02011R1007 — RO — 15.02.2018 — 004.001


Acest document are doar scop informativ și nu produce efecte juridice. Instituțiile Uniunii nu își asumă răspunderea pentru conținutul său. Versiunile autentice ale actelor relevante, inclusiv preambulul acestora, sunt cele publicate în Jurnalul Oficial al Uniunii Europene și disponibile pe site-ul EUR-Lex. Aceste texte oficiale pot fi consultate accesând linkurile integrate în prezentul document.

►B

REGULAMENTUL (UE) NR. 1007/2011 AL PARLAMENTULUI EUROPEAN ȘI AL CONSILIULUI

din 27 septembrie 2011

privind denumirile fibrelor textile și etichetarea corespunzătoare și marcarea compoziției fibroase a produselor textile și de abrogare a Directivei 73/44/CEE a Consiliului și a Directivelor 96/73/CE și 2008/121/CE ale Parlamentului European și ale Consiliului

(Text cu relevanță pentru SEE)

(JO L 272 18.10.2011, p. 1)

Astfel cum a fost modificat prin:

 

 

Jurnalul Oficial

  NR.

Pagina

Data

►M1

ADDENDUM la Regulamentul (UE) nr. 1007/2011 al Parlamentului European și al Consiliului din 27 septembrie 2011 privind denumirile fibrelor textile și etichetarea corespunzătoare și marcarea compoziției fibroase a produselor textile și de abrogare a Directivei 73/44/CEE a Consiliului și a Directivelor 96/73/CE și 2008/121/CE ale Parlamentului European și ale Consiliului

  L 338

1

21.12.2011

►M2

REGULAMENTUL DELEGAT (UE) NR. 286/2012 AL COMISIEI din 27 ianuarie 2012

  L 95

1

31.3.2012

►M3

REGULAMENTUL (UE) NR. 517/2013 AL CONSILIULUI din 13 mai 2013

  L 158

1

10.6.2013

►M4

REGULAMENTUL DELEGAT (UE) 2018/122 AL COMISIEI din 20 octombrie 2017

  L 22

3

26.1.2018


Rectificat prin:

►C1

Rectificare, JO L 243, 18.9.2015, p.  13 (1007/2011)




▼B

REGULAMENTUL (UE) NR. 1007/2011 AL PARLAMENTULUI EUROPEAN ȘI AL CONSILIULUI

din 27 septembrie 2011

privind denumirile fibrelor textile și etichetarea corespunzătoare și marcarea compoziției fibroase a produselor textile și de abrogare a Directivei 73/44/CEE a Consiliului și a Directivelor 96/73/CE și 2008/121/CE ale Parlamentului European și ale Consiliului

(Text cu relevanță pentru SEE)



CAPITOLUL 1

DISPOZIȚII GENERALE

Articolul 1

Obiect

Prezentul regulament stabilește norme privind utilizarea denumirilor de fibre textile și etichetarea și marcarea corespunzătoare a compoziției fibroase a produselor textile, norme privind etichetarea sau marcarea produselor care conțin părți netextile de origine animală și norme privind determinarea compoziției fibroase a produselor textile prin analiza cantitativă a amestecurilor binare și ternare de fibre textile, pentru a îmbunătăți funcționarea pieței interne și pentru a furniza informații precise consumatorilor.

Articolul 2

Domeniu de aplicare

(1)  Prezentul regulament se aplică produselor textile atunci când sunt puse la dispoziție pe piața Uniunii și produselor menționate la alineatul (2).

(2)  În sensul prezentului regulament, următoarelor produse li se aplică același tratament ca produselor textile:

(a) produse care conțin fibre textile în proporție de cel puțin 80 % din greutatea lor;

(b) mobilier, umbrele și umbrele de soare care conțin componente textile în proporție de cel puțin 80 % din greutatea lor;

(c) componentele textile:

(i) ale acoperitoarelor de podea multistrat;

(ii) ale acoperitoarelor de saltele;

(iii) ale acoperitoarelor articolelor de camping,

cu condiția ca aceste componente textile să constituie cel puțin 80 % din greutatea unor astfel de acoperitoare;

(d) textilele încorporate în alte produse din care fac parte integrantă, în cazul specificării compoziției lor.

(3)  Prezentul regulament nu se aplică produselor textile care sunt încredințate unor persoane care își desfășoară activitatea la domiciliu sau unor întreprinderi independente care prelucrează materialele furnizate, fără să le fie transferate cu titlu oneros drepturile de proprietate asupra lor.

(4)  Prezentul regulament nu se aplică produselor textile la comandă care sunt confecționate de către croitori liber-profesioniști.

Articolul 3

Definiții

(1)  În sensul prezentului regulament, se aplică următoarele definiții:

(a) „produs textil” înseamnă orice materie primă, produs semifabricat, fabricat, semiprelucrat, prelucrat, semifinit sau finit, care este constituit exclusiv din fibre textile, oricare ar fi procedeul de amestec sau de asamblare utilizat;

(b) „fibră textilă” înseamnă oricare dintre următoarele:

(i) un element material caracterizat prin flexibilitatea, finețea și raportul mare al lungimii față de dimensiunea transversală maximală, care îl fac adecvat pentru aplicații textile;

(ii) o bandă suplă sau un tub, a căror lățime aparentă nu depășește 5 milimetri, inclusiv benzile tăiate din benzi mai mari sau din folii fabricate din substanțe care se utilizează la fabricarea fibrelor enumerate în tabelul 2 din anexa I și care sunt adecvate pentru aplicații textile;

(c) „lățimea aparentă” înseamnă lățimea benzii sau tubului sub formă pliată, laminată, presată sau răsucită sau lățimea medie, în cazul lățimii neuniforme;

(d) „componentă textilă” înseamnă o parte dintr-un produs textil cu un conținut de fibre identificabil;

(e) „fibre străine” înseamnă fibrele diferite de cele menționate pe etichetă sau marcaj;

(f) „căptușeală” înseamnă o componentă separată utilizată pentru fabricarea confecțiilor și a altor produse, constând într-unul sau mai multe straturi de material textil menținute de-a lungul unuia sau mai multor laturi;

(g) „etichetare” înseamnă atașarea informațiilor solicitate la produsul textil prin aplicarea unei etichete;

(h) „marcare” înseamnă indicarea informațiilor solicitate direct pe produsul textil prin coasere, brodare, imprimare, ștanțare sau prin folosirea oricărei alte tehnologii de aplicare;

(i) „etichetare globală” înseamnă utilizarea unei etichete unice pentru mai multe produse sau componente textile;

(j) „produs de unică folosință” înseamnă un produs textil care se folosește o singură dată sau pe o perioadă de timp limitată și a cărui utilizare normală nu este destinată unei utilizări ulterioare în același scop sau cu un scop similar;

(k) „repriză convențională” înseamnă valoarea reprizei de umiditate utilizată la calcularea procentului de componente fibroase pe baza masei uscate și pure, după aplicarea de factori convenționali.

(2)  În sensul prezentului regulament, se aplică definițiile prevăzute la articolul 2 din Regulamentul (CE) nr. 765/2008 pentru termenii „punere la dispoziție pe piață”, „introducere pe piață”, „producător”, „importator”, „distribuitor”, „operatori economici”, „standard armonizat”, „supraveghere a pieței” și „autoritate de supraveghere a pieței”.

Articolul 4

Cerință generală cu privire la punerea la dispoziție pe piață a produselor textile

Produsele textile sunt puse la dispoziție pe piață numai cu condiția ca aceste produse să fie etichetate, marcate sau însoțite de documente comerciale cu respectarea prezentului regulament.



CAPITOLUL 2

DENUMIRILE DE FIBRE TEXTILE ȘI CERINȚELE PRIVIND ETICHETAREA ȘI MARCAREA CORESPUNZĂTOARE

Articolul 5

Denumirile de fibre textile

(1)  Numai denumirile de fibre textile enumerate în anexa I sunt utilizate pentru descrierea compozițiilor fibroase pe etichetele și marcajele produselor textile.

(2)  Utilizarea denumirilor enumerate în anexa I este rezervată fibrelor textile a căror natură corespunde descrierii prevăzute în anexa respectivă.

Denumirile enumerate în anexa I nu se utilizează pentru alte fibre, nici în întregime, nici sub formă de rădăcină lingvistică și nici ca adjectiv.

Este interzisă utilizarea denumirii „mătase” pentru a indica forma sau prezentarea particulară sub formă de fir filamentar continuu a fibrelor textile.

Articolul 6

Cereri privind denumiri noi de fibre textile

Orice producător sau orice persoană care acționează în numele acestuia poate cere Comisiei adăugarea unei denumiri noi de fibră textilă în lista prevăzută în anexa I.

Cererea este însoțită de un dosar tehnic întocmit în conformitate cu anexa II.

Articolul 7

Produse textile pure

(1)  Numai produsele textile compuse în totalitate din aceeași fibră pot fi etichetate sau marcate drept „100 %”, drept „pure” sau drept „integrale”.

Este interzisă utilizarea acestor termeni sau a unor termeni similari pentru alte produse textile.

(2)  Fără a aduce atingere articolului 8 alineatul (3), un produs textil care conține cel mult 2 % din greutate fibre străine poate de asemenea să fie tratat ca fiind compus în totalitate din aceeași fibră, cu condiția ca această cantitate să fie justificată ca fiind inevitabilă din punct de vedere tehnic în cadrul bunelor practici de producție și să nu rezulte dintr-o adăugare sistematică.

Un produs textil care a fost supus unui proces de cardare poate de asemenea să fie tratat ca fiind compus în totalitate din aceeași fibră dacă conține cel mult 5 % din greutate fibre străine, cu condiția ca această cantitate să fie justificată ca fiind inevitabilă din punct de vedere tehnic în cadrul bunelor practici de producție și să nu rezulte dintr-o adăugare sistematică.

Articolul 8

Produse din lână sau lână virgină

(1)  Un produs textil poate fi etichetat sau marcat cu una dintre denumirile menționate în anexa III cu condiția ca acesta să fie compus în exclusivitate dintr-o fibră de lână care nu a fost anterior încorporată într-un produs finit și care nu a suferit operațiuni de filare și/sau de pâslire, altele decât cele necesare pentru fabricarea produsului respectiv, nici prelucrări sau utilizări care să fi deteriorat fibra.

(2)  Prin derogare de la alineatul (1), denumirile enumerate în anexa III pot fi utilizate pentru a descrie lâna conținută într-un amestec de fibre textile, în cazul în care sunt îndeplinite toate condițiile următoare:

(a) conținutul total de lână din amestecul respectiv îndeplinește cerințele definite la alineatul (1);

(b) cantitatea de lână reprezintă cel puțin 25 % din masa totală a amestecului;

(c) în cazul unui amestec de destrămătură, lâna este amestecată numai cu o singură altă fibră.

Se precizează compoziția procentuală totală a unui astfel de amestec.

(3)  Fibrele străine din produsele menționate la alineatele (1) și (2), inclusiv produsele din lână care au fost supuse unui proces de cardare, nu depășesc 0,3 % din greutatea produsului, sunt justificate ca fiind inevitabile din punct de vedere tehnic în cadrul bunelor practici de producție și nu rezultă dintr-o adăugare sistematică.

Articolul 9

Produse textile alcătuite din mai multe fibre

(1)  Un produs textil este etichetat sau marcat cu denumirea și procentul din greutate al tuturor fibrelor care compun produsul, în ordine descrescătoare.

(2)  Prin derogare de la alineatul (1) și fără a aduce atingere articolului 7 alineatul (2), fibrele care reprezintă până la 5 % din greutatea totală a produsului textil sau fibrele care reprezintă împreună până la 15 % din greutatea totală a produsului textil pot, atunci când nu pot fi desemnate cu ușurință la momentul fabricării, fi desemnate prin termenul „alte fibre”, imediat precedat sau urmat de procentajul lor total din greutate.

(3)  Produsele alcătuite dintr-o urzeală din bumbac pur și o bătătură de in pur, în care procentul de in nu este mai mic de 40 % din masa totală a țesăturii neîncleiate, pot fi desemnate prin denumirea „in în amestec cu bumbac”, completată obligatoriu prin indicarea compoziției „urzeală de bumbac pur – bătătură de in pur”.

(4)  Fără a aduce atingere articolului 5 alineatul (1), pentru produsele textile a căror compoziție este dificil de precizat în momentul fabricării, pe etichetă sau marcaj se poate folosi termenul „fibre în amestec” sau termenul „compoziție textilă nedeterminată”.

(5)  Prin derogare de la alineatul (1) din prezentul articol, fibrele care nu sunt încă enumerate în anexa I pot fi desemnate prin termenul „alte fibre”, imediat precedat sau urmat de procentajul total din greutate.

Articolul 10

Fibre decorative și fibre cu efecte antistatice

(1)  Fibrele vizibile și izolabile care sunt pur decorative și nu depășesc 7 % din greutatea produsului finit nu trebuie luate în considerare în compozițiile fibroase prevăzute la articolele 7 și 9.

(2)  Fibrele metalice și alte fibre care sunt încorporate în scopul de a obține un efect antistatic și care nu depășesc 2 % din greutatea produsului finit nu trebuie luate în considerare în compozițiile fibroase prevăzute la articolele 7 și 9.

►C1  (3)  În cazul produselor menționate la articolul 9 alineatul (3), ◄ procentele prevăzute la alineatele (1) și (2) din prezentul articol se calculează separat pe baza greutății urzelii și, respectiv, a bătăturii.

Articolul 11

Produse textile alcătuite din mai multe componente

(1)  Orice produs textil constituit din două sau mai multe componente textile care au compoziții fibroase diferite este însoțit de o etichetă sau un marcaj care indică conținutul de fibre textile al fiecărei componente.

(2)  Etichetarea sau marcarea menționate la alineatul (1) nu sunt obligatorii pentru componentele textile în cazul în care sunt îndeplinite următoarele două condiții:

(a) componentele respective nu sunt căptușeli principale; și

(b) acestea reprezintă mai puțin de 30 % din greutatea totală a produsului textil.

(3)  Atunci când două sau mai multe produse textile au același conținut de fibre și formează, în mod normal, un ansamblu inseparabil, ele pot purta o singură etichetă sau un singur marcaj.

Articolul 12

Produsele textile ce conțin părți netextile de origine animală

(1)  Prezența părților netextile de origine animală în produse textile se indică prin utilizarea expresiei „Conține părți netextile de origine animală” în etichetarea sau marcarea produselor care conțin astfel de părți ori de câte ori sunt introduse pe piață.

(2)  Etichetarea sau marcarea trebuie să nu inducă în eroare și este realizată în așa fel încât consumatorul să o poată înțelege cu ușurință.

Articolul 13

Etichetarea și marcarea produselor textile menționate în anexa IV

Compoziția fibroasă a produselor textile menționate în anexa IV este indicată în conformitate cu normele de etichetare și marcare stabilite în anexa respectivă.

Articolul 14

Etichete și marcaje

(1)  Produsele textile sunt etichetate sau marcate astfel încât să se indice compoziția lor fibroasă ori de câte ori sunt puse la dispoziție pe piață.

Etichetarea și marcarea produselor textile sunt durabile, lizibile cu ușurință, vizibile și accesibile, iar în cazul unei etichete, aceasta este bine atașată.

(2)  Fără a aduce atingere alineatului (1), etichetele sau marcajele pot fi înlocuite sau completate prin documente comerciale de însoțire, în cazul în care produsele sunt furnizate unor operatori economici în cadrul lanțului de distribuție sau atunci când sunt livrate în vederea executării unei comenzi făcute de orice autoritate contractantă în sensul definiției de la articolul 1 din Directiva 2004/18/CE a Parlamentului European și a Consiliului din 31 martie 2004 privind coordonarea procedurilor de atribuire a contractelor de achiziții publice de lucrări, de bunuri și de servicii ( 1 ).

(3)  Denumirile de fibre textile și descrierile compozițiilor fibroase menționate la articolele 5, 7, 8 și 9 sunt indicate clar în documentele comerciale de însoțire menționate la alineatul (2) din prezentul articol.

Nu se utilizează abrevieri, cu excepția unui cod mecanizat de procesare sau a cazului în care abrevierile sunt definite în standarde internaționale, cu condiția ca acestea să fie explicate în același document comercial.

Articolul 15

Obligația de a asigura furnizarea etichetei sau a marcajului

(1)  Atunci când introduce pe piață un produs textil, producătorul asigură furnizarea etichetei sau a marcajului și exactitatea informațiilor conținute de aceasta sau acesta. În cazul în care producătorul nu își are sediul în Uniune, importatorul asigură furnizarea etichetei sau a marcajului și exactitatea informațiilor conținute de aceasta sau acesta.

(2)  Un distribuitor este considerat producător în sensul prezentului regulament în cazul în care introduce pe piață un produs sub denumirea sau marca sa, aplică el însuși eticheta sau modifică conținutul etichetei.

(3)  Atunci când pune la dispoziție un produs textil pe piață, distribuitorul se asigură că produsele textile poartă eticheta sau marcajul adecvat prevăzut de prezentul regulament.

(4)  Operatorii economici menționați la alineatele (1), (2) și (3) se asigură că nicio informație furnizată cu ocazia punerii la dispoziție pe piață a produselor textile nu poate fi confundată cu denumirile de fibre textile și descrierile de compoziții fibroase, astfel cum sunt stabilite de prezentul regulament.

Articolul 16

Utilizarea denumirilor de fibre textile și a descrierilor compoziției fibroase

(1)  Atunci când un produs textil este pus la dispoziție pe piață, descrierile compoziției fibroase textile menționate la articolele 5, 7, 8 și 9 sunt indicate în cataloage și prospecte comerciale, pe ambalaje, etichete și marcaje, astfel încât să fie clare, lizibile și vizibile cu ușurință și imprimate uniform din punctul de vedere al caracterelor, stilului și dimensiunii caracterelor. Aceste informații sunt clar vizibile pentru consumator înainte de cumpărare, inclusiv în cazul în care produsul este cumpărat prin mijloace electronice.

(2)  Mărcile comerciale sau denumirea întreprinderii pot fi indicate imediat înainte sau după descrierile compoziției fibroase textile menționate la articolele 5, 7, 8 și 9.

Totuși, dacă marca sau denumirea întreprinderii cuprinde, fie ca titlu principal, fie ca rădăcină sau ca adjectiv, una dintre denumirile de fibre textile prevăzute în anexa I sau putând fi confundată cu acestea, o astfel de marcă comercială sau denumire a întreprinderii figurează imediat înainte sau după descrierile compoziției fibroase textile menționate la articolele 5, 7, 8 și 9.

Orice altă informație este prezentată întotdeauna în mod separat.

(3)  Etichetarea sau marcarea sunt disponibile în limba oficială sau limbile oficiale ale statului membru pe teritoriul căruia produsele textile sunt puse la dispoziția consumatorului, cu excepția cazului în care statul membru în cauză prevede altfel.

În cazul bobinelor, mosoarelor, sculurilor, ghemurilor sau altor cantități mici de fire de cusut, de remaiat și de brodat, primul paragraf se aplică etichetării globale prevăzute la articolul 17 alineatul (3). În cazul în care astfel de produse sunt vândute individual, acestea pot fi etichetate sau marcate în oricare dintre limbile oficiale ale Uniunii, cu condiția să fie și etichetate global.

Articolul 17

Derogări

(1)  Normele prevăzute la articolele 11, 14, 15 și 16 fac obiectul derogărilor prevăzute la alineatele (2), (3) și (4) din prezentul articol.

(2)  Indicarea denumirilor fibrelor textile sau a compoziției fibroase pe etichetele și marcajele produselor textile prevăzute în anexa V nu este necesară.

Totuși, atunci când o marcă comercială sau o denumire a întreprinderii cuprinde, fie ca titlu principal, fie ca rădăcină sau ca adjectiv, una dintre denumirile enumerate în anexa I sau o denumire susceptibilă de a fi confundată cu aceasta, se aplică articolele 11, 14, 15 și 16.

(3)  Atunci când produsele textile menționate în anexa VI sunt de același tip și au aceeași compoziție fibroasă, ele pot fi puse împreună la dispoziție pe piață sub o etichetă globală.

(4)  Compoziția fibroasă a produselor textile vândute la metru poate figura pe lizieră sau pe rola pusă la dispoziție pe piață.

(5)  Produsele textile menționate la alineatele (3) și (4) sunt puse la dispoziție pe piață astfel încât compoziția fibroasă a acestor produse să fie adusă la cunoștința fiecărui achizitor din lanțul de distribuție, inclusiv a consumatorului.



CAPITOLUL 3

SUPRAVEGHEREA PIEȚEI

Articolul 18

Verificări în cadrul supravegherii pieței

Autoritățile de supraveghere a pieței efectuează verificări privind conformitatea compoziției fibroase a produselor textile cu indicațiile furnizate asupra compoziției fibroase a produselor respective, în conformitate cu prezentul regulament.

Articolul 19

Determinarea compoziției fibroase

(1)  În scopul determinării compoziției fibroase a produselor textile, verificările prevăzute la articolul 18 sunt efectuate în conformitate cu metodele prevăzute în anexa VIII sau cu standardele armonizate care urmează să fie introduse în anexa respectivă.

(2)  În scopul determinării compozițiilor fibroase stabilite la articolele 7, 8 și 9, nu se iau în considerare elementele prevăzute în anexa VII.

(3)  Compozițiile fibroase prevăzute la articolele 7, 8 și 9 se determină prin aplicarea la masa anhidră a fiecărei fibre a reprizei convenționale corespunzătoare stabilite în anexa IX, după excluderea elementelor prevăzute în anexa VII.

(4)  Laboratoarele responsabile să analizeze amestecurile textile pentru care nu există o metodă uniformă de analiză la nivelul Uniunii determină compoziția fibroasă a unor astfel de amestecuri, indicând în buletinul de analiză rezultatul obținut, metoda utilizată și gradul de precizie al acesteia.

Articolul 20

Toleranțe

(1)  Pentru a stabili compoziția fibroasă a produselor textile se aplică toleranțele prevăzute la alineatele (2), (3) și (4).

(2)  Fără a aduce atingere articolului 8 alineatul (3), prezența fibrelor străine în compoziția fibroasă care urmează a fi furnizată în conformitate cu articolul 9 nu trebuie să fie indicată dacă procentajul acestor fibre nu atinge următoarele valori:

(a) 2 % din greutatea totală a produsului textil, dacă această cantitate este justificată ca fiind inevitabilă din punct de vedere tehnic în cadrul bunelor practici de fabricație și nu rezultă dintr-o adăugare sistematică; sau

(b) 5 % din greutatea totală în cazul produselor textile care au fost supuse unui proces de cardare, dacă această cantitate este justificată ca fiind inevitabilă din punct de vedere tehnic în cadrul bunelor practici de fabricație și nu rezultă dintr-un adaos sistematic.

(3)  Se admite o toleranță la fabricare de 3 % din greutatea totală a fibrelor indicate pe etichetă sau marcaj între compoziția fibroasă indicată care trebuie furnizată în conformitate cu articolul 9 și procentele rezultate în urma analizei efectuate în conformitate cu articolul 19. Această toleranță se aplică, de asemenea:

(a) fibrelor care pot fi desemnate prin termenul „alte fibre”, conform articolului 9;

(b) procentajului de lână menționat la articolul 8 alineatul (2) litera (b).

În scopul analizei, toleranțele se calculează separat. Greutatea totală considerată pentru calculul toleranței prevăzute la acest alineat este cea a fibrelor produsului finit, cu excluderea greutății fibrelor străine care apar la aplicarea toleranței menționate la alineatul (2) din prezentul articol.

(4)  Aplicarea cumulativă a toleranțelor menționate la alineatele (2) și (3) nu este admisă decât în cazul în care fibrele străine constatate în cadrul analizei, la aplicarea toleranței prevăzute la alineatul (2), se dovedesc a fi de aceeași natură chimică cu una sau mai multe dintre fibrele menționate pe etichetă sau marcaj.

(5)  Pentru produsele textile specifice al căror proces de fabricare necesită toleranțe superioare celor indicate la alineatele (2) și (3), Comisia poate autoriza toleranțe mai ridicate.

Înainte de a introduce produsul textil pe piață, producătorul prezintă o cerere în vederea autorizării de către Comisie, prezentând motive și dovezi suficiente ale circumstanțelor de producție excepționale. Autorizația poate fi acordată numai cu titlu excepțional și în baza unei justificări adecvate furnizate de producător.

Dacă este necesar, Comisia adoptă criterii tehnice și norme procedurale în vederea aplicării prezentului alineat, prin intermediul unor acte delegate în conformitate cu articolul 22.



CAPITOLUL 4

DISPOZIȚII FINALE

Articolul 21

Acte delegate

(1)  Comisia este împuternicită să adopte acte delegate în conformitate cu articolul 22 în ceea ce privește adoptarea de criterii tehnice și reguli procedurale pentru aplicarea articolului 20 alineatul (5), modificări la anexele II, IV, V, VI, VII, VIII și IX, pentru a ține seama de progresele tehnice, și amendamente la anexa I pentru a include, în conformitate cu articolul 6, denumirile fibrelor textile noi în lista prevăzută în respectiva anexă.

(2)  La adoptarea acestor acte delegate, Comisia hotărăște în conformitate cu dispozițiile prezentului regulament.

Articolul 22

Exercitarea delegării de competențe

(1)  Competența de a adopta acte delegate este conferită Comisiei în condițiile prevăzute în prezentul articol.

(2)  Competența de a adopta actele delegate menționate la articolul 20 alineatul (5) și la articolul 21 se conferă Comisiei pentru o perioadă de cinci ani, de la 7 noiembrie 2011. Comisia prezintă un raport privind competența de a adopta acte delegate cu cel puțin nouă luni înainte de încheierea perioadei de cinci ani. Competența de a adopta acte delegate se prelungește tacit cu perioade de timp identice, cu excepția cazului în care Parlamentul European sau Consiliul se opun prelungirii respective cu cel puțin trei luni înainte de încheierea fiecărei perioade.

(3)  Delegarea de competențe menționată la articolul 20 alineatul (5) și la articolul 21 poate fi revocată oricând de Parlamentul European sau de Consiliu. O decizie de revocare pune capăt delegării de competențe specificate în decizia respectivă. Decizia produce efecte din ziua următoare datei publicării în Jurnalul Oficial al Uniunii Europene sau de la o dată ulterioară menționată în decizie. Decizia nu aduce atingere actelor delegate care sunt deja în vigoare.

(4)  De îndată ce adoptă un act delegat, Comisia îl notifică simultan Parlamentului European și Consiliului.

(5)  Un act delegat adoptat în conformitate cu articolul 20 alineatul (5) și cu articolul 21 intră în vigoare numai în cazul în care nici Parlamentul European și nici Consiliul nu au formulat obiecțiuni în termen de două luni de notificarea acestuia către Parlamentul European și către Consiliu sau în cazul în care, înaintea expirării termenului respectiv, Parlamentul European și Consiliul au informat Comisia că nu vor formula obiecțiuni. Respectivul termen se prelungește cu două luni la inițiativa Parlamentului European sau a Consiliului.

Articolul 23

Raportarea

Până la 8 noiembrie 2014, Comisia prezintă Parlamentului European și Consiliului un raport privind aplicarea prezentului regulament, punând accentul pe cererile de și pe adoptarea denumirilor de fibre textile noi, și prezintă, dacă este cazul, o propunere legislativă.

Articolul 24

Examinare

(1)  Până la 30 septembrie 2013, Comisia prezintă Parlamentului European și Consiliului un raport privind posibile cerințe de etichetare noi care să fie introduse la nivelul Uniunii pentru a oferi consumatorilor informații exacte, relevante, inteligibile și comparabile privind caracteristicile produselor textile.

(2)  Raportul trebuie să se bazeze pe o consultare cu părțile interesate relevante și ia în considerare standardele europene și internaționale existente în materie.

(3)  Raportul este însoțit, atunci când este cazul, de propuneri legislative și examinează, printre altele, următoarele aspecte:

(a) un sistem de etichetare a locului de origine vizând furnizarea de informații exacte consumatorilor cu privire la țara de origine și de informații suplimentare care să asigure o trasabilitate deplină a produselor textile, ținând seama de rezultatele evoluției potențialelor norme orizontale privind țara de origine;

(b) un sistem armonizat de etichetare în ceea ce privește modul de întreținere;

(c) un sistem uniform de etichetare a mărimilor la nivelul Uniunii pentru produsele textile relevante;

(d) indicarea substanțelor alergenice;

(e) etichetarea electronică și alte tehnologii noi și utilizarea unor simboluri sau coduri extralingvistice pentru identificarea fibrelor.

Articolul 25

Studiu privind substanțele periculoase

Până la 30 septembrie 2013, Comisia efectuează un studiu pentru a evalua dacă există o legătură de cauzalitate între reacțiile alergice și substanțele sau amestecurile chimice folosite în produsele textile. Pe baza respectivului studiu, Comisia prezintă, dacă este cazul, propuneri legislative în contextul legislației existente a Uniunii.

Articolul 26

Dispoziții tranzitorii

Produsele textile care sunt conforme cu dispozițiile Directivei 2008/121/CE și care sunt introduse pe piață înainte de 8 mai 2012 pot continua să fie puse la dispoziție pe piață până la 9 noiembrie 2014.

Articolul 27

Abrogare

Directivele 73/44/CEE, 96/73/CE și 2008/121/CE se abrogă cu începere de la 8 mai 2012.

Trimiterile la directivele abrogate se interpretează ca trimiteri la prezentul regulament și se citesc în conformitate cu tabelele de corespondență din anexa X.

Articolul 28

Intrarea în vigoare

Prezentul regulament intră în vigoare în a douăzecea zi de la data publicării în Jurnalul Oficial al Uniunii Europene.

Se aplică de la 8 mai 2012.

Prezentul regulament este obligatoriu în toate elementele sale și se aplică direct în toate statele membre.




ANEXA I

Lista numelor de fibre textile

(menționate la articolul 5)



Tabelul 1

Număr

Denumire

Descrierea fibrelor

1

Lână

Fibră din lână de oaie sau de miel (Ovis aries) sau un amestec de fibre din lână de oaie sau de miel și de păr de animale menționate la nr. 2

2

Alpaca, lamă, cămilă, cașmir, mohair, angora, vigonie, iac, guanaco, cașgora, castor, vidră, precedată sau nu de cuvântul „lână” sau „păr”

Părul următoarelor animale: alpaca, lamă, cămilă, capră de Cașmir, capră Angora, iepure Angora, vigonie, iac, guanaco, capră de Cașgora, castor, vidră

3

Păr de animal sau de cal, cu sau fără indicarea speciei animale (de exemplu, păr de bovine, păr de capră comună, păr de cal)

Păr de animale diverse, altele decât cele menționate la nr. 1 sau 2

4

Mătase

Fibră obținută exclusiv de la insectele sericigene

5

Bumbac

Fibră obținută din capsulele de bumbac (Gossypium)

6

Capoc

Fibră obținută din interiorul fructului de capoc (Ceiba pentandra)

7

In (sau pânză de in)

Fibră obținută din tulpina de in (Linum usitatissimum)

8

Cânepă

Fibră obținută din tulpina de cânepă (Cannabis sativa)

9

Iută

Fibră obținută din tulpina de Corchorus olitorius și din cel de Chorcorus capsularis. În sensul prezentului regulament, sunt asimilate iutei fibrele liberiene provenind de la următoarele soiuri: Hibiscus cannabinus, Hibiscus sabdariffa, Abultilon avicennae, Urena lobata, Urena sinuata

10

Abaca (cânepă de Manila)

Fibră obținută din frunza exterioară de Musa textilis

11

Alfa

Fibră obținută din frunzele de Stipa tenacissima

12

Cocos (nucă de cocos)

Fibră obținută din fructul de Cocos nucifera

13

Drob

Fibră obținută din tulpina de Cytisus scoparius și/sau de Spartium junceum

14

Ramie

Fibră obținută din tulpina de Boehmeria nivea și cel de Boehmeria tenacissima

15

Sisal

Fibră obținută din frunza de Agave sisalana

16

Sunn

Fibră obținută din tulpina de Crotalaria juncea

17

Henequen

Fibră obținută din tulpina de Agave fourcroydes

18

Maguey

Fibră obținută din tulpina de Agave cantala



Tabelul 2

Număr

Denumire

Descrierea fibrelor

19

Acetat

Fibră de acetat de celuloză în care mai puțin de 92 %, dar cel puțin 74 % din grupele hidroxil sunt acetilate

20

Alginat

Fibră obținută din sărurile metalice ale acidului alginic

21

Cupro

Fibră de celuloză regenerată obținută prin procedeul cupro-amoniacal

22

Modal

Fibră de celuloză regenerată obținută printr-un procedeu de viscoză modificat, având o forță la rupere ridicată și un modul în stare umedă ridicat. Forța la rupere (BC) după condiționare și forța (BM) necesară pentru producerea unei alungiri de 5 % în stare umedă sunt după cum urmează:

BC (cN) ≥ 1,3
image

BM (cN) ≥ 0,5
image

în care T este densitatea lineară medie în decitex

23

Proteinică

Fibre obținute din substanțele proteice naturale regenerate și stabilizate sub acțiunea agenților chimici

24

Triacetat

Fibră de acetat de celuloză în care cel puțin 92 % din grupele hidroxile sunt acetilate

25

Viscoză

Fibră de celuloză regenerată obținută prin procedeul vâscoză pentru realizarea de filamente și fibre discontinue

26

Fibre acrilice

Fibră formată din macromolecule lineare prezentând în lanț cel puțin 85 % (din masă) grupări acrilonitrilice

27

Clorofibră

Fibră formată din macromolecule lineare prezentând în lanț peste 50 % din masa totală de unități monometrice de clorură de vinil sau clorură de viniliden

28

Fluorofibră

Fibră formată din macromolecule lineare obținute din monomeri alifatici fluorocarbonați

29

Modacrilic

Fibră formată din macromolecule lineare prezentând în lanț peste 50 % și mai puțin de 85 % (din masă) grupări acrilonitrilice

30

Poliamidă sau nailon

Fibră formată din macromolecule lineare de sinteză conținând în lanț grupări amide care se repetă, dintre care cel puțin 85 % se leagă la unități alifatice sau cicloalifatice

31

Aramidă

Fibră constituită din macromolecule lineare de sinteză formate din grupe aromatice legate între ele prin legături amidice sau imidice, din care cel puțin 85 % se leagă direct la două nuclee aromatice și cu numărul de legături imidice, în cazul în care acestea sunt prezente, inferior numărului de legături amidice

32

Poliimidă

Fibră formată din macromolecule lineare de sinteză conținând în lanț unități imidice care se repetă

33

Lyocell

Fibră de celuloză regenerată obținută prin dizolvare și printr-un proces de filare cu solvent organic (amestec de produse chimice organice și apă), fără formare de derivați

34

Polilactidă

Fibră formată din macromolecule lineare care prezintă în lanțul lor cel puțin 85 % (din masă) unități de esteri ai acidului lactic derivați din zaharuri naturale și care are o temperatură de topire de cel puțin 135 °C

35

Poliester

Fibră formată din macromolecule lineare prezentând în lanț cel puțin 85 % (din masă) ester de diol și acid tereftalic

36

Polietilenă

Fibră formată din macromolecule lineare de hidrocarburi alifatice saturate nesubstituite

37

Polipropilenă

Fibră formată din macromolecule lineare de hidrocarburi alifatice saturate, în care un atom carbon din doi se leagă la o grupare metil în poziție izotactică și fără altă substituție

38

Policarbamidă

Fibră formată din macromolecule lineare prezentând în lanțul lor grupul funcțional urilenă (NH-CO-NH) în mod repetat

39

Poliuretan

Fibră formată din macromolecule lineare constituite din lanțuri în care se repetă grupul funcțional uretan

40

Vinilică

Fibră formată din macromolecule lineare al cărei lanț este constituit din alcool polivinilic cu diferite grade de acetilare

41

Trivinilică

Fibră formată din terpolimer de acrilonitril, dintr-un monomer vinilic clorat și dintr-un al treilea monomer vinilic, dintre care niciunul nu reprezintă 50 % din masa totală

42

Elastodienă

Elastofibră constituită fie dintr-un poliizopren natural sau sintetic, fie dintr-una sau mai multe diene polimerizate cu sau fără unul sau mai mulți monomeri vinilici, și care, alungită sub o forță de tracțiune până la de 3 ori lungimea inițială, revine rapid și în mod substanțial la lungimea inițială, de îndată ce forța de tracțiune încetează să mai fie aplicată

43

Elastan

Elastofibră a cărei masă este constituită din cel puțin 85 % poliuretan segmentat, care, alungit sub o forță de tracțiune până la de 3 ori lungimea sa inițială, revine rapid și în mod substanțial la lungimea inițială, de îndată ce forța de tracțiune încetează a mai fi aplicată

44

Fibră de sticlă

Fibră alcătuită din sticlă

45

Elastomultiester

Fibră obținută prin interacțiunea a două sau mai multe macromolecule lineare distincte din punct de vedere chimic (dintre care niciuna nu depășește 85 % în masă), aflate în două sau mai multe faze distincte, care conține grupuri de esteri ca unitate funcțională dominantă (cel puțin 85 %) și care, după o tratare corespunzătoare, când este întinsă până atinge o dată și jumătate lungimea inițială, revine rapid și în mod substanțial la lungimea inițială de îndată ce acțiunea de întindere încetează

46

Elastolefină

Fibră compusă din cel puțin 95 % (din masă) din macromolecule parțial reticulate, formate din etilenă și cel putin o altă olefină, și care, alungită sub o forță de tracțiune până când atinge o dată și jumătate lungimea sa inițială, revine rapid și în mod substanțial la lungimea inițială, de îndată ce forța de tracțiune încetează să mai fie aplicată

47

Melamină

Fibră formată din cel puțin 85 % din masă din macromolecule reticulate, alcătuite din derivați ai melaminei

48

Denumire corespunzând materialului ale cărui fibre sunt compuse, de exemplu, din: metal (metalic, metalizat), azbest, hârtie, precedată sau nu de cuvântul „fir” sau „fibră”

Fibre obținute din materii diferite sau noi, altele decât cele enumerate mai sus

▼M2

49

Bicomponentă de polipropilenă/poliamidă

O fibră bicomponentă compusă din 10 % până la 25 % în greutate de fibrile de poliamidă încorporate într-o matrice de polipropilenă

▼M4

50

Poliacrilat

Fibră formată din macromolecule reticulate, care prezintă în lanț mai mult de 35 % (din masă) grupări acrilat (acid, săruri ale metalelor ușoare sau esteri) și mai puțin de 10 % (din masă) grupări acrilonitrilice și până la 15 % (din masă) azot în reticulare

▼B




ANEXA II

Cerințele minime referitoare la un dosar tehnic de însoțire a cererii privind o denumire de fibră textilă nouă

(menționat la articolul 6)

Un dosar tehnic de însoțire a cererii de introducere a denumirii unei fibre textile noi în lista din anexa I, astfel cum prevede articolul 6, conține minimum informațiile următoare:

1. Denumirea propusă a fibrei textile:

Denumirea propusă este corelată cu compoziția chimică și furnizează informații privind caracteristicile fibrei, dacă este cazul. Denumirea propusă este liberă de orice drepturi de proprietate intelectuală și nu este legată de producător.

▼M4

2. Definiția propusă a fibrei textile:

Definiția propusă trebuie să descrie compoziția fibroasă. Caracteristicile menționate în definiția noii fibre textile, precum elasticitatea, sunt verificabile prin metode standard de testare care trebuie să fie menționate în dosarul tehnic împreună cu rezultatele experimentale ale analizelor.

3. Identificarea fibrei textile: formula chimică, diferențele față de fibrele textile existente, spectrul FTIR și, după caz, date detaliate precum punctul de topire, densitatea, indicele de refracție, comportamentul la foc.

▼B

4. Repriza convențională propusă pentru calcularea compoziției fibroase.

▼M4

5. Metode de identificare și de cuantificare propuse, inclusiv date experimentale:

Solicitantul evaluează posibilitatea de a utiliza metodele menționate în anexa VIII sau standardele armonizate care urmează a fi introduse în anexa respectivă în vederea analizării celor mai așteptate amestecuri comerciale ale noii fibre textile cu alte fibre textile și propune cel puțin una dintre respectivele metode. În ceea ce privește metodele sau standardele armonizate pentru care fibra textilă poate fi considerată ca o componentă insolubilă, solicitantul menționează factorii „d”, care corespund factorilor de corecție a masei care trebuie să fie utilizați pentru calculele aferente noii fibre textile (pentru a se ține cont de pierderea de masă, despre care se știe că survine în timpul analizei).

Dacă metodele prezentate în prezentul regulament nu sunt adecvate, solicitantul furnizează un motiv adecvat și propune o metodă nouă sau mai multe metode noi. Metoda nouă sau metodele noi propuse trebuie să descrie domeniul de aplicare (inclusiv amestecurile de fibre), principiul (în special procesul chimic și etapele), aparatura și reactivul sau reactivii, procedura de testare, calculul și exprimarea rezultatelor (inclusiv valoarea factorilor „d”), precum și precizia (limitele de încredere aferente rezultatelor).

Cererea conține toate datele experimentale, în special datele privind caracteristicile fibrei, metodele de identificare și de cuantificare propuse. Datele privind precizia, fiabilitatea și reproductibilitatea metodelor sunt furnizate împreună cu dosarul.

▼B

6. Informații științifice disponibile privind posibilele reacții alergice sau alte efecte adverse ale fibrei textile noi asupra sănătății umane, inclusiv rezultatele testelor realizate în acest sens, în conformitate cu legislația relevantă a Uniunii.

▼M4

7. Informații suplimentare privind procesul de producție și interesul pentru consumatori în sprijinul cererii:

Dosarul tehnic conține cel puțin informații privind numărul producătorilor, localizarea instalațiilor de producție și estimarea disponibilității pe piață a noii fibre sau a produselor fabricate din fibra respectivă.

▼M4

8. Disponibilitatea eșantioanelor:

Producătorul sau orice persoană care acționează în numele acestuia furnizează eșantioane reprezentative din noua fibră textilă pură și din amestecuri de fibre textile relevante, necesare pentru verificarea preciziei, a fiabilității și a reproductibilității metodelor de identificare și de cuantificare propuse. Comisia îi poate solicita producătorului sau persoanei care acționează în numele producătorului eșantioane suplimentare de amestecuri de fibre relevante.

▼B

Producătorul sau orice persoană care acționează în numele acestuia furnizează eșantioane reprezentative din noua fibră textilă pură și din amestecuri de fibre textile relevante care permit validarea metodelor de identificare și de cuantificare propuse. Comisia îi poate solicita producătorului sau persoanei care acționează în numele producătorului eșantioane suplimentare de amestecuri de fibre relevante.




ANEXA III

Denumiri menționate la articolul 8 alineatul (1)

în limba bulgară : „необработена вълна”

în limba spaniolă : „lana virgen” sau „lana de esquilado”

în limba cehă : „střižní vlna”

în limba daneză : „ren, ny uld”

în limba germană : „Schurwolle”

în limba estonă : „uus vill”

în limba greacă : „παρθένο μαλλί”

în limba engleză : „fleece wool” sau „virgin wool”

în limba franceză : „laine vierge” sau „laine de tonte”

▼M3

în limba croată : „runska vuna”

▼B

în limba irlandeză : „olann lomra”

în limba italiană : „lana vergine” sau „lana di tosa”

în limba letonă : „pirmlietojuma vilna” sau „cirptā vilna”

în limba lituaniană : „natūralioji vilna”

în limba maghiară : „élőgyapjú”

în limba malteză : „suf verġni”

în limba olandeză : „scheerwol”

în limba poloneză : „żywa wełna”

în limba portugheză : „lã virgem”

în limba română : „lână virgină”

în limba slovacă : „strižná vlna”

în limba slovenă : „runska volna”

în limba finlandeză : „uusi villa”

în limba suedeză : „ny ull”




ANEXA IV



Dispoziții speciale pentru etichetarea și marcarea anumitor produse textile

(menționate la articolul 13)

Produse

Dispoziții privind etichetarea și marcarea

1.  Următoarele produse din categoria corsetelor:

Compoziția fibroasă este indicată pe etichetă și pe marcaj prin precizarea compoziției întregului produs sau, fie de manieră globală, fie de manieră separată, aceea a părților menționate mai jos:

(a)  Brasiere

țesătura exterioară și interioară a suprafeței cupelor și a părții din spate

(b)  Corsete și brâuri

părțile din față, din spate și din lateral

(c)  Ghene

țesătura exterioară și interioară a suprafeței cupelor, părțile întărite din față și din spate și părțile din lateral

2.  Alte produse din categoria corsetelor nemenționate mai sus

Compoziția fibroasă este indicată pe etichetă prin precizarea compoziției întregului produs sau, fie de manieră globală, fie de manieră separată, a compoziției diferitelor componente ale acestor produse. Această etichetare nu este obligatorie pentru componentele care reprezintă mai puțin de 10 % din masa totală a produsului.

3.  Toate produsele din categoria corsetelor

Etichetarea și marcarea separate ale diverselor părți ale produselor din categoria corsetelor se efectuează astfel încât consumatorul final să poată să înțeleagă cu ușurință la care părți din produs se referă indicațiile care figurează pe etichetă sau pe marcaj.

4.  Produsele textile imprimate prin corodare

Compoziția fibroasă este dată pentru întreg produsul și poate fi indicată prin precizarea separată a compoziției țesăturii de bază, precum și cea a părților corodate. Respectivele componente vor fi indicate nominal.

5.  Produse textile brodate

Compoziția fibroasă este dată pentru întreg produsul și poate fi indicată prin comunicarea separată a compoziției țesăturii de bază, precum și cea a firelor de broderie. Respectivele componente sunt indicate nominal. O astfel de etichetare sau marcare este obligatorie numai pentru părțile brodate care depășesc 10 % din suprafața produsului.

6.  Fire constituite dintr-un miez și un înveliș alcătuit din fibre diferite și puse la dispoziție pe piață ca atare pentru consumatori

Compoziția fibroasă este dată pentru întreg produsul și poate fi indicată prin comunicarea separată a compoziției miezului, precum și cea a învelișului. Respectivele componente vor fi indicate nominal.

7.  Produse textile din catifea și din pluș sau produse textile asemănătoare acestora

Compoziția fibroasă este dată pentru întreg produsul și, atunci când produsul este alcătuit dintr-un suport și o suprafață de uzură distinctă, compusă din fibre diferite, ea poate fi indicată separat pentru respectivele componente. Respectivele componente vor fi indicate nominal.

8.  Acoperitoarele de podea și covoarele ale căror suport și suprafață de întrebuințare sunt compuse din fibre diferite

Compoziția fibroasă poate fi dată numai pentru suprafața de întrebuințare. Suprafața de întrebuințare trebuie să fie indicată nominal.




ANEXA V

Produse textile pentru care etichetarea sau marcarea nu este obligatorie

[menționate la articolul 17 alineatul (2)]

1. Manșete de cămăși

2. Brățări de ceas din materiale textile

3. Etichete și ecusoane

4. Produse din materiale textile pentru toartele vaselor de bucătărie

5. Huse pentru cafetiere

6. Huse pentru ceainice

7. Mânecuțe pentru protejarea mânecilor

8. Manșoane, altele decât din pluș

9. Flori artificiale

10. Pernițe de ace

11. Picturi pe canava

12. Produse textile pentru țesături suport și întărituri

13. Produse textile confecționate uzate, în măsura în care sunt explicit declarate ca atare

14. Jambiere

15. Ambalaje, altele decât cele noi și vândute ca atare

16. Articole de marochinărie și de echitație din materiale textile

17. Articole de călătorie din materiale textile

18. Tapiserii brodate manual, finisate sau nu, și materiale pentru fabricarea lor, inclusiv fire pentru brodat, vândute separat de canava și special condiționate pentru a fi utilizate pentru astfel de tapiserii

19. Fermoare

20. Nasturi și catarame îmbrăcate cu materiale textile

21. Coperte de cărți din materiale textile

22. Jucării

23. Componente textile ale încălțămintei

24. Seturi de masă compuse din mai multe elemente și cu o suprafață de maximum 500 cm2

25. Țesături și mănuși pentru scoaterea vaselor din cuptor

26. Huse pentru suporturi de ouă

27. Truse pentru machiaj

28. Pungi pentru tutun din materiale textile

29. Cutii din materiale textile pentru ochelari, țigări și trabucuri, brichete și piepteni

30. Huse pentru telefoane mobile și media playere portabile cu o suprafață de maximum 160 cm2

31. Articole de protecție pentru sport, cu excepția mănușilor

32. Truse de toaletă

33. Truse pentru întreținerea încălțămintei

34. Produse funerare

35. Produsele de unică folosință, cu excepția vatei

36. Articole textile supuse normelor Farmacopeei europene și care fac obiectul unei trimiteri la normele respective, bandaje de folosință medicală și ortopedică și articole textile de ortopedie în general

37. Articole textile, inclusiv corzi, sfori și funii supuse punctului 12 din anexa VI, destinate în mod normal:

(a) să fie utilizate în calitate de componente ale echipamentelor în activități de producție și de prelucrare a bunurilor;

(b) să fie încorporate în mașini, instalații (de exemplu, pentru încălzire, climatizare sau iluminat), aparate menajere și altele, vehicule și alte mijloace de transport, sau la operarea, întreținerea și echiparea acestora, cu excepția prelatelor din foaie de cort și a accesoriilor din materiale textile pentru autoturisme, accesorii vândute separat de vehicule

38. Produse textile de protecție și de securitate, cum ar fi centurile de siguranță, parașutele, vestele de salvare, toboganele de urgență, dispozitivele împotriva incendiilor, vestele antiglonț și îmbrăcămintea de protecție specială (de exemplu, protecție împotriva focului, a agenților chimici sau a altor riscuri pentru securitate)

39. Structuri gonflabile (de exemplu, săli de sport, standuri de expoziție sau spații de stocare), cu condiția ca indicațiile privind performanțele și specificațiile tehnice ale acestor produse să fie furnizate

40. Vele

41. Articole textile pentru animale

42. Drapele și pancarte




ANEXA VI

Produse textile pentru care etichetarea globală este suficientă

[menționate la articolul 17 alineatul (3)]

1. Lavete pentru podele

2. Lavete pentru curățat

3. Margini și garnituri

4. Pasmanterie

5. Centuri

6. Bretele

7. Portjartiere și jartiere

8. Șireturi de pantofi și de cizme

9. Panglici

10. Elastice

11. Ambalaje noi și vândute ca atare

12. Sfoară pentru ambalare și sfoară pentru agricultură (pentru legat snopi); sfori, frânghii și funii, altele decât cele precizate la nr. 37 din anexa V ( *1 )

13. Seturi de masă

14. Batiste

15. Fileuri pentru cocuri și pentru păr

16. Cravate și papioane pentru copii

17. Bavete, mănuși de menaj și prosoape de față

▼M4

18. Fire pentru cusut, cârpit, brodat, condiționate pentru vânzarea cu amănuntul

▼B

19. Benzi pentru draperii, storuri și jaluzele




ANEXA VII



Elemente care nu se iau în considerare la determinarea compoziției fibroase

[menționate la articolul 19 alineatul (2)]

Produse

Elemente excluse

(a)  Toate produsele textile

(i)  componentele netextile, marginile, etichetele și ecusoanele, bordurile și garniturile care nu fac parte integrantă din produs, nasturii și cataramele îmbrăcate în materiale textile, accesoriile, ornamentele, panglicile neelastice, firele și benzile elastice adăugate în locuri specifice și limitate ale produsului și, în condițiile prevăzute la articolul 10, fibrele vizibile și izolabile cu simplu efect decorativ și fibrele cu efect antistatic

(ii)  substanțe grase, lianți, produse de îngreunare, substanțe de încleiere și de finisare și produse de impregnare, produse auxiliare de vopsire și de imprimare și alte produse de tratare a textilelor

(b)  Acoperitoare de podea și covoare

Toate elementele constitutive, altele decât suprafețele de uzură

(c)  Materiale textile pentru tapiserie

Urzelile și bătăturile de legare și de umplere care nu fac parte din suprafața de uzură

(d)  Perdele și draperii

Urzelile și bătăturile de legare și de umplere care nu fac parte din fața țesăturii

(e)  Șosete

Fire elastice suplimentare utilizate pentru manșete, precum și firele de întărire și consolidare utilizate pentru degete și pentru călcâie

(f)  Colanți

Fire elastice suplimentare utilizate pentru betelie, precum și firele de întărire și consolidare utilizate pentru degete și pentru călcâie

(g)  Produse textile, altele decât cele vizate la literele (b)-(f)

Țesături suport sau de căptușire, întărituri și ranforsări, inserții și suporturi de pânze de pictat, fire pentru cusut și asamblat, cu condiția ca acestea să nu înlocuiască bătătura și/sau urzeala țesăturii, umpluturile care nu au rol de izolare și, sub rezerva articolului 11 alineatul (2), căptușeli

În sensul prezentei dispoziții:

(i)  material suport sau de căptușire pentru produsele textile care servesc ca dubluri pentru suprafețele de uzură, mai ales în ceea ce privește cuverturile și țesăturile duble, precum și dosurile pentru țesăturile din catifea sau pluș și produse similare acestora nu sunt considerate ca suporturi care să fie îndepărtate

(ii)  „întărituri și ranforsări” înseamnă firele sau materialele adăugate în locuri specifice și limitate ale produselor textile, cu scopul de a le întări sau de a le conferi rigiditate sau grosime




ANEXA VIII

Metode de analiză cantitativă a amestecurilor binare și ternare de fibre textile

[menționate la articolul 19 alineatul (1)]

CAPITOLUL 1

I.    Pregătirea eșantioanelor de laborator și a epruvetelor pentru determinarea compoziției fibroase a produselor textile

1.   DOMENIU DE APLICARE

Prezentul capitol prezintă procedurile de obținere a eșantioanelor de laborator de o dimensiune adecvată pentru tratare prealabilă în vederea analizei cantitative (de exemplu, cu o masă care să nu depășească 100 g) din volumul global de eșantioane de laborator și pentru selectarea epruvetelor din eșantioanele de laborator care au fost tratate în prealabil pentru îndepărtarea materialelor nefibroase ( 2 ).

2.   DEFINIȚII

2.1.   Lotul

Cantitatea de material care este evaluată pe baza unei serii de rezultate de analiză. Aceasta poate cuprinde, de exemplu, tot materialul dintr-o livrare de țesătură; cantitatea de material țesută dintr-un anumit sul; o partidă de fire, un balot sau un set de baloți de fibre în stare crudă.

2.2.   Eșantion global de laborator

Acea porțiune a lotului considerată reprezentativă pentru ansamblu și care este pusă la dispoziția laboratorului. Mărimea și natura eșantionului global de laborator este adecvată pentru a acoperi în mod corespunzător variabilitatea lotului și pentru a facilita manipularea în laborator ( 3 ).

2.3.   Eșantionul de laborator

Acea porțiune a eșantionului global de laborator care este supusă tratării prealabile pentru îndepărtarea materialelor nefibroase și din care sunt prelevate epruvetele. Mărimea și natura eșantionului de laborator este adecvată pentru a acoperi în mod corespunzător variabilitatea eșantionului global de laborator ( 4 ).

2.4.   Epruvetă

Acea porțiune de material necesară pentru a da un rezultat individual în cadrul analizei, selectată din eșantionul de laborator.

3.   PRINCIPIU

Eșantionul de laborator este astfel selecționat încât să fie reprezentativ pentru eșantionul global de laborator.

Epruvetele sunt prelevate din eșantionul de laborator astfel încât fiecare dintre ele să fie reprezentativă pentru eșantionul de laborator.

4.   PRELEVARE DE EȘANTIOANE DE FIBRE LIBERE

4.1.   Fibre neorientate

Se obține eșantionul de laborator selecționând în mod aleatoriu mănunchiuri de fibre din eșantionul global de laborator. Se amestecă foarte bine întregul eșantion de laborator cu ajutorul unei carde de laborator ( 5 ). Rețeaua de fibre sau amestecul, inclusiv fibrele libere și fibrele care au aderat la dispozitivul de amestecare, se supune operației de tratare prealabilă. Apoi se selecționează epruvete, proporțional cu masele respective, din rețeaua de fibre sau din amestec, din fibrele libere și din fibrele care au aderat la dispozitivul de amestecare.

Dacă vălul de cardă rămâne intact după tratarea prealabilă, epruvetele se selecționează după procedura descrisă la punctul 4.2. Dacă vălul de cardă nu rămâne intact după tratarea prealabilă, fiecare epruvetă se selecționează prin prelevarea aleatorie a cel puțin 16 mănunchiuri mici, de dimensiune adecvată și aproximativ egală, urmată de amestecarea lor.

4.2.   Fibre orientate (văluri de cardă, straturi de fibre, benzi de cardă, semitorturi)

Din părți selectate în mod aleatoriu ale eșantionului global de laborator se decupează cel puțin 10 secțiuni transversale cu o masă individuală de aproximativ 1 g. Eșantionul de laborator astfel format se supune operației de tratare prealabilă. Se recombină secțiunile transversale așezându-le una lângă alta și se obține epruveta tăind din ele astfel încât să se ia câte o porțiune din fiecare dintre cele 10 secțiuni.

5.   PRELEVARE DE EȘANTIOANE DE FIRE

5.1.   Fire pe formate sau în scul

Se utilizează toate formatele din eșantionul global de laborator.

Se prelevă lungimi continue, corespunzătoare și egale din fiecare format, fie prin formare de jurubițe cu același număr de înfășurări pe o vârtelniță ( 6 ), fie printr-un alt mijloc. Se reunesc lungimile de fir, fie sub forma unei jurubițe unice, fie sub formă de cablu pentru a obține eșantionul de laborator, verificându-se ca în jurubiță sau în cablu să se afle lungimi egale din fiecare format.

Eșantioanele de laborator se supun tratării prealabile.

Se prelevă epruvete din eșantionul de laborator prin tăierea unui fascicul de fire de lungime egală din jurubițe sau din cablu, având grijă ca fasciculul să conțină toate firele din eșantion.

Dacă t este numărul de tex al firului și n este numărul formatelor de fir selecționate din eșantionul global de laborator, atunci, pentru a obține un eșantion de analiză de 10 g, lungimea firului ce trebuie extras din fiecare format este de 106/nt cm.

Dacă nt este ridicat, adică depășește 2 000 , se poate forma o jurubiță mai grea și aceasta poate fi secționată transversal în două locuri, astfel încât să se obțină un cablu cu o masă adecvată. Extremitățile unui eșantion prezentat sub formă de cablu sunt legate în mod corespunzător înainte de tratarea prealabilă, iar epruvetele sunt prelevate dintr-o zonă îndepărtată față de capetele legate.

5.2.   Fire din urzeală

Se prelevă un eșantion de laborator prin tăierea unei anumite lungimi de la capătul sulului de urzeală, nu mai mică de 20 cm și cuprinzând toate firele de urzeală, cu excepția firelor de margine, care se elimină. Mănunchiul de fire se leagă la una din extremități. Dacă eșantionul este prea mare pentru tratare prealabilă în totalitatea sa, acesta se împarte în două sau mai multe porțiuni, fiecare legată pentru tratare prealabilă, și se reunesc porțiunile după ce fiecare a fost tratată prealabil separat. Se prelevă o epruvetă prin tăierea unei lungimi adecvate din eșantionul de laborator de la capătul îndepărtat al legăturii cuprinzând toate firele din urzeală. Pentru o urzeală de N fire de t tex, lungimea unei epruvete cu masa de 1 g este de 105/Nt cm.

6.   PRELEVARE DE EȘANTIOANE DE ȚESĂTURĂ

6.1.   Dintr-un eșantion global de laborator constând într-un singur cupon reprezentativ al țesăturii

Se taie o fâșie diagonală dintr-un colț în altul și se îndepărtează marginile. Această fâșie este eșantionul de laborator. Pentru a obține un eșantion de laborator de x g, suprafața fâșiei este de x104/G cm2, unde G este masa țesăturii în g/m2.

Eșantionul de laborator se supune tratării prealabile și apoi se taie fâșia transversal în patru lungimi egale care se suprapun. Se prelevă epruvete din oricare parte a țesăturii stratificate tăind toate straturile astfel încât fiecare epruvetă să conțină câte o lungime egală din fiecare strat.

Dacă țesătura are model țesut, se ia lățimea eșantionului de laborator, măsurată pe direcția urzelii, nu mai mică de o urzeală repetată a modelului. Dacă, pentru a satisface această cerință, eșantionul de laborator este prea mare pentru a fi tratat ca un întreg, se taie în părți egale, se tratează prealabil părțile separat, se suprapun înainte de a se alege epruveta, având grijă ca părțile corespunzătoare ale modelului să nu coincidă.

6.2.   Dintr-un eșantion global de laborator constând în mai multe cupoane

Se tratează fiecare cupon conform celor menționate la punctul 6.1 și se determină separat fiecare rezultat.

7.   PRELEVARE DE EȘANTIOANE DE CONFECȚII ȘI PRODUSE FINITE

Eșantionul global de laborator este în mod normal un produs confecționat, finit sau o parte reprezentativă dintr-un astfel de produs.

După caz, se determină procentajul diferitelor părți ale produsului care nu au aceeași compoziție fibroasă, pentru a se verifica respectarea articolului 11.

Se selectează un eșantion de laborator, reprezentativ pentru o anume parte a confecției sau a produsului finit, a cărei compoziție trebuie să fie menționată pe etichetă. Dacă articolul are mai multe etichete, se selectează eșantioane de laborator reprezentative pentru fiecare parte ce corespunde unei anumite etichete.

Dacă produsul a cărui compoziție trebuie determinată nu este uniform, s-ar putea să fie necesar să se selecționeze eșantioane de laborator din fiecare parte a produsului și să se determine proporțiile relative ale diferitelor părți raportate la ansamblul produsului în cauză.

Apoi se calculează procentele ținând seama de proporțiile relative ale părților eșantionate.

Eșantioanele de laborator se supun tratării prealabile.

Apoi se selectează epruvete reprezentative din eșantioanele de laborator tratate prealabil.

II.    Informații privind metodele de analiză cantitativă a amestecurilor de fibre textile

Metodele de analiză cantitativă a amestecurilor de fibre se bazează pe două procedee principale: separarea manuală și separarea chimică a fibrelor.

Metoda de separare manuală este folosită ori de câte ori este posibil, deoarece dă în general rezultate mai precise decât metoda chimică. Se poate utiliza pentru toate textilele ale căror fibre componente nu formează un amestec intim, cum este cazul firelor formate din mai multe elemente, fiecare dintre ele constituite dintr-un singur tip de fibră, sau cazul țesăturilor, la care fibra din urzeală este diferită de fibra din bătătură, sau al țesăturilor tricotate, care pot fi descompuse în fire de diferite tipuri.

În general, metodele chimice de analiză cantitativă se bazează pe solubilizarea selectivă a componenților individuali. După eliminarea unuia dintre componenți se cântărește reziduul insolubil, iar proporția componentului solubil se calculează în funcție de pierderea în greutate. Această primă parte a anexei furnizează informații comune privind analizele efectuate conform acestei metode, valabile pentru amestecurile de fibre luate în considerare în prezenta anexă, indiferent de compoziția acestora. Ea este deci folosită în asociație cu secțiunile individuale următoare din anexă și care conțin procedurile detaliate aplicabile anumitor amestecuri fibroase. În mod ocazional, o analiză se poate baza pe un alt principiu decât solubilizarea selectivă; în astfel de cazuri, în secțiunea adecvată sunt furnizate detalii complete.

Amestecurile de fibre în timpul prelucrării și, într-o măsură mai mică, textilele finite pot conține materiale nefibroase, cum ar fi grăsimi, ceruri sau adjuvanți sau materiale solubile în apă, fie de proveniență naturală, fie adăugate pentru a facilita prelucrarea. Materialul nefibros trebuie îndepărtat înainte de analiză. Din acest motiv este prezentată și o metodă de îndepărtare a uleiurilor, grăsimilor, cerurilor și a substanțelor solubile în apă.

În plus, textilele pot conține rășini sau alți produși auxiliari utilizați pentru a le conferi proprietăți speciale. Acești produși, în cazuri excepționale inclusiv coloranții, pot interacționa cu reactivul chimic asupra componentei solubile și/sau pot fi parțial sau complet îndepărtați de către reactivul chimic. Acest gen de produși auxiliari pot, în consecință, genera erori și se îndepărtează înainte ca eșantionul sa fie analizat. Dacă este imposibil să se îndepărteze astfel de produși auxiliari, metodele de analiză prezentate în anexa de față nu mai sunt aplicabile.

Colorantul din țesăturile vopsite se consideră parte integrantă a fibrei și nu se îndepărtează.

Analizele se efectuează pe baza masei uscate, fiind prezentată și o procedură de determinare a masei uscate.

Rezultatul se obține prin aplicarea reprizelor convenționale indicate în anexa IX la masa uscată a fiecărei fibre.

Toate fibrele prezente în amestec sunt identificate înainte de a fi supuse oricărei analize. În unele metode componentul insolubil al unui amestec poate fi parțial dizolvat de reactivul folosit pentru a solubiliza componentul (componenții) solubil(i).

Acolo unde este posibil, au fost aleși reactivi având un efect redus sau inexistent asupra fibrelor insolubile. Dacă pierderea de masă survine în timpul analizei, rezultatul este corectat; în acest scop se furnizează factori de corecție. Acești factori au fost determinați în mai multe laboratoare prin tratarea cu reactivul adecvat, după cum este specificat în metoda de analiză a fibrelor curățate prin tratare prealabilă.

Acești factori de corecție se aplică numai fibrelor normale, pentru fibrele degradate înaintea sau în timpul prelucrării fiind necesari factori de corecție diferiți. Procedurile date se aplică numai în cazul determinărilor individuale.

Se efectuează cel puțin două determinări pe epruvete separate, atât în cazul separării manuale, cât și în cazul separării pe cale chimică.

Pentru confirmare, dacă nu este imposibil din punct de vedere tehnic, se recomandă folosirea procedurilor alternative, prin care constituentul care a fost reziduu în metoda standard să fie dizolvat primul.

CAPITOLUL 2

METODE PENTRU ANALIZA CANTITATIVĂ A ANUMITOR AMESTECURI BINARE DE FIBRE TEXTILE

I.    Informații generale comune tuturor metodelor prezentate pentru analiza chimică cantitativă a amestecurilor de fibre textile

I.1.   DOMENIU DE APLICARE

Domeniul de aplicare pentru fiecare metodă precizează la care tipuri de fibre se poate aplica metoda.

I.2.   PRINCIPIU

După identificarea componentelor amestecului, materialul nefibros se îndepărtează printr-o tratare prealabilă adecvată și apoi se îndepărtează unul dintre componenți, de obicei prin dizolvare selectivă ( 7 ). Se cântărește reziduul insolubil și se calculează proporția componentului solubil începând de la pierderea de masă. Cu excepția situațiilor în care această metodă prezintă dificultăți tehnice, este preferabil să se dizolve fibra prezentă în proporție mai mare, obținându-se astfel ca reziduu fibra prezentă în proporție mai mică.

I.3.   MATERIALE ȘI ECHIPAMENT

I.3.1.   Aparatura

I.3.1.1.

Creuzete filtrante și flacoane de cântărire suficient de mari pentru a cuprinde astfel de creuzete filtrante sau orice fel de aparatură care dă rezultate identice

I.3.1.2.

Vas de trompă pentru filtrare la vid

I.3.1.3.

Exsicator care conține silicagel autoindicator de umiditate

I.3.1.4.

Etuvă ventilată pentru uscarea epruvetelor la 105 ± 3 °C

I.3.1.5.

Balanță analitică cu o precizie de 0,0002 g

I.3.1.6.

Extractor Soxhlet sau alt aparat capabil să asigure rezultate identice

I.3.2.

Reactivi chimici

I.3.2.1.

Eter de petrol, redistilat, interval de fierbere 40-60 °C

I.3.2.2.

Alți reactivi sunt menționați în secțiunea corespunzătoare de la fiecare metodă

I.3.2.3.

Apă distilată sau deionizată

I.3.2.4.

Acetonă

I.3.2.5.

Acid ortofosforic

I.3.2.6.

Uree

I.3.2.7.

Bicarbonat de sodiu

Toți reactivii folosiți sunt chimic puri.

I.4.   ATMOSFERĂ DE CONDIȚIONARE ȘI ÎNCERCARE

Deoarece se determină masa uscată, nu este necesară condiționarea epruvetei sau efectuarea analizelor într-o atmosferă condiționată.

I.5.   EȘANTIONUL DE LABORATOR

Se ia un eșantion de laborator care este reprezentativ pentru eșantionul global de laborator și suficient de mare ca să furnizeze toate epruvetele necesare, de 1 g minimum fiecare.

I.6.   TRATAREA PREALABILĂ A EȘANTIONULUI DE LABORATOR ( 8 )

În cazul în care în amestec este prezentă o substanță care nu trebuie luată în considerare la calcularea procentuală (a se vedea articolul 19), aceasta se îndepărtează în prealabil printr-o metodă care să nu afecteze celelalte componente fibroase.

În acest sens, materialul nefibros care poate fi extras cu eter de petrol și apă este îndepărtat prin tratarea eșantionului de laborator într-un extractor Soxhlet cu eter de petrol timp de o oră, la minimum șase cicluri de extracție pe oră. Se lasă ca eterul de petrol să se evapore din eșantion, care este apoi extras prin tratament direct constând în înmuierea eșantionului de laborator în apă la temperatura camerei timp de o oră, apoi în înmuierea eșantionului în apă la temperatura de 65 ± 5 °C timp de încă o oră, agitând lichidul din când în când. Se folosește un raport lichid/eșantion de laborator de 100:1. Se îndepărtează apa în exces din eșantion prin stoarcere, extragere prin vidare sau centrifugare și apoi se lasă eșantionul să se usuce la aer.

În cazul elastolefinei sau al amestecurilor de fibre care conțin elastolefină și alte fibre [lână, păr de origine animală, mătase, bumbac, in (sau pânză de in), cânepă, iută, abaca, alfa, fibră din coajă de nucă de cocos, sorg, ramie, sisal, cupro, fibre modale, fibre proteinice, viscoză, fibre acrilice, poliamidă sau nailon, poliester și elastomultiester], procedura descrisă anterior se modifică ușor, prin înlocuirea eterului de petrol cu acetona.

În cazul amestecurilor binare de fibre care conțin elastolefină și acetat, se aplică următoarea procedură de tratare prealabilă. Se extrage eșantionul de laborator timp de 10 minute la 80 °C cu o soluție care conține 25 g/l de 50 % acid ortofosforic și 50g/l de uree. Se folosește un raport lichid/eșantion de laborator de 100:1. Se spală eșantionul de laborator în apă, apoi se scurge și se spală într-o soluție de 0,1 % bicarbonat de sodiu, după care se spală cu atenție în apă.

În situația în care materialul nefibros nu poate fi extras cu eter de petrol și apă, el se îndepărtează înlocuind metoda cu apă descrisă anterior cu o altă metodă adecvată, care să nu modifice substanțial niciun constituent fibros. Totuși, pentru unele fibre naturale de origine vegetală nealbite (de exemplu, iuta, fibra de nucă de cocos) trebuie să se țină seama că tratarea prealabilă normală cu eter de petrol și cu apă nu îndepărtează toate substanțele naturale nefibroase. Totuși, nu se aplică o tratare prealabilă suplimentară dacă eșantionul nu conține agenți de finisare insolubili atât în eter de petrol, cât și în apă.

Buletinele de analiză trebuie să includă detalii complete privind metodele de tratare prealabilă folosite.

I.7.   MOD DE LUCRU

I.7.1.   Instrucțiuni generale

I.7.1.1.   Uscarea

Se efectuează toate operațiile de uscare timp de minimum 4 ore și maximum 16 ore, la 105 ± 3 °C, într-o etuvă ventilată, cu ușa etuvei în permanență închisă. Dacă perioada de uscare este mai mică de 14 ore, epruveta trebuie cântărită pentru a se verifica obținerea unei mase constante. Se consideră că masa a devenit constantă dacă, după o perioadă suplimentară de 60 de minute de uscare, variația sa este mai mică de 0,05 %.

Se recomandă să se evite manevrarea creuzetelor filtrante, a flacoanelor de cântărire, a epruvetelor și a reziduurilor cu mâinile neprotejate pe perioada operațiunilor de uscare, răcire și cântărire.

Epruvetele se usucă în flacoane de cântărire, cu capacul flaconului plasat alături. După uscare, se pune dopul la flaconul de cântărire înainte de scoaterea acestuia din etuvă și se transferă repede în exsicator.

Creuzetele filtrante se usucă în flacoane de cântărire, cu capacul flaconului plasat alături. După uscare, se pune dopul la flaconul de cântărire și se transferă rapid în exsicator.

Când se folosesc alte aparate decât creuzetele filtrante, operațiile de uscare în etuvă se efectuează astfel încât să asigure determinarea masei uscate a fibrelor, fără pierderi.

I.7.1.2.   Răcirea

Toate operațiile de răcire se efectuează în exsicator, acesta fiind plasat lângă balanță, până la răcirea completă a flaconului de cântărire și, în orice caz, nu trebuie să dureze mai puțin de două ore.

I.7.1.3.   Cântărirea

După răcire se efectuează cântărirea flaconului de cântărire în interval de două minute de la scoaterea acestuia din exsicator. Cântărirea se efectuează cu o precizie de 0,0002 g.

I.7.2.   Mod de lucru

Se ia din eșantionul de laborator tratat în prealabil o epruvetă cântărind cel puțin 1 g. Se taie firul sau țesătura în lungimi de circa 10 mm, destrămate cât mai mult posibil. Se usucă epruveta în flaconul de cântărire, se răcește în exsicator și apoi se cântărește. Se transferă epruveta în vasul de sticlă menționat în secțiunea corespunzătoare a metodei respective a Uniunii, se recântărește imediat flaconul de cântărire și se obține masa uscată a epruvetei prin diferență. Se finalizează analiza în modul prevăzut în secțiunea corespunzătoare a metodei aplicabile. Se examinează reziduul la microscop pentru a verifica dacă prin tratare s-a îndepărtat complet fibra solubilă.

I.8.   CALCULAREA ȘI EXPRIMAREA REZULTATELOR

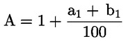
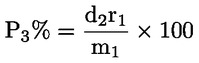
Masa componentei insolubile se exprimă în procente raportate la masa totală de fibră din amestec. Procentul de componentă solubilă se obține prin diferență. Se calculează rezultatul pe baza masei uscate și pure, corectată cu (a) reprizele convenționale și (b) factorii de corecție necesari pentru a lua în calcul pierderea de material în timpul tratării prealabile și al analizei. Calculele se efectuează aplicând formula prezentată la punctul I.8.2.

I.8.1.

Calcularea procentului de component insolubil pe baza masei uscate și pure, fără a lua în considerare pierderea de material fibros în timpul tratării prealabile:

image

unde:

P1%

este procentul componentului insolubil uscat și pur;

m

este masa uscată a epruvetei după tratare prealabilă;

r

este masa uscată a reziduului;

d

este factorul de corecție pentru pierderea de masă a componentului insolubil în reactiv în timpul analizei. Valorile adecvate ale lui „d” sunt prezentate în secțiunile corespunzătoare ale fiecărei metode.

Desigur, aceste valori ale lui „d” sunt valorile normale aplicabile fibrelor nedegradate chimic.

I.8.2.

Calcularea procentului de component insolubil pe baza masei uscate și pure, cu ajustările date de factorii convenționali și, unde este cazul, de factorii de corecție pentru pierderea de greutate în timpul tratării prealabile:

image

unde:

P1A %;

este procentul de component insolubil corectat cu reprizele convenționale stabilite și pierderea de masă în timpul tratării prealabile

P1

este procentul de component insolubil uscat și pur, astfel cum a fost calculat cu formula de la punctul I.8.1;

a1

este repriza convențională pentru componentul insolubil (a se vedea anexa IX);

a2

este repriza convențională pentru componentul solubil (a se vedea anexa IX);

b1

este pierderea procentuală a componentului insolubil cauzată de tratarea prealabilă;

b2

este pierderea procentuală a componentului solubil cauzată de tratarea prealabilă.

Procentajul celui de al doilea component este P2A % = 100 – P1A %.

În cazul în care se folosește o tratare prealabilă specială, valorile b1 și b2 se determină, dacă este posibil, supunând fiecare dintre constituenții fibrei pure tratării prealabile aplicate în cursul analizei. Fibrele pure sunt acelea care nu conțin niciun fel de material nefibros, cu excepția celui conținut în mod normal (fie natural, fie datorită procesului de fabricație), în starea (nealbită, albită) în care se află în materialul supus analizei.

Atunci când nu sunt disponibile fibrele separate și pure folosite în producerea materialului supus analizei, se folosesc valorile medii ale lui b1 și b2, obținute din testele efectuate pe fibre pure, similare celor din amestecul supus examinării.

Dacă se aplică o tratare prealabilă normală prin extracție cu eter de petrol și apă, factorii de corecție b1 și b2 pot fi în general neglijați, cu excepția bumbacului nealbit, a inului nealbit (sau a pânzei de in nealbite) și a cânepei nealbite, unde pierderea datorită tratării prealabile este considerată în mod convențional ca fiind 4 %, și în cazul polipropilenei, 1 %.

În cazul altor fibre, pierderile datorită tratării prealabile nu sunt, prin convenție, luate în calcul.

II.    Metoda analizei cantitative prin separare manuală

II.1.   DOMENIU DE APLICARE

Metoda poate fi folosită pentru fibre textile de toate tipurile, cu condiția ca acestea să nu formeze un amestec intim și să poată fi separate manual.

II.2.   PRINCIPIU

După identificarea componenților textili, materialul nefibros se îndepărtează printr-o tratare prealabilă adecvată și apoi fibrele se separă manual, se usucă și se cântăresc pentru a se calcula proporția fiecărei fibre în amestec.

II.3.   APARATURA

II.3.1.

Flacoane de cântărire sau orice fel de aparatură care furnizează rezultate identice

II.3.2.

Exsicator care conține silicagel autoindicator de umiditate

II.3.3.

Etuvă ventilată pentru uscarea epruvetelor la 105 ± 3 °C

II.3.4.

Balanță analitică cu o precizie de 0,0002 g

II.3.5.

Extractor Soxhlet sau alt aparat capabil să asigure rezultate identice

II.3.6.

Ac

II.3.7.

Torsiometru sau un aparat similar

II.4.   REACTIVI CHIMICI

II.4.1.

Eter de petrol, redistilat, interval de fierbere 40-60 °C

II.4.2.

Apă distilată sau deionizată

II.4.3.

Acetonă

II.4.4.

Acid ortofosforic

II.4.5.

Uree

II.4.6.

Bicarbonat de sodiu

Toți reactivii folosiți sunt chimic puri.

II.5.   ATMOSFERĂ DE CONDIȚIONARE ȘI ÎNCERCARE

A se vedea punctul I.4.

II.6.   EȘANTIONUL DE LABORATOR

A se vedea punctul I.5.

II.7.   TRATAREA PREALABILĂ A EȘANTIONULUI DE LABORATOR

A se vedea punctul I.6.

II.8.   MOD DE LUCRU

II.8.1.   Analiza firelor

Se selectează din eșantionul de laborator tratat prealabil o epruvetă cu masa de minimum 1 g. În cazul firelor foarte fine, analiza poate fi efectuată pe o lungime de minimum 30 m, indiferent de masă.

Se taie firul în bucăți de o lungime corespunzătoare și se separă tipurile de fibre cu ajutorul unui ac sau, dacă este necesar, cu ajutorul unui torsiometru. Tipurile de fibre astfel obținute se plasează în flacoane de cântărire cântărite în prealabil și se usucă la 105 ± 3 °C până la obținerea unei mase constante, conform descrierii de la punctele I.7.1 și I.7.2.

II.8.2.   Analiza țesăturilor

Se prelevă din eșantionul de laborator tratat prealabil o epruvetă fără lizieră, cu masa de minimum 1 g, cu marginile prinse cu grijă pentru a evita destrămarea și paralel cu direcția firelor de urzeală sau de bătătură sau, în cazul tricoturilor, cu direcția șirurilor sau a rândurilor. Se separă diferitele tipuri de fibre, se colectează în flacoane de cântărire cântărite în prealabil și se continuă ca la punctul II.8.1.

II.9.   CALCULAREA ȘI EXPRIMAREA REZULTATELOR

Se exprimă masa fiecărei fibre din amestec în procente din masa totală a amestecului de fibre. Se calculează rezultatul pe baza masei uscate și pure, corectată cu (a) reprizele convenționale și (b) factorii de corecție necesari pentru a lua în calcul pierderea de material în timpul tratării prealabile.

II.9.1.

Calcularea procentului masei de fibre uscate și pure, fără a lua în considerare pierderea de material în timpul tratării prealabile:

image

P1%

este procentul primului component în stare uscată și pură;

m1

este masa uscată și pură a primului component;

m2

este masa uscată și pură a celui de-al doilea component.

II.9.2.

Pentru calcularea procentului fiecărui component corectat cu reprizele convenționale și, după caz, cu factorii de corecție pentru pierderea de masă în timpul tratării prealabile, a se vedea punctul I.8.2.

III.1.   PRECIZIA METODELOR

Precizia indicată în metodele individuale se referă la reproductibilitate.

Reproductibilitatea se referă la fiabilitate, în sensul unor valori experimentale foarte apropiate obținute de laboranții din diferite laboratoare sau în momente diferite, folosind aceeași metodă și obținând rezultate individuale pe epruvete ale unui amestec omogen identic.

Reproductibilitatea se exprimă prin limite de încredere ale rezultatelor la un nivel de încredere de 95 %.

Prin urmare, diferența dintre două rezultate dintr-o serie de analize efectuate în laboratoare diferite, în condițiile aplicării normale și corecte a metodei la un amestec omogen identic, nu va depăși limita de încredere decât în cinci cazuri din 100.

III.2.   BULETINUL DE ANALIZĂ

III.2.1.

Se indică faptul că analiza a fost efectuată în conformitate cu această metodă.

III.2.2.

Se dau detalii cu privire la eventuale tratări prealabile speciale (a se vedea punctul I.6).

III.2.3.

Se comunică rezultatele individuale și media aritmetică, cu o precizie de 0,1 fiecare.

IV.    Metode speciale

▼M2



Tabel sintetic

Metoda

Domeniu de aplicare (1)

Reactivul chimic

Componenta solubilă

Componenta insolubilă

1.

Acetat

Alte fibre menționate

Acetonă

2.

Anumite fibre proteinice

Alte fibre menționate

Hipoclorit

3.

Viscoză, cupro sau anumite tipuri de fibre modale

Alte fibre menționate

Acid formic și clorură de zinc

4.

Poliamidă sau nailon

Alte fibre menționate

Acid formic, 80 % m/m

5.

Acetat

Alte fibre menționate

Alcool benzilic

6.

Triacetat sau polilactidă

Alte fibre menționate

Diclormetan

7.

Anumite fibre celulozice

Alte fibre menționate

Acid sulfuric, 75 % m/m

8.

Fibre acrilice, anumite fibre modacrilice sau anumite clorofibre

Alte fibre menționate

Dimetilformamidă

9.

Anumite clorofibre

Alte fibre menționate

Bisulfură de carbon/acetonă, 55,5/44,5 % v/v

10.

Acetat

Alte fibre menționate

Acid acetic glacial

11.

Mătase, poliamidă sau nailon

Alte fibre menționate

Acid sulfuric, 75 % m/m

12.

Iută

Fibre de origine animală menționate

Metoda conținutului de azot

13.

Polipropilenă

Alte fibre menționate

Xilen

14.

Anumite fibre

Alte fibre menționate

Metoda cu acid sulfuric concentrat

15.

Clorofibre, anumite fibre modacrilice, anumiți elastani, acetați, triacetați

Alte fibre menționate

Ciclohexanonă

16.

Melamină

Alte fibre menționate

Acid formic fierbinte, 90 % m/m

▼M4

17.

Poliester

Alte fibre menționate

Acid tricloracetic și cloroform

(1)   Lista detaliată a fibrelor vizate de fiecare metodă.

▼B

METODA NR. 1

ACETAT ȘI ALTE FIBRE MENȚIONATE

(Metoda cu acetonă)

1.   DOMENIU DE APLICARE

Această metodă se aplică, după îndepărtarea materialelor nefibroase, amestecurilor binare de fibre de:

1. acetat (19)

cu

▼M4

2. lână (1), păr de origine animală (2 și 3), mătase (4), bumbac (5), in (7), cânepă (8), iută (9), abaca (10), alfa (11), cocos (12), drob (13), ramie (14), sisal (15), cupro (21), modal (22), fibre proteinice (23), viscoză (25), fibre acrilice (26), poliamidă sau nailon (30), poliester (35), polipropilenă (37), elastomultiester (45), elastolefină (46), melamină (47), bicomponentă de polipropilenă/poliamidă (49) și poliacrilat (50).

Metoda nu se aplică în niciun caz fibrelor de acetat care au fost dezacetilate la suprafață.

▼B

2.   PRINCIPIU

Fibrele de acetat se dizolvă cu acetonă pornind de la o masă cunoscută a amestecului în stare uscată. Reziduul se colectează, se spală, apoi se usucă și se cântărește; masa acestuia, corectată dacă este necesar, se exprimă ca procent din masa uscată a amestecului de fibre. Procentul de acetat uscat se calculează prin diferență.

3.   APARATURĂ ȘI REACTIVI (suplimentar față de cele menționate în instrucțiunile generale)

3.1.   Aparatura

Vas conic cu dop de sticlă, cu o capacitate de minimum 200 ml

3.2.   Reactiv

Acetonă

4.   MOD DE LUCRU

Se aplică procedura descrisă în instrucțiunile generale și se continuă după cum urmează:

La epruveta aflată într-un vas conic cu dop de sticlă cu o capacitate de minimum 200 ml se adaugă 100 ml de acetonă pentru fiecare gram de epruvetă, se agită vasul, se lasă la temperatura camerei timp de 30 minute, agitând ocazional, și apoi se decantează lichidul printr-un creuzet filtrant cântărit în prealabil.

Se repetă tratamentul de încă două ori (efectuând în total trei extracții), dar pe perioade de numai 15 minute, astfel încât timpul total de tratare în acetonă să fie de o oră. Se transferă reziduul în creuzetul filtrant. Se spală reziduul din creuzetul filtrant cu acetonă și se extrage prin vidare. Se umple creuzetul filtrant din nou cu acetonă și se lasă să se golească prin curgere liberă sub efectul gravității.

În final se videază creuzetul filtrant, se usucă creuzetul cu reziduu, se răcește și se cântărește.

▼M4

5.   CALCULAREA ȘI EXPRIMAREA REZULTATELOR

Se calculează rezultatele conform descrierii din instrucțiunile generale. Valoarea lui „d” este 1,00, cu excepția melaminei și a poliacrilatului, pentru care d = 1,01.

▼B

6.   PRECIZIA

Pentru un amestec omogen de materiale textile, limitele de încredere ale rezultatelor obținute prin această metodă nu sunt mai mari de ± 1 la un nivel de încredere de 95 %.

METODA NR. 2

ANUMITE FIBRE PROTEINICE ȘI ALTE FIBRE MENȚIONATE

(Metoda cu hipoclorit)

1.   DOMENIU DE APLICARE

Această metodă se aplică, după îndepărtarea materialelor nefibroase, amestecurilor binare de fibre de:

1. anumite fibre proteinice, și anume: lână (1), păr de origine animală (2 și 3), mătase (4), proteine (23)

cu

▼M2

2. bumbac (5), cupro (21), viscoză (25), acrilică (26), clorofibre (27), poliamidă sau nailon (30), poliester (35), polipropilenă (37), elastan (43), fibră de sticlă (44), elastomultiester (45), elastolefină (46), melamină (47) și bicomponentă de polipropilenă/poliamidă (49).

Dacă sunt prezente mai multe fibre de tip proteinic, prin această metodă se determină cantitatea totală, dar nu și cantitățile lor individuale.

▼B

2.   PRINCIPIU

Fibra proteinică se dizolvă cu soluție de hipoclorit pornind de la o masă cunoscută a amestecului în stare uscată. Reziduul se colectează, se spală, apoi se usucă și se cântărește; masa acestuia, corectată dacă este necesar, se exprimă ca procent din masa uscată a amestecului de fibre. Procentul de fibră proteinică uscată se calculează prin diferență.

Pentru prepararea soluției de hipoclorit se poate folosi fie hipoclorit de litiu, fie hipoclorit de sodiu.

Hipocloritul de litiu se recomandă în cazurile care presupun un număr mic de analize sau pentru analize efectuate la intervale de timp destul de mari. Aceasta deoarece procentul de hipoclorit din hipocloritul de litiu solid – spre deosebire de hipocloritul de sodiu – este practic constant. Dacă se cunoaște procentul de hipoclorit, conținutul de hipoclorit nu trebuie verificat iodometric pentru fiecare analiză, deoarece se poate utiliza o cantitate cu o greutate constantă de hipoclorit de litiu.

3.   APARATURĂ ȘI REACTIVI (altele decât cele menționate în instrucțiunile generale)

3.1.   Aparatura

(a) Vas Erlenmeyer de 250 ml cu dop de sticlă rodat

(b) Termostat reglabil la 20 ± 2 °C

3.2.   Reactivi chimici

(a)   Reactiv pe bază de hipoclorit

(i)   Soluție de hipoclorit de litiu

Aceasta constă într-o soluție proaspăt preparată conținând 35 ± 2 g/l clor activ (aproximativ 1 M) la care se adaugă o soluție de hidroxid de sodiu cu o concentrație de 5 ± 0,5 g/l preparată anterior. Pentru preparare, se dizolvă 100 grame de hipoclorit de litiu conținând 35 % clor activ (sau 115 grame conținând 30 % clor activ) în aproximativ 700 ml de apă distilată, se adaugă 5 grame de hidroxid de sodiu dizolvate în aproximativ 200 ml apă distilată și se completează până la 1 litru cu apă distilată. Soluția proaspăt preparată nu trebuie verificată iodometric.

(ii)   Soluție de hipoclorit de sodiu

Aceasta constă într-o soluție proaspăt preparată conținând 35 ± 2 g/l clor activ (aproximativ 1 M) la care se adaugă o soluție de hidroxid de sodiu de concentrație 5 ± 0,5 g/l pregătită anterior.

Se controlează conținutul de clor activ al soluției prin iodometrie înaintea fiecărei analize.

(b)   Soluție diluată de acid acetic

Se diluează 5 ml acid acetic glacial cu apă până la un volum total de 1 litru.

4.   MOD DE LUCRU

Se aplică procedura descrisă în instrucțiunile generale și se continuă după cum urmează: se amestecă aproximativ 1 g din epruvetă cu aproximativ 100 ml soluție de hipoclorit (hipoclorit de litiu sau de sodiu) în vasul de 250 ml, se agită bine vasul pentru a uda bine epruveta.

Apoi se încălzește vasul timp de 40 de minute într-un termostat la temperatura de 20 °C, agitând continuu sau cel puțin la intervale regulate. Deoarece dizolvarea lânii decurge exotermic, căldura de reacție a acestei metode trebuie să fie disipată și îndepărtată. În caz contrar, pot rezulta erori considerabile datorită dizolvării incipiente a fibrelor insolubile.

După 40 de minute se filtrează conținutul vasului printr-un creuzet filtrant cântărit în prealabil și se transferă eventualele fibre reziduale în creuzet prin clătirea vasului cu puțin reactiv pe bază de hipoclorit. Se videază creuzetul și se spală reziduul în mod succesiv cu apă, acid acetic diluat și în final cu apă, uscând creuzetul prin vidare după fiecare adaos. Nu se aplică vid înainte de curgerea liberă a fiecărei soluții de spălare.

În final se filtrează creuzetul prin vidare, se usucă creuzetul cu reziduu, se răcește și se cântărește.

5.   CALCULAREA ȘI EXPRIMAREA REZULTATELOR

Se calculează rezultatele conform descrierii din instrucțiunile generale. Valoarea lui „d” este 1,00, cu excepția bumbacului, viscozei, fibrelor modale și melaminei, în cazul cărora d = 1,01, respectiv a bumbacului nealbit, în cazul căruia d = 1,03.

6.   PRECIZIA

Pe un amestec omogen de materiale textile, limitele de încredere ale rezultatelor obținute prin această metodă nu sunt mai mari de ± 1 la un nivel de încredere de 95 %.

METODA NR. 3

▼M2

VISCOZĂ, CUPRO SAU ANUMITE TIPURI DE FIBRE MODALE ȘI ALTE FIBRE MENȚIONATE

(Metoda cu acid formic și clorură de zinc)

▼B

1.   DOMENIU DE APLICARE

Această metodă se aplică, după îndepărtarea materialelor nefibroase, amestecurilor binare de fibre de:

1. viscoză (25) sau cupro (21), inclusiv anumite tipuri de fibre modale (22)

cu

▼M2

2. bumbac (5), polipropilenă (37), elastolefină (46) și melamină (47).

Dacă se constată prezența vreunei fibre modale, trebuie făcută o analiză preliminară pentru a verifica dacă aceasta este solubilă în reactivul chimic.

Metoda nu se aplică amestecurilor în care bumbacul a suferit o degradare chimică importantă și nici în cazurile în care fibrele de viscoză sau cupro au devenit incomplet solubile datorită prezenței anumitor coloranți sau a unor agenți de finisare care nu pot fi îndepărtați complet.

▼B

2.   PRINCIPIU

Viscoza, fibrele de cupro sau de modal se dizolvă cu un reactiv constând în acid formic și clorură de zinc, pornind de la o masă cunoscută a amestecului în stare uscată. Reziduul se colectează, se spală, apoi se usucă și se cântărește; masa acestuia corectată se exprimă ca procent din masa uscată a amestecului de fibre. Procentul fibrelor de viscoză, cupro sau modal uscate se calculează prin diferență.

3.   APARATURĂ ȘI REACTIVI (altele decât cele menționate în instrucțiunile generale)

3.1.   Aparatura

(a) Vas conic cu dop de sticlă, cu o capacitate de minimum 200 ml

(b) Aparatură pentru menținerea vaselor la 40 ± 2 °C

3.2.   Reactivi chimici

(a) Soluție conținând 20 g de clorură de zinc anhidră topită și 68 g de acid formic anhidru, adusă la 100 g cu apă (adică 20 părți în greutate de clorură de zinc anhidră topită la 80 părți în greutate de acid formic 85 % m/m).

Se atrage atenția în această privință asupra punctului I.3.2.2, la care se precizează că toți reactivii folosiți sunt chimic puri; în plus, este esențial să se folosească numai clorură de zinc anhidră topită.

(b) Soluție de hidroxid de amoniu: se diluează 20 ml de soluție concentrată de amoniac (densitate relativă la 20 °C: 0,880) până la 1 litru cu apă.

4.   MOD DE LUCRU

Se aplică procedura descrisă în instrucțiunile generale și se continuă după cum urmează: se plasează imediat epruveta în vasul preîncălzit la 40 °C. Se adaugă câte 100 ml de soluție de acid formic și clorură de zinc, preîncălzită la 40 °C pentru fiecare gram de epruvetă. Se pune dopul și se agită foarte bine vasul. Se menține vasul împreună cu conținutul său la o temperatură constantă de 40 °C timp de două ore și jumătate, agitând vasul o dată pe oră.

Se filtrează conținutul vasului printr-un creuzet filtrant cântărit în prealabil și se transferă eventualele urme de fibre de pe vas în creuzet, cu ajutorul reactivului chimic. Se spală vasul cu 20 ml de reactiv preîncălzit la 40 °C.

Se spală foarte bine creuzetul filtrant și reziduul cu apă la 40 °C. Se clătește reziduul fibros cu aproximativ 100 ml de soluție rece de amoniac [punctul 3.2 litera (b)], asigurându-se imersarea reziduului în amoniac timp de 10 minute ( 9 ), apoi se clătește bine cu apă rece.

Nu se aplică vid înainte de curgerea liberă a fiecărei soluții de spălare.

În final se videază creuzetul filtrant, se usucă creuzetul cu reziduu, se răcește și se cântărește.

▼M2

5.   CALCULAREA ȘI EXPRIMAREA REZULTATELOR

Se calculează rezultatele conform descrierii din instrucțiunile generale. Valoarea lui „d” este 1,00, cu excepția bumbacului, pentru care „d” este 1,02 și a melaminei, pentru care „d” este 1,01.

▼B

6.   PRECIZIA

Pentru un amestec omogen de materiale textile, limitele de încredere ale rezultatelor obținute prin această metodă nu sunt mai mari de ± 2 la un nivel de încredere de 95 %.

METODA NR. 4

POLIAMIDĂ SAU NAILON ȘI ALTE FIBRE MENȚIONATE

(Metoda care folosește acid formic 80 % m/m)

1.   DOMENIU DE APLICARE

Această metodă se aplică, după îndepărtarea materialelor nefibroase, amestecurilor binare de fibre de:

1. poliamidă sau nailon (30)

cu

2. lână (1), păr de origine animală (2 și 3), bumbac (5), cupro (21), fibre de modal (22), viscoză (25), acrilic (26), clorofibre (27), poliester (35), polipropilenă (37), fibră de sticlă (44), elastomultiester (45), elastolefină (46) și melamină (47).

După cum s-a menționat mai sus, această metodă se poate aplica și amestecurilor cu lână, dar, când conținutul de lână depășește 25 %, se aplică metoda nr. 2 (dizolvarea lânii într-o soluție alcalină de hipoclorit de sodiu sau hipoclorit de litiu).

2.   PRINCIPIU

Fibra poliamidică sau de nailon se dizolvă cu acid formic pornind de la o masă cunoscută a amestecului în stare uscată. Reziduul se colectează, se spală, apoi se usucă și se cântărește; masa acestuia, corectată dacă este necesar, se exprimă ca procent din masa uscată a amestecului de fibre. Procentul de poliamidă sau nailon uscat se calculează prin diferență.

3.   APARATURĂ ȘI REACTIVI (altele decât cele menționate în instrucțiunile generale)

3.1.   Aparatura

Vas conic cu dop de sticlă, cu o capacitate de minimum 200 ml

3.2.   Reactivi chimici

(a) Acid formic (80 % m/m, densitate relativă la 20 °C: 1,186). Se diluează 880 ml de acid formic 90 % m/m (densitatea relativă la 20 °C: 1,204) până la 1 litru cu apă. O altă posibilitate este diluarea a 780 ml de acid formic 98-100 % m/m (densitatea relativă la 20 °C: 1,220) până la 1 litru cu apă.

Concentrația nu este critică în intervalul 77-83 % m/m acid formic.

(b) Soluție diluată de amoniac: se diluează 80 ml de soluție concentrată de amoniac (densitate relativă la 20 °C: 0,880) până la 1 litru cu apă.

4.   MOD DE LUCRU

Se aplică procedura descrisă în instrucțiunile generale și se continuă după cum urmează: la epruveta aflată într-un vas conic cu o capacitate de minimum 200 ml se adaugă 100 ml de acid formic pentru fiecare gram de epruvetă. Se pune dopul și se agită vasul pentru a se uda epruveta. Se lasă la temperatura camerei timp de 15 minute, agitând ocazional. Se filtrează conținutul vasului printr-un creuzet filtrant cântărit în prealabil și se transferă eventualele resturi de fibră în creuzet prin spălarea vasului cu puțin reactiv pe bază de acid formic.

Se usucă creuzetul prin vidare și se spală reziduurile de pe filtru succesiv cu reactiv pe bază de acid formic, cu apă fierbinte, cu soluție diluată de amoniac și în final cu apă rece, uscând creuzetul prin vidare după fiecare adăugare. Nu se aplică vid înainte de curgerea liberă a fiecărei soluții de spălare.

În final se videază creuzetul filtrant, se usucă creuzetul cu reziduu, se răcește și se cântărește.

5.   CALCULAREA ȘI EXPRIMAREA REZULTATELOR

Se calculează rezultatele conform descrierii din instrucțiunile generale. Valoarea lui „d” este 1,00, cu excepția melaminei, pentru care d = 1,01.

6.   PRECIZIA

Pentru un amestec omogen de materiale textile, limitele de încredere ale rezultatelor obținute prin această metodă nu sunt mai mari de ± 1 la un nivel de încredere de 95 %.

METODA NR. 5

▼M2

ACETAT ȘI ALTE FIBRE MENȚIONATE

(Metoda cu alcool benzilic)

▼B

1.   DOMENIU DE APLICARE

Această metodă se aplică, după îndepărtarea materialelor nefibroase, amestecurilor binare de fibre de:

1. acetat (19)

cu

▼M4

2. triacetat (24), polipropilenă (37), elastolefină (46), melamină (47), bicomponentă de polipropilenă/poliamidă (49) și poliacrilat (50).

▼B

2.   PRINCIPIU

Fibra de acetat se dizolvă cu alcool benzilic la 52 ± 2 °C pornind de la o masă cunoscută a amestecului în stare uscată.

Reziduul se colectează, se spală, apoi se usucă și se cântărește; masa acestuia se exprimă ca procent din masa uscată a amestecului de fibre. Procentul de acetat uscat se calculează prin diferență.

3.   APARATURĂ ȘI REACTIVI (altele decât cele menționate în instrucțiunile generale)

3.1.   Aparatura

(a) Vas conic cu dop de sticlă, cu o capacitate de minimum 200 ml

(b) Agitator mecanic

(c) Termostat sau alt dispozitiv pentru menținerea vasului la o temperatură de 52 ± 2 °C

3.2.   Reactivi chimici

(a) Alcool benzilic

(b) Etanol

4.   MOD DE LUCRU

Se aplică procedura descrisă în instrucțiunile generale și se continuă după cum urmează:

La epruveta aflată într-un vas conic se adaugă 100 ml de alcool benzilic pentru fiecare gram de epruvetă. Se pune dopul, se fixează vasul în agitator astfel încât să fie imersat în baia de apă menținută la 52 ± 2 °C și se agită vasul timp de 20 minute la această temperatură.

(În loc să se agite mecanic, vasul se poate scutura manual, cu putere.)

Se decantează lichidul printr-un creuzet filtrant cântărit în prealabil. Se adaugă încă o doză de alcool benzilic în vas și se agită ca mai sus la 52 ± 2 °C timp de 20 minute.

Se decantează lichidul printr-un creuzet filtrant. Se repetă ciclul de operații o a treia oară.

În final, se toarnă lichidul și reziduul în creuzetul filtrant; se spală eventualele resturi de fibre rămase în vas cu o cantitate suplimentară de alcool benzilic la 52 ± 2 °C. Se videază bine creuzetul filtrant.

Se transferă fibrele într-un vas, se spală cu etanol și după agitare manuală se decantează prin creuzetul filtrant.

Se repetă această operație de clătire de două-trei ori. Se transferă reziduul în creuzet și se extrage prin vidare. Se usucă creuzetul cu reziduu, se răcește și se cântărește.

5.   CALCULAREA ȘI EXPRIMAREA REZULTATELOR

Se calculează rezultatele conform descrierii din instrucțiunile generale. Valoarea lui „d” este 1,00, cu excepția melaminei, pentru care d = 1,01.

6.   PRECIZIA

Pentru un amestec omogen de materiale textile, limitele de încredere ale rezultatelor obținute prin această metodă nu sunt mai mari de ± 1 la un nivel de încredere de 95 %.

METODA NR. 6

▼M2

TRIACETAȚI SAU POLILACTIDĂ ȘI ALTE FIBRE MENȚIONATE

(Metoda cu diclormetan)

▼B

1.   DOMENIU DE APLICARE

Această metodă se aplică, după îndepărtarea materialelor nefibroase, amestecurilor binare de fibre de:

1. triacetat (24) sau poliactidă (34)

cu

▼M4

2. lână (1), păr de origine animală (2 și 3), mătase (4), bumbac (5), cupro (21), modal (22), viscoză (25), fibre acrilice (26), poliamidă sau nailon (30), poliester (35), polipropilenă (37), fibră de sticlă (44), elastomultiester (45), elastolefină (46), melamină (47), bicomponentă de polipropilenă/poliamidă (49) și poliacrilat (50).

Fibrele de triacetat care în urma finisării au suferit o hidroliză parțială nu mai sunt complet solubile în acest reactiv. În astfel de cazuri, metoda nu se aplică.

▼B

2.   PRINCIPIU

Fibrele de triacetat sau de poliactidă se dizolvă cu diclorometan pornind de la o masă cunoscută a amestecului în stare uscată. Reziduul se colectează, se spală, apoi se usucă și se cântărește; masa acestuia, corectată dacă este necesar, se exprimă ca procent din masa uscată a amestecului de fibre. Procentul de triacetat uscat sau de poliactidă uscată se calculează prin diferență.

3.   APARATURĂ ȘI REACTIVI (altele decât cele menționate în instrucțiunile generale)

3.1.   Aparatura

Vas conic cu dop de sticlă, cu o capacitate de minimum 200 ml

3.2.   Reactiv

Diclormetan

4.   MOD DE LUCRU

Se aplică procedura descrisă în instrucțiunile generale și se continuă după cum urmează:

La epruveta conținută într-un vas conic cu dop de sticlă cu o capacitate de minimum 200 ml se adaugă 100 ml de diclormetan pentru fiecare gram de epruvetă, se pune dopul, se agită vasul pentru a uda epruveta, se lasă la temperatura camerei timp de 30 minute, agitând vasul din zece în zece minute. Se decantează lichidul printr-un creuzet filtrant cântărit în prealabil. Se adaugă 60 ml diclormetan în vasul cu reziduu, se agită manual și se filtrează conținutul vasului prin creuzetul filtrant. Se transferă resturile de fibră rămase în vas spălând vasul cu încă puțin diclormetan. Se usucă prin vidare creuzetul pentru a îndepărta excesul de lichid, se reumple creuzetul filtrant cu diclormetan și se lasă lichidul să curgă liber.

În final, se usucă creuzetul prin vidare pentru îndepărtarea excesului de lichid, apoi se tratează reziduul cu apă fierbinte pentru a elimina tot solventul, se videază, se usucă creuzetul cu reziduu, se răcește și se cântărește.

5.   CALCULAREA ȘI EXPRIMAREA REZULTATELOR

Se calculează rezultatele conform descrierii din instrucțiunile generale. Valoarea lui „d” este 1,00, cu excepția poliesterului, a elastomultiesterului, a elastolefinei și a melaminei, pentru care valoarea lui „d” este 1,01.

6.   PRECIZIA

Pentru un amestec omogen de materiale textile, limitele de încredere ale rezultatelor obținute prin această metodă nu sunt mai mari de ± 1 la un nivel de încredere de 95 %.

METODA NR. 7

▼M2

ANUMITE FIBRE CELULOZICE ȘI ALTE FIBRE MENȚIONATE

(Metoda care folosește acid sulfuric 75 % m/m)

▼B

1.   DOMENIU DE APLICARE

Această metodă se aplică, după îndepărtarea materialelor nefibroase, amestecurilor binare de fibre de:

1. bumbac (5), in (sau pânză de in) (7), cânepă (8), ramie (14), cupro (21), fibre modale (22), viscoză (25)

cu

▼M2

2. poliester (35), polipropilenă (37), elastomultiester (45), elastolefină (46) și bicomponentă de polipropilenă/poliamidă (49).

▼B

2.   PRINCIPIU

Fibra celulozică se dizolvă cu acid sulfuric 75 % m/m pornind de la o masă cunoscută a amestecului în stare uscată. Reziduul se colectează, se spală, apoi se usucă și se cântărește; masa acestuia se exprimă ca procent din masa uscată a amestecului de fibre. Procentul de celuloză uscată se calculează prin diferență.

3.   APARATURĂ ȘI REACTIVI (altele decât cele menționate în instrucțiunile generale)

3.1.   Aparatura

(a) Vas conic cu dop de sticlă, cu o capacitate de minimum 500 ml

(b) Termostat sau alt aparat pentru menținerea vasului la 50 ± 5 °C

3.2.   Reactivi chimici

(a) Acid sulfuric de 75 ± 2 % m/m

Se prepară adăugând cu precauție, în timpul răcirii, 700 ml acid sulfuric (densitate relativă la 20 °C: 1,84) la 350 ml de apă distilată.

După ce soluția s-a răcit la temperatura camerei, se diluează până la 1 litru cu apă.

(b) Soluție diluată de amoniac

Se diluează 80 ml de soluție de amoniac (densitate relativă la 20 °C: 0,880) până la 1 litru cu apă.

4.   MOD DE LUCRU

Se aplică procedura descrisă în instrucțiunile generale și se continuă după cum urmează:

La epruveta aflată într-un vas conic cu dop de sticlă cu o capacitate de minimum 500 ml se adaugă 200 ml de acid sulfuric 75 % m/m pentru fiecare gram de epruvetă, se pune dopul, se agită vasul cu grijă, pentru a uda epruveta.

Se menține vasul la temperatura de 50 ± 5 °C timp de o oră, agitând la intervale regulate de circa 10 minute. Se filtrează la vid conținutul vasului printr-un creuzet filtrant cântărit în prealabil. Se transferă resturile de fibre rămase în vas spălând vasul cu încă puțin acid sulfuric 75 %. Se videază creuzetul pentru a îndepărta excesul de lichid și, pentru a spăla reziduul, se umple creuzetul filtrant din nou cu acid sulfuric. Nu se videază creuzetul înainte de curgerea liberă a acidului.

Se spală reziduul succesiv de mai multe ori cu apă rece, de două ori cu soluție diluată de amoniac și apoi foarte bine cu apă rece, uscând creuzetul de fiecare dată prin vidare. Nu se aplică vid înainte de curgerea liberă a fiecărei soluții de spălare. În final, se extrage lichidul din creuzet prin vidare, se usucă creuzetul cu reziduu, se răcește și se cântărește.

▼M2

5.   CALCULAREA ȘI EXPRIMAREA REZULTATELOR

Se calculează rezultatele conform descrierii din instrucțiunile generale. Valoarea lui „d” este 1,00, cu excepția bicomponentei de polipropilenă/poliamidă, pentru care „d” este 1,01.

▼B

6.   PRECIZIA

Pentru un amestec omogen de materiale textile, limitele de încredere ale rezultatelor obținute prin această metodă nu sunt mai mari de ± 1 la un nivel de încredere de 95 %.

METODA NR. 8

FIBRE ACRILICE, ANUMITE FIBRE MODACRILICE SAU ANUMITE CLOROFIBRE ȘI ALTE FIBRE MENȚIONATE

(Metoda care folosește dimetilformamidă)

1.   DOMENIU DE APLICARE

Această metodă se aplică, după îndepărtarea materialelor nefibroase, amestecurilor binare de fibre de:

1. acrilice (26), anumite fibre modacrilice (29) sau anumite clorofibre (27) ( 10 )

cu

▼M4

2. lână (1), păr de origine animală (2 și 3), mătase (4), bumbac (5), cupro (21), modal (22), viscoză (25), poliamidă sau nailon (30), poliester (35), polipropilenă (37), elastomultiester (45), elastolefină (46), melamină (47), bicomponentă de polipropilenă/poliamidă (49) și poliacrilat (50).

Este în egală măsură aplicabilă la fibrele acrilice și anumite fibre modacrilice, tratate cu coloranți premetalizați, dar nu celor vopsite cu coloranți cromatabili aplicați postvopsire.

▼B

2.   PRINCIPIU

Fibra acrilică, modacrilică sau clorofibra se dizolvă cu dimetilformamidă încălzită la temperatura de fierbere în baie de apă pornind de la o masă cunoscută a amestecului în stare uscată. Reziduul se colectează, se spală, se usucă și se cântărește. Masa acestuia, corectată dacă este necesar, se exprimă ca procent din masa uscată a amestecului de fibre. Procentul de fibră acrilică, modacrilică sau clorofibră uscată se calculează prin diferență.

3.   APARATURĂ ȘI REACTIVI (altele decât cele menționate în instrucțiunile generale)

3.1.   Aparatura

(a) Vas conic cu dop de sticlă, cu o capacitate de minimum 200 ml

(b) Baie de apă la temperatura de fierbere

3.2.   Reactiv

Dimetilformamidă (temperatura de fierbere 153 ± 1 °C) care să nu conțină mai mult de 0,1 % apă

Reactivul este toxic și de aceea se recomandă folosirea unei nișe de laborator.

4.   MOD DE LUCRU

Se aplică procedura descrisă în instrucțiunile generale și se continuă după cum urmează:

La epruveta conținută într-un vas conic cu dop de sticlă cu o capacitate de minimum 200 ml se adaugă pentru fiecare gram de epruvetă câte 80 ml de dimetilformamidă încălzită în prealabil la temperatura de fierbere pe baie de apă, se pune dopul, se agită vasul pentru a uda epruveta și se încălzește în baia de apă la temperatura de fierbere timp de o oră. În această perioadă se agită ușor vasul cu conținutul său, manual, de cinci ori.

Se decantează lichidul printr-un creuzet filtrant cântărit în prealabil, reținând fibrele în vas. Se mai adaugă 60 ml dimetilformamidă în vas și se încălzește încă 30 minute, agitând ușor vasul cu conținutul său, manual, de două ori în această perioadă.

Se filtrează conținutul vasului în vid, prin creuzetul filtrant.

Se transferă în creuzet eventualele urme de fibră rămase, spălând vasul cu dimetilformamidă. Se usucă creuzetul prin vidare. Se spală reziduul cu circa 1 litru de apă fierbinte la 70-80 °C, umplând de fiecare dată creuzetul filtrant.

După fiecare adăugare de apă, se videază pentru o perioadă scurtă de timp, dar nu înainte de evacuarea apei prin curgere liberă. Dacă lichidul de spălare se scurge prea încet prin creuzetul filtrant, se poate aplica o ușoară extracție prin vidare.

În final, se usucă creuzetul cu reziduu, se răcește și se cântărește.

▼M4

5.   CALCULAREA ȘI EXPRIMAREA REZULTATELOR

Se calculează rezultatele conform descrierii din instrucțiunile generale. Valoarea lui „d” este 1,00, cu excepția următoarelor cazuri: lână, bumbac, cupro, modal, poliester, elastomultiester, melamină și poliacrilat, pentru care valoarea lui „d” este 1,01.

▼B

6.   PRECIZIA

Pentru un amestec omogen de materiale textile, limitele de încredere ale rezultatelor obținute prin această metodă nu sunt mai mari de ± 1 la un nivel de încredere de 95 %.

METODA NR. 9

ANUMITE CLOROFIBRE ȘI ALTE FIBRE MENȚIONATE

(Metoda care folosește amestec de sulfură de carbon cu acetonă 55,5/44,5 % v/v)

1.   DOMENIU DE APLICARE

Această metodă se aplică, după îndepărtarea materialelor nefibroase, amestecurilor binare de fibre de:

1. anumite clorofibre (27), și anume anumite fibre de policlorură de vinil, indiferent dacă au fost postclorurate sau nu ( 11 )

cu

▼M4

2. lână (1), păr de origine animală (2 și 3), mătase (4), bumbac (5), cupro (21), modal (22), viscoză (25), fibre acrilice (26), poliamidă sau nailon (30), poliester (35), polipropilenă (37), fibră de sticlă (44), elastomultiester (45), melamină (47), bicomponentă de polipropilenă/poliamidă (49) și poliacrilat (50).

Când conținutul de lână sau mătase din amestec depășește 25 %, se aplică metoda nr. 2.

În cazul în care conținutul de poliamidă sau nailon din amestec depășește 25 %, se aplică metoda nr. 4.

▼B

2.   PRINCIPIU

Clorofibra se dizolvă cu un amestec azeotrop de sulfură de carbon și acetonă pornind de la o masă cunoscută a amestecului în stare uscată. Reziduul se colectează, se spală, apoi se usucă și se cântărește; masa acestuia, corectată dacă este necesar, se exprimă ca procent din masa uscată a amestecului de fibre. Procentul de policlorură de vinil uscată se calculează prin diferență.

3.   APARATURĂ ȘI REACTIVI (altele decât cele menționate în instrucțiunile generale)

3.1.   Aparatura

(a) Vas conic cu dop de sticlă, cu o capacitate de minimum 200 ml

(b) Agitator mecanic

3.2.   Reactivi chimici

(a) Amestec azeotrop de sulfură de carbon și acetonă (55,5 % în volume sulfură de carbon și 44,5 % acetonă). Deoarece reactivul este toxic, se recomandă folosirea nișei de laborator

(b) Etanol (92 % în volume) sau metanol

4.   MOD DE LUCRU

Se aplică procedura descrisă în instrucțiunile generale și se continuă după cum urmează:

Epruvetei conținute într-un vas conic cu dop de sticlă cu o capacitate de minimum 200 ml i se adaugă 100 ml de amestec azeotrop pentru fiecare gram de epruvetă. Se etanșează foarte bine vasul și se agită cu un agitator mecanic sau se agită manual, cu putere, timp de 20 minute la temperatura camerei.

Se decantează lichidul supernatant printr-un creuzet filtrant cântărit în prealabil.

Se repetă tratamentul cu încă 100 ml de reactiv proaspăt. Se continuă acest ciclu de operații până când nu se mai depune reziduu de polimer pe sticla de ceas atunci când se evaporă o picătură de solvent de extracție. Se transferă reziduul în creuzetul filtrant, folosind mai mult reactiv, se aplică vid pentru a îndepărta excesul de lichid și se clătește creuzetul cu reziduu cu 20 ml alcool și apoi de trei ori cu apă. Se așteaptă ca lichidul de spălare să se evacueze prin curgere liberă înainte de a începe uscarea prin vidare. Se usucă creuzetul cu reziduu, se răcește și se cântărește.

La anumite amestecuri cu un conținut ridicat de clorofibră, se poate constata o contracție semnificativă a dimensiunilor epruvetei în timpul procesului de uscare, ceea ce duce la întârzierea dizolvării clorofibrei de către solvent.

Aceasta nu afectează, totuși, dizolvarea finală a clorofibrei în solvent.

▼M4

5.   CALCULAREA ȘI EXPRIMAREA REZULTATELOR

Se calculează rezultatele conform descrierii din instrucțiunile generale. Valoarea lui „d” este 1,00, cu excepția melaminei și a poliacrilatului, pentru care d = 1,01.

▼B

6.   PRECIZIA

Pe un amestec omogen de materiale textile, limitele de încredere ale rezultatelor obținute prin această metodă nu sunt mai mari de ± 1 la un nivel de încredere de 95 %.

METODA NR. 10

▼M2

ACETAT ȘI ALTE FIBRE MENȚIONATE

(Metoda care folosește acid acetic glacial)

▼B

1.   DOMENIU DE APLICARE

Această metodă se aplică, după îndepărtarea materialelor nefibroase, amestecurilor binare de fibre de:

1. acetat (19)

cu

▼M2

2. anumite clorofibre (27), și anume fibre de policlorură de vinil, indiferent dacă au fost post-clorurate sau nu, polipropilenă (37), elastolefină (46), melamină (47) și bicomponentă de polipropilenă/poliamidă (49).

▼B

2.   PRINCIPIU

Fibra de acetat se dizolvă cu acid acetic glacial pornind de la o masă cunoscută a amestecului în stare uscată. Reziduul se colectează, se spală, apoi se usucă și se cântărește; masa acestuia, corectată dacă este necesar, se exprimă ca procent din masa uscată a amestecului de fibre. Procentul de acetat uscat se calculează prin diferență.

3.   APARATURĂ ȘI REACTIVI (altele decât cele menționate în instrucțiunile generale)

3.1.   Aparatura

(a) Vas conic cu dop de sticlă, cu o capacitate de minimum 200 ml

(b) Agitator mecanic

3.2.   Reactiv

Acid acetic glacial (peste 99 %). Acest reactiv trebuie manipulat cu precauție, fiind foarte caustic.

4.   MOD DE LUCRU

Se aplică procedura descrisă în instrucțiunile generale și se continuă după cum urmează:

Epruvetei conținute într-un vas conic cu dop de sticlă cu o capacitate de minimum 200 ml i se adaugă 100 ml de acid acetic glacial pentru fiecare gram de epruvetă. Se etanșează foarte bine vasul și se agită cu un agitator mecanic sau se agită manual, cu putere, timp de 20 minute la temperatura camerei. Se decantează lichidul supernatant printr-un creuzet filtrant cântărit în prealabil. Se repetă tratamentul cu câte 100 ml reactiv proaspăt, de încă două ori, făcând în total trei extracții.

Se transferă reziduul în creuzetul filtrant, se usucă prin vidare pentru a îndepărta excesul de lichid și se spală creuzetul și reziduul cu 50 ml acid acetic glacial și apoi de trei ori cu apă. După fiecare clătire, se lasă ca lichidul de spălare să se evacueze prin curgere liberă înainte de extracția prin vidare. Se usucă creuzetul cu reziduu, se răcește și se cântărește.

5.   CALCULAREA ȘI EXPRIMAREA REZULTATELOR

Se calculează rezultatele conform descrierii din instrucțiunile generale. Valoarea lui „d” este 1,00.

6.   PRECIZIA

Pe un amestec omogen de materiale textile, limitele de încredere ale rezultatelor obținute prin această metodă nu sunt mai mari de ± 1 la un nivel de încredere de 95 %.

METODA NR. 11

▼M2

MĂTASE SAU POLIAMIDĂ ȘI ALTE FIBRE MENȚIONATE

(Metoda care folosește acid sulfuric 75 % m/m)

1.   DOMENIUL DE APLICARE

Această metodă se aplică, după îndepărtarea materialelor nefibroase, amestecurilor binare de:

1. mătase (4) sau poliamidă sau nailon (30)

cu

2. lână (1), păr de origine animală (2 și 3), polipropilenă (37), elastolefină (46), melamină (47) și bicomponentă de polipropilenă/poliamidă (49).

2.   PRINCIPIU

Mătasea sau poliamida sau fibra de nailon se dizolvă în acid sulfuric 75 % m/m pornind de la o masă cunoscută a amestecului în stare uscată ( 12 ).

Reziduul se colectează, se spală, se usucă și se cântărește. Masa acestuia, corectată dacă este necesar, se exprimă ca procent din masa uscată a amestecului de fibre. Procentul de mătase sau poliamidă sau nailon uscat se calculează prin diferență.

▼B

3.   APARATURĂ ȘI REACTIVI (altele decât cele menționate în instrucțiunile generale)

3.1.   Aparatura

Vas conic cu dop de sticlă, cu o capacitate de minimum 200 ml

3.2.   Reactivi chimici

(a) Acid sulfuric (75 ± 2 % m/m)

Se prepară prin adăugarea cu precauție, în timpul răcirii, a 700 ml de acid sulfuric (densitatea relativă la 20 °C: 1,84) la 350 ml de apă distilată.

După ce soluția s-a răcit la temperatura camerei, se diluează până la 1 litru cu apă.

(b) Soluție diluată de acid sulfuric: se adaugă lent 100 ml de acid sulfuric (densitate relativă la 20 °C: 1,84) la 1 900 ml de apă distilată.

(c) Soluție diluată de amoniac: se diluează 200 ml de amoniac concentrat (densitate relativă la 20 °C: 0,880) până la 1 litru cu apă.

▼M2

4.   MOD DE LUCRU

Se urmează procedura descrisă în instrucțiunile generale și se continuă după cum urmează:

La epruveta conținută într-un vas conic cu dop de sticlă cu o capacitate de minimum 200 ml, se adaugă 100 ml de acid sulfuric 75 % m/m pentru fiecare gram de epruvetă și se pune dopul. Se agită viguros vasul și se ține la temperatura camerei timp de 30 minute. Se agită din nou și apoi se lasă în repaus timp de 30 minute. Se agită pentru ultima dată și se filtrează conținutul vasului prin creuzetul filtrant cântărit în prealabil. Se spală resturile de fibre din vas cu 75 % reactiv pe bază de acid sulfuric. Se spală reziduul din creuzet succesiv cu 50 ml de reactiv pe bază de acid sulfuric diluat, 50 ml apă și 50 ml soluție diluată de amoniac. De fiecare dată, se lasă fibrele să stea în contact cu lichidul câte cca. 10 minute înainte de filtrarea în vid. În final se clătește cu apă, lăsând fibrele în contact cu apa timp de 30 minute. Se scurge creuzetul prin vidare, se usucă creuzetul și reziduul, se răcește și se cântărește.

În cazul amestecurilor binare de poliamidă cu bicomponentă de polipropilenă/poliamidă, după filtrarea fibrelor printr-un creuzet filtrant cântărit în prealabil și înainte de aplicarea procedurii de spălare descrise, se spală de două ori reziduul din creuzetul filtrant, de fiecare dată cu 50 de ml de reactiv pe bază de acid sulfuric 75 %.

5.   CALCULAREA ȘI EXPRIMAREA REZULTATELOR

Se calculează rezultatele conform descrierii din instrucțiunile generale. Valoarea lui „d” este 1,00, cu excepția lânei, pentru care „d” este 0,985, a bicomponentei de polipropilenă/poliamidă, pentru care „d” este 1,005 și a melaminei, pentru care „d” este 1,01.

6.   PRECIZIA

Pe un amestec omogen de materiale textile, limitele de încredere ale rezultatelor obținute prin această metodă nu sunt mai mari de ± 1 la un nivel de încredere de 95 %, cu excepția amestecurilor binare de poliamidă cu bicomponentă de polipropilenă/poliamidă, pentru care limitele de încredere ale rezultatelor obținute prin această metodă nu sunt mai mari de ± 2.

▼B

METODA NR. 12

IUTA ȘI ANUMITE FIBRE DE ORIGINE ANIMALĂ

(Metoda prin determinarea conținutului de azot)

1.   DOMENIU DE APLICARE

Această metodă se aplică, după îndepărtarea materialelor nefibroase, amestecurilor binare de fibre de:

1. iută (9)

cu

2. anumite fibre de origine animală.

Componentul de fibră de origine animală poate consta doar în păr (2 și 3) sau lână (1) sau în orice amestec al celor două. Această metodă nu se aplică amestecurilor textile care conțin materiale nefibroase (coloranți, agenți de finisare etc.) pe bază de azot.

2.   PRINCIPIU

Se determină conținutul de azot al amestecului, iar din acesta și din conținutul cunoscut sau presupus al cei doi componenți se calculează proporția fiecărui component.

3.   APARATURĂ ȘI REACTIVI (altele decât cele menționate în instrucțiunile generale)

3.1.   Aparatura

(a) Balon de descompunere Kjeldahl, cu o capacitate de 200-300 ml

(b) Aparat de distilare Kjeldahl cu injecție de vapori de apă

(c) Aparat de titrare cu precizie de 0,05 ml

3.2.   Reactivi chimici

(a) Toluen

(b) Metanol

(c) Acid sulfuric cu densitatea relativă la 20 °C: 1,84 ( 13 )

(d) Sulfat de potasiu (13) 

(e) Dioxid de seleniu (13) 

(f) Soluție de hidroxid de sodiu (400 g/litru). Se dizolvă 400 g de hidroxid de sodiu în 400-500 ml apă și se diluează până la 1 litru cu apă

(g) Indicator mixt. Se dizolvă 0,1 g roșu de metil în 95 ml etanol și 5 ml apă și se amestecă cu 0,5 g verde de bromocrezol dizolvat în 475 ml etanol și 25 ml apă

(h) Soluție de acid boric. Se dizolvă 20 g acid boric în 1 litru de apă

(i) Acid sulfuric, 0,02 N (soluție volumetrică standard)

4.   TRATAREA PREALABILĂ A EȘANTIONULUI

Tratarea prealabilă descrisă în instrucțiunile generale se înlocuiește cu următoarea procedură:

Se extrage eșantionul de laborator uscat la aer într-un extractor Soxhlet cu un amestec de 1 volum de toluen și 3 volume de metanol, timp de patru ore la o viteză de minimum 5 cicluri pe oră. Se lasă să se evapore solventul de pe eșantion la aer și se îndepărtează ultimele urme într-o etuvă la 105 ± 3 °C. Se extrage apoi eșantionul în apă (50 ml la gram de eșantion) prin fierbere la reflux timp de 30 de minute. Se filtrează, se introduce eșantionul din nou în balon și se repetă extracția cu un volum identic de apă. Se filtrează, se îndepărtează excesul de apă din eșantion prin stoarcere, extracție prin vidare sau centrifugare, apoi se lasă eșantionul să se usuce la aer.

Sunt luate în considerare efectele toxice ale toluenului și metanolului; la folosirea lor se iau toate măsurile de protecție a muncii.

5.   MOD DE LUCRU

5.1.   Instrucțiuni generale

Se aplică procedura descrisă în instrucțiunile generale cu privire la selectarea, uscarea și cântărirea epruvetei.

5.2.   Mod de lucru detaliat

Se transferă epruveta într-un balon de descompunere Kjeldahl. La epruveta care trebuie să cântărească cel puțin 1 g, aflată în balon, se adaugă în ordinea următoare: 2,5 g sulfat de potasiu, 0,1-0,2 g dioxid de seleniu și 10 ml acid sulfuric (densitate relativă la 20 °C: 1,84). Se încălzește balonul, mai întâi ușor, până când toată fibra este distrusă, apoi se încălzește mai puternic până când soluția devine limpede și aproape incoloră. Se încălzește încă 15 minute. Se lasă balonul să se răcească, se diluează conținutul cu grijă cu 10-20 ml apă, se răcește, se transferă conținutul cantitativ într-un balon cotat de 200 ml și se aduce la semn cu apă pentru a se obține soluția de descompunere. Într-un pahar conic de 100 ml se introduc circa 20 ml soluție de acid boric și se așează paharul sub condensorul aparatului de distilare Kjeldahl, astfel încât tubul de colectare al condensorului să fie imersat chiar sub suprafața soluției de acid boric. Se transferă exact 10 ml soluție de descompunere în balonul de distilare, se adaugă minimum 5 ml soluție de hidroxid de sodiu în pâlnia de picurare, se ridică ușor dopul pâlniei și se lasă să curgă ușor soluția de hidroxid de sodiu în balon. Dacă soluția de hidroxid de sodiu și soluția de descompunere rămân ca două straturi separate, se agită ușor pentru amestecarea lor. Se încălzește ușor balonul de distilare și se trece abur din generator. Se colectează circa 20 ml de distilat, se coboară vasul conic astfel încât capătul tubului de colectare al condensorului să ajungă la circa 20 milimetri deasupra lichidului și se mai distilează încă un minut. Se clătește capătul tubului de colectare al condensorului cu apă, colectând apele de spălare în vasul conic. Se îndepărtează vasul conic și se înlocuiește cu un alt vas conic care conține aproximativ 10 ml soluție de acid boric și se colectează circa 10 ml distilat.

Se titrează cele două distilate separat cu acid sulfuric 0,02 N, folosind indicatorul mixt. Se înregistrează titrul total al celor două distilate. Dacă titrul celui de-al doilea distilat este mai mare de 0,2 ml, se repetă analiza și se începe din nou distilarea, folosind o nouă cantitate de soluție de descompunere.

Se efectuează o determinare oarbă, adică se descompune și se distilează folosindu-se numai reactiv.

6.   CALCULAREA ȘI EXPRIMAREA REZULTATELOR

6.1. Se calculează procentual conținutul de azot din epruveta uscată după cum urmează:

image

unde:

A

=

procentul de azot în epruveta pură și uscată;

V

=

volumul total în ml al soluției standard de acid sulfuric, folosită în determinare;

b

=

volumul total în ml al soluției standard de acid sulfuric, folosită la proba oarbă;

N

=

normalitatea soluției standard de acid sulfuric;

W

=

masa uscată (g) a epruvetei.

6.2. Utilizând valori de 0,22 % pentru conținutul de azot al iutei și 16,2 % pentru conținutul de azot al fibrei de origine animală, ambele procente fiind exprimate față de masa uscată a fibrei, compoziția amestecului se calculează după cum urmează:

image

unde:

PA%

=

procentul de fibră de origine animală în epruveta curată și uscată.

7.   PRECIZIA

Pentru un amestec omogen de materiale textile, limitele de încredere ale rezultatelor obținute prin această metodă nu sunt mai mari de ± 1 la un nivel de încredere de 95 %.

METODA NR. 13

FIBRE DE POLIPROPILENĂ ȘI ALTE FIBRE MENȚIONATE

(Metoda cu xilen)

1.   DOMENIU DE APLICARE

Această metodă se aplică, după îndepărtarea materialelor nefibroase, amestecurilor binare de fibre de:

1. fibre de polipropilenă (37)

cu

▼M4

2. lână (1), păr de origine animală (2 și 3), mătase (4), bumbac (5), acetat (19), cupro (21), modal (22), triacetat (24), viscoză (25), fibre acrilice (26), poliamidă sau nailon (30), poliester (35), fibră de sticlă (44), elastomultiester (45), melamină (47) și poliacrilat (50).

▼B

2.   PRINCIPIU

Fibra de polipropilenă se dizolvă cu xilen la fierbere pornind de la o masă cunoscută a amestecului în stare uscată. Reziduul se colectează, se spală, apoi se usucă și se cântărește; masa acestuia, corectată dacă este necesar, se exprimă ca procent din masa uscată a amestecului de fibre. Procentul de polipropilenă uscată se calculează prin diferență.

3.   APARATURĂ ȘI REACTIVI (altele decât cele menționate în instrucțiunile generale)

3.1.   Aparatura

(a) Vas conic cu dop de sticlă, cu o capacitate de minimum 200 ml

(b) Condensator cu reflux (adecvat pentru lichide cu punct de fierbere ridicat) atașabil la vasul conic (a)

(c) Manta de încălzire la punctul de fierbere al xilenului

3.2.   Reactiv

Xilen cu intervalul de distilare 137-142 °C

Xilenul este foarte inflamabil și emană vapori toxici. La utilizarea sa trebuie luate măsurile de protecție corespunzătoare.

4.   MOD DE LUCRU

Se urmează procedura descrisă în instrucțiunile generale și se continuă după cum urmează:

La epruveta conținută în vasul conic [punctul 3.1 litera (a)] se adaugă 100 ml xilen (punctul 3.2) pentru un 1 gram de epruvetă. Se atașează condensatorul cu reflux [punctul 3.1 litera (b)], se aduce conținutul la fierbere și se menține la punctul de fierbere timp de trei minute.

Se decantează imediat lichidul fierbinte printr-un creuzet filtrant cântărit în prealabil (a se vedea nota 1). Se repetă acest tratament de încă două ori, folosindu-se de fiecare dată o cantitate de 50 ml de solvent proaspăt.

Se spală reziduul rămas în vas succesiv cu 30 ml xilen la fierbere (de două ori), apoi cu 75 ml eter de petrol (punctul I.3.2.1 din instrucțiunile generale) (de două ori). După cea de-a doua spălare cu eter de petrol, se filtrează conținutul vasului în creuzetul filtrant, se transferă eventualele fibre reziduale prin clătirea vasului cu puțin eter de petrol și se lasă solventul să se evapore. Se usucă creuzetul cu reziduu, se răcește și se cântărește.

1. Creuzetul filtrant prin care urmează să se decanteze xilenul trebuie încălzit în prealabil.

2. După tratamentul cu xilen la fierbere, se asigură răcirea suficientă a vasului care conține reziduul înainte de a introduce eterul de petrol.

3. Pentru a reduce pericolele de incendiu și toxicitate la care este expus laborantul, se poate folosi un aparat de extracție la cald care duce la aceleași rezultate în urma aplicării procedurilor adecvate ( 14 ).

▼M4

5.   CALCULAREA ȘI EXPRIMAREA REZULTATELOR

Se calculează rezultatele conform descrierii din instrucțiunile generale. Valoarea lui „d” este 1,00, cu excepția melaminei și a poliacrilatului, pentru care d = 1,01.

▼B

6.   PRECIZIA

Pentru un amestec omogen de materiale textile, limitele de încredere ale rezultatelor obținute prin această metodă nu sunt mai mari de ± 1 la un nivel de încredere de 95 %.

METODA NR. 14

▼M2

ANUMITE FIBRE ȘI ALTE FIBRE MENȚIONATE

(Metoda care folosește acid sulfuric concentrat)

▼B

1.   DOMENIU DE APLICARE

Această metodă se aplică, după îndepărtarea materialelor nefibroase, amestecurilor binare de fibre de:

1. bumbac (5), acetat (19), cupro (21), fibre modale (22), triacetat (24), viscoză (25), anumite fibre acrilice (26), anumite fibre modacrilice (29), poliamidă sau nailon (30), poliester (35) și elastomultiester (45)

cu

▼M2

2. clorofibre (27) pe bază de homopolimeri de clorură de vinil, indiferent dacă au fost post-clorurate sau nu, polipropilenă (37), elastolefină (46), melamină (47) și bicomponentă de polipropilenă/poliamidă (49).

Fibrele modacrilice în cauză sunt cele care dau o soluție limpede când sunt introduse în acid sulfuric concentrat (densitate relativă 1,84 la 20 °C).

Această metodă poate înlocui metodele nr. 8 și 9.

2.   PRINCIPIU

Constituentul, altul decât clorofibra, polipropilena, elastolefina, melamina sau bicomponenta de polipropilenă/poliamidă (adică fibrele menționate la punctul 1.1) se dizolvă cu acid sulfuric concentrat (densitate relativă 1,84 la 20 °C), pornind de la o masă cunoscută a amestecului în stare uscată. Reziduul constând în clorofibră, polipropilenă, elastolefină, melamină sau bicomponentă de polipropilenă/poliamidă se colectează, se spală, se usucă și se cântărește; masa acestuia, corectată dacă este necesar, se exprimă ca procent din masa uscată a amestecului de fibre. Procentul celui de al doilea constituent se calculează prin diferență.

▼B

3.   APARATURĂ ȘI REACTIVI (altele decât cele menționate în instrucțiunile generale)

3.1.   Aparatura

(a) Vas conic cu dop de sticlă, cu o capacitate de minimum 200 ml

(b) Baghetă de sticlă cu capătul plat

3.2.   Reactivi chimici

(a) Acid sulfuric concentrat (densitate relativă la 20 °C: 1,84)

(b) Acid sulfuric, aproximativ 50 % (m/m) soluție apoasă

Se prepară adăugând cu precauție, în timpul răcirii, 400 ml acid sulfuric (densitate relativă la 20 °C: 1,84) la 500 ml apă distilată sau deionizată. După ce soluția s-a răcit la temperatura camerei, se diluează până la 1 litru cu apă.

(c) Soluție diluată de amoniac

Se diluează o soluție de 60 ml amoniac concentrat (densitate relativă la 20 °C: 0,880) cu apă distilată până la 1 litru.

4.   MOD DE LUCRU

Se urmează procedura descrisă în instrucțiunile generale și se continuă după cum urmează:

La epruveta aflată în vas [punctul 3.1 litera (a)] se adaugă 100 ml de acid sulfuric [punctul 3.2 litera (a)] pentru fiecare gram de epruvetă.

Se menține vasul la temperatura camerei timp de 10 minute, agitând ocazional epruveta cu bagheta de sticlă. Dacă se tratează un material țesut sau tricotat, se freacă materialul între baghetă și peretele vasului exercitând o ușoară presiune pentru a separa materialul dizolvat de acidul sulfuric.

Se decantează lichidul printr-un creuzet filtrant cântărit în prealabil. Se adaugă în vas o nouă cantitate de 100 ml de acid sulfuric [punctul 3.2 litera (a)] și se repetă aceeași operație. Se transferă conținutul vasului în creuzetul filtrant, apoi se transferă reziduul fibros în creuzetul filtrant cu ajutorul baghetei de sticlă. Dacă este necesar, se adaugă puțin acid sulfuric concentrat în vas [punctul 3.2 litera (a)] pentru a îndepărta resturile de fibre care aderă la pereți. Se videază creuzetul filtrant; se îndepărtează filtratul golind sau schimbând vasul de filtrare, se spală reziduul din creuzet succesiv cu soluție de acid sulfuric 50 % [punctul 3.2 litera (b)], apă distilată sau deionizată (punctul I.3.2.3 din instrucțiunile generale), soluție de amoniac [punctul 3.2 litera (c)] și în final se spală foarte bine cu apă distilată sau deionizată și se usucă creuzetul filtrant prin vidare după fiecare adăugare. (Nu se videază în timpul operației de spălare înainte de curgerea liberă a lichidului.) Se usucă creuzetul cu reziduu, se răcește și se cântărește.

▼M2

5.   CALCULAREA ȘI EXPRIMAREA REZULTATELOR

Se calculează rezultatele conform descrierii din instrucțiunile generale. Valoarea lui „d” este 1,00, cu excepția melaminei și a bicomponentei de polipropilenă/poliamidă, pentru care „d” este 1,01.

▼B

6.   PRECIZIA

Pentru un amestec omogen de materiale textile, limitele de încredere ale rezultatelor obținute prin această metodă nu sunt mai mari de ± 1 la un nivel de încredere de 95 %.

METODA NR. 15

CLOROFIBRE, ANUMITE MODACRILICE, ANUMIȚI ELASTANI, ACETAȚI, TRIACETAȚI ȘI ALTE FIBRE MENȚIONATE

(Metoda cu ciclohexanonă)

1.   DOMENIU DE APLICARE

Această metodă se aplică, după îndepărtarea materialelor nefibroase, amestecurilor binare de fibre de:

1. acetat (19), triacetat (24), clorofibre (27), anumite fibre modacrilice (29), anumiți elastani (43)

cu

▼M4

2. lână (1), păr de origine animală (2 și 3), mătase (4), bumbac (5), cupro (21), modal (22), viscoză (25), fibre acrilice (26), poliamidă sau nailon (30), fibră de sticlă (44), melamină (47) și poliacrilat (50).

În cazul în care sunt prezente fibre modacrilice sau elastani, trebuie mai întâi efectuată o analiză preliminară pentru a determina dacă fibra este complet solubilă în reactiv.

Amestecurile conținând clorofibre pot, de asemenea, fi analizate utilizând metoda nr. 9 sau metoda nr. 14.

▼B

2.   PRINCIPIU

Fibrele acetat și triacetat, clorofibrele, anumite fibre modacrilice și anumiți elastani se dizolvă cu ciclohexanonă la o temperatură apropiată de punctul de fierbere pornind de la o masă cunoscută în stare uscată. Reziduul se colectează, se spală, apoi se usucă și se cântărește; masa acestuia, corectată dacă este necesar, se exprimă ca procent din masa uscată a amestecului de fibre. Procentul de clorofibre, fibre modacrilice, elastan, acetat și triacetat se calculează prin diferență.

3.   APARATURĂ ȘI REACTIVI (altele decât cele menționate în instrucțiunile generale)

3.1.   Aparatura

(a) Aparat pentru extracție la cald adecvat pentru utilizarea în modul de lucru de la punctul 4 [a se vedea figura: aceasta reprezintă o variantă a aparatului descris în Melliand Textilberichte 56 (1975) p. 643-645]

(b) Creuzet filtrant pentru epruvetă

(c) Diafragmă poroasă (grad de porozitate 1)

(d) Condensator cu reflux adaptabil la balonul de distilare

(e) Dispozitiv pentru încălzire

3.2.   Reactivi chimici

(a) Ciclohexanonă, având punctul de fierbere la 156 °C

(b) Alcool etilic, 50 % în volume

Ciclohexanona este inflamabilă și toxică. La utilizarea sa trebuie luate măsurile de protecție corespunzătoare.

4.   MOD DE LUCRU

Se urmează procedura descrisă în instrucțiunile generale și se continuă după cum urmează:

Se toarnă în balonul de distilare 100 ml de ciclohexanonă pentru fiecare gram de epruvetă, se atașează vasul de extracție în care a fost în prealabil așezat în poziție ușor înclinată creuzetul filtrant cu epruveta și diafragma poroasă. Se atașează condensatorul cu reflux. Se aduce la fierbere și se continuă extracția timp de 60 minute la o viteză minimă de 12 cicluri pe oră.

După extracție și răcire, se îndepărtează vasul de extracție, se scoate creuzetul filtrant și se îndepărtează diafragma poroasă. Se spală conținutul creuzetului filtrant de trei sau patru ori cu alcool etilic 50 % încălzit la circa 60 °C și apoi cu 1 litru de apă la 60 °C.

Nu se aplică vid în timpul sau între operațiile de spălare. Se evacuează lichidul prin curgere liberă, apoi se aplică vid.

În final se usucă creuzetul cu reziduu, se răcește și se cântărește.

▼M4

5.   CALCULAREA ȘI EXPRIMAREA REZULTATELOR

Se calculează rezultatele conform descrierii din instrucțiunile generale. Valoarea lui „d” este 1,00, cu excepția poliacrilatului, în cazul căruia d = 1,02, a mătăsii și a melaminei, pentru care d = 1,01 și a fibrelor acrilice, în cazul cărora d = 0,98.

▼B

6.   PRECIZIA

Pentru un amestec omogen de materiale textile, limitele de încredere ale rezultatelor obținute prin această metodă nu sunt mai mari de ± 1 la un nivel de încredere de 95 %.

image

METODA NR. 16

▼M2

MELAMINĂ ȘI ALTE FIBRE MENȚIONATE

(Metodă care utilizează acid formic fierbinte)

▼B

1.   DOMENIU DE APLICARE

Această metodă se aplică, după îndepărtarea materialelor nefibroase, amestecurilor binare de fibre de:

1. melamină (47)

cu

▼M2

2. bumbac (5), aramidă (31) și polipropilenă (37).

▼B

2.   PRINCIPIU

Melamina se dizolvă cu acid formic (90 % m/m) pornind de la o masă cunoscută a amestecului în stare uscată.

Reziduul se colectează, se spală, apoi se usucă și se cântărește; masa acestuia, corectată dacă este necesar, se exprimă ca procent din masa uscată a amestecului de fibre. Procentul celui de-al doilea constituent se calculează prin diferență.

A se păstra cu strictețe intervalul de temperatură recomandat, deoarece solubilitatea melaminei depinde foarte mult de temperatură.

3.   APARATURĂ ȘI REACTIVI (altele decât cele menționate în instrucțiunile generale)

3.1.   Aparatura

(a) Vas conic cu dop de sticlă, cu o capacitate de minimum 200 ml

(b) Baie de apă cu agitare sau alt aparat pentru a agita și a menține vasul respectiv la o temperatură de 90 ± 2 °C

3.2.   Reactivi chimici

(a) Acid formic (90 % m/m, densitate relativă la 20 °C: 1,204). Se diluează 890 ml de acid formic 98-100 % m/m (densitate relativă la 20 °C: 1,220) până la 1 litru cu apă.

Acidul formic fierbinte este foarte corosiv și trebuie manipulat cu atenție.

(b) Soluție diluată de amoniac: se diluează 80 ml de soluție concentrată de amoniac (densitate relativă la 20 °C: 0,880) până la 1 litru cu apă.

4.   MOD DE LUCRU

Se urmează procedura descrisă în instrucțiunile generale și se continuă după cum urmează:

La epruveta conținută într-un vas conic cu dop de sticlă cu o capacitate de minimum 200 ml se adaugă 100 ml de acid formic pentru fiecare gram de epruvetă. Se pune dopul și se agită vasul pentru a se uda epruveta. Se păstrează vasul într-o baie de apă cu agitare la o temperatură de 90 ± 2 °C timp de o oră, agitându-l cu putere. Se răcește vasul la temperatura camerei. Se decantează lichidul printr-un creuzet filtrant cântărit în prealabil. Se adaugă 50 ml de acid formic în vasul cu reziduu, se agită manual și se filtrează conținutul vasului prin creuzetul filtrant. Se transferă resturile de fibră rămase în vas spălând vasul cu încă puțin reactiv pe bază de acid formic. Se usucă creuzetul prin vidare și se spală reziduurile cu reactiv pe bază de acid formic, cu apă fierbinte, cu soluție diluată de amoniac și în final cu apă rece, uscând creuzetul prin vidare după fiecare adăugare. Nu se aplică vid înainte de curgerea liberă a fiecărei soluții de spălare. În final se videază creuzetul filtrant, se usucă creuzetul cu reziduu, se răcește și se cântărește.

5.   CALCULAREA ȘI EXPRIMAREA REZULTATELOR

Se calculează rezultatele conform descrierii din instrucțiunile generale. Valoarea lui „d” este 1,02.

6.   PRECIZIA

Pentru un amestec omogen de materiale textile, limitele de încredere ale rezultatelor obținute prin această metodă nu sunt mai mari de ± 2 la un nivel de încredere de 95 %.

▼M4

METODA NR. 17

POLIESTER ȘI ALTE FIBRE MENȚIONATE

(Metoda care folosește acid tricloroacetic și cloroform)

1.   DOMENIU DE APLICARE

Această metodă se aplică, după îndepărtarea materialelor nefibroase, amestecurilor binare de fibre de:

1. poliester (35)

cu

2. poliacrilat (50)

2.   INFORMAȚII GENERALE

În principiu, aparatura și reactivii, procedura de testare, calculul și exprimarea rezultatelor care se aplică amestecurilor binare de fibre din poliester cu poliacrilat sunt cele descrise în standardul EN ISO 1833-25:2013. Valoarea lui „d” este 1,01.

▼B

CAPITOLUL 3

ANALIZA CANTITATIVĂ A AMESTECURILOR TERNARE DE FIBRE TEXTILE

INTRODUCERE

În general, metodele chimice de analiză cantitativă se bazează pe dizolvarea selectivă a componenților individuali. Există patru variante posibile ale acestei metode:

1. Folosind două epruvete diferite, se dizolvă un component (a) din prima epruvetă și alt component (b) din cea de-a doua epruvetă. Se cântăresc reziduurile insolubile din fiecare epruvetă și se calculează procentul fiecăruia dintre cei doi componenți solubili pornind de la pierderea de masă respectivă. Procentul celui de-al treilea component (c) se calculează prin diferență.

2. Folosind două epruvete diferite, se dizolvă un component (a) din prima epruvetă și doi componenți (a și b) din cea de-a doua epruvetă. Se cântărește reziduul insolubil din prima epruvetă și se calculează procentul primului component (a) din pierderea de masă. Se cântărește reziduul insolubil al celei de-a doua epruvete; acesta corespunde componentului (c). Procentul celui de-al treilea component (b) se calculează prin diferență.

3. Folosind două epruvete diferite, se dizolvă doi componenți (a și b) din prima epruvetă și doi componenți (b și c) din cea de-a doua epruvetă. Reziduurile insolubile corespund componenților (c), respectiv (a). Procentul celui de-al treilea component (b) se calculează prin diferență.

4. Folosind o singură epruvetă, după îndepărtarea unuia dintre componenți se cântărește reziduul insolubil format de celelalte două fibre și se calculează procentul de component solubil din pierderea de masă. Se dizolvă una dintre cele două fibre din reziduu, se cântărește componentul insolubil și se calculează procentul celui de-al doilea component solubil din pierderea de masă.

În cazul în care este posibilă alegerea metodei, se recomandă utilizarea uneia din primele trei variante.

În cazul în care se utilizează o metodă chimică, specialistul care răspunde de analiză trebuie să aibă grijă să aleagă solvenți care dizolvă numai fibra sau fibrele selectate, lăsând celelalte fibre intacte.

În secțiunea V este dat ca exemplu un tabel care conține o serie de amestecuri ternare de fibre împreună cu metode de analiză a amestecurilor binare de fibre care, în principiu, pot fi utilizate pentru analiza amestecurilor ternare de fibre.

Pentru a reduce la minimum posibilitatea erorilor, se recomandă ca, ori de câte ori este posibil, analiza chimică să se efectueze folosind cel puțin două dintre variantele menționate mai sus.

Înainte de a începe orice analiză, trebuie identificate toate fibrele din amestec. În unele metode chimice, componentul insolubil al unui amestec poate fi parțial dizolvat de reactivul folosit pentru a solubiliza componentul (componenții) solubil(i). Ori de câte ori este posibil, trebuie aleși reactivi care să aibă efect mic sau să nu aibă niciun efect asupra fibrelor insolubile. Dacă pe parcursul analizei se înregistrează o pierdere de masă, rezultatul trebuie corectat; în acest sens, sunt precizați factorii de corecție. Acești factori au fost determinați în mai multe laboratoare prin tratarea cu reactivul adecvat, după cum este specificat în metoda de analiză a fibrelor curățate prin tratare prealabilă. Acești factori de corecție se aplică numai fibrelor normale, pentru fibrele degradate înaintea sau în timpul prelucrării fiind necesari factori de corecție diferiți. Dacă trebuie folosită cea de-a patra variantă, în care o fibră textilă este supusă acțiunilor succesive ale doi solvenți, factorii de corecție trebuie aplicați pentru posibilele pierderi de masă ale fibrei pe parcursul ambelor tratamente. Se efectuează cel puțin două determinări, atât în cazul separării manuale, cât și în cazul separării chimice.

I.    Informații generale privind metodele chimice de analiză cantitativă a amestecurilor ternare de fibre

Informații comune tuturor metodelor prezentate pentru procedeele chimice de analiză cantitativă a amestecurilor ternare de fibre.

I.1.   DOMENIU DE APLICARE

Domeniul de aplicare a fiecărei metode de analiză a amestecurilor binare de fibre specifică fibrele pentru care este aplicabilă metoda (a se vedea capitolul 2 referitor la metode de analiză cantitativă a anumitor amestecuri binare de fibre textile).

I.2.   PRINCIPIU

După identificarea componentelor unui amestec, materialul nefibros se îndepărtează printr-o tratare prealabilă corespunzătoare și apoi se aplică una sau mai multe dintre cele patru variante ale procedeului de dizolvare selectivă descris în introducere. Cu excepția situațiilor în carte această metodă prezintă dificultăți tehnice, este preferabilă dizolvarea componentului principal al fibrei, în așa fel încât componentul secundar să fie obținut ca reziduu final.

I.3.   MATERIALE ȘI ECHIPAMENT

I.3.1.   Aparatura

I.3.1.1.

Creuzete filtrante și flacoane de cântărire suficient de mari pentru a cuprinde astfel de creuzete filtrante sau orice fel de aparatură care dă rezultate identice

I.3.1.2.

Vas de trompă pentru filtrare la vid

I.3.1.3.

Exsicator care conține silicagel autoindicator de umiditate

I.3.1.4.

Etuvă ventilată pentru uscarea epruvetelor la 105 ± 3 °C

I.3.1.5.

Balanță analitică cu o precizie de 0,0002 g

I.3.1.6.

Extractor Soxhlet sau alt aparat capabil să asigure rezultate identice

I.3.2.   Reactivi chimici

I.3.2.1.

Eter de petrol, redistilat, interval de fierbere 40-60 °C

I.3.2.2.

Alți reactivi sunt menționați în secțiunile corespunzătoare de la fiecare metodă

I.3.2.3.

Apă distilată sau deionizată

I.3.2.4.

Acetonă

I.3.2.5.

Acid ortofosforic

I.3.2.6.

Uree

I.3.2.7.

Bicarbonat de sodiu

Toți reactivii folosiți sunt chimic puri.

I.4.   ATMOSFERĂ DE CONDIȚIONARE ȘI ÎNCERCARE

Deoarece se determină masa uscată, nu este necesară condiționarea epruvetei sau efectuarea analizelor într-o atmosferă condiționată.

I.5.   EȘANTIONUL DE LABORATOR

Se ia un eșantion de laborator care este reprezentativ pentru eșantionul global de laborator și suficient de mare ca să furnizeze toate epruvetele necesare, de 1 g minimum fiecare.

I.6.   TRATAREA PREALABILĂ A EȘANTIONULUI DE LABORATOR ( 15 )

În cazul în care în amestec este prezentă o substanță care nu trebuie luată în considerare la calcularea procentuală (a se vedea articolul 19), aceasta se îndepărtează în prealabil printr-o metodă care să nu afecteze celelalte componente fibroase.

În acest sens, materialul nefibros care poate fi extras cu eter de petrol și apă este îndepărtat prin tratarea eșantionului de laborator într-un extractor Soxhlet cu eter de petrol timp de o oră, la minimum șase cicluri de extracție pe oră. Se lasă ca eterul de petrol să se evapore din eșantionul de laborator, care este apoi extras prin tratament direct constând în înmuierea eșantionului de laborator în apă la temperatura camerei timp de o oră, apoi în înmuierea eșantionului în apă la temperatura de 65 ± 5 °C timp de încă o oră, agitând lichidul din timp în timp. Se folosește un raport lichid/eșantion de laborator de 100:1. Se îndepărtează apa în exces din eșantionul de laborator prin stoarcere, extragere prin vidare sau centrifugare și apoi se lasă eșantionul de laborator să se usuce la aer.

În cazul elastolefinei sau al amestecurilor de fibre care conțin elastolefină și alte fibre [lână, păr de origine animală, mătase, bumbac, in (sau pânză de in), cânepă, iută, abaca, alfa, fibră din coajă de nucă de cocos, sorg, ramie, sisal, cupro, modal, fibre proteinice, viscoză, fibre acrilice, poliamidă sau nailon, poliester, elastomultiester], procedura descrisă anterior este ușor modificată, prin înlocuirea eterului de petrol cu acetona.

În situația în care materialul nefibros nu poate fi extras cu eter de petrol și apă, el se îndepărtează înlocuind metoda cu apă descrisă anterior cu o altă metodă adecvată, care să nu modifice substanțial niciun constituent fibros. Totuși, pentru unele fibre naturale de origine vegetală nealbite (de exemplu, iuta, fibra de nucă de cocos) trebuie să se țină seama că tratarea prealabilă normală cu eter de petrol și cu apă nu îndepărtează toate substanțele naturale nefibroase. Totuși, nu se aplică o tratare prealabilă suplimentară dacă eșantionul nu conține agenți de finisare insolubili atât în eter de petrol, cât și în apă.

Buletinele de analiză trebuie să includă detalii complete privind metodele de tratare prealabilă folosite.

I.7.   MOD DE LUCRU

I.7.1.   Instrucțiuni generale

I.7.1.1.   Uscarea

Se efectuează toate operațiile de uscare timp de cel puțin 4 ore și nu mai mult de 16 ore, la 105 ± 3 °C, într-o etuvă ventilată, cu ușa etuvei în permanență închisă. Dacă perioada de uscare este mai mică de 14 ore, epruveta trebuie verificată prin cântărire pentru a determina dacă masa lui a rămas constantă. Se consideră că masa este constantă dacă, după o perioadă suplimentară de 60 de minute de uscare, variația sa este mai mică de 0,05 %.

Se recomandă să se evite manevrarea creuzetelor filtrante, a flacoanelor de cântărire, a epruvetelor și a reziduurilor cu mâinile neprotejate pe perioada operațiunilor de uscare, răcire și cântărire.

Epruvetele se usucă în flacoane de cântărire, cu capacul flaconului plasat alături. După uscare, se pune dopul la flaconul de cântărire înainte de scoaterea acestuia din etuvă și se transferă repede în exsicator.

Creuzetele filtrante se usucă în flacoane de cântărire, cu capacul flaconului plasat alături. După uscare, se pune dopul la flaconul de cântărire și se transferă rapid în exsicator.

În cazul în care se folosesc alte aparate decât creuzetele filtrante, operația de uscare în etuvă se efectuează astfel încât să asigure determinarea masei uscate a fibrelor, fără pierderi.

I.7.1.2.   Răcirea

Toate operațiile de răcire se efectuează în exsicator, acesta fiind plasat lângă balanță, până la răcirea completă a flaconului de cântărire și, în orice caz, nu trebuie să dureze mai puțin de 2 ore.

I.7.1.3.   Cântărirea

După răcire se efectuează cântărirea flaconului de cântărire în interval de 2 minute de la scoaterea acestuia din exsicator; cântărirea se efectuează cu o precizie de 0,0002 g.

I.7.2.   Mod de lucru

Se ia din eșantionul de laborator, tratat prealabil, o epruvetă cu masa de cel puțin 1 g. Se taie firul sau țesătura în lungimi de circa 10 mm, destrămate cât mai mult posibil. Se usucă epruveta în flaconul de cântărire, se răcește în exsicator și apoi se cântărește. Se transferă epruveta într-un vas din sticlă de tipul celui indicat în secțiunea corespunzătoare a metodei Uniunii, se recântărește flaconul de cântărire imediat și se obține masa uscată a epruvetei prin diferență; se finalizează analiza astfel cum se prevede la secțiunea corespunzătoare a metodei aplicabile. Se examinează reziduul la microscop pentru a verifica dacă prin tratament s-a(u) îndepărtat complet fibra (fibrele) solubilă (solubile).

I.8.   CALCULAREA ȘI EXPRIMAREA REZULTATELOR

Masa fiecărui component se exprimă ca procent din masa totală a fibrelor din amestec. Se calculează rezultatul pe baza masei pure uscate, corectată prin aplicarea (a) reprizelor convenționale și (b) factorilor de corecție necesari pentru luarea în calcul a pierderilor de materiale nefibroase în timpul tratării prealabile și analizei.

I.8.1.

Calcularea procentelor de masă ale fibrelor uscate pure fără a ține seama de pierderile de masă ale fibrelor în timpul tratării prealabile

I.8.1.1.   VARIANTA 1

Formulele care se aplică atunci când se îndepărtează un component al amestecului dintr-o epruvetă și un alt component dintr-o altă epruvetă:

image

image

P 3% = 100 – (P 1% + P 2%)

P1%

este procentul primului component pur uscat (componentul primei epruvete dizolvat în primul reactiv);

P2%

este procentul celui de-al doilea component pur uscat (component al celei de-a doua epruvete dizolvat în al doilea reactiv);

P3%

este procentul celui de-al treilea component pur uscat (component nedizolvat din ambele epruvete);

m1

este masa uscată a primei epruvete după tratarea prealabilă;

m2

este masa uscată a celei de-a doua epruvete după tratarea prealabilă;

r1

este masa uscată a reziduului după eliminarea primului component din prima epruvetă cu primul reactiv;

r2

este masa uscată a reziduului după eliminarea celui de-al doilea component din a doua epruvetă cu al doilea reactiv;

d1

este factorul de corecție pentru pierderea de masă, în primul reactiv, a celui de-al doilea component nedizolvat din prima epruvetă ( 16 );

d2

este factorul de corecție pentru pierderea de masă, în primul reactiv, a celui de-al treilea component nedizolvat din prima epruvetă;

d3

este factorul de corecție pentru pierderea de masă, în al doilea reactiv, a primului component nedizolvat din a doua epruvetă;

d4

este factorul de corecție pentru pierderea de masă, în al doilea reactiv, a celui de-al treilea component nedizolvat din a doua epruvetă.

I.8.1.2.   VARIANTA 2

Formulele care se aplică atunci când se îndepărtează un component (a) din prima epruvetă, ceilalți doi componenți (b + c) rămânând ca reziduu, și doi componenți (a + b) din a doua epruvetă, componentul al treilea (c) rămânând ca reziduu:

P 1% = 100 – (P 2% + P 3%)

image

image

P1%

este procentul primului component pur uscat (componentul din prima epruvetă dizolvat în primul reactiv);

P2%

este procentul celui de-al doilea component pur uscat (component solubil, în același timp cu primul component al celei de-a doua epruvete în al doilea reactiv);

P3%

este procentul celui de-al treilea component pur uscat (component nedizolvat din ambele epruvete);

m1

este masa uscată a primei epruvete după tratarea prealabilă;

m2

este masa uscată a celei de-a doua epruvete după tratarea prealabilă;

r1

este masa uscată a reziduului după eliminarea primului component din prima epruvetă cu primul reactiv;

r2

este masa uscată a reziduului după eliminarea primului component și a celui de-al doilea component din a doua epruvetă cu al doilea reactiv;

d1

este factorul de corecție pentru pierderea de masă, în primul reactiv, a celui de-al doilea component nedizolvat din prima epruvetă;

d2

este factorul de corecție pentru pierderea de masă, în primul reactiv, a celui de-al treilea component nedizolvat din prima epruvetă;

d4

este factorul de corecție pentru pierderea de masă, în al doilea reactiv, a celui de-al treilea component nedizolvat din a doua epruvetă.

I.8.1.3.   VARIANTA 3

Formulele care se aplică atunci când se îndepărtează două componente (a + b) dintr-o epruvetă, lăsând ca reziduu al treilea component (c), apoi două componente (b + c) dintr-o altă epruvetă, lăsând ca reziduu primul component (a):

image

P 2% = 100 – (P 1% + P 3%)

image

P1%

este procentul primului component pur uscat (component dizolvat de reactiv);

P2%

este procentul celui de-al doilea component pur uscat (component dizolvat de reactiv);

P3%

este procentul celui de-al treilea component pur uscat (component dizolvat, în a doua epruvetă, de reactiv);

m1

este masa uscată a primei epruvete după tratarea prealabilă;

m2

este masa uscată a celei de-a doua epruvete după tratarea prealabilă;

r1

este masa uscată a reziduului după eliminarea primului component și a celui de-al doilea component din prima epruvetă, cu primul reactiv;

r2

este masa uscată a reziduului după eliminarea celui de-al doilea component și a celui de-al treilea component din a doua epruvetă, cu al doilea reactiv;

d2

este factorul de corecție pentru pierderea de masă, în primul reactiv, a celui de-al treilea component nedizolvat din prima epruvetă;

d3

este factorul de corecție pentru pierderea de masă, în al doilea reactiv, a primului component nedizolvat din a doua epruvetă.

I.8.1.4.   VARIANTA 4

Formulele care se aplică atunci când se îndepărtează succesiv doi componenți din amestec folosind aceeași epruvetă:

P 1% = 100 – (P 2% + P 3%)

image

image

P1%

este procentul primului component pur uscat (primul component solubil);

P2%

este procentul celui de-al doilea component pur uscat (cel de-al doilea component solubil);

P3%

este procentul celui de-al treilea component pur uscat (component insolubil);

m

este masa uscată a epruvetei după tratare prealabilă;

r1

este masa uscată a reziduului după eliminarea primului component cu primul reactiv;

r2

este masa uscată a reziduului după eliminarea primului component și a celui de-al doilea component cu primul și al doilea reactiv;

d1

este factorul de corecție pentru pierderea de masă a celui de-al doilea component în primul reactiv;

d2

este factorul de corecție pentru pierderea de masă a celui de-al treilea component în primul reactiv;

d3

este factorul de corecție pentru pierderea de masă a celui de-al treilea component în primul și al doilea reactiv ( 17 ).

I.8.2.

Calcularea procentului fiecărui component cu aplicarea corecțiilor prin reprize convenționale și, când este cazul, a factorilor de corecție pentru pierderile de masă din timpul tratării prealabile

Dacă:

image

image

image

atunci:

image

image

image

P1A%

este procentul primului component pur uscat, ținând seama de procentul de umiditate și de pierderea de masă în timpul tratării prealabile;

P2A%

este procentul celui de-al doilea component pur uscat, ținând seama de procentul de umiditate și de pierderea de masă în timpul tratării prealabile;

P3A%

este procentul celui de-al treilea component pur uscat, ținând seama de procentul de umiditate și de pierderea de masă în timpul tratării prealabile;

P1

este procentul primului component pur uscat obținut prin una din formulele indicate la punctul I.8.1;

P2

este procentul celui de-al doilea component pur uscat obținut prin una din formulele indicate la punctul I.8.1;

P3

este procentul celui de-al treilea component pur uscat obținut prin una din formulele indicate la punctul I.8.1;

a1

este repriza convențională a primului component;

a2

este repriza convențională a celui de-al doilea component;

a3

este repriza convențională a celui de-al treilea component;

b1

este procentul pierderii de masă a primului component în timpul tratării prealabile;

b2

este procentul pierderii de masă a celui de-al doilea component în timpul tratării prealabile;

b3

este procentul pierderii de masă a celui de-al treilea component în timpul tratării prealabile.

În cazul în care se folosește o tratare prealabilă specială, valorile b1, b2 și b3 se determină, dacă este posibil, supunând fiecare dintre fibrele pure care constituie amestecul unei tratări prealabile aplicate în cursul analizei. Fibrele pure sunt acele fibre care nu conțin niciun fel de material nefibros, cu excepția celor pe care le conțin în mod normal (fie natural, fie în urma procesului de fabricație), în starea în care se găsesc în materialul de analizat (crudă, albită).

Când nu sunt disponibile fibrele constituente distincte și pure folosite în producerea materialului supus analizei, trebuie să se utilizeze valorile medii ale lui b1, b2 și b3, obținute din încercările efectuate pe fibre pure, similare celor din amestecul supus examinării.

Dacă se aplică o tratare prealabilă normală prin extracție cu eter de petrol și apă, factorii de corecție b1, b2 și b3 pot fi în general neglijați, cu excepția bumbacului nealbit, inului (sau pânzei de in) nealbit și a cânepei nealbite, unde pierderea datorită tratării prealabile este considerată în mod convențional ca fiind 4 %, iar în cazul polipropilenei, 1 %.

În cazul altor fibre, de obicei, pierderile datorită tratării prealabile nu sunt luate în calcul.

I.8.3.

Notă

În secțiunea IV sunt prezentate exemple de calcul.

II.    Metoda analizei cantitative prin separarea manuală a amestecurilor ternare de fibre

II.1.   DOMENIU DE APLICARE

Metoda poate fi folosită pentru fibre textile de toate tipurile, cu condiția ca acestea să nu formeze un amestec intim și să poată fi separate manual.

II.2.   PRINCIPIU

După identificarea componenților textili, materialul nefibros se îndepărtează printr-o tratare prealabilă adecvată și apoi fibrele se separă manual, se usucă și se cântăresc pentru a calcula proporția fiecărei fibre în amestec.

II.3.   APARATURA

II.3.1.

Flacoane de cântărire sau alte aparate care dau rezultate identice

II.3.2.

Exsicator care conține silicagel autoindicator de umiditate

II.3.3.

Etuvă ventilată pentru uscarea epruvetelor la 105 ± 3 °C

II.3.4.

Balanță analitică cu o precizie de 0,0002 g

II.3.5.

Extractor Soxhlet sau alt aparat capabil să asigure rezultate identice

II.3.6.

Ac

II.3.7.

Torsiometru sau un aparat similar

II.4.   REACTIVI CHIMICI

II.4.1.

Eter de petrol, redistilat, interval de fierbere 40-60 °C

II.4.2.

Apă distilată sau deionizată

II.5.   ATMOSFERĂ DE CONDIȚIONARE ȘI ÎNCERCARE

A se vedea punctul I.4.

II.6.   EȘANTIONUL DE LABORATOR

A se vedea punctul I.5.

II.7.   TRATAREA PREALABILĂ A EȘANTIOANELOR DE LABORATOR

A se vedea punctul I.6.

II.8.   MOD DE LUCRU

II.8.1.   Analiza firului

Se prelevează o epruvetă din eșantionul de laborator, cu masa de cel puțin 1 g. În cazul firelor foarte fine, analiza poate fi efectuată pe o lungime de minimum 30 m, indiferent de masă.

Se taie firul în bucăți de o lungime corespunzătoare și se separă tipurile de fibre cu ajutorul unui ac sau, dacă este necesar, cu ajutorul unui torsiometru. Tipurile de fibre astfel obținute se plasează în flacoane de cântărire care au fost cântărite în prealabil și se usucă la 105 ± 3 °C până la obținerea unei mase constante, conform descrierii de la punctele I.7.1 și I.7.2.

II.8.2.   Analiza țesăturilor

Din eșantionul de laborator tratat în prealabil se prelevează o epruvetă fără lizieră, cu masa de minimum 1 g, cu marginile prinse cu grijă pentru a evita destrămarea și paralel cu direcția firelor de urzeală sau de bătătură sau, în cazul tricoturilor, paralel cu direcția șirurilor sau a rândurilor. Se separă diferitele tipuri de fibre, se colectează în flacoane de cântărire care au fost cântărite în prealabil și se continuă conform descrierii de la punctul II.8.1.

II.9.   CALCULAREA ȘI EXPRIMAREA REZULTATELOR

Se exprimă masa fiecărei fibre din amestec în procente din masa totală a amestecului de fibre. Se calculează rezultatul pe baza masei uscate și pure, corectată cu (a) reprizele convenționale și (b) factorii de corecție necesari pentru a lua în calcul pierderea de material în timpul tratării prealabile.

II.9.1.

Calcularea procentului de masă al fibrelor pure și uscate, fără să se țină seama de pierderile de masă din timpul tratării prealabile:

image

image

P 3% = 100 – (P 1% + P 2%)

P1%

este procentul primului component pur uscat;

P2%

este procentul celui de-al doilea component pur uscat;

P3%

este procentul celui de-al treilea component pur uscat;

m1

este masa pură uscată a primului component;

m2

este masa pură uscată a celui de-al doilea component;

m3

este masa pură uscată a celui de-al treilea component.

II.9.2.

Pentru calcularea procentului fiecărui component cu aplicarea corecțiilor prin reprize convenționale și, când este cazul, a factorilor de corecție pentru pierderile de masă din timpul tratării prealabile: a se vedea punctul I.8.2.

III.    Analiza cantitativă a amestecurilor ternare de fibre printr-o combinație între metoda separării manuale și metoda separării chimice

De câte ori este posibil, se utilizează metoda separării manuale, ținând seama de proporțiile componenților separați înainte de a trece la orice tip de tratare chimică a fiecărui component individual.

III.1.   PRECIZIA METODELOR

Precizia indicată în fiecare dintre metodele de analiză a amestecurilor binare de fibre se referă la reproductibilitate (a se vedea capitolul 2 privind metode de analiză cantitativă a anumitor amestecuri binare de fibre textile).

Reproductibilitatea se referă la fiabilitate, adică obținerea unor valori experimentale foarte apropiate de către laboranții din diferite laboratoare sau în momente diferite, folosind aceeași metodă și obținând rezultate individuale pe epruvete dintr-un amestec omogen identic.

Reproductibilitatea se exprimă prin limita de încredere a rezultatelor la un nivel de încredere de 95 %.

Prin aceasta se înțelege că diferența între două rezultate dintr-o serie de analize efectuate în laboratoare diferite, în condițiile aplicării normale și corecte a metodei la amestecuri omogene identice, nu va depăși limita de încredere decât în 5 cazuri din 100.

Pentru determinarea preciziei de analiză a unui amestec ternar de fibre, la analiza amestecului ternar de fibre, se aplică în mod obișnuit valorile indicate folosite în metodele de analiză a amestecurilor binare de fibre.

Având în vedere că în toate cele patru variante ale analizei chimice cantitative a amestecurilor ternare de fibre au fost prevăzute două dizolvări (folosind două epruvete diferite – în primele trei variante – și o singură epruvetă – în cazul celei de-a patra variante) și presupunând că E1 și E2 reprezintă precizia celor două metode pentru analiza amestecurilor binare de fibre, precizia rezultatelor pentru fiecare component este ilustrată în tabelul următor:



Fibre componente

Variante

1

2 și 3

4

a

E1

E1

E1

b

E2

E1 + E2

E1 + E2

c

E1 + E2

E2

E1 + E2

În cazul utilizării celei de-a patra variante, se poate întâmpla ca gradul de precizie să fie mai scăzut decât cel calculat prin metoda indicată mai sus, din cauza posibilei acțiuni, dificil de evaluat, a primului reactiv asupra reziduului constituit din componenții b și c.

III.2.   RAPORT DE ANALIZĂ

III.2.1.

Se indică varianta sau variantele folosite pentru efectuarea analizei, metodele, reactivii și factorii de corecție.

III.2.2.

Se dau informații detaliate cu privire la orice tratări prealabile speciale (a se vedea punctul I.6).

III.2.3.

Se dau rezultatele individuale și media aritmetică, fiecare cu exactitate de o zecimală.

III.2.4.

De câte ori este posibil, se indică pentru fiecare component precizia metodei, calculată în conformitate cu tabelul de la punctul III.1.

IV.    Exemple de calcul al procentelor componenților anumitor amestecuri ternare de fibre utilizând unele dintre variantele descrise la punctul I.8.1

Se consideră un amestec de fibre pentru care analiza calitativă a compoziției de materii prime a relevat prezența următorilor componenți: 1. lână cardată; 2. nailon (poliamidă); 3. bumbac nealbit.

VARIANTA 1

Folosind această variantă, în care se iau două epruvete diferite și se îndepărtează un component (a = lână) prin dizolvare din prima epruvetă și un al doilea component (b = poliamidă) din a doua epruvetă, se pot obține următoarele rezultate:

1. Masa uscată a primei epruvete după tratarea prealabilă este (m1) = 1,6000 g

2. Masa uscată a reziduului după tratare cu soluție alcalină de hipoclorit de sodiu (poliamidă + bumbac) (r1) = 1,4166 g

3. Masa uscată a celei de-a doua epruvete după tratarea prealabilă (m2) = 1,8000 g

4. Masa uscată a reziduului după tratarea cu acid formic (lână + bumbac) (r2) = 0,9000 g

Tratarea amestecului cu soluție alcalină de hipoclorit de sodiu nu determină nicio pierdere de masă a fibrei de poliamidă, în timp ce bumbacul nealbit pierde 3 %, astfel încât d1 = 1,00 și d2 = 1,03.

Tratarea cu acid formic nu determină pierderi de masă în cazul lânii și bumbacului nealbit, astfel încât d3 = d4 = 1,00.

Dacă în formula de la punctul I.8.1.1 se introduc valorile obținute în urma analizei chimice și factorii de corecție, se obține următorul rezultat:

P1% (lână) = [1,03 / 1,00 – 1,03 × 1,4166/1,6000 + (0,9000 / 1,8000) × (1 – 1,03 / 1,00)] × 100 = 10,30

P2% (poliamidă) = [1,00 / 1,00 – 1,00 × 0,9000 / 1,8000 + (1,4166 / 1,6000) × (1– 1,00 / 1,00)] ×100 = 50,00

P3% (bumbac) = 100 – (10,30 + 50,00) = 39,70

Procentele diferitelor fibre pure uscate din amestec sunt următoarele:



lână

10,30 %

poliamidă

50,00 %

bumbac

39,70 %

Aceste procente trebuie corectate conform formulelor indicate la punctul I.8.2 pentru a ține seama de reprizele convenționale și de factorii de corecție pentru orice pierderi de masă din timpul tratării prealabile.

Conform anexei IX, reprizele convenționale sunt următoarele: lână cardată 17,00 %, poliamidă 6,25 % și bumbac 8,50 %; de asemenea, se observă pierderea de masă de 4 % a bumbacului nealbit în urma tratării prealabile cu eter de petrol și apă.

Prin urmare:

P1A% (lână) = 10,30 × [1 + (17,00 + 0,0) / 100] / [10,30 × (1 + (17,00 + 0,0) / 100) + 50,00 × (1 + (6,25 + 0,0) / 100) + 39,70 × (1 + (8,50 + 4,0) / 100)] × 100 = 10,97

P2A% (poliamidă) = 50,0 × [(1 + (6,25 + 0,0) / 100) / 109,8385] × 100 = 48,37

P3A% (bumbac) = 100 – (10,97 + 48,37) = 40,66

Așadar, compoziția de materii prime a firului este următoarea:



poliamidă

48,4 %

bumbac

40,6 %

lână

11,0 %

 

100,0 %

VARIANTA 4

Se consideră un amestec de fibre pentru care analiza calitativă a relevat prezența următoarelor componente: lână cardată, viscoză și bumbac nealbit.

Presupunând că se folosește varianta 4, adică se îndepărtează succesiv două componente ale amestecului dintr-o singură epruvetă, se obțin următoarele rezultate:

1. Masa uscată a epruvetei după tratarea prealabilă (m) = 1,6000 g

2. Masa uscată a reziduului după tratare cu soluție alcalină de hipoclorit de sodiu (viscoză + bumbac) (r1) = 1,4166 g

3. Masa uscată a reziduului după a doua tratare a reziduului r1 cu clorură de zinc/acid formic (bumbac) (r2) = 0,6630 g

Tratarea amestecului cu soluție alcalină de hipoclorit de sodiu nu determină nicio pierdere de masă a fibrei de viscoză, în timp ce bumbacul nealbit pierde 3 %, astfel încât d1 = 1,00 și d2 = 1,03.

Ca urmare a tratării cu acid formic – clorură de zinc, masa bumbacului crește cu 4 %, astfel încât d3 = 1,03 × 0,96 = 0,9888, valoare rotunjită la 0,99 (d3 fiind factorul de corecție pentru pierderea de masă sau creșterea masei celui de-al treilea component în primii doi reactivi).

Dacă în formula de la punctul I.8.1.4 se introduc valorile obținute în urma analizei chimice, precum și factorii de corecție, se obține următorul rezultat:

P2% (viscoză) = 1,00 × (1,4166 / 1,6000) × 100 – (1,00 / 1,03) × 41,02 = 48,71 %

P3% (bumbac) = 0,99 × (0,6630 / 1,6000) × 100 = 41,02 %

P1% (lână) = 100 – (48,71 + 41,02) = 10,27 %

După cum s-a indicat deja pentru varianta 1, aceste procente trebuie corectate conform formulelor de la punctul I.8.2.

P1A% (lână) = 10,27 × [1 + (17,00 + 0,0) / 100)] / [10,27 × (1 + (17,00 + 0,0) / 100) + 48,71 × (1 + (13 + 0,0) / 100) + 41,02 × (1 + (8,50 + 4,0) / 100)] × 100 = 10,61 %

P2A% (viscoză) = 48,71 × [1 + (13 + 0,0) / 100] / 113,2057 × 100 = 48,62 %

P3A% (bumbac) = 100 – (10,61 + 48,62) = 40,77 %

Prin urmare, compoziția de materii prime a amestecului este următoarea:



viscoză

48,6 %

bumbac

40,8 %

lână

10,6 %

 

 

100,0 %

V.    Tabel cu amestecurile ternare tipice de fibre care pot fi analizate utilizând metode ale Uniunii de analiză a amestecurilor binare de fibre (cu scop ilustrativ)



Amestec nr.

Fibre componente

Varianta

Numărul metodei și reactivul utilizat pentru amestecurile binare de fibre

Componentul 1

Componentul 2

Componentul 3

1.

lână sau păr

viscoză, cupro sau anumite tipuri de fibre modale

bumbac

1 și/sau 4

2. (hipoclorit) și 3. (clorură de zinc/acid formic)

2.

lână sau păr

poliamidă sau nailon

bumbac, viscoză, cupro sau modale

1 și/sau 4

2. (hipoclorit) și 4. (acid formic 80 % m/m)

3.

lână, păr sau mătase

anumite alte fibre

viscoză, cupro, modale sau bumbac

1 și/sau 4

2. (hipoclorit) și 9. (disulfură de carbon/acetonă 55,5/44,5 % v/v)

4.

lână sau păr

poliamidă sau nailon

poliester, polipropilenă, fibre acrilice sau fibre de sticlă

1 și/sau 4

2. (hipoclorit) și 4. (acid formic 80 % m/m)

5.

lână, păr sau mătase

anumite alte fibre

poliester, fibre acrilice, poliamidă sau nailon sau fibre de sticlă

1 și/sau 4

2. (hipoclorit) și 9. (disulfură de carbon/acetonă 55,5/44,5 % v/v)

6.

mătase

lână sau păr

poliester

2

11. (acid sulfuric 75 % m/m) și 2. (hipoclorit)

7.

poliamidă sau nailon

fibre acrilice sau anumite alte fibre

bumbac, viscoză, cupro sau modale

1 și/sau 4

4. (acid formic 80 % m/m) și 8. (dimetilformamidă)

8.

anumite clorofibre

poliamidă sau nailon

bumbac, viscoză, cupro sau modale

1 și/sau 4

8. (dimetilformamidă) și 4. (acid formic 80 % m/m) sau 9. (disulfură de carbon/acetonă 55,5/44,5 % v/v) și 4. (acid formic 80 % m/m)

9.

fibre acrilice

poliamidă sau nailon

poliester

1 și/sau 4

8. (dimetilformamidă) și 4. (acid formic 80 % m/m)

10.

acetat

poliamidă sau nailon sau anumite alte fibre

viscoză, bumbac, cupro sau modale

4

1. (acetonă) și 4. (acid formic 80 % m/m)

11.

anumite clorofibre

fibre acrilice sau anumite alte fibre

poliamidă sau nailon

2 și/sau 4

9. (disulfură de carbon/acetonă 55,5/44,5 % v/v) și 8. (dimetilformamidă)

12.

anumite clorofibre

poliamidă sau nailon

fibre acrilice

1 și/sau 4

9. (disulfură de carbon/acetonă 55,5/44,5 % v/v) și 4. (acid formic 80 % m/m)

13.

poliamidă sau nailon

viscoză, cupro, modale sau bumbac

poliester

4

4. (acid formic 80 % m/m) și 7. (acid sulfuric 75 % m/m)

14.

acetat

viscoză, cupro, modale sau bumbac

poliester

4

1. (acetonă) și 7. (acid sulfuric 75 % m/m)

15.

fibre acrilice

viscoză, cupro, modale sau bumbac

poliester

4

8. (dimetilformamidă) și 7. (acid sulfuric 75 % m/m)

16.

acetat

lână, păr sau mătase

bumbac, viscoză, cupro, modale, poliamidă sau nailon, poliester, fibre acrilice

4

1. (acetonă) și 2. (hipoclorit)

17.

triacetat

lână, păr sau mătase

bumbac, viscoză, cupro, modale, poliamidă sau nailon, poliester, fibre acrilice

4

6. (diclormetan) și 2. (hipoclorit)

18.

fibre acrilice

lână, păr sau mătase

poliester

1 și/sau 4

8. (dimetilformamidă) și 2. (hipoclorit)

19.

fibre acrilice

mătase

lână sau păr

4

8. (dimetilformamidă) și 11. (acid sulfuric 75 % m/m)

20.

fibre acrilice

lână, păr sau mătase

bumbac, viscoză, cupro sau modale

1 și/sau 4

8. (dimetilformamidă) și 2. (hipoclorit)

21.

lână, păr sau mătase

bumbac, viscoză, modale sau cupro

poliester

4

2. (hipoclorit) și 7. (acid sulfuric 75 % m/m)

22.

viscoză, cupro sau anumite tipuri de fibre modale

bumbac

poliester

2 și/sau 4

3. (clorură de zinc/acid formic) și 7. (acid sulfuric 75 % m/m)

23.

fibre acrilice

viscoză, cupro sau anumite tipuri de fibre modale

bumbac

4

8. (dimetilformamidă) și 3. (clorură de zinc/acid formic)

24.

anumite clorofibre

viscoză, cupro sau anumite tipuri de fibre modale

bumbac

1 și/sau 4

9. (disulfură de carbon/acetonă 55,5/44,5 % v/v) și 3. (clorură de zinc/acid formic) sau 8. (dimetilformamidă) și 3. (clorură de zinc/acid formic)

25.

acetat

viscoză, cupro sau anumite tipuri de fibre modale

bumbac

4

1. (acetonă) și 3. (clorură de zinc/acid formic)

26.

triacetat

viscoză, cupro sau anumite tipuri de fibre modale

bumbac

4

6. (diclormetan) și 3. (clorură de zinc/acid formic)

27.

acetat

mătase

lână sau păr

4

1. (acetonă) și 11. (acid sulfuric 75 % m/m)

28.

triacetat

mătase

lână sau păr

4

6. (diclormetan) și 11. (acid sulfuric 75 % m/m)

29.

acetat

fibre acrilice

bumbac, viscoză, cupro sau modale

4

1. (acetonă) și 8. (dimetilformamidă)

30.

triacetat

fibre acrilice

bumbac, viscoză, cupro sau modale

4

6. (diclormetan) și 8. (dimetilformamidă)

31.

triacetat

poliamidă sau nailon

bumbac, viscoză, cupro sau modale

4

6. (diclormetan) și 4. (acid formic 80 % m/m)

32.

triacetat

bumbac, viscoză, cupro sau modale

poliester

4

6. (diclormetan) și 7. (acid sulfuric 75 % m/m)

33.

acetat

poliamidă sau nailon

poliester sau fibre acrilice

4

1. (acetonă) și 4. (acid formic 80 % m/m)

34.

acetat

fibre acrilice

poliester

4

1. (acetonă) și 8. (dimetilformamidă)

35.

anumite clorofibre

bumbac, viscoză, cupro sau modale

poliester

4

8. (dimetilformamidă) și 7. (acid sulfuric 75 % m/m) sau 9. (disulfură de carbon/acetonă 55,5/44,5 % v/v) și 7. (acid sulfuric 75 % m/m)

36.

bumbac

poliester

elastolefină

2 și/sau 4

7. (acid sulfuric 75 % m/m) și 14. (acid sulfuric concentrat)

37.

anumite fibre modacrilice

poliester

melamină

2 și/sau 4

8. (dimetilformamidă) și 14. (acid sulfuric concentrat)




ANEXA IX



Reprizele convenționale utilizate pentru calculul masei fibrelor conținute într-un produs textil

[menționate la articolul 19 alineatul (3)]

Nr. fibrei

Fibre

Procente

1-2

Lână și păr de origine animală:

 

fibre pieptănate

18,25

fibre cardate

17,00  (1)

3

Păr de origine animală:

 

fibre pieptănate

18,25

fibre cardate

17,00  (1)

Păr de cal:

 

fibre pieptănate

16,00

fibre cardate

15,00

4

Mătase

11,00

5

Bumbac:

 

fibre normale

8,50

fibre mercerizate

10,50

6

Capoc

10,90

7

In (sau pânză de in)

12,00

8

Cânepă

12,00

9

Iută

17,00

10

Abacă

14,00

11

Alfa

14,00

12

Fibre din coajă de nucă de cocos

13,00

13

Drobiță

14,00

14

Ramie (fibră înălbită)

8,50

15

Sisal

14,00

16

Sunn

12,00

17

Henequen

14,00

18

Maguey

14,00

19

Acetat

9,00

20

Alginat

20,00

21

Cupro

13,00

22

Modală

13,00

23

Proteinică

17,00

24

Triacetat

7,00

25

Viscoză

13,00

26

Acrilic

2,00

27

Clorofibră

2,00

28

Fluorofibră

0,00

29

Modacrilică

2,00

30

Poliamidă sau nailon:

 

fibră discontinuă

6,25

filament

5,75

31

Aramidă

8,00

32

Poliimidă

3,50

33

Lyocell

13,00

34

Polilactidă

1,50

35

Poliester

1,50

36

Polietilenă

1,50

37

Polipropilenă

2,00

38

Policarbamidă

2,00

39

Poliuretan:

 

fibră discontinuă

3,50

filament

3,00

40

Vinililică

5,00

41

Trivinilică

3,00

42

Elastodienă

1,00

43

Elastan

1,50

44

Sticlă textilă:

 

cu un diametru mediu mai mare de 5 μm

2,00

cu un diametru mediu mai mic de sau egal cu 5 μm

3,00

45

Elastomultiester

1,50

46

Elastolefină

1,50

47

Melamină

7,00

48

Fibră metalică

2,00

Fibră metalizată

2,00

Azbest

2,00

Fir din hârtie

13,75

▼M2

49

Bicomponentă de polipropilenă/poliamidă

1,00

▼M4

50

Poliacrilat

30,00

▼B

(1)   Repriza convențională de 17,00 % se aplică, de asemenea, în cazurile în care este imposibil să se verifice dacă produsul textil conținând lână și/sau păr de animal este de tip pieptănat sau cardat.




ANEXA X

Tabele de corespondență



Directiva 2008/121/CE

Prezentul regulament

Articolul 1 alineatul (1)

Articolul 4

Articolul 1 alineatul (2) literele (a)-(c)

Articolul 1 alineatul (2) litera (d)

Articolul 2 alineatul (3)

Articolul 2 alineatul (1)

Articolul 3 alineatul (1)

Articolul 2 alineatul (2) formularea introductivă

Articolul 2 alineatul (2) formularea introductivă

Articolul 2 alineatul (2) litera (a)

Articolul 2 alineatul (2) litera (a)

Articolul 2 alineatul (2) litera (b)

Articolul 2 alineatul (2) literele (b) și (c)

Articolul 2 alineatul (2) litera (c)

Articolul 2 alineatul (2) litera (d)

Articolul 3

Articolul 5

Articolul 4

Articolul 7

Articolul 5

Articolul 8

Articolul 6 alineatele (1) și (2)

Articolul 6 alineatul (3)

Articolul 9 alineatul (3)

Articolul 6 alineatul (4)

Articolul 9 alineatul (4)

Articolul 6 alineatul (5)

Articolul 20

Articolul 7

Articolul 10

Articolul 8 alineatul (1) prima teză

Articolul 14 alineatul (1)

Articolul 8 alineatul (1) a doua teză

Articolul 14 alineatul (2)

Articolul 8 alineatul (2)

Articolul 14 alineatul (3)

Articolul 8 alineatul (3) primul paragraf

Articolul 16 alineatul (1)

Articolul 8 alineatul (3) al doilea și al treilea paragraf

Articolul 16 alineatul (2)

Articolul 8 alineatul (4)

Articolul 16 alineatul (3)

Articolul 8 alineatul (5)

Articolul 9 alineatul (1)

Articolul 11 alineatele (1) și (2)

Articolul 9 alineatul (2)

Articolul 11 alineatul (3)

Articolul 9 alineatul (3)

Articolul 13 și anexa IV

Articolul 10 alineatul (1) litera (a)

Articolul 17 alineatul (2)

Articolul 10 alineatul (1) litera (b)

Articolul 17 alineatul (3)

Articolul 10 alineatul (1) litera (c)

Articolul 17 alineatul (4)

Articolul 10 alineatul (2)

Articolul 17 alineatul (5)

Articolul 11

Articolul 15 alineatul (4)

Articolul 12

Articolul 19 alineatul (2) și anexa VII

Articolul 13 alineatul (1)

Articolul 19 alineatul (1)

Articolul 13 alineatul (2)

Articolul 14 alineatul (1)

Articolul 14 alineatul (2)

Articolul 15

Articolul 21

Articolul 16

Articolul 17

Articolul 18

Articolul 19

Articolul 20

Anexa I

Anexa I

Anexa II

Anexa III

Anexa III

Anexa V

Anexa III punctul 36

Articolul 3 alineatul (1) litera (j)

Anexa IV

Anexa VI

Anexa V

Anexa IX

Anexa VI

Anexa VII



Directiva 96/73/CE

Prezentul regulament

Articolul 1

Articolul 1

Articolul 2

Anexa VIII capitolul 1 secțiunea I punctul 2

Articolul 3

Articolul 19 alineatul (1)

Articolul 4

Articolul 19 alineatul (4)

Articolul 5

Articolul 21

Articolul 6

Articolul 7

Articolul 8

Articolul 9

Anexa I

Anexa VIII capitolul 1 secțiunea I

Anexa II

Anexa VIII capitolul 1 secțiunea II și capitolul 2

Anexa III

Anexa IV



Directiva 73/44/CEE

Prezentul regulament

Articolul 1

Articolul 1

Articolul 2

Anexa VIII capitolul 1 secțiunea I

Articolul 3

Articolul 19 alineatul (1)

Articolul 4

Articolul 19 alineatul (4)

Articolul 5

Articolul 21

Articolul 6

Articolul 7

Anexa I

Anexa VIII capitolul 3 introducere și secțiunile I-III

Anexa II

Anexa VIII capitolul 3 secțiunea IV

Anexa III

Anexa VIII capitolul 3 secțiunea V

▼M1




DECLARAȚIA PARLAMENTULUI EUROPEAN ȘI A CONSILIULUI

Parlamentul European și Consiliul cunosc importanța furnizării unor informații exacte consumatorilor, în special atunci când produsele au un marcaj care indică originea, pentru a-i proteja de afirmații frauduloase, inexacte sau înșelătoare cu privire la origine. Utilizarea noilor tehnologii, cum ar fi etichetarea electronică, inclusiv identificarea prin frecvențe radio, poate fi un instrument util pentru furnizarea unor astfel de informații ținând totodată pasul cu evoluțiile tehnologice. Parlamentul European și Consiliul invită Comisia ca, atunci când întocmește raportul în conformitate cu articolul 24 din regulament, să analizeze impactul acestora asupra eventualelor cerințe noi de etichetare, inclusiv în vederea îmbunătățirii trasabilității produselor.



( 1 ) JO L 134, 30.4.2004, p. 114.

( *1 ) Pentru produsele care figurează la acest număr, vândute în cupoane, etichetarea globală este cea de pe suluri. Frânghiile și funiile prevăzute la acest număr le includ pe cele utilizate în alpinism sau în sporturi nautice.

( 2 ) În unele cazuri este necesară tratarea prealabilă a epruvetelor individuale.

( 3 ) Pentru confecții și articole finisate, a se vedea punctul 7.

( 4 ) A se vedea punctul 1.

( 5 ) Carda de laborator poate fi înlocuită cu un dispozitiv de amestecare a fibrelor sau fibrele pot fi amestecate prin metoda „mănunchiurilor și a deșeurilor”.

( 6 ) Dacă bobinele pot fi așezate într-un rastel convenabil, se pot depăna simultan mai multe fire.

( 7 ) Metoda 12 este o excepție. Ea se bazează pe o determinare a conținutului unei substanțe constituente a unuia dintre cei doi componenți.

( 8 ) A se vedea capitolul 1 punctul 1.

( 9 ) Pentru a se asigura o imersare de 10 minute a reziduului fibros în soluția de amoniac, se poate folosi, de exemplu, un adaptor la creuzetul filtrant prevăzut cu robinet prin care să se regleze debitul soluției amoniacale.

( 10 ) Înainte de efectuarea analizei se verifică solubilitatea în reactiv a unor astfel de fibre modacrilice sau clorofibre.

( 11 ) Înainte de efectuarea analizei se verifică solubilitatea în reactiv a fibrelor de policlorură de vinil.

( 12 ) Mătasea sălbatică, cum ar fi mătasea tussah, nu este complet solubilă în acid sulfuric 75 % m/m.

( 13 ) Acești reactivi ar trebui să nu conțină azot.

( 14 ) A se vedea, de exemplu, dispozitivul descris în Melliand Textilberichte 56 (1975), p. 643-645.

( 15 ) A se vedea capitolul 1 punctul 1.

( 16 ) Valorile lui d sunt indicate în capitolul 2 al prezentei anexe referitor la diferitele metode de analiză a amestecurilor binare.

( 17 ) Atunci când este posibil, d3 ar trebui să fie determinat în prealabil prin metode experimentale.