|
13/Volumul 2 |
RO |
Jurnalul Ofícial al Uniunii Europene |
161 |
31976L0211
|
L 046/1 |
JURNALUL OFÍCIAL AL UNIUNII EUROPENE |
DIRECTIVA CONSILIULUI
din 20 ianuarie 1976
privind apropierea legislațiilor statelor membre referitoare la preambalarea, în funcție de masă sau volum, a anumitor produse preambalate
(76/211/CEE)
CONSILIUL COMUNITĂȚILOR EUROPENE,
având în vedere Tratatul de instituire a Comunității Economice Europene, în special articolul 100,
având în vedere propunerea Comisiei,
având în vedere avizul Adunării (1),
având în vedere avizul Comitetului Economic și Social (2),
întrucât în cele mai multe state membre condițiile de prezentare pentru vânzare a produselor preambalate sunt supuse unor reglementări obligatorii care diferă de la un stat membru la altul, constituind un obstacol în calea schimburilor comerciale cu astfel de produse preambalate; întrucât, în consecință, este necesară o apropiere a acestor dispoziții;
întrucât pentru a se da posibilitatea consumatorilor de a fi corect informați, trebuie să fie prezentată metoda de marcare pe ambalaj a masei sau a volumului nominal al produsului conținut în ambalaj;
întrucât, de asemenea, este necesar să se specifice erorile negative tolerate în conținutul produselor preambalate și întrucât trebuie definită o metodă de referință pentru un astfel de control pentru a se oferi o metodă simplă de asigurare a conformității preambalatelor cu dispozițiile stabilite;
întrucât articolul 16 din Directiva 71/316/CEE a Consiliului din 26 iulie 1971 privind apropierea legislațiilor statelor membre referitoare la dispozițiile comune pentru mijloacele de măsurare și pentru metodele de control metrologic (3), astfel cum a fost modificată prin Actul de aderare (4), prevede că armonizarea cerințelor pentru comercializarea anumitor produse, în special în ceea ce privește măsurarea și marcarea cantităților preambalate, poate fi reglementată prin directive speciale;
întrucât o modificare prea rapidă a mijloacelor de determinare a cantității stabilite de legislația lor internă și organizarea unor noi sisteme de control, precum și adoptarea unui nou sistem de măsură ar prezenta dificultăți pentru anumite state membre, trebuie prevăzută o perioadă de tranziție pentru aceste state membre; întrucât această dispoziție nu trebuie cu toate acestea să constituie un obstacol în calea schimburilor comerciale intracomunitare cu produsele respective și nu trebuie să aducă atingere punerii în aplicare a directivei în celelalte state membre,
ADOPTĂ PREZENTA DIRECTIVĂ:
Articolul 1
Prezenta directivă se referă la preambalatele conținând produse cu excepția celor menționate în Directiva 75/106/CEE a Consiliului din 19 decembrie 1974 privind apropierea legislațiilor statelor membre referitoare la ambalarea în funcție de volum a anumitor lichide preambalate (5), destinate vânzării în cantități nominale unitare constante care sunt:
|
— |
egale cu valorile prestabilite de către ambalator; |
|
— |
exprimate în unități de masă sau volum; |
|
— |
de minimum 5 g sau 5 ml și de maximum 10 kg sau 10 l. |
Articolul 2
(1) În înțelesul prezentei directive, un produs preambalat este o combinație între un produs și ambalajul individual în care acesta este preambalat.
(2) Un produs este preambalat atunci când este pus într-un ambalaj de indiferent ce natură, fără ca achizitorul să fie prezent și cantitatea produsului conținut în ambalaj are o valoare prestabilită și nu poate fi schimbată fără ca ambalajul să fie deschis sau supus unei modificări perceptibile.
Articolul 3
(1) Preambalatele care pot purta marcajul CEE specificat la punctul 3.3 din anexa I sunt cele conforme cu prezenta directivă și cu anexa I la aceasta.
(2) Ele sunt supuse controlului metrologic în condițiile definite în anexa I punctul 5 și în anexa II.
Articolul 4
(1) În conformitate cu anexa I, toate preambalatele menționate la articolul 3 trebuie să poarte o indicație a masei sau a volumului produsului, cunoscută drept „masă nominală” sau „volum nominal”, pe care trebuie să-l conțină.
(2) Preambalatele conținând produse lichide sunt marcate cu volumul lor nominal, iar preambalatele conținând alte produse sunt marcate cu masa lor nominală, cu excepția cazului practicii comerciale sau al normelor interne care prevăd altceva și care sunt identice în toate statele membre sau în cazul unor norme comunitare contrare.
(3) Dacă practicile comerciale sau normele interne nu sunt aceleași în toate statele membre pentru o categorie de produse sau pentru un tip de preambalate, acele preambalate trebuie să prezinte cel puțin informații metrologice corespunzătoare practicii comerciale sau normelor interne în vigoare în țara de destinație.
(4) Până la expirarea perioadei de tranziție pe parcursul căreia în Comunitate este autorizată utilizarea unităților de măsură în sistem britanic menționate în anexa II la Directiva 71/354/CEE a Consiliului din 18 octombrie 1971 privind apropierea legislațiilor statelor membre referitoare la unitățile de măsură (6), astfel cum a fost modificată prin Actul de aderare, indicarea masei nominale și a volumului nominal al conținutului, exprimat în unități SI în conformitate cu punctul 3.1 din anexa I la prezenta directivă, va fi însoțită pe teritoriul Regatului Unit sau al Irlandei, dacă acestea doresc acest lucru, de o indicație cu privire la valoarea echivalentă în unități britanice de măsură (UK), calculată pe baza următorilor factori de conversie:
|
|
1 g = 0,0353 uncii (sistemul englez de unități de măsură a masei); |
|
|
1 kg = 2,205 livre; |
|
|
1 ml = 0,0352 uncii lichide; |
|
|
1 l = 1,760 pinte sau 0,220 galoane. |
Articolul 5
Statele membre nu pot refuza, interzice sau restricționa plasarea pe piață a preambalatelor care îndeplinesc cerințele și verificările stabilite în prezenta directivă pentru motive referitoare la marcajele ce trebuie purtate de aceste produse preambalate în conformitate cu prezenta directivă, la determinarea volumului sau masei lor sau la metodele prin care au fost măsurate sau verificate.
Articolul 6
Modificările necesare pentru adaptarea la progresul tehnic a cerințelor din anexele I și II la prezenta directivă sunt adoptate în conformitate cu procedura stabilită în articolele 18 și 19 din Directiva 71/316/CEE a Consiliului.
Articolul 7
(1) Statele membre pun în aplicare actele cu putere de lege și actele administrative necesare pentru a se conforma prezentei directive în termen de 18 luni de la notificarea ei și informează de îndată Comisia cu privire la aceasta.
(2) Prin derogare de la alineatul (1), Belgia, Irlanda, Țările de Jos și Regatul Unit pot amâna punerea în aplicare a prezentei directive și a anexelor la aceasta până la 31 decembrie 1979.
(3) În perioada în care directiva nu se aplică într-un stat membru, acel stat membru nu introduce măsuri de control mai stricte referitoare la cantitatea conținută în preambalatele reglementate prin prezenta directivă și provenind din alte state membre decât cele în vigoare la data când a fost adoptată directiva.
(4) În aceeași perioadă, statele membre care au pus în aplicare directiva trebuie să accepte preambalatele provenind din statele membre care beneficiază de derogarea prevăzută la alineatul (2) al prezentului articol, dacă acestea sunt în conformitate cu punctul 1 din anexa I, chiar dacă nu poartă marcajul CEE menționat la punctul 3.3 din anexa I, pe aceeași bază și în aceleași condiții ca și preambalatele care se conformează cerințelor directivei.
(5) Verificările prevăzute de anexa I punctul 5 sunt efectuate de autoritățile competente din statul membru de destinație, când preambalatele fabricate în afara Comunității sunt importate în teritoriul Comunității într-un stat membru care nu a pus încă în aplicare directiva în conformitate cu prezentul articol.
(6) Comisiei îi sunt comunicate de către statele membre textele principalelor dispoziții de drept intern pe care le adoptă în domeniul reglementat de prezenta directivă.
Articolul 8
Prezenta directivă se adresează statelor membre.
Adoptată la Bruxelles, 20 ianuarie 1976.
Pentru Consiliu
Președintele
G. THORN
(1) JO C 48, 25.4.1974, p. 21.
(2) JO C 109, 19.9.1974, p. 16.
(4) JO L 73, 27.3.1972, p. 14.
(6) JO L 243, 29.10.1971, p. 29.
ANEXA I
1. OBIECTIVE
Preambalatele reglementate prin prezenta directivă trebuie să fie executate în așa fel încât produsul preambalat finit să îndeplinească următoarele cerințe:
1.1. conținutul real nu este mai mic, în medie, decât cantitatea nominală;
1.2. proporția de preambalate care au o eroare negativă mai mare decât eroarea negativă tolerată stabilită la punctul 2.4 este suficient de mică pentru ca loturile de produse preambalate să îndeplinească cerințele verificărilor specificate în anexa II;
1.3. nici un preambalat având o eroare negativă mai mare decât dublul erorii negative tolerate date în tabelul de la punctul 2.4 nu poate purta marcajul CEE prevăzut la punctul 3.3.
2. DEFINIȚII ȘI DISPOZIȚII DE FOND
2.1. Cantitatea nominală (masa nominală sau volumul nominal) a conținutului unui preambalat reprezintă masa sau volumul indicat pe preambalat, cu alte cuvinte cantitatea de produs pe care este destinată s-o conțină preambalatul.
2.2. Conținutul real al unui preambalat este cantitatea (masă sau volum) pe care o conține în realitate. În toate operațiunile de verificare a cantităților produselor exprimate în unități de volum, valoarea folosită pentru conținutul real este măsurată sau corectată la o temperatură de 20 °C, indiferent de temperatura la care este efectuată ambalarea sau verificarea. Cu toate acestea, această regulă nu se aplică la produsele congelate sau refrigerate, a căror cantitate este exprimată în unități de volum.
2.3. Eroarea negativă a unui preambalat este diferența dintre cantitatea nominală și conținutul real al produsului preambalat.
2.4. Eroarea negativă tolerată a conținutului preambalatului este fixată în conformitate cu tabelul de mai jos, în care produsele sunt împărțite în două clase („A” și „B”), stabilite la punctele 2.5. și 2.6 de mai jos, în funcție de caracteristicile lor fizice și procesele de ambalare la care sunt supuse, precum și de valorile cantităților nominale.
|
Cantitatea nominală Qn în grame sau mililitri |
Erori negative tolerate |
|||
|
Clasa „A” |
Clasa „B” |
|||
|
% din Qn |
g sau ml |
% din Qn |
g sau ml |
|
|
min. 5 și max. 25 |
– |
– |
9 |
– |
|
25-50 |
4,5 |
– |
9 |
– |
|
50-100 |
– |
2,25 |
– |
4,5 |
|
100-200 |
2,25 |
– |
4,5 |
– |
|
200-300 |
– |
4,5 |
– |
9 |
|
300-500 |
1,5 |
– |
3 |
– |
|
500-1 000 |
– |
7,5 |
– |
15 |
|
1 000 -10 000 |
0,75 |
– |
1,5 |
– |
Când se utilizează acest tabel, valorile erorilor negative tolerate prezentate sub formă de procentaje în tabel, calculate în unități de masă sau de volum, se rotunjesc până la cea mai apropiată zecime de gram sau de mililitru.
2.5. Următoarele produse vor fi considerate ca făcând parte din clasa „A”:
|
(a) |
produse în stare solidă sau care sunt greu de turnat la locul de desfacere, dar care pot fi făcute suficient de fluide în cursul ambalării, care nu conțin nici un fel de elemente solide sau gazoase aparente și care pot fi ambalate printr-o singură operațiune; |
|
(b) |
produse sub formă de pudră; |
|
(c) |
produse compuse din piese, fragmente sau granule, a căror masă unitară nu depășește o treime din eroarea negativă tolerată corespunzătoare masei nominale a conținutului preambalatului din coloana corespunzătoare clasei „A” a tabelului de la 2.4; |
|
(d) |
produse sub formă de pastă ușor tartinabilă, |
în măsura în care aceste produse, odată cântărite și ambalate, nu mai sunt supuse altor prelucrări sau sunt supuse unei procesări care nu schimbă cantitatea reală a conținutului.
2.6. Toate produsele care nu se încadrează în clasa descrisă la punctul 2.5 fac parte din clasa „B”. Următoarele produse sunt de asemenea considerate ca făcând parte din clasa „B”:
|
(a) |
produse lichide; |
|
(b) |
produse preambalate cu o valoare nominală sau un volum nominal mai mic de 25 g sau 25 ml; |
|
(c) |
produse ale căror proprietăți reologice (de exemplu, fluiditate sau viscozitate) sau densitate la curgere nu pot fi menținute suficient de constante prin mijloace tehnice corespunzătoare. |
3. INSCRIPȚIONĂRI ȘI MARCAJE
Toate preambalatele executate în conformitate cu prezenta directivă trebuie să poarte pe ambalaj următoarele marcaje aplicate în așa fel încât să fie de neșters, ușor lizibile și vizibile pe preambalat în condiții normale de prezentare:
3.1. cantitatea nominală (masa nominală sau volumul nominal), exprimată în kilograme, grame, litri, centilitri sau mililitri și marcată cu cifre de cel puțin 6 mm înălțime, în cazul în care cantitatea nominală depășește 1 000 g sau 100 cl; de 4 mm înălțime, dacă aceasta este mai mică sau egală cu 1 000 g sau 100 cl inclusiv, dar fără a include 200 g sau 20 cl și de 3 mm înălțime, dacă nu depășește 200 g sau 20 cl, urmate de simbolul unității de măsură utilizate sau, acolo unde este cazul, de numele unității în conformitate cu Directiva 71/354/CEE;
marcajele cu unități de măsură în sistem britanic (UK) se fac cu litere și cifre a căror dimensiune nu trebuie să fie mai mare decât cea a marcajelor corespunzătoare în unități SI;
3.2. un marcaj sau o inscripționare care să dea posibilitatea departamentelor competente să identifice ambalatorul sau persoana care a dispus ambalarea sau importatorul stabilit în Comunitate;
3.3. un „e” mic de cel puțin 3 mm înălțime, plasat în același câmp vizual ca și indicația masei nominale sau a volumului nominal, constituind o garanție din partea ambalatorului sau a importatorului că produsul preambalat îndeplinește cerințele prezentei directive.
Această literă trebuie să aibă forma prezentată în desenul de la punctul 3 din anexa II la Directiva 71/316/CEE.
Articolul 12 din directiva menționată anterior se aplică mutatis mutandis.
4. RĂSPUNDEREA AMBALATORULUI SAU A IMPORTATORULUI
Ambalatorul sau importatorul sunt răspunzători de asigurarea unor preambalate care să îndeplinească cerințele prezentei directive.
Cantitatea de produs conținută într-un preambalat (sau cantitatea ambalată), cunoscută drept „conținut real”, va fi măsurată sau verificată în funcție de masă sau volum pe răspunderea ambalatorului și a importatorului. Măsurarea sau verificarea se efectuează cu ajutorul aparatelor legale de măsurat adecvate pentru executarea operațiunilor necesare.
Verificarea poate fi efectuată prin eșantionare.
În cazul în care conținutul real nu este măsurat, verificarea efectuată de ambalator este organizată în așa fel încât cantitatea conținutului să fie asigurată în mod eficace.
Această condiție este îndeplinită dacă ambalatorul efectuează verificări ale producției în conformitate cu procedurile recunoscute de departamentele competente din statele membre și dacă acesta pune la dispoziția acestor departamente documentele conținând rezultatele acestor verificări, pentru a certifica faptul că aceste verificări, împreună cu orice corectări și ajustări care s-au dovedit necesare, au fost executate în mod corespunzător și exact.
În cazul importurilor din țări nemembre ale CEE, în locul măsurării și al verificării, importatorul poate furniza dovada că este în posesia tuturor garanțiilor necesare care îi dau posibilitatea de a-și asuma răspunderea.
În cazul unor produse în cantități exprimate în unități de volum, una dintre diversele metode de satisfacere a cerințelor referitoare la măsurare și verificare este de a se utiliza, în momentul în care se execută preambalatul, un recipient de măsurare de tipul definit în directiva referitoare la acesta, umplut în condițiile prevăzute în acea directivă și în prezenta.
5. VERIFICĂRI CE URMEAZĂ A FI EFECTUATE DE DEPARTAMENTELE COMPETENTE ÎN LOCALUL AMBALATORULUI SAU AL IMPORTATORULUI
Verificările în vederea asigurării conformității preambalatelor cu cerințele prezentei directive sunt efectuate prin eșantionare de către departamentele competente ale statelor membre în localul ambalatorului sau, dacă acest lucru nu este practicabil, în localul importatorului sau al reprezentantului său autorizat stabilit în Comunitate.
Verificarea prin eșantionare statistică este efectuată în conformitate cu metodele acceptate ale inspecției de acceptare a calității. Eficacitatea acesteia trebuie să fie comparabilă cu cea a metodei de referință specificate în anexa II.
6. ALTE VERIFICĂRI EFECTUATE DE DEPARTAMENTELE COMPETENTE
Prezenta directivă nu exclude nici un fel de verificări ce ar putea fi efectuate de către departamentele competente ale statelor membre în orice stadiu al procesului de comercializare, în special în scopul verificării îndeplinirii de către preambalate a cerințelor directivei.
Articolul 15 alineatul (2) din Directiva 71/316/CEE se aplică mutatis mutandis.
ANEXA II
Prezenta anexă stabilește procedurile metodei de referință pentru verificarea statistică a loturilor de produse preambalate pentru a îndeplini cerințele articolului 3 din directivă și ale punctului 5 din anexa I la aceasta.
Această verificare se bazează pe standardul ISO nr. 2859 referitor la metodele de verificare prin atribute, luând un nivel acceptabil al calității de 2,5 %. Nivelul de eșantionare corespunde cu nivelul II al acestui standard în privința verificărilor nedistructive și cu nivelul S 3 în privința verificărilor distructive.
1. CERINȚE PENTRU MĂSURAREA CONȚINUTULUI REAL AL PREAMBALATELOR
Conținutul real al preambalatelor poate fi măsurat direct cu ajutorul aparatelor de cântărit sau al aparatelor volumetrice sau, în cazul lichidelor, în mod indirect, prin cântărirea produsului preambalat și prin măsurarea densității sale.
Indiferent de metoda utilizată, eroarea efectuată în măsurarea conținutului real al produsului preambalat nu trebuie să depășească o cincime din eroarea negativă tolerată pentru cantitatea nominală a preambalatului.
Procedura pentru măsurarea conținutului real al preambalatului poate fi supusă reglementărilor interne din fiecare stat membru.
2. CERINȚE PENTRU VERIFICAREA LOTURILOR DE PRODUSE PREAMBALATE
Verificarea preambalatelor se face prin eșantionare și cuprinde două părți:
|
— |
o verificare referitoare la conținutul real al fiecărui preambalat din eșantion; |
|
— |
o altă verificare a mediei conținutului real al preambalatelor din eșantion. |
Un lot de produse preambalate este considerat acceptabil dacă rezultatele ambelor verificări îndeplinesc criteriile de acceptare.
Pentru fiecare din aceste verificări, există două planuri de eșantionare:
|
— |
unul pentru verificarea nedistructivă, adică verificarea ce nu implică deschiderea ambalajului; |
|
— |
celălalt pentru verificarea distructivă, adică verificarea ce presupune deschiderea sau distrugerea ambalajului. |
Din motive economice și practice, această a doua verificare este limitată la minimul absolut esențial; ea este mai puțin eficace decât verificarea nedistructivă.
Verificarea distructivă se folosește așadar numai atunci când verificarea nedistructivă este impracticabilă. Ca regulă generală, ea nu se aplică la loturi cu mai puțin de 100 de unități.
2.1. Loturile de produse preambalate
2.1.1. Lotul este alcătuit din toate preambalatele de același tip și de aceeași producție care urmează a fi inspectate.
2.1.2. Când preambalatele sunt verificate la capătul liniei de ambalare, numărul din fiecare lot este egal cu producția maximă orară a liniei de ambalare, fără nici un fel de restricții cu privire la dimensiunea lotului.
În alte cazuri, dimensiunea lotului va fi limitată la 10 000 de unități.
2.1.3. Pentru loturile cu mai puțin de 100 de preambalate, verificarea nedistructivă, atunci când este aplicată, va fi de 100 %.
2.1.4. Înainte de efectuarea verificărilor de la punctele 2.2 și 2.3, se extrag din lot în mod aleator un număr suficient de preambalate, în așa fel încât să poată fi efectuată verificarea ce necesită numărul mai mare de eșantioane.
Pentru cealaltă verificare, eșantionul necesar se extrage în mod aleator din primul eșantion și se marchează.
Această operațiune de marcare este finalizată înainte de începerea operațiunilor de măsurare.
2.2. Verificarea conținutului minim acceptabil al preambalatului
2.2.1. Conținutul minim acceptabil este calculat prin scăderea erorii negative tolerate pentru conținutul respectiv din cantitatea nominală a preambalatului.
2.2.2. Preambalatele din lot al căror conținut real este mai mic decât conținutul minim acceptabil sunt considerate necorespunzătoare.
Pentru verificarea prin eșantionare, se folosește unul din următoarele planuri de eșantionare (simplu sau dublu), la alegerea fiecărui stat membru.
2.2.3.1. Planul simplu de eșantionare
Numărul de preambalate verificate este egal cu numărul din eșantion, așa cum se indică în plan:
|
— |
dacă numărul unităților necorespunzătoare găsite în eșantion este mai mic sau egal cu criteriul de acceptare, lotul de produse preambalate este considerat acceptabil în scopul prezentei verificări; |
|
— |
dacă numărul unităților necorespunzătoare găsite în eșantion este egal sau mai mare decât criteriul de respingere, lotul de produse preambalate este respins. |
2.2.3.1.1. Planul de verificare nedistructivă
|
Numărul de unități din lot |
Numărul de unități din eșantion |
Numărul de unități necorespunzătoare |
|
|
Criteriul de acceptare |
Criteriul de respingere |
||
|
100-150 |
20 |
1 |
2 |
|
151-280 |
32 |
2 |
3 |
|
281-500 |
50 |
3 |
4 |
|
501-1 200 |
80 |
5 |
6 |
|
1 201 -3 200 |
125 |
7 |
8 |
|
3 201 și peste |
200 |
10 |
11 |
2.2.3.1.2. Planul de verificare distructivă
|
Numărul de unități din lot |
Numărul de unități din eșantion |
Numărul de unități necorespunzătoare |
|
|
Criteriul de acceptare |
Criteriul de respingere |
||
|
Indiferent de număr (≥ 100) |
20 |
1 |
2 |
2.2.3.2. Planul dublu de eșantionare
Primul număr de preambalate verificate este egal cu numărul de unități din primul eșantion, așa cum se indică în plan:
|
— |
dacă numărul unităților necorespunzătoare găsite în primul eșantion este mai mic sau egal cu primul criteriu de acceptare, lotul este considerat acceptabil în scopul prezentei verificări; |
|
— |
dacă numărul unităților necorespunzătoare găsite în primul eșantion este egal sau mai mare decât primul criteriu de respingere, lotul este respins; |
|
— |
dacă numărul unităților necorespunzătoare găsite în primul eșantion se află între primul criteriu de acceptare și primul criteriu de respingere, se verifică un al doilea eșantion, al cărui număr de unități este indicat în plan. |
Unitățile necorespunzătoare găsite în primul și cel de-al doilea eșantion sunt adunate și:
|
— |
dacă numărul total al unităților necorespunzătoare este mai mic sau egal cu al doilea criteriu de acceptare, lotul este considerat acceptabil în scopul prezentei verificări; |
|
— |
dacă numărul total al unităților necorespunzătoare este mai mare sau egal cu cel de-al doilea criteriu de respingere, lotul este respins. |
2.2.3.2.1. Planul de verificare nedistructivă
|
Numărul de unități din lot |
Eșantioane |
Numărul de unități necorespunzătoare |
|||
|
Ordinea |
Numărul |
Numărul total |
Criteriul de acceptare |
Criteriul de respingere |
|
|
100-150 |
prima |
13 |
13 |
0 |
2 |
|
a doua |
13 |
26 |
1 |
2 |
|
|
151-280 |
prima |
20 |
20 |
0 |
3 |
|
a doua |
20 |
40 |
3 |
4 |
|
|
281-500 |
prima |
32 |
32 |
1 |
4 |
|
a doua |
32 |
64 |
4 |
5 |
|
|
501-1 200 |
prima |
50 |
50 |
2 |
5 |
|
a doua |
50 |
100 |
6 |
7 |
|
|
1 201 -3 200 |
prima |
80 |
80 |
3 |
7 |
|
a doua |
80 |
160 |
8 |
9 |
|
|
3 201 și peste |
prima |
125 |
125 |
5 |
9 |
|
a doua |
125 |
250 |
12 |
13 |
|
2.2.3.2.2. Planul de verificare distructivă
|
Numărul de unități din lot |
Eșantioane |
Numărul de unități necorespunzătoare |
|||
|
Ordinea |
Numărul |
Numărul total |
Criteriu de acceptare |
Criteriu de respingere |
|
|
Indiferent de număr (≥ 100) |
prima |
13 |
13 |
0 |
2 |
|
a doua |
13 |
26 |
1 |
2 |
|
2.3. Verificarea mediei conținutului real al preambalatelor individuale care alcătuiesc un lot
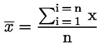
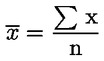
2.3.1. Un lot de produse preambalate este considerat acceptabil în scopul acestei verificări dacă valoarea medie
a conținutului real xi al unui număr n de preambalate dintr-un eșantion este mai mare decât valoarea:
În această formulă:
|
Qn |
= |
cantitatea nominală a preambalatului |
|
n |
= |
numărul de preambalate din eșantion pentru această verificare |
|
s |
= |
abaterea standard evaluată a conținutului real al lotului |
|
t(1-α) |
= |
0,995 din nivelul de încredere al unei distribuții tip Student cu ν = (n – 1) grade de libertate |
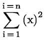
Dacă xi este valoarea măsurată pentru conținutul real al celui de-al i-lea obiect din eșantionul conținând n obiecte, atunci:
2.3.2.1. media valorilor măsurate pentru eșantion se obține prin următorul calcul:
2.3.2.2. și valoarea estimată a abaterii standard s prin următorul calcul:
|
— |
suma pătratelor valorilor măsurate: |
|
— |
pătratul sumei valorilor măsurate: atunci |
|
— |
suma corectată: |
|
— |
varianța estimată: valoarea estimată a abaterii standard este: |
Criteriile de acceptare sau respingere a lotului de produse preambalate pentru verificarea mediei:
2.3.3.1. Criteriile pentru verificarea nedistructivă
|
Numărul de unități din lot |
Numărul de unități din eșantion |
Criterii |
|
|
Acceptare |
Respingere |
||
|
100-500 (inclusiv) |
30 |
|
|
|
> 500 |
50 |
|
|
2.3.3.2. Criterii pentru verificarea distructivă
|
Numărul de unități din lot |
Numărul de unități din eșantion |
Criterii |
|
|
Acceptare |
Respingere |
||
|
Indiferent ce număr (≥ 100) |
20 |
|
|