03/Volumul 36

RO

Jurnalul Ofícial al Uniunii Europene

43


32001R0213


L 037/1

JURNALUL OFÍCIAL AL UNIUNII EUROPENE


REGULAMENTUL (CE) NR. 213/2001 AL COMISIEI

din 9 ianuarie 2001

de stabilire a normelor de aplicare a Regulamentului (CE) nr. 1255/1999 al Consiliului privind metodele de analiză și evaluare calitativă a laptelui și produselor lactate și de modificare a Regulamentelor (CE) nr. 2771/1999 și (CE) nr. 2799/1999

COMISIA COMUNITĂȚILOR EUROPENE,

având în vedere Tratatul de instituire a Comunității Europene,

având în vedere Regulamentul (CE) nr. 1255/1999 al Consiliului din 17 mai 1999 privind organizarea comună a pieței în sectorul laptelui și produselor lactate (1), în special articolele 10 și 15 și articolul 26 alineatul (3), articolul 29 alineatul (1) și articolul 31 alineatul (14),

întrucât:

(1)

Regulamentele (CEE) nr. 1216/68 și (CEE) nr. 3942/92 și (CE) nr. 86/94, (CE) nr. 2721/95, (CE) nr. 1080/96, (CE) nr. 1081/96, (CE) 1082/96, (CE) nr. 1854/96, (CE) nr. 880/98 și (CE) nr. 1459/98 ale Comisiei, la care se fac trimiteri complete în anexa XXVI la prezentul regulament, stabilesc metode de referință și de rutină pentru analiza și evaluarea calitativă a laptelui și a produselor lactate și domeniul și regulile de aplicare ale acestor metode. În interesul clarității și pentru a pune la dispoziția celor din acest sector un set unic de metode și reguli pentru punerea acestora în aplicare, regulamentele menționate anterior trebuie reformulate și reunite într-un singur text. Din același motiv, Regulamentele (CE) nr. 2771/1999 ale Comisiei din 16 decembrie 1999 de stabilire a normelor de aplicare a Regulamentului (CE) nr. 1255/1999 al Consiliului privind intervenția pe piața untului și a smântânii (2) și (CE) nr. 2799/1999 din 17 decembrie 1999 de stabilire a normelor de aplicare a Regulamentului (CE) nr. 1255/1999 privind acordarea ajutorului pentru lapte degresat și lapte praf degresat destinate folosirii ca furaje animale și vânzarea acestui lapte praf degresat (3) ar trebui modificate astfel încât anexele la regulamentele menționate anterior privind metodele de analiză să poată fi incluse în prezentul regulament.

(2)

Cerințele privind compoziția și calitatea laptelui și produselor din lapte prevăzute în aranjamentele menționate de Regulamentul (CE) nr. 1255/1999 trebuie verificate pentru a se asigura stricta lor respectare.

(3)

Metodele de referință pentru asemenea verificări sunt adesea metodele publicate de organizații internaționale cum sunt CEN, FIL, ISO, AOAC International și sunt actualizate cu regularitate de organizațiile menționate anterior. În anumite cazuri se stabilește o metodă de referință comunitară, în timp ce în alte cazuri nu se specifică nici o metodă de referință în regulile comunitare. Pentru a se asigura aplicarea uniformă a metodelor de referință, trebuie să se redacteze în fiecare an o listă de metode de referință, fiind posibilă numai aplicarea metodelor incluse în această listă.

(4)

Folosirea metodelor de rutină nu trebuie eliminată. În acest scop, ar trebui precizate condițiile de utilizare a acestora.

(5)

Ar trebui, de asemenea, stabilite metode comune pentru a se asigura o practică uniformă pentru evaluarea rezultatelor analizelor, pentru evaluarea senzorială a produselor în cauză și pentru reexaminarea rezultatelor contestate.

(6)

Pentru anumite analize nu există în prezent metode de referință acceptate la nivel internațional care să fie validate, neexistând astfel informații privind variațiile rezultatelor analitice între laboratoare. De aceea ar trebui să se stabilească metode comunitare validate conform normelor stabilite la nivel internațional și aplicate ca metode de referință.

(7)

Regulamentul (CE) nr. 2571/97 al Comisiei din 15 decembrie 1997 privind vânzarea untului la preț redus și acordarea de ajutoare pentru smântâna, untul și untul concentrat utilizate la fabricarea de produse de patiserie, înghețată și alte produse alimentare (4), astfel cum a fost modificat ultima dată prin Regulamentul (CE) nr. 635/2000 (5), prevede marcarea smântânii, untului și untului concentrat în anumite situații pentru a se asigura o utilizare finală corectă a acestor produse. Deoarece marcarea este importantă pentru buna funcționare a programului și pentru a se asigura un tratament egal operatorilor din cadrul acestuia ar trebui instituite metode comune pentru determinarea unora dintre acești marcatori.

(8)

În conformitate cu Regulamentul (CEE) nr. 3143/85 al Comisiei din 11 noiembrie 1985 vânzarea cu preț redus a untului de intervenție destinat consumului direct sub formă de unt concentrat (6), astfel cum a fost modificat ultima dată prin Regulamentul (CE) nr. 101/1999 (7), Regulamentului (CEE) nr. 429/90 al Comisiei din 20 februarie 1990 privind atribuirea prin achiziție publică a unui ajutor pentru untul concentrat destinat consumului direct în cadrul Comunității (8), astfel cum a fost modificat ultima dată prin Regulamentul (CE) nr. 124/1999 (9) și Regulamentului (CE) nr. 2571/97, untul concentrat trebuie să conțină marcatori adăugați sub supraveghere. Conformarea la cerințele privind marcarea untului concentrat trebuie realizată cu strictețe pentru a se asigura faptul că produsele nu sunt deturnate. Ar trebui prevăzută o metodă comună pentru detectarea acestor marcatori.

(9)

În temeiul articolului 9 din Regulamentul (CE) nr. 1255/1999, se poate acorda un ajutor pentru depozitarea privată a brânzeturilor din lapte de oaie. Pentru aceleași produse se poate acorda o rambursare în temeiul articolului 31 din regulamentul menționat anterior. Brânzeturile obținute din lapte de oaie, lapte de capră, lapte de bivoliță și din amestecuri de lapte de oaie, capră și bivoliță pot fi importate din anumite țări terțe în Comunitate în cadrul unor aranjamente preferențiale. În temeiul dispozițiilor menționate anterior sunt necesare controale adecvate pentru a se asigura faptul că în produsele în cauză nu a fost încorporat lapte de vacă. Prin urmare, ar trebui prevăzută o metodă comună pentru detectarea laptelui de vacă fără a se aduce atingere folosirii metodelor de rutină, cu condiția ca acestea să respecte anumite criterii.

(10)

În temeiul Regulamentului (CEE) nr. 2921/90 al Comisiei din 10 octombrie 1990 acordare de ajutoare pentru laptele degresat în vederea fabricării cazeinei și cazeinaților (10), astfel cum a fost modificat ultima dată prin Regulamentul (CE) nr. 2654/1999 (11), trebuie detectată absența bateriilor coliforme. Metoda de referință acceptată la nivel internațional pentru detectarea bacteriilor coliforme în lapte și produse lactate este standardul internațional FIL 73A: 1985. Cu toate acestea, acest standard se poate aplica numai într-o formă modificată pentru detectarea bacteriilor coliforme într-o cantitate oarecare de produs. De aceea, a fost prevăzută o metodă de referință pentru detectarea bacteriilor coliforme pe baza standardului menționat anterior.

(11)

Regulamentul (CEE) nr. 2658/87 al Consiliului din 23 iulie 1987 privind Nomenclatura tarifară și statistică și Tariful Vamal Comun (12), astfel cum a fost modificat ultima dată prin Regulamentul (CE) nr. 254/2000 (13) prevede rate diferite ale taxelor vamale pentru furajele combinate care intră sub incidența poziției tarifare nr. 2309, în funcție de conținutul lor de produse lactate. Pentru a asigura aplicarea uniformă a regulilor în cauză trebuie prevăzută o metodă general recunoscută pentru analizarea conținutului de lactoză care să fie folosită în mod obligatoriu în toate statele membre.

(12)

În temeiul Regulamentului (CE) nr. 1255/1999, untul și laptele praf degresat destinate intervenției sau, în cazul laptelui praf degresat, utilizării ca furaj pentru animale, trebuie să îndeplinească anumite cerințe din domeniul calității. Ar trebui prevăzute metode de referință pentru verificarea îndeplinirii acestor cerințe.

(13)

Punerea în aplicare a unora dintre metodele introduse pentru prima dată prin prezentul regulament va necesita o perioadă de adaptare. Aplicarea acestor metode trebuie de aceea amânată.

(14)

Comitetul de gestionare a laptelui și produselor lactate nu a emis un aviz în termenul stabilit de președintele acestuia,

ADOPTĂ PREZENTUL REGULAMENT:

CAPITOLUL I

DISPOZIȚII GENERALE

Articolul 1

Obiectul și domeniul de aplicare

Prezentul regulament stabilește normele de aplicare a metodelor de analiză chimică, fizică, microbiologică și de evaluare senzorială a laptelui și produselor lactate care urmează să fie folosite în cadrul aranjamentelor prevăzute în organizarea comună a pieței în sectorul laptelui și produselor lactate instituită prin Regulamentul (CE) nr. 1255/1999. De asemenea, stabilește unele dintre metodele respective.

Articolul 2

Lista metodelor

(1)   Anexa I la prezentul regulament conține lista metodelor de referință aplicabile analizelor menționate la articolul 1.

(2)   Comisia actualizează lista cel puțin o dată pe an în conformitate cu procedura prevăzută la articolul 42 din Regulamentul (CE) nr. 1255/1999.

Articolul 3

Metodele de rutină

Metodele de rutină pot fi folosite pentru analizele necesare în conformitate cu normele comunitare, cu condiția să fie ajustate în mod adecvat și verificate cu regularitate pe baza metodei de referință.

Pentru verificarea rezultatelor obținute prin metodele de rutină care sunt aproape de limitele descrise în regulamentele în cauză se poate aplica procedura descrisă în anexa II.

În cazul unor contestații, rezultatele obținute prin metoda de referință sunt hotărâtoare.

Articolul 4

Validarea metodelor de referință

(1)   Metodele de referință sunt validate în cazul în care îndeplinesc criteriile de precizie prestabilite privind limita de repetabilitate și reproductibilitate.

(2)   În cazul în care o metodă de referință prevăzută în regulamentele în cauză nu a fost validată, statele membre stabilesc o limită orientativă de reproductibilitate.

Limita menționată trebuie obținută conform procedurii descrise în anexa III litera (b). Cu toate acestea, pe parcursul primelor 18 luni de la intrarea în vigoare a prezentului regulament, statele membre pot folosi o procedură echivalentă.

Respectarea limitei este verificată cel puțin o dată pe an.

(3)   În cazul în care rezultatele obținute în urma aplicării metodelor de referință validate sau a metodelor cu cifre orientative privind precizia arată că a fost depășită o limită, rezultatele analitice pot fi evaluate prin metoda descrisă în anexa IV pentru a se determina diferența critică față de limita în cauză.

Articolul 5

Admisibilitatea rezultatelor analizelor

(1)   Analizele se realizează în laboratoare în care există o procedură internă de control al calității conformă cu cea descrisă în anexa V litera (a) sau o procedură cu standard echivalent.

O descriere detaliată a procedurii aplicate trebuie să fie disponibilă pentru consultare în laborator.

(2)   Laboratoarele își stabilesc precizia proprie pentru toate metodele urmând:

(a)

procedura descrisă în anexa V litera (b) sau

(b)

o procedură validată publicată cu repetabilitate stabilită.

Conformarea la limita de reproductibilitate trebuie verificată cel puțin o dată pe an folosindu-se procedura descrisă în anexa III litera (a).

Al doilea paragraf nu se aplică laboratoarelor care au participat la un program de testare a competenței pe parcursul anului.

(3)   Rapoartele de laborator privind rezultatele analizelor trebuie să conțină suficiente informații pentru a se putea realiza o evaluare a rezultatelor în conformitate cu anexa IV și anexa VIII.

(4)   Rezultatele analizei se consideră admisibile în cazul în care au fost obținute în conformitate cu criteriile de admisibilitate descrise în procedura de control intern al calității menționată la alineatul (1) și cu precizia internă menționată la alineatul (2).

Articolul 6

Evaluarea senzorială

(1)   Pentru unt se aplică procedurile descrise în anexa VI pentru verificarea performanței evaluatorilor și a preciziei rezultatelor. Procedura descrisă în anexa VII se aplică ca metodă de referință pentru evaluarea senzorială.

(2)   Pentru lapte și produse lactate altele decât untul, metoda de referință care trebuie folosită de către statele membre pentru evaluarea senzorială este fie standardul FIL 99C/1997, fie alte metode comparabile pe care acestea le notifică Comisiei.

Procedurile descrise în anexa VI pot fi folosite pentru verificarea performanței evaluatorilor și a preciziei rezultatelor.

Articolul 7

Prelevarea de probe și contestarea rezultatelor analizelor

(1)   Pentru analizele obligatorii conform regulilor comunitare se prelevează probe martor.

(2)   Procedura descrisă în anexa VIII se folosește în cazurile în care rezultatele unei analize nu sunt acceptate de către operator.

CAPITOLUL II

METODE DE ANALIZĂ

Articolul 8

Conținutul de apă/substanțe solide negrase/grăsime al untului

(1)   Metoda de analiză descrisă în anexa IX se folosește ca metodă de referință pentru determinarea conținutului de apă al untului.

(2)   Metoda de analiză descrisă în anexa X se folosește ca metodă de referință pentru determinarea conținutului de substanțe solide negrase al untului.

(3)   Metoda de analiză descrisă în anexa XI se folosește ca metodă de referință pentru determinarea conținutului de grăsime al untului.

Articolul 9

Marcatori

(1)   Metoda de analiză descrisă în anexa XII se folosește ca metodă de referință pentru determinarea vanilinei în untul concentrat, unt și smântână.

(2)   Metoda de analiză descrisă în anexa XIII se folosește ca metodă de referință pentru determinarea conținutului de etil ester al acidului beta-apo-8' carotenic în untul concentrat și în unt.

(3)   Metoda de analiză descrisă în anexa XIV se folosește ca metodă de referință pentru determinarea conținutului de sitosterol și stigmasterol în unt și în untul concentrat.

(4)   Untul concentrat, untul și smântâna au fost marcate în conformitate cu normele comunitare relevante în cazul în care rezultatele obținute sunt conforme cu specificațiile din alineatul (8) din anexele menționate la alineatele (1), (2) sau (3).

Articolul 10

Detectarea cazeinei din laptele de vacă

(1)   Metoda de referință pentru analiza descrisă în anexa XV se folosește pentru a se asigura faptul că brânza care trebuie produsă numai din lapte de oaie, din lapte de capră sau din lapte de bivoliță sau dintr-un amestec de lapte de oaie, capră și bivoliță nu conține de fapt cazeină din lapte de vacă.

Se consideră că este prezentă cazeina din lapte de vacă în cazurile în care conținutul evident de cazeină din lapte de vacă al probei care trebuie analizată este egal cu sau mai mare decât conținutul probei de referință conținând 1 % lapte de vacă în conformitate cu anexa XV.

(2)   Metodele de rutină pentru detectarea cazeinei din laptele de vacă în brânzeturi în conformitate cu alineatul (1) pot fi folosite cu condiția:

(a)

ca limita de detectare să fie de 0,5 % sau mai mică,

(b)

să nu existe rezultate fals pozitive,

(c)

cazeina din laptele de vacă să poată fi detectată cu sensibilitatea necesară chiar și după perioade lungi de maturare, cum este de obicei cazul în condiții de comercializare.

În cazul în care cerințele prevăzute la litera (b) nu sunt îndeplinite, orice probă pentru care se obțin rezultate pozitive trebuie analizată prin metoda de referință.

În cazul în care cerințele prevăzute la litera (c) nu sunt îndeplinite pentru unul dintre tipurile de brânză menționate la alineatul (1), brânza respectivă trebuie analizată prin metoda de referință.

Articolul 11

Detectarea bacteriilor coliforme

(1)   Metoda de referință pentru analiză descrisă în anexa XVI se folosește pentru detectarea prezenței bacteriilor coliforme în unt, lapte praf degresat, cazeină și cazeinați.

(2)   Se pot folosi metodele de rutină pentru detectarea bacteriilor coliforme cu condiția ca rezultatele obținute să fie comparabile cu cele obținute prin metoda de referință descrisă în anexa menționată anterior. Este foarte important ca metodele de referință să aibă o limită de detecție adecvată. Nu trebuie să apară rezultate fals negative. În cazul în care nu se poate elimina apariția rezultatelor fals pozitive, orice rezultat pozitiv trebuie confirmat prin metoda de referință.

Articolul 12

Conținutul de lactoză

Metoda de determinare a conținutului de lactoză al produselor care intră sub incidența codului CN 2309 este descrisă în anexa XVII.

Articolul 13

Detectarea zerului închegat

(1)   Metoda de detectare a zerului închegat în laptele praf degresat destinat depozitării publice este descrisă în anexa XVIII.

(2)   Metoda de detectare a zerului închegat în laptele praf degresat și în amestecurile destinate utilizării ca furaje pentru animale este descrisă în anexa XIX.

Articolul 14

Detectarea zarei

Metoda de detectare a zarei în laptele praf degresat este descrisă în anexa XX.

Articolul 15

Reziduuri antimicrobiotice

Metoda de detectare a reziduurilor de antibiotice și sulfamide/dapson în laptele praf degresat este descrisă în anexa XXI.

Articolul 16

Conținutul de lapte praf degresat

Metoda de determinare a conținutului de lapte praf degresat din furajele combinate este descrisă în anexa XXII.

Articolul 17

Detectarea amidonului

Metoda de detectare a amidonului în laptele praf degresat, în laptele praf denaturat și în furajele combinate este descrisă în anexa XXIII.

Articolul 18

Conținutul umed al zarei praf acide

Metoda de determinare a conținutului umed al zarei praf acide destinate utilizării în furaje este descrisă în anexa XXIV.

Articolul 19

Detectarea grăsimilor străine

Metoda de detectare a grăsimilor străine din grăsimile din lapte este descrisă în anexa XXV.

CAPITOLUL III

DISPOZIȚII FINALE

Articolul 20

Modificări ale Regulamentului (CE) nr. 2771/1999

Regulamentul (CE) nr. 2771/1999 se modifică după cum urmează:

1.

Prima teză din articolul 4 alineatul (1) se înlocuiește cu următorul text:

„Autoritățile competente verifică calitatea untului folosind metodele din anexa I și pe baza probelor prelevate conform regulilor prevăzute în anexa IV.”

2.

În anexa I, nota de subsol 2 se înlocuiește cu următorul text:

„A se vedea anexa I la Regulamentul (CE) nr. 213/2001”.

3.

Anexele II și III se elimină.

4.

În penultima teză din anexa IV.2, cuvintele „cu anexa III” se înlocuiesc cu următorul text:

„cu anexa VII la Regulamentul (CE) nr. 213/2001”.

Articolul 21

Modificări ale Regulamentului (CE) nr. 2799/1999

Regulamentul (CE) nr. 2799/1999 se modifică după cum urmează:

1.

Articolul 20 alineatele (1), (2), (3) și (4) se înlocuiesc cu următorul text:

„(1)   Conținutul de lapte praf degresat din amestecuri și furaje combinate se determină prin analiza fiecărei probe și a cel puțin unei probe martor prin metoda de analiză descrisă în anexa XXII la Regulamentul (CE) nr. 213/2001, completată de controalele prevăzute la articolul 17 alineatul (3) din prezentul regulament. În cazul în care există o neconcordanță între rezultatele acestor controale, rezultatul inspecțiilor la fața locului este determinant.

(2)   Absența zerului închegat se dovedește prin metoda descrisă în anexa XIX la Regulamentul (CE) nr. 213/2001.

(3)   Conținutul de amidon al furajelor combinate se determină prin controalele prevăzute la articolul 17 alineatul (3) din prezentul regulament, care trebuie completate de metoda de analiză descrisă în anexa XXIII la Regulamentul (CE) nr. 213/2001.

(4)   Conținutul umed al zarei praf acide se determină prin metoda de analiză descrisă în anexa XXIV la Regulamentul (CE) nr. 213/2001.”

2.

Anexele III, IV, V și VI se elimină.

Articolul 22

Abrogări

Regulamentele (CEE) nr. 1216/68, (CEE) nr. 3942/92, (CE) nr. 86/94, (CE) 2721/95, (CE) nr. 1854/96, (CE) nr. 1080/96, (CE) nr. 1081/96, (CE) nr. 1082/96, (CE) nr. 880/98 și (CE) nr. 1495/98 se abrogă.

Trimiterile la regulamentele abrogate se interpretează ca trimiteri la prezentul regulament.

Articolul 23

Intrarea în vigoare

Prezentul regulament intră în vigoare în a șaptea zi de la data publicării în Jurnalul Oficial al Comunităților Europene.

Cu toate acestea, metodele descrise în anexele III, IV.4, V, VI și VII se aplică timp de 18 luni de la data intrării în vigoare a prezentului regulament.

Prezentul regulament este obligatoriu în toate elementele sale și se aplică direct în toate statele membre.

Adoptat la Bruxelles, 9 ianuarie 2001.

Pentru Comisie

Franz FISCHLER

Membru al Comisiei


(1)  JO L 160, 26.6.1999, p. 48.

(2)  JO L 333, 24.12.1999, p. 11.

(3)  JO L 340, 31.12.1999, p. 3.

(4)  JO L 350, 20.12.1997, p. 3.

(5)  JO L 76, 25.3.2000, p. 9.

(6)  JO L 298, 12.11.1985, p. 9.

(7)  JO L 11, 16.1.1999, p. 14.

(8)  JO L 45, 21.2.1990, p. 8.

(9)  JO L 16, 21.1.1990, p. 19.

(10)  JO L 279, 11.10.1990, p. 22.

(11)  JO L 325, 17.12.1999, p. 10.

(12)  JO L 256, 7.9.1987, p. 1.

(13)  JO L 28, 3.2.2000, p. 16.


ANEXA I

(Articolul 2)

LISTA METODELOR DE REFERINȚĂ

Index:

Min. = minimum, Max = maximum, Anexă = anexa la regulamentul menționat anterior, SNF = substanțe solide negrase, FFA = acizi grași liberi, PV = valoarea peroxidului, A = aspect, F = miros, C = consistență, TBC = număr total de bacterii, Therm = număr de bacterii termofile, MS = stat membru, FIL = Federația Internațională a Lactatelor, ISO = Organizația Internațională de Standardizare, IUPAC = Uniunea Internațională de Chimie Pură și Aplicată, ADPI = Institutul American pentru Produse Lactate, SCM = lapte condensat îndulcit, EMC = lapte sau smântână evaporate, MSNF = substanțe solide negrase conținute în lapte.

PARTEA A

Regulamentul Comisiei

Produsul

Parametrul

Limita

Metoda de referință

Observații

Regulamentul (CE) nr. 2771/1999

Depozitare publică

(JO L 333, 24.12.1999, p. 11)

Unt fără sare

Grăsime din lapte

Min. 82 %

Anexa XI

 

Apă

Până la 16 %

Anexa IX

 

SNF

Până la 2 %

Anexa X

 

FFA (Max.)

1,2 mmol/100 g grăsime

Standardul FIL 6B:1989

 

PV (Max.)

0,3 mechiv. oxigen/1 000 g grăsime

Standardul FIL 74A:1991 (versiunea în limba engleză)

Nota 1

Bacterii coliforme

Nedetectabile în 1 g

Anexa XVII

Nota 3

Grăsime care nu provine din lapte

Nedetectabilă prin analiza trigliceridelor

Anexa XXVI

 

Marcatori de steroli

Nedetectabili

Anexa XVI

 

Alți marcatori:

– vanilină

Nedetectabilă

Anexa XII

 

– etil esterul acidului carotenic

Nedetectabil

Anexa XIII

 

– trigliceridele acidului enantic

Nedetectabile

IUPAC 2 301 sub 5

 

Caracteristici de sensibilitate

Cel puțin 4 din 5 puncte pentru A, G, C

Anexa VII

 

Dispersia apei

Cel puțin 4 puncte

Standardul FIL 112A:1989

 

Regulamentul (CE) nr. 2771/1999

Depozitare privată

Unt fără sare

Grăsime din lapte

Min. 82 %

Anexa XI

Nota 6

Apă

Până la 16 %

Anexa IX

 

Regulamentul (CE) nr. 2771/1999

Depozitare privată

Unt sărat

Grăsime din lapte

Min. 80 %

Anexa XI

Nota 6

Apă

Până la 16 %

Anexa IX

 

Sare

Până la 2 %

Standardul FIL 12B:1988

 

Regulamentul (CE) nr. 2571/97

(JO L 350, 20.12.1997, p. 3)

Unt fără sare

Grăsime din lapte

Min. 80 %

Anexa XI

 

Apă

Până la 16 %

Anexa IX

 

Marcatori:

– steroli

 

Anexa XIV

 

– vanilină

 

Anexa XII

 

– etil esterul acidului carotenic

 

Anexa XIII

 

– trigliceridele acidului enantic

 

IUPAC 2 301 sub 5

 

Regulamentul (CE) nr. 2571/97

Unt sărat

Grăsime din lapte

Min. 80 %

Anexa XI

 

Apă

Până la 16 %

Anexa IX

 

Sare

Până la 2 %

Standardul FIL 12B:1988

 

Marcatori:

– steroli

 

Anexa XIV

 

– vanilină

 

Anexa XII

 

– etil esterul acidului carotenic

 

Anexa XIII

 

– trigliceridele acidului enantic

 

IUPAC 2 301 sub 5

 

Regulamentul (CE) nr. 2571/97

Unt concentrat

Grăsime din lapte

Min. 99,8 %

Standardul FIL 24:1964

 

Umiditate și MSNF

Până la 0,2 %

FIL 23A:1988 (umiditate)

FIL 24:1964 (MSNF)

 

FFA

Până la 0,35 % (oleic)

Standardul FIL 6B:1989

 

PV (Max.)

0,5 mechiv. oxigen/1 000 g grăsime

Standardul FIL 74A:1991 (versiunea în limba engleză)

Nota 1

Grăsime care nu provine din lapte

Absentă

Anexa XXV

 

Aromă

Proaspătă

 

 

Miros

Fără mirosuri străine

 

 

Altele

Absența agenților de neutralizare, a antioxidanților și conservanților

 

 

Marcatori:

– steroli

 

Anexa XIV

 

– vanilină

 

Anexa XII

 

– etil esterul acidului carotenoic

 

Anexa XIII

 

– trigliceridele acidului enantic

 

IUPAC 2 301 sub 5

 

Regulamentul (CE) nr. 2571/97

Smântână

Grăsime

35 %

Standardul FIL 16C:1987

 

Marcatori:

– steroli

 

Metodele aprobate de autoritatea competentă

Nota 2

– vanilină

 

Anexa XII

 

– etil ester al acidului carotenic

 

Metodele aprobate de autoritatea competentă

Nota 2

– trigliceridele acidului enantic

 

IUPAC 2 301 sub 5

 

Regulamentul (CEE) nr. 429/90

(JO L 45, 21.2.1990, p. 8)

Unt concentrat

Grăsime din lapte

96 % Min.

Metodele aprobate de autoritatea competentă

Nota 2

SNF

Până la 2 %

Metodele aprobate de autoritatea competentă

Nota 2

Marcatori:

– stigmasterol (95 %)

15 g/100 kg de unt concentrat

Anexa XIV

 

– stigmasterol (85 %)

17 g/100 kg de unt concentrat

Anexa XIV

 

– trigliceride ale acidului enantic

1,1 kg/100 kg de unt concentrat

IUPAC 2 301 sub 5

 

 etil ester al acidului butiric și stigmasterol

a se vedea anexa, punctul 1 litera (c)

Anexa XIV

Nota 2

lecitină (E 322)

Până la 0,5 %

Metodele aprobate de autoritatea competentă

Nota 2

NaCl

Până la 0,75 %

Standardul FIL 12B:1988

 

FFA

Până la 0,35 % (oleic)

Standardul FIL6B:1989

 

PV (Max.)

0,5 mechiv. oxigen/1 000 g grăsime

Standardul FIL 74A:1991 (versiunea în limba engleză)

Nota 1

Aromă

Proaspătă

 

 

Miros

Fără mirosuri străine

 

 

Altele

Absența agenților de neutralizare, a antioxidanților și conservanților

 

 

Regulamentul (CEE) nr. 2191/81

(JO L 213, 1.8.1981, p. 20)

Unt fără sare

Grăsime din lapte

Min. 82 %

Anexa XI

 

Apă

Până la 16 %

Anexa IX

 

Regulamentul (CEE) nr. 2191/81

Unt sărat

Grăsime din lapte

Min. 80 %

Anexa XI

 

Apă

Până la 16 %

Anexa IX

 

Sare

Până la 2 %

Standardul FIL 12B:1988

 

Articolul 9 și titlul II al Regulamentului (CE) nr. 1255/1999

Brânză produsă din lapte de oaie și/sau capră

Lapte de vacă

< 1 %

Anexa XV

 

Regulamentul (CEE) nr. 2921/90

Anexa I – Cazeină acidă

Apă

Până la 12,00 %

Standardul FIL 78:C1991

 

Grăsime

Până la 1,75 %

Standardul FIL 127A:1988

 

Aciditate liberă

Până la 0,30 % (lactic)

Standardul FIL 91:1979

 

Regulamentul (CEE) nr. 2921/90

Anexa I – Cazeină cheag

Apă

Până la 12,00 %

Standardul FIL 78C:1991

 

Grăsimi

Până la 1,00 %

Standardul FIL 127A:1998

 

Cenușă

Min. 7,50 %

Standardul FIL 90:1979

 

Regulamentul (CEE) nr. 2921/90

Anexa I – Cazeinați

Apă

Până la 6,00 %

Standardul FIL 78C:1991

 

Proteine ale laptelui

Min. 88,00 %

Standardul FIL 92:1979

 

Grăsime și cenușă

Până la 6,00 %

Standardul FIL 127A:1988

Standardul FIL 89:1979 sau Standardul FIL 90: 1979

 

Regulamentul (CEE) nr. 2921/90

Anexa II – Cazeină acidă

Apă

Până la 10,00 %

Standardul FIL 78C:1991

 

Grăsime

Până la 1,50 %

Standardul FIL 127A:1988

 

Aciditate liberă

Până la 0,20 % (lactic)

Standardul FIL 91:1979

 

TBC (Max.)

30 000 l/g

Standardul FIL 100B:1991

Nota 3

Bacterii coliforme

Absente în 0,1 g

Anexa XVI

Nota 3

Therm: (Max.)

5 000 l/g

Standardul FIL 100B:1991

Notele 3 și 4

Regulamentul (CEE) nr. 2921/90

Anexa II – Cazeină cheag

Apă

Până la 8,00 %

Standardul FIL 78C:1991

 

Grăsime

Până la 1,00 %

Standardul FIL 127A:1988

 

Cenușă

Min. 7,50 %

Standardul FIL 90:1979

 

TBC (Max.)

30 000 l/g

Standardul FIL 100B:1991

Nota 3

Bacterii coliforme

Absente în 0,1 g

Anexa XVI

Nota 3

Therm. (Max.)

5 000 l/g

Standardul FIL 100B:1991

Notele 3 și 4

Regulamentul (CEE) nr. 2921/90

Anexa II – Cazeinați

Apă

Până la 6,00 %

Standardul FIL 78C:1991

 

Proteine ale laptelui

Min. 88,00 %

Standardul FIL 92:1979

 

Grăsime și cenușă

Până la 6,00 %

Standardul FIL 127A:1988

Standardul FIL 89:1979 sau 90: 1979

 

TBC (Max.)

30 000 l/g

Standardul FIL 100B:1991

Nota 3

Bacterii coliforme

Absente în 0,1 g

Anexa XVI

Nota 3

Therm. (Max.)

5 000 l/g

Standardul FIL 100B:1991

Nota 3 și 4

Regulamentul (CE) nr. 2921/90

Anexa III – Cazeinați

Apă

Până la 6,00 %

Standardul FIL 78C:1991

 

Proteine ale laptelui

Min. 85,00 %

Standardul FIL 92:1979

 

Grăsime

Până la 1,5 %

Standardul FIL 127A:1988

 

Lactoză

Până la 1,00 %

Standardul FIL 106:1982

 

Cenușă

Până la 6,5 %

Standardul FIL 89:1979 sau 90:1979

 

TBC (Max.)

30 000 l/g

Standardul FIL 100B:1991

Nota 3

Bacterii coliforme

Absente în 0,1 g

Anexa XVI

Nota 3

Therm. (Max.)

5 000 l/g

Standardul FIL 100B:1991

Notele 3 și 4

Regulamentul (CE) nr. 2799/1999

(JO L 340, 31.12.1999, p. 3)

Furaje combinate și lapte praf degresat (SMP) (folosite în furaje)

Apă (zară praf acidă)

Până la 5 %

 

 

Proteine

31,4 % (Min.) din materia uscată negrasă

Standardul FIL20B:1993

 

Apă (SMP)

Până la 5 %

Standardul FIL 26A:1993

 

Grăsimi (SMP)

Până la 11 %

Standardul FIL 9C:1987

 

Zer închegat (SMP)

Absent

Anexa XIX

Nota 7

Amidon (SMP)

Absent

Anexa XXIII

 

Apă (amestecuri)

Până la 5 % din materia negrasă

Standardul FIL 26A:1993

 

Grăsimi (amestecuri)

Directiva 84/4/CEE a Comisiei (JO L 15, 18.1.1984, p. 28)

 

Zer închegat (amestecuri)

Absent

Anexa XIX

 

Conținutul SMP (din produsul final)

Min. 50 %

Anexa XXII

Nota 7

Grăsimi (din produsul final)

Min. 2,5 % sau 5 %

Directiva 84/4/CEE a Comisiei

Nota 8

Amidon (din produsul final)

Min. 2 %

Anexa XXIII

Nota 9

Cupru (din produsul final)

25 ppm

Directiva 78/633/CEE a Comisiei (JO L 206, 26.7.1987, p. 43)

 

Regulamentul (CE) nr. 322/96 (JO L 45, 23.192, p. 5)

SPM (spray)

Grăsime

Până la 1,0 %

Standardul FIL 9C:1987

 

Proteine

31,4 % (Min.) din materia uscată negrasă

Standardul FIL 20B:1993

 

Apă

Până la 3,5 %

Standardul FIL 26A:1993

 

Aciditate (N/10 NaOH)

Până la 19,5 ml

Standardul FIL 86:1981

 

Lactați

Până la 150 mg/100 g

Standardul FIL 69B:1987

 

Fosfatază

Negativ

Standardul FIL 3356:1975

 

Solubilitate

Până la 0,5 ml la 24 °C

Standardul FIL 129A:1988

 

Particule arse

Disc B Min. (15,0 mg)

ADPI:1990

 

TBC

40 000/l g

Standardul FIL 100B:1991

Nota 3

Bacterii coliforme

Negativ/0,1 g

Anexa XVI

Nota 3

Zară

Negativ

Anexa XX

 

Zer închegat

Negativ

Anexa XVIII

 

Zer acid

Negativ

Metoda aprobată de autoritatea competentă

Nota 2

Agenți antimicrobieni

 

Anexa XXI

 


PARTEA B

Metodele de referință enumerate în partea B pot fi folosite pentru analiza produselor din domeniul reglementat de oricare dintre regulamentele enumerate în coloana 1.


Regulamentul Comisiei

Produsul

Codul NC

Parametrul

Limita

Metoda de referință

Nota

Regulamentul (CEE) nr. 2658/87 (JO L 256, 7.9.1987, p. 1)

Regulamentul (CE) nr. 2414/98 (JO L 299, 10.11.1998, p. 7)

Regulamentul (CE) nr. 1374/98 (JO L 185, 30.6.1998, p. 21)

Regulamentul (CE) nr. 2508/97 (JO L 345, 16.12.1997, p. 31)

Regulamentul (CE) nr. 174/1999 (JO L 20, 27.1.1999, p. 8)

Lapte și smântână neconcentrate și neconținând zahăr adăugat sau alți îndulcitori

0401

Grăsime (≤ 6 %)

Limitele sunt cele specificate în descrierea codului CN pentru produsul respectiv, specificate mai apoi după caz în Regulamentul (CEE) nr. 3846/87 al Comisiei (JO L 366, 24.12.1987, p. 1) partea a 9-a din nomenclatura pentru export sau Regulamentul (CE) nr. 1374/98 (JO L 185, 30.6.1998, p. 21)

Standardul FIL 1D:1996

 

Grăsime (> 6 %)

Standardul FIL 16C:1987

 

Lapte și smântână, concentrate sau conținând zahăr adăugat sau alți îndulcitori

0402

Grăsimi (formă lichidă)

 

Standardul FIL 13C:1987

 

Grăsimi (formă solidă)

 

Standardul FIL 9C:1987

 

Proteine

 

Standardul FIL 20B:1993

 

Sucroză (conținut normal)

 

Standardul FIL 35A:1992

 

Sucroză (conținut scăzut)

 

Metodele aprobate de autoritatea competentă

Nota 2

Solide (SCM)

 

Standardul FIL 15B:1991

 

Solide (EMC)

 

Standardul FIL 21B:1987

 

Apă (lapte și smântână praf)

 

Standardul FIL 26A:1993

 

Zară, lapte sau smântână fermentate sau acidificate, concentrate sau neconcentrate, conținând zahăr adăugat sau alți îndulcitori

0403

Grăsime

 

Standardele FIL 1D:1996, 9C:1987, 16C:1987, 22B:1987, 126A:1988

 

Proteine

 

Standardul FIL 20B:1993

 

Sucroză (conținut normal)

 

Standardul FIL 35A:1992

 

Sucroză (conținut scăzut)

 

Metodele aprobate de autoritatea competentă

Nota 2

Apă (zară acidă praf)

 

Anexa XXIV

 

Apă (zară dulce praf)

 

Standardul FIL 26A:1993

 

Solide (alte produse)

 

Metodele aprobate de autoritatea competentă

 

Zer, concentrat sau nu, conținând sau nu zahăr adăugat sau alți îndulcitori; produse formate din constituenți naturali ai laptelui

0404

Grăsime

 

Standardele FIL 9C:1987, 16C:1987,

22B:1987

 

Proteine

 

Standardul FIL 20B:1993

 

Sucroză (conținut normal)

 

Standardul FIL 35A:1992

 

Sucroză (conținut scăzut)

 

Metode aprobate de autoritatea competentă

Nota 2

0404 90

Proteine

 

Standardul FIL 20B:1993

 

Apă

 

Standardul FIL 26A:1993

 

Solide

 

Standardul FIL 25B:1991

 

(Produse concentrate)

 

Standardul FIL 21B:1987

 

Unt și alte grăsimi derivate din lapte; produse lactate tartinabile

0405

Grăsime (în cazul în care ≤ 85 %)

 

Anexa XI

 

Apă

 

Anexa IX

 

Unt

SNF

 

Anexa X

 

NaCl

 

Standardul FIL 12B:1998

 

Ulei de unt

Grăsime (în cazul în care > 99 %)

 

Standardul FIL 24:1964

 

Apă (în cazul în care < 99 %)

 

Standardul FIL 23A:1988

 

Brânză și brânză de vaci

0406

Grăsime

 

Standardul FIL 5B:1986

 

Solide

 

Standardul FIL 4A:1982

 

Solide (Urdă)

 

Standardul FIL 58:1970

 

NaCl

 

Standardul FIL 88A:1988

 

Lactoză

 

Standardul FIL 79B:1991

 

Regulamentul (CEE) nr. 2658/87

Furaje combinate

2309

Lactoză

 

Anexa XVII

 


ANEXA II

(Articolul 3)

VERIFICAREA REZULTATELOR OBȚINUTE PRIN METODE DE RUTINĂ CARE SUNT APROAPE DE LIMITELE SPECIFICATE ÎN REGULAMENTELE PRIVIND CERINȚELE DE COMPOZIȚIE ȘI CALITATE

În cazul în care m0 este limita pentru cerințele de compoziție și calitate specificate în unul dintre regulamente, limita de decizie (L) este

Formula

dacă RRout/RRef ≤ 1

RRout: Limita de reproductibilitate a metodei de rutină

RRef: Limita de reproductibilitate a metodei de referință

În cazul în care m0 este o limită superioară iar RRout/RRef > 1, această limită de decizie se obține cu ajutorul formuleiFormula

Dacă, în aceleași condiții, m0 este o limită inferioară, limita de decizie se obține cu ajutorul formulei

Formula

unde CrD95 este diferența critică a metodei de referință (a se vedea anexa IV).

În cazul în care m0 este o limită superioară, rezultatele finale care se situează deasupra limitei de decizie obținute printr-o metodă de rutină se înlocuiesc cu un rezultat final obținut prin metoda de referință. Acest rezultat final trebuie să se bazeze pe cel puțin același număr de analize/probe ca și rezultatul final obținut prin metoda de rutină.

În cazul în care m0 este o limită inferioară, se urmează aceeași procedură pentru rezultatele finale care se situează sub limita de decizie obținută prin metoda de rutină.

Notă

Procedura descrisă mai sus poate fi urmată în cazul în care nu există efecte matriciale detectabile.

Efectele matriciale pot fi detectate în modul următor: pentru fiecare probă folosită pentru calibrare se determină diferența (wi) dintre rezultatele obținute prin metodele de referință și de rutină.

Valoarea deviației standard calculată cu ajutorul formulei

Formula

m: Numărul probelor folosite pentru calibrare

se compară cu media aritmetică a deviației standard a repetabilității metodelor de referință și de rutinăFormula

Efectul matricial nu poate fi exclus dacă

Image

unde

f= m (f: numărul de grade de libertate)

α= probabilitatea de eroare; α = 0,05.

În acest caz, sunt necesare investigații ulterioare înainte de a se putea stabili o limită de decizie.


ANEXA III

(Articolele 4 și 5)

(a)   Procedura de determinare a respectării unei limite de reproductibilitate stabilite (Analiză chimică)

Respectarea limitei de reproductibilitate se verifică prin compararea rezultatele de laborator cu rezultatele obținute într-un laborator cu experiență (1), utilizându-se o probă identică. În ambele laboratoare se realizează o dublă determinare, iar rezultatele se evaluează cu ajutorul formulei:

Formula

unde:

CrD95

:

diferența critică (P = 0,95)

Formula

:

media aritmetică a două rezultate obținute în laboratorul 1

Formula

:

media aritmetică a două rezultate obținute în laboratorul 2

R

:

limita de reproductibilitate: se determină prin interpolare,

r

:

limita de repetabilitate: în cazul în care precizia variază odată cu nivelul.

În cazul în care diferența critică este depășită, se realizează un alt experiment în decursul următoarelor două luni. În cazul în care rezultatele celui de-al doilea experiment nu sunt conforme cu limita de reproductibilitate, autoritățile competente iau măsurile necesare.

(b)   Procedura pentru obținerea unei limite orientative de reproductibilitate (Analiză chimică)

Limita orientativă de reproductibilitate (Rprov) se obține cu ajutorul următoarei ecuații:

Formula

unde:

Formula

:

media a două rezultate obținute în laboratorul 1

Formula

:

media a două rezultate obținute în laboratorul 2 [a se vedea anexa III litera (a)]

r

:

limita de repetabilitate sau limita orientativă de repetabilitate.

Observații:

1.

Rprov poate fi folosită pentru calcularea diferențelor critice (a se vedea anexa VI).

2.

Rprov se stabilește la 2r în cazul în care valoarea calculată pentru Rprov este mai mică decât 2r.

3.

În cazul în care valoarea calculată este mai mare decât 3r sau cu mult mai mare decât dublul valorii R rezultată din ecuația Horwitz (2), atunci Rprov este inacceptabil de mare și nu poate fi folosită pentru calcularea diferenței critice.

4.

Rprov se determină cel puțin o dată pe an pe baza rezultatelor obținute în două laboratoare (a se vedea anexa IV).

5.

Valoarea medie a Rprov se utilizează la calcularea diferențelor critice. Regulile enunțate la 2 și 3 se aplică valorii medii a lui Rprov.

Limita de reproductibilitate (valoarea lui R) se obține din valoarea calculată a RSD

R

după cum urmează

Formula

: media aritmetică a rezultatelor obținute)

Câteva valori calculate ale RSDR (exemple)

Concentrație

RSDR (%)

1 g/100 g

4

0,01 g/100 g

8

1 mg/1 000 g

16

Cu o concentrație a analitului de 1 g/100 g se obține:

Formula.


(1)  Laboratorul cu experiență este în general unul care a participat cu succes fie la validarea metodei de testare, fie la un test de competență.

(2)  Ecuația Horwitz:

Formula

unde:

RSDR

:

deviație standard relativă a reproductibilității

c

:

concentrația exprimată ca fracție zecimală (de exemplu: 10 g/100 g = 0,1).

Referințe:

Peele, J.T., Horwitz, W. și Albert, R.J.Ass. Off. Anal. Chem.72(5), 784-806 (1989).


ANEXA IV

(Articolul 4)

EVALUAREA REZULTATELOR ANALITICE OBȚINUTE PRIN METODE VALIDATE

În cazul în care rezultatul analitic arată că a fost depășită o limită, se calculează media aritmetică a două sau mai multe rezultate. Se utilizează procedura următoare:

1.

În cazurile în care rezultatul analitic este constituit dintr-un singur rezultat, se efectuează o a doua analiză în condiții de repetabilitate. În cazul în care cele două analize nu pot fi efectuate în condiții de repetabilitate, se efectuează încă o analiză în duplicat în condiții de repetabilitate și se folosesc acele rezultate pentru evaluarea respectării diferenței critice.

2.

Se determină valoarea absolută a diferenței dintre media aritmetică a rezultatelor obținute în condiții de repetabilitate și se determină limita. O valoare absolută a diferenței mai mare decât diferența critică denotă faptul că proba supusă analizei nu îndeplinește condițiile.

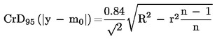
Diferența critică se determină cu ajutorul următoarei formule:

Formula

unde:

Formula

: media aritmetică a rezultatelor obținute

m0: limita

n: numărul de analize/probe

În cazul în care gradul de precizie variază cu nivelul, este necesară determinarea lui r și R prin interpolare.

În mod normal, un rezultat final raportat pentru o probă trebuie să arate că a fost respectată o limită.

Rezultatele finale

cuprinse în intervalulFormulașiFormula, în cazul în care limita este maximă;

cuprinse în intervalulFormulașiFormula, în cazul în care limita este minimă

vor apărea deci numai în mod excepțional.

Rezultatele finale cuprinse în intervalele menționate se acceptă numai în cazul în care se întâlnesc nu mai mult de o dată la fiecare cinci probe supuse analizei per lot. În cazul în care se analizează mai puțin de cinci probe per lot, un rezultat din intervalul menționat este acceptabil. Cu toate acestea, în cazul în care loturile sunt oferite în mod repetat de către un producător, se respectă regula potrivit căreia din cinci probe analizate se obține numai un rezultat cuprins în intervalul menționat.

3.

În cazul în care rezultatul final x se calculează utilizând o formulă de forma x = y1 ± y2 (de exemplu: apă + conținutul de grăsimi solide nealimentare din unt pentru a calcula conținutul de grăsime) unde y1 și y2 sunt rezultatele finale ale unui singur tip de analiză, atunci limitele finale de repetabilitate și de reproductibilitate rx și Rx pentru rezultatele finale x se calculează ca:

Formula Formula

unde r1 și r2 sunt limitele de repetabilitate, iar R1 și R2 limitele de reproductibilitate ale y1 și respectiv y2.

x se compară cu limita m0 urmând regulile menționate la 1 și 2. Diferența critică se determină folosind formula:

Formula

unde x este media aritmetică a rezultatelor x1 obținute.

4.

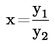
În cazul în care rezultatul final se calculează pe baza unei formule de forma

Formula

(de exemplu: grăsimea din conținutul de materie uscată al brânzei)

unde y1 și y2 sunt rezultatele finale ale unui singur tip de analiză, atunci limitele totale de repetabilitate și de reproductibilitate rx și Rx se pot calcula ca:

Formula Formula Formula

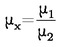
μ1: valoare limită sau țintă pentru y1 (exemplu: grăsime)

μ2: valoare limită sau țintă pentru y2 (exemplu: materie uscată)

Formula Formula

unde

r1: limita de repetabilitate, y1

r2: limita de repetabilitate, y2

Formula Formula

unde

R1: limita de reproductibilitate, y1

R2: limita de reproductibilitate, y2

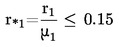
Procedurile pentru calculul lui rx și Rx pot fi aplicate numai în cazul în care limitele relative de repetabilitate și de reproductibilitate (r*1; r*2; R*1; R*2) sunt mai mici sau egale cu 0,15.

x se compară cu limita μx urmând regulile enunțate la 1 și 2. Diferența critică se determină utilizând formula:

Formula

unde Formula este media aritmetică a rezultatelor x obținute în ordine cronologică (1).


(1)  

Notă: În cazul în care, de exemplu, se obțin rezultatele y11, y12, y21 și y22, trebuie calculată media aritmetică a lui y11/y21 și y12/y22.


ANEXA V

CONTROLUL INTERN

(Articolul 5)

(a)   Procedura de control intern al calității (IQC) (analiză chimică)

Definiția materialului de control

Materialul folosit în scopul IQC este supus aceleiași, sau unei părți a aceleiași, proceduri ca și materialele analizate.

Materialul de control poate fi:

material de referință autorizat,

material de referință intern,

material validat printr-un test inter-laboratoare,

material întărit.

Procedura de stabilire a IQC

Laboratorul introduce IQC urmând procedura descrisă în documentul IUPAC „Harmonized Guidelines for Internal Quality Control in analytical laboratories” (Orientări armonizate pentru controlul intern al calității în laboratoarele analitice) (1).

IQC presupune includerea materialelor de control în ciclul de analiză sau repetarea analizei probei analizate. Materialele de control trebuie să aibă o compoziție chimică similară cu cea a probelor și să aibă o stabilitate corespunzătoare pe parcursul perioadei respective. Trebuie să se demonstreze că ele pot fi împărțite în mod corespunzător în cantități identice spre a fi analizate, și au o concentrație a analitului adecvată intervalului în cauză.

Materialul de control este introdus cel puțin o dată în fiecare ciclu analitic iar valoarea obținută se reprezintă pe un grafic de control în vederea măsurării erorilor pe termen lung. În plus, laboratorul trebuie să demonstreze periodic respectarea condițiilor de repetabilitate în cadrul ciclului. Acest lucru se poate realiza prin analize ale probei martor și/sau a materialelor de analiză în duplicat. Rezultatele acestor analize se compară cu orice limite de repetabilitate publicate și cu orice date existente despre precizia internă.

În cazul în care se folosesc materiale de control, valorile obținute pentru analiza dintre cicluri a materialelor de control se reprezintă pe un grafic Shewhart [ISO 8258 (1991)] cu limite de control adecvate. Limitele de acțiune se stabilesc la

 

Formula,

 

unde st este deviația standard totală,

 

limitele de avertizare la

 

Formula

Deviație standard totală:

Formula

în care:

sb

:

deviația standard dintre cicluri

sw

:

deviația standard în interiorul ciclului

n

:

numărul de determinări

În cazul în care nu se folosesc materiale de control (de exemplu, din cauza lipsei de stabilitate), cel puțin unul dintre materialele testate se analizează în duplicat în fiecare ciclu.

Diferența absolută obținută din analizele în duplicat dintr-un ciclu (a se vedea anexa III) se reprezintă grafic. Linia de bază este 1,128 sw, limita inferioară este 0, limita superioară (limita de acțiune) este 3,3686 sw, unde sw este deviația standard în interiorul ciclului.

Procedura de control include materiale de nivel înalt și scăzut când gama de concentrațiilor este mare.

În cazul în care materialele de analiză acoperă o gamă largă de concentrații ale analitului, laboratorul stabilește relația dintre precizie și nivel. În cazul în care precizia este proporțională cu nivelul, controlul ulterior se bazează pe precizie relativă (respectiv diferența absolută ca procent din valoarea medie).

Apariția unei situații care nu poate fi controlată în sistemul de analiză este semnalată în următoarele cazuri:

A.

valoarea reprezentată în momentul respectiv iese din limitele de acțiune,

B.

valoarea din momentul respectiv și valoarea precedentă depășesc limitele de avertizare dar se mențin între limitele de acțiune,

C.

în cazul în care se folosesc materiale de control, nouă valori succesive sunt situate de aceeași parte a liniei medii.

Laboratorul acționează în cazul unei situații care nu poate fi controlată, prin:

A.

oprirea analizelor în așteptarea testelor de diagnostic și a acțiunilor de remediere și

B.

respingerea ciclului de rezultate și reanalizarea materialelor de analiză.

(b)   Procedură pentru selectarea materialului intern de control și determinarea limitelor interne de precizie (analiză chimică)

Date privind precizia laboratorului pot fi obținute prin repetarea analizei materialelor de control și/sau prin repetarea analizei probelor.

Laboratoarele folosesc următoarea procedură pentru a stabili parametri de precizie pentru variația dintre cicluri și în interiorul ciclului pentru uz ulterior în întocmirea graficelor de control. Laboratoarele pot adopta proceduri alternative cu condiția să poată demonstra în mod adecvat că datele rezultate sunt de o precizie corespunzătoare.

1.   Selecția materialelor de control

Dacă este cazul ca laboratorul să folosească material de control, se colectează mai întâi datele necesare pentru a se stabili limite. În cazul în care este posibil, se folosesc materiale de referință certificate (MRC). Materialele de control propuse se analizează în condiții de repetabilitate în cadrul unui ciclu incluzând MRC potrivite, cu repetarea analizelor și cu randomizare. În cazul în care această abordare nu este posibilă, laboratoarele caută să susțină teste de competență și să stabilească mijloace asupra cărora s-a ajuns la un consens (cu valori stabilite) care pot fi considerate un adevărat mijloc convențional căruia îi poate fi atribuită o nesiguranță adecvată. Alte proceduri includ atribuirea valorii reale prin formularea sau utilizarea materialelor de control dopate.

În plus, în cazul în care laboratorul desfășoară în mod regulat astfel de analize și a instituit deja controlul statistic, orice material nou de control (de exemplu, solicitat din cauza epuizării stocurilor) se obține în raport cu analizele în desfășurare pentru care se folosesc materialele existente.

2.   Atribuirea limitelor

După selectarea materialului de control, laboratorul îl folosește pentru a stabili cifrele de precizie dintre cicluri și în interiorul ciclului.

Ca cerință minimă pentru stabilirea preciziei în interiorul ciclului, analiza materialului de control se realizează în duplicat de 12 ori. Analiza în duplicat se efectuează în condiții de repetabilitate, respectiv de către același operator, cu aceiași reactivi etc. Analiza materialului de control în duplicat se randomizează în cadrul unui ciclu de analiză. Fiecare analiză în duplicat se realizează în zile diferite dintr-o perioadă de timp pentru a se stabili variația rezonabilă de la un ciclu la altul, luând în considerare variațiile normale, de exemplu reactivii, recalibrarea instrumentelor și, după caz, operatorii diferiți.

Notă: Utilizarea datelor care nu sunt total reprezentative pentru variația dintre cicluri pot duce la repetarea inutilă a analizei din cauza limitelor foarte stricte care au fost stabilite. Dimpotrivă, este de așteptat ca un laborator în care datele de precizie care sunt prea imprecise să nu poată face față limitelor prevăzute în metodele de referință, performanța sa fiind slabă în comparație cu cea a laboratoarelor de același tip, iar datele rezultate nefiind adecvate scopului căruia îi sunt destinate.

2.1.   Determinarea preciziei în interiorul ciclului

2.1.1.   Precizia în interiorul ciclului în cazul în care este disponibil un material de control

Datele în duplicat (minim 12 duplicate) trebuie mai întâi supuse la testului Cochran pentru gradul maxim de libertate. Aceasta implică compararea pătratului seriei maxime de duplicate cu suma pătratelor seriilor.

Formula

unde

di

=

diferența dintre duplicate

Valoarea criteriului lui Cochran, C, este comparată cu valorile tabelare [ISO 5725 (1994)]. În cazul în care o valoare poate fi clasificată ca fiind o valoare minimă sau maximă excepțională, rezultatul trebuie investigat pentru a se găsi o explicație, de exemplu, o eroare tehnică, o greșeală de calcul, o scăpare în realizarea testului, analiza unei alte probe. În cazul în care explicația erorii tehnice dovedește că înlocuirea rezultatului suspect este imposibilă, acesta este înlăturat, fiind considerat o valoare maximă excepțională reală. În cazul în care rămân cazuri neexplicate, de valori minime sau maxime excepționale, valorile minime excepționale sunt reținute ca fiind corecte, iar valorile statistice maxime excepționale sunt înlăturate. Laboratorul trebuie să încerce să obțină valori care să le înlocuiască pe acestea.

De îndată ce laboratorul s-a asigurat că datele nu cuprind valori maxime excepționale, deviația standard în interiorul ciclului sw se obține după cum urmează:

pentru fiecare pereche xi1, xi2 a datelor duplicat p, suma duplicatelor,

Formula

și diferența duplicatelor,

Formula

sunt calculate și însumate ca

Formula

Formula

Formula

Evaluarea deviației standard în interiorul ciclului este

Formula

Limita de precizie internă este 2.8. sw.

În cazul în care se utilizează o metodă de referință, limita de precizie internă se compară cu limita de repetabilitate publicată. Laboratorul trebuie să îndeplinească cerința metodei de referință. Neconformarea la această cerință trebuie investigată.

Limitele stabilite sunt considerate provizorii și sunt revizuite.

2.1.2.   Precizia în interiorul ciclului în cazul în care nu este disponibil un material de control

Laboratorul poate alege să stabilească precizia în interiorul ciclului prin analize ale probelor reprezentative în duplicat (minim 12 analize în duplicat). În cazurile în care utilizarea de materiale de control este imposibilă, de exemplu din cauza instabilității, se folosește această metodă pentru acumularea de date în duplicat.

Notă: Se presupune că analizele acoperă o gamă relativ restrânsă de valori și deci se va aplica o singură valoare tuturor probelor. În cazul unei game mai largi de rezultate, de exemplu deasupra unui ordin de mărime, iar precizia depinde de nivel, laboratoarele trebuie să studieze utilizarea deviațiilor standard relative.

Datele trebuie supuse testului Cochran, ca la 2.1.1. Imediat ce laboratorul se asigură că datele nu conțin valori maxime excepționale, se pot obține deviația standard și limita de precizie internă în interiorul ciclului ca la punctul 2.1.1.

Deviația standard în interiorul ciclului sw poate fi folosită pentru a realizarea de grafice de control (a se vedea anexa II). Limitele stabilite sunt considerate provizorii și sunt revizuite.

2.2.   Determinarea preciziei între cicluri

Valoarea medie (s1/2) se calculează pentru fiecare pereche și se supune la testul Grubbs [ISO 5725 (1994)]. Criteriile de respingere/acceptare a valorilor excepționale maxime și minime sunt descrise la 2.1.1. Laboratorul trebuie să încerce să obțină o valoare de înlocuire pentru orice rezultat care a fost înlăturat. După ce laboratorul se asigură că datele nu conțin valori excepționale minime și maxime, se calculează deviația standard în interiorul ciclului sb.

Formula

sau 0 în cazul în care expresia de sub semnul radical este negativă.

Deviația standard totală st se folosește pentru realizarea de grafice de control pentru media de n determinări (a se vedea anexa II). Limitele stabilite sunt considerate provizorii și sunt revizuite.

3.   Revizuirea limitelor inițiale

Limitelor de control stabilite după cum s-a arătat mai sus sunt considerate estimări inițiale.

Pentru actualizarea limitele stabilite pe baza preciziei acceptabile în interiorul ciclului (punctul 2.1.2), se colectează date suplimentare în duplicat asupra probelor. Intervalul de timp dinaintea revizuirii depinde de frecvența analizelor. Ca orientare, datele se revizuiesc după obținerea a alte 10 duplicate. Apoi toate datele se supun testului Cochran, iar limitele se restabilesc pe baza noii valori a deviației standard. În baza noilor date se iau decizii asupra validității limitelor de control.

Și revizuirea datelor inițiale obținute pentru precizia dintre cicluri depinde de frecvența analizelor. Ca orientare, după obținerea prin analiza materialului de control a zece puncte de date, la o frecvență de o analiză per lot, presupunerile inițiale privind deviația standard și medie se revizuiesc.

Tuturor datelor li se aplică testul Grubbs pentru valorile maxime excepționale. Deviația medie și standard se recalculează pe baza noilor date.

În plus, în această fază, laboratorul trebuie să folosească un grafic Cusum [BS S700: (1984) și amendamentul 5480 (1987)] pentru a investiga orice probleme care pot apărea, de exemplu îmbătrânirea reactivilor. Orice rezultat individual care nu se încadrează în limitele Cusum „V-mask” trebuie investigat.

Noile limite (deviația medie și standard) trebuie supuse controalelor periodice utilizându-se tehnica Cusum. Orice indiciu că validitatea materialului de control este nesigură se investighează temeinic.

4.   Raportarea datelor cu precizie

Laboratoarele trimit autorității naționale competente următoarele informații:

metoda utilizată,

deviația standard în interiorul ciclului sw, și limita de precizie internă,

deviația standard dintre cicluri sb,

deviația totală standard s1,

numărul total de analize implicat în obținerea datelor de precizie.


(1)  M. Thompson și R. Wood: „Pure and Applied Chemistry” (Chimie pură și aplicată) 67 (4), 649-666 (1995).


ANEXA VI

(Articolul 6)

EVALUAREA EVALUATORILOR ȘI FIABILITATEA REZULTATELOR ÎN ANALIZELE SENZORIALE

În cazul în care se folosesc metode de punctare se aplică următoarele proceduri (Standardul FIL 99C/1997).

(a)   Determinarea „indicelui de repetabilitate”

Cel puțin 10 probe sunt analizate de un evaluator ca duplicat probă martor într-o perioadă de 12 luni. Această procedură se realizează de obicei în câteva ședințe. Rezultatele pentru caracteristicile produsului individual sunt evaluate utilizându-se formula:

Formula

unde:

w1: indice de repetabilitate

xi1: punctajul pentru prima evaluare a probei xi

xi2: punctajul pentru a doua evaluare a probei xi

n: numărul de probe

Probele care urmează a fi evaluate trebuie să reflecte o gamă largă de calitate. w1 nu trebuie să depășească 1,5 (pe o scară de 5 puncte).

(b)   Determinarea „indicelui de deviație”

Acest indice trebuie utilizat pentru a se verifica în cazul în care un evaluator utilizează aceeași scală pentru evaluarea calitativă ca și un grup de evaluatori experimentați. Punctajul obținut de evaluator este comparat cu media punctajelor obținute de grupul de evaluatori.

Pentru evaluarea rezultatelor se folosește următoarea formulă:

Formula

unde:

xi1; xi2: a se vedea punctul (a)

Formula

;

Formula

: punctajul mediu al grupului de evaluatori pentru prima respectiv a doua evaluare a probei x

i

n: numărul de probe (cel puțin zece per 12 luni).

Probele care urmează a fi evaluate trebuie să reflecte o gamă largă de calitate. D1 nu trebuie să depășească 1,5 (pe scale de 5 puncte).

Statele membre notifică orice dificultăți întâmpinate în aplicarea prezentei proceduri.

(c)   Compararea rezultatelor obținute în regiuni diferite ale statelor membre și în diferite state membre

După caz, se organizează un test cel puțin o dată pe an pentru a compara rezultatele obținute de evaluatorii din diferite regiuni. În cazul în care se constată diferențe semnificative, se iau măsurile necesare pentru a se identifica motivele și pentru a se obține rezultate comparabile.

Statele membre pot organiza teste pentru a compara rezultatele obținute de evaluatorii lor cu cele obținute de cei ai statelor membre învecinate. Diferențele semnificative duc la investigații detaliate în scopul de a se obține rezultate comparabile.

Statele membre notifică Comisiei rezultatele acestor comparații.


ANEXA VII

(Articolul 6)

EVALUAREA SENZORIALĂ A UNTULUI

1.   Domeniul de aplicare

Scopul acestei proceduri de evaluare senzorială a untului este de a furniza o metodă uniformă aplicabilă în toate statele membre.

2.   Definiții

 

Evaluare senzorială înseamnă examinarea caracteristicilor unui produs cu ajutorul organelor de simț.

 

Panel înseamnă un grup de evaluatori selectați care, pe perioada evaluării, lucrează independent, fără a comunica între ei și fără a se influența reciproc.

 

Punctare înseamnă evaluarea senzorială realizată de un panel folosindu-se o scală numerică. Trebuie să se folosească un nomenclator al defectelor.

 

Clasificare înseamnă o clasificare pe calități realizată pe baza punctării.

 

Documente de control: documentele folosite pentru înregistrarea punctajelor individuale pentru fiecare caracteristică și a clasificării finale a produsului. (Acest document poate fi folosit și pentru înregistrarea compoziției chimice.)

3.   Cameră de testare

3.1.

Sunt necesare măsuri de precauție pentru ca evaluatorii dintr-o cameră de testare să nu fie influențați de factori externi.

3.2.

În camera de testare nu trebuie să existe mirosuri străine și trebuie să fie ușor de curățat. Pereții trebuie să aibă o culoare deschisă.

3.3.

Camera de testare și iluminarea acesteia trebuie să fie de așa natură, încât să nu afecteze proprietățile produsului care urmează să fie punctat. Camera trebuie dotată cu un sistem adecvat de control al temperaturii.

4.   Selecția evaluatorilor

Evaluatorii trebuie să fie familiarizați cu produsele din unt și să aibă competența necesară pentru a realiza o gradare a sensibilității senzoriale. Competența evaluatorului este evaluată de către autoritatea competentă în mod regulat (cel puțin o dată pe an).

5.   Cerințe pentru panel

Numărul evaluatorilor din panel trebuie să fie impar, numărul minim fiind de trei. Majoritatea acestora trebuie să fie angajați ai autorității competente sau persoane autorizate care nu sunt angajate în industria de prelucrare a laptelui.

Înainte de evaluare trebuie avuți în vedere mai mulți factori pentru obținerea unor performanțe optime ale subiecților:

subiecții nu trebuie să sufere de boli care le-ar putea afecta performanța. Într-un asemenea caz, evaluatorul în cauză trebuie înlocuit în panel cu un alt evaluator;

subiecții trebuie să se prezinte în mod punctual la evaluare și să dispună de suficient timp pentru realizarea evaluării;

subiecții nu trebuie să folosească substanțe cu miros puternic cum sunt parfumul, loțiunea după ras, deodorantul, etc. și trebuie să evite consumul de alimente cu arome puternice (de exemplu foarte condimentate) etc.;

subiecții nu au voie să fumeze, să mănânce și să bea altceva decât apă cu o jumătate de oră înainte de evaluare.

6.   Evaluarea valorii fiecărei caracteristici

6.1.   Evaluarea senzorială se realizează pentru următoarele caracteristici: aspect, consistență și aromă.

Aspectul implică următoarele caracteristici: culoare, puritate vizibilă, creștere a fungilor ciupercilor și dispersia apei. Dispersia apei se testează în conformitate cu standardul FIL 112A/1989.

Consistența implică următoarele caracteristici: fermitate și tartinabilitate.

Pentru evaluarea consistenței untului se pot aplica metode fizice. Comisia preconizează viitoarea armonizare a acestor măsuri.

Aroma implică următoarele caracteristici: gustul și mirosul.

O deviație semnificativă față de temperatura recomandată împiedică evaluarea sigură a consistenței și aromei. Temperatura este extrem de importantă.

6.2.   Fiecare caracteristică trebuie să facă obiectul unei evaluări senzoriale separate. Punctarea se realizează în conformitate cu tabelul 1.

6.3.   Uneori este adecvat ca evaluatorii să puncteze împreună, înainte de evaluare, una sau mai multe probe de referință în privința aspectului, consistenței și aromei, pentru a se obține uniformitate.

6.4.   Punctajul de acceptare este următorul:

 

Maxim

Necesar

Aspect

5

4

Consistență

5

4

Aromă

5

4

În cazurile în care nu se obține punctajul necesar trebuie să se facă o descriere a defectului. Punctajul acordat de fiecare evaluator pentru fiecare caracteristică trebuie înregistrat în documentul de control. Produsul este acceptat sau respins pe baza deciziei majorității. Nu trebuie să se înregistreze în mod frecvent cazuri în care diferențele dintre punctajele individuale acordate pentru fiecare caracteristică să fie mai mari de un punct (nu mai frecvent de un caz la 20 de probe). În caz contrar competența panelului trebuie verificată de conducătorul panelului.

7.   Supraveghere

Conducătorul panelului, care trebuie să fie angajat oficial al autorității competente și care poate fi membru al panelului trebuie să răspundă în general pentru întreaga procedură. El trebuie să înregistreze punctajele individuale pentru fiecare caracteristică în documentul de control și să certifice în cazul în care produsul este acceptat sau respins.

8.   Prelevarea și prepararea probei

8.1.

Este de dorit ca identitatea probelor să fie ascunsă în timpul evaluării, astfel încât să se evite orice posibilitate de favorizare.

Organizarea în acest sens este realizată de conducătorul panelului, înainte de evaluare și fără ca vreunul dintre membrii panelului să fie de față.

8.2.

Când evaluarea senzorială se realizează într-un antrepozit frigorific, proba este prelevată cu ajutorul unui prelevator de unt. În cazul în care evaluarea senzorială se realizează în alt loc decât în antrepozitul frigorific, se prelevează o probă de cel puțin 500 g.

8.3.

Pe parcursul evaluării, untul trebuie să aibă o temperatură de 10 până la 12 °C. Deviațiile mari trebuie evitate cu orice preț.

9.   Nomenclator

Consultați tabelul 2 anexat.

Tabelul 1:   Punctajul pentru unt

Aspect

Consistență

Aroma + aroma

Puncte

Nr. (1)

Observații

Puncte (clasă de calitate)

Nr. (1)

Observații

Puncte (clasă de calitate)

Nr. (1)

Observații

5

 

Foarte bine

tipul ideal

cea mai bună calitate

(substanță uscată egală)

5

 

Foarte bine

tipul ideal

cea mai bună calitate

(bine tartinabil)

5

 

Foarte bine

tipul ideal

cea mai bună calitate

(cea mai fină aromă absolut pură)

4

 

Bine  (2)

Nu există defecte evidente

4

 

Bine  (2)

4

 

Bine  (2)

Nu există defecte evidente

 

 

17

tare

 

 

 

 

18

moale

 

 

3

 

Acceptabil (mici defecte)

3

 

Acceptabil (mici defecte)

3

 

Acceptabil (mici defecte)

1

nelegat (necompact), umed

14

dezemulsionat, friabil, sfărâmicios

21

neclară

2

neuniform, în două culori

15

păstos, de consistența aluatului, gras

22

arome străine

3

cu dungi

16

lipicios

25

acid

4

pestriț, marmorat

17

tare

27

aromă de copt, aromă de ars

5

cu aspect granulat

18

moale

33

aromă de furaj

6

separare a uleiurilor

 

 

34

aspru, amar

7

supracolorat

 

 

35

suprasărat

8

textură slabă, deschisă

 

 

 

 

 

2

 

Slab (defecte evidente)

2

 

Slab (defecte evidente)

2

 

Slab (defecte evidente)

1

nelegat (necompact), umed

14

dezemulsionat, friabil, sfărâmicios

21

impur

3

cu dungi

15

păstos, de consistența aluatului, gras

22

arome străine

4

pestriț, marmorat

16

lipicios

23

vechi

5

cu aspect granulat

17

tare

25

acid

6

separare a uleiurilor

18

moale

32

miros oxidat, miros metalic

10

materii străine

 

 

33

aromă de furaj

11

mucegăit

 

 

34

aspru, amar

12

sare nedizolvată

 

 

35

suprasărat

 

 

 

 

36

mucegăit,putred

 

 

 

 

38

miros de substanțe chimice

1

 

Foarte slab (defecte mari)

1

 

Foarte slab (defecte mari)

1

 

Foarte slab (defecte mari)

1

nelegat (necompact), umed

14

dezemulsionat, friabil, sfărâmicios

22

miros străin

3

cu dungi

15

păstos, de consistența aluatului, gras

24

brânzos, miros de brânză lactică

4

pestriț, marmorat

16

lipicios

25

Acid

5

cu aspect granulat

17

tare

26

Spumos

6

separare a uleiurilor

18

moale

28

miros de mucegai

7

supracolorat

 

 

29

Rânced

9

granulat

 

 

30

uleios, cu gust de pește

10

materii străine

 

 

31

cu aspect/gust de seu

11

cu fungi

 

 

32

miros oxidat, miros metalic

12

sare nedizolvată

 

 

34

aspru, amar

 

 

 

 

36

mucegăit, putred

 

 

 

 

37

cu aspect de malț

 

 

 

 

38

miros de substanțe chimice

Tabelul 2:   Tabelul defectelor untului

I.   Aspect

1.

nelegat (necompact), umed

2.

neuniform, în două culori

3.

cu dungi

4.

pestriț, marmorat

5.

cu aspect granulat

6.

separare a uleiurilor

7.

supracolorat

8.

textură slabă, deschisă

9.

granulat

10.

materii străine

11.

mucegăit

12.

sare nedizolvată

II.   Consistență

14.

dezemulsionat, friabil, sfărâmicios

15.

păstos, de consistența aluatului, gras

16.

lipicios

17.

tare

18.

moale

III.   Miros și aromă

20.

fără miros

21.

impur (3)

22.

arome străine

23.

vechi

24.

brânzos, miros de brânză lactică

25.

acid

26.

spumos

27.

(a)

aromă de copt

(b)

aromă de ars

28.

mucegăit

29.

rânced

30.

uleios, cu gust de pește

31.

cu aspect/gust de seu

32.

(a)

miros oxidat

(b)

miros metalic

33.

aromă de furaj

34.

aspru, amar

35.

suprasărat

36.

mucegăit, putred

37.

cu aspect de malț

38.

miros de substanțe chimice


(1)  Tabelul 2

(2)  Defectele menționate la „bun” reprezintă numai deviații foarte mici de la tipul ideal.

(3)  Această desemnare trebuie folosită cât mai rar posibil și numai atunci când defectul nu poate fi descris mai exact.


ANEXA VIII

(Articolul 7)

PROCEDURA APLICABILĂ CÂND REZULTATELE UNEI ANALIZE SUNT CONTESTATE (analiză chimică)

1.   La cererea operatorului se poate realiza o analiză suplimentară în termen de șapte zile lucrătoare de la notificarea rezultatelor primei analize, cu condiția să fie disponibile probe martor sigilate din produs care să fi fost depozitate corespunzător de autoritatea competentă.

Autoritatea competentă trimite aceste probe unui al doilea laborator, la cererea și pe cheltuiala operatorului. Acest laborator trebuie să fie autorizat în vederea efectuării de analize oficiale și trebuie să aibă competențe dovedite în realizarea analizelor în cauză. Această competență trebuie documentată printr-o participare încununată de succes în studii de colaborare, teste de eficiență sau comparații între laboratoare. Al doilea laborator trebuie să folosească metoda de referință. Rezultatele obținute de cele două laboratoare se compară după cum urmează:

(a)   În cazul în care ambele laboratoare îndeplinesc cerința de repetabilitate și cerința de reproductibilitate

Media aritmetică a rezultatelor testelor obținute de ambele laboratoare este raportată ca rezultat final. Acest rezultat final este evaluat luându-se în considerare diferența critică, cu ajutorul următoarei formule:

unde

Formula

:

media aritmetică a tuturor rezultatelor obținute de ambele laboratoare

m0

:

limită

R

:

reproductibilitate

r

:

repetabilitate

n1

:

numărul rezultatelor obținute de laboratorul 1

n2

:

numărul de rezultate obținute de laboratorul 2.

Notă: În cazul în care rezultatul final se calculează cu formula

FormulasauFormula

[a se vedea anexa IV punctul 3 și respectiv 4], R2 x și r2 x se inserează în formulă în loc de R2 și r2.

(b)   În cazul în care ambele laboratoare îndeplinesc cerința de repetabilitate dar nu și cerința de reproductibilitate

În cazul în care a doua analiză o confirmă pe prima, cantitatea analizată este respinsă ca neconformă. În caz contrar, cantitatea este acceptată.

(c)   În cazul în care numai un laborator îndeplinește condiția de repetabilitate

Pentru a se stabili în cazul în care cantitatea analizată este acceptată sau nu se folosește rezultatul final al laboratorului care îndeplinește cerința de repetabilitate.

(d)   În cazul în care nici unul dintre laboratoare nu îndeplinește cerința de repetabilitate, dar este îndeplinită cerința de reproductibilitate.

(a) se aplică.

(e)   În cazul în care nici unul dintre laboratoare nu îndeplinește nici cerința de repetabilitate, nici cerința de reproductibilitate

Cantitatea analizată este acceptată în cazul în care rezultatele obținute de unul dintre laboratoare conduc la această concluzie.

(f)   În cazul în care rezultatele au fost obținute prin folosirea de metode nevalidate

Cantitatea analizată este acceptată în cazul în care rezultatele obținute de unul dintre laboratoare conduc la această concluzie.

3.   Rezultatele celei de-a doua analize trebuie notificate de către autoritatea competentă operatorului cât mai curând posibil. Costurile celei de-a doua analize sunt suportate de operator în cazul în care cantitatea analizată este respinsă.

4.   În cazul în care operatorul poate dovedi, în termen de cinci zile lucrătoare de la prelevarea probei, că procedura de prelevare a probelor nu a fost realizată corect, prelevarea probelor trebuie efectuată din nou în cazul în care este posibil. În cazul în care prelevarea probelor nu poate fi repetată, cantitatea analizată trebuie acceptată.


ANEXA IX

(Articolul 8)

DETERMINAREA CONȚINUTULUI DE APĂ DIN UNT

1.   Obiectul și domeniul de aplicare

Această metodă de referință precizează o metodă de determinare a conținutului de apă din unt.

2.   Referința

Standardul FIL 50 C: 1995 – Lapte și produse lactate – Metode de prelevare a probelor

3.   Definiție

Conținutul de apă din unt: pierderea de masă după încheierea procesului de încălzire specificat în acest standard. Se exprim în grame per 100 de grame.

4.   Principiu

Evaporarea apei din cantitatea analizată în prezența unei pietre ponce la o temperatură de 102 °C într-un cuptor de uscare.

5.   Aparatură și materiale

Aparate obișnuite de laborator, în special:

5.1.

Balanță analitică, precizie 1 mg.

5.2.

Desicator prevăzut cu un agent eficient de uscare (de exemplu, silicagel proaspăt uscat cu indicator higroscopic).

5.3.

Cuptor de uscare, ventilat, controlat prin termostat, funcționând la 102 + 2 °C în întregul spațiu de lucru.

5.4.

Vase de sticlă, porțelan sau din metale inoxidabile, cu înălțimea de aproximativ 20 mm și diametru între 60 și 80 mm.

5.5.

Piatră ponce granulată, spălată cu diametru de 0,8 – 10 mm.

6.   Prelevarea probelor

A se vedea FIL 50 C: 1995

7.   Procedură

7.1.   Prepararea probei

Se încălzește proba de laborator într-un recipient închis de sticlă sau dintr-un plastic adecvat, care trebuie să fie umplut de la jumătate până la două treimi, la o temperatură la care proba este suficient de moale pentru a facilita amestecarea ei temeinică până la o stare omogenă (cu ajutorul unui agitator mecanic sau manual). În mod normal temperatura de amestecare nu trebuie să depășească 35 °C. Proba se răcește până la temperatura ambiantă. Cât mai curând posibil după răcire, se deschide recipientul care conține proba și se amestecă rapid (nu mai mult de 10 secunde) cu un dispozitiv adecvat, de exemplu, o lingură sau o spatulă, înainte de cântărire.

7.2.   Determinarea conținutului de apă

7.2.1.

Se pun în vas aproximativ 10 g de piatră ponce (5.4).

7.2.2.

Vasul cu piatra ponce se usucă în cuptor (5.3) la 102 + 2 °C timp de cel puți o oră.

Notă: perioadele de uscare menționate la 7.2.2, 7.2.5 și 7.2.7 încep în momentul în care temperatura cuptorului ajunge la 102 + 2 °C.

7.2.3.

Vasul se lasă să se răcească în desicator (5.2) până ajunge la temperatura sălii de balanțe și se cântărește cu o precizie de 1 mg.

7.2.4.

Se cântărește în vas, cu o precizie de 1 mg, o cantitate pentru analiză de aproximativ 5 g din probă.

7.2.5.

Vasul se pune în cuptor, la 102 + 2 °C, timp de trei ore.

7.2.6.

Vasul se lasă să se răcească în desicator până ajunge la temperatura sălii de balanțe și se cântărește cu o precizie de 1 mg.

7.2.7.

Se repetă procesul de uscare timp de aproximativ încă o oră, iar proba se răcește și se cântărește de fiecare dată după cum se arată la 7.2.6 până se obține o masă constantă (modificarea masei mai mică de 1 mg).

În cazul în care masa crește, se folosește pentru calcule cea mai mică masă înregistrată.

8.   Exprimarea rezultatelor

8.1.   Metoda și formula de calcul

Conținutul de apă, W, se calculează ca procent de masă folosindu-se următoarea formulă:

Formula

unde

m0

este masa vasului cu piatra ponce exprimată în grame (7.2.3)

m1

este masa cantității analizate, a vasului și a pietrei ponce exprimată în grame înainte de uscare (7.2.4)

m2

este masa cantității analizate, a vasului și a pietrei ponce exprimată în grame după uscare (7.2.7)

Rezultatul se raportează cu o singură zecimală.

8.2.   Repetabilitate

Diferența absolută dintre rezultatele a două determinări separate, realizate simultan sau în succesiune rapidă de către același operator, în aceleași condiții și cu material de analiză identic nu trebuie să depășească 0,2 %.

8.3.   Reproductibilitate

Diferența absolută dintre două rezultate separate și independente, obținute de doi operatori care lucrează în laboratoare diferite cu același material de analiză nu trebuie să depășească 0,3 %.

9.   Raportul de analiză

În raportul de analiză se precizează metoda folosită și rezultatele obținute. De asemenea, se menționează toate detaliile de funcționare care nu sunt specificate în acest standard internațional sau sunt considerate opționale, alături de detalii asupra oricăror incidente care ar fi putut influența rezultatele. Raportul de analiză include toate informațiile necesare pentru identificarea completă a probei.


ANEXA X

(Articolul 8)

UNT: DETERMINAREA CONȚINUTULUI DE SUBSTANȚE SOLIDE NEGRASE

1.   Obiectul și domeniul de aplicare

Acest standard descrie o metodă de determinare a conținutului de substanțe solide negrase din unt.

2.   Referințe

Standardul FIL 50 C: 1995 – Lapte și produse lactate – Metode de prelevare a probelor

3.   Definiții

Conținut de solide negrase al untului: procentul de masă al substanțelor determinat prin procedura specificată. Se exprimă în grame per 100 grame.

4.   Principiu

Evaporarea apei dintr-o cantitate cunoscută de unt, extragerea grăsimilor cu eter de petrol și cântărirea reziduului.

5.   Reactiv

Eter de petrol cu temperatura de fierbere în intervalul 30-60 °C. Reactivul nu trebuie să formeze mai mult de 1 g de reziduu după evaporarea a 100 ml.

6.   Aparatură și materiale

6.1.

Balanță analitică, precizie 1 mg.

6.2.

Desicator prevăzut cu un agent eficient de uscare (de exemplu, silicagel proaspăt uscat cu indicator higroscopic).

6.3.

Cuptor de uscare, ventilat, controlat prin termostat, funcționând la 102 + 2 °C în întregul spațiu de lucru.

6.4.

Vase de sticlă, porțelan sau din metale inoxidabile, cu înălțimea de aproximativ 20 mm și diametru între 60 și 80 mm, prevăzute cu agitator de sticlă.

6.5.

Creuzet de filtrare, sticlă sinterizată, diametrul porilor 16-40 μm, cu balon de aspirație.

7.   Prelevarea probelor

A se vedea standardul FIL 50 C: 1995.

8.   Procedură

8.1.   Prepararea probei:

Se încălzește proba de laborator într-un recipient închis de sticlă sau dintr-un plastic adecvat, care trebuie să fie umplut de la jumătate până la două treimi, la o temperatură la care proba este suficient de moale pentru a facilita amestecarea ei temeinică până la o stare omogenă (cu ajutorul unui agitator mecanic sau manual). În mod normal, temperatura de amestecare nu trebuie să depășească 35 °C. Proba se răcește până la temperatura ambiantă. Cât mai curând posibil după răcire, se deschide recipientul care conține proba și se amestecă rapid (nu mai mult de 10 secunde) cu un dispozitiv adecvat, de exemplu o lingură sau o spatulă, înainte de cântărire.

8.2.   Determinarea

8.2.1.   Vasul, agitatorul (6.4) și creuzetul (6.5) se usucă în cuptor (6.3) timp de o oră. Aceste obiecte se lasă se răcească în desicator și se cântăresc împreună (respectiv vasul, agitatorul și creuzetul) până la cel mai apropiat 1 mg (m0).

Note:

În general un timp de uscare de 45 de minute este suficient,

Este important să se folosească aceeași combinație vas, agitator, creuzet pentru fiecare cantitate analizată în cazul în care se analizează mai multe cantități în lot.

8.2.2.   Se îndepărtează creuzetul, se înregistrează greutatea vasului și a agitatorului împreună, cu o precizie de 1 gm (m1).

8.2.3.   Se cântărește în vas, cu o precizie de 1 mg, o cantitate analizată de aproximativ 5 g din probă (8.1) (m2).

8.2.4.   Se pune vasul (conținând agitatorul și untul) în cuptor la 102 + 2 °C și se lasă peste noapte.

8.2.5.   Se lasă vasul (8.2.3.) să se răcească la temperatura camerei.

8.2.6.   Se adaugă 15 ml de eter de petrol cald (aproximativ 25 °C) în vas și se desprinde cât mai mult posibil din sedimentul lipit de vas cu ajutorul agitatorului. Solventul se transferă în creuzet și se lasă să se filtreze în balonul de aspirație.

8.2.7.   Se efectuează operația 8.2.6 de încă patru ori. În cazul în care nu există urme de grăsime pe suprafața vasului, se transferă cantitativ în timpul celei de-a patra spălări cât mai mult sediment posibil în creuzet. În caz contrar, se repetă operația 8.2.6 până la eliminarea completă a tuturor urmelor de grăsime.

8.2.8.   Sedimentul din creuzet se spală cu 25 ml de eter de petrol cald.

8.2.9.   Vasul, agitatorul și creuzetul se usucă împreună în cuptor la 102 + 2 °C timp de 30 minute.

8.2.10.   Se lasă să se răcească în desicator până la temperatura camerei și se cântăresc cu o precizie de 1 mg.

8.2.11.   Operațiile 8.2.9 și 8.2.10 se repetă până se obține o masă comună constantă (modificările masei nu depășesc 1 mg) a vasului, agitatorului și creuzetului (m3).

9.   Exprimarea rezultatelor

9.1.   Calcularea conținutului de substanțe solide negrase

Conținutul de substanțe solide negrase SNF, se calculează ca procent de masă folosindu-se următoarea formulă:

Formula

unde

m0

este masa vasului gol cu agitator de sticlă și creuzet (8.2.1)

m1

este masa vasului gol cu agitator de sticlă exprimată în grame (8.2.2)

m2

este masa cantității analizate și a vasului cu agitator de sticlă exprimată în grame (8.2.3)

m3

este masa finală a vasului cu agitator de sticlă și creuzet conținând sediment (8.2.11)

Rezultatul se raportează cu o singură zecimală.

9.2.   Repetabilitate

Diferența absolută dintre rezultatele a două determinări separate, realizate simultan sau în succesiune rapidă de către același operator, în aceleași condiții și cu material de analiză identic nu trebuie să depășească 0,1 %.

9.3.   Reproductibilitate

Diferența absolută dintre două rezultate separate și independente, obținute de doi operatori care lucrează în laboratoare diferite cu același material de analiză nu trebuie să depășească 0,2 %.

10.   Raportul de analiză

În raportul de analiză se precizează metoda folosită și rezultatele obținute. De asemenea, se menționează toate detaliile de funcționare care nu sunt specificate în acest standard internațional sau sunt considerate opționale, alături de detalii asupra oricăror incidente care ar fi putut influența rezultatele. Raportul de analiză include toate informațiile necesare pentru identificarea completă a probei.

Notă:

În cazul în care se analizează unt sărat, sarea adăugată se determină ca substanță solidă negrasă. Pentru determinarea conținutului de substanțe solide negrase conținute în lapte, conținutul de sare adăugată se scade din conținutul de substanțe solide negrase. Cifrele calculate privind precizia determinării conținutului de substanțe solide negrase conținute în lapte sunt:


Repetabilitate:

r = 0,104 %

Reproductibilitate

R = 0,206 %.

Se poate concluziona că aceste cifre privind precizia obținute pentru determinarea substanțelor solide negrase sunt valabile pentru determinarea conținutului de substanțe solide negrase conținute în lapte.


ANEXA XI

(Articolul 8)

DETERMINAREA CONȚINUTULUI DE GRĂSIMI AL UNTULUI

unde


W:

este procentul de masă al apei

SNF:

este procentul de masă al substanțelor solide negrase

Cifrele calculate privind precizia determinării conținutului de grăsimi sunt:


Repetabilitate:

r = 0,22 %

Reproductibilitate

R = 0,36 %.


ANEXA XII

(Articolul 9)

DETERMINAREA CONȚINUTULUI DE VANILINĂ ÎN UNTUL CONCENTRAT, UNT ȘI SMÂNTÂNĂ PRIN CROMATOGRAFIE LICHIDĂ DE ÎNALTĂ PERFORMANȚĂ

1.   Obiectul și domeniul de aplicare

Metoda implică o procedură de determinare cantitativă a vanilinei din untul concentrat, unt și smântână.

2.   Principiu

Extragerea unei cantități cunoscute din probă cu autorul unui amestec de izopropanol/etanol/acetonitril (1:1:2). Precipitarea majorității grăsimii prin răcire între –15 °C și –20 °C, urmată de centrifugare.

După diluarea cu apă, determinarea conținutului de vanilină prin cromatografie lichidă de înaltă performanță (HPLC).

3.   Aparatura

Aparatură obișnuită de laborator și, în special, următoarele:

3.1.

refrigerator cu funcționare în intervalul de temperatură –15 °C la –20 °C;

3.2.

seringi de unică folosință cu capacitate de 2 ml;

3.3.

membrană filtrantă cu pori de 0,45 μm, rezistentă la o soluție conținând 5 % soluție de extragere (4.4);

3.4.

sistem de cromatografie lichidă conținând o pompă (cu debit de 1,0 ml/min), un injector (injectare automată sau manuală a 20 μl), un detector UV (acționat la 306 nm, 0,01 AU scală completă), un înregistrator sau integrator și o coloană termostat care funcționează la 25 °C;

3.5.

coloană analitică (aprox. 20 mm × 4,6 mm diametru interior) acoperită cu LiChrospher RP 18 (Merck, 5 μm) sau o coloană echivalentă;

3.6.

coloană de control (aprox. 20 mm × 3 mm diametru interior) acoperită cu Perisorb RP 18 (30-40 μm) sau o coloană echivalentă.

4.   Reactivi

Toți reactivii utilizați trebuie să fie de calitate analitică recunoscută.

4.1.

Izopropanol

4.2.

Etanol 96 % (v/v)

4.3.

Acetonitril

4.4.

Soluție de extragere

Se amestecă izopropanol (4.1), etanol (4.2) și acetonitril (4.3) în proporție de 1:1:2 (v/v).

4.5.

Vanilină (4-hidroxi-3-metoxibenzaldehidă)

4.5.1.   Soluție „stock” de vanilină (= 500 μg/ml)

Se cântăresc, cu o precizie de 0,1 mg, aproximativ 50 mg (CM mg) de vanilină (4.5) într-un balon cotat de 100 ml, se adaugă 25 ml de soluție de extragere (4.4) și se completează cu apă.

4.5.2.   Soluție standard de vanilină (= 10 μg/ml)

Se pipetează 5 ml de soluție „stock” de vanilină (4.5.1) într-un balon cotat de 250 ml și se completează cu apă.

4.6.

Metanol, calitate HPLC

4.7.

Acid acetic, glacial

4.8.

Apă, calitate HPLC

4.9.

Faza mobilă HPLC

Se amestecă 300 ml de metanol (4.6) cu aproximativ 500 ml apă (4.8) și 20 ml de acid acetic (4.7) într-un balon cotat de 1 000 ml și se completează cu apă (4.8). Se filtrează printr-un filtru de 0,45 μm (3.3).

5.   Procedură

5.1.   Prepararea probei

5.1.1.   Unt

Se încălzește proba până când începe să se topească. Se evită supraîncălzirea unor porțiuni din probă la peste 40 °C. Când proba devine suficient de maleabilă se omogenizează prin scuturare. Se cântăresc, cu o precizie de 1 mg, aproximativ 5 g de unt într-un balon cotat de 100 ml.

5.1.2.   Unt concentrat

Imediat după prelevarea probei, recipientul conținând un concentrat se introduce în cuptor la 40-50 °C până când se topește complet. Proba se amestecă prin turbionare sau agitare, evitându-se formarea de bule de aer din cauza amestecării prea puternice. Se cântăresc cu o precizie de 1 mg aproximativ 4 g de unt concentrat într-un balon cotat de 100 ml.

5.1.3.   Smântână

Proba se încălzește în baie de apă sau într-un incubator la o temperatură de 35-40 °C. Grăsimea se distribuie omogen prin turbionare și, după caz, prin amestecare. Proba se răcește rapid la 20 ± 2 °C. Proba trebuie să aibă un aspect omogen; în caz contrar procedura trebuie repetată. Se cântăresc, cu o precizie de 1 mg, aproximativ 10 g de smântână într-un balon cotat de 100 ml.

5.2.   Prepararea soluției de analiză

Se adaugă aproximativ 75 ml de soluție de extragere (4.4) la proba prelevată (5.1.1, 5.1.2 sau 5.1.3), se agită sau se scutură cu putere timp de aproximativ 15 minute și se completează cu soluție de extragere (4.4). Se transferă aproximativ 10 ml din acest extract într-o eprubetă prevăzută cu dop. Eprubeta se introduce în refrigerator (3.1) timp de aproximativ 30 minute. Extractul rece se centrifughează timp de 5 minute la aproximativ 2 000 rpm și se decantează imediat. Soluția decantată se lasă să se răcească la temperatura camerei. Se pipetează 5 ml din soluția decantată într-un balon cotat de 100 ml și se completează cu apă. Se filtrează o parte alicotă printr-o membrană microfiltrantă (3.3). Filtratul este gata pentru determinarea HPLC.

5.3.   Calibrare

Se pipetează 5 ml de soluție standard de vanilină (4.5.2) într-un balon cotat de 100 ml. Se adaugă 5 ml de soluție de extragere (4.4) și se completează cu apă până la marcaj. Această soluție conține 0,5 μg/ml de vanilină.

5.4.   Determinarea HPLC

Se lasă sistemul cromatografic să se stabilizeze timp de aproximativ 30 minute. Se injectează soluția standard (5.3). Procedura se repetă până când diferența dintre suprafețele vârfurilor sau dintre înălțimile vârfurilor a două injectări succesive este sub 2 %. În condițiile descrise timpul de retenție al vanilinei este de aproximativ 9 minute. Soluția standard (5.3) se analizează în duplicat prin injectarea a 20 μl. Se injectează 20 μl din soluția de analiză (5.2). Se determină suprafața sau înălțimea vârfului obținut pentru vanilină. Se repetă injectarea soluției standard (5.3) în duplicat, modificându-se 10 injectări ale probei (5.2).

6.   Calcularea rezultatelor

Se calculează suprafața (sau înălțimea) medie a vârfurilor (AC) pentru vârfurile vanilinei asociate injectării duplicatelor la începutul și la sfârșitul fiecărui lot de soluție de analiză (în total patru suprafețe sau înălțimi).

Se calculează coeficientul de răspuns (R):

Formula

unde CM este masa vanilinei în mg (4.5.1).

Conținutul (mg/kg) de vanilină (C) din probă se calculează cu ajutorul formulei:

Formula

unde:

AS

=

suprafața vârfului pentru vârful vanilinei din probă

SM

=

masa probei exprimată în g (5.1.1, 5.1.2 sau 5.1.3).

La analiza vanilinei din smântână concentrația marcatorului se exprimă ca mg marcator/kg grăsime din lapte. Pentru aceasta se înmulțește C cu 100/f. f este conținutul de grăsime al smântânii în procente (m/m).

20

=

coeficientul de diluare a probei standard și a probei

0,96

=

factorul de corecție pentru conținutul de grăsime la prima diluare a probei

Notă: În locul suprafeței vârfului se poate folosi înălțimea vârfului (a se vedea 8.3)

7.   Precizia metodei

7.1.   Repetabilitate (r)

Diferența dintre rezultatele a două determinări realizate în cel mai scurt interval de timp posibil de către un operator care utilizează aceleași instrumente și un material de analiză identic nu trebuie să fie mai mare de 16 mg/kg.

7.2.   Reproductibilitate (R)

Diferența dintre rezultatele a două determinări realizate în cel mai scurt interval de timp posibil de operatori din laboratoare diferite, care utilizează instrumente diferite și un material de analiză identic nu trebuie să fie mai mare de 27 mg/kg.

8.   Limitele de toleranță

8.1.   Trebuie să se preleveze trei probe din produsul urmărit pentru a se verifica omogenitatea.

Marcator obținut fie din vanilie, fie din vanilină sintetică:

8.2.1.   Rata de încorporare pentru 4-hidroxi-3-metoxibenzaldehidă est de 250 g pe tonă de unt concentrat sau de unt. Pentru smântâna marcată, rata de încorporare este de 250 g pe tonă de grăsime din lapte.

8.2.2.   Rezultatele pentru cele trei probe obținute în urma analizei produsului se folosesc pentru verificarea ratei și omogenității de încorporare a marcatorului, iar cel mai slab rezultat se compară cu următoarele limite [avându-se în vedere o diferență critică pentru un nivel de probabilitate de 95 % (DCr95)]:

221,0 mg/kg (95 % din rata minimă de încorporare);

159,0 mg/kg (70 % din rata minimă de încorporare).

Concentrația marcatorului din proba cu rezultatul cel mai slab este utilizată prin interpolare între 221,0 mg/kg și 159,0 mg/kg.

Marcator obținut numai din păstăi de vanilie sau extracte integrale ale acesteia:

8.3.1.   Rata de încorporare pentru 4-hidroxi-3-metoxibenzaldehidă est de 100 g pe tonă de unt concentrat sau de unt. Pentru smântâna marcată, rata de încorporare este de 100 g pe tonă de grăsime din lapte.

8.3.2.   Rezultatele pentru cele trei probe obținute în urma analizei produsului se folosesc pentru verificarea ratei și omogenității de încorporare a marcatorului, iar cel mai slab rezultat se compară cu următoarele limite [avându-se în vedere o diferență critică pentru un nivel de probabilitate de 95 % (DCr95)]:

79,0 mg/kg (95 % din rata minimă de încorporare);

54,0 mg/kg (70 % din rata minimă de încorporare).

Concentrația marcatorului din proba cu rezultatul cel mai slab este utilizată prin interpolare între 79,0 mg/kg și 54,0 mg/kg

9.   Note

9.1.   Repetabilitatea r este valoarea sub care se consideră că există o probabilitate specifică de producere a diferenței unei absolute dintre două rezultate de analiză distincte obținute prin aceeași metodă cu material de analiză identic, în aceleași condiții (aceleași instrumente, același laborator și într-un interval de timp scurt); în absența altor indicații, probabilitatea este de 95 %.

9.2.   Reproductibilitatea R este valoarea sub care se consideră că există o probabilitate specifică de producere a unei diferenței absolute dintre două rezultate de analiză distincte obținute prin aceeași metodă cu material de analiză identic, în condiții diferite (operatori diferiți, instrumente diferite și/sau momente diferite); în absența altor indicații, probabilitatea este de 95 %.

9.3.   Recuperarea vanilinei adăugate la un nivel de 250 mg/kg ulei de unt variază de la 97,0 la 103,8. Conținutul mediu identificat a fost de 99,9 %, cu o deviație standard de 2,7 %.

9.4.   Soluția standard conține 5 % soluție de extragere pentru a compensa creșterea suprafeței vârfului provocată de prezența a 5 % soluție de extragere în probă. Astfel se poate opera o clasificare în funcție de înălțimea vârfului.

9.5.   Analiza se bazează pe o curbă liniară de etalonare, cu intersecție cu punctul zero.

Folosindu-se soluții diluate adecvate de soluție standard (4.5.2) se verifică liniaritatea în momentul realizării primei analize, iar apoi la intervale regulate și după modificări sau reparații la echipamentul HPLC.


ANEXA XIII

(Articolul 9)

DETECTAREA PRIN SPECTROMETRIE A ETIL ESTERULUI ACIDULUI BETA-APO-8'-CAROTENIC ÎN UNTUL CONCENTRAT ȘI ÎN UNT

1.   Obiectul și domeniul de aplicare

Această metodă descrie o procedură de determinare cantitativă a etil esterului acidului beta-apo-8'-carotenic (ester apo-carotenic) în untul concentrat și în unt. Esterul apo-carotenic este suma tuturor substanțelor prezente într-un extract din probe prelevate în condițiile prevăzute pentru această metodă, care absorb lumină la 440 nm.

2.   Principiu

Grăsimea din unt se dizolvă în eter de petrol și se măsoară absorbanța la 440 nm. Conținutul de ester apo-carotenic se determină prin raportare la un standard extern.

3.   Aparatură

3.1.

Pipete – gradate, cu capacitate de 0,25, 0,50, 0,75 și 1,0 ml

3.2.

Spectrofotometru – adecvat utilizării la 440 nm (și la 447-449 nm) și prevăzut cu celule cu drum optic de 1 cm

3.3.

Baloane cotate, de exemplu de 20 ml și de 100 ml

3.4.

Balanță analitică cu sensibilitate de 0,1 mg.

4.   Reactivi

Toți reactivii trebuie să aibă o puritate analitică cunoscută.

4.1.

Suspensie de acid apo-carotenic (aproximativ 20 %)

4.1.1.   Conținutul suspensiei se determină astfel:

 

Se cântăresc aproximativ 400 mg într-un balon cotat (100 ml), se dizolvă în cloroform (4.4) și se completează volumul cu ciclohexan (4.5). Se diluează 5,0 ml din această soluție cu 100 ml de ciclohexan (soluția A). Se diluează 5,0 ml de soluție A cu ciclohexan până la 100 ml. Se măsoară absorbanța la 447 - 449 nm (se măsoară valoarea maximă față de o probă de ciclohexan ca probă martor, folosindu-se celule cu drum optic de 1 cm).

Formula

unde

Amax= absorbanța soluției de măsurare la maxim

A= greutatea probei (g)

2 550= valoarea de referință A (1 %, 1 cm).

Puritatea suspensiei este P (%).

Notă: Suspensia de ester apo-carotenic este sensibilă la aer, căldură și lumină. Se poate păstra la loc rece timp de aproximativ 12 luni, în recipientul original închis (sigilat sub azot). După deschiderea recipientului, conținutul trebuie utilizat cât de repede posibil.

4.1.2.   Soluția standard de ester apo-carotenic, aproximativ 0,2 mg/ml

Se cântăresc, cu o precizie de 0,1 mg, aproximativ 0,100 g de suspensie de ester apo-carotenic (4.1.1.) (Wg), se dizolvă în ligroină (4.2), se transferă cantitativ într-un balon cotat cu capacitate de 100 ml și se completează până la marcaj cu ligroină.

Această soluție conține (W.P)/100 mg/ml de ester apo-carotenic.

Notă: Soluția trebuie păstrată la rece și la adăpost de lumină. Soluția nefolosită se aruncă după o lună.

4.2.

Ligroină (40-60 °C).

4.3.

Sulfat de sodiu anhidru, granulat, uscat în prealabil la 102 °C timp de două ore.

4.4.

Cloroform.

4.5.

Ciclohexan.

5.   Procedură

5.1.   Prepararea probei de analiză

5.1.1.   Unt concentrat

Proba se topește în cuptor la aproximativ 45 °C.

5.1.2.   Unt

Proba se topește în cuptor la aproximativ 45 °C și se filtrează o parte reprezentativă printr-un filtru care conține aproximativ 10 g de sulfat de sodiu anhidru (4.3) într-un mediu protejat de lumina naturală sau artificială puternică și se păstrează la 45 °C. Se colectează o cantitate adecvată de grăsime din unt.

5.2.   Determinare

Se cântărește, cu o precizie de 1 mg, aproximativ 1 g de unt concentrat, [sau grăsime extrasă din unt (5.1.2)], (mg). Se transferă cantitativ într-un balon cotat de 20 ml (Vml), folosindu-se ligroină (4.2), se completează până la marcaj și se amestecă bine.

Se transferă o parte alicotă într-o celulă de 1 cm și se măsoară absorbanța la 440 nm, față de o probă martor de ligroină. Concentrația de ester apo-carotenic în soluție se determină conform curbei de etalonare (C μg/ml).

5.3.   Curba de etalonare

Se pipetează 0, 0,25, 0,5, 0,75 și 1,0 ml de soluție standard de ester apo-carotenic (4.1.2) în cinci baloane cotate de 100 ml. Se diluează la volum cu ligroină (4.2) și se amestecă.

Concentrațiile aproximative ale soluției variază între 0 și 2 μg/ml și se calculează cu precizie prin referire la concentrația soluției standard (4.1.2) (W.P)/100 mg/ml. Se măsoară absorbanța la 440 nm față de o probă martor de ligroină (4.2).

Valorile absorbanței se reprezintă pe axa y, iar pe axa x se reprezintă concentrația esterului apo-carotenic.

6.   Calcularea rezultatelor

6.1.

Conținutul de ester apo-carotenic, exprimat în mg/kg de produs, se calculează după cum urmează:

 

Unt concentrat: (C.V)/m

 

Unt: 0,82 (C.V)/m

 

unde

C= conținutul de ester apo-carotenic, în μg/ml, citit de pe curba de etalonare (5.3),

V= volumul (ml) soluției de analiză (5.2)

M= masa (g) cantității analizate (5.2),

0,82= factorul de corecție pentru conținutul de grăsime al untului.

7.   Precizia metodei

7.1.   Repetabilitate

7.1.1.   Analiza untului

Diferența dintre rezultatele a două determinări realizate în cel mai scurt interval de timp posibil de către un operator care utilizează aceleași instrumente și un material de analiză identic nu trebuie să fie mai mare de 1,4 mg/kg.

7.1.2.   Analiza untului concentrat

Diferența dintre rezultatele a două determinări realizate în cel mai scurt interval de timp posibil de către un operator care utilizează aceleași instrumente și un material de analiză identic nu trebuie să fie mai mare de 1,6 mg/kg.

7.2.   Reproductibilitate

7.2.1.   Analiza untului

Diferența dintre rezultatele a două determinări realizate de operatori din laboratoare diferite, care utilizează instrumente diferite și un material de analiză identic nu trebuie să fie mai mare de 4,7 mg/kg.

7.2.2.   Analiza untului concentrat

Diferența dintre rezultatele a două determinări realizate de operatori din laboratoare diferite, care utilizează instrumente diferite și un material de analiză identic nu trebuie să fie mai mare de 5,3 mg/kg.

7.3.   Sursa datelor de precizie

Datele de precizie au fost determinate printr-un experiment realizat în 1995, în cadrul căruia au participat 11 laboratoare și s-au folosit 12 probe urmărite (șase duplicate probă martor) pentru unt și 12 probe urmărite (șase duplicate probă martor) pentru unt concentrat.

8.   Limitele de toleranță

8.1.   Trebuie să se preleveze trei probe din produsul urmărit pentru a se verifica omogenitatea.

8.2.   Unt

8.2.1.   Rata de încorporare pentru unt, având în vedere absorbanța de fond, este de 22 mg/kg.

8.2.2.   Rezultatele pentru cele trei probe obținute în urma analizei produsului se folosesc pentru verificarea ratei și omogenității de încorporare a marcatorilor, iar cel mai slab rezultat se compară cu următoarele limite [avându-se în vedere o diferență critică pentru un nivel de probabilitate de 95 % (DCr95)]:

18,0 mg/kg (95 % din rata minimă de încorporare);

13,0 mg/kg (70 % din rata minimă de încorporare).

Concentrația marcatorilor din proba cu rezultatul cel mai slab este utilizată prin interpolare între 18,0 mg/kg și 13,0 mg/kg

8.3.   Unt concentrat

8.3.1.   Rata de încorporare pentru untul concentrat, având în vedere absorbanța de fond, este de 24 mg/kg

8.3.2.   Rezultatele pentru cele trei probe obținute în urma analizei produsului se folosesc pentru verificarea ratei și omogenității de încorporare a marcatorilor, iar cel mai slab rezultat se compară cu următoarele limite [avându-se în vedere o diferență critică pentru un nivel de probabilitate de 95 % (DCr95)]:

20,0 mg/kg (95 % din rata minimă de încorporare);

14,0 mg/kg (70 % din rata minimă de încorporare).

Concentrația marcatorilor din proba cu rezultatul cel mai slab este utilizată prin interpolare între 20,0 mg/kg și 14,0 mg/kg.


ANEXA XIV

(Articolul 9)

DETERMINAREA SITOSTEROLULUI SAU STIGMASTEROLULUI DIN UNT ȘI UNT CONCENTRAT PRIN CROMATOGRAFIA ÎN FAZĂ DE GAZ CU COLOANĂ CAPILARĂ

1.   OBIECTUL ȘI DOMENIUL DE APLICARE

Metoda implică o procedură care permite determinarea cantitativă a sitosterolului și a stigmasterolului din unt și din untul concentrat. Conținutul de sitosterol reprezintă suma cantităților de β-sitosterol și de 22-dihidro-β-sitosterol, ceilalți sitosteroli fiind considerați nesemnificativi.

2.   PRINCIPIU

Untul sau untul concentrat este saponificat cu hidroxid de potasiu într-o soluție de etanol, iar substanțele nesaponificabile sunt extrase cu ajutorul dietil eterului.

Sterolii se transformă în trimetil-silil-eteri și sunt analizați prin cromatografie în fază de gaz cu coloană capilară prin raportare la un etalon intern/betulina.

3.   APARATURA

3.1.

Balon de saponificare de 150 ml, dotat cu un refrigerator cu reflux cu capete rodate.

3.2.

Conducte de decantare de 500 ml.

3.3.

Baloane de 250 ml.

3.4.

Conducte de egalizare a presiunii, de 250 ml sau cu o capacitate similară, pentru a colecta dietil eterul rezidual.

3.5.

Coloană de sticlă de 350 mm x 20 mm, prevăzută cu un racord cu frită.

3.6.

Baie de apă sau izotermă.

3.7.

Eprubete de reacție de 2 ml.

3.8.

Cromatograf cu gaz care poate fi utilizat cu coloană capilară, prevăzut cu un dispozitiv de scindare format din următoarele:

3.8.1.

etuvă cu termostat pentru coloane, care poate menține temperatura dorită cu o precizie de ± 1 °C;

3.8.2.

injector termoreglabil;

3.8.3.

detector cu ionizare în flacără și convertor-amplificator;

3.8.4.

integrator-înregistrator care poate fi utilizat cu convertorul-amplificator (3.8.3).

3.9.

Coloană capilară din sticlă de siliciu acoperită în întregime de BP1 sau de o substanță echivalentă în strat uniform cu grosimea de 0,25 µm; coloana trebuie să poată reduce derivații trimetil-silil ai lanosterolului și ai sitosterolului. Este recomandabil să se utilizeze o coloană BP1 cu lungimea de 12 m și diametrul intern de 0,2 mm.

3.10.

Microseringă cu ac din oțel inoxidabil de 1 µl pentru cromatografie cu gaz.

4.   REACTIVI

Toți reactivii utilizați trebuie să fie de calitate analitică recunoscută. Apa utilizată trebuie să fie apă distilată sau apă de o puritate cel puțin echivalentă.

4.1.   Etanol, cu o puritate de cel puțin 95 %.

4.2.   Hidroxid de potasiu, soluție 60 %, prin dizolvarea a 600 g de hidroxid de potasiu (minimum 85 %) în apă, la care se adaugă apă până la 1 l.

Betulină cu o puritate de cel puțin 99 %.

Soluții de betulină în eter dietilic (4.4).

4.3.1.1.

Concentrația soluției de betulină utilizată pentru determinarea sitosterolului trebuie să fie de 1,0 mg/ml.

4.3.1.2.

Concentrația soluției de betulină utilizată pentru determinarea stigmasterolului trebuie să fie de 0,4 mg/ml.

4.4.   Eter dietilic de puritate analitică (fără peroxizi sau reziduuri).

4.5.   Sulfat de sodiu anhidru, granulat, deshidratat în prealabil la 102 °C timp de 2 ore.

4.6.   Reactiv de sililare, de exemplu, TRI-SIL (poate fi procurat de la Pierce Chemical Co., Categoria nr. 49001) sau un reactiv echivalent. (Atenție: TRI-SIL este inflamabil și toxic, coroziv și are un posibil potențial cancerigen. Personalul de laborator trebuie să cunoască normele de siguranță aplicabile în cazul utilizării TRI-SIL și trebuie să ia toate măsurile de precauție care se impun).

4.7.   Lanosterol

Sitosterol, cu puritate cunoscută, mai mare sau egală cu 90 % (P).

Nota 1: Puritatea materialelor etalon utilizate pentru calibrare trebuie determinată prin metoda de normalizare. Se presupune că toți sterolii din probă sunt reprezentați în cromatogramă, că suprafața totală a vârfurilor reprezintă 100 % din compușii sterolilor și că sterolii dau aceeași reacție la detector. Liniaritatea sistemului trebuie validată pentru nivelurile de concentrație luate în calcul.

4.8.1.   Soluție etalon de sitosterol: se prepară o soluție cu o precizie de 0,001 mg/ml, conținând aproximativ 0,5 mg/ml (W1) de sitosterol (4.8) în eter dietilic (4.4).

Stigmasterol, cu puritate cunoscută, mai mare sau egală cu 90 % (P).

4.9.1.   Soluție etalon de stigmasterol: se prepară o soluție cu o precizie de 0,001 mg/ml, conținând aproximativ 0,2 mg/ml (W1) de stigmasterol (4.9) în eter dietilic (4.4).

4.10.   Amestec pentru testul de rezoluție. Se prepară o soluție conținând 0,05 mg/ml de lanosterol (4.7) și 0,5 mg/ml de sitosterol (4.8) în eter dietilic (4.4).

5.   METODĂ

Prepararea soluțiilor etalon pentru cromatografie. Se adaugă soluția etalon intern (4.3.1) la soluția etalon de sterol adecvată și, simultan, la proba saponificată (a se vedea 5.2.2).

5.1.1.   Soluția cromatografică etalon de sitosterol: se transferă 1 ml de soluție etalon de sitosterol (4.8.1) în fiecare din cele două eprubete de reacție (3.7) și se elimină dietil eterul sub flux de azot. Se adaugă 1 ml de soluție etalon intern (4.3.1.1) și se elimină dietil eterul sub flux de azot.

5.1.2.   Soluția cromatografică etalon de stigmasterol: se transferă 1 ml de soluție etalon de stigmasterol (4.9.1) în fiecare din cele două eprubete de reacție (3.7) și se elimină dietil eterul sub flux de azot. Se adaugă 1 ml de soluție etalon intern (4.3.1.2) și se elimină dietil eterul sub flux de azot.

5.2.   Prepararea substanțelor nesaponificabile

5.2.1.   Se topește proba de unt la o temperatură de maximum 35 °C; se amestecă cu grijă.

Se cântărește, cu o precizie de 1 mg, aproximativ 1 g de unt (W2) sau de unt concentrat (W2) într-un balon de 150 ml (3.1). Se adaugă 50 ml de etanol (4.1) și 10 ml de soluție de hidroxid de potasiu (4.2). Se adaptează refrigeratorul cu reflux și se aduce la aproximativ 75 °C timp de 30 de minute. Se deconectează refrigeratorul și se lasă balonul să se răcească la temperatura camerei.

5.2.2.   Se adaugă 1,0 ml de soluție etalon intern în balon (4.3.1.1) în cazul în care se determină sitosterolul sau (4.3.1.2) în cazul în care se determină stigmasterolul. Se amestecă bine. Se transferă cantitativ conținutul balonului într-o conductă de decantare de 500 ml (3.2), se spală balonul cu 50 ml de apă, apoi cu 250 ml de eter dietilic (4.4). Se agită puternic conducta de decantare timp de 2 minute și se lasă fazele să se separe. Se elimină faza apoasă inferioară și se spală faza eterică agitându-se 4 părți alicote succesive de 100 ml apă.

Nota 2: Pentru a evita formarea unei emulsii, este neapărat necesar ca primele două spălări cu apă să se efectueze ușor (10 rotații). Pentru a treia spălare, se poate agita mai puternic timp de 30 de secunde. În cazul în care se formează o emulsie, aceasta poate fi eliminată prin adăugarea a 5 până la 10 ml de etanol. În cazul în care se adaugă etanol, este absolut necesar să se efectueze încă două spălări puternice cu apă.

5.2.3.   Se trece faza eterică limpede și desaponificată pe o coloană de sticlă (3.5) care conține 30 g de sulfat de sodiu anhidru (4.5). Se colectează eterul într-un balon de 250 ml (3.3). Se adaugă bile antiproiecție și se evaporă până la uscare aproape completă într-o baie de apă sau într-o izotermă, colectându-se solvenții care trebuie eliminați.

Nota 3: În cazul în care anumite părți din probă se evaporă în uscat la o temperatură prea ridicată, este posibil să se piardă cantități de sterol.

5.3.   Prepararea trimetil-silil-eterilor.

5.3.1.   Se transferă soluția de eter rămasă în balon într-o eprubetă de reacție de 2 ml (3.7) cu ajutorul a 2 ml de dietil eter și se elimină eterul sub flux de azot. Se spală balonul cu două părți alicote suplimentare de 2 ml de eter dietilic, transferându-se conținutul în eprubetă și eliminându-se eterul de fiecare dată sub flux de azot.

5.3.2.   Se sililează proba prin adăugarea a 1 ml de TRI-SIL (4.6). Se astupă eprubeta și se agită puternic pentru a produce dizolvarea. În cazul în care proba nu s-a dizolvat complet, se aduce la temperatura de 65-70 °C. Se lasă să stea cel puțin 5 minute înainte de a se injecta în cromatograful cu gaz. Se sililează etaloanele în același mod ca și probele. Se sililează amestecul pentru testul de rezoluție (4.10) în același mod ca și probele.

Nota 4: Sililarea trebuie efectuată într-un mediu anhidru. Sililarea incompletă a betulinei se recunoaște prin obținerea unui al doilea vârf apropiat de cel al betulinei.

Prezența etanolului în timpul sililării va interfera cu procesul de sililare. Acest fapt poate fi consecința unei spălări insuficiente în momentul extragerii. În cazul în care această problemă persistă, în etapa de extragere se va include o a cincea spălare, cu agitare puternică timp de 30 de secunde.

5.4.   Analiza prin cromatografie cu gaz

5.4.1.   Alegerea condițiilor pentru procedură

Se instalează cromatograful cu gaz conform instrucțiunilor producătorului.

Condițiile indicate pentru procedură sunt următoarele:

temperatura coloanei: 265 °C

temperatura injectorului: 265 °C

temperatura detectorului: 300 °C

debitul gazului vector: 0,6 ml/min

presiunea hidrogenului: 84 kPa

presiunea aerului: 155 kPa

fracționarea probei: de la 10/1 la 50/1; raportul de fracționare trebuie optimizat în funcție de instrucțiunile producătorului și de liniaritatea răspunsului detectorului, și validat ulterior în funcție de intervalele de concentrații luate în considerare.

Nota 5: Curățarea regulată a camerei de vaporizare este deosebit de importantă.

cantitatea de substanță injectată: 1 µl de soluție TMSE.

Se lasă sistemul să se echilibreze și se obține un răspuns suficient de stabil înainte de a se efectua vreo analiză.

Aceste condiții pot fi modificate în funcție de caracteristicile coloanei și ale cromatografului cu gaz, pentru a se obține cromatograme care să îndeplinească condițiile următoare:

vârful sitosterolului trebuie să prezinte o rezoluție suficientă față de lanosterol. Figura 1 prezintă o cromatogramă tipică, cea care trebuie obținută pentru un amestec sililat prin testul de rezoluție (4.10)

timpii relativi de retenție ai sterolilor de mai jos trebuie să fie de aproximativ:

colesterol: 1,0

stigmasterol: 1,3

sitosterol: 1,5

betulină: 2,5

timpul de retenție al betulinei trebuie să fie de aproximativ 24 minute.

5.4.2.   Protocolul de analiză

 

Se injectează 1 µl de soluție etalon sililată (stigmasterol sau sitosterol) și se ajustează parametrii de calibrare ai integratorului.

 

Se injectează din nou 1 µl de soluție etalon sililată pentru a se determina coeficientul de răspuns față de betulină.

 

Se injectează 1 µl de soluție de probă sililată și se măsoară suprafața vârfurilor. Fiecare serie de probe trebuie precedată și urmată de o injectare de soluție etalon.

 

În general, injectarea soluției de probă se poate efectua după o serie de șase probe.

Nota 6: Integrarea vârfului stigmasterolului trebuie să prezinte curbele indicate la punctele 1, 2 și 3 din figura 2b.

 

Integrarea vârfului sitosterolului trebuie să înglobeze suprafața vârfului 22-dihidro-β-sitosterolului (stigmastanol) care apare imediat după sitosterol (a se vedea figura 3b) în momentul evaluării sitosterolului total.

6.   CALCULAREA REZULTATELOR

6.1.   Se determină suprafața vârfurilor sterolului și a vârfurilor betulinei în cele două etaloane, la începutul și la finalul fiecărei serii, și se calculează R1:

Formula

Se determină suprafața vârfului de sterol (stigmasterol sau sitosterol) și a vârfului betulinei în probă și se calculează R2:

Formula

W1

=

conținutul de sterol al etalonului (mg) din 1 ml de soluție etalon (4.8.1 sau 4.9.1)

W2

=

masa probei (g) (5.2.1)

P

=

puritatea sterolului etalon (4.8 sau 4.9)

Formula

7.   PRECIZIA METODEI

7.1.   Unt

7.1.1.   Repetabilitate

7.1.1.1.   Stigmasterol

Diferența dintre rezultatele a două determinări efectuate în cel mai scurt interval de timp posibil de un operator care utilizează aceeași aparatură pe material de analiză identic nu trebuie să depășească 19,3 mg/kg.

7.1.1.2.   Sitosterol

Diferența dintre rezultatele a două determinări efectuate în cel mai scurt interval de timp posibil de un operator care utilizează aceeași aparatură pe material de analiză identic nu trebuie să depășească 23,0mg/kg.

7.1.2.   Reproductibilitate

7.1.2.1.   Stigmasterol

Diferența dintre rezultatele a două determinări efectuate de operatori din laboratoare diferite care utilizează aparatură diferită pe material de analiză identic nu trebuie să depășească 31,9 mg/kg.

7.1.2.2.   Sitosterol

Diferența dintre rezultatele a două determinări efectuate de operatori din laboratoare diferite care utilizează aparatură diferită pe material de analiză identic nu trebuie să depășească 8,7 % din valoarea medie a acestor determinări.

7.1.3.   Sursa datelor de precizie

Datele de precizie au fost determinate printr-un experiment realizat în 1992 în care au fost implicate opt laboratoare și șase probe (trei duplicate probă martor) pentru stigmasterol și șase probe (trei duplicate probă martor) pentru sitosterol.

7.2.   Unt concentrat

7.2.1.   Repetabilitate

7.2.1.1.   Stigmasterol

Diferența dintre rezultatele a două determinări efectuate în cel mai scurt interval de timp posibil de un operator care utilizează aceeași aparatură pe material de analiză identic nu trebuie să depășească 10,2 mg/kg.

7.2.1.2.   Sitosterol

Diferența dintre rezultatele a două determinări efectuate în cel mai scurt interval de timp posibil de un operator care utilizează aceeași aparatură pe material de analiză identic nu trebuie să depășească 3,6 % din valoarea medie a acestor determinări.

7.2.2.   Reproductibilitate

7.2.2.1.   Stigmasterol

Diferența dintre rezultatele a două determinări efectuate de operatori din laboratoare diferite care utilizează aparatură diferită pe material de analiză identic nu trebuie să depășească 25,3 mg/kg.

7.2.2.2.   Sitosterol

Diferența dintre rezultatele a două determinări efectuate de operatori din laboratoare diferite care utilizează aparatură diferită pe material de analiză identic nu trebuie să depășească 8,9 % din valoarea medie a acestor determinări.

7.2.3.   Sursa datelor de precizie

Datele de precizie au fost determinate printr-un experiment realizat în 1991 în care au fost implicate opt laboratoare și șase probe (trei duplicate probă martor) pentru stigmasterol și șase probe (trei duplicate probă martor) pentru sitosterol.

8.   LIMITE DE TOLERANȚĂ

8.1.   Pentru a verifica marcarea corectă a produsului, trebuie prelevate trei probe din produsul studiat.

8.2.   Unt

8.2.1.   Stigmasterol

8.2.1.1.   Rata de încorporare pentru stigmasterol este de 150 g de stigmasterol, cu o puritate de cel puțin 95 %, pe o tonă de unt, respectiv 142,5 mg/kg, sau de 170 g de stigmasterol, cu o puritate de cel puțin 85 %, pe o tonă de unt, respectiv 144,5 mg/kg.

8.2.1.2.   Rezultatele pentru cele trei probe obținute în urma analizei produsului se folosesc pentru verificarea ratei și omogenității de încorporare a marcatorului, iar cel mai slab rezultat se compară cu următoarele limite [avându-se în vedere o diferență critică pentru un nivel de probabilitate de 95 % (DCr95)]:

116,0 mg/kg (rată de încorporare minimă de 95 % pentru stigmasterol cu o puritate de 95 %);

118,0 mg/kg (rată de încorporare minimă de 95 % pentru stigmasterol cu o puritate de 85 %);

81,0 mg/kg (rată de încorporare minimă de 70 % pentru stigmasterol cu o puritate de 95 %);

82,0 mg/kg (rată de încorporare minimă de 70 % pentru stigmasterol cu o puritate de 85 %);

Concentrația marcatorului din proba cu rezultatul cel mai slab este utilizată prin interpolare între 116,0 mg/kg și 81,0 mg/kg sau între 118,0 mg/kg și 82,0 mg/kg

8.2.2.   Sitosterol

8.2.2.1.   Rata de încorporare pentru sitosterol este de 600 g de sitosterol, cu o puritate de cel puțin 90 %, pe o tonă de unt, respectiv 540 mg/kg.

8.2.2.2.   Rezultatele pentru cele trei probe obținute în urma analizei produsului se folosesc pentru verificarea ratei și omogenității de încorporare a marcatorului, iar cel mai slab rezultat se compară cu următoarele limite [avându-se în vedere o diferență critică pentru un nivel de probabilitate de 95 % (DCr95)]:

486,0 mg/kg (rată de încorporare minimă de 95 % pentru sitosterol cu o puritate de 90 %);

358,0 mg/kg (rată de încorporare minimă de 70 % pentru sitosterol cu o puritate de 90 %).

Concentrația marcatorului din proba cu rezultatul cel mai slab este utilizată prin interpolare între 486,0 mg/kg și 358,0 mg/kg.

8.3.   Unt concentrat

8.3.1.   Stigmasterol

8.3.1.1.   Rata de încorporare pentru stigmasterol este de 150 g de stigmasterol, cu o puritate de cel puțin 95 %, pe o tonă de unt concentrat, respectiv 142,5 mg/kg; sau de 170 g de stigmasterol, cu o puritate de cel puțin 85 %, pe o tonă de unt concentrat, respectiv 144,5 mg/kg.

8.3.1.2.   Rezultatele pentru cele trei probe obținute în urma analizei produsului se folosesc pentru verificarea ratei și omogenității de încorporare a marcatorului, iar cel mai slab rezultat se compară cu următoarele limite [avându-se în vedere o diferență critică pentru un nivel de probabilitate de 95 % (DCr95)]:

120,0 mg/kg (rată de încorporare minimă de 95 % pentru stigmasterol cu o puritate de 95 %);

122,0 mg/kg (rată de încorporare minimă de 95 % pentru stigmasterol cu o puritate de 85 %);

84,0 mg/kg (rată de încorporare minimă de 70 % pentru stigmasterol cu o puritate de 95 %);

86,0 mg/kg (rată de încorporare minimă de 70 % pentru stigmasterol cu o puritate de 85 %).

Concentrația marcatorului din proba cu rezultatul cel mai slab este utilizată prin interpolare între 120,0 mg/kg și 84,0 mg/kg sau între 122,0 mg/kg și 86,0 mg/kg.

8.3.2.   Sitosterol

8.3.2.1.   Rata de încorporare pentru sitosterol este de 600 g de sitosterol, cu o puritate de cel puțin 90 %, pe o tonă de unt concentrat, respectiv 540 mg/kg.

8.3.2.2.   Rezultatele pentru cele trei probe obținute în urma analizei produsului se folosesc pentru verificarea ratei și omogenității de încorporare a marcatorului, iar cel mai slab rezultat se compară cu următoarele limite [avându-se în vedere o diferență critică pentru un nivel de probabilitate de 95 % (DCr95)]:

486,0 mg/kg (rată de încorporare minimă de 95 % pentru sitosterol cu o puritate de 90 %);

358,0 mg/kg (rată de încorporare minimă de 70 % pentru sitosterol cu o puritate de 90 %).

Concentrația marcatorului din proba cu rezultatul cel mai slab este utilizată prin interpolare între 486,0 mg/kg și 358,0 mg/kg.

Image

Image

Image


ANEXA XV

(Articolul 10)

METODĂ DE REFERINȚĂ PENTRU DETECTAREA LAPTELUI DE VACĂ ȘI A CAZEINEI ÎN BRÂNZETURILE PRODUSE DIN LAPTE DE OAIE, LAPTE DE CAPRĂ SAU LAPTE DE BIVOLIȚĂ SAU DIN AMESTECURI DE LAPTE DE OAIE, CAPRĂ ȘI BIVOLIȚĂ

1.   Domeniu de aplicare

Detectarea laptelui de vacă și a cazeinei în brânzeturile produse din lapte de oaie, lapte de capră, lapte de bivoliță sau din amestecuri de lapte de oaie, capră și bivoliță prin focalizarea izoelectrică a γ-cazeinelor după plasminoliză.

2.   Domeniu de aplicare

Această metodă poate fi folosită pentru detectarea sensibilă și specifică a laptelui de vacă natural și tratat termic și a cazeinatului în brânzeturile proaspete și maturate produse din lapte de oaie, lapte de capră, lapte de bivoliță sau din amestecuri de lapte de oaie, capră și bivoliță. Nu poate fi folosită pentru detectarea falsificării laptelui și a brânzei cu concentrate de proteine de zer de bovine tratate termic.

3.   Principiul metodei

3.1.

Izolarea cazeinei din brânză și din probele de referință.

3.2.

Dizolvarea cazeinelor izolate și tratarea acestora prin clivare plasminică (EC.3.4.21.7).

3.3.

Focalizarea izoelectrică a cazeinelor tratate cu plasmină în prezența ureii și colorarea proteinelor.

3.4.

Evaluarea benzilor colorate de γ2- și γ3-cazeină (doa se vedea ale prezenței laptelui de vacă) prin compararea benzilor obținute din probă cu benzile obținute pe același gel din probele de referință conținând 0 % și 1 % lapte de vacă.

4.   Reactivi

În afara cazurilor se precizează altceva, produsele chimice folosite trebuie să fie de puritate analitică. Apa folosită trebuie să fie dublu-distilată sau de o puritate echivalentă.

Notă: Următoarele detalii se aplică gelurilor de poliacrilamide cu conținut de uree preparate în laborator, cu dimensiunile de 265 × 125 × 0,25 mm. În cazul în care se folosesc geluri de alte dimensiuni sau tipuri, poate fi necesară modificarea condițiilor de separare.

Focalizarea izoelectrică

4.1.   Reactivi pentru producerea gelurilor de poliacrilamide cu conținut de uree

4.1.1.   Soluție stoc de gel

Se dizolvă în apă:

 

4,85 g acrilamidă

 

0,15 g N, N'-metilen-bis-acrilamidă (BIS)

 

48,05 g uree

 

15,00 g glicerol (87 % m/m),

și se completează cu apă până la 100 ml, apoi se păstrează produsul obținut în refrigerator, într-un recipient de sticlă de culoare maro.

Notă: În locul cantităților fixe de acrilamide neurotoxice menționate mai sus se poate folosi o soluție de acrilamidă/BIS prefabricată disponibilă în comerț. În cazul în care o asemenea soluție conține 30 % m/v acrilamidă și 0,8 % m/v BIS, cantitățile de acrilamidă și BIS din preparatul de mai sus se înlocuiesc cu 16,2 ml de soluție. Termenul de valabilitate a soluției stoc este de maxim 10 zile; în cazul în care conductibilitatea acesteia este mai mare de 5 μS, se deionizează substanța prin agitare cu 2 g Amberlite MB-3 timp de 30 minute, ulterior se filtrează printr-o membrană de 0,45 μm.

4.1.2.   Soluția de gel

Se prepară o soluție de gel amestecând aditivii și amfoliții cu soluția stoc de gel (a se vedea 4.1.1).

 

9,0 ml soluție stock

 

24 mg β-alanină

 

500 μl amfolit pH 3,5-9,5 (1)

 

250 μl amfolit pH 5-71 (1)

 

250 μl amfolit pH 6-81 (1).

Se amestecă soluția de gel și se degazeifică timp de două sau trei minute într-o baie ultrasonică sau sub vid.

Notă: Soluția de gel se prepară imediat înainte de a o turna (a se vedea 6.2).

4.1.3.   Soluții catalizator

4.1.3.1.   N, N, N′ N′ - tetrametiletilendiamină (Temed).

4.1.3.2.   40 % m/v persulfat de amoniu (PER):

Se dizolvă 800 mg PER în apă și se completează cu apă până la 2 ml.

Notă: A se folosi întotdeauna soluție PER proaspăt preparată.

4.2.   Fluid de contact

Kerosen sau parafină lichidă

4.3.   Soluție anodică

Se dizolvă în apă 5,77 g acid fosforic (85 % m/m) și se diluează până la 100 ml.

4.4.   Soluție catodică

Se dizolvă în apă 2,00 g hidroxid de sodiu și se diluează până la 100 ml.

Prepararea probei

4.5.   Reactivi pentru izolarea proteinelor

4.5.1.   Se diluează acid acetic (25,0 ml acid acetic cristalizabil completat cu apă până la 100 ml)

4.5.2.   Diclorometan

4.5.3.   Acetonă

4.6.   Soluție tampon de dizolvare a proteinei

Se dizolvă în apă

 

5,75 g glicerol (87 % m/m)

 

24,03 g uree

 

250 mg ditiotreitol

și se completează cu apă până la 50 ml

Notă: Se păstrează substanța în refrigerator, termen de valabilitate: maximum o săptămână.

4.7.   Reactivi pentru clivarea plasminică a cazeinelor

4.7.1.   Soluție tampon de carbonat de amoniu

Se titrează până la pH 8 o soluție de hidrogencarbonat de amoniu 0,2 mol/l (1,58 g/100 ml apă) conținând acid etilendiaminotetraacetic 0,05 mol/l (EDTA, 1,46 g/100 ml) cu o soluție de carbonat de amoniu 0,2 mol/l (1,92 g/100 ml apă) conținând 0,05 mol/l EDTA.

4.7.2.   Plasmină bovină (EC 3.4.21.7), cu activitate de minim 5 U/ml.

4.7.3.   Soluție de acid Ðε-aminocaproic pentru inhibarea enzimelor

Se dizolvă 2,624 g acid ε-aminocaproic (acid 6-amino-n-hexanoic) în 100 ml de etanol 40 % (v/v).

4.8.   Standarde

4.8.1.   De la Institutul pentru Materiale și Măsurători de Referință al Comisiei, B-2440 Geel, Belgia pot fi obținute probe de referință certificate obținute din amestecuri de lapte închegat de oaie și capră conținând 0 %, respectiv 1 % lapte de vacă.

4.8.2.   Prepararea probelor de referință provizorii de laborator din lapte de bivoliță închegat conținând 0 % și 1 % lapte de vacă

Laptele degresat se prepară prin centrifugarea laptelui crud de bivoliță sau de vacă în vrac la 37 °C (2 500 g, timp de 20 minute). După răcirea rapidă a tubului și a conținutului la 6-8 °C, stratul superior de grăsime se îndepărtează în totalitate. Pentru prepararea probei standard 1 % se adaugă 5,00 ml de lapte de vacă degresat la 495 ml lapte de bivoliță degresat într-un vas de 1 l, se ajustează pH-ul la 6,4 prin adăugarea de acid lactic diluat (10 % m/v). Se ajustează temperatura la 35 °C și se adaugă 100 μl de cheag de vițel (activitatea reninică 1:10 000, c. 3 000 U/ml), se amestecă timp de 1 minut, apoi se acoperă vasul cu o folie de aluminiu și se lasă la 35 °C timp de 1 oră pentru a se putea forma coagulul. După formarea acestuia, laptele închegat este liofilizat în întregime fără omogenizare prealabilă și fără a se extrage zerul. După liofilizare, produsul se zdrobește până se obține o pulbere fină omogenă. Pentru prepararea probei standard 0 %, se urmează aceeași procedură folosind lapte degresat de bivoliță veritabil. Probele trebuie păstrate la –20 °C.

Notă: Înaintea preparării probelor standard se recomandă verificarea purității laptelui de bivoliță prin focalizarea izoelectrică a cazeinelor tratate cu plasmină.

Reactivi pentru colorarea proteinelor

4.9.   Fixativ

Se dizolvă în apă 150 g acid tricloroacetic și se completează cu apă până la 1 000 ml.

4.10.   Soluție pentru decolorare

Se diluează în apă distilată până la 2 000 ml 500 ml metanol și 200 ml acid acetic cristalizabil.

Notă: Se prepară zilnic o soluție proaspătă de decolorare; soluția poate fi preparată prin amestecarea de volume egale de soluții stoc metanol 50 % (v/v) și acid acetic cristalizabil 20 % (v/v).

4.11.   Soluții pentru colorare

4.11.1.   Soluție pentru colorare (soluție stoc 1)

Se dizolvă 3,0 g Albastru Briliant de Coomassie G-250 (C.I. 42655) în 1 000 ml metanol 90 % (v/v) folosind un agitator magnetic (timp de aproximativ 45 minute), apoi se filtrează prin două filtre pliate de viteză medie.

4.11.2.   Soluție pentru colorare (soluție stoc 2)

Se dizolvă 5,0 g sulfat de cupru pentahidrat în 1 000 ml acid acetic 20 % (v/v).

4.11.3.   Soluție pentru colorare (soluție de lucru)

Se amestecă 125 ml din fiecare soluție stoc (4.11.1, 4.11.2) imediat înainte de colorare.

Nota: Se recomandă prepararea soluției de colorare în ziua folosirii acesteia.

5.   Aparatură

5.1.   Plăci de sticlă (265 × 125 × 4 mm); rolă de cauciuc (lățime 15 cm); masă reglabilă

5.2.   Foaie susținătoare de gel (265 × 125 mm).

5.3.   Foaie de acoperire (280 × 125 mm). Se lipește o bucată de bandă adezivă (280 × 6 × 0,25 mm) pe fiecare latură lungă (a se vedea figura 1).

5.4.   Cuvă de electrofocalizare cu placă de răcire (de exemplu 265 × 125 mm) cu unitate de alimentare electrică adecvată (≥ 2,5 kV) sau cu aparat automat de electroforeză.

5.5.   Criostat de circulație controlat termostatic la 12 ± 0,5 °C.

5.6.   Centrifugă ajustabilă la 3 000 g.

5.7.   Benzi de electrozi (lungime ≥ 265 mm).

5.8.   Sticle picurătoare de plastic pentru soluțiile anodice și catodice.

5.9.   Aplicatoare de probe (10 × 5 mm, vâscoză sau hârtie de filtru cu absorbție redusă a proteinelor).

5.10.   Foarfeci, scalpele și pensete din oțel inoxidabil.

5.11.   Cuve din oțel inoxidabil pentru colorare și decolorare (de exemplu, tăvi de 280 x 150 mm).

5.12.   Omogenizator ajustabil cu tijă (diametrul tijei 10 mm), viteză de rotație 8 000-20 000 rpm.

5.13.   Agitator magnetic.

5.14.   Baie ultrasonică.

5.15.   Aparat de sudură a foliilor.

5.16.   Micropipete de 25 μl.

5.17.   Concentrator sub vid sau liofilizator.

5.18.   Baie de apă cu agitator, controlată termostatic și ajustabilă la 35 și 40 ± 1 °C.

5.19.   Echipament de densitometrie cu citire la λ = 634 nm.

6.   Procedură

6.1.   Prepararea probei

6.1.1.   Izolarea cazeinelor

Se cântărește într-un tub de centrifugă de 100 ml echivalentul a 5 g materie uscată de brânză sau probă de referință, se adaugă 60 ml apă distilată și se omogenizează cu un omogenizator cu tijă (8 000-10 000 rpm). Se ajustează la un pH de 4,6 cu o soluție de acid acetic diluat (4.5.1) și se pune în centrifugă (5 minute, 3 000 g). Se decantează grăsimea și zerul, se omogenizează reziduul la 20 000 rpm în 40 ml apă distilată ajustată la un pH de 4,5 cu soluție de acid acetic diluat (4.5.1), se adaugă 20 ml diclorometan (4.5.2), se omogenizează din nou și se pune în centrifugă (5 minute, 3 000 g). Se îndepărtează cu o spatulă stratul de cazeină care se află între faza apoasă și cea organică (a se vedea figura 2) și se elimină ambele faze. Se reomogenizează cazeina în 40 ml apă distilată (a se vedea mai sus) și în 20 ml diclorometan (4.5.2), apoi se pune în centrifugă. Se repetă procedura până când ambele faze extrase sunt incolore (de două sau trei ori). Se omogenizează reziduul de proteină cu 50 ml acetonă (4.5.3) și se filtrează printr-o hârtie de filtru pliată de viteză medie. Se spală de fiecare dată reziduul de pe filtru cu câte două porții separate de 25 ml acetonă și se lasă să se usuce în aer sau sub jet de azot, apoi se transformă în pulbere într-un mojar.

Notă: Cazeina izolată uscată trebuie păstrată la –20 °C.

6.1.2.   Clivarea plasminică al ß-cazeinelor pentru intensificarea γ-cazeinelor

Se prepară o suspensie de 25 mg cazeine izolate (6.1.1) în 0,5 ml soluție tampon de carbonat de amoniu (4.7.1) și se omogenizează timp de 20 minute folosind, de exemplu, tratamentul ultrasonic. Se încălzește la 40 °C ș se adaugă 10 μl plasmină (4.7.2), apoi se amestecă și se incubează timp de o oră la 40 °C, agitând continuu. Pentru a inhiba enzimele se adaugă 20 μl soluție de acid ε-aminocaproic (4.7.3), apoi se adaugă 200 mg uree solidă și 2 mg ditiotreitol.

Notă: Pentru a obține o simetrie mai mare a benzilor cazeinice focalizate se recomandă liofilizarea soluției după adăugarea acidului ε-aminocaproic și dizolvarea reziduurilor în 0,5 ml soluție tampon pentru dizolvarea proteinelor (4.6).

6.2.   Prepararea gelurilor poliacrilamide care conțin uree

Cu ajutorul câtorva picături de apă se întinde foaia susținătoare de gel (5.2) pe o placă de sticlă (5.1), îndepărtându-se surplusul de apă cu un șervețel. Se întinde în mod similar foaia de acoperire (5.3) cu spațiatoare (0,25 mm) pe o altă placă de sticlă. Se așează placa orizontal pe masa reglabilă.

Se adaugă 10 μl Temed (4.1.3.1) la soluția de gel degazeificată pregătită (4.1.2), se amestecă și se adaugă 10 μl soluție PER (4.1.3.2), se amestecă bine și se toarnă imediat amestecul într-un strat egal pe centrul foii de acoperire. Se pune o margine a plăcii susținătoare de gel (cu fața foii îndreptată în jos) pe placa de acoperire și se coboară încet, astfel încât între foi să se formeze un strat subțire de gel care să se întindă uniform și fără bule (figura 3). Se coboară cu grijă până la capăt placa susținătoare de gel, folosind o spatulă subțire, apoi se așează încă trei plăci de sticlă deasupra, pentru a acționa ca greutate. După încheierea polimerizării (aproximativ 60 minute), se transferă gelul polimerizat împreună cu foaia de acoperire pe foaia susținătoare de gel, înclinând plăcile de sticlă. Se curăță cu grijă spatele foii susținătoare de gel pentru a elimina reziduurile de gel și de uree. Se sudează marginile „sandvișului” de gel, astfel încât să se obțină un tub și se păstrează în refrigerator (timp de maxim șase săptămâni).

Notă: Foaia de acoperire și spațiatoarele pot fi refolosite. Gelul de poliacrilamidă poate fi tăiat la dimensiuni mai mici, acțiune care este recomandată în cazul în care există puține probe sau în cazul în care se folosește un aparat automat de electroforeză (două geluri format 4,5 × 5 cm).

6.3.   Focalizarea izoelectrică

Se reglează termostatul de răcire la 12 °C. Se șterge cu kerosen spatele foii susținătoare de gel, apoi se picură câteva picături de kerosen (4.2) pe centrul blocului de răcire. Se rulează apoi pe el „sandvișul” de gel, cu partea susținătoare de gel îndreptată în jos, având grijă să se evite formarea bulelor. Se șterge excesul de kerosen și se îndepărtează foaia de acoperire. Se îmbibă benzile de electrozi în soluțiile electrolitice (4.3, 4.4), se taie după lungimea gelului și se plasează în poziția prevăzută (distanța dintre electrozi de 9,5 cm).

Condiții pentru focalizarea izoelectrică:

6.3.1.   Dimensiunile gelului 265 x 125 x 0,25 mm

Pasul

Timp

(min)

Tensiune

(V)

Intensitate

(mA)

Putere

(W)

Volți oră

(Vh)

1.

Pre-focalizare

30

maximum 2 500

maximum 15

constant 4

c. 300

2.

Focalizarea probei (2)

60

maximum 2 500

maximum 15

constant 4

c. 1 000

3.

Focalizarea finală

60

maximum 2 500

maximum 5

maximum 20

c. 3 000

40

maximum 2 500

maximum 6

maximum 20

c. 3 000

30

maximum 2 500

maximum 7

maximum 25

c. 3 000

Notă: În cazul în care se modifică grosimea sau lățimea gelurilor, atunci intensitatea și puterea curentului trebuie ajustate în consecință (de exemplu, în cazul în care se folosește un gel de 265 × 125 × 0,5 mm se dublează valorile pentru intensitatea și puterea curentului electric).

6.3.2.   Exemplu de program de tensiune pentru un aparat automat de electroforeză (2 geluri de 5,0 × 4,5 cm), cu electrozi fără benzi și aplicați direct pe gel.

Etapă

Tensiune

Intensitate

Putere

Temp.

Volți oră

1.

Prefocalizare

1 000 V

10,0 mA

3,5 W

8 °C

85 Vh

2.

Focalizarea probei

250 V

5,0 mA

2,5 W

8 °C

30 Vh

3.

Focalizare

1 200 V

10,0 mA

3,5 W

8 °C

80 Vh

4.

Focalizare

1 500 V

5,0 mA

7,0 W

8 °C

570 Vh

Se plasează aplicatorul probei la pasul 2 la 0 Vh.

Se îndepărtează aplicatorul probei la pasul 2 la 30 Vh.

6.4.   Colorarea proteinelor

6.4.1.   Fixarea proteinelor

Se îndepărtează benzile de electrozi imediat după stingerea aparatului și se plasează imediat gelul într-o cuvă de colorare/decolorare umplută cu 200 ml fixativ (4.9); se lasă acolo timp de 15 minute, agitând în continuu.

6.4.2.   Spălarea și colorarea plăcii de gel

Se scurge cu grijă fixativul și se spală placa de gel de două ori, timp de câte 30 de secunde, cu 100 ml soluție decolorantă (4.10). Se decantează soluția decolorantă și se umple cuva cu 250 ml soluție colorantă (4.11.3); se lasă 45 minute să se coloreze, agitându-se ușor cuva.

6.4.3.   Decolorarea plăcii de gel

Se decantează soluția colorantă, se spală placa de gel de două ori, cu câte 100 ml soluție decolorantă (4.10), apoi se agită timp de 15 minute cu 200 ml soluție decolorantă și se repetă pasul de decolorare de cel puțin două-trei ori, până când fundul vasului este curățat și incolor. Se clătește apoi cu apă distilată placa de gel (2 × 2 minute) și se usucă la aer (2-3 ore) sau cu un uscător de păr (10-15 minute).

Nota 1: Fixarea, spălarea, colorarea și decolorarea se efectuează la 20 °C. A nu se folosi temperaturi ridicate.

Nota 2: În cazul în care se preferă colorarea mai sensibilă cu argint (de exemplu, Silver Staining Kit, Protein, Pharmacia Biotech, cod nr. 17-1150-01), probele de cazeină tratate cu plasmină trebuie diluate la 5 mg/ml.

7.   Evaluare

Evaluarea este efectuată prin compararea benzilor de proteine ale probei necunoscute cu probele de referință efectuate pe același gel. Detectarea laptelui de vacă în brânzeturile din lapte de oaie, lapte de capră și lapte de bivoliță și în amestecurile de lapte de oaie, capră și bivoliță se face prin intermediul γ3- și γ2-cazeinelor, ale căror puncte izoelectrice se află în intervalul pH 6,5-pH 7,5 (figurile 4 a, b, figura 5). Limita de detecție este mai mică de 0,5 %.

7.1.   Estimare vizuală

Pentru evaluarea vizuală a cantității de lapte de vacă se recomandă ajustarea concentrațiilor probelor și a probelor standard pentru a obține același nivel de intensitate a γ3- și γ2-cazeinelor din laptele de ovine, caprine și/sau bivolițe (a se vedea „γ2-E, G, B” și „γ3-E, G, B” din figurile 4 a, b și din figura 5). După aceasta, nivelul de lapte de vacă (mai mic decât, egal cu sau mai mare de 1 %) din proba necunoscută poate fi estimat direct, prin compararea intensității γ3- și γ2-cazeinelor din laptele de vacă (a se vedea „γ3-C” și „γ2-C” din figurile 4 a, b și din figura 5) cu cea a probelor de referință de 0 % și 1 % (oaie, capră) sau cu standardele provizorii de laborator (bivoliță).

7.2.   Estimare densitometrică

În cazul în care este disponibilă, se aplică densitometria (5.19) pentru determinarea raportului dintre suprafața vârfurilor γ3- și γ2-cazeinelor din laptele de vacă, respectiv din laptele de oaie, capră și/sau bivoliță (a se vedea figura 5). Această valoare se compară cu raportul dintre suprafața vârfurilor γ3- și γ2-cazeinelor pentru proba de referință 1 % (oaie, capră) sau pentru standardul provizoriu de laborator (bivoliță), analizate pe același gel.

Notă: Metoda funcționează corespunzător în cazul în care se obține un semnal pozitiv clar pentru ambele cazeine bovine γ3- și γ2- din proba de referință 1 %, dar nu și din proba de referință 0 %. Dacă nu, procedura trebuie îmbunătățită respectându-se cu exactitate detaliile metodei.

O probă este considerată pozitivă în cazul în care ambele cazeine bovine γ3- și γ2- sau raportul suprafeței vârfurilor corespunzător sunt mai mari sau egale cu nivelul din proba de referință 1 %.

8.   Referințe

1.

Addeo F., Moio L., Chianese L., Stingo C., Resmini P., Berner I., Krause I., Di Luccia A., Bocca A.: Use of plasmin to increase the sensitivity of the detection of bovine milk in ovine and/or caprine cheese by gel isoelectric focusing of γ2-caseins. Milchwissenschaft 45, 708-711 (1990).

2.

Addeo F., Nicolai M.A., Chianese L., Moio L., Spagna Musso S., Bocca A., Del Giovine L.: A control method to detect bovine milk in ewe and water buffalo cheese using immunoblotting. Milchwissenschaft 50, 83-85 (1995).

3.

Krause I., Berner I., Klostermeyer H.: Sensitive detection of cow milk in ewe and goat milk and cheese by carrier ampholyte – and carrier ampholyte/immobilized pH gradient–- isoelectric focusing of γ-caseins using plasmin as signal amplifier. in: Electrophoresis-Forum 89 (B. J. Radola, ed.) pp. 389-393, Bode-Verlag, München (1989).

4.

Krause I., Belitz H.-D., Kaiser K.-P.: Nachweis von Kuhmilch in Schaf- und Ziegenmilch bzw. -käse durch isoelektrische Fokussierung in harnstoffhaligen Polyacrylamidgelen. Z. Lebensm. Unters. Forsch. 174, 195-199 (1982).

5.

Radola B.J.: Ultrathin-layer isoelectric focusing in 50-100 μm polyacrylamide gels on silanised glass plates or polyester films. Electrophoresis 1, 43-56 (1980).

Image

Image

Image

Image

Image

Image


(1)  Produsele Ampholine® pH 3,5-9,5 (Pharmacia) și Resolyte® pH 5-7 și pH 6-8 (BDH, Merck) s-au dovedit deosebit de adecvate pentru obținerea gradului necesar de separare a γ-cazeinelor.

(2)  Aplicarea probei: După prefocalizare (etapa 1), se picură 18 μl din proba și din soluțiile standard pe aplicatorii probei (10 × 5 mm), se plasează aplicatorii pe gel la distanță de 1 mm unul de celălalt și la 5 mm longitudinal față de anod și se apasă ușor. Procedura de focalizare se finalizează în condițiile specificate mai sus, îndepărtând cu grijă aplicatorii probei după 60 minute de focalizare a probei.


ANEXA XVI

(Articolul 11)

METODĂ DE REFERINȚĂ PENTRU DETECTAREA BACTERIILOR COLIFORME DIN UNT, LAPTE PRAF DEGRESAT, CAZEINĂ ȘI CAZEINAȚI

La analiza untului pentru detectarea prezenței bacteriilor coliforme se inoculează probe de 1 g de unt în mediul de cultură.

Pentru detectarea prezenței bacteriilor coliforme în lapte praf degresat sau cazeină/cazeinați, se inoculează probe de 0,1 g în mediul de cultură.

Se folosește standardul FIL 73A: 1985, metoda B cu următoarele modificări:

1.

Pregătirea probelor se face conform standardului FIL 122B:1992. Pentru cazeină acidă se poate folosi ca alternativă procedura de preparare a probelor descrisă în standardul FIL 73A:1985.

2.

Se incubează și se evaluează numai eprubete în care s-au inoculat probe de 1 g (de unt) sau de 0,1 g (de lapte praf degresat sau respectiv de cazeină/cazeinați). Nu se fac diluări zecimale.

Evaluarea rezultatelor

Trei rezultate negative:

Cerința este îndeplinită

Două sau trei rezultate pozitive:

Cerința nu este îndeplinită

Două rezultate negative:

Se analizează încă două probe cu masa de 1 g (unt) și 0,1 g (de lapte praf degresat, cazeină/cazeinați)

În cazul în care ultimele două rezultate sunt negative, cerința este îndeplinită; în caz contrar cerința nu este îndeplinită.

Notă

Conținut de bacterii coliforme: 1/10 g pentru unt; 1/g în medie pentru lapte praf degresat, cazeină/cazeinați.

Rezultatele care indică satisfacerea cerinței trebuie să aibă o probabilitate de 93 %.

Conținut de bacterii coliforme: 1/g pentru unt; 1/0,1 g în medie pentru lapte praf degresat sau cazeină/cazeinați.

Rezultatele care indică faptul că cerința nu a fost satisfăcută trebuie să aibă o probabilitate de 91 %.

(Presupunere: distribuția Poisson)


ANEXA XVII

(Articolul 12)

METODĂ DE DETERMINARE A CONȚINUTULUI DE LACTOZĂ AL PRODUSELOR CU COD NC 2309 (1)

PARTEA I

1.   Domeniul de aplicare

Metoda se alică în cazurile în care conținutul de lactoză depășește 0,5 %.

2.   Principiu

Se dizolvă zaharurile în apă. Se lasă drojdia (Saccharomyces cerevisiae) să acționeze; lactoza va rămâne intactă. Se determină conținutul de lactoză al soluției prin metoda Luff-Schoorl, după decantare și filtrare.

3.   Reactivi

Tiosulfat de sodiu 0,1 N.

Indicator: soluție de amidon. Se adaugă un amestec de 5 g de amidon solubil (ca agent de conservare se pot adăuga 10 mg de iodură de mercur) și 30 ml de apă la un litru de apă care fierbe; amestecul se lasă să fiarbă timp de trei minute; se lasă să se răcească.

Sluție AR de iodură de potasiu la 30 % (m/v).

Soluție de acid sulfuric 6 N.

Reactiv Luff-Schoorl:

(a)

Se dizolvă 25 g de sulfat de cupru pentahidrat II fără fier (CuSO45H2O) în 100 ml de apă

(b)

Se dizolvă 50 g de monohidrat de acid citric (C6H8O7H2O) în 50 ml de apă

(c)

Se dizolvă 143,8 g de carbonat de sodiu anhidru (Na2CO3) în aproximativ 300 ml de apă fierbinte și se lasă să se răcească.

Se adaugă (b) la (c) și se agită ușor, apoi se adaugă (a). Se completează până la 1 litru, se lasă să stea peste noapte și apoi se filtrează. Se verifică normalitatea reactivului obținut în acest mod (Cu 0.1 N, Na2CO3 2 N). pH-ul trebuie să fie de aproximativ 9,4.

Soluție Carrez I: se dizolvă 23,8 g Zn (C2H3O2)2.2H2O și 3 g de acid acetic glacial în apă și se completează până la 100 ml.

Carrez II: se dizolvă 10,6 g de K4F2(CN)6. 3H2O în apă și se completează până la 100 ml.

Granule de piatră ponce, tratate în timpul fierberii cu acid clorhidric, clătite cu apă și uscate. Suspensie de Saccharomyces cerevisiae: 25 g de drojdie proaspătă în 100 ml de apă (a nu se păstra în refrigerator mai mult de o săptămână).

4.   Procedură

Se cântărește, cu o precizie de 1 mg, 1 g din proba de analiză; aceasta se introduce într-un balon calibrat de 100 ml. Se adaugă 25-30 ml de apă. Balonul se introduce într-o baie de apă care fierbe timp de 30 de minute, apoi se răcește la aproximativ 35 °C.

Se adaugă 5 ml de suspensie de drojdie (2) și se agită. Balonul calibrat și conținutul acestuia se lasă timp de două ore într-o baie de apă la temperatura de 38-40 °C.

După fermentare se răcește la aproximativ 20 °C. Se adaugă 2,5 ml de soluție Carrez I și se agită timp de 30 de secunde; apoi se adaugă 2,5 ml de soluție Carrez II și se agită din nou treizeci de secunde. Se completează cu apă până la 100 ml, se amestecă și se filtrează. Se pipetează o cantitate de filtrat nu mai mare de 25 ml, care să conțină de preferință 40-80 mg de lactoză; se completează până la 25 ml cu apă și se determină conținutul de lactoză anhidră prin metoda Luff-Schoorl.

Se realizează un test complet cu probă martor numai pentru drojdie.

PARTEA II

1.   Determinarea conținutului de lactoză prin metoda Luff-Schoorl

Se pipetează 25 ml de reactiv Luff-Schoorl și se introduce într-un balon Erlenmeyer de 300 ml; se adaugă 25 ml măsurați cu precizie din soluția decantată.

Se adaugă două granule de piatră ponce, apoi se încălzește, se agită manual pe o flacără deschisă de înălțime medie și se aduce lichidul la punctul de fierbere timp de aproximativ două minute. Balonul Erlenmeyer se așează mediat pe o sită metalică cu azbest sub care se aprinde în prealabil o flacără. Aceasta se reglează astfel încât să fie încălzit numai fundul paharului Erlenmeyer; apoi se instalează un condensator cu reflux. Din acest moment se fierbe timp de exact zece minute. Se răcește imediat în apă rece și după aproximativ cinci minute se analizează după cum urmează.

Se adaugă lichidului 10 ml de iodură de potasiu și imediat, dar cu grijă (întrucât se poate produce o spumare importantă) 25 ml de acid sulfuric 6 N.

Se testează cu tiosulfat de sodiu până la apariția unei colorații corespunzătoare în galben, iar spre sfârșit se adaugă indicatorul de amidon.

Se efectuează exact aceeași analiză folosindu-se un amestec de format din exact 25 ml de reactiv Luff-Schoorl și 25 ml de apă după adăugarea a 10 ml de iodură de potasiu și 25 ml de acid sulfuric 6 N fără a se aduce la punctul de fierbere.

Pe baza următorului tabel se stabilește cantitatea de lactoză exprimată în mg care corespunde diferenței între rezultatele a două analize (exprimate în ml de soluție de tiosulfat de sodiu 0,1 N).

TABEL

Tabel pentru 25 ml de reactiv Luff-Schoorl

(a se vedea condițiile din textul de mai sus)

1.

Tiosulfat de sodiu 0,1 N

2.

Lactoză C12H22O11

1

2

ml

mg

Diferență

1

3,6

 

3,7

2

7,3

 

3,7

3

11,0

 

3,7

4

14,7

 

3,7

5

18,4

 

3,7

6

22,1

 

3,7

7

25,8

 

3,7

8

29,5

 

3,7

9

33,2

 

3,8

10

37,0

 

3,8

11

40,8

 

3,8

12

44,6

 

3,8

13

48,4

 

3,8

14

52,2

 

3,8

15

56,0

 

3,9

16

59,9

 

3,9

17

63,8

 

3,9

18

67,7

 

4,0

19

71,7

 

4,0

20

75,7

 

4,1

21

79,8

 

4,1

22

83,9

 

4,1

23

88,0

 


(1)  Regulamentul (CEE) nr. 222/88.

(2)  Pentru produsele care coțin peste 40 % zahăr fermentabil, se adaugă o cantitate mai mare de suspensie.


ANEXA XVIII

(Articolul 13)

DETECTAREA ZERULUI PRAF DIN LAPTELE PRAF DEGRESAT DESTINAT DEPOZITĂRII PUBLICE PRIN DETERMINAREA CROMATOGRAFIEI LICHIDE DE ÎNALTĂ PERFORMANȚĂ A GLICOMACROPEPTIDELOR (HPLC)

1.   Obiectul și domeniul de aplicare

Această metodă permite detectarea zerului închegat din laptele praf degresat destinat depozitării publice prin determinarea glicomacropeptidelor.

2.   Referințe

Standardul internațional ISO 707 – Lapte și produse lactate – Metode de prelevare a probelor conform indicațiilor din anexa I punctul 2 litera (c) ultimul paragraf.

3.   Definiție

Conținutul de glicomacropeptide al laptelui praf degresat: conținutul de substanțe determinat prin metoda de mai jos, exprimat ca procent de masă.

4.   Principiu

Reconstituirea laptelui praf degresat, îndepărtarea grăsimilor și proteinelor cu acid tricloroacetic, urmată de centrifugare.

Determinarea cantității de glicomacropeptide (GMP) din supranatant prin cromatografie lichidă de înaltă performanță (HPLC).

Evaluarea rezultatelor obținute pentru probe față de probe etalon formate din lapte praf degresat cu sau fără adăugarea unui procent cunoscut de zer praf.

5.   Reactivi

Toți reactivii trebuie să aibă o puritate analitică recunoscută. Apa utilizată trebuie să fie apă distilată sau apă de o puritate cel puțin echivalentă.

5.1.   Soluție de acid tricloroacetic

Se dizolvă 240 g de acid tricloroacetic (Cl3CCOOH) în apă și se completează până la 1 000 ml.

5.2.   Soluție eluantă, pH 6,0

Se dizolvă 1,74 g de fosfat dipotasic (K2HPO4), 12,37 g de fosfat monopotasic (KH2PO4) și 21,41 g de sulfat de sodiu (Na2SO4) în aproximativ 700 ml de apă. În cazul în care este necesar se ajustează cu ajutorul unei soluții de acid fosforic sau hidroxid de potasiu până la obținerea unui pH de 6,0.

Se completează cu apă până la 1 000 ml și se omogenizează.

Soluția eluantă se filtrează înainte de folosire printr-o membrană filtrantă cu diametrul porilor de aproximativ 0,45 μm.

5.3.   Solvent de spălare

Se amestecă un volum de acetonitril (CH3CN) cu nouă volume de apă. Amestecul se filtrează înainte de folosire printr-o membrană filtrantă cu pori cu diametrul de 0,45.

Notă: Se poate folosi orice alt solvent de spălare cu efect bactericid care nu afectează eficiența rezoluției coloanelor.

5.4.   Probe etalon

5.4.1.

Lapte praf degresat care îndeplinește cerințele acestei Rezoluții (respectiv [0]).

5.4.2.

Același lapte praf degresat modificat cu 5 % (m/m) zer închegat praf cu compoziție standard (respectiv [5]).

6.   Aparatură

6.1.

Balanță analitică.

6.2.

Centrifugă cu o forță de centrifugare de 2 200, prevăzută cu tuburi astupate pentru centrifugare u o capacitate de aproximativ 25 ml.

6.3.

Agitator mecanic.

6.4.

Agitator magnetic.

6.5.

Conducte de sticlă cu diametrul de aproximativ 7 cm.

6.6.

Filtre de hârtie cu filtrare medie cu diametrul de aproximativ 12,5 cm.

6.7.

Dispozitiv de sticlă pentru filtrare prevăzut cu membrană filtrantă cu diametrul porilor de aproximativ 0,45 μm.

6.8.

Pipete gradate de 10 ml (ISO 648, clasa A sau ISO/R 835).

6.9.

Baie termostat de apă, reglată la 25 + 0,5 °C.

6.10.

Echipament pentru HPLC format din:

6.10.1.

Pompă.

6.10.2.

Injector, manual sau automat, cu o capacitate de 15-30 μl.

6.10.3.

Două coloane TSK 2 000-SW în serie (lungime de 30 cm, diametru intern de 0,75 cm) sau coloane echivalente și o precoloană (3 cm x 0,3 cm) acoperite cu material I 125 sau cu un material cu eficiență echivalentă.

6.10.4.

Cuptor cu coloană termostat, reglat la 35 + 1 °C.

6.10.5.

Detector UV cu lungime de undă variabilă care permite realizarea de măsurători la 205 nm cu o sensibilitate de 0,008 A.

6.10.6.

Integrator cu ajutorul căruia se poate realiza integrarea la linia de bază.

Notă: Se poate lucra cu coloanele aflate la temperatura camerei, dar puterea lor de rezoluție este puțin mai mică. În acest caz, temperatura nu trebui să varieze cu mai mult de + 5 °C în nici o serie de analize.

7.   Prelevarea probelor

7.1.

Standardul internațional ISO 707 – „Lapte și produse lactate – Metode de prelevare a probelor” conform indicațiilor din anexa I punctul 2 litera (c) ultimul paragraf.

7.2.

Probele etalon se depozitează în condiții în care nu poate surveni nici o deteriorare sau modificare a compoziției.

8.   Procedură

8.1.   Prepararea probei de analiză

Se transferă laptele praf într-un recipient cu o capacitate aproximativ dublă față de volumul laptelui praf, prevăzut cu un capac etanș la aer. Recipientul se închide imediat. Laptele praf se amestecă bine prin răsturnări repetate ale recipientului.

8.2.   Cantitatea analizată

Se cântăresc 2,000 + 0,001 g din proba analizată într-un tub de centrifugare (6.2).

8.3.   Îndepărtarea grăsimii și a proteinelor

8.3.1.

Se adaugă 20 g de apă caldă (50 °C) la cantitatea analizată. Se dizolvă laptele praf agitându-se câteva minute cu ajutorul unui agitator mecanic (6.3). Tubul se răcește la 25 °C.

8.3.2.

Se adaugă constant 10,0 ml de soluție de acid tricloroacetic (5.1.) timp de două minute, amestecându-se cu ajutorul unui agitator magnetic (6.4). Tubul se introduce într-o baie de apă (6.9) și se lasă timp de 60 de minute.

8.3.3.

Se centrifughează (6.2) timp de 10 minute la 2 200 g sau se filtrează printr-o hârtie (6.6), eliminându-se primii 5 ml de filtrat.

8.4.   Determinarea cromatografică

8.4.1.   Se injectează 15-30 μl de supernatant sau filtrat (8.3.3) măsurat cu precizie în aparatul HPLC (6.10) funcționând la un debit de 1,0 ml de soluție eluantă (5.2) pe minut.

Note:

1.

Soluția eluantă (5.2) se menține la 85 °C pe parcursul întregii analize cromatorafice pentru ca eluantul să se mențină degazat și pentru a împiedica dezvoltarea bacteriilor. Se poate recurge la orice măsură de precauție cu efect similar.

2.

Coloanele se clătesc cu apă la fiecare întrerupere. Soluția nu se lasă niciodată în coloane (5.2).

Înainte de orice întrerupere care durează mai mult de 24 de ore, coloanele se clătesc cu apă și se spală cu soluție (5.3) timp de cel puțin trei ore la un debit de 0,2 ml pe minut.

8.4.2.   Rezultatele analizei cromatografice a probei etalon [E] se obțin sub forma unei cromatograme în care fiecare vârf se identifică după timpul de retenție RT după cum urmează.

Vârful II:

Al doilea vârf al cromatogramei cu un RT de aproximativ 17,5 minute.

Vârful III:

Al treilea vârf al cromatogramei, corespunzând GMP, cu un RT de 15,5 + 1,0 minute.

Vârful IV:

Al patrulea vârf al cromatogramei cu un RT de aproximativ 17,5 minute.

Calitatea coloanei poate afecta timpii de retenție ai fiecărui vârf.

Integratorul (6.10.6) calculează automat suprafața A a fiecărui vârf.

AII:

suprafața vârfului II,

AIII:

suprafața vârfului III,

AIV:

suprafața vârfului IV.

Este esențial să se examineze aspectul fiecărei cromatograme înainte de realizarea interpretării cantitative pentru a se detecta orice eventuale anomalii datorate fie funcționării necorespunzătoare a aparatului sau a coloanelor, fie originii sau naturii probei analizate.

În caz de neclarități, repetați analiza.

8.5.   Calibrarea

8.5.1.   Probelor standard (5.4) li se aplică exact procedura descrisă de la punctul 8.2 la punctul 8.4.2.

Se folosesc soluții proaspăt preparate, întrucât GMP se degradează într-un mediu 8 % tricloroacetic. Pierderea este estimată la 0,2 % pe oră la 30 °C.

8.5.2.   Înainte de determinarea cromatografică a probelor coloanele trebuie condiționate prin injectarea repetată a probei standard (5.4.2) în soluție (8.5.1), până când suprafața vârfului și timpul de retenție al acestuia pentru GMP sunt constante.

8.5.3.   Se determină coeficientul de răspuns R prin injectarea aceluiași volum de filtrați (8.5.1) folosit și în probe.

9.   Exprimarea rezultatelor

9.1.   Metoda de calcul și formula

9.1.1.   Calcularea factorilor de răspuns R:

 

Vârful II:

Formula

Vârful IV:

Formula

unde:

RII și RIV

=

factorii de răspuns pentru vârfurile II și respectiv IV,

AII [0] și AIV [0]

=

suprafețele vârfurilor II și respectiv IV pentru proba etalon [0] obținute la 8.5.3.

 

Vârful III:

Formula

unde:

RII

=

coeficientul de răspuns al vârfului III,

AIII [0] și AIII [5]

=

suprafețele vârfurilor III pentru probele etalon [0] și respectiv [5] obținute la 8.5.3.

W

=

cantitatea de zer din proba etalon [5], respectiv 5.

9.1.2.   Calcularea suprafeței relative a vârfurilor probei [E]:

Formula

Formula

Formula

unde:

SII [E], SIII [E], SIV [E]

=

suprafețele relative ale vârfurilor II, III și respectiv IV din probă [E]

AII [E], AIII [E], AIV [E]

=

suprafețele vârfurilor II, III și respectiv IV din probă [E] obținute la 8.4.2,

RII, RIII, RIV

=

coeficientul de răspuns calculat la 9.1.1.

9.1.3.   Calcularea timpului relativ de retenție al vârfului III pentru proba [E]:

Formula

unde:

RRTIII [E]

=

timpul relativ de retenție al vârfului III din probă [E],

RTIII [E]

=

timpul relativ de retenție al vârfului III din probă [E] obținut la 8.4.2,

RTIII [5]

=

timpul relativ de retenție al vârfului III din proba de control [5] obținut la 8.5.3.

9.1.4.   Experimentele au demonstrat că există o relație liniară între timpul relativ de retenție al vârfului III, respectiv RRTIII [E] și procentul de zer praf de până la 10 % adăugat.

RRTIII [E] este < 1,000 în cazul în care conținutul de zer este > 5 %;

RRTIII [E] este ≥ 1,000 în cazul în care conținutul de zer este ≤ 5 %.

Nesiguranța permisă pentru valorile RRTIII este de + 0,002.

În mod normal, valoarea RRTIII [0] deviază puțin de la 1,034. În funcție de starea coloanelor, valoarea se poate apropia de 1,000, dar este întotdeauna mai mare de această valoare.

9.2.   Calcularea procentului de zer închegat praf din probă:

unde:


W =

procentul m/m de zer închegat în proba [E];

SIII [E] =

suprafața relativă a vârfului III al probei analizate [E] obținută ca la 9.1.2;

1,3

reprezintă suprafața medie relativă a vârfului III exprimată în grame de zer închegat pe 100 g determinată pentru lapte praf degresat nemodificat cu diferite origini. Această valoare a fost obținută experimental;

SIII [0]

reprezintă suprafața relativă a vârfului III egală cu RIII × AIII [0]. Aceste valori au fost obținute la 9.1.1 și, respectiv, 8.5.3;

(SIII [0] – 0,9)

reprezintă corecția care trebui adusă suprafețe relative 1,3 când SIII [0] nu are valoarea 0,9. În mod experimental, suprafața medie relativă a vârfului III al probei martor [0] este de 0,9.

9.3.   Precizia procedurii

9.3.1.   Repetabilitate

Diferența dintre rezultatele a două determinări realizate simultan sau în succesiune rapidă de către același operator, folosind aceeași aparatură și material de analiză identic nu trebuie să depășească 0,2 % m/m.

9.3.2.   Reproductibilitate

Diferența dintre două rezultate separate și independente, obținute de doi operatori care lucrează în laboratoare diferite cu material de analiză identic nu trebuie să depășească 0.4 % m/m.

9.4.   Interpretare

9.4.1.   Se presupune că zerul este absent în cazul în care suprafața relativă a vârfului III, SIII[E] exprimată în grame de zer închegat pe o sută de grame de produs este < Formula

unde:

2,0

este valoarea maximă permisă a suprafeței relative a vârfului III avându-se în vedere suprafața relativă a vârfului III, respectiv 1,3, nesiguranța datorată variațiilor compoziției laptelui praf degresat și reproductibilitatea metodei (9.3.2),

(SIII[0] – 0,9)

este corecția care trebuie adusă când suprafața SIII[0] nu este 0,9 (a se vedea punctul 9.2)

9.4.2.   În cazul în care suprafața relativă a vârfului III, SIII[E] este >Formulași suprafața relativă a vârfului II, SII[E] ≤ 160, se determină conținutul de zer închegat conform indicațiilor de la punctul 9.2.

În cazul în care suprafața relativă a vârfului III, SIII[E] este >Formulași suprafața relativă a vârfului II, SII[E] ≤ 160, se determină conținutul total de proteine (P%); apoi se examinează graficele 1 și 2.

9.4.3.1.   Datele obținute în urma analizei probelor de lapte praf degresat nemodificat cu un conținut total de proteine ridicat sunt reprezentate în graficele 1 și 2.

Linia continuă reprezintă regresia liniară, ai cărei coeficienți se calculează prin metoda pătratului celui mai mic.

Linia dreaptă punctată marchează limita superioară a suprafeței relative a vârfului III, cu probabilitatea ca aceasta să nu fie depășită în 90 % din cazuri.

Ecuațiile liniilor drepte punctate de pe graficele 1 și 2 sunt:

SIII = 0,376 P % – 10,7

(graficul 1),

SIII = 0,0123 SII [E] + 0,93

(graficul 2),

și respectiv unde:

SIII

este suprafața relativă a vârfului III calculată fie pe baza conținutului total de proteine, fie pe baza suprafeței relative a vârfului SII[E],

P%

este conținutul total de proteine exprimat ca procent de masă,

(SII[E]

este suprafața relativă pentru probă calculată la punctul 9.1.2.

Pe baza acestor ecuații rezultă graficele din figura 1.3, menționate la 9.2.

Diferența (T1 și T2) dintre suprafața relativă SIII[E] determinată și suprafața relativă SIII se calculează după cum urmează:

Formula

Formula

În cazul în care T1 și/sau T2

au valoarea zero sau mai mică, nu se poate determina prezența zerului închegat.

În cazul în care T1 sau T2

au o valoare mai mare de zero, zerul închegat este prezent.

Conținutul de zer închegat se calculează cu ajutorul formulei:

Formula

unde:

 

0,91 este distanța pe axa verticală între linia dreaptă continuă și linia dreaptă punctată.

Image


ANEXA XIX

(Articolul 13)

DETERMINAREA SUBSTANȚELOR SOLIDE DIN ZER ÎNCHEGAT ÎN LAPTELE PRAF DEGRESAT ȘI ÎN AMESTECURILE MENȚIONATE ÎN REGULAMENTUL (CE) NR. 2799/1999

1.   Scop: Detectarea substanțelor solide din zer închegat adăugate în:

(a)

laptele praf degresat, după cum este definit la articolul 2 din Regulamentul (CE) nr. 2799/1999 și

(b)

amestecuri, după cum sunt definite la articolul 4 din Regulamentul (CE) nr. 2799/1999.

2.   Referințe: Standardul internațional ISO 707

3.   Definiție

Conținutul de substanțe solide din zer închegat se definește ca procent de masă determinat prin procedura descrisă.

4.   Principiu

Conținutul de glicomacropeptide A se determină conform anexei XVIII. Probele pentru care se obțin rezultate pozitive se analizează pentru detectarea glicomacropeptidelor A prin procedura de cromatografie lichidă de înaltă performanță în fază inversată (procedura HPLC). Evaluarea rezultatelor se face prin referire la probe etalon formate din lapte praf degresat care conțin sau nu conțin un procent cunoscut de zer praf. Rezultatele mai mari de 1 % (m/m) indică prezența substanțelor solide din zer închegat.

5.   Reactivi

Toți reactivii utilizați trebuie să fie de calitate analitică recunoscută. Apa utilizată trebuie să fie apă distilată sau apă de o puritate cel puțin echivalentă. Acetonitrilul trebuie să fie de calitate spectroscopică sau de calitate HPLC.

Reactivii necesari pentru această procedură sunt descriși în anexa XVIII la prezentul regulament.

Reactivi pentru HPLC în fază inversată.

5.1.   Soluție de acid tricloroacetic

Se dizolvă în apă 240 g acid tricloroacetic (CCl3CCOOH) și se completează cu apă până la 1 000 ml.

5.2.   Eluanții A și B

Eluantul A: Se introduc într-un balon cotat de 1 000 ml 150 ml acetonitril (CH3CN), 20 ml izopropanol (CH3CHOHCH3) și 1,00 ml de acid trifloroacetic (TFA, CF3COOH). Se completează cu apă până la 1 000 ml. Eluantul B: Se introduc într-un balon cotat de 1 000 ml 550 ml acetonitril, 20 ml izopropanol și 1,00 ml TFA. Se completează cu apă până la 1 000 ml. Soluția eluantă se filtrează înainte de folosire printr-o membrană filtrantă cu pori cu diametrul de 0,45 μm.

5.3.   Conservarea coloanei

După analize, coloana se clătește cu eluantul B (cu un gradient) iar apoi se clătește cu acetonitril (cu un gradient timp de 30 de minute). Coloana se păstrează în acetonitril.

5.4.   Probele etalon

5.4.1.

Lapte praf degresat care îndeplinește cerințele pentru depozitare publică [respectiv (0)].

5.4.2.

Același lapte praf degresat, modificat cu 5 % (m/m) zer închegat praf cu compoziție standard [respectiv (5)].

5.4.3.

Același lapte praf degresat, modificat cu 50 % (m/m) zer închegat praf cu compoziție standard [respectiv (50)] (1).

6.   Aparatură

Aparatura necesară pentru procedura descrisă este cea descrisă în anexa XVIII la prezentul regulament.

6.1.1.

Balanță analitică.

6.2.

Centrifugă cu o forță de centrifugare de 2 200 g, prevăzută cu tuburi astupate pentru centrifugare cu o capacitate de aproximativ 50 ml.

6.3.

Agitator mecanic cu care se pot agita preparate la 50 °C.

6.4.

Agitator magnetic.

6.5.

Coloane de sticlă cu diametrul de aproximativ 7 cm.

6.6.

Filtre de hârtie cu filtrare medie cu diametrul de aproximativ 12,5 cm.

6.7.

Dispozitiv de sticlă pentru filtrare prevăzut cu membrană filtrantă cu diametrul porilor de aproximativ 0,45 μm.

6.8.

Pipete gradate de 10 ml (ISO 648, clasa A sau ISO/R 835), sau un sistem prin care pot trece 10,0 ml în două minute.

6.9.

Baie termostat de apă, reglată la 25 + 0,5 °C.

6.10.

Echipament pentru HPLC format din:

6.10.1.

Sistem binar de pompare reglabil.

6.10.2.

Injector, manual sau automat, cu o capacitate de 100 μl.

6.10.3.

Coloană Dupont Protein Plus (lungime 25 cm, diametru intern 0,46 cm) sau o coloană în fază inversată cu pori mari pe bază de silice echivalentă.

6.10.4.

Cuptor cu coloană termostat, reglat la 35 + 1 °C.

6.10.5.

Detector UV cu lungime de undă variabilă care permite realizarea de măsurători la 210 nm (în cazul în care este necesar se poate folosi o lungime de undă mai mare, de până la 220 nm) cu o sensibilitate de 0,02 Å.

6.10.6.

Integrator cu ajutorul căruia se poate realiza integrarea la linia de bază.

Notă

Se poate lucra cu coloana la temperatura camerei, cu condiția ca temperatura să nu varieze cu mai mult de 1 °C; în caz contrar, se înregistrează o variație mult prea mare a timpului de retenție al GMPÅ.

7.   Prelevarea probelor

7.1.

Probele se prelevează conform procedurii descrise de Standardul internațional ISO 707. Cu toate acestea, statele membre pot folosi și altă metodă de prelevare a probelor, cu condiția ca aceasta să respecte principiile standardului menționat anterior.

7.2.

Probele se depozitează în condiții în care nu poate surveni nici o deteriorare sau modificare a compoziției.

8.   Procedură

8.1.   Prepararea probei de analiză

Se transferă laptele praf într-un recipient cu o capacitate aproximativ triplă față de volumul laptelui praf, prevăzut cu un capac etanș la aer. Recipientul se închide imediat. Laptele praf se amestecă bine prin răsturnări repetate ale recipientului.

8.2.   Cantitatea analizată

Se cântăresc 2,000 + 0,001 g din proba analizată într-un tub de centrifugare (6.2.) sau într-un balon astupat adecvat (50 ml).

8.3.   Îndepărtarea grăsimii și a proteinelor

8.3.1.

Se adaugă 20,0 g de apă caldă (50 °C) la cantitatea analizată. Se dizolvă laptele praf agitându-se cinci minute sau 30 de minute în cazul zarei acide cu ajutorul unui agitator mecanic (6.3). Tubul se introduce în baia de apă (6.9) și se lasă să se echilibreze la 25 °C.

8.3.2.

Se adaugă constant 10,0 ml de soluție de acid tricloroacetic (5.1.) timp două minute, amestecându-se puternic cu ajutorul unui agitator magnetic (6.4). Tubul se introduce într-o baie de apă (6.9) și se lasă timp de 60 de minute.

8.3.3.

Se centrifughează (6.2) 2,200 g timp de 10 minute sau se filtrează prin hârtie (6.6), eliminându-se primii 5 ml de filtrat.

8.4.   Determinarea cromatografică

8.4.1.   Se efectuează analiza HPLC conform descrierii din anexa XVIII. În cazul în care se obține un rezultat negativ, proba analizată nu conține solide din zer închegat în cantități detectabile. În cazul în care rezultatul este pozitiv, se alică procedura HPLC în fază inversată descrisă mai jos. Prezența zarei acide praf poate provoca apariția unor rezultate fals pozitive. Metoda HPLC în fază inversă exclude această posibilitate.

8.4.2.   Înainte de realizarea analizei HPLC în fază inversă se optimizează condițiile de gradient. Pentru sistemele reglabile cu un volum mort de aproximativ 6 ml (volum de la punctul în care solvenții se întâlnesc până la bucla injectorului, inclusiv) timpul de retenție de 26 ± 2 minute pentru GMPA este optim. Pentru sistemele reglabile cu un volum mort mai mic (de exemplu, 2 ml) timpul optim de retenție este de 22 minute.

Se recoltează soluții de probă etalon (5.4) cu și fără 50 °6 zer închegat.

Se injectează 100 μl de supranatant sau de filtrat (8.3.3) în sistemul HPLC care funcționează în condițiile de gradient de explorare din tabelul 1.

Tabelul 1

Condiții de gradient de explorare pentru optimizarea cromatografiei

Timp

(minute)

Flux

(ml/minute)

% A

% B

Curbă

Inițial

1,0

90

10

*

27

1,0

60

40

lin

32

1,0

10

90

lin

37

1,0

10

90

lin

42

1,0

90

10

lin

Compararea celor două cromatograme trebuie să indice poziția vârfului (vârful GMPA).

Cu ajutorul formulei de mai jos se poate calcula compoziția inițială a solventului care se folosește pentru gradientul normal (a se vedea 8.4.3)

Formula

Formula

Unde:

RTgmpA

:

timpul de retenție al GMPA la gradientul de explorare

10

:

% B inițial al gradientului de explorare

2,5

:

% B în punctul de mijloc minus % B inițial la gradientul normal

13,5

:

timpul corespunzător punctului de mijloc

26

:

timpul necesar de retenție pentru GMPA

6

:

raportul pantelor gradienților de explorare și normal

30

:

% B inițial minus % B la 27 minute la gradientul de explorare

27

:

timpul de rulare al gradientului de explorare.

8.4.3.   Prelevarea soluțiilor din probele analizate

Se injectează 100 μl de supernatant sau filtrat (8.3.3) măsurat cu precizie în aparatul HPLC funcționând la un debit de 1,0 ml de soluție eluantă (5.2) pe minut.

Compoziția eluantului la începutul analizei se obține ca la punctul 8.4.2. În mod normal este de aproximativ A:B = 76:24 (5.2). Imediat după injectare se pornește un gradient liniar, rezultatul fiind un procent al B cu 5 % mai mare peste 27 minute. Apoi se pornește un gradient liniar, datorită căruia, după cinci minute, compoziția eluantului este de 90 % B. Compoziția se menține timp de cinci minute, după care compoziția se modifică în cinci minute, via un gradient liniar, ajungând la compoziția inițială. În funcție de volumul intern al sistemului de pompare, următoare injectare se poate face la 15 minute după ce se ajunge la condițiile inițiale.

Observații

1.

Timpul de retenție al glicomacropeptidelor trebuie să fie de 26 ± două minute. Acesta se poate obține prin modificarea condițiilor inițiale și finale ale primului gradient. Cu toate acestea, diferența la nivelul % B în condițiile inițiale și finale ale primului gradient trebuie să se mențină la 5 % B.

2.

Eluanții trebuie degazați suficient și trebuie, de asemenea, să se mențină degazați. Acest lucru este esențial pentru buna funcționare a sistemului de pompare reglabil. Deviația standard a timpului de retenție al vârfului GMP trebuie să fie sub 0,1 minute (n = 10).

3.

După fiecare cinci probe se injectează proba de referință (5) și se folosește pentru calcularea noului coeficient de răspuns R. (9.1.1).

8.4.4.   Rezultatele analizei cromatografice a probei analizate (E) se obțin sub forma unei cromatograme în care vârful GMP este identificat pe baza timpului său de retenție de aproximativ 26 minute.

Integratorul (6.40.6) calculează automat înălțimea vârfului H pentru vârful GMP. Se verifică poziția liniei de bază în fiecare cromatogramă. În cazul în care poziția liniei de bază este incorectă, analiza sau integrarea se repetă.

Este extrem de important să se examineze aspectul fiecărei cromatograme înainte de interpretarea cantitativă pentru a se detecta orice eventuale anomalii datorate fie funcționării necorespunzătoare a aparatului sau a coloanelor, fie originii sau naturii probei analizate. În cazul în care există dubii, analiza se repetă.

8.5.   Calibrarea

8.5.1.   Se aplică cu exactitate procedura descrisă de la punctul 8.2 la punctul 8.4.4 folosindu-se probele etalon (5.4.1 – 5.4.2). Se folosesc soluții proaspăt preparate, întrucât GMP se degradează într-un mediu 8 % tricloroacetic la temperatura camerei. La 4 °C soluția este stabilă timp de 24 ore. Pentru seriile lungi de analize este de preferabil ca în injectorul automat să se folosească o tavă răcită pentru probe.

Notă

8.4.2 se poate omite în cazul în care se cunoaște % B în condițiile inițiale din analizele efectuate anterior.

Cromatograma probei de referință (5) trebuie să fie similară cu cea din Figura 1. În această figură vârful GMPA este precedat de două vârfuri mici. Este extrem de important să se obțină o separare similară.

8.5.2.   Înainte de determinarea cromatografică a probei se injectează 100 μl din proba etalon care nu conține zer închegat (0) (5.4.1).

Pe cromatogramă nu trebuie să apară un vârf pentru timpul de retenție al vârfului GMPA.

8.5.3.   Coeficientul de răspuns R se determină prin injectarea aceluiași volum de filtrat (8.5.1) ca și cel folosit pentru probe.

9.   Exprimarea rezultatelor

9.1.   Metoda de calcul și formula

9.1.1.   Calcularea coeficientului de răspuns R:

Vârful GMP = W/H

Unde:

R

=

coeficientul de răspuns al vârfului GMP

H

=

înălțimea vârfului GMP

W

=

cantitatea de zer din proba etalon (5).

9.2.   Calcularea procentului de zer închegat praf din probă

W(E) = R × H(E)

Unde:

W(E)

=

procentul (m/m) de zer închegat din probă (E).

R

=

coeficientul de răspuns al vârfului GMP (9.1.1)

H(E)

=

înălțimea vârfului GMP al probei (E)

În cazul în care W(E) este mai mare de 1 % și diferența dintre timpul de retenție și cel al probei standard (5) este mai mic de 0,2 minute, atunci sunt prezente substanțe solide din zer închegat.

9.3.   Precizia metodei

9.3.1.   Repetabilitate

Diferența dintre rezultatele a două determinări efectuate simultan sau în cel mai scurt interval de timp posibil de același operator care utilizează aceeași aparatură pe material de analiză identic nu trebuie să depășească 0,2 % m/m.

9.3.2.   Reproductibilitate

Nu s-a determinat încă.

9.3.3.   Liniaritate

De la 0 la 16 % zer închegat se obține o relație de liniaritate cu un coeficient de corelare > 0,99.

9.4.   Interpretare

9.4.1.

Se consideră că zerul este prezent în cazul în care rezultatul obținut la 9.2 este mai mare de 1 % m/m și timpul de retenție al vârfului GMP diferă cu mai mult de 0,2 minute de cel al probei etalon (5). Limita de 1 % se stabilește în conformitate cu prevederile de la punctele 9.2 și 9.4.1 din anexa V la Regulamentul (CEE) nr. 625/78.

Image


(1)  Zerul închegat praf cu compoziție standard, precum și laptele praf degresat modificat pot fi procurate de la NIZO, Kernhemseweg 2, PO Box 20 – NL-6710 BA Ede. Cu toate acestea, se pot folosi și prafuri care produc rezultate echivalente celor obținute pentru produsele NIZO.


ANEXA XX

(Articolul 14)

LAPTE PRAF DEGRESAT: DETERMINAREA CANTITATIVĂ A FOSFATIDILSERINEI ȘI A FOSFATIDILETANOLAMINEI

Metodă: HPLC în fază inversă

1.   Obiectul și domeniul de aplicare

Această metodă descrie o procedură de determinare cantitativă a fosfatidilserinei (PS) și a fosfatidiletanolaminei (PE) din laptele praf degresat (SMP) și este adecvată pentru determinarea substanțelor solide din zară din SMP.

2.   Definiție

Conținutul de PS + PE: fracțiunea de masă a substanței determinate prin procedura descrisă în prezenta anexă. Rezultatul se exprimă în miligrame de dipalmitoil fosfatidiletanolamină (PEDP) în 100 g praf.

3.   Principiu

Extragerea aminofosfolipidelor cu metanol din lapte praf reconstituit. Determinare PS și PE ca derivați ai o-ftaldialdehidei (OPA) prin HPLC în fază inversă (RP) și prin detectare prin fluorescență. Cuantificarea conținutului de PS și PE din proba analizată prin referire la o probă etalon conținând o cantitate cunoscută de PEDP.

4.   Reactivi

Toți reactivii utilizați trebuie să fie de calitate analitică recunoscută. Apa utilizată trebuie să fie apă distilată sau apă de o puritate cel puțin echivalentă, cu excepția cazurilor în care se precizează altceva.

4.1.   Material etalon: PEDP cu o puritate de cel puțin 99 %

Notă: Materialul etalon se depozitează la –18 °C.

4.2.   Reactivi pentru prepararea probei etalon și a probei de analiză

4.2.1.

Metanol de calitate HPLC

4.2.2.

Cloroform de calitate HPLC

4.2.3.

Monoclorhidrat de triptamină

4.3.   Reactivi pentru derivarea o-ftaldialdehidei

4.3.1.

Hidroxid de sodiu, soluție de apă 12 M

4.3.2.

Acid boric, soluție de apă 0,4 M ajustată cu hidroxid de sodiu până la un pH de 10,0 (4.3.1)

4.3.3.

2-mercaptetanol

4.3.4.

o-ftaldialdehidă (OPA)

4.4.   Solvenți de eluare HPLC

La prepararea solvenților de eluare se folosesc reactivi de calitate HPLC.

4.4.1.

Apă de calitate HPLC

4.4.2.

Metanol cu puritate fluorimetrică testată

4.4.3.

Tetrahidrofuran

4.4.4.

Fosfat monosodic

4.4.5.

Acetat de sodiu

4.4.6.

Acid acetic

5.   Aparatură

5.1.

Balanță analitică

5.2.

Pahare de laborator cu capacitate de 25 și 100 ml

5.3.

Pipete de 1 și 10 ml

5.4.

Agitator magnetic

5.5.

Pipete gradate de 0,2, 0,5 și 5 ml

5.6.

Baloane cotate cu capacitate de 10, 50 și 100 ml

5.7.

Seringi cu capacitate de 20 și 100 μl

5.8.

Baie ultrasonică

5.9.

Centrifugă care funcționează la 27 000 x g

5.10.

Fiole de sticlă cu capacitate de aproximativ 5 ml

5.11.

Cilindru gradat cu capacitate de 25 ml

5.12.

Aparat de măsurare a pH-ului

5.13.

Echipament HPLC

5.13.1.

Sistem de pompare reglabil care poate funcționa la 1,0 ml/min la 200 bari

5.13.2.

Aparat de prelevare de probe automată cu posibilitate de derivare

5.13.3.

Încălzitor de coloană reglat la 30 °C

5.13.4.

Detector de fluorescență reglat la o lungime de undă de excitare de 330 nm și la o lungime de undă de emisie 440 nm

5.13.5.

Integrator sau software de procesare de date care poate măsura suprafața vârfului

5.13.6.

Licrosferă – 100 coloană (250 x 4,6 mm) sau o coloană echivalentă învelită în octadecilsilan (C 18) cu particule de 5 μm.

6.   Prelevarea probelor

Prelevarea probelor se realizează conform standardului FIL 50B:1985.

7.   Procedura

7.1.   Prepararea soluției etalon intern

Se cântăresc 30,0 ± 0,1 mg de monoclorhidrat de triptamină (4.2.3) într-un balon cotat de 100 ml (5.6) și se completează cu metanol (4.2.1) până la marcaj. Se pipetează 1ml (5.3) din această soluție într-un balon cotat de 10 ml (5.6) și se completează cu metanol (4.2.1) până la marcaj pentru a se obține o concentrație de triptamină de 0,15 mM.

7.2.   Prepararea soluției din proba de analiză

Se cântăresc 1,000 ± 0,001 g din proba de SMP într-un pahar de laborator de 25 ml (5.2). Se adaugă cu o pipetă (5.3) 10 ml de apă distilată cu temperatura de 40 °C și se amestecă cu un agitator magnetic (5.4) timp de 30 de minute pentru a se dizolva toate cocoloașele. Se pipetează 0,2 ml (5.5) din laptele reconstituit într-un balon cotat de 10 ml (5.6), se adaugă 100 μl din soluția de triptamină de 0,15 mM (7-1) cu ajutorul unei seringi (5.7) și se completează la volum cu metanol (4.2.1). Se amestecă cu grijă prin răsturnare și se sonichează (5.8) timp de 15 minute. Se centrifughează (5.9) la 27 000 x g timp de 10 minute și se colectează supranatantul într-o fiolă de sticlă (5.10).

Notă: Soluția probă se depozitează la 4 °C până la finalizarea analizei HPLC.

7.3.   Prepararea soluției etalon extern

Se cântăresc 55,4 g de PEDP (4.1) într-un balon cotat de 50 ml (5.6) și se adaugă aproximativ 25 ml de cloroform (4.2.2) cu ajutorul unui cilindru gradat (5.11). Se încălzește balonul astupat la 50 °C și se amestecă cu atenție până când se dizolvă PEDP. Balonul se răcește la 20 °C și se completează la volum cu metanol (4.2.1) și amestecă prin răsturnare. Se pipetează 1 ml (5.3) din această soluție într-un balon cotat de 100 ml (5.6) și se completează la volum cu metanol (4.2.1). Se pipetează 1 ml (5.3) din această soluție într-un balon cotat de 10 ml (5.6) și se adaugă 100 μl (5.7) de soluție de triptamină de 0,15 mM (7.1) și se completează la volum cu metanol (4.2.1). Se amestecă prin răsturnare.

Notă: Soluția probă de referință se depozitează la 4 °C până la finalizarea analizei HPLC.

7.4.   Prepararea reactivului de derivare

Se cântăresc 25,0 + 0,1 mg de OPA (4.3.4) într-un balon cotat de 10 ml (5.6) și se adaugă 0,5 ml (5.5) de metanol (4.2.1) și se amestecă cu atenție pentru ca OPA să se dizolve. Se completează până la marcaj cu soluție de acid boric (4.3.2) și se adaugă 20 μl de 2-mercaptetanol (4.3.3) cu o seringă (5.7).

Notă: Reactivul de derivare se depozitează la 4 °C într-o fiolă de culoare închisă, rămânând stabil timp de o săptămână.

7.5.   Determinarea prin HPLC

7.5.1.   Solvenți de eluare (4.4)

Solventul A:

Soluție 0,3 mM de fosfat monosodic și 3 mM de soluție de acetat de sodiu (ajustată cu acid acetic la un pH de 6,5): metanol: tetrahidrofuran = 558:440:2 (v/v/v)

Solventul B:

metanol

7.5.2.   Gradient de eluare recomandat:

Timp (min)

Solvent A (%)

Solvent B (%)

Debit (ml/min)

Inițial

40

60

0

0,1

40

60

0,1

5,0

40

60

0,1

6,0

40

60

1,0

6,5

40

60

1,0

9,0

36

64

1,0

10,0

20

80

1,0

11,5

16

84

1,0

12,0

16

84

1,0

16,0

10

90

1,0

19,0

0

100

1,0

20,0

0

100

1,0

21,0

40

60

1,0

29,0

40

60

1,0

30,0

40

60

0

Notă: Este posibil să fie nevoie de o ușoară modificare a gradientului de eluare pentru a se obține rezoluția din figura 1.

Temperatura coloanei: 30 °C.

7.5.3.   Volum injectat: 50 μl reactiv de derivare și 50 μl soluție probă.

7.5.4.   Echilibrarea coloanei

Sistemul se pornește în fiecare zi, se clătește coloana cu solvent B 100 % timp de 15 minute, apoi se reglează la A:B = 40: 60 și se echilibrează la 1 ml/min timp de 15 minute. Se lucrează cu o probă martor injectându-se metanol (4.2.1).

Notă: Înainte de o depozitare pe termen lung coloana se clătește cu metanol: cloroform = 80: 20 (v/v) timp de 30 de minute.

7.5.5.   Determinarea conținutului de PS + PE din proba analizată

7.5.6.   Se realizează secvența de analiză cromatografică lăsându-se un timp constant între seriile de analize pentru a se obține timpi de reținere constanți. Soluția etalon extern (7.3) se injectează la fiecare 5-10 soluții probă pentru a se evalua coeficientul de răspuns.

Notă: Coloana se curăță prin clătire cu solvent B 100 % (7.5.1) timp de cel puțin 30 de minute la fiecare 20-25 de serii.

7.6.   Modul de integrare

7.6.1.   Vârful PEDP

PEDP este eluat ca un singur vârf. Se determină suprafața vârfului prin integrare la linia de bază.

7.6.2.   Vârful triptaminei

Triptamina este eluată ca un singur vârf (figura 1). Se determină suprafața vârfului prin integrare la linia de bază.

7.6.3.   Grupurile de vârfuri ale PS și PE

În condițiile descrise (figura 1), PS eluează sub forma a două vârfuri principale parțial fără rezoluție precedate de un vârf minor. PE eluează sub forma a trei vârfuri principale parțial fără rezoluție. Se determină întreaga suprafață a fiecărei aglomerări de vârfuri stabilindu-se linia de bază ca în figura 1.

8.   Calcularea și exprimarea rezultatelor

Conținutul de PS și PE din proba analizată se calculează după cum urmează:

Formula

unde:

C

=

conținutul de PS sau PE (mg/100 g praf) din proba analizată

A1

=

suprafața vârfului PEDP din soluția etalon din probă (7.3)

A2

=

Suprafața vârfului PS sau PE din soluția din probă (7.2)

T1

=

Suprafața vârfului triptaminei din soluția etalon din probă (7.3)

T2

=

Suprafața vârfului triptaminei din soluția din probă (7.2)

9.   Precizie

Notă: Valorile repetabilității au fost calculate conform Standardului Internațional FIL (1). Limita orientativă de reproductibilitate a fost calculată conform procedurii definite în anexa III(b) la prezentul document.

9.1.   Repetabilitate

Derivația standard relativă a repetabilității, care exprimă variabilitatea rezultatelor independente de analiză obținute de același operator care folosește aceeași aparatură în aceleași condiții și probe de analiză identice într-un interval scurt de timp nu trebuie să depășească relativ 2 %. În cazul în care se obțin două determinări în aceste condiții, diferența relativă dintre cele două rezultate nu trebuie să fie mai mare de 6 % din media aritmetică a rezultatelor.

9.2.   Reproductibilitate

În cazul în care se realizează două determinări de către operatori din laboratoare diferite care folosesc aparatură diferită în condiții diferite și aceeași probă de analiză, diferența relativă dintre cele două rezultate nu trebuie să fie mai mare de 11 % din media aritmetică a rezultatelor.

10.   Referințe

10.1.

Resmini P., Pellegrino L., Hogenboom J.A., Sadini V., Rampili M., „Detection of buttermilk solids in skimmilk powder by HPLC quantification of aminophospholipids.” Sci. tecn. Latt.-Cas., 39,395 (1988).

Image


(1)  Standardul Internațional FIL 135B/1999. Lapte și produse lactate. Caracterisicile de precizie ale metodei de analiză. Prezentare generală a procedurii de studiu în colaborare.


ANEXA XXI

(Articolul 15)

DETECTAREA ANTIBIOTICELOR ȘI A REZIDUURILOR DE SULFAMIDE/DAPSON DIN LAPTELE PRAF DEGRESAT

Se folosește un test de selecție al unui inhibitor microbian în care se folosește Bacillus stearothermophilus var. calidolactis C953 ca micro-organism de test și care este suficient de sensibil pentru a detecta 4 μg Benzilpenicilină din lapte și 100 μg sulfamidină din lapte. Sunt disponibile și se pot folosi kituri comerciale pentru analize în cazul în care acestea au sensibilitatea necesară la Benzilpenicilină și sulfamidină (1).

Pentru analiză se folosește lapte praf degresat reconstituit (1 g praf + 9 ml apă distilată). Testul se realizează în conformitate cu Buletinul FIL 258/1991 secțiunea 1 capitolul 2 sau în conformitate cu instrucțiunile producătorului kitului pentru analize.

Rezultatele pozitive se interpretează după cum urmează.

1.

Se repetă analiza adăugându-se penicilină în sistemul de analiză:

 

Rezultat pozitiv: Substanța inhibitoare nu poate fi identificată prin această procedură.

 

Rezultat negativ: Substanța inhibitoare este un antibiotic β-lactam.

2.

Se repetă analiza adăugându-se acid p-aminobenzoic în sistemul de analiză.

 

Rezultat pozitiv: Substanța inhibitoare nu poate fi identificată prin această procedură.

 

Rezultat negativ: Substanța inhibitoare este o/un sulfamidă/dapson.

3.

Se repetă analiza adăugându-se penicilinază + acid p-aminobenzoic în sistemul de analiză:

 

Rezultat pozitiv: Substanța inhibitoare nu poate fi identificată prin această procedură.

 

Rezultat negativ: Substanțele inhibitoare sunt un antibiotic β-lactam și o/un sulfamidă/dapson.


(1)  Observație importantă: La analiza laptelui praf degresat se pot obține rezultate fals pozitive. De aceea, este important să se verifice dacă sistemul nu generează rezultate fals pozitive.


ANEXA XXII

(Articolul 16)

DETERMINAREA CANTITATIVĂ A LAPTELUI PRAF DEGRESAT ÎN FURAJE COMBINATE PRIN COAGULAREA ENZIMATICĂ A PARA-CAZEINEI

1.   Scop

Determinarea cantitativă a laptelui praf degresat în furajele combinate prin coagularea enzimatică a para-cazeinei.

2.   Domeniu de aplicare

Această metodă se aplică furajelor combinate conținând cel puțin 10 % lapte praf degresat; prezența unor cantitățile mari de zară și/sau de anumite proteine care nu provin din lapte pot duce la apariția unor interferențe.

3.   Principiul metodei

3.1.

Dizolvarea cazeinei conținute în furajele combinate prin extragere cu soluție de citrat de sodiu.

3.2.

Ajustarea concentrației de ioni de calciu la nivelul necesar pentru precipitarea para-cazeinei; se realizează prin adăugarea de para-cazeină închegată obținută din cazeină.

3.3.

Conținutul de azot al precipitatului de para-cazeină se determină prin metoda Kjeldahl, așa cum este descrisă în standardul FIL 20A 1986; cantitatea de lapte praf degresat se calculează pe baza unui conținut minim de cazeină de 27,5 % (a se vedea 9.1).

4.   Reactivi

Toți reactivii utilizați trebuie să fie de calitate analitică recunoscută. Apa utilizată trebuie să fie apă distilată sau apă de o puritate cel puțin echivalentă. Cu excepția cheagului (4.5), toți reactivii și toate soluțiile trebuie să nu conține substanțe azotate.

4.1.

Citrat trisodic (soluție 1 % m/v).

4.2.

Clorură de calciu (2M de soluție). Se cântăresc 20,018 g de CaCO3 (puritate analitică) într-un vas de porțelan de dimensiuni adecvate (150 – 200 ml) sau într-un pahar de laborator. Se acoperă cu apă distilată și se transferă într-o baie de apă care fierbe. Se adaugă încet 50 – 60 ml de soluție de HCl (conc. HCl:apă = 1:1) pentru a dizolva complet carbonatul. Se lasă în baia de apă până CaCl2 se usucă pentru a se elimina HCl care nu a reacționat. Se transferă împreună cu apa distilată într-un vas de măsurat de 100 ml și se diluează până la marcaj. Se măsoară valoarea pH-ului, care nu trebuie să fie mai mică de 4,0. Soluția se păstrează în refrigerator.

4.3.

Hidroxid de sodiu 0,1 N.

4.4.

Acid clorhidric 0,1 N.

4.5.

Cheag lichid de vițel (tărie standard de 1:10 000). Se păstrează în refrigerator la 4 – 6 °C.

4.6.

Reactivii pentru determinarea cantitativă a azotului în conformitate cu metoda Kjeldahl descriși în standardul FIL 20A 1986.

5.   Aparatură

Aparatură obișnuită de laborator, cuprinzând:

5.1.

Mojar sau omogenizator

5.2.

Balanță analitică

5.3.

Centrifugă de masă (2 000-3 000 rpm) cu tuburi de 50 ml

5.4.

Agitator magnetic (10-15 mm) cu minimagneți

5.5.

Pahare de laborator de 250-500 ml

5.6.

Baloane de 150 și 200 ml

5.7.

Conducte de sticlă cu diametru de 60-80 mm

5.8.

Filtre fără cenușă cu filtrare rapidă cu diametrul de 150 mm (S.S. 5892, S.S. 595 1/2)

5.9.

Pipete cu diverse volume nominale

5.10.

Baie de apă cu termostat la 37 °C

5.11.

Aparat de măsurare a pH-ului

5.12.

Instalație Kjeldahl de înmuiere și distilare cu fitinguri

5.13.

Biuretă gradată de 25 ml

5.14.

Stropitor de plastic pentru apă distilată

5.15.

Spatule din oțel inoxidabil

5.16.

Termometre

5.17.

Cuptor de uscare cu regulator de temperatură

6.   Procedura

6.1.   Prepararea probei

Se zdrobesc în mojar sau se omogenizează în râșniță 10-20 g din probă pentru a se obține amestec omogen.

6.2.   Dizolvarea laptele praf și separarea reziduului insolubil

6.2.1.

Se cântăresc 1,000 ± 0,002 g de furaje combinate bine omogenizate (6.1) direct într-un tub de centrifugarea de 50 ml. Se adaugă 30 ml de soluție de citrat trisodic (4.1) încălzit în prealabil la 45 °C. Se amestecă timp de cel puțin cinci minute cu ajutorul unui agitator magnetic.

6.2.2.

Se centrifughează la 500 g (2 000-3 000 rpm) timp de 10 minute și se decantează cu atenție supranatantul apos limpede într-un pahar de laborator de 150-200 ml, pentru a nu se pierde material.

6.2.3.

Se realizează încă două extrageri de reziduu prin aceeași procedură și se adaugă extractele la primul.

6.2.4.

În cazul în care se formează un strat de ulei la suprafață, se răcește în refrigerator până când grăsimile se solidifică și se îndepărtează stratul solid cu o spatulă.

6.3.   Coagularea cazeinei cu enzime cheag.

6.3.1.   Se amestecă continuu și se adaugă prin picurare 3,4 ml de soluție saturată de clorură de calciu (4.2) la întregul extract apos (aproximativ 100 ml). Se ajustează pH-ul la 6,4-6,5 cu soluții de NaOH (4.3) sau de HCl (4.4). Se introduce în baia de apă controlată prin termostat la 37 °C timp de 15-20 minute pentru a se obține un echilibru salin. Acesta este indicat de o ușoară tulburare.

6.3.2.   Lichidul se transferă în unul (sau în două) tuburi de centrifugare și se centrifughează la 2 000 g timp de 10 minute pentru a se îndepărta substanțele precipitate. Se transferă supranatantul, fără a se spăla sedimentul, în unul (sau în două) tuburi de centrifugare.

6.3.3.   Supranatantul se aduce din nou la temperatura de 37 °C. În timp ce se amestecă extractul se adaugă prin picurare 0,5 ml de cheag lichid (4.5). Coagularea se produce după unul sau două minute.

6.3.4.   Proba se introduce din nou în baia de apă și se lasă la o temperatură de 37 °C timp de 15 minute. Proba se scoate din baie, iar coagul se sparge prin amestecare. Se centrifughează la 2 000 g timp de 10 minute. Se filtrează supranatantul printr-un filtru de hârtie adecvat (1) (Whatman nr. 541 sau echivalent) și se păstrează filtrul de hârtie. Precipitatul se clătește în tubul de centrifugare cu 50 ml de apă la aproximativ 35 °C amestecându-se precipitatul.

Se centrifughează din nou la 2 000 g timp de 10 minute. Supranatantul se filtrează prin filtrul de hârtie păstrat.

6.4.   Determinarea azotului din cazeină.

6.4.1.

După clătire, precipitatul se transferă cantitativ în filtrul de hârtie rămas de la 6.3.4 cu ajutorul apei distilate. Filtrul de hârtie se transferă în balonul Kjeldhal. Se determină azotul prin metoda Kjeldahl în conformitate cu standardul FIL 20A 1986.

7.   Test cu probă martor

7.1.

În mod regulat se efectuează câte un test cu probă martor folosindu-se un filtru de hârtie fără cenușă (5.8) umezit cu un amestec de 90 ml (4.1) de soluție de citrat de sodiu, 1 ml soluție saturată de clorură de calciu (4.2), 0,5 ml de cheag lichid (4.5) și spălat cu 3 x 15 ml de apă distilată înainte de a se mineraliza prin metoda Kjeldhal în conformitate cu standardul FIL 20A 1986.

7.2.

Volumul de acid folosit pentru testul cu probă martor se ia din volumul de acid (4.4) folosit pentru titrarea probei.

8.   Test de control

8.1.

Pentru testarea procedurii și a reactivilor menționați anterior se face o determinare pe un furaj combinat standard cu un conținut cunoscut de lapte praf degresat după cum s-a stabilit în urma studiului în colaborare. Media rezultatelor determinării pentru o probă martor nu trebuie difere cu mai mult de 1 % de cea rezultată din studiul în colaborare.

9.   Exprimarea rezultatelor

9.1.   Procentul de lapte praf concentrat din furajul combinat se calculează cu ajutorul formulei de mai jos:

Formula

unde N este procentul de azot din para-cazeină; 27,5 este coeficientul de transformare a cazeinei determinate în procentul de lapte praf degresat; 2,81 și 0,908 sunt coeficienții de corecție obținuți prin analiza regresiei.

10.   Precizia metodei

10.1.   Repetabilitate

În cel puțin 95 % din cazuri studiate, analiza probelor martor pentru aceeași probă realizată de același operator în același laborator trebuie să dea rezultate echivalente cu cele pentru o cantitate nu mai mare de 2,3 g de lapte praf degresat în 100 g de furaj combinat.

10.2.   Reproductibilitate

În cel puțin 95 % din cazuri studiate, analiza probelor martor pentru aceeași probă realizată de două laboratoare trebuie să dea rezultate echivalente cu cele pentru o cantitate nu mai mare de 6,5 g de lapte praf degresat în 100 g de furaj combinat.

11.   Limita de toleranță

Valoarea CrD95 (diferență critică; 95 % limită de încredere) se calculează cu formula (ISO 5725):

Formula

(R: reproductibilitate; r repetabilitate)

Dublă determinare: CrD95 = 4,5 g

În cazul în care rezultatul analizei chimice diferă de conținutul declarat de lapte praf degresat cu nu mai mult de 4,5 g (dublă determinare) se consideră că lotul de furaje combinate îndeplinește dispozițiile prezentului regulament.

12.   Observații

12.1.

Adăugarea unor procente mari de proteine care nu provin din lapte și în special de proteine din soia care sunt încălzite împreună cu laptele praf degresat poate genera rezultate prea mari din cauza co-precipitării cu para-cazeina din lapte.

12.2.

Adăugarea de zară poate duce la obținerea unor cifre mai mici din cauza faptului că se determină numai cantitatea fără grăsime. Adăugare de zară acidă poate genera rezultate considerabil mai mici din cauza dizolvării incomplete în soluția de citrat.

12.3.

Adăugarea de 0,5 % sau mai multă lecitină poate de asemenea genera rezultate cu valori mici.

12.4.

Încorporarea de lapte praf degresat tratat la temperaturi înalte poate genera obținerea de valori prea mari din cauza co-precipitării anumitor proteine cu para-cazeina din lapte.


(1)  Se folosește o hârtie fără cenușă cu filtrare rapidă.


ANEXA XXIII

(Articolul 17)

DETERMINAREA CALITATIVĂ A AMIDONULUI DIN LAPTELE PRAF DEGRESAT, LAPTE PRAF DENATURAT ȘI FURAJE COMBINATE

1.   Domeniul de aplicare

Prin această metodă se detectează amidonul utilizat ca marcator în lapte praf denaturat.

Limita de detectare a metodei este de aproximativ 0,05 g de amidon în 100 g de probă.

2.   Principiu

Reacția se bazează pe cea folosită în iodometrie:

fixarea iodului liber din soluție apoasă de către coloizi,

absorbția de către miceliile de amidon și prin colorare.

3.   Reactivi

3.1.   Soluție de iod:

iod: 1 g,

iodură de potasiu: 2 g,

apă distilată: 100 ml.

4.   Aparatură

4.1.

Balanță analitică

4.2.

Baie de apă

4.3.

Eprubete, 25 mm x 200 mm

5.   Procedura

Se cântărește 1 g din probă și se transferă într-o eprubetă (4.3).

Se adaugă 20 ml de apă distilată și se amestecă pentru a se dispersa proba.

Se introduce în baia de apă (4.2) și se lasă timp de 5 minute.

Se scoate din baia de apă și se răcește la temperatura camerei.

Se adaugă 0,5 ml de soluție de iod (3.1) și se amestecă, observându-se culoarea rezultată.

6.   Exprimarea rezultatelor

Culoarea albastră indică prezența amidonului natural în probă.

În cazul în care proba conține amidon modificat, poate rezulta o altă culoare decât albastru.

7.   Observații

Culoarea, intensitatea culorii și aspectul observat la microscop al amidonului variază în funcție de originea amidonului natural (de exemplu, porumb sau cartof) și de tipul de amidon modificat din probă.

În prezența amidonului modificat culoarea rezultată este violet, roșu sau maro, în funcție de amploarea modificării din structura cristalină a amidonului natural.


ANEXA XXIV

(Articolul 18)

DETERMINAREA UMIDITĂȚII DIN ZARA PRAF ACIDĂ

1.   Sfera de aplicare

Determinarea conținutului de umiditate din zara praf acidă destinată furajelor combinate.

2.   Principiu

Proba se usucă în vid. Pierderea de masă se determină prin cântărire.

3.   Aparatură

3.1.

Balanță analitică

3.2.

Recipiente uscate din metal care nu se corodează sau de sticlă cu capace etanșe la aer; o suprafață de lucru care să permită întinderea probei la aproximativ 0,3 g/cm3.

3.3.

Cuptor electric reglabil cu vid prevăzut cu pompă de ulei și fie cu un mecanism de introducere a aerului fierbinte, fie cu un agent de uscare (de exemplu, oxid de calciu).

3.4.

Desicator cu agent de uscare eficient.

3.5.

Cuptor de uscare ventilat cu temperatura controlată de un termostat la 102 + 2 °C.

4.   Procedura

Se încălzesc un recipient (3.2) și capacul acestuia în cuptor (3.5) timp de cel puțin o oră. Se așează capacul pe recipient și se transferă imediat în desicator (3.4); se lasă să se răcească la temperatura camerei și se cântărește cu o precizie de 0,5 mg.

Se cântăresc un recipient (3.2) și capacul acestuia cu o precizie de 0,5 mg. În recipientul cântărit se cântăresc, cu o precizie de 1 mg, aproximativ 5 g din probă și se întind uniform. Recipientul fără capac se introduce în cuptorul cu vid (3.3) preîncălzit la 83 °C. Pentru a împiedica scăderea temperaturii din cuptor la o valoare inacceptabilă, recipientul se introduce în cuptor cât mai rapid posibil.

Se mărește presiunea până la 100 Tori (13,3 kPa) și se lasă să se usuce timp de patru ore la această presiune, fie într-un curent de aer fierbinte și uscat, fie cu ajutorul unui agent de uscare (aproximativ 300 g la 20 de probe). În al doilea caz, după ce se obține presiunea recomandată pompa de vid se deconectează. Timpul de uscare se calculează din momentul în care temperatura cuptorului revine la 83 °C. Presiunea cuptorului se reduce cu grijă până la nivelul presiunii atmosferice. Se deschide cuptorul, recipientul se acoperă mediat cu capacul, se scoate din cuptor și se lasă să se răcească în desicator (3.3) timp de 30-45 minute și se cântărește cu o precizie de 1 mg. Se usucă timp de încă 30 de minute în cuptorul cu vid (3.3) la 83 °C și se cântărește din nou. Diferența intre cele două cântăriri nu trebuie să depășească 0,1 % umiditate.

5.   Calcularea

Formula

unde

E

=

masa inițială a probei exprimată în grame,

m

=

masa probei uscate exprimată în grame.

6.   Precizia

6.1.   Limita de repetabilitate

Diferența dintre rezultatele a două determinări realizate în cel mai scurt interval de timp posibil de către un operator care utilizează aceleași instrumente și un material de analiză identic nu trebuie să fie mai mare de 0,4 g apă/100 g zara praf acidă.

6.2.   Limita de reproductibilitate

Diferența dintre rezultatele a două determinări realizate în cel mai scurt interval de timp posibil de operatori din laboratoare diferite, care utilizează instrumente diferite și un material de analiză identic nu trebuie să fie mai mare de 0,6 g apă/100 g zara praf acidă.

6.3.   Sursa datelor de precizie

Datele de precizie au fost determinate printr-un experiment realizat în 1995, în cadrul căruia au participat opt laboratoare și s-au folosit 12 probe (șase duplicate probă martor).


ANEXA XXV

(Articolul 19)

METODA DE REFERINȚĂ PENTRU DETECTAREA GRĂSIMILOR STRĂINE DIN GRĂSIMEA DIN LAPTE PRIN ANALIZĂ PRIN CROMATOGRAFIE CU GAZ A TRIGLICERIDELOR – REVIZIA 1

1.   Obiectul și domeniul de aplicare

Acest standard descrie o metodă de detectare a grăsimilor străine, atât a grăsimilor vegetale cât și a grăsimilor animale cum ar fi seul de vită și untura din grăsimile din lapte sau din produsele lactate prin analiza prin cromatografie cu gaz a trigliceridelor.

Cu ajutorul anumitor formule de trigliceride se detectează calitativ și cantitativ grăsimile vegetale și animale din grăsimea pură din lapte indiferent de condițiile de hrănire sau de lactație.

Nota 1: Deși prezența acidului butiric (C4) exclusiv în grăsimile din lapte permite estimarea cantitativă a cantităților mici până la cele medii de grăsimi din lapte în grăsimile vegetale, informațiile calitative și cantitative sunt foarte greu furnizate în cazul adăugării de până la cel puțin 20 % (% masă) grăsimi străine la grăsimile pure din lapte din cauza variațiilor mari ale C4 în intervalul 3,5-4,5 (% masă).

Nota 2: Rezultatele cantitative se pot obține practic numai prin analiza trigliceridelor, deoarece conținutul de sterol al grăsimilor vegetale diferă în funcție de modul de producție și de condițiile de tratare.

2.   Definiție

Grăsimi străine în grăsimile din lapte: conform acestui standard, grăsimile străine sunt grăsimile vegetale și grăsimile animale, cu excepția grăsimilor din lapte.

3.   Principiul metodei

După extracția grăsimii din lapte se prepară o soluție „stock”. Din această soluție se determină trigliceridele (număr total de atomi de carbon) prin cromatografie cu gaz cu coloane acoperite. Prin introducerea % de masă al moleculelor de grăsime de diferite dimensiuni (C24 – C54 – numai numere pare) în formula trigliceridelor, grăsimile străine sunt fie detectate calitativ, fie determinate cantitativ.

Notă: Pe baza evaluării descrise în prezentul document se poate folosi cromatografia cu gaz cu coloană capilară în cazul în care se poate garanta obținerea de rezultate similare (1).

4.   Reactivi

Se folosesc substanțe cu puritate analitică.

4.1.

Gaz vector: azot, grad de puritate ≥ 99,996 %.

4.2.

Trigliceride standard (2) saturate, precum și colesterol pentru standardizarea unei grăsimi standard din lapte în conformitate cu secțiunea 6.5.4.

4.3.

Metanol, fără apă.

4.4.

n-Hexan

4.5.

n-Heptan

4.6.

Toluen

4.7.

Soluție de dimetilclorosilan: 50 ml de dimetilclorosilan se dizolvă în 283 ml de toluen.

4.8.

Gaz combustibil: hidrogen și aer sintetic

4.9.

Fază staționară, 3-% OV-1 la 125/150 μm (100/120 ochiuri de sită) Gas ChromQ. (3)

4.10.

Soluție de unt de cocos 10 %

5.   Instrumente

Aparatură obișnuită de laborator, în special următoarele:

5.1.   Cromatograf cu gaz cu temperatură înaltă adecvat pentru temperaturi de cel puțin 400-450 °C, prevăzut cu detector cu ionizare în flacără și dispozitiv de control al fluxului de masă constant pentru gazul vector. Gaz de ardere: 30 ml/min H2, 270 ml/min aer sintetic.

Având în vedere fluxul intens al gazului vector, jetul de flacără trebuie să fie extrem de mare.

Notă: Din cauza temperaturii înalte care se produce în timpul analizei trigliceridelor, racordurile de sticlă ale detectorului cu ionizare în flacără sau ale sistemului de injectare trebuie curățate frecvent.

Cromatograful cu gaz trebuie să fie prevăzut cu pereți despărțitori, rezistenți la temperaturi înalte, care să poată fi folosiți frecvent și să prezinte în general un grad foarte redus de „curgere”.

Notă: Sunt adecvați pereții despărțitori Chromblue (tm) (Chrompack).

Pereții despărțitori trebuie înlocuiți la intervale regulate, de exemplu după aproximativ 100 de injectări sau imediat ce rezoluția este afectată (a se vedea figura 4).

5.2.   Coloana de cromatografie

Coloană de sticlă în formă de U (diametru interior de 2 mm, lungime de 500 mm), silanizată conform secțiunii 6.1 cu dimetilclorosilan pentru dezactivarea suprafeței de sticlă.

Notă: Sunt adecvate și coloanele mai lungi (80-200 mm lungime) acoperite. Cu ajutorul acestora se poate obține o reproductibilitate a rezultatelor puțin mai bună. Pe de altă parte, faza staționară prezintă uneori rupturi după operațiune, care, la rândul lor, ar putea determina rezultate cantitative de calitate mai slabă. În plus, flacăra detectorului cu ionizare în flacără se stinge cu ușurință din cauza fluxului extrem de puternic de gaz purtător care este necesar de 75-85 ml/min.

Modul de umplere a coloanei (a se vedea figura 1)

Figura 1

Umplerea coloanei

Image

5.3.1.

Coloană de plastic cu capace terminale înșurubate, prevăzute cu un marcaj până la care se poate umple cu fază staționară.

5.3.2.

Site fine (dimensiunea ochiurilor aproximativ 100 μm) cu capac înșurubat, adecvat pentru sigilarea coloanei de sticlă după cum se arată în figura 1.

5.3.3.

Vată de sticlă dezactivată silanizată.

5.3.4.

Vibrator pentru distribuirea uniformă a fazei staționare în timpul umplerii

5.4.   Coloană Extrelut (4) de 1-3 ml cu gel de silice. Această coloană poate fi folosită alternativ pentru extracție în vederea obținerii de grăsimi din lapte.

5.5.   Garnitură de grafit de 6,4 mm (1/4″) cu diametru interior de 6 mm.

5.6.   Dispozitive pentru silanizarea suprafeței de sticlă a coloanei conform secțiunii 6.1.

5.6.1.

Vas Woulff

5.6.2.

Pompă aspiratoare de apă

5.7.   Baie de apă, reglabilă la (50 ± 2)°C

5.8.   Etuvă reglabilă la (50 ± 2)°C și la (100 ± 2)°C

5.9.   Micropipetă

5.10.   Pipetă gradată de 5 ml pentru dozarea a 1,5 ml de metanol

5.11.   Balon cu fund rotund de 50 ml

5.12.   Balon Erlenmeyer, cu volum nominal de 50 ml

5.13.   Conductă

5.14.   Filtru cu pori fini

5.15.   Evaporator rotativ

5.16.   Fiole cu volum nominal de 1 ml care pot fi sigilate cu capac de aluminiu și cu perete interior despărțitor

5.17.   Seringă pentru injectare, sistemul de injectare seringii folosite nu trebuie să ajungă la vârful acului

Notă: Aceste seringi favorizează o mai bună reproductibilitate a rezultatelor care se vor obține.

Pentru a se evita deteriorarea peretelui interior, vârful acului trebuie verificat la intervale regulate (de exemplu cu un stereomicroscop).

6.   Procedură

6.1.   Prepararea coloanei (silanizare)

După conectarea vasului Woulff după cum se arată în figura 2 la pompa aspiratoare de apă, tubul 2 este introdus în soluție conform secțiunii 4.7. Coloana se umple prin închiderea robinetului; apoi cele două tuburi se îndepărtează.

Figura 2

Aranjamente pentru silanizare

Image

Coloana se fixează pe un stativ și se umple complet cu dimetildiclorosilan cu ajutorul unei pipete.

După 20-30 min vasul Woulff se înlocuiește cu un balon cu filtru iar coloana se golește prin conectarea la pompa aspiratoare de apă (a se vedea figura 3).

6.2.   Umplerea coloanei

Se continuă cu clătiri succesive cu 75 ml toluen și 50 ml metanol; apoi coloana golită se usucă în etuvă la 100 °C timp de aproximativ 30 de minute.

Figura 3

Ansamblu de clătire

Image

Pentru umplerea coloanei se folosește ansamblul prezentat în figura 1. Coloana de plastic se umple până la marcaj cu faza staționară conform 4.9. Partea inferioară a coloanei de sticlă care urmează să fie umplută se sigilează cu un dop de vată de sticlă de aproximativ 1 cm, silanizat în prealabil care este apăsat cu o tijă de oțel. Apoi capătul coloanei este închis cu sita conform secțiunii 5.3.2.

Coloana se umple sub presiune (3 bari cu N2) cu faza staționară. Pentru a se obține un ambalaj uniform, continuu și ferm, în timpul umplerii un vibrator va fi deplasat în sus și în jos prin coloana de sticlă.

După umplere, în celălalt capăt al coloanei acoperite se introduce un dop solid de vată de sticlă silanizată, iar capetele acestuia rămase în exterior se taie și dopul se împinge câțiva milimetri în interiorul coloanei cu o spatulă.

6.3.   Prepararea probelor

Pentru prepararea probei se folosește una dintre următoarele trei metode:

6.3.1.   Izolarea grăsimii din lapte din unt

Se topesc 5-10 g de unt într-un vas adecvat plasat într-o baie de apă cu temperatura de 50 °C conform secțiunii 5.7.

Se încălzesc în etuvă la 50 °C un pahar Erlenmeyer și o conductă cu filtru încorporat. Stratul de grăsime din proba de unt topit se filtrează cu ajutorul dispozitivului preîncălzit.

Grăsimile din lapte de acest tip nu conțin aproape deloc fosfolipide.

6.3.2.   Extracția fracțiunii de grăsime conform metodei Röse-Gottlieb

Extracția se realizează conform unuia dintre următoarele standarde FIL 1 C: 1987, 16C: 1987, 116A: 1987 sau 22B: 1987.

În cazul acestui tip de grăsime din lapte, fosfolipidele permit obținerea unui vârf al colesterolului cu aproximativ 0,1 % mai mare.

Influența asupra spectrului de trigliceride standardizat la 100 cu colesterol este deci neglijabilă.

6.3.3.   Extracția din lapte cu coloană cu gel de siliciu

Se aduc 0,7 ml din proba de lapte la temperatura de 20 °C și se introduc într-o coloană Extrelut de 1-3 ml cu o micropipetă conform secțiunii 5.4 și se lasă să se distribuie uniform pe gelul de silice timp de aproximativ 5 minute.

Cu ajutorul unei pipete se adaugă 1,5 ml de metanol.pentru a se denatura complecșii de proteine-lipide. În continuare, proba este extrasă cu 20 ml n-hexan. n-hexanul se adaugă încet în cantități mici, iar solventul drenat se colectează într-un balon de 50 ml cu fundul rotund care a fost uscat până la obținerea unei mase constante cunoscute.

După extracție, coloana se scurge până se golește.

Solvenții din eluant se distilează într-un evaporator rotativ într-o baie de apă cu temperatura între 40 și 50 °C.

Se usucă balonul și se determină grăsimea rezultată prin cântărire.

Notă: Extracția grăsimilor prin metodele Gerber, Weibull-Berntrop, Schmid-Bondzynski-Ratzlaff sau izolarea grăsimii din lapte cu ajutorul unor detergenți (metoda BDI) nu sunt adecvate pentru analiza trigliceridelor, deoarece pot determina trecerea unor cantități mai mici sau mai mari de gliceride sau fosfolipide parțiale în fază grasă.

6.4.   Prepararea soluției de probă

Pentru cromatografia cu gaz se folosește o soluție 5 % de grăsime în n-heptan, obținută după cum se arată la 6.3. Pentru prepararea acestei soluții etalon se cântăresc cantități din materialul de analiză obținut după cum se arată în secțiunile 6.3.1 și 6.3.2 și se dizolvă în cantități corespunzătoare de n-heptan.

Pentru prepararea probelor conform secțiunii 6.3.3, cantitatea de n-heptan care trebuie adăugată la materialul de analiză din balon se calculează pe bază de cântărire, iar cantitatea rămasă se dizolvă.

Se umple o fiolă cu aproximativ 1 ml din soluția de probă, după cum se arată în secțiunea 5.1.6.

6.5.   Determinarea cromatografică a trigliceridelor

La temperaturi înalte de 350 °C de eluare a trigliceridelor C52-C56 cu catene lungi se produc creșteri ușoare ale liniei de bază, în special în cazurile în care coloanele nu au fost condiționate corespunzător la început. Această creștere a liniei de bază la temperaturi înalte poate fi complet evitată fie prin combinarea a două coloane, fie prin sustragerea liniei de bază.

În modul compensare sau la folosirea unei singure coloane, precum și în cazul racordurilor de sticlă ale injectorului și detectorului, se folosesc garnituri de grafit, după cum se arată în secțiunea 5.5.

6.5.1.   Corecția liniei de bază

Pentru evitarea creșterii liniei de bază se folosește una dintre următoarele patru metode:

6.5.1.1.   Combinații de coloane

Se folosesc două coloane acoperite în modul compensare.

6.5.1.2.   Corecția liniei de bază cu ajutorul cromatografului cu gaz

Creșterea liniei de bază se poate evita prin executarea unei serii cu ajutorul cromatografului cu gaz fără injectarea unei soluții grase și fără scăderea ulterioară a liniei de bază stocate.

6.5.1.3.   Corecția liniei de bază cu ajutorul unui software de integrare

Creșterea liniei de bază se poate evita prin executarea unei serii cu ajutorul sistemului de integrare fără injectarea unei soluții grase și fără scăderea ulterioară liniei de bază stocate.

6.5.1.4.   Corecția liniei de bază prin condiționare adecvată

În cazul în care condiționarea inițială a coloanei este adecvată și se efectuează 20 de injectări cu soluții de grăsime din lapte creșterile liniei de bază la temperaturi înalte sunt în mod frecvent atât de mici încât nu sunt necesare corecțiile liniei de bază.

6.5.2.   Tehnica de injectare

Pentru evitarea efectului de discriminare se folosește tehnica „injectării fierbinți” în vederea obținerii unor rezultate cantitative mai bune cu ajutorul componentelor trigliceridice cu punct înalt de fierbere. Soluția grasă se introduce într-o seringă, iar acul rece al acesteia se încălzește în capul injectorului timp de aproximativ trei secunde înainte de injectare. Apoi se injectează rapid conținutul seringii.

Notă: Prin folosirea acestei tehnici de injectare se reduce riscul producerii fenomenului de fracționare în seringă sau în blocul de injectare. Nu se practică injectarea directă „în coloană” în partea încălzită mai mare a coloanei, deoarece fragmentele de perete despărțitor acumulate aici precum și contaminările se pot evita cu ușurință prin tehnica de mai sus în cazul în care se înlocuiește în mod regulat racordul injectorului fără a se dezasambla coloana.

Este absolut necesar să se evite îndoirea vârfului acului provocată de atingerea fundului paharului conținând proba (chiar în cazul în care este greu de observat cu ochiul liber) pentru a nu se distruge peretele despărțitor.

Figura 4

Cromatograma trigliceridică a unei probe de grăsime din lapte

Image

6.5.3.   Condiționarea coloanei acoperite

Pe parcursul etapelor (a)-(c) partea de sus a coloanei nu se conectează la detector pentru a se evita contaminarea.

Coloanele umplute conform secțiunii 6.2. se condiționează după cum urmează:

(a)

flux de N2 40 ml/min timp de 15 minute la 50 °C;

(b)

încălzire cu 1 K/min până la 355 °C la 10 ml N2/min;

(c)

menținere timp de 12-15 h la 355 °C;

(d)

două injectări a câte 1 μl de soluție de unt de cocos conform secțiunii 4.10 și programului de temperatură respectiv;

(e)

20 de injectări a câte 0,5 μl de soluție de grăsime din lapte timp de două-trei zile, conform secțiunii 6.4.

Notă: Untul de cocos este format aproape în întregime din trigliceride C50-C56 cu punct ridicat de fierbere. Injectarea untului de cocos se realizează în scopul condiționării speciale a gamei cu catene lungi. Pentru trigliceridele C50-C54 cu punct ridicat de fierbere se pot înregistra coeficienți de răspuns parțial de până la aproximativ 1,20. În mod normal, în cazul injectărilor repetate de soluție de grăsime din lapte, se produce o scădere a coeficientului de răspuns care este inițial mare pentru C50-C54. Pentru trigliceridele cu număr acil-c mic, coeficientul de răspuns este de aproximativ 1. Se pregătesc trei perechi de coloane umplute conform secțiunii 6.2. Perechile condiționate se verifică prin analiza grăsimilor din lapte pentru analize de rutină.

În continuare se folosește perechea pentru care se obține cele mai bun rezultat cantitativ (coeficienți de răspuns de aproximativ 1). Coloanele pentru care se obțin coeficienți de răspuns > 1,20 nu se folosesc.

6.5.4.   Calibrare

Pentru calibrare se determină coeficienții de răspuns ai trigliceridelor corespunzătoare, precum și cei ai colesterolului din grăsimea din lapte (grăsime standardizată) cu ajutorul trigliceridelor standardizate (cel puțin trigliceridele saturate C24, C30, C36, C42, C48 și C54 precum și colesterol; este bine să se adauge și C50 și C52). Coeficienții de răspuns intermediar se obțin prin interpolare matematică.

În fiecare zi se realizează două sau trei calibrări folosindu-se grăsime standardizată. În cazul în care se obțin rezultate aproape identice, se vor obține rezultate cantitative cu grad mare de reproductibilitate și la analiza trigliceridică a probelor.

Grăsimea din lapte standardizată are un termen de valabilitate de mai multe luni la o temperatură de depozitare de cel mult – 18 °C, putând astfel fi utilizată ca etalon.

Notă: Coeficientul de răspuns al fiecărui constituent se poate obține și prin utilizarea unei grăsimi standardizate cu o compoziție de trigliceride atestată, cum este MRC 519 (grăsime din lapte anhidră) care se poate obține de la Institutul pentru materiale de referință și măsurători, Geel, Belgia.

6.5.5.   Programul de temperatură, gazul vector și alte condiții pentru analiza trigliceridelor

Program de temperatură: temperatură inițială a coloanei 210 °C, se menține timp de 1 minut, apoi se programează la 6 °C/min până la 350 °C și se menține timp de cinci minute la temperatura finală.

Temperatura detectorului și a injectorului: 370 °C.

Notă: Temperaturile (inițiale) ale detectorului, injectorului și cuptorului se mențin la un nivel constant (și pe timpul nopții, la sfârșit de săptămână și în perioada sărbătorilor și concediilor).

Gaz vector: azot, debit de 40 ml/min.

Notă: În cazul în care se folosesc coloane de 80 cm, debitul trebuie să fie de cel puțin 75 ml/min N2. Debitul gazului vector se menține constant (și pe timpul nopții, la sfârșit de săptămână și în perioada sărbătorilor și concediilor). Debitul exact al gazului purtător se ajustează astfel încât, independent de lungimea coloanei, C54 să fie eluată la 341 °C.

Durata analizei: 29,3 minute.

Volumul injectat: 0,5 μl.

Notă: Înainte de fiecare injectare seringa se clătește de mai multe ori cu heptan pur.

Condiții pentru detectorul cu ionizare în flacără: conform secțiunii 5.1.

Notă: Detectorul cu ionizare în flacără se aprinde la începutul fiecărei zile de lucru.

7.   Integrarea, evaluarea și controlul condițiilor de măsurare

Trigliceridele cu număr acil-c impar (2n + 1) se combină cu trigliceridele anterioare cu număr par (2n). Conținuturile mici mai puțin reproductibile de C56 nu se iau în considerare. Restul trigliceridelor (suprafața vârfului) din cromatogramă, inclusiv colesterolul (suprafața vârfului apropiat de C24) se înmulțesc cu coeficienții de răspuns corespunzători ai grăsimii standard (de la ultima calibrare) și se normalizează global la 100. Astfel se evaluează pe lângă colesterolul liber și trigliceridele C24, C26, C28, C30, C32, C34, C36, C38, C40, C42, C44, C46, C48, C50, C52 și C54. Rezultatele se exprimă în % de masă (g/100 g).

Evaluarea vârfurilor de pe cromatogramă se realizează cu ajutorul unui integrator care permite reprezentarea liniei de bază. Trebuie să se poată realiza o reintegrare cu parametri de integrare optimizați.

În figurile 5 și 6 sunt prezentate două exemple de cromatograme trigliceridice. În figura 5 este prezentată o cromatogramă care poate fi bine evaluată, în timp ce în figura 6 există o eroare sporadică în gama C50-C54, linia de bază fiind incorectă în comparație cu cea din figura 5. Astfel de erori tipice pot fi detectate cu un grad înalt de precizie și evitate numai prin folosirea unui integrator cu ajutorul căruia se reprezintă linia de bază.

Figura 5

Cromatogramă trigliceridică a grăsimii din lapte cu linie de bază trasată care poate fi evaluată ușor

Image

Figura 6

Cromatogramă a grăsimii din lapte integrată greșit

Image

Pentru controlarea condițiilor de măsurare se pot folosi deviațiile standard relative (DSR: coeficient de variație x 100) din tabelul 1 pentru diferite trigliceride. Acestea au fost calculate în cadrul a 19 analize consecutive realizate pe aceeași grăsime din lapte.

Tabelul 1

Deviațiile standard relative (DSR) pentru conținuturi de trigliceride (n = 19)

Trigliceridă

DSR (%)

C24

10,00

C26

2,69

C28

3,03

C30

1,76

C32

1,03

C34

0,79

C36

0,25

C38

0,42

C40

0,20

C42

0,26

C44

0,34

C46

0,37

C48

0,53

C50

0,38

C52

0,54

C54

0,60

În cazul în care deviațiile standard relative sunt considerabil mai mari decât valorile din tabelul 1, condițiile de cromatografie nu sunt adecvate și trebuie să se verifice peretele despărțitor și debitul gazului vector. În plus, este posibil ca particule mici din peretele despărțitor să se acumuleze sub formă de depuneri pe vata de sticlă de la intrarea în coloană sau este posibil ca aceasta să nu mai fie adecvată pentru utilizare din cauza îmbătrânirii, a influențelor temperaturii etc. (a se vedea figura 3).

Notă: Valorile din tabelul 1 nu sunt obligatorii, ci orientative în vederea controlului calității. Cu toate acestea, în cazul în care se acceptă valori mai mari ale DSR, trebuie să se respecte limitele de repetabilitate și de reproductibilitate de la punctul 11.

8.   Detectarea calitativă a grăsimilor străine

Pentru detectarea grăsimilor străine au fost elaborate formule trigliceridice (tabelul 2), în care valorile S ale grăsimilor pure din lapte pot fluctua. În cazul în care aceste limite sunt depășite, se poate considera că există grăsimi străine.

Cea mai sensibilă formulă pentru detectarea adaosurilor de grăsimi animale este, de exemplu

Formula

Notă: Prin analizarea a 755 de probe diferite de grăsime din lapte s-a stabilit un interval de încredere de 99 % cu S = 97,96-102,04 pentru probele de grăsime pură din lapte cu o deviație standard pentru toate valorile S DS = 0,39897.

Pornind de la compoziția de trigliceride a unei probe necunoscute de grăsime, o asemenea formulă permite, fără a fi necesar să se folosească un computer, să se verifice într-un mod simplu în cazul în care suma conținuturilor de trigliceride declarate și coeficienții corespunzători nu se încadrează în intervalul 97,96-102,04, caz în care este foarte probabil să existe adaosuri de grăsimi străine.

În tabelul 2 sunt prezentate diferite formule trigliceridice pentru detectarea diferitelor grăsimi străine. Se poate folosi o formulă comună pentru detectarea grăsimilor străine reprezentate ulei de soia, ulei de floarea soarelui, ulei de măsline, ulei de rapiță, ulei de in, ulei din germeni de grâu, ulei din germeni de porumb, ulei din semințe de bumbac și untură de pește hidrogenată, a grăsimilor vegetale reprezentate de uleiuri din miez de nucă de cocos și de palmier, precum și a uleiului de palmier și respectiv a seului de vită.

Deoarece și compoziția trigliceridică a grăsimilor străine este supusă unor fluctuații, au fost folosite până la patru seturi diferite de date asupra trigliceridelor din grăsimile străine obținute prin măsurători experimentale. (Pentru aceleași tipuri de grăsimi străine s-a luat în considerare limita cea mai puțin favorabilă a se vedea tabelul 4).

Rezultate de aproximativ aceeași calitate se pot obține pentru toate grăsimile străine și cu ajutorul următoarei „Formule totale”:

Formula

Calculele pentru detectarea oricărei combinații de grăsimi străine în grăsimea din lapte au arătat că, de exemplu, deși limita de detectare pentru aceste grăsimi este joasă, respectiv 2,7 %, în cazul în care se folosește formula pentru untură din tabelul 2, alte grăsimi cum sunt uleiul de cocos, uleiul de palmier sau grăsimea din sâmburi de palmier ale căror limite de detectare sunt de 26,8, 12,5 și respectiv 19,3 %, pot fi detectat cu ajutorul acestei formule numai în cazul în care aceste substanțe au fost adăugate în cantități foarte mari la grăsimea din lapte. Acest lucru este valabil și pentru celelalte formule din tabelul 2.

Tabelul 2

Formula trigliceridică pentru detectarea diverselor grăsimi străine din grăsimea din lapte, cu deviațiile standard SD pentru S

Formula pentru ulei de soia, de floarea soarelui, de măsline, de rapiță, de in, de germeni de grâu, de germeni de porumb, din semințe de bumbac și de pește

Formula

Formula pentru grăsime de palmier și grăsime din sâmburi de palmier

Formula

Formula pentru ulei de palmier și seu de vită

Formula

Formula pentru untură

Formula

Astfel, pentru verificarea unei probe necunoscute de grăsime, trebuie să se folosească toate formulele din tabelul 2 și Formula totală (2) în cazul în care este posibil ca proba să reprezinte o combinație între grăsimea din lapte și una dintre cele 14 tipuri diferite de grăsimi străine sau o combinație a acestor grăsimi străine. În cazul în care, prin introducerea trigliceridei unei probe de grăsime care trebuie analizată se obține o valoare S care se situează în afara intervalelor din tabelul 3 numai pentru una dintre formule, este cel mai probabil ca proba să fie o grăsime modificată din lapte. Detectarea unei grăsimi străine în grăsimea din lapte cu ajutorul unei dintre cele patru formule din tabelul 2 nu permite formularea unor concluzii privind tipul adaosului de grăsimi străine.

Tabelul 3

Limitele-S pentru grăsimea din lapte

Formula de detectare a

Gama S

Uleiului de soia, de floarea soarelui, de măsline, de rapiță, de in, de germeni de râu, de germeni de porumb, din semințe de bumbac și de pește

98,05-101,95

Uleiului de cocos și a grăsimii din sâmburi de palmier

99,42-100,58

Uleiului de palmier și a seului de vită

95,90-104,10

Unturii

97,96-102,04

Formula totală

95,68-104,32

În Tabelul 4 sunt prezentate limitele de detectare a diferitelor grăsimi străine cu o precizie de 99 %. În prima coloană sunt enumerate limitele minime de detecție pentru cele mai bune formule de detectare a grăsimii din lapte din Tabelul 2. În a doua coloană sunt enumerate limitele de detecție pentru formula totală. Deși limitele sunt puțin mai mari, aceasta este singura formulă necesară pentru detectarea unor cantități puțin mai mari de grăsimi străine. Cu ajutorul tuturor formulelor pot fi de asemenea detectate combinații ale diferitelor tipuri de grăsimi străine. Intervalele în care variază trigliceridele diferitelor grăsimi străine de același tip influențează în mod neglijabil limitele de detectare.

Tabelul 4

Limitele de detectare cu o precizie de 99 % prin adăugarea de grăsime străină în grăsimea din lapte în %

 

Formula individuală

Formula totală

Ulei de soia

2,1

4,4

Ulei de floarea soarelui

2,3

4,8

Ulei de măsline

2,4

4,7

Ulei de cocos

3,5

4,3

Ulei de palmier

4,4

4,7

Grăsime din sâmburi de palmier

4,6

5,9

Ulei de rapiță

2,0

4,4

Ulei de in

2,0

4,0

Ulei de germeni de grâu

2,7

6,4

Ulei de germeni de porumb

2,2

4,5

Ulei din semințe de bumbac

3,3

4,4

Untură

2,7

4,7

Seu de vită

5,2

5,4

Ulei de pește hidrogenat

5,4

6,1

Notă: Intervalele S sunt calculate în modul respectiv, presupunându-se numai existența unei grăsimi străine, în cazul în care limitele formulei individuale sunt depășite (a se vedea tabelul 4).

9.   Determinarea cantitativă a grăsimii străine

Pentru a obține informații cantitative asupra concentrației de grăsimi străine dintr-o probă de grăsime din lapte, se folosește următoarea formulă:

Formula

X reprezentând cantitatea de grăsime străină necunoscută sau amestecul de grăsimi străine din grăsimea necunoscută din lapte. Valoarea lui S este dată de adăugarea unei grăsimi străine necunoscute prin introducerea de trigliceride ale grăsimii străine/amestecului de grăsime din lapte în formula trigliceridică totală de mai sus. În cazul în care se adaugă o grăsime necunoscută în grăsimea din lapte, valoarea medie S a diferitelor grăsimi străine pentru Formula totală se alege pentru SF; această valoare medie S se obține prin introducerea datelor trigliceridice ale grăsimilor străine pure în această formulă și prin calcularea unei valori medii (SF = 7,46). Se pot obține rezultate cantitative de bună calitate pentru orice adaos de grăsime străină și prin folosirea formulei pentru ulei de palmier/seu de vită (tabelul 2) și a valorii medii SF de 10,57.

Pentru tipurile de grăsimi străine cunoscute se inserează următoarele valori SF în formula de mai sus și se alege formula corespunzătoare pentru grăsimi străine din tabelul 2:

Tabelul 5

Valorile SF pentru diferitele grăsimi străine

Grăsimea străină

SF

Ulei de soia

8,18

Ulei de floarea soarelui

9,43

Ulei de măsline

12,75

Ulei de cocos

118,13

Ulei de palmier

7,55

Ulei de sâmburi de palmier

112,32

Ulei de soia

3,30

Ulei de in

4,44

Ulei de germeni de grâu

27,45

Ulei de germeni de porumb

9,29

Ulei din semințe de bumbac

41,18

Untură

177,55

Seu de vită

17,56

Ulei de pește

64,12

10.   Gama de aplicare a metodei de detectare

Metoda descrisă se aplică laptelui în vrac și se bazează pe gradul de reprezentativitate al probelor de grăsime din lapte.

Detectarea extrem de specifică ar putea fi posibilă în cazul în care s-ar elabora formule ca cele descrise mai sus pentru diferite țări pentru un număr reprezentativ de grăsimi din lapte.

S-ar putea obține modalități de detectare extrem de adecvate în cazul în care în diferitele țări s-ar stabili formule pentru detectarea unui număr reprezentativ de grăsimi din lapte, așa cum au fost descrise în prezentul regulament. În acest caz nu ar fi necesară utilizarea unor programe informatice complexe în cazul în care s-ar folosi combinațiile trigliceridice utilizate în tabelul 2 și în cazul în care coeficienții ar fi recalculați prin metoda pătratului celui mai mic.

Prin aplicarea intervalului S, după cum este prezentat în tabelul 3, formulele au o aplicabilitate generală în anumite condiții de hrănire cum sunt, de exemplu, hrănirea insuficientă sau în exces a vacilor cu drojdie furajeră sau cu săpun de calciu. Formulele indică în parte o grăsime din lapte modificată numai în cazuri de condiții extreme de hrănire (de exemplu, aport ridicat de ulei pur furajer, administrare masivă de săpun de calciu în combinație cu grăsime furajeră etc.).

Notă: Grăsimile din lapte fracționate sunt în general detectate ca grăsime nemodificată din lapte în cazul în care limitele sunt depășite în condițiile în care existența modificării este numai presupusă. Formulele indică o modificare numai pentru grăsimile din lapte fracționate cu o compoziție neobișnuită de grăsime din lapte așa cum este, de exemplu, cazul fracțiuni grele obținute în urma fracționării prin metode fizice la temperatură înaltă de aproximativ 30 °C cu randament scăzut de câteva procente sau cu fracționare cu CO2 supracritic.

Cu toate acestea, fracționarea grăsimii din lapte poate fi detectată cu ajutorul altor procedee, cum ar fi Calorimetria diferențială cu scanare.

11.   Precizia metodei

Determinată cu ajutorul grăsimii din lapte pe baza formulelor din tabelul 2 și a intervalelor S din tabelul 3.

11.1.   Repetabilitate

Ca diferență a valorilor S a două determinări realizate în cel mai scurt interval de timp posibil de către același operator, folosind aceeași procedură și probe identice în aceleași condiții (aceeași persoană, aceeași aparatură/aceleași dispozitive, același laborator):

Tabelul 6

Limitele de repetabilitate (r) pentru diferitele formule

Formula de detectare a

r

Uleiului de soia, de floarea soarelui, de măsline, de rapiță, de in, de germeni de râu, de germeni de porumb, din semințe de bumbac și de pește

0,67

Grăsimii de palmier și a grăsimii din sâmburi de palmier

0,12

Uleiului de palmier și a seului de vită

1,20

Unturii

0,58

Formula totală

1,49

11.2.   Reproductibilitate

Ca diferență a valorilor S a două determinări realizate de operatori din laboratoare diferite, folosind aceeași procedură și probe identice în condiții diferite (persoane diferite, aparatură diferită) în momente diferite.

Tabelul 7

Limitele de reproductibilitate (R) pentru diferitele formule

Formula de detectare a

R

Uleiului de soia, de floarea soarelui, de măsline, de rapiță, de in, de germeni de râu, de germeni de porumb, din semințe de bumbac și de pește

1,08

Grăsimii de palmier și a grăsimii din sâmburi de palmier

0,40

Uleiului de palmier și a seului de vită

1,81

Unturii

0,60

Formula totală

2,07

11.3.   Diferența critică

Diferențele critice pentru toate intervalele S din tabelul 3 pot fi calculate (analize în duplicat) cu ajutorul limitelor de repetabilitate (r) și de reproductibilitate (R). Valorile respective sunt prezentate în tabelul 8.

Tabelul 8

Diferențele critice pentru toate formulele trigliceridice

Formula de detectare a

interval

Uleiului de soia, de floarea soarelui, de măsline, de rapiță, de in, de germeni de râu, de germeni de porumb, din semințe de bumbac și de pește

97,43-102,57

Grăsimii de palmier și a grăsimii din sâmburi de palmier

99,14-100,86

Uleiului de palmier și a seului de vită

94,91-105,09

Unturii

97,65-102,35

Formula totală

94,58-105,42

11.4.   Acceptabilitatea rezultatelor

Toate rezultatele pentru care se operează o corecție a conținuturilor de trigliceride C24, C26, C28-C54 cu două zecimale rotunjite precum și colesterolul trebuie normalizate exact la 100.

Rezultatele analizei în duplicat se folosesc pentru a controla repetabilitatea. În cazul în care diferența absolută dintre două rezultate S pentru toate cele 5 formule trigliceridice nu depășește limitele de repetabilitate r din tabelul 6, cerința de repetabilitate este îndeplinită.

Pentru controlul condițiilor optime de cromatografie cu gaz și în special pentru controlul calității coloanei, trebuie să se garanteze că pentru 10 serii repetate diferența dintre valorile S maxime și minime ale tuturor celor cinci formule trigliceridice nu depășește intervalul x · r, unde x = 1,58 [pentru 10 serii, a se vedea literatura (16)] și nici limitele de repetabilitate r pentru diferitele formule din tabelul 6.

12.   Standarde citate

DIN 10 336: 1994

Nachweis and Bestimmung von Fremdfetten in Milchfett einer gaschromatographischen Triglyceridanalyse

Standardul FIL 1 C: 1987

Milk. Determination of Fat Content – Röse Gottlieb Gravimetric Method

Standardul FIL 16 C: 1987

Cream. Determination of Fat Content – Röse Gottlieb Gravimetric Method

Standardul FIL 116 A: 1987

Milk-Based Edible Ices and Ice Mixes. Determination of Fat Content - Röse Gottlieb Gravimetric Method

Standardul FIL 22 B: 1987

Skimmed Milk, Whey & Buttermilk. Determination of Fat Content - Röse Gottlieb Gravimetric Method

13.   Referințe

1.

Comisia Comunităților Europene: Detection of foreign fats in milk fat by means of gas chromatographic triglyceride analysis, Doc. No VI/5202/90-EN, VI/2645/91.

2.

Comisia Comunităților Europene: Control of butterfat purity in 100 different samples of different feeding periods from 11 EEC countries; Doc. No VI/4577/93.

3.

Comisia Comunităților Europene: Consideration of results from the first, second, third, fourth, fifth and sixth EEC collaborative trial: Determination of triglycerides in milk fat; Doc. No VI/2644/91, VI/8.11.91, VI/1919/92, VI/3842/92, VI/5317/92, VI/4604/93.

4.

Timms, R. E.: Detection and quantification of non-milk fats in mixtures of milk and non-milk fats. Dairy Research 47 295-303 (1980).

5.

Precht, D., Heine, K.: Nachweis von modifiziertem Milchfett mit der Triglyceridanalyse. 2. Fremdfettnachweis im Milchfett mit Hilfe von Triglyceridkombnationen, 41 406-410 (1986).

6.

Luf, W., Stock, A., Brandl, E.: Zum Nacweis von Fremdfett in Milchfett über die Triglyceridanalzse. Österr. Milchwirtsch. Beilage 5, 42 29/35 (1987).

7.

Precht, D.: Bestimmung von pflanzlichen Fetten oder tierischen Depotfetten in Milchfett. Kieler Milchwirtsch. Forschungber. 42 143/157 (1989).

8.

Precht, D.: Schnelle Extraktion von Milchfett, Kieler Milchwirtsch. Forschungber. 42 119-128 (1990).

9.

Precht, D.: Schnelle gaschromatographische Triglyceridanalyse von Milchfett. Kieller Milchwirtsch. Forschungber. 42 139-154 (1900).

10.

Precht, D.: Control of milk fat purity by gas chromatographic triglyceride analysis. Kieller Milchwirtsch. Forschungber. 43 (3) 219-242 (1991).

11.

Precht, D.: Detection of adulterated milk fat by fatty acid and triglyceride analysis. Fat Sci. Technol. 93 538-544 (1991).

12.

Precht, D.: Detection for foreign fat in milk fat. I. Qualitative detection by triacylglycerol formulae. II. Quantitative evaluation of foreign fat mixtures. Z. Lebensm. Unters. Forsch. 194 1-8, 107-114 (1992).

13.

Precht, D.: Gas chromatography of triacylglycerols and other lipids on packed columns in CRC Handbook of Chromatography: Analysis of lipids, p. 123-138, Ed. K. D. Mukherjee, N. Weber, J. Sherma, CRC Press, Boca Raton (1993).

14.

Precht, D., Molkentin, J.: Quantitative triglyceride analysis using short capillary columns, Chrompack News 4 16-17 (1993).

15.

Molkentin, J., Precht, D.: Comparison of packed and capillary columns for quantitative gas chromatography of triglycerides in milk fat. Chromatographia 39 (5/6) 265-270 (1994).

16.

Strange, K.: Angewandte Statistik, Erster Teil, Eindimensionale Probleme, Springer-Verlag, Berlin, P. 378 (1970).


(1)  Metodele adecvate sunt deja descrise, a se vedea D. Precht și J. Molkentin: Quantitative trygliceride analysis using short capillary columns, Chrompack News 4, 16-17 (1993).

(2)  În comerț sunt disponibile produse adecvate.

(3)  Denumiri comerciale cum sunt Extrelut, Gas ChromQ, Chrompack sunt exemple de produse adecvate disponibile în comerțul specializat. Această informație este destinată ușurării folosirii standardului de către utilizator și nu constituie o cerință a produsului. Indicațiile privind granulația au fost transformate în unități SI μm conform BS 410:1988 „British Standard Specification for test sieves”.

(4)  A se vedea nota de subsol 3 de la p. 86.


ANEXA XXVI

LISTA REGULAMENTELOR MENȚIONATE ÎN PRIMUL MOTIV

Regulamentul (CEE) nr. 1216/68 al Comisiei din 9 august 1968 de stabilire a metodei de determinare a conținutului de lactoză din furajele combinate importate din țări terțe (1), astfel cum a fost modificat prin Regulamentul (CEE) nr. 222/88 al Comisiei din 22 decembrie 1987 de modificare a unor acte din sectorul laptelui și produselor lactate ca urmare a adoptării Nomenclaturii Combinate (2);

Regulamentul (CEE) nr. 3942/92 al Comisiei din 22 decembrie 1992 de stabilire a unei metode de referință pentru determinarea concentrației de sitosterol și de stigmasterol din uleiul de unt (butter-oil) (3), astfel cum a fost modificat ultima dată prin Regulamentul (CE) nr. 175/1999 al Comisiei de modificare a Regulamentelor (CEE) nr. 3942/92, (CE) nr. 86/94, (CE) nr. 1082/96 și (CE) nr. 1459/98 de instituire a metodelor de referință pentru determinarea anumitor marcatori din unt, ulei de unt și smântână (4);

Regulamentul (CE) nr. 86/94 al Comisiei din 19 ianuarie 1994 stabilire a unei metode de referință pentru determinarea sitosterolului și stigmasterolului din unt (5), astfel cum a fost modificat prin Regulamentul (CE) nr. 175/1999;

Regulamentul (CE) nr. 2721/95 al Comisiei din 24 noiembrie 1995 de stabilire a normelor de aplicare a metodelor de referință și de rutină pentru analiza și evaluarea calitativă a laptelui și produselor lactate în cadrul organizării comune a pieței (6);

Regulamentul (CE) nr. 1080/96 al Comisiei din 14 iunie 1996 de stabilire a metodei de referință pentru depistarea bacteriilor coliforme în unt, lapte praf degresat și cazeină/cazeinați (7);

Regulamentul (CE) nr. 1081/96 al Comisiei din 14 iunie de stabilire a unei metodei de referință pentru detectarea laptelui de vacă și a cazeinei în brânzeturile produse din lapte de oaie, lapte de capră sau lapte de bivoliță sau din amestecuri de lapte de oaie, capră și bivoliță și de abrogare a Regulamentului (CEE) nr. 690/92 (8);

Regulamentul (CEE) nr. 1082/96 al Comisiei din 14 iunie 1996 de stabilire a unei metodei de referință pentru depistarea etil esterului acidului beta-apo-8' carotenic în untul concentrat și în unt (9), astfel cum a fost modificat prin Regulamentul (CE) nr. 175/1999;

Regulamentul (CEE) nr. 1854/96 al Comisiei din 26 septembrie 1996 de stabilire a unei liste de metode de referință care trebuie aplicate pentru analiza și evaluarea calității laptelui și a produselor lactate în cadrul organizării comune a piețelor (10), astfel cum a fost modificat prin Regulamentul (CE) nr. 881/1991 (11);

Regulamentul (CE) nr. 880/98 al Comisiei din 24 aprilie 1998 de stabilire a metodelor de referință pentru determinarea conținutului de apă, de substanțe solide negrase și de grăsime din unt (12);

Regulamentul (CE) 1459/98 al Comisiei din 8 iulie 1998 de stabilire a unei metode de referință pentru determinarea vanilinei în untul concentrat, unt și smântână (13), astfel cum a fost modificat prin Regulamentul (CE) nr. 175/1999.


(1)  JO L 198, 10.8.1968, p. 13.

(2)  JO L 28, 1.2.1988, p. 1.

(3)  JO L 399, 31.12.1992, p. 29.

(4)  JO L 20, 27.1.1999, p. 22.

(5)  JO L 17, 20.1.1994, p. 7.

(6)  JO L 283, 25.11.1995, p. 7.

(7)  JO L 142, 15.6.1996, p. 13.

(8)  JO L 142, 15.6.1996, p. 15.

(9)  JO L 142, 15.6.1996, p. 26.

(10)  JO L 246, 27.9.1996, p. 5.

(11)  JO L 111, 29.4.1999, p. 24.

(12)  JO L 124, 25.4.1998, p. 16.

(13)  JO L 193, 9.7.1998, p. 16.