13/Volumul 51

RO

Jurnalul Ofícial al Uniunii Europene

3


32005L0066


L 309/37

JURNALUL OFÍCIAL AL UNIUNII EUROPENE


DIRECTIVA 2005/66/CE A PARLAMENTULUI EUROPEAN ȘI A CONSILIULUI

din 26 octombrie 2005

privind folosirea sistemelor de protecție frontală la autovehicule și de modificare a Directivei 70/156/CEE a Consiliului

PARLAMENTUL EUROPEAN ȘI CONSILIUL UNIUNII EUROPENE,

având în vedere Tratatul de instituire a Comunității Europene și, în special, articolul 95 al acestuia,

având în vedere propunerea Comisiei,

având în vedere avizul Comitetului Economic și Social European (1),

hotărând în conformitate cu procedura prevăzută la articolul 251 din tratat (2),

întrucât:

(1)

Sistemele care oferă protecție frontală suplimentară pentru autovehicule au fost folosite pe scară din ce în ce mai largă în ultimii ani. Unele din aceste sisteme constituie un risc pentru siguranța pietonilor și a altor utilizatori ai drumurilor în caz de coliziune. Prin urmare, sunt necesare măsuri de protecție a publicului împotriva unor asemenea riscuri.

(2)

Sistemele de protecție frontală pot fi furnizate ca echipamente originale montate pe un vehicul sau pot fi comercializate ca unități tehnice separate. Cerințele tehnice pentru omologarea autovehiculelor din punct de vedere al oricăror sisteme de protecție frontală care pot fi montate pe vehicul ar trebui să fie armonizate pentru a preveni adoptarea unor cerințe care variază de la un stat membru la altul și pentru a asigura funcționarea corespunzătoare a pieței interne. Din aceleași motive, este necesar să se armonizeze cerințele tehnice pentru omologarea sistemelor de protecție frontală ca unități tehnice separate în sensul Directivei 70/156/CEE a Consiliului din 6 februarie 1970 privind apropierea legilor statelor membre referitoare la omologarea de tip a autovehiculelor și a remorcilor acestora (3).

(3)

Este necesar să se controleze utilizarea sistemelor de protecție frontală și să se stabilească cerințele de încercare, construcție și instalare care trebuie să fie îndeplinite de orice sistem de protecție frontală, fie furnizat ca echipament original montat pe un vehicul, fie plasat pe piață ca unitate tehnică separată. Încercările trebuie să impună ca sistemele de protecție frontală să fie proiectate astfel încât să îmbunătățească siguranța pietonilor și să reducă numărul de răniri.

(4)

De asemenea, aceste cerințe ar trebui privite în contextul protecției pietonilor și a altor utilizatori vulnerabili ai drumurilor și având în vedere Directiva 2003/102/CE a Parlamentului European și a Consiliului din 17 noiembrie 2003 privind protecția pietonilor și a altor utilizatori vulnerabili ai drumurilor anterior și în cazul coliziunii cu un autovehicul (4). Prezenta directivă trebuie să fie revizuită având în vedere cercetările ulterioare și experiența dobândită în timpul primilor patru ani de la aplicarea sa.

(5)

Prezenta directivă este una din directivele speciale din cadrul procedurii de omologare CE de tip instituite prin Directiva 70/156/CEE.

(6)

Comisia ar trebui să monitorizeze impactul prezentei directive și să raporteze Parlamentului European și Consiliului. În cazul în care se consideră necesar să se aducă îmbunătățiri suplimentare protecției pietonilor, Comisia ar trebui să facă propuneri de modificare a prezentei directive, în conformitate cu progresul tehnic.

(7)

Cu toate acestea, se recunoaște faptul că anumite vehicule incluse în domeniul de aplicare a prezentei directive și la care se pot monta sisteme de protecție frontală nu intră sub incidența Directivei 2003/102/CE. Pentru astfel de vehicule se consideră că cerințele prezentei directive privind încercările referitoare la partea superioară a piciorului pot fi nefezabile din punct de vedere tehnic. Pentru a facilita îmbunătățirea siguranței pietonilor, în ceea ce privește rănirea capului, poate fi necesar să se permită existența unor cerințe alternative privind încercarea pentru partea superioară a piciorului aplicabile exclusiv vehiculelor respective, asigurându-se că instalarea oricărui sistem de protecție frontală nu crește riscul de rănire a piciorului pentru pietoni sau alți utilizatori vulnerabili ai drumurilor.

(8)

Măsurile necesare pentru punerea în aplicare a prezentei directive și pentru adaptarea sa la progresul științific și tehnic ar trebui să fie adoptate în conformitate cu Decizia 1999/468/CE a Consiliului din 28 iunie 1999 de stabilire a normelor privind exercitarea competențelor de executare conferite Comisiei (5).

(9)

Întrucât obiectivul prezentei directive, respectiv promovarea siguranței pietonilor și a altor utilizatori vulnerabili ai drumurilor prin stabilirea de cerințe tehnice pentru omologarea autovehiculelor în ceea ce privește sistemele de protecție frontală, nu poate fi realizat în mod satisfăcător de către statele membre, însă poate fi mai bine realizat la nivel comunitar, Comunitatea poate adopta măsuri în conformitate cu principiul subsidiarității prevăzut la articolul 5 din tratat. În conformitate cu principiul proporționalității, prevăzut la articolul menționat, prezenta directivă nu depășește ceea ce este necesar pentru atingerea acestui obiectiv.

(10)

Prezenta directivă face parte din programul de acțiune european pentru siguranță rutieră și poate fi completat de măsuri naționale de interzicere sau de restricționare a utilizării sistemelor de protecție frontală existente deja pe piață înainte de intrarea sa în vigoare.

(11)

Prin urmare, Directiva 70/156/CEE ar trebui modificată în consecință,

ADOPTĂ PREZENTA DIRECTIVĂ:

Articolul 1

Obiect

Scopul prezentei directive este de a îmbunătăți siguranța pietonilor și a vehiculelor prin măsuri pasive. Aceasta stabilește cerințele tehnice pentru omologarea autovehiculelor din punct de vedere al sistemelor de protecție frontală furnizate ca echipamente originale montate pe vehicule sau ca unități tehnice separate.

Articolul 2

Definiții

În sensul prezentei directive, se aplică următoarele definiții, precum și definițiile din anexa I alineatul (1):

1.

„vehicul” înseamnă orice autovehicul din clasa M1, definit la articolul 2 din Directiva 70/156/CEE și în anexa II la aceasta, cu o masă totală admisibilă care nu depășește 3,5 tone, și orice autovehicul din clasa N1, definit la articolul 2 din Directiva 70/156/CEE și în anexa II la aceasta;

2.

„unitate tehnică separată” înseamnă orice unitate tehnică separată în sensul articolului 2 din Directiva 70/156/CEE destinată instalării și utilizării pe unul sau mai multe tipuri de vehicule.

Articolul 3

Dispoziții privind omologarea

(1)   Începând cu 25 august 2006, în ceea ce privește orice tip nou de vehicul echipat cu un sistem de protecție frontală care este în conformitate cu cerințele prevăzute în anexa I și anexa II, statele membre, din motive legate de sistemele de protecție frontală:

(a)

nu refuză acordarea omologării CE de tip sau a omologării naționale de tip;

(b)

nu interzic înmatricularea, vânzarea sau introducerea în circulație.

(2)   Începând cu 25 august 2006, în ceea ce privește orice tip nou de sistem de protecție frontală care este furnizat ca unitate tehnică separată și care este în conformitate cu cerințele prevăzute în anexa I și în anexa II, statele membre:

(a)

nu refuză acordarea omologării CE de tip sau a omologării naționale de tip;

(b)

nu interzic vânzarea sau introducerea în circulație.

(3)   Începând cu 25 noiembrie 2006, în ceea ce privește orice tip nou de vehicul echipat cu un sistem de protecție frontală sau orice tip nou de sistem de protecție frontală furnizat ca unitate tehnică separată, care nu este în conformitate cu cerințele prevăzute în anexa I și anexa II, statele membre refuză acordarea omologării CE de tip sau a omologării naționale de tip.

(4)   Începând cu 25 mai 2007, în ceea ce privește vehiculele care nu sunt în conformitate cu cerințele prevăzute în anexa I și anexa II, statele membre, din motive legate de sistemele de protecția frontală:

(a)

consideră că certificatele de conformitate care însoțesc vehiculele noi în conformitate cu Directiva 70/156/CEE nu mai sunt valabile în sensul articolului 7 alineatul (1) din directiva respectivă;

(b)

interzic înmatricularea, vânzarea sau introducerea în circulație a vehiculelor noi care nu sunt însoțite de un certificat de conformitate în temeiul Directivei 70/156/CEE.

(5)   Începând cu 25 mai 2007, cerințele din anexa I și anexa II privind sistemele de protecție frontală furnizate ca unități tehnice separate se aplică în sensul articolului 7 alineatul (2) din Directiva 70/156/CEE.

Articolul 4

Măsuri de punere în aplicare și modificări

(1)   Cerințele tehnice detaliate pentru dispozițiile de încercare prevăzute în anexa I alineatul (3) se adoptă de către Comisie în conformitate cu procedura prevăzută la articolul 13 alineatul (3) din Directiva 70/156/CEE.

(2)   Modificările necesare pentru adaptarea prezentei directive se adoptă de către Comisie, în conformitate cu procedura prevăzută la articolul 13 alineatul (3) din Directiva 70/156/CEE.

Articolul 5

Revizuirea

Până la 25 august 2010, având în vedere progresul tehnic și experiența acumulată, Comisia revizuiește dispozițiile tehnice ale prezentei directive și în special condițiile pentru a solicita un test de coliziune cu partea superioară a unui model de picior, includerea unui test de coliziune cu un model de cap de adult și specificații ale unui test de coliziune cu un model de cap de copil. Rezultatele acestei revizuiri vor face obiectul unui raport al Comisiei către Parlamentul European și Consiliu.

În cazul în care, ca urmare a acestei revizuiri, se consideră necesar să se adapteze dispozițiile tehnice ale prezentei directive, o astfel de adaptare se realizează în conformitate cu procedura prevăzută la articolul 13 alineatul (3) din Directiva 70/156/CEE.

Articolul 6

Modificări aduse Directivei 70/156/CEE

Anexele I, III, IV și XI la Directiva 70/156/CEE se modifică în conformitate cu anexa III la prezenta directivă.

Articolul 7

Transpunerea

(1)   Statele membre adoptă și publică până la 25 august 2006 actele cu putere de lege și actele administrative necesare pentru a se conforma prezentei directive. Statele membre informează de îndată Comisia în această privință.

Statele membre aplică aceste dispoziții de la 25 august 2006.

Atunci când statele membre adoptă aceste dispoziții, ele cuprind o trimitere la prezenta directivă sau sunt însoțite de o asemenea trimitere la data publicării lor oficiale. Statele membre stabilesc modalitatea de efectuare a acestei trimiteri.

(2)   Comisiei îi sunt comunicate de către statele membre textele principalelor dispoziții de drept intern pe care le adoptă în domeniul reglementat de prezenta directivă.

Articolul 8

Unități tehnice separate

Prezenta directivă nu aduce atingere competenței statelor membre de a interzice sau de a restricționa utilizarea sistemelor de protecție frontală introduse pe piață ca unități tehnice separate înainte de intrarea în vigoare a prezentei directive.

Articolul 9

Intrarea în vigoare

Prezenta directivă intră în vigoare în a douăzecea zi de la data publicării în Jurnalul Oficial al Uniunii Europene.

Articolul 10

Destinatari

Prezenta directivă se adresează statelor membre.

Adoptată la Strasburg, 26 octombrie 2005.

Pentru Parlamentul European

Președintele

J. BORRELL FONTELLES

Pentru Consiliu

Președintele

D. ALEXANDER


(1)  JO C 112, 30.4.2004, p. 18.

(2)  Avizul Parlamentului European din 26 mai 2005 (nepublicat încă în Jurnalul Oficial) și Decizia Consiliului din 11 octombrie 2005.

(3)  JO L 42, 23.2.1970, p. 1, directivă astfel cum a fost modificată ultima dată prin Directiva 2005/49/CE a Comisiei (JO L 194, 26.7.2005, p. 12).

(4)  JO L 321, 6.12.2003, p. 15.

(5)  JO L 184, 17.7.1999, p. 23.


LISTA ANEXELOR

ANEXA I

Dispoziții tehnice

ANEXA II

Dispoziții administrative pentru omologare:

Apendicele 1:

Document informativ (vehicul)

Apendicele 2:

Document informativ (unitate tehnică separată)

Apendicele 3:

Certificat de omologare CE de tip (vehicul)

Apendicele 4:

Certificat de omologare CE de tip (unitate tehnică separată)

Apendicele 5:

Exemplu de marcă de omologare CE de tip

ANEXA III

Modificări aduse Directivei 70/156/CEE

ANEXA I

DISPOZIȚII TEHNICE

1.   DEFINIȚII

În sensul prezentei directive, se aplică următoarele definiții:

1.1.

„tip de vehicul” înseamnă o categorie de autovehicul ale cărui elemente situate înaintea stâlpilor A nu prezintă diferențe în următoarele aspecte esențiale:

(a)

structură;

(b)

dimensiuni principale;

(c)

materiale din care sunt confecționate suprafețele exterioare ale vehiculului;

(d)

dispunerea componentelor(externă sau internă);

(e)

metoda de fixare a sistemului de protecție frontală,

în măsura în care se poate considera că acestea au un efect asupra valabilității rezultatelor testelor de impact prevăzute de prezenta directivă.

În vederea omologării sistemelor de protecție frontală ca unități tehnice separate, orice trimitere la vehicul poate fi interpretată ca trimitere la cadrul pe care este montat sistemul pentru testare și care este destinat să reprezinte dimensiunile exterioare ale părții frontale ale tipului de vehicul pentru care se omologhează sistemul;

1.2.

„condiții normale de rulare” înseamnă comportamentul vehiculului în stare de funcționare, plasat pe sol, cu pneurile umflate la presiunea recomandată și cu roțile din față orientate spre înainte, pe axa vehiculului, cu toate circuitele umplute la maxim cu toate fluidele necesare pentru funcționarea vehiculului, cu toate echipamentele standard furnizate de constructorul vehiculului, cu o masă de 75 kg plasată pe scaunul conducătorului auto și o masă de 75 kg plasată pe scaunul pasagerului din față și cu suspensia fixată pentru o viteză de rulare de 40 km/h sau 35 km/h în condiții normale de funcționare specificate de constructor (în special pentru vehicule cu suspensie activă sau un dispozitiv de reglare automată a înălțimii);

1.3.

„suprafața externă” înseamnă partea exterioară a vehiculului, situată înaintea stâlpilor A, inclusiv capota, aripile, dispozitivele de iluminare și semnalizare luminoasă și componentele de ranforsare vizibile;

1.4.

„raza curburii” înseamnă raza arcului unui cerc care se apropie cel mai mult de forma rotunjită a componentei în cauză;

1.5.

„extremitatea exterioară” a vehiculului înseamnă, în raport cu părțile laterale ale vehiculului, planul paralel cu planul longitudinal median al vehiculului care coincide cu extremitatea sa laterală și în raport cu partea din față și cea din spate, planul transversal perpendicular al vehiculului care coincide cu extremitatea sa din față și din spate, fără a ține seama de proiecția:

(a)

pneurilor aproape de punctul lor de contact cu solul și conexiunilor pentru indicatoarele de presiune ale pneurilor;

(b)

oricăror dispozitive antipatinare care pot fi montate pe roți;

(c)

oglinzilor retrovizoare;

(d)

lămpilor indicatoare de direcție laterale, lămpilor de gabarit spate, lămpilor de poziție (laterale) din față și spate și lămpilor de staționare;

(e)

elementelor din părțile din față și din spate, a elementelor montate pe barele de protecție, a dispozitivelor de remorcare și a țevilor de eșapament;

1.6.

„bară de protecție” înseamnă structura frontală, exterioară situată în partea de jos a vehiculului omologat. Include toate structurile vehiculului destinate să protejeze vehiculul în cazul implicării într-o coliziune frontală la viteză mică cu alt vehicul și, de asemenea, orice elemente atașate de această structură, cum ar fi plăcile de fixare a numerelor de înmatriculare. Nu include echipamentele montate pe vehicul în urma omologării destinate să ofere vehiculului protecție frontală suplimentară;

1.7.

„sistem de protecție frontală” înseamnă o structură (structuri) separată (separate), cum ar fi un parașoc rigid tubular sau o bară de protecție suplimentară, situată deasupra și/sau sub bara de protecție originală și destinată să protejeze suprafața externă a vehiculului de deteriorare în cazul unei coliziuni cu un obiect. Structurile, cu o masă maximă mai mică de 0,5 kg, destinate exclusiv protecției lămpilor, sunt excluse de la această definiție;

1.8.

„linia de referință a marginii anterioare a capotei” înseamnă linia geometrică a punctelor de contact dintre o linie dreaptă de 1 000 mm lungime și suprafața frontală a capotei, atunci când linia dreaptă, menținută paralelă cu planul longitudinal vertical al mașinii și înclinată spre spate cu 50° și cu marginea inferioară la 600 mm deasupra solului, este deplasată peste marginea anterioară a capotei, în contact cu aceasta. Pentru vehicule care au suprafața superioară a capotei înclinată în jur de 50°, astfel încât linia dreaptă face un contact continuu sau contacte multiple, în loc să aibă doar un contact punctiform, linia de referință este determinată cu linia dreaptă înclinată spre spate la un unghi de 40°. La vehiculele cu o astfel de formă încât primul punct de contact se află pe extremitatea inferioară a liniei drepte, punctul de contact se consideră ca fiind linia de referință a marginii anterioare a capotei, în acea poziție laterală. Pentru vehiculele cu o astfel de formă încât primul punct de contact se află pe extremitatea superioară a liniei drepte, linia geometrică trasată de 1 000 mm definită la punctul 1.13 se va utiliza ca linie de referință a marginii anterioare a capotei în acea poziție laterală. Marginea superioară a barei de protecție este considerată, de asemenea, ca margine anterioară a capotei în sensul prezentei directive, în cazul în care este atinsă de linia dreaptă în cursul acestei proceduri;

1.9.

„linie de referință superioară a sistemului de protecție frontală” înseamnă limita superioară a punctelor semnificative de contact între un pieton și sistemul de protecție frontală sau între un pieton și vehicul. Ea reprezintă linia geometrică a punctelor de contact de la extremitatea superioară între o linie dreaptă de 700 mm lungime și sistemul de protecție frontală sau partea anterioară a vehiculului (oricare din acestea este atinsă la impact), când linia dreaptă menținută paralelă cu planul longitudinal vertical al vehiculului și înclinată spre spate cu 20°, este deplasată de-a lungul părții anterioare a vehiculului, menținându-se contact cu solul și cu suprafața sistemului de protecție frontală sau cu vehiculul;

1.10.

„linie de referință inferioară a sistemului de protecție frontală” înseamnă limita inferioară a punctelor semnificative de contact între pieton și sistemul de protecție frontală sau între pieton și vehicul. Reprezintă linia geometrică a punctelor de contact de la extremitatea inferioară între o linie dreaptă de 700 mm lungime și sistemul de protecție frontală, atunci când linia dreaptă menținută paralelă cu planul longitudinal vertical al vehiculului și înclinată spre față cu 25°, este deplasată de-a lungul părții anterioare a vehiculului, menținându-se contact cu solul și cu suprafața sistemului de protecție frontală sau cu vehiculul;

1.11.

„înălțime superioară a sistemului de protecție frontală” înseamnă distanța pe verticală între sol și linia de referință superioară a sistemului de protecție frontală, definită la punctul 1.9, cu vehiculul aflat în poziția normală de rulare;

1.12.

„înălțime inferioară a sistemului de protecție frontală” înseamnă distanța pe verticală între sol și linia de referință inferioară a sistemului de protecție frontală, definită la punctul 1.10, cu vehiculul aflat în poziția normală de rulare;

1.13.

„linia trasată de 1 000 mm” înseamnă linia geometrică descrisă pe suprafața superioară frontală de un capăt al unei benzi flexibile lungi de 1 000 mm, menținută într-un plan vertical paralel cu axa vehiculului și este deplasată de-a lungul părții anterioare a barei de protecție a capotei și sistemului de protecție frontală. Banda este menținută întinsă pe întreg parcursul operațiunii, cu un capăt în contact cu solul, în plan vertical sub fața anterioară a barei de protecție și cu celălalt capăt menținut în contact cu suprafața superioară frontală. Vehiculul se află în poziția normală de rulare;

1.14.

„linia de referință a marginii anterioare a sistemului de protecție frontală” înseamnă linia geometrică a punctelor de contact între o linie dreaptă de 1 000 mm lungime și suprafața anterioară a sistemului de protecție frontală, atunci când linia dreaptă, menținută paralelă cu planul longitudinal vertical al mașinii și înclinată spre spate cu 50°, este deplasată de-a lungul marginii anterioare a sistemului de protecție frontală, în contact cu acesta. Pentru vehicule care au suprafața de sus a sistemului de protecție frontală înclinată în jur de 50°, astfel încât linia dreaptă să facă un contact continuu sau contacte multiple, nu doar un contact punctiform, linia de referință este determinată cu ajutorul liniei drepte înclinate spre spate cu un unghi de 40°;

1.15.

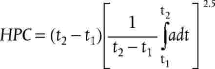
„criteriul de performanță al capului (HPC – Head Performance Criterion)” se calculează cu formula:

Image

unde „a” este accelerația rezultantă în centrul de greutate al capului (m/s2, exprimată ca multiplu de „g”, înregistrată în funcție de timp și filtrată la o clasă de frecvență de 1 000 Hz; t1 și t2 sunt doi timpi care definesc începutul și sfârșitul perioadei de înregistrare relevante pentru care valoarea HPC reprezintă valoarea maximă între primul și ultimul moment de contact. Valorile lui HPC pentru care intervalul de timp (t1-t2) este mai mare de 15 ms nu sunt luate în considerare pentru calculul valorii maxime.

2.   DISPOZIȚII PRIVIND CONSTRUCȚIA ȘI INSTALAREA

2.1.

Sisteme de protecție frontală

Următoarele cerințe se aplică atât sistemelor de protecție frontală montate pe vehicule noi, cât și sistemelor de protecție frontală furnizate ca unități tehnice separate, pentru a fi montate pe vehicule specifice.

Cu toate acestea, cu acordul autorității de omologare competente, cerințele de la punctul 3 pot fi considerate ca fiind îndeplinite integral sau parțial de orice încercare echivalentă efectuată asupra sistemului de protecție frontală în temeiul unei alte directive privind omologarea.

2.1.1.

Componentele sistemului de protecție frontală trebuie să fie proiectate astfel încât toate suprafețele rigide care pot fi atinse de o sferă de 100 mm să aibă o rază de curbură minimă de 5 mm.

2.1.2.

Masa totală a sistemului de protecție frontală, inclusiv a tuturor consolelor și elementelor de fixare, nu trebuie să depășească 1,2 % din masa vehiculului pentru care este conceput, cu o valoare maximă de 18 kg

2.1.3.

Înălțimea sistemului de protecție frontală, atunci când este montat pe un vehicul, nu trebuie să fie în nici un punct mai înaltă cu mai mult de 50 mm față de linia de referință a marginii anterioare a capotei, definită la punctul 1.8, măsurată într-un plan longitudinal vertical care traversează vehiculul prin acel punct.

2.1.4.

Sistemul de protecție frontală nu trebuie să mărească lățimea vehiculului pe care este montat. În cazul în care lățimea totală a sistemului de protecție frontală reprezintă mai mult de 75 % din lățimea vehiculului, capetele sistemului trebuie să fie îndoite către suprafața externă, pentru a minimiza riscul de agățare. Se consideră că această cerință este îndeplinită dacă sistemul de protecție frontală este încorporat sau integrat în caroserie sau dacă extremitatea sistemului este îndoită astfel încât să nu poată fi atinsă de o sferă de 100 mm, iar spațiul dintre extremitatea sistemului și partea înconjurătoare a caroseriei nu depășește 20 mm.

2.1.5.

Sub rezerva dispozițiilor de la punctul 2.1.4, spațiul dintre componentele sistemului de protecție frontală și suprafața exterioară de dedesubt nu trebuie să depășească 80 mm. Discontinuitățile locale în conturul general al părții de dedesubt a caroseriei (cum ar fi deschiderile grilelor, prizelor de aer etc.) se ignoră.

2.1.6.

În orice poziție laterală de-a lungul vehiculului, pentru a păstra beneficiile barei de protecție a vehiculului, distanța longitudinală dintre extremitatea anterioară a barei de protecție și extremitatea anterioară a sistemului de protecție frontală nu trebuie să depășească 50 mm.

2.1.7.

Sistemul de protecție frontală nu trebuie să reducă în mod semnificativ eficacitatea barei de protecție. Această cerință se consideră ca fiind îndeplinită în cazul în care există cel mult două componente verticale și nici o componentă orizontală a sistemului de protecție frontală care se suprapun peste bara de protecție.

2.1.8.

Sistemul de protecție frontală nu trebuie să fie înclinat în față în raport cu axa verticală. Părțile superioare ale sistemului de protecție frontală nu trebuie să depășească, în sus sau în spate (spre parbriz), cu mai mult de 50 mm linia de referință a marginii anterioare a capotei vehiculului, definită la punctul 1.8, cu sistemul de protecție frontală înlăturat. Pentru fiecare punct, măsurarea se face într-un plan longitudinal vertical care traversează vehiculul prin acel punct.

2.1.9.

Conformitatea cu cerințele altor directive referitoare la omologarea de tip a vehiculelor nu trebuie să fie compromisă de montarea unui sistem de protecție frontală.

2.2.

Sistemele de protecție frontală care sunt unități tehnice separate nu pot fi distribuite, oferite pentru vânzare sau vândute în cazul în care nu sunt însoțite de o listă de tipuri de vehicule pentru care sistemul de protecție frontală este omologat și de instrucțiuni clare de asamblare. Instrucțiunile de asamblare conțin instrucțiuni specifice privind instalarea, inclusiv modalitățile de fixare pentru vehiculele pentru care unitatea a fost omologată și care să permită montarea componentelor omologate pe acel vehicul în conformitate cu dispozițiile corespunzătoare prevăzute la punctul 2.1.

3.   DISPOZIȚII PRIVIND ÎNCERCĂRILE

3.1.

Pentru a fi omologate, sistemele de protecție frontală trebuie să fie supuse următoarelor încercări:

3.1.1.

Test de coliziune a părții inferioare a unui model de picior cu sistemul de protecție frontală. Încercarea se efectuează la o viteză de impact de 40 km/h. Unghiul maxim de încovoiere dinamică a genunchiului nu trebuie să depășească 21,0°, deplasarea dinamică maximă prin forfecare a genunchiului nu trebuie să depășească 6,0 mm, iar accelerația măsurată la extremitatea superioară a tibiei nu trebuie să depășească 200 g.

3.1.1.1.

Cu toate acestea, pentru sistemele de protecție frontală omologate ca unități tehnice separate pentru utilizare exclusivă la anumite vehicule cu masa totală admisibilă sub 2,5 tone, care au fost omologate înainte de 1 octombrie 2005, sau la vehicule cu masa totală admisibilă de peste 2,5 tone, dispozițiile de la punctul 3.1.1 pot fi înlocuite cu dispozițiile de la punctul 3.1.1.1.1 sau de la punctul 3.1.1.1.2.

3.1.1.1.1.

Încercarea se efectuează la o viteză de impact de 40 km/h. Unghiul maxim de încovoiere dinamică a genunchiului nu trebuie să depășească 26,0°, deplasarea dinamică maximă prin forfecare a genunchiului nu trebuie să depășească 7,5 mm, iar accelerația măsurată la extremitatea superioară a tibiei nu trebuie să depășească 250 g.

3.1.1.1.2.

Încercările sunt efectuate pe vehiculul cu sistemul de protecție frontală montat și fără sistemul de protecție frontală montat, la o viteză de impact de 40 km/h. Cele două încercări se efectuează în locații echivalente, convenite cu autoritatea pentru încercări corespunzătoare. Valoarea unghiului maxim de încovoiere dinamică a genunchiului, a deplasării dinamice maxime prin forfecare a genunchiului și a accelerației măsurate la extremitatea superioară a tibiei se înregistrează. În fiecare caz, valoarea înregistrată pentru vehiculul echipat cu sistem de protecție frontală nu trebuie să depășească 90 % din valoarea înregistrată pentru vehiculul care nu are montat un sistem de protecție frontală.

3.1.1.2.

În cazul în care înălțimea inferioară a sistemului de protecție frontală este mai mare de 500 mm, această încercare trebuie să fie înlocuită de testul de coliziune a părții superioare a unui model de picior cu sistemul de protecție frontală, specificat la punctul 3.1.2.

3.1.2.

Test de coliziune a părții superioare a unui model de picior cu sistemul de protecție frontală. Încercarea se efectuează la o viteză de impact de 40 km/h. Suma instantanee a forțelor de impact la un moment dat nu trebuie să depășească 7,5 kN, iar momentul de încovoiere pe elementul de impact nu trebuie să fie mai mare de 510 Nm.

Testul de coliziune a părții superioare a unui model de picior cu sistemului de protecție frontală se efectuează atunci când înălțimea inferioară a sistemului de protecție frontală în poziție de încercare este mai mare de 500 mm.

3.1.2.1.

Cu toate acestea, pentru sisteme de protecție frontală omologate ca unități tehnice separate pentru utilizare exclusivă la anumite vehicule cu masa totală admisibilă sub 2,5 tone, care au fost omologate înainte de 1 octombrie 2005, sau la vehicule cu masa totală admisibilă de peste 2,5 tone, dispozițiile de la punctul 3.1.2 pot fi înlocuite cu dispozițiile de la punctul 3.1.2.1.1 sau de la punctul 3.1.2.1.2.

3.1.2.1.1.

Încercarea se efectuează la o viteză de impact de 40 km/h. Suma instantanee a forțelor de impact la un moment dat nu trebuie să depășească 9,4 kN, iar momentul de încovoiere pe elementul de impact nu trebuie să fie mai mare de 640 Nm.

3.1.2.1.2.

Încercările sunt efectuate pe un vehicul cu sistemul de protecție frontală montat și fără sistemul de protecție frontală montat, la o viteză de impact de 40 km/h. Cele două încercări se efectuează în locații echivalente, convenite cu autoritatea de testare corespunzătoare. Valorile sumei instantanee a forțelor de impact și ale momentului de încovoiere pe elementul de impact se înregistrează. În fiecare caz, valoarea înregistrată pentru vehiculul echipat cu sistem de protecție frontală nu trebuie să depășească 90 % din valoarea înregistrată pentru vehiculul care nu are montat un sistem de protecție frontală.

3.1.2.2.

În cazul în care înălțimea inferioară a sistemului de protecție frontală este mai mică de 500 mm, această încercare nu este necesară.

3.1.3.

Test de coliziune a părții superioare a unui model de picior cu marginiea anterioară a sistemului de protecție frontală. Încercarea se efectuează la o viteză de impact de până la 40 km/h. Suma instantanee a forțelor de impact la un moment dat, la partea superioară și inferioară a elementului de impact, nu ar trebui să depășească o valoare maximă posibilă de 5,0 kN, iar momentul de încovoiere pe elementul de impact nu trebuie să depășească o valoare maximă posibilă de 300 Nm. Ambele rezultate se înregistrează doar în vederea monitorizării.

3.1.4.

Test de coliziune a unui model de cap de copil/adult de talie mică cu sistemul de protecție frontală. Încercarea se efectuează la o viteză de impact de 35 km/h, folosind un element de impact de 3,5 kg, în formă de cap de copil/adult de talie mică. Criteriul de performanță al capului (HPC), calculat pe baza rezultantei accelerațiilor, în conformitate cu dispozițiile prevăzute la punctul 1.15, nu trebuie să depășească în nici un caz valoarea 1 000.

ANEXA II

DISPOZIȚII ADMINISTRATIVE PENTRU OMOLOGARE

1.   CEREREA DE OMOLOGARE CE DE TIP

1.1.

Cerere de omologare CE de tip a unui tip de vehicul care urmează să fie echipat cu un sistem de protecție frontală.

1.1.1.

În apendicele 1 este prezentat un model de document informativ necesar în temeiul articolului 3 alineatul (1) din Directiva 70/156/CEE.

1.1.2.

Un vehicul reprezentativ pentru tipul de vehicul, echipat cu un sistem de protecție frontală, pentru care se cere omologarea se prezintă la serviciul tehnic responsabil de omologare. La cererea serviciului tehnic, trebuie să se prezinte și componente specifice sau mostre ale materialelor utilizate.

1.2.

Cerere de omologare CE de tip a unor sisteme de protecție frontală considerate unități tehnice separate.

1.2.1.

În apendicele 2 este prezentat un model de document informativ necesar în temeiul articolului 3 alineatul (4) din Directiva 70/156/CEE.

1.2.2.

La serviciul tehnic responsabil de încercările de omologare se prezintă o mostră din tipul de sistem de protecție frontală care urmează să fie omologat. În cazul în care serviciul tehnic consideră necesar, acesta poate solicita prezentarea de mostre suplimentare. Mostrele trebuie să fie marcate clar și de neșters, indicându-se denumirea comercială sau marca solicitantului, precum și denumirea tipului. Trebuie să se ia măsuri pentru afișarea obligatorie ulterioară a mărcii de omologare CE de tip.

2.   ACORDAREA OMOLOGĂRII CE DE TIP

2.1.

Modele de certificate de omologare CE de tip, în temeiul articolului 4 alineatul (3) și, după caz, al articolului 4 alineatul (4) din Directiva 70/156/CEE, sunt prezentate în:

(a)

apendicele 3, pentru cererile menționate la punctul 1.1;

(b)

apendicele 4, pentru cererile menționate la punctul 1.2.

3.   MARCA DE OMOLOGARE CE DE TIP

3.1.

Fiecare sistem de protecție frontală care este în conformitate cu tipul omologat în temeiul prezentei directive trebuie să poarte o marcă de omologare CE de tip.

3.2.

Această marcă este formată din următoarele elemente:

3.2.1.

Un dreptunghi în jurul literei „e”, urmat de numărul sau literele distinctive ale statului membru care a acordat omologarea:

1

pentru Germania

2

pentru Franța

3

pentru Italia

4

pentru Țările de Jos

5

pentru Suedia

6

pentru Belgia

9

pentru Spania

11

pentru Regatul Unit

12

pentru Austria

13

pentru Luxemburg

17

pentru Finlanda

18

pentru Danemarca

21

pentru Portugalia

23

pentru Grecia

IRL

pentru Irlanda

49

pentru Cipru

8

pentru Republica Cehă

29

pentru Estonia

7

pentru Ungaria

32

pentru Letonia

36

pentru Lituania

50

pentru Malta

20

pentru Polonia

27

pentru Republica Slovacă

26

pentru Slovenia

3.2.2.

În apropierea dreptunghiului, „numărul de omologare de bază”, inclus în secțiunea 4 a numărului de omologare menționat în anexa VII la Directiva 70/156/CEE, precedat de cele două cifre care indică numărul secvențial atribuit celei mai recente modificări tehnice majore la prezenta directivă la data la care a fost acordată omologarea CE de tip. În prezenta directivă numărul secvențial este 01.

Un asterisc inserat după numărul secvențial indică faptul că sistemul de protecție frontală a fost omologat ținând cont de dispozițiile prevăzute la punctul 3.1.1.1 sau 3.1.2.1 din anexa I, în ceea ce privește testul care utilizează ca element de impact un model de picior. În cazul în care autoritatea de omologare nu a luat în considerare aceste dispoziții, asteriscul se înlocuiește cu un spațiu.

3.3.

Marca de omologare CE de tip se aplică pe sistemul de protecție frontală astfel încât să nu poată fi ștearsă și să fie clar lizibilă chiar atunci când sistemul este montat pe vehicul.

3.4.

În apendicele 5 este prezentat un exemplu de marcă de omologare CE de tip.

ANEXA III

MODIFICĂRI ADUSE DIRECTIVEI 70/156/CEE

Anexele la Directiva 70/156/CEE se modifică după cum urmează:

1.

La anexa I se introduc următoarele puncte:

„9.[24].

Sisteme de protecție frontală

9.[24].1.

Se furnizează o descriere detaliată, inclusiv fotografii și/sau desene, a vehiculului în ceea ce privește structura sa, dimensiunile, liniile de referință relevante și materialele din care sunt construite sistemul de protecție frontală și partea frontală a vehiculului.

9.[24].2.

Se furnizează o descriere detaliată, inclusiv fotografii și/sau desene, a metodei de montare a sistemului de protecție frontală pe vehicul. Această descriere include toate dimensiunile bolțurilor și cuplurile necesare.”

2.

În anexa III partea I secțiunea A se inserează următoarele puncte:

„9.[24].

 

9.[24].1.

Se furnizează o descriere detaliată, inclusiv fotografii și/sau desene, a vehiculului în ceea ce privește structura sa, dimensiunile, liniile de referință relevante și materialele din care sunt construite sistemul de protecție frontală și partea frontală a vehiculului.

9.[24].2.

Se furnizează o descriere detaliată, inclusiv fotografii și/sau desene, a metodei de montare a sistemului de protecție frontală pe vehicul. Această descriere include toate dimensiunile bolțurilor și cuplurile necesare.”

3.

În anexa IV partea I se adaugă următorul punct:

Obiect

Numărul directivei

Trimitere la Jurnalul Oficial

Aplicabilitate

M1

M2

M3

N1

N2

N3

O1

O2

O3

O4

„[60]. Sistem de protecție frontală

2005/66/CE

L 309, 25.11.2005, p. 37.

X (1)

X

 

 

 

 

4.

Anexa XI se modifică după cum urmează:

(a)

În apendicele 1 se adaugă următorul punct:

Punct

Obiect

Numărul directivei

M1 ≤ 2 5001 kg

M1 > 2 5001 kg

M2

M3

„[60]

Sistem de protecție frontală

2005/66/CE

X

X (2)

(b)

În apendicele 2 se adaugă următorul punct:

Punct

Obiect

Numărul directivei

M1

M2

M3

N1

N2

N3

O1

O2

O3

O4

[60]

Sistem de protecție frontală

2005/66/CE

(c)

În apendicele 3 se adaugă următorul punct:

Punct

Obiect

Numărul directivei

М1

M2

M3

N1

N2

N3

O1

O2

O3

O4

„[60]

Sistem de protecție frontală

2005/66/CE

–”


(1)  Masa totală admisibilă nu depășește 3,5 tone.”

(2)  Masa totală admisibilă nu depășește 3,5 tone.”