13/Volumul 12

RO

Jurnalul Ofícial al Uniunii Europene

31


31992L0069


L 383/113

JURNALUL OFÍCIAL AL UNIUNII EUROPENE


DIRECTIVA 92/69/CEE A COMISIEI

din 31 iulie 1992

de efectuare a celei de a șaptesprezecea adaptări la progresul tehnic a Directivei 67/548/CEE a Consiliului privind apropierea actelor cu putere de lege și a actelor administrative referitoare la clasificarea, ambalarea și etichetarea substanțelor periculoase

COMISIA COMUNITĂȚILOR EUROPENE,

având în vedere Tratatul de instituire a Comunității Economice Europene,

având în vedere Directiva 67/548/CEE a Consiliului din 27 iunie 1967 privind apropierea actelor cu putere de lege și a actelor administrative referitoare la clasificarea, ambalarea și etichetarea substanțelor periculoase (1), astfel cum a fost modificată ultima dată prin Directiva 92/32/CEE a Comisiei (2) și, în special, articolele 28 și 29;

întrucât articolul 3 alineatul (1) din Directiva 67/548/CEE și articolul 3 din Directiva 88/379/CEE a Consiliului din 7 iunie 1988 privind apropierea actelor cu putere de lege și a actelor administrative referitoare la clasificarea, ambalarea și etichetarea preparatelor periculoase (3), astfel cum a fost modificată ultima dată prin Directiva 90/492/CEE a Comisiei (4), prevede ca determinarea proprietăților fizico-chimice, a toxicității și ecotoxicității substanțelor și preparatelor să se realizeze în conformitate cu metodele specificate în anexa V la Directiva 67/548/CEE;

întrucât textul anexei V la Directiva 67/548/CEE este publicat în prezent în două părți, și anume anexa la Directiva 84/449/CEE a Comisiei (5) și anexa la Directiva 88/302/CEE a Comisiei (6);

întrucât, pentru a ține seama de progresul tehnic, este necesară și revizuirea metodelor de încercare menționate în anexa la Directiva 84/449/CEE a Comisiei;

întrucât, pentru a ține seama de progresul tehnic, este necesară și revizuirea metodei de încercare pentru testul de inhibiție a creșterii algelor care se găsește în prezent în anexa la Directiva 88/302/CEE a Comisiei și este necesar, cu această ocazie, transferarea metodei de încercare menționate la anexa la Directiva 84/449/CEE;

întrucât, conform Directivei 86/609/CEE a Consiliului privind apropierea actelor cu putere de lege și a actelor administrative referitoare la protecția animalelor utilizate în scopuri experimentale (7), se impune reducerea la minimum a numărului de animale utilizate în scopuri experimentale;

întrucât dispozițiile prezentei directive sunt conforme cu avizul Comitetului pentru adaptarea la progresul tehnic a directivelor privind eliminarea barierelor tehnice din calea comerțului cu substanțe și preparate periculoase,

ADOPTĂ PREZENTA DIRECTIVĂ:

Articolul 1

Anexa la Directiva 84/449/CEE se înlocuiește cu anexa la prezenta directivă.

Articolul 2

Metoda de încercare pentru testul de inhibiție a creșterii algelor descrisă în anexa la Directiva 88/302/CEE se elimină.

Articolul 3

Statele membre adoptă și pun în aplicare actele cu putere de lege și actele administrative necesare pentru a se conforma prezentei directive până la 30 octombrie 1993. Statele membre informează de îndată Comisia cu privire la aceasta.

Atunci când statele membre adoptă aceste dispoziții, ele cuprind o trimitere la prezenta directivă sau sunt însoțite de o asemenea trimitere la data publicării lor oficiale.

Statele membre adoptă modalitatea de efectuare a acestei trimiteri.

Articolul 4

Prezenta directivă se adresează statelor membre.

Adoptată la Bruxelles, 31 iulie 1992.

Pentru Comisie,

Karel Van MIERT

Membru al Comisiei


(1)  JO 196, 16.8.1967, p. 1.

(2)  JO L 154, 5.6.1992, p. 1.

(3)  JO L 187, 16.7.1988, p. 14.

(4)  JO L 275, 5.10.1990, p. 35.

(5)  JO L 251, 19.9.1984, p. 1.

(6)  JO L 133, 30.5.1988, p. 1 și JO L 136, 2.6.1988, p. 20.

(7)  JO L 358, 18.12.1986, p. 1.


ANEXĂ

Anexa la Directiva 92/69/CEE a Comisiei din 31 iulie 1992 de efectuare a celei de-a șaptesprezecea adaptări la progresul tehnic a Directivei 67/548/CEE a Consiliului privind apropierea actelor cu putere de lege și a actelor administrative referitoare la clasificarea, ambalarea și etichetarea substanțelor periculoase (1)

CUPRINS

INTRODUCERE

PARTEA A:

METODE PENTRU DETERMINAREA PROPRIETĂȚILOR FIZICO-CHIMICE…

37

A.1.

Punctul de topire/congelare …

37

A.2.

Punctul de fierbere …

47

A.3.

Densitatea relativă …

53

A.4.

Presiunea vaporilor …

58

A.5.

Tensiunea superficială…

79

A.6.

Solubilitatea în apă …

86

A.8.

Coeficientul de partiție …

95

A.9.

Punctul de inflamabilitate …

106

A.10.

Inflamabilitate (solide)…

108

A.11.

Inflamabilitate (gaze) …

111

A.12.

Inflamabilitate (contactul cu apa)…

113

A.13.

Proprietăți piroforice ale solidelor și lichidelor …

117

A.14.

Proprietăți explozive …

119

A.15.

Punctul de autoaprindere (lichide și gaze) …

130

A.16.

Temperatura relativă de autoaprindere pentru solide…

131

A.17.

Proprietăți de oxidare (solide)…

134

PARTEA B:

METODE PENTRU DETERMINAREA TOXICITĂȚII…

139

Introducere generală …

139

B.1.

Toxicitate acută (administrare orală)…

142

B.1 bis

Toxicitate acută (administrare orală) - Metoda dozei fixe…

145

B.2.

Toxicitate acută (administrare prin inhalare)…

149

B.3.

Toxicitate acută (administrare cutanată)…

153

B.4.

Toxicitate acută (iritarea pielii)…

156

B.5.

Toxicitate acută (iritarea ochilor)…

159

B.6.

Sensibilizarea pielii …

163

B.7.

Toxicitate la doză repetată (28 de zile) (administrare orală)…

168

B.8.

Toxicitate la doză repetată (28 de zile) (administrare prin inhalare)…

172

B.9.

Toxicitate la doză repetată (28 de zile) (administrare cutanată)…

176

B.10.

Mutageneza (Test citogenetic in vitro pe celule de mamifere)…

180

B.11.

Mutageneza (Test citogenetic in vitro al măduvei osoase la mamifere, analiză cromozomială)…

183

B.12.

Mutageneza (Testul micronucleilor celulari)…

186

B.13.

Mutageneza (Testul de mutație inversă pe Escherichia coli)…

189

B.14.

Mutageneza (Testul de mutație inversă pe Salmonella typhimurium)…

192

PARTEA C:

METODE PENTRU DETERMINAREA ECOTOXICITĂȚII…

195

C.1.

Toxicitatea acută la pești …

195

C.2.

Toxicitate acută la Daphnia

204

C.3.

Testul de inhibiție a creșterii algelor …

211

C.4.

Biodegradarea: determinarea biodegradabilității rapide…

219

 

C.4-A: Epuizarea carbonului organic dizolvat (COD)…

226

 

C.4-B: Test de screening modificat OCDE – Epuizarea COD…

229

 

C.4-C: Testul de degajare a CO2

234

 

C.4-D: Testul de respirometrie manometrică…

239

 

C.4-E: Testul cu flacon închis…

243

 

C.4-F: Testul MITI (Ministerul Industriei și Comerțului Internațional – Japonia) …

248

 

Anexe …

253

C.5.

Degradarea: Consumul biochimic de oxigen…

258

C.6.

Degradarea: Consumul chimic de oxigen…

259

C.7.

Degradarea: Degradare abiotică prin hidroliză în funcție de pH…

261

INTRODUCERE

Anexa stabilește metodele de testare pentru determinarea proprietăților fizico-chimice, toxicologice și ecotoxicologice enumerate în anexele VII și VIII la Directiva 79/831/CEE. Aceste metode se bazează pe cele recunoscute și recomandate de organismele internaționale competente (în special OCDE).

În cazurile în care nu au fost disponibile asemenea metode, au fost adoptate norme naționale sau metode științifice unanim recunoscute. În general, testele se realizează cu substanța definită în directivă. Se acordă atenție posibilei influențe a impurităților asupra rezultatelor testelor.

Atunci când metodele din prezenta anexă sunt necorespunzătoare pentru studierea unei anumite proprietăți, declarantul trebuie să justifice metoda alternativă folosită.

Testele și studiile pe animale trebuie realizate conform reglementărilor naționale și trebuie să ia în considerare principiile umanitare și progresele internaționale în domeniul bunăstării animalelor.

Dintre metodele de testare echivalente se alege metoda care folosește cel mai mic număr de animale.

PARTEA A: METODE DE DETERMINARE A PROPRIETĂȚILOR FIZICO-CHIMICE

A.1.   PUNCTUL DE TOPIRE/CONGELARE

1.   METODĂ

Majoritatea metodelor descrise se bazează pe orientările OCDE privind testele (1). Principiile fundamentale sunt descrise în referințele bibliografice (2) și (3).

1.1.   INTRODUCERE

Metodele și dispozitivele descrise se aplică pentru determinarea punctului de topire a substanțelor, oricare ar fi gradul de puritate al acestora.

Alegerea metodei depinde de natura substanței de testat. În consecință, factorul limitativ depinde direct de calitatea substanței de a fi ușor pulverizabilă, greu pulverizabilă sau nepulverizabilă.

Pentru anumite substanțe, este preferabil să se determine punctul de congelare sau de solidificare. Acesta este motivul pentru care normele acestor determinări figurează și în prezenta metodă.

Atunci când, datorită proprietăților specifice ale substanței, nici un parametru nu poate fi măsurat într-un mod satisfăcător, se poate determina punctul de curgere.

1.2.   DEFINIȚII ȘI UNITĂȚI

Punctul de topire se definește ca temperatura la care are loc tranziția de fază din stare solidă în stare lichidă, la presiunea atmosferică, temperatură care în mod ideal corespunde temperaturii de congelare.

Deoarece în cazul multor substanțe tranziția de fază are loc într-un anumit interval de temperatură, aceasta este deseori descrisă ca interval de topire.

Transformarea unităților de măsură (K în °C)

t = T – 273,15

t: temperatura Celsius, grade Celsius (°C)

T: temperatura termodinamică, kelvin (K)

1.3.   SUBSTANȚE DE REFERINȚĂ

Nu este necesar să se folosească substanțe de referință de fiecare dată când se studiază o substanță nouă. Acestea trebuie să servească în special la verificarea periodică a acurateței metodei și să permită comparația cu rezultatele obținute prin alte metode.

Câteva substanțe mamă sunt enumerate în referințele bibliografice (4).

1.4.   PRINCIPIUL METODEI DE TESTARE

Se determină temperatura (intervalul de temperatură) la care are loc tranziția de fază din starea solidă în starea lichidă. În practică, se determină temperaturile fazei inițiale de topire/congelare și finale de topire/congelare în timpul încălzirii/răcirii unei mostre de substanță la presiunea atmosferică. Sunt descrise cinci tipuri de metode, și anume: metoda capilară, metoda blocului fierbinte, determinarea punctului de congelare, metoda analizei termice și determinarea punctului de curgere (pentru uleiurile din petrol).

În anumite cazuri, poate fi mai ușor să se măsoare punctul de congelare în locul punctului de topire.

1.4.1.   Metoda tubului capilar

1.4.1.1.   Dispozitiv cu baie de lichid

Se introduce o cantitate mică de substanță pulverizată fin într-un tub capilar și se tasează cu atenție. Se încălzește tubul în același timp cu un termometru și pe parcursul operației se reglează creșterea temperaturii cu puțin sub 1 K pe minut. Se înregistrează temperaturile la început și la sfârșit de topire.

1.4.1.2.   Dispozitiv prevăzut cu bloc metalic fierbinte

Metoda este aceeași cu cea descrisă la punctul 1.4.1.1, cu diferența că tubul capilar și termometrul sunt plasate într-un bloc de metal încălzit și observate prin orificii practicate în acest bloc.

1.4.1.3.   Detecție fotoelectrică

Eșantionul conținut în tubul capilar se încălzește automat într-un cilindru metalic. Printr-un orificiu practicat în acest cilindru se trimite un fascicul de lumină prin substanța de testat către o celulă fotoelectrică etalonată cu precizie. În momentul topirii, proprietățile optice ale majorității substanțelor se modifică, în sensul că din opace devin transparente. Astfel, intensitatea luminii care atinge celula fotoelectrică crește și trimite un semnal de oprire indicatorului digital care înregistrează temperatura termometrului cu rezistență de platină plasat în incinta de încălzire. Această metodă nu se poate aplica anumitor substanțe puternic colorate.

1.4.2.   Metode cu suprafață încălzită

1.4.2.1.   Metoda bancului de încălzire Kofler

Bancul de încălzire Kofler este compus din două piese cu conductivitate termică diferită care se încălzesc electric. Bancul este construit astfel încât gradientul de temperatură să fie aproape linear pe toată lungimea. Temperatura acestui banc de încălzire poate fi determinată de la 283 la 573 K datorită unui dispozitiv de citire a temperaturii format dintr-un cursor cu ac indicator și o riglă gradată concepute special pentru bancul în cauză. Pentru a determina un punct de topire, este suficientă depunerea unui strat fin de substanță direct pe suprafața bancului. În câtva secunde se formează o linie fină de diviziune între faza fluidă și faza solidă. Temperatura la linia de diviziune se citește plasând acul indicator în dreptul acesteia.

1.4.2.2.   Microscop pentru determinarea punctului de topire

Pentru determinarea punctelor de topire cu cantități foarte mici de substanță se folosesc câteva tipuri de microscoape optice cu încălzire. Temperatura se măsoară în general cu ajutorul unui termocuplu sensibil, dar și cu ajutorul unui termometru cu mercur. Dispozitivul tip pentru determinarea punctului de topire prin microscopie optică la cald este format dintr-o incintă cu încălzire, care conține o placă de metal deasupra căreia se pune eșantionul, deja așezat pe o lamă transparentă. În centrul plăcii metalice există un orificiu care permite trecerea luminii provenite din oglinda de iluminare a microscopului. În timpul utilizării, incinta se închide cu ajutorul unei plăci de sticlă pentru a împiedica circulația aerului în câmpul de lucru.

Încălzirea eșantionului se reglează cu ajutorul unui reostat. Pentru măsurători foarte precise la substanțele anizotrope optic se poate folosi lumina polarizată.

1.4.2.3.   Metoda meniscului

Această metodă se aplică în special poliamidelor.

Se determină temperatura la care se observă cu ochiul liber deplasarea unui menisc de ulei de silicon, prins între o suprafață caldă și o lamelă plasată peste eșantionul de poliamidă de testat.

1.4.3.   Metoda de determinare a punctului de congelare

Se introduce eșantionul într-o eprubetă specială și se așează într-un aparat care permite determinarea punctului de congelare. Se agită ușor eprubeta pe parcursul răcirii, iar temperatura este măsurată la intervale adecvate. Din momentul în care temperatura rămâne constantă la câteva citiri, valoarea acesteia este considerată punct de congelare (după corecția termometrică).

Trebuie evitată răcirea forțată prin menținerea echilibrului între faza solidă și cea lichidă.

1.4.4.   Analiza termică

1.4.4.1.   Analiza termică diferențială (DTA)

Această tehnică înregistrează diferența de temperatură dintre eșantion și un material de referință, în funcție de temperatură, atunci când substanța și materialul de referință sunt supuse aceluiași regim termic controlat. Atunci când eșantionul suferă o transformare ce presupune o modificare de entalpie, acea modificare este indicată prin îndepărtarea endotermă (topire) sau exotermă (congelare) de linia de referință a temperaturii.

1.4.4.2.   Calorimetrie diferențială (DSC)

Această tehnică înregistrează diferența dintre cantitățile de energie absorbite de eșantion și un material de referință în funcție de timp, atunci când eșantionul și materialul de referință sunt supuse aceluiași regim de temperatură controlată. Această energie reprezintă energia necesară pentru ca diferența de temperatură dintre substanță și materialul de referință să devină nulă. Atunci când eșantionul suferă o transformare care implică o modificare de entalpie, acea modificare este indicată prin îndepărtarea endotermă (topire) sau exotermă (congelare) de la linia de referință a fluxului termic.

1.4.5.   Punctul de curgere

Această metodă a fost elaborată pentru a fi folosită în cazul uleiurilor din petrol și se utilizează în cazul substanțelor uleioase cu temperaturi de topire scăzute.

După o încălzire preliminară, eșantionul se răcește cu o viteză specifică și se examinează din punct de vedere al caracteristicilor de curgere la intervale de 3 K. Cea mai scăzută temperatură la care se mai observă o deplasare a substanței se înregistrează ca punct de curgere.

1.5.   CRITERII DE CALITATE

Aplicabilitatea și acuratețea diferitelor metode folosite pentru determinarea punctului de topire/intervalului de topire sunt prezentate în următorul tabel:

TABEL: APLICABILITATEA METODELOR

A. Metode capilare

Metodă de măsurare

Substanțe ușor pulverizabile

Substanțe greu pulverizabile

Interval de temperatură

Acuratețea estimării (2)

Standarde existente

Dispozitiv prevăzut cu baie de lichid

Da

Numai câteva

273 la 573 K

± 0,3 K

JIS K 0064

Dispozitiv prevăzut cu bloc metalic

Da

Numai câteva

293 la > 573 K

± 0,5 K

ISO 1218 (E)

Detecție fotoelectrică

Da

Mai multe cu dispozitive de aplicare

253 la 573 K

± 0,5 K

 


B. Metoda cu suprafață încălzită și metoda punctului de congelare

Metodă de măsurare

Substanțe ușor pulverizabile

Substanțe greu pulverizabile

Interval de temperatură

Acuratețea estimării (3)

Standarde existente

Banc de încălzire Kofler

Da

Nu

283 la > 573 K

± 1,0 K

ANSI/ASTM D 3451 - 76

Microscop pentru determinarea punctului de topire

Da

Numai la câteva

273 la > 573 K

± 0,5 K

DIN 53736

Metoda meniscului

Nu

Special pentru poliamide

293 la > 573 K

± 0,5 K

ISO 1218 (E)

Metode de determinare a punctului de congelare

Da

Da

223 la 573 K

± 0,5 K

ex. BS 4695


C. Metode de analiză termică

Metodă de măsurare

Substanțe ușor pulverizabile

Substanțe greu pulverizabile

Interval de temperatură

Acuratețea estimării (4)

Standarde existente

Analiza termică diferențială

Da

Da

173 la 1 273 K

până la 600 K ± 0,5 K, până la 1 273 K ± 2,0 K

ASTM E 537 - 76

Calorimetrie diferențială

Da

Da

173 la 1 273 K

până la 600 K ± 0,5 K, până la 1 273 K ± 2,0 K

ASTM E 537 - 76


D. Punct de curgere

Metodă de măsurare

Substanțe ușor pulverizabile

Substanțe greu pulverizabile

Interval de temperatură

Acuratețea estimării (5)

Standarde existente

Punct de curgere

Pentru uleiuri petroliere și substanțe uleioase

Pentru uleiuri petroliere și substanțe uleioase

223 la 323 K

± 3,0 K

ASTM D 97 - 66

1.6.   DESCRIEREA METODELOR

Modurile de operare corespunzătoare aproape tuturor metodelor de testare au fost descrise în standardele internaționale și naționale (a se vedea apendicele 1).

1.6.1.   Metode cu tub capilar

Atunci când sunt supuse unei creșteri de temperatură, substanțele fin pulverizate prezintă de regulă stadiile de topire prezentate în figura 1.

Figura 1

Image

Stadiul A

:

(începutul topirii): punct umed: se formează picături fine pe peretele interior al tubului capilar.

Stadiul B

:

apare un spațiu liber între eșantion și peretele interior al tubului datorită retracției produsului în faza de topire.

Stadiul C

:

eșantionul retractat începe să se scufunde și să se lichefieze.

Stadiul D

:

se formează un menisc complet la suprafață dar o cantitate considerabilă din eșantion rămâne în fază solidă.

Stadiul E

:

(stadiul final a topirii): nu mai există particule solide.

În timpul determinării punctului de topire se înregistrează temperaturile corespunzătoare primului și ultimului stadiu al procesului.

1.6.1.1.   Instalație pentru determinarea punctului de topire cu baie de lichid

Figura 2 descrie un tip de aparat standardizat, confecționat din sticlă (JIS K 0064). Toate specificațiile sunt exprimate în milimetri.

Figura 2

Image

Baia de lichid:

Lichidul care se folosește se alege în funcție de punctul de topire care urmează să fie determinat, de exemplu parafină lichidă pentru punctele de topire care nu depășesc 473 K, ulei de silicon pentru punctele de topire care nu depășesc 573 K.

Se poate folosi un amestec din trei părți de acid sulfuric și două părți de sulfat de potasiu (în proporție masică) pentru punctele de topire care depășesc 523K.

Termometrul:

Pot fi folosite numai acele termometre care îndeplinesc cerințele următoarelor standarde sau ale standardelor echivalente:

ASTM E 1-71, DIN 12770, JIS K 8001.

Mod de operare

Substanța uscată se pulverizează fin într-un mojar și se introduce într-un tub capilar, închis la un capăt, astfel încât înălțimea de umplere să fie de aproximativ 3 mm după ce substanța a fost compactată. Pentru a obține un eșantion uniform compactat, tubul capilar trebuie să fie lăsat să cadă de la o înălțime de aproximativ 700 mm, printr-un tub de sticlă vertical pe o sticlă de ceas.

Tubul capilar plin este plasat în baie astfel încât partea centrală a rezervorului de mercur al termometrului să fie în contact cu partea tubului capilar în care este amplasat eșantionul. De obicei, tubul capilar se introduce în baie la aproximativ 10 K sub punctul de topire.

Lichidul băii se încălzește astfel încât creșterea temperaturii să fie de 3 K/min. Lichidul trebuie agitat. La aproximativ 10 K sub temperatura presupusă de topire, viteza de creștere a temperaturii se stabilește la maximum 1 K pe minut.

Calcul:

Calculul punctului de topire este redat mai jos:

Formula

unde:

T

=

temperatura de topire corectată, exprimată în K

TD

=

temperatura citită la termometrul D, exprimată în K

TE

=

temperatura citită la termometrul E, exprimată în K

n

=

numărul de gradații ale coloanei de mercur citite pe tija termometrului D, aflate deasupra lichidului.

1.6.1.2.   Dispozitive cu bloc metalic pentru măsurarea punctului de topire

Aparatură:

Aparatul cuprinde:

un bloc metalic cilindric, a cărui parte superioară este scobită și formează o incintă de încălzire (a se vedea figura 3);

un dop metalic prevăzut cu două sau mai multe orificii care permit introducerea tuburilor în bloc;

un sistem de încălzire a blocului metalic care poate fi format dintr-o rezistență electrică în bloc;

un reostat pentru reglarea puterii, în cazul unei încălziri electrice;

patru ferestre din sticlă termorezistentă, pe pereții laterali ai incintei, dispuse simetric în unghi drept. În fața uneia dintre ferestre se montează un ocular pentru observarea tubului capilar. Celelalte trei ferestre permit iluminarea interiorului incintei cu ajutorul unor lămpi;

un tub capilar din sticlă termorezistentă închis la un capăt (a se vedea 1.6.1.1).

Termometru

A se vedea standardele menționate la 1.6.1.1. Se pot folosi, de asemenea, elemente termoelectrice de precizie echivalentă.

Figura 3

Image

1.6.1.3.   Detecție fotoelectrică

Aparatură și mod de operare

Aparatul este format dintr-o incintă metalică prevăzută cu un sistem de încălzire automatizat. Se umplu trei tuburi capilare după cum s-a indicat la punctul 1.6.1.1 și se p

Pentru calibrarea aparatului se folosesc mai multe creșteri liniare de temperatură, iar creșterea de temperatură convenabilă este reglată electric la o viteză constantă și liniară, preselectată. Înregistratoarele indică temperatura reală a cuptorului și temperatura substanței în tuburile capilare.

1.6.2.   Metodele suprafeței încălzite

1.6.2.1.   Bancul de încălzire Kofler

A se vedea apendicele.

1.6.2.2.   Microscopul pentru determinarea punctului de topire

A se vedea apendicele.

1.6.2.3.   Metoda meniscului (poliamide)

A se vedea apendicele.

În jurul punctului de topire, creșterea temperaturii trebuie să fie mai mică de 1 K pe minut.

1.6.3.   Metode pentru determinarea punctului de congelare

A se vedea apendicele.

1.6.4.   Analiza termică

1.6.4.1.   Analiza termică diferențială

A se vedea apendicele.

1.6.4.2.   Calorimetria diferențială

A se vedea apendicele.

1.6.5.   Determinarea punctului de curgere

A se vedea apendicele.

2.   DATE

În unele cazuri se impune corecția termometrică.

3.   RAPORT

Raportul de testare trebuie să conțină, dacă este posibil, informațiile următoare:

metoda folosită;

specificațiile precise ale substanței (identitate și impurități) și etapa de purificare preliminară, dacă există;

estimarea acurateței metodei.

Punctul de topire indicat în raport este media a cel puțin două măsurători care se găsesc în intervalul de precizie estimat (a se vedea tabelele).

Dacă diferența dintre temperatura din stadiul inițial și cea din stadiul final al topirii se află în limitele de precizie a metodei, temperatura de topire în stadiul final este considerată ca punct de topire; în caz contrar, se indică în raport cele două temperaturi.

Dacă substanța se descompune sau sublimează înainte de a atinge punctul de topire, se indică în raport temperatura la care s-a observat efectul.

Trebuie prezentate toate informațiile și observațiile relevante pentru interpretarea rezultatelor, în special cele cu privire la impuritățile și starea fizică a substanței.

4.   REFERINȚE BIBLIOGRAFICE

(1)

OECD, Paris, 1981, Test Guideline 102, Decision of the Council C(81) 30 final.

(2)

IUPAC, B. Le Neindre, B. Vodar, eds. Experimental thermodynamics, Butterworths, London, 1975, vol. II, 803-834.

(3)

R. Weissberger ed.: Technique of organic Chemistry, Physical Methods of Organic Chemistry, 3rd ed., Interscience Publ., New York, 1959, vol. I, Part I, Chapter VII.

(4)

IUPAC, Physicochemical measurements: Catalogue of reference materials from national laboratories, Pure and applied chemistry, 1976, vol. 48, 505-515.

Apendice

Pentru mai multe detalii tehnice, pot fi consultate standardele următoare.

1.   Metodele tubului capilar

1.1.   Dispozitive pentru măsurarea punctului de topire cu baie de lichid

ASTM E 324–69

Standard test method for relative initial and final melting points and melting range of organic chemicals

BS 4634

Method for the determination of melting point and/or melting range

DIN 53181

Bestimmung des Schmelzintervalles von Harzen nach Kapillarverfahren

JIS K 00–64

Testing methods for melting point of chemical products

1.2.   Dispozitive pentru determinarea punctului de topire cu bloc metalic fierbinte

DIN 53736

Visuelle Bestimmung der Schmelztemperatur von teilkristallinen Kunststoffen

ISO 1218 (E)

Plastics – polyamides – determination of „melting point”

2.   Metodele suprafeței calde

2.1.   Banc de încălzire Kofler

ANSI/ASTM D 3451-76

Standard recommended practices for testing polymeric powder coatings

2.2.   Microscop pentru determinarea punctului de topire

DIN 53736

Visuelle Bestimmung der Schmelztemperatur von teilkristallinen Kunststoffen

2.3.   Metoda meniscului (poliamide)

ISO 1218 (E)

Plastics – polyamides – determination of „melting point”

ANSI/ASTM D 2133-66

Standard specification for acetal resin injection moulding and extrusion materials

NF T 51–050

Résines de polyamides. Détermination du „point de fusion”. Méthode du ménisque

3.   Metode pentru determinarea punctului de congelare

BS 4633

Method for the determination of crystallizing point

BS 4695

Method for Determination of Melting Point of petroleum wax (Cooling Curve)

DIN 51421

Bestimmung des Gefrierpunktes von Flugkraftstoffen, Ottokraftstoffen und Motorenbenzolen

ISO 2207

Cires de pétrole: détermination de la température de figeage

DIN 53175

Bestimmung des Erstarrungspunktes von Fettsäuren

NF T 60-114

Point de fusion des paraffines

NF T 20-051

Méthode de détermination du point de cristallisation (point de congélation)

ISO 1392

Method for the determination of the freezing point

4.   Analiza termică

4.1.   Analiza termică diferențială

ASTM E 537-76

Standard method for assessing the thermal stability of chemicals by methods of differential thermal analysis

ASTM E 473-85

Standard definitions of terms relating to thermal analysis

ASTM E 472-86

Standard practice for reporting thermoanalytical data

DIN 51005

Thermische Analyse, Begriffe

4.2.   Calorimetrie diferențială

ASTM E 537-76

Standard method for assessing the thermal stability of chemicals by methods of differential thermal analysis

ASTM E 473-85

Standard definitions of terms relating to thermal analysis

ASTM E 472-86

Standard practice for reporting thermoanalytical data

DIN 51005

Thermische Analyse, Begriffe

5.   Determinarea punctului de curgere

NBN 52014

Echantillonnage et analyse des produits du pétrole: Point de trouble et point d'écoulement limite - Monsterneming en ontleding van aardolieproducten: Troebelingspunt en vloeipunt

ASTM D 97-66

Standard test method for pour point of petroleum oils

ISO 3016

Petroleum oils – Determination of pour point.

A.2.   PUNCTUL DE FIERBERE

1.   METODĂ

Majoritatea metodelor descrise se bazează pe orientările OCDE privind testele (1). Principiile fundamentale sunt prezentate în referințele bibliografice (2) și (3).

1.1.   INTRODUCERE

Metodele și aparatele descrise în continuare pot fi aplicate substanțelor lichide și celor cu punct de topire scăzut, care nu intră în reacție chimică sub punctul de fierbere (de exemplu auto-oxidare, izomerizări, degradare etc.). Metodele se aplică substanțelor lichide pure și impure.

Se acordă atenție descrierii metodelor care folosesc detecția fotoelectrică și analiza termică deoarece acestea permit determinarea nu numai a punctului de fierbere, ci și a punctului de topire. În plus, măsurările se pot efectua în mod automat.

„Metoda dinamică” are avantajul că poate fi folosită și pentru determinarea presiunii vaporilor, iar aducerea temperaturii de fierbere la condiții normale de presiune (101 325 kPa) nu este necesară, deoarece se poate menține presiunea normală pe parcursul măsurării, folosind un manometru de contact.

Observații:

Influența impurităților asupra determinării punctului de fierbere depinde în mare măsură de natura impurităților. Atunci când există în eșantion impurități volatile care ar putea afecta rezultatele, substanța se purifică.

1.2.   DEFINIȚII ȘI UNITĂȚI

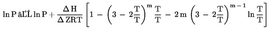
Punctul de fierbere normal se definește ca temperatura la care presiunea de vapori a lichidului este 101 325 kPa.

Dacă punctul de fierbere nu se măsoară la presiune atmosferică normală, relația între temperatură și presiunea de vapori este dată de ecuația Clausius - Clapeyron:

Formula

unde:

p

=

presiunea de vapori a substanței, exprimată în pascali

Δ Hv

=

căldura sa de vaporizare, exprimată în J mol-1

R

=

constanta universală a gazelor = 8,314 J mol-1 K-1

T

=

temperatura termodinamică, exprimată în K

Indicarea punctului de fierbere este însoțită de precizarea presiunii ambiante în timpul măsurătorii.

Formule de conversie:

Presiunea (unități: kPa)

100 kPa

=

1 bar = 0,1 MPa

(folosirea „barului” este încă permisă, dar nu este recomandată)

133 Pa

=

1 mm Hg = 1 Torr

(unitățile „mmHg” și „Torr” nu sunt permise)

1 atm

=

atmosferă standard = 101 325 Pa

(unitatea „atm” nu este permisă)

Temperatura (unități: K)

t = T – 273,15

t = temperatura Celsius, exprimată în grade Celsius (°C)

T = temperatura termodinamică, exprimată în kelvini (K)

1.3.   SUBSTANȚE DE REFERINȚĂ

Nu este necesar să se folosească substanțe de referință în toate cazurile în care se studiază o nouă substanță. Acestea trebuie în special să servească la etalonarea periodică a metodei și la comparația cu rezultatele obținute prin alte metode.

Anumite substanțe de etalonare sunt menționate în metodele enumerate în apendice.

1.4.   PRINCIPIUL METODEI DE TESTARE

Cinci metode pentru determinarea punctului de fierbere (a intervalului de fierbere) se bazează pe măsurarea temperaturii de fierbere, alte două se bazează pe analiza termică.

1.4.1.   Determinarea prin folosirea ebuliometrului

Ebuliometrele au fost create inițial pentru determinarea masei moleculare prin creșterea punctului de fierbere, dar sunt adecvate și pentru măsurarea exactă a punctului de fierbere. Un aparat foarte simplu este descris în standardul ASTM D 1120-72 (a se vedea apendicele). Lichidul se încălzește în acest aparat în condiții de echilibru la presiune atmosferică, până la fierbere.

1.4.2.   Metoda dinamică

Această metodă prevede măsurarea temperaturii de recondensare a vaporilor cu ajutorul unui termocuplu montat în reflux în timpul fierberii. În această metodă se poate modifica presiunea.

1.4.3.   Metoda distilării pentru punctul de fierbere

Această metodă prevede distilarea lichidului, măsurarea temperaturii de recondensare a vaporilor și determinarea cantității de distilat.

1.4.4.   Metoda Siwoloboff

Se încălzește un eșantion într-o eprubetă care este imersată într-o baie cu lichid încălzit. Se scufundă în eprubetă un capilar închis, care conține o bulă de aer în partea inferioară.

1.4.5.   Detecția fotoelectrică

Conform principiului Siwoloboff, măsurarea fotoelectrică automată se face folosind ascensiunea bulelor.

1.4.6.   Analiza termică diferențială

Această tehnică înregistrează diferența de temperatură dintre substanță și un material de referință în funcție de temperatură în timp ce substanța și materialul de referință sunt supuse aceluiași regim termic controlat. Atunci când eșantionul trece printr-o stare de tranziție ce presupune o variație de entalpie, această modificare este indicată prin îndepărtare endotermică (fierbere) de la linia de referință a temperaturii.

1.4.7.   Calorimetria diferențială

Această tehnică înregistrează diferența dintre cantitățile de energie absorbite de o substanță și un material de referință în funcție de timp, atunci când eșantionul și materialul de referință sunt supuse aceluiași regim de temperatură controlată. Această energie reprezintă energia necesară pentru ca diferența de temperatură dintre substanță și materialul de referință să devină nulă. Atunci când eșantionul suferă o transformare care implică o modificare de entalpie, acea modificare este indicată prin îndepărtarea endotermă (fierbere) de la linia de referință a fluxului termic.

1.5.   CRITERII DE CALITATE

Aplicabilitatea și precizia diferitelor metode folosite la determinarea temperaturii/intervalului de fierbere sunt prezentate în tabelul 1.

TABELUL 1: COMPARAREA METODELOR

Metodă de măsurare

Precizie estimată

Standard existent

Ebuliometru

± 1,4 K (până la 373 K) (6)  (7)

± 2,5 K (până la 600 K) (6)  (7)

ASTM D 1120-72 (6)

Metoda dinamică

± 0,5 K (până la 600 K) (7)

 

Metoda distilării (domeniu de fierbere)

± 0,5 K (până la 600 K)

ISO/R 918, DIN 53171, BS 4591/71

Metoda Siwoloboff

±2 K (până la 600 K) (7)

 

Detecție fotoelectrică

± 0,3 K (la 373 K) (7)

 

Calorimetrie termică diferențială

± 0,5 K (până la 600 K)

± 2,0 K (până la 1 273 K)

ASTM E 537-76

Calorimetrie diferențială

± 0,5 K (până la 600 K)

± 2,0 K (până la 1 273 K)

ASTM E 537-76

1.6.   DESCRIEREA METODELOR

Modurile de operare în unele metode de testare sunt descrise în standardele naționale și internaționale (a se vedea apendicele).

1.6.1.   Ebuliometru

A se vedea apendicele.

1.6.2.   Metoda dinamică

A se vedea metoda de analiză A.4 pentru determinarea presiunii de vapori.

Se înregistrează temperatura de fierbere observată la o presiune aplicată de 101 325 kPa.

1.6.3.   Metoda distilării (intervalul de fierbere)

A se vedea apendicele.

1.6.4.   Metoda Siwoloboff

Se introduce eșantionul într-o eprubetă cu un diametru de cca. 5 milimetri și se încălzește într-un aparat care servește la determinarea punctului de topire (figura 1).

Figura 1 prezintă schema unui aparat standardizat de măsurare a punctului de topire și fierbere (JIS K 0064) (confecționat din sticlă, toate specificațiile sunt în mm).

Figura 1

Image

Se scufundă un tub capilar (capilar de fierbere), închis la cca. 1 centimetru deasupra extremității inferioare, în eprubeta cu substanța de testat. Nivelul până la care se adaugă substanță de testat este astfel încât partea etanșată a capilarului să fie sub nivelul suprafeței lichidului. Eprubeta se atașează la termometru cu o bandă de cauciuc sau se fixează cu un suport de partea laterală (a se vedea figura 2).

Figura 2

Metoda Siwoloboff

Image

Figura 3

Metoda modificată

Image

Lichidul din baie se alege în funcție de punctul de fierbere. La temperaturi de până la 573 K se folosește uleiul de silicon. Parafina lichidă se poate folosi numai până la 473 K. Încălzirea băii de lichid se reglează pentru început la o creștere de temperatură de 3 K/min. Lichidul din baie trebuie agitat. La aproximativ 10 K sub punctul de fierbere presupus, încălzirea se reduce astfel încât viteza de creștere a temperaturii să fie mai mică de 1 K/min. Atunci când se apropie de punctul de fierbere, bulele încep să se ridice rapid din capilar.

Punctul de fierbere este acea temperatură la care, în cazul unei răciri momentane, șiragul de bule se întrerupe, iar fluidul începe brusc să se ridice în capilar. Temperatura citită în acel moment pe termometru indică punctul de fierbere al substanței.

În metoda modificată (a se vedea figura 3), punctul de fierbere se determină într-un tub capilar de măsurat la punctul de topire. Extremitatea inferioară a acestuia se prelungește cu un vârf cu o lungime de aproximativ 2 cm (a) în interiorul căruia se aspiră o cantitate mică de substanță de testat. Se etanșează vârful prin încălzire, captându-se o bulă mică de aer în interior. În timpul încălzirii, în aparatul de măsurat punctul de topire (b), bula de aer se dilată. Punctul de fierbere corespunde temperaturii la care eșantionul de substanță atinge nivelul suprafeței lichidului din baie (c).

1.6.5.   Detecția fotoelectrică

Se încălzește un eșantion din substanța de testat într-un tub capilar așezat în interiorul unui bloc metalic de încălzire.

Prin orificiile practicate în bloc, un fascicul de lumină este trimis prin substanță către o celulă fotoelectrică calibrată cu precizie.

În timp ce crește temperatura eșantionului, bule de aer individuale încep să se ridice din tubul capilar. Când punctul de fierbere este atins, numărul de bule crește substanțial. Modificarea intensității luminoase care urmează este înregistrată de către celulă, care trimite un semnal de oprire indicatorului de temperatură, respectiv un termometru cu rezistență de platină plasat în interiorul blocului.

Această metodă este deosebit de utilă deoarece permite efectuarea unor determinări sub nivelul temperaturii ambiante până la 253,15 K (–20 °C), fără nici o modificare a aparatului. Este necesar doar ca aparatul să fie așezat într-o baie de răcire.

1.6.6.   Analize termice

1.6.6.1.   Analiza termică diferențială

A se vedea apendicele.

1.6.6.2.   Calorimetria diferențială

A se vedea apendicele.

2.   DATE

Pentru diferențe mici față de presiunea normală (maximum ± 5 kPa) punctul de fierbere se poate corecta (Tn) cu ajutorul ecuației Sidney-Young:

Formula

unde:

Δ p

=

(101 325 – p) (atenție la semn)

p

=

presiunea măsurată, în kPa

fT

=

viteza de variație a punctului de fierbere cu presiunea, în K/kPa

T

=

temperatura de fierbere măsurată, în K

Tn

=

temperatura de fierbere corectată la presiunea normală, în K

Pentru numeroase substanțe, factorii de corecție a temperaturii fT și ecuațiile pentru aproximarea acestora figurează în standardele naționale și internaționale mai sus menționate.

De exemplu, metoda DIN 53171 menționează următoarele corecții aproximative pentru solvenți conținuți în vopsele.

TABELUL 2: TEMPERATURA - FACTORI DE CORECȚIE fT

Temperatura T (K)

Factori de corecție fT (K/kPa)

323,15

0,26

348,15

0,28

373,15

0,31

398,15

0,33

423,15

0,35

448,15

0,37

473,15

0,39

498,15

0,41

523,15

0,44

548,15

0,45

573,15

0,47

3.   RAPORT

Raportul de testare trebuie să conțină, dacă este posibil, informațiile următoare:

metoda folosită;

specificațiile precise ale substanței (identitate și impurități) și etapa de purificare preliminară, dacă există;

estimarea acurateței metodei.

Punctul de fierbere indicat în raport este media a cel puțin două măsurători care se găsesc în intervalul de precizie estimat (a se vedea tabelul 1).

Se prezintă punctele de fierbere măsurate și media lor, iar presiunea (presiunile) la care s-au făcut măsurătorile se exprimă în kPa. Este preferabil ca presiunea să fie apropiată de presiunea atmosferică normală.

Trebuie prezentate toate informațiile și observațiile relevante pentru interpretarea rezultatelor, în special cele cu privire la impurități și la starea fizică a substanței.

4.   REFERINȚE BIBLIOGRAFICE

(1)

OECD, Paris, 1981, Test Guideline 103, Decision of the Council C (81) 30 final.

(2)

IUPAC, B. Le Neindre, B. Vodar, editions. Experimental thermodynamics, Butterworths, London 1975, volume II.

(3)

R. Weissberger edition: Technique of organic chemistry, Physical methods of organic chemistry, Third Edition, Interscience Publications, New York, 1959, volume I, Part I, Chapter VIII.

Apendice

Pentru mai multe date tehnice, pot fi consultate standardele următoare, de exemplu:

1.   Ebuliometru

ASTM D 1120-72

Standard test method for boiling point of engine anti-freezes

2.   Metoda distilării (a intervalului de fierbere)

ISO/R 918

Test Method for Distillation (Distillation Yield and Distillation Range)

BS 4349/68

Method for determination of distillation of petroleum products

BS 4591/71

Method for the determination of distillation characteristics

DIN 53171

Lösungsmittel für Anstrichstoffe, Bestimmung des Siedeverlaufes

NF T 20-608

Distillation: détermination du rendement et de l'intervalle de distillation

3.   Analiza termică diferențială și calorimetria diferențială

ASTM E 537-76

Standard method for assessing the thermal stability of chemicals by methods of differential thermal analysis

ASTM E 473-85

Standard definition of terms relating to thermal analysis

ASTM E 472-86

Standard practice for reporting thermoanalytical data

DIN 51005

Thermische Analyse: Begriffe

A.3.   DENSITATEA RELATIVĂ

1.   METODĂ

Majoritatea metodelor descrise se bazează pe orientările OCDE privind testele (1). Principiile fundamentale sunt menționate în referința bibliografică (2).

1.1.   INTRODUCERE

Metodele descrise pentru determinarea densității relative sunt aplicabile substanțelor solide și lichide, fără nici o restricție cu privire la gradul de puritate. Diferitele metode care pot fi folosite sunt prezentate în tabelul 1.

1.2.   DEFINIȚII ȘI UNITĂȚI

Densitatea relativăFormulaa solidelor sau lichidelor reprezintă raportul dintre masa unui volum de substanță, determinată la 20 °C, și masa aceluiași volum de apă, determinată la 4 °C. Densitatea relativă este un număr adimensional.

Densitatea ρ a unei substanțe este raportul dintre masa acesteia m și volumul său v.

Densitatea ρ este exprimată în unități SI în kg/m3.

1.3.   SUBSTANȚE DE REFERINȚĂ (1) (3)

Nu este necesar să se folosească substanțe de referință de fiecare dată când se studiază o substanță nouă. Acestea trebuie să servească în special la verificarea periodică a acurateței metodei și să permită comparația cu rezultatele obținute prin alte metode.

1.4.   PRINCIPIUL METODELOR

Se folosesc 4 clase de metode.

1.4.1.   Metode prin flotabilitate

1.4.1.1.   Hidrometrul (pentru substanțe lichide)

Se pot obține determinări ale densității suficient de precise și de rapide cu ajutorul unor hidrometre plutitoare care permit deducerea densității unui lichid din adâncimea de imersiune indicată pe o scară gradată.

1.4.1.2.   Balanța hidrostatică (pentru substanțe lichide și solide)

Diferența dintre masa unui eșantion măsurată în aer și într-un lichid corespunzător (de exemplu apa) poate fi folosită pentru a determina densitatea acestuia.

În cazul solidelor, densitatea măsurată nu este reprezentativă decât în cazul acelui eșantion. Pentru a determina densitatea unui lichid se cântărește un corp cu volum v cunoscut, întâi în aer, apoi în lichid.

1.4.1.3.   Metoda corpului scufundat (pentru substanțe lichide) (4)

În această metodă, densitatea unui lichid este determinată ca diferența dintre rezultatele cântăririlor lichidului înainte și după imersia unui corp de volum cunoscut în acest lichid.

1.4.2.   Metode picnometrice

În cazul solidelor sau al lichidelor se pot folosi picnometre cu forme diferite, ale căror volume sunt cunoscute. Densitatea se determină pornind de la diferența de greutate între picnometrul plin și picnometrul gol, pe de o parte, și volumul cunoscut al acestuia, pe de altă parte.

1.4.3.   Picnometru de comparație cu aer (pentru solide)

Densitatea unui solid cu orice formă poate fi măsurată la temperatura camerei cu ajutorul unui picnometru de comparație cu gaz. Volumul unei substanțe în aer sau în gaz inert se măsoară într-un cilindru gradat, cu volum variabil calibrat. Pentru determinarea densității, după măsurarea volumului se măsoară și masa solidului.

1.4.4.   Densimetru oscilant (5) (6) (7)

Densitatea unui lichid se poate măsura cu densimetrul oscilant. Un oscilator mecanic în formă de U vibrează cu o frecvență de rezonanță care depinde de masa sa. Introducerea unui eșantion de substanță modifică frecvența de rezonanță a oscilatorului. Acesta trebuie etalonat cu ajutorul a două substanțe ale căror densități se cunosc. Substanțele se aleg astfel încât densitățile acestora să acopere intervalul de măsură.

1.5.   CRITERII DE CALITATE

Aplicabilitatea diferitelor metode folosite pentru determinarea densității relative este prezentată în tabel.

1.6.   DESCRIEREA METODELOR

Standardele menționate ca exemple, care se pot consulta pentru mai multe detalii tehnice, sunt enumerate în apendice.

Testele se efectuează la o temperatură de 20 °C și trebuie să cuprindă cel puțin două măsurători.

2.   DATE

A se vedea standardele.

3.   RAPORT

Raportul de testare trebuie să conțină, dacă este posibil, informațiile următoare:

metoda folosită;

specificațiile precise ale substanței (identitate și impurități) și etapa de purificare preliminară, dacă există.

Densitatea relativăFormulase indică în conformitate cu definiția de la punctul 1.2, împreună cu starea fizică a substanței.

Trebuie prezentate toate informațiile și observațiile relevante pentru interpretarea rezultatelor, în special cele cu privire la impuritățile și starea fizică a substanței.

TABEL: APLICABILITATEA METODELOR

Metoda de măsurare

Densitate

Vâscozitatea dinamică maximă posibilă

Standarde existente

Solid

Lichid

1.4.1.1.

Hidrometru

 

Da

5 Pa.s

ISO 387

 

 

 

 

ISO 649-2

 

 

 

 

NF T 20-050

1.4.1.2.

Balanța hidrostatică

 

 

 

 

(a)

solide

Da

 

 

ISO 1183 (A)

(b)

lichide

 

Da

5 Pa.s

ISO 901 și 758

1.4.1.3.

Metoda plutitorului

 

Da

20 Pa.s

DIN 53217

1.4.2.

Picnometru

 

 

 

ISO 3507

(a)

solide

Da

 

 

ISO 1183 (B)

 

 

 

 

NF T 20-053

(b)

lichide

 

Da

500 Pa.s

ISO 758

1.4.3.

Picnometru de comparație cu aer

Da

 

 

DIN 55990 Teil 3

 

 

 

 

DIN 53243

1.4.4.

Densimetru oscilant

 

Da

5 Pa.s

 

4.   REFERINȚE BIBLIOGRAFICE

(1)

OECD, Paris, 1981, Test Guideline 109, Decision of the Council C(81) 30 final.

(2)

R. Weissberger ed., Technique of Organic Chemistry, Physical Methods of Organic Chemistry, 3rd ed., Chapter IV, Interscience Publ., New York, 1959, vol. I, Part 1.

(3)

IUPAC, Recommended reference materials for realization of physico-chemical properties, Pure and applied chemistry, 1976, vol. 48, 508.

(4)

Wagenbreth, H., Die Tauchkugel zur Bestimmung der Dichte von Flüssigkeiten, Technisches Messen tm, 1979, vol.11, 427-430.

(5)

Leopold, H., Die digitale Messung von Flüssigkeiten, Elektronik, 1970, vol. 19, 297-302.

(6)

Baumgarten, D., Füllmengenkontrolle bei vorgepackten Erzeugnissen - Verfahren zur Dichtebestimmung bei flüssigen Produkten und ihre praktische Anwendung, Die Pharmazeutische Industrie, 1975, vol. 37, 717 - 726.

(7)

Riemann, J., Der Einsatz der digitalen Dichtemessung im Brauereilaboratorium, Brauwissenschaft, 1976, vol. 9, 253-255.

Apendice

Pentru mai multe detalii tehnice. pot fi consultate următoarele standarde suplimentare:

1.   METODE PRIN FLOTABILITATE

1.1.   Hidrometrul

DIN 12790, ISO 387

Hydrometer; general instructions

DIN 12791

Part I: Density hydrometers; construction, adjustment and use

 

Part II: Density hydrometers; standardized sizes, designation

 

Part III: Use and test

ISO 649-2

Laboratory glassware: Density hydrometers for general purpose

NF T 20-050

Chemical products for industrial use – Determination of density of liquids – Areometric method

DIN 12793

Laboratory glassware: range find hydrometers

1.2.   Balanța hidrostatică

Pentru substanțe solide:

ISO 1183

Method A: Methods for determining the density and relative density of plastics excluding cellular plastics

NF T 20-049

Produits chimiques à usage industriel – Détermination de la densité des solides autres que les poudres et les produits alvéolaires – Méthode de la balance hydrostatique

ASTM-D-792

Specific gravity and density of plastics by displacement

DIN 53479

Testing of plastics and elastomers; determination of density

Pentru substanțe lichide:

ISO 901

ISO 758

DIN 51757

Testing of mineral oil and related materials; determination of density

ASTM D 941-55, ASTM D 1296-67 și ASTM D 1481-62

ASTM D 1298

Density, specific gravity or API gravity of crude petroleum and liquid petroleum products by hydrometer method

BS 4714

Density, specific gravity or API gravity of crude petroleum and liquid petroleum products by hydrometer method

1.3.   Metoda corpului scufundat

DIN 53217

Testing of paints, varnishes and similar coating materials; determination of density; immersed body method.

2.   METODE PICNOMETRICE

2.1.   Pentru substanțe lichide

ISO 3507

Pycnometers

ISO 758

Liquid chemical products; determination of density at 20 °C

DIN 12797

Gay-Lussac pycnometer (for non-volatile liquids which are not too viscous)

DIN 12798

Lipkin pycnometer (for liquids with a kinematic viscosity of less than 100 · 10-6 m2 s-1 at 15 °C

DIN 12800

Sprengel pycnometer (for liquids as DIN 12798)

DIN 12801

Reischauer pycnometer (for liquids with a kinematic viscosity of less than 100·10-6 m2 s-1 at 20 °C, applicable in particular also to hydrocarbons and aqueous solutions as well as to liquids with higher vapour pressure, approximately 1 bar at 90 °C)

DIN 12806

Hubbard pycnometer (for viscous liquids of all types which do not have a too high vapour pressure, in particular also for paints, varnishes and bitumen)

DIN 12807

Bingham pycnometer (for liquids, as in DIN 12801)

DIN 12808

Jaulmes pycnometer (in particular for ethanol-water mixture)

DIN 12809

Pycnometer with ground-in thermometer and capillary side tube (for liquids which are not too viscous)

DIN 53217

Testing of paints, varnishes and similar products; determination of density by pycnometer

DIN 51757

Point 7: Testing of mineral oils and related materials; determination of density

ASTM D 297

Section 15: Rubber products – chemical analysis

ASTM D 2111

Method C: Halogenated organic compounds

BS 4699

Method for determination of specific gravity and density of petroleum products (graduated bicapillary pycnometer method)

BS 5903

Method for determination of relative density and density of petroleum products by the capillary-stoppered pycnometer method

NF T 20-053

Produits chimiques à usage industriel – Détermination de la densité des solides en poudre et des liquides – Méthode pycnométrique

2.2.   Pentru substanțe solide

ISO 1183

Method B: Methods for determining the density and relative density of plastics excluding cellular plastics

NF T 20-053

Produits chimiques à usage industriel – Détermination de la densité des solides en poudre et des liquides – Méthode pycnométrique

DIN 19683

Determination of the density of soils

3.   PICNOMETRU DE COMPARAȚIE CU AER

DIN 55990

Part 3: Prüfung von Anstrichstoffen und ähnlichen Beschichtungsstoffen; Pulverlack; Bestimmung der Dichte

DIN 53243

Anstrichstoffe; Chlorhaltige Polymere; Prüfung

A.4.   PRESIUNEA DE VAPORI

1.   METODĂ

Majoritatea metodelor descrise se bazează pe orientările OCDE privind testele (1). Principiile fundamentale sunt menționate în referințele bibliografice (2) și (3).

1.1.   INTRODUCERE

Este util să existe informații preliminare privind structura, punctul de topire și punctul de fierbere ale substanței pentru care se efectuează determinarea.

Nu există o metodă de măsurare aplicabilă întregului interval de presiuni de vapori. În consecință, se recomandă folosirea mai multor metode pentru măsurarea presiunii de vapori de la < 10-4 la 105 Pa.

În general, impuritățile afectează presiunea de vapori, într-o măsură care depinde în mare parte de natura impurității.

Dacă eșantionul prezintă impurități volatile care ar putea afecta rezultatul, substanța se purifică. Menționarea presiunii de vapori a materialul inițial se poate dovedi adecvată.

Unele dintre metodele descrise aici folosesc aparate cu părți metalice; acest aspect trebuie avut în vedere la testarea substanțelor corozive.

1.2.   DEFINIȚII ȘI UNITĂȚI

Presiunea de vapori a unei substanțe este definită ca presiunea de saturație la suprafața de contact cu aerul a unei substanțe solide sau lichide. La echilibru termodinamic, presiunea de vapori a unei substanțe pure este o funcție numai de temperatură.

Unitatea SI de presiune care trebuie folosită este pascalul (Pa).

Unitățile alternative folosite de-a lungul timpului, împreună cu factorii lor de conversie sunt:


1 Torr (= 1 mmHg)

= 1,333 × 102 Pa

1 atmosferă

= 1,013 × 105 Pa

1 bar

= 105 Pa

Unitatea de măsură folosită în Sistemul Internațional (SI) pentru temperatură este kelvinul (K).

Constanta molară universală a gazelor R este 8,314 J mol-1 K-1.

Presiunea de vapori ca funcție de temperatură este descrisă de ecuația Clausius - Clapeyron:

Formula

unde:

p

=

presiunea de vapori a substanței, în pascali

Δ Hv

=

căldura sa de vaporizare, în J mol-1

R

=

constanta universală a gazelor, în J mol-1 K-1

T

=

temperatura termodinamică, în K

1.3.   SUBSTANȚE DE REFERINȚĂ

Nu este necesar să se folosească substanțe de referință în toate cazurile în care se studiază o nouă substanță. Acestea trebuie în special să servească la etalonarea periodică a metodei și la comparația cu rezultatele obținute prin alte metode.

1.4.   PRINCIPIUL METODELOR DE TESTARE

Pentru determinarea presiunii de vapori, sunt propuse șapte metode diferite care trebuie aplicate pe diferite intervale de presiuni de vapori. Pentru fiecare metodă, presiunea de vapori este determinată la diferite temperaturi. Într-un interval limitat de temperaturi, logaritmul presiunii de vapori a unei substanțe pure este o funcție lineară a inversului temperaturii.

1.4.1.   Metodă dinamică

Metoda dinamică se bazează pe măsurarea temperaturii de fierbere care corespunde unei presiuni specificate.

Intervalul recomandat:

103 până la 105 Pa.

Metodă este recomandată și pentru determinarea punctului normal de fierbere și este utilă în acest sens pentru temperaturi sub 600 K.

1.4.2.   Metoda statică

Prin procedeul static, presiunea vaporilor care se stabilește într-un sistem închis în echilibru termodinamic este determinată la o temperatură specificată. Metoda este adecvată solidelor și lichidelor care conțin unul sau mai mulți componenți.

Intervalul recomandat:

10 până la105 Pa.

Această metodă poate să fie folosită și în intervalul de la 1 la 10 Pa, cu condiția să fie aplicată atent.

1.4.3.   Izoteniscop

Această metodă standardizată este tot o metodă statică, dar este în general nepotrivită pentru sistemele multicomponent. Informații suplimentare sunt disponibile în ASTM metoda D-2879-86.

Intervalul recomandat:

de la 100 la 105 Pa.

1.4.4.   Metoda prin efuziune: Balanța pentru presiune de vapori

Cantitatea de substanță care iese dintr-o celulă în unitatea de timp printr-o deschidere de dimensiuni cunoscute se determină sub vid, astfel încât cantitatea de substanță pe retur să fie neglijabilă (de exemplu, prin măsurarea impulsului imprimat unei balanțe sensibile printr-un jet de vapori sau prin măsurarea pierderilor de masă).

Intervalul recomandat:

10-3 până la1 Pa.

1.4.5.   Metoda prin efuziune: prin pierderea de masă sau prin captarea vaporizatului

Metoda se bazează pe estimarea cantității de substanță analizate care se elimină în unitatea de timp dintr-o celulă Knudsen (4) sub formă de vapori, printr-un orificiu foarte mic, în condiții de vid avansat. Cantitatea de vapori degajată se poate calcula fie prin determinarea pierderii de masă a celulei, fie prin condensarea vaporilor la temperatură joasă și determinarea cantității de substanță volatilizată prin analiză cromatografică. Presiunea de vapori se calculează prin aplicarea relației Hertz - Knudsen.

Intervalul recomandat:

10-3 până la1 Pa.

1.4.6.   Metoda gazului saturat

Un curent de gaz purtător inert este trecut peste o substanță astfel încât să fie saturat cu vapori. Cantitatea de material transportat de o cantitate cunoscută de gaz purtător este măsurabilă fie prin colectare cu barbotare în lichid, fie printr-o tehnică analitică în flux. Aceasta este apoi folosită la calcularea presiunii de vapori la o temperatură dată.

Intervalul recomandat:

10-4 până la1 Pa.

Această metodă mai poate fi folosită în intervalul 1 până la10 Pa, cu condiția să fie aplicată atent.

1.4.7.   Metoda rotorului

Într-un rotor etalon, elementul concret de măsurare este un rulment mic din oțel, suspendat într-un câmp magnetic, care se rotește cu viteză mare. Presiunea gazului este calculată din încetinirea mișcării bilei de oțel, care este dependentă de presiune.

Intervalul recomandat:

10-4 până la0,5 Pa.

1.5   CRITERII DE CALITATE

Diferitele metode de determinare a presiunii de vapori sunt comparate în tabelul de mai jos cu privire la aplicabilitate, repetabilitate, reproductibilitate, interval de măsurare, standarde existente.

CRITERII DE CALITATE

Metoda de măsurare

Substanța

Repetabilitate estimată (8)

Reproductibilitate estimată (8)

Domeniu recomandat

Standarde existente

solid

lichid

1.4.1.

Metoda dinamică

topire joasă

Da

Până la 25 %

Până la 25 %

103 Pa - 2 × 103 Pa

-

 

 

 

1 la 5 %

1 la 5 %

2 × 103 Pa - 105 Pa

-

1.4.2.

Metoda statică

Da

Da

5 la 10 %

5 la 10 %

10 Pa -105 Pa (9)

NF T 20-048 (5)

1.4.3

Izoteniscop

Da

Da

5 la 10 %

5 la 10 %

102 Pa - 105 Pa

ASTM – D 2879-86

1.4.4.

Metoda prin vaporizare (balanță)

Da

Da

5 la 20 %

Până la 50 %

10-3 Pa - 1 Pa

NF T 20-047 (6)

1.4.5.

Metoda prin vaporizare (pierdere de masă)

Da

Da

10 la 30 %

-

10-3 Pa - 1 Pa

-

1.4.6.

Metoda gazului saturat

Da

Da

10 la 30 %

Până la 50 %

10-4 Pa - 1 Pa (9)

-

1.4.7.

Metoda rotorului

Da

Da

10 la20 %

-

10-4 Pa - 0,5 Pa

-

1.6.   DESCRIEREA METODELOR

1.6.1.   Metoda măsurătorii dinamice

1.6.1.1.   Aparatură

Aparatul de măsură constă de obicei dintr-un vas de fierbere cu vas de răcire atașat, din sticlă sau metal (figura 1), echipament de măsurare a temperaturii și echipament de reglare și măsurare a presiunii. Aparatul de măsură tipic prezentat în desen este confecționat din sticlă termorezistentă și compus din 5 părți.

Tubul mare, cu pereți parțial dubli, constă dintr-o garnitură rodată, un agent de răcire, un vas de răcire și un racord de intrare.

Cilindrul de sticlă, prevăzut cu „pompă” Cottrell, este montat în zona de fierbere a tubului și are o suprafață rugoasă, de sticlă pisată, pentru a evita vaporizarea locală cu fierbere violentă.

Temperatura se măsoară cu un senzor de temperatură corespunzător (de exemplu termometru cu rezistență, termocuplu de manta) imersat în aparat la punctul de măsurare (nr. 5, figura 1) printr-un orificiu de admisie corespunzător (de exemplu printr-un dop rodat).

Se fac legăturile necesare la echipamentul de măsură și reglare a presiunii.

Rezervorul bulbiform, care acționează ca un volum-tampon, se conectează la aparatul de măsură prin intermediul unui tub capilar.

Vasul de fierbere se încălzește cu un element de încălzire (de exemplu un cartuș caloric) montat în aparatul de sticlă pe la partea interioară. Alimentarea cu curent electric pentru încălzire este fixată și reglată cu ajutorul termocuplului.

Vidul necesar, cuprins între 102 Pa și aproximativ 105 Pa, este realizat cu ajutorul unei pompe de vid.

Dozarea aerului sau a azotului pentru reglarea presiunii (interval de măsurare aproximativ 102 – 105 Pa) și ventilație se face printr-o valvă adecvată.

Presiunea se măsoară la manometru.

1.6.1.2.   Metodă de măsurare

Se măsoară presiunea de vapori determinându-se punctul de fierbere al eșantionului la diferite presiuni specificate între aproximativ 103și 105 Pa. O temperatură de fierbere stabilă la presiune constantă arată că punctul de fierbere a fost atins. Metoda nu poate fi folosită în cazul substanțelor care spumează.

Substanța se pune într-o coloană curată și uscată. Pot să apară probleme în cazul solidelor care nu sunt sub formă de pulbere, dar în unele cazuri acestea se pot rezolva încălzind agentul de răcire din mantaua de răcire. După umplere, aparatul se închide la flanșă și substanța se degazează. Se stabilește cea mai joasă dintre presiunile dorite și se începe încălzirea. În același timp, senzorul de temperatură se conectează la contor.

Echilibrul este atins atunci când se înregistrează o temperatură de fierbere constantă la presiune constantă. Trebuie evitat fenomenul de vaporizare locală cu fierbere violentă. În plus, în vasul de răcire condensarea trebuie să fie completă. Când se determină presiunea de vapori a solidelor cu punct de topire scăzut, trebuie evitată blocarea condensatorului.

După înregistrarea acestui punct de echilibru se stabilește o presiune mai ridicată. Procesul se continuă în același fel până când se atinge o presiune de 105 Pa (cca. 5 până la 10 măsurători în total). Pentru verificare, aceleași puncte de echilibru trebuie să se regăsească la descreșterea presiunii.

1.6.2.   Măsurători statice

1.6.2.1.   Aparatură

Aparatura cuprinde un vas de probe, un sistem de încălzire și răcire pentru a regla și măsura temperatura eșantionului. Aparatura include, de asemenea, instrumente de reglare și măsurare a presiunii. Figurile 2a și 2b ilustrează principiile de bază ale sistemului.

Vasul cu eșantion (figura 2a) este conectat pe o parte la un ventil de vid avansat. Pe partea cealaltă se atașează un tub în formă de U cu un lichid manometric adecvat, formând un manometru auxiliar. Un capăt al tubului în formă de U este racordat la tubul ce face legătura cu pompa de vid, cilindrul cu azot sau ventilul de aerisire, și la manometru.

În locul tubului în formă de U se poate folosi un regulator de presiune cu manometru (figura 2b).

Pentru a regla temperatura eșantionului, vasul împreună cu ventilul și tubul în formă de U (sau manometru) este plasat într-o baie păstrată la o temperatură constantă de ± 0,2 K. Măsurarea temperaturii se face pe peretele exterior al vasului ce conține eșantionul sau chiar în vas.

Pentru golirea aparatului se folosește o pompă de vid cu separator de răcire în amonte.

În metoda 2a presiunea de vapori a substanței este măsurată indirect folosind un indicator de zero. Aceasta ține seama de faptul că densitatea fluidului din manometrul auxiliar se modifică dacă temperatura variază mult.

Următoarele fluide sunt potrivite ca indicatori de zero pentru manometrul auxiliar, în funcție de intervalul de presiune și de comportarea chimică a substanțelor: uleiurile de silicon, ftalații. Substanța de testat nu trebuie să se dizolve perceptibil sau să reacționeze cu fluidul din manometrul auxiliar.

Pentru manometru, mercurul poate fi utilizat în intervalul de presiune de la normală până la 102 Pa, pe când uleiurile de silicon și ftalații se folosesc sub 102 Pa până la 10 Pa. Manometrele cu membrană rezistente la temperatură pot fi folosite chiar sub 10-1 Pa. Există și tipuri de aparate de măsurare a presiunii utilizabile sub 102 Pa.

1.6.2.2.   Metoda de măsurare

Înainte de măsurare, toate componentele aparaturii prezentate în figura 2 trebuie să fie curățate și uscate perfect.

Pentru metoda 2a, se umple vasul în formă de U cu lichidul ales, care trebuie să fie degazat la o temperatură ridicată înainte de a se face citirile.

Substanța de testat se introduce în aparat, care este apoi închis, și temperatura se reduce suficient pentru degazare. Temperatura trebuie să fie suficient de scăzută pentru a asigura aspirarea aerului, dar în cazul sistemelor multicomponent trebuie să nu altereze compoziția materialului. Dacă este necesar, echilibrul poate fi stabilit mai rapid prin agitare.

Eșantionul poate fi suprarăcit, de exemplu cu azot lichid (evitând condensarea aerului sau a fluidului pompei) sau cu un amestec de etanol și gheață uscată. Pentru măsurători la temperaturi scăzute se folosește o baie termostatată conectată la un criostat.

Cu ventilul de deasupra vasului deschis, se evacuează aerul prin aspirație, timp de câteva minute. Apoi ventilul se închide iar temperatura eșantionului este redusă la nivelul cel mai scăzut dorit. Dacă este necesar, operația de degazare se repetă de câteva ori.

Când eșantionul se încălzește, presiunea de vapori crește și modifică echilibrul fluidului din manometrul auxiliar. Pentru compensare se introduce azot sau aer în aparat printr-un ventil până când fluidului indicator de presiune revine la zero. Presiunea cerută pentru echilibrare trebuie să fie citită la un manometru de precizie, la temperatura camerei. Această presiune corespunde presiunii de vapori a substanței la temperatura dată a eșantionului.

Metoda 2b este similară, dar presiunea de vapori este citită direct.

Valorile presiunii de vapori în funcție de temperatură se determină la intervale de timp mici (aproximativ 5–10 măsurători în total) până la temperatura maximă cerută. Citirile la temperaturi scăzute trebuie să fie repetate pentru verificare.

Dacă valorile obținute la citirile repetate nu coincid cu curba obținută pentru creșterea temperaturii, aceasta se poate datora următoarelor cauze:

1.

proba conține încă aer (de exemplu materiale cu vâscozitate mare) sau impurități cu temperaturi de fierbere scăzută, care se evaporă în timpul încălzirii și pot fi îndepărtate prin aspirație după o suprarăcire suplimentară;

2.

temperatura de răcire nu este suficientă. În acest caz se folosește ca agent de răcire azotul lichid.

În ambele situații, măsurătoarea trebuie repetată;

3.

substanța suferă o reacție chimică în intervalul de temperatură analizat (de exemplu descompunere, polimerizare).

1.6.3.   Izoteniscopul

O descriere completă a acestei metode poate fi găsită în referința bibliografică (7). Principiul aparatului de măsurare este prezentat în figura 3. La fel ca în cazul metodei statice descrise la punctul 1.6.2, izoteniscopul este adecvat pentru analizarea solidelor sau lichidelor.

În cazul lichidelor, substanța însăși servește ca fluid în manometrul auxiliar. O cantitate de lichid, suficientă pentru a umple rezervorul și brațul scurt al manometrului, se introduce în izoteniscop. Izoteniscopul este atașat la sistemul de vid și golit, apoi se umple cu azot. Evacuarea și purjarea sistemului se repetă de două ori pentru îndepărtarea oxigenului rezidual. Izoteniscopul plin este plasat în poziție orizontală, astfel încât proba să se împrăștie într-un strat subțire în rezervorul bulbiform și în manometru (partea în U). Presiunea sistemului se reduce la 133 Pa și proba se încălzește ușor numai până la fierbere (îndepărtarea gazelor dizolvate). Apoi izoteniscopul este plasat astfel încât proba să se întoarcă în rezervor și în manometru, astfel încât ambele să fie pline cu lichid. Presiunea se menține la fel ca pentru degazare; vârful rezervorului bulbiform se încălzește la flacără mică până când vaporii degajați împing o parte din lichidul de la partea superioară și din brațul manometrului în secțiunea manometrică a izoteniscopului, creând un spațiu umplut cu vapori și fără azot.

Izoteniscopul este introdus într-o baie termostatată și presiunea azotului este corectată până la presiunea eșantionului. Echilibrul de presiune este indicat de secțiunea manometrică a izoteniscopului. La echilibru, presiunea de vapori a azotului este egală cu presiunea de vapori a substanței.

În cazul substanțelor solide, în funcție de intervalul de presiune și temperatură, se utilizează lichidele manometrice enumerate la punctul 1.6.2.1. Lichidul manometric degazat este turnat în curbura brațului lung al izoteniscopului. Apoi, substanțele solide ce urmează să fie analizate sunt puse în rezervorul bulbiform și sunt degazate la temperatură ridicată. În continuare, izoteniscopul este înclinat astfel încât lichidul manometric să curgă în tubul în formă de U. Măsurătoarea presiunii de vapori în funcție de temperatură se efectuează în conformitate cu punctul 1.6.2.

1.6.4.   Metoda prin efuziune: balanța pentru presiunea de vapori

1.6.4.1.   Aparatură

În literatura de specialitate sunt descrise diferite modele de aparate (1). Aparatul descris aici ilustrează principiul general al metodei (figura 4). Figura 4 prezintă principalele componente ale aparatului, cuprinzând un vas de sticlă sau oțel inoxidabil pentru vid înaintat, echipament pentru producerea și măsurarea vidului și componente pentru măsurarea presiunii de vapori cu ajutorul unei balanțe. Aparatura are încorporate următoarele componente:

un cuptor evaporator cu flanșă și canal de admisie rotativ. Cuptorul evaporator este un vas cilindric confecționat, de exemplu, din cupru sau dintr-un aliaj rezistent chimic, cu o conductibilitate termică bună. Se poate folosi și un vas de sticlă cu perete de cupru. Cuptorul are un diametru de aproximativ 3–5 cm și este înalt de 2–5 cm. Există între unul până la trei orificii de diferite dimensiuni pentru fluxul de vapori. Cuptorul este încălzit ori dedesubt cu o placă de încălzire, ori în exterior cu o serpentină de încălzire. Pentru a preveni pierderea de căldură în bază, sistemul de încălzire se montează la placa de bază folosind un metal cu conductivitate termică scăzută (oțel aliat cu nichel-argint sau cu crom-nichel), de exemplu o conductă de oțel cu nichel - argint montată la canalul de admisie rotativ, dacă se utilizează un cuptor cu mai multe orificii. Acest sistem are avantajul de a permite introducerea unei bare de cupru care permite răcirea din exterior folosind o baie de răcire;

în cazul în care capacul de cupru al cuptorului are 3 deschideri de diametre diferite orientate la 90° una față de cealaltă, se pot acoperi diferite intervale de presiuni de vapori din întregul interval de măsurare (diametrul orificiilor fiind între 0,3 și 4,5 mm). Deschiderile mari sunt utilizate pentru presiuni de vapori scăzute și invers. Prin rotirea cuptorului se poate fixa apertura dorită sau chiar o poziție intermediară în fluxul de vapori (orificiul cuptorului – scut-pâlnie – taler de balanță), iar fluxul molecular este degajat sau deviat printr-un orificiu al cuptorului spre talerul balanței. Pentru a măsura temperatura substanței, se plasează într-un punct potrivit un termocuplu sau un termometru cu rezistență;

deasupra scutului-pâlnie se găsește un taler de balanță aparținând unei microbalanțe de înaltă precizie. Talerul balanței are aproximativ 30 mm diametru. Materialul optim este aluminiul placat cu aur;

talerul de balanță este acoperit cu o cutie cilindrică de răcire, din alamă sau cupru. În funcție de tipul de balanță, cutia de răcire are fante pentru brațul de balanță și pentru scutul-pâlnie, trebuind să asigure condensarea completă a vaporilor pe talerul de balanță. Degajarea căldurii în exterior este asigurată, de exemplu, de o tijă de cupru conectată la cutia de răcire. Tija trece prin placa de bază și este izolată termic de aceasta, de exemplu cu un tub de oțel cu crom-nichel. Tija se imersează într-un vas Dewar conținând azot lichid amplasat sub placa de bază sau în interiorul său este circulat azot lichid. Cutia de răcire este astfel păstrată la aproximativ -120 °C. Talerul de balanță este răcit exclusiv prin radiere și este suficient pentru intervalul de presiuni investigat (răcire aproximativ 1 oră înainte de începerea măsurătorii),

balanța este poziționată deasupra cutiei de răcire. Balanțe corespunzătoare sunt, de exemplu, microbalanța electronică de înaltă sensibilitate cu două brațe (8) sau un instrument cu serpentină mobilă de înaltă sensibilitate (a se vedea orientările OCDE 104, ediția 12.05.81);

placa de bază încorporează, de asemenea, legături electrice pentru termocupluri (sau termometre cu rezistență) și serpentine de încălzire;

vidul este produs în vas folosind o pompă de vid parțial sau înaintat (vidul necesar, aproximativ de la 1 la 2 × 10-3 Pa, obținut după 2 ore de pompare). Presiunea este reglată cu un manometru cu ionizare adecvat.

1.6.4.2.   Metoda de măsurare

Vasul se umple cu substanța de testat și se închide capacul. Pâlnia protectoare și cutia de răcire sunt așezate deasupra cuptorului. Se închide aparatul și se pornește pompa de vid. Presiunea finală înainte de a efectua măsurătoarea trebuie să fie de aproximativ 10-4 Pa. Răcirea cutiei de refrigerare pornește de la 10-2 Pa.

Odată ce vidul necesar a fost obținut, începe seria etalonărilor la cea mai scăzută temperatură. Este fixat capacul la orificiul corespunzător, jetul de vapori traversează scutul-pâlnie direct deasupra deschiderii și lovește talerul răcit al balanței. Talerul trebuie să fie suficient de mare pentru ca întreg jetul trecut prin scutul-pâlnie să îl atingă. Forța jetului de vapori acționează asupra talerului și moleculele condensează pe suprafața sa rece.

Forța jetului și condensarea simultană produc un semnal pe un înregistrator. Evaluarea semnalului ne oferă două informații:

1.

În aparatul descris aici presiunea de vapori este determinată direct de forța exercitată asupra balanței [nu este necesar să se cunoască masa moleculară în acest scop (2)]. Când se interpretează citirile trebuie să se țină seama de factori geometrici cum ar fi deschiderea cuptorului și unghiul jetului.

2.

Se poate măsura în același timp masa condensului, iar viteza de evaporare se poate calcula din această valoare. Presiunea de vapori se poate, de asemenea, calcula din viteza de evaporare și masa moleculară, prin folosirea ecuației Hertz (2):

Formula

unde:

G

=

viteza de evaporare (kg s-1 m-2)

M

=

masa molară (g mol-1)

T

=

temperatura (K)

R

=

constanta universală a gazelor (J mol-1 K-1)

p

=

presiunea de vapori (Pa)

După realizarea vidului necesar, începe seria de măsurători de la temperatura minimă dorită.

Pentru măsurători ulterioare, se mărește temperatura pe intervale mici, până la atingerea temperaturii maxime dorite. Proba este răcită din nou și poate fi înregistrată a doua curbă a presiunii de vapori. Dacă un al doilea test nu confirmă rezultatul primului, atunci este posibil ca substanța să se descompună în intervalul de temperaturi ales pentru măsurători.

1.6.5.   Metoda prin efuziune: măsurarea pierderii de greutate

1.6.5.1.   Aparatura

Instalația de efuziune constă din următoarele părți principale:

o cuvă care poate fi termostatată și vidată și în care sunt localizate celulele de efuziune;

o pompă de vid înaintat (exemplu pompă de difuziune sau pompă turbomoleculară) cu manometru de vid);

un separator folosind azot lichid sau gheață uscată.

În figura 5 este prezentată o cuvă de vid din aluminiu, încălzită electric, cu 4 celule de efuziune din oțel inoxidabil. Foița de oțel inoxidabil de aproape 0,3 mm grosime are un orificiu de evaporare de 0,2 – 1,0 mm diametru și este montată pe celula de efuziune cu un capac filetat.

1.6.5.2.   Metoda de măsurare

Substanța de referință și substanța de testat sunt introduse în celule de efuziune separate, diafragma de metal cu orificiu este închisă cu capacul filetat și fiecare celulă este cântărită cu o precizie de 0,1 mg. Celula se introduce în aparatul termostatat, care este apoi vidat pentru a scădea presiunea până la zecea parte din presiunea preconizată. La intervale definite de timp variind de la 5 la 30 ore se devidează aparatura și se determină pierderea de masă în celulele de efuziune printr-o nouă cântărire.

Pentru a garanta că rezultatele nu sunt influențate de impurități volatile, celula este recântărită la intervale de timp bine definite, verificând dacă viteza de evaporare este constantă pe cel puțin două astfel de intervale de timp.

Presiunea de vapori p în celula de efuziune este dată de:

Formula

unde:

p

=

presiunea de vapori (Pa)

m

=

masa substanței ce părăsește celula în timpul t (kg)

t

=

timp (s)

A

=

suprafața orificiului (m2)

K

=

factor de corecție

R

=

constantă universală molară a gazelor (J mol-1 K-1)

T

=

temperatura (K)

M

=

masa moleculară (kg mol-1)

Factorul de corecție K depinde de raportul dintre lungime și raza orificiului de efuziune:


raport

0,1

0,2

0,6

1,0

2,0

factor K

0,952

0,909

0,771

0,672

0,514

Ecuația de mai sus se poate scrie:

Formula

undeFormulași este constanta celulei de efuziune.

Această constantă a celulei de vaporizare E poate fi determinată cu ajutorul substanțelor de referință (2,9), folosind următoarea ecuație:

Formula

unde:

p(r)

=

presiunea de vapori a substanței de referință (Pa)

M(r)

=

masa moleculară a substanței de referință (kg mol-1)

1.6.6.   Metoda gazului saturat

1.6.6.1.   Aparatură

Aparatura tipică folosită la realizarea acestui test cuprinde mai multe componente prezentate în figura 6a și este descrisă mai jos (1).

Gaz inert:

Gazul purtător nu trebuie să reacționeze chimic cu substanța de analizat. Azotul este un gaz suficient de inert pentru acest scop, dar uneori pot fi utile și alte gaze (10). Gazul utilizat trebuie să fie uscat (a se vedea figura 6a, explicația 4: senzor de umiditate relativă).

Controlul debitului:

Este necesar un sistem de control al debitului gazului, pentru a asigura în coloana de saturație un debit constant fixat.

Separatoare de condens:

Acestea depind de caracteristicile particulare ale probelor și de metoda de analiză aleasă. Vaporii trebuie să fie captați cantitativ într-o formă care să permită analiza. Pentru unele substanțe sunt necesare separatoare care conțin lichide cum ar fi hexanul sau etilenglicolul. Pentru altele se pot folosi absorbanți solizi.

Ca alternativă la captarea vaporilor și analiza ulterioară, pot fi folosite tehnici analitice, precum cromatografia, pentru determinarea cantitativă a masei de substanță transportate de o cantitate cunoscută de gaz purtător. În plus, se poate măsura și pierderea de masă a eșantionului.

Schimbător de căldură:

Pentru măsurători la temperaturi diferite, poate fi necesară includerea în ansamblu a unui schimbător de căldură.

Coloana de saturație:

Substanța de analizat, în soluție, se depune pe un suport inert convenabil. Suportul astfel acoperit se tasează în coloana de saturație, care are o mărime și o viteză de curgere astfel încât să asigure saturația completă a gazului purtător. Coloana de saturație trebuie termostatată. Pentru măsurători peste temperatura camerei, zona dintre coloana de saturație și separator trebuie să fie încălzită, pentru a preveni condensarea substanței de testat.

Pentru a reduce cantitatea de substanță antrenată datorită difuziei, se poate amplasa un tub capilar după coloana de saturație (figura 6b).

1.6.6.2.   Procedura de măsurare

Pregătirea coloanei de saturație:

O soluție din substanța de testat într-un solvent foarte volatil se adaugă unei cantități adecvate de suport. Trebuie să se utilizeze suficientă substanță pentru menținerea saturației pe toată durata analizei. Solventul este evaporat complet în aer într-un evaporator rotativ și materialul, amestecat bine, este tasat în coloana de saturație. După termostatarea eșantionului se trece prin aparat azot uscat.

Măsurătoare:

Separatoarele sau detectorul în flux sunt conectate la linia de efluent a coloanei și se înregistrează timpul. Viteza de curgere se verifică la început și la intervale egale în timpul experimentului, folosind un debitmetru cu bule (sau în mod continuu, cu un debitmetru de masă).

Se măsoară presiunea la ieșirea din coloana de saturație astfel:

(a)

fie prin montarea unui manometru între coloana de saturație și separatoare (acest lucru s-ar putea să nu fie posibil deoarece crește spațiul mort și suprafața de adsorbție),

(b)

fie prin determinarea căderii de presiune prin separator în funcție de viteză, într-un experiment separat (aceasta s-ar putea să nu fie posibil în cazul separatoarelor de lichid).

Timpul de colectare a cantității de substanță necesar în diferitele metode de analiză este determinat într-o testare preliminară sau prin estimare. Ca alternativă la colectarea substanței pentru analize ulterioare, se pot utiliza tehnici analitice cantitative în flux (de exemplu cromatografia). Înainte de calcularea presiunii de vapori la temperatura dată, se realizează o testare preliminară, pentru a determina viteza maximă la care gazul purtător se saturează complet. Saturația este garantată dacă gazul purtător este trecut prin coloană la o viteză atât de scăzută încât o viteză și mai scăzută să nu conducă la o presiune de vapori calculată mai mare.

Metoda analitică specifică este determinată de natura substanței de testat (de exemplu gaz cromatografie sau gravimetrie).

Se determină cantitatea de substanță transportată de un volum cunoscut de gaz purtător.

1.6.6.3.   Calcularea presiunii de vapori

Presiunea de vapori se calculează din densitatea de vapori, W/V, cu ecuația:

Formula

unde:

p

=

presiunea de vapori (Pa)

W

=

masa de substanță de testat, evaporată, (g)

V

=

volumul de gaz saturat (m3)

R

=

constanta molară universală a gazelor (J mol-1 K-1)

T

=

temperatura (K)

M

=

masa molară a substanței de testat (g mol-1)

Volumele măsurate trebuie să fie corectate cu privire la diferențele de presiune și temperatură între debitmetru și coloana de saturație termostatată. Dacă debitmetrul este localizat în aval de separatorul de condens, ar putea fi necesare corecții pentru produsele vaporizate din separator (1).

1.6.7.   Metoda rotorului (8, 11, 13)

1.6.7.1.   Aparatura

În metoda rotorului în mișcare se folosește un indicator de viscozitate cu rotor, conform figurii 8. Figura 7 prezintă schema configurației experimentale.

Instalația de măsurare constă dintr-un cap de măsurare cu rotor în mișcare, introdus într-o incintă termostatată (reglată cu o abatere de 0,1 °C). Recipientul conținând eșantionul este plasat într-o incintă termostatată (reglată cu o abatere de 0,01 °C) și toate celelalte părți ale configurației sunt menținute la o temperatură mai înaltă, pentru a preveni condensarea. O cu pompă de vid înaintat se conectează printr-un ventil la sistemul de vid avansat.

Capul de măsurare cu rotor constă dintr-o bilă de oțel (cu diametrul de la 4 la 5 mm) plasată într-un tub. Bila este suspendată și stabilizată într-un câmp magnetic (în general se folosește o combinație de magneți permanenți și bobine de control).

Bila este făcută să se rotească prin rotirea câmpului produs de bobine. Bobinele de control măsoară magnetizarea laterală a bilei, care este slabă dar permanent prezentă, permițând astfel măsurarea vitezei de rotire.

1.6.7.2.   Metoda de măsurare

Când bila a atins o viteză de rotație dată v(0) (de regulă aproximativ 400 rotații pe secundă), se oprește alimentarea bobinelor și are loc o decelerare datorată frecării cu moleculele de gaz.

Scăderea vitezei de rotație este măsurată în funcție de timp. Deoarece frecarea cauzată de suspendarea magnetică este neglijabilă în comparație cu frecarea cu moleculele de gaz, presiunea gazului p este dată de:

Formula

unde:

Formula

=

viteza medie a moleculelor de gaz

r

=

raza bilei

ρ

=

densitatea bilei

σ

=

coeficientul de transfer tangențial al momentului cinetic (ε = 1 pentru o suprafață sferică ideală a bilei)

t

=

timp

v (t)

=

viteza de rotație după timpul t

v (0)

=

viteza de rotație inițială

Această ecuație poate fi, de asemenea, scrisă:

Formula

unde tn, tn-1 sunt timpii necesari pentru un număr de rotații date, N. Aceste intervale de timp tn și tn-1 sunt succesive, astfel tn > tn-1.

Viteza medie a moleculei gazului c este dată de relația:

Formula

unde:

T

=

temperatura

R

=

constanta universală a gazelor

M

=

masa molară

2.   DATE

În oricare metodă, presiunea de vapori se determină la cel puțin două temperaturi diferite. Este de preferat să se folosească trei sau mai multe temperaturi, în intervalul de la 0 la 50 °C, pentru a verifica linearitatea curbei presiunii de vapori.

3.   RAPORT

Raportul de testare cuprinde, dacă este posibil, următoarele informații:

metoda folosită;

specificațiile precise ale substanței (identitate și impurități) și etapa preliminară de purificare, dacă există;

cel puțin 2 valori ale presiunii de vapori la temperaturi diferite, de preferință în intervalul de la 0 la 50 °C;

toate datele primare;

o curbă log p în funcție de 1/T;

o estimare a presiunii de vapori la 20 °C sau 25 °C.

Dacă se observă o transformare (schimbarea de stare, descompunere), se consemnează următoarele date:

natura modificării;

temperatura la care are loc transformarea corectată la presiune atmosferică;

presiunea de vapori la 10 °C și 20 °C sub temperatura de tranziție și la 10 °C și 20 °C peste această temperatură (numai dacă tranziția este de la solid la gaz).

Se consemnează toate informațiile și observațiile relevante pentru interpretarea rezultatelor, în special cele privitoare la impurități și starea fizică a substanței.

4.   REFERINȚE BIBLIOGRAFICE

(1)

OECD, Paris, 1981, Test Guideline104, Decision of the Council C(81) 30 final.

(2)

Ambrose, D. in B. Le Neindre, B. Vodar, (Eds.): Experimental Thermodynamics, Butterworths, London, 1975, Vol. II.

(3)

R. Weissberger ed.: Technique of Organic Chemistry, Physical Methods of Organic Chemistry, 3rd ed. Chapter IX, Interscience Publ., New York, 1959, Vol. I, Part I.

(4)

Knudsen, M. Ann. Phys. Lpz., 1909, vol. 29, 1979; 1911, vol. 34, 593.

(5)

NF T 20-048 AFNOR (Sept. 85). Chemical products for industrial use - Determination of vapour pressure of solids and liquids within range from 10-1 to 105 Pa - Static method.

(6)

NF T 20-047 AFNOR (Sept. 85). Chemical products for industrial use - Determination of vapour pressure of solids and liquids within range from 10-3 to 1 Pa - Vapour pressure balance method.

(7)

ASTM D 2879-86, Standard test method for vapour pressure- temperature relationship and initial decomposition temperature of liquids by izoteniscope.

(8)

G. Messer, P. Röhl, G. Grosse and W. Jitschin. J. Vac. Sci. Technol.(A), 1987, vol. 5 (4), 2440.

(9)

Ambrose, D.; Lawrenson, I. J.; Sprake, C.H.S. J. Chem. Thermodynamics 1975, vol. 7, 1173.

(10)

B. F. Rordorf. Thermochimica Acta, 1985, vol. 85, 435.

(11)

G. Comsa, J. K. Fremerey and B. Lindenau. J. Vac. Sci. Technol., 1980, vol. 17 (2), 642.

(12)

G. Reich. J. Vac. Sci. Technol., 1982, vol. 20 (4), 1148.

(13)

J. K. Fremerey. J. Vac. Sci. Technol.(A), 1985, vol. 3 (3), 1715.

Apendicele 1

Metoda estimării

INTRODUCERE

Valorile calculate ale presiunii de vapori pot fi folosite:

pentru a stabili care metodă experimentală este cea optimă;

pentru a furniza o estimare sau o valoare limită în cazul în care metoda experimentală nu poate să fie aplicată din cauza unor probleme tehnice (inclusiv situațiile în care presiunea de vapori este foarte scăzută);

pentru a ajuta la identificarea acelor cazuri în care omiterea măsurătorilor experimentale este justificată deoarece presiunea de vapori este cel mai probabil sub 10-5 Pa la temperatura camerei.

METODA ESTIMĂRII

Presiunea de vapori a solidelor și lichidelor poate fi estimată folosind corelația Watson modificată (a). Singura dată experimentală necesară este punctul de fierbere în condiții normale. Metoda este aplicabilă pentru intervalul de presiune de la 105 Pa la 10-5 Pa.

Informații detailate asupra metodei se găsesc în „Handbook of Chemical Property Estimation Methods” (b) (Manual de metode de estimare a proprietăților substanțelor).

METODA DE CALCUL

În conformitate cu (b), presiunea de vapori este calculată după relația:

Formula

unde:

T

=

temperatura care interesează

Tb

=

punct de fierbere în condiții normale

Pvp

=

presiunea de vapori la temperatura T

ΔHvb

=

căldura de vaporizare

ΔZb

=

factor de compresibilitate (este estimat la 0,97)

m

=

factor empiric depinzând de starea fizică la temperatura T

În continuare

Formula

unde KF este un factor empiric dependent de polaritatea substanței. Pentru unele tipuri de compuși, factorul KF este listat în referința bibliografică (b).

Adesea, există date disponibile pentru punctul de fierbere la presiune redusă. În asemenea situații, în conformitate cu (b), presiunea de vapori se calculează conform relației:

Formula

unde T1 = punct de fierbere la presiunea redusă P1.

RAPORT

În cazul în care se folosește metoda estimării, raportul de testare cuprinde o documentație cuprinzătoare a calculului utilizat.

REFERINȚE BIBLIOGRAFICE

(a)

K. M. Watson, Ind. Eng. Chem.: 1943, vol.35, 398.

(b)

W. J. Lyman, W. F. Reehl, D. H. Rosenblatt. Handbook of Chemical Property Estimation Methods, McGraw-Hill, 1982.

Apendicele 2

Figura 1

Aparatură pentru determinarea curbei presiunii de vapori după metoda dinamică

Image

Figura 2a

Aparatură pentru determinarea curbei presiunii de vapori prin metoda statică (prin folosirea unui manometru în U)

Image

Figura 2b

Aparat pentru determinarea curbei presiunii de vapori prin metoda statică (folosind un indicator de presiune)

Image

Figura 3

Izoteniscop (a se vedea referința 7)

Image

Figura 4

Aparat pentru determinarea curbei presiunii de vapori prin metoda balanței

Image

Figura 5

Exemplu de aparat pentru determinarea presiunilor de vapori scăzute prin metoda efuziunii cu celulă de efuziune de 8 cm3

Image

Figura 6a

Un exemplu de sistem în flux pentru determinarea presiunii de vapori prin metoda saturației gazului

Image

Figura 6b

Un exemplu de sistem de determinarea presiunii de vapori prin metoda saturării gazului, cu tub capilar în aval de coloana de saturație

Image

Figura 7

Exemplu de configurație pentru metoda rotorului

Image

Figura 8

Exemplu de cap de măsurare

Image

A.5.   TENSIUNEA SUPERFICIALĂ

1.   METODĂ

Majoritatea metodelor descrise se bazează pe orientările OCDE privind testele (1). Principiile fundamentale sunt menționate în referința bibliografică (2).

1.1.   INTRODUCERE

Metodele descrise aplică măsurării tensiunii superficiale a soluțiilor apoase.

Este util să se colecteze informații preliminare asupra solubilității în apă, structurii, proprietăților la hidroliză și concentrației critice pentru formarea de micelii ale substanței înainte de realizarea acestor teste.

Următoarele metode sunt aplicabile celor mai multe substanțe chimice, fără nici o restricție cu privire la gradul de puritate.

Măsurarea tensiunii superficiale prin metoda tensiometrului cu inel se limitează la soluțiile apoase cu o vâscozitate dinamică mai mică decât aproximativ 200 mPa·s.

1.2.   UNITĂȚI ȘI DEFINIȚII

Entalpia unui lichid la suprafața de contact cu aerul raportată la unitatea de suprafață se numește tensiune superficială.

Unitățile de măsură sunt:

N/m (SI) sau

mN/m (subunitate SI)

1 N/m = 103 dyn/cm

1 mN/m = 1 dyn/cm în sistemul CGS vechi

1.3.   SUBSTANȚE DE REFERINȚĂ

Nu este necesar să se folosească substanțe de referință în toate cazurile în care se studiază o nouă substanță. Acestea trebuie în special să servească la etalonarea periodică a metodei și la comparația cu rezultatele obținute prin alte metode.

Substanțele de referință care acoperă un interval larg de tensiuni superficiale sunt date în referințele 1 și 3.

1.4.   PRINCIPIUL METODELOR

Metodele se bazează pe măsurarea forței maxime care este necesar să se exercite vertical pe o bridă circulară ori pe un inel aflat în contact cu suprafața lichidului dintr-un vas etalonat, pentru a-l separa de această suprafață, sau pe o placă având o margine în contact cu suprafața lichidului, pentru a ridica pelicula care s-a format.

Substanțele care sunt solubile în apă cel puțin într-o concentrație de 1 mg/l sunt analizate în soluții apoase la o singură concentrație.

1.5.   CRITERII DE CALITATE

Aceste metode oferă o precizie mai mare decât este probabil necesar în analizele de mediu.

1.6.   DESCRIEREA METODELOR

Se prepară o soluție a substanței de testat în apă distilată. Concentrația acestei soluții reprezintă 90 % din solubilitatea de saturație a substanței în apă; când această concentrație depășește 1 g/l, pentru determinare se utilizează o concentrație de 1 g/l. Testarea substanțelor cu solubilitate în apă mai scăzută de 1 mg/l nu este necesară.

1.6.1.   Metoda cu placă

A se vedea ISO 304 și NF T 73 - 060 (Agenți activi de suprafață - determinarea tensiunii superficiale prin ridicarea unei pelicule de lichid).

1.6.2.   Metoda cu bridă

A se vedea ISO 304 și NF T 73 - 060 (agenți activi de suprafață - determinarea tensiunii superficiale prin ridicarea unei pelicule de lichid)

1.6.3.   Metoda cu inel

A se vedea ISO 304 și NF T 73 - 060 (Agenți activi de suprafață - determinarea tensiunii superficiale prin ridicarea unei pelicule de lichid)

1.6.4.   Metodă cu inel corelată cu principiile OCDE

1.6.4.1.   Aparatura

Pentru această măsurătoare sunt folosite tensiometre comerciale. Ele constau în următoarele elemente:

porteșantion mobil;

dinamometru;

corp de măsurare (inel);

vas de măsurare.

1.6.4.1.1.   Porteșantionul mobil

Porteșantionul mobil se folosește ca suport al recipientului de măsurare termostatat care conține lichidul de testare. Se montează pe același soclu ca și dinamometrul.

1.6.4.1.2.   Dinamometrul

Dinamometrul (a se vedea figura) se așează deasupra porteșantionului. Eroarea în măsurarea forței nu trebuie să depășească ± 10-6 N, echivalentul unei limite de eroare de ± 0,1 miligrame în măsurarea masei. În majoritatea cazurilor, scara de măsură a tensiometrelor comercializate este etalonată în mN/m, astfel încât se poate citi direct tensiunea superficială în mN/m, cu o precizie de 0,1 mN/m.

1.6.4.1.3.   Corpul de măsurare (inel)

Inelul este de obicei format dintr-un fir de platină sau de platină-iridiu cu o grosime de 0,4 milimetri și o circumferință de 60 milimetri. Acest inel este suspendat orizontal pe etrierul de montaj care este legat printr-o tijă metalică la dinamometru (a se vedea figura).

Figură

Corp de măsurare

(Toate dimensiunile sunt exprimate în mm)

Image

1.6.4.1.4.   Vasul de măsurare

Vasul de măsurare conținând proba ce urmează să fie măsurată trebuie să fie un vas de sticlă cu termostat. Acesta trebuie să fie astfel realizat încât în timpul măsurătorilor temperatura soluției de lichid și a fazei gazoase de deasupra acesteia să rămână constantă, astfel ca proba să nu se poată evapora. Sunt acceptabile vase cilindrice de sticlă cu un diametrul interior de nu mai puțin de 45 mm.

1.6.4.2.   Pregătirea aparaturii

1.6.4.2.1.   Curățarea

Vasele de sticlă se spală cu atenție. Dacă este necesar, sunt spălate cu amestec oxidant (bicromat/acid sulfuric) cald, apoi cu acid fosforic concentrat (83 % la 98 % procent de masă H3PO4), clătite cu apă și în final spălate cu apă dublu distilată până la reacție neutră, apoi uscate sau clătite cu o parte din lichidul de analizat.

Inelul este mai întâi clătit bine cu apă pentru a îndepărta orice substanță solubilă, scufundat rapid în amestec oxidant, spălat cu apa dublu distilată până la reacție neutră și în final încălzit scurt deasupra unei flăcări de metanol.

Notă:

Substanțele contaminante care nu se dizolvă și nu sunt distruse de amestecul oxidant sau de acidul fosforic, precum siliconii, vor fi îndepărtate cu ajutorul unui solvent organic potrivit.

1.6.4.2.2.   Calibrarea aparatului

Validarea aparatului constă din verificarea punctului zero și corectarea acestuia astfel încât indicația instrumentului să permită realizarea unor determinări corecte în unități mN/m.

Montare:

Aparatul va fi așezat plan, de exemplu cu ajutorul unei nivele cu bulă de aer așezată la baza termometrului, prin ajustarea picioarelor mobile.

Corectarea punctului zero:

După montarea inelului pe aparat și înaintea imersării în lichid, indicația tensiometrului va fi corectată la zero, iar inelul se va verifica pentru a fi perfect paralel cu suprafața lichidului. În acest scop, suprafața lichidului poate fi folosită ca oglindă.

Calibrarea:

Testul de calibrare poate fi realizat prin una dintre următoarele metode:

(a)

folosind o greutate: metoda folosește călăreți de masă cunoscută între 0,1 și 1,0 g amplasați pe inel. Factorul de calibrare Φa cu care se înmulțesc toate citirile de pe instrument se stabilește în conformitate cu ecuația (1):

(1)

Formula

unde:

Formula

m

=

masa călărețului (g)

g

=

accelerația gravitațională (981 cm s-2 la nivelul mării)

b

=

circumferința medie a inelului (cm)

σa

=

citirea tensiometrului după plasarea călărețului pe inel (mN/m)

(b)

folosind apa: procedeul utilizează apa pură a cărei tensiune superficială la, de exemplu 23 °C, este egală cu 72,3 mN/m. Acest procedeu se realizează mai rapid decât calibrarea cu greutăți, dar există întotdeauna pericolul ca tensiunea superficială a apei să fie falsificată prin contaminare cu agenți tensioactivi.

Factorul de calibrare Φb cu care se înmulțesc toate citirile de pe instrument se stabilește în conformitate cu ecuația (2):

(2)

Formula

unde:

σo

=

valoarea citată în literatură pentru tensiunea superficială a apei (în m N/m),

σg

=

valoarea măsurată a tensiunii superficiale a apei (mN/m),

ambele la aceeași temperatură.

1.6.4.3.   Prepararea eșantioanelor

Soluțiile apoase se prepară din substanța de testat folosind concentrația necesară în apă și nu conțin nici o substanță nedizolvată.

Soluția trebuie păstrată la o temperatură constantă (± 0,5 °C). Deoarece tensiunea superficială a unei soluții într-un vas variază în timp, se realizează măsurători la anumite intervale de timp și se trasează graficul tensiunii superficiale ca funcție de timp. Atunci când nu se mai produce nici o modificare, se consideră că s-a atins starea de echilibru.

Contaminarea cu praf sau gaze din mediul înconjurător poate modifica rezultatele, așadar se va lucra sub clopot de protecție.

1.6.5.   Condiții de analiză

Măsurătorile se efectuează la o temperatură de aproximativ 20 °C, controlată la ± 0,5 °C.

1.6.6.   Desfășurarea testului

Soluțiile ce urmează să fie măsurate se transferă cu atenție într-un vas de măsurare curat, evitându-se spumarea, după care vasul de măsurare se așează pe porteșantion. Acesta se ridică până când inelul este imersat sub suprafața soluției de măsurat. Se coboară apoi treptat și uniform (la o viteză de aproximativ 0,5 cm/min) pentru desprinderea inelului de pe suprafață până la atingerea forței maxime necesare. Stratul de lichid atașat de inel trebuie să nu fie separat de inel. După terminarea măsurării, inelul se imersează din nou în lichid, iar măsurătorile se repetă până când se ajunge la o valoare constantă a tensiunii superficiale. Timpul scurs de la transferul soluției în vasul de măsurare se înregistrează pentru fiecare determinare. Citirile se efectuează la forța maximă necesară pentru desprinderea inelului de suprafața lichidului.

2.   DATE

Pentru a calcula tensiunea superficială, valoarea citită în mN/m pe aparat este în primul rând multiplicată cu un factor de calibrare Φa sau Φb (în funcție de procedura de calibrare utilizată). Acest rezultat este aproximativ și ca urmare trebuie să fie corectat ulterior.

Harkins și Jordan (4) au determinat un factor de corecție empiric pentru valorile de tensiune superficială măsurate prin metoda cu inel, care depinde de dimensiunile inelului, densitatea lichidului și tensiunea superficială.

Deoarece determinarea factorului de corecție pentru fiecare măsurătoare individuală din tabelele lui Harkins și Jordan este laborioasă, pentru a determina tensiunea superficială la soluții apoase date poate fi folosită metoda simplificată de a citi valorile corectate de tensiune superficială direct din tabel. (În cazul citirilor situate între valorile tabelate, se va folosi metoda interpolării.)

TABEL: CORECȚIA TENSIUNII SUPERFICIALE MĂSURATE

numai pentru soluții apoase, ρ ≈ 1 g/cm3.

R

=

9,55 mm (raza medie a inelului)

r

=

0,185 mm (raza sârmei inelului)


Valoare experimentală (mN/m)

Valoare corectată (mN/m)

Calibrarea greutății [a se vedea 1.6.4.2.2 (a)]

Calibrarea apei [a se vedea 1.6.4.2.2 (b)]

20

16,9

18,1

22

18,7

20,1

24

20,6

22,1

26

22,4

24,1

28

24,3

26,1

30

26,2

28,1

32

28,1

30,1

34

29,9

32,1

36

31,8

34,1

38

33,7

36,1

40

35,6

38,2

42

37,6

40,3

44

39,5

42,3

46

41,4

44,4

48

43,4

46,5

50

45,3

48,6

52

47,3

50,7

54

49,3

52,8

56

51,2

54,9

58

53,2

57,0

60

55,2

59,1

62

57,2

61,3

64

59,2

63,4

66

61,2

65,5

68

63,2

67,7

70

65,2

69,9

72

67,2

72,0

74

69,2

-

76

71,2

-

78

73,2

-

Acest tabel a fost realizat pe baza corecției Harkins-Jordan. Tabelul este similar cu cel din standardul DIN (DIN 53914) pentru apă și soluții apoase (ρ = 1 g/cm3) și se referă la un inel disponibil în comerț cu diametrul de R = 9,55 mm (însemnând raza medie a inelului) și r = 0,185 mm (raza sârmei inelului). Tabelul conține valori corectate pentru măsurătorile de tensiune superficială făcute după calibrarea cu greutăți sau cu apă.

Alternativ, în absența procedurii de calibrare, tensiunea superficială poate să fie calculată conform formulei:

Formula

unde:

F

=

forța măsurată la dinamometru la întreruperea filmului

R

=

raza inelului

f

=

factor de corecție (1)

3.   RAPORT

3.1.   RAPORTUL DE TESTARE

Raportul de testare cuprinde, dacă este posibil, următoarele date:

metoda folosită;

tipul de apă sau soluție folosită;

specificațiile precise ale substanțelor (identitate, impurități);

rezultatele măsurătorii: tensiune superficială (citire) menționând citiri individuale și media lor aritmetică, precum și media corectată (luând în considerare factorul de echipament și tabelul cu factorii de corecție);

concentrația soluției;

temperatura de testare;

vechimea soluției folosite; în special timpul scurs între prepararea și măsurarea soluției;

descrierea tensiunii superficiale ca funcție de timp după transferul soluției la vasul de măsurare;

toate informațiile și observațiile relevante pentru interpretarea rezultatelor ce urmează a fi raportate, în special cu privire la impurități și starea fizică a substanței.

3.2.   INTERPRETAREA REZULTATELOR

Având în vedere că apa distilată are tensiunea superficială de 72,75 mN/m la 20 °C, substanțele prezentând o tensiune superficială mai scăzută de 60 mN/m în condițiile acestei metode sunt considerate ca fiind agenți activi de suprafață.

4.   REFERINȚE BIBLIOGRAFICE

(1)

OCDE, Paris, 1981, Guideline 115, Decision of the Council C(81) 30 final.

(2)

R. Weissberger ed.: Technique of organic chemistry, Physical Methods of Organic Chemistry, 3rd ed., Interscience Publ., New York, 1959, Vol. I, Part I, Chapter XIV.

(3)

Pure Appl. Chem., 1976, vol. 48, 511.

(4)

Harkins, W. D., Jordan, H. F., J. Amer. Chem. Soc., 1930, vol. 52, 1751.

A.6.   SOLUBILITATEA ÎN APĂ

1.   METODĂ

Majoritatea metodelor descrise se bazează pe orientările OCDE privind testele (1).

1.1.   INTRODUCERE

Pentru realizarea acestui test, sunt necesare anumite informații preliminare referitoare la formula structurală, presiunea de vapori, constanta de disociere și de hidroliză a substanței (în funcție de pH).

Pentru a acoperi întregul interval de solubilități în apă, sunt disponibile mai multe metode.

Cele două metode de analiză descrise mai jos acoperă întregul interval de solubilități, dar nu sunt aplicabile substanțelor volatile:

o metodă care se aplică substanțelor relativ pure, cu solubilitate scăzută (< 10-2 grame pe litru) și care sunt stabile în apă, denumită „metoda eluției pe coloană”;

o altă metodă care se aplică substanțelor relativ pure, cu solubilitate mai mare (> 10-2 grame pe litru) și care sunt stabile în apă, denumită „metoda prin solubilitate în flacon”.

Solubilitatea în apă a probei poate fi considerabil afectată de prezența impurităților.

1.2.   DEFINIȚII ȘI UNITĂȚI

Solubilitatea în apă a unei substanțe este definită prin concentrația masică de saturație a substanței în apă la o temperatură dată. Solubilitatea în apă se măsoară în unități de masă pe volum de soluție. Unitatea SI este kg/m3 (ca unitate de măsură se poate folosi de asemenea gramul pe litru).

1.3.   SUBSTANȚE DE REFERINȚĂ

Nu este necesar să se folosească substanțe de referință în toate cazurile în care se studiază o nouă substanță. Acestea trebuie în special să servească la etalonarea periodică a metodei și la comparația cu rezultatele obținute prin alte metode.

1.4.   PRINCIPIUL METODEI DE TESTARE

Cantitatea aproximativă dintr-o probă și timpul necesar pentru a realiza concentrația de saturație vor fi determinate într-un test preliminar simplu.

1.4.1.   Metoda eluției pe coloană

Această metodă se bazează pe eluția substanței de testat cu apă dintr-o microcoloană încărcată cu un suport inert, cum ar fi mărgele de sticlă sau nisip, acoperite cu proba în exces. Solubilitatea în apă se determină atunci când concentrația masică de eluat este constantă. Valoarea este reprezentată de zona aplatizată a curbei de concentrație ca funcție de timp.

1.4.2.   Metoda prin solubilitate în flacon

În această metodă, substanța (solidele trebuie să fie pulverizate) se dizolvă în apă la o temperatură puțin mai mare decât temperatura de testare. Când se atinge saturația, amestecul se răcește și se păstrează la temperatura de testare, sub agitare, atâta timp cât este necesar pentru a ajunge la echilibru. Ca alternativă, determinarea poate fi efectuată direct la temperatura de testare, dacă se garantează, printr-o probă adecvată, că s-a atins starea de echilibru de saturație. Apoi se determină printr-o metodă analitică potrivită concentrația substanței în soluție apoasă, care nu trebuie să conțină nici un fel de particule nedizolvate.

1.5.   CRITERII DE CALITATE

1.5.1.   Repetabilitatea

Pentru metoda eluției pe coloană, este acceptabilă < 30 %; pentru metoda prin solubilitate în flacon, este necesar ca aceasta să fie < 15 %.

1.5.2.   Sensibilitatea metodei

Aceasta depinde de metoda de analiză, dar pot fi realizate determinări ale concentrației până la 10-6 grame pe litru.

1.6.   DESCRIEREA METODEI

1.6.1.   Condițiile de testare

Este preferabil ca testul să aibă loc la 20 ± 0,5 °C. Dacă se presupune că solubilitatea este dependentă de temperatură (> 3 % pe °C), vor fi folosite două alte temperaturi cu cel puțin 10 °C peste sau sub temperatura aleasă inițial. În acest caz controlul temperaturii va fi de ± 0,1 °C. Temperatura aleasă se menține constantă în toate părțile relevante ale echipamentului.

1.6.2.   Testul preliminar

La aproximativ 0,1 grame din proba (substanțele solide trebuie să fie pulverizate) aflată într-un cilindru gradat de 10 ml cu dop de sticlă se adaugă volume crescânde de apă distilată la temperatura camerei în concordanță cu pașii arătați în tabelul de mai jos:

0,1 grame solubile în „x” ml apă

0,1

0,5

1

2

10

100

> 100

Solubilitate aproximativă (grame pe litru)

> 1 000

1 000 - 200

200 - 100

100 - 50

50 - 10

10 - 1

< 1

După fiecare adăugare a cantității de apă indicate, amestecul este agitat puternic timp de 10 minute și examinat vizual pentru a observa particule din probă nedizolvate. Dacă după adăugarea a 10 ml de apă, proba sau părți din ea rămân nedizolvate, experimentul trebuie repetat într-un cilindru gradat de 100 de ml, cu volume mai mari de apă. La solubilități mai mici, timpul necesar pentru dizolvarea substanței poate fi considerabil mai mare (cel puțin 24 de ore). Solubilitatea aproximativă se înregistrează într-un tabel, odată cu volumul de apă adăugat la care apare o dizolvare completă a probei. Dacă substanța este încă aparent insolubilă, se lasă mai mult de 24 de ore (maximum 96 de ore) sau se diluează în continuare pentru a stabili dacă se folosește metoda eluției pe coloană sau metoda flaconului.

1.6.3.   Metoda eluției pe coloană

1.6.3.1.   Suport, solvent și eluent

Materialul suport pentru metoda eluției pe coloană trebuie să fie inert. Materiale care pot fi folosite sunt mărgelele de sticlă și nisipul. Pentru a aplica proba pe suport se folosește un solvent volatil potrivit de calitate pro analisis. Ca eluent se folosește apa dublu distilată, în aparatură de sticlă sau cuarț.

Notă:

Nu trebuie folosită apă proaspăt trecută printr-un schimbător de ioni organic.

1.6.3.2.   Încărcarea suportului

Aproximativ 600 mg din suport sunt cântărite și transferate într-un balon cu fund rotund de 50 ml.

O cantitate convenabilă de substanță de testat, cântărită, se dizolvă în solventul ales. O cantitate adecvată din această soluție se adaugă la suport. Solventul trebuie să fie complet evaporat, de exemplu într-un evaporator rotativ; în caz contrar, saturarea cu apă a suportului nu se realizează datorită efectelor de partiție pe suprafața suportului.

Încărcarea suportului poate conduce la rezultate eronate dacă proba este depusă ca fază uleioasă sau cristale. Problema se examinează experimental și detaliile se consemnează.

Suportul încărcat se lasă să se îmbibe timp de aproximativ două ore în aproximativ 5 ml de apă, apoi suspensia se adaugă în microcoloană. Ca alternativă, suportul uscat poate fi turnat în microcoloană, care a fost deja umplută cu apă, și apoi lăsat timp de aproximativ 2 ore până la atingerea echilibrului.

Procedură de testare:

Eluția substanței din suport poate fi efectuată într-unul din următoare două moduri:

cu pompă de recirculare (a se vedea figura 1);

cu rezervor de apă (a se vedea figura 4).

1.6.3.3.   Metoda eluției pe coloană cu pompă de recirculare

Aparatură

Schema unui sistem tipic este prezentată în figura 1. O microcoloană corespunzătoare este prezentată în figura 2, deși sunt acceptabile orice dimensiuni, cu condiția respectării criteriilor de reproductibilitate și sensibilitate. Coloana este prevăzută cu un volum tampon la vârf egal cu cel puțin 5 volume de apă și poate să cuprindă minimum 5 probe. Ca alternativă, dimensiunea poate fi redusă dacă este folosit un solvent pentru a înlocui 5 volume inițiale pentru a îndepărta impuritățile.

Coloana se conectează la o pompă de recirculare cu un debit de aproximativ 25 ml/h. Pompa se conectează cu racorduri din politetrafloretilenă (PTFE) și/sau sticlă. Coloana și pompa, odată asamblate, trebuie să permită eșantionarea efluentului și echilibrarea volumului liber din vârful coloanei la presiunea atmosferică. Materialul din coloană este sprijinit pe un mic dop (5 mm) din vată de sticlă, care servește de asemenea pentru a filtra particulele. Pompa de recirculare poate fi, de exemplu, o pompă peristaltică sau o pompă cu membrană (atenție să nu se producă nici o contaminare și/sau absorbții cu materialul tubului).

Procedeul de măsurare

Se pornește circuitul prin coloană. Se recomandă utilizarea unui debit de aproximativ 25 ml/h (aceasta corespunde la 10 volume/h pentru coloana descrisă). Primele cinci volume (minimum) sunt folosite pentru a îndepărta impuritățile solubile din apă. Apoi, pompa de recirculare se lasă să funcționeze până la stabilirea echilibrului, care este definit prin 5 probe succesive a căror concentrație nu diferă cu mai mult de ± 30 %, în mod aleatoriu. Aceste probe sunt separate de intervale de timp corespunzătoare trecerii a cel puțin 10 volume de eluent.

1.6.3.4.   Metoda eluției pe coloană cu vas de nivel

Aparatură (a se vedea figurile 4 și 3)

Vasul de nivel: Conectarea la vasul de nivel este făcută prin folosirea unei olive de sticlă conectată prin tuburi din PTFE. Este recomandată folosirea unui debit de aproximativ 25 ml/h. Eluații succesivi se colectează și se analizează prin metoda aleasă.

Procedeul de măsurare

Pentru a determina solubilitatea în apă sunt folosite acele fracțiuni din intervalul de eluție pentru care concentrațiile sunt constante (±30 %) pentru cel puțin 5 fracțiuni consecutive.

În ambele cazuri (folosind o pompă de recirculare sau un vas de nivel), o a doua serie de probe se efectuează la jumătate din debitul primei. Dacă rezultatele celei de a doua serii sunt în concordanță, testul este satisfăcător; dacă există o solubilitate aparentă mai mare la un debit mai mic, atunci înjumătățirea debitului va trebui să continue până când două serii succesive vor da aceeași solubilitate.

În ambele cazuri (folosind o pompă de recirculare sau un vas de nivel) fracțiunile se verifică pentru a decela prezența materiilor coloidale, prin examinarea efectului Tyndall (împrăștierea luminii). Prezența unor astfel de particule invalidează rezultatele și testul se repetă cu îmbunătățirea acțiunii de filtrare a coloanei.

Se înregistrează pH-ul fiecărei probe. Cea de a doua serie va fi efectuată la aceeași temperatură.

1.6.4.   Metoda prin solubilitate în flacon

1.6.4.1.   Aparatură

Pentru metoda prin solubilitate în flacon sunt necesare următoarele materiale:

sticlărie și instrumente obișnuite de laborator;

un dispozitiv potrivit pentru agitarea soluțiilor la temperatură constantă controlată;

o centrifugă (preferabil termostatată), în cazul emulsiilor și

echipament pentru determinări analitice.

1.6.4.2.   Procedeul de măsurare

Cantitatea de substanță necesară pentru a satura volumul de apă dorit este estimată printr-un test preliminar. Volumul de apă necesar depinde de metoda analitică și de intervalul de solubilitate. Aproximativ de cinci ori cantitatea de material determinată mai sus este cântărită în fiecare dintre cele trei vase de sticlă prevăzute cu dopuri de sticlă (de exemplu eprubete pentru centrifugă, flacoane). Volumul de apă este adăugat în fiecare vas și vasele sunt închise ermetic. Vasele închise sunt apoi agitate la 30 °C. (Se folosește un dispozitiv de agitare sau de amestecare care poate funcționa la temperatură constantă, de exemplu un agitator magnetic într-o baie de apă termostatată). După o zi, unul dintre vase este scos și reechilibrat timp de 24 de ore la temperatura de testare, agitând din când în când. Conținutul vasului este apoi centrifugat la temperatura de testare și concentrația de probă în faza apoasă clară este determinată printr-o metodă analitică adecvată. Celelalte două flacoane sunt tratate similar după atingerea echilibrului inițial la 30 °C timp de 2, respectiv 3 zile. Când concentrația rezultată cel puțin din ultimele două vase este în concordanță cu reproductibilitatea cerută, testul este satisfăcător. Întregul test se repetă, folosind timpi de echilibru mai lungi, dacă rezultatele de la vasele 1, 2 și 3 arată o tendință de creștere a valorilor.

Procedeul de măsurare poate fi aplicat și fără preincubare la 30 °C. Pentru a estima durata necesară stabilirii echilibrului de saturație se iau probe până în momentul în care timpul de agitare nu mai influențează concentrația soluției de probă.

Se înregistrează pH-ul fiecărei probe.

1.6.5.   Analiză

Pentru aceste determinări se preferă o metodă analitică specifică substanței, deoarece cantități mici de impurități solubile pot antrena erori mari la măsurarea solubilității. Exemple de astfel de metode sunt: cromatografia de gaz sau lichid, metodele titrimetrice, metodele fotometrice, metodele voltametrice.

2.   DATE

2.1.   METODA ELUȚIEI PE COLOANĂ

Valoarea medie obținută de la cel puțin cinci probe consecutive în zona platoului de saturație al curbei de solubilitate în funcție de timp se ia în considerare pentru calculul saturației, precum și pentru calcularea deviației standard. Rezultatele se exprimă în unități de masă pe volum de soluție.

Mediile calculate pe două teste folosind debite diferite se compară și trebuie să aibă o repetabilitate mai mică de 30 %.

2.2.   METODA PRIN SOLUBILITATE ÎN FLACON

Se prezintă rezultatele individuale pentru fiecare dintre cele trei flacoane, iar pentru acele rezultate considerate a fi constante (repetabilitate mai mică de 15 %) se calculează media, care se exprimă în unități de masă pe volum de soluție. Poate fi necesară convertirea unităților de masă în unități de volum, folosind densitatea, dacă solubilitatea este foarte mare (> 100 grame pe litru).

3.   RAPORT

3.1.   METODA ELUȚIEI PE COLOANĂ

Raportul de testare cuprinde, dacă este posibil, următoarele informații:

rezultatele testului preliminar;

specificațiile exacte ale substanței (identitate și impurități);

concentrațiile individuale, debitele și pH-ul pentru fiecare eșantion;

deviația medie și deviația standard de la cel puțin 5 probe din zona platoului de saturație a fiecărei testări;

media a două testări succesive, acceptabile;

temperatura apei în timpul procesului de saturație;

metoda de analiză folosită;

natura suportului folosit;

cantitatea de substanță depusă pe suport;

solventul folosit;

dovezi despre orice instabilitate chimică a substanței în timpul testului și metoda folosită;

toate informațiile relevante pentru interpretarea rezultatelor, în special referitoare la impurități și la starea fizică a substanței.

3.2.   METODA FLACONULUI

Raportul de testare cuprinde, dacă este posibil, următoarele informații:

rezultatele testului preliminar;

specificațiile exacte ale substanței (identitate și impurități);

determinările analitice individuale și media lor, acolo unde a fost determinată mai mult decât o valoare pentru fiecare flacon;

pH-ul fiecărui eșantion;

media valorilor pentru flacoanele diferite aflate în concordanță;

temperatura de testare;

metoda analitică folosită;

dovezi despre orice instabilitate chimică a substanței în timpul testului și metoda folosită;

toate informațiile relevante pentru interpretarea rezultatelor, în special referitoare la impurități și starea fizică a substanțelor.

4.   REFERINȚE BIBLIOGRAFICE

(1)

OECD, Paris, 1981, Test Guideline 105, Decision of the Council C(81) 30 final.

(2)

NF T 20-045 (AFNOR) (Sept. 85). Chemical products for industrial use - Determination of water solubility of solids and liquids with low solubility - Column elution method.

(3)

NF T 20-046 (AFNOR) (Sept. 85). Chemical products for industrial use - Determination of water solubility of solids and liquids with high solubility - Flask method.

Apendice

Figura 1

Metoda eluției pe coloană cu pompă de recirculare

Image

Figura 2

Microcoloană tip

(Toate dimensiunile în milimetri)

Image

Figura 3

Microcoloană tip

(Toate dimensiunile în milimetri)

Image

Figura 4

Metoda coloanei de eluție cu vas de nivel

Image

A.8.   COEFICIENTUL DE PARTIȚIE

1.   METODĂ

Metoda „agitării flaconului” descrisă se bazează pe orientările OCDE privind testele (1).

1.1.   INTRODUCERE

Pentru efectuarea acestui test este util să se colecteze informații preliminare despre formula structurală, constanta de disociere, solubilitatea în apă, hidroliză, solubilitatea în n-octanol și tensiunea superficială a substanței.

Măsurătorile se fac pe substanțe ionizabile, numai în forma lor neionizată (acizi liberi și baze libere) produse prin folosirea unei soluții tampon adecvate, cu un pH de cel puțin o unitate de mai mic (acizi liberi) sau mai mare (baze libere) decât pK.

Această metodă de analiză include două metode separate: metoda „agitării flaconului” și cromatografia lichidă de mare performanță (HPLC). Prima este aplicabilă când valoarea log Pow (pentru definiții a se vedea mai jos) este în intervalul de la -2 la 4, iar cea de-a doua în intervalul de la 0 la 6. Înainte de a aplica oricare dintre metodele experimentale se obține o estimare a coeficientului de partiție.

Metoda agitării flaconului se aplică numai substanțelor pure solubile în apă și în n-octanol. Nu este aplicabilă agenților tensioactivi (pentru care se furnizează o valoare calculată sau estimată a solubilității individuale în apă și n-octanol).

Metoda HPLC nu este aplicabilă acizilor și bazelor puternice, complecșilor metalici, agenților tensioactivi sau substanțelor care reacționează cu eluentul. Pentru aceste materiale se furnizează valori calculate sau estimate ale solubilității individuale în apă și n-octanol.

Metoda HPLC este mai puțin sensibilă la prezența impurităților din probă decât metoda agitării flaconului. Cu toate acestea, în unele cazuri impuritățile pot face interpretarea rezultatelor dificilă pentru că identificarea picurilor devine incertă. Pentru amestecuri care dau o bandă imprecisă se menționează limitele superioară și inferioară ale log Pow.

1.2.   DEFINIȚII ȘI UNITĂȚI

Coeficientul de partiție (P) este definit ca raportul dintre concentrațiile de echilibru (ci) ale substanței dizolvate în sistemul bifazic constând din doi solvenți aproape nemiscibili. În cazul n-octanol și apă:

Formula

Coeficientul de partiție (P) este prin urmare raportul dintre două concentrații și de regulă este exprimat ca logaritm în baza 10 (log P).

1.3.   SUBSTANȚE DE REFERINȚĂ

Metoda agitării flaconului

Nu este necesar să se folosească substanțe de referință în toate cazurile în care se studiază o nouă substanță. Acestea trebuie în special să servească la etalonarea periodică a metodei și la comparația cu rezultatele obținute prin alte metode.

Metoda HPLC

Pentru a corela datele despre un compus determinate prin HPLC cu valoarea sa P, trebuie stabilit un grafic de calibrare log P vs. date cromatografice, folosind cel puțin 6 puncte de referință. Utilizatorul trebuie să selecteze substanțele de referință adecvate. Dacă este posibil, cel puțin un compus de referință trebuie să aibă Pow mai ridicat decât substanța de testat și un altul - un Pow mai scăzut decât eșantionul. Pentru valorile log P mai mici decât 4, calibrarea se poate baza pe datele obținute prin metoda agitării flaconului. Pentru valori log P mai mari decât 4, calibrarea se poate baza pe valori recunoscute din literatură, dacă acestea sunt în concordanță cu valorile calculate. Pentru o mai mare acuratețe, este preferabil să se aleagă compuși de referință care sunt înrudiți structural cu substanța de testat.

Este disponibilă o listă exhaustivă de valori pentru log Pow pentru mai multe grupe de substanțe chimice (2) (3). Dacă nu sunt disponibile date despre coeficienții de partiție ai compușilor înrudiți structural, atunci poate fi folosită o calibrare mai generală, stabilită cu alți compuși de referință.

În apendicele 2 figurează o listă a substanțelor de referință recomandate care cuprinde și valori pentru Pow.

1.4.   PRINCIPIUL METODEI

1.4.1.   Metoda agitării flaconului

Pentru a determina coeficientul de partiție trebuie realizat echilibrul între toți componenții sistemului care interacționează și trebuie determinate concentrațiile substanțelor dizolvate în cele două faze. Un studiu asupra literaturii de specialitate dedicată acestui subiect indică mai multe tehnici diferite ce pot fi folosite pentru rezolvarea acestei probleme, de exemplu prin amestecarea completă a două faze, urmată de separarea lor, pentru a determina concentrația de echilibru a substanței.

1.4.2.   Metoda HPLC

HPLC este efectuat într-o coloană analitică umplută cu o fază solidă disponibilă în comerț care conține lanțuri lungi de hidrocarburi (de exemplu C8, C18) legate chimic pe silice. Substanțele injectate într-o astfel de coloană se mișcă de-a lungul ei cu diferite viteze din cauza gradelor diferite de partiție între faza mobilă și faza staționară cu hidrocarburi. Eluția amestecurilor de substanțe se face în funcție de caracterul hidrofob, substanțele solubile în apă fiind eluate mai întâi și cele solubile în solvenți organici eluate ultimele, proporțional cu coeficientul lor de partiție hidrocarbură/apă. Aceasta face posibilă să fie stabilită relația dintre timpul de retenție pe o astfel de coloană (faza inversă) și coeficientul de partiție n-octanol/apă ce trebuie determinat. Coeficientul de partiție este dedus din factorul de capacitate k, dat de:

Formula

în care tR = timpul de retenție al substanței de testat și t0 = timpul mediu necesar unei molecule de solvent pentru a trece prin coloană (timp mort).

Nu sunt necesare metode analitice cantitative, ci doar determinarea timpilor de eluție.

1.5.   CRITERII DE CALITATE

1.5.1.   Repetabilitatea

Metoda agitării flaconului

Pentru a asigura acuratețea măsurătorii coeficientului de partiție, trebuie realizate determinări duble, în trei condiții de testare diferite, prin care cantitatea de substanță utilizată, precum și raportul dintre volumelor de solvent poate fi variat. Valorile determinate ale coeficientului de partiție exprimate logaritmic vor fi în intervalul ± 0,3 unități logaritmice.

Metoda HPLC

Pentru a crește coeficientul de încredere al măsurătorilor, trebuie să fie făcute determinări duble. Valorile pentru log P derivate din măsurătorile individuale vor fi în intervalul de ± 0,1 unități logaritmice.

1.5.2.   Sensibilitate

Metoda agitării flaconului

Intervalul de aplicabilitate al metodei este determinat de limita de detectare a metodei analitice. Aceasta trebuie să permită evaluarea valorilor log Pow în intervalul de la –2 la 4 (ocazional, când condițiile impun acest lucru, acest interval poate fi extins pentru log Pow până la 5) când concentrația solutului în oricare fază nu este mai mare de 0,01 moli pe litru.

Metoda HPLC

Metoda HPLC face posibilă estimarea coeficienților de partiție în intervalul de la 0 până la 6 pentru log Pow.

În mod normal, coeficientul de partiție al unui compus poate fi estimat cu o eroare de ± 1 unitate logaritmică față de valoarea determinată prin metoda agitării flaconului. Corelații tipice se pot găsi în literatura de specialitate (4) (5) (6) (7) (8). O mai mare acuratețe poate fi obținută în mod normal când graficele de corelare se bazează pe compuși de referință înrudiți structural (9).

1.5.3.   Specificitate

Metoda agitării flaconului

Legea partiției a lui Nernst se aplică numai la temperatură, presiune și pH constante pentru soluții diluate. Ea se aplică strict unei substanțe pure dispersate între doi solvenți puri. Dacă sunt prezenți diferiți soluți în una sau în ambele faze în același timp, aceasta poate afecta rezultatele.

Disocierea sau asocierea moleculelor dizolvate duce la deviații de la legea partiției a lui Nernst. Astfel de deviații sunt indicate de funcția care descrie dependența coeficientului de partiție de concentrația soluției.

Întrucât presupune echilibre multiple, această metodă nu se folosește în cazul compușilor ionizabili fără a aplica o corecție. Pentru astfel de compuși se ia în considerare folosirea soluțiilor tampon în locul apei; pH-ul soluției tampon trebuie să difere cu cel puțin 1 unitate de pKa-ul substanței, ținând seama și de semnificația acestui pH pentru mediu.

1.6.   DESCRIEREA METODEI

1.6.1.   Estimarea preliminară a coeficientului de partiție

Coeficientul de partiție este estimat de preferință prin calcul (a se vedea apendicele 1) sau, acolo unde este posibil, prin raportul solubilităților substanței testate în solvenți puri (10).

1.6.2.   Metoda agitării flaconului

1.6.2.1.   Pregătire

n-Octanol: Determinarea coeficientului de partiție va fi efectuată cu reactivi de puritate analitică ridicată.

Apă: se folosește apă distilată sau dublu distilată în aparate din sticlă sau cuarț. Dacă este cazul, pentru compușii ionizabili vor fi folosite în locul apei soluții tampon.

Notă:

Nu se folosește apa luată direct dintr-un aparat cu schimbători de ioni.

1.6.2.1.1.   Presaturarea solvenților

Înaintea determinării coeficientului de partiție, fazele sistemului de solvent sunt saturate reciproc prin agitare la temperatura de testare. În acest scop, de obicei se agită două sticle mari cu n-octanol de puritate analitică sau apă, fiecare cu o cantitate suficientă din celălalt solvent, timp de 24 de ore, cu un agitator mecanic, apoi se lasă suficient de mult timp pentru a permite fazelor să se separe și pentru a realiza o stare de saturație.

1.6.2.1.2.   Pregătirea testului

Întregul volum al sistemului bifazic trebuie să umple aproape total vasul de testare. Aceasta va ajuta la prevenirea pierderilor de material datorită volatilizării. Raportul volumelor și cantitățile de substanță ce vor fi folosite sunt fixate prin următoarele condiții:

evaluarea preliminară a coeficientului de partiție (a se vedea mai sus);

cantitatea minimă din substanța de testat necesară la determinările analitice și

limita concentrației maxime în fiecare fază este de 0,01 moli pe litru.

Sunt efectuate 3 măsurători. În prima este folosit raportul de volume n-octanol/apă calculat; în a doua măsurătoare acest raport se împarte la 2; în a treia acest raport înmulțește cu 2 (de exemplu 1:1, 1:2, 2:1).

1.6.2.1.3.   Substanța de testat

O soluție mamă este preparată în n-octanol presaturat cu apă. Concentrația acestei soluții mamă va fi determinată cu precizie înaintea folosirii ei pentru stabili coeficientului de partiție. Această soluție va fi depozitată în condiții care să-i asigure stabilitatea.

1.6.2.2.   Condiții experimentale

Temperatura de testare se menține constantă (±1 °C) și se află în intervalul 20–25 °C.

1.6.2.3.   Procedeul de măsurare

1.6.2.3.1.   Stabilirea echilibrului de partiție

Pentru fiecare dintre condițiile de testare se pregătesc două vase de testare conținând cantitățile necesare, precis măsurate, din cei doi solvenți, împreună cu cantitatea necesară din soluția mamă.

Fazele cu n-octanol vor fi măsurate volumetric. Vasele de testare sunt amplasate într-un agitator adecvat sau sunt agitate manual. Când se folosește un tub de centrifugă, o metodă recomandată este să se rotească acest tub repede într-o direcție aflată la 180° față de axa sa transversală, astfel încât aerul captat să se ridice prin cele două faze. Experiența a arătat că 50 de astfel de rotații sunt de regulă suficiente pentru stabilirea partiției de echilibru. Pentru siguranță se recomandă 100 de rotații în 5 minute.

1.6.2.3.2.   Separarea fazelor

Dacă este necesar, se efectuează centrifugarea amestecului pentru a separa fazele. Acest lucru se desfășoară într-o centrifugă de laborator menținută la temperatura camerei sau, dacă este folosită o centrifugă netermostatată, tuburile centrifugei se păstrează pentru echilibrare la temperatura de testare cel puțin o oră înainte de analiză.

1.6.2.4.   Analiza

Pentru determinarea coeficientului de partiție este necesară determinarea concentrațiilor de substanță analizată în ambele faze. Aceasta poate fi făcută prin prelevarea unei probe alicote din fiecare din cele două faze din fiecare tub pentru fiecare condiție de testare și analizarea lor prin metoda aleasă. Cantitatea totală de substanță prezentă în ambele faze se calculează și se compară cu cantitatea de substanță introdusă la început.

Faza apoasă este eșantionată printr-o operațiune care reduce la minimum riscul includerii unor urme de n-octanol: o seringă de sticlă cu ac detașabil poate fi folosită pentru a lua probe din faza apoasă. Inițial, seringa se umple parțial cu aer. Aerul se elimină cu atenție în timp ce se introduce acul prin stratul de n-octanol. Un volum corespunzător din faza apoasă este tras în seringă. Seringa se scoate repede din soluție și acul se detașează. Conținutul seringii poate fi apoi folosit ca probă apoasă. Concentrația în cele două faze separate este determinată de preferință printr-o metodă specifică substanței. Exemple de metode analitice adecvate sunt:

metode fotometrice;

cromatografia cu gaz;

cromatografia lichidă de înaltă performanță.

1.6.3.   Metoda HPLC

1.6.3.1.   Preparare

Aparatură

Este necesar un cromatograf de lichide la care s-a atașat o pompă fără pulsații și un instrument de detecție adecvat. Este recomandată folosirea unei valve de injecție cu bucle de injecție. Prezența grupelor polare în faza staționară poate diminua serios performanțele coloanei HPLC. Prin urmare, faza staționară va avea un procent minim de grupe polare (11). Pot fi folosite umpluturi de microparticule pentru inversarea fazelor sau coloane gata umplute. O coloană de gardă poate fi poziționată între sistemul de injecție și coloana analitică.

Faza mobilă

Pentru a prepara solventul de eluție se folosește metanol grad HPLC și apă de puritate HPLC; solventul este degazat înainte de folosire. Se folosește eluția izocratică. Se utilizează un raport metanol/apă cu un conținut minim de apă de 25 %. În general, un amestec metanol-apă 3:1 (v/v) este satisfăcător pentru eluția compușilor cu log P = 6 într-o oră, la un debit de 1 ml/minut. Pentru compușii cu log P mare poate fi necesar să se scurteze timpul de eluție (și cel al compușilor de referință) prin descreșterea polarității fazei mobile sau a lungimii coloanei.

Substanțele cu solubilitate foarte scăzută în n-octanol tind să dea valori neobișnuit de mici pentru log Pow prin metoda HPLC; picurile unor astfel de compuși însoțesc uneori frontul de solvent. Aceasta se datorează probabil faptului că procesul de partiție este prea lent pentru a atinge echilibrul în timpul necesar în mod normal pentru o separare. Scăderea debitului și/sau micșorarea raportului metanol/apă poate fi o măsură eficientă pentru a ajunge la o valoare fiabilă.

Compușii de testare și compușii de referință trebuie să fie solubili în faza mobilă într-o concentrație suficientă pentru a permite detectarea lor. Numai în cazuri excepționale pot fi folosiți aditivi împreună cu amestecul metanol-apă, deoarece aditivii vor schimba proprietățile coloanei. Pentru cromatograme cu aditivi este obligatoriu să se folosească o coloană separată de același tip. Dacă amestecul metanol-apă nu este corespunzător, pot fi folosite alte amestecuri solvent organic-apă, de exemplu etanol-apă sau acetonitril-apă.

pH-ul eluentului este un factor critic pentru compușii ionizabili. Trebuie să fie în intervalul de pH al coloanei, care este de obicei cuprins între 2 și 8. Este recomandabilă tamponarea. Se evită atent precipitarea sărurilor și deteriorarea coloanei în cazul unor amestecuri fază organică-soluție tampon. Măsurătorile HPLC cu fază staționară de silicagel nu sunt recomandabile în cazul unui pH mai mare de 8 deoarece folosirea unei faze mobile alcaline poate cauza scăderea rapidă a performanțelor coloanei.

Soluți

Compușii de referință sunt cei mai puri disponibili. Dacă este posibil, compușii care sunt folosiți în scopuri de testare sau calibrare se dizolvă în faza mobilă.

Condiții experimentale

În timpul măsurătorilor, temperatura nu variază cu mai mult de ± 2 K.

1.6.3.2.   Măsurători

Calcularea timpului mort t0

Timpul mort t0 poate fi determinat prin folosirea unei serii omoloage (de exemplu n-alchil metil cetone) sau compuși organici care nu se absorb pe coloană (de exemplu tioureea sau formamida). Pentru calcularea timpului mort t0 prin folosirea unei serii omoloage, un set de cel puțin 7 membri ai seriei omoloage este injectat și sunt determinați timpii respectivi de retenție. Timpii retenției brute tr(nc + 1) sunt reprezentați ca funcție de tr(nc) și sunt determinate constanta a și panta b a ecuației de regresie:

tr(nc + 1) = a + b tr(nc)

(nc = numărul de atomi de carbon) Timpul mort t0 este dat de:

t0 = a/(1-b)

Graficul de calibrare

Următorul pas este trasarea graficului de corelație între valorile lui log k și log P pentru compușii de referință. În practică, un set de 5 până la 10 compuși de referință standard al căror log P se găsește în limitele intervalului preconizat se injectează simultan și se determină timpii de retenție, preferabil cu un înregistrator conectat la sistemul de detecție. Se calculează logaritmii corespunzători ai factorilor de capacitate, log k și se trasează graficul funcției log P determinat prin metoda agitării flaconului. Calibrarea se execută la intervale egale, cel puțin o dată pe zi, așa încât să se poată ține seama de posibilele schimbări în performanțele coloanei.

Determinarea factorului de capacitate al substanței de testat

Proba este injectată într-o cantitate cât mai mică posibil de fază mobilă. Se determină timpul de retenție (în duplicat), permițând calcularea factorului de capacitate k. Din graficul de corelare al compușilor de referință poate fi interpolat coeficientul de partiție al substanței de testat. Pentru coeficienții de partiție foarte mici și pentru cei foarte mari este necesară extrapolarea. În aceste cazuri particulare trebuie să se acorde atenție limitelor de încredere ale liniei de regresie.

2.   DATE

Metoda agitării flaconului

Fiabilitatea valorilor determinate pentru P poate fi testată prin compararea valorilor medii rezultate la determinările duble cu media generală.

3.   RAPORT

Raportul de testare cuprinde, dacă este posibil, următoarele informații:

specificațiile exacte ale substanței (identitate și impurități);

când metodele nu sunt aplicabile (de exemplu pentru agenții tensioactivi) se prezintă o valoare calculată sau una estimată bazată pe solubilitățile individuale în n-octanol și apă;

toate informațiile și observațiile relevante pentru interpretarea rezultatelor, în special cele referitoare la impurități și la starea fizică a substanței.

Pentru metoda agitării flaconului:

rezultatul estimării preliminare, dacă există;

temperatura la care s-au făcut determinările;

date despre metodele analitice folosite pentru determinarea concentrațiilor;

timpul și viteza de centrifugare, dacă a fost folosită;

concentrațiile măsurate în ambele faze pentru fiecare determinare (aceasta înseamnă că se prezintă un total de 12 concentrații);

masa substanței de testat, volumul fiecărei faze folosite în fiecare vas de testare și cantitatea totală calculată de substanță, prezentă în fiecare fază după atingerea echilibrului;

valorile calculate ale coeficientului de partiție (P) și media lor se consemnează pentru fiecare set de condiții experimentale, ca și media pentru toate determinările. Dacă există vreun indiciu privind coeficientul de partiție în funcție de concentrație, aceasta este notată în raport;

se consemnează deviația standard a valorilor individuale ale lui P de la media lor;

media P a tuturor determinărilor se exprimă și ca logaritm (în baza 10);

valoarea calculată teoretic pentru Pow când această valoare a fost determinată sau când valoarea măsurată este > 104;

pH-ul apei folosite în timpul experimentului și al fazei apoase;

dacă sunt folosite soluții tampon, justificarea pentru folosirea soluțiilor tampon în locul apei, compoziția, concentrația și pH-ul soluțiilor tampon, pH-ul fazei apoase, înainte și după experiment.

Pentru metoda HPLC:

rezultatul estimării preliminare, dacă există;

substanțele de referință și de testat și puritatea lor;

intervalul de temperatură al determinărilor;

pH-ul la care au fost făcute determinările;

detalii despre coloana analitică și de gardă, faza mobilă și mijlocul de detecție;

datele privind retenția și valorile log P din literatură pentru compușii de referință folosiți la calibrare;

detalii despre dreapta de regresie calculată (log k în funcție de log P);

datele de retenție medii și valoarea interpolată log P pentru compusul de testat;

descrierea echipamentului și a condițiilor de operare;

profilurile de eluție;

cantitățile de substanță de testat și de referință introduse în coloană;

timpul mort și cum a fost măsurat.

4.   REFERINȚE BIBLIOGRAFICE

(1)

OECD, Paris, 1981, Test Guideline 107, Decision of the Council C(81) 30 final.

(2)

C. Hansch and A. J. Leo, Substituent Constants for Correlation Analysis in Chemistry and Biology, John Wiley, New York 1979.

(3)

Log P and Parameter Database, A tool for the quantitative prediction of bioactivity (C. Hansch, chairman, A. J. Leo, dir.) - Available from Pomona College Medical Chemistry Project 1982, Pomona College, Claremont, California 91711.

(4)

L. Renberg, G. Sundström and K. Sundh-Nygärd, Chemosphere, 1980, vol. 80, 683.

(5)

H. Ellgehausen, C. D'Hondt and R. Fuerer, Pestic. Sci., 1981, vol. 12, 219 (1981).

(6)

B. McDuffie, Chemosphere, 1981, vol. 10, 73.

(7)

W. E. Hammers et al., J. Chromatogr., 1982, vol. 247, 1.

(8)

J. E. Haky and A. M. Young, J. Liq. Chromat., 1984, vol. 7, 675.

(9)

S. Fujisawa and E. Masuhara, J. Biomed. Mat. Res., 1981, vol. 15, 787.

(10)

O. Jubermann, Verteilen und Extrahieren, in Methoden der Organischen Chemie (Houben Weyl), Allgemeine Laboratoriumpraxis (edited by E. Muller), Georg Thieme Verlag, Stuttgart, 1958, Band I/1, 223-339.

(11)

R. F. Rekker and H.M. de Kort, Euro. J. Med. Chem, 1979, vol. 14, 479

(12)

A. Leo, C. Hansch and D. Elkins, Partition coefficients and their uses. Chem. Rev, 1971, vol. 71, 525.

(13)

R.F. Rekker, The Hydrophobic Fragmental Constant, Elsevier, Amsterdam, 1977.

(14)

NF T 20-043 AFNOR (1985). Chemical products for industrial use - Determination of partition coefficient - Flask shaking method.

(15)

C.V. Eadsforth and P. Moser, Chemosphere, 1983, vol. 12, 1459.

(16)

A. Leo, C. Hansch and D. Elkins, Chem. Rev., 1971, vol. 71, 525.

(17)

C. Hansch, A. Leo, S. H. Unger, K. H. Kim, D. Nikaitani and E. J. Lien, J. Med. Chem., 1973, vol. 16, 1207.

(18)

W. B. Neely, D. R. Branson and G. E. Blau, Environ. Sci. Technol., 1974, vol. 8, 1113.

(19)

D. S. Brown and E. W. Flagg, J. Environ. Qual., 1981, vol. 10, 382.

(20)

J. K. Seydel and K. J. Schaper, Chemische Struktur und biologische Aktivität von Wirkstoffen, Verlag Chemie, Weinheim, New York 1979.

(21)

R. Franke, Theoretical Drug Design Methods, Elsevier, Amsterdam 1984.

(22)

Y. C. Martin, Quantitative Drug Design, Marcel Dekker, New York, Basel 1978.

(23)

N. S. Nirrlees, S. J. Noulton, C. T. Murphy, P. J. Taylor; J. Med. Chem., 1976, vol. 19, 615.

Apendicele 1

Metode de calcul/estimare

INTRODUCERE

O introducere generală în metodele de calcul, cu date și exemple, este furnizată de Handbook of Chemical Property Estimation Methods (a).

Valorile calculate pentru Pow pot fi folosite:

pentru a decide care dintre metodele experimentale este adecvată (intervalul pentru metoda agitării flaconului: log Pow: -2 până la 4, intervalul HPLC: log Pow: 0 până la 6);

pentru selectarea condițiilor de testare adecvate (de exemplu substanțe de referință pentru procedurile HPLC, raportul de volume n-octanol/apă pentru metoda agitării flaconului);

ca verificare internă de laborator a posibilelor erori experimentale;

pentru a furniza un Pow estimat în cazul când metodele experimentale nu pot fi aplicate din motive tehnice.

METODA ESTIMATIVĂ

Estimarea preliminară a coeficientului de partiție

Valoarea coeficientului de partiție poate fi estimată prin folosirea solubilităților substanței de testat în solvenți puri.

Astfel,

Formula

METODE DE CALCUL

Principiul metodelor de calcul

Toate metodele de calcul se bazează pe fragmentarea formală a moleculei în structuri adecvate pentru care se cunosc creșteri fiabile ale valorilor log Pow. Log Pow al întregii molecule este apoi calculat ca sumă a valorilor corespunzătoare fragmentelor plus suma termenilor de corecție pentru interacțiunile intramoleculare.

Listele constantelor fragmentelor și ale termenilor de corecție sunt disponibile în (b), (c), (d) și (e). Unele sunt actualizate cu regularitate (b).

Criterii de calitate

În general, fiabilitatea metodei de calcul scade odată cu creșterea complexității compusului studiat. În cazul moleculelor simple, cu masa moleculară scăzută și una sau două grupe funcționale, se preconizează abateri de la 0,1 până la 0,3 unități log Pow între rezultatele diferitelor metode de fragmentare și valoarea măsurată. În cazul moleculelor mai complexe, marja de eroare poate fi mai mare. Aceasta va depinde de fiabilitatea și disponibilitatea constantelor de fragmente, precum și de abilitatea analistului de a recunoaște interacțiuni intramoleculare (de exemplu legături de hidrogen) și de corecta folosire a factorilor de corecție (o problemă care apare mai puțin dacă se folosește programul CLOGP –3) (b). În cazul compușilor ionizabili este importantă atribuirea corectă a sarcinii sau a gradului de ionizare.

Metode de calcul

Metoda π a lui Hansch

Constanta substituentului hidrofob original, π, introdusă de Fujita et al. (f) se definește ca:

π x = log Pow (PhX) - log Pow (PhH)

unde Pow (PhX) este coeficientul de partiție al unui derivat aromatic și Pow (PhH) este coeficientul de partiție al compusului inițial.

(de exemplu πCl = log Pow (C6 H5 Cl) - log Pow (C6 H6)

= 2,84 - 2,13 = 0,71)

În concordanță cu definiția, metoda π este aplicabilă în special pentru substituenții aromatici, valorile π pentru un mare număr de substituenți fiind tabelate (b), (c), (d). Acestea sunt folosite pentru calcularea log Pow pentru molecule sau substructuri aromatice.

Metoda Rekker

Conform lui Rekker (g), valoarea pentru log Pow se calculează după cum urmează:

Formula

unde fi reprezintă constantele diferitelor fragmente moleculare și ai frecvența apariției lor în molecula investigată. Termenii de corecție pot fi exprimați ca un multiplu întreg al unei singure constante Cm (așa-numita „constantă magică”). Constantele de fragment fi și Cm au fost determinate dintr-o listă de 1 054 valori experimentale pentru Pow (825 de compuși), folosind analiza regresivă multiplă (c), (h). Determinarea termenilor de interacțiune este efectuată în concordanță cu regulile stabilite descrise în literatură (e), (h), (i).

Metoda Leo Hansch

Potrivit lui Leo și Hansch (c), valoarea log Pow se calculează din:

Formula

unde fi reprezintă constantele diferitelor fragmente moleculare, Fj termenii de corecție, iar ai, bj frecvența fragmentului corespunzător. Din valorile experimentale Pow, a fost determinată prin încercare și eroare o listă a valorilor pentru fragmentele atomice și de grup și o listă a termenilor de corecție Fj (așa numiții „factori”). Termenii de corecție au fost ordonați în diferite clase (a) (c). A lua în considerare toate regulile și termenii de corecție este relativ complicat și consumă timp. Pentru această metodă există câteva pachete de programe computerizate (b).

Metoda combinată

Calculul log Pow al moleculelor complexe poate fi considerabil îmbunătățit, dacă molecula este împărțită în substructuri mari, pentru care există valori log Pow fiabile fie din tabele (b), (c), fie din măsurătorile proprii. Astfel de fragmente (de exemplu heterocicluri, antrachinona, azobenzen) pot fi apoi combinate cu valorile π Hansch sau cu constantele fragmentelor Rekker sau Leo.

Observații

(i)

Metodele de calcul pot fi aplicate compușilor parțial sau total ionizați numai atunci când este posibil să se ia în considerare factorii de corecție necesari.

(ii)

Dacă se presupune că există legături de hidrogen intramoleculare, trebuie adăugați termenii de corecție corespunzători (aproximativ + 0,6 până la + 1,0 unități log Pow) (a). Indicații privind prezența unor astfel de legături pot fi obținute din modelele stereochimice sau din datele spectroscopice ale moleculei.

(iii)

Dacă sunt posibile diferite forme tautomere, structura cea mai probabilă va fi folosită ca bază de calcul.

(iv)

Edițiile revizuite ale listelor cu constantele fragmentelor se vor urmări atent.

Raportul de testare

Când se folosesc metodele de calcul/estimare, raportul de testare cuprinde următoarele informații, dacă este posibil:

descrierea substanței (amestec, impurități etc.);

indicarea oricăror posibile legături de hidrogen intramoleculare, a disocierii, a sarcinii și a oricăror altor efecte neobișnuite (de exemplu tautomerie);

descrierea metodei de calcul;

identificarea sau anexarea bazei de date folosite;

particularități în alegerea fragmentelor;

documentația cuprinzătoare a calculului.

LITERATURĂ DE SPECIALITATE

(a)

W. J. Lyman, W. F. Reehl and D.H. Rosenblatt (ed.), Handbook of Chemical Property Estimation Methods, McGraw-Hill, New York, 1983.

(b)

Pomona College, Medicinal Chemistry Project, Claremont, California 91711, USA, Log P Database and Med. Chem. Software (Program CLOGP-3).

(c)

C. Hansch, A. J. Leo, Substituent Constants for Correlation Analysis in Chemistry and Biology, John Wiley, New York, 1979.

(d)

A. Leo, C. Hansch, D. Elkins, Chem. Rev., 1971, vol. 71, 525.

(e)

R. F. Rekker, H. M. de Kort, Eur. J. Med. Chem. - Chim. Ther. 1979, vol. 14, 479.

(f)

T. Fujita, J. Iwasa and C. Hansch, J. Amer. Chem. Soc., 1964, vol. 86, 5175.

(g)

R. F. Rekker, The Hydrophobic Fragmental Constant, Pharmacochemistry Library, Elsevier, New York, 1977, vol. 1.

(h)

C. V. Eadsforth, P. Moser, Chemosphere, 1983, vol. 12, 1459.

(i)

R. A. Scherrer, ACS, American Chemical Society, Washington D.C., 1984, Symposium Series 255, p. 225.

Apendicele 2

Substanțele de referință recomandate pentru metoda HPLC

Nr. crt.

Substanță de referință

log Pow

pKa

1

2-butanonă

0,3

 

2

4-acetilpiridină

0,5

 

3

anilină

0,9

 

4

acetanilidă

1,0

 

5

alcool benzilic

1,1

 

6

p-metoxifenol

1,3

PKa = 10,26

7

acid fenoxi acetic

1,4

pKa = 3,12

8

fenol

1,5

PKa = 9,92

9

2,4-dinitrofenol

1,5

pKa = 3,96

10

benzonitril

1,6

 

11

fenilacetonitril

1,6

 

12

alcool 4-metilbenzilic

1,6

 

13

acetofenonă

1,7

 

14

2-nitrofenol

1,8

PKa = 7,17

15

acid 3-nitrobenzoic

1,8

pKa = 3,47

16

4-cloranilină

1,8

pKa = 4,15

17

nitrobenzen

1,9

 

18

alcool cinamic

1,9

 

19

acid benzoic

1,9

pKa = 4,19

20

p-crezol

1,9

pKa = 10,17

21

acid cinamic

2,1

pKa = 3,89 cis 4,44 trans

22

anisol

2,1

 

23

benzoat de metil

2,1

 

24

benzen

2,1

 

25

acid 3- metilbezoic

2,4

pKa = 4,27

26

4-clorofenol

2,4

pKa = 9,1

27

tricloretilenă

2,4

 

28

atrazină

2,6

 

29

benzoat de etil

2,6

 

30

2,6-diclorbenzonitril

2,6

 

31

acid 3-clorbenzoic

2,7

pKa = 3,82

32

toluen

2,7

 

33

1- naftol

2,7

pKa = 9,34

34

2,3-dicloranilină

2,8

 

35

clorbenzen

2,8

 

36

alil-fenileter

2,9

 

37

brombenzen

3,0

 

38

etilbenzen

3,2

 

39

benzofenonă

3,2

 

40

4-fenilfenol

3,2

pKa = 9,54

41

timol

3,3

 

42

1,4-diclorbenzen

3,4

 

43

difenilamină

3,4

pKa = 0,79

44

naftalină

3,6

 

45

fenilbenzoat

3,6

 

46

izopropilbenzen

3,7

 

47

2,4,6-triclorfenol

3,7

pKa = 6

48

bifenil

4,0

 

49

benzilbenzoat

4,0

 

50

2,4-dinitro-6 sec-butilfenol

4,1

 

51

1,2,4-triclorbenzen

4,2

 

52

acid dodecanoic

4,2

 

53

difenileter

4,2

 

54

n- butilbenzen

4,5

 

55

fenantren

4,5

 

56

fluoranten

4,7

 

57

dibenzil

4,8

 

58

2,6-difenil-piridină

4,9

 

59

trifenilamină

5,7

 

60

DDT

6,2

 

Alte substanțe de referință cu log POW mic

1

acid nicotinic

-0,07

 

A.9.   PUNCTUL DE INFLAMABILITATE

1.   METODĂ

1.1.   INTRODUCERE

Pentru efectuarea acestui test, este util să se colecteze informații preliminare despre inflamabilitatea substanței. Modul de operare este aplicabil substanțelor lichide ai căror vapori se pot aprinde în prezența unei surse de aprindere. Metodele de testare prezentate în acest text sunt fiabile numai pentru intervalele de puncte de inflamabilitate specificate pentru fiecare metodă în parte.

La alegerea metodei ce urmează să fie folosită se va lua în considerare posibilitatea apariției unor reacții chimice între substanță și suportul probei.

1.2.   DEFINIȚII ȘI UNITĂȚI

Punctul de inflamabilitate este cea mai joasă temperatură, corectată la presiunea de 101,325 kPa, la care lichidul degajă vapori, în condițiile specifice ale metodei de analiză, într-o asemenea cantitate încât în vasul de testare se produce un amestec inflamabil vapori/aer.

Unități: °C

t = T – 273,15

(t în °C și T în K)

1.3.   SUBSTANȚE DE REFERINȚĂ

Nu este necesar să se folosească substanțe de referință în toate cazurile în care se studiază o nouă substanță. Acestea trebuie în special să servească la etalonarea periodică a metodei și la comparația cu rezultatele obținute prin alte metode.

1.4.   PRINCIPIUL METODEI

Substanța se introduce în vasul de testare și este încălzită sau răcită până la temperatura de testare conform procedurii specifice metodei de testare. Încercările de aprindere sunt efectuate pentru a dovedi dacă eșantionul se aprinde sau nu la temperatura de testare.

1.5.   CRITERII DE CALITATE

1.5.1.   Repetabilitate

Repetabilitatea variază în funcție de intervalul punctului de inflamabilitate și de metoda folosită; maximum 2 °C.

1.5.2.   Sensibilitate

Sensibilitatea depinde de metoda de testare folosită.

1.5.3.   Specificitate

Specificitatea unora dintre metode este limitată la anumite intervale de puncte de inflamabilitate și depinde de caracteristicile substanței (de exemplu, viscozitate mare).

1.6.   DESCRIEREA METODEI

1.6.1.   Pregătiri

O probă de substanță se introduce într-un aparat de testare în conformitate cu punctul 1.6.3.1 și/sau 1.6.3.2.

Pentru siguranță se recomandă ca pentru substanțele reactive sau toxice să fie folosită o metodă care utilizează o cantitate mică de probă, circa 2 cm3.

1.6.2.   Condiții experimentale

Aparatul se așează într-o poziție fără curenți de aer, în conformitate cu normele de siguranță.

1.6.3.   Desfășurarea testului

1.6.3.1.   Metoda echilibrului

A se vedea ISO 1516, ISO 3680, ISO 1523, ISO 3679.

1.6.3.2.   Metoda non-echilibrului

Aparatul Abel:

A se vedea BS 2000 partea 170, NF M 07-011, NF T 66-009.

Aparatul Abel- Pensky:

A se vedea EN 57, DIN 51755 partea 1 (pentru temperaturi de la 5 ° la 65 °C), DIN 51755 partea 2 (pentru temperaturi sub 5 °C), NF M 07-036.

Aparatul Tag:

A se vedea ASTM D 56.

Aparatul Pensky – Martens:

A se vedea ISO 2719, EN 11, DIN 51758, ASTM D 93, BS 2000-34, NF M 07-019.

Observații:

Când punctul de inflamabilitate, determinat printr-o metodă de non-echilibru în conformitate cu punctul 1.6.3.2, are valori de 0 ± 2 °C, 21 ± 2 °C sau 55 ± 2 °C, acest lucru se confirmă printr-o metodă de echilibru, folosindu-se același aparat.

Numai metodele prin care se poate determina temperatura de inflamabilitate pot fi folosite pentru notificări.

Pentru a determina punctul de inflamabilitate al lichidelor vâscoase (vopsele, rășini și altele similare) care conțin solvenți, pot fi folosite numai aparate și metode potrivite pentru determinarea punctului de inflamabilitate al lichidelor vâscoase.

A se vedea ISO 3679, ISO 3680, ISO 1523, DIN 53213 partea 1.

2.   DATE

3.   RAPORT

Raportul de testare cuprinde, dacă este posibil, următoarele informații:

specificațiile exacte ale substanței (identificare și impurități);

o descriere a metodei folosite, precum și orice posibile abateri;

rezultatele și orice observație suplimentară relevantă pentru interpretarea rezultatelor.

4.   REFERINȚE BIBLIOGRAFICE

Nici una.

A.10.   INFLAMABILITATE (SOLIDE)

1.   METODĂ

1.1.   INTRODUCERE

Înainte de efectuarea testului este util să se colecteze informații preliminare asupra posibilelor proprietăți explozive ale substanței.

Acest test se aplică numai substanțelor sub formă de pulbere, granule sau pastă.

Pentru a nu include toate substanțele care se pot aprinde, ci numai acelea care ard rapid sau acelea al căror comportament la ardere este periculos în orice mod, se consideră că sunt foarte inflamabile numai substanțele a căror viteză de ardere depășește o anumită valoare limită.

Poate fi deosebit de periculos dacă incandescența se propagă printr-o pulbere metalică din cauza dificultăților în stingerea focului. Pulberile metalice vor fi considerate foarte inflamabile dacă întrețin propagarea incandescenței în toată masa într-un interval de timp definit.

1.2.   DEFINIȚII ȘI UNITĂȚI

Timpul de ardere este exprimat în secunde.

1.3.   SUBSTANȚE DE REFERINȚĂ

Nu sunt menționate.

1.4.   PRINCIPIUL METODEI

Substanța este dispusă sub forma unei benzi continue sau a unui amestec de pulbere explozivă de aproximativ 250 mm lungime și este efectuat un test preliminar pentru a stabili dacă are loc, prin aprindere cu o flacără de gaz, propagarea prin ardere cu flacără sau mocnit. Dacă propagarea de-a lungul a 200 de mm de amestec are loc într-un interval de timp specificat, atunci se efectuează un program complet de testare pentru a determina viteza de ardere.

1.5.   CRITERII DE CALITATE

Nu sunt menționate.

1.6.   DESCRIEREA METODEI

1.6.1.   Testul preliminar

Substanța este dispusă sub forma unui cartuș compact sau a unui amestec de pulbere explozivă de aproximativ 250 mm lungime, 20 mm lățime, 10 mm înălțime, pe o placă de bază necombustibilă, neporoasă și care nu conduce bine căldura.

O flacără de la un arzător cu gaz (minimum 5 mm diametru) este aplicată la unul dintre capetele amestecului de pulbere explozivă până când pulberea se aprinde sau timp de maximum 2 minute (5 minute pentru pulberi metalice sau de aliaje metalice). Se observă dacă de-a lungul celor 200 mm de amestec combustia se propagă în perioada de testare de 4 minute (sau 40 de minute pentru pulberile de metal). Dacă substanța nu se aprinde și combustia nu se propagă, nici prin ardere cu flacără, nici prin ardere mocnită, de-a lungul celor 200 mm de amestec de pulbere explozivă în perioada de testare de 4 minute (sau 40 minute), atunci substanța nu este considerată foarte inflamabilă și nu este necesară o altă testare. Dacă substanța propagă arderea de-a lungul a 200 mm lungime de amestec de pulbere explozivă în mai puțin de 4 minute, sau mai puțin de 40 de minute pentru pulberile metalice, atunci se urmează metoda descrisă mai jos (punctul 1.6.2 și următoarele).

1.6.2.   Testarea vitezei de ardere

1.6.2.1.   Pregătire

Substanțele granulare sau pulberile sunt introduse lejer într-o matriță de 250 mm lungime cu secțiune transversală triunghiulară cu înălțime interioară de 10 mm și lățime de 20 mm. Pe ambele fețe ale matriței, pe direcție longitudinală, se montează două plăci metalice ca opritoare laterale care depășesc cu 2 mm extremitatea superioară a secțiunii transversale triunghiulare (figura). Apoi se lasă matrița să cadă de trei ori de la o înălțime de 2 cm pe o suprafață solidă. Dacă este necesar, forma este apoi umplută din nou. Substanța în exces care rămâne se curăță cu o racletă oblică. Plăcile opritoare se scot și substanța rămasă este îndepărtată cu o racletă. Se pune deasupra matriței o placă de bază necombustibilă, neporoasă și slab conducătoare de căldură, ansamblul este răsturnat și se scoate forma.

Substanțele sub formă de pastă sunt întinse pe o placă necombustibilă, neporoasă și slab conducătoare de căldură sub forma unei fâșii de 250 mm lungime cu o secțiune transversală de aproximativ 1 cm2.

1.6.2.2.   Condiții experimentale

În cazul substanțelor sensibile la umezeală, testul va fi efectuat cât mai repede posibil după scoaterea din recipient.

1.6.2.3.   Efectuarea testului

Se pune eșantionul perpendicular pe curentul de aer din nișa de tiraj.

Viteza aerului trebuie să fie suficientă pentru a preveni degajarea vaporilor în laborator și să nu varieze în timpul testului. Curentul de aer trebuie să formeze un ecran în jurul aparatului.

O flacără fierbinte de la un arzător cu gaz (minim 5 mm diametru) este folosită pentru a aprinde substanța în formă de cartuș, la o margine. Când cartușul a ars pe o distanță de 80 mm se măsoară viteza de ardere de-a lungul următorilor 100 de mm. Testul se efectuează de 6 ori, folosind de fiecare dată o placă rece, curată, în afară de cazul când este observat mai devreme un rezultat pozitiv.

2.   DATE

Timpul de ardere din testul preliminar (1.6.1) și cel mai scurt timp de ardere din cele 6 teste (1.6.2.3) sunt relevante pentru evaluare.

3.   RAPORT

3.1.   RAPORTUL DE TESTARE

Raportul de testare cuprinde, dacă este posibil, următoarele informații:

specificațiile exacte ale substanței (identificare și impurități);

o descriere a substanței de testat, starea sa fizică, inclusiv conținutul de umezeală;

rezultatele testului preliminar de triere și ale testului vitezei de ardere, dacă au fost efectuate;

toate observațiile suplimentare relevante pentru interpretarea rezultatelor.

3.2.   INTERPRETAREA REZULTATELOR

Substanțele sub formă de pulbere sau pastă ori granulare se consideră foarte inflamabile dacă timpul de ardere dintr-unul dintre testele efectuate conform metodei de testare descrise la 1.6.2. este mai mic de 45 de secunde. Pulberile metalice sau de aliaje metalice sunt considerate foarte inflamabile dacă pot fi aprinse și flacăra sau zona de reacție se întinde asupra întregului eșantion în 10 minute sau mai puțin.

4.   REFERINȚE BIBLIOGRAFICE

(1)

NF T 20-042 (SEPT 85). Chemical products for industrial use. Determination of the flammability of solids.

Apendice

Figură

Matrița și accesoriile pentru eșantionul în formă de cartuș

(Toate dimensiunile în mm)

Image

A.11.   INFLAMABILITATE (GAZE)

1.   METODĂ

1.1.   INTRODUCERE

Prin această metodă se determină dacă amestecurile de gaze cu aer, la temperatura camerei (circa 20 °C) și presiune atmosferică, sunt inflamabile și, în acest caz, în ce interval de concentrații. Amestecurile cu aer ale gazului testat, în concentrații crescânde, sunt expuse unei scântei electrice și se observă dacă are loc aprinderea.

1.2.   DEFINIȚII ȘI UNITĂȚI

Intervalul de inflamabilitate este intervalul de concentrație dintre limita de explozie inferioară și cea superioară. Limitele de explozie inferioară și superioară sunt acele limite de concentrație ale gazului inflamabil în aer la care propagarea flăcării nu are loc.

1.3.   SUBSTANȚE DE REFERINȚĂ

Nu sunt menționate.

1.4.   PRINCIPIUL METODEI

Concentrația gazului în aer se crește treptat și în fiecare etapă amestecul se expune la scânteie electrică.

1.5.   CRITERII DE CALITATE

Nu sunt menționate.

1.6.   DESCRIEREA METODEI

1.6.1.   Aparatură

Vasul de testare este un cilindru de sticlă vertical cu un diametru interior de minimum 50 mm și o înălțime de minimum 300 de mm. Electrozii de aprindere sunt separați de o distanță de 3 până la 5 mm și sunt plasați la 60 mm deasupra fundului cilindrului. Cilindrul este prevăzut cu o supapă de descărcare a presiunii. Aparatul trebuie să fie protejat pentru a limita posibilele efecte ale exploziei.

Ca sursă de aprindere este folosită o scânteie cu o durată de 0,5 secunde, generată de un transformator de înaltă tensiune cu o tensiune de ieșire de 10 până la 15 kV (maximum de putere consumată 300 W). Un exemplu de aparat adecvat este descris în referința bibliografică (2).

1.6.2.   Condiții experimentale

Testul trebuie efectuat la temperatura camerei (circa 20 °C).

1.6.3.   Desfășurarea testului

Folosind o pompă dozatoare, un amestec cu concentrație cunoscută de gaz în aer este introdus în cilindrul de sticlă. Prin amestec se trece o scânteie și se observă dacă flacăra se detașează de sursa de aprindere și se propagă independent. Concentrația gazului este mărită în pași de 1 % din volum până când are loc aprinderea conform descrierii de mai sus.

Dacă structura chimică a gazului indică faptul că acesta nu este inflamabil și poate fi calculată compoziția amestecului stoechiometric cu aerul, atunci este necesar să se testeze numai amestecuri din intervalul de la 10 % sub concentrația stoechiometrică până la 10 % peste această concentrație, în pași de 1 %.

2.   DATE

Propagarea flăcării este singura informație relevantă pentru determinarea acestei proprietăți.

3.   RAPORT

Raportul de testare cuprinde, dacă este posibil, următoarele informații:

specificațiile exacte ale substanței (identificare și impurități);

o descriere, cu dimensiuni, a aparatului utilizat;

temperatura la care a fost efectuat testul;

concentrațiile testate și rezultatele obținute;

rezultatul testului: gaz neinflamabil sau gaz foarte inflamabil;

dacă se ajunge la concluzia că gazul nu este inflamabil, se va specifica intervalul de concentrație în care a fost testat în pași de 1 %;

toate informațiile și observațiile relevante pentru interpretarea rezultatelor trebuie raportate.

4.   REFERINȚE BIBLIOGRAFICE

(1)

NF T 20-041 (SEPT 85). Chemical products for industrial use. Determination of the flammability of gases.

(2)

W., Berthold, D., Conrad, T., Grewer, H., Grosse-Wortmann, T., Redeker und H., Schacke. „Entwicklung einer Standard-Apparatur zur Messung von Explosionsgrenzen”. Chem.-Ing.-Tech. 1984, vol 56, 2, 126-127.

A.12.   INFLAMABILITATE (CONTACTUL CU APA)

1.   METODĂ

1.1.   INTRODUCERE

Metoda poate fi folosită pentru a stabili dacă reacția substanței cu apa sau cu umezeala din aer conduce la degajarea unor cantități periculoase de gaz sau gaze foarte inflamabile.

Metoda poate fi aplicată atât substanțelor solide, cât și celor lichide. Această metodă nu este aplicabilă substanțelor care se aprind în mod spontan în contact cu aerul.

1.2.   DEFINIȚII ȘI UNITĂȚI

Foarte inflamabil: o substanță care în contact cu apa sau aerul umed degajă gaze foarte inflamabile în cantități periculoase la un debit minim de 1 litru/kg pe oră.

1.3.   PRINCIPUL METODEI

Substanța este testată în concordanță cu succesiunea de pași descrisă mai jos; dacă are loc aprinderea la unul dintre pași, nu mai este necesară testarea în continuare. Dacă se știe că substanța nu reacționează violent cu apa, atunci se va trece direct la pasul 4 (punctul 1.3.4).

1.3.1.   Pasul 1

Proba se introduce într-un jgheab care conține apă distilată la 20 °C și se notează dacă gazul dezvoltat se aprinde.

1.3.2.   Pasul 2

Substanța este plasată pe o hârtie de filtru care plutește la suprafața apei distilate dintr-o capsulă de laborator, la 20 °C, și se observă dacă gazul dezvoltat se aprinde. Hârtia de filtru are rolul numai de a ține substanța într-un loc, pentru a crește șansa de aprindere.

1.3.3.   Pasul 3

Eșantionul este prelucrat sub forma unui cartuș de aproximativ 2 cm înălțime și 3 cm diametru. Se adaugă câteva picături de apă și se notează dacă gazul dezvoltat se aprinde.

1.3.4.   Pasul 4

Eșantionul este amestecat cu apă distilată la 20 °C și este măsurată viteza de degajare a gazului în timpul unei perioade de 7 ore, la intervale de 1 oră. Dacă viteza de degajare este inegală, sau este crescătoare, după 7 ore, timpul de măsurare poate fi extins la un timp maxim de 5 zile. Testul poate fi oprit dacă viteza la un moment dat depășește 1 l/kg/h.

1.4.   SUBSTANȚE DE REFERINȚĂ

Nu sunt menționate.

1.5.   CRITERII DE CALITATE

Nu sunt menționate.

1.6.   DESCRIEREA METODELOR

1.6.1.   Pasul 1

1.6.1.1.   Condiții experimentale

Testul este efectuat la temperatura camerei (circa 20 °C).

1.6.1.2.   Desfășurarea testului

O cantitate mică (aproximativ 2 mm diametru) din eșantion se introduce într-un jgheab cu apă distilată. Se notează dacă (i) se dezvoltă vreun gaz și (ii) dacă are loc aprinderea gazului. Dacă are loc aprinderea gazului, nu mai este necesară testarea în continuare a substanței, deoarece substanța este considerată periculoasă.

1.6.2.   Pasul 2

1.6.2.1.   Aparatură

O hârtie de filtru este făcută să plutească pe suprafața plană de apă distilată într-un vas potrivit, de exemplu o sticlă de ceas cu 100 mm diametru.

1.6.2.2.   Condiții experimentale

Testul se efectuează la temperatura camerei (circa 20 °C).

1.6.2.3.   Efectuarea testului

O cantitate mică (aproximativ 2 mm diametru) din eșantion se introduce în centrul unei hârtii de filtru. Se va nota dacă (i) apar gaze și (ii) dacă are loc aprinderea gazului. Dacă are loc aprinderea gazului, nu mai este necesară testarea în continuare a substanței, deoarece substanța este considerată periculoasă.

1.6.3.   Pasul 3

1.6.3.1.   Condiții experimentale

Testul se efectuează la temperatura camerei (circa 20 °C).

1.6.3.2.   Desfășurarea testului

Eșantionul este prelucrat sub forma unui cartuș de aproximativ 2 cm înălțime și 3 cm diametru și cu o scobitură la vârf. Câteva picături de apă sunt adăugate în scobitură și se notează dacă (i) apar gaze și (ii) dacă are loc aprinderea gazului. Dacă are loc aprinderea gazului, nu mai este necesară testarea în continuare a substanței deoarece substanța este considerată periculoasă.

1.6.4.   Pasul 4

1.6.4.1.   Aparatură

Instalația este descrisă în figură.

1.6.4.2.   Condiții experimentale

Se examinează containerul cu eșantion pentru a observa dacă există pulberi < 500 μm (dimensiunea particulei). Dacă pulberea reprezintă mai mult de 1 % gr. din total sau dacă eșantionul este friabil, atunci toată substanța va fi mojarată până la pulbere înainte de testare, pentru a permite reducerea dimensiunilor particulelor în timpul depozitării și manipulării; în caz contrar, substanța va fi testată așa cum a fost primită. Testul va fi efectuat la temperatura camerei (circa 20 °C) și la presiune atmosferică.

1.6.4.3.   Desfășurarea testului

10–20 ml de apă se pun în pâlnia de picurare a aparatului și 10 grame din substanță se introduc într-un pahar conic. Volumul de gaz degajat poate fi măsurat prin orice mijloc corespunzător. Se deschide robinetul pâlniei de picurare pentru a lăsa apa să treacă în paharul conic și se pornește cronometrul. Degajarea gazului este măsurată la intervale de o oră de-a lungul unei perioade de 7 ore. Dacă în timpul acestei perioade degajarea gazului este inegală sau dacă la sfârșitul acestei perioade viteza de degajare a gazului este în creștere, atunci măsurătorile vor fi continuate timp de cel mult 5 zile. Dacă la un moment dat în timpul măsurărilor viteza de degajare a gazului depășește 1l/kg/oră, testul poate fi întrerupt. Testul se efectuează de 3 ori.

Dacă identitatea chimică a gazului este necunoscută, gazul se analizează. Atunci când gazul conține componenți foarte inflamabili și nu se cunoaște dacă amestecul este foarte inflamabil, trebuie preparat un amestec cu aceeași compoziție și testat conform metodei A.11.

2.   DATE

Substanța este considerată periculoasă dacă:

are loc o aprindere spontană în oricare dintre etapele metodei de testare

sau

există o degajare de gaz inflamabil cu o viteză mai mare de 1 l/kg de substanță pe oră.

3.   RAPORT

Raportul de testare cuprinde, dacă este posibil, următoarele informații:

specificațiile exacte ale substanței (identificare și impurități);

detalii despre prepararea inițială a substanței;

rezultatele testelor (pașii 1, 2, 3, 4);

identitatea chimică a gazului degajat;

viteza de degajare a gazului, dacă s-a efectuat pasul 4 (punctul 1.6.4);

orice observație suplimentară relevantă pentru interpretarea rezultatelor.

4.   REFERINȚE BIBLIOGRAFICE

(1)

Recommendations on the transport of dangerous goods, test and criteria, 1990, United Nations, New York.

(2)

NF T 20-040 (SEPT 85). Chemical products for industrial use. Determination of the flammability of gases formed by the hydrolysis of solid and liquid products.

Apendice

Figura

Aparat

Image

A.13.   PROPRIETĂȚI PIROFORICE ALE SOLIDELOR ȘI LICHIDELOR

1.   METODĂ

1.1.   INTRODUCERE

Procedura este aplicabilă substanțelor solide sau lichide care, în cantități mici, se aprind spontan la scurt timp după ce intră în contact cu aerul la temperatura camerei (circa 20 °C).

Această metodă de testare nu reglementează substanțele care necesită expunere la aer ore sau zile la temperatura camerei sau cele la care se produce aprinderea la temperaturi ridicate.

1.2.   DEFINIȚII ȘI UNITĂȚI

Substanțele sunt considerate ca având proprietăți piroforice dacă se aprind sau se carbonizează în condițiile descrise la punctul 1.6.

Autoaprinderea lichidelor poate fi, de asemenea, testată folosind metoda A.15. Temperatura de autoaprindere (lichide și gaze).

1.3.   SUBSTANȚE DE REFERINȚĂ

Nu sunt menționate.

1.4.   PRINCIPIUL METODEI

Substanța, solidă sau lichidă, este depusă pe un suport inert și adusă în contact cu aerul la temperatura ambiantă timp de 5 minute. Dacă substanțele lichide nu se aprind, sunt absorbite pe o hârtie de filtru și expuse la aer la temperatura ambiantă (circa 20 °C) pentru 5 minute. Dacă o substanță lichidă ori solidă se aprinde sau dacă o substanță lichidă aprinde sau carbonizează hârtia de filtru, atunci acea substanță este considerată a fi piroforică.

1.5.   CRITERII DE CALITATE

Repetabilitatea: din motive de siguranță, un singur rezultat pozitiv este suficient pentru ca substanța să fie considerată piroforică.

1.6.   DESCRIEREA METODEI

1.6.1.   Aparatură

O capsulă de porțelan de cca. 10 cm diametru se umple cu pământ de diatomee până la o înălțime de aproximativ 5 mm, la temperatura camerei (circa 20 °C).

Notă:

Pământul de diatomee sau o altă substanță inertă comparabilă care este disponibilă în mod uzual este considerat ca reprezentativ pentru solul pe care proba poate fi răsturnată în caz de accident.

Pentru testarea lichidelor care nu se aprind în contact cu aerul este necesară o hârtie de filtru uscată atunci când intră în contact cu un agent purtător inert.

1.6.2.   Desfășurarea testului

(a)

Solide sub formă de pulbere

Se toarnă 1 până la 2 cm3 de pulbere de substanță de la circa 1 m înălțime pe o suprafață necombustibilă și se observă dacă substanța se aprinde în timpul turnării sau în 5 minute de la depunere.

Testul este efectuat de 6 ori dacă nu are loc aprinderea.

(b)

Lichide

Se toarnă aproximativ circa 5 cm3 de lichid într-o capsulă de porțelan și se observă dacă substanța se aprinde în interval de 5 minute.

Dacă nu are loc nici o aprindere în 6 testări, se vor efectua următoarele teste:

un eșantion de 0,5 ml este împins dintr-o seringă pe o hârtie de filtru pliată și se observă dacă are loc aprinderea sau carbonizarea hârtiei de filtru în 5 minute de la adăugarea lichidului. Testul este efectuat de 3 ori dacă nu are loc aprinderea sau carbonizarea.

2.   DATE

2.1.   INTERPRETAREA REZULTATELOR

Testarea poate fi întreruptă atunci când apare un rezultat pozitiv într-unul dintre teste.

2.2.   EVALUARE

Dacă substanța se aprinde în 5 minute de la adăugarea ei la un purtător inert și expunerea la aer sau o substanță lichidă carbonizează sau aprinde o hârtie de filtru în 5 minute de când a fost adăugată și expusă la aer, este considerată a fi piroforică.

3.   RAPORT

Raportul de testare cuprinde, dacă este posibil, următoarele informații:

specificațiile exacte ale substanței (identificare și impurități);

rezultatele testelor;

orice observație suplimentară relevantă pentru interpretarea rezultatelor.

4.   REFERINȚE BIBLIOGRAFICE

(1)

NF T 20-039 (SEPT 85). Chemical products for industrial use. Determination of the spontaneous flammability of solids and liquids.

(2)

Recommendations on the Transport of Dangerous Goods, Test and criteria, 1990, United Nations, New York.

A.14.   PROPRIETĂȚI EXPLOZIVE

1.   METODA

1.1.   INTRODUCERE

Prezenta metodă permite determinarea probabilității ca o substanță solidă sau sub formă de pastă să prezinte pericol de explozie atunci când este supusă la efectul unei flăcări (sensibilitate termică), la șoc mecanic sau la frecare (sensibilitate la stimuli mecanici) sau ca o substanță lichidă să prezinte pericol de explozie atunci când este supusă la efectul unei flăcări sau la șoc.

Metoda cuprinde trei părți:

(a)

un test de sensibilitate termică (1);

(b)

un test de sensibilitate mecanică la șoc (1);

(c)

un test de sensibilitate mecanică la frecare (1).

Metoda oferă date care permit evaluarea probabilității de a amorsa o explozie cu ajutorul unor stimuli obișnuiți. Scopul ei nu este să determine dacă o substanță sau un preparat este sau nu este susceptibil de a exploda în orice condiții.

Metoda este în măsură să determine dacă o substanță sau un preparat va prezenta pericol de explozie (sensibilitate termică sau mecanică) în condițiile speciale definite în directivă. Metoda se bazează pe mai multe tipuri de aparate, folosite pe scară largă pe plan internațional (1) și care au, în general, rezultate edificatoare. Se admite totuși că metoda nu este definitivă. Se pot folosi aparate alternative, cu condiția ca acestea să fie recunoscute pe plan internațional și ca rezultatele să poată fi corelate în mod adecvat cu cele obținute pe aparatul specificat.

Testele nu se justifică dacă datele termodinamice disponibile (căldura de formare, căldura de descompunere) și absența anumitor grupe reactive (2) în formula structurală permit să se stabilească în mod cert că substanța sau preparatul nu este susceptibil de a se descompune rapid cu degajare de gaze sau de căldură (altfel spus, materialul nu prezintă riscuri de explozie). Pentru lichide nu este necesar testul de sensibilitate mecanică la frecare.

1.2.   DEFINIȚII ȘI UNITĂȚI DE MĂSURĂ

Exploziv:

Substanțe care sunt susceptibile de a exploda sub efectul flăcării sau sunt sensibile la șoc ori frecare în aparatul specificat (sau sunt mai sensibile din punct de vedere mecanic decât 1,3-dinitrobenzenul într-un aparat alternativ).

1.3.   SUBSTANȚE DE REFERINȚĂ

1,3-dinitrobenzen, în stare cristalină, de puritate tehnică, cernut să treacă prin sita cu ochiuri de 0,5 mm, pentru metodele de testare prin frecare și prin șoc.

Perhidro-1,3,5-trinitro-1,3,5-triazina (RDX, hexogen, ciclonit – CAS 121-82-4), recristalizată din soluție apoasă de ciclohexanonă, cernută în stare umedă prin sită cu ochiuri de 250 μm și reținută pe sită cu ochiuri de 150 μm și apoi uscată la 103 ± 2 °C (timp de 4 ore) pentru o a doua serie de teste de sensibilitate mecanică (la șoc și frecare).

1.4.   PRINCIPIUL METODEI

Sunt necesare teste preliminare pentru a determina condițiile de siguranță în care se desfășoară cele trei teste de sensibilitate.

1.4.1.   Teste pentru determinarea siguranței în manipulare (3)

Din motive de siguranță, înainte de realizarea testelor principale, se supun eșantioane foarte mici (cca. 10 mg) de substanță la încălzire în aer liber cu flacără de arzător cu gaz, la șoc, în orice formă adecvată de aparat, și la frecare, folosind un ciocan de lemn și o nicovală, sau orice alt dispozitiv de frecare. Obiectivul constă în a determina dacă substanța este suficient de sensibilă și explozibilă încât realizarea testelor de sensibilitate prescrise, în special cel de sensibilitate termică, să necesite precauții speciale pentru a evita vătămarea operatorului.

1.4.2.   Sensibilitatea termică

Metoda constă în încălzirea substanței într-un tub din oțel, închis cu plăci cu orificii de diametre diferite, pentru a determina dacă substanța este susceptibilă de a exploda în condiții de încălzire intensă și spațiu limitat într-un mod definit.

1.4.3.   Sensibilitatea mecanică (la șoc)

Metoda constă în supunerea substanței la șocul produs de un corp cu masă specificată care cade de la o înălțime specificată.

1.4.4.   Sensibilitatea mecanică (la frecare)

Metoda constă în supunerea unei substanțe, aflată în stare solidă sau sub formă de pastă, la frecare între suprafețe standardizate, în condiții specificate de forță și deplasare relativă.

1.5.   CRITERII DE CALITATE

Nu sunt menționate.

1.6.   DESCRIEREA METODEI

1.6.1.   Sensibilitatea termică (efectul flăcării)

1.6.1.1.   Aparatura

Aparatura este constituită dintr-un tub din oțel, de unică folosință, cu dispozitive de închidere refolosibile (figura 1), instalat într-un dispozitiv de încălzire și protecție. Fiecare tub este obținut prin ambutisarea adâncă a tablei de oțel (a se vedea apendicele) și are un diametru interior de 24 mm, o lungime de 75 mm și o grosime a pereților de 0,5 mm. Tuburile sunt prevăzute cu flanșă la extremitatea deschisă, pentru a permite închiderea fiecăruia cu setul plăcii cu orificii. Acesta este constituit dintr-o placă cu rezistență la presiune, cu un orificiu central, montată strâns pe tub printr-o îmbinare cu șurub din două părți (piuliță și o șaibă filetată). Piulița și șaiba filetată sunt realizate din oțel crom-mangan (a se vedea apendicele) care nu produce scântei până la 800 °C. Plăcile perforate au o grosime de 6 mm, sunt realizate din oțel termorezistent (a se vedea apendicele) și sunt disponibile într-o gamă de diametre și orificii.

1.6.1.2.   Condiții experimentale

În general, substanța este supusă testului în forma în care este primită, deși în anumite cazuri, de exemplu dacă este presată, turnată sau condensată într-un mod anume, s-ar putea să fie necesară mărunțirea acesteia înaintea testului.

Pentru substanțele solide, masa materialului ce urmează să fie supus testelor se determină printr-o metodă, în două etape, a probei în gol. Un tub căruia i s-a determinat tara este umplut cu 9 cm3 de substanță și aceasta este tasată cu o forță de 80 N aplicată pe toată secțiunea transversală a tubului. Din motive de siguranță sau în cazurile în care este posibilă modificarea formei fizice a eșantionului prin compresie, se pot folosi alte procedee de umplere; de exemplu, dacă substanța este foarte sensibilă la frecare, nu se recomandă tasarea. Dacă substanța se poate comprima, atunci se mai adaugă și se tasează până la umplerea tubului pe o lungime de 55 mm de la capăt. Se determină masa totală a substanței folosite la umplerea tubului până la 55 mm și se mai adaugă substanță în două reprize, tasându-se de fiecare dată cu o forță de 80 N. Apoi se mai adaugă și se tasează sau se scoate material, astfel încât tubul să fie umplut pe o lungime de 15 mm de la partea superioară. Se execută a doua operație preliminară a probei în gol, plecând de la o cantitate tasată egală cu o treime din masa totală rezultată în prima etapă a probei în gol. Se mai adaugă substanță în două reprize și se tasează cu o forță de 80 N reglându-se nivelul substanței din tub până la 15 mm de la partea superioară prin adăugare sau scoatere de substanță, după caz. Cantitatea de substanță solidă determinată în a doua operație preliminară se utilizează pentru fiecare test; umplerea fiind realizată în trei reprize, cu cantități egale, fiecare comprimată până la 9 cm3 cu forța necesară, oricare ar fi valoarea acesteia. (Această operație poate fi facilitată prin folosirea unor inele de distanțare.)

Lichidele și gelurile se încarcă în tub până la o înălțime de 60 mm, având grijă în mod deosebit să se evite formarea bulelor în gel. Șaiba filetată este glisată pe tub dinspre bază, se inserează placa perforată corespunzătoare și se strânge piulița după aplicarea unui lubrifiant pe bază de disulfură de molibden. Este esențial să se verifice dacă nu a rămas substanță prinsă între flanșă și placă sau în filet.

Încălzirea se realizează cu propan dintr-o butelie industrială, prevăzută cu un regulator de presiune (60 – 70 mbar), care trece printr-un contor de gaze și este distribuit uniform (în funcție de flacăra arzătoarelor) dintr-un rezervor către patru arzătoare. Arzătoarele sunt distribuite în jurul incintei de testare, așa cum se arată în figura 1. Cele patru arzătoare au un consum combinat de aproximativ 3,2 litri de propan pe minut. Se pot utiliza și alte gaze, respectiv arzătoare, dar viteza de încălzire trebuie să fie cea menționată în figura 3. Pentru toate aparatele, viteza de încălzire trebuie să se verifice periodic cu ajutorul tuburilor umplute cu dibutilftalat, după cum se indică în figura 3.

1.6.1.3.   Desfășurarea testelor

Fiecare test se realizează până la fragmentarea tubului sau după încălzirea tubului timp de cinci minute. Dacă la test se produce fragmentarea tubului în trei sau mai multe bucăți, care uneori pot să fie legate între ele prin fâșii înguste de metal ca în figura 2, se estimează că s-a produs o explozie. Dacă la test rezultă mai puține fragmente sau nu are loc fragmentarea, se consideră că nu s-a produs o explozie.

Se realizează mai întâi o serie de trei teste cu o placă perforată, cu orificiul cu diametrul de 6,0 mm și, dacă nu rezultă nici o explozie, se realizează o a doua serie de trei teste cu o placă cu orificiul de 2,0 mm. Dacă în oricare dintre seriile de teste se produce explozia, nu mai este necesară continuarea testelor.

1.6.1.4.   Evaluare

Rezultatul testului se consideră ca fiind pozitiv, dacă se produce explozie în oricare dintre seriile de teste menționate anterior.

1.6.2.   Sensibilitatea mecanică (la șoc)

1.6.2.1.   Aparatura (figura 4)

Piesele esențiale ale unei sonete clasice cu berbec sunt un bloc de oțel turnat cu soclu, nicovală, coloană, ghidaje, greutăți de șoc, dispozitiv de decuplare și suport pentru probă. Nicovala din oțel cu diametru de 100 mm și înălțimea de 70 mm este prinsă în șuruburi la partea superioară a unui bloc din oțel de 230 mm (lungime) × 250 mm (lățime) × 200 mm (înălțime) cu un soclu turnat de 450 mm (lungime) × 450 (lățime) × 60 mm (înălțime). O coloană, realizată dintr-un tub de oțel trefilat fără sudură, este prinsă într-un suport fixat cu șuruburi pe spatele blocului din oțel. Aparatul este fixat cu patru șuruburi pe un bloc din beton de 60 × 60 × 60 cm, astfel încât șinele de ghidare să fie perfect verticale și greutatea de șoc să cadă liber. Sunt disponibile greutăți de 5 până la 10 kg, realizate din oțel calmat. Berbecul este din oțel călit, HRC 60 până la 63, cu un diametru de minimum 25 mm.

Proba supusă testului este închisă într-un dispozitiv de șoc constituit din doi cilindri coaxiali din oțel calmat, unul deasupra celuilalt, situați într-un cilindru gol de oțel, care se folosește ca inel de ghidare. Cilindrii din oțel calmat au diametrul de 10 (-0,003, -0,005) mm și înălțimea de 10 mm, cu fețele lustruite, muchiile rotunjite (raza de curbură de 0,5 mm) și o duritate HRC de 58 până la 65. Cilindrul gol trebuie să aibă un diametru exterior de 16 mm, un alezaj șlefuit de 10 (+ 0,005, +0,010) mm și o înălțime de 13 mm. Dispozitivul de șoc este asamblat pe o nicovală intermediară (diametrul 26 mm și înălțimea de 26 mm) realizată din oțel și centrată cu ajutorul unui inel de centrare cu perforații pentru a permite evacuarea vaporilor.

1.6.2.2.   Condiții experimentale

Volumul eșantionului este de 40 mm3 sau un volum corespunzător aparatului utilizat. Substanțele solide se supun testului în stare uscată și se pregătesc după cum urmează:

(a)

substanțele sub formă de pulberi se cern (ochiul sitei de 0,5 mm); tot materialul care a trecut prin sită se supune testului;

(b)

substanțele presate, turnate sau condensate se fărâmițează și se cern; la teste se folosește fracția dintre sita cu ochiuri de 0,5 mm și sita cu ochiuri de 1 mm, care ar trebui să fie reprezentativă.

Substanțele care se livrează în general sub formă de pastă ar trebui să fie supuse testului în stare uscată, dacă este posibil, sau, în orice caz, după eliminarea cantității maxime posibile de diluant. Pentru testarea substanțelor lichide, aparatul de testare se reglează astfel încât între cilindrii de oțel superior și inferior să existe un spațiu de 1 mm.

1.6.2.3.   Desfășurarea testelor

Se realizează o serie de șase teste cu o greutate de șoc de 10 kg în cădere de la 0,40 m (40 J). Dacă se obține o explozie în primele șase teste la 40 J, trebuie să se mai realizeze un set de șase teste, cu greutatea de 5 kg în cădere de la 0,15 m (7,5 J). În alt aparat, proba se compară cu substanța de referință aleasă printr-o metodă stabilită (de exemplu metoda „up-and-down” etc.).

1.6.2.4.   Evaluare

Rezultatul se consideră pozitiv dacă se produce o explozie (izbucnirea unei flăcări și/sau un zgomot caracteristic unei explozii) cel puțin o dată în oricare dintre testele cu aparatul specificat sau dacă proba este mai sensibilă decât 1,3-dinitrobenzenul sau RDX într-un test alternativ de sensibilitate la șoc.

1.6.3.   Sensibilitatea mecanică (la frecare)

1.6.3.1.   Aparatul (figura 5)

Aparatul pentru testul de sensibilitate la frecare este constituit dintr-o placă de bază din fontă pe care se montează aparatul de testare la frecare. Acesta conține un bulon din porțelan și un disc mobil din porțelan. Discul din porțelan este fixat într-un culisou care se deplasează pe două ghidaje. Culisoul este cuplat la un motor electric prin intermediul unei biele, a unui excentric și a unui angrenaj de transmisie corespunzător, astfel încât să se asigure o deplasare a discului de porțelan, doar o singură dată, înainte și înapoi, pe o distanță de 10 mm, sub bulonul din porțelan. Bulonul poate să fie supus unei sarcini, de exemplu, de 120 sau 360 newtoni.

Discurile din porțelan sunt realizate din porțelan tehnic (rugozitatea de 9 – 32 μm) și au dimensiuni de 25 mm (lungime) × 25 mm (lățime) × 5 mm (înălțime). Bulonul cilindric din porțelan se realizează, de asemenea, din porțelan tehnic și are o lungime de 15 mm, diametrul de 10 mm și extremitățile rotunjite, cu suprafața rugoasă și cu o rază de curbură de 10 mm.

1.6.3.2.   Condiții experimentale

Volumul probei este de 10 mm3 sau un volum corespunzător aparatului utilizat.

Substanțele solide se supun testului în stare uscată și se pregătesc după cum urmează:

(b)

substanțele sub formă de pulberi se cern (sită cu ochiuri de 0,5 mm); tot materialul care a trecut prin sită se supune testului;

(c)

substanțele presate, formate în matriță sau condensate se fărâmițează și se cern; la teste se utilizează fracțiunea care a trecut prin site cu ochiuri < 0,5 mm.

Substanțele care se livrează în general sub formă de paste se supun testului în stare uscată, dacă este posibil. Dacă substanța nu se poate prepara în stare uscată, pasta (după eliminarea cantității maxime posibile de diluant) se supune testului sub forma unei pelicule cu următoarele dimensiuni: 0,5 mm grosime, 2 mm lățime și 10 mm lungime, realizată cu o matriță.

1.6.3.3.   Desfășurarea testelor

Bulonul din porțelan se așează deasupra eșantionului de testat și se aplică sarcina. În timpul testului, urmele lăsate de burete pe placa de porțelan trebuie să fie dispuse transversal față de direcția de deplasare. Bulonul trebuie să rămână pe eșantion, cantitatea de substanță de testat trebuie să fie suficientă, iar discul să se deplaseze corect sub bulon. Substanțele în formă de pastă se depun, cu o matriță sub forma unei pelicule cu grosimea de 0,5 mm și 2 × 10 mm. Discul de porțelan trebuie să se deplaseze înainte și înapoi pe o distanță de 10 mm sub bulonul de porțelan timp de 0,44 secunde; cele două extremități ale fiecărui bulon se folosesc fiecare la două încercări și cele două suprafețe ale discului se utilizează fiecare la trei încercări.

Se realizează o serie de șase teste la o sarcină de 360 N. Dacă în aceste șase aceste teste se obține un rezultat pozitiv, trebuie să se mai realizeze o serie de șase teste cu o sarcină de 120 N. În alt aparat, proba se compară cu substanța de referință aleasă printr-o metodă stabilită (de exemplu metoda „up-and-down” etc.)

1.6.3.4.   Evaluarea

Rezultatul se consideră pozitiv dacă se produce o explozie (pocnitură și/sau zgomot sau izbucnirea unei flăcări sunt echivalente cu o explozie) cel puțin o dată în oricare dintre teste cu aparatul de testare la frecare specificat sau sunt satisfăcute criteriile echivalente pentru o altă testare de sensibilitate mecanică (la frecare).

2.   DATE

În principiu, se consideră că o substanță prezintă pericol de explozie în sensul prezentei directive, în cazul în care se obține un rezultat pozitiv la testele de sensibilitate termică sau de sensibilitate mecanică (la șoc sau la frecare).

3.   RAPORT

3.1.   RAPORTUL DE TESTARE

Raportul de testare trebuie să conțină, dacă este posibil, informațiile următoare:

identitatea, compoziția, puritatea, conținutul de umiditate etc. al substanței de testat;

starea fizică a probei și dacă a fost sau nu mărunțită și/sau cernută;

observațiile din timpul testelor de sensibilitate termică (de exemplu masa probei, numărul de fragmente etc.);

observațiile din timpul testelor de sensibilitate mecanică (de exemplu formarea unor cantități importante de fum sau descompunerea totală fără zgomot, flăcări, scântei, pocnitură etc.);

rezultatele fiecărui tip de test;

dacă se utilizează alte aparate, trebuie să se prezinte fundamentarea științifică, precum și dovada corelației dintre rezultatele obținute cu aparatul specificat și cele obținute cu unul echivalent;

orice observație utilă, cum ar fi trimiterea la teste cu produse similare care ar putea să fie relevante pentru o interpretare corectă a rezultatelor;

orice alte constatări relevante pentru interpretarea rezultatelor.

3.2.   INTERPRETAREA ȘI EVALUAREA REZULTATELOR

Raportul de testare menționează toate rezultatele considerate false, anormale sau nereprezentative. Dacă unele rezultate se resping, se prezintă o explicație și rezultatele unor teste suplimentare sau alternative. Cu excepția cazului în care un rezultat anormal se poate explica, acesta trebuie să fie acceptat ca atare și să fie folosit la clasificarea substanței în consecință.

4.   REFERINȚE BIBLIOGRAFICE

(1)

Recommendations on the Transport of Dangerous Goods: Tests and Criteria, 1990, United Nations, New York.

(2)

Bretherik, L., Handbook of Reactive Chemical Hazards, 4th edition, Butterworths, London, ISBN 0-750-60103-5, 1990.

(3)

Koenen, H., Ide, K. H. and Swart, K. H, Explosivstoffe, 1961, vol. 3, 6-13 and 30-42.

(4)

NF T 20-038 (Sept. 85). Chemical products for industrial use – Determination of explosion risk.

Apendice

Exemple de specificații ale materialelor pentru testul de sensibilitate termică (a se vedea DIN 1623)

(1)

Tubul: Specificațiile materialelor nr. 1.0336.505 g

(2)

Placa cu orificiu: Specificațiile materialelor nr. 1.4873

(3)

Flanșa filetată și piulița: Specificațiile materialelor nr. 1.3817

Figura 1

Aparatul de testare a sensibilității termice

(toate dimensiunile sunt date în milimetri)

Image

Figura 2

Testul de sensibilitate termică

Exemple de fragmentare

Image

Figura 3

Etalonarea vitezei de încălzire pentru testarea sensibilității termice

Image

Figura 4

Aparatul de testare a sensibilității mecanice (la șoc)

(toate dimensiunile în milimetri)

Image

Figura 4

Continuare

Image

Figura 5

Aparatul de testare a sensibilității mecanice (la frecare)

Image

A.15.   PUNCTUL DE AUTOAPRINDERE (LICHIDE ȘI GAZE)

1.   METODA

1.1.   INTRODUCERE

Substanțele explozive și substanțele care se aprind spontan în contact cu aerul la temperatura ambiantă nu se supun prezentului test. Modul de operare este aplicabil la gaze, lichide și vapori care, în prezența aerului, se aprind la contactul cu o suprafață încălzită.

Punctul de autoaprindere scade considerabil prin influența impurităților catalitice existente, materialul suprafeței în contact sau prin creșterea volumului recipientului de testare.

1.2.   DEFINIȚII ȘI UNITĂȚI

Gradul de autoinflamabilitate se exprimă ca punct de autoaprindere. Punctul de autoaprindere este cea mai mică temperatură la care substanța se aprinde în contact cu aerul în condițiile definite în metoda de testare.

1.3.   SUBSTANȚE DE REFERINȚĂ

Substanțele de referință sunt specificate în standarde (a se vedea 1.6.3). Acestea trebuie să servească în special la verificarea periodică a acurateței metodei și să permită compararea cu rezultatele obținute prin alte metode.

1.4.   PRINCIPIUL METODEI

Metoda determină temperatura minimă a suprafeței interioare a unei incinte, la care are loc aprinderea unui gaz, a vaporilor sau a unui lichid injectat în incinta respectivă.

1.5.   CRITERII DE CALITATE

Repetabilitatea variază în funcție de intervalul de temperaturi de autoaprindere și de metoda de testare folosită.

Sensibilitatea și specificitatea depind de metoda de testare folosită.

1.6.   DESCRIEREA METODEI

1.6.1.   Aparatură

Aparatura este descrisă în metoda menționată la 1.6.3.

1.6.2.   Condiții experimentale

Un eșantion din substanța de testat este supus testului conform metodei menționate la 1.6.3.

1.6.3.   Desfășurarea testului

A se vedea IEC 79-4, DIN 51794, ASTM-E 659-78, BS 4056, NF T 20-037.

2.   DATE

Se înregistrează temperatura, presiunea atmosferică, cantitatea de probă utilizată și timpul scurs până la producerea aprinderii.

3.   RAPORT

Raportul de testare cuprinde, dacă este posibil, următoarele informații:

specificațiile precise ale substanței (identificarea și proprietățile);

cantitatea de probă utilizată, presiunea atmosferică;

aparatura utilizată;

rezultatele măsurătorilor (temperaturile de testare, rezultatele referitoare la aprindere, timpul scurs);

toate observațiile suplimentare relevante pentru interpretarea rezultatelor.

4.   REFERINȚE BIBLIOGRAFICE

Nici una.

A.16.   TEMPERATURA RELATIVĂ DE AUTOAPRINDERE PENTRU SUBSTANȚELE SOLIDE

1.   METODA

1.1.   INTRODUCERE

Substanțele explozive și substanțele care se aprind spontan în contact cu aerul la temperatura ambiantă nu se supun prezentului test.

Scopul prezentului test este de a furniza informații preliminare privind autoaprinderea substanțelor solide la temperaturi ridicate.

Dacă temperatura degajată, fie prin reacția substanței cu oxigenul, fie prin descompunerea exotermă, nu se împrăștie destul de repede în mediul înconjurător, se produce autoîncălzirea care conduce la autoaprindere. Autoaprinderea se produce, prin urmare, atunci când viteza de producere a căldurii este mai mare decât viteza de pierdere a căldurii.

Metoda de testare este utilă ca test preliminar de triere a substanțelor solide. Având în vedere natura complexă a fenomenelor de aprindere și de combustie a solidelor, temperatura de autoaprindere determinată conform prezentei metode de testare se folosește numai pentru comparare.

1.2.   DEFINIȚII ȘI UNITĂȚI

Temperatura de autoaprindere determinată prin prezenta metodă este temperatura minimă a mediului ambiant, exprimată în °C, la care un volum determinat dintr-o substanță se aprinde în condiții definite.

1.3.   SUBSTANȚĂ DE REFERINȚĂ

Nici una.

1.4.   PRINCIPIUL METODEI

Un anumit volum din substanță se introduce într-o etuvă la temperatura camerei; în timp ce temperatura etuvei este crescută cu o viteză de 0,5 °C/min până la 400 °C sau până la punctul de topire, dacă este mai mic, se înregistrează curba temperatură/timp pentru condițiile din centrul eșantionului. În sensul prezentului test, temperatura etuvei la care temperatura eșantionului ajunge la 400 °C prin autoîncălzire se numește temperatură de autoaprindere.

1.5.   CRITERII DE CALITATE

Nici unul.

1.6.   DESCRIEREA METODEI

1.6.1.   Aparatură

1.6.1.1.   Etuva

Etuvă de laborator termoreglabilă (volum de aproximativ 2 l) prevăzură cu circulație naturală de aer și o supapă pentru atenuarea exploziei. Pentru evitarea unui posibil risc de explozie, trebuie evitat contactul tuturor gazelor de descompunere cu elementele de încălzire electrică.

1.6.1.2.   Cubul din plasă metalică

Se taie o bucată dintr-o plasă fină din oțel inoxidabil cu ochiuri de 0,045 mm conform modelului din figura 1. Plasa se pliază și se fixează cu sârmă într-un cub deschis la partea superioară.

1.6.1.3.   Termocuplurile

Termocupluri corespunzătoare.

1.6.1.4.   Înregistratorul

Orice înregistrator cu două canale etalonat de la 0 la 600 °C sau la o tensiune corespunzătoare.

1.6.2.   Condiții experimentale

Substanțele se supun testului în forma în care se primesc.

1.6.3.   Desfășurarea testului

Cubul se umple cu substanță, se tasează ușor, adăugând substanță până la umplerea cubului. Cubul se suspendă apoi în centrul unei etuve la temperatura camerei. Un termocuplu se instalează în centrul cubului și celălalt între cub și peretele etuvei, pentru înregistrarea temperaturii din etuvă.

Temperatura etuvei și cea a probei se înregistrează permanent în timpul creșterii temperaturii etuvei până la 400 °C sau până la punctul de topire, dacă este mai mic, cu o viteză de 0,5 °C/min.

Când substanța se aprinde, termocuplul probei va indica o creștere foarte bruscă a temperaturii, peste temperatura etuvei.

2.   DATE

Temperatura etuvei la care temperatura probei ajunge la 400 °C prin autoîncălzire este importantă pentru evaluare (a se vedea figura 2).

3.   RAPORT

Raportul de testare cuprinde, dacă este posibil, următoarele informații:

descrierea substanței;

rezultatele măsurătorilor, inclusiv curba temperatură/timp;

toate observațiile suplimentare relevante pentru interpretarea rezultatelor.

4.   REFERINȚE BIBLIOGRAFICE

(1)

NF T 20-036 (September 85). Chemical products for industrial use. Determination of the relative temperature of the spontaneous flammability of solids.

Figura 1

Modelul cubului de testare de 20 mm

Image

Figura 2

Curbă de tipul temperatură/timp

Image

A.17.   PROPRIETĂȚI OXIDANTE (SOLIDE)

1.   METODA

1.1.   INTRODUCERE

Înainte de a realiza acest test, este util să se colecteze informații preliminare privind orice posibile proprietăți explozive ale substanței de testat.

Prezentul test nu se aplică lichidelor, gazelor, substanțelor explozive sau inflamabile sau peroxizilor organici.

Prezentul test nu este necesar dacă examinarea formulei structurale stabilește dincolo de orice îndoială că substanța nu are capacitate de reacție exotermă cu un material combustibil.

Pentru a stabili dacă sunt necesare precauții speciale în timpul testului, se realizează un test preliminar.

1.2.   DEFINIȚII ȘI UNITĂȚI

Timpul de ardere: timpul de reacție, exprimat în secunde, necesar pentru ca zona de reacție să traverseze un cartuș, în conformitate cu procedura descrisă la punctul 1.6.

Viteza de ardere: exprimată în milimetri pe secundă.

Viteza maximă de ardere: cea mai mare valoare a vitezelor de ardere obținută cu amestecuri ce conțin oxidant în proporție de 10 - 90 % gr.

1.3.   SUBSTANȚA DE REFERINȚĂ

Azotatul de bariu (de puritate analitică) se folosește ca substanță de referință în test și în testul preliminar.

Amestecul de referință este amestecul constituit din azotat de bariu și pudră de celuloză, preparat conform descrierii de la punctul 1.6, care are viteza maximă de ardere (amestecul conține, de regulă, 60 % gr azotat de bariu).

1.4.   PRINCIPIUL METODEI

Pentru siguranță se realizează un test preliminar. În cazul în care testul preliminar indică în mod clar că substanța supusă testului are proprietăți oxidante, nu mai este necesar alt test. Dacă nu se întâmplă astfel, substanța se supune testului complet.

Pentru testul complet, se prepară amestecuri cu proporții diferite de substanță de testat și substanță combustibilă. Se prepară apoi câte un cartuș din fiecare amestec, care se aprinde la o extremitate.

1.5.   CRITERII DE CALITATE

Dacă este necesar, orice metodă de mărunțire și amestecare este valabilă, cu condiția ca diferența dintre viteza maximă de ardere și valoarea mediei aritmetice, în șase teste separate, să fie de maximum 10 %.

1.6.   DESCRIEREA METODEI

1.6.1.   Prepararea

1.6.1.1.   Substanța de testat

Proba de analizat se aduce la dimensiuni ale particulelor < 0,125 mm prin următoarea metodă: se cerne substanța, se mărunțește fracția rămasă, se repetă acțiunea până când întreaga cantitate de probă trece prin sită.

Se poate utiliza orice metodă de mărunțire sau cernere care satisface criteriile de calitate.

Înaintea preparării amestecului, substanța se usucă la 105 °C, până la greutate constantă. Dacă temperatura de descompunere a substanței de testat este mai mică de 105 °C, substanța trebuie să se usuce la o temperatură mai mică.

1.6.1.2.   Substanța combustibilă

Pulberea de celuloză se utilizează ca substanță combustibilă. Celuloza ar trebui să fie de tipul utilizat în cromatografia în strat subțire sau în cromatografia în coloană. S-a dovedit că tipul care conține mai mult de 85 % fibre cu lungimea de 0,020 – 0,075 mm este corespunzătoare. Pulberea de celuloză se trece printr-o sită cu ochiuri de 0,125 mm. Se folosește același lot de celuloză pentru tot testul.

Înainte de prepararea amestecului, pulberea de celuloză este uscată la 105 °C până se obține o greutate constantă.

Dacă în testul preliminar se utilizează rumeguș de lemn, se prepară un rumeguș prin colectarea porțiunii care trece prin sita cu ochiuri de 1,6 mm, se amestecă cu grijă, apoi se usucă la 105 °C timp de patru ore într-un strat cu o grosime de maximum 25 mm. Se răcește și se păstrează până când este necesar, de preferință într-un interval de 24 de ore de la uscare, într-un recipient etanș cât mai bine umplut.

1.6.1.3.   Sursa de ardere

Ar trebui să se folosească flacăra unui bec de gaz (diametrul minim de 5 mm) ca sursă de aprindere. Dacă se utilizează altă sursă de aprindere (de exemplu la testul în atmosferă inertă), trebuie să se prezinte în raportul de testare descrierea și justificarea acesteia.

1.6.2.   Desfășurarea testului

Notă:

Amestecurile din oxidanți și celuloză sau rumeguș trebuie să fie tratate ca posibil explozive și manipulate cu atenția cuvenită.

1.6.2.1.   Test preliminar

Substanța uscată se amestecă cu grijă cu celuloza uscată sau rumegușul uscat în proporții din greutate de substanță/celuloză sau rumeguș de 2:1 și din amestecul obținut se formează un cartuș conic cu dimensiunile de 3,5 cm (diametrul la bază) × 2,5 cm (înălțimea) prin umplerea, fără îndesare, a unei forme conice (de exemplu o pâlnie din sticlă de laborator cu robinetul închis).

Cartușul este așezat pe o placă rece, necombustibilă, neporoasă și cu conductibilitate termică redusă. Testul ar trebui să se realizeze sub nișă de tiraj, conform descrierii de la punctul 1.6.2.2.

Sursa de aprindere se aduce în contact cu conul. Se urmăresc amploarea și durata reacției rezultate și se înregistrează.

Dacă reacția este viguroasă, substanța se consideră ca fiind oxidantă.

Dacă rezultatele nu sunt certe, este necesar să se realizeze testul complet descris în continuare.

1.6.2.2.   Test complet

Se prepară amestecuri oxidant/celuloză ce conțin 10 – 90 % oxidant, cu o rație de creștere de 10 % a cantității de oxidant. Pentru cazurile limită, ar trebui să se utilizeze amestecuri intermediare oxidant/celuloză pentru a obține viteza maximă de ardere cu mai multă precizie.

Cartușul se obține cu o matriță. Matrița este din metal, are o lungime de 250 mm și o secțiune transversală triunghiulară cu o înălțime interioară de 10 mm și o lățime interioară de 20 mm. Pe ambele fețe ale matriței, pe direcție longitudinală, se montează două plăci metalice ca opritoare laterale care depășesc cu 2 mm extremitatea superioară a secțiunii transversale triunghiulare (figura). Dispozitivul obținut se umple fără tasare cu amestec, puțin în exces. După ce se lasă matrița să cadă de la o înălțime de 2 cm pe o suprafață solidă, substanța în exces se curăță cu o racletă oblică. Plăcile opritoare se scot și pulberea rămasă se netezește cu un rulou. Se așează apoi o placă cu conductibilitate termică mică, neporoasă și necombustibilă peste formă, ansamblul se răstoarnă și se scoate forma.

Se introduce cartușul în nișă, perpendicular pe direcția curentului de aer.

Viteza aerului trebuie să fie suficientă pentru a preveni răspândirea vaporilor în laborator și ar trebui să fie constantă în timpul testului. Curentul de aer trebuie să formeze un ecran în jurul aparatului.

Datorită caracterului higroscopic al celulozei și al unor substanțe de testat, testul se execută cât se poate de repede.

Se aprinde un capăt al cartușului prin contactul cu flacăra.

Se măsoară timpul de reacție pe o distanță de 200 mm după ce zona de reacție s-a propagat pe o distanță inițială de 30 mm.

Testul se realizează cu substanța de referință și cel puțin o dată cu fiecare amestec din gama celor constituite din substanța de testat și celuloză în diferite proporții.

Dacă se constată o viteză maximă de ardere cu mult mai mare decât cea a amestecului de referință, testul se poate opri; în caz contrar, testul se repetă de cinci ori pentru fiecare dintre cele trei amestecuri care au cea mai mare viteză de ardere.

Dacă se suspectează un rezultat fals pozitiv, atunci ar trebui să se repete testul cu o substanță inertă cu particule de dimensiuni similare, de exemplu kiselgur, în loc de celuloză. O altă posibilitate constă în repetarea testului cu amestecul cu viteza de ardere cea mai mare, în atmosferă inertă (cu un conținut de oxigen < 2 % v/v).

2.   DATE

Din motive de siguranță, se consideră că viteza maximă de ardere – nu valoarea medie – reprezintă proprietatea oxidantă maximă a substanței supuse testului.

Valoarea cea mai mare a vitezei de ardere într-o serie de șase teste pe un amestec dat este relevantă pentru evaluare.

Se reprezintă grafic valoarea cea mai mare a vitezei de ardere pentru fiecare amestec în funcție de concentrația oxidantului. Din grafic se citește viteza maximă de ardere.

Cele șase valori ale vitezei de ardere măsurate într-un set realizat cu amestecul cu viteza maximă de ardere trebui să difere cu maximum 10 % față de valoarea mediei aritmetice; în caz contrar, sunt necesare metode îmbunătățite de mărunțire și amestecare.

Se compară viteza maximă de ardere cu viteza maximă de ardere a amestecului de referință (a se vedea punctul 1.3).

Dacă încercările se realizează în atmosferă inertă, se compară viteza maximă de reacție cu cea obținută cu amestecul de referință în atmosferă inertă.

3.   RAPORT

3.1.   RAPORTUL DE TESTARE

Raportul de testare cuprinde, dacă este posibil, următoarele informații:

identitatea, compoziția, puritatea, conținutul de umiditate etc. ale substanței de testat;

orice tratament aplicat eșantionului (de exemplu măcinare, uscare, …);

sursa de aprindere folosită;

rezultatele măsurătorilor;

tipul reacției (de exemplu ardere superficială cu flacără, ardere în întreaga masă, orice informații privind produsele de ardere, …).

orice observație suplimentară relevantă pentru interpretarea rezultatelor, inclusiv descrierea vigorii (flacără, scântei, degajare de vapori, ardere înăbușită înceată etc.) și durata aproximativă obținută în testul preliminar de siguranță/triere atât pentru substanța de testat, cât și pentru substanța de referință;

rezultatele testelor cu substanță inertă, după caz;

rezultatele testelor în atmosferă inertă, după caz.

3.2.   INTERPRETAREA REZULTATELOR

Se consideră că o substanță este substanță oxidantă, în cazul în care:

(a)

la testul preliminar există o reacție viguroasă;

(b)

la testul complet viteza maximă de ardere a amestecurilor testate este mai mare decât sau egală cu viteza maximă de ardere a amestecului de referință constituit din celuloză și azotat de bariu.

Pentru a se evita rezultatele fals pozitive, la interpretarea rezultatelor se iau în considerare și rezultatele obținute la testarea substanței cu un material inert și/sau la testul în atmosferă inertă.

4.   REFERINȚE BIBLIOGRAFICE

(1)

NF T 20-035 (SEPT 85). Chemical products for industrial use. Determination of the oxidizing properties of solids.

Apendice

Figura

Matrița și accesoriile pentru prepararea cartușului

(Toate dimensiunile sunt în milimetri)

Image

PARTEA B: METODE PENTRU DETERMINAREA TOXICITĂȚII

INTRODUCERE GENERALĂ: PARTEA B

A.   INTRODUCERE

A se vedea introducerea generală.

B.   DEFINIȚII

(i)

Toxicitatea acută cuprinde efectele adverse care se produc într-un termen dat (de obicei 14 zile) de la administrarea unei doze unice dintr-o substanță.

(ii)

DL50 (doza letală mediană) este doza unică, obținută statistic, a unei substanțe despre care se poate estima că produce decesul a 50 % dintre animalele cărora li se administrează. Valoarea DL50 se exprimă în unitate de masă a substanței de testat pe unitatea de masă a animalului de laborator (miligrame pe kilogram).

(iii)

CL50 (concentrația letală mediană) este concentrația, obținută statistic, a unei substanțe despre care se poate estima că produce decesul în timpul expunerii sau într-un termen stabilit după expunere a 50 % dintre animalele expuse un timp specificat. Valoarea CL50 se exprimă prin greutatea substanței de testat pe volumul standard de aer (miligrame pe litru).

(iv)

Nivelul la care nu se observă nici un efect advers este doza maximă sau nivelul de expunere maxim folosit într-un test care nu produce semne detectabile de toxicitate.

(v)

Toxicitate subacută/subcronică cuprinde efectele adverse care se produc la animalele de experiență ca urmare a administrării zilnice repetate a unei substanțe chimice sau a expunerii zilnice repetate la o substanță chimică, o perioadă scurtă din viața estimată a acestora.

(vi)

Doza maximă admisă (DMA) este doza cea mai mare care provoacă semne de toxicitate la animale fără a avea efecte importante asupra supraviețuirii în condițiile testului în care se folosește.

(vii)

Iritarea pielii este producerea unor modificări inflamatorii reversibile ale pielii în urma aplicării unei substanțe de testat.

(viii)

Iritarea ochilor este producerea unor modificări reversibile ale ochiului în urma aplicării unei substanțe de testat pe suprafața anterioară a ochiului.

(ix)

Sensibilizarea pielii (dermatită alergică de contact) este o reacție cutanată, mijlocită imunologic, la o substanță.

Definiții specifice pentru toxicitatea la administrare prin inhalare

Un aerosol este definit ca particule (solide și/sau lichide) dispersate omogen în aer.

Diametrul aerodinamic este diametrul unei sfere de densitate unitară (1 g cm-3) având o viteză de sedimentare finală egală cu cea a particulei studiate.

Diametrul aerodinamic median masic (DAMM) este diametrul aerodinamic calculat prin interpolare care împarte în jumătate șirul valorilor de distribuție granulometrică a aerosolului exprimate în unități de masă.

Deviația standard geometrică (DSG) este raportul dintre 84 de sutimi și 50 de sutimi estimate și indică panta curbei cumulate de distribuție dimensională a particulelor, considerând că distribuția dimensională este o funcție lognormală.

Definiții specifice pentru procedura cu doză fixă la determinarea toxicității acute la administrare orală

Toxicitatea evidentă se referă la efectele toxice observate în urma administrării unei substanțe, care au o astfel de severitate încât administrarea dozei următoare mai mari ar putea să inducă mortalitate.

Doza de discriminare este doza cea mai mare din patru doze fixe care se poate administra fără a induce mortalitate conexă compusului (inclusiv prin necesitatea eutanasierii).

C.   MUTAGENEZA (inclusiv testul de triere prealabilă a compușilor cu potențial cancerigen)

Pentru evaluarea preliminară a potențialului mutagen al unei substanțe, este necesar să se obțină informații privind două categorii de mecanisme, și anume mutația genică și anomaliile cromozomiale.

Cele două mecanisme se evaluează prin următoarele teste:

(i)

teste privind producerea de mutații genice (punctiforme) în celulele procariote ca Salmonella typhimurium; sunt acceptabile și testele care utilizează Escherichia coli. Alegerea între cele două organisme experimentale menționate este determinată de natura substanței chimice care se testează;

(ii)

teste privind producerea de anomalii cromozomiale în celulele de mamifere, dezvoltate in vitro; se poate accepta și o procedură in vivo (testul micronucleilor și studiul metafazei celulelor de măduvă osoasă). Cu toate acestea, în absența unor contraindicații, metodele in vitro vor fi puternic preferate.

D.   EVALUARE ȘI INTERPRETARE

Există limitări privind măsura în care este posibilă extrapolarea directă la om a rezultatelor obținute din testele pe animale și in vitroși trebuie să se țină seama de acest aspect la evaluarea și interpretarea testelor.

În cazul în care sunt disponibile, dovezile privind efecte adverse asupra oamenilor pot să aibă semnificație în determinarea posibilelor efecte ale substanțelor chimice asupra populației umane.

E.   REFERINȚE BIBLIOGRAFICE

Toxicologia este o știință experimentală în evoluție și există o bibliografie bogată pentru fiecare subiect. Informații importante se pot găsi în orientările OCDE pentru teste.

Observații suplimentare

Îngrijirea animalelor

Controlul riguros al condițiilor de mediu și tehnicile corespunzătoare de îngrijire a animalelor sunt esențiale în realizarea testelor de toxicitate.

(i)

Condiții de adăpostire

Condițiile ambiante din spațiile sau incintele pentru animalele experimentale trebuie să fie corespunzătoare speciei utilizate în test. Pentru șobolani, șoareci și cobai, condițiile potrivite sunt temperatura camerei de 22 ± 3 °C, umiditatea relativă de 30–70 %; pentru iepuri, temperatura ar trebui să fie de 20 ± 3 °C, iar umiditatea relativă de 30–70 %.

Unele tehnici experimentale sunt deosebit de sensibile la efectele temperaturii și, în aceste cazuri, detaliile privind condițiile corespunzătoare sunt cuprinse în descrierea metodei de testare. În toate studiile privind efectele toxice se controlează și se înregistrează temperatura și umiditatea, fiind incluse în raportul de testare.

În cazul în care se utilizează iluminatul artificial, succesiunea este în mod normal de 12 ore de lumină cu 12 ore de întuneric. Detaliile referitoare la programul de iluminare se înregistrează și se includ în raportul de testare.

În rapoartele referitoare la experimentări pe animale, este important să se indice tipul cuștilor utilizate și numărul animalelor adăpostite în fiecare cușcă, atât în timpul expunerii la substanța chimică, cât și în perioada ulterioară de observație.

(ii)

Condiții de hrană

Regimurile alimentare trebuie să îndeplinească cerințele nutritive ale speciei supuse testului. Dacă substanțele de testat se administrează animalelor în hrană, valoarea nutritivă ar putea să fie redusă prin interacțiunea substanței cu o componentă a hranei.

La interpretarea rezultatelor testelor se ține seama de posibilitatea acestui tip de reacție.

Impuritățile alimentare cunoscute ca influențând toxicitatea nu trebuie să fie prezente în concentrații care afectează rezultatele testelor.

Bunăstarea animală

La elaborarea metodelor de testare, trebuie să se acorde atenția cuvenită bunăstării animale. Câteva exemple sunt prezentate pe scurt în continuare; lista prezentată nu este completă. Formularea exactă și/sau condițiile se citesc în textul metodelor:

pentru determinarea toxicității acute la administrare orală, se introduce o metodă alternativă, „metoda dozei fixe”. Această metodă nu folosește efectul letal ca parte specifică a mecanismului de testare. Folosește mai puține animale și provoacă mai puțină durere și suferință decât determinarea clasică a toxicități acute la administrare orală;

numărul de animale folosite este redus la un minimum acceptabil din punct de vedere științific: se supun testului doar 5 animale de același sex pentru fiecare doză în cazul metodelor B.1 și B.3; se folosesc doar 10 animale (și doar 5 pentru lotul martor negativ) pentru determinarea sensibilizării pielii prin testul de maximizare pe cobai (metoda B.6); de asemenea, este redus numărul de animale necesare pentru martorul pozitiv la testarea mutagenezei in vitro (metodele B.11 și B.12);

se reduce la minimum durerea și suferința animalelor în timpul testelor: este necesară eutanasierea animalelor care prezintă semne severe și durabile de suferință și durere; nu trebuie să se administreze substanța într-un mod despre care se cunoaște că provoacă durere și suferință accentuate datorită proprietăților corozive sau iritante (metodele B.1, B.2 și B.3);

se evită testele cu doze irelevant de mari prin introducerea testelor de limită, nu numai în testele de toxicitate acută (metodele B.1, B.2 și B.3), ci și în testele in vivo de mutagenitate (metodele B.11 și B.12);

strategia testării în vederea stabilirii proprietăților iritare permite acum evitarea realizării unui test sau reducerea studiului pe un singur animal, dacă se pot furniza suficiente dovezi științifice.

Astfel de dovezi științifice pot să aibă la bază proprietățile fizico-chimice ale substanței, rezultatele altor teste realizate anterior sau rezultatele testelor in vitro bine validate. De exemplu, dacă un studiu de toxicitate acută la administrare cutanată a fost efectuat cu doza din testul de limită (metoda B.3) și nu s-a observat iritarea pielii, alt test pentru iritarea pielii (metoda B.4) nu mai este necesar; compușii care au prezentat efecte clare de coroziune sau iritare severă a pielii într-un studiu de iritare a pielii (metoda B.4) nu mai sunt testate pentru iritarea ochilor (metoda B.5).

B.1.   TOXICITATE ACUTĂ (ADMINISTRARE ORALĂ)

1.   METODĂ

1.1.   INTRODUCERE

A se vedea introducerea generală: partea B (litera A).

1.2.   DEFINIȚII

A se vedea introducerea generală: partea B (litera B).

1.3.   SUBSTANȚE DE REFERINȚĂ

Nici una.

1.4.   PRINCIPIUL METODEI DE TESTARE

Substanța de testat se administrează oral prin gavaj, în doze crescătoare, la mai multe loturi, câte o doză pentru fiecare lot. Dozele se pot alege pe baza rezultatelor unui test de stabilire a intervalului de dozare. Ulterior, se fac observații cu privire la efectele toxice și la mortalitate. Animalele care mor pe perioada testării sunt autopsiate, iar la sfârșitul testului animalele supraviețuitoare se supun și ele autopsiei. Această metodă vizează în special studiile pe specii de rozătoare.

Animalele care prezintă semne grave de suferință sunt eutanasiate. Se evită administrarea substanțelor cu proprietăți corozive sau iritante în moduri care pot produce suferințe grave.

1.5.   CRITERII DE CALITATE

Nici unul.

1.6.   DESCRIEREA METODEI DE TESTARE

1.6.1.   Pregătiri

Se țin animalele în condițiile de adăpostire și de alimentare specifice experimentului cel puțin în cele 5 zile care îl preced. Înainte de testare, animalele tinere sănătoase se repartizează la întâmplare în loturile tratate. Dacă este necesar, substanța de testat se dizolvă sau se trece în suspensie într-un vehicul adecvat. Este recomandată, dacă este posibil, folosirea în primul rând a soluțiilor apoase, uleiurilor vegetale sau altor vehicule sau suspensii apoase. Pentru soluțiile neapoase, caracteristicile toxice relevante ale vehiculului sunt cunoscute sau se determină înainte de începerea testului. La rozătoare, volumul administrat trebuie să nu depășească 10 ml/kg masă corporală, exceptând cazul soluțiilor apoase, unde se poate folosi un volum de 20 ml/kg masă corporală. Variabilitatea volumului testat se reduce la minimum, prin reglarea concentrației, pentru a asigura un volum constant pentru toate dozele.

1.6.2.   Condiții experimentale

1.6.2.1.   Animale de experiență

Dacă nu sunt contraindicații, specia preferată este șobolanul.

Se folosesc animale aparținând liniilor obișnuite de laborator. Pentru fiecare sex, la începutul experimentului, diferența de greutate între animale nu trebuie să depășească cu mai mult de ± 20 % valoarea medie.

1.6.2.2.   Număr și sex

Pentru fiecare nivel de dozare se folosește un număr minim de 5 rozătoare. Toate animalele trebuie să fie de același sex. Dacă se folosesc femele, acestea trebuie să fie nulipare și negestante. Dacă există informații că unul dintre sexe este semnificativ mai sensibil, animale de sexul respectiv sunt cele supuse la tratament.

Notă: În testele de toxicitate acută pe animale mai mari decât rozătoarele se poate folosi un număr mai mic de animale.

Dozele se aleg cu atenție, astfel încât să nu se depășească dozele moderat toxice. În acest tip de teste trebuie evitată administrarea dozelor letale de substanță de testat.

1.6.2.3.   Doze

Dozele trebuie să fie suficient de numeroase (cel puțin trei), iar între ele să existe intervale corespunzătoare care să producă o scară de efecte toxice și letale. Informațiile trebuie să fie suficiente pentru a permite înregistrarea unei curbe doză/răspuns și, unde este posibil, determinarea DL50.

1.6.2.4.   Test de limită

Dacă se folosesc rozătoare, pe un lot de 5 masculi și 5 femele se efectuează un test de limită la un nivel al dozei de cel puțin 2 000 mg/kg masă corporală, conform metodei descrise mai jos. Dacă apare mortalitate corelată cu doza, se realizează un studiu complet.

1.6.2.5.   Perioada de observație

Perioada de observație este de minimum 14 zile. Cu toate acestea, durata observațiilor nu este fixată în mod rigid, ci se stabilește în funcție de efectele toxice, intensitatea lor la debut și perioada de recuperare. Perioada de observație poate fi extinsă, dacă se consideră necesar. Momentul în care apar și dispar semnele de toxicitate și momentul morții sunt factori importanți, mai ales dacă mortalitatea tinde să fie una tardivă.

1.6.3.   Mod de operare

Animalele sunt private de hrană înainte de administrarea substanței. La șobolani, hrana este restricționată și pe timpul nopții. În cazul animalelor cu metabolism mai intens, se recomandă o perioadă mai scurtă de întrerupere a hranei; apa nu este restricționată. În zilele următoare, animalele sunt cântărite, iar substanța de testat se administrează prin gavaj în doză unică cu o sondă gastrică adecvată. În cazul în care nu este posibilă administrarea în doză unică, se efectuează o administrare fracționată într-un interval care nu depășește 24 de ore. Animalele nu sunt hrănite timp de trei-patru ore după administrarea substanței de testat. Atunci când doza se administrează fracționat într-un interval de timp, se asigură hrana și apa, în funcție de lungimea intervalului.

După administrarea substanței de testat, animalele sunt observate sistematic, iar rezultatele se înregistrează pentru fiecare animal. În prima zi se efectuează examinări clinice frecvente.

Examinări sistematice se efectuează cel puțin o dată pe zi în fiecare zi lucrătoare; alte observații se realizează zilnic, pentru a reduce pierderea animalelor din motive exterioare testului și se iau măsuri adecvate, de exemplu autopsierea sau congelarea animalelor moarte și izolarea ori sacrificarea animalelor slăbite sau muribunde. Observațiile vizează modificări ale blănii și pielii, ochilor, mucoaselor, sistemului respirator, circulator, sistemului nervos central și sistemului nervos autonom, ale activității somato-motrice și modului de comportament. Se acordă o atenție deosebită următoarelor aspecte: tremor, convulsii, salivație, diaree, letargie, somn și comă. Momentul morții se înregistrează cât mai exact posibil.

Animalele care mor pe parcursul testului și cele care supraviețuiesc până la sfârșit sunt autopsiate. Toate modificările anatomopatologice macroscopice se înregistrează. Dacă există indicații în acest sens, se recoltează țesuturi pentru examenul histopatologic.

Evaluarea toxicității la sexul opus

La încheierea studiului pentru unul dintre sexe, substanța de testat se administrează cel puțin unui lot de 5 animale de sex opus, pentru a stabili dacă animalele care aparțin acestui sex nu au o sensibilitate mai pronunțată la substanța de testat. În circumstanțe individuale, este permisă folosirea unui număr mai mic de animale. Dacă sunt disponibile informații care demonstrează că animalele care aparțin sexului tratat prezintă o sensibilitate mai mare, nu mai este necesară testarea pe animale de sex opus.

2.   DATE

Datele se sistematizează în tabel, pentru fiecare lot testat înregistrându-se: numărul animalelor la începutul testului; momentul morții pentru fiecare animal; numărul de animale care manifestă alte semne de toxicitate; descrierea efectelor toxice; rezultatele autopsiei. Greutatea individuală a animalelor este determinată și înregistrată imediat înaintea aplicării substanței de testat, apoi săptămânal, până în momentul morții. Modificările în greutate se calculează și se înregistrează când supraviețuirea depășește o zi. Animalele eutanasiate din cauza suferinței grave provocate de compusul folosit se înregistrează ca decese datorate efectelor substanței de testat. DL50 se determină printr-o metodă standardizată. Evaluarea rezultatelor cuprinde, dacă este posibil, o apreciere a relației între expunerea animalului la substanța de testat și incidența și severitatea tuturor anomaliilor apărute, inclusiv: modificări comportamentale și clinice, leziuni anatomopatologice macroscopice, variații ale greutății corporale, mortalitate, alte efecte toxice.

3.   RAPORT

3.1.   RAPORTUL DE TESTARE

Raportul de testare cuprinde, dacă este posibil, următoarele informații.

specia, linia, sursa, condițiile ambiante, regimul alimentar etc.;

condițiile experimentale;

dozele (cu indicarea vehiculului, dacă se folosește, și concentrația);

sexul animalelor de experiență;

tabel cu rezultatele experimentale pe sexe și doze (număr de animale moarte sau sacrificate în cursul testului, număr de animale prezentând semne de toxicitate, număr de animale expuse);

intervalul de timp după dozare la care apare mortalitatea, argumentele și criteriile pentru eutanasierea animalelor;

toate observațiile;

valoarea DL50 (cu specificarea metodei de determinare) pentru sexul care a reprezentat obiectul unui studiu complet pe o perioadă de 14 zile;

intervalul de încredere de 95 % pentru DL50, dacă este posibil;

curba doză/mortalitate și panta dreptei ecuației de regresie (dacă metoda de determinare permite acest lucru);

rezultatele autopsiei;

rezultatele examenului histopatologic;

rezultatele testelor pe sexul opus;

discutarea rezultatelor (o atenție deosebită se acordă efectului pe care numărul animalelor sacrificate pe parcursul testului l-ar putea avea asupra valorii calculate a DL50);

interpretarea rezultatelor.

3.2.   EVALUARE ȘI INTERPRETARE

A se vedea introducerea generală: partea B (litera D).

4.   REFERINȚE BIBLIOGRAFICE

A se vedea introducerea generală: partea B (litera E).

B.1. bis   TOXICITATE ACUTĂ (ADMINISTRARE ORALĂ) – METODA DOZEI FIXE

1.   METODĂ

1.1.   INTRODUCERE

A se vedea introducerea generală: partea B (litera A).

1.2.   DEFINIȚII

A se vedea introducerea generală: partea B (litera B).

1.3.   SUBSTANȚE DE REFERINȚĂ

Nici una.

1.4.   PRINCIPIUL METODEI DE TESTARE

Testele de toxicitate acută prin administrare orală furnizează informații cu privire la efectele nocive care pot urma, într-o perioadă scurtă de timp, ingestiei unei doze unice de substanță de testat.

Metoda dozei fixe se aplică în două etape.

Într-un studiu orientativ preliminar, se studiază efectele diferitelor doze, administrate oral prin gavaj, pe rând, unor exemplare de același sex. Studiul orientativ furnizează informații despre relația doză-toxicitate, inclusiv o estimare a dozei letale minime. În mod normal, în acest stadiu nu se folosesc mai mult de 5 animale.

În studiul principal, substanța se administrează oral prin gavaj la grupuri de 5 masculi și 5 femele la una din dozele prestabilite (5, 50, 500 sau 2 000 mg/kg). Doza folosită rezultă din studiul orientativ și este cea susceptibilă de a produce „toxicitate evidentă” (a se vedea 1.2. Definiții), dar nu mortalitate.

După administrare, se observă efectele.

Atunci când doza inițială produce toxicitate evidentă, dar nu mortalitate corelată cu doza, nu mai este necesar alt test.

În cazurile în care toxicitatea evidentă nu apare la doza aleasă, substanța se testează din nou, cu doza imediat superioară. În cazul în care animalele mor sau în care reacțiile de toxicitate severă impun sacrificarea animalelor, substanța se re-testează la doza imediat inferioară.

Această metodă permite identificarea „dozei de discriminare” (a se vedea 1.2. Definiții), care reprezintă cea mai mare doză prestabilită și care poate fi administrată fără a cauza mortalitate (inclusiv eutanasiere).

Animalele care prezintă semne grave de suferință sunt eutanasiate. Nu trebuie folosită administrarea substanțelor cu proprietăți corozive sau iritante în moduri care pot produce suferințe grave.

1.5.   CRITERII DE CALITATE

Nici unul.

1.6.   DESCRIEREA METODEI DE TESTARE

1.6.1.   Pregătiri

1.6.1.1.   Animale de experiență

Dacă nu există contraindicații, specia preferată este șobolanul.

Se folosesc animale aparținând liniilor obișnuite de laborator. Pentru fiecare sex, la începutul experimentului, diferența de greutate între animale nu trebuie să depășească cu mai mult de ± 20 % valoarea medie.

Se țin animalele în condițiile de adăpostire și de alimentare specifice experimentului cel puțin în cele 5 zile care îl preced. Înainte de începerea testului, animalele tinere sănătoase se repartizează la întâmplare în loturile tratate în studiul orientativ și în studiul principal. În practică, pentru studiul principal este necesar numai un singur lot din fiecare sex.

1.6.1.2.   Prepararea și administrarea dozei

Dacă este necesar, substanța de testat se dizolvă sau se trece în suspensie într-un vehicul adecvat. Este recomandată folosirea, dacă este posibil, în primul rând, a soluțiilor apoase, urmată de uleiurile vegetale, apoi alte vehicule sau suspensii. Pentru soluțiile neapoase, caracteristicile toxice relevante ale vehiculului se cunosc sau se determină înainte sau în timpul testului. La rozătoare, volumul administrat nu depășește 10 ml/kg masă corporală, exceptând soluțiile apoase, când se poate folosi un volum de 20 ml/kg masă corporală. Variabilitatea volumului testat se poate reduce prin reglarea concentrației, pentru a menține un volum constant pentru toate dozele.

Animalele sunt private de hrană înainte de administrarea substanței. La șobolani, hrana este restricționată și pe timpul nopții; apa nu este restricționată. În ziua următoare, animalele sunt cântărite, iar substanța de testat se administrează prin gavaj în doză unică. În cazul în care nu este posibilă administrarea într-o doză unică, se efectuează o administrare fracționată într-un interval de cel mult 24 de ore. După administrarea substanței de testat, animalele pot să fi ținute fără hrană timp de trei-patru ore. Atunci când doza se administrează fracționat într-un anumit interval, se asigură hrana și apa animalelor, în funcție de lungimea intervalului.

1.6.2.   Mod de operare

1.6.2.1.   Studiul orientativ

Se studiază pe câte un exemplar efectele diferitelor doze. În mod normal, în absența unor informații care să indice că masculii reprezintă sexul mai sensibil, se folosesc animale femele. Tratamentul se aplică animalelor pe rând, alocând un interval de cel puțin 24 de ore înainte de tratarea următorului animal. Toate animalele sunt observate cu atenție timp de cel puțin 7 zile pentru depistarea semnelor de toxicitate; dacă după 7 zile semnele de toxicitate moderată persistă, animalele vor fi monitorizate suplimentar încă maximum 7 zile. Mai întâi se testează următoarele doze: 5, 50, 500 și 2 000 mg/kg masă corporală. Dacă doza inițială aleasă nu produce o toxicitate severă, iar doza imediat superioară produce mortalitate, atunci este necesar să se analizeze unul sau mai multe niveluri intermediare de toxicitate, după caz. În acest fel, este posibilă obținerea de informații asupra dozelor care pot produce eventuale semne de toxicitate și a dozei minime care produce mortalitate.

Se urmărește alegerea dozei inițiale pe baza informațiilor furnizate de substanțe chimice similare. În absența unor asemenea informații, se sugerează utilizarea în primă instanță a dozei de 500 mg/kg masă corporală. Dacă nu apar semne de toxicitate după doza inițială, se studiază în continuare doza imediat superioară. Dacă nu apare mortalitate la 2 000 mg/kg masă corporală, studiul orientativ se încheie, iar studiul principal se realizează la această doză. Dacă la doza inițială (de exemplu 500 mg/kg masă corporală) sunt observate efecte severe, impunând sacrificarea animalului, se administrează unui alt animal următoarea doză inferioară (de exemplu 50 mg/kg). Dacă acest animal supraviețuiește, următoarele animale pot fi atunci tratate cu doze intermediare, între nivelurile fixate. În mod normal, în această metodă nu se folosesc mai mult de 5 animale.

1.6.2.2.   Studiul principal

Pentru fiecare doză se folosesc cel puțin 10 animale (5 femele și 5 masculi). Dacă se folosesc femele, acestea trebuie să fie nulipare și negestante.

Principiul metodei dozei fixe constă în folosirea în studiul principal exclusiv a dozelor moderat toxice. Se evită administrarea dozelor letale de substanță de testat.

Doza care se folosește în test se alege dintre cele patru doze fixe, și anume 5, 50, 500, sau 2 000 mg/kg masă corporală. Doza aleasă inițial este cea susceptibilă să producă toxicitate evidentă, dar nu mortalitate datorată substanței de testat (inclusiv eutanasierea animalelor; decesele accidentale nu sunt incluse, dar trebuie să fie înregistrate). Atunci când acest nivel de dozare produce toxicitate evidentă, dar nu mortalitate datorată substanței de testat, nu mai este necesară continuarea testului.

În cazurile în care nu rezultă o toxicitate evidentă la doza aleasă, substanța este testată din nou, la doza imediat superioară. Cu toate acestea, animalele sunt ținute în continuare sub observație, până când perioada completă de observație se epuizează. În cazul în care reacțiile de toxicitate severă impun sacrificarea animalelor sau există mortalitate corelată cu administrarea dozei, substanța se testează din nou la doza imediat inferioară. În mod similar, animalele care nu este necesar să fie eutanasiate sunt ținute sub observație pentru întrega perioadă.

După administrare, observațiile se fac și se înregistrează sistematic. Pentru fiecare animal se completează o fișă individuală.

Perioada de observație este de cel puțin 14 zile. Cu toate acestea, durata de observație nu se limitează în mod rigid. Aceasta se stabilește în funcție de reacțiile toxice, de viteza de instalare a acestora și de perioada de recuperare; astfel, dacă este necesar, ea poate fi extinsă. Perioada după care semnele toxicității apar și dispar și momentul morții sunt importante, mai ales dacă există o tendință de toxicitate tardivă.

Se efectuează o examinare clinică cel puțin de două ori pe zi în timpul tratamentului și cel puțin o dată în fiecare zi după acesta. Animalele în suferință evidentă sau care prezintă semne severe de suferință trebuie eutanasiate. Dacă animalele continuă să prezinte semne de toxicitate, sunt necesare observații suplimentare în timpul primelor zile după dozare. Dacă este evident că s-a ales o doză prea ridicată, testul trebuie încheiat.

Observațiile vizează modificări ale blănii și pielii, ochilor, mucoaselor, sistemului respirator, circulator, sistemului nervos central și sistemului nervos autonom, activității somato-motrice și comportamentului. Trebuie acordată o atenție deosebită următoarelor aspecte: tremor, convulsii, salivație, diaree, letargie, somn și comă.

Fiecare animal este cântărit cu puțin timp înainte de administrarea substanței, zilnic în următoarele trei zile și săptămânal ulterior. Animalele care mor pe parcursul testului și cele care supraviețuiesc până la sfârșitul testului se cântăresc și se supun autopsiei. Toate modificările anatomopatologice macroscopice se înregistrează. În cazurile indicate, se recoltează țesuturi pentru examenul histopatologic.

În funcție de nivelul dozei precedente, ar putea fi necesar un al doilea sau, în mod excepțional, un al treilea nivel al dozei.

În cazul în care substanța produce mortalitate la 5 mg/kg masă corporală (sau în cazurile în care studiul preliminar indică apariția mortalității la doza în cauză), se recomandă ca toxicitatea acută a substanței să fie analizată în continuare.

2.   DATE

Datele rezultate atât din studiul preliminar cât și din studiul principal se sistematizează în tabele, înregistrându-se pentru fiecare doză testată numărul animalelor la începutul testului, numărul de animale care manifestă alte semne de toxicitate, numărul de animale decedate pe parcursul testului sau eutanasiate, descrierea efectelor toxice pentru studiul principal, dacă a fost observată toxicitate evidentă datorată substanței de testat, perioada instalării oricăror efecte toxice și rezultatele autopsiei. Dacă supraviețuirea depășește o zi, se calculează și se înregistrează modificările în greutate.

Animalele eutanasiate din cauza suferinței grave provocate de substanța folosită se înregistrează ca decese datorate efectelor substanței de testat.

3.   RAPORT

3.1.   RAPORTUL DE TESTARE

Raportul de testare cuprinde, dacă este posibil, următoarele informații, atât pentru studiul preliminar, cât și pentru studiul principal, după caz:

specia, linia, sursa, condiții ambiante, regim alimentar etc.;

condițiile experimentale;

dozele (cu indicarea vehiculului, dacă este cazul, și a concentrației);

rezultatele complete ale tuturor dozelor investigate;

tabel cu rezultatele experimentale pe sexe și doze (de exemplu numărul de animale utilizate; modificări ale greutății corporale; după caz, numărul animalelor care mor sau sunt sacrificate pe parcursul testului; numărul de animale care prezintă semne de toxicitate; natura, severitatea și durata efectelor);

intervalul de timp după dozare în care apar semne de toxicitate și dacă fenomenele sunt reversibile;

dacă animalele mor sau sunt sacrificate, intervalul de timp după dozare în care se înregistrează mortalitate, argumentele și criteriile pentru eutanasierea animalelor;

rezultatele autopsiei;

rezultatele examenului histopatologic;

discutarea rezultatelor;

interpretarea rezultatelor, inclusiv semnele de toxicitate evidentă și doza „de discriminare” identificată în test.

3.2.   EVALUARE ȘI INTERPRETARE

DOZĂ

DATE

INTERPRETARE

5 mg/kg mc

Mai puțin de 100 % supraviețuire

Compuși care sunt FOARTE TOXICI.

 

100 % supraviețuire; dar toxicitate evidentă

Compuși care sunt TOXICI.

 

100 % supraviețuire; fără toxicitate evidentă

A se vedea rezultatele la 50 mg/kg.

50 mg/kg mc

Mai puțin de 100 % supraviețuire

Compuși care pot fi TOXICI sau FOARTE TOXICI. A se vedea rezultatele la 5 mg/kg.

 

100 % supraviețuire; dar toxicitate evidentă

Compuși care pot fi NOCIVI.

 

100 % supraviețuire; fără toxicitate evidentă

A se vedea rezultatele la 500 mg/kg.

500 mg/kg mc

Mai puțin de 100 % supraviețuire

Compuși care pot fi TOXICI sau NOCIVI. A se vedea rezultatele la 50 mg/kg.

 

100 % supraviețuire; dar toxicitate evidentă

Compuși considerați a nu avea toxicitate acută semnificativă.

 

100 % supraviețuire; fără toxicitate evidentă

A se vedea rezultatele la 2 000 mg/kg.

2 000 mg/kg mc

Mai puțin de 100 % supraviețuire

A se vedea rezultatele la 500 mg/kg.

 

100 % supraviețuire; cu sau fără toxicitate evidentă

Compuși care nu au toxicitate acută semnificativă.

A se vedea și introducerea generală: partea B (litera D).

4.   REFERINȚE BIBLIOGRAFICE

A se vedea introducerea generală: partea B (litera E).

B.2.   TOXICITATEA ACUTĂ (ADMINISTRARE PRIN INHALARE)

1.   METODĂ

1.1.   INTRODUCERE

Este util să se folosească informații preliminare asupra substanței cu privire la mărimea și distribuția particulelor, presiunea vaporilor, punctul de topire, punctul de fierbere, punctul de aprindere și proprietățile explozive (după caz).

A se vedea și introducerea generală: partea B (litera A).

1.2.   DEFINIȚIE

A se vedea introducerea generală: partea B (litera B).

1.3.   SUBSTANȚE DE REFERINȚĂ

Nici una.

1.4.   PRINCIPIUL METODEI DE TESTARE

Mai multe loturi de animale de experiență se tratează cu substanța de testat pentru o perioadă de timp definită, în concentrații crescătoare, folosindu-se o singură concentrație pe lot. Ulterior, se observă efectele toxice și mortalitatea. Animalele care mor pe parcursul testului și cele care supraviețuiesc până la încheierea experimentului se supun autopsiei.

Animalele care prezintă semne de suferință intensă și de durată trebuie eutanasiate. Se evită administrarea substanțelor cu proprietăți corozive sau iritante în moduri care pot produce suferință intensă.

1.5.   CRITERII DE CALITATE

Nici unul.

1.6.   DESCRIEREA METODEI DE TESTARE

1.6.1.   Pregătiri

Se țin animalele în condițiile de adăpostire și de alimentare specifice experimentului cel puțin în cele 5 zile care îl preced. Înainte de începerea testului, animalele tinere sănătoase se repartizează la întâmplare într-un număr necesar de loturi. Animalele nu sunt supuse unei expuneri simulate decât dacă acest lucru este indicat de tipul de aparat de expunere folosit.

Substanțele solide testate trebuie să fie reduse la dimensiuni micronice, în scopul obținerii unor particule de dimensiuni corespunzătoare.

Atunci când este necesar, la substanța de testat se poate adăuga un vehicul care să ajute la generarea unei concentrații adecvate de substanță de testat în atmosferă și, în acest caz, se folosește un lot martor pentru vehicul. Dacă pentru facilitarea administrării se folosește un vehicul sau alt aditiv, trebuie să fie cunoscute eventualele efecte toxice ale acestuia.

1.6.2.   Condiții experimentale

1.6.2.1.   Animale de experiență

Dacă nu sunt contraindicații, specia preferată este șobolanul. Se folosesc animale aparținând liniilor obișnuite de laborator. Pentru fiecare sex, la începutul experimentului, diferența de greutate între animale nu trebuie să depășească cu mai mult de ± 20 % valoarea medie.

1.6.2.2.   Număr și sex

Pentru fiecare nivel de dozare se folosesc minimum 10 rozătoare (5 masculi și 5 femele). Femelele trebuie să fie nulipare și negestante.

Notă: În testele de toxicitate acută cu animale aparținând unui ordin mai înalt decât cel al rozătoarelor se are în vedere introducerea în experiment a unui număr mai mic de animale.

Dozele se aleg cu atenție și se depun toate eforturile pentru a nu se depăși dozele moderat toxice. În asemenea teste se evită administrarea dozelor letale.

1.6.2.3.   Concentrații de expunere

Acestea trebuie să fie în număr suficient, cel puțin 3, distanțate adecvat pentru a produce o gamă de efecte toxice și mortalitate la loturile testate. Rezultatele trebuie să fie suficient de numeroase pentru a permite înregistrarea unei curbe concentrație-mortalitate și determinarea acceptabilă a CL50 acolo unde este posibil.

1.6.2.4.   Test de limită

Nu sunt necesare teste ulterioare dacă expunerea a 5 masculi și 5 femele la o concentrație de 5 mg/l, dacă este gaz, sau 5 mg/l dacă este sub formă de aerosol, de substanță solidă sau lichidă (sau, dacă acest lucru nu este posibil din considerente legate de proprietățile fizice sau chimice, inclusiv explozive, ale substanței de testat, la cea mai mare concentrație posibilă), timp de 4 ore, nu produce o mortalitate corelată cu compusul în termen de 14 zile.

1.6.2.5.   Timpul de expunere

Timpul de expunere este de 4 ore.

1.6.2.6.   Aparatura necesară

Animalele se expun la substanța de testat cu ajutorul unui dispozitiv de inhalare conceput pentru a asigura un flux continuu sau cel puțin 12 aerisiri pe oră, garantând un conținut de oxigen adecvat și o distribuție uniformă a produsului de testat în aer. Dacă se folosește o incintă, aceasta trebuie concepută astfel încât să reducă la minimum aglomerarea animalelor de experiment și să le asigure o expunere maximă, prin inhalare, a substanței de testat. De regulă, pentru a asigura stabilitatea atmosferei din incintă, volumul total al animalelor nu trebuie să depășească 5 % din volumul incintei. Se mai pot folosi expuneri oro-nazale, numai ale capului sau ale întregului corp, în incinte individuale; primele două tipuri de expunere limitează absorbția pe alte căi a substanței de testat.

1.6.2.7.   Perioada de observație

Perioada de observație este de minimum 14 zile. Cu toate acestea, durata observațiilor nu este fixată în mod rigid. Ea se stabilește în funcție de efectele toxice, de intensitatea lor la debut și de perioada de recuperare; perioada de observație poate fi extinsă, dacă se consideră necesar. Momentul în care apar și dispar semnele de toxicitate și momentul morții sunt factori importanți, mai ales dacă mortalitatea tinde să fie una tardivă.

1.6.3.   Mod de operare

Animalele sunt cântărite cu puțin timp înaintea tratamentului, apoi se tratează cu concentrația testată, în aparatul respectiv, timp de patru ore, după echilibrarea concentrației în incintă. Timpul de echilibrare trebuie să fie scurt. Temperatura la care se realizează testul este de 22 ± 3 °C. În mod ideal, umiditatea relativă este menținută între 30 % și 70 %, dar în anumite cazuri, cum ar fi testarea anumitor aerosoli, acest lucru nu este practicabil. Menținerea unei ușoare presiuni negative în incintă (de exemplu 5 mm H2O) previne pierderea substanței de testat în spațiul înconjurător. Hrana și apa sunt restricționate în timpul expunerii. Se folosesc sisteme corespunzătoare de generare și monitorizare a atmosferei testate. Sistemul este proiectat și funcționează astfel încât să mențină o distribuție omogenă a atmosferei testate în interiorul incintei.

Se măsoară și se controlează:

(a) debitul de aer (în permanență);

(b) concentrația reală a substanței de testat măsurate în zona de respirație, cel puțin de trei ori în timpul expunerii (unele atmosfere, de exemplu cea cu aerosoli la concentrații mari, necesită măsurări mai frecvente). Pe parcursul perioadei de expunere, concentrația nu trebuie să varieze cu mai mult de ± 15 % față de valoarea medie. Cu toate acestea, în cazul prafului și al aerosolilor, acest grad de control poate să nu fie atins, iar în acest caz se poate accepta o diferență mai mare. În cazul aerosolilor, analiza granulometrică se efectuează ori de câte ori este necesar (cel puțin o dată pe lot).

(c) temperatura și umiditatea, continuu, dacă este posibil.

În timpul expunerii și după aceasta au loc observații care sunt înregistrate sistematic; pentru fiecare animal se consemnează date individuale. Se fac observații frecvente în prima zi. Cel puțin o dată pe zi lucrătoare, se procedează la o examinare clinică atentă; se fac și alte observații zilnice și se iau măsurile necesare pentru a reduce la minimum pierderea animalelor din studiu, precum autopsia sau congelarea exemplarelor găsite moarte și izolarea sau sacrificarea celor slăbite sau muribunde.

Observațiile vizează modificări ale părului și ale blănii, ale ochilor și ale mucoaselor, ale aparatului respirator, ale sistemului circulator, ale sistemului nervos autonom și ale sistemului nervos central, precum și ale activității somato-motrice și ale comportamentului. Trebuie acordată o atenție deosebită următoarelor aspecte: tremor, convulsii, salivație, diaree, letargie, somn și comă. Momentul morții este înregistrat cât mai precis posibil. Fiecare animal este cântărit săptămânal, după tratament și la deces.

Animalele care mor pe parcursul testului și cele care supraviețuiesc sunt supuse autopsiei la încheierea testului, acordându-se o atenție specială modificărilor tractului respirator. Trebuie înregistrate toate modificările anatomopatologice macroscopice. Unde este cazul, țesuturile se prelevează pentru examen histopatologic.

2.   DATE

Datele se sistematizează în tabele. Pentru fiecare lot testat se consemnează: numărul animalelor introduse în experiment; momentul morții fiecărui animal; numărul de animale care prezintă alte semne de toxicitate; descrierea efectelor toxice; rezultatele autopsiei. Modificările în greutate se calculează și se înregistrează, dacă supraviețuirea depășește o zi. Animalele eutanasiate datorită suferinței intense provocate de compusul folosit se înregistrează ca decese datorate efectelor substanței de testat. CL50 se determină printr-o metodă standardizată. Rezultatele evaluării cuprind, dacă este posibil, o apreciere a relației între expunerea animalului la substanța de testat și incidența și severitatea tuturor modificărilor apărute, care includ: modificări comportamentale și clinice, leziuni anatomopatologice macroscopice, variații ale greutății corporale, mortalitate, alte efecte toxice.

3.   RAPORT

3.1.   RAPORTUL DE TESTARE

Raportul de testare conține, dacă este posibil, următoarele informații:

specia, linia, sursa, condițiile ambiante, regimul alimentar;

condițiile experimentale: descrierea aparatului de expunere,

inclusiv concepția, tipul, dimensiunile, sursa de aer, sistemul generator de particule și de aerosoli, metoda de condiționare a aerului și, după caz, modul de adăpostire a animalelor în incinta de testare. Se descrie echipamentul folosit pentru măsurarea temperaturii și, dacă este necesar, stabilitatea concentrațiilor de aerosoli și granulometria particulelor.

Datele privind expunerea

se prezintă sub forma unui tabel care indică valorile medii, precum și măsura variabilității (de exemplu, deviația standard); ele trebuie să includă:

(a)

debitul de aer în dispozitivul de inhalare;

(b)

temperatura și umiditatea aerului;

(c)

concentrațiile nominale (cantitatea totală de substanță de testat introdusă în dispozitivul de inhalare raportată la volumul de aer);

(d)

după caz, natura vehiculului;

(e)

concentrațiile reale din zona de respirație;

(f)

diametrul aerodinamic median masic al particulelor (DAMM) și deviația geometrică standard (DSG);

(g)

perioada de echilibrare;

(h)

perioada de expunere;

înregistrarea rezultatelor pe sexe și nivel de expunere (numărul de animale moarte pe parcursul testului, numărul de animale care prezintă semne de toxicitate, numărul de animale expuse);

momentul morții pe parcursul testului, criteriile de eutanasiere;

toate observațiile;

valoarea CL50 calculată pe fiecare sex, determinată la sfârșitul perioadei de observație, cu specificarea metodei de calcul;

intervalul de încredere de 95 % pentru CL50 (în cazul în care poate fi furnizat);

curba doză/mortalitate și panta (dacă este permisă de metoda de determinare);

rezultatele autopsiei;

rezultatele examenului histopatologic;

discutarea rezultatelor (o atenție specială se acordă efectelor pe care numărul animalelor sacrificate pe parcursul testului le-ar putea avea asupra valorii calculate a CL50);

interpretarea rezultatelor.

3.2.   EVALUARE ȘI INTERPRETARE

A se vedea introducerea generală: partea B (litera D).

4.   REFERINȚE BIBLIOGRAFICE

A se vedea introducerea generală: partea B (litera E).

B.3.   TOXICITATEA ACUTĂ (ADMINISTRARE CUTANATĂ)

1.   METODĂ

1.1.   INTRODUCERE

A se vedea introducerea generală: partea B (litera A).

1.2.   DEFINIȚIE

A se vedea introducerea generală: partea B (litera B).

1.3.   SUBSTANȚE DE REFERINȚĂ

Nici una.

1.4.   PRINCIPIUL METODEI DE TESTARE

Substanța de testat se aplică pe piele, în doze crescătoare, la mai multe loturi, câte o doză pentru fiecare lot. Ulterior se fac observații cu privire la efectele toxice și mortalitate. Animalele care mor pe perioada testării sunt autopsiate, iar la sfârșitul testului animalele supraviețuitoare se supun și ele autopsiei.

Animalele care prezintă semne grave de suferință sunt eutanasiate. Se evită administrarea substanțelor cu proprietăți corozive sau iritante în moduri care pot produce suferințe grave.

1.5.   CRITERII DE CALITATE

Nici unul.

1.6.   DESCRIEREA METODEI DE TESTARE

1.6.1.   Pregătiri

Se țin animalele în condițiile de adăpostire și de alimentare specifice experimentului cel puțin în cele 5 zile care îl preced. Înainte de testare, animalele tinere sănătoase se repartizează la întâmplare în loturile tratate. Cu aproximativ 24 DE ore înaintea testului, blana din zona dorsală a trunchiului animalelor se tunde sau se rade cu atenție pentru a nu produce escoriații care ar putea altera permeabilitatea pielii. Pentru aplicarea substanței de testat este pregătită cel puțin 10 % din suprafața corpului. Dacă se testează substanțe solide, acestea se umezesc suficient cu apă sau, dacă este necesar, cu un vehicul corespunzător care să asigure un contact bun cu pielea. Dacă se folosește un vehicul, trebuie luată în considerare influența acestuia asupra penetrabilității cutanate. Substanțele lichide testate se folosesc, în general, nediluate.

1.6.2.   Condiții experimentale

1.6.2.1.   Animale de experiență

Se folosesc șobolani sau iepuri adulți. Se pot folosi și alte specii, dar folosirea acestora trebuie justificată. Se folosesc animale din liniile obișnuite de laborator. Pentru fiecare sex, la începutul experimentului, diferența de greutate între animale nu trebuie să depășească cu mai mult de ± 20 % valoarea medie.

1.6.2.2.   Număr și sex

Pentru fiecare doză se folosesc cel puțin 5 animale, de același sex. Dacă se folosesc femele, acestea trebuie să fie nulipare și negestante. Dacă există informații demonstrate că unul dinTRE sexe prezintă o sensibilitate mai mare, vor fi supuse testului animale de sexul respectiv.

Notă: În testele de toxicitate acută efectuate pe animale aparținând unui ordin mai înalt decât rozătoarele se folosesc mai puține animale. Dozele se aleg astfel încât să nu se depășească dozele moderat toxice. În astfel de teste se evită administrarea dozelor letale de substanță de testat.

1.6.2.3.   Doze

Dozele trebuie alese în număr suficient (cel puțin trei) și astfel încât să producă o gamă de efecte toxice și mortalitate. La alegerea dozelor trebuie luate în considerare eventualele efecte iritante sau corozive. Informațiile trebuie să permită înregistrarea unei curbe doză/răspuns și, unde este posibil, determinarea DL50.

1.6.2.4.   Test de limită

Pe un lot 5 masculi și 5 femele se poate efectua un test de limită cu doză unică de cel puțin 2 000 mg/kg masă corporală, folosind tehnica descrisă mai sus. Dacă apare mortalitate corelată cu doza, se efectuează un studiu complet.

1.6.2.5.   Perioada de observație

Perioada de observație este de minimUM 14 zile. Cu toate acestea, durata observațiilor nu este fixată în mod rigid, ci se stabilește în funcție de efectele toxice, intensitatea lor la debut și perioada de recuperare. Perioada de observație poate fi extinsă, dacă se consideră necesar. Momentul în care apar și dispar semnele de toxicitate și momentul morții sunt factori importanți, mai ales dacă mortalitatea tinde să fie una tardivă.

1.6.3.   Mod de operare

Fiecare animal este ținut într-o cușcă individuală. Substanța de testat se aplică uniform pe o porțiune de aproximativ 10 % din suprafața corporală totală. Zona de aplicare poate fi mai redusă în cazul substanțelor foarte toxice, dar se acoperă o suprafață cât mai mare, cu un strat cât se poate de subțire și de uniform.

Pe parcursul expunerii, substanța de testat se menține în contact cu pielea cu ajutorul unui bandaj de tifon și al unui plasture neiritant. Suprafața tratată se acoperă astfel încât să mențină bandajul de tifon și substanța de testat și să se evite ingerarea acesteia de către animale. Se poate folosi contenționarea pentru a împiedica animalele să ingereze substanța de testat, dar nu se recomandă imobilizarea completă.

La sfârșitul perioadei de expunere, se elimină, dacă este posibil, orice reziduu de substanță, cu apă sau cu ajutorul unui alt procedeu de curățare a pielii.

În timpul expunerii și după aceasta au loc observații care sunt înregistrate sistematic; pentru fiecare animal se consemnează date individuale. Se fac observații frecvente în prima zi. Cel puțin o dată pe zi lucrătoare, se procedează la o examinare clinică atentă; se fac și alte observații zilnice și se iau măsurile necesare pentru a reduce la minimUM pierderea animalelor din studiu, cum ar fi autopsia sau congelarea exemplarelor găsite moarte și izolarea sau sacrificarea celor slăbite sau muribunde.

Observațiile vizează modificări ale blănii, pielii tratate, ochilor, mucoaselor, sistemului respirator, circulator, sistemului nervos central și sistemului nervos autonom, ale activității somato-motrice și comportamentului. Trebuie acordată o atenție deosebită următoarelor aspecte: tremor, convulsii, salivație, diaree, letargie, somn și comă. Momentul morții se înregistrează cât mai exact posibil. Animalele care mor pe parcursul testului și cele care supraviețuiesc la terminarea lui se supun autopsiei. Toate modificările anatomopatologice macroscopice sunt înregistrate. Dacă este astfel indicat, se recoltează țesuturi pentru examenul histopatologic.

Evaluarea toxicității la sexul opus

După terminarea studiului pentru unul dinTRE sexe, substanța de testat se administrează la cel puțin un lot de 5 animale de sex opus, pentru a stabili dacă animalele care aparțin acestui sex prezintă o sensibilitate mai pronunțată la substanța de testat. În circumstanțe individuale poate fi justificată folosirea unui număr MAI mic de animale. Dacă sunt disponibile informații care demonstrează că animalele aparținând sexului tratat prezintă o sensibilitate mai mare, nu mai este necesară testarea pe animale de sex opus.

2.   DATE

Datele se sistematizează în tabele. Pentru fiecare lot testat se consemnează: numărul animalelor la începutul testului; momentul morții pentru fiecare animal; numărul de animale care manifestă alte semne de toxicitate; descrierea efectelor toxice; rezultatele autopsiei. Greutatea animalelor este determinată și înregistrată cu puțin timp înaintea aplicării substanței de testat, apoi săptămânal până în momentul decesului; modificările în greutate se calculează și se înregistrează, dacă supraviețuirea depășește o zi. Animalele sacrificate datorită suferinței intense provocate de compusul folosit se înregistrează ca decese datorate efectelor substanței de testat. DL50 se determină printr-o metodă recunoscută.

Rezultatele evaluării cuprind, dacă este posibil, o apreciere a relației între expunerea animalului la substanța de testat și incidența și severitatea tuturor modificărilor apărute, inclusiv: modificări comportamentale și clinice, leziuni macroscopice, variații ale greutății corporale, mortalitate, alte efecte toxice.

3.   RAPORT

3.1.   RAPORTUL DE TESTARE

Raportul de testare cuprinde, dacă este posibil, următoarele informații:

specia, linia, sursa, condițiile ambiante, regimul alimentar etc.;

condițiile experimentale (inclusiv metoda de curățare a pielii și tipul de bandaj: ocluziv sau neocluziv);

dozele (cu indicarea vehiculului, dacă se folosește, și concentrațiile);

sexul animalelor tratate;

tabele cu rezultatele răspunsului, structurate după sex și doză (numărul animalelor care au murit sau au fost sacrificate pe parcursul testului, numărul animalelor care prezintă semne de toxicitate, numărul animalelor expuse);

momentul morții după tratament, argumente și criterii folosite pentru eutanasierea animalelor;

toate observațiile;

valoarea DL50 (cu specificarea metodei de determinare) pentru sexul care a reprezentat obiectul unui studiu complet pe o perioadă de 14 zile;

intervalul de încredere DE 95 % pentru DL50 (când poate fi prezentat);

curba doză/mortalitate și panta dreptei de regresie, acolo unde permite metoda de determinare;

rezultatele autopsiei;

rezultatele histopatologice;

rezultatele testelor pe sexul opus;

discutarea rezultatelor (o atenție particulară se acordă efectului pe care numărul animalelor sacrificate pe parcursul testului l-ar putea avea asupra valorii calculate a DL50);

interpretarea rezultatelor.

3.2.   EVALUARE ȘI INTERPRETARE

A se vedea introducerea generală: partea B (litera D).

4.   REFERINȚE BIBLIOGRAFICE

A se vedea introducerea generală: partea B (litera E).

B.4.   TOXICITATEA ACUTĂ (IRITAREA PIELII)

1.   METODĂ

1.1.   INTRODUCERE

A se vedea introducerea generală: partea B (litera A).

1.2.   DEFINIȚIE

A se vedea introducerea generală: partea B (litera B).

1.3.   SUBSTANȚE DE REFERINȚĂ

Nici una.

1.4.   PRINCIPIUL METODEI DE TESTARE

Considerații preliminare

Pentru a reduce testarea substanțelor în condiții susceptibile de a produce reacții severe, se acordă o atenție deosebită tuturor informațiilor disponibile despre substanță. Atunci când se apreciază dacă testele ulterioare trebuie să fie de tip test complet, studiu pe un singur animal odată sau să nu se mai desfășoare deloc, pot fi utile următoarele informații:

(i)

proprietățile fizico-chimice și reactivitatea chimică a substanței: substanțele cu caracter acid sau bazic pronunțat (de exemplu, pH mai mic decât 2 sau mai mare de 11,5) nu este necesar să se supună la un test de iritare primară a pielii, dat fiind că este probabil să aibă proprietăți corozive. De asemenea, se ia în considerare rezerva alcalină sau acidă;

(ii)

nu este necesară efectuarea unui test complet dacă din teste in vitro recunoscute sunt disponibile dovezi convingătoare cu privire la apariția efectelor severe;

(iii)

rezultatele studiilor de toxicitate acută. Nu mai este necesară o testare ulterioară a reacției de iritare cutanată dacă, în cazul efectuării unui studiu de toxicitate acută pe cale cutanată, cu aplicarea substanței la doza maximă prevăzută în test (2 000 mg/kg masă corporală), nu s-au evidențiat reacții de iritare a pielii. Nu este necesară testarea substanțelor la care s-a demonstrat existența unei toxicități mari prin administrare pe cale cutanată.

Substanța de testat se aplică în doză unică pe pielea mai multor animale de experiență. Fiecare animal este propriul său martor. După un interval specificat, se citește gradul de iritare și se notează conform sistemului de clasificare. Pentru o evaluare completă a efectelor, acestea sunt descrise amănunțit. Perioada de observație trebuie să fie suficient de lungă pentru a putea evalua complet caracterul reversibil al efectelor observate.

Animalele care prezintă semne de suferință severă trebuie eutanasiate.

1.5.   CRITERII DE CALITATE

Nici unul.

1.6.   DESCRIEREA METODEI DE TESTARE

1.6.1.   Pregătiri

Blana se tunde sau se rade pe suprafața dorsală a trunchiului animalului cu aproximativ 24 de ore înaintea testării.

Tunsul sau rasul se efectuează cu o atenție deosebită pentru a nu se escoria pielea. Se folosesc numai animale cu tegumente sănătoase și intacte.

Unele rase de iepuri au porțiuni de blană deasă, mai proeminente în anumite perioade ale anului; substanța de testat nu se aplică pe aceste zone cu pilozitate ridicată.

În cazul testării substanțelor solide (care, după caz, se pot pulveriza), substanța se umezește suficient cu apă sau cu un vehicul corespunzător, pentru a asigura un contact bun cu pielea. Dacă se folosesc vehicule, se ia în considerare influența vehiculului asupra reacției de iritare cutanată produse de substanța de testat. În general, substanțele de testat lichide sunt folosite nediluate.

1.6.2.   Condiții experimentale

1.6.2.1.   Animale utilizate în cadrul experimentului

Deși se pot folosi mai multe specii de mamifere, sunt preferate rasele de iepuri albinoși.

1.6.2.2.   Număr de animale

Dacă se presupune, pe baza rezultatelor unor studii in vitro sau a altor informații, că substanța produce necroză (adică este corozivă), se ia în considerare testul pe un singur animal. Dacă rezultatele acestui test nu indică corozivitate, acesta este completat folosind suplimentar cel puțin două animale.

Pentru un test complet se folosesc cel puțin trei animale adulte sănătoase. Nu sunt necesare alte animale pentru lotul martor netratat. Poate fi necesară suplimentarea animalelor pentru clarificarea rezultatelor echivoce.

1.6.2.3.   Doze

Dacă nu există contraindicații, pe zona testată se aplică o cantitate de 0,5 ml de lichid sau 0,5 g de substanță solidă sau semisolidă. Suprafața adiacentă de piele netratată a fiecărui animal constituie martorul testului.

1.6.2.4.   Perioada de observație

Perioada de observație nu este strict stabilită. Aceasta trebuie să fie suficientă pentru evaluarea completă a reversibilității sau ireversibilității efectelor observate, dar în mod normal nu depășește 14 zile după aplicare.

1.6.3.   Mod de operare

Fiecare animal este ținut într-o cușcă individuală. Substanța de testat se aplică uniform pe o suprafață mică (aproximativ 6 cm2) de piele și este menținută în contact cu pielea cu ajutorul unui bandaj de tifon și al unui plasture neiritant. În cazul lichidelor sau al unor substanțe sub formă de pastă, este necesară aplicarea substanței de testat pe un bandaj de tifon care este apoi aplicat pe piele. Pe durata expunerii, tifonul va fi ținut în contact lejer cu pielea cu ajutorul unui bandaj ocluziv sau semiocluziv adecvat. Se împiedică accesul animalului la bandaj și ingerarea/inhalarea substanței de testat.

La sfârșitul perioadei de expunere, se elimină, dacă este posibil, orice reziduu de substanță, cu apă sau cu ajutorul unui alt procedeu de curățare a pielii, fără a modifica răspunsul existent sau integritatea epidermei.

Durata expunerii este, în mod normal, de patru ore.

Dacă există suspiciunea că substanța poate produce necroză (adică este corozivă), durata de expunere trebuie redusă (de exemplu, la o oră sau la trei minute). Într-o primă fază, aceste testări se pot face pe un singur animal, la care să se aplice simultan trei bandaje (dacă acest fapt nu este împiedicat de toxicitatea cutanată acută a compusului testat). Primul bandaj se înlătură după trei minute. Dacă nu există o reacție cutanată evidentă, al doilea bandaj se înlătură după o oră. Dacă observațiile în această fază indică necesitatea unei expuneri de patru ore și aceasta poate fi realizată luând în considerare principiile umanitare, atunci al treilea bandaj se înlătură după patru ore, realizându-se și cotarea reacțiilor de iritare cutanată.

În acest caz (când a fost posibilă o expunere de patru ore), testul va fi completat cu cel puțin două animale suplimentare, cu excepția situației în care se consideră inuman să se procedeze astfel (de exemplu, când se observă necroza după cele patru ore de expunere).

Dacă se observă o reacție cutanată severă (de exemplu, necroză), fie la trei minute, fie la o oră, testul trebuie imediat întrerupt.

O expunere prelungită se poate indica în anumite condiții (de exemplu, în cazul anticipării unei expuneri și utilizări la om).

1.6.3.1.   Observații și cotare

Animalele sunt ținute sub observație pentru simptome de eritem și edem și se cotează reacția observată la 60 de minute, apoi la 24, 48 și 72 ore după înlăturarea bandajului. Iritarea pielii este cotată și se înregistrează conform sistemului din tabelul 1. Pot fi necesare observații ulterioare, dacă nu s-a produs recuperarea pe parcursul celor 72 de ore. Complementar observării reacției iritante, se descriu complet orice leziuni majore, cum ar fi coroziunea (distrugerea ireversibilă a pielii) și alte efecte toxice.

Pentru clarificarea reacțiilor incerte sau a semnelor mascate de colorația pielii din cauza substanței de testat, se pot folosi tehnici cum ar fi examenul histopatologic sau măsurarea grosimii pliului cutanat.

2.   DATE

Rezultatele se înregistrează într-un tabel, în care se consemnează cota edemului și al reacției de iritare cutanată la fiecare animal pe toată durata perioadei de observație. Trebuie consemnate orice leziuni severe, gradul și natura reacției de iritare cutanată, recuperarea sau coroziunea și orice alt efect toxic observat.

3.   RAPORT

3.1.   RAPORTUL DE TESTARE

Raportul de testare cuprinde, dacă este posibil, următoarele informații:

specie, linie, sursă, condiții ambiente, regim alimentar etc.;

condițiile experimentale (inclusiv proprietățile fizico-chimice relevante ale substanței, tehnica pregătirii și curățării pielii, tipul de bandaj: ocluziv sau semiocluziv);

consemnarea sub formă de tabel a reacției de iritare pentru fiecare animal, pe fiecare perioadă de observație (de exemplu, 1, 24, 48 și 72 de ore etc. după înlăturare);

descrierea oricăror leziuni severe observate, inclusiv a leziunilor corozive;

descrierea gradului și naturii reacției de iritare cutanată și a rezultatelor histopatologice;

descrierea oricăror efecte toxice, altele decât reacția de iritare cutanată;

discutarea rezultatelor;

interpretarea rezultatelor.

3.2.   EVALUARE ȘI INTERPRETARE

A se vedea introducerea generală: partea B (litera D).

4.   REFERINȚE BIBLIOGRAFICE

A se vedea introducerea generală: partea B (litera E).

Apendice

TABEL: COTAREA REACȚIILOR CUTANATE

Formarea eritemului și escarelor

Image

B.5.   TOXICITATE ACUTĂ (IRITARE OCULARĂ)

1.   METODĂ

1.1.   INTRODUCERE

A se vedea introducerea generală: partea B (litera A).

1.2.   DEFINIȚIE

A se vedea introducerea generală: partea B (litera B).

1.3.   SUBSTANȚE DE REFERINȚĂ

Nici una.

1.4.   PRINCIPIUL METODEI DE TESTARE

Considerații preliminare

Pentru a reduce testarea substanțelor în condiții susceptibile de a produce reacții severe, se acordă o atenție deosebită tuturor informațiilor disponibile despre substanță. În acest scop, se pot dovedi utile următoarele informații:

(i)

proprietățile fizico-chimice ale substanței. Substanțele cu caracter acid sau bazic pronunțat (de exemplu, pH mai mic decât 2 sau mai mare de 11,5) nu este necesar să fie testate, în cazul în care sunt probabile leziuni severe. De asemenea, se ia în considerare rezerva alcalină sau acidă;

(ii)

rezultate din studii alternative cu recunoaștere solidă; materialele care s-au dovedit a avea potențial coroziv sau proprietăți sever iritante nu se testează pentru iritarea oculară, pornindu-se de la premisa că aceste substanțe vor avea efecte severe asupra ochilor dacă sunt testate folosind prezenta metodă;

(iii)

rezultate din studii de iritare a pielii. Materialele care s-au dovedit în mod clar corozive sau iritante într-un studiu de iritare cutanată nu se testează pentru iritarea oculară, pornindu-se de la premisa că astfel de substanțe au efecte severe asupra ochilor.

Substanța de testat se aplică sub formă de doză unică pe unul dintre ochii fiecăruia dintre animalele experimentului; ochiul netratat se folosește ca martor. Gradul de iritare se evaluează și se cotează la intervale determinate și este ulterior descris, pentru a se putea evalua complet efectele. Perioada de observație trebuie să fie suficientă pentru a permite evaluarea completă a reversibilității sau ireversibilității efectelor observate.

Animalele care prezintă semne de suferință severă trebuie eutanasiate.

1.5.   CRITERII DE CALITATE

Nici unul.

1.6.   DESCRIEREA METODEI DE TESTARE

1.6.1.   Pregătiri

Ambii ochi ai fiecărui animal de laborator selecționat provizoriu pentru testare se examinează cu 24 de ore înainte de începerea testului. Nu se folosesc animale care prezintă semne de iritație oculară, defecte oculare sau leziuni preexistente ale corneei.

1.6.2.   Condiții experimentale

1.6.2.1.   Animale de experiență

Deși se folosește o varietate de animale de experiență, se recomandă testarea pe iepuri albinoși adulți și sănătoși.

1.6.2.2.   Număr de animale

Se recomandă testul pe un singur animal dacă sunt anticipate efecte pronunțate. În cazul în care rezultatele testului pe un singur iepure sugerează că substanța are acțiune iritantă severă (efect reversibil) sau corozivă (efect ireversibil) la nivel ocular, nu mai este necesară testarea suplimentară a iritației oculare la celelalte animale Uneori este adecvată testarea ulterioară pe un număr suplimentar de animale, pentru a investiga aspecte specifice.

În alte cazuri de testare decât testarea unui singur animal, se vor folosi cel puțin trei animale. Pentru clarificarea răspunsurilor echivoce se poate folosi un număr suplimentar de animale.

1.6.2.3.   Doze

Pentru substanțele lichide testate se folosește o doză de 0,1 ml. Doza folosită la testarea substanțelor solide și sub formă de pastă sau de particule trebuie să fie de 0,1 ml sau aproximativ 0,1 g (greutatea trebuie întotdeauna consemnată). Dacă materialul testat este compact sau granulat, se macină fin. Volumul particulelor se măsoară după o compactare ușoară, de exemplu prin tamponarea recipientului de măsură.

Pentru substanțele încărcate în recipiente de pulverizare cu pompă sau recipiente presurizate cu aerosoli, lichidul este expulzat și se colectează 0,1 ml, care se instilează în ochi ca în metoda descrisă pentru lichide.

1.6.2.4.   Perioada de observație

Perioada de observație nu este strict stabilită. Aceasta trebuie să fie suficientă pentru a permite evaluarea reversibilității sau ireversibilității efectelor observate, dar, în mod normal, nu depășește 21 de zile după instilare.

1.6.3.   Mod de operare

Fiecare animal este ținut într-o cușcă individuală. Substanța de testat se administrează fiecărui animal în sacul conjunctival al unuia dintre ochi, după distanțarea ușoară a pleoapei inferioare de pe globul ocular. Apoi pleoapele se țin lipite aproximativ o secundă, pentru a împiedica pierderea substanței. Celălalt ochi, netratat, servește ca martor.

Dacă se apreciază că substanța de testat produce durere inutilă, se poate folosi un anestezic local înaintea instilării. Tipul, concentrația și momentul aplicării anestezicului local se aleg cu atenție, astfel încât să nu apară interferențe semnificative cu reacțiile substanței de testat. Ochiul martor se anesteziază în mod similar.

Ochii animalelor folosite în experiment nu sunt spălați timp de 24 ore după instilarea substanței de testat. Dacă se consideră necesar, se poate face o spălare oculară la 24 de ore.

În cazul unor substanțe cu proprietăți iritante dovedite în testul de față, pot fi recomandabile teste suplimentare pe iepuri, în care ochii să fie spălați imediat după instilarea substanței. În aceste cazuri se recomandă utilizarea a trei iepuri. La o jumătate de minut după instilare, ochii iepurilor se clătesc timp de o jumătate de minut, folosind un volum și o viteză a jetului care nu rănește.

1.6.3.1.   Observații și cotare

Ochii se examinează la 1, 24, 48 și 72 de ore. Dacă nu există semne evidente de leziuni oculare la 72 de ore, studiul poate fi considerat încheiat.

Poate fi necesară o observare prelungită în cazul afectării persistente a corneei sau al oricărei iritații oculare, în vederea determinării evoluției leziunilor și a caracterului reversibil sau ireversibil al acestora. Pe lângă observațiile privind corneea, irisul și conjunctiva, se înregistrează și se descriu orice alte leziuni observate. Cotarea reacției oculare (a se vedea tabelul) se înregistrează la fiecare examinare. (Cotarea răspunsurilor oculare poate antrena diverse interpretări. Pentru a ajuta laboratoarele de cercetare și persoanele însărcinate cu efectuarea sau interpretarea observațiilor, se poate folosi un ghid ilustrat privind iritațiile oculare.)

Pentru a facilita examinarea reacțiilor, poate fi folosită o lupă binoculară, o lampă, un biomicroscop sau orice alt aparat potrivit. După înregistrarea observațiilor efectuate după 24 de ore, examinarea ochilor unor iepuri sau ai tuturor iepurilor se poate face cu ajutorul fluoresceinei.

2.   DATE

Datele se sistematizează în tabele, în care se înregistrează pentru fiecare animal gradele reacției iritante la momentul de observare desemnat. Trebuie raportate: descrierea intensității și naturii reacției iritante, prezența leziunilor severe, prezența tuturor efectelor diferite de cele oculare observate.

3.   RAPORT

3.1.   RAPORTUL DE TESTARE

Raportul de testare cuprinde următoarele informații:

informații despre animale (specii, linie, sursă, condiții de mediu, regim alimentar etc.);

condițiile experimentale (inclusiv proprietățile fizico-chimice relevante ale substanței de testat);

sistematizarea într-un tabel a datelor despre reacția iritantă/corozivă pentru fiecare animal în parte, în fiecare din momentele de observație (de exemplu: 1, 24, 48 și 72 de ore);

descrierea tuturor leziunilor severe observate;

descrierea amănunțită a intensității și naturii reacției iritante/coroziunii observate, inclusiv suprafața în cauză a corneei, și a reversibilității modificărilor;

descrierea metodei folosite la clasificarea reacției iritante la 1, 24, 48 și 72 de ore (de exemplu: lampa de mână cu fantă, biomicroscop, fluoresceină);

descrierea tuturor efectelor locale non-oculare observate;

discutarea rezultatelor;

interpretarea rezultatelor.

3.2.   EVALUARE ȘI INTERPRETARE

A se vedea introducerea generală: partea B (litera D).

4.   REFERINȚE BIBLIOGRAFICE

A se vedea introducerea generală: partea B (litera E).

Apendice

COTAREA LEZIUNILOR OCULARE

Image

B.6.   SENSIBILIZAREA PIELII

1.   METODĂ

1.1.   INTRODUCERE

Observații:

Pentru realizarea unui sistem de clasificare a toxicității relevant pentru sănătatea publică, sunt importante sensibilitatea și capacitatea testelor de a detecta potențialii factori de sensibilizare cutanată la om.

Nu există o metodă de testare unică prin care să se poată identifica adecvat toate substanțele cu potențial de sensibilizare cutanată la om și care să fie relevantă pentru toate substanțele.

La alegerea unui test trebuie luați în considerare factori precum caracteristicile fizice ale substanței, inclusiv capacitatea acesteia de penetrare cutanată.

Testele care folosesc cobai pot fi împărțite în teste de tip adjuvant, în care este potențat un status alergic prin dizolvarea sau trecerea în suspensie a substanței de testat în Freunds Complete Adjuvant (FCA), și teste de tip neadjuvant.

Testele de tip adjuvant pot în general prevedea mai exact un posibil efect de sensibilizare cutanată al unei substanțe asupra omului decât metodele care nu folosesc FCA și din acest motiv sunt preferate.

Testul de maximizare pe cobai (GPMT – Guinea-Pig Maximisation Test) este un test de tip adjuvant frecvent utilizat. Deși se pot folosi multe alte metode pentru detectarea potențialului unei substanțe de a provoca o reacție de sensibilizare cutanată, GPMT este considerat a fi metoda adjuvantă preferată.

Testele de tip neadjuvant sunt considerate mai puțin sensibile pentru multe categorii de substanțe chimice.

Cel mai folosit este testul Buehler, care presupune aplicarea locală în locul injecției intradermice folosite în testul GPMT. Dacă există motive întemeiate, se poate opta pentru testul Buehler în locul testului GPMT. Alegerea se argumentează științific.

Testele GPMT și Buehler sunt descrise în prezenta metodă. Pot fi folosite și alte metode, cu condiția ca acestea să fie recunoscute și justificate științific.

Indiferent de metodă, sensibilitatea liniei de cobai folosite la testele de sensibilizare a pielii se verifică la intervale regulate (șase luni), folosindu-se o substanță sensibilizantă ușor până la moderat, care dă un număr satisfăcător de răspunsuri pozitive.

A se vedea, de asemenea, introducerea generală: partea B (litera A).

1.2.   DEFINIȚIE

A se vedea introducerea generală: partea B (litera B).

1.3.   SUBSTANȚE DE REFERINȚĂ

Se recomandă următoarele substanțe, diluate, dacă este necesar, precum și alte substanțe de sensibilizare cunoscute fie din literatura de specialitate, fie aparținând clasei de substanțe testate:

- p-fenilendiamină

nr. CAS 106-50-3

- dinitro-2,4-clorbenzen

nr. CAS 97-00-7

- dicromat de potasiu

nr. CAS 7778-50-9

- sulfat de neomicină

nr. CAS 1405-10-3

- sulfat de nichel

nr. CAS 7786-81-4

1.4.   PRINCIPIUL METODEI DE TESTARE

După expunerea inițială (perioada „de inducție”), animalele sunt supuse, la aproximativ două săptămâni de la ultima expunere prin inducție, la o expunere provocată la substanța de testat, pentru a stabili dacă a fost indusă o stare hipersensibilă. Sensibilizarea se determină prin examinarea reacției cutanate la expunerea provocată.

1.5.   CRITERII DE CALITATE

Nici unul.

1.6.   DESCRIEREA METODEI DE TESTARE

1.6.1.   Testul de maximizare pe cobai (Guinea-Pig Maximisation Test - GPMT)

1.6.1.1.   Pregătiri

Exemplare de cobai albinoși, adulte, tinere și sănătoase sunt repartizate aleatoriu în loturi de tratament și loturi martor. Înainte de începerea testului, se îndepărtează blana prin tuns sau ras în regiunea umărului, evitându-se zgârierea pielii.

1.6.1.2.   Condiții experimentale

1.6.1.2.1.   Animale de experiență

Se folosesc cobai albinoși din liniile obișnuite de laborator, care cântăresc mai puțin de 500 grame.

1.6.1.2.2.   Număr și sex

Pot fi folosiți masculi și/sau femele. Dacă se folosesc femele, acestea trebuie să fie nulipare și negestante. Lotul tratat conține cel puțin 10 animale; lotul martor conține cel puțin 5 animale. Folosirea unui număr mai mic de animale trebuie justificată. În cazul în care se obțin rezultate echivoce, examenul histopatologic ar putea indica dacă este necesară repetarea testului cu altă serie de animale.

Atunci când nu se poate stabili dacă substanța de testat este sensibilizantă sau nu, se recomandă ferm folosirea unui număr suplimentar de animale până la un total de minimum 20 de animale tratate și 10 animale martor.

1.6.1.2.3.   Doze

Concentrația substanței de testat se stabilește la un nivel care produce semne de iritare a pielii, dar care este bine tolerat de animale în fiecare stadiu de inducție.

Concentrația declanșatoare este cea mai mare care nu produce semne de iritație la animale nesensibilizate.

Dacă este necesar, concentrațiile corespunzătoare pot fi determinate printr-un studiu pilot la scară mică (cu două sau trei animale).

1.6.1.2.4.   Perioada de observație

În perioada de inducție, animalele sunt ținute sub observație pentru decelarea eventualelor efecte iritante. După expunerea provocată, reacțiile cutanate se înregistrează la 24 și la 48 de ore de la îndepărtarea bandajului.

1.6.1.3.   Mod de operare

Animalele se cântăresc înainte de începutul și la sfârșitul testului. Zona umărului trebuie curățată de blană. Procedura are două etape.

1.6.1.3.1.   Inducție

Ziua 0 - lot tratat

Următoarele perechi de injecții intradermice, fiecare de 0,1 ml, se fac în regiunea umărului, astfel încât pe fiecare parte a liniei mediane să se facă câte o injecție din fiecare pereche:

Injecția 1:

0,1 ml de amestec 1:1 (v/v) Freunds Complete Adjuvant (FCA) amestecat cu apă sau ser fiziologic;

Injecția 2:

0,1 ml substanță, într-un vehicul corespunzător, după caz;

Injecția 3:

0,1 ml de substanță de testat în FCA.

La injecția 3, substanțele hidrosolubile se dizolvă în 0,05 ml apă și 0,05 ml FCA nediluat. Dacă se testează substanțe liposolubile sau insolubile, acestea se amestecă cu FCA nediluat.

La injecția 3, concentrația finală a substanței testate trebuie să fie egală cu aceea de la injecția 2.

Injecțiile 1 și 2 se fac la distanță mică una față de cealaltă, în apropierea capului, în timp ce injecția 3 se face spre partea caudală a porțiunii testate.

Ziua 0 - lot martor

Se fac următoarele perechi de injecții intradermice în aceleași zone ca mai sus.

Injecția 1:

0,1 ml de amestec 1:1 (v/v) Freunds Complete Adjuvant (FCA) amestecat cu apă sau ser fiziologic;

Injecția 2:

0,1 ml numai vehicul;

Injecția 3:

0,1 ml de vehicul în FCA.

Ziua 6 – Grupul tratat și grupul martor

Dacă substanța nu produce iritații pe piele, zona testată, după ce a fost tunsă și/sau rasă, se badijonează cu 0,5 ml de laurilsulfat de sodiu 10 % în vaselină pentru a crea o iritare locală.

Ziua 7 – lotul tratat

Se curăță din nou de păr suprafața supusă testării. Substanța de testat se dizolvă într-un vehicul corespunzător (alegerea vehiculului trebuie justificată; substanțele solide se macină fin și sunt încorporate într-un vehicul corespunzător; după caz, lichidele se pot aplica direct), se îmbibă o hârtie de filtru (2 × 4 cm), se aplică pe suprafața respectivă și se ține în contact cu pielea timp de 48 de ore cu ajutorul unui bandaj ocluziv.

Ziua 7 – lotul martor

Se curăță din nou de păr suprafața supusă testării. Pe suprafața de testare se aplică numai vehiculul și se ține în contact cu pielea timp de 48 de ore cu ajutorul unui bandaj ocluziv.

1.6.1.3.2.   Proba declanșatoare

Ziua 21

Se curăță de păr flancul animalelor tratate și martor. Pe unul din flancuri se aplică un bandaj conținând substanța de testat, iar pe celălalt se aplică un bandaj numai cu vehicul.

Bandajele se țin în contact cu tegumentul timp de 24 de ore cu ajutorul unui pansament ocluziv.

Lotul martor se tratează în mod identic.

Zilele 23 și 24

la aproximativ 21 de ore după îndepărtarea bandajului, suprafața expusă concentrației declanșatoare este curățată și, dacă este necesar, se îndepărtează părul;

după încă 3 ore (circa 48 ore de la începutul aplicării dozei declanșatoare), se observă și se consemnează reacția cutanată;

după încă 24 de ore, se observă și se consemnează din nou reacția cutanată (la 72 de ore).

Pentru a clarifica rezultatele obținute în prima probă declanșatoare, se recomandă o a doua probă declanșatoare la o săptămână după prima, cu un nou lot martor.

1.6.1.3.3.   Observații și cotare

Toate reacțiile cutanate și toate constatările neobișnuite rezultate în urma tehnicilor de inducție și declanșatoare se înregistrează și se trec în raportul de testare.

Se pot folosi tehnici cum ar fi examenul histopatologic sau măsurarea grosimii pliului de piele pentru a clarifica reacțiile sau răspunsurile incerte mascate de colorarea pielii cu substanța de testat.

1.6.2.   Testul Buehler

1.6.2.1.   Pregătiri

Exemplare de cobai albinoși, adulte, tinere și sănătoase sunt repartizate aleatoriu în loturi de tratament și loturi martor. Înainte de începerea testului, se îndepărtează blana prin tuns sau ras pe flanc, evitându-se zgârierea pielii.

1.6.2.2.   Condiții experimentale

1.6.2.2.1.   Animale de experiență

Se folosesc cobai albinoși din liniile obișnuite de laborator, care cântăresc mai puțin de 500 de grame.

1.6.2.2.2.   Număr și sex

Se pot folosi masculi și/sau femele. Dacă se folosesc femele, acestea trebuie să fie nulipare și negestante. Lotul tratat conține cel puțin 20 de animale, lotul martor – cel puțin 10. Folosirea unui număr mai mic de animale trebuie justificată. În cazul în care se obțin rezultate echivoce, examenul histopatologic ar putea indica dacă este necesară repetarea testului cu altă serie de animale.

1.6.2.2.3.   Doze

Pentru fiecare stadiu de inducție, concentrația substanței de testat se stabilește la nivelul maxim care poate fi bine tolerat sistemic și care, în cazul substanțelor iritante, produce între o iritare ușoară până la moderată la majoritatea animalelor testate. Concentrația declanșatoare este concentrația maximă care nu produce nici un semn de iritare a pielii la animale nesensibilizate. Aceste concentrații se pot stabili în cadrul unui studiu pilot la scară redusă (două – trei animale).

1.6.2.2.4.   Perioada de observație

În timpul perioadei de inducție, se observă pielea în vederea decelării efectelor iritante. După expunerea declanșatoare, reacțiile cutanate se înregistrează la 24 și la 48 de ore de la îndepărtarea bandajului, adică la 30 și 54 de ore de la începutul tratamentului.

1.6.2.3.   Mod de operare

Animalele se cântăresc înainte de începutul testului și la sfârșitul acestuia.

Procedura cuprinde două etape.

1.6.2.3.1.   Inducție

Ziua 0 – lotul tratat

Se curăță animalele de păr pe flanc. Pe un tampon de vată se aplică 0,5 ml de substanță de testat dizolvată într-un vehicul corespunzător (alegerea vehiculului trebuie să fie justificată, substanțele lichide testate se aplică nediluate, dacă este posibil). Pansamentul ocluziv se aplică pe suprafața de testare și se ține în contact cu tegumentul timp de 6 ore printr-o aplicare adecvată.

Ziua 0 – lotul martor

Se curăță animalele de păr pe flanc. Se aplică numai vehiculul, într-un mod similar cu cel utilizat pentru lotul tratat. Bandajul se ține în contact cu tegumentul timp de 6 ore printr-o aplicare adecvată.

Zilele 7 și 14

Aceeași aplicare ca în ziua 0, în aceeași suprafață testată (curățată de păr, dacă este necesar) și în ziua 7 și în ziua 14.

1.6.2.3.2.   Probă declanșatoare

Ziua 28

Animalele se curăță de păr prin tundere pe flancul netratat. Pe flancul posterior netratat al animalelor se aplică un bandaj ocluziv care conține 0,5 ml din substanța de testat, la concentrația maximă neiritantă. Pe flancul anterior se aplică un bandaj care conține numai vehicul.

Bandajele ocluzive se țin în contact cu tegumentul timp de 6 ore cu un pansament adecvat.

Loturile martor se tratează în mod similar.

Zilele 29 și 30

la aproximativ 21 de ore după îndepărtarea bandajului, suprafața expusă concentrației declanșatoare se curăță de păr, dacă este cazul;

după 3 ore (circa 30 de ore după aplicarea dozei declanșatoare), se observă și se consemnează reacțiile cutanate;

după încă 24 de ore, se observă și se consemnează din nou reacția cutanată (la 54 de ore).

1.6.2.3.3.   Observare și cotare

Toate reacțiile cutanate și toate constatările neobișnuite rezultate în urma tehnicilor de inducție și declanșatoare se înregistrează și se trec în raportul de testare.

Reacțiile incerte sau răspunsurile mascate de colorarea pielii cu substanța de testat pot fi clarificate prin tehnici cum ar fi examenul histopatologic sau măsurând grosimea pliului pielii.

2.   DATE (GPMT și testul Buehler)

Datele se sistematizează în tabele; pentru fiecare animal se înregistrează reacțiile cutanate la fiecare observație.

3.   RAPORT (GPMT și testul Buehler)

3.1.   RAPORTUL DE TESTARE (GPMT ȘI TESTUL BUEHLER)

Raportul de testare cuprinde, dacă este posibil, următoarele informații:

linia de cobai folosită;

condițiile experimentale, vehiculul și concentrațiile substanței de testat utilizate pentru inducții și probe declanșatoare;

numărul, vârsta și sexul animalelor;

greutatea individuală a animalelor la începutul testului;

fiecare observație făcută pe fiecare animal, inclusiv sistemul de cotare, după caz;

discutarea rezultatelor;

interpretarea rezultatelor.

3.2.   EVALUARE ȘI INTERPRETARE (GPMT ȘI TESTUL BUEHLER)

A se vedea introducerea generală: partea B (litera D).

4.   REFERINȚE BIBLIOGRAFICE

A se vedea introducerea generală: partea B (litera E).

B.7.   TOXICITATE LA DOZĂ REPETATĂ (28 DE ZILE) (ADMINISTRARE ORALĂ)

1.   METODĂ

1.1.   INTRODUCERE

A se vedea introducerea generală: partea B (litera A).

1.2.   DEFINIȚII

A se vedea introducerea generală: partea B (litera B).

1.3.   SUBSTANȚE DE REFERINȚĂ

Nici una.

1.4.   PRINCIPIUL METODEI DE TESTARE

Se administrează zilnic substanța de testat, pe cale orală, în doze crescătoare, la mai multe loturi de animale de experiență, o doză pe lot fiind administrată timp de 28 de zile. Pe parcursul perioadei de administrare, se observă animalele zilnic, pentru a pune în evidență efectele toxice. Animalele care mor în timpul testului, precum și cele care supraviețuiesc la sfârșitul testului, sunt supuse autopsiei.

1.5.   CRITERII DE CALITATE

Nici unul.

1.6.   PRINCIPIUL METODEI DE TESTARE

1.6.1.   Pregătiri

Se țin animalele în condițiile de adăpostire și de alimentare specifice experimentului cel puțin în cele 5 zile care îl preced. Înainte de începerea testului, animalele tinere sănătoase se repartizează la întâmplare în loturile tratate. Substanța de testat se poate administra în hrană, prin gavaj, sub formă de capsule sau în apa de băut. Dozele se administrează în același mod pe tot parcursul experimentului. Dacă, pentru a facilita administrarea, se folosește un vehicul sau alt aditiv, acesta trebuie să nu producă efecte toxice. Pot fi folosite date istorice, dacă este necesar.

1.6.2.   Condiții experimentale

1.6.2.1.   Animale de laborator

Cu excepția contraindicațiilor, se preferă șobolanul. Se folosesc animale tinere, sănătoase, aparținând unei linii de laborator obișnuite; în condiții ideale, se administrează substanța înainte ca șobolanii să atingă vârsta de șase săptămâni; aceștia nu pot fi folosiți dacă au mai mult de opt săptămâni.

La începutul experimentului, diferența de greutate între animale nu trebuie să depășească cu mai mult de ± 20 % valoarea medie.

1.6.2.2.   Număr și sex

Se folosesc cel puțin zece animale (5 femele și 5 masculi) pentru fiecare doză. Femelele trebuie să fie nulipare și negestante. Dacă se prevede sacrificarea unui număr de animale pe parcursul experimentului, acest număr se adaugă la total. În plus, se poate trata un lot satelit de 10 animale (5 din fiecare sex) la doza maximă timp de 28 de zile, care poate fi supus observației vizând reversibilitatea, persistența sau apariția tardivă a efectelor toxice pe parcursul celor 14 zile care urmează tratamentului. De asemenea, se folosește un lot satelit de 10 animale martor (5 animale pe sex).

1.6.2.3.   Doze

Se folosesc cel puțin 3 doze și un lot martor. Cu excepția substanței de testat, se tratează animalele lotului martor în același mod ca și subiecții loturilor de experiment. În cazul în care se folosește un vehicul pentru a facilita administrarea, acesta se administrează martorilor în același mod ca și loturilor tratate, iar volumul corespunde celui administrat lotului tratat cu doza maximă. Doza maximă produce efecte toxice care nu provoacă sau provoacă rar moartea. Doza minimă nu trebuie să provoace nici un efect toxic. Atunci când există informații privind expunerea umană, doza minimă trebuie să fie superioară acestei valori. În condiții ideale, doza medie trebuie să producă minime efecte toxice observabile. Dacă se folosesc mai multe doze intermediare, acestea se administrează eșalonat, astfel încât să provoace o gradare a efectelor toxice. În loturile care corespund dozelor slabe și intermediare, precum și în lotul martor, incidența mortalității trebuie să fie mică, pentru a permite o evaluare semnificativă a rezultatelor.

Când se administrează substanța de testat în mâncare, se poate folosi fie o concentrație alimentară constantă (ppm sau mg/kg), fie o doză constantă, în raport cu greutatea corporală a animalelor; se precizează metoda aleasă. În cazul unei substanțe administrate prin gavaj, dozele se administrează zilnic în același moment. Dozele trebuie să facă obiectul unei adaptări (săptămânale sau bisăptămânale) pentru a menține constant nivelul dozei, în raport cu greutatea corporală a animalului.

1.6.2.4.   Test limită

Dacă în urma unei experiențe de 28 de zile efectuată conform metodei descrise mai jos, la o doză de 1 000 miligrame pe kilogram de greutate corporală pe zi sau la un nivel de doză mai ridicat, în funcție de expunerea umană posibilă, când se cunoaște această valoare, nu apare nici un efect toxic, continuarea experienței nu este necesară. În cazul substanțelor cu toxicitate slabă, administrate în hrană, se iau măsuri pentru ca proprietățile și cantitatea acestora să nu interfereze cu exigențele nutriționale normale.

1.6.2.5.   Perioada de observație

Se observă toate animalele zilnic; se consemnează simptomele de toxicitate, precum și momentul apariției acestora, intensitatea și durata. Se consemnează momentul morții și momentul când apar și dispar semnele de toxicitate.

1.6.3.   Mod de operare

În mod ideal se administrează dozele de substanță de testat 7 zile pe săptămână, pe o perioadă de 28 de zile. Animale aparținând loturilor satelit prevăzute pentru observații suplimentare se țin sub observație încă 14 zile, pentru a se studia recuperarea sau persistența efectelor toxice.

Observațiile vizează modificări ale părului, ale pielii, ale ochilor și ale mucoaselor, ale aparatului respirator, ale sistemului circulator, ale sistemului nervos autonom și central, precum și ale activității somato-motrice și ale comportamentului. Se determină săptămânal consumul alimentar (și consumul de apă când substanța de testat se administrează în apa de băut), precum și greutatea animalelor.

Animalele se observă cu regularitate pentru a evita pe cât posibil pierderea acestora din motive exterioare studiului, precum: canibalism, autoliză a țesuturilor sau greșeală de plasare a exemplarelor. La terminarea studiului se supun autopsiei toate animalele supraviețuitoare care aparțin loturilor nesatelit tratate. Animalele muribunde și animalele cu suferințe sau dureri grave se scot, se eutanasiază și se supun autopsiei.

Examinările următoare se efectuează la sfârșitul perioadei de testare asupra tuturor animalelor, inclusiv asupra martorilor:

1.

examen hematologic care cuprinde cel puțin hematocritul, concentrația hemoglobinei, numărul de eritrocite, formula leucocitară și măsurători ale potențialului de coagulare;

2.

determinările clinice biochimice ale sângelui care cuprind cel puțin un parametru al funcției hepatice și unul al celei renale: alanin aminotransferaza (cunoscută anterior ca transaminaza serică glutamo-piruvică), aspartat aminotransferaza (cunoscută anterior ca transaminaza serică glutamo-oxaloacetică), azotul ureic, albumina, creatinina sanguină, bilirubina totală și proteinele totale.

Alte determinări casre se pot dovedi necesare pentru o evaluare toxicologică adecvată cuprind: calciu, fosfor, clor, sodiu, potasiu, glucoza à jeun, analiza lipidelor și a hormonilor, echilibrul acidobazic, methemoglobina și activitatea colinesterazică.

Se pot efectua, după caz, și alte determinări biochimice clinice pentru a extinde investigațiile asupra efectelor observate.

1.6.3.1.   Autopsia

Toate animalele supuse testului fac obiectul unei autopsii generale. Se cântăresc în stare umedă ficatul, rinichii, glandele suprarenale și testiculele, cât mai rapid posibil după disecție, pentru a se evita deshidratarea. Se conservă într-un mediu adecvat ficatul, rinichii, splina, glandele suprarenale și inima, precum și orice organ care prezintă leziuni macroscopice sau modificări volumetrice, în vederea unor examene histopatologice ulterioare.

1.6.3.2.   Examen histopatologic

Pentru lotul expus dozei celei mai ridicate și pentru lotul martor se întreprinde un examen histopatologic al organelor și al țesuturilor conservate. Organele și țesuturile care prezintă leziuni induse pe suprafața de testare la nivelul dozei maxime se examinează în toate loturile care au fost expuse unor doze mai mici. Animalele oricărui lot satelit fac obiectul unui examen histopatologic axat în special pe organele și țesuturile pentru care s-au constatat leziuni în celelalte loturi tratate.

2.   DATE

Datele se sistematizează într-un tabel care indică, pentru fiecare lot de experiență, numărul de animale la începutul testului și numărul de animale care prezintă fiecare tip de leziune.

Toate rezultatele observate se evaluează cu ajutorul unei metode statistice adecvate. Se poate folosi orice metodă statistică recunoscută.

3.   RAPORT

3.1.   RAPORTUL DE TESTARE

Raportul de testare cuprinde, dacă este posibil, următoarele informații:

specia, linia, originea, condițiile ambiante, regimul alimentar etc.;

condițiile experimentale;

dozele (după caz, doza de vehicul) și concentrațiile;

răspunsul toxic pe sexe și doză;

dacă este posibil, nivelul care nu are nici un efect;

momentul morții în timpul experimentului sau indicarea faptului că animalele au supraviețuit experimentului;

efectele toxice sau de altă natură;

momentul observării oricărui simptom anormal și evoluția acestuia;

cantitățile de hrană și greutatea corporală;

examenele hematologice întreprinse și rezultatele complete;

testele biochimice clinice practicate și rezultatele complete;

rezultatele autopsiei;

descrierea detaliată a tuturor observațiilor histopatologice;

tratarea statistică a rezultatelor, după caz;

discutarea rezultatelor;

interpretarea rezultatelor.

3.2.   EVALUARE ȘI INTERPRETARE

A se vedea introducerea generală: partea B (litera D).

4.   REFERINȚE BIBLIOGRAFICE

A se vedea introducerea generală: partea B (litera E).

B.8.   TOXICITATE LA DOZĂ REPETATĂ (28 DE ZILE) (ADMINISTRARE PRIN INHALARE)

1.   METODĂ

1.1.   INTRODUCERE

Este util să se colecteze informații preliminare asupra substanței cu privire la mărimea și distribuția particulelor, presiunea vaporilor, punctul de topire, punctul de fierbere, punctul de aprindere și proprietățile explozive (după caz).

A se vedea introducerea generală: partea B (litera A).

1.2.   DEFINIȚIE

A se vedea introducerea generală: partea B (litera B).

1.3.   SUBSTANȚE DE REFERINȚĂ

Nici una.

1.4.   PRINCIPIUL METODEI DE TESTARE

Se expun zilnic mai multe grupuri de animale, pe parcursul unei perioade determinate, la o substanță de testat în concentrații crescătoare, fiind administrată o doză pe lot timp de 28 de zile. În cazul în care se folosește un vehicul în vederea obținerii unei concentrații adecvate a substanței de testat în atmosferă, se prevede un lot martor pentru vehicul. Pe parcursul perioadei de administrare, se observă zilnic animalele pentru a pune în evidență simptomele de toxicitate. Animalele care mor în timpul testului, precum și cele care supraviețuiesc la sfârșitul testului sunt supuse autopsiei.

1.5.   CRITERII DE CALITATE

Nici unul.

1.6.   DESCRIEREA METODEI DE TESTARE

1.6.1.   Pregătiri

Se țin animalele în condițiile de adăpostire și de alimentare specifice experimentului cel puțin în cele 5 zile care îl preced. Înainte de începerea testului, animalele tinere sănătoase se repartizează la întâmplare în numărul de loturi necesare. La nevoie, se poate adăuga la substanța de testat un vehicul adecvat în vederea obținerii unei concentrații corespunzătoare în atmosferă. Dacă, pentru a ușura administrarea, se folosește un vehicul sau alt tip de aditiv, acesta trebuie să nu producă efecte toxice. Pot fi folosite date istorice, dacă este necesar.

1.6.2.   Condiții experimentale

1.6.2.1.   Animale de experiență

Cu excepția contraindicațiilor, se preferă șobolanul. Se folosesc animale tinere, sănătoase, aparținând unei linii de laborator obișnuite.

La începutul experimentului, diferența de greutate între animale nu trebuie să depășească cu mai mult de ± 20 % valoarea medie respectivă.

1.6.2.2.   Număr și sex

Se folosesc cel puțin 10 animale (5 femele și 5 masculi) pentru fiecare lot tratat. Femelele trebuie să fie nulipare și negestante. Dacă se prevede sacrificarea unui număr de animale pe parcursul experimentului, acest număr se adaugă la total. În plus, se poate trata un lot satelit de 10 animale (5 din fiecare sex) la doza maximă timp de 28 de zile, care poate fi supus observației vizând reversibilitatea, persistența sau apariția tardivă a efectelor toxice pe parcursul celor 14 zile care urmează tratamentului. Se folosește, de asemenea, un lot satelit cu 10 animale martor (5 de fiecare sex).

1.6.2.3.   Concentrații de expunere

Cel puțin trei concentrații sunt necesare, precum și un lot martor sau, dacă este cazul, un lot martor pentru vehicul (corespunzând concentrației vehiculului la nivelul de expunere cel mai ridicat). Cu excepția inhalării substanței de testat, se tratează animalele din lotul martor la fel cu cele din grupul de experiment. Concentrația maximă produce efecte toxice, dar nu provoacă sau provoacă rar moartea. Concentrația minimă nu trebuie să provoace nici un efect toxic. Dacă există informații privind expunerea umană, concentrația cea mai mică trebuie să fie superioară acestei valori. În condiții ideale, concentrația medie trebuie să producă minime efecte toxice observabile. Dacă se folosesc mai multe concentrații intermediare, acestea se administrează eșalonat, astfel încât să provoace o gradare a efectelor toxice. În loturile care corespund concentrațiilor slabe și intermediare, precum și în lotul martor, incidența mortalității trebuie să fie mică, pentru a permite o evaluare semnificativă a rezultatelor.

1.6.2.4.   Durata expunerii

Durata expunerii zilnice este de 6 ore, dar în cazul unor cerințe specifice pot fi necesare alte durate de expunere.

1.6.2.5.   Aparatură

Animalele se expun la substanța de testat cu ajutorul unui dispozitiv de inhalare conceput pentru a asigura un flux continuu sau cel puțin 12 aerisiri pe oră, garantând un conținut de oxigen adecvat și o distribuție uniformă a produsului de testat în aer. Dacă se folosește o incintă, aceasta trebuie concepută astfel încât să reducă la minimum aglomerarea animalelor de experiment și să le asigure o expunere maximă, prin inhalare, a substanței de testat. De regulă, pentru a se asigura stabilitatea atmosferei din incintă, volumul total al animalelor nu trebuie să depășească 5 % din volumul incintei. Se mai pot folosi expuneri oro-nazale, numai ale capului sau ale întregului corp, în incinte individuale; primele două tipuri de expunere limitează absorbția pe alte căi a substanței de testat.

1.6.2.6.   Perioada de observație

Se observă toate animalele zilnic în vederea notării simptomelor de toxicitate, pe tot parcursul perioadei de tratare și de recuperare. Se consemnează momentul morții și momentul când apar și dispar simptomele de toxicitate.

1.6.3.   Mod de operare

Se expun zilnic animalele la substanța de testat timp de 5 – 7 zile pe săptămână, pe o perioadă de 28 de zile. Animale aparținând loturilor satelit prevăzute pentru observații ulterioare se țin sub observație încă 14 zile, fără tratament, pentru a se studia vindecarea sau persistența efectelor toxice. Temperatura la care are loc testul se menține la 22 °C ± 3 °C.

În condiții optime, umiditatea relativă se menține între 30 și 70 % dar, în anumite cazuri, acest lucru poate fi imposibil (de exemplu, în cazul testelor asupra aerosolilor). Menținerea unei presiuni ușor negative în incintă (≤ 5 mm coloană de apă) împiedică împrăștierea substanței în zona învecinată. Pe parcursul perioadei de expunere, nu se administrează animalelor nici hrană, nici apă.

Se recomandă folosirea unui sistem de inhalare dinamic, prevăzut cu un dispozitiv adecvat de control analitic al concentrației. Pentru determinarea concentrațiilor de expunere adecvate, se recomandă să se procedeze la un test preliminar. Se reglează debitul pentru a asigura concentrații omogene în toată incinta. Sistemul trebuie să permită obținerea unor condiții de expunere stabile cât de rapid posibil.

Se măsoară și se controlează:

(a)

debitul de aer (în permanență);

(b)

concentrația reală a substanței măsurate în zona de respirație. Pe parcursul perioadei de expunere zilnică, concentrația nu trebuie să varieze cu mai mult de ± 15 % față de valoarea medie. Cu toate acestea, în cazul prafului și al aerosolilor, acest grad de control poate să nu fie atins, iar în acest caz se poate accepta o diferență mai mare. Pe durata experimentului, concentrațiile administrate zilnic trebuie menținute la valori cât de constante posibil. Pentru aerosoli, se efectuează săptămânal cel puțin o analiză granulometrică pe lot tratat;

(c)

temperatura și umiditatea, continuu, dacă este posibil.

În timpul expunerii și după aceasta au loc observații care sunt înregistrate sistematic; pentru fiecare animal se consemnează date individuale. Se observă zilnic toate animalele și se înregistrează simptomele de toxicitate, precum și momentul apariției, intensitatea și durata acestora. Observațiile includ modificări ale părului și ale blănii, ale ochilor și ale mucoaselor, ale aparatului respirator, ale sistemului circulator, ale sistemului nervos autonom și ale sistemului nervos central, precum și ale activității somato-motrice și ale comportamentului. Se determină săptămânal greutatea animalelor. Se recomandă, de asemenea, măsurarea săptămânală a consumului alimentar. Animalele sunt observate cu regularitate, pentru a evita pe cât posibil pierderea lor din motive exterioare experimentului, precum: canibalism, autoliză a țesuturilor sau greșeală de plasare a exemplarelor. La sfârșitul perioadei de expunere, se supun autopsiei toate animalele supraviețuitoare din loturile nesatelit. Animalele muribunde și animalele cu suferințe sau dureri grave se scot, se eutanasiază și se supun autopsiei.

Examinările următoare se efectuează la sfârșitul perioadei de testare asupra tuturor animalelor, inclusiv asupra martorilor:

(i)

examen hematologic, inclusiv: hematocritul, concentrația hemoglobinei, numărul de eritrocite, formula leucocitară și măsurători ale potențialului de coagulare;

(ii)

determinările biochimice clinice ale sângelui cuprinzând cel puțin un parametru al funcției hepatice și unul al celei renale: alanin aminotransferaza (cunoscută anterior ca transaminaza serică glutamo-piruvică), aspartat aminotransferaza (cunoscută anterior ca transaminaza serică glutamo-oxaloacetică), azotul ureic, albumina, creatinina sanguină, bilirubina totală și proteinele totale.

Alte determinări care se pot dovedi necesare pentru o evaluare toxicologică adecvată cuprind: calciu, fosfor, clor, sodiu, potasiu, glucoza à jeun, analiza lipidelor și a hormonilor, echilibrul acidobazic, methemoglobina și activitatea colinesterazică.

Se pot efectua, dacă este necesar, și alte determinări biochimice clinice pentru a extinde investigațiile asupra efectelor toxice observate.

1.6.3.1.   Autopsia

Toate animalele supuse testului fac obiectul unei autopsii generale. Se cântăresc în stare umedă cel puțin ficatul, rinichii, glandele suprarenale, plămânii și testiculele, cât mai rapid posibil după disecție, pentru a se evita deshidratarea. Se conservă într-un mediu adecvat organele și țesuturile (tractul respirator, ficatul, rinichii, splina, testiculele, glandele suprarenale, inima, precum și orice organ care prezintă leziuni macroscopice sau modificări volumetrice), în vederea unor examene histopatologice ulterioare. Plămânii se prelevează intacți, se cântăresc și se tratează cu un fixator adecvat care asigură conservarea structurii pulmonare.

1.6.3.2.   Examen histopatologic

Pentru lotul expus la concentrații maxime și pentru lotul martor se întreprinde un examen histopatologic al organelor și al țesuturilor conservate. Organele și țesuturile care prezintă leziuni induse de substanța de testat la doza maximă se examinează în toate loturile care au fost expuse unor doze mai mici. Animalele oricărui lot satelit fac obiectul unui examen histopatologic axat în special pe organele și țesuturile pentru care s-au constatat leziuni în celelalte loturi tratate.

2.   DATE

Datele se sistematizează sub formă de tabele, prezentând pentru fiecare lot experimental numărul animalelor la începutul experimentului și numărul animalelor prezentând fiecare tip de leziune.

Toate rezultatele observate se evaluează printr-o metodă statistică adecvată. Se poate folosi orice metodă statistică recunoscută.

3.   RAPORT

3.1.   RAPORTUL DE TESTARE

Raportul de testare cuprinde, dacă este posibil, următoarele informații:

specia, linia, sursa, condițiile ambiante, regimul alimentar etc.;

condițiile experimentale:

descrierea aparatului de expunere, inclusiv concepția, tipul, dimensiunile, sursa de aer, sistemul generator de particule și de aerosoli, metoda de condiționare a aerului, tratarea aerului expirat și, după caz, modul de adăpostire a animalelor în incinta de testare, atunci când se utilizează. Se descrie echipamentul folosit pentru măsurarea temperaturii și, dacă este necesar, stabilitatea concentrațiilor de aerosoli și granulometria particulelor.

Datele privind expunerea:

se prezintă sub forma unui tabel care indică valorile medii, precum și măsura variabilității (de exemplu, deviația standard) și trebuie, dacă este posibil, să includă:

(a)

debitul de aer în dispozitivul de inhalare,

(b)

temperatura și umiditatea aerului,

(c)

concentrațiile nominale (cantitatea totală de substanță de testat introdusă în dispozitivul de inhalare raportată la volumul de aer),

(d)

după caz, natura vehiculului,

(e)

concentrațiile reale din zona de respirație,

(f)

diametrul aerodinamic median masic al particulelor (DAMM) și deviația geometrică standard (DSG);

răspunsul toxic pe sexe și doză;

momentul morții în timpul experimentului sau dacă animalele au supraviețuit experimentului;

descrierea efectelor toxice sau de altă natură, nivelul care nu are nici un efect;

momentul observării oricărui simptom anormal și evoluția acestuia;

cantitățile de hrană și greutatea corporală;

examenele hematologice întreprinse și rezultatele complete;

testele biochimice clinice practicate și rezultatele complete;

rezultatele autopsiei;

descrierea detaliată a tuturor observațiilor histopatologice;

tratarea statistică a rezultatelor, când este cazul;

discutarea rezultatelor;

interpretarea rezultatelor.

3.2.   EVALUARE ȘI INTERPRETARE

A se vedea introducerea generală: partea B (litera D).

4.   REFERINȚE BIBLIOGRAFICE

A se vedea introducerea generală: partea B (litera E).

B.9.   TOXICITATE LA DOZĂ REPETATĂ (28 DE ZILE) (ADMINISTRARE CUTANATĂ)

1.   METODĂ

1.1.   INTRODUCERE

A se vedea introducerea generală: partea B (litera A).

1.2.   DEFINIȚII

A se vedea introducerea generală: partea B (litera B).

1.3.   SUBSTANȚE DE REFERINȚĂ

Nici una.

1.4.   PRINCIPIUL METODEI DE TESTARE

Se aplică zilnic substanța de testat pe cale cutanată, în doze crescătoare, mai multor loturi de testare, fiind administrată o doză pe lot timp de 28 de zile. Pe parcursul perioadei de aplicare, se observă zilnic animalele pentru a pune în evidență simptomele de toxicitate. Animalele care mor în timpul testului, precum și cele care supraviețuiesc la sfârșitul testului sunt supuse autopsiei.

1.5.   CRITERII DE CALITATE

Nici unul.

1.6.   DESCRIEREA METODEI DE TESTARE

1.6.1.   Pregătiri

Se țin animalele în condițiile de adăpostire și de alimentare specifice experimentului cel puțin în cele 5 zile care îl preced. Înainte de testare, animalele tinere sănătoase se repartizează la întâmplare în loturi tratate și loturi martor. Cu puțin timp înainte de testare, se tunde blana din regiunea dorsală a animalelor. Se poate recurge la radere, dar în acest caz operația se efectuează cu cca. 24 de ore înainte de test. Repetarea este, de obicei, necesară la intervale aproximativ săptămânale. În timpul tunderii sau al raderii, trebuie evitată orice lezare a pielii. Suprafața care se degajează în vederea aplicării substanței de testat nu trebuie să fie mai mică de 10 % din suprafața corporală. Pentru a decide zona care trebuie degajată și dimensiunile suprafeței care trebuie tratată, se ia în calcul greutatea animalului. Dacă testul vizează substanțele solide care, dacă este cazul, se pot pulveriza, substanța de testat trebuie umezită cu ajutorul apei sau, la nevoie, al unui vehicul adecvat, astfel încât să se poată obține un bun contact cu pielea. Substanțele lichide se folosesc, în general, în stare nediluată. Se efectuează o aplicare zilnică timp de 5 până la 7 zile pe săptămână.

1.6.2.   Condiții experimentale

1.6.2.1.   Animale de experiență

Animalele de laborator utilizate sunt șobolanul, iepurele sau cobaiul adult. Pot fi folosite și alte specii, dar folosirea lor trebuie justificată.

La începutul experimentului, diferența de greutate între animale nu trebuie să depășească cu mai mult de ± 20 % valoarea medie.

1.6.2.2.   Număr și sex

Se folosesc, pentru fiecare doză, cel puțin 10 animale (5 femele și 5 masculi) a căror piele este sănătoasă. Femelele trebuie să fie nulipare și negestante. Dacă se prevede sacrificarea unui număr de animale pe parcursul experimentului, acest număr se adaugă la total. În plus, se poate trata un lot satelit de 10 de animale (5 din fiecare sex) la doza maximă timp de 28 de zile, care poate fi supus observației vizând reversibilitatea, persistența sau apariția tardivă a efectelor toxice pe parcursul celor 14 zile care urmează tratamentului. Se folosește, de asemenea, un lot satelit cu 10 animale martor (5 de fiecare sex).

1.6.2.3.   Doze

Se folosesc cel puțin trei doze, precum și un lot martor sau, dacă este cazul, un lot martor pentru vehicul. Perioada de expunere este de cel puțin șase ore pe zi. Se aplică substanța de testat în fiecare zi în același moment, iar dozele trebuie să facă obiectul unei adaptări (săptămânale sau bisăptămânale), pentru a se menține constant nivelul dozei în raport cu greutatea corporală a animalului. Cu excepția substanței de testat, se tratează animalele din lotul martor la fel cu cele din grupul de experiment. În cazul în care se folosește un vehicul pentru a facilita administrarea dozei, acesta este administrat lotului martor în aceleași condiții ca și pentru loturile tratate, iar doza administrată corespunde cu cea primită de grupul tratat cu doza maximă. Doza maximă produce efecte toxice, dar nu provoacă sau provoacă rar moartea. Doza minimă nu provoacă nici un efect toxic. Atunci când există informații privind expunerea umană, doza cea mai mică trebuie să fie superioară acestei valori. În condiții ideale, doza intermediară trebuie să producă minime efecte toxice observabile. În cazul în care se folosesc mai multe doze intermediare, acestea se administrează eșalonat, astfel încât să provoace o gradare a efectelor toxice. În loturile care corespund dozelor slabe și intermediare, precum și în loturile martor, incidența mortalității trebuie să fie mică, pentru a permite o evaluare semnificativă a rezultatelor.

În cazul în care aplicarea substanței de testat provoacă o iritație cutanată gravă, se reduc concentrațiile; aceasta poate avea ca efect diminuarea, chiar dispariția, celorlalte efecte toxice la doza maximă. De asemenea, dacă leziunile cutanate sunt foarte grave, poate fi necesară oprirea experimentului și inițierea unui studiu nou, la concentrații mai scăzute.

1.6.2.4.   Test de limită

În cazul în care, în urma unei experiențe preliminare realizate cu o doză de 1 000 miligrame pe kilogram sau o doză mai ridicată în funcție de expunerea umană posibilă, când se cunoaște această valoare, nu apare nici un efect toxic, continuarea experienței poate fi inutilă.

1.6.2.5.   Perioada de observație

Se observă toate animalele zilnic în vederea notării simptomelor de toxicitate. Se consemnează momentul morții și momentul când apar și dispar simptomele de toxicitate.

1.6.3.   Mod de operare

Se pun animalele în cuști individuale. În condiții ideale, substanța de testat se administrează animalelor 7 zile pe săptămână timp de 28 de zile. Animalele din orice grup satelit destinate observației ulterioare sunt menținute în viață timp de încă 14 zile, fără tratament, în vederea constatării vindecării sau a persistenței efectelor toxice. Durata de expunere este de minimum șase ore pe zi.

Substanța de testat se aplică pe o suprafață aproximativ egală cu 10 % din suprafața totală a corpului. În cazul substanțelor puternic toxice, suprafața tratată poate fi mai mică, dar stratul trebuie să fie cât mai subțire și mai uniform posibil.

Pe parcursul expunerii, substanța de testat se menține în contact cu pielea cu ajutorul unui pansament de tifon și al unui plasture neiritant. Suprafața tratată se acoperă astfel încât să mențină pansamentul de tifon și substanța de testat și să se evite ingerarea acesteia de către animale. Se poate folosi contenționarea pentru a împiedica animalele să ingereze substanța de testat, dar nu se recomandă imobilizarea completă. Ca alternativă poate fi folosit un „dispozitiv de protecție cu guler înalt”.

La sfârșitul perioadei de expunere, se elimină, dacă este posibil, orice reziduu de substanță, cu apă sau cu ajutorul unui alt procedeu de curățare a pielii.

Se observă zilnic toate animalele și se înregistrează simptomele de toxicitate, precum și momentul apariției, intensitatea și durata acestora. Observațiile includ, între altele, modificări ale părului și ale blănii, ale ochilor și ale mucoaselor, ale sistemului respirator, ale sistemului circulator, ale sistemului nervos autonom și ale sistemului nervos central, precum și ale activității somato-motrice și ale comportamentului. Se determină săptămânal greutatea animalelor. Se recomandă, de asemenea, determinarea săptămânală a consumului alimentar. Animalele sunt observate cu regularitate pentru a evita pe cât posibil pierderea lor din motive exterioare experimentului, precum: canibalism, autoliză a țesuturilor sau greșeală de plasare a exemplarelor. La sfârșitul experimentului, se supun autopsiei toate animalele supraviețuitoare care aparțin loturilor tratate nesatelite. Animalele muribunde și animalele cu suferințe sau dureri grave se scot, se eutanasiază și se supun autopsiei.

Examinările următoare se efectuează la sfârșitul perioadei de testare asupra tuturor animalelor, inclusiv asupra martorilor:

1.

examen hematologic, inclusiv: hematocritul, concentrația hemoglobinei, numărul de eritrocite, formula leucocitară și măsurători ale potențialului de coagulare;

2.

determinările biochimice clinice ale sângelui cuprinzând cel puțin un parametru al funcției hepatice și unul al celei renale: alanin aminotransferaza (cunoscută anterior ca transaminaza serică glutamo-piruvică), aspartat aminotransferaza (cunoscută anterior ca transaminaza serică glutamo-oxaloacetică), azotul ureic, albumina, creatinina sanguină, bilirubina totală și proteinele totale.

Alte determinări care se pot dovedi necesare pentru o evaluare toxicologică adecvată cuprind: calciu, fosfor, clor, sodiu, potasiu, glucoza à jeun, analiza lipidelor și a hormonilor, echilibrul acidobazic, methemoglobina și activitatea colinesterazică.

Se pot efectua, dacă este necesar, și alte determinări biochimice clinice pentru a extinde investigațiile asupra efectelor observate.

1.6.4.   Autopsie

Toate animalele supuse testului fac obiectul unei autopsii generale. Se cântăresc în stare umedă ficatul, rinichii, glandele suprarenale și testiculele, cât mai rapid posibil după disecție, pentru a evita deshidratarea. Se conservă într-un mediu adecvat ficatul, rinichii, splina, testiculele, glandele suprarenale și inima, precum și orice organ care prezintă leziuni macroscopice sau modificări volumetrice, în vederea unor posibile examene histopatologice ulterioare.

1.6.5.   Examen histopatologic

Pentru lotul expus la doze maxime și pentru lotul martor se întreprinde un examen histopatologic al organelor și al țesuturilor conservate. Organele și țesuturile care prezintă leziuni induse pe suprafața de testare la nivelul dozei maxime se examinează în toate loturile care au fost expuse unor doze mai mici. Animalele din lotul satelit fac obiectul unui examen histopatologic axat în special pe organele și țesuturile pentru care s-au constatat leziuni în celelalte loturi tratate.

2.   DATE

Datele se sistematizează într-un tabel care indică, pentru fiecare lot de experiență, numărul de animale la începutul testului și numărul de animale care prezintă fiecare tip de leziune.

Toate rezultatele observate se evaluează cu ajutorul unei metode statistice adecvate. Se poate folosi orice metodă statistică recunoscută.

3.   RAPORT

3.1.   RAPORTUL DE TESTARE

Raportul de testare cuprinde, dacă este posibil, următoarele informații:

specia, linia, originea, condițiile ambiante, regimul alimentar etc.;

condițiile experimentale (inclusiv tipul de pansament: ocluziv sau neocluziv);

dozele (inclusiv vehiculul, dacă este cazul) și concentrațiile;

dacă este posibil, nivelul care nu are nici un efect;

răspunsul toxic pe sexe și doză;

momentul morții în timpul experimentului sau indicarea faptului că animalele au supraviețuit experimentului;

efectele toxice sau de altă natură;

momentul observării oricărui simptom anormal și evoluția acestuia;

cantitățile de hrană și greutatea corporală;

examenele hematologice întreprinse și rezultatele;

testele biochimice clinice practicate și rezultatele;

rezultatele autopsiei;

descrierea detaliată a tuturor observațiilor histopatologice;

tratarea statistică a rezultatelor, când este cazul;

discutarea rezultatelor;

interpretarea rezultatelor.

3.2.   EVALUARE ȘI INTERPRETARE

A se vedea introducerea generală: partea B (litera D).

4.   REFERINȚE BIBLIOGRAFICE

A se vedea introducerea generală: partea B (litera E).

B10.   MUTAGENEZA (TEST CITOGENETIC IN VITRO ASUPRA MAMIFERELOR)

1.   METODĂ

1.1.   INTRODUCERE

A se vedea introducerea generală: partea B (litera A).

1.2.   DEFINIȚIE

A se vedea introducerea generală: partea B (litera C).

1.3.   SUBSTANȚE DE REFERINȚĂ

Nici una.

1.4.   PRINCIPIUL METODEI DE TESTARE

Testul citogenetic in vitro este un test de potențial mutagen pe termen scurt destinat evidențierii aberațiilor cromozomiale structurale în culturile de celule de mamifere. Se pot folosi culturi de linii celulare stabilite, precum și culturi de celule primare. După expunerea la substanțele de testat în prezența și în absența unui sistem adecvat de activare metabolică, culturile celulare se tratează cu un inhibitor al fusului mitotic, cum ar fi colchicina, în vederea acumulării celulelor în stadiu de tip metafază al mitozei (c-metafază). Celulele se recoltează la momente adecvate și se realizează preparate cromozomiale. Preparatele se colorează și celulele în metafază se analizează pentru a se evidenția anomaliile cromozomiale.

1.5.   CRITERII DE CALITATE

Nici unul.

1.6.   DESCRIEREA METODEI DE TESTARE

1.6.1.   Pregătiri

1.6.1.1.   Celule

Se folosesc linii celulare stabilite sau culturi de celule primare, de exemplu celule de hamster chinezesc și limfocite umane. Substanțele de testat sunt înglobate în mediul de cultură sau dizolvate într-un vehicul corespunzător înainte de tratarea celulelor.

1.6.1.2.   Sistemul de activare metabolică

Celulele se tratează cu substanța de testat atât în prezența, cât și în absența unui sistem corespunzător de activare metabolică. Sistemul utilizat cel mai frecvent este o fracțiune postmitocondrială suplimentată cu un cofactor preparat din ficatul rozătoarelor tratate cu inductori enzimatici.

1.6.2.   Condiții experimentale

Numărul culturilor:

Se utilizează cel puțin probe duble de culturi pentru fiecare punct al experimentului.

Folosirea martorilor pozitivi și negativi:

Ca martori negativi se folosesc: solventul (dacă este altul decât mediul de cultură sau apa), amestec hepatic enzimatic activator, amestec hepatic enzimatic activator cu solvent și martori netratați.

În fiecare experiment se include un martor pozitiv. În cazul în care, pentru activarea substanței de testat, se folosește amestecul hepatic enzimatic activator, este folosit ca martor pozitiv un compus care necesită activare metabolică.

Doze:

Se folosesc cel puțin trei doze din substanța de testat situate în cel puțin un interval logaritmic. Doza maximă inhibă activitatea mitotică în proporție de aproximativ 50 % sau prezintă câteva alte semne de citotoxicitate. Dacă nu este toxică, substanța se testează până la limita superioară a solubilității sau până la o concentrație maximă de 5 mg/ml.

Condiții de cultură:

Se folosesc medii de cultură și condiții de incubare (de exemplu, temperatura, vasele de cultură utilizate, concentrațiile de CO2 și umiditatea) adecvate.

1.6.3.   Mod de operare

1.6.3.1.   Prepararea culturilor

Linii celulare stabilite: celulele se obțin pornind de la culturile mamă (de exemplu prin tripsinizare sau prin agitare viguroasă), însămânțate în recipiente de cultură cu densitate adecvată și se incubează la 37 °C.

Limfocite umane: se adaugă sânge heparinizat la mediul de cultură, conținând fitohemaglutinină, ser fetal bovin și antibiotice și se incubează la 37 °C.

1.6.3.2.   Tratarea culturilor cu compusul de testat

(i)

Tratamentul fără amestec hepatic enzimatic activator

Toate tratamentele trebuie să acopere, pe cât posibil, durata unui ciclu celular complet și schemele de fixare trebuie să asigure analiza primelor mitoze posterioare tratamentului celulelor tratate în diferite stadii de evoluție.

Dacă tratamentul nu acoperă durata unui ciclu celular complet, se aleg timpi de fixare multipli, în vederea prelevării eșantioanelor de celule care se găseau în timpul tratamentului în stadii diferite ale ciclului celular, adică G1, S și G2.

Se adaugă substanța de testat la culturile de linii celulare stabilite când acestea se găsesc în faza lor de creștere exponențială. Se tratează culturile de limfocite umane când sunt încă în stare semisincronă.

(ii)

Tratamentul cu amestec enzimatic hepatic activator

Pentru tratament, substanța de testat, în combinație cu sistemul de activare, se menține prezentă cât de mult posibil, fără a exercita un efect toxic asupra celulelor. Dacă, din motive de toxicitate, acest tratament nu acoperă un ciclu celular complet, se aleg timpi de fixare multipli, în vederea prelevării eșantioanelor de celule care se găseau în stadii diferite ale ciclului celular în momentul tratamentului, adică G1, S și G2.

Recoltarea celulelor:

Înainte de recoltare, culturile celulare se tratează o perioadă adecvată cu un inhibitor de fus mitotic. Fiecare cultură se recoltează și se prelucrează separat în vederea preparării cromozomilor. Sunt necesari minimum doi timpi de prelevare. Se recomandă ca primul timp să fie după aproximativ un ciclu celular, iar cel de-al doilea mai târziu. Acest lucru asigură acoperirea tuturor stadiilor ciclului celular și permite întârzierea ciclului celular.

1.6.3.3.   Prepararea cromozomilor

Prepararea cromozomilor presupune tratarea celulelor cu soluții hipotone, fixarea, etalarea pe lame și colorarea acestora.

Analiza:

Pentru depistarea anomaliilor cromozomiale, sunt analizate pe cultură minimum 100 de metafaze bine etalate. Înainte de analiză, lamele se codează. Pentru limfocitele umane se analizează doar metafazele care conțin 46 de centromeri.

În liniile celulare stabilite se analizează numai metafazele ce conțin ± 2 centromeri din numărul modal.

De asemenea, se calculează indicele mitotic sau alți indicatori de citotoxicitate pe parcursul experimentului la fiecare doză.

2.   DATE

Datele se sistematizează în tabele. Aberațiile de tip cromatidian (lacune, fisuri, rearanjări), aberațiile de tip cromozomic (lacune, fisuri, cromozomi minut, inele, dicentrice, policentrice) și numărul de metafaze anormale (lacune incluse și excluse) se înregistrează pentru toate tipurile de culturi tratate, precum și pentru culturile martor.

Datele se evaluează prin metode statistice adecvate.

Rezultatele se compară cu cele obținute de la martorii negativi preparați simultan.

Se efectuează cel puțin două experimente independente. Cu toate acestea, dacă există argumente științifice, poate fi suficient un singur experiment. Nu este obligatorie efectuarea celui de-al doilea experiment după o metodă identică cu primul. Este chiar preferabilă modificarea anumitor condiții experimentale în vederea obținerii mai multor rezultate utile.

3.   RAPORT

3.1.   RAPORTUL DE TESTARE

Raportul de testare cuprinde, dacă este posibil, următoarele date:

celulele folosite;

condițiile experimentale: compoziția mediului, concentrația CO2, temperatura de incubare, timpul de incubare, nivelul dozelor, timpul de tratare, durata tratamentului cu inhibitor de fus mitotic și concentrația acestuia, tipul de amestec hepatic enzimatic activator folosit, martorii pozitivi și negativi,

numărul de culturi celulare;

numărul de metafaze analizate (datele se raportează separat pentru fiecare cultură);

indicele mitotic sau alți indicatori de citotoxicitate;

tipul și numărul de aberații raportate separat pentru fiecare cultură tratată sau martor, numărul modal al cromozomilor liniilor celulare stabilite folosite;

evaluarea statistică;

discutarea rezultatelor;

interpretarea rezultatelor.

3.2.   EVALUARE ȘI INTERPRETARE

A se vedea introducerea generală: partea B (litera D).

4.   REFERINȚE BIBLIOGRAFICE

A se vedea introducerea generală: partea B (litera E).

B.11.   MUTAGENEZA (TEST CITOGENETIC IN VIVO AL MĂDUVEI OSOASE LA MAMIFERE, ANALIZA CROMOZOMIALĂ)

1.   METODĂ

1.1.   INTRODUCERE

A se vedea introducerea generală: partea B (litera A).

1.2.   DEFINIȚIE

A se vedea introducerea generală: partea B (litera C).

1.3.   SUBSTANȚE DE REFERINȚĂ

Nici una.

1.4.   PRINCIPIUL METODEI DE TESTARE

Testul citogenetic in vivo este un test de potențial mutagen pe termen scurt destinat evidențierii aberațiilor cromozomiale structurale. Acestea sunt evaluate, în general, pe parcursul primei mitoze consecutive a tratamentului. Cu mutagenele chimice, majoritatea aberațiilor induse sunt de tip cromatidian.

În această metodă se folosește măduva osoasă a mamiferelor expuse, prin metode adecvate, la substanțele de testat și sacrificate la intervale succesive. Înainte de a fi sacrificate, animalele sunt tratate cu un inhibitor de fus mitotic, cum ar fi colchicina, în vederea acumulării celulelor în stadiul de tip metafază al mitozei (c-metafază). Se realizează preparate cromozomiale pornindu-se de la celulele uscate la aer, apoi colorate; se analizează apoi metafazele la microscop pentru a se evidenția aberațiile cromozomiale.

1.5.   CRITERII DE CALITATE

Nici unul.

1.6.   DESCRIEREA METODEI DE TESTARE

1.6.1.   Pregătirea testului

Se dizolvă substanțele de testat într-o soluție fiziologică. Dacă sunt substanțe insolubile, acestea se dizolvă sau se introduc în suspensie în vehicule adecvate.

Se folosesc soluții ale substanței de testat proaspăt preparate. Dacă se folosește un vehicul, acesta nu trebuie nici să interfereze cu substanța de testat, nici să producă efecte toxice.

1.6.2.   Condiții experimentale

1.6.2.1.   Animale de experiență

Se folosesc rozătoare cum ar fi șobolanul, șoarecele sau hamsterul chinezesc. Se repartizează aleatoriu animale tinere și sănătoase în loturi tratate și loturi martor.

1.6.2.2.   Număr și sex

Se folosesc cel puțin 5 femele și 5 masculi în fiecare lot experimental și în fiecare lot martor. Se sacrifică, deci, zece animale pe perioadă și pe lot, dacă programul experimental include mai multe etape de observație după tratament.

Pentru lotul martor pozitiv este suficientă o singură recoltare.

1.6.2.3.   Calea de administrare

În general, substanțele de testat nu se administrează decât o dată. În funcție de informațiile toxicologice de care se dispune, se poate folosi un program de administrare repetată. Cu toate acestea, acesta nu poate fi folosit decât dacă substanța de testat nu are un efect citotoxic asupra măduvei osoase. Administrarea se face în general pe cale orală sau prin injecție intraperitoneală. Sunt adecvate și alte căi de administrare.

1.6.2.4.   Folosirea martorilor negativi și pozitivi

Ca martor pozitiv se folosește un compus despre care se știe că produce aberații cromozomiale in vivo. De asemenea, trebuie inclus și un lot martor negativ (tratat cu solvent).

1.6.2.5.   Doze

Pentru dosarul de bază, se folosește o doză din substanța de testat, respectiv doza maximă tolerată sau cea care determină apariția unor semne de citotoxicitate (de exemplu, o inhibiție parțială a mitozei).

Pentru compușii „netoxici”, doza maximă (limită) care trebuie investigată în urma administrării unei singure doze este de 2 000 mg/kg masă corporală.

Dacă se folosește o schemă de administrare repetată, doza limită testată este de 1 000 mg/kg masă corporală pe zi.

Se pot folosi și alte doze, când sunt indicate din motive de ordin științific.

Dacă testul servește de metodă de verificare, se folosesc cel puțin două doze suplimentare.

1.6.3.   Mod de operare

Testul poate fi realizat în două variante:

(i)

Animalele sunt tratate cu compusul testat o singură dată, la cea mai mare doză tolerată. În prima etapă, probele sunt prelevate la 24 de ore după tratament. Nu mai sunt necesare prelevări ulterioare, dacă în acest stadiu rezultatele sunt cert pozitive. Deoarece cinetica ciclului celular poate fi influențată de substanța de testat, se folosește un moment de prelevare precoce și unul tardiv, spațiate în mod convenabil în intervalul de 6 – 48 de ore.

Pentru alte niveluri suplimentare ale dozei de tratament, probele trebuie luate în intervalul cel mai sensibil sau, dacă acesta nu este cunoscut, la 24 de ore după tratament.

(ii)

Dacă datele farmacocinetice și de metabolism indică o schemă de tratament repetat, pot fi utilizate doze repetate, iar probele se recoltează la 6 și la 24 de ore de la ultimul tratament.

Pregătirea măduvei osoase:

Înainte de sacrificarea animalelor, li se injectează intraperitoneal o doză adecvată de inhibitor de fus mitotic în vederea obținerii unui număr de celule adecvate în c-metafază. Măduva osoasă se prelevează prin clătire cu ajutorul unei soluții izotonice, din femurul animalelor proaspăt sacrificate. După un tratament hipotonic adecvat, celulele se fixează, apoi se întind pe lame. După uscarea la aer, lamele se colorează.

Analiză:

Lamele se codează înainte de a fi folosite la microscop. Se analizează cel puțin 50 de metafaze bine etalate, incluzând numărul complet de centromeri pe animal pentru a evidenția aberații cromozomiale structurale. Se pot stabili și indicii mitotici pentru fiecare animal.

2.   DATE

Datele se prezintă sub formă de tabele. Aberațiile de tip cromatidian și izocromatidian (lacune, fisuri, rearanjări) și numărul de metafaze anormale (lacune incluse și excluse), precum și indicii mitotici (dacă sunt determinați), se înregistrează separat pentru toate animalele tratate și pentru animalele martor. Se înregistrează și mediile și diferențele tip obținute pentru fiecare lot tratat, precum și pentru fiecare lot martor. Datele se evaluează prin metode statistice adecvate.

3.   RAPORT

3.1.   RAPORTUL DE TESTARE

Raportul de testare conține, dacă este posibil, următoarele informații:

specia, linia și vârsta animalelor utilizate;

numărul animalelor de fiecare sex din loturile tratate și martor;

condițiile experimentale: descrierea detaliată a schemei de tratament și a planului de prelevare, mărimea dozelor, durata tratamentului și concentrația inhibitorului de fus mitotic;

numărul metafazelor analizate la fiecare animal;

indicii mitotici, dacă sunt determinați;

tipul și numărul aberațiilor, înregistrate separat pentru fiecare animal tratat și martor;

semne de toxicitate pe perioada desfășurării studiului;

evaluarea statistică;

discutarea rezultatelor;

interpretarea rezultatelor.

3.2.   EVALUARE ȘI INTERPRETARE

A se vedea introducerea generală: partea B (litera D).

4.   REFERINȚE BIBLIOGRAFICE

A se vedea introducerea generală: partea B (litera E).

B.12.   MUTAGENEZA (TESTUL MICRONUCLEILOR CELULARI)

1.   METODĂ

1.1.   INTRODUCERE

A se vedea introducerea generală: partea B (litera A).

1.2.   DEFINIȚIE

A se vedea introducerea generală: partea B (litera C).

1.3.   SUBSTANȚE DE REFERINȚĂ

Nici una.

1.4.   PRINCIPIUL METODEI DE TESTARE

Testul micronucleului este un test in vivo pe termen scurt destinat evidențierii leziunilor cromozomiale sau a celor ale aparatului mitotic induse prin substanțe chimice. Acest test se bazează pe o creștere a numărului de micronuclee în eritrocitele policromatice ale animalelor tratate față de animalele martor.

Micronucleele sunt formate din fragmente de cromozomi sau din cromozomi întregi abandonați în timpul mitozei. Când eritroblaștii se transformă în eritrocite, nucleul principal este expulzat, în timp ce micronucleul poate fi conservat în citoplasmă. Pentru acest test se folosesc eritrocite policromatice tinere care provin din măduva osoasă a mamiferelor de laborator care au fost expuse, pe căi adecvate, la substanța de testat. După extragerea măduvei osoase, se pregătesc și se colorează frotiuri. Se numără la microscop numărul de micronuclee prezente în eritrocitele policromatice și se stabilește raportul între eritrocitele policromatice și normocromatice.

1.5.   CRITERII DE CALITATE

Nici unul.

1.6.   DESCRIEREA METODEI DE TESTARE

1.6.1.   Pregătiri

Se dizolvă substanțele de testat într-o soluție izotonică. Dacă sunt insolubile, acestea se dizolvă sau se pun în suspensie în vehicule adecvate. Dacă se folosește un vehicul, acesta nu trebuie nici să interfereze cu substanța de testat, nici să producă efecte toxice. În general, se folosesc soluții ale substanței de testat proaspăt preparate.

1.6.2.   Condiții experimentale

1.6.2.1.   Animale de experiență

Șoarecii sunt specia recomandată, dar se pot folosi și alte mamifere. Animalele adulte, tinere și sănătoase se distribuie aleatoriu în loturi tratate și loturi martor.

1.6.2.2.   Număr și sex

Se folosesc cel puțin 5 femele și 5 masculi pentru fiecare lot tratat și martor. Dacă în planul experimentului sunt prevăzute mai multe etape de testare după tratament, se sacrifică zece animale pentru fiecare etapă și lot. Pentru lotul martor pozitiv este suficientă o singură recoltare.

1.6.2.3.   Calea de administrare

În general, substanțele de testat nu se administrează decât o dată. Pe baza informațiilor toxicologice de care se dispune, se poate folosi un program de administrare repetată. Cu toate acestea, acesta nu poate fi folosit decât dacă substanța de testat nu are un efect citotoxic asupra măduvei osoase. Administrarea se face în general pe cale orală sau prin injecție intraperitoneală. Sunt adecvate și alte căi de administrare.

1.6.2.4.   Folosirea martorilor negativi și pozitivi

Pentru fiecare experiment se folosesc atât un lot martor pozitiv, cât și unul negativ (tratat cu solvent).

1.6.2.5.   Doze

Pentru dosarul de bază, se folosește o doză din substanța de testat, respectiv doza maximă tolerată sau cea care determină apariția unor semne de citotoxicitate, de exemplu, prin schimbarea raportului de eritrocite policromatice și normocromatice.

Pentru compușii „netoxici”, doza maximă (limită) care trebuie investigată în urma administrării unei singure doze este de 2 000 mg/kg masă corporală.

Dacă se folosește o schemă de administrare repetată, doza limită testată este de 1 000 mg/kg masă corporală pe zi.

Se pot folosi și alte doze, când sunt indicate din motive de ordin științific.

Dacă testul servește drept metodă de verificare, se folosesc cel puțin două doze suplimentare.

1.6.3.   Mod de operare

Testul se poate realiza în două moduri:

(i)

animalele sunt tratate cu compusul de testat o singură dată. Momentul recoltării coincide cu intensitatea maximă a răspunsului încercării, care variază din cauza compusului de testat. De aceea, se prelevează probe de măduvă osoasă de cel puțin două ori, dar nu mai devreme de 12 ore și nu mai târziu de 24 ore după tratament.

Dacă se folosesc doze suplimentare, probele se prelevează în perioada maximă de sensibilitate sau, dacă aceasta nu se cunoaște, la 24 de ore după tratament;

(ii)

dacă datele farmacocinetice și de metabolism sugerează o schemă de tratament repetat, se pot folosi doze repetate, iar probele se prelevează o singură dată, nu mai devreme de 12 de ore de la ultimul tratament.

Pregătirea măduvei osoase:

Măduva osoasă se obține din ambele oase femurale ale unor animale sacrificate recent, prin clătire cu ser fetal de vițel. Celulele se sedimentează prin centrifugare și se înlătură supernatantul. Se așează pe lame picături din suspensia celulară omogenă și se întind ca frotiu. După uscarea în aer, lamele se colorează.

Analiză:

Lamele se codează înaintea examinării microscopice. Pentru determinarea incidenței micronucleilor, se numără cel puțin 1 000 de eritrocite policromatice pentru fiecare animal.

Pentru fiecare animal se determină raportul dintre eritrocitele normocromatice și eritrocitele policromatice, numărând un total de 1 000 de eritrocite.

2.   DATE

Rezultatele se sistematizează în tabele. Pentru fiecare animal din loturile tratat și martor se înregistrează separat: numărul eritrocitelor policromatice, numărul eritrocitelor policromatice cu micronuclee, procentul celulelor micronucleate, raportul dintre eritrocitele normocromatice și cele policromatice. Se înregistrează valorile medii și deviațiile standard pentru fiecare lot tratat și martor. Rezultatele consemnate se evaluează prin metode statistice corespunzătoare.

3.   RAPORT

3.1.   RAPORTUL DE TESTARE

Raportul de testare cuprinde, dacă este posibil, următoarele informații:

specia, linia și vârsta animalelor folosite;

numărul animalelor de fiecare sex din loturile tratat și martor;

condițiile experimentale: descrierea detaliată a schemei de tratament și a schemei de prelevare a probelor, dozele, date de toxicitate, martori negativi și pozitivi;

criteriile de inventariere a micronucleelor;

relația doză/efect, dacă este posibil;

semnele de toxicitate pe perioada desfășurării studiului;

evaluarea statistică;

discutarea rezultatelor;

interpretarea rezultatelor.

3.2.   EVALUARE ȘI INTERPRETARE

A se vedea introducerea generală: partea B (litera D).

4.   REFERINȚE BIBLIOGRAFICE

A se vedea introducerea generală: partea B (litera E).

B.13.   MUTAGENEZA (TESTUL DE MUTAȚIE INVERSĂ LA ESCHERICHIA COLI)

1.   METODĂ

1.1.   INTRODUCERE

A se vedea introducerea generală: partea B (litera A).

1.2.   DEFINIȚIE

A se vedea introducerea generală: partea B (litera C).

1.3.   SUBSTANȚE DE REFERINȚĂ

Nici una.

1.4.   PRINCIPIUL METODEI DE TESTARE

Sistemul de reversie cu triptofan al E. coli (trp) este un test microbian care permite măsurarea reversiei trp- → trp+ datorată unor substanțe chimice responsabile de substituția de bază la nivelul genomului organismului.

Se expun bacteriile la substanțele de testat cu sau fără activare metabolică. După o perioadă de incubare adecvată minimă pe mediul în cauză, se numără coloniile derivate prin reversie și se compară numărul obținut cu cel al revertanților spontani observați într-o cultură martor netratată și/sau în prezența solventului.

1.5.   CRITERII DE CALITATE

Nici unul.

1.6.   DESCRIEREA METODEI DE TESTARE

Testul se poate realiza prin metodele următoare: (1) metoda preincubării; (2) metoda incorporării directe în care bacteriile și substanța de testat se amestecă cu agar-agar de acoperire și se varsă la suprafața unei plăci de agar-agar selectiv.

1.6.1.   Pregătire

1.6.1.1.   Bacterii

Se cultivă bacteriile la 37 °C până la faza exponențială tardivă sau faza staționară precoce a creșterii. Densitatea celulară aproximativă trebuie să fie de 108 – 109 celule/mililitru.

1.6.1.2.   Activare metabolică

Bacteriile sunt tratate cu substanța de testat atât în prezența, cât și în absența unui sistem de activare metabolică adecvat. Sistemul cel mai frecvent folosit este o fracțiune postmitocondrială completată cu un cofactor, preparată din ficat de rozătoare tratate cu inductori enzimatici.

1.6.2.   Condiții experimentale

1.6.2.1.   Linii de experiment

Se folosesc trei linii, respectiv WP2, WP2 uvr A și WP2 uvr A pKM 101. Se folosesc metodele recunoscute de preparare și păstrare a culturilor mamă. Se verifică cerințele de creștere și identitatea genetică a speciilor, sensibilitatea acestora la razele UV sau la mitomicina C, precum și rezistența la ampicilină a speciei WP2 uvr A pKM 101. Liniile trebuie, de asemenea, să producă revertanți spontani în intervalele de frecvență preconizate.

1.6.2.2.   Medii de cultură

Pentru expresia și selecția celulelor mutante se folosește un mediu de cultură corespunzător, împreună cu un agar-agar de acoperire convenabil.

1.6.2.3.   Utilizarea martorilor negativi și pozitivi

Se folosesc simultan culturi martor netratate și culturi martor tratate cu solvent. Martorii pozitivi se folosesc din două motive:

(i)

pentru confirmarea sensibilității liniilor bacteriene.

Pentru testele fără activare metabolică se poate folosi ca martor pozitiv metilmetanul sulfonat, 4-nitroquinolin oxidul sau etilnitrozoureea;

(ii)

pentru a asigura acțiunea activatorului de sistem metabolic.

Unul dintre martorii pozitivii pentru activatorul sistemului metabolic pentru toate liniile este 2-aminoantracenul. Dacă este disponibil, se recomandă folosirea unui martor pozitiv din aceeași clasă ca și substanța de testat.

1.6.2.4.   Concentrația substanței de testat per placă

Se testează cel puțin cinci concentrații diferite de substanță, alese în progresie semilogaritmică. Substanțele se testează până la limita solubilității sau toxicității. Toxicitatea este evidențiată printr-o reducere a numărului de revertanți spontani, o limpezire a fundalului sau prin gradul de supraviețuire a culturilor tratate. Substanțele netoxice se testează la concentrația de 5 mg/placă pentru a putea considera testul negativ.

1.6.2.5.   Condiții de incubare

Plăcile se incubează la 37 °C timp de 48 – 72 de ore.

1.6.3.   Mod de operare

În metoda de încorporare directă pe placă fără activare enzimatică, se adaugă substanța de testat și 0,1 ml de cultură bacteriană proaspătă la 2 ml de agar-agar de acoperire. Pentru testele cu activare metabolică, se adaugă la agar-agar 0,5 ml de amestec de activare de enzime hepatice conținând o cantitate adecvată de fracțiune postmitocondrială, după adăugarea substanței de testat și a bacteriilor. Conținutul fiecărui tub se amestecă și se varsă la suprafața unei plăci de agar-agar selectiv. Agar-agarul de acoperire se solidifică, iar plăcile se incubează la 37 °C timp de 48 până la 72 de ore. La sfârșitul perioadei de incubare, se numără coloniile derivate prin reversie pe placă.

Pentru metoda de preincubare, se incubează în prealabil un amestec conținând substanța de testat, 0,1 ml de cultură bacteriană proaspătă și o cantitate adecvată de amestec de activare de enzime hepatice sau aceeași cantitate de soluție tampon, înainte de adăugarea a 2,0 ml de agar-agar de acoperire. Restul modului de operare este identic cu cel folosit pentru metoda de încorporare.

Toate plăcile pregătite pentru cele două metode se pregătesc în cel puțin trei exemplare.

2.   DATE

Atât pentru seriile martor, cât și pentru cele tratate, se prezintă numărul de colonii în care s-au produs reversii pe fiecare placă. Pentru substanța de testat și pentru martori se prezintă rezultatele pentru fiecare placă, numărul mediu per placă al coloniilor derivate prin reversie și deviația standard.

Rezultatele se evaluează prin metode statistice adecvate.

Se efectuează cel puțin două experimente independente. Nu este obligatoriu ca al doilea experiment să se desfășoare în mod identic cu experimentul inițial. Anumite condiții de testare pot fi modificate, pentru a obține mai multe rezultate utile.

3.   RAPORT

3.1.   RAPORTUL DE TESTARE

Raportul de testare conține, dacă este posibil, următoarele informații:

bacterii, linii folosite;

condiții experimentale: doze, toxicitate, compoziția mediilor de cultură, metodele de tratament (preincubare, incubare), sistemul de activare metabolică, substanțe de referință, martori negativi;

rezultatele plăcilor individuale, numărul mediu per placă al coloniilor derivate prin reversie, deviația standard, relația doză/efect, dacă este posibil;

discutarea rezultatelor;

interpretarea rezultatelor.

3.2.   EVALUARE ȘI INTERPRETARE

A se vedea introducerea generală: partea B (litera D).

4.   REFERINȚE BIBLIOGRAFICE

A se vedea introducerea generală: partea B (litera E).

B.14.   MUTAGENEZA (TEST DE MUTAȚIE REVERSĂ LA SALMONELLA TYPHIMURIUM)

1.   METODĂ

1.1.   INTRODUCERE

A se vedea introducerea generală: partea B (litera A).

1.2.   DEFINIȚIE

A se vedea introducerea generală: partea B (litera C).

1.3.   SUBSTANȚE DE REFERINȚĂ

Nici una.

1.4.   PRINCIPIUL METODEI DE TESTARE

Sistemul de reversie cu histidină (his) al Salmonella typhimurium este un test microbian care permite măsurarea reversiei his-  → his+ induse de substanțe chimice responsabile pentru substituția de bază sau a mutațiilor care deplasează cadrul de citire în genomul organismului.

Se expun bacteriile la substanța de testat cu sau fără activare metabolică și se varsă la suprafața unui mediu minim. După o perioadă de incubare adecvată, se numără coloniile derivate prin reversie și se compară numărul obținut cu cel al revertanților spontani observați într-o cultură martor netratată și/sau în prezența solventului.

1.5.   CRITERII DE CALITATE

Nici unul.

1.6.   DESCRIEREA METODEI DE TESTARE

1.6.1.   Pregătiri

1.6.1.1.   Bacterii

Culturile proaspete de bacterii se incubează la 37 °C până la faza exponențială tardivă sau faza staționară precoce a creșterii. Densitatea celulară aproximativă trebuie să fie între 108și 109 celule pe mililitru.

1.6.1.2.   Activare metabolică

Bacteriile se tratează cu substanța de testat atât în prezența, cât și în absența unui sistem de activare metabolică adecvat. Sistemul cel mai frecvent folosit este o fracțiune postmitocondrială la care se adaugă un cofactor preparat din ficat de rozătoare tratate cu inductori enzimatici.

1.6.2.   Condiții experimentale

1.6.2.1.   Linii de experiență

Se folosesc cel puțin patru linii, TA 1535, TA 1537 sau TA 97, TA 98 și TA 100; suplimentar, se pot folosi alte linii, cum ar fi TA 1538 și TA 102. Se recomandă folosirea metodelor recunoscute de preparare și păstrare a culturilor mamă. Se verifică cerințele de creștere și identitate genetică a liniilor, sensibilitatea lor la radiația ultravioletă și la cristal violet, rezistența la ampicilină. Liniile trebuie să producă revertanți spontani în intervalul de frecvență preconizat.

1.6.2.2.   Mediu

Se utilizează un mediu de cultură selectiv corespunzător, cu agar-agar de acoperire adecvat.

1.6.2.3.   Folosirea martorilor negativi și pozitivi

Se folosesc simultan culturi martor netratate și culturi martor tratate cu solvent. Martorii pozitivi se folosesc în două scopuri:

(i)

pentru confirmarea sensibilității liniilor bacteriene.

Pentru testele fără activare metabolică se pot utiliza următorii compuși:

Sușă

Reversie cu:

TA 1535, TA 100

azida de sodiu

TA 1538, TA 98, TA 97

2-nitrofluoren

TA 1537

9-aminoacridina

TA 102

hidroperoxid de cumen

(ii)

pentru a asigura acțiunea activatorului de sistem metabolic.

Unul dintre martorii pozitivii pentru activatorul sistemului metabolic pentru toate liniile este 2-aminoantracenul. Dacă este disponibil, se recomandă folosirea unui martor pozitiv din aceeași clasă ca și substanța de testat.

1.6.2.4.   Concentrația substanței testate per placă

Se testează cel puțin cinci concentrații diferite de substanță, alese în progresie semilogaritmică. Substanțele se testează până la limita solubilității sau toxicității. Toxicitatea este evidențiată printr-o reducere a numărului de revertanți spontani, o limpezire a fundalului sau prin gradul de supraviețuire a culturilor tratate. Substanțele netoxice se testează la concentrația de 5 mg/placă pentru a putea considera testul negativ.

1.6.2.5.   Condiții de incubare

Plăcile se incubează la 37 °C între 48 și 72 de ore.

1.6.3.   Mod de operare

În metoda de încorporare directă pe cutie fără activare enzimatică, se adaugă substanța de testat și 0,1 ml de cultură bacteriană proaspătă la 2 ml de agar-agar de acoperire. Pentru testele cu activare metabolică, se adaugă la agar-agar 0,5 ml de amestec de activare de enzime hepatice conținând o cantitate adecvată de fracțiune postmitocondrială, după adăugarea substanței de testat și a bacteriilor. Conținutul fiecărui tub se amestecă și se varsă la suprafața unei plăci de agar-agar selectiv. Agar-agarul de acoperire se solidifică, iar plăcile se incubează la 37 °C timp de 48 până la 72 de ore. La sfârșitul perioadei de incubare, se numără coloniile derivate prin reversie pe cutie. Pentru metoda de preincubare, se incubează în prealabil un amestec conținând substanța de testat, 0,1 ml de cultură bacteriană proaspătă și o cantitate adecvată de amestec de activare de enzime hepatice sau aceeași cantitate de soluție tampon, înainte de adăugarea a 2 ml de agar-agar de acoperire. Restul modului de operare este identic cu cel folosit pentru metoda de încorporare directă pe placă.

Toate plăcile pregătite pentru cele două metode se pregătesc în cel puțin trei exemplare.

2.   DATE

Numărul de coloniilor derivate prin reversie per placă este prezentat atât pentru seriile martor, cât și pentru cele tratate.

Pentru substanța de testat și pentru martori sunt prezentate rezultatele pentru fiecare placă, numărul mediu per placă al coloniilor derivate prin reversie și deviația standard.

Rezultatele se evaluează prin metode statistice adecvate.

Trebuie realizate cel puțin două experimente independente. Nu este obligatoriu ca al doilea experiment să se desfășoare în mod identic cu experimentul inițial. Anumite condiții de testare pot fi modificate pentru a obține mai multe rezultate utile.

3.   RAPORT

3.1.   RAPORTUL DE TESTARE

Raportul de testare cuprinde, dacă este posibil, următoarele informații:

bacterii, sușe folosite;

condițiile experimentale: doze, toxicitate, compoziția mediilor de cultură, metodele de tratament (preincubare, incubare), sistemul de activare metabolică, substanțe de referință, martori negativi;

rezultatele plăcilor individuale, numărul mediu per cutie al coloniilor derivate prin reversie, deviația standard, relația doză/efect, dacă este posibil;

discutarea rezultatelor;

interpretarea rezultatelor.

3.2.   EVALUARE ȘI INTERPRETARE

A se vedea introducerea generală: partea B (litera D).

4.   REFERINȚE BIBLIOGRAFICE

A se vedea introducerea generală: partea B (litera E).

PARTEA C: METODE PENTRU DETERMINAREA ECOTOXICITĂȚII

C.1.   TOXICITATEA ACUTĂ LA PEȘTI

1.   METODĂ

1.1.   INTRODUCERE

Scopul testului de față este de a determina toxicitatea letală acută a unei substanțe la peștii de apă dulce. Este de dorit să se colecteze informații legate de solubilitatea în apă, presiunea vaporilor, stabilitatea chimică, constantele de disociere și biodegradabilitatea substanței, pentru a alege metoda optimă de testare (statică, semistatică sau dinamică) și pentru a asigura concentrații constante satisfăcătoare ale substanței pe durata testării.

Atât la planificarea testului, cât și la interpretarea rezultatelor, se iau în considerare informațiile suplimentare (de exemplu formula structurală, gradul de puritate, natura și procentul de impurități semnificative, prezența și cantitatea de aditivi și coeficientul de partiție n-octanol/apă).

1.2.   DEFINIȚII ȘI UNITĂȚI DE MĂSURĂ

Toxicitatea acută reprezintă efectul advers vizibil indus într-un organism într-o perioadă scurtă (zile) de expunere la o substanță. În testul de față, toxicitatea acută se exprimă drept concentrația letală mediană (CL50), care este acea concentrație a substanței de testat în apă care provoacă moartea a 50 % din lotul de pești de experiență într-o perioadă de expunere continuă și definită.

Toate concentrațiile substanței de testat se exprimă ca greutate pe volum (miligrame pe litru). Ele pot fi, de asemenea, exprimate ca greutate din greutate (mg kg-1).

1.3.   SUBSTANȚE DE REFERINȚĂ

Se poate testa o substanță de referință pentru a demonstra că în condițiile de testare din laborator răspunsul speciilor testate nu s-a schimbat semnificativ.

Pentru acest test nu sunt specificate substanțe de referință.

1.4.   PRINCIPIUL METODEI DE TESTARE

Se efectuează un test limită la 100 mg/l pentru a demonstra că CL50 este mai mare decât această concentrație.

Peștii se tratează cu substanța de testat solubilizată în apă, într-o serie de concentrații, pe o perioadă de 96 ore. Se înregistrează mortalitatea la intervale de cel puțin 24 de ore și se calculează concentrațiile care provoacă moartea a 50 % din pești (CL50) în fiecare perioadă de observare, dacă este posibil.

1.5.   CRITERII DE CALITATE

Criteriile de calitate se aplică testului limită, precum și testului complet.

Mortalitatea la martori nu trebuie să depășească 10 % (sau un pește dacă se folosesc mai puțin de zece pești) până la sfârșitul testului.

Concentrația de oxigen dizolvat trebuie să fie mai mare de 60 % din valoarea de saturație în aer, până la sfârșitul testului.

Concentrațiile substanței de testat se mențin în limita a 80 % din concentrațiile inițiale pe toată durata testului.

Pentru substanțele care se dizolvă ușor în mediul de testare, rezultând soluții stabile, respectiv soluții care nu se volatilizează, degradează, hidrolizează sau adsorb într-o măsură considerabilă, concentrația inițială poate fi considerată echivalentă cu concentrația nominală. Trebuie demonstrat că pe toată durata testului au fost menținute aceleași concentrații, iar criteriile de calitate au fost satisfăcute.

Pentru substanțele care sunt:

(i)

puțin solubile în mediul de testare sau

(ii)

capabile să formeze emulsii stabile ori dispersii sau

(iii)

instabile în soluții apoase,

concentrația inițială este considerată drept concentrația determinată analitic în soluție (sau, în cazul în care nu este posibil tehnic, măsurată în coloana de apă) la începutul testului. Concentrația se determină după o perioadă de echilibrare, dar înainte de introducerea peștilor de experiență.

În oricare dintre aceste cazuri, se efectuează determinări suplimentare pe parcursul testului, pentru a confirma concentrațiile reale de expunere sau respectarea criteriilor de calitate.

Valoarea pH-ului trebuie să nu varieze cu mai mult de o unitate.

1.6.   DESCRIEREA METODEI DE TESTARE

Se pot folosi trei tipuri de metode:

Test în regim static:

Test de toxicitate în care soluția testată nu se înlocuiește. (Soluțiile rămân nemodificate pe toată durata testului.)

Test în regim semistatic:

Test fără înlocuirea continuă a soluției testate, dar cu înlocuirea cu regularitate a întregii soluții (de exemplu la 24 de ore).

Test în regim dinamic:

Test de toxicitate în care soluția testată este reînnoită constant în vasele de testare, substanța de testat fiind transportată cu apa folosită pentru a reînnoi soluția.

1.6.1.   Reactivi

1.6.1.1.   Soluțiile substanțelor de testat

Soluțiile mamă în concentrația necesară se prepară prin dizolvarea substanței în apă deionizată sau în apă conform punctului 1.6.1.2.

Concentrațiile de testare alese sunt preparate prin diluarea soluției mamă. Dacă se testează concentrații ridicate, cantitățile corespunzătoare din substanța de testat pot fi solubilizate direct în apa de diluție.

Substanțele se testează în mod normal numai până la limita solubilității. Pentru unele substanțe (de exemplu: substanțele puțin solubile în apă sau cele cu Pow ridicat sau care formează dispersii stabile în loc de soluții apoase propriu-zise) se acceptă folosirea unei concentrații deasupra limitei de solubilitate a substanței, pentru a garanta concentrația maximă solubilă/stabilă. Cu toate acestea, este important ca această concentrație să nu perturbe sistemul de testare (de exemplu, o peliculă de substanță pe suprafața apei care să împiedice oxigenarea apei etc.).

Pentru a prepara soluțiile mamă ale substanțelor cu solubilitate scăzută în apă sau pentru a facilita dispersia acestor substanțe în mediul de testare se pot folosi: dispersia cu ultrasunete, solvenți organici, agenți de emulsionare sau agenți de dispersie. În cazul în care se folosesc astfel de substanțe auxiliare, toate concentrațiile trebuie să conțină aceeași cantitate de substanță auxiliară, iar peștii martor sunt tratați cu aceeași concentrație a substanței auxiliare ca și cea folosită în loturile tratate. Concentrația unor astfel de substanțe auxiliare trebuie redusă la minimum și în nici un caz nu trebuie să depășească 100 mg/l.

Testul se efectuează fără reglarea pH-ului. Dacă există dovada unei schimbări pronunțate a pH-ului, se recomandă ca testul să se repete după reglarea pH-ului, iar rezultatele să se consemneze. În acest caz, valoarea pH-ului soluției mamă se reglează la valoarea pH-ului apei de diluție, dacă nu există contraargumente specifice. Pentru reglarea pH-ului sunt preferate HCl și NaOH. Această reglare a pH-ului se face astfel încât concentrația substanței de testat din soluția mamă să nu se modifice în mod semnificativ. Dacă în urma acestei corecții de pH are loc o reacție chimică sau precipitarea fizică a substanței de testat, acest lucru trebuie consemnat.

1.6.1.2.   Apa de întreținere și de diluție

Se poate folosi apa potabilă (necontaminată de concentrații potențial dăunătoare de clor, metale grele sau alte substanțe), apa naturală de calitate bună sau apa reconstituită (a se vedea apendicele 1). Se preferă apa cu o duritate totală între 10 și 250 mg/l (CaCO3) și cu un pH cuprins în intervalul 6,0 – 8,5.

1.6.2.   Aparatură

Toată aparatura este confecționată din material inert din punct de vedere chimic:

sistem automat de diluare (pentru testare în condiții dinamice),

oxigenometru,

echipament pentru determinarea durității apei,

aparatură adecvată pentru controlul temperaturii,

pH-metru.

1.6.3.   Peștii de experiență

Peștii trebuie să fie sănătoși și fără malformații vizibile.

Speciile folosite sunt selectate pe baza unor criterii practice cum sunt: disponibilitatea lor tot timpul anului, întreținere ușoară, testare convenabilă, sensibilitatea relativă la substanțe chimice și orice factor economic și biologic sau ecologic important. La selectarea speciilor de pești se va ține seama de necesitatea comparabilității datelor obținute și de armonizarea internațională existentă [referința bibliografică (1)].

Lista speciilor de pești recomandate pentru efectuarea acestui test este prezentată în apendicele 2; peștele-zebră și păstrăvul-curcubeu sunt speciile preferate.

1.6.3.1.   Întreținere

Peștii supuși testului trebuie, de preferință, să provină dintr-un singur lot, ai cărui indivizi au lungimea și vârsta asemănătoare. Sunt ținuți timp de cel puțin 12 zile în condițiile următoare:

încărcătură:

adecvată sistemului folosit (recirculare sau în regim dinamic) și speciei de pești;

apă:

a se vedea punctul 1.6.1.2;

lumină:

iluminare 12 până la 16 ore pe zi;

concentrația de oxigen dizolvat:

cel puțin 80 % din valoarea de saturație în aer;

alimentație:

zilnic sau de 3 ori pe săptămână, cu o pauză de 24 de ore înaintea începerii testului.

1.6.3.2.   Mortalitate

După o perioadă de 48 de ore de adaptare, se înregistrează mortalitatea și se aplică următoarele criterii:

mai mare de 10 % din populație în 7 zile:

respingerea întregului lot;

între 5 și 10 % din populație:

perioada de întreținere continuă încă 7 zile. Dacă nu mai apare mortalitate, lotul este acceptat, în caz contrar este respins;

sub 5 % din populație:

acceptarea lotului.

1.6.4.   Adaptare

Toți peștii trebuie să fie ținuți în apă de calitatea și temperatura apei care urmează să fie folosită la test, timp de cel puțin 7 zile înainte de a fi folosiți.

1.6.5.   Mod de operare

Testul principal poate fi precedat de un test de stabilire a intervalului, pentru a obține informații legate de intervalul de concentrații ce urmează să fie folosite.

Pe lângă testarea propriu-zisă, se efectuează un test martor fără substanță de testat și, dacă are semnificație, încă un test martor pentru substanța auxiliară.

În funcție de proprietățile fizice și chimice ale substanței de testat, se alege metoda adecvată statică, semistatică sau dinamică, pentru a îndeplini criteriile de calitate.

Peștii sunt expuși substanței conform celor descrise mai jos:

durata: 96 ore;

numărul de organisme testate: cel puțin 7 pe concentrație;

vase: de capacitate adecvată, în funcție de încărcătura recomandată a lotului;

încărcătura: se recomandă încărcătura maximă de 1 g/l pentru testele în regim static și semistatic; pentru testele în regim dinamic se acceptă o încărcătură mai mare;

concentrația testată: cel puțin 5 concentrații spațiate printr-un factor constant care nu depășește 2,2 și, dacă este posibil, într-un interval de 0 –100 % mortalitate;

apă: a se vedea punctul 1.6.1.2;

lumină: 12-16 ore lumină zilnic;

temperatură: conform speciei (apendicele 2) dar în limita a ± 1 °C în cadrul fiecărei testări;

concentrația de oxigen dizolvat: nu mai puțin de 60 % din valoarea de saturație în aer la temperatura selectată;

hrănire: nu se administrează hrană.

Peștii sunt observați după primele 2 până la 4 ore și la intervale de cel puțin 24 de ore. Peștii se consideră morți dacă atingerea pedunculului caudal nu produce nici o reacție și nu sunt vizibile mișcări de respirație. Peștii morți se îndepărtează în momentul în care sunt observați și se înregistrează mortalitatea.

Se ține evidența comportamentului anormal vizibil (de exemplu, pierderea echilibrului, perturbări de înot, funcția respiratorie, pigmentare etc.).

Trebuie să se efectueze zilnic măsurători ale pH-ului, oxigenului dizolvat și temperaturii.

Test limită

Folosind modul de operare descris în prezenta metodă de testare, se poate efectua un test limită la 100 mg/l pentru a demonstra că CL50 este mai mare decât această concentrație.

Dacă natura substanței nu permite atingerea concentrației de 100 mg/l în soluția de testare, testul de limită se efectuează la o concentrație egală cu solubilitatea substanței (sau concentrația maximă pentru formarea unei dispersii stabile) în mediul folosit (a se vedea și punctul 1.6.1.1).

Testul limită se efectuează folosind între 7 și 10 pești, cu același număr de teste martor. (Conform teoriei binomului, dacă se folosesc 10 pești și mortalitatea este 0, există 99,9 % încredere că CL50 este mai mare decât concentrația folosită în testul limită. Cu 7, 8 sau 9 pești, absența mortalității asigură cel puțin 99 % încredere că CL50 este mai mare decât concentrația folosită.)

Dacă apare mortalitate, trebuie să se efectueze un studiu complet. Dacă se observă efecte subletale, acestea se înregistrează.

2.   DATE ȘI EVALUARE

Pentru fiecare perioadă în care s-au înregistrat observații (24, 48, 72 și 96 de ore) se reprezintă grafic mortalitatea exprimată în procente, în funcție de concentrație, pe o hârtie probit logaritmică.

Dacă este posibil, pentru fiecare perioadă de observare se estimează CL50 și limitele de încredere (p = 0,05) prin metode standard; aceste valori se rotunjesc la una sau cel mult două cifre semnificative (exemple de rotunjire la două cifre: 170 pentru 173,5; 0,13 pentru 0,127; 1,2 pentru 1,21).

În cazul în care panta curbei de răspuns concentrație/procentaj este prea abruptă pentru a permite calcularea valorii CL50, este suficientă estimarea grafică a acestei valori.

În cazul în care două concentrații consecutive aflate în raport de 2,2 dau numai 0 și 100 % mortalitate, aceste două valori sunt suficiente pentru a indica intervalul în care se situează CL50.

Dacă se observă că stabilitatea sau omogenitatea substanței de testat nu poate fi menținută, acest lucru se consemnează, iar rezultatele trebuie interpretate cu atenție.

3.   RAPORT

Raportul de testare cuprinde, dacă este posibil, următoarele informații:

informații despre peștii de experiență (denumirea științifică, linia, furnizorul, orice tratament preliminar, dimensiunea și numărul folosit pentru fiecare concentrație testată);

sursa apei de diluție și caracteristicile chimice principale (pH, duritate, temperatură);

în cazul unei substanțe puțin solubile în apă, metoda de preparare a soluției mamă și a soluțiilor de testare;

concentrația eventualelor substanțe auxiliare;

lista concentrațiilor folosite și orice informații disponibile legate de stabilitatea substanțelor chimice la concentrațiile din soluția de testare;

dacă se efectuează analize chimice, metodele folosite și rezultatele obținute;

rezultatele testului limită, după caz;

motivele alegerii metodei de testare folosite și detalii cu privire la aceasta (de exemplu: statică, semistatică, raportul dozelor, viteza curgerii, condițiile de aerare, greutatea lotului de pești testat etc.);

descrierea echipamentului de testare;

regimul de iluminare;

concentrațiile de oxigen dizolvat, valorile pH-ului și temperaturilor soluțiilor testate la fiecare 24 de ore;

dovada îndeplinirii criteriilor de calitate;

tabelul care prezintă mortalitatea cumulată pentru fiecare concentrație testată și înregistrările aferente controlului (inclusiv pentru testul martor cu substanță auxiliară, după caz) la fiecare perioadă de observație recomandată;

graficul curbei de răspuns concentrație/procentaj la sfârșitul testării;

dacă e posibil, valorile CL50 la fiecare perioadă de observație recomandată (cu limite de încredere de 95 %);

metodele statistice folosite pentru determinarea valorilor CL50;

dacă s-a folosit o substanță de referință, rezultatele obținute;

concentrația testată maximă care nu provoacă mortalitate pe durata testării;

concentrația testată minimă care provoacă mortalitate 100 % pe durata testării.

4.   REFERINȚE BIBLIOGRAFICE

(1)

OECD, Paris, 1981, Test Guideline 203, Decision of the Council C(81) 30 final and updates.

(2)

AFNOR - Determination of the acute toxicity of a substance to Brachydanio rerio - Static and Flow-Through methods - NFT 90-303 June 1985.

(3)

AFNOR - Determination of the acute toxicity of a substance to Salmo gairdneri - Static and Flow - Through methods - NFT 90-305 June 1985.

(4)

ISO 7346/1, /2 and/3 - Water Quality - Determination of the acute lethal toxicity of substances to a fresh water fish (Brachydanio rerio Hamilton-Buchanan - Teleostei, Cyprinidae). Part 1: Static method. Part 2: Semi-static method. Part 3: Flow-through method.

(5)

Eidgenössisches Department des Innern, Schweiz: Richtlinien fur Probenahme und Normung von Wasseruntersuchungsmethoden - Part II 1974.

(6)

DIN Testverfahren mit Wasserorganismen, 38 412 (L1) und (L15).

(7)

JIS K 0102, Acute toxicity test for fish.

(8)

NEN 6506 - Water - Bepaling van de akute toxiciteit met behulp van Poecilia reticulata, 1980.

(9)

Environmental Protection Agency, Methods for the acute toxicity tests with fish, macroinvertebrates and amphibians. The Committee on Methods for Toxicity Tests with Aquatic Organisms, Ecological Research Series EPA-660-75-009, 1975.

(10)

Environmental Protection Agency, Environmental monitoring and support laboratory, Office of Research and Development, EPA-600/4-78-012, January 1978.

(11)

Environmental Protection Agency, Toxic Substance Control, Part IV, 16 March 1979.

(12)

Standard methods for the examination of water and wastewater, fourteen edition, APHA-AWWA-WPCF, 1975.

(13)

Commission of the European Communities, Inter-laboratory test programme concerning the study of the ecotoxicity of a chemical substance with respect to the fish. EEC Study D.8368, 22 March 1979.

(14)

Verfahrensvorschlag des Umweltbundesamtes zum akuten Fisch-Test. Rudolph, P. und Boje, R. Ökotoxikologie, Grundlagen für die ökotoxikologische Bewertung von Umweltchemikalien nach dem Chemikaliengesetz, ecomed 1986.

(15)

Litchfield, J. T. and Wilcoxon, F., A simplified method for evaluating dose effects experiments, J. Pharm, Exp. Therap., 1949, vol. 96, 99.

(16)

Finney, D. J. Statistical Methods in Biological Assay. Griffin, Weycombe, U. K., 1978.

(17)

Sprague, J. B. Measurement of pollutant toxicity to fish. I Bioassay methods for acute toxicity. Water Res., 1969, vol. 3, 793-821.

(18)

Sprague, J. B. Measurement of pollutant toxicity to fish. II Utilising and applying bioassay results. Water Res. 1970, vol. 4, 3-32.

(19)

Stephan, C. E. Methods for calculating an LC50. In Aquatic Toxicology and Hazard Evaluation (edited by F. I. Mayer and J. L. Hamelink). American Society for Testing and Materials, ASTM STP 634, 1977, 65-84.

(20)

Stephan, C. E., Busch, K. A., Smith, R., Burke, J. and Andrews, R. W. A computer program for calculating an LC50. US EPA.

Apendicele 1

Apă reconstituită

Exemplu de apă de diluție adecvată

Toate substanțele chimice sunt de puritate analitică.

Apa este apă distilată și de calitate bună sau apă deionizată cu o conductibilitate mai mică de 5 µScm-1.

Aparatura pentru distilarea apei trebuie să nu conțină nici o piesă din cupru.

Soluțiile mamă

CaCl2. 2H2O (clorură de calciu dihidrat):

Dizolvată și completată până la 1 litru cu apă.

11,76 g

MgSO4. 7H2O (sulfat de magneziu heptahidrat):

Dizolvat și completat până la 1 litru cu apă.

4,93 g

NaHCO3 (carbonat acid de sodiu):

Dizolvat și completat până la 1 litru cu apă.

2,59 g

KCl (clorură de potasiu):

Dizolvată și completată până la 1 litru cu apă.

0,23 g

Apă de diluție reconstituită

Se adaugă câte 25 ml din cele patru soluții mamă și se completează până la 1 litru cu apă.

Se aerează până când concentrația oxigenului dizolvat este egală cu valoarea de saturație în aer.

pH-ul este 7,8 ± 0,2.

Dacă este necesar, pH-ul se reglează cu NaOH (hidroxid de sodiu) sau HCl (acid clorhidric).

Apa de diluție astfel preparată este lăsată în repaus aproximativ 12 ore și nu mai este aerată.

Suma ionilor de Ca și Mg în această soluție este 2,5 mmol/l. Raportul ionilor Ca:Mg este 4:1, iar cel al ionilor Na:K este 10:1. Alcalinitatea totală a acestei soluții este 0,8 mmol/l.

Orice abatere în prepararea apei de diluție nu trebuie să schimbe compoziția sau proprietățile apei.

Apendicele 2

Speciile de pești recomandate pentru testare

Speciile recomandate

Intervalul de temperatură recomandat pentru testare

(°C)

Lungimea totală recomandată a animalului de experiență

(cm)

Brachydanio rerio (Teleostei, Cyprinidae) (Hamilton-Buchanan) Peștele zebră

20 – 24

3,0 ± 0,5

Pimephales promelas (Teleostei, Cyprinidae) (Rafinesque) Boiștean

20 – 24

5,0 ± 2,0

Cyprinus carpio (Teleostei, Cyprinidae) (Linneaus 1758) Crap comun

20 – 24

6,0 ± 2,0

Oryzias Latipes (Teleostei, Poeciliidae) Cyprinodontidae (Tommick and Schlegel 1850)

20 – 24

3,0 ± 1,0

Poecilia reticulata (Teleostei, Poeciliidae) (Peters 1859)

20 – 24

3,0 ± 1,0

Lepomis macrochirus (Teleostei, Centrarchidae)(Rafinesque Linneaus 1758)

20 – 24

5,0 ± 2,0

Onchorhynchus mykiss (Teleostei, Salmonidae) (Walbaum 1988) Păstrăv curcubeu

12 – 17

6,0 ± 2,0

Leuciscus idus (Teleostei, Cyprinidae) (Linneaus 1758) Văduviță

20 – 24

6,0 ± 2,0

Aprovizionare

Peștii din lista de mai sus sunt ușor de crescut și/sau se găsesc din abundență în tot timpul anului. Pot fi crescuți și înmulțiți în crescătoriile de pești sau în laborator, în condiții controlate de boală și paraziți, astfel încât animalele testate să fie sănătoase și cu ascendență cunoscută. Acești pești sunt disponibili în multe locuri ale lumii.

Apendicele 3

Exemplu de înregistrare grafică: concentrație/procentul de mortalitate

Exemplu de determinare a CL50 cu hârtie probit logaritmică

Image

C.2.   TOXICITATEA ACUTĂ LA DAPHNIA

1.   METODĂ

1.1.   INTRODUCERE

Scopul testului de față este acela de a determina concentrația mediană efectivă (CE50) de imobilizare a unei substanțe la Daphnia în apă dulce. Este de dorit să se colecteze, dacă este posibil, informații legate de solubilitatea în apă, presiunea vaporilor, stabilitatea chimică, constantele de disociere și biodegradabilitatea substanței înainte de începerea testului.

Alte informații suplimentare, de exemplu, formula dezvoltată, puritatea în procente, natura și procentul de impurități semnificative, prezența și numărul aditivilor, precum și coeficientul de partiție n-octanol/apă, se iau în considerare la conceperea testului și la interpretarea rezultatelor.

1.2.   DEFINIȚII ȘI UNITĂȚI DE MĂSURĂ

Cerințele directivei pentru CL50 la Daphnia se consideră îndeplinite prin determinarea CE50 conform descrierii din prezenta metodă.

Toxicitatea acută este exprimată în acest test ca fiind concentrația mediană efectivă (CE50) de imobilizare. Aceasta este concentrația, exprimată în termenii valorilor inițiale, care imobilizează 50 % din Daphnia dintr-un lot de experiență într-o perioadă de expunere continuă și definită.

Imobilizare:

Animalele care nu pot înota timp de 15 secunde după agitarea ușoară a vasului de testare se consideră imobile.

Toate concentrațiile substanței de testat se exprimă în greutate din volum (mg/l). Ele pot, de asemenea, să fie exprimate ca greutate din greutate (mg kg-1).

1.3.   SUBSTANȚE DE REFERINȚĂ

Se poate testa o substanță de referință pentru a demonstra că în condițiile de testare din laborator răspunsul speciilor testate nu s-a schimbat semnificativ.

Rezumatul rezultatelor unor teste interlaboratoare CEE, folosind patru substanțe diferite, figurează în apendicele 2.

1.4.   PRINCIPIUL METODEI DE TESTARE

Se poate efectua un test de limită la 100 mg/l pentru a demonstra că CE50 este mai mare decât această concentrație.

Daphnia se tratează cu substanța de testat adăugată în apă într-o gamă de concentrații, timp de 48 de ore. Dacă se folosește un test mai scurt, acest lucru trebuie justificat în raport.

În condiții de testare identice din toate celelalte puncte de vedere și un interval adecvat de concentrații ale substanței de testat, concentrațiile diferite exercită în grade diferite efecte asupra capacității de înot a Daphniei. Concentrațiile diferite conduc la diferite procente de organisme Daphnia care nu mai pot înota la sfârșitul testului. Concentrațiile care produc imobilizarea 0 sau 100 % provin direct din observațiile înregistrate în perioada de testare, în timp ce CE50 - 48 de ore se determină prin calcul, dacă este posibil.

Pentru această metodă se folosește un sistem static, așadar soluțiile de testare nu sunt reînnoite în perioada de expunere.

1.5.   CRITERII DE CALITATE

Criteriile de calitate se aplică atât testului limită, cât și testului complet.

Imobilizarea la lotul martor nu trebuie să depășească 10 % la sfârșitul testului.

Daphnia testată în loturile martor nu trebuie să fi fost capturată de la suprafața apei.

În mod ideal, concentrația oxigenului dizolvat din vasul de testare se menține la valori mai mari de 3 mg l-1 pe întreaga durată a testului și nu scade în nici un caz sub 2 mg l-1.

Concentrațiile substanței de testat se mențin în limita a 80 % din concentrațiile inițiale pe toată durata testului.

Pentru substanțele care se dizolvă ușor în mediul de testare, rezultând soluții stabile, adică acelea care nu se volatilizează, degradează, hidrolizează sau adsorb într-o măsură semnificativă, concentrația inițială poate fi considerată echivalentă cu concentrația nominală. Trebuie demonstrat că pe toată durata testului au fost menținute aceleași concentrații, iar criteriile de calitate au fost satisfăcute.

Pentru substanțele care sunt:

(i)

puțin solubile în mediul de testare sau

(ii)

capabile să formeze emulsii stabile sau dispersii sau

(iii)

instabile în soluții apoase,

concentrația inițială se consideră a fi concentrația determinată analitic în soluție (sau, dacă nu este posibil din punct de vedere tehnic, măsurată în coloana de apă) la începutul testului. Concentrația se determină după o perioadă de echilibrare, dar înainte de introducerea organismelor testate.

În oricare dintre aceste cazuri, trebuie să se efectueze determinări în timpul testului pentru a confirma concentrațiile reale de expunere sau respectarea criteriilor de calitate.

Valoarea pH-ului trebuie să nu varieze cu mai mult de o unitate.

1.6.   DESCRIEREA METODEI DE TESTARE

1.6.1.   Reactivi

1.6.1.1.   Soluțiile substanțelor de testat

Soluțiile mamă de concentrația necesară sunt preparate prin dizolvarea substanței în apă deionizată sau în apă pregătită în conformitate cu punctul 1.6.1.2.

Concentrațiile testate alese sunt preparate prin diluarea soluției mamă. Dacă se testează concentrații ridicate, cantitățile corespunzătoare din substanța de testat pot fi solubilizate direct în apa de diluție.

Substanțele se testează în mod normal numai până la limita solubilității. Pentru unele substanțe (de exemplu: substanțele puțin solubile în apă, sau cele cu Pow ridicat, sau care formează dispersii stabile în loc de soluții apoase reale) se acceptă folosirea unei concentrații deasupra limitei de solubilitate a substanței, pentru a garanta concentrația maximă solubilă/stabilă. Cu toate acestea, este important ca această concentrație să nu perturbe sistemul de testare (de exemplu, o peliculă de substanță pe suprafața apei care să împiedice oxigenarea apei etc.).

Pentru a prepara soluțiile mamă ale substanțelor cu solubilitate scăzută în apă sau pentru a facilita dispersia acestor substanțe în mediul de testare se pot folosi: dispersia cu ultrasunete, solvenți organici, agenți de emulsionare sau agenți de dispersie. În cazul în care se folosesc astfel de substanțe auxiliare, toate concentrațiile trebuie să conțină aceeași cantitate de substanță auxiliară, iar un lot martor suplimentar de organisme Daphnia este tratat cu aceeași concentrație a substanței auxiliare ca și aceea folosită în loturile tratate. Concentrația unor astfel de substanțe auxiliare este redusă la minimum și în nici un caz nu trebuie să depășească 100 mg/l în mediul de testare.

Testul se efectuează fără reglarea pH-ului. Dacă există dovada unei schimbări pronunțate a pH-ului, se recomandă ca testul să se repete după reglarea pH-ului, iar rezultatele să se consemneze. În acest caz, valoarea pH-ului soluției mamă se reglează la valoarea pH-ului apei de diluție, dacă nu există contraargumente specifice. Pentru reglarea pH-ului sunt preferate HCl și NaOH. Această reglare a pH-ului se face astfel încât concentrația substanței de testat din soluția mamă să nu se modifice în mod semnificativ. Dacă în urma acestei corecții de pH are loc o reacție chimică sau precipitarea fizică a substanței de testat, acest lucru trebuie consemnat.

1.6.1.2.   Apa de testare

În acest test se folosește apă reconstituită [a se vedea apendicele 1 și referința bibliografică (2): ISO 6341]. Pentru a se evita necesitatea aclimatizării înainte de testare, se recomandă ca apa de cultură să aibă aceeași calitate (pH, duritate) ca apa de testare.

1.6.2.   Aparatură

Se folosesc aparatură și echipamente normale de laborator. În mod ideal, echipamentele care vin în contact cu soluțiile de testare sunt confecționate în întregime din sticlă:

oxigenometru (cu microelectrod sau alt echipament adecvat pentru măsurarea oxigenului dizolvat în probele cu volum mic);

aparatură adecvată pentru controlul temperaturii;

pH metru;

echipament pentru determinarea durității apei.

1.6.3.   Organisme de experiență

Specia preferată este Daphnia magna, deși este permisă și Daphnia pulex. Organismele testate sunt în vârstă de mai puțin de 24 de ore la începutul testului, crescute în laborator, fără boli evidente și cu un istoric cunoscut (de exemplu, creștere, tratament preliminar etc.).

1.6.4.   Mod de operare

Testul principal poate fi precedat de un test de stabilire a intervalului, pentru a obține informații legate de intervalul de concentrații ce urmează să fie folosite.

Pe lângă testele experimentale, se efectuează un test martor fără substanță de testat și, dacă are semnificație, se efectuează și un test martor care să conțină substanța auxiliară.

Daphnia se tratează cu substanța conform modului de operare descris mai jos:

durata: de preferință 48 de ore;

numărul de animale: cel puțin 20 pentru fiecare concentrație testată, de preferință împărțit în patru loturi a câte 5 exemplare fiecare sau două loturi de 10 exemplare;

încărcătură biologică: volumul de apă se prevede astfel încât să asigure cel puțin 2 ml soluție de testare pentru fiecare animal;

concentrația testată: soluția de testare se prepară înainte de introducerea Daphniei, de preferință fără a folosi vreun solvent altul decât apa. Concentrațiile se aleg în progresie geometrică, cu o rație care să nu depășească 2,2. Concentrațiile care determină o imobilizare de 0 și 100 % după 48 de ore și gama concentraților care provoacă grade intermediare de imobilizare ce permit calcularea CE50 la 48 de ore sunt testate în același timp cu martorii;

apă: a se vedea punctul 1.6.1.2;

lumină: ciclul lumină-întuneric este opțional;

temperatură: temperatura de testare este între 18-22 °C, iar pentru fiecare test este constantă, în limita a ± 1 °C;

aerare: soluțiile de testare nu se aerează prin barbotare;

hrănire: nu se administrează hrană.

La sfârșitul testării se măsoară pH-ul și concentrația oxigenului în soluțiile martor și în toate soluțiile de testare; pH-ul soluțiilor testate nu trebuie să se modifice.

Compușii volatili sunt testați în vase umplute complet, închise și suficient de mari pentru a evita lipsa de oxigen.

Daphnia se verifică cel puțin după 24 de ore de expunere și din nou după 48 de ore.

Test limită

Folosind modul de operare descris în prezenta metodă, se poate efectua un test limită la 100 mg/l pentru a demonstra că CE50 este mai mare decât această concentrație.

Dacă natura substanței nu permite atingerea concentrației de 100 mg/l în soluția testată, testul limită se efectuează la o concentrație egală cu solubilitatea substanței (sau concentrația maximă pentru formarea unei dispersii stabile) în mediul folosit (a se vedea și punctul 1.6.1.1).

Testul limită se efectuează folosind 20 de exemplare de Daphnia, împărțite în două sau patru loturi, având același număr în martori. Dacă apar imobilizări, se efectuează un studiu complet.

2.   DATE ȘI EVALUARE

Pentru fiecare perioadă în care s-au înregistrat observații (24, 48 de ore), se reprezintă grafic imobilizarea exprimată în procente, în funcție de concentrație, pe o hârtie probit logaritmică.

Dacă este posibil, pentru fiecare perioadă de observare se estimează CE50 și limitele de încredere (p = 0,05), folosind metodele standard; aceste valori se rotunjesc la 1 sau cel mult 2 cifre semnificative (exemple de rotunjire la 2 cifre: 170 pentru 173,5; 0,13 pentru 0,127; 1,2 pentru 1,21).

În cazul în care panta curbei de răspuns concentrație/procentaj este prea abruptă pentru a permite calcularea CE50, este suficientă estimarea grafică a acestei valori.

Când două concentrații consecutive aflate în raport de 2,2 dau numai 0 și 100 % imobilizare, aceste două valori sunt suficiente pentru a indica intervalul în care se situează CE50.

Dacă se observă că stabilitatea sau omogenitatea substanței de testat nu poate fi menținută, acest lucru se consemnează, iar rezultatele trebuie interpretate cu atenție.

3.   RAPORT

Raportul de testare cuprinde, dacă este posibil, următoarele informații:

informații despre organismele de experiență (denumirea științifică, specia, furnizorul, orice tratament preliminar, dimensiunea și numărul folosit pentru fiecare concentrație testată);

sursa apei de diluție și caracteristicile chimice principale (pH, duritate, temperatură);

în cazul substanțelor puțin solubile în apă, metoda de preparare a soluției mamă și a soluțiilor testate;

concentrația eventualelor substanțe auxiliare;

lista concentrațiilor folosite și orice informații disponibile legate de stabilitatea substanțelor chimice la concentrațiile din soluția de testare;

dacă se efectuează analize chimice, metodele folosite și rezultatele obținute;

rezultatele testului de limită, după caz;

descrierea echipamentului de testare;

regimul de iluminare;

concentrațiile de oxigen dizolvat, valorile pH-ului și temperaturilor soluțiilor testate la fiecare 24 de ore;

dovada îndeplinirii criteriilor de calitate;

tabelul care prezintă imobilizarea cumulată pentru fiecare concentrație testată și înregistrările aferente controlului (inclusiv pentru testul martor cu substanță auxiliară, după caz) la fiecare perioadă de observație recomandată (24 și 48 de ore);

graficul curbei de răspuns concentrație/procentaj la sfârșitul testării;

dacă e posibil, valorile CE50 la fiecare perioadă de observație recomandată (cu limite de încredere de 95 %);

metodele statistice folosite pentru determinarea valorilor CE50;

rezultatele obținute, dacă s-a folosit o substanță de referință;

concentrația maximă testată care nu provoacă imobilizare pe durata testului;

concentrația minimă testată care provoacă imobilizare 100 % pe durata testului.

4.   REFERINȚE BIBLIOGRAFICE

(1)

OECD, Paris, 1981, Test Guidelines 202, Decision of the Council C(81) 30 final and updates.

(2)

International Standard ISO, Water Quality - Determination of inhibition of mobility of Daphnia magna Straus, ISO 6341-1989.

(3)

AFNOR Inhibition of mobility of Daphnia magna Straus (Cladocera - crustacea) NFT 90 301 (January 1983).

(4)

Verfahrensvorschlag des Umweltbundesamtes zum akuten Daphnien-Test. Rudolph, P. und Boje, R. Ökotoxikologie, Grundlagen für die ökotoxikologische Bewertung von Umweltchemikalien nach dem Chemikaliengesetz, ecomed 1986.

(5)

DIN Testverfahren mit Wasserorganismen 38412 (L1) und (L11).

(6)

Finney, D. J. Statistical Methods in Biological Assay. Griffin, Weycombe, U. K., 1978.

(7)

Litchfield, J. T. and Wilcoxon, F. A simplified method of evaluating dose-effect experiments. J. Pharmacol. and Exper. Ther., 1949, vol. 96, 99-113.

(8)

Sprague, J. B. Measurement of pollutant toxicity to fish. I Bioassay methods for acute toxicity. Water Res., 1969, vol. 3, 793-821.

(9)

Sprague, J. B. Measurement of pollutant toxicity to fish. II Utilising and applying bioassay results. Water Res. 1970, vol. 4, 3-32.

(10)

Stephan, C. E. Methods for calculating an LC50. In Aquatic Toxicology and Hazard Evaluation (edited by F. I. Mayer and J. L. Hamelink). American Society for Testing and Materials. ASTM, 1977, STP 634, 65-84.

(11)

Stephan, C. E., Busch, K. A., Smith, R., Burke, J. and Andrews, R. W. A computer program for calculating an LC50. US EPA.

Apendicele 1

Apă reconstituită

Exemplu de apă de diluție adecvată (conform ISO 6341)

Toate substanțele chimice sunt de puritate analitică.

Apa este apă distilată de calitate bună sau apă deionizată cu o conductibilitate mai mică de 5 µScm-1.

Aparatura pentru distilarea apei trebuie să nu conțină nici o piesă din cupru.

Soluțiile mamă

CaCl2. 2H2O (clorură de calciu dihidrat):

Dizolvat și completat până la 1 litru cu apă.

11,76 g

MgSO4. 7H2O (sulfat de magneziu heptahidrat):

Dizolvat și completat până la 1 litru cu apă.

4,93 g

NaHCO3 (carbonat acid de sodiu):

Dizolvat și completat până la 1 litru cu apă.

2,59 g

KCl (clorură de potasiu):

Dizolvată și completată până la 1 litru cu apă.

0,23 g

Apă de diluție reconstituită

Se adaugă câte 25 ml din cele 4 soluții mamă și se completează până la 1 litru cu apă.

Se aerează până când concentrația oxigenului dizolvat este egală cu valoarea de saturație în aer.

pH-ul este 7,8 ± 0,2.

Dacă este necesar, se reglează pH-ul cu NaOH (hidroxid de sodiu) sau HCl (acid clorhidric).

Apa de diluție preparată astfel este lăsată în repaos cca. 12 ore și nu mai este aerată.

Suma ionilor de Ca și Mg în această soluție este 2,5 mmol/l. Raportul ionilor Ca:Mg este 4:1 iar cel al ionilor Na:K este 10:1. Alcalinitatea totală a acestei soluții este 0,8 mmol/l.

Orice abatere în prepararea apei de diluție trebuie să nu schimbe compoziția sau proprietățile apei.

Apendicele 2

Rezumatul rezultatelor testelor interlaboratoare CEE efectuate în 1978 [citat și în referința bibliografică (2)]

Atenție: scopul acestui test interlaboratoare a fost determinarea CE5024 de ore.

Substanțele folosite:

1.

Dicromat de potasiu

2.

Acid tetrapropilbenzensulfonic

3.

Acid tetrapropilbenzensulfonic, sare de sodiu

4.

Acid tricloro-2,4,5-fenoxiacetic, sare de potasiu

Substanță

Număr de laboratoare participante

Numărul rezultatelor pentru calcul

Media CE50-24 de ore mg/l

1

46

129

1,5

2

36

108

27

3

31

84

27

4

32

72

770

Apendicele 3

Exemplu de concentrație/procent de imobilizare

Exemplu de determinare a CE50 folosind hârtie probit logaritmică

Image

C.3.   TESTUL DE INHIBIȚIE A CREȘTERII ALGELOR

1.   METODĂ

1.1.   INTRODUCERE

Scopul acestui test este acela de a determina efectele unei substanțe asupra creșterii speciilor de alge verzi unicelulare. Testele de durată relativ scurtă (72 de ore) pot estima efectele asupra câtorva generații. Această metodă poate fi adaptată pentru a fi folosită în cazul câtorva specii de alge unicelulare, caz în care este furnizată o descriere a metodei împreună cu raportul de testare.

Această metodă este cel mai ușor de aplicat în cazul substanțelor solubile în apă, pentru care în condițiile de testare, există probabilitatea de a rămâne în apă.

Metoda poate fi folosită pentru substanțele care nu interferează direct cu măsurătorile de creștere a algelor.

Este de dorit să se colecteze, pe cât posibil, informații legate de solubilitatea în apă, presiunea vaporilor, stabilitatea chimică, constanta de disociere și biodegradabilitatea substanței înainte de începerea testului.

Atât la planificarea testului, cât și la interpretarea rezultatelor, trebuie luate în considerare informațiile suplimentare (de exemplu, formula structurală, gradul de puritate, natura și procentul de impurități semnificative, prezența și cantitatea aditivilor și coeficientul de partiție n-octanol/apă).

1.2.   DEFINIȚII ȘI UNITĂȚI DE MĂSURĂ

Densitatea celulară: numărul de celule/mililitru.

Creștere: creșterea densității celulare în perioada de testare.

Viteza de creștere: creșterea densității celulare în unitatea de timp.

CE50: în această metodă, acea concentrație a substanței de testat care determină o reducere cu 50 % fie a creșterii (CEb 50), fie a vitezei de creștere (CEr 50) în comparație cu testul martor.

NOEC: (concentrația pentru care nu se observă nici un efect advers): în această metodă, cea mai mare concentrație testată pentru care nu se observă nici un efect semnificativ de inhibiție a creșterii în comparație cu testul martor.

Toate concentrațiile substanței de testat se exprimă în greutate pe volum (mg/l). Ele pot fi exprimate, de asemenea, ca greutate din greutate (mg kg-1).

1.3.   SUBSTANȚE DE REFERINȚĂ

Se poate testa o substanță de referință pentru a demonstra că în condițiile de testare din laborator răspunsul speciilor testate nu s-a schimbat semnificativ.

Dacă se utilizează o substanță de referință, rezultatele sunt prezentate în raportul de testare. Dicromatul de potasiu poate fi folosit ca substanță de referință, însă culoarea acestuia poate afecta calitatea și intensitatea luminii accesibile celulelor, precum și determinările spectrofotometrice, dacă se fac. Dicromatul de potasiu s-a folosit într-un test internațional interlaboratoare [a se vedea referința bibliografică (3) și apendicele (2)].

1.4.   PRINCIPIUL METODEI DE TESTARE

Se poate efectua un test de limită la 100 mg/l, pentru a demonstra că CE50 este mai mare decât această concentrație.

Culturile cu creștere exponențială de alge verzi selecționate sunt expuse acțiunii diverselor concentrații de substanță de testat, pe câteva generații, în condiții definite.

Soluțiile de testare se incubează timp de 72 de ore, pe durata cărora densitatea celulară din fiecare soluție se măsoară cel puțin din 24 în 24 de ore. Inhibiția creșterii se determină prin comparație cu o cultură martor.

1.5.   CRITERII DE CALITATE

Criteriile de calitate se aplică atât testului limită, cât și testului complet.

Densitatea celulară din culturile martor trebuie să crească cu un factor de cel puțin 16 în decurs de 3 zile.

Concentrațiile substanței de testat se mențin în limita a 80 % din concentrațiile inițiale pe toată perioada testului.

Pentru substanțele care se dizolvă ușor în mediul de testare, rezultând soluții stabile, adică acelea care nu se volatilizează, degradează, hidrolizează sau adsorb într-o măsură considerabilă, concentrația inițială poate fi considerată echivalentă cu concentrația nominală. Trebuie demonstrat că pe toată durata testului au fost menținute aceleași concentrații, iar criteriile de calitate au fost satisfăcute.

Pentru substanțele care sunt:

(i)

puțin solubile în mediul de testare sau

(ii)

capabile să formeze emulsii stabile ori dispersii sau

(iii)

instabile în soluții apoase,

concentrația inițială se consideră a fi concentrația determinată analitic la începutul testului. Concentrația se determină după o perioadă de echilibrare.

În oricare dintre aceste cazuri, trebuie să se efectueze determinări suplimentare pe parcursul testului pentru a confirma concentrațiile reale de expunere sau respectarea criteriilor de calitate.

Cantități semnificative de substanță de testat pot fi incorporate în biomasa de alge pe durata testului. De aceea, pentru a demonstra respectarea criteriilor de calitate de mai sus, trebuie luate în considerare atât cantitatea de substanță încorporată în biomasa de alge, cât și substanța din soluție (sau, dacă nu este posibil din punct de vedere tehnic, măsurată în coloana de apă). Cu toate acestea, întrucât determinarea concentrației substanței în biomasa de alge poate pune probleme tehnice serioase, respectarea criteriilor de calitate poate fi demonstrată folosind un vas de testare cu cea mai mare concentrație a substanței, dar fără alge, și măsurând concentrațiile în soluție (sau, dacă nu este posibil din punct de vedere tehnic, în coloana de apă) la începutul și la sfârșitul perioadei de testare.

1.6.   DESCRIEREA METODEI DE TESTARE

1.6.1.   Reactivi

1.6.1.1.   Soluțiile substanțelor de testat

Soluțiile mamă de concentrația necesară sunt preparate prin dizolvarea substanței în apă deionizată sau în apă conform punctului 1.6.1.2.

Concentrațiile alese sunt preparate prin adăugarea unor cantități alicote la preculturile de alge (a se vedea apendicele 1). Substanțele se testează în mod normal numai până la limita solubilității. Pentru unele substanțe (de exemplu: substanțele puțin solubile în apă, sau cele cu Pow ridicat, sau care formează dispersii stabile în loc de soluții apoase propriu-zise), se acceptă folosirea unei concentrații deasupra limitei de solubilitate a substanței, pentru a garanta concentrația maximă solubilă/stabilă. Cu toate acestea, este important ca această concentrație să nu perturbe sistemul de testare (de exemplu, o peliculă de substanță pe suprafața apei care să împiedice oxigenarea apei etc.).

Pentru a prepara soluțiile mamă ale substanțelor cu solubilitate scăzută în apă sau pentru a facilita dispersia acestor substanțe în mediul de testare se pot folosi: dispersia cu ultrasunete, solvenți organici, agenți de emulsionare sau agenți de dispersie. În cazul în care se folosesc astfel de substanțe auxiliare, toate concentrațiile trebuie să conțină aceeași cantitate de substanță auxiliară, iar un lot martor suplimentar de organisme Daphnia este tratat cu aceeași concentrație a substanței auxiliare ca și aceea folosită în loturile tratate. Concentrația unor astfel de substanțe auxiliare este redusă la minimum și în nici un caz nu trebuie să depășească 100 mg/l în mediul de testare.

Testul se efectuează fără reglarea pH-ului. Dacă există dovada unei schimbări pronunțate a pH-ului, se recomandă ca testul să se repete după reglarea pH-ului, iar rezultatele să se consemneze. În acest caz, valoarea pH-ului soluției mamă se reglează la valoarea pH-ului apei de diluție, dacă nu există contraargumente specifice. Pentru reglarea pH-ului sunt preferate HCl și NaOH. Această reglare a pH-ului se face astfel încât concentrația substanței de testat din soluția mamă să nu se modifice în mod semnificativ. Dacă în urma acestei corecții de pH are loc o reacție chimică sau precipitarea fizică a substanței de testat, acest lucru trebuie consemnat.

1.6.1.2.   Mediul de testare

Se poate utiliza apă distilată de bună calitate sau apă deionizată cu o conductibilitate mai mică de 5 μS.cm-1. Aparatul pentru distilarea apei trebuie să nu conțină nici o componentă din cupru.

Se recomandă mediul următor.

Se prepară patru soluții mamă conform următorului tabel. Soluțiile mamă se sterilizează prin filtrare prin membrană sau termic și se depozitează la întuneric la 4 °C. Soluția mamă numărul patru se sterilizează numai prin filtrare prin membrană. Aceste soluții mamă se diluează pentru a se obține concentrațiile finale de elemente nutritive în soluțiile de testare.

Elemente nutritive

Concentrația soluției mamă

Concentrația finală în soluția de testare

Soluția mamă 1: macroelemente nutritive

NH4Cl

1,5

g/l

15

mg/l

MgCl2·6H2O

1,2

g/l

12

mg/l

CaCl2·2H2O

1,8

g/l

18

mg/l

MgSO4·7H2O

1,5

g/l

15

mg/l

KH2PO4

0,16

g/l

1,6

mg/l

Soluția mamă 2: Fe-EDTA

FeCl3·6H2

80

mg/l

0,08

mg/l

Na2EDTA·2H2O

100

mg/l

0,1

mg/l

Soluția mamă 3: microelemente

H3BO3

185

mg/l

0,185

mg/l

MnCl2·4H2O

415

mg/l

0,415

mg/l

ZnCl2

3

mg/l

3x10-3

mg/l

CoCl2·6H2O

1,5

mg/l

1,5 × 10-3

mg/l

CuCl2·2H2O

0,01

mg/l

10-5

mg/l

Na2MoO4·2H2O

7

mg/l

7 × 10-3

mg/l

Soluția mamă 4: NaHCO3

NaHCO3

50

g/l

50

mg/l

pH-ul mediului după aerare este aproximativ 8.

1.6.2.   Aparatură

Echipament obișnuit de laborator.

Vase de laborator cu un volum adecvat (de exemplu, vasele conice de 250 ml sunt adecvate când volumul soluției de testare este de 100 ml). Toate vasele de testare sunt identice în ceea ce privește materialul și dimensiunile.

Aparatură pentru cultură: laboratorul sau camera în care se poate menține o temperatură în limita de 21–25 °C, ±2 °C și o iluminare continuă uniformă în gama spectrală 400-700 nm. Dacă algele din culturile martor au atins ratele recomandate de creștere, se poate presupune că condițiile de creștere, inclusiv intensitatea luminii, au fost adecvate.

Se recomandă să se folosească o intensitate a luminii care variază în domeniul 60 – 120 μΕ m-2 s-1(35 la 70 × 1018 fotoni m-2 s-1) când este măsurată în domeniul 400 –700 nm folosind un receptor adecvat. Pentru instrumentele de măsurare a luminii calibrate în lucși, se acceptă un domeniu echivalent de 6 000-10 000 lx.

Intensitatea luminii se poate obține folosind 4–7 lămpi fluorescente de 30 W de tip universal alb (temperatura culorii de aproximativ 4 300 K), la o distanță de 0,35 m de cultura de alge.

Măsurătorile densității celulare se fac folosind metoda directă de numărare a celulelor vii, de exemplu, un microscop cu camere de numărare. Cu toate acestea, se pot folosi și alte procedee (fotometrie, turbidimetrie, …) dacă sunt suficient de sensibile și dacă se demonstrează că sunt suficient de bine corelate cu densitatea celulară.

1.6.3.   Organisme de experiență

Se recomandă utilizarea de specii de alge verzi cu creștere rapidă, care prezintă avantaje pentru cultură și testare. Se preferă următoarele specii:

Selenastrum capricornutum, de exemplu, ATCC 22662 sau CCAP 278/4;

Scenedesmus subspicatus, de exemplu, 86.81 SAG.

Notă:

ATCC

=

Colecție de culturi tip american (SUA)

CCAP

=

Centrul de cultură al algelor și protozoarelor (UK)

SAG

=

Colecție de culturi de alge (Göttingen, RFG)

Dacă se folosesc alte specii, trebuie consemnată sușa în raportul de testare.

1.6.4.   Mod de operare

Intervalul concentrațiilor în care pot apărea efectele se determină pe baza rezultatelor testelor de stabilire a intervalului.

Cele două moduri de a măsura creșterea (biomasa și viteza de creștere) pot conduce la rezultate considerabil diferite în măsurarea inhibiției creșterii; ambele trebuie folosite în testul de stabilire a intervalului, pentru a asigura o progresie geometrică a concentrațiilor care să permită estimarea atât a valorii CEb 50, cât și a valorii CEr 50.

Densitatea celulară inițială

Se recomandă ca densitatea celulară inițială din culturile testate să fie de aproximativ 104 celule/ml pentru Selenastrum capricornutumși Scenedesmus subspicatus. Dacă se folosesc alte specii, biomasa trebuie să fie comparabilă.

Concentrațiile substanței de testat

Pentru testare se aleg cel puțin cinci concentrații într-o serie geometrică cu o rație care nu depășește 2,2. La cele mai mici concentrații testate trebuie să nu se observe nici un efect asupra creșterii algelor. Cele mai ridicate concentrații testate trebuie să inhibe creșterea cu cel puțin 50 % față de martor și de preferință să oprească complet creșterea.

Replici și martori

Proiectul de testare include trei replici la fiecare concentrație testată. Se efectuează trei teste martor fără substanță și, dacă este relevant, se realizează și trei teste martor cu substanța auxiliară. Dacă se justifică, planul testului poate fi modificat astfel încât să se mărească numărul de concentrații și să se reducă numărul de replici pe concentrație.

Desfășurarea testului

Culturile care conțin concentrațiile dorite ale substanței de testat și cantitatea dorită de inocul sunt preparate adăugând cantități alicote din soluțiile mamă ale substanței la cantități adecvate de preculturi de alge (a se vedea apendicele 1).

Se agită flacoanele de cultură și se introduc în aparatul de cultură. Algele monocelulare sunt menținute în suspensie prin agitare, amestecare sau barbotare cu aer, pentru a îmbunătăți schimbul de gaz și a reduce variația pH-ului în soluțiile de testare. Culturile sunt menținute la o temperatură în intervalul 21–25 °C ± 2 °C.

Densitatea celulară în fiecare flacon de testare se determină la cel puțin 24, 48 și 72 de ore după începerea testului. Mediul de alge filtrat conținând concentrația adecvată de substanță de testat se folosește pentru a determina fondul. Pentru măsurători de densitate celulară, altele decât metodele de numărare directă, se utilizează un mediu de alge filtrat cu concentrația adecvată de substanță.

pH-ul se măsoară la începutul testului și la 72 de ore.

pH-ul martorilor nu variază în mod normal cu mai mult de 1,5 unități pe parcursul testului.

Testarea substanțelor volatile

Nu există o modalitate general acceptată de testare a substanțelor volatile. Dacă se cunoaște că o substanță are tendința de evaporare, se pot folosi flacoane de testare închise, cu spațiu liber între capac și nivelul lichidului. S-au propus variante ale acestei metode [a se vedea referința bibliografică (4)].

Trebuie făcute încercări pentru a determina cantitatea de substanță care rămâne în soluție și se recomandă o atenție deosebită la interpretarea rezultatelor testelor cu substanțe chimice volatile folosind sisteme închise.

Test limită

Folosind modul de operare descris în această metodă, se poate efectua un test limită la 100 mg/l pentru a demonstra că CE50 este mai mare decât această concentrație.

Dacă natura substanței nu permite atingerea concentrației de 100 mg/l în soluția testată, testul limită se efectuează la o concentrație egală cu solubilitatea substanței (sau concentrația maximă pentru formarea unei dispersii stabile) în mediul folosit (a se vedea și punctul 1.6.1.1).

Testul limită se efectuează cel puțin în trei replici, cu același număr de martori. Cele două măsurători ale creșterii (biomasa și viteza de creștere) trebuie folosite pentru testul limită.

Dacă într-un test limită se întâlnește o descreștere minimă de 25 % sau mai mult, atât a biomasei, cât și a vitezei de creștere față de testul martor, trebuie să se efectueze o testare completă.

2.   DATE ȘI EVALUARE

Densitatea celulară măsurată în culturile tratate și culturile martor se înregistrează în tabel împreună cu concentrațiile substanței de testat și timpii de măsurare. Valoarea medie a densității celulare pentru fiecare concentrație a substanței de testat și pentru martori se tratează în funcție de timp (0 – 72 de ore) pentru a se obține curbele de creștere.

Pentru a se determina relația concentrație/efect se folosesc următoarele două abordări. Unele substanțe pot stimula creșterea la concentrații scăzute. Se iau în considerare numai punctele care indică inhibiția între 0 și 100 %.

2.1.   COMPARAREA ARIILOR DINTRE CURBELE DE CREȘTERE

Aria dintre curbele de creștere și linia orizontală N = N0 se poate calcula conform formulei:

Formula

unde:

A

=

aria;

N0

=

număr de celule/ml la timpul t0 (începutul testului);

N1

=

număr de celule/ml măsurat la t1;

Nn

=

număr de celule/ml măsurat la tn;

t1

=

timpul primei măsurători după începerea testului;

tn

=

timpul celei de-a n-a măsurători după începerea testului;

n

=

numărul de măsurători efectuate după începerea testului.

Procentul de inhibiție a creșterii celulare la fiecare concentrație a substanței de testat (IA) se calculează conform formulei:

Formula

unde:

Ac

=

aria dintre curba de creștere a testului martor și linia orizontală N = N0;

At

=

aria dintre curba de creștere la concentrația t și linia orizontală N = N0.

Valorile IA sunt trasate pe hârtie semilogaritmică sau pe hârtie probit semilogaritmică față de concentrațiile corespunzătoare. Dacă se trasează pe hârtie probit, punctele se unesc printr-o linie dreaptă, fie cu ochiul liber, fie calculată prin regresie.

Valoarea CE50 se estimează din linia de regresie prin citirea concentrației echivalente cu inhibiția de 50 % (IA = 50 %). Pentru a nota această valoare fără ambiguitate, se propune folosirea simbolului CEb 50. Este esențial ca CEb 50 să se citeze împreună cu perioada corespunzătoare de expunere, de exemplu, CEb 50 (0 –72 de ore).

2.2.   COMPARAREA VITEZELOR DE CREȘTERE

Viteza medie specifică de creștere (μ) pentru culturile cu o creștere exponențială se poate calcula după formula:

Formula

unde t0= este timpul de la începutul testului.

Ca metodă alternativă, viteza medie specifică de creștere se calculează din panta dreptei de regresie a diagramei ln N versus timp.

Procentul de inhibiție a vitezei specifice de creștere la fiecare concentrație a substanței de testat (Iμt) se calculează cu formula:

Formula

unde:

μc

=

viteza medie specifică de creștere pentru proba martor;

μt

=

viteza medie specifică de creștere pentru concentrația testată t.

Scăderea procentuală a vitezei medii specifice de creștere la fiecare concentrație a substanței față de testul martor este trasată ca funcție de logaritmul concentrației. Valoarea CE50 se poate citi din acest grafic. Se propune să se folosească simbolul CEb 50 pentru a nu denumi ambiguu valoarea CE50 derivată prin această metodă. Timpii de măsurare trebuie indicați, de exemplu, dacă valoarea se referă la timpii 0 și 72 de ore, simbolul devine CEr 50 (0–72 de ore).

Notă: viteza specifică de creștere are expresie logaritmică, iar modificările mici ale vitezei de creștere pot duce la modificări mari ale biomasei. Prin urmare, valorile CEb și CEr nu sunt comparabile numeric.

2.3.   CALCULUL VALORII NOEC

NOEC se determină printr-o metodă statistică adecvată pentru compararea probelor multiple (de exemplu, analiza varianței și testul Dunnett), folosind valoarea individuală a ariei dintre curba de creștere A (a se vedea punctul 2.1) sau a vitezei specifice de creștere μ (a se vedea punctul 2.2) pentru fiecare replică.

3.   RAPORT

Raportul de testare cuprinde, dacă este posibil, următoarele informații:

substanța de testat: date de identificare chimică a substanței;

organismele de experiență: origine, cultura de laborator, numărul sușei, metodă de cultivare;

condițiile experimentale:

data de începere și de încheiere a testului, durata;

temperatură;

compoziția mediului;

aparatul de cultură;

pH-ul soluției la începutul și la sfârșitul testării (cu o explicație, dacă se observă modificări ale pH-ului de mai mult de 1,5 unități);

vehiculul și metoda folosită pentru solubilizarea substanței de testat și concentrația vehiculului în soluțiile de testare;

intensitatea și calitatea luminii;

concentrațiile testate (determinate sau nominale).

rezultate:

densitatea celulară pentru fiecare flacon la fiecare timp de măsurare și metoda de măsurare a densității celulare;

valorile medii ale densității celulare;

curbele de creștere;

prezentarea grafică a relației concentrație/efect;

valorile CE și metoda de calcul;

NOEC;

alte efecte observate.

4.   REFERINȚE BIBLIOGRAFICE

(1)

OECD, Paris, 1981, Test Guideline 201, Decision of the Council C(81) 30 Final.

(2)

Umweltbundesamt, Berlin, 1984, Verfahrensvorschlag „Hemmung der Zellvermehrung bei der Grünalge Scenedesmus subspicatus”, in: Rudolph/Boje: Ökotoxikologie, ecomed, Landsberg, 1986.

(3)

ISO 8692 - Water quality - Fresh water algal growth inhibition test with Scenedesmus subspicatus and Selenastrum capricornutum.

(4)

S.Galassi and M.Vighi - Chemosphere, 1981, vol.10, 1123-1126.

Apendicele 1

Exemplu de mod de operare pentru cultura algelor

Observații generale

Scopul cultivării pe baza metodei de mai jos este acela de a obține culturi de alge pentru testele de toxicitate.

Se folosesc metode adecvate pentru a garanta lipsa infectării cu bacterii a culturilor de alge (ISO 4833). Se recomandă culturile necontaminate, dar esențiale sunt culturile cu un singur tip de alge.

Toate operațiile se efectuează în condiții sterile, pentru a evita contaminarea cu bacterii sau alte alge. Culturile contaminate trebuie îndepărtate.

Mod de operare pentru obținerea culturilor de alge

Prepararea soluțiilor de elemente nutritive (medii):

Mediul se poate prepara prin diluarea soluțiilor mamă de elemente nutritive. Pentru mediul solid se adaugă 0,8 % agar-agar. Mediul trebuie să fie steril. Sterilizarea termică poate duce la o pierdere de NH3.

Cultura mamă:

Culturile mamă sunt culturi mici de alge care se transferă cu regularitate într-un mediu proaspăt pentru a acționa ca material inițial de testare. Dacă nu sunt folosite cu regularitate, se scurg pe tuburile înclinate acoperite cu agar-agar. Culturile se transferă într-un mediu proaspăt cel puțin o dată la 2 luni.

Culturile mamă se cresc în vase conice care conțin mediul corespunzător (volum cca. 100 ml). Când algele sunt incubate la 20 °C cu iluminare continuă, este necesar un transfer săptămânal.

În timpul transferului, o cantitate din cultura „veche” se transferă cu pipete sterile într-un vas cu mediu proaspăt, astfel încât în cazul speciilor cu creștere rapidă concentrația inițială să fie de cca. 100 de ori mai mică decât în culturile vechi.

Viteza de creștere a speciei se poate determina din curba de creștere. Dacă aceasta se cunoaște, este posibil să se estimeze densitatea la care cultura trebuie transferată într-un mediu nou. Acest lucru trebuie să se facă înainte ca algele din cultură să atingă faza morții.

Precultura:

Precultura are ca scop obținerea unei cantități de alge adecvate pentru inocularea culturilor de testare. Precultura se incubează în condițiile testării și se folosește în timpul creșterii exponențiale, în mod normal după o perioadă de incubare de aproximativ trei zile. Când culturile de alge conțin celule deformate sau anormale, ele sunt înlăturate.

Apendicele 2

ISO 8692 – Calitatea apei – testul de inhibiție a creșterii algelor în apa proaspătă cu Selenastrum capricornutumși Scenedesmus subspicatus consemnează următoarele rezultate pentru testele circulare între 16 laboratoare privind bicromatul de potasiu.

 

Mediu (mg/l)

Interval (mg/l)

CEr 50 (0–72 h)

0,84

0,60–1,03

CEb 50 (0–72 h)

0,53

0,20–0,75

C.4.   DETERMINAREA BIODEGRADABILITĂȚII „RAPIDE”

PARTEA I.   CONSIDERAȚII GENERALE

I.1.   INTRODUCERE

Sunt descrise șase metode de testare care permit trierea substanțelor chimice pentru biodegradabilitate rapidă în mediul apos aerob:

(a)

Epuizarea Carbonului Organic Dizolvat (COD) (Metoda C.4-A)

(b)

Test de screening OCDE – Epuizarea COD (Metoda C.4-B)

(c)

Degajarea bioxidului de carbon (CO2) (Testul modificat Sturm) (Metoda C.4-C)

(d)

Respirometrie manometrică (Metoda C.4-D)

(e)

Vas închis (Metoda C.4-E)

(f)

MITI (Ministerul Comerțului și Industriei Internaționale – Japonia) (Metoda C.4-F)

Considerațiile generale și comune privind cele șase teste sunt prezentate în partea I a metodei. Aspectele specifice metodelor individuale sunt prezentate în părțile II – VII. Anexele conțin definiții, formule și material orientativ.

Un test interlaboratoare OCDE, efectuat în 1988 ca exercițiu de comparabilitate, a arătat că metodele dau rezultate compatibile. Cu toate acestea, în funcție de caracteristicile fizice ale substanței ce urmează a fi testată, poate fi preferată o metodă sau alta.

I.2.   ALEGEREA METODEI ADECVATE

Pentru a alege cea mai adecvată metodă, sunt necesare informații legate de solubilitatea substanței chimice, presiunea de vapori și caracteristicile de adsorbție. Structura sau formula chimică trebuie cunoscute, pentru a calcula valorile teoretice și/sau a verifica valorile determinate ale parametrilor, de exemplu, CTO, CO2T, COD, COT, CCO (a se vedea anexele I și II).

Substanțele de testat care sunt solubile în apă până la cel puțin 100 mg/l pot fi evaluate prin toate metodele, cu condiția ca ele să fie nevolatile și neadsorbante. Pentru substanțele chimice care sunt greu solubile în apă, volatile sau adsorbante, metodele adecvate sunt indicate în tabelul 1 și descrise în anexa III. Substanțele chimice cu volatilitate moderată pot fi testate prin metoda epuizării COD, dacă există destul spațiu pentru gaz în vasele de testare (care trebuie să aibă dopuri adecvate). În acest caz, se pregătește și un martor abiotic care să permită urmărirea pierderilor de masă.

Tabelul 1: Aplicabilitatea metodelor de testare

Test

Metoda analitică

Adecvare la substanțele care sunt:

greu solubile

volatile

adsorbante

Epuizare COD

Carbon organic dizolvat

-

-

+/-

Epuizare OCDE modificată

Carbon organic dizolvat

-

-

+/-

Degajarea CO2

Respirometrie: degajarea CO2

+

-

+

Respirometrie manometrică

Respirometrie manometrică: consum de oxigen

+

+/-

+

Vas închis

Respirometrie: oxigen dizolvat

+/-

+

+

MITI

Respirometrie: consum de oxigen

+

+/-

+

Sunt necesare informații legate de puritatea sau proporțiile relative ale componentelor majore ale compusului de testat pentru a interpreta rezultatele obținute, în special când rezultatele au valori mici sau marginale.

Informațiile legate de toxicitatea substanței față de bacterii (anexa IV) sunt foarte folositoare pentru alegerea concentrațiilor și se pot dovedi esențiale pentru interpretarea corectă a valorilor scăzute de biodegradare.

I.3.   SUBSTANȚE DE REFERINȚĂ

Pentru a verifica metoda, se testează substanțe de referință care îndeplinesc criteriile de biodegradabilitate rapidă într-un flacon adecvat în paralel cu testele propriu-zise.

Substanțele chimice adecvate sunt anilina (proaspăt distilată), acetatul de sodiu și benzoatul de sodiu. Toate aceste substanțe chimice de referință se degradează în condițiile de lucru din prezentele metode, chiar și când nu se adaugă deliberat inocul.

S-a sugerat faptul că trebuie găsită o substanță chimică de referință ușor degradabilă, dar care să necesite adăugarea unui inocul. S-a propus ftalatul acid de potasiu, însă este nevoie de obținerea mai multor dovezi în cazul acestei substanțe înainte ca ea să fie acceptată ca substanță de referință.

La testele de respirometrie, compușii care conțin azot pot afecta consumul de oxigen din cauza nitrificării (a se vedea anexele II și V).

I.4.   PRINCIPIUL METODELOR DE TESTARE

O soluție sau suspensie a substanței de testat în mediu mineral este inoculată și incubată în condiții aerobe la întuneric sau lumină difuză. Cantitatea de COD datorată inoculului în soluție trebuie să fie menținută la valori cât mai mici posibile în comparație cu cantitatea de COD datorată substanței de testat. Activitatea endogenă a inoculului este cuantificată făcând teste martor paralele, cu inocul și fără substanță de testat, deși activitatea endogenă a celulelor în prezența substanței nu se suprapune exact peste activitatea endogenă a martorului. În paralel se testează o substanță de referință pentru a controla funcționarea modului de operare.

În general, degradarea este urmată de determinarea parametrilor, cum ar fi COD, generarea de CO2 și consumul de oxigen, iar măsurătorile se fac la intervale destul de scurte, pentru a permite identificarea momentului de începere și terminare a biodegradării. Cu respirometre automate, măsurarea se efectuează continuu. COD se măsoară uneori alături de un alt parametru, dar acest lucru se face în mod obișnuit numai la începutul și la sfârșitul testării. De asemenea, se poate folosi o analiză chimică specifică, pentru a estima degradarea primară a substanței de testat și pentru a se determina concentrația substanțelor intermediare formate (obligatoriu în testul MITI).

În mod normal, testul durează 28 de zile. Cu toate acestea, testele se pot încheia înainte de 28 de zile, adică de îndată ce curba biodegradării se aplatizează pentru cel puțin 3 determinări. Testele se pot, de asemenea, prelungi peste 28 de zile, când curba arată că biodegradarea a început, dar că nu s-a ajuns la aplatizare în a douăzeci și opta zi.

I.5.   CRITERII DE CALITATE

I.5.1.   Reproductibilitate

Dată fiind natura biodegradării și a culturilor bacteriene mixte folosite ca inoculi, determinările se fac cel puțin în duplicat.

S-a observat experimental că la o concentrație mai mare de microorganisme adăugate inițial în mediul de testare variațiile între replici sunt mai mici. Testele interlaboratoare au arătat, de asemenea, că pot exista mari variații între rezultatele obținute de diferite laboratoare, dar că se poate ajunge la o armonizare acceptabilă în cazul compușilor ușor biodegradabili.

I.5.2.   Validitatea testului

Testul se consideră validat dacă diferența dintre valorile extreme reprezentând gradul de îndepărtare a substanței la momentul aplatizării curbelor de biodegradare ale replicilor este mai mică de 20 % fie la sfârșitul testului, fie la începutul ferestrei de 10 zile, după caz, și dacă procentul de degradare a substanței de referință a atins nivelul de biodegradabilitate rapidă în 14 zile. Dacă nu este întrunită nici una dintre aceste condiții, testul se repetă. Dată fiind rigoarea metodelor, valorile scăzute nu înseamnă în mod necesar că substanța de testat nu este biodegradabilă în condiții de mediu, ci că sunt necesare alte studii pentru a determina biodegradabilitatea.

Dacă într-un test de toxicitate care conține atât substanța de testat cât și o substanță chimică de referință are loc mai puțin de 35 % degradare (bazat pe COD) sau mai puțin de 25 % (bazat pe CTO sau CO2T) în 14 zile, se poate presupune că substanța de testat este inhibitoare (a se vedea și anexa IV). Seria de teste se repetă, dacă este posibil folosind o concentrație mai scăzută a substanței de testat și/sau o concentrație mai ridicată a inoculului, dar nu mai mult de 30 mg solide/litru.

I.6.   MOD DE OPERARE GENERAL ȘI PREGĂTIRI

Condițiile generale aplicabile testelor sunt rezumate în tabelul 2. Aparatura și alte condiții experimentale legate în mod specific de un anume test sunt descrise în subcapitolul destinat testului respectiv.

Tabelul 2: Condiții experimentale

Test

Epuizare COD

EliminareCO2

Respirometrie manometrică

Test de screening OCDE

Vas închis

MITI (I)

Concentrația substanței de testat în mg/l

 

 

100

 

2-10

100

mg COD/l

10-40

10-20

 

10-40

 

 

mg CTO/l

 

 

50-100

 

5-10

 

Concentrația Inoculului (în celule/l, aprox)

≤ 30 mg/l SS

sau ≤ 100 ml efluent/l

(107-108)

0,5 ml efluent secundar/l (105)

≤ 5 ml efluent/l (104-106)

30mg/l SS(107-108)

Concentrația elementelor în mediu mineral (în mg/l)

 

 

 

 

 

 

P

116

11,6

29

N

1,3

0,13

1,3

Na

86

8,6

17,2

K

122

12,2

36,5

Mg

2,2

2,2

6,6

Ca

9,9

9,9

29,7

Fe

0,05 –0,1

0,05 – 0,1

0,15

pH

7,4 ± 0,2

De preferință 7,0

temperatură

22 ± 2 °C

25 ± 1 °C

COD = carbon organic dizolvat

CTO = cerere teoretică de oxigen

SS = materii solide în suspensie

I.6.1.   Apa de diluție

Se folosește apa deionizată sau distilată fără concentrații inhibitoare de substanțe toxice (de exemplu, ioni de Cu++). Compusul de testat trebuie să nu contribuie cu mai mult de 10 % la conținutul de carbon organic al apei. Pentru a elimina valorile ridicate ale probei martor este necesar ca apa de testare să aibă o puritate ridicată. Contaminarea poate rezulta din impuritățile inerente și din rășinile schimbătoare de ioni și material provenit din liza de bacterii și alge. Pentru fiecare serie tratată se folosește numai o șarjă de apă, verificată înainte prin analiza COD. O astfel de verificare nu este necesară pentru testul în vas flacon închis, dar consumul de oxigen al apei trebuie să fie scăzut.

I.6.2.   Soluțiile mamă ale componentelor minerale

Pentru a prepara soluțiile de testare, se prepară soluțiile mamă ale componentelor minerale, cu concentrațiile adecvate. Se pot folosi următoarele soluții mamă (cu factori de diluție diferiți) pentru metodele: epuizare COD, test de screening modificat OCDE, eliminare CO2, respirometrie manometrică, testul în vas închis. Factorii de diluție și, pentru testul MITI, pregătirea specifică a mediului mineral, sunt prezentate în capitolele referitoare la testele respective.

Soluțiile mamă Se prepară următoarele soluții mamă folosind reactivi de puritate analitică:


(a)

ortofosfat diacid de potasiu, KH2PO4

8,50 g

 

ortofosfat acid de potasiu, K2HPO4

21,75 g

 

ortofosfat acid de sodiu dihidrat, Na2HPO·2H2O

33,40 g

 

clorură de amoniu NH4Cl

0,50 g

 

Se dizolvă în apă și se completează până la 1 litru. pH-ul soluției este 7,4.

(b)

clorură de calciu, anhidră, CaCl2

27,50 g

 

sau clorură de calciu dihidrat, CaCl2·2H2O

36,40 g

 

Se dizolvă în apă și se completează până la 1 litru.

(c)

sulfat de magneziu heptahidrat, MgSO4·7H2O

22,50 g

 

Se dizolvă în apă și se completează până la 1 litru.

(d)

clorură ferică (III) hexahidrat FeCl3·6H2O

0,25 g

 

Se dizolvă în apă și se completează până la 1 litru.

Notă: Pentru a evita prepararea acestei soluții imediat înainte de folosire, se adaugă o picătură de HCl concentrat sau 0,4 g sare disodică a acidului etilendiamin-tetraacetic (EDTA) pe litru.

I.6.3.   Soluții mamă ale substanțelor chimice

De exemplu, 1-10 g de substanță de testat sau de referință se dizolvă în apă deionizată și se completează până la 1 litru, când solubilitatea depășește 1 g/l. În caz contrar, soluțiile mamă se prepară în mediu mineral sau se adaugă substanța de testat direct în mediul mineral. Pentru manevrarea substanțelor chimice mai puțin solubile, a se vedea anexa III, dar în testul MITI (Metoda C.4 –F), nu se folosesc nici solvenți și nici agenți de emulsionare.

I.6.4.   Inocul

Inoculul poate proveni dintr-o varietate de surse: nămol activ, efluenți uzați (neclorinați), ape de suprafață și soluri sau dintr-un amestec al acestora. Pentru testele de epuizare COD, eliminarea CO2 și respirometrie manometrică, dacă se folosește nămol activ, acesta se ia dintr-o instalație de tratare sau o instalație de laborator care primește predominant ape reziduale menajere. S-a constatat că inoculi din alte surse dau rezultate foarte difuze. Pentru testul de screening modificat OCDE și testul în vas închis, este nevoie de un inocul mai diluat, fără agregate floculate de nămol, iar sursa preferată este un efluent secundar dintr-o instalație industrială sau de laborator pentru tratarea apei reziduale menajere. În testele MITI inoculul provine dintr-un amestec de surse și este descris în capitolul testului respectiv.

I.6.4.1.   Inocul din nămoluri active

Se prelevează o probă de nămol activ proaspăt din bazinul de aerare al unei instalații de tratare a apelor reziduale sau dintr-o instalație de laborator care tratează în special apele reziduale menajere. Se îndepărtează particulele grosiere dacă este necesar, prin filtrare printr-o sită fină, apoi nămolul se menține în condiții aerobe.

Ca alternativă, se lasă la decantat sau se centrifughează proba (de exemplu, la 1 100 rot./min timp de 10 minute) după îndepărtarea tuturor particulelor grosiere. Se îndepărtează stratul de supernatant. Nămolul se spală în mediu mineral. Se prepară o suspensie de nămol concentrat în mediu mineral pentru a obține o concentrație de 3 – 5 g solide în suspensie/l și se aerează până în momentul folosirii.

Nămolul este prelevat dintr-o instalație clasică, care funcționează corect. Dacă nămolul provine dintr-o instalație de tratare cu debit mare sau se presupune că ar conține inhibitori, trebuie spălat. După o amestecare puternică, se lasă la decantat sau se centrifughează nămolul din noua suspensie, apoi se îndepărtează supernatantul; nămolul spălat se trece din nou în suspensie într-un alt volum de mediu mineral. Se repetă această procedură până când se consideră că nămolul nu mai conține substrat sau inhibitori în exces.

Imediat înainte de folosire, se prelevează o probă după ce nămolul este suspensionat complet sau, după caz, din nămol netratat, pentru a determina greutatea uscată a solidelor în suspensie.

O altă alternativă de obținere a inoculului este de a omogeniza nămolul activ (3 – 5 g solide în suspensie/l) într-un amestecător mecanic două minute la viteză medie; se lasă apoi timp de 30 de minute, sau mai mult dacă este nevoie, la decantat și se prelevează supernatantul pentru a fi folosit ca inocul într-un raport de 10 ml/l de mediu mineral.

1.6.4.2.   Alte surse de inocul

Inoculul se poate obține din efluentul secundar al unei instalații de tratare sau al unei instalații de laborator care se alimentează mai ales cu apă uzată menajeră. Se prelevează o probă proaspătă de apă uzată; se transportă în condiții aerobe. Se lasă să se decanteze timp de o oră sau se filtrează prin hârtie de filtru cu porozitate mare. Se menține efluentul decantat sau filtrat în condiții aerobe până în momentul folosirii. Până la 100 ml din acest tip de inocul se pot folosi pe litru de mediu mineral.

O altă sursă de inocul este apa de suprafață. În acest caz, se prelevează o probă de apă de suprafață adecvată (de exemplu, râu, lac) și se menține în condiții aerobe până în momentul folosirii. Dacă este nevoie, inoculul se concentrează prin filtrare sau centrifugare.

I.6.5.   Precondiționarea inoculului

Inoculul poate fi precondiționat și adus în condițiile experimentale, dar nu și preadaptat la substanța de testat. Precondiționarea constă în aerarea nămolului activ în mediu mineral sau efluent secundar timp de 5 – 7 zile, la temperatura de testare. Această precondiționare îmbunătățește uneori precizia metodelor prin reducerea valorilor din probele martor. Nu se consideră necesară precondiționarea inoculului în cazul testului MITI.

I.6.6.   Martori abiotici

Dacă este necesar, posibila degradare abiotică a substanței de testat se verifică prin determinarea îndepărtării COD, consumului de oxigen sau eliminării bioxidului de carbon în probe martor sterile, care nu conțin inocul. Se sterilizează prin filtrare cu membrană filtrantă (0,2 – 0,45 μm) sau prin adăugarea unei substanțe toxice adecvate într-o concentrație corespunzătoare. Dacă se folosește filtrarea prin membrană, se prelevează probe în mod aseptic, pentru a menține sterilitatea. Dacă nu s-a realizat înainte adsorbția substanței de testat, testele care măsoară biodegradarea ca îndepărtare a COD, în special cele care folosesc ca inocul nămolul activ, trebuie să includă un martor abiotic care este inoculat și otrăvit.

I.6.7.   Număr de vase

Numărul de vase într-un experiment tipic este prezentat în capitolul aferent fiecărui test.

Se pot folosi următoarele tipuri de vase:

Suspensie de testare: conține substanță de testat și inocul

Proba martor cu inocul: conține numai inocul

Martor de metodă: conține substanță de referință și inocul

Martor steril abiotic: conține substanță de testat, steril (a se vedea punctul I.6.6)

Martor de adsorbție: conține substanță de testat, inocul și agentul de sterilizare

Martor de toxicitate: conține substanță de testat, substanță de referință și inocul

Este obligatoriu ca testul propriu-zis și testul martor cu inocul să se facă în paralel. Este de dorit să se facă determinări și în alte vase, în paralel.

Acest lucru s-ar putea totuși să nu fie posibil întotdeauna. Se asigură suficiente probe sau citiri pentru a permite evaluarea procentului de degradare a substanței într-o perioadă de 10 zile.

I.7.   DATE ȘI EVALUARE

Pentru calcularea lui Dt, degradarea procentuală, se folosesc valorile medii ale măsurătorilor duplicate ale parametrilor determinați atât în testul propriu-zis, cât și în proba martor cu inocul. Formulele matematice pentru calcularea Dt sunt prezentate în capitolele de mai jos pentru fiecare test. Evoluția degradării este ilustrată grafic și se indică fereastra de 10 zile. Se calculează și se consemnează procentul de eliminare a substanței obținut la sfârșitul perioadei de 10 zile și valoarea corespunzătoare aplatizării curbei de biodegradare sau sfârșitului testului, după caz.

La testele respirometrice, compușii care conțin azot pot afecta consumul de oxigen din cauza nitrificării (a se vedea anexele II și V).

I.7.1.   Măsurarea degradării prin intermediul determinării COD

Pentru a se putea evalua validitatea testului (a se vedea punctul I.5.2), se calculează Dt, degradarea procentuală, de fiecare dată când se prelevează o probă, și anume se calculează separat pentru vasele conținând substanța de testat folosind media valorilor din măsurătorile COD duplicate. Se calculează folosind următoarea ecuație:

Formula

unde:

Dt

=

% degradare la timpul t;

C0

=

concentrația medie inițială a COD în mediul de cultură inoculat ce conține substanța de testat (mg COD/l);

Ct

=

concentrația medie a COD la timpul t în mediul de cultură inoculat ce conține substanța de testat (mg COD/l);

Cb0

=

concentrația medie inițială a COD în proba martor cu mediu mineral inoculat (mg COD/l);

Cbt

=

concentrația medie a COD la timpul t în proba martor cu mediu mineral inoculat (mg COD/l).

Toate concentrațiile se măsoară experimental.

I.7.2.   Măsurarea degradării prin intermediul analizei specifice

Dacă sunt disponibile date analitice specifice, biodegradarea primară se calculează din:

Formula

unde:

Dt

=

% degradare la un timp t, în mod normal 28 de zile;

Sa

=

cantitatea reziduală de substanță de testat în mediu inoculat, la sfârșitul testării (mg);

Sb

=

cantitatea reziduală de substanță de testat în proba martor, cu apă/mediu mineral, la care s-a adăugat numai substanța de testat (mg).

I.7.3.   Degradarea abiotică

Dacă se folosește un martor steril, abiotic, degradarea abiotică se calculează în procente folosind formula:

Formula

unde:

Cs(0)

=

concentrația COD în martorul steril la ziua 0;

Cs(t)

=

concentrația COD în martorul steril în ziua t.

I.8.   RAPORT

Raportul de testare cuprinde, dacă este posibil, următoarele date:

substanțele chimice de testat și de referință, precum și puritatea lor;

condițiile experimentale;

inocul: natura, locul de prelevare, concentrația și eventuala precondiționare;

proporția și natura deșeurilor industriale prezente în nămol, dacă se cunosc;

durata și temperatura testului;

în cazul substanțelor greu solubile, tratamentul aplicat;

metoda de testare aplicată; pentru orice modificare a modului de operare trebuie prezentate argumentele științifice și explicația;

fișa de date;

orice fenomene de inhibiție observate;

orice degradare abiotică observată;

date analitice specifice, dacă sunt disponibile;

date analitice referitoare la produsele intermediare, dacă există;

graficul degradării, exprimat în procente în funcție de timp pentru substanțele de testat și de referință; faza de latență, faza de degradare, fereastra de 10 zile și panta sunt indicate clar (anexa I). Dacă testul satisface criteriile de validare, la trasarea graficului se poate folosi media procentelor de eliminare ale vaselor ce conțin substanța de testat;

eliminarea procentuală după fereastra de 10 zile și cea corespunzătoare aplatizării curbei de biodegradare sau sfârșitului testului.

PARTEA II.   TESTUL DE EPUIZARE COD (Metoda C.4-A)

II.1.   PRINCIPIUL METODEI

Un volum măsurat de mediu mineral inoculat care conține o concentrație cunoscută de substanță de testat (10–40 mg COD/l) ca singura sursă nominală de carbon organic se aerează la întuneric sau lumină difuză la 22 ± 2 °C.

Degradarea este urmată de analiza COD la intervale frecvente pe o perioadă de 28 de zile. Gradul de biodegradare se calculează exprimând concentrația COD îndepărtată (corectată în funcție de cea din proba martor cu inocul) ca procent din concentrația prezentă inițial. Gradul de biodegradare primară poate fi, de asemenea, calculat din analiza chimică suplimentară făcută la începutul și la sfârșitul incubării.

II.2.   DESCRIEREA METODEI

II.2.1.   Aparatură

(a)

vase conice, de exemplu, 250 ml -2 litri, în funcție de volumul necesar pentru analiza COD;

(b)

agitatoare pentru vase conice, fie cu control automat al temperaturii, fie fără acest control, dar folosite într-o încăpere cu temperatură constantă și având putere suficientă pentru a menține condițiile aerobe în toate vasele;

(c)

aparatură de filtrare cu membrane adecvate;

(d)

analizor COD;

(e)

oxigenometru;

(f)

centrifugă.

II.2.2.   Prepararea mediului mineral

Pentru prepararea soluțiilor mamă, a se vedea I.6.2.

Se amestecă 10 ml de soluție (a) cu 800 ml apă de diluție, se adaugă câte 1 ml din soluțiile (b) – (d) și se completează până la 1 litru cu apă de diluție.

II.2.3.   Prepararea și adaptarea inoculului

Inoculul poate proveni dintr-o varietate de surse: efluenți uzați, ape de suprafață, soluri sau dintr-un amestec al acestora.

A se vedea punctele I.6.4, I.6.4.1, I.6.4.2 și I.6.5.

II.2.4.   Pregătirea vaselor

De exemplu, se introduc câte 800 ml de mediu mineral în vase conice de 2 litri și se adaugă volume suficiente de soluții mamă ale substanțelor de testat și de referință în fiecare vas pentru a obține o concentrație a substanței chimice echivalentă cu 10–40 mg COD/l. Se verifică valorile pH și se reglează, după caz, la 7,4. Se inoculează vasele cu nămol activ sau cu o altă sursă de inocul (a se vedea punctul I.6.4), pentru a obține o concentrație finală nu mai mare de 30 mg solide în suspensie/l. De asemenea, se prepară probe martor de inocul în mediu mineral, dar fără substanță de testat sau de referință.

După caz, se folosește un vas pentru a verifica efectul inhibitor posibil al substanței de testat, inoculând o soluție în mediu mineral având concentrații comparabile ale substanței de testat și ale celei de referință.

De asemenea, dacă este necesar, se pregătește încă un vas, steril, pentru a verifica dacă substanța de testat este degradată abiotic, folosind o soluție neinoculată a substanței de testat (a se vedea punctul I.6.6).

Suplimentar, dacă se presupune că substanța de testat este adsorbită în mod semnificativ pe sticlă, nămol etc., se face o estimare preliminară pentru a determina gradul probabil de adsorbție și, astfel, adecvarea testului la substanța respectivă (a se vedea tabelul 1). Se folosește un vas ce conține substanță de testat, inocul și agent de sterilizare.

Se completează volumele în toate vasele până la 1 litru cu mediu mineral și, după amestecare, se ia o probă din fiecare vas pentru a determina concentrația inițială a COD (a se vedea anexa II.4). Se acoperă gura vaselor, de exemplu, cu folie de aluminiu, astfel încât să se permită schimbul liber de aer între vas și atmosfera înconjurătoare. Apoi acestea se montează la agitatoare pentru începerea testului.

II.2.5.   Numărul de vase într-o testare tipică

Vasele 1 și 2: suspensia de testare

Vasele 3 și 4: proba martor cu inocul

Vasul 5: martor de metodă

De preferință și când este necesar, se folosesc:

Vasul 6: martor steril abiotic

Vasul 7: martor de adsorbție

Vasul 8: martor de toxicitate

A se vedea și punctul I.6.7.

II.2.6.   Efectuarea testului

Pe parcursul testului se determină concentrațiile COD în fiecare vas, în duplicat și la intervalele de timp cunoscute, suficient de frecvent pentru a putea determina începutul ferestrei de 10 zile și eliminarea procentuală la sfârșitul ferestrei de 10 zile. Se prelevează numai volumul minim de suspensie necesar pentru fiecare determinare.

Înainte de prelevarea probelor, se completează pierderile cauzate de evaporare, adăugând apă de diluție (punctul I.6.1) în cantitatea necesară, după caz. Se amestecă mediul de cultură foarte bine, verificând dacă materialul ce aderă pe pereții vaselor s-a dizolvat sau a trecut în suspensie. Se filtrează prin membrană sau se centrifughează proba (a se vedea anexa II.4), imediat după ce a fost prelevată. Probele filtrate sau centrifugate se analizează în aceeași zi sau se depozitează la 2–4 °C timp de maximum 48 de ore ori se mențin la temperaturi mai mici de –18 °C pentru un timp mai îndelungat.

II.3.   DATE ȘI RAPORT

II.3.1.   Interpretarea rezultatelor

Se calculează degradarea în procente la timpul t conform punctului I.7.1 (determinare COD) și, opțional, punctului I.7.2. (analize specifice).

Se înregistrează toate rezultatele pe fișele de date prevăzute.

II.3.2.   Validarea rezultatelor

A se vedea punctul I.5.2.

II.3.3.   Raportul de testare

A se vedea punctul I.8.

II.4.   FIȘA DE DATE

Un exemplu de fișă de date este prezentat mai jos.

TEST DE EPUIZARE COD

1.   LABORATOR

2.   DATA ÎNCEPERII TESTULUI

3.   SUBSTANȚA DE TESTAT

Denumire:

Concentrația soluției mamă: mg/l substanță

Concentrația inițială în mediul de testare, t0: mg/l substanță

4.   INOCUL

Sursa:

Tratament aplicat:

Precondiționare, dacă există:

Concentrația solidelor în suspensie în amestecul de reacție: mg/l

5.   DETERMINĂRI DE CARBON

Analizor de carbon:


 

Vas nr.

 

COD după n zile (mg/l)

0

n1

n2

n3

nx

Substanță de testat + inocul

1

a1

 

 

 

 

 

a2

 

 

 

 

 

a, medie Ca(t)

 

 

 

 

 

2

b1

 

 

 

 

 

b2

 

 

 

 

 

b, medie Cb(t)

 

 

 

 

 

Probă martor cu inocul fără substanță de testat

3

c1

 

 

 

 

 

c2

 

 

 

 

 

c, medie Cc(t)

 

 

 

 

 

4

d1

 

 

 

 

 

d2

 

 

 

 

 

d, medie Cd(t)

 

 

 

 

 

Formula

 

 

 

 

 

6.   EVALUAREA DATELOR BRUTE

Vas nr.

 

% degradare după n zile

0

n1

n2

n3

nx

1

Formula

0

 

 

 

 

2

Formula

0

 

 

 

 

Medie (10)

Formula

0

 

 

 

 

Notă: formate similare se pot folosi pentru substanțele de referință și pentru martorii de toxicitate.

7.   MARTOR ABIOTIC (opțional)

 

Timp (zile)

0

t

Concentrația COD mg/l în martor steril

Cs(0)

Cs(t)

Formula

8.   ANALIZE CHIMICE SPECIFICE (opțional)

 

Cantitatea reziduală a substanței de testat la sfârșitul testului (mg/l)

% degradare primară

Martor steril

Sb

 

Mediu de testare inoculat

Sa

Formula

PARTEA III.   TESTUL DE SCREENING MODIFICAT OCDE (Metoda C.4-B)

III.1.   PRINCIPIUL METODEI

Un volum măsurat de mediu mineral, cu o concentrație cunoscută de substanță de testat (10–40 mg COD/l) ca singura sursă nominală de carbon organic, se inoculează cu 0,5 ml efluent/litru de mediu. Amestecul se aerează la întuneric sau lumină difuză la 22 °C ± 2 °C.

Degradarea este urmată de analiza COD la intervale frecvente într-o perioadă de 28 de zile. Gradul de biodegradare este calculat exprimând concentrația COD eliminată (corectată în funcție de cea din proba martor cu inocul) ca procent din concentrația inițială. Gradul de biodegradare primară poate fi de asemenea calculat din analiza chimică suplimentară făcută la începutul și la sfârșitul incubării.

III.2.   DESCRIEREA METODEI

III.2.1.   Aparatură:

(a)

vase conice, de exemplu, de la 250 ml la 2 litri, în funcție de volumul necesar pentru analiza COD;

(b)

agitatoare pentru vase conice, fie cu control automat al temperaturii, fie fără acest control, dar folosite într-o încăpere cu temperatură constantă și având putere suficientă pentru a menține condițiile aerobe în toate vasele;

(c)

aparatură de filtrare cu membrane adecvate;

(d)

analizor COD;

(e)

oxigenometru;

(f)

centrifugă.

III.2.2.   Prepararea mediului mineral

Pentru prepararea soluțiilor mamă a se vedea punctul I.6.2.

Se amestecă 10 ml de soluție (a) cu 800 ml apă de diluție, se adaugă câte 1 ml din soluțiile (b) – (d) și se completează până la 1 litru cu apă de diluție.

Această metodă folosește numai 0,5 ml efluent/litru ca inocul și prin urmare mediul poate necesita adăugarea de microelemente și factori de creștere. Acest lucru se face prin adăugarea câte unui ml din fiecare dintre următoarele soluții/litru de mediu final:

Soluție cu microelemente:


Sulfat de mangan tetrahidrat MnSO4·4H2O

39,9 mg

Acid boric H3BO3

57,2 mg

Sulfat de zinc heptahidrat ZnSO4·7H2O

42,8 mg

Heptamolibdat de amoniu (NH4)6Mo7O24

34,7 mg

Chelați de fier (FeCl3 cu acid etilendiamin-tetraacetic)

100,0 mg

Se dizolvă și se aduce până la 1 000 ml cu apă de diluție

 


Soluție de vitamine:


Extract de drojdie

15,0 mg

Se dizolvă extractul de drojdie în 100 ml apă. Se sterilizează prin trecere printr-o membrană de 0,2 microni sau se pregătește proaspătă.

III.2.3.   Prepararea și precondiționarea inoculului

Inoculul este obținut din efluentul secundar al unei instalații de tratare sau al unei instalații de laborator care folosește în special ape menajere. A se vedea punctele I.6.4.2. și I.6.5.

Se folosesc 0,5 ml/l de mediu mineral.

III.2.4.   Pregătirea vaselor

De exemplu, se introduc câte 800 ml de mediu mineral în vase conice de 2 litri și se adaugă volume suficiente de soluții mamă ale substanțelor de testat și de referință, în vase separate, pentru a obține o concentrație a substanței echivalentă cu 10–40 mg COD/l. Se verifică valoarea pH-ului și se reglează, dacă este necesar, la 7,4. Se inoculează vasele cu 0,5 ml/l efluent de apă reziduală (a se vedea punctul I.6.4.2). De asemenea, se prepară probe de inocul pentru martor, în mediu mineral, fără substanță de testat sau de referință.

Dacă este necesar, se folosește un vas pentru a verifica posibilul efect inhibitor al substanței, inoculând o soluție în mediu mineral având concentrații comparabile ale substanței de testat și de referință. De asemenea, dacă este necesar, se pregătește încă un vas, steril, pentru a se verifica dacă substanța de testat este degradată abiotic, folosind o soluție neinoculată a substanței de testat (a se vedea punctul I.6.6).

Suplimentar, dacă se presupune că substanța de testat este adsorbită în mod semnificativ pe sticlă, nămol etc., se face o estimare preliminară pentru a determina gradul probabil de adsorbție și, astfel, adecvarea testului la substanța respectivă (a se vedea tabelul 1). Se folosește un vas ce conține substanță de testat, inocul și agent de sterilizare.

Se completează volumele în toate vasele până la 1 litru cu mediu mineral și, după amestecare, se ia o probă din fiecare vas pentru a determina concentrația inițială a COD (a se vedea anexa II.4). Se acoperă gura vaselor, de exemplu, cu folie de aluminiu, astfel încât să se permită schimbul liber de aer între vas și atmosfera înconjurătoare. Apoi acestea se montează la agitatoare pentru începerea testului.

III.2.5.   Numărul de vase într-un test tipic

Vasele 1 și 2: suspensia de testare

Vasele 3 și 4: probă martor cu inocul

Vasul 5: martor de metodă

De preferință și când este necesar, se folosesc:

Vasul 6: martor steril abiotic

Vasul 7: martor de adsorbție

Vasul 8: martor de toxicitate

A se vedea și punctul I.6.7.

III.2.6.   Desfășurarea testului

Pe parcursul testului se determină concentrațiile COD în fiecare vas, în duplicat și la intervalele de timp cunoscute, suficient de frecvent pentru a putea determina începutul ferestrei de 10 zile și eliminarea procentuală la sfârșitul ferestrei de 10 zile. Se prelevează numai volumul minim de suspensie necesar pentru fiecare determinare.

Înainte de prelevarea probelor se completează pierderile cauzate de evaporare, adăugând apă de diluție (punctul 1.6.1) în cantitatea necesară, după caz. Se amestecă mediul de cultură foarte bine, verificând dacă materialul ce aderă pe pereții vaselor s-a dizolvat sau a trecut în suspensie. Se filtrează prin membrană sau se centrifughează proba (a se vedea anexa II.4), imediat după ce a fost prelevată. Probele filtrate sau centrifugate se analizează în aceeași zi sau se depozitează la 2 – 4 °C timp de maxim 48 de ore ori se mențin la temperaturi mai mici de –18 °C pentru un timp mai îndelungat.

III.3.   DATE ȘI RAPORT

III.3.1.   Interpretarea rezultatelor

Se calculează degradarea în procente la timpul t conform punctului I.7.1 (determinare COD) și, opțional, punctului I.7.2. (analize specifice).

Se înregistrează toate rezultatele pe fișele de date prevăzute.

III.3.2.   Validarea rezultatelor

A se vedea punctul I.5.2

III.3.3.   Raportul de testare

A se vedea punctul I.8.

III.4.   FIȘA DE DATE

Un exemplu de fișă de date este prezentat mai jos.

TEST DE SCREENING MODIFICAT OCDE

1.   LABORATOR

2.   DATA ÎNCEPERII TESTULUI

3.   SUBSTANȚA DE TESTAT

Denumire:

Concentrația soluției mamă: mg/l substanță

Concentrația inițială în mediul de testare, t0: mg/l substanță

4.   INOCUL

Sursa:

Tratament aplicat:

Precondiționare, dacă există:

Concentrația materiilor în suspensie în amestecul de reacție: mg/l

5.   DETERMINĂRI DE CARBON

Analizor de carbon:


 

Vas nr.

 

COD după n zile (mg/l)

0

n1

n2

n3

nx

Substanță de testat + inocul

1

a1

 

 

 

 

 

a2

 

 

 

 

 

a, medie Ca(t)

 

 

 

 

 

2

b1

 

 

 

 

 

b2

 

 

 

 

 

b, medie Cb(t)

 

 

 

 

 

Probă martor cu inocul fără substanță de testat

3

c1

 

 

 

 

 

c2

 

 

 

 

 

c, medie Cc(t)

 

 

 

 

 

4

d1

 

 

 

 

 

d2

 

 

 

 

 

d, medie Cd(t)

 

 

 

 

 

Formula

 

 

 

 

 

6.   EVALUAREA DATELOR BRUTE

Vas nr.

 

% degradare după n zile

0

n1

n2

n3

nx

1

Formula

0

 

 

 

 

2

Formula

0

 

 

 

 

Medie (11)

Formula

0

 

 

 

 

Notă: formate similare se pot folosi pentru substanțele de referință și pentru martorii de toxicitate.

7.   MARTOR ABIOTIC (opțional)

 

Timp (zile)

0

t

Concentrația COD mg/l în martor steril

Cs(0)

Cs(t)

Formula

8.   ANALIZE CHIMICE SPECIFICE (opțional)

 

Cantitatea reziduală a substanței de testat la sfârșitul testului (mg/l)

% degradare primară

Martor steril

Sb

 

Mediu de testare inoculat

Sa

Formula

PARTEA IV.   TESTUL DE DEGAJARE A CO2 (Metoda C.4-C)

IV.1.   PRINCIPIUL METODEI

Un volum măsurat de mediu mineral inoculat, cu o concentrație cunoscută de substanță de testat (10–20 mg COD sau TOC/l) ca unică sursă nominală de carbon organic se aerează prin trecerea aerului fără dioxid de carbon, cu debit controlat, la întuneric sau la lumină difuză. Degradarea este urmărită timp de 28 de zile prin determinarea dioxidului de carbon produs, care este absorbit pe hidroxid de bariu sau de sodiu și este măsurat prin titrarea hidroxidului rămas sau drept carbon anorganic. Cantitatea de dioxid de carbon produs de substanța de testat (corectată cu cea rezultată din proba martor cu inocul) este exprimată ca procent din CO2T. Gradul de biodegradare se poate de asemenea calcula din analizele COD suplimentare, făcute la începutul și la sfârșitul incubării.

IV.2.   DESCRIEREA METODEI

IV.2.1.   Aparatură

(a)

vase de 2 – 5 litri, fiecare prevăzut cu un tub de aerare cu un capăt ajungând aproape de baza vasului și cu celălalt ieșind din vas;

(b)

agitatoare magnetice, când se testează substanțe puțin solubile;

(c)

vase pentru absorbția gazului;

(d)

dispozitiv pentru controlul și măsurarea debitului de aer;

(e)

aparatură pentru absorbția dioxidului de carbon, pentru prepararea aerului care nu conține dioxid de carbon; ca alternativă, se poate folosi un amestec de oxigen fără CO2 și azot fără CO2, din butelie, în proporția corectă (20 % O2: 80 % N2);

(f)

dispozitiv pentru determinarea dioxidului de carbon, fie prin titrimetrie, fie printr-una dintre analizele cantitative ale carbonului anorganic;

(g)

dispozitiv de filtrare cu membrană (opțional);

(h)

analizor de COD (opțional).

IV.2.2.   Prepararea mediului mineral

Pentru prepararea soluțiilor mamă, a se vedea punctul I.6.2.

Se amestecă 10 ml de soluție (a) cu 800 ml apă de diluție, se adaugă câte 1 ml din soluțiile (b) - (d) și se completează până la un 1 litru cu apă de diluție.

IV.2.3.   Prepararea și precondiționarea inoculului

Inoculul poate proveni dintr-o o varietate de surse: nămol activ, efluenți menajeri, ape de suprafață, soluri sau un amestec al acestora.

A se vedea punctele I.6.4, I.6.4.1, I.6.4.2 și I.6.5.

IV.2.4.   Pregătirea vaselor

Ca exemplu, următoarele volume și cantități sunt indicate pentru vase de 5 litri ce conțin 3 l de suspensie. Dacă se folosesc volume mai mici, valorile se modifică în consecință, dar se asigură precizia măsurării dioxidul de carbon format.

În fiecare vas de 5 litri se introduc 2 400 ml mediu mineral. Se adaugă un volum adecvat de nămol activ preparat (a se vedea punctele I.6.4.1 și I.6.5) pentru a rezulta o concentrație de solide în suspensie de cel mult 30 mg/l în 3 l de amestec inoculat.

Ca alternativă, mai întâi se diluează nămolul preparat pentru a rezulta o suspensie de 500 – 1 000 mg/l în mediu mineral, înainte de adăugarea unei cantități alicote la conținutul vasului de 5 litri așa încât să se obțină o concentrație de 30 mg/l; astfel se asigură o precizie mai mare. Pot fi folosite alte surse de inocul (a se vedea punctul I.6.4.2).

Acest amestec inoculat se aerează peste noapte, cu aer fără CO2, pentru a elimina dioxidul de carbon din sistem.

Se adaugă volume cunoscute din soluțiile mamă ale materialului de testat și substanței de referință, separat, în vase de testare replicate, astfel încât concentrațiile de COD sau de COT provenite din substanțele adăugate să fie cuprinse între 10 și 20 mg/l; se lasă câteva vase fără adăugare de substanță de testat, fiind folosite drept martori pentru inocul. Substanțele de testat puțin solubile se adaugă direct în vas în funcție de greutate sau volum sau sunt tratate conform descrierii din anexa III.

Dacă este necesar, un vas se folosește pentru a verifica posibilul efect inhibitor al substanței de testat, prin adăugarea atât a substanței respective, cât și a substanței de referință, în aceleași concentrații ca și cele prezente în alte vase.

De asemenea, dacă este necesar, se folosește un vas steril pentru a verifica dacă substanța de testat este degradată abiotic, prin folosirea unei soluții neinoculate de substanță (a se vedea punctul I.6.6). Se sterilizează prin adăugarea unei substanțe toxice în concentrație adecvată.

Se aduc volumele de suspensii din toate vasele la 3 litri, prin adăugarea de mediu mineral înainte de aerare cu aer fără CO2. Opțional, pot fi luate probe pentru analiza COD (a se vedea anexa II.4) și/sau pentru analize specifice. Se conectează vasele de absorbție la aerisirile vaselor.

Dacă se folosește hidroxid de bariu, se conectează trei vase de absorbție, fiecare conținând 100 ml de soluție de hidroxid de bariu 0,0125 M, în serie cu fiecare dintre vasele de 5 litri. Soluția trebuie să nu conțină sulfat și carbonat precipitat, iar concentrația sa se determină imediat înainte de utilizare. Dacă se folosește hidroxid de sodiu, se conectează două vase în paralel, cel de-al doilea acționând ca martor pentru a demonstra că tot dioxidul de carbon a fost absorbit în primul. Sunt adecvate vase de absorbție cu sistemul de închidere al flacoanelor pentru ser. Se adaugă 200 ml de hidroxid de sodiu 0,05 M la fiecare vas, ceea ce este suficient pentru a absorbi cantitatea totală de dioxid de carbon degajată, când substanța de testat este complet degradată. Soluția de hidroxid de sodiu, chiar când este proaspăt preparată, conține urme de carbonați; aceasta este corectată prin deducerea carbonatului din proba martor.

IV.2.5.   Numărul de vase pentru o testare tipică

Vasele 1 și 2: suspensie de testare

Vasele 3 și 4: probă martor cu inocul

Vasul 5: martor de metodă

De preferință și când este necesar, se folosesc:

Vasul 6: martor steril abiotic

Vasul 7: martor de toxicitate

A se vedea, de asemenea, punctul I.6.7.

IV.2.6.   Desfășurarea testului

Testul începe cu barbotarea aerului fără CO2 prin suspensie la o viteză de 30-100 ml/min. Se prelevează periodic probe din absorbantul dioxidului de carbon, pentru analizarea conținutului de CO2. În timpul primelor zece zile este recomandat ca analizele să fie făcute în fiecare a doua sau a treia zi și apoi în fiecare a cincea zi până la a douăzeci și opta zi, astfel încât perioada ferestrei de 10 zile să poată fi identificată.

În a douăzeci și opta zi se prelevează probe (opțional) pentru determinarea COD și/sau analize specifice, se măsoară pH-ul suspensiei și se adaugă 1 ml acid clorhidric concentrat la fiecare vas; se aerează vasele peste noapte pentru a elimina dioxidul de carbon prezent în suspensii. În ziua a douăzeci și noua se face ultima analiză a dioxidului de carbon degajat.

În zilele în care se determină CO2, se deconectează vasul de absorbție cu hidroxid de bariu cel mai apropiat de vas și se titrează soluția de hidroxid cu HCl 0,05 M, folosind fenolftaleină ca indicator. Se mută vasele de absorbție rămase cu un loc mai aproape de vas și se adaugă un nou vas ce conține 100 ml hidroxid de bariu proaspăt 0,0125 M, ultimul în serie. Se fac titrări când e necesar, de exemplu când se observă un precipitat substanțial în primul vas de absorbție și înainte ca în cel de-al doilea să se observe ceva, sau cel puțin săptămânal. Ca alternativă, când se folosește NaOH ca absorbant, se ia cu o seringă o probă (depinzând de caracteristicile analizorului de carbon folosit) de soluție de hidroxid de sodiu din vasul de absorbție mai apropiat de vasul de testare. Se injectează proba în partea anorganică (CA) a analizorului de carbon pentru analiza directă a dioxidului de carbon degajat.

Se analizează conținutul celui de-al doilea vas de absorbție numai la sfârșitul testului, pentru a face corecția datelor în cazul în care dioxidul de carbon a pătruns și în acest vas.

IV.3.   DATE ȘI RAPORT

IV.3.1.   Interpretarea rezultatelor

Cantitatea de CO2 captată de absorbant și titrată este dată de formula:

mg CO2 = (100 × CB – 0,5 × V × CA) × 44

unde:

V

=

volumul de HCl folosit pentru titrarea a 100 ml de absorbant (ml);

CB

=

concentrația soluției de hidroxid de bariu (M);

CA

=

concentrația soluției de acid clorhidric (M),

dacă CB este 0,0125 M iar CA este 0,05 M, 100 ml hidroxid de bariu se titrează cu 50 ml, iar cantitatea de CO2 este dată de formula:

Formula

Astfel, în acest caz, pentru a converti volumul de HCl titrat în mg CO2 produs, factorul este 1,1.

Se calculează cantitățile de CO2 produs de inocul în sine și de inocul plus substanța de testat, folosind respectivele valori de titrare, diferența fiind cantitatea de CO2 produsă numai de substanța de testat.

De exemplu, dacă martorul cu inocul se titrează cu 48 ml și proba conținând inocul plus substanța de testat cu 45 ml,

CO2 de la inocul = 1,1 × (50 – 48) = 2,2 mg;

CO2 de la inocul plus substanța de testat = 1,1 × (50 – 45) = 5,5 mg.

Astfel, cantitatea de CO2 produsă de substanța de testat este de 3,3 mg.

Procentul de biodegradabilitate se calculează din formula:

Formula

sau

Formula

3,67 fiind factorul de conversie (44/12) de la carbon la dioxid de carbon.

Se calculează degradarea procentuală în orice moment ca sumă a procentelor teoretice de eliminare a CO2 (CO2T) calculate pentru fiecare dintre zilele în care eliminarea CO2 a fost măsurată.

Pentru vasele de absorbție cu hidroxid de sodiu se calculează cantitatea de dioxid de carbon produs, exprimat ca CI (mg), prin înmulțirea concentrației de CI în absorbant cu volumul de absorbant.

Se calculează procentul de degradare din:

Formula

Se calculează COD eliminat (opțional) conform descrierii de la punctul I.7. Se înregistrează aceste rezultate și toate celelalte rezultate pe fișele de date prevăzute.

IV.3.2.   Validarea rezultatelor

Conținutul de CI al suspensiei de substanță în mediul mineral la începutul testului trebuie să fie mai mic decât 5 % din CT, iar CO2 total din martorul cu inocul, la sfârșitul testului, nu va depăși în mod normal media de 40 mg/l. Dacă se obțin valori mai mari de 70 mg CO2/litru, datele și tehnica experimentală vor fi supuse unui examen critic.

A se vedea, de asemenea, I.5.2.

IV.3.3.   Raportul de testare

A se vedea I.8.

IV.4.   FIȘA DE DATE

Un exemplu de fișă de date este prezentat în continuare.

TEST DE DEGAJARE A DIOXIDULUI DE CARBON

1.   LABORATOR

2.   DATE LA ÎNCEPUTUL TESTULUI

3.   SUBSTANȚA DE TESTAT

Denumire:

Concentrația soluției mamă: mg/litru substanță

Concentrația inițială în mediu: mg/litru substanță

C total adăugat în vas: mg C

CO2T: mg CO2

4.   INOCUL

Sursa:

Tratament aplicat:

Precondiționare, dacă există:

Concentrația de solide în suspensie în amestecul de reacție: mg/litru

5.   PRODUCEREA DIOXIDULUI DE CARBON ȘI DEGRADABILITATEA

Image

Notă: Pentru substanțele de referință și pentru martorii de toxicitate pot fi folosite formate similare.

6.   ANALIZA CARBONULUI (opțional)

Analizor de carbon:


Timpul (ziua)

Proba martor mg/l

Substanța de testat mg/l

0

Cb(0)

C0

28 (12)

Cb(t)

Ct

Formula

7.   DEGRADAREA ABIOTICĂ (opțional)

Formula

PARTEA V.   TESTUL DE RESPIROMETRIE MANOMETRICĂ (Metoda C.4-D)

V.1.   PRINCIPIUL METODEI

Un volum măsurat de mediu mineral inoculat, cu o concentrație cunoscută din substanța de testat (100 mg/litru de substanță testată, pentru a rezulta cel puțin 50–100 mg CTO/litru), ca unică sursă nominală de carbon organic, este agitat într-un vas închis, la o temperatură constantă (±1 °C sau mai apropiat) timp de cel mult 28 de zile. Consumul de oxigen se determină fie prin măsurarea cantității de oxigen (produs electrolitic) necesare pentru menținerea constantă a volumului de gaz din vasul respirometrului, fie din schimbări ale volumului sau presiunii (sau o combinație a celor două) în aparatură. Dioxidul de carbon degajat este absorbit într-o soluție de hidroxid de potasiu sau într-un alt absorbant potrivit. Cantitatea de oxigen consumată de substanța de testat (corectată cu cea consumată de proba martor cu inocul testat în paralel) este exprimată ca procent de CTO sau CCO. Opțional, biodegradabilitatea primară poate fi de asemenea calculată prin analize specifice suplimentare, făcute la începutul și la sfârșitul incubării, iar biodegradabilitatea finală prin analiza COD.

V.2.   DESCRIEREA METODEI

V.2.1.   Aparatură

(a)

respirometru adecvat;

(b)

dispozitiv martor al temperaturii, menținută la ± 1 °C sau mai precis;

(c)

dispozitiv de filtrare prin membrană (opțional);

(d)

analizor de carbon (opțional).

V.2.2.   Pregătirea mediului mineral

Pentru prepararea soluțiilor mamă a se vedea punctul I.6.2.

Se amestecă 10 ml soluție (a) cu 800 ml apă de diluție, se adaugă câte 1 ml din soluțiile (b) - (d) și se completează până la 1 litru cu apă de diluție.

V.2.3.   Prepararea și precondiționarea inoculului

Inoculul poate proveni de la o varietate de surse: nămol activ, efluenți menajeri, ape de suprafață, soluri sau dintr-un amestec al acestora.

A se vedea punctele I.6.4, I.6.4.1, I.6.4.2 și I.6.5.

V.2.4.   Pregătirea vaselor

Folosind soluții mamă, se prepară în șarje separate soluții ale substanțelor de testat și de referință în mediu mineral, astfel încât să rezulte, de regulă, o concentrație de 100 mg substanță/litru (rezultând cel puțin 50–100 mg CTO/litru).

Se calculează CTO pe baza formării sărurilor de amoniu, dacă nu se anticipează nitrificarea, caz în care calculul va fi bazat pe formarea nitraților (a se vedea anexa II.2).

Se determină valorile pH-ului și, dacă este necesar, se reglează la 7,4 ± 0,2.

Substanțele greu solubile vor fi adăugate în ultima etapă (a se vedea mai jos).

Dacă se determină toxicitatea substanței de testat, se prepară o altă soluție în mediu mineral ce conține atât substanță de testat, cât și substanță de referință, în concentrații similare cu cele ale soluțiilor individuale.

Dacă sunt necesare măsurători ale consumului fizico-chimic de oxigen, se prepară o soluție a substanței de testat, având de regulă 100 mg CTO/litru, care se sterilizează prin adăugarea unei substanțe toxice potrivite (a se vedea punctul I.6.6).

Se introduc volumele necesare de soluții ale substanței de testat și de referință, în cel puțin două vase. În alte vase se adaugă numai mediu mineral (pentru proba martor cu inocul) și, dacă este necesar, soluția comună de substanță de testat/substanță de referință și soluția sterilă.

Dacă substanța de testat este puțin solubilă, se adaugă direct în această etapă în funcție de cantitate sau volum sau este tratată conform descrierii din anexa III. Se adaugă hidroxid de potasiu, pelete de hidroxid de calciu sau alt absorbant în compartimentele vasului de absorbție a CO2.

V.2.5.   Numărul de vase într-un test tipic

Vasele 1 și 2: suspensie de testare

Vasele 3 și 4: proba martor cu inocul

Vasul 5: martor de metodă

De preferință și când este necesar, se folosesc:

Vasul 6: martor steril

Vasul 7: martor de toxicitate

A se vedea, de asemenea, punctul I.6.7.

V.2.6.   Desfășurarea testului

Se lasă vasele să atingă temperatura dorită, iar apoi se inoculează cu nămol activ preparat sau cu altă sursă de inocul, pentru a obține o concentrație de solide în suspensie nu mai mare de 30 mg/litru. Se asamblează echipamentul, se pornește agitatorul, se verifică etanșarea și se pornește măsurarea consumului de oxigen. De obicei, nu este necesară altă supraveghere în afara citirilor și verificărilor zilnice pentru a urmări menținerea unei temperaturi corecte și unei agitări adecvate.

Se calculează consumul de oxigen din citirile efectuate la intervale regulate și frecvente, folosind metodele date de producătorul echipamentului. La sfârșitul incubării, în mod normal după 28 de zile, se măsoară pH-ul soluțiilor din vase, în special în cazul în care consumurile de oxigen sunt scăzute sau mai mici decât CTONH4 (pentru compușii care conțin azot).

Dacă este necesar, se prelevează probe inițiale și finale din vasele respirometrului, pentru analiza COD sau dozarea substanței (a se vedea anexa II.4). După prelevarea inițială, se înregistrează volumul suspensiei rămase în vas. Când oxigenul este consumat de substanța de testat ce conține azot, se determină creșterea concentrației de nitrit și nitrat după 28 de zile și se calculează corecția pentru oxigenul consumat prin nitrificare (anexa V).

V.3.   DATE ȘI RAPORT

V.3.1.   Interpretarea rezultatelor

Se împarte consumul de oxigen (mg) al substanței de testat după un timp dat (corectat cu acela al probei martor cu inocul după același timp) la cantitatea de substanță folosită. Rezultă CBO exprimat ca mg oxigen/mg substanță testată, după cum urmează:

Formula

= mg O2 pe mg de substanță chimică de testat

Procentul de biodegradare se calculează din:

Formula

sau din:

Formula

Trebuie remarcat că aceste două metode nu dau în mod necesar aceeași valoare; este preferabil să fie folosită prima metodă.

Pentru substanțele de testat ce conțin azot, se folosește CTO adecvat (NH4 sau NO3), în conformitate cu datele cunoscute sau anticipate cu privire la incidența nitrificării (anexa II.2). Dacă nitrificarea are loc, dar nu este completă, se calculează corecția pentru oxigenul consumat prin nitrificare din schimbarea concentrațiilor de nitrit și nitrat (anexa V).

În cazul în care se fac determinări opționale ale carbonului organic și/sau ale unei substanțe specifice, se calculează degradarea procentuală, conform descrierii de la punctul I.7.

Se înregistrează toate rezultatele pe fișele de date anexate.

V.3.2.   Validarea rezultatelor

Consumul de oxigen al martorului cu inocul este în mod normal de 20 – 30 mg O2/litru și nu este mai mare de 60 mg/litru în 28 de zile. Valorile mai mari de 60 mg/litru necesită un examen critic al datelor și tehnicilor experimentale. Dacă valoarea pH-ului este în afara intervalului 6 – 8,5 iar consumul de oxigen de către substanța chimică de testat este mai mic de 60 %, testul se repetă cu o concentrație mai mică a substanței de testat.

A se vedea, de asemenea, punctul I.5.2.

V.3.3.   Raport

A se vedea punctul I.8.

V.4.   FIȘE DE DATE

Un exemplu de fișă de date este prezentat mai jos.

TEST DE RESPIROMETRIE MANOMETRICĂ

1.   LABORATORUL

2.   DATE LA ÎNCEPUTUL TESTULUI

3.   SUBSTANȚA DE TESTAT

Denumire:

Concentrația soluției mamă: mg/litru

Concentrația inițială în mediu, C0: mg/litru

Volumul vasului de testare (V): ml

CTO sau CCO: mg O2/mg substanță testată (NH4, NO3)

4.   INOCUL

Sursa:

Tratament aplicat:

Precondiționare, dacă există:

Concentrația de solide în suspensie în amestecul de reacție: mg/l.

5.   CONSUM DE OXIGEN: BIODEGRADABILITATE

 

Ziua

0

 

7

 

14

 

 

21

 

 

28

 

Consumul de O2 (mg) al substanței de testat

1

 

 

 

 

 

 

 

 

 

 

 

 

2

 

 

 

 

 

 

 

 

 

 

 

 

a, medie

 

 

 

 

 

 

 

 

 

 

 

 

Consumul de O2 (mg) al probei martor

3

 

 

 

 

 

 

 

 

 

 

 

 

4

 

 

 

 

 

 

 

 

 

 

 

 

b, medie

 

 

 

 

 

 

 

 

 

 

 

 

CBO corectat (mg)

(a1-bm)

 

 

 

 

 

 

 

 

 

 

 

 

(a2-bm)

 

 

 

 

 

 

 

 

 

 

 

 

CBO(mg) substanță de testat

Formula

 

 

 

 

 

 

 

 

 

 

 

 

Formula

 

 

 

 

 

 

 

 

 

 

 

 

% degradare

Formula

D1 (a1)

 

 

 

 

 

 

 

 

 

 

 

 

D2 (a2)

 

 

 

 

 

 

 

 

 

 

 

 

Media (13)

 

 

 

 

 

 

 

 

 

 

 

 

V = volumul mediului mineral din vasul de testare

N.B.: Formate similare pot fi folosite pentru substanța de referință și pentru martorii de toxicitate.

6.   CORECȚIA PENTRU NITRIFICARE (a se vedea anexa V)

Ziua

0

28

Diferența

(i)Concentrația de nitrat (mg N/litru)

 

 

(N)

(ii)Echivalentul de oxigen (4,57 × N × V) (mg)

-

-

 

(iii)Concentrația de nitrat (mg N/litru)

 

 

(N)

(iv)Echivalentul de oxigen (3,43 × N × V)(mg)

-

-

 

(ii + iv)Echivalentul oxigenului total

-

-

 

7.   ANALIZA CARBONULUI (opțional)

Analizorul de carbon:


Timpul (zile)

Proba martor mg/litru

Substanța de testat mg/litru

0

(Cbl0)

(C0)

28 (14)

(Cblt)

(Ct)

Formula

8.   SUBSTANȚA SPECIFICĂ (opțional)

Sb

=

concentrația în controlul fizico-chimic (steril) după 28 de zile

Sa

=

concentrația în vasul inoculat după 28 de zile.

Formula

9.   DEGRADARE ABIOTICĂ (opțional)

a

=

consumul de oxigen din vasul steril după 28 de zile, (mg)

Formula

(a se vedea secțiunile 1 și 3)

Formula

PARTEA VI.   TESTUL CU VAS ÎNCHIS (Metoda C.4-E)

VI.1.   PRINCIPIUL METODEI DE TESTARE

Soluția de substanță de testat în mediu mineral, de obicei 2–5 mg/litru, se inoculează cu un număr relativ mic de microorganisme dintr-o populație bacteriană mixtă, în vase de testare complet pline, închise, ținute la întuneric, la temperatură constantă. Degradarea este urmată de analiza oxigenului dizolvat după o perioadă de 28 de zile. Cantitatea de oxigen consumată de către substanța de testat, corectată cu consumul din proba martor cu inocul, testat în paralel, se exprimă ca procent de CTO sau CCO.

VI.2.   DESCRIEREA METODEI

VI.2.1.   Aparatură

(a)

vase CBO, cu dopuri de sticlă, de exemplu de 250–300 ml;

(b)

baie de apă sau incubator, pentru păstrarea vaselor la temperatură constantă (±1 °C sau mai precis) și la întuneric;

(c)

vase mari (2–5 litri) pentru prepararea mediului și pentru umplerea vaselor CBO;

(d)

oxigenometru sau echipament și reactivi pentru titrarea Winkler.

VI.2.2.   Prepararea mediului mineral

Pentru prepararea soluțiilor mamă, a se vedea punctul I.6.2.

Se amestecă câte 1 ml din soluțiile (a) – (d) și se aduce la 1 litru cu apă de diluție.

VI.2.3.   Prepararea inoculului

Inoculul provine în mod normal din efluentul secundar al instalației de epurare sau din sedimentul provenit predominant de la apa uzată menajeră. O sursă alternativă de inocul este apa de suprafață. În mod normal, se folosește de la o picătură (0,05 ml) până la 5 ml de filtrat pe litru de mediu; pot fi necesare experimentări pentru a determina volumul optim pentru un efluent dat (A se vedea I.6.4.2 și I.6.5).

VI.2.4.   Pregătirea vaselor

Se aerează puternic mediul mineral timp de cel puțin 20 de minute. Fiecare serie de teste se efectuează cu mediu mineral provenit din același lot. În general, mediul este gata pentru folosire după păstrarea sa la temperatura de testare timp de 20 de ore. Se determină concentrația oxigenului dizolvat pentru control; valoarea va fi de aproximativ 9 mg/litru la 20 °C. Toate operațiile de transfer și umplere se efectuează într-un mediu saturat cu oxigen, fără barbotare, prin folosirea sifoanelor.

Se pregătesc grupuri paralele de vase CBO cu substanță de testat și de referință pentru determinări în serii experimentale simultane. Se montează un număr suficient de vase CBO, inclusiv proba martor cu inocul, pentru a permite ca măsurătorile duplicate ale consumului de oxigen să fie făcute la intervalele de timp dorite, de exemplu, după 0, 7, 14, 21 și 28 de zile. Pentru a fi posibilă identificarea ferestrei de 10 zile, se folosesc mai multe vase.

Vasele mari se umplu o treime cu mediu mineral aerat. Apoi se adaugă soluții mamă de substanță testată și de referință în vase mari separate, în cantități suficiente pentru a obține o concentrație finală a substanțelor mai mică de 10 mg/litru. Nu se adaugă nici o substanță la mediul probei martor cu inocul, conținut într-un alt vas mare.

Pentru a nu limita activitatea inoculului, concentrația oxigenului dizolvat nu trebuie să scadă sub 0,5 mg/litru în vasele CBO. Aceasta limitează concentrația substanței de testat la aproximativ 2 mg/litru. Cu toate acestea, pentru compușii puțin degradabili și pentru aceia cu un CTO mic, se pot folosi 5–10 mg/litru. În unele cazuri, se recomandă să se efectueze serii paralele cu substanță de testat la două concentrații diferite, de exemplu, 2 și 5 mg/litru. În mod normal, se calculează CTO pe baza formării sărurilor de amoniu dar, dacă se presupune sau se știe că are loc nitrificarea, se calculează pe baza formării nitratului (CTONO3: a se vedea anexa II.2). Cu toate acestea, dacă nitrificarea nu este completă, dar are loc, se corectează cu modificările în concentrațiile de nitrit și de nitrat, determinate prin analiză (a se vedea anexa V).

Dacă trebuie determinată toxicitatea substanței de testat (de exemplu, în cazul în care au fost găsite anterior valori de biodegradabilitate scăzute), este necesară o altă serie de vase.

Se pregătește un alt vas mare ce conține mediu mineral aerat (aproximativ o treime din volumul său) plus substanță de testat și substanță de referință la aceleași concentrații finale ca și acelea din celelalte vase mari.

Se inoculează soluțiile din vasele mari cu efluent secundar (de la o picătură sau aproximativ 0,05 ml, până la 5 ml/litru) sau cu o altă sursă cum ar fi apă de râu (a se vedea punctul I.6.4.2). În final, se aduc soluțiile la volum cu mediu mineral aerat folosind un furtun care ajunge la fundul vasului pentru a realiza o amestecare adecvată.

VI.2.5.   Numărul de vase într-un test tipic

Într-un test tipic sunt folosite următoarele vase:

cel puțin 10 conținând substanță de testat și inocul (suspensia de testare);

cel puțin 10 conținând numai inocul (proba martor cu inocul);

cel puțin 10 conținând substanța de referință și inocul (martor de metodă)

și, dacă este necesar, 6 vase conținând substanță de testat, substanță de referință și inocul (martor de toxicitate). În plus, pentru a fi posibilă identificarea ferestrei de 10 zile, sunt necesare aproape de două ori mai multe vase.

VI.2.6.   Desfășurarea testului

Fiecare soluție preparată se distribuie imediat în vasele CBO din grupul respectiv, prin furtun, din sfertul inferior (nu la bază) al vasului mare corespunzător, astfel încât toate vasele CBO să fie complet umplute. Se lovesc ușor pentru a îndepărta bulele de aer. Se analizează imediat, la momentul zero, oxigenul dizolvat din vase, prin metoda Winkler sau prin metoda electrodului. Conținutul vaselor poate fi păstrat pentru a fi analizat mai târziu, prin metoda Winkler, prin adăugarea de sulfat de magneziu (II) și de hidroxid de sodiu (primul reactiv Winkler). Se depozitează vasele închise cu grijă, ce conțin oxigen fixat ca oxid brun de magneziu (III) hidratat, la întuneric, la 10 – 20 °C, timp de cel mult 24 de ore, înainte de efectuarea etapelor rămase ale metodei Winkler. Se astupă cu dop vasele replicate rămase, urmărind să nu fie incluse bule de aer, și se incubează la 20 °C, la întuneric. Fiecare serie experimentală este însoțită de o serie paralelă completă, pentru determinarea probei martor inoculate. Se prelevează probe din vasele duplicate, din toate seriile, pentru analiza oxigenului dizolvat la intervale egale de timp (cel puțin săptămânal), de-a lungul celor 28 de zile de incubare.

Probele prelevate săptămânal permit evaluarea procentului de eliminare în fereastra de 14 zile, în timp ce prelevarea de probe la 3 – 4 zile permite identificarea ferestrei de 10 zile, care necesită dublarea numărului celor mai multe vase.

Pentru substanțele de testat care conțin azot, se fac corecții ale consumului de oxigen necesar oricărei nitrificări care ar avea loc. În acest scop, se folosește metoda electrodului de O2 pentru determinarea concentrației oxigenului dizolvat și apoi se prelevează o probă din vasul CBO pentru analiza nitritului și nitratului. Din creșterea concentrației de nitrit și nitrat se calculează oxigenul folosit (a se vedea anexa V).

VI.3.   DATE ȘI RAPORT

VI.3.1.   Interpretarea rezultatelor

Mai întâi se calculează CBO la fiecare interval, scăzând cantitatea de oxigen consumat (mg O2/litru) de proba martor cu inocul din cantitatea consumată de substanța de testat. Se împarte acest consum corectat la concentrația substanței de testat (mg/litru), pentru a obține CBO specific ca mg oxigen pe mg substanță testată. Se calculează procentul de biodegradabilitate prin împărțirea CBO specific la CTO specific (calculat în conformitate cu anexa II.2) sau CCO (determinat prin analiză, a se vedea anexa II.3), după cum urmează:

Formula

=FormulaO2 pe mg de substanță chimică de testat

Formula

sau

Formula

Trebuie remarcat că aceste două metode nu conduc în mod necesar la aceeași valoare; este preferabil se utilizeze prima metodă.

Pentru substanțele de testat ce conțin azot, se folosește CTO (NH4 sau NO3) în funcție de datele cunoscute sau anticipate privind incidența nitrificării (anexa II.2). Dacă nitrificarea are loc, dar nu este completă, se calculează corecția pentru oxigenul consumat la nitrificare din modificarea concentrațiilor de nitrit și nitrat (anexa V).

VI.3.2.   Validarea rezultatelor

Scăderea conținutului de oxigen în martorul cu inocul nu trebuie să depășească 1,5 mg oxigen dizolvat/litru, după 28 de zile. Valorile mai mari decât aceasta impun investigarea tehnicilor experimentale. Concentrațiile reziduale de oxigen din vasele de testare nu trebuie în nici un moment să scadă sub 0,5 mg/litru. Astfel, niveluri de oxigen mai scăzute sunt valide numai dacă metoda de determinare a oxigenului dizolvat folosită este capabilă de măsurarea cu precizie a unor astfel de niveluri de concentrație.

A se vedea, de asemenea, punctul I.5.2.

VI.3.3.   Raport

A se vedea punctul I.8.

VI.4.   FIȘA DE DATE

Un exemplu de fișă de date este prezentat mai jos.

TEST ÎN VAS ÎNCHIS

1.   LABORATOR

2.   DATE LA ÎNCEPUTUL TESTULUI

3.   SUBSTANȚA DE TESTAT

Denumire:

Concentrația soluției mamă: mg/litru

Concentrația inițială în vas: mg/litru

CTO sau CCO: mg O2/mg substanță testată

4.   INOCUL

Sursă:

Tratamentul aplicat:

Precondiționare, dacă există:

Concentrația în amestecul de reacție: mg/litru

5.   DETERMINAREA OD

Metoda: Winkler/electrod

Analizele vaselor

Timpul de incubare (zile)

OD (mg/l)

0

n1

n2

 

Proba martor (fără substanță)

1

C1

 

 

 

 

2

C2

 

 

 

 

Media

Formula

 

 

 

 

Substanța de testat

1

a1

 

 

 

 

2

a2

 

 

 

 

Media

Formula

 

 

 

 

Notă: Un format similar poate fi folosit pentru substanța de referință și martorul de toxicitate.

6.   CORECȚIA PENTRU NITRIFICARE (a se vedea anexa V)

Timpul de incubare (zile)

0

n1

n2

n3

(i) Concentrația de nitrat (mg N/litru)

 

 

 

 

(ii) Modificarea concentrației de nitrat (mg N/litru)

-

 

 

 

(iii) Echivalentul de oxigen (mg/litru)

-

 

 

 

(iv) Concentrația de nitrit (mg N/litru)

 

 

 

 

(v) Modificarea concentrației de nitrit (mg N/litru)

-

 

 

 

(vi) Echivalentul de oxigen (mg/litru)

-

 

 

 

(iii + vi) Echivalentul de oxigen total (mg/litru)

-

 

 

 

7.   CONSUM DE OD: % DEGRADARE

 

Îndepărtarea după n zile (mg/litru)

n1

n2

n3

 

VAS 1: (mt0 - mtx) - (mb0 - mbx)

 

 

 

 

VAS 2: (mt0 - mtx) - (mb0 - mbx)

 

 

 

 

VAS 1

Formula

 

 

 

 

VAS 2

Formula

 

 

 

 

Formula

 

 

 

 

(1)

Nu se va lua în considerare media dacă este o diferență considerabilă între replici.

mt0

=

valoarea în vasul de testare la momentul 0

mtx

=

valoarea în vasul de testare la momentul x

mb0

=

valoarea medie a probei martor la momentul 0

mbx

=

valoarea medie a probei martor la momentul x

Se aplică, de asemenea, corecții pentru nitrificare la punctele (iii) și (vi) în secțiunea 6.

8.   CONSUM DE OD ÎN PROBA MARTOR

Consumul de oxigen al probei martor: (mbo - mb28) mg/litru. Consumul este important pentru validarea testului. El trebuie să fie mai mic de 1,5 mg/litru.

PARTEA VII.   TESTUL MITI (Metoda C.4-F)

VII.1.   PRINCIPIUL METODEI

Consumul de oxigen al soluției sau al suspensiei sub agitare de substanță de testat în mediu mineral, inoculată cu microorganisme mature, neadaptate, se măsoară automat după o perioadă de 28 de zile într-un respirometru cu circuit închis, la întuneric, la 25 ± 1 °C. Dioxidul de carbon degajat este absorbit în calce sodică. Biodegradabilitatea este exprimată ca procent de oxigen absorbit (corectat cu absorbția în proba martor) față de absorbția teoretică (CTO). Procentul biodegradabilității primare se calculează de asemenea din analiza chimică specifică suplimentară realizată la începutul și la sfârșitul incubării și, opțional, prin analiza COD.

VII.2.   DESCRIEREA METODEI

VII.2.1.   Aparatură

(a)

aparat automat de măsurare electrolitică a CBO sau respirometru normal echipat cu 6 vase de 300 ml fiecare și cu capsule ce conțin absorbant de CO2;

(b)

cameră cu temperatură constantă și/sau baie de apă la 25 ± 1 °C sau mai precis;

(c)

dispozitiv de filtrare cu membrană (opțional);

(d)

analizor de carbon (opțional).

VII.2.2.   Prepararea mediului mineral

Se prepară următoarele soluții mamă, folosind reactivi puri pentru analiză și apă (I.6.1):


(a)

Ortofosfat diacid de potasiu, KH2PO4

8,50 g

 

Ortofosfat monoacid de potasiu, K2HPO4

21,75 g

 

Ortofosfat monoacid de sodiu dodecahidrat, Na2HPO4·12 H2O

44,60 g

 

Clorură de amoniu, NH4Cl

1,70 g

 

Se dizolvă în apă și se aduce la 1 litru.

 

Valoarea pH-ului soluției va fi de 7,2.

(b)

Sulfat de magneziu heptahidrat, MgSO4·7 H2O

22,50 g

 

Se dizolvă în apă și se aduce la 1 litru.

(c)

Clorură de calciu anhidră, CaCl2

27,50 g

 

Se dizolvă în apă și se aduce la 1 litru.

(d)

Clorură de fier (III) hexahidrat, FeCl3·6H2O

0,25 g

 

Se dizolvă în apă și se aduce la 1 litru.

Se iau 3 ml din fiecare soluție (a), (b), (c) și (d) și se aduce soluția la 1 litru.

VII.2.3.   Prepararea inoculului

Se prelevează probe proaspete din cel puțin zece locuri, în principal din ariile unde sunt folosite și descărcate diferite substanțe chimice. Din locuri cum ar fi instalații de tratare a nămolurilor, stații de epurare ale apelor uzate industriale, râuri, lacuri, mări, se prelevează probe de 1 l de nămol, sol de suprafață, apă etc. și se amestecă bine. După îndepărtarea materiilor plutitoare și după decantare, se reglează pH-ul supernatantului la 7 ± 1 cu hidroxid de sodiu sau acid fosforic.

Se folosește un volum adecvat de supernatant filtrat pentru a umple cu nămol activ un vas de încărcare-descărcare și se aerează lichidul aproximativ 23 1/2 h. După treizeci de minute de la oprirea aerării, se îndepărtează aproximativ o treime din întregul volum al supernatantului și se adaugă la materialul sedimentat un volum egal de soluție (pH 7) ce conține 0,1 % glucoză, 0,1 % peptonă și 0,1 % ortofosfat diacid de potasiu și se reîncepe aerarea. Se repetă această procedură o dată pe zi. Operarea instalației cu nămol se face conform bunelor practici de laborator: efluenții sunt limpezi, temperatura este menținută la 25 °C ± 2 °C, pH-ul este 7 ± 1, nămolul sedimentează bine, există suficientă aerare pentru a păstra amestecul în condiții aerobe tot timpul, protozoarele sunt prezente și activitatea nămolului este testată față de o substanță de referință cel puțin la fiecare trei luni. Nu se folosește nămolul ca inocul decât după cel puțin o lună de întreținere, dar nu după mai mult de patru luni. Prin urmare, se vor preleva probe din cel puțin 10 locuri la intervale egale, o dată la trei luni.

Pentru a menține nămolul proaspăt și pe cel vechi la aceeași activitate, se amestecă supernatantul filtrat de la nămolul activ în uz cu un volum egal de supernatant filtrat de la un amestec proaspăt prelevat din zece surse și se cultivă lichidul combinat ca mai sus. Se prelevează nămol pentru folosire ca inocul după 18 – 24 de ore de la alimentarea instalației.

VII.2.4.   Pregătirea vaselor

Se pregătesc următoarele șase vase, astfel încât să conțină:

Nr. 1: substanța de testat în apă de diluție la 100 mg/l

Nr. 2, 3 și 4: substanța de testat în mediu mineral la 100 mg/l

Nr. 5: substanța de referință (de exemplu anilină) în mediu mineral la 100 mg/l

Nr. 6: numai mediu mineral

Substanțele de testat greu solubile se adaugă direct, în funcție de cantitate sau de volum, sau se tratează conform descrierii din anexa III, excepție făcând faptul că nu se folosesc solvenți și nici agenți de emulsionare. Se adaugă la toate vasele absorbanți de CO2 în capsulele speciale prevăzute în acest scop. Se reglează pH-ul din vasele 2, 3 și 4 la valoarea de 7,0.

VII.2.5.   Efectuarea testului

Se inoculează vasele nr. 2, 3, 4 (cu suspensie de testare), nr. 5 (martor de activitate) și nr. 6 (probă martor cu inocul) cu un mic volum de inocul pentru a rezulta o concentrație de 30 mg/l de solide în suspensie. Nu se adaugă inocul vasului nr. 1, care servește drept martor abiotic. Se montează echipamentul, se verifică etanșeitatea, se pornește agitarea și se încep măsurătorile de consum de oxigen la întuneric. Zilnic se verifică temperatura, agitatorul și înregistratorul oxigenului consumat și se notează orice schimbare a culorii conținutului vaselor. Se citește direct consumul de oxigen la șase vase, printr-o metodă adecvată, de exemplu, prin intermediul unui înregistrator cu diagramă cu șase puncte, care furnizează curba CBO. La sfârșitul incubării, în mod normal după 28 de zile, se măsoară pH-ul conținutului vaselor și se determină concentrația substanței de testat rămase și a oricărui intermediar și, în cazul substanțelor solubile în apă, concentrația de COD (anexa II.4). Este necesară o atenție deosebită în cazul substanțelor volatile. Dacă se anticipează nitrificarea, se determină concentrația de nitrat și de nitrit, dacă este posibil.

VII.3.   DATE ȘI RAPORT

VII.3.1.   Interpretarea rezultatelor

Se împarte consumul de oxigen (mg) al substanței de testat, corectat cu acela citit la proba martor cu inocul după același timp, la cantitatea substanței de testat folosită. Rezultă CBO, exprimat ca mg oxigen/mg substanță testată, după cum urmează:

Formula

= mg O2 pe mg de substanță chimică de testat

Procentul de biodegradare se obține apoi din:

Formula

Pentru amestecuri se calculează CTO din analiza elementară, ca și pentru compușii simpli. Se folosește CTO adecvat (CTONH4 sau CTONO3) dacă nitrificarea este absentă sau este completă (anexa II.2). Dacă totuși nitrificarea are loc, dar este incompletă, se face o corecție pentru consumul de oxigen la nitrificare, calculat din modificarea concentrațiilor de nitrit și nitrat (anexa V).

Se calculează procentul de biodegradare primară cu ajutorul pierderii de substanță chimică inițială (a se vedea punctul I.7.2).

Formula

Dacă s-a înregistrat o pierdere de substanță în vasul nr. 1, care măsoară eliminarea fizico-chimică, această constatare se consemnează și se folosește concentrația de substanță (Sb) după 28 de zile din acest vas pentru a se calcula biodegradarea procentuală.

Când se fac determinări de COD (opțional), se calculează biodegradarea procentuală finală din:

Formula

conform descrierii de la punctul I.7.1. Dacă s-a înregistrat o pierdere de COD în vasul nr. 1, care măsoară eliminarea fizico-chimică, concentrația de COD din acest vas se folosește pentru a calcula biodegradarea procentuală.

Se înregistrează toate rezultatele pe fișele de date atașate.

VII.3.2.   Validarea rezultatelor

Consumul de oxigen în proba martor cu inocul este în mod normal de 20 – 30 mg O2/l și nu trebuie să fie mai mare de 60 mg/l în timpul celor 28 de zile. Valorile mai mari de 60 mg/l necesită un examen critic al datelor și al tehnicilor experimentale. Dacă valoarea pH-ului este în afara intervalului 6 – 8,5 și consumul de oxigen al substanței de testat este mai mic de 60 %, testul se repetă cu o concentrație mai mică a substanței.

A se vedea, de asemenea, punctul I.5.2.

Dacă procentul de degradare al anilinei, calculat din consumul de oxigen, nu depășește 40 % după 7 zile și 65 % după 14 zile, testul este invalidat.

VII.3.3.   Raport

A se vedea punctul I.8.

VII.4.   FIȘĂ DE DATE

Un exemplu de fișă de date este prezentat mai jos.

TESTUL MITI (I)

1.   LABORATORUL

2.   DATE LA ÎNCEPUTUL TESTULUI

3.   SUBSTANȚA DE TESTAT

Denumire:

Concentrația soluției mamă: mg/l substanță de testat

Concentrația inițială în mediul mineral, C0: mg/l substanță de testat

Volumul amestecului de reacție, V: ml

CTO: mg O2/l

4.   INOCULARE

Locurile de prelevare a probelor de nămol:

1)

2)

3)

4)

5)

6)

7)

8)

9)

10)

Concentrația materiilor solide în suspensie în nămolul activ după aclimatizare cu apă uzată sintetică = … mg/l

Volumul de nămol activ pe litru de mediu mineral final = … ml

Concentrația de nămol în mediul mineral final = … mg/l

5.   CONSUMUL DE OXIGEN: BIODEGRADABILITATEA

Tipul de respirometru folosit:


 

Ziua

0

7

14

21

28

Consumul de O2 (mg) la substanța de testat

a1

 

 

 

 

 

a2

 

 

 

 

 

a3

 

 

 

 

 

Consumul de O2 (mg) la proba martor

b

 

 

 

 

 

Consumul de O2 (mg) corectat

(a1 - b)

(a2 - b)

(a3 - b)

 

 

 

 

 

CBO/mg substanță de testat

Formula

Vas 1

 

 

 

 

 

Vas 2

 

 

 

 

 

Vas 3

 

 

 

 

 

% degradare

Formula

 

1

 

 

 

 

 

 

2

 

 

 

 

 

 

3

 

 

 

 

 

 

media (15)

 

 

 

 

 

Notă: Formate similare pot fi folosite pentru substanța de referință.

6.   ANALIZA DE CARBON (opțional)

Analizorul de carbon:


Vas

COD

% COD îndepărtat

Media

Măsurat

Corectat

Apă + substanță de testat

a

 

 

 

-

-

Nămol + substanță de testat

b1

 

b1 – c

 

 

 

Nămol + substanță de testat

b2

 

b2 – c

 

 

 

Nămol + substanță de testat

b3

 

b3 – c

 

 

 

Probă martor cu inocul

c

 

-

 

-

-

Formula

7.   DATE ANALITICE SPECIFICE SUBSTANȚEI

 

Cantitatea rămasă de substanță de testat la sfârșitul testului

% degradare

probă martor cu apă

Sb

 

mediu inoculat

Sa1

 

Sa2

 

Sa3

 

Formula

Se calculează % degradare pentru vasele a1, a2 și a3.

8.   OBSERVAȚII

Se atașează curba CBO în funcție de timp, dacă este disponibilă.

ANEXA I

ABREVIERI ȘI DEFINIȚII

OD:

Oxigenul dizolvat (mg/l) este concentrația de oxigen dizolvat într-o probă de apă.

CBO:

Consumul biochimic de oxigen (g) este cantitatea de oxigen consumată de microorganisme când se metabolizează un compus de testat; de asemenea, se exprimă în g de oxigen consumat pe g substanță testată. (A se vedea metoda C.5).

CCO:

Consumul chimic de oxigen (g) este cantitatea de oxigen consumată în timpul oxidării unui compus de testat cu dicromat acid fierbinte; el furnizează o măsură a cantității prezente de materie oxidabilă; se exprimă și ca g oxigen consumat pe g compus de testat. (A se vedea metoda C.6).

COD:

Carbonul organic dizolvat este carbonul organic prezent în soluție sau acela care trece printr-un filtru de 0,45 microni sau rămâne în supernatant după centrifugare la 40 000 m s-2 (± 4 000 g) timp de 15 min.

CTO:

Consumul teoretic de oxigen (mg) este cantitatea totală de oxigen necesară pentru a oxida complet substanța; este calculat din formula moleculară (a se vedea anexa II.2) și este de asemenea exprimat ca mg oxigen necesar pe mg compus de testat.

CO2T:

Cantitatea teoretică de dioxid de carbon (mg) este cantitatea de dioxid de carbon calculată din conținutul de carbon cunoscut sau măsurat al compusului de testat când acesta este complet mineralizat; se exprimă și ca mg dioxid de carbon degajat pe mg substanță.

COT:

Carbonul organic total al probei este suma carbonului organic în soluție și în suspensie.

CI:

Carbonul anorganic

CT:

Carbonul total este suma carbonului organic și anorganic prezent în eșantion.

Biodegradarea primară:

este modificarea structurii chimice a substanței, produsă prin acțiune biologică, care are ca rezultat pierderea proprietăților specifice ale substanței.

Biodegradarea finală (aerobică):

este nivelul de degradare realizat când substanța de testat este complet folosită de microorganisme având ca rezultat producerea de dioxid de carbon, apă, săruri minerale și noi constituenți celulari microbieni (biomasă).

Ușor biodegradabil:

o clasificare arbitrară a substanțelor care au trecut anumite teste de screening specificate pentru biodegradabilitatea finală; aceste teste sunt atât de riguroase încât se admite că asemenea compuși se vor degrada biologic rapid și complet în medii acvatice în condiții aerobe.

Intrinsec biodegradabil:

o clasificare a substanțelor pentru care există probe neechivoce de biodegradare (primară sau finală) în orice test de biodegradabilitate recunoscut.

Tratabilitate:

este capacitatea substanțelor de a fi eliminate în timpul tratamentului biologic al apelor reziduale fără a afecta negativ funcționarea normală a procesului de tratare. În general, compușii ușor biodegradabili sunt tratabili, dar nu este cazul tuturor compușilor intrinsec biodegradabili. Se pot produce, de asemenea, și procese abiotice.

Timpul de latență:

este timpul de la inoculare, în testul de epuizare, până când procentul de degradare crește cel puțin până la 10 %. Timpul de latență este adesea foarte variabil și slab reproductibil.

Timpul de degradare:

este timpul de la sfârșitul perioadei de latență până în momentul în care se atinge 90 % din nivelul maxim de degradare.

Fereastra de 10 zile:

este intervalul de 10 zile care urmează imediat după atingerea nivelului de 10 % degradare.

ANEXA II

CALCULAREA ȘI DETERMINAREA UNOR PARAMETRI SINTETICI ADECVAȚI

În funcție de metoda aleasă, sunt necesari anumiți parametri sintetici. Următoarea secțiune descrie modul de obținere a acestor valori. Folosirea acestor parametri este descrisă la fiecare metodă.

1.   Conținutul de carbon

Conținutul de carbon se calculează din compoziția elementară cunoscută sau determinată din analiza elementară a substanței de testat.

2.   Consumul teoretic de oxigen (CTO)

Consumul teoretic de oxigen (CTO) poate fi calculat dacă este cunoscută compoziția elementară sau este determinată prin analiză elementară. Acesta este, pentru compusul

CcHhClclNnNanaOoPpSs

fără nitrificare,

Formula

sau cu nitrificare,

Formula

3.   Consumul chimic de oxigen (CCO)

Consumul chimic de oxigen (CCO) se determină în conformitate cu metoda C.6.

4.   Carbonul organic dizolvat (COD)

Carbonul organic dizolvat (COD) este prin definiție carbonul organic al unei substanțe sau al unui amestec în apă care trece prin filtrul de 0,45 microni.

Se iau probe din vasele de testare și se filtrează imediat în aparatul de filtrare, folosind un filtru cu membrană adecvată. Primii 20 ml (cantitatea poate fi redusă când se folosesc filtre mici) de filtrat sunt eliminați. Volume de 10–20 ml sau mai mici, dacă sunt injectate (volumul depinde de cantitatea necesară la analizorul de carbon), sunt reținute pentru analiza carbonului. Concentrația COD se determină cu ajutorul unui analizor de carbon organic care poate măsura exact o concentrație de carbon echivalentă sau mai mică de 10 % din concentrația inițială de COD folosită la test.

Probele filtrate care nu pot fi analizate în aceeași zi de lucru pot fi păstrate la frigider, la 2–4 °C, timp de 48 de ore sau sub – 18 °C pentru perioade mai lungi.

Observații:

Filtrele cu membrană sunt adesea impregnate cu agenți tensioactivi pentru hidrofilizare. Astfel, filtrul poate conține mai mult de câteva mg de carbon organic solubil care interfererează cu determinările de biodegradabilitate. Agenții tensioactivi și alți compuși organici solubili sunt îndepărtați din filtre prin fierbere în apă deionizată timp de trei perioade a câte o oră fiecare. Filtrele pot fi apoi depozitate în apă timp de o săptămână. Dacă se folosesc cartușe de filtrare, fiecare lot trebuie verificat pentru a confirma că nu eliberează carbon organic solubil.

În funcție de tipul membranei de filtrare, substanța de testat poate fi reținută prin adsorbție. Prin urmare, este recomandabil să se ia măsuri pentru ca substanța să nu fie reținută pe filtru.

Centrifugarea la 40 000 m·sec-2 (4 000 g) timp de 15 min se poate folosi în locul filtrării pentru a face diferența între COT și COD. Metoda nu este viabilă la concentrația inițială de < 10 mg COD/l, deoarece fie că nu sunt îndepărtate toate bacteriile, fie că este redizolvat carbonul, ca parte a plasmei bacteriene.

BIBLIOGRAFIE

Standard Methods for the Examination of Water and Wastewater, 12th ed., Am. Pub. Hlth. Ass., Am. Wat. Poll. Control Fed., Oxygen Demand, 1965, P 65.

Wagner R., Von Wasser, 1976, vol 46, 139.

DIN-Entwurf 38 409, Teil 41 – Deutsche Einheitsverfahren zur Wasser-, Abwasser- und Schlammuntersuchung, Summarische Wirkungs-und Stoffkenngröβen (Gruppe H). Bestimmung des Chemischen Sauerstoffbedarfs (CBS) (H 41), Normenausschuβ Wasserwesen (NAW) in DIN Deutsches Institut für Normung e.V.

Gerike, P., The biodegradability testing of poorly water soluble compounds. Chemosphere, 1984, vol 13 (1), 169.

ANEXA III

EVALUAREA BIODEGRADABILITĂȚII SUBSTANȚELOR PUȚIN SOLUBILE

În testele de biodegradabilitate aplicate la substanțe puțin solubile, se acordă o deosebită atenție următoarelor aspecte.

Lichidele omogene prezintă rareori probleme de eșantionare, dar în cazul materialelor solide se recomandă omogenizarea cu mijloace adecvate, pentru a evita erorile datorate neomogenității. Se impun precauții speciale în cazul în care sunt necesare eșantioane reprezentative de câteva miligrame din amestecuri sau substanțe cu cantități mari de impurități.

Pot fi folosite diferite forme de agitare în timpul testelor. Se folosește cu atenție numai agitarea suficientă pentru a ține substanța dispersată, evitându-se supraîncălzirea, spumarea excesivă și forțele mari de forfecare.

Poate fi folosit un agent de emulsionare care dă o dispersie stabilă a substanței. Acesta nu trebuie să fie toxic pentru bacterii, biodegradat sau să spumeze în condițiile de testare.

Solvenților li se aplică aceleași criterii ca și agenților de emulsionare.

Nu se recomandă să se folosească purtători solizi pentru substanțele de testat solide, dar pot fi potriviți pentru substanțele uleioase.

Dacă se folosesc substanțe auxiliare cum ar fi agenți de emulsionare, solvenți și purtători, se testează o probă martor ce conține substanța auxiliară.

Unul dintre testele de respirometrie CO2, CBO, MITI poate fi folosit pentru a studia biodegradabilitatea substanțelor greu solubile.

BIBLIOGRAFIE

de Morsier, A. et al., Biodegradation tests for poorly soluble compounds, Chemosphere, 1987, vol 16, 833.

Gerike, P., The Biodegradability testing of poorly water soluble compounds, Chemosphere, 1984, vol 13, 169.

ANEXA IV

EVALUAREA BIODEGRADABILITĂȚII SUBSTANȚELOR SUSCEPTIBILE DE A FI TOXICE PENTRU INOCUL

Când o substanță este supusă testării pentru biodegradabilitate ușoară și pare a nu fi biodegradabilă, se recomandă următoarea procedură dacă se urmărește distincția între inhibiție și inerție (Reynolds et al., 1987).

Se folosesc inoculi similari sau identici pentru testele de toxicitate și biodegradare.

Pentru a evalua toxicitatea substanțelor studiate în testele de biodegradabilitate ușoară, se aplică una dintre metodele următoare: metoda de inhibiție a vitezei de respirație a nămolului (testul de inhibiție a respirației nămolului activ - Directiva 88/302/CEE), CBO și/sau metodele de inhibiție a creșterii sau o combinație între acestea.

Dacă trebuie evitată inhibiția datorată toxicității, se propune ca valoarea concentrației substanței de testat folosită în testul de biodegradabilitate ușoară să fie mai mică decât 1/10 din valoarea CE50 (sau mai mică decât valoarea CE20) obținută în testul de toxicitate. Compușii cu un CE50 mai mare de 300 mg/l nu au, probabil, efecte toxice în testul de biodegradabilitate ușoară.

Valorile CE50 mai mici de 20 mg/l probabil pun serioase probleme pentru testările următoare. Se vor folosi concentrații de testare mici, ce necesită folosirea testului vasului închis, riguros și sensibil, sau folosirea materialului marcat cu 14C. Ca alternativă, un inocul aclimatizat permite să fie folosite concentrații mai mari ale substanței de testat. În ultimul caz totuși criteriul specific al testului de biodegradabilitate ușoară este pierdut.

BIBLIOGRAFIE

Reynolds, L. et al., Evaluation of the toxicity of substances to be assessed for biodegrability, Chemosphere, 1987, vol. 16, 225.

ANEXA V

CORECȚIA CONSUMULUI DE OXIGEN ÎN CAZUL INTERFERENȚEI CU NITRIFICAREA

Erorile datorate omiterii nitrificării la evaluarea consumului de oxigen necesar pentru biodegradarea substanței de testat care nu conține azot sunt minime (nu mai mari de 5 %), chiar dacă oxidarea azotului amoniacal în mediul de testare se produce ocazional, atât în vasele cu substanță de testat, cât și în cele cu probă martor. Cu toate acestea, în cazul substanțelor care conțin azot, pot apărea erori grave.

Dacă nitrificarea are loc, dar nu este completă, consumul de oxigen observat al amestecului de reacție poate fi corectat prin cantitatea de oxigen folosită la oxidarea amoniului la nitrit sau la nitrat, dacă modificările concentrației în timpul incubării nitritului și nitratului sunt determinate luând în considerare următoarele ecuații:

2NH4Cl + 3O2 = 2HNO2 + 2HCl + 2H2O

(1)

2HNO2 + O2 = 2HNO3

(2)

Reacția globală este:

 

2NH4Cl + 4O2 = 2HNO3 + 2HCl + 2H2O

(3)

Din ecuația (1), consumul de oxigen pentru ca 28 g azot conținut în clorura de amoniu (NH4Cl) să fie oxidat la nitrit este de 96 g, adică un factor de 3,43 (96/28). În același mod, din ecuația (3) rezultă un consum de oxigen de 128 g pentru ca 28 g de azot să fie oxidat la nitrat, adică un factor de 4,57 (128/28).

Deoarece reacțiile sunt succesive, fiind realizate în prezența unor specii distincte și diferite de bacterii, concentrația de nitrit crește sau descrește; în ultimul caz se formează o concentrație echivalentă de nitrat. Astfel, cantitatea de oxigen consumată pentru formarea nitratului este de 4,57 înmulțit cu creșterea concentrației de nitrat, în timp ce cantitatea de oxigen asociată cu formarea nitritului este de 3,43 înmulțit cu creșterea concentrației de nitrit sau pierderea de oxigen este de –3,43 înmulțit cu descreșterea concentrației.

Aceasta este:

 

O2 consumat la formarea nitratului = 4,57 x creșterea concentrației de nitrat

(4)

și

 

O2 consumat la formarea nitritului = 3,43 x creșterea concentrației de nitrit

(5)

și

 

O2 consumat la dispariția nitritului = –3,43 x descreșterea concentrației de nitrat

(6)

astfel încât:

 

consumul de O2 datorat nitrificării = ± 3,43 x modificarea concentrației de nitrit + 4,57 x creșterea concentrației de nitrat

(7)

și astfel

 

consumul de O2 datorat oxidării carbonului = consumul total observat – consumul datorită nitrificării

(8)

Ca alternativă, dacă se determină numai azotul total oxidat, consumul de oxigen datorat nitrificării poate fi considerat, ca primă aproximație, ca fiind de 4,57 x creșterea azotului oxidat.

Valoarea corectată a consumului de oxigen datorat oxidării carbonului este apoi comparată cu CTONH3, conform calculelor din anexa II.

C.5.   DEGRADAREA – CONSUMUL BIOCHIMIC DE OXIGEN

1.   METODA

1.1.   INTRODUCERE

Scopul acestei metode este determinarea consumului biochimic de oxigen (CBO) al substanțelor organice solide sau lichide.

Prin această metodă se pot testa compuși solubili în apă; se pot testa totuși, cel puțin în principiu, și compușii volatili și cei puțin solubili în apă.

Metoda este aplicabilă numai acelor compuși organici care nu sunt inhibitori pentru bacterii la concentrația folosită în test. În cazul în care compusul testat nu este solubil la concentrația testată, se pot folosi măsuri speciale, precum utilizarea dispersiei ultrasonice, pentru a obține o dispersie bună a compusului de testat.

Informațiile despre toxicitatea substanței chimice pot fi utile pentru interpretarea rezultatelor cu valori scăzute și pentru selectarea unor concentrații adecvate la test.

1.2.   DEFINIȚIE ȘI UNITĂȚI

CBO este cantitatea de oxigen dizolvat necesară pentru un volum specificat de soluție a substanței supuse procesului de oxidare biochimică în condiții definite.

Rezultatele se exprimă în grame de CBO pe gram de substanță.

1.3.   SUBSTANȚE DE REFERINȚĂ

Se recomandă folosirea unei substanțe de referință adecvate pentru a verifica activitatea inoculului.

1.4.   PRINCIPIUL METODEI DE TESTARE

O cantitate predeterminată de substanță, dizolvată sau dispersată într-un mediu adecvat bine aerat, este inoculată cu microorganisme și incubată la o temperatură constantă, definită, la întuneric.

CBO se determină prin diferența dintre concentrațiile de oxigen dizolvat la începutul și la sfârșitul testului. Durata testului este de minimum 5 zile și maximum 28 de zile.

Într-o testare paralelă se determină CBO pe o probă martor, care nu conține substanță de testat.

1.5.   CRITERII DE CALITATE

Determinarea CBO nu poate fi considerată ca o determinare valabilă a biodegradabilității unei substanțe. Acest test este considerat doar test de triere.

1.6.   DESCRIEREA METODEI DE TESTARE

Se prepară o soluție sau dispersie preliminară de substanță pentru a obține concentrația CBO compatibilă cu metoda folosită. Apoi, se determină CBO conform oricărei metode naționale sau internaționale standardizate.

2.   DATE ȘI EVALUARE

CBO conținut în soluția preliminară se calculează conform metodei standardizate alese și se transformă în grame de CBO pe gram de substanță testată.

3.   RAPORT

Trebuie consemnată metoda folosită.

Consumul biochimic de oxigen trebuie să fie o medie a cel puțin trei măsurători valabile.

Toate informațiile și observațiile importante pentru interpretarea rezultatelor trebuie consemnate, în special cu privire la impurități, starea fizică, efectele toxice și compoziția intrinsecă a substanței care ar afecta rezultatele.

Folosirea unui aditiv pentru inhibiția nitrificării biologice trebuie consemnată.

4.   REFERINȚE BIBLIOGRAFICE

Listă de metode standardizate, de exemplu:

NF T 90-103: Determination of the biochemical oxygen demand.

NBN 407: Biochemical oxygen demand.

NEN 3235 5.4: Bepaling van het biochemish zuurstofverbruik (BZV).

The determination of biochemical oxygen demand, Methods for the examination of water and associated materials, HMSO, London.

ISO 5815: Determination of biochemical oxygen demand after n days.

C.6.   DEGRADAREA – CONSUMUL CHIMIC DE OXIGEN

1.   METODA

1.1.   INTRODUCERE

Scopul acestei metode este determinarea consumului chimic de oxigen (CCO) al substanțelor organice solide sau lichide prin aplicarea oricărei metode standardizate, în condiții de laborator stabilite.

Informațiile privind formula substanței sunt utile în realizarea acestui test și pentru interpretarea rezultatului obținut (de exemplu, halogenuri, săruri feroase ale compușilor organici, compuși organici clorurați).

1.2.   DEFINIȚII ȘI UNITĂȚI

Consumul chimic de oxigen este o măsură a oxidabilității unei substanțe, exprimat prin cantitatea echivalentă de oxigen a unui reactiv oxidant consumat de substanță în condiții de laborator stabilite.

Rezultatul se exprimă în grame de CCO pe gram de substanță.

1.3.   SUBSTANȚE DE REFERINȚĂ

Nu este necesar să se folosească substanțe de referință în toate cazurile în care se studiază o substanță nouă. Aceste substanțe se folosesc în primul rând pentru a calibra periodic metoda și pentru compararea rezultatelor atunci când se aplică altă metodă.

1.4.   PRINCIPIUL METODEI DE TESTARE

O cantitate predeterminată de substanță, dizolvată sau dispersată în apă, se oxidează cu dicromat de potasiu, în prezența unui catalizator de argint (sulfat de argint) în mediu de acid sulfuric concentrat, cu reflux, timp de două ore. Dicromatul rezidual se determină prin titrare cu sulfat de amoniu și fier.

În cazul substanțelor care conțin clor se adaugă sulfat de mercur (16) pentru a reduce interferența acestuia.

1.5.   CRITERII DE CALITATE

Datorită modului arbitrar de determinare, CCO este un „indicator de oxidabilitate” și se folosește ca atare ca metodă practică pentru determinarea conținutul de substanță organică.

Clorurile pot interfera în acest test; agenții anorganici reducători sau oxidanți pot de asemenea să interfereze la determinarea CCO.

Unii compuși ciclici și multe substanțe volatile (de exemplu, acizi grași inferiori) nu sunt oxidați complet în acest test.

1.6.   DESCRIEREA METODEI DE TESTARE

Se prepară o soluție sau dispersie preliminară de substanță pentru a obține CCO între 250 și 600 mg/l.

Observații:

În cazul substanțelor puțin solubile și nedispersabile se poate cântări o cantitate de substanță fin pulverizată sau lichidă, corespunzând la aproximativ 5 mg CCO, care se introduce în aparatul experimental cu apă.

CCO se determină mai ușor, deseori și în special în cazul substanțelor puțin solubile, printr-o variantă a metodei, în sistem închis cu egalizator de presiune (H. Kelkenberg, 1975). Prin această variantă a metodei, compușii care sunt determinați cu dificultate prin metoda convențională – de exemplu acid acetic – pot fi adesea determinați cu succes. Metoda nu dă rezultate bune, însă, în cazul piridinei. Dacă, în conformitate cu referința bibliografică (1), concentrația de dicromat de potasiu crește la 0,25 N (0,0416 M), devine mai ușoară cântărirea directă a 5–10 mg de substanță, ceea ce este esențial pentru determinarea CCO la substanțele puțin solubile în apă. [Referința (2)].

În alte cazuri, CCO se determină apoi după orice metodă adecvată națională sau internațională standardizată.

2.   DATE ȘI EVALUARE

CCO conținut în vasul experimental se calculează după metoda standardizată aleasă și se convertește în grame de CCO pe gram de substanță.

3.   RAPORT

Se consemnează metoda de referință folosită.

Consumul chimic de oxigen trebuie să fie media a cel puțin 3 măsurători. Trebuie prezentate toate informațiile și observațiile relevante pentru interpretarea rezultatelor, în special cu privire la impurități, starea fizică, proprietățile intrinseci ale substanței (dacă se cunosc) care ar putea afecta rezultatele.

Trebuie consemnată utilizarea sulfatului de mercur pentru a reduce la minimum interferența clorurilor.

4.   REFERINȚE BIBLIOGRAFICE

(1)

Kelkenberg, H., Z. von Wasser und Abwasserforschung, 1975, vol. 8, 146.

(2)

Gerike, P. The biodegradability testing of poorly water soluble compounds. Chemosphere, 1984, vol. 13, 169.

Lista metodelor standardizate, de exemplu:

NBN T 91-201 Determination of the chemical oxygen demand.

ISBN 0 11 7512494 Chemical oxygen demand (dichromate value) of polluted and waste waters.

NF T 90-101 Determination of the chemical oxygen demand.

DS 217 = water analysis Determination of the chemical oxygen demand.

DIN 38409-H-41 Determination of the chemical oxygen demand (COD) within the range above 15 mg per litre.

NEN 3235 5.3 Bepaling van het chemisch zuurstofverbruik.

ISO 6060 Water quality: chemical oxygen demand dichromate methods.

C.7.   DEGRADAREA - DEGRADAREA ABIOTICĂ PRIN HIDROLIZĂ ÎN FUNCȚIE DE pH

1.   METODĂ

Această metodă se bazează pe orientările OCDE (1).

1.1.   INTRODUCERE

Hidroliza este una dintre reacțiile importante care controlează degradarea abiotică. Această reacție este semnificativă în special pentru substanțele cu biodegradabilitate scăzută și poate influența persistența substanței în mediul ambiant.

Cele mai multe reacții de hidroliză sunt reacții de pseudo-ordinul întâi și de aceea timpii de înjumătățire nu depind de concentrație. Aceasta permite de obicei extrapolarea rezultatelor obținute la concentrația de laborator la condițiile de mediu.

De asemenea, au fost consemnate câteva exemple (2) care au arătat o concordanță satisfăcătoare între rezultatele găsite în apele pure și naturale pentru câteva tipuri de substanțe chimice.

Este util să se colecteze informații preliminare despre presiunea de vapori a unei substanțe pentru a realiza acest test.

Această metodă este aplicabilă numai în cazul substanțelor solubile în apă. Impuritățile pot afecta rezultatele.

Comportamentul hidrolitic al substanțelor chimice ar trebui examinat la valori ale pH–ului întâlnite de obicei în mediul înconjurător (pH 4 – 9).

1.2.   DEFINIȚII ȘI UNITĂȚI

Hidroliza se referă la reacția unui compus chimic RX cu apa. Această reacție poate fi reprezentată prin schimbul net al grupului X cu OH:

[1]

Formula

Viteza cu care scade concentrația lui RX este dată de:

[2]

Formula

Deoarece apa este prezentă în exces în comparație cu substanța chimică, acest tip de reacție este descris de obicei ca o reacție de pseudo-ordinul întâi în care constanta de viteză observată este dată de relația:

[3]

Formula

Această constantă se poate determina pentru o valoare a pH-ului și a temperaturii, T, cu ajutorul formulei:

[4]

Formula

unde:

t

=

timp

C0

=

concentrația substanței la timpul 0;

Ct

=

concentrația substanței la timpul t și

2,303

=

factorul de conversie între logaritmul natural și logaritmul în baza 10.

Concentrațiile sunt exprimate în g/l sau mol/l.

Dimensiunea acestei constante kobs este (timp)-1.

„Perioada de înjumătățire” t1/2 este definită ca timpul necesar pentru a reduce concentrația substanței de testat cu 50 %, adică:

[5]

Formula

Din formulele (4) și (5) se poate demonstra că:

[6]

Formula

1.3.   SUBSTANȚE DE REFERINȚĂ

Nu este necesar să se folosească substanțe de referință în toate cazurile în care se studiază o substanță nouă. Aceste substanțe se folosesc în primul rând pentru a calibra periodic metoda și pentru compararea rezultatelor atunci când se aplică altă metodă.

S-au folosit următoarele substanțe de referință (1):

acid acetilsalicilic (aspirină);

0,0-dietil 0-(6-metil-2-(1- metiletil)4-pirimidinil) tiofosfat. (Dimpilat, Diazinon)

1.4.   PRINCIPIUL METODEI DE TESTARE

Substanța se dizolvă în apă la o concentrație scăzută; se controlează pH-ul și temperatura.

Scăderea concentrației substanței în timp este urmărită prin orice metodă analitică adecvată.

Se reprezintă logaritmul concentrației în funcție de timp și dacă diagrama este o linie dreaptă se poate obține constanta de viteză de ordinul întâi din panta dreptei (a se vedea punctul 2).

Atunci când nu este posibil să se determine direct constanta de viteză pentru o temperatură dată, de obicei aceasta se poate estima prin folosirea ecuației lui Arrhenius, care exprimă constanta de viteză ca funcție de temperatură. Se extrapolează valoarea constantei de viteză care nu a putut fi determinată direct din dreapta care reprezintă logaritmul constantei de viteză determinate la temperatura corespunzătoare ca funcție de inversul acestei temperaturi exprimată ca temperatură absolută (K).

1.5.   CRITERII DE CALITATE

În referința bibliografică (2) se consemnează că măsurătorile constantelor de viteză de hidroliză pe 13 clase de structuri organice pot fi de mare precizie.

Repetabilitatea depinde în special de posibilitatea de a ține sub control pH-ul și temperatura și poate fi afectată de prezența microorganismelor și, în cazuri speciale, de concentrația de oxigen dizolvat.

1.6.   DESCRIEREA METODEI DE TESTARE

1.6.1.   Reactivi

1.6.1.1.   Soluții tampon

Testul se face la 3 valori ale pH-ului: 4,0; 7,0 și 9,0.

Se prepară soluții tampon folosind substanțe de puritate analitică și apă distilată sau deionizată, sterilă. Câteva exemple de sisteme tampon sunt prezentate în apendice.

Sistemul tampon folosit poate influența viteza hidrolizei; dacă există o dovadă în acest sens, este folosit un sistem tampon alternativ. În referința bibliografică (2) se recomandă folosirea de soluții tampon cu borați sau acetați în loc de fosfați.

Dacă nu se cunoaște valoarea pH-ului soluțiilor tampon la temperatura folosită în timpul testului, aceasta se poate determina cu un pH-metru calibrat la temperatura respectivă cu o precizie de ± 0,1 unități pH.

1.6.1.2.   Soluții de testat

Substanța de testat se dizolvă în soluția tampon aleasă, astfel încât concentrația să nu să depășească 0,01 M sau jumătate din concentrația de saturație, oricare este mai mică.

Folosirea solvenților organici miscibili cu apa se recomandă numai pentru substanțele cu solubilitate scăzută în apă.

Cantitatea de solvent trebuie să fie mai mică de 1 % și nu trebuie să interfereze cu procesul de hidroliză.

1.6.2.   Aparatură

Se folosesc recipiente de sticlă cu dop, dar se evită grăsimea pe îmbinarea șlefuită.

Dacă substanța sau sistemul tampon este volatil sau dacă testul se face la temperaturi ridicate, se preferă vase etanșate sau închise cu șicane; se evită spațiul la partea de sus.

1.6.3.   Metoda analitică

Metoda trebuie să fie specifică pentru a permite determinarea substanței la concentrațiile soluției de testare și poate consta dintr-o combinație a unor tehnici analitice adecvate.

Metoda analitică folosită depinde de natura substanței și trebuie să fie suficient de exactă și sensibilă pentru a detecta o reducere de 10 % a concentrației inițiale.

1.6.4.   Condiții experimentale

Testele se efectuează folosind o incintă cu control termostatic sau o baie cu temperatură constantă având o abatere de ± 0,5 °C față de temperatura aleasă. Temperatura se menține și se măsoară cu o toleranță de până la ± 0,1 °C. Se evită prin mijloace adecvate interferența fotolitică.

Pentru substanțele care se oxidează ușor este necesar să se elimine oxigenul dizolvat (de exemplu, prin barbotare cu azot sau argon timp de 5 minute înainte de pregătirea soluției).

1.6.5.   Mod de operare

1.6.5.1.   Test preliminar

Pentru toate substanțele se efectuează un test preliminar la 50 °C ± 0,5 °C la trei valori ale pH-ului: 4,0; 7,0 și 9,0. Se realizează un număr suficient de măsurători pentru a putea estima dacă pentru fiecare valoare a pH-ului la 50 °C timpul de înjumătățire (t1/2) este mai mic de 2,4 ore, sau mai puțin de 10 % din hidroliză este observată după 5 zile. Se poate estima că aceste valori corespund respectiv timpilor de înjumătățire mai mici de 1 zi sau mai mari de 1 an, în condițiile mai reprezentative pentru mediul ambiant (25 °C).

Dacă testul preliminar arată că 50 % sau mai mult din substanța de testat a fost hidrolizată în 2,4 ore la 50 °C sau mai puțin de 10 % a fost hidrolizată după 5 zile, la fiecare dintre cele 3 valori ale pH-ului (4, 7 și 9), nu mai este necesar un test suplimentar.

În alte cazuri și pentru valori individuale ale pH-ului pentru care această condiție nu este respectată, se realizează testul 1.

1.6.5.2.   Testul 1

Testul 1 se realizează la o singură temperatură, preferabil la 50 °C ± 0,5 °C, și, dacă este posibil, în condiții sterile, la acele valori ale pH-ului pentru care testul preliminar a arătat necesitatea unei testări ulterioare.

Se lucrează cu un număr suficient de probe (cel puțin 4), acoperind domeniul de 20 %–70 % de hidroliză, pentru a testa dacă hidroliza se comportă ca o reacție de pseudo-ordinul întâi la valorile pH-ului specificate.

Pentru fiecare valoare a pH-ului la care se realizează testul 1 se determină ordinul reacției.

Estimarea constantei de viteză la 25 °C:

Modul de operare depinde de concluzia rezultată din testul 1, și anume dacă reacția este sau nu de pseudo-ordinul întâi.

Dacă nu se poate concluziona cu certitudine din testul 1 că reacția este de pseudo-ordinul întâi, se fac alte experimente, conform descrierii de la testul 2.

Dacă se poate concluziona cu certitudine din testul 1 că reacția este de pseudo-ordinul întâi, se efectuează alte experimente conform descrierii din testul 3. [Alternativ, în circumstanțe speciale, se pot calcula constantele de viteză la 25 °C din constantele la 50 °C calculate folosind rezultatele din testul 1 (a se vedea 3.2)].

1.6.5.3.   Testul 2

Acest test se efectuează la fiecare valoare a pH-ului pentru care rezultatele testului 1 au arătat necesitatea de a reface testul:

fie la o temperatură mai mică de 40 °C;

fie la două temperaturi de peste 50 °C, diferind între ele cu cel puțin 10 °C.

Pentru fiecare valoare a pH-ului și a temperaturii la care se efectuează testul 2 se aleg cel puțin 6 puncte distanțate adecvat astfel încât gradele de hidroliză să fie în domeniul 20–70 %.

Pentru o valoare a pH-ului și o valoare a temperaturii, determinarea se face de două ori. Atunci când testul 2 se efectuează la 2 temperaturi peste 50 °C, de preferință a doua probă se testează la cea mai scăzută dintre aceste două temperaturi.

Pentru fiecare valoare a pH-ului și a temperaturii la care se efectuează testul 2 se va face, dacă este posibil, o estimare grafică a timpului de înjumătățire (t1/2).

1.6.5.4.   Testul 3

Acest test se efectuează la fiecare valoare a pH-ului pentru care rezultatele testului 1 au arătat necesitatea de a reface testul:

fie la o temperatură mai scăzută de 40 °C;

fie la două temperaturi peste 50 °C, diferind între ele cu cel puțin 10 °C.

Pentru fiecare valoare a pH-ului și a temperaturii la care se efectuează testul 3, se aleg trei puncte, primul la timpul 0, iar al doilea și al treilea când gradul de hidroliză este mai mare de 30 %; se calculează constantele kobs și t1/2.

2.   DATE

Valorile kobs ale reacțiilor de pseudo-ordinul întâi pentru fiecare valoare de pH și de temperatură din teste se obțin din graficele logaritmului concentrației în funcție de timp, folosind expresia:

[7]

Formula

Mai mult, t1/2 se poate calcula conform ecuației [6].

k25 °C se evaluează prin aplicarea ecuației Arrhenius, după caz.

Pentru reacțiile de non-pseudo-ordinul întâi, a se vedea 3.1.

3.   RAPORT

3.1.   RAPORTUL DE TESTARE

Raportul de testare cuprinde, dacă este posibil, următoarele informații:

specificațiile substanței;

toate rezultatele obținute cu substanțele de referință;

principiul și detaliile metodei analitice folosite;

pentru fiecare test: temperatura, valoarea pH-ului, compoziția soluției tampon și un tabel cu toate datele concentrație – timp;

pentru reacțiile de pseudo-ordinul întâi, valorile kobs și t1/2, precum și modul lor de calcul;

pentru reacțiile de non-pseudo-ordinul întâi, rezultatele se reprezintă ca logaritmul concentrației în funcție de timp;

toate informațiile și observațiile necesare pentru interpretarea rezultatelor.

3.2.   INTERPRETAREA REZULTATELOR

Se pot calcula valori acceptabile ale constantei de viteză (la 25 °C) ale substanțelor de testat, cu condiția să existe deja valori experimentale ale energiei de activare pentru omologi ai substanței de testat și să se poată presupune cu probabilitate rezonabilă că energia de activare a substanței de testat este de același ordin de mărime.

4.   REFERINȚE BIBLIOGRAFICE

(1)

OECD, Paris, 1981, Test Guideline 111, Decision of the Council C(81) 30 final.

(2)

W. Mabey and T. Mill, „Critical Review of Hydrolisis of Organic Compounds in Water Under Environmental Conditions”, J. Phys. Chem. Ref. Data, 1978, vol. 7 (2), 383-415.

Apendice

AMESTECURI PENTRU SOLUȚII TAMPON

A.   CLARK ȘI LUBS

Valorile pH consemnate în aceste tabele s-au calculat din măsurătorile de potențial, folosind ecuațiile standard Sörensen. Valoarea pH-ului reală este cu 0,04 unități mai mare decât valorile din tabel.

Compoziție

pH

ftalat acid de potasiu 0,1 M + HCl 0,1 N la 20 °C

 

2,63 ml HCl 0,1 N + 50 ml ftalat adus la 100 ml

3,8

ftalat acid de potasiu 0,1 M + NaOH 0,1 N la 20 °C

 

0,40 ml NaOH 0,1 N + 50 ml ftalat adus la 100 ml

4,0

3,70 ml NaOH 0,1 N + 50 ml ftalat adus la 100 ml

4,2

fosfat monopotasic 0,1 M + NaOH 0,1 N la 20 °C

 

23,45 ml NaOH 0,1 N + 50 ml fosfat adus la 100 ml

6,8

29,63 ml NaOH 0,1 N + 50 ml fosfat adus la 100 ml

7,0

35,00 ml NaOH 0,1 N + 50 ml fosfat adus la 100 ml

7,2

H3BO3 0,1 M în KCl 0,1 M + NaOH 0,1 N la 20 °C

 

16,30 ml NaOH 0,1 N + 50 ml acid boric adus la 100 ml

8,8

21,30 ml NaOH 0,1 N + 50 ml acid boric adus la 100 ml

9,0

26,70 ml NaOH 0,1 N + 50 ml acid boric adus la 100 ml

9,2

B.   KOLTHOFF ȘI VLEESHOUWER

Compoziție

pH

citrat monopotasic 0,1 M și NaOH 0,1 N la 18 °C (se adaugă mici cristale de timol pentru a preveni formarea mucegaiurilor)

 

2,0 ml NaOH 0,1 N + 50 ml citrat adus la 100 ml

3,8

9,0 ml NaOH 0,1 N + 50 ml citrat adus la 100 ml

4,0

16,3 ml NaOH 0,1 N + 50 ml citrat adus la 100 ml

4,2

C.   SÖRENSEN

borax 0,05 M + HCl 0,1 N


Compoziție

pH

ml Borax

ml HCl

Sörensen 18 °C

Walbum

10 °C

40 °C

70 °C

8,0

2,0

8,91

8,96

8,77

8,59

8,5

1,5

9,01

9,06

8,86

8,67

9,0

1,0

9,09

9,14

8,94

8,74

9,5

0,5

9,17

9,22

9,01

8,80

10,0

0,0

9,24

9,30

9,08

8,86


borax 0,05 M + NaOH 0,1 N


Compoziție

pH

ml Borax

ml NaOH

Sörensen 18 °C

Walbum

10 °C

40 °C

70 °C

10,0

0,0

9,26

9,30

9,08

8,86

9,0

1,0

9,36

9,42

9,18

8,94

8,0

2,0

9,50

9,57

9,30

9,02

7,0

3,0

9,68

9,76

9,44

9,12


(1)  JO L 383, 29.12.1992, p. 113.

(2)  În funcție de tipul de instrument și gradul de puritate al substanței.

(3)  În funcție de tipul de instrument și gradul de puritate al substanței.

(4)  În funcție de tipul de instrument și gradul de puritate al substanței.

(5)  În funcție de tipul de instrument și gradul de puritate al substanței.

(6)  Această precizie este valabilă numai pentru dispozitive simple cum ar fi cel descris în ASTM D 1120-72; aceasta poate fi îmbunătățită cu ebuliometre mult mai sofisticate.

(7)  Valabil numai pentru substanțe pure. Folosirea în alte circumstanțe trebuie să fie justificată.

(8)  Depind de gradul de puritate.

(9)  Aceste metode pot fi folosite în domeniul de la 1 la 10 Pa, cu condiția să fie aplicate atent.

(10)  D1 și D2 nu se exprimă ca medie, dacă există o diferență considerabilă.

Notă: formate similare se pot folosi pentru substanțele de referință și pentru martorii de toxicitate.

(11)  D1 și D2 nu se exprimă ca medie, dacă există o diferență considerabilă.

Notă: formate similare se pot folosi pentru substanțele de referință și pentru martorii de toxicitate.

(12)  sau la sfârșitul incubării

(13)  D1 și D2 nu se exprimă ca medie dacă există o diferență considerabilă.

N.B.: Formate similare pot fi folosite pentru substanța de referință și pentru martorii de toxicitate.

(14)  sau la sfârșitul incubării

(15)  Nu se face o medie dacă sunt diferențe considerabile între replici.

Notă: Formate similare pot fi folosite pentru substanța de referință.

(16)  După folosire, soluțiile conținând săruri de mercur trebuie tratate pentru a evita pătrunderea mercurului în mediul înconjurător.