1971L0320 — RO — 01.01.2007 — 011.001


Acest document reprezintă un instrument de documentare, iar instituţiile nu îşi asumă responsabilitatea pentru conţinutul său.

►B

DIRECTIVA CONSILIULUI

din 26 iulie 1971

privind apropierea legislațiilor statelor membre referitoare la dispozitivele de frânare ale unor categorii de autovehicule și ale remorcilor acestora

(71/320/CEE)

(JO L 202, 6.9.1971, p.37)

Astfel cum a fost modificat prin:

 

 

Jurnalul Oficial

  No

page

date

 M1

COMMISSION DIRECTIVE 74/132/EEC of 11 February 1974 (*)

  L 74

7

19.3.1974

 M2

COMMISSION DIRECTIVE 75/524/EEC of 25 July 1975 (*)

  L 236

3

8.9.1975

 M3

COMMISSION DIRECTIVE 79/489/EEC of 18 April 1979 (*)

  L 128

12

26.5.1979

►M4

DIRECTIVA COMISIEI 85/647/CEE din 23 decembrie 1985

  L 380

1

31.12.1985

 M5

COMMISSION DIRECTIVE 88/194/EEC of 24 March 1988 (*)

  L 92

47

9.4.1988

 M6

COMMISSION DIRECTIVE 91/422/EEC of 15 July 1991 (*)

  L 233

21

22.8.1991

►M7

DIRECTIVA 98/12/CE A COMISIEI Text cu relevanță pentru SEE din 27 ianuarie 1998

  L 81

1

18.3.1998

►M8

DIRECTIVA 2002/78/CE A COMISIEI din 1 octombrie 2002

  L 267

23

4.10.2002

►M9

DIRECTIVA 2006/96/CE A CONSILIULUI din 20 noiembrie 2006

  L 363

81

20.12.2006


Astfel cum a fost modificat prin:

►A1

Actul de aderare a Danemarcei, a Irlandei şi a Regatului Unit al Marii Britanii şi Irlandei de Nord

  L 73

14

27.3.1972

►A2

Actul privind condițiile de aderare a Republicii Cehe, a Republicii Estonia, a Republicii Cipru, a Republicii Letonia, a Republicii Lituania, a Republicii Ungare, a Republicii Malta, a Republicii Polone, a Republicii Slovenia și a Republicii Slovace și adaptările tratatelor care stau la baza Uniunii Europene

  L 236

33

23.9.2003



(*)

Acest act nu a fost publicat niciodată în limba română.




▼B

DIRECTIVA CONSILIULUI

din 26 iulie 1971

privind apropierea legislațiilor statelor membre referitoare la dispozitivele de frânare ale unor categorii de autovehicule și ale remorcilor acestora

(71/320/CEE)



CONSILIUL COMUNITĂȚILOR EUROPENE,

având în vedere Tratatul de instituire a Comunității Economice Europene și, în special, articolul 100 al acestuia,

având în vedere propunerea Comisiei,

având în vedere avizul Adunării parlamentare ( 1 ),

având în vedere avizul Comitetului Economic și Social ( 2 ),

întrucât specificațiile tehnice care trebuie îndeplinite de către autovehicule în conformitate cu legislația națională se referă, între altele, la dispozitivele de frânare ale unor categorii de autovehicule și ale remorcilor lor;

întrucât aceste specificații diferă de la un stat membru la altul; întrucât este, de aceea, necesar ca toate statele membre să stabilească aceleași specificații, fie în completarea normelor existente, fie în locul acestora, pentru a permite, în special, aplicarea procedurii de omologare CEE de tip pentru fiecare tip de autovehicul, ceea ce face obiectul Directivei Consiliului din 6 februarie 1970 privind apropierea legislațiilor statelor membre referitoare la omologarea de tip a autovehiculelor și a remorcilor acestora ( 3 );

întrucât cerințele armonizate trebuie să asigure securitatea rutieră în întreaga Comunitate,

ADOPTĂ PREZENTA DIRECTIVĂ:



Articolul 1

▼M7

(1)  În sensul prezentei directive „vehicul” înseamnă orice vehicul definit în articolul 2 din Directiva 70/156/CEE.

Categoriile de vehicule sunt definite în anexa IIA la Directiva 70/156/CEE.

▼M7 —————

▼B

(2)  Vehiculele articulate din categoria M alcătuite din două unități inseparabile, dar articulate sunt considerate vehicule simple.

▼M7 —————

▼B

►M7  (3) ◄   În cazul vehiculelor din categoria N, echipamentul și accesoriile unor vehicule speciale care nu sunt destinate transportului de persoane (automacarale, auto-ateliere, vehicule publicitare) se consideră ca fiind mărfuri.

▼M7 —————

▼M4

Articolul 2

Statele membre nu pot să refuze acordarea omologării CEE de tip sau a omologării naționale unui vehicul din motive legate de sistemul său de frânare, dacă respectivul vehicul este prevăzut cu sistemele specificate în ►M7  anexele corespunzătoare ◄ și dacă aceste sisteme îndeplinesc specificații prevăzute de acestea.

▼A1

Articolul 2 a

Statele membre nu pot să refuze sau să interzică vânzarea, înmatricularea, introducerea în circulație sau folosirea vehiculelor din motive legate de sistemul de frânare dacă vehiculele sunt echipate cu sistemele prevăzute în ►M7  anexele corespunzătoare ◄ și dacă aceste sisteme respectă specificațiile din aceste anexe.

▼B

Articolul 3

Statul membru care acordă omologarea de tip adoptă măsurile necesare pentru a fi informat cu privire la orice modificare a uneia dintre componentele sau caracteristicile prevăzute în anexa I punctul 1.1. Autoritățile competente ale acelui stat decid dacă prototipul modificat trebuie supus unor încercări noi și dacă este necesar un nou buletin de încercări. Dacă din aceste încercări rezultă neîncadrarea în dispozițiile prezentei directive, modificarea nu este autorizată.

Articolul 4

Până la intrarea în vigoare a unei directive speciale prin care să fie definită noțiunea de „autobuz urban”, aceste vehicule continuă să fie supuse încercărilor de tipul II A descrise în anexa II când greutatea lor maximă este mai mare de 10 tone.

Articolul 5

Modificările necesare pentru adaptarea specificațiilor din anexe la progresul tehnic se adoptă în conformitate cu procedura prevăzută la articolul 13 din ►M7  Directiva 70/156/CEE a Consiliului ◄ privind apropierea legislațiilor statelor membre referitoare la omologarea de tip a autovehiculelor și a remorcilor acestora.

Articolul 6

(1)  Statele membre pun în aplicare dispozițiile necesare aducerii la îndeplinire a prezentei directive în termen de 18 luni de la notificarea sa și informează de îndată Comisia cu privire la aceasta.

(2)  Începând cu 1 octombrie 1974, dispozițiile din anexa I punctul 2.2.1.4 se aplică și vehiculelor care nu fac parte din categoria M3 sau N3.

(3)  Statele membre asigură comunicarea către Comisie a textelor principalelor dispoziții de drept intern pe care acestea le adoptă în domeniul reglementat prin prezenta directivă.

Articolul 7

Prezenta directivă se adresează statelor membre.

▼M7




LISTA ANEXELOR

Anexa I

Definiții, specificații de construcție și montare, cerere de omologare CE de tip; acordarea omologării CE de tip; modificările tipului și modificări ale omologării; conformitatea producției

Anexa II

Încercări de frânare și eficacitatea sistemelor de frânare

Apendice:

Distribuirea forței de frânare între axele vehiculului

Anexa III

Metode de măsurare a timpului de reacție pentru vehicule prevăzute cu sistem de frânare cu aer comprimat

Apendice:

Exemplu de simulator

Anexa IV

Rezervoare de energie și surse de energie

A: Sisteme de frânare cu aer comprimat

B: Sisteme de frânare vacuumatice

C: Sisteme de frânare hidraulice cu rezervă de energie

Anexa V

Frâne cu arc

Anexa VI

Frânarea de parcare prin blocarea mecanică a cilindrilor de frână (dispozitivelor de blocare)

Anexa VII

Cazuri în care încercările de tip I și/sau II (sau IIA) sau III nu se efectuează pentru vehiculul supus omologării

Apendicele 1:

Proceduri alternative pentru încercările de tip I și III pentru frânele remorcilor

Apendicele 2:

Model de raport de încercare al axei de referință

Anexa VIII

Condiții privind încercarea vehiculelor cu sisteme de frânare inerțiale

Apendicele 1:

Scheme explicative

Apendicele 2:

Raport de încercare a dispozitivului de comandă

Apendicele 3:

Raport de încercare a frânei

Apendicele 4:

Raportul încercării de compatibilitate între dispozitivul de comandă, transmisie și frâne

Anexa IX

Documente de omologare

Apendicele 1:

Certificat de omologare CE de tip

Apendicele 2:

Raport de încercare

Apendicele 3:

Lista datelor vehiculului care trebuie furnizate în vederea omologării în conformitate cu anexa XV

Anexa X

Dispoziții privind încercarea vehiculelor prevăzute cu sisteme de frânare antiblocare

Apendicele 1:

Simboluri și definiții

Apendicele 2:

Utilizarea aderenței

Apendicele 3:

Eficacitatea pe suprafețe cu coeficienți de aderență diferiți

Apendicele 4:

Metoda de selecție a suprafeței cu aderența redusă

Anexa XI

Condiții de încercare aplicabile remorcilor cu sistem de frânare electric

Apendice:

Diagrama de compatibilitate

Anexa XII

Metoda de încercare cu dinamometrul inerțial pentru garniturile de frână

Anexa XIII

Încercare de frânare și de deviere la vehicule prevăzute cu roți/pneuri de rezervă

Anexa XIV

Variantă de încercare pentru sistemele antiblocare ale remorcilor

Apendicele 1:

Fișă de omologare de tip a unui sistem antiblocare pentru remorci

Apendicele 2:

Simboluri și definiții

Anexa XV

Omologarea CE de tip a seturilor de garnituri de frână de schimb ca unitățitehnice separate

Apendicele 1:

Exemple de marcă și de date de omologare

Apendicele 2:

Condiții aplicabile seturilor de garnituri de frână de schimb pentru vehicule din categoriile M1, M2 și N1

Apendicele 3:

Condiții aplicabile seturilor de garnituri de frână de schimb pentru vehicule din categoriile O1 și O2

Apendicele 4:

Determinarea comportamentului la frecare prin încercarea pe un stand de încercare

Anexa XVI

Certificat de omologare CE de tip (unități tehnice separate)

Anexa XVII

Document informativ privind omologarea CE de tip a unor seturi de garnituri de frână

Anexa XVIII

Document informativ pentru autovehicule

Anexa XIX

Document informativ pentru remorci

▼M7




ANEXA I

Definiții, specificații de construcție și montare, cerere de omologare CE de tip; acordarea omologării CE de tip; modificările tipului și modificări ale omologării; conformitatea producției

1.   DEFINIȚII

În sensul prezentei directive:

1.1.

„Tip de vehicul în funcție de sistemul de frânare”

înseamnă vehicule care nu diferă în mod semnificativ în aspectele esențiale cum ar fi:

1.1.1.

În cazul autovehiculelor

1.1.1.1.

categoria vehiculului, definită în articolul 1 din prezenta directivă

1.1.1.2.

masa maximă, definită la punctul 1.14

1.1.1.3.

distribuția masei între axe

1.1.1.4.

viteza maximă constructivă

1.1.1.5.

un alt tip de dispozitiv de frânare, în special prezența sau absența echipamentului de frânare al remorcii

1.1.1.6.

numărul și dispunerea axelor

1.1.1.7.

tipul motorului

1.1.1.8.

numărul de rapoarte și demultiplicarea acestora

1.1.1.9.

raportul (rapoartele) axei (axelor) motoare spate

1.1.1.10.

dimensiunile pneurilor

1.1.2.

În cazul remorcilor

1.1.2.1.

categoria vehiculului, definită în articolul 1 din prezenta directivă

1.1.2.2.

masa maximă, definită la punctul 1.14

1.1.2.3.

distribuția masei pe axe

1.1.2.4.

un alt tip de echipament de frânare

1.1.2.5.

numărul și dispunerea axelor

1.1.2.6.

dimensiunile pneurilor

1.2.

„Sistem de frânare”

înseamnă ansamblul pieselor a căror funcție este de a micșora sau anula progresiv viteza unui vehicul în mișcare sau de a-l opri sau de a-l menține staționar, în cazul în care acesta este deja oprit. Aceste funcții sunt specificate la punctul 2.1.2. Dispozitivul este alcătuit din comandă, transmisie și frâna propriu-zisă.

1.3.

„Frânare moderabilă”

înseamnă frânarea în timpul căreia, în modul normal de folosire a dispozitivului, în timpul fie al cuplării, fie al decuplării frânelor,

 conducătorul poate în orice moment să mărească sau să reducă forța de frânare prin acționarea comenzii,

 forța de frânare acționează în aceeași direcție cu acțiunea asupra comenzii (funcționare uniformă),

 este ușor de efectuat o reglare suficient de fină a forței de frânare.

1.4.

„Comandă”

înseamnă unitatea acționată direct de conducător (sau în cazul unor remorci, de către un asistent) pentru a furniza transmisiei energia necesară pentru frânare sau pentru controlul acesteia. Această energie poate fi forța musculară a conducătorului sau energie dintr-o altă sursă controlată de conducător sau, după caz, energia cinetică a remorcii sau o combinație între aceste diferite forme de energie.

1.5.

„Transmisie”

înseamnă ansamblul componentelor situate între comandă și frână și care face legătura funcțională între cele două. Transmisia poate fi mecanică, hidraulică, pneumatică, electrică sau mixtă. Rezerva de energie din dispozitiv este considerată, de asemenea, ca făcând parte din transmisie atunci când puterea de frânare derivă din sau este asistată de o sursă de energie independentă de conducător, dar controlată de către acesta.

1.6.

„Frână” înseamnă dispozitivul în care se produc forțe care se opun mișcării vehiculului. Poate fi o frână cu fricțiune (atunci când forțele sunt generate de frecarea dintre două piese ale vehiculului aflate în mișcare una față de cealaltă); o frână electrică (atunci când forțele sunt generate de acțiunea electromagnetică dintre două piese ale vehiculului mișcându-se una față de cealaltă, dar care nu se află în contact); cu fluid (atunci când forțele sunt generate de acțiunea unui fluid situat între două piese ale vehiculului, care se mișcă una față de cealaltă); de motor (atunci când forțele derivă dintr-o creștere artificială a acțiunii de frânare a motorului transmisă roților).

1.7.

„Diferite tipuri de dispozitive de frânare”

înseamnă dispozitive care diferă în aspecte esențiale, cum ar fi:

1.7.1.

componente care au caracteristici diferite

1.7.2.

o componentă din materiale care au caracteristici diferite sau o componentă diferită ca formă sau mărime

1.7.3.

sisteme ale căror componente sunt combinate diferit.

1.8.

„Componenta sistemului de frânare”

înseamnă una din părțile individuale care, atunci când sunt asamblate, formează sistemul de frânare.

1.9.

„Frânare continuă”

înseamnă frânarea ansamblurilor de vehicule, printr-o instalație care are următoarele caracteristici:

1.9.1.

un singur dispozitiv de comandă pe care conducătorul îl acționează progresiv, dintr-o singură mișcare, din scaunul său

1.9.2.

energia utilizată pentru frânarea vehiculelor, care constituie ansamblul de vehicule, este furnizată de aceeași sursă (care poate fi energia musculară a conducătorului)

1.9.3.

instalația de frânare asigură frânarea simultană sau decalată corespunzător a fiecărui vehicul care formează ansamblul, indiferent de pozițiile lor relative.

1.10.

„Frânare semicontinuă”

se referă la frânarea unui ansamblu de vehicule printr-o instalație care are următoarele caracteristici:

1.10.1.

un singur dispozitiv de comandă pe care conducătorul îl poate acționa progresiv, dintr-o singură mișcare, din scaunul său

1.10.2.

energia utilizată pentru frânarea vehiculelor, care constituie ansamblul de vehicule, derivă din două surse diferite (dintre care una poate fi energia musculară a conducătorului)

1.10.3.

instalația de frânare asigură frânarea simultană sau decalată corespunzător a fiecărui vehicul care formează ansamblul de vehicule, indiferent de poziția lor relativă.

1.11.

„Frânare automată”

înseamnă frânarea remorcii sau a remorcilor, care are loc automat în cazul separării elementelor unui ansamblu de vehicule cuplate, inclusiv separarea prin ruperea dispozitivului de cuplare, fără ca eficacitatea frânării restului elementelor ansamblului să fie afectată.

1.12.

„Frânare inerțială”

înseamnă frânarea prin folosirea forțelor generate de mișcarea remorcii spre vehiculul tractor.

1.13.

„Vehicul încărcat”

înseamnă, cu excepția cazului în care se specifică altfel, un vehicul încărcat la masa maximă.

1.14.

„Masă maximă”

înseamnă masa maximă tehnic admisă a vehiculului, prevăzută de constructor (aceasta masă poate fi mai mare decât „masa maximă autorizată”).

1.14.1.

„Distribuirea masei pe axe”

înseamnă distribuirea efectului gravitației asupra masei vehiculului și/sau asupra componentelor acestuia pe axe.

1.14.2.

„Sarcină pe roată/axă”

înseamnă sarcina statică verticală asupra suprafeței solului în zona de contact a roții sau a roților axei.

1.14.3.

„Sarcina statică maximă pe roată/axă”

înseamnă sarcina statică a roții/axei în cazul unui vehicul încărcat.

1.15.

„Sistem de frânare cu centrală hidraulică”

înseamnă un sistem de frânare în care energia derivă dintr-un lichid hidraulic aflat sub presiune, înmagazinat în unul sau mai mulți acumulatori alimentați de una sau mai multe pompe de presiune, fiecare fiind prevăzută cu un dispozitiv de limitare a presiunii la o valoare maximă. Această valoare se specifică de către constructor.

1.16.

„Tipuri de remorcă din categoriile O3 și O4

1.16.1.

„Semiremorcă”

înseamnă un vehicul tractat la care axele se află în spatele centrului de greutate al vehiculului (când acesta este încărcat uniform) și care este prevăzut cu un dispozitiv de prindere care permite forțelor orizontale și verticale să fie transmise vehiculului tractor.

1.16.2.

„Remorcă”

înseamnă un vehicul tractat care are cel puțin două axe și care este prevăzut cu un dispozitiv de tractare care se poate mișca vertical (în raport cu remorca) și care controlează direcția axelor din față, dar care nu transmite nici o sarcină statică semnificativă vehiculului tractor.

1.16.3.

„Remorcă cu axă mediană”

înseamnă un vehicul tractat prevăzut cu un dispozitiv de tractare care nu se poate mișca vertical (în raport cu remorca) și la care axele sunt situate în apropierea centrului de greutate al vehiculului (când acesta este încărcat uniform), astfel încât numai o sarcină statică verticală mică, care nu depășește 10 % din cea corespunzătoare masei maxime a remorcii, sau o forță de 1 000 daN (în funcție de care dintre acestea este mai mică) este transmisă vehiculului tractor.

1.17.

„Dispozitiv de încetinire” ( 4 )

înseamnă un sistem de frânare suplimentar care este capabil să producă și să mențină efectul de frânare pe o perioadă lungă de timp, fără o reducere semnificativă a performanței. Termenul „dispozitiv de încetinire” include întregul sistem, inclusiv dispozitivul de comandă.

1.17.1.

„Dispozitiv de încetinire independent”

înseamnă un dispozitiv de încetinire al cărui dispozitiv de comandă este separat de cel al frânei de serviciu și al altor sisteme de frânare.

1.17.2.

„Dispozitiv de încetinire integrat” ( 5 )

înseamnă un dispozitiv de încetinire al cărui dispozitiv de comandă este integrat în sistemul de frânare de serviciu, astfel încât dispozitivul de încetinire și frâna de serviciu să fie acționate simultan sau decalate corespunzător printr-o comandă comună.

1.17.3.

„Dispozitiv de încetinire combinat”

înseamnă un dispozitiv de încetinire integrat, care are un întrerupător care permite comenzii comune să acționeze numai frâna de serviciu.

1.18.

„Autocar interurban”

înseamnă un vehicul proiectat și echipat pentru transport interurban, fără locuri în picioare, însă care poate transporta, pe distanțe scurte, călători care stau în picioare în intervalul dintre scaune.

1.19.

„Autocar de cursă lungă”

înseamnă un vehicul proiectat și echipat pentru călătorii pe distanțe lungi, proiectat să asigure confortul călătorilor așezați pe scaun și care nu transportă călători în picioare.

1.20.

„Sistem antiblocare”

A se vedea anexa X, punctul 2.1.

2.   SPECIFICAȚII DE CONSTRUCȚIE ȘI DE MONTARE

2.1.

Generalități

2.1.1.

Echipament de frânare

2.1.1.1.

Echipamentul de frânare este proiectat, construit și montat astfel încât să permită vehiculului aflat în condiții normale de utilizare, în ciuda vibrațiilor la care poate fi supus, să fie în conformitate cu dispozițiile de mai jos.

2.1.1.2.

Echipamentul de frânare, în special, este proiectat, construit și montat astfel încât să poată rezista la fenomenele de corodare și de îmbătrânire la care este expus.

2.1.1.3.

Garniturile de frână nu trebuie să conțină azbest.

2.1.2.

Funcțiile echipamentului de frânare

Echipamentul de frânare definit la punctul 1.2 îndeplinește următoarele funcții:

2.1.2.1.

Sistemul de frânare de serviciu

Sistemul de frânare de serviciu permite conducătorului să controleze mișcarea vehiculului și să îl oprească în siguranță, rapid și eficient, indiferent de viteza și încărcarea lui, pe orice pantă și rampă. Este posibilă gradarea acestei acțiuni de frânare. Conducătorul poate să efectueze această acțiune de frânare din scaunul său, fără să-și ridice mâinile de pe comanda direcției.

2.1.2.2.

Sistemul de frânare de siguranță

Sistemul de frânare de siguranță face posibilă oprirea vehiculului pe o distanță rezonabilă, în cazul defectării sistemului de frânare de serviciu. Este posibilă gradarea acestei acțiuni de frânare. Conducătorul efectuează această acțiune de frânare din scaunul său, ținând cel puțin o mână pe comanda direcției. În sensul acestor dispoziții, se presupune că, la un anumit moment, nu poate să apară mai mult de o singură defecțiune a sistemului de frânare de serviciu.

2.1.2.3.

Sistemul de frânare de parcare

Sistemul de frânare de parcare permite ca vehiculul să rămână staționar pe o pantă sau pe o rampă chiar și în absența conducătorului, elementele active fiind menținute în poziție doar printr-un dispozitiv mecanic. Conducătorul trebuie să poată obține această acțiune de frânare din scaunul său, sub rezerva cerințelor de la punctul 2.2.2.10 în cazul unei remorci.

Sistemul de frânare cu aer comprimat al remorcii și sistemul de frânare de parcare al vehiculului tractor pot fi operate simultan, în cazul în care conducătorul poate asigura, în orice moment, că acțiunea frânei de parcare a ansamblului de vehicule, obținută numai prin acțiunea mecanică a sistemului de frânare de parcare, este suficientă.

2.1.3.

Legături pneumatice între autovehicule și remorci

2.1.3.1.

În cazul unui sistem de frânare acționat cu aer comprimat, legătura pneumatică cu remorca este de tipul cu două sau mai multe circuite. Cu toate acestea, în toate cazurile, toate cerințele prezentei directive trebuie să fie satisfăcute prin utilizarea a doar două circuite. Dispozitivele de scoatere din funcțiune care nu sunt activate automat nu sunt acceptate. În cazul unor ansambluri de vehicule articulate, conductele flexibile fac parte din vehiculul tractor. În toate celelalte cazuri, conductele flexibile fac parte din remorcă.

2.2.

Caracteristicile sistemelor de frânare

2.2.1.

Vehicule din categoria M și N

2.2.1.1.

Setul sistemelor de frânare cu care este echipat un vehicul satisface cerințele stabilite pentru sistemele de frânare de serviciu, de siguranță și de parcare.

2.2.1.2.

Echipamentele care asigură frânarea de serviciu, de siguranță și de parcare pot avea componente comune, cu condiția ca ele să îndeplinească următoarele condiții:

2.2.1.2.1.

Trebuie să existe cel puțin două dispozitive de comandă, independente unul de celălalt, accesibile conducătorului din poziția normală de condus. Pentru toate categoriile de vehicule, cu excepția categoriilor M2 și M3, fiecare dispozitiv de comandă (cu excepția dispozitivului de încetinire) este proiectat astfel încât să revină la poziția inițială atunci când este decuplat. Această cerință nu se aplică în cazul comenzii frânei de parcare (sau acelei părți dintr-un dispozitiv de comandă combinat) atunci când este blocat mecanic în poziție cuplată.

2.2.1.2.2.

Dispozitivul de comandă a sistemului de frânare de serviciu este independent de cel al sistemului de frânare de parcare.

2.2.1.2.3.

În cazul în care sistemele de frânare de siguranță și de serviciu au același dispozitiv de control, eficacitatea legăturii dintre acesta și alte componente ale sistemului de acționare nu se diminuează după o anumită perioadă de folosire.

2.2.1.2.4.

În cazul în care sistemele de frânare de siguranță și de serviciu au același dispozitiv de comandă, sistemul de frânare de parcare este proiectat astfel încât să poată fi acționat atunci când vehiculul se află în mișcare.

Această dispoziție nu se aplică în cazul în care un dispozitiv auxiliar de comandă permite activarea chiar parțială a sistemului de frânare de serviciu, conform dispozițiilor din anexa II, punctul 2.1.3.6.

2.2.1.2.5.

În cazul avarierii oricărei componente, alta decât frâna (definită la punctul 1.6) sau a altor componente specificate la punctul 2.2.1.2.7 sau în cazul oricărei alte avarieri a sistemului de frânare de serviciu (defecțiune, golirea parțială sau totală a unei rezerve de energie), sistemul de frânare de siguranță sau acea parte a sistemului de frânare de serviciu care nu a fost afectată, poate opri vehiculul, în condițiile prevăzute pentru frânarea de siguranță.

2.2.1.2.6.

În mod special, atunci când sistemul de frânare de siguranță și cel de serviciu au un dispozitiv de comandă și un sistem de transmisie comun:

2.2.1.2.6.1.

În cazul în care sistemul de frânare de serviciu este acționat de forța musculară a conducătorului asistată de una sau mai multe rezerve de energie, eficacitatea frânării de siguranță trebuie să poată fi asigurată, în cazul unei căderi a unei surse de energie auxiliare, de forța musculară a conducătorului și de rezervele de energie, dacă acestea există, care sunt neafectate de avarie, forța aplicată dispozitivului de control nedepășind limita maximă admisă.

2.2.1.2.6.2.

În cazul în care forțele pentru sistemul de frânare de serviciu și pentru sistemul de acționare depind exclusiv de folosirea unei rezerve de energie controlată de conducător, există cel puțin două rezerve de energie complet independente, fiecare fiind prevăzută cu sistem de acționare propriu independent; fiecare dintre ele poate acționa asupra frânelor a numai două sau mai multor roți alese astfel încât să asigure gradul de performanță prevăzut fără a pune în pericol stabilitatea vehiculului în timpul frânării; în plus, fiecare dintre aceste rezerve de energie este prevăzută cu un dispozitiv de alarmă, conform dispozițiilor punctului 2.2.1.13.

2.2.1.2.7.

Anumite piese, cum ar fi pedala și suportul său, pompa centrală de frână și pistonul (pistoanele) acesteia (la sistemele hidraulice), robinetul distribuitor (la sistemele hidraulice și/sau pneumatice), legătura dintre pedală și pompa centrală de frână sau robinetul distribuitor, cilindrii de frână și pistoanele lor (la sistemele hidraulice și/sau pneumatice), și ansamblurile de pârghie-camă ale frânelor, nu sunt considerate ca putând fi avariate în cazul în care sunt de dimensiuni mari, sunt accesibile reparării și prezintă caracteristici de siguranță cel puțin egale cu cele prevăzute pentru alte componente esențiale (cum ar fi sistemul de direcție) ale vehiculului. În cazul în care avarierea oricărei astfel de piese ar face imposibilă frânarea vehiculului cu o performanță cel puțin egală cu cea prevăzută pentru sistemul de frânare de siguranță, acea piesă se realizează din metal sau dintr-un material cu caracteristici asemănătoare și nu este supusă deformării în funcționarea normală a echipamentului de frânare.

2.2.1.3.

Acolo unde există dispozitive de control separate pentru sistemele de frânare de serviciu și de siguranță, acționarea simultană a celor două comenzi nu trebuie să facă inoperabile ambele sisteme de frânare de serviciu și de siguranță, nici atunci când ambele sisteme de frânare sunt în bună funcționare, nici atunci când unul dintre ele nu funcționează.

2.2.1.4.

În cazul avarierii parțiale a acționării sistemului de frânare de serviciu, se îndeplinesc următoarele condiții:

2.2.1.4.1.

Un număr suficient de roți încă frânează prin acționarea dispozitivului de control al sistemului de frânare de serviciu, indiferent de încărcătura vehiculului.

2.2.1.4.2.

Aceste roți sunt alese astfel încât performanța reziduală a sistemului de frânare de serviciu să satisfacă dispozițiile punctului 2.1.4 din anexa II.

2.2.1.4.3.

Cu toate acestea, dispozițiile de mai sus nu se aplică vehiculelor care tractează semiremorci, atunci când mecanismul de acționare al sistemului de frânare de serviciu al remorcii este independent de cel al vehiculului tractor.

2.2.1.5.

Atunci când se folosește o altă energie decât forța musculară a conducătorului, nu este nevoie să existe mai mult de o astfel de sursă de energie (pompă hidraulică, compresor cu aer etc.), dar mijloacele cu ajutorul cărora este acționat dispozitivul care constituie sursa respectivă trebuie să fie cât mai sigure posibil.

2.2.1.5.1.

În cazul avarierii oricărei părți a mecanismului de acționare a sistemului de frânare a vehiculului, alimentarea părții neafectate de avarie continuă să fie asigurată, acolo unde este necesar, în scopul opririi vehiculului cu un grad de eficacitate prevăzut pentru frânarea reziduală și/sau de siguranță. Această condiție este satisfăcută de dispozitive care pot fi ușor acționate atunci când vehiculul este în staționare sau de către mijloace automate.

2.2.1.5.2.

Mai mult decât atât, dispozitivele de stocare situate după acest dispozitiv sunt alcătuite astfel încât, în cazul unei căderi de energie, după patru acționări complete ale sistemului de frânare de serviciu, conform condițiilor prevăzute la punctul 1.2 din anexa IV, secțiunile A și B, este încă posibilă oprirea vehiculului la a cincea acționare cu un grad de eficacitate prevăzut pentru frânarea de siguranță.

2.2.1.5.3.

Cu toate acestea, pentru sistemele de frânare hidraulică cu energie înmagazinată, aceste dispoziții pot fi considerate ca fiind îndeplinite cu condiția ca dispozițiile punctului 1.2.2 din anexa IV, secțiunea C să fie îndeplinite.

2.2.1.6.

Dispozițiile punctelor 2.2.1.2, 2.2.1.4 și 2.2.1.5 sunt îndeplinite fără folosirea unui dispozitiv automat a cărui ineficiență ar putea trece neobservată, pentru că piesele care sunt în mod normal în poziție de repaus nu sunt activate decât în cazul defectării sistemului de frânare.

2.2.1.7.

Sistemul de frânare de serviciu trebuie să acționeze asupra tuturor roților vehiculului.

2.2.1.8.

Acțiunea sistemului de frânare de serviciu se distribuie corespunzător între axe. În cazul vehiculelor cu mai mult de două axe, pentru a se evita blocarea roților sau uzarea garniturilor de frână, forța de frânare a anumitor axe poate fi redusă automat la zero atunci când încărcătura transportată este mult redusă, cu condiția ca vehiculul să îndeplinească cerințele de performanță prevăzute de anexa II.

2.2.1.9.

Acțiunea sistemului de frânare de serviciu se distribuie simetric între roțile aceleiași axe, în raport cu planul median longitudinal al vehiculului.

2.2.1.10.

Sistemele de frânare de serviciu și de parcare trebuie să acționeze asupra suprafețelor de frânare conectate permanent la roți prin componente de o rezistență adecvată. Nu este posibilă deconectarea unei suprafețe de frânare de roți; cu toate acestea, în cazul sistemelor de frânare de serviciu și de siguranță, o asemenea deconectare a suprafețelor de frânare va fi permisă cu condiția ca ea să fie doar momentană, de exemplu în timpul schimbării vitezelor, și ca ambele sisteme de frânare de serviciu și de siguranță să continue să funcționeze cu același grad de eficacitate. Pe lângă acestea, orice astfel de deconectare va fi permisă în cazul sistemului de frânare de parcare, cu condiția ca acesta să fie manevrat exclusiv de către conducător, din scaunul său, printr-un sistem care să nu poată fi activat printr-o scurgere ( 6 ).

2.2.1.11.

Uzura frânelor este compensată în mod ușor prin folosirea unui sistem de reglare manuală sau automată. Pe lângă aceasta, dispozitivul de control și componentele mecanismului de acționare precum și cele ale frânelor vor avea o cursă de rezervă și, dacă este necesar, mijloace de compensare adecvate astfel încât, atunci când frânele se încălzesc sau când garniturile de frână ating un anumit grad de uzură, frânarea corespunzătoare este asigurată fără a fi necesară ajustarea imediată.

2.2.1.11.1.

Preluarea uzurii prin ajustare este automată pentru frânele de serviciu. Totuși, montarea dispozitivelor de ajustare automată este opțională pentru vehiculele de teren din categoriile N2 și N3 și pentru frânele de spate ale vehiculelor din categoriile M1 și N1. Dispozitivele automate de ajustare pentru preluarea uzurii sunt construite astfel încât, după încălzirea urmată de răcirea frânelor, să fie asigurată o frânare eficientă. În special, vehiculul rămâne capabil de a funcționa normal după efectuarea încercărilor în conformitate cu punctul 1.3 din anexa II (tipul I de încercare) și cu punctul 1.4 (tipul II de încercare) sau 1.6 (tipul III de încercare) din anexa II. Buna funcționare a dispozitivului automat de ajustare a uzurii frânelor se încearcă pe sistemele de frânare pneumatice prin verificarea cursei cilindrului de frână și/sau a jocului.

2.2.11.2.

Starea de uzură a garniturilor de frână de serviciu este ușor de verificat, din exterior sau de sub vehicul, folosind doar uneltele sau echipamentul cu care este livrat vehiculul; de exemplu, prin orificiile de inspecție corespunzătoare sau prin alte mijloace. Sunt acceptate, de asemenea, dispozitive acustice sau optice situate în apropierea scaunului conducătorului care să-l atenționeze pe acesta atunci când este necesară înlocuirea garniturilor. Îndepărtarea roților din față și/sau din spate este permisă, în acest scop, doar pentru vehiculele din categoriile M1 și N1.

2.2.1.12.

În sistemele de frânare hidraulică:

2.2.1.12.1.

Capacele rezervoarelor de lichide sunt ușor accesibile; în plus rezervoarele cu lichid de rezervă sunt fabricate astfel încât nivelul lichidului să poată fi verificat fără să fie deschise rezervoarele. Acolo unde această condiție nu este îndeplinită, un bec de atenționare indică conducătorului dacă rezerva de lichid scade la un nivel care poate cauza defectarea sistemului de frânare. Conducătorul poate verifica cu ușurință dacă becul funcționează corespunzător.

2.2.1.12.2.

Defectarea unei părți a sistemului de acționare hidraulică este semnalată conducătorului printr-un dispozitiv incluzând o lampă roșie care se aprinde cel târziu în momentul activării dispozitivului de control și care rămâne aprinsă atâta timp cât durează defecțiunea și cât timp comutatorul de aprindere (pornire) se află în poziția „mers”. Cu toate acestea, se admite și un dispozitiv cuprinzând o lampă roșie de atenționare care se aprinde atunci când nivelul lichidului din rezervoare scade sub limita prevăzută de producător. Lampa este vizibilă chiar și ziua; starea corespunzătoare a lămpii este ușor de verificat de către conducător din scaunul său. Defectarea unei componente a sistemului nu duce la pierderea totală a eficacității sistemului de frânare respectiv.

2.2.1.12.3.

Tipul de lichid folosit în acționarea hidraulică a sistemelor de frânare ar trebui identificat în conformitate cu standardul ISO 9128-1987. Simbolul relevant, în conformitate cu figura 1 sau 2, este așezat într-o poziție vizibilă, în așa fel încât să nu poată fi șters, la o distanță de până la 100 mm de capacul rezervorului, informații suplimentare putând fi oferite de către producător.

2.2.1.13.

Orice vehicul prevăzut cu un sistem de frânare de serviciu acționat de un rezervor de energie, în cazul în care performanța prevăzută a frânării de siguranță nu poate fi atinsă prin sistemul de frânare fără a se folosi energia înmagazinată, este prevăzut cu un dispozitiv de alarmă – pe lângă un aparat de măsurare a presiunii, dacă acesta există – care emite un semnal optic sau acustic atunci când energia înmagazinată în oricare parte a sistemului scade la o valoare la care, fără a reîncărca rezervorul și indiferent de condițiile de încărcare a vehiculului, este posibilă acționarea comenzii sistemului de frânare de serviciu a cincea oară după patru acționări complete și obținerea performanței prevăzute a frânei de siguranță (fără defecte în elementul de acționare al frânei de serviciu și cu frânele reglate cât mai strâns). Dispozitivul de alarmă este conectat permanent și direct la circuit. Atunci când motorul funcționează în condiții normale și când nu există defecte în sistemul de frânare, avertizorul nu emite nici un semnal decât pe durata încărcării rezervorului (rezervoarelor) de energie după pornirea motorului.

2.2.1.13.1.

Cu toate acestea, în cazul vehiculelor considerate a fi în conformitate cu cerințele punctului 2.2.1.5.1 numai în virtutea îndeplinirii cerințelor punctului 1.2.2 din anexa IV, secțiunea C, avertizorul prezintă și un semnal acustic pe lângă cel optic. Nu este obligatoriu ca aceste avertizoare să acționeze simultan, cu condiția ca fiecare dintre ele să îndeplinească cerințele de mai sus și ca semnalul acustic să nu acționeze înaintea celui optic.

2.2.1.13.2.

Acest avertizor acustic poate fi oprit atunci când frâna de parcare este aplicată și/sau, la alegerea producătorului, atunci când selectorul este în poziția „parcare” în cazul transmisiei automate.

2.2.1.14.

Fără a aduce atingere dispozițiilor punctului 2.1.2.3, atunci când folosirea unei surse auxiliare de energie este esențială pentru funcționarea sistemului de frânare, rezerva de energie este suficientă încât să garanteze faptul că, dacă se oprește motorul, sau în cazul unei defecțiuni în producerea energiei, eficacitatea frânării este suficientă pentru a opri vehiculul în condițiile prevăzute. Pe lângă acestea, dacă forța musculară aplicată de conducător sistemului de frânare de parcare este asistată de un alt dispozitiv, acționarea sistemului de frânare de parcare este asigurată, în cazul unui defect la nivelul acelui dispozitiv, dacă este necesar, prin folosirea unei rezerve de energie independentă de cea furnizată de acel dispozitiv. Această rezervă de energie poate fi cea pentru sistemul de frânare de serviciu. Termenul de „acționare” acoperă și acțiunea de decuplare a frânei.

2.2.1.15.

În cazul unui autovehicul pentru care este autorizată cuplarea unei remorci echipată cu o frână controlată de conducătorul vehiculului tractor, sistemul de frânare de serviciu al vehiculului tractor este prevăzut cu un dispozitiv proiectat astfel încât, dacă sistemul de frânare al remorcii nu ar funcționa sau dacă circuitul de alimentare cu aer (sau orice alt tip de conectare) dintre vehiculul tractor și remorcă s-ar rupe, să fie în continuare posibilă frânarea vehiculului tractor cu eficacitatea prevăzută pentru sistemul de frânare de siguranță; în consecință se prevede, în special, ca acest dispozitiv să fie montat pe vehiculul tractor ( 7 ).

2.2.1.16.

Echipamentul auxiliar este alimentat cu energie astfel încât, în timpul funcționării sale, valorile prevăzute ale eficacității sale să poată fi atinse și, chiar și în situația unei avarii a sursei de energie, funcționarea echipamentului auxiliar să nu producă o scădere a rezervelor de energie care alimentează sistemele de frânare sub nivelul indicat la punctul 2.2.1.13.

2.2.1.17.

În cazul în care remorca aparține categoriei O3 sau O4, sistemul de frânare de serviciu trebuie să fie de tipul continuu sau semicontinuu.

2.2.1.18.

În cazul vehiculelor autorizate să tracteze remorci din categoria O3 sau O4, sistemul de frânare îndeplinește următoarele condiții:

2.2.1.18.1.

Atunci când este acționat sistemul de frânare de siguranță al vehiculului tractor, se realizează și o acțiune progresivă de frânare a remorcii.

2.2.1.18.2.

Dacă sistemul de frânare de serviciu al vehiculului tractor nu ar funcționa și în cazul în care acest sistem este alcătuit din cel puțin două secțiuni independente, secțiunea sau secțiunile neafectate trebuie să poată acționa, parțial sau integral, frânele remorcii. Trebuie să fie posibilă gradarea acestei acțiuni de frânare; în cazul în care această operațiune este efectuată cu ajutorul unei supape care se află în mod normal în repaus, atunci aceasta poate fi încorporată doar dacă funcționarea ei corectă poate fi verificată ușor de către conducător, din interiorul sau din exteriorul vehiculului, fără folosirea unor unelte.

2.2.1.18.3.

În cazul unei rupturi sau scurgeri la nivelul conductelor de alimentare cu aer (sau la nivelul oricărui alt tip de conectare folosit), este totuși posibilă pentru conducător acționarea parțială sau integrală a frânelor remorcii, fie prin comanda sistemului de frânare de siguranță, fie prin cea a frânei de serviciu, fie prin cea a frânei de parcare, dacă ruptura sau scurgerea nu produce automat frânarea remorcii cu eficacitatea prevăzută la punctul 2.2.3 din anexa II.

2.2.1.18.4.

În cazul unui sistem de alimentare cu aer cu două circuite, cerințele punctului 2.2.1.18.3 sunt considerate îndeplinite în cazul în care sunt îndeplinite următoarele condiții:

2.2.1.18.4.1

Atunci când comanda de frână indicată a comenzilor menționate la punctul 2.2.1.18.3 este acționată complet, presiunea din conducta de alimentare scade la 1,5 bari în următoarele două secunde.

2.2.1.18.4.2

Atunci când conducta de alimentare se golește cu cel puțin 1 bar/s, frâna automată a remorcii intră în funcțiune înainte ca presiunea din conducta de alimentare să scadă la 2 bari.

2.2.1.19.

Următoarele tipuri de vehicule trebuie să satisfacă testul de tip IIA descris la punctul 1.5 din anexa II, și nu testul de tip II descris la punctul 1.4 din anexa menționată anterior:

 autobuze interurbane și autocare de distanță lungă din categoria M3

 autovehicule din categoria N3, autorizate să tracteze remorci din categoria O4.

În cazul în care masa maximă a vehiculului depășește 26 000 kg, masa de încercare este limitată la 26 000 kg sau, în cazul în care masa vehiculului neîncărcat depășește masa de 26 000 kg, această masă este luată în considerare în cadrul calculului.

2.2.1.20.

În cazul unui autovehicul echipat pentru tractarea unei remorci cu sistem de frânare electric trebuie îndeplinite următoarele condiții:

2.2.1.20.1.

Furnizarea de energie (generator și baterie) a autovehiculului are o capacitate suficientă pentru a produce curent pentru un sistem de frânare electric. Cu motorul mergând la turația de ralanti și cu toate dispozitivele electrice standard furnizate de producător pornite, voltajul din liniile electrice, la un consum maxim de curent al sistemului de frânare electric (15 A), nu scade sub valoarea de 9,6 V măsurată la conectare. Liniile electrice nu trebuie să poată intra în scurt-circuit, nici chiar în caz de suprasarcină.

2.2.1.20.2.

În cazul unei defecțiuni a sistemului de frânare de serviciu al vehiculului tractor, în cazul în care acest sistem este alcătuit din cel puțin două unități independente, unitatea sau unitățile neafectate sunt capabile să activeze frânele remorcii.

2.2.1.20.3.

Folosirea contactului de stop și a circuitului de acționare a sistemului de frânare electric este permisă numai dacă circuitul de acționare este conectat în paralel cu stopul iar contactul de stop și circuitul pot suporta suprasarcina.

2.2.1.21.

În cazul sistemului de frânare de serviciu pneumatic compus din două sau mai multe secțiuni independente, orice scurgere între aceste secțiuni la sau în avalul dispozitivului de comandă este eliberată în atmosferă.

2.2.1.22.

Autovehiculele din categoriile M2, M3, N2 și N3 cu cel mult patru axe sunt echipate cu sisteme antiblocare din categoria 1 în conformitate cu cerințele anexei X.

2.2.1.23.

Dacă autovehiculele nemenționate la punctul 2.2.1.22 sunt prevăzute cu sisteme antiblocare, acestea sunt în conformitate cu cerințele anexei X.

2.2.1.24.

În cazul unui autovehicul autorizat să tracteze o remorcă din categoria O3 sau O4, sistemul de frânare de serviciu al remorcii poate fi acționat doar împreună cu sistemul de frânare de serviciu, de siguranță sau de parcare al vehiculului tractor.

2.2.1.25.

Autovehiculele autorizate să tracteze o remorcă cu sistem antiblocare, cu excepția vehiculelor din categoria M1 și N1, sunt prevăzute cu un avertizor optic separat pentru sistemul antiblocare al remorcii, în conformitate cu cerințele punctelor 4.1, 4.2 și 4.3 din anexa X. Ele sunt, de asemenea, echipate cu un conector electric special pentru sistemul antiblocare al remorcii, în conformitate cu anexa X și cu punctul 4.4 din prezenta directivă.

2.2.1.26.

Autovehiculele din categoria M1 pot fi prevăzute cu roți/pneuri de rezervă de uz temporar, cu condiția ca acestea să îndeplinească cerințele anexei XIII.

2.2.2.

Vehicule din categoria O

2.2.2.1.

Remorcile din categoria O1 nu trebuie să fie prevăzute în mod obligatoriu cu sisteme de frânare de serviciu; cu toate acestea, în cazul în care remorcile din această categorie sunt prevăzute cu un sistem de frânare de serviciu, acesta este în conformitate cu cerințele pentru categoria O2.

2.2.2.2.

Fiecare remorcă din categoria O2 este prevăzută cu un sistem de frânare de serviciu de tip continuu, semicontinuu sau inerțial. Ultimul tip este autorizat numai pentru alte tipuri de remorci decât semiremorcile. Totuși, sunt admise sisteme de frânare electrice în conformitate cu dispozițiile anexei XI.

2.2.2.3.

Fiecare remorcă din categoria O3 și O4 este prevăzută cu un sistem de frânare de serviciu de tip continuu sau semicontinuu.

2.2.2.4.

Sistemul de frânare de serviciu acționează asupra tuturor roților remorcii.

2.2.2.5.

Acțiunea sistemului de frânare de serviciu este distribuită corespunzător între axe.

2.2.2.6.

Acțiunea fiecărui sistem de frânare este distribuită simetric între roțile fiecărei axe, în raport cu planul median longitudinal al vehiculului.

2.2.2.7.

Suprafețele de frânare necesare pentru obținerea eficacității prevăzute sunt în contact continuu cu roțile, fie în mod rigid, fie prin componente rezistente.

2.2.2.8.

Uzura frânelor este compensată cu ușurință printr-un sistem de reglare automată sau manuală. Pe lângă acesta, comanda și componentele transmisiei și frânelor au o cursă de rezervă și, dacă este necesar, mijloace corespunzătoare de compensare astfel încât, atunci când frânele se supraîncălzesc sau când garniturile de frână au atins un anumit grad de uzură, eficacitatea frânării este asigurată fără a fi necesară reglarea imediată.

2.2.2.8.1.

Reglarea pentru compensarea uzurii este automată pentru frânele de serviciu. Totuși, montarea dispozitivelor de ajustare automată este opțională pentru vehiculele din categoriile O1 și O2. Dispozitivele de reglare automată pentru compensarea uzurii sunt construite astfel încât, după încălzirea urmată de răcirea frânelor, să asigure o frânare eficientă.

În mod special, vehiculul trebuie să rămână capabil să funcționeze normal după efectuarea încercărilor în conformitate cu anexa II, punctul 1.3 (încercarea de tip I) și cu anexa II, punctul 1.6 (încercarea de tip III).

2.2.2.8.2.

Este posibilă verificarea cu ușurință a uzurii garniturilor de frână de serviciu din afară sau de sub vehicul, folosind doar uneltele sau echipamentul livrate împreună cu vehiculul; de exemplu, prin orificiile de inspecție corespunzătoare sau prin alte mijloace.

2.2.2.9.

Sistemele de frânare sunt construite astfel încât remorca să fie oprită automat în cazul unei decuplări în timp ce remorca este în mișcare. Totuși, această dispoziție nu se aplică la remorci cu o masă maximă ce nu depășește 1,5 tone metrice, cu condiția ca remorcile să fie prevăzute, pe lângă dispozitivul principal de cuplare, cu un dispozitiv secundar de cuplare (lanț, cablu etc.) care, în cazul separării dispozitivului principal, să poată opri bara de tracțiune să atingă pământul și să aibă o acțiune reziduală asupra direcției remorcii.

2.2.2.10.

La toate remorcile care trebuie să fie prevăzute cu un sistem de frânare de serviciu, frâna de parcare este asigurată chiar și când remorca este separată de vehiculul tractor. Trebuie să fie posibil ca o persoană aflată pe sol să poată acționa sistemul de frânare pentru parcare; totuși, în cazul unei remorci folosite pentru transport de pasageri, sistemul de frânare trebuie să poată fi activat din interiorul remorcii. Termenul „a acționa” se referă și la decuplarea frânei.

2.2.2.11.

În cazul în care remorca este prevăzută cu un dispozitiv care întrerupe alimentarea cu aer comprimat a sistemului de frânare, altul decât sistemul de frânare pentru parcare, dispozitivul este proiectat și construit astfel încât să fie readus imediat în poziția de repaus, odată cu reluarea alimentării cu aer comprimat a remorcii.

2.2.2.12.

Remorcile din categoriile O3 și O4 prevăzute cu un sistem cu două circuite de alimentare cu aer satisfac condițiile specificate la punctul 2.2.1.18.3.

2.2.2.13.

Remorcile din categoriile O3 și O4 sunt prevăzute cu sisteme antiblocare în conformitate cu dispozițiile anexei X.

2.2.2.14.

Dacă remorcile nemenționate la punctul 2.2.2.13 sunt prevăzute cu sisteme antiblocare, acestea sunt în conformitate cu dispozițiile anexei X.

2.2.2.15.

Echipamentul auxiliar este alimentat cu energie astfel încât, în timpul exploatării lui, dispozitivul (dispozitivele) de stocare a energiei pentru frâna de serviciu să fie menținut(e) la o presiune de cel puțin 80 % din presiunea minimă de alimentare a vehiculului tractor, conform dispozițiilor de la punctul 3.1.2.2 din apendicele la anexa II.

2.2.2.15.1.

În cazul unor rupturi sau scurgeri la echipamentul auxiliar sau la orice conductă asociată acestuia, suma forțelor exercitate la circumferința roților frânate este de cel puțin 80 % din valoarea prevăzută pentru remorcă la punctul 2.2.1.2.1 din anexa II. Totuși, atunci când o asemenea ruptură sau scurgere afectează semnalul comenzii dispozitivului special definit la punctul 6 din apendicele la anexa II, se aplică dispozițiile de eficacitate ale punctului menționat anterior.

▼M8

2.3.

Garnituri de frână și seturi de garnitură de frână

2.3.1.

Seturile de garnitură de frână folosite pentru a înlocui componente la sfârșitul duratei lor de viață respectă cerințele din anexa XV pentru acele categorii de vehicule care sunt prevăzute la punctul 1.1 din anexa XV.

2.3.2.

Cu toate acestea, în cazul în care seturile de garnitură de frână sunt de un tip care intră sub incidența punctului 1.2 din addendumul la anexa IX și sunt destinate montării la un vehicul/o axă/o frână la care face referire documentul relevant de omologare, nu este necesar să respecte anexa XV, cu condiția să îndeplinească cerințele de la punctele 2.3.2.1-2.3.2.2.

2.3.2.1.   Marcarea

Seturile de garnitură de frână poartă cel puțin următoarele identificări:

2.3.2.1.1. Denumirea sau marca comercială ale constructorului vehiculului și/sau ale producătorului componentei;

2.3.2.1.2. Marca și numărul de identificare ale setului de garnitură de frână astfel cum sunt consemnate în informațiile menționate la punctul 2.3.4.

2.3.2.2.   Ambalarea

Seturile de garnitură de frână se ambalează sub formă de seturi pentru o axă completă în conformitate cu următoarele cerințe:

2.3.2.2.1. Fiecare ambalaj se sigilează și este astfel executat încât să indice orice deschidere anterioară a acestuia;

2.3.2.2.2. Fiecare ambalaj poartă cel puțin mențiunile următoare:

2.3.2.2.2.1. Cantitatea de seturi de garnitură de frână conținută.

2.3.2.2.2.2. Denumirea sau marca comercială ale constructorului vehiculului și/sau ale producătorului componentei.

2.3.2.2.2.3. Marca și numărul de identificare al setului de garnitură de frână consemnate în informațiile menționate la punctul 2.3.4.

2.3.2.2.2.4. Numărul (numerele) de identificare a setului pentru axă completă, astfel cum este (sunt) consemnat(e) în informațiile menționate la punctul 2.3.4.

2.3.2.2.2.5. Informații suficiente pentru a permite clientului să identifice vehiculele/axele/frânele pentru care este omologat conținutul ambalajului;

2.3.2.2.3. Fiecare ambalaj trebuie să conțină instrucțiuni de montare cu referire specifică la piesele auxiliare și care să precizeze că seturile de garnitură de frână trebuie înlocuite în ansamblu pentru axa completă.

2.3.2.2.3.1. Instrucțiunile de montare pot fi furnizate în mod alternativ într-un pachet separat transparent atașat ambalajului care conține setul de garnitură de frână.

2.3.3.

Seturile de garnitură de frână furnizate constructorilor de vehicule exclusiv pentru a fi utilizate în timpul asamblării vehiculelor nu trebuie să respecte cerințele de la punctele 2.3.2.1 și 2.3.2.2 anterioare.

2.3.4.

Constructorul vehiculului furnizează serviciului tehnic și/sau autorității de omologare informațiile necesare, în format electronic, care fac legătura între numerele relevante ale pieselor și documentația de omologare.

Aceste informații cuprind:

 marca (mărcile) și tipul (tipurile) de vehicul

 marca (mărcile) și tipul (tipurile) de garnitură de frână

 numărul (numerele) de identificare și cantitatea seturilor de garnitură de frână

 numărul (numerele) de identificare a setului pentru axă completă

 numărul de omologare de tip al sistemului de frânare al tipului (tipurilor) de vehicul relevant(e).

▼M7

3.   CEREREA DE OMOLOGARE CE DE TIP

3.1.

Cererea de omologare CE de tip, conform articolului 3 alineatul (4) din Directiva 70/156/CEE, privind echipamentul de frânare al unui tip de vehicul, este prezentată de către constructorul vehiculului.

3.2.

Un model al documentului informativ este prezentat în anexa XVIII pentru autovehicule sau în anexa XIX pentru remorcile cu alte sisteme de frânare decât cel inerțial.

3.3.

Un vehicul reprezentativ pentru tipul de vehicul care urmează a fi omologat este prezentat serviciului tehnic responsabil de efectuarea încercărilor pentru omologare.

4.   ACORDAREA OMOLOGĂRII CE DE TIP

4.1.

Dacă documentele respective sunt corespunzătoare, se acordă omologarea CE de tip conform articolului 3 alineatul (4) din Directiva 70/156/CEE.

4.2.

Un model al certificatului de omologare de tip este prezentat în anexa IX, apendicele 1.

4.3.

Fiecărui tip de vehicul aprobat i se atribuie un număr de omologare de tip în conformitate cu anexa VII la Directiva 70/156/CEE. Același stat membru nu alocă același număr altui tip de vehicul.

5.   MODIFICĂRI ALE TIPULUI ȘI MODIFICĂRI ALE OMOLOGĂRILOR

5.1.

În cazul modificărilor unui tip omologat în conformitate cu prezenta directivă, se aplică dispozițiile articolului 5 din Directiva 70/156/CEE.

6.   CONFORMITATEA PRODUCȚIEI

6.1.

Se iau măsuri pentru asigurarea conformității producției, în conformitate cu dispozițiile articolului 10 din Directiva 70/156/CEE.




ANEXA II

Încercări de frânare și eficacitatea sistemelor de frânare

1.   ÎNCERCĂRI DE FRÂNARE

1.1.

Generalități

1.1.1.

Performanța prevăzută pentru sistemele de frânare se bazează pe spațiul de frânare și/sau pe decelerația medie a vehiculului. Performanța unui sistem de frânare se determină prin măsurarea spațiului de frânare în raport cu viteza inițială și/sau prin măsurarea decelerației medii a vehiculului în timpul încercării.

1.1.2.

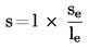
Spațiul de frânare este distanța acoperită de vehicul din momentul în care conducătorul auto începe acționarea comenzii sistemului de frânare și până când vehiculul se oprește; viteza inițială a vehiculului (v1) este viteza din momentul în care conducătorul începe acționarea dispozitivului de control al sistemului de frânare; viteza inițială nu este mai mică de 98 % din viteza prevăzută pentru încercarea în cauză. Decelerația medie (dm) se calculează, în raport cu distanța dată de variația vitezei de la vb la ve, după formula următoare:

image

unde

V1 = așa cum este definit mai sus

Vb = viteza vehiculului la 0,8 V1, măsurată în km/h

Ve = viteza vehiculului la 0,1 V1, măsurată în km/h

Sb = distanța parcursă între V1 și Vb, în metri

Se = distanța parcursă între V1 și Ve, în metri

Viteza și distanța sunt determinate folosind instrumente care au o acuratețe de ± 1 % la viteza prevăzută pentru încercare. Valoarea lui dm poate fi determinată prin alte metode de măsurare decât cele ale vitezei și ale distanței; în acest caz acuratețea pentru dm este de până la ± 3 %.

1.1.3.

Pentru omologarea de tip a oricărui vehicul performanța de frânare trebuie să fie măsurată în timpul încercărilor de drum, efectuate în următoarele condiții:

1.1.3.1.

Masa vehiculului trebuie să fie cea prevăzută pentru fiecare tip de încercare și trebuie să fie specificată în raportul de încercare (anexa IX, apendicele 2).

1.1.3.2.

Încercarea se efectuează la vitezele prevăzute pentru fiecare tip de încercare. Atunci când viteza maximă prin construcție a unui vehicul este mai mică decât cea prevăzută pentru încercare, încercarea se efectuează la viteza maximă a vehiculului.

1.1.3.3.

În timpul încercărilor, forța aplicată dispozitivului de control al sistemului de frânare, în scopul obținerii performanței prevăzute, nu depășește forța maximă menționată pentru încercarea categoriei vehiculului.

1.1.3.4.

Fără a aduce atingere dispozițiilor de la punctul 1.1.4.2, drumul are o suprafață cu aderență bună.

1.1.3.5.

Încercările se efectuează atunci în absența vântului care poate afecta rezultatele.

1.1.3.6.

La începerea încercărilor, pneurile sunt reci și la presiunea prevăzută pentru sarcina suportată efectiv de roți atunci când vehiculul este în staționare.

1.1.3.7.

Eficacitatea prevăzută este obținută fără blocarea roților, fără devierea vehiculului de la traiectoria sa și fără vibrații anormale. Blocarea roților este permisă acolo unde aceasta este menționată în mod expres.

1.1.4.

Comportamentul vehiculului în timpul frânării

1.1.4.1.

În încercările de frânare, și în special în cele efectuate la viteză mare, se verifică comportamentul general al vehiculului la frânare.

1.1.4.2.

Comportamentul la frânare al vehiculelor din categoriile M, N, O3 și O4 pe un drum cu aderență redusă îndeplinește condițiile menționate în apendicele la prezenta anexă.

1.2.

Încercarea de tip O (încercare de eficacitate normală, cu frânele reci)

1.2.1.

Generalități

1.2.1.1.

Frânele trebuie să fie reci. Frâna este considerată rece atunci când temperatura măsurată pe disc sau în afara tamburului este sub 100 °C.

1.2.1.2.

Încercarea se efectuează în următoarele condiții:

1.2.1.2.1.

Vehiculul este încărcat, distribuirea masei sale între axe fiind cea prevăzută de producător. Acolo unde se fac precizări pentru mai multe aranjamente ale încărcăturii pe axe, distribuirea masei maxime între axe este astfel încât încărcătura pe fiecare axă să fie proporțională cu cea maximă permisă pentru fiecare axă; în cazul unor unități tractoare pentru semiremorci, încărcătura poate fi repoziționată la aproximativ jumătatea distanței dintre pivotul de cuplare, așa cum rezultă din condițiile de încărcare de mai sus, și linia centrală a axei (axelor) din spate.

1.2.1.2.2.

Fiecare încercare este repetată asupra vehiculului neîncărcat. În cazul unui autovehicul se mai poate afla pe bancheta din față, pe lângă conducător, și o persoană responsabilă cu notarea rezultatelor încercării. În cazul unui autovehicul proiectat să tracteze o semiremorcă, încercările fără încărcătură sunt efectuate doar asupra unității tractoare, fără remorca sa, dar purtând o încărcătură echivalentă cu a cincea roată. Această încărcătură include și roata de rezervă, în cazul în care acest lucru este inclus în specificațiile standard ale vehiculului. În cazul unui vehicul prezentat ca o cabină goală cu șasiu se poate adăuga o încărcătură suplimentară care să simuleze masa caroseriei și care să nu depășească masa minimă prevăzută de producător la anexa XVIII.

1.2.1.2.3.

Limitele prevăzute pentru eficacitatea minimă, atât pentru încercările cu vehiculul neîncărcat cât și cu vehiculul încărcat, sunt cele menționate mai jos pentru fiecare categorie de vehicul, vehiculul satisface atât distanța de oprire prevăzută cât și decelerația medie prevăzută pentru respectiva categorie de vehicul, dar măsurarea ambilor parametri poate să nu fie absolut necesară.

1.2.1.2.4.

Drumul este orizontal.

1.2.2.

Încercarea de tip O cu motor decuplat

1.2.2.1.

Încercarea se efectuează la viteza prevăzută pentru categoria căreia îi aparține vehiculul, cifrele menționate în acest scop putând avea o anumita marjă de toleranță. Trebuie să fie atinsă performanța minimă prevăzută pentru fiecare categorie.

1.2.3.

Încercarea de tip O cu motor cuplat

1.2.3.1.

Pe lângă încercările prevăzute la punctul 1.2.2, se efectuează încercări la diferite viteze, cu motorul cuplat, cea mai mică fiind egală cu 30 % din viteza maximă a vehiculului, iar cea mai mare fiind egală cu 80 % din acea viteza. Datele eficacității maxime sunt măsurate iar comportamentul vehiculului este înregistrat în raportul încercării. Unitățile tractoare pentru semiremorci, încărcate artificial pentru a simula efectele unei semiremorci încărcate, nu se supun unor încercări de peste 80 km/h.

1.2.3.2.

Se efectuează încercări suplimentare cu motorul cuplat, pornind de la viteza prevăzută pentru categoria căreia îi aparține vehiculul. Trebuie să fie atinsă valoarea minimă de eficacitate prevăzută pentru fiecare categorie. Unitățile tractoare pentru semiremorci, încărcate artificial pentru a simula efectele unei semiremorci încărcate, nu se supun unor încercări de peste 80 km/h.

1.2.4.

Încercare de tip O pentru vehicule din categoria O prevăzute cu frâne cu aer comprimat

1.2.4.1.

Eficacitatea frânării remorcii poate fi calculată fie din factorul de frânare al vehiculului tractor plus remorca și forța măsurată la dispozitivul de cuplare, fie, în anumite cazuri, din factorul de frânare al vehiculului tractor plus remorca, atunci când numai remorca este frânată. Motorul vehiculului tractor este decuplat în timpul încercării de frânare. În cazul în care numai remorca este frânată, pentru a se lua în calcul masa suplimentară care este încetinită, eficacitatea este considerată ca reprezentând decelerația medie în regim.

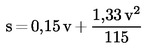
1.2.4.2.

Cu excepția cazurilor de la punctele 1.2.4.3 și 1.2.4.4, pentru a determina factorul de frânare al remorcii este necesară măsurarea factorului de frânare al vehiculului tractor și a remorcii ca și forța în dispozitivul de cuplare. Vehiculul tractor trebuie să îndeplinească cerințele stabilite în apendicele la punctul 1.1.4.2 din anexa II, cu privire la relația dintre raportul

image

și presiunea pm. Factorul de frânare al remorcii se calculează după următoarea formulă:

image

unde:

ZR

=

factorul de frânare al remorcii

ZR + M

=

factorul de frânare al vehiculului tractor plus remorcă

D

=

forța în dispozitivul de cuplare

(forță de tractare D > 0)

(forță de comprimare D < 0)

PR

=

reacția statică normală totală dintre suprafața drumului și roțile vehiculului

1.2.4.3.

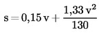
Dacă o remorcă are sistem de frânare continuu sau semi-continuu, atunci când presiunea în cilindrii de frână nu se schimbă în timpul frânării în ciuda modificării dinamice a încărcării punților, și în cazul semiremorcilor, doar remorca poate fi frânată. Factorul de frânare al remorcii se calculează după următoarea formulă:

image

unde:

R

=

valoarea rezistenței la rulare = 0,01

PM

=

reacția statică normală totală dintre suprafața șoselei și roțile vehiculelor tractoare ale remorcilor.

1.2.4.4.

În celelalte cazuri, evaluarea ratei de frânare a remorcii se poate face doar prin frânarea remorcii. În acest caz, presiunea folosită este aceeași cu cea măsurată în cilindrii de frână la frânarea ansamblului.

1.3.

Încercare de tip I (încercare de pierdere a eficacității)

1.3.1.

Cu frânări succesive

1.3.1.1.

Sistemul de frânare de serviciu al tuturor autovehiculelor se testează prin acționarea și decuplarea repetată a frânelor, vehiculul fiind încărcat, în conformitate cu condițiile din următorul tabel:



Categoria vehiculului

Condiții

V1

km/h

V2

km/h

Δt

(s)

n

M1

80 % Vmax

≤ 120

½ V1

45

15

M2

80 % Vmax

≤ 100

½ V1

55

15

M3

80 % Vmax

≤ 60

½ V1

60

20

N1

80 % Vmax

≤ 120

½ V1

55

15

N2

80 % Vmax

≤ 60

½ V1

60

20

N3

80 % Vmax

≤ 60

½ V1

60

20

unde:

V1

=

a se vedea punctul 1.1.2.

V2

=

viteza la sfârșitul frânării

Vmax

=

viteza maximă a vehiculului

n

=

numărul de acționări ale frânei

Δt

=

durata unui ciclu de frânare (durata dintre inițierea unei acționări a frânei și acționarea imediat următoare)

1.3.1.2.

În cazul în care caracteristicile vehiculului nu permit perioada de timp prevăzută pentru Δt, durata poate fi mărită; în toate cazurile, pe lângă perioada de timp necesară pentru frânare și accelerare, este permisă o perioadă de 10 secunde la fiecare ciclu pentru stabilizarea vitezei V1.

1.3.1.3.

În aceste încercări, forța aplicată dispozitivului de control este reglată astfel încât să se atingă o decelerație medie de 3 m/s2 la prima acționare a frânelor. Aceasta forță rămâne constantă pe tot parcursul acționării repetate a frânelor.

1.3.1.4.

În timpul acționării frânelor, se folosește în mod continuu cea mai mare treaptă de viteză (cu excepția supramultiplicatorului etc.).

1.3.1.5.

Pentru mărirea vitezei după frânare, cutia de viteze se folosește astfel încât să se obțină viteza V1 în cel mai scurt timp posibil (accelerația maximă permisă de motor și de cutia de viteze).

1.3.2.

Cu frânare continuă

1.3.2.1.

Sistemul de frânare de serviciu a remorcilor din categoriile O2 și O3 este supus încercării astfel încât, vehiculul fiind încărcat, puterea administrată frânelor să fie echivalentă cu cea obținută în aceeași perioadă de timp cu un vehicul încărcat, condus la o viteză constantă de 40 km/h în condiții de pantă de 7 % și pe o distanță de 1,7 km.

1.3.2.2.

Încercarea poate fi efectuată pe o suprafață plană, remorca fiind tractată de un autovehicul; în timpul încercării forța aplicată dispozitivului de comandă este reglată astfel încât să mențină constantă rezistența remorcii (7 % din sarcina maximă staționară pe axă a remorcii). În cazul în care forța disponibilă pentru remorcare este insuficientă încercarea poate fi efectuată la o viteză mai mică dar pe o distanță mai mare, conform tabelului următor:



Viteza

(km/h)

Distanța

(metri)

40

1 700

30

1 950

20

2 500

15

3 100

1.3.3.

Eficacitatea la cald

1.3.3.1.

La sfârșitul încercării de tip I (încercarea descrisă la punctul 1.3.1 sau încercarea descrisă la punctul 1.3.2 din prezenta anexă) eficacitatea la cald a sistemului de frânare de serviciu este măsurată în aceleași condiții (și în special la o forță constantă de comandă care nu depășește forța medie folosită) ca și pentru încercarea de tip 0 cu motorul decuplat (condițiile de temperatură pot fi diferite). În cazul autovehiculelor, această eficacitate la cald nu este mai mică de 80 % decât cea prevăzută pentru categoria în cauză și nici mai mică de 60 % decât cea înregistrată la încercarea de tip 0 cu motorul decuplat. Cu toate acestea, în cazul remorcilor, forța de frânare la circumferința roților, pentru frânele încălzite, atunci când acestea sunt încercate la 40 km/h, nu este mai mică de 36 % din sarcina maximă staționară a roții sau mai mică de 60 % din valoarea înregistrată la încercarea de tip 0 la aceeași viteză.

1.3.3.2.

În cazul unui autovehicul care satisface cerința de 60 % specificată la punctul 1.3.3.1 dar care nu îndeplinește cerința de 80 % specificată la punctul 1.3.3.1, se poate efectua o încercare suplimentară de eficacitate la cald folosindu-se o forță de control care să nu o depășească pe cea specificată la punctul 2.1.1.1 din prezenta anexă. Rezultatele ambelor încercări sunt indicate în raport.

1.4.

Încercarea de tip II (încercarea comportamentului la coborâre)

1.4.1.

Autovehiculele încărcate sunt încercate în condiții în care energia aplicată să fie echivalentă cu cea înregistrată pe aceeași perioadă de timp la un vehicul încărcat, condus cu o viteză medie de 30 km/h pe o pantă cu o înclinație de 6 % și pe o distanță de 6 km, într-o treaptă de viteză corespunzătoare și cu dispozitivul de încetinire cuplat, în cazul în care vehiculul este prevăzut cu un astfel de dispozitiv. Treapta de viteză este aleasă astfel încât să nu permită motorului să depășească valoarea maximă a turației menționată de producător.

1.4.2.

Pentru vehiculele la care energia este absorbită doar prin acțiunea de frânare a motorului se permite o toleranță de ± 5 km/h a vitezei medii și se folosește o treaptă de viteză care să stabilizeze viteza la valoarea cea mai apropiată de 30 km/h pe o pantă cu o înclinație de 6 %. În cazul în care eficacitatea acțiunii de frânare a motorului se determină prin măsurarea decelerației, aceasta este suficientă dacă decelerația medie măsurată este de cel puțin 0,5 m/s2.

1.4.3.

La sfârșitul încercării, eficacitatea la cald a sistemului de frânare de serviciu se măsoară în aceleași condiții ca și pentru încercarea de tip 0 cu motorul decuplat (condițiile de temperatură, bineînțeles, pot fi diferite). Această eficacitate la cald dă o distanță de oprire care nu depășește valorile următoare și o decelerație medie cel puțin egală cu valorile următoare, folosind o forță de acționare a dispozitivului de control care să nu depășească 700 N:

categoria M3:

image

(al doilea termen corespunzând unei decelerații medii de 3,75 m/s2)

categoria N3:

image

(al doilea termen corespunzând unei decelerații medii de 3,3 m/s2).

1.5.

Încercarea de tip IIA

1.5.1.

Vehiculele încărcate se supun încercării în astfel de condiții încât energia aplicată să fie echivalentă cu cea înregistrată, pe aceeași perioadă de timp, la un vehicul încărcat condus cu o viteză medie de 30 km/h pe o pantă cu o înclinație de 7 % și pe o distanță de 6 km. În timpul încercării, sistemele de frânare de serviciu, de siguranță și de parcare nu sunt acționate. Treapta de viteză este aleasă astfel încât să nu permită motorului să depășească valoarea maximă a turației menționată de producător. Poate fi folosit un dispozitiv de încetinire integrat, cu condiția ca acesta să fie decalat în așa fel încât să nu se acționeze sistemul de frânare de serviciu; acest lucru se poate verifica controlând dacă frânele se mențin reci, conform dispozițiilor punctului 1.2.1.1 din prezenta anexă.

1.5.2.

Pentru vehiculele la care energia este absorbită numai de acțiunea de frânare a motorului se permite o toleranță de ± 5 km/h a vitezei medii și este activată o treaptă de viteză care să permită stabilizarea vitezei la valoarea cea mai apropiată de 30 km/h pe o pantă cu o înclinație de 7 %. Dacă eficacitatea acțiunii de frânare a motorului singur se determină prin măsurarea decelerației, aceasta este suficientă dacă decelerația medie este de cel puțin 0,6 m/s2.

1.6.

Încercarea de tip III (încercare de pierdere a eficacității frânelor pentru vehicule din categoria O4)

1.6.1.

Încercare pe pistă

Condițiile pentru încercarea pe pistă sunt următoarele:



Numărul de aplicări ale frânei:

20

Durata ciclului de frânare:

60 s

Viteza inițială la începutul frânării:

60 km/h

Acționările frânei:

corespunzătoare unei decelerații a remorcii de 3 m/s2

Factorul de frânare al remorcii se calculează în conformitate cu punctul 1.2.4.3 din prezenta anexă:

image

Viteza la sfârșitul frânării (anexa VII, apendicele 1, punctul 3.1.5):

image

unde:

zR

=

factorul de frânare al remorcii

zR + M

=

factorul de frânare al ansamblului (autovehicul și remorcă)

R

=

valoarea rezistenței la rulare = 0,01

PM

=

reacția statică normală totală dintre calea de rulare și roțile vehiculului tractor pentru remorcă (kg)

PR

=

reacția statică normală totală dintre calea de rulare și roțile remorcii (kg)

P1

=

partea din masa remorcii susținută de axa (axele) nefrânată (nefrânate) (kg)

P2

=

partea din masa remorcii susținută de puntea (punțile) frânată (frânate) (kg)

v1

=

viteza inițială (km/h)

v2

=

viteza finală (km/h)

1.6.2.

Eficacitatea la cald

La sfârșitul încercării, conform punctului 1.6.1, eficacitatea la cald a sistemului de frânare de serviciu trebuie să fie măsurată în aceleași condiții ca și pentru încercarea de tip 0, desigur în condiții de temperatură diferite și începând de la o viteză inițială de 60 km/h. Forța de frânare la cald la circumferința roților nu este mai mică de 40 % din sarcina maximă staționară a roții și nu este mai mică de 60 % din cea înregistrată la încercarea de tip 0 la aceeași viteză.

2.   EFICACITATEA SISTEMELOR DE FRÂNARE

2.1.

Vehicule din categoriile M și N

2.1.1.

Sistemele de frânare de serviciu

2.1.1.1.

Dispoziții privind încercările

2.1.1.1.1.

Sistemele de frânare de serviciu ale vehiculelor din categoriile M și N sunt încercate în conformitate cu condițiile prevăzute în tabelul următor:



Tipul încercării

M1

0-I

M2

0-I

M3

0-I-II/IIA

N1

0-I

N2

0-I

N3

0-I-II/IIA

Încercarea de tip 0 cu

viteza prevăzută

80 km/h

60 km/h

60 km/h

80 km/h

60 km/h

60 km/h

motorul cuplat

s ≤

image

image

 

dm

5,8 ms– 2

5 ms– 2

Încercarea de tip 0 cu motorul

v = 80 %vmax dar ≤:

160 km/h

100 km/h

90 km/h

120 km/h

100 km/h

90 km/h

cuplat

s ≤

image

image

 

dm

5 ms– 2

4 ms– 2

 

F ≤

500 N

700 N

unde:

v

=

viteză de încercare în km/h

s

=

distanța de oprire în metri

dm

=

decelerația medie la turația normală a motorului

F

=

forța aplicată pedalei de frână

vmax

=

viteza maximă a vehiculului

2.1.1.1.2.

În cazul unui autovehicul autorizat să tracteze o remorcă fără frâne, eficacitatea minimă prevăzută pentru acea categorie de vehicul (pentru încercarea de tip 0 cu motorul decuplat) se atinge cu remorca fără frâne cuplată la autovehicul și cu remorca fără frâne încărcată la masa maximă prevăzută de producător. Totuși, în cazul vehiculelor din categoria M1, eficacitatea minimă a ansamblului nu este mai mică de 5,4 m/s2, atât cu încărcătură cât și fără încărcătură.

Eficacitatea ansamblului se verifică prin calcule privind eficacitatea maximă de frânare atinsă de autovehicul, în condiții de încărcare (și de neîncărcare în cazul categoriei M1), în timpul încercării de tip 0 cu motorul decuplat, folosind următoarea formulă (nu sunt necesare încercări practice cu o remorcă fără frâne cuplată):

image

unde:

d M + R

=

decelerația medie a autovehiculului, calculată la cuplarea cu o remorcă nefrânată, în m/s2

dM

=

decelerația medie maximă a autovehiculului atinsă în timpul încercării de tip 0 cu motorul decuplat, în m/s2

PM

=

masa autovehiculului, încărcat (și neîncărcat pentru categoria M1)

PR

=

masa maximă a unei remorci nefrânate care poate fi cuplată, conform specificațiilor producătorului autovehiculului.

2.1.2.

Sisteme de frânare de siguranță

2.1.2.1.

Sistemul de frânare de siguranță, chiar dacă comanda care îl acționează este folosită și pentru alte funcții de frânare, trebuie să dea o distanță de oprire care să nu depășească următoarele valori și o decelerație medie nu mai mică decât următoarele valori:

categoria M1:

image

(al doilea termen corespunzând unei decelerații medii de 2,9 m/s2)

categoriile M2, M3:

image

(al doilea termen corespunzând unei decelerații medii de 2,5 m/s2)

categoria N:

image

(al doilea termen corespunzând unei decelerații medii de 2,2 m/s2).

2.1.2.2.

În cazul în care comanda sistemului de frânare de siguranță este una manuală, eficacitatea prevăzută se obține prin aplicarea unei forțe asupra comenzii care să nu depășească 400 N în cazul categoriei M1 și 600 N în cazul altor vehicule, iar comanda trebuie să fie situată astfel încât să poată fi manevrată ușor și rapid de către conducător.

2.1.2.3.

În cazul în care comanda sistemului de frânare de siguranță este o pedală, eficacitatea prevăzută se obține prin aplicarea unei forțe asupra comenzii care să nu depășească 500 N în cazul categoriei M1 și 700 N în cazul altor vehicule, iar comanda este situată astfel încât să poată fi manevrată ușor și rapid de către conducător.

2.1.2.4.

Eficacitatea sistemului de frânare de siguranță se verifică prin încercarea de tip 0 cu motorul decuplat, începând de la următoarele viteze inițiale:



M1 = 80 km/h

M2 = 60 km/h

M3 = 60 km/h

N1 = 70 km/h

N2 = 50 km/h

N3 = 40 km/h.

2.1.2.5.

Încercarea eficacității sistemului de frânare de siguranță se realizează prin simularea condițiilor unei avarii reale a sistemului de frânare de serviciu.

2.1.3.

Sisteme de frânare de parcare

2.1.3.1.

Chiar dacă este combinat cu unul din celelalte sisteme de frânare, sistemul de frânare de parcare este capabil să mențină un vehicul încărcat în staționare pe o pantă sau o rampă cu o înclinare de 18 %.

2.1.3.2.

În cazul vehiculelor la care este autorizată cuplarea unei remorci, sistemul de frânare de parcare a vehiculului tractor este capabil să mențină ansamblul de vehicule în staționare pe o pantă sau rampă cu o înclinație de 12 %.

2.1.3.3.

În cazul în care comanda este una manuală, forța aplicată acesteia nu depășește 400 N în cazul vehiculelor din categoria M1 și 600 N în cazul celorlalte vehicule.

2.1.3.4.

În cazul în care comanda este o pedală, forța exercitată asupra acesteia nu depășește 500 N în cazul vehiculelor din categoria M1 și 700 N în cazul celorlalte vehicule.

2.1.3.5.

Se admite un sistem de frânare de parcare care trebuie să fie acționat de mai multe ori înaintea atingerii eficacității prevăzute.

2.1.3.6.

Pentru verificarea conformității cu dispozițiile anexei I, punctul 2.2.1.2.4 se efectuează o încercare de tip 0 cu motorul decuplat, la o viteză inițială de 30 km/h. Decelerația medie la acționarea comenzii sistemului de frânare de parcare și decelerația imediat înaintea opririi vehiculului nu este mai mică de 1,5 m/s2. Încercarea se efectuează cu vehiculul încărcat. Forța exercitată asupra dispozitivului de comandă a frânării nu depășește valorile specificate.

2.1.4.

Performanța reziduală a sistemului de frânare de serviciu după o defecțiune a mecanismului de transmisie

2.1.4.1.

Performanța reziduală a sistemului de frânare de serviciu, în cazul unei defecțiuni la una dintre piesele mecanismului său de transmisie, dă o distanță de oprire care nu depășește valorile următoare și o decelerație medie nu mai mică decât valorile următoare, folosind o forță de comandă care să nu depășească 700 N atunci când aceasta este verificată prin încercarea de tip 0 cu motorul decuplat, începând de la următoarele viteze inițiale ale categoriei vehiculului respectiv.

Distanța de oprire (m) și decelerația medie (m/s2)



Tip

km/h

Încărcat

m/s2

Neîncărcat

m/s2

M1

80

image

1,7

image

1,5

M2

60

image

1,5

image

1,3

M3

60

image

1,5

image

1,5

N1

70

image

1,3

image

1,1

N2

50

image

1,3

image

1,1

N3

40

image

1,3

image

1,3

2.1.4.2.

Testul de eficacitate a capacității reziduale a frânării se efectuează prin simularea condițiilor reale de avarie a sistemelor de frânare de serviciu.

2.2.

Vehicule din categoria O

2.2.1.

Sisteme de frânare de serviciu

2.2.1.1.

Dispoziții privind încercările vehiculelor din categoria O1

2.2.1.1.1.

În cazurile în care este obligatoriu un sistem de frânare de serviciu, eficacitatea sistemului satisface dispozițiile prevăzute pentru vehiculele din categoria O2.

2.2.1.2.

Dispoziții privind încercările pentru vehiculele din categoria O2

2.2.1.2.1.

În cazul în care sistemul de frânare de serviciu este de tip continuu sau semi-continuu, suma forțelor exercitate la circumferința roților frânate este de cel puțin X % din sarcina maximă pe roată la staționare, X având următoarele valori:



Remorcă propriu-zisă, încărcată sau neîncărcată

50

Semiremorcă, încărcată sau neîncărcată

45

Remorcă cu axe mediane, încărcată sau neîncărcată

50

În cazul în care remorca este prevăzută cu un sistem de frânare cu aer comprimat, presiunea în circuitul de comandă nu depășește 6,5 bari ( 8 ) iar presiunea în conducta de alimentare nu depășește 7,0 bari (8)  în timpul încercării de frânare. Viteza de încercare este de 60 km/h.

Trebuie să se efectueze un test suplimentar la 40 km/h cu vehiculul încărcat în vederea comparării cu rezultatul încercării de tip I.

2.2.1.2.2.

Dacă sistemul de frânare este de tip inerțial, acesta respectă condițiile din anexa VIII.

2.2.1.2.3.

În plus, aceste vehicule sunt supuse încercării de tip I.

2.2.1.2.4.

În cazul încercării de tip I pentru semiremorci, masa frânată de către axa (axele) sa(le) corespunde sarcinii maxime a axei (axelor) (fără a include sarcina pe pivotul de cuplare).

2.2.1.3.

Dispoziții privind încercarea vehiculelor din categoria O3.

2.2.1.3.1.

Se aplică aceleași dispoziții ca și în cazul vehiculelor din categoria O2.

2.2.1.4.

Dispoziții privind încercarea vehiculelor din categoria O4.

2.2.1.4.1.

În cazul în care sistemul de frânare de serviciu este de tip continuu sau semicontinuu, suma forțelor exercitate la circumferința roților frânate este egală cu cel puțin X % din sarcina maximă pe roată la staționare, X având următoarele valori:



Remorcă propriu-zisă, încărcată sau neîncărcată

50

Semiremorcă, încărcată sau neîncărcată

45

Remorcă cu axe mediane, încărcată sau neîncărcată

50

În cazul în care remorca este prevăzută cu un sistem de frânare cu aer comprimat, presiunea în circuitul de comandă nu depășește 6,5 bari (8)  iar presiunea în conducta de alimentare nu depășește 7,0 bari (8)  în timpul încercării de frânare. Viteza de încercare este 60 km/h.

2.2.1.4.2.

În plus, vehiculele sunt supuse încercării de tip III.

2.2.1.4.3.

În cadrul încercării de tip III pentru o semiremorcă, masa frânată de către axa acesteia corespunde sarcinii maxime a axei.

2.2.2.

Sisteme de frânare pentru parcare

2.2.2.1.

Sistemul de frânare pentru parcare cu care este prevăzută remorca sau semiremorca este capabil să mențină staționară remorca sau semiremorca încărcată, atunci când sunt separate de vehiculul tractor, pe o rampă sau pantă cu o înclinare de 18 %. Forța aplicată comenzii nu depășește 600 N.

2.2.3.

Sisteme de frânare automată

2.2.3.1.

Eficacitatea frânării automate, în cazul unei pierderi totale de presiune în conducta de alimentare cu aer, la încercarea vehiculului încărcat la o viteză de 40 km/h, nu este mai mică de 13,5 % din sarcina maximă staționară a roții. Este permisă blocarea roților la niveluri de eficacitate de peste 13,5 %.

2.3.

Timpul de reacție

Atunci când un vehicul este prevăzut cu un sistem de frânare de serviciu care este dependent total sau parțial de o sursă de energie, alta decât efortul muscular al conducătorului, sunt satisfăcute următoarele condiții:

2.3.1.

În cazul unei manevre de urgență, timpul scurs între momentul în care dispozitivul începe să fie activat și momentul în care forța de frânare asupra axei situate în poziția cea mai defavorabilă atinge nivelul corespunzător eficacității prevăzute nu depășește 0,6 secunde.

2.3.2.

În cazul vehiculelor prevăzute cu sisteme de frânare cu aer comprimat, dispozițiile de la punctul 2.3.1 sunt considerate ca fiind îndeplinite în cazul în care vehiculul se conformează dispozițiilor din anexa III.

2.3.3.

În cazul vehiculelor prevăzute cu sisteme de frânare hidraulică, dispozițiile de la punctul 2.3.1 sunt considerate ca fiind îndeplinite în cazul în care, în cazul unei manevre de urgență, decelerația vehiculului sau presiunea la cel mai puțin favorabil cilindru de frână atinge un nivel corespunzător eficacității prevăzute în mai puțin de 0,6 secunde.




Apendice

(A se vedea punctul 1.1.4.2)

Distribuirea forței de frânare între axele vehiculului

1.   DISPOZIȚII GENERALE

Vehiculele din categoriile M, N, O3 și O4 care nu sunt prevăzute cu un sistem antiblocare, conform definiției din anexa X, îndeplinesc cerințele prezentului apendice. Dacă se utilizează un dispozitiv special, acesta funcționează automat. Cu toate acestea, vehiculele – altele decât cele din categoria M1 – care sunt prevăzute cu un sistem antiblocare conform definiției din anexa X îndeplinesc și dispozițiile de la punctele 7 și 8 din prezentul apendice în cazul în care sunt prevăzute și cu un dispozitiv special automat care comandă distribuția frânării între axe. În cazul unei defecțiuni a dispozitivului de comandă, este posibilă oprirea vehiculului conform dispozițiilor de la punctul 6 din prezentul apendice.

2.   SIMBOLURI

i

=

indice de axă (i = 1, axă față i = 2, a doua axă; etc.)

Pi

=

reacția normală a suprafeței drumului față de axa i în condiții statice

Ni

=

reacția normală a suprafeței drumului față de axa i la frânare

Ti

=

forța exercitată de frâne asupra axei i în condiții normale de frânare pe drum

ƒi

=

aderența Ti/Ni folosită de axa i ( 9 )

J

=

decelerația vehiculului

g

=

accelerația datorată gravitației g = 10 m/s2

z

=

factorul de frânare al vehiculului = J/g ( 10 )

P

=

masa vehiculului

h

=

înălțimea centrului de greutate specificat de producător și aprobat de serviciile tehnice care efectuează încercarea de omologare

E

=

ampatamentul

k

=

coeficient teoretic al aderenței dintre pneu și drum

Kc

=

factor de corecție – semiremorcă încărcată

Kv

=

factor de corecție – semiremorcă neîncărcată

TM

=

suma forțelor de frânare la circumferința roților vehiculului tractor pentru remorci sau semiremorci

PM

=

reacția statica normală totală dintre suprafața drumului și roțile vehiculelor de tractare pentru remorci sau semiremorci, după cum se face referire la punctul 3.1.4 și respectiv 3.1.5.

Pm

=

presiunea la racordul de cuplare al circuitului de comandă

TR

=

suma forțelor de frânare la circumferința tuturor roților remorcilor sau semiremorcilor

PR

=

reacția statică normală totală dintre suprafața drumului și roțile remorcii sau semiremorcii

PRmax

=

valoarea PR la masa maximă a semiremorcii

ER

=

distanța dintre pivot și centrul axei sau axelor semiremorcii

hR

=

înălțimea centrului de greutate al semiremorcii specificat de producător și aprobat de serviciile tehnice care efectuează încercarea de omologare.

3.   DISPOZIȚII PENTRU AUTOVEHICULE

3.1.

Vehicule cu două axe

3.1.1. ( 11 )

Pentru toate categoriile de vehicule, pentru valori ale lui k cuprinse între 0,2 și 0,8:

image

Pentru toate stările de încărcare ale vehiculului, curba de aderență utilizată a axei față trebuie să fie superioară celei a axei spate:

 pentru toți factorii de frânare cuprinși între 0,15 și 0,8 în cazul vehiculelor din categoria M1.

 Cu toate acestea, pentru vehiculele din această categorie peste segmentul de valori ale lui z cuprinse între 0,3 și 0,45, o inversare a curbelor aderenței utilizate este permisă în cazul în care curba aderenței utilizate pentru axa spate nu depășește cu mai mult de 0,05 linia definită de formula k = z (linia aderenței utilizate ideale – a se vedea figura 1A),

 pentru toți factorii de frânare cuprinși între 0,15 și 0,5 în cazul vehiculelor din categoria N1 ( 12 ).

 Această condiție este, de asemenea, considerată satisfăcută dacă la factori de frânare cuprinși între 0,15 și 0,3 curbele aderenței utilizate pentru fiecare axă sunt situate între două linii paralele la linia aderenței utilizate ideale, dată de ecuațiile k = z + 0.08 și k = z – 0,08, așa cum se indică în figura C, unde curba aderenței utilizate pentru axa spate poate intersecta linia k = z – 0,08 și dacă la factori de frânare cuprinși între 0,3 și 0,5 curba de utilizare a aderenței respectă relația z ≥ k – 0,08 și între 0,5 și 0,61 relația z ≥ 0,5 k + 0,21;

 pentru toți factorii de frânare cuprinși între 0,15 și 0,30, în cazul celorlalte categorii. Această condiție este de asemenea considerată satisfăcută dacă la factori de frânare cuprinși între 0,15 și 0,30 curbele de utilizare a aderenței pentru fiecare axă sunt situate între două linii paralele la linia aderenței utilizate ideale dată de ecuațiile k = z + 0,08 și k = z – 0,08, așa cum se indică în figura 1B, iar curba aderenței utilizate pentru axa spate, la factori de frânare z ≥ 0,3, respectă relația z ≥ 0,3 + 0,74 (k – 0,38)

3.1.2.

În cazul unui autovehicul autorizat să tracteze remorci din categoria 03 sau 04 echipate cu sisteme de frânare cu aer comprimat:

3.1.2.1.

Când este supusă încercării cu sursa de energie oprită, conducta de alimentare deconectată și un rezervor cu o capacitate de 0,5 litri conectat la circuitul de comandă, iar sistemul la presiuni de cuplare și decuplare, presiunea la aplicarea completă a comenzii sistemului de frânare de serviciu este cuprinsă între 6,5 și 8,6 bari la capetele de cuplare ale conductei de alimentare și ale circuitului de comandă independent de greutatea totală a vehiculului. Aceste presiuni trebuie să poată fi verificate la vehiculul tractor atunci când acesta este decuplat de remorcă. Zonele de compatibilitate din figurile 2, 3 și 4A ale prezentului apendice la anexa II nu trebuie să depășească 7,5 bari.

3.1.2.2.

Trebuie să se garanteze că la racordul de cuplare al conductei de alimentare există o presiune de cel puțin 7 bari atunci când sistemul este la presiunea de cuplare; această presiune trebuie să poată fi verificată fără acționarea sistemului de frânare de serviciu.

3.1.3.

Verificarea condițiilor de la punctul 3.1.1

Pentru verificarea condițiilor de la punctul 3.1.1 producătorul furnizează curbele aderenței utilizate pentru axele față și spate pe baza formulelor:



image

;

image

.

Graficele se trasează pentru următoarele condiții de sarcină:

 Neîncărcat, în stare de funcționare cu conducătorul la bord.

 În cazul unui vehicul de tipul șasiu-cabină, se poate adăuga o sarcină suplimentară pentru a simula masa caroseriei, însă fără a depăși masa minimă declarată de fabricant în anexa XVIII.

 Încărcat.

 Acolo unde există o dispoziție privind mai multe posibilități de distribuire a sarcinii se ia în considerație cea în care sarcina cea mai mare se află pe axa față.

3.1.4.

Vehicule tractoare, altele decât unitățile tractoare pentru semiremorci.

3.1.4.1.

În cazul unui autovehicul autorizat să tracteze remorci din categoria O3 sau O4, echipate cu sisteme de frânare cu aer comprimat, raportul admis între factorul de frânare

image

și presiunea pm se încadrează în limitele indicate în figura 2.

3.1.5.

Unități tractoare pentru semiremorci

3.1.5.1.

Unități tractoare cu semiremorci neîncărcate

Un ansamblu articulat neîncărcat este considerat a constitui o unitate tractoare în stare de funcționare, cu conducătorul la bord, cuplată la o semiremorcă neîncărcată. Sarcina dinamică a semiremorcii pe unitatea tractoare este reprezentată de o masă statică aplicată pe pivotul de cuplare, egală cu 15 % din masa maximă pe cuplaj. Forțele de frânare se situează între valorile corespunzătoare unității tractoare cu semiremorcă (neîncărcată) și cele ale unității tractoare propriu-zise (fără semiremorcă); se verifică de asemenea forțele de frânare care corespund numai unității tractoare.

3.1.5.2.

Unități tractoare cu semiremorci încărcate

Un ansamblu articulat este considerat a constitui o unitate tractoare în stare de funcționare, cu conducătorul la bord, cuplată la o semiremorcă încărcată. Sarcina dinamică a semiremorcii pe unitatea tractoare este reprezentată de o masă statică Ps amplasată pe pivotul de cuplare, egală cu:

image

unde Pso reprezintă diferența dintre masa la încărcare maximă a unității tractoare și masa sa atunci când este neîncărcată.

Pentru h se consideră următoarele valori:

image

unde:

h0 este înălțimea centrului de greutate al unității tractoare

hs este înălțimea planului de sprijin al cuplării semiremorcii.

P0 este masa unității tractoare neîncărcate

image

3.1.5.3.

În cazul unui vehicul echipat cu sistem de frânare cu aer comprimat, raportul admis între factorul de frânare

image

și presiunea pm se încadrează în zonele prezentate în figura 3.

3.2.

Vehicule cu mai mult de două axe

Dispozițiile punctului 3.1 se aplică vehiculelor cu mai mult de două axe. Dispozițiile punctului 3.1.1 privind ordinea de blocare a roților sunt considerate îndeplinite dacă, în cazul factorilor de frânare cuprinși între 0,15 și 0,30, aderența utilizată de cel puțin una dintre axele față este mai mare decât cea utilizată de cel puțin una dintre axele spate.

4.   DISPOZIȚII PENTRU SEMIREMORCI

4.1.

În cazul semiremorcilor echipate cu sistem de frânare cu aer comprimat

Raportul admis între factorul de frânare

image

și presiunea pm se încadrează în două zone indicate în figurile 4A și 4B pentru stările încărcat și, respectiv, neîncărcat. Această dispoziție se îndeplinește pentru toate stările de încărcare posibile ale axelor semiremorcilor.

4.2.

Dacă cerințele de la punctul 4.1 nu pot fi îndeplinite în raport cu dispozițiile de la punctul 2.2.1.2.1 din anexa II pentru semiremorci la un factor Kc mai mic decât 0,8, atunci semiremorca îndeplinește eficacitatea minimă de frânare specificată la punctul 2.2.1.2.1 din anexa II și trebuie să fie prevăzută cu sisteme antiblocare în conformitate cu anexa X, cu excepția condițiilor de compatibilitate de la punctul 1 din anexa menționată anterior.

5.   DISPOZIȚII PENTRU REMORCI ȘI REMORCI CU AXE MEDIANE

5.1.

Pentru remorcile echipate cu sisteme de frânare cu aer comprimat:

5.1.1.

Dispozițiile de la punctul 3.1 se aplică remorcilor cu axă dublă (cu excepția situației în care deschiderea axei este mai mică de doi metri).

5.1.2.

Remorcile cu mai mult de două axe îndeplinesc dispozițiile de la punctul 3.2.

5.1.3.

Raportul admis între factorul de frânare

image

și presiunea pm se încadrează în zonele indicate pentru stările încărcat și neîncărcat din figura 2.

5.2.

Pentru remorcile cu axă mediană prevăzute cu sisteme de frânare cu aer comprimat:

5.2.1.

raportul admis între factorul de frânare

image

și presiunea pm se încadrează în două zone indicate în figura 2, înmulțind scara verticală cu 0,95 pentru stările încărcat și respectiv neîncărcat.

5.2.2.

Dacă dispozițiile de la punctul 2.2.1.2.1 din anexa II nu pot fi îndeplinite din cauza lipsei de aderență, atunci remorca cu axă centrală este prevăzută cu sistem antiblocare, în conformitate cu anexa X.

6.   CONDIȚII DE ÎNDEPLINIT ÎN CAZUL UNEI DEFECȚIUNI LA SISTEMUL DE DISTRIBUȚIE A FRÂNĂRII

În cazul în care dispozițiile prezentului apendice sunt îndeplinite prin utilizarea unui dispozitiv special (de exemplu, comandat mecanic de suspensia vehiculului) este posibilă, în eventualitatea unei defecțiuni a acestui mecanism sau a comenzii sale, oprirea vehiculului în condițiile specificate pentru frânarea de siguranță la autovehicule; la vehiculele autorizate să tracteze remorci prevăzute cu frâne cu aer, este posibilă atingerea unei presiuni la racordul de cuplare al circuitului de comandă care să se încadreze în valorile specificate la punctul 3.1.2 din prezentul apendice. În cazul defecțiunii comenzii dispozitivului la remorci și semiremorci, se obține un factor de frânare de cel puțin 30 % din eficacitatea sistemului frânare de serviciu prevăzută pentru vehiculul respectiv.

7.   MARCAJE

7.1.

Vehiculele, altele decât cele din categoria M1, care îndeplinesc dispozițiile prezentului apendice prin utilizarea unui dispozitiv comandat mecanic de suspensia vehiculului sunt marcate în vederea indicării cursei utile a dispozitivului între pozițiile corespunzătoare stărilor neîncărcat, respectiv încărcat ale vehiculului, precum și a oricăror alte informații care să permită verificarea reglării mecanismului.

7.1.1.

Când senzorul de sarcină este comandat prin intermediul suspensiei vehiculului prin orice alte mijloace, pe vehicul sunt marcate informații despre modul de verificare a reglării dispozitivului.

7.2.

În cazul în care dispozițiile prezentului apendice sunt îndeplinite prin utilizarea unui dispozitiv care variază presiunea aerului în transmisia frânei, vehiculul este marcat pentru a indica sarcinile pe axe la sol, presiunile nominale de ieșire ale dispozitivului și o presiune de intrare nu mai mică de 80 % din presiunea maximă de intrare proiectată, conform specificațiilor constructorului vehiculului, pentru următoarele stări de încărcare:

7.2.1.

Încărcarea maximă tehnic admisă pentru axa (axele) care comandă mecanismul.

7.2.2.

Sarcina (sarcinile) pe axă corespunzătoare masei vehiculului în stare de funcționare, conform definiției de la punctul 2.6 din anexa I la Directiva 70/156/CEE.

7.2.3.

Sarcina (sarcinile) pe axă corespunzătoare vehiculului cu caroseria propusă, în stare de funcționare, la care sarcina (sarcinile) pe axă menționată (menționate) la punctul 7.2.2 se aplică unui vehicul constituit din șasiu și cabină.

7.2.4.

Sarcina (sarcinile) pe axă specificată (specificate) de constructor pentru a permite verificarea reglării dispozitivului în timpul funcționării, în cazul în care aceasta (acestea) este (sunt) diferită (diferite) de sarcina (sarcinile) specificată (specificate) la punctele 7.2.1, 7.2.2 și 7.2.3.

7.3.

Punctul 1.7.2 din addenda la certificatul de omologare de tip (apendicele 1 din anexa IX) include informații care să permită conformitatea cu dispozițiile de la punctele 7.1 și 7.2 ce urmează a fi verificate.

7.4.

Marcajele prevăzute la punctele 7.1 și 7.2 se aplică într-o poziție vizibilă și nu pot fi șterse. Un exemplu de marcaj pentru un dispozitiv comandat mecanic la un vehicul prevăzut cu sistem de frânare cu aer comprimat este prezentat în figura 5.

8.   RACORDURILE DE ÎNCERCARE A PRESIUNII

8.1.

Sistemele de frânare care includ dispozitivele prevăzute la punctul 7.2 sunt prevăzute cu racordurile de încercare a presiunii în circuitul de presiune, în amonte și în aval față de dispozitiv, în pozițiile cele mai accesibile. Racordul din aval nu este necesar dacă presiunea în acel punct poate fi verificată la racordul prevăzut la punctul 4.1 din anexa III.

8.2.

Racordurile de încercare a presiunii sunt conforme cu clauza 4 din standardul ISO 3583-1984.

9.   INSPECȚIA VEHICULULUI

În timpul încercării pentru omologarea de CE tip a unui vehicul, autoritatea de inspecție tehnică verifică conformitatea cu dispozițiile prevăzute în prezentul apendice și efectuează orice alte încercări necesare în acest scop. Raportul asupra încercărilor suplimentare se atașează la certificatul de omologare CE de tip.

Figura 1A

Vehicule din categoria M1 și anumite vehicule din categoria N1, începând cu 1 Octombrie 1990

(a se vedea punctul 3.1.1)

image

Figura 1B

Autovehicule (altele decât cele din categoriile M1 și N1) și remorci

(a se vedea punctul 3.1.1)

image

N.B.: Limita inferioară a intervalului nu se aplică la utilizarea aderenței axei spate.

Figura 1C

Vehicule din categoria N1 (cu anumite excepții începând cu 1 octombrie 1990)

(a se vedea punctul 3.1.1)

image

N.B.: Limita inferioară a intervalului nu se aplică la utilizarea aderenței axei spate.

Figura 2

Vehicule tractoare și remorci

(a se vedea punctele 3.1.4 și 5)

TRTM,PRPMîncărcatneîncărcatpm (bar)

N.B.:

1. Este evident că între valorile:

image

și

image

sau

image

și

image

nu este necesar să existe o proporționalitate între factorul de frânare

image

sau

image

și presiunea circuitului de comandă măsurată la racordul de cuplare.

2. Relațiile stabilite de prezenta figură se aplică progresiv pentru stările intermediare de încărcare între starea încărcat și starea neîncărcat și se obțin în mod automat.

Figura 3

Vehicule tractoare pentru semiremorci

(a se vedea punctul 3.1.5)

TMPMîncărcatneîncărcatpm (bar)

N.B.:

1. Este evident că între valorile:

image

și

image

nu este necesar să existe o proporționalitate între factorul de frânare

image

și presiunea circuitului de comandă măsurată la racordul de cuplare.

2. Relațiile stabilite de prezenta figură se aplică progresiv pentru stările intermediare de încărcare între starea încărcat și starea neîncărcat și se obțin în mod automat.

Figura 4A

Semiremorci

(a se vedea punctul 4)

image

N.B.:

1. Este evident că între valorile:

image

și

image

nu este necesar să existe o proporționalitate între factorul de frânare

image

și presiunea circuitului de comandă măsurată la racordul de cuplare.

2. Relația dintre factorul de frânare

image

și presiunea din circuitul de comandă în condiții de încărcare și neîncărcare se determină după cum urmează:

Factorii Kс (încărcat), Kv (neîncărcat) sunt obținuți prin raportarea la figura 4B. Construiți zonele încărcat și neîncărcat prin înmulțirea limitelor superioare și inferioare ale zonei din figura 4A prezentată mai sus cu cei doi factori obținuți, Kс și respectiv Kv.

Figura 4B

(a se vedea punctul 4)

image

Notă explicativă pentru utilizarea figurii 4B

1.

Formula din care derivă figura 4B este următoarea:

image

2.

Descrierea metodei prin intermediul unui exemplu practic.

2.1.

Liniile întrerupte prezentate din figura 4B se referă la determinarea factorilor Kс și Kv pentru un vehicul cu valorile următoare:



 

Încărcat

Neîncărcat

P

24 tone

4,2 tone

PR

15 tone

3 tone

PRmax

15 tone

15 tone

hR

1,8 m

1,4 m

ER

6,0 m

6,0 m

În paragrafele următoare, cifrele din paranteze se referă numai la vehiculul folosit cu scopul de a ilustra metoda de utilizare a figurii 4B.

2.2.

Calculul rapoartelor:



(a)  

image

Încărcat

(= 1,6)

(b)  

image

neîncărcat

(= 1,4)

(c)  

image

neîncărcat

(= 0,2)

2.3.

Determinarea factorului de corecție pentru starea încărcat Kс:

(a) se pornește de la hR corespunzătoare = 1,8 m

(b) se ajunge orizontal la dreapta gP/PR corespunzătoare (gP/PR = 1,6)

(c) se ajunge vertical la dreapta ER corespunzătoare (ER= 6,0 m)

(d) se ajunge orizontal la scara Kс; Kс este factorul de corecție la încărcare cerut (Kс = 1,04).

2.4.

Determinarea factorului de corecție pentru starea neîncărcat Kv:

2.4.1.

Determinarea factorului K2

(a) se pornește de la valoarea hR corespunzătoare (hR = 1,4 m)

(b) se ajunge orizontal la dreapta PR/PRmax corespunzătoare în grupul de curbe cel mai apropiat de axa verticală (PR/PRmax = 0,2)

(c) se ajunge vertical la axa orizontală și se notează valoarea lui K2 = 0,13 m.

2.4.2.

Determinarea factorului K1

(a) se pornește de la valoarea hR corespunzătoare (hR = 1,4 m)

(b) se ajunge orizontal la dreapta gP/PR corespunzătoare (gP/PR = 1,4)

(c) se ajunge vertical la dreapta ER corespunzătoare (ER = 6,0 m)

(d) se ajunge orizontal la dreapta PR/PRmax corespunzătoare în grupul de curbe cel mai îndepărtat de axa verticală (PR/PRmax = 0,2)

(e) se ajunge vertical la axa orizontală și se notează valoarea lui K1 (K1 = 1,79).

2.4.3.

Determinarea factorului Kv

Factorul de corecție la starea neîncărcat Kv se obține din următoarea expresie:

image

Figura 5

Senzor de sarcină

(a se vedea punctul 7.4)

Axa nr. 2 sarcină la sol (daN)Presiunea nominală la ieșire (bari)Sarcina vehicululuiPresiunea la intrare (bari)Parametri de controlÎncărcat10 00066F = 100 mmL = 150 mmNeîncărcat1 50062,4




ANEXA III

Metode de măsurare a timpului de reacție pentru vehicule prevăzute cu sistem de frânare cu aer comprimat

1.   DISPOZIȚII GENERALE

1.1.

Timpul de reacție pentru sistemul de frânare se determină cu vehiculul staționar, presiunea fiind măsurată la deschiderea cilindrului de frână aflat în poziția cea mai defavorabilă. În cazul vehiculelor echipate cu sisteme de frânare combinate, aer comprimat/hidraulic, presiunea poate fi măsurată la deschiderea elementului pneumatic aflat în poziția cea mai defavorabilă. La vehiculele echipate cu senzori de sarcină, acestea se reglează în poziția „încărcat”.

1.2.

În timpul încercărilor, cursa cilindrilor de frână ai axelor este cea corespunzătoare frânelor reglate cel mai strâns.

1.3.

Timpii determinați în aplicarea dispozițiilor prezentei anexe se rotunjesc la a 10-a parte dintr-o secundă. În cazul în care cifra sutimilor este mai mare sau egală cu cinci, atunci timpul de reacție se rotunjește la zecimala imediat următoare.

2.   AUTOVEHICULE

2.1.

La începutul fiecărei încercări, presiunea din rezervoare este egală cu presiunea minimă la care regulatorul începe să alimenteze din nou instalația. La instalațiile care nu sunt dotate cu regulator (de exemplu, compresor cu presiune limitată) presiunea din rezervor, la începutul fiecărei încercări, este egală, așa cum se menționează la punctul 1.2.2.1 din anexa IV, cu 90 % din presiunea specificată de constructor care trebuie folosită pentru încercările prevăzute de prezenta anexă.

2.2.

Timpii de reacție în funcție de timpul de acționare (tf) se obțin dintr-o serie de acționări complete, începând de la un timp cât mai scurt posibil până la un timp de 0,4 secunde. Valorile obținute se introduc într-o diagramă.

2.3.

Timpul de reacție corespunzător unui timp de acționare de 0,2 secunde este determinant pentru încercare. Acest timp de reacție poate fi obținut din diagramă prin interpolare.

2.4.

În cazul timpului de acționare de 0,2 secunde, timpul care se scurge între începutul acționării pedalei de control și momentul când presiunea din cilindru de frână atinge 75 % din valoarea ei asimptotică nu depășește 0,6 secunde.

2.5.

În cazul autovehiculelor prevăzute cu un cuplaj pentru frânarea remorcilor, în mod suplimentar față de dispozițiile de la punctul 1.1, timpul de reacție se măsoară la capătul unei conducte de 2,5 m lungime, cu un diametru interior de 13 mm care se leagă la racordul de cuplare al circuitului de comandă al sistemului de frânare de serviciu. În timpul încercării, un volum de 385 ± 5 cm3 (considerat echivalent cu volumul unei conducte de 2,5 m lungime cu un diametru interior de 13 mm și la o presiune de 6,5 bari) se conectează la racordul de cuplare al circuitului de alimentare.

Unitățile tractoare pentru semiremorci se echipează cu conducte flexibile pentru a se face cuplarea la semiremorci. În consecință, racordurile de cuplare sunt situate la capătul conductelor flexibile. Lungimea și diametrul interior al conductelor sunt indicate la punctul 2.6.3 din raportul de încercare (anexa IX, apendicele 2).

2.6.

Timpul care se scurge de la începutul acționării pedalei de comandă și până în momentul când presiunea măsurată la racordul de cuplare al circuitului de comandă atinge x % din valoarea ei asimptotică nu depășește valorile enumerate în tabelul de mai jos:



x (%)

t (secunde)

10

0,2

75

0,4

2.7.

În mod suplimentar față de dispozițiile de mai sus, în cazul autovehiculelor autorizate să tracteze remorci din categoriile O3 și O4 echipate cu sisteme de frânare cu aer comprimat se verifică respectarea dispozițiilor de la punctul 2.2.1.18.4.1 din anexa 1, efectuându-se următoarele încercări:

(a) măsurarea presiunii la extremitatea unei conducte de 2,5 m lungime cu un diametru interior de 13 mm, care se racordează la racordul de cuplare al conductei de alimentare;

(b) simularea unei defecțiuni a circuitului de comandă la racordul de cuplare;

(c) acționarea comenzii sistemului de frânare de serviciu în 0,2 secunde, conform descrierii de la punctul 2.3.

3.   REMORCI (inclusiv semiremorci)

3.1.

În cazul remorcilor, timpii de reacție se măsoară fără vehicul tractor. Pentru a simula vehiculul tractor este necesar să se asigure un simulator la care să fie conectate racordurile de cuplare ale circuitelor de comandă și alimentare ale remorcii.

3.2.

Presiunea în conducta de alimentare este de 6,5 bari.

3.3.

Simulatorul are următoarele caracteristici:

3.3.1.

Acesta are un rezervor cu o capacitate de 30 litri, care este încărcat până la o presiune de 6,5 bari înaintea fiecărei încercări și care nu se reîncarcă în timpul fiecărei încercări. La ieșirea comenzii frânei, simulatorul are un orificiu cu un diametru variind între 4,0 și 4,3 mm inclusiv. Volumul conductei măsurat de la orificiu până la racordul de cuplare, inclusiv, este de 385 ± 5 cm3 (considerat echivalentul volumului unei conducte de 2,5 m lungime cu un diametru interior de 13 mm și având o presiune de 6,5 bari). Presiunile în conducta de comandă prevăzute la punctul 3.3.3 se măsoară imediat în avalul orificiului.

3.3.2.

Comanda sistemului de frânare este proiectată în așa fel încât eficacitatea sa la utilizare să nu fie afectată de dispozitivul de încercare.

3.3.3.

Simulatorul se reglează, de exemplu prin alegerea unui orificiu în conformitate cu punctul 3.3.1, în așa fel încât dacă la acesta se cuplează un rezervor de 385 ± 5 cm3, timpul necesar ca presiunea să crească de la 0,65 la 4,9 bari (10 și respectiv 75 % din presiunea nominală de 6,5 bari), să fie de 0,2 ± 0,01 secunde. În cazul în care rezervorul de mai sus se înlocuiește cu un rezervor de 1 155 ± 15 cm3, timpul necesar pentru ca presiunea să crească de la 0,65 la 4,9 bari, fără altă reglare ulterioară, este de 0,38 ± 0,02 secunde. Între aceste două valori de presiune, presiunea crește într-un mod aproximativ liniar. Aceste rezervoare se cuplează la racordul de cuplare fără a se utiliza conducte flexibile și au un diametru interior de cel puțin 10 mm.

3.3.4.

Figura din apendicele la prezenta anexă prezintă un exemplu de configurație și utilizare corectă a unui simulator.

3.4.

Timpul care trece între momentul în care presiunea produsă de simulator în circuitul de comandă atinge 0,65 bari și momentul în care presiunea din comandă frânei remorcii atinge 75 % din valoarea sa asimptotică nu depășește 0,4 secunde.

4.   RACORDURI DE ÎNCERCARE A PRESIUNII

4.1.

Pe fiecare circuit independent al sistemului de frânare se montează un racord de încercare a presiunii, în poziția cea mai accesibilă față de cilindrul frânei aflat în poziția cea mai defavorabilă din punctul de vedere al timpului de reacție.

4.2.

Racordurile de încercare a presiunii trebuie să fie conforme cu clauza 4 din standardul ISO 3583-1984.




Apendice

EXEMPLU DE SIMULATOR

(a se vedea anexa III, punctul 3)

1.   Configurația simulatorului

0,65 bar4,9 barCătre cronometrul electric

2.   Încercarea sistemului de frânare al remorcii cu simulatorul

REMORCĂ SUPUSĂ ÎNCERCĂRII0,65 bar4,9 barCătre cronometrul electric

A

=

racord de alimentare cu supapă de izolare

C1

=

contact de presiune al simulatorului reglat la 0,65 bari și la 0,49 bari

C2

=

contact de presiune pentru cuplare la elementul de acționare al frânei remorcii, care urmează să funcționeze la 75 % din presiunea asimptotică în elementul de acționare al frânei CF

CF

=

element de acționare al frânei

L

=

conducta de la orificiul O până la și inclusiv racordul său de cuplare TC, având un diametru interior de 385 ± 5 cm3 la o presiune de 6,5 bari

M

=

manometru

O

=

orificiu cu un diametru nu mai mic de 4 mm și nu mai mare de 4,3 mm

PP

=

racord de încercare a presiunii

R1

=

rezervor de aer de 30 litri cu robinet de golire

R2

=

rezervor de calibrare, inclusiv racordul de cuplare TC, cu un volum de 385 ± 5 cm3

R3

=

rezervor de calibrare, inclusiv racordul de cuplare TC, cu un volum de 1 155 ± 15 cm3

RA

=

supapă de izolare

TA

=

racord de cuplare, conducta de alimentare

TC

=

racord de cuplare, circuitul de comandă

V

=

comanda sistemului de frânare

VRU

=

supapă-releu de urgență




ANEXA IV

Rezervoare de energie și surse de energie

A.   Sisteme de frânare cu aer comprimat

1.   CAPACITATEA REZERVOARELOR

1.1.

Dispoziții generale

1.1.1.

Vehiculele la care funcționarea sistemului de frânare depinde de utilizarea aerului comprimat sunt prevăzute cu rezervoare cu o capacitate conformă cu dispozițiile de la punctele 1.2 și 1.3.

1.1.2.

Cu toate acestea, nu este obligatoriu ca rezervoarele să fie de o anumită capacitate în cazul în care sistemul de frânare este de așa natură încât, în absența unui rezerve de energie, este posibil să se obțină o eficacitate a frânării cel puțin egală cu cea prevăzută pentru sistemul de frânare de siguranță.

1.1.3.

La verificarea conformității cu dispozițiile de la punctele 1.2 și 1.3, frânele sunt reglate cât mai strâns posibil.

1.2.

Autovehicule

1.2.1.

Rezervoarele frânelor cu aer comprimat ale autovehiculelor se construiesc astfel încât, după opt acționari cu curse complete ale comenzii sistemului de frânare de serviciu, presiunea rămasă în rezervorul de aer comprimat să nu fie mai mică decât presiunea necesară pentru a obține eficacitatea de frânare de siguranță specificată.

1.2.2.

În cursul încercării se îndeplinesc următoarele condiții:

1.2.2.1.

Presiunea inițială din rezervoare este cea indicată de către constructor ( 13 ). Nivelul presiunii trebuie să permită atingerea eficacității prevăzute pentru sistemul de frânare de serviciu.

1.2.2.2.

Rezervorul sau rezervoarele nu sunt reumplute; în plus, rezervorul sau rezervoarele auxiliare sunt izolate.

1.2.2.3.

În cazul autovehiculelor autorizate să tracteze o remorcă, conducta de alimentare este blocată și la circuitul de comandă se cuplează un rezervor cu o capacitate de 0,5 litri. Presiunea din rezervor este epuizată înaintea fiecărei acționări a frânelor. După efectuarea încercării prevăzute la punctul 1.2.1, presiunea din circuitul de comandă nu este mai mică decât jumătate din presiunea obținută la prima acționare a frânei.

1.3.

Remorci (inclusiv semiremorci)

1.3.1.

Rezervoarele montate pe remorci sunt de așa natură încât, după opt acționări cu curse complete ale sistemului de frânare de serviciu al vehiculului tractor, presiunea furnizată către piesele care o utilizează să nu scadă sub un nivel echivalent cu o jumătate din valoarea obținută la prima acționare a frânei și fără a acționa nici sistemul de frânare automată, nici sistemul de frânare de parcare a remorcii.

1.3.2.

În cursul încercării se îndeplinesc următoarele condiții:

1.3.2.1.

Presiunea din rezervoare la începutul încercării este de 8,5 bari.

1.3.2.2.

Conducta de alimentare este blocată; în plus, rezervoarele auxiliare sunt izolate.

1.3.2.3.

Rezervorul nu se reumple în cursul încercării.

1.3.2.4.

La fiecare acționare a frânei, presiunea din circuitul de comandă este de 7,5 bari.

2.   CAPACITATEA SURSELOR DE ENERGIE

2.1.

Dispoziții generale

Compresoarele îndeplinesc condițiile de mai jos:

2.2.

Definiții

2.2.1.

p1 reprezintă presiunea corespunzătoare unui procent de 65 % din presiunea p2 definită la punctul 2.2.2.

2.2.2.

p2 reprezintă valoarea specificată de către constructor și prevăzută la punctul 1.2.2.1.

2.2.3.

T1 reprezintă timpul necesar pentru ca presiunea relativă să crească de la 0 la p1; T2 reprezintă timpul necesar pentru ca presiunea relativă să crească de la 0 la p2.

2.3.

Condițiile de măsurare

2.3.1.

În toate cazurile, turația compresorului este cea obținută atunci când motorul funcționează la turația corespunzătoare puterii sale maxime sau la turația permisă de către regulator.

2.3.2.

Rezervoarele auxiliare sunt izolate în cursul încercărilor pentru determinarea timpilor T1 și T2.

2.3.3.

La autovehiculele destinate tractării de remorci, remorca ester reprezentată de un rezervor a cărui presiune maximă relativă p (exprimată în bari) este cea care poate fi furnizată prin circuitul de alimentare al vehiculului tractor și al cărui volum V (exprimat în litri) este dat de formula p × V = 20 R (R fiind sarcina maximă admisă, exprimată în tone metrice, pe axele remorcii sau ale semiremorcii).

2.4.

Interpretarea rezultatelor

2.4.1.

Timpul T1 pentru rezervorul cel mai puțin eficient nu depășește:

 trei minute, în cazul vehiculelor la care nu este autorizată cuplarea unei remorci sau semiremorci.

 șase minute, în cazul vehiculelor la care este autorizată cuplarea unei remorci sau semiremorci.

2.4.2.

Timpul T2 pentru rezervorul cel mai puțin eficient nu depășește:

 șase minute, în cazul vehiculelor la care nu este autorizată cuplarea unei remorci sau semiremorci.

 nouă minute, în cazul vehiculelor la care este autorizată cuplarea unei remorci sau a unei semiremorci.

2.5.

Încercare suplimentară

2.5.1.

Atunci când vehiculul este echipat cu un rezervor sau cu rezervoare auxiliare cu o capacitate totală ce depășește 20 % din capacitatea totală a rezervoarelor de frânare, se efectuează o încercare suplimentară în cursul căreia nu există nici o intervenție în funcționarea supapelor care reglează umplerea rezervorului (rezervoarelor) suplimentar(e). În cursul acestei încercări se efectuează o verificare a timpului T3 necesar pentru a produce o creștere a presiunii în rezervoarele de frânare de la 0 la p2, care trebuie să fie mai mic de:

 opt minute în cazul vehiculelor la care nu este autorizată cuplarea unei remorci sau a unei semiremorci

 unsprezece minute în cazul vehiculelor la care este autorizată cuplarea unei remorci sau semiremorci

2.5.2.

Încercarea se efectuează în condițiile prevăzute la punctele 2.3.1 și 2.3.3.

2.6.

Vehiculele tractoare

2.6.1.

Autovehiculele la care este autorizată cuplarea unui vehicul din categoria O se conformează, de asemenea, dispozițiilor menționate mai sus cu privire la vehiculele care nu au o astfel de autorizație. În acest caz, încercările de la punctele 2.4.1, 2.4.2 (și 2.5.1) se efectuează fără rezervorul menționat la punctul 2.3.3 din prezenta anexă.

3.   RACORDURI DE ÎNCERCARE A PRESIUNII

3.1.

Racordul de încercare a presiunii se montează în poziția cea mai accesibilă pentru rezervorul plasat cel mai dezavantajos, în sensul punctului 2.4 din prezenta anexă.

3.2.

Racordurile de încercare a presiunii se conformează clauzei 4 din standardul ISO 3583-1984.

B.   Sisteme de frânare vacuumatice

1.   CAPACITATEA REZERVOARELOR

1.1.

Dispoziții generale

1.1.1.

Vehiculele la care funcționarea sistemului de frânare necesită utilizarea vacuumului sunt echipate cu rezervoare cu o capacitate ce îndeplinește dispozițiile de la punctele 1.2 și 1.3 de mai jos.

1.1.2.

Cu toate acestea, nu este obligatoriu ca rezervoarele să fie de o anumită capacitate în cazul în care sistemul de frânare este de așa natură încât, în absența unui rezerve de energie, este posibil să se obțină o eficacitate a frânării cel puțin egală cu cea prevăzută pentru sistemul de frânare de siguranță.

1.1.3.

La verificarea conformității cu dispozițiile de la punctul 1.2 și 1.3 de mai jos, frânele sunt reglate cât mai strâns posibil.

1.2.

Autovehicule

1.2.1.

Rezervoarele autovehiculelor sunt de așa natură încât să fie totuși posibilă obținerea eficacității prevăzute pentru sistemele de frânare de siguranță.

1.2.1.1.

după opt acționări cu curse complete ale comenzii sistemului de frânare de serviciu, când sursa de energie este o pompă de vid și

1.2.1.2.

după patru acționări cu curse complete ale comenzii sistemului de frânare de serviciu, când sursa de energie este motorul.

1.2.2.

În cursul încercării se îndeplinesc următoarele condiții:

1.2.2.1.

Nivelul inițial de energie din rezervor (rezervoare) este cel specificat de către constructor. Acesta este de așa natură încât să permită obținerea eficacității prevăzute a sistemului de frânare de serviciu și să corespundă unui vacuum care nu depășește 90 % din vacuumul maxim furnizat de sursa de energie ( 14 ).

1.2.2.2.

Rezervoarele nu sunt alimentate; în plus, rezervoarele auxiliare sunt izolate.

1.2.2.3.

În cazul autovehiculelor autorizate să tracteze o remorcă, conducta de alimentare este blocată și la circuitul de comandă se cuplează un rezervor cu o capacitate de 0,5 litri. Presiunea din rezervor este epuizată înaintea fiecărei acționări a frânelor. După efectuarea încercării prevăzute la punctul 1.2.1, presiunea din circuitul de comandă nu este mai mică decât jumătate din presiunea obținută la prima acționare a frânei.

1.3.

Remorcile (numai categoriile O1 și O2)

1.3.1.

Rezervoarele cu care sunt prevăzute remorcile sunt de așa natură încât nivelul vacuumului asigurat la punctele de utilizare să nu scadă sub jumătate din valoarea obținută la prima acționare a frânei după efectuarea unei încercări care cuprinde patru acționări cu curse complete ale sistemului de frânare de serviciu al remorcii.

1.3.2.

În cursul încercării se îndeplinesc următoarele condiții:

1.3.2.1.

Nivelul inițial de energie din rezervoare este cel specificat de către constructor. Acesta este de așa natură încât să permită obținerea eficacității prevăzute pentru sistemul de frânare de serviciu (1).

1.3.2.2.

Rezervoarele nu sunt alimentate; în plus, rezervoarele auxiliare sunt izolate.

2.   CAPACITATEA SURSELOR DE ENERGIE

2.1.

Dispoziții generale

2.1.1.

Pornind de la presiunea atmosferică ambiantă, sursa de energie este capabilă să atingă în rezervoare, în trei minute, nivelul inițial specificat la punctul 1.2.2.1. În cazul unui autovehicul la care este autorizată cuplarea unei remorci, timpul necesar pentru a atinge acest nivel, în condițiile specificate la punctul 2.2, nu depășește șase minute.

2.2.

Condiții de măsurare

2.2.1.

Turația sursei de vid este:

2.2.1.1.

în cazul în care sursa de vid este motorul autovehiculului, turația motorului obținută cu vehiculul staționar, cu schimbătorul de viteze în poziția neutră și motorul funcționând în gol;

2.2.1.2.

în cazul în care sursa de vid este o pompă, turația obținută cu motorul în funcțiune la 65 % din turația care corespunde puterii maxime și

2.2.1.3.

în cazul în care sursa de vid este o pompă și motorul este echipat cu un regulator, turația obținută cu motorul în funcțiune la 65 % din turația maximă permisă de regulator.

2.2.2.

În cazul în care se are în vedere cuplarea la autovehicul a unei remorci al cărei sistem de frânare de serviciu este acționat vacuumatic, remorca este reprezentată de un rezervor de energie cu un volum V, exprimat în litri, determinat prin formula:

image

Unde R reprezintă masa maximă permisă, exprimată în tone metrice, pe axele remorcii.

C.   Sisteme de frânare hidraulice cu rezervă de energie

1.   CAPACITATEA DISPOZITIVELOR DE REZERVĂ DE ENERGIE (ACUMULATORI DE ENERGIE)

1.1.

Dispoziții generale

1.1.1.

Vehiculele la care funcționarea sistemului de frânare necesită utilizarea unei rezerve de energie asigurată de un fluid hidraulic sub presiune sunt prevăzute cu dispozitive de rezervă de energie (acumulatoare de energie) cu o capacitate conformă cu dispozițiile de la punctul 1.2.

1.1.2.

Cu toate acestea, nu este obligatoriu ca rezervoarele să fie de o anumită capacitate în cazul în care sistemul de frânare este de așa natură încât, în absența unui rezerve de energie, este posibil să se obțină o eficacitate a frânării cel puțin egală cu cea prevăzută pentru sistemul de frânare de siguranță.

1.1.3.

La verificarea conformității cu dispozițiile de la punctele 1.2.1, 1.2.2 și 2.1 de mai jos, frânele sunt reglate cât mai strâns posibil, iar în cazul punctului 1.2.1, rata acționărilor cu cursă completă este realizată astfel încât să se asigure un interval de cel puțin un minut între fiecare acționare.

1.2.

Autovehicule

1.2.1.

Autovehiculele echipate cu un sistem de frânare hidraulic și rezervă de energie îndeplinesc următoarele condiții:

1.2.1.1.

După opt acționări cu cursă completă ale comenzii sistemului de frânare de serviciu, este încă posibilă obținerea, la a noua acționare, a eficacității prevăzute pentru sistemul de frânare de siguranță.

1.2.1.2.

Încercarea se efectuează în conformitate cu următoarele condiții:

1.2.1.2.1.

Încercarea începe la o presiune care poate fi specificată de producător, însă această presiune nu depășește presiunea de cuplare:

1.2.1.2.2.

Acumulatorul (acumulatoarele) nu este (sunt) alimentat(e); în plus, acumulatorul (acumulatoarele) pentru echipamentul auxiliar este (sunt) izolat(e).

1.2.2.

Autovehiculele echipate cu un sistem de frânare hidraulic cu rezervă de energie care nu pot îndeplini condițiile de la punctul 2.2.1.5.1 din anexa I sunt considerate ca fiind în conformitate cu punctul respectiv dacă întrunesc următoarele condiții:

1.2.2.1.

După orice defecțiune a transmisiei, este încă posibil ca, după opt acționări cu cursă completă ale comenzii sistemului de frânare de serviciu, să se atingă cel puțin eficacitatea prevăzută pentru sistemul de frânare de siguranță sau, în cazul în care eficacitatea sistemului de siguranță care necesită utilizarea rezervei de energiei se obține printr-o comandă separată, trebuie ca, după opt acționări cu cursă completă, să se mai poată obține, la a noua acționare, eficacitatea reziduală prevăzută la punctul 2.2.1.4 din anexă.

1.2.2.2.

Încercarea se efectuează în conformitate cu următoarele condiții:

1.2.2.2.1.

cu sursa de energie staționară sau funcționând la o turație corespunzătoare turației de mers în gol a motorului, se poate provoca o defecțiune a transmisiei. Înaintea provocării defecțiunii, dispozitivele de rezervă de energie sunt la o presiune care poate fi specificată de către constructor, dar care nu depășește presiunea de cuplare.

1.2.2.2.2.

Echipamentul auxiliar și acumulatorii acestuia, în cazul în care există, sunt izolați.

2.   CAPACITATEA GENERATOARELOR HIDRAULICE DE PRESIUNE

2.1.

Generatoarele de presiune îndeplinesc condițiile următoare:

2.1.1.

Definiții

2.1.1.1.

„p1” reprezintă presiunea de funcționare maximă a sistemului (presiunea la decuplare) în acumulator (acumulatoare) specificată de către producător.

2.1.1.2.

„p2” reprezintă presiunea după patru acționări cu cursă completă ale comenzii sistemului de frânare de serviciu, începând de la p1, fără a alimenta acumulatorul (acumulatoarele).

2.1.1.3.

„t” reprezintă timpul necesar pentru ca presiunea să crească de la p2 la p1 în acumulator (acumulatoare), fără acționarea comenzii sistemului de frânare de serviciu.

2.1.2.

Condiții de măsurare

2.1.2.1.

În cursul încercării de determinare a timpului t, turația de alimentare a sursei de energie este cea obținută atunci când motorul funcționează la turația corespunzătoare puterii sale maxime sau la turația permisă de regulator.

2.1.2.2.

În cursul încercării de determinare a timpului t, acumulatorul (acumulatoarele) pentru echipamentul auxiliar nu se izolează altfel decât automat.

2.1.3.

Interpretarea rezultatelor

2.1.3.1.

În cazul tuturor vehiculelor, cu excepția celor din categoriile M3, N2 și N3, timpul t nu depășește 20 de secunde.

2.1.3.2.

În cazul vehiculelor din categoriile M3, N2 și N3, timpul t nu depășește 30 de secunde.

3.   CARACTERISTICILE DISPOZITIVELOR DE ALARMĂ

Cu motorul oprit și începând de la o presiune ce poate fi specificată de către producător, dar care nu depășește presiunea de cuplare, dispozitivul de alarmă nu funcționează după două acționări cu cursă completă ale comenzii sistemului de frânare de serviciu.




ANEXA V

Frâne cu arc

1.   DEFINIȚII

1.1.

„Frânele cu arc” sunt dispozitive de frânare la care energia necesară pentru frânare este furnizată de unul sau mai multe arcuri care acționează ca un acumulator de energie.

1.1.1.

Energia necesară pentru a comprima arcul în vederea decuplării frânei este furnizată și controlată de „comanda” acționată de către conducător (a se vedea definiția de la punctul 1.4 din anexa I).

1.2.

„Camera de comprimare a arcului” înseamnă camera în care are efectiv loc variația de presiune care produce comprimarea arcului.

1.3.

Dacă comprimarea arcurilor se obține cu ajutorul unui dispozitiv cu vacuum, prin termenul „presiune” se înțelege presiune negativă în întregul conținut al prezentei anexei.

2.   DISPOZIȚII GENERALE

2.1.

Frâna cu arc nu se utilizează ca frână de serviciu. Cu toate acestea, în eventualitatea unei defecțiuni a unui element al transmisiei sistemului de frânare de serviciu, se poate utiliza o frână cu arc pentru a obține eficacitatea reziduală prevăzută la punctul 2.2.1.4 din anexa I, în cazul în care conducătorul poate grada această acțiune. În cazul autovehiculelor, cu excepția vehiculelor tractoare ale semiremorcilor care îndeplinesc dispozițiile specificate la punctul 2.2.1.4.3 din anexa I, frâna cu arc nu constituie singura sursă de frânare reziduală. La remorci nu se utilizează frâne cu arc și vacuum.

2.2.

O mică variație a limitelor presiunii, care poate apărea în circuitul de alimentare al camerei de comprimare a arcului, nu determină o variație puternică a forței de frânare.

2.3.

Circuitul de alimentare a camerei de comprimare a arcului include o rezervă proprie de energie sau este alimentat de la cel puțin două rezerve de energie independente. Conducta de alimentare a remorcii poate să se ramifice de la această conductă de alimentare cu condiția ca o cădere de presiune în conducta de alimentare a remorcii să nu poată să acționeze frâna cu arc. Echipamentul auxiliar poate să-și ia energia din conducta de alimentare a frânei cu arc numai dacă funcționarea acestuia, chiar și în cazul unei defecțiuni a sursei de energie, nu determină scăderea rezervei de energie pentru frâna cu arc la un nivel la care nu mai este posibilă decuplarea acesteia. În orice caz, în cursul reîncărcării sistemului de frânare de la presiunea zero, frânele cu arc nu se decuplează până când presiunea din sistemul de frânare de serviciu este suficientă pentru a asigura cel puțin eficacitatea prevăzută a frânării de siguranță pentru vehiculul încărcat, utilizând comanda frânei de serviciu. În mod similar, odată aplicate, frânele cu arc nu se decuplează dacă nu este suficientă presiune în sistemul de frânare de serviciu pentru a asigura cel puțin eficacitatea reziduală de frânare prevăzută pentru vehiculul încărcat, prin aplicarea comenzii frânei de serviciu.

Prezentul punct nu se aplică remorcilor.

2.4.

În cazul autovehiculelor, sistemul este proiectat astfel încât să fie posibilă acționarea și decuplarea frânelor de cel puțin trei ori dacă presiunea inițială din camera de comprimare a arcului este egală cu presiunea nominală maximă. În cazul remorcilor, este posibilă decuplarea frânelor de cel puțin trei ori după ce remorca a fost decuplată, presiunea în conducta de alimentare fiind de 6,5 bari înainte de decuplare. Aceste condiții sunt îndeplinite atunci când frânele sunt reglate cât mai strâns posibil. În plus, este posibilă cuplarea și decuplarea frânei de parcare, așa cum se specifică în anexa I, punctul 2.2.2.10, atunci când remorca este cuplată la vehiculul tractor.

2.5.

În cazul autovehiculelor, presiunea din camera de comprimare a arcului, dincolo de care arcurile încep să cupleze frânele, acestea din urma fiind reglate cât mai strâns posibil, nu este mai mare de 80 % din nivelul minim al presiunii normale disponibile. În cazul remorcilor, presiunea din camera de comprimare a arcului, dincolo de care arcurile încep să cupleze frânele, nu este mai mare decât cea obținută după patru acționări cu cursă completă ale sistemului de frânare de serviciu, în conformitate cu anexa IV, punctul 1.3. Presiunea inițială este reglată la 6,5 bari.

2.6.

Când presiunea în conducta de alimentare a camerei de compresie – exclusiv conductele unui dispozitiv auxiliar de decuplare a frânelor utilizând un fluid sub presiune – scade până la nivelul la care componentele frânei se pun în mișcare, se activează un avertizor optic sau sonor. Dacă aceasta condiție este îndeplinită, dispozitivul de avertizare poate fi cel specificat la punctul 2.2.1.13 din anexa I. Prezenta dispoziție nu se aplică remorcilor.

2.7.

În cazul autovehiculelor prevăzute cu frâne cu arc și autorizate să tracteze remorci cu frânare continuă sau semicontinuă, acționarea automată a frânelor cu arc pune în funcțiune frânele remorcii.

3.   SISTEMUL DE DECUPLARE A FRÂNELOR

3.1.

Un sistem de frânare cu arcuri este proiectat astfel încât, în eventualitatea unei defecțiuni în acest sistem, decuplarea frânelor să fie totuși posibilă. Acest lucru se poate realiza prin folosirea unui mijloc auxiliar de decuplare a frânelor (pneumatic, mecanic etc.). Mijloacele auxiliare de decuplare a frânelor care folosesc o rezervă de energie pentru decuplare obțin această energie dintr-o sursă independentă de cea folosită în mod normal pentru sistemul de frânare cu arcuri.

Fluidul pneumatic sau hidraulic dintr-un astfel de mijloc auxiliar de decuplare a frânelor poate acționa asupra aceleiași suprafețe a pistonului din camera de compresie care este folosită pentru sistemul normal de frânare cu arcuri, cu condiția ca dispozitivul auxiliar de decuplare a frânelor să folosească o conductă separată. Racordul dintre această conductă și cea normală, care conectează comanda cu frânele cu arc, este, pentru fiecare dispozitiv de acționare a frânei, imediat înainte de orificiul camerei de comprimare a arcului, în cazul în care nu este parte integrantă a acesteia. Acest racord include un dispozitiv de prevenire a influențării unei conducte de către cealaltă. Dispozițiile de la punctul 2.2.1.6 din anexa I se aplică și acestui dispozitiv.

3.1.1.

În sensul dispoziției de la punctul 3.1, componentele transmisiei sistemului de frânare nu sunt considerate ca susceptibile de a se defecta dacă, conform condițiilor de la punctul 2.2.1.2.7 din anexa I, acestea nu sunt considerate ca susceptibile de a se rupe, cu condiția să fie făcute din metal sau dintr-un material cu caracteristici similare și să nu sufere deformări importante la o frânare normală.

3.2.

Dacă funcționarea dispozitivului auxiliar prevăzut la punctul 3.1 necesită folosirea unei unelte sau a unei chei, acea unealtă sau cheie se păstrează la bordul vehiculului.




ANEXA VI

Frânarea de parcare prin blocarea mecanică a cilindrilor de frână (dispozitive de blocare)

1.   DEFINIȚIE

Prin blocarea mecanică a cilindrilor de frână se înțelege un dispozitiv de asigurare a frânei de parcare, prin intermediul blocării mecanice a tijei pistonului de frână.

Blocarea mecanică se obține prin evacuarea aerului comprimat din camera de blocare; dispozitivul de blocare mecanică este proiectat astfel încât să poată fi deblocat atunci când camera de blocare este alimentată din nou cu presiune.

2.   DISPOZIȚII SPECIALE

2.1.

Când presiunea din camera de blocare se apropie de nivelul corespunzător blocării mecanice, se declanșează un sistem de avertizare optic sau sonor.

Această dispoziție nu se aplică remorcilor. În cazul acestora, presiunea corespunzătoare pentru blocarea mecanică nu depășește 4 bari. Obținerea eficacității frânei de parcare este posibilă după orice defectare a sistemului de frânare de serviciu al remorcii. În plus, este posibilă decuplarea frânelor de cel puțin 3 ori după ce remorca a fost decuplată, presiunea în conducta de alimentare fiind de 6,5 bari înainte de decuplare. Aceste condiții sunt satisfăcute atunci când frânele sunt reglate cât mai strâns posibil. Este posibilă, de asemenea, cuplarea și decuplarea frânei de parcare, așa cum este specificat în anexa I, punctul 2.2.2.10, când remorca este cuplată la vehiculul tractor.

2.2.

În cazul cilindrilor de frână prevăzuți cu un dispozitiv de blocare mecanică, aceștia pot fi acționați pe baza oricăreia dintre cele două rezerve de energie.

2.3.

Cilindrul de frână blocat poate fi decuplat numai dacă există siguranța că frâna mai poate fi acționată din nou după o astfel de decuplare.

2.4.

În eventualitatea unei defecțiuni la sursa de alimentare cu energie a camerei de blocare se asigură un sistem auxiliar de deblocare (cum ar fi mecanic sau pneumatic), folosind, de exemplu, aerul din unul din pneurile vehiculului.

2.5.

Comanda se realizează astfel încât, odată acționată, să efectueze, în ordine, operațiunile următoare: cuplează frânele astfel încât să se ajungă la gradul de eficacitate prevăzut pentru frânarea de parcare, blochează frânele în acea poziție și apoi anulează forța de cuplare a frânelor.




ANEXA VII

Cazuri în care încercările de tip I și/sau II (sau IIA) sau III nu se efectuează pentru vehiculul supus omologării

1.

Încercările de tip I și/sau II (sau IIA) sau de tip III nu se efectuează pentru vehiculul supus omologării în următoarele cazuri:

1.1.

Atunci când vehiculul respectiv este un autovehicul, o remorcă sau semiremorcă care, din punctul de vedere al pneurilor, al energiei de frânare absorbită de fiecare axă și al modului de montare al pneurilor și frânelor, este identic(ă), în privința frânelor, cu un autovehicul sau remorcă sau semiremorcă ce:

1.1.1.

a trecut o încercare de tip I și/sau II (sau IIA) sau de tip III

1.1.2.

a fost omologat(ă), cu privire la energia de frânare absorbită, pentru o masă pe axă care nu este inferioară celei a vehiculului în cauză.

1.2.

Atunci când vehiculul respectiv este un autovehicul, remorcă sau semiremorcă a cărui (cărei) axă sau axe, în privința pneurilor, energiei de frânare absorbită de fiecare axă și modului de montare a anvelopelor și frânelor, este sau sunt identice, din punctul de vedere al sistemului de frânare, cu una sau mai multe axe ce a fost sau au fost supuse individual încercărilor de tip I și/sau II (sau IIA) sau de tip III, cu o masă pe axă care nu este inferioară celei a vehiculului în cauză, cu condiția ca energia de frânare absorbită de fiecare axă să nu depășească energia absorbită de acea axă în timpul încercării sau încercărilor de referință efectuate separat pe acea axă.

1.3.

Atunci când vehiculul propus pentru omologarea de tip este prevăzut cu un dispozitiv de încetinire, altul decât frâna de motor, identic cu un dispozitiv de încetinire care a fost deja încercat în următoarele condiții:

1.3.1.

Într-o încercare efectuată pe o pantă cu înclinație de cel puțin 6 % (încercare de tip II) sau de cel puțin 7 % (încercare de tip IIA) acest dispozitiv de încetinire a stabilizat singur viteza unui vehicul cu o masă maximă în momentul efectuării încercării cel puțin egală cu masa maximă a vehiculului propus pentru omologarea de tip.

1.3.2.

Pe parcursul încercării de mai sus se verifică dacă viteza de rotație a părților rotative ale dispozitivului de încetinire, atunci când vehiculul rulează cu 30 km/h, este astfel încât cuplul de încetinire să fie cel puțin egal cu cuplul de încetinire în timpul încercării menționate la punctul 1.3.1.

1.4.

În cazul în care vehiculul respectiv este o remorcă prevăzută cu frâne pneumatice cu camă în formă de S ( 15 ) care îndeplinește condițiile de control din apendicele 1 al prezentei anexe în legătură cu cele menționate în raportul de încercare al axei de referință, al cărui model este prezentat în apendicele 2 din prezenta anexă.

2.

Termenul „identic”, așa cum a fost folosit la punctele 1.1, 1.2 și 1.3, înseamnă identic privind caracteristicile geometrice și mecanice ale elementelor vehiculului menționate la acele puncte, și, de asemenea, cu privire la caracteristicile materialelor din care sunt realizate aceste piese.

3.

La aplicarea dispozițiilor de mai sus, raportul de încercare privind sistemul de frânare (anexa IX, apendicele 2) conține indicațiile următoare:

3.1.

În cazul de la punctul 1.1, numărul de omologare al vehiculului pe care a fost realizată încercarea de tip I sau/și II (sau IIA) sau de tip III utilizată ca referință (punctul 2.7.1).

3.2.

În cazul de la punctul 1.2, se completează tabelul de la punctul 2.7.2.

3.3.

În cazul de la punctul 1.3, se completează tabelul de la punctul 2.7.3.

3.4.

În cazul de la punctul 1.4, se completează tabelul de la punctul 2.7.4.

4.

În cazul în care o persoană care solicită o omologare de tip într-un stat membru face trimitere la o omologare de tip acordată într-un alt stat membru, acea persoană prezintă documentele corespunzătoare ale acelei omologări.




Apendicele 1

Proceduri alternative pentru încercările de tip I și III pentru frânele remorcilor

1.   GENERALITĂȚI

1.1.

În conformitate cu punctul 1.4 din prezenta anexă, nu este necesar să se realizeze încercările de pierdere a eficacității de tip I și III la omologarea de tip a vehiculului în cazul în care componentele sistemului de frânare îndeplinesc condițiile din prezentul apendice și eficacitatea calculată a frânării este conformă cu dispozițiile prezentei directive pentru categoria respectivă de vehicul.

1.2.

Încercările realizate conform metodelor descrise în prezentul apendice sunt considerate a fi conforme cu condițiile de mai sus.

2.   SIMBOLURI ȘI DEFINIȚII (simbolurile privind frâna de referință comportă indicele „e”)

P

=

reacția normală a suprafeței drumului asupra axei în condiții statice

C

=

cuplul aplicat axului cu came

Cmax

=

cuplul maxim tehnic admis aplicat axului cu came

Co

=

cuplul minim util pe axul cu came; cuplul minim care trebuie aplicat axului came pentru a obține un cuplu de frânare măsurabil

R

=

raza de rulare (dinamică) a pneului

T

=

forța de frânare la suprafața de contact dintre pneu și drum

M

=

cuplul de frânare = T × R

z

=

factorul de frânare T/P = M/RP

s

=

cursa dispozitivului de acționare (cursa utilă + cursa în gol)

sp

=

cursa efectivă – cursa la care forța de tracțiune este 90 % din forța de tracțiune medie (ThA)

ThA

=

forța de tracțiune medie – se determină prin integrarea valorilor cuprinse între o treime și două treimi din cursa totală (smax)

Forța de tracțiuneThA0,90ThA1/3 smax2/3 smaxspsmaxCursa

l = lungimea pârghiei

r = raza tamburului de frână

p = presiunea pe comanda frânei

3.   METODE DE ÎNCERCARE

3.1.

Încercări pe pistă

3.1.1.

Încercările de eficacitate a frânei trebuie efectuate, de preferință, pe o singură axă.

3.1.2.

Rezultatele încercărilor asupra unui ansamblu de axe pot fi folosite în conformitate cu punctul 1.1 cu condiția ca fiecare axă să producă aceeași energie de frânare în cadrul încercărilor de eficacitate normală și la cald.

3.1.2.1.

Această condiție este realizată atunci când următoarele elemente sunt identice pentru fiecare axă: geometria frânei (figura 2), garnituri, montarea roților, pneuri, dispozitive de acționare și distribuirea presiunii în dispozitivele de acționare ale frânei.

3.1.2.2.

Rezultatul înregistrat pentru un ansamblu de axe este valoarea medie pentru axele respective.

3.1.3.

Este preferabil ca axa (axele) să fie încărcată (încărcate) cu sarcina statică maximă pe axă, deși aceasta nu este o condiție obligatorie în cazul în care se ține cont, în timpul încercărilor, de diferența de rezistență la rulare dată de diferența de sarcină pe axa (axele) încercată (încercate).

3.1.4.

Se ia în considerare efectul creșterii rezistenței la rulare generată de utilizarea, în cadrul încercărilor, a unui ansamblu de vehicule.

3.1.5.

Viteza inițială în cadrul încercării este cea specificată. Viteza finală se calculează prin formula următoare:

image

unde:

v1 = viteza inițiala (km/h)

v2 = viteza finală (km/h)

v0 = masa vehiculului tractor (kg) în condițiile de încercare

P1 = masa remorcii suportată de axa (axele) nefrânată (nefrânate) (kg)

P2 = masa remorcii suportată de axa (axele) frânată (frânate) (kg)

3.2.

Încercări dinamometrice inerțiale

3.2.1.

Mașina de încercare are o inerție de rotație care simulează acea parte a inerției liniare a masei vehiculului care acționează asupra unei roți, necesară pentru încercările de eficacitate la rece și la cald, ea putând să funcționeze la o turație constantă pentru scopurile încercărilor descrise la punctele 3.5.2 și 3.5.3.

3.2.2.

Încercarea se efectuează cu o roată completă, cu pneu, montată pe rotorul frânei așa cum ar fi montată pe vehicul. Masa inerțială poate fi conectată la frână fie direct, fie prin pneuri și roți.

3.2.3.

Se poate utiliza, în fazele de încălzire, o răcire cu aer având un debit și o direcție reprezentative pentru condițiile reale, fără ca debitul de aer să depășească 10 km/h. Temperatura aerului de răcire este temperatura ambiantă.

3.2.4.

În cazurile în care rezistența la rulare a pneului în timpul încercării nu este compensată în mod automat, cuplul aplicat frânei se corectează prin scăderea unui cuplu corespunzător unui coeficient de rezistență la rulare de 0,01.

3.3.

Încercări dinamometrice pe stand

3.3.1.

Este preferabil ca axa să fie încărcată cu sarcina statică maximă pe axă, deși aceasta nu este o condiție obligatorie în cazul în care se ține cont, în timpul încercărilor, de diferența de rezistență la rulare dată de diferența de sarcină pe axa supusă încercării.

3.3.2.

Se poate utiliza, în fazele de încălzire, o răcire cu aer având un debit și o direcție reprezentative pentru condițiile reale, fără ca debitul de aer să depășească 10 km/h. Temperatura aerului de răcire este temperatura ambiantă.

3.3.3.

Timpul de frânare are o durată de o secundă, după un timp de răspuns maxim de 0,6 secunde.

3.4.

Condițiile de încercare

3.4.1.

Pe frânele supuse încercării se montează o aparatură care permite realizarea măsurătorilor următoare:

3.4.1.1.

O înregistrare continuă care să permită determinarea cuplului de frânare sau forței de frânare la periferia pneului.

3.4.1.2.

O înregistrare continuă a presiunii aerului în dispozitivul de acționare.

3.4.1.3.

Viteza în timpul încercării.

3.4.1.4.

Temperatura inițială la exteriorul tamburului frânei.

3.4.1.5.

Cursa dispozitivului de acționare în timpul încercărilor de tip 0 și de tip I sau III, după caz.

3.5.

Metoda de încercare

3.5.1.

Încercare suplimentară de eficacitate la rece.

3.5.1.1.

Această încercare se realizează la o viteză inițială de 40 km/h pentru încercarea de tip I și de 60 km/h pentru încercarea de tipul III, pentru a evalua eficacitatea frânării la cald la sfârșitul încercărilor de tip I și III.

3.5.1.2.

Se efectuează trei acționări ale frânei la aceeași presiune (p) și la o viteză inițială de 40 km/h (pentru încercarea de tip I) sau de 60 km/h (pentru încercarea de tip III), cu o temperatură inițială a frânelor aproximativ egală și care nu depășește 100 °C, măsurată pe suprafața exterioară a tamburului. În timpul frânării, presiunea în dispozitivul de acționare este cea necesară pentru a obține un cuplu sau o forță de frânare corespunzător (corespunzătoare) unui factor de frânare (z) de cel puțin 50 %. Presiunea la dispozitivul de acționare nu depășește 6,5 bari și cuplul aplicat axului cu came (C) nu depășește cuplul maxim tehnic admis (Cmax). Media celor trei rezultate obținute constituie valoarea eficacității la rece.

3.5.2.

Încercarea de tip I

3.5.2.1.

Această încercare se efectuează la o viteză de 40 km/h și o temperatură inițială a frânelor ce nu depășește 100 °C, măsurată pe suprafața exterioară a tamburului.

3.5.2.2.

Factorul de frânare se menține la 7 %, inclusiv rezistența de rulare (a se vedea punctul 3.2.4).

3.5.2.3.

Durata încercării este de două minute și 33 secunde sau 1,7 km la 40 km/h. Dacă viteza încercării nu poate fi atinsă, durata încercării poate fi prelungită conform punctului 1.3.2.2 din anexa II.

3.5.2.4.

Cel târziu 60 de secunde după încercarea de tip I, se efectuează un test de eficacitate la cald în conformitate cu punctul 1.3.3 din anexa 2, la o viteză inițială de 40 km/h. Presiunea dispozitivului de acționare este cea utilizată în timpul încercării de eficacitate la rece.

3.5.3.

Încercarea de tip III (încercarea de pierdere a eficacității)

3.5.3.1.

Metode de încercare pentru frânarea repetată.

3.5.3.1.1.

Încercări pe pistă (a se vedea anexa 2, punctul 1.6)

3.5.3.1.2.

Încercarea dinamometrică inerțială.

Pentru încercarea prevăzută în anexa VII, apendicele 1, punctul 3.2, condițiile pot fi aceleași ca pentru încercarea pe drum prevăzută la anexa 2, punctul 1.6.1, unde:

image

3.5.3.1.3.

Încercarea dinamometrică pe stand

Pentru încercarea prevăzută în anexa VII, apendicele 1, punctul 3.3, condițiile sunt următoarele:



Numărul de acționări ale frânei

20

Durata ciclului de frânare

(timpul de frânare 25 s și timpul de revenire 35 s)

60 s

Viteza de încercare

30 km/h

Factorul de frânare

0,06

Rezistența la rulare

0,01

3.5.3.2.

Cel târziu 60 secunde după sfârșitul încercării de tip III se realizează o încercare a eficacității la cald în conformitate cu punctul 1.6.2 din anexa 2 la prezenta directivă. Presiunea dispozitivului de acționare este cea utilizată în încercarea de tip 0.

3.6.

Raportul încercării

3.6.1.

Rezultatele încercărilor efectuate în conformitate cu punctul 3.5 se consemnează pe un formular al cărui model este inclus în apendicele 2 din prezenta anexă.

3.6.2.

Se identifică frâna și axa. În acest scop, informațiile referitoare la frâne, axă, masa tehnic admisă și numărul raportului de încercare corespunzător sunt marcate pe axă.

4.   VERIFICARE

4.1.

Verificarea componentelor

Caracteristicile frânelor vehiculului supuse omologării de tip îndeplinesc fiecare dintre criteriile de mai jos:



 

Componentă

Criteriu

4.1.1.

(a)  Secțiunea cilindrică a tamburului de frână

Nu se admit variații

 

(b)  Materialul tamburului

Nu se admit variații

 

(c)  Masa tamburului

Poate varia între 0 și + 20 % din masa tamburului de referință

4.1.2.

(a)  Distanța între roată și suprafața exterioară a tamburului (cota E)

Toleranțele sunt stabilite de serviciul tehnic care efectuează încercările de omologare

 

(b)  Partea tamburului neacoperită de roată (cota F)

 

4.1.3.

(a)  Materialul garniturilor de frână

Nu se admit variații

 

(b)  Lățimea garniturilor de frână

 

(c)  Grosimea garniturilor de frână

 

(d)  Suprafața efectivă a garniturilor de frână

 

(e)  Modul de fixare al garniturilor de frână

4.1.4.

Geometria frânei (figura 2)

Nu se admit variații

4.1.5.

Raza de rulare a pneurilor (R)

Poate varia, cu respectarea condițiilor enumerate la punctul 4.3.1.4 din prezentul apendice

4.1.6.

(a)  Forța de tracțiune medie (THA)

Pot varia, cu condiția ca eficacitatea prevăzută să îndeplinească dispozițiile de la punctul 4.3 din prezentul apendice

 

(b)  Cursa dispozitivului de acționare (s)

 
 

(c)  Lungimea pârghiei (l)

 
 

(d)  Presiunea dispozitivului de acționare (p)

 

4.1.7.

Masa statică (P)

P nu depășește Pe (a se vedea punctul 2)

4.2.

Verificarea forțelor de frânare dezvoltate

4.2.1.

Forțele de frânare (T) pentru fiecare frână supusă încercării (pentru aceeași presiune a circuitului de comandă pm) necesare pentru a produce eficacitatea specificată pentru condițiile încercărilor de tip I și III nu depășește valorile Te indicate în rezultatele încercării în apendicele 2, punctul 2 din prezenta anexă, care au fost folosite ca bază pentru încercarea frânei de referință.

4.3.

Verificarea eficacității la cald

4.3.1.

Forța de frânare (T) pentru fiecare frână supusă încercării pentru o presiune specificată a dispozitivului de acționare (p) și o presiune a circuitului de comandă (pm) folosite în timpul încercării de tip 0 a remorcii respective se determină prin metodele descrise de la punctul 4.3.1.1 la punctul 4.3.1.4.

4.3.1.1.

Se determină cursa calculată a dispozitivului de acționare al frânei (s):

image

s nu depășește cursa efectivă (SP)

4.3.1.2.

Se determină forța de tracțiune medie (ThA) a dispozitivului de acționare al frânei supuse încercării la presiunea specificată la punctul 4.3.1.

4.3.1.3.

Cuplul axului cu came este dat de:

image

C nu depășește Cmax.

4.3.1.4.

Eficacitatea de frânare calculată pentru frâna supusă încercării este dată de:

image

R nu are o valoare mai mică decât 0,8 Re.

4.3.2.

Eficacitatea de frânare calculată pentru remorca supusă încercării este dată de:

image

4.3.3.

Eficacitățile la cald după încercările de tip I sau de tip III se determină în conformitate cu punctele 4.3.1.1, 4.3.1.2, 4.3.1.3 și 4.3.1.4. Valorile calculate conform punctului 4.3.2 îndeplinesc dispozițiile prezentei directive pentru remorca respectivă. Valoarea utilizată ca „valoare înregistrată în încercarea de tip 0” conform dispozițiilor din anexa 2, punctul 1.3.3 la 1.6.2., este valoarea care a fost înregistrată în încercarea de tip 0 a remorcii respective.




Apendicele 2

Model de raport de încercare al axei de referință în conformitate cu apendicele 1 punctul 3.6 al prezentei anexe

Raport de încercare nr. …1.IDENTIFICARE1.1.AxăProducător (denumire și adresă)MarcăTipModelSarcină tehnic admisă pe axă (Pe) (în kg)1.2.FrânăProducător (denumire și adresă)MarcăTipModelCuplu maxim tehnic admis al axului cu came CmaxTambur de frână:Diametru interiorMasăMaterial (se atașează schița cotată conform figurii 1)Garnitură de frână:ProducătorTipIdentificare (vizibilă atunci când garnitura este montată pe sabotul frânei)LățimeGrosimeSuprafațăMod de fixareGeometria frânei (se atașează schița cotată conform figurii 2)1.3.RoțiSimplă/jumelată (1)Diametrul jantei (D)(se atașează schița cotată conform figurii 1)1.4.PneuriRaza de rulare dinamică (Re) la sarcina de referință (Pe)1.5.Dispozitiv de acționareProducătorTip (cilindru/diafragmă) (1)ModelLungimea pârghiei (l)REZULTATELE ÎNCERCĂRII [corectate pentru a lua în considerare rezistența la rulare (0,01 × Pe)] (2)2.2.1.Vehicule din categoriile O2 și O3ITipul încercării:0Anexa VII, apendicele 1, punctul3.5.1.23.5.2.2/33.5.2.4Viteza încercării(km/h)404040Presiunea la dispozitivul de acționare Pe(bar)(1)A se șterge, după caz.(2)Indicați dacă este o încercare pe pistă, o încercare dinamometrică inerțială sau o încercare dinamometrică pe stand.

ITipul încercării:0Anexa VII, apendicele 1, punctul3.5.1.23.5.2.2/33.5.2.4Timpul de frânare(min)2,55Forța de frânare dezvoltată Te(daN)Eficacitatea frânării Te/Pe(mm)Cursa dispozitivului de acționare SeCuplul aplicat axului cu came Ce(Nm)(Nm)Co,e2.2.Vehicule din categoria O4IIITipul încercării:03.5.1.2Anexa VII, apendicele 1, punctul3.5.3.13.5.3.2Viteza inițială a încercării(km/h)6060Viteza finală a încercării(km/h)(bar)Presiunea la dispozitivul de acționare PeNumărul de aplicări ale frânei20(s)60Durata ciclului de frânare(daN)Forța de frânare dezvoltată TeEficacitatea frânării Te/Pe(mm)Cursa dispozitivului de acționare Se(Nm)Cuplul aplicat axului cu came CeCo,e(Nm)3.DENUMIREA SERVICIULUI TEHNIC CARE EFECTUEAZĂ ÎNCERCAREA4.DATA ÎNCERCĂRII5.Această încercare a fost efectuată și rezultatele au fost consemnate în conformitate cu Directiva 71/320/CEE astfel cum a fost modificată ultima dată prin Directiva 98/12/CE și anexa VII apendicele 1.Serviciul tehnic/autoritatea competentă în materie de omologare, dacă aceasta este alta decât serviciul tehnic……SemnăturaData6.Autoritatea competentă în materie de omologare, dacă aceasta este alta decât serviciul tehnic:……SemnăturaData(1)A se șterge, după caz.

Figura 1

Secțiune prin axă

Sarcina pe axă (kg)Be (mm)Re (mm)De (mm)Ee (mm)Fe (mm)PneuJantăLățimea tamburului Xe

Figura 2

Geometria frânei

Toate dimensiunile, exceptând α0, α1 și F, sunt exprimate în mm [F = suprafața de frânare per frână (cm2)].Tip de frână:




ANEXA VIII

Condiții privind încercarea vehiculelor cu sisteme de frânare inerțiale

1.   DISPOZIȚII GENERALE

1.1.

Sistemul de frânare inerțial al unei remorci cuprinde dispozitivul de comandă, transmisia și frâna, conform definiției de la punctul 1.4.

1.2.

Dispozitivul de comandă este ansamblul componentelor ce cuprinde racordul de cuplare.

1.3.

Transmisia este ansamblul componentelor cuprinse între racordul de cuplare și primul element al frânei.

1.4.

Prin „frână” se înțelege piesa în care se dezvoltă forțele care se opun mișcării vehiculului. Piesa care constituie extremitatea frânei este fie pârghia care acționează cama frânei sau elemente similare (frână inerțială cu transmisie mecanică), fie cilindrul de frână (frână inerțială cu transmisie hidraulică).

1.5.

Sistemele de frânare în care energia acumulată (de exemplu, energie electrică, pneumatică sau hidraulică) este transmisă remorcii de către vehiculul tractor și este controlată numai de forța de tracțiune asupra cuplării nu constituie sisteme de frânare inerțiale în sensul prezentei directive.

1.6.

Încercări

1.6.1.

Determinarea principalelor caracteristici ale frânei.

1.6.2.

Determinarea principalelor caracteristici ale dispozitivului de comandă și verificarea conformității sale cu dispozițiile prezentei directive.

1.6.3.

Verificarea pe vehicul:

 a compatibilității dispozitivului de comandă și frânei

 a transmisiei.

2.   SIMBOLURI ȘI DEFINIȚII

2.1.

Unități folosite

2.1.1.

Mase: kg

2.1.2.

Forțe: N

2.1.3.

Cupluri și momente: Nm

2.1.4.

Suprafețe: cm2

2.1.5.

Presiuni: bar

2.1.6.

Lungimi: unitate specificată în fiecare caz.

2.1.7.

Accelerația gravitațională: g = 10 m/s2.

2.2.

Simboluri valabile pentru toate tipurile de frâne (a se vedea figura 1 din apendicele 1 al prezentei anexe)

2.2.1.

GA : masa maximă tehnic admisă a remorcii declarată de fabricant

2.2.2.

GA : masa maximă a remorcii care, conform declarației fabricantului, poate fi frânată de dispozitivul de comandă

2.2.3.

GB :

masa maximă a remorcii care poate fi frânată prin acțiunea comună a tuturor frânelor remorcii

image

2.2.4.

GBo : fracțiunea „masei maxime” admise a remorcii care, conform declarației fabricantului, poate fi oprită de o frână.

2.2.5.

B* : forța de frânare necesară

2.2.6.

B : forța de frânare necesară luând în considerare rezistența la rulare

2.2.7.

D* : forța de tracțiune admisă pe cuplare

2.2.8.

D : sarcina pe cuplare

2.2.9.

P′ : forța produsă de dispozitivul de comandă

2.2.10.

K : forța suplimentară a dispozitivului de comandă; aceasta se definește în mod convențional ca fiind forța D corespunzătoare punctului de intersecție a axei x cu curba extrapolată care exprimă P' în funcție de D, măsurată cu dispozitivul de comandă la jumătatea cursei (a se vedea figurile 2 și 3 din apendicele 1)

2.2.11.

KA : pragul de acționare al dispozitivului de comandă – aceasta este forța maximă pe racordul de cuplare care poate fi aplicată pe o perioadă scurtă de timp fără a produce o acțiune a dispozitivului de comandă. În mod convențional, KA se definește ca fiind forța măsurată atunci când forța începe să fie exercitată pe racordul de cuplare la o viteză de la 10 la 15 mm/s, transmisia dispozitivului de comandă nefiind cuplată

2.2.12.

D1 : aceasta este forța maximă aplicată racordului de cuplare când este împins înapoi la o viteză de s mm/s ± 10 %, transmisia nefiind cuplată

2.2.13.

D2 : aceasta este forța maximă aplicată racordului de cuplare când acesta este împins înainte la o viteză de s mm/s ± 10 % din poziția sa de compresie maximă, transmisia nefiind cuplată

2.2.14.

ηH0 : randamentul dispozitivului de comandă inerțial

2.2.15.

ηH1 : randamentul sistemului de transmisie

2.2.16.

ηH :

randamentul total al dispozitivului de comandă și al transmisiei

image

2.2.17.

s : cursa dispozitivului de comandă (exprimată în milimetri)

2.2.18.

s′ : cursa utilă a dispozitivului de comandă (exprimată în milimetri), determinată în conformitate cu dispozițiile de la punctul 9.4.1

2.2.19.

s′′ : cursa de rezervă a cilindrului principal, măsurată în milimetri la racordul de cuplare

2.2.20.

s0 : pierderea de cursă, și anume cursa, măsurată în milimetri, a racordului de cuplare când este acționat în așa fel încât acesta se mișcă de la un punct situat la 300 mm deasupra planului orizontal la un punct situat la 300 mm sub planul orizontal, transmisia rămânând imobilă

2.2.21.

2SB : cursa de strângere a sabotului frânei, măsurată pe diametrul paralel cu dispozitivul de strângere și fără ca frânele să fie ajustate în timpul încercării (exprimată în milimetri)

2.2.22.

2SB :

cursa minimă de strângere măsurată la centrul saboților (cursa minimă la aplicarea saboților) exprimată în milimetri pentru frânele cu tambur

image

2r fiind diametrul tamburului frânei exprimat în milimetri (a se vedea figura 4 din apendicele 1)

pentru frâne cu disc cu transmisie hidraulică:

image

unde:

V60 = absorbția volumului de fluid al frânei unei roți la o presiune corespunzătoare unei forțe de frânare de 1,2 B* = 0,6 × GBo și la o rază maximă a pneului, și

2rA = diametrul exterior al discului frânei

(V60 în cm3, FRZ în cm2și rA în mm)

2.2.23.

M : momentul de frânare

2.2.24.

R : raza de rulare dinamică a pneului (exprimată în metri și rotunjită la cel mai apropiat centimetru)

2.2.25.

n : numărul frânelor

2.2.26.

DA : forța aplicată la intrarea dispozitivului de comandă, la care limitatorul de suprasarcină este activat

2.2.27.

MA : cuplul de frânare la care limitatorul de suprasarcină este activat

2.3.

Simboluri pentru sisteme de frânare cu transmisie mecanică (a se vedea figura 5 din apendicele 1 al prezentei anexe)

2.3.1.

iHo : raportul de demultiplicare între cursa racordului de cuplare și cursa pârghiei la extremitatea dispozitivului de comandă

2.3.2.

iHi : raportul de demultiplicare între cursa pârghiei la extremitatea dispozitivului de comandă și cursa pârghiei frânei (demultiplicarea transmisiei)

2.3.3.

iH :

raportul de demultiplicare între cursa racordului de cuplare și cursa pârghiei frânei

image

2.3.4.

ig : raportul de demultiplicare între cursa pârghiei frânei și cursa de strângere în centrului sabotului (a se vedea figura 4 din apendicele 1 al prezentei anexe)

2.3.5.

P : forța aplicată pârghiei de comandă a frânei

2.3.6.

P0 : forța de rapel a frânei; aceasta este, în diagrama M = ƒ (P), valoarea forței P la punctul de intersecție al prelungirii acestei funcții cu abscisa (a se vedea figura 6 din apendicele 1 al prezentei anexe)

2.3.7.

ρ :

caracteristica frânei definită prin:

image

2.4.

Simboluri pentru sisteme de frânare cu transmisie hidraulică (a se vedea figura 8 din apendicele 1 al prezentei anexe)

2.4.1.

Ih : raportul de demultiplicare între cursa racordului de cuplare și cursa pistonului cilindrului principal

2.4.2.

Ig : raportul de demultiplicare între cursa receptorului cilindrilor și cursa de strângere în centrul sabotului

2.4.3.

FRZ : suprafața pistonului unui cilindru de frână, pentru frânele cu tambur; pentru frânele cu disc, suma suprafeței pistoanelor etrierului pe o parte a discului

2.4.4

FHZ : suprafața pistonului cilindrului principal

2.4.5.

p : presiunea hidraulică în cilindrul de frână

2.4.6.

p0 : presiunea de rapel în cilindrul de frână; în diagrama M = ƒ (p), valoarea presiunii p în punctul de intersecție al prelungirii acestei funcții cu abscisa (a se vedea figura 7 din apendicele 1 al prezentei anexe)

2.4.7.

ρ′ :

caracteristica frânei definită prin:

image

3.   DISPOZIȚII GENERALE

3.1.

Transmiterea puterii de frânare de la racordul de cuplare la frânele remorcii se efectuează fie prin tija de legătură, fie prin intermediul unuia sau mai multor fluide. Cu toate acestea, se poate folosi un cablu izolat (tip Bowden) pentru asigurarea unei porțiuni a transmisiei. Această porțiune este cât mai scurtă posibil.

3.2.

Toate buloanele de la articulații trebuie să fie protejate în mod adecvat. De asemenea, aceste legături sunt fie cu ungere automată, fie ușor accesibile pentru ungere.

3.3.

Sistemele de frânare inerțiale se amplasează astfel încât, în caz de utilizare a cursei maxime a racordului de cuplare, nici una din părțile transmisiei să nu se blocheze, să nu sufere o deformare permanentă și să nu se defecteze. Verificarea acestui lucru se face prin decuplarea extremității transmisiei de pârghiile de comandă ale frânei.

3.4.

Din construcție, sistemul de frânare inerțial permite remorcii să se deplaseze înapoi cu vehiculul tractor fără a impune o forță de rezistență care să depășească 0,08 × g × GA. Dispozitivele folosite în acest scop acționează automat și se declanșează automat atunci când vehiculul se mișcă înainte.

3.5.

Orice dispozitiv special încorporat, în sensul punctului 3.4, este realizat astfel încât eficacitatea frânei de parcare pe o rampă să nu fie afectată în mod negativ.

3.6.

Numai sistemele de frânare inerțiale cu frâne cu disc pot fi prevăzute cu limitatori de suprasarcină. Ei pot să nu fie acționați de o forță mai mică de 1,2 P sau o presiune mai mică de 1,2 p ce corespunde unei forțe de frânare de B* = 0,5 × g × GBO (în cazul montării pe frâna roții) sau de către o forță de tracțiune pe cuplare mai mică de 1,2 × D* (în cazul montării pe dispozitivul de comandă).

4.   DISPOZIȚII PENTRU DISPOZITIVELE DE COMANDĂ

4.1.

Părțile culisante ale dispozitivului de comandă sunt suficient de lungi pentru a permite cursei să fie utilizată integral, chiar și în cazul în care remorca este cuplată.

4.2.

Părțile culisante sunt protejate de o mască sau alt dispozitiv echivalent. Acestea sunt unse sau realizate din materiale cu autoungere. Suprafețele în fricțiune se realizează dintr-un astfel de material încât să nu existe cuplu electrochimic și nici o incompatibilitate mecanică ce ar putea provoca o blocare sau o gripare a părților culisante.

4.3.

Pragul de solicitare al dispozitivului de comandă (KA) se situează între 0,02 × g × G′A și 0,04 × g × G′A.

4.4.

Forța de compresie D1 maximă nu depășește 0,10 × g × G′A în cazul remorcilor cu bară de tracțiune rigidă și 0,067 × g × G′A în cazul remorcilor cu mai multe axe cu bară de tracțiune pivotantă.

4.5.

Forța de tracțiune D2 maximă se situează între 0,1 × g × G′A și 0,5 × g × G′A.

5.   VERIFICĂRI ȘI MĂSURĂTORI DE EFECTUAT ASUPRA DISPOZITIVELOR DE COMANDĂ

5.1.

Dispozitivele de comandă prezentate serviciului tehnic care efectuează încercările sunt verificate privind conformitatea cu dispozițiile de la punctele 3 și 4.

5.2.

Pentru toate tipurile de sisteme de frânare se verifică următoarele:

5.2.1.

Cursa s și cursa efectivă s′.

5.2.2.

Forța suplimentară K.

5.2.3.

Forța limită de acționare KA.

5.2.4.

Forța de compresie maximă D1.

5.2.5.

Forța de tracțiune D2.

5.3.

Pentru frânele inerțiale cu tracțiune mecanică, se determină următoarele:

5.3.1.

Raportul de demultiplicare iH0 măsurat la mijlocul cursei dispozitivului de comandă.

5.3.2.

Forța P′ la extremitatea dispozitivului de comandă, ca funcție a tracțiunii D asupra barei de tracțiune. Forța suplimentară K și eficacitatea se determină din curba reprezentativă obținută în urma măsurătorilor:

image

(a se vedea figura 2 din apendicele 1)

5.4.

Pentru frânele inerțiale cu transmisie hidraulică, se determină următoarele:

5.4.1.

Raportul de demultiplicare ih măsurat la mijlocul cursei dispozitivului de comandă.

5.4.2.

presiunea p la ieșirea cilindrului principal în funcție de tracțiunea D asupra barei de tracțiune și de suprafața FHZ a pistonului cilindrului principal, specificată de producător. Forța suplimentară K și eficacitatea se determină din curba reprezentativă obținută în urma măsurătorilor:

image

(a se vedea figura 3 din apendicele 1)

5.4.3.

Cursa de rezervă a cilindrului principal s″ menționată la punctul 2.2.19.

5.5.

În cazul frânelor inerțiale ale remorcilor cu mai multe axe cu bară de tracțiune cu pivot, se măsoară pierderea cursei s0 menționată la punctul 9.4.1.

6.   DISPOZIȚII APLICABILE FRÂNELOR

6.1.

Producătorul pune la dispoziția serviciului tehnic care efectuează încercările, în mod suplimentar față de frânele care urmează să fie supuse încercării, schițe ale acestora care indică tipul, dimensiunea și materialul părților principale, precum și marca și tipul garniturilor. Aceste schițe indică de asemenea și suprafața FRZ a cilindrilor de frână, în cazul frânelor hidraulice. Producătorul indică, de asemenea, cuplul de frânare maxim Mmax admis, precum și masa GBO menționată la punctul 2.2.4.

6.2.

Cuplul de frânare Mmax specificat de producător este cel puțin corespunzător unei valori de 1,2 ori forța P sau de 1,2 ori presiunea p necesară pentru a obține o forță de frânare de B* = 0,5 × g × GBO.

6.2.1.

În cazul în care nici un limitator de suprasarcină nu este montat sau nu urmează să fie montat pe sistemul de frânare inerțial, frâna este supusă încercării la o valoare de 1,8 ori mai mare ca forța P sau de 1,8 ori mai mare ca presiunea p necesară pentru a obține o forță de frânare B* = 0,5 × g × GBO.

6.2.2.

În cazul în care un limitator de suprasarcină este montat sau urmează să fie montat pe sistemul de frânare inerțial, frâna este supusă încercării la o valoare de 1,1 ori mai mare ca forța Pmax sau P′max sau de 1,1 ori mai mare ca presiunea pmax sau p′max a limitatorului de suprasarcină, inclusiv toate toleranțele (specificate de producător).

7.   VERIFICĂRI ȘI MĂSURĂTORI DE EFECTUAT ASUPRA FRÂNELOR

7.1.

Frânele și piesele prezentate serviciului tehnic care efectuează încercările sunt verificate privind conformitatea cu dispozițiile de la punctul 6.

7.2.

Se determină următoarele:

7.2.1.

Cursa de strângere 2SB*.

7.2.2.

Cursa de strângere 2SB (care trebuie să fie mai mare decât 2SB*).

7.2.3.

Momentul de frânare M în funcție de forța P aplicată pârghiei de comandă în cazul dispozitivelor cu transmisie mecanică și de presiunea p în cilindrul de frână în cazul dispozitivelor cu transmisie hidraulică.

Viteza de rotație a frânelor corespunde unei viteze inițiale a vehiculului de 60 km/h. Din curba obținută în urma acestor măsurări se deduc următoarele:

7.2.3.1.

Forța de rapel PO și caracteristica ρ, în cazul frânelor acționate mecanic (a se vedea figura 6 din apendicele 1).

7.2.3.2.

Presiunea de rapel po și caracteristica ρ′, în cazul frânelor acționate hidraulic (a se vedea figura 7 din apendicele 1).

8.   RAPOARTE DE ÎNCERCARE

Cererile pentru omologarea de tip a remorcilor prevăzute cu frâne inerțiale sunt însoțite de rapoartele de încercare ale dispozitivului de comandă și ale frânelor, precum și de raportul de încercare a compatibilității între dispozitivul de comandă inerțial, transmisie și frânele remorcii; aceste rapoarte cuprind cel puțin informațiile specificate în apendicele 2, 3 și 4 din prezenta anexă.

9.   COMPATIBILITATEA DISPOZITIVULUI DE COMANDĂ ȘI FRÂNELOR UNUI VEHICUL

9.1.

Se efectuează o verificare a vehiculului, luând în considerare caracteristicile dispozitivului de comandă (apendicele 2) și ale frânelor (apendicele 3) precum și caracteristicile remorcii menționate la punctul 4 din apendicele 4, cu privire la conformitatea sistemului de frânare inerțial al remorcii cu dispozițiile corespunzătoare.

9.2.

Verificări generale pentru toate tipurile de frâne.

9.2.1.

Acele componente ale transmisiei care nu au fost verificate în același timp cu dispozitivul de comandă sau cu frânele se verifică pe vehicul. Rezultatele verificării se consemnează în apendicele 4 (de exemplu, iH1 și ηH1).

9.2.2.

Masa

9.2.2.1.

Masa maximă a remorcii GA nu depășește masa maximă G′A pentru care dispozitivul de comandă este autorizat.

9.2.2.2.

Masa maximă a remorcii GA nu depășește masa maximă GB care poate fi frânată prin acționarea în comun a tuturor frânelor remorcii.

9.2.3.

Forțe

9.2.3.1.

Forța limită de acționare a sistemului de comandă KA nu este mai mică de 0,02 × g × GA și nici mai mare de 0,04 × g × GA.

9.2.3.2.

Forța maximă de șoc D1 nu depășește 0,10 × g × GA în cazul remorcilor cu bare de tracțiune rigide și nici 0,067 × g × GA în cazul remorcilor cu mai multe axe cu bare de tracțiune cu pivot.

9.2.3.3.

Forța maximă de tracțiune D2 este cuprinsă între 0,1 × g × GA și 0,5 × g × GA.

9.3.

Verificarea eficacității frânării

9.3.1.

Suma forțelor de frânare exercitate pe circumferința roților remorcii este cel puțin B* = 0,5 × g × GA, inclusiv o rezistență la rulare de 0,01 × g × GA. Aceasta reprezintă o forță de frânare de B* = 0,49 × g × GA. În acest caz, forța maximă de tracțiune admisă asupra cuplării este:

D* = 0,067 × g × GA în cazul remorcilor cu mai multe axe cu bară de tracțiune cu pivot

D* = 0,10 × g × GA în cazul remorcilor cu bară de tracțiune rigidă.

Pentru a verifica dacă aceste condiții sunt îndeplinite, se aplică următoarele inegalități:

9.3.1.1.

În cazul sistemelor de frânare inerțiale cu transmisie mecanică

image

9.3.1.2.

În cazul sistemelor de frânare inerțiale cu transmisie hidraulică

image

9.4.

Verificarea cursei comenzii

9.4.1.

În cazul dispozitivelor de comandă pentru remorci cu mai multe axe cu bară de tracțiune pivotantă al căror sistem de tije de frânare este dependent de poziția dispozitivului de tracțiune, cursa comenzii s este mai mare decât cursa utilă a comenzii s′, diferența fiind cel puțin echivalentă cu pierderea cursei so. Sursa so nu depășește 10 % din cursa utilă s′.

9.4.2.

Cursa utilă a comenzii s′ se determină în modul următor:

9.4.2.1.

În cazul în care tijele sistemului de frânare sunt influențate de poziția angulară a dispozitivului de tracțiune, atunci:

image

9.4.2.2.

În cazul în care nu există nici o pierdere în cursă, atunci:

image

9.4.2.3.

În cazul sistemelor de frânare hidraulice:

image

9.4.3.

Pentru a verifica dacă este adecvată cursa comenzii se aplică inegalitățile următoare:

9.4.3.1.

În cazul sistemelor de frânare inerțiale cu transmisie mecanică:

image

9.4.3.2.

În cazul sistemelor de frânare inerțiale cu transmisie hidraulică:

image

9.5.

Verificări suplimentare

9.5.1.

În cazul sistemelor de frânare inerțiale cu transmisie mecanică, se efectuează verificarea corectitudinii montării sistemului de tije prin care forțele sunt transmise de la dispozitivul de comandă.

9.5.2.

În cazul sistemelor de frânare inerțiale cu transmisie hidraulică, se efectuează o verificare pentru a determina dacă cursa sistemului de acționare a cilindrului principal atinge nivelul minim de s/ih.

Nu se admite o valoare inferioară.

9.5.3.

Comportamentul general al vehiculului la frânare face obiectul unei încercări pe drum a sistemului de frânare, la diferite viteze, la diferite eforturi de frânare și la frecvențe diferite de acționare a frânelor. Nu se admit oscilații spontane neamortizate.

10.   OBSERVAȚII GENERALE

Dispozițiile de mai sus se aplică sistemelor de frânare inerțiale cu transmisie mecanică sau hidraulică cele mai curente; în cazul acestor modele, în special, toate roțile remorcilor sunt echipate cu același tip de frâne și cu același tip de pneuri.

La verificarea unor modele speciale, dispozițiile de mai sus se adaptează.




Apendicele 1

Scheme explicative

Figura 1

Simboluri valabile pentru toate tipurile de sisteme de frânare

(a se vedea punctul 2.2 din prezenta anexă)

image

Figura 2

Transmisie mecanică

(a se vedea punctele 2.2.10 și 5.3.2 din prezenta anexă)

image

Figura 3

Transmisie hidraulică

(a se vedea punctele 2.2.10 și 5.4.2 din prezenta anexă)

image

Figura 4

Verificarea frânelor

(a se vedea punctele 2.2.22 și 2.3.4 din prezenta anexă)

Cuplarea tijă – camăCursa de strângere laCursa unuimijlocul sabotuluisabot

Cursa de strângere în centrul sabotului: SB* = 1,2 mm + 0,2 % × 2r

RetractorSensul de tracțiune al cabluluiRetractor:

Figura 5

Frâne cu transmisie mecanică

(a se vedea punctul 2.3 din prezenta anexă)

1.2.Dispozitiv de comandă1.3.Transmisie1.4.Frâne

Figura 6

Frână mecanică

(a se vedea punctele 2.3.6 și 7.2.3.1 din prezenta anexă)

image

Figura 7

Frână hidraulică

(a se vedea punctele 2.4.6 și 7.2.3.2 din prezenta anexă)

image

Figura 8

Sistem de frânare cu transmisie hidraulică

(a se vedea punctul 2.4 din prezenta anexă)

1.2.Dispozitiv de comandă1.4.FrâneFrână cu tamburFrână cu discFrână cu disc




Apendicele 2

Raport de încercare a dispozitivului de comandă

1.Producător …2.Marcă …3.Tip …4.Caracteristicile remorcilor pentru care este fabricat dispozitivul de comandă:4.1.masa G'A = … kg4.2.forța statică verticală admisă la capătul dispozitivului de tracțiune … Nremorca cu bară de tracțiune rigidă (1) sau cu mai multe axe și bară de tracțiune cu pivot (1)4.3.5.Scurtă descriere(Lista planurilor și a desenelor cotate atașate)6.Schema principală a dispozitivului de comandă7.Cursa s = … mm8.Raportul de demultiplicare al dispozitivului de comandă:în cazul dispozitivului cu transmisie mecanică (1)8.1.iHo = de la… la … (2)în cazul dispozitivului cu transmisie hidraulică (1)8.2.ih = de la … la …(2)FHZ = … cm2cursa cilindrului principal … mm9.Rezultatele încercării:9.1.Randamentulîn cazul dispozitivului cu transmisie mecanicăηH = …în cazul dispozitivului cu transmisie hidraulicăηH = …9.2.forța complementară K= … N9.3.Forța de compresie maximă D1= … N9.4.= …NForța de tracțiune maximă D29.5.= …NForța limită de acționare KA9.6.Pierderea de cursă și cursa liberă:s0 (1) = …în cazul în care poziția dispozitivului de tracțiune are un efects'' (1) = …în cazul unui dispozitiv cu transmisie hidraulică9.7.Cursa utilă a comenziis' = …Există/nu există (1) un limitator de suprasarcină conform punctului 3.6 din prezenta anexă9.8.9.8.1.Dacă limitatorul de suprasarcină este montat înaintea pârghiei de transmisie a dispozitivului de comandă9.8.1.1.Pragul de solicitare al limitatorului de suprasarcinăDA = … Ndacă limitatorul de suprasarcină este mecanic (1)9.8.1.2.forța maximă P'max pe care o poate dezvolta dispozitivul de comandă inerțialP'max/IHo = … N(1)A se șterge, după caz.(2)Se indică lungimile folosite pentru a determina iHo și ih.

9.8.1.3dacă limitatorul de suprasarcină este hidraulic (1)presiunea hidraulică maximă pe care o poate dezvolta dispozitivul de comandă inerțialp'max/iH = … N/cm29.8.2.Dacă limitatorul de suprasarcină este montat după pârghia de transmisie a dispozitivului de comandă9.8.2.1Pragul de solicitare al limitatorului de suprasarcinădacă limitatorul de suprasarcină este mecanic (1) DA iHo = … Ndacă limitatorul de suprasarcină este hidraulic (1) DA iH = …9.8.2.2Dacă limitatorul de suprasarcină este mecanic (1)forȘa maximă P'max pe care o poate dezvolta dispozitivul de comandă inerțialp'max = … N9.8.2.3Dacă limitatorul de suprasarcină este hidraulic (1)presiunea hidraulică maximă pe care o poate dezvolta dispozitivul de comandă inerțialp'max = … N/cm210.Serviciul tehnic care a efectuat încercările11.Dispozitivul de comandă descris mai sus îndeplinește/nu îndeplinește (1) dispozițiile punctelor 3, 4 și 5 de la condițiile de verificare pentru vehiculele prevăzute cu sisteme de frânare inerțiale.…Semnătura(1)A se șterge, după caz.




Apendicele 3

Raport de încercare a frânei

1.Producător …2.Marcă …3.Tip …4.Masa maximă tehnic admisă pe roată GBo = … kg5.Cuplul maxim al sistemului de frânare Mmax = … Nm(specificat de producător conform punctului 6.2 din prezenta anexă)5.1.Cuplul de frânare încercat = … Nm(conform punctului 6.2.1 și respectiv 6.2.2. din prezenta anexă)6.Raza dinamică de rulare a pneuluiRmin = … m; Rmax = … m7.Scurtă descriere(Lista planurilor și desenelor cotate prezentate)8.Schema principală a frânei:9.Rezultatul încercării:Frână mecanică (1)Frână hidraulică (1)9.1.Raport de demultiplicare9.1a.Raport de demultiplicareig =…(2)ig' = … (2)9.2.Deplasarea centrului sabotului9.2a.Deplasarea centrului sabotuluisB = … mmsB = … mm9.3.Cursa de strângere la mijlocul sabotului9.3a.Cursa de strângere la mijlocul sabotuluisB(*) = … mmsB(*) = … mm9.4.Forța de rapel9.4a.Presiunea de rapelP0 = … Np0 = … bar9.5.Coeficient9.4a.Coeficientρ' = … m cm2ρ = … M9.6.9.6a.Limitator de suprasarcină, conform punctului 3.6 din prezenta anexă: da/nu (1)Limitator de suprasarcină, conform punctului 3.6 din prezenta anexă: da/nu (1)Cuplul de frânare la care acționează limitatorul de suprasarcină 19.6.1.9.6.1a.Cuplul de frânare la care acționează limitatorul de suprasarcinăMA = … NmMA = … Nm9.7.9.7a.Forța maximă admisă pentru MmaxPresiunea maximă admisă pentru Mmaxpmax = …N/cm2Pmax = … N9.8a.Suprafața cilindrului roțiiFRZ = … cm29.9a.(pentru frânele cu disc)Volumul de fluid absorbitV60 = …cm310.Serviciul tehnic care a efectuat încercările11.Frâna descrisă mai sus este/nu este (1) în conformitate cu dispozițiile de la punctele 3 și 6 ale condițiilor de încercare a vehiculelor prevăzute cu sisteme de frânare inerțiale descrise în prezenta anexă.Frâna poate/nu poate (1) fi folosită pentru un sistem de frânare inerțial fără limitator de suprasarcină.…Semnătura(1)A se șterge, după caz.(2)Se indică lungimile care au fost utilizate pentru a determina ig sau ig'.




Apendicele 4

Raportul încercării de compatibilitate între dispozitivul de comandă, transmisie și frâne

1.Dispozitivul de comandădescris în raportul de încercare atașat (a se vedea apendicele 2)Raportul de demultiplicare ales:iHo (1) = …(2) ih (1) = …(2)(se află între limitele specificate în apendicele 2, punctul 8.1 sau 8.2)2.FrâneleDescrise în raportul de încercare atașat (a se vedea apendicele 3)3.Dispozitivele de transmisie de pe remorcă3.1.Scurta descriere cu schemă de principiu3.2.Raportul de demultiplicare și randamentul dispozitivului de transmisie mecanică de pe remorcăiHI (2) = …ηHI = …4.Remorca4.1.Producător:4.2.Marcă:4.3.Tip:4.4.Tip de bară de tracțiune:remorcă cu o singură axă cu bară de tracțiune rigidă/remorca cu mai multe axe și bară de tracțiune cu pivot (1)4.5.Numărul de frâne n = …4.6.Masa maximă tehnic admisă GA = … kg4.7.Raza dinamică de rulare a pneului R = … mD* = 0,10 × g × GA = … N4.8.Forța admisă la cuplaresauD* = 0,067 × g × GA = … NB* = 0,5 × g × GA = … NForța de frânare necesarăForța de frânareB = 0,49 × g × GA = … N5.Rezultatele încercărilor de compatibilitate5.1.Pragul de solicitare 100 KA/g × GA …(cuprins între 2 și 4)5.2.Forța maximă de compresie 100 D1/(g × GA) …(nu depășește 10, pentru remorcile cu bară de tracțiune rigidă sau 6,7 pentru remorcile cu mai multe axe și bară de tracțiune cu pivot)5.3.Forța maximă de tracțiune 100 D2/(g × GA) …(cuprinsă între 10 și 50)5.4.Masa maximă tehnic admisă pentru dispozitivul de acționare inerțial G'A … kg(nu este mai mică decât GA)(1)A se șterge, după caz.(2)Se indică lungimile care au fost folosite pentru a determina iho, ih și iHI.

5.5.Masa maximă tehnic admisă pentru toate frânele remorciiGB = n × GBo = … kg(nu este mai mică decât GA)5.6.Cuplul de frânare maxim al frânelorn x Mmax/(B × R) = …(egal cu sau mai mare de 1,2)5.6.1.Un limitator de suprasarcină, în sensul punctul 3.6 din prezenta anexă este/nu este (1) montat pe dispozitivul de acționare inerțial al frânei (1)Dacă limitatorul de suprasarcină montat pe dispozitivul de acționare inerțial (1) este mecanic5.6.1.1.n x Pmax/(iHI × ηHI × P'max) = …(este egal cu sau mai mare de 1,0)Dacă limitatorul de suprasarcină montat pe dispozitivul de acționare inerțial (1) este hidraulic5.6.1.2.Pmax/P'max = …(este egal cu sau mai mare de 1,0)5.6.1.3.Dacă limitatorul de suprasarcină este montat pe dispozitivul de acționare inerțial:pragul de solicitare DA/D* = …(este egal cu sau mai mare de 1,2)5.6.1.4.dacă limitatorul de suprasarcină este montat pe frâne:pragul de cuplu n MA/(B × R) = …(este egal cu sau mai mare de 1,2)Sistem de frânare inerțial cu transmisie mecanică (1)5.7.5.7.1.iH = iHo × iHI = …5.7.2.ηH ηHo × ηHI = ……5.7.3.(nu depășește iH)…5.7.4.Sistem de frânare inerțial cu transmisie hidraulică (1)5.8.5.8.1.ih/FHZ = ……5.8.2.(nu depășește ih/FHZ)…5.8.3.(este mai mică decât ih/FHZ)5.8.4.s/ih = …(nu este mai mare decât cursa dispozitivului cilindrului principal specificată la punctul 8.2 din apendicele 2)6.Serviciul tehnic care a efectuat încercările7.Sistemul de frânare inerțial descris mai sus este/nu este în conformitate (1) cu dispozițiile de la punctele 3 la 9 privind condițiile de încercare a vehiculelor prevăzute cu sisteme de frânare inerțiale.…Semnătura(1)A se șterge, după caz.




ANEXA IX

Documente de omologare




Apendicele 1

MODEL

[format maxim: A4 (210 × 297 mm)]

CERTIFICAT DE OMOLOGARE CE DE TIPȘtampila autorității competenteComunicare privindomologarea de tip (1)prelungirea omologării de tip (1)respingerea omologării de tip (1)retragerea omologării de tip (1)pentru un tip de vehicul/componentă/unitate tehnică (1) în conformitate cu Directiva 71/320/CEE, astfel cum a fost modificată ultima dată prin Directiva 98/12/CE.Numărul omologării de tip: …Motivele prelungirii: …PARTEA I0.1.Marca (numele societății constructoare):0.2.Tip:Mijloacele de identificare a tipului, dacă sunt marcate pe vehicul/componentă/unitate tehnică (1) (2):0.3.0.3.1.Amplasamentul marcajului:Categoria de vehicul (1) (3):0.4.0.5.Denumirea și adresa constructorului:0.7.În cazul componentelor și unităților tehnice, locul și metoda de aplicare a mărcii de omologare CE de tip:0.8.Adresa (adresele) atelierului (atelierelor) de asamblare:SECȚIUNEA II1.Informații suplimentare (dacă există): a se vedea addenda2.Serviciul tehnic responsabil de efectuarea încercărilor:3.Data raportului de încercare:4.Numărul raportului de încercare:5.Observații (dacă există): a se vedea addenda6.Locul:7.Data:8.Semnătura:9.Se atașează indexul dosarului de omologare prezentat autorităților de omologare, care poate fi obținut la cerere.(1)A se șterge, după caz.(2)Dacă mijloacele de identificare a tipului conțin caractere nerelevante pentru descrierea vehiculului, componentelor sau unităților tehnice cuprinse în prezentul certificat de omologare de tip, aceste caractere sunt reprezentate în documentație prin simbolul ? (de exemplu, ABC?123?).(3)Conform definiției din anexa II A la Directiva 70/156/CEE.

►(1) M8  

Addenda

la certificatul de omologare CE de tip privind omologarea unui tip vehicul în conformitate cu Directiva 71/320/CEE, astfel cum modificată ultima dată prin Directiva 98/12/CE

1.INFORMAȚII SUPLIMENTARE1.1.Masa vehiculului1.1.1.Masa maximă a vehiculului: …1.1.2.Masa minimă a vehiculului: …1.1.3.Distribuția masei pe fiecare axă (valoarea maximă): …1.2.Marca și tipul garniturilor de frână: …1.2.1.Alte garnituri posibile: …Metoda de încercare pentru omologare: încercare vehicule/anexa XII/alta (1) …1.2.2.1.3.În cazul unui autovehicul1.3.1.Tipul de motor: …Dacă este cazul (1), masa maximă a remorcii care poate fi cuplată: …1.3.2.1.3.2.1.remorcă: …1.3.2.2.semiremorcă: …remorcă cu axe mediane: se indică, de asemenea, raportul maxim dintre consola spate de cuplare și ampatament (2): …1.3.2.3.1.3.2.4.masa maximă a ansamblului: …remorcă O (1): frânată/nefrânată (1): …1.3.2.5.vehiculul este/nu este echipat (1) să tracteze remorci cu sistem de frânare electric: …1.3.2.6.vehiculul este/nu este echipat (1) să tracteze remorci cu sistem de frânare antiblocare: …1.3.2.7.1.4.Dimensiunile pneurilor:1.4.1.Dimensiunile roților/pneurilor de rezervă: …Vehiculul îndeplinește dispozițiile din anexa XIII: da/nu (1) …1.4.2.1.5.Numărul și dispunerea axelor: …1.6.Scurtă descriere a sistemului de frânare: …(1)A se șterge, după caz.(2)Consola spate de cuplare reprezintă distanța în plan orizontal între cârligul de tractare pentru remorcile cu axă mediană și linia axei sau axelor spate.

►(1) M8  

1.7.Distribuția frânării între axele vehiculului: …Vehiculul îndeplinește dispozițiile din apendicele anexei II: da/nu (1)1.7.1.1.7.2.Informația cerută la punctul 7.3 din apendicele anexei II: …1.8.Vehicule echipate cu sisteme antiblocare1.8.1.AutovehiculeVehiculul îndeplinește dispozițiile din anexa X: da/nu (1)1.8.1.1.Categoria sistemului antiblocare: 1/2/3 (1)1.8.1.2.1.8.2.RemorciVehiculul îndeplinește condițiile din anexa X: da/nu (1)1.8.2.1.Categoria sistemului de frânare antiblocare: Categoria A/B (1)1.8.2.2.1.8.2.3.În cazul în care se utilizează un raport de încercare conform modelului din anexa XIV, se menționează numărul acestuia: …1.9.Remorci cu sisteme de frânare electricăRemorca îndeplinește dispozițiile din anexa XI: da/nu (1) …1.9.1.5.Observații: …(1)A se șterge, după caz.




Apendicele 2

Raport de încercare

1.Masa vehiculului în momentul încercării:neîncărcat (kg)încărcat (kg)Sarcina pe pivotul de cuplare (1)Axa nr. 1 (2)Axa nr. 2Axa nr. 3Axa nr. 4Total2.Rezultatul încercărilor:Forța măsurată asupra comenzii (N)ÎncercareViteză de încercare (km/h)Eficacitate măsurată2.1.Încercări de tip 0, motor decuplat frânare de serviciu frânare de siguranță2.2.Încercări de tip 0, frânare cu motorul conectat, frânarea în conformitate cu anexa II, punctul 2.1.1.1.1 (2)Încercări de tip I cu frânare repetată (3)2.3.cu frânare continuă (4)2.4.Încercări de tip II sau II A, după cazÎncercări de tip III (4)2.4.1.(1)În cazul unei semiremorci sau a unei remorci cu axă mediană, se indică masa corespunzătoare încărcăturii de pe dispozitivul de cuplare.(2)A se șterge, după caz.(3)Se aplică numai autovehiculelor.(4)Se aplică numai remorcilor.

Sistem(e) de frânare folosit(e) în timpul încercării de tip II/II A sau de tip III (1):2.5.2.6.Timpul de reacție și dimensiunile furtunurilor2.6.1.Timpul de reacție la dispozitivul de acționare a frânei … s2.6.2.Timpul de reacție la capătul de cuplare al circuitului de comandă … s2.6.3.Țevile flexibile ale vehiculelor tractoare pentru semiremorci:lungimea: … mdiametrul interior: … mm2.7.Cazurile în care încercările de tip I și/sau II (sau II A) sau de tip III nu trebuie efectuate (anexa VII):2.7.1.Numărul omologării de tip a vehiculului de referință2.7.2.Axele vehicululuiAxele de referințăEfortul de frânare real la nivelul roțilorEfortul de frânare necesar pentru roțiMasa pe axă (*)Masa pe axă (*)VitezaVitezakgNkm/hkgNkm/hAxa 1Axa 2Axa 3Axa 4(*)Masa maximă tehnic admisă pe axă.2.7.3.Masa maximă a vehiculului supus omologării de tip… kgEfortul de frânare necesar pentru roți… NCuplul de întârziere necesar pe axul principal al frânei… NmCuplul de întârziere obținut pe axul principal al frânei (conform figurii)… Nm

2.7.4.Axa de referință: …Nr. raportului (copie atașată)Data … (copie inclusă)Tip ITip IIIEnergia absorbită de axă (N)(a se vedea punctul 4.2 de la apendicele 1 din anexa VII)Axa 1T1 = … % PeT1 = … % PeAxa 2T2 = … % PeT2 = … % PeAxa 3T3 = … % PeT3 = … % PeCursa calculată a dispozitivului de acționare (mm)(a se vedea punctul 4.3.1.1 apendicele 1 din anexa VII)Axa 1S1 = …S1 = …Axa 2S2 = …S2 = …Axa 3S3 = …S3 = …Forța medie a dispozitivului de acționare (N)(a se vedea punctul 4.3.1.2 apendicele 1 din anexa VII)Axa 1ThA1 = …ThA1 = …Axa 2ThA2 = …ThA2 = …Axa 3ThA3 = …ThA3 = …Eficacitatea frânării (N)(a se vedea punctul 4.3.1.4 apendicele 1 din anexa VII)Axa 1T1 = …T1 = …Axa 2T2 = …T2 = …Axa 3T3 = …T3 = …Tipul III Eficacitate la cald (calculată)Tip I Eficacitate la cald (calculată)Rezultatul încercării de tip 0 asupra remorcii (E)Eficacitatea frânării vehiculului (a se vedea punctul 4.3.2 apendicele 1 din anexa VII)≥ 0,36 și ≥ 0,6 E≥ 0,40 și ≥ 0,6 ESpecificații pentru eficacitatea la cald (a se vedea punctul 1.3.3 și 1.6.2. din anexa II)3.Rezervoare și surse de energie care utilizează aer comprimat:3.1.Volumul total al rezervoarelor pentru frâne: …3.2.Valoarea p2 declarată de constructor …3.3.Presiunea din rezervor după o încercare cu opt aplicări ale frânei …

3.4.Timpul de încărcare T1 …3.5.Timpul de încărcare T2 …3.6.Volumul total al rezervoarelor sistemelor auxiliare …3.7.Timpul de încărcare T3 …4.Frânarea automată la remorcile cu sistem de frânare cu aer comprimat4.1.Factorul de frânare obținut …5.Remorci cu sistem de frânare electric5.1.Factorul de frânare obținut …




Apendicele 3

Lista datelor vehiculului care trebuie furnizate în vederea omologării în conformitate cu anexa XV

1.

Descrierea tipului de vehicul

1.1.

Denumirea comercială sau marca vehiculului

1.2.

Categoria vehiculului:

1.3.

Tipul vehiculului, conform anexei IX apendicele 1:

1.4.

Modelele sau denumirile comerciale ale vehiculelor ce constituie tipul de vehicul:

1.5.

Denumirea și adresa constructorului:

2.

Marca și tipul garniturilor de frână:

2.1.

Garnituri de frână supuse tuturor încercărilor relevante prevăzute de anexa II:

2.2.

Garnituri de frână supuse încercărilor conform anexei XII:

3.

Masa minimă a vehiculului:

3.1.

Distribuția masei pe fiecare axă (valoarea minimă):

4.

Masa maximă a vehiculului:

4.1.

Distribuția masei pe fiecare axă (valoarea maximă):

5.

Viteza maximă a vehiculului:

6.

Dimensiunile pneurilor și ale roților:

7.

Configurația circuitului de frânare (de exemplu, distribuția față/spate sau diagonală):

8.

Declarație cu privire la tipul sistemului de frânare de siguranță:

9.

Specificațiile supapelor din sistemul de frânare, dacă este cazul:

9.1.

Specificațiile reglajelor senzorului de sarcină:

9.2.

Reglarea supapei de refulare:

10.

Distribuția proiectată a forței de frânare:

11.

Specificarea tipului de frână:

11.1.

Tip de frână cu disc

(de exemplu, numărul pistoanelor cu diametre, disc ventilat sau solid etc.):

11.2.

Tip de frână cu tambur

(simplu sau dublu, dimensiunea pistoanelor și a tamburului):

11.3.

În cazul sistemelor de frânare cu aer comprimat, tipul și dimensiunea rezervoarelor, pârghiilor etc.:

12.

Tipul și dimensiunile cilindrului principal:

13.

Tipul și dimensiunile servomecanismului:

▼M7




ANEXA X

Dispoziții privind încercarea vehiculelor prevăzute cu sisteme de frânare antiblocare

1.   OBSERVAȚII GENERALE

1.1.

Prezenta anexă definește eficacitatea de frânare necesară la vehiculele rutiere prevăzute cu sisteme antiblocare. De asemenea, autovehiculele autorizate să tracteze o remorcă, precum și remorcile sau rulotele prevăzute cu sistem de frânare cu aer comprimat, respectă, atunci când vehiculele sunt încărcate, cerințele de compatibilitate prevăzute în apendicele la punctul 1.1.4.2 din anexa II.

1.2.

Sistemele antiblocare cunoscute în prezent pot avea unul sau mai mulți senzori, unul sau mai multe puncte de control și unul sau mai multe modulatoare. Orice alt sistem care poate fi proiectat și introdus în viitor va fi considerat ca reprezentând un sistem antiblocare în sensul prezentei anexe și apendicelui de la punctul 1.1.4.2 din anexa II cu condiția ca performanțele sale să fie egale cu cele prevăzute în prezenta anexă.

2.   DEFINIȚII

2.1.

Un „sistem antiblocare” este o componentă a unui sistem de frânare de serviciu reglează în mod automat gradul de alunecare în sensul de rotație al a roților, la una sau mai multe roți ale vehiculului, în timpul frânării.

2.2.

„Senzor” înseamnă elementul destinat recunoașterii și transmiterii către calculator a condițiilor de rotație ale roților sau a condițiilor dinamice ale vehiculului.

2.3.

„Calculator” înseamnă elementul destinat evaluării datelor transmise de senzori și transmiterii unui semnal către modulator.

2.4.

„Modulator” înseamnă elementul destinat modulării forțelor de frânare în funcție de semnalul primit de la calculator.

2.5.

„Roată controlată direct” înseamnă o roată a cărei forță de frânare este modulată pe baza datelor furnizate cel puțin de senzorul propriu ( 16 ).

2.6.

„Roată controlată indirect” înseamnă o roată a cărei forță de frânare este modulată pe baza datelor furnizate de senzorul (senzorii) unei (unor) alte roți (16) .

3.   TIPURI DE SISTEME ANTIBLOCARE

3.1.

Se consideră că un autovehicul este prevăzut cu un sistem antiblocare în sensul punctul 1 din apendicele de la punctul 1.1.4.2 din anexa II în cazul în care este prevăzut cu unul dintre dispozitivele următoare:

3.1.1.

Sistem antiblocare din categoria 1:

Un vehicul prevăzut cu un sistem antiblocare din categoria 1 îndeplinește toate dispozițiile corespunzătoare din prezenta anexă.

3.1.2.

Sistem antiblocare din categoria 2:

Un vehicul prevăzut cu un sistem antiblocare din categoria 2 îndeplinește toate dispozițiile corespunzătoare din prezenta anexă, cu excepția celor de la punctul 5.3.5.

3.1.3.

Sistem antiblocare din categoria 3:

Un vehicul prevăzut cu un sistem antiblocare din categoria 3 îndeplinește toate dispozițiile corespunzătoare din prezenta anexă, cu excepția celor de la punctul 5.3.4 și 5.3.5. La astfel de vehicule, orice axă (sau boghiu) care nu include cel puțin o roată controlată direct trebuie să îndeplinească condițiile de utilizare a aderenței și succesiunile de blocare descrise în apendicele de la punctul 1.1.4.2 din anexa II și nu condițiile de utilizare a aderenței de la punctul 5.2 din prezenta anexă. Totuși, în cazul în care pozițiile relative ale curbelor de utilizare a aderenței nu respectă punctul 3.1.1 din apendicele de la punctul 1.1.4.2 din anexa II, se efectuează o verificare pentru a se asigura că roțile de la cel puțin una din axele din spate nu se blochează înaintea celor de la axa sau axele din față, în conformitate cu condițiile descrise la punctele 3.1.1 și 3.1.4. din apendice la punctul 1.1.4.2 din anexa II privind viteza de frânare și, respectiv, sarcina. Aceste dispoziții pot fi verificate pe căi de rulare cu grad înalt sau redus de aderență (aproximativ 0,8 și maxim 0,3) prin modularea forței exercitate asupra comenzii frânei de serviciu.

3.2.

Se consideră că o remorcă este prevăzută cu un sistem antiblocare, în sensul punctului 1 din apendicele de la punctul 1.1.4.2 din anexa II, atunci când cel puțin două roți situate pe laturi opuse ale vehiculului sunt controlate direct iar toate celelalte roți sunt controlate fie direct, fie indirect, de către sistemul antiblocare. În cazul remorcilor, cel puțin două roți de la o axă din față și două roți de la o axă din spate sunt controlate în mod direct, fiecare dintre aceste două axe având cel puțin un modulator independent iar celelalte roți fiind controlate fie direct, fie indirect. De asemenea, o remorcă prevăzută cu sistem antiblocare respectă una din următoarele condiții:

3.2.1.

Sistem antiblocare din categoria A:

O remorcă prevăzută cu un sistem antiblocare din categoria A îndeplinește toate dispozițiile corespunzătoare din prezenta anexă.

3.2.2.

Sistem antiblocare din categoria B:

O remorcă prevăzută cu un sistem antiblocare din categoria B îndeplinește toate dispozițiile corespunzătoare din prezenta anexă, cu excepția punctului 6.3.2.

4.   DISPOZIȚII GENERALE

4.1.

Orice defecțiune electrică sau anomalie a senzorilor privind cerințele funcționale și de eficacitate prevăzute în prezenta anexă, inclusiv defecțiunile și anomaliile privind alimentarea cu electricitate, cablarea exterioară a calculatoarelor, calculatoarele ( 17 ) și modulatoarele, se semnalizează conducătorului auto printr-un martor optic separat.

4.1.1.

Martorul se aprinde atunci când sistemul antiblocare este alimentat și, vehiculul fiind staționar și înainte de stingerea martorului, se verifică dacă sistemul prezintă una dintre defecțiunile menționate mai sus.

4.1.2.

Verificarea statică a senzorilor poate verifica dacă unul dintre senzori era defect ultima dată când vehiculul a rulat cu o viteză mai mare de 10 km/h ( 18 ). În timpul acestui proces de verificare supapele modulatorului pneumatic efectuează cel puțin un ciclu complet.

4.2.

Autovehiculele echipate cu un sistem antiblocare, autorizate să tracteze o remorcă prevăzută cu un astfel de sistem, cu excepția vehiculelor din categoriile M1 și N1, sunt prevăzute cu un avertizor optic separat pentru sistemul antiblocare al remorcii, care este conform cu dispozițiile de la punctul 4.1 din prezenta anexă.

4.2.1.

Acest avertizor nu se aprinde în cazul în care o remorcă nu dispune de sistem antiblocare sau în cazul în care nu este cuplată nici o remorcă. Această funcție este automată.

4.3.

Semnalele de avertizare optică menționate mai sus sunt vizibile chiar și pe timp de zi și starea lor de funcționare este ușor de verificat de către conducător.

4.4.

Cu excepția vehiculelor din categoria M1, N1, O1 și O2 legăturile electrice folosite pentru sistemele antiblocare ale vehiculelor tractoare și ale remorcilor se efectuează prin intermediul unei prize speciale care este conformă cu standardul ISO 7638-1985 sau standardul ISO/DIS 7638-1996 ( 19 ).

4.5.

În cazul unei defecțiuni a sistemului antiblocare, eficacitatea de frânare reziduală este cea specificată pentru vehiculul în cauză în situația unei defecțiuni a transmisiei frânei de serviciu (a se vedea punctul 2.2.1.4 din anexa I). Această dispoziție nu se interpretează ca modificând dispozițiile referitoare la frânarea de siguranță. În cazul remorcilor, eficacitatea de frânare reziduală, în cazul unei defecțiuni la sistemul antiblocare, conform punctului 4.1 din prezenta anexă, este cel puțin egală cu 80 % din eficacitatea de frânare prevăzută pentru frânarea de serviciu a remorcii încărcate.

4.6.

Acțiunea sistemului nu este perturbată de interferențele produse de câmpuri magnetice sau electrice ( 20 ).

4.7.

Este interzisă includerea unui dispozitiv manual care să deconecteze sistemul antiblocare sau să modifice modul său de comandă ( 21 ), cu excepția cazului autovehiculelor de teren din categoriile N2 sau N3; atunci când autovehiculele de teren din categoriile N2 sau N3 sunt prevăzute cu un astfel de dispozitiv, se îndeplinesc condițiile următoare:

4.7.1.

un autovehicul cu sistemul antiblocare deconectat sau cu modul de comandă modificat de dispozitivul prevăzut la punctul 4.7 de mai sus îndeplinește toate cerințele specificate în apendicele de la punctul 1.1.4.2 din anexa II;

4.7.2.

un semnal optic anunță conducătorul că sistemul antiblocare a fost deconectat sau că modul de comandă a fost modificat; în acest scop poate fi folosit semnalul de avertizare a avariilor de la nivelul sistemului antiblocare;

4.7.3.

sistemul antiblocare este reconectat sau repornit automat în momentul în care pornește motorul.

4.7.4.

manualul de utilizare al vehiculului furnizat de constructor trebuie să prevină conducătorul cu privire la consecințele deconectării manuale a sistemului antiblocare sau a schimbării modului de control al acestuia;

4.7.5.

dispozitivul menționat la punctul 4.7 poate, în legătură cu vehiculul tractor, să deconecteze sau să schimbe modul de comandă al sistemului antiblocare al remorcii; nu se admite un dispozitiv separat numai pentru remorcă.

5.   DISPOZIȚII SPECIALE PRIVIND AUTOVEHICULELE

5.1.

Consumul de energie

Sistemele de frânare echipate cu sisteme antiblocare își mențin performanțele chiar și atunci când comanda frânei de serviciu este acționată până la capătul cursei pe o perioadă lungă de timp. Această condiție se verifică prin intermediul următoarelor încercări:

5.1.1.

Procedura de încercare

5.1.1.1.

Nivelul inițial al energiei din rezervoare este cel specificat de constructor. Această valoare este astfel încât să asigure eficacitatea prevăzută pentru frânarea de serviciu la vehiculul încărcat. Dispozitivele de stocare a energiei pentru echipament pneumatic auxiliar sunt izolate.

5.1.1.2.

De la o viteză inițială de cel puțin 50 km/h pe o cale de rulare cu un coeficient de aderență de 0,3 ( 22 ) sau mai mic, frânele unui vehicul încărcat se aplică complet, pe o durată t, în timpul căreia se ia în calcul energia consumată de roțile controlate indirect iar roțile controlate direct rămân în permanență sub controlul sistemului antiblocare.

5.1.1.3.

După aceasta, se oprește motorul vehiculului sau se întrerupe alimentarea cu energie.

5.1.1.4.

Comanda frânei de serviciu este acționată apoi de patru ori, în întregime, cu vehiculul staționar.

5.1.1.5.

La a cincea acționare, vehiculul poate fi frânat cu cel puțin eficacitatea de frânare de siguranță a vehiculului încărcat.

5.1.1.6.

În timpul încercărilor, în cazul unui autovehicul autorizat să tracteze o remorcă echipată cu un sistem de frânare cu aer comprimat, conducta de alimentare este obturată iar o rezervă de energie cu o capacitate de 0,5 litri se conectează la conducta de control (conform punctului 1.2.2.3 din anexa IV partea A). La a cincea acționare conform punctului 5.1.1.5, nivelul de energie furnizat conductei de comandă nu trebuie să fie mai mic de jumătate din nivelul de energie obținut printr-o acționare completă efectuată pe baza nivelului inițial de energie.

5.1.2.

Dispoziții suplimentare

5.1.2.1.

Coeficientul de aderență al căii de rulare este măsurat pentru vehiculul în cauză conform metodei descrise la punctul 1.1 de la apendicele 2 din prezenta anexă.

5.1.2.2.

Încercarea de frânare se efectuează cu motorul decuplat, la mers în gol, și cu vehiculul încărcat.

5.1.2.3.

Timpul de frânare t se determină prin formula:

image

unde t este exprimat în secunde iar Vmax reprezintă viteza nominală maximă a vehiculului, exprimată în km/h, cu limita maximă de 160 km/h.

5.1.2.4.

Dacă timpul t nu poate fi acoperit într-o singură frânare, operațiunea poate fi repetată de maxim patru ori.

5.1.2.5.

Dacă încercarea se efectuează în mai multe etape, nu se realizează nici o alimentare cu energie între etapele încercării. Din a doua etapă, poate fi luat în considerare consumul de energie corespunzător primei acționări a frânei, prin scăderea unei acționări până la capătul cursei a unei frânări din cele patru prevăzute la punctul 5.1.1.4 (și 5.1.1.5, 5.1.1.6 și 5.1.2.6) din prezenta anexă, pentru fiecare dintre a doua, a treia și a patra etape folosite în încercarea de la punctul 5.1.1 din prezenta anexă, după caz.

5.1.2.6.

Eficacitatea specificată la punctul 5.1.1.5 din prezenta anexă este considerată satisfăcătoare dacă, la sfârșitul celei de a patra acționări, cu vehiculul staționar, nivelul de energie din rezervoare este egal cu sau mai mare decât cel necesar pentru atingerea eficacității frânării de siguranță cu vehiculul încărcat.

5.2.

Utilizarea aderenței

5.2.1.

Utilizarea aderenței de către un sistem antiblocare corespunde creșterii efective a distanței de frânare față de valoarea minimă teoretică a acesteia. Sistemul antiblocare este considerat ca fiind satisfăcător atunci când se îndeplinește condiția

image

unde ε reprezintă aderența utilizată, conform definiției de la punctul 1.2 din apendicele 2 din prezenta anexă.

5.2.2.

Utilizarea aderenței (ε) se măsoară pe suprafețe de drum cu un coeficient de aderență de 0,3 ( 23 ) sau mai mic și, respectiv, de aproximativ 0,8 (drum uscat), la o viteză inițială de 50 km/h. Pentru a elimina efectele temperaturilor diferite între frâne, se recomandă ca ZAL să fie determinat înaintea de k.

5.2.3.

Procedura de încercare care urmărește determinarea coeficientului de aderență (k) și modul de calcul al aderenței utilizat (ε) sunt cele stabilite în apendicele 2 din prezenta anexă.

5.2.4.

Utilizarea aderenței de către sistemul antiblocare se verifică la vehiculele complexe prevăzute cu sisteme antiblocare din categoria 1 sau 2. În cazul vehiculelor prevăzute cu sistem din categoria 3, numai axele cu cel puțin o roată controlată direct îndeplinesc această condiție.

5.2.5.

Condiția ε ≥ 0,75 se verifică cu vehiculul încărcat și cu vehiculul neîncărcat. În prima situație, încercarea pe o suprafață cu grad ridicat de aderență poate fi omisă dacă forța specificată la dispozitivul de comandă nu permite atingerea unui ciclu complet al sistemului antiblocare. Pentru încercarea cu vehiculul neîncărcat, forța asupra comenzii poate crește până la 100 daN dacă ciclul nu este completat în condițiile unei valori maxime a forței specificate ( 24 ). Dincolo de această valoare, această încercare poate fi omisă. Pentru sistemele de frânare pe bază de aer comprimat, presiunea aerului nu poate depăși presiunea de decuplare pentru această încercare.

5.3.

Verificări suplimentare

Verificările suplimentare următoare se efectuează cu motorul decuplat, la un vehicul încărcat sau neîncărcat:

5.3.1.

Roțile controlate direct de un sistem antiblocare nu se blochează în momentul în care forța maximă (24)  este aplicată brusc dispozitivului de comandă, pe căile de rulare specificate la punctul 5.2.2 din prezenta anexă, la o viteză inițială de 40 km/h și la viteză inițială ridicată, conform tabelului de mai jos ( 25 ):



Condiție

Categoria vehiculului

Viteza maximă de încercare

Suprafață cu grad ridicat de aderență

—  Toate categoriile, cu excepția vehiculelor N2, N3 încărcate

0,8 vmax ≤ 120 km/h

 

—  N2, N3 încărcate

0,8 vmax ≤ 80 km/h

Suprafață cu grad redus de aderență

—  M1, N1

0,8 vmax ≤ 120 km/h

 

—M2, M3 șiN2 cu excepția vehiculelor tractoare pentru semiremorci

0,8 vmax ≤ 80 km/h

 

—  N3 și vehicule tractoare pentru N2

0,8 vmax ≤ 70km/h

5.3.2.

Când o axă trece de la o suprafață cu grad ridicat de aderență (KH) la o suprafață cu grad redus de aderență (KL) unde KH ≥ 0,5 și KH/KL ≥ 2 ( 26 ) iar dispozitivul de comandă este acționat complet (26) , roțile controlate direct nu trebuie să se blocheze. Viteza de rulare și momentul frânării sunt calculate astfel încât, cu sistemul antiblocare efectuând un ciclu complet pe o suprafața cu grad ridicat de aderență, trecerea de la o suprafață la alta să se facă la viteză mare și la viteză mică în condițiile specificate la punctul 5.3.1 (26) .

5.3.3.

Când un vehicul trece de la o suprafață cu grad redus de aderență (KL) la o suprafață cu grad ridicat de aderență (KH) unde KH ≥ 0,5 și KH/KL ≥ 2, iar dispozitivul de comandă este acționat complet (26) , decelerația vehiculului atinge valoarea ridicată corespunzătoare într-un interval de timp rezonabil iar vehiculul nu deviază de la traiectoria inițială. Viteza de rulare și momentul frânării se calculează astfel încât, cu sistemul antiblocare efectuând un ciclu complet pe o suprafață cu grad redus de aderență, trecerea de la o suprafață la alta să aibă loc la aproximativ 50 km/h.

5.3.4.

În cazul vehiculelor echipate cu sisteme antiblocare din categoriile 1 și 2, când roțile din partea dreaptă și din partea stângă a vehiculului sunt situate pe suprafețe cu coeficienți diferiți de aderență (KH) și (KL), unde KH ≥ 0,5 și KH/KL ≥ 2, roțile controlate direct nu trebuie să se blocheze în momentul în care forța maximă (26)  este aplicată brusc asupra dispozitivului de comandă, la o viteză de 50 km/h.

5.3.5.

De asemenea, vehiculele încărcate dotate cu un sistem antiblocare din categoria 1 respectă, în conformitate cu condițiile de la punctul 5.3.4 de mai sus, factorul de frânare prevăzut în apendicele 3 din prezenta anexă.

5.3.6.

Cu toate acestea, pentru încercările prevăzute la punctele 5.3.1, 5.3.2, 5.3.3, 5.3.4 și 5.3.5, se admit secvențe scurte de blocare a roților. De asemenea, blocarea roților este permisă în cazul în care viteza vehiculului este mai mică de 15 km/h; în mod similar, blocarea roților controlate indirect este permisă la orice viteză cu condiția ca stabilitatea și manevrabilitatea vehiculului să nu fie afectate.

5.3.7.

În timpul încercărilor prevăzute la punctele 5.3.4 și 5.3.5, corectarea direcției este permisă cu condiția ca rotația angulară a comenzii direcției să fie mai mică de 120° în timpul primelor doua secunde și să nu depășească 240 ° în total. De asemenea, la începutul încercărilor, planul median longitudinal al vehiculului trece prin linia separare dintre suprafețele cu coeficient redus și ridicat de aderență iar în timpul încercărilor nici o parte a pneurilor (exterioare) nu încalcă această limită.

6.   DISPOZIȚII SPECIALE PRIVIND REMORCILE

6.1.

Consumul de energie

Remorcile prevăzute cu sisteme antiblocare sunt construite astfel încât chiar dacă dispozitivul de comandă al frânei de serviciu a fost acționat până la capătul cursei pentru un anumit timp, rămâne suficientă energie pentru oprirea vehiculului pe o distanță rezonabilă.

6.1.1.

Respectarea dispoziției de mai sus se verifică prin metoda descrisă mai jos, cu vehiculul neîncărcat pe un drum drept și orizontal, cu o suprafață cu un coeficient bun de aderență ( 27 ), frânele reglate cât mai strâns posibil și senzorul de sarcină al frânei (dacă este montat pe remorcă) menținut în poziția „încărcat” pe tot parcursul încercării.

6.1.2.

În cazul sistemelor de frânare cu aer comprimat, nivelul de energie inițial din dispozitivele de stocare corespunde unei presiuni de 0,8 bari la capătul de cuplare al conductei de alimentare a remorcii.

6.1.3.

Când viteza inițială a unui vehicul este de cel puțin 30 km/h, frânele se aplică complet pentru un timp t = 15 s, în timpul căruia se ia în calcul energia consumată de roțile controlate indirect și toate roțile controlate direct rămân sub controlul sistemului antiblocare. În timpul acestei încercări, alimentarea cu energie a dispozitivelor de stocare este întreruptă.

În cazul în care timpul t = 15 s nu poate fi obținut într-o singură etapă de frânare, operațiunea poate fi repetată. În timpul acestor etape nu se permite nici o alimentare cu energie a dispozitivelor de stocare și, din a doua etapă, se ia în calcul consumul suplimentar de energie necesar umplerii sistemului de acționare, aplicându-se de exemplu procedură de încercare următoare.

Presiunea din rezervoare la începutul primei etape este cea specificată la punctul 6.1.2. La începutul etapelor următoare, presiunea din rezervoare după aplicarea frânelor nu este inferioară celei constatate la sfârșitul etapei precedente. În etapele următoare, singurul moment care se ia în calcul este cel din care presiunea din rezervoare este egală cu cea de la sfârșitul etapei precedente.

6.1.4.

La sfârșitul frânării, vehiculul fiind staționar, dispozitivul de comandă al frânei de serviciu se acționează până la capătul cursei de patru ori la rând. La cea de-a cincea acționare, presiunea din circuitele aflate în funcționare este suficientă pentru a oferi o forță totală de frânare la periferia roților cel puțin egală cu 22,5 % din forța corespunzătoare sarcinii maxime pe roți când vehiculul staționează, fără să provoace acționarea automată a unui sistem de frânare independent de sistemul antiblocare.

6.2.

Utilizarea aderenței

6.2.1.

Remorcile prevăzute cu un sistem antiblocare sunt considerate ca fiind acceptabile atunci când este îndeplinită condiția ε ≥ 0,75, unde є reprezintă aderenta utilizată, conform definiției de la punctul 2 din apendicele 2 din prezenta anexă. Această condiție se verifică cu vehiculul neîncărcat, pe o suprafață dreaptă și orizontală având o suprafață cu un coeficient bun de aderență ( 28 ) ( 29 ).

6.2.2.

Pentru a elimina efectele diferențelor de temperatură între frâne, se recomandă ca zRAL să fie determinat înaintea de kR.

6.3.

Verificări suplimentare

6.3.1.

La o viteză care depășește 15 km/h, roțile controlate direct de sistemul antiblocare nu se blochează atunci când forța maximă (29)  este aplicată brusc asupra dispozitivului de comandă al vehiculului tractor. Această dispoziție se verifică conform condițiilor prevăzute la punctul 6.2 din prezenta anexă, la viteze inițiale de 40 km/h și 80 km/h.

6.3.2.

Dispozițiile prezentului punct se aplică numai remorcilor prevăzute cu un sistem antiblocare din categoria A.

Când roțile din partea dreaptă și din partea stângă a remorcii se află pe suprafețe ce produc coeficienți diferiți de frânare (zRALH și zRALL), unde

image

and

image

roțile controlate direct nu se blochează la aplicare bruscă a forței maxime (29)  asupra dispozitivului de comandă al vehiculului la o viteză de 50 km/h. Raportul zRALH/zRALL poate fi fie verificat prin procedura de la punctul 2 din apendicele 2 de la prezenta anexă, fie calculat. Această condiție fiind îndeplinită, factorul de frânare al vehiculului neîncărcat este cel prevăzut în apendicele 3 din prezenta anexă (29) .

6.3.3.

Dacă vehiculul rulează la o viteză de peste 15 km/h, roțile controlate direct se pot bloca pentru perioade scurte, însă orice blocare este permisă la viteze mai mici de 15 km/h. Roțile controlate indirect se pot bloca la orice viteză, însă fără a afecta stabilitatea.




Apendicele 1

Simboluri și definiții



Simbol

Semnificație

E

Ampatament

ER

Distanța dintre pivotul de cuplare și centrul axei sau axelor semiremorcii (sau distanța dintre punctul de cuplare și centrul axei sau axelor unei remorci cu axă mediană)

ε

Aderența utilizată de vehicul: câtul dintre factorul de frânare maxim obținut cu sistemul antiblocare cuplat (ZAL) și coeficientul de aderență (k)

εi

Valoarea є măsurată pe axa i (în cazul vehiculelor cu motor având un sistem antiblocare din categoria 3)

εH

Valoarea є pe o suprafață cu grad ridicat de frecare

εL

Valoarea є pe o suprafață cu grad redus de frecare

F

Forța [exprimată în N]

FbR

Forța de frânare a remorcii cu sistemul antiblocare decuplat

FbRmax

Valoarea maximă a lui FbR

FbRmax,i

Valoarea lui FbRmax atunci când numai axa i al remorcii este frânat

FbRAL

Forța de frânare a remorcii cu sistemul antiblocare cuplat

FCnd

Reacția normală totală a suprafeței drumului față de axele nefrânate și nemotoare ale trenului rutier în condiții statice

FCd

Reacția normală totală a suprafeței drumului la axele nefrânate și motoare ale trenului rutier în condiții statice

Fdyn

Reacția normală a suprafeței în condiții dinamice și cu sistemul antiblocare cuplat

Fidyn

Fdyn asupra axei i în cazul autovehiculelor sau remorcilor

Fi

Reacția normală a suprafeței drumului față de axa i în condiții statice

FM

Reacția statică normală și totală a suprafeței față de toate roțile vehiculului tractor

FMnd (1)

Reacția statică normală și totală a suprafeței drumului asupra axelor nefrânate și nemotoare ale unui autovehicul

FMd (1)

Reacția statică normală și totală a suprafeței drumului asupra axelor nefrânate și motoare ale unui autovehicul

FR

Reacția statică normală și totală a suprafeței drumului asupra tuturor roților unei remorci

FRdyn

Reacția dinamică normală și totală a suprafeței drumului asupra axei sau axelor unei semiremorci sau remorci cu axe mediane

FwM (1)

0,01 FMnd + 0,015 FMd

g

Accelerația gravitațională (9,81 m/s2)

h

Înălțimea centrului de greutate specificată de constructor și acceptată de serviciul tehnic care efectuează încercarea de omologare

hD

Înălțimea punctului de articulare al barei de tracțiune pe remorcă

hK

Înălțimea la pivotul de cuplare

hR

Înălțimea centrului de greutate al remorcii

k

Coeficientul de aderență al pneului pe drum

kf

Valoarea lui k pentru o axă din față

kH

Valoarea lui k determinată pentru o suprafață cu grad ridicat de frecare

ki

Valoarea lui k determinată pentru axa i a unui vehicul dotat cu sistem antiblocare de categoria 3

kL

Valoarea lui k determinată pe o suprafață cu grad redus de frecare

klock

Valoarea aderenței pentru o alunecare de 100 %

kM

Valoarea lui k pentru autovehicul

kpeak

Valoarea maximă a curbei de aderență în funcție de alunecare

kr

Valoarea lui k pentru o axă din spate

kR

Valoarea lui k pentru remorcă

P

Masa vehiculului [kg]

R

Raportul dintre kpeak și klock

t

Durata [în secunde]

tm

Valoarea medie a lui t

tmin

Valoarea minimă a lui t

z

Factorul de frânare

zAL

Factorul de frânare z al vehiculului cu sistemul antiblocare cuplat

zC

Factorul de frânare z al vehiculului, numai cu remorca frânată și sistemul antiblocare necuplat

zCAL

Factorul de frânare z al vehiculului, numai cu remorca frânată și sistemul antiblocare cuplat

zCmax

Valoarea maximă a lui zC

zCmax,i

Valoarea maximă a lui zC, cu frânare numai pe axa i a remorcii

zm

Factorul de frânare mediu

zmax

Valoarea maximă a lui z

zMALS

Valoarea zAL pentru autovehicul pe o suprafață inegală

zR

Factorul de frânare z al remorcii cu sistemul antiblocare cuplat

zRAL

Valoarea lui ZAL pentru remorcă obținută prin frânarea pe toate axele, cu vehiculul tractor nefrânat și motorul acestuia decuplat

zRALH

Valoarea lui ZRAL pe o suprafață cu coeficient ridicat de aderență

zRALL

Valoarea lui ZRAL pe o suprafață cu coeficient redus de aderență

zRALS

Valoarea lui ZRAL pe o suprafață inegală

zRH

Valoarea lui ZR pe o suprafață cu coeficient ridicat de aderență

zRL

Valoarea lui ZR pe o suprafață cu coeficient redus de aderență

zRHmax

Valoarea maximă a lui zRH

zRLmax

Valoarea maximă a lui zRL

zRmax

Valoarea maximă a lui zR

(1)   FMnd și FMD: în cazul autovehiculelor cu două axe: aceste simboluri se pot reduce la simbolurile Fi corespunzătoare.




Apendicele 2

Utilizarea aderenței

1.   METODA DE MĂSURARE PENTRU AUTOVEHICULE

1.1.

Determinarea coeficientului de aderența (k)

1.1.1.

Coeficientul de aderență k se definește ca fiind câtul dintre forțele maxime de frânare ale unei axe fără blocarea roților și sarcina dinamică corespunzătoare pe aceeași axă frânată.

1.1.2.

Frânele se aplică numai pe una dintre axele vehiculului supus încercării, la o viteză inițială de 50km/h. Forțele de frânare se distribuie egal între roțile acestei axei pentru a atinge o eficacitate maximă. Sistemul antiblocare este deconectat sau nefuncțional între vitezele de 40 și 20 km/h.

1.1.3.

Pentru a determina rata maximă de frânare a vehiculului (zmax) se efectuează mai multe încercări cu creșterea treptată a presiunii pe comandă.

În timpul fiecărei încercări, forța asupra pedalei se menține constantă și rata de frânare se determină în funcție de timpul (t) necesar pentru reducerea vitezei de la 40km/h la 20km/h, folosind formula:

image

zmax este valoarea maximă a lui z,

t este exprimat în secunde.

1.1.3.1.

Se admite blocarea roților la o viteză mai mică de 20 km/h.

1.1.3.2.

Începând cu valoarea minimă măsurată a lui t, numită tmin, se aleg trei valori ale lui t cuprinse între tmin și 1,05 tmin și se calculează media lor aritmetică tm,

apoi se determină:

image

În cazul în care se demonstrează că, din motive practice, cele trei valori determinate nu pot fi obținute, atunci se poate utiliza timpul minim tmin. Cu toate acestea, dispozițiile de la punctul 1.3 se aplică în continuare.

1.1.4.

Forțele de frânare se calculează pe baza ratei de frânare măsurate și rezistenței la rulare a axelor nefrânate, care este egală cu de 0,015 ori sarcina statică pe o axă motoare și de 0,010 ori sarcina statică pentru o axă nemotoare.

1.1.5.

Sarcina dinamică pe axă este dată de relațiile definite în apendicele de la punctul 1.1.4.2 din anexa II.

1.1.6.

Valoarea lui k se rotunjește la a treia zecimală.

1.1.7.

Încercarea se repetă apoi pentru celelalte axe, conform indicațiilor de la punctul 1.1.1 la 1.1.6 de mai sus (pentru excepții, a se vedea punctul 1.4 și 1.5).

1.1.8.

De exemplu, în cazul unui vehicul cu două axe și tracțiune pe spate, atunci când axa față ( 30 ) este frânată coeficientul de aderență k se obține prin formula:

image

1.1.9.

Se determină un coeficient kf pentru axa față și un coeficient kl pentru axa spate.

1.2.

Determinarea aderenței utilizate (ε)

1.2.1.

Aderența utilizată (ε) se definește ca fiind câtul ratei de frânare maxime în condiții de cuplare a sistemul antiblocare (zAL) cu coeficientul de aderență (kM):

image

1.2.2.

De la o viteză inițială a vehiculului de 55 km/h, valoarea maximă a ratei de frânare (zAL) se măsoară cu sistemul antiblocare cuplat; această valoare este media a trei încercări, conform dispozițiilor de la punctul 1.1.3 din prezenta anexă, folosind timpul necesar pentru a reduce viteza de la 45 km/h la 15 km/h după formula următoare:

image

1.2.3.

Coeficientul de aderență kM se obține prin ponderare, pe baza sarcinilor dinamice pe axe:

image

unde:

image

image

1.2.4.

Valoarea lui ε se rotunjește la a doua zecimală.

1.2.5.

În cazul unui vehicul prevăzut cu un sistem antiblocare din categoria 1 sau 2, valoarea lui zAL corespunde vehiculului întreg, cu sistemul antiblocare cuplat, iar aderența utilizată (ε) este dată de aceeași formulă ca la punctul 1.2.1.

1.2.6.

În cazul unui vehicul prevăzut cu un sistem antiblocare din categoria 3, valoarea lui zAL se măsoară pe fiecare axă care are cel puțin o roată controlată direct.

De exemplu: pentru un vehicul cu două axe cu sistem antiblocare care acționează numai asupra axei spate (2), aderența utilizată (ε) este dată de formula:

image

Acest calcul se efectuează pentru fiecare axă care are cel puțin o roată controlată direct.

1.3.

Dacă ε > 1,00, măsurătorile coeficienților de aderență se repetă. Se admite o abatere de 10 %.

1.4.

În cazul autovehiculelor echipate cu trei axe, se ia în considerare numai axa simplă pentru a determina coeficientul k al vehiculului ( 31 ).

1.5.

Pentru vehiculele din categoriile N2 și N3 cu ampatamentul mai mic de 3,80 m și cu h/E > 0,25, nu se ia în calcul coeficientul de aderență al axei spate.

1.5.1.

În acest caz, coeficientul de aderență utilizat (ε) se definește ca fiind câtul dintre rata maximă de frânare cu sistemul antiblocare cuplat (zAL) și coeficientul de aderență (kf), adică.

image

2.   METODĂ DE MĂSURARE PENTRU REMORCI

2.1.

Generalități

2.1.1.

Prin definiție, coeficientul de aderență (k) se determină ca fiind câtul dintre forța maximă de frânare fără blocarea roților și sarcina dinamică respectivă pe axa frânată.

2.1.2.

Se frânează o singură axă a remorcii la o viteză inițială de 50 km/h. Forțele de frânare se distribuie între roțile axei astfel încât să se obțină o eficacitate maximă. Sistemul antiblocare este decuplat sau nefuncțional între 40 km/h și 20 km/h.

2.1.3.

Se efectuează mai multe încercări la presiuni crescânde asupra comenzii pentru a determina rata maximă de frânare a ansamblului de vehicule (zCmax) acționând numai frânele remorcii. Pe parcursul fiecărei încercări se menține o forță constantă de acționare iar rata de frânare se determină în funcție de timpul (t) necesar pentru a reduce viteza de la 40 km/h la 20 km/h, pe baza formulei următoare:

image

2.1.3.1.

Se admite blocarea roților la o viteză mai mică de 20 km/h.

2.1.3.2.

Începând cu valoarea minimă măsurată a lui t, denumită tmin, se aleg trei valori ale lui t cuprinse între tmin și 1,05 tmin și se calculează media lor aritmetică tm, apoi se determină

image

În cazul în care se demonstrează că, din motive practice, cele trei valori determinate mai sus nu pot fi obținute, atunci se poate utiliza timpul minim tmin.

2.1.4.

Aderența utilizată (ε) se calculează pe baza formulei:

image

Valoarea lui k se determină conform punctului 2.2.3 pentru remorci sau conform punctului 2.3.1 pentru semiremorci.

2.1.5.

Dacă ε > 1,00 măsurătorile coeficientului de aderență se repetă. Se acceptă o abatere de 10 %.

2.1.6.

Rata maximă de frânare (zRAL) se măsoară cu sistemul antiblocare cuplat și vehiculul tractor nefrânat și se bazează pe valoarea medie a celor trei încercări, conform punctului 2.1.3 din prezentul apendice.

2.2.

Remorci

2.2.1.

Măsurarea lui k (cu sistemul antiblocare decuplat sau nefuncțional între 40 km/h și 20 km/h) se face atât pentru axa față cât și pentru axa spate.

Pentru o axă față i:

image

image

image

Pentru o axă spate i:

image

image

image

2.2.2.

Valorile lui kf și kr se rotunjesc la a treia zecimală.

2.2.3.

Coeficientul de aderență kR se calculează prin ponderare, pe baza sarcinilor dinamice pe axă.

image

2.2.4.

Măsurarea lui zRAL (cu sistemul antiblocare cuplat)

image

zRAL se determină pe o suprafață cu un coeficient de aderență ridicat; pentru vehiculele cu sistem antiblocare din categoria A, se determină de asemenea și pe o suprafață cu un coeficient de aderență redus.

2.3.

Semiremorcile și remorcile cu axă centrală

2.3.1.

Măsurarea lui k (cu sistemul antiblocare decuplat sau nefuncțional între 40 km/h și 20 km/h) se efectuează cu roți montate pe o singură axă, roțile celorlalte axe fiind înlăturate.

image

image

image

2.3.2.

Măsurarea lui zRAL (cu sistemul antiblocare cuplat) se efectuează pe un vehicul la care sunt montate toate roțile.

image

image

image

zRAL se determină pe o suprafață cu un coeficient de aderență ridicat; pentru vehiculele cu un sistem antiblocare din categoria A, se determină de asemenea și pe o suprafață cu un coeficient de aderență redus.




Apendicele 3

Eficacitatea pe suprafețe cu coeficienți de aderență diferiți

1.   AUTOVEHICULE

1.1.

Rata de frânare specificată, prevăzută la punctul 5.3.5 din prezenta anexă, poate fi calculată în funcție de coeficientul de aderență al celor două suprafețe pe care se efectuează încercarea.

Aceste două suprafețe îndeplinesc condițiile prevăzute la punctul 5.3.4 din prezenta anexă.

1.2.

Coeficienții de aderență ridicată și redusă (kH și kL) se determină în conformitate cu dispozițiile de la punctul 1.1 din apendicele 2 de la prezenta anexa.

1.3.

Rata de frânare (zMALS) a autovehiculelor încărcate este:

image

și zMALS ≥ kL

2.   REMORCI

2.1.

Rata de frânare prevăzută la punctul 6.3.2 din prezenta anexă se poate calcula în funcție de ratele de frânare zRALH și zRALL măsurate pe cele două suprafețe pe care se efectuează încercările cu sistemul antiblocare cuplat. Aceste două suprafețe îndeplinesc condițiile prevăzute la punctul 6.3.2 din prezenta anexă.

2.2.

Rata de frânare specificată se calculează după formula următoare:

image

și

image

Dacă εH > 0,95, se folosește εH = 0,95.




Apendicele 4

Metoda de selecție a suprafeței cu aderența redusă

1.

Detaliile legate de coeficientul de aderență al suprafeței alese, conform punctului 5.1.1.2 din prezenta anexă, sunt puse la dispoziția serviciului tehnic.

1.1.

Aceste date trebuie să includă o curbă a coeficientului de aderență în funcție de coeficientul de alunecare (între 0 și 100 %) la viteză de aproximativ 40 km/h ( 32 ).

1.1.1.

Valoarea maximă a curbei este reprezentată de simbolul kvârf și valoarea maximă de alunecare de simbolul kblocat.

1.1.2.

Raportul R se definește ca fiind câtul dintre valoarea maximă a aderenței kvârf și valoarea maximă a alunecării kblocat.

image

1.1.3.

Valoarea lui R se rotunjește la prima zecimală.

1.1.4.

Suprafața care urmează să fie folosită are un raport R cuprins între 1,0 și 2,0 ( 33 ).

2.

Înaintea încercărilor, serviciul tehnic se asigură că suprafața aleasă îndeplinește cerințele specificate. În special, este informat cu privire la următoarele:

 metoda de încercare utilizată pentru calculul valorii R;

 tipul de vehicul (autovehicul, remorcă etc.)

 sarcina pe axă și tipul de pneuri (încercări cu sarcini diferite și tipuri de pneuri diferite și comunicarea rezultatelor către serviciului tehnic care decide dacă acestea sunt reprezentative pentru vehiculul supus omologării).

2.1.

Valoarea lui R se menționează în raportul încercărilor.

Suprafața pistei de încercare trebuie etalonată cel puțin o dată pe an cu un vehicul reprezentativ pentru a verifica dacă R este constant.




ANEXA XI

Condiții de încercare aplicabile remorcilor cu sistem de frânare electric

1.   GENERALITĂȚI

1.1.

În sensul dispozițiilor de mai jos, prin „frâne electrice” se înțeleg sisteme de frânare de serviciu formate dintr-un dispozitiv de comandă, un dispozitiv de transmisie electromecanică și frâne cu fricțiune. Dispozitivul de comandă electrică care reglează tensiunea curentului de frânare al remorcii este montat pe remorcă.

1.2.

Energia electrică necesară pentru funcționarea sistemului de frânare este furnizată remorcii de către autovehicul.

1.3.

Sistemele electrice de frânare sunt comandate prin acționarea frânei de serviciu a autovehiculului.

1.4.

Tensiunea nominală este 12 V.

1.5.

Intensitatea maximă absorbită nu depășește 15 A.

1.6.

Conexiunea electrică a sistemului de frânare al remorcii la vehiculul tractor se face printr-o priză și o fișă speciale corespunzătoare cu … ( 34 ), iar fișa nu este compatibilă cu prizele dispozitivului de iluminat al vehiculului. Fișa și cablul sunt montate pe remorcă.

2.   CONDIȚII PRIVIND REMORCA

2.1.

Dacă remorca este prevăzută cu o baterie alimentată de circuitul de alimentare al autovehiculului, aceasta este izolată de circuitul său de alimentare în timpul frânării de serviciu a remorcii.

2.2.

La remorcile a căror masă neîncărcată reprezintă mai puțin de 75 % din masa lor maximă, forța de frânare se reglează automat în funcție de starea de încărcare a remorcii.

2.3.

Sistemele de frânare electrice au asemenea caracteristici încât, chiar dacă tensiunea în cablurile electrice este redusă la o valoare de 7 V, se menține o eficacitate a frânării de 20 % din sarcinile statice maxime pe axă a remorcii.

2.4.

Dispozitivele de control destinate reglării forței de frânare, care reacționează la înclinarea în direcția drumului (pendul, sistem resort-masa, schimbarea inerției lichidului) se atașează la șasiu, dacă remorca are mai mult de o axă și un dispozitiv de tractare reglabil vertical. În cazul remorcilor cu o singură axă și a remorcilor cu axe strâns cuplate, unde distanța dintre axe este mai mică de 1 m, aceste dispozitive de control sunt echipate cu un mecanism de indicare a poziției sale orizontale (de exemplu, nivelul spirtului) și se ajustează manual, permițând mecanismului așezarea în plan orizontal, în linie cu direcția de rulare a vehiculului.

2.5.

Releul care comandă trecerea curentului de frânare în conformitate cu punctul 2.2.1.20 din anexa I și care este conectat la circuitul de comandă este montat pe remorcă.

2.6.

Se prevede o priză falsă pentru introducerea fișei.

2.7.

Se prevede un martor la dispozitivul de comandă; acesta se aprinde la fiecare frânare și indică funcționarea corectă a sistemului de frânare electric al remorcii.

3.   EFICACITATE

3.1.

Sistemele de frânare electrice reacționează la o decelerare a ansamblului tractor/remorcă care nu depășește 0,4 m/s2.

3.2.

Efectul de frânare poate să înceapă cu o frânare inițială care nu depășește 10 % din sarcinile maxime statice pe axă, nici 13 % din sarcinile statice pe axă la remorca neîncărcată.

3.3.

Forțele de frânare pot fi mărite și treptat. La valori ale forțelor de frânare mai mari decât cele indicate la punctul 3.2, treptele respective nu depășesc 6 % din suma sarcinilor statice maxime ale axei și nici 8 % din sarcina statică sau suma sarcinilor statice pe axă ale remorcii neîncărcate. Cu toate acestea, în cazul remorcilor cu o singură axă care au o masă maximă ce nu depășește 1,5 tone, prima treaptă nu depășește 7 % din suma sarcinilor statice maxime pe axă a remorcii. Pentru treptele următoare se admite o creștere de 1 % a acestei valori (de exemplu, prima treaptă: 7 %, a doua treaptă: 8 %, a treia treaptă: 9 % etc.; nici una dintre treptele următoare nu depășește 10 %). În sensul prezentei dispoziții, remorcile cu două axe care sunt amplasate la o distanță mai mică de 1 m sunt considerate a fi remorci cu o singură axă.

3.4.

Forța de frânare specificată a remorcii, egală cu cel puțin 50 % din sarcina totală maximă pe axă, se obține – la masa maximă – în cazul unei decelerări medii complete a ansamblului tractor/remorcă care nu depășește 5,9 m/s2 pentru remorcile cu o singură axă sau 5,9 m/s2 pentru remorcile cu mai multe axe. Remorcile cu axe în tandem la care distanța între axe este mai mica de 1 m sunt considerate, de asemenea, remorci cu o singură axă în sensul prezentei dispoziții. De asemenea, sunt respectate limitele prevăzute în apendicele la prezenta anexă. Dacă forța de frânare este reglată treptat, aceste trepte se încadrează în limitele prevăzute în apendicele la prezenta anexă.

3.5.

Încercarea se efectuează la o viteză inițială de 60 km/h.

3.6.

Frânarea automată a remorcii se asigură în conformitate cu condițiile de la punctul 2.2.2.9 din anexa I. În cazul în care această acțiune de frânare automată necesită energie electrică, se garantează o forță de frânare a remorcii de cel puțin 25 % din suma totală a sarcinilor maxime pe axă timp de cel puțin 15 minute, pentru a îndeplini condițiile descrise de mai sus.




Apendice

Compatibilitatea între factorul de frânare al remorcii și decelerația medie completă a ansamblului tractor/remorcă

(remorcă încărcată și neîncărcată)

TR/PRremorci cu o singură osie și multiosieremorci multiosieremorci cu o singură osieJ m/s2

Note:

1. Limitele indicate în grafic se aplică remorcilor încărcate și neîncărcate. În cazul în care masa remorcii neîncărcate depășește 75 % din masa maximă a acesteia, limitele se aplică numai stării încărcate.

2. Limitele indicate în grafic nu afectează dispozițiile prevăzute în prezenta anexă privind eficacitatea minimă de frânare specificată. Cu toate acestea, dacă eficacitatea de frânare obținută în timpul încercării, în conformitate cu dispozițiile indicate la punctul 3.4 – este mai mare decât cea prevăzută, nu se depășesc limitele indicate în graficul de mai sus.

TR

=

suma forțelor de frânare la periferia tuturor roților remorcii.

PR

=

reacția statică normală totală a suprafeței drumului asupra roților remorcii.

J

=

decelerația medie completă a ansamblului tractor/remorcă.




ANEXA XII

Metoda de încercare cu dinamometrul inerțial pentru garniturile de frână

1.   GENERALITĂȚI

1.1.

Procedura descrisă în prezenta anexă poate fi aplicată în cazul unei modificări a tipului de vehicul care rezultă din montarea unor garnituri de frână de tip nou la vehicule care au fost omologate în conformitate cu prezenta directivă.

1.2.

Tipurile noi de garnituri de frână se verifică prin compararea eficacității lor cu cea a garniturilor de frână montate pe vehiculul la momentul omologării de tip a acestuia și conforme cu componentele identificate în certificatul de omologare corespunzător, al cărui model este prezentat în anexa XVIII sau în anexa XIX a prezentei directive.

1.3.

În cazul în care consideră necesar, autoritatea tehnică însărcinată cu efectuarea încercărilor de omologare poate solicita ca eficacitatea garniturilor de frână să fie comparată în conformitate cu dispozițiile corespunzătoare din anexa II a prezentei directive.

1.4.

Cererea de omologare prin comparație este depusă de constructorul vehiculului.

1.5.

În sensul prezentei anexe, prin „vehicul” se înțelege un tip de vehicul omologat în conformitate cu prezenta directivă și pentru care comparația este recunoscută drept satisfăcătoare.

2.   APARATURA DE ÎNCERCARE

2.1.

Se folosește un dinamometru cu următoarele caracteristici:

2.1.1.

acesta este capabil să genereze inerția prevăzută la punctul 3.1 din prezenta anexă și aibă capacitatea necesară pentru a îndeplini condițiile prevăzute la punctele 1.3, 1.4 și 1.6 din anexa II a prezentei directive privind încercările de pierdere a eficacității de tipurile I, II și III;

2.1.2.

frânele montate sunt identice cu cele originale ale tipului de vehicul respectiv;

2.1.3.

răcirea cu aer, dacă este cazul, îndeplinește condițiile prevăzute la punctul 3.4 din prezenta anexă.

2.1.4.

aparatura de încercare poate furniza cel puțin următoarele informații:

2.1.4.1.

o înregistrare continuă a vitezei de rotație a discului sau a tamburului,

2.1.4.2.

numărul de revoluții efectuate la o oprire, cu o rezoluție de cel mult o optime,

2.1.4.3.

timpul de oprire,

2.1.4.4.

o înregistrare continuă a temperaturii măsurate în centrul cursei parcurse de garnitură sau la jumătatea grosimii discului, tamburului sau garniturii,

2.1.4.5.

o înregistrare continuă a presiunii în circuitul de comandă sau a forței de aplicare a frânei,

2.1.4.6.

o înregistrare continuă a cuplului de frânare produs.

3.   CONDIȚII DE ÎNCERCARE

3.1.

Dinamometrul se reglează cât mai precis pentru a putea reproduce cât mai exact posibil, cu o abatere de ± 5 %, inerția de rotație corespunzătoare părții din inerția totală a vehiculului frânat de roțile corespunzătoare, determinată conform următoarei formule:

image

unde:

I = inerția de rotație (kgm2)

R = raza de rulare dinamică a pneului (m);

M = parte masei maxime a vehiculului frânată de roțile corespunzătoare.

În cazul unui dinamometru cu un singur capăt, această masă se calculează pornind de la distribuția nominală a frânării în cazul autovehiculelor în condițiile în care când decelerația corespunde valorii aplicabile indicate la punctul 2.1.1.11 din anexa II; în cazul remorcilor, valoarea lui M corespunde sarcinii la sol a roții corespunzătoare, atunci când vehiculul este staționar și încărcat la masa maximă.

3.2.

Viteza inițială de rotație a dinamometrului inerțial corespunde vitezei liniare a vehiculului prevăzută în anexa II și este corelată cu raza de rulare a pneului.

3.3.

Garniturile de frână sunt rodate la cel puțin 80 % și nu depășesc o temperatură de 180 °C în timpul rodajului sau, la cererea constructorului vehiculului, sunt rodate conform recomandărilor acestuia.

3.4.

Se poate folosi răcire cu aer, fluxul de aer fiind direcționat pe frână, perpendicular axei de rotație a acesteia. Viteza fluxului de aer pe frână nu trebuie să fie mai mare de 10 km/h iar temperatura aerului de răcire este temperatura ambiantă.

4.   PROCEDURA DE ÎNCERCARE

4.1.

Cinci seturi de mostre de garnituri de frână sunt supuse unei încercări comparative; sunt comparate cu cinci seturi de garnituri în conformitate cu componentele originale descrise în documentul informativ al primei omologări a tipului respectiv de vehicul.

4.2.

Echivalența garniturilor de frână se verifică printr-o comparație a rezultatelor obținute pe baza procedurilor de încercare prevăzute în prezenta anexă și în conformitate cu dispozițiile următoare:

4.3.

Încercare de eficacitate la rece de tip 0

4.3.1.

Se efectuează trei frânări la o temperatură inițială de sub 100 °C, măsurată în conformitate cu condițiile de la punctul 2.1.4.4 al prezentei anexe.

4.3.2.

În cazul garniturilor de frână destinate folosirii la vehicule din categoriile M și N, frânările sunt efectuate la o viteză inițială de rotație corespunzătoare celei prevăzute la punctul 2.1.1.1.1 din anexa II, frâna fiind acționată în așa fel încât să se obțină un cuplu mediu echivalent cu decelerația medie completă prevăzută la punctul respectiv. De asemenea, încercările se efectuează la mai multe viteze de rotație, din care cea mai mică este de 30 % din viteza maximă a vehiculului iar cea mai mare este de 80 % din această viteză.

4.3.3.

În cazul garniturilor de frână destinate folosirii la vehicule din categoria O, frânările sunt efectuate de la o viteză inițială de rotație echivalentă cu 60 km/h, frâna fiind acționată în așa fel încât să se realizeze un cuplu mediu echivalent cu cel prevăzut în punctul 2.2.1 din anexa II. Se efectuează o încercare suplimentară de eficacitate la rece, pornind de la o viteză inițială de rotație echivalentă cu 40 km/h, în vederea comparării cu rezultatele încercării de tip I descrisă la punctul 2.2.1.21 din anexa II.

4.3.4.

Cuplul mediu de frânare din încercările de eficacitate la rece menționate mai sus, efectuate asupra garniturilor supuse încercărilor în vederea comparării, se încadrează, pentru aceleași valori inițiale, între limitele de încercare de ± 5 % din cuplul mediu de frânare înregistrat cu garniturile de frână conforme cu componentele identificate în cererea de omologare a tipului respectiv de vehicul.

4.4.

Încercarea de tip I

4.4.1.

Cu frânări repetate

4.4.1.1.

Garniturile de frână destinate folosirii la vehiculele de tip M și N se supun încercării conform procedurii descrise la punctul 1.3.1 din anexa II.

4.4.2.

Cu frânare continuă

4.4.2.1.

Garniturile de frână destinate montării pe remorci din categoria O se supun încercării în conform procedurii descrise la punctul 1.3.2 din anexa II.

4.4.3.

Eficacitate la cald

4.4.3.1.

La încheierea încercărilor prevăzute la punctele 4.4.1 și 4.4.2, se efectuează încercarea de eficacitate la cald prevăzută la punctul 1.3.3 din anexa II.

4.4.3.2.

Cuplul mediu de frânare din încercările de eficacitate la cald menționate mai sus, efectuate asupra garniturilor supuse încercării în vederea comparării, se încadrează între limitele de încercare de ± 15 % din cuplul mediu de frânare înregistrat cu garniturile de frână conforme cu componentele identificate în cererea de omologare a tipului respectiv de vehicul.

4.5.

Încercare de tip II

4.5.1.

Această încercare este prevăzută numai dacă, la tipul de vehicul în cauză, frânele cu frecare sunt folosite în încercarea de tip II.

4.5.2.

Garniturile de frână destinate folosirii la vehicule din categoriile M3 și N3 (cu excepția celor care, în conformitate cu punctul 2.2.1.19 din anexa I, trebuie să fie supuse încercării de tip IIA) sunt supuse încercării conform procedurii de la punctul 1.4.1 din anexa II. Remorcile din categoria O4 sunt supuse încercării conform procedurii de la punctul 1.6 din anexa II.

4.5.3.

Eficacitate la cald

4.5.3.1.

La încheierea încercării prevăzute la punctul 4.5.2, se efectuează încercarea de eficacitate la cald prevăzută la punctul 1.4.3 din anexa II.

4.5.3.2.

Cuplul mediu de frânare din timpul încercării de eficacitate la cald, efectuat asupra garniturilor supuse încercării în vederea comparării, se încadrează între limitele de încercare de ± 15 % din cuplul mediu de frânare înregistrat cu garniturile de frână conforme cu componentele identificate în cererea de omologare a tipului respectiv de vehicul.

4.6.

Încercarea de pierdere de eficacitate (încercare de tip III)

4.6.1.

Încercarea cu frânare repetată

4.6.1.1.

Garniturile de frână pentru remorci din categoria O4 sunt supuse încercării în conformitate cu metoda indicată la punctul 1.6 din anexa II la prezenta directivă.

4.6.3.

Eficacitate la cald

4.6.3.1.

La încheierea încercărilor prevăzute la punctele 4.6.1 și 4.6.2 din prezenta anexă, se efectuează încercarea de eficacitate la cald specificată la punctul 1.6.2 din anexa II la prezenta directivă.

4.6.3.2.

Cuplul mediu de frânare din timpul încercării de eficacitate la cald, efectuat asupra garniturilor supuse încercării în vederea comparării, se încadrează între limitele de încercare de ± 15 % din cuplul mediu de frânare înregistrat cu garniturile de frână conforme cu componentele identificate în cererea de omologare a tipului respectiv de vehicul.

5.   INSPECTAREA GARNITURILOR DE FRÂNĂ

5.1.

La încheierea încercărilor descrise mai sus, garniturile de frână sunt examinate vizual pentru a se verifica dacă pot fi folosite în continuare la vehicul în condiții normale.




ANEXA XIII

Încercare de frânare și de deviere la vehicule prevăzute cu roți/pneuri de rezervă

1.   GENERALITĂȚI

1.1.

Pista de încercare este în mod general orizontală și are o suprafață care oferă condiții bune de aderență.

1.2.

Încercarea se efectuează în absența vântului care poate să afecteze rezultatele.

1.3.

Vehiculul se încarcă la masa sa maximă, determinată conform punctului 1.4 din anexa I.

1.4.

Sarcinile pe axă care rezultă din starea de încărcare definită la punctul 1.3 din prezenta anexă sunt proporționale cu sarcinile maxime admise pe axă determinate la punctul 1.2.1.2.1 din anexa II.

1.5.

Pneurile se umflă la presiunea recomandată de constructorul tipului de vehicul în cauză.

2.   ÎNCERCARE DE FRÂNARE ȘI DE DEVIERE

2.1.

Încercarea se efectuează cu pneul/roata de rezervă montată pe rând în locul unei roți din spate și al unei roți din față. Cu toate acestea, dacă utilizarea pneului/roții de rezervă este limitată la o anumită axă, atunci încercarea se efectuează numai cu pneul/roata de rezervă montată pe acea axă.

2.2.

Încercarea se efectuează folosind frâna de serviciu de la o viteză inițială de 80 km/h, cu motorul decuplat.

2.3.

Distanța de oprire nu depășește valoarea obținută din următoarea formulă ( 35 ):

image

unde:

s = distanță de oprire în m

v = viteză inițială de 80 km/h.

Forța aplicată comenzii nu depășește 500 N.

Decelerația medie completă în timpul încercării este cel puțin egală cu 5,8 m/s2.

2.4.

Încercările se efectuează pentru fiecare dintre condițiile de montare ale pneurilor/roților de rezervă menționate la punctul 2.1 din prezenta anexă.

2.5.

Eficacitatea de frânare prevăzută se obține fără blocarea roților, devierea vehiculului de la traiectoria inițială, vibrații anormale, uzură anormală a pneului în timpul încercării sau corecție excesivă a direcției.




ANEXA XIV

Variantă de încercare pentru sistemele antiblocare ale remorcilor

1.   GENERALITĂȚI

1.1.

Încercarea remorcilor în conformitate cu anexa X la prezenta directivă poate fi eliminată la omologarea tipului de remorcă în cauză, cu condiția ca sistemul antiblocare să îndeplinească dispozițiile prezentei anexe.

2.   DOCUMENT INFORMATIV

2.1.

Constructorul sistemului antiblocare furnizează serviciului tehnic un document informativ privind sistemele supuse omologării. Acest document conține cel puțin următoarele informații:

2.1.1.

Informații generale

2.1.1.1.

Numele constructorului

2.1.1.2.

Numele sistemului

2.1.1.3.

Variantele sistemului

2.1.1.4.

Configurațiile sistemului (de exemplu, 25/1M, 25/2M etc.)

2.1.1.5.

Explicarea funcțiilor de bază și/sau a filozofiei sistemului

2.1.2.

Cereri de omologare

2.1.2.1.

Lista tipurilor de remorci și configurațiilor de sisteme antiblocare supuse omologării.

2.1.2.2.

Schemele configurațiilor de sistem instalate pe remorcile definite la punctul 2.1.2.1 având în vedere parametrii următori:

amplasamentul senzorilor

amplasamentul modulatoarelor

axe rabatabile

axe directoare

conducte: tip, diametru (diametre) interior (interioare) și lungimi.

2.1.2.3.

Raportul între circumferința pneului și rezoluția excitatorului, cu indicarea abaterilor.

2.1.2.4.

Abaterea admisă la circumferința pneului între o axă și alta echipate cu același excitator.

2.1.2.5.

Domeniul de aplicare cu privire la tipul de suspensie (de exemplu, suspensie mecanică compensată etc.) cu indicarea constructorului și a modelului/tipului.

2.1.2.6.

Recomandări privind eventualul diferențial al cuplului de intrare al frânării în funcție de configurația sistemului antiblocare și a remorcii/trenului.

2.1.2.7.

Datele încercării trebuie să permită stabilirea cea mai defavorabilă sarcină pe axă pentru încercarea consumului de energie. În acest scop se efectuează o serie de încercări cu creșterea succesivă a sarcinii pe axă. În gama de sarcină pe axă de ±10 000 N, corespunzător valorii maxime a energiei consumate, sunt necesare cel puțin cinci rezultate. Pentru a ilustra tendința în afara intervalului de consum maxim, se furnizează rezultate suplimentare. Pe baza acestor date, remorcile supuse sunt încărcate pentru a reprezenta cazul stabilit drept cel mai defavorabil.

2.1.2.8.

Informații suplimentare (dacă este cazul) privind cererea de omologare a sistemului antiblocare.

2.1.3.

Descrierea componentelor

2.1.3.1.

Senzori:

 funcție

 identificare (de exemplu, numerele pieselor)

2.1.3.2.

Controler (i)

 descriere generală și funcție

 identificare (de exemplu, numerele pieselor)

 moduri de avarie (conform definițiilor la punctul 4.1 din anexa X)

 caracteristici suplimentare (de exemplu, comanda dispozitivului de încetinire, configurație automată, parametri variabili, diagnostic).

2.1.3.3.

Modulatoare

 descriere generală și funcție

 identificare (de exemplu, numerele pieselor)

 limitări (de exemplu, volumul maxim de comandat)

2.1.3.4.

Echipament electric

 schema circuitelor

 moduri de alimentare

 secvența luminii de avertizare

2.1.3.5.

Circuite pneumatice

 Restricții aplicabile diametrelor și lungimilor schemelor de frânare care acoperă configurațiile antiblocare utilizate la diferitele tipuri de remorci definite la punctul 2.1.2.1.

 Restricții aplicabile diametrelor și lungimilor conductelor care influențează eficacitatea sistemului (de exemplu, între modulator și cilindrul de frână)

2.1.4.

Compatibilitate electromagnetică (CEM)

2.1.4.1.

Conformitatea cu dispozițiile de la punctul 4.6 din anexa X privind compatibilitatea electromagnetică (susceptibilitate și emisiuni) se efectuează prin prezentarea unui dosar tehnic sau prin omologare pe baza unui standard recunoscut ( 36 ). Dosarul sau documentul de omologare precizează metoda de încercare, configurațiile încercate și rezultatele obținute.

3.   DEFINIȚIA VEHICULELOR SUPUSE ÎNCERCĂRII

3.1.

Pe baza informațiilor furnizate în documentul informativ, în special privind tipurile de remorci menționate la punctul 2.1.2.1, serviciul tehnic efectuează încercări pe remorci reprezentative care au până la trei axe și care sunt prevăzute cu configurația antiblocare corespunzătoare pentru care se solicită omologarea (punctul 2.1.2.1 din prezenta anexă). De asemenea, la alegerea remorcilor pentru evaluare, se ține seama și de parametrii următori.

3.1.1.

Tipul de suspensie

În funcție de documentul informativ, metoda de evaluare a eficacității sistemului antiblocare față de tipul de suspensie este următoarea:

semiremorci: pentru fiecare categorie de suspensie (de exemplu, suspensie mecanică compensată etc.) se evaluează o remorcă reprezentativă;

remorci: evaluarea se efectuează pe o remorcă reprezentativă, prevăzută cu orice tip de suspensie.

3.1.2.

Ampatamentul

Pentru semiremorci, ampatamentul nu reprezintă un factor restrictiv, însă pentru remorci se evaluează ampatamentul cel mai scurt.

3.1.3.

Tipul de frâne

Omologarea se limitează la frânele cu came. În cazul în care se introduc în uz alte tipuri de frâne, este posibil să fie necesară o încercare comparativă.

3.1.4.

Senzorul de sarcină

Utilizarea aderenței se determină cu senzorul de sarcină reglat în poziția „încărcat” și „neîncărcat”. Pentru a se asigura efectuarea unui ciclu complet al sistemului antiblocare, captorul de sarcină poate fi reglat astfel încât presiunea statică în cilindrul de frână să fie cu un bar mai mare decât presiunea de ciclu maximă a sistemului antiblocare.

3.1.5.

Comanda frânei

Diferențialele comenzii de frânare sunt înregistrate în cadrul încercărilor în vederea evaluării utilizării aderenței. Rezultatele încercărilor asupra unei remorci pot fi extrapolate și pentru alte remorci de același tip.

3.1.6.

Consumul de energie

Remorcile alese pentru evaluarea sistemului antiblocare permit aplicarea la axele lor a sarcinii celei mai defavorabile definită la punctul 2.1.2.7.

3.2.

Pentru fiecare tip de remorcă supus încercării se pun la dispoziție documentele care probează compatibilitatea frânelor definită în apendicele din anexa II (figurile 2 și 4) în vederea demonstrării conformității cu dispozițiile.

3.3.

În vederea omologării, semiremorcile și remorcile cu axă mediană sunt considerate ca reprezentând același tip de vehicul.

4.   DESFĂȘURAREA ÎNCERCĂRILOR

4.1.

Încercările următoare se efectuează de către serviciul tehnic asupra vehiculelor definite la punctul 3 din prezenta anexă pentru fiecare configurație antiblocare (punctul 2.1.1.4), luând în considerare lista menționată la punctul 2.1.2.1. Cu toate acestea, referirea la cazul cel mai defavorabil poate evita anumite încercări. Dacă se efectuează încercarea pentru cazul cel mai defavorabil, acest lucru trebuie specificat în raportul încercării.

4.1.1.

Utilizarea aderenței

Pentru fiecare configurație antiblocare și tip de remorcă indicate în documentul informativ (punctul 2.1.2.1) se efectuează încercările în conformitate cu metoda definită la punctul 6.2 din anexa X.

4.1.2.

Consumul de energie

4.1.2.1.

Sarcinile pe axă: sarcinile pe axă a remorcii supusă încercării sunt astfel încât să reprezinte cazul cel mai defavorabil din punctul de vedere al consumului de energie (punctul 2.1.2.7).

4.1.2.2.

Încercarea consumului de energie: încercarea se efectuează în conformitate cu metoda definită la punctul 6 din anexa X pentru fiecare configurație a sistemului antiblocare.

4.1.2.3.

Pentru a verifica dacă remorcile supuse omologării corespund condițiilor privind consumul de energie al sistemului antiblocare (punctul 6.1 din anexa X) se efectuează verificările următoare:

4.1.2.3.1.

Înainte de începerea încercării consumului de energie (punctul 4.1.2.2) se determină relația (R1) dintre cursa tijei împingătoare a cilindrului de frână (ST) și lungimea levierului (lT) de frână pentru o presiune în cilindrul de frână egală cu 6,5 bari, conform formulei următoare.

Exemplu: lT = 130 mm sT = 22 mm

image

4.1.2.3.2.

Cu senzorul de sarcină reglat la poziția „încărcat” și cu nivelul energiei inițiale egal cu cel definit la punctul 6.1.2 din anexa X, dispozitivele de stocare a energiei nu sunt realimentate cu aer. Frânele sunt acționate cu o presiune asupra comenzii de 6,5 bari la racordul de cuplare și apoi eliberate. Sunt acționate apoi de mai multe ori până când presiunea în cilindri este egală cu cea obținută după aplicarea metodei de încercare definită la punctele 4.1.2.1 și 4.1.2.2. Se indică numărul de frânări echivalente (ne).

4.1.3.

Încercarea de frecare pe o suprafață inegală. În cazul în care sistemul antiblocare aparține categoriei A, atunci toate configurațiile antiblocare de acest tip îndeplinesc condițiile de eficacitate de la punctul 6.3.2 din anexa X.

4.1.4.

Performanța la viteză mare și la viteză mică

4.1.4.1.

Verificarea eficacității la viteză mare și la viteză mică, în conformitate cu punctul 6.1 din anexa X, se efectuează cu remorca reglată ca pentru încercarea de utilizare a aderenței.

4.1.4.2.

În cazul în care se admite o toleranță între numărul de dinți ai excitatorului și circumferința pneului, se efectuează verificări funcționale la valorile extreme de toleranță, în conformitate cu punctul 6.3 din anexa X. Se pot folosi diferite dimensiuni de pneu sau se pot realiza excitatori speciali pentru a simula frecvențele extreme.

4.1.5.

Verificări complementare

Verificări complementare următoare se efectuează cu vehiculul tractor nefrânat și cu remorca neîncărcată.

4.1.5.1.

Atunci când o axă sau un tren trece de la o suprafață cu aderență ridicată (kh) la o suprafață cu aderență redusă (kl), unde kh ≥ 0,5 și kh/kl ≥ 2, cu o presiune asupra comenzii la racordul de cuplare de 6,5 bari, roțile controlate direct nu se blochează. Viteza de rulare și momentul frânării remorcii sunt calculate astfel încât, cu sistemul antiblocare efectuând un ciclu complet pe suprafața cu aderența ridicată, trecerea de la o suprafață la alta să se efectueze la aproximativ 80 km/h și 40 km/h.

4.1.5.2.

Atunci când o remorcă trece de la o suprafață cu aderență redusă (kl) la o suprafață cu aderență ridicată (kh), unde kh ≥ 0,5 și kh / kl ≥ 2, cu o presiune asupra comenzii la racordul de cuplare de 6,5 bari, presiunea în cilindrii de frână crește până la o valoare corespunzătoare într-un timp adecvat iar remorca nu deviază de la traiectoria inițială. Viteza de rulare și momentul frânării remorcii sunt calculate astfel încât, cu sistemul ABS efectuând un ciclu complet pe suprafața cu aderență redusă, trecerea de la o suprafață la alta să se efectueze la aproximativ 50 km/h.

4.1.6.

Simularea unei defecțiuni

Cablurile exterioare și conformitatea cu celelalte dispoziții de la punctul 4.1 din anexa X sunt verificate pe un vehicul de încercare sau pe un simulator.

5.   CERTIFICATUL DE OMOLOGARE

5.1.

Se întocmește un certificat de omologare, al cărui conținut este indicat în apendicele 1 din prezenta anexă.

6.   VERIFICARE

6.1.

Verificarea componentelor și a instalației

Specificațiile sistemului antiblocare instalat pe remorca prezentată în vederea omologării de tip se verifică pe baza criteriilor următoare:



 

Componente

Criterii

6.1.1.

(a)  Senzori

Nici o modificare posibilă

(b)  Controlere

Nici o modificare posibilă

(c)  Modulatori

Nici o modificare posibilă

6.1.2.

Diametrele și lungimile conductelor

 

(a)  De la alimentarea rezervorului la modulatoare

 

Diametru interior maxim

Se poate mări

Lungime totală maximă

Se poate reduce

(b)  De la ieșirea modulatoarelor la camerele de frânare

 

Diametru interior

Nici o modificare posibilă

Lungimea totală maximă

Se poate reduce

6.1.3.

Secvența semnalului de avertizare

Nici o modificare posibilă

6.1.4.

Diferențialele cuplului de intrare al frânării la un tren

Sunt admise numai diferențialele aprobate (dacă este cazul)

6.1.5.

Pentru celelalte specificații, a se vedea secțiunea 4 din raportul de încercare descris în apendicele 1 din prezenta anexă

Instalarea respectă specificațiile definite

Nu se admite nici o modificare

6.2.

Verificarea capacității rezervoarelor

6.2.1.

Deoarece sistemele de frânare și echipamentul auxiliar folosite la remorci sunt de mai multe tipuri, nu este posibilă întocmirea unui tabel al capacităților de rezervor recomandate. Pentru a verifica dacă rezervorul dispune de o capacitate adecvată se poate realiza încercarea menționată la punctul 6 din anexa X sau se poate aplica metoda de mai jos.

6.2.1.1.

Reglarea frânelor se face astfel încât să reprezinte condițiile remorcilor încercate la care au fost omologate sistemele antiblocare. La remorca supusă omologării, cursa tijei împingătoare a cilindrului, la o presiune de 6,5 bari în cilindru, se calculează și se definește conform formulei de mai jos.

Notă:

pentru a asigura un nivel de siguranță adecvat al capacității de acumulare a energiei, s-a inclus un factor de siguranță de + 20 %.

image

Exemplu:

l v = 150 mm, Rl = 0,169

S v = 150 × 1,2 × 0,169 = 30,4 mm

6.2.1.2.

Cu frânele reglate conform metodei definite la punctul 6.2.1.1 (în cazul în care o remorcă este echipată cu dispozitive de reglare automate la uzură, se dezactivează mecanismul de reglare automată în vederea încercării sau se instalează un sistem echivalent cu reglare manuală), cu senzorul de sarcină reglat la poziția „încărcat” și cu nivelul inițial de energie corespunzător celui definit la punctul 6.2.1 din anexa X, dispozitivele de stocare a energiei nu se realimentează. Frânele se acționează la o presiune asupra comenzii de 6,5 bari la racordul de cuplare, apoi se eliberează. Operațiunea se repetă de un număr ne de ori pe baza încercării efectuate conform punctului 4.1.2.32. În timpul acționării, presiunea în circuitul folosit este suficientă pentru a furniza o forță totală de frânare la periferia roților egală cu cel puțin de 22,5 % din forța corespunzătoare sarcinii maxime asupra acestor roți când vehiculul este în staționare și fără a declanșa funcționarea automată a unui sistem de frânare independent de sistemul antiblocare.

6.3.

Verificarea funcționalității

6.3.1.

Aceasta se limitează la o verificare funcțională dinamică a sistemului antiblocare. Pentru a asigura efectuarea unui ciclu integral al sistemului poate fi necesară reglarea senzorului de sarcină sau folosirea unei suprafețe cu coeficient redus de aderență.




Apendicele I

Fișă de omologare de tip a unui sistem antiblocare pentru remorci

Fișa de omologare de tip nr. …

1.   Identificare

1.1.

Constructorul sistemului antiblocare (denumire și adresă):

1.2.

Denumirea și modelul sistemului:

2.   Sistemele și instalațiile omologate

2.1.

Configurații de sisteme antiblocare omologate (de exemplu, 2S/1M, 2S/2M etc.):

2.2.

Domeniul de aplicare (tipul de remorcă și numărul axelor):

2.3.

Metode de alimentare:

Se precizează versiunea utilizată a prizei ISO 7638, ISO 1185 etc.

2.4.

Specificarea senzorilor, controlerului (controlerelor) și modulatoarelor omologate:

2.5.

Consumul de energie – Numărul de frânări statistice echivalente și raportul dintre cursa mecanismului de acționare și lungimea pârghiei frânei.

2.6.

Caracteristici suplimentare (de exemplu, comanda dispozitivului de încetinire, axe rabatabile etc.)

3.   Datele și rezultatele încercării

3.1.

Date referitoare la vehiculul de încercare:

3.2.

Informații privind suprafața de încercare

3.3.

Rezultatele încercării:

3.3.1.

Utilizarea aderenței:

3.3.2.

Consumul de energie:

3.3.3.

Încercarea de frecare pe o suprafață inegală:

3.3.4.

Eficacitatea la viteză mică

3.3.5.

Eficacitatea la viteză mare

3.3.6.

Verificări complementare:

3.3.6.1.

Tranziția de la o suprafață cu coeficient ridicat de aderență la o suprafață cu coeficient redus de aderență:

3.3.6.2.

Tranziția de la o suprafață cu coeficient redus de aderență la o suprafață cu coeficient ridicat de aderență:

3.3.7.

Simularea modului de avarie:

3.3.8.

Verificări funcționale ale racordurilor opționale:

3.3.9.

Compatibilitate electromagnetică.

4.   Specificații privind instalarea

4.1.

Raportul între circumferința pneului și rezoluția excitatorului:

4.2.

Toleranța la circumferința pneurilor între o axă și altă axe prevăzute cu aceleași excitatoare:

4.3.

Tipul suspensiei:

4.4.

Diferențialele cuplului de intrare al frânării la o remorcă/un tren:

4.5.

Ampatamentul remorcii:

4.6.

Tipul de frâne:

4.7.

Secțiunile și lungimile conductelor:

4.8.

Senzorul de sarcină:

4.9.

Secvența funcționarii lămpilor de avertizare:

4.10.

Alte recomandări/specificații (de exemplu, poziția senzorilor, modulatoarelor, axelor rabatabile, a axelor directoare):

5.   Data încercării

Sistemul antiblocare descris mai sus îndeplinește dispozițiile anexei XIV la Directiva 71/320/CEE astfel cum a fost modificată ultima dată prin Directiva 98/12/CE.

……SemnăturaData

Serviciul tehnic cu autoritate competentă în materie de omologare ( 37 ) care efectuează testul:

……SemnăturaData

Autoritatea competentă în materie de omologare (în cazul în care este alta decât serviciul tehnic):

Anexă:

(documentul informativ al constructorului)




Apendicele 2

Simboluri și definiții



Simbol

Semnificație

ST

Cursa tijei împingătoare a cilindrului remorcii de încercare de referință (în mm)

lT

Lungimea pârghiei frânei remorcii de încercare de referință (în mm)

R1

Raportul ST/lT

ne

Numărul de frânări statistice echivalente

Lv

Lungimea pârghiei frânei remorcii supusă omologării (în mm)

sv

Cursa tijei împingătoare a cilindrului remorcii supusă omologării (în mm)




ANEXA XV

Omologarea CE de tip a seturilor de garnituri de frână de schimb ca unități tehnice separate

1.   DOMENIU DE APLICARE

1.1.

Prezenta anexă se aplică omologării de tip, în calitate de componente tehnice separate, în sensul articolului 2 din Directiva 70/156/CEE, a seturilor de garnituri de frână ce urmează să fie montate pe autovehicule și remorci din categoriile M1 ≤ 3,5 tone, M2 ≤ 3,5 tone, N1, O1 și O2 ca piese de schimb.

1.2.

Omologările sunt obligatorii numai pentru seturile de garnituri de frână de schimb destinate montării la autovehiculele și remorcile care au fost omologate în conformitate cu Directiva 71/320/CEE modificată de prezenta directivă.

2.   DEFINIȚII

În sensul prezentei anexe, termenii și expresiile de mai jos se definesc după cum urmează:

2.1.

dispozitiv de frânare: ansamblul elementelor definite la punctul 1.2 din anexa 1 la prezenta directivă;

2.2.

frână cu fricțiune: elementul dispozitivului de frânare în care forțele care se opun mișcării vehiculului sunt produse prin frecarea între o garnitură și un disc sau tambur de roată care se rotește față de aceasta;

2.3.

set de garnituri de frână: componenta unei frâne cu fricțiune aplicată pe un tambur sau disc pentru a produce forța de frecare;

2.3.1.

set de segmenți: setul de garnituri al unei frâne cu tambur;

2.3.1.1.

platou: componenta setului de segmenți care susține garnitura;

2.3.2.

set de plăcuțe: setul de garnituri al unei frâne cu disc;

2.3.2.1.

plăcuță: componenta setului de plăcuțe care susține garnitura;

2.3.3.

garnitura de frână: componenta realizată în material de frecare a unui set de garnituri de frână;

2.3.4.

material de frecare: produsul unui ansamblu specific de materiale și procedee care determină caracteristicile unei garnituri de frână;

2.4.

tip de garnitură de frână: o categorie de garnituri de frână identice în privința caracteristicilor materialului de frecare;

2.5.

tipul setului de garnituri de frână: o categorie de seturi de garnituri de frână prevăzute cu același tip de garnitură și având aceleași caracteristici funcționale sau dimensionale;

2.6.

garnitură de frână originală: un tip de garnitură de frână prevăzut la punctul 1.2 (și următoarele) din addenda la apendicele 1 la anexa IX;

2.7.

set de garnituri de frână originale: un set de garnituri de frână care corespund specificațiilor prezentate în certificatul de omologare de tip al unui vehicul;

2.8.

set de garnituri de frână de schimb: un set de garnituri de frână de un tip omologat conform prezentei directive ca piesă de schimb adecvată pentru un set de garnituri de frână originale;

2.9.

constructor: întreprinderea capabilă de a-și asuma răspunderea tehnică a fabricării seturilor de garnituri de frână și de a demonstra ca dispune de mijloacele necesare pentru a asigura conformitatea producției.

3.   CEREREA DE OMOLOGARE CE DE TIP

3.1.

Cererea de omologare CE de tip, în conformitate cu articolul 3 alineatul (4) din Directiva 70/156/CEE, pentru un set de garnituri de frână de schimb destinat unui anumit tip sau anumitor tipuri de vehicul(e) este prezentată de către fabricantul setului de garnituri de schimb.

3.2.

Cerile pot fi prezentate de către titularii unei (unor) omologări de tip pentru vehicule în conformitate cu prezenta directivă, pentru seturile de garnituri de frână de schimb conforme cu tipul descris în certificatul de omologare de tip a vehiculului la punctul 1.2 și următoarele din addenda la apendicele 1 al anexei IX.

3.3.

Modelul de document informativ este prezentat în anexa XVII.

3.4.

Elementele următoare sunt prezentate serviciului tehnic însărcinat cu efectuarea încercărilor de omologare de tip:

3.4.1.

seturile de garnituri de frână de tipul propus pentru omologare, în cantități suficiente pentru a se putea efectua încercările de omologare. Mostrele trebuie să fie marcate clar și permanent cu denumirea sau marca solicitantului și cu denumirea tipului;

3.4.2.

vehiculele și/sau frânele reprezentativ corespunzătoare.

4.   ACORDAREA OMOLOGĂRII CE DE TIP

4.1.

În cazul în care dispozițiile corespunzătoare sunt îndeplinite, se acordă omologarea CE de tip în conformitate cu articolul 4 alineatul (3) și, dacă este cazul, articolul 4 alineatul (4) din Directiva 70/156/CEE.

4.2.

Un model de certificat de omologare CE de tip este prezentat în anexa XVI.

4.3.

Fiecărui tip de set de garnituri de frână de schimb i se acordă un număr de omologare de tip, în conformitate cu anexa VII la Directiva 70/156/CEE. Statele membre nu atribuie același număr altui tip de set de garnituri. Același număr de omologare de tip poate acoperi utilizarea tipului respectiv de set de garnituri pe mai multe tipuri de vehicule diferite.

4.4.

MARCAREA

4.4.1.

Fiecare garnitură de frână de schimb conformă tipului omologat în conformitate cu prezenta directivă, ca unitate tehnică separată, poartă marca de omologare CE de tip.

4.4.2.

Marca se compune dintr-un dreptunghi în care este înscrisă litera „e” urmată de codul (cifre sau litere) statului membru care a acordat omologarea de tip:

1.

pentru Germania

2.

pentru Franța

3.

pentru Italia

4.

pentru Țările de Jos

5.

pentru Suedia

6.

pentru Belgia

▼A2

7.

pentru Ungaria

8.

pentru Republica Cehă

▼M7

9.

pentru Spania

11.

pentru Regatul Unit

12.

pentru Austria

13.

pentru Luxemburg

17.

pentru Finlanda

18.

pentru Danemarca

▼M9

19.

pentru România

▼A2

20.

pentru Polonia

▼M7

21.

pentru Portugalia

23.

pentru Grecia

▼A2

26.

pentru Slovenia

27.

pentru Slovacia

29.

pentru Estonia

32.

pentru Letonia

▼M9

34.

pentru Bulgaria

▼A2

36.

pentru Lituania

CY

pentru Cipru

▼M7

IRL

pentru Irlanda.

▼A2

MT

pentru Malta

▼M7

De asemenea, în vecinătatea dreptunghiului se înscrie „numărul de omologare de bază” conținut în secțiunea 4 a numărului de omologare de tip prevăzut în anexa VII la Directiva 70/156/CEE, precedat de două cifre care indică numărul secvențial atribuit celei mai recente modificări tehnice importante a Directivei 71/320/CEE la data acordării omologării CE de tip. Pentru prezenta directivă, numărul secvențial este 01. Cele trei cifre suplimentare aflate în vecinătatea dreptunghiului indică segmentul sau platoul.

4.4.3.

Marca de omologare prevăzută la punctul 4.4.2 este lizibilă în mod clar și nu poate fi ștearsă.

4.4.4.

Apendicele 1 la prezenta anexă dă exemple de mărci și date de omologare conform dispozițiilor de mai sus și de la punctul 6.5.

5.   SPECIFICAȚII ȘI ÎNCERCĂRI

5.1.

Dispoziții generale

Un set de garnituri de frână de schimb este proiectat și construit astfel încât, atunci când înlocuiește setul original al unui un vehicul, eficacitatea frânării vehiculului să corespundă cu aceea a tipului de vehicul omologat în conformitate cu dispozițiile anexei II la prezenta directivă.

Și anume:

(a) un vehicul prevăzut cu seturi de garnituri de frână de schimb îndeplinește condițiile de frânare corespunzătoare ale prezentei directive;

(b) un set de garnituri de frână de schimb prezintă caracteristici de eficacitate similare cu cele ale setului original pe care urmează să îl înlocuiască;

(c) un set de garnituri de frână de schimb posedă caracteristicile mecanice corespunzătoare.

5.2.

Seturile de garnituri de frână de schimb conforme tipului specificat în fișa de omologare de tip a vehiculului, în conformitate cu prezenta directivă, sunt considerate ca îndeplinind dispozițiile alineatului (5) din prezenta directivă.

5.3.

Condiții de eficacitate

5.3.1.

Seturi de garnituri de frână de schimb pentru vehicule din categoriile M1, M2 și N1

Seturile de garnituri de frână de schimb sunt încercate conform dispozițiilor apendicelui 3 și îndeplinesc condițiile prevăzute în prezentul apendice. Pentru sensibilitate la viteză și echivalența eficacității la rece se utilizează una dintre cele două metode descrise în apendicele 3.

5.3.2.

Seturi de garnituri de frână de schimb pentru vehicule din categoriile O1 și O2

Seturile de garnituri de frână de schimb sunt încercate conform dispozițiilor apendicelui 4 și îndeplinesc condițiile prevăzute la apendicele 3 și apendicele 4 din prezenta anexă.

5.4.

Caracteristici mecanice

5.4.1.

Seturile de garnituri de frână de schimb de tipul prezentat pentru omologare sunt supuse unor încercări de rezistență la forfecare în conformitate cu standardul ISO 6312 (1981).

Minimul acceptabil de rezistență la forfecare este 250 N/cm2 pentru plăcuțe și 100 N/cm2 pentru segmenți.

5.4.2.

Seturile de garnituri de frână de schimb de tipul prezentat pentru omologare sunt supuse unor încercări de compresibilitate în conformitate cu standardul ISO 6310 (1981).

Compresibilitatea nu depășește 2 % la temperatură ambiantă și 5 % la 400 °C pentru plăcuțe și, respectiv, 2 % la temperatură ambiantă și 4 % la 200 °C pentru segmenți.

6.   PREZENTARE ȘI MARCARE

▼M8

6.1.

Seturile de garnitură de frână de schimb conforme cu un tip omologat în conformitate cu prezenta directivă se ambalează sub formă de seturi pentru axă completă.

▼M7

6.2.

Fiecare set este prezentat într-un ambalaj sigilat, realizat astfel încât să facă vizibilă orice deschidere prealabilă a ambalajului.

6.3.

Fiecare ambalaj prezintă informațiile următoare:

6.3.1.

cantitatea seturilor de garnituri de frână de schimb din pachet;

6.3.2.

marca sau denumirea constructorului;

6.3.3.

marca și tipul seturilor de garnituri de frână de schimb;

▼M8

6.3.4.

suficiente pentru a permite clientului să identifice vehiculele/axele/frânele pentru care este omologat conținutul ambalajului;

▼M7

6.3.5.

marca de omologare.

6.4.

Fiecare ambalaj conține instrucțiuni de montaj:

6.4.1.

în special pentru piesele anexe;

6.4.2.

și indică faptul că seturile de garnituri de frână de schimb se înlocuiesc sub formă de lot.

6.5.

Fiecare set de garnituri de frână de schimb prezintă în mod durabil datele de omologare următoare:

6.5.1.

marca de omologare;

6.5.2.

data fabricației (cel puțin luna și anul);

6.5.3.

marca și tipul garniturii de frână.

7.   MODIFICĂRI ALE TIPULUI ȘI ALE OMOLOGĂRILOR

7.1.

În cazul modificării tipului omologat în conformitate cu prezenta directivă, se aplică dispozițiile articolului 5 din Directiva 70/156/CEE.

8.   CONFORMITATEA PRODUCȚIEI

8.1.

Ca regulă generală, măsurile de asigurare a conformității producției sunt luate în conformitate cu articolul 10 din Directiva 70/156/CEE.

8.2.

Seturile de garnituri de frână originale prezentate pentru omologare conform punctului 3.2 sunt considerate ca îndeplinind condițiile de la punctul 8.

8.3.

Încercările prevăzute la punctul 2.3.5 din anexa X la Directiva 70/156/CEE sunt cele prevăzute la punctul 5.4 și în apendicele 4 din prezenta anexă.

8.4.

Frecvența normală a inspecțiilor autorizate de autoritatea competentă este anuală.




Apendicele 1

Exemple de marcă și de date de omologare

(a se vedea punctele 4.4 și 6.5 din prezenta anexă)

a minimum 8 mm=

Marca de omologare de mai sus indică faptul că produsul respectiv a fost aprobat în Țările de Jos (e 4) în conformitate cu prezenta directivă. În acest exemplu, primele două cifre (01) reprezintă numărul secvențial atribuit celor mai recente modificări ale Directivei 71/320/CEE a Consiliului; următoarele patru cifre (0047) sunt cele atribuite de autoritatea competentă în materie de omologare tipului de garnitură de frână, ca număr de omologare de bază, iar cele 3 cifre (901) înscrise în vecinătatea dreptunghiului sunt cele atribuite de aceeași autoritate segmentului sau platoului. Ansamblul celor nouă cifre constituie marca de omologare de tip a setului de garnituri de frână de schimb.

Exemplu de marcaj pentru un set de plăcuțe

Marca și tipul garnituriiData fabricației sau elemente de identificare a setului și denumirea sau marca fabricantuluiMarca de omologare

Exemplu de marcaj al unui set de plăcuțe

Marca și tipul garnituriiData fabricației sau elemente de identificare a setului și denumirea sau marca fabricantuluiMarca de omologare

Notă:

Nu este obligatorie dispunerea mărcilor în mod identic cu exemplele de mai sus.




Apendicele 2

Condiții aplicabile seturilor de garnituri de frână de schimb pentru vehicule din categoriile M1, M2 și N1

1.   CONFORMITATEA CU PREZENTA DIRECTIVĂ

Conformitatea cu condițiile prezentei directive se demonstrează la o încercare a vehiculului.

1.1.

Încercarea vehiculului

Un vehicul reprezentativ pentru tipul pentru care se cere omologarea setului de garnituri de frână de schimb este prevăzut cu seturi de garnituri de frână de schimb de tipul pentru care se cere omologarea și echipat pentru încercările frânelor în conformitate cu prezenta directivă.

Seturile de garnituri supuse încercărilor se montează pe frânele corespunzătoare și, până la definirea unei proceduri de rodaj, se rodează conform instrucțiunilor fabricantului în acord cu serviciul tehnic.

1.2.

Sistemul de frânare al vehiculului este supus încercării în conformitate cu dispozițiile privind categoria de vehicul în cauză (M1, M2 sau N1) din anexa II, punctele 1 și 2. Condițiile sau încercările aplicabile sunt cele de mai jos.

1.2.1.

Sistemul de frânare de serviciu

1.2.1.1.

Încercare de tip 0 cu motorul decuplat și vehiculul încărcat

1.2.1.2.

Încercare de tip 0 cu motorul cuplat, vehiculul neîncărcat și încărcat, în conformitate cu anexa II, punctul 1.2.3.1 (încercare de stabilitate) și 1.2.3.2 (doar încercarea cu o viteză inițială v = 0,8 vmax).

1.2.1.3.

Încercare de tip I

1.2.2.

Sistemul de frânare de siguranță

1.2.2.1.

Încercare de tip 0 cu motorul decuplat, vehiculul încărcat (această încercare poate fi omisă în cazurile în care este evident faptul că sunt îndeplinite condițiile, de exemplu, sistem de frânare cu distribuție diagonală).

12.3.

Sistemul de frânare de parcare

(Se aplică numai dacă frânele pentru care se solicită omologarea garniturilor sunt folosite la parcare).

1.2.3.1.

Încercare la coborârea pe o pantă de 18 %, cu vehiculul încărcat

1.3.

Vehiculul îndeplinește toate condițiile corespunzătoare prevăzute la anexa II punctul 2 pentru categoria respectivă de vehicule.

2.   CONDIȚII SUPLIMENTARE

Conformitatea cu condițiile suplimentare se demonstrează folosind una dintre metodele de mai jos.

2.1.

Încercarea vehiculului (încercare axă cu axă)

În vederea acestei încercări, vehiculul este încărcat la capacitatea sa maximă și toate frânările se efectuează cu motorul decuplat pe un drum orizontal.

Sistemul de comandă al frânei de serviciu a vehiculului este prevăzut cu un dispozitiv care permite izolarea frânelor axei față de cele ale axei spate, astfel încât acestea să poată fi utilizate independent.

Atunci când seturile de garnituri de schimb sunt supuse omologării pentru frânele axei față, frânele axei spate sunt nefuncționale pe întreaga durată a încercării.

Atunci când seturile de garnituri de schimb sunt supuse omologării pentru frânele axei spate, frânele axei față sunt nefuncționale pe întreaga durată a încercării.

2.1.1.

Încercarea echivalenței eficacității la rece

Pentru a efectua o comparație între eficacitatea la rece a setului garniturilor de frână de schimb și cea a setului original, se utilizează rezultatele încercării de mai jos.

2.1.1.1.

Se acționează frânele de cel puțin șase ori cu creșterea progresivă a efortului asupra pedalei sau a presiunii în conductă până la blocarea roților sau până la o decelerație medie completă de 6 m/s2 sau până la efortul maxim asupra pedalei admis pentru categoria de vehicul în cauză, pornind de la viteză inițială indicată în tabelul de mai jos:



Categoria vehiculului

Viteza de încercare în km/h

Axa față

Axa spate

M1

70

45

M2

50

40

N1

65

50

Temperatura inițială a frânelor la începutul fiecărei frânări este mai mică sau egală cu 100 °C.

2.1.1.2.

Se notează și se reprezintă grafic forța aplicată pedalei sau presiunea din conductă și decelerația medie completă pentru fiecare frânare și se calculează forța aplicată pedalei sau presiunea în conductă necesară pentru a atinge (dacă este posibil) o decelerație medie totală de 5 m/s2 pentru frânele axei față și de 3 m/s2 pentru frânele axei spate. Dacă aceste valori nu pot fi atinse la forța maximă admisă aplicată pedalei, se calculează fie forța aplicată pedalei, fie presiunea din conductă necesară pentru a obține decelerația maximă.

2.1.1.3.

Setul garniturilor de frână de schimb este considerat ca având aceleași caracteristici de eficacitate ca și setul original de garnituri de frână în cazul în care decelerațiile medii complete obținute la aceeași forță aplicată pedalei sau presiune din conductă în cele două treimi superioare ale curbei generate se situează în limite de 15 % față de cele obținute cu setul original de garnituri de frână.

2.1.2.

Încercarea de sensibilitate la viteză

2.1.2.1.

Folosind forța aplicată pedalei obținută conform metodei de la punctul 2.1.1.2 din prezentul apendice și la o temperatură inițială a frânelor de mai mică sau egală cu 100 °C, se acționează frânele de trei ori la rând la fiecare dintre vitezele următoare:

axa față 65 km/h, 100 km/h și 135 km/h unde vmax > 150 km/h;

axa spate 45 km/h, 65 km/h și 90 km/h, unde vmax > 150 km/h.

2.1.2.2.

Se calculează media rezultatelor pentru fiecare serie de trei frânări și se reprezintă grafic viteza cu decelerația medie completă corespunzătoare.

2.1.2.3.

Decelerațiile medii complete înregistrate pentru vitezele superioare se situează în limitele a 15 % din cele înregistrate pentru vitezele inferioare.

2.2.

Încercarea cu dinamometrul inerțial

2.2.1.

Aparatură de încercare

Pentru încercări, se montează un dinamometru inerțial pe frâna vehiculului respectiv. Dinamometrul este prevăzut cu instrumente pentru înregistrarea continuă a vitezei de rotație, a cuplului de frână, a presiunii în conducta de frână, a numărului de rotații după frânare, a timpului de frânare și a temperaturii rotorului de frână.

2.2.2.

Condiții de încercare

2.2.2.1.

Masa rotativă a dinamometrului corespunde unei jumătăți din partea masei maxime a vehiculului pe axă, conform tabelului de mai jos, și razei de rulare a celui mai mare pneu autorizat pentru tipul respectiv de vehicul:



Categoria vehiculului

Partea din masa maximă a vehiculului pe axă

față

spate

M1

0,77

0,32

M2

0,69

0,44

N1

0,66

0,39

2.2.2.2.

Viteza de rotație inițială a dinamometrului corespunde vitezei liniare a vehiculului indicată la punctele 2.2.3 și 2.2.4 din prezentul apendice și se bazează pe raza de rulare dinamică a pneului.

2.2.2.3.

Garniturile de frână supuse încercării se montează pe frânele corespunzătoare și, până la definirea unei proceduri de rodaj, acestea se rodează conform instrucțiunilor fabricantului în acord cu serviciul tehnic.

2.2.2.4.

În cazul în care se folosește răcire cu aer, viteza fluxului de aer pe frână nu depășește 10 km/h.

2.2.3.

Încercarea echivalenței eficacității la rece

Pentru a efectua o comparație între eficacitatea la rece a setului garniturilor de frână de schimb și cea a setului original, se utilizează rezultatele încercării de mai jos.

2.2.3.1.

Pornind de la viteza inițială de 80 km/h pentru categoriile de vehicule M1 și N1 și de 60 km/h pentru categoria de vehicule M2, precum și de la o temperatură a frânelor mai mică sau egală cu 100 °C la începutul fiecărei frânări, se acționează frânele de cel puțin șase ori la rând, mărind presiunea în conductă până la atingerea unei decelerații medii complete de 6 m/s2.

2.2.3.2.

Se notează și se reprezintă grafic presiunea din conductă și decelerația medie completă pentru fiecare frânare și se calculează presiunea din conductă necesară pentru a atinge 5 m/s2.

2.2.3.3.

Setul garniturilor de frână de schimb este considerat ca având aceleași caracteristici de eficacitate ca și setul original de garnituri de frână în cazul în care decelerațiile medii complete obținute la aceeași forță aplicată pedalei sau presiune din conductă în cele două treimi superioare ale curbei generate se situează în limite de 15 % față de cele obținute cu setul original de garnituri de frână.

2.2.4.

Încercarea de sensibilitate la viteză

2.2.4.1.

Folosind presiunea din conductă calculată conform metodei definite la punctul 2.2.3.2 și la o temperatură inițială a frânelor de mai mică sau egală cu 100 °C, se acționează frânele de trei ori la rând la viteze care corespund vitezelor liniare următoare ale vehiculului:

75 km/h, 120 km/h și 160 km/h unde vmax > 150 km/h.

2.2.4.2.

Se calculează media rezultatelor pentru fiecare serie de trei frânări și se reprezintă grafic viteza cu decelerația medie completă corespunzătoare.

2.2.4.3.

Decelerațiile medii complete înregistrate pentru vitezele superioare se situează în limitele a 15 % din cele înregistrate pentru vitezele inferioare.




Apendicele 3

Condiții aplicabile seturilor de garnituri de frână de schimb pentru vehicule din categoriile O1 și O2

1.   DISPOZIȚII GENERALE

Metoda de încercare descrisă în prezentul apendice se bazează pe încercarea cu ajutorul dinamometrului inerțial. Încercările se pot efectua fie pe un vehicul de încercare, fie pe un stand de încercare, în cazul în care sunt îndeplinite aceleași condiții de încercare și se măsoară aceiași parametri ca la încercarea cu dinamometrul inerțial.

2.   ECHIPAMENTUL DE ÎNCERCARE

Pentru încercări, se montează un dinamometru inerțial pe frâna vehiculului respectiv. Dinamometrul este prevăzut cu instrumente pentru înregistrarea continuă a vitezei de rotație, a cuplului de frână, a presiunii în conducta de frână sau a forței aplicate comenzii, a numărului de rotații după frânare, a timpului de frânare și a temperaturii rotorului de frână.

2.1.

Condiții de încercare

2.1.1.

Masa rotativă a dinamometrului corespunde unei jumătăți din partea masei maxime a vehiculului pe axă și razei de rulare a celui mai mare pneu autorizat pentru tipul respectiv de vehicul.

2.1.2.

Viteza de rotație inițială a dinamometrului corespunde vitezei liniare a vehiculului indicată la punctul 3.1 din prezentul apendice și se bazează pe raza de rulare dinamică a celui mai mic pneu autorizat pentru tipul respectiv de vehicul.

2.1.3.

Garniturile de frână supuse încercării se montează pe frânele corespunzătoare și, până la definirea unei proceduri de rodaj, acestea se rodează conform instrucțiunilor fabricantului în acord cu serviciul tehnic.

2.1.4.

Dacă se folosește răcire cu aer, viteza fluxului de aer pe frână nu depășește 10 km/h.

2.1.5.

Dispozitivul de comandă montat pe frână corespunde cu instalația vehiculului.

3.   ÎNCERCĂRI ȘI CONDIȚII

3.1.

Încercare de tip 0

Pornind de la o viteză inițială de 60 km/h și la o temperatură a frânei mai mică sau egală cu 100 °C la începutul fiecărei frânări, se frânează de cel puțin șase ori la rând crescând presiunea în conductă sau forța de frânare până la valoarea maximă sau a presiunii din conductă sau până la o decelerație de 6 m/s2. Se repetă ultima frânare la o viteză inițială de 40 km/h.

3.2.

Încercare de tip I

3.2.1.

Procedura de încălzire

Frâna se încălzește prin frânare continuă în conformitate cu anexa II punctul 1.3.2, pornind de la o temperatură a rotorului frânei mai mică sau egală cu 100 °C.

3.2.2.

Eficacitate la cald

La sfârșitul procedurii de încălzire, se măsoară eficacitatea la cald pornind de la o viteză inițială de 40 km/h conform condițiilor de la punctul 3.2.1, folosind aceeași forță asupra pedalei sau presiune în conductă, condițiile de temperatură putând fi diferite. Decelerația medie completă cu frâna încălzită nu este mai mică de 60 % din valoarea atinsă cu frâna rece, adică 3,5 m/s2.

3.3.

Încercarea echivalenței eficacității la rece

Pentru a efectua o comparație între eficacitatea la rece a setului garniturilor de frână de schimb și cea a setului original, se utilizează rezultatele încercării de tip 0 descrisă la punctul 3.1.

3.3.1.

Încercarea de tip 0 prevăzută la punctul 3.1 se efectuează cu un set de garnituri de frână originale.

3.3.2.

Setul garniturilor de frână de schimb este considerat ca având aceleași caracteristici de eficacitate ca și setul original de garnituri de frână în cazul în care decelerațiile medii complete obținute la aceeași forță aplicată pedalei sau presiune din conductă în cele două treimi superioare ale curbei generate se situează în limite de 15 % față de cele obținute cu setul original de garnituri de frână.




Apendicele 4

Determinarea comportamentului la frecare prin încercarea pe un stand de încercare

1.   INTRODUCERE

1.1.

Se încearcă mostre ale unui tip de set de garnituri de frână de schimb pe un stand de încercare capabil să genereze condițiile de încercare și să aplice procedurile de încercare descrise în prezentul apendice.

1.2.

Se evaluează rezultatele în vederea determinării comportamentului mostrelor la frecare.

1.3.

Se compară comportamentul la frecare al mostrelor pentru a evalua conformitatea cu standardul admis pentru un tip de set de garnituri de frână de schimb.

2.   ECHIPAMENTUL

2.1.

Standul de încercare se proiectează în așa fel încât să accepte și să utilizeze o frână de dimensiuni normale, similară cu cele montate pe axa vehiculului utilizat pentru încercările de omologare descrise la punctul 5 din prezenta anexă.

2.2.

Viteza de rotație a discului sau a tamburului este de 660 ± 10 min– 1 fără sarcină și nu este inferioară valorii de 600 min– 1 la sarcină maximă.

2.3.

Ciclurile de încercare și frânările efectuate pe parcursul ciclurilor sunt reglabile și automate.

2.4.

Se înregistrează cuplurile la ieșire sau presiunea de frânare (metoda cuplului constant) precum și temperatura suprafeței utile.

2.5.

Fluxul aerului de răcire asupra frânei are o viteză de 600 ± 60 m3/h.

3.   PROCEDURA DE ÎNCERCARE

3.1.

Pregătirea mostrelor

Rodajul fabricantului asigură o zonă superficială de contact de cel puțin 80 % pentru plăcuțe, fără a depăși o temperatură a suprafeței de 300 °C și de 70 °C pentru segmenții primari, fără a depăși o temperatură a suprafeței de 200 °C.

3.2.

Realizarea încercării

Încercarea cuprinde mai multe cicluri consecutive de frânare, fiecare dintre acestea fiind compus din χ faze de frânare constând din 5 secunde de frânare urmate 10 secunde de decuplare a frânei.

Următoarele două metode pot fi folosite la alegere.

3.2.1.

Realizarea încercării la presiune constantă

3.2.1.1.

Seturi de plăcuțe

Presiunea hidraulică p de acționare a pistoanelor etrierului este constantă, conform formulei:

image

Md = 150 Nm pentru Ak ≤ 18,1 cm2

Md = 300 Nm pentru Ak > 18,1 cm2

Ak = suprafața pistoanelor etrierului

rw = raza efectivă a discului



Număr de cicluri

Numărul de frânări χ

Temperatura inițială a rotorului de frână

(°C)

Temperatura maximă a rotorului de frână

(°C)

Răcire forțată

1

1 × 10

≤ 60

liberă

nu

2-6

5 × 10

100

liberă (350)

nu

7

1 × 10

100

liberă

da

3.2.1.2.

Seturi de segmenți

Presiunea medie de contact pe suprafața utilă a garniturii de frână este constantă la 22 ± 6 N/cm2, calculată pentru o frână statică fără servomecanism automat.



Număr de cicluri

Numărul de frânări χ

Temperatura inițială a rotorului de frână

(°C)

Temperatura maximă a rotorului de frână

(°C)

Răcire forțată

1

1 × 10

≤ 60

200

da

2

1 × 10

100

liberă

nu

3

1 × 10

100

200

da

4

1 × 10

100

liberă

nu

3.2.2.

Realizarea încercării la cuplu constant

Această metodă se aplică numai seturilor de plăcuțe. Cuplul de frânare este constant în limitele unei toleranțe de ± 5 % și este reglat pentru a garanta temperaturile maxime ale rotorului de frână indicate în tabelul de mai jos:



Număr de cicluri

Numărul de frânări χ

Temperatura inițială a rotorului de frână

(°C)

Temperatura maximă a rotorului de frână

(°C)

Răcire forțată

1

1 × 5

≤ 60

300 - 350

nu

2-4

3 × 5

100

300 - 350

nu

5

1 × 10

100

500 - 600

nu

6-9

4 × 5

100

300 - 350

nu

10

1 × 10

100

500 - 600

nu

11-13

3 × 5

100

300 - 350

nu

14

1 × 5

≤ 60

300 - 350

nu

3.3.

Evaluarea rezultatelor încercării

Comportamentul la frecare este determinat pe baza cuplului de frână notat în punctele selectate pe un plan de încercare. Acolo unde factorul de frânare este constant, de exemplu, o frână cu disc, cuplul de frână poate fi numit factor de frecare.

3.3.1.

Seturi de plăcuțe

3.3.1.1.

Coeficientul operațional de frecare (μop) reprezintă media valorilor înregistrate pe parcursul ciclurilor 2-7 (metoda presiunii constante) sau pe parcursul ciclurilor 2-4, 6-9 și 11-13 (metoda cuplului constant), măsurătoarea fiind efectuată la o secundă după începutul primei frânări a fiecărui ciclu.

3.3.1.2.

Coeficientul maxim de frecare (μmax) reprezintă cea mai mare valoare înregistrată pe parcursul tuturor ciclurilor.

3.3.1.3.

Coeficientul minim de frecare (μmin) reprezintă cea mai mică valoare înregistrată pe parcursul tuturor ciclurilor.

3.3.2.

Seturi de segmenți

3.3.2.1.

Cuplul mediu de frânare (Mmediu) reprezintă media valorilor maximă și minimă ale cuplului de frânare, înregistrate pe parcursul celei de-a cincea frânări din ciclurile 1 și 3.

3.3.2.2.

Cuplul la cald (Mcald) reprezintă cuplul minim de frânare produs pe parcursul ciclurilor 2 și 4. Dacă temperatura depășește 300 °C pe parcursul acestor cicluri, valoarea înregistrată la 300 °C este considerată ca fiind Mcald.

3.4.

Criterii de acceptare

3.4.1.

Fiecare cerere de omologare a unui set de garnituri este însoțită de datele următoare:

3.4.1.1.

valorile (μop), (μmin), (μmax) pentru seturile de plăcuțe;

3.4.1.2.

valorile Mmediu și Mcald pentru seturile de segmenți.

3.4.2.

Pe parcursul producției unui tip omologat de seturi de garnituri, se demonstrează pe baza unor eșantioane conformitatea cu valorile înregistrate conform punctului 3.4.1 din prezentul apendice, în limitele toleranțelor următoare:

3.4.2.1.

plăcuțe de frâna cu disc:

μop ± 15 % din valoarea înregistrată

μmin ≥ valoarea înregistrată

μmax ≥ valoarea înregistrată.

3.4.2.2.

garnituri de frână cu tambur „simplex”:

Mmean ± 20 % din valoarea înregistrată

Mcald ≥ valoarea înregistrată.




ANEXA XVI

MODEL

[format maxim: A4 (210 × 297 mm)]

CERTIFICAT DE OMOLOGARE CE DE TIPȘtampila autorității competenteComunicare privindomologarea de tip (1)prelungirea omologării de tip (1)respingerea omologării de tip (1)retragerea omologării de tip (1)pentru un tip de vehicul/componentă/unitate tehnică (1) în conformitate cu Directiva 71/320/CEE, astfel cum a fost modificată ultima dată prin Directiva 98/12/CE.Numărul omologării de tip: …Motivele prelungirii: …PARTEA I1.Marca (numele societății constructoare):2.Tipul:Mijloacele de identificare a tipului, dacă sunt marcate pe vehicul/componentă/unitate tehnică separată (1) (2):3.3.1.Poziția marcajului:Categoria vehiculului (1) (3):4.5.Denumirea și adresa constructorului:6.În cazul componentelor și unităților tehnice, locul și metoda de aplicare a mărcii de omologare CE:7.Adresa (adresele) atelierului (atelierelor) de asamblare:SECȚIUNEA II1.Informații suplimentare (dacă este cazul): a se vedea addenda2.Serviciul tehnic responsabil de efectuarea încercărilor:3.Data raportului de încercare:4.Numărul raportului de încercare:5.Observații (dacă există): a se vedea addenda6.Locul:7.Data:8.Semnătura:9.Se atașează indexul dosarului de omologare prezentat autorităților de omologare, care poate fi obținut la cerere.(1)A se șterge, după caz.(2)Dacă mijloacele de identificare a tipului conțin caractere nerelevante pentru descrierea vehiculului, componentelor sau unităților tehnice cuprinse în prezentul certificat de omologare de tip, aceste caractere sunt reprezentate în documentație prin simbolul ? (de exemplu, ABC?123?).(3)Conform definiției din anexa II A la Directiva 70/156/CEE.

Addenda

la certificatul de omologare CE de tip nr. … privind omologarea de tip ca unitate tehnică separată a unui set de garnituri de frână conform Directivei 71/320/CEE astfel cum a fost modificată ultima dată prin Directiva 98/12/CE1.Informații suplimentare1.1.Marca și tipul setului de garnituri de frână:1.2.Marca și tipul garniturii de frână:1.3.Vehicule/axe/frâne pentru care tipul de set de garnituri de frână este considerat set de garnituri de frână original:……1.4.Vehicule/axe/frâne pentru care tipul de set de garnituri de frână este considerat set de garnituri de frână de schimb:……5.Observații: ……




ANEXA XVII

DOCUMENT INFORMATIV NR. …privind omologarea CE de tip a unor seturi de garnituri de frână(Directiva 71/320/CEE astfel cum a fost modificată ultima dată prin Directiva 98/12/CE)Următoarele informații sunt furnizate, după caz, în trei exemplare și sunt însoțite de o listă a elementelor incluse. Desenele sunt furnizate, după caz, la o scară corespunzătoare și cu suficiente detalii, în format A4 sau într-un format care se poate plia în A4. Fotografiile, după caz, sunt suficient de detaliate.În cazul în care sistemele, componentele sau elementele tehnice izolate au comenzi electronice, se furnizează informații privind performanța acestora.0.GENERALITĂȚI0.1.Marca (denumirea constructorului): …0.2.Tipul: …0.5.Denumirea și adresa fabricantului: …0.7.În cazul componentelor și unităților tehnice separate, poziția și metoda de aplicare a mărcii de omologare CE de tip: …0.8.Adresa (adresele) unității (unităților) de montaj: …1.DESCRIEREA DISPOZITIVULUI1.1.Marca și tipul setului de garnituri de frână:1.2.Marca și tipul de garnituri de frână:1.3.Vehicule/axe/frâne pentru care setul de garnituri de frână este considerat set de garnituri de frână original: …1.4.Vehicule/axe/frâne pentru care setul de garnituri de frână este considerat set de garnituri de frână de schimb:1.5.Desene ale setului de garnituri de frână, cu indicarea dimensiunilor funcționale: …1.6.Indicarea pozițiilor de pe vehicul/axă/frâne pentru care se solicitată omologarea: …1.7.Valorile comportamentului la frecare (a se vedea punctul 3.4.1 din apendicele 4 la anexa XV): …




ANEXA XVIII

DOCUMENTUL INFORMATIV Nr. …

conform anexei I la Directiva 70/156/CEE ( 38 ) a Consiliului privind omologarea CE de tip a unui vehicul referitor la frânarea autovehiculelor

(Directiva 71/320/CEE astfel cum a fost modificată ultima dată prin Directiva 98/12/CE)

Următoarele informații sunt furnizate, după caz, în trei exemplare și sunt însoțite de o listă a elementelor incluse. Desenele sunt furnizate, după caz, la o scară corespunzătoare și cu suficiente detalii, în format A4 sau într-un format care se poate plia în A4. Fotografiile, după caz, sunt suficient de detaliate.

În cazul în care sistemele, componentele sau unitățile tehnice separate dispun de funcții cu comandă electronică, se furnizează informații privind funcționarea acestora.

0.   GENERALITĂȚI

0.1.

Marca (denumirea constructorului):

0.2.

Tipul:

0.3.

Mijloace de identificare a tipului, dacă sunt marcate pe vehicul (b):

0.3.1.

Poziția marcajului:

0.4.

Categoria de vehicul (c):

0.5.

Denumirea și adresa fabricantului:

0.8.

Adresa (adresele) unității (unităților) de montaj:

1.   CARACTERISTICI GENERALE ALE CONSTRUCȚIEI VEHICULULUI

1.1.

Fotografii și/sau desene ale unui vehicul reprezentativ:

1.2.

Numărul de axe și roți:

1.3.3.

Numărul și poziția axelor cu roți jumelate:

1.3.3.

Axe motoare (număr, poziție, interconectare):

1.8.

Poziția volanului: dreapta/stânga (1)

2.   MASE ȘI DIMENSIUNIe (în kg și mm) (cu trimitere la schițe, după caz)

2.1.

Ampatament (la sarcină maximă) (f):

2.3.1.

Calea fiecărei axe directoare (i):

2.6.

Masa vehiculului cu caroserie și dispozitivul de cuplare, în cazul unui vehicul tractor de altă categorie decât M1, în stare de funcționare, sau masa șasiului cu cabină în cazul în care constructorul nu furnizează caroseria și/sau dispozitivul de cuplare [inclusiv lichid de răcire, ulei, combustibil, 100 % alte lichide cu excepția apelor reziduale, sculelor, roții de rezervă și conducătorului și, pentru autobuze și autocare, masa membrului de echipaj (75 kg) dacă vehiculul este prevăzut cu un loc pentru acesta] (masă maximă și masă minimă): …

2.6.1.

Distribuția acestei mase între axe și, în cazul unei semiremorci sau al unei remorci cu axe mediane, sarcina la punctul de cuplare (masă maximă și masă minimă): …

2.7.

Masa minimă a vehiculului complet declarată de constructor în cazul unui vehicul incomplet:

2.7.1.

Distribuția acestei mase între axe și, în cazul unei semiremorci sau al unei remorci cu axe mediane, sarcina la punctul de cuplare:

2.8.

Masa maximă tehnică admisă cu încărcătură, declarată de constructor (masă maximă și masă minimă)y:

2.8.1.

Distribuția acestei mase între axe și, în cazul unei semiremorci sau al unei remorci cu axe mediane, sarcina la punctul de cuplare (masă maximă și masă minimă):

2.9.

Încărcătura/masa maximă tehnic admisă pe fiecare axă:

2.10.

Încărcătura/masa maximă tehnic admisă pe fiecare grup de axe:

2.11.

Masa remorcabilă maximă tehnic admisă pentru vehiculul tractor în caz de:

2.11.1.

Remorcă:

2.11.2.

Semiremorcă:

2.11.3.

Remorcă axă mediană:

2.11.3.1.

Raportul maxim între consola spate de cuplare (p) și ampatament:

2.11.4.

Masa maximă tehnic admisă a ansamblului:

2.11.6.

Masa maximă a remorcii nefrânate:

2.12.

Sarcina/masa maximă verticală statică tehnic admisă la punctul de cuplare:

2.12.1.

a autovehiculului:

3.   MOTOR (q)

3.1.

Constructor:

3.1.1.

Codul motorului utilizat de constructor (indicat pe motor sau prin alte mijloace):

3.2.

Motor cu adere internă

3.2.1.1.

Principiul de funcționare: motor cu aprindere comandată, motor cu aprindere prin comprimare, 4 timpi/2 timpi (1):

3.2.1.9.

Turația maximă admisă a motorului specificată de fabricant: … min– 1

3.2.5.

Sistemul electric

3.2.5.1.

Tensiunea nominală: … V legătură la masă pozitivă/negativă1:

3.2.5.2.

Generator:

3.2.5.2.1.

Tipul:

3.2.5.2.2.

Puterea nominală: … VA

3.3.

Motor electric:

3.3.1.

Tipul:

3.3.1.1.

Puterea orară maximă: … kW

3.3.1.2.

Tensiunea de lucru: … V

3.3.2.

Acumulatori

3.3.2.2.

Masa: … kg

3.4.

Alte motoare sau combinații de motoare (caracteristici ale componentelor motoarelor respective):

4.   TRANSMISIA

4.1.

Desenul sistemului de transmisie ( 39 ):

4.2.

Tipul (mecanică, hidraulică, electrică etc.):

4.6.

Rapoartele de transmitere



Treaptă de viteză

Rapoarte de transmitere (raportul între turația motorului și turația arborelui de ieșire)

Rapoarte de transmitere al punții motoare (raportul între turația arborelui de ieșire și turația roților motoare)

Raportul total al transmisiei

Maximum variator (1)

 
 
 

1

 
 
 

2

 
 
 

3

 
 
 

 
 
 

Minimum variator (1)

 
 
 

Mers înapoi

 
 
 

(1)   Variație continuă

4.7.

Viteza maximă a vehiculului (în km/h)w:

5.   AXELE

5.4.

Poziția axelor rabatabile:

6.   SUSPENSIA

6.1.

Desenul elementelor suspensiei (39) :

6.2.

Tipul și natura suspensiei fiecărei axe (sau grup de axe) sau fiecărei roți:

6.6.

Pneuri și roți:

6.6.1.

Combinații pneu/roată (pentru pneuri se indică dimensiunea, indicele capacității de sarcină minime, simbolul categoriei de viteză minime; pentru roți se indică dimensiunea jantei și decalajele):

6.6.1.1.   AXELE

6.6.1.1.1.

Axa 1:

6.6.1.1.2.

Axa 2:

6.6.1.1.3.

Axa 3:

6.6.1.1.4.

Axa 4:

etc.

6.6.2.

Limita maximă și minimă a razelor de rulare

6.6.2.1.

Axa 1:

6.6.2.2.

Axa 2:

6.6.2.3.

Axa 3:

6.6.2.4.

Axa 4:

etc.

6.6.3.

Presiunea pneurilor recomandată de constructor:

… kPa:

6.6.5.

Scurtă descriere a pieselor de rezervă, dacă este cazul:

8.   FRÂNELE

Se prezintă următoarele informații, cu indicarea mijloacelor de identificare dacă este cazul:

8.1.

Tipul și caracteristicile frânelor (conform anexei I punctul 1.6 din Directiva 71/320/CEE), însoțite de un desen (de exemplu, tamburi sau discuri, roți frânate, conectarea la roțile frânate, marca și tipul saboților sau plăcuțelor de frână și/sau ale garniturilor, suprafețele efective de frânare, razele tamburilor, saboților sau discurilor, masa tamburilor, dispozitive de reglare, părți în cauză ale axelor și suspensiei etc.):

8.2.

Schema de funcționare, descrierea și/sau desenul dispozitivelor de frânare următoare (conform anexei I punctul 1.2 din Directiva 71/320/CEE), în special privind organele de transmisie și de comandă (construcție, reglaj, rapoarte de pârghie, accesibilitatea și poziția comenzii, comenzi cu clichete în cazul transmisiei mecanice, caracteristicile părților principale ale timoneriei, cilindrilor și pistoanelor de comandă, cilindrilor de frână sau componentelor echivalente în cazul sistemelor de frânare electrice).

8.2.1.

Sistem de frânare de serviciu:

8.2.2.

Sistem de frânare de siguranță:

8.2.3.

Sistem de frânare de parcare:

8.2.4.

Alt sistem de frânare:

8.3.

Comanda și transmisia dispozitivelor de frânare ale remorcilor vehiculelor proiectate pentru tractarea unei remorci:

8.4.

Vehiculul este echipat pentru tractarea unei remorci prevăzută cu frână de serviciu electrică/pneumatică/hidraulică1: da/nu1:

8.5.

Sistem antiblocare: da/nu/opțional1

8.5.1.

Pentru vehicule cu sistem antiblocare, descrierea funcționării sistemului (inclusiv orice componentă electronică), schema electrică, schema circuitului hidraulic sau pneumatic:

8.6.

Calculele și curbele realizate în conformitate cu apendicele de la punctul 1.1.4.2 din anexa II la Directiva 71/320/CEE (sau cu apendicele la anexa XI, dacă este cazul):

8.7.

Descrierea și/sau desenul sistemului de alimentare cu energie (inclusiv în cazul dispozitivelor de frânare servoasistate):

8.7.1.

În cazul sistemelor cu aer comprimat, presiunea de lucru p2 în rezervoare sub presiune:

8.7.2.

În cazul sistemelor de frânare cu vacuum, nivelul energiei inițiale în rezervoare:

8.8.

Calcularea sistemului de frânare: determinarea raportului între suma forțelor de frânare la circumferința roților și forța aplicată asupra comenzii:

8.9.

Scurtă descriere a dispozitivelor de frânare (în conformitate cu punctul 1.6 din apendicele I la anexa IX la Directiva 70/320/CEE):

8.10.

Dacă se solicită exceptarea de la încercările de tip I și/sau II sau III, se indică numărul raportului de încercare în conformitate cu apendicele 2 la anexa VII la Directiva 71/320/CEE:

Data: …Dosarul: …




ANEXA XIX

DOCUMENTUL INFORMATIV Nr. …

în conformitate cu anexa I la Directiva 70/156/CEE ( 40 ) a Consiliului privind omologarea CE de tip a unui vehicul privind frânarea remorcilor prevăzute cu alte frâne decât frânele prin inerție

(Directiva 71/320/CEE astfel cum a fost modificată ultima dată prin Directiva 98/12/CE)

Următoarele informații sunt furnizate, după caz, în trei exemplare și sunt însoțite de o listă a elementelor incluse. Desenele sunt furnizate, după caz, la o scară corespunzătoare și cu suficiente detalii, în format A4 sau într-un format care se poate plia în A4. Fotografiile, după caz, sunt suficient de detaliate.

În cazul în care sistemele, componentele sau elementele tehnice izolate au comenzi electronice, se furnizează informații privind performanța acestora.

0.   GENERALITĂȚI

0.1.

Marca (denumirea constructorului):

0.2.

Tipul:

0.3.

Mijloace de identificare a tipului, dacă sunt marcate pe vehicul (b):

0.3.1.

Poziția marcajului:

0.4.

Categoria de vehicul (c):

0.5.

Denumirea și adresa fabricantului:

0.8.

Adresa (adresele) unității (unităților) de montaj:

1.   CARACTERISTICI GENERALE ALE CONSTRUCȚIEI VEHICULULUI

1.1.

Fotografii și/sau desene ale unui vehicul reprezentativ:

1.3.

Numărul de axe și roți:

1.3.1.

Numărul și poziția axelor cu roți jumelate:

2.   MASE ȘI DIMENSIUNI (e) (în kg și mm) (cu trimitere la schițe, după caz)

2.1.

Ampatament (la sarcină maximă) (f):

2.3.1.

Calea fiecărei axe directoare (i):

2.6.

Masa vehiculului cu caroserie și dispozitivul de cuplare, în cazul unui vehicul tractor de altă categorie decât M1, în stare de funcționare, sau masa șasiului cu cabină în cazul în care constructorul nu furnizează caroseria și/sau dispozitivul de cuplare [inclusiv lichid de răcire, ulei, combustibil, 100 % alte lichide cu excepția apelor reziduale, sculelor, roții de rezervă și conducătorului și, pentru autobuze și autocare, masa membrului de echipaj (75 kg) dacă vehiculul este prevăzut cu un loc pentru acesta] (masă maximă și masă minimă): …

2.6.1.

Distribuția acestei mase între axe și, în cazul unei semiremorci sau al unei remorci cu axe mediane, sarcina la punctul de cuplare (masă maximă și masă minimă): …

2.7.

Masa minimă a vehiculului complet declarată de constructor în cazul unui vehicul incomplet:

2.7.1.

Distribuția acestei mase între axe și, în cazul unei semiremorci sau al unei remorci cu axe mediane, sarcina la punctul de cuplare:

2.8.

Masa maximă tehnică admisă cu încărcătură, declarată de constructor (masă maximă și masă minimă):

2.8.1.

Distribuția acestei mase între axe și, în cazul unei semiremorci sau al unei remorci cu axe mediane, sarcina la punctul de cuplare (masă maximă și masă minimă):

2.9.

Încărcătura/masa maximă tehnic admisă pe fiecare axă:

2.10.

Încărcătura/masa maximă tehnic admisă pe fiecare grup de axe:

2.12.

Sarcina/masa maximă verticală statică tehnic admisă la punctul de cuplare:

2.12.2.

a semiremorcii sau remorcii cu axă mediană:

5.   AXELE

5.4.

Poziția axelor rabatabile:

6.   SUSPENSIA

6.1.

Desenul elementelor suspensiei ( 41 ):

6.2.

Tipul și natura suspensiei fiecărei axe (sau grup de axe) sau fiecărei roți:

6.6.

Pneuri și roți:

6.6.1.

Combinații pneu/roată (pentru pneuri se indică dimensiunea, indicele capacității de sarcină minime, simbolul categoriei de viteză minime; pentru roți se indică dimensiunea jantei și decalajele):

6.6.11.   AXELE

6.6.1.1.1.

Axa 1:

6.6.1.1.2.

Axa 2:

6.6.1.1.3.

Axa 3:

6.6.1.1.4.

Axa 4:

etc.

6.6.2.

Limita maximă și minimă a razelor de rulare

6.6.2.1.

Axa 1:

6.6.2.2.

Axa 2:

6.6.2.3.

Axa 3:

6.6.2.4.

Axa 4:

etc.

6.6.3.

Presiunea pneurilor recomandată de constructor: … kPa

8.   FRÂNELE

Se prezintă următoarele informații, cu indicarea mijloacelor de identificare dacă este cazul:

8.1.

Tipul și caracteristicile frânelor (conform anexei I punctul 1.6 din Directiva 71/320/CEE), însoțite de un desen (de exemplu, tamburi sau discuri, roți frânate, conectarea la roțile frânate, marca și tipul saboților sau plăcuțelor de frână și/sau ale garniturilor, suprafețele efective de frânare, razele tamburilor, saboților sau discurilor, masa tamburilor, dispozitive de reglare, părți în cauză ale axelor și suspensiei etc.):

8.2.

Schema de funcționare, descrierea și/sau desenul dispozitivelor de frânare următoare (conform anexei I punctul 1.2 din Directiva 71/320/CEE), în special privind organele de transmisie și de comandă (construcție, reglaj, rapoarte de pârghie, accesibilitatea și poziția comenzii, comenzi cu clichete în cazul transmisiei mecanice, caracteristicile părților principale ale timoneriei, cilindrilor și pistoanelor de comandă, cilindrilor de frână sau componentelor echivalente în cazul sistemelor de frânare electrice).

8.2.1.

Sistem de frânare de serviciu:

8.2.2.

Sistemul de frânare de siguranță:

8.2.3.

Sistem de frânare de parcare:

8.2.4.

Alt sistem de frânare:

8.2.5.

sistem de frânare de securitate:

8.5.

Sistem antiblocare: da/nu/opțional (1)

8.5.1.

Pentru vehicule cu sistem antiblocare, descrierea funcționării sistemului (inclusiv orice componentă electronică), schema electrică, schema circuitului hidraulic sau pneumatic:

8.6.

Calculele și curbele realizate în conformitate cu apendicele de la punctul 1.1.4.2 din anexa II la Directiva 71/320/CEE (sau cu apendicele la anexa XI, dacă este cazul):

8.7.

Descrierea și/sau desenul sistemului de alimentare cu energie (inclusiv în cazul dispozitivelor de frânare servoasistate):

8.7.1.

În cazul sistemelor cu aer comprimat, presiunea de lucru p2 în rezervoare sub presiune:

8.7.2.

În cazul sistemelor de frânare cu vacuum, nivelul energiei inițiale în rezervoare:

8.8.

Calcularea sistemului de frânare: determinarea raportului între suma forțelor de frânare la circumferința roților și forța aplicată asupra comenzii:

8.9.

Scurtă descriere a dispozitivelor de frânare (în conformitate cu punctul 1.6 din apendicele I la anexa IX la Directiva 70/320/CEE):

8.10.

Dacă se solicită exceptarea de la încercările de tip I și/sau II sau III, se indică numărul raportului de încercare în conformitate cu apendicele 2 la anexa VII la Directiva 71/320/CEE:

Data: …Dosarul: …



( 1 ) JO C 160, 18.12.1969, p. 7.

( 2 ) JO C 100, 1.8.1969, p. 13.

( 3 ) JO L 42, 23.2.1970, p. 1.

( 4 ) Până la stabilirea unor procedee uniforme de calcul al efectelor dispozitivelor de încetinire asupra dispozițiilor de la apendice la punctul 1.1.4.2 al anexei II, această definiție nu include vehiculele prevăzute cu sisteme de frânare retroactivă.

( 5 ) Până la stabilirea unor procedee uniforme de calcul al efectelor dispozitivelor de încetinire asupra dispozițiilor de la apendice la punctul 1.1.4.2 al anexei II, vehiculele echipate cu un dispozitiv de încetinire integrat trebuie să fie prevăzute și cu un sistem antiblocare care să acționeze cel puțin asupra frânelor de serviciu ale axei controlate de dispozitivul de încetinire precum și asupra dispozitivului de încetinire și să se conformeze dispozițiilor din anexa X.

( 6 ) Acest punct trebuie interpretat în modul următor: eficacitatea sistemelor de frânare de serviciu și de siguranță trebuie să rămână în limitele prevăzute în directivă, chiar și în timpul deconectării temporare.

( 7 ) Acest punct trebuie interpretat în modul următor: este esențial, în toate cazurile, ca sistemul de frânare de serviciu să fie prevăzut cu un dispozitiv (de exemplu, o supapă de limitare) care garantează că vehiculul poate fi încă frânat de către sistemul de frânare de serviciu, dar cu eficacitatea prevăzută pentru sistemul de frânare de siguranță.

( 8 ) Presiunile specificate în prezenta anexă și în anexele următoare sunt relative și se măsoară în bari.

( 9 ) Curbele de aderență utilizate pe axă înseamnă curbele care indică, la condiții de sarcină date, aderențele utilizate de fiecare axă i în funcție de factorul de frânare al vehiculului.

( 10 ) În cazul semiremorcilor, z reprezintă forța de frânare împărțită la masa statică asupra axei (axelor) semiremorcii.

( 11 ) Dispozițiile punctului 3.1.1 nu afectează cerințele anexei II privind eficacitatea frânelor. Cu toate acestea, dacă la verificarea dispozițiilor de la punctul 3.1.1 eficacitățile de frânare obținute sunt mai mari decât cele descrise la anexa II, atunci dispozițiile privind curba aderenței utilizate se aplică în zonele diagramelor IA și IB definite de liniile drepte k = 0,8 și z = 0,8.

( 12 ) Vehiculele din categoria N1 cu un raport al de sarcină al axei spate încărcate/neîncărcate care nu depășește 1,5 sau având o masă maximă mai mica de două tone trebuie să respecte dispozițiile pentru vehiculele din categoria M1 ale prezentului punct începând cu data de 1 octombrie 1990.

( 13 ) Nivelul inițial al energiei este menționat în documentul informativ.

( 14 ) Nivelul inițial de energie trebuie să fie specificat în documentul informativ.

( 15 ) Pot fi omologate și alte modele de frână pe baza prezentării unor informații echivalente.

( 16 ) În cazul sistemelor cu grad ridicat de selectivitate, sistemele antiblocare acționează atât asupra roților controlate direct cât și asupra roților controlate indirect; în cazul sistemelor cu grad scăzut de selectivitate, toate roțile supuse unui senzor sunt considerate ca fiind controlate direct.

( 17 ) Atât timp cât procedurile de încercare nu au fost definite, producătorul furnizează serviciului tehnic o analiză a eventualelor defecțiuni ce pot interveni la nivelul calculatoarelor și a eventualelor efecte ale acestora. Aceste informații constituie subiectul unei discuții și al unui acord între serviciul tehnic și constructorul vehiculului.

( 18 ) Semnalul avertizorului se poate aprinde din nou atunci când vehiculul staționează, cu condiția ca acesta să se stingă înainte ca viteza vehiculului să atingă 10 km/h în cazul în care nu există nici o defecțiune.

( 19 ) Specificația privind racordarea de la punctul 6.2 din ISO 7638-1985 sau punctul 5.4 din ISO/DIS 7638-1996 pentru o remorcă, poate fi evitată numai dacă remorca este echipată cu o siguranță proprie. Ritmul acesteia este de așa natură încât viteza curentului prin conductori să nu fie depășită.

Cu excepția vehiculelor din categoriile N2 și O4 și până la uniformizarea standardului internațional, conexiunea electrică dintre vehiculul tractor și remorcile dotate cu un sistem electric de 12 V, este conform standardului DIN 72570, Partea 4.

( 20 ) Aceasta se demonstrează prin concordanța cu cerințele tehnice specificate în Directiva 72/245/CEE a Consiliului și în Directiva 95/54/CE (JO L 266, 8.11.1995, p. 1).

( 21 ) Se înțelege că dispozitivele care modifică mijlocul de control al sistemului antiblocare nu sunt sub rezerva punctului 4.7 dacă mijlocul de control respectă toate cerințele cu privire la sistemul antiblocare cu care este echipat un vehicul. În orice caz, în această situație, se respectă punctele 4.7.2, 4.7.3 și 4.7.4.

( 22 ) Până când aceste suprafețe de încercare devin accesibile, pneurile la limita uzitării și valorile mai mari de 0,4, pot fi folosite la discreția serviciului tehnic. Se menționează valoarea efectivă obținută, tipul pneurilor și al suprafețelor.

( 23 ) Atâta timp cât aceste piste de încercare nu sunt general disponibile, serviciul tehnic poate utiliza pneuri la limita uzurii valori ale coeficientului de aderență mai mari, putând atinge 0,4. Se indică valoarea efectivă obținută, tipul pneurilor și al suprafețelor.

( 24 ) „Forță maximă” este cea indicată în anexa II pentru categoria de vehicul corespunzătoare: se poate așadar folosi o forță mai mare dacă aceasta este necesară pentru funcționarea sistemului antiblocare.

( 25 ) Scopul acestor încercări este de a verifica dacă roțile nu se blochează și dacă vehiculul rămâne stabil; în consecință, nu este necesară efectuarea unor opriri complete ale vehiculului pe o suprafață cu grad redus de aderență.

( 26 ) Kh este coeficientul pentru suprafețe cu grad ridicat de aderență.

Kl este coeficientul pentru suprafețe cu grad redus de aderență.

Kh și kl se măsoară conform specificațiilor din apendicele 2 din prezenta anexă.

( 27 ) Dacă coeficientul de aderență din test este prea mare și împiedică sistemul antiblocare să-și efectueze ciclul, atunci testul poate fi realizat pe o suprafață cu un coeficient de aderență mai mic.

( 28 ) Dacă coeficientul de aderență al pistei de încercare este prea ridicat și împiedică sistemul antiblocare să efectueze un ciclu complet, încercarea poate fi efectuată pe o suprafață cu un coeficient de aderență mai redus.

( 29 ) În cazul remorcilor prevăzute cu senzor de sarcină la frânare, presiunea poate fi mărită pentru asigurarea unui ciclu complet.

( 30 ) În cazul sistemelor cu grad ridicat de selectivitate, sistemele antiblocare acționează atât asupra roților controlate direct, cât și asupra roților controlate indirect; în cazul sistemelor cu grad scăzut de selectivitate, toate roțile supuse unui senzor sunt considerate ca fiind controlate direct.

( 31 ) Până când se convine asupra unei proceduri uniforme de încercare, vehiculele cu mai mult de trei axe și vehiculele speciale vor constitui obiectul unei consultări cu serviciul tehnic.

( 32 ) Până când se convine o procedură uniformă de încercare pentru calculul curbei de aderență în cazul vehiculelor cu o masa maximă ce depășește 3,5 tone, se poate utiliza curba obținută pentru autoturisme. În acest caz, pentru vehiculele cu o masa maximă ce depășește 3,5 se calculează raportul kvârf/kblocat folosind valoarea kblocat definită în apendicele 2 din prezenta anexă. Cu acordul serviciului tehnic, coeficientul de aderență descris la acest punct poate fi determinat printr-o metodă diferită dacă se demonstrează echivalența valorilor kvârf și kblocat.

( 33 ) Până când devin disponibile piste de încercare care să dispună de caracteristicile specificate ale suprafeței, se consideră că valoarea raportului R poate merge până la 2,5, sub rezerva acceptării de către serviciul tehnic.

( 34 ) În curs de studiu. Până la determinarea caracteristicilor acestei conexiuni speciale, tipul care urmează să fie utilizat este indicat de autoritatea națională competentă care acordă omologarea.

( 35 ) Această formulă corespunde celei prevăzute la punctul 2.1.1.1.1 din anexa II pentru eficacitatea sistemului de frânare de serviciu al vehiculelor din categoria M1.

( 36 ) Sistemul este conform cu condițiile tehnice prevăzute de Directiva 72/245/EEC a Consiliului (JO L 152, 6.7.1972, p. 15), astfel cum a fost modificată ultima dată prin Directiva 95/54/EC (JO L 266, 8.11.1995, p. 1).

( 37 ) A se șterge, după caz.

( 38 ) Numerotarea punctelor și notele de subsol din prezentul document informativ corespund celor din anexa I la Directiva 70/156/CEE; punctele care nu sunt relevante pentru prezenta directivă au fost omise.

( 39 ) Dacă este necesar pentru explicarea punctului 8.

( 40 ) Numerotarea punctelor și notele de subsol din prezentul document informativ corespund celor din anexa I la Directiva 70/156/CEE; punctele care nu sunt relevante pentru prezenta directivă au fost omise.

( 41 ) Dacă este necesar pentru explicarea punctului 8.