07/Volumul 12

RO

Jurnalul Ofícial al Uniunii Europene

56


32003L0077


L 211/24

JURNALUL OFÍCIAL AL UNIUNII EUROPENE


DIRECTIVA 2003/77/CE A COMISIEI

din 11 august 2003

de modificare a Directivelor 97/24/CE și 2002/24/CE ale Parlamentului European și ale Consiliului privind omologarea vehiculelor cu motor cu două sau trei roți

(Text cu relevanță pentru SEE)

COMISIA COMUNITĂȚILOR EUROPENE,

având în vedere Tratatul de instituire a Comunității Europene,

având în vedere Directiva 2002/24/CE a Parlamentului European și a Consiliului din 18 martie 2002 de omologare a vehiculelor cu motor cu două sau trei roți și de abrogare a Directivei 92/61/CEE (1) a Consiliului, în special articolul 17,

având în vedere Directiva 97/24/CE a Parlamentului European și a Consiliului privind anumite componente și caracteristici ale vehiculelor cu motor cu două sau trei roți (2), astfel cum a fost modificată prin Directiva 2002/51/CE (3), în special articolul 7,

întrucât:

(1)

Directiva 97/24/CE este una din directivele speciale în scopul procedurii de omologare CE stabilită prin Directiva 92/61/CEE (4) a Consiliului, care urmează a fi abrogată prin Directiva 2002/24/CE cu începere de la 9 noiembrie 2003.

(2)

Directiva 2002/51/CE a Parlamentului European și a Consiliului din 19 iulie privind reducerea nivelului de emisii poluante provenite de la motoarele cu două sau trei roți și de modificare a Directivei 97/24/CE, a introdus noi valori limită ale emisiilor produse de vehiculele cu motor cu două roți. Noile valori limită se aplică în două etape, prima cu începere de la 1 aprilie 2003 pentru toate tipurile de vehicule, iar a doua de la 1 ianuarie 2006 pentru noile tipuri. În ceea ce privește etapa a doua, măsurarea emisiilor poluante provenite de la vehiculele cu motor cu două roți se bazează pe aplicarea setului de teste urbane elementare stabilit prin Regulamentul nr. 40 ECE/UN și a setului de teste în extraurban prevăzut prin Directiva 70/220/CEE a Consiliului din 20 martie 1970 privind apropierea legislațiilor statelor membre referitoare la măsurile ce trebuie adoptate pentru combaterea poluării aerului de emisiile vehiculelor cu motor (5), astfel cum a fost modificată ultima dată prin Directiva 2002/80/CE (6) a Comisiei.

(3)

Directiva 97/24/CE, astfel cum a fost modificată prin Directiva 2002/51/CE, a stabilit ca pentru măsurarea emisiilor de gaze poluante provenite de la vehiculele cu motor cu două sau trei roți să se aplice setul de teste de tip 1. Setul de teste trebuie definitivat de către Comisie în cadrul Comitetului de adaptare la progresul tehnic, instituit prin articolul 13 din Directiva 70/156/CEE și ar trebui să se aplice din 2006.

(4)

Este necesar să se clarifice anumite aspecte referitoare la datele testului de tip II pentru controlul tehnic anual, în conformitate cu Directiva 2002/51/CE și să se prevadă înregistrarea datelor din acest test în anexa VII din Directiva 2002/24/CE.

(5)

Este necesar să se modifice corespunzător Directiva 97/24/CE și Directiva 2002/24/CE.

(6)

Dispozițiile prezentei directive sunt conforme cu avizul Comitetului de adaptare la progresul tehnic,

ADOPTĂ PREZENTA DIRECTIVĂ:

Articolul 1

Anexa II la capitolul 5 din Directiva 97/24/CE se modifică în conformitate cu anexa I din prezenta directivă.

Articolul 2

Anexa VII din Directiva 2002/24/CE se modifică în conformitate cu anexa II din prezenta directivă.

Articolul 3

(1)   Statele membre adoptă și publică actele cu putere de lege și actele administrative necesare pentru a se conforma prezentei directive până la 4 septembrie 2004. Statele membre comunică de îndată Comisiei textele acestor dispoziții și un tabel de corespondențe între aceste dispoziții și prezenta directivă.

Statele membre aplică aceste dispoziții cu începere de la 4 septembrie 2004.

Atunci când statele membre adoptă aceste dispoziții, acestea cuprind o trimitere la prezenta directivă sau sunt însoțite de o asemenea trimitere la data publicării lor oficiale. Statele membre stabilesc modalitatea de efectuare a acestei trimiteri.

(2)   Comisiei îi sunt comunicate de statele membre textele principalelor dispoziții de drept intern pe care le adoptă în domeniul reglementat de prezenta directivă.

Articolul 4

Prezenta directivă intră în vigoare în a douăzecea zi de la data publicării în Jurnalul Oficial al Uniunii Europene.

Articolul 5

Prezenta directivă se adresează statelor membre.

Adoptată la Bruxelles, 11 august 2003.

Pentru Comisie

Erkki LIIKANEN

Membru al Comisiei


(1)  JO L 124, 9.5.2002, p. 1.

(2)  JO L 226, 18.8.1997, p. 1.

(3)  JO L 252, 20.9.2002, p. 20.

(4)  JO L 225, 10.8.1992, p. 72.

(5)  JO L 76, 6.4.1970, p. 1.

(6)  JO L 291, 28.10.2002, p. 20.


ANEXA I

Anexa II la capitolul 5 din Directiva 97/24/CE se modifică după cum urmează:

1.

Punctul 2.2.1.1 se înlocuiește cu următorul text:

„2.2.1.1.   Test de tip I (controlul emisiilor medii la eșapament)

Pentru tipurile de vehicule testate din punct de vedere al valorilor limită de emisii de la coloana A din tabelul de la punctul 2.2.1.1.5:

testul se execută prin derularea a două seturi de teste urbane elementare de determinare inițială și a patru seturi de teste urbane elementare pentru prelevarea mostrelor de emisii poluante. Prelevarea începe chiar în momentul în care s-a încheiat perioada finală de ralanti din etapa de determinare inițială și se încheie la finele perioadei finale de ralanti din ultimul set de teste urbane elementare.

Pentru tipurile de vehicule testate din punct de vedere al valorilor limită de emisii de la coloana B din tabelul de la punctul 2.2.1.1.5:

pentru tipurile de vehicule cu o capacitate a motorului mai mică de 150 cm3, testarea se bazează pe șase seturi de teste urbane elementare. Prelevarea de mostre începe înainte sau în momentul în care se pornește motorul și se termină atunci când s-a încheiat perioada finală de ralanti a ultimului set de teste urbane elementare;

pentru tipurile de vehicule cu o capacitate a motorului mai mare de 150 cm3 sau egală, testul se execută pe baza a 6 seturi de teste urbane elementare și a unui set de teste extraurban. Prelevarea de mostre începe înainte sau în momentul în care se pornește motorul și se termină atunci când s-a încheiat perioada finală de ralanti a setului de teste în extraurban.”

2.

Se adaugă următorul punct 2.2.1.1.7:

„2.2.1.1.7.

Datele înregistrate sunt completate în secțiunile corespunzătoare ale documentului menționat în anexa VII la Directiva 2002/24/CE”

3.

Punctul 2.2.1.2.4 se înlocuiește cu textul următor:

„2.2.1.2.4.

Se înregistrează temperatura uleiului de motor în momentul testului (se aplică numai în cazul motoarelor în patru timpi).”

4.

Punctul 2.2.1.2.5 se înlocuiește cu textul următor:

„2.2.1.2.5.

Datele înregistrate se completează în secțiunile corespunzătoare din documentul menționat în anexa VII la Directiva 2002/24/CE.”

5.

Nota de subsol (*) din tabelul de la punctul 2.2.1.1.5 se elimină.

6.

Titlul apendicelui 1 se înlocuiește cu următorul text:

7.

Se inserează apendicele 1 a:

Apendice 1 a

Test de tip I (pentru vehicule testate din punct de vedere al valorilor limită de emisie menționate la coloana B din tabelul de la punctul 2.2.1.1.5 din prezenta anexă)

(controlul emisiilor medii de gaze poluante)

1.   INTRODUCERE

Metoda de derulare a testului de tip 1 prevăzut la punctul 2.2.1.1 din anexa II:

1.1.   Vehiculele cu două sau trei roți se plasează pe un dinamometru cu frână și volan de inerție. Se efectuează fără întrerupere un set de teste format din șase cicluri de tip urban elementar cu durata totală de 1 170 secunde pentru vehicule cu motor cu două roți de clasa 1 sau un set de teste format din șase cicluri de tip urban elementar plus un ciclu extraurban cu durata totală de 1 570 secunde pentru vehicule cu motor cu două roți din clasa a II-a.

În timpul testului, gazele de eșapament sunt diluate cu aer în așa fel încât volumul debitului acestui amestec este constant. Din acest amestec se prelevează pe toată durata testului un debit constant care se pune într-un sac sau în mai mulți saci în vederea determinării succesive a concentrațiilor (valori medii ale testului) de monoxid de carbon, hidrocarburi nearse, oxizi de azot și bioxid de carbon.

2.   TESTUL DE FUNCȚIONARE PE DINAMOMETRU

2.1.   Descrierea testului

Testele de funcționare pe bancul dinamometrului sunt cele indicate în subapendicele 1.

2.2.   Condiții generale de executare a testului de funcționare

Dacă este cazul, se execută teste preliminare pentru a se determina cea mai bună metodă de manevrare a comenzii accelerației și frânei, astfel încât să se execute un test care să se apropie de ciclul teoretic cu respectarea limitelor prescrise.

2.3.   Utilizarea cutiei de viteze

2.3.1.   Utilizarea cutiei de viteze se determină astfel:

2.3.1.1.

La viteză constantă, regimul motorului trebuie să fie pe cât posibil între 50 și 90 % din regimul puterii maxime. Dacă se poate atinge această viteză utilizând mai mult de o treaptă de viteză, motorul este testat utilizând treapta cea mai înaltă.

2.3.1.2.

Referitor la ciclul urban, în timpul accelerării motorul trebuie testat la treapta de viteză care permite accelerația maximă. Se angajează în treapta de viteză următoare când viteza motorului a atins 110 % din viteza randamentului maxim. Dacă vehiculul cu două sau trei roți atinge viteza de 20 km/h în viteza întâi sau 35 km/h în viteza a doua, treapta următoare de viteză se angajează pornind de la aceste trepte de viteză.

În aceste cazuri nu sunt admise alte schimbări în trepte de viteză superioare. Dacă în momentul accelerării se schimbă treptele de viteză la o viteză stabilă a vehiculului cu două sau trei roți, se trece la etapa de viteză constantă superioară pornind de la treapta de viteză angajată când vehiculul intră în etapa de viteză constantă, indiferent de viteza motorului.

2.3.1.3.

În timpul accelerării se angajează treapta de viteză inferioară înainte ca motorul să atingă viteza de ralanti sau când viteza motorului a scăzut la 30 % din viteza randamentului maxim, oricare se atinge mai întâi. În timpul ralantiului nu trebuie să se angajeze treapta întâi de viteză.

2.3.2.   Vehiculele cu două sau trei roți prevăzute cu cutii de viteză cu comandă automată sunt testate la treapta de viteză cea mai mare. Accelerația trebuie operată în așa fel încât să se obțină o accelerație cât mai constantă, astfel încât transmisia să antreneze treptele de viteză în ordinea lor firească. Se aplică toleranțele menționate la punctul 2.4.

2.3.3.   Pentru derularea testului în extraurban se utilizează treptele de viteze conform recomandărilor fabricantului.

Nu se aplică punctele de schimbare a vitezei menționate în apendicele 1 din prezenta anexă; accelerarea trebuie să continue pe tot parcursul perioadei reprezentate de linia dreaptă care leagă încheierea fiecărei perioade de ralanti cu începutul fiecărei perioade următoare de viteză constantă. Se aplică toleranțele prevăzute la punctul 2.4.

2.4.   Toleranțe

2.4.1.

Viteza teoretică se menține la toleranța de ± 2 km/h în timpul acestor etape. Atunci când se schimbă etapele de funcționare sunt acceptate toleranțe de viteză mai mari decât cele indicate, cu condiția ca aceste toleranțe să nu fie depășite cu mai mult de 0,5 secunde în nici una din situații, sub rezerva dispozițiilor de la punctele 6.5.2 și 6.6.3.

2.4.2.

Se admite o toleranță de ± 0,5 secunde în raport cu perioadele de timp teoretice.

2.4.3.

Toleranțele de viteză și de timp se combină conform celor indicate în subapendicele 1.

2.4.4.

Distanța parcursă în timpul ciclului se măsoară cu o toleranță de ± 2 %.

3.   VEHICULUL CU DOUĂ SAU TREI ROȚI ȘI CARBURANTUL

3.1.   Vehiculul de testare

3.1.1.

Vehiculul cu două sau trei roți trebuie să fie prezentat într-o stare mecanică bună. Vehiculul trebuie să fie deja rodat și să fi parcurs cel puțin 1 000 de km înainte de testare. Laboratorul poate decide dacă se acceptă un vehicul cu două sau trei roți care a parcurs mai puțin de 1 000 km înainte de test.

3.1.2.

Țeava de eșapament nu trebuie să prezinte nici o scurgere de natură să diminueze cantitatea de gaze colectate, care trebuie să fie cea emisă de motor.

3.1.3.

Se poate controla etanșeitatea sistemului de admisie pentru a verifica dacă nu este afectat carburatorul printr-o admisie accidentală de aer.

3.1.4.

Reglajele vehiculului cu două sau trei roți sunt cele prescrise de constructor.

3.1.5.

Laboratorul poate verifica dacă randamentul vehiculului este conform specificațiilor constructorului, dacă vehiculul este utilizabil în funcționare normală și, în special, dacă pornește la rece sau la cald.

3.2.   Carburant

Carburantul utilizat la testare trebuie să fie cel de referință, conform specificației din anexa IV. Dacă motorul este lubrifiat cu un amestec de uleiuri, calitatea și dozajul uleiului adăugat la carburantul de referință trebuie să fie în conformitate cu recomandările constructorului.

4.   ECHIPAMENTUL DE TESTARE

4.1.   Dinamometru

Principalele caracteristici sunt următoarele:

 

Contactul dintre cilindru și pneu la fiecare roată motoare:

diametrul cilindrului ≥ 400 mm;

ecuația curbei putere-absorbție: de la viteza inițială de 12 km/h, bancul de testare trebuie să poată reproduce, cu o toleranță de ± 15 %, puterea dezvoltată de motor atunci când vehiculul rulează în viteza de palier și viteza vântului este practic nulă. Fie se calculează puterea absorbită de frână și frecarea internă pe bancul de testare conform indicațiilor de la subapendicele 4 din apendicele 1, fie puterea absorbită de frână și de frecarea internă a bancului trebuie să fie de:

KV3 ± 5 % din Pv50;

inerții suplimentare: 10 kg și 10 kg (1).

4.1.1.   Distanța parcursă se măsoară cu un turometru acționat de cilindru care antrenează frâna și volantul.

4.2.   Echipament de prelevare a mostrelor de gaz și de măsurare a volumului

4.2.1.

Subapendicele 2 și 3 din anexa 1 conțin o diagramă care arată principiul de colectare, diluare, prelevare și determinare a volumului gazelor de eșapament pe durata testării.

4.2.2.

Punctele de mai jos descriu componentele echipamentului de testare (se arată la fiecare componentă abrevierile utilizate în schița din subapendicele 2 și 3). Serviciul tehnic poate autoriza utilizarea unui echipament diferit dacă rezultatele sunt echivalente:

4.2.2.1.

dispozitiv de colectare a gazelor de eșapament în timpul testului: în general este un dispozitiv deschis, care menține presiunea atmosferică la țeava (țevile) de eșapament. Cu toate acestea, se poate utiliza un sistem închis, cu condiția să se respecte condițiile de contrapresiune (± 1,25 kPa). Prelevarea gazului trebuie să se facă în așa fel încât să nu se producă un condens major de natură să afecteze substanțial natura gazelor de eșapament la temperatura de testare;

4.2.2.2.

tub de racord (Tu) care conectează dispozitivul de colectare a gazului de eșapament la sistemul de prelevare a gazelor. Tubul și dispozitivul de colectare sunt din oțel inoxidabil sau din alt material care să nu modifice compoziția gazelor prelevate și care să reziste la temperatura gazului;

4.2.2.3.

schimbător de căldură (Sc) care să limiteze variațiile de temperatură ale gazelor diluate la intrarea în pompă la o temperatură de ± 5 °C pe timpul testului. Schimbătorul de căldură se prevede cu un sistem de preîncălzire care să ducă gazul la temperatura sa de funcționare (± 5 °C) înainte de începerea testului;

4.2.2.4.

pompă de volum (P1) care aspiră gazele diluate, acționată de un motor care poate funcționa la viteze diferite, riguros constante. Pompa trebuie să garanteze un debit constant cu un volum suficient pentru a asigura aspirarea tuturor gazelor de eșapament. Se poate utiliza și un dispozitiv prevăzut cu un difuzor de aer cu debit critic;

4.2.2.5.

dispozitiv pentru înregistrarea continuă a temperaturii gazelor diluate preluate de pompă;

4.2.2.6.

sondă (S3) atașată la dispozitivul de colectare a gazelor, în exteriorul acestuia, pentru colectarea unui eșantion constant din aerul de diluție cu ajutorul unei pompe, a unui filtru și a unui debitmetru, pe toată durata testului;

4.2.2.7.

sondă (S2) plasată în fața pompei de volum, îndreptată în amonte de fluxul de gaze diluate, pentru colectarea amestecului de gaze diluate pe durata testului la un debit constant și prin utilizarea, dacă este necesar, a unui filtru, a unui debitmetru și a unei pompe. Debitul minim al gazelor în sistemele de eșantionare menționate trebuie să fie de cel puțin 150 l/h;

4.2.2.8.

două filtre (F2 și F3) plasate după sonda S2 și respectiv S3, pentru reținerea particulelor solide aflate în suspensie în eșantionul colectat în săculețe. Se va acorda o atenție deosebită ca acestea din urmă să nu modifice concentrațiile din compușii gazoși prelevați;

4.2.2.9.

două pompe (P2 și P3) pentru prelevarea de mostre din sondele S2 și S3 și pentru umplerea săculeților Sa și Sb;

4.2.2.10.

două valve cu reglare manuală (V2 și V3) instalate în serie cu pompa P2 și respectiv P3, pentru reglarea debitului la eșantionul colectat în săculeți;

4.2.2.11.

două rotametre (R2 și R3) instalate în serie pe circuitul «sondă, filtru, pompă, valvă, săculeț» (S2, F2, P2, V2, Sa și S3, F3, P3, V3 și Sb), pentru efectuarea unui control vizual și imediat al debitelor instantanee ale eșantionului prelevat;

4.2.2.12.

săculeți etanși pentru prelevarea de mostre din aerul de diluție și din amestecul de gaze diluate, având o capacitate suficientă pentru a împiedica debitul normal al mostrelor prelevate. Săculeții de prelevare trebuie prevăzuți cu dispozitive de etanșare automată pe laterală în vederea închiderii rapide și etanșe fie pe circuitul de prelevare, fie pe circuitul de analiză la finele testului;

4.2.2.13.

două manometre (g1 și g2) cu presiune diferențială, instalate:

g1

:

înainte de pompa P1 pentru determinarea diferenței de presiune între amestecul de gaze de eșapament, aerul de diluție și atmosferă;

g2

:

înainte și după pompa P1 pentru determinarea creșterii de presiune indusă în fluxul de gaze;

4.2.2.14.

un turometru pentru măsurarea numărului de rotații ale pompei de volum rotative P1;

4.2.2.15.

robineți cu trei căi instalați pe circuitele de eșantionare descrise anterior pentru direcționarea fluxului de mostre prelevate către exterior sau către săculeții de colectare, pe toată durata testului. Se utilizează robineți cu acțiune rapidă. Aceștia trebuie să fie fabricați din materiale care să nu modifice compoziția gazelor; în plus, robineții trebuie să fie prevăzuți cu secțiuni transversale pentru scurgere și să aibă forme care să reducă pierderile de gaz, atât cât este posibil din punct de vedere tehnic.

4.3.   Echipamentul de analiză

4.3.1.   Determinarea concentrației de hidrocarburi

4.3.1.1.

Se utilizează un analizator cu ionizare de flacără pentru determinarea concentrației de hidrocarburi nearse din mostrele prelevate în săculeții Sa și Sb pe durata testului.

4.3.2.   Determinarea concentrațiilor de CO și CO2

4.3.2.1.

Concentrațiile de monoxid de carbon (CO) și de bioxid de carbon (CO2) din mostrele prelevate în săculeții Sa și Sb pe toată durata testului sunt determinate cu un analizator nedispersiv cu absorbție în infraroșu.

4.3.3.   Determinarea concentrației de NOx

4.3.3.1.

Concentrația de oxizi de azot (NOx) din mostrele prelevate în săculeții Sa și Sb pe toată durata testului se determină cu un analizator de chemiluminescență.

4.4.   Precizia aparatelor și a măsurătorilor

4.4.1.   Întrucât frâna este etalonată printr-un test separat, indicarea preciziei dinamometrului nu este necesară. Inerția totală a maselor aflate în rotație, inclusiv inerția cilindrilor și a părții rotative din frână (a se vedea punctul 5.2) este dată în limita de ± 2 %.

4.4.2.   Viteza vehiculului cu două sau trei roți se determină prin viteza de rotație a cilindrilor conectați la frână și la volant. Viteza trebuie să poată fi determinată în limita de ± 2 km/h de la 0 la 10 km/h și în limita de ± 1 km/h pentru viteze mai mari de 10 km/h.

4.4.3.   Temperatura menționată la punctul 4.2.2.5 trebuie să poată fi determinată în limita de ± 1 °C. Temperatura la care se face referire la punctul 6.1.1 trebuie să fie determinată în limita de ± 2 °C.

4.4.4.   Presiunea atmosferică trebuie să poată fi determinată la ± 0,133 kPa.

4.4.5.   Reducerea presiunii în amestecul de gaze diluate la intrarea în pompa P1 (a se vedea punctul 4.2.2.13) comparată cu presiunea atmosferică trebuie să poată fi determinată în limita de ± 0,4 kPa. Diferența de presiune a gazelor diluate între secțiunile situate în amonte și în aval de pompa P1 (a se vedea punctul 4.2.2.13) trebuie să fie măsurată la ± 0,4 kPa.

4.4.6.   Volumul deplasat la fiecare rotație completă a pompei P1 și valoarea deplasării la viteza de pompare cea mai mică posibilă, înregistrată de turometru, trebuie să permită determinarea volumului total al amestecului de gaze de eșapament și al aerului de diluție deplasat de pompa P1 pe durata testului în limita de ± 2 %.

4.4.7.   Indiferent de precizia cu care se determină gazele standard, analizatorii trebuie să aibă o bandă de măsurare compatibilă cu precizia necesară determinării conținutului de poluanți în limita de ± 3 %.

Analizatorul de ionizare cu flacără care măsoară concentrația de hidrocarburi trebuie să poată atinge 90 % din scala completă în mai puțin de 1 secundă.

4.4.8.   Conținutul de gaz standard (de etalonare) nu trebuie să înregistreze o abatere mai mare de ± 2 % de la valoarea de referință a fiecărui gaz. Diluantul trebuie să fie azot.

5.   PREGĂTIREA TESTULUI

5.1.   Testul rutier

5.1.1.   Condiții pe care trebuie să le îndeplinească pista de încercare

Pista de încercare trebuie să fie plată, orizontală, dreaptă și acoperită cu un pavaj neted. Suprafața trebuie să fie uscată și liberă de orice obstacole sau bariere de vânt care pot împiedica determinarea rezistenței la înaintare. Panta nu trebuie să depășească 0,5 % între două puncte aflate la cel puțin 2 metri distanță.

5.1.2.   Condiții de ambient necesare desfășurării testului

Vântul trebuie să fie constant în perioada în care se strâng datele. Viteza și direcția vântului se determină continuu sau cu o frecvență corespunzătoare într-un loc unde forța vântului în timpul deplasării este reprezentativă.

Condițiile ambientului trebuie să respecte următoarele limite:

viteza maximă a vântului: 3 m/s;

viteza maximă a vântului în rafale: 5 m/s;

viteza medie a vântului, în direcție paralelă: 3 m/s;

viteza medie a vântului, în direcție perpendiculară: 2 m/s;

umiditate maximă relativă: 95 %;

temperatura aerului: între 278 K și 308 K.

Condițiile standard ale ambientului sunt următoarele:

presiune p0: 100 kPa;

temperatură T0: 293 K;

densitate relativă a aerului d0: 0,9197;

viteza vântului: nulă;

masa aerului p0: 1,189 kg/m3.

Densitatea relativă a aerului în momentul testării vehiculului cu două roți, calculată în conformitate cu formula de mai jos, nu trebuie să înregistreze o abatere mai mare de 7,5 % din densitatea aerului în condițiile de referință.

Densitatea relativă a aerului, dT, se calculează pe baza formulei:

Formula

unde

dT

=

densitatea relativă a aerului în condiții de testare;

PT

=

presiunea ambientului în condițiile testului, în kilopascali;

TT

=

temperatura absolută în timpul testului, în kelvini.

5.1.3.   Viteza de referință

Viteza sau vitezele de referință sunt cele definite în setul de teste.

5.1.4.   Viteza specificată

Viteza specificată, v, este necesară pentru pregătirea curbei de rezistență la înaintare. Pentru a determina rezistența la înaintare în funcție de viteza vehiculului la apropierea de viteza de referință v0 , rezistențele la înaintare se măsoară cu ajutorul a cel puțin patru viteze specificate, inclusiv viteza (vitezele) de referință. Banda vitezelor specificate (intervalul dintre vitezele minime și maxime) trebuie mărită în cele două extremități ale vitezei de referință sau valorilor vitezei de referință dacă există mai mult de o viteză de referință, cu cel puțin Δv, așa cum este definit la punctul 5.1.6. Vitezele specificate, inclusiv viteza (vitezele) de referință nu trebuie să se abată cu mai mult de 20 km/h, iar intervalul dintre vitezele specificate trebuie să fie același. Curba rezistenței la înaintare permite să se calculeze rezistența la înaintare la viteza (vitezele) specificată (specificate).

5.1.5.   Viteza inițială a parcursului în roată liberă

Viteza inițială a parcursului în roată liberă trebuie să fie mai mare de 5 km/h peste viteza maximă la care începe determinarea timpului de parcurs în roată liberă, întrucât este nevoie de timp suficient pentru a stabili poziția vehiculului și a conducătorului și pentru a întrerupe alimentarea motorului înainte ca viteza să coboare la v1 , viteză la care începe măsurarea timpului de decelerație în roată liberă.

5.1.6.   Viteza inițială și finală la măsurarea timpului de decelerație în roată liberă

Pentru a determina cu precizie timpul de decelerație în roată liberă (Δt) și intervalul dintre viteza inițială (v1 ) și viteza finală (v2 ) în kilometri/h pe durata parcursului în roată liberă (2Δv) este necesar să fie îndeplinite următoarele condiții:

Formula

Formula

Δv = 5 km/h pentru v < 60 km/h

Δv = 10 km/h pentru v ≥ 60 km/h

5.1.7.   Pregătirea vehiculului de testare

5.1.7.1.

Vehiculul trebuie să fie conform cu seria de producție în toate componentele sale; dacă vehiculul are o serie diferită, în raportul testului se va prezenta o descriere completă.

5.1.7.2.

Motorul, transmisia și vehiculul trebuie să fie rodate corect, în conformitate cu indicațiile constructorului.

5.1.7.3.

Vehiculul trebuie reglat în conformitate cu îndrumările constructorului, de exemplu în ceea ce privește vâscozitatea uleiurilor, presiunea anvelopelor sau, dacă vehiculul diferă față de serie, în raportul testului se va prezenta o descriere completă.

5.1.7.4.

Masa vehiculului în stare de funcționare trebuie să corespundă definiției de la punctul 1.2 din prezenta anexă.

5.1.7.5.

Masa totală de testare, inclusiv masa conducătorului și a instrumentelor, se determină înainte de începerea testului.

5.1.7.6.

Distribuția sarcinii între roți trebuie să fie în conformitate cu instrucțiunile constructorului.

5.1.7.7.

La instalarea instrumentelor de măsură pe vehiculul de testare se va acorda atenție reducerii la minim a efectelor acestora asupra distribuirii sarcinii între roți. La instalarea senzorului de viteză în exteriorul vehiculului se va acorda atenție reducerii la minim a pierderilor aerodinamice suplimentare.

5.1.8.   Conducătorul vehiculului și poziția în timpul mersului

5.1.8.1.   Conducătorul trebuie să poarte un combinezon dintr-o singură piesă sau o îmbrăcăminte similară, cască de protecție, mască de protecție pentru ochi, ghete și mănuși.

5.1.8.2.   În condițiile descrise la punctul 5.1.8.1, conducătorul trebuie să aibă o masă de 75 kg ± 5 kg și o înălțime de 1,75 m ± 0,05 m.

5.1.8.3.   Conducătorul trebuie să fie așezat pe scaunul prevăzut în acest scop, cu picioarele sprijinite pe rezemătorul de picioare și cu brațele întinse normal. Această poziție îi va permite ca în orice moment să aibă un control corespunzător al vehiculului în timpul testului în roată liberă.

Conducătorul trebuie să rămână în această poziție pe toată durata măsurătorii.

5.1.9.   Determinarea timpului de decelerație în roată liberă

5.1.9.1.   După o perioadă de încălzire, vehiculul trebuie accelerat pentru a atinge viteza inițială la care începe parcursul în roată liberă.

5.1.9.2.   Având în vedere că poate fi periculos și dificil, din punctul de vedere al construcției, de a aduce transmisia la punctul mort, parcursul în roată liberă nu se poate efectua decât cu motorul debreiat. În plus, metoda de tractare care constă în utilizarea unui alt vehicul pentru a realiza tractarea, se aplică vehiculelor la care nu se poate întrerupe alimentarea în timpul parcursului în roată liberă. Atunci când testul în roată liberă este reprodus pe dinamometru, transmisia și ambreiajul trebuie să se afle în aceleași condiții ca pentru testul rutier.

5.1.9.3.   Pe cât posibil, nu se schimbă direcția vehiculului și frânele nu se activează până nu se încheie măsurarea parcursului în roată liberă

5.1.9.4.   Timpul de decelerație în roată liberă Δtai, corespunzător vitezei specificate vj, se măsoară ca timpul dintre viteza vj + Δv a vehiculului și viteza vj – Δv.

5.1.9.5.   Procedura de la punctele 5.1.9.1 - 5.1.9.4 se repetă în sens invers pentru a se determina timpul de decelerație în roată liberă Δtbi.

5.1.9.6.   Media ΔTi a celor doi timpi de decelerație în roată liberă, Δtai și Δtbi se calculează conform ecuației:

Formula

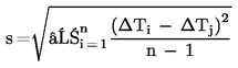
5.1.9.7.   Se execută cel puțin patru teste și se calculează timpul mediu de decelerație în roată liberă ΔTj conform ecuației:

Formula

Testele se execută până se obține o precizie statistică P mai mică de 3 % sau egală (P 3 %). Precizia statistică P se definește în procente pe baza formulei:

Formula

unde:

t

=

coeficient dat în tabelul 1;

s

=

abatere standard dată de formula:

Formula

n

=

numărul testului.

Tabelul 1   Coeficientul preciziei statistice

N

t

Formula

4

3,2

1,60

5

2,8

1,25

6

2,6

1,06

7

2,5

0,94

8

2,4

0,85

9

2,3

0,77

10

2,3

0,73

11

2,2

0,66

12

2,2

0,64

13

2,2

0,61

14

2,2

0,59

15

2,2

0,57

5.1.9.8.   La repetarea testului, parcursul în roată liberă se începe în aceleași condiții de încălzire și aceeași viteză inițială.

5.1.9.9.   Determinarea timpului de decelerație în roată liberă pentru viteze specificate multiple se poate efectua în cadrul aceluiași parcurs în roată liberă. În acest caz, parcursul în roată liberă trebuie repetat plecând de la aceeași viteză inițială.

5.2.   Procesarea datelor

5.2.1.   Calcularea rezistenței la înaintare

5.2.1.1.   Rezistența la înaintare Fj, exprimată în newtoni, la viteza specificată vj, se calculează astfel:

Formula

unde:

m

=

masa vehiculului de testare în momentul testării, în kilograme, inclusiv conducătorul și instrumentele;

mr

=

masa de inerție echivalentă a tuturor roților și părților de vehicul care se rotesc împreună cu roțile pe durata parcursului rutier în roată liberă. mr se măsoară sau se calculează, după caz. O altă soluție constă în estimarea mr la 7 % din masa fără sarcină a vehiculului.

5.2.1.2.   Rezistența la înaintare Fj trebuie corectată conform punctul 5.2.2.

5.2.2.   Ajustarea curbei reprezentând rezistența la înaintare

Curba rezistenței la înaintare se calculează astfel:

Formula

Se ajustează ecuația prin regresie lineară la seria de date reprezentând Fj și vj obținută în ecuația de mai sus pentru determinarea coeficienților f0 și f2,

unde:

F

=

rezistența la înaintare, inclusiv, dacă este cazul, rezistența la viteza vântului, exprimată în newtoni;

f0

=

rezistența la rulare, în newtoni;

f2

=

coeficientul de rezistență aerodinamică la înaintare, exprimat în newtoni divizați la pătratul kilometrilor pe oră [N/(km/h)2].

Coeficienții f0 și f2 determinați se corectează în funcție de condițiile standard ale ambientului prin aplicarea ecuației:

Formula

Formula

unde:

f*0

=

rezistența la rulare corectată în funcție de condițiile standard ale ambientului, în newtoni;

TT

=

temperatura medie ambientală, în kelvini;

f*2

=

coeficient corectat al rezistenței aerodinamice la înaintare, în newtoni, divizată la pătratul kilometrilor pe oră [N/(km/h)2];

PT

=

presiunea atmosferică medie exprimată în kilopascali;

K0

=

factorul de corecție «temperatură» al rezistenței la rulare, care poate fi determinat pe baza datelor empirice de testare a vehiculelor și anvelopelor speciale sau care, în lipsa informațiilor, poate fi estimat astfel: K0 = 6 × 10 –3 K–1.

5.2.3.   Rezistența la înaintare țintă pentru reglarea șasiului dinamometrului

Rezistența la înaintare țintă F* (v0) pe șasiul dinamometrului la viteza de referință a vehiculului (v0), în newtoni, se calculează astfel:

Formula

5.3.   Reglarea șasiului dinamometrului pe baza măsurătorilor efectuate în timpul parcursului rutier în roată liberă

5.3.1.   Caracteristicile echipamentului

5.3.1.1.   Instrumentele utilizate pentru determinarea vitezei și duratei trebuie să aibă precizia menționată în tabelul 2 literele (a) - (f).

Tabelul 2   Precizia obligatorie a măsurătorilor

 

La valoarea determinată

Rezoluție

(a)

Rezistența la înaintare, F

+ 2 %

-

(b)

Viteza vehiculului (v1, v2)

± 1 %

0,45 km/h

(c)

Intervalul dintre viteze în timpul parcursului în roată liberă (2 Δv = v1 – v2)

± 1 %

0,10 km/h

(d)

Timpul de decelerație în roată liberă (Δt)

± 0,5 %

0,01 s

(e)

masa totală a vehiculului (mk + mrid)

± 1,0 %

1,4 kg

(f)

Viteza vântului

± 10 %

0,1 m/s

Cilindrii șasiului trebuie să fie curați, uscați și liberi de orice ar putea determina deraparea pneurilor.

5.3.2.   Reglarea masei inerțiale

5.3.2.1.   Masa inerțială corespunzătoare șasiului este masa inerțială corespunzătoare volanului, mfi, mai apropiată de masa reală a vehiculului ma. Masa reală ma corespunde sumei masei aflate în rotație a roții din față, mrf, precum și masei totale a vehiculului, inclusiv conducătorul și instrumentele, determinată în timpul testului rutier. Masa inerțială mi corespunzătoare se poate calcula și pe baza datelor din tabelul 3. Valoarea mrf se poate determina sau se poate calcula, în funcție de caz, în kilograme, ori poate fi estimată ca fiind 3 % din m.

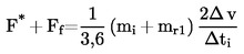
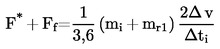
Dacă masa reală ma nu poate fi egalizată la masa inerțială mi corespunzătoare volanului de inerție pentru a face rezistența la înaintare țintă F* echivalentă cu rezistența la înaintare FE care urmează a fi aplicată șasiului dinamometrului, timpul de decelerație în roată liberă ΔTE poate fi ajustat funcție de masa totală pe durata decelerației țintă în roată liberă, ΔT road, conform ecuațiilor de mai jos:

Formula

Formula

Formula

Formula

cu

Formula

și unde:

ΔT road

=

timpul de decelerație țintă în roată liberă

ΔTE

=

timpul de decelerație țintă în roată liberă ajustat la masa inerțială (mi + mr1)

FE

=

rezistența la înaintare corespunzătoare șasiului dinamometrului

mr1

=

masa inerțială corespunzătoare roții din spate și părților vehiculului aflate în rotație pe durata parcursului în roată liberă. Masa mr1 poate fi determinată sau calculată, în kilograme, după caz. O altă soluție este estimarea mr1 la 4 % din m.

5.3.3.   Înainte de testare, șasiul dinamometrului se încălzește în vederea stabilizării forței de frecare Ff.

5.3.4.   Presiunea pneurilor se reglează în conformitate cu specificațiile constructorului sau cu presiunea la care viteza vehiculului în timpul testului rutier este egală cu viteza vehiculului pe șasiul dinamometrului.

5.3.5.   Vehiculul pentru încercări se încălzește pe șasiul dinamometrului în aceleași condiții cu cele din timpul încercării pe drum.

5.3.6.   Metoda de reglare a șasiului dinamometrului

Sarcina pe șasiul dinamometrului FE, din punct de vedere al construcției, este formată din pierderea totală prin frecare Ff (corespunzătoare sumei dintre rezistența la frecare la rotația șasiului și rezistența la rulare a pneurilor și rezistența la frecare a părților turnante ale sistemului de acționare a vehiculului) și forța de frânare a unității de absorbție a puterii (pau) Fpau, conform ecuației:

Formula

Rezistența țintă la înaintare F* specificată la punctul 5.2.3 trebuie reprodusă pe șasiul dinamometrului în funcție de viteza vehiculului, și anume:

Formula

5.3.6.1.   Determinarea pierderii totale prin frecare

Determinarea pierderii totale prin frecare Ff pe șasiu se măsoară prin metoda arătată la punctul 5.3.3.1.1 și la punctul 5.3.3.1.2.

5.3.6.1.1.   Acționarea motorului pe șasiul dinamometrului

Metoda se aplică doar șasiurilor care pot conduce un vehicul cu două roți. Vehiculul este acționat de șasiu la viteza constantă de referință v0, transmisia fiind angajată și motorul debreiat. Pierderea totală prin frecare Ff (v0) este dată de forța șasiului dinamometrului.

5.3.6.1.2.   Parcursul în roată liberă fără absorbție

Metoda de determinare a timpului de decelerație în roată liberă este aplicată pentru evaluarea pierderii totale prin frecare Ff.

Parcursul în roată liberă efectuat de vehicul se realizează pe șasiul dinamometrului conform procedurii descrise la punctele 5.1.9.1 - 5.1.9.4 fără nici o absorbție de către șasiul dinamometrului, măsurându-se și timpul de decelerație în roată liberă Δti, corespunzător vitezei de referință v0.

Măsurarea se efectuează de cel puțin trei ori și se calculează timpul mediu de decelerație în roată liberăFormulape baza formulei:

Formula

Pierderea totală prin frecare la viteza de referință v0, Ff (v0), se calculează astfel:

Formula

5.3.6.2.    Calcularea forței unității de absorbție a puterii

Forța Fpau (v0) absorbită de șasiul dinamometrului la viteza de referință v0 se obține prin scăderea Ff (v0) din rezistența la înaintare țintă F* (v0):

Formula

5.3.6.3.    Reglarea șasiului dinamometrului

În funcție de tipul de șasiu, dinamometrul se reglează aplicând metodele descrise la punctele 5.3.6.3.1 - 5.3.6.3.4.

5.3.6.3.1.   Șasiul dinamometrului cu funcție poligonală

În cazul șasiului cu funcție poligonală, la care caracteristicile de absorbție sunt determinate de valorile sarcinii la diferite trepte de viteză, se aleg ca punct de reglaj cel puțin trei viteze date, inclusiv viteza de referință. La fiecare din aceste trepte, șasiul dinamometrului se reglează în funcție de valoarea Fpau (vj) obținută la punctul 5.3.6.2.

5.3.6.3.2.   Șasiul dinamometrului cu control al coeficienților

5.3.6.3.2.1.

În cazul șasiului dinamometrului cu control al coeficienților la care caracteristicile absorbției sunt determinate de coeficienții dați ai unei funcții polinomiale, valoarea Fpau (vj) pentru fiecare viteză dată se calculează conform procedurii menționate la punctele 5.3.6.1 - 5.3.6.2.

5.3.6.3.2.2.

Dacă se definesc caracteristicile sarcinii astfel:

Formula

coeficienții a, b și c se determină prin metoda regresiei polinomiale.

5.3.6.3.2.3.

Șasiul dinamometrului se reglează în funcție de coeficienții a, b și c obținuți la punctul 5.3.6.3.2.2.

5.3.6.3.3.   Șasiul dinamometrului cu reglor digital poligonal F*

5.3.6.3.3.1.

În cazul șasiului dinamometrului prevăzut cu reglor digital poligonal F*, la care o unitate centrală de procesare (CPU) este incorporată sistemului, F* este introdusă direct și Δti, Ff și Fpau sunt măsurate automat și calculate pentru determinarea, pe șasiul dinamometrului, a rezistenței țintă la înaintare F* = f*0 + f*2 v2.

5.3.6.3.3.2.

În acest caz sunt introduse direct și succesiv, prin metoda digitală, mai multe trepte F*j și vj, executându-se parcursul în roată liberă și determinându-se timpul de decelerație în roată liberă, Δti. Prin calcularea automată de către CPU în secvența următoare, Fpau este introdus automat în memorie la intervale de viteză ale vehiculului de 0,1 km/h; după repetarea de mai multe ori a testului în roată liberă, rezistența la înaintare este determinată astfel:

Formula Formula Formula

5.3.6.3.4.   Șasiul dinamometrului cu reglor digital de coeficienți f*0 și f*2

5.3.6.3.4.1.

În cazul șasiului dinamometrului prevăzut cu indicator digital al coeficienților f*0 și f*2, unde CPU este incorporat sistemului, rezistența țintă la înaintare F* = f*0 + f*2 v2 este determinată automat pe șasiul dinamometrului.

5.3.6.3.4.2.

În acest caz, coeficienții f*0 și f*2 sunt introduși digital, în mod direct; se execută parcursul în roată liberă și se determină timpul de decelerație în roată liberă, Δti. Prin calcularea automată de către CPU în secvența următoare, Fpau este introdus automat în memorie pe cale digitală, la intervale de viteză ale vehiculului de 0,06 km/h, pentru determinarea rezistenței la înaintare:

Formula Formula Formula

5.3.7.   Verificarea șasiului dinamometrului

5.3.7.1.   Imediat după reglarea inițială, timpul de decelerație în roată liberă ΔtE pe șasiu, corespunzător vitezei de referință (v0) se măsoară în conformitate cu procedura descrisă la punctele 5.1.9.1 - 5.1.9.4.

Măsurătoarea se efectuează de cel puțin trei ori și timpul de decelerație în roată liberă ΔtE se calculează pe baza acestor rezultate.

5.3.7.2.   Rezistența la înaintare la viteza de referință FE (v0) pe șasiul dinamometrului se calculează prin ecuația:

Formula

unde:

FE

=

rezistența la înaintare stabilită pe șasiul dinamometrului;

ΔtE

=

timpul mediu de decelerație în roată liberă pe șasiul dinamometrului.

5.3.7.3.   Eroarea de reglare, ε, se calculează astfel:

Formula

5.3.7.4.   Se reglează din nou șasiul dinamometrului dacă eroarea de reglare nu este conformă următoarelor criterii:

 

ε ≤ 2 % for v0 ≥ 50 km/h

 

ε ≤ 3 % for 30 km/h ≤ v0 < 50 km/h

 

ε ≤ 10 % for v0 < 30 km/h

5.3.7.5.   Procedura descrisă la punctele 5.3.4.1 - 5.3.4.3 se repetă până ce eroarea de reglare este conformă acestor criterii.

5.4.   Reglarea șasiului dinamometrului cu ajutorul tabelului de rezistență la înaintare

Șasiul dinamometrului poate fi reglat pe baza datelor din tabelul de rezistență la înaintare mai bine decât pe baza rezistenței la înaintare obținută prin metoda parcursului în roată liberă. Cu ajutorul metodei din tabel, șasiul dinamometrului se reglează în funcție de masa de referință, indiferent de caracteristicile vehiculului cu două roți.

Masa inerțială corespunzătoare volanului de inerție mfi este masa de inerție echivalentă mi menționată la tabelul 3. Șasiul dinamometrului se reglează în funcție de rezistența la rulare a roții din față «a» și de coeficientul rezistenței aerodinamice «b» menționat în tabelul 3.

Tabelul 3  (2)   

 

Masa de referință mref

(kg)

Masa inerțială echivalentă mi

(kg)

Rezistența la rulare a roții din față «a»

(N)

Coeficientul rezistenței aerodinamice «b»

(N/(km/h)) (2)

95 < mref ≤ 105

100

8,8

0,0215

105 < mref ≤ 115

110

9,7

0,0217

115 < mref ≤ 125

120

10,6

0,0218

125 < mref ≤ 135

130

11,4

0,0220

135 < mref ≤ 145

140

12,3

0,0221

145 < mref ≤ 155

150

13,2

0,0223

155 < mref ≤ 165

160

14,1

0,0224

165 < mref ≤ 175

170

15,0

0,0226

175 < mref ≤ 185

180

15,8

0,0227

185 < mref ≤ 195

190

16,7

0,0229

195 < mref ≤ 205

200

17,6

0,0230

205 < mref ≤ 215

210

18,5

0,0232

215 < mref ≤ 225

220

19,4

0,0233

225 < mref ≤ 235

230

20,2

0,0235

235 < mref ≤ 245

240

21,1

0,0236

245 < mref ≤ 255

250

22,0

0,0238

255 < mref ≤ 265

260

22,9

0,0239

265 < mref ≤ 275

270

23,8

0,0241

275 < mref ≤ 285

280

24,6

0,0242

285 < mref ≤ 295

290

25,5

0,0244

295 < mref ≤ 305

300

26,4

0,0245

305 < mref ≤ 315

310

27,3

0,0247

315 < mref ≤ 325

320

28,2

0,0248

325 < mref ≤ 335

330

29,0

0,0250

335 < mref ≤ 345

340

29,9

0,0251

345 < mref ≤ 355

350

30,8

0,0253

355 < mref ≤ 365

360

31,7

0,0254

365 < mref ≤ 375

370

32,6

0,0256

375 < mref ≤ 385

380

33,4

0,0257

385 < mref ≤ 395

390

34,3

0,0259

395 < mref ≤ 405

400

35,2

0,0260

405 < mref ≤ 415

410

36,1

0,0262

415 < mref ≤ 425

420

37,0

0,0263

425 < mref ≤ 435

430

37,8

0,0265

435 < mref ≤ 445

440

38,7

0,0266

445 < mref ≤ 455

450

39,6

0,0268

455 < mref ≤ 465

460

40,5

0,0269

465 < mref ≤ 475

470

41,4

0,0271

475 < mref ≤ 485

480

42,2

0,0272

485 < mref ≤ 495

490

43,1

0,0274

495 < mref ≤ 505

500

44,0

0,0275

At every 10 kg

At every 10 kg

a = 0,088 mi

Notă: rotunjită la două decimale

b = 0,000015 mi + 0,0200

Notă: rotunjit la cinci decimale

5.4.1.   Reglarea rezistenței la înaintare pe șasiul dinamometrului cu ajutorul tabelului rezistenței la înaintare

Rezistența la înaintare pe șasiul dinamometrului, FE, se determină pe baza următoarei ecuații:

Formula

unde:

FT

=

rezistența la înaintare obținută pe baza tabelului de rezistență la înaintare, exprimată în newtoni;

A

=

rezistența la rulare a roții din față, în newtoni;

B

=

coeficientul de rezistență aerodinamică exprimat în newtoni pe oră, împărțit la pătratul kilometrilor pe oră [N/(km/h)2 ];

v

=

viteza specifică, exprimată în kilometri pe oră.

Rezistența țintă la înaintare F* este egală cu rezistența la înaintare obținută pe baza tabelului de rezistență la înaintare FT, întrucât nu este necesar să se aplice corecția pentru a se ține seama de condițiile ambientale de referință.

5.4.2.   Viteza specifică pentru șasiul dinamometrului

Rezistențele la înaintare pe șasiul dinamometrului se verifică la viteza dată v. Se controlează cel puțin patru viteze specifice, inclusiv viteza (vitezele) de referință. Banda vitezelor specifice (intervalul dintre viteza maximă și cea minimă) se extinde la cele două extremități ale vitezei de referință sau ale bandei vitezei de referință, în cazul în care există mai mult de o viteză de referință, cu cel puțin Δv, conform definiției de la punctul 5.1.6. Vitezele specificate, inclusiv viteza (vitezele) de referință, nu trebuie să se abată cu mai mult de 20 km/h, iar intervalul vitezelor specificate trebuie să fie același.

5.4.3.   Verificarea șasiului dinamometrului

5.4.3.1.   Imediat după reglarea inițială, se determină timpul de decelerație în roată liberă corespunzător vitezei specificate, pe șasiul dinamometrului. Vehiculul cu două roți nu se urcă pe șasiul dinamometrului în momentul când se măsoară timpul de decelerație în roată liberă. Când viteza șasiului dinamometrului depășește viteza maximă a ciclului de teste se începe determinarea timpului de decelerație în roată liberă.

Determinarea se efectuează de cel puțin trei ori și timpul de decelerație în roată liberă ΔtE se calculează pe baza rezultatelor obținute.

5.4.3.2.   Rezistența la înaintare stabilită, FE (vj) pe șasiul dinamometrului se calculează prin ecuația:

Formula

5.4.3.3.   Eroarea de reglare la viteza specificată, , se calculează astfel:

Formula

5.4.3.4.   Se reglează din nou șasiul dinamometrului dacă eroarea de reglare nu este conformă următoarelor criterii:

 

ε ≤ 2 % for v ≥ 50 km/h

 

ε ≤ 3 % for 30 km/h ≤ v < 50 km/h

 

ε ≤ 10 % for v < 30 km/h

Procedura menționată la punctele 5.4.3.1 - 5.4.3.3 se repetă până când eroarea de reglare este conformă cu aceste criterii.

5.5.   Starea vehiculului cu două sau trei roți

5.5.1.

Înainte de test, vehiculul cu două sau trei roți se ține într-o cameră în care temperatura să rămână relativ constantă între 20 °C și 30 °C. Starea vehiculului trebuie menținută până ce temperatura uleiului și, dacă este cazul, aceea a lichidului de răcire, se situează la ± 2 k din temperatura încăperii.

5.5.2.

Presiunea pneurilor trebuie să fie cea indicată de constructor pentru derularea testului rutier preliminar, care să permită reglarea frânei. Cu toate acestea, dacă diametrul cilindrilor este mai mic de 500 mm, presiunea pneurilor poate fi ridicată de la 30 la 50 %.

5.5.3.

Masa pe roata acționată este aceeași când vehiculul este utilizat în condiții normale de funcționare, cu un conducător având greutatea de 75 kg.

5.6.   Calibrarea aparatului de analiză

5.6.1.   Calibrarea analizatorilor

Se injectează în analizator cantitatea de gaz, la presiunea indicată compatibilă cu funcționarea corectă a echipamentului, cu ajutorul debitmetrului și a manometrului de ieșire montat pe fiecare sticlă. Se reglează aparatul pentru ca el să arate la valoarea stabilizată, valoarea indicată pe sticla etalon pentru gaz. Pornind de la reglarea efectuată cu ajutorul sticlei aflată la conținutul maxim, se trasează curba variațiilor analizatorului în funcție de conținutul sticlelor etalon umplute cu gaz, folosite la testare. Pentru calibrarea periodică a analizatorilor de ionizare cu flacără, care se efectuează cel puțin lunar, se utilizează amestecuri de aer și propan (sau hexan) la concentrații nominale de hidrocarburi de 50 % și 90 % din scala completă. Pentru calibrarea periodică a analizatorilor nedispersivi cu absorbție în infraroșu, se măsoară amestecuri de azot și respectiv de CO și CO2 în concentrații nominale de 10, 40, 60, 85 și 90 % din scala completă. Pentru calibrarea analizatorului chemiluminescent NOx se utilizează amestecuri de protoxid de azot (N2O) diluat în nitrogen cu o concentrație nominală de 50 % și 90 % din scala completă. Pentru calibrarea de control, care se derulează înainte de fiecare serie de teste, este necesar ca la toate cele trei tipuri de analizatori să se utilizeze amestecuri ale gazelor ce urmează a fi măsurate, concentrația lor fiind de 80 % din scala completă. Se poate utiliza un dispozitiv de diluare pentru a aduce gazul de calibrare cu o concentrație de 100 % la concentrația dorită.

6.   DESFĂȘURAREA TESTELOR PE ȘASIUL DINAMOMETRULUI

6.1.   Condiții speciale de derulare a testelor

6.1.1.   Temperatura din încăperea unde se află bancul dinamometrului trebuie să fie între 20 °C și 30 °C pe tot timpul testului și să fie cât mai apropiată de temperatura încăperii unde este ținut vehiculul cu două sau trei roți.

6.1.2.   Pe cât posibil, vehiculul trebuie menținut orizontal în timpul testului, pentru a se evita distribuirea anormală a carburantului.

6.1.3.   Pe timpul testului, în fața vehiculului se plasează o suflantă de răcire cu viteză variabilă care să dirijeze aerul de răcire spre vehicul, în vederea simulării condițiilor reale de funcționare. Viteza suflantei trebuie să fie astfel încât în condiții de funcționare de 10 până la 50 km/h, viteza lineară a aerului la ștuțul de ieșire din suflantă să fie de ± 5 km/h din viteza corespunzătoare a cilindrului. După ce se ajunge la peste 50 km/h, viteza lineară a aerului este de ± 10 %. La viteze ale cilindrului mai mici de 10 km/h, viteza aerului poate fi zero.

Viteza aerului de răcire este definită ca valoarea medie a nouă puncte de măsurare situate în centrul fiecărui dreptunghi care împarte secțiunea finală a suflantei în nouă părți (divide părțile orizontale și verticale ale secțiunii finale a suflantei în trei părți egale). Fiecare valoare de la cele nouă puncte trebuie să se încadreze în limita de 10 % din valoarea lor nominală.

Suprafața secțiunii finale a suflantei trebuie să fie de cel puțin 0,4 m2 și marginea interioară trebuie să fie la o distanță de 5 – 20 cm deasupra solului. Secțiunea finală a suflantei trebuie să fie perpendiculară cu axa longitudinală a vehiculului și distanța față de extremitatea frontală a vehiculului trebuie să fie cuprinsă între 0,3 și 0,45 m. Dispozitivul utilizat pentru măsurarea vitezei lineare a aerului trebuie să fie între 0 și 20 cm de la ștuțul de ieșire a aerului.

6.1.4.   Pe timpul testului se înregistrează viteza în funcție de timp pentru a se verifica dacă testele au fost executate corect.

6.1.5.   Se pot înregistra temperaturile apei de răcire și ale uleiului din baia de ulei.

6.2.   Pornirea motorului

6.2.1.

După efectuarea operațiunilor preliminare pe aparatul de colectare, diluare, analiză și măsurare a gazului (a se vedea punctul 7.1.), se pornește motorul cu ajutorul dispozitivelor prevăzute în acest scop: contact, ambreiaj etc., respectându-se instrucțiunile constructorului.

6.2.2.

Primul ciclu de teste începe odată cu prelevarea mostrelor și măsurarea rotațiilor pompei.

6.3.   Utilizarea contactului manual

Contactul trebuie tăiat cât mai repede și, în principiu, înainte de accelerarea de la 0 la 50 km/h. Dacă nu se poate respecta această recomandare, se va indica momentul întreruperii contactului. Contactul este reglat conform instrucțiunilor constructorului.

6.4.   Ralanti

6.4.1.   Cutia de viteze cu comandă manuală

6.4.1.1.

Perioadele de ralanti se efectuează cu motorul ambreiat și cutia de viteze la punctul mort.

6.4.1.2.

Pentru a se realiza accelerațiile conform ciclului normal, vehiculul trebuie adus în treapta întâi, cu ambreiajul debreiat, cu cinci secunde înainte de pornirea accelerației după perioada de ralanti.

6.4.1.3.

Primul ralanti de la începutul setului de teste este de 6 secunde de ralanti cu cutia de viteze la punctul mort, motorul ambreiat și de 5 secunde cu cutia de viteze în treapta întâi și motorul debreiat.

6.4.1.4.

În cazul ralantiurilor intermediare de la fiecare set de teste, timpii corespunzători sunt de 16 secunde la punctul mort și respectiv 5 secunde în viteza întâi, cu motorul debreiat.

6.4.1.5.

Ultimul ralanti din setul de teste trebuie să dureze 7 secunde, cu cutia de viteze la punctul mort și motorul ambreiat.

6.4.2.   Cutia de viteze cu comandă semiautomată

Se aplică indicațiile constructorului pentru deplasarea în oraș sau, în lipsa acestora, instrucțiunile referitoare la cutia de viteze cu comandă manuală.

6.4.3.   Cutia de viteze cu comandă automată

Selectorul nu se manevrează pe durata testului, în afara cazului în care există indicații contrare din partea constructorului. În acest caz se aplică etapele prevăzute pentru cutia de viteze cu comandă manuală.

6.5.   Accelerații

6.5.1.

Accelerațiile se efectuează astfel încât să se asigure o rată a accelerației cât mai constantă.

6.5.2.

În situația în care posibilitățile de accelerare ale vehiculului nu sunt suficiente pentru efectuarea tuturor etapelor de accelerare în limitele de toleranță prescrise, vehiculul trebuie condus cu clapeta de închidere complet deschisă până când se atinge viteza prescrisă, după care se continuă în mod normal.

6.6.   Decelerații

6.6.1.

Toate decelerațiile se efectuează prin închiderea totală a clapetei, cu motorul ambreiat. Debreierea motorului se efectuează la viteza de 10 km/h.

6.6.2.

Dacă perioada de decelerație este mai mare decât cea prevăzută în etapa respectivă, se utilizează frânele vehiculului pentru respectarea ciclului de teste.

6.6.3.

Dacă perioada de decelerație este mai mică decât cea prevăzută în etapa respectivă se restabilește concordanța cu ciclul teoretic printr-o fază constantă sau o perioadă de ralanti care vine după faza constantă sau de ralanti. În acest caz nu se aplică punctul 2.4.3.

6.6.4.

La finele perioadei de decelerație (oprirea vehiculului pe cilindri), cutia de viteze este la punctul mort și motorul este ambreiat.

6.7.   Viteze stabilizate

6.7.1.

Se va evita «pomparea» sau închiderea clapetei de închidere atunci când se trece la viteza stabilizată următoare.

6.7.2.

Perioadele de viteză constantă se obțin prin menținerea accelerației în poziție fixă.

7.   METODA DE PRELEVARE, ANALIZĂ ȘI DETERMINARE A VOLUMULUI EMISIILOR DE GAZE

7.1.   Operații care preced demararea vehiculului

7.1.1.

Se golesc și se etanșeizează săculeții de prelevare S a și S b .

7.1.2.

Se acționează pompa rotativă de volum P1 fără să se pornească turometrul.

7.1.3.

Se acționează pompele P2 și P3 pentru prelevarea mostrelor, cu robineții fixați pentru devierea gazelor produse în atmosferă; se reglează debitul prin robineții V2 și V3.

7.1.4.

Se pun în funcțiune dispozitivele de înregistrare a temperaturii T și a presiunii g1 și g2.

7.1.5.

Turometrul CT și turometrul cu rolă se fixează la zero.

7.2.   Începerea operației de prelevare și de măsurare a volumului

7.2.1.

Se execută simultan operațiile de la punctele 7.2.2. - 7.2.5.

7.2.2.

Se fixează robineții de deviere pentru colectarea în săculeții Sa și Sb a mostrelor prelevate continuu prin sondele S2 și S3 și evacuate anterior în atmosferă.

7.2.3.

Momentul demarării testului este indicat în graficele contoarelor cu înregistrare analogică atașate la termometrul T și la manometrele diferențiale g1 și g2.

7.2.4.

Se pornește turometrul care înregistrează numărul total de rotații ale pompei P1.

7.2.5.

Se pornește dispozitivul menționat la punctul 6.1.3, care direcționează un jet de aer către vehicul.

7.3.   Încheierea operațiilor de prelevare și de măsurare a volumului

7.3.1.

La finele ciclului de teste se execută simultan operațiile descrise la punctul 7.3.2 până la punctul 7.3.5.

7.3.2.

Se fixează robineții de deviere pentru închiderea săculeților Sa și Sb și pentru evacuarea în atmosferă a mostrelor aspirate de pompele P2 și P3 prin sondele S2 și S3.

7.3.3.

Se arată momentul de la finele testului pe graficele contoarelor analogice menționate la punctul 7.2.3.

7.3.4.

Este oprit turometrul totalizator de la pompa P1.

7.3.5.

Se oprește dispozitivul menționat la punctul 6.1.3 care trimite un jet de aer către vehicul.

7.4.   Analiza mostrelor din săculeți

7.4.1.

Gazele de eșapament din săculeți se analizează cât mai repede, dar în orice situație la cel mult 20 de minute de la finele testelor.

7.4.2.

Înainte de analiza fiecărei mostre se aduce din nou la zero analizatorul utilizat pentru fiecare gaz poluant, utilizându-se gazul etalon corespunzător.

7.4.3.

Analizatorii sunt adaptați la curbele de calibrare cu ajutorul gazelor etalon la concentrații nominale de 70 – 100 % din plaja utilizată.

7.4.4.

Se verifică din nou dacă analizatorii sunt fixați la zero. Dacă cifra indicată are o abatere mai mare de 2 % din plaja definită la punctul 7.4.2 se repetă procedura.

7.4.5.

Se analizează mostrele.

7.4.6.

După analiză se verifică din nou, utilizând aceleași gaze, punctele zero și ale gazului etalon. Testul este acceptat dacă diferența dintre rezultatele obținute după analiză și cele arătate la punctul 7.4.3 este mai mică de 2 %.

7.4.7.

În toate etapele analizei, debitul și presiunea diferitelor gaze trebuie să fie aceleași cu cele înregistrate la calibrarea analizatorilor.

7.4.8.

Cifra aleasă pentru a reprezenta concentrația fiecărui poluant măsurat în gaz este cifra indicată înainte de stabilizarea aparatului de măsură.

7.5.   Măsurarea distanței parcurse

Se obține distanța S parcursă în mod real și exprimată în km prin multiplicarea numărului de rotații afișate pe turometrul totalizator pe laterala rolei (a se vedea punctul 4.1.1).

8.   DETERMINAREA CANTITĂȚII DE GAZE POLUANTE EMISE

8.1.   Masa de monoxid de carbon emis în timpul testului se determină prin formula:

Formula

unde:

8.1.1.

COM este masa monoxidului de carbon emis în timpul testului, în g/km;

8.1.2.

S este distanța definită la punctul 7.5;

8.1.3.

dCO este densitatea monoxidului de carbon la temperatura de 0 °C și la presiunea de 101,33 kPa (= 1,250 kg/m3);

8.1.4.

COc este concentrația volumică a monoxidului de carbon în gazele diluate, exprimată în părți per milion și corectate pentru a se ține seama de poluarea aerului de diluție:

Formula

unde:

8.1.4.1.

COe este concentrația de monoxid de carbon măsurată în părți per milion în mostra de gaze diluate colectate în săculețul Sb;

8.1.4.2.

COd este concentrația de monoxid de carbon măsurată în părți per milion în mostra de aer de diluție colectat în săculețul Sa;

8.1.4.3.

DF este coeficientul menționat la punctul 8.4.

8.1.5.

V este volumul total exprimat în m3/test de gaze diluate la temperatura de referință de 0 ° C (273 oK) și la presiunea de referință de 101,33 kPa

Formula

unde:

8.1.5.1.

V0 este volumul de gaz deplasat de pompa P1 în timpul unei rotații, exprimat în m3/rotație. Volumul este funcție de diferențele de presiune dintre secțiunile intrare și ieșire ale pompei;

8.1.5.2.

N este numărul de rotații efectuate de pompa P1 în timpul fiecărei faze a testului;

8.1.5.3.

Pa este presiunea atmosferică exprimată în kPa;

8.1.5.4.

Pi este valoarea medie, exprimată în kPa, obținută în cele patru seturi de teste, ale scăderii de presiune din secțiunea de intrare în pompa P1.

8.1.5.5.

Tp este valoarea obținută în cele patru seturi de teste ale temperaturii gazelor diluate măsurate în secțiunea de intrare ale pompei P1.

8.2.   Masa hidrocarburilor nearse emise de eșapamentul vehiculului în timpul testului se calculează cu formula:

Formula

unde:

8.2.1.

HCM este masa de hidrocarburi emise în timpul testului, exprimată în g/km;

8.2.2.

S este distanța definită la punctul 7.5;

8.2.3.

dHC este densitatea hidrocarburilor la temperatura de 0 °C și la presiunea de 101,33 kPa pentru media raportului dintre carbon și hidrogen de 1: 1,85 (= 0,619 kg/m3 );

8.2.4.

HCc este concentrația de gaze diluate exprimată în părți per milion de echivalent carbon (de exemplu: concentrația de propan multiplicată cu 3) și corectată pentru a ține cont de aerul de diluție:

Formula

unde:

8.2.4.1.

HCe este concentrația de hidrocarburi, exprimată în părți per milion de echivalent carbon, din mostra de gaze diluate colectate în săculețul Sb;

8.2.4.2.

HCd este concentrația de hidrocarburi, exprimată în părți per milion de echivalent carbon, din mostra de aer de diluție colectat în săculețul Sa;

8.2.4.3.

DF este coeficientul specificat la punctul 8.4;

8.2.5.

V este volumul total (a se vedea punctul 8.1.5).

8.3.   Masa oxizilor de azot evacuată prin țeava de eșapament a vehiculului în timpul testului se calculează cu formula:

Formula

unde:

8.3.1.

NOxM este masa oxizilor de azot degajați în timpul testului, exprimată în g/km;

8.3.2.

S este distanța definită la punctul 7.5;

8.3.3.

dNO2 este densitatea oxizilor de azot din gazele de eșapament în echivalent de NO2, la temperatura de 0 °C și presiunea de 101,33 kPa (= 2,05 kg/m3);

8.3.4.

NOxc este concentrația de oxizi de azot din gazele diluate, exprimată în părți per milion și corectată pentru a se ține seama de aerul de diluție:

Formula

unde:

8.3.4.1.

NOxe este concentrația de oxizi de azot, exprimată în părți per milion, din mostra de gaze diluate colectate în săculețul Sa;

8.3.4.2.

NOxd este concentrația de oxizi de azot, exprimată în părți per milion, din mostra de aer de diluție colectat în săculețul Sb;

8.3.4.3.

DF este coeficientul menționat la punctul 8.4;

8.3.5.

Kh este factorul de corecție al umidității:

Formula

unde:

8.3.5.1.

H este umiditatea absolută exprimată în grame de apă per kg de aer uscat:

Formula

unde:

8.3.5.1.1.

U este gradul de umiditate exprimat în procente;

8.3.5.1.2.

Pd este presiunea vaporilor de apă saturată la temperatura de testare, exprimată în kPa;

8.3.5.1.3.

Pa este presiunea atmosferică exprimată în kPa.

8.4.   DF este un coeficient exprimat prin formula:

Formula

unde:

8.4.1.

CO, CO2 și HC reprezintă concentrațiile de monoxid de carbon, bioxid de carbon și hidrocarburi, exprimate în procente, din mostra de gaze diluate colectate în săculețul Sa.

Subapendicele 1a

CICLURILE DE FUNCȚIONARE APLICATE LA TESTUL DE TIP 1

Ciclul de funcționare pe dinamometru în cazul testului elementar urban

(a se vedea apendicele 1 punctul 2.1)

Ciclul de funcționare la testul de tip 1 în cazul testului elementar urban

(a se vedea apendicele 1 subapendicele 1)

Ciclul de funcționare pe dinamometru în extraurban

Număr de operații

Operații

Fază

Accelerație

(m/s2)

Viteză

(km/h)

Durata

Timp total

(s)

Treapta de viteză utilizată în cazul cutiei de viteze manuale

fiecărei operații (s)

fiecărei faze(s)

1

Ralanti

1

 

 

20

20

20

A se vedea punctul 2.3.3 din apendicele 2 – utilizarea cutiei de viteze la testul extra-urban, în conformitate cu recomandările fabricantului

2

Accelerare

 

0,83

0-15

5

 

25

3

Schimbare de viteză

 

 

 

2

 

27

4

Accelerare

 

0,62

15-35

9

 

36

5

Schimbare de viteză

2

 

 

2

41

38

6

Accelerare

 

0,52

35-50

8

 

46

7

Schimbare de viteză

 

 

 

2

 

48

8

Accelerare

 

0,43

50-70

13

 

61

9

Viteze stabilizate

3

 

70

50

50

111

10

Decelerație

4

-0,69

70-50

8

8

119

11

Viteze stabilizate

5

 

50

69

69

188

12

Accelerare

6

0,43

50-70

13

13

201

13

Viteze stabilizate

7

 

70

50

50

251

14

Accelerare

8

0,24

70-100

35

35

286

15

Viteze stabilizate

9

 

100

30

30

316

16

Accelerare

10

0,28

100-120

20

20

336

17

Viteze stabilizate

11

 

120

10

20

346

18

Decelerație

 

-0,69

120-80

16

 

362

19

Decelerație

12

-1,04

80-50

8

34

370

20

Decelerație, motor debreiat

 

-1,39

50-0

10

 

380

21

Ralanti

13

 

 

20

20

400

Ciclul de funcționare în extraurban la testul de tip 1

(apendice 1, punctul 3, anexa III din Directiva Consiliului 91/441/CEE (3)


(1)  Acestea sunt mase suplimentare care, dacă este cazul, pot fi înlocuite cu un dispozitiv electronic, cu condiția să se demonstreze existența unor rezultate echivalente.

(2)  Dacă viteza maximă a vehiculului declarată de constructor este mai mică de 130 km/h și dacă această viteză nu poate fi atinsă pe șasiul dinamometrului ținându-se cont de caracteristicile bancului de probă definite în tabelul 3 din apendicele A, coeficientul b se ajustează pentru a se obține viteza maximă.

(3)  JO L 242, 30.8.1991, p. 1.


ANEXA II

Punctul 2.2 din anexa VII la Directiva 2002/24/CEE a Consiliului se înlocuiește cu următoarele:

Image