02001R2535 — RO — 01.04.2018 — 036.001


Acest document are doar scop informativ și nu produce efecte juridice. Instituțiile Uniunii nu își asumă răspunderea pentru conținutul său. Versiunile autentice ale actelor relevante, inclusiv preambulul acestora, sunt cele publicate în Jurnalul Oficial al Uniunii Europene și disponibile pe site-ul EUR-Lex. Aceste texte oficiale pot fi consultate accesând linkurile integrate în prezentul document.

►B

REGULAMENTUL (CE) NR. 2535/2001 AL COMISIEI

din 14 decembrie 2001

de stabilire a normelor de aplicare a Regulamentului (CE) nr. 1255/1999 al Consiliului privind regimul importurilor de lapte și produse lactate și deschiderea unor contingente tarifare

(JO L 341 22.12.2001, p. 29)

Astfel cum a fost modificat prin:

 

 

Jurnalul Oficial

  NR.

Pagina

Data

►M1

REGULAMENTUL (CE) NR. 886/2002 AL COMISIEI din 27 mai 2002

  L 139

30

29.5.2002

 M2

REGULAMENTUL (CE) NR. 1165/2002 AL COMISIEI din 28 iunie 2002

  L 170

49

29.6.2002

 M3

REGULAMENTUL (CE) NR. 1667/2002 AL COMISIEI din 19 septembrie 2002

  L 252

8

20.9.2002

 M4

REGULAMENTUL (CE) NR. 2302/2002 AL COMISIEI din 20 decembrie 2002

  L 348

78

21.12.2002

 M5

REGULAMENTUL (CE) NR. 2332/2002 AL COMISIEI din 23 decembrie 2002

  L 349

20

24.12.2002

►M6

REGULAMENTUL (CE) NR. 787/2003 AL COMISIEI din 8 mai 2003

  L 115

18

9.5.2003

►M7

REGULAMENTUL (CE) NR. 1157/2003 AL COMISIEI din 30 iunie 2003

  L 162

19

1.7.2003

 M8

REGULAMENTUL (CE) NR. 2012/2003 AL COMISIEI din 14 noiembrie 2003

  L 297

19

15.11.2003

 M9

REGULAMENTUL (CE) NR. 50/2004 AL COMISIEI din 9 ianuarie 2004

  L 7

9

13.1.2004

 M10

REGULAMENTUL (CE) NR. 748/2004 AL COMISIEI din 22 aprilie 2004

  L 118

3

23.4.2004

►M11

REGULAMENTUL (CE) NR. 810/2004 AL COMISIEI din 29 aprilie 2004

  L 149

138

30.4.2004

►M12

REGULAMENTUL (CE) NR. 1036/2005 AL COMISIEI din 1 iulie 2005

  L 171

19

2.7.2005

►M13

REGULAMENTUL (CE) NR. 316/2006 AL COMISIEI din 22 februarie 2006

  L 52

22

23.2.2006

 M14

REGULAMENTUL (CE) NR. 591/2006 AL COMISIEI din 12 aprilie 2006

  L 104

11

13.4.2006

 M15

REGULAMENTUL (CE) NR. 926/2006 AL COMISIEI din 22 iunie 2006

  L 170

8

23.6.2006

►M16

REGULAMENTUL (CE) NR. 1919/2006 AL COMISIEI din 11 decembrie 2006

  L 380

1

28.12.2006

►M17

REGULAMENTUL (CE) NR. 1984/2006 AL COMISIEI din 20 decembrie 2006

  L 387

1

29.12.2006

►M18

REGULAMENTUL (CE) NR. 2020/2006 AL COMISIEI din 22 decembrie 2006

  L 384

54

29.12.2006

►M19

REGULAMENTUL (CE) NR. 487/2007 AL COMISIEI din 30 aprilie 2007

  L 114

8

1.5.2007

 M20

REGULAMENTUL (CE) NR. 731/2007 AL COMISIEI din 27 iunie 2007

  L 166

12

28.6.2007

 M21

REGULAMENTUL (CE) NR. 980/2007 AL COMISIEI din 21 august 2007

  L 217

18

22.8.2007

►M22

REGULAMENTUL (CE) NR. 1324/2007 AL COMISIEI din 12 noiembrie 2007

  L 294

14

13.11.2007

►M23

REGULAMENTUL (CE) NR. 1565/2007 AL COMISIEI din 21 decembrie 2007

  L 340

37

22.12.2007

►M24

REGULAMENTUL (CE) NR. 467/2008 AL COMISIEI din 28 mai 2008

  L 139

12

29.5.2008

►M25

REGULAMENTUL (CE) NR. 514/2008 AL COMISIEI din 9 iunie 2008

  L 150

7

10.6.2008

►M26

REGULAMENTUL (CE) NR. 1013/2009 AL COMISIEI din 26 octombrie 2009

  L 280

46

27.10.2009

►M27

REGULAMENTUL (CE) NR. 1098/2009 AL COMISIEI din 16 noiembrie 2009

  L 301

23

17.11.2009

►M28

REGULAMENTUL (UE) NR. 585/2010 AL COMISIEI din 2 iulie 2010

  L 169

1

3.7.2010

►M29

REGULAMENTUL DE PUNERE ÎN APLICARE (UE) NR. 1313/2011 AL COMISIEI din 13 decembrie 2011

  L 334

10

16.12.2011

►M30

REGULAMENTUL DE PUNERE ÎN APLICARE (UE) NR. 157/2012 AL COMISIEI din 22 februarie 2012

  L 50

11

23.2.2012

►M31

REGULAMENTUL DE PUNERE ÎN APLICARE (UE) NR. 1070/2012 AL COMISIEI din 14 noiembrie 2012

  L 318

7

15.11.2012

►M32

REGULAMENTUL DE PUNERE ÎN APLICARE (UE) NR. 1212/2012 AL COMISIEI din 17 decembrie 2012

  L 348

7

18.12.2012

►M33

REGULAMENTUL DE PUNERE ÎN APLICARE (UE) NR. 64/2013 AL COMISIEI din 24 ianuarie 2013

  L 22

1

25.1.2013

►M34

REGULAMENTUL DE PUNERE ÎN APLICARE (UE) NR. 142/2013 AL COMISIEI din 19 februarie 2013

  L 47

49

20.2.2013

►M35

REGULAMENTUL (UE) NR. 519/2013 AL COMISIEI din 21 februarie 2013

  L 158

74

10.6.2013

►M36

REGULAMENTUL DE PUNERE ÎN APLICARE (UE) NR. 415/2014 AL COMISIEI din 23 aprilie 2014

  L 121

49

24.4.2014

 M37

REGULAMENTUL DE PUNERE ÎN APLICARE (UE) NR. 1165/2014 AL COMISIEI din 31 octombrie 2014

  L 314

7

31.10.2014

►M38

REGULAMENTUL DE PUNERE ÎN APLICARE (UE) NR. 1335/2014 AL COMISIEI din 16 decembrie 2014

  L 360

6

17.12.2014

►M39

REGULAMENTUL DE PUNERE ÎN APLICARE (UE) 2015/2080 AL COMISIEI din 18 noiembrie 2015

  L 302

77

19.11.2015

►M40

REGULAMENTUL DELEGAT (UE) 2016/1237 AL COMISIEI din 18 mai 2016

  L 206

1

30.7.2016

►M41

REGULAMENTUL DE PUNERE ÎN APLICARE (UE) 2017/1588 AL COMISIEI din 19 septembrie 2017

  L 241

18

20.9.2017

►M42

REGULAMENTUL DE PUNERE ÎN APLICARE (UE) 2018/339 AL COMISIEI din 7 martie 2018

  L 65

21

8.3.2018


rectificat prin

►C1

Rectificare, JO L 011, 15.1.2008, p.  23 (1324/2007)




▼B

REGULAMENTUL (CE) NR. 2535/2001 AL COMISIEI

din 14 decembrie 2001

de stabilire a normelor de aplicare a Regulamentului (CE) nr. 1255/1999 al Consiliului privind regimul importurilor de lapte și produse lactate și deschiderea unor contingente tarifare



TITLUL 1

DISPOZIȚII GENERALE

Articolul 1

Dispozițiile din prezentul titlu se aplică, în absența unor dispoziții contrare, tuturor importurilor în Comunitate de produse menționate la articolul 1 din Regulamentul (CE) nr. 1255/1999 (denumite în continuare „produse lactate”), inclusiv importurilor fără restricții cantitative sau măsuri cu efect echivalent și scutite de taxele vamale și de taxe cu efect echivalent în cadrul unor măsuri comerciale excepționale acordate de Comunitate anumitor țări și teritorii.

▼M25

Articolul 2

Produsele pentru care se prezintă o licență de import sunt menționate la articolul 1 alineatul (2) litera (a) din Regulamentul (CE) nr. 376/2008 ( 1 ) al Comisiei. Perioada de valabilitate a licenței de import și cuantumul garanției care trebuie constituită sunt precizate în partea I a anexei II la respectivul regulament, fără a aduce atingere articolului 24 alineatele (3) și (4) din prezentul regulament.

Se aplică Regulamentul (CE) nr. 376/2008 și Regulamentul (CE) nr. 1301/2006 ( 2 ) al Comisiei, cu excepția cazului în care prezentul regulament prevede dispoziții contrare.

▼B

Articolul 3

▼M25 —————

▼B

(2)  Solicitarea pentru licență și certificatul conțin la rubrica 16 codul din Nomenclatura Combinată (denumit în continuare „codul NC”) din 8 cifre, precedat, după caz, de mențiunea „ex”. Certificatul nu este valabil decât pentru produsul astfel desemnat.

▼M19

Cu toate acestea, atunci când licențele se eliberează în cadrul contingentelor tarifare menționate în capitolul I și în titlul 2 capitolul III secțiunea 2, acestea sunt valabile pentru toate codurile NC din cadrul aceluiași număr de contingent, cu condiția ca taxa de import aplicabilă să fie identică.

▼M25 —————

▼B

(4)  Certificatul se eliberează cel târziu în ziua lucrătoare următoare zilei în care se depune cererea.

Articolul 4

(1)  Codul NC 0406 90 01 , sub care sunt clasate brânzeturile care urmează să fie prelucrate, nu se aplică decât importurilor.

▼M38 —————

▼M19 —————

▼B



TITLUL 2

NORME SPECIFICE PRIVIND IMPORTURILE CU TAXĂ REDUSĂ



CAPITOLUL I

Importuri în cadrul contingentelor deschise de Comunitate numai pe baza licențelor de import



Secțiunea 1

Articolul 5

Prezentul capitol se aplică importurilor de produse lactate în cadrul următoarelor contingente:

(a) contingentele nespecificate în funcție de țara de origine și menționate în lista CXL de concesii;

▼M16 —————

▼M24 —————

▼M27 —————

▼M24 —————

▼M19

(f) contingentul menționat în anexa 2 la Acordul dintre Comunitate și Elveția privind comerțul cu produse agricole, aprobat prin Decizia 2002/309/CE, Euratom a Consiliului și a Comisiei ( 3 );

▼M13 —————

▼M30

(h) contingentele prevăzute în anexa V la Acordul dintre Uniunea Europeană și Regatul Norvegiei, aprobat prin Decizia 2011/818/UE a Consiliului ( 4 ), denumit în continuare „Acordul cu Norvegia”;

▼M42

(i) contingentele prevăzute în anexa V la Acordul dintre Uniunea Europeană și Islanda privind preferințele comerciale suplimentare pentru produsele agricole, aprobat prin Decizia (UE) 2017/1913 a Consiliului ( 5 ) (denumit în continuare „Acordul cu Islanda”);

▼M39 —————

▼M33

(k) contingentele menționate în partea K a anexei I;

▼M36

(l) contingentele menționate în partea L a anexei I.

▼B

Articolul 6

▼M33

Contingentele tarifare, taxele care urmează a fi aplicate, cantitățile anuale maxime care urmează a fi importate, perioadele de contingent tarifar la import, precum și repartizarea lor în subperioade figurează în anexa I.

▼M1

Cantitățile menționate în anexa I părțile B, D și F sunt repartizate, pentru fiecare an de import, în părți egale pe două perioade de câte șase luni care încep la data de 1 iulie și 1 ianuarie în fiecare an.

▼B



Secțiunea 2

Articolul 7

Solicitantul unei licențe de import trebuie să fie autorizat în prealabil de autoritatea competentă din statul membru în care este stabilit.

Această autoritate atribuie un număr de autorizație fiecărui importator autorizat.

▼M17

Articolul 8

Prin derogare de la articolul 5 primul alineat din Regulamentul (CE) nr. 1301/2006, autorizația se acordă solicitantului care depune, înainte de data de 1 aprilie a fiecărui an, la autoritățile competente din statul membru în care este stabilit și înscris în scopuri de TVA, o cerere însoțită de dovada că în cei doi ani calendaristici anteriori a importat în Comunitate sau a exportat din Comunitate produse lactate incluse în capitolul 04 din Nomenclatura Combinată, într-o cantitate minimă de 25 de tone.

▼M18

Articolul 9

Înainte de ►M22  1 mai ◄ , autoritatea competentă informează solicitanții cu privire la rezultatul procedurii de autorizare și, după caz, cu privire la numărul autorizației. Autorizația este valabilă timp de un an.

▼M1

Articolul 10

▼M22

(1)  Înainte de data de 20 mai a fiecărui an, statele membre comunică Comisiei lista importatorilor autorizați, în conformitate cu dispozițiile din alineatul (3) de mai jos, iar aceasta o transmite autorităților competente din celelalte state membre.

Numai importatorii care figurează pe listă sunt autorizați să depună cereri pentru obținerea de licențe în cursul perioadei cuprinse între 1 iulie și 30 iunie a anului următor, în conformitate cu dispozițiile articolelor 11-14.

▼M1

(2)  La cererea țărilor candidate la aderare pentru care este deschis un contingent de import, Comisia poate transmite o listă a importatorilor autorizați cu condiția să fi obținut consimțământul importatorilor înscriși pe listă în acest sens. Statele membre adoptă dispozițiile necesare pentru a cere consimțământul importatorilor.

▼M32

(3)  Statele membre comunică Comisiei lista importatorilor autorizați defalcată în importatori autorizați care și-au dat consimțământul în conformitate cu alineatul (2), și ceilalți importatori autorizați. Această comunicare conține numărul autorizației, denumirea, adresa, numărul de telefon și adresa de e-mail ale importatorilor autorizați.

▼B



Secțiunea 3

Articolul 11

Cererile de obținere a licențelor pot fi depuse numai în statul membru de autorizare. Cererile trebuie să conțină numărul autorizației importatorului.

▼M17 —————

▼B

Articolul 13

(1)  Cererea de obținere a unei licențe poate indica unul sau mai multe dintre codurile NC menționate la anexa I pentru același contingent și trebuie să indice cantitatea solicitată pentru fiecare cod în parte.

Cu toate acestea, se eliberează câte o licență pentru fiecare cod în parte.

▼M33

(2)  Cererile de obținere a unei licențe vizează minimum 10 tone și nu mai mult decât cantitatea stabilită pentru contingentul respectiv, pentru subperioada prevăzută la articolul 6.

Totuși, cererile de licențe vizează:

(a) maximum 10 % din cantitatea disponibilă, în cazul contingentelor menționate la articolul 5 litera (a);

(b) maximum 25 % din cantitatea disponibilă, în cazul contingentelor menționate la articolul 5 litera (k).

▼M17 —————

▼B

Articolul 14

▼M22

(1)  Cererile de obținere de licențe nu pot fi depuse decât:

(a) între 20 și 30 noiembrie, pentru importurile efectuate în perioada cuprinsă între 1 ianuarie și 30 iunie a anului următor;

▼C1

(b) între 1 și 10 iunie, pentru importurile efectuate în perioada următoare cuprinsă între 1 iulie și 31 decembrie.

▼M33

(1a)  În ceea ce privește contingentele menționate în partea K a anexei I, cererile de licențe pot fi depuse doar:

(a) între 20 și 30 noiembrie, pentru importurile efectuate în perioada cuprinsă între datele de 1 ianuarie și 30 iunie ale anului următor;

(b) între 1 și 10 iunie, pentru importurile efectuate în perioada cuprinsă între 1 iulie și 31 decembrie;

(c) între 1 și 10 septembrie, pentru importurile efectuate în perioada cuprinsă între 1 octombrie și 31 decembrie.

▼B

(2)  Cuantumul garanției prevăzute la articolul 15 alineatul (2) din Regulamentul (CE) nr. 1291/2000 este de 35 EUR per 100 kilograme nete de produs.



Secțiunea 4

▼M17

Articolul 15

Statele membre notifică Comisiei, în a cincea zi lucrătoare de la sfârșitul perioadei de depunere a cererilor, cererile depuse pentru fiecare dintre produsele în cauză. Această notificare cuprinde cantitățile solicitate pentru fiecare număr de contingent și pentru fiecare cod NC. Notificările se fac pe modele separate pentru fiecare contingent.

▼B

Articolul 16

▼M17

(1)  Licența este emisă de autoritatea competentă a statului membru în termen de cinci zile lucrătoare care urmează celei de-a cincea zi lucrătoare de la notificarea prevăzută la articolul 15.

▼M17 —————

▼M22

(3)  Prin derogare de la articolul 23 din Regulamentul (CE) nr. 1291/2000, licențele de import sunt valabile numai pe durata subperioadei pentru care au fost eliberate. Licențele de import cuprind în căsuța 24 una dintre mențiunile care figurează în anexa XX.

▼B

(4)  Licențele de import eliberate în temeiul prezentului capitol nu pot fi transferate decât persoanelor fizice sau juridice autorizate în conformitate cu secțiunea 2. La transferul unui certificat, cedentul informează organismul care l-a emis cu privire la numărul autorizației cesionarului.

▼M30

(5)  Prin derogare de la articolul 11 alineatul (1) primul paragraf litera (b) și de la articolul 11 alineatul (1) al doilea paragraf din Regulamentul (CE) nr. 1301/2006, Comisiei îi sunt comunicate de către statele membre cantitățile, inclusiv comunicările „niciuna”, la care se referă licențele de import pe care le-au eliberat, în termen de 10 zile lucrătoare de la data încheierii perioadei de eliberare a licențelor menționate la alineatul (1) din prezentul articol.

▼B

Articolul 17

Prin derogare de la articolul 8 alineatul (4) din Regulamentul (CE) nr. 1291/2000, cantitatea importată în temeiul prezentului capitol nu poate să depășească cantitatea indicată la rubricile 17 și 18 din licența de import. În acest sens, la rubrica 19 din certificatul menționat anterior se înscrie cifra „0”.

Articolul 18

(1)  Cererea de obținere a unei licențe și certificatul conțin:

(a) la rubrica 8, denumirea țării de origine;

▼M1

(b) la rubrica 15, descrierea produsului prevăzut la anexa I sau, în absența acesteia, descrierea din Nomenclatura Combinată a codului NC indicat în contingentul în cauză.

▼B

(c) la rubrica 16, codul NC așa cum este indicat la contingentul în cauză, precedat, după caz, de mențiunea „ex”;

▼M17

(d) în caseta 20, una dintre mențiunile care figurează în anexa XV.

▼B

(2)  Licența impune obligația de a importa din țara indicată la rubrica 8, cu excepția importurilor în cadrul contingentelor menționate la anexa I partea A.

▼M17 —————

▼B

Articolul 19

▼M11

(1)  Aplicarea ratei reduse a taxei este condiționată de prezentarea declarației de punere în liberă circulație, însoțită de licența de import și, pentru importurile menționate în continuare, de dovada de origine eliberată în temeiul următoarelor instrumente:

▼M16 —————

▼M24 —————

▼M27 —————

▼M24 —————

▼M11

(e) protocolul nr. 3 la Acordul între Comunitatea Economică Europeană și Confederația Elvețiană din 22 iulie 1972 ( 6 );

(f) protocolul nr. 3 la Acordul cu Iordania;

▼M30

(g) normele prevăzute la punctul 9 din Acordul cu Norvegia;

▼M19

(h) protocolul nr. 3 la Acordul cu Islanda;

▼M39 —————

▼M36

(j) articolul 2 litera (a) din Regulamentul (UE) nr. 374/2014 al Parlamentului European și al Consiliului ( 7 ).

▼B

(2)  Punerea în liberă circulație a produselor importate în conformitate cu acordurile menționate la alineatul (1) literele (a) și (b) este condiționată fie de prezentarea certificatului EUR. 1, fie de o declarație dată de exportator în conformitate cu dispozițiile din protocoalele în cauză.

▼M26 —————

▼M33

(3)  În cazul contingentelor menționate în partea K a anexei I, rata redusă a taxei se aplică:

(d) la acceptarea declarației de punere în liberă circulație;

(e) la prezentarea licenței de import; și

(f) la prezentarea unui certificat IMA 1, astfel cum este prevăzut la anexa IX, eliberat de un organism emitent enumerat în anexa XII și conținând detaliile relevante prevăzute în anexa XI, care să dovedească îndeplinirea cerințelor de eligibilitate și originea produsului vizat de declarația de punere în liberă circulație.

Autoritățile vamale indică numărul de ordine al certificatului IMA 1 în licența de import.

Articolul 37 alineatele (2), (3) și (4) se aplică mutatis mutandis.

▼M6



CAPITOLUL I A

Importuri conform contingentelor gestionate în conformitate cu articolele 308a-308c din Regulamentul (CEE) nr. 2454/93

▼M27

Articolul 19a

(1)  Articolele 308a și 308b și articolul 308c alineatul (1) din Regulamentul (CEE) nr. 2454/93 se aplică contingentelor care figurează în anexa VIIa și sunt prevăzute în:

(a) Regulamentul (CE) nr. 312/2003 al Consiliului ( 8 );

(b) Regulamentul (CE) nr. 747/2001 al Consiliului ( 9 );

▼M38 —————

▼M27

(d) anexa I la Protocolul nr. 1 la Decizia nr. 1/98 a Consiliului de asociere CE-Turcia ( 10 ).

(2)  Importurile efectuate în cadrul contingentelor prevăzute la alineatul (1) nu sunt condiționate de prezentarea unei licențe de import.

(2a)  În cazul contingentului prevăzut la alineatul (1) litera (d) nu se aplică articolul 308c alineatele (2) și (3) din Regulamentul (CEE) nr. 2454/93 pentru perioada contingentară cuprinsă între 1 ianuarie 2010 și 31 decembrie 2010.

(4)  Aplicarea ratei reduse a taxei este condiționată de prezentarea dovezii de origine, eliberată în conformitate cu:

(a) anexa III la Acordul cu Republica Chile;

(b) Protocolul nr. 4 la Acordul cu Israel;

▼M38 —————

▼M27

(d) Protocolul nr. 3 la Decizia nr. 1/98 a Consiliului de asociere CE-Turcia.

▼M31



CAPITOLUL II

Importuri în afara contingentelor exclusiv pe baza licenței de import

▼M40 —————

▼M23



CAPITOLUL IIa

Importuri în afara contingentelor fără prezentarea unei licențe de import

Articolul 22a

(1)  Prezentul articol se aplică în cazul importurilor preferențiale menționate la articolul 3 din Acordul dintre Comunitatea Europeană și Elveția privind comerțul cu produse agricole.

(2)  Toate produsele având codul CN 0406 , originare din Elveția, sunt scutite de taxa la import și de prezentarea unei licențe de import.

(3)  Scutirea de taxă se aplică numai pe baza prezentării declarației de punere în liberă circulație, însoțită de dovada originii eliberată în temeiul Protocolului 3 la Acordul dintre Comunitatea Economică Europeană și Confederația Elvețiană, semnat la Bruxelles la 22 iulie 1972.

▼B



CAPITOLUL III

Importuri pe baza unei licențe de import incluse într-un certificat „Inward Monitoring Arrangement” (IMA 1)



Secțiunea 1

▼M18

Articolul 24

(1)  Prezenta secțiune se aplică importurilor din cadrul contingentelor tarifare specificate în funcție de țara de origine și menționate în lista CXL prevăzută la anexa III.B.

(2)  Drepturile care urmează să fie aplicate și cantitățile maxime importate pe fiecare perioadă de contingent tarifar de import sunt indicate în anexa III.B.

▼M25

(3)  Nu se acceptă nicio cerere de licență sau certificat dacă nu s-a constituit la organismul competent o garanție de 10 EUR la suta de kilograme de greutate netă a produsului până cel târziu la ora 13 în ziua în care se depune cererea.

(4)  Licența este valabilă începând cu ziua de eliberare efectivă, în sensul articolului 22 alineatul (2) din Regulamentul (CE) nr. 376/2008 până la sfârșitul celei de-a treia luni ulterioare acestei date.

▼M18

Articolul 25

(1)  Licența de import pentru produsele enumerate în anexa III.B, cu rata drepturilor indicată, nu se eliberează decât la prezentarea unui certificat IMA 1 corespunzător, pentru cantitatea netă totală înscrisă în acesta.

Certificatul IMA 1 trebuie să îndeplinească condițiile stabilite la articolele 29-33. Licențele de import trebuie să conțină numărul și data eliberării certificatului IMA 1 corespunzător.

(2)  Licențele de import pot fi eliberate numai după ce autoritatea competentă verifică dacă au fost respectate dispozițiile articolului 33 alineatul (1) litera (e).

Organismul emitent al licențelelor transmite Comisiei o copie a certificatului IMA 1 introdus cu fiecare cerere de licență de import, în ziua depunerii acesteia și până la ora 18, ora Bruxelles-ului.

Organismul emitent eliberează licența de import în a patra zi lucrătoare următoare, în cazul în care Comisia nu a luat o măsură specială înaintea acestei date.

▼M17

Organismul competent emitent al licențelor de import păstrează originalul fiecărui certificat IMA 1 prezentat.

▼B

Articolul 26

(1)  Certificatul IMA 1 este valabil de la data eliberării la sfârșitul celei de-a opta luni următoare, dar în nici un caz perioada de valabilitate nu trebuie să depășească valabilitatea licenței de import corespondent sau data de 31 decembrie a anului de import pentru care este eliberată licența.

(2)  Începând cu data de 1 noiembrie a fiecărui an, pot fi eliberate certificate IMA 1 valabile de la data de 1 ianuarie a anului următor, pentru cantitățile care intră în cadrul contingentului pentru acel an de import. Cu toate acestea, cererile de obținere de licențe de import nu pot fi depuse decât din prima zi lucrătoare a anului de import.

▼M18 —————

▼B

(3)  Situațiile în care un certificat IMA 1 poate fi anulat, modificat, înlocuit sau corectat sunt prezentate în anexa VIII.

Articolul 27

Prin derogare de la articolul 8 alineatul (4) din Regulamentul (CE) nr. 1291/2000, cantitatea importată nu poate fi mai mare decât cea indicată la rubricile 17 și 18 din licența de import. În acest sens, la rubrica 19 din certificat se înscrie cifra „0”.

Articolul 28

(1)  Cererea de obținere a unei licențe și licența conțin:

(a) la rubricile 7 și 8, denumirea țării de proveniență și a țării de origine;

(b) la rubrica 15, descrierea produselor conform specificațiilor din anexa III;

(c) la rubrica 16, codul NC conform specificațiilor din anexa III, precedat, după caz, de mențiunea „ex”;

▼M16

(d) la rubrica 20, după caz, numărul contingentului, numărul licenței IMA 1 și data eliberării sale sub forma uneia dintre mențiunile care figurează la anexa XVII.

▼B

(2)  Licența impune obligația de a importa din țara de origine indicată la rubrica 8.

▼M17 —————

▼B

Articolul 29

(1)  Certificatul IMA 1 se completează pe un formular al cărui model este prezentat în anexa IX, cu excepția cazului untului neozeelandez, și în conformitate cu condițiile prevăzute de prezentul capitol.

▼M41

(2)  Rubrica 3 din certificatul IMA 1, privind cumpărătorul, și rubrica 6, privind țara de destinație, nu se completează.

▼B

Articolul 30

(1)  Formatul formularului prevăzut la articolul 29 este de 210 × 297 mm. Hârtia care se utilizează cântărește cel puțin 40 g/m2 și este de culoare albă.

(2)  Formularele sunt imprimate și completate în una dintre limbile oficiale ale Comunității. Formularele mai pot fi, în plus, imprimate și completate în limba oficială sau în una dintre limbile oficiale ale țării exportatoare.

(3)  Formularul se completează fie la mașina de scris, fie cu scris de mână. În acest ultim caz, formularul trebuie completat cu litere de tipar.

(4)  Fiecare certificat IMA 1 este individualizat printr-un număr de ordine atribuit de organismul emitent.

Articolul 31

(1)  Se întocmește câte un certificat IMA 1 pentru fiecare specie și pentru fiecare formă de prezentare a produselor enumerate în anexa III.

(2)  Certificatul IMA 1 trebuie să conțină, pentru fiecare tip de produs și pentru fiecare formă de prezentare, mai puțin pentru untul neozeelandez, datele care figurează în anexa XI.

Articolul 32

▼M17

(1)  O copie autentificată în mod corespunzător a certificatului IMA 1 este prezentată, împreună cu licența de import corespondentă și cu produsele la care se referă acesta, autorităților vamale ale statului membru importator în momentul depunerii declarației de punere în liberă circulație. Fără a aduce atingere dispozițiilor articolului 26 alineatul (1), copia este prezentată în cursul perioadei de valabilitate a certificatului, cu excepția cazurilor de forță majoră.

▼B

(2)  Un certificat IMA 1 este valabil numai în cazul în care este completat și vizat în mod corespunzător de către unul dintre organismele emitente menționate la anexa XII.

(3)  Certificatul IMA 1 este vizat în mod corespunzător când indică locul și data emiterii și are ștampila organismului emitent și semnătura persoanei sau persoanelor abilitate să îl semneze.

Articolul 33

(1)  Un organism emitent poate figura în anexa XII numai în cazul în care îndeplinește următoarele condiții:

(a) este recunoscut ca atare de către țara exportatoare;

(b) se angajează să verifice informațiile conținute de certificate;

(c) se angajează să furnizeze Comisiei și statelor membre, la cererea acestora, orice informație utilă și necesară care permite evaluarea mențiunilor din certificate;

(d) se angajează, pentru produsele enumerate în anexa III partea A, să elibereze certificatul IMA 1 pentru cantitatea totală inclusă înainte ca produsul prevăzut de certificat să părăsească teritoriul țării care îl eliberează;

(e) se angajează să transmită Comisiei, prin fax, o copie a fiecărui certificat IMA 1 autentificat pentru cantitatea totală inclusă în acesta, în ziua eliberării sale sau în termen de maximum șapte zile de la această dată și, după caz, să notifice orice anulare, corectare sau modificare;

(f) în ceea ce privește produsele de la codul NC 0406 , se angajează să comunice Comisiei până la 15 ianuarie, separat pentru fiecare contingent:

(i) numărul de certificate IMA 1 eliberate pentru anul contingentar precedent, cu numerele lor de identificare și cantitatea pentru care se aplică, precum și numărul total de certificate eliberate și cantitatea totală pentru care se aplică pentru anul contingentar în cauză și

(ii) anularea, corectarea sau modificarea acestor certificate IMA 1 sau eliberarea unor cópii ale certificatelor IMA 1, în conformitate cu anexa VIII punctele 1–5 și cu dispozițiile din articolul 32 alineatul (1), precum și orice informație pertinentă aferentă acestora.

(2)  Anexa XII se revizuiește în cazul în care condiția prevăzută la alineatul (1) litera (a) nu mai este îndeplinită sau când un organism emitent nu mai îndeplinește una dintre obligațiile pe care și le-a asumat.



Secțiunea 2

▼M18

Articolul 34

(1)  Dispozițiile prezentei secțiuni se aplică importurilor de unt din Noua Zeelandă de la numerele de contingent 09.4195 și 09.4182 menționate la anexa III.A.

(2)  Se aplică dispozițiile articolelor 27 și 30, ale articolului 31 alineatul (1), ale articolului 32 alineatele (2) și (3) și ale articolului 33 alineatul (1) literele (a)-(d).

(3)  Prin cuvintele „de cel puțin șase săptămâni”, care apar în descrierea contingentului de unt din Noua Zeelandă, se înțelege de cel puțin șase săptămâni la data la care se prezintă autorităților vamale o declarație de punere în liberă circulație.

▼M33

(4)  Contingentele tarifare, taxa care urmează a fi aplicată, cantitățile anuale maxime care urmează a fi importate, perioadele de contingent tarifar la import, precum și repartizarea lor în subperioade figurează în anexa III.A.

Articolul 34a

(1)  Contingentele sunt împărțite în două părți, după cum se menționează în anexa III.A:

(a) contingentul nr. 09.4195 (denumit în continuare „partea A”) se distribuie între importatorii din Uniune care sunt autorizați în conformitate cu dispozițiile articolului 7 și care pot dovedi că au importat în cadrul unuia dintre contingentele 09.4195 și 09.4182 în cursul celor 24 de luni care precedă luna noiembrie anterioară anului contingentar;

(b) contingentul nr. 09.4182 (denumit în continuare „partea B”) este rezervat solicitanților:

(i) care sunt autorizați în conformitate cu dispozițiile articolului 7; și

(ii) care por dovedi că, în perioada de 12 luni care precedă luna noiembrie anterioară anului contingentar, au importat în Uniune și/sau au exportat din Uniune minimum 100 de tone de lapte sau produse lactate vizate la capitolul 04 din Nomenclatura combinată, în cel puțin patru operațiuni separate.

(2)  Cererile de licențe de import nu pot fi depuse decât:

(a) între 20 și 30 noiembrie, pentru importurile efectuate în perioada cuprinsă între datele de 1 ianuarie și 30 iunie ale anului următor;

(b) între 1 și 10 iunie, pentru importurile efectuate în perioada cuprinsă între 1 iulie și 31 decembrie;

(c) între 1 și 10 septembrie, pentru importurile efectuate în perioada cuprinsă între 1 octombrie și 31 decembrie.

(3)  Pentru a fi admisibile, cererile de licențe de import pot viza, pentru fiecare solicitant:

(a) în cazul părții A, cel mult 125 % din cantitățile pe care le-a importat în cadrul contingentului 09.4195 sau 09.4182, în cursul celor 24 de luni care precedă luna noiembrie anterioară anului contingentar;

(b) în cazul părții B, cel puțin 20 de tone și cel mult 10 % din cantitatea disponibilă pentru subperioada respectivă și cu condiția să poată dovedi în mod corespunzător autorității competente din statul membru respectiv că îndeplinește condițiile prevăzute la alineatul (1) litera (b).

Sub rezerva îndeplinirii condițiilor de eligibilitate, solicitanții pot depune cereri simultan în cadrul ambelor părți din contingent.

Cererile de licențe de import trebuie să fie separate pentru partea A și pentru partea B.

(4)  Cererile de licențe de import pot fi depuse doar în statul membru în care a fost acordată autorizația în temeiul articolului 7 și trebuie să indice numărul de autorizație al importatorului.

(5)  Dovezile menționate la alineatele (1) și (3) se furnizează în conformitate cu articolul 5 al doilea paragraf din Regulamentul (CE) nr. 1301/2006.

Respectivele dovezi se prezintă la momentul depunerii cererilor de licențe de import și trebuie să fie valabile pentru anul contingentar relevant.

▼M18

Articolul 35

Nivelul garanției, menționat la articolul 15 alineatul (2) din Regulamentul (CE) nr. 1291/2000, este egal cu 35 EUR pentru 100 kilograme nete de produs.

Articolul 35a

▼M26

(1)  Statele membre comunică Comisiei cererile depuse pentru fiecare dintre produsele vizate, până cel târziu în a cincea zi lucrătoare după sfârșitul perioadei de depunere a cererilor.

▼M18

(2)  Această comunicare cuprinde cantitățile solicitate pentru fiecare număr de contingent, defalcate pe cod al Nomenclaturii Combinate.

▼M26

De asemenea, statele membre comunică Comisiei numele și adresele solicitanților, defalcate pe numărul contingentului tarifar, până cel târziu în a cincea zi lucrătoare după sfârșitul perioadei de depunere a cererilor. Această notificare se realizează prin mijloace electronice, utilizând formularul pus la dispoziția statelor membre de către Comisie.

▼M18

(3)  Comisia decide, în termen de cinci zile lucrătoare după perioada de notificare menționată la alineatul (1), în ce măsură pot fi admise cererile. În cazul în care cantitățile solicitate nu depășesc cantitățile contingentare disponibile, Comisia nu ia nici o decizie, iar licențele sunt eliberate pentru cantitățile solicitate.

În cazul în care cererile de licențe pentru un subcontingent depășesc cantitatea disponibilă pentru perioada contingentară în cauză, Comisia aplică un coeficient de alocare uniform cantităților care fac obiectul cererii. Partea garanției corespunzătoare cantităților nealocate este eliberată.

În cazul în care, pentru unul dintre subcontingente, aplicarea coeficientului de alocare ar avea drept rezultat atribuirea de licențe pentru mai puțin de douăzeci de tone per cerere, cantitățile corespunzătoare disponibile sunt atribuite de către statul membru respectiv prin tragere la sorți, pentru licențele eliberate pentru 20 de tone fiecare, între solicitanții cărora le-ar fi fost atribuite mai puțin de 20 tone în cazul aplicării coeficientului de alocare.

În cazul în care, după constituirea loturilor de douăzeci de tone, rămâne o cantitate mai mică de douăzeci de tone, aceasta este considerată un lot.

Garanția cu privire la cererile care nu sunt reținute în cadrul atribuirii prin tragere la sorți este eliberată de îndată.

(4)  Licențele sunt eliberate în cel mult cinci zile lucrătoare de la adoptarea deciziei menționate la alineatul (3).

(5)  Licențele de import eliberate în temeiul prezentului regulament sunt valabile până în ultima zi a semestrului menționat la anexa III.A.

(6)  Licențele de import eliberate în temeiul prezentei secțiuni pot fi transferate numai persoanelor fizice sau juridice care sunt autorizate în conformitate cu articolul 7. Împreună cu cererea de transfer, cedentul informează organismul emitent cu privire la numărul de autorizare al cesionarului.

Articolul 35b

Cererea de licență și licența cuprind trimiterile prevăzute la articolul 28, cu excepția trimiterilor la certificatul IMA 1.

Cererea de licență poate cuprinde, la rubrica 16, unul sau mai multe dintre codurile NC enumerate în anexa III.A.

Licența cuprinde, la rubrica 20, perioada subcontingentară pentru care sunt eliberate licențele.

În cazul în care o cerere de licență indică mai multe coduri NC, aceasta trebuie să precizeze cantitatea solicitată pentru fiecare cod și pentru fiecare dintre ele se eliberează o licență diferită.

Articolul 36

Atunci când untul din Noua Zeelandă nu îndeplinește cerințele privind compoziția, beneficiul contingentului nu este acordat pentru cantitatea totală care face obiectul declarației vamale corespunzătoare.

Atunci când a fost acceptată o declarație de punere în liberă circulație, autoritățile vamale, după constatarea neconformității, colectează drepturile de import stabilite în anexa I la Regulamentul (CEE) nr. 2658/87 al Consiliului. În acest scop, se eliberează o licență de import cu drepturi întregi pentru cantitatea neconformă.

Cantitatea nu se atribuie licenței.

Articolul 37

(1)  Rata drepturilor prevăzută la anexa III.A se aplică untului din Noua Zeelandă importat în temeiul prezentei secțiuni numai cu condiția prezentării declarației de punere în liberă circulație însoțită de o licență de import, eliberată în conformitate cu dispozițiile articolului 35a, și de un certificat IMA 1, menționat la anexa X, eliberat de un organism emitent enumerat în anexa XII, care dovedește respectarea condițiilor de admisibilitate și originea produsului care face obiectul acestei declarații. Autoritățile vamale indică numărul de ordine al certificatului IMA 1 în licența de import.

(2)  Cantitatea indicată în certificatul IMA 1 este egală cu cantitatea indicată în declarația vamală de import.

(3)  Perioada de valabilitate a certificatului IMA 1 se întinde de la data eliberării sale până în ultima zi a perioadei contingentare anuale de import.

(4)  Licența de import poate fi utilizată pentru una sau mai multe declarații de import.

▼M23 —————

▼M32 —————

▼B

Articolul 40

(1)  Normele care trebuie respectate în ceea ce privește întocmirea unui certificat IMA 1, controlul greutății și al conținutului de grăsimi al untului, precum și consecințele unui astfel de control sunt stabilite în anexa IV.

▼M23 —————

▼M32

(2)  Statele membre comunică Comisiei rezultatele controlului efectuat în conformitate cu anexa IV, pentru fiecare trimestru, până cel târziu în a zecea zi a lunii următoare. Respectiva notificare conține următoarele informații:

(a) informații generale:

(i) denumirea producătorului de unt;

(ii) codul de identificare a lotului;

(iii) mărimea lotului, exprimată în kg;

(iv) data controalelor (zi/lună/an);

(b) controlul greutății:

(i) mărimea eșantionului aleatoriu (numărul de ambalaje de carton);

(ii) date privind valoarea medie:

 media aritmetică a greutății nete per ambalaj de carton, în kg (așa cum este specificată pe certificatul IMA 1 - rubrica 9);

 media aritmetică a greutății nete a ambalajelor de carton utilizate pentru eșantionare, în kg,

 dacă media aritmetică a greutății nete stabilite în Uniune arată o diferență semnificativă în raport cu valoarea declarată (N = nu, D = da);

(iii) date privind deviația standard:

 deviația standard a greutății nete pe ambalaj de carton, în kg (așa cum este specificată pe certificatul IMA 1 - rubrica 9);

 deviația standard a greutății nete a ambalajelor de carton utilizate pentru eșantionare (în kg),

 dacă deviația standard a greutății nete stabilite în Uniune arată o diferență semnificativă în raport cu valoarea declarată (N = nu, D = da);

(c) controlul conținutului de grăsimi:

(i) mărimea eșantionului aleatoriu (numărul de ambalaje de carton);

(ii) date privind valoarea medie:

 media aritmetică a conținutului de grăsimi al ambalajelor de carton utilizate pentru eșantionare, în % grăsime,

 dacă media aritmetică a conținutului de grăsimi stabilită în Uniune depășește 84,4 % (N = nu, D = da).

▼B

Articolul 41

(1)  În toate etapele comercializării untului neozeelandez importat în Comunitate în conformitate cu prezentul capitol, originea neozeelandeză trebuie să fie indicată pe ambalaj și pe factura sau facturile corespunzătoare.

(2)  Prin derogare de la alineatul (1), în cazul în care untul neozeelandez este amestecat cu unt comunitar, iar untul amestecat este destinat consumului direct și este prezentat în ambalaje de maximum 500 de grame, originea sa neozeelandeză nu trebuie menționată decât pe factura corespunzătoare.

(3)  În cazurile prevăzute la alineatele (1) și (2), pe factură apare de asemenea:

„Unt importat în temeiul capitolului III secțiunea 2 din Regulamentul (CE) nr. 2535/2001 al Comisiei: neeligibil pentru subvenția pentru unt în temeiul articolului 1 alineatul (1) din Regulamentul (CEE) nr. 429/90 al Comisiei sau pentru subvenția pentru unt în temeiul articolului 1 alineatul (2) litera (a) din Regulamentul (CE) nr. 2571/97 al Comisiei sau pentru o restituire la export în conformitate cu articolul 31 alineatele (10) și (11) din Regulamentul (CE) nr. 1255/1999 al Consiliului, cu excepția unor dispoziții contrare prevăzute în articolul 31 alineatul (12) din acest regulament sau de articolul 7a din Regulamentul (CE) nr. 1222/94 al Comisiei.”

Articolul 42

Certificatul IMA 1 se întocmește în conformitate cu modelul din anexa X, respectându-se condițiile prevăzute de prezenta secțiune și de articolul 40 alineatul (1).



CAPITOLUL IV

Dispoziții privind controlul importurilor cu taxă redusă

Articolul 43

(1)  Birourile vamale comunitare unde se depun declarațiile de punere în liberă circulație a produselor în Comunitate examinează documentele, înaintate în sprijinul unei declarații de punere în liberă circulație, prin care se solicită un tratament tarifar redus.

Birourile vamale efectuează, de asemenea, controale fizice ale produselor, pe baza documentelor menționate anterior.

(2)  Statele membre iau măsurile necesare pentru instituirea unui sistem care prevede efectuarea controalelor fizice menționate la alineatul (1) al doilea paragraf fără o avertizare prealabilă, conform unei analize de risc.

Cu toate acestea, până la sfârșitul anului 2003, sistemul garantează că cel puțin 3 % din declarațiile de punere în liberă circulație depuse în fiecare stat membru în fiecare an calendaristic sunt supuse unor controale fizice.

La calcularea procentului minim de controale fizice pe care să le efectueze, statele membre pot hotărî să nu ia în considerare declarațiile de import pentru cantități mai mici sau egale cu 500 de kilograme.

Articolul 44

(1)  Regulamentul (CE) nr. 213/2001 al Comisiei ( 11 ) se aplică în ceea ce privește metodele de referință care trebuie utilizate pentru analiza produselor prevăzute de prezentul regulament, pentru a se stabili conformitatea acestora, din punctul de vedere al compoziției, cu declarația de punere în liberă circulație.

(2)  Fiecare birou vamal întocmește un proces-verbal detaliat al examinării pentru fiecare control fizic efectuat. Acest proces-verbal are data examinării și se păstrează pentru cel puțin trei ani calendaristici.

(3)   ►M16  Atunci când s-a efectuat un control fizic, una dintre mențiunile care figurează la anexa XIX se aplică la rubrica 32 a licenței de import sau la rubrica de mesaje în cazul unei licenței electronice. ◄

În termen de 20 de zile lucrătoare de la data efectuării controlului fizic, autoritățile vamale evaluează prima analiză. În termen de zece zile lucrătoare de la data stabilirii rezultatelor definitive de neconformitate, aceste rezultate și, după caz, licența sunt transmise organismului emitent competent.

Fără a aduce atingere dispozițiilor articolului 248 din Regulamentul (CEE) nr. 2454/93 al Comisiei ( 12 ), în cazul în care s-a efectuat un control fizic al compoziției înaintea prezentării licenței de import vizat, în conformitate cu articolul 33 alineatul (1) litera (a) din Regulamentul (CE) nr. 1291/2000, garanția este eliberată.

(4)  Fiecare caz de neconformitate cu declarația de punere în liberă circulație se notifică Comisiei în termen de zece zile lucrătoare de la constatarea acestei neconformități de către autoritățile vamale, menționându-se tipul de neconformitate despre care este vorba și rata taxei vamale care s-a aplicat în urma constatării neconformității.

▼M32

Articolul 45

În cadrul contingentelor tarifare de import, în conformitate cu articolul 4 din Regulamentul (CE) nr. 1301/2006, statele membre transmit Comisiei date referitoare la cantitățile de produse puse în liberă circulație.

▼M32

Articolul 45a

Notificările menționate în prezentul regulament, cu excepția celor menționate la articolul 15, la articolul 35a alineatul (1) și la articolul 45, se efectuează în conformitate cu Regulamentul (CE) nr. 792/2009 al Comisiei ( 13 ).

▼B



TITLUL 3

DISPOZIȚII TRANZITORII ȘI FINALE

Articolul 46

Statele membre adoptă măsurile necesare pentru controlul funcționării corecte a regimului licențelor și al certificatelor prevăzut de prezentul regulament.

Articolul 47

Autorizația prevăzută la articolul 7 nu este necesară pentru perioada 1 ianuarie–30 iunie 2002.

Pentru această perioadă, cererile de obținere de licențe pentru contingentele menționate la titlul 2 capitolul 1 nu pot fi depuse decât în statul membru în care solicitantul își are sediul și sunt primite numai în cazul în care, în momentul solicitării licențelor, elementele prevăzute la articolul 8 alineatul (1) litera (a) sunt prezentate și îndeplinesc condițiile autorității competente a statului membru în cauză.

Licențele de import prevăzute la titlul 2 capitolul 1, eliberate în perioada 1 ianuarie–30 iunie 2002, pot fi transferate fără restricțiile din articolul 16 alineatul (4).

Pentru perioadele 1 ianuarie–30 iunie 2002 și 1 iulie–31 decembrie 2002, anul de referință prevăzut la articolul 8 alineatul (1) litera (a) este anul 2001 sau anul 2000, în cazul în care importatorul interesat dovedește că, în cursul anului 2001, din motive excepționale, nu a putut să importe sau să exporte cantitățile de produse lactate indicate.

Articolul 48

Regulamentele (CEE) nr. 2967/79, (CE) nr. 2508/97, (CE) nr. 1374/98 și (CE) nr. 2414/98 se abrogă.

Regulamentele în cauză sunt în continuare aplicabile licențelor solicitate înainte de 1 ianuarie 2002.

Trimiterile la regulamentele abrogate se interpretează ca trimiteri la prezentul regulament.

Articolul 49

Prezentul regulament intră în vigoare în a șaptea zi de la data publicării în Jurnalul Oficial al Comunităților Europene.

Se aplică licențelor de import solicitate de la 1 ianuarie 2002.

Prezentul regulament este obligatoriu în toate elementele sale și se aplică direct în toate statele membre.




ANEXA I

▼M38

I. A

CONTINGENTE TARIFARE NESPECIFICATE DUPĂ ȚARA DE ORIGINE



Număr contingent

Cod NC

Denumire (1)

Taxa la import

(în EUR/100 kg greutate netă)

Țara de origine

Contingent anual

(în tone)

Contingent semestrial

(în tone)

09.4590

0402 10 19

Lapte praf degresat

47,50

Toate țările terțe

68 537

34 268,5

09.4599

0405 10 11

0405 10 19

0405 10 30

0405 10 50

0405 10 90

0405 90 10  (1)

0405 90 90  (1)

Unt și alte grăsimi care provin din lapte

94,80

Toate țările terțe

11 360

5 680

în echivalent unt (1)

09.4591

ex 0406 10 30

ex 0406 10 50

ex 0406 10 80

Brânză pentru pizza, congelată, tăiată în bucăți cu o greutate unitară mai mică sau egală cu un gram, în recipiente cu un conținut net de cel puțin 5 kg, cu un conținut de apă de cel puțin 52 % din greutate și cu un conținut de grăsimi în substanța uscată de cel puțin 38 % din greutate

13,00

Toate țările terțe

5 360

2 680

09.4592

ex 0406 30 10

Brânză topită Emmental

71,90

Toate țările terțe

18 438

9 219

0406 90 13

Emmental

85,80

09.4593

ex 0406 30 10

Brânză topită Gruyère

71,90

Toate țările terțe

5 413

2 706,5

0406 90 15

Gruyère, Sbrinz

85,80

09.4594

0406 90 01  (2)

Brânzeturi destinate prelucrării

83,50

Toate țările terțe

20 007

10 003,5

09.4595

0406 90 21

Cheddar

21,00

Toate țările terțe

15 005

7 502,5

09.4596

ex 0406 10 30

ex 0406 10 50

ex 0406 10 80

Brânză proaspătă (nefermentată), inclusiv brânza din zer, și caș, alta decât brânza pentru pizza de la numărul de contingent 09.4591

92,60

92,60

106,40

Toate țările terțe

19 525

9 762,5

0406 20 00

Brânză rasă sau pudră

94,10

0406 30 31

Brânzeturi topite,

altele decât rase sau pudră:

69,00

0406 30 39

71,90

0406 30 90

102,90

0406 40 10

0406 40 50

0406 40 90

Brânză cu mucegai și alte brânzeturi care conțin mucegai produs de Penicillium roqueforti

70,40

0406 90 17

Bergkäse și Appenzell

85,80

0406 90 18

Brânză Fribourgeois, Vacherin Mont d'Or și Tête de Moine

75,50

 

0406 90 23

Edam

75,50

 

0406 90 25

Tilsit

75,50

 

0406 90 29

Cașcaval

75,50

 

0406 90 32

Feta

75,50

 

0406 90 35

Kefalo-Tyri

75,50

 

0406 90 37

Finlandia

75,50

 

0406 90 39

Jarlsberg

75,50

 

0406 90 50

Brânză din lapte de oaie sau de bivoliță, în recipiente conținând saramură, sau în burduf din piele de oaie sau de capră

75,50

 

ex 0406 90 63

Pecorino

94,10

 

0406 90 69

Altele

94,10

 

0406 90 73

Provolone

75,50

 

0406 90 74

Maasdam

75,50

 

ex 0406 90 75

Caciocavallo

75,50

 

ex 0406 90 76

Danbo, Fontal, Fynbo, Havarti, Maribo, Samsø

75,50

 

0406 90 78

Gouda

75,50

 

ex 0406 90 79

Esrom, Italico, Kernhem, Saint-Paulin

75,50

 

ex 0406 90 81

Cheshire, Wensleydale, Lancashire, Double Gloucester, Blarney, Colby, Monterey

75,50

 

0406 90 82

Camembert

75,50

 

0406 90 84

Brie

75,50

 

0406 90 86

Alte brânzeturi, cu un conținut de grăsimi de maximum 40 % din greutate și cu un conținut de apă în substanța fără grăsimi de peste 47 %, dar de maximum 52 % din greutate

75,50

 

0406 90 89

Alte brânzeturi, cu un conținut de grăsimi de maximum 40 % din greutate și cu un conținut de apă în substanța fără grăsimi de peste 52 %, dar de maximum 62 % din greutate

75,50

 

0406 90 92

Alte brânzeturi, cu un conținut de grăsimi de maximum 40 % din greutate și cu un conținut de apă în substanța fără grăsimi de peste 62 %, dar de maximum 72 % din greutate

75,50

 

0406 90 93

Alte brânzeturi, cu un conținut de grăsimi de maximum 40 % din greutate și cu un conținut de apă în substanța fără grăsimi de peste 72 % din greutate

92.60

 

0406 90 99

Alte brânzeturi, cu un conținut de grăsimi de peste 40 % din greutate

106,40

 

(*1)   Un kilogram de produs = 1,22 kilograme de unt.

(1)   Fără a aduce atingere regulilor de interpretare a Nomenclaturii combinate, formularea denumirii produselor nu are decât valoare indicativă; aplicabilitatea regimului preferențial se stabilește, în contextul prezentei anexe, în funcție de domeniul de aplicare a codurilor NC. În cazurile în care se menționează coduri ex NC, aplicabilitatea regimului preferențial se stabilește pe baza codului NC și a denumirii corespunzătoare, luate în considerare împreună.

(2)   Se consideră că brânzeturile în cauză sunt prelucrate atunci când au fost prelucrate în produse care se încadrează la subpoziția 0406 30 din Nomenclatura combinată. Se aplică dispozițiile articolelor 291-300 din Regulamentul (CEE) nr. 2454/93.

▼M16 —————

▼M24 —————

▼M27 —————

▼M24 —————

▼M29

I. F



CONTINGENT TARIFAR ÎN TEMEIUL ANEXEI II LA ACORDUL DINTRE COMUNITATE ȘI ELVEȚIA PRIVIND COMERȚUL CU PRODUSE AGRICOLE

Numărul contingentului

Codul NC

Descriere

Taxă vamală

Contingent de la 1 iulie la 30 iunie

în tone

09.4155

ex 0401 40

—  cu un conținut de grăsimi peste 6 %, dar de maximum 10% din greutate

scutire

2 000

ex 0401 50

—  cu un conținut de grăsimi de peste 10 % din greutate

0403 10

Iaurt

▼M13 —————

▼M30

I. H

CONTINGENTE TARIFARE STABILITE ÎN CONFORMITATE CU ANEXA I LA ACORDUL CU NORVEGIA



Contingent ianuarie-decembrie

Număr contingent

Codul din Nomenclatura combinată

Descriere

Taxe vamale

Contingent de la 1 martie la 30 iunie 2012

(în tone)

Contingent de la 1 iulie la 31 decembrie 2012

(în tone)

Contingent de la 1 ianuarie 2013

(în tone)

anual

semestrial

09.4179

0406

Brânză și caș

scutire

1 600

3 600

7 200

3 600

▼M42

I.I

Contingente tarifare în temeiul anexei V la Acordul cu Islanda aprobat prin Decizia (UE) 2017/1913

Contingent anual de la 1 ianuarie la 31 decembrie

(Cantitate în tone)

Taxă aplicabilă: scutire



Numărul contingentului

 

09.4225

09.4226

09.4227

Denumire (*1)

 

Unt natural

„Skyr”

Brânzeturi

Codul NC

 

0405 10 11

0405 10 19

ex 0406 10 50  (*2)

ex  04 06

cu excepția „Skyr” de la subpoziția NC 0406 10 50  (*2)

Cantitate pentru mai-decembrie 2018

 

201

793

9

Cantitate anuală în 2019

 

439

2 492

31

Cantitate pentru ianuarie-iunie

 

220

1 246

16

Cantitate pentru iulie-decembrie

 

219

1 246

15

Cantitate anuală în 2020

 

463

3 095

38

Cantitate pentru ianuarie-iunie

 

232

1 548

19

Cantitate pentru iulie-decembrie

 

231

1 547

19

Cantitate anuală începând din 2021

 

500

4 000

50

Cantitate pentru ianuarie-iunie

 

250

2 000

25

Cantitate pentru iulie-decembrie

 

250

2 000

25

(*1)   Fără a aduce atingere regulilor de interpretare a Nomenclaturii combinate, formularea denumirii produselor nu are decât valoare indicativă, regimurile preferențiale fiind stabilite, în contextul prezentei anexe, de domeniul de aplicare a codurilor NC. În cazurile în care se menționează coduri ex NC, aplicabilitatea regimurilor preferențiale se stabilește pe baza codului NC și a denumirii corespunzătoare, luate în considerare împreună.

(*2)   Cod NC supus modificării, în așteptarea confirmării privind clasificarea produsului.

▼M39 —————

▼M33

I.K



CONTINGENTE TARIFARE ÎN CADRUL ACORDURILOR GATT/OMC SPECIFICATE ÎN FUNCȚIE DE ȚARA DE ORIGINE: NOUA ZEELANDĂ

Numărul contingentului

Codul NC

Descriere

Țara de origine

Contingent anual de la 1 ianuarie la 31 decembrie

(în tone)

Cantitate de la 1 ianuarie la 30 iunie

(în tone)

Cantitate de la 1 iulie la 31 decembrie

(în tone)

Cantitate de la 1 octombrie la 31 decembrie

(în tone)

Taxa la import

(EUR/100 kg greutate netă)

09.4515

0406 90 01

Brânză destinată prelucrării (1)

Noua Zeelandă

4 000

4 000

17,06

09.4514

ex 0406 90 21

Cheddar în forme întregi standard (roți de brânză cu o greutate netă de cel puțin 33 kg și cel mult 44 kg și blocuri de formă cubică sau paralelipipedică, cu o greutate netă de cel puțin 10 kg), cu un conținut de grăsimi în substanța uscată de minimum 50 % din greutate, maturată cel puțin trei luni

Noua Zeelandă

7 000

7 000

17,06

(1)   Monitorizarea utilizării în acest scop special se face prin aplicarea dispozițiilor prevăzute în domeniu la nivelul Uniunii. Brânzeturile în cauză sunt considerate prelucrate dacă au fost transformate în produse de la subpoziția 040630 din Nomenclatura combinată. Se aplică dispozițiile articolelor 291-300 din Regulamentul (CEE) nr. 2454/93.

▼M39

I.    L

CONTINGENTELE TARIFARE MENȚIONATE ÎN APENDICELE LA ANEXA I-A LA CAPITOLUL I DIN ACORDUL DE ASOCIERE CU UCRAINA



Numărul contingentului

Codul NC

Descriere (1)

Țara de origine

Perioadă de import

Contingent (cantitatea)

(în tone, greutatea produsului)

Contingent (cantitatea)

Semestrial

(în tone, greutatea produsului)

Taxa la import (EUR/100 kg greutate netă)

09. 4600

0401

0402 91

0402 99

0403 10 11

0403 10 13

0403 10 19

0403 10 31

0403 10 33

0403 10 39

0403 90 51

0403 90 53

0403 90 59

0403 90 61

0403 90 63

0403 90 69

Lapte și smântână, sub alte forme decât praf, granule sau alte forme solide; iaurt, nearomatizat sau cu adaos de fructe, nuci sau cacao; sortimente de lapte și smântână fermentate sau acrite, nearomatizate sau cu adaos de fructe, nuci sau cacao și sub alte forme decât praf, granule sau alte forme solide

UCRAINA

Anul 2016

Anul 2017

Anul 2018

Anul 2019

Anul 2020

Anul 2021 și următorii

8 000

8 400

8 800

9 200

9 600

10 000

4 000

4 200

4 400

4 600

4 800

5 000

0

09. 4601

0402 10

0402 21

0402 29

0403 90 11

0403 90 13

0403 90 19

0403 90 31

0403 90 33

0403 90 39

0404 90 21

0404 90 23

0404 90 29

0404 90 81

0404 90 83

0404 90 89

Lapte și smântână din lapte, sub formă de praf, granule sau alte forme solide; sortimente de lapte și smântână fermentate sau acrite sub formă de praf, granule sau alte forme solide, nearomatizate sau cu adaos de fructe, nuci sau cacao; produse din compuși naturali ai laptelui nedenumite și necuprinse în altă parte

UCRAINA

Anul 2016

Anul 2017

Anul 2018

Anul 2019

Anul 2020

Anul 2021 și următorii

1 500

2 200

2 900

3 600

4 300

5 000

750

1 100

1 450

1 800

2 150

2 500

0

09. 4602

0405 10

0405 20 90

0405 90

Unt și alte grăsimi care provin din lapte; pastă din lapte pentru tartine cu un conținut de grăsimi de peste 75 %, dar mai mic de 80 % din greutate

UCRAINA

Anul 2016

Anul 2017

Anul 2018

Anul 2019

Anul 2020

Anul 2021 și următorii

1 500

1 800

2 100

2 400

2 700

3 000

750

900

1 050

1 200

1 350

1 500

0

(1)   Fără a aduce atingere regulilor de interpretare a Nomenclaturii combinate, textul descrierii produselor este considerat ca având numai o valoare orientativă, aplicabilitatea regimului preferențial fiind determinată, în contextul prezentei anexe, de domeniul de aplicare al codurilor NC.

▼B




ANEXA II

▼M24 —————

▼M38

II. B

REGIMURI PREFERENȚIALE LA IMPORT — TURCIA



Număr de ordine

Cod NC

Denumire (1)

Țara de origine

Taxa la import

(în EUR/100 kg greutate netă fără indicații suplimentare)

1

0406 90 29

Cașcaval

Turcia

67,19

2

0406 90 50

Brânză din lapte de oaie sau de bivoliță, în recipiente conținând saramură sau în burduf din piele de oaie sau de capră

Turcia

67,19

3

ex 0406 90 86

ex 0406 90 89

ex 0406 90 92

Tulum peyniri, fabricat din lapte de oaie sau de bivoliță, în ambalaje de plastic sau altfel de ambalaje mai mici de 10 kg

Turcia

67,19

(1)   Fără a aduce atingere regulilor de interpretare a Nomenclaturii combinate, formularea denumirii produselor nu are decât valoare indicativă; aplicabilitatea regimului preferențial se stabilește, în contextul prezentei anexe, în funcție de domeniul de aplicare a codurilor NC. În cazurile în care se menționează coduri ex NC, aplicabilitatea regimului preferențial se stabilește pe baza codului NC și a denumirii corespunzătoare, luate în considerare împreună.

▼M38 —————

▼M23

II. D

TAXĂ REDUSĂ ÎN TEMEIUL ANEXEI 2 LA ACORDUL DINTRE COMUNITATE ȘI ELVEȚIA PRIVIND COMERȚUL CU PRODUSE AGRICOLE



Cod NC

Descriere

Taxă vamală

(EUR/100 kg greutate netă)

de la 1 iunie 2007

0402 29 11

ex 0404 90 83

Lapte special numit „pentru sugari” (1), în recipiente închise ermetic, cu un conținut net mai mic sau egal cu 500 g și cu un conținut de grăsimi mai mare decât 10 % din greutate

43,80

(*1)   „Lapte special pentru sugari” desemnează produsele fără germeni patogeni, cu mai puțin de 10 000 de bacterii aerobe și mai puțin de două bacterii coliforme pe gram.

▼B




ANEXA III

▼M33

ΙII.A



CONTINGENT TARIFAR ÎN TEMEIUL ACORDURILOR GATT/OMC SPECIFICATE ÎN FUNCȚIE DE ȚARA DE ORIGINE: UNTUL DIN NOUA ZEELANDĂ

Codul NC

Descriere

Țara de origine

Contingent anual de la 1 ianuarie la 31 decembrie

(în tone)

Cantitate de la 1 ianuarie la 30 iunie

(în tone)

Cantitate de la 1 iulie la 31 decembrie

(în tone)

Cantitate de la 1 octombrie la 31 decembrie

(în tone)

Taxa la import

(EUR/100 kg greutate netă)

ex 0405 10 11

ex 0405 10 19

Unt de cel puțin șase săptămâni, cu un conținut de grăsimi în greutate mai mare sau egal cu 80 %, dar mai mic decât 85 %, obținut direct din lapte sau smântână, fără a se utiliza materiale stocate, printr-un proces unic, autonom și neîntrerupt

Noua Zeelandă

74 693

Contingentul 09.4195

Partea A

20 540,5

Contingentul 09.4195

Partea A

20 540,5

Contingentul 09.4195

Partea A

70,00

ex 0405 10 30

Unt, de cel puțin șase săptămâni, având un conținut de grăsimi în greutate mai mare sau egal cu 80 % și mai mic de 85 %, obținut direct din lapte sau smântână, fără a se utiliza materiale stocate, în urma unui proces unic, autonom și neîntrerupt, care poate necesita un stadiu de concentrare și/sau de fracționare a grăsimii butirice din smântână (procedee denumite „Ammix” și „Tartinabil”)

Contingentul 09.4182

Partea B

16 806

Contingentul 09.4182

Partea B

16 806

Contingentul 09.4182

Partea B

▼M7 —————

▼M18

III. B

CONTINGENT TARIFAR ÎN CADRUL ACORDURILOR GATT/OMC SPECIFICATE ÎN FUNCȚIE DE ȚARA DE ORIGINE: ALTELE



Numărul contingentului

Codul NC

Descrierea mărfurilor

Țara de origine

Contingent anual de la 1 ianuarie la 31 decembrie (cantități în tone)

Rata dreptului de import (în EUR per 100 kg greutate netă)

Reguli de completare a certificatelor IMA 1

09.4522

0406 90 01

Brânzeturi destinate prelucrării (1)

Australia

500

17,06

A se vedea anexa XI punctele C și D

09.4521

ex 0406 90 21

Roți întregi de brânză Cheddar standard (cu o greutate netă de cel puțin 33 kg, dar nu mai mare de 44 kg și brânză sub formă de blocuri cubice sau paralepipedice cu o greutate netă egală sau mai mare de 10 kg), cu un conținut minim de grăsimi de 50 % din substanța uscată, cu o maturare de cel puțin trei luni

Australia

3 711

17,06

A se vedea anexa XI punctul B

▼M41 —————

▼M33 —————

(1)   Controlul utilizării pentru această destinație specială se face prin aplicarea dispozițiilor comunitare prevăzute în domeniu. Brânzeturile menționate sunt considerate prelucrate, în cazul în care au fost transformate în produse de la subpoziția 0406 30 din Nomenclatura Combinată. Se aplică dispozițiile articolelor 291-300 din Regulamentul (CEE) nr. 2454/93.

▼M11 —————

▼B




ANEXA IV

▼M23

CONTROLUL GREUTĂȚII ȘI AL CONȚINUTULUI DE GRĂSIME AL UNTULUI ORIGINAR DIN NOUA ZEELANDĂ, IMPORTAT ÎN TEMEIUL CAPITOLULUI III SECȚIUNEA 2 DIN REGULAMENTUL (CE) NR. 2535/2001

▼B

1.   DEFINIȚII

În sensul prezentei anexe, se înțelege prin:

▼M18

(a) „producător”: o unitate de producție sau o fabrică în care este produs, printr-un procedeu special, untul destinat exportului către Comunitate în cadrul contingentelor tarifare menționate în anexa III.A.

▼B

(b) „cifră”: cantitatea de unt fabricată în conformitate cu un caiet de sarcini definit de către cumpărător într-un atelier de fabricație în cursul unui singur ciclu de fabricație;

▼M18

(c) „lot”: o cantitate de unt care face obiectul unui certificat IMA 1 prezentat autorităților vamale competente în vederea punerii în liberă circulație în cadrul contingentelor tarifare menționate în anexa III. A.

▼B

(d) „autorități competente”: autoritățile din statul membru responsabile de controlul produselor importate;

▼M23 —————

▼B

(f) „lista de identificare a produsului”: o listă care conține, pentru fiecare lot, numărul certificatului IMA 1 corespondent, atelierul sau uzina de fabricație, precum și cifra sau cifrele, și care oferă, de asemenea, o descriere a untului. Pe listă pot de asemenea să apară caietul de sarcini conform căruia a fost fabricat untul, campania de producție, numărul de ambalaje de carton corespunzător fiecărei cifre, numărul total de ambalaje de carton, greutatea nominală a ambalajelor de carton, numărul de ordine al exportatorului, mijlocul de transport utilizat din Noua Zeelandă către Comunitatea Europeană și numărul transportului.

2.   ÎNTOCMIREA ȘI VERIFICAREA CERTIFICATULUI IMA 1

2.1.

Certificatul IMA 1 se aplică untului fabricat într-un atelier în conformitate cu un caiet de sarcini definit de către cumpărător. Certificatul poate să se aplice mai multor cifre care privesc același caiet de sarcini și provin din același atelier.

2.2.

Certificatul IMA 1 se consideră completat în mod corespunzător, în sensul articolului 32 alineatul (2), numai în cazul în care conține toate informațiile următoare:

(a) la rubrica 1, numele și adresa vânzătorului;

(b) la rubrica 2, numărul de eliberare care identifică țara de origine, regimul de import, produsul, anul contingentar și numărul certificatului începând cu unu pentru fiecare an;

(c) la rubrica 4, numărul și data facturii;

(d) la rubrica 5, „Noua Zeelandă”;

(e) la rubrica 7:

 o trimitere la lista de identificare a produsului care trebuie anexată;

 codul NC precedat de „ex” și descrierea detaliată care figurează în anexa III partea A;

▼M23 —————

▼B

 numărul de înregistrare al atelierului;

 data de fabricație a untului și

 media aritmetică a greutății proprii a ambalajului;

(f) la rubrica 8, greutatea brută în kilograme;

(g) la rubrica 9:

 greutatea nominală netă a fiecărui ambalaj de carton;

 greutatea netă totală în kilograme;

 numărul de ambalaje de carton;

 media aritmetică a greutății nete a ambalajelor de carton, desemnată prin simbolul „μ”;

 devierea standard a greutății nete a ambalajelor de carton, desemnată prin simbolul „σ”;

(h) la rubrica 10: pe bază de lapte sau de smântână;

▼M23

(i) la rubrica 13, nu mai puțin de 80 %, dar mai puțin de 85 % grăsime;

▼B

(j) la rubrica 16: „Contingent aplicabil untului din Noua Zeelandă pentru… [anul] în conformitate cu Regulamentul (CE) nr.…/.…”;

(k) la rubrica 17:

 data la care untul cel mai recent inclus în certificatul IMA 1 a avut sau va avea șase săptămâni;

 contingentul total aplicabil anului în cauză;

 data de eliberare și, după caz, ultima zi de valabilitate;

 semnătura și ștampila organismului emitent;

(l) la rubrica 18, coordonatele precise ale organismului emitent.

▼M23 —————

▼B

3.   CONTROLUL GREUTĂȚII

3.1.   Controlul comunitar

Controlul efectuat de autoritățile competente are drept obiect un lot.

Autoritățile competente efectuează o eșantionare aleatorie. Mărimea eșantionului se stabilește conform următoarei formule:

image

unde n este mărimea eșantionului și

N este numărul de ambalaje de carton din lot.

Cu toate acestea, mărimea minimă a eșantionului, n, este stabilită la 10.

Autoritățile competente calculează media aritmetică și devierea standard a greutăților nete obținute pe baza eșantionului.

Autoritățile competente efectuează controalele necesare pentru a verifica informațiile privind greutatea proprie indicată în certificatul IMA 1, controale care pot include o comparație cu greutatea ambalajelor din plastic utilizate în Comunitate sau examinarea unui certificat din partea fabricantului de ambalaje din plastic utilizate pentru lotul în cauză.

3.2.   Interpretarea rezultatelor controlului – Devierea standard

Devierea standard a greutății nete a ambalajelor de carton specificată în certificatul IMA 1 se controlează în conformitate cu următoarea procedură:

Raportul s/σ se compară cu raportul minim specificat pentru o mărime a eșantionului dată în tabelul următor, unde s este devierea standard a eșantionului și σ devierea standard a greutății nete a ambalajelor de carton specificată în certificatul IMA 1.

În cazul în care raportul s/σ este mai mic decât raportul minim adecvat care figurează în tabelul cu datele de referință, se utilizează mai degrabă s, decât σ, la interpretarea rezultatelor controlului în cadrul punctului 3.3.



Raportul minim (1) s/σ pentru o mărime a eșantionului dată (n)

n

s/σ

n

s/σ

n

s/σ

10 (2)

0,608

21

0,737

32

0,789

11

0,628

22

0,743

33

0,792

12

0,645

23

0,749

34

0,795

13

0,660

24

0,754

35

0,798

14

0,673

25

0,760

36

0,801

15

0,685

26

0,764

37

0,804

16

0,696

27

0,769

38

0,807

17

0,705

28

0,773

39

0,809

18

0,714

29

0,778

40

0,812

19

0,722

30

0,781

41

0,814

20

0,730

31

0,785

42

0,816

 

 

43

0,819

 

 

(*1)   Raporturile minime au fost calculate cu ajutorul valorilor chi2 tabelate (cuantilă 5 %; n-1 grade de libertate).

(*2)   Mărimea minimă a eșantionului, n, este stabilită la 10.

3.3.   Interpretarea rezultatelor controlului – Media aritmetică

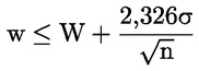
Autoritățile competente compară rezultatele eșantionării cu informațiile care figurează în certificatul IMA 1 aplicând următoarea formulă:

image

unde

w

este media aritmetică a greutății nete a ambalajelor de carton din care provine eșantionul,

W

este greutatea netă medie per ambalaj de carton specificată în certificatul IMA 1,

σ

este devierea standard a greutății nete per ambalaj de carton specificată în certificatul IMA 1; cu toate acestea, devierea standard a greutății nete per ambalaj de carton (s) a eșantionului se utilizează în locul lui σ când acest lucru este necesar conform punctului 3.2. și

n

este mărimea eșantionului.

În cazul în care w corespunde formulei anterioare, greutatea netă specificată în certificatul IMA 1 (W) este utilizată pentru a se determina greutatea netă a lotului importat în Comunitate.

În cazul în care w nu corespunde formulei anterioare, w este utilizat pentru a se determina greutatea netă a lotului importat în Comunitate. Greutatea declarată se înscrie în partea 2 a rubricii 29 din licența de import, iar cantitatea care depășește greutatea declarată este importată în conformitate cu articolul 26 din Regulamentul Consiliului (CE) nr. 1255/1999.

4.   CONTROLUL CONȚINUTULUI DE GRĂSIMI

4.1.   Controlul comunitar

Autoritățile competente controlează conținutul de grăsimi exprimat în procente pentru o jumătate din ambalajele de carton din eșantionul ales conform punctului 3. Cu toate acestea, mărimea minimă a eșantionului, n, este stabilită la 5.

Metoda de eșantionare care se utilizează este norma 50C/1995 a Federației Internaționale a Producătorilor de Lapte (FIPL).

Metoda care se utilizează pentru determinarea conținutului de grăsimi este cea descrisă în anexele IX, X și XI la Regulamentul (CE) nr. 213/2001 al Comisiei (JO L 37, 7.2.2001).

▼M23

Autoritățile competente prelevează eșantioane duplicate, dintre care unul este păstrat într-un loc sigur, în caz de litigiu.

Laboratorul însărcinat cu realizarea testelor este autorizat de un stat membru să efectueze analize oficiale și este recunoscut de acest stat membru ca fiind competent pentru a aplica metoda prevăzută anterior, ca urmare a analizei unor eșantioane duplicate oarbe care a demonstrat că laboratorul respectă criteriile de repetabilitate și ca urmare a unei participări cu succes la testele de aptitudine.

▼M23 —————

▼M23

4.3.   Interpretarea rezultatelor controlului – Medie aritmetică

(a) Dispozițiile privind conținutul de grăsimi se consideră respectate în cazul în care media aritmetică a rezultatelor eșantionului nu depășește 84,4 %.

Autoritățile competente notifică imediat Comisiei toate cazurile de neconformitate.

(b) În cazul nerespectării cerinței de conformitate prevăzute la litera (a), lotul acoperit de declarația de import relevantă și de certificatul IMA 1 este importat în conformitate cu articolul 36, cu excepția cazului în care rezultatele analizei eșantioanelor duplicate menționate la punctul 4.5 corespund cerințelor.

▼M23 —————

▼M23

4.5.   Rezultate contestate

Importatorul implicat poate contesta rezultatele analizei obținute de un laborator al autorităților competente în termen de șapte zile lucrătoare de la data la care le primește, angajându-se să suporte costurile analizei eșantioanelor duplicate. În acest caz, autoritățile competente transmit unui al doilea laborator duplicate sigilate ale eșantioanelor analizate de laboratorul lor. Acest al doilea laborator este autorizat de statul membru să efectueze analize oficiale și este recunoscut de acest stat membru ca fiind competent pentru a aplica metoda prevăzută la punctul 4.1, ca urmare a analizei unor eșantioane duplicate oarbe care a demonstrat că laboratorul respectă criteriile de repetabilitate și ca urmare a unei participări cu succes la testele de aptitudine.

Acest al doilea laborator comunică rapid rezultatele analizei sale autorităților competente.

Concluziile celui de-al doilea laborator sunt finale.

▼M23 —————

▼M32 —————

▼M17 —————

▼M12




ANEXA VIIa



1.  Contingent tarifar în temeiul anexei I la acordul de asociere cu Republica Chile

 

Cantități anuale (tone)

(baza = an calendaristic)

 

Numărul contingentului

Cod NC

Denumire (1)

Rata dreptului aplicabil

(% din dreptul MFN)

de la 1.2.2003

până la 31.12.2003

2004

Creștere anuală din 2005

09.1924

0406

Brânzeturi și caș

Scutire

1 375

1 500

75

▼M28



2.  Contingent tarifar în temeiul anexei VII la Regulamentul (CE) nr. 747/2001 aplicabil anumitor produse agricole originare din Israel:

Numărul contingentului

Cod NC

Denumire (1)

Rata taxei aplicabile

Cantitatea anuală în tone

Baza = an calendaristic

09.1302

0404 10

Zer modificat sau nu

Scutire

1 300

(1)   Fără a aduce atingere normelor aplicabile la interpretarea Nomenclaturii combinate, termenii denumirii mărfurilor trebuie considerați ca având numai o valoare indicativă, regimul preferențial fiind determinat, în cadrul acestei anexe, de importanța codurilor NC. În cazurile în care sunt menționate codurile NC „ex”, aplicabilitatea regimului preferențial este determinată pe baza codului NC și a denumirii corespunzătoare, luate în considerare împreună.

▼M38 —————

▼M38



4.  Contingente tarifare în conformitate cu Protocolul nr. 1 la Decizia nr. 1/98 a Consiliului de asociere CE-Turcia

Număr contingent

Cod NC

Denumire (1)

Țara de origine

Contingent anual de la 1 ianuarie la 31 decembrie

(în tone)

Taxa la import

(în EUR/100 kg greutate netă)

09.0243

0406 90 29

Cașcaval

Turcia

2 300

0

0406 90 50

Brânză din lapte de oaie sau de bivoliță, în recipiente conținând saramură sau în burduf din piele de oaie sau de capră

ex 0406 90 86

ex 0406 90 89

ex 0406 90 92

Tulum Peyniri, fabricat din lapte de oaie sau de bivoliță, în ambalaje de plastic sau altfel de ambalaje mai mici de 10 kg

(1)   Fără a aduce atingere regulilor de interpretare a Nomenclaturii combinate, formularea denumirii produselor nu are decât valoare indicativă; aplicabilitatea regimului preferențial se stabilește, în contextul prezentei anexe, în funcție de domeniul de aplicare a codurilor NC. În cazurile în care se menționează coduri ex NC, aplicabilitatea regimului preferențial se stabilește pe baza codului NC și a denumirii corespunzătoare, luate în considerare împreună.

▼B




ANEXA VIII

SITUAȚII ÎN CARE UN CERTIFICAT IMA 1 POATE FI, TOTAL SAU PARȚIAL, ANULAT, MODIFICAT, ÎNLOCUIT SAU CORECTAT

1.   Anularea certificatului IMA 1 în cazul în care taxa întreagă este datorată și achitată pentru nerespectarea cerințelor privind compoziția.

Când se achită taxa întreagă pentru un anumit lot deoarece nu sunt respectate cerințele privind conținutul maxim de grăsimi, certificatul IMA 1 corespondent poate fi anulat, iar organismul emitent al certificatului poate adăuga aceste cantități celor pentru care pot fi eliberate certificate IMA 1 pentru același an contingentar. Autoritățile vamale păstrează licența de import corespondent, o transmit autorității emitente, care o modifică pentru a o transforma în licență de import cu taxă întreagă pentru cantitatea în cauză, în conformitate cu articolul 36.

2.   Produse distruse sau care au devenit improprii pentru vânzare

▼M23

Organismul emitent al certificatelor IMA 1 poate anula, total sau parțial, un certificat IMA 1 în ceea ce privește o cantitate prevăzută de acest certificat care a fost distrusă sau a devenit improprie pentru vânzare în condiții independente de voința exportatorului. În cazul în care o parte din cantitatea prevăzută de un certificat IMA 1 este distrusă sau a devenit improprie pentru vânzare, poate fi emis un certificat de înlocuire pentru cantitatea rămasă. În cazul untului originar din Noua Zeelandă menționat în anexa III.A, se utilizează în acest scop lista de identificare a produsului original. Certificatul de înlocuire are aceeași durată de valabilitate ca și originalul. În acest caz, se înscrie la rubrica 17 a certificatului IMA 1 de înlocuire mențiunea „valabil până la 00.00.0000”.

▼B

În cazul în care o parte din sau întreaga cantitate inclusă într-un certificat IMA 1 este distrusă sau a devenit improprie pentru vânzare în condiții independente de voința exportatorului, organismul emitent al certificatelor IMA 1 poate adăuga aceste cantități la cele pentru care pot fi eliberate certificate IMA 1 pentru același an contingentar.

3.   Schimbarea statului membru destinatar

În cazul în care exportatorul este obligat să modifice statul membru de destinație indicat în certificatul IMA 1 înaintea eliberării licenței de import corespondent, certificatul IMA 1 original poate fi modificat de către organismul emitent al certificatelor IMA 1. Acest certificat IMA 1 original modificat, autentificat și identificat în mod corespunzător de către organismul emitent, poate fi prezentat autorității emitente de licențe de import și autorităților vamale.

4.

Când se constată o eroare materială sau tehnică într-un certificat IMA 1 înaintea eliberării licenței de import corespondent, certificatul IMA 1 original poate fi corectat de către organismul emitent. Acest certificat IMA 1 original corectat poate fi prezentat autorității emitente de licențe de import și autorităților vamale.

5.

În cazul în care, din motive excepționale și în situații independente de voința exportatorului, un produs destinat importului într-un an contingentar dat nu mai este disponibil și în cazul în care, ținând seama de durata normală a transportului din țara de origine, singurul mod de a îndeplini contingentul este să se înlocuiască produsul original cu unul destinat inițial importului în anul următor, organismul emitent poate elibera un nou certificat IMA 1 pentru cantitatea de înlocuire în a șasea zi lucrătoare de la notificarea către Comisie a tuturor datelor privind întregul sau o parte din certificatul IMA 1 care trebuie anulat pentru anul în cauză și a tuturor datelor privind întregul sau o parte din primul certificat IMA 1 eliberat pentru anul următor, care trebuie anulat.

În cazul în care consideră că circumstanțele legate de cazul respectiv nu intră sub incidența prezentei dispoziții, Comisia poate obiecta în termen de cinci zile lucrătoare, precizând motivul obiecției sale. În cazul în care cantitatea care trebuie înlocuită este mai mare decât cea prevăzută de primul certificat IMA 1 eliberat pentru anul următor, cantitatea necesară poate fi obținută anulându-se, integral sau parțial, în ordine, certificatul sau certificatele IMA 1 următoare, în funcție de necesități.

Toate cantitățile pentru care au fost anulate, total sau parțial, certificate IMA 1 pentru anul în cauză se adaugă cantităților pentru care poate fi eliberat un certificat IMA 1 pentru acel an contingentar.

Toate cantitățile preluate din anul contingentar următor pentru care au fost anulate unul sau mai multe certificate IMA 1 se adaugă cantităților pentru care pot fi emise certificate IMA 1 pentru acel an contingentar.




ANEXA IX

image




ANEXA X

image

►(3) M18   ►(3) M23   ►(3) M23  




ANEXA XI

NORME DE COMPLETARE A CERTIFICATELOR

În plus față de rubricile 1, 2, 4, 5, 9, 17 și 18 din certificatul IMA 1, trebuie completate:

▼M41 —————

▼M41

B. În ceea ce privește brânzeturile de tip Cheddar încadrate la codul NC ex 0406 90 21 și de la numărul de contingent 09.4514 din anexa I.K și de la numărul de contingent 09.4521 din anexa III.B:

1. rubrica nr. 7, indicându-se „brânză Cheddar în forme întregi standard”;

2. rubrica nr. 10, indicându-se „exclusiv lapte de vacă de producție națională”;

3. rubrica nr. 11, indicându-se „cel puțin 50 %”;

4. rubrica nr. 14, indicându-se „cel puțin trei luni”;

5. rubrica nr. 16, indicându-se perioada pentru care este valabil contingentul.

C. În ceea ce privește brânzeturile de tip Cheddar destinate prelucrării încadrate la codul NC ex 0406 90 01 și de la numărul de contingent 09.4515 din anexa I.K și de la numărul de contingent 09.4522 din anexa III.B:

1. rubrica nr. 7, indicându-se „brânză Cheddar în forme întregi standard”;

2. rubrica nr. 10, indicându-se „exclusiv lapte de vacă de producție națională”;

3. rubrica nr. 16, indicându-se perioada pentru care este valabil contingentul.

D. În ceea ce privește alte tipuri de brânzeturi decât cele de tip Cheddar destinate prelucrării încadrate la codul NC ex 0406 90 01 de la numărul de contingent 09.4515 din anexa I.K și de la numărul de contingent 09.4522 din anexa III.B:

1. rubrica nr. 10, indicându-se „exclusiv lapte de vacă de producție națională”;

2. rubrica nr. 16, indicându-se perioada pentru care este valabil contingentul.

▼M11 —————

▼M7 —————

▼B




ANEXA XII



ORGANISME EMITENTE

Țara terță

Codul NC și denumirea produselor

Organismul emitent

Denumire

Sediu

Australia

0406 90 01

0406 90 21

Cheddar și alte brânzeturi destinate prelucrării

Australian Quarantine Inspection Service

PO Box 60

World Trade Centre

Melbourne VIC 3005

Australia

Tel.: (61 3) 92 46 67 10

Fax: (61 3) 92 46 68 00

Cheddar

Department of Agriculture, Fisheries and Forestry

▼M41 —————

▼M12 —————

▼M7 —————

▼M34

Noua Zeelandă

ex 0405 10 11

Unt

Ministry for Primary Industries

Pastoral House

25 The Terrace

PO Box 2526

Wellington 6140

Tel. +64 48940100

Fax + 64 48940720

www.mpi.govt.nz

ex 0405 10 19

Unt

ex 0405 10 30

Unt

ex 0406 90 01

Brânzeturi destinate prelucrării

ex 0406 90 21

Cheddar

▼M26 —————

▼M32 —————

▼M16




ANEXA XV

Mențiuni prevăzute la articolul 18 alineatul (1) litera (d)

  în bulgară:Регламент (ЕО) No 2535/2001, член 5,

  în spaniolă:Reglamento (CE) no 2535/2001, artículo 5,

  în cehă:Článek 5 nařízení (ES) č. 2535/2001,

  în daneză:Forordning (EF) nr. 2535/2001, artikel 5,

  în germană:Verordnung (EG) Nr. 2535/2001, Artikel 5,

  în estoniană:Määruse (EÜ) nr 2535/2001 artikkel 5,

  în greacă:Κανονισμός (ΕΚ) αριθ 2535/2001, άρθρο 5,

  în engleză:Article 5 of Regulation (EC) No 2535/2001,

  în franceză:Règlement (CE) no 2535/2001, article 5,

▼M35

  în croată: Članak 5. Uredbe (EZ) br. 2535/2001,

▼M16

  în italiană:Regolamento (CE) n. 2535/2001, articolo 5,

  în letonă:Regulas (EK) Nr.2535/2001 5.pants,

  în lituaniană:Reglamento (EB) Nr. 2535/2001 5 straipsnis,

  în maghiară:2535/2001/EK rendelet 5. cikk,

  în malteză:Artikolu 5 tar-Regolament (KE) Nru 2535/2001,

  în olandeză:Verordening (EG) nr 2535/2001, artikel 5,

  în poloneză:Artykuł 5 Rozporządzenia (WE) nr 2535/2001,

  în portugheză:Regulamento (CE) no 2535/2001 artigo 5.o,

  în română:Regulamentul (CE) nr. 2535/2001, articolul 5,

  în slovacă:Článok 5 nariadenia (ES) č. 2535/2001,

  în slovenă:Člen 5 Uredbe (ES) št. 2535/2001,

  în finlandeză:Asetus (EY) N:o 2535/2001 artikla 5,

  în suedeză:Förordning (EG) nr 2535/2001 artikel 5.




ANEXA XVI

Mențiuni prevăzute la articolul 21 alineatul (1) litera (d)

  în bulgară:Регламент (ЕO) No 2535/2001, член 20,

  în spaniolă: Reglamento (CE) no 2535/2001 artículo 20,

  în cehă:Článek 20 nařízení (ES) č. 2535/2001,

  în daneză:Forordning (EF) nr 2535/2001, artikel 20,

  în germană: Verordnung (EG) Nr. 2535/2001, Artikel 20,

  în estoniană:Määruse (EÜ) nr 2535/2001 artikkel 20,

  în greacă:Κανονισμός (ΕΚ) αριθ. 2535/2001, άρθρο 20,

  în engleză: Article 20 of Regulation (EC) No 2535/2001,

  în franceză: Règlement (CE) no 2535/2001, article 20,

▼M35

  în croată: Članak 20. Uredbe (EZ) br. 2535/2001,

▼M16

  în italiană: Regolamento (CE) n. 2535/2001, articolo 20,

  în letonă: Regulas (EK) Nr.2535/2001 20.pants,

  în lituaniană: Reglamento (EB) Nr. 2535/2001 20 straipsnis,

  în maghiară: 2535/2001/EK rendelet 20. cikk,

  în malteză: Artikolu 20 tar-Regolament (KE) Nru 2535/2001,

  în olandeză: Verordening (EG) nr 2535/2001, artikel 20,

  în poloneză: Artykuł 20 Rozporządzenia (WE) nr 2535/2001,

  în portugheză: Regulamento (CE) n.o 2535/2001, artigo 20.o,

  în română: Regulamentul (CE) nr. 2535/2001, articolul 20,

  în slovacă: Clánok 20 nariadenia (ES) č. 2535/2001,

  în slovenă: Člen 20 Uredbe (ES) št. 2535/2001,

  în finlandeză: Asetus (EY) N:o 2535/2001, artikla 20,

  în suedeză: Förordning (EG) nr 2535/2001, artikel 20.




ANEXA XVII

Mențiuni prevăzute la articolul 28 alineatul (1) litera (d)

  în bulgară:Валидно, ако е придружено от IMA 1 сертификат No …, издаден на …,

  în spaniolă: Válido si va acompañado del certificado IMA 1 no … expedido el …,

  în cehă:Platné pouze při současném předložení osvědčení IMA 1 č. … Vydaného dne …,

  în daneză:Kun gyldig ledsaget af IMA 1-certifikat nr. …, udstedt den …,

  în germană: Nur gültig in Verbindung mit der Bescheinigung IMA 1 Nr. …, ausgestellt am …,

  în estoniană:Kehtiv, kui on kaasas IMA 1 sertifikaat nr …, välja antud …,

  în greacă:Έγκυρο μόνο εφόσον συvοδεύεται από το πιστοποιητικό IMA 1 αριθ. … που εξεδόθη στις …,

  în engleză: Valid if accompanied by the IMA 1 certificate No … issued on …,

  în franceză: Valable si accompagné du certificat IMA no …, délivré le …,

▼M35

  în croată: Vrijedi samo ako je popraćeno potvrdom IMA 1 br. …. izdanom dana …,

▼M16

  în italiană: Valido se accompagnato dal certificato IMA 1 n. …, rilasciato il …,

  în letonă: Derīgs kopā ar IMA 1 sertifikātu Nr. …, kas izdots …,

  în lituaniană: Galioja tik kartu su IMA 1 sertifikatu Nr. …, išduotu …,

  în maghiară: Csak a … -án/én kiállított … számú IMA 1 bizonyítvánnyal együtt érvényes,

  în malteză: Validu jekk akkumpanjat b'ċertifikat IMA 1 Nru … maħruġ fl-…,

  în olandeză: Geldig indien vergezeld van een certificaat IMA nr. … dat is afgegeven op …,

  în poloneză: Ważne razem z certyfikatem IMA 1 nr … wydanym dnia…,

  în portugheză: Válido quando acompanhado do certificado IMA 1 com o número … emitido …,

  în română: Valabil doar însoțit de certificatul IMA 1 nr. … eliberat la ……

  în slovacă: Platné v prípade, že je pripojené osvedčenie IMA 1 č. … vydané dňa…,

  în slovenă: Veljavno, če ga spremlja potrdilo IMA 1 št. …, izdano dne…,

  în finlandeză: Voimassa vain … myönnetyn IMA 1-todistuksen N:o.. kanssa,

  în suedeză: Gäller endast tillsammans med IMA 1-intyg nr … utfärdat den …




ANEXA XVIII

Mențiuni prevăzute la articolul 37 alineatul (1)

  în bulgară:Сертификат за внос при намалено мито за продукта, съответстващ на нареждане No…, превърнат в сертификат за внос при пълно мито, за който ставката на приложимото мито от …/100 кг е била начислена и е платена; сертификатът вече е издаден,

  în spaniolă: Certificado de importación con tipo reducido para el producto con el número de orden … que se ha convertido en un certificado de importación con tipo pleno para el que se adeudaba, y se ha abonado, el tipo de derecho de …/100 kg; certificado ya anotado,

  în cehă:Změněno z dovozní licence se sníženým clem pro produkt pod pořadovým č. … na dovozní licenci s plným clem, na základě které bylo vyměřeno a uhrazeno clo v hodnotě …/100 kg; licence již byla započtena,

  în daneză:Ændret fra en importlicens med nedsat toldsats for et produkt under nr … til en importlicens med fuld toldsats, hvor den skyldige importtold på …/100 kg er betalt; licensen er allerede afskrevet,

  în germană: Umwandlung einer Einfuhrlizenz zum ermäßigten Zollsatz für das Erzeugnis mit der lfd. Nr. … in eine Einfuhrlizenz zum vollen Zollsatz von …/100 kg, der entrichtet wurde; Lizenz abgeschrieben,

  în estoniană:Ümber arvestatud vähendatud tollimaksuga impordilitsentsist, mis on välja antud tellimusele nr …… vastavale tootele, täieliku tollimaksuga impordilitsentsiks, mille puhul tuli maksta ja on makstud tollimaks …… 100 kilogrammi kohta; litsents juba lisatud,

  în greacă:Μετατροπή από πιστοποιητικό εισαγωγής με μειωμένο δασμό για προϊόν βάσει του αύξοντος αριθμού ……….. της ποσόστωσης, σε πιστοποιητικό εισαγωγής με πλήρη δασμό για το οποίο το ποσοστό δασμού ποσού …/100 kg οφείλετο και πληρώθηκε· Το πιστοποιητικό ήδη χορηγήθηκε,

  în engleză: Converted from a reduced duty import licence for product under order No … to a full duty import licence on which the rate of duty of …/100 kg was due and has been paid; licence already attributed,

  în franceză: Certificat d'importation à droit réduit pour le produit correspondant au contingent …, converti en un certificat d'importation à taux plein, pour lequel le taux du droit applicable de …/100 kg a été acquitté; certificat déjà imputé,

▼M35

  în croată: Uvozna dozvola sa sniženom carinom za proizvod pod brojem narudžbe … promijenjena u uvoznu dozvolu s punom carinom za koji je carina u visini …/100 kg obračunata i plaćena; dozvola je već dodijeljena,

▼M16

  în italiană: Conversione da un titolo d'importazione a dazio ridotto per il prodotto corrispondente al contingente … ad un titolo d'importazione a dazio pieno, per il quale è stata pagata l'aliquota di …/100 kg; titolo già imputato,

  în letonă: Pāreja no samazināta nodokļa importa licences par produktu ar kārtas nr. … uz pilna apjoma nodokļa importa licenci ar nodokļu likmi …/100 kg, kas ir samaksāta; licence jau izdota,

  în lituaniană: Licencija, pagal kurią taikomas sumažintas importo muitas, išduota produktui, kurio užsakymo Nr. …, pakeista į licenciją, pagal kurią taikomas visas importo muitas, kurio norma yra …/100 kg, muitas sumokėtas; licencija jau priskirta,

  în maghiară: …kontingensszámú termék csökkentett vám hatálya alá tartozó importengedélye teljes vám hatálya alá tartozó importengedéllyé átalakítva, melyen a …/100 kg vámtétel kiszabva és leróva, az engedély már kiadva,

  în malteză: Konvertit minn liċenzja tad-dazju fuq importazzjoni mnaqqsa għall-prodott li jaqa' taħt in-Nru … għal dazju sħiħ fuq importazzjoni bir-rata tad-dazju ta' …/100 kg kien dovut u ġie imħallas; liċenzja diġà attribwita,

  în olandeză: Invoercertificaat met verlaagd recht voor onder volgnummer … vallend product omgezet in een invoercertificaat met volledig recht waarvoor het recht van …/100 kg verschuldigd was en is betaald; hoeveelheid reeds op het certificaat afgeschreven,

  în poloneză: Pozwolenie na przywóz produktu nr … po obniżonej stawce należności celnych zmienione na pozwolenie na przywóz po pełnej stawce należności celnych, która to stawka wynosi …/100 kg i została uiszczona; pozwolenie zostało już przyznane,

  în portugheză: Obtido por conversão de um certificado de importação com direito reduzido para o produto com o número de ordem … num certificado de importação com direito pleno, relativamente ao qual a taxa de direito aplicável de …/100 kg foi paga; certificado já imputado,

  în română: Licență de import cu taxe vamale reduse pentru produsul din contingentul ….. transformată în licență de import cu taxe vamale întregi, pentru care taxa vamală aplicabilă de …./100 kg a fost achitată; licență atribuită deja,

  în slovacă: Osvedčenie na znížené dovozné clo na tovar č. …zmenené na osvedčenie na riadne dovozné clo, ktorého sadzba za…/100 kg bola zaplatená; osvedčenie udelené,

  în slovenă: Spremenjeno iz uvoznega dovoljenja z znižanimi dajatvami za proizvod iz naročila št. … v uvozno dovoljenje s polnimi dajatvami, v katerem je stopnja dajatev v višini …/100 kg zapadla in bila plačana; dovoljenje že podeljeno,

  în finlandeză: Muutettu etuuskohteluun oikeuttavasta kiintiötuontitodistuksesta vakiotuontitodistukseksi tavaralle, joka kuuluu järjestysnumeroon … ja josta on kannettu tariffin mukainen tulli …/100 kg; vähennysmerkinnät tehty,

  în suedeză: Omvandlad från importlicens med sänkt tull för produkt med löpnummer … till importlicens mîn suedezăed hel tullavgift för vilken gällande tullsats …/100 kg har betalats. Redan avskriven licens.




ANEXA XIX

Mențiuni prevăzute la articolul 44 alineatul (3)

  în bulgară:Извършена физическа проверка (Регламент (ЕО) No 2535/2001),

  în spaniolă: Se ha realizado el control material (Reglamento (CE) no 2535/2001),

  în cehă:Fyzická kontrola provedena (nařízení (ES) č. 2535/2001),

  în daneză:Fysisk kontrol (forordning (EF) nr.2535/2001),

  în germană: Warenkontrolle durchgeführt (Verordnung (EG) Nr. 2535/2001),

  în estoniană:Füüsiline kontroll tehtud (määrus (EÜ) nr 2535/2001),

  în greacă:Πραγματοποιήθηκε φυσικός έλεγχος (Κανονισμός (ΕΚ) αριθ. 2535/2001),

  în engleză: Physical check carried out ((Regulation (EC) No 2535/2001)),

  în franceză: Contrôle physique effectué (règlement (CE) no 2535/2001),

▼M35

  în croată: Izvršena fizička kontrola (Uredba (EZ) br. 2535/2001),

▼M16

  în italiană: Controllo fisico effettuato (regolamento (CE) n. 2535/2001),

  în letonă: Fiziska pārbaude veikta (Regula (EK) Nr.2535/2001),

  în lituaniană: Fizinis patikrinimas atliktas (Reglamentas (EB) Nr. 2535/2001),

  în maghiară: Fizikai ellenőrzés elvégezve (2535/2001/EK rendelet),

  în malteză: Iċċekjar fiżiku mwettaq (Regolament (KE) Nru 2535/2001),

  în olandeză: Fysieke controle uitgevoerd (Verordening (EG) nr. 2535/2001),

  în poloneză: Przeprowadzono kontrolę fizyczną (Rozporządzenie (WE) nr 2535/2001),

  în portugheză: Controlo físico em conformidade com (Regulamento (CE) n.o 2535/2001),

  în română: Control fizic efectuat [Regulamentul (CE) nr. 2535/2001],

  în slovacă: Fyzická kontrola vykonaná (Nariadenie (ES) č. 2535/2001),

  în slovenă: Fizični pregled opravljen (Uredba (ES) št. 2535/2001),

  în finlandeză: Fyysinen tarkastus suoritettu (asetus (EY) N:o 2535/2001),

  în suedeză: Fysisk kontroll utförd (förordning (EG) nr 2535/2001).

▼M22




ANEXA XX

Mențiuni prevăzute la articolul 16 alineatul (3):

în bulgară

:

валидно от [дата на първия ден от подпериода] до [дата на последния ден от подпериода]

în spaniolă

:

válido desde el [fecha del primer día del subperíodo] hasta el [fecha del último día del subperíodo]

în cehă

:

platné od [první den podobdobí] do [poslední den podobdobí]

în daneză

:

gyldig fra [datoen for den første dag i delperioden] til [datoen for den sidste dag i delperioden]

în germană

:

gültig vom [Datum des ersten Tages des Teilzeitraums] bis [Datum des letzten Tages des Teilzeitraums]

în estonă

:

kehtiv alates [alaperioodi alguskuupäev] kuni [alaperioodi lõpukuupäev]

în greacă

:

ισχύει από [ημερομηνία της πρώτης ημέρας της υποπεριόδου] έως [ημερομηνία της τελευταίας ημέρας της υποπεριόδου]

în engleză

:

valid from [date of the first day of the subperiod] to [date of the last day of the subperiod]

în franceză

:

valable du [date du premier jour de la sous-période] au [date du dernier jour de la sous-période]

▼M35

în croată

:

vrijedi od [datum prvog dana podrazdoblja] do [datum posljednjeg dana podrazdoblja]

▼M22

în italiană

:

valido dal [data del primo giorno del sottoperiodo] al [data dell’ultimo giorno del sottoperiodo]

în letonă

:

spēkā no [apakšperioda pirmās dienas datums] līdz [apakšperioda pēdējās dienas datums]

în lituaniană

:

galioja nuo [pirmoji laikotarpio diena] iki [paskutinė laikotarpio diena]

în maghiară

:

érvényes [az alidőszak első napja]-tól/től [az alidőszak utolsó napja]-ig

în malteză

:

Validu mid-[data ta’ l-ewwel jum tas-subperjodu] sad-[data ta’ l-aħħar jum tas-subperjodu]

în olandeză

:

geldig van [begindatum van de deelperiode] tot en met [einddatum van de deelperiode]

în polonă

:

ważne od [data – pierwszy dzień podokresu] do [data – ostatni dzień podokresu]

în portugheză

:

eficaz de [data do primeiro dia do subperíodo] até [data do último dia do subperíodo]

în română

:

valabilă de la [data primei zile a subperioadei] până la [data ultimei zile a subperioadei]

în slovacă

:

platná od [dátum prvého dňa čiastkového obdobia] do [dátum posledného dňa čiastkového obdobia]

în slovenă

:

velja od [datum prvega dne podobdobja] do [datum zadnjega dne podobdobja]

în finlandeză

:

voimassa [osajakson ensimmäinen päivä]–[osajakson viimeinen päivä]

în suedeză

:

gäller från och med [delperiodens första dag] till och med [delperiodens sista dag]



( 1 ) JO L 114, 26.4.2008, p. 3.

( 2 ) JO L 238, 1.9.2006, p. 13.

( 3 ) JO L 114, 30.4.2002, p. 1.

( 4 ) JO L 327, 9.12.2011, p. 1.

( 5 ) Decizia (UE) 2017/1913 a Consiliului din 9 octombrie 2017 privind încheierea Acordului sub forma unui schimb de scrisori între Uniunea Europeană și Islanda privind preferințele comerciale suplimentare pentru produsele agricole (JO L 274, 24.10.2017, p. 57).

( 6 ) JO L 300, 31.12.1972, p. 189.

( 7 ) Regulamentul (UE) nr. 374/2014 al Parlamentului European și al Consiliului din 16 aprilie 2014 privind reducerea sau eliminarea taxelor vamale aplicabile mărfurilor originare din Ucraina (JO L 118, 22.4.2014, p. 1).

( 8 ) JO L 46, 20.2.2003, p. 1.

( 9 ) JO L 109, 19.4.2001, p. 2.

( 10 ) JO L 86, 20.3.1998, p. 1.

( 11 ) JO L 37, 7.2.2001, p. 1.

( 12 ) JO L 253, 11.10.1993, p. 1.

( 13 ) JO L 228, 1.9.2009, p. 3.

( 14 ) Fără a aduce atingere normelor aplicabile la interpretarea Nomenclaturii combinate, termenii denumirii mărfurilor trebuie considerați ca având numai o valoare indicativă, regimul preferențial fiind determinat, în cadrul acestei anexe, de importanța codurilor NC. În cazurile în care sunt menționate codurile NC „ex”, aplicabilitatea regimului preferențial este determinată pe baza codului NC și a denumirii corespunzătoare, luate în considerare împreună.