2005L0055 — RO — 10.06.2006 — 002.001


Acest document reprezintă un instrument de documentare, iar instituţiile nu îşi asumă responsabilitatea pentru conţinutul său.

►B

DIRECTIVA 2005/55/CE A PARLAMENTULUI EUROPEAN ȘI A CONSILIULUI

din 28 septembrie 2005

privind apropierea legislațiilor statelor membre cu privire la măsurile care trebuie luate împotriva emisiilor de gaze și de particule poluante provenite de la motoarele cu aprindere prin comprimare utilizate la vehicule și împotriva emisiilor de gaze poluante provenite de la motoarele cu aprindere prin scânteie alimentate cu gaz sau cu gaz petrolier lichefiat utilizate la vehicule

(Text cu relevanță pentru SEE)

(JO L 275, 20.10.2005, p.1)

Astfel cum a fost modificat prin:

 

 

Jurnalul Oficial

  No

page

date

►M1

DIRECTIVA 2005/78/CE A COMISIEI Text cu relevanță pentru SEE din 14 noiembrie 2005

  L 313

1

29.11.2005

►M2

DIRECTIVA 2006/51/CE A COMISIEI Text cu relevanță pentru SEE din 6 iunie 2006

  L 152

11

7.6.2006




▼B

DIRECTIVA 2005/55/CE A PARLAMENTULUI EUROPEAN ȘI A CONSILIULUI

din 28 septembrie 2005

privind apropierea legislațiilor statelor membre cu privire la măsurile care trebuie luate împotriva emisiilor de gaze și de particule poluante provenite de la motoarele cu aprindere prin comprimare utilizate la vehicule și împotriva emisiilor de gaze poluante provenite de la motoarele cu aprindere prin scânteie alimentate cu gaz sau cu gaz petrolier lichefiat utilizate la vehicule

(Text cu relevanță pentru SEE)



PARLAMENTUL EUROPEAN ȘI CONSILIUL UNIUNII EUROPENE,

având în vedere Tratatul de instituire a Comunității Europene și, în special, articolul 95 al acestuia,

având în vedere propunerea Comisiei,

având în vedere avizul Comitetului Economic și Social European ( 1 ),

hotărând în conformitate cu procedura prevăzută la articolul 251 din tratat ( 2 ),

întrucât:

(1)

Directiva 88/77/CEE a Consiliului din 3 decembrie 1987 privind apropierea legislațiilor statelor membre cu privire la măsurile care trebuie luate împotriva emisiilor de gaze și de particule poluante provenite de la motoarele cu aprindere prin comprimare utilizate la vehicule și împotriva emisiilor de gaze poluante provenite de la motoarele cu aprindere prin scânteie alimentate cu gaz natural sau cu gaz petrolier lichefiat utilizate la vehicule ( 3 ) este una dintre directivele separate din cadrul procedurii de omologare specificate în Directiva 70/156/CEE a Consiliului din 6 februarie 1970 privind apropierea legislațiilor statelor membre privind omologarea de tip a autovehiculelor și a remorcilor acestora ( 4 ). Directiva 88/77/CEE s-a modificat semnificativ de mai multe ori pentru a include succesiv limite mai restrictive pentru emisia de poluanți. Deoarece urmează să se opereze noi modificări, directiva menționată trebuie reformată, pentru asigurarea clarității.

(2)

Directiva 91/542/CEE ( 5 ) a Consiliului de modificare a Directivei 88/77/CEE, a Directivei 1999/96/CE a Parlamentului European și a Consiliului din 13 decembrie 1999 privind apropierea legislațiilor statelor membre cu privire la măsurile care trebuie luate împotriva emisiilor de gaze și particule poluante provenite de la motoarele cu aprindere prin comprimare destinate utilizăriila vehicule și împotriva emisiilor de gaze poluante provenite de la motoarele cu aprindere prin scânteie alimentate cu gaz natural sau cu gaz petrolier lichefiat destinate utilizării la vehicule și de modificare a Directivei 88/77/CEE ( 6 ) a Consiliului și a Directivei 2001/27/CE ( 7 ) a Comisiei de adaptare la progresul tehnologic a Directivei 88/77/CEE a Consiliului au introdus dispoziții care, deși autonome, sunt strâns legate de schema stabilită prin Directiva 88/77/CEE. Aceste dispoziții autonome trebuie integrate în întregime în reformarea Directivei 88/77/CEE, pentru a asigura claritatea și certitudinea juridică.

(3)

Este necesar ca toate statele membre să adopte aceleași cerințe, astfel încât să se permită, în special, punerea în aplicare, pentru fiecare tip de vehicul, a sistemului de omologare CE de tip care face obiectul Directivei 70/156/CEE.

(4)

Programul Comisiei privind calitatea aerului, emisiile generate de transportul rutier, carburanții și tehnologiile de reducere a emisiilor, denumit în continuare „primul program AutoOil”, a demonstrat că sunt necesare reduceri suplimentare ale emisiilor de gaze poluante provenite de la vehiculele grele în vederea atingerii viitoarelor standarde de calitate a aerului.

(5)

Reducerile limitelor de emisie aplicabile începând cu 2000, corespunzătoare reducerii cu 30 % a emisiilor de monoxid de carbon, de hidrocarburi totale, de oxizi de azot și de particule au fost identificate în primul program AutoOil ca fiind măsuri esențiale pentru obținerea calității aerului pe termen mediu. O reducere de 30 % a opacității fumului evacuat trebuie să contribuie, de asemenea, la reducerea particulelor. Reducerile suplimentare ale limitelor de emisie aplicabile din 2005, corespunzând scăderii cu 30 % a monoxidului de carbon, a hidrocarburilor totale și a oxizilor de azot și cu 80 % a particulelor poluante trebuie să aibă o contribuție importantă la îmbunătățirea calității aerului pe termen mediu și lung. Limita suplimentară pentru oxizii de azot aplicabilă din 2008 trebuie să ducă la o reducere cu încă 43 % a limitei de emisie pentru acest tip de poluant.

(6)

Testele de omologare pentru gazele și particulele poluante și pentru opacitatea fumului se aplică pentru a permite o evaluare mai reprezentativă a performanțelor motoarelor în privința emisiilor în condiții de testare, astfel încât acestea să fie cât mai asemănătoare cu cele întâlnite la vehiculele în circulație. Din 2000, motoarele convenționale cu aprindere prin comprimare și acele motoare cu aprindere prin comprimare echipate cu anumite tipuri de dispozitive de control al emisiilor se testează utilizând un test de încercare în regim stabilizat și folosind un nou test de reacție la încărcare pentru opacitatea fumului. Motoarele cu aprindere prin comprimare echipate cu sisteme avansate de control al emisiei au fost testate, suplimentar, cu un nou test de încercare în condiții tranzitorii. Din 2005, toate motoarele cu aprindere prin comprimare trebuie testate prin toate aceste teste de încercare. Motoarele alimentate cu gaze naturale se testează folosind numai noul test de încercare în condiții tranzitorii.

(7)

În toate condițiile de încărcare aleatoriu în interiorul unui interval definit de funcționare, valorile limită nu pot fi depășite decât cu un procentaj corespunzător.

(8)

În stabilirea noilor standarde și proceduri de testare, este necesar să se ia în considerare impactul creșterilor viitoare de trafic asupra calității aerului în interiorul Comunității. Efortul depus de Comisie în acest domeniu a demonstrat că industria constructoare de mașini din Comunitate a făcut pași importanți în perfecționarea tehnologiei ce permite reducerea considerabilă a emisiilor de gaze și particule poluante. Cu toate acestea, este necesar să se facă presiuni în vederea continuării îmbunătățirii limitelor de emisie și a altor condiții tehnice, în interesul protecției mediului și a sănătății publice. În special, rezultatele cercetărilor în curs cu privire la caracteristicile particulelor ultrafine trebuie avute în vedere în luarea oricăror măsuri viitoare.

(9)

Este necesară îmbunătățirea suplimentară a calității carburanților utilizați la propulsarea motoarelor pentru a permite funcționarea eficientă și performantă a sistemelor de control al emisiilor existente.

(10)

Trebuie introduse noi dispoziții privind sistemele de diagnostic la bord (OBD) începând din 2005, în vederea facilitării detectării imediate a deteriorării sau a defectării echipamentelor de control al emisiilor de la motoare. Acestea trebuie să intensifice capacitatea de diagnosticare și de reparare, îmbunătățind semnificativ performanțele durabile în domeniul emisiilor provenite de la vehiculele grele existente. Deoarece, pe plan mondial, tehnologia OBD pentru motoarele diesel pentru vehicule grele se află într-o fază incipientă, aceasta trebuie introdusă în Comunitate în două etape, pentru a permite dezvoltarea sistemului astfel încât OBD să nu dea indicații eronate. Cu scopul de a asista statele membre în asigurarea respectării de către proprietarii și operatorii de vehicule grele a obligației de a repara defecțiunile indicate de sistemul OBD, trebuie înregistrată distanța parcursă sau timpul scurs de la semnalarea defecțiunii către șofer.

(11)

Motoarele cu aprindere prin comprimare sunt în mod inerent durabile și au demonstrat că, în cazul în care beneficiază de lucrări de întreținere adecvate și eficiente, pot reține un nivel înalt al performanțelor în domeniul emisiilor pe parcursul distanțelor semnificative parcurse de vehiculele grele în decursul operațiilor comerciale. Cu toate acestea, standardele viitoare de emisii vor impune introducerea sistemelor de control al emisiilor în aval de motor, de exemplu sisteme de NOx, filtre precum sistemele de NOx, filtrele și sistemele de particule diesel și sistemele care combină ambele metode și, eventual, alte sisteme care urmează a fi definite. Prin urmare, este necesar să se stabilească o cerință legată de durata de viață pe baza căreia să se stabilească procedurile de asigurare a conformității sistemului de control al emisiilor motorului pe întreaga perioadă de referință. La stabilirea unei asemenea cerințe, trebuie să se ia în considerare distanțele considerabile parcurse de vehiculele grele, necesitatea de a încorpora lucrări de întreținere corespunzătoare și periodice și posibilitatea omologării de tip a vehiculelor de categorie N1 în conformitate fie cu prezenta directivă, fie cu Directiva 70/220/CEE a Consiliului din 20 martie 1970 privind apropierea legislațiilor statelor membre cu privire la măsurile care trebuie luate împotriva poluării aerului prin emisiile generate de autovehicule ( 8 ).

(12)

Statelor membre trebuie să li se permită să urgenteze, prin intermediul stimulentelor fiscale, apariția pe piață a vehiculelor care satisfac cerințele adoptate la nivel comunitar, cu condiția ca astfel de stimulente să fie în conformitate cu dispozițiile tratatului și să satisfacă anumite condiții destinate să prevină denaturarea pieței interne. Prezenta directivă nu aduce atingere dreptului statelor membre de a include emisiile de poluanți și alte substanțe în baza de calcul pentru taxele de drum aplicate autovehiculelor.

(13)

Având în vedere că unele dintre aceste stimulente fiscale sunt considerate ajutoare de stat în temeiul articolului 87 alineatul (1) din tratat, ele trebuie notificate Comisiei în temeiul articolului 88 alineatul (3) din tratat, în vederea evaluării în conformitate cu criteriile relevante de compatibilitate. Notificarea unor asemenea măsuri în conformitate cu prezenta directivă nu trebuie să aducă atingere obligației de notificare în temeiul articolului 88 alineatul (3) din tratat.

(14)

În scopul simplificării și accelerării procedurii, Comisiei trebuie să i se încredințeze sarcina adoptării măsurilor de punere în aplicare a dispozițiilor fundamentale prevăzute de prezenta directivă, precum și a măsurilor de adaptare a anexelor prezentei directive la progresul științific și tehnologic.

(15)

Măsurile necesare pentru punerea în aplicare a prezentei directive și a adaptării sale la progresul tehnologic și științific trebuie adoptate în conformitate cu Decizia 1999/468/CE a Consiliului din 28 iunie 1999 de stabilire a normelor de exercitare a competențelor de executare conferite Comisiei ( 9 ).

(16)

Comisia trebuie să monitorizeze necesitatea introducerii limitelor de emisie pentru poluanți care nu sunt reglementate în prezent și care survine drept consecință a utilizării pe scară mai largă a noilor carburanți alternativi și a noilor sisteme de control al emisiilor de evacuare.

(17)

Comisia trebuie să înainteze propunerile pe care le consideră corespunzătoare pentru o nouă etapă în privința valorilor limită de NOx și emisii de particule cât mai curând posibil.

(18)

Având în vedere că obiectivul prezentei directive, și anume realizarea pieței interne prin introducerea de cerințe tehnice comune privind emisiile de gaze și de particule poluante pentru toate tipurile de vehicule, nu se poate îndeplini într-un grad suficient de către statele membre și, prin urmare, din motive de dimensiune a acțiunii, poate să fie îndeplinită mai bine la nivel comunitar, Comunitatea poate adopta măsuri în conformitate cu principiul subsidiarității, prevăzut la articolul 5 din tratat. În conformitate cu principiul proporționalității, prevăzut la articolul menționat anterior, prezenta directivă nu depășește ceea ce este necesar pentru atingerea respectivului obiectiv.

(19)

Obligația de a transpune prezenta directivă în legislația națională trebuie limitată la acele dispoziții care reprezintă o schimbare substanțială față de directivele anterioare. Obligația de a transpune dispozițiile care nu sunt modificate decurge din directivele anterioare.

(20)

Prezenta directivă nu trebuie să aducă atingere obligațiilor statelor membre care decurg din termenele limită pentru transpunerea în legislația națională și din aplicarea directivelor prezentate în anexa IX partea B,

ADOPTĂ PREZENTA DIRECTIVĂ:



Articolul 1

Definiții

În sensul prezentei directive se aplică următoarele definiții:

(a) „vehicul” reprezintă orice vehicul definit la articolul 2 din Directiva 70/156/CEE și propulsat de un motor cu aprindere prin comprimare sau motor cu gaz, cu excepția vehiculelor din categoria M1 având o masă la încărcare maximă admisă mai mică sau egală cu 3,5 tone;

(b) „motor cu aprindere prin comprimare sau motor cu gaz” reprezintă sursa de propulsie motrice a unui vehicul pentru care se poate acorda omologarea ca unitate tehnică separată, în conformitate cu definiția de la articolul 2 din Directiva 70/156/CEE;

(c) „vehicul îmbunătățit pentru protecția mediului înconjurător (EEV)” reprezintă un vehicul propulsat de un motor care respectă valorile limită opționale de la rândul C din tabelele de la punctul 6.2.1 al anexei I.

Articolul 2

Obligațiile statelor membre

(1)  Pentru tipurile de motoare cu aprindere prin comprimare sau cu gaz și pentru tipurile de vehicule propulsate de motoare cu aprindere prin comprimare sau de motoare cu gaz, în cazul în care nu se îndeplinesc cerințele din anexele I-VIII și în special în cazurile în care emisiile de gaze și particule poluante și opacitatea fumului de la motor nu respectă valorile limită stabilite la rândul A din tabelele de la punctul 6.2.1 din anexa I, statele membre:

(a) refuză acordarea omologării CE de tip în conformitate cu articolul 4 alineatul (1) din Directiva 70/156/CEE și

(b) refuză omologarea națională.

(2)  Cu excepția cazului vehiculelor și motoarelor destinate exportului către țări terțe sau înlocuirii motoarelor vehiculelor în circulație, în cazul în care cerințele specificate la anexele I-VIII nu sunt îndeplinite și în special în cazul în care emisiile de gaze și particule poluante și opacitatea fumului de la motor nu respectă valorile limită specificate la rândul A din tabelele de la punctul 6.2.1 din anexa I, statele membre:

(a) consideră certificatele de conformitate care însoțesc noile vehicule sau noile motoare în conformitate cu Directiva 70/156/CEE ca având valabilitatea expirată în sensul articolului 7 alineatul (1) din respectiva directivă și

(b) interzic înmatricularea, vânzarea, introducerea în circulație sau utilizarea de noi vehicule propulsate de un motor cu aprindere prin comprimare sau de un motor cu gaz și vânzarea sau utilizarea de noi motoare cu aprindere prin comprimare sau cu gaz.

(3)  Fără a aduce atingere alineatelor (1) și (2), cu aplicare de la 1 octombrie 2003 și cu excepția cazurilor vehiculelor și motoarelor destinate exportului către țări terțe sau înlocuirii motoarelor la vehiculele în circulație, în cazul tipurilor de motoare cu gaz și a tipurilor de vehicule propulsate de motoare cu gaz care nu respectă cerințele din anexele I-VIII, statele membre:

(a) consideră certificatele de conformitate care însoțesc vehiculele sau motoarele noi în temeiul Directivei 70/156/CEE ca având valabilitatea expirată în sensul articolului 7 alineatul (1) din directiva menționată anterior și

(b) interzic înmatricularea, vânzarea, introducerea în circulație sau utilizarea de vehicule noi și vânzarea sau utilizarea de motoare noi.

(4)  În cazul în care cerințele specificate la anexele I-VIII și la articolele 3 și 4 sunt satisfăcute, în special în cazul în care emisiile de gaze și particule poluante și opacitatea fumului produs de motor se încadrează în valorile limită specificate la rândul B1 sau B2 sau în valorile limită opționale specificate la rândul C din tabelele de la punctul 6.2.1 din anexa I, nici unui stat membru nu îi este permis ca, din motive legate de gazele și particulele poluante sau de opacitatea emisiilor de fum ale motoarelor:

(a) să refuze acordarea omologării CE de tip în temeiul articolului 4 alineatul (1) din Directiva 70/156/CEE sau să acorde omologarea națională pentru un tip de vehicul propulsat de un motor cu aprindere prin comprimare sau cu gaz;

(b) să interzică înmatricularea, vânzarea, introducerea în circulație sau utilizarea unui vehicul nou propulsat de un motor cu aprindere prin comprimare sau cu gaz;

(c) să refuze acordarea omologării CE de tip pentru un anume tip de motor cu aprindere prin comprimare sau cu gaz;

(d) să interzică vânzarea sau utilizarea unui motor nou cu aprindere prin comprimare sau cu gaz.

(5)  De la 1 octombrie 2005, pentru tipurile de motoare cu aprindere prin comprimare sau cu gaz și pentru tipurile de vehicule propulsate de motoare cu aprindere prin comprimare sau cu gaz care nu respectă cerințele stabilite la anexele I-VIII și la articolele 3 și 4 și în special în cazurile în care emisiile de gaze și particule poluante și opacitatea fumului nu se încadrează în valorile limită stabilite la rândul B1 din tabelele de la punctul 6.2.1 din anexa I, statele membre:

(a) refuză să acorde omologarea CE de tip în temeiul articolului 4 alineatul (1) din Directiva 70/156/CEE și

(b) refuză omologarea națională.

(6)  De la 1 octombrie 2006 și cu excepția cazului vehiculelor și motoarelor destinate exportului către țări terțe sau înlocuirii motoarelor pentru vehiculele în circulație, în cazul în care cerințele stabilite la anexele I-VIII și la articolele 3 și 4 nu sunt îndeplinite și în special în cazul în care emisiile de gaze și particule poluante și opacitatea fumului produs de motor nu se încadrează în valorile limită de la rândul B1 din tabelele de la punctul 6.2.1 din anexa I, statele membre:

(a) consideră certificatele de conformitate care însoțesc vehiculele sau motoarele noi în temeiul Directivei 70/156/CEE ca având valabilitatea expirată în sensul articolului 7 alineatul (1) din directiva menționată anterior;

(b) interzic înmatricularea, vânzarea, introducerea în circulație sau utilizarea de vehicule noi propulsate de motoare cu aprindere prin comprimare sau cu gaz și vânzarea sau utilizarea de motoare noi cu aprindere cu comprimare sau cu gaz.

(7)  De la 1 octombrie 2008, pentru tipurile de motoare cu aprindere prin comprimare sau cu gaz și tipurile de vehicule propulsate de motoare cu aprindere prin comprimare sau cu gaz care nu respectă cerințele specificate la anexele I-VIII și la articolele 3 și 4 și în special în cazurile în care emisiile de gaze și particule poluante și opacitatea fumului produs de motor nu respectă valorile limită de la rândul B2 din tabelele de la punctul 6.2.1 din anexa I, statele membre:

(a) refuză să acorde omologarea CE de tip în temeiul articolului 4 alineatul (1) din Directiva 70/156/CEE și

(b) refuză omologarea națională.

(8)  De la 1 octombrie 2009, cu excepția cazului vehiculelor și motoarelor destinate exportului către țări terțe sau înlocuirii motoarelor pentru vehiculele în circulație, în cazul în care cerințele de la anexele I-VIII și de la articolele 3 și 4 nu sunt îndeplinite și în special în cazul în care emisiile de gaze și particule poluante și opacitatea fumului produs de motor nu respectă valorile limită stabilite la rândul B2 din tabelele de la punctul 6.2.1 din anexa I, statele membre:

(a) consideră certificatele de conformitate care însoțesc vehiculele sau motoarele noi în temeiul Directivei 70/156/CEE ca având valabilitatea expirată în sensul articolului 7 alineatul (1) din directiva menționată anterior și

(b) interzic înmatricularea, vânzarea, introducerea în circulație sau utilizarea vehiculelor noi propulsate de motoare cu aprindere prin comprimare sau cu gaz și vânzarea sau utilizarea de motoare noi cu aprindere prin comprimare sau cu gaz.

(9)  În conformitate cu alineatul (4), un motor care satisface cerințele de la anexele I-VIII și, în special, respectă valorile limită stabilite la rândul C din tabelele de la punctul 6.2.1 din anexa I este considerat ca fiind conform cu cerințele stabilite la alineatele (1), (2) și (3).

În conformitate cu alineatul (4), un motor care satisface cerințele stabilite la anexele I-VIII și la articolele 3 și 4 și, în special, respectă valorile limită stabilite la rândul C din tabelele de la punctul 6.2.1 din anexa I este considerat ca fiind conform cu cerințele stabilite la alineatele (1)-(3) și (5)-(8).

(10)  În cazul motoarelor cu aprindere prin comprimare sau cu gaz care trebuie să respecte valorile limită stabilite la punctul 6.2.1 din anexa I în cadrul sistemului de omologare, se aplică următoarele dispoziții:

în toate condițiile de încărcare selectate aleatoriu, aparținând unei plaje de control definite și cu excepția unor condiții specificate de funcționare a motorului care nu fac obiectul unei asemenea dispoziții, emisiile eșantionate într-o perioadă de timp chiar și de 30 de secunde nu trebuie să depășească cu mai mult de 100 % valorile limită stabilite la rândurile B2 și C din tabelele de la punctul 6.2.1 din anexa I. Plaja de control la care se aplică procentajul care nu trebuie depășit, condițiile de funcționare ale motorului care se exclud, precum și alte condiții necesare se definesc în conformitate cu procedura menționată la articolul 7 alineatul (1).

Articolul 3

Durabilitatea sistemelor de control al emisiilor

(1)  De la 1 octombrie 2005, în cazul noilor omologări, și de la 1 octombrie 2006, pentru toate omologările de tip, constructorul trebuie să demonstreze că motorul cu aprindere prin comprimare sau cu gaz omologat prin referire la valorile limită stabilite la rândurile B1, B2 sau C din tabelele de la punctul 6.2.1 din anexa I respectă aceste valori limită pentru durata de utilizare de:

(a) 100 000 km sau cinci ani, oricare survine prima, în cazul motoarelor destinate montării pe vehicule de categoria N1 și M2;

(b) 200 000 km sau șase ani, oricare survine prima, în cazul motoarelor destinate montării pe vehicule de categoria N2 și N3 având o masă maxim admisă de cel mult 16 tone și M3 clasa I, clasa II, clasa A și clasa B având o masă maxim admisă de cel mult 7,5 tone;

(c) 500 000 km sau șapte ani, oricare survine prima, în cazul motoarelor destinate montării pe vehicule de categoria N3 având o masă maxim admisă de peste 16 tone și M3, clasa III și clasa B, având o masă maxim admisă de peste 7,5 tone.

De la 1 octombrie 2005, pentru noile tipuri, și de la 1 octombrie 2006 pentru toate tipurile, în cazul omologărilor acordate vehiculelor, este necesară, de asemenea, confirmarea funcționării corecte a dispozitivelor de control al emisiilor în timpul duratei de utilizare normală a vehiculului în condiții normale de utilizare (controlul de conformitate al vehiculelor în circulație întreținute și utilizate în mod corespunzător).

(2)  Măsurile de punere în aplicare a alineatului (1) trebuie adoptate până la 28 decembrie 2005.

Articolul 4

Sisteme de diagnostic la bord

(1)  De la 1 octombrie 2005, pentru noile omologări de vehicule, și de la 1 octombrie 2006, pentru toate omologările, un motor cu aprindere prin comprimare omologat prin referire la valorile limită de emisie stabilite la rândul B1 sau rândul C din tabelele de la punctul 6.2.1 din anexa I sau un vehicul propulsat de un asemenea motor trebuie echipat cu un sistem de diagnostic la bord (OBD) care semnalează șoferului prezența unei defecțiuni în cazul în care se depășesc limitele de prag ale OBD stabilite la rândul B1 sau la rândul C al tabelului de la alineatul (3).

În cazul sistemelor de evacuare cu posttratare, sistemul OBD poate monitoriza apariția unor defecțiuni funcționale majore la oricare din următoarele dispozitive:

(a) catalizator, în cazul în care acesta este montat ca unitate separată, fie că face parte sau nu dintr-un sistem de NOx sau filtru de particule diesel;

(b) sistem deNOx, în cazul în care este montat un astfel de dispozitiv de NOx acolo unde acesta există;

(c) filtru de particule diesel, în cazul în care este montat un astfel de dispozitiv;

(d) sistem combinat deNOx-filtru de particule diesel.

(2)  Începând de la 1 octombrie 2008, pentru noile omologări, și de la 1 octombrie 2009, pentru toate omologările, un motor cu aprindere prin comprimare sau cu gaz omologat prin referire la valorile limită stabilite la rândul B2 sau la rândul C din tabelele de la punctul 6.2.1 din anexa I sau un vehicul propulsat de un asemenea motor trebuie să fie dotat cu un sistem OBD care semnalează șoferului prezența unei defecțiuni în cazul în care se depășesc limitele de prag OBD stabilite la rândul B2 sau la rândul C din tabelul de la alineatul (3).

Sistemul OBD include, de asemenea, o interfață între unitatea de control electronic al motorului (EECU) și orice alte sisteme electrice sau electronice ale vehiculului care furnizează semnale sau recepționează semnale de la EECU și care afectează corecta funcționare a sistemului de control al emisiilor, precum interfața dintre EECU și unitatea de control electronic al transmisiei.

(3)  Limitele prag ale OBD sunt următoarele:



Rând

Motoare cu aprindere prin comprimare

Masa de oxizi de azot

(NOx) g/kWh

Masa de particule

(PT) g/kWh

B1 (2005)

7,0

0,1

B2 (2008)

7,0

0,1

C (EEV)

7,0

0,1

(4)  Trebuie să se ofere acces complet și uniform la informațiile OBD cu scopul testării, diagnosticării, efectuării de lucrări de service și reparații în conformitate cu dispozițiile Directivei 70/220/CEE și cu dispozițiile privind piesele de schimb care trebuie să asigure compatibilitatea cu sistemele OBD.

(5)  Măsurile necesare punerii în aplicare a alineatelor (1), (2) și (3) se adoptă până la 28 decembrie 2005.

Articolul 5

Sistemele de control al emisiilor utilizând reactivi consumabili

La definirea măsurilor necesare punerii în aplicare a articolului 4, în conformitate cu dispozițiile articolului 7 alineatul (1), Comisia include, după caz, măsuri tehnice necesare minimizării riscului de utilizare, la sistemele de control, a unor reactivi consumabili menținuți în mod inadecvat în utilizare. Suplimentar și după caz, se includ măsuri destinate să asigure minimizarea emisiilor de amoniac ca urmare a utilizării agenților reactivi.

Articolul 6

Stimulente fiscale

(1)  Statele membre pot prevedea stimulente fiscale numai în privința vehiculelor care respectă prezenta directivă. Astfel de stimulente sunt conforme cu dispozițiile tratatului, precum și cu alineatul (2) sau cu alineatul (3) din prezentul articol.

(2)  Stimulentele se aplică tuturor vehiculelor noi oferite spre vânzare pe piața unui stat membru, care respectă în avans valorile limită stabilite la rândurile B1 sau B2 din tabelele de la punctul 6.2.1 din anexa I.

Acestea își încetează valabilitatea începând de la punerea în aplicare obligatorie a valorilor limită stabilite la rândul B1, în conformitate cu articolul 1 alineatul (6) sau de la intrarea în aplicare obligatorie a valorilor limită de la rândul B2, în conformitate cu articolul 2 alineatul (8).

(3)  Stimulentele se aplică tuturor vehiculelor noi oferite spre vânzare pe piața unui stat membru și care respectă valorile limită opționale stabilite la rândul C din tabelele de la punctul 6.2.1 din anexa I.

(4)  Suplimentar față de condițiile menționate la alineatul (1), pentru fiecare tip de vehicul, stimulentele nu depășesc costurile suplimentare legate de soluțiile tehnice introduse pentru a asigura respectarea valorilor limită stabilite la rândul C din tabelele de la punctul 6.2.1 din anexa I și de instalarea acestora pe vehicul.

(5)  Statele membre informează Comisia cu suficient timp înainte cu privire la planurile de instituire sau de modificare a stimulentelor fiscale menționate la prezentul articol, astfel încât aceasta să poată înainta observații.

Articolul 7

Măsuri de punere în aplicare și modificări

(1)  Măsurile necesare pentru punerea în aplicare a articolului 2 alineatul (10) și a articolelor 3 și 4 din prezenta directivă sunt adoptate de către Comisie, asistată de comitetul instituit prin articolul 13 alineatul (1) din Directiva 70/156/CEE, în conformitate cu procedura menționată la articolul 13 alineatul (3) din respectiva directivă.

(2)  Modificările aduse prezentei directive care sunt necesare pentru adaptarea acesteia la progresul tehnic și științific se adoptă de către Comisie, asistată de comitetul instituit la articolul 13 alineatul (1) din Directiva 70/156/CEE, în conformitate cu procedura menționată la articolul 13 alineatul (3) din respectiva directivă.

Articolul 8

Revizuire și rapoarte

(1)  Comisia analizează necesitatea de a introduce noi limite de emisie aplicabile vehiculelor grele și motoarelor în privința poluanților care nu sunt în prezent reglementați. Analiza se bazează pe introducerea tot mai largă pe piață a noilor carburanți alternativi și pe introducerea de noi sisteme de control al emisiilor de evacuare compatibile cu aditivii, cu scopul de a se respecta viitoarele standarde prevăzute de prezenta directivă. După caz, Comisia înaintează o propunere Parlamentului European și Consiliului.

(2)  Comisia trebuie să înainteze Parlamentului European și Consiliului propuneri legislative cu privire la limite suplimentare pentru emisiile de NOx și de particule poluante pentru vehiculele grele.

După caz, Comisia investighează necesitatea stabilirii de limite suplimentare pentru nivelurile și dimensiunile particulelor, iar, în cazul în care acest lucru este necesar, include aceste aspecte în propunerile sale.

(3)  Comisia raportează Parlamentului European și Consiliului cu privire la evoluția negocierilor în vederea unui ciclu de teste armonizat la nivel mondial (WHDC).

(4)  Comisia înaintează un raport Parlamentului European și Consiliului cu privire la cerințele legate de funcționarea unui sistem de măsurare la bord (OBM). Pe baza raportului, Comisia, după caz, transmite o propunere pentru măsuri care să includă specificațiile tehnice și anexele corespunzătoare cu scopul de a stabili dispoziții pentru omologarea sistemelor OBM care asigură cel puțin echivalente de monitorizare a sistemelor OBM și compatibile cu acestea.

Articolul 9

Transpunere

(1)  Statele membre adoptă și publică, înainte de 9 noiembrie 2006, actele cu putere de lege și actele administrative necesare pentru a se conforma prezentei directive. În cazul în care adoptarea măsurilor de punere în aplicare menționate la articolul 7 depășește data de 28 decembrie 2005, statele membre respectă această obligație până la data de transpunere specificată în directiva conținând respectivele măsuri de punere în aplicare. Acestea transmit mai departe Comisiei textele actelor respective și un tabel de corespondență între respectivele acte și prezenta directivă.

Statele membre pun în aplicare actele respective de la 9 noiembrie 2006 sau, în cazul în care adoptarea măsurilor de punere în aplicare menționate la articolul 7 depășește data de 28 decembrie 2005, de la data transpunerii specificată în directiva conținând respectivele măsuri de punere în aplicare.

În momentul adoptării respectivelor acte de către statele membre, acestea vor face referire la prezenta directivă sau vor fi însoțite de o astfel de referință în momentul publicării lor oficiale. Acestea includ, de asemenea, o declarație în conformitate cu care trimiterile din actele cu putere de lege sau actele administrative existente la directivele abrogate prin prezenta directivă se interpretează ca trimiteri la prezenta directivă. Statele membre stabilesc modalitatea de efectuare a acestei trimiteri și modalitatea de formulare a declarației.

(2)  Comisiei îi sunt comunicate de către statele membre textele principalelor dispoziții de drept intern pe care le adoptă în domeniul reglementat de prezenta directivă.

Articolul 10

Abrogare

Directivele enumerate la anexa IX partea A se abrogă de la 9 noiembrie 2006 fără a aduce atingere obligațiilor statelor membre cu privire la termenele acordate pentru transpunerea în legislația națională și punerea în aplicare a directivelor stabilite la anexa IX partea B.

Trimiterile la directivele abrogate se interpretează ca trimiteri la prezenta directivă și se citesc în conformitate cu tabelul de corespondență de la anexa X.

Articolul 11

Intrare în vigoare

Prezenta directivă intră în vigoare în a douăzecea zi de la data publicării în Jurnalul Oficial al Uniunii Europene.

Articolul 12

Destinatari

Prezenta directivă se adresează statelor membre.




ANEXA I

SFERĂ DE APLICARE, DEFINIȚII ȘI ABREVIERI, CEREREA PENTRU OMOLOGAREA CE DE TIP, SPECIFICAȚII ȘI TESTE ȘI CONFORMITATEA DE PRODUCȚIE

▼M1

1.   SFERA DE APLICARE

Prezenta directivă se aplică verificării emisiilor de poluanți gazoși și cu macroparticule, a duratei de viață utilă a dispozitivelor de control al emisiilor, a conformității vehiculelor și motoarelor în circulație, precum și a sistemelor de diagnosticare la bord (OBD) ale tuturor vehiculelor echipate cu motoare cu aprindere prin comprimare și a poluanților gazoși, a duratei de viață utilă, a conformității vehiculelor și motoarelor în circulație, a sistemelor de diagnosticare la bord (OBD) ale tuturor vehiculelor echipate cu motoare cu aprindere prin scânteie care funcționează cu gaz natural sau cu GPL, precum și a motoarelor cu aprindere prin comprimare și prin scânteie astfel cum sunt definite la articolul 1, cu excepția motoarelor cu aprindere prin comprimare ale vehiculelor din categoriile N1, N2 și M2 și a motoarelor cu aprindere prin scânteie care funcționează cu gaz natural sau cu GPL ale vehiculelor din categoria N1 cărora li s-a acordat omologarea în conformitate cu Directiva 70/220/CEE ( 10 ) a Consiliului.

2.   DEFINIȚII

2.1.   În sensul prezentei directive, se aplică următoarele definiții:

„omologarea unui motor (familii de motoare)” înseamnă omologarea unui tip de motor (a unei familii de motoare) în ceea ce privește nivelul emisiilor de poluanți gazoși sau cu macroparticule;

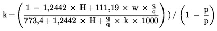
„strategie auxiliară de control al emisiilor (AECS)” înseamnă o strategie de control al emisiilor care devine activă sau care modifică strategia de bază de control al emisiilor cu un scop specific sau cu scopuri specifice și ca răspuns la un set determinat de condiții ambiente și/sau de funcționare, cum ar fi viteza vehiculului, turația motorului, angrenajul utilizat, temperatura de admisie sau presiunea de admisie;

„strategie de bază de control al emisiilor (BECS)” înseamnă o strategie de control al emisiilor care este activă pentru toată gama de viteze și de sarcini ale motoarelor în afara cazului în care este activată o AECS. Câteva exemple de BECS sunt (fără a se limita la acestea):

 harta de reglare a distribuției și a avansului de aprindere;

 harta EGR;

 harta SCR de dozare a reactivului;

„filtru combinat de particule și de denitrificare” înseamnă un sistem de post-tratare a eșapamentului conceput pentru reducerea simultană a emisiilor de oxizi de azot (NOx) și de particule poluante (PT);

„regenerare continuă” înseamnă procesul de regenerare a unui sistem de post-tratare a eșapamentului care are loc fie în permanență, fie cel puțin o dată la fiecare test ETC. Un astfel de proces de regenerare nu necesită o procedură de testare specială;

„zonă de control” înseamnă zona cuprinsă între turațiile A și C și între 25 % și 100 % sarcină;

„puterea maximă declarată (Pmax)” înseamnă puterea maximă în kW „CE” (puterea netă) declarată de constructor în cererea de omologare;

▼M2

„strategie de invalidare” reprezintă:

 o strategie AECS care micșorează eficiența controlului emisiilor de către BECS în condiții normale de funcționare și de uzură ale vehiculului;

 o strategie BECS care face distincție între funcționarea conform unei încercări standard de omologare și alte moduri de funcționare și asigură un nivel mai scăzut de control al emisiilor în condiții neincluse efectiv în procedurile de încercare pentru omologare, sau

 o strategie OBD sau o strategie de monitorizare a controlului emisiilor care face distincție între funcționarea conform unei încercări standard de omologare și alte moduri de funcționare și asigură un nivel mai scăzut pentru capacitatea de monitorizare (din punct de vedere al timpului și preciziei) în condiții neincluse efectiv în procedurile de încercare pentru omologare;

▼M1

„sistem de denitrificare” înseamnă un sistem de post-tratare a eșapamentului proiectat în vederea reducerii emisiilor de oxizi de azot (NOx) [în prezent, există catalizatori NOx simplificați activi și pasivi, sisteme de absorbție a NOx și sisteme de reducție catalitică selectivă (SCR)];

„timp de întârziere” înseamnă timpul scurs între schimbarea componentului de măsurat în punctul de referință și un răspuns al sistemului de 10 % din citirea finală (t10). Pentru componenții gazoși, acesta este în general timpul de transport al componentului măsurat de la sonda de prelevare la detector. În sensul timpului de întârziere, sonda de prelevare se definește ca punct de referință;

„motor diesel” înseamnă un motor care funcționează pe principiul aprinderii prin comprimare;

„test ELR” înseamnă un ciclu de test care cuprinde o secvență de trepte de încărcări dinamice la turații constante ale motorului și care se aplică în conformitate cu dispozițiile punctului 6.2 din prezenta anexă;

„test ESC” înseamnă un ciclu de test care cuprinde 13 moduri în regim stabilizat și care se aplică în conformitate cu dispozițiile punctului 6.2 din prezenta anexă;

„test ETC” înseamnă un ciclu de test care cuprinde 1 800 de faze tranzitorii aplicate secundă cu secundă și care se aplică în conformitate cu dispozițiile punctului 6.2 din prezenta anexă;

„element de proiectare” înseamnă, în ceea ce privește un vehicul sau un motor,

 orice sistem de control, inclusiv software-uri de calculator, sisteme de control electronic și logica informatică;

 orice calibrare a sistemului de control;

 rezultatul interacțiunii sistemelor

 sau

 orice element de hardware;

„defect al sistemului de control al emisiilor” înseamnă o deficiență sau o deviere de la toleranțele normale de producție în proiectarea, materialele sau instalarea unui dispozitiv, sistem sau ansamblu care afectează orice parametru, specificație sau component aparținând sistemului de control al emisiilor. Lipsa unui component poate fi considerată un defect al sistemului de control al emisiilor;

„strategie de control al emisiilor (ECS)” înseamnă un element sau un set de elemente de proiectare încorporat în proiectarea generală a sistemului unui motor sau al unui vehicul cu scopul de a controla emisiile de evacuare și care cuprinde o BECS și un set de AECS;

„sistem de control al emisiilor” înseamnă sistemul de post-tratare a eșapamentului, dispozitivul/dispozitivele de gestiune și control electronic al motorului și orice component al motorului legat de emisiile de gaze de eșapament care furnizează sau primește date de la dispozitivul/dispozitivele de gestionare și control, precum și, după caz, interfața de comunicare (hardware și mesaje) între unitatea/unitățile de control electronic al motorului (EECU) și orice altă unitate de transmisie sau de control al vehiculului aflată în raport cu gestionarea emisiilor;

„familie de sisteme de post-tratare a eșapamentului” înseamnă, în cadrul testelor pentru un program de acumulare de ore de funcționare pentru stabilirea factorilor de deteriorare în conformitate cu anexa II la Directiva 2005/78/CE a Comisiei de punere în aplicare a Directivei 2005/55/CE a Parlamentului European și a Consiliului privind apropierea legislațiilor statelor membre referitoare la măsurile împotriva emisiei de poluanți gazoși și de particule provenind de la motoarele cu aprindere prin comprimare destinare vehiculelor și împotriva emisiei de poluanți gazoși provenind de la motoarele cu aprindere prin scânteie care funcționează cu gaz natural sau cu gaz petrolier lichefiat destinate vehiculelor și de modificare a anexelor I, II, III, IV și VI la aceasta ( 11 ) și în cadrul verificării conformității vehiculelor/motoarelor în circulație în conformitate cu anexa III la Directiva 2005/78/CE, gruparea, de către constructor, a motoarelor care respectă definiția unei familii de motoare, dar care, în continuare, sunt grupate ca motoare care utilizează sisteme similare de post-tratare a eșapamentului;

„sistem al motorului” înseamnă motorul, sistemul de control al emisiilor și interfața de comunicare (hardware și mesaje) între unitatea/unitățile de control electronic al motorului (EECU) și orice alt sistem de propulsie sau unitate de control al vehiculului;

„familie de motoare” înseamnă gruparea, de către constructor, a sistemelor de motoare care, prin proiectare, astfel cum este definită în anexa II apendicele 2 la prezenta directivă, au caracteristici similare în ceea ce privește emisia de gaze de eșapament; toate elementele unei familii de motoare trebuie să respecte limitele de emisie aplicabile;

„gama de turații de funcționare” înseamnă gama de turații ale motorului utilizate cel mai des în timpul funcționării efective, între turația cea mai joasă și turația cea mai înaltă prevăzute în anexa III la prezenta directivă;

„turațiile A, B și C” înseamnă turațiile de test din gama de turații de funcționare utilizate la testul ESC și la testul ELR prevăzute în anexa III apendicele 1 la prezenta directivă;

„reglarea motorului” înseamnă o configurație specifică a motorului/vehiculului care include strategia de control al emisiilor (ECS), o unică evaluare a performanțelor motorului (curba de sarcină maximă omologată) și, dacă este cazul, un set de limitatoare de cuplu;

„tip de motor” înseamnă o categorie de motoare care nu diferă în privința unor aspecte esențiale, cum sunt caracteristicile motorului definite în anexa II la prezenta directivă;

„sistem de post-tratare a eșapamentului” înseamnă un catalizator (de oxidare sau cu trei căi), un filtru de particule, un sistem de denitrificare, un filtru combinat de particule și de denitrificare sau orice alt dispozitiv de reducere a emisiilor instalat în aval în raport cu motorul. Prezenta definiție exclude recircularea gazelor de eșapament care, acolo unde există, se consideră parte integrantă din sistemul motorului;

„motor pe gaz” înseamnă un motor cu aprindere prin scânteie care funcționează pe bază de gaz natural (GN) sau pe bază de gaz petrolier lichefiat (GPL);

„poluanți gazoși” înseamnă monoxid de carbon, hidrocarburi [presupunând un raport de CH1,85 pentru motorină, de CH2,525 pentru GPL și de CH2,93 pentru GN (HCNM) și presupunând o moleculă CH3O0,5 pentru motoarele diesel care funcționează cu etanol], metan (presupunând un raport de CH4 pentru GN) și oxizi de azot, aceștia din urmă fiind exprimați în echivalenți de dioxid de azot (NO2);

„turație înaltă (nsup)” înseamnă cea mai înaltă turație la care este disponibilă 70 % din puterea maximă declarată a motorului;

„turație joasă (ninf)” înseamnă cea mai joasă turație la care este disponibilă 50 % din puterea maximă declarată a motorului;

„pană majoră de funcționare” ( 12 ) înseamnă o defecțiune permanentă sau temporară a oricărui sistem de post-tratare a eșapamentului care poate duce la o creștere imediată sau treptată a emisiilor gazoase sau de particule ale sistemului motorului și care nu poate fi estimată în mod corespunzător de sistemul de diagnosticare la bord;

„defecțiune” înseamnă:

 orice deteriorare sau pană, inclusiv de natură electrică, a sistemului de control al emisiilor, care ar face ca emisiile să depășească pragul limită al sistemului OBD sau, după caz, ca sistemul de post-tratare a eșapamentului să nu atingă gama de performanțe funcționale în cazul în care emisiile de poluanți reglementați depășesc pragul limită al sistemului OBD;

 orice caz în care sistemul OBD nu reușește să îndeplinească cerințele de monitorizare prevăzute de prezenta directivă.

Cu toate acestea, constructorul poate considera o deteriorare sau o pană care nu face ca emisiile să depășească pragul limită al sistemului OBD ca fiind defecțiune;

„indicator de defecțiuni (MI)” înseamnă un indicator vizual care informează în mod clar șoferul vehiculului cu privire la apariția unei defecțiuni în sensul prezentei directive;

„motor cu calibrare multiplă” înseamnă un motor care cuprinde mai mult de o calibrare a motorului;

„gamă de gaz natural” înseamnă una dintre gamele H sau L definite prin standardul european EN 437 din noiembrie 1993;

„putere netă” înseamnă puterea în kW „CE” obținută pe bancul de probă la capătul arborelui cotit sau echivalentul ei, măsurată în conformitate cu metoda CE de măsurare a puterii prevăzută de Directiva 80/1269/CEE a Comisiei ( 13 );

„OBD” înseamnă un sistem de diagnostic la bord pentru controlul emisiilor, care are capacitatea de a detecta apariția unei defecțiuni și de a identifica zona probabilă în care este localizată defecțiunea cu ajutorul unor coduri de eroare stocate în memoria calculatorului;

„familie de motoare OBD” înseamnă, pentru omologarea sistemelor OBD în conformitate cu cerințele anexei IV la Directiva 2005/78/CE, gruparea, de către constructor, a sistemelor de motoare cu parametri de proiectare a sistemelor OBD similari, în conformitate cu punctul 8 din prezenta anexă;

„opacimetru” înseamnă un instrument proiectat să măsoare opacitatea particulelor de fum pe baza principiului extincției luminii;

„motor prototip” înseamnă un motor selectat dintr-o familie de motoare astfel încât caracteristicile sale în ceea ce privește emisiile să fie reprezentative pentru familia de motoare respectivă;

„dispozitiv de post-tratare a particulelor” înseamnă un sistem de post-tratare a eșapamentului proiectat să reducă emisiile de particule poluante (PT) printr-o separare mecanică, aerodinamică, difuzională sau inerțială;

„particule poluante” înseamnă orice material colectat într-un mediu cu filtru specificat, după diluarea gazului de eșapament cu aer filtrat curat, astfel încât temperatura să nu depășească 325 K (52 °C);

„procent de încărcare” înseamnă proporția din cuplul maxim posibil la o turație a motorului;

„regenerare periodică” înseamnă procesul de regenerare al unui dispozitiv de control al emisiilor care are loc periodic la mai puțin de 100 de ore de funcționare normală a motorului. În timpul ciclurilor în care are loc regenerarea, se pot depăși standardele referitoare la emisii;

►M2  mod permanent de emisii  ◄ ” înseamnă o AECS activată în cazul unei defecțiuni a ESC detectată de sistemul OBD și care duce la activarea MI, dar nu necesită un input din partea componentului sau sistemului defect;

„priză de putere” înseamnă un dispozitiv de ieșire cu motor care are scopul de a alimenta echipamentele auxiliare montate pe un vehicul;

„reactiv” înseamnă orice mediu stocat la bordul vehiculului într-un rezervor și care se furnizează sistemului de post-tratare a eșapamentului (dacă este cazul) la comanda sistemului de control al emisiilor;

„recalibrare” înseamnă o reglare fină a unui motor pe gaz natural pentru ca acesta să atingă aceleași performanțe (putere, consum de carburant) într-o gamă diferită de gaz natural;

„turație de referință (nref)” înseamnă valoarea 100 % a turației utilizată pentru denormalizarea valorilor relative ale turației la testul ETC prevăzute în anexa III apendicele 2 la prezenta directivă;

„timp de răspuns” înseamnă diferența de timp dintre o schimbarea rapidă a componentului de măsurat în punctul de referință și schimbarea adecvată a răspunsului sistemului de măsurare, pentru care schimbarea componentului măsurat este de cel puțin 60 % FS și se produce în mai puțin de 0,1 secunde. Timpul de răspuns al sistemului (t90) constă din timpul de întârziere al sistemului și timpul de urcare al sistemului (a se vedea, de asemenea, ISO 16183);

„timp de urcare” înseamnă diferența de timp dintre 10 % și 90 % răspuns la citirea finală (t90 – t10). Acesta este răspunsul instrumentului după ce componentul de măsurat a ajuns la instrument. Pentru timpul de urcare, sonda de prelevare este definită drept punct de referință;

„autoadaptabilitate” înseamnă orice dispozitiv al motorului care permite raportului aer/carburant să se mențină constant;

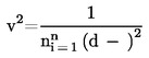
„fum” înseamnă particule în suspensie în fluxul de gaze de eșapament al unui motor diesel care absorb, reflectă sau refractă lumina;

„ciclu de test” înseamnă o secvență de puncte de test, fiecare cu o turație și un cuplu definite, care trebuie urmate de motor în regim stabilizat (test ESC) sau în condiții de funcționare tranzitorii (test ETC sau test ELR);

„limitator de cuplu” înseamnă un dispozitiv care limitează temporar cuplul maxim al motorului;

„timp de transformare” înseamnă diferența de timp dintre schimbarea componentului de măsurat la sonda de prelevare și un răspuns al sistemului de 50 % din citirea finală (t50). Timpul de transformare se utilizează la sincronizarea semnalelor diferitelor instrumente de măsură;

„durată de viață utilă” înseamnă, pentru vehicule și motoare cărora li s-a acordat omologarea în conformitate cu unul dintre rândurile B1, B2 sau C ale tabelului de la punctul 6.2.1 din prezenta anexă, perioada relevantă, ca distanță parcursă și/sau ca timp, definită la articolul 3 (durabilitatea sistemelor de control al emisiilor) din prezenta directivă în care, ca parte a omologării, trebuie asigurată respectarea limitelor referitoare la emisiile relevante de gaze, particule sau fum;

„indicele Wobbe (Winf. inferior sau Wsup. superior)” înseamnă raportul dintre valoarea calorică a unui gaz pe unitate de volum și rădăcina pătrată a densității sale relative în aceleași condiții de referință:

image

„factor de calare λ (Sλ)” înseamnă o expresie care descrie flexibilitatea sistemului de gestionare a motorului în ceea ce privește o modificare a raportului de exces de aer λ în cazul în care motorul este alimentat cu o compoziție gazoasă alta decât metanul pur (a se vedea anexa VII pentru calcularea Sλ);

▼M2

„sistemul de monitorizare a controlului emisiilor” reprezintă sistemul care asigură funcționarea corectă a dispozitivelor de control al NOx și care este instalat pe sistemul motor în conformitate cu cerințele prevăzute la punctul 6.5 din anexa I.

▼M1

2.2.   Simboluri, abrevieri și standarde internaționale

2.2.1.   Simboluri pentru parametri de test



Simbol

Unitate

Termen

Ap

m2

Aria secțiunii transversale a sondei izocinetice de prelevare

Ae

m2

Aria secțiuni transversale a țevii de evacuare

c

ppm/vol. %

Concentrație

Cd

Coeficient de evacuare al SSV-CVS

C1

Carbon 1 echivalent cu hidrocarbură

d

m

Diametru

D0

m3/s

Coordonata funcției de calibrare a pompei volumetrice

D

Factor de diluare

D

Constantă a funcției Bessel

E

Constantă a funcției Bessel

E E

Eficiența etanului

E M

Eficiența metanului

E Z

g/kWh

Emisii interpolate de NOx ale punctului de control

f

1/s

Frecvența

f a

Factor atmosferic de laborator

fc

s-1

Frecvența de tăiere a filtrului Bessel

Fs

Factor stoichiometric

H

MJ/m3

Valoarea calorică

H a

g/kg

Umiditatea absolută a aerului de admisie

H d

g/kg

Umiditatea absolută a aerului pentru diluare

i

Indice care denotă un regim individual sau o măsurare instantanee

K

Constantă Bessel

k

m-1

Coeficient de absorbție a luminii

k f

 

Factor de corecție de la uscat la umed specific carburantului

k h,D

Factor de corecție a umidității NOx pentru motoare diesel

k h,G

Factor de corecție a umidității NOx pentru motoare pe gaz

K V

 

Funcția de calibrare CFV

kW,a

Factor de corecție de la uscat la umed pentru aerul de admisie

kW,d

Factor de corecție de la uscat la umed pentru aerul pentru diluare

kW,e

Factor de corecție de la uscat la umed pentru gazul de evacuare diluat

kW,r

Factor de corecție de la uscat la umed pentru gazul de evacuare brut

L

%

Procentaj din cuplu raportat la cuplul maxim pentru motorul de test

La

m

Lungimea efectivă a drumului optic

Mra

g/mol

Masa moleculară a aerului de admisie

Mre

g/mol

Masa moleculară a gazelor de eșapament

m d

kg

Masa de eșantion de aer diluat trecută prin filtrele de eșantionare a particulelor

m ed

kg

Masa totală a gazelor de eșapament diluate pe durata ciclului

m edf

kg

Masa gazelor de eșapament diluate echivalente pe durata ciclului

m ew

kg

Masa totală a gazelor de eșapament pe durata ciclului

m f

mg

Masa colectată a eșantionului de particule

m f,d

mg

Masa eșantionului de particule din aerul diluat colectat

m gas

g/h sau g

Fluxul masei emisiilor gazoase (procent)

m se

kg

Masa de eșantionare pe durata ciclului

m sep

kg

Masa eșantionului de gaze de eșapament diluat trecută prin filtrele de eșantionare a particulelor

m set

kg

Masa eșantionului de gaze de eșapament dublu diluat trecută prin filtrele de eșantionare a particulelor

m ssd

kg

Masa de aer de la diluția secundară

N

%

Opacitate

N P

Numărul total de rotații ale pompei volumetrice pe durata ciclului

N P, i

Rotații ale pompei volumetrice pe durata unui interval de timp

n

min-1

Turațiile motorului

n P

s-1

Viteza pompei volumetrice

nhi

min-1

Turația înaltă a motorului

nlo

min-1

Turația joasă a motorului

nref

min-1

Turația de referință a motorului pentru testul ETC

p a

kPa

Presiunea vaporilor de saturație la admisia de aer în motor

p b

kPa

Presiunea atmosferică totală

p d

kPa

Presiunea vaporilor de saturație a aerului pentru diluare

p p

kPa

Presiunea absolută

p r

kPa

Presiunea vaporilor de apă după baia de răcire

p s

kPa

Presiunea atmosferică în stare uscată

p 1

kPa

Depresia la admisia în pompă

P(a)

kW

Puterea absorbită de componentele auxiliare de montat pentru test

P(b)

kW

Puterea absorbită de componentele auxiliare de demontat pentru test

P(n)

kW

Puterea netă necorectată

P(m)

kW

Puterea măsurată la bancul de probă

q maw

kg/h sau kg/s

Debitul masic al aerului de admisie în stare umedă

q mad

kg/h sau kg/s

Debitul masic al aerului de admisie în stare uscată

q mdw

kg/h sau kg/s

Debitul masic al aerului pentru diluare în stare umedă

q mdew

kg/h sau kg/s

Debitul masic al gazului de eșapament diluat în stare umedă

q mdew,i

kg/s

Masa instantanee a eșantionului la volum constant în stare umedă

q medf

kg/h sau kg/s

Debitul masic al gazului de eșapament diluat echivalent în stare umedă

q mew

kg/h sau kg/s

Debitul masic al gazului de eșapament în stare umedă

q mf

kg/h sau kg/s

Debitul masic al carburantului

q mp

kg/h sau kg/s

Debitul masic al eșantionului de particule

q vs

dm3/min

Debitul eșantionului în bancul de analiză

q vt

cm3/min

Debitul gazului de marcare

Ω

Constantă Bessel

Qs

m3/s

Debitul volumetric PDP/CFV-CVS

Qssv

m3/s

Debitul volumetric SSV-CVS

ra

Raportul ariilor secțiunilor transversale ale sondei izocinetice și țevii de eșapament

rd

Raportul de diluare

rD

Raportul de diametru SSV-CVS

rp

Raportul de presiune SSV-CVS

rs

Rata de eșantionare

Rf

Rata de răspuns a FID

ρ

kg/m3

Densitatea

S

kW

Reglajul dinamometrului

Si

m-1

Valoarea instantanee a fumului

Sλ

Factorul de calare λ

T

K

Temperatura absolută

T a

K

Temperatura absolută a aerului de admisie

t

s

Timpul de măsurare

te

s

Timpul de răspuns electric

tf

s

Timpul de răspuns al filtrelor pentru funcția Bessel

tp

s

Timpul de răspuns fizic

Δt

s

Intervalul de timp dintre date de fum succesive (= 1/rata de eșantionare)

Δti

s

Intervalul de timp pentru un flux de CVS instantaneu

τ

%

Factorul de transmisie a fumului

u

Raportul dintre densitățile componenților gazoși și gazul de eșapament

V0

m3/rev

Volumul de gaz PDP pompat la o rotație

Vs

l

Volumul sistemului bancului de analiză

W

Indicele Wobbe

Wact

kWh

Lucrul mecanic al ciclului efectiv pentru testul ETC

Wref

kWh

Lucrul mecanic al ciclului de referință pentru testul ETC

W F

Factor de ponderare

WFE

Factor de ponderare efectiv

X 0

m3/rev

Funcția de calibrare a debitului volumetric al pompei volumetrice

Yi

m-1

Valoarea medie Bessel a fumului la 1 s

▼B

►M1  2.2.2 ◄

Simboluri ale componentelor chimice



CH4

Metan

C2H6

Etan

C2H5OH

Etanol

C3H8

Propan

CO

Monoxid de carbon

DOP

Dioctilftalat

CO2

Dioxid de carbon

HC

Hidrocarburi

NMHC

Hidrocarburi nemetanice

NOx

Oxizi de azot

NO

Oxid azotos

NO2

Dioxid de azot

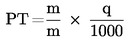
PT

Particule

►M1  2.2.3 ◄

Abrevieri



CFV

Difuzor de aer pentru debit critic

CLD

Detector cu chemiluminiscență

ELR

Test european de încărcare dinamică

ESC

Test european în mod stabilizat

ETC

Test european în ciclu tranzitoriu

FID

Detector cu ionizare în flacără

GC

Cromatograf cu gaz

HCLD

Detector cu chemiluminiscență încălzit

HFID

Detector cu ionizare în flacără încălzit

LPG

Gaz petrolier lichefiat

NDIR

Analizor nedispersiv cu infraroșu

NG

Gaz natural

NMC

Separator nemetanic

▼M1

2.2.4.

Simboluri pentru compoziția carburanților

WALF

conținutul de hidrogen al carburantului, % masă

WBET

conținutul de carbon al carburantului, % masă

WGAM

conținutul de sulf al carburantului, % masă

WDEL

conținutul de azot al carburantului, % masă

WEPS

conținutul de oxigen al carburantului, % masă

α

raportul hidrogen molar (H/C)

β

raportul carbon molar (C/C)

γ

raportul sulf molar (S/C)

δ

raportul azot molar (N/C)

ε

raportul oxigen molar (O/C)

cu referire la un carburant CβHαOεNδSγ

β = 1 pentru carburanții pe bază de carbon, β = 0 pentru carburanții pe bază de hidrogen.

2.2.5.

Standardele la care se face trimitere în prezenta directivă



ISO 15031-1

ISO 15031-1: 2001 Road vehicles – Communication between vehicle and external equipment for emissions related diagnostics – Part 1: General information. (Vehicule rutiere – Comunicarea între vehicul și echipamentele exterioare pentru diagnosticul referitor la emisii – Partea 1: Informații generale).

ISO 15031-2

ISO/PRF TR 15031-2: 2004 Road vehicles – Communication between vehicle and external equipment for emissions related diagnostics – Part 2: Terms, definitions, abbreviations and acronyms. (Vehicule rutiere – Comunicarea între vehicul și echipamentele exterioare pentru diagnosticul referitor la emisii – Partea 2: Termeni, definiții, abrevieri și acronime).

ISO 15031-3

ISO 15031-3: 2004 Road vehicles – Communication between vehicle and external equipment for emissions related diagnostics – Part 3: Diagnostic connector and related electrical circuits, specification and use. (Vehicule rutiere – Comunicarea între vehicul și echipamentele exterioare pentru diagnosticul referitor la emisii – Partea 3: Conectorul pentru diagnostic și circuitele electrice asociate, specificații și utilizare).

SAE J1939-13

SAE J1939-13: Off-Board Diagnostic Connector (Conectorul pentru diagnostic Exterior)

ISO 15031-4

ISO DIS 15031-4.3: 2004 Road vehicles – Communication between vehicle and external equipment for emissions related diagnostics – Part 4: External test equipment (Vehicule rutiere – Comunicarea între vehicul și echipamentele exterioare pentru diagnosticul referitor la emisii – Partea 4: Echipamente pentru teste exterioare)

SAE J1939-73

SAE J1939-73: Application Layer — Diagnostics (Nivelul aplicației - Diagnostic)

ISO 15031-5

ISO DIS 15031-5.4: 2004 Road vehicles – Communication between vehicle and external equipment for emissions related diagnostics – Part 5: Emissions-related diagnostic services (Vehicule rutiere – Comunicarea între vehicul și echipamentele exterioare pentru diagnosticul referitor la emisii – Partea 5: Servicii pentru diagnosticul referitor la emisii)

ISO 15031-6

ISO DIS 15031-6.4: 2004 Communication between vehicle and external equipment for emissions related diagnostics – Part 6: Diagnostic trouble code definitions (Vehicule rutiere – Comunicarea între vehicul și echipamentele exterioare pentru diagnosticul referitor la emisii – Partea 6: Definirea codurilor de eroare la diagnosticare)

SAE J2012

SAE J2012: Diagnostic Trouble Code Definitions Equivalent to ISO/DIS 15031-6, Aprilie 30, 2002 (Definirea codurilor de eroare la diagnosticare echivalentă cu ISO/DIS 15031-6)

ISO 15031-7

ISO 15031-7: 2001 Road vehicles – Communication between vehicle and external equipment for emissions related diagnostics – Part 7: Data link security (Vehicule rutiere – Comunicarea între vehicul și echipamentele exterioare pentru diagnosticul referitor la emisii – Partea 7: Securitatea legăturilor de date)

SAE J2186

SAE J2186: E/E Data Link Security, dated October1996 (E/E Securitatea legăturilor de date, octombrie 1996)

ISO 15765-4

ISO 15765-4: 2001 Road vehicles – Diagnostics on Controller Area Network (CAN) – Part 4: Requirements for emissions-related systems [Vehicule rutiere – Diagnostic privind rețeaua locală de comandă (CAN) – Partea 4: Cerințe pentru sistemele legate de emisii]

SAE J1939

SAE J1939, Recommended Practice for a Serial Control and Communications Vehicle Network (Practici recomandate pentru controlul serial și pentru rețeaua de comunicații a vehiculelor).

ISO 16185

ISO 16185: 2000 Road vehicles – Engine family for homologation (Vehicule rutiere – Familii de motoare pentru omologare)

ISO 2575

ISO 2575: 2000 Road vehicles – Symbols for controls, indicators and tell-tales (Vehicule rutiere – Simboluri pentru comenzi, indicatoare și martori)

ISO 16183

ISO 16183: 2002 Heavy duty engines – Measurement of gaseous emissions from raw exhaust gas and of particulate emissions using partial flow dilution systems under transient test conditions (Vehicule grele – Măsurarea emisiilor gazoase din gazele de eșapament brute și a emisiilor de particule prin utilizarea unor sisteme de diluare parțială în condiții de test tranzitorii).

▼B

3.   CEREREA PENTRU OMOLOGAREA CE DE TIP

3.1.   Cererea pentru omologarea CE de tip pentru un tip de motor sau familie de motoare ca unitate tehnică separată

▼M1

3.1.1.

Cererea de omologare a unui tip de motor sau a unei familii de motoare în ceea ce privește nivelul emisiilor de poluanți gazoși și de particule poluante pentru motoare diesel și nivelul emisiilor de poluanți gazoși pentru motoarele pe gaz, precum și în ceea ce privește durata de viață utilă și sistemul de diagnosticare la bord (OBD) se înaintează de către constructorul motorului sau de către un reprezentant acreditat corespunzător al acestuia.

În cazul în care cererea se referă la un motor echipat cu un sistem de diagnosticare la bord (OBD), trebuie să fie îndeplinite cerințele prevăzute la punctul 3.4.

▼B

3.1.2.

Cererea trebuie să fie însoțită de documentele menționate în continuare în trei copii și de următoarele date:

3.1.2.1.

O descriere a tipului de motor sau a familiei de motoare, după caz, conținând datele menționate în anexa II la prezenta directivă care corespund cu cerințele articolelor 3 și 4 din Directiva 70/156/CEE din 6 februarie 1970 privind apropierea legislațiilor statelor membre în ceea ce privește omologarea autovehiculelor și a remorcilor acestora ( 14 ).

3.1.3.

Un motor care corespunde caracteristicilor „tipului de motor” sau ale „motorului prototip” descrise în anexa II este trimis serviciului tehnic responsabil cu desfășurarea testelor de omologare definite la punctul 6.

3.2.   Cererea pentru omologarea CE de tip pentru un tip de vehicul în ceea ce privește motorul acestuia

▼M1

3.2.1.

Cererea de omologare a unui vehicul în ceea ce privește emisiile de poluanți gazoși și de particule poluante ale motorului său diesel sau ale familiei de motoare diesel și în ceea ce privește nivelul emisiilor de poluanți gazoși ale motorului său pe gaz sau ale familiei de motoare pe gaz, precum și în ceea ce privește durata de viață utilă și sistemul de diagnosticare la bord (OBD) se înaintează de către constructorul vehiculului sau de către un reprezentant acreditat corespunzător al acestuia.

În cazul în care cererea se referă la un motor echipat cu un sistem de diagnosticare la bord (OBD), trebuie să fie îndeplinite cerințele prevăzute la punctul 3.4.

▼B

3.2.2.

Cererea trebuie să fie însoțită de documentele menționate în continuare în trei copii și de următoarele date:

3.2.2.1.

O descriere a tipului de vehicul, a componentelor vehiculului legate de motor și a tipului de motor sau a familiei de motoare, după caz, conținând datele menționate în anexa II, împreună cu documentația solicitată prin aplicarea articolului 3 din Directiva 70/156/CEE.

▼M1

3.2.3.

Constructorul furnizează o descriere a indicatorului de defecțiuni (MI) utilizat de sistemul OBD pentru a-i semnala șoferului apariția unui defecțiuni.

Constructorul furnizează o descriere a indicatorului și a modului de avertizare utilizat pentru a-i semnala șoferului lipsa reactivului cerut.

▼B

3.3.   Cererea pentru omologarea CE de tip pentru un tip de vehicul cu motor omologat

▼M1

3.3.1.

Cererea de omologare a unui vehicul în ceea ce privește emisiile de poluanți gazoși și de particule poluante ale motorului său diesel omologat sau ale familiei de motoare diesel omologate și în ceea ce privește nivelul emisiilor de poluanți gazoși ale motorului său pe gaz omologat sau ale familiei de motoare pe gaz omologate, precum și în ceea ce privește durata de viață utilă și sistemul de diagnosticare la bord (OBD) se înaintează de către constructorul vehiculului sau de către un reprezentant acreditat corespunzător al acestuia.

▼B

3.3.2.

Cererea trebuie să fie însoțită de documentele menționate în continuare în trei copii și de următoarele date:

3.3.2.1.

O descriere a tipului de vehicul sau a componentelor vehiculului legate de motor conținând datele menționate în anexa II, după caz, și o copie a certificatului de omologare CE de tip (anexa VI) pentru motor sau familia de motoare, după caz, ca unitate tehnică separată care este instalată pe tipul de vehicul, împreună cu documentația necesară în temeiul articolului 3 din Directiva 70/156/CEE.

▼M1

3.3.3.

Constructorul furnizează o descriere a indicatorului de defecțiuni (MI) utilizat de sistemul OBD pentru a-i semnala șoferului apariția unui defecțiuni.

Constructorul furnizează o descriere a indicatorului și a modului de avertizare utilizat pentru a-i semnala șoferului lipsa reactivului cerut.

3.4.   Sisteme de diagnosticare la bord

3.4.1.

Cererea de omologare a unui motor echipat cu un sistem de diagnosticare la bord (OBD) trebuie să fie însoțită de informațiile prevăzute la punctul 9 din apendicele 1 la anexa II (descrierea motorului prototip) și/sau la punctul 6 din apendicele 3 la anexa II (descrierea unui tip de motor din cadrul familiei de motoare), precum și de:

3.4.1.1.

Informații scrise detaliate care să descrie complet caracteristicile de funcționare ale sistemului OBD, inclusiv o listă cu toate părțile relevante ale sistemului de control al emisiilor motorului, cum ar fi senzori, elemente de acționare și componente, monitorizate de sistemul OBD;

3.4.1.2.

După caz, o declarație a constructorului referitoare la parametrii de bază pentru monitorizarea defecțiunilor majore de funcționare și, în plus:

3.4.1.2.1.

Constructorul furnizează serviciului tehnic o descriere a defecțiunilor potențiale ale sistemului de control al emisiilor care pot influența emisiile. Aceste informații fac obiectul unor discuții și al unui acord între serviciul tehnic și constructorul vehiculului.

3.4.1.3.

După caz, o descriere a interfeței de comunicare (hardware și mesaje) între unitatea de control electronic al motorului (EECU) și orice alt sistem de propulsie sau unitate de control al vehiculului atunci când informațiile care fac obiectul schimbului pot influența funcționarea corectă a sistemului de control al emisiilor.

3.4.1.4.

După caz, copii ale altor omologări, împreună cu datele necesare pentru prelungirea omologărilor.

3.4.1.5.

După caz, caracteristicile familiei de motoare menționate la punctul 8 din prezenta anexă.

3.4.1.6.

Constructorul trebuie să furnizeze o descriere a măsurilor luate pentru a împiedica manipularea frauduloasă și modificarea EECU sau a oricăror parametri ai interfeței menționate la punctul 3.4.1.3.

▼B

4.   OMOLOGAREA CE DE TIP

4.1.   Acordarea unei omologări CE de tip pentru carburanți universali

Omologarea universală CE de tip se acordă pe baza următoarelor cerințe:

4.1.1.

În cazul motorinei, motorul prototip îndeplinește cerințele prezentei directive cu privire la carburantul de referință specificat în anexa IV.

4.1.2.

În cazul gazului natural, motorul prototip trebuie să-și demonstreze capacitatea de adaptare la orice compoziție a carburantului care poate să apară pe piață. În cazul gazului natural, există în general două tipuri de carburant, unul cu valoare calorifică ridicată (gaz H) și celălalt cu valoare calorifică scăzută (gaz L), ambele game având o răspândire semnificativă; acestea diferă în mod semnificativ în ceea ce privește conținutul de energie exprimat prin indicele Wobbe și prin factorul de adapta λ (Sλ). Formulele pentru calcularea indicelui Wobbe și a Sλ sunt prezentate la punctele 2.27 și 2.28. Gazul natural cu factor de adaptare λ între 0,89 și 1,08 (0,89 ≤ Sλ ≤ 1,08) sunt considerate ca aparținând gamei H, în timp ce gazul natural cu factor de adaptare λ între 1,08 și 1,19 (1,08 ≤ Sλ ≤ 1,19) sunt considerate ca aparținând gamei L. Compoziția carburanților de referință reflectă variațiile extreme ale Sλ.

Motorul prototip trebuie să îndeplinească cerințele prezentei directive în ceea ce privește carburanții de referință GR (carburant 1) și G25 (carburant 2), după cum se menționează în anexa IV, fără nici o reajustare a alimentării între cele două teste. Cu toate acestea, după schimbarea carburantului este permisă o funcționare de adaptare, fără măsurare, pe parcursul unui ciclu ETC. Înaintea testării, motorul prototip este rodat prin aplicarea procedurii prezentate la punctul 3 din apendicele 2 la anexa III.

4.1.2.1.

La cererea constructorului, motorul poate fi testat pentru un al treilea carburant (carburant 3) în cazul în care factorul de adaptare λ (Sλ) este situat între 0,89 (respectiv gama inferioară a GR) și 1,19 (respectiv gama superioară a G25), de exemplu atunci când carburantul 3 este carburant pentru uz comercial. Rezultatele acestui test pot fi utilizate ca bază pentru evaluarea conformității producției.

4.1.3.

În cazul unui motor alimentat cu gaz natural care este autoadaptabil pentru gama de gaze H, pe de o parte, și pentru gama de gaze L, pe de altă parte, și care poate comuta între gama H și gama L prin intermediul unui comutator, motorul prototip este testat cu carburantul de referință relevant, după cum se specifică în anexa IV, pentru fiecare gamă, la fiecare poziție a comutatorului. Carburanții sunt GR (carburant 1) și G23 (carburant 3) pentru gama H de gaze și G25 (carburant 2) și G23 (carburant 3) pentru gama L de gaze. Motorul prototip trebuie să îndeplinească cerințele prezentei directive pentru ambele poziții ale comutatorului, fără ajustări de vreun fel ale carburantului între cele două teste la fiecare poziție a comutatorului. Cu toate acestea, după schimbarea carburantului este permisă o funcționare de adaptare, fără măsurare, pe parcursul unui ciclu ETC. Înaintea testării, motorul prototip este rodat prin aplicarea procedurii prezentate la punctul 3 din apendicele 2 la anexa III.

4.1.3.1.

La solicitarea constructorului, motorul poate fi testat pentru un al treilea carburant în loc de G23 (carburant 3) în cazul în care factorul de adaptare λ (Sλ) este situat între 0,89 (respectiv gama inferioară a GR) și 1,19 (respectiv gama superioară a G25), de exemplu atunci când carburantul 3 este carburant pentru uz comercial. Rezultatele acestui test pot fi utilizate ca bază pentru evaluarea conformității producției.

4.1.4.

În cazul motoarelor cu gaz natural, raportul rezultatelor emisiei, „r”, se stabilește pentru fiecare poluant, după cum urmează:

image

sau

image

și

image

4.1.5.

În cazul GPL, motorul prototip trebuie să-și demonstreze capacitatea de adaptare la orice compoziție a carburanților care se poate întâlni pe piață. În cazul GPL, există variații în compoziția C3/C4. Aceste variații se reflectă în carburanții de referință. Motorul prototip trebuie să îndeplinească cerințele privind emisiile carburanților de referință A și B după cum se specifică în anexa IV fără reajustări asupra carburanților între cele două teste. Cu toate acestea, după schimbarea carburantului este permisă o funcționare de adaptare, fără măsurare, pe parcursul unui ciclu ETC. Înaintea testării, motorul prototip este rodat prin aplicarea procedurii prezentate la punctul 3 din apendicele 2 la anexa III.

4.1.5.1.

Raportul rezultatelor emisiei, „r”, se stabilește pentru fiecare poluant, după cum urmează:

image

4.2.   Acordarea unei omologări CE de tip limitate pentru o gamă de carburanți

Omologarea CE de tip limitată pentru o gamă de carburanți se acordă în condițiile respectării următoarelor cerințe:

4.2.1.

Omologarea, în ceea ce privește gazele de evacuare ale unui motor alimentat cu gaz natural și reglat pentru funcționare fie pentru gama de gaze H, fie pentru gama de gaze L

Motorul prototip este testat pentru carburantul de referință relevant, astfel cum este specificat în anexa IV, pentru gama relevantă. Carburanții sunt GR (carburant 1) și G23 (carburant 3) pentru gama H de gaze și G25 (carburant 2) și G23 (carburant 3) pentru gama L de gaze. Motorul prototip trebuie să îndeplinească cerințele prezentei directive fără ajustări de vreun fel ale carburantului între cele două teste. Cu toate acestea, după schimbarea carburantului este permisă o funcționare de adaptare, fără măsurare, pe parcursul unui ciclu ETC. Înaintea testării, motorul prototip este rodat prin aplicarea procedurii prezentate la punctul 3 din apendicele 2 la anexa III.

4.2.1.1.

La cererea constructorului, motorul poate fi testat pentru un al treilea carburant în loc de G23 (carburant 3) în cazul în care factorul de adaptare λ (Sλ) este situat între 0,89 (respectiv gama inferioară a GR) și 1,19 (respectiv gama superioară a G25), de exemplu în cazul în care carburantul 3 este carburant comercial. Rezultatele acestui test pot fi utilizate ca bază pentru evaluarea conformității producției.

4.2.1.2.

Raportul rezultatelor emisiei, „r”, se stabilește pentru fiecare poluant, după cum urmează:

image

sau

image

și

image

4.2.1.3.

La livrarea către client, motorul poartă o etichetă (a se vedea punctul 5.1.5) indicând gama pentru care este omologat.

4.2.2.

Omologarea, în ceea ce privește gazele de evacuare ale unui motor alimentat cu gaz natural sau cu GPL și reglat pentru funcționare pentru o anumită compoziție de carburant.

4.2.2.1.

Motorul prototip trebuie să îndeplinească cerințele privind emisiile pentru carburanții de referință GR și G25 în cazul gazului natural sau pentru carburanții de referință A și B în cazul GPL, după cum se specifică în anexa IV. Se permite reglajul fin al sistemului de alimentare între teste. Reglajul fin constă în recalibrarea bazei de date de alimentare, fără modificări ale strategiei primare de control sau ale structurii primare a bazei de date. În cazul în care este necesar, este permisă înlocuirea componentelor care sunt legate în mod direct de debitul carburantului (precum duzele de injecție).

4.2.2.2.

La solicitarea constructorului, motorul poate fi testat pentru carburanții de referință GR și G23 sau pentru carburanții de referință G25 și G23, în acest caz omologarea fiind valabilă numai pentru gama de gaze H, respectiv L.

4.2.2.3.

La livrarea către client, motorul poartă o etichetă (a se vedea punctul 5.1.5) indicând compoziția de carburant pentru care motorul a fost calibrat motorul.

4.3.   Omologarea unui membru al familiei în ceea ce privește gazele de evacuare

4.3.1.

Cu excepția cazului menționat la punctul 4.3.2, omologarea unui motor prototip se extinde la întreaga familie fără teste suplimentare, pentru orice compoziție a carburantului care se încadrează în gama pentru care motorul prototip a fost omologat (în cazul motoarelor descrise la punctul 4.2.2) sau în aceeași gamă de carburanți (în cazul motoarelor descrise la punctul 4.1 sau 4.2) pentru care motorul prototip a fost omologat.

4.3.2.

Motor suplimentar pentru testare

În cazul depunerii unei cereri de omologare a unui motor sau a unui vehicul în ceea ce privește motorul acestuia, aparținând unei familii de motoare, în cazul în care serviciul tehnic stabilește că, în ceea ce privește motorul prototip selectat, cererea depusă nu reprezintă în totalitate familia de motoare definită în anexa I apendicele 1, serviciul tehnic poate selecta și testa un motor de testare alternativ și, în cazul în care este necesar, un motor de testare de referință suplimentar.

4.4.   Certificatul de omologare

Pentru omologarea menționată la punctele 3.1, 3.2 și 3.3, se eliberează un certificat în conformitate cu modelul specificat în anexa VI.

5.   MARCAREA MOTOARELOR

5.1.    Motorul omologat ca unitate tehnică trebuie să poarte:

5.1.1.

marca de comerț sau denumirea comercială a constructorului motorului;

5.1.2.

descrierea comercială a constructorului;

5.1.3.

numărul omologării CE de tip precedat de litera/literele sau numărul/numerele distinctive ale țării care acordă omologarea CE de tip ►M1   ( 15 ) ◄ ;

5.1.4.

în cazul unui motor cu gaz natural, una dintre următoarele inscripții trebuie aplicată după numărul omologării CE de tip:

 H în cazul în care motorul a fost omologat și calibrat pentru gama H de gaze;

 L în cazul în care motorul a fost omologat și calibrat pentru gama L de gaze;

 HL în cazul în care motorul a fost omologat și calibrat pentru ambele game H și L de gaze;

 Ht în cazul în care motorul a fost omologat și calibrat pentru o compoziție specifică de carburant din gama H de gaze și care poate fi transformată într-un alt gaz specific din gama H de gaze prin reglajul fin al sistemului de alimentare cu carburant;

 LTL în cazul în care motorul a fost omologat și calibrat pentru o compoziție specifică de carburant din gama L de gaze și care poate fi transformată într-un alt gaz specific din gama L de gaze prin reglajul fin al sistemului de alimentare cu carburant;

 HLt în cazul în care motorul a fost omologat și calibrat pentru o compoziție specifică de carburant fie din gama H sau L de gaze și care poate fi transformată într-un alt gaz specific din gama H sau L de gaze prin reglajul fin al sistemului de alimentare cu carburant.

5.1.5.

Etichete

În cazul motoarelor alimentate cu gaz natural sau cu GPL cu o omologare limitată la gama de carburant, se aplică următoarele etichete:

5.1.5.1.   Conținut

Trebuie incluse următoarele informații:

În cazul punctului 4.2.1.3, eticheta trebuie să specifice:

„NUMAI PENTRU UTILIZARE CU GAZ NATURAL GAMA H”. După caz, „H” se înlocuiește cu „L”.

În cazul punctului 4.2.2.3, eticheta trebuie să specifice:

„NUMAI PENTRU UTILIZARE CU GAZ NATURAL CU SPECIFICAȚIE…” sau „NUMAI PENTRU UTILIZARE CU GAZ PETROLIER LICHEFIAT CU SPECIFICAȚIE…”, după caz. Toate informațiile din tabelul (tabelele) corespunzătoare din anexa IV sunt transmise împreună cu componentele individuale și limitele specificate de constructorul motorului.

Literele și cifrele trebuie să aibă o înălțime de minimum 4 mm.

În cazul în care lipsa de spațiu nu permite o astfel de etichetare, se poate utiliza un cod simplificat. În acest caz, trebuie prevăzute note explicative care să conțină toate informațiile menționate anterior și să fie ușor accesibile oricărei persoane care alimentează rezervorul sau care desfășoară activități de întreținere sau reparație asupra motorului și a accesoriilor acestuia, precum și autorităților implicate. Localizarea și conținutul notelor explicative se stabilesc de comun acord de către constructor și autoritatea de omologare.

5.1.5.2.   Proprietăți

Etichetele trebuie să reziste pe toată durata de utilizare a motorului. Etichetele trebuie să fie lizibile, iar literele și cifrele să fie indelebile. Pe lângă aceasta, etichetele trebuie aplicate astfel încât să reziste pe întreaga durată de viață a motorului, iar etichetele să nu se poată îndepărta fără a fi distruse sau deformate.

5.1.5.3.   Localizare

Etichetele trebuie aplicate pe o piesă a motorului necesară funcționării sale obișnuite și care, în mod normal, nu trebuie înlocuită pe întreaga durată de viață a motorului. Pe lângă aceasta, etichetele trebuie fixate în așa fel încât să fie ușor de observat de către orice persoană în cazul în care toate componentele auxiliare necesare funcționării motorului au fost instalate.

5.2.

În cazul unei cereri pentru omologarea CE de tip pentru un tip de vehicul în ceea ce privește motorul acestuia, inscripțiile specificate la punctul 5.1.5 se aplică și în apropierea orificiului de alimentare cu carburant.

5.3.

În cazul unei cereri pentru omologarea CE de tip pentru un tip de vehicul cu un motor omologat, inscripțiile specificate la punctul 5.1.5 se aplică și în apropierea orificiului de alimentare cu carburant.

6.   SPECIFICAȚII ȘI TESTE

▼M1

6.1.   Generalități

6.1.1.   Echipament de control al emisiilor

6.1.1.1.

Componentele care pot afecta, după caz, emisiile de poluanți gazoși sau de particule poluante ale motoarelor diesel sau pe gaz trebuie să fie în așa fel proiectate, construite, asamblate și instalate încât să permită ca motorul, în condiții normale de funcționare, să îndeplinească cerințele prezentei directive.

6.1.2.   Este interzisă utilizarea unei strategii de invalidare.

6.1.2.1.

Este interzisă utilizarea unui motor cu calibrare multiplă până când prezenta directivă ( 16 ) prevede dispoziții ferme și adecvate cu privire la motoarele cu calibrare multiplă.

6.1.3.   Strategia de control al emisiilor

6.1.3.1.

Orice element de proiectare și orice strategie de control al emisiilor (ECS) care pot afecta emisiile de poluanți gazoși și de particule poluante ale motoarelor diesel, precum și emisiile de poluanți gazoși ale motoarelor pe gaz trebuie să fie în așa fel proiectate, construite, asamblate și instalate încât să permită ca motorul, în condiții normale de funcționare, să îndeplinească cerințele prezentei directive. ECS constă dintr-o strategie de bază de control al emisiilor (BECS) și, de obicei, din una sau mai multe strategii auxiliare de control al emisiilor (AECS).

6.1.4.   Cerințe referitoare la strategia de bază de control al emisiilor

6.1.4.1.

Strategia de bază de control al emisiilor (BECS) trebuie să fie în așa fel proiectată încât să permită ca motorul, în condiții normale de funcționare, să îndeplinească cerințele prezentei directive. Condițiile normale de funcționare nu sunt restricționate la condițiile de utilizare prevăzute la punctul 6.1.5.4.

6.1.5.   Cerințe referitoare la strategia auxiliară de control al emisiilor

6.1.5.1.

Se poate instala o strategie auxiliară de control al emisiilor (AECS) pe un motor sau pe un vehicul cu condiția ca respectiva AECS:

 să funcționeze numai în afara condițiilor de utilizare prevăzute la punctul 6.1.5.4 în scopurile definite la punctul 6.1.5.5

 sau

 să fie activă numai în mod excepțional în condițiile de utilizare prevăzute la punctul 6.1.5.4, în scopurile definite la punctul 6.1.5.6, și nu mai mult decât este necesar având în vedere scopurile definite.

6.1.5.2.

O strategie auxiliară de control al emisiilor (AECS) care funcționează în condițiile de utilizare prevăzute la punctul 6.1.5.4 și care conduce la utilizarea unei strategii de control al emisiilor (ECS) diferite sau modificate în raport cu cea utilizată în mod obișnuit în timpul ciclurilor de testare a emisiilor aplicabile este permisă în cazul în care, în conformitate cu cerințele prevăzute la punctul 6.1.7, este pe deplin demonstrat faptul că această măsură nu reduce în mod permanent eficiența sistemului de control al emisiilor. În toate celelalte cazuri, această strategie se consideră strategie de invalidare.

6.1.5.3.

O strategie auxiliară de control al emisiilor (AECS) care funcționează în afara condițiilor de utilizare prevăzute la punctul 6.1.5.4 este permisă în cazul în care, în conformitate cu cerințele prevăzute la punctul 6.1.7, este pe deplin demonstrat faptul că această măsură este strategia minimă necesară pentru atingerea scopurilor definite la punctul 6.1.5.6 referitoare la protecția mediului și la alte aspecte tehnice. În toate celelalte cazuri, această strategie se consideră strategie de invalidare.

6.1.5.4.

În conformitate cu prevederile punctului 6.1.5.1, următoarele condiții de utilizare se aplică în regim stabilizat și în regimuri tranzitorii ale motorului:

 o altitudine care să nu depășească 1 000 de metri (sau o presiune atmosferică echivalentă de 90 kPa)

 și

 o temperatură ambiantă situată în intervalul 275 K-303 K (2 °C-30 °C) ( 17 ) ( 18 )

 și

 o temperatură a lichidului de răcire a motorului situată în intervalul 343 K-373 K (70 °C – 100 °C).

6.1.5.5.

O strategie auxiliară de control al emisiilor (AECS) poate fi instalată pe un motor sau pe un vehicul cu condiția ca funcționarea AECS să fie inclusă în testul de omologare aplicabil și să fie activată în conformitate cu prevederile punctului 6.1.5.6.

6.1.5.6.

AECS este activată:

 numai prin semnale de la bord în scopul protejării sistemului motorului (inclusiv pentru protejarea dispozitivului de tratare a aerului) și/sau a vehiculului împotriva avariilor

 sau

 în scopuri cum ar fi siguranța operațională, ►M2  moduri de emisii implicite ◄ și strategii de avarie

 sau

 în scopuri cum ar fi prevenirea emisiilor excesive, pornirea la rece sau încălzirea motorului

 sau

 în cazul în care este utilizată pentru a compensa controlul unui poluant reglementat în anumite condiții de mediu sau operaționale pentru păstrarea controlului asupra tuturor celorlalți poluanți reglementați între valorile limită pentru emisii adecvate pentru motorul respectiv. Efectele globale ale unei astfel de AECS sunt compensarea fenomenelor care apar în mod natural și realizarea acestei compensări într-un mod care să permită păstrarea unui nivel acceptabil de control asupra tuturor constituenților emisiei.

6.1.6.   Cerințe pentru limitatoarele de cuplu

6.1.6.1.

Este permisă utilizarea unui limitator de cuplu numai în cazul în care acesta îndeplinește cerințele prevăzute la punctele 6.1.6.2 sau 6.5.5. În toate celelalte cazuri, utilizarea unui limitator de cuplu se consideră strategie de invalidare.

6.1.6.2.

Se poate instala un limitator de cuplu pe un motor sau pe un vehicul respectând următoarele condiții:

 limitatorul de cuplu să fie activat numai de către semnale de la bord în scopul protejării sistemului de propulsie sau construcției vehiculului împotriva deteriorării și/sau pentru siguranța vehiculului, pentru activarea prizei de putere atunci când vehiculului este staționar sau pentru măsuri în scopul asigurării bunei funcționări a sistemului de denitrificare

 și

 limitatorul de cuplu să fie activ doar temporar

 și

 limitatorul de cuplu să nu modifice strategia de control al emisiilor (ECS)

 și

 în cazul activării prizei de putere sau pentru protejarea sistemului de propulsie, cuplul este limitat la o valoare constantă, independentă de turația motorului, fără a depăși vreodată cuplul la sarcină maximă

 și

 ca acesta să fie activat în același mod pentru a limita performanța vehiculului, pentru a-l încuraja pe șofer să ia măsurile necesare pentru a asigura funcționarea corectă a dispozitivului de denitrificare din sistemul motorului.

6.1.7.   Cerințe speciale pentru sistemele de control electronic al emisiilor

6.1.7.1.

Cerințe privind documentația

Constructorul furnizează o documentație care să ofere acces la toate elementele de proiectare, la strategia de control al emisiilor (ECS), la limitatorul de cuplu al sistemului motorului și la mijloacele prin care acesta controlează variabilele de ieșire, indiferent dacă acest control este direct sau indirect. Documentația trebuie pusă la dispoziție în două părți:

(a) documentația oficială, care se furnizează serviciului tehnic în momentul depunerii solicitării de omologare, cuprinde o descriere detaliată a ECS și, după caz, a limitatorului de cuplu. Documentația poate fi scurtă, cu condiția să dovedească faptul că toate ieșirile permise printr-o matrice obținută pornind de la gama de control al intrărilor individuale pe unitate au fost identificate. Aceste informații se atașează documentației prevăzute la punctul 3 din prezenta anexe;

(b) materiale suplimentare care indică parametrii modificați de strategia auxiliară de control al emisiilor (AECS) și de condițiile limită în care funcționează AECS. Materialele suplimentare includ o descriere a logicii de control a sistemului de alimentare, strategiile de temporizare și punctele de comutare pentru toate regimurile operaționale. Acestea includ, de asemenea, o descriere a limitatorului de cuplu menționat la punctul 6.5.5 din prezenta anexă.

Materialele suplimentare cuprind, de asemenea, o justificare pentru utilizarea AECS, precum și materiale și date de test pentru a demonstra efectul asupra emisiei de gaze de eșapament al AECS instalate pe motor sau pe vehicul. Justificarea pentru utilizarea unei AECS se poate baza pe date de test și/sau pe analize inginerești corespunzătoare.

Materialele suplimentare rămân strict confidențiale și sunt puse la dispoziția autorităților de omologare la cererea acestora. Autoritățile de omologare păstrează confidențialitatea acestor materiale.

6.1.8.   Special pentru omologarea motoarelor, în conformitate cu rând A din tabelele de la punctul 6.2.1 (motoare care nu se testează, în mod normal, pe ETC)

6.1.8.1.

Pentru a se verifica dacă o strategie sau o măsură trebuie considerată strategie de invalidare în conformitate cu definițiile de la punctul 2, autoritatea de omologare și/sau serviciul tehnic pot solicita suplimentar un test de verificare a NOx utilizându-se ETC, test care se poate efectua în combinație fie cu testul de omologare, fie cu procedurile de verificare a conformității producției.

6.1.8.2.

Atunci când se verifică dacă o strategie sau o măsură trebuie considerată strategie de invalidare în conformitate cu definițiile de la punctul 2, se acceptă o marjă suplimentară de 10 % în ceea ce privește valoarea limită corespunzătoare pentru NOx.

6.1.9.   La punctul 6.1.5 din anexa I la Directiva 2001/27/CE, sunt prevăzute dispoziții tranzitorii pentru prelungirea omologărilor.

Până la 8 noiembrie 2006, numărul certificatului de omologare existent rămâne valabil. În cazul prelungirii, numai numărul secvențial care denotă numărul de prelungire a omologării se modifică după cum urmează:

Exemplu pentru cea de-a doua prelungire a celei de-a patra omologări, care corespunde datei solicitării A, emise de Germania:

image

6.1.10.   Dispoziții privind securitatea sistemului electronic

6.1.10.1.

Orice vehicul echipat cu o unitate de control al emisiilor trebuie să cuprindă funcții care să împiedice modificările, cu excepția celor autorizate de către constructor. Constructorul autorizează acele modificări care sunt necesare pentru diagnosticarea, întreținerea, inspectarea, reglarea sau repararea vehiculului. Toate codurile și toți parametri funcționali reprogramabili trebuie protejați împotriva manipulărilor frauduloase și trebuie să permită un nivel de protecție cel puțin la nivelul celui prevăzut în ISO 15031-7 (SAE J2186), cu condiția ca schimbul de date de securitate să se desfășoare utilizându-se protocoalele și conectorul de diagnosticare în conformitate cu dispozițiile punctului 6 din anexa IV la Directiva 2005/78/CE. Toate cipurile de memorie amovibile trebuie să fie turnate, încastrate în cutii sigilate sau protejate prin algoritmi electronici și nu trebuie să poată fi schimbate decât cu ajutorul unor instrumente și proceduri specializate.

6.1.10.2.

Parametrii de funcționare ai motoarelor codate informatic nu trebuie să poată fi modificați decât cu ajutorul unor instrumente și proceduri specializate (de exemplu, componente informatice turnate sau lipite sau carcase turnate sau lipite).

6.1.10.3.

Constructorii trebuie să adopte măsurile adecvate pentru a proteja reglajul maxim al debitului de injecție împotriva manipulărilor frauduloase atunci când vehiculul este în circulație.

6.1.10.4.

Constructorii pot solicita autorității de omologare scutirea de la una dintre cerințele menționate pentru vehiculele pentru care este puțin probabil să fie nevoie de protecție. Criteriile pe care le evaluează autoritatea de omologare în vederea analizării scutirii solicitate includ, dar nu sunt limitate la disponibilitatea actuală a cipurilor de control al performanțelor, capacitatea de performanțe înalte a vehiculului și volumul de vânzări estimat.

6.1.10.5.

Constructorii care utilizează sisteme informatice programabile (de exemplu, memorii programabile numai pentru citit, cu ștergere electrică, EEPROM) trebuie să împiedice reprogramarea neautorizată. Constructorii trebuie să utilizeze strategii avansate de prevenire a manipulării frauduloase și să includă funcții de protecție care să solicite accesul electronic la un calculator la distanță gestionat de constructor. Autoritatea poate aproba utilizarea unor metode echivalente care furnizează același grad de protecție împotriva manipulărilor frauduloase.

6.2.   Specificații referitoare la emisiile de poluanți gazoși, de particule și de fum

Pentru omologarea în conformitate cu rândul A din tabelele de la punctul 6.2.1, emisiile se determină pe baza testelor ESC și ELR cu motoare diesel convenționale, inclusiv motoare echipate cu sistem electronic de injecție a carburantului, cu recircularea gazelor de eșapament (EGR) și/sau cu catalizatori de oxidare. Motoarele diesel echipate cu sisteme avansate de post-tratare a eșapamentului, inclusiv catalizatori de denitrificare și/sau filtre pentru particule, se testează suplimentar cu testul ETC.

Pentru omologarea în conformitate cu rândurile B1, B2 sau C din tabelele de la punctul 6.2.1, emisiile se determină pe baza testelor ESC, ELR și ETC.

Pentru motoarele pe gaz, emisiile gazoase se determină pe baza testului ETC.

Procedurile de testare ESC și ELR sunt descrise în anexa III apendicele 1, iar procedura de testare ETC în anexa III apendicele 2 și apendicele 3.

Emisiile de poluanți gazoși și de particule, după caz, precum și de fum, după caz, de către motoarele supuse testării se măsoară prin metodele descrise în anexa III apendicele 4. Anexa V descrise sistemele analitice recomandate pentru poluanții gazoși, sistemele de eșantionare recomandate pentru particule și sistemul recomandat de măsurare a fumului.

Serviciul tehnic poate aproba și alte sisteme sau metode de analiză dacă se dovedește că acestea produc rezultate echivalente pentru ciclurile de teste respective. Determinarea echivalențelor sistemelor se realizează pe baza unui studiu de corelare de 7 (sau mai multe) perechi de eșantioane între sistemul evaluat și unul dintre sistemele de referință din prezenta directivă. Pentru emisiile de particule, numai sistemul de diluare cu debit total sau sistemul de diluare cu debit parțial care îndeplinesc cerințele ISO 16183 sunt recunoscute drept sisteme de referință echivalente. „Rezultatele” se referă la valoarea emisiei specifice ciclului. Testele de corelare trebuie efectuate în același laborator, în aceeași cameră de testare și pe același motor și se preferă să fie realizate simultan. Echivalența mediilor perechilor de eșantioane se determină prin statistici de test F și de test t menționate în apendicele 4 din prezenta anexă, obținute în condițiile descrise în ceea ce privește laboratorul, camera de testare și motorul. Valorile maxime excepționale se determină în conformitate cu ISO 5725 și se exclud din baza de date. Pentru introducerea unui nou sistem în directivă, determinarea echivalenței se bazează pe calcularea repetabilității și reproductibilității în conformitate cu ISO 5725.

▼B

6.2.1.   Valori limită

Masa specifică de monoxid de carbon, de hidrocarburi totale, de oxizi de azot și de particule, astfel cum este stabilită prin testul ESC, și masa opacității fumului, astfel cum este stabilită prin testul ELR, nu trebuie să depășească valorile indicate în tabelul 1.



Tabelul 1

Valori limită — testele ESC și ELR

Rând

Masa monoxidului de carbon

(CO) g/kWh

Masa hidrocarburilor

(HC) g/kWh

Masa oxizilor de azot

(NOx) g/kWh

Masa particulelor

(PT) g/kWh

Fum

m-1

A (2000)

2,1

0,66

5,0

0,10

0,13 (1)

0,8

B1 (2500)

1,5

0,46

3,5

0,02

0,5

B2 (2008)

1,5

0,46

2,0

0,02

0,5

C (EEV)

1,5

0,25

2,0

0,02

0,15

(1)   Pentru motoarele cu o cilindree unitară mai mică de 0,75 dm3 pe cilindru și o turație nominală de peste 3 000 min-1.

Pentru motoarele diesel testate suplimentar prin testul ETC și în mod special pentru motoarele cu gaz, masa specifică a monoxidului de carbon, a hidrocarburilor nemetanice, a metanului (după caz), a oxizilor de azot și a particulelor (după caz), nu trebuie să depășească valorile indicate în tabelul 2.



Tabelul 2

Valori limită — teste ETC

Rând

Masa monoxidului de carbon

(CO) g/kWh

Masa hidrocarburilor nemetanice

(NMHC) g/kWh

Masa metanului

(CH4(1) g/kWh

Masa oxizilor de azot

(NOx) g/kWh

Masa particulelor

(PT) (2)g/kWh

A (2000)

5,45

0,78

1,6

5,0

0,16

0,21 (3)

B1 (2500)

4,0

0,55

1,1

3,5

0,03

B2 (2008)

4,0

0,55

1,1

2,0

0,03

C (EEV)

3,0

0,40

0,65

2,0

0,02

(1)   Numai pentru motoarele alimentate cu gaz natural.

(2)   Nu se aplică motoarelor alimentate cu gaz în etapa A și etapele B1 și B2.

(3)   Pentru motoarele cu o cilindree unitară mai mică de 0,75 dm3 pe cilindru și o turație nominală de peste 3 000 min-1.

6.2.2.   Măsurarea hidrocarburilor pentru motoarele diesel și cele cu gaz

6.2.2.1.

Constructorul poate alege măsurarea masei totale de hidrocarburi (THC) prin testul ETC în locul măsurării masei hidrocarburilor nemetanice. În acest caz, limita pentru masa totală de hidrocarburi este aceeași cu cea indicată în tabelul 2 pentru masa de hidrocarburi nemetanice.

6.2.3.   Cerințe specifice pentru motoarele diesel

6.2.3.1.

Masa specifică a oxizilor de azot măsurată la puncte de verificare aleatorii în cadrul zonei de control din testul ESC nu trebuie să depășească cu mai mult de 10 procente valorile interpolate din modurile adiacente de testare (ca referință anexa III apendicele 1 punctele 4.6.2 și 4.6.3).

6.2.3.2.

Valoarea fumului la viteza aleatorie de testare din cadrul testului ELR nu trebuie să depășească cu mai mult de 20 procente cea mai mare valoare a fumului a celor două viteze adiacente de testare sau cu mai mult de 5 procente valoarea limită, luându-se în calcul valoarea cea mai mare dintre cele două.

▼M1

6.3.   Factori de durabilitate și de deteriorare

6.3.1.

În sensul prezentei directive, constructorul determină factorii de deteriorare care vor fi utilizați pentru a demonstra că emisiile gazoase și de particule ale unei familii de motoare sau ale unei familii de sisteme de post-tratare a eșapamentului sunt în continuare conforme cu limitele adecvate de emisie prevăzute în tabelele de la punctul 6.2.1 din prezenta anexă pe perioada de durabilitate relevantă prevăzută în articolul 3 din prezenta directivă.

6.3.2.

Procedurile utilizate pentru a demonstra respectarea de către o familie de motoare sau de sisteme de post-tratare a eșapamentului a limitelor de emisie relevante pe perioada de durabilitate adecvată sunt prevăzute în anexa II la Directiva 2005/78/CE.

6.4.   Sistemul de diagnosticare la bord (OBD)

6.4.1.

În conformitate cu dispozițiile articolului 4 alineatele (1) și (2) din prezenta directivă, motoarele diesel sau vehiculele echipate cu motoare diesel trebuie să fie echipate cu un sistem de diagnosticare la bord (OBD) pentru controlul emisiilor, în conformitate cu cerințele anexei IV la Directiva 2005/78/CE.

În conformitate cu dispozițiile articolului 4 alineatul (2) din prezenta directivă, motoarele pe gaz sau vehiculele echipate cu motoare pe gaz trebuie să fie echipate cu un sistem de diagnosticare la bord (OBD) pentru controlul emisiilor, în conformitate cu cerințele anexei IV la Directiva 2005/78/CE.

6.4.2.

Producția de motoare de serie mică

Ca alternativă la cerințele prezentului punct, constructorii de motoare a căror producție anuală la nivel mondial a unui anumit tip de motor, care aparține unei familii de motoare OBD,

 este mai mică de 500 de unități pe an, poate obține omologarea CE pe baza cerințelor prezentei directive atunci când motorul este monitorizat numai pentru continuitatea circuitului, iar sistemul de post-tratare a eșapamentului este monitorizat pentru defecțiuni funcționale importante;

 este mai mică de 50 de unități pe an, poate obține omologarea CE pe baza cerințelor prezentei directive atunci când sistemul complet de control al emisiilor (respectiv motorul și sistemul de post-tratare) este monitorizat numai pentru continuitatea circuitului.

Autoritatea de omologare trebuie să informeze Comisia cu privire la circumstanțele fiecărei omologări acordate în conformitate cu prezenta dispoziție.

▼M2

6.5.   Cerințe pentru a asigura funcționarea corectă a dispozitivelor de control al NOx

6.5.1.   Generalități

6.5.1.1.

Acest punct se aplică sistemelor de motoare cu aprindere prin comprimare, indiferent de tehnologia utilizată, pentru a respecta valorile limită de emisie prevăzute în tabelele de la punctul 6.2.1.

6.5.1.2.

Date de aplicare

Cerințele prevăzute la punctele 6.5.3, 6.5.4 și 6.5.5 se aplică începând cu 9 noiembrie 2006 pentru omologările noi și începând cu 1 octombrie 2007 pentru toate înmatriculările vehiculelor noi.

6.5.1.3.

Orice sistem motor reglementat la acest punct este proiectat, construit și instalat astfel încât să fie capabil să satisfacă aceste cerințe pe întreaga durată de viață utilă a motorului.

6.5.1.4.

Informațiile care descriu în întregime caracteristicile funcționale operaționale ale sistemului motor reglementate la acest punct vor fi furnizate de constructor în anexa II.

6.5.1.5.

În cererea sa de omologare, în cazul în care sistemul motor necesită un reactiv, constructorul specifică caracteristicile tuturor reactivilor consumați de orice sistem de posttratare a emisiilor, de exemplu tip și concentrații, condiții ale temperaturilor de funcționare, trimitere la standarde internaționale etc.

6.5.1.6.

Sub rezerva cerințelor prevăzute la punctul 6.1, orice sistem motor reglementat la acest punct își menține funcția de control al emisiilor în toate condițiile obișnuite de funcționare pe teritoriul Comunității, în special la temperaturi joase ale mediului ambiant.

6.5.1.7.

În scopul omologării, constructorul demonstrează Serviciului tehnic că, pentru sistemul motor care necesită un reactiv, orice emisie de amoniac nu depășește o valoare medie de 25 ppm în timpul testului de încercare privind emisiile.

6.5.1.8.

Pentru sistemul motor care necesită un reactiv, fiecare rezervor de reactiv instalat separat pe un vehicul include mijloace pentru a permite luarea unei probe din lichidul existent în rezervor. Punctul de prelevare este ușor accesibil fără să fie necesară utilizarea unui instrument sau dispozitiv special.

6.5.2.   Cerințe de întreținere

6.5.2.1.

Constructorul furnizează sau determină furnizarea către toți deținătorii de vehicule grele noi sau motoare grele noi instrucțiuni scrise care să precizeze că, în cazul în care sistemul de control al emisiilor vehiculului nu funcționează corect, șoferul este informat în legătură cu o problemă printr-un indicator de defecțiune (MI), iar motorul funcționează în consecință la performanță redusă.

6.5.2.2.

Instrucțiunile indică cerințele pentru utilizarea și întreținerea corespunzătoare a vehiculelor, inclusiv, atunci când este cazul, utilizarea reactivilor consumabili.

6.5.2.3.

Instrucțiunile sunt scrise în limbaj clar și fără amănunte tehnice și în limba țării în care este înregistrat sau vândut vehiculul greu nou sau motorul greu nou.

6.5.2.4.

Instrucțiunile specifică dacă reactivii consumabili trebuie să fie realimentați de către operatorul vehiculului între intervalele de întreținere normale și indică o rată probabilă de consum al reactivului în conformitate cu tipul de vehicul greu nou.

6.5.2.5.

Instrucțiunile prevăd că este obligatorie folosirea și realimentarea unui reactiv în conformitate cu specificațiile corecte, atunci când sunt indicate, pentru ca vehiculul să respecte certificatul de conformitate emis pentru tipul respectiv de vehicul sau motor.

6.5.2.6.

Instrucțiunile prevăd că folosirea unui vehicul care nu consumă nici un reactiv în cazul în care acest lucru este impus pentru controlul emisiilor de poluanți poate constitui infracțiune și conduce la anularea oricăror condiții favorabile pentru cumpărarea sau funcționarea vehiculului obținute în țara de înmatriculare sau în altă țară în care este folosit acesta.

6.5.3.   Controlul emisiilor de NOx din sistemul motor

6.5.3.1.

Funcționarea incorectă a sistemului motor în ceea ce privește controlul emisiilor de NOx (de exemplu din cauza lipsei oricărui reactiv necesar, debit incorect EGR sau dezactivarea EGR) se va determina prin monitorizarea nivelului NOx prin senzori poziționați în debitul gazului de evacuare.

6.5.3.2.

Orice abatere a nivelului de NOx mai mare de 1,5 g/kWh peste valoarea limită aplicabilă dată în tabelul 1 din anexa I punctul 6.2.1 conduce la atenționarea șoferului prin activarea MI, astfel cum se specifică la punctul 3.6.5 din anexa IV la Directiva 2005/78/CE.

6.5.3.3.

În plus, un cod de eroare indelebil pentru identificarea cauzei pentru care NOx depășește nivelele specificate la punctul 6.5.3.2 este stocat în conformitate cu punctul 3.9.2 din anexa IV la Directiva 2005/78/CE pe o perioadă de cel puțin 400 de zile sau 9 600 de ore de funcționare a motorului.

Se identifică cel puțin motivele depășirii NOx, și, acolo unde este necesar, în cazurile de rezervor de reactiv gol, întrerupere a activității de dozare a reactivului, calitate necorespunzătoare a reactivului, consum de reactiv prea scăzut, debit EGR incorect sau dezactivare EGR. În toate celelalte cazuri, constructorului i se permite să facă referire la următorul cod de eroare indelebil „nivel ridicat de NOx – cauză nedeterminată”.

6.5.3.4.

Dacă nivelul de NOx depășește valorile de prag OBD date în tabelul de la articolul 4 alineatul (3), un limitator de cuplu reduce performanțele motorului în conformitate cu cerințele prevăzute la punctul 6.5.5 într-un mod în care este clar perceput de către șoferul vehiculului. Atunci când limitatorul de cuplu este activat, șoferul continuă să fie alertat în conformitate cu cerințele prevăzute la punctul 6.5.3.2, iar un cod de eroare indelebil va fi stocat în conformitate cu punctul 6.5.3.3.

6.5.3.5.

În cazul sistemelor motor care se bazează pe folosirea EGR pentru controlul emisiilor de NOx și nu a altui sistem de posttratare a emisiilor de NOx, constructorul poate folosi o metodă alternativă la cerințele prevăzute la punctul 6.5.3.1 pentru determinarea nivelului de NOx. În momentul omologării de tip, constructorul demonstrează că metoda alternativă este echivalentă ca rapiditate și precizie în determinarea nivelului de NOx comparativ cu cerințele prevăzute la punctul 6.5.3.1 și are aceleași consecințe ca cele menționate la punctele 6.5.3.2, 6.5.3.3 și 6.5.3.4.

6.5.4.   Controlul reactivului

6.5.4.1.

Pentru vehiculele care necesită utilizarea unui reactiv pentru a îndeplini cerințele prevăzute la acest punct, șoferul este informat cu privire la nivelul de reactiv din rezervorul de stocare al reactivului de pe vehicul prin intermediul unui indicator specific, mecanic sau electronic, pe tabloul de bord al vehiculului. Acesta va include o avertizare în cazul în care nivelul reactivului:

 scade sub 10 % din volumul rezervorului sau cu un procent mai mare, la alegerea constructorului, sau

 sub nivelul ce corespunde distanței posibile de parcurs cu rezerva de combustibil specificată de către constructor.

Indicatorul pentru reactiv este instalat în apropierea indicatorului de nivel pentru combustibil.

6.5.4.2.

În conformitate cu cerințele prevăzute la punctul 3.6.5 din anexa IV la Directiva 2005/78/CE, șoferul este informat dacă rezervorul de reactiv se golește.

6.5.4.3.

De îndată ce rezervorul de reactiv se golește, în afară de cerințele prevăzute la punctul 6.5.4.2, se aplică și cerințele prevăzute la punctul 6.5.5.

6.5.4.4.

Un constructor poate alege să respecte punctele 6.5.4.5-6.5.4.12 ca alternativă la respectarea cerințelor prevăzute la punctul 6.5.3.

6.5.4.5.

Sistemele motor includ un mijloc de a stabili prezența pe vehicul a unui lichid care corespunde caracteristicilor reactivului declarate de către constructor și prezentate în anexa II la prezenta directivă.

6.5.4.6.

În cazul în care lichidul din rezervor nu corespunde cerințelor minime declarate de constructor, astfel cum sunt prezentate în anexa II la prezenta directivă, se aplică cerințele suplimentare prevăzute la punctul 6.5.4.12.

6.5.4.7.

Sistemele motor includ un dispozitiv care permite stabilirea consumului de reactiv și furnizarea accesului extern la informațiile privind consumul.

6.5.4.8.

Consumul mediu de reactiv și consumul mediu de reactiv prescris de sistemul motor, fie pentru perioada de funcționare anterioară de 48 ore, fie pentru perioada necesară pentru un consum de reactiv prescris de cel puțin 15 litri, oricare este mai lungă, sunt disponibile la portul serial al conectorului standard de diagnosticare, astfel cum se menționează la punctul 6.8.3 din anexa IV la Directiva 2005/78/CE.

6.5.4.9.

Pentru a monitoriza consumul de reactiv, se monitorizează cel puțin următorii parametri ai motorului:

 nivelul de reactiv din rezervorul de pe vehicul;

 debitul de reactiv sau injectarea reactivului cât mai aproape din punct de vedere tehnic de punctul de injecție în sistemul de posttratare a emisiilor.

6.5.4.10.

Orice abatere mai mare de 50 % în consumul mediu de reactiv și consumul mediu de reactiv prescris de sistemul motor pe o perioadă definită la punctul 6.5.4.8 conduce la aplicarea măsurilor menționate la punctul 6.5.4.12.

6.5.4.11.

În cazul întreruperii activității de dozare a reactivului, se aplică măsurile menționate la punctul 6.5.4.12. Acest lucru nu este necesar în cazul în care o astfel de întrerupere este cerută de unitatea de control electric a motorului (ECU), deoarece condițiile de funcționare a motorului sunt astfel încât performanțele motorului în privința emisiilor nu necesită dozarea reactivului, cu condiția informării clare a autorității de omologare de către constructor atunci când se aplică aceste condiții de funcționare.

6.5.4.12.

Orice eroare detectată în raport cu punctele 6.5.4.6, 6.5.4.10 sau 6.5.4.11 are aceleași consecințe, în aceeași ordine cu cele menționate la punctele 6.5.3.2, 6.5.3.3 sau 6.5.3.4.

6.5.5.   Măsuri de prevenire a manipulării frauduloase a sistemelor de posttratare a emisiilor

6.5.5.1.

Orice sistem motor reglementat la acest punct include un limitator de cuplu care alertează șoferul asupra faptului că sistemul motor funcționează incorect sau că vehiculul a fost condus incorect și prin aceasta se încurajează remedierea imediată a oricărei (oricăror) defecțiuni.

6.5.5.2.

Limitatorul de cuplu este activat atunci când vehiculul staționează prima dată după îndeplinirea condițiilor descrise la oricare din punctele 6.5.3.4, 6.5.4.3, 6.5.4.6, 6.5.4.10 sau 6.5.4.11.

6.5.5.3.

După activarea limitatorului de cuplu, cuplul motorului nu depășește în nici un caz o valoare constantă de:

 60 % din cuplul motor maxim, pentru vehiculele din categoriile N3 > 16 tone, M1 > 7,5 tone, M3/III și M3/B > 7,5 tone;

 75 % din cuplul motor maxim, pentru vehiculele din categoriile N1, N2, N3 ≤ 16 tone, 3,5 < M1 ≤ 7,5 tone, M2, M3/I, M3/II, M3/A și M3/B ≤ 7,5 tone.

6.5.5.4.

Cerințele privind documentația și limitatorul de cuplu sunt prezentate la punctele 6.5.5.5-6.5.5.8.

6.5.5.5.

Se furnizează informații scrise detaliate care descriu complet caracteristicile funcționale ale sistemului de monitorizare a controlului emisiilor și ale limitatorului de cuplu, în conformitate cu cerințele privind documentația prevăzute la punctul 6.1.7.1 litera (b). În special, constructorul furnizează informații privind algoritmii folosiți de către ECU pentru a aduce concentrația NOx la nivelele specificate de emisii de NOx (în g/kWh) pentru ETC, în conformitate cu punctul 6.5.6.5.

6.5.5.6.

Limitatorul de cuplu se dezactivează atunci când motorul merge la turația de mers în gol, în cazul în care motivele activării acestuia au dispărut. Limitatorul de cuplu nu se dezactivează automat în condițiile în care motivele activării sale nu au fost remediate.

6.5.5.7.

Dezactivarea limitatorului de cuplu nu este realizabilă prin intermediul unui comutator sau a unei unelte de întreținere.

6.5.5.8.

Limitatorul de cuplu nu se aplică motoarelor sau vehiculelor utilizate de forțele armate, serviciile de salvare și serviciile de pompieri și ambulanțe. Dezactivarea permanentă se va face doar de către constructorul motorului sau al vehiculului, iar acest tip de motor va fi desemnat în mod special în cadrul familiei de motoare, pentru a facilita identificarea.

6.5.6.   Condiții de operare ale sistemului de monitorizare a controlului emisiilor

6.5.6.1.

Sistemul de monitorizare a controlului emisiilor este operațional

 la temperaturi ale mediului ambiant cuprinse între 266 K și 308 K (-7 °C și 35 °C);

 la altitudini sub 1 600 m;

 la temperatura agentului de răcire a motorului de peste 343 K (70 °C).

Acest punct nu se aplică în cazul monitorizării nivelului de reactiv din rezervorul de stocare, în cazul în care monitorizarea se face pentru toate condițiile de folosire.

6.5.6.2.

Sistemul de monitorizare a controlului emisiilor poate fi dezactivat în cazul în care este activă o strategie de avarie care conduce la o reducere a cuplului mai mare decât nivelurile indicate la punctul 6.5.5.3 pentru categoria corespunzătoare de vehicule.

6.5.6.3.

În cazul în care este activ un mod de emisii implicite, sistemul de monitorizare a controlului emisiilor rămâne operațional și respectă dispozițiile de la punctul 6.5.

6.5.6.4.

Funcționarea incorectă a dispozitivelor de control al NOx se va detecta pe o perioadă de patru cicluri de test OBD, astfel cum se precizează în definiția de la punctul 6.1 din apendicele 1 la anexa IV la Directiva 2005/78/CE.

6.5.6.5.

Algoritmii folosiți de ECU pentru a corela concentrația reală de NOx cu emisia specificată de NOx (în g/kWh) pentru ETC nu este considerată o strategie de invalidare.

6.5.6.6.

În cazul în care devine operațional un AECS care a fost omologat de autoritatea de omologare în conformitate cu punctul 6.1.5, orice creștere a NOx din cauza funcționării AECS se poate aplica la nivelul corespunzător de NOx menționat la punctul 6.5.3.2. În toate aceste cazuri, influența AECS asupra pragului NOx se descrie în conformitate cu punctul 6.5.5.5.

6.5.7.   Defectarea sistemului de monitorizare a controlului emisiilor

6.5.7.1.

Sistemul de monitorizare a controlului emisiilor este supravegheat pentru detectarea defecțiunilor electrice și pentru înlăturarea sau dezactivarea oricărui senzor prin care se împiedică diagnosticarea unei creșteri a emisiilor, astfel cum se prevede la punctele 6.5.3.2 și 6.5.3.4.

Exemple de senzori care afectează capacitatea de diagnosticare sunt senzorii folosiți direct pentru măsurarea concentrației de NOx, pentru calitatea ureei și senzorii folosiți pentru monitorizarea activității de dozare a reactivului, a nivelului reactivului, a consumului de reactivi sau a ratei EGR.

6.5.7.2.

În cazul în care se confirmă o defecțiune a sistemului de monitorizare a controlului emisiilor, șoferul este alertat imediat prin activarea unui semnal de avertizare în conformitate cu punctul 3.6.5 din anexa IV la Directiva 2005/78/CE.

6.5.7.3.

Limitatorul de cuplu se activează în conformitate cu punctul 6.5.5 în cazul în care eroarea nu se remediază în 50 de ore de funcționare a motorului.

Perioada menționată la primul paragraf se reduce la 36 de ore începând cu datele menționate la articolul 2 alineatul (7) și articolul 2 alineatul (8).

6.5.7.4.

În cazul în care sistemul de monitorizare a controlului emisiilor a stabilit că defecțiunea nu mai există, codurile de eroare aferente defecțiunii pot fi șterse din memoria sistemului, cu excepția cazurilor menționate la punctul 6.5.7.5, iar limitatorul de cuplu, în cazul în care este necesar, este dezactivat în conformitate cu punctul 6.5.5.6.

Codul (codurile) de eroare aferente unei defecțiuni a sistemului de monitorizare a controlului emisiilor nu pot fi șterse din memoria sistemului cu orice instrument de scanare.

6.5.7.5.

În cazul îndepărtării sau dezactivării elementelor sistemului de monitorizare a controlului emisiilor, în conformitate cu punctul 6.5.7.1, un cod de eroare care nu se poate șterge este stocat în conformitate cu punctul 3.9.2 din anexa IV la Directiva 2005/78/CE pentru cel puțin 400 de zile sau 9 600 de ore de funcționare a motorului.

6.5.8.   Demonstrația sistemului de monitorizare a controlului emisiilor

6.5.8.1.

În cadrul cererii de omologare prevăzute la punctul 3, constructorul demonstrează conformitatea dispozițiilor acestui punct prin teste pe un dinamometru de motoare în conformitate cu punctele 6.5.8.2-6.5.8.7.

6.5.8.2.

Conformitatea unei familii de motoare sau a unei familii de motoare cu OBD cu cerințele prevăzute la prezentul punct poate fi demonstrată prin testarea sistemului de monitorizare a controlului emisiilor unui membru al familiei (motorul prototip), cu condiția ca producătorul să demonstreze autorității de omologare că sistemele de monitorizare a controlului emisiilor sunt aceleași pentru toată familia.

Această demonstrație poate fi efectuată prin prezentarea către autoritățile de omologare a unor elemente cum ar fi algoritmi, analize funcționale etc.

Motorul prototip este ales de către constructor în acord cu autoritatea de omologare.

6.5.8.3.

Testarea sistemului de monitorizare a controlului emisiilor constă în următoarele trei faze:

Selecție:

O operare incorectă a dispozitivelor de control al NOx sau o defecțiune a sistemului de monitorizare a controlului emisiilor este selectată de către autoritate dintr-o listă de funcționări incorecte furnizate de constructor.

Calificare:

Influența operării incorecte este validată prin măsurarea nivelului NOx pentru un ciclu ETC pe un banc de încercare motor.

Demonstrație:

Reacția sistemului (reducerea cuplului, semnal de avertizare, etc.) se demonstrează prin rularea motorului timp de patru cicluri de test OBD.

6.5.8.3.1.

Pentru faza de selecție producătorul va pune la dispoziția autorității de omologare o descriere a strategiilor de monitorizare folosite pentru a determina posibila operare incorectă a oricărui dispozitiv de control al NOx și posibilele erori în sistemul de monitorizare a controlului emisiilor care ar conduce fie la activarea limitatorului de cuplu, fie doar la activarea semnalului de avertizare.

Exemple caracteristice de funcționări incorecte pentru această listă sunt: rezervor de reactiv gol, operare incorectă care conduce la o întrerupere a activității de dozare a reactivului, calitate necorespunzătoare a reactivului, operare incorectă care conduce la un consum mic de reactiv, debit incorect de EGR sau dezactivarea EGR.

Autoritatea de omologare va alege din această listă cel puțin două și cel mult trei operări incorecte ale sistemului de control al NOx sau erori ale sistemului de monitorizare a controlului emisiilor.

6.5.8.3.2.

Pentru faza de calificare, se măsoară emisiile de NOx pentru un ciclu de test ETC, în conformitate cu dispozițiile apendicelui 2 la anexa III. Rezultatul testului ETC se folosește pentru a stabili în ce mod se așteaptă ca sistemul de monitorizare a controlului emisiilor să reacționeze în timpul procesului de demonstrație (reducerea cuplului și/sau semnalul de avertizare). Defecțiunea se simulează într-un mod în care nivelul NOx nu depășește cu peste 1 g/kWh oricare din nivelurile de prag menționate la punctele 6.5.3.2 sau 6.5.3.4.

Calificarea pentru emisii nu este necesară în cazul unui rezervor de reactiv gol sau pentru demonstrarea unei erori a sistemului de monitorizare a controlului emisiilor.

Limitatorul de cuplu este dezactivat în timpul fazei de calificare.

6.5.8.3.3.

Pentru faza de demonstrație, motorul funcționează pe o perioadă de maxim patru cicluri de test OBD.

Nu sunt prezente alte defecțiuni cu excepția celor care constituie obiectul demonstrației.

6.5.8.3.4.

Înainte de începerea secvenței de testare de la punctul 6.5.8.33, sistemul de monitorizare a controlului emisiilor este setat în poziția „fără erori”.

6.5.8.3.5.

În funcție de nivelul de NOx selectat, sistemul activează un semnal de avertizare și în plus, în cazul în care este necesar, limitatorul de cuplu în orice moment înainte de sfârșitul secvenței de detectare. Secvența de detectare poate fi stopată de îndată ce sistemul de monitorizare a controlului emisiilor de NOx reacționează corespunzător.

6.5.8.4.

În cazul unui sistem de monitorizare a controlului emisiilor bazat în principal pe monitorizarea nivelului NOx prin senzori poziționați în debitul gazului de evacuare, constructorul poate alege să monitorizeze direct anumite funcționalități ale sistemului (de ex. întreruperea activității de dozare, valva EGR închisă) pentru determinarea conformității. În acest caz se va demonstra funcționalitatea sistemului selectat.

6.5.8.5.

Nivelul de reducere a cuplului prevăzut la punctul 6.5.5.3 prin limitatorul de cuplu se omologhează împreună cu performanța generală a motorului în conformitate cu Directiva 80/1269/CE. Pentru procesul de demonstrație, constructorul demonstrează autorității de omologare includerea unui limitator de cuplu în ECU motor. Nu este necesară măsurarea separată a cuplului în timpul demonstrației.

6.5.8.6.

Ca alternativă la punctele 6.5.8.3.3-6.5.8.3.5, demonstrația sistemului de monitorizare a controlului emisiilor și a limitatorului de cuplu se poate efectua prin testarea unui vehicul. Vehiculul este condus pe un drum sau pe o pistă de încercări, fiind selectate operările incorecte sau erorile sistemului de monitorizare a controlului emisiilor pentru a demonstra că semnalul de avertizare și activarea limitatorului de cuplu funcționează în conformitate cu cerințele prevăzute la punctul 6.5 și în special cu cele prevăzute la punctele 6.5.5.2 și 6.5.5.3.

6.5.8.7.

În cazul în care este necesară stocarea în memoria calculatorului a unui cod de eroare care nu se șterge pentru respectarea cerințelor prevăzute la punctul 6.5, la sfârșitul secvenței de demonstrație sunt îndeplinite următoarele trei condiții:

 este posibil să se confirme prin instrumentul de scanare OBD prezența în memoria calculatorului OBD a codului de eroare corespunzător care nu se șterge, descris la punctul 6.5.3.3 și să se arate autorității de omologare că instrumentul de scanare nu îl poate șterge și

 este posibil să se confirme timpul consumat în secvența de detecție cu semnalul de avertizare activat, prin citirea contorului indelebil menționat la punctul 3.9.2 din anexa IV la Directiva 2005/78/CE și că se poate arăta autorității de omologare că instrumentul de scanare nu îl poate șterge și

 autoritatea de omologare a aprobat elementele de proiectare care arată că aceste informații care nu se șterg sunt stocate în conformitate cu punctul 3.9.2 din anexa IV la Directiva 2005/78/CE pentru cel puțin 400 de zile sau 9 600 de ore de funcționare a motorului.

▼B

7.   INSTALAREA PE VEHICUL

7.1.

Instalarea motorului pe vehicul trebuie să respecte următoarele caracteristici în ceea ce privește omologarea motorului:

7.1.1.

Scăderea presiunii de admisie să nu depășească valoarea specificată pentru motorul omologat din anexa VI.

7.1.2.

Contrapresiunea de evacuare să nu depășească valoarea specificată pentru motorul omologat din anexa VI.

7.1.3.

Volumul sistemului de evacuare să nu difere cu mai mult de 40 % de cel specificat pentru motorul omologat din anexa VI.

7.1.4.

Puterea absorbită de dispozitivele auxiliare necesare pentru funcționarea motorului să nu depășească puterea specificată pentru motorul omologat din anexa VI.

8.   FAMILIA DE MOTOARE

▼M1

8.1.   Parametrii care definesc o familie de motoare

Familia de motoare stabilită de constructorul de vehicule trebuie să respecte dispozițiile ISO 16185.

▼B

8.2.   Selectarea motorului prototip

8.2.1.   Motoare diesel

Motorul prototip al familiei se alege folosindu-se drept criteriu principal valoarea maximă de alimentare per timp la turația maximă de cuplu declarată. În cazul în care două sau mai multe motoare au în comun același criteriu principal, se apelează la criteriul secundar al celei mai mari cantități de carburant alimentat per timp la turația nominală. În anumite condiții, autoritatea de omologare poate să stabilească faptul că cea mai nocivă rată a emisiei întregii familii de motoare se poate stabili în mod optim prin testarea celui de-al doilea motor. Astfel, autoritatea de omologare poate selecta un motor suplimentar pentru o testare bazată pe caracteristicile care indică, în familia respectivă, motorul cu cel mai înalt nivel de emisii.

În cazul în care motoarele dintr-o familie au și alte caracteristici variabile despre care se poate considera că afectează emisiile de gaze evacuate, acestea se identifică și se iau în considerare la selectarea motorului prototip.

8.2.2.   Motoare cu gaz

Motorul prototip al familiei se stabilește prin aplicarea criteriilor principale ale celei mai mari cilindree. În cazul în care două sau mai multe motoare împărtășesc această caracteristică primară, motorul prototip se selectează prin aplicarea unor criterii secundare în următoarea ordine:

 valoarea maximă de alimentare per timp la turația puterii nominale declarate;

 cel mai mare avans la aprindere;

 cea mai mică rată de recirculare a gazelor de evacuare;

 lipsa pompei de aer sau pompa de aer cu debitul efectiv cel mai mic.

În anumite condiții, autoritatea de omologare poate să stabilească faptul că cea mai nocivă rată a emisiilor pentru întreaga familie de motoare se poate stabili în mod optim prin testarea celui de-al doilea motor. Astfel, autoritatea de omologare poate selecta un motor suplimentar pentru o testare bazată pe caracteristici care indică, în familia respectivă, motorul cu cel mai înalt nivel de emisii.

▼M1

8.3.   Parametrii care definesc o familie de motoare OBD

O familie de motoare OBD poate fi definită pe baza parametrilor de proiectare de bază care trebuie să fie comuni tuturor sistemelor de motoare din cadrul familiei.

Pentru ca sistemele de motoare să poate fi considerate ca aparținând aceleiași familii de motoare OBD, ele trebuie să aibă în comun următoarea listă de parametri de bază:

 metodele de monitorizare OBD;

 metodele de detectare a defecțiunilor,

cu excepția cazului în care constructorul a demonstrat că acestea sunt echivalente printr-o demonstrație tehnică pertinentă sau prin alte proceduri adecvate.

Notă: motoarele care nu aparțin aceleiași familii de motoare pot aparține aceleiași familii de motoare OBD, cu condiția să satisfacă criteriile menționate anterior.

▼B

9.   CONFORMITATEA PRODUCȚIEI

▼M1

9.1.

Măsurile pentru asigurarea conformității producției trebuie adoptate în conformitate cu dispozițiile articolului 10 din Directiva 70/156/CEE. Conformitatea producției se verifică pe baza descrierii din certificatele de omologare prevăzute în anexa VI la prezenta directivă. La punerea în aplicare a apendicelor 1, 2 sau 3, emisia măsurată de poluanți gazoși și de particule poluante de la motoarele supuse verificării în vederea stabilirii conformității producției se ajustează prin aplicarea factorilor de deteriorare (FD) corespunzători pentru motorul în cauză, în conformitate cu punctul 1.5 din apendicele la anexa VI.

Dispozițiile punctelor 2.4.2 și 2.4.3 din anexa X la Directiva 70/156/CEE se aplică în cazul în care autoritățile competente nu sunt satisfăcute de procedura de audit a constructorului.

▼B

9.1.1.

În cazul în care trebuie măsurate emisiile de poluanți, iar omologarea motorului a fost prelungită o dată sau de mai multe ori, testele se realizează asupra motorului/motoarelor descrise în pachetul informativ legat de prelungirea în cauză.

9.1.1.1.

Conformitatea motorului supus unui test pentru poluanți:

După depunerea motorului la autorități, constructorul nu trebuie să efectueze nici o ajustare la motoarele selectate.

9.1.1.1.1.

Se aleg în mod aleator trei motoare din serie. Motoarele care urmează să fie supuse numai testării prin testele ESC și ELR sau numai prin testul ETC pentru omologarea corespunzătoare rândului A din tabelele de la punctul 6.2.1 sunt supuse testelor aplicabile pentru verificarea conformității producției. Cu acordul autorităților, toate celelalte tipuri de motoare aprobate pentru rândul A, B1, B2 sau C din tabelele de la punctul 6.2.1 sunt supuse testării fie prin testele ESC și ELR, fie prin testul ETC pentru verificarea conformității producției. Valorile limită sunt indicate la punctul 6.2.1 din prezenta anexă.

9.1.1.1.2.

Testele se desfășoară în conformitate cu apendicele 1 la prezenta anexă, în cazul în care autoritatea competentă se declară mulțumită cu abaterea standard de producție stabilită de producător, în conformitate cu anexa X la Directiva 70/156/CEE, care se aplică autovehiculelor și remorcilor acestora.

Testele se desfășoară în conformitate cu apendicele 2 la prezenta anexă, în cazul în care autoritatea competentă nu se declară mulțumită cu abaterea standard de producție stabilită de constructor, în conformitate cu anexa X la Directiva 70/156/CEE, care se aplică autovehiculelor și remorcilor acestora.

La solicitarea constructorului, testele se pot desfășura în conformitate cu apendicele 3 la prezenta anexă.

9.1.1.1.3.

Pe baza unui test al motorului prin eșantionare, producția unei serii este considerată conformă cu standardul în cazul în care se ajunge la o decizie pozitivă pentru toți poluanții și neconformă cu standardul în cazul în care se adoptă o decizie de respingere pentru unul dintre poluanți, în conformitate cu criteriile de testare aplicate în apendicele corespunzător.

În cazul în care o decizie pozitivă a fost luată pentru unul dintre poluanți, această decizie nu poate fi schimbată de teste suplimentare în scopul luării unei decizii pentru ceilalți poluanți.

În cazul în care nu toți poluanții au primit o decizie pozitivă și în cazul în care nu se ajunge la nici o decizie negativă pentru unul dintre poluanți, se aplică testul asupra unui alt motor (a se vedea figura 2).

În cazul în care nu se ajunge la nici o decizie, constructorul poate hotărî, în orice moment, încetarea testului. În acest caz, se înregistrează o decizie de respingere.

9.1.1.2.

Testele se desfășoară pe motoare nou produse. Motoarele alimentate cu gaz se rodează prin aplicarea procedurii definite la punctul 3 din apendicele 2 la anexa III.

9.1.1.2.1.

Cu toate acestea, la solicitarea constructorului, testele se pot desfășura pe motoare cu gaz sau diesel care au fost rodate într-o perioadă mai mare decât cea prevăzută la punctul 9.1.1.2, de până la maximum 100 de ore. În acest caz, procedura de rodaj este desfășurată de constructor, care se angajează să nu aplice nici o reajustare a motoarele respective.

9.1.1.2.2.

În cazul în care constructorul solicită realizarea unei proceduri de rodaj în conformitate cu punctul 9.1.1.21, aceasta poate fi aplicată:

 tuturor motoarelor care sunt testate sau

 primului motor testat, prin stabilirea unui coeficient de evoluție după cum urmează:

 

 emisiile de poluanți se măsoară la momentul zero și la „x” ore pentru primul motor testat,

 coeficientul de evoluție al emisiilor între momentul zero și „x” ore se calculează pentru fiecare poluant:

 emisii „x” ore/emisii zero ore.

 Acest coeficient poate fi mai mic decât 1.

 Motoarele de testare următoare nu sunt supuse procedurii de rodaj, dar emisiile acestora de la ora zero se modifică prin coeficientul de evoluție.

În acest caz, valorile care trebuie luate în considerare sunt:

 valorile la „x” ore pentru primul motor;

 valorile la ora zero multiplicate cu coeficientul de evoluție pentru celelalte motoare.

9.1.1.2.3.

Pentru motoarele diesel și pentru cele alimentate cu GPL, toate aceste teste pot fi realizate cu carburanți pentru uz comercial. Cu toate acestea, la solicitarea producătorului se pot utiliza carburanții de referință descriși în anexa IV. Aceasta implică teste, conform descrierii de la punctul 4 din prezenta anexă, cu cel puțin doi dintre carburanții de referință pentru fiecare motor cu gaz.

9.1.1.2.4.

Pentru motoarele alimentate cu gaz natural, toate aceste teste pot fi realizate cu carburant pentru uz comercial, după cum urmează:

 pentru motoarele marcate H, cu carburant pentru uz comercial din gama H (0,89 ≤ Sλ ≤ 1,00);

 pentru motoare marcate L, cu carburant pentru uz comercial din gama L (1,00 ≤ Sλ ≤ 1,19);

 pentru motoare marcate HL, cu carburant pentru uz comercial din gama valorilor extreme ale factorului de adaptare λ (0,89 ≤ Sλ ≤ 19).

Cu toate acestea, la solicitarea constructorului, se pot utiliza carburanții de referință descriși în anexa IV. Aceasta implică teste conforme cu descrierea de la punctul 4 din prezenta anexă.

9.1.1.2.5.

În cazul unui litigiu provocat de lipsa de conformitate a motoarelor în cazul în care sunt utilizați carburanți pentru uz comercial, testele se realizează cu un carburant de referință cu care a fost testat motorul prototip sau cu carburantul 3 suplimentar specificat la punctele 4.1.3.1 și 4.2.1.1 pe care este posibil ca motorul prototip să fi fost testat. În acest caz, rezultatul trebuie convertit printr-un calcul care să aplice factorul/factorii relevanți „r”, „ra” sau „rb”, conform descrierii de la punctele 4.1.4, 4.1.5.1 si 4.2.1.2. În cazul în care r, ra sau rb sunt mai mici de 1, nu se efectuează nici o corectare. Rezultatele măsurate și rezultatele calculate trebuie să demonstreze că motorul respectă valorile limită cu toți carburanții relevanți (carburanții 1, 2 și, după caz, carburantul 3 în cazul motoarelor cu gaz natural și carburanții A și B în cazul motoarelor cu GPL).

9.1.1.2.6.

Testele de conformitate a producției unui motor alimentat cu gaz pregătit pentru funcționare cu o compoziție specifică de carburant se realizează cu carburantul pentru care a fost calibrat motorul.

Test pentru trei motoareCalculul rezultatului statistic al testuluiCorespunde rezultatul statistic al testului criteriilor de respingere a seriei pentru cel puțin un poluant, în conformitate cu apendicele relevant?DaSerie respinsăNuCorespunde rezultatul statistic al testului criteriilor de aprobare a seriei pentru cel puțin un poluant, în conformitate cu apendicele relevant?NuDaSe ia o decizie pozitivă pentru unul sau mai mulți poluanțiDaSerie aprobatăS-a luat o decizie pozitivă pentru toți poluanții?NuTest pentru un motor suplimentar

▼M1

9.1.2.

Diagnosticarea la bord (OBD)

9.1.2.1.

În cazul în care trebuie efectuată verificarea conformității producției pentru sistemul OBD, aceasta se efectuează în conformitate cu următoarele:

9.1.2.2.

Atunci când calitatea producției este considerată nesatisfăcătoare de către autoritatea de omologare, se alege în mod aleatoriu un motor din serie și se supune testelor descrise în apendicele 1 la anexa IV la Directiva 2005/78/CE. Testele pot fi efectuate pe un motor care a fost rodat maximum 100 de ore.

9.1.2.3.

Producția se consideră conformă în cazul în care motorul îndeplinește cerințele testelor descrise în apendicele 1 la anexa IV la Directiva 2005/78/CE.

9.1.2.4.

În cazul în care motorul ales din serie nu îndeplinește cerințele prevăzute la punctul 9.1.2.2, se alege un eșantion randomizat constând în alte patru motoare din serie și se supun testelor menționate în apendicele 1 la anexa IV la Directiva 2005/78/CE. Testele pot fi efectuate pe motoare care au fost rodate maximum 100 de ore.

9.1.2.5.

Producția se consideră conformă în cazul în care cel puțin trei motoare din eșantionul randomizat de patru motoare îndeplinesc cerințele testelor menționate în apendicele 1 la anexa IV la Directiva 2005/78/CE.

10.   CONFORMITATEA VEHICULELOR/MOTOARELOR ÎN CIRCULAȚIE

10.1.

În sensul prezentei directive, conformitatea vehiculelor/motoarelor aflate în circulație trebuie verificată periodic de-a lungul duratei de viață utilă a motorului instalat pe vehicul.

10.2.

În ceea ce privește omologarea acordată pentru emisii, este adecvată adoptarea de măsuri suplimentare pentru confirmarea funcționalității dispozitivelor de control al emisiilor de-a lungul duratei de viață utilă a unui motor instalat pe un vehicul, în condiții normale de utilizare.

10.3.

Procedurile de urmat în ceea ce privește conformitatea motoarelor/vehiculelor în circulație sunt prevăzute în anexa III la Directiva 2005/78/CE.

▼B




Apendicele 1

PROCEDURA DE TESTARE A CONFORMITĂȚII PRODUCȚIEI ÎN CAZUL ÎN CARE ABATEREA STANDARD ESTE SATISFĂCĂTOARE

1. Prezentul apendice descrie procedura care trebuie utilizată pentru verificarea conformității producției pentru emisiile de poluanți în cazul în care abaterea standard stabilită de constructor este satisfăcătoare.

2. Folosind un eșantion de minimum trei motoare, procedura de eșantionare este concepută astfel încât probabilitatea ca un lot să treacă un test având defecte la 40 % dintre motoare să fie de 0,95 (risc al constructorului = 5 %), în timp ce probabilitatea ca un lot să fie aprobat având un procent al motoarelor defecte de 65 % este să fie de 0,10 (riscul consumatorului = 10 %).

▼M1

3. Procedura următoare se utilizează pentru fiecare dintre poluanții prevăzuți la punctul 6.2.1 din anexa I (a se vedea Figura 2):

Fie:

L

=

logaritmul natural al valorii limită pentru poluant

x1

=

logaritmul natural al valorii măsurate (după aplicarea FD corespunzător) pentru al n-lea motor din eșantion

s

=

valoarea estimată a abaterii standard a producției (după transformarea valorilor măsurate în logaritm natural)

n

=

numărul curent al eșantionului.

▼B

4. Pentru fiecare eșantion, suma abaterilor standardizate în raport cu limita se calculează aplicând următoarea formulă:

image

5. Atunci:

 în cazul în care rezultatul statistic al testului este mai mare decât numărul de decizii pozitive pentru dimensiunea eșantionului indicată în tabelul 3, se ia o decizie pozitivă pentru poluant;

 în cazul în care rezultatul statistic al testului este mai mic decât numărul de decizii negative pentru dimensiunea eșantionului indicată în tabelul 3, se ia o decizie negativă pentru poluant;

 altfel, se testează un motor suplimentar în conformitate cu punctul 9.1.1.1 din anexa I și se aplică procedura de calcul eșantionului mărit cu o unitate.



Tabelul 3

Praguri de aprobare și de respingere pentru planul de eșantionare din apendicele 1

Dimensiunea minimă a eșantionului: 3

Număr cumulativ de motoare testate (dimensiunea eșantionului)

Prag de aprobare An

Prag de respingere Bn

3

3,327

-4,724

4

3,261

-4,790

5

3,195

-4,856

6

3,129

-4,922

7

3,063

-4,988

8

2,997

-5,054

9

2,931

-5,120

10

2,865

-5,185

11

2,799

-5,251

12

2,733

-5,317

13

2,667

-5,383

14

2,601

-5,449

15

2,535

-5,515

16

2,469

-5,581

17

2,403

-5,647

18

2,337

-5,713

19

2,271

-5,779

20

2,205

-5,845

21

2,139

-5,911

22

2,073

-5,977

23

2,007

-6,043

24

1,941

-6,109

25

1,875

-6,175

26

1,809

-6,241

27

1,743

-6,307

28

1,677

-6,373

29

1,611

-6,439

30

1,545

-6,505

31

1,479

-6,571

32

-2,112

-2,112




Apendicele 2

PROCEDURA DE TESTARE A CONFORMITĂȚII PRODUCȚIEI ÎN CAZUL ÎN CARE ABATEREA STANDARD ESTE NESATISFĂCĂTOARE SAU INDISPONIBILĂ

1. Prezentul apendice descrie procedura care trebuie utilizată pentru verificarea conformității producției în ceea ce privește emisiile de poluanți în cazul în care abaterea standard stabilită de constructor este fie nesatisfăcătoare, fie indisponibilă.

2. Folosind un eșantion de minimum trei motoare, procedura de eșantionare este concepută astfel încât probabilitatea ca un lot să treacă un test având defecte 40 % din motoare să fie de 0,95 (risc al constructorului = 5 %), în timp ce probabilitatea ca un lot să fie aprobat având un procent al motoarelor defecte de 65 % să fie de 0,10 (riscul consumatorului = 10 %).

▼M1

3. Valorile poluanților prevăzute la punctul 6.2.1 din anexa I, după aplicarea FD corespunzători, se consideră logaritmic normal distribuite și trebuie transformate cu ajutorul logaritmului lor natural. Fie m0 și m mărimea minimă și, respectiv, mărimea maximă a eșantionului (m0 = 3 și m = 32) și fie n numărul curent al eșantionului.

4. Dacă logaritmii naturali ai valorilor măsurate (după aplicarea FD corespunzători) din serie sunt x1, x2, … xn, iar L este logaritmul natural al valorii limită pentru poluant, definiți:

image

și

image

image

5. Tabelul 4 indică valorile pragurilor de aprobare (An) și ale pragurilor de respingere (Bn) în raport cu dimensiunea actuală a eșantionului. Rezultatul statistic al testului este raportul

image

și este utilizat pentru a stabili dacă seria a fost aprobată sau respinsă, după cum urmează:

Pentru m0 ≤ n < m:

 seria este aprobată în cazul în care

image

 seria este respinsă în cazul în care

image

 se realizează o nouă măsurătoare în cazul în care

image

.

6. Observații

Următoarele formule recursive sunt utile pentru stabilirea valorilor succesive statistice ale testului:

image

image

image



Tabelul 4

Praguri de aprobare și de respingere pentru planul de eșantionare din apendicele 2

Dimensiunea minimă a eșantionului: 3

Număr cumulativ de motoare testate (dimensiunea eșantionului)

Prag de aprobare An

Prag de respingere Bn

3

0,80381

16,64743

4

0,76339

7,68627

5

0,72982

4,67136

6

0,69962

3,25573

7

0,67129

2,45431

8

0,64406

1,94369

9

0,61750

1,59105

10

0,59135

1,33295

11

0,56542

1,13566

12

0,53960

0,97970

13

0,51379

0,85307

14

0,48791

0,74801

15

0,46191

0,65928

16

0,43573

0,58321

17

0,40933

0,51718

18

0,38266

0,45922

19

0,35570

0,40788

20

0,32840

0,36203

21

0,30072

0,32078

22

0,27263

0,28343

23

0,24410

0,24943

24

0,21509

0,21831

25

0,18557

0,18970

26

0,15550

0,16328

27

0,12483

0,13880

28

0,09354

0,11603

29

0,06159

0,09480

30

0,02892

0,07493

31

0,00449

0,05629

32

0,03876

0,03876




Apendicele 3

PROCEDURA DE TESTARE A CONFORMITĂȚII PRODUCȚIEI LA SOLICITAREA CONSTRUCTORULUI

1. Prezentul apendice descrie procedura care trebuie utilizată pentru verificarea conformității producției în ceea ce privește emisiile de poluanți la solicitarea constructorului.

2. Folosind un eșantion de minimum trei motoare, procedura de eșantionare este concepută astfel încât probabilitatea ca un lot să treacă un test având defecte 40 % dintre motoare să fie de 0,90 (riscul constructorului = 10 %), în timp ce probabilitatea ca un lot să fie aprobat având un procent al motoarelor defecte de 65 % să fie de 0,10 (riscul consumatorului = 10 %).

▼M1

3. Procedura următoare se utilizează pentru fiecare dintre poluanții prevăzuți la punctul 6.2.1 din anexa I (a se vedea Figura 2):

Fie:

L

=

logaritmul natural al valorii limită pentru poluant

x1

=

logaritmul natural al valorii măsurate (după aplicarea FD corespunzător) pentru al n-lea motor din eșantion

s

=

valoarea estimată a abaterii standard a producției (după transformarea valorilor măsurate în logaritm natural)

n

=

numărul curent al eșantionului.

▼B

4. Pentru eșantionul respectiv se calculează valoarea statistică de testare care cuantifică numărul motoarelor neconforme, respectiv x i L.

5. Atunci:

 în cazul în care rezultatul statistic de testare este mai mic sau egal cu pragurile de aprobare pentru dimensiunea eșantionului indicată în tabelul 5, se adoptă o decizie de aprobare pentru poluant;

 în cazul în care rezultatul statistic de testare este mai mare sau egal cu pragurile de respingere pentru dimensiunea eșantionului indicată în tabelul 5, se adoptă o decizie de respingere pentru poluant;

 altfel, se testează un motor suplimentar în conformitate cu punctul 9.1.1.1 din anexa I și se aplică procedura de calcul eșantionului mărit cu o unitate.

În tabelul 5, pragurile de aprobare și de respingere sunt calculate conform Standardului Internațional ISO 8422/1991.



Tabelul 5

Praguri de aprobare și de respingere pentru planul de eșantionare din apendicele 3

Dimensiunea minimă a eșantionului: 3

Număr cumulativ de motoare testate

(dimensiunea eșantionului)

Prag de aprobare

Prag de respingere

3

3

4

0

4

5

0

4

6

1

5

7

1

5

8

2

6

9

2

6

10

3

7

11

3

7

12

4

8

13

4

8

14

5

9

15

5

9

16

6

10

17

6

10

18

7

11

19

8

9

▼M1




Apendicele 4

DETERMINAREA ECHIVALENȚEI UNUI SISTEM

Determinarea echivalenței unui sistem în conformitate cu punctul 6.2 din prezenta anexă se bazează pe un studiu de corelare dintre sistemul candidat și unul dintre sistemele de referință din prezenta directivă, bazat pe șapte perechi (sau mai multe) de eșantioane, utilizându-se ciclul (ciclurile) de test corespunzătoare. Criteriile de echivalență aplicabile sunt testul F și testul t (de Student) bilateral.

Metoda statistică ia în considerare ipoteza conform căreia abaterea populației standard și valoarea medie pentru o emisie măsurate cu ajutorul unui sistem candidat nu diferă de abaterea standard și de valoarea medie a populației pentru emisia respectivă măsurate cu ajutorul sistemului de referință. Ipoteza este testată pe baza unul prag de semnificație de 5 % al valorilor F și t. Valorile F și t critice pentru un număr între 7 și 10 perechi de eșantioane sunt prevăzute în tabelul următor. În cazul în care valorile F și t calculate în conformitate cu formulele care urmează sunt mai mari decât valorile F și t critice, sistemul candidat respectiv nu este echivalent.

Se utilizează procedura următoare. Indicativii R și C se referă la sistemul de referință și, respectiv, la sistemul candidat:

(a) Efectuați cel puțin 7 teste cu sistemele candidate și de referință, preferabil în paralel. Numărul de teste realizate este nR și, respectiv, nC.

(b) Calculați valorile medii xR și, respectiv, xC și abaterile standard sR și sC.

(c) Calculați valoarea F după cum urmează:

image

(cea mai mare dintre cele două abateri standard sR și sC apărând la numărător)

(d) Calculați valoarea t după cum urmează:

image

(e) Comparați valorile F și t calculate cu valorile F și t critice corespunzătoare numărului respectiv de teste indicat în tabelul următor. În cazul în care se aleg eșantioane mari, consultați tabelele statistice pentru un prag de semnificație de 5 % (prag de încredere de 95 %).

(f) Determinați gradele de libertate (df) după cum urmează:



pentru testul F:

df = nR – 1/nC – 1

pentru testul t:

df = nC + nR – 2



Valorile F și t pentru mărimile eșantioanelor selectate

Mărimea eșantionului

Testul F

Testul t

 

df

Fcrit

df

tcrit

7

6/6

4,284

12

2,179

8

7/7

3,787

14

2,145

9

8/8

3,438

16

2,120

10

9/9

3,179

18

2,101

(g) Determinați echivalența după cum urmează:

 dacă F < Fcrit și t < tcrit, atunci sistemul candidat este echivalent cu sistemul de referință din prezenta directivă;

 dacă F ≥ Fcrit și t ≥ tcrit, atunci sistemul candidat este diferit de sistemul de referință din prezenta directivă.

▼B




ANEXA II

FIȘĂ DE INFORMAȚII Nr…ÎN CONFORMITATE CU ANEXA 1 LA DIRECTIVA 70/156/CEE A CONSILIULUI PRIVIND OMOLOGAREA CE DE TIPși cu privire la măsurile care trebuie luate împotriva emisiilor de gaze și particule poluante provenite de la motoarele cu aprindere prin comprimare utilizate la vehicule și împotriva emisiilor de gaze poluante provenite de la motoarele cu aprindere prin scânteie alimentate cu gaz natural sau cu gaz petrolier lichefiat utilizate la vehicule(Directiva 2005/55/CE)Tipul de vehicul/motorul prototip/tipul de motor (1) …0.ASPECTE GENERALE0.1.Marca (numele constructorului): …0.2.Tipul și denumirea comercială (se menționează orice variante): …0.3.Mijloace de identificare a tipului și localizarea, în cazul în care este marcat pe vehicul: …0.4.Categoria vehiculului (după caz): …Categoria motorului: diesel/alimentat cu gaz natural/alimentat cu GPL/alimentat cu etanol (1) …0.5.0.6.Numele și adresa constructorului: …0.7.Locul și metoda de aplicare a plăcuțelor și inscripțiilor: …0.8.Locul și metoda de aplicare a mărcii de omologare CE în cazul componentelor și unităților tehnice separate: …0.9.Adresa (adresele) fabricii (fabricilor) de asamblare: …Documente suplimentare1.Caracteristicile esențiale ale motorului prototip și informații privind desfășurarea testului.2.Caracteristicile esențiale ale familiei motorului.3.Caracteristicile esențiale ale tipurilor motorului din familie.4.Caracteristicile componentelor care au legătură cu motorul (după caz).5.Fotografii și/sau desene ale motorului prototip și, după caz, ale compartimentului motorului.6.Alte documente, dacă este cazul.Data, dosar(1)A se elimina mențiunile inutile.

►(5) M1  

►(5) M1  

►(5) M1  

►(5) M1  

►(5) M1  




Apendicele 1

CARACTERISTICI FUNDAMENTALE ALE MOTORULUI (PROTOTIP) ȘI INFORMAȚII PRIVIND DESFĂȘURAREA TESTULUI (1)1.Descrierea motorului1.1.Constructor: …1.2.Codul de motor al constructorului: …Ciclul: în patru timpi/în doi timpi (2):1.3.1.4.Numărul și amplasarea cilindrilor: …1.4.1.Alezaj: … mm1.4.2.Cursa pistonului: … mm1.4.3.Ordinea de aprindere: …Capacitatea cilindrică: … cm31.5.Raport de comprimare volumetrică (3): …1.6.1.7.Desene ale camerei de ardere și ale coroanei pistonului: …Aria minimă a secțiunii transversale a orificiilor de admisie/evacuare: … cm21.8.Turația nominală: … min-11.9.Putere netă maximă: … kW la … min-11.10.Turația maximă admisă: … min-11.11.Cuplul maxim net: … Nm la … min-11.12.Sistemul de ardere: aprindere prin comprimare/aprindere prin scânteie (2)1.13.Carburant: motorină/GPL/GN-H/GN-L/N-HL/etanol (2)1.14.1.15.Sistemul de răcire1.15.1.Lichid1.15.1.1.Natura lichidului: …Pompă (pompe) de circulație: da/nu (2)1.15.1.2.1.15.1.3.Caracteristici sau marcă (mărci) și tip (tipuri) (după caz): …1.15.1.4.Raport de acționare (după caz): …1.15.2.AerVentilator: da/nu (2)1.15.2.1.1.15.2.2.Caracteristici sau marcă (mărci) și tip (tipuri) (după caz): …1.15.2.3.Raport de acționare (după caz): …1.16Temperatura admisă de constructor1.16.1Răcire cu lichid: temperatura maximă la ieșire: … K1.16.2.Răcire cu aer : … punct de referință …Temperatura maximă la punctul de referință: … K(1)În cazul motoarelor și sistemelor neconvenționale, producătorul trebuie să ofere caracteristicile echivalente cu cele menționate.(2)A se elimina mențiunile inutile.(3)A se specifica toleranța.

1.16.3.Temperatura maximă a aerului la ieșire din răcitorul intermediar de la admisie (după caz):… K1.16.4.Temperatura maximă a gazului de evacuare la punctul de pe țeava (țevile) de evacuare adiacente flanșei (flanșelor) exterioare de la colectorul/colectoarele de evacuare sau turbocompresor:… K1.16.5.Temperatura carburantului: minimum: … K, maximum: … Kpentru motoare diesel la intrarea pompei de injecție, pentru motoare cu gaz la treapta finală a regulatorului de presiune1.16.6.Presiunea carburantului: minimum … kPa, maximum: … kPala treapta finală a regulatorului de presiune, numai pentru motoarele cu gaz natural1.16.7.Temperatura lubrifiantului: minimum: … K, maximum: … KCompresor: da/nu (1)1.17.1.17.1.Marca: …1.17.2.Tipul: …1.17.3.Descrierea sistemului (de ex. presiunea maximă la încărcare, supapă de descărcare) (după caz):…Răcitor intermediar: da/nu (1)1.17.4.1.18.Sistem de admisieScăderea maximă de presiune permisă la admisie la turația nominală a motorului și la o încărcare 100 %, după cum se specifică în condițiile de funcționare din Directiva 80/1269/CEE a Consiliului din 16 decembrie 1980 privind apropierea legislațiilor statelor membre în ceea ce privește puterea motoarelor pentru autovehicule (2).… Kpa1.19.Sistem de evacuareContrapresiunea maximă permisă de la turația nominală a motorului și la o încărcare 100 %, astfel cum este specificat în condițiile de funcționare din Directiva 80/1269/CEE a Consiliului:… KpaVolumul sistemului de evacuare: … dm3JO L 375, 31.12.1980, p. 46. Directivă astfel cum a fost modificată prin Directiva 1999/99/CE a Comisiei (JO L 334, 28.12.1999, p. 32).

►(1) M1  

2.Măsuri luate împotriva poluării2.1.Dispozitiv pentru reciclarea gazelor de carter (descriere și desene): …2.2.Dispozitive antipoluare suplimentare (dacă este cazul și nu se încadrează la alt capitol) …Convertor catalitic: da/nu (1)2.2.1.2.2.1.1.Marcă/mărci: …2.2.1.2.Tip/tipuri: …2.2.1.3.Numărul de convertoare catalitice și de elemente: …2.2.1.4.Dimensiunile, forma și volumul convertorului (convertoarelor) catalitic(e): …2.2.1.5.Tip de acțiune catalitică: …2.2.1.6.Cantitatea totală de metale prețioase: …(1)A se elimina mențiunile inutile.(2)2.2.1.7.Concentrația relativă: …2.2.1.8.Substrat (structură și material): …2.2.1.9.Densitatea celulei: …2.2.1.10.Tipul de carcasă a convertorului (convertoarelor) catalitic(e): …2.2.1.11.Amplasamentul convertorului (convertoarelor) catalitic(e) (locul și distanța de referință pe axa sistemului de evacuare):…Senzor de oxigen: da/nu (1)2.2.2.2.2.2.1.Marcă/mărci: …2.2.2.2.Tip: …2.2.2.3.Amplasare: …Injecție de aer: da/nu (1)2.2.3.2.2.3.1.Tip (aer pulsat, pompă de aer etc.): …Recircularea gazului de evacuare: da/nu (1)

►(1) M1  

2.2.4.2.2.4.1.Caracteristici (debit etc.): …Filtru de particule: da/nu (1)2.2.5.2.2.5.1.Dimensiunea, forma și capacitatea filtrului de particule: …2.2.5.2.Tipul și structura filtrului de particule …2.2.5.3.Amplasament (distanță de referință pe axa sistemului de evacuare): …2.2.5.4.Metodă sau sistem de regenerare, descriere și/sau desene: …Alte sisteme: da/nu (1)2.2.6.2.2.6.1.Descriere și funcționare: …3.Alimentarea cu carburant3.1.Motoare diesel3.1.1.Pompa de alimentarePresiune (2): … kPa sau diagramă caracteristică (1): …Sistemul de injecție3.1.2.3.1.2.1.Pompa3.1.2.1.1.Marcă (mărci): …3.1.2.1.2.Tip (tipuri): …3.1.2.1.3.Alimentare: … mm3 (2) per timp la turația motorului de … rpm (la injecție completă sau diagrama caracteristică (1) (2): …Se menționează metoda folosită: pe motor/pe standul cu pompă (1)În cazul regulatorului de alimentare, se specifică alimentarea caracteristică a carburantului și suprapresiunea în raportcu turația motorului.3.1.2.1.4.Avansul la injecțieCurba de avans la injecție (2): …3.1.2.1.4.1.Reglarea injecției statice (2): …3.1.2.1.4.2.3.1.2.2.Tubulatura de injecție3.1.2.2.1.Lungime: … mm3.1.2.2.2.Diametru interior: … mm3.1.2.3.Injector/injectoare(1)A se elimina mențiunile inutile.(2)A se specifica toleranța.

►(3) M1  

►(3) M1  

►(3) M1  

3.1.2.3.1.Marcă (mărci): …3.1.2.3.2.Tip (tipuri): …Presiunea la deschidere … kPa (2)3.1.2.3.3.sau diagrama caracteristică (1) (2): …3.1.2.4.Regulator3.1.2.4.1.Marcă (mărci): …3.1.2.4.2.Tip (tipuri): …3.1.2.4.3.Turația la care începe decuplarea la încărcare completă: … rpm3.1.2.4.4.Turația maximă fără încărcare: … rpm3.1.2.4.5.Turația de mers în gol: … rpm3.1.3.Sistem de pornire la rece3.1.3.1.Marcă (mărci): …3.1.3.2.Tip (tipuri): …3.1.3.3.Descriere: …3.1.3.4.Sistem auxiliar de pornire: …3.1.3.4.1.Marcă: …3.1.3.4.2.Tip: …Motoare alimentate cu gaz (3)3.2.Carburant: Gaz natural/GPL (1)3.2.1.Regulatorul (regulatoarele) de presiune sau vaporizatorul/regulatorul (regulatoarele) de presiune (2)3.2.2.3.2.2.1.Marcă (mărci): …3.2.2.2.Tip (tipuri): …3.2.2.3.Număr de trepte de reducere a presiunii: …3.2.2.4.Presiune în treapta finală: min: … kPa, max. … kPa3.2.2.5.Număr de puncte principale de reglaj: …3.2.2.6.Număr de puncte de reglare a mersului în gol: …Numărul omologării în conformitate cu Directiva 1999/96/CE (*): …3.2.2.7.Sistemul de alimentare: unitate de amestec/injecție de gaz/injecție de lichid/injecție directă (1)3.2.3.3.2.3.1.Reglarea raportului amestecului: …3.2.3.2.Descrierea sistemului și/sau diagramă și schițe: …3.2.3.3.Numărul omologării în conformitate cu Directiva 1999/96/CE: …3.2.4.Unitatea de amestec3.2.4.1.Număr: …3.2.4.2.Marcă (mărci): …3.2.4.3.Tip (tipuri): …3.2.4.4.Amplasare: …3.2.4.5.Posibilități de reglare: …(1)A se elimina mențiunile inutile.(2)A se specifica toleranța.(3)În cazul sistemelor realizate prin proceduri diferite, trebuie furnizate informații suplimentare (pentru punctul 3.2).(*)Directiva 1999/96/CE a Parlamentului European și a Consiliului din 13 decembrie 1999 privind apropierea legislațiilor statelor membre în ceea ce privește măsurile care trebuie luate împotriva emisiilor de gaze și particule poluante provenite de la motoarele cu aprindere prin comprimare utilizate de autovehicule și emisiile de gaze poluante provenite de la motoarele cu aprindere prin scânteie alimentate de gaz natural sau gaz petrolier lichefiat utilizate de autovehicule (JO L 44, 16.2.2000, p. 1).

3.2.4.6.Numărul omologării în conformitate cu Directiva 1999/96/CE: …3.2.5.Injecția în colectorul de admisieInjecție: monopunct/multipunct (1)3.2.5.1.Injecție: continuă/simultană/secvențială (1)3.2.5.2.3.2.5.3.Echipamentul de injecție3.2.5.3.1.Marcă (mărci): …3.2.5.3.2.Tip (tipuri): …3.2.5.3.3.Posibilități de reglare: …3.2.5.3.4.Numărul omologării în conformitate cu Directiva 1999/96/CE: …3.2.5.4.Pompa de alimentare (după caz):3.2.5.4.1.Marcă (mărci): …3.2.5.4.2.Tip (tipuri): …3.2.5.4.3.Numărul omologării în conformitate cu Directiva 1999/96/CE: …3.2.5.5.Injector (injectoare)3.2.5.5.1.Marcă (mărci): …3.2.5.5.2.Tip (tipuri): …3.2.5.5.3.Numărul omologării în conformitate cu Directiva 1999/96/CE: …3.2.6.Injecție directăPompă de injecție/regulator de presiune (1)3.2.6.1.3.2.6.1.1.Marcă (mărci): …3.2.6.1.2.Tip (tipuri): …3.2.6.1.3.Reglarea injecției: …3.2.6.1.4.Numărul omologării în conformitate cu Directiva 1999/96/CE: …3.2.6.2.Injector (injectoare)3.2.6.2.1.Marcă (mărci): …3.2.6.2.2.Tip (tipuri): …Presiunea de deschidere sau diagramă caracteristică (2): …3.2.6.2.3.3.2.6.2.4.Numărul omologării în conformitate cu Directiva 1999/96/CE: …3.2.7.Unitate de control electronic (UCE)3.2.7.1..Marcă (mărci): …3.2.7.2.Tip (tipuri): …3.2.7.3.Posibilități de reglare: …3.2.8.Echipament specific pentru gazul natural3.2.8.1.Varianta 1(numai în cazul omologărilor de motoare pentru mai multe compoziții specifice de carburant)(1)A se elimina mențiunile inutile.(2)A se specifica toleranța.

3.2.8.1.1.Compoziția carburantului:metan (CH4):bază: … % molmin.: … % molmax.: … % molbază: … % molmin.: … % molmax.: … % moletan (C2H6):bază: … % molmin.: … % molmax.: … % molpropan (C3H8):bază: … % molmin.: … % molmax.: … % molbutan (C4H10):С5/С5+:bază: … % molmin.: … % molmax.: … % moloxigen (O2):bază: … % molmin.: … % molmax.: … % molbază: … % molmin.: … % molmax.: … % molgaz inert: (N2, He, etc.):3.2.8.1.2.Injector (injectoare)3.2.8.1.2.1.Marcă (mărci): …3.2.8.1.2.2.Tip (tipuri): …3.2.8.1.3.Altele (după caz):3.2.8.2.Varianta 2(numai în cazul omologării motoarelor pentru mai multe compoziții specifice de carburant)4.Reglarea distribuției4.1.Înălțimea și unghiurile de deschidere și închidere maxime ale supapelor față de punctul mort sau date echivalente:…Domenii de referință și/sau amplitudine (1): …4.2.5.Sistemul de aprindere (numai pentru motoare cu aprindere prin scânteie)Tipul sistemului de aprindere: bobină și bujii comune/bobină și bujii separate/bobină pe bujii/altele (precizați) (1)5.1.5.2.Unitatea de control a aprinderii5.2.1.Marcă (mărci): …5.2.2.Tip (tipuri): …Curba de avans a aprinderii/harta de avans (1) (2): …5.3.Reglarea aprinderii (2): … grade înaintea TDC la o turație de … rpm și o presiune absolută întubulatura de admisie de … Pa5.4.5.5.Bujii5.5.1.Marcă (mărci): …5.5.2.Tip (tipuri): …5.5.3.Poziționarea contactelor: … mm5.6.Bobina/bobinele de aprindere5.6.1.Marcă (mărci): …5.6.2.Tip (tipuri): …(1)A se elimina mențiunile inutile.(2)A se specifica toleranța.

6.Echipament acționat de motorMotorul este depus pentru testare însoțit de elementele auxiliare necesare pentru funcționarea motorului (ex: ventilator, pompă de apă, etc.), astfel cum se specifică la și în temeiul condițiilor de funcționare din Directiva 80/1269/CEE anexa I punctul 5.1.1.6.1.Dispozitive auxiliare care trebuie montate în vederea testăriiÎn cazul în care este imposibilă sau inadecvată montarea dispozitivelor auxiliare pe standul de încercare, se stabilește puterea absorbită de acestea și se scade din puterea motorului asupra întregii zone de operare a ciclului/ciclurilor de încercare.6.2.Dispozitive auxiliare care trebuie demontate în vederea testăriiDispozitivele auxiliare necesare numai pentru funcționarea vehiculului (de ex. compresorul de aer, sistemul de aer condiționat etc.) se demontează înaintea testării. În cazul în care nu pot fi demontate, puterea absorbită de acestea poate fi stabilită și adăugată la puterea măsurată a motorului asupra întregii zone de operare a ciclului/ciclurilor de încercare.7.Informații suplimentare privind condițiile de testare7.1.Lubrifiantul utilizat7.1.1.Marcă: …7.1.2.Tip: …(Se specifică procentajul de ulei în amestec, în cazul amestecului de carburant și lubrifiant): …7.2.Echipamente acționate de motor (după caz)Puterea absorbită de dispozitivele auxiliare trebuie să fie stabilită:în cazul în care dispozitivele auxiliare necesare pentru funcționarea motorului nu sunt montate pe motor și/sauîn cazul în care dispozitivele care nu sunt necesare pentru funcționarea motorului sunt montate pe motor.7.2.1.Enumerare și detalii de identificare: …7.2.2.Puterea absorbită la diferite turații specificate ale motorului:Puterea absorbită (kW) la turații diferite ale motoruluiEchipamentTurație lamers în golTurațiescăzutăTurațieridicatăTurație A (1)Turație B (1)Turație C (1)Turație dereferință (2)P(a)Dispozitive auxiliare necesare pentru funcționarea motorului (trebuie scăzute din puterea măsurată a motorului) a se vedea punctul 6.1.P(b)Dispozitive auxiliare care nu sunt necesare pentru funcționarea motorului (se adaugă la puterea măsurată a motorului) a se vedea punctul 6.2.(1)Test ESC.(2)Numai test ETC.

8.Performanța motoruluiTurațiile motorului (1)8.1.Turație scăzută (nlo): … rpmTurație ridicată (nhi): … rpmPentru ciclurile ESC și ELRTurație la mers în gol: … rpmTurație A: … rpmTurație B: … rpmTurație C: … rpmPentru ciclul ETCTurație de referință: … rpm8.2.Puterea motorului (măsurată în conformitate cu dispozițiile Directivei 80/1269/CEE) în kWTurația motoruluiTurație la mersîn golTurație A (1)Turație B (1)Turație C (1)Turațiede referință (2)P(m)Puterea măsurată pe standul de încercareP(a)Puterea absorbită de dispozitive auxiliare care trebuie montate în vederea testării (Punctul 6.1)în cazul în care suntmontateîn cazul în care nu suntmontate00000P(b)Puterea absorbită de dispozitive auxiliare care trebuie demontate pentru testare (Punctul 6.2)în cazul în care suntmontateîn cazul în care nu suntmontate00000P(n)Puterea netă a motorului= P(m) – P(a) + P(b)(1)Test ESC.(2)Numai test ETC.(1)A se specifica toleranța. Aceasta trebuie să se încadreze între + 3 % din valorile declarate de producător.–

8.3.Reglarea dinamometrului (kW)Reglarea dinamometrului pentru testele ESC și ELR și pentru ciclul de referință al testului ETC are la bază puterea netă a motorului P(n) de la punctul 8.2. Se recomandă instalarea motorului pe standul de încercare în starea netă. În acest caz, valorile P(m) și P(n) sunt identice. În cazul în care este imposibilă sau inadecvată funcționarea motorului în condiții nete, reglarea dinamometrului este corectată în funcție de condițiile nete prin aplicarea formulei de mai sus.8.3.1.Testele ESC și ELRReglarea dinamometrului se calculează în conformitate cu formula din anexa III apendicele 1 punctul 1.2.Turația motoruluiÎncărcătura procentualăTurație la mers în golTurație ATurație BTurație C102550751008.3.2.Testul ETCÎn cazul în care motorul nu este testat în condiții nete, formula de corectare pentru transformarea puterii măsurate sau a activității măsurate a ciclului, astfel cum se stabilește în conformitate cu anexa III apendicele 2 punctul 2, în putere netă sau activitate netă a ciclului este depusă de constructorul motorului pentru întreaga zonă de operare a ciclului și este aprobată de serviciul tehnic.

►(2) M1  

►(2) M1  




Apendicele 2

CARACTERISTICI ESENȚIALE ALE FAMILIEI DE MOTOARE

1.Parametri comuni1.1.Ciclul de ardere: …1.2.Agent de răcire: …Număr de cilindri (1): …1.3.1.4.Cilindree unitară: …1.5.Metode de aspirare a aerului: …1.6.Tipul/desenul camerei de ardere: …1.7.Configurația, mărimea și numărul supapelor și orificiilor: …1.8.Sistem de alimentare: …1.9.Sistem de aprindere (motoare cu gaz): …1.10.Caracteristici diverse:sistem de răcire a aerului de supraalimentare (1): …recircularea gazului de evacuare (1): …injecție/emulsie cu apă (1): …injecție cu aer (1): …Sistem de posttratare a gazelor de evacuare (1): …1.11.Dovada raporturilor identice (sau cel mai mic raport pentru motorul prototip): capacitatea sistemului/alimentarea cu carburant pe timp, conform numărului/numerelor schițelor …2.Lista familiei de motoare2.1.Numele familiei de motoare diesel: …2.1.1.Specificarea motoarelor din această familie: …Motor prototipTip de motorNumăr de cilindriTurație nominală (rpm)Alimentare cu carburant per timp (mm3)Putere netă nominală (kW)Turația la cuplul maxim (rpm)Alimentare cu carburant per timp (mm3)Cuplu maxim (Nm)Turația la mers în gol (rpm)100Cilindree (în procente din valoarea pentru motorul prototip)(1)A se marca cu n.a. în cazul în care nu se aplică.

►(1) M1  

2.2.Numele familiei de motoare cu gaz: …2.2.1.Specificarea motoarelor din această familie: …Motor prototipTip de motorNumăr de cilindriTurație nominală (rpm)Alimentare cu carburant per timp (mm3)Putere netă nominală (kW)Turația la cuplul maxim (rpm)Alimentare cu carburant per timp (mm3)Cuplu maxim (Nm)Turația inferioară la mers în gol (rpm)100Cilindree (în procente din motorul prototip)Avansul la aprindereDebitul de recirculare a gazelor de evacuarePompă de aer da/nuDebitul real al pompei de aer




Apendicele 3

CARACTERISTICI ESENȚIALE ALE TIPULUI DE MOTOR DIN CADRUL FAMILIEI (1)1.Descrierea motorului1.1.Constructor: …1.2.Codul de motor al constructorului: …Ciclul: în patru timpi/în doi timpi (2):1.3.1.4.Numărul și amplasarea cilindrilor: …1.4.1.Alezaj: … mm1.4.2.Cursa pistonului: … mm1.4.3.Ordine de aprindere: …Capacitatea cilindrică: … cm31.5.Raport de comprimare volumetrică (3): …1.6.1.7.Schițe ale camerei de ardere și ale capului de piston: …Aria minimă a secțiunii transversale a orificiilor de admisie/evacuare: … cm21.8.Turația nominală: … min-11.9.Putere netă maximă: … kW la … min-11.10.Turația maximă admisă: … min-11.11.Cuplul maxim net: … Nm la … min-11.12.Sistemul de ardere: aprindere prin comprimare/aprindere prin scânteie (2)1.13.Carburant: motorină/GPL/GN-H/GN-L/GN-HL/etanol (2)1.14.1.15.Sistem de răcire1.15.1.Lichid1.15.1.1Natura lichidului: …Pompă (pompe) de circulație: da/nu (2)1.15.1.2.1.15.1.3.Caracteristici sau marcă (mărci) și tip (tipuri) (după caz): …1.15.1.4.Raport de acționare (după caz): …1.15.2.AerVentilator: da/nu (2)1.15.2.1.1.15.2.2.Caracteristici sau marcă (mărci) și tip (tipuri) (după caz): …1.15.2.3.Raport de acționare (după caz): …1.16.Temperatura admisă de constructor1.16.1.Răcire cu lichid: temperatura maximă la ieșire: … K1.16.2.Răcire cu aer: …punct de referință: …(1)A se transmite pentru fiecare motor din familie.(2)A se elimina mențiunile inutile.(3)A se specifica toleranța.

Temperatura maximă la punctul de referință: … K1.16.3.Temperatura maximă a aerului la ieșirea din răcitorul intermediar de la admisie (după caz): … K1.16.4.Temperatura maximă a gazului de evacuare la punctul de pe țeava (țevile) de evacuare adiacente flanșei (flanșelor) exterioare de la colectorul/colectoarele de evacuare sau turbocompresor…K1.16.5.Temperatura carburantului: minimum … K, maximum … KPentru motoare diesel la intrarea pompei de injecție, pentru motoare cu gaz la treapta finală a regulatorului de presiune1.16.6.Presiunea carburantului: minimum … kPa, maximum …kPala treapta finală a regulatorului de presiune, numai pentru motoarele cu gaz natural1.16.7.Temperatura lubrifiantului: minimum … K, maximum … KCompresor: da/nu (1)1.17.1.17.1.Marca: …1.17.2.Tipul: …1.17.3.Descrierea sistemului (de ex. presiunea maximă la încărcare, supapă de descărcare) (după caz):…Răcitor intermediar: da/nu (1)1.17.4.1.18.Sistem de admisieScăderea maximă a presiunii permisă la admisie la turația nominală a motorului și la o încărcare 100 %, astfel cum este specificat în condițiile de funcționare din Directiva 80/1269/CEE a Consiliului… kPa1.19.Sistem de evacuareContrapresiune maximă permisă de evacuare la turația nominală a motorului și la o încărcare 100 %, astfel cum este specificat în condițiile de funcționare din Directiva 80/1269/CEE a Consiliului:… kPaVolumul sistemului de evacuare: … dm3

►(1) M1  

2.Măsuri luate împotriva poluării2.1.Dispozitiv pentru reciclarea gazelor de carter (descriere și desene): ……2.2.Dispozitive antipoluare suplimentare (în cazul în care există și nu se încadrează la alt capitol) …Convertor catalitic: da/nu (1)2.2.1.2.2.1.1.Marcă (mărci): …2.2.1.2.Tip (tipuri): …2.2.1.3.Numărul de convertoare catalitice și de elemente: …2.2.1.4.Dimensiunile, forma și volumul convertorului (convertoarelor) catalitic (e): …2.2.1.5.Tip de acțiune catalitică: …2.2.1.6.Sarcina totală de metale prețioase: …2.2.1.7.Concentrația relativă: …(1)A se elimina mențiunile inutile.2.2.1.8.Substrat (structură și material): …2.2.1.9.Densitatea celulei: …2.2.1.10.Tipul de carcasă a convertorului (convertoarelor) catalitic(e): …2.2.1.11.Amplasarea convertorului (convertoarelor) catalitic(e) (locul și distanța de referință pe axa sistemului de evacuare):…Senzor de oxigen: da/nu (1)2.2.2.2.2.2.1.Marcă (mărci): …2.2.2.2.Tip: …2.2.2.3.Amplasare: …Injecție de aer: da/nu (1)2.2.3.2.2.3.1.Tip (aer pulsat, pompă de aer etc.): …Recircularea gazului de evacuare: da/nu (1)

►(1) M1  

2.2.4.2.2.4.1.Caracteristici (debit, etc.): …Filtru de particule: da/nu (1)2.2.5.2.2.5.1.Dimensiunea, forma și capacitatea filtrului de particule: …2.2.5.2.Tipul și structura filtrului de particule: …2.2.5.3.Amplasare (distanță de referință pe axa sistemului de evacuare): …2.2.5.4.Metodă sau sistem de regenerare, descriere și/sau desen: ……Alte sisteme: da/nu (1)2.2.6.2.2.6.1.Descriere și funcționare: …3.Alimentarea cu carburant3.1.Motoare diesel3.1.1.Pompa de alimentarePresiune (2) … kPa sau diagramă caracteristică: (1): …3.1.2.Sistemul de injecție3.1.2.1.Pompa3.1.2.1.1.Marcă (mărci): …3.1.2.1.2.Tip (tipuri): …3.1.2.1.3.Alimentare: … mm3 (2) per timp la turația motorului de … rpm (la injecție completă sau diagrama caracteristică (1) (2): …A se menționa metoda folosită: pe motor/pe standul cu pompă (1)În cazul regulatorului de supraalimentare, se specifică alimentarea caracteristică a carburantului și suprapresiunea înraport cu turația motorului.3.1.2.1.4.Avansul la injecțieCurba de avans la injecție (2): …3.1.2.1.4.1.Cronometrarea injecției statice (2): …3.1.2.1.4.2.3.1.2.2.Tubulatura de injecție3.1.2.2.1.Lungime: … mm3.1.2.2.2.Diametru interior: … mm3.1.2.3.Injector/injectoare3.1.2.3.1.Marcă (mărci): …3.1.2.3.2.Tip (tipuri): …Presiunea la deschidere … kPA (2) sau diagrama caracteristică (1) (2): …3.1.2.3.3.(1)A se elimina mențiunile inutile.(2)A se specifica toleranța.

►(3) M1  

►(3) M1  

►(3) M1  

3.1.2.4.Regulator3.1.2.4.1.Marcă (mărci): …3.1.2.4.2.Tip (tipuri): …3.1.2.4.3.Turația la care începe decuplarea la încărcare completă: … rpm3.1.2.4.4.Turația maximă fără încărcare: … rpm3.1.2.4.5.Turația de mers în gol: … rpm3.1.3.Sistem de pornire la rece3.1.3.1.Marcă (mărci): …3.1.3.2.Tip (tipuri): …3.1.3.3.Descriere: …3.1.3.4.Dispozitiv auxiliar de pornire: …3.1.3.4.1.Marcă: …3.1.3.4.2.Tip: …Motoare alimentate cu gaz (1)3.2.Carburant: Gaz natural/GPL (2)3.2.1.Regulatorul (regulatoarele) de presiune sau vaporizatorul/regulatorul (regulatoarele) de presiune (3)3.2.2.3.2.2.1.Marcă (mărci): …3.2.2.2.Tip (tipuri): …3.2.2.3.Număr de trepte de reducere a presiunii: …3.2.2.4.Presiune în treapta finală: min: … kPa, max. … kPa3.2.2.5.Număr de puncte principale de reglaj: …3.2.2.6.Număr de puncte de reglare a mersului în gol: …3.2.2.7.Numărul omologării în conformitate cu Directiva 1999/96/CE: …Sistemul de alimentare: unitate de amestec/injecție de gaz/injecție de lichid/injecție directă (2)3.2.3.3.2.3.1.Reglarea raportului amestecului: …3.2.3.2.Descrierea sistemului și/sau diagramă și schițe: …3.2.3.3.Numărul omologării în conformitate cu Directiva 1999/96/CE: …3.2.4.Unitatea de amestec3.2.4.1.Număr: …3.2.4.2.Marcă (mărci): …3.2.4.3.Tip (tipuri): …3.2.4.4.Amplasare: …3.2.4.5.Posibilități de reglare: …3.2.4.6.Numărul omologării în conformitate cu Directiva 1999/96/CE: …3.2.5.Injecția în colectorul de admisieInjecție: monopunct/multipunct (2)3.2.5.1.Injecție: continuă/simultană/secvențială (2)3.2.5.2.3.2.5.3.Echipamentul de injecție(1)În cazul sistemelor concepute diferit, se furnizează informațiile echivalente (pentru paragraful 3.2).(2)A se elimina mențiunile inutile.(3)A se specifica toleranța.

3.2.5.3.1.Marcă (mărci): …3.2.5.3.2.Tip (tipuri): …3.2.5.3.3.Posibilități de reglare: …3.2.5.3.4.Numărul omologării în conformitate cu Directiva 1999/96/CE: …3.2.5.4.Pompa de alimentare (după caz): …3.2.5.4.1.Marcă (mărci): …3.2.5.4.2.Tip (tipuri): …3.2.5.4.3.Numărul omologării în conformitate cu Directiva 1999/96/CE: …3.2.5.5.Injector (injectoare): …3.2.5.5.1.Marcă (mărci): …3.2.5.5.2.Tip (tipuri): …3.2.5.5.3.Numărul omologării în conformitate cu Directiva 1999/96/CE: …3.2.6.Injecție directăPompă de injecție/regulator de presiune (1)3.2.6.1.3.2.6.1.1.Marcă (mărci): …3.2.6.1.2.Tip (tipuri): …3.2.6.1.3.Reglarea injecției: …3.2.6.1.4.Numărul omologării în conformitate cu Directiva 1999/96/CE: …3.2.6.2.Injector/injectoare3.2.6.2.1.Marcă (mărci): …3.2.6.2.2.Tip (tipuri): …Presiunea de deschidere sau diagramă caracteristică (2): …3.2.6.2.3.3.2.6.2.4.Numărul omologării în conformitate cu Directiva 1999/96/CE: …3.2.7.Unitate de control electronic (UCE)3.2.7.1.Marcă (mărci): …3.2.7.2.Tip (tipuri): …3.2.7.3.Posibilități de reglare: …3.2.8.Echipament specific pentru gazul natural3.2.8.1.Varianta 1(numai în cazul omologărilor de motoare pentru mai multe compoziții specifice de carburant)3.2.8.1.1.Compoziția carburantului:bază: … % molmin.: … % molmax.: … % molmetan (CH4):bază: … % molmin.: … % molmax.: … % moletan (C2H6):bază: … % molmin.: … % molmax.: … % molpropan (C3H8):bază: … % molmin.: … % molmax.: … % molbutan (C4H10):С5/С5+:bază: … % molmin.: … % molmax.: … % molbază: … % molmin.: … % molmax.: … % moloxigen (O2):bază: … % molmin.: … % molmax.: … % molgaz inert: (N2, He, etc.):(1)A se elimina mențiunile inutile.(2)A se specifica toleranța.

3.2.8.1.2.Injector (injectoare)3.2.8.1.2.1.Marcă (mărci): …3.2.8.1.2.2.Tip (tipuri): …3.2.8.1.3.Altele (după caz)3.2.8.2.Varianta 2(numai în cazul omologării motoarelor pentru mai multe compoziții specifice de carburant)4.Reglarea distribuției4.1.Înălțimea și unghiurile de deschidere și închidere maxime ale supapelor față de punctul mort sau date echivalente:…Domenii de referință și/sau amplitudine (1): …4.2.5.Sistemul de aprindere (numai motoare cu aprindere prin scânteie)Tipul sistemului de aprindere: bobină și bujii comune/bobină și bujii separate/bobină pe bujii/altele (precizați) (1)5.1.5.2.Unitatea de control al aprinderii5.2.1.Marcă (mărci): …5.2.2.Tip (tipuri): …Curba de avans a aprinderii/harta de avans (1) (2): …5.3.Reglarea aprinderii (1): … grade înaintea TDC la o turație de … rpm și o presiune absolută în tubulatura de admisiede … Pa5.4.5.5.Bujii5.5.1.Marcă (mărci): …5.5.2.Tip (tipuri): …5.5.3.Poziționarea contactelor: … mm5.6.Bobina/bobinele de aprindere5.6.1.Marcă (mărci): …5.6.2.Tip (tipuri): …(1)A se elimina mențiunile inutile.(2)A se specifica toleranța.

►(1) M1  




Apendicele 4

CARACTERISTICI ALE COMPONENTELOR VEHICULULUI AFLATE ÎN LEGĂTURĂ DIRECTĂ CU MOTORUL

1.Scăderea maximă de presiune permisă de admisie la turația nominală a motorului și la o încărcare 100 %: … kPa2.Contrapresiune maximă permisă de evacuare la turația nominală a motorului și la o încărcare 100 %: … kPaVolumul sistemului de evacuare: … cm33.4.Puterea absorbită de dispozitivele auxiliare necesare pentru funcționarea motorului, astfel cum este specificat la și în condițiile de funcționare din Directiva 80/1269/CEE anexa I punctul 5.1.1.Puterea absorbită (kW) la diverse turații ale motoruluiEchipamentTurație la mersîn golTurațiescăzutăTurațieridicatăTurație A (1)Turație B (1)Turație C (1)Turație dereferință (2)P(a)Dispozitive auxiliare necesare pentru funcționarea motorului (trebuie scăzute din puterea măsurată a motorului)Apendicele 1, a se vedeapunctul 6.1.(1)Test ESC.(2)Numai test ETC.

▼M1




Apendicele 5

INFORMAȚII REFERITOARE LA SISTEMELE OBD

1. În conformitate cu dispozițiile punctului 5 din anexa IV la Directiva 2005/78/CE, constructorul vehiculului trebuie să furnizeze următoarele informații suplimentare pentru a permite fabricarea de piese de schimb sau de întreținere compatibile cu sistemele OBD, precum și de instrumente de diagnosticare și echipamente de testare, cu excepția cazurilor în care astfel de informații intră sub incidența drepturilor de proprietate intelectuală sau constituie know-how specific al constructorului sau al furnizorului/furnizorilor de echipamente.

După caz, informațiile furnizate la acest punct se reiau în apendicele 2 al certificatului de omologare CE (anexa VI la prezenta directivă):

1.1. O descriere a tipului și numărului ciclurilor de precondiționare utilizate pentru omologarea inițială a vehiculului.

1.2. O descriere a tipului de ciclu de demonstrație a sistemului OBD utilizat pentru omologarea inițială a vehiculului pentru componentele monitorizate de sistemul OBD.

1.3. Un document exhaustiv care descrie toate componentele monitorizate și strategia de detectare a defecțiunilor și de activare a MI (număr fix de cicluri de condus sau metoda statistică), inclusiv o listă a parametrilor monitorizați secundari relevanți pentru fiecare componentă monitorizată de sistemul OBD. O listă a codurilor generate de sistemul OBD și formatele utilizate (cu explicarea fiecăruia) asociate cu diferitele componente individuale de propulsie legate de emisii și cu diferite componente individuale care nu sunt legate de emisii, acolo unde monitorizarea componentei este utilizată pentru a determina activarea indicatorului de defecțiuni.

1.3.1. Informațiile cerute la prezentul punct pot fi definite, de exemplu, prin completarea unui tabel după următorul model, care se anexează prezentei anexe:



Componentă

Cod de eroare

Strategie de monitorizare

Criterii de detectare a defecțiunilor

Criterii activare MI

Parametri secundari

Precondiționare

Test demonstrativ

Catalizator SCR

Pxxxx

Semnalele 1 și 2 ale detectorului de NOx

Diferență între semnalele transmise de senzorul 1 și de senzorul 2

Ciclul 3

Turația motorului, încărcarea, temperatura catalizatorului, activitatea reactivului

Trei cicluri de test OBD (3 cicluri ESC scurte)

Ciclul de test OBD (ciclu ESC scurt)

1.3.2. Informațiile cerute în prezentul apendice pot fi limitate la lista completă a codurilor de eroare înregistrate de sistemul OBD în cazul în care nu se aplică punctul 5.1.2.1 din anexa IV la Directiva 2005/78/CE, cum ar fi în cazul componentelor de înlocuire sau de întreținere. Aceste informații pot fi definite, de exemplu, prin completarea primelor două coloane din tabelul de la punctul 1.3.1 anterior.

Pachetul de informații complete trebuie pus la dispoziția autorității de omologare ca parte din materialele suplimentare prevăzute la punctul 6.1.7.1 din anexa I la prezenta directivă, „Cerințe privind documentația”.

1.3.3. Informațiile furnizate la acest punct se reiau în apendicele 2 la certificatul de omologare CE (anexa VI la prezenta directivă).

În cazul în care nu se aplică punctul 5.1.2.1 din anexa IV la Directiva 2005/78/CE, cum ar fi în cazul componentelor de înlocuire sau de întreținere, informațiile furnizate în apendicele 2 la certificatul de omologare CE (anexa VI la prezenta directivă) se pot limita la cele menționate la punctul 1.3.2

▼B




ANEXA III

PROCEDURI DE TESTARE

1.   INTRODUCERE

1.1. Prezenta anexă descrie metodele de determinare a emisiilor de componente gazoase, particule și fum generate de motoarele supuse testării. Sunt descrise trei teste de încercare și se aplică în conformitate cu dispozițiile anexei I punctul 6.2:

 ESC, format dintr-un ciclu de 13 moduri în stare stabilă;

 ELR, format din pe etape de încărcare în stare tranzitorie la turații diferite, care sunt părți integrante ale unei singure proceduri de testare și sunt rulate simultan;

 ETC, format dintr-o succesiune la secundă a modurilor tranzitorii.

1.2. Testele se execută cu motorul montat pe un stand de încercare și conectat la un dinamometru.

1.3.   Principiu de măsurare

Emisiile de evacuare provenite de la motor și care urmează să fie măsurate includ componentele gazoase (monoxid de carbon, hidrocarburi totale pentru motoarele diesel numai la testul ESC); hidrocarburile nemetanice pentru motoarele diesel și cu gaz numai la testul ETC; metan pentru motoarele cu gaz numai la testul ETC și oxizii de azot, particulele (numai pentru motoarele diesel) și fumul (motoarele diesel numai la testul ELR). Suplimentar, dioxidul de carbon este deseori utilizat ca gaz trasor pentru determinarea ratei de diluție a sistemelor de diluție parțială sau totală a debitului. Bunele practici inginerești recomandă măsurarea generală a dioxidului de carbon ca o metodă excelentă pentru detectarea problemelor de măsurare pe parcursul rulării testului.

▼M1

1.3.1.

Testul ESC

În timpul unei secvențe prescrise de condiții de funcționare ale unui motor încălzit, cantitățile de emisii de gaz de eșapament menționate anterior se examinează în mod continuu prin prelevarea de eșantioane de gaz de eșapament brut sau diluat. Ciclul de test cuprinde mai multe regimuri de turație și de putere, care acoperă gama operațională tipică a motoarelor diesel. Pentru fiecare regim, se determină concentrația poluanților gazoși, debitul de gaz de eșapament și puterea și se face ponderarea valorilor măsurate. Pentru măsurarea particulelor, gazul de eșapament se diluează cu aer ambiant condiționat, utilizându-se un sistem de diluare cu debit parțial sau total. Particulele se colectează pe un filtru adecvat unic, proporțional cu factorii de ponderare ai fiecărui regim. Gramele de poluant emis pe kilowatt oră pentru fiecare poluant se calculează în conformitate cu procedura descrisă în apendicele 1 la prezenta anexă. În plus, emisiile de NOx se măsoară la trei puncte de test din interiorul zonei de control selectate de serviciul tehnic, iar valorile măsurate se compară cu cele calculate în regimurile de cicluri de testare care cuprind punctele de test selectate. Controlul emisiilor de NOx asigură eficiența controlului emisiilor motorului pentru gama operațională tipică a motorului respectiv.

▼B

1.3.2.

Testul ELR

Pe parcursul unui test de reacție la încărcare prestabilit, fumul unui motor încălzit se determină cu ajutorul unui opacimetru. Testul constă în încărcarea motorului la viteză constantă de la 10 % la 100 % din sarcină la trei turații diferite ale motorului. Suplimentar, se rulează un al patrulea pas de sarcină selectat de către serviciul tehnic ( 19 ), iar valoarea se compară cu valorile pașilor de sarcină anteriori. Valoarea maximă de fum se determină utilizând un algoritm de calcul al mediei, conform cu descrierea din apendicele 1 la prezenta anexă.

▼M1

1.3.3.

Testul ETC

În timpul unui ciclu tranzitoriu prescris de condiții de funcționare ale unui motor încălzit, care reflectă îndeaproape modul de conducere în traficul rutier tipic al motoarelor pentru vehicule grele instalate pe autocamioane și pe autobuze, poluanții menționați se examinează fie după diluarea gazului de eșapament total cu aer ambiant condiționat (sistemul de prelevare la volum constant, CVS, cu diluare dublă pentru particule), fie prin determinarea componentelor gazoase din gazul de eșapament brut și din particule cu ajutorul unui sistem de diluare cu debit parțial. Utilizând semnalele de cuplu și de turație a motorului transmise de dinamometrul acestuia, puterea trebuie luată în calcul pe durata ciclului pentru calcularea lucrului mecanic produs de motor în timpul ciclului. Pentru un sistem CVS, concentrația de NOx și de hidrocarburi (HC) se determină pe durata ciclului prin integrarea semnalului transmis de analizor, iar concentrațiile de CO, CO2 și NMHC se pot determina prin integrarea semnalului transmis de analizor sau prin prelevarea de saci. În cazul în care li se măsoară concentrația din gazul de eșapament brut, toate componentele gazoase se determină pe durata ciclului prin integrarea semnalului transmis de analizor. În cazul particulelor, trebuie colectat pe un filtru adecvat un eșantion proporțional. Debitul gazului de eșapament brut sau diluat se determină pe durata ciclului pentru calcularea valorilor de emisie masică a poluanților. Valorile de emisie masică sunt puse în raport cu lucrul mecanic al motorului pentru a se obține câte grame din fiecare poluant se emit pe kilowatt oră, în conformitate cu descrierea din apendicele 2 la prezenta anexă.

▼B

2.   CONDIȚII DE TESTARE

▼M1

2.1.   Condițiile de testare a motorului

2.1.1.

Temperatura absolută (Ta) a aerului din motor la admisie, exprimată în grade Kelvin, și presiunea atmosferică în stare uscată (ps), exprimată în kPa, se măsoară, iar parametrul fa se determină în conformitate cu dispozițiile următoare. În motoarele cu mai mulți cilindri, care cuprind grupe distincte de colectoare de admisie, de exemplu, într-o configurație în V a motorului, se măsoară temperatura medie a diferitelor grupe.

(a) pentru motoarele cu aprindere prin comprimare:

Motoare cu aspirație naturală și supraalimentare mecanică:

image

Motoare cu turbocompresor, cu sau fără răcirea aerului de admisie:

image

(b) pentru motoarele cu aprindere prin scânteie:

image

2.1.2.

Valabilitatea testului

Pentru ca un test să poată fi recunoscut valabil, parametrul f a trebuie să aibă o astfel de valoare încât:

image

▼B

2.2.   Motoare cu sistem de răcire a aerului de supraalimentare

Temperatura aerului de supraalimentare se înregistrează și se situează, la turația puterii maxime declarate și la sarcină completă, în limita a ± 5 K din temperatura aerului la sarcină maximă în conformitate cu specificația din anexa II apendicele 1 punctul 1.16.3. Temperatura mediului de răcire este de minimum 293 K (20 °C).

În cazul în care se folosește un sistem de testare în atelier sau un ventilator extern, temperatura aerului de supraalimentare va fi în limita a ± 5 K din temperatura maximă a aerului de supraalimentare specificată la anexa II apendicele I punctul 1.16.3 la viteza aferentă puterii maxime declarate și sarcinii complete. Poziționarea radiatorului pentru aerul de supraalimentare în vederea respectării condițiilor menționate anterior se va utiliza pe tot parcursul ciclului de testare.

2.3.   Sistemul de alimentare cu aer a motorului

Se utilizează un sistem de alimentare cu aer care să prezinte o restricționare a alimentării cu aer în limita de ± 100 Pa aplicat la limita superioară de funcționare a motorului la viteza aferentă puterii maxime declarate și sarcinii complete.

2.4.   Sistemul de evacuare al motorului

Se utilizează un sistem de evacuare care să prezinte o contrapresiune de evacuare în limita de ±1 000 Pa din limita superioară a funcționării motorului la turația corespunzătoare puterii maxime declarate și a sarcinii complete și cu un volum în limita a ± 40 % din cel specificat de către constructor. Se poate utiliza un sistem de test în laborator cu condiția ca acesta să reprezinte condițiile de funcționare reale ale motorului. Sistemul de evacuare respectă cerințele de eșantionare a gazului de evacuare stabilite la anexa III apendicele 4 punctul 3.4 și la anexa V punctul 2.2.1, EP și punctul 2.3.1, EP.

În cazul în care motorul este echipat cu un dispozitiv de posttratare a gazelor de evacuare, țeava de evacuare trebuie să aibă același diametru cu cea montată în mod normal în cazul a cel puțin 4 diametre de țeavă în amonte de intrarea de la începutul punctului de expansiune care conține dispozitivul de posttratare. Distanța de la flanșele colectorului de evacuare sau a gurii turbocompresorului până la dispozitivul de posttratare a gazelor de evacuare este aceeași ca la configurația normală a vehiculului sau în limita specificațiilor de distanță ale constructorului. Contrapresiunea sau restricțiile de evacuare se supun acelorași criterii ca cele menționate anterior și se pot regla cu ajutorul unei supape. Vasul de posttratare poate fi demontat în timpul simulării testelor și în timpul cartografierii motorului și apoi înlocuit cu un vas echivalent conținând catalizatori inactivi.

2.5.   Sistemul de răcire

Se utilizează un sistem de răcire cu o capacitate suficientă, astfel încât motorul să se mențină la temperatura normală de funcționare prescrisă de constructor.

2.6.   Lubrifiantul

Specificațiile privind lubrifiantul utilizat în timpul testului se înregistrează și se prezintă împreună cu rezultatele testului, în conformitate cu anexa II apendicele 1 punctul 7.1

2.7.   Carburantul

Carburantul utilizat este carburantul de referință specificat în anexa IV.

Temperatura carburantului și punctul de măsurare sunt specificate de constructor în cadrul limitelor de la anexa II apendicele 1 punctul 1.16.5. Temperatura carburantului nu este mai mică de 306 K (33 °C). În cazul în care nu este specificată, aceasta va fi 311 K ± 5 K (38 °C ± 5 °C) la intrarea în sistemul de carburant.

Pentru motoarele NG și GPL, temperatura carburantului și punctul de măsurare trebuie să se afle în limitele indicate la anexa II apendicele 1 punctul 1.16.5 sau la anexa II apendicele 3 punctul 1.16.5 pentru cazurile în care motorul nu este un motor prototip.

▼M1

2.8.

Dacă motorul este echipat cu un sistem de post-tratare a eșapamentului, emisiile măsurate în timpul ciclului de test trebuie să fie reprezentative pentru emisiile reale. În cazul unui motor echipat cu un sistem de post-tratare a eșapamentului care necesită utilizarea unui reactiv, reactivul utilizat la toate testele trebuie să îndeplinească cerințele punctului 2.2.1.13 din apendicele 1 la anexa II.

2.8.1.

În cazul unui sistem de post-tratare a eșapamentului bazat pe un proces de regenerare continuă, emisiile se măsoară pe un sistem de post-tratare stabilizat.

Procesul de regenerare trebuie să aibă loc cel puțin o dată pe durata testului ETC, iar constructorul trebuie să declare condițiile normale în care se produce regenerarea (încărcarea cu funingine, temperatura, contrapresiunea eșapamentului etc.).

Pentru a verifica procesul de regenerare, se efectuează cel puțin 5 teste ETC. În timpul testelor, presiunea și temperatura eșapamentului trebuie înregistrate (temperatura înainte și după sistemul de post-tratare, contrapresiunea eșapamentului etc.).

Sistemul de post-tratare se consideră satisfăcător în cazul în care condițiile declarate de constructor apar în timpul testului pe o perioadă suficient de lungă de timp.

Rezultatul final al testului este media aritmetică a diferitelor rezultate ale testului ETC.

În cazul în care sistemul de post-tratare are un mod de siguranță care face trecerea la un regim de regenerare periodică, acesta trebuie verificat în conformitate cu punctul 2.8.2. Pentru acest caz specific, limitele de emisie prevăzute în tabelul 2 din anexa I pot fi depășite și nu vor fi ponderate.

2.8.2.

În cazul unui sistem de post-tratare a eșapamentului bazat pe un proces de regenerare periodică, emisiile se măsoară pe durata a cel puțin două teste ETC, unul din timpul și altul în afara procesului de regenerare, pe un sistem de post-tratare stabilizat, iar rezultatele trebuie ponderate.

Procesul de regenerare trebuie să se producă cel puțin o dată pe durata testului ETC. Motorul poate fi echipat cu un comutator care să împiedice sau să permită procesul de regenerare, cu condiția ca această operațiune să nu afecteze calibrarea originală a motorului.

Constructorul declară condițiile normale în care se produce procesul de regenerare (încărcarea cu funingine, temperatura, contrapresiunea eșapamentului etc.) și durata în timp a acestuia (n2). Constructorul furnizează, de asemenea, toate datele necesare determinării duratei de timp dintre două regenerări (n1). Procedura exactă utilizată pentru determinarea acestei durate este decisă împreună cu serviciul tehnic, pe baza unei bune aprecieri tehnice.

Constructorul furnizează un sistem de post-tratare care a fost încărcat pentru a se produce regenerarea în timpul testului ETC. Regenerarea nu se produce în această fază de condiționare a motorului.

Emisiile medii dintre fazele de regenerare se determină pornind de la media aritmetică a câtorva teste ETC aproximativ echidistante. Se recomandă efectuarea unui test ETC cu cât mai puțin timp posibil înainte de un test de regenerare și a altui test ETC imediat după testul de regenerare. Alternativ, constructorul poate furniza date care să arate că emisiile rămân constante (± 15 %) între fazele de regenerare. În acest caz, se pot utilizat emisiile de la un singur test ETC.

În timpul testului de regenerare, toate datele necesare detectării regenerării se înregistrează (emisiile de CO sau de NOx, temperatura înainte și după sistemul de post-tratare, contrapresiunea eșapamentului etc.).

În timpul procesului de regenerare, limitele de emisie din tabelul 2 din anexa I se pot depăși.

Emisiile măsurate se ponderează în conformitate cu prevederile punctelor 5.5 și 6.3 din apendicele 2 la prezenta anexă, iar rezultatul final nu trebuie să depășească limitele prevăzute în tabelul 2 din anexa I.

▼B




Apendicele 1

CICLURILE DE TESTARE ESC ȘI ELR

1.   REGLĂRI ALE MOTORULUI ȘI DINAMOMETRULUI

1.1.   Determinarea turațiilor A, B și C ale motorului

Turațiile A, B și C ale motorului se declară de către constructor în conformitate cu următoarele dispoziții:

Turația superioară nhi se determină prin calcularea a 70 % din puterea netă maximă declarată P(n), stabilită în conformitate cu anexa II apendicele 1 punctul 8.2 Cea mai mare turație a motorului în cazul în care această valoare a puterii apare pe curba puterii se definește ca nhi.

Turația inferioară nlo se determină prin calcularea a 50 % din puterea netă maximă declarată P(n), stabilită în conformitate cu anexa II apendicele 1 punctul 8.2 Cea mai joasă turație a motorului în cazul în care această valoare a puterii apare pe curba puterii se definește ca nlo.

Turațiile A, B și C ale motorului se calculează după cum urmează:

image

image

image

Turațiile A, B și C ale motorului se pot verifica printr-una din următoarele metode de mai jos:

(a) se măsoară puncte de testare suplimentare pe parcursul omologării puterii motorului în conformitate cu Directiva 80/1269/CEE pentru o determinare exactă a nhi și nlo. Puterea maximă nhi și nlo se determină din curba puterii, iar turațiile A, B și C ale motorului se calculează în conformitate cu dispozițiile descrise anterior;

(b) motorul se cartografiază pe întreg parcursul curbei de încărcare totală, de la turația maximă fără sarcină până la turația la mers în gol, folosindu-se cel puțin 5 puncte de măsurare la intervale de câte 1 000 rpm și puncte de măsurare în intervalul ± 50 rpm din viteza aferentă puterii maxime declarate. Puterea maximă nhi și nlo se determină din această curbă de cartografiere, iar turațiile A, B și C ale motorului se calculează în conformitate cu dispozițiile menționate anterior.

În cazul în care turațiile măsurate A, B și C ale motorului sunt în limita a ± 3 % din turațiile declarate de constructor, se folosesc turațiile declarate ale motorului pentru testul de emisie. În cazul în care se depășește limita de toleranță pentru oricare dintre turațiile motorului, se folosesc turațiile măsurate ale motorului pentru testul de emisii.

1.2.   Determinarea reglărilor dinamometrului

Curba cuplului la sarcină completă se determină prin experimentare pentru a calcula valorile cuplului pentru modurile de test specificate în condiții nete, în conformitate cu specificațiile de la anexa II apendicele 1 punctul 8.2 După caz, se ține seama de puterea absorbită de echipamentul propulsat de motor. Reglarea dinamometrului pentru fiecare mod de testare se calculează utilizându-se formula:

image

în cazul în care se testează în condiții nete

image

în cazul în care nu se testează în condiții nete

unde:

s

=

setarea dinamometrului, kW

P(n)

=

putere netă a motorului conform specificațiilor de la anexa II apendicele 1 punctul 8.2, în kW

L

=

sarcină procentuală, conform specificațiilor de la punctul 2.7.1, în %

P(a)

=

putere absorbită de dispozitivele auxiliare care se montează conform specificațiilor de la anexa II apendicele 1 punctul 6.1

P(b)

=

putere absorbită de dispozitivele auxiliare care se demontează conform specificațiilor de la anexa II apendicele 1 punctul 6.2

2.   RULAREA TESTULUI ESC

La cererea constructorului, se poate rula o simulare de test pentru condiționarea motorului și a sistemului de evacuare înaintea ciclului de măsurare.

▼M1

2.1.   Pregătirea filtrului de eșantionare

Cu cel puțin o oră înainte de test, fiecare filtru se plasează într-o cutie Petri acoperită parțial, protejată împotriva contaminării cu praf și așezată într-o cameră de cântărire pentru stabilizare. La sfârșitul timpului de stabilizare, fiecare filtru se cântărește, iar greutatea proprie se înregistrează. Filtrul se plasează într-o cutie Petri închisă sau într-un suport de filtru sigilat până la testare. Filtrul trebuie utilizat în termen de opt ore de la scoaterea din camera de cântărire. Greutatea proprie se înregistrează.

▼B

2.2.   Instalarea echipamentului de măsurare

Instrumentarul, precum și sondele de eșantionare, trebuie instalate conform cerințelor. În cazul în care se folosește un sistem de diluție totală a debitului pentru diluția gazului de evacuare, conducta de legătură se conectează la sistem.

2.3.   Pornirea sistemului de diluție și a motorului

Sistemul de diluție și motorul se pornesc și se încălzesc până ce toate temperaturile și presiunile sunt stabilizate la puterea maximă în conformitate cu recomandarea constructorului și bunele practici inginerești.

2.4.   Pornirea sistemului de eșantionare a particulelor

Sistemul de eșantionare a particulelor se pornește și rulează deviat. Nivelul de particule de fond al aerului de diluție se poate determina prin trecerea aerului de diluție prin filtrele de particule. În cazul în care se folosește aer de diluție filtrat, se poate face o măsurare înainte și după test. În cazul în care aerul de diluție nu este filtrat, se pot face măsurări la începutul și la sfârșitul ciclului, iar valorile pot fi supuse unui algoritm de obținere a mediei.

2.5.   Ajustări ale rapoartelor de diluție

Aerul de diluție se reglează astfel încât temperatura gazului de evacuare diluat măsurată imediat înainte de filtrul primar să nu depășească 325 K (52 °C) indiferent de mod. Raportul de diluție (q) nu poate fi mai mic de 4.

Pentru sistemele care folosesc CO2 sau NOx măsurătorile de concentrație pentru controlul raportului de diluție, conținutul de CO2 sau NOx al aerului de diluție trebuie măsurat la începutul și sfârșitul fiecărui test. Măsurătorile pre și posttestare ale concentrației de CO2 sau NOx din aerul de diluție trebuie să se situeze la o distanță de 100 ppm, respectiv de 5 ppm una față de cealaltă.

2.6.   Verificarea analizorilor

Analizorii de emisie trebuie aduși la zero și etalonați.

2.7.   Ciclul de testare

2.7.1.   Următorul ciclu de testare în 13 moduri se utilizează în cazul în care dinamometrul este legat la motorul testat:



Numărul modului

Turația motorului

Procentaj de sarcină

Factor de ponderare

Durata modului

1

mers în gol

0,15

4 minute

2

A

100

0,08

2 minute

3

B

50

0,10

2 minute

4

B

75

0,10

2 minute

5

A

50

0,05

2 minute

6

A

75

0,05

2 minute

7

A

25

0,05

2 minute

8

B

100

0,09

2 minute

9

B

25

0,10

2 minute

10

C

100

0,08

2 minute

11

C

25

0,05

2 minute

12

C

75

0,05

2 minute

13

C

50

0,05

2 minute

2.7.2.   Secvența de testare

Se pornește secvența de testare. Testul trebuie executat în ordinea numărului de mod specificată la punctul 2.7.1

Motorul trebuie să funcționeze pe durata de timp prescrisă pentru fiecare mod, astfel încât schimbarea de turație sau sarcină a motorului să nu dureze mai mult de 20 de secunde. Turația specificată se menține în limita de ± 50 rpm, iar cuplul specific se menține în limita a ± 2 % din cuplul maxim la turația la care se execută testul.

La cererea constructorului, secvența de testare se poate repeta de un număr suficient de ori pentru a eșantiona o masă mai mare de particule pe filtru. Constructorul furnizează o descriere detaliată a procedurilor de evaluare și calculare a datelor. Emisiile gazoase se determină exclusiv la primul ciclu.

2.7.3.   Reacția analizorului

Rezultatul furnizat de analizori se înregistrează pe un înregistrator pe diagramă rectangulară sau se măsoară cu un sistem echivalent de înregistrare a datelor, în timp ce gazul de evacuare trece prin analizori pe tot parcursul ciclului de testare.

▼M1

2.7.4.   Eșantionarea particulelor

Se utilizează un singur filtru pentru întreaga procedură de testare. Factorii de ponderare modali specificați în procedura ciclului de testare trebuie luați în considerare prin prelevarea unui eșantion proporțional cu debitul masic al eșapamentului în timpul fiecărui mod individual al ciclului. Aceasta se poate realiza prin ajustarea în mod corespunzător a debitului eșantionului, a duratei eșantionării și/sau a raportului de diluare, astfel încât să se respecte criteriul de aplicare a factorilor efectivi de ponderare de la punctul 5.6.

Durata de eșantionare per mod trebuie să fie de cel puțin 4 secunde pentru un factor de ponderare de 0,01. Eșantionarea trebuie efectuată cât mai târziu posibil pe durata fiecărui mod. Prelevarea de eșantionare de particule trebuie efectuată cu cel mult 5 secunde înainte de încheierea fiecărui mod.

▼B

2.7.5.   Condițiile motorului

Turația și sarcina motorului, temperatura aerului de admisie și scăderea presiunii, temperatura gazului de evacuare și contrapresiunea, debitul de carburant și debitul de aer sau de gaz evacuare, temperatura aerului de supraalimentare și umiditatea se înregistrează pentru fiecare mod, respectându-se cerințele de viteză și sarcină (punctul 2.7.2) la momentul de eșantionare a particulelor, dar în orice caz în ultimul minut din fiecare mod.

Orice date suplimentare necesare pentru calcul trebuie înregistrate (a se vedea secțiunile 4 și 5).

2.7.6.   Verificarea NOx în cadrul zonei de control

Verificarea NOx în cadrul zonei de control se face imediat după finalizarea modului 13. Motorul este condiționat în modul 13 pentru o perioadă de trei minute înainte de începerea măsurătorilor. Se realizează trei măsurători la diverse locații în cadrul ariei de control, selectate de către serviciul tehnic ( 20 ). Timpul necesar fiecărei măsurători trebuie să fie de 2 minute.

Procedura de măsurare este identică pentru măsurarea NOx într-un ciclu de 13 moduri și se aplică în conformitate cu secțiunile 2.7.3, 2.7.5 și 4.1 din prezentul apendice și cu anexa III apendicele 4 punctul 3.

Calculul trebuie realizat în conformitate cu punctul 4.

2.7.7.   Reverificarea analizorilor

Pentru reverificare după testul de emisie se folosesc un gaz neutru și același gaz etalon. Testul se consideră acceptabil în cazul în care diferența dintre rezultatul obținut înainte de test și cel de după test este mai mică de 2 % din valoarea gazului etalon.

3.   DESFĂȘURAREA TESTULUI ELR

3.1.   Instalarea echipamentului de măsurare

Opacimetrul și sondele de eșantionare se instalează, după caz, după amortizorul de evacuare sau orice alt dispozitiv de posttratare, în cazul în care acestea există, în conformitate cu procedurile de instalare specificate de către constructorul instrumentului. Suplimentar, după caz, se respectă cerințele punctului 10 din ISO IDS 11614.

Înaintea verificărilor la zero și la scară completă, se încălzește și se stabilizează opacimetrul în conformitate cu recomandările constructorului. În cazul în care opacimetrul este echipat cu un sistem de curățare a aerului pentru a preveni obturarea componentelor optice ale sistemului de măsurare, sistemul respectiv trebuie, de asemenea, să fie activat și ajustat în conformitate cu recomandările constructorului.

3.2.   Verificarea opacimetrului

Verificările la zero și la scară completă se realizează în modul de citire a opacității, întrucât scara de opacitate oferă două puncte de calibrare perfect definibile, anume 0 % și 100 % opacitate. Coeficientul de absorbție a luminii este calculat corect pe baza opacității măsurate și LA, în conformitate cu informațiile furnizate de către constructorul opacimetrului, în cazul în care instrumentul este readus la modul de citire k pentru testare.

Fără a se bloca fasciculul de lumină al opacimetrului, modul de citire se ajustează la 0,0 % ± 1,0 % opacitate. Obturând calea razei de lumină spre senzor se ajustează citirea la 100 % ± 1,0 % opacitate.

3.3.   Ciclul de testare

3.3.1.   Condiționarea motorului

Încălzirea motorului și a sistemului se face la puterea maximă cu scopul de a stabiliza parametrii motorului în conformitate cu recomandările constructorului. Faza de precondiționare trebuie, de asemenea, să protejeze măsurătorile efective împotriva influenței acumulărilor din sistemul de evacuare provenite de la un test anterior.

În cazul în care motorul este stabilizat, ciclul se începe în limita a 20 ± 2 s după faza de precondiționare. La cererea constructorului, se poate rula un test de simulare pentru o condiționare suplimentară înainte de ciclul de măsurare.

3.3.2.   Ordinea de testare

Testul constă într-o succesiune de trei pași de sarcină la fiecare dintre cele trei turații ale motorului A (ciclul 1), B (ciclul 2) și C (ciclul 3), care se determină în conformitate cu Anexa III punctul 1.1, urmate de ciclul 4 la o viteză din zona de control și la o sarcină între 10 % și 100 %, selectată de către serviciul tehnic (20) . Se parcurge următoarea secvență în funcționarea dinamometrului pe motorul de test, în conformitate cu figura 3.

Figura 3

Secvența testului ELR

TurațieCiclul 1Ciclul 2Ciclul 3Ciclul 4CPunct selectatBA100%Sarcină10%

(a) Motorul se menține la turația A și 10 % din sarcină pe durata a 20 ± 2 s. Turația specificată se menține în limita a ± 20 rpm și cuplul specificat se menține în limita a ± 2 % din cuplul maxim la turația de testare.

(b) La finalul segmentului anterior, maneta de control al turației se mută rapid și se menține în poziția total deschis pentru 10 ± 1 s. Sarcina necesară a dinamometrului se aplică pentru a menține turația motorului în limita a ± 150 rpm pe parcursul primelor 3 s și în cadrul a ± 20 rpm pentru restul segmentului.

(c) Ordinea descrisă la (a) și (b) se repetă de două ori.

(d) La încheierea celui de-al treilea pas de sarcină, motorul se reglează la turația motorului B și 10 % din sarcină în primele 20 ± 2 s.

(e) Ordinea de la (a) la (c) se rulează cu motorul funcționând la turația B

(f) La încheierea celui de-al treilea pas de sarcină, motorul se reglează la turația C și la 10 % din sarcină în limita a 20 ± 2 s.

(g) Ordinea de la (a) la (c) se rulează cu motorul funcționând la turația C.

(h) La încheierea celui de-al treilea pas de sarcină, motorul se reglează la turația motorului selectată și la orice sarcină peste 10 % în cadrul a 20 ± 2 s.

(i) Ordinea de la (a) la (c) se rulează cu motorul funcționând la turația selectată.

3.4.   Validarea ciclului

Abaterile relative standard ale valorilor medii de fum la fiecare dintre vitezele de testare (SVA, SVB, SVC, calculate în conformitate cu punctul 6.3.3 din prezentul apendice de la cei trei pași de sarcină succesivi la fiecare dintre vitezele de testare) este mai mică de 15 % din valoarea medie sau 10 % din valoarea limită indicată în tabelul I din Anexa I, luându-se în calcul valoarea cea mai mare. În cazul în care diferența este mai mare, ordinea se repetă până când trei pași succesivi de sarcină întrunesc criteriul de validare.

3.5.   Reverificarea opacimetrului

Valoarea abaterii zero a opacimetrului după testare nu poate depăși ± 5,0 % din valoarea limită indicată în tabelul 1 din Anexa I.

▼M1

4.   CALCULAREA DEBITULUI GAZELOR DE EȘAPAMENT

4.1.   Determinarea debitului masic al gazelor de eșapament brute

Pentru calcularea emisiilor din gazul de eșapament brut, este necesară cunoașterea debitului gazelor de eșapament. Debitul masic al gazelor de eșapament se determină în conformitate cu dispozițiile punctului 4.1.1. sau 4.1.2. Acuratețea calculării debitului eșapamentului trebuie să fie de ± 2,5 % din valoarea citită sau de ± 1,5 % din valoarea maximă a motorului, reținându-se valoarea mai mare. Se pot utiliza și metode echivalente (cum sunt cele descrise la punctul 4.2 din apendicele 2 la prezenta anexă).

4.1.1.

Metoda măsurării directe

Măsurarea directă a debitului gazelor de eșapament poate fi realizată de sisteme cum sunt:

 senzori diferențiali de presiune, ca debitmetrul cu tub Venturi;

 debitmetre cu ultrasunete;

 debitmetre vortex.

Trebuie luate măsuri de precauție pentru a se evita erorile de măsurare care pot duce la obținerea unor valori eronate ale emisiei. Astfel de măsuri cuprind instalarea cu atenție a dispozitivului în sistemul de evacuare al motorului, în conformitate cu recomandările producătorului instrumentului și cu bunele practici profesionale. În special, performanța motorului și emisiile nu trebuie să fie afectate de instalarea dispozitivului.

4.1.2.

Metoda măsurării aerului și a carburantului

Această metodă implică măsurarea debitului de aer și a debitului de carburant. Se utilizează debitmetre pentru aer și debitmetre pentru carburanți care îndeplinesc pe deplin cerințele de acuratețe prevăzute la punctul 4.1. Calcularea debitului de gaz de eșapament se face după formula:

image

4.2.   Determinarea debitului masic al gazelor de eșapament diluate

Pentru calcularea emisiilor din gazele de eșapament diluate utilizându-se un sistem de diluare cu debit total, este necesară cunoașterea debitului gazelor de eșapament diluate. Debitul gazelor de eșapament diluate (qmdew) se măsoară pe durata fiecărui mod cu un sistem PDP-CVS, CFV-CVS sau SSV-CVS, în conformitate cu formulele generale prevăzute la punctul 4.1 din apendicele 2 la prezenta anexă. Nivelul de acuratețe trebuie să fie de cel puțin ± 2 % din valoarea citită și se determină în conformitate cu dispozițiile punctului 2.4 din apendicele 5 la prezenta anexă.

▼M1

5.   CALCULAREA EMISIILOR GAZOASE

5.1.   Evaluarea datelor

Pentru evaluarea emisiilor gazoase, se face media valorilor din diagramele citirilor pentru ultimele 30 de secunde din fiecare mod, iar media concentrațiilor de HC, CO și NOx pe durata fiecărui mod se determină pe baza mediei valorilor din diagramele citirilor și a datelor de calibrare corespunzătoare. Se poate utiliza și un alt tip de înregistrare în cazul în care aceasta asigură echivalența achizițiilor de date.

La verificarea emisiilor de NOx din zona de control, cerințele anterioare se aplică numai pentru NOx.

Debitul gazelor de eșapament qmew sau debitul gazelor de eșapament diluate qmdew, în cazul în care se utilizează opțional, se determină în conformitate cu dispozițiile punctului 2.3 din apendicele 4 la prezenta anexă.

5.2.   Corecția în stare uscată/umedă

Concentrația măsurată se convertește într-o bază umedă pe baza formulei următoare, în cazul în care nu a fost deja măsurată în stare umedă. Conversia se efectuează individual pentru fiecare mod.

image

Pentru gazul de eșapament brut:

image

sau

image

unde:

pr

=

presiune vaporilor de apă după baia de răcire, kPa,

pb

=

presiunea atmosferică totală, kPa,

Ha

=

umiditatea aerului la admisie, g de apă pe kg de aer uscat,

kf

=

0,055584 × wALF - 0,0001083 × wBET - 0,0001562 × wGAM + 0,0079936 × wDEL + 0,0069978 × wEPS

Pentru gazul de eșapament diluat:

image

sau

image

Pentru aerul de diluare:

image

image

Pentru aerul de admisie:

image

image

unde:

Ha

=

umiditatea aerului de admisie, g de apă pe kg de aer uscat

Hd

=

umiditatea aerului de diluare, g de apă pe kg de aer uscat

și se pot deriva de la măsurarea umidității relative, de la măsurarea punctului de condensare, de la măsurarea presiunii vaporilor sau de la măsurarea cu termometrul uscat/umed, utilizându-se formulele general acceptate.

5.3.   Corecția emisiilor de NOx în funcție de umiditate și temperatură

Întrucât emisiile de NOx depind de condițiile atmosferice ambiante, concentrația de NOx se corectează în funcție de temperatura și de umiditatea aerului ambiant, aplicându-se factorii din formulele prezentate în continuare. Factorii sunt valabili în gama cuprinsă între 0 și 25 g/kg de aer uscat.

(a) pentru motoarele cu aprindere prin comprimare:

image

cu:

Ta

=

temperatura aerului de admisie, K

Ha

=

umiditatea aerului de admisie, g de apă pe kg de aer uscat

unde:

Ha se poate deriva de la măsurarea umidității relative, de la măsurarea punctului de condensare, de la măsurarea presiunii vaporilor sau de la măsurarea cu termometrul uscat/umed, utilizându-se formulele general acceptate.

(b) pentru motoarele cu aprindere prin scânteie:

image

unde:

Ha se poate deriva de la măsurarea umidității relative, de la măsurarea punctului de condensare, de la măsurarea presiunii vaporilor sau de la măsurarea termometrului uscat/umed, utilizându-se formulele general acceptate.

5.4.   Calcularea debitelor masice ale emisiilor

Debitul masic al emisiilor (g/h) pentru fiecare mod se calculează după cum urmează. Pentru calcularea emisiilor de NOx, se utilizează factorul de corecție a umidității kh,D sau k h,G, după caz, calculat în conformitate cu dispozițiile punctului 5.3.

Concentrația măsurată se convertește într-o bază umedă în conformitate cu punctul 5.2, în cazul în care nu a fost deja măsurată în stare umedă. Valorile pentru ugas sunt prevăzute în tabelul 6 pentru componentele selectate pe baza proprietăților gazului ideal și a carburanților relevanți pentru prezenta directivă.

(a) pentru gazul de eșapament brut

image

unde:

ugas

=

raportul dintre densitatea componentei gazului de eșapament și densitatea gazului de eșapament

cgas

=

concentrația respectivei componente în gazul de eșapament brut, ppm

qmew

=

debitul masic al gazului de eșapamentului, kg/h

(b) pentru gazele diluate

image

unde:

ugas

=

raportul dintre densitatea componentei gazului de eșapament și densitatea aerului

cgas, c

=

concentrația de fond corectată a respectivei componente în gazul de eșapament diluat, ppm

qmdew

=

debitul masic al gazelor de eșapament diluate, kg/h

unde:

image

Factorul de diluare D se calculează în conformitate cu punctul 5.4.1 din apendicele 2 la prezenta anexă.

5.5.   Calcularea emisiilor specifice

Emisiile (g/kWh) se calculează pentru toate componentele individuale în modul următor:

image

unde:

mgas este masa gazului individual

Pn este puterea netă determinată în conformitate cu punctul 8.2 din anexa II.

Factorii de ponderare utilizați în calculul anterior sunt în conformitate cu punctul 2.7.1.



Tabelul 6

Valorile u(gas) în gazul de eșapament brut și diluat pentru diferite componente ale gazului de eșapament

Carburantul

 

NOx

CO

THC/NMHC

CO2

CH4

Diesel

Gaz de eșapament brut

0,001587

0,000966

0,000479

0,001518

0,000553

Gaz de eșapament diluat

0,001588

0,000967

0,000480

0,001519

0,000553

Etanol

Gaz de eșapament brut

0,001609

0,000980

0,000805

0,001539

0,000561

Gaz de eșapament diluat

0,001588

0,000967

0,000795

0,001519

0,000553

Gaz natural comprimat

Gaz de eșapament brut

0,001622

0,000987

0,000523

0,001552

0,000565

Gaz de eșapament diluat

0,001588

0,000967

0,000584

0,001519

0,000553

Propan

Gaz de eșapament brut

0,001603

0,000976

0,000511

0,001533

0,000559

Gaz de eșapament diluat

0,001588

0,000967

0,000507

0,001519

0,000553

Butan

Gaz de eșapament brut

0,001600

0,000974

0,000505

0,001530

0,000558

Gaz de eșapament diluat

0,001588

0,000967

0,000501

0,001519

0,000553

Notă:

— valorile u ale gazului de eșapament brut pe baza proprietăților gazului ideal la λ = 2, aer uscat, 273 K, 101,3 kPa

— valorile u ale gazului de eșapament diluat pe baza proprietăților gazului ideal și a densității aerului

— valorile u ale gazului natural comprimat cu o acuratețe de 0,2 % pentru o compoziție masică de: C = 66 – 76 %; H = 22 – 25 %; N = 0 – 12 %

— valoarea u a gazului natural comprimat pentru HC corespunde lui CH2,93 (pentru hidrocarburi totale, a se utiliza valoarea u pentru CH4).

5.6.   Calcularea valorilor zonei de control

Pentru cele trei puncte de control selectate în conformitate cu dispozițiile punctului 2.7.6, emisiile de NOx se măsoară și se calculează în conformitate cu dispozițiile punctului 5.6.1 și se determină de asemenea prin interpolare pornind de la modurile ciclului de test celui mai apropiat de punctul de control respectiv, în conformitate cu punctul 5.6.2. Valorile măsurate se compară apoi cu valorile interpolate în conformitate cu punctul 5.6.3.

5.6.1.

Calcularea emisiei specifice

Emisiile de NOx pentru fiecare dintre punctele de control (Z) se calculează după cum urmează:

image

image

5.6.2.

Determinarea valorii emisiilor ciclului de test

Emisiile de NOx pentru fiecare dintre punctele de control se interpolează pornind de la cele mai apropiate patru moduri ale ciclului de test care înconjoară punctul de control Z selectat, după cum se arată în figura 4. Pentru aceste moduri (R, S, T, U), se aplică definițiile următoare:

Turația (R) = Turația (T) = nRT

Turația (S) = Turația (U) = nSU

Procentul de încărcare (R) = Procentul de încărcare (S)

Procentul de încărcare (T) = Procentul de încărcare (U).

Emisiile de NOx pentru punctul de control Z selectat se calculează după cum urmează:

image

și

image

image

image

image

unde:

ER, ES, ET, EU

=

emisii NOx specifice ale modurilor înconjurătoare, calculate în conformitate cu punctul 5.6.1.

MR, MS, MT, MU

=

cuplul motorului pentru modurile înconjurătoare.

Figura 4

Interpolarea punctului de control al emisiilor de NOx

CupluTurație

5.6.3.

Compararea valorilor emisiilor de NOx

Emisiile specifice de NOx măsurate la punctul de control Z (NOx,Z) se compară cu valoarea interpolată (EZ) după cum urmează:

image

6.   CALCULAREA EMISIILOR DE PARTICULE

6.1.   Evaluarea datelor

Pentru evaluarea particulelor, masa totală a eșantionului (msep) prin filtru se înregistrează pentru fiecare mod.

Filtrul este dus din nou în camera de cântărire și condiționat timp de cel puțin o oră, dar nu mai mult de 80 de ore, iar apoi este cântărit. Greutatea brută a filtrului se înregistrează, iar greutatea proprie (a se vedea punctul 2.1) se scade, rezultatul constituind masa eșantionului de particule mf.

În cazul în care trebuie aplicată o corecție de fond, masa aerului de diluare (md) prin filtru și masa de particule (mf,d) se înregistrează. În cazul în care se efectuează mai mult de o măsurare, coeficientul mf,d/md se calculează pentru fiecare măsurare individuală și se face media valorilor obținute.

6.2.   Sistemul de diluare cu debit parțial

Rezultatele finale comunicate ale testelor privind emisiile de particule se determină urmându-se pașii următori. Întrucât se pot utiliza diferite tipuri de control al gradului de diluare, se aplică diferite metode de calcul pentru qmedf. Toate calculele au la bază valorile medii ale modurilor individuale din timpul perioadei de eșantionare.

6.2.1.   Sisteme izocinetice

image

image

unde ra corespunde raportului dintre ariile secțiunilor transversale ale sondei izocinetice și, respectiv, a țevii de eșapament:

image

6.2.2.   Sisteme cu măsurarea concentrației de CO2 sau de NOx

image

image

unde:

cwE

=

concentrația umedă a gazului de marcare în eșapamentul brut

cwD

=

concentrația umedă a gazului de marcare în eșapamentul diluat

cwA

=

concentrația umedă a gazului de marcare în aerul de diluare

Concentrațiile măsurate într-o bază uscată trebuie convertite într-o bază umedă în conformitate cu dispozițiile punctului 5.2 din prezentul apendice.

6.2.3.   Sisteme cu măsurarea CO2 și cu metoda carbonică a punctului zero ( 21 )

image

unde:

c (CO2)D

=

concentrația de CO2 în eșapamentul diluat

c (CO2

=

concentrația de CO2 în aerul de diluare

(concentrații în % într-o bază umedă)

Această ecuație are la bază prezumția echilibrului carbonului (atomii de carbon furnizați motorului sunt emiși sub formă de CO2) și se determină după cum urmează:

image

și

image

6.2.4.   Sisteme cu măsurarea debitului

image

image

6.3.   Sistemul de diluare cu debit total

Toate calculele au la bază valorile medii ale modurilor individuale din timpul perioadei de eșantionare. Debitul gazului de eșapament diluat qmdew se determină în conformitate cu dispozițiile punctului 4.1 din apendicele 2 la prezenta anexă. Masa totală a eșantionului msep se calculează în conformitate cu dispozițiile punctului 6.2.1 din apendicele 2 la prezenta anexă.

6.4.   Calcularea debitului masic al particulelor

Debitul masic al particulelor se calculează după cum urmează. În cazul în care se utilizează un sistem de diluare cu debit total, qmedf determinat în conformitate cu punctul 6.2 se înlocuiește cu qmdew determinat în conformitate cu punctul 6.3.

image

image

image

i = 1, …, n

Debitul masic al particulelor poate face obiectul unei corecții de fond după cum urmează:

image

unde D se calculează în conformitate cu punctul 5.4.1 din apendicele 2 la prezenta anexă.

▼B

►M1  7. ◄    CALCULAREA VALORILOR FUMULUI

►M1  7.1. ◄    Algoritmul Bessel

Algoritmul Bessel se utilizează pentru a calcula valorile medii la 1 s din citirile instantanee de fum, convertite în conformitate cu punctul 6.3.1 Algoritmul emulează un filtru secundar cu permisivitate scăzută, iar utilizarea sa necesită calculări repetate pentru a determina coeficienții. Acești coeficienți depind de timpul de reacție al sistemului de opacimetru și de rata de eșantionare. Astfel, punctul 6.1.1 trebuie repetat în cazul în care se modifică timpul de reacție al sistemului și/sau rata de eșantionare.

►M1  7.1.1. ◄    Calcularea timpului de reacție al filtrului și al constantelor Bessel

Timpul necesar de reacție Bessel (tF) depinde de timpii de reacție fizic și electric ai sistemului de opacimetru, în conformitate cu anexa II, apendicele 4 punctul 5.2.4 și se calculează prin următoarea ecuație:

image

unde:

tp

=

timpul de reacție fizică, în s

te

=

timpul de reacție electrică, în s

Calculele pentru estimarea frecvenței de deconectare (fc) a filtrului se bazează pe un semnal de intrare progresiv de la 0 la 1 în ≤ 0,01s (a se vedea anexa VII). Timpul de reacție este definit ca fiind timpul dintre momentul în care semnalul de ieșire Bessel atinge 10 % (t10) și momentul în care acesta atinge 90 % (t90) din această funcție progresivă. Aceasta trebuie obținută prin repetarea funcției fc până la momentul în care t90-t10≈tF. Prima repetare a fc este dată de următoarea formulă:

image

Constantele Bessel E și K se calculează cu ajutorul următoarelor ecuații:

image

image

unde:

D

=

0,618034

Δt

=

image

Ω

=

image

►M1  7.1.2. ◄    Calcularea algoritmului Bessel

Utilizând valorile lui E și K, reacția Bessel medie la 1 s la un semnal de intrare progresiv S1 se calculează după cum urmează:

image

unde:

Si – 2

=

Si – 1 = 0

Si

=

1

Yi – 2

=

Yi – 1 = 0

Timpii t10 și t90 se interpolează. Diferența în timp dintre t90 și t10 definește timpul de reacție tF pentru valoarea respectivă a lui fc. În cazul în care timpul de reacție nu este suficient de apropiat de timpul de reacție necesar, se repetă până când timpul de reacție real este în limita a 1 % din timpul de reacție necesar, după cum urmează:

image

►M1  7.2. ◄    Evaluarea datelor

Măsurarea valorilor pentru fum se eșantionează cu o rată minimă de 20 Hz.

►M1  7.3. ◄    Determinarea fumului

►M1  7.3.1. ◄    Conversia datelor

întrucât unitatea de măsură de bază a tuturor opacimetrelor este factorul de transmisie, valorile pentru fum se convertesc din transmitanță (τ) în coeficientul de absorbție a luminii (k) după cum urmează:

image

și

image

unde:

k

=

coeficientul de absorbție a luminii, în m-1

LA

=

lungimea undei optice efective, indicată de constructorul instrumentului, în m

N

=

opacitate, în %

τ

=

transmitanță, în %

Conversia se aplică înainte de orice procesare suplimentară a datelor.

►M1  7.3.2. ◄    Calcularea fumului prin algoritmul de medie Bessel

Frecvența de deconectare fc este cea care produce timpul necesar de reacție a filtrului tF. Odată ce această frecvență a fost determinată prin procesul iterativ de la punctul 6.1.1, se calculează constantele adecvate E și K din algoritmul Bessel. Algoritmul Bessel se aplică ulterior urmelor de fum instantanee (valoare-k), în conformitate cu descrierea de la punctul 6.1.2:

image

Algoritmul Bessel este recursiv prin natura sa. Astfel, sunt necesare valori inițiale ale semnalului de intrare Si-1 și Si-2 și valori inițiale ale semnalului de ieșire Yi-1 și Yi-2 pentru a putea iniția algoritmul. Se poate pleca de la ipoteza că acestea sunt egale cu zero.

Pentru fiecare pas de sarcină al celor trei turații A, B și C, valoarea maximă la 1s a Ymax se selectează din valorile individuale Yi ale fiecărei urme de fum.

►M1  7.3.3. ◄    Rezultate finale

Valorile medii de fum (SV) din fiecare ciclu (viteze de testare) se calculează după cum urmează:

Pentru turația de testare A

:

image

Pentru turația de testare B

:

image

Pentru turația de testare C

:

image

unde:

Ymax1, Ymax2, Ymax3

=

cea mai mare valoare a fumului din media Bessel la 1 s din fiecare din cele trei faze de sarcină

Valoarea finală se calculează după cum urmează:

image




Apendicele 2

CICLUL DE TESTARE ETC

1.   PROCEDURA DE CARTOGRAFIERE A MOTORULUI

1.1.   DETERMINAREA INTERVALULUI DE TURAȚII PENTRU CARTOGRAFIERE

Pentru generarea testului ETC în celula de testare motorul trebuie cartografiat înainte de ciclul de testare, cu scopul de a determina turația față de curba cuplului. Turația minimă și maximă de cartografiere se determină astfel:

Turația minimă de cartografiere

=

turația la mers în gol

Turația maximă de cartografiere

=

nhi × 1,02 sau turația la care cuplul la sarcină completă scade la zero, se ia în considerare acea valoare dintre cele două care este mai mică.

1.2.   Realizarea hărții de putere a motorului

Se încălzește motorul la puterea maximă cu scopul de a stabiliza parametrii motorului în conformitate cu recomandările constructorului și cu cele mai bune practici inginerești. În momentul când motorul a fost stabilizat se realizează harta motorului astfel:

(a) se descarcă motorul și se operează la mers în gol;

(b) se operează motorul la poziția de sarcină completă a pompei de injecție la turația minimă de cartografiere;

(c) se crește turația motorului la o rată medie de 8 ± 1 min-1/s de la turația minimă la turația maximă de cartografiere. Turația motorului și punctele de cuplu se înregistrează la o rată eșantion de cel puțin un punct pe secundă.

1.3.   Generarea curbei de cartografiere

Toate punctele de date înregistrate la punctul 1.2 se leagă folosind interpolarea liniară între puncte. Curba cuplului rezultată este curba de cartografiere și se va folosi pentru conversia valorilor normalizate ale cuplului la ciclul motorului în valori de cuplu reale pentru ciclul de testare, în conformitate cu descrierea de la punctul 2.

1.4.   Cartografiere alternativă

În cazul în care un constructor consideră că tehnicile de cartografiere descrise anterior sunt nesigure sau nereprezentative pentru un anumit motor, se pot folosi tehnici de cartografiere alternative. Aceste tehnici alternative trebuie să satisfacă intenția procedurilor specificate de cartografiere de a determina cuplul maxim disponibil la toate turațiile motorului obținute în cadrul ciclurilor de testare. Abaterile de la tehnicile de cartografiere specificate în prezenta secțiune din motive de securitate sau de reprezentativitate se aprobă de către serviciul tehnic împreună cu justificarea utilizării acestora. Cu toate acestea, în nici un caz nu se vor folosi schimbări continue în scădere ale turației motorului pentru motoarele cu regulator sau cu turbocompresor.

1.5.   Replicarea testelor

Motorul nu trebuie cartografiat în mod obligatoriu înainte de fiecare ciclu de testare. Motorul se recartografiază înaintea unui ciclu de testare în cazul în care:

 a trecut o perioadă nerezonabilă de timp de la ultima cartografiere — acest lucru se determină prin evaluarea de către un inginer

 sau

 au fost efectuate modificări fizice sau recalibrări care ar putea afecta performanța motorului.

2.   GENERAREA CICLULUI DE TESTARE DE REFERINȚĂ

Ciclul de testare tranzitoriu este descris la apendicele 3 la prezenta anexă. Valorile normalizate pentru cuplu și turație se înlocuiesc cu valorile reale, după cum urmează, rezultând ciclul de referință.

2.1.   Turația reală

Turația se denormalizează folosind următoarea ecuație:

image

Turația de referință (nref) reprezintă 100 % din valorile turației specificate în programul dinamometrului motorului de la apendicele 3. Se definește după cum urmează (a se vedea figura 1 din anexa I):

image

unde nhi și nlo sunt fie specificate în conformitate cu anexa I punctul 2, fie determinate în conformitate cu anexa III apendicele 1 punctul 1.1.

2.2.   Cuplul real

Cuplul este normalizat la cuplul maxim la turația respectivă. Valorile de cuplu ale ciclului de referință se denormalizează, utilizându-se curba de cartografiere determinată în conformitate cu punctul 1.3, după cum urmează:

Cuplul real = (% cuplu × cuplul maxim/100)

pentru turația reală respectivă determinată în conformitate cu punctul 2.1

Valorile negative ale cuplului pentru punctele motrice („m”) vor primi, în scopul generării ciclului de referință, valori denormalizate determinate prin una dintre următoarele metode:

 valori negative pentru 40 % din cuplul pozitiv existent la punctele de turație asociate;

 cartografierea cuplului negativ necesară punerii în mișcare a motorului pentru turația de cartografiere de la minim la maxim;

 determinarea cuplului negativ necesar punerii în mișcare a motorului la turațiile la mers în gol sau de referință și interpolarea între cele două puncte.

2.3.   Exemplu de procedură de denormalizare:

Ca exemplu, se denormalizează următorul punct de testare:

% turație

=

43

% cuplu

=

82

Date fiind următoarele valori:

Turația de referință

=

2 200 min-1

Turația la mers în gol

=

600 min-1

rezultă

image

image

unde cuplul maxim observat din curba de cartografiere la 1 288 min-1 este de 700 Nm.

▼M1

3.   EFECTUAREA TESTULUI DE MĂSURARE A EMISIILOR

La cererea constructorului, se poate efectua un test orb pentru condiționarea motorului și a sistemului de evacuare înaintea începerii ciclului de măsurare.

Motoarele cu gaz natural și cele cu GPL se rodează cu ajutorul testului ETC. Motorul trebuie să funcționeze pe durata a cel puțin două cicluri ETC și până când emisia de CO măsurată pe durata unui ciclu ETC nu depășește cu mai mult de 10 % emisia de CO măsurată pe durata ciclului ETC precedent.

3.1.   Pregătirea filtrelor de eșantionare (după caz)

Cu cel puțin o oră înainte de test, fiecare filtru se plasează într-o cutie Petri acoperită parțial, protejată împotriva contaminării cu praf și așezată într-o cameră de cântărire pentru stabilizare. La sfârșitul timpului de stabilizare, fiecare filtru se cântărește, iar greutatea proprie se înregistrează. Filtrul se plasează apoi într-o cutie Petri închisă sau într-un suport de filtru sigilat până la testare. Filtrul trebuie utilizat în termen de opt ore de la scoaterea din camera de cântărire. Greutatea proprie se înregistrează.

3.2.   Instalarea echipamentului de măsură

Instrumentarul și sondele de eșantionare se instalează în conformitate cu cerințele. Țeava de evacuare, dacă este utilizată, se conectează la sistemul de diluare cu debit total.

3.3.   Demararea sistemului de diluare și a motorului

Sistemul de diluare și motorul sunt demarate și încălzite până când toate temperaturile și presiunile s-au stabilizat la puterea maximă, în conformitate cu recomandările constructorului și cu bunele practici din domeniu.

3.4.   Demararea sistemului de eșantionare a particulelor (numai pentru motoarele diesel)

Sistemul de eșantionare a particulelor este demarat și lăsat să funcționeze în derivație. Nivelul de fond al particulelor din aerul de diluare se poate determina prin trecerea aerului de diluare prin filtrele de particule. În cazul în care se utilizează aer de diluare filtrat, se poate efectua o măsurare înainte sau după test. În cazul în care aerul de diluare nu este filtrat, se pot efectua măsurări la începutul și la sfârșitul ciclului, făcându-se apoi media valorilor obținute.

Sistemul de diluare și motorul sunt demarate și încălzite până când toate temperaturile și presiunile s-au stabilizat, în conformitate cu recomandările constructorului și cu bunele practici din domeniu.

În cazul post-tratării cu regenerare periodică, regenerarea nu trebuie să aibă loc în timpul încălzirii motorului.

3.5.   Reglarea sistemului de diluare

Debitele sistemului de diluare (cu debit parțial sau total) se reglează astfel încât să se elimine condensarea apei în sistem și să se obțină o temperatură la intrarea în filtru de maximum 325 K (52 °C) (a se vedea punctul 2.3.1 din anexa V, DT).

3.6.   Verificarea analizorilor

Analizorii de emisii se setează la zero și se etalonează. În cazul în care se utilizează saci de prelevare, aceștia trebuie eliminați.

3.7.   Procedura de demarare a motorului

Motorul stabilizat trebuie demarat în conformitate cu procedura de demarare recomandată de constructor în manualul de utilizare, folosindu-se fie un motor de pornire de serie, fie un dinamometru. Opțional, testul poate începe direct de la faza de precondiționare a motorului fără oprirea acestuia, după ce motorul a intrat în ralanti.

3.8.   Ciclul de test

3.8.1.   Secvența de test

Secvența de test începe în momentul în care motorul a intrat în ralanti. Testul se efectuează în conformitate cu ciclul de referință prevăzut la punctul 2 din prezentul apendice. Punctele de reglare a turației și a cuplului motorului se setează la o frecvență de minimum 5 Hz (se recomandă 10 Hz). Turația și cuplul de reacție ale motorului se înregistrează cel puțin o dată pe secundă pe durata ciclului de test, iar semnalele pot fi filtrate electronic.

3.8.2.   Măsurarea emisiilor gazoase

3.8.2.1.

Sistemul de diluare cu debit total

La demararea motorului sau a secvenței de test, în cazul în care ciclul a pornit direct din faza de precondiționare, trebuie pornit echipamentul de măsurare și, simultan:

 începe colectarea sau analizarea aerului de diluare;

 începe colectarea sau analizarea gazului de eșapament diluat;

 începe măsurarea cantității de gaz de eșapament diluat (CVS) și a temperaturilor și presiunilor cerute;

 începe înregistrarea datelor de reacție a turației și a cuplului dinamometrului.

HC și NOx se măsoară în mod continuu în tunelul de diluare cu o frecvență de 2 Hz. Concentrațiile medii se determină prin integrarea semnalelor analizorului pe durata ciclului de test. Timpul de răspuns al sistemului trebuie să fie de maximum 20 s și, dacă este necesar, trebuie să fie coordonat cu fluctuațiile debitului de CVS și cu decalajul timpului de eșantionare/ciclului de test. Cantitățile de CO, CO2, NMHC și CH4 se determină prin integrare sau prin analizarea concentrațiilor din sacul de eșantionare colectate pe durata ciclului. Concentrațiile de poluanți gazoși din aerul de diluare se determină prin integrare sau prin colectarea în sacul de fond. Toate celelalte valori se înregistrează la ritmul de minimum o măsurare pe secundă (1 Hz).

3.8.2.2.

Măsurarea gazului de eșapament brut

La demararea motorului sau a secvenței de test, în cazul în care ciclul a pornit direct din faza de precondiționare, trebuie pornit echipamentul de măsurare și, simultan:

 începe analizarea concentrațiilor de gaz de eșapament brut;

 începe măsurarea debitului gazului de eșapament sau al aerului de admisie și al carburantului;

 începe înregistrarea datelor de reacție a turației și a cuplului dinamometrului.

Pentru evaluarea emisiilor gazoase, concentrațiile emisiilor (HC, CO, și NOx) și debitul masic al gazului de eșapament se înregistrează și se stochează la cel puțin 2 Hz pe un sistem informatic. Timpul de răspuns al sistemului trebuie să fie de maximum 10 s. Toate celelalte date se pot înregistra cu o rată de eșantionare de cel puțin 1 Hz. Pentru analizorii analogi, răspunsul se înregistrează, iar datele de calibrare se pot aplica on-line sau off-line în timpul evaluării datelor.

Pentru calcularea emisiei masice de elemente constitutive gazoase, curbele concentrațiilor înregistrate și curba debitului masic al gazului de eșapament sunt aliniate în timp de timpul de transformare prevăzut la punctul 2 din anexa I. Prin urmare, timpul de răspuns al fiecărui analizor de emisii gazoase și al sistemului debitului masic al gazului de eșapament se determină în conformitate cu dispozițiile punctului 4.2.1 și ale punctului 1.5 din apendicele 5 la prezenta anexă și se înregistrează.

3.8.3.   Eșantionarea particulelor (după caz)

3.8.3.1.

Sistemul de diluare cu debit total

La demararea motorului sau a secvenței de test, în cazul în care ciclul a pornit direct din faza de precondiționare, sistemul de eșantionare a particulelor trebuie comutat de pe debit parțial pe colectare de particule.

În cazul în care nu se utilizează o compensare a debitului, pompa/pompele de eșantionare se reglează astfel încât debitul prin sonda de eșantionare a particulelor sau prin tubul de transfer să fie menținut la o valoare de ± 5 % din debitul setat. În cazul în care se utilizează o compensare a debitului (de exemplu, un control proporțional al debitului eșantionului), trebuie să de demonstreze că raportul dintre debitul tunelului principal și cel al eșantionului de particule nu se modifică cu mai mult de ± 5 % din valoarea setată (cu excepția primelor zece secunde de eșantionare).

Notă: În cazul unei diluări duble, debitul eșantionului este diferența netă dintre debitul prin filtrele de eșantionare și debitul aerului la a doua diluare.

Temperatura și presiunea medii pe contorul de gaz sau la admisia în instrumentarul de măsurare a debitului se înregistrează. În cazul în care debitul setat nu poate fi menținut pe durata întregului ciclu (în limitele de ± 5 %) din cauza încărcării ridicate cu particule a filtrului, testul se anulează. Testul se efectuează apoi din nou utilizându-se un debit mai redus și/sau un filtru cu diametru mai mare.

3.8.3.2.

Sistemul de diluare cu debit parțial

La demararea motorului sau a secvenței de test, în cazul în care ciclul a pornit direct din faza de precondiționare, sistemul de eșantionare a particulelor trebuie comutat de pe modul de deviere pe modul de colectare de particule.

Pentru controlul sistemului de diluare cu debit parțial, este necesar un timp de răspuns rapid al sistemului. Timpul de transformare al sistemului se determină prin procedura descrisă la punctul 3.3 din apendicele 5 din anexa III. În cazul în care timpul de transformare combinat al măsurării debitului eșapamentului (a se vedea punctul 4.2.1) și al sistemului cu debit parțial este mai mic de 0,3 secunde, se poate utiliza controlul on-line. În cazul în care timpul de transformare depășește 0,3 secunde, trebuie utilizat un control în avans pe baza unui test preînregistrat. În acest caz, timpul de demarare este ≤ 1 s, iar timpul de întârziere a combinării ≤ 10 s.

Răspunsul total al sistemului este conceput astfel încât să asigure o eșantionare reprezentativă a particulelor, qmp,i, proporțională cu debitul masic al eșapamentului. Pentru a determina proporționalitatea, se efectuează o analiză de regresie a qmp,i și qmew,i la o rată de achiziție a datelor de minimum 1 Hz, cu respectarea următoarelor criterii:

 Coeficientul de corelare R2 al regresiei liniare între qmp,i și qmew,i nu trebuie să fie mai mic de 0,95,

 Eroarea standard de estimare a qmp,i pe qmew,i nu trebuie să depășească 5 % din qmp maxim,

 punctul de întâlnire qmp de pe curba de regresie nu trebuie să depășească ± 2 % din qmp maxim.

Opțional, se poate efectua un test preliminar, iar semnalul de debit masic al eșapamentului la testul preliminar poate fi utilizat pentru controlarea debitului eșantionului în sistemul de particule (control în avans). O astfel de procedură este necesară în cazul în care timpul de transformare al sistemului de particule, t50, P sau timpul de transformare al semnalului de debit masic al eșapamentului, t50, F sau ambele sunt > 0,3 secunde. Se obține un control corect al sistemului de diluare parțială atunci când curba de timp qmew,pre din cadrul testului preliminar, care controlează qmp, este decalată de un timp în avans de t50, P + t50, F.

Pentru stabilirea corelației dintre qmp,i și qmew,i, se utilizează datele colectate în timpul testului propriu-zis, cu timpul qmew, i aliniat de t50,F în raport cu qmp, i (sincronizarea se realizează fără nici o contribuție a t50, P). Respectiv, decalajul de timp dintre qmew și qmp este diferența dintre timpii lor de transformare, prevăzuți la punctul 3.3 din apendicele 5 la anexa III.

3.8.4.   Calarea motorului

În cazul în care motorul se calează în timpul ciclului de test, acesta trebuie precondiționat și demarat din nou, iar testul trebuie repetat. În cazul în care apare o defecțiune la oricare dintre echipamentele de testare prevăzute, în timpul ciclului de test, testul se anulează.

3.8.5.   Operațiuni după test

La încheierea testului, măsurarea volumului gazului de eșapament diluat sau a debitului gazului de eșapament brut, curgerea gazului în sacii colectori, precum și pompa de eșantionare a particulelor se opresc. În cazul unui analizor integrator, eșantionarea continuă până la scurgerea timpilor de răspuns ai sistemului.

Concentrațiile sacilor colectori, în cazul în care aceștia se utilizează, se analizează cât mai curând și, în orice caz, în maximum 20 de minute de la încheierea ciclului de test.

După testul de emisii, analizorii se verifică din nou cu ajutorul unui gaz zero și al aceluiași tip de gaz de control. Testul se consideră acceptabil în cazul în care diferența dintre rezultatele obținute înainte și după test este mai mică de 2 % din valoarea gazului de control.

3.9.   Verificarea efectuării testului

3.9.1.   Decalajul între date

Pentru a minimiza efectele decalajului produs de diferența de timp dintre valorile de răspuns de cele din ciclul de referință, întreaga secvență de semnale de răspuns ale turației și ale cuplului motorului poate fi avansată sau întârziată în timp în funcție de secvența de turație de referință și de cuplul de referință. În cazul în care semnalele sunt decalate, turația și cuplul trebuie decalate cu aceeași valoare și în aceeași direcție.

3.9.2.   Calcularea lucrului mecanic al ciclului

Lucrul mecanic al ciclului efectiv Wact (kWh) se calculează cu fiecare pereche înregistrată de valori de răspuns ale turației și cuplului motorului, după orice decalare a datelor de răspuns, în cazul în care este selectată această opțiune. Lucrul mecanic al ciclului efectiv Wact este utilizat pentru compararea cu lucrul mecanic al ciclului de referință Wref și la determinarea emisiilor specifice frânei (a se vedea punctele 4.4 și 5.2). Aceeași metodă se aplică pentru integrarea puterii de referință și a puterii specifice a motorului. În cazul în care trebuie calculate valorile între valoarea de referință adiacentă și valoarea măsurată adiacentă, se efectuează o interpolare liniară.

La integrarea lucrului mecanic al ciclului de referință și a lucrului mecanic al ciclului efectiv, toate valorile de cuplu negative se setează la valoarea zero și se includ. Atunci când integrarea se efectuează la o frecvență mai mică de 5 Hz și când, pe o anumită durată, valoarea cuplului se modifică de la negativ la pozitiv sau de la pozitiv la negativ, partea negativă se calculează și se setează la zero. Partea pozitivă este inclusă în valoarea integrată.

Wact se situează între – 15 % și + 5 % din Wref

3.9.3.   Statistici de validare a ciclului de test

Se efectuează regresii liniare ale valorilor de răspuns în raport cu valorile de referință pentru turație, cuplu și putere, după orice decalare a datelor de răspuns, în cazul în care este selectată această opțiune. Se utilizează metoda celor mai mici pătrate, iar ecuația rezultată se prezintă astfel:

image

unde:

y

=

Valoarea de răspuns (efectivă) a turației (min-1), a cuplului (Nm) sau a puterii (kW)

m

=

panta curbei de regresie

x

=

valoarea de referință a turației (min-1), a cuplului (Nm) sau a puterii (kW)

b

=

punctul de întâlnire cu axa y a curbei de regresie

Eroarea standard de estimare (SE) a lui y pe x și coeficientul de determinare (r2) se calculează pentru fiecare curbă de regresie.

Se recomandă ca această analiză să se efectueze la 1 Hz. Toate valorile negative ale cuplului de referință și valorile de răspuns asociate se șterg din calculul statisticilor de validare ale cuplului și puterii ciclului. Pentru ca testul să fie considerat valabil, trebuie să fie îndeplinire criteriile prevăzute în tabelul 7.



Tabelul 7

Toleranțele curbei de regresie

 

Turația

Cuplul

Puterea

Eroarea standard de estimare (SE) a lui y pe x

Max. 100 min-1

Max.13 % (15 %) (1) din cartografia de putere la cuplul maxim al motorului

Max.8 % (15 %) (1) din cartografia de putere la puterea maximă a motorului

Panta curbei de regresie, m

Între 0,95 și 1,03

0,83–1,03

0,89–1,03

(0,83–1,03) (1)

Coeficientul de determinare, r2

Min. 0,9700

Min. 0,8800

Min. 0,9100

(Min. 0,9500) (1)

(Min. 0,7500) (1)

(Min. 0,7500) (1)

Punctul de întâlnire cu axa y a curbei de regresie, b

± 50 min–1

± 20 Nm sau ± 2 % (± 20 Nm sau ± 3 %) (1) din cuplul maxim, se reține valoarea mai mare

± 4 kW or ± 2 % (± 4 kW or ± 3 %) (1) din putera maximă, se reține valoarea mai mare

(1)   Până la 1 octombrie 2005, se pot utiliza cifrele din paranteze pentru testele de omologare a motoarelor pe gaz. (Comisia întocmește cu raport cu privire la evoluția tehnologiei motoarelor pe gaz, în vederea confirmării sau modificării toleranțelor curbei de regresie aplicabile motoarelor pe gaz din tabelul anterior.)

Din analizele de regresie, se pot șterge punctele indicate în tabelul 8.



Tabelul 8

Puncte care pot fi șterse din analiza de regresie

Condiții

Puncte de șters

Încărcare maximă și valoarea de răspuns a cuplului < 95 % din valoarea de referință a cuplului

Cuplul și/sau puterea

Încărcare maximă și valoarea de răspuns a turației < 95 % din valoarea de referință a turației

Turația și/sau puterea

Fără încărcare, fără punct de ralanti, iar valoarea de răspuns a cuplului > valoarea cuplului de referință

Cuplul și/sau puterea

Fără încărcare, valoarea de răspuns a turației ≤ turația la ralanti + 50 min-1, iar valoarea de răspuns a cuplului = cuplul la ralanti măsurat/definit de constructor ± 2 % din cuplul maxim

Turația și/sau puterea

Fără încărcare, valoarea de răspuns a turației > turația la ralanti + 50 min-1, iar valoarea de răspuns a cuplului > 105 % din cuplul de referință

Cuplul și/sau puterea

Fără încărcare, iar valoarea de răspuns a turației > 105 % din turația de referință

Turația și/sau puterea

▼M1

4.   CALCULAREA DEBITULUI GAZULUI DE EȘAPAMENT

4.1.   Determinarea debitului gazului de eșapament diluat

Debitul total al gazului de eșapament diluat pe durata ciclului (kg/test) se calculează pornind de la valorile măsurate pe durata ciclului și de la datele de calibrare corespunzătoare ale dispozitivului de măsurare a debitului (V0 pentru PDP, KV pentru CFV, Cd pentru SSV), în conformitate cu dispozițiile punctului 2 din apendicele 5 la anexa III. Se aplică formula următoare, în cazul în care temperatura eșapamentului diluat este menținută constantă pe durata ciclului cu ajutorul unui schimbător de căldură [± 6 K pentru un PDP-CVS, ± 11 K pentru un CFV-CVS sau ± 11 K pentru un SSV-CVS (a se vedea punctul 2.3 din anexa V)].

Pentru sistemul PDP-CVS:

image

unde:

V0

=

volumul de gaz pompat pe turație în condiții de test, m3/tur

NP

=

numărul total de turații ale pompei pe durata testului

pb

=

presiunea atmosferică în celula de test, kPa

p1

=

depresia sub presiunea atmosferică la admisia în pompă, kPa

T

=

temperatura medie a gazului de eșapament diluat la admisia în pompă pe durata ciclului, K

Pentru sistemul CFV-CVS:

image

unde:

t

=

durata ciclului, s

KV

=

coeficientul de calibrare al difuzorului de aer pentru debit critic în condiții standard

pp

=

presiunea absolută la admisia difuzorului de aer, kPa

T

=

temperatura absolută la admisia difuzorului de aer, K

Pentru sistemul SSV-CVS

image

unde:

image

cu:

A0

=

colecție de constante și de conversii de unități

image

= 0,006111 în unități SI de

d

=

diametrul gurii SSV, m

Cd

=

coeficientul de evacuare al SSV

pp

=

presiunea absolută la admisia difuzorului de aer, kPa

T

=

temperatura absolută la admisia difuzorului de aer, K

rp

=

raportul între presiunea statică absolută la gura SSV și la admisia SSV =

image

rD

=

raportul între diametrul gurii SSV, d, și diametrul interior al țevii de admisie =

image

În cazul în care se utilizează un sistem de compensare a debitului (de exemplu, fără schimbătorul de căldură), emisiile masice instantanee se calculează și se integrează pe durata ciclului. În acest caz, masa instantanee de gaz de eșapament diluat se calculează după cum urmează:

Pentru sistemul PDP-CVS:

image

unde:

NP,i

=

numărul total de turații pe intervalul de timp

Pentru sistemul CFV-CVS:

image

unde:

Δti

=

intervalul de timp, s

Pentru sistemul SSV-CVS:

image

unde:

Δti

=

intervalul de timp, s

Calcularea timpului real se inițializează fie cu o valoare rezonabilă pentru Cd, cum ar fi 0,98, fie cu o valoare rezonabilă pentru QSSV. În cazul în care calculul se inițializează cu QSSV, valoarea inițială a QSSV se utilizează și la evaluarea Re.

Pe durata tuturor testelor de emisie, numărul lui Reynolds la gura SSV trebuie să fie din categoria numerelor lui Reynolds utilizate pentru derivarea curbei de calibrare în conformitate cu punctul 2.4 din apendicele 5 la prezenta anexă.

4.2.   Determinarea debitului masic al gazului de eșapament brut

Pentru calcularea emisiilor din gazul de eșapament brut și pentru controlarea unui sistem de diluare cu debit parțial, este necesară cunoașterea debitului masic al gazului de eșapament. Pentru determinarea debitului masic al gazului de eșapament, se poate utiliza oricare dintre metodele descrise la punctele 4.2.2 și 4.2.5.

4.2.1.   Timpul de răspuns

În scopul calculării emisiilor, timpul de răspuns pentru oricare dintre metodele descrise în continuare trebuie să fie mai mic sau egal cu timpul de răspuns prevăzut pentru analizor și menționat la punctul 1.5 din apendicele 5 la prezenta anexă.

În scopul controlării unui sistem de diluare cu debit parțial, este necesar un timp de răspuns mai rapid. În cazul sistemelor de diluare cu debit parțial cu control on-line, este necesar un timp de răspuns ≤ 0,3 secunde. În cazul sistemelor de diluare cu debit parțial cu control în avans care se bazează pe un test preînregistrat, este necesar un timp de răspuns al sistemului de măsurare a debitului eșapamentului ≤ 5 secunde, cu un timp de demarare ≤ 1 secundă. Timpul de răspuns al sistemului se specifică de către producătorul instrumentului. Cerințele combinate în ceea ce privește timpii de răspuns pentru debitul de gaz de eșapament și pentru sistemul de diluare cu debit parțial sunt prevăzute la punctul 3.8.3.2.

4.2.2.   Metoda măsurării directe

Măsurarea directă a debitului instantaneu al gazelor de eșapament poate fi realizată de sisteme cum sunt:

 dispozitive diferențiale de presiune, ca debitmetrul cu tub Venturi;

 debitmetre cu ultrasunete;

 debitmetre vortex.

Trebuie luate măsuri de precauție pentru a se evita erorile de măsurare care pot duce la obținerea unor valori eronate ale emisiei. Astfel de măsuri cuprind instalarea cu atenție a dispozitivului în sistemul de evacuare al motorului, în conformitate cu recomandările producătorului instrumentului și cu bunele practici profesionale. În special, performanța motorului și emisiile nu trebuie să fie afectate de instalarea dispozitivului.

Acuratețea determinării debitului gazelor de eșapament este de cel puțin ± 2,5 % din valoarea de citire sau ± 1,5 % din valoarea maximă a motorului, reținându-se valoarea cea mai mare.

4.2.3.   Metoda măsurării aerului și a carburantului

Aceasta implică măsurarea debitului de aer și a debitului de carburant. Se utilizează debitmetre pentru aer și debitmetre pentru carburanți care îndeplinesc pe deplin cerințele de acuratețe pentru debitul gazelor de eșapament prevăzute la punctul 4.2.2. Calcularea debitului gazelor de eșapament se efectuează după formula:

image

4.2.4.   Metoda măsurării gazului de marcare

Aceasta implică măsurarea concentrației de gaz de marcare din gazele eșapament. O cantitate cunoscută de gaz inert (de exemplu, heliu pur) se injectează în debitul de gaze de eșapament ca gaz de marcare. Acesta se amestecă și se diluează în gazele de eșapament, dar nu reacționează în țeava de eșapament. Concentrația gazului se măsoară apoi în eșantionul de gaze de eșapament.

Pentru a asigura amestecarea completă a gazului de marcare, sonda de eșantionare a gazului de eșapament se poziționează la cel puțin 1 m sau de 30 de ori diametrul țevii de eșapament, oricare dintre aceste două dimensiuni este mai mare, în aval de punctul de injecție a gazului de marcare. Sonda de eșantionare poate fi poziționată mai aproape de punctul de injecție în cazul în care amestecarea completă a fost verificată prin compararea concentrației de gaz de marcare cu concentrația de referință atunci când gazul de marcare este injectat în amonte în motor.

Debitul gazului de marcare se setează în așa fel încât concentrația de gaz de marcare atunci când motorul este la ralanti după amestecare să devină mai mică decât scara completă a analizorului gazului de marcare.

Calcularea debitului gazelor de eșapament se efectuează după cum urmează:

image

unde:

qmew,i

=

debitul masic instantaneu al gazelor de eșapament, kg/s

qvt

=

debitul gazului de marcare, cm3/min

cmix,i

=

concentrația instantanee de gaz de marcare după amestecare, ppm

pe

=

densitatea gazelor de eșapament, kg/m3 (cf. tabelul 3)

ca

=

concentrația de fond a gazului de marcare în aerul de admisie, ppm

În cazul în care concentrația de fond este mai mică de 1 % din concentrația gazelor de marcare după amestecare (cmix,i) la debitul maxim al gazelor de eșapament, concentrația de fond poate fi neglijată.

Sistemul total trebuie să îndeplinească specificațiile privind acuratețea pentru debitul de gaz de eșapament și trebuie calibrat în conformitate cu dispozițiile punctului 1.7 din apendicele 5 la prezenta anexă.

4.2.5.   Metoda măsurării debitului de aer și a raportului aer/carburant

Aceasta presupune calcularea masei de gaze de eșapament din debitul de aer și din raportul aer/carburant. Calcularea debitului masic instantaneu de gaze de eșapament se realizează după cum urmează:

image

cu:

image

image

unde:

A/Fst

=

raportul stoichiometric aer/carburant, kg/kg

λ

=

raportul de exces de aer

cCO2

=

concentrația de CO2 în stare uscată, %

cCO

=

concentrația de CO în stare uscată, ppm

cHC

=

concentrația de HC, ppm

Notă: β poate avea valoarea 1 pentru carburanții care conțin carbon și 0 pentru carburantul hidrogen.

Debitmetrul de aer trebuie să îndeplinească specificațiile privind acuratețea prevăzute la punctul 2.2 din apendicele 4 la prezenta anexă, analizorul de CO2 utilizat trebuie să îndeplinească specificațiile prevăzute la punctul 3.3.2 din apendicele 4 la prezenta anexă, iar sistemul total trebuie să îndeplinească specificațiile privind acuratețea pentru debitul gazelor de eșapament.

Opțional, echipamentul de măsurare a raportului aer/carburant, cum ar fi senzorul de tip zirconiu, poate fi utilizat pentru măsurarea raportului de exces de aer, în conformitate cu prevederile punctului 3.3.6 din apendicele 4 la prezenta anexă.

▼M1

5.   CALCULAREA EMISIILOR GAZOASE

5.1.   Evaluarea datelor

Pentru evaluarea emisiilor gazoase din gazul de eșapament diluat, concentrațiile emisiilor (HC, CO, și NOx) și debitul masic al gazului de eșapament diluat se înregistrează în conformitate cu prevederile punctului 3.8.2.1 și se stochează pe un sistem informatic. Pentru analizorii analogi, răspunsul se înregistrează, iar datele de calibrare se pot aplica on-line au off-line în timpul evaluării datelor.

Pentru evaluarea emisiilor gazoase din gazul de eșapament brut, concentrațiile emisiilor (HC, CO, și NOx) și debitul masic al gazului de eșapament se înregistrează în conformitate cu dispozițiile punctului 3.8.2.2 și se stochează pe un sistem informatic. Pentru analizorii analogi, răspunsul se înregistrează, iar datele de calibrare se pot aplica on-line sau off-line în timpul evaluării datelor.

5.2.   Corecția în stare uscată/umedă

În cazul în care concentrația a fost măsurată în stare uscată, aceasta se convertește într-o bază umedă pe baza formulei următoare. Pentru măsurarea continuă, conversia se aplică fiecărei măsurări instantanee înainte de realizarea oricărui alt calcul.

image

Se aplică ecuațiile de conversie de la punctul 5.2 din apendicele 1 la prezenta anexă.

5.3.   Corecția emisiilor de NOx în funcție de umiditate și temperatură

Întrucât emisiile de NOx depind de condițiile atmosferice ambiante, concentrația de NOx se corectează în funcție de temperatura și de umiditatea aerului ambiant, aplicându-se factorii prevăzuți la punctul 5.3 din apendicele 1 din prezenta anexă. Factorii sunt valabili în gama cuprinsă între 0 și 25 g/kg de aer uscat.

5.4.   Calcularea debitelor masice ale emisiilor

Masa emisiilor pe durata ciclului (g/test) se calculează după formula următoare, în funcție de metoda de măsurare aplicată. Concentrația măsurată se convertește într-o bază umedă în conformitate cu punctul 5.2 din apendicele 1 la prezenta anexă, în cazul în care nu a fost deja măsurată în stare umedă. Valorile aplicate pentru ugas sunt prevăzute în tabelul 6 din apendicele 1 la prezenta anexă pentru componentele selectate pe baza proprietăților gazului ideal și a carburanților relevanți pentru prezenta directivă.

(a)  pentru gazul de eșapament brut:

image

unde:

ugas

=

raportul dintre densitatea componentei gazului de eșapament și densitatea gazului de eșapament din tabelul 6

cgas, i

=

concentrația instantanee a componentei respective din gazul de eșapament brut, ppm

qmew, i

=

debitul masic instantaneu al gazelor de eșapament, kg/s

f

=

frecvența eșantionării, Hz

n

=

numărul de măsurări

(b)  pentru gazul de eșapament diluat fără compensarea debitului:

image

unde:

ugas

=

raportul dintre densitatea componentei gazului de eșapament și densitatea aerului din tabelul 6

cgas

=

concentrația de fond medie corectată a componentei respective, ppm

med

=

masa totală de eșapament diluat pe durata ciclului, kg

(c)  pentru gazul de eșapament diluat cu compensarea debitului

image

unde:

ce,1

=

concentrația instantanee a componentei respective măsurată în gazul de eșapament diluat, ppm

cd

=

concentrația componentei respective măsurată în aerul de diluare, ppm

qmdew, i

=

debitul masic instantaneu al gazului de eșapament diluat, kg/s

med

=

masa totală de gaz de eșapament diluat pe durata ciclului, kg

ugas

=

raportul dintre densitatea componentei gazului de eșapament și densitatea aerului din tabelul 6

D

=

factorul de diluare (a se vedea punctul 5.4.1)

După caz, concentrația de NMHC și de CH4 se calculează prin oricare dintre metodele prevăzute la punctul 3.3.4 din apendicele 4 la prezenta anexă, după cum urmează:

(a)  metoda GC (numai pentru sisteme de diluare cu debit total):

image

(b)  metoda NMC

image

image

unde:

cHC(w/Cutter)

=

concentrația de HC atunci când gazul prelevat trece prin NMC

cHC(w/oCutter)

=

concentrația de HC atunci când gazul prelevat nu trece prin NMC

5.4.1.   Determinarea concentrațiilor de fond corectate (numai pentru sisteme de diluare cu debit total)

Concentrația de fond medie a poluanților gazoși din aerul de diluare se scade din concentrațiile măsurate pentru a se obține concentrațiile nete ale poluanților. Valorile medii ale concentrațiilor de fond se pot determina prin metoda sacului de eșantionare sau prin măsurarea continuă cu integrare. Se utilizează formula următoare.

image

unde:

ce

=

concentrația poluantului respectiv măsurată din gazul de eșapament diluat, ppm

cd

=

concentrația poluantului respectiv măsurată din aerul de diluare, ppm

D

=

factorul de diluare

Factorul de diluare se calculează după cum urmează:

(a) pentru motoare diesel și motoare pe gaz care funcționează cu GPL

image

(b) pentru motoare pe gaz care funcționează cu gaz natural

image

unde:

c CO2

=

concentrația de CO2 din gazul de eșapament diluat, % vol

c HC

=

concentrația de HC din gazul de eșapament diluat, ppm C1

c NMHC

=

concentrația de NMHC din gazul de eșapament diluat, ppm C1

c CO

=

concentrația de CO din gazul de eșapament diluat, ppm

FS

=

factorul stoichiometric

Concentrațiile măsurate în stare uscată se convertesc într-o bază umedă în conformitate cu dispozițiile punctului 5.2 din apendicele 1 la prezenta anexă.

Factorul stoichiometric se calculează după cum urmează:

image

unde:

α, ε sunt raporturile molare pentru un carburant CHαOε

Alternativ, în cazul în care nu se cunoaște compoziția carburantului, se pot utiliza următorii factori stoichiometrici:



FS (diesel)

=

13,4

FS (GPL)

=

11,6

FS (GN)

=

9,5

5.5.   Calcularea emisiilor specifice

Emisiile (g/kWh) se calculează după cum urmează:

(a) toate componentele, cu excepția NOx:

image

(b) NOx:

image

unde:

Wact

=

lucrul mecanic al ciclului efectiv determinat în conformitate cu punctul 3.9.2.

5.5.1.

În cazul unui sistem de post-tratare periodică a eșapamentului, emisiile se ponderează după cum urmează:

image

unde:

n1

=

numărul de teste ETC între două regenerări

n2

=

numărul de teste ETC în timpul unei regenerări (minimum un test ETC)

Mgas, n2

=

emisii în timpul unei regenerări

Mgas, n1

=

emisii după o regenerare

6.   CALCULAREA EMISIILOR DE PARTICULE (DUPĂ CAZ)

6.1.   Evaluarea datelor

Filtrul de particule este dus înapoi în camera de cântărire în termen de maximum o oră după încheierea testului. Acesta trebuie condiționat într-o cutie Petri acoperită parțial, protejată împotriva contaminării cu praf, vreme de cel puțin o oră, dar nu mai mult de 80 de ore, iar apoi este cântărit. Greutatea brută a filtrelor se înregistrează, iar greutatea proprie se scade, rezultatul constituind masa eșantionului de particule mf. Pentru evaluarea concentrației de particule, se înregistrează masa totală de eșantionare (msep) prin filtre pe durata ciclului de test.

În cazul în care se aplică o corecție de fond, masa aerului de diluare (md) prin filtru și masa particulelor (mf,d) trebuie înregistrate.

6.2.   Calcularea debitului masic

6.2.1.   Sistemul de diluare cu debit total

Masa de particule (g/test) se calculează după cum urmează:

image

unde:

mf

=

masa de particule eșantionate pe durata ciclului, mg

msep

=

masa de gaz de eșapament diluat care trece prin filtrele de colectare a particulelor, kg

med

=

masa de gaz de eșapament diluat pe durata ciclului, kg

În cazul în care se utilizează un sistem cu diluare dublă, masa de aer de la a doua diluare se scade din masa totală de gaz de eșapament dublu diluat prin filtrele de particule.

image

unde:

mset

=

masa gazului de eșapament dublu diluat care trece prin filtrele de particule, kg

mssd

=

masa de aer de la a doua diluare, kg

În cazul în care nivelul de fond al particulelor din aerul de diluare se determină în conformitate cu punctul 3.4, masa de particule poate fi supusă unei corecții de fond. În acest caz, masa de particule (g/test) se calculează după cum urmează:

image

unde:

mPT, msep, med

=

a se vedea indicațiile anterioare

md

=

masa de aer de la prima diluare prelevată prin sistemul de eșantionare a particulelor de fond, kg

mf,d

=

masa de particule de fond colectate din aerul de la prima diluare, mg

D

=

factorul de diluare determinat în conformitate cu punctul 5.4.1.

6.2.2.   Sistemul de diluare cu debit parțial

Masa de particule (g/test) se calculează după una dintre următoarele metode:

(a) 

image

unde:

mf

=

masa de particule eșantionate pe durata ciclului, mg

msep

=

masa de gaz de eșapament diluat care trece prin filtrele de colectare a particulelor, kg

medf

=

masa de gaz de eșapament diluat echivalent pe durata ciclului, kg

Masa totală de gaz de eșapament diluat echivalent pe durata ciclului se determină după cum urmează:

image

image

image

unde:

qmedf,i

=

debitul masic instantaneu al echivalentului gazului de eșapament diluat, kg/s

qmew,i

=

debitul masic instantaneu al gazului de eșapament, kg/s

rd,i

=

raportul instantaneu de diluare

qmdew,i

=

debitul masic instantaneu al gazului de eșapament diluat prin tunelul de diluare, kg/s

qmdw,i

=

debitul masic instantaneu al aerului de diluare, kg/s

f

=

frecvența eșantionării, Hz

n

=

numărul de măsurări

(b) 

image

unde:

mf

=

masa particulelor eșantionate pe durata ciclului, mg

rS

=

raportul mediu de eșantionare pe durata ciclului

cu:

image

unde:

mse

=

masa prelevată pe durata ciclului, kg

mew

=

debitul masic total al gazului de eșapament pe durata ciclului, kg

msep

=

masa de gaz de eșapament diluat care trece prin filtrele de colectare a particulelor, kg

msed

=

masa de gaz de eșapament diluat care trece prin tunelul de diluare, kg

Notă: În cazul unui sistem de prelevare totală, msep și Msed sunt identice.

6.3.   Calcularea emisiei specifice

Emisia de particule (g/kWh) se calculează după cum urmează:

image

unde:

Wact

=

lucrul mecanic al ciclului efectiv determinat în conformitate cu punctul 3.9.2, kWh.

6.3.1.

În cazul unui sistem de post-tratare periodică de regenerare, emisiile se ponderează după cum urmează:

image

unde:

n1

=

numărul de teste ETC între două regenerări

n2

=

numărul de teste ETC în timpul unei regenerări (minimum un test ETC)

image

=

emisii în timpul unei regenerări

image

=

emisii în afara procesului de regenerare.

▼B




Apendicele 3



PROGRAMAREA DINAMOMETRULUI LEGAT LA MOTOR PENTRU TESTUL ETC

Durata

(s)

Turația normală

(%)

Cuplul normal

(%)

1

0

0

2

0

0

3

0

0

4

0

0

5

0

0

6

0

0

7

0

0

8

0

0

9

0

0

10

0

0

11

0

0

12

0

0

13

0

0

14

0

0

15

0

0

16

0,1

1,5

17

23,1

21,5

18

12,6

28,5

19

21,8

71

20

19,7

76,8

21

54,6

80,9

22

71,3

4,9

23

55,9

18,1

24

72

85,4

25

86,7

61,8

26

51,7

0

27

53,4

48,9

28

34,2

87,6

29

45,5

92,7

30

54,6

99,5

31

64,5

96,8

32

71,7

85,4

33

79,4

54,8

34

89,7

99,4

35

57,4

0

36

59,7

30,6

37

90,1

„m”

38

82,9

„m”

39

51,3

„m”

40

28,5

„m”

41

29,3

„m”

42

26,7

„m”

43

20,4

„m”

44

14,1

0

45

6,5

0

46

0

0

47

0

0

48

0

0

49

0

0

50

0

0

51

0

0

52

0

0

53

0

0

54

0

0

55

0

0

56

0

0

57

0

0

58

0

0

59

0

0

60

0

0

61

0

0

62

25,5

11,1

63

28,5

20,9

64

32

73,9

65

4

82,3

66

34,5

80,4

67

64,1

86

68

58

0

69

50,3

83,4

70

66,4

99,1

71

81,4

99,6

72

88,7

73,4

73

52,5

0

74

46,4

58,5

75

48,6

90,9

76

55,2

99,4

77

62,3

99

78

68,4

91,5

79

74,5

73,7

80

38

0

81

41,8

89,6

82

47,1

99,2

83

52,5

99,8

84

56,9

80,8

85

58,3

11,8

86

56,2

„m”

87

52

„m”

88

43,3

„m”

89

36,1

„m”

90

27,6

„m”

91

21,1

„m”

92

8

0

93

0

0

94

0

0

95

0

0

96

0

0

97

0

0

98

0

0

99

0

0

100

0

0

101

0

0

102

0

0

103

0

0

104

0

0

105

0

0

106

0

0

107

0

0

108

11,6

14,8

109

0

0

110

27,2

74,8

111

17

76,9

112

36

78

113

59,7

86

114

80,8

17,9

115

49,7

0

116

65,6

86

117

78,6

72,2

118

64,9

„m”

119

44,3

„m”

120

51,4

83,4

121

58,1

97

122

69,3

99,3

123

72

20,8

124

72,1

„m”

125

65,3

„m”

126

64

„m”

127

59,7

„m”

128

52,8

„m”

129

45,9

„m”

130

38,7

„m”

131

32,4

„m”

132

27

„m”

133

21,7

„m”

134

19,1

0,4

135

34,7

14

136

16,4

48,6

137

0

11,2

138

1,2

2,1

139

30,1

19,3

140

30

73,9

141

54,4

74,4

142

77,2

55,6

143

58,1

0

144

45

82,1

145

68,7

98,1

146

85,7

67,2

147

60,2

0

148

59,4

98

149

72,7

99,6

150

79,9

45

151

44,3

0

152

41,5

84,4

153

56,2

98,2

154

65,7

99,1

155

74,4

84,7

156

54,4

0

157

47,9

89,7

158

54,5

99,5

159

62,7

96,8

160

62,3

0

161

46,2

54,2

162

44,3

83,2

163

48,2

13,3

164

51

„m”

165

50

„m”

166

49,2

„m”

167

49,3

„m”

168

49,9

„m”

169

51,6

„m”

170

49,7

„m”

171

48,5

„m”

172

50,3

72,5

173

51,1

84,5

174

54,6

64,8

175

56,6

76,5

176

58

„m”

177

53,6

„m”

178

40,8

„m”

179

32,9

„m”

180

26,3

„m”

181

20,9

„m”

182

10

0

183

0

0

184

0

0

185

0

0

186

0

0

187

0

0

188

0

0

189

0

0

190

0

0

191

0

0

192

0

0

193

0

0

194

0

0

195

0

0

196

0

0

197

0

0

198

0

0

199

0

0

200

0

0

201

0

0

202

0

0

203

0

0

204

0

0

205

0

0

206

0

0

207

0

0

208

0

0

209

0

0

210

0

0

211

0

0

212

0

0

213

0

0

214

0

0

215

0

0

216

0

0

217

0

0

218

0

0

219

0

0

220

0

0

221

0

0

222

0

0

223

0

0

224

0

0

225

21,2

62,7

226

30,8

75,1

227

5,9

82,7

228

34,6

80,3

229

59,9

87

230

84,3

86,2

231

68,7

„m”

232

43,6

„m”

233

41,5

85,4

234

49,9

94,3

235

60,8

99

236

70,2

99,4

237

81,1

92,4

238

49,2

0

239

56

86,2

240

56,2

99,3

241

61,7

99

242

69,2

99,3

243

74,1

99,8

244

72,4

8,4

245

71,3

0

246

71,2

9,1

247

67,1

„m”

248

65,5

„m”

249

64,4

„m”

250

62,9

25,6

251

62,2

35,6

252

62,9

24,4

253

58,8

„m”

254

56,9

„m”

255

54,5

„m”

256

51,7

17

257

56,2

78,7

258

59,5

94,7

259

65,5

99,1

260

71,2

99,5

261

76,6

99,9

262

79

0

263

52,9

97,5

264

53,1

99,7

265

59

99,1

266

62,2

99

267

65

99,1

268

69

83,1

269

69,9

28,4

270

70,6

12,5

271

68,9

8,4

272

69,8

9,1

273

69,6

7

274

65,7

„m”

275

67,1

„m”

276

66,7

„m”

277

65,6

„m”

278

64,5

„m”

279

62,9

„m”

280

59,3

„m”

281

54,1

„m”

282

51,3

„m”

283

47,9

„m”

284

43,6

„m”

285

39,4

„m”

286

34,7

„m”

287

29,8

„m”

288

20,9

73,4

289

36,9

„m”

290

35,5

„m”

291

20,9

„m”

292

49,7

11,9

293

42,5

„m”

294

32

„m”

295

23,6

„m”

296

19,1

0

297

15,7

73,5

298

25,1

76,8

299

34,5

81,4

300

44,1

87,4

301

52,8

98,6

302

63,6

99

303

73,6

99,7

304

62,2

„m”

305

29,2

„m”

306

46,4

22

307

47,3

13,8

308

47,2

12,5

309

47,9

11,5

310

47,8

35,5

311

49,2

83,3

312

52,7

96,4

313

57,4

99,2

314

61,8

99

315

66,4

60,9

316

65,8

„m”

317

59

„m”

318

50,7

„m”

319

41,8

„m”

320

34,7

„m”

321

28,7

„m”

322

25,2

„m”

323

43

24,8

324

38,7

0

325

48,1

31,9

326

40,3

61

327

42,4

52,1

328

46,4

47,7

329

46,9

30,7

330

46,1

23,1

331

45,7

23,2

332

45,5

31,9

333

46,4

73,6

334

51,3

60,7

335

51,3

51,1

336

53,2

46,8

337

53,9

50

338

53,4

52,1

339

53,8

45,7

340

50,6

22,1

341

47,8

26

342

41,6

17,8

343

38,7

29,8

344

35,9

71,6

345

34,6

47,3

346

34,8

80,3

347

35,9

87,2

348

38,8

90,8

349

41,5

94,7

350

47,1

99,2

351

53,1

99,7

352

46,4

0

353

42,5

0,7

354

43,6

58,6

355

47,1

87,5

356

54,1

99,5

357

62,9

99

358

72,6

99,6

359

82,4

99,5

360

88

99,4

361

46,4

0

362

53,4

95,2

363

58,4

99,2

364

61,5

99

365

64,8

99

366

68,1

99,2

367

73,4

99,7

368

73,3

29,8

369

73,5

14,6

370

68,3

0

371

45,4

49,9

372

47,2

75,7

373

44,5

9

374

47,8

10,3

375

46,8

15,9

376

46,9

12,7

377

46,8

8,9

378

46,1

6,2

379

46,1

„m”

380

45,5

„m”

381

44,7

„m”

382

43,8

„m”

383

41

„m”

384

41,1

6,4

385

38

6,3

386

35,9

0,3

387

33,5

0

388

53,1

48,9

389

48,3

„m”

390

49,9

„m”

391

48

„m”

392

45,3

„m”

393

41,6

3,1

394

44,3

79

395

44,3

89,5

396

43,4

98,8

397

44,3

98,9

398

43

98,8

399

42,2

98,8

400

42,7

98,8

401

45

99

402

43,6

98,9

403

42,2

98,8

404

44,8

99

405

43,4

98,8

406

45

99

407

42,2

54,3

408

61,2

31,9

409

56,3

72,3

410

59,7

99,1

411

62,3

99

412

67,9

99,2

413

69,5

99,3

414

73,1

99,7

415

77,7

99,8

416

79,7

99,7

417

82,5

99,5

418

85,3

99,4

419

86,6

99,4

420

89,4

99,4

421

62,2

0

422

52,7

96,4

423

50,2

99,8

424

49,3

99,6

425

52,2

99,8

426

51,3

100

427

51,3

100

428

51,1

100

429

51,1

100

430

51,8

99,9

431

51,3

100

432

51,1

100

433

51,3

100

434

52,3

99,8

435

52,9

99,7

436

53,8

99,6

437

51,7

99,9

438

53,5

99,6

439

52

99,8

440

51,7

99,9

441

53,2

99,7

442

54,2

99,5

443

55,2

99,4

444

53,8

99,6

445

53,1

99,7

446

55

99,4

447

57

99,2

448

61,5

99

449

59,4

5,7

450

59

0

451

57,3

59,8

452

64,1

99

453

70,9

90,5

454

58

0

455

41,5

59,8

456

44,1

92,6

457

46,8

99,2

458

47,2

99,3

459

51

100

460

53,2

99,7

461

53,1

99,7

462

55,9

53,1

463

53,9

13,9

464

52,5

„m”

465

51,7

„m”

466

51,5

52,2

467

52,8

80

468

54,9

95

469

57,3

99,2

470

60,7

99,1

471

62,4

„m”

472

60,1

„m”

473

53,2

„m”

474

44

„m”

475

35,2

„m”

476

30,5

„m”

477

26,5

„m”

478

22,5

„m”

479

20,4

„m”

480

19,1

„m”

481

19,1

„m”

482

13,4

„m”

483

6,7

„m”

484

3,2

„m”

485

14,3

63,8

486

34,1

0

487

23,9

75,7

488

31,7

79,2

489

32,1

19,4

490

35,9

5,8

491

36,6

0,8

492

38,7

„m”

493

38,4

„m”

494

39,4

„m”

495

39,7

„m”

496

40,5

„m”

497

40,8

„m”

498

39,7

„m”

499

39,2

„m”

500

38,7

„m”

501

32,7

„m”

502

30,1

„m”

503

21,9

„m”

504

12,8

0

505

0

0

506

0

0

507

0

0

508

0

0

509

0

0

510

0

0

511

0

0

512

0

0

513

0

0

514

30,5

25,6

515

19,7

56,9

516

16,3

45,1

517

27,2

4,6

518

21,7

1,3

519

29,7

28,6

520

36,6

73,7

521

61,3

59,5

522

40,8

0

523

36,6

27,8

524

39,4

80,4

525

51,3

88,9

526

58,5

11,1

527

60,7

„m”

528

54,5

„m”

529

51,3

„m”

530

45,5

„m”

531

40,8

„m”

532

38,9

„m”

533

36,6

„m”

534

36,1

72,7

535

44,8

78,9

536

51,6

91,1

537

59,1

99,1

538

66

99,1

539

75,1

99,9

540

81

8

541

39,1

0

542

53,8

89,7

543

59,7

99,1

544

64,8

99

545

70,6

96,1

546

72,6

19,6

547

72

6,3

548

68,9

0,1

549

67,7

„m”

550

66,8

„m”

551

64,3

16,9

552

64,9

7

553

63,6

12,5

554

63

7,7

555

64,4

38,2

556

63

11,8

557

63,6

0

558

63,3

5

559

60,1

9,1

560

61

8,4

561

59,7

0,9

562

58,7

„m”

563

56

„m”

564

53,9

„m”

565

52,1

„m”

566

49,9

„m”

567

46,4

„m”

568

43,6

„m”

569

40,8

„m”

570

37,5

„m”

571

27,8

„m”

572

17,1

0,6

573

12,2

0,9

574

11,5

1,1

575

8,7

0,5

576

8

0,9

577

5,3

0,2

578

4

0

579

3,9

0

580

0

0

581

0

0

582

0

0

583

0

0

584

0

0

585

0

0

586

0

0

587

8,7

22,8

588

16,2

49,4

589

23,6

56

590

21,1

56,1

591

23,6

56

592

46,2

68,8

593

68,4

61,2

594

58,7

„m”

595

31,6

„m”

596

19,9

8,8

597

32,9

70,2

598

43

79

599

57,4

98,9

600

72,1

73,8

601

53

0

602

48,1

86

603

56,2

99

604

65,4

98,9

605

72,9

99,7

606

67,5

„m”

607

39

„m”

608

41,9

38,1

609

44,1

80,4

610

46,8

99,4

611

48,7

99,9

612

50,5

99,7

613

52,5

90,3

614

51

1,8

615

50

„m”

616

49,1

„m”

617

47

„m”

618

43,1

„m”

619

39,2

„m”

620

40,6

0,5

621

41,8

53,4

622

44,4

65,1

623

48,1

67,8

624

53,8

99,2

625

58,6

98,9

626

63,6

98,8

627

68,5

99,2

628

72,2

89,4

629

77,1

0

630

57,8

79,1

631

60,3

98,8

632

61,9

98,8

633

63,8

98,8

634

64,7

98,9

635

65,4

46,5

636

65,7

44,5

637

65,6

3,5

638

49,1

0

639

50,4

73,1

640

50,5

„m”

641

51

„m”

642

49,4

„m”

643

49,2

„m”

644

48,6

„m”

645

47,5

„m”

646

46,5

„m”

647

46

11,3

648

45,6

42,8

649

47,1

83

650

46,2

99,3

651

47,9

99,7

652

49,5

99,9

653

50,6

99,7

654

51

99,6

655

53

99,3

656

54,9

99,1

657

55,7

99

658

56

99

659

56,1

9,3

660

55,6

„m”

661

55,4

„m”

662

54,9

51,3

663

54,9

59,8

664

54

39,3

665

53,8

„m”

666

52

„m”

667

50,4

„m”

668

50,6

0

669

49,3

41,7

670

50

73,2

671

50,4

99,7

672

51,9

99,5

673

53,6

99,3

674

54,6

99,1

675

56

99

676

55,8

99

677

58,4

98,9

678

59,9

98,8

679

60,9

98,8

680

63

98,8

681

64,3

98,9

682

64,8

64

683

65,9

46,5

684

66,2

28,7

685

65,2

1,8

686

65

6,8

687

63,6

53,6

688

62,4

82,5

689

61,8

98,8

690

59,8

98,8

691

59,2

98,8

692

59,7

98,8

693

61,2

98,8

694

62,2

49,4

695

62,8

37,2

696

63,5

46,3

697

64,7

72,3

698

64,7

72,3

699

65,4

77,4

700

66,1

69,3

701

64,3

„m”

702

64,3

„m”

703

63

„m”

704

62,2

„m”

705

61,6

„m”

706

62,4

„m”

707

62,2

„m”

708

61

„m”

709

58,7

„m”

710

55,5

„m”

711

51,7

„m”

712

49,2

„m”

713

48,8

40,4

714

47,9

„m”

715

46,2

„m”

716

45,6

9,8

717

45,6

34,5

718

45,5

37,1

719

43,8

„m”

720

41,9

„m”

721

41,3

„m”

722

41,4

„m”

723

41,2

„m”

724

41,8

„m”

725

41,8

„m”

726

43,2

17,4

727

45

29

728

44,2

„m”

729

43,9

„m”

730

38

10,7

731

56,8

„m”

732

57,1

„m”

733

52

„m”

734

44,4

„m”

735

40,2

„m”

736

39,2

16,5

737

38,9

73,2

738

39,9

89,8

739

42,3

98,6

740

43,7

98,8

741

45,5

99,1

742

45,6

99,2

743

48,1

99,7

744

49

100

745

49,8

99,9

746

49,8

99,9

747

51,9

99,5

748

52,3

99,4

749

53,3

99,3

750

52,9

99,3

751

54,3

99,2

752

55,5

99,1

753

56,7

99

754

61,7

98,8

755

64,3

47,4

756

64,7

1,8

757

66,2

„m”

758

49,1

„m”

759

52,1

46

760

52,6

61

761

52,9

0

762

52,3

20,4

763

54,2

56,7

764

55,4

59,8

765

56,1

49,2

766

56,8

33,7

767

57,2

96

768

58,6

98,9

769

59,5

98,8

770

61,2

98,8

771

62,1

98,8

772

62,7

98,8

773

62,8

98,8

774

64

98,9

775

63,2

46,3

776

62,4

„m”

777

60,3

„m”

778

58,7

„m”

779

57,2

„m”

780

56,1

„m”

781

56

9,3

782

55,2

26,3

783

54,8

42,8

784

55,7

47,1

785

56,6

52,4

786

58

50,3

787

58,6

20,6

788

58,7

„m”

789

59,3

„m”

790

58,6

„m”

791

60,5

9,7

792

59,2

9,6

793

59,9

9,6

794

59,6

9,6

795

59,9

6,2

796

59,9

9,6

797

60,5

13,1

798

60,3

20,7

799

59,9

31

800

60,5

42

801

61,5

52,5

802

60,9

51,4

803

61,2

57,7

804

62,8

98,8

805

63,4

96,1

806

64,6

45,4

807

64,1

5

808

63

3,2

809

62,7

14,9

810

63,5

35,8

811

64,1

73,3

812

64,3

37,4

813

64,1

21

814

63,7

21

815

62,9

18

816

62,4

32,7

817

61,7

46,2

818

59,8

45,1

819

57,4

43,9

820

54,8

42,8

821

54,3

65,2

822

52,9

62,1

823

52,4

30,6

824

50,4

„m”

825

48,6

„m”

826

47,9

„m”

827

46,8

„m”

828

46,9

9,4

829

49,5

41,7

830

50,5

37,8

831

52,3

20,4

832

54,1

30,7

833

56,3

41,8

834

58,7

26,5

835

57,3

„m”

836

59

„m”

837

59,8

„m”

838

60,3

„m”

839

61,2

„m”

840

61,8

„m”

841

62,5

„m”

842

62,4

„m”

843

61,5

„m”

844

63,7

„m”

845

61,9

„m”

846

61,6

29,7

847

60,3

„m”

848

59,2

„m”

849

57,3

„m”

850

52,3

„m”

851

49,3

„m”

852

47,3

„m”

853

46,3

38,8

854

46,8

35,1

855

46,6

„m”

856

44,3

„m”

857

43,1

„m”

858

42,4

2,1

859

41,8

2,4

860

43,8

68,8

861

44,6

89,2

862

46

99,2

863

46,9

99,4

864

47,9

99,7

865

50,2

99,8

866

51,2

99,6

867

52,3

99,4

868

53

99,3

869

54,2

99,2

870

55,5

99,1

871

56,7

99

872

57,3

98,9

873

58

98,9

874

60,5

31,1

875

60,2

„m”

876

60,3

„m”

877

60,5

6,3

878

61,4

19,3

879

60,3

1,2

880

60,5

2,9

881

61,2

34,1

882

61,6

13,2

883

61,5

16,4

884

61,2

16,4

885

61,3

„m”

886

63,1

„m”

887

63,2

4,8

888

62,3

22,3

889

62

38,5

890

61,6

29,6

891

61,6

26,6

892

61,8

28,1

893

62

29,6

894

62

16,3

895

61,1

„m”

896

61,2

„m”

897

60,7

19,2

898

60,7

32,5

899

60,9

17,8

900

60,1

19,2

901

59,3

38,2

902

59,9

45

903

59,4

32,4

904

59,2

23,5

905

59,5

40,8

906

58,3

„m”

907

58,2

„m”

908

57,6

„m”

909

57,1

„m”

910

57

0,6

911

57

26,3

912

56,5

29,2

913

56,3

20,5

914

56,1

„m”

915

55,2

„m”

916

54,7

17,5

917

55,2

29,2

918

55,2

29,2

919

55,9

16

920

55,9

26,3

921

56,1

36,5

922

55,8

19

923

55,9

9,2

924

55,8

21,9

925

56,4

42,8

926

56,4

38

927

56,4

11

928

56,4

35,1

929

54

7,3

930

53,4

5,4

931

52,3

27,6

932

52,1

32

933

52,3

33,4

934

52,2

34,9

935

52,8

60,1

936

53,7

69,7

937

54

70,7

938

55,1

71,7

939

55,2

46

940

54,7

12,6

941

52,5

0

942

51,8

24,7

943

51,4

43,9

944

50,9

71,1

945

51,2

76,8

946

50,3

87,5

947

50,2

99,8

948

50,9

100

949

49,9

99,7

950

50,9

100

951

49,8

99,7

952

50,4

99,8

953

50,4

99,8

954

49,7

99,7

955

51

100

956

50,3

99,8

957

50,2

99,8

958

49,9

99,7

959

50,9

100

960

50

99,7

961

50,2

99,8

962

50,2

99,8

963

49,9

99,7

964

50,4

99,8

965

50,2

99,8

966

50,3

99,8

967

49,9

99,7

968

51,1

100

969

50,6

99,9

970

49,9

99,7

971

49,6

99,6

972

49,4

99,6

973

49

99,5

974

49,8

99,7

975

50,9

100

976

50,4

99,8

977

49,8

99,7

978

49,1

99,5

979

50,4

99,8

980

49,8

99,7

981

49,3

99,5

982

49,1

99,5

983

49,9

99,7

984

49,1

99,5

985

50,4

99,8

986

50,9

100

987

51,4

99,9

988

51,5

99,9

989

52,2

99,7

990

52,8

74,1

991

53,3

46

992

53,6

36,4

993

53,4

33,5

994

53,9

58,9

995

55,2

73,8

996

55,8

52,4

997

55,7

9,2

998

55,8

2,2

999

56,4

33,6

1000

55,4

„m”

1001

55,2

„m”

1002

55,8

26,3

1003

55,8

23,3

1004

56,4

50,2

1005

57,6

68,3

1006

58,8

90,2

1007

59,9

98,9

1008

62,3

98,8

1009

63,1

74,4

1010

63,7

49,4

1011

63,3

9,8

1012

48

0

1013

47,9

73,5

1014

49,9

99,7

1015

49,9

48,8

1016

49,6

2,3

1017

49,9

„m”

1018

49,3

„m”

1019

49,7

47,5

1020

49,1

„m”

1021

49,4

„m”

1022

48,3

„m”

1023

49,4

„m”

1024

48,5

„m”

1025

48,7

„m”

1026

48,7

„m”

1027

49,1

„m”

1028

49

„m”

1029

49,8

„m”

1030

48,7

„m”

1031

48,5

„m”

1032

49,3

31,3

1033

49,7

45,3

1034

48,3

44,5

1035

49,8

61

1036

49,4

64,3

1037

49,8

64,4

1038

50,5

65,6

1039

50,3

64,5

1040

51,2

82,9

1041

50,5

86

1042

50,6

89

1043

50,4

81,4

1044

49,9

49,9

1045

49,1

20,1

1046

47,9

24

1047

48,1

36,2

1048

47,5

34,5

1049

46,9

30,3

1050

47,7

53,5

1051

46,9

61,6

1052

46,5

73,6

1053

48

84,6

1054

47,2

87,7

1055

48,7

80

1056

48,7

50,4

1057

47,8

38,6

1058

48,8

63,1

1059

47,4

5

1060

47,3

47,4

1061

47,3

49,8

1062

46,9

23,9

1063

46,7

44,6

1064

46,8

65,2

1065

46,9

60,4

1066

46,7

61,5

1067

45,5

„m”

1068

45,5

„m”

1069

44,2

„m”

1070

43

„m”

1071

42,5

„m”

1072

41

„m”

1073

39,9

„m”

1074

39,9

38,2

1075

40,1

48,1

1076

39,9

48

1077

39,4

59,3

1078

43,8

19,8

1079

52,9

0

1080

52,8

88,9

1081

53,4

99,5

1082

54,7

99,3

1083

56,3

99,1

1084

57,5

99

1085

59

98,9

1086

59,8

98,9

1087

60,1

98,9

1088

61,8

48,3

1089

61,8

55,6

1090

61,7

59,8

1091

62

55,6

1092

62,3

29,6

1093

62

19,3

1094

61,3

7,9

1095

61,1

19,2

1096

61,2

43

1097

61,1

59,7

1098

61,1

98,8

1099

61,3

98,8

1100

61,3

26,6

1101

60,4

„m”

1102

58,8

„m”

1103

57,7

„m”

1104

56

„m”

1105

54,7

„m”

1106

53,3

„m”

1107

52,6

23,2

1108

53,4

84,2

1109

53,9

99,4

1110

54,9

99,3

1111

55,8

99,2

1112

57,1

99

1113

56,5

99,1

1114

58,9

98,9

1115

58,7

98,9

1116

59,8

98,9

1117

61

98,8

1118

60,7

19,2

1119

59,4

„m”

1120

57,9

„m”

1121

57,6

„m”

1122

56,3

„m”

1123

55

„m”

1124

53,7

„m”

1125

52,1

„m”

1126

51,1

„m”

1127

49,7

25,8

1128

49,1

46,1

1129

48,7

46,9

1130

48,2

46,7

1131

48

70

1132

48

70

1133

47,2

67,6

1134

47,3

67,6

1135

46,6

74,7

1136

47,4

13

1137

46,3

„m”

1138

45,4

„m”

1139

45,5

24,8

1140

44,8

73,8

1141

46,6

99

1142

46,3

98,9

1143

48,5

99,4

1144

49,9

99,7

1145

49,1

99,5

1146

49,1

99,5

1147

51

100

1148

51,5

99,9

1149

50,9

100

1150

51,6

99,9

1151

52,1

99,7

1152

50,9

100

1153

52,2

99,7

1154

51,5

98,3

1155

51,5

47,2

1156

50,8

78,4

1157

50,3

83

1158

50,3

31,7

1159

49,3

31,3

1160

48,8

21,5

1161

47,8

59,4

1162

48,1

77,1

1163

48,4

87,6

1164

49,6

87,5

1165

51

81,4

1166

51,6

66,7

1167

53,3

63,2

1168

55,2

62

1169

55,7

43,9

1170

56,4

30,7

1171

56,8

23,4

1172

57

„m”

1173

57,6

„m”

1174

56,9

„m”

1175

56,4

4

1176

57

23,4

1177

56,4

41,7

1178

57

49,2

1179

57,7

56,6

1180

58,6

56,6

1181

58,9

64

1182

59,4

68,2

1183

58,8

71,4

1184

60,1

71,3

1185

60,6

79,1

1186

60,7

83,3

1187

60,7

77,1

1188

60

73,5

1189

60,2

55,5

1190

59,7

54,4

1191

59,8

73,3

1192

59,8

77,9

1193

59,8

73,9

1194

60

76,5

1195

59,5

82,3

1196

59,9

82,8

1197

59,8

65,8

1198

59

48,6

1199

58,9

62,2

1200

59,1

70,4

1201

58,9

62,1

1202

58,4

67,4

1203

58,7

58,9

1204

58,3

57,7

1205

57,5

57,8

1206

57,2

57,6

1207

57,1

42,6

1208

57

70,1

1209

56,4

59,6

1210

56,7

39

1211

55,9

68,1

1212

56,3

79,1

1213

56,7

89,7

1214

56

89,4

1215

56

93,1

1216

56,4

93,1

1217

56,7

94,4

1218

56,9

94,8

1219

57

94,1

1220

57,7

94,3

1221

57,5

93,7

1222

58,4

93,2

1223

58,7

93,2

1224

58,2

93,7

1225

58,5

93,1

1226

58,8

86,2

1227

59

72,9

1228

58,2

59,9

1229

57,6

8,5

1230

57,1

47,6

1231

57,2

74,4

1232

57

79,1

1233

56,7

67,2

1234

56,8

69,1

1235

56,9

71,3

1236

57

77,3

1237

57,4

78,2

1238

57,3

70,6

1239

57,7

64

1240

57,5

55,6

1241

58,6

49,6

1242

58,2

41,1

1243

58,8

40,6

1244

58,3

21,1

1245

58,7

24,9

1246

59,1

24,8

1247

58,6

„m”

1248

58,8

„m”

1249

58,8

„m”

1250

58,7

„m”

1251

59,1

„m”

1252

59,1

„m”

1253

59,4

„m”

1254

60,6

2,6

1255

59,6

„m”

1256

60,1

„m”

1257

60,6

„m”

1258

59,6

4,1

1259

60,7

7,1

1260

60,5

„m”

1261

59,7

„m”

1262

59,6

„m”

1263

59,8

„m”

1264

59,6

4,9

1265

60,1

5,9

1266

59,9

6,1

1267

59,7

„m”

1268

59,6

„m”

1269

59,7

22

1270

59,8

10,3

1271

59,9

10

1272

60,6

6,2

1273

60,5

7,3

1274

60,2

14,8

1275

60,6

8,2

1276

60,6

5,5

1277

61

14,3

1278

61

12

1279

61,3

34,2

1280

61,2

17,1

1281

61,5

15,7

1282

61

9,5

1283

61,1

9,2

1284

60,5

4,3

1285

60,2

7,8

1286

60,2

5,9

1287

60,2

5,3

1288

59,9

4,6

1289

59,4

21,5

1290

59,6

15,8

1291

59,3

10,1

1292

58,9

9,4

1293

58,8

9

1294

58,9

35,4

1295

58,9

30,7

1296

58,9

25,9

1297

58,7

22,9

1298

58,7

24,4

1299

59,3

61

1300

60,1

56

1301

60,5

50,6

1302

59,5

16,2

1303

59,7

50

1304

59,7

31,4

1305

60,1

43,1

1306

60,8

38,4

1307

60,9

40,2

1308

61,3

49,7

1309

61,8

45,9

1310

62

45,9

1311

62,2

45,8

1312

62,6

46,8

1313

62,7

44,3

1314

62,9

44,4

1315

63,1

43,7

1316

63,5

46,1

1317

63,6

40,7

1318

64,3

49,5

1319

63,7

27

1320

63,8

15

1321

63,6

18,7

1322

63,4

8,4

1323

63,2

8,7

1324

63,3

21,6

1325

62,9

19,7

1326

63

22,1

1327

63,1

20,3

1328

61,8

19,1

1329

61,6

17,1

1330

61

0

1331

61,2

22

1332

60,8

40,3

1333

61,1

34,3

1334

60,7

16,1

1335

60,6

16,6

1336

60,5

18,5

1337

60,6

29,8

1338

60,9

19,5

1339

60,9

22,3

1340

61,4

35,8

1341

61,3

42,9

1342

61,5

31

1343

61,3

19,2

1344

61

9,3

1345

60,8

44,2

1346

60,9

55,3

1347

61,2

56

1348

60,9

60,1

1349

60,7

59,1

1350

60,9

56,8

1351

60,7

58,1

1352

59,6

78,4

1353

59,6

84,6

1354

59,4

66,6

1355

59,3

75,5

1356

58,9

49,6

1357

59,1

75,8

1358

59

77,6

1359

59

67,8

1360

59

56,7

1361

58,8

54,2

1362

58,9

59,6

1363

58,9

60,8

1364

59,3

56,1

1365

58,9

48,5

1366

59,3

42,9

1367

59,4

41,4

1368

59,6

38,9

1369

59,4

32,9

1370

59,3

30,6

1371

59,4

30

1372

59,4

25,3

1373

58,8

18,6

1374

59,1

18

1375

58,5

10,6

1376

58,8

10,5

1377

58,5

8,2

1378

58,7

13,7

1379

59,1

7,8

1380

59,1

6

1381

59,1

6

1382

59,4

13,1

1383

59,7

22,3

1384

60,7

10,5

1385

59,8

9,8

1386

60,2

8,8

1387

59,9

8,7

1388

61

9,1

1389

60,6

28,2

1390

60,6

22

1391

59,6

23,2

1392

59,6

19

1393

60,6

38,4

1394

59,8

41,6

1395

60

47,3

1396

60,5

55,4

1397

60,9

58,7

1398

61,3

37,9

1399

61,2

38,3

1400

61,4

58,7

1401

61,3

51,3

1402

61,4

71,1

1403

61,1

51

1404

61,5

56,6

1405

61

60,6

1406

61,1

75,4

1407

61,4

69,4

1408

61,6

69,9

1409

61,7

59,6

1410

61,8

54,8

1411

61,6

53,6

1412

61,3

53,5

1413

61,3

52,9

1414

61,2

54,1

1415

61,3

53,2

1416

61,2

52,2

1417

61,2

52,3

1418

61

48

1419

60,9

41,5

1420

61

32,2

1421

60,7

22

1422

60,7

23,3

1423

60,8

38,8

1424

61

40,7

1425

61

30,6

1426

61,3

62,6

1427

61,7

55,9

1428

62,3

43,4

1429

62,3

37,4

1430

62,3

35,7

1431

62,8

34,4

1432

62,8

31,5

1433

62,9

31,7

1434

62,9

29,9

1435

62,8

29,4

1436

62,7

28,7

1437

61,5

14,7

1438

61,9

17,2

1439

61,5

6,1

1440

61

9,9

1441

60,9

4,8

1442

60,6

11,1

1443

60,3

6,9

1444

60,8

7

1445

60,2

9,2

1446

60,5

21,7

1447

60,2

22,4

1448

60,7

31,6

1449

60,9

28,9

1450

59,6

21,7

1451

60,2

18

1452

59,5

16,7

1453

59,8

15,7

1454

59,6

15,7

1455

59,3

15,7

1456

59

7,5

1457

58,8

7,1

1458

58,7

16,5

1459

59,2

50,7

1460

59,7

60,2

1461

60,4

44

1462

60,2

35,3

1463

60,4

17,1

1464

59,9

13,5

1465

59,9

12,8

1466

59,6

14,8

1467

59,4

15,9

1468

59,4

22

1469

60,4

38,4

1470

59,5

38,8

1471

59,3

31,9

1472

60,9

40,8

1473

60,7

39

1474

60,9

30,1

1475

61

29,3

1476

60,6

28,4

1477

60,9

36,3

1478

60,8

30,5

1479

60,7

26,7

1480

60,1

4,7

1481

59,9

0

1482

60,4

36,2

1483

60,7

32,5

1484

59,9

3,1

1485

59,7

„m”

1486

59,5

„m”

1487

59,2

„m”

1488

58,8

0,6

1489

58,7

„m”

1490

58,7

„m”

1491

57,9

„m”

1492

58,2

„m”

1493

57,6

„m”

1494

58,3

9,5

1495

57,2

6

1496

57,4

27,3

1497

58,3

59,9

1498

58,3

7,3

1499

58,8

21,7

1500

58,8

38,9

1501

59,4

26,2

1502

59,1

25,5

1503

59,1

26

1504

59

39,1

1505

59,5

52,3

1506

59,4

31

1507

59,4

27

1508

59,4

29,8

1509

59,4

23,1

1510

58,9

16

1511

59

31,5

1512

58,8

25,9

1513

58,9

40,2

1514

58,8

28,4

1515

58,9

38,9

1516

59,1

35,3

1517

58,8

30,3

1518

59

19

1519

58,7

3

1520

57,9

0

1521

58

2,4

1522

57,1

„m”

1523

56,7

„m”

1524

56,7

5,3

1525

56,6

2,1

1526

56,8

„m”

1527

56,3

„m”

1528

56,3

„m”

1529

56

„m”

1530

56,7

„m”

1531

56,6

3,8

1532

56,9

„m”

1533

56,9

„m”

1534

57,4

„m”

1535

57,4

„m”

1536

58,3

13,9

1537

58,5

„m”

1538

59,1

„m”

1539

59,4

„m”

1540

59,6

„m”

1541

59,5

„m”

1542

59,6

0,5

1543

59,3

9,2

1544

59,4

11,2

1545

59,1

26,8

1546

59

11,7

1547

58,8

6,4

1548

58,7

5

1549

57,5

„m”

1550

57,4

„m”

1551

57,1

1,1

1552

57,1

0

1553

57

4,5

1554

57,1

3,7

1555

57,3

3,3

1556

57,3

16,8

1557

58,2

29,3

1558

58,7

12,5

1559

58,3

12,2

1560

58,6

12,7

1561

59

13,6

1562

59,8

21,9

1563

59,3

20,9

1564

59,7

19,2

1565

60,1

15,9

1566

60,7

16,7

1567

60,7

18,1

1568

60,7

40,6

1569

60,7

59,7

1570

61,1

66,8

1571

61,1

58,8

1572

60,8

64,7

1573

60,1

63,6

1574

60,7

83,2

1575

60,4

82,2

1576

60

80,5

1577

59,9

78,7

1578

60,8

67,9

1579

60,4

57,7

1580

60,2

60,6

1581

59,6

72,7

1582

59,9

73,6

1583

59,8

74,1

1584

59,6

84,6

1585

59,4

76,1

1586

60,1

76,9

1587

59,5

84,6

1588

59,8

77,5

1589

60,6

67,9

1590

59,3

47,3

1591

59,3

43,1

1592

59,4

38,3

1593

58,7

38,2

1594

58,8

39,2

1595

59,1

67,9

1596

59,7

60,5

1597

59,5

32,9

1598

59,6

20

1599

59,6

34,4

1600

59,4

23,9

1601

59,6

15,7

1602

59,9

41

1603

60,5

26,3

1604

59,6

14

1605

59,7

21,2

1606

60,9

19,6

1607

60,1

34,3

1608

59,9

27

1609

60,8

25,6

1610

60,6

26,3

1611

60,9

26,1

1612

61,1

38

1613

61,2

31,6

1614

61,4

30,6

1615

61,7

29,6

1616

61,5

28,8

1617

61,7

27,8

1618

62,2

20,3

1619

61,4

19,6

1620

61,8

19,7

1621

61,8

18,7

1622

61,6

17,7

1623

61,7

8,7

1624

61,7

1,4

1625

61,7

5,9

1626

61,2

8,1

1627

61,9

45,8

1628

61,4

31,5

1629

61,7

22,3

1630

62,4

21,7

1631

62,8

21,9

1632

62,2

22,2

1633

62,5

31

1634

62,3

31,3

1635

62,6

31,7

1636

62,3

22,8

1637

62,7

12,6

1638

62,2

15,2

1639

61,9

32,6

1640

62,5

23,1

1641

61,7

19,4

1642

61,7

10,8

1643

61,6

10,2

1644

61,4

„m”

1645

60,8

„m”

1646

60,7

„m”

1647

61

12,4

1648

60,4

5,3

1649

61

13,1

1650

60,7

29,6

1651

60,5

28,9

1652

60,8

27,1

1653

61,2

27,3

1654

60,9

20,6

1655

61,1

13,9

1656

60,7

13,4

1657

61,3

26,1

1658

60,9

23,7

1659

61,4

32,1

1660

61,7

33,5

1661

61,8

34,1

1662

61,7

17

1663

61,7

2,5

1664

61,5

5,9

1665

61,3

14,9

1666

61,5

17,2

1667

61,1

„m”

1668

61,4

„m”

1669

61,4

8,8

1670

61,3

8,8

1671

61

18

1672

61,5

13

1673

61

3,7

1674

60,9

3,1

1675

60,9

4,7

1676

60,6

4,1

1677

60,6

6,7

1678

60,6

12,8

1679

60,7

11,9

1680

60,6

12,4

1681

60,1

12,4

1682

60,5

12

1683

60,4

11,8

1684

59,9

12,4

1685

59,6

12,4

1686

59,6

9,1

1687

59,9

0

1688

59,9

20,4

1689

59,8

4,4

1690

59,4

3,1

1691

59,5

26,3

1692

59,6

20,1

1693

59,4

35

1694

60,9

22,1

1695

60,5

12,2

1696

60,1

11

1697

60,1

8,2

1698

60,5

6,7

1699

60

5,1

1700

60

5,1

1701

60

9

1702

60,1

5,7

1703

59,9

8,5

1704

59,4

6

1705

59,5

5,5

1706

59,5

14,2

1707

59,5

6,2

1708

59,4

10,3

1709

59,6

13,8

1710

59,5

13,9

1711

60,1

18,9

1712

59,4

13,1

1713

59,8

5,4

1714

59,9

2,9

1715

60,1

7,1

1716

59,6

12

1717

59,6

4,9

1718

59,4

22,7

1719

59,6

22

1720

60,1

17,4

1721

60,2

16,6

1722

59,4

28,6

1723

60,3

22,4

1724

59,9

20

1725

60,2

18,6

1726

60,3

11,9

1727

60,4

11,6

1728

60,6

10,6

1729

60,8

16

1730

60,9

17

1731

60,9

16,1

1732

60,7

11,4

1733

60,9

11,3

1734

61,1

11,2

1735

61,1

25,6

1736

61

14,6

1737

61

10,4

1738

60,6

„m”

1739

60,9

„m”

1740

60,8

4,8

1741

59,9

„m”

1742

59,8

„m”

1743

59,1

„m”

1744

58,8

„m”

1745

58,8

„m”

1746

58,2

„m”

1747

58,5

14,3

1748

57,5

4,4

1749

57,9

0

1750

57,8

20,9

1751

58,3

9,2

1752

57,8

8,2

1753

57,5

15,3

1754

58,4

38

1755

58,1

15,4

1756

58,8

11,8

1757

58,3

8,1

1758

58,3

5,5

1759

59

4,1

1760

58,2

4,9

1761

57,9

10,1

1762

58,5

7,5

1763

57,4

7

1764

58,2

6,7

1765

58,2

6,6

1766

57,3

17,3

1767

58

11,4

1768

57,5

47,4

1769

57,4

28,8

1770

58,8

24,3

1771

57,7

25,5

1772

58,4

35,5

1773

58,4

29,3

1774

59

33,8

1775

59

18,7

1776

58,8

9,8

1777

58,8

23,9

1778

59,1

48,2

1779

59,4

37,2

1780

59,6

29,1

1781

50

25

1782

40

20

1783

30

15

1784

20

10

1785

10

5

1786

0

0

1787

0

0

1788

0

0

1789

0

0

1790

0

0

1791

0

0

1792

0

0

1793

0

0

1794

0

0

1795

0

0

1796

0

0

1797

0

0

1798

0

0

1799

0

0

1800

0

0

„m” = cu motorul cuplat.

În figura 5 se prezintă o reprezentare grafică a programării dinamometrului pentru testul ETC.

Figura 5

Programarea dinamometrului pentru testul ETC

ETCTurație (%)Drumuri/străzi urbaneDrumuri/străzi ruraleAutostrăziDurata [s]Cuplu (%)




Apendicele 4

PROCEDURI DE MĂSURARE ȘI EȘANTIONARE

▼M1

1.   INTRODUCERE

Componentele gazoase, particulele și fumul emis de motorul supus testării se măsoară prin metodele descrise în anexa V. Punctele respective din anexa V descriu sistemele analitice recomandate pentru emisiile gazoase (punctul 1), sistemele recomandate de eșantionare și de diluare a particulelor (punctul 2) și opacimetrele recomandate pentru măsurarea fumului (punctul 3).

Pentru ESC, componentele gazoase se determină în gazul de eșapament brut. Opțional, acestea se pot determina și în gazului de eșapament diluat, cu condiția să se utilizeze un sistem de diluare cu debit total pentru determinarea particulelor. Particulele se măsoară cu un sistem de diluare cu debit parțial sau total.

Pentru ETC, se pot utiliza următoarele sisteme:

 un sistem de diluare cu debit total CVS pentru determinarea emisiilor gazoase sau de particule (sunt permise și sistemele cu diluare dublă)

 sau

 un sistem combinat de măsurare a gazului de eșapament brut pentru emisiile gazoase și un sistem de diluare cu debit parțial pentru emisiile de particule

 sau

 orice combinație a celor două principii (respectiv măsurarea emisiilor gazoase brute și măsurarea debitului total al particulelor).

▼B

2.   DINAMOMETRUL ȘI ECHIPAMENTUL CELULEI DE TESTARE

Se folosește următorul echipament pentru testarea emisiilor motoarelor asupra dinamometrelor motoarelor.

2.1.   Dinamometrul motorului

Se folosește un dinamometru de motor cu caracteristici adecvate pentru a realiza ciclul de testare descris în apendicele 1 și 2 la prezenta anexă. Instrumentele pentru măsurarea turației trebuie să aibă o acuratețe a citirii de ± 2 %. Sistemul de măsurare a cuplului trebuie să aibă o acuratețe a citirii de ± 3 % în limita > 20 % din scala totală și o acuratețe de ± 0,6 % din scală totală, în limita ≤ 20 % din scala totală.

▼M1

2.2.   Alte instrumente

Se utilizează instrumente de măsură a consumului de carburanți, a consumului de aer, a temperaturii lichidului de răcire și a lubrifiantului, a presiunii gazului de eșapament și a depresiunii din colectorul de admisie, a temperaturii gazului de eșapament, a temperaturii aerului de admisie, a presiunii atmosferice, a umidității și a temperaturii carburantului, după caz. Aceste instrumente trebuie să îndeplinească cerințele prevăzute în tabelul 9:



Tabelul 9

Acuratețea instrumentelor de măsură

Instrumentul de măsură

Acuratețea

Consumul de carburant

± 2 % din valoarea maximă a motorului

Consumul de aer

± 2 % din citire sau ± 1 % din valoarea maximă a motorului, reținându-se valoarea mai mare

Debitul gazului de eșapament

± 2,5 % din citire sau ± 1,5 % din valoarea maximă a motorului, reținându-se valoarea mai mare

Temperaturi ≤ 600 K (327 °C)

± 2 K în valoare absolută

Temperaturi ≥ 600 K (327 °C)

± 1 % din citire

Presiunea atmosferică

± 0,1 kPa în valoare absolută

Presiunea gazului de eșapament

± 0,2 kPa în valoare absolută

Depresiunea la admisie

± 0,05 kPa în valoare absolută

Alte presiuni

± 0,1 kPa în valoare absolută

Umiditatea relativă

± 3 % în valoare absolută

Umiditatea absolută

± 5 % din citire

Debitul aerului de diluare

± 2 % din citire

Debitul gazului de eșapament diluat

± 2 % din citire

▼M1 —————

▼M1

3.   DETERMINAREA COMPONENTELOR GAZOASE

3.1.   Specificații generale pentru analizori

Analizorii trebuie să aibă o scală de măsurare adecvată pentru acuratețea cerută pentru măsurarea concentrațiilor componentelor gazului de eșapament (punctul 3.1.1). Se recomandă ca analizorii să fie manipulați în așa fel încât concentrația măsurată să se situeze între 15 % și 100 % din scala completă.

În cazul în care sistemele de citire (calculatoare, dispozitive de înregistrare de date) au suficientă acuratețe și o rezoluție sub 15 % din scala completă, măsurătorile sub 15 % din scala completă sunt, de asemenea, acceptabile. În acest caz, se vor efectua calibrări suplimentare de cel puțin 4 puncte teoretic echidistante și diferite de zero pentru a se asigura acuratețea curbelor de calibrare în conformitate cu prevederile punctului 1.6.4 din apendicele 5 la prezenta anexă.

Compatibilitatea electromagnetică (EMC) a echipamentelor trebuie să fie la un astfel de nivel încât să minimizeze erorile suplimentare.

3.1.1.   Acuratețea

Analizorii nu trebuie să devieze de la punctul de calibrare nominală cu mai mult de ± 2 % din citire pe întregul interval de măsură, cu excepția lui zero, sau cu mai mult de ± 0,3 % pe întreaga scală, reținându-se valoarea mai mare. Acuratețea se determină în conformitate cu cerințele privind calibrarea prevăzute la punctul 1.6 din apendicele 5 la prezenta anexă.

Notă: În sensul prezentei directive, acuratețea se definește ca devierea citirii analizorului de la valorile calibrării nominale folosind cu un gaz de calibrare (= valoare reală).

3.1.2.   Precizia

Precizia, definită ca fiind de 2,5 ori devierea standard a 10 răspunsuri repetitive la un anumit gaz de calibrare sau de control, trebuie să fie de maximum ± 1 % din concentrația la întreaga scală pentru fiecare gamă utilizată de peste 155 ppm (sau ppmC) sau de maximum ± 2 % pentru fiecare gamă utilizată sub 155 ppm (sau ppmC).

3.1.3.   Zgomotul

Răspunsul vârf-vârf al analizorului la zero și la gazele de calibrare sau de control, pe durata oricărui interval de 10 secunde, nu trebuie să depășească 2 % din întreaga scală a tuturor intervalelor folosite.

3.1.4.   Abaterea zero

Răspunsul zero se definește ca răspunsul mediu, inclusiv zgomotul, la un gaz de control într-un interval de 30 de secunde Abaterea pentru răspunsul zero pe o durată de o oră trebuie să fie mai mică de 2 % din întreaga scală, pe cel mai jos interval folosit.

3.1.5.   Valoarea abaterii

Valoarea răspunsului se definește ca răspunsul mediu, inclusiv zgomotul, la un gaz de control, pe durata unui interval de 30 de secunde. Valoarea abaterii răspunsului pe o perioadă de o oră trebuie să fie mai mică de 2 % din întreaga scală, pe cel mai jos interval folosit.

3.1.6.   Timpul de demarare

Timpul de demarare al analizorului instalat pe sistemul de măsurare nu trebuie să depășească 3,5 s.

Notă: Simpla evaluare a timpului de răspuns al analizorului nu este suficientă pentru a defini în mod clar adecvarea întregului sistem la testele tranzitorii. Volumele, în special volumele moarte, din ansamblul sistemului influențează nu doar timpul de transport de la sondă la analizor, dar și timpul de demarare. De asemenea, timpii de transport din interiorul analizorului se pot defini ca fiind timpul de răspuns al analizorului, ca în cazul convertizorului sau al obturatoarelor de apă din interiorul analizorilor de NOx. Determinarea timpului de răspuns al întregului sistem este descrisă la punctul 1.5 din apendicele 5 la prezenta anexă.

3.2.   Uscarea gazului

Dispozitivul opțional de uscare a gazului trebuie să aibă un efect minim asupra concentrației gazelor măsurate. Aparatele de uscare chimică nu sunt o metodă acceptabilă de îndepărtare a apei din eșantion.

3.3.   Analizorii

Punctele 3.3.1-3.3.4 descriu principiile de măsurare care trebuie utilizate. O descriere detaliată a sistemelor de măsurare este furnizată în anexa V. Gazele care urmează să fie măsurate trebuie analizate cu următoarele instrumente. Pentru analizorii non-liniari, se acceptă utilizarea circuitelor de liniarizare.

3.3.1.   Analiza monoxidului de carbon (CO)

Analizorul monoxidului de carbon trebuie să fie un analizor de absorbție non-dispersivă, în infraroșu (NDIR).

3.3.2.   Analiza dioxidului de carbon (CO2)

Analizorul dioxidului de carbon trebuie să fie un analizor de absorbție non-dispersivă, în infraroșu (NDIR).

3.3.3.   Analiza hidrocarburilor (HC)

Pentru motoarele diesel sau pe gaz care funcționează cu GPL, analizorul hidrocarburilor trebuie să fie de tipul detectorului de ionizare încălzit la flamă (HFID) cu detector, supape, țevi etc., încălzit astfel încât să mențină o temperatură a gazului de 463 K ± 10K (190 °C ± 10 °C). Pentru motoarele pe gaz care funcționează cu gaz natural, analizorul hidrocarburilor poate să fie de tipul detectorului de ionizare cu flamă neîncălzit (FID), în funcție de metoda utilizată (a se vedea punctul 1.3 din anexa V).

3.3.4.   Analiza hidrocarburilor nemetanice (NMHC) (numai pentru motoare pe gaz care funcționează cu gaz natural)

Hidrocarburile nemetanice se determină prin una dintre metodele următoare:

3.3.4.1.   Metoda gazului cromatograf (GC)

Hidrocarburile nemetanice se determină prin scăderea metanului analizat cu gaz cromatograf (GC) condiționat la 423 K (150 °C) din hidrocarburile măsurate în conformitate cu prevederile punctului 3.3.3.

3.3.4.2.   Metoda separatorului de metan (NMC)

Determinarea fracțiunii nemetanice se efectuează cu ajutorul unui NMC încălzit cuplat la un FID, în conformitate cu punctul 3.3.3, prin scăderea metanului din hidrocarburi.

3.3.5.   Analiza oxizilor de azot (NOx)

Analizorul oxizilor de azot trebuie să fie un analizor de tipul detectorului chemiluminiscent (CLD) sau de tipul detectorului chemiluminiscent încălzit (HCLD) cu convertizor NO2/NO, în cazul în care măsurarea se face într-o bază uscată. În cazul în care măsurarea se face într-o bază umedă, se folosește un HCLD cu convertizor menținut la peste 328 K (50 °C), cu condiția să fie satisfăcută verificarea efectului de atenuare cu apă (a se vedea punctul 1.9.2.2 din apendicele 5 la prezenta anexă).

3.3.6.   Măsurarea raportului aer/carburant

Echipamentul de măsurare a raportului aer/carburant utilizat la determinarea debitului de gaz de eșapament, prevăzut la punctul 4.2.5 din apendicele 2 la prezenta anexă, trebuie să fie un senzor cu interval de măsurare mare pentru raportul aer/carburant sau un senzor lambda de tip zirconiu. Senzorul se montează direct pe țeava de eșapament, într-un punct în care temperatura este suficient de ridicată pentru a elimina condensarea apei.

Acuratețea senzorului cu componente electronice încorporate trebuie să fie de:



± 3 % din citire

λ < 2

± 5 % din citire

2 ≤ λ < 5

± 10 % din citire

5 ≤ λ

Pentru a îndeplini cerințele de acuratețe menționate anterior, senzorul trebuie calibrat în conformitate cu indicațiile producătorului instrumentului.

3.4.   Eșantionarea emisiilor gazoase

3.4.1.   Gazul de eșapament brut

Sondele de eșantionare a emisiilor gazoase trebuie montate la cel puțin 0,5 m sau la o distanță echivalentă cu de 3 ori diametrul țevii de eșapament, reținându-se valoarea mai mare, în amonte față de ieșirea din sistemul de eșapament, dar suficient de aproape de motor pentru a asigura o temperatură a gazului de eșapament de cel puțin 343 K (70 °C) la sondă.

În cazul motoarelor cu mai mulți cilindri dotați cu un colector de evacuare ramificat, admisia sondei trebuie să fie localizată la o distanță suficient de mare în aval, astfel încât eșantionul să fie reprezentativ pentru emisiile de gaze de eșapament medii din toți cilindrii. În cazul motoarelor cu mai mulți cilindri care au grupuri distincte de colectoare de evacuare, cum sunt motoarele cu configurație în V, se recomandă combinarea țevilor în amonte față de sonda de eșantionare. În cazul în care această soluție nu este practică, este permisă obținerea unui eșantion din grupul cu cea mai mare emisie de CO2. Se pot utiliza și alte metode despre care s-a arătat că se corelează cu metodele de mai sus. Pentru calcularea emisiei gazelor de eșapament, trebuie folosit debitul masic total al gazelor de eșapament.

În cazul în care motorul este echipat cu un sistem de post-tratare a eșapamentului, eșantionul de gaz de eșapament se prelevează în aval de sistemul de post-tratare.

3.4.2.   Gazul de eșapament diluat

Țeava de evacuare dintre motor și sistemul de diluare cu debit total trebuie să respecte cerințele punctului 2.3.1 din anexa V (EP).

Sonda/sondele de eșantionare a emisiilor gazoase se instalează în tunelul de diluare într-un punct în care aerul de diluare și gazele de eșapament sunt deja bine amestecate și în imediata proximitate a sondei de eșantionare a particulelor.

În general, eșantionarea se poate realiza în două moduri:

 poluanții se prelevează într-un sac de eșantionare pe durata ciclului și se măsoară după încheierea testului;

 poluanții se prelevează în mod continuu și se integrează pe durata ciclului; această metodă este obligatorie pentru HC și NOx.

4.   DETERMINAREA PARTICULELOR

Determinarea particulelor necesită un sistem de diluare. Diluarea poate fi realizată printr-un sistem de diluare cu debit parțial sau printr-un sistem de diluare dublă cu debit total. Capacitatea de curgere a sistemului de diluare trebuie să fie destul de mare pentru a elimina complet condensarea apei din sistemele de diluare și de eșantionare. Temperatura gazului de eșapament diluat trebuie să fie sub 325 K (52 °C) ( 22 ) imediat în amonte de suportul filtrului. Este permis controlul umidității aerului de diluare înainte de intrarea în sistemul de diluare; este utilă în special dezumidificarea, în cazul în care umiditatea aerului de diluare este ridicată. Temperatura aerului de diluare trebuie să depășească 288 K (15 °C) în imediata proximitate a intrării în tunelul de diluare.

Sistemul de diluare cu debit parțial trebuie să fie proiectat pentru extragerea unui eșantion de gaz de eșapament brut proporțional din fluxul de evacuare al motorului, răspunzând astfel deviațiilor debitului fluxului de evacuare și pentru introducerea de aer de diluare în acel eșantion pentru a atinge o temperatură mai mică de 325 K (52 °C) la filtrul de test. Pentru aceasta, este esențial ca raportul de diluare sau raportul de eșantionare rdil sau rs să fie determinat în așa fel încât fie respectate limitele de acuratețe prevăzute la punctul 3.2.1 din apendicele 5 la prezenta anexă. Se pot aplica diferite metode de separare, iar tipul de separare utilizat impune într-o măsură semnificativă tipul de echipament pentru eșantionare și procedurile care urmează să fie folosite (punctul 2.2 din anexa V).

În general, sonda de eșantionare a particulelor se instalează în imediata proximitate a sondei de eșantionare a emisiilor gazoase, dar la distanță suficientă pentru a nu cauza interferențe. Prin urmare, dispozițiile referitoare la instalare ale punctului 3.4.1 se aplică și în cazul eșantionării particulelor. Procedura de eșantionare este în conformitate cu dispozițiile punctului 2 din anexa V.

În cazul motoarelor cu mai mulți cilindri dotați cu colector de evacuare ramificat, admisia sondei trebuie să fie localizată la o distanță suficientă în aval, astfel încât să fie sigur că eșantionul este reprezentativ pentru emisiile de gaze de eșapament medii din toți cilindrii. În cazul motoarelor cu mai mulți cilindri care au grupuri distincte de colectoare de evacuare, cum sunt motoarele cu configurație în V, se recomandă combinarea colectoarelor în amonte față de sonda de eșantionare. În cazul în care această soluție nu este practică, este permisă obținerea unui eșantion din grupul cu cea mai mare emisie de particule. Se pot utiliza și alte metode despre care s-a arătat că se corelează cu metodele de mai sus. Pentru calcularea emisiei de eșapament, trebuie folosit debitul masic total al gazelor de eșapament.

Pentru determinarea masei de particule, sunt necesare un sistem de eșantionare a particulelor, filtre de eșantionare a particulelor, o microbalanță, precum și o cameră de cântărire cu temperatura și umiditatea controlate.

Pentru eșantionarea particulelor, se aplică metoda filtrului unic, care utilizează un singur filtru (a se vedea punctul 4.1.3) pentru întregul ciclu de test. Pentru ESC, este necesar să se acorde o atenție specială timpilor și debitelor de prelevare a eșantioanelor pe durata fazei de eșantionare a testului.

4.1.   Filtre de eșantionare a particulelor

Eșapamentul diluat trebuie eșantionat cu ajutorul unui filtru care îndeplinește cerințele punctelor 4.1.1 și 4.1.2 pe durata secvenței de test.

4.1.1.   Specificațiile filtrului

Sunt necesare filtre din fibră de sticlă, acoperite cu un strat de fluorocarbon. Toate tipurile de filtre trebuie să aibă o eficiență de colectare de 0,3 μm a DOP (di-octilftalat) de cel puțin 99 % la o viteză de suprafață a unui gaz între 35 și 100 cm/s.

4.1.2.   Dimensiunea filtrului

Se recomandă filtrele de particule cu un diametru de 47 mm sau de 70 mm. Se acceptă filtre cu diametrul mai mare (punctul 4.1.4), dar nu sunt admise filtrele cu diametru mai mic.

4.1.3.   Viteza la suprafața filtrului

Se obține prin filtru o viteză de suprafață a gazului între 35 și 100 cm/s. Scăderea presiunii între începutul și sfârșitul testului nu trebuie să fie mai mare de 25 kPa.

4.1.4.   Încărcarea filtrului

Încărcările minime recomandate pentru dimensiunile obișnuite ale filtrelor sunt prezentate în tabelul 10. Pentru dimensiuni mai mari ale filtrelor, încărcarea minimă a filtrului trebuie să fie de 0,065 mg/1 000 mm2 aria filtrului.



Tabelul 10

Încărcările minime ale filtrelor

Diametrul filtrului (mm)

Încărcarea minimă (mg)

47

0,11

70

0,25

90

0,41

110

0,62

În cazul în care, ținând seama de testele anterioare, încărcarea recomandată minimă a filtrului este puțin probabil să fie atinsă la un ciclu de test după optimizarea debitelor și a raportului de diluare, se poate accepta o încărcare mai mică a filtrului, cu acordul părților implicate, dacă se poate dovedi că se respectă cerințele de acuratețe prevăzute la punctul 4.2, de exemplu cu o balanță de 0,1 μg.

4.1.5.   Suportul de filtru

Pentru testul de emisii, filtrele se poziționează pe un ansamblu de suporturi de filtre care îndeplinesc cerințele punctului 2.2 din anexa V. Ansamblul de suporturi de filtre trebuie să fie proiectat astfel încât să asigure o distribuție egală a fluxului pe întreaga suprafață utilă a filtrului. Supape rapide trebuie poziționate fie în amonte, fie în aval de suportul de filtre. Se poate instala un preclasificator inerțial cu un punct de tăiere de 50 % între 2,5 μm și 10 μm imediat în amonte de suportul de filtre. Este recomandată utilizarea unui preclasificator în cazul în care se utilizează o sondă de eșantionare cu tub deschis orentată înspre amonte.

4.2.   Specificațiile camerei de cântărire și ale balanței analitice

4.2.1.   Starea camerei de cântărire

Temperatura camerei (sau a incintei) în care sunt condiționate și cântărite filtrele de particule trebuie menținută la 295 K ± 3 K (22 °C ± 3 °C) pe durata întregii condiționări și cântăriri a filtrelor. Umiditatea trebuie menținută la un punct de condensare de 282,5 K ± 3 K (9,5 °C ± 3 °C) și o umiditate relativă de 45 % ± 8 %.

4.2.2.   Cântărirea filtrelor de referință

Mediul camerei (sau a incintei) trebuie să fie ferit de orice contaminant ambiant (cum este praful) care se poate depune pe filtre în timpul stabilizării. Perturbarea specificațiilor camerei de cântărire prevăzute la punctul 4.2.1 este permisă numai în cazul în care durata perturbării nu depășește 30 de minute. Camera de cântărire trebuie să îndeplinească specificațiile cerute înainte de intrarea personalului în încăpere. Cel puțin două filtre de referință nefolosite trebuie cântărite în intervalul de patru ore de la cântărirea filtrelor de eșantionare sau, preferabil, în același timp cu cântărirea acestora. Acestea trebuie să fie de aceeași mărime și din același material ca filtrele de eșantionare.

În cazul în care greutatea medie a filtrelor de referință se schimbă între cântăririle filtrelor de eșantionare cu mai mult de 10 μg, atunci se înlătură toate filtrele de eșantionare și se repetă testul de emisii.

În cazul în care criteriile de stabilitate ale camerei de cântărire prevăzute la punctul 4.2.1 nu sunt îndeplinite, dar cântărirea filtrului de referință îndeplinește criteriile menționate anterior, constructorul motorului are posibilitatea de a accepta cântărirea filtrelor de eșantionare sau de a anula testele, reparând sistemul de control al camerei de cântărire și reluând testul.

4.2.3.   Balanța analitică

Balanța analitică utilizată la determinarea greutății filtrului trebuie să aibă o precizie (deviație standard) de cel puțin 2 μg și o rezoluție de cel puțin 1 μg (o cifră = 1 μg) specificată de producătorul balanței.

4.2.4.   Eliminarea efectelor electricității statice

Pentru a elimina efectele electricității statice, filtrele trebuie neutralizate înainte de cântărire, de exemplu cu ajutorul unui neutralizator cu poloniu, al unei cuști Faraday sau al unui dispozitiv cu efect similar.

4.2.5.   Specificații privind măsurarea debitului

4.2.5.1.   Cerințe generale

Acuratețea absolută a debitmetrului și a instrumentarului de măsurare a debitului trebuie să fie cea prevăzută la punctul 2.2.

4.2.5.2.   Dispoziții speciale pentru sistemele de diluare cu debit parțial

Pentru sistemele de diluare cu debit parțial, acuratețea debitului qmp al eșantionului este primordială, în cazul în care nu este măsurat direct, ci determinat prin măsurarea diferenței de debit:

image

În acest caz, o acuratețe de ± 2 % pentru qmdew și qmdw nu este suficientă pentru a garanta o acuratețe acceptabilă pentru qmp. În cazul în care debitul gazului se determină prin măsurarea diferenței de debit, eroarea maximă a diferenței trebuie să fie astfel încât acuratețea qmp să fie de ± 5 % atunci când raportul de diluare este mai mic de 15. Acesta poate fi calculat luându-se valoarea medie pătratică a erorilor fiecărui instrument.

Se poate obține o acuratețe acceptabilă a qmp prin oricare dintre următoarele metode:

Acuratețea absolută a qmdew și qmdw este de ± 0,2 %, ceea ce garantează o acuratețe a qmp ≤ 5 % la un raport de diluare de 15. Cu toate acestea, la raporturi de diluare mai mari, vor apărea erori de diluare mai mari;

calibrarea qmdw față de qmdew se efectuează în așa fel încât să se obțină pentru qmp aceeași acuratețe ca și prin metoda a). Pentru detaliile referitoare la o astfel de calibrare, a se vedea punctul 3.2.1 din apendicele 5 la anexa III;

acuratețea qmp se determină indirect din acuratețea raportului de diluare, calculată cu ajutorul unui gaz de marcare, de exemplu CO2. Din nou, este necesară pentru qmp o acuratețe echivalentă celei obținute prin metoda a);

acuratețea absolută a qmdew și qmdw se situează în limitele de ± 2 % din întreaga scală, eroarea maximă a diferenței dintre qmdew și qmdw este mai mică sau egală cu 0,2 %, iar eroarea liniară se situează în limitele de ± 0,2 % din cel mai mare qmdew observat pe durata ciclului.

▼B

5.   DETERMINAREA FUMULUI

Acest punct conține specificații privind echipamentul de testare obligatoriu și opțional care trebuie utilizat în testul ELR. Fumul se măsoară cu un opacimetru dotat cu un mod de citire a opacității și a coeficientului de absorbție a luminii. Modul de citire a opacității se utilizează numai pentru calibrare și verificarea opacimetrului. Valorile fumului din cadrul ciclului de testare se măsoară în modul de citire a coeficientului de absorbție a luminii.

5.1.   Cerințe generale

Testul ELR necesită utilizarea unui sistem de măsurare a fumului și de prelucrare a datelor care include trei unități funcționale. Aceste unități pot fi integrate într-o singură componentă sau folosite ca un sistem de componente interconectate. Cele trei unități funcționale sunt:

 un opacimetru care respectă specificațiile din anexa V punctul 3;

 o unitate de prelucrare a datelor capabilă să îndeplinească funcțiile descrise în anexa III apendicele 1 punctul 6;

 o imprimantă și/sau un mediu de stocare electronică pentru înregistrarea și redarea valorilor impuse ale fumului specificate în anexa III apendicele 1 punctul 6.3.

5.2.   Cerințe specifice

5.2.1.   Linearitate

Linearitatea trebuie să se încadreze între ± 2 % opacitate.

5.2.2.   Abaterea zero

Abaterea zero pe o durată de o oră nu trebuie să depășească ± 1 % opacitate.

5.2.3.   Valorile afișate și intervalele opacimetrului

Pentru valorile opacității, intervalele trebuie să fie între 0-100 %, iar lizibilitatea de 0,1 %. Pentru indicarea coeficientului de absorbție a luminii, intervalul trebuie să fie 0-30 m-1, iar lizibilitatea de 0,01 m-1.

5.2.4.   Timpul de reacție al instrumentului

Timpul de reacție fizică al opacimetrului nu trebuie să depășească 0,2 s. Timpul de reacție fizică reprezintă diferența dintre timpii în care rezultatul furnizat de un receptor cu reacție rapidă atinge 10 și 90 % din abaterea totală în cazul în care opacitatea gazului măsurat se schimbă în mai puțin de 0,1 s.

Timpul de reacție electrică al opacimetrului nu trebuie să depășească 0,05 s. Timpul de reacție electrică reprezintă diferența dintre intervalele în care rezultatul furnizat de opacimetru atinge 10 și 90 % din abaterea totală în cazul în care sursa de lumină este întreruptă sau complet stinsă în mai puțin de 0,01 s.

5.2.5.   Filtre cu densitate neutră

Orice filtru cu densitate neutră utilizat pentru calibrarea opacimetrului, măsurarea linearității sau stabilirea etalonului trebuie să aibă o valoare cunoscută în limita a 1,0 % opacitate. Acuratețea valorii nominale a filtrului trebuie verificată cel puțin anual, utilizându-se o referință care să fie identificată într-un standard național sau internațional.

Filtrele cu densitate neutră sunt dispozitive de precizie și se pot deregla ușor în timpul utilizării. Manevrarea lor trebuie redusă la minimum, iar în cazul în care este necesară, aceasta trebuie efectuată cu atenție și trebuie evitată zgârierea sau pătarea filtrului.




Apendicele 5

PROCEDURA DE CALIBRARE

1.   CALIBRAREA INSTRUMENTELOR ANALITICE

1.1.   Introducere

Fiecare analizor trebuie calibrat ori de câte ori este necesar pentru a îndeplini cerințele privind acuratețea din prezenta directivă. Metoda de calibrare care trebuie folosită este descrisă la acest punct pentru analizorii indicați în anexa III apendicele 4 punctul 3 și în anexa V punctul 1.

1.2.   Gaze de calibrare

Trebuie respectată durata de depozitare a tuturor gazelor de calibrare.

Se înregistrează data de expirare a gazelor de calibrare declarată de constructor.

1.2.1.   Gaze pure

Puritatea cerută a gazelor este definită de limitele de contaminare indicate mai jos. Pentru operațiune sunt necesare următoarele gaze:

Azot purificat

(contaminare < 1 ppm C1, < 1 pmm CO, < 400 ppm CO2, < 0,1 ppm NO)

Oxigen purificat

(puritate > 99,5 % vol O2)

Amestec de hidrogen-heliu

(40 ± 2 % hidrogen, heliu transportor)

(contaminare < 1 ppm C1, < 400 ppm CO2)

Aer sintetic purificat

(contaminare < 1 ppm C1, < 1 ppm CO, < 400 ppm CO2, < 0,1 ppm NO)

(conținutul de oxigen între 18-21 % vol)

Propan purificat sau CO pentru verificarea CVS

1.2.2.   Gaze de calibrare și gaze etalon

Sunt necesare amestecuri de gaze având următoarele compoziții chimice:

C3H8 și aer sintetic purificat (a se vedea punctul 1.2.1);

CO și azot purificat;

NOx și azot purificat (cantitatea de NO2 din acest gaz de calibrare nu trebuie să depășească 5 % din conținutul de NO);

CO2 și azot purificat;

CH4 și aer sintetic purificat;

C2H6 și aer sintetic purificat;

Notă: Sunt permise și alte combinații de gaze, cu condiția ca gazele să nu intre în reacție.

Adevărata concentrație a gazului de calibrare și a gazului etalon trebuie să nu depășească ± 2 % din valoarea nominală. Toate concentrațiile gazului de calibrare trebuie calculate în funcție de volum (procentajul de volum sau volum ppm).

Gazele folosite pentru calibrare și ca etalon pot fi obținute, de asemenea, cu ajutorul unui separator care diluează cu N2 purificat sau cu aer sintetic purificat. Acuratețea dispozitivului de combinare trebuie să permită determinarea concentrației gazelor de calibrare diluate într-un interval de ± 2 %.

▼M1

1.2.3.   Utilizarea de dispozitive de amestecare de precizie

Gazele utilizate pentru calibrare și control se pot obține și cu ajutorul unor dispozitive de amestecare de precizie (separatoare de gaze) care diluează cu N2 purificat sau cu aer sintetic purificat. Acuratețea dispozitivului de amestecare trebuie să asigure concentrația gazelor de calibrare amestecate cu o acuratețe de ± 2 %. Această acuratețe presupune ca gazele primare utilizate la amestecare să fie cunoscute cu o acuratețe de cel puțin ± 1 % în raport cu standardele interne sau internaționale în domeniul gazului. Verificarea se efectuează între 15 % și 50 % din întreaga scală pentru fiecare calibrare care implică utilizarea unui dispozitiv de amestecare.

Opțional, dispozitivul de amestecare poate fi verificat cu un instrument liniar prin natura sa, de exemplu utilizându-se gaz NO cu un detector CLD. Intervalul de valori al instrumentului se reglează cu gaz de control conectat direct la instrument. Dispozitivul de amestecare se verifică la reglajele utilizate, iar valoarea nominală se compară cu concentrația măsurată de instrument. Diferența trebuie să se situeze în fiecare punct la ± 1 % din valoarea nominală.

▼B

1.3.   Procedura de operare pentru analizori și sistemul de eșantionare

Procedura de funcționare pentru analizori trebuie să respecte instrucțiunile de punere în funcțiune și de operare ale constructorului instrumentului. Trebuie incluse cerințele minime de la punctele 1.4-1.9.

▼M1

1.4.   Testul privind pierderile prin scurgere

Trebuie efectuat un test privind pierderile prin scurgere ale sistemului. Sonda se deconectează de la sistemul de evacuare, iar extremitatea acesteia se obturează. Se pune în funcțiune pompa analizorului. După o perioadă inițială de stabilizare, toate aparatele de măsurare a debitului ar trebui să indice zero. În caz contrar, liniile de eșantionare trebuie controlate, iar erorile corectate.

Cantitatea maximă acceptată de pierderi prin scurgere pe latura vidată este de 0,5 % din debitul curent pentru porțiunea de sistem controlată. Debitele analizorului și ale derivației pot fi folosite pentru a estima debitele curente.

Alternativ, sistemul poate fi evacuat la o presiune de cel puțin 20 kPa (80 kPa presiune absolută). După o perioadă de stabilizare inițială, creșterea de presiune din sistem Δp (kPa/min) nu trebuie să depășească:

image

unde:

Vs

=

volumul sistemului, l

qvs

=

debitul sistemului, l/min

O altă metodă presupune introducerea unei schimbări graduale a concentrației la începutul liniei de eșantionare prin comutarea de la zero la gazul de control. În cazul în care, după o perioadă adecvată de timp, indicatoarele arată o concentrație cu 1 % mai mică decât concentrația introdusă, acest fapt indică probleme de calibrare sau de pierderi prin scurgere.

▼M1

1.5.   Verificarea timpului de răspuns al sistemului analitic

Reglajele sistemului pentru evaluarea timpului de răspuns sunt exact aceleași ca și cele efectuate pentru test (respectiv presiunea, debitele, reglajele filtrelor de pe analizori și toate celelalte elemente care influențează timpul de răspuns). Determinarea timpului de răspuns se realizează cu deschidere de gaz direct la admisia sondei de eșantionare. Deschiderea de gaz durează mai puțin de 0,1 secunde. Gazele utilizate pentru test trebuie să producă o modificare a concentrației de cel puțin 60 % FS.

Curba concentrației fiecărei componente a gazului trebuie înregistrată. Timpul de răspuns se definește ca diferența de timp dintre deschiderea gazului și modificarea corespunzătoare a concentrației înregistrate. Timpul de răspuns al sistemului (t90) cuprinde timpul de întârziere al detectorului de măsură și timpul de demarare al detectorului. Timpul de întârziere se definește ca intervalul de timp de la modificare (t0) până în momentul în care răspunsul ajunge la 10 % din citirea finală (t10). Timpul de demarare se definește ca intervalul de timp dintre 10 % și 90 % din citirea finală (t90 – t10).

Pentru sincronizarea analizorului și a semnalelor de debit al eșapamentului în cazul măsurării brute, timpul de transformare se definește ca intervalul de timp de la modificare (t0) până când răspunsul ajunge la 50 % din citirea finală (t50).

Timpul de răspuns al sistemului trebuie să fie ≤ 10 secunde, cu un timp de demarare ≤ 3,5 secunde pentru toate componentele limitate (CO, NOx, HC sau NMHC) și toate gamele utilizate.

▼M1

1.6.   Calibrarea

1.6.1.   Ansamblul instrumentelor

Toate instrumentele trebuie calibrate, iar curbele de calibrare trebuie comparate cu gazele standard. Se utilizează aceleași debite ca și în cazul eșantionării gazului de eșapament.

1.6.2.   Timpul de încălzire

Timpul de încălzire trebuie să fie cel recomandat de producător. În cazul în care nu este specificat, se recomandă un minimum de două ore pentru încălzirea analizorilor.

1.6.3.   Analizorii NDIR și HFID

În cazul în care este necesar, analizorul NDIR trebuie reglat, iar flacăra de combustie a analizorului HFID trebuie optimizată (punctul 1.8.1).

1.6.4.   Stabilirea curbei de calibrare

 Fiecare gamă de funcționare utilizată în mod normal trebuie calibrată

 Utilizându-se aer sintetic purificat (sau azot), analizorii de CO, CO2, NOx și HC se setează la zero

 Gazele de calibrare adecvate se introduc în analizori, valorile se înregistrează și se stabilește astfel curba de calibrare

 Curba de calibrare se stabilește cu cel puțin 6 puncte de calibrare (excluzând punctul zero) distribuite aproximativ echidistant pe gama de funcționare. Concentrația nominală cea mai mare trebuie să fie mai mare sau egală cu 90 % din întreaga scală

 Curba de calibrare se calculează prin metoda celor mai mici pătrate. Se poate utiliza o ecuație de ajustare liniară sau neliniară

 Punctele de calibrare nu trebuie să se depărteze de curba de ajustare determinată prin metoda celor mai mici pătrate cu mai mult de ± 2 % din citire sau ± 0,3 % din întreaga scală, fiind reținută valoarea cea mai mare

 Reglajul zero trebuie verificat din nou, iar procedura de calibrare trebuie repetată, dacă este cazul.

1.6.5.   Metode alternative

În cazul în care se poate demonstra că anumite tehnologii alternative (de exemplu, calculatoare, comutatoare de gamă electronice etc.) pot furniza o acuratețe echivalentă, se pot utiliza acele tehnologii alternative.

1.6.6.   Calibrarea analizorului gazului de marcare pentru măsurarea debitului eșapamentului

Curba de calibrare se stabilește cu cel puțin 6 puncte de calibrare (excluzând punctul zero) distribuite aproximativ echidistant pe gama de funcționare. Concentrația nominală cea mai mare trebuie să fie mai mare sau egală cu 90 % din întreaga scală. Curba de calibrare se calculează prin metoda celor mai mici pătrate.

Punctele de calibrare nu trebuie să se depărteze de curba de ajustare determinată prin metoda celor mai mici pătrate cu mai mult de ± 2 % din citire sau ± 0,3 % din întreaga scală, fiind reținută valoarea cea mai mare.

Analizorul se setează la zero și se verifică înainte de efectuarea testului utilizându-se un gaz zero și un gaz de control a cărui valoare nominală este mai mare de 80 % din întreaga scală a analizorului.

▼B

►M1  1.6.7 ◄    Verificarea calibrării

Fiecare interval de operare folosit în mod normal trebuie verificat înaintea fiecărei analize, conform procedurii următoare:

Calibrarea este verificată prin utilizarea unui gaz zero și a unui gaz etalon a cărui valoare nominală este mai mare de 80 % din scala totală a intervalului măsurării.

În cazul în care, luând în considerare cele două puncte, valoarea identificată nu diferă cu mai mult de ± 4 % din scala totală a valorii de referință declarate, parametrii de ajustare pot fi modificați. În cazul în care acest lucru nu este valabil, noua curbă de calibrare este stabilită în conformitate cu punctul 1.5.5

1.7.   Testul de eficiență a convertorului de NOx

Eficiența convertorului folosit pentru conversia NO2 în NO se testează în conformitate cu punctele 1.7.1-1.7.8 (figura 6).

1.7.1.   Pregătirea testului

Folosind pregătirea testului în conformitate cu figura 6 (a se vedea, de asemenea, anexa III apendicele 4 punctul 3.3.5) și procedura de mai jos, eficiența convertorilor poate fi testată cu ajutorul unui ozonator.

1.7.2.   Calibrarea

CLD și HCLD trebuie calibrate în intervalul de calibrare cel mai frecvent, urmând specificațiile constructorului privind utilizarea gazului zero și a gazului etalon (conținutul de NO trebuie să atingă 80 % din intervalul de funcționare, iar concentrația de NO2 a amestecului de gaze la mai puțin de 5 % din concentrația de NO). Analizorul NOx trebuie să fie în modul NO, astfel încât gazul etalon să nu treacă prin convertor. Concentrația indicată trebuie înregistrată.

1.7.3.   Calcul

Eficiența convertorului cu NOx se calculează după cum urmează:

image

unde:

a

=

concentrația de NOx conform punctului 1.7.6.

b

=

concentrația de NOx conform punctului 1.7.7.

c

=

concentrația de NO conform punctului 1.7.4.

d

=

concentrația de NO conform punctul 1.7.5

1.7.4.   Adăugarea de oxigen

Printr-un racord de tip T, se adaugă încontinuu oxigen sau aer zero în debitul de gaz, până când concentrația indicată este cu aproximativ 20 % mai mică decât concentrația de calibrare prezentată la punctul 1.7.2 (Analizorul este în modul NO). Se înregistrează concentrația c indicată. Ozonatorul rămâne dezactivat de-a lungul procesului.

1.7.5.   Activarea ozonatorului

Ozonatorul se activează în acest moment pentru a genera o cantitate suficientă de ozon, astfel încât să scadă concentrația de NO la aproximativ 20 % (minimum 10 %) din concentrația de calibrare prezentată la punctul 1.7.2 Se înregistrează concentrația d indicată. (Analizorul este în modul NO).

1.7.6.   Modul NOx

Analizorul NO este comutat ulterior la modul NOx, astfel încât amestecul de gaze (format din NO, NO2, O2 și N2) să treacă prin convertor. Se înregistrează concentrația a indicată. (Analizorul este în modul NOx).

1.7.7.   Dezactivarea ozonatorului

Ozonatorul este în acest moment dezactivat. Amestecul de gaze descris la punctul 1.7.6 trece prin convertor în detector. Este înregistrată concentrația indicată b. (Analizorul este în modul NOx).

1.7.8.   Modul NO

Comutat în modul NO cu ozonatorul dezactivat, debitul de oxigen sau de aer sintetic este, de asemenea, întrerupt. Rezultatul măsurării NOx la analizor nu trebuie să aibă o abatere mai mare de ± 5 % de la valoarea măsurată în conformitate cu punctul 1.7.2 (Analizorul este în modul NO).

1.7.9.   Intervalul testului

Eficiența convertorului trebuie testată înainte de fiecare calibrare a analizorului NOx.

1.7.10.   Cerințe privind eficiența

Eficiența convertorului nu trebuie să fie mai mică de 90 %; se recomandă o eficiență mai mare, de 95 %.

Notă: În cazul în care, analizorul fiind în cel mai frecvent interval operațional, ozonatorul nu poate opera o reducere de la 80 % la 20 % în conformitate cu punctul 1.7.5, atunci se folosește cel mai înalt interval care să opereze reducerea.

Figura 6

Schema dispozitivului de măsurare a eficienței convertorului NOx

Supapă solenoidOzonatorAlternostatCătre analizor

1.8.   Reglarea fid

1.8.1.   Optimizarea reacției detectorului

Detectorul HFID trebuie reglat în conformitate cu instrucțiunile constructorului. Pentru optimizarea reacției pe cel mai frecvent interval operațional, se folosește propan în gazul etalon al aerului.

După reglarea debitului carburantului și al aerului în conformitate cu recomandările constructorului, se introduce în analizor un gaz etalon de 350 ± 75 ppm C. Reacția la un debit dat al carburantului se determină din diferența dintre reacția gazului etalon și reacția gazului zero. Debitul carburantului trebuie reglat treptat peste și sub specificațiile constructorului. Se înregistrează reacția etalon și reacția zero la aceste debite ale carburantului. Diferența dintre reacția etalon și reacția zero este reprezentată grafic, iar debitul carburantului este reglat spre partea cu valori maxime ale curbei.

1.8.2.   Factorii de reacție la hidrocarburi

Analizorul se calibrează folosindu-se propan în aer și în aerul sintetic purificat, în conformitate cu punctul 1.5

Factorii de reacție se determină în cazul în care se supune un analizor operațiunilor de întreținere sau după perioade lungi de întreținere. Factorul de reacție (Rf) pentru o categorie specială de carbon este proporția dintre rezultatul măsurării de C1 obținută prin FID și concentrația de gaz din cilindru, exprimată în ppm C1.

Concentrația gazului de testare trebuie să fie la un nivel care să dea o reacție de aproximativ 80 % din scala totală. Concentrația trebuie cunoscută cu acuratețe de ± 2 % în raport cu un standard gravimetric exprimat în volum. Suplimentar, cilindrul gazului trebuie precondiționat timp de 24 de ore, la o temperatură de 298 K ± 5 K (25 °C ± 5 °C).

Gazele de testare care trebuie folosite și intervalele relative recomandate ale factorului de reacție sunt:

metan și aer sintetic purificat 1,00 < Rf < 1,15

propilenă și aer sintetic purificat 0,9 < Rf < 1,10

toluen și aer sintetic purificat 0,9 < Rf < 1,10

Aceste valori se referă la factorul de reacție (Rf) cu valoare de 1,00 pentru propan și aer sintetic purificat.

1.8.3.   Verificarea interferenței cu oxigenul

Verificarea interferenței cu oxigenul se realizează prin supunerea unui analizor operațiunilor de întreținere și după perioade lungi de întreținere.

Factorul de reacție este definit și se determină conform descrierii de la punctul 1.8.2 Gazul de testare care urmează să fie folosit și intervalul relativ recomandat al factorului de reacție sunt:

image

Această valoare se referă la factorul de reacție (Rf) cu valoare de 1,00 pentru propan și aer sintetic purificat.

Concentrația de oxigen din aerul de ardere al FID trebuie să se situeze între limitele de ± 1 mol % din concentrația de oxigen a aerului de ardere folosit la ultima verificare a interferenței cu oxigenul. În cazul în care diferența este mai mare, interferența cu oxigenul trebuie verificată, iar analizorul reglat.

1.8.4.   Eficiența separatorului nemetanic (NMC, numai pentru motoarele alimentate cu gaz natural)

NMC este utilizat pentru îndepărtarea hidrocarburilor nemetanice din gazul eșantion, prin oxidarea tuturor hidrocarburilor, cu excepția metanului. La modul ideal, conversia pentru metan este de 0 %, iar pentru alte hidrocarburi reprezentate de etan este de 100 %. Pentru o măsurare exactă a NMHC, cele două eficiențe se determină și sunt utilizate pentru calcularea debitului emisiilor de NMHC (a se vedea anexa III apendicele 2 punctul 4.3).

1.8.4.1.   Eficiența metanului

Gazul de calibrare a metanului este trecut prin FID cu sau fără deviere de la NMC și se înregistrează ambele concentrații. Eficiența se stabilește după cum urmează:

image

unde

concw

=

concentrație HC cu CH4 trecând prin NMC

concw/o

=

concentrație HC cu CH4 ocolind NMC

1.8.4.2.   Eficiența etanului

Gazul de calibrare a etanului este trecut prin FID cu sau fără ocolirea NMC și se înregistrează ambele concentrații. Eficiența se stabilește după cum urmează:

image

unde

concw

=

concentrație HC cu C2H6 trecând prin NMC

concw/o

=

concentrație HC cu C2H6 ocolind NMC

1.9.   Efecte ale interferenței cu analizorii CO, CO2 și NOx

Gazele prezente în emisia de gaze de evacuare, în afara celui analizat, pot să interfereze cu citirea măsurătorilor în mai multe moduri. Interferența pozitivă survine în instrumentele NDIR, unde gazul de interferență produce același efect ca și gazul măsurat, dar într-un grad mai mic. Interferența negativă survine în instrumentele NDIR prin gazul de interferență care extinde banda de absorbție a gazului măsurat și în instrumentele CLD prin gazul de interferență care stinge radiația. Verificările interferențelor de la punctele 1.9.1 și 1.9.2 trebuie efectuate înainte de utilizarea inițială a analizorului și după perioade lungi de întreținere.

1.9.1.   Verificarea interferenței analizorului CO

Apa și CO2 pot perturba funcționarea analizorului CO. Prin urmare, un gaz etalon CO2 având o concentrație de 80 până la 100 % din scala totală a intervalului maxim de operare folosit în timpul testării trebuie barbotat cu apă la temperatura camerei, iar reacția analizorului înregistrată. Reacția analizorului nu trebuie să fie mai mare de 1 % din scala totală pentru intervale mai mari sau egale cu 300 ppm sau mai mari de 3 ppm pentru intervale sub 300 ppm.

1.9.2.   Verificarea interferenței analizorului NOx

Cele două gaze importante pentru analizorii CLD (și HCLD) sunt CO2 și vaporii de apă. Ratele de interferență ale acestor gaze sunt proporționale cu concentrațiile lor și, în consecință, necesită tehnici de testare prin care să se determine interferența la concentrațiile maxime avute în vedere și care survin în timpul testării.

1.9.2.1.   Verificarea ratei de interferență cu CO2

Un gaz etalon CO2 având o concentrație de 80 până la 100 % din scala totală a intervalului maxim de operare este trecut prin analizorul NDIR, iar valoarea CO2 înregistrată drept A. Ulterior, acesta este diluat în proporție de aproximativ 50 % cu gaz etalon NO și trecut prin NDIR și (H)CLD, iar valorile CO2 și NO sunt înregistrate drept B, respectiv C. CO2 este întrerupt, iar prin (H)CLD este trecut numai gazul etalon NO, valoarea NO fiind înregistrată drept D.

Interferența, care nu trebuie să depășească 3 % din scala totală, se calculează după cum urmează:

image

unde:

A

=

concentrația CO2 nediluat, măsurată cu NDIR, în %

B

=

concentrația CO2 diluat, măsurată cu NDIR, în %

C

=

concentrația NO diluat, măsurată cu (H)CLD, în ppm

D

=

concentrația NO nediluat, măsurată cu (H)CLD în ppm

Se pot utiliza metode alternative de diluție și cuantificare a valorilor gazelor etalon CO2 și NO, precum amestecul dinamic sau dozajul dinamic.

1.9.2.2.   Verificarea interferenței cu apa

Această verificare se aplică numai măsurării concentrației de gaz în stare umedă. Calculul interferenței cu apa trebuie să ia în considerare diluția gazului de control NO cu vapori de apă și gradarea concentrației cu vapori de apă din amestec până la cea avută în vedere în timpul testării.

Un gaz de control NO având o concentrație de 80 până la 100 % din scala totală a intervalului normal de operare este trecut prin (H)CLD, iar valoarea NO este înregistrată drept D. Gazul NO trebuie barbotat cu apă la temperatura camerei și trecut prin (H)CLD, iar valoarea NO este înregistrată drept C. Presiunea absolută de funcționare a analizorului și temperatura apei se determină și se înregistrează drept E, respectiv F. Presiunea vaporilor de saturație ai amestecului care corespunde cu temperatura apei din barbotor (F) se determină și se înregistrează drept G. Concentrația vaporilor de apă (H, în procente) a amestecului se calculează după cum urmează:

image

Concentrația estimată (De) a gazului etalon NO diluat (în vaporii de apă) se calculează după cum urmează:

image

Pentru emisiile diesel, concentrația maximă a vaporilor de apă evacuați (Hm, în procente) preconizată în timpul testării este estimată luând în considerare ipoteza unui raport al atomului de carburant H/C de 1,8:1 din concentrația gazului etalon nediluat CO2 (A, conform măsurării de la punctul 1.9.2.1) după cum urmează:

image

Interferența cu apa nu trebuie să fie mai mare de 3 % din scala totală și se calculează după cum urmează:

image

unde

De

=

concentrația presupusă de NO diluat calculată în ppm

C

=

concentrația de NO diluat calculată în ppm

Hm

=

concentrația maximă a vaporilor de apă (%)

H

=

concentrația reală a vaporilor de apă (%)

Notă: Este important ca gazul de control NO să conțină o concentrație minimă NO2 pentru această verificare, deoarece absorbția de NO2 în apă nu a fost luată în considerare în calculele privind interferența.

1.10.   Intervale de calibrare

Analizorii trebuie calibrați în conformitate cu punctul 1.5 cel puțin o dată la trei luni sau ori de câte ori are loc o reparație sau o modificare a sistemului, care ar putea influența calibrarea.

2.   CALIBRAREA SISTEMULUI CVS

2.1.   Aspecte generale

Sistemul CVS trebuie calibrat prin utilizarea unui debitmetru precis care se conformează standardelor naționale sau internaționale și a unui dispozitiv restrictiv. Debitul prin sistem trebuie măsurat la setări de restricție diferite, iar parametrii de control ai sistemului trebuie măsurați și asociați cu debitul.

Pot fi utilizate tipuri diferite de debitmetru, precum tuburi Venturi, debitmetru calibrat cu element de laminarizare, debitmetru cu turbină calibrat.

2.2.   Calibrarea pompei volumetrice (PDP)

Toți parametrii care au legătură cu pompa se măsoară simultan cu parametrii care au legătură cu debitmetrul conectat în serie cu pompa. Debitul calculat (în m3/min la orificiul de admisie, presiune absolută și temperatură absolută) se marchează în raport cu o funcție de corelare care reprezintă valoarea unei combinații specifice a parametrilor pompei. Se stabilește ecuația lineară care pune în relație debitul pompei și funcția de corelare. În cazul în care un CVS are viteze multiple, calibrarea se efectuează pentru fiecare interval folosit. Trebuie menținută o temperatură constantă pe parcursul calibrării.

2.2.1.   Analizarea datelor

Rata debitului aerului (Qs) la fiecare setare restrictivă (minimum cinci setări) se calculează în standard m3/min din datele debitmetrului utilizând metoda prescrisă de constructor. Rata debitului de aer se transformă ulterior în debit al pompei (V0) în m3/rev la temperatura și presiunea absolută de admisie în pompă, după cum urmează:

image

unde

Qs

=

debitul de aer în condiții standard (101,3 kPa, 273 K), în m3/s

T

=

temperatura la orificiul de admisie în pompă, în K

PA

=

presiunea absolută la orificiul de admisie în pompă (pB – p. 1), în kPa

n

=

viteza pompei, rev/s

Pentru a ține seama de variațiile de presiune la pompă și de rata pierderilor la pompă, funcția de corelare (X0) dintre viteza pompei, diferența dintre presiunea la admisie în pompă și cea la evacuare din pompă și presiunea absolută de evacuare din pompă se calculează după cum urmează:

image

unde

Δpp

=

diferența de presiune dintre admisie și evacuare, în kPa

pA

=

presiunea absolută la evacuare din pompă, în kPa

Se realizează o ajustare lineară prin metoda celor mai mici pătrate pentru a genera ecuația calibrării după cum urmează:

image

D0 și m sunt constantele și pantele care descriu liniile de regresie.

Pentru sistemul CVS cu viteze multiple, curbele de calibrare generate pentru game diferite de debit al pompei trebuie să fie aproximativ paralele, iar valorile segmentelor (D0) trebuie să crească o dată cu scăderea debitului la pompă.

Valorile calculate prin ecuație trebuie să reprezinte ± 0,5 % din valorile măsurate ale V0. Valorile lui m variază în funcție de pompă. Generarea de particule conduce în timp la scăderea glisării pompei, lucru reflectat de valorile scăzute ale lui m. Prin urmare, calibrarea se efectuează la punerea în funcțiune a pompei, în urma unor lucrări de întreținere majore, precum și în cazul în care verificarea întregului sistem (punctul 2.4) indică o schimbare a ratei de glisare.

2.3.   Calibrarea difuzorului de aer pentru debit critic (CFV)

Calibrarea CFV are la bază ecuația debitului pentru un difuzor de aer pentru debit critic. Debitul de gaz este funcție de presiunea la admisie și de temperatură, după cum urmează:

image

unde

Kv

=

coeficientul de calibrare

PA

=

presiunea absolută la admisia în tubul Venturi, în kPa

T

=

temperatura la admisia în tubul Venturi, în K

2.3.1.   Analiza datelor

Rata debitului de aer (Qs) la fiecare setare restrictivă (minimum opt setări) se calculează în standard m3/min din datele debitmetrului, utilizând metoda prescrisă de constructor. Coeficientul de calibrare se calculează pe baza datelor de calibrare pentru fiecare reglare, după cum urmează:

image

unde:

Qs

=

debitul de aer în condiții standard (101,3 kPa, 273 K), în m3/s

T

=

temperatura la admisia în tubul Venturi, în K

PA

=

presiunea absolută la admisia în tubul Venturi, în kPa

Pentru determinarea intervalului debitului critic, Kv se reprezintă ca funcție a presiunii de admisie în tubul Venturi. Pentru debitul critic (strangulat), valoarea este relativ constantă. O dată cu scăderea presiunii (creșterea vidului), tubul Venturi nu mai este strangulat, iar Kv scade, ceea ce indică faptul că CFV funcționează în afara intervalului permis.

Pentru un minimum de opt puncte în zona debitului critic, se calculează media Kv și abaterea standard. Abaterea standard nu trebuie să depășească ± 0,3 % din media Kv.

▼M1

2.4.   Calibrarea tubului Venturi subsonic (SSV)

Calibrarea SSV se bazează pe ecuația debitului pentru un tub Venturi subsonic. Debitul gazului este o funcție a presiunii și a temperaturii de admisie, precum și a scăderii de presiune dintre admisia SSV și gura acestuia.

2.4.1.   Analiza datelor

Debitul de aer (QSSV) la fiecare poziție a robinetului (minimum 16 reglări) se calculează în m3/min standard pornind de la datele debitmetrului și utilizând metoda prescrisă de producător. Coeficientul de evacuare se calculează pornind de la datele de calibrare pentru fiecare reglaj, după cum urmează:

image

unde:

QSSV

=

debitul aerului în condiții standard (101,3 kPa, 273 K), m3/s

T

=

temperatura la admisia în tubul Venturi, K

d

=

diametrul gurii SSV, m

rp

=

raportul între presiunile statice absolute la gura și la admisia SSV =

image

rD

=

raportul dintre diametrul gurii SSV, d, și diametrul interior al țevii de admisie =

image

Pentru a determina gama de debite subsonice, Cd se trasează ca o funcție a numărului lui Reynolds la gura SSV. Re la gura SSV se calculează cu ajutorul formulei următoare:

image

unde:

A1

=

o colecție de constante și de conversii de unități

image

QSSV

=

debitul aerului în condiții standard (101,3 kPa, 273 K), m3/s

d

=

diametrul gurii SSV, m

μ

=

viscozitatea absolută sau dinamică a gazului, calculată cu ajutorul următoarei formule:

image

b

=

constantă empirică =

image

S

=

constantă empirică = 110,4 K

Întrucât QSSV se utilizează în formula de calcul a Re, calcularea Re trebuie să înceapă cu o valoarea inițială estimată a QSSV sau a Cd a tubului Venturi de calibrare și să se repete până când valorile QSSV converg. Metoda de convergență trebuie să aibă o acuratețe de cel puțin 0,1 %.

Pentru un minimum de șaisprezece puncte situate în regiunea debitului subsonic, valorile calculare ale Cd din ecuația rezultată din ajustarea curbei de calibrare trebuie să se situeze la ± 0,5 % din valoarea măsurată a Cd pentru fiecare punct de calibrare.

▼B

►M1  2.5. ◄    Verificarea întregului sistem

Acuratețea totală a sistemului de eșantionare CVS și a sistemului analitic se determină prin introducerea unei mase cunoscute de gaz poluant în sistem pe parcursul funcționării acestuia obișnuite. Gazul poluant este analizat, iar masa calculată în conformitate cu anexa III apendicele 2 punctul 4.3, cu excepția cazului propanului, când se folosește un factor de 0,000472, în locul celui de 0,000479 pentru HC. Trebuie folosită una dintre următoarele două tehnici.

►M1  2.5.1. ◄    Măsurarea cu ajutorul unui orificiu pentru debit critic

Sistemul CVS este alimentat cu o cantitate cunoscută de gaz pur (monoxid de carbon sau propan) printr-un orificiu pentru debit critic calibrat. În cazul în care presiunea de admisie este destul de ridicată, debitul, care este ajustat cu ajutorul orificiului pentru debit critic, este independent de presiunea la ieșirea din orificiu (= debit critic). Sistemul CVS trebuie operat ca într-un test normal de emisii de gaze timp de aproximativ 5-10 minute. Un eșantion de gaz trebuie analizat cu echipamentul obișnuit (sac de eșantionare sau metodă integrată), iar masa de gaz trebuie calculată. Masa stabilită astfel trebuie să fie de ± 3 % din masa cunoscută a gazului introdus.

►M1  2.5.2. ◄    Măsurarea cu ajutorul metodei gravimetrice

Greutatea unui cilindru mic umplut cu monoxid de carbon sau propan se stabilește cu o precizie de ± 0,01 g. Pentru un interval de 5-10 minute, sistemul CVS este operat în condițiile unui test normal de emisii de gaze, în timp ce se injectează monoxid de carbon sau propan în sistem. Cantitatea de gaz pur emisă trebuie stabilită prin intermediul cântăririlor diferențiale. Trebuie analizat un eșantion de gaz cu echipamentul obișnuit (sac de eșantionare sau metodă integrată), iar masa de gaz trebuie calculată. Masa stabilită astfel trebuie să fie de ± 3 % din masa cunoscută a gazului introdus.

▼M1

3.   CALIBRAREA SISTEMULUI DE MĂSURARE A PARTICULELOR

3.1.   Introducere

Calibrarea sistemului de măsurare a particulelor se limitează la debitmetrele utilizate pentru a determina debitul eșantionului și raportul de diluare. Fiecare debitmetru se calibrează cât de des este necesar pentru a respecta cerințele de acuratețe din prezenta directivă. Metoda de calibrare utilizată este descrisă la punctul 3.2.

3.2.   Măsurarea debitului

3.2.1.   Calibrarea periodică

 Pentru a îndeplini cerințele de acuratețe absolută pentru măsurarea debitului prevăzute la punctul 2.2 din apendicele 4 la prezenta anexă, debitmetrul sau instrumentele de măsurare a debitului trebuie calibrate cu ajutorul unui debitmetru precis, care corespunde standardelor interne și/sau internaționale.

 În cazul în care debitul eșantionului de gaz se determină măsurându-se debitul diferențial, debitmetrul sau instrumentele de măsurare a debitului trebuie calibrate în conformitate cu una dintre următoarele proceduri, astfel încât debitul qmp prin tunel să îndeplinească cerințele de acuratețe ale punctului 4.2.5.2 din apendicele 4 din prezenta anexă:

 

(a) Debitmetrul pentru qmdw se conectează în serie la un debitmetru pentru qmdew, diferența dintre cele două debitmetre se calibrează pentru cel puțin 5 puncte de reglaj cu valorile debitelor spațiate în mod egal între cea mai mică valoare a qmdw utilizată în timpul testului și valoarea qmdew utilizată în timpul testului. Tunelul de diluare poate fi ocolit.

(b) Un dispozitiv calibrat de măsurare a debitului masic se conectează în serie la debitmetrul pentru qmdew, iar acuratețea se verifică pentru valoarea utilizată la test. Dispozitivul calibrat de măsurare a debitului masic se conectează apoi în serie la debitmetrul pentru qmdw, iar acuratețea se verifică pentru cel puțin 5 reglaje corespunzând unor raporturi de diluare între 3 și 50 în raport cu valoarea qmdew utilizată în timpul testului.

(c) Tubul de transfer TT se deconectează de la țeava de eșapament, iar un dispozitiv calibrat de măsurare a debitului cu o scală adecvată pentru măsurarea qmp se conectează la tubul de transfer. Apoi, qmdew se setează la valoarea utilizată în timpul testului, iar qmdw se setează secvențial la cel puțin 5 valori corespunzând unor raporturi de diluare între 3 și 50. Alternativ, se poate adopta o modalitate specială de calibrare a debitului, cu ocolirea tunelului, dar aerul total și aerul de diluare trec prin debitmetrele corespunzătoare la fel ca în testul propriu zis.

(d) Un gaz de marcare se introduce în tubul de transfer TT. Gazul de marcare poate fi o componentă a gazului de eșapament, cum ar fi CO2 sau NOx. După diluarea în tunel, se măsoară gazul de marcare pentru 5 raporturi de diluare între 3 și 50. Acuratețea debitului de eșantionare se determină pornind de la raportul de diluare rd:

image

 Acuratețea analizorilor de gaz de eșapament se ia în considerare pentru a garanta acuratețea qmp.

3.2.2.   Verificarea fluxului de carbon

 Se recomandă verificarea fluxului de carbon utilizându-se eșapament real pentru detectarea problemelor de măsurare și control și pentru verificarea funcționării corecte a sistemului cu debit parțial. Verificarea fluxului de carbon trebuie efectuată cel puțin la fiecare instalare a unui motor nou sau la orice modificarea semnificativă a configurării camerei de test.

 Motorul trebuie să funcționeze la o sarcină a cuplului și la turație maxime sau în orice alt mod stabilizat care produce cel puțin 5 % CO2. Sistemul de eșantionare cu debit parțial funcționează cu un factor de diluare de circa 15 la 1.

 La verificarea fluxului de carbon, se aplică procedura descrisă în apendicele 6 din prezenta anexă. Debitul fluxului de carbon se calculează în conformitate cu prevederile punctelor 2.1-2.3 din apendicele 6 la prezenta anexă. Între debitele fluxului de carbon nu trebuie să existe o diferență mai mare de 6 %.

3.2.3.   Verificarea dinaintea testului

 Cu 2 ore înaintea testului, se efectuează o verificare în modul următor:

 Acuratețea debitmetrelor se verifică prin aceeași metodă ca și cea utilizată la calibrare (a se vedea punctul 3.2.1) pentru cel puțin două puncte, inclusiv valorile qmdw care corespund unor raporturi de diluare între 5 și 15 pentru valoarea qmdew utilizată în timpul testului.

 În cazul în care se poate demonstra prin înregistrarea procedurii de calibrare de la punctul 3.2.1 faptul că reglajul debitmetrului este stabil pe o perioadă mai lungă de timp, verificarea dinaintea testului se poate omite.

3.3.   Determinarea timpului de transformare (numai pentru sisteme de diluare cu debit parțial pentru testul ETC)

 Setările sistemului pentru evaluarea timpului de transformare trebuie să fie exact aceleași ca și pentru măsurările efectuate în timpul testului propriu-zis. Timpul de transformare se determină prin următoarea metodă:

 Un debitmetru independent de referință cu o scală de măsură adecvată pentru sonda de debit se montează în serie și se conectează la sondă. Acest debitmetru trebuie să aibă un timp de transformare mai mic de 100 ms pentru palierul de debit utilizat la măsurarea timpului de răspuns, cu o restricție a debitului suficient de mică încât să nu afecteze performanța dinamică a sistemului de diluare cu debit parțial și conform cu bunele practici profesionale.

 Se introduce o modificare de palier în fluxul gazului de eșapament (sau în fluxul de aer, în cazul în care se calculează debitul gazului de eșapament) care intră în sistemul de diluare cu debit parțial, pornind de la un debit mic și ajungând până la cel puțin 90 % din întreaga scală. Declanșatorul variației pe paliere trebuie să fie același ca și cel utilizat la demararea controlului în avans la testarea propriu zisă. Impulsul de variație pe paliere a debitului eșapamentului și răspunsul debitmetrului se înregistrează cu o frecvență de eșantionare de cel puțin 10 Hz.

 Pornind de la aceste date, se determină timpul de transformare pentru sistemul de diluare cu debit parțial, care este intervalul de timp de la inițierea impulsului de variație pe paliere până la momentul în care răspunsul debitmetrului a ajuns la 50 %. În mod similar, se determină timpii de transformare al semnalului qmp al sistemului de diluare cu debit parțial și al semnalului qmew,i al debitmetrului gazului de eșapament. Aceste semnale se utilizează la controalele de regresie efectuate după fiecare test (a se vedea punctul 3.8.3.2 din apendicele 2 la prezenta anexă).

 Calculul se repetă pentru cel puțin 5 impulsuri de demarare și oprire și se face media rezultatelor. Timpul intern de transformare (< 100 msec) al debitmetrului de referință se scade din această valoare. Aceasta este valoarea „în avans” a sistemului de diluare cu debit parțial, care se aplică în conformitate cu dispozițiile punctului 3.8.3.2 din apendicele 2 la prezenta anexă.

3.4.   Verificarea stării debitului parțial

Se verifică și se ajustează gama de viteză a gazului de eșapament și oscilațiile presiunii în conformitate cu dispozițiile punctului 2.2.1 din anexa V (EP), după caz.

3.5.   Intervalele de calibrare

Instrumentele de măsurare a debitului se calibrează cel puțin o dată la 3 luni sau ori de câte ori apare o reparație sau o modificare a sistemului care poate influența calibrarea.

▼B

4.   CALIBRAREA ECHIPAMENTULUI DE MĂSURARE A FUMULUI

4.1.   Introducere

Opacimetrul se calibrează ori de câte ori este necesar pentru a respecta cerințele de acuratețe din prezenta directivă. Metoda de calibrare ce urmează a fi folosită este descrisă la prezentul punct pentru componentele indicate în anexa III apendicele 4 punctul 5 și în anexa V punctul 3

4.2.   Procedura de calibrare

4.2.1.   Intervalul de încălzire

Opacimetrul se încălzește și se stabilizează în conformitate cu recomandările constructorului. În cazul în care opacimetrul este echipat cu un sistem de aer de purjare pentru a preveni ancrasarea lentilelor instrumentului, acest sistem trebuie activat și ajustat în conformitate cu recomandările constructorului.

4.2.2.   Stabilirea unei reacții de linearitate

Linearitatea opacimetrului trebuie verificată în modul de citire al opacității în conformitate cu recomandările constructorului. Trei filtre cu densitate neutră si transmitanță cunoscută, care îndeplinesc cerințele anexei III apendicele 4 punctul 5.2.5, se introduc în opacimetru și se înregistrează valoarea acestora. Filtrele cu densitate neutră trebuie să aibă opacitatea nominală de aproximativ 10 %, 20 % și 40 %.

Linearitatea nu trebuie să difere cu mai mult de ± 2 % opacitate de valoarea nominală a filtrului cu densitate neutră. Nelinearitatea care depășește valorile anterioare trebuie corectată înaintea testului.

4.3.   Intervale de calibrare

Opacimetrul se calibrează în conformitate cu punctul 4.2.2, cel puțin o dată la trei luni sau ori de câte ori se repară sistemul sau se efectuează o schimbare a acestuia care ar putea să influențeze calibrarea.

▼M1




Apendicele 6

VERIFICAREA FLUXULUI DE CARBON

1.   INTRODUCERE

Cea mai mare parte a carbonului din gazul de eșapament provine din carburant și majoritatea acestuia apare în gazul de eșapament sub formă de CO2. Verificarea sistemului se bazează așadar pe măsurarea CO2.

Fluxul de carbon din sistemele de măsurare a gazului de eșapament se determină pornind de la debitul carburantului. Fluxul de carbon la diferite puncte de eșantionare din cadrul sistemelor de eșantionare a emisiilor și a particulelor se determină pornind de la concentrațiile de CO2 și de la debitele gazului din acele puncte.

În acest sens, motorul este o sursă cunoscută de flux de carbon, iar verificarea aceluiași flux de carbon în țeava de eșapament și la ieșirea sistemului de eșantionare PM cu debit parțial controlează etanșeitatea și acuratețea măsurării debitului. Această verificare are avantajul de a controla componentele în condițiile de temperatură și de debit ale unui test real al motorului.

Următoarea diagramă prezintă punctele de eșantionare la care se verifică fluxul de carbon. Ecuațiile specifice pentru fluxurile de carbon la fiecare dintre punctele de eșantionare sunt prezentate în continuare.

Figura 7

Puncte de măsurare pentru verificarea fluxului de carbonAerCarburantbrutMOTORPFSSistem cu debit parțial

2.   CALCULE

2.1.   Debitul carbonului în motor (poziția 1)

Debitul masic al carbonului în motor pentru un carburant de tipul CHαOε este dat de formula:

image

unde:

qmf

=

debitul masic al carburantului, kg/s

2.2.   Debitul carbonului în gazul de eșapament brut (poziția 2)

Debitul masic al carbonului în țeava de eșapament a motorului se determină pornind de la concentrația brută de CO2 și de la debitul masic al gazului de eșapament:

image

unde:

c CO2 ,r

=

concentrația umedă a CO2 în gazul de eșapament brut, %

c CO2

=

concentrația umedă a CO2 în aerul ambiant, % (aproximativ 0,04 %)

qmew

=

debitul masic al gazului de eșapament într-o bază umedă, kg/s

Mre

=

masa moleculară a gazului de eșapament

În cazul în care CO2 se măsoară într-o bază uscată, el trebuie convertit într-o bază umedă în conformitate cu punctul 5.2 din apendicele 1 la prezenta anexă.

2.3.   Debitul carbonului în sistemul de diluare (poziția 3)

Debitul carbonului se determină pornind de la concentrația diluată de CO2, de la debitul masic al gazului de eșapament și de la debitul de eșantionare:

image

unde:

c CO2 ,d

=

concentrația umedă a CO2 în gazul de eșapament diluat la ieșirea din tunelul de diluare, %

c CO2

=

concentrația umedă a CO2 în aerul ambiant, % (aproximativ 0,04 %)

qmdew

=

debitul masic al gazului de eșapament diluat într-o bază umedă, kg/s

qmew

=

debitul masic al gazului de eșapament într-o bază umedă, kg/s (numai pentru sistemul cu debit parțial)

qmp

=

debitul de eșantionare al gazului de eșapament în sistemul de diluare cu debit parțial, kg/s (numai pentru sistemul cu debit parțial)

Mre

=

masa moleculară a gazului de eșapament

În cazul în care CO2 se măsoară într-o bază uscată, acesta trebuie convertit într-o bază umedă în conformitate cu punctul 5.2 din apendicele 1 la prezenta anexă.

2.4.

Masa moleculară (Mre) a gazului de eșapament se calculează după cum urmează:

image

unde:

qmf

=

debitul masic al carburantului, kg/s

qmaw

=

debitul masic al aerului de admisie într-o bază umedă, kg/s

Ha

=

umiditatea aerului de admisie, g de apă pe kg de aer uscat

Mra

=

masa moleculară a aerului de admisie uscat (= 28,9 g/mol)

α, δ, ε, γ

=

raporturi molare pentru un carburant CHαOδNεSγ

Alternativ, se pot utiliza următoarele mase moleculare:

Mre (diesel)

=

28,9 g/mol

Mre (GPL)

=

28,6 g/mol

Mre (GN)

=

28,3 g/mol

▼B




ANEXA IV

CARACTERISTICI TEHNICE ALE CARBURANTULUI DE REFERINȚĂ IMPUSE PENTRU TESTELE DE OMOLOGARE ȘI PENTRU VERIFICAREA CONFORMITĂȚII PRODUCȚIEI

▼M1

1.1.   Carburant diesel de referință pentru testarea conformității motoarelor cu limitele de emisii prevăzute la rândul a din tabelele de la punctul 6.2.1 din anexa I (22) 

▼B



Parametru

Unitate

Limite (2)

Metodă de testare

Publicare

Minimum

Maximum

Cifra cetanică (3)

 

52

54

EN-ISO 5165

1998 г. (4)

Densitate la 15 °C

kg/m3

833

837

EN-ISO 3675

1995 г.

Distilare:

 
 
 
 
 

— 50 % punct

°C

245

EN-ISO 3405

1998 г.

— 95 % punct

°C

345

350

EN-ISO 3405

1998 г.

— punct final de fierbere

°C

370

EN-ISO 3405

1998 г.

Punct de aprindere

°C

55

EN 27719

1993 г.

CFPP

°C

–5

EN 116

1981 г.

Vâscozitate la 40 °C

mm2/s

2,5

3,5

EN-ISO 3104

1996 г.

Hidrocarburi aromatice policiclice

% m/m

3,0

6,0

IP 391 (*)

1995 г.

Conținut de sulf (5)

mg/kg

300

pr. EN-ISO/DIS 14596

1998 г (4)

Corodarea cuprului

 

1

EN-ISO 2160

1995 г.

Reziduu de carbon Conradson (10 % DR)

% m/m

0,2

EN-ISO 10370

 

Conținut de cenușă

% m/m

0,01

EN-ISO 6245

1995 г.

Conținut de apă

% m/m

0,05

EN-ISO 12937

1995 г.

Număr de neutralizare (acid puternic)

mg KOH/g

0,02

ASTM D 974-95

1998 г (4)

Stabilitatea oxidării (6)

mg/ml

0,025

EN-ISO 12205

1996 г.

(*) O metodă nouă mai bună pentru aromaticele policiclice în dezvoltare

% m/m

EN 12916

[2000 г.] (4)

(1)   În cazul în care se cere să se calculeze eficiența termică a unui motor sau autovehicul, valoarea calorifică a carburantului se poate calcula astfel:

(2)   Valorile menționate anterior sunt „valori adevărate”. La stabilirea valorilor limită ale acestora s-au folosit termenii ISO 4259, Produse Petroliere - Stabilirea și aplicarea unor date de precizie în relație cu metodele de testare, iar la stabilirea unei valori minime s-a luat în considerare o diferență minimă de 2R peste zero; la stabilirea valorii minime și maxime, diferența minimă este de 4R (unde R = reproductibilitatea). Chiar dacă există această măsurare, necesară din motive statistice, producătorul de carburant trebuie, cu toate acestea, să tindă spre valoarea zero, unde valoarea maximă prevăzută este de 2R, respectiv spre valoarea medie, în cazul cotărilor maxime și minime. Pentru cazul în care trebuie clarificat dacă un carburant îndeplinește cerințele din specificație, se aplică termenii ISO 4259.

(3)   Seria cetanică nu este în conformitate cu cerințele unui serii minime de 4R. Cu toate acestea, în caz de litigiu între furnizorul de carburant și beneficiar, pentru a se rezolva aceste dispute, se pot folosi termenii din ISO 4259, preferându-se măsurări repetate de un număr suficient de mare de ori, pentru a se asigura precizia acestora și nu o singură măsurare.

(4)   Luna publicării se completează în timp util.

(5)   Se raportează conținutul real de sulf din carburantul utilizat pentru testare. Pe lângă aceasta, conținutul de sulf al carburantului de referință utilizat pentru omologarea unui vehicul sau motor în comparație cu valorile limită stabilite în rândul B din tabelul de la punctul 6.2.1 al anexei I la prezenta directivă trebuie să aibă un conținut maxim de sulf de 50 ppm. În cel mai scurt timp, Comisia va efectua o modificare la prezenta anexă reflectând media pe piață pentru conținutul de sulf în privința carburantului definit în anexa IV la Directiva 98/70/CE.

(6)   Deși stabilitatea oxidării este controlată, este posibil ca durata de depozitare să fie limitată. În acest caz, furnizorul este cel care poate da indicații cu privire la condițiile de stocare și la termenul de valabilitate.

▼M1

1.2.   Carburant diesel de referință pentru testarea conformității motoarelor cu limitele de emisii prevăzute la rândurile B1, B2 sau C din tabelele de la punctul 6.2.1 din anexa I



Parametru

Unitate

Limite (1)

Metodă de testare

minimum

maximum

Cifra cetanică (2)

 

52,0

54,0

EN-ISO 5165

Densitatea la 15 °C

kg/m3

833

837

EN-ISO 3675

Distilarea:

 
 
 
 

— 50 % punct

°C

245

EN-ISO 3405

—95 % punct

°C

345

350

EN-ISO 3405

— punct de fierbere final

°C

370

EN-ISO 3405

Punctul de aprindere

°C

55

EN 22719

CFPP

°C

–5

EN 116

Vâscozitatea la 40 °C

mm2/s

2,3

3,3

EN-ISO 3104

Hidrocarburi aromatice policiclice

% m/m

2,0

6,0

IP 391

Conținut de sulf (3)

mg/kg

10

ASTM D 5453

Corodarea cuprului

 

clasa 1

EN-ISO 2160

Reziduu de carbon Conradson (10 % DR)

% m/m

0,2

EN-ISO 10370

Conținut de cenușă

% m/m

0,01

EN-ISO 6245

Conținut de apă

% m/m

0,02

EN-ISO 12937

Număr de neutralizare (acid puternic)

mg KOH/g

0,02

ASTM D 974

Stabilitatea oxidării (4)

mg/ml

0,025

EN-ISO 12205

Onctuozitate (diametrul mărcii de uzură HFRR la 60 °C)

μm

400

CEC F-06-A-96

Esteri metilici de acizi grași

interziși

(1)   Valorile menționate în aceste specificații sunt „valori reale”. La stabilirea valorilor limită ale acestora s-au aplicat termenii ISO 4259 „Produse petroliere — Determinarea și aplicarea datelor de precizie în raport cu metodele de testare”, iar la stabilirea unei valori minime, s-a luat în considerare o diferență minimă de 2R peste zero; la stabilirea valorii minime și maxime, diferența minimă este de 4R (unde R = reproductibilitate). Fără a aduce atingere acestei măsuri, care este necesară din motive tehnice, producătorul de carburanți trebuie, cu toate acestea, să tindă spre valoarea zero, acolo unde valoarea maximă prevăzută este de 2R, și spre valoarea medie, acolo unde se indică valori maxime și minime. În cazul în care trebuie clarificat dacă un combustibil îndeplinește cerințele din specificație, se aplică termenii ISO 4259.

(2)   Gama cifrelor cetanice nu este în concordanță cu cerințele unei game minime de 4R. Cu toate acestea, în caz de dispută între furnizorul de combustibil și beneficiar, se pot folosi termenii din ISO 4259 pentru a se rezolva astfel de dispute, cu condiția asigurării de măsurări repetate de atâtea ori cât este necesar pentru a se asigura precizia necesară, în locul unei singure măsurări.

(3)   Se raportează conținutului efectiv de sulf al carburantului utilizat pentru testul de Tip 1.

(4)   Deși stabilitatea oxidării este controlată, este posibil ca stabilitatea la depozitare să fie limitată. Este necesar să se ceară furnizorului indicații cu privire la condițiile de depozitare și la termenul de valabilitate.

▼B

►M1  1.3. ◄



Etanol pentru motoarele diesel (1)

Parametru

Unitate

Limite (2)

Metodă de testare (3)

Minimum

Maximum

Masa de alcool

% m/m

92,4

ASTM D 5501

Alt alcool decât etanolul conținut în alcoolul total, masă

% m/m

2

ADTM D 5501

Densitatea la 15 °C

kg/m3

795

815

ASTM D 4052

Conținutul de cenușă

% m/m

 

0,001

ISO 6245

Punctul de aprindere

°C

10

 

ISO 2719

Aciditatea, calculată ca acid acetic

% m/m

0,0025

ISO 1388-2

Numărul de neutralizare (acid puternic)

KOH mg/l

1

 

Culoare

според скалата

10

ASTM D 1209

Reziduu uscat la 100 °C

mg/kg

 

15

ISO 759

Conținut de apă

% m/m

 

6,5

ISO 760

Aldehide calculate ca acid acetic

% m/m

 

0,0025

ISO 1388-4

Conținut de sulf

mg/kg

10

ASTM D 5453

Esteri, calculați ca acetat de etil

% m/m

0,1

ASSTM D 1617

(1)   Se poate adăuga un stimulent cetanic, conform specificațiilor producătorului, la carburantul pe bază de etanol. Valoarea maximă permisă este 10 % m/m.

(2)   Valorile menționate în specificații sunt „valori adevărate”. La stabilirea valorilor limită s-au folosit termenii ISO 4259, Produse Petroliere — Stabilirea și aplicarea unor date de precizie în relație cu metodele de testare, iar la stabilirea unei valori minime s-a luat în considerare o diferență minimă de 2R peste zero; la stabilirea valorii minime și maxime, diferența minimă este de 4R (unde R = reproductibilitatea). Chiar dacă există această măsurare, necesară din motive statistice, producătorul de carburant trebuie, cu toate acestea, să tindă spre valoarea zero, în cazul în care valoarea maximă prevăzută este de 2R, respectiv spre valoarea medie, în cazul limitelor maxime și minime. Pentru cazul în care trebuie clarificat dacă un carburant îndeplinește cerințele din specificație, se aplică termenii ISO 4259.

(3)   Se vor adopta metode echivalente cu ISO imediat după publicare, pentru toate proprietățile enumerate anterior.

2.

GAZ NATURAL (GN)

Carburanții de pe piața europeană sunt disponibili în două game:

 gama H, ai cărei carburanți de referință extremi sunt GR și G23;

 gama L, ai cărei carburanți de referință extremi sunt G23 și G25.

Caracteristicile carburanților de referință GR, G23 și G25 sunt redate în continuare:



Carburant de referință GR

Caracteristici

Unități

Bază

Limite

Metode de testare

Minimum

Maximum

Compoziție:

 
 
 
 
 

Metan

 

87

84

89

 

Etan

 

13

11

15

 

Bilanț (1)

% -mol

1

ISO 6974

Conținut de sulf

mg/m3 (2)

10

ISO 6326-5

(1)   Gaz inert + C2+.

(2)   Valoare care trebuie stabilită în condiții standard (293,2 K (20 °C) și 101, 3 kPa).



Carburant de referință G23

Caracteristici

Unități

Bază

Limite

Metode de testare

Minimum

Maximum

Compoziție

 
 
 
 
 

Metan

 

92,5

91,5

93,5

 

Bilanț (1)

% -mol

1

ISO 6974

N2

 

7,5

6,5

8,5

 

Conținut de sulf

mg/m3 (2)

10

ISO 6326-5

(1)   Gaz inert (altul decât N2) + C2+ + C2+.

(2)   Valoare care trebuie stabilită în condiții standard (293,2 K (20 °C) și 101,3 kPa).



Carburant de referință G25

Caracteristici

Unități

Bază

Limite

Metode de testare

Minimum

Maximum

Compoziție:

 
 
 
 
 

Metan

 

86

84

88

 

Bilanț (1)

% -mol

1

ISO 6974

N2

 

14

12

16

 

Conținut de sulf

mg/m3 (2)

10

ISO 6326-5

(1)   Gaz inert (altul decât N2)+ C2++ C2+.

(2)   Valoare care trebuie stabilită în condiții standard (293,2 K (20 °C) și 101,3 kPa).

▼M1

3.

CARACTERISTICILE TEHNICE ALE CARBURANȚILOR GPL DE REFERINȚĂ

A.   Caracteristicile tehnice ale carburanților GPL de referință pentru testarea conformității vehiculelor cu limitele de emisii prevăzute la rândul A din tabelele de la punctul 6.2.1 din anexa I



Parametru

Unitate

Carburant A

Carburant B

Metodă de testare

Compoziția:

 
 
 

ISO 7941

Conținutul de C3

% vol

50 ± 2

85 ± 2

 

Conținutul de C4

% vol

rest

rest

 

< C3, >C4

% vol

max. 2

max. 2

 

Olefine

% vol

max. 12

max. 14

 

Reziduu de evaporare

mg/kg

max. 50

max. 50

ISO 13757

Apă la 0 °C

 

fără

fără

inspecție vizuală

Conținut total de sulf

mg/kg

max. 50

max. 50

EN 24260

Hidrogen sulfurat

 

fără

fără

ISO 8819

Coroziune pe lama de cupru

evaluare

clasa 1

clasa 1

ISO 6251 (1)

Mirosul

 

caracteristic

caracteristic

 

Cifra octanică

 

min. 92,5

min. 92,5

EN 589 anexa B

(1)   Este posibil ca această metodă să nu determine cu acuratețe prezența materialelor corozive, în cazul în care eșantionul conține inhibitori ai corodării sau alte substanțe chimice care diminuează coroziunea eșantionului asupra lamei de cupru. Prin urmare, adăugarea unor astfel de componente cu unicul scop de a altera metoda de testare este interzisă.

B.   Caracteristicile tehnice ale carburanților GPL de referință pentru testarea conformității vehiculelor cu limitele de emisii prevăzute în rândurile B1, B2 sau C din tabelele de la punctul 6.2.1 din anexa I



Parametru

Unitate

Carburant A

Carburant B

Metodă de testare

Compoziția:

 
 
 

ISO 7941

Conținutul de C3

% vol

50 ± 2

85 ± 2

 

Conținutul de C4

% vol

rest

rest

 

< C3, >C4

% vol

max. 2

max. 2

 

Olefine

% vol

max. 12

max. 14

 

Reziduu de evaporare

mg/kg

max. 50

max. 50

ISO 13757

Apă la 0 °C

 

Fără

Fără

inspecție vizuală

Conținut total de sulf

mg/kg

max. 10

max. 10

EN 24260

Hidrogen sulfurat

 

fără

fără

ISO 8819

Coroziune pe lama de cupru

evaluare

clasa 1

clasa 1

ISO 6251 (1)

Mirosul

 

caracteristic

caracteristic

 

Cifra octanică

 

min. 92,5

min. 92,5

EN 589 anexa B

(1)   Este posibil ca această metodă să nu determine cu acuratețe prezența materialelor corozive, în cazul în care eșantionul conține inhibitori ai corodării sau alte substanțe chimice care diminuează coroziunea eșantionului asupra lamei de cupru. Prin urmare, adăugarea unor astfel de componente cu unicul scop de a altera metoda de testare este interzisă.

▼B




ANEXA V

SISTEME DE ANALIZĂ ȘI EȘANTIONARE

1.   DETERMINAREA EMISIILOR DE GAZE POLUANTE

1.1.   Introducere

Punctul 1.2 și figurile 7 și 8 conțin descrieri detaliate ale sistemelor recomandate de analiză și eșantionare. Deoarece diferite configurații pot conduce la rezultate echivalente, nu este necesară o conformitate exactă cu figurile 7 și 8. Anumite componente suplimentare cum sunt instrumentele, supapele, solenoizii, pompele și comutatoarele pot fi utilizate pentru a oferi informații suplimentare și pentru a coordona funcțiile sistemelor constitutive. Alte componente care nu sunt necesare pentru menținerea acurateței asupra anumitor sisteme pot fi excluse în cazul în care excluderea lor are la bază bunele practici inginerești.

Figura 7

Diagrama sistemului de analiză a debitului de gaz de evacuare numai pentru CO, CO2, NOx, HC ESC

orificiu de ventilațiegaz zerogaz zerogaz etalongaz zeroorificiude ventilațieaercarburantopțional 2 sonde de eșantionareorificiu de ventilațieorificiu de ventilațiegaz zeroorificiu deventilațiegaz zerogaz etalongaz zerogazetalonorificiu de ventilațieorificiu de ventilațiegaz etalon

1.2.   Descrierea sistemului analitic

Un sistem analitic pentru determinarea emisiilor gazoase ale gazului de evacuare brut (figura 7, numai ESC) sau diluat (figura 8, ETC și ESC) este descris având la bază utilizarea:

 analizorului HFID pentru măsurarea hidrocarburilor;

 analizorilor NDIR pentru măsurarea monoxidului de carbon și a dioxidului de carbon;

 analizorului HCDL sau echivalent pentru măsurarea oxizilor de azot.

Eșantionul pentru toate componentele poate fi prelevat printr-o singură sondă de eșantionare sau cu două sonde de eșantionare localizate în apropiere și divizate intern pentru diferiți analizori. Trebuie să se acorde atenție pentru a evita formarea de condens pe componentele de evacuare (inclusiv apă și acid sulfuric) în oricare dintre punctele sistemului analitic.

Figura 8

Diagrama sistemului de analiză a debitului de gaz de evacuare diluat pentru CO, CO2, NOx, HC ETC, opțional pentru ESC

către PSS, a se vedea figura 21gaz zeroorificiu deventilațieacelașiplangaz etalona se vedea figura 21gaz zeroorificiude ventilațiea se vedea figura20aercarburantorificiude ventilațieorificiu de ventilațiegaz zerogaz zeroorificiude ventilațiegaz etalongaz zerogaz etalonorificiu de ventilațieorificiude ventilațiegaz etalon

1.2.1.   Componentele figurilor 7 și 8

EP Țeava de evacuare

Sonda de eșantionare a gazului de evacuare (numai figura 7)

Se recomandă o sondă cu găuri multiple, din oțel inoxidabil, închisă etanș. Diametrul interior nu trebuie să fie mai mare decât diametrul interior al liniei de eșantionare. Grosimea peretelui sondei nu trebuie să fie mai mare de 1 mm. Trebuie să aibă minimum trei găuri, în trei planuri radiale diferite, calibrate pentru a eșantiona un debit aproximativ egal. Sonda trebuie să acopere cel puțin 80 % din diametrul țevii de evacuare. Pot fi utilizate una sau două sonde.

SP2 Sondă de eșantionare a gazului diluat evacuat HC (numai figura 8)

Sonda trebuie:

 să fie fixată de la distanța de 254 mm până la 762 mm de linia de eșantionare încălzită HSL1;

 să aibă un diametru interior de minimum 5 mm;

 să fie instalată în interiorul tunelului de diluție DT (a se vedea punctul 2.3, figura 20) într-un punct în care aerul de diluție și gazul de evacuare sunt bine amestecate (aproximativ la 10 diametre de tunel în aval față de punctul în care țeava de evacuare intră în tunelul de diluție);

 să fie plasată la o distanță (radială) suficientă de celelalte sonde și de peretele tunelului, pentru a nu fi influențată de curenți și turbulențe;

 să fie încălzită în așa fel încât temperatura fluxului de gaz să crească până la 463 K ± 10 K (190 °C ± 10 °C) la ieșirea din sondă.

SP3 Sondă de eșantionare a gazului diluat evacuat CO, CO2, NOx (numai figura 8)

Sonda trebuie:

 să fie în același plan cu sonda SP2;

 să fie la o distanță (radială) suficientă de celelalte sonde și de peretele tunelului, pentru a nu fi influențată de curenți și turbulențe;

 să fie încălzită și izolată pe întreaga sa lungime la o temperatură minimă de 328 K (55 °C) pentru a preveni condensarea apei.

HSL1 Linie de eșantionare încălzită

Linia de eșantionare furnizează eșantion de gaz de la o singură sondă spre punctele de ramificație și spre analizorul HC.

Linia de eșantionare trebuie:

 să aibă un diametru interior de minimum 5 mm și maximum 13,5 mm;

 să fie din oțel inoxidabil sau PTFE;

 să mențină o temperatură a peretelui de 463 K ± 10 K (190 °C ± 10 °C) măsurată la fiecare secțiune încălzită, controlată separat, în cazul în care temperatura gazului evacuat din sonda de eșantionare este mai mică sau egală cu 463 K (190 °C);

 să mențină o temperatură a peretelui mai mare de 453 K (180 °C), în cazul în care temperatura gazului evacuat din sonda de eșantionare este mai mare de 463 K (190 °C);

 să mențină o temperatură a gazului de 463 K ± 10 K (190 °C ± 10 °C) imediat înaintea filtrului încălzit F2 și a HFID.

HSL 2 Linia încălzită de eșantionare pentru NOx

Linia de eșantionare trebuie:

 să mențină o temperatură a peretelui de 328 K până la 473 K (55 °C până la 200 °C) până la convertorul C, când se folosește o baie de răcire B și până la analizor, când nu se folosește o baie de răcire B;

 să fie făcută din oțel inoxidabil sau din PTFE.

SL Linia de eșantionare pentru CO șiCO2

Linia de eșantionare trebuie să fie făcută din PTFE sau oțel inoxidabil. Poate fi încălzită sau nu.

BK Sac pentru aerul de diluție (opțional; numai figura 8)

Pentru măsurarea concentrațiilor de aer de diluție.

BG Sac de eșantionare (opțional; numai figura 8 CO și CO2)

Pentru măsurarea concentrațiilor de eșantionare.

F1 Prefiltru încălzit (opțional)

Temperatura trebuie să fie aceeași ca și pentru HSL 1.

F2 Filtru încălzit

Filtrul trebuie să extragă orice particulă solidă din eșantionul de gaz înaintea analizorului. Temperatura trebuie să fie aceeași ca și cea pentru HSL 1. Filtrul trebuie schimbat cât de des este necesar.

P Pompă de eșantionare încălzită

Pompa trebuie încălzită la aceeași temperatură ca și HSL 1.

HC

Detector cu ionizare în flacără (HFID) utilizat pentru determinarea hidrocarburilor. Temperatura trebuie menținută între 453 K și 473 K (180 °C până la 200 °C).

CO, CO2

Analizori NDIR pentru determinarea monoxidului și dioxidului de carbon (opțional pentru stabilirea ratei de diluție pentru măsurarea PT).

NO

Analizor CLD sau HCLD pentru determinarea oxizilor de azot. În cazul în care se folosește HCLD, acesta trebuie menținut la o temperatură cuprinsă între 328 și 473 K (55 °C până la 200 °C).

C Convertor

Trebuie folosit un convertor pentru reducția catalitică a NO2 și NO înaintea analizei din CLD sau HCLD.

B Baie de răcire (opțional)

Pentru a răci și condensa apa din eșantionul de gaze de evacuare. Baia trebuie menținută la o temperatură cuprinsă între 273 K și 277 K (0 °C până la 4 °C) prin congelare sau refrigerare. Se poate opta pentru varianta în care analizorul intră sau nu în interacțiune cu vaporii de apă, după cum se specifică în anexa III apendicele 5, punctele 1.9.1 și 1.9.2. În cazul în care apa este îndepărtată prin condensare, temperatura gazului eșantionat sau punctul de condens se monitorizează fie în captatorul de apă, fie în aval. Temperatura gazului eșantion sau a punctului de condens nu trebuie să depășească 280 K (7 °C). Nu se permite utilizarea substanțelor chimice de uscare pentru a îndepărta apa din eșantion.

T1, T2, T3 Senzori de temperatură

Pentru a monitoriza temperatura fluxului de gaz.

T4 Senzor de temperatură

Pentru a monitoriza temperatura convertorului pentru NO2-NO.

T5 Senzor de temperatură

Pentru a monitoriza temperatura băii de răcire.

G1, G2, G3 Manometre

Pentru a măsura presiunea în liniile de eșantionare.

R1, R2 Regulator de presiune

Pentru a controla presiunea aerului și a carburantului pentru HFID.

R3, R4, R5 Regulatori de presiune

Pentru a controla presiunea în liniile de eșantionare și debitul către analizori.

FL1, FL2, FL3 Debitmetru

Pentru a monitoriza eșantionul debitului deviat.

FL4-FL6 Debitmetru (opțional)

Pentru a monitoriza debitul prin analizori.

V1-V5 Supape de selectare

Supape corespunzătoare pentru selectarea debitului eșantionului, a gazului etalon sau a gazului către analizor.

V6, V7 Supape solenoid

Pentru a ocoli convertorul de NO2-NO.

V8 Supapă cu ac

Pentru a echilibra debitul prin convertorul C de NO2-NO și prin ramificație.

V9, V10 Supape cu ac

Pentru a regla debitele către analizori.

V11, V12 Supapă de reținere (opțional)

Pentru a drena substanța condensată de la baia B.

1.3.   Analiza NMHC (numai motoare alimentate cu gaz natural)

1.3.1.   Metoda cromatografiei în fază gazoasă (GC, figura 9)

În cazul în care se folosește metoda GC, o cantitate mică măsurată dintr-un eșantion se injectează într-o coloană de analiză prin care este trecută cu ajutorul unui gaz inert transportor. Coloana separă diferite componente în funcție de punctele de fierbere, astfel încât acestea se eluează din coloană la momente diferite. Ulterior, acestea trec prin detector, care emite un semnal electric în funcție de concentrația substanțelor. Deoarece aceasta nu este o tehnică de analiză continuă, poate fi folosită numai complementar cu metoda sacului de eșantionare descrisă în anexa III apendicele 4 punctul 3.4.2

Pentru NMHC se utilizează un cromatograf cu gaz automat cu un FID. Gazul de evacuare se eșantionează într-un sac de eșantionare din care se extrage o parte și se injectează în cromatograf. Eșantionul se separă în două părți (CH4/aer/CO și NMHC/CO2/H2O) în coloana Porapak. Coloana de separare moleculară separă CH4 de aer și CO înainte de a-l trece prin FID, unde se măsoară concentrația acestuia. Un ciclu complet de la injectarea primului eșantion până la injectarea celui de-al doilea poate fi efectuat în 30 s. Pentru determinarea NMHC, concentrația CH4 se scade din totalul concentrației HC (a se vedea anexa III apendicele 2 punctul 4.3.1).

Figura 9 indică un cromatograf cu gaz tipic asamblat pentru determinarea de rutină a CH4. Alte metode de cromatografie în fază gazoasă pot fi, de asemenea, utilizate pe baza bunelor practici inginerești.

Figura 9

Diagrama debitului pentru analiza metanului (metoda GC)

ycătre xintrarea carburantuluiintrarea aeruluiorificiu de ventilațiexcătre ycuptoreșantionorificiu de ventilațiegaz etalon

Componentele figurii 9

Se utilizează Porapak N, 180/300 μm (rețea de 50/80), 610 mm lungime × 2,16 mm ID, condiționat cel puțin 12 h la 423 K (150 °C) cu gaz transportor înaintea utilizării inițiale.

Se utilizează tipul 13X, 250/350 μm (rețea de 45/60), 1 220 mm lungime × 2,16 mm ID, condiționat cel puțin 12 h la 423 K (150 °C) cu gaz transportor înaintea utilizării inițiale.

Pentru menținerea coloanelor și a supapelor la temperatură stabilă pentru operațiunea de analizare și pentru a condiționa coloanele la 423 K (150 °C).

O lungime suficientă de tuburi din oțel inoxidabil pentru a obține un volum aproximativ de 1 cm3.

Pentru a conduce eșantionul către cromatograful cu gaz.

Un uscător conținând o sită moleculară se utilizează pentru îndepărtarea apei și a altor substanțe de contaminare care ar putea fi prezente în gazul transportor.

Detector cu ionizare în flacără (FID) pentru a măsura concentrația metanului.

Pentru injectarea eșantionului extras din sacul de eșantionare către SL din figura 8. Aceasta trebuie să aibă un volum mort scăzut, să fie etanșă și să poată fi încălzită la 423 K (150 °C).

Pentru selectarea gazului etalon, a eșantionului sau pentru reducerea debitului.

Pentru reglarea debitului în sistem.

Pentru reglarea debitului carburantului (= gaz transportor), al eșantionului și al aerului.

Pentru a controla debitul de aer către FID.

Pentru reglarea debitului carburantului (= gaz transportor), al eșantionului și al aerului.

Filtre de metal sinterizate, pentru a preveni intrarea particulelor în pompă sau instrument.

Pentru a măsura debitul eșantionului deviat.

1.3.2.   Metoda separatorului nemetanic (NMC, figura 10)

Cu excepția CH4, separatorul oxidează toate hidrocarburile în CO2 și H2O, astfel încât prin devierea eșantionului prin NMC, numai CH4 este detectat de FID. În cazul în care se folosește sacul de eșantionare, un sistem de deviere a debitului se instalează la SL (a se vedea punctul 1.2, figura 8) cu ajutorul căruia debitul poate fi trecut alternativ prin sau în afara separatorului, în conformitate cu partea superioară a figurii 10. Pentru măsurarea NMHC, ambele valori (HC și CH4) se observă prin FID și se înregistrează. În cazul în care se utilizează metoda integrării, se instalează un NMC în linie cu un al doilea FID paralel cu primul FID în HSL1 (a se vedea punctul 1.2, figura 8), în conformitate cu partea inferioară a figurii 10. Pentru măsurarea NMHC, se observă și se înregistrează valorile celor două FID (HC și CH4).

Separatorul trebuie stabilizat la o temperatură de cel puțin 600 K (327 °C) înaintea testării în ceea ce privește efectul catalitic asupra CH4 și C2H6 la valorile H2O reprezentative pentru condițiile debitului de evacuare. Punctul de condens și nivelul O2 ale fluxului de evacuare eșantionat trebuie cunoscute. Reacția relativă a FID cu privire la CH4 trebuie înregistrat (a se vedea anexa III apendicele 5 punctul 1.8.2).

Figura 10

Diagrama debitului pentru analiza metanului prin separatorul nemetanic (NMC)

zeroetalonorificiu de ventilațieeșantion(a se vedea figura 8)Metoda eșantionării cu sac de eșantionarezeroorificiu de ventilațieetalonorificiu de ventilațieeșantion(a se vedea figura 8)Metodă cu integrare

Componentele figurii 10

Pentru oxidarea tuturor hidrocarburilor, cu excepția metanului.

Detector cu ionizare în flacără încălzit (HFID) pentru măsurarea concentrațiilor de HC și CH4. Temperatura trebuie menținută între 453 K și 473 K (180 °C-200 °C).

Pentru selectarea eșantionului, a gazului etalon sau a gazului zero. V1 este identic cu V2 din figura 8.

Pentru ocolirea NMC.

Pentru a echilibra debitul prin NMC și ramificații.

Pentru reglarea presiunii în linia de eșantionare și a debitului către HFID. R1 este identic cu R3 din figura 8.

Pentru măsurarea debitului eșantionului deviat. FL1 este identic cu FL1 din figura 8.

2.   DILUȚIA GAZULUI DE EVACUARE ȘI DETERMINAREA PARTICULELOR

2.1.   Introducere

Punctele 2.2, 2.3 și 2.4 și figurile 11-22 conțin descrieri detaliate ale sistemelor de diluție și de eșantionare recomandate. Deoarece configurații diferite pot produce rezultate echivalente, nu este necesară o respectare exactă a acestor figuri. Se pot utiliza componente suplimentare precum instrumente, supape, solenoizi, pompe și comutatoare, pentru a oferi informații suplimentare și pentru a coordona funcțiile sistemelor constitutive. Alte componente care nu sunt necesare pentru menținerea acurateței asupra anumitor sisteme pot fi excluse în cazul în care excluderea lor are la bază bunele practici inginerești.

2.2.   Sistemul de diluție parțială a debitului

În figurile 11-19 se descrie un sistem de diluție având la bază diluția unei părți a debitului de evacuare. Ramificarea debitului de evacuare și procesul ulterior de diluție se pot realiza cu ajutorul diferitelor tipuri de sisteme de diluție. Pentru colectarea ulterioară a particulelor, întreaga cantitate de gaz de evacuare diluat evacuat sau numai o parte a acestuia pot fi transferate la sistemul de eșantionare a particulelor (punctul 2.4 figura 21). Prima metodă se numește tipul eșantionării totale, iar a doua metodă se numește tipul eșantionării parțiale.

Calculul raportului de diluție depinde de tipul de sistem folosit. Se recomandă următoarele tipuri:

Sisteme izocinetice (figurile 11, 12)

În cazul acestor sisteme, debitul care intră în tubul de transfer se adaptează la debitul total de evacuare, în ceea ce privește viteza și/sau presiunea gazului, aceasta necesitând un debit de evacuare uniform și neperturbat la sonda de eșantionare. Evacuarea se realizează în mod normal prin utilizarea unui rezonator și a unui tub de aspirație directă situat în amonte față de punctul de eșantionare. Proporția de ramificație este apoi calculată cu ajutorul valorilor ușor măsurabile, precum diametrele tuburilor. Trebuie remarcat faptul că izocinetica se folosește numai la adaptarea condițiilor debitului și nu la adaptarea distribuției mărimilor. Aceasta din urmă nu este în mod normal necesară, deoarece particulele sunt suficient de mici pentru a urma cursul carburantului.

Sisteme de reglare a debitului prin măsurarea concentrației (figurile 13-17)

În cazul acestor sisteme se preia un eșantion din fluxul total de evacuare prin reglarea debitului aerului de diluție și a debitului total de gaz de evacuare diluat. Raportul de diluție se determină din concentrațiile gazelor trasoare precum. CO2 sau NOx, care apar în mod normal în emisiile motorului. Concentrațiile gazului diluat evacuat și ale aerului de diluție se măsoară, în timp ce concentrația gazului primar evacuat fie se poate măsura direct, fie se poate determina din debitul carburantului și ecuația carbonică a punctului zero, în cazul în care compoziția carburantului este cunoscută. Sistemele pot fi reglate cu ajutorul raportului de diluție calculat (figurile 13, 14) sau cu ajutorul debitului care intră în tubul de transfer (figurile 12, 13, 14).

Sisteme de reglare a debitului prin măsurarea debitului (figurile 18, 19)

În cazul acestor sisteme se preia o probă din debitul total de evacuare, prin reglarea debitului aerului de diluție și a debitului total de gaz de evacuare diluat. Raportul de diluție se determină din diferența dintre cele două debite. Este necesară o calibrare corectă a debitmetrelor unul față de celălalt, deoarece amplitudinea relativă a celor două debite poate să ducă la erori semnificative în cazul unor rapoarte de diluție mai ridicate (15 și mai mult). Reglarea debitului se face în mod direct prin menținerea constantă a debitului gazului de evacuare diluat și prin varierea debitului aerului de diluție în caz de necesitate.

Când se utilizează sisteme de diluție parțială a debitelor, trebuie să se evite problemele care pot apărea, pe de o parte, din cauza pierderii de particule în tubul de transfer, prin prelevarea unui eșantion reprezentativ din emisiile motorului și, pe de altă parte, din cauza raportului de ramificație. Sistemele descrise țin seama de aceste aspecte critice.

Figura 11

Sistemul de diluție parțială a debitului cu sondă izocinetică și eșantionare parțială (reglare SB)

aerorificiu de ventilațiecătre sistemul de eșantionare a particulelora se vedea figura 21gaze de evacuare

Gazul brut evacuat este transferat din țeava de evacuare EP în tunelul de diluție DT, prin tubul de transfer TT, cu ajutorul sondei izocinetice de eșantionare ISP. Presiunea diferențială a gazului evacuat dintre țeava de evacuare și orificiul de intrare în sondă se măsoară cu traductorul de presiune DPT. Acest semnal este transmis regulatorului de debit FC1, care reglează exhaustorul SB, pentru a menține presiunea diferențială la zero la capătul sondei. În aceste condiții, vitezele gazului evacuat în EP și ISP sunt identice, iar debitul prin ISP și TT este o fracție constantă (ramificată) a debitului gazului evacuat. Raportul de ramificație se determină din ariile secțiunilor transversale ale EP și ISP. Debitul aerului de diluție se măsoară cu ajutorul dispozitivului de măsurare FM1. Raportul de diluție se calculează din debitul aerului de diluție și raportul de ramificație.

Figura 12

Sistemul de diluție parțială a debitului cu sondă izocinetică și eșantionare parțială (reglare PB)

orificiu de ventilațieaercătre sistemul de eșantionare a particulelora se vedea figura 21gaze de evacuare

Gazul de evacuare brut este transferat din țeava de evacuare EP în tunelul de diluție DT, prin tubul de transfer TT, cu ajutorul sondei izocinetice de eșantionare ISP. Presiunea diferențială a gazului evacuat dintre țeava de evacuare și orificiul de intrare în sondă se măsoară cu traductorul de presiune DPT. Acest semnal este transmis regulatorului de debit FC1, care reglează ventilatorul de mare presiune PB, pentru a menține presiunea diferențială la zero la capătul sondei. Acest lucru se realizează prin luarea unei mici proporții din aerul de diluție, al cărui debit a fost deja măsurat cu ajutorul dispozitivului de măsurare FM1 și prin introducerea acesteia în TT printr-un orificiu pneumatic. În aceste condiții, vitezele gazului evacuat în EP și ISP sunt identice, iar debitul prin ISP și TT este o fracție constantă (ramificată) a debitului gazului evacuat. Raportul de ramificație se determină din ariile secțiunilor transversale ale EP și ISP. Aerul de diluție este aspirat prin DT de către exhaustorul SB, iar debitul se măsoară cu FM1 la orificiul de intrare în DT. Raportul de diluție se calculează din debitul aerului de diluție și raportul de ramificație.

Figura 13

Sistem de diluție parțială a debitului cu măsurarea concentrației de CO2 sau NOx și eșantionare parțială

opționalcătre PBsau SBorificiu de ventilațieaera se vedea figura 21către sistemul de eșantionare a particulelorgaze de evacuare

Gazul de evacuare brut este transferat din țeava de evacuare EP în tunelul de diluție DT prin sonda de eșantionare SP și tubul de transfer TT. Concentrațiile gazului trasor (CO2 sau NOx) sunt măsurate în gazul de evacuare brut și diluat și în aerul de diluție cu analizorul/analizoarele de gaz de evacuare EGA. Aceste semnale sunt transmise unui regulator de debit FC2 care controlează atât ventilatorul de presiune PB, cât și exhaustorul SB, pentru a menține fracționarea dorită a gazului de evacuare și raportul de diluție în DT. Raportul de diluție se calculează din concentrațiile gazului trasor în gazul de evacuare brut, gazul de evacuare diluat și aerul de diluție.

Figura 14

Sistem de diluție parțială a debitului cu măsurarea concentrației de CO2, echilibrul de carbon și eșantionarea totală

opțional către Paeropțional de la FC 2detalii, a se vedeafigura 21gaze de evacuare

Gazul de evacuare brut este transferat din țeava de evacuare EP în tunelul de diluție DT prin sonda de eșantionare SP și tubul de transfer TT. Concentrațiile CO2 sunt măsurate în gazul de evacuare diluat și în aerul de diluție cu analizorul/analizoarele de gaz de evacuare EGA. Semnalele aferente CO2 și debitului carburantuluide la debitul carburantului GFUEL se transmit fie regulatorului de debit FC2, fie regulatorului de debit FC3 ale sistemului de eșantionare a particulelor (a se vedea figura 21). FC2 reglează ventilatorul PB, iar FC3 pompa de eșantionare P (a se vedea figura 21), ajustând astfel debitul în și din sistem, pentru a menține fracționarea dorită a gazelor de evacuare și raportul de diluție în DT. Raportul de diluție se calculează din concentrațiile CO2 și GFUEL, folosindu-se ipoteza bilanțului de carbon.

Figura 15

Sistem de diluție parțială cu un singur difuzor de aer, măsurarea concentrației și eșantionare parțială

aerorificiu de ventilațiea se vedea figura 21către sistemul de eșantionare a particulelorgaze de evacuare

Gazul de evacuare brut este transferat din țeava de evacuare EP în tunelul de diluție DT prin sonda de eșantionare SP și tubul de transfer TT datorită presiunii negative create de difuzorul VN în DT. Debitul gazului prin TT depinde de schimbul de forțe în zona difuzorului și este, prin urmare, influențat de temperatura absolută a gazului la ieșirea din TT. În consecință, fracționarea gazului de evacuare la un anumit debit în tunel nu este constantă, iar raportul de diluție la încărcare mică este ușor mai scăzut decât la încărcare mare. Concentrațiile de gaz trasor (CO2 sau NOx) se măsoară în gazul de evacuare brut, gazul de evacuare diluat și aerul de diluție cu analizorul de gaze de evacuare EGA, iar raportul de diluție se calculează din valorile astfel măsurate.

Figura 16

Sistem de diluție parțială cu două difuzoare de aer sau orificii pereche, măsurarea concentrației și eșantionare parțială

aera se vedea figura 21către sistemul de eșantionare a particulelororificiu de ventilațiegaze de evacuare

Gazul de evacuare brut este transferat din țeava de evacuare EP în tunelul de diluție DT prin sonda de eșantionare SP și tubul de transfer TT, folosindu-se un separator de debit care conține un set de orificii sau difuzoare. Primul (FD1) este așezat în EP, iar al doilea (FD2) în TT. În plus, sunt necesare două supape de control al presiunii (PCV1 și PCV2) pentru a menține constantă fracționarea gazului de evacuare prin controlul contrapresiunii în EP și al presiunii în DT. PCV1 este plasat în EP, în aval de SP; PCV2 este așezat între ventilatorul PB și DT. Concentrațiile de gaz trasor (CO2 sau NOx) se măsoară în gazul de evacuare brut, gazul de evacuare diluat și aerul de diluție cu analizorul/analizoarele de gaze de evacuare EGA. Acestea sunt necesare pentru controlul fracționării gazelor de evacuare și se pot folosi și pentru reglarea preciziei fracționării prin PCV1 și PCV2. Raportul de diluție se calculează din concentrațiile gazului trasor.

Figura 17

Sistem de diluție parțială cu fracționare cu tuburi multiple, măsurarea concentrației și G

aera se vedea figura 21injecție de aer proaspătcătre sistemul de eșantionare a particulelororificiu de ventilațieaer

azul de evacuare brut este transferat din țeava de evacuare EP în tunelul de diluție DT prin tubul de transfer TT, folosindu-se un separator de debit FD3, care conține un număr de tuburi de aceleași dimensiuni (același diametru, lungime și rază de curbură), introduse în EP. Gazul de evacuare este îndreptat din unul din tuburi la DT, iar restul de gaz de evacuare din celelalte tuburi este trecut prin camera de evaporare DC. Astfel, fracționarea gazelor de evacuare este determinată de numărul total de tuburi. Un control constant al fracționării presupune o presiune diferențială zero între DC și ieșirea din TT, măsurată cu traductorul de presiune diferențială DPT. Presiunea diferențială zero se obține injectând aer proaspăt în DT la ieșirea din TT. Concentrațiile de gaz trasor (CO2 sau NOx) se măsoară în gazul de evacuare brut, gazul de evacuare diluat și aerul de diluție cu analizorul de gaze de evacuare EGA. Acestea sunt necesare pentru controlul fracționării gazelor de evacuare și se pot folosi și pentru reglarea debitului de aer injectat în vederea preciziei fracționării. Raportul de diluție se calculează din concentrațiile gazului trasor.

Figura 18

Sistem de diluție parțială cu controlul debitului și eșantionare totală

opțional către P (PSS)GEXHsau GAIR sau GFUELorificiude ventilațiedetalii, a se vedea figura 21gaze de evacuare

Gazul de evacuare brut este transferat din țeava de evacuare EP în tunelul de diluție DT prin sonda de eșantionare SP și tubul de transfer TT. Debitul total prin tunel este reglat cu regulatorul de debit FC3 și pompa de eșantionare P a sistemului de eșantionare a particulelor (a se vedea figura 18). Debitul de aer de diluție este controlat cu regulatorul de debit FC2, care poate folosi GEXHW, GAIRW sau GFUEL ca semnale de comandă pentru fracționarea dorită a gazelor de evacuare. Debitul eșantionului în DT reprezintă diferența dintre debitul total și debitul de aer de diluție. Debitul aerului de diluție se măsoară cu dispozitivul de măsurare a debitului FM1, iar debitul total se măsoară cu dispozitivul de măsurare a debitului FM3 din sistemul de eșantionare a particulelor (a se vedea figura 21). Raportul de diluție se calculează din aceste două valori ale debitului.

Figura 19

Sistem de diluție parțială cu controlul debitului și eșantionare parțială

către PB sau SBaera se vedea figura 21spre sistemul de eșantionare a particulelor, a se vedea figura 21GEXHsau GAIR sau GFUELorificiu de ventilațiegaze de evacuare

Gazul de evacuare brut este transferat din țeava de evacuare EP în tunelul de diluție DT prin sonda de eșantionare SP și tubul de transfer TT. Fracționarea gazelor de evacuare și curgerea în DT sunt controlate de regulatorul de debit FC2, care reglează debitele (sau vitezele) regulatorului de presiune PB și exhaustorului SB. Acest lucru este posibil deoarece eșantionul preluat prin sistemul de eșantionare a particulelor este retransmis în DT. Se pot folosi GEXHW, GAIRW sau GFUEL ca semnale de comandă pentru FC2. Debitul aerului de diluție este măsurat cu dispozitivul de măsurare a debitului FM1, iar debitul total cu dispozitivul de măsurare a debitului FM2. Coeficientul de diluție se calculează din aceste două rate ale debitului.

2.2.1.   Descrierea figurilor 11-19

Țeava de evacuare EP

Țeava de evacuare poate fi izolată. Pentru a reduce inerția termică a țevii de evacuare se recomandă un raport între grosime și diametru de 0,015 sau mai mic. Utilizarea unor porțiuni flexibile trebuie limitată la un raport între lungime și diametru de 12 sau mai puțin. Numărul elementelor de legătură trebuie redus la minimum, pentru a diminua depunerile prin inerție. În cazul în care sistemul include și un banc de probă cu amortizor, amortizorul trebuie și el izolat.

Pentru un sistem izocinetic, țeava de evacuare nu trebuie să aibă coturi, elemente de legătură, sau schimbări bruște de diametru pe o distanță de cel puțin șase diametre de țeavă în amonte și trei diametre de țeavă în aval de capătul sondei. Viteza gazului în zona de eșantionare trebuie să fie mai mare de 10 m/s, cu excepția cazului în care se află în regim de mers în gol. Oscilațiile de presiune ale gazului de evacuare nu trebuie să depășească în medie ± 500 Pa. Orice demers de a reduce oscilațiile de presiune în afara folosirii unui sistem de evacuare tip șasiu (inclusiv amortizor și aparat de posttratare) nu trebuie să altereze performanțele motorului, nici să conducă la depuneri de particule.

Pentru sistemele fără sondă izocinetică, se recomandă utilizarea unei țevi drepte cu dimensiunea mai mare de 6 ori dimensiunea diametrului în amonte și de 3 ori a diametrului în aval de capătul sondei.

SP Sondă de eșantionare (figurile 10, 14, 15, 16, 18, 19)

Diametrul minim interior trebuie să fie de 4 mm. Raportul minim de diametru între țeava de evacuare și sondă trebuie să fie 4. Sonda este un tub deschis orientat în amonte față de centrul țevii de evacuare sau o sondă cu găuri multiple, după cum se descrie în SP1 de la punctul 1.2.1, figura 5.

ISP Sondă izocinetică de eșantionare (figurile 11, 12)

Sonda izocinetică de eșantionare trebuie orientată către amonte pe linia mediană a țevii de evacuare, în cazul în care sunt respectate condițiile de debit din secțiunea EP, și astfel proiectată încât să ofere un eșantion proporțional de gaz brut evacuat. Diametrul minim interior trebuie să fie de 12 mm.

Este necesar un sistem de control pentru fracționarea izocinetică a emisiilor prin menținerea unei presiuni diferențiale zero între EP și ISP. În aceste condiții, vitezele gazelor din EP și din IPS sunt identice, iar debitul total din ISP reprezintă o fracție constantă din debitul gazului de evacuare. ISP trebuie să fie conectată la un traductor diferențial de presiune DPT. Controlul necesar realizării unei presiuni diferențiale zero între EP și ISP se realizează cu un regulator de debit FC1.

FD1, FD2 Separatoare de debit (figura 16)

Se instalează un set de difuzoare de aer sau orificii în țeava de evacuare EP, respectiv în tubul de transfer TT, pentru a obține un eșantion proporțional de gaz brut de evacuare. Este necesar un sistem de control ce constă din două supape de control al presiunii PCV1 și PCV2 pentru fracționarea proporțională prin controlul presiunii în EP și DT.

FD3 Separator de debit (figura 17)

Se instalează un număr de tuburi (unitate cu tuburi multiple) în țeava de evacuare EP pentru a obține un eșantion proporțional de gaz brut de evacuare. Unul dintre tuburi alimentează tunelul de diluție DT cu gaz de evacuare, în timp ce celelalte tuburi evacuează gazul în camera de amortizare DC. Tuburile trebuie să aibă aceleași dimensiuni (diametru, lungime, rază de curbură), astfel încât fracționarea gazului să depindă de numărul total de tuburi. Este nevoie de un sistem de control pentru fracționarea proporțională prin menținerea unei presiuni diferențiale zero între ieșirea unității cu tuburi multiple în DC și ieșirea în TT. În aceste condiții, vitezele gazelor evacuate în EP și FD3 sunt proporționale, iar debitul TT reprezintă o fracție constantă din debitul de gaz de evacuare. Cele două puncte trebuie conectate la un traductor de presiune diferențială DPT. Controlul realizat pentru obținerea unei presiuni diferențiale zero este realizat cu ajutorul unui regulator de debit FC1.

EGA Analizor de gaze de evacuare (figurile 13, 14, 15, 16, 17)

Se pot folosi analizori CO2 sau NOx (prin metoda bilanțului de carbon, numai CO2). Analizorii trebuie calibrați la fel ca și analizorii pentru măsurarea gazelor de evacuare. Se pot folosi unul sau mai mulți analizori pentru a determina diferențele de concentrație. Acuratețea sistemelor de măsurare trebuie să se realizeze astfel încât acuratețea GEDFW,i să se încadreze între ± 4 %.

TT Tub de transfer (figurile 11-19)

Tubul de transfer trebuie să fie:

 cât se poate de scurt, de maximum 5 m lungime;

 mai mare sau egal cu diametrul sondei, dar nu mai mare de 25 mm diametru;

 fixat pe linia mediană a tunelului de diluție și orientat în aval.

În cazul în care tubul are o lungime mai mică sau egală cu 1 metru, acesta trebuie izolat cu material la o conductivitate termică maximă de 0,05W/m*K cu o grosime radială a izolației corespunzătoare diametrului sondei. În cazul în care tubul este mai lung de 1 metru, trebuie izolat și încălzit la o temperatură minimă a pereților de 523 K (250 °C).

DPT Traductor de presiune diferențială (figurile 11, 12, 17)

Traductorul de presiune diferențială trebuie să aibă un interval de ± 500 Pa sau mai puțin.

FC1 Regulator de debit (figurile 11, 12, 17)

Pentru sistemele izocinetice (figurile 11, 12) este necesar un regulator de debit pentru a menține presiunea diferențială la zero între EP și ISP. Corectările se pot face:

(a) controlând viteza sau debitul exhaustorului SB și menținând viteza sau debitul la ventilatorul de presiune PB constantă în timpul fiecărui mod (figura 11) sau

(b) reglând exhaustorul SB la un debit constant al gazului de evacuare diluat și controlând debitul ventilatorului de presiune PB și, astfel, pe cel al gazelor de evacuare eșantionate într-o zonă aproape de capătul tubului de transfer TT (figura 12).

În cazul în care se folosește un sistem de control al presiunii, eroarea rămasă în bucla de control nu trebuie să depășească ± 3 Pa. Oscilațiile de presiune din tunelul de diluție nu trebuie să depășească în medie ± 250 Pa.

În cazul unui sistem cu tuburi multiple (figura 17) este necesar un regulator de debit pentru o fracționare proporțională a gazului de evacuare astfel încât să se mențină o presiune diferențială zero între ieșirea din unitatea cu tuburi multiple și ieșirea din TT. Reglarea se poate face controlând debitul aerului injectat în DT la ieșirea din TT.

PCV1, PCV2 Supapă de presiune (figura 16)

Sunt necesare două supape de presiune la sistemul cu difuzor de aer dublu sau cu orificii duble pentru o fracționare proporțională a debitului prin controlul contrapresiunii în EP și a presiunii în DT. Supapele trebuie plasate în aval de SP în EP și între PB și DT.

DC Camera de amortizare (figura 17)

Se instalează o cameră de amortizare la ieșirea din unitatea cu tuburi multiple pentru a minimiza oscilațiile de presiune din țeava de evacuare EP.

VN Difuzor de aer (figura 15)

Se instalează un difuzor de aer în tunelul de diluție DT pentru a crea o presiune negativă în zona de ieșire din tubul de transfer TT. Debitul de gaze prin TT se determină prin schimbarea de impuls în zona difuzorului și este în principal proporțională cu debitul ventilatorului de presiune PB, conducând la un raport de diluție constant. Deoarece schimbul de impuls este afectat de temperatura la ieșirea din TT și de presiunea diferențială dintre EP și DT, raportul real de diluție este puțin mai mic la încărcare mică decât la încărcare mare.

FC2 Regulator de debit (figurile 13, 14, 18, 19, opțional)

Se poate folosi un regulator de debit pentru a se controla debitul ventilatorului de presiune PB și/sau al exhaustorului SB. Acesta se poate conecta la semnalele privind emisiile, aerul de admisie sau debitul de gaz și/sau la semnalul diferențial de CO2 sau NOx. Când se folosește o alimentare cu aer presurizat (figura 18), FC2 controlează direct debitul de aer.

FM1 Aparat de măsurare a debitului (figurile 11, 12, 18, 19)

Contor de gaze sau alt instrument de măsură a debitului de aer de diluție. FM1 este opțional în cazul în care regulatorul de presiune PB este reglat să măsoare debitul.

FM2 Aparat de măsurare a debitului (figura 19)

Contor de gaze sau alt instrument de măsură a debitului de gaze de evacuare diluate. FM2 este opțional în cazul în care exhaustorul SB este reglat să măsoare debitul.

PB Ventilator de presiune (figurile 11, 12, 13, 14, 15, 16, 19)

Pentru a controla debitul aerului de diluție, PB poate fi conectat la regulatoarele de debit FC1 sau FC2. PB nu este necesar când se folosește un ventil fluture. PB poate fi folosit pentru a măsura debitul de aer de diluție în cazul în care este calibrat.

SB Exhaustor (figurile 11, 12, 13, 16, 17, 19)

Numai pentru sisteme de prelevare de probe parțiale. SB se poate folosi la măsurarea debitului de gaz de evacuare diluat, în cazul în care de evacuare, dacă este calibrat.

DAF Filtru pentru aer de diluție (figurile 11-19)

Se recomandă ca aerul de diluție să fie filtrat și trecut prin cărbune activ pentru eliminarea concentrației de fond a hidrocarburilor. La cererea constructorului, aerul de diluție este eșantionat conform normelor stabilite pentru a determina nivelul de bază al particulelor, care poate fi ulterior scăzut din valorile măsurate în gazul de evacuare diluat de evacuare.

DT Tunel de diluție (figurile 11-19)

Tunelul de diluție:

 trebuie să aibă o lungime destul de mare pentru a permite amestecarea optimă a gazului de evacuare cu aerul de diluție în condițiile unui debit instabil;

 trebuie construit din oțel inoxidabil cu:

 

 un raport între grosime și diametru de 0,025 sau mai mic pentru tunelul de diluție cu diametru interior mai mare de 75 mm;

 grosime nominală a pereților nu mai mică de 1,5 mm pentru tunelul de diluție cu diametru interior mai mic sau egal cu 75 mm;

 trebuie să aibă diametrul de cel puțin 75 mm pentru tipul de eșantionare parțială;

 se recomandă ca acesta să aibă un diametru de cel puțin 25 mm pentru tipul de eșantionare totală;

 poate fi încălzit la o temperatură a pereților de cel mult 325 K (52 °C) prin încălzire directă sau prin preîncălzirea aerului de diluție, cu condiția ca temperatura aerului să nu depășească 325 K (52 °C) înainte de introducerea gazelor de evacuare în tunelul de diluție;

 poate fi izolat.

Gazele de evacuare generate de motor sunt bine amestecate cu aerul de diluție. Pentru eșantionarea parțială se verifică calitatea amestecului, după introducerea lui, prin analiza cu CO2 a tunelului cu motorul în funcțiune (în cel puțin patru puncte la distanțe egale). În cazul în care este nevoie, se folosește un orificiu de amestec.

Notă: În cazul în care temperatura ambiantă din apropierea tunelului de diluție (DT) este sub 293 K (20 °C), se iau măsuri de precauție pentru evitarea pierderilor de particule pe pereții reci ai tunelului de diluție. De aceea, se recomandă încălzirea și/sau izolarea tunelului în limitele parametrilor menționați anterior.

La sarcini mari ale motorului, tunelul poate fi răcit printr-o metodă neagresivă, precum un ventilator de recirculare, atâta timp cât temperatura mediului de răcire nu scade sub 293 K (20 °C).

HE Schimbător de căldură (figurile 16, 17)

Schimbătorul de căldură trebuie să aibă o capacitate suficientă pentru menținerea temperaturii de la orificiul de admisie până la exhaustorul SB în limitele a ± 11 K din temperatura medie de funcționare observată în timpul testării.

2.3.   Sistem de diluție totală a debitului

Figura 20 descrie un sistem de diluție bazat pe diluția totală a gazelor de evacuare folosindu-se schema de eșantionare la volum constant (CVS). Trebuie măsurat volumul total al amestecului dintre gazele de evacuare și aerul de diluție. Se pot folosi fie o PDP, fie un sistem cu CFV.

Pentru colectarea ulterioară de particule, se trece prin sistemul de eșantionare a particulelor un eșantion de gaz de evacuare diluat (punctul 2.4, figurile 21 și 22). În cazul în care aceasta se face în mod direct, se numește diluție unică. În cazul în care eșantionul este diluat încă o dată în al doilea tunel de diluție, metoda se numește diluție dublă. Acest procedeu este folositor în cazul în care nu se pot îndeplini normele de temperatură la suprafața filtrului printr-o singură diluție. Deși reprezintă, parțial, un sistem de diluție, sistemul de diluție dublă este descris ca o modificare adusă sistemului de eșantionare a particulelor la punctul 2.4, figura 22, deoarece are cele mai multe caracteristici comune cu un sistem tipic de eșantionare a particulelor.

Figura 20

Sistemul de diluție totală a debitului

către filtrul secundaropționalaeropționala se vedea figura 21gaze de evacuarecătre sistemul de eșantionare a particulelor, a se vedea figura 22în cazul în care se folosește EFCorificiu de ventilațieorificiu de ventilație

Întreaga cantitate de gaz de evacuare brut este amestecată în tunelul de diluție DT cu aerul de diluție. Debitul de gaz de evacuare se măsoară fie cu o pompă volumetrică PDP, fie cu un difuzor de aer pentru debit critic CFV. Un schimbător de căldură HE sau un compensator electronic de debit EFC poate fi folosit pentru eșantionarea proporțională a particulelor și pentru determinarea debitului. Deoarece determinarea masei particulelor se bazează pe debitul total de gaz de evacuare diluat, nu este necesară calcularea raportului de diluție.

2.3.1.   Componentele figurii 20

EP Țeava de evacuare

Lungimea țevii de evacuare de la ieșirea din colectorul de evacuare al motorului, de la ieșirea turbocompresorului sau de la sistemul de posttratare până la tunelul de diluție, nu trebuie să depășească 10 m. În cazul în care țeava de evacuare în aval de ieșirea din colectorul de evacuare, din turbocompresor sau din sistemul de posttratare depășește 4 m lungime, întreaga tubulatură ce depășește 4 m trebuie izolată, cu excepția contorului de fum în linie, în cazul în care acesta este folosit. Grosimea radială a izolației trebuie să fie de cel puțin 25 mm. Conductivitatea termică a materialului de izolație trebuie să aibă o valoare de maximum 0,1 W/mK măsurată la 673 K (400 °C). Pentru a reduce inerția termică a țevii de evacuare, se recomandă un raport între grosime și diametru de cel mult 0,015. Folosirea sectoarelor flexibile trebuie limitată la un raport între lungime și diametru de cel mult 12.

PDP Pompă volumetrică

PDP măsoară debitul total de gaz de evacuare diluat din numărul de rotații ale pompei și din debitul la pompă. Contrapresiunea sistemului de evacuare nu trebuie scăzută în mod artificial prin PDP sau prin sistemul de admisie a aerului de diluție. Contrapresiunea statică a gazului de evacuare măsurată cu sistemul PDP în funcțiune trebuie să rămână în limitele a ± 1,5 kPa din presiunea statică măsurată fără ca PDP să fie conectată, la o turație și sarcină identice ale motorului. Temperatura amestecului de gaz imediat înaintea PDP trebuie să se încadreze între ± 6K din temperatura medie de funcționare observată în timpul testării, când nu s-a folosit un compensator de debit. Compensarea debitului se poate face numai în cazul în care temperatura la orificiul de admisie în PDP nu depășește 323 K (50 °C).

CFV Difuzor de aer pentru debit critic

CFV măsoară debitul total al gazului de evacuare diluat prin menținerea lui la nivel minim (debit critic). Contrapresiunea statică a gazului de evacuare cu sistemul CFV în funcțiune trebuie să rămână în limitele a ± 1,5 kPa din presiunea statică măsurată fără ca CFV să fie conectat, la o turație și sarcină identice ale motorului. Temperatura amestecului de gaz imediat înaintea CFV trebuie să se încadreze între ± 11 K din temperatura medie de funcționare observată în timpul testului, atunci când nu s-a folosit un compensator de debit.

HE Schimbător de căldură (opțional, în cazul în care se folosește EFC)

Schimbătorul de căldură trebuie să aibă o capacitate suficientă pentru a menține temperatura în limitele prevăzute anterior.

EFC Compensator electronic de debit (opțional, în cazul în care se folosește HE)

În cazul în care temperatura la admisie în PDP sau în CFV nu este menținută în limitele prevăzute anterior, este nevoie de un compensator de debit pentru măsurări continue ale debitului și pentru controlul eșantioanelor proporționale din sistemul de particule. Pentru aceasta se folosesc semnalele debitului măsurate continuu, corectându-se eșantionul de debit prin filtrele de particule ale sistemului de eșantionare a particulelor (a se vedea punctul 2.4, figurile 21, 22).

DT Tunel de diluție

Tunelul de diluție:

 trebuie să aibă un diametru suficient de mic încât să producă un flux turbulent (numărul lui Reynolds mai mare de 4 000) și o lungime suficientă pentru amestecarea completă a gazului de evacuare cu aerul de diluție; se poate folosi un orificiu de amestec;

 trebuie să aibă un diametru de cel puțin 460 mm, la un singur sistem de diluție;

 trebuie să aibă un diametru de cel puțin 210 mm, la un sistem de diluție dublu;

 poate fi izolat.

Gazul de evacuare generat de motor trebuie orientat în aval, în punctul în care este introdus în tunelul de diluție și trebuie amestecat bine.

În cazul în care se folosește diluția unică, se transferă un eșantion din tunelul de diluție în sistemul de eșantionare a particulelor (punctul 2.4, figura 21). Capacitatea debitului în PDP sau CFV trebuie să fie suficient de mare încât să mențină gazul de evacuare diluat la o temperatură mai mică sau egală cu 325 K (52 °C) chiar înaintea filtrului primar de particule.

În cazul în care se folosește diluția dublă, un eșantion din tunelul de diluție este transferat în cel de-al doilea tunel de diluție, unde este încă o dată diluat, iar apoi trece prin filtrele de eșantionare (punctul 2.4, figura 22). Capacitatea debitului în PDP sau a CFV trebuie să fie suficient de mare pentru a menține fluxul de gaz diluat din DT la o temperatură mai mică sau egală cu 464 K (191 °C) în zona de eșantionare. Sistemul suplimentar de diluție trebuie să producă suficient aer de diluție pentru a menține fluxul de gaz de evacuare dublu diluat la o temperatură mai mică sau egală cu 325 K (52 °C) chiar înaintea filtrului primar de particule.

DAF Filtru pentru aer de diluție

Se recomandă ca aerul de diluție să fie filtrat și trecut prin cărbune activ pentru eliminarea hidrocarburile de fond. La cererea constructorului, aerul de diluție trebuie eșantionat, în conformitate cu bunele practici inginerești, pentru a determina nivelurile de fond ale particulelor, care pot fi scăzute ulterior din valorile măsurate în gazul de evacuare diluat.

PSP Sonda de eșantionare a particulelor

Sonda este componenta principală a PTT și:

 trebuie să fie montată cu orientare în amonte, într-un punct unde aerul de diluție și gazul de evacuare sunt bine amestecate, de exemplu pe linia mediană a tunelului de diluție (DT), la o distanță aproximativ egală cu 10 diametre de tunel în aval față de punctul în care gazul de evacuare intră în tunelul de diluție;

 diametrul său interior trebuie să fie de minimum 12 mm;

 poate fi încălzită la o temperatură a pereților de cel mult 325 K (52 °C) prin încălzire directă sau prin preîncălzirea aerului de diluție, cu condiția ca temperatura aerului să nu depășească 325 K (52 °C) înainte de introducerea gazelor de evacuare în tunelul de diluție;

 poate fi izolată.

2.4.   Sistemul de eșantionare a particulelor

Sistemul de eșantionare a particulelor este necesar pentru colectarea de particule pe filtrul de particule. În cazul eșantionării totale din debitul diluat parțial, care constă în trecerea întregului eșantion de gaz diluat prin filtre, sistemele de diluție (punctul 2.2, figurile 14, 18) și de eșantionare formează, în general, o singură unitate. În cazul eșantionării parțiale din debitul diluat parțial sau din debitul diluat total, care constă în trecerea prin filtre a unei părți din gazul diluat, sistemele de diluție (punctul 2.2, figurile 11, 12, 13, 15, 16, 17, 19 și punctul 2.3, figura 20) și de eșantionare formează unități distincte.

În prezenta directivă, sistemul de diluție dublă (figura 22) al unui sistem de diluție totală este considerat o modificare specifică a unui sistem tipic de eșantionare a particulelor, astfel cum este indicat în figura 21. Sistemul de diluție dublă conține toate elementele importante ale sistemului de eșantionare a particulelor, precum suporturile de filtre sau pompa de eșantionare.

Pentru a evita orice impact asupra buclelor de control, se recomandă ca pompa de eșantionare să funcționeze continuu pe parcursul întregii proceduri de testare. Pentru metoda cu un singur filtru trebuie folosit un sistem de derivație pentru a trece eșantionul prin filtrul de eșantionare la momentele dorite. Interferențele procedurii de comutare asupra buclelor de control trebuie să fie minime.

Figura 21

Sistemul de eșantionare a particulelor

de la tunelul de diluție, a se vedea figurile 11-20opționalde la EGAsaude la PDPsaude la CFVsaude la GFUEL

Se obține un eșantion de gaz de evacuare diluat din tunelul de diluție DT al unui sistem de diluție completă sau parțială, prin sonda de eșantionare a particulelor PSP și prin tubul de transfer al particulelor PTT, cu ajutorul pompei de eșantionare P. Eșantionul este trecut prin suportul/suporturile/suporții de filtre FH, ce conțin filtrele pentru eșantionarea particulelorprobele de particule. Debitul eșantionului este controlat de regulatorul de debit FC3. În cazul în care se folosește un compensator electronic de debit EFC (a se vedea figura 20), debitul gazului diluat se folosește drept semnal de comandă pentru FC3.

Figura 22

Sistem de diluție dublă (numai pentru debit complet)

orificiu de ventilațiede la tunelul de diluție, a se vedea figura20opțional

Se transferă un eșantion de gaz de evacuare diluat din tunelul de diluție DT al sistemului de diluție totală prin sonda de eșantionare a particulelor PSP și prin tubul de transfer al particulelor PTT către tunelul secundar de diluție, unde este diluat încă o dată. Eșantionul este trecut apoi prin suportul/suporturile de filtre FH, care conțin filtrele pentru eșantionarea particulelor. Debitul aerului de diluție este de obicei constant, în timp ce debitul eșantionului este controlat de regulatorul de debit FC3. În cazul în care se folosește un compensator electronic de debit EFC (a se vedea figura 20), debitul total al gazului diluat se folosește drept semnal de comandă pentru FC3.

2.4.1.   Componentele figurilor 21 și 22

PTT Tub de transfer al particulelor (figurile 21, 22)

Tubul de transfer al particulelor nu trebuie să depășească 1 020 mm în lungime; lungimea lui trebuind redusă ori de câte ori este posibil. După caz (de ex. pentru sistemele de eșantionare parțială a debitului parțial diluat și pentru sistemele de diluție totală a debitului), se include lungimea sondelor de eșantionare (SP, ISP, respectiv PSP, a se vedea punctele 2.2 și 2.3).

Dimensiunile sunt valabile pentru:

 tipul de eșantionare parțială a debitului parțial diluat și pentru sistemul complet de diluție unică, de la capătul sondei (SP, ISP, respectiv PSP) până la suportul de filtru;

 tipul de eșantionare totală a debitului parțial diluat de la capătul tunelului de diluție până la suportul de filtru;

 sistemul de diluție totală dublă de la capătul sondei (PSP) până la tunelul secundar de diluție.

Tubul de transfer:

 poate fi încălzit la o temperatură a pereților de cel mult 325 K (52 °C) prin încălzire directă sau prin preîncălzirea aerului de diluție, cu condiția ca temperatura aerului să nu depășească 325 K (52 °C) înainte de introducerea gazelor de evacuare în tunelul de diluție;

 poate fi izolat.

SDT Tunel de diluție secundar (figura 22)

Tunelul de diluție secundar trebuie să aibă un diametru minim de 75 mm și o lungime suficientă pentru a permite un timp de rezidență a eșantionului dublu diluat de cel puțin 0,25 secunde. Suportul filtrului primar FH trebuie plasat în limitele a 300 mm de la ieșirea din SDT.

Tunelul de diluție secundar:

 poate fi încălzit la o temperatură a pereților de cel mult 325 K (52 °C) prin încălzire directă sau prin preîncălzirea aerului de diluție, cu condiția ca temperatura aerului să nu depășească 325 K (52 °C) înainte de introducerea gazelor de evacuare în tunelul de diluție;

 poate fi izolat.

FH Suportul (Suporturile) de filtre (figurile 21, 22)

Pentru filtrul primar și pentru cele de rezervă se pot folosi locașuri comune sau separate. Trebuie îndeplinite dispozițiile din anexa III apendicele 4 punctul 4.1.3

Suportul (Suporturile) de filtre:

 poate fi încălzit/pot fi încălzite la o temperatură a pereților de cel mult 325 K (52 °C) prin încălzire directă sau prin preîncălzirea aerului de diluție, cu condiția ca temperatura aerului să nu depășească 325 K (52 °C) înainte de introducerea gazelor de evacuare în tunelul de diluție;

 poate fi izolat/pot fi izolate.

P Pompă de eșantionare (figurile 21, 22)

Pompa de eșantionare a particulelor trebuie plasată la o distanță suficientă de tunel pentru a menține temperatura gazului de admisie constantă (±3 K), în cazul în care nu se folosește corectarea debitului prin FC3.

DP Pompă pentru aerul de diluție (figura 22)

Pompa pentru aerul de diluție trebuie astfel plasată încât aerul pentru diluția secundară să fie furnizat la o temperatură de 298 K ± 5 K (25 °C ± 5 °C), în cazul în care aerul de diluție nu este preîncălzit.

FC3 Regulator de debit (figurile 21, 22)

Trebuie folosit un regulator de debit pentru a compensa debitul eșantionului de particule în cazul variațiilor de temperatură sau contrapresiune din circuitul eșantionului, în cazul în care nu există alte mijloace. Regulatorul de debit este necesar în cazul în care se folosește un compensator electronic de debit EFC (a se vedea figura 20).

FM3 Aparat de măsurare a debitului (figurile 21, 22)

Contorul de gaz sau instrumentul pentru debit trebuie plasat la o distanță suficientă de sonda de eșantionare pentru a menține temperatura gazului de admisie constantă (±3 K), în cazul în care nu se folosește corectarea debitului prin FC3.

FM4 Aparat de măsurare a debitului (figura 22)

Contorul de gaz sau instrumentul de măsurare a debitului aerului de diluție trebuie plasat astfel încât temperatura aerului de admisie să rămână constantă la 298 K ± 5 K (25 °C ± 5 °C).

BV Supapa cu bilă (opțional)

Supapa cu bilă trebuie să aibă un diametru interior nu mai mic decât diametrul interior al tubului de transfer PTT și un timp de comutare mai mic de 0,5 secunde.

Notă: În cazul în care temperatura ambiantă din apropierea PSP, PTT, SDT și FH este sub 293 K (20 °C), trebuie luate măsuri de precauție pentru evitarea pierderilor de particule pe pereții reci ai acestor piese. De aceea, se recomandă încălzirea și/sau izolarea pieselor în limitele parametrilor menționați în descrierile corespunzătoare fiecăreia. Se recomandă, de asemenea, ca temperatura suprafeței filtrului în timpul eșantionării să nu scadă sub 293 K (20 °C).

În cazul sarcinilor mari ale motorului, piesele menționate anterior pot fi răcite printr-o metodă neagresivă, cum ar fi un ventilator de recirculare, atât timp cât temperatura mediului de răcire nu scade sub 293 K (20 °C).

3.   DETERMINAREA FUMULUI

3.1.   Introducere

Punctele 3.2 și 3.3 și figurile 23 și 24 conțin descrieri detaliate ale sistemelor de opacimetre recomandate. Deoarece configurații diferite pot produce rezultate echivalente, nu este necesară o respectare exactă a figurilor 23 și 24. Componentele suplimentare, precum instrumentele, supapele, solenoizii, pompele și comutatoarele, se pot folosi pentru a oferi informații suplimentare și pentru a coordona funcțiile sistemelor componente. Alte componente care nu sunt necesare pentru menținerea acurateței asupra anumitor sisteme pot fi excluse în cazul în care excluderea lor are la bază bunele practici inginerești.

Principiul măsurării este următorul: lumina se transmite printr-o lungime specifică a fumului care urmează să fie măsurată, iar proporția luminii de incidență care ajunge la receptor este utilizată pentru a evalua proprietățile de opacitate ale mediului. Măsurarea fumului depinde de schema aparatului și poate fi efectuată în țeava de evacuare (opacimetru în linie pentru debit total), la capătul țevii de evacuare (opacimetru în aval pentru debit total) sau prin prelevarea unui eșantion din țeava de evacuare (opacimetru pentru debit parțial). Pentru stabilirea coeficientului de absorbție a luminii de la semnalul de opacitate, lungimea undei optice a instrumentului este indicată de constructorul instrumentului.

3.2.   Opacimetrul pentru debit total

Se pot utiliza două tipuri generale de opacimetre pentru debit total (figura 23). Cu ajutorul opacimetrului în linie se măsoară opacitatea întregului debit de gaz din țeava de evacuare. În cazul acestui tip de opacimetru, lungimea efectivă a undei optice depinde de schema opacimetrului.

Cu ajutorul opacimetrului în aval, se măsoară opacitatea gazului total de evacuare la ieșirea din țeava de evacuare. În cazul acestui tip de opacimetru, lungimea efectivă a undei optice depinde de schema țevii de evacuare și de distanța dintre capătul țevii de evacuare și opacimetru.

Figura 23

Opacimetru pentru debit total

(opțional)

3.2.1.   Componentele figurii 23

EP Țeava de evacuare

În cazul opacimetrului în linie, nu se efectuează nici o modificare a diametrului țevii de evacuare până la 3 diametre ale țevii de evacuare înainte sau după zona de măsurare. În cazul în care diametrul zonei de măsurare este mai mare decât diametrul țevii de evacuare, se recomandă o țeavă convergentă progresiv înaintea zonei de măsurare.

În cazul opacimetrului în aval, ultimii 0,6 m din țeava de evacuare trebuie să aibă o secțiune circulară și să nu aibă coate sau curburi. Partea finală a țevii de evacuare trebuie secționată în formă pătrată. Opacimetrul trebuie poziționat central în raport cu gazul de evacuare, la o distanță de 25 ± 5 mm de capătul țevii de evacuare.

OPL Lungimea undei optice

Lungimea undei optice afectate de fum dintre sursa de lumină a opacimetrului și receptor, corectată, după caz, în ceea ce privește lipsa de uniformitate cauzată de gradienții de densitate și de efectul de periferie. Lungimea undei optice trebuie indicată și transmisă de constructorul instrumentului luându-se în considerare orice măsuri împotriva depunerilor de funingine (de ex.., aerul de purjare). În cazul în care nu se cunoaște lungimea undei optice, aceasta se stabilește în conformitate cu ISO IDS 11614, punctul 11.6.5. Pentru o determinare corectă a lungimii undei optice, este necesară o viteză minimă a gazului de evacuare de 20 m/s.

LS Sursa de lumină

Sursa de lumină este reprezentată de o lampă incandescentă cu o temperatură a culorii între 2 800 și 3 250 K, sau o diodă (LED) care emite lumină verde, cu un maxim spectral între 550 și 570 nm. Sursa de lumină este protejată împotriva acoperirii cu funingine prin metode care să nu influențeze lungimea undei optice peste specificațiile constructorului.

LDL Detector de lumină

Detectorul este o celulă foto sau o diodă foto (cu filtru, în cazul în care este necesar). În cazul unei surse de lumină incandescente, receptorul trebuie să aibă un maxim spectral de reacție similar curbei fototopice a ochiului uman (reacție maximă) între 550 și 570 nm, pentru valori inferioare procentului de 4 % din reacția maximă sub 430 nm și peste 680 nm. Detectorul de lumină trebuie protejat împotriva acoperirii cu funingine prin metode care să nu influențeze lungimea undei optice peste specificațiile constructorului.

CL Lentile de colimare

Emisia luminoasă trebuie colimată cu un fascicul cu diametru maxim de 30 mm. Razele fasciculului luminos trebuie să fie paralele, cu o toleranță de 3° față de axa optică.

T1 Senzor de temperatură (opțional)

Temperatura gazului de evacuare trebuie monitorizată pe parcursul testului.

3.3.   Opacimetru pentru debit parțial

Cu ajutorul opacimetrului pentru debit parțial (figura 24), se extrage un eșantion de gaz de evacuare reprezentativ din țeava de evacuare și se introduce printr-o linie de transfer către camera de măsurare. Cu acest tip de opacimetru, lungimea efectivă a undei optice depinde de schema opacimetrului. Timpurile de reacție menționate la punctul următor se aplică ratei minime a debitului opacimetrului, în conformitate cu specificațiile constructorului instrumentului.

Figura 24

Opacimetru pentru debit parțial

gaze de evacuare(opțional)

3.3.1.   Componentele figurii 24

EP țeava de evacuare

Țeava de evacuare trebuie să fie o țeavă dreaptă de minimum 6 diametre în amonte și 3 diametre în aval de capătul sondei.

SP Sonda de eșantionare

Sonda de eșantionare trebuie să fie un tub deschis care să fie orientat în amonte către sau în apropierea liniei mediane a țevii de evacuare. Spațiul liber dintre aceasta și peretele țevii de evacuare trebuie să fie de minimum 5 mm. Diametrul sondei trebuie să asigure o eșantionare reprezentativă și un debit suficient prin opacimetru.

TT Tubul de transfer

Tubul de transfer trebuie:

 să fie cât se poate de scurt și să asigure o temperatură a gazului de evacuare de 373 ± 30 K (100 °C ± 30 °C) la intrarea în camera de măsurare;

 să aibă o temperatură a peretelui suficient de mare deasupra punctului de condens al gazului de evacuare încât să prevină condensarea;

 să fie egal cu diametrul sondei de eșantionare, pentru întreaga lungime;

 să aibă un timp de reacție inferior valorii de 0,05 s la un debit minim al instrumentului, în conformitate cu indicațiile din anexa III apendicele 4 punctul 5.2.4;

 să nu aibă un efect semnificativ asupra valorii maxime a fumului.

FM Dispozitiv de măsurare a debitului

Contor pentru identificarea debitului corect către camera de măsurare. Ratele debitului minimă și maximă trebuie să fie specificate de constructorul instrumentului și trebuie să fie stabilite astfel încât să se respecte cerințele privind timpul de reacție al TT și specificațiile privind lungimea undei optice. Dispozitivul de măsurare a debitului poate fi situat în apropierea pompei de eșantionare P, în cazul în care aceasta este utilizată.

MC Camera de măsurare

Camera de măsurare trebuie să aibă o suprafață internă care să nu reflecte lumina sau un mediu optic echivalent. Admisia luminii difuze în detector din cauza efectelor de reflexie internă trebuie redusă la minimum.

Presiunea gazului din camera de măsurare nu trebuie să fie diferită de presiunea atmosferică cu mai mult de 0,75 kPa. În cazul în care schema nu permite acest lucru, citirea opacimetrului trebuie convertită în presiune atmosferică.

Temperatura peretelui camerei de măsurare trebuie stabilită în limita de ± 5 K între 343 K (70 °C) și 373 K (100 °C), dar, în oricare dintre cazuri, suficient deasupra punctului de condens al gazului de evacuare încât să se evite condensarea. Camera de măsurare este echipată cu dispozitivele corespunzătoare pentru măsurarea temperaturii.

OPL Lungimea undei optice

Lungimea undei optice afectate de fum dintre sursa de lumină a opacimetrului și receptor va fi corectată după necesități în ceea ce privește lipsa de uniformitate cauzată de gradienții de densitate și de efectul de periferie. Lungimea undei optice trebuie indicată și transmisă de constructorul instrumentului luându-se în considerare orice măsură împotriva depunerilor de funingine (de ex. aerul de purjare). În cazul în care nu se cunoaște lungimea undei optice, aceasta se stabilește în conformitate cu ISO IDS 11614, punctul 11.6.5.

LS Sursa de lumină

Sursa de lumină este reprezentată de o lampă incandescentă cu o temperatură a culorii între 2 800 și 3 250 K sau o diodă (LED) ce emite lumină verde cu un maxim spectral între 550 și 570 nm. Sursa de lumină este protejată împotriva acoperirii cu funingine prin metode care să nu influențeze lungimea undei optice peste specificațiile constructorului.

LD Detector de lumină

Detectorul este o celulă foto sau o diodă foto (cu filtru, în cazul în care este necesar). În cazul unei surse de lumină incandescente, receptorul trebuie să aibă un maxim spectral de reacție similar curbei fototopice a ochiului uman (reacție maximă) între 550 și 570 nm, pentru valori inferioare procentului de 4 % din reacția maximă sub 430 nm și peste 680 nm. Detectorul de lumină trebuie protejat împotriva acoperirii cu funingine prin metode care să nu influențeze lungimea undei optice peste specificațiile constructorului.

CL Lentile de colimare

Emisia luminoasă trebuie colimată cu un fascicul cu diametru maxim de 30 mm. Razele fascicolului luminos trebuie să fie paralele, cu o toleranță de 3° față de axa optică.

T1 Senzor de temperatură

Pentru monitorizarea temperaturii gazelor de evacuare la intrarea în camera de măsurare.

P Pompă de eșantionare (opțional)

Se poate utiliza o pompă de eșantionare în aval față de camera de măsurare.




ANEXA VI

CERTIFICAT DE OMOLOGARE CE DE TIPComunicare privind:omologarea de tip (1)extinderea omologării de tip (1)unui tip de vehicul/unitate tehnică separată (tip de motor/familie de motoare)/componentă (1) în conformitate cu Directiva 88/77/CEEOmologarea CE de tip nr: … Extinderea nr: …PUNCTUL I0.GeneralitățiMarca vehiculului/unității tehnice separate/componentei (1): …0.1.0.2.Specificațiile constructorului privind tipul vehiculului/unității tehnice separate (tip de motor/familie de motor)/componentă (1): …0.3.Codificarea tipului la constructor, astfel cum este marcat pe vehicul/unitate tehnică separată (tip de motor/familie de motor)/componentă (1): …0.4.Categoria vehiculului: …Categoria motorului: diesel/alimentat cu gaz natural/alimentat cu GPL/alimentat cu etanol (1): …0.5.0.6.Numele și adresa constructorului: …0.7.Numele și adresa reprezentantului autorizat al constructorului (dacă este cazul): …PUNCTUL II1.Scurtă descriere (după caz): a se vedea anexa I. …2.Departamentul tehnic responsabil de punerea în aplicare a testelor: …3.Numărul raportului de testare: …4.Motivul/motivele pentru extinderea omologării (dacă este cazul): …5.Observații (dacă este cazul): …6.Observații (dacă este cazul): a se vedea anexa I. …7.Locul: …8.Data: …9.Semnătura: …10.Se atașează o listă de documente care formează dosarul de omologare înregistrat la departamentul administrativ care a aprobat omologarea de tip, care se poate obține la cerere.(1)A se elimina mențiunile inutile.




Apendice ►M1  1 ◄

La certificatul de omologare CE de tip nr. …. privind omologarea vehiculului/unității tehnice separate/componentei ( 23 )

1.Scurtă descriere1.1.Particularități de completat în ceea ce privește omologarea vehiculului cu motor instalat: …1.1.1.Marca motorului (denumirea companiei): …1.1.2.Tipul și descrierea comercială (se menționează orice variante): …1.1.3.Codul constructorului, marcat pe motor: …1.1.4.Categoria vehiculului (după caz): …Categoria motorului: diesel/alimentat cu gaz natural/alimentat cu GPL/alimentat cu etanol (1): …1.1.5.1.1.6.Denumirea și adresa constructorului: …1.1.7.Denumirea și adresa reprezentantului autorizat al constructorului (dacă este cazul): …1.2.În cazul în care motorul menționat la 1.1. a fost omologat ca unitate tehnică separată:Numărul de omologare al motorului/familiei de motoare (1): …1.2.1.1.3.Detalii de completat în privința omologării motorului/familiei de motoare (1) ca unitate tehnică separată (condiții care trebuie respectate la instalarea motorul pe un vehicul):1.3.1.Depresurizare maximă și/sau minimă de intrare: … kPa1.3.2.Contrapresiunea maximă permisă: … kPaVolumul sistemului de evacuare: … cm31.3.3.1.3.4.Puterea absorbită de către dispozitivele auxiliare necesare pentru funcționarea motorului:1.3.4.1.Mers în gol: … kW; turație mică: … kW; turație mare: … kWTurația A: … kW; turația B: … kW; turația C: … kW;Turația de referință: … kW1.3.5.Restricții de utilizare (în dacă este cazul): …Niveluri de emisie ale motorului/motorului prototip (1)1.4.1.4.1.Testul ESC (după caz):CO: … g/kWhTHC: … g/kWhNOx: … g/kWhPT: … g/kWh1.4.2.Testul ELR (după caz):Valoarea fumului: … m-11.4.3.Testul ETC (după caz):CO: … g/kWhTHC: … g/kWh (1)NMHC: … g/kWh (1)СН4: … g/kWh (1)NOx: … g/kWh (1)PT: … g/kWh (1)

►(1) M1  

▼M1

1.4.   Nivelul de emisii al motorului/motorului prototip ( 24 ):

1.4.1.

Testul ESC:

Factorul de deteriorare (DF): calculat/fixat (24) 

Specificați valorile DF și ale emisiilor de la testul ESC în tabelul următor:



Testul ESC

DF:

CO

THC

NOx

PT

 
 
 
 

Emisii

CO

THC

NOx

PT

(g/kWh)

(g/kWh)

(g/kWh)

(g/kWh)

Măsurate:

 
 
 
 

Calculate pe baza DF:

 
 
 
 

1.4.2.

Testul ELR:

valoarea fumului: … m-1

1.4.3.

Testul ETC:

Factorul de deteriorare (DF): calculat/fixat (24) 



Testul ETC

DF:

CO

NMHC

CH4

NOx

PT

 
 
 
 
 

Emisii

CO

NMHC

CH4

NOx

PT

(g/kWh)

(g/kWh) (1)

(g/kWh) (1)

(g/kWh)

(g/kWh) (1)

Măsurate cu regenerare:

 
 
 
 
 

Măsurate fără regenerare:

 
 
 
 
 

Măsurate/ponderate:

 
 
 
 
 

Calculate pe baza DF:

 
 
 
 
 

(1)   A se șterge mențiunea neaplicabilă.

▼M1




Apendicele 2

INFORMAȚII REFERITOARE LA SISTEMUL OBD

După cum se menționează în apendicele 5 la anexa II la prezenta directivă, informațiile din prezentul apendice sunt furnizate de constructorul vehiculului pentru a permite fabricarea de piese de schimb sau de întreținere compatibile cu sistemele OBD, precum și de instrumente de diagnosticare și echipamente de testare. Astfel de informații nu se furnizează de către constructorul vehiculului în cazul în care acestea intră sub incidența drepturilor de proprietate intelectuală sau constituie know-how specific al constructorului sau al furnizorului/furnizorilor de echipamente.

La cerere, prezentul apendice se pune la dispoziția oricărui producător de piese, instrumente de diagnosticare sau echipamente de testare, fără discriminare.

În conformitate cu prevederile punctului 1.3.3 din apendicele 5 la anexa II, informațiile menționate la prezentul punct trebuie să fie identice cu cele furnizate în apendicele menționat.

1. O descriere a tipului și numărului ciclurilor de precondiționare utilizate pentru omologarea inițială a vehiculului.

2. O descriere a tipului de ciclu de demonstrație a sistemului OBD utilizat pentru omologarea inițială a vehiculului pentru componentele monitorizate de sistemul OBD.

3. Un document exhaustiv care descrie toate componentele controlate în cadrul strategiei de detectare a defecțiunilor și de activare a MI (număr fix de cicluri de condus sau metoda statistică), inclusiv o listă a parametrilor controlați secundari relevanți pentru fiecare componentă monitorizată de sistemul OBD. O listă a codurilor generate de sistemul OBD și formatele utilizate (cu explicarea fiecăruia) asociate cu diferitele componente individuale de propulsie legate de emisii și cu diferitele componente individuale care nu sunt legate de emisii, acolo unde monitorizarea componentei este utilizată pentru a determina activarea MI.

▼B




ANEXA VII

EXEMPLU DE PROCEDURĂ DE CALCUL

1.   TESTUL ESC

1.1.   Emisiile gazoase

Datele de măsurare pentru calcularea rezultatelor modurilor individuale sunt indicate în cele ce urmează. În acest exemplu, CO și NOx sunt măsurate pe o bază uscată, HC pe o bază umedă. Concentrația de HC este dată în echivalent propan (C3) și se multiplică cu 3 pentru a obține echivalentul C1. Procedura de calcul este identică pentru celelalte moduri.



P

(kW)

Ta

(K)

Ha

(g/kg)

GEXH

(kg)

GAIRW

(kg)

GFUEL

(kg)

HC

(ppm)

CO

(ppm)

NOX

(ppm)

82,9

294,8

7,81

563,38

545,29

18,09

6,3

41,2

495

Calcularea factorului de corecție de la uscat la umed KW,r (anexa III apendicele 1 punctul 4.2):

image

și

image

image

Calcularea concentrațiilor de umiditate:

image

image

Calcularea factorului de corecție a umidității NOX, KH,D (anexa III apendicele 1 punctul 4.3):

image

image

image

Calcularea ratelor de debit ale emisiilor (anexa III apendicele 1 punctul 4.4)

image

image

image

Calcularea emisiilor specifice (anexa III apendicele 1 punctul 4.5):

Se dă următorul exemplu de calcul pentru CO; procedura de calcul este identică pentru alte componente.

Ratele debitelor masice de emisie ale modurilor individuale se multiplică cu factorii respectivi de ponderare, în conformitate cu anexa III apendicele 1 punctul 2.7.1 și se însumează pentru a se obține rata medie a debitului masic de emisie pe parcursul ciclului:



CO

=

image

 

=

30,91 g/h

Puterea motorului la modurile individuale se multiplică cu factorii respectivi de ponderare, conform indicațiilor din anexa II, apendicele 1 punctul 2.7.1 și se însumează pentru a se obține puterea medie pe ciclu:



image

=

image

 

=

60,006 kW

image

Calcularea emisiei specifice de NOx a punctului aleatoriu (anexa III apendicele 1 punctul 4.6.1):

Presupunând că în urma punctului aleatoriu s-au determinat următoarele valori:

nz

=

1600 min-1

MZ

=

495 Nm

NOx mass, Z

=

487,9 g/h (calculate în conformitate cu formulele anterioare)

P(n)z

=

83 kW

NOx, Z

=

487,9/83 = 5,878 g/kWh

Determinarea valorii de emisie din ciclul de testare (anexa III apendicele 1 punctul 4.6.2):

Presupunând că valorile celor patru moduri cuprinzătoare ale testului ESC sunt următoarele:



nRT

nSU

ER

ES

ET

EU

MR

MS

MT

MU

1 368

1 785

5,943

5,565

5,889

4,973

515

460

681

610

image

image

image

image

image

Compararea valorilor de emisie de NOx (anexa III apendicele 1 punctul 4.6.3):

image

1.2.   Emisiile de particule

Măsurarea particulelor se bazează pe principiul eșantionării particulelor pe parcursul întregului ciclu, însă determinând eșantionul și ratele de debit (MSAM și GEDF) în timpul modurilor individuale. Calculul valorii GEDF depinde de sistemul utilizat. În următoarele exemple se prezintă un sistem cu măsurarea CO2 și metoda bilanțului de carbon și un sistem cu măsurarea debitului. În cazul în care se utilizează un sistem de diluție totală a debitului, GEDF se măsoară direct cu echipamentul CVS.

Calcularea GEDF (anexa III apendicele 1 punctele 5.2.3 și 5.2.4):

Să presupunem următoarele date de măsurare pentru modul 4. Procedura de calcul este identică pentru toate modurile.



GEXH

(kg/h)

GFUEL

(kg/h)

GDILW

(kg/h)

GTOTW

(kg/h)

CO2D

(%)

CO2A

(%)

334,02

10,76

5,4435

6,0

0,657

0,040

(a) metoda bilanțului de carbon:

image

(b) metoda de măsurare a debitului

image

image

Calcularea ratei debitului masic (anexa III apendicele 1 punctul 5.4):

Ratele de debit GEDFW ale modurilor individuale se multiplică cu factorul de ponderare respectiv, în conformitate cu anexa III apendicele 1 punctul 2.7.1 și se însumează astfel încât să rezulte media GEDF pe parcursul ciclului. Rata medie de eșantionare MSAM se obține însumând ratele de eșantionare ale modurilor individuale.



image

=

image

 

=

3 604,6 kg/h

image

=

0,226+0,122+0,151+0,152+0,076+0,076+0,076+0,136+0,151+0,121+0,076+0,076+0,075

 

=

1,515 kg

Presupunând că masa de particule pe filtre este de 2,5 mg, atunci:

image

Corectarea de fond (opțională)

Să presupunem că o măsurare de fond indică următoarele valori. Calcularea factorului de diluție DF este identică cu cea de la punctul 3.1 din prezenta anexă și nu a fost inclusă aici.

image



Suma DF

=

image

 

=

0,923

image

Calcularea emisiilor specifice (anexa III apendicele 1 punctul 5.5):



image

=

image

 

=

60,006 kW

image

image

, în cazul în care se face corecția de fond

Calcularea factorului de ponderare specific (anexa III apendicele 1 punctul 5.6):

Presupunând valorile calculate pentru modul 4 anterior,

image

Această valoare se află în intervalul cerut 0,10 ± 0,003

2.   TESTUL ELR

întrucât metoda de filtrare Bessel este o procedură complet nouă de obținere a mediei în legislația europeană privind gazele de evacuare, în continuare se oferă o explicație a filtrului Bessel, un exemplu de realizare a algoritmului Bessel și un exemplu de calculare a valorii finale pentru fum. Constantele algoritmului Bessel depind numai de forma opacimetrului și de rata de eșantionare a sistemului de recoltare a datelor. Se recomandă ca constructorul opacimetrului să pună la dispoziție constantele finale de filtrare Bessel pentru diferitele rate de eșantionare și ca clientul să utilizeze aceste constante pentru realizarea algoritmului Bessel și pentru calcularea valorilor de fum.

2.1.   Observații generale privind filtrul Bessel

Date fiind distorsiunile la frecvență înaltă, semnalul brut de opacitate indică în mod obișnuit urme cu un grad înalt de răspândire. Pentru a elimina aceste distorsiuni de frecvență înaltă este necesar un filtru Bessel pentru testul ELR. Filtrul Bessel în sine este un filtru recursiv, de ordin secundar, cu permisivitate scăzută, care garantează cea mai rapidă creștere de semnal fără suprasarcină.

Presupunând totalitatea gazelor de evacuare aflate în timp real în țeava de evacuare, fiecare opacimetru indică o urmă de opacitate măsurată diferit și cu întârziere. Întârzierea și dimensiunea urmei de opacitate măsurată depinde în primul rând de geometria camerei de măsurare a opacimetrului, inclusiv de liniile de eșantionare ale gazelor de evacuare, precum și de timpul necesar procesării semnalului de către componentele electronice ale opacimetrului. Valorile care caracterizează aceste două efecte sunt denumite timpul de reacția fizică și electrică ce reprezintă câte un filtru individual pentru fiecare tip de opacimetru.

Scopul aplicării unui filtru Bessel este de a garanta o caracteristică de filtrare medie uniformă pentru întregul sistem al opacimetrului, constând în:

 timpul de reacție fizică al opacimetrului (tp);

 timpul de reacție electrică al opacimetrului (te);

 timpul de reacție al filtrului Bessel aplicat (tF).

Timpul de reacție mediu al sistemului tAver este dat de:

image

și trebuie să fie egal pentru toate tipurile de opacimetru, astfel încât să se producă aceeași valoare pentru fum. Prin urmare, un filtru Bessel trebuie creat astfel încât din timpul de reacție al filtrului (tF) plus timpul de reacție fizică (tp) și timpul de reacție electrică (te) al opacimetrului individual să rezulte timpul mediu de reacție cerut (tAver). Întrucât tp și te sunt valori date pentru fiecare opacimetru individual, iar tAver este definit ca 1,0 s în prezenta directivă, tF se poate calcula după cum urmează:

image

Prin definiție, timpul de reacție al filtrului tF este timpul de creștere a semnalului de ieșire filtrat între 10 % și 90 % la un semnal de intrare în pași. Prin urmare, frecvența de întrerupere a filtrului Bessel trebuie repetată astfel încât timpul de reacție al filtrului Bessel să se încadreze în timpul de creștere cerut.

Figura a

Urme de semnal de intrare pe pași și semnalul de ieșire filtrat

Asupra intrării în pașiSemnal [-]Semnal de ieșire filtrat prin metoda BesselTimp

În figura a sunt indicate urmele unui semnal de intrare în pași și a semnalului de ieșire filtrat, precum și timpul de reacție al unui filtru Bessel (tF).

Elaborarea algoritmului final Bessel este un proces în etape care necesită mai multe cicluri de iterare. Schema procedurii de iterare este prezentată mai jos.

Rata de eșantionare a sistemului de recoltare a datelor [Hz]Caracteristicileopacimetruluitp, te [s]Reglarea tAver [s]Timpul de reacție mediu al filtrului Bessel tFEtapa 1Elaborarea algoritmului filtrului Besselfc, E, KEtapa 2Aplicarea filtrului Bessel Asupra intrării în pașiEtapa 3Calcularea timpului de reacție al filtrului repetatEtapa 4Ajustarea frecvenței de întrerupereDeviația între tF și tF,iterEtapa 5Verificarea criteriilor de repetareIterationnuEtapa 6daConstantele și algoritmul final ale filtrului BesselYi=…Etapa 7

2.2.   Calcularea algoritmului Bessel

În exemplul de față este prezentat un algoritm Bessel în mai multe etape în conformitate cu procedura de repetare anterioară, care se bazează pe anexa III apendicele 1 punctul 6.1

Pentru opacimetru și sistemul de colectare a datelor, se presupun următoarele caracteristici:

 timpul de reacție fizică tp 0,15 s

 timpul de reacție electrică te 0,05 s

 timpul de reacție mediu tAver 1,00 s (prin definiție în prezenta directivă)

 rata de eșantionare 150 Hz

Etapa 1   Timpul de reacție cerut al filtrului Bessel

image

Etapa 2   Estimarea frecvenței de întrerupere și calcularea constantelor Bessel E și K pentru prima repetare:

image

=

image

Δt

=

1/150 = 0,006667 s

Ω

=

image

E

=

image

K

=

image

Din aceasta rezultă următorul algoritm Bessel:

image

unde Si reprezintă valorile semnalului de intrare în pași (fie „0”, fie „1”), iar Yi reprezintă valorile filtrate ale semnalului de ieșire.

Etapa 3   Aplicarea filtrului Bessel asupra semnalului de intrare în pași:

Timpul de reacție al filtrului Bessel tF se definește ca fiind timpul de creștere al semnalului de ieșire filtrat între 10 % și 90 % la un semnal de intrare în etape. Pentru determinarea timpilor de 10 % (t10) și 90 % (t90) ai semnalului de ieșire, trebuie aplicat un filtrul Bessel asupra unui semnal de intrare în etape folosind valorile de mai sus ale lui fc, E și K.

Numerele de index, timpul și valorile semnalului de intrare în etape și ale valorilor rezultate ale semnalului de ieșire în etape pentru prima și a doua repetare sunt indicate în tabelul B. Punctele adiacente lui t10 și t90 sunt marcate cu litere îngroșate.

În tabelul B, prima repetare, valoarea de 10 % apare între numerele de index 30 și 31 și valoarea de 90 % apare între numerele de index 191 și 192. Pentru calcularea tF,iter și valorile exacte t10 și t90 se determină prin interpolare liniară între punctele de măsurare adiacente, după cum urmează:

image

image

unde outupper și outlower sunt puncte adiacente ale semnalului de ieșire Bessel filtrat, iar tlower este timpul punctului de timp adiacent, după cum se indică în tabelul B.

image

image

Etapa 4   Timpul de reacție al filtrului la primul ciclu de repetare:

image

Etapa 5   Deviația între timpii de reacție cerut și obținut al primului ciclu de repetare:

image

Etapa 6   Verificarea criteriilor de iterare:

Se impune |Δ| ≤ 0,01. Întrucât 0,081641 > 0,01, criteriul de repetare nu este întrunit și s-a început următorul ciclu de iterare. Pentru acest ciclu de repetare, se calculează o nouă frecvență de întrerupere din fc și Δ, după cum urmează:

image

Această nouă frecvență de întrerupere se utilizează în al doilea ciclu de repetare, începând din nou cu etapa 2. Iterarea trebuie repetată până la îndeplinirea criteriului de repetare. Valorile rezultate din prima și cea de-a doua repetare sunt rezumate în tabelul A.



Tabelul A

Valorile primei și celei de-a doua repetări

Parametrul

Repetarea 1

Repetarea 2

fc

(Hz)

0,318152

0,344126

E

(-)

7,07948 E-5

8,272777 E-5

K

(-)

0,970783

0,968410

t10

(s)

0,200945

0,185523

t90

(s)

1,276147

1,179562

tF,iter

(s)

1,075202

0,994039

Δ

(-)

0,081641

0,006657

fc,nou

(Hz)

0,344126

0,346417

Etapa 7   Algoritmul Bessel final:

Imediat ce a fost întrunit criteriul de repetare se calculează constantele finale ale filtrului Bessel și algoritmul Bessel final în conformitate cu etapa 2. În acest exemplu, criteriul de repetare a fost atins după a doua repetare (Δ = 0,006657 ≤ 0,01). Algoritmul final este apoi utilizat pentru determinarea valorilor de fum medii (a se vedea punctul 2.3).

image



Tabelul B

Valorile semnalului de intrare pe pași și semnalului de ieșire filtrat Bessel pentru primul și al doilea ciclu de repetare

Indice i

[-]

Timp

[s]

Semnal de intrare în pași Si

[-]

Semnal de ieșire filtrat Yi

[-]

Repetarea 1

Repetarea 2

-2

0,013333

0

0,000000

0,000000

-1

0,006667

0

0,000000

0,000000

0

0,000000

1

0,000071

0,000083

1

0,006667

1

0,000352

0,000411

2

0,013333

1

0,000908

0,001060

3

0,020000

1

0,001731

0,002019

4

0,026667

1

0,002813

0,003278

5

0,033333

1

0,004145

0,004828

~

~

~

~

~

24

0,160000

1

0,067877

0,077876

25

0,166667

1

0,072816

0,083476

26

0,173333

1

0,077874

0,089205

27

0,180000

1

0,083047

0,095056

28

0,186667

1

0,088331

0,101024

29

0,193333

1

0,093719

0,107102

30

0,200000

1

0,099208

0,113286

31

0,206667

1

0,104794

0,119570

32

0,213333

1

0,110471

0,125949

33

0,220000

1

0,116236

0,132418

34

0,226667

1

0,122085

0,138972

35

0,233333

1

0,128013

0,145605

36

0,240000

1

0,134016

0,152314

37

0,246667

1

0,140091

0,159094

~

~

~

~

~

175

1,166667

1

0,862416

0,895701

176

1,173333

1

0,864968

0,897941

177

1,180000

1

0,867484

0,900145

178

1,186667

1

0,869964

0,902312

179

1,193333

1

0,872410

0,904445

180

1,200000

1

0,874821

0,906542

181

1,206667

1

0,877197

0,908605

182

1,213333

1

0,879540

0,910633

183

1,220000

1

0,881849

0,912628

184

1,226667

1

0,884125

0,914589

185

1,233333

1

0,886367

0,916517

186

1,240000

1

0,888577

0,918412

187

1,246667

1

0,890755

0,920276

188

1,253333

1

0,892900

0,922107

189

1,260000

1

0,895014

0,923907

190

1,266667

1

0,897096

0,925676

191

1,273333

1

0,899147

0,927414

192

1,280000

1

0,901168

0,929121

193

1,286667

1

0,903158

0,930799

194

1,293333

1

0,905117

0,932448

195

1,300000

1

0,907047

0,934067

~

~

~

~

~

2.3.   Calcularea valorilor pentru fum

În schema de mai jos se prezintă procedura generală de determinare a valorilor pentru fum.

Turația ATurația BTurația CEtapade sarcină 1Etapade sarcină 1Etapade sarcină 1Turația ATurația BTurația CEtapade sarcină 2Etapade sarcină 2Etapade sarcină 2Turația ATurația BTurația CEtapade sarcină 3Etapade sarcină 3Etapade sarcină 3Valorile de opacitate brută N [%]Conversie în coeficient de absorbție a luminii k [1/m]Filtrarea cu filtru BesselSelecția valorii maxime k (vârf) pentru fiecare turație și etapă de sarcinăValidarea de ciclu pentru fiecare turațieCalcularea valorii medii de fum pentru fiecare turațieCalcularea valorii finale pentru fum

În figura b sunt indicate urmele de semnal de opacitate brut măsurat și coeficienții de absorbție a luminii filtrate și nefiltrate (valoare k) ai primului pas de sarcină al unui test ELR și valoarea maximă Ymax1,A (vârf) al urmei k filtrate. În mod corespunzător, tabelul C conține valorile numerice ale indicelui i, timpul (rata de eșantionare 150 Hz), opacitatea brută, k filtrat și nefiltrat. Filtrarea s-a realizat utilizându-se constantele algoritmului Bessel elaborat la punctul 2.2 din prezenta anexă. Dată fiind cantitatea mare de date, numai acele secțiuni ale urmei de fum din apropierea începutului și a vârfului sunt introduse în tabel.

Figura b

Urme de opacitate măsurată N, de fum nefiltrat k și de fum filtrat k

Opacitate NFum nefiltrat kVârf = 0,5424 m-1Fum filtrat kOpacitate N [%]Fum k [1/m]Timp

Valoarea de vârf (i = 272) se calculează presupunând următoarele date pentru tabelul C. Toate celelalte valori individuale de fum se calculează în mod asemănător. Pentru inițierea algoritmului, S-1, S-2, Y-1 și Y-2 sunt setate la valoarea zero.



LA (m)

0,430

Indice i

272

N (%)

16,783

S271 (m-1)

0,427392

S270 (m-1)

0,427532

Y271 (m-1)

0,542383

Y270 (m-1)

0,542337

Calcularea valorii k (anexa III apendicele 1 punctul 6.3.1):

image

Această valoare corespunde lui S272 din următoarea ecuație.

Calcularea valorii medii Bessel de fum (anexa III apendicele 1 punctul 6.3.2):

În următoarea ecuație se utilizează constantele Bessel din punctul 2.2 anterior. Valoarea k reală nefiltrată, calculată prin procedeul anterior, corespunde lui S272 (Si). S271 (Si-1) și S270 (Si-2) sunt cele două valori k precedente nefiltrate, Y271 (Yi-1) și Y270 (Yi-2) sunt cele două valori k precedente filtrate.



image

=

image

 

=

image

Această valoare corespunde lui Ymax1,A din următoarea ecuație.

Calcularea valorii de fum finale (anexa III Apendicele 1 punctul 6.3.3):

Se ia valoarea maximă filtrată k din fiecare urmă de fum pentru continuarea calculelor.

Presupunând următoarele valori



Viteza

Ymax (m-1)

Ciclul 1

Ciclul 2

Ciclul 3

A

0,5424

0,5435

0,5587

B

0,5596

0,5400

0,5389

C

0,4912

0,5207

0,5177

image

image

image

image

Validarea ciclului (anexa III apendicele 1 punctul 3.4)

Înaintea calculării SV, ciclul trebuie validat prin calcularea abaterilor standard relative ale fumului pentru cele trei cicluri ale fiecărei turații.



Turația

SV mediu

(m-1)

Abaterea standard absolută

(m-1)

Abaterea standard relativă

(%)

A

0,5482

0,0091

1,7

B

0,5462

0,0116

2,1

C

0,5099

0,0162

3,2

În acest exemplu, criteriile de validare de 15 % sunt îndeplinite pentru fiecare turație.



Tabelul C

Valorile de opacitate N, valoarea k filtrată și nefiltrată la începutul pasului de sarcină

Indice i

[-]

Timp

[s]

Opacitate N

[%]

Valoare k nefiltrată

[m-1]

Valoare k filtrată

[m-1]

- 2

0,000000

0,000000

0,000000

0,000000

- 1

0,000000

0,000000

0,000000

0,000000

0

0,000000

0,000000

0,000000

0,000000

1

0,006667

0,020000

0,000465

0,000000

2

0,013333

0,020000

0,000465

0,000000

3

0,020000

0,020000

0,000465

0,000000

4

0,026667

0,020000

0,000465

0,000001

5

0,033333

0,020000

0,000465

0,000002

6

0,040000

0,020000

0,000465

0,000002

7

0,046667

0,020000

0,000465

0,000003

8

0,053333

0,020000

0,000465

0,000004

9

0,060000

0,020000

0,000465

0,000005

10

0,066667

0,020000

0,000465

0,000006

11

0,073333

0,020000

0,000465

0,000008

12

0,080000

0,020000

0,000465

0,000009

13

0,086667

0,020000

0,000465

0,000011

14

0,093333

0,020000

0,000465

0,000012

15

0,100000

0,192000

0,004469

0,000014

16

0,106667

0,212000

0,004935

0,000018

17

0,113333

0,212000

0,004935

0,000022

18

0,120000

0,212000

0,004935

0,000028

19

0,126667

0,343000

0,007990

0,000036

20

0,133333

0,566000

0,013200

0,000047

21

0,140000

0,889000

0,020767

0,000061

22

0,146667

0,929000

0,021706

0,000082

23

0,153333

0,929000

0,021706

0,000109

24

0,160000

1,263000

0,029559

0,000143

25

0,166667

1,455000

0,034086

0,000185

26

0,173333

1,697000

0,039804

0,000237

27

0,180000

2,030000

0,047695

0,000301

28

0,186667

2,081000

0,048906

0,000378

29

0,193333

2,081000

0,048906

0,000469

30

0,200000

2,424000

0,057067

0,000573

31

0,206667

2,475000

0,058282

0,000693

32

0,213333

2,475000

0,058282

0,000827

33

0,220000

2,808000

0,066237

0,000977

34

0,226667

3,010000

0,071075

0,001144

35

0,233333

3,253000

0,076909

0,001328

36

0,240000

3,606000

0,085410

0,001533

37

0,246667

3,960000

0,093966

0,001758

38

0,253333

4,455000

0,105983

0,002007

39

0,260000

4,818000

0,114836

0,002283

40

0,266667

5,020000

0,119776

0,002587



Valori de opacitate N, valoare k filtrată și nefiltrată în apropierea Ymax1,A (= valoare de vârf, indicată cu litere îngroșate)

Indice i

[-]

Timp

[s]

Opacitate N

[%]

Valoare k nefiltrată

[m-1]

Valoare k filtrată

[m-1]

259

1,726667

17,182000

0,438429

0,538856

260

1,733333

16,949000

0,431896

0,539423

261

1,740000

16,788000

0,427392

0,539936

262

1,746667

16,798000

0,427671

0,540396

263

1,753333

16,788000

0,427392

0,540805

264

1,760000

16,798000

0,427671

0,541163

265

1,766667

16,798000

0,427671

0,541473

266

1,773333

16,788000

0,427392

0,541735

267

1,780000

16,788000

0,427392

0,541951

268

1,786667

16,798000

0,427671

0,542123

269

1,793333

16,798000

0,427671

0,542251

270

1,800000

16,793000

0,427532

0,542337

271

1,806667

16,788000

0,427392

0,542383

272

1,813333

16,783000

0,427252

0,542389

273

1,820000

16,780000

0,427168

0,542357

274

1,826667

16,798000

0,427671

0,542288

275

1,833333

16,778000

0,427112

0,542183

276

1,840000

16,808000

0,427951

0,542043

277

1,846667

16,768000

0,426833

0,541870

278

1,853333

16,010000

0,405750

0,541662

279

1,860000

16,010000

0,405750

0,541418

280

1,866667

16,000000

0,405473

0,541136

281

1,873333

16,010000

0,405750

0,540819

282

1,880000

16,000000

0,405473

0,540466

283

1,886667

16,010000

0,405750

0,540080

284

1,893333

16,394000

0,416406

0,539663

285

1,900000

16,394000

0,416406

0,539216

286

1,906667

16,404000

0,416685

0,538744

287

1,913333

16,394000

0,416406

0,538245

288

1,920000

16,394000

0,416406

0,537722

289

1,926667

16,384000

0,416128

0,537175

290

1,933333

16,010000

0,405750

0,536604

291

1,940000

16,010000

0,405750

0,536009

292

1,946667

16,000000

0,405473

0,535389

293

1,953333

16,010000

0,405750

0,534745

294

1,960000

16,212000

0,411349

0,534079

295

1,966667

16,394000

0,416406

0,533394

296

1,973333

16,394000

0,416406

0,532691

297

1,980000

16,192000

0,410794

0,531971

298

1,986667

16,000000

0,405473

0,531233

299

1,993333

16,000000

0,405473

0,530477

300

2,000000

16,000000

0,405473

0,529704

3.   TESTUL ETC

3.1.   Emisiile gazoase (motor diesel)

Presupunând următoarele rezultate de test pentru un sistem PDP-CVS



V0 (m3/rev)

0,1776

Np (rev)

23 073

pB (kPa)

98,0

p. 1 (kPa)

2,3

T (K)

322,5

Ha (g/kg)

12,8

NOx conce (ppm)

53,7

NOx concd (ppm)

0,4

COconce (ppm)

38,9

COconcd (ppm)

1,0

HCconce (ppm)

9,00

HCconcd (ppm)

3,02

CO2,conce (%)

0,723

Wact (kWh)

62,72

Calcularea debitului de gaz de evacuare diluat (anexa III apendicele 2 punctul 4.1):

image

Calcularea factorului de corecție NOx (anexa III apendicele 2 punctul 4.2):

image

Calcularea concentrațiilor corectate de fond (anexa III apendicele 2 punctul 4.3.1.1):

Presupunând un carburant diesel cu compoziția C1H1,8

image

image

image

image

image

Calcularea debitului masic de emisie (anexa III apendicele 2 punctul 4.3.1):

image

image

image

Calcularea emisiilor specifice (anexa III apendicele 2 punctul 4.4):

image

image

image

3.2.   Emisiile de particule (motor diesel)

Presupunând următoarele rezultate de testare pentru sistemul PDP-CVS cu diluție dublă



MTOTW (kg)

4 237,2

Mf,p (mg)

3,030

Mf,b (mg)

0,044

MTOT (kg)

2,159

MSEC (kg)

0,909

Md (mg)

0,341

MDIL (kg)

1,245

DF

18,69

Wact (kWh)

62,72

Calcularea emisiei masice (anexa III apendicele 2 punctul 5.1):

image

image

image

Calcularea emisiei masice corectate (anexa III apendicele 2 punctul 5.1):

image

Calcularea emisiei masice (anexa III apendicele 2 punctul 5.1):

image

image

3.3.   Emisii gazoase (motor CNG)

Presupunând următoarele rezultate de test pentru un sistem PDP-CVS cu dublă diluție



MTOTW (kg)

4 237,2

Ha (g/kg)

12,8

NOx conce (ppm)

17,2

NOx concd (ppm)

0,4

COconce (ppm)

44,3

COconcd (ppm)

1,0

HCconce (ppm)

27,0

HCconcd (ppm)

3,02

CH4 conce (ppm)

18,0

CH4 concd (ppm)

1,7

CO2,conce (%)

0,723

Wact (kWh)

62,72

Calcularea factorului de corecție NOx (anexa III apendicele 2 punctul 4.2):

image

Calcularea concentrației de NMHC (anexa III apendicele 2 punctul 4.3.1):

(a) metoda GC

image

(b) metoda NMC

Presupunând o eficiență a metanului de 0,04 și a etanului de 0,98 (a se vedea anexa III apendicele 5 punctul 1.8.4)

image

Calcularea concentrațiilor corectate (anexa III apendicele 2 punctul 4.3.1.1):

Presupunând un carburant de referință G20 (metan 100 %) cu compoziția C1H4:

image

image

Pentru NMHC, concentrația de fond este diferența dintre HCconcd și CH4 concd

image

image

image

image

Calcularea debitului masic de emisii (anexa III apendicele 2 punctul 4.3.1):

image

image

image

image

Calcularea emisiilor specifice (anexa III apendicele 2 punctul 4.4)

image

image

image

image

4.   FACTORUL DE ADAPTARE λ (Sλ)

4.1.   Calcularea factorului de adaptare λ (Sλ) ( 25 )

image

unde:

Sλ

=

factorul de adaptare λ;

% gaze inerte

=

% per volum de gaze inerte în carburant (respectiv N2, CO2, He etc.);

O2 *

=

% per volum de oxigen inițial în carburant;

n și m

=

se referă la CnHm medii reprezentând hidrocarburile din carburant, respectiv:

image

image

unde:

CH4

=

% pe volum de metan în carburant;

C2

=

% pe volum din toate hidrocarburile C2 (de ex. C2H6, C2H4 etc.) din carburant;

C3

=

% pe volum din toate hidrocarburile C3 (de ex. C3H8, C3H6 etc.) din carburant;

C4

=

% pe volum din toate hidrocarburile C4 (de ex. C4H10, C4H8 etc.) din carburant;

C5

=

% pe volum din toate hidrocarburile C5 (de ex. C5H12, C5H10 etc.) din carburant;

diluant

=

% pe volum din gazele de diluție din carburant (respectiv O2 *, N2, CO2, He etc.).

4.2.   Exemple de calcul pentru factorul de adaptare λ (Sλ)

Exemplul 1:  G25: СН4 = 86 % N2 = 14 % (per volum)

image

image

image

Exemplul 2:  GR: СН4 = 87 % C2H6 = 13 % (per volum)

image

image

image

Exemplul 3:  USA: СН4 = 89 %, C2H6 = 4,5 %, C3H8 = 2,3 %, C66H14 = 0,2 %, O2 = 0,6 %, N2 = 4 %

image

image

image

image




ANEXA VIII

CERINȚE TEHNICE SPECIFICE PRIVIND MOTOARELE DIESEL ALIMENTATE CU ETANOL

În cazul motoarelor diesel alimentate cu etanol, sunt valabile următoarele modificări la paragrafele, ecuațiile și factorii corespunzători în ceea ce privește procedurile de testare definite în anexa III la prezenta directivă.

LA ANEXA III, APENDICELE 1:

4.2.   Corecția uscat/umed

image

4.3.   Corecția NOx pentru umiditate și temperatură

image

unde

А

=

0,181 GFUEL/GAIRD – 0,0266

В

=

– 0,123 GFUEL/GAIRD + 0,00954

Ta

=

temperatura aerului, în K

Ha

=

umiditatea aerului de admisie, g de apă per kg de aer uscat

4.4.   Calcularea ratelor debitului masic de emisie

Ratele de debit masic al emisiei (g/h) pentru fiecare mod se calculează după cum urmează, densitatea gazelor de evacuare fiind 1,272 kg/m3 la 273 K (0 °C) și 101,3 kPa:

1. 

image

2. 

image

3. 

image

unde

NOx conc, COconc, HCconc ( 26 ) reprezintă concentrațiile medii (ppm) în gazul de evacuare brut, conform determinării de la punctul 4.1

În cazul în care, opțional, emisiile gazoase se determină cu un sistem de diluție cu debit complet, se aplică următoarele formule:

1. 

image

2. 

image

3. 

image

unde

NOx conc, COconc, HCconc (26)  reprezintă concentrațiile medii corectate de fond (ppm) ale fiecărui mod din gazul de evacuare diluat, conform determinării din anexa III apendicele 2 punctul 4.3.1.1.

LA ANEXA III, APENDICELE 2:

Punctele 3.1, 3.4, 3.8.3 și 5 din apendicele 2 nu sunt valabile numai pentru motoarele diesel. ele se aplică, de asemenea, și pentru motoarele diesel alimentate cu etanol.

4.2.

Se pregătesc condițiile pentru testare astfel încât temperatura aerului și umiditatea măsurate la admisia în motor să fie aduse la condițiile standard pe parcursul desfășurării testului. Standardul trebuie să fie 6 ± 0,5 g de apă per kg de aer uscat la intervalul de temperatură de 298 ± 3 K. În cadrul acestor limite nu trebuie să se mai facă nici o altă corecție a NOx. Testul se anulează în cazul în care aceste condiții nu sunt întrunite.

4.3.

Calcularea debitului masic al gazelor de evacuare

4.3.1.   Sisteme cu debit masic constant

Pentru sistemele cu schimbător de căldură, masa poluanților (g/test) se determină prin următoarele ecuații:

1. 

image

2. 

image

3. 

image

unde

NOx conc, COconc, HCconc (26) , NMHCconc = concentrațiile medii corectate pe parcursul ciclului de la integrare (obligatoriu pentru NOx și HC) sau măsurare cu sac, în ppm;

MTOTW = masa totală de gaz de evacuare diluat pe parcursul ciclului determinat în conformitate cu punctul 4.1, în kg

4.3.1.1.   Determinarea concentrațiilor corectate de fond

Concentrațiile medii de fond ale gazelor poluante în aerul de diluție se scad din concentrațiile măsurate pentru a obține concentrațiile nete de poluanți. Valorile medii ale concentrațiilor de fond se pot obține prin metoda eșantionării cu sac sau prin măsurare continuă cu integrare. Se folosește următoarea formulă.

image

unde

conc

=

concentrația poluantului respectiv în gazul diluat, corectată cu cantitatea poluantului respectiv conținută în aerul de diluție, în ppm;

conce

=

concentrația poluantului respectiv măsurată în gazul de evacuare diluat, în ppm;

concd

=

concentrația poluantului respectiv măsurată în aerul de diluție, în ppm;

DF

=

factorul de diluție.

Factorul de diluție se calculează după cum urmează:

image

unde

CO2conce

=

concentrația de CO2 în gazul de evacuare diluat, % vol

HCconce

=

concentrația de HC în gazul de evacuare diluat, în ppm C1

COconce

=

concentrația de CO în gazul de evacuare diluat, în ppm

FS

=

factorul stoichiometric

Concentrațiile măsurate pe o bază uscată se convertesc la o bază umedă în conformitate cu anexa III apendicele 1 punctul 4.2.

Factorul stoichiometric se calculează în felul următor pentru compoziția normală a carburantului CΗαΟβΝγ:

image

Alternativ, în cazul în care nu se cunoaște compoziția carburantului, se folosesc următorii factori stoichiometrici:

image

4.3.2.   Sisteme cu compensare a debitului

Pentru sisteme fără schimbător de căldură, masa poluanților (g/test) se determină prin calcularea emisiilor masice instantanee și integrarea valorilor instantanee pe parcursul ciclului. De asemenea, corecția de fond se aplică direct la valoarea concentrației instantanee. Se aplică următoarele formule:

1. 

image

2. 

image

3. 

image

unde

conce

=

concentrația respectivului poluant măsurată în gazul de evacuare diluat, în ppm;

concd

=

concentrația respectivului poluant măsurată în aerul de diluție, în ppm;

MTOTW,i

=

masa instantanee de gaz de evacuare diluat (a se vedea punctul 4.1), în kg;

MTOTW

=

masa totală a gazului de evacuare diluat pe parcursul ciclului (a se vedea punctul 4.1), în kg;

DF

=

factorul de diluție determinat în conformitate cu punctul 4.3.1.1

4.4.

Calcularea emisiilor specifice

Emisiile (g/kWh) se vor calcula pentru toate componentele individuale în felul următor:

image

image

image

unde

Wact

=

efortul de ciclu real, determinat în conformitate cu punctul 3.9.2, în kWh.




ANEXA IX

TERMENUL LIMITĂ PENTRU TRANSPUNEREA DIRECTIVELOR ABROGATE ÎN LEGISLAȚIILE NAȚIONALE

Menționate la articolul 10



Partea A

Directive abrogate

Directive

Journalul Oficial

Directiva 88/77/CEE

L 36, 9.2.1988, p. 33.

Directiva 91/542/CEE

L 295, 25.10.1991, p. 1.

Directiva 96/1/CE

L 40, 17.2.1996, p. 1.

Directiva 1999/96/CE

L 44, 16.2.2000, p. 1.

Directiva 2001/27/CE

L 107, 18.4.2001, p. 10.



Partea B

Termene limită pentru transpunerea în legislațiile naționale

Directiva

Termene limită pentru transpunere

Data intrării în vigoare

Directiva 88/77/CEE

1 iulie 1988

 

Directiva 91/542/CEE

1 ianuarie 1992

 

Directiva 96/1/CE

1 iulie 1996

 

Directiva 1999/96/CE

1 iulie 2000

 

Directiva 2001/27/CE

1 octombrie 2001

1 octombrie 2001




ANEXA X

TABEL DE CORESPONDENȚĂ

(menționat la articolul 10 paragraful al doilea)



Directiva 88/77/CEE

Directiva 91/542/CEE

Directiva 1999/96/CE

Directiva 2001/27/CE

Prezenta directivă

Articolul 1

 

Articolul 1

Articolul 2 alineatul (1)

Articolul 2 alineatul (1)

Articolul 2 alineatul (1)

Articolul 2 alineatul (1)

Articolul 2 alineatul (4)

Articolul 2 alineatul (2)

Articolul 2 alineatul (2)

Articolul 2 alineatul (2)

Articolul 2 alineatul (2)

Articolul 2 alineatul (1)

Articolul 2 alineatul (3)

Articolul 2 alineatul (3)

Articolul 2 alineatul (4)

Articolul 2 alineatul (4)

Articolul 2 alineatul (3)

Articolul 2 alineatul (3)

Articolul 2 alineatul (2)

Articolul 2 alineatul (4)

Articolul 2 alineatul (3)

Articolul 2 alineatul (5)

Articolul 2 alineatul (4)

Articolul 2 alineatul (5)

Articolul 2 alineatul (5)

Articolul 2 alineatul (6)

Articolul 2 alineatul (6)

Articolul 2 alineatul (7)

Articolul 2 alineatul (7)

Articolul 2 alineatul (8)

Articolul 2 alineatul (8)

Articolul 2 alineatul (9)

Articolul 3

Articolele 5 și 6

Articolul 3

Articolul 4

Articolul 4

Articolul 3 alineatul (1)

Articolul 3 alineatul (1)

Articolul 6 alineatul (1)

Articolul 3 alineatul (1) litera (a)

Articolul 3 alineatul (1) litera (a)

Articolul 6 alineatul (2)

Articolul 3 alineatul (1) litera (b)

Articolul 3 alineatul (1) litera (b)

Articolul 6 alineatul (2)

Articolul 3 alineatul (2)

Articolul 3 alineatul (2)

Articolul 6 alineatul (2)

Articolul 3 alineatul (3)

Articolul 3 alineatul (3)

Articolul 6 alineatul (5)

Articolul 4

Articolul 7

Articolul 6

Articolele 5 și 6

Articolul 7

Articolul 8

Articolul 5

Articolul 4

Articolul 8

Articolul 3

Articolul 9

Articolul 10

Articolul 9

Articolul 4

Articolul 11

Articolul 7

Articolul 7

Articolul 10

Articolul 5

Articolul 12

Anexele I-VII

Anexele I-VII

Anexa VIII

Anexa VIII

Anexa IX

Anexa X



( 1 ) JO C 108, 30.4.2004, p. 32.

( 2 ) Avizul Parlamentului European din 9 martie 2004 (JO C 102 E, 28.4.2004, p. 272) și Decizia Consiliului din 19 septembrie 2005.

( 3 ) JO L 36, 9.2.1988, p. 33, directivă astfel cum a fost modificată prin Actul de aderare din 2003.

( 4 ) JO L 42, 23.2.1970, p. 1, directivă astfel cum a fost modificată prin Directiva 2005/49/CE a Comisiei (JO L 194, 26.7.2005, p. 12).

( 5 ) JO L 295, 25.10.1991, p. 1.

( 6 ) JO L 44, 16.2.2000, p. 1.

( 7 ) JO L 107, 18.4.2001, p. 10.

( 8 ) JO L 76, 6.4.1970, p. 1, directivă astfel cum a fost modificată prin Directiva 2003/76/CE a Comisiei (JO L 206, 15.8.2003, p. 29).

( 9 ) JO L 184, 17.7.1999, p. 23.

( 10 ) JO L 76, 6.4.1970, p. 1. Directivă astfel cum a fost modificată ultima dată prin Directiva 2003/76/CE a Comisiei (JO L 206, 15.8.2003, p. 29).

( 11 ) JO L 313, 29.11.2005, p. 1.

( 12 ) articolul 4 alineatul (1) din prezenta directivă prevede monitorizarea defecțiunilor funcționale majore în locul monitorizării degradării sau pierderii eficienței catalizatorului/filtrelor unui sistem de post-tratare a eșapamentului. Exemple de defecțiuni funcționale majore sunt furnizate la punctele 3.2.3.2 și 3.2.3.3 din anexa IV la Directiva 2005/78/CE.

( 13 ) JO L 375, 31.12.1980, p. 46. Directivă astfel cum a fost modificată ultima dată prin Directiva 1999/99/CE (JO L 334, 28.12.1999, p. 32).

( 14 ) JO L 42, 23.2.1970, p. 1. Directivă astfel cum a fost modificată prin Directiva 2004/104/CE a Comisiei (JO L 337, 13.11.2004, p. 13).

( 15 ) 1 = Germania, 2 = Franța, 3 = Italia, 4 = Țările de Jos, 5 = Suedia, 6 = Belgia, 7 = Ungaria, 8 = Republica Cehă, 9 = Spania, 11 = Regatul Unit, 12 = Austria, 13 = Luxemburg, 17 = Finlanda, 18 = Danemarca, 20 = Polonia, 21 = Portugalia, 23 = Grecia, 24 = Slovenia, 27 = Slovacia, 29 = Estonia, 32 = Letonia, 36 = Lituania, 49 = Cipru, 50 = Malta.

( 16 ) Comisia determină dacă este necesară adoptarea unor măsuri specifice pentru motoarele cu calibrare multiplă prin prezenta directivă, precum și a unei propuneri care să răspundă cerințelor articolului 10 din prezenta directivă.

( 17 ) Până la 1 octombrie 2008, se aplică următoarele: „o temperatură ambiantă situată în intervalul 279 K-303 K (6 °C-30 °C)”.

( 18 ) Acest interval de temperatură se reanalizează la revizuirea prezentei directive, cu un accent sporit asupra oportunității limitei inferioare de temperatură.

( 19 ) Punctele de test se selectează folosind metode statistice aprobate de alegere aleatorie.

( 20 ) Punctele de testare se selectează folosind metode statistice aprobate de alegere aleatorie.

( 21 ) Această valoare este valabilă numai pentru carburantul de referință prevăzut în anexa IV.

( 22 ) Comisia revizuiește temperatura în amonte de suportul de filtre, 325 K (52 °C) și, dacă este cazul, propune o temperatură alternativă aplicabilă omologării de noi tipuri de la 1 octombrie 2008.

( 23 ) A s elimina mențiunile inutile.

( 24 ) A se șterge mențiunea neaplicabilă.

( 25 ) Proporțiile stoichiometrice de aer/carburant ale carburanților din industria auto - SAE J1829, June 1987. John B. Heywood, Internal combustion fundamentals, McGraw-Hill, 1988, Chapter 3.4 „Combustion stoichiometry” (pp. 68 to 72).

( 26 ) Bazat pe echivalent C1.