2005R1564 — RO — 01.01.2007 — 001.001


Acest document reprezintă un instrument de documentare, iar instituţiile nu îşi asumă responsabilitatea pentru conţinutul său.

►B

REGULAMENTUL (CE) NR. 1564/2005 AL COMISIEI

din 7 septembrie 2005

de stabilire a formularelor standard pentru publicarea anunțurilor în cadrul procedurilor de atribuire a contractelor de achiziții publice în conformitate cu Directivele 2004/17/CE și 2004/18/CE ale Parlamentului European și Consiliului

(Text cu relevanță pentru SEE)

(JO L 257, 1.10.2005, p.1)

Astfel cum a fost modificat prin:

 

 

Jurnalul Oficial

  No

page

date

►M1

REGULAMENTUL (CE) NR. 1792/2006 AL COMISIEI din 23 octombrie 2006

  L 362

1

20.12.2006




▼B

REGULAMENTUL (CE) NR. 1564/2005 AL COMISIEI

din 7 septembrie 2005

de stabilire a formularelor standard pentru publicarea anunțurilor în cadrul procedurilor de atribuire a contractelor de achiziții publice în conformitate cu Directivele 2004/17/CE și 2004/18/CE ale Parlamentului European și Consiliului

(Text cu relevanță pentru SEE)



COMISIA COMUNITĂȚILOR EUROPENE,

având în vedere Tratatul de instituire a Comunității Europene,

având în vedere Directiva 2004/17/CE a Parlamentului European și a Consiliului din 31 martie 2004 de coordonare a procedurilor de atribuire a contractelor de achiziții în sectoarele apei, energiei, transporturilor și serviciilor poștale ( 1 ), în special articolul 44 alineatul (1) și articolul 63 alineatul (1),

având în vedere Directiva 2004/18/CE a Parlamentului European și a Consiliului din 31 martie 2004 privind coordonarea procedurilor de atribuire a contractelor de achiziții publice de lucrări, de produse și de servicii ( 2 ), în special articolul 36 alineatul (1), articolul 58 alineatul (2), articolul 64 alineatul (2) și articolul 70 alineatul (1),

în urma consultării Comitetului consultativ pentru achiziții publice,

întrucât:

(1)

Directiva 2004/17/CE prevede că toate contractele care intră sub incidența sa trebuie să facă obiectul unei publicări în Jurnalul Oficial al Uniunii Europene. Anunțurile prevăzute pentru publicare conțin informațiile stipulate de directiva menționată și, în special, în anexele XIII, XIV, XV A, XV B, XVI, XVIII și XIX.

(2)

Directiva 2004/18/CE prevede că toate contractele care intră sub incidența sa trebuie să facă obiectul unei publicări în Jurnalul Oficial al Uniunii Europene. Anunțurile prevăzute pentru publicare conțin informațiile stipulate de directiva menționată și în special în anexa VII.

(3)

Directivele 92/50/CEE din 18 iunie 1992 privind coordonarea procedurilor de atribuire a contractelor de achiziții publice de servicii ( 3 ), 93/36/CEE din 14 iunie 1993 privind coordonarea procedurilor de atribuire a contractelor de achiziții publice ( 4 ), 93/37/CEE din 14 iunie 1993 privind coordonarea procedurilor de atribuire a contractelor de achiziții publice de lucrări ( 5 ) și 93/38/CEE din 14 iunie 1993 privind coordonarea procedurilor de atribuire a contractelor de achiziții în sectoarele apei, energiei, transporturilor și telecomunicațiilor ( 6 ) ale Consiliului, astfel cum au fost modificate prin Directiva 2001/78/CE a Comisiei ( 7 ), au introdus formulare standard pentru publicarea unor astfel de anunțuri.

(4)

Directivele 92/50/CEE, 93/36/CEE, 93/37/CEE fiind înlocuite de Directiva 2004/18/CE, iar Directiva 93/38/CEE fiind înlocuită de Directiva 2004/17/CE, este necesar să se stabilească un singur set de formulare standard actualizate, luându-se în considerare informațiile solicitate de directivele menționate, precum și formate care să poată fi prelucrate electronic.

(5)

Statele membre trebuie să transpună Directivele 2004/17/CE și 2004/18/CE în legislația internă până la 31 ianuarie 2006. Fără a aduce atingere acestei dispoziții, anumite state membre pot, cu toate acestea, să transpună directivele înainte de expirarea termenului menționat. Prin urmare, entitățile contractante în sensul Directivei 2004/17/CE și autoritățile contractante în sensul Directivei 2004/18/CE din statele membre în care măsurile interne de transpunere intră în vigoare înainte de expirarea termenului de transpunere prevăzut de Directivele 2004/17/CE și 2004/18/CE utilizează formularele standard stabilite de prezentul regulament de la data intrării în vigoare a respectivelor măsuri interne de aplicare,

ADOPTĂ PREZENTUL REGULAMENT:



Articolul 1

Entitățile contractante utilizează, de la data intrării în vigoare a măsurilor lor interne de transpunere a Directivei 2004/17/CE și cel târziu începând de la 1 februarie 2006, pentru publicarea în Jurnalul Oficial al Uniunii Europene a anunțurilor prevăzute la articolele 41-44 și 63 din respectiva directivă, formularele standard stabilite în anexele IV-IX, XII și XIII la prezentul regulament.

Articolul 2

Autoritățile contractante utilizează, de la data intrării în vigoare a măsurilor lor interne de transpunere a Directivei 2004/18/CE și cel târziu începând de la 1 februarie 2006, pentru publicarea în Jurnalul Oficial al Uniunii Europene a anunțurilor prevăzute la articolele 35, 36, 58, 64, 69 și 70 din respectiva directivă, formularele standard stabilite în anexele I, II, III și VIII-XIII la prezentul regulament.

Articolul 3

Prezentul regulament intră în vigoare în a douăzecea zi de la publicarea în Jurnalul Oficial al Uniunii Europene.

Prezentul regulament este obligatoriu în toate elementele sale și se aplică direct în toate statele membre.




Lista anexelor

Anexa I: Formularul standard 1:

„Anunț de intenție”

Anexa II: Formularul standard 2:

„Anunț de participare”

Anexa III: Formularul standard 3:

„Anunț de atribuire a contractului”

Anexa IV: Formularul standard 4:

„Anunț periodic de informare –Utilități”

Anexa V: Formularul standard 5:

„Anunț de participare –Utilități”

Anexa VI: Formularul standard 6:

„Anunț de atribuire a contractului –Utilități”

Anexa VII: Formularul standard 7:

„Sistem de calificare –Utilități”

Anexa VIII: Formularul standard 8:

„Anunț privind profilul unui cumpărător”

Anexa IX: Formularul standard 9:

„Anunț de participare simplificat în cadrul unui sistem de achiziție dinamic”

Anexa X: Formularul standard 10:

„Concesionare de lucrări publice”

Anexa XI: Formularul standard 11:

„Anunț de participare – Contracte care vor fi atribuite de un concesionar care nu este o autoritate contractantă”

Anexa XII: Formularul standard 12:

„Anunț de concurs”

Anexa XIII: Formularul standard 13:

„Rezultatele concursului de soluții”




ANEXA I

UNIUNEA EUROPEANĂBiroul de publicare a Suplimentului Jurnalului Oficial al Uniunii Europene2, rue Mercier, L-2985 LuxemburgFax: (352) 29 29-42670Informații și formulare on-line: http://simap.eu.intE-mail: mp-ojs@opoce.cec.eu.intANUNȚ DE INTENȚIESECȚIUNEA I: AUTORITATEA CONTRACTANTĂDENUMIRE, ADRESĂ ȘI PUNCT(E) DE CONTACTI.1)Denumire oficială:Adresă:Localitate:Cod poștal:Țară:Punct(e) de contact:Telefon:În atenția:E-mail:Fax:Adresă (adrese) Internet (după caz)Adresa sediului principal al autorității contractante (URL):Adresa profilului cumpărătorului (URL):Alte informații pot fi obținute la:Punctul (punctele) de contact menționat(e) anteriorAltele: completați anexa A.II.2)TIPUL AUTORITĂȚII CONTRACTANTE ȘI ACTIVITATEA PRINCIPALĂ (ACTIVITĂȚILE PRINCIPALE)Minister sau orice altă autoritate națională sau federală, inclusiv subdiviziunile regionale sau locale ale acestoraServicii publice generaleApărareAgenție/birou național sau federalOrdine și siguranță publicăAutoritate regională sau localăMediuAgenție/birou regional sau localAfaceri economice și financiareOrganism de drept publicSănătateInstituție/agenție europeană sau organizație internaționalăConstrucții și amenajări teritorialeAltele (precizați):_____________________Protecție socialăRecreere, cultură și religieEducațieAltele (precizați):________________________________________Autoritatea contractantă acționează în numele altor autorități contractantedanu1Formular standard 1-RO

SECȚIUNEA II.A: OBIECTUL CONTRACTULUI (LUCRĂRI)II.1)DENUMIREA DATĂ CONTRACTULUI DE CĂTRE AUTORITATEA CONTRACTANTĂII.2)TIPUL DE CONTRACT ȘI LOCUL EXECUTĂRII LUCRĂRILORLocul principal sau locul executare a lucrărilor:_________________________________________________Cod NUTSII.3)PREZENTUL ANUNȚ IMPLICĂ ÎNCHEIEREA UNUI ACORD-CADRUdanuII.4)DESCRIEREA SUCCINTĂ A NATURII ȘI DOMENIULUI LUCRĂRILORDacă se cunoaște, valoarea estimativă a lucrărilor fără TVA (numai în cifre): ________________________________ Monedă: _______________________sau intervalul: între ______________________ și _____________________ Monedă: _______________________Împărțire în loturi (pentru precizări privind loturile utilizați anexa B de câte ori este necesar, pentru fiecare lot în parte)danuCLASIFICARE CPV (VOCABULARUL COMUN PRIVIND ACHIZIȚIILE PUBLICE)II.5)Vocabular principalVocabular suplimentar (după caz)Obiect principalObiect(e) suplimentar(e)DATA PREVĂZUTĂ PENTRU ÎNCEPEREA PROCEDURILOR DE ADJUDECARE ȘI DURATA CONTRACTULUIII.6)Data prevăzută (dacă se cunoaște) pentruînceperea procedurilor de adjudecare(zz/ll/aaaa)Durata în luni:sau în zile:(începând de la data atribuirii contractului)sauData prevăzută (dacă se cunoaște) pentruînceperea lucrărilor(zz/ll/aaaa)finalizarea lucrărilor(zz/ll/aaaa)II.7)CONTRACTUL INTRĂ SUB INCIDENȚA ACORDULUI PRIVIND CONTRACTELE DE ACHIZIȚII PUBLICEdanuII.8)INFORMAȚII SUPLIMENTARE (după caz)2Formular standard 1-RO

SECȚIUNEA II.B: OBIECTUL CONTRACTULUI (PRODUSE SAU SERVICII)DENUMIREA DATĂ CONTRACTULUI DE CĂTRE AUTORITATEA CONTRACTANTĂII.1)TIPUL DE CONTRACT ȘI LOCUL DE LIVRARE SAU DE PRESTAREII.2)(Alegeți o singură categorie – produse sau servicii – care corespunde cel mai bine obiectului specific contractului sau al achiziție)ProduseServiciiCategoria serviciilor:Nr.(pentru categoriile de servicii 1-27, consultați anexa II la Directiva 2004/18/CE)Locul principal de livrare sau de executare:___________________________________________________Cod NUTSII.3)DESCRIEREA SUCCINTĂ A NATURII ȘI A CANTITĂȚII SAU A VALORII PRODUSELOR SAU SERVICIILOR (pentru fiecare categorie de servicii)Dacă se cunoaște, valoarea estimată a contractului fără TVA (numai în cifre): __________________________Monedă: ____________________sau intervalul: între ____________________________________ și __________________________Monedă: ____________________Împărțire în loturi (pentru precizări privind loturile utilizați anexa B de câte ori este necesar, pentru fiecare lot în parte)danuII.4)CLASIFICARE CPV (VOCABULARUL COMUN PRIVIND ACHIZIȚIILE PUBLICE)Vocabular principalVocabular suplimentar (după caz)Obiect principalObiect(e) suplimentar(e)DATA PREVĂZUTĂ PENTRU ÎNCEPEREA PROCEDURILOR DE ATRIBUIRE(dacă se cunoaște)II.5)(zz/ll/aaaa)II.6)CONTRACTUL INTRĂ SUB INCIDENȚA ACORDULUI PRIVIND CONTRACTELE DE ACHIZIȚII PUBLICEdanuII.7)INFORMAȚII SUPLIMENTARE (după caz)---------------------------------------------(Utilizați prezenta secțiune de câte ori este necesar----------------------------------------------------alegând de fiecare dată în partea II.2 câte un singur tip de contract: servicii sau produse)3Formular standard 1-RO

SECȚIUNEA III: INFORMAȚII JURIDICE, ECONOMICE, FINANCIARE ȘI TEHNICECONDIȚII REFERITOARE LA CONTRACTIII.1)III.1.1)Principalele condiții financiare și modalități de plată și/sau trimitere la dispozițiile relevante (dacă se cunosc, precizați numai pentru contractele de lucrări):III.2)CONDIȚII DE PARTICIPAREIII.2.1)Contracte rezervate (după caz)danuContractul este rezervat unor ateliere protejateContractul va fi executat numai în cadrul unor programe de ocuparea forței de muncă protejateSECȚIUNEA VI: INFORMAȚII SUPLIMENTAREVI.1)CONTRACTUL SE ÎNSCRIE ÎNTR-UN PROIECT/PROGRAM FINANȚAT DIN FONDURI COMUNITAREdanuDacă da, trimitere (trimiteri) la proiect(e) și/sau program(e):VI.2)ALTE INFORMAȚII (după caz):INFORMAȚII PRIVIND CADRUL DE REGLEMENTARE GENERALVI.3)Site-uri Internet guvernamentale de unde se pot obține informații privindLegislația fiscală: __________________________________________________________________________________________________________Legislația în domeniul protecției mediului: _____________________________________________________________________________________Protecția muncii și condiții de muncă : ________________________________________________________________________________________Pentru obținerea mai multor detalii privind serviciile guvernamentale de la care se pot obține informații privind fiscalitatea, protecția mediului, protecția muncii și condiții de muncă a se completa anexa A.II-IV (după caz)VI.4)DATA EXPEDIERII PREZENTULUI ANUNȚ:(zz/ll/aaaa)4Formular standard 1-RO




ANEXA A

ADRESE SUPLIMENTARE ȘI PUNCTE DE CONTACT

I)ADRESE ȘI PUNCTE DE CONTACT DE LA CARE SE POT OBȚINE INFORMAȚII SUPLIMENTAREDenumire oficială:Adresă:Localitate:Cod poștal:Țară:Punct(e) de contact:Telefon:În atenția:E-mail:Fax:Adresă Internet (URL):II)ADRESE, PUNCTE DE CONTACT ȘI SITE INTERNET GUVERNAMENTAL DE LA CARE SE POT OBȚINE INFORMAȚII ÎN DOMENIUL FISCALDenumire oficială:Adresă:Localitate:Cod poștal:Țară:Punct(e) de contact:Telefon:În atenția:E-mail:Fax:Adresă Internet (URL):III)ADRESE, PUNCTE DE CONTACT ȘI SITE INTERNET GUVERNAMENTAL DE LA CARE SE POT OBȚINE INFORMAȚII ÎN DOMENIUL PROTECȚIEI MEDIULUIDenumire oficială:Adresă:Localitate:Cod poștal:Țară:Punct(e) de contact:Telefon:În atenția:E-mail:Fax:Adresă Internet (URL):5Formular standard 1-RO

ADRESE, PUNCTE DE CONTACT ȘI SITE INTERNET GUVERNAMENTAL DE LA CARE SE POT OBȚINE INFORMAȚII ÎN DOMENIUL PROTECȚIEI MUNCII ȘI CONDIȚIILOR DE MUNCĂDenumire oficială:Adresă:Localitate:Cod poștal:Țară:Punct(e) de contact:Telefon:În atenția:E-mail:Fax:Adresă Internet (URL):6Formular standard 1-RO




ANEXA B

INFORMAȚII PRIVIND LOTURILE

LOT nr.DENUMIRE ___________________________________________________1)DESCRIERE SUCCINTĂCLASIFICARE CPV (VOCABULARUL COMUN PRIVIND ACHIZIȚIILE PUBLICE)2)Vocabular principalVocabular suplimentar (după caz)Obiect principalObiect(e) suplimentar(e)CANTITATE SAU DOMENIU3)Dacă se cunoaște, valoarea estimată a contractului fără TVA (numai în cifre): ______________________Monedă:________________________sau intervalul: între _____________________________________și ______________________Monedă:________________________DATĂ DIFERITĂ PREVĂZUTĂ PENTRU ÎNCEPEREA PROCEDURILOR DE ATRIBUIRE ȘI/SAU DURATA CONTRACTULUI4)(după caz)Data prevăzută (dacă se cunoaște) pentruînceperea procedurilor de atribuire(zz/ll/aaaa)Durata în luni:sau în zile:(începând de la data atribuirii contractului)sau Data prevăzută (dacă se cunoaște) pentru(zz/ll/aaaa)începerea lucrărilorfinalizarea lucrărilor(zz/ll/aaaa)5)INFORMAȚII SUPLIMENTARE PRIVIND LOTURILE-------------------------------------------------------(Utilizați prezenta anexă separat pentru fiecare lot)-----------------------------------------------------------7Formular standard 1-RO




ANEXA II

UNIUNEA EUROPEANĂBiroul de publicare a Suplimentului Jurnalului Oficial al Uniunii Europene2, rue Mercier, L-2985 LuxemburgFax: (352) 29 29-42670E-mail: mp-ojs@opoce.cec.eu.intInformații și formulare on-line: http://simap.eu.intANUNȚ DE PARTICIPARESECȚIUNEA I: AUTORITATEA CONTRACTANTĂDENUMIRE, ADRESĂ ȘI PUNCT(E) DE CONTACTI.1)Denumire oficială:Adresă:Localitatea:Cod poștal:Țară:Punct(e) de contact:Telefon:În atenția:E-mail:Fax:Adresă (adrese) Internet (după caz)Adresa sediului principal al autorității contractante (URL):Adresa profilului cumpărătorului (URL):Alte informații pot fi obținute la:Punctul (punctele) de contact menționat(e) anteriorAltele: completați anexa A.ICaietul de sarcini și documentele suplimentare (inclusiv documentele pentru dialogul competitiv și sistemul de achiziție dinamic) pot fi obținute la:Punctul (punctele) de contact menționat(e) anteriorAltele: completați anexa A.IIOfertele sau solicitările de participare trebuie transmise la:Punctul (punctele) de contact menționat(e) anteriorAltele: completați anexa A.IIII.2)TIPUL AUTORITĂȚII CONTRACTANTE ȘI ACTIVITATEA PRINCIPALĂ (ACTIVITĂȚILE PRINCIPALE)Minister sau orice altă autoritate națională sau federală, inclusiv subdiviziunile regionale sau locale ale acestoraServicii publice generaleApărareAgenție/birou național sau federalOrdine și siguranță publicăAutoritate regională sau localăMediuAgenție/birou regional sau localAfaceri economice și financiareOrganism de drept publicSănătateInstituție/agenție europeană sau organizație internaționalăConstrucții și amenajări teritorialeProtecție socialăAltele (precizați):________________________Recreere, cultură și religieEducațieAltele (precizați):______________________________________________Autoritatea contractantă acționează în numele altor autorități contractantedanu1Formular standard 2-RO

SECȚIUNEA II: OBIECTUL CONTRACTULUIII.1)DESCRIEREII.1.1)Denumirea dată contractului de autoritatea contractantăII.1.2)Tipul contractului și locul de executare a lucrărilor, de livrare a produselor sau de prestare a serviciilor(Alegeți numai o singură categorie – lucrări, produse sau servicii – cea care corespunde cel mai bine obiectului specific al contractului sau al achiziției dvs.)(a)Lucrări(b)Produse(c)ServiciiExecutareCumpărareCategoria serviciilor:Nr.Proiectare și executareLeasing(Pentru categoriile de servicii 1-27, consultați anexa II la Directiva 2004/18/CE)Executarea, prin orice mijloace, a unei lucrări, conform cerințelor specificate de autoritatea contractantăÎnchiriereÎnchiriere cu opțiune de cumpărareO combinație între acesteaLocul principal de executareLocul principal de livrareLocul principal de prestarecod NUTScod NUTScod NUTSII.1.3)Anunțul implicăUn contract de achiziții publicePunerea în aplicare a unui sistem de achiziție dinamic (SAD)Încheierea unui acord-cadruII.1.4)Informații privind acordul-cadru (după caz)Acord-cadru cu mai mulți operatori economiciAcord-cadru cu un singur operator economicNumărulsau, după caz, numărul maximde participanți la acordul-cadru preconizatDurata acordului-cadru: Durata în ani:sau în luni:Justificarea unui acord-cadru a cărui durată depășește patru ani: ______________________________________________________________________2Formular standard 2-RO

Estimarea valorii totale a achizițiilor pentru întreaga durată a acordului-cadru (după caz; numai în cifre):Valoarea estimată fără TVA: _____________________________Monedă: ____________________sau intervalul: între __________________și _____________________Monedă: ____________________Frecvența și valoarea contractelor care urmează să fie atribuite (dacă se cunosc): ___________________________________________________________II.1.5)Descrierea succintă a contractului sau a achiziției/achizițiilorII.1.6)Clasificare CPV (vocabularul comun privind achizițiile)Vocabular principalVocabular suplimentar (după caz)Obiect principalObiect(e) suplimentar(e)II.1.7)Contractul intră sub incidența acordului privind contractele de achiziții publicedanuII.1.8)Împărțire în loturi (pentru precizări privind loturile utilizați anexa B de câte ori este necesar, pentru fiecare lot în parte)danuDacă da, este necesar să se depună oferte pentru (bifați o singură căsuță):un singur lotunul sau mai multe loturitoate loturileII.1.9)Vor fi acceptate variantedanuII.2)CANTITATEA SAU DOMENIUL CONTRACTULUIII.2.1)Cantitatea totală sau domeniul (inclusiv, după caz, toate loturile și toate opțiunile)După caz, valoarea estimată fără TVA (numai în cifre): __________________________________Monedă: __________________________sau intervalul: între ______________________și ________________________Monedă: __________________________3Formular standard 2-RO

II.2.2)Opțiuni (după caz)danuDacă da, descrierea acestor opțiuni: _____________________________________________________________________________________________Dacă se cunoaște, calendarul prevăzut de aplicare a respectivelor opțiuni:în luni:sau în zile:(de la data atribuirii contractului)Numărul de prelungiri posibile (după caz):sau interval: întreșiDacă se cunoaște, în cazul contractelor de produse sau de servicii care pot fi prelungite, calendarul prevăzut al contractelor ulterioare:în luni:sau în zile:(de la data atribuirii contractului)II.3)DURATA CONTRACTULUI SAU TERMENUL PENTRU FINALIZAREDurata în luni:sau în zile:(de la data atribuirii contractului)sau începând de la(zz/ll/aaaa)până la(zz/ll/aaaa)4Formular standard 2-RO

SECȚIUNEA III: INFORMAȚII JURIDICE, ECONOMICE, FINANCIARE ȘI TEHNICEIII.1)CONDIȚII REFERITOARE LA CONTRACTIII.1.1)Depozite valorice și garanții solicitate (după caz)Principalele modalități de finanțare și plată și/sau trimitere la dispozițiile relevanteIII.1.2)Forma juridică pe care o va lua grupul de operatori economici căruia i se atribuie contractul (după caz)III.1.3)Executarea contractului este supusă altor condiții speciale (după caz)III.1.4)danuDacă da, descrierea acestor condițiiIII.2)CONDIȚII DE PARTICIPARESituația personală a operatorilor economici, inclusiv cerințele referitoare la înscrierea în registrul comerțului sau al profesieiIII.2.1)Informații și formalități necesare pentru evaluarea respectării cerințelor menționate5Formular standard 2-RO

III.2.2)Capacitatea economică și financiarăInformații și formalități necesare pentru evaluarea respectării cerințelor menționate:Nivel(uri) specific(e) minim(e) necesar(e) (după caz):III.2.3)Capacitatea tehnicăInformații și formalități necesare pentru evaluarea respectării cerințelor menționate:Nivel(uri) specific(e) minim(e) necesar(e) (după caz):III.2.4)Contracte rezervate (după caz)danuContractul este rezervat unor ateliere protejateContractul va fi executat numai în cadrul unor programe de ocuparea forței de muncă protejateIII.3)CONDIȚII SPECIFICE PENTRU CONTRACTELE DE SERVICIIIII.3.1)Prestarea serviciilor în cauză este rezervată unei anumite profesiidanuDacă da precizați actele cu putere de lege și actele administrative aplicabile:III.3.2)Persoanele juridice au obligația să indice numele și calificările profesionale ale membrilor personalului responsabili pentru prestarea serviciilor respectivedanu6Formular standard 2-RO

SECȚIUNEA IV: PROCEDURĂTIPUL PROCEDURIIIV.1)IV.1.1)Tipul proceduriiLicitație deschisăLicitație restrânsăLicitație restrânsă acceleratăJustificare pentru alegerea licitației accelerate:NegociereAu fost deja selectați candidațidanuDacă da, indicați numele și adresa operatorilor economici selectați deja în secțiunea VI.3) Informații suplimentareNegociere acceleratăJustificare pentru alegerea negocierii accelerate:Dialog competitivIV.1.2)Limitarea numărului de operatori economici invitați să prezinte oferte sau să participe(licitație restrânsă și negociere, dialog competitiv)Număr de operatori economici preconizatsau număr minim preconizatși, după caz, număr maximCriterii obiective de limitare a numărului de candidați:IV.1.3)Reducerea numărului de operatori economici în timpul negocierii sau al dialogului(negociere, dialog competitiv)Aplicarea unei licitații care să se deruleze în etape succesive pentru a reduce progresiv numărul soluțiilor care trebuie discutate sau al ofertelor care trebuie negociatedanu7Formular standard 2-RO

IV. 2)CRITERII DE ATRIBUIREIV. 2.1)Criterii de atribuire (bifați rubrica sau rubricile corespunzătoare)Cel mai mic prețsauoferta cea mai avantajoasă din punct de vedere economic în ceea ce priveștecriteriile menționate în continuare (criteriile de atribuire trebuie indicate împreună cu ponderarea sau în ordine descrescătoare a priorității, în cazul în care nu se poate realiza ponderarea din motive demonstrabile)criteriile enunțate în caietul de sarcini, în invitația de a prezenta o ofertă sau de a participa la negociere sau în documentul descriptivCriteriiPondereCriteriiPondere1.6.2.7.3.8.4.9.5.10.IV. 2.2)Se va organiza o licitație electronicădanuDacă da, informații suplimentare despre licitația electronică (după caz)IV. 3)INFORMAȚII ADMINISTRATIVEIV. 3.1)Număr de referință atribuit dosarului de autoritatea contractantă (după caz)IV. 3.2)Anunțuri publicate (anunț publicat) anterior privind același contractdanuDacă da,Anunț de intențieAnunț despre profilul cumpărătoruluiNumărul anunțului în JO:/Sdin(zz/ll/aaaa)Alte publicări anterioare (după caz)Numărul anunțului în JO:/Sdin(zz/ll/aaaa)Numărul anunțului în JO:/Sdinzz/ll/aaaa)8Formular standard 2-RO

IV.3.3)Condiții de obținere a caietului de sarcini și a documentației suplimentare (cu excepția unui SAD) sau a documentului descriptiv(în cazul unui dialog competitiv)Termenul limită pentru depunerea cererilor de documente sau pentru acces la documenteData:(zz/ll/aaaa)Ora: ________________________Documente de platădanuDacă da, prețul (numai în cifre): __________________________Monedă: ___________Condiții și modalitate de plată:________________________________________________________________________________________________IV.3.4)Termen limită pentru primirea ofertelor sau a cererilor de participareData:(zz/ll/aaaa)Ora: ________________________IV.3.5)Data transmiterii invitațiilor de prezentare de oferte sau de participare candidaților selectați (dacă se cunoaște)(în cazul unei licitații restrânse sau al unei negocieri sau dialog competitiv)Data:(zz/ll/aaaa)IV.3.6)Limba sau limbile în care poate fi redactată oferta sau cererea de participareESCSDADEETELENFRITLVETHUMTNLPLPTSKSLFISVAltele: ___________________________________________________________________________________________________________________IV.3.7)Perioada minimă pe parcursul căreia ofertantul trebuie să își mențină oferta (în cazul unei licitații deschise)Până la:(zz/ll/aaaa)sau durata în luni:sau în zile:(de la termenul limită de primire a ofertelor)IV.3.8)Condiții de deschidere a ofertelorData:(zz/ll/aaaa)Ora: ________________________Locul (după caz): ____________________________________________________________________________________________________________Persoane autorizate să asiste la deschiderea ofertelor (după caz)danu9Formular standard 2-RO

►(2) M1  

►(2) M1  

SECȚIUNEA VI: INFORMAȚII SUPLIMENTARECONTRACTUL ESTE PERIODIC (după caz)VI.1)danuDacă da, precizați perioadele estimate de publicare a anunțurilor viitoare: _____________________________________________________________VI.2)CONTRACTUL SE ÎNSCRIE ÎNTR-UN PROIECT/PROGRAM FINANȚAT DIN FONDURI COMUNITAREdanuDacă da, trimitere (trimiteri) la proiect(e) și/sau program(e):_________________________________________________________________________VI.3)ALTE INFORMAȚII (după caz)CĂI DE ATACVI.4)VI.4.1)Organismul competent pentru căile de atacDenumire oficială:Adresă:Localitate:Cod poștal:Țară:E-mail:Telefon:Fax:Adresă Internet (URL):Organismul competent pentru procedurile de mediere (după caz)Denumire oficială:Adresă:Localitate:Cod poștal:Țară:E-mail:Telefon:Adresă Internet (URL):Fax:VI.4.2)Utilizarea căilor de atac (completați rubrica VI.4.2 SAU, după caz, rubrica VI.4.3)Precizări privind termenul (termenele) de exercitare a căilor de atac:VI.4.3)Serviciul de la care se pot obține informații privind utilizarea căilor de atacDenumire oficială:Adresă:Localitate:Cod poștal:Țară:E-mail:Telefon:Adresă Internet (URL):Fax:VI.5)DATA EXPEDIERII PREZENTULUI ANUNȚ:(zz/ll/aaaa)10Formular standard 2-RO




ANEXA A

ADRESE SUPLIMENTARE ȘI PUNCTE DE CONTACT

I)ADRESE ȘI PUNCTE DE CONTACT DE LA CARE SE POT OBȚINE INFORMAȚII SUPLIMENTAREDenumire oficială:Adresă:Localitate:Cod poștal:Țară:Punct(e) de contact:Telefon:În atenția:E-mail:Fax:Adresă Internet (URL):II)ADRESE ȘI PUNCTE DE CONTACT DE LA CARE SE POT OBȚINE CAIETUL DE SARCINI ȘI DOCUMENTELE SUPLIMENTARE (INCLUSIV DOCUMENTELE PRIVIND UN DIALOG COMPETITIV SAU UN SISTEM DE ACHIZIȚIE DINAMIC)Denumire oficială:Adresă:Localitate:Cod poștal:Țară:Punct(e) de contact:Telefon:În atenția:E-mail:Fax:Adresă Internet (URL):ADRESE ȘI PUNCTE DE CONTACT LA CARE TREBUIE EXPEDIATE OFERTELE/CERERILE DE PARTICIPAREIII)Denumire oficială:Adresă:Localitate:Cod poștal:Țară:Punct(e) de contact:Telefon:În atenția:E-mail:Fax:Adresă Internet (URL):11Formular standard 2-RO




ANEXA B

INFORMAȚII PRIVIND LOTURILE

LOT nr.DENUMIRE _____________________________________________________________________________________1)DESCRIERE SUCCINTĂCLASIFICARE CPV (VOCABULARUL COMUN PRIVIND ACHIZIȚIILE PUBLICE)2)Vocabular principalVocabular suplimentar (după caz)Obiect principalObiect(e) suplimentar(e)3)CANTITATE SAU DOMENIUDacă se cunoaște, valoarea estimată a contractului fără TVA (numai în cifre): ___________________Monedă:_________sau intervalul: între _______________________________________și ___________________Monedă:_________INDICAȚII PRIVIND O ALTĂ DURATĂ A CONTRACTULUI SAU O ALTĂ DATĂ DE ÎNCEPERE/DE FINALIZARE (după caz)4)Durata în luni:sau în zile:(începând de la data atribuirii contractului)sau începând din(zz/ll/aaaa)până la(zz/ll/aaaa)5)INFORMAȚII SUPLIMENTARE PRIVIND LOTURILE-------------------------------------------------(Utilizați prezenta anexă separat pentru fiecare lot)----------------------------------------------------------12Formular standard 2-RO




ANEXA III

UNIUNEA EUROPEANĂBiroul de publicare a Suplimentului Jurnalului Oficial al Uniunii Europene2, rue Mercier, L-2985 LuxemburgFax: (352) 29 29-42670;E-mail: mp-ojs@opoce.cec.eu.intInformații și formulare on-line: http://simap.eu.intANUNȚ DE ATRIBUIRE A CONTRACTULUISECȚIUNEA I: AUTORITATEA CONTRACTANTĂI.1)DENUMIRE, ADRESĂ ȘI PUNCT(E) DE CONTACTDenumire oficială:Adresă:Localitatea:Cod poștal:Țară:Punct(e) de contact:Telefon:În atenția:E-mail:Fax:Adresă (adrese) Internet (după caz)Adresa sediului principal al autorității contractante (URL):Adresa profilului cumpărătorului (URL):I.2)TIPUL AUTORITĂȚII CONTRACTANTE ȘI ACTIVITATEA PRINCIPALĂ (ACTIVITĂȚILE PRINCIPALE)Minister sau orice altă autoritate națională sau federală, inclusiv subdiviziunile regionale sau locale ale acestoraServicii publice generaleApărareAgenție/birou național sau federalOrdine și siguranță publicăAutoritate regională sau localăMediuAgenție/birou regional sau localAfaceri economice și financiareOrganism de drept publicSănătateInstituție/agenție europeană sau organizație internaționalăConstrucții și amenajări teritorialeAltele (precizați):__________________________________Protecție socialăRecreere, cultură și religieEducațieAltele (precizați):_________________________________________Autoritatea contractantă acționează în numele altor autorități contractantedanu1Formular standard 3-RO

SECȚIUNEA II: OBIECTUL CONTRACTULUIII.1)DESCRIEREII.1.1)Denumirea dată contractului de autoritatea contractantăII.1.2)Tipul contractului și locul de executare a lucrărilor, de livrare a produselor sau de prestare a serviciilor (Alegeți numai o singură categorie – lucrări, produse sau servicii – cea care corespunde cel mai bine obiectului specific al contractului sau al achiziției dvs.)(a)Lucrări(b)Produse(c)ServiciiExecutareCumpărareNr.Categoria serviciilor:Proiectare și executareLeasingÎn cazul categoriilor de servicii 17-27(a se vedea anexa C), aprobați publicareaprezentului anunț?ÎnchiriereExecutarea, prin orice mijloace, a unei lucrări, conform cerințelor specificatede autoritatea contractantăÎnchiriere cu opțiune de cumpăraredanuO combinație între acesteaLocul principal de executareLocul principal de livrareLocul principal de prestarecod NUTScod NUTScod NUTSII.1.3)Anunțul implică (după caz)Încheierea unui acord-cadruPunerea în aplicare a unui sistem de achiziție dinamic (SAD)II.1.4)Descrierea succintă a contractului sau a achiziției/achizițiilorII.1.5)Clasificare CPV (vocabularul comun privind achizițiile)Vocabular principalVocabular suplimentar (după caz)Obiect principalObiect(e) suplimentar(e)II.1.1)Contractul intră sub incidența acordului privind contractele de achiziții publicedanu2Formular standard 3-RO

II.2)VALOAREA TOTALĂ FINALĂ A CONTRACTULUI (CONTRACTELOR)II.2.1)InclusRata TVA (%)Valoarea totală finală a contractului sau a contractelor (numai în cifre)Fără(Indicați numai valoarea totală finală, inclusiv toate contractele, loturile și opțiunile; pentru a oferi precizări privind diversele contracte, completați secțiunea V. Atribuirea contractului)TVATVAValoare _____________________________Monedă: _______la,la,sau oferta cea mai scăzută __________cea mai ridicată ____________Monedă: _______luată în considerareSECȚIUNEA IV: PROCEDURĂIV.1)TIPUL PROCEDURIIIV.1.1)Tipul proceduriiLicitație deschisăNegociere cu publicarea prealabilă a unui anunț de participareLicitație restrânsăNegociere acceleratăLicitație restrânsă acceleratăNegociere fără publicarea prealabilă a unui anunț de participareDialog competitivJustificarea alegerii negocierii fără publicarea prealabilă a unui anunț de participare: completați anexa DIV.2)CRITERII DE ATRIBUIREIV.2.1)Criterii de atribuire (bifați rubrica sau rubricile corespunzătoare)Cel mai mic prețsauoferta cea mai avantajoasă din punct de vedere economic în ceea ce priveșteCriteriiPondereCriteriiPondere1.6.2.7.3.8.4.9.5.10.danuIV.2.2)S-a organizat o licitație electronică3Formular standard 3-RO

IV. 3)INFORMAȚII ADMINISTRATIVEIV. 3.1)Număr de referință atribuit dosarului de autoritatea contractantă (după caz)IV. 3.2)Anunțuri publicate (anunț publicat) anterior privind același contractdanuDacă da (bifați rubrica sau rubricile corespunzătoare):Anunț de intențieSAUAnunț despre profilul cumpărătorului/SNumărul anunțului în JO:din(zz/ll/aaaa)Anunț de participareSAUAnunț de participare simplificat (SAD)/SNumărul anunțului în JO:din(zz/ll/aaaa)Alte publicări anterioareNumărul anunțului în JO:/Sdin(zz/ll/aaaa)4Formular standard 3-RO

SECȚIUNEA V: ATRIBUIREA CONTRACTULUILOT Nr.DENUMIRE ___________________________________________________________________________DATA ATRIBUIRII CONTRACTULUI:V.1)(zz/ll/aaaa)V.2)NUMĂRUL DE OFERTE PRIMITE:V.3)NUMELE ȘI ADRESA OPERATORULUI ECONOMIC CĂRUIA I-A FOST ATRIBUIT CONTRACTULDenumire oficială:Adresă:Localitate:Cod poștal:Țară:Punct(e) de contact:Telefon:Adresă Internet (URL):Fax:V.4)INFORMAȚII PRIVIND VALOAREA CONTRACTULUI (numai în cifre)FărăInclusRata TVA (%)TVATVAEstimarea inițială a valorii contractului (după caz)Valoare:___________________Monedă: ____________la,Valoarea totală finală a contractuluiValoare:___________________Monedă: ____________la,sau oferta cea mai scăzută _______ /cea mai ridicată_______Monedă: ____________la,luată în considerareÎn cazul valorii anuale sau lunare (indicați):numărul de aniSAUnumărul de luniCONTRACTUL AR PUTEA FI SUBCONTRACTATV.5)danuDacă da, indicați în valoare sau în procentaj partea din contract care ar putea fi subcontractată (numai în cifre):,Valoare fără TVA:__________________________Monedă: ______________Procent:(%)Nu se cunoașteDescriere succintă a valorii/procentului din contract care urmează să fie subcontractat (dacă se cunoaște)-----------------------------------------------------(Utilizați prezenta secțiune de câte ori este necesar)---------------------------------------------------5Formular standard 3-RO

SECȚIUNEA VI: INFORMAȚII SUPLIMENTARECONTRACTUL DE FAȚĂ ESTE LEGAT DE UN PROIECT/PROGRAM FINANȚAT DIN FONDURI COMUNITAREVI.1)danuDacă da, trimitere (trimiteri) la proiect(e) și/sau program(e):VI.2)ALTE INFORMAȚII (după caz)VI.3)CĂI DE ATACVI.3.1)Organismul competent pentru căile de atacDenumire oficială:Adresă:Localitate:Cod poștal:Țară:E-mail:Telefon:Adresă Internet (URL):Fax:Organismul competent pentru procedurile de mediere (după caz)Denumire oficială:Adresă:Localitate:Cod poștal:Țară:E-mail:Telefon:Adresă Internet (URL):Fax:VI.3.2)Utilizarea căilor de atac (completați rubrica VI.3.2 SAU, după caz, rubrica VI.3.3)Precizări privind termenul (termenele) de exercitare a căilor de atac:VI.3.3)Serviciul de la care se pot obține informații privind utilizarea căilor de atacDenumire oficială:Adresă:Localitate:Cod poștal:Țară:E-mail:Telefon:Adresă Internet (URL):Fax:VI.5)DATA EXPEDIERII PREZENTULUI ANUNȚ:(zz/ll/aaaa)6Formular standard 3-RO




ANEXA C

SERVICII PREVĂZUTE ÎN SECȚIUNEA II: OBIECTUL CONTRACTULUI

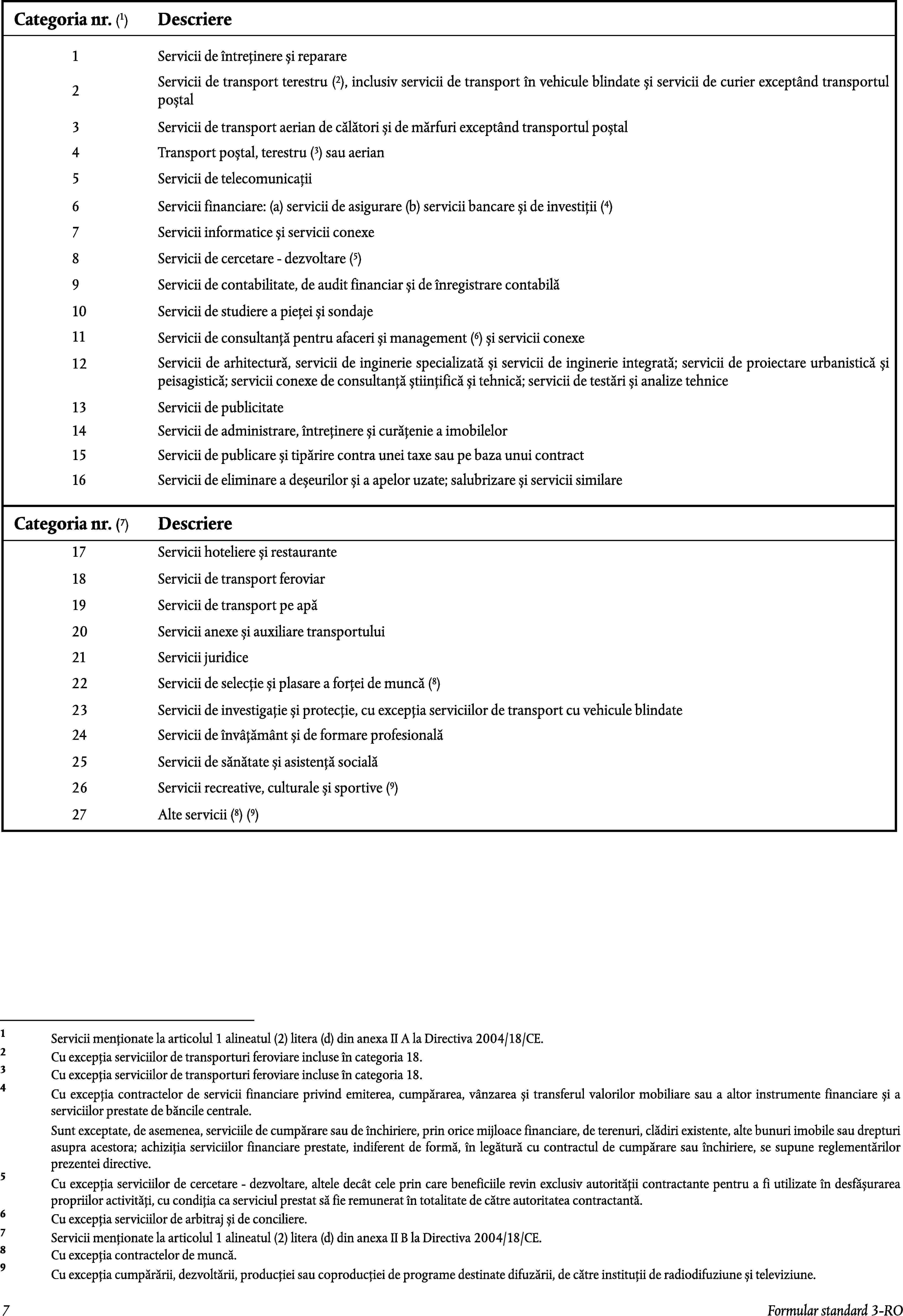
Categoria nr. (1)Descriere1Servicii de întreținere și reparareServicii de transport terestru (2), inclusiv servicii de transport în vehicule blindate și servicii de curier exceptând transportul poștal23Servicii de transport aerian de călători și de mărfuri exceptând transportul poștalTransport poștal, terestru (3) sau aerian45Servicii de telecomunicațiiServicii financiare: (a) servicii de asigurare (b) servicii bancare și de investiții (4)67Servicii informatice și servicii conexeServicii de cercetare - dezvoltare (5)89Servicii de contabilitate, de audit financiar și de înregistrare contabilă10Servicii de studiere a pieței și sondajeServicii de consultanță pentru afaceri și management (6) și servicii conexe1112Servicii de arhitectură, servicii de inginerie specializată și servicii de inginerie integrată; servicii de proiectare urbanistică și peisagistică; servicii conexe de consultanță științifică și tehnică; servicii de testări și analize tehnice13Servicii de publicitate14Servicii de administrare, întreținere și curățenie a imobilelor15Servicii de publicare și tipărire contra unei taxe sau pe baza unui contract16Servicii de eliminare a deșeurilor și a apelor uzate; salubrizare și servicii similareCategoria nr. (7)Descriere17Servicii hoteliere și restaurante18Servicii de transport feroviar19Servicii de transport pe apă20Servicii anexe și auxiliare transportului21Servicii juridiceServicii de selecție și plasare a forței de muncă (8)2223Servicii de investigație și protecție, cu excepția serviciilor de transport cu vehicule blindate24Servicii de învâțământ și de formare profesională25Servicii de sănătate și asistență socialăServicii recreative, culturale și sportive (9)26Alte servicii (8) (9)271Servicii menționate la articolul 1 alineatul (2) litera (d) din anexa II A la Directiva 2004/18/CE.2Cu excepția serviciilor de transporturi feroviare incluse în categoria 18.3Cu excepția serviciilor de transporturi feroviare incluse în categoria 18.4Cu excepția contractelor de servicii financiare privind emiterea, cumpărarea, vânzarea și transferul valorilor mobiliare sau a altor instrumente financiare și a serviciilor prestate de băncile centrale.Sunt exceptate, de asemenea, serviciile de cumpărare sau de închiriere, prin orice mijloace financiare, de terenuri, clădiri existente, alte bunuri imobile sau drepturi asupra acestora; achiziția serviciilor financiare prestate, indiferent de formă, în legătură cu contractul de cumpărare sau închiriere, se supune reglementărilor prezentei directive.5Cu excepția serviciilor de cercetare - dezvoltare, altele decât cele prin care beneficiile revin exclusiv autorității contractante pentru a fi utilizate în desfășurarea propriilor activități, cu condiția ca serviciul prestat să fie remunerat în totalitate de către autoritatea contractantă.6Cu excepția serviciilor de arbitraj și de conciliere.7Servicii menționate la articolul 1 alineatul (2) litera (d) din anexa II B la Directiva 2004/18/CE.8Cu excepția contractelor de muncă.9Cu excepția cumpărării, dezvoltării, producției sau coproducției de programe destinate difuzării, de către instituții de radiodifuziune și televiziune.7Formular standard 3-RO




ANEXA D

ANUNȚ DE ATRIBUIRE A CONTRACTULUI

JUSTIFICAREA ALEGERII PROCEDURII DE NEGOCIERE FĂRĂ PUBLICAREA PREALABILA A UNUI ANUNT DE PARTICIPARE

Justificarea alegerii procedurii de negociere fără publicare prealabilă a unui anunț de participare trebuie să fie în conformitate cu articolele corespunzătoare din Directiva 2004/18/CE.(Bifați rubrica sau rubricile corespunzătoare)a)Nu s-au prezentat oferte sau nu au fost prezentate oferte admisibile ca răspuns la:o licitație deschisă,o licitație restrânsă.b)Produsele în cauză sunt fabricate exclusiv în scopuri de cercetare, experimentare, studiu sau dezvoltare în condițiile menționate de directiva relevantă (numai pentru produse).c)Lucrările / produsele / serviciile pot fi furnizate numai de un anumit ofertant, din motive:tehnice,artistice,legate de protejarea unor drepturi de exclusivitate.d)Situație de urgență extremă survenită în urma unor evenimente care nu puteau fi prevăzute de autoritatea contractantă, în conformitate cu condițiile stricte stabilite de directivă.e)Lucrările / livrările / serviciile suplimentare sunt comandate în condițiile stricte stabilite de directivă.f)Noi lucrări / servicii, constituind o repetare a lucrărilor / serviciilor existente și solicitate în conformitate cu condițiile stricte conforme celor stabilite de directivă.g)Contract de servicii atribuit câștigătorului sau unuia dintre câștigătorii unui concurs.h)Produse cotate și achiziționate la o bursă de mărfuri.i)Achiziție de produse în condiții deosebit de avantajoase:de la un furnizor care își încetează definitiv activitățile comerciale,de la administratorii judiciari sau lichidatorii unui faliment, ai unui concordat judiciar sau ai unei proceduri similare.j)Toate ofertele transmise la o licitație deschisă, la o licitație restrânsă sau la un dialog competitiv au fost neconforme sau inacceptabile. Au fost luate în considerare la negocieri numai acele oferte care au respectat criteriile de selecție calitativă.8Formular standard 3-RO




ANEXA IV

UNIUNEA EUROPEANĂBiroul de publicare a Suplimentului Jurnalului Oficial al Uniunii Europene2, rue Mercier, L-2985 LuxemburgFax: (352) 29 29-42670E-mail: mp-ojs@opoce.cec.eu.intInformații și formulare on-line: http://simap.eu.intANUNȚ DE INTENȚIE – UTILITĂȚIPrezentul anunț reprezintă anunț de participaredanuPrezentul anunț vizează reducerea termenelor limită de depunere a ofertelordanuDacă da, completați, de asemenea, apendicele (informații privind anunțul de intenție reprezentând lansarea unei licitații sau reducând termenele limită de depunerea ofertelor)SECȚIUNEA I: ENTITATEA CONTRACTANTĂDENUMIRE, ADRESĂ ȘI PUNCT(E) DE CONTACTI.1)Denumire oficială:Adresă:Localitate:Cod poștal:Țară:Punct(e) de contact:Telefon:În atenția:E-mail:Fax:Adresă (adrese) Internet (după caz)Adresa sediului principal al entității contractante (URL):Adresa profilului cumpărătorului (URL):Alte informații suplimentare pot fi obținute la:Punctul (punctele) de contact menționat(e) anteriorAltele: completați anexa A.IÎn cazul în care prezentul anunț reprezintă anunț de participare sau permite reducerea termenelor limită de depunere a ofertelorServiciul de la care se pot obține caietul de sarcini și documentele suplimentare (inclusiv documentele referitoare la un sistem de achiziție dinamic)pot fi obținute la:Punctul (punctele) de contact menționat(e) anteriorAltele: completați anexa A.IIAdresa la care trebuie trimise ofertele, cererile de participare sau scrisorile de interes:Punctul (punctele) de contact menționat(e) anteriorAltele: completați anexa A.III1Formular standard 4-RO

1.2)ACTIVITATE PRINCIPALĂ (ACTIVITĂȚI PRINCIPALE) ALE ENTITĂȚII CONTRACTANTEProducere, transport și distribuție de gaz și de energie termicăApăServicii poștaleElectricitateServicii feroviareServicii feroviare urbane, de tramvai, troleibuz sau de autobuzProspectare și extragere a gazului și petroluluiActivități portuareProspectare și extragere a cărbunelui și a altor combustibili soliziActivități aeroportuareSECȚIUNEA II: OBIECTUL CONTRACTULUIII.1)DENUMIREA DATĂ CONTRACTULUI DE ENTITATEA CONTRACTANTĂII.2)TIPUL CONTRACTULUI (Alegeți o singură categorie – lucrări, produse sau servicii – cea care corespunde cel mai bine obiectului specific al contractului sau al achiziției dvs.)(a)Lucrări(b)Produse(c)ServiciiCategoria serviciilor:Nr.(Pentru categoriile de servicii 1-27, consultați anexele XVIIA și XVIIB la Directiva 2004/17/CE)II.3)DESCRIEREA SUCCINTĂ A CONTRACTULUI SAU A ACHIZIȚIEI/ACHIZIȚIILOR (în cazul serviciilor, indicați contractul preconizat pentru fiecare categorie)(pentru detaliere pe loturi, utilizați anexa B de câte ori este necesar, pentru fiecare lot în parte)II.4)CLASIFICARE CPV (VOCABULARUL COMUN PRIVIND ACHIZIȚIILE)Vocabular principalVocabular suplimentar (după caz)Obiect principalObiect(e) suplimentar(e)2Formular standard 4-RO

II.5)DATA PREVĂZUTĂ PENTRU ÎNCEPEREA PROCEDURILOR DE ATRIBUIRE ȘI DURATA CONTRACTULUIData prevăzută (dacă se cunoaște) pentruînceperea procedurilor de atribuire(zz/ll/aaaa)Durata în luni:sauîn zile:(începând de la data atribuirii contractului)sau data prevăzută (dacă se cunoaște) pentruînceperea(zz/ll/aaaa)finalizarea(zz/ll/aaaa)II.6)COST ESTIMATIV ȘI MODALITĂȚI PRINCIPALE DE FINANȚARE (după caz)II.6.1)Costul inițial estimat (după caz; numai în cifre)După caz, valoarea estimată fără TVA: ______________________Monedă:_______________SAU intervalul: între __________și ______________________Monedă:_______________II.6.2)Principalele condiții financiare și modalități de plată și/sau trimitere la dispozițiile relevante (în cazul în care acestea se cunosc)II.7)CONTRACTUL INTRĂ SUB INCIDENȚA ACORDULUI PRIVIND CONTRACTELE DE ACHIZIȚII PUBLICE (CAP)danuINFORMAȚII SUPLIMENTARE (după caz)II.8)-------------------------------(În cazul contractelor de produse sau de servicii, utilizați prezenta secțiune de câte ori este necesar)------------------------------SECȚIUNEA IV: PROCEDURĂ ȘI INFORMAȚII ADMINISTRATIVEIV.1)NUMARUL DE REFERINȚĂ ATRIBUIT DOSARULUI DE ENTITATEA CONTRACTANTĂ (după caz)------------------------------------------------------------(În cazul contractelor de produse sau de servicii, utilizați prezenta secțiune de câte ori este necesar)3Formular standard 4-RO

SECȚIUNEA VI: INFORMAȚII SUPLIMENTAREVI.1)CONTRACTUL SE ÎNSCRIE ÎNTR-UN PROIECT/PROGRAM FINANȚAT DIN FONDURI COMUNITAREdanuDacă da, trimitere (trimiteri) la proiect(e) și/sau program(e):VI.2)ALTE INFORMAȚII (după caz)VALOAREA TOTALĂ ESTIMATĂ A CONTRACTULUI (CONTRACTELOR) DE FURNIZARE DE PRODUSE SAU SERVICII (după caz)VI.3)Rata TVA (%)Indicați valoarea totală estimată a produselor, serviciilor sau acordurilor-cadru pe grupe de produse enumerate la rubrica II.6) Cost estimativFără TVATVA inclusValoare ______________Monedă: ___________la,sau oferta cea mai scăzută ______ /cea mai ridicată _____________Monedă: ___________la,luată în considerareVI.4)DATA EXPEDIERII PREZENTULUI ANUNȚ:(zz/ll/aaaa)4Formular standard 4-RO




APENDICE

ANUNȚ DE INTENȚIE REPREZENTÂND ANUNȚUL DE PARTICIPARE SAU CARE VIZEAZĂ REDUCERE A TERMENELOR LIMITĂ DE DEPUNERE A OFERTELOR

În cazul în care anunțul permite reducerea termenelor limită de depunere a ofertelor, informațiile din prezentul apendice trebuie furnizate, în măsura în care sunt disponibile

SECȚIUNEA II: OBIECTUL CONTRACTULUIII.1)DESCRIEREII.1.1)Denumirea dată contractului de entitatea contractantăII.1.2)Tipul contractului și locul de executare a lucrărilor, de livrare a produselor sau de prestare a serviciilor(Alegeți o singură categorie – lucrări, produse sau servicii – cea care corespunde cel mai bine obiectului specific al contractului sau al achiziției dvs.)(a)Lucrări(b)Produse(c)ServiciiCategoria serviciilor:Nr.ExecutareCumpărareProiectare și executareLeasing(Pentru categoriile de servicii 1-27, consultați anexele XVIIA și XVIIB la Directiva 2004/17/CE)ÎnchiriereExecutarea, prin orice mijloace, a unei lucrări, conform cerințelor specificate de autoritatea contractantăÎnchiriere cu opțiune de cumpărareO combinație între acesteaNUTSLocul principal de prestareLocul principal de executareNUTScodNUTScodcod NUTSII.1.3)Anunțul implicăUn contract de achiziții publicePunerea în aplicare a unui sistem de achiziție dinamic (SAD)Încheierea unui acord-cadruII.1.4)Informații privind acordul-cadru (după caz)Acord-cadru cu mai mulți operatori economiciAcord-cadru cu un singur operator economicNumărulsau, după caz, numărul maximde participanți la acordul-cadru preconizatDurata acordului-cadru:Durata în ani:sau în luni:Estimarea valorii totale a achizițiilor pentru întreaga durată a acordului-cadru (după caz; numai în cifre):Valoarea estimată fără TVA: _________________________Monedă: ______________sau intervalul: între ________________________și _____________________Monedă: ______________Frecvența și valoarea contractelor care urmează să fie atribuite (după caz): _________________5Formular standard 4-RO

II.1.5)Împărțire în loturi (pentru precizări privind loturile utilizați anexa B de câte ori este necesar, pentru fiecare lot în parte)danuDacă da, trebuie depuse oferte pentru (bifați o singură căsuță):un singur lotunul sau mai multe loturitoate loturileCANTITATEA SAU DOMENIUL CONTRACTULUIII.2)II.2.1)Cantitatea totală sau domeniul (inclusiv, după caz, toate loturile și toate opțiunile)După caz, valoarea estimată fără TVA (numai în cifre): ________________________________Monedă: ____________sau intervalul: între ______________________și _______________Monedă: ____________II.2.2)Opțiuni (după caz)danuDacă da, descrierea acestor opțiuni: _____________________________________________________________________________________________Dacă se cunoaște, calendarul prevăzut de aplicare a respectivelor opțiuni: în luni:sau în zile:(de la data atribuiriicontractului)Numărul de prelungiri posibile (după caz):sau interval: întreșiDacă se cunoaște, în cazul contractelor de produse sau de servicii cu caracter periodic, calendarul prevăzut al contractelor ulterioare:în luni:sau în zile:(de la data atribuirii contractului)SECȚIUNEA III: INFORMAȚII JURIDICE, ECONOMICE, FINANCIARE ȘI TEHNICECONDIȚII REFERITOARE LA CONTRACTIII.1)III.1.1)Depozite valorice și garanții solicitate (după caz)III.1.2)Forma juridică pe care o va lua grupul de operatori economici căruia i se atribuie contractul (după caz)6Formular standard 4-RO

III.1.3)Executarea contractului este supusă altor condiții speciale (după caz)danuDacă da, descrierea condițiilor speciale:III.2)CONDIȚII DE PARTICIPAREIII.2.1)Situația personală a operatorilor economici, inclusiv cerințele referitoare la înscrierea în registrul comerțului sau al profesieiInformații și formalități necesare pentru evaluarea respectării cerințelor menționate:III.2.2)Capacitatea economică și financiarăInformații și formalități necesare pentru evaluarea respectării cerințelor menționate (după caz) :III.2.3)Capacitatea tehnicăInformații și formalități necesare pentru evaluarea respectării cerințelor menționate (după caz) :III.2.4)Contracte rezervate (după caz)danuContractul este rezervat unor ateliere protejateContractul va fi executat numai în cadrul unor programe de ocuparea forței de muncă protejateIII.3)CONDIȚII SPECIFICE PENTRU CONTRACTELE DE SERVICIIIII.3.1)Prestarea serviciilor în cauză este rezervată unei anumite profesiidanuDacă da, trimitere la actele cu putere de lege și actele administrative aplicabile:III.3.2)Persoanele juridice au obligația să indice numele și calificările profesionale ale membrilor personalului responsabili pentru prestarea serviciilor respectivedanu7Formular standard 4-RO

SECȚIUNEA IV: PROCEDURĂTIPUL PROCEDURIIIV.1)IV.1.1)Tipul proceduriiLicitație restrânsăNegociereIV.2)CRITERII DE ATRIBUIREIV.2.1)Criterii de atribuire (bifați rubrica sau rubricile corespunzătoare)Cel mai mic prețsauoferta cea mai avantajoasă din punct de vedere economic în ceea ce priveștecriteriile menționate în continuare (criteriile de atribuire trebuie indicate împreună cu ponderarea sau în ordine descrescătoare a priorității, în cazul în care nu se poate realiza ponderarea din motive demonstrabile)criteriile enunțate în caietul de sarcini, în invitația de confirmare a interesului sau în invitația de prezentare a unei oferte sau de participare la negociereCriteriiPondereCriteriiPondere1.6.2.7.3.8.4.9.5.10.IV.2.2)Se va organiza o licitație electronicădanuDacă da , oferiți informații suplimentare despre licitația electronică (după caz)IV.3)INFORMAȚII ADMINISTRATIVEIV.3.1)Condiții de obținere a caietului de sarcini și a documentației suplimentare (cu excepția unui SAD)Termenul limită pentru depunerea cererilor de documente sau pentru acces la documenteData:(zz/ll/aaaa)Ora: ________________Documente de platădanuDacă da, prețul (numai în cifre): ________________________Monedă: _______________Condiții și modalități de plată: _________________________________________________________________________________________________8Formular standard 4-RO

IV.3.2)Termen limită pentru depunerea scrisorii de interes (numai dacă anunțul reprezintă lansarea unei licitații)Data:(zz/ll/aaaa)IV.3.3)Termen limită pentru depunerea cererilor pentru obținerea unei invitații de a prezenta o ofertă sau a negocia(numai în cazul în care anunțul permite reducerea termenelor)Data:(zz/ll/aaaa)Ora: __________________IV.3.4)Limba sau limbile în care poate fi redactată oferta sau cererea de participareESCSDADEETELENFRITLVLTHUMTNLPLPTSKSLFISVAltele: ___________________________________________________________________________________________________________________SECȚIUNEA VI: INFORMAȚII SUPLIMENTARECONTRACTUL ESTE PERIODIC (după caz)VI.1)danuDacă da, precizați perioada estimată de publicare a anunțurilor viitoare: _______________________________________________________________VI.2)ALTE INFORMAȚII (după caz)Operatorii economci interesați trebuie să-și manifeste în fața autorității contractante interesul față de contract(e); contractul (contractele) va (vor) fi adjudecat(e) fără publicare ulterioară a unui anunț de cerere de oferte.VI.3)CĂI DE ATACVI.3.1)Organismul competent pentru căile de atacDenumire oficială:Adresă:Localitate:Cod poștal:Țară:E-mail:Telefon:Adresă Internet (URL):Fax:Organismul competent pentru procedurile de mediere (după caz)Denumire oficială:Adresă:Localitate:Cod poștal:Țară:E-mail:Telefon:Adresă Internet (URL):Fax:9Formular standard 4-RO

►(2) M1  

►(2) M1  

VI.3.2)Utilizarea căilor de atac (completați rubrica VI.3.2 SAU, după caz, rubrica VI.3.3)Precizări privind termenul (termenele) de exercitare a căilor de atac:VI.3.3)Serviciul de la care se pot obține informații privind utilizarea căilor de atacDenumire oficială:Adresă:Localitate:Cod poștal:Țară:E-mail:Telefon:Adresă Internet (URL):Fax:10Formular standard 4-RO




ANEXA A

ADRESE SUPLIMENTARE ȘI PUNCTE DE CONTACT

I)ADRESE ȘI PUNCTE DE CONTACT DE LA CARE SE POT OBȚINE INFORMAȚII SUPLIMENTAREDenumire oficială:Adresă:Localitate:Cod poștal:Țară:Punct(e) de contact:Telefon:În atenția:E-mail:Fax:Adresă Internet (URL):În cazul în care prezentul anunț reprezintă un anunț de participare sau vizează reducerea termenelor limită de depunere a ofertelorII)ADRESE ȘI PUNCTE DE CONTACT DE LA CARE SE POT OBȚINE DOCUMENTELE SUPLIMENTARE (INCLUSIV DOCUMENTELE PRIVIND UN SISTEM DE ACHIZIȚIE DINAMIC)Denumire oficială:Adresă:Localitate:Cod poștal:Țară:Punct(e) de contact:Telefon:În atenția:E-mail:Fax:Adresă Internet (URL):III)ADRESE ȘI PUNCTE DE CONTACT LA CARE TREBUIE DEPUSE OFERTELE, CERERILE DE PARTICIPARE SAU SCRISORILE DE INTERESDenumire oficială:Adresă:Localitate:Cod poștal:Țară:Punct(e) de contact:Telefon:În atenția:E-mail:Fax:Adresă Internet (URL):11Formular standard 4-RO




ANEXA B

INFORMAȚII PRIVIND LOTURILE

LOT Nr.DENUMIRE ____________________________________________________________________________________________1)DESCRIERE SUCCINTĂ2)CLASIFICARE CPV (VOCABULARUL COMUN PRIVIND ACHIZIȚIILE PUBLICE)Vocabular principalVocabular suplimentar (după caz)Obiect principalObiect(e) suplimentar(e)3)CANTITATE SAU DOMENIU (numai dacă anunțul nu reprezintă anunțul de participare)Dacă se cunoaște, valoarea estimată fără TVA (numai în cifre): _____________________Monedă: ___________sau intervalul: între ________________________________și _____________________Monedă: ___________4)INFORMAȚII REFERITOARE LA O DATĂ DIFERITĂ DE ÎNCEPERE A PROCEDURII DE ATRIBUIRE ȘI/SAU O ALTĂ DATĂ DE ÎNCEPERE/DE FINALIZARE A CONTRACTULUI(după caz)Data prevăzută (dacă se cunoaște) pentruÎnceperea procedurilor de atribuire(zz/ll/aaaa)Durata în luni:sau în zile:(începând de la data atribuirii contractului)sau data prevăzută (dacă se cunoaște)(zz/ll/aaaa)de începere(zz/ll/aaaa)de finalizare5)INFORMAȚII SUPLIMENTARE PRIVIND LOTURILE------------------------------------------------------------(Utilizați prezenta anexă separat pentru fiecare lot)------------------------------------------------------------12Formular standard 4-RO




ANEXA V

UNIUNEA EUROPEANĂBiroul de publicare a Suplimentului Jurnalului Oficial al Uniunii Europene2, rue Mercier, L-2985 LuxemburgFax: (352) 29 29-42670E-mail: mp-ojs@opoce.cec.eu.intInformații și formulare on-line: http://simap.eu.intANUNȚ DE PARTICIPARE – UTILITĂȚISECȚIUNEA I: ENTITATEA CONTRACTANTĂDENUMIRE, ADRESĂ ȘI PUNCT(E) DE CONTACTI.1)Denumire oficială:Adresă:Localitate/Oraș:Cod poștal:Țară:Punct(e) de contact:Telefon:În atenția:E-mail:Fax:Adresă (adrese) Internet (după caz)Adresa sediului principal al entității contractante (URL):Adresa profilului cumpărătorului (URL):Alte informații pot fi obținute la:Punctul (punctele) de contact menționat(e) anteriorAltele: completați anexa A.ICaietul de sarcini și documentele suplimentare (inclusiv documentele referitoare la un sistem de achiziție dinamic) pot fi obținute la:Punctul (punctele) de contact menționat(e) anteriorAltele: completați anexa A.IIOfertele sau solicitările de participare trebuie depuse la:Punctul (punctele) de contact menționat(e) anteriorAltele: completați anexa A.IIII.2)ACTIVITATEA PRINCIPALĂ (ACTIVITĂȚILE PRINCIPALE) A(LE) ENTITĂȚII CONTRACTANTEProducere, transport și distribuție de gaz și de energie termicăApăServicii poștaleElectricitateProspectare și extragere a gazului și petroluluiServicii feroviareServicii feroviare urbane, de tramvai, troleibuz sau de autobuzProspectare și extragere a cărbunelui și a altor combustibili soliziActivități portuareActivități aeroportuare1Formular standard 5-RO

SECȚIUNEA II: OBIECTUL CONTRACTULUIDESCRIEREII.1)II.1.1)Denumirea dată contractului de entitatea contractantăII.1.2)Tipul contractului și locul de executare a lucrărilor, de livrare a produselor sau de prestare a serviciilor(Alegeți o singură categorie – lucrări, produse sau servicii – cea care corespunde cel mai bine obiectului specific al contractului sau al achiziției dvs.)(a)Lucrări(b)Produse(c)ServiciiExecutareCumpărareCategoria serviciilor:Nr.Proiectare și executareLeasing(Pentru categoriile de servicii 1-27, consultați anexele XVIIA și XVIIB la Directiva 2004/17/CE)Executarea, prin orice mijloace, a unei lucrări, conform cerințelor specificate de autoritatea contractantăÎnchiriereÎnchiriere cu opțiune de cumpărareO combinație între acesteaLocul principal de executareLocul principal de livrareLocul principal de prestarecod NUTScod NUTScod NUTSII.1.3)Anunțul implicăUn contract de achiziții publicePunerea în aplicare a unui sistem de achiziție dinamic (SAD)Încheierea unui acord-cadruII.1.4)Informații privind acordul-cadru (după caz)Acord-cadru cu mai mulți operatori economiciAcord-cadru cu un singur operator economicNumărulsau, după caz, numărul maximde participanți la acordul-cadru preconizatDurata acordului-cadru (după caz)Durata în ani:sau în luni:Estimarea valorii totale a achizițiilor pentru întreaga durată a acordului-cadru (după caz; numai în cifre):Valoarea estimată fără TVA: _______________________________________Monedă: ________________sau intervalul: între ____________________________și ___________________________Monedă: ________________Frecvența și valoarea contractelor care urmează să fie atribuite (dacă se cunosc): __________2Formular standard 5-RO

II.1.5)Descrierea succintă a contractului sau a achiziției/achizițiilorII.1.6)Clasificare CPV (vocabularul comun privind achizițiile)Vocabular principalVocabular suplimentar (după caz)Obiect principalObiect(e) suplimentar(e)II.1.7)Contractul intră sub incidența acordului privind contractele de achiziții publicedanuII.1.8)Împărțire în loturi (pentru precizări privind loturile utilizați anexa B de câte ori este necesar, pentru fiecare lot în parte)danuDacă da, trebuie depuse oferte pentru (bifați o singură căsuță):un singur lotunul sau mai multe loturitoate loturileII.1.9)danuSe vor lua în considerare varianteII.2)CANTITATEA SAU DOMENIUL CONTRACTULUIII.2.1)Cantitatea totală sau domeniul (inclusiv, după caz, toate loturile și toate opțiunile)După caz, valoarea estimată fără TVA (numai în cifre): ____________________________________________Monedă: ______________________sau intervalul: între ______________________________ și _______________________________Monedă: ______________________II.2.2)Opțiuni (după caz)danuDacă da, descrierea acestor opțiuni: ___________________________________________________________________________________________Dacă se cunoaște, calendarul prevăzut de aplicare a respectivelor opțiuni:în luni:sau în zile:(de la data atribuirii contractului)Numărul de reînnoiri posibile (după caz):SAU interval: întreșiDacă se cunoaște, în cazul contractelor de produse sau de servicii care pot fi reînnoite, calendarul prevăzut al contractelor ulterioare:în luni:sau în zile:(de la data atribuirii contractului)3Formular standard 5-RO

II.3)DURATA CONTRACTULUI SAU TERMENUL LIMITĂ DE EXECUTAREDurata în luni:sau în zile:(de la data atribuirii contractului)sau începând cu(zz/ll/aaaa)Până la(zz/ll/aaaa)SECȚIUNEA III: INFORMAȚII JURIDICE, ECONOMICE, FINANCIARE ȘI TEHNICEII.1)CONDIȚII REFERITOARE LA CONTRACTIII.1.1)Depozite valorice și garanții solicitate (după caz)III.1.2)Principalele modalități de finanțare și plată și/sau trimitere la prevederile relevanteIII.1.3)Forma juridică pe care o va lua grupul de operatori economici căruia i se atribuie contractul (după caz)III.1.4)Executarea contractului este supusă altor condiții speciale (după caz)danuDacă da, descrierea acestor condiții:4Formular standard 5-RO

III.2)CONDIȚII DE PARTICIPAREIII.2.1)Situația personală a operatorilor economici, inclusiv cerințele referitoare la înscrierea în registrul comerțului sau al profesieiInformații și formalități necesare pentru evaluarea respectării cerințelor menționate:III.2.2)Capacitatea economică și financiarăInformații și formalități necesare pentru evaluarea respectării cerințelor menționate (după caz):III.2.3)Capacitatea tehnicăInformații și formalități necesare pentru evaluarea respectării cerințelor menționate (după caz):III.2.4)Contracte rezervate (după caz)danuContractul este rezervat unor ateliere protejateContractul va fi executat numai în cadrul unor programe de ocuparea forței de muncă protejateCONDIȚII SPECIFICE PENTRU CONTRACTELE DE SERVICIIIII.3)III.3.1)Prestarea serviciilor în cauză este rezervată unei anumite profesiidanuDacă da, trimitere la actele cu putere de lege și actele administrative aplicabile:III.3.2)Persoanele juridice au obligația să indice numele și calificările profesionale ale membrilor personalului responsabili pentru prestarea serviciilor respectivedanu5Formular standard 5-RO

SECȚIUNEA IV: PROCEDURĂIV.1)TIPUL PROCEDURIIIV.1.1)Tipul proceduriiLicitație deschisăNegociereAu fost deja selectați candidațiidanuLicitație deschisăDacă da, indicați numele și adresele operatorilor economici selectați deja în secțiunea VI.3) Informații SuplimentareIV.2)CRITERII DE ATRIBUIREIV.2.1)Criterii de atribuire (bifați rubrica sau rubricile corespunzătoare)Cel mai mic prețsauoferta cea mai avantajoasă din punct de vedere economic în ceea ce priveștecriteriile menționate în continuare (criteriile de atribuire trebuie indicate împreună cu ponderarea sau în ordine descrescătoare a priorității, în cazul în care nu se poate realiza ponderarea din motive demonstrabile)criteriile enunțate în caietul de sarcini, în invitația de confirmare a interesului sau în invitația de a prezenta o ofertă sau de a participa la negociereCriteriiPondereCriteriiPondere1.6.2.7.3.8.4.9.5.10.IV.2.2)Se va organiza o licitație electronicădanuDacă da, oferiți informații suplimentare despre licitația electronică (după caz)6Formular standard 5-RO

IV.3)INFORMAȚII ADMINISTRATIVEIV.3.1)Număr de referință atribuit dosarului de entitatea contractantă (după caz)IV.3.2)Publicare anterioară privind același contractdanuDacă da:Anunț de intențieAnunț despre profilul cumpărătorului/SNumărul anunțului în JO:din(zz/ll/aaaa)Alte publicări anterioare (după caz)Numărul anunțului în JO:/Sdin(zz/ll/aaaa)/SNumărul anunțului în JO:din(zz/ll/aaaa)IV.3.3)Condiții de obținere a caietului de sarcini și a documentelor suplimentare (cu excepția cazului unui SAD)Termenul limită pentru primirea solicitării de documente sau pentru accesul la documenteData:(zz/ll/aaaa)Ora: __________________________________Documente de platădanuDacă da, prețul (numai în cifre): __________________________Monedă: ______________________________Condiții și modalități de plată:IV.3.4)Termen limită pentru depunerea ofertelor sau a cererilor de participareData:(zz/ll/aaaa)Ora: _________________________________________IV.3.5)Limba sau limbile în care poate fi redactată oferta sau cererea de participareESCSDADEETELENFRITLVETHUMTNLPLPTSKSLFISVAltele: ___________________________________________________________________________________________________________________IV.3.6)Perioada minimă pe parcursul căreia ofertantul este obligat să își mențină oferta (în cazul unei licitații deschise)Până la:(zz/ll/aaaa)SAU Durata în luni:SAU în zile:(de la termenul limită de primire a ofertelor)7Formular standard 5-RO

►(2) M1  

►(2) M1  

IV.3.7)Condiții de deschidere a ofertelorData:(zz/ll/aaaa)Ora:_______________________________Locul (după caz): ___________________________________________________________________________________________________________Persoane autorizate să asiste la deschiderea ofertelor (după caz)danuSECȚIUNEA VI: INFORMAȚII SUPLIMENTAREVI.1)CONTRACTUL ESTE PERIODIC (după caz)danuDacă da, calendarul prevăzut de publicare a anunțurilor viitoare:VI.2)CONTRACTUL (CONTRACTELE) SE ÎNSCRIE (SE ÎNSCRIU) ÎNTR-UN PROIECT/PROGRAM FINANȚAT DIN FONDURI COMUNITAREdanuDacă da, trimitere (trimiteri) la proiect(e) și/sau program(e):VI.3)ALTE INFORMAȚII (după caz)8Formular standard 5-RO

CĂI DE ATACVI.4)VI.4.1)Organismul competent pentru căile de atacDenumire oficială:Adresă:Localitate:Cod poștal:Țară:E-mail:Telefon:Adresă Internet (URL):Fax:Organsimul competent pentru procedurile de mediere (după caz)Denumire oficială:Adresă:Localitate:Cod poștal:Țară:E-mail:Telefon:Adresă Internet (URL:Fax:VI.4.2)Utilizarea căilor de atac (completați rubrica VI.4.2 SAU, după caz, rubrica VI.4.3)Precizări privind termenul (termenele) de exercitare a căilor de atac:VI.4.3)Serviciul de la care se pot obține informații privind utilizarea căilor de atacDenumire oficială:Adresă:Localitate:Cod poștal:Țară:E-mail:Telefon:Adresă Internet (URL:Fax:DATA EXPEDIERII PREZENTULUI ANUNȚ:VI.5)(zz/ll/aaaa)9Formular standard 5-FR




ANEXA A

ADRESE SUPLIMENTARE ȘI PUNCTE DE CONTACT

I)ADRESE ȘI PUNCTE DE CONTACT DE LA CARE SE POT OBȚINE INFORMAȚII SUPLIMENTAREDenumire oficială:Adresă:Localitate:Cod poștal:Țară:Punct(e) de contact:Telefon:În atenția:E-mail:Fax:Adresă Internet (URL):II)ADRESE ȘI PUNCTE DE CONTACT DE LA CARE SE POT OBȚINE CAIETUL DE SARCINI ȘI DOCUMENTELE SUPLIMENTARE (INCLUSIV DOCUMENTELE PRIVIND UN SISTEM DE ACHIZIȚIE DINAMIC)Denumire oficială:Adresă:Localitate:Cod poștal:Țară:Punct(e) de contact:Telefon:În atenția:E-mail:Fax:Adresă Internet (URL):ADRESE ȘI PUNCTE DE CONTACT LA CARE TREBUIE DEPUSE OFERTELE/CERERILE DE PARTICIPAREIII)Denumire oficială:Adresă:Localitate:Cod poștal:Țară:Punct(e) de contact:Telefon:În atenția:E-mail:Fax:Adresă Internet (URL):10Formular standard 5-RO




ANEXA B

INFORMAȚII PRIVIND LOTURILE

LOT Nr.DENUMIRE ___________________________________________________________________________________________1)DESCRIERE SUCCINTĂ2)CLASIFICARE CPV (VOCABULARUL COMUN PRIVIND ACHIZIȚIILE PUBLICE)Vocabular principalVocabular suplimentar (după caz)Obiect principalObiect(e) suplimentar(e)3)CANTITATE ȘI DOMENIUDacă se cunoaște, valoarea estimată fără TVA (numai în cifre): ______________________________________Monedă: ______________sau intervalul: între ______________________________și ______________________________Monedă: ______________4)MENȚIUNE PRIVIND O ALTĂ DURATĂ A CONTRACTULUI SAU O ALTĂ DATĂ DE ÎNCEPERE/DE FINALIZARE (după caz)Durata în luni:sau în zile:(începând de la data atribuirii contractului)sau începând din(zz/ll/aaaa)până la(zz/ll/aaaa)INFORMAȚII SUPLIMENTARE PRIVIND LOTURILE5)----------------------------------------------------------------------------------------------------------(Utilizați prezenta anexă separat pentru fiecare lot)11Formular standard 5-RO




ANEXA VI

UNIUNEA EUROPEANĂBiroul de publicare a Suplimentului Jurnalului Oficial al Uniunii Europene2, rue Mercier, L-2985 LuxemburgFax: (352) 29 29-42670E-mail: mp-ojs@opoce.cec.eu.intInformații și formulare on-line: http://simap.eu.intANUNȚ DE ATRIBUIRE A CONTRACTULUI – UTILITĂȚISECȚIUNEA I: ENTITATEA CONTRACTANTĂI.1)DENUMIRE, ADRESĂ ȘI PUNCT(E) DE CONTACTDenumire oficială:Adresă:Localitate:Cod poștal:Țară:Punct(e) de contact:Telefon:În atenția:E-mail:Fax:Adresă (adrese) Internet (după caz)Adresa sediului principal al entității contractante (URL):Adresa profilului cumpărătorului (URL):I.2)ACTIVITATEA PRINCIPALĂ (ACTIVITĂȚILE PRINCIPALE) A(LE) ENTITĂȚII CONTRACTANTEProducere, transport și distribuție de gaz și de energie termicăApăElectricitateServicii poștaleProspectare și extragere a gazului și petroluluiServicii feroviareProspectare și extragere a cărbunelui și a altor combustibili soliziServicii feroviare urbane, de tramvai, troleibuz sau de autobuzActivități portuareActivități aeroportuare1Formular standard 6-RO

SECȚIUNEA II: OBIECTUL CONTRACTULUIDESCRIEREII.1)II.1.1)Denumirea dată contractului de entitatea contractantăII.1.2)Tipul contractului și locul de executare a lucrărilor, de livrare a produselor sau de prestare a serviciilor(Alegeți o singură categorie – lucrări, produse sau servicii – cea care corespunde cel mai bine obiectului specific al contractului sau al achiziției dvs.)(a)Lucrări(b)Produse(c)ServiciiExecutareCumpărareCategoria serviciilor:Nr.Proiectare și executareLeasingÎn cazul categoriilor de servicii 17-27 (a se vedea anexa C), aprobați publicarea prezentului anunț?ÎnchiriereExecutarea, prin orice mijloace, a unei lucrări, conform cerințelor specificate de autoritatea contractantăÎnchiriere cu opțiune de cumpăraredanuO combinație între acesteaLocul principal de executareLocul principal de livrareLocul principal de prestarecod NUTScod NUTScod NUTSII.1.3)Anunțul implică (după caz)Încheierea unui acord-cadruÎncheierea unui contract pe baza unui sistem de achiziție dinamic (SAD)II.1.4)Descrierea succintă a contractului sau a achiziției/achizițiilorII.1.5)Clasificare CPV (vocabularul comun privind achizițiile)Vocabular principalVocabular suplimentar (după caz)Obiect principalObiect(e) suplimentar(e)II.1.6)Contractul intră sub incidența acordului privind contractele de achiziții publicedanu2Formular standard 6-RO

II.2)VALOAREA TOTALĂ FINALĂ A CONTRACTULUI (CONTRACTELOR)II.2.1)Valoarea totală finală a contractului sau a contractelor (numai în cifre)FărăInclusRata TVA (%)(Indicați numai valoarea totală finală, inclusiv toate contractele, loturile și opțiunile; pentru a oferi informații privind contractele distincte, completați secțiunea V. Atribuirea contractului)TVATVAla,Valoare:____________________Monedă: _____________la,sau oferta cea mai scăzută _____ /cea mai ridicată ________Monedă: _____________luată în considerareSECȚIUNEA IV: PROCEDURĂIV.1)TIPUL PROCEDURIIIV.1.1)Tipul proceduriiLicitație deschisăNegociere cu anunț de participareLicitație restrânsăNegociere fără anunț de participareJustificarea utilizării procedurii de negociere fără publicarea prealabila a unui anunt de participare : completați anexa DCRITERII DE ATRIBUIREIV.2)IV.2.1)Criterii de atribuire (după caz)(Precizați criteriile de atribuire la rubrica V.2.6 în cazul în care informația nu este destinată publicării)Cel mai mic prețsauoferta cea mai avantajoasă din punct de vedere economicIV.2.2)S-a organizat o licitație electronicădanuIV.3)INFORMAȚII ADMINISTRATIVEIV.3.1)Număr de referință atribuit dosarului de entitatea contractantă (după caz)IV.3.2)Anunțuri publicate (anunț publicat) anterior privind același contractdanuDacă da, tipul de anunț de participare (bifați căsuța corespunzătoare):Anunț periodic de intențieAnunț de participareAnunț privind existența unui sistemde calificareAnunț privind profilulcumpărătoruluiNumărul anunțului în JO:/Sdin(zz/ll/aaaa)Alte publicări anterioare/SNumărul anunțului în JO:din(zz/ll/aaaa)3Formular standard 6-RO

SECȚIUNEA V: ATRIBUIREA CONTRACTULUIV.1)ATRIBUIREA ȘI VALOAREA CONTRACTULUICONTRACT Nr.DENUMIRE ____________________________________________________________________________________[Precizați denumirea operatorului economic (operatorilor economici) câștigător(i) și valoarea contractului în continuare sau în secțiunea V.2) în cazul în care informația nu este destinată publicării]V.1.1)Data atribuirii contractului:(zz/ll/aaaa)V.1.2)Numărul de oferte primite:V.1.3)Numele și adresa operatorului economic căruia i-a fost atribuit contractulDenumire oficială:Adresă:Localitate:Cod poștal:Țară:E-mail:Telefon:Adresă Internet (URL):Fax:V.1.4)Informații privind valoarea contractului (numai în cifre)FărăInclusRata TVA (%)TVATVAEstimarea inițială a valorii contractului (după caz)laValoare: ________________Monedă: ________________,Valoarea totală finală a contractuluiValoare: ________________Monedă: ________________lasau oferta cea mai scăzută _____ /cea mai ridicată ______Monedă: ________________la,luată în considerare,În cazul valorii anuale sau lunare (indicați):numărul de ani:SAUnumărul de luni:V.1.5)Contractul poate fi subcontractat (după caz)danuDacă da, indicați în valoare sau în procentaj partea din contract care ar putea fi subcontractată unor terți (numai în cifre):Valoare fără TVA _______________________Monedă: _____________________Procent:,(%)Nu se cunoașteDescriere succintă a valorii/procentului din contract care urmează să fie subcontractat (dacă se cunoaște)V.1.6)Prețul plătit pentru achizițiile de ocazie (după caz)Valoarea fără TVA (numai în cifre): ______________________Monedă: _____________________--------------------------------------------------(Utilizați prezenta secțiune de câte ori este necesar)-------------------------------------------------------4Formular standard 6-RO

ATRIBUIREA ȘI VALOAREA CONTRACTULUI – INFORMAȚII OBLIGATORII, CARE NU SUNT DESTINATEPUBLICĂRIIV.2)Comisia va respecta orice aspecte comerciale sensibile pe care autoritățile contractante le vor sublinia în prezenta secțiune, informații referitoare la numărul de oferte primite, la identitatea operatorilor economici sau la prețuri.(Completați rubricile V.2.1), V.2.4) și V.2.6) pentru fiecare contract atribuit, în cazul în care informațiile obligatorii nu sunt destinate publicării și nu au fost precizate în secțiunile anterioare)CONTRACT Nr.DENUMIRE ______________________________________________________________________________________V.2.1)Numărul de oferte primiteV.2.2)Numărul de contracte atribuiteV.2.3)Numele și adresa operatorului economic căruia i-a fost atribuit contractulDenumire:Adresă:Localitate:Cod poștal:Țară:E-mail:Telefon:Adresă Internet (URL):Fax:V.2.4)Valoarea totală finală a contractului fără TVA (numai în cifre): ________________________________Monedă: ____________________V.2.5)Țara de origine a produsului sau a serviciuluiOrigine comunitarăOrigine necomunitarăȚară: _________________________________________________________________________________V.2.6)Criterii de atribuireCel mai mic prețsauoferta cea mai avantajoasă din punct de vedere economicV.2.7)Contractul a fost atribuit unui ofertant care a prezentat o ofertă alternativădanuV.2.8)Au fost excluse oferte, deoarece erau nejustificat de scăzutedanu-------------------------------------------------------------------------------------------------------(Utilizați prezenta secțiune de câte ori este necesar)5Formular standard 6-RO

SECȚIUNEA VI: INFORMAȚII SUPLIMENTARECONTRACTUL SE ÎNSCRIE ÎNTR-UN PROIECT/PROGRAM FINANȚAT DIN FONDURI COMUNITAREVI.1)danuDacă da, trimitere (trimiteri) la proiect(e) și/sau program(e):VI.2)ALTE INFORMAȚII (după caz)VI.3)CĂI DE ATACVI.3.1)Organismul competent pentru căile de atacDenumire oficială:Adresă:Localitate:Cod poștal:Țară:E-mail:Telefon:Adresă Internet (URL):Fax:Organsimul competent pentru procedurile de mediere (după caz)Denumire oficială:Adresă:Localitate:Cod poștal:Țară:E-mail:Telefon:Adresă Internet (URL):Fax:VI.3.2)Utilizarea căilor de atac (completați rubrica VI.3.2 sau, după caz, rubrica VI.3.3)Precizări privind termenele de exercitare a căilor de atac:VI.3.3)Serviciul de la care se pot obține informații privind utilizarea căilor de atacDenumire oficială:Adresă:Localitate:Cod poștal:Țară:E-mail:Telefon:Adresă Internet (URL):Fax:DATA EXPEDIERII PREZENTULUI ANUNȚ:(zz/ll/aaaa)VI.4)6Formular standard 6-RO




ANEXA C

CATEGORII DE SERVICII ÎN SENSUL SECȚIUNII II: OBIECTUL CONTRACTULUI

Categoria nr. (1)Descriere1Servicii de întreținere și reparareServicii de transport terestru (2), inclusiv servicii de transport în vehicule blindate și servicii de curier exceptând transportul poștal23Servicii de transport aerian de călători și de mărfuri exceptând transportul poștalTransport poștal, terestru (3) sau aerian45Servicii de telecomunicații6Servicii financiare:servicii bancare și de investiții (4)(a)servicii de asigurare(b)7Servicii informatice și servicii conexeServicii de cercetare - dezvoltare (5)89Servicii de contabilitate, de audit financiar și de înregistrare contabilă10Servicii de studiere a pieței și sondajeServicii de consultanță pentru afaceri și management (6) și servicii conexe1112Servicii de arhitectură, servicii de inginerie specializată și servicii de inginerie integrată; servicii de proiectare urbanistică și peisagistică; servicii conexe de consultanță științifică și tehnică; servicii de testări și analize tehnice13Servicii de publicitate14Servicii de administrare, întreținere și curățenie a imobilelor15Servicii de publicare și tipărire contra unei taxe sau pe baza unui contract16Servicii de eliminare a deșeurilor și a apelor uzate; salubrizare și servicii similareCategoria nr. (7)Descriere17Servicii hoteliere și restaurante18Servicii de transport feroviar19Servicii de transport pe apă20Servicii anexe și auxiliare transportului21Servicii juridiceServicii de selecție și plasare a forței de muncă (8)2223Servicii de investigație și protecție, cu excepția serviciilor de transport cu vehicule blindate24Servicii de învâțământ și de formare profesională25Servicii de sănătate și asistență socială26Servicii recreative, culturale și sportive27Alte servicii(1)Servicii menționate la articolul 1 alineatul (2) litera (d) din anexa II A la Directiva 2004/18/CE.(2)Cu excepția serviciilor de transporturi feroviare incluse în categoria 18.(3)Cu excepția serviciilor de transporturi feroviare incluse în categoria 18.(4)Cu excepția contractelor de servicii financiare privind emiterea, cumpărarea, vânzarea și transferul valorilor mobiliare sau a altor instrumente financiare și a serviciilor prestate de băncile centrale.Sunt exceptate, de asemenea, serviciile de cumpărare sau de închiriere, prin orice mijloace financiare, de terenuri, clădiri existente, alte bunuri imobile sau drepturi asupra acestora; achiziția serviciilor financiare prestate, indiferent de formă, în legătură cu contractul de cumpărare sau închiriere, se supune reglementărilor prezentei directive.(5)Cu excepția serviciilor de cercetare - dezvoltare, altele decât cele prin care beneficiile revin exclusiv autorității contractante pentru a fi utilizate în desfășurarea propriilor activități, cu condiția ca serviciul prestat să fie remunerat în totalitate de către autoritatea contractantă.(6)Cu excepția serviciilor de arbitraj și de conciliere.(7)Servicii menționate la articolul 1 alineatul (2) litera (d) din anexa II B la Directiva 2004/18/CE.(8)Cu excepția contractelor de muncă.Formular standard 6-RO




ANEXA D

ANUNȚ DE ATRIBUIRE A CONTRACTULUI – UTILITĂȚI

JUSTIFICAREA ALEGERII PROCEDURII DE NEGOCIERE FĂRĂ PUBLICAREA PREALABILA A UNUI ANUNT DE PARTICIPARE

Justificarea alegerii procedurii de negociere fără publicarea prealabila a unui anunt de participare trebuie să fie în conformitate cu articolele relevante ale directivei.(Bifați rubrica sau rubricile corespunzătoare)a)Nu s-au prezentat oferte sau nu au fost prezentate oferte admisibile ca răspuns la:o licitație deschisă,o licitație restrânsă,o negociere cu publicarea prealabila a unui anunt de participare.b)Contractul vizează exclusiv cercetarea, experimentarea, studiu sau dezvoltarea în condițiile menționate de directivă.c)Lucrările/produsele/serviciile pot fi furnizate numai de un anumit ofertant, din motive:tehnice,artistice,legate de protejarea unor drepturi de exclusivitate.d)Situație de urgență extremă survenită în urma unor evenimente care nu puteau fi prevăzute de autoritatea contractantă, în conformitate cu condițiile stricte stabilite de directivă.e)Lucrările/produsele/serviciile suplimentare sunt comandate în condițiile stricte stabilite de directivă.f)Noi lucrările servicii, constituind o repetare a lucrărilor/serviciilor existente și solicitate în conformitate cu condițiile stricte stabilite de directivă.g)Contract de ervicii atribuit câștigătorului sau unuia dintre câștigătorii unui concurs.h)Produse cotate și achiziționate la o bursă de mărfuri.i)Achiziție de produse în condiții deosebit de avantajoase:de la un furnizor care își încetează definitiv activitățile comerciale,de la administratorii judiciari sau lichidatorii unui faliment, ai unui concordat judiciar sau ai unei proceduri similare.j)Contracte atribuite pe baza unui acord-cadru conform cu prezenta directivă.8Formular standard 6-RO




ANEXA VII

UNIUNEA EUROPEANĂBiroul de publicare a Suplimentului Jurnalului Oficial al Uniunii Europene2, rue Mercier, L-2985 LuxemburgFax: (352) 29 29-42670E-mail: mp-ojs@opoce.cec.eu.intInformații și formulare on-line: http://simap.eu.intSISTEM DE CALIFICARE – UTILITĂȚIPrezentul anunț reprezintă un anunț de participaredanuSECȚIUNEA I: ENTITATEA CONTRACTANTĂI.1)DENUMIRE, ADRESĂ ȘI PUNCT(E) DE CONTACTDenumire oficială:Adresă:Localitate:Cod poștal:Țară:Punct(e) de contact:Telefon:În atenția:E-mail:Fax:Adresă (adrese) Internet (după caz)Adresa sediului principal al entității contractante (URL):Adresa profilului cumpărătorului (URL):Adresa de la care se pot obține informații suplimentare despre sistemul de calificare:Punctul (punctele) de contact menționat(e) anteriorAltele: completați anexa A.IAdresa de la care se pot obține documentele suplimentare:Punctul (punctele) de contact menționat(e) anteriorAltele: completați anexa A.IIAdresa la care trebuie depuse cererile de participare sau candidaturile:Punctul (punctele) de contact menționat(e) anteriorAltele: completați anexa A.IIII.2)ACTIVITATEA PRINCIPALĂ (ACTIVITĂȚILE PRINCIPALE) A(LE) ENTITĂȚII CONTRACTANTEProducere, transport și distribuție de gaz și de energie termicăApăElectricitateServicii poștaleProspectare și extragere a gazului și petroluluiServicii feroviareProspectare și extragere a cărbunelui și a altor combustibili soliziServicii feroviare urbane, de tramvai, troleibuz sau de autobuzActivități portuareActivități aeroportuare1Formular standard 7-RO

SECȚIUNEA II: OBIECTUL SISTEMULUI DE CALIFICAREII.1)DENUMIREA ATRIBUITĂ SISTEMULUI DE CALIFICARE DE CĂTRE ENTITATEA CONTRACTANTĂII.2)TIPUL CONTRACTULUI (Alegeți o singură categorie – lucrări, produse sau servicii – cea care corespunde cel mai bine obiectului specific al contractului sau al achiziției dvs.)LucrăriProduseServiciiCategoria serviciilor: Nr.II.3)DESCRIEREA LUCRĂRILOR, SERVICIILOR SAU A PRODUSELOR CARE URMEAZĂ SĂ FIE ACHIZIȚIONATE PRIN INTERMEDIUL SISTEMULUI DE CALIFICARECLASIFICARE CPV (VOCABULARUL COMUN PRIVIND ACHIZIȚIILE)II.4)Vocabular principalVocabular suplimentar (după caz)Obiect principalObiect(e) suplimentar(e)II.5)CONTRACTELE CARE FAC OBIECTUL PREZENTULUI SISTEM DE CALIFICARE INTRĂ SUB INCIDENȚAdanuACORDULUI PRIVIND CONTRACTELE DE ACHIZIȚII PUBLICE (CAP)----------------------------------------------------------------------------------------------------------(Utilizați prezenta secțiune de câte ori este necesar)2Formular standard 7-RO

SECȚIUNEA III: INFORMAȚII JURIDICE, ECONOMICE, FINANCIARE ȘI TEHNICEIII.1)CONDIȚII DE PARTICIPAREIII.1.1)Calificare pentru sistem(În cazul în care informațiile respective sunt numeroase și se bazează pe documente disponibile furnizorilor, executanților sau prestatorilor de servicii interesați este suficient un rezumat al condițiilor și metodelor principale și o trimitere la documentele în cauză)Condiții pe care trebuie să le îndeplinească operatorii economici în vederea calificării lor:Metodele prin care se va verifica fiecare dintre aceste condiții:III.1.2)Contracte rezervate (după caz)danuContractul este rezervat unor ateliere protejateContractul va fi executat numai în cadrul unor programe de ocuparea forței de muncă protejateSECȚIUNEA IV: PROCEDURĂCRITERII DE ATRIBUIREIV.1)IV.1.2)Criterii de atribuire (dacă se cunosc)Cel mai mic prețsauoferta cea mai avantajoasă din punct de vedere economic în ceea ce priveștecriteriile menționate în continuare (criteriile de atribuire trebuie indicate împreună cu ponderea sau în ordinea descrescătoare a priorității, în cazul în care nu se poate realiza ponderea din motive demonstrabile)criteriile enunțate în caietul de sarcini, în invitația de a prezenta o ofertă sau de a participa la negociereCriteriiPondereCriteriiPondere1.6.2.7.3.8.4.9.5.10.3Formular standard 7-RO

IV.1.2)Se va organiza o licitație electronicădanuDacă da, oferiți informații suplimentare despre licitația electronică (după caz)IV.2)INFORMAȚII ADMINISTRATIVEIV.2.1)Număr de referință atribuit dosarului de autoritatea contractantă (după caz)IV.2.2)Durata sistemului de calificareDurata valabilității:de la(zz/ll/aaaa)la(zz/ll/aaaa)Durată nedeterminatăAlteleIV.2.3)Prelungirea sistemului de calificaredanuDacă da, formalitățile necesare pentru a evalua îndeplinirea cerințelor:SECȚIUNEA VI: INFORMAȚII SUPLIMENTAREVI.1)danuUNUL SAU MAI MULTE CONTRACTE CARE FAC OBIECTUL SISTEMULUI DE CALIFICARE FACE (FAC) PARTE DINTR-UN PROIECT ȘI/SAU PROGRAM FINANȚAT DIN FONDURI COMUNITAREDacă da, trimiterea la proiect(e) și/sau la program(e):VI.2)ALTE INFORMAȚII (după caz)4Formular standard 7-RO

CĂI DE ATACVI.3)VI.3.1)Organismul competent pentru căile de atacDenumire oficială:Adresă:Localitate:Cod poștal:Țară:E-mail:Telefon:Fax:Adresă Internet (URL):Organismul competent pentru procedurile de mediere (după caz)Denumire oficială:Adresă:Localitate:Cod poștal:Țară:E-mail:Telefon:Fax:Adresă Internet (URL):VI.3.2)Utilizarea căilor de atac (completați rubrica VI.3.2 SAU rubrica VI.3.3)Precizări privind termenele de exercitare a căilor de atac:VI.3.3)Serviciul de la care se pot obține informații privind utilizarea căilor de atacDenumire oficială:Adresă:Localitate:Cod poștal:Țară:E-mail:Telefon:Adresă Internet (URL):Fax:VI.3)DATA EXPEDIERII PREZENTULUI ANUNȚ:(zz/ll/aaaa)5Formular standard 7-RO




ANEXA A

ADRESE SUPLIMENTARE ȘI PUNCTE DE CONTACT

ADRESE ȘI PUNCTE DE CONTACT DE LA CARE SE POT OBȚINE INFORMAȚII SUPLIMENTAREI)Denumire oficială:Adresă:Localitate:Cod poștal:Țară:Punct(e) de contact:Telefon:În atenția:E-mail:Fax:Adresă Internet (URL):II)ADRESE ȘI PUNCTE DE CONTACT DE LA CARE SE POATE OBȚINE DOCUMENTELE SUPLIMENTAREDenumire oficială:Adresă:Localitate:Cod poștal:Țară:Punct(e) de contact:Telefon:În atenția:E-mail:Fax:Adresă Internet (URL):III)ADRESE ȘI PUNCTE DE CONTACT LA CARE TREBUIE DEPUSE SOLICITĂRILE DE PARTICIPARE ȘI CANDIDATURILEDenumire oficială:Adresă:Localitate:Cod poștal:Țară:Punct(e) de contact:Telefon:În atenția:E-mail:Fax:Adresă Internet (URL):6Formular standard 7-RO




ANEXA VIII

UNIUNEA EUROPEANĂBiroul de publicare a Suplimentului Jurnalului Oficial al Uniunii Europene2, rue Mercier, L-2985 LuxemburgFax: (352) 29 29-42670E-mail: mp-ojs@opoce.cec.eu.intInformații și formulare on-line: http://simap.eu.intANUNȚ PRIVIND PROFILUL CUMPĂRĂTORULUIPrezentul anunț este legat de publicarea unui:Anunț de intenție (reglementat de Directiva 2004/18/CE)Anunț periodic de intenție– care nu reprezintă anunț de participare –(reglementat de Directiva 2004/17/CE — Utilități)SECȚIUNEA I: AUTORITATEA CONTRACTANTĂ/ENTITATEA CONTRACTANTĂDENUMIRE, ADRESĂ ȘI PUNCT(E) DE CONTACTI.1)Denumire oficială:Adresă:Localitate:Cod poștal:Țară:Punct(e) de contact:Telefon:În atenția:Fax:E-mail:Adresă (adrese) Internet (după caz)Adresa sediului principal al autorității/entității contractante (URL):Adresa profilului cumpărătorului (URL):I.2)TIPUL AUTORITĂȚII CONTRACTANTE ȘI ACTIVITATEA PRINCIPALĂ (ACTIVITĂȚILE PRINCIPALE)(în cazul unui anunț de intenție publicat în conformitate cu Directiva 2004/18/CE)Minister sau orice altă autoritate națională sau federală, inclusiv subdiviziunile regionale sau locale ale acestoraServicii publice generaleApărareAgenție/birou național sau federalOrdine și siguranță publicăAutoritate regională sau localăMediuAgenție/birou regional sau localAfaceri economice și financiareOrganism de drept publicSănătateInstituție/agenție europeană sau organizație internaționalăConstrucții și amenajări teritorialeProtecție socialăAltele (precizați):__________________________________Recreere, cultură și religieEducațieAltele (precizați):______________________________________________Autoritatea contractantă acționează în numele altor autorități contractantedanu1Formular standard 8-RO

I.3)ACTIVITATEA PRINCIPALĂ (ACTIVITĂȚILE PRINCIPALE) A(LE) ENTITĂȚII CONTRACTANTE (în cazul unui anunț de informare prealabilă publicat în conformitate cu Directiva 2004/17/CE — Utilități)Producere, transport și distribuție de gaz și de energie termicăApăServicii poștaleElectricitateServicii feroviareProspectare și extragere a gazului și petroluluiServicii feroviare urbane, de tramvai, troleibuz sau de autobuzProspectare și extragere a cărbunelui și a altor combustibili soliziActivități portuareActivități aeroportuareSECȚIUNEA II: OBIECTUL CONTRACTULUIII.1)DENUMIREA ATRIBUITĂ CONTRACTULUI DE AUTORITATEA CONTRACTANTĂ/ENTITATEA CONTRACTANTĂII.2)TIPUL CONTRACTULUILucrăriProduseServiciiII.3)DESCRIEREA SUCCINTĂ A CONTRACTULUI SAU A ACHIZIȚIEI/ACHIZIȚIILORII.4)CLASIFICARE CPV (VOCABULARUL COMUN PRIVIND ACHIZIȚIILE)Vocabular principalVocabular suplimentar (după caz)Obiect principalObiect(e) suplimentar(e)----------------------------------------------------------(Utilizați prezenta secțiune de câte ori este necesar)----------------------------------------------------SECȚIUNEA VI: INFORMAȚII SUPLIMENTAREVI.1)DATA EXPEDIERII PREZENTULUI ANUNȚ:(zz/ll/aaaa)2Formular standard 8-RO




ANEXA IX

UNIUNEA EUROPEANĂBiroul de publicare a Suplimentului Jurnalului Oficial al Uniunii Europene2, rue Mercier, L-2985 LuxemburgFax: (352) 29 29-42670E-mail: mp-ojs@opoce.cec.eu.intInformații și formulare on-line: http://simap.eu.intAnunț de participare simplificat în cadrul unuisistem de achiziție dinamicPrezentul anunț este reglementat deDirectiva 2004/18/CEDirectiva 2004/17/CE (Utilități)SECȚIUNEA I: AUTORITATEA CONTRACTANTĂ/ENTITATEA CONTRACTANTĂDENUMIRE, ADRESĂ ȘI PUNCT(E) DE CONTACTI.1)Denumire oficială:Adresă:Localitate:Cod poștal:Țară:Punct(e) de contact:Telefon:În atenția:E-mail:Fax:Adresă (adrese) Internet (după caz)Adresa sediului principal al autorității contractante/entității contractante (URL):Adresa de unde se obțin documentele privind contractul și/sau documentele suplimentare (URL):I.2)TIPUL AUTORITĂȚII CONTRACTANTE ȘI ACTIVITATEA PRINCIPALĂ (ACTIVITĂȚILE PRINCIPALE) (în cazul unui contract reglementat de Directiva 2004/18/CE)Minister sau orice altă autoritate națională sau federală, inclusiv subdiviziunile regionale sau locale ale acestoraServicii publice generaleApărareAgenție/birou național sau federalOrdine și siguranță publicăAutoritate regională sau localăMediuAgenție/birou regional sau localAfaceri economice și financiareOrganism de drept publicSănătateInstituție/agenție europeană sau organizație internaționalăConstrucții și amenajări teritorialeProtecție socialăAltele (precizați):________________________________________Recreere, cultură și religieEducațieAltele (precizați):_______________________________________________Autoritatea contractantă acționează în numele altor autorități contractantedanu1Formular standard 9-RO

I.3)Activitatea principală (activitățile principale) a(le) entității contractante (în cazul unui anunț de participare reglementat de Directiva 2004/17/CE – Utilități)Producere, transport și distribuție de gaz și de energie termicăApăElectricitateServicii poștaleServicii feroviareProspectare și extragere a gazului și petroluluiProspectare și extragere a cărbunelui și a altor combustibili soliziServicii feroviare urbane, de tramvai, troleibuz sau de autobuzActivități portuareActivități aeroportuareSECȚIUNEA II: OBIECTUL CONTRACTULUIII.1)DENUMIREA ATRIBUITĂ CONTRACTULUI DE AUTORITATEA CONTRACTANTĂ/ENTITATEA CONTRACTANTĂII.2)TIPUL CONTRACTULUILucrăriProduseServiciiII.3)DESCRIEREA SUCCINTĂ A CONTRACTULUI ÎN CAUZĂCLASIFICARE CPV (VOCABULARUL COMUN PRIVIND ACHIZIȚIILE)II.4)Vocabular principalVocabular suplimentar (după caz)Obiect principalObiect(e) suplimentar(e)CANTITATEA SAU DOMENIUL CONTRACTULUI SPECIFICII.5)După caz, estimarea valorii fără TVA (numai în cifre): ____________________________________________________Monedă: __________________SAU interval: între _____________________și _________________________Monedă: __________________2Formular standard 9-RO

SECȚIUNEA IV: PROCEDURĂIV.1)TIP DE PROCEDURĂLicitație deschisăINFORMAȚII ADMINISTRATIVEIV.2)IV.2.1)Număr de referință atribuit dosarului de autoritatea contractantă/entitatea contractantă (după caz)IV.2.2)Publicare anterioară (anunț de participare) privind același contract care oferă mai multe informații privind sistemul de achiziție dinamic/SNumărul anunțului în JO:din(zz/ll/aaaa)IV.2.3)Termenul limită de primire a ofertelor orientative pentru contractul specificData:(zz/ll/aaaa)Ora: ________________IV.2.4)Limba sau limbile în care pot fi redactate oferteleESCSDADEETELENFRITLVLTHUMTNLPLPTSKSLFISVAlta(altele): _______________________________________________________________________________________________________________SECȚIUNEA VI: INFORMAȚII SUPLIMENTAREVI.1)INFORMAȚII SUPLIMENTARE (după caz)VI.2)DATA EXPEDIERII PREZENTULUI ANUNȚ:(zz/ll/aaaa)3Formular standard 9-RO

►(2) M1  

►(2) M1  




ANEXA X

UNIUNEA EUROPEANĂBiroul de publicare a Suplimentului Jurnalului Oficial al Uniunii Europene2, rue Mercier, L-2985 LuxemburgFax: (352) 29 29-42670E-mail: mp-ojs@opoce.cec.eu.intInformații și formulare on-line: http://simap.eu.intCONCESIONARE DE LUCRĂRI PUBLICESECȚIUNEA I: AUTORITATEA CONTRACTANTĂDENUMIRE, ADRESĂ ȘI PUNCT(E) DE CONTACTI.1)Denumire oficială:Adresă:Localitate:Cod poștal:Țară:Punct(e) de contact:Telefon:În atenția:Poștă electronică (e-mail):Fax:Adresă (adrese) Internet (după caz)Adresa sediului principal al autorității contractante (URL):Adresa profilului cumpărătorului (URL):Adresa de la care se pot obține informații suplimentare:Punctul (punctele) de contact menționat(e) anteriorAltele: completați anexa A.IAdresa de la care se poate obține documentația:Punctul (punctele) de contact menționat(e) anteriorAltele: completați anexa A.IIAdresa la care trebuie expediate candidaturile:Punctul (punctele) de contact menționat(e) anteriorAltele: completați anexa A.IIITIPUL AUTORITĂȚII CONTRACTANTE ȘI ACTIVITATEA PRINCIPALĂ (ACTIVITĂȚILE PRINCIPALE)I.2)Minister sau orice altă autoritate națională sau federală, inclusiv subdiviziunile regionale sau locale ale acestoraServicii publice generaleApărareAgenție/birou național sau federalOrdine și siguranță publicăAutoritate regională sau localăMediuAgenție/birou regional sau localAfaceri economice și financiareOrganism de drept publicSănătateInstituție/agenție europeană sau organizație internaționalăConstrucții și amenajări teritorialeAltele (precizați):__________________________________Protecție socialăRecreere, cultură și religieEducațieAltele (precizați):______________________________________________1Formular standard 10-RO

SECȚIUNEA II: OBIECTUL CONTRACTULUI DE CONCESIONAREII.1)DESCRIEREA CONCESIONĂRIIII.1.1)Denumirea atribuită contractului de concesionare de autoritatea contractantăII.1.2)Tipul contractului de concesionare și locul de executare a lucrărilorExecutareLocul principal de executare a lucrărilor _____________________________________________Proiectare și executarecod NUTSExecutarea, prin orice mijloacea unei lucrări, conform cerințelor specificate de autoritatea contractantăII.1.3)Descrierea succintă a contractului de concesionareII.1.4)Vocabularul comun privind achizițiile (CPV)Vocabular principalVocabular suplimentar (după caz)Obiect principalObiect(e) suplimentar(e)CANTITATEA SAU DOMENIUL CONTRACTULUI DE CONCESIONAREII.2)II.2.1)Cantitatea totală sau domeniul (incluzând, după caz, loturile și opțiunile)Dacă este cunoscută, valoarea estimată fără TVA (numai în cifre): ____________________________________________Monedă: _____________sau intervalul: între ___________________________și ______________________________Monedă: _____________Procentul minim de lucrări care urmează să fie atribuite unor terți (după caz)II.2.2)2Formular standard 10-RO

SECȚIUNEA III: INFORMAȚII JURIDICE, ECONOMICE, FINANCIARE ȘI TEHNICEIII.1)CONDIȚII DE PARTICIPAREIII.1.1)Informații privind situația personală a operatorilor economici, inclusiv cerințele referitoare la înscrierea în registrul comerțului sau al profesieiInformații și formalități necesare pentru evaluarea respectării cerințelor menționate:III.1.2)Capacitatea economică și financiarăInformații și formalități necesare pentru evaluarea respectării cerințelor menționate (după caz):III.1.3)Capacitatea tehnicăInformații și formalități necesare pentru evaluarea respectării cerințelor menționate (după caz):SECȚIUNEA IV: PROCEDURĂIV.1)CRITERII DE ATRIBUIREIV.2)INFORMAȚII ADMINISTRATIVEIV.2.1)Numărul de referință atribuit dosarului de autoritatea contractantă (după caz)3Formular standard 10-RO

IV.2.2)Termenul limită pentru depunerea candidaturilorData:(zz/ll/aaaa)Ora: _______________IV.2.3)Limba sau limbile în care pot fi redactate candidaturileESCSDADEETELENFRITLVLTHUMTNLPLPTSKSLFISVAltele: ___________________________________________________________________________________________________________________SECȚIUNEA VI: INFORMAȚII SUPLIMENTAREVI.1)CONTRACTUL FACE PARTE DINTR-UN PROIECT/PROGRAM FINANȚAT DIN FONDURI COMUNITAREdanuDacă da, trimitere (trimiteri) la proiect(e) și/sau program(e):VI.2)INFORMAȚII SUPLIMENTARE (după caz)VI.3)CĂI DE ATACVI.3.1)Organismul competent pentru căile de atacDenumire oficială:Adresă:Localitate:Cod poștal:Țară:Poștă electronică (e-mail):Telefon:Adresă Internet (URL):Fax:Organismul competent pentru procedurile de mediere (după caz)Denumire oficială:Adresă:Localitate:Cod poștal:Țară:Poștă electronică (e-mail):Telefon:Fax:Adresă Internet (URL):4Formular standard 10-RO

►(2) M1  

►(2) M1  

VI.3.2)Utilizarea căilor de atac (completați rubrica VI.3.2 SAU, după caz, rubrica VI.3.3)Precizări privind termenele de exercitare a căilor de atac:VI.3.3)Serviciul de la care se pot obține informații privind utilizarea căilor de atacDenumire:Adresă:Localitate:Cod poștal:Țară:E-mail:Telefon:Adresă Internet (URL:Fax:VI.4)DATA EXPEDIERII PREZENTULUI ANUNȚ:(zz/ll/aaaa)5Formular standard 10-FR




ANEXA A

ADRESE SUPLIMENTARE ȘI PUNCTE DE CONTACT

ADRESE ȘI PUNCTE DE CONTACT DE LA CARE SE POT OBȚINE INFORMAȚII SUPLIMENTAREI)Denumire oficială:Adresă:Localitate:Cod poștal:Țară:Punct(e) de contact:Telefon:În atenția:E-mail:Fax:Adresă Internet (URL):II)ADRESE ȘI PUNCTE DE CONTACT DE LA CARE SE POATE OBȚINE DOCUMENTELE SUPLIMENTAREDenumire oficială:Adresă:Localitate:Cod poștal:Țară:Punct(e) de contact:Telefon:În atenția:E-mail:Fax:Adresă Internet (URL):III)ADRESE ȘI PUNCTE DE CONTACT LA CARE TREBUIE DEPUSE CANDIDATURILEDenumire oficială:Adresă:Localitate:Cod poștal:Țară:Punct(e) de contact:Telefon:În atenția:E-mail:Fax:Adresă Internet (URL):6Formular standard 10-RO




ANEXA XI

UNIUNEA EUROPEANĂBiroul de publicare a Suplimentului Jurnalului Oficial al Uniunii Europene2, rue Mercier, L-2985 LuxemburgFax: (352) 29 29-42670E-mail: mp-ojs@opoce.cec.eu.intInformații și formulare on-line: http://simap.eu.intANUNȚ DE PARTICIPAREContracte care vor fi atribuite de un concesionarcare nu este autoritate contractantăSECȚIUNEA I: CONCESIONARUL DE LUCRĂRI PUBLICEI.1)DENUMIRE, ADRESĂ ȘI PUNCT(E) DE CONTACTDenumirea oficială:Adresa:Localitatea:Cod poștal:Țara:Punct(e) de contact:Telefon:În atenția:E-mail:Fax:Adresă (adrese) Internet (după caz)Adresa sediului central al concesionarului (URL):Adresa de la care se pot obține informații suplimentare:Punctul (punctele) de contact menționat(e) anteriorAltele: completați anexa A.IAdresa de la care se pot obține caietul de sarcini și documentele suplimentare:Punctul (punctele) de contact menționat(e) anteriorAltele: completați anexa A.IIAdresa la care trebuie expediate ofertele sau cererile de participare:Punctul (punctele) de contact menționat(e) anteriorAltele: completați anexa A.III1Formular standard 11-RO

SECȚIUNEA II: OBIECTUL CONTRACTULUIDESCRIEREII.1)II.1.1)Denumirea atribuită contractului de către concesionarII.1.2)Tipul contractului și locul lucrărilorExecutareLocul principal sau locul de executare a lucrărilor ________________________________________Proiectare și executarecod NUTSExecutarea, prin orice mijloace, a unei lucrări, conform cerințelor specificate de concesionarII.1.3)Descriere succintă a contractuluiII.1.4)Vocabularul comun privind achizițiile (CPV)Vocabular principalVocabular suplimentar (după caz)Obiect principalObiect(e) suplimentar(e)II.2)CANTITATEA SAU DOMENIUL CONTRACTULUIII.2.1)Cantitatea totală sau domeniulDupă caz, valoarea estimată fără TVA (numai în cifre): ________________________________________________Monedă: ______________________sau intervalul: între __________ ________și ____________________________________________________Monedă: ______________________2Formular standard 11-RO

II.3)DURATA CONTRACTULUI SAU TERMENUL DE EXECUTARE A LUCRĂRILORDurata în luni:sau în zile:(începând de la data atribuirii contractului)(zz/ll/aaaa)sau de lapână la(zz/ll/aaaa)SECȚIUNEA III: INFORMAȚII JURIDICE, ECONOMICE, FINANCIARE ȘI TEHNICECONDIȚII REFERITOARE LA CONTRACTIII.1)III.1.1)Depozite valorice și garanții solicitate (după caz)CONDIȚII DE PARTICIPAREIII.2)III.2.1)Criterii economice și tehnice pe care trebuie să le îndeplinească executantulSECȚIUNEA IV: PROCEDURĂIV.1)CRITERII DE ATRIBUIREINFORMAȚII ADMINISTRATIVEIV.2)IV.2.1)Numărul de referință atribuit dosarului de concesionar (după caz)3Formular standard 11-RO

IV.2.2)Termenul limită pentru primirea ofertelorcererilor de participareData:(zz/ll/aaaa)Ora: __________________________IV.2.3)Data expedierii invitațiilor de participare către candidații selectațiData estimată:(zz/ll/aaaa)IV.2.4)Limba sau limbile în care poate fi redactată oferta sau cererea de participareESCSDADEETELENFRITLVLTHUMTNLPLPTSKSLFISVAltele: ____________________________________________________________________________________________________________________SECȚIUNEA VI: INFORMAȚII SUPLIMENTARECONTRACTUL FACE PARTE DINTR-UN PROIECT/PROGRAM FINANȚAT DIN FONDURI COMUNITAREVI.1)danuDacă da, trimitere (trimiteri) la proiect(e) și/sau program(e):VI.2INFORMAȚII SUPLIMENTARE (după caz)VI.3)DATA EXPEDIERII PREZENTULUI ANUNȚ:(zz/ll/aaaa)4Formular standard 11-RO

►(2) M1  

►(2) M1  




ANEXA A

ADRESE SUPLIMENTARE ȘI PUNCTE DE CONTACT

I)ADRESE ȘI PUNCTE DE CONTACT DE LA CARE SE POT OBȚINE INFORMAȚII SUPLIMENTAREDenumire oficială:Adresă:Localitate:Cod poștal:Țară:Punct(e) de contact:Telefon:În atenția:E-mail:Fax:Adresă Internet (URL):II)ADRESE ȘI PUNCTE DE CONTACT DE LA CARE SE POT OBȚINE CAIETUL DE SARCINI ȘI DOCUMENTELE SUPLIMENTAREDenumire oficială:Adresă:Localitate:Cod poștal:Țară:Punct(e) de contact:Telefon:În atenția:E-mail:Fax:Adresă Internet (URL):III)ADRESE ȘI PUNCTE DE CONTACT LA CARE TREBUIE EXPEDIATE OFERTELE/CERERILE DE PARTICIPAREDenumire oficială:Adresă:Localitate:Cod poștal:Țară:Punct(e) de contact:Telefon:În atenția:E-mail:Fax:Adresă Internet (URL):5Formular standard 11-RO




ANEXA XII

UNIUNEA EUROPEANĂBiroul de publicare a Suplimentului Jurnalului Oficial al Uniunii Europene2, rue Mercier, L-2985 LuxemburgFax: (352) 29 29-42670E-mail: mp-ojs@opoce.cec.eu.intInformații și formulare on-line: http://simap.eu.intANUNȚ DE PARTICIPARE LA CONCURSUL DE SOLUȚIIAcest concurs este reglementat deDirectiva 2004/18/CEDirectiva 2004/17/CE (Utilități)SECȚIUNEA 1: AUTORITATEA CONTRACTANTĂ/ENTITATEA CONTRACTANTĂI.1)DENUMIRE, ADRESĂ ȘI PUNCT(E) DE CONTACTDenumire oficială:Adresă:Localitate:Cod poștal:Țară:Punct(e) de contact:Telefon:În atenția:E-mail:Fax:Adresă (adrese) Internet (după caz):Adresa de la care se pot obține informații suplimentare:Punctul (punctele) de contact menționat(e) anteriorAltele: completați anexa A.IAdresa de la care se poate obține documentele suplimentare:Punctul (punctele) de contact menționat(e) anteriorAltele: completați anexa A.IIAdresa la care trebuie expediate proiectele sau cererile de participare:Punctul (punctele) de contact menționat(e) anteriorAltele: completați anexa A.IIII.2)TIPUL AUTORITĂȚII CONTRACTANTE ȘI ACTIVITATEA PRINCIPALĂ (ACTIVITĂȚILE PRINCIPALE)(concurs reglementat de Directiva 2004/18/CE)Minister sau orice altă autoritate națională sau federală, inclusiv subdiviziunile regionale sau locale ale acestoraServicii publice generaleApărareAgenție/birou național sau federalOrdine și siguranță publicăAutoritate regională sau localăMediuAgenție/birou regional sau localAfaceri economice și financiareOrganism de drept publicSănătateInstituție/agenție europeană sau organizație internaționalăConstrucții și amenajări teritorialeProtecție socialăAltele (precizați):______________________________________Recreere, cultură și religieEducațieAltele (precizați):_____________________________________________1Formular standard 12-RO

I.3)ACTIVITATEA PRINCIPALĂ (ACTIVITĂȚILE PRINCIPALE) A(LE) ENTITĂȚII CONTRACTANTE(concurs reglementat de Directiva 2004/17/CE – Utilități)Producere, transport și distribuție de gaz și de energie termicăApăServicii poștaleElectricitateServicii feroviareProspectare și extragere a gazului și petroluluiServicii feroviare urbane, de tramvai, troleibuz sau de autobuzActivități portuareProspectare și extragere a cărbunelui și a altor combustibili soliziActivități aeroportuareSECȚIUNEA II: OBIECTUL CONCURSULUI / DESCRIEREA PROIECTULUIII.1)DESCRIEREII.1.1)Denumirea atribuită concursului/proiectului de autoritatea contractantă/entitatea contractantăII.1.2)Descriere succintăII.1.3)Vocabularul comun privind achizițiile (CPV)Vocabular principalVocabular suplimentar (după caz)Obiect principalObiect(e) suplimentar(e)2Formular standard 12-RO

SECȚIUNEA III: INFORMAȚII JURIDICE, ECONOMICE, FINANCIARE ȘI TEHNICECRITERII DE SELECȚIE A PARTICIPANȚILOR (după caz)III.1)III.2)PARTICIPAREA ESTE REZERVATĂ PENTRU O ANUMITĂ PROFESIE (după caz)danuDacă da, menționați care profesie:SECȚIUNEA IV: PROCEDURĂIV.1)TIP DE CONCURSDeschisRestrânsNumărul de participanți estimatsaunumărul minim/ numărul maximIV.2)NUMELE PARTICIPANȚILOR DEJA SELECTAȚI (în cazul unui concurs restrâns)1.6.2.7.3.8.4.9.5.10.IV.3)CRITERII DE EVALUARE A PROIECTELOR3Formular standard 12-RO

INFORMAȚII ADMINISTRATIVEIV.4)IV.4.1)Numărul de referință atribuit dosarului de autoritatea contractantă/entitatea contractantă (după caz)IV.4.2)Condiții de obținere a documentației contractuale și a documentației suplimentareTermenul limită pentru depunerea cererilor de documente sau pentru obținerea de documenteData:(zz/ll/aaaa)Ora: ______________Documente de platădanuDacă da, prețul (numai în cifre):________________________Monedă:__________Condiții și modalitate de plată:IV.4.3)Termen limită pentru depunerea proiectelor sau a cererilor de participareData:(zz/ll/aaaa)Ora: ______________IV.4.4)Data expedierii invitațiilor de participare candidaților selectați (după caz)(zz/ll/aaaa)Data prevăzută:IV.4.5)Limba sau limbile în care pot fi redactate proiectele sau cererile de participareESCSDADEETELENFRITLVETHUMTNLPLPTSKSLFISVAltele: ___________________________________________________________________________________________________________________IV.5)RECOMPENSE ȘI JURIUIV.5.1)Se va acorda una sau mai multe primedanuDacă da, numărul și valoarea primelor care urmează să fie acordate (după caz)IV.5.2)Detalii privind plățile către toți participanții (după caz)4Formular standard 12-RO

►(2) M1  

►(2) M1  

IV.5.3)Contracte atribuite în urma concursului: Contractele de servicii atribuite în urma concursului vor fi atribuite câștigătorului sau unuia dintre câștigătorii concursuluidanuIV.5.4)Decizia juriului este obligatorie pentru autoritatea contractantă/entitatea contractantădanuIV.5.5)Numele membrilor juriului selectați (după caz)1.6.2.7.3.8.4.9.5.10.SECȚIUNEA VI: INFORMAȚII SUPLIMENTARECONCURSUL FACE PARTE DINTR-UN PROIECT/PROGRAM FINANȚAT DIN FONDURI COMUNITAREdanuVI.1)Dacă da, trimitere (trimiteri) la proiect(e) și/sau program(e):VI.2)ALTE INFORMAȚII (după caz)VI.3)CĂI DE ATAC (furnizați informații numai în cazul unui concurs legat de sectoarele speciale)VI.3.1)Organismul competent pentru căile de atacDenumire oficială:Adresă:Localitate:Cod poștal:Țară:E-mail:Telefon:Fax:Adresă Internet (URL):5Formular standard 12-RO

Organismul competent pentru procedurile de mediere (după caz)Denumire oficială:Adresă:Localitate:Cod poștal:Țară:E-mail:Telefon:Adresă Internet (URL):Fax:VI.3.2)Utilizarea căilor de atac (completați rubrica VI.3.2 SAU, după caz, rubrica VI.3.3)Precizări privind termenele de exercitare a căilor de atac:VI.3.3)Serviciul de la care se pot obține informații privind utilizarea căilor de atacDenumire oficială:Adresă:Localitate:Cod poștal:Țară:E-mail:Telefon:Adresă Internet (URL):Fax:VI.4)DATA EXPEDIERII PREZENTULUI ANUNȚ:(zz/ll/aaaa)6Formular standard 12-RO




ANEXA A

ADRESE SUPLIMENTARE ȘI PUNCTE DE CONTACT

I)ADRESE ȘI PUNCTE DE CONTACT DE LA CARE SE POT OBȚINE INFORMAȚII SUPLIMENTAREDenumire oficială:Adresă:Localitate:Cod poștal:Țară:Punct(e) de contact:Telefon:În atenția:E-mail:Fax:Adresă Internet (URL):II)ADRESE ȘI PUNCTE DE CONTACT DE LA CARE SE POT OBȚINE DOCUMENTELE SUPLIMENTAREDenumire oficială:Adresă:Localitate:Cod poștal:Țară:Punct(e) de contact:Telefon:În atenția:E-mail:Fax:Adresă Internet (URL):III)ADRESE ȘI PUNCTE DE CONTACT LA CARE TREBUIE EXPEDIATE PROIECTELE/CERERILE DE PARTICIPAREDenumire oficială:Adresă:Localitate:Cod poștal:Țară:Punct(e) de contact:Telefon:În atenția:E-mail:Fax:Adresă Internet (URL):7Formular standard 12-RO




ANEXA XIII

UNIUNEA EUROPEANĂBiroul de publicare a Suplimentului Jurnalului Oficial al Uniunii Europene2, rue Mercier, L-2985 LuxemburgFax: (352) 29 29-42670E-mail: mp-ojs@opoce.cec.eu.intInformații și formulare on-line: http://simap.eu.intREZULTATELE CONCURSULUI DE SOLUȚIIAcest concurs de soluții este reglementat deDirectiva 2004/18/CEDirectiva 2004/17/CE (Utilități)SECȚIUNEA I: AUTORITATEA CONTRACTANTĂ/ENTITATEA CONTRACTANTĂDENUMIRE, ADRESĂ ȘI PUNCT(E) DE CONTACTI.1)Denumire oficială:Adresă:Localitate:Cod poștal:Țară:Punct(e) de contact:Telefon:În atenția:E-mail:Fax:Adresă (adrese) Internet (după caz)I.2)TIPUL AUTORITĂȚII CONTRACTANTE ȘI ACTIVITATEA PRINCIPALĂ (ACTIVITĂȚILE PRINCIPALE)(concurs reglementat de Directiva 2004/18/CE)Servicii publice generaleMinister sau orice altă autoritate națională sau federală, inclusiv subdiviziunile regionale sau locale ale acestoraApărareAgenție/birou național sau federalOrdine și siguranță publicăAutoritate regională sau localăMediuAgenție/birou regional sau localAfaceri economice și financiareOrganism de drept publicSănătateConstrucții și amenajări teritorialeInstituție/agenție europeană sau organizație internaționalăProtecție socialăAltele (precizați):_______________________________________Recreere, cultură și religieEducațieAltele (precizați):______________________________________________I.3)ACTIVITATEA PRINCIPALĂ (ACTIVITĂȚILE PRINCIPALE) A(LE) ENTITĂȚII CONTRACTANTE(concurs reglementat de Directiva 2004/17/CE – Utilități)Producere, transport și distribuție de gaz și de energie termicăApăElectricitateServicii poștaleServicii feroviareProspectare și extragere a gazului și petroluluiServicii feroviare urbane, de tramvai, troleibuz sau de autobuzProspectare și extragere a cărbunelui și a altor combustibili soliziActivități portuareActivități aeroportuare1Formular standard 13-RO

SECȚIUNEA II: OBIECTUL CONCURSULUI / DESCRIEREA PROIECTULUIII.1)DESCRIEREII.1.1)Denumirea atribuită concursului/proiectului de autoritatea contractantă/entitatea contractantăII.1.2)Descriere succintăII.1.3)Clasificare CPV (vocabularul comun privind achizițiile)Vocabular principalVocabular suplimentar (după caz)Obiect principalObiect(e) suplimentar(e)SECȚIUNEA IV: ProcedurăIV.1)INFORMAȚII ADMINISTRATIVEIV.1.1)Numărul de referință atribuit dosarului de autoritatea contractantă (după caz)danuIV.1.2)Publicare anterioară privind același concursDacă da,Numărul anunțului în JO:/Sdin(zz/ll/aaaa)2Formular standard 13-RO

SECȚIUNEA V: REZULTATELE CONCURSULUINr.:DENUMIRE _____________________________________________________________________________________V.1)PRIME ȘI RECOMPENSE (după caz)V.1.1)Număr de participanți:V.1.2)Număr de participanți străini:V.1.3)Numele și adresa (adresele) câștigătorului (câștigătorilor) concursuluiDenumire oficială:Adresă:Localitate:Cod poștal:Țară:E-mail:Telefon:Adresă Internet (URL):Fax:VALOAREA PRIMEI SAU A PRIMELOR (după caz)V.2)Valoarea premiului sau a premiilor acordate, fără TVA (numai în cifre): ________________________________ Monedă: __________________________-----------------------------------------------------------(Utilizați prezenta secțiune de câte ori este necesar)----------------------------------------------------SECȚIUNEA VI: INFORMAȚII SUPLIMENTARECONCURSUL FACE PARTE DINTR-UN PROIECT/PROGRAM FINANȚAT DIN FONDURI COMUNITAREVI.1)danuDacă da, trimitere (trimiteri) la proiect(e) și/sau program(e):VI.2)ALTE INFORMAȚII (după caz)3Formular standard 13-RO

VI.3)CĂI DE ATAC (furnizați informații numai în cazul unui concurs legat de sectoarele speciale)VI.3.1)Organismul competent pentru căile de atacDenumire oficială:Adresă:Localitate:Cod poștal:Țară:E-mail:Telefon:Adresă Internet (URL):Fax:Organsimul competent pentru procedurile de mediere (după caz)Denumire oficială:Adresă:Localitate:Cod poștal:Țară:E-mail:Telefon:Adresă Internet (URL):Fax:VI.3.2)Utilizarea căilor de atac (completați rubrica VI.3.2 SAU, după caz, rubrica VI.3.3)Precizări privind termenele de exercitare a căilor de atac:VI.3.3)Serviciul de la care se pot obține informații privind utilizarea căilor de atacDenumire oficială:Adresă:Localitate:Cod poștal:Țară:E-mail:Telefon:Adresă Internet (URL):Fax:DATA EXPEDIERII PREZENTULUI ANUNȚ:VI.4)(zz/ll/aaaa)4Formular standard 13-RO



( 1 ) JO L 134, 30.4.2004, p. 1, directivă astfel cum a fost modificată prin Regulamentul (CE) nr. 1874/2004 al Comisiei (JO L 326, 29.10.2004, p. 17).

( 2 ) JO L 134, 30.4.2004, p. 114, directivă astfel cum a fost modificată prin Regulamentul (CE) nr. 1874/2004.

( 3 ) JO L 209, 24.7.1992, p. 1, directivă astfel cum a fost modificată ultima dată prin Actul de aderare din 2003.

( 4 ) JO L 199, 9.8.1993, p. 1, directivă astfel cum a fost modificată ultima dată prin Actul de aderare din 2003.

( 5 ) JO L 199, 9.8.1993, p. 54, directivă astfel cum a fost modificată ultima dată prin Actul de aderare din 2003.

( 6 ) JO L 199, 9.8.1993, p. 84, directivă astfel cum a fost modificată ultima dată prin Actul de aderare din 2003.

( 7 ) JO L 285, 29.10.2001, p. 1.