 la 5 µg/ml de cobalt, se pun 0, 0,5, 1, 2, 3, 4, și, respectiv, 5 ml din soluția de lucru (4.4.2) într-o serie de baloane cotate de 100 ml. Dacă este necesar, se aduce concentrația de acid clorhidric cât mai aproape de cea a soluției de testat. Se adaugă în fiecare balon cotat 10 ml sare de lantan folosită la 6.2. Se aduce la 100 ml cu soluție de acid clorhidric 0,5 mol/l (4.2) și se amestecă bine. Aceste soluții conțin 0, 0,5, 1, 2, 3, 4 și, respectiv, 5 µg/ml de cobalt.

7.3.   Determinare

A se vedea metoda 9.4 punctul 7.3. Se pregătește spectrometrul (5) pentru măsurare la o lungime de undă de 240,7 nm.

8.   Exprimarea rezultatelor

A se vedea metoda 9.4 punctul 8.

Procentul de cobalt din îngrășământ este dat de relația:

 

Formula

În cazul în care s-a folosit metoda 9.3:

 

Formula

unde:

 

Co = cantitatea de cobalt, exprimată ca procente din îngrășământ;

 

xs = concentrația soluției de testat (6.2), în µg/ml;

 

xb = concentrația soluției-martor (7.1), în µg/ml;

 

V = volumul de extract obținut prin metoda 9.1 sau 9.2, în ml;

 

D = este factorul corespunzător gradului de diluție realizat la 6.2;

 

M = masa probei luată pentru analiză, în concordanță cu metoda 9.1 sau 9.2, în grame.

Calculul factorului de diluție D: dacă (a1), (a2), (a3) … (ai) și (a) sunt porțiunile din proba de analizat, iar (v1), (v2), (v3) … (vi) și (100) sunt volumele în mililitri corespunzătoare diluțiilor respective, factorul de diluție D este:

 

Formula

Metoda 9.7

Determinarea cuprului din extractele de îngrășăminte chimice prin spectrometrie de absorbție atomică

1.   Obiect

Prezenta metodă descrie o procedură pentru determinarea cuprului în extractele de îngrășăminte.

2.   Domeniu de aplicare

Această procedură se aplică la analiza extractelor de îngrășăminte obținute prin metodele 9.1 și 9.2 pentru care se cere declararea cuprului total și/sau a celui hidrosolubil conform anexei I E la prezentul regulament.

3.   Principiu

După tratarea și diluarea corespunzătoare a extractelor, conținutul de cupru este determinat prin spectrometrie de absorbție atomică.

4.   Reactivi

4.1.   Soluție de acid clorhidric aproximativ 6 mol/l

A se vedea metoda 9.4 punctul 4.1.

4.2.   Soluție de acid clorhidric aproximativ 0,5 mol/l

A se vedea metoda 9.4 punctul 4.2.

4.3.   Soluție de peroxid de hidrogen (30 % H2O2, d20 = 1,11 g/ml) fără oligoelemente

4.4.   Soluții de calibrare pentru cupru

4.4.1.   Soluție stoc de cupru (1 000 µg/ml)

Într-un vas de 250 ml se pune 1 g de cupru, cântărit cu o precizie de 0,1 mg, peste care se adaugă 25 ml acid clorhidric de 6 mol/l (4.1) și 5 ml de peroxid de hidrogen, după care se încălzește pe plita electrică până când cuprul se dizolvă complet. Se transferă cantitativ într-un balon cotat de 1 000 ml. Se aduce la semn cu apă și se amestecă bine.

4.4.2.   Soluție de lucru cu cupru (100 µg/ml)

Se pun 20 ml din soluția stoc (4.4.1) într-un balon cotat de 200 ml. Se aduce la semn cu soluție de acid clorhidric 0,5 mol/l (4.2) și se amestecă bine.

5.   Aparatură

Spectrometru echipat pentru absorbție atomică: a se vedea metoda 9.4 punctul 5. Aparatul trebuie să fie prevăzut cu sursă de radiații caracteristice pentru cupru (324,8 nm).

6.   Pregătirea soluției de analizat

6.1.   Soluție de extract de cupru

A se vedea metodele 9.1 și/sau 9.2 și, eventual, 9.3.

6.2.   Pregătirea soluției de testat

A se vedea metoda 9.4, punctul 6.2.

7.   Mod de lucru

7.1.   Pregătirea probei-martor

A se vedea metoda 9.4. punctul 7.1.

7.2.   Pregătirea soluțiilor de calibrare

A se vedea metoda 9.4 punctul 7.2.

Pentru un interval optim de determinare de la 0 la 5 µg/ml de cupru, se pun 0, 0,5, 1, 2, 3, 4 și, respectiv, 5 ml din soluția de lucru (4.4.2) într-o serie de baloane cotate de 100 ml. Dacă este necesar, se aduce concentrația de acid clorhidric cât mai aproape de cea a soluției de testare. Se aduce la 100 ml cu soluție de acid clorhidric de 0,5 mol/l (4.2) și se amestecă bine. Aceste soluții conțin 0, 0,5, 1, 2, 3, 4 și, respectiv, 5 µg/ml de cupru.

7.3.   Determinare

A se vedea metoda 9.4 punctul 7.3. Se pregătește spectrometrul (5) pentru măsurători la lungimea de undă de 324,8 nm.

8.   Exprimarea rezultatelor

A se vedea metoda 9.4 punctul 8.

Procentul de cupru este dat de relația:

 

Formula

În cazul în care s-a folosit metoda 9.3:

 

Formula

unde:

 

Cu = cantitatea de cupru, exprimată ca procente din îngrășământ;

 

xs = concentrația soluției de testat (6.2), în µg/ml;

 

xb = concentrația probei-martor (7.1), în µg/ml;

 

V = volumul de extract obținut prin metoda 9.1 sau 9.2, în ml;

 

D = este factorul corespunzător gradului de diluție realizat la 6.2;

 

M = masa probei de testat luată pentru analiză, în concordanță cu metoda 9.1 sau 9.2, în grame.

Calculul factorului de diluție D: dacă (a1), (a2), (a3).… (ai) și (a) sunt porțiunile succesive din proba de analizat, iar (v1), (v2), (v3)… (vi) și (100) sunt volumele în ml corespunzătoare diluării respective, factorul de diluție D va fi:

 

Formula

Metoda 9.8

Determinarea fierului din extractele de îngrășăminte prin spectrometrie de absorbție atomică

1.   Obiect

Prezenta metodă descrie o procedură pentru determinarea fierului în extractele de îngrășăminte.

2.   Domeniu de aplicare

Această procedură se aplică pentru analizarea extractelor de îngrășăminte obținute prin metodele 9.1 și 9.2 pentru care se cere declararea fierului total și/sau a celui hidrosolubil conform anexei I E la prezentul regulament.

3.   Principiu

După tratarea și diluarea corespunzătoare a extractelor, conținutul de fier este determinat prin spectrometrie de absorbție atomică.

4.   Reactivi

4.1.   Soluție de acid clorhidric aproximativ 6 mol/l

A se vedea metoda 9.4 punctul 4.1.

4.2.   Soluție de acid clorhidric aproximativ 0,5 mol/l

A se vedea metoda 9.4 punctul 4.2.

4.3.   Soluție de peroxid de hidrogen (30 % H2O2, d20 =1,11 g/ml) fără oligoelemente

4.4.   Soluție de sare de lantan (lantan 10 g/l)

A se vedea metoda 9.4 punctul 4.3.

4.5.   Soluții de calibrare pentru fier

4.5.1.   Soluție stoc de fier (1 000 µg/ml)

Într-un vas de 500 ml se pune 1 g de sârmă pură de fier, cântărită cu o precizie de 0,1 mg, peste care se adaugă 200 ml acid clorhidric 6 mol/l (4.1) și 15 ml de peroxid de hidrogen (4.3). Se încălzește pe o plită electrică până când fierul se dizolvă complet. După ce s-a răcit, se transferă cantitativ într-un balon cotat de 1 000 ml. Se aduce la semn cu apă și se amestecă bine.

4.5.2.   Soluție de lucru cu fier (100 µg/ml)

Se pun 20 ml din soluția stoc (4.5.1) într-un balon cotat de 200 ml. Se aduce la semn cu soluție de acid clorhidric 0,5 mol/l (4.2) și se amestecă bine.

5.   Aparatură

Spectrometru de absorbție atomică: a se vedea metoda 9.4 punctul 5. Aparatul trebuie să fie prevăzut cu sursă de radiații specifice pentru fier (248,3 nm).

6.   Pregătirea soluției

6.1.   Soluție de extract de fier

A se vedea metodele 9.1 și/sau 9.2 și, eventual, 9.3.

6.2.   Pregătirea soluției de testat

A se vedea metoda 9.4 punctul 6.2. Soluția de testat trebuie să conțină 10 % (v/v) dintr-o soluție de sare de lantan.

7.   Mod de lucru

7.1.   Pregătirea soluției-martor

A se vedea metoda 9.4 punctul 7.1. Soluția de testat trebuie să conțină 10 % (v/v) din soluția de sare de lantan folosită la 6.2.

7.2.   Pregătirea soluțiilor de calibrare

A se vedea metoda 9.4 punctul 7.2.

Pentru un interval optim de determinare de la 0 la 10 µg/ml de fier, se pun 0, 2, 4, 6, 8 și, respectiv, 10 ml din soluția de lucru (4.5.2) într-o serie de baloane cotate de 100 ml. Dacă este necesar, se aduce concentrația de acid clorhidric cât mai aproape de cea a soluției de testat. Se adaugă 10 ml soluție sare de lantan folosită la 6.2. Se aduce la 100 ml cu soluție de acid clorhidric de 0,5 mol/l (4.2) și se amestecă bine. Aceste soluții conțin 0, 2, 4, 6, 8 și, respectiv, 10 µg/ml de fier.

7.3.   Determinare

A se vedea metoda 9.4 punctul 7.3. Se pregătește spectrometrul (5) pentru măsurare la o lungime de undă de 248,3 nm.

8.   Exprimarea rezultatelor

A se vedea metoda 9.4. punctul 8.

Procentul de fier din îngrășământ este dat de relația:

 

Formula

În cazul în care s-a folosit metoda 9.3:

 

Formula

unde:

 

Fe = cantitatea de fier, exprimată ca procente din îngrășământ;

 

xs = concentrația soluției de testat (6.2), în µg/ml;

 

xb = concentrația soluției-martor (7.1), în µg/ml;

 

V = volumul de extract obținut prin metoda 9.1. sau 9.2, în ml;

 

D = este factorul corespunzător gradului de diluție realizat la 6.2;

 

M = masa probei de testat luată pentru analiză, în concordanță cu metoda 9.1 sau 9.2, în grame.

Calculul factorului de diluție D: dacă (a1), (a2), (a3)… (ai) și (a) sunt porțiunile succesive din proba de analizat, iar (v1), (v2), (v3)… (vi) și 100 sunt volumele în ml corespunzătoare diluării respective, factorul de diluție D este:

 

Formula

Metoda 9.9

Determinarea manganului din extractele de îngrășăminte prin spectrometrie de absorbție atomică

1.   Obiect

Prezenta metodă descrie o procedură pentru determinarea manganului din extractele de îngrășăminte.

2.   Domeniu de aplicare

Această procedură se aplică pentru analizarea extractelor de îngrășăminte obținute prin metodele 9.1 și 9.2 pentru care se cere declararea manganului total și/sau a celui hidrosolubil conform anexei I E la prezentul regulament.

3.   Principiu

După tratarea și diluarea corespunzătoare a extractelor, concentrația manganului este determinată prin spectrometrie de absorbție atomică.

4.   Reactivi

4.1.   Soluție de acid clorhidric aproximativ 6 mol/l

A se vedea metoda 9.4 punctul 4.1.

4.2.   Soluție de acid clorhidric aproximativ 0,5 mol/l

A se vedea metoda 9.4 punctul 4.2.

4.3.   Soluție de sare de lantan (lantan 10 g/l)

A se vedea metoda 9.4 punctul 4.3.

4.4.   Soluții de calibrare pentru mangan

4.4.1.   Soluție stoc de mangan (1 000 µg/ml)

Într-un vas de 250 ml se pune 1 g de mangan, cântărit cu o precizie de 0,1 mg, peste care se adaugă 25 ml acid clorhidric 6 mol/l (4.1). Se încălzește pe plita electrică până când manganul se dizolvă complet. După ce s-a răcit, se transferă cantitativ într-un balon cotat de 1 000 ml. Se aduce la semn cu apă și se amestecă bine.

4.4.2.   Soluție de lucru cu mangan (100 µg/ml)

Se diluează 20 ml din soluția stoc (4.4.1.) în soluția de acid clorhidric 0,5 mol/l (4.2) într-un vas gradat de 200 ml. Se aduce la semn cu soluție de acid clorhidric 0,5 mol/l (4.2) și se amestecă bine.

5.   Aparatură

Spectrometru de absorbție atomică: a se vedea metoda 9.4 punctul 5. Aparatul trebuie să fie echipat cu sursă de radiații caracteristice pentru mangan (279,6 nm).

6.   Pregătirea soluției

6.1.   Soluția de extract de mangan

A se vedea metodele 9.1 și/sau 9.2 și, eventual, 9.3.

6.2.   Pregătirea soluției de testat

A se vedea metoda 9.4 punctul 6.2. Soluția de testat trebuie să conțină 10 % volume din soluția de sare de lantan (4.3).

7.   Mod de lucru

7.1.   Pregătirea probei-martor

A se vedea metoda 9.4 punctul 7.1. Proba-martor trebuie să conțină 10 % volume din soluția de sare de lantan folosită la 6.2.

7.2.   Pregătirea soluției de calibrare

A se vedea metoda 9.4 punctul 7.2.

Pentru un interval optim de determinare de la 0 la 5 µg/ml de mangan, se pun 0, 0,5, 1, 2, 3, 4 și, respectiv, 5 ml din soluție de lucru (4.5.2) într-o serie de baloane cotate de 100 ml. Dacă este necesar, se aduce concentrația de acid clorhidric cât mai aproape de cea a soluției de testat. În fiecare balon cotat se adaugă 10 ml soluție sare de lantan folosită la 6.2. Se aduce la 100 ml cu soluție de acid clorhidric de 0,5 mol/l (4.2) și se amestecă bine. Aceste soluții conțin 0, 0,5, 1, 2, 3, 4 și, respectiv, 5 µg/ml de mangan.

7.3.   Determinare

A se vedea metoda 9.4 punctul 7.3. Se pregătește spectrometrul (5) pentru măsurare la o lungime de undă de 279,6 nm.

8.   Exprimarea rezultatelor

A se vedea metoda 9.4 punctul 8.

Procentul de mangan din îngrășământ este dat de relația:

 

Formula

În cazul în care s-a folosit metoda 9.3:

 

Formula

unde

 

Mn = cantitatea de mangan determinat, exprimată ca procente din îngrășământ;

 

xs = concentrația soluției de testat (6.2) în µg/ml;

 

xb = concentrația probei-martor (7.1) în µg/ml;

 

V = volumul de extract obținut prin metoda 9.1 sau 9.2, în ml;

 

D = este factorul corespunzător gradului de diluție efectuat în 6.2;

 

M = masa probei de testat luată pentru analiză, în concordanță cu metoda 9.1 sau 9.2, în grame.

Calculul factorului de diluție D: dacă (a1), (a2), (a3)….(ai) și (a) sunt porțiunile succesive, iar (v1), (v2), (v3)… (vi) și (100) sunt volumele în ml corespunzătoare diluării respective, factorul de diluție D va fi:

 

Formula

Metoda 9.10

Determinarea spectrometrică a molibdenului din extractele de îngrășăminte prin intermediul unui complex cu tiocianat de amoniu

1.   Obiect

Prezenta metodă descrie o procedură pentru determinarea molibdenului din extractele de îngrășăminte.

2.   Domeniu de aplicare

Această procedură se aplică pentru analizarea extractelor de îngrășăminte obținute prin metodele 9.1 și 9.2 pentru care se cere declararea molibdenului total și/sau a celui hidrosolubil conform anexei I E la prezentul regulament.

3.   Principiu

Molibdenul (V) formează complexul [MoO(SCN)5], cu ionii SCN în mediu acid.

Complexul este extras cu acetat de n-butil. Ionii care interferează, cum sunt cei de fier, rămân în fază apoasă. Culoarea galben-oranj este măsurată prin spectrometrie de absorbție moleculară la 470 nm.

4.   Reactivi

4.1.   Soluție de acid clorhidric diluat (HCl) aproximativ 6 mol/l

A se vedea metoda 9.4 punctul 4.1.

4.2.   Soluție de cupru (70 mg/l) în acid clorhidric 1,5 mol/l

Se dizolvă 275 mg de sulfat de cupru (CuSO4 · 5H2O) cântărit cu o precizie de 0,1 mg în 250 ml de acid clorhidric 6 mol/l (4.1) într-un balon gradat de 1 000 ml. Se aduce la semn cu apă și se amestecă bine.

4.3.   Soluție de acid ascorbic (50 g/l)

Se dizolvă 50 g acid ascorbic (C6H8O6) cu apă într-un balon gradat de 1 000 ml. Se aduce la semn cu apă, se amestecă bine și se ține la frigider.

4.4.   Acetat de n-butil

4.5.   Soluție de tiocianat de amoniu, 0,2 mol/l

Se dizolvă 15,224 g de NH4SCN în apă într-un balon gradat de 1 000 ml. Se aduce la semn cu apă și se amestecă bine. Soluția se păstrează într-o sticlă de culoare închisă.

4.6.   Soluție de clorură stanoasă (50 g/l) în acid clorhidric 2 mol/l

Această soluție trebuie să fie perfect limpede și se prepară în momentul în care se folosește. Se utilizează clorură foarte pură, altfel soluția nu va fi limpede.

Pentru a prepara 100 ml de soluție, se dizolvă 5 g de (SnCl2 2H2O) în 35 ml de soluție HCl 6 mol/l (4.1). Se adaugă 10 ml din soluția de cupru (4.2). Se aduce la semn cu apă și se amestecă bine.

4.7.   Soluții de calibrare cu molibden

4.7.1.   Soluție stoc cu molibden (500 µg/ml)

Se dizolvă 0,920 g de molibdat de amoniu [NH4)6Mo7O24 4H2O], cântărit cu o precizie de 0,1 mg, cu acid clorhidric 6 mol/l (4.1) într-un balon cotat de 1 000 ml. Se aduce la semn cu soluția de acid clorhidric (4.1) și se amestecă bine.

4.7.2.   Soluție intermediară de molibden (25 µg/ml)

Se pun 25 ml din soluția stoc (4.7.1) într-un balon gradat de 500 ml. Se aduce la semn cu acid clorhidric 6 mol/l (4.1) și se amestecă bine.

4.7.3.   Soluție de lucru cu molibden (2,5 µg/ml)

Se pun 10 ml din soluția intermediară (4.7.2) într-un balon gradat de 100 ml. Se aduce la semn cu acid clorhidric 6 mol/l (4.1) și se amestecă bine.

5.   Aparatură

5.1.   Spectrometru adaptat pentru absorbție moleculară fixat la lungimea de undă de 470 nm; cuve cu drumul optic de 2 mm.

5.2.   Pâlnii de separare de 200 sau 250 ml

6.   Pregătirea soluției

6.1.   Soluția de extract de molibden

A se vedea metodele 9.1 și/sau 9.2 și, eventual, 9.3.

6.2.   Pregătirea soluției de testat

Se diluează o porțiune din soluția de extract (6.1) cu soluție de acid clorhidric 6 mol/l (4.1) astfel încât se să obțină o concentrație corespunzătoare a molibdenului. Fie D factorul de diluare.

Se ia o porțiune (a) din soluția de extract ce conține între 1 și 12 µg molibden și se pune în pâlnia de separare (5.2). Se aduce la 50 ml cu soluție de acid clorhidric 6 mol/l (4.1).

7.   Mod de lucru

7.1.   Pregătirea probei-martor

Se prepară o probă-martor prin repetarea întregii proceduri din faza de extracție fără a pune eșantionul de îngrășământ.

7.2.   Pregătirea unei serii de soluții de calibrare

Se prepară o serie de cel puțin 6 soluții de calibrare de concentrații crescătoare diferite, corespunzătoare gamei optime de răspuns a spectrometrului.

Pentru intervalul 0-12,5 µg molibden se pun 0, 1, 2, 3, 4, respectiv 5 ml din soluția de lucru (4.7.3) în pâlniile de separare (5.2). Se aduce la 50 ml cu soluție de acid clorhidric 6 mol/l (4.1). Pâlniile conțin 0, 2,5, 5, 7,5 10 și 12,5 µg de molibden.

7.3.   Formarea și separarea complexului

În fiecare pâlnie de separare (6.2, 7.1 și 7.2), se adaugă în următoarea ordine:

10 ml de soluție de cupru (4.2);

20 ml de soluție de acid ascorbic (4.3).

Se amestecă bine și se așteaptă 2-3 minute. Se adaugă apoi:

10 ml acetat de n-butil (4.4), folosind o pipetă de precizie;

20 ml de soluție de tiocianat (4.5).

Se agită timp de un minut pentru a extrage complexul în faza organică; se lasă să precipite; după separarea celor două faze, se extrage toată faza apoasă și se înlătură; apoi se spală faza organică cu:

10 ml soluție clorură stanoasă (4.6)

Se agită un minut. Se lasă să se precipite și se separă întreaga fază apoasă. Se colectează faza organică într-un tub de testare; aceasta va face posibilă colectarea picăturilor de apă în suspensie.

7.4.   Determinare

Se măsoară absorbanțele soluțiilor obținute la 7.3 la o lungime de undă de 470 nm folosind o soluție de calibrare cu 0 µg/ml molibden (7.2) ca referință.

8.   Exprimarea rezultatelor

Se construiește curba de calibrare reprezentând pe abscisă cantitățile corespunzătoare de molibden (7.2) exprimate în µg, iar pe ordonată valorile absorbției corespunzătoare (7.4).

De pe această curbă se determină masa de molibden în soluția de testat (6.2) și în proba-martor. Aceste mase sunt notate cu (xs) și (xb).

Procentul de molibden din îngrășământ este dat de relația:

 

Formula

În cazul în care s-a folosit metoda 9.3:

 

Formula

unde:

 

Mo = cantitatea de molibden, exprimată ca procente din îngrășământ;

 

a = volumul în ml de porțiune luată din ultima soluție diluată (6.2);

 

xs = masa Mo în soluția de testat (6.2), în µg;

 

xb = masa Mo în soluția-martor (7.1), în µg, volum ce corespunde volumului (a) al porțiunii din soluția de testat 6.2;

 

V = volumul de extract obținut prin metoda 9.1 sau 9.2, în ml;

 

D = este factorul corespunzător gradului de diluție efectuat în 6.2;

 

M = masa probei de testare luată pentru analiză, în concordanță cu metoda 9.1 sau 9.2, în grame.

Calculul factorului de diluție D: dacă (a1), (a2) sunt porțiunile succesive de analizat, iar (v1), (v2) sunt volumele în ml corespunzătoare diluției respective, factorul de diluare D va fi:

 

Formula

Metoda 9.11

Determinarea zincului din extractele de îngrășăminte prin spectrometrie de absorbție atomică

1.   Obiect

Prezenta metodă descrie o procedură pentru determinarea zincului în extractele de îngrășăminte.

2.   Domeniu de aplicare

Această procedură se aplică pentru analizarea probelor de îngrășăminte obținute prin metodele 9.1 și 9.2 pentru care se cere declararea zincului total și/sau a celui hidrosolubil conform anexei I E la prezentul regulament.

3.   Principiu

După tratarea și diluarea corespunzătoare a extractelor, concentrația de zinc este determinată prin spectrometrie de absorbție atomică.

4.   Reactivi

4.1.   Soluție de acid clorhidric aproximativ 6 mol/l

A se vedea metoda 9.4 punctul 4.1.

4.2.   Soluție de acid clorhidric aproximativ 0,5 mol/l

A se vedea metoda 9.4 punctul 4.2.

4.3.   Soluție de sare de lantan (lantan 10 g/l)

A se vedea metoda 9.4 punctul 4.3.

4.4.   Soluții de calibrare pentru zinc

4.4.1.   Soluție stoc de zinc (1 000 µg/ml)

Într-un balon gradat de 1 000 ml se dizolvă 1 g de zinc pulbere sau fulgi, cântărit cu o precizie de 0,1 mg, cu 25 ml soluție de acid clorhidric 6 mol/l (4.1). Atunci când s-a dizolvat complet, se aduce la semn cu apă și se amestecă bine.

4.4.2.   Soluție de lucru cu zinc (100 µg/ml)

Se pun 20 ml din soluția stoc (4.4.1) într-un vas gradat de 200 ml. Se aduce la semn cu soluție de acid clorhidric 0,5 mol/l (4.2) și se amestecă bine.

5.   Aparatură

Spectrometru de absorbție atomică: a se vedea metoda 9.4 punctul (5). Aparatul trebuie să fie echipat cu sursă de radiații caracteristice pentru zinc (213,8 nm). Spectrometrul trebuie să permită realizarea corecțiilor.

6.   Pregătirea soluției

6.1.   Soluția de extract de zinc

A se vedea metodele 9.1 și/sau 9.2 și, eventual, 9.3.

6.2.   Pregătirea soluției de testat

A se vedea metoda 9.4 punctul 6.2. Soluția de testat trebuie să conțină 10 % (v/v) din soluția de sare de lantan (4.3).

7.   Mod de lucru

7.1.   Pregătirea probei-martor

A se vedea metoda 9.4 punctul 7.1. Proba-martor trebuie să conțină 10 % (v/v) din soluția de sare de lantan folosită la 6.2.

7.2.   Pregătirea soluțiilor de calibrare

A se vedea metoda 9.4 punctul 7.2.

Pentru un interval optim de determinare de la 0 la 5 µg/ml de zinc, se pun 0, 0,5, 1, 2, 3, 4 și, respectiv, 5 ml din soluția de lucru (4.4.2) într-o serie de baloane gradate de 100 ml. Dacă este necesar, se aduce concentrația de acid clorhidric cât mai aproape de cea a soluției de testat. Se adaugă în fiecare vas gradat 10 ml soluție sare de lantan folosită la 6.2. Se aduce la 100 ml cu soluție de acid clorhidric de 0,5 mol/l (4.2) și se amestecă bine. Aceste soluții conțin 0, 0,5, 1, 2, 3, 4 și, respectiv, 5 µg/ml de zinc.

7.3.   Determinare

A se vedea metoda 9.4 punctul 7.3. Se pregătește spectrometrul (5) pentru măsurare la o lungime de undă de 213,8 nm.

8.   Exprimarea rezultatelor

A se vedea metoda 9.4 punctul 8.

Procentul de zinc din îngrășământ este dat de relațiile:

 

Formula

În cazul în care s-a folosit metoda 9.3:

 

Formula

unde:

 

Zn = cantitatea de zinc determinat, exprimată ca procente din îngrășământ;

 

xs = concentrația soluției de testat (6.2), în µg/ml;

 

xb = concentrația probei-martor (7.1), în µg/ml;

 

V = volumul de extract obținut prin metoda 9.1 sau 9.2, în ml;

 

D = este factorul corespunzător gradului de diluție realizat în 6.2;

 

M = masa probei de testat luată pentru analiză, în concordanță cu metoda 9.1 sau 9.2, în grame.

Calculul factorului de diluție D: dacă (a1), (a2), (a3)… (ai) și (a) sunt porțiunile succesive din proba de analizat, iar (v1), (v2), (v3)… (vi) și 100 sunt volumele în ml corespunzătoare diluării respective, factorul de diluție D va fi:

 

Formula

Metodele 10

Oligoelemente cu o concentrație mai mare de 10 %

Metoda 10.1

Extracția oligoelementelor totale

1.   Obiect

Această metodă definește procedura de extracție a următoarelor oligoelemente: bor total, cobalt total, cupru total, fier total, mangan total, molibden total și zinc total. Scopul este efectuarea unui număr minim de extracții, utilizând același extract, ori de câte ori este posibil, pentru a determina concentrația totală a fiecăruia dintre oligoelementele enumerate mai sus.

2.   Domeniu de aplicare

Această procedură privește îngrășămintele din Comunitate menționate la anexa I E la prezentul regulament care conțin unul sau mai multe dintre următoarele oligoelemente: bor, cobalt, cupru, fier, mangan, molibden și zinc. Metoda se aplică la fiecare element al cărui conținut declarat este mai mare de 10 %.

3.   Principiu

Dizolvarea în acid clorhidric diluat, la fierbere.

Notă:

Extracția este empirică și poate să nu fie cantitativă, în funcție de produs sau de alți compuși ai îngrășămintelor. În mod special, în cazul anumitor oxizi de mangan, cantitatea extrasă poate fi substanțial mai mică decât cantitatea totală de mangan pe care o conține produsul. Este responsabilitatea producătorilor de îngrășăminte să garanteze faptul că conținutul declarat corespunde cantității extrase în condițiile pe care le conține metoda.

4.   Reactivi

4.1.   Soluție de acid clorhidric (HCl) diluat, circa 6 mol/l

Se amestecă 1 volum de acid clorhidric (d20 = 1,18 g/ml) cu 1 volum de apă.

4.2.   Soluție concentrată de amoniac (NH4OH, d20 = 0,9 g/ml)

5.   Aparatură

5.1.   Plită electrică cu control variabil al temperaturii

5.2.   pH-metru

Notă:

În cazul în care trebuie să se determine conținutul de bor al unui extract, nu se va folosi sticlărie pe bază de borosilicați. Dat fiind faptul că metoda implică fierbere, se preferă teflonul sau materialele pe bază de silicați. Sticlăria se clătește insistent dacă a fost spălată cu detergenți pe bază de borați.

6.   Pregătirea soluției

A se vedea metoda 1.

7.   Mod de lucru

7.1.   Proba de testat

Se ia o cantitate de îngrășământ în greutate de 1 sau 2 g în funcție de conținutul declarat de element din produs. Se va folosi următorul tabel pentru a obține o soluție finală care, după o diluție corespunzătoare, se va încadra în intervalul de măsurare pentru fiecare metodă. Probele ar trebui cântărite cu o precizie de 1 mg.

Conținutul declarat al oligoelementului din îngrășământ (%)

> 10 < 25

≥ 25

Masa probei de testat (g)

2

1

Masa elementului în probă (mg)

> 200 < 500

≥ 250

Volumul de extract (ml)

500

500

Concentrația elementului în extract (mg/ml)

> 400 < 1 000

≥ 500

Se pune proba într-un vas de laborator de 250 ml.

7.2.   Pregătirea soluției

Dacă este necesar, se umezește proba cu puțină apă, se adăugă 10 ml de acid clorhidric diluat (4.1) per gram de îngrășământ, cu grijă, în cantități mici, apoi se adăugă aproximativ 50 ml apă. Se acoperă vasul cu o sticlă de ceas și se amestecă. Se aduce la fierbere pe o plită electrică și se fierbe timp de 30 minute. Se lasă să se răcească, amestecând din când în când. Se transferă cantitativ soluția într-un balon gradat de 500 ml, după care se aduce la semn cu apă și se amestecă bine. Se filtrează printr-un filtru uscat într-un vas uscat. Se aruncă primele porțiuni de filtrat. Extractul trebuie să fie perfect limpede.

Se recomandă ca această determinare să se facă fără întârziere în porțiunile din soluția filtrată limpede, în caz contrar vasul trebuie închis cu dop.

Notă

Extractele în care trebuie determinat conținutul de bor: se ajustează pH-ul până la valori cuprinse între 4 și 6 cu soluție concentrată de amoniac (4.2).

8.   Determinarea

Determinarea fiecărui element trebuie să se facă în porțiuni indicate de metoda pentru fiecare oligoelement.

Metodele 10.5, 10.6, 10.7, 10.9 și 10.10 nu pot fi folosite pentru a determina nutrienții prezentați într-o formă chelată sau complexată. În astfel de cazuri metoda 10.3 trebuie folosită înaintea determinării.

În cazul determinării prin AAS (spectrometrie de absorbție atomică) (metodele 10.8 și 10.11) s-ar putea ca acest tratament să nu fie necesar.

Metoda 10.2

Extracția oligoelementelor solubile în apă

1.   Obiect

Această metodă definește procedura de extracție a formelor solubile în apă pentru următoarele elemente: bor, cobalt, cupru, fier, mangan, molibden și zinc. Scopul este efectuarea unui număr minim de extracții prin folosirea, ori de câte ori este posibil, a aceluiași extract pentru a determina concentrația fiecărui element specificat mai sus.

2.   Domeniu de aplicare

Această procedură privește îngrășămintele din Comunitatea Europeană menționate la anexa I E la prezentul regulament care conțin unul sau mai multe dintre următoarele oligoelemente: bor, cobalt, cupru, fier, mangan, molibden și zinc. Se aplică la fiecare oligoelement al cărui conținut este mai mare de 10 %.

3.   Principiu

Oligoelementele sunt extrase prin agitarea îngrășămintelor în apă la 20 (± 2) °C.

Notă

Extracția este empirică și poate să fie sau să nu fie cantitativă.

4.   Reactivi

4.1.   Soluție de acid clorhidric diluat (HCl), aproximativ 6 mol/l

Se amestecă 1 volum de acid clorhidric (d20 = 1,18 g/ml) cu 1 volum de apă.

5.   Aparatură

5.1.   Agitator rotativ fixat la 35-40 rpm

Notă

În cazul în care trebuie să se determine conținutul de bor, nu se va folosi sticlărie de laborator pe bază de borosilicați. Pentru o astfel de extracție se preferă teflonul sau sticlăria pe bază de siliciu. Clătiți insistent sticlăria de laborator dacă a fost spălată cu detergenți care conțin borați.

6.   Pregătirea soluției

A se vedea metoda 1.

7.   Mod de lucru

7.1.   Proba de testat

Se ia o cantitate de îngrășământ cântărind între 1 și 2 grame în funcție de conținutul declarat al produsului. Se va folosi următorul tabel pentru a obține soluția finală care, după o diluție corespunzătoare, se va încadra în intervalul de măsurare pentru fiecare metodă. Probele ar trebui cântărite cu o abatere de maximum 1 mg.

Conținutul declarat al oligoelementului din îngrășământ (%)

> 10 < 25

≥ 25

Masa probei de testat (g)

2

1

Masa elementului în probă (mg)

> 200 < 500

≥ 250

Volumul de extract V (ml)

500

500

Concentrația elementului în extract (mg/ml)

> 400 < 1 000

≥ 500

Se pune proba într-un vas de 500 ml.

7.2.   Pregătirea soluției

Se adaugă aproximativ 400 ml apă.

Se acoperă vasul bine (ermetic). Se amestecă energic cu mâna pentru a dispersa proba, apoi se pune vasul pe agitator și se agită timp de 30 minute.

Se aduce la semn cu apă și se amestecă.

7.3.   Pregătirea soluției de testat

Se filtrează imediat într-un vas curat și uscat. Se astupă vasul. Determinarea se realizează imediat după filtrare.

Notă

În cazul în care filtratul se tulbură treptat se realizează o nouă extracție urmând 7.1 și 7.2 într-un vas de volum Ve. Se filtrează într-un balon gradat de volum W care a fost anterior uscat și care conține 5 ml de acid clorhidric diluat (4.1). Se oprește filtrarea exact la momentul în care soluția ajunge la semn. Se amestecă cu grijă.

În aceste condiții valoarea lui V în exprimarea rezultatelor este:

 

Formula

Diluțiile în exprimarea rezultatelor depind de această valoare a lui V.

8.   Determinarea

Determinarea fiecărui oligoelement se face din porțiuni indicate în metoda pentru fiecare oligoelement individual.

Metodele 10.5, 10.6, 10.7, 10.9 și 10.10 nu pot fi folosite pentru a determina nutrienții prezenți în formă chelată sau complexată. În astfel de cazuri se va folosi metoda 10.3 înainte de începerea determinării.

În cazul determinării prin AAS (metodele 10.8 și 10.11) s-ar putea ca acest tratament să nu fie necesar.

Metoda 10.3

Îndepărtarea compușilor organici din extractele de îngrășăminte

1.   Obiect

Această metodă definește o procedură pentru îndepărtarea compușilor organici din extractele de îngrășăminte.

2.   Domeniu de aplicare

Aceasta procedură se aplică la analiza extractelor de îngrășăminte obținute prin metodele 10.1 și 10.2 pentru care dispozițiile din anexa I E la prezentul regulament cer declararea elementelor totale și/sau solubile în apă.

Notă

Prezența unor cantități mici de materii organice de obicei nu afectează determinările realizate prin spectrometrie de absorbție atomică.

3.   Principiu

Compușii organici prezenți într-o porțiune de extract sunt oxidați cu peroxid de hidrogen.

4.   Reactivi

4.1.   Soluție de acid clorhidric diluat (HCl), aproximativ 0,5 mol/l

Se amestecă 1 volum de acid clorhidric (d20 = 1,18 g/ml) cu 20 volume de apă.

4.2.   Soluție peroxid de hidrogen (30 % H2O2, d20 = 1,11 g/ml), fără oligoelemente.

5.   Aparatură

Plită electrică cu control variabil al temperaturii

6.   Mod de lucru

Se iau 25 ml din soluția de extract obținută prin metoda 10.1 sau metoda 10.2 și se pun într-un balon gradat de 100 ml. În cazul metodei 10.2 se adaugă 5 ml soluție de acid clorhidric diluat (4.1). Apoi se adaugă 5 ml din soluția de peroxid de hidrogen (4.2). Se acoperă cu o sticlă de ceas. Se lasă să oxideze la temperatura camerei aproximativ o oră, după care se aduce proba treptat la fierbere și se fierbe timp de jumătate de oră. Dacă este necesar, după ce proba s-a răcit i se mai adaugă 5 ml de peroxid de hidrogen. Se fierbe pentru a îndepărta peroxidul în exces. Se lasă să se răcească și se transferă cantitativ soluția într-un balon gradat de 50 ml și se aduce la semn. Dacă este necesar, se filtrează.

Se va ține cont de diluție atunci când se iau porțiuni din proba de analizat și se calculează procentul de oligoelemente din produs.

Metoda 10.4

Determinarea oligoelementelor din extractele de îngrășăminte prin spectrometrie de absorbție atomică

(Procedură generală)

1.   Obiect

Acest document definește o procedura generală pentru determinarea concentrației de fier și zinc din extractele de îngrășăminte prin spectrometrie de absorbție atomică.

2.   Domeniu de aplicare

Aceasta procedură se aplică pentru analiza extractelor de îngrășăminte obținute prin metodele 10.1 și 10.2 pentru care dispozițiile din anexa I E la prezentul regulament cer declararea fierului și a zincului total și/sau hidrosolubil.

Adaptările acestei proceduri pentru fiecare oligoelement în parte sunt detaliate în metodele definite specific pentru fiecare element.

Notă

În majoritatea cazurilor, prezența unor mici cantități de materii organice nu va afecta determinările realizate prin spectrometrie de absorbție atomică.

3.   Principiu

După tratarea extractului, dacă este cazul, pentru a reduce sau elimina elementele chimice care interferează, extractul se diluează astfel încât concentrația să se încadreze în gama optimă de măsurare a spectrometrului, la o lungime de undă potrivită pentru oligoelementul care trebuie determinat.

4.   Reactivi

4.1.   Soluție de acid clorhidric diluat (HCl), de aproximativ 6 mol/l

Se amestecă 1 volum de acid clorhidric (d20 = 1,18 g/ml) cu 1 volum de apă.

4.2.   Soluție de acid clorhidric diluat (HCI), aproximativ 0,5 mol/l

Se amestecă un volum de acid clorhidric (d20 = 1,18 g/ml) cu 20 volume de apă.

4.3.   Soluție de sare de lantan (10 g La/l)

Acest reactiv se folosește pentru determinarea fierului și zincului. Se poate prepara fie:

(a)

cu oxid de lantan dizolvat în acid clorhidric (4.1). Se pun într-un balon gradat de 1 litru 11,73 g de oxid de lantan (La2O3) în 150 ml de apă și se adaugă 120 ml de acid clorhidric 6 mol/l (4.1). Se lasă să se dizolve, după care se aduce la semn cu apă și se amestecă bine. Această soluție are aproximativ 0,5 mol/l în acid clorhidric; sau

(b)

cu soluție de clorură de lantan, sulfat sau azotat de lantan. Se dizolvă 26,7 g de clorură de lantan heptahidrată (LaCl3 · 7H2O) sau 31,2 g de azotat de lantan hexahidrat [La(NO3)3 · 6H2O) sau 26,2 g de sulfat de lantan nonahidrat [La2(S04)3 · 9H2O] în 150 ml de apă, după care se adăugă 85 ml de acid clorhidric 6 mol/l (4.1). Se lasă să se dizolve apoi se aduce la 1 litru cu apă. Se amestecă bine. Această soluție este aproximativ 0,5 mol/l în acid clorhidric.

4.4.   Soluții de calibrare

Pentru pregătirea acestora, a se vedea metoda individuală de determinare pentru fiecare oligoelement.

5.   Aparatură

Spectrometru pentru absorbție atomică prevăzut cu surse care emit radiații caracteristice pentru oligoelementele determinate.

Persoana care efectuează analiza trebuie să urmeze instrucțiunile producătorului și să fie familiarizată cu aparatul. Aparatura trebuie să permită realizarea de corecții astfel încât acestea să poată fi realizate ori de câte ori este necesar (de exemplu, Zn). În cazul în care nu se menționează altceva în metoda specifică fiecărui element, gazele folosite sunt aerul și acetilena.

6.   Pregătirea soluției de analizat

6.1.   Pregătirea soluției de extract care conține elementele ce trebuie determinate

A se vedea metodele 10.1 și/sau 10.2 și, eventual, metoda 10.3.

6.2.   Tratarea soluției de testat

Se diluează o porțiune din extractul obținut prin metodele 10.1, 10.2 și, dacă este cazul, 10.3 cu apă și/sau acid clorhidric (4.1) sau (4.2), astfel încât în soluția finală de măsurare să se obțină o concentrație a elementului de determinat corespunzătoare intervalului de calibrare utilizat (7.2) și o concentrație de acid clorhidric de cel puțin 0,5 mol/l și nu mai mult de 2,5 mol/l. Această operație poate să necesite una sau mai multe diluări succesive.

Soluția finală se obține prin punerea unei porțiuni de extract diluat într-un balon gradat de 100 ml. Fie (a) volumul acestei porțiuni, în ml. Se adaugă 10 ml soluție de sare de lantan (4.3). Se aduce la semn cu soluție de acid clorhidric diluat 0,5 mol/l (4.2) și se amestecă bine. Fie D factorul de diluție.

7.   Mod de lucru

7.1.   Pregătirea unei probe-martor

Proba-martor se prepară prin repetarea întregii proceduri de la etapa de extracție, lăsând deoparte eșantionul de îngrășământ.

7.2.   Pregătirea soluțiilor de calibrare

Din soluția de calibrare de lucru preparată folosind metoda dată pentru fiecare oligoelement în parte, se pregătește în baloane gradate de 100 ml o serie de cel puțin 5 soluții de calibrare de concentrații crescătoare în intervalul optim de măsurare a spectrometrului. Dacă este necesar, se ajustează concentrația cu acid clorhidric pentru a o aduce cât mai aproape de cea a soluției de testat (6.2). În cazul în care se determină fierul și zincul, se adaugă 10 ml din aceeași soluție de lantan (4.3) folosită în (6.2). Se aduce la semn cu soluție de acid clorhidric 0,5 mol/l (4.2) și se amestecă bine.

7.3.   Determinarea

Se pregătește spectrometrul (5) pentru determinare și se aduce la lungimea de undă dată în metoda pentru fiecare oligoelement.

Se pulverizează de trei ori în următoarea ordine: soluțiile de calibrare (7.2), soluția de testat și proba-martor (7.1), notând fiecare rezultat și clătind instrumentul cu apă distilată după fiecare pulverizare.

Se trasează curba de calibrare reprezentând pe ordonată media citirilor la spectrometru pentru fiecare soluție de calibrare (7.2), iar pe abscisă concentrația corespunzătoare, exprimată în µg/ml.

De pe această curbă se determină concentrația oligoelementului în soluția de testat 6.2 (xs) și în proba-martor 7.1 (xb), exprimând aceste concentrații în µg/ml.

8.   Exprimarea rezultatelor

Procentul oligoelementului (E) în îngrășământ este dat de relația:

 

Formula

În cazul în care s-a folosit metoda 10.3:

 

Formula

unde:

 

E = cantitatea de oligoelemente determinată, exprimată în procente din îngrășământ;

 

xs = concentrația în soluția de testat (6.2.), în µg/ml;

 

xb = concentrația în proba-martor (7.1.), în µg/ml;

 

V = volumul de extract obținut prin metoda 10.1 sau 10.2, în ml;

 

D = factorul corespunzând diluției realizate în 6.2;

 

M = masa probei luată pentru analiză, în concordanță cu metoda 10.1 sau 10.2, în grame.

Calculul factorului de diluție D:

 

dacă (a1), (a2), (a3)… (ai) și (a) sunt porțiuni din proba de analizat, iar (v1), (v2), (v3)… (vi) și (100) sunt volumele în ml, corespunzătoare diluțiilor respective, factorul de diluție D va fi egal cu:

 

Formula

Metoda 10.5

Determinarea borului în extractele de îngrășăminte prin intermediul titrării acidimetrice

1.   Obiect

Acest document definește o procedură pentru determinarea conținutului de bor din extractele de îngrășăminte.

2.   Domeniu de aplicare

Această procedură se aplică extractelor obținute din probele de îngrășăminte pe baza metodelor 10.1 și 10.2 pentru care se cere declararea conținutului de borul total și/sau hidrosolubil, conform anexei I E la prezentul regulament.

3.   Principiu

Se formează un complex manitoboric prin următoarea reacție a borului cu manitolul:

 

Formula

Complexul se titrează cu soluție de hidroxid de sodiu la un pH de 6,3.

4.   Reactivi

4.1.   Soluție indicatoare roșu de metil

Se dizolvă într-un balon gradat de 100 ml 0,1 g roșu de metil (C15H15N3O2) în 50 ml etanol (95 %). Se aduce la semn cu apă. Se amestecă cu grijă.

4.2.   Soluție de acid clorhidric diluat, aproximativ 0,5 mol/l

Se amestecă 1 volum de acid clorhidric HCl (d20 = 1,18 g/ml) cu 20 volume de apă.

4.3.   Soluție de hidroxid de sodiu, aproximativ 0,5 mol/l

Nu trebuie să conțină dioxid de carbon. Se dizolvă 20 g granule de hidroxid de sodiu (NaOH) într-un balon gradat de 1 l ce conține aproximativ 800 ml apă fierbinte. Atunci când soluția s-a răcit, se aduce la 1 000 ml cu apă fiartă și se amestecă bine.

4.4.   Soluție standard de hidroxid de sodiu, aproximativ 0,025 mol/l

Nu trebuie să conțină dioxid de carbon. Se diluează un volum de soluție de hidroxid de sodiu 0,5 mol/l (4.3) cu 20 volume apă fierbinte și se amestecă bine. Se va determina valoarea soluției exprimată sub formă de bor B (a se vedea punctul 9).

4.5.   Soluții de calibrare cu bor (100 µg/ml B)

Se dizolvă 0,5719 g acid boric (H3BO3), cântărit cu o precizie de 0,1 mg într-un balon gradat de 1 000 ml cu apă. Se aduce la semn cu apă și se amestecă cu grijă. Se transferă într-o sticlă de plastic pentru păstrare la frigider.

4.6.   Pulbere de D manitol (C6H14O6)

4.7.   Clorură de sodiu

5.   Aparatură

5.1.   pH-metru cu electrod de sticlă

5.2.   Agitator magnetic

5.3.   Vas de laborator de 400 ml cu dop de teflon

6.   Pregătirea soluției

6.1.   Pregătirea soluției de bor

A se vedea metodele 10.1, 10.2 și, eventual, 10.3.

7.   Mod de lucru

7.1.   Test

Se pune într-un vas de laborator de 400 ml (5.3) o porțiune (a) din extractul (6.1) care conține între 2 și 4 mg de B. Se adaugă 150 ml de apă.

Se adaugă câteva picături de soluție indicatoare roșu de metil (4.1).

În cazul extracției cu metoda 10.2, se acidifică prin adăugare de acid clorhidric 0,5 mol/l (4.2) până la virajul culorii indicatorului din soluție, apoi se mai adaugă 0,5 ml de acid clorhidric 0,5 mol/l (4.2).

După adăugarea a 3 g de clorură de sodiu (4.7) se aduce la fierbere pentru a elimina bioxidul de carbon. Se lăsă să se răcească. Se pune vasul pe agitatorul magnetic (5.2) și se introduce electrodul de pH recalibrat (5.1).

Se ajustează pH-ul la exact 6,3 mai întâi cu soluție de hidroxid de sodiu de 0,5 mol/l (4.3) iar apoi cu soluție 0,025 mol/l (4.4).

Se adaugă 20 g de D manitol (4.6), se dizolvă complet și se amestecă bine. Se titrează cu soluție de hidroxid de sodiu 0,025 mol/l (4.4) la pH 6,3 (stabilitate cel puțin un minut). Fie X1 volumul necesar.

8.   Proba-martor

Se prepară proba-martor prin repetarea întregii proceduri din etapa pregătirii soluției, fără a pune îngrășământul. Fie X0 volumul cerut.

9.   Conținutul de bor (B) al soluției de hidroxid de sodiu (4.4)

Într-un vas de laborator de 400 ml se pipetează 20 ml (2,0 mg B) din soluția de calibrare (4.5), și se adaugă câteva picături de soluție indicatoare roșu de metil (4.1). Se adaugă 3 g de clorură de sodiu (4.7) și soluție de acid clorhidric (4.2) până la punctul în care se schimbă culoarea indicatorul din soluție (4.1).

Se aduce volumul la aproximativ 150 ml și se aduce treptat la fierbere pentru eliminarea bioxidului de carbon. Se lasă să se răcească. Se pune vasul pe agitatorul magnetic (5.2) și se inserează electrodul recalibrat al pH-metrului (5.1). Se aduce pH-ul la exact 6,3 mai întâi cu soluția de hidroxid de sodiu 0,5 mol/l (4.3) și apoi cu soluție de 0,025 mol/l (4.4).

Se adaugă 20 g de D manitol (4.6), se dizolvă complet și se amestecă bine. Se titrează cu soluție de hidroxid de sodiu 0,025 mol/l (4.4) la pH 6,3 (stabilitate cel puțin un minut). Fie V1 volumul necesar.

Se prepară o probă-martor în același fel, înlocuind 20 ml de apă pentru soluția de calibrare. Fie V0 volumul necesar.

Conținutul borului (F) în mg/ml în soluția standard de NaOH (4.4) este următoarea:

 

Formula

1 ml soluție exactă de hidroxid de sodiu 0,025 mol/l corespunde cu 0,27025 mg B.

10.   Exprimarea rezultatelor

Procentul de bor din îngrășământ este dat de relația:

Formula

unde:

 

B (%) este procentul de bor din îngrășămănt;

 

X1 este volumul, în ml, al soluției de hidroxid de sodiu de 0,025 mol/l (4.4); necesar pentru soluția de testat;

 

X0 este volumul, în ml, al soluției mol/l de hidroxid de sodiu 0,025 mol/l (4.4); necesar pentru soluția de testat;

 

F este concentrația borului B, în mg/ml, în soluția de hidroxid de sodiu 0,025 mol/l (4.4);

 

V este volumul, în ml, al soluției de extract obținute în concordanță cu metoda 10.1 sau 10.2;

 

a este volumul, în ml, al porțiunii de probă (7.1) luată din soluția de extract (6.1);

 

M este masa, în grame, a probei de testat, în concordanță cu metoda 10.1 sau 10.2.

Metoda 10.6

Determinarea cobaltului din extractele de îngrășăminte prin metoda gravimetrică cu 1-nitroso-2-naftol

1.   Obiect

Acest document definește o procedură pentru determinarea cobaltului din extractele de îngrășăminte.

2.   Domeniu de aplicare

Această procedură se aplică extractelor de îngrășăminte obținute prin metodele 10.1 și 10.2 pentru care se cere declararea conținutului de cobalt, conform anexei I E la prezentul regulament.

3.   Principiu

Cobaltul III se combină cu 1-nitroso-2-naftol pentru a da un precipitat roșu Co(C10H6ONO)3 · 2H2O. După ce cobaltul prezent în extract a fost adus la starea de cobalt III, cobaltul este precipitat în mediu de acid acetic cu o soluție de 1-nitrozo-2-naftol. După filtrare este spălat și uscat până la greutatea constantă și apoi cântărit ca Co(C10H6ONO)3 · 2H2O.

4.   Reactivi

4.1.   Soluție de peroxid de hidrogen (H2O2, d20 = 1,11 g/ml) 30 %

4.2.   Soluție de hidroxid de sodiu, aproximativ 2 mol/l

Se dizolvă 8 g de hidroxid de sodiu granule în 100 ml apă.

4.3.   Soluție diluată de acid clorhidric, aproximativ 6 mol/l

Se amestecă 1 volum de acid clorhidric (d20 = 1,18 g/ml) cu 1 volum de apă.

4.4.   Acid acetic (99,7 % CH3CO2H) (d20 = 1,05 g/ml)

4.5.   Soluție de acid acetic (1:2) aproximativ 6 mol/l

Se amestecă un volum de acid acetic (4.4) cu două volume de apă.

4.6.   Soluție de 1-nitroso-2-naftol în 100 ml acid acetic (4.4). Se adaugă 100 ml apă călduță. Se amestecă cu grijă. Se filtrează repede. Soluția obținută trebuie folosită imediat.

5.   Aparatură

5.1.   Creuzet filtrant P16/ISO 4 793, porozitate 4, capacitate 30 sau 50 ml

5.2.   Cuptor de uscare la 130 (± 2) °C

6.   Pregătirea soluției

6.1.   Pregătirea soluției de cobalt

A se vedea metoda 10.1 sau 10.2.

6.2.   Pregătirea soluției de analizat

Se pune o porțiune a extractului care conține nu mai mult de 20 g Co într-un vas de laborator de 400 ml. În cazul în care extractul s-a obținut conform metodei 10.2, se acidifică cu 5 picături de acid clorhidric (4.3). Se adaugă aproximativ 10 ml de soluție de peroxid de hidrogen (4.1). Se lasă oxidantul să acționeze la rece timp de 15 minute după care se aduce la 100 ml cu apă. Se acoperă vasul cu o sticlă de ceas. Se aduce soluția la fierbere și se menține așa încă 10 minute. Se răcește. Se alcalinizează cu soluție de hidroxid de sodiu (4.2), picătură cu picătură, până când hidroxidul negru de cobalt începe să precipite.

7.   Mod de lucru

Se adaugă 10 ml de acid acetic (4.4) și se aduce la 200 ml cu apă. Se încălzește până la fierbere. Cu o biuretă, se adaugă 20 ml de soluție de 1-nitroso-2-naftol (4.6), picătură cu picătură, amestecând constant. Se continuă amestecarea energic pentru a coagula precipitatul.

Se filtrează printr-un filtru container (5.1) cu atenție, să nu se blocheze. Pentru aceasta, trebuie să vă asigurați că lichidul este deasupra precipitatului în procesul de filtrare.

Se spală vasul cu acid acetic diluat (4.5) pentru a îndepărta precipitatul; se spală precipitatul pe filtru cu acid acetic diluat (4.5) și apoi de trei ori cu apă fierbinte.

Se usucă într-un cuptor de uscare (5.2) la 130 (± 2) °C până când ajunge la greutatea constantă.

8.   Exprimarea rezultatelor

1 mg de precipitat Co(C10H6ONO)3 · 2H2O corespunde cu 0,096381 mg de Co.

Procentul de cobalt în îngrășământ este dat de relația:

Formula

unde:

 

X = masa, în mg, a precipitatului;

 

V = volumul, în ml, de soluție de extract obținută în concordanță cu metoda 10.1 sau 10.2;

 

a = volumul porțiunii din proba de analizat luate după ultima diluție, în ml;

 

D = factorul de diluție al acestei porțiuni de probă;

 

M = masa în grame a probei de testat.

Metoda 10.7

Determinarea cuprului din extractele de îngrășăminte prin metoda titrimetrică

1.   Obiect

Acest document definește o procedură pentru determinarea cuprului din extractele de îngrășăminte.

2.   Domeniu de aplicare

Această procedură se aplică extractelor din îngrășăminte obținute prin metoda 10.1 sau 10.2 pentru care este obligatorie declararea conținutului de cupru, conform anexei I E la prezentul regulament.

3.   Principiu

Ionii de cupru sunt reduși într-un mediu acid cu iodură de potasiu.

 

Formula

Iodura eliberată în acest mod se titrează cu soluție standard de tiosulfat în prezența amidonului ca indicator în concordanță cu:

 

Formula

4.   Reactivi

4.1.   Acid azotic (HNO3, d20 = 1,40 g/ml)

4.2.   Uree [(NH2)2C = 0]

4.3.   Soluție apoasă de biflorură de amoniu (NH4HF2, 10 % m/v)

Se păstrează soluția într-un vas de plastic.

4.4.   Soluție de hidroxid de amoniu (1 + 1)

Se amestecă 1 volum de amoniac (NH4OH, d20 = 0,9 g/ml) cu 1 volum de apă.

4.5.   Soluție standard de tiosulfat de sodiu

Se dizolvă 7,812 g de pentahidrat de tiosulfat de sodiu (Na2S2O3 · 5H2O) cu apă într-un balon gradat de 1 l. Această soluție se prepară astfel încât 1 ml = 2 mg Cu. Pentru stabilizare, se adaugă câteva picături de cloroform. Această soluție trebuie să fie ținută într-un recipient de sticlă, la întuneric.

4.6.   Iodura de potasiu (KI)

4.7.   Soluție de tiocianat de potasiu (KSCN) (25 % w/v)

Se păstrează această soluție într-un vas de plastic.

4.8.   Soluție de amidon (aproximativ 0,5 %)

Se pun 2,5 g amidon într-un vas de laborator de 600 ml. Se adaugă aproximativ 500 ml apă. Se fierbe și se amestecă în timpul fierberii. Se răcește la temperatura camerei. Soluția are o perioadă scurtă de păstrare. Durata de păstrare se poate extinde prin adăugarea a 10 mg de iodură de mercur.

5.   Pregătirea soluției

Pregătirea soluției de cupru

A se vedea metodele 10.1 și 10.2.

6.   Mod de lucru

6.1.   Pregătirea soluției de titrat

Se pune o porțiune a soluției ce conține nu mai mult de 20-40 mg Cu într-un vas Erlenmeyer de 500 ml.

Se elimină orice exces de oxigen prin fierbere rapidă. Se aduce volumul la 100 ml cu apă. Se adaugă 5 ml de acid azotic (4.1), se aduce la fierbere și se lasă să fiarbă aproximativ o jumătate de minut.

Se ia vasul Erlenmeyer de pe sursa de încălzire, se adaugă 3 g de uree (4.2) și se fierbe aproximativ jumătate de minut.

Se ia vasul Erlenmeyer de pe sursa de încălzire și se adaugă 200 ml de apă rece. Dacă este necesar, se răcește conținut vasului Erlenmeyer la temperatura camerei.

Se adaugă treptat soluție de hidroxid de amoniu (4.4) până când soluția devine albastră, apoi se adaugă 1 ml în exces.

Se adaugă 50 ml de soluție de biflorură de amoniu (4.3) și se amestecă.

Se adaugă 10 g de iodură de potasiu (4.6) și se dizolvă.

6.2.   Titrarea soluției

Se pune vasul Erlenmeyer pe un agitator magnetic. Se astupă vasul cu un dop și se aduce agitatorul la viteza dorită.

Folosind o biuretă, se adaugă soluție standard de tiosulfat de sodiu (4.5) până când culoarea brună a iodului eliberată în soluție devine mai puțin intensă.

Se adaugă 10 ml din soluția de amidon (4.8).

Se titrează în continuare cu soluție de tiosulfat (4.5) până când culoarea purpurie aproape a dispărut.

Se adaugă 20 ml soluție de tiocianat de potasiu (4.7) și se continuă titrarea până când culoarea albastru-violet a dispărut complet.

Se notează cantitatea de soluție de tiosulfat folosită.

7.   Exprimarea rezultatelor

1 ml de soluție standard de tiosulfat de sodiu (4.5) corespunde cu 2 mg de Cu.

Procentul de Cu din îngrășământ este dat de relația:

Formula

unde:

 

X = volumul, în ml, de soluție de tiosulfat folosită;

 

V = volumul, în ml, a soluției de extract în concordanță cu metoda 10.1 sau 10.2;

 

a = volumul, în ml, a porțiunii de probă;

 

M = masa, în grame, a probei de testat tratate conform metodei 10.1 sau 10.2.

Metoda 10.8

Determinarea fierului din extractele de îngrășăminte prin spectrometrie de absorbție atomică

1.   Obiect

Această metodă descrie o procedură pentru determinarea fierului din extractele de îngrășăminte.

2.   Domeniu de aplicare

Această procedură se aplică extractelor de îngrășăminte obținute prin metoda 10.1 sau 10.2 pentru care pentru care se cere, conform anexei I E la prezentul regulament, declararea conținutului de fier total și/sau hidrosolubil.

3.   Principiu

După un tratament corespunzător și o diluare a extractului, conținutul de fier este determinat prin spectrometrie de absorbție atomică.

4.   Reactivi

4.1.   Soluție de acid clorhidric aproximativ 6 mol/l

A se vedea metoda 10.4 punctul 4.1.

4.2.   Soluție de acid clorhidric aproximativ 0,5 mol/l

A se vedea metoda 10.4 punctul 4.2.

4.3.   Soluție de peroxid de hidrogen (30 % H2O2, d20 = 1,11 g/ml) fără oligoelemente

4.4.   Soluții de sare de lantan 10 g/l

A se vedea metoda 10.4 punctul 4.3.

4.5.   Soluție de calibrare cu fier

4.5.1.   Soluție stoc de fier (1 000 µg/ml)

Într-un vas de laborator de 500 ml se pune 1 g de sârmă pură de fier cântărită cu o precizie de 0,1 mg; se adaugă 200 ml de acid clorhidric 6 mol/l (4.1) și 15 ml de soluție de peroxid de hidrogen (4.3). Se încălzește pe o plită electrică până când fierul s-a dizolvat complet. Atunci când s-a răcit, se transferă soluția cantitativ într-un balon gradat de 1 000 ml. Se aduce la semn cu apă și se amestecă cu grijă.

4.5.2.   Soluție de lucru cu fier (100 µg/ml).

Se pun 20 ml din soluția stoc (4.5.1) într-un balon gradat de 200 ml. Se aduce la semn cu soluție de acid clorhidric 0,5 mol/l (4.2) și se amestecă bine.

5.   Aparatură

Spectrometru de absorbție atomică: a se vedea metoda 10.4 punctul 5. Instrumentul trebuie să fie dotat cu o sursă radiații caracteristice fierului (248,3 nm).

6.   Pregătirea soluției

6.1.   Soluția extract de fier

A se vedea metodele 10.1 și 10.2 sau, dacă este cazul, 10.3.

6.2.   Pregătirea soluției de testare

A se vedea metoda 10.4 punctul 6.2. Soluția de testare trebuie să conțină 10 % (v/v) dintr-o soluție de sare de lantan.

7.   Mod de lucru

7.1.   Pregătirea probei-martor

A se vedea metoda 10.4 punctul 7.1. Proba-martor trebuie să conțină 10 % (v/v) din soluția de sare de lantan folosită la 6.2.

7.2.   Pregătirea soluțiilor de calibrare

A se vedea metoda 10.4 punctul 7.2.

Pentru un interval optim de determinare de la 0 la 10 µg/ml de fier, se pun 0, 2, 4, 6, 8 și, respectiv, 10 ml soluție de lucru (4.5.2) într-o serie de baloane gradate de 100 ml. Dacă este necesar se aduce concentrația de acid clorhidric cât mai aproape de cea a soluției de testat. Se adaugă 10 ml de sare de lantan folosită la 6.2. Se aduce la semn cu soluție de acid clorhidric 0,5 mol/l (4.2) și se amestecă bine. Aceste soluții conțin 0, 2, 4, 6, 8, respectiv 10 µg/ml fier.

7.3.   Determinarea

A se vedea metoda 10.4 punctul 7.1. Se pregătește spectrometrul pentru măsurători la lungimea de undă 248,3 nm.

8.   Exprimarea rezultatelor

A se vedea metoda 10.4 punctul 8.

Procentul de fier din îngrășământ este dat de relația:

 

Formula

În cazul în care s-a folosit metoda 10.3

 

Formula

unde:

 

Fe = cantitatea de fier exprimată în procente din îngrășământ;

 

xs = concentrația în µg/ml a soluției de testat (6.2);

 

xb = concentrația în µg/ml a probei-martor (7.1);

 

V = volumul, în ml, a extractului obținut în concordanță cu metoda 10.1 sau 10.2;

 

D = factorul de diluție obținut în 6.2;

 

M = masa în grame a probei de testat, prelevată conform metodei 10.1 sau 10.2.

Calculul factorului de diluție D: dacă (a1), (a2), (a3)… (ai) și (a) sunt porțiuni din proba de analizat, iar (v1), (v2), (v3)… (vii) și (100) sunt volumele în ml, corespunzând diluțiilor respective, factorul de diluție D este dat de relația:

 

Formula

Metoda 10.9

Determinarea manganului din extractele de îngrășăminte prin titrarea permanganatului

1.   Obiect

Această metodă descrie o procedură pentru determinarea manganului din extractele de îngrășăminte.

2.   Domeniu de aplicare

Această procedură se aplică extractelor de îngrășăminte obținute prin metodele 10.1 și 10.2 pentru care se cere, conform anexei I E la prezentul regulament, declararea conținutului de mangan.

3.   Principiu

În cazul în care în extract apar ioni de clor, aceștia se elimină prin fierberea extractului cu acid sulfuric. Manganul este oxidat cu bismutat de sodiu în mediu de acid azotic. Permanganatul obținut se reduce cu un exces de sulfat feros. Acest exces se titrează cu soluție de permanganat de potasiu.

4.   Reactivi

4.1.   Acid sulfuric concentrat (H2SO4, d20 = 1,84 g/ml)

4.2.   Acid sulfuric, aproximativ 9 mol/l

Se amestecă cu atenție 1 volum de acid sulfuric concentrat (4.1) cu un volum de apă.

4.3.   Acid azotic 6 mol/l

Se amestecă 3 volume de acid azotic (HNO3, d20 = 1,40 g/ml) cu 4 volume de apă.

4.4.   Acid azotic 0,3 mol/l

Se amestecă 1 volum de acid azotic 6 mol/l cu 19 volume de apă.

4.5.   Bismutat de sodiu (NaBiO3) (85 %)

4.6.   Kieselgur

4.7.   Acid ortofosforic 15 mol/l (H3PO4, d20 = 1,71 g/ml)

4.8.   Soluție 0,15 mol/l de sulfat feros

Se dizolvă 41,6 g de sulfat feros heptahidrat (FeSO4 · 7H2O) într-un balon gradat de 1 litru.

Se adaugă 25 ml de acid sulfuric concentrat (4.1) și 25 ml de acid fosforic (4.7). Se aduce la 1 000 ml. Se amestecă.

4.9.   Soluție de permanganat de potasiu 0,020 mol/l

Se cântăresc 3,160 g de permanganat de potasiu (KMnO4) cu o precizie de 0,1 mg. Se dizolvă și se aduc la 1 000 ml cu apă.

4.10.   Soluție de azotat de argint 0,1 mol/l

Se dizolvă 1,7 g azotat de argint (AgNO3) în apă și se aduce la 100 ml.

5.   Aparatură

5.1.   Creuzet filtrant P16/ISO 4 793, porozitate 4, capacitate 50 ml, instalat deasupra unui vas de filtrare de 500 ml.

5.2.   Agitator magnetic

6.   Pregătirea soluției

6.1.   Soluție de extract de mangan

A se vedea metodele 10.1 și 10.2. Atunci când nu se cunoaște dacă sunt prezenți ionii de clorură, se testează soluția cu o picătură de soluție de azotat de argint (4.10).

6.2.   În absența ionilor de clorură, se pune o porțiune din extractul de mangan care conține între 10-20 mg de mangan într-un vas de laborator înalt, de 400 ml. Se aduce volumul la 25 ml fie prin evaporare, fie prin adăugare de apă. Se adaugă 2 ml de acid sulfuric concentrat (4.1).

6.3.   În cazul în care sunt prezenți ioni de clorură, aceștia trebuie îndepărtați după cum urmează:

 

Se pune o porțiune de extract, conținând 10 până la 20 mg de mangan, într-un vas de laborator înalt, de 400 ml. Se adaugă 5 ml de acid sulfuric 9 mol/l (4.2). Sub un clopot fumuriu se aduce la fierbere pe o plită și se lasă să fiarbă până la apariția unui fum puternic, alb. Se continuă fierberea până când volumul se reduce la aproximativ 2 ml (o peliculă subțire de lichid siropos pe fundul vasului). Se lasă să se răcească la temperatura camerei.

 

Se adaugă cu atenție 25 ml de apă și se testează din nou prezența clorurilor cu o picătură de azotat de argint (4.10). În cazul în care au mai rămas cloruri, se repetă operația după adăugarea a 5 ml de acid sulfuric 9 mol/l (4.2).

7.   Mod de lucru

Se adaugă 25 ml de acid azotic 6 mol/l (4.3) și 2,5 g bismutat de sodiu (4.5) în vasul de 400 ml care conține soluția de testat. Se amestecă puternic timp de 3 minute cu un agitator magnetic (5.2).

Se adaugă 50 ml de acid azotic (4.4) și se amestecă din nou. Se filtrează sub vid într-un creuzet filtrant (5.1) al cărui fund este acoperit cu kieselgur (4.6). Se spală creuzetul de câteva ori cu acid azotic 0,3 mol/l (4.4) până când se obține un filtrat incolor.

Se transferă filtratul și soluția de spălare într-un vas de laborator de 500 ml. Se amestecă și se adaugă 25 ml de soluție de sulfat feros 0,15 mol/l (4.8). În cazul în care filtratul se îngălbenește după adăugarea sulfatului feros, se adaugă 3 ml de acid ortofosforic 15 mol/l (4.7).

Se titrează cu o biuretă excesul de sulfat feros cu o soluție de permanganat de potasiu de 0,02 mol/l (4.9) până când amestecul devine roz, culoarea rămânând stabilă timp de un minut. Se realizează o probă-martor în aceleași condiții fără a pune proba de testat.

Notă

Soluția oxidată nu trebuie să vină în contact cu cauciucul.

8.   Exprimarea rezultatelor

1 ml de soluție de permanganat de potasiu de 0,02 mol/l corespunde unei cantități de 1,099 mg de mangan (Mn).

Procentul de mangan din îngrășământ este dat de relația:

Formula

unde:

 

xb = volumul în ml al permanganatului folosit pentru proba-martor;

 

xs = volumul în ml al permanganatului folosit pentru proba de testat;

 

V = volumul în ml al soluției de extract conform metodei 10.1 sau 10.2;

 

a = volumul în ml al porțiuniide probă luate din extract;

 

M = masa în grame a probei de testat.

Metoda 10.10

Determinarea molibdenului în extractele de îngrășăminte – Metodă gravimetrică pe bază de 8-hidroxiquinolină

1.   Obiect

Acest document descrie metoda de determinare a molibdenului din extractele de îngrășăminte.

2.   Domeniu de aplicare

Această procedură se aplică extractelor de îngrășăminte obținute prin metoda 10.1 sau 10.2 pentru care este obligatorie, conform anexei I E la prezentul regulament, declararea conținutului de molibden.

3.   Principiu

Concentrația de molibden este determinată prin precipitare ca molibdenil oxinat în anumite condiții.

4.   Reactivi

4.1.   Soluție de acid sulfuric, aproximativ 1 mol/l

Se toarnă cu atenție 55 ml de acid sulfuric (H2SO4, d20 = 1,84 g/ml) într-un balon gradat de 1 litru care conține 800 ml de apă. Se amestecă. După răcire se aduce la semn. Se amestecă.

4.2.   Soluție diluată de amoniac (1:3)

Se amestecă 1 volum de soluție concentrată de amoniac (NH4OH, d20 = 0,9 g/ml) cu 3 volume de apă.

4.3.   Soluție de acid acetic diluat (1:3)

Se amestecă 1 volum de acid acetic concentrat (99,7 % CH3COOH, d20 =1,049 g/ml) cu 3 volume de apă.

4.4.   Soluție de sare disodică a acidului etilen diaminotetraacetic (EDTA)

Se dizolvă 5 g de Na2EDTA în apă într-un balon gradat de 100 ml. Se aduce la semn și se amestecă.

4.5.   Soluție tampon

Într-un balon gradat de 100 ml se dizolvă 15 ml de acid acetic concentrat și 30 g de acetat de amoniu în apă. Se completează până la 100 ml.

4.6.   Soluție de 7-hidroxiquinolină (oxină)

Într-un vas de 100 ml se dizolvă 3 g de 8-hidroxiquinolină (oxină) în 5 ml de acid acetic concentrat. Se adaugă 80 ml de apă. Se adaugă soluția de amoniac (4.2) picătură cu picătură, până când soluția se limpezește.

Se completează la 100 ml cu apă.

5.   Aparatură

5.1.   Creuzet filtrant P16/ISO 4 793, porozitate 4, capacitate 30 ml

5.2.   pH-metru cu electrod de sticlă

5.3.   Cuptor de uscare la 130-135 °C

6.   Pregătirea soluției

6.1.   Pregătirea soluției de molibden. A se vedea metodele 10.1 și 10.2.

7.   Mod de lucru

7.1.   Pregătirea soluției de testare

Se pune o porțiune de probă ce conține între 25 și 100 mg de Mo într-un vas de laborator de 250 ml. Se aduce volumul la 50 ml de apă.

Se aduce această soluție la pH = 5 prin adăugare de acid sulfuric soluție (4.1), picătură cu picătură. Se adaugă 15 ml de soluție EDTA (4.4) și apoi 5 ml de soluție tampon (4.5). Se aduce volumul la 80 ml cu apă.

7.2.   Obținerea și spălarea precipitatului

Obținerea precipitatului

Se încălzește ușor soluția. Amestecând constant, se adaugă soluția de oxină (4.6). Se continuă precipitarea până când nu se mai formează solid. Se adaugă în continuare reactiv până când soluția supernatantă devine ușor gălbuie. În mod normal 20 ml ajung. Se continuă încălzirea ușoară a precipitatului timp de 2 sau 3 minute.

Filtrarea și spălarea

Se filtrează printr-un creuzet filtrant (5.1). Se clătește de câteva ori cu 20 ml de apă fierbinte. Apa de clătire ar trebui să devină treptat incoloră, arătând astfel că oxina nu mai este prezentă.

7.3.   Cântărirea precipitatului

Se usucă precipitatul la 130-135 °C până la greutatea constantă (cel puțin o oră).

Se lasă să se răcească în exsicator și apoi se cântărește.

8.   Exprimarea rezultatelor

1 g de molibdenil oxinat, MoO2(C9H6ON)2, corespunde cu 0,2305 mg Mo;

Procentul de molibden din îngrășământ este dat de relația:

Formula

unde:

 

X = masa în mg a precipitatului de molibdenil oxinat

 

V = volumul în ml de soluție de extract în concordanță cu metoda 10.1. sau 10.2.;

 

a = volumul în ml al porțiunii luate din ultima diluție;

 

D = factorul de diluție al porțiunii de probă;

 

M = masa în grame a probei de testat.

Metoda 10.11

Determinarea zincului în extractele de îngrășăminte prin spectrometrie de absorbție atomică

1.   Obiect

Această metodă descrie o procedură pentru determinarea zincului din extractele de îngrășăminte.

2.   Domeniu de aplicare

Această procedură se aplică extractelor de îngrășăminte obținute prin metodele 10.1 și 10.2 pentru care se cere, conform dispozițiilor din anexa I E la prezentul regulament, declararea conținutului de zinc.

3.   Principiu

După tratarea și diluarea corespunzătoare a extractului, concentrația de zinc se determină prin spectrometrie de absorbție atomică.

4.   Reactivi

4.1.   Soluție de acid clorhidric, aproximativ 6 mol/l

A se vedea metoda 10.4 punctul 4.1.

4.2.   Soluții de acid clorhidric, aproximativ 0,5 mol/l

A se vedea metoda 10.4 punctul 4.2.

4.3.   Soluție de sare de lantan (10 g La/l)

A se vedea metoda 10.4 punctul 4.3.

4.4.   Soluții de calibrare cu zinc

4.4.1.   Soluție de stoc de zinc (1 000 µg/ml)

Într-un balon gradat de 1 000 ml se dizolvă 1 g de pudră sau fulgi de zinc, cântăriți cu o precizie de 0,1 mg, în 25 ml de acid clorhidric 6 mol/l (4.1). Atunci când s-au dizolvat complet, se aduc la semn cu apă și se amestecă cu grijă.

4.4.2.   Soluție de lucru cu zinc (100 µg/ml)

Într-un balon gradat de 200 ml se diluează 20 ml din soluția stoc (4.4.1) în soluție de acid clorhidric 0,5 mol/l (4.2).Se aduce la semn cu soluție de acid clorhidric 0,5 mol/l și se amestecă cu grijă.

5.   Aparatură

Spectrometru de absorbție atomică.

A se vedea metoda 10.4 punctul 5. Aparatul trebuie să fie prevăzut cu o sursă de linii caracteristice pentru zinc (213,8 nm). Spectrometrul trebuie să permită efectuarea de corecții de fond.

6.   Pregătirea soluției

6.1.   Soluție de extract de zinc

A se vedea metodele 10/1 și/sau 10.2.

6.2.   Pregătirea soluției de testat

A se vedea metoda 10.4 punctul 6.2. Soluția de testat trebuie să conțină 10 % volume soluție de sare de lantan.

7.   Mod de lucru

7.1.   Pregătirea probei-martor

A se vedea metoda 10.4 punctul 7.1. Proba-martor trebuie să conțină 10 % din volumul soluției de sare de lantan utilizată la punctul 6.2.

7.2.   Pregătirea soluțiilor de calibrare

A se vedea metoda 10.4 punctul 7.2. Pentru un interval optim de la 0 la 5 µg/ml de zinc, se pun 0, 0,5, 1, 2, 3, 4 și, respectiv, 5 ml din soluția de lucru (4.4.2) într-o serie de baloane gradate de 100 ml. Acolo unde este necesar, se potrivește concentrația acidului clorhidric pentru a o aduce cât mai aproape de aceea a soluției de testat. Se adaugă 10 ml din soluția de sare de lantan utilizată la punctul 6.2, fiecărui balon gradat. Se aduce la 100 ml cu soluție de acid clorhidric 0,5 mol/l (4.2) și se amestecă bine.

Aceste soluții conțin 0, 0,5, 1, 2, 3, 4 și, respectiv, 5 µg/ml de zinc.

7.3.   Determinarea

A se vedea metoda 10.4 punctul 7.3. Se pregătește spectrometrul (5) pentru măsurători la o lungime de undă de 213,8 nm.

8.   Exprimarea rezultatelor

A se vedea metoda 10.4 punctul 8.

Procentul de zinc din îngrășăminte este dat de relația:

 

Formula

În cazul în care s-a utilizat metoda 10.3:

 

Formula

unde:

 

Zn = cantitatea de zinc exprimată în procente din îngrășământ;

 

xs = concentrația în µg/ml în soluția de testat;

 

xb = concentrația în µg/ml în proba-martor;

 

V = volumul în ml al soluției de extract obținute în concordanță cu metoda 10.1 sau 10.2;

 

D = factorul de diluție corespunzător diluției efectuate la .6.2.);

 

M = masa în grame a probei de testat, în concordanță cu metoda 10.1 sau 10.2.

Calculul factorului de diluție D:

 

dacă (a1), (a2), (a3) … (ai) și (a) sunt porțiunile succesive din proba de analizat, iar (v1), (v2), (v3) … (vi) sunt volumele corespunzătoare diluțiilor acestora, factorul de diluție D va fi:

 

Formula


(1)  În cazul în care numărul obținut este un număr fracționar, acesta se rotunjește la numărul întreg imediat superior.

(2)  Pentru ambalajele cu un conținut mai mic de 1 kg, conținutul ambalajului constituie prelevarea elementară.

(3)  Dacă este necesar, se zdrobesc bulgării (eventual separându-i în prealabil de restul masei, apoi refăcând ansamblul).

(4)  Cantitatea de azot amoniacal conținută în porțiunea de analizat luată în conformitate cu tabelul 1 este de aproximativ:

0,05 g pentru varianta a;

0,10 g pentru varianta b;

0,20 g pentru varianta c.

(5)  Condensatorul trebuie să fie reglat astfel încât să asigure un flux continuu de condensat. Distilarea trebuie să fie completă în 30-40 de minute.

(6)  Pentru formula propusă pentru exprimarea rezultatelor:

=

50 sau 35

=

mililitri de soluție standard de acid sulfuric care se pune în vasul de colectare;

=

A

=

mililitri de soluție de hidroxid de sodiu sau de potasiu utilizată pentru retitrare;

=

F

=

factor ce ține cont de cantitatea cântărită, de diluție, de porțiunea de analizat a probei de soluție ce trebuie distilată și de echivalentul volumetric.

(7)  Pentru formula propusă pentru exprimarea rezultatelor:

=

50 sau 35

=

mililitri de soluție standard de acid sulfuric care se pune în vasul de colectare;

=

A

=

mililitri de soluție de hidroxid de sodiu sau de potasiu utilizată pentru retitrare;

=

F

=

factor ce ține cont de cantitatea cântărită, de diluție, de porțiunea de analizat a probei de soluție ce trebuie distilată și de echivalentul volumetric.

(8)  Pentru formula propusă pentru exprimarea rezultatelor:

=

50 sau 35

=

mililitri de soluție standard de acid sulfuric care se pune în vasul de colectare;

=

A

=

mililitri de soluție de hidroxid de sodiu sau de potasiu utilizată pentru retitrare;

=

F

=

factor ce ține cont de cantitatea cântărită, de diluție, de porțiunea de analizat a probei de soluție ce trebuie distilată și de echivalentul volumetric.

(9)  Biuretul poate fi purificat înainte prin spălare cu soluție de amoniac (10 %) și apoi cu acetonă și uscare în vid.

(10)  A se vedea mai jos punctul 9 „Anexă”.

(11)  Dacă nu este disponibil un agitator mecanic, conținutul vasului se amestecă manual, din cinci în cinci minute.

(12)  Fosfor solubil în acizi minerali, fosfor solubil în apă, fosfor solubil în soluții de citrat de amoniu, fosfor solubil în acid citric 2 % și fosfor solubil în acid formic 2 %.

(13)  21 ml, când soluția ce trebuie precipitată conține mai mult de 15 ml soluție de citrat( citrat neutru sau citrat alcalin Petermann sau Joulie).

(14)  Pentru a precipita fosfații din soluțiile ce conțin mai mult de 15 ml soluție de citat (neutru, Petermann sau Joulie) care s-a acidulat cu 21 ml acid azotic concentrat (a se vedea nota de subsol la 6.1), se utilizează 80 ml reactiv de precipitare.

ANEXA V

A.   LISTA DOCUMENTELOR CE TREBUIE CONSULTATE DE PRODUCĂTORI ȘI REPREZENTANȚII LOR PENTRU ÎNTOCMIREA UNUI DOSAR TEHNIC PENTRU UN NOU TIP DE ÎNGRĂȘĂMÂNT CARE SĂ FIE INCLUS ÎN ANEXA I LA PREZENTUL REGULAMENT

1.   Ghid de întocmire a dosarului tehnic privind îngrășămintele candidate la mențiunea „ÎNGRĂȘĂMÂNT CE”

Jurnalul Oficial al Comunităților Europene C 138, 20.5.1994, p. 4.

2.   Directiva 91/155/CEE a Comisiei din 5 martie 1991 de definire și stabilire, în conformitate cu articolul 10 din Directiva 88/379/CEE a Consiliului, a modalităților sistemului de informare specific referitor la preparatele periculoase.

Jurnalul Oficial al Comunităților Europene L 76/35, 22.3.1991, p. 35.

3.   Directiva 93/112/CE a Comisiei din 10 decembrie 1993 de modificare a Directivei 91/155/CEE a Comisiei de definire și stabilire, în conformitate cu articolul 10 din Directiva 88/379/CEE a Consiliului, a modalităților sistemului de informare specific referitor la preparatele periculoase.

Jurnalul Oficial al Comunităților Europene L 314, 16.12.1993, p. 38.

B.   NORME DE AUTORIZARE PRIVIND LABORATOARELE COMPETENTE SĂ FURNIZEZE SERVICIILE NECESARE VERIFICĂRII PENTRU CONFORMITATE A ÎNGRĂȘĂMINTELOR CE CU PREVEDERILE PREZENTULUI REGULAMENT ȘI ALE ANEXELOR

1.   Norme aplicabile laboratoarelor:

 

EN ISO/IEC 17025, Cerințe generale privind competența laboratoarelor de etalonări și încercări.

2.   Norme aplicabile organismelor de acreditare:

 

EN 45003, Sistem de acreditare a laboratoarelor de etalonare și testare

Criterii generale de funcționare și recunoaștere.