03/Volumul 43

RO

Jurnalul Ofícial al Uniunii Europene

267


32002D0635


L 206/20

JURNALUL OFÍCIAL AL UNIUNII EUROPENE


DECIZIA COMISIEI

din 31 iulie 2002

de modificare a Deciziilor 92/160/CEE, 92/260/CEE și 93/197/CEE cu privire la importurile de cai înregistrați provenind din Turcia și de abrogare a Deciziei 98/404/CE

[notificată cu numărul C(2002) 2878]

(Text cu relevanță pentru SEE)

(2002/635/CE)

COMISIA COMUNITĂȚILOR EUROPENE,

având în vedere Tratatul de instituire a Comunității Europene,

având în vedere Directiva 90/426/CEE a Consiliului din 26 iunie 1990 privind condițiile de inspecție veterinară care reglementează circulația și importul de ecvidee din țări terțe, (1), astfel cum a fost modificată ultima dată prin Decizia 2002/160/CEE a Comisiei (2), în special articolele 13, 15, 16 și articolul 19 punctele (i) și (ii),

având în vedere Directiva 91/496/CEE a Consiliului din 15 iulie 1991 de stabilire a principiilor care reglementează organizarea controalelor veterinare ale animalelor care sunt introduse în Comunitate din țări terțe și de modificare a Directivelor 89/662/CEE, 90/425/CEE și 90/675/CEE (3), astfel cum a fost modificată ultima dată prin Directiva 96/43/CE (4), în special articolul 18,

întrucât:

(1)

Decizia 79/542/CEE a Consiliului (5), astfel cum a fost modificată ultima dată prin Decizia 2001/731/CE (6), privind întocmirea listei țărilor terțe din care statele membre autorizează importurile de bovine, porcine, ecvidee, ovine și caprine, carne proaspătă și produse din carne include Turcia în partea 2 a anexei sale și autorizează deci numai importurile de cai înregistrați.

(2)

În conformitate cu Decizia 92/160/CEE a Comisiei din 5 martie 1992 de stabilire a regionalizării anumitor țări terțe pentru importul de ecvidee (7), astfel cum a fost modificată ultima dată prin Decizia 2001/622/CE (8), în ceea ce privește Turcia, sunt autorizate numai admiterea temporară și readmiterea cailor înregistrați, și aceasta numai în cazul în care provin din șase provincii.

(3)

Condițiile de sănătate și certificarea veterinară necesare pentru admiterea temporară, importurile permanente și readmiterea cailor înregistrați sunt armonizate și stabilite respectiv de Deciziile 92/260/CEE (9) și 93/197/CEE (10) ale Comisiei, ambele modificate ultima dată prin Decizia 2001/828/CE (11) și de Decizia 93/195/CEE a Comisiei (12), astfel cum a fost modificată ultima dată prin Decizia 2001/611/CE (13).

(4)

În ceea ce privește Turcia, condițiile de sănătate animală și certificarea veterinară necesare pentru admiterea temporară și readmiterea după exportul temporar al cailor înregistrați au fost stabilite respectiv de Deciziile 92/260/CEE și 93/195/CEE.

(5)

Deoarece în cadrul unei misiuni de inspecție efectuate de Comisie în Turcia în 1998, au fost constatate grave lacune în procedurile de export de cai din Turcia către Comunitate, Comisia au adoptat Decizia 98/404/CE din 12 iunie 1998 privind unele măsuri de protecție față de ecvideele din Turcia (14), astfel cum a fost modificată ultima dată prin Decizia 2000/507/CE (15).

(6)

După adoptarea Deciziei 98/404/CE, autoritățile competente turce au comunicat Comisiei măsuri pentru ameliorarea supravegherii veterinare și certificarea la export, pe baza recomandărilor formulate de Comisie în urma acestei misiuni.

(7)

De asemenea, autoritățile competente, cu sprijinul sectorului privat al cailor, au pus în aplicare un program de supraveghere a morvei, care acoperea și supravegherea pestei cabaline africane și a durinei, și au prezentat Comisiei un raport final în aprilie 2001. Acest program de supraveghere a confirmat, în ceea ce privește prevalența morvei, constatările misiunii efectuate în 1998. Un mare număr de subiecți reacționând la maleină dintre caii, catârii și măgarii neînregistrați au fost sacrificați și au făcut obiectul unor despăgubiri.

(8)

Este deci necesar să se autorizeze admiterea temporară, readmiterea după exportul temporar de cai înregistrați în Comunitate și importurile permanente de cai înregistrați provenind din provinciile Turciei enumerate de Decizia 92/160/CEE în condițiile de sănătate animală stabilite pentru caii înregistrați provenind din zone caracterizate de o situație epidemiologică similară. Cu toate acestea, controalele de sănătate animală prevăzute de dispozițiile aplicabile importurilor sunt efectuate în laboratoare desemnate de statul membru de destinație.

(9)

Este deci necesar să se modifice în consecință Deciziile 92/160/CEE, 92/260/CEE și 93/197/CEE și să se abroge Decizia 98/404/CE.

(10)

Țările incluse pe listă fiind identificate prin codurile ISO alfa 2 utilizate în legislația comunitară pentru nomenclatura țărilor și a teritoriilor în ceea ce privește comerțul exterior, în special în Regulamentul (CE) nr. 2032/2000 al Comisiei (16), este necesar, după caz, să se specifice statutul provizoriu al acestor coduri.

(11)

Măsurile prevăzute de prezenta decizie sunt conforme cu avizul Comitetului permanent pentru lanțul alimentar și sănătatea animală,

ADOPTĂ PREZENTA DECIZIE:

Articolul 1

În anexa la Decizia 92/160/CEE a Comisiei, „Turcia (2)” se înlocuiește cu „Turcia”.

Articolul 2

Decizia 92/260/CEE a Comisiei se modifică după cum urmează:

1.

Anexa I se modifică după cum urmează:

(a)

lista țărilor terțe incluse în grupul C se înlocuiește cu următoarea listă:

„Australia (AU), Bulgaria (BG), Belarus (BY), Cipru (CY), Republica Cehă (CZ), Estonia (EE), Croația (HR), Ungaria (HU), Lituania (LI), Letonia (LV), Fosta Republică Iugoslavă a Macedoniei (MK) (2), Noua Zeelandă (NZ), Polonia (PL), România (RO), Rusia (1) (RU), Republica Slovacă (SK), Slovenia (SL), Ukraina (UA), Republica Federală Iugoslavia (YU)”;

(b)

se adaugă următoarea notă de subsol :

„(2)

Codul provizoriu nu afectează denumirea definitivă a țării, care va fi atribuită după încheierea negocierilor actualmente în curs la Națiunile Unite”;

(c)

lista țărilor terțe incluse în grupul C se înlocuiește cu următoarea listă:

„Canada (CA), Hong Kong (HK), Japonia (JP), Republica Coreea (KR), Macao (MO), Malaezia (peninsulă) (MY), Singapore (SG), Tailanda (TH), Statele Unite ale Americii (US)”.

2.

Anexa II se modifică după cum urmează:

(a)

la secțiunea III litera (d) din certificatele de sănătate animală A, B, C și D, a treia liniuță se înlocuiește cu:

„—

Emiratele Arabe Unite, Australia, Bulgaria, Belarus, Canada, Elveția, Cipru, Republica Cehă, Estonia, Groenlanda, Hong Kong, Croația, Ungaria, Islanda, Japonia, Republica Coreea, Lituania, Letonia, Fosta Republică Iugoslavă a Macedoniei, Macao, Malaezia (peninsulă), Norvegia, Noua Zeelandă, Polonia, România, Rusia (1), Singapore, Republica Slovacă, Slovenia, Tailanda, Ucraina, Statele Unite ale Americii, Republica Federală Iugoslavia”;

(b)

certificatul de sănătate animală E se modifică după cum urmează:

(i)

secțiunea I „Informații de sănătate animală” se înlocuiește cu anexa I la prezenta decizie;

(ii)

se adaugă următoarea notă de subsol:

„(6)

Testele de laborator necesare în conformitate cu dispozițiile prezentului certificat de sănătate animală sunt efectuate într-un laborator desemnat de statul membru de destinație. Rezultatele acestor teste, certificate de laborator, trebuie să fie anexate la certificatul de sănătate animală care însoțește animalul. Aceste dispoziții se aplică următoarelor țări: Turcia (TR).”

Articolul 3

Decizia 93/197/CEE a Comisiei se modifică după cum urmează:

1.

Anexa I se modifică după cum urmează:

(a)

lista țărilor terțe incluse în grupul B din anexa I se înlocuiește cu următoarea listă:

„Australia (AU), Bulgaria (BG), Belarus (BY), Cipru (CY), Republica Cehă (CZ), Estonia (EE), Croația (HR), Ungaria (HU), Lituania (LI), Letonia (LV), Fosta Republică Iugoslavă a Macedoniei (MK) (3), Noua Zeelandă (NZ), Polonia (PL), România (RO), Rusia (1) (RU), Republica Slovacă (SK), Slovenia (SL), Ucraina (UA), Republica Federală Iugoslavia (YU)”;

(b)

se adaugă următoarea notă de subsol:

„(3)

Codul provizoriu nu afectează denumirea definitivă a țării, care va fi atribuită după încheierea negocierilor actualmente în curs la Națiunile Unite;”

(c)

se adaugă „Turcia (1) (2) (TR)”, în ordinea alfabetică a codului ISO, la lista țărilor terțe incluse în grupul E.

2.

La anexa II, certificatul de sănătate animală E se modifică după cum urmează:

 

Titlul se înlocuiește cu:

(a)

secțiunea I „Informații de sănătate animală” se înlocuiește cu anexa II la prezenta decizie;

(b)

se adaugă următoarea notă de subsol:

„(5)

Testele de laborator cerute în conformitate cu dispozițiile prezentului certificat de sănătate animală sunt efectuate într-un laborator desemnat de către statul membru de destinație. Rezultatele acestor teste, certificate de laborator, trebuie să fie anexate certificatului de sănătate animală care însoțește animalul. Aceste dispoziții se aplică următoarelor țări: Turcia (TR).”

Articolul 4

Decizia 98/404/CE se abrogă.

Articolul 5

Statele membre modifică măsurile pe care le aplică față de Turcia pentru a fi în conformitate cu prezenta decizie.

Articolul 6

Prezenta decizie se adresează statelor membre.

Adoptată la Bruxelles, 31 iulie 2002.

Pentru Comisie

David BYRNE

Membru al Comisiei


(1)  JO L 224, 18.8.1990, p. 42.

(2)  JO L 53, 23.2.2002, p. 37.

(3)  JO L 268, 24.9.1991, p. 56.

(4)  JO L 162, 1.7.1996, p. 1.

(5)  JO L 146, 14.6.1979, p. 15.

(6)  JO L 274, 17.10.2001, p. 22.

(7)  JO L 71, 18.3.1992, p. 27.

(8)  JO L 216, 10.8.2001, p. 26.

(9)  JO L 130, 15.5.1992, p. 67.

(10)  JO L 86, 6.4.1993, p. 16.

(11)  JO L 308, 27.11.2001, p. 41.

(12)  JO L 86, 6.4.1993, p. 1.

(13)  JO L 214, 8.8.2001, p. 49.

(14)  JO L 178, 23.6.1998, p. 41.

(15)  JO L 204, 11.8.2000, p. 42.

(16)  JO L 243, 28.9.2000, p. 14.


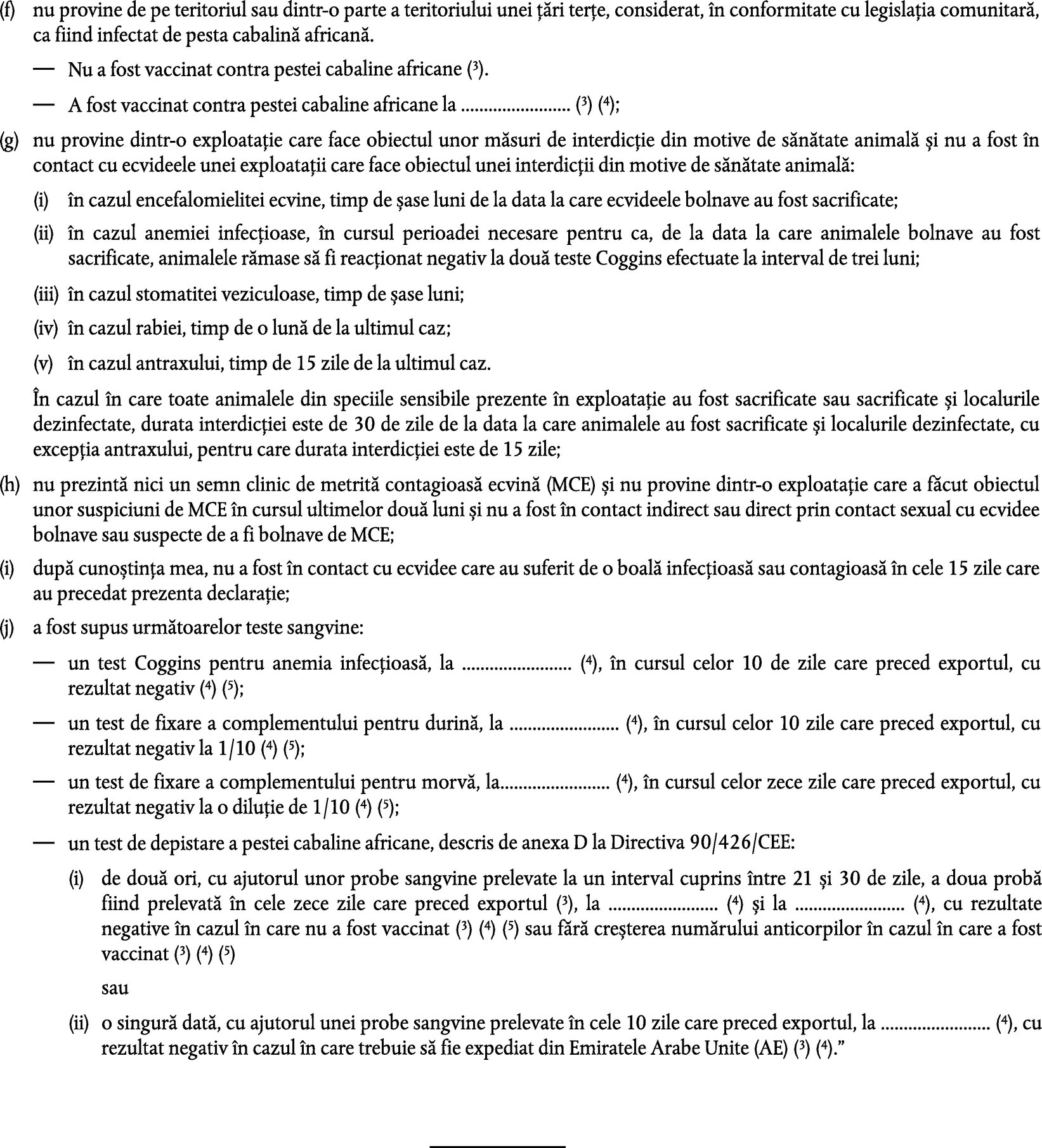
ANEXA I

Image

Image


ANEXA II

Image

Image