01991R2568 — PT — 20.10.2019 — 032.001


Este texto constitui um instrumento de documentação e não tem qualquer efeito jurídico. As Instituições da União não assumem qualquer responsabilidade pelo respetivo conteúdo. As versões dos atos relevantes que fazem fé, incluindo os respetivos preâmbulos, são as publicadas no Jornal Oficial da União Europeia e encontram-se disponíveis no EUR-Lex. É possível aceder diretamente a esses textos oficiais através das ligações incluídas no presente documento

►B

REGULAMENTO (CEE) N.o 2568/91 DA COMISSÃO

de 11 de Julho de 1991

relativo às características dos azeites e dos óleos de bagaço de azeitona, bem como aos métodos de análise relacionados

(JO L 248 de 5.9.1991, p. 1)

Alterado por:

 

 

Jornal Oficial

  n.°

página

data

►M1

REGULAMENTO (CEE) N.o 3682/91 DA COMISSÃO de 17 de Dezembro de 1991

  L 349

36

18.12.1991

 M2

REGULAMENTO (CEE) N.o 1429/92 DA COMISSÃO de 26 de Maio de 1992

  L 150

17

2.6.1992

 M3

REGULAMENTO (CEE) N.o 1683/92 DA COMISSÃO de 29 de Junho de 1992

  L 176

27

30.6.1992

 M4

REGULAMENTO (CEE) N.o 1996/92 DA COMISSÃO de 15 de Julho de 1992

  L 199

18

18.7.1992

►M5

REGULAMENTO (CEE) N.o 3288/92 DA COMISSÃO de 12 de Novembro de 1992

  L 327

28

13.11.1992

 M6

REGULAMENTO (CEE) N.o 183/93 DA COMISSÃO de 29 de Janeiro de 1993

  L 22

58

30.1.1993

 M7

Alterado por: REGULAMENTO (CEE) N.o 826/93 DA COMISSÃO de 6 de Abril de 1993

  L 87

6

7.4.1993

 M8

REGULAMENTO (CEE) N.o 620/93 DA COMISSÃO de 17 de Março de 1993

  L 66

29

18.3.1993

 M9

REGULAMENTO (CE) N.o 177/94 DA COMISSÃO de 28 de Janeiro de 1994

  L 24

33

29.1.1994

 M10

REGULAMENTO (CE) N.o 2632/94 DA COMISSÃO de 28 de Outubro de 1994

  L 280

43

29.10.1994

►M11

REGULAMENTO (CE) N.o 656/95 DA COMISSÃO de 28 de Março de 1995

  L 69

1

29.3.1995

 M12

REGULAMENTO (CE) N.o 2527/95 DA COMISSÃO de 27 de Outubro de 1995

  L 258

49

28.10.1995

 M13

REGULAMENTO (CE) N.o 2472/97 DA COMISSÃO de 11 de Dezembro de 1997

  L 341

25

12.12.1997

 M14

REGULAMENTO (CE) N.o 282/98 DA COMISSÃO de 3 de Fevereiro de 1998

  L 28

5

4.2.1998

 M15

REGULAMENTO (CE) N.o 2248/98 DA COMISSÃO de 19 de Outubro de 1998

  L 282

55

20.10.1998

 M16

REGULAMENTO (CE) N.o 379/1999 DA COMISSÃO de 19 de Fevereiro de 1999

  L 46

15

20.2.1999

 M17

REGULAMENTO (CE) N.o 455/2001 DA COMISSÃO de 6 de Março de 2001

  L 65

9

7.3.2001

 M18

REGULAMENTO (CE) N.o 2042/2001 DA COMISSÃO de 18 de Outubro de 2001

  L 276

8

19.10.2001

►M19

REGULAMENTO (CE) N.o 796/2002 DA COMISSÃO de 6 de Maio de 2002

  L 128

8

15.5.2002

►M20

REGULAMENTO (CE) N.o 1989/2003 DA COMISSÃO de 6 de Novembro de 2003

  L 295

57

13.11.2003

►M21

REGULAMENTO (CE) N.o 702/2007 DA COMISSÃO de 21 de Junho de 2007

  L 161

11

22.6.2007

 M22

REGULAMENTO (CE) N.o 640/2008 DA COMISSÃO de 4 de Julho de 2008

  L 178

11

5.7.2008

►M23

REGULAMENTO (UE) N.o 61/2011 DA COMISSÃO de 24 de Janeiro de 2011

  L 23

1

27.1.2011

 M24

REGULAMENTO DE EXECUÇÃO (UE) N.o 661/2012 DA COMISSÃO de 19 de julho de 2012

  L 192

3

20.7.2012

►M25

REGULAMENTO DE EXECUÇÃO (UE) N.o 299/2013 DA COMISSÃO de 26 de março de 2013

  L 90

52

28.3.2013

►M26

REGULAMENTO DE EXECUÇÃO (UE) N.o 1348/2013 DA COMISSÃO de 16 de dezembro de 2013

  L 338

31

17.12.2013

 M27

REGULAMENTO DELEGADO (UE) 2015/1830 DA COMISSÃO de 8 de julho de 2015

  L 266

9

13.10.2015

►M28

REGULAMENTO DE EXECUÇÃO (UE) 2015/1833 DA COMISSÃO de 12 de outubro de 2015

  L 266

29

13.10.2015

►M29

REGULAMENTO DE EXECUÇÃO (UE) 2016/1227 DA COMISSÃO de 27 de julho de 2016

  L 202

7

28.7.2016

►M30

REGULAMENTO DE EXECUÇÃO (UE) 2016/1784 DA COMISSÃO de 30 de setembro de 2016

  L 273

5

8.10.2016

 M31

REGULAMENTO DELEGADO (UE) 2016/2095 DA COMISSÃO de 26 de setembro de 2016

  L 326

1

1.12.2016

►M32

REGULAMENTO DE EXECUÇÃO (UE) 2019/1604 DA COMISSÃO de 27 de setembro de 2019

  L 250

14

30.9.2019


Retificado por:

►C1

Rectificação, JO L 347, 28.11.1992, p.  69  (2568/1991)

 C2

Rectificação, JO L 176, 20.7.1993, p.  26  (183/1993)

 C3

Rectificação, JO L 208, 12.8.2009, p.  39 (640/2008)

 C4

Rectificação, JO L 211, 17.8.2017, p.  58 (2016/2095)




▼B

REGULAMENTO (CEE) N.o 2568/91 DA COMISSÃO

de 11 de Julho de 1991

relativo às características dos azeites e dos óleos de bagaço de azeitona, bem como aos métodos de análise relacionados



▼M20

Artigo 1.o

1.  São considerados azeites virgens, na acepção do ponto 1, alíneas a), b) e c), do anexo do Regulamento n.o 136/66/CEE, os azeites que apresentem as características indicadas nos pontos 1 e 2 do anexo I do presente regulamento.

2.  É considerado azeite lampante, na acepção do ponto 1, alínea c) do anexo do Regulamento n.o 136/66/CEE, o azeite que apresente as características indicadas no ponto 3 do anexo I do presente regulamento.

3.  É considerado azeite refinado, na acepção do ponto 2 do anexo do Regulamento n.o 136/66/CEE, o azeite que apresente as características indicadas no ponto 4 do anexo I do presente regulamento.

4.  É considerado azeite constituído por azeite refinado e azeites virgens, na acepção do ponto 3 do anexo do Regulamento n.o 136/66/CEE, o azeite que apresente as características indicadas no ponto 5 do anexo I do presente regulamento.

5.  É considerado óleo de bagaço de azeitona bruto, na acepção do ponto 4 do anexo do Regulamento n.o 136/66/CEE, o óleo que apresente as características indicadas no ponto 6 do anexo I do presente regulamento.

6.  É considerado óleo de bagaço de azeitona refinado, na acepção do ponto 5 do anexo do Regulamento n.o 136/66/CEE, o óleo que apresente as características indicadas no ponto 7 do anexo I do presente regulamento.

7.  É considerado óleo de bagaço de azeitona, na acepção do ponto 6 do anexo do Regulamento n.o 136/66/CEE, o óleo que apresente as características indicadas no ponto 8 do anexo I do presente regulamento.

▼M26

Artigo 2.o

1.  A determinação das características dos azeites e dos óleos de bagaço de azeitona previstas no anexo I é efetuada de acordo com os seguintes métodos de análise:

a) Para determinação dos ácidos gordos livres, expressos em percentagem de ácido oleico, o método descrito no anexo II;

b) Para determinação do índice de peróxidos, o método descrito no anexo III;

c) Para determinação do teor de ceras, o método descrito no anexo IV;

d) Para determinação da composição e do teor de esteróis e de diálcoois triterpénicos por cromatografia em fase gasosa com coluna capilar, o método descrito no anexo V;

e) Para determinação da percentagem de monopalmitato de 2-glicerilo, o método descrito no anexo VII;

f) Para a análise espetrofotométrica, o método descrito no anexo IX;

▼M28

g) Para determinação da composição de ácidos gordos, o método descrito no anexo X;

▼M26

h) Para determinação dos solventes halogenados voláteis, o método descrito no anexo XI;

i) Para avaliação das características organolépticas dos azeites virgens, o método descrito no anexo XII;

j) Para determinação dos estigmastadienos, o método descrito no anexo XVII;

k) Para determinação do teor de triacilgliceróis com NCE42, o método descrito no anexo XVIII;

▼M32

l) Para determinação da composição e do teor de esteróis e para a determinação de outros álcoois por cromatografia em fase gasosa com coluna capilar, o método descrito no anexo XIX;

▼M26

m) Para determinação do teor de ceras, de ésteres metílicos de ácidos gordos e de ésteres etílicos de ácidos gordos, o método descrito no anexo XX.

▼M28 —————

▼M26

2.  A verificação, pelas autoridades nacionais ou por representantes destas, das características organolépticas de azeites virgens deve ser efetuada por júris de provadores aprovados pelos Estados-Membros.

As características organolépticas de um azeite referido no primeiro parágrafo serão consideradas conformes com a categoria de azeite declarada se um júri aprovado pelo Estado-Membro em causa confirmar a classificação atribuída.

▼M32

Se o júri não confirmar a categoria declarada no respeitante às características organoléticas, as autoridades nacionais ou os representantes destas farão realizar, sem demora, duas contra-análises, a pedido do interessado, por outros júris aprovados. Pelo menos um dos júris deve ter sido aprovado pelo Estado-Membro produtor. As características em questão serão consideradas conformes com as declaradas se as duas contra-análises confirmarem a classificação declarada. Caso contrário, sejam quais forem os defeitos detetados nas contra-análises, a classificação deve ser declarada não-conforme com as características e as despesas das contra-análises devem ser imputadas ao interessado.

▼M26

3.  A colheita de amostras para fins de verificação, pelas autoridades nacionais ou por representantes destas, das características dos azeites e dos óleos de bagaço de azeitona previstas no n.o 1 deve ser efetuada de acordo com as normas internacionais EN ISO 661, relativa à preparação das amostras para ensaio, e EN ISO 5555, relativa à amostragem. Todavia, por derrogação ao ponto 6.8 da norma EN ISO 5555, no caso dos lotes dos referidos azeites e óleos de bagaço de azeitona em embalagens imediatas, a colheita de amostras deve ser efetuada de acordo com o anexo IA do presente regulamento. No caso dos azeites e dos óleos de bagaço de azeitona a granel cuja amostragem não possa ser realizada de acordo com a norma EN ISO 5555, a amostragem deve ser realizada segundo as instruções da autoridade competente do Estado-Membro.

Sem prejuízo da norma EN ISO 5555 e do capítulo 6 da norma EN ISO 661, as amostras devem ser colocadas, o mais rapidamente possível, ao abrigo da luz e de temperaturas elevadas e ser enviadas para análise, ao laboratório, o mais tardar no quinto dia útil após a sua colheita. Caso contrário, as amostras devem ser conservadas de modo a que não se degradem nem deteriorem antes de chegarem ao laboratório, durante o seu transporte ou armazenagem.

4.  Para efeitos da verificação prevista no n.o 3, as análises referidas nos anexos II, III, IX, XII e XX, bem como, se for caso disso, as contra-análises exigidas pela legislação nacional, devem, no caso dos produtos embalados, ser efetuadas antes do final do prazo de durabilidade mínima. No caso das amostras de azeites e de óleos de bagaço de azeitona a granel, as referidas análises devem ser efetuadas, o mais tardar, no sexto mês após aquele em que as amostras foram colhidas.

Não se estabelece nenhum prazo para as outras análises previstas no presente regulamento.

Salvo no caso de a colheita da amostra ter ocorrido menos de dois meses antes do final do prazo de durabilidade mínima, se os resultados das análises não corresponderem às características da categoria de azeite ou de óleo de bagaço de azeitona declarada, o interessado deve ser notificado, o mais tardar, um mês antes do final do período previsto no primeiro parágrafo.

5.  Para a determinação das características dos azeites e dos óleos de bagaço de azeitona pelos métodos previstos no n.o 1, primeiro parágrafo, os resultados analíticos devem ser diretamente comparados com os limites estabelecidos no presente regulamento.

▼M25

Artigo 2.o-A

1.  Para efeitos do disposto no presente artigo, entende-se por «azeite comercializado» a quantidade de azeites e de óleos de bagaço de azeitona de um determinado Estado-Membro que nele é consumida ou dele é exportada.

2.  Os Estados-Membros devem zelar por que as verificações de conformidade sejam efetuadas seletivamente, com base em análises de risco, e com a frequência adequada, a fim de garantir que o azeite comercializado corresponde à categoria declarada.

3.  Podem constituir critério de avaliação do risco:

a) A categoria de azeite ou de óleo de bagaço de azeitona, o período de produção, o preço dos azeites ou dos óleos de bagaço de azeitona em relação ao de outros óleos vegetais, as operações de lotação e de embalamento, as instalações e condições de armazenagem, o país de origem, o país de destino, o meio de transporte e o volume do lote;

b) A posição do operador na cadeia de comercialização, o volume e/ou valor comercializado pelo operador, a gama de azeites e de óleos de bagaço de azeitona que o operador comercializa e o tipo de atividade em causa (extração, armazenagem, refinação, lotação, embalamento ou venda a retalho);

c) Conclusões de verificações anteriores, incluindo o número e o tipo de defeitos detetados, a qualidade habitual dos azeites comercializados e o desempenho do equipamento utilizado;

d) A fiabilidade dos sistemas de garantia de qualidade ou de autocontrolo dos operadores, relativos à conformidade com as normas de comercialização;

e) O local da verificação, nomeadamente se é o primeiro ponto de entrada na União, o último ponto de saída da União ou o local onde o azeite ou o óleo de bagaço de azeitona é produzido, embalado, carregado ou vendido ao consumidor final;

f) Qualquer outra informação suscetível de indiciar um risco de não-conformidade.

4.  Os Estados-Membros devem estabelecer previamente:

a) Os critérios de avaliação do risco de não-conformidade dos lotes;

b) Com base numa análise de risco, para cada categoria de risco, o número mínimo de operadores ou lotes, e/ou as quantidades mínimas, a submeter à verificação de conformidade.

O número mínimo de verificações de conformidade a efetuar por milhar de toneladas de azeite comercializado no Estado-Membro é de uma por ano.

5.  Para verificarem a conformidade, os Estados-Membros devem:

a) Efetuar, por qualquer ordem, as análises previstas no anexo I; ou

▼M32

b) Seguir a ordem indicada no fluxograma do anexo I-B, até que seja possível tomar uma das decisões nele referidas.

▼M19 —————

▼M25

Artigo 3.o

Caso se verifique que um azeite ou um óleo de bagaço de azeitona não corresponde à descrição da categoria alegada, o Estado-Membro em causa deve aplicar, sem prejuízo de outras sanções eventuais, sanções efetivas, proporcionadas e dissuasoras, a estabelecer em função da gravidade da irregularidade detetada.

Se as verificações revelarem irregularidades significativas, os Estados-Membros devem aumentar a frequência das verificações efetuadas em relação ao estádio de comercialização, à categoria de azeite ou de óleo de bagaço de azeitona, à origem dos mesmos ou a outros critérios.

▼M5

Artigo 4.o

▼M19

1.  Para a apreciação e controlo das características organolépticas pelas autoridades nacionais ou representantes destas, os Estados-Membros podem aprovar júris de provadores.

As condições de aprovação serão estabelecidas pelos Estados-Membros, nomeadamente de modo a:

 satisfazer as condições do ponto 4 do anexo XII.

 assegurar que a formação do chefe do júri seja efectuada por um estabelecimento e em condições reconhecidos para o efeito pelo Estado-Membro.

 fazer depender a validade da aprovação dos resultados obtidos no quadro de um sistema de controlo anual instituído pelo Estado-Membro.

Cada Estado-Membro comunicará à Comissão a lista dos júris aprovados e as medidas tomadas em conformidade com o presente número.

▼M5

2.  Caso um Estado-membro encontre dificuldades na criação de um júri de provadores no seu território, pode recorrer a um júri de provadores aprovado noutro Estado-membro.

3.  Cada Estado-membro estabelecerá a lista dos júris de provadores criados por organizações profissionais ou interprofissionais, em conformidade com as condições estabelecidas no n.o 1 e velará pelo respeito dessas condições.

▼M19 —————

▼B

Artigo 6.o

1.  O teor de ►C1  óleo de bagaço ◄ e outros resíduos da extracção do azeite (códigos NC 2306 90 11 e 2306 90 19 ) é determinado em conformidade com o método constante do anexo XV.

2.  O teor de óleo referido no n.o 1 é expresso em percentagem do seu peso em relação ao extracto seco.

▼M20

Artigo 7.o

São aplicáveis as disposições comunitárias respeitantes à presença de contaminantes.

Relativamente ao teor de solventes halogenados, os limites para todas as categorias de azeite são os seguintes:

 teor máximo de cada solvente halogenado detectado 0,1 mg/kg,

 teor máximo da soma dos solventes halogenados detectados 0,2 mg/kg

▼M25

Artigo 7.o-A

As pessoas singulares ou coletivas e os agrupamentos que, para qualquer finalidade profissional ou comercial, detenham azeite ou óleo de bagaço de azeitona nalgum estádio compreendido entre a extração no lagar e o engarrafamento, inclusive, devem dispor de registos das entradas e saídas relativos a cada categoria de azeite ou de óleo de bagaço de azeitona.

Compete aos Estados-Membros assegurar que a obrigação estabelecida no primeiro parágrafo é devidamente cumprida.

▼M25

Artigo 8.o

1.  Compete a cada Estado-Membro comunicar à Comissão as medidas que tomar para dar execução ao presente regulamento e informar a Comissão das alterações eventuais dessas medidas.

2.  Compete igualmente aos Estados-Membros transmitir anualmente à Comissão, até 31 de maio, um relatório sobre a execução do presente regulamento no ano anterior. Devem constar desse relatório, pelo menos, os resultados das verificações de conformidade efetuadas aos azeites e aos óleos de bagaço de azeitona, apresentadas de acordo com o modelo do anexo XXI.

3.  As comunicações referidas no presente regulamento devem ser efetuadas em conformidade com o Regulamento (CE) n.o 792/2009 da Comissão ( 1 ).

▼B

Artigo 9.o

É revogado o Regulamento (CEE) n.o 1058/77.

Artigo 10.o

1.  O presente regulamento entra em vigor no terceiro dia seguinte ao da sua publicação no Jornal Oficial das Comunidades Europeias. No entanto, o método constante do anexo XII é aplicável a partir de ►M1  1 de Novembro de 1992 ◄ , salvo no que concerne às operações ligadas à intervenção.

▼M5

Este método não se aplica aos azeites virgens acondicionados antes de 1 de Novembro de 1992.

▼B

2.  O presente regulamento não é aplicável aos azeites e óleos de bagaço de azeitona acondicionados antes da entrada em vigor do presente regulamento e comercializados até 31 de Outubro de 1992.

O presente regulamento é obrigatório em todos os seus elementos e directamente aplicável em todos os Estados-Membros.

▼M32




ANEXOS

RESUMO

Anexo I

Características dos azeites e óleos de bagaço de azeitona

Anexo I-A

Amostragem de azeites e óleos de bagaço de azeitona entregues em embalagens imediatas

Anexo I-B

Fluxogramas para verificação da conformidade de amostras de azeite ou de óleo de bagaço de azeitona com a categoria declarada

Anexo II

Determinação dos ácidos gordos livres, método a frio

Anexo III

Determinação do índice de peróxidos

Anexo IV

Determinação do teor de ceras por cromatografia em fase gasosa com coluna capilar

Anexo VII

Determinação da percentagem de monopalmitato de 2-glicerilo

Anexo IX

Análise por espetrofotometria no ultravioleta

Anexo X

Determinação dos ésteres metílicos de ácidos gordos por cromatografia em fase gasosa

Anexo XI

Determinação do teor de solventes halogenados voláteis no azeite

Anexo XII

Método do Conselho Oleícola Internacional para a avaliação organolética de azeites virgens

Anexo XV

Teor de óleo do bagaço de azeitona

Anexo XVI

Determinação do índice de iodo

Anexo XVII

Método para a determinação de estigmastadienos em óleos vegetais

Anexo XVIII

Determinação da diferença entre o teor real e o teor teórico de triacilgliceróis com NCE42

Anexo XIX

Determinação da composição esterólica, do teor de esteróis e do teor de compostos alcoólicos por cromatografia em fase gasosa com coluna capilar

Anexo XX

Método de determinação do teor de ceras, de ésteres metílicos de ácidos gordos e de ésteres etílicos de ácidos gordos por cromatografia em fase gasosa com coluna capilar

Anexo XXI

Resultados das verificações de conformidade efetuadas aos azeites e aos óleos de bagaço de azeitona referidas no artigo 8.o, n.o 2




ANEXO I

CARACTERÍSTICAS DOS AZEITES E ÓLEOS DE BAGAÇO DE AZEITONA

Características de qualidade



Categoria

Acidez

(%) (*)

Índice de peróxidos

(mEq O2/kg)

K232

K268 ou K270

Delta-K

Exame organolético

Ésteres etílicos de ácidos gordos

(mg/kg)

Mediana dos defeitos (Md) (*)

Mediana do frutado (Mf)

1.  Azeite virgem extra

≤ 0,80

≤ 20,0

≤ 2,50

≤ 0,22

≤ 0,01

Md = 0,0

Mf > 0,0

≤ 35

2.  Azeite virgem

≤ 2,0

≤ 20,0

≤ 2,60

≤ 0,25

≤ 0,01

Md ≤ 3,5

Mf > 0,0

3.  Azeite lampante

> 2,0

Md > 3,5 (1)

4.  Azeite refinado

≤ 0,30

≤ 5,0

≤ 1,25

≤ 0,16

 

5.  Azeite (constituído por azeites refinados e azeites virgens)

≤ 1,00

≤ 15,0

≤ 1,15

≤ 0,15

 

6.  Óleo de bagaço de azeitona bruto

 

7.  Óleo de bagaço de azeitona refinado

≤ 0,30

≤ 5,0

≤ 2,00

≤ 0,20

 

8.  Óleo de bagaço de azeitona

≤ 1,00

≤ 15,0

≤ 1,70

≤ 0,18

 

(1)   A mediana dos defeitos pode ser inferior ou igual a 3,5 se a mediana do frutado for igual a 0,0.

Características de pureza



Categoria

Composição de ácidos gordos (1)

Total dos isómeros trans-oleicos

(%)

Total de isómeros dos ácidos trans-linoleico + trans-linolénico

(%)

Estigmastadienos

(mg/kg) (2)

Diferença entre o NCE42 determinado por HPLC e o NCE42 obtido por cálculo teórico

Monopalmitato de 2-glicerilo

(%)

Mirístico

(%)

Linolénico

(%)

Araquídico

(%)

Eicosenóico

(%)

Beénico

(%)

Lignocérico

(%)

1.  Azeite virgem extra

≤ 0,03

≤ 1,00

≤ 0,60

≤ 0,50

≤ 0,20

≤ 0,20

≤ 0,05

≤ 0,05

≤ 0,05

≤ |0,20|

≤ 0,9 se ácido palmítico total ≤ 14,00 %

≤ 1,0 se ácido palmítico total > 14,00 %

2.  Azeite virgem

≤ 0,03

≤ 1,00

≤ 0,60

≤ 0,50

≤ 0,20

≤ 0,20

≤ 0,05

≤ 0,05

≤ 0,05

≤ |0,20|

≤ 0,9 se ácido palmítico total ≤ 14,00 %

≤ 1,0 se ácido palmítico total > 14,00 %

3.  Azeite lampante

≤ 0,03

≤ 1,00

≤ 0,60

≤ 0,50

≤ 0,20

≤ 0,20

≤ 0,10

≤ 0,10

≤ 0,50

≤ |0,30|

≤ 0,9 se ácido palmítico total ≤ 14,00 %

≤ 1,1 se ácido palmítico total > 14,00 %

4.  Azeite refinado

≤ 0,03

≤ 1,00

≤ 0,60

≤ 0,50

≤ 0,20

≤ 0,20

≤ 0,20

≤ 0,30

≤|0,30|

≤ 0,9 se ácido palmítico total ≤ 14,00 %

≤ 1,1 se ácido palmítico total > 14,00 %

5.  Azeite (constituído por azeites refinados e azeites virgens)

≤ 0,03

≤ 1,00

≤ 0,60

≤ 0,50

≤ 0,20

≤ 0,20

≤ 0,20

≤ 0,30

≤ |0,30|

≤ 0,9 se ácido palmítico total ≤ 14,00 %

≤ 1,0 se ácido palmítico total > 14,00 %

6.  Óleo de bagaço de azeitona bruto

≤ 0,03

≤ 1,00

≤ 0,60

≤ 0,50

≤ 0,30

≤ 0,20

≤ 0,20

≤ 0,10

≤ |0,60|

≤ 1,4

7.  Óleo de bagaço de azeitona refinado

≤ 0,03

≤ 1,00

≤ 0,60

≤ 0,50

≤ 0,30

≤ 0,20

≤ 0,40

≤ 0,35

≤ |0,50|

≤ 1,4

8.  Óleo de bagaço de azeitona

≤ 0,03

≤ 1,00

≤ 0,60

≤ 0,50

≤ 0,30

≤ 0,20

≤ 0,40

≤ 0,35

≤ |0,50|

≤ 1,2

(1)   Teores de outros ácidos gordos (%): palmítico: 7,50-20,00; palmitoleico: 0,30-3,50; heptadecanóico: ≤ 0,40; heptadecenóico: ≤ 0,60; esteárico: 0,50-5,00; oleico: 55,00-83,00; linoleico: 2,50-21,00.

(2)   Soma dos isómeros, separáveis ou não em coluna capilar.



Categoria

Composição esterólica

Esteróis totais

(mg/kg)

Eritrodiol e uvaol

(%) (**)

Ceras (mg/kg)

(**)

Colesterol

(%)

Brassicasterol

(%)

Campesterol (1)

(%)

Estigmasterol

(%)

β-sitosterol aparente (2)

(%)

Delta-7-estigmastenol (1)

(%)

1.  Azeite virgem extra

≤ 0,5

≤ 0,1

≤ 4,0

< Campesterol

≥ 93,0

≤ 0,5

≥ 1 000

≤ 4,5

C42 + C44 + C46 ≤ 150

2.  Azeite virgem

≤ 0,5

≤ 0,1

≤ 4,0

< Campesterol

≥ 93,0

≤ 0,5

≥ 1 000

≤ 4,5

C42 + C44 + C46 ≤ 150

3.  Azeite lampante

≤ 0,5

≤ 0,1

≤ 4,0

≥ 93,0

≤ 0,5

≥ 1 000

≤ 4,5 (3)

C40 + C42 + C44 + C46 ≤ 300 (3)

4.  Azeite refinado

≤ 0,5

≤ 0,1

≤ 4,0

< Campesterol

≥ 93,0

≤ 0,5

≥ 1 000

≤ 4,5

C40 + C42 + C44 + C46 ≤ 350

5.  Azeite (constituído por azeites refinados e azeites virgens)

≤ 0,5

≤ 0,1

≤ 4,0

< Campesterol

≥ 93,0

≤ 0,5

≥ 1 000

≤ 4,5

C40 + C42 + C44 + C46 ≤ 350

6.  Óleo de bagaço de azeitona bruto

≤ 0,5

≤ 0,2

≤ 4,0

≥ 93,0

≤ 0,5

≥ 2 500

> 4,5 (4)

C40 + C42 + C44 + C46 > 350 (4)

7.  Óleo de bagaço de azeitona refinado

≤ 0,5

≤ 0,2

≤ 4,0

< Campesterol

≥ 93,0

≤ 0,5

≥ 1 800

> 4,5

C40 + C42 + C44 + C46 > 350

8.  Óleo de bagaço de azeitona

≤ 0,5

≤ 0,2

≤ 4,0

< Campesterol

≥ 93,0

≤ 0,5

≥ 1 600

> 4,5

C40 + C42 + C44 + C46 > 350

(1)   Ver o apêndice ao presente anexo.

(2)   β–Sitosterol aparente: delta-5,23-estigmastadienol + clerosterol + β-sitosterol + sitostanol + delta-5-avenasterol + delta-5,24-estigmastadienol.

(3)   Os azeites cujo teor de ceras esteja compreendido entre 300 mg/kg e 350 mg/kg são considerados azeite lampante se o teor de álcoois alifáticos totais for inferior ou igual a 350 mg/kg ou se a percentagem de eritrodiol e uvaol for inferior ou igual a 3,5 %.

(4)   Os óleos cujo teor de ceras esteja compreendido entre 300 mg/kg e 350 mg/kg são considerados óleo de bagaço de azeitona bruto se o teor de álcoois alifáticos totais for superior a 350 mg/kg e a percentagem de eritrodiol e uvaol for superior a 3,5 %.

Notas:

a) Os resultados das análises devem ser expressos com um número de algarismos significativos idêntico ao previsto para cada característica. Se o algarismo seguinte for superior a 4, o último algarismo significativo deve ser aumentado de uma unidade.

b) Basta que uma das características esteja fora dos limites fixados para que o azeite ou óleo seja classificado noutra categoria ou declarado não-conforme, para os efeitos do presente regulamento.

c) No caso do azeite lampante, as características de qualidade assinaladas com um asterisco (*) podem diferir simultaneamente dos limites estabelecidos para a categoria correspondente.

d) No caso dos óleos de bagaço de azeitona brutos, os valores declarados para as duas características assinaladas com dois asteriscos (**) podem diferir simultaneamente dos limites correspondentes. No caso dos óleos de bagaço de azeitona e dos óleos de bagaço de azeitona refinados, apenas um dos valores declarados pode diferir do limite correspondente.




Apêndice

Esquemas de decisão

Esquema de decisão relativo ao campesterol para azeites virgens e azeites virgens extra:

image

Os outros parâmetros devem respeitar os limites estabelecidos no presente regulamento.

Esquema de decisão relativo ao delta-7-estigmastenol para:

 Azeites virgens e azeites virgens extra

  image

Os outros parâmetros devem respeitar os limites estabelecidos no presente regulamento.

 Óleos de bagaço de azeitona (brutos e refinados)

  image

Os outros parâmetros devem respeitar os limites estabelecidos no presente regulamento.

▼M26




ANEXO I-A

AMOSTRAGEM DE AZEITES E ÓLEOS DE BAGAÇO DE AZEITONA ENTREGUES EM EMBALAGENS IMEDIATAS

O presente método de amostragem é aplicável a lotes de azeite ou óleo de bagaço de azeitona acondicionados em embalagens imediatas. O método de amostragem depende do volume da embalagem imediata (até 5 litros ou superior a 5 litros).

Entende-se por «lote» um conjunto de unidades de venda produzidas, fabricadas e acondicionadas em circunstâncias tais que o azeite ou óleo nelas contido seja considerado homogéneo relativamente a todas as características analíticas. A individualização dos lotes deve respeitar o disposto na Diretiva 2011/91/UE do Parlamento Europeu e do Conselho ( 2 ).

Entende-se por «incremento» a quantidade de azeite ou óleo de uma embalagem imediata, proveniente de um ponto aleatório do lote.

1.   COMPOSIÇÃO DAS AMOSTRAS DE PARTIDA

1.1.    Embalagens imediatas de volume não superior a 5 litros

Entende-se por «amostra de partida» de embalagens imediatas de volume não superior a 5 litros o número de incrementos provenientes do lote de acordo com o quadro 1.



Quadro 1

Composição mínima das amostras de partida

Capacidade das embalagens imediatas

Proveniência do azeite ou óleo da amostra de partida

a)  Igual ou superior a 1 litro

a)  Uma embalagem imediata

b)  Inferior a 1 litro

b)  Número mínimo de embalagens cuja capacidade total seja de, pelo menos, 1,0 litro

O Estado-Membro pode aumentar, em função das suas necessidades (por exemplo, realização da avaliação organoléptica por um laboratório diferente do que realiza as análises químicas, contra-análises, etc.), o número de embalagens estabelecido no quadro 1 para a amostra de partida.

1.2.    Embalagens imediatas de volume superior a 5 litros

Entende-se por «amostra de partida» de embalagens imediatas de volume superior a 5 litros uma parte representativa do total de incrementos, obtida por um processo de redução de acordo com o quadro 2. A amostra de partida é obrigatoriamente constituída por vários exemplos.

Entende-se por «exemplo» da amostra de partida cada embalagem que a compõe.



Quadro 2

Número mínimo de incrementos

Número de embalagens do lote

Número mínimo de incrementos

Até 10

1

Entre 11 e 150

2

Entre 151 e 500

3

Entre 501 e 1 500

4

Entre 1 501 e 2 500

5

> 2 500 , por cada 1 000 embalagens

1 incremento suplementar

A fim de reduzir o volume das embalagens imediatas que compõem a amostra, homogeneízam-se os incrementos para preparar a amostra de partida. Vertem-se os diversos incrementos para o mesmo recipiente e homogeneíza-se mexendo o azeite ou óleo, tomando a precaução de evitar ao máximo a incorporação de ar.

Verte-se a amostra de partida assim preparada numa série de embalagens de capacidade não inferior a 1,0 litro, passando cada uma delas a constituir um exemplo da amostra de partida.

O Estado-Membro pode aumentar, em função das suas necessidades (por exemplo, realização da avaliação organoléptica por um laboratório diferente do que realiza as análises químicas, contra-análises, etc.), o número de amostras de partida.

Deve proceder-se ao enchimento de cada embalagem de modo a reduzir ao mínimo a camada de ar superior, após o que se fecha convenientemente a embalagem e se procede à sua selagem, para evitar que possa haver interferências no produto que contém.

Rotulam-se os exemplos assim constituídos para que possam ser corretamente identificados.

2.   ANÁLISES E RESULTADOS

▼M32

2.1. Subdivide-se cada amostra primária em amostras de laboratório de acordo com o ponto 2.5 da norma EN ISO 5555, efetuando-se em seguida as análises pela ordem indicada no fluxograma constante do anexo I-B ou por qualquer outra ordem, aleatória.

▼M26

2.2. Se todos os resultados das análises forem conformes com as características da categoria de azeite ou óleo declarada, todo o lote em causa é declarado conforme.

Se algum resultado das análises não for conforme com as características da categoria de azeite ou óleo declarada, todo o lote em causa é declarado não-conforme.

3.   VERIFICAÇÃO DA CATEGORIA DO LOTE

3.1. A fim de verificar a categoria do lote, a autoridade competente pode aumentar o número de amostras de partida, colhidas em diversos pontos do lote, de acordo com o seguinte quadro:



Quadro 3

Número de amostras de partida em função da dimensão do lote

Dimensão do lote (litros)

Número de amostras de partida

Inferior a 7 500

2

Igual ou superior a 7 500 e inferior a 25 000

3

Igual ou superior a 25 000 e inferior a 75 000

4

Igual ou superior a 75 000 e inferior a 125 000

5

Igual ou superior a 125 000

6 + uma por cada 50 000 litros suplementares

Cada incremento componente de uma amostra de partida deve ser colhido numa parte contínua do lote. É necessário anotar a localização de cada amostra de partida e identificá-la inequivocamente.

A constituição de cada amostra de partida deve processar-se conforme se refere nos pontos 1.1 e 1.2.

Em seguida, efetuam-se a cada amostra de partida as análises referidas no artigo 2.o, n.o 1.

3.2. Se algum dos resultados das análises referidas no artigo 2.o, n.o 1, de uma ou mais amostras de partida não for conforme com as características da categoria de azeite ou óleo declarada, todo o lote amostrado é declarado não-conforme.

▼M32




ANEXO I-B

FLUXOGRAMAS PARA VERIFICAÇÃO DA CONFORMIDADE DE AMOSTRAS DE AZEITE OU DE ÓLEO DE BAGAÇO DE AZEITONA COM A CATEGORIA DECLARADA

Quadro geral

image

Quadro 1 – Azeite virgem extra – Critérios de qualidade

image

Quadro 2 – Azeite virgem – Critérios de qualidade

image

Quadro 3 – Azeite virgem extra e azeite virgem – Critérios de pureza

image

Quadro 4 – Azeite lampante – Critérios de pureza

image

Quadro 5 – Azeite refinado – Critérios de qualidade

image

Quadro 6 – Azeite (constituído por azeites refinados e azeites virgens) – Critérios de qualidade

image

Quadro 7 – Azeite refinado e azeite constituído por azeites refinados e azeites virgens – Critérios de pureza

image

Quadro 8 – Óleo de bagaço de azeitona bruto – Critérios de pureza.

image

Quadro 9 – Óleo de bagaço de azeitona refinado – Critérios de qualidade.

image

Quadro 10 – Óleo de bagaço de azeitona – Critérios de qualidade.

image

Quadro 11 – Óleo de bagaço de azeitona refinado e óleo de bagaço de azeitona – Critérios de pureza

image

▼M29




ANEXO II

DETERMINAÇÃO DOS ÁCIDOS GORDOS LIVRES, MÉTODO A FRIO

1.   OBJETO E ÂMBITO DE APLICAÇÃO

O presente método descreve a determinação dos ácidos gordos livres em azeites e óleos de bagaço de azeitona. O teor de ácidos gordos livres é expresso em termos de acidez em percentagem de ácido oleico.

2.   PRINCÍPIO

Dissolução da amostra numa mistura de solventes, seguida de titulação dos ácidos gordos livres presentes com uma solução de hidróxido de potássio ou de hidróxido de sódio.

3.   REAGENTES

Todos os reagentes devem ser de qualidade analítica reconhecida e a água a utilizar deve ser destilada ou de pureza equivalente.

3.1.

Éter dietílico; etanol a 95 % (v/v), mistura 1:1 em volume

Neutraliza-se exatamente no momento de utilização com a solução de hidróxido de potássio (3.2), em presença de 0,3 ml de solução de fenolftaleína (3.3) por 100 ml de mistura.

Nota 1:  O éter etílico é muito inflamável e pode formar peróxidos explosivos. Devem ser tomadas precauções especiais na sua utilização.

Nota 2:  Se não for possível utilizar éter etílico, poderá ser utilizada uma mistura de solventes constituída por etanol e tolueno. Se necessário, o etanol pode ser substituído por 2-propanol.

3.2.

Solução etanólica ou aquosa titulada de hidróxido de potássio ou de sódio, c(KOH) [ou c(NaOH)] aproximadamente 0,1 mol/l ou, se necessário, c(KOH) [ou c(NaOH)] aproximadamente 0,5 mol/l. Existem no comércio soluções prontas a utilizar.

A concentração exata da solução de hidróxido de potássio (ou de hidróxido de sódio) deve ser conhecida e verificada antes da utilização. Decantar para um frasco de vidro castanho fechado com uma rolha de borracha. A solução deve ser incolor ou amarelo-palha.

Caso se observe separação de fases ao utilizar solução aquosa de hidróxido de potássio (ou de hidróxido de sódio), substituir a solução aquosa por uma solução etanólica.

Nota 3:  Uma solução incolor estável de hidróxido de potássio (ou de hidróxido de sódio) pode preparar-se do seguinte modo: mantêm-se em ebulição durante uma hora, com refluxo, 1 000 ml de etanol ou água com 8 g de hidróxido de potássio (ou de hidróxido de sódio) e 0,5 g de aparas de alumínio. Destila-se imediatamente. Dissolve-se no destilado a quantidade necessária de hidróxido de potássio (ou de hidróxido de sódio). Deixa-se repousar durante vários dias e decanta-se o líquido claro sobrenadante do precipitado de carbonato de potássio (ou de hidróxido de sódio).

A solução pode também ser preparada sem destilação, do seguinte modo: Adicionam-se 4 ml de butilato de alumínio a 1 000 ml de etanol (ou água) e deixa-se repousar a mistura durante alguns dias. Decanta-se o líquido sobrenadante e dissolve-se nele a quantidade necessária de hidróxido de potássio (ou de hidróxido de sódio). Esta solução está pronta para ser utilizada.

3.3.

Fenolftaleína [solução a 10 g/l em etanol a 95 %-96 % (v/v)], ou azul alcalino 6B ou timolftaleína [solução a 20 g/l em etanol a 95 %-96 % (v/v)]. No caso de óleos com coloração intensa, utiliza-se azul alcalino ou timolftaleína.

4.   APARELHOS E UTENSÍLIOS

Material corrente de laboratório, designadamente:

4.1. Balança analítica;

4.2. Erlenmeyer de 250 ml;

4.3. Bureta de 10 ml classe A, graduada em 0,05 ml, ou bureta automática equivalente.

5.   PROCEDIMENTO

5.1.    Preparação da amostra para análise

Se a amostra estiver turva, deve ser filtrada.

5.2.    Toma para análise

Colhem-se as amostras de acordo com o índice de acidez presumido, em conformidade com as indicações do quadro seguinte.



Acidez esperada

(g ácido oleico/100 g)

Peso da amostra (g)

Exatidão da pesagem (g)

0 a 2

10

0,02

> 2 a 7,5

2,5

0,01

> 7,5

0,5

0 001

A pesagem deverá ser efetuada no erlenmeyer (4.2).

5.3.    Determinação

Dissolve-se a amostra (5.2) em 50 a 100 ml de mistura éter/etanol (3.1) previamente neutralizada.

Titula-se, com agitação, com a solução de 0,1 mol/l de hidróxido de potássio (ou de hidróxido de sódio) (3.2) (ver nota 4), até à viragem do indicador (coloração carmim da fenolftaleína persistente durante pelo menos 10 s).

Nota 4:  Se a quantidade de hidróxido de potássio (ou de hidróxido de sódio) 0,1 mol/l ultrapassar 10 ml, utiliza-se uma solução a 0,5 mol/l ou altera-se a massa da amostra de acordo com a acidez livre esperada e o quadro proposto.

Nota 5:  Se a solução se tornar turva durante a titulação, junta-se uma quantidade suficiente da mistura de solventes (3.1) para obter uma solução límpida.

Efetuar-se-á uma segunda determinação apenas se o primeiro resultado for superior ao limite especificado para a categoria do azeite.

6.   EXPRESSÃO DOS RESULTADOS

A acidez, expressa em percentagem de ácido oleico em massa, é igual a:

image

em que:

V

=

volume consumido, expresso em mililitros, de solução titulada de hidróxido de potássio (ou hidróxido de sódio).

c

=

concentração exata, em moles por litro, da solução titulada de hidróxido de potássio (ou hidróxido de sódio) utilizada.

M

=

282 g/mol (massa molar), expressa em gramas por mole de ácido oleico;

m

=

massa da amostra para ensaio, em g.

O ácido oleico é expresso da seguinte forma:

a) duas casas decimais para valores entre 0 e 1, inclusive;

b) uma casa decimal para valores de 1 a 100.

▼M30




ANEXO III

DETERMINAÇÃO DO ÍNDICE DE PERÓXIDOS

1.    Âmbito de aplicação

O presente anexo descreve um método para a determinação do índice de peróxidos em óleos e gorduras de origem animal e vegetal.

2.    Definição

O índice de peróxidos é a quantidade, expressa em miliequivalentes de oxigénio ativo por kg, de substâncias, presentes na amostra, capazes de oxidar o iodeto de potássio nos condições operacionais descritas.

3.    Princípio

Tratamento da amostra em estudo, dissolvida em ácido acético e clorofórmio, com uma solução de iodeto de potássio. Titulação do iodo libertado com uma solução-padrão de tiossulfato de sódio.

4.    Aparelhos e utensílios

Todo o equipamento usado deve estar isento de substâncias oxidantes ou redutoras.

Nota 1: Não se lubrificam os contactos esmerilados.

4.1. Cápsula de vidro de 3 ml.

4.2. Frascos com rolhas e juntas esmeriladas, de cerca de 250 ml de capacidade, previamente secos e cheios de um gás inerte puro e seco (azoto ou, de preferência, dióxido de carbono).

4.3. Bureta de 5 ml, 10 ml ou 25 ml de capacidade, graduada em, pelo menos, 0,05 ml, de preferência com ajustamento automático em zero, ou bureta automática equivalente.

4.4. Balança analítica.

5.    Reagentes

5.1. Clorofórmio, de qualidade analítica reconhecida, tornado isento de oxigénio fazendo borbulhar uma corrente de gás inerte puro e seco.

5.2. Ácido acético glacial, de qualidade analítica reconhecida, tornado isento de oxigénio fazendo borbulhar uma corrente de gás inerte puro e seco.

5.3. Solução aquosa saturada de iodeto de potássio, preparada recentemente e isenta de iodo e iodatos. Dissolvem-se cerca de 14 g de iodeto de potássio em cerca de 10 ml de água à temperatura ambiente.

5.4. Solução aquosa de tiossulfato de sódio, rigorosamente titulada, imediatamente antes da utilização, a 0,01 mol/l (equivalente a 0,01 N).

Prepara-se diariamente a solução de tiossulfato de sódio a partir de uma solução titulada de 0,01 mol/l de tiossulfato de sódio antes da utilização, ou determina-se a molaridade exata. Como a experiência demonstra, a estabilidade é limitada e depende do valor do pH e do teor de dióxido de carbono livre. Utilizar para a diluição exclusivamente água recém-fervida, eventualmente purgada com azoto.

Recomenda-se o seguinte procedimento para determinar a molaridade exata da solução de tiossulfato de sódio:

Num balão aferido (250 ml ou 500 ml), pesam-se 0,27 g a 0,33 g de iodato de potássio (mKIO3), com a aproximação de 0,001 g, e diluem-se até ao traço de aferição com água recém-fervida (V2), arrefecida até à temperatura ambiente. Com uma pipeta, transferem-se 5 ml ou 10 ml desta solução de iodato de potássio (V1) para um Erlenmeyer de 250 ml. Adicionam-se 60 ml de água recém-fervida, 5 ml de ácido clorídrico 4 mol/l e 25 mg a 50 mg de iodeto de potássio ou 0,5 ml da solução saturada de iodeto de potássio. Titula-se a solução com a solução de tiossulfato de sódio (V3) para determinar a molaridade exata da solução de tiossulfato de sódio.

image

em que:

mKIO3 é a massa do iodato de potássio, em gramas,

V1 é o volume da solução de iodato de potássio, em mililitros (5 ml ou 10 ml),

V2 é o volume total da solução de iodato de potássio, em mililitros (250 ml ou 500 ml),

V3 é o volume da solução de tiossulfato de sódio, em mililitros,

wKIO3 é a pureza do iodato de potássio, em g/100 g,

MKIO3 é a massa molecular do iodato de potássio (214 g/mol),

T é a molaridade exata da solução de tiossulfato de sódio (mol/l).

5.5. Solução de amido, obtida por dispersão aquosa recente de amido natural solúvel, na proporção de 10 g/l. Podem também ser utilizados reagentes equivalentes.

6.    Amostra

A amostra deve ser colhida e conservada ao abrigo da luz, a baixa temperatura e em recipientes de vidro completamente cheios, hermeticamente fechados com rolhas de vidro esmerilado ou cortiça.

7.    Procedimento

O ensaio deve ser efetuado em presença de luz solar difusa ou luz artificial. Pesa-se numa cápsula de vidro (ponto 4.1) ou, na falta desta, num frasco (ponto 4.2), com uma aproximação de 0,001 g, uma massa da amostra de acordo com o quadro seguinte, em conformidade com o índice de peróxidos presumido:



Índice de peróxidos presumido

(meq)

Peso da toma

(g)

0 a 12

5,0 a 2,0

12 a 20

2,0 a 1,2

20 a 30

1,2 a 0,8

30 a 50

0,8 a 0,5

50 a 90

0,5 a 0,3

Abre-se o frasco (ponto 4.2) e introduz-se a cápsula de vidro que contém a amostra em estudo. Adicionam-se 10 ml de clorofórmio (ponto 5.1.). Dissolve-se a amostra rapidamente, por agitação. Adicionam-se 15 ml de ácido acético (ponto 5.2) e, de seguida, 1 ml de solução de iodeto de potássio (ponto 5.3). Tapa-se rapidamente, agita-se durante 1 minuto e deixa-se durante exatamente 5 minutos ao abrigo da luz a uma temperatura de 15 a 25 °C.

Adicionam-se cerca de 75 ml de água destilada. Titula-se o iodo libertado com a solução de tiossulfato de sódio (ponto 5.4), agitando vigorosamente e usando solução de amido (ponto 5.5) como indicador.

Fazem-se duas determinações com a mesma amostra.

Efetua-se simultaneamente um ensaio em branco. Se o resultado do ensaio em branco exceder 0,05 ml da solução 0,01 N de tiossulfato de sódio (ponto 5.4), substituem-se os reagentes impuros.

8.    Expressão dos resultados

O índice de peróxidos (I.P.), expresso em miliequivalentes de oxigénio ativo por kg, é dado pela fórmula:

image

em que:

V é o número de mililitros de solução de tiossulfato de sódio titulada (ponto 5.4) que se utilizou no ensaio, com a correção relativa ao ensaio em branco,

T é a molaridade exata da solução de tiossulfato de sódio (ponto 5.4) que se utilizou, em mol/l,

m é o peso, expresso em gramas, da amostra em estudo.

Toma-se como resultado a média aritmética das duas determinações efetuadas.

O resultado é arredondado às décimas.

▼M21




ANEXO IV

DETERMINAÇÃO DO TEOR DE CERAS POR CROMATOGRAFIA EM FASE GASOSA COM COLUNA CAPILAR

1.   OBJECTO

O presente método descreve um processo para a determinação do teor de ceras dos azeites. As ceras são separadas em função do número de átomos de carbono. O método pode ser utilizado, em particular, para distinguir o azeite obtido por pressão do azeite obtido por extracção (óleo de bagaço de azeitona).

2.   PRINCÍPIO

Após a adição de um padrão interno adequado, a gordura ou o óleo em causa é fraccionado por cromatografia numa coluna de silicagel hidratada. Recolher a fracção eluída em primeiro lugar nas condições de ensaio (fracção cuja polaridade é inferior à polaridade dos triglicéridos), procedendo-se à análise directa por cromatografia em fase gasosa com coluna capilar.

3.   MATERIAL

3.1.

Erlenmeyer de 25 ml.

3.2.

Coluna de vidro para cromatografia em fase gasosa de diâmetro interior 15,0 mm, altura 30 a 40 cm, equipada com uma torneira.

3.3.

Aparelho de cromatografia em fase gasosa adequado para o funcionamento com coluna capilar, equipado com um sistema para a introdução directa da amostra na coluna, constituído por:

3.3.1.

Forno com termóstato para as colunas, com programação de temperatura.

3.3.2.

Injector a frio para introdução directa na coluna.

3.3.3.

Detector de ionização de chama e conversor-amplificador.

3.3.4.

Registador-integrador adequado para funcionamento com o conversor-amplificador (ponto 3.3.3), com tempo de resposta não superior a um segundo e velocidade do papel variável. (É igualmente possível utilizar sistemas informatizados que prevejam a aquisição de dados de cromatografia em fase gasosa com um computador).

3.3.5.

Coluna capilar de vidro ou de sílica fundida, com 8 m a 12 m de comprimento e 0,25 mm a 0,32 mm de diâmetro interno, revestida interiormente com um líquido estacionário, de espessura compreendida entre 010 e 0,30 μm. (Encontram-se no comércio líquidos de partição do tipo SE52 ou SE54, adequados ao fim em causa.)

3.4.

Microsseringa de 10 μl adequada para injecção directa na coluna, com agulha de aço cementado.

3.5.

Vibrador eléctrico.

3.6.

Evaporador rotativo.

3.7.

Mufla.

3.8.

Balança analítica que garanta uma precisão de medição de + 0,1 mg.

3.9.

Artefactos de vidro para laboratório.

4.   REAGENTES

4.1.

Silicagel com granulometria de 60 a 200 μm.

Colocar o silicagel numa mufla a 500 °C durante quatro horas, no mínimo. Após arrefecimento, juntar 2 % de água em relação à quantidade de silicagel retirado. Agitar bem, de modo a homogeneizar. Conservar ao abrigo da luz durante pelo menos 12 horas antes da utilização.

4.2.

n-Hexano para cromatografia.

4.3.

Éter etílico para cromatografia.

4.4.

n-Heptano para cromatografia.

4.5.

Solução padrão de araquidato de laurilo a 0,1 % (m/v) em hexano (padrão interno). (É igualmente possível utilizar palmitato de palmitilo ou estearato de miristilo.)

4.5.1.

Soudan 1 (1-fenilazo-2-naftol)

4.6.

Gás vector: hidrogénio ou hélio puro, com um grau de pureza adequado para cromatografia em fase gasosa.

4.7.

Gases auxiliares:

 hidrogénio, com um grau de pureza adequado para cromatografia em fase gasosa,

 ar, com um grau de pureza adequado para cromatografia em fase gasosa.

5.   PROCEDIMENTO

5.1.   Preparação da coluna cromatográfica.

Suspender 15 g de silicagel (4.1) em n-hexano (4.2) e introduzir na coluna (3.2). Deixar assentar e completar a operação por recurso a um agitador eléctrico (3.5), de modo a tornar mais homogénea a camada cromatográfica. Fazer passar 30 ml de n-hexano para remover eventuais impurezas. Utilizando a balança (3.8), pesar rigorosamente 500 mg de amostra num Erlenmeyer de 25 ml (3.1) e adicionar uma quantidade adequada de padrão interno (4.5), em função do teor de ceras previsto. A título de exemplo, juntar 0,1 mg de araquidato de laurilo no caso de azeite e 0,25 a 0,50 mg no caso de óleo de bagaço de azeitona. Transferir a amostra para a coluna cromatográfica com o auxílio de duas porções de 2 ml de n-hexano (4.2).

Deixar fluir o solvente até 1 mm acima da camada de silicagel e fazer passar 70 ml de n-hexano suplementares para remover os n-alcanos naturalmente presentes. Iniciar a eluição cromatográfica, recolhendo 180 ml da mistura n-hexano/éter etílico na proporção de 99:1, de acordo com um fluxo de cerca de 15 gotas por cada 10 segundos. A eluição da amostra deve ser efectuada a uma temperatura ambiente de 22 °C + 4.

Notas:

 A mistura n-hexano/éter etílico (99:1) deve ser preparada diariamente.

 Para controlar visualmente a eluição correcta das ceras, é possível juntar à amostra em solução 100 μl de Soudan 1 a 1 % na mistura da eluição. Como o corante tem uma retenção intermédia entre as ceras e os triglicéridos, é conveniente suspender a eluição quando a coloração atingir o fundo da coluna cromatográfica, uma vez que todas as ceras já foram eluídas.

Evaporar a fracção resultante num evaporador rotativo (3.6), até à eliminação de quase todo o solvente. Remover os últimos 2 ml do mesmo com o auxílio de uma corrente de azoto de fluxo reduzido e adicionar 2-4 ml de n-heptano.

5.2.   Análise por cromatografia em fase gasosa

5.2.1.   Operações preliminares

Instalar a coluna no cromatógrafo de fase gasosa (3.3), ligando uma das extremidades ao sistema de injecção directa na coluna e a outra extremidade ao detector. Efectuar o controlo geral do sistema cromatográfico (operacionalidade dos circuitos de gases, eficiência do detector e do registador, etc.).

No caso de a coluna ser utilizada pela primeira vez, é aconselhável proceder ao seu acondicionamento. Fazer passar um fluxo ligeiro de gás através da coluna, ligando em seguida o sistema. Aquecer gradualmente até obter, ao fim de cerca de 4 horas, uma temperatura de 350 °C. Manter esta temperatura durante pelo menos duas horas, regulando seguidamente o aparelho para as condições de trabalho [regular o fluxo de gás, acender a chama, ligar o registador electrónico (3.3.4), regular a temperatura do forno para a coluna, regular o detector, etc.]. Registar o sinal obtido, com uma sensibilidade pelo menos duas vezes superior à sensibilidade prevista para a execução da análise. A linha de base deve apresentar-se linear e isenta de picos de qualquer tipo, não devendo apresentar desvios.

A ocorrência de um desvio linear negativo indica que as ligações da coluna não foram efectuadas de um modo correcto; a ocorrência de um desvio positivo indica que a coluna não foi acondicionada de um modo adequado.

5.2.2.   Escolha das condições de trabalho

As condições de trabalho são, em geral, as seguintes:

 temperatura da coluna:

 



 

20 °C/minuto

 

5 °C/minuto

 

20 °C/minuto

 

No início 80 °C

(1′)

240 °C

325 °C

(6′)

340 °C

(10′)

 Temperatura do detector: 350 °C;

 volume injectado: 1 μl da solução (2-4 ml) de n-heptano;

 gás vector: hélio ou hidrogénio à velocidade linear óptima para o gás seleccionado (ver apêndice);

 sensibilidade instrumental: de forma a responder às condições a seguir descritas.

Estas condições podem ser ajustadas em função das características da coluna e do cromatógrafo de fase gasosa, de modo a obter uma separação de todas as ceras, uma resolução satisfatória dos picos (ver figura) e um tempo de retenção do padrão interno C32 de 18 ± 3 minutos. O pico mais representativo correspondente às ceras deverá situar-se em pelo menos 60 % do início da escala.

Os parâmetros de integração dos picos devem ser determinados de modo a obter uma estimativa correcta das áreas dos picos pertinentes.

Nota:Atendendo à temperatura final elevada, é admissível um desvio positivo, que não pode exceder 10 % da base da escala.

5.3.   Execução da análise

Efectuar uma toma de 1 μl de solução com a microsseringa de 10 μl; manejar o êmbolo de modo a que a agulha não contenha nenhuma porção de amostra. Introduzir a agulha no sistema de injecção e injectar rapidamente após um a dois segundos. Retirar cuidadosamente a agulha após cerca de cinco segundos.

Efectuar o registo até à eluição completa das ceras.

A linha de base deve satisfazer sempre as condições requeridas.

5.4.   Identificação dos picos

A identificação dos picos é efectuada com base nos tempos de retenção que são comparados com os tempos de retenção conhecidos de misturas de ceras analisadas em condições idênticas.

A figura representa um cromatograma relativo às ceras de um azeite virgem.

5.5.   Avaliação quantitativa

Por recurso ao integrador, determinar as áreas dos picos correspondentes ao padrão interno e aos ésteres alifáticos C40 a C46.

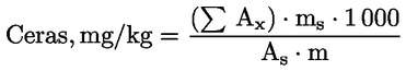
Determinar o teor de cada um dos ésteres, expresso em mg/kg de gordura, através da fórmula:

image

Em que:

Ax

=

área do pico correspondente a cada éster, em milímetros quadrados;

As

=

área do pico correspondente ao padrão interno, em milímetros quadrados;

ms

=

massa do padrão interno adicionado, em miligramas;

m

=

massa de amostra tomada para análise, expressa em gramas.

6.   EXPRESSÃO DOS RESULTADOS

Apresentar a soma dos teores das várias ceras de C40 a C46, expressos em mg/kg de gordura (ppm).

Nota:Os componentes a quantificar referem-se aos picos que correspondem a um número par de átomos de carbono (ésteres C40 a C46), de acordo com o exemplo de cromatograma das ceras de azeite indicado na figura seguinte. Se o éster C46 surgir em duplicado, para identificá-lo convém analisar a fracção das ceras de um óleo de bagaço de azeitona em que o pico C46 seja fácil de identificar por ser maioritário.

Os resultados arredondam-se às décimas.

Figura

Cromatograma das ceras de azeite ( 3 )

image

Legenda:

I.S.

=

Araquidato de laurilo

1

=

Ésteres diterpénicos

2 + 2′

=

Ésteres C40

3 + 3′

=

Ésteres C42

4 + 4′

=

Ésteres C44

5

=

Ésteres C46

6

=

Ésteres esteróis e álcoois triterpénicos




APÊNDICE

Determinação da velocidade linear do gás

Injectar 1 a 3 μl de metano (ou propano) no cromatógrafo de fase gasosa, regulado para as condições normais de trabalho, e medir o tempo requerido pelo gás para percorrer a coluna, desde o momento da injecção até ao registo do respectivo pico (tM).

A velocidade linear, expressa em centímetros por segundo, é dada por L/tM, sendo L o comprimento da coluna, expresso em centímetros, e tM o tempo de retenção, expresso em segundos.

▼M32 —————

▼M26 —————




▼B

O resultado é arredondado às décimas.

▼M21




ANEXO VII

DETERMINAÇÃO DA PERCENTAGEM DE MONOPALMITATO DE 2-GLICERILO

1.   OBJECTIVO E CAMPO DE APLICAÇÃO

O presente método descreve o procedimento analítico para a determinação da percentagem de ácido palmítico em posição 2 dos triglicéridos através da avaliação do monopalmitato de 2-glicerilo.

Este método é aplicável aos óleos vegetais líquidos à temperatura ambiente (20 °C).

2.   PRINCÍPIO

Após preparação, a amostra de azeite é sujeita à acção da lipase pancreática: uma hidrólise parcial e específica nas posições 1 e 3 da molécula de triglicérido determina a formação de monoglicéridos na posição 2. A percentagem de monopalmitato de 2-glicerilo na fracção monoglicerídica é determinada, após sililação, por cromatografia em fase gasosa com coluna capilar.

3.   APARELHOS E UTENSÍLIOS

3.1.

Erlenmeyer de 25 ml

3.2.

Provetas de 100, 250 e 300 ml

3.3.

Coluna cromatográfica de vidro, com 21-23 mm de diâmetro interno e 400 mm de comprimento, equipada com um disco poroso de vidro e uma tampa

3.4.

Tubos de ensaio graduados de 10, 50, 100 e 200 ml

3.5.

Balões de 100 e 250 ml

3.6.

Evaporador rotativo

3.7.

Tubos de centrifugadora de fundo cónico, com cerca de 10 ml de capacidade, com rolha esmerilada

3.8.

Centrifugadora para tubos de 10 e 100 ml

3.9.

Termóstato que permita manter a temperatura a 40 °C + 0,5 °C

3.10.

Pipetas graduadas de 1 e 2 ml

3.11.

Seringa hipodérmica de 1 ml

3.12.

Microsseringa de 100 μl

3.13.

Ampola de decantação de 1 000 ml

3.14.

Cromatografia de fase gasosa adequado para colunas capilares, equipado com um dispositivo de injecção na coluna («on column») a frio, para a introdução directa da amostra na coluna, e um forno passível de manter a temperatura escolhida com uma precisão de 1 °C.

3.15.

Injector na coluna a frio para a introdução directa da amostra na coluna

3.16.

Detector de ionização de chama e electrómetro

3.17.

Registador-integrador adequado ao funcionamento com o electrómetro, com um tempo de resposta não superior a um segundo e com uma velocidade de papel variável

3.18.

Coluna capilar de vidro ou de sílica fundida, com 8 m a 12 m de comprimento e 0,25 mm a 0,32 mm de diâmetro interno, revestida de metilpolissiloxano ou fenilmetilpolissiloxano a 5 %, de espessura compreendida entre 0,10 μm e 0,30 μm, que possa ser utilizada a 370 °C

3.19.

Microsseringa de 10 μl com agulha cementada com, pelo menos, 7,5 cm de comprimento, para injecção directa na coluna

4.   REAGENTES

4.1.

Silicagel com granulometria compreendida entre 0,063 e 0,200 mm (70/280 mesh), preparado do seguinte modo: colocar o silicagel numa cápsula de porcelana, secar na estufa a 160 °C durante 4 horas e deixar arrefecer até à temperatura ambiente num exsicador. Juntar um volume de água equivalente a 5 % do peso de silicagel, do seguinte modo: num Erlenmeyer de 500 ml, pesar 152 g de silicagel e juntar 8 g de água destilada; tapar e agitar suavemente para obter uma repartição uniforme da água. Deixar repousar durante pelo menos 12 horas antes do uso.

▼M32

4.2.

n-Hexano para cromatografia. Se os valores de precisão obtidos forem semelhantes, pode substituir-se o hexano por iso-octano (2,2,4-trimetilpentano, para cromatografia).

▼M21

4.3.

Isopropanol

4.4.

Isopropanol em solução aquosa 1/1 (V/V)

4.5.

Lipase pancreática. A lipase utilizada deve ter uma actividade compreendida entre 2,0 e 10 unidades de lipase por mg. (Existem no comércio lipases pancreáticas com uma actividade compreendida entre 2 e 10 unidades por mg de enzima.)

4.6.

Solução tampão de tris-hidroximetilaminometano: solução aquosa 1M levada a pH 8 (controlo potenciométrico) por adição de HCl concentrado (1:1 V/V)

4.7.

Solução aquosa a 0,1 % de colato de sódio (qualidade enzimática), que deve ser utilizada no prazo de 15 dias após a preparação.

4.8.

Solução aquosa a 22 % de cloreto de cálcio

4.9.

Éter etílico para cromatografia

4.10.

Eluente: mistura n-hexano/éter etílico (87:13) (V/V)

4.11.

Solução a 12 % da amostra de hidróxido de sódio

4.12.

Solução de fenolftaleína a 1 % em etanol

4.13.

Gás vector: hidrogénio ou hélio, para cromatografia em fase gasosa

4.14.

Gases auxiliares: hidrogénio de pureza mínima 99 %, isento de humidade e de substâncias orgânicas; ar para cromatografia em fase gasosa, com o mesmo grau de pureza

4.15.

Reagente de silanização: mistura de piridina, hexametildissilazano e trimetilclorossilano 9:3:1 (v/v/v). [Existem no comércio soluções prontas a utilizar. É possível utilizar outros reagentes silanizantes, como uma mistura de bis(trimetilsilil)trifluoroacetamida com 1 % de trimetilclorossilano, a diluir num volume igual de piridina anidra.]

4.16.

Amostras de referência: monoglicéridos puros ou misturas de monoglicéridos com uma composição em percentagem conhecida, semelhante à da amostra.

5.   PROCEDIMENTO

5.1.   Preparação da amostra

5.1.1.

Os azeites com acidez livre inferior a 3 % não necessitam de ser neutralizados antes da cromatografia em coluna de silicagel. Os azeites com acidez livre superior a 3 % devem ser sujeitos à neutralização, em conformidade com o ponto 5.1.1.1.

5.1.1.1.

Deitar 50 g de azeite e 200 ml de n-hexano na ampola de decantação de 1 000 ml (3.13). Juntar 100 ml de isopropanol e uma quantidade da solução de hidróxido de sódio a 12 % (4.11) correspondente à acidez livre do azeite majorada de 5 %. Agitar energicamente durante um minuto. Juntar 100 ml de água destilada, agitar de novo e deixar repousar.

Após a decantação, eliminar a camada inferior que contém os sabões. Remover igualmente as eventuais camadas intermédias (mucilagem, matérias insolúveis). Lavar a solução de óleo neutralizado em hexano com sucessivas porções de 50-60 ml da solução de isopropanol/água 1:1 (V/V) (4.4), até ao desaparecimento da coloração carmim da fenolftaleína.

Remover a maior parte do solvente por destilação sob vácuo no evaporador rotativo e transferir o azeite para um balão de 100 ml (3.5). Secar o azeite sob vácuo até à eliminação total do solvente.

No final desta operação, a acidez do azeite deve ser inferior a 0,5 %.

5.1.2.

Introduzir 1,0 g de azeite preparado como indicado acima num Erlenmeyer de 25 ml (3.1) e dissolver em 10 ml de eluente (4.10). Deixar repousar a solução durante, pelo menos, 15 minutos, antes da cromatografia em coluna de silicagel.

Se a solução estiver turva, centrifugá-la para garantir condições óptimas para a cromatografia. [É possível utilizar cartuchos de silicagel de extracção em fase sólida (SPE) de 500 mg prontos a ser utilizados.]

5.1.3.

Preparação da coluna cromatográfica

Deitar na coluna (3.3) cerca de 30 ml de eluente (4.10), introduzir um pouco de algodão na parte inferior da coluna com a ajuda de uma varinha de vidro; apertar para eliminar o ar.

Preparar, numa proveta, uma suspensão de 25 g de silicagel (4.1) em cerca de 80 ml de eluente e deitar na coluna utilizando um funil.

Verificar que o silicagel foi integralmente introduzido na coluna; lavar com eluente (4.10), abrir a torneira e deixar escorrer até que o nível deste desça até cerca de 2 mm acima do nível superior do silicagel.

5.1.4.

Cromatografia em coluna

Num Erlenmeyer de 25 ml (3.1), pesar rigorosamente 1,0 g de amostra preparada em conformidade com o ponto 5.1.

Abrir a torneira e deixar escoar a solução da amostra até esta atingir o nível do silicagel. Eluir com 150 ml de eluente. Ajustar o fluxo a 2 ml/min (de forma a que passem na coluna 150 ml em cerca de 60 ou 70 minutos).

Recolher o eluído num balão de 250 ml, previamente tarado. Evaporar o solvente sob vácuo e eliminar os últimos vestígios do mesmo numa corrente de azoto.

Pesar o balão e determinar o extracto recuperado.

Caso se utilizem cartuchos de silicagel SPE prontos a serem utilizados, proceder do seguinte modo: introduzir 1 ml de solução (5.1.2) nos cartuchos previamente preparados com 3 ml de n-hexano

Depois de filtrar a solução, eluir com 4 ml de n-hexano/éter etílico a 9:1 (v/v).

Recuperar o eluído num tubo de 10 ml e evaporá-lo numa corrente de azoto até à secura.

Submeter o resíduo seco à acção da lipase pancreática (5.2). (É fundamental verificar a composição em ácidos gordos antes e depois de passar pelo cartucho SPE).

5.2.   Hidrólise com lipase pancreática

5.2.1.

Num tubo da centrifugadora, pesar 0,1 g de azeite preparado em conformidade com o ponto 5.1. Adicionar 2 ml de solução tampão (4.6), 0,5 ml de solução de colato de sódio (4.7) e 0,2 ml de solução de cloreto de cálcio, agitando bem após cada adição. Tapar o tubo com a rolha esmerilada e colocá-lo no termóstato a 40 + 0,5 °C.

5.2.2.

Adicionar 20 mg de lipase, agitar cuidadosamente (evitando o contacto da solução com a rolha) e colocar o tubo no termóstato durante exactamente dois minutos. Em seguida, retirar, agitar energicamente durante 1 minuto e deixar arrefecer.

5.2.3.

Adicionar 1 ml de éter etílico, tapar e agitar energicamente; centrifugar e, com uma microsseringa, transferir a solução de éter para um tubo limpo e seco.

5.3.   Preparação dos derivados silanizados e da cromatografia em fase gasosa

5.3.1.

Com uma microsseringa, introduzir 100 μl de solução (5.2.3) num tubo de fundo cónico de 10 ml.

5.3.2.

Eliminar o solvente em corrente ligeira de azoto, juntar 200 μl de reagente de silanização (4.15), tapar o tubo e deixar repousar durante 20 minutos.

5.3.3.

Passados 20 minutos, juntar entre 1 e 5 ml de n-hexano (em função das condições cromatográficas): a solução resultante está pronta para a cromatografia em fase gasosa.

5.4.   Cromatografia em fase gasosa

As condições de funcionamento são as seguintes:

 Temperatura do injector (injector em coluna) inferior à temperatura de ebulição do solvente (68 °C).

 Temperatura do detector: 350 °C;

 Temperatura na coluna: programação da temperatura do forno: 60 °C durante 1 minuto, aumentando 15 °C por minuto até 180 °C, seguindo-se 5 °C por minuto até 340 °C e, finalmente, 340 °C durante 13 minutos.

 Gás vector: hidrogénio ou hélio, regulado à velocidade linear adequada para obter a resolução reflectida na figura 1. O tempo de retenção do triglicérido C54 deve ser de 40 + 5 minutos (ver figura 2). (As condições de trabalho indicadas são propostas a título indicativo. Cada operador deverá optimizar as condições para alcançar a resolução pretendida. A altura do pico correspondente ao monopalmitato de 2-glicerilo deve ter uma altura mínima igual a 10 % da escala do registador.)

 Volume injectado: 0,5-1 μl de solução (5 ml) de n-hexano (5.3.3).

5.4.1.   Identificação dos picos

Os monoglicéridos individuais são identificados em função dos respectivos tempos de retenção obtidos, comparando com os correspondentes a misturas-padrão de monoglicéridos analisadas mas mesmas condições.

5.4.2.   Avaliação quantitativa

A área referente a cada pico é calculada utilizando um integrador electrónico.

6.   EXPRESSÃO DOS RESULTADOS

Calcular a percentagem de monopalmitato de glicerilo com base na relação entre a área do respectivo pico e a soma das áreas dos picos de todos os monoglicéridos (ver figura 2), de acordo com a seguinte fórmula:

Glycéril monopalmitate (%):

image

Em que:

Ax

=

área do pico relativo ao monopalmitato de glicerilo

ΣA

=

soma das áreas correspondentes a todos os picos de monoglicéridos

Os resultados arredondam-se às décimas.

7.   RELATÓRIO DA ANÁLISE

O relatório da análise deve especificar:

 a referência ao presente método;

 toda a informação necessária para a completa identificação da amostra;

 os resultados da análise;

 os eventuais desvios em relação ao presente método, quer se trate de uma decisão das partes interessadas ou por qualquer outra razão;

 os dados de identificação do laboratório, a data da análise e a assinatura dos responsáveis da mesma.

Figura 1

Cromatograma dos produtos da reacção de silanização obtidos pela acção da lipase num azeite refinado adicionado de 20 % de azeite esterificado (100 %).

image

[Key: «acides gras libres» = ácidos gordos livres; «Huile d’olive raffinée + 20 % huile estérifiée» = azeite refinado + 20 % azeite esterificado; «1-2 monopalmitoléine» = 1-2 monopalmitoleína; «1-2 mono C18 insat.» = 1-2 mono C18 insaturado]

Figura 2

Cromatograma de:

A)

Azeite não esterificado, após tratamento com lipase; após silanização; nestas condições (coluna capilar de 8 a 12 m), a fracção de ceras é eluída ao mesmo tempo que a fracção de diglicéridos, ou pouco depois.

Após lipase, o teor de triglicéridos não deve exceder 15 %.

image

Legenda:

1

=

Ácidos gordos livres

2

=

Monoglicéridos

3

=

Diglicéridos

4

=

Triglicéridos

*

=

2-Monopalmitina

**

=

Triglicérido C54

Cromatograma de:

B)

azeite esterificado após tratamento com lipase; após silanização; nestas condições (coluna capilar de 8 a 12 m), a fracção de ceras é eluída ao mesmo tempo que a fracção de diglicéridos ou pouco depois.

Após lipase, o teor de triglicéridos não deve exceder 15 %.

image

Legenda:

1

=

Ácidos gordos livres

2

=

Monoglicéridos

3

=

Diglicéridos

4

=

Triglicéridos

*

=

2-Monopalmitina

**

=

Triglicérido C54

8.   NOTAS

PREPARAÇÃO DA LIPASE

Existem no comércio lipases com uma actividade satisfatória. Também é possível prepará-las no laboratório da forma seguinte:

Arrefecer 5 kg de pâncreas fresco de porco a 0 °C. Remover a matéria gorda sólida periférica, bem como o tecido conjuntivo, e triturar num almofariz de modo a obter um fluido pastoso. Agitar esta pasta durante 4 a 6 horas, em 2,5 l de acetona anidra, e centrifugar. Extrair o resíduo mais três vezes com o mesmo volume de acetona anidra e, seguidamente, extrair duas vezes com uma mistura de acetona e éter etílico na proporção de 1:1 (V/V). Por fim, extrair duas vezes com éter etílico.

Secar o resíduo sob vácuo durante 48 horas, de modo a obter um pó estável, que se conserva no frigorífico por um período prolongado, ao abrigo da humidade.

CONTROLO DA ACTIVIDADE DA LIPASE

Prepara-se uma emulsão de azeite do seguinte modo:

Agitar durante 10 minutos, num agitador, uma mistura de 165 ml de solução de goma arábica a 100g/l, 15 g de gelo triturado e 20 ml de azeite neutralizado.

Num copo de 50 ml, colocar sucessivamente 10 ml da emulsão, 0,3 ml de solução de colato de sódio a 0,2g/ml e 20 ml de água destilada.

Colocar o copo num termóstato regulado a 37 °C; introduzir os eléctrodos do medidor de pH e o agitador de hélice.

Com o auxílio de uma pipeta, adicionar gota a gota uma solução de hidróxido de sódio 0,1 N até ser atingido o valor de pH 8,3.

Juntar um volume de suspensão de pó de lipase em água (0,1 g/ml de lipase). No instante em que o medidor de pH indicar um valor de 8,3, accionar o cronómetro e adicionar a solução de hidróxido de sódio, gota a gota, ao ritmo necessário para manter um pH de 8,3. Anotar o volume de solução consumido por minuto.

Anotar as observações num sistema de eixos coordenados, em que as abcissas correspondem ao tempo e as ordenadas aos mililitros de solução alcalina 0,1 N consumidos para manter o pH constante. Deve obter-se um gráfico linear.

A actividade da lipase, medida em unidades de lipase por mg, é dada pela fórmula seguinte:

image

em que:

A

=

actividade em unidades lipase/mg

V

=

número de mililitros de solução de hidróxido de sódio 0,1 N por minuto (calculados a partir do gráfico)

N

=

normalidade da solução de hidróxido de sódio

m

=

massa, em mg, da lipase para análise.

A unidade de lipase é definida como a quantidade de enzimas que permite libertar 10 miliequivalentes de ácido por minuto.

▼M20 —————

▼M28




ANEXO IX

ANÁLISE POR ESPETROFOTOMETRIA NO ULTRAVIOLETA

INTRODUÇÃO

A análise espetrofotométrica no ultravioleta pode fornecer indicações sobre a qualidade de uma matéria gorda, o estado de conservação desta e as modificações devidas aos processos tecnológicos a que foi sujeita. As absorvências nos comprimentos de onda especificados no método são devidas à presença de sistemas diénicos e triénicos conjugados, resultantes de processos de oxidação e/ou de práticas de refinação. Os valores destas absorvências são expressos em termos de extinção específica

image

– extinção de uma solução a 1 % (m/v) da matéria gorda no solvente prescrito, numa célula de 10 mm –, convencionalmente designada por K e também por «coeficiente de extinção».

1.   OBJETIVO

Este anexo descreve o processo de realização de análises espectrofotométricas no ultravioleta ao azeite.

2.   PRINCÍPIO DO MÉTODO

Dissolve-se uma amostra no solvente estabelecido e mede-se a absorvência da solução em relação ao solvente puro, nos comprimentos de onda prescritos.

Calculam-se as extinções específicas a 232 nm e 268 nm em iso-octano ou a 232 nm e 270 nm em ciclo-hexano, à concentração de 1 % (m/v), numa célula de 10 mm.

3.   APARELHOS E UTENSÍLIOS

3.1.

Espetrofotómetro para medições no ultravioleta, entre 220 nm e 360 nm, com possibilidade de leitura por unidade nanométrica. Recomenda-se a verificação regular da exatidão e da reprodutibilidade das escalas de absorvência e de comprimento de onda, bem como da luz parasita.

3.1.1.

Escala de comprimento de onda: Esta verificação pode ser efetuada com um material de referência constituído por um filtro ótico de vidro dopado com óxido de hólmio ou por uma solução de óxido de hólmio (selada ou não), que possui bandas de absorção distintas. Estes materiais de referência foram concebidos para a verificação e calibração das escalas de comprimento de onda de espetrofotómetros do visível e do ultravioleta com largura de banda espetral nominal igual ou inferior a 5 nm. Efetuam-se as medições em relação a um branco de ar, no intervalo de comprimentos de onda compreendido entre 640 nm e 240 nm, de acordo com as instruções que acompanham os materiais de referência. A cada alteração da largura da fenda, corrige-se a linha de base com a trajetória do feixe luminoso livre. Os comprimentos de onda padrão figuram no certificado do material de referência.

3.1.2.

Escala de absorvência: Esta verificação pode ser efetuada com materiais de referência selados disponíveis no comércio, constituídos por soluções ácidas de dicromato de potássio a determinadas concentrações e com valores certificados de absorvência a λmáx (quatro soluções de dicromato de potássio em ácido perclórico, seladas em quatro células de quartzo para UV, para medir a linearidade e a exatidão fotométrica de referência no ultravioleta). Efetuam-se as medições das soluções de dicromato de potássio em relação a um branco do ácido utilizado, após correção da linha de base, de acordo com as instruções que acompanham o material de referência. Os valores de absorvência figuram no certificado do material de referência.

Outro modo de verificar a resposta da célula fotoelétrica e do fotomultiplicador: pesam-se 0,2000 g de cromato de potássio puro para espectrofotometria e dissolvem-se numa solução 0,05 N de hidróxido de potássio num balão aferido de 1 000 ml, completando o volume até ao traço de aferição. Tomam-se exatamente 25 ml da solução obtida, transferem-se para um balão aferido de 500 ml e dilui-se até ao traço de aferição com a mesma solução de hidróxido de potássio.

Mede-se a extinção desta solução a 275 nm, utilizando a solução de hidróxido de potássio como referência. A extinção medida com uma célula de 1 cm de percurso ótico deve ser de 0,200 ± 0,005.

3.2.

Células retangulares de quartzo com tampa, adequadas para medições no ultravioleta (220 nm a 360 nm), com percurso ótico de 10 mm. Quando cheias de água ou de outro solvente adequado, as células não devem apresentar entre elas diferenças superiores a 0,01 unidades de extinção.

3.3.

Balões volumétricos de 25 ml com traço de aferição, classe A.

3.4.

Balança analítica com aproximação de 0,0001 g.

4.   REAGENTES

Salvo indicação em contrário, utilizam-se unicamente nas análises reagentes de qualidade analítica reconhecida e água destilada ou desmineralizada ou de pureza equivalente.

Solventes: iso-octano (2,2,4-trimetilpentano), para as medições a 232 nm e 268 nm, ou ciclo-hexano, para as medições a 232 nm e 270 nm, de absorvência inferior a 0,12 a 232 nm e inferior a 0,05 a 270 nm, comparativamente a água destilada, medida numa célula de 10 mm.

5.   TÉCNICA

5.1.

A amostra deve estar perfeitamente homogénea e estar isenta de impurezas em suspensão. Se assim não for, terá de ser filtrada com papel de filtro a cerca de 30 °C.

5.2.

Pesam-se rigorosamente, num balão aferido de 25 ml, com a aproximação de 1 mg, cerca de 0,25 g da amostra, preparada de acordo com o ponto anterior, completando o volume com o solvente prescrito até ao traço de aferição e homogeneizando. Deve obter-se uma solução perfeitamente límpida. No caso de a solução apresentar opalescência ou turvação, filtra-se rapidamente com papel de filtro.

NOTA: Em geral, é suficiente uma massa de 0,25-0,30 g para medir absorvências de azeites virgens e azeites virgens extra a 268 nm e 270 nm. Para medições a 232 nm, é normalmente necessária uma massa de 0,05 g de amostra, pelo que habitualmente se preparam duas soluções distintas. Para medir absorvências de óleos de bagaço de azeitona, azeites refinados e azeites adulterados, cuja absorvência é maior, é normalmente suficiente uma quantidade mais pequena de amostra, por exemplo 0,1 g.

5.3.

Se necessário, corrige-se a linha de base (220-290 nm) com solvente em ambas as células de quartzo (amostra e referência), enche-se a célula de quartzo da amostra com a solução em estudo e medem-se as extinções a 232, 268 ou 270 nm comparativamente ao solvente utilizado como referência.

Os valores de extinção registados devem estar compreendidos entre 0,1 e 0,8 ou na gama de linearidade do espetrofotómetro (a qual deve ser verificada). Caso contrário, repetem-se as medições utilizando soluções mais concentradas ou mais diluídas, consoante o caso.

5.4.

Uma vez medida a absorvência a 268 nm ou a 270 nm, mede-se a absorvência a λmáx, λmáx + 4 e λmáx – 4. Utilizam-se estes valores de absorvência para determinar a variação da extinção específica (ΔΚ).

NOTA: Considera-se que o valor de λmáx é 268 nm para o solvente iso-octano e 270 nm para o solvente ciclo-hexano.

6.   EXPRESSÃO DOS RESULTADOS

6.1.

As extinções específicas (coeficientes de extinção) registadas nos diversos comprimentos de onda calculam-se pela seguinte fórmula:

image

em que:

=

extinção específica no comprimento de onda λ,

=

extinção medida no comprimento de onda λ,

c

=

concentração da solução, em g/100 ml,

s

=

percurso ótico na célula de quartzo, em cm;

Os resultados são arredondados às centésimas.

6.2.

Variação da extinção específica (ΔΚ)

A variação do valor absoluto da extinção específica (ΔΚ) é dada por:

image

em que Km é a extinção específica no comprimento de onda correspondente à absorção máxima do solvente utilizado (270 nm ou 268 nm).

Os resultados são arredondados às centésimas.




ANEXO X

DETERMINAÇÃO DOS ÉSTERES METÍLICOS DE ÁCIDOS GORDOS POR CROMATOGRAFIA EM FASE GASOSA

1.   OBJETIVO

Este anexo fornece orientações sobre a determinação por cromatografia em fase gasosa de ácidos gordos livres e ligados em matérias gordas vegetais, após conversão dos ácidos em ésteres metílicos de ácidos gordos (FAME)

Convertem-se os ácidos gordos ligados dos triacilgliceróis e, dependendo do método de esterificação, os ácidos gordos livres em ésteres metílicos de ácidos gordos, que são determinados por cromatografia em fase gasosa em coluna capilar.

O método descrito neste anexo permite determinar ésteres metílicos de ácidos gordos de C12 a C24, incluindo ésteres metílicos de ácidos gordos saturados, monoinsaturados cis e trans e poli-insaturados cis e trans.

2.   PRINCÍPIO

Determinam-se quantitativamente os ésteres metílicos de ácidos gordos por cromatografia em fase gasosa. Preparam-se os ésteres de acordo com a parte A, após o que se injetam e vaporizam no injetor. Separam-se os ésteres em colunas analíticas de polaridade e comprimento específicos. Para detetar os ésteres, utiliza-se um detetor de ionização de chama. As condições analíticas são descritas na parte B.

O gás vetor (fase móvel) utilizado na cromatografia em fase gasosa de ésteres metílicos de ácidos gordos com detetor de ionização de chama é hidrogénio ou hélio. O hidrogénio acelera a separação e permite obter picos mais nítidos. A fase estacionária é uma camada microscópica constituída por um filme líquido fino numa superfície sólida inerte de sílica fundida.

À medida que percorrem a coluna capilar, os compostos volatilizados em análise interagem com a fase estacionária que reveste a superfície interior da coluna. Devido à interação diferente com os diversos compostos, estes eluem em tempos diferentes, constituindo cada um deles o tempo de retenção do composto em causa para a série de parâmetros analíticos considerada. Identifica-se cada composto por comparação do tempo de retenção correspondente.

PARTE A

PREPARAÇÃO DOS ÉSTERES METÍLICOS DOS ÁCIDOS GORDOS DO AZEITE E DO ÓLEO DE BAGAÇO DE AZEITONA

1.   OBJETIVO

Esta parte descreve a preparação dos ésteres metílicos de ácidos gordos. Compreende métodos para a preparação dos ésteres metílicos de ácidos gordos de azeites e de óleo de bagaço de azeitona.

2.   DOMÍNIO DE APLICAÇÃO

Preparam-se os ésteres metílicos de ácidos gordos de azeites e de óleo de bagaço de azeitona por transesterificação à temperatura ambiente com solução metanólica de hidróxido de potássio. A necessidade de purificar a amostra antes da transesterificação depende do teor de ácidos gordos livres da amostra e do parâmetro analítico a determinar. A decisão pode ser tomada com base no quadro seguinte:



Categoria do azeite ou óleo

Método

Azeite virgem com acidez ≤ 2,0 %

1.  Ácidos gordos

2.  Ácidos gordos trans

3.  ΔNCE42 (após purificação por extração em fase sólida com sílica-gel)

Azeite refinado

Azeite constituído por azeite refinado e azeites virgens

Óleo de bagaço de azeitona refinado

Óleo de bagaço de azeitona

Azeite virgem com acidez > 2,0 %

Óleo de bagaço de azeitona bruto

1.  Ácidos gordos (após purificação por extração em fase sólida com sílica-gel)

2.  Ácidos gordos trans (após purificação por extração em fase sólida com sílica-gel)

3.  ΔNCE42 (após purificação por extração em fase sólida com sílica-gel)

3.   MÉTODO

3.1.    Transesterificação à temperatura ambiente com solução metanólica de hidróxido de potássio

3.1.1.    Princípio

Formação dos ésteres metílicos por transesterificação com uma solução metanólica de hidróxido de potássio, como fase intermédia antes da saponificação.

3.1.2.    Reagentes

3.1.2.1.

Metanol com teor de humidade não superior a 0,5 % (m/m).

3.1.2.2.

Hexano para cromatografia.

3.1.2.3.

Heptano para cromatografia.

3.1.2.4.

Éter dietílico estabilizado para análise.

3.1.2.5.

Acetona para cromatografia.

3.1.2.6.

Solvente de eluição para purificação do azeite ou óleo por cromatografia em coluna/extração em fase sólida: mistura 87:13 (v/v) de hexano e éter dietílico.

3.1.2.7.

Solução metanólica aproximadamente 2 M de hidróxido de potássio: dissolvem-se 11,2 g de hidróxido de potássio em 100 ml de metanol.

3.1.2.8.

Cartuchos de sílica-gel de 1 g (6 ml) para extração em fase sólida.

3.1.3.    Utensílios

3.1.3.1.

Tubos de ensaio com tampa de rosca e junta de PTFE, com 5 ml de capacidade.

3.1.3.2.

Pipetas graduadas ou automáticas de 2 ml e 0,2 ml.

3.1.4.    Purificação das amostras de azeite ou de óleo

Se necessário, purificam-se as amostras passando o azeite ou óleo por um cartucho de sílica-gel para extração em fase sólida. Coloca-se um cartucho de sílica-gel (3.1.2.8) num aparelho de eluição sob vazio e lava-se com 6 ml de hexano (3.1.2.2). A lavagem não é efetuada sob vazio. Introduz-se a seguir na coluna uma solução de aproximadamente 0,12 g do azeite ou óleo em 0,5 ml de hexano (3.1.2.2). Empurra-se e elui-se esta solução com 10 ml de hexano/éter dietílico na proporção 87:13 (v/v) (3.1.2.6). Combinam-se os eluatos, homogeneiza-se e divide-se o volume total em dois volumes semelhantes. Evapora-se um dos volumes até à secura, num evaporador rotativo, sob pressão reduzida, à temperatura ambiente. Dissolve-se o resíduo em 1 ml de heptano. A solução obtida está pronta para a análise dos ácidos gordos por cromatografia em fase gasosa. Evapora-se o segundo volume e dissolve-se o resíduo em 1 ml de acetona, para a análise dos triacilgliceróis por HPLC, se necessário.

3.1.5.    Procedimento

Num tubo de ensaio com tampa de rosca de 5 ml (3.1.3.1), pesa-se aproximadamente 0,1 g da amostra de azeite ou óleo. Juntam-se 2 ml de heptano (3.1.2.2) e agita-se. Juntam-se 0,2 ml da solução metanólica de hidróxido de potássio (3.1.2.7), tapa-se com a tampa com junta de PTFE, fecha-se bem e agita-se energicamente durante 30 segundos. Deixa-se repousar até a parte superior da solução ficar límpida. Decanta-se a camada superior, que contém os ésteres metílicos. A solução de heptano está pronta para ser injetada no cromatógrafo de fase gasosa. É aconselhável manter esta solução no frigorífico até à análise cromatográfica. Não é recomendável guardar a solução durante mais de 12 horas.

PARTE B

ANÁLISE DOS ÉSTERES METÍLICOS DE ÁCIDOS GORDOS POR CROMATOGRAFIA EM FASE GASOSA

1.   OBJETIVO

Esta parte fornece orientações gerais para a aplicação de um método cromatográfico em fase gasosa em coluna capilar na determinação da composição qualitativa e quantitativa de uma mistura de ésteres metílicos de ácidos gordos obtida pelo método descrito na parte A.

Não é aplicável a ácidos gordos polimerizados.

2.   REAGENTES

2.1.    Gás vetor

Gás inerte (hélio ou hidrogénio) bem seco e com teor de oxigénio inferior a 10 mg/kg.

Nota 1:  O hidrogénio pode duplicar a velocidade da análise, mas é perigoso. Estão disponíveis dispositivos de segurança.

2.2.    Gases auxiliares

2.2.1.

Hidrogénio (pureza ≥ 99,9 %), isento de impurezas orgânicas.

2.2.2.

Ar ou oxigénio, isento de impurezas orgânicas.

2.2.3.

Azoto (pureza > 99,9 %).

2.3.    Padrão de referência

Mistura de ésteres metílicos de ácidos gordos puros ou os ésteres metílicos de uma matéria gorda de composição conhecida, de preferência semelhante à da matéria gorda a analisar. Os isómeros cis e trans dos ésteres metílicos dos ácidos octadecenóico, octadecadienóico e octadecatrienóico são úteis na identificação dos isómeros trans de ácidos insaturados.

É necessário tomar precauções para evitar a oxidação dos ácidos gordos poli-insaturados.

3.   APARELHOS E UTENSÍLIOS

As instruções fornecidas referem-se ao equipamento vulgarmente utilizado em cromatografia em fase gasosa com coluna capilar e detetor de ionização de chama.

3.1.    Cromatógrafo de fase gasosa

Elementos do cromatógrafo de fase gasosa:

3.1.1.    Sistema de injeção

Sistema de injeção especialmente concebido para colunas capilares. Pode ser com divisão de fluxo (tipo «split») ou sem divisão de fluxo e com injeção direta na coluna (tipo «on-column»).

3.1.2.    Forno

Forno capaz de aquecer a coluna capilar a, pelo menos, 260 °C e de manter a temperatura desejada com uma aproximação de 0,1 °C. Este último requisito é especialmente importante quando se utiliza um tubo de sílica fundida.

Recomenda-se em todos os casos o uso de aquecimento com programação de temperatura, particularmente para ácidos gordos com menos de 16 átomos de carbono.

3.1.3.    Coluna capilar

3.1.3.1.

Tubo de material inerte às substâncias a analisar (geralmente vidro ou sílica fundida). Diâmetro interno compreendido entre 0,20 mm e 0,32 mm. A superfície interna deve ser submetida a um tratamento apropriado (por exemplo inativação ou preparação da superfície) antes de receber o revestimento de fase estacionária. Um comprimento de 60 m é suficiente para ácidos gordos e isómeros cis e trans de ácidos gordos.

3.1.3.2.

São adequadas colunas com fase estacionária polar de polissiloxano (cianopropilsilicone) ligada (reticulada).

Nota 2:  Existe o risco de os polissiloxanos polares dificultarem a identificação e separação do ácido linolénico e dos ácidos C20.

Os revestimentos devem ser finos, isto é, de 0,1 μm a 0,2 μm.

3.1.3.3.

Montagem e condicionamento da coluna

Observam-se as precauções normais na montagem de colunas capilares, isto é, na adaptação da coluna ao forno (suporte), na escolha e aplicação das juntas (de forma a garantir estanquidade) e no posicionamento das extremidades da coluna no injetor e no detetor (redução dos espaços mortos). Coloca-se a coluna sob um fluxo de gás vetor — por exemplo a 0,3 bar (30 kPa) para uma coluna de 25 m de comprimento e 0,3 mm de diâmetro interno.

Condiciona-se a coluna programando o aumento da temperatura do forno em 3 °C por minuto, desde a temperatura ambiente até uma temperatura 10 °C abaixo do limite de decomposição da fase estacionária. Mantém-se o forno a esta temperatura durante 1 hora, até a linha de base estabilizar. Voltar a 180 °C, para trabalhar em condições isotérmicas.

Nota 3:  Estão disponíveis no comércio colunas pré-condicionadas adequadas.

3.1.4.    Detetor de ionização de chama e conversor-amplificador.

3.2.    Seringa

A capacidade máxima da seringa é de 10 μl, graduados em intervalos de 0,1 μl.

3.3.    Sistema de aquisição de dados

Sistema de aquisição de dados ligado em linha com os detetores, dispondo de um programa adequado para a normalização e integração dos picos.

4.   TÉCNICA

As operações descritas nos pontos 4.1 a 4.3 associam-se à utilização de um detetor de ionização de chama.

4.1.    Condições operatórias

4.1.1.    Escolha das condições operatórias ótimas de colunas capilares

As propriedades de eficiência e permeabilidade das colunas capilares tornam a separação dos componentes e a duração das análises fortemente dependentes do caudal do gás vetor na coluna. É, portanto, necessário otimizar as condições operatórias regulando este parâmetro (ou, mais simplesmente, a perda de carga na coluna) consoante se pretenda melhorar a separação ou acelerar a análise.

As condições a seguir indicadas revelaram-se adequadas para separar ésteres metílicos de ácidos gordos (C4 a C26). Apresentam-se exemplos de cromatogramas no apêndice B.



Temperatura do injetor:

250 °C;

Temperatura do detetor:

250 °C;

Temperatura do forno:

de 165 °C (8 minutos) a 210 °C a 2 °C/minuto;

Gás vetor hidrogénio:

179 kPa de pressão à entrada da coluna;

Fluxo total:

154,0 ml/minuto;

Divisão de fluxo («split»):

1:100;

Volume injetado:

1 μl.

4.1.2.    Determinação da resolução (ver o apêndice A)

Calcula-se a resolução, R, de dois picos vizinhos, I e II, do seguinte modo:

R = 2 × ((dr ( II )d r(I))/(ω(I) + ω(II))) ou R = 2 × ((tr ( II )t r(I))/(ω(I) + ω(II))) (USP) (Farmacopeia dos Estados Unidos da América)

ou

R = 1,18 × ((tr ( II ) – tr(I))/(ω0,5(I) + ω0,5(II))) (EP, BP, JP, DAB) (Farmacopeia Europeia, Farmacopeia Britânica, Farmacopeia Japonesa, Farmacopeia Alemã),

em que:

d r(I) é a distância de retenção do pico I;

d r(II) é a distância de retenção do pico II;

t r(I) é o tempo de retenção do pico I;

t r(II) é o tempo de retenção do pico II;

ω(I) é a largura da base do pico I;

ω(II) é a largura da base do pico II;

ω0,5 é a largura a meia-altura do pico do composto em causa.

Se ω(I) ≈ ω(II), calcula-se R do seguinte modo:

R = (dr ( II )d r(I))/ω = (dr ( II )d r(I))/4σ

em que:

σ é o desvio-padrão (ver a figura 1 do apêndice A).

Se a distância entre os dois picos, d r = d r(II) - d r(I), for igual a 4σ, o fator de resolução R é igual a 1.

Se os dois picos não estiverem completamente separados, as tangentes ao ponto de inflexão de cada pico intersetam-se no ponto C. A separação completa dos picos exige que a distância entre eles seja igual a:

d r(II) - d r(I) = 6 σ e, consequentemente, R = 1,5 (ver a figura 3 do apêndice A).

5.   EXPRESSÃO DOS RESULTADOS

5.1.    Análise qualitativa

Identificam-se os picos correspondentes aos ésteres metílicos da amostra a partir do cromatograma ilustrado na figura 1 do apêndice B, se necessário por interpolação, ou por comparação com os picos de misturas de referência de ésteres metílicos (como é referido no ponto 2.3).

5.2.    Análise quantitativa

5.2.1.    Determinação da composição

Calcula-se a fração mássica, w i , de ésteres metílicos de cada ácido gordo, expressa em percentagem mássica de ésteres metílicos, do seguinte modo:

5.2.2.    Método de cálculo

5.2.2.1.   Caso geral

Determinando a percentagem correspondente ao quociente entre a área do pico em causa e a soma das áreas de todos os picos, calcula-se do seguinte modo o teor de um componente i expresso em percentagem mássica de ésteres metílicos:

wi = (Ai/ΣA) × 100

em que:

Ai é a área do pico correspondente aos ésteres metílicos do ácido gordo i;

ΣA é a soma das áreas dos picos correspondentes aos ésteres metílicos de todos os ácidos gordos.

Os resultados são arredondados às centésimas.

Nota 4:  No caso das matérias gordas, a fração mássica de ésteres metílicos de um ácido gordo é igual à fração mássica de triacilgliceróis, em gramas por 100 gramas. Nos casos em que isto não seja válido, veja-se o ponto 5.2.2.2.

5.2.2.2.   Fatores de correção

Em certos casos, por exemplo na presença de ácidos gordos com menos de oito átomos de carbono ou de ácidos com grupos secundários, é necessário corrigir as áreas aplicando fatores de correção específicos (Fci), determinados para cada instrumento. Para isso, utilizam-se materiais de referência adequados, com uma composição certificada de ácidos gordos na gama de composições em causa.

Nota 5:  Estes fatores de correção não são idênticos aos fatores de correção teóricos aplicados ao detetor de ionização de chama indicados no apêndice A, pois também dão conta do desempenho do sistema de injeção etc. Se as diferenças forem grandes, é necessário verificar o desempenho de todo o sistema.

Para a mistura de referência, a percentagem mássica de ésteres metílicos do ácido gordo i é calculada do seguinte modo:

wi = (mi m) × 100

em que:

m i é a massa de ésteres metílicos do ácido gordo i na mistura de referência;

Σm é a soma das massas de todos os ésteres metílicos de ácidos gordos da mistura de referência.

A partir do cromatograma da mistura de referência, calcula-se a percentagem (área/área) correspondente aos ésteres metílicos do ácido gordo i do seguinte modo:

wi = (Ai/ΣA) × 100

em que:

Ai é a área correspondente aos ésteres metílicos do ácido gordo i na mistura de referência;

ΣA é a soma das áreas de todos os ésteres metílicos de ácidos gordos da mistura de referência.

O fator de correção, Fc, é calculado do seguinte modo:

Fc = (mi × ΣA)/(Ai/Σm)

No caso da amostra, a percentagem mássica de ésteres metílicos do ácido gordo i é calculada do seguinte modo:

wi = (Fi × Ai)/Σ (Fi × Ai)

Os resultados são arredondados às centésimas.

Nota 6:  O valor calculado corresponde à percentagem mássica de cada ácido gordo, expresso em triacilgliceróis, por 100 g de matéria gorda.

5.2.2.3.   Padrão interno

Em algumas análises (por exemplo quando nem todos os ácidos gordos são quantificados, o que acontece quando estão presentes ácidos com 4 e 6 átomos de carbono e ácidos com 16 e 18 átomos de carbono, ou quando é necessário determinar a quantidade absoluta de um ácido gordo numa amostra) é preciso utilizar um padrão interno. Para isso, recorre-se frequentemente aos ácidos gordos com 5, 15 ou 17 átomos de carbono. Se necessário, determina-se o fator de correção relativo ao padrão interno.

A percentagem mássica do componente i, expresso em ésteres metílicos, é calculada do seguinte modo:

wi = (mIS × Fi × Ai)/(m × FIS × AIS)

em que:

A i é a área correspondente aos ésteres metílicos do ácido gordo i;

A IS é a área correspondente ao padrão interno;

F i é o fator de correção correspondente ao ácido gordo i, expresso em ésteres metílicos de ácido gordo;

F IS é o fator de correção correspondente ao padrão interno;

m é a massa, em miligrama, da toma para ensaio;

m IS é a massa, em miligrama, do padrão interno.

Os resultados são arredondados às centésimas.

6.   RELATÓRIO DO ENSAIO

O relatório deve especificar os métodos utilizados na preparação dos ésteres metílicos e na análise cromatográfica em fase gasosa. Deve mencionar igualmente todas as condições operatórias não especificadas neste método normalizado ou consideradas opcionais, assim como todas as ocorrências que possam ter influenciado os resultados.

O relatório do ensaio tem de conter todas as indicações necessárias para a completa identificação da amostra.

7.   PRECISÃO

7.1.    Resultados do estudo interlaboratorial

O anexo C da norma IOC/T.20/Doc. n.o 33 dá pormenores sobre um estudo interlaboratorial relativo à precisão do método. Os valores decorrentes desse estudo podem não ser aplicáveis a gamas de concentração e matrizes diferentes das indicadas.

7.2.    Repetibilidade

A diferença absoluta entre dois resultados independentes, obtidos pelo mesmo método, com o mesmo material em estudo, no mesmo laboratório e pelo mesmo operador, utilizando o mesmo equipamento num curto intervalo de tempo, não deve exceder em mais de 5 % dos casos o valor r indicado no anexo C, quadros 1 a 14, da norma IOC/T.20/Doc. n.o 33.

7.3.    Reprodutibilidade

A diferença absoluta entre dois resultados, obtidos pelo mesmo método, com o mesmo material em estudo, em laboratórios diferentes e por operadores diferentes, utilizando equipamento diferente, não deve exceder em mais de 5 % dos casos o valor R indicado no anexo C, quadros 1 a 14, da norma IOC/T.20/Doc. n.o 33.




Apêndice A

Figura 1

image

ω0,5 é a largura a meia altura do triângulo ABC; b é a largura a meia altura do triângulo NPM.



Figura 2

Figura 3

image

image




Apêndice B

Figura 1

Perfil cromatográfico em fase gasosa de um óleo de bagaço de azeitona, após aplicação do método de metilação a frio.

image

Salvo indicação em contrário, os picos cromatográficos correspondem aos ésteres metílicos e etílicos.

▼B




ANEXO XI

DETERMINAÇÃO DO TEOR DE SOLVENTES HALOGENADOS VOLÁTEIS NO AZEITE

1.   FUNDAMENTO

Análise por cromatografia em fase gasosa segundo a técnica do espaço de cabeça.

2.   APARELHOS E UTENSÍLIOS

2.1.

Aparelho de cromatografia em fase gasosa equipado com um detector de captura de electrões (ECD).

2.2.

Órgãos para o espaço de cabeça.

2.3.

Colunas de cromatografia em fase gasosa em tubo de vidro, com 2 metros de comprimento, 2 mm de diâmetro interior e fase estacionária constituída por OV101 a 10 % ou equivalente, impregnando terra de diatomáceas calcinada, lavada com ácidos e silanizada, com granulometria de 80-100 Mesh (200-150 μm).

2.4.

Gás vector e gás auxiliar: azoto para a cromatografia em fase gasosa com detecção por captura de electrões.

2.5.

Frascos de vidro de 10 a 15 ml sobre cujo gargalo se coloca um septo elastómetro (teflon) ajustado por anel de alumínio sendo o conjunto fixado por capsulador manual.

2.6.

Capsulador manual.

2.7.

Seringa para gás de 0,5 a 2 ml.

3.   REAGENTES

3.1.

Padrões: hidrocarbonetos halogenados voláteis com um grau de pureza adequado para utilização em cromatografia em fase gasosa.

4.   TÉCNICA

4.1.

Pesam-se exactamente cerca de 3 g de azeite num frasco de vidro (ponto 1.5) a não reutilizar, fecha-se o frasco hermeticamente e mantém-se à temperatura de 70° C durante uma hora. Recolhe-se com precisão, utilizando a seringa, um volume de 0,2 a 0,5 ml do espaço de cabeça.

Injecta-se na coluna do aparelho de cromatografia em fase gasosa, regulado do seguinte modo:

 temperatura do injector: 150° C,

 temperatura da coluna: 70-80° C,

 temperatura do detector: 200-250° C.

Podem igualmente utilizar-se outras temperaturas, desde que os resultados sejam equivalentes.

4.2.

Soluções de referência

Preparam-se soluções-padrão utilizando azeite refinado, sem vestígios de solventes, com concentrações variáveis entre 0,05 e 1 mg/kg e em relação com o teor presumido da amostra.

4.3.

Avaliação quantitativa

Estabelece-se a relação entre as áreas ou altura dos picos dos cromatogramas da amostra e da solução-padrão que tenha a concentração presumida mais próxima. Caso o desvio relativo seja superior a 10 % é necessário voltar a proceder à análise por comparação com uma nova solução-padrão, até que a sua concentração respeite o desvio relativo acima mencionado.

4.4.

Expressão dos resultados

Os resultados são expressos em mg/kg (ppm).

O limite de detecção do processo é de 0,01 mg/kg.

▼M26




ANEXO XII

MÉTODO DO CONSELHO OLEÍCOLA INTERNACIONAL PARA A AVALIAÇÃO ORGANOLÉPTICA DE AZEITES VIRGENS

▼M28

1.   OBJETIVO E DOMÍNIO DE APLICAÇÃO

O método internacional descrito neste anexo visa estabelecer o procedimento de avaliação das características organoléticas dos azeites virgens, na aceção do anexo VII, parte VIII, ponto 1, do Regulamento (UE) n.o 1308/2013 do Parlamento Europeu e do Conselho ( 4 ), bem como o método de classificação desses azeites com base em tais características. Inclui igualmente indicações relativas a determinados aspetos facultativos de rotulagem.

O método descrito só é aplicável aos azeites virgens e à classificação ou rotulagem dos mesmos em função da intensidade dos defeitos detetados e do frutado, determinada por um júri constituído por um grupo de provadores selecionados, treinados e supervisionados.

Remete-se para a última versão disponível das normas do COI referidas neste anexo.

▼M26

2.   VOCABULÁRIO BÁSICO GERAL DOS EXAMES ORGANOLÉPTICOS

Ver a norma IOC/T.20/Doc. No 4 «Sensory Analysis: General Basic Vocabulary».

3.   VOCABULÁRIO ESPECÍFICO

3.1.    Atributos negativos

Tulha/Borra:«Flavour» característico dos azeites obtidos de azeitonas amontoadas ou armazenadas em condições que as colocaram num estado avançado de fermentação anaeróbia ou dos azeites que permaneceram em contacto, nos depósitos e reservatórios subterrâneos, com matérias decantadas que tenham também sofrido um processo de fermentação anaeróbia.

Mofo-húmido-terra:«Flavour» característico dos azeites obtidos de azeitonas atacadas por bolores e leveduras devido à armazenagem dos frutos durante vários dias em condições húmidas ou dos azeites obtidos de azeitonas colhidas com terra ou lama que não foram lavadas.

Avinhado-avinagrado-ácido-azedo:«Flavour» característico de certos azeites que lembra o vinho ou o vinagre. Deve-se, fundamentalmente, a um processo fermentativo aeróbio das azeitonas ou de restos de pasta de azeitona em capachos que não foram lavados corretamente, que leva à formação de ácido acético, acetato de etilo e etanol.

Ranço:«Flavour» dos azeites que sofreram um processo de oxidação intenso.

Azeitona queimada (madeira húmida):«Flavour» característico dos azeites extraídos de azeitonas que congelaram na oliveira.

▼M28

3.1.1.    Outros atributos negativos



Cozido ou Queimado

«Flavour» característico dos azeites devido a aquecimento excessivo e/ou prolongado durante a obtenção dos mesmos, principalmente durante a termomalaxagem da pasta, se esta for realizada em condições térmicas inadequadas.

Feno-madeira

«Flavour» característico de certos azeites provenientes de azeitonas secas.

Encorpado

Sensação bucotátil densa e pastosa produzida por certos azeites velhos.

Lubrificantes

«Flavour» dos azeites que lembra o gasóleo, massas consistentes ou óleos minerais.

Água-ruça

«Flavour» adquirido pelos azeites devido a contacto prolongado com águas-ruças que sofreram processos de fermentação.

Salmoura

«Flavour» dos azeites obtidos de azeitonas conservadas em salmoura.

Metálico

«Flavour» que lembra os metais e é característico dos azeites que permaneceram prolongadamente em contacto com superfícies metálicas durante os processos de trituração, malaxagem, prensagem ou armazenagem.

Esparto

«Flavour» característico dos azeites obtidos de azeitonas prensadas em capachos de esparto novos. Pode variar consoante se trate de capachos fabricados de esparto verde ou de esparto seco.

Gafa

«Flavour» dos azeites obtidos de azeitonas fortemente atacadas por larvas da mosca da oliveira (Bactrocera oleae).

Pepino

«Flavour» dos azeites característico de um acondicionamento hermético excessivamente prolongado, nomeadamente em latas. É atribuído à formação de 2,6-nonadienal.

3.2.    Atributos positivos



Frutado

Conjunto das sensações olfativas dependentes da variedade de azeitona, por via direta e/ou retronasal, características dos azeites provenientes de frutos sãos e frescos, verdes ou maduros.

Amargo

Gosto elementar característico dos azeites obtidos de azeitonas verdes ou em fase precoce de maturação, sentido pelas papilas caliciformes que constituem o V lingual.

Picante

Sensação tátil de picadas em toda a cavidade bucal, em especial na garganta, característica dos azeites produzidos no início da campanha, principalmente a partir de azeitonas ainda verdes.

▼M32

3.3.    Terminologia facultativa para efeitos de rotulagem

Se lhe for solicitado, o presidente do júri pode certificar que os azeites avaliados satisfazem as definições e intervalos correspondentes apenas aos termos seguintes, em função da intensidade e perceção dos atributos:

Atributos positivos (frutado, amargo e picante), em função da intensidade de perceção:

 Intenso: se a mediana do atributo em causa for superior a 6,0;

 Médio: se a mediana do atributo em causa for superior a 3,0 e igual ou inferior a 6,0;

 Suave: se a mediana do atributo em causa for igual ou inferior a 3,0.



Frutado

Conjunto das sensações olfativas dependentes da variedade de azeitona, por via direta e/ou retronasal, características de azeites provenientes de frutos sãos e frescos, sem predominância de frutado verde ou maduro.

Frutado verde

Conjunto das sensações olfativas dependentes da variedade de azeitona, por via direta e/ou retronasal, que lembram frutos verdes, características de azeites provenientes de frutos verdes sãos e frescos.

Frutado maduro

Conjunto das sensações olfativas dependentes da variedade de azeitona, por via direta e/ou retronasal, que lembram frutos maduros, características de azeites provenientes de frutos sãos e frescos.

Equilibrado

Azeite sem desequilíbrios, entendendo-se por «equilíbrio» a sensação olfato-gustativa e tátil dos azeites cuja mediana do atributo «amargo» e cuja mediana do atributo «picante» não excedam em mais de 2,0 pontos a mediana do atributo «frutado».

Doce

Azeite cuja mediana do atributo «amargo» e cuja mediana do atributo «picante» sejam iguais ou inferiores a 2,0.

Lista dos termos em função da intensidade de perceção:



Termos sujeito à apresentação de um certificado de exame organolético

Mediana do atributo

Frutado

Frutado maduro

Frutado verde

Frutado suave

≤ 3,0

Frutado médio

3,0 < mediana ≤ 6,0

Frutado intenso

> 6,0

Frutado maduro suave

≤ 3,0

Frutado maduro médio

3,0 < mediana ≤ 6,0

Frutado maduro intenso

> 6,0

Frutado verde suave

≤ 3,0

Frutado verde médio

3,0 < mediana ≤ 6,0

Frutado verde intenso

> 6,0

Amargo suave

≤ 3,0

Amargo médio

3,0 < mediana ≤ 6,0

Amargo intenso

> 6,0

Picante suave

≤ 3,0

Picante médio

3,0 < mediana ≤ 6,0

Picante intenso

> 6,0

Azeite equilibrado

A mediana do atributo «amargo» e a mediana do atributo «picante» não excedem em mais de 2,0 pontos a mediana do atributo «frutado».

Azeite doce

A mediana do atributo «amargo» e a mediana do atributo «picante» são iguais ou inferiores a 2,0.

▼M26

4.   COPO PARA PROVA DE AZEITES

Ver a norma IOC/T.20/Doc. No 5, «Glass for Oil Tasting».

5.   SALA DE PROVA

Ver a norma IOC/T.20/Doc. No 6, «Guide for the Installation of a Test Room».

6.   ACESSÓRIOS

Acessórios necessários em cada cabina de prova para que os provadores possam exercer a sua função corretamente (devem estar ao alcance do provador):

 copos normalizados para as amostras, numerados em código, tapados com um vidro de relógio e mantidos a 28 °C ± 2 °C,

 folha de perfil (figura 1) em papel (ou informatizada, desde que satisfaça os requisitos), juntamente com instruções de utilização, se necessário,

 esferográfica ou tinta indelével,

 bandejas com rodelas de maçã e/ou água, água gaseificada e/ou biscoitos,

 copo de água à temperatura ambiente,

 folha recapitulativa das regras gerais enunciadas nos pontos 8.4 e 9.1.1,

 cuspidores.

7.   PRESIDENTE DO JÚRI E PROVADORES

7.1.    Presidente do júri

O presidente do júri deve ter recebido uma formação adequada e ser conhecedor e um perito experiente nos tipos de azeite que se lhe deparem na função. É o elemento central do júri, sendo responsável pela organização e pelo funcionamento deste.

O trabalho do presidente do júri exige formação de base nos instrumentos dos exames organolépticos, sentidos apurados para estes exames e a capacidade de os preparar, organizar e realizar meticulosamente, assim como habilidade e paciência para planear e realizar os exames segundo bases científicas.

O presidente do júri é o único responsável pela seleção, formação e supervisão dos provadores, para que estes mantenham um nível de aptidão adequado. É, portanto, responsável pela avaliação dos provadores, que deve ser sempre objetiva e para a qual deve estabelecer procedimentos próprios baseados na experimentação, bem como critérios fundamentados de aceitação e rejeição. Ver a norma IOC/T.20/Doc. No 14, «Guide for the selection, training and monitoring of skilled virgin olive oil tasters».

O presidente do júri é responsável pelo desempenho do júri e, portanto, pela avaliação por este efetuada, da qual deve apresentar provas fiáveis e objetivas. Compete-lhe estar sempre em condições de demonstrar que o método e os provadores estão sob controlo. É recomendável proceder a uma calibração periódica do júri (IOC/T.20/Doc. No 14, § 5).

O presidente do júri é o principal responsável pela manutenção de registos do funcionamento do júri, que devem ser sempre rastreáveis. Os registos devem respeitar as exigências de segurança e qualidade estabelecidas nas normas internacionais de exames organolépticos e salvaguardar o anonimato das amostra em todas as circunstâncias.

O presidente do júri é responsável pela inventariação dos utensílios e equipamentos necessários para satisfazer as especificações do presente método, bem como pela adequada limpeza e manutenção dos mesmos, cabendo-lhe conservar prova escrita disso e da observância das condições estabelecidas para a realização das provas.

Compete ao presidente do júri a receção das amostras e a armazenagem das mesmas no laboratório, antes e depois de examinadas. Cabe-lhe garantir que as amostras se mantêm anónimas e são adequadamente armazenadas, devendo estabelecer por escrito os procedimentos necessários para salvaguardar a rastreabilidade e a garantia do processo.

É igualmente responsável pela preparação e codificação das amostras e pela apresentação destas aos provadores segundo um plano de provas adequado, consentâneo com o protocolo preestabelecido, bem como pela recolha e tratamento estatístico dos dados obtidos pelos provadores.

Compete igualmente ao presidente do júri definir e redigir qualquer outro procedimento necessário para complementar o presente método e para assegurar o correto funcionamento do júri.

Compete-lhe ainda procurar maneiras de comparar os resultados do seu júri com os resultados obtidos por outros júris que analisam azeites virgens, para se certificar de que o primeiro está a funcionar corretamente.

O presidente do júri tem o dever de motivar os provadores, incentivando o interesse, a curiosidade e o espírito de competição entre eles. Para isso, recomenda-se vivamente que assegure um intercâmbio fluido de informação com os provadores, mantendo-os informados acerca das tarefas que a estes compete desempenhar, assim como dos resultados obtidos. Deve ainda garantir que a sua opinião não é conhecida e evitar que determinados provadores, que assumam um papel de liderança, condicionem os restantes sobrepondo-lhes os seus critérios.

O presidente do júri deve convocar os provadores com antecedência suficiente e responder a todas as perguntas relativas à realização dos exames, mas deve abster-se de fazer transparecer qualquer opinião sua sobre as amostras.

▼M28

7.1.1.    Presidente suplente do júri

O presidente do júri pode, por motivo justificado, ser substituído por um presidente suplente em tarefas relacionadas com a realização dos exames organoléticos, o qual deve ter todas as aptidões exigidas ao presidente do júri.

▼M28

7.2.    Provadores

As pessoas que assumam a função de provadores em exames organoléticos de azeites devem fazê-lo voluntariamente. É, portanto, recomendável que os interessados apresentem uma candidatura escrita. Os candidatos devem ser selecionados, formados e supervisionados pelo presidente do júri em função das aptidões que revelem para distinguir amostras semelhantes. Importa ter presente que o rigor dos provadores melhora com formação.

Os provadores devem comportar-se como efetivos observadores sensoriais, pondo de parte os seus gostos pessoais e dando conta unicamente das sensações que sintam. Para isso, devem trabalhar em silêncio, relaxados e sem pressas, concentrando-se ao máximo, em termos sensoriais, na amostra que estão a provar.

Para cada exame, são necessários 8 a 12 provadores. É prudente manter uma reserva de provadores, para acautelar eventuais ausências.

▼M26

8.   CONDIÇÕES DE REALIZAÇÃO DOS EXAMES

8.1.    Apresentação da amostra

As amostras de azeite a examinar devem ser apresentadas em copos de prova normalizados conformes com a norma IOC/T.20/Doc. No 5, «Glass for oil tasting».

Cada copo deve conter 14 ml a 16 ml de azeite – ou 12,8 g a 14,6 g, se as amostras forem pesadas – e ser tapado com um vidro de relógio.

Cada copo deve ser marcado com um código constituído por algarismos ou por uma combinação alfanumérica, em qualquer dos casos aleatória, recorrendo a um sistema de marcação inodoro.

8.2.    Temperatura de realização dos exames e temperatura das amostras

As amostras de azeite a provar devem permanecer nos copos durante todo o exame à temperatura de 28 °C ± 2 °C. Foi escolhida esta temperatura porque se torna mais fácil apreciar diferenças organolépticas do que à temperatura ambiente e porque, a temperaturas mais baixas, os compostos odoríferos peculiares dos azeites se volatilizam pouco, ao passo que a temperaturas mais elevadas se formam os compostos voláteis peculiares dos óleos aquecidos. Relativamente ao método a seguir para aquecer as amostras no copo, ver a norma IOC/T.20/Doc. No 5, «Glass for Oil Tasting».

A temperatura da sala de provas deve estar compreendida entre 20 °C e 25 °C (ver a norma IOC/T.20/Doc. No 6).

8.3.    Períodos para a realização das provas

O período da manhã é o melhor para provar azeites. Está demonstrado que, ao longo do dia, há períodos ótimos de perceção de sabores e odores. Antes das refeições, aumenta a sensibilidade olfativa e gustativa, que diminui a seguir.

Todavia, este critério não deve ser levado ao extremo de a fome distrair os provadores, ao ponto de diminuir a capacidade discriminatória destes. Recomenda-se, portanto, que as sessões de prova decorram entre as 10h00 e as 12h00.

8.4.    Regras gerais de conduta dos provadores

Segue-se uma série de recomendações relativamente à conduta dos provadores no exercício da sua atividade.

Uma vez convocados pelo presidente do júri para participar num exame organoléptico, os provadores devem poder comparecer à hora marcada e respeitar as seguintes condições:

 Não devem fumar nem beber café pelo menos nos 30 minutos que antecedem o exame.

 Não devem ter utilizado nenhum perfume, produto cosmético ou sabonete cuja fragrância possa persistir até ao exame. Devem utilizar um sabonete não perfumado para lavar as mãos, enxaguando-as e secando-as em seguida, tantas vezes quantas as necessárias para eliminar qualquer odor.

 Não devem comer pelo menos na hora que precede o exame.

 No caso de se sentirem em condições físicas deficientes, nomeadamente se os sentidos do olfato ou do paladar estiverem afetados, ou se sofrerem de algum problema psicológico que os impeça de se concentrarem no exame, devem abster-se de realizar as provas e devem informar disso o presidente do júri.

 Respeitadas estas condições, cada provador deve ocupar disciplinada e silenciosamente o seu lugar na cabina que lhe foi destinada.

 Devem ler cuidadosamente as instruções constantes da folha de perfil e não devem começar a examinar a amostra enquanto não estiverem totalmente preparados para o fazer (devem estar relaxados e sem pressas). Se a algum provador surgir alguma dúvida, deve o mesmo esclarecê-la em privado com o presidente do júri.

 Devem permanecer em silêncio durante o exame.

 Os telemóveis devem estar permanentemente desligados, para não afetarem a concentração e o trabalho dos outros provadores.

9.   AVALIAÇÃO ORGANOLÉPTICA E CLASSIFICAÇÃO DE AZEITES VIRGENS

9.1.    Técnica de prova

▼M29

9.1.1. Os provadores devem pegar no copo, tapado com o vidro de relógio, e incliná-lo cuidadosamente; em seguida, rodam completamente o copo cheio, nesta posição, a fim de molhar o mais possível o interior. A seguir, devem retirar o vidro de relógio e cheirar a amostra, inspirando lenta e profundamente, para avaliar o azeite. O exame olfativo não deve prolongar-se por mais de 30 segundos. Se o provador não chegar a uma conclusão nesse período, deve descansar um pouco antes de recomeçar.

Uma vez efetuado o exame olfativo, os provadores devem passar à avaliação das sensações bucais (conjunto das sensações retronasais olfativas, gustativas e táteis). Para isso, devem sorver aproximadamente 3 ml de azeite. É muito importante distribuir o azeite por toda a cavidade bucal, desde a parte anterior da boca e da língua, passando pelos lados da boca, até à parte posterior, incluindo o palato e a garganta. Com efeito, é sabido que a intensidade da perceção dos sabores e das sensações táteis depende da zona da língua, do palato e da garganta.

Importa sublinhar ser essencial que uma quantidade suficiente de azeite se espalhe muito lentamente sobre a parte posterior da língua até ao palato e à garganta, ao mesmo tempo que o provador se concentra na avaliação da ordem pela qual surgem os estímulos amargo e picante. Se não proceder deste modo, ambos os estímulos podem passar despercebidos em alguns azeites ou então o estímulo picante pode fazer com que o amargor passe despercebido.

A inalação breve de pequenos volumes de ar sucessivos pela boca permite ao provador não apenas espalhar bem a amostra pela boca toda, mas também sentir os compostos voláteis odoríferos por via retronasal, ao forçar a utilização desse canal.

Nota: Se os provadores não sentirem o atributo «frutado» numa amostra e a intensidade de classificação do atributo negativo for 3,5 ou menos, o presidente do júri pode decidir que analisem de novo a amostra à temperatura ambiente (COI/T.20/Doc. No 6/Rev. 1, setembro de 2007, secção 3 — General specifications for installation of a test room), especificando o contexto e o conceito de temperatura ambiente. Quando a amostra atingir a temperatura ambiente, os provadores devem reavaliar a verificar unicamente o aroma frutado. Se for o caso, devem assinalar a intensidade na escala.

Deve tomar-se em conta a sensação tátil picante. Para o efeito, aconselha-se a ingestão do azeite.

▼M26

9.1.2. Ao efetuar uma avaliação organoléptica de um azeite virgem, recomenda-se que, em cada sessão, não sejam avaliadas mais de QUATRO AMOSTRAS e que não se realizem mais de três sessões no mesmo dia, para evitar o efeito de contraste que poderia produzir-se ao provar de imediato outras amostras.

Uma vez que a sucessão de provas gera fadiga ou uma perda de sensibilidade causada pelas amostras anteriores, é necessário utilizar um produto que elimine da boca os restos do azeite da prova anterior.

Recomenda-se a utilização de uma pequena rodela de maçã, a qual, uma vez mastigada, pode ser eliminada para o cuspidor. Em seguida, lavar a boca com um pouco de água à temperatura ambiente. Entre o termo de uma sessão e o início da seguinte devem passar, pelo menos, 15 minutos.

9.2.    Utilização da folha de perfil pelos provadores

A folha de perfil a utilizar pelos provadores constitui a figura 1 do presente anexo.

Cada provador do júri deve cheirar e depois provar ( 5 ) o azeite em causa. Em seguida, cada provador deve inscrever a intensidade com que sente cada atributo negativo ou positivo na escala de 10 cm que figura na folha de perfil que lhe foi fornecida.

Se um provador detetar algum atributo negativo não previsto na secção 4, deve indicar esse atributo na rubrica «outros», utilizando o termo ou termos que mais rigorosamente o descreva(m).

▼M28

9.3.    Utilização dos dados pelo presidente do júri

O presidente do júri deve recolher as folhas de perfil preenchidas por cada provador e verificar as intensidades imputadas aos diferentes atributos. Se detetar alguma anomalia, deve solicitar ao provador que reveja a folha de perfil e, se necessário, que repita o exame.

O presidente do júri deve introduzir os dados de cada provador num programa informático como o previsto na norma IOC/T.20/Doc. n.o 15, tendo em vista o cálculo estatístico dos resultados do exame, baseados no cálculo das medianas. Ver o ponto 9.4 e o apêndice do presente anexo. A introdução dos dados respeitantes a cada amostra deve ser efetuada por recurso a uma matriz de nove colunas — correspondentes aos nove atributos sensoriais — e n linhas — correspondentes aos n provadores do júri.

Se, pelo menos, 50 % dos provadores detetarem um defeito e o inscreverem na rubrica «outros», o presidente do júri deve calcular a mediana desse defeito e determinar a classificação correspondente.

O valor do coeficiente de variação robusto que define a classificação (defeito com a maior intensidade e atributo frutado) deve ser igual ou inferior a 20 %.

Caso contrário, o presidente do júri deve repetir a avaliação da amostra em causa noutra sessão de prova.

Se isto ocorrer com frequência, é recomendável que o presidente do júri faculte aos provadores formação adequada (IOC/T.20/Doc. n.o 14, § 5) e que utilize o índice de repetibilidade e o índice de desvio para aferir do desempenho do júri (IOC/T.20/Doc. n.o 14, § 6).

▼M32

9.4.    Classificação do azeite

Classificam-se azeites nas categorias seguintes em função da mediana dos defeitos e da mediana do atributo «frutado». Entende-se por «mediana dos defeitos» a mediana do defeito a que tenha sido atribuída a intensidade mais elevada. A mediana dos defeitos e a mediana do atributo «frutado» são expressas com uma casa decimal.

Classifica-se o azeite por comparação do valor da mediana dos defeitos e da mediana do atributo «frutado» com os intervalos de referência a seguir indicados. Dado que foram estabelecidos tendo em conta o erro do método, os limites dos intervalos são considerados absolutos. O recurso a programas informáticos permite visualizar a classificação num quadro de dados estatísticos ou num gráfico.

a) Azeite virgem extra: mediana dos defeitos igual a 0,0 e mediana do atributo «frutado» superior a 0,0;

b) Azeite virgem: mediana dos defeitos superior a 0,0, mas não superior a 3,5, e mediana do atributo «frutado» superior a 0,0;

c) Azeite virgem lampante: mediana dos defeitos superior a 3,5, ou mediana dos defeitos igual ou inferior a 3,5 e mediana do atributo «frutado» igual a 0,0.

Nota 1:  Se a mediana do atributo «amargo» e/ou a mediana do atributo «picante» for superior a 5,0, o presidente do júri deve assinalá-lo no certificado de análise do azeite.

No caso das avaliações efetuadas no âmbito de verificações de conformidade, realiza-se um exame. No caso de contra-análises, realiza-se a avaliação em duplicado, em duas sessões de prova. Os resultados da análise em duplicado devem ser estatisticamente homogéneos (ver o ponto 9.5). Se tal não suceder, a amostra deve ser reanalisada duas vezes. Calcula-se o valor final da mediana de cada atributo de classificação a partir da média das duas medianas correspondentes.

▼M29

9.5.    Critérios de aceitação e rejeição de duplicações

O erro normalizada, a seguir definido, deve ser utilizado para determinar se os dois resultados da contra-análise são homogéneos ou estatisticamente aceitáveis:

image

Quando Me1 e Me2 são medianas dos dois duplicados (respetivamente primeira e segunda análise) e U1 e U2 são as incertezas expandidas obtidas para os dois valores, calculadas do seguinte modo, tal como especificado no apêndice:

U 1 = c × s* and
image

Para a incerteza expandida, c = 1,96; pelo que:

U1 = 0,0196 × CVr × Me1

em que CVr é o coeficiente de variação intenso.

Para que se considere que os dois valores obtidos não são estatisticamente diferentes, En deve ser igual ou inferior a 1,0.

▼M28



Figura 1

FOLHA DE PERFIL DE AZEITES VIRGENS

Intensidade de perceção de defeitos

Tulha/Borra

 

 

Mofo/húmido/terra

 

 

Avinhado/avinagrado

Ácido/azedo

 

 

Azeitona queimada

(madeira húmida)

 

 

Ranço

 

 

Outros atributos negativos:

 

 

Descritor:

Metálico □ Feno □ Gafa □ Encorpado□

Salmoura □ Cozido ou queimado □ Água-ruça□

Esparto □ Pepino □ Lubrificantes□

Intensidade de perceção de atributos positivos

Frutado

 

 

 

Verde□

Maduro□

Amargo

 

 

Picante

 

 

 

 

 

Nome do provador:

 

Código do provador:

Código da amostra:

Assinatura:

Data:

Observações:

▼M26




Apêndice

Método de cálculo da mediana e dos intervalos de confiança

Mediana

image

Define-se «mediana» como o número real Xm caracterizado pelo facto de a probabilidade (p) de os valores da distribuição (X) serem inferiores a esse número (Xm) ser igual ou inferior a 0,5 e, simultaneamente, de a probabilidade (p) de os valores da distribuição (X) serem iguais ou inferiores a Xm ser igual ou superior a 0,5. Uma definição mais prática é ser a mediana o percentil 50 de uma distribuição de números ordenados por ordem crescente. Por outras palavras, a mediana representa o valor central de uma série ordenada de números ímpares ou a média dos dois valores centrais de uma série ordenada de números pares.

Desvio-padrão robusto

Para se obter uma estimativa fiável da variabilidade em redor da mediana, torna-se necessário estimar o desvio-padrão robusto de Stuart e Kendall (4). A fórmula do desvio-padrão robusto assimptótico, isto é, a estimativa robusta da variabilidade dos dados considerados, em que N é o número de observações e IQR é o intervalo interquartílico, que abrange exatamente 50 % dos casos de uma distribuição de probabilidade, é a seguinte:

image

Para calcular o intervalo interquartílico, determina-se a grandeza da diferença entre o percentil 75 e o percentil 25.

image

O percentil é o valor Xpc caracterizado pelo facto de a probabilidade (p) de os valores da distribuição serem inferiores a Xpc ser igual ou inferior a um determinado centésimo e, simultaneamente, de a probabilidade (p) de os valores da distribuição serem iguais ou inferiores a Xpc ser igual ou superior a esse centésimo. O centésimo indica o quantil considerado da distribuição. No caso da mediana, o quantil é de 50/100.

image

Para efeitos práticos, o percentil é o valor de distribuição correspondente a uma área determinada, delimitada pela curva de distribuição ou de densidade. A título de exemplo, o percentil 25 representa o valor de distribuição correspondente a uma área igual a 0,25 ou 25/100.

Neste método, determinam-se os percentis com base nos valores reais que figuram na matriz de dados (método de cálculo informatizado de percentis).

Coeficiente de variação percentual robusto

O CVr% é um número adimensional que indica a percentagem de variabilidade da série de números analisada. É, por isso, muito útil para verificar a fiabilidade dos membros de um júri.

image

Intervalos de confiança a 95 % da mediana

Os intervalos de confiança a 95 % (valor do erro de primeira espécie igual a 0,05 ou 5 %) representam o intervalo no qual o valor da mediana poderia variar, na hipótese de a experiência poder ser repetida um número infinito de vezes. Na prática, este intervalo indica o intervalo de variabilidade do ensaio nas condições de trabalho consideradas, na hipótese de aquele poder ser repetido muitas vezes. Tal como o CVr%, este intervalo ajuda a avaliar a fiabilidade do ensaio.

image

image

em que, no caso do intervalo de confiança a 95 %, c é igual a 1,96.

A norma IOC/T 20/Doc. No 15 apresenta um exemplo da folha de cálculo no seu anexo I.

Referências

1) Wilkinson, L. 1990. Systat: The system for statistics. Evanston, IL. SYSTAT Inc.

2) Cicchitelli, G. 1984. Probabilità e Statistica. Maggioli Editore, Rimini.

3) Massart, D.L.; Vandeginste, B.G.M.; Deming, Y.; Michotte, L. 1988. Chemometrics. A textbook. Elsevier. Amsterdam.

4) Kendall, M.G.; Stuart, A. 1967. The advanced theory of statistics. Vol. 1. Hafner Publishing Co.

5) McGill, R.; Tukey, J.W.; Larsen, W.A. 1978. Variation of Box Plots. The American Statistician, 32, (2), 12-16.

6) IOC/T.28/Doc. No 1, Setembro de 2007, Guidelines for the accreditation of sensory testing laboratories with particular reference to virgin olive oil according to standard ISO/IEC 17025:2005.

7) IOC/T.20/Doc. No 14.

8) IOC/T.20/Doc. No 15.

9) ISO/IEC 17025:05.

▼M20 —————

▼M19 —————

▼B




ANEXO XV

1.   TEOR DE ÓLEO DO BAGAÇO DE AZEITONA

1.1.   Aparelhos e utensílios

 aparelho de Soxhlet munido de um balão de 200 a 250 ml,

 banho de aquecimento eléctrico (banho de areia, banho de água, etc.) ou placa de aquecimento,

 balança analítica,

 estufa regulada a 80 °C, no máximo,

 estufa com aquecimento eléctrico munido de um depósito de termoregulação regulado a 103 °C ± 2 °C, que permita realizar uma insuflação de ar ou uma pressão reduzida,

 triturador mecânico fácil de limpar e que permita a trituração sem aquecimento e sem diminuição sensível do teor de água e de óleo,

 cartucho de extracção e algodão hidrófilo ou filtro de papel, isento de produtos extraíveis pelo hexano,

 exsicador,

 peneiro com orifícios de 1 mm de diâmetro,

 pedra-pomes em pequenos grãos, previamente seca.

1.2.   Reagentes

n-Hexano técnico cujo resíduo, na evaporação completa, deve ser inferior a 0,002 g por 100 ml.

2.   TÉCNICA

2.1.   Preparação da amostra para análise

Tritura-se a amostra para laboratório, se necessário, num triturador mecânico previamente bem limpo a fim de a reduzir a partículas que possam atravessar completamente o peneiro.

Utiliza-se cerca de um vigésimo da amostra para perfazer a limpeza do triturador, deita-se essa parte fora, tritura-se o restante que se recolhe, mistura-se com cuidado e analisa-se sem demora.

2.2.   Toma

Pesa-se com uma precisão de 0,01 g, logo após o final da trituração, uma toma para análise com aproximadamente 10 g.

2.3.   Preparação do cartucho de extracção

Coloca-se a toma no cartucho e tapa-se este com o tampão de algodão hidrófilo. No caso de se ter utilizado um filtro de papel, embala-se a moedura nesse papel.

2.4.   Pré-secagem

Se o bagaço estiver muito húmido (teor de água e de matérias voláteis superior a 10 %) efectua-se uma pré-secagem colocando durante um espaço de tempo conveniente o cartucho cheio (ou filtro de papel) na estufa aquecida a 80 °C, no máximo, para reduzir o teor de água e de matérias voláteis a menos de 10 %.

2.5.   Preparação do balão

Pesa-se, com uma precisão de 1 mg, o balão contendo 1 a 2 grãos de pedra-pomes, previamente seco na estufa a 103 °C ± 2 °C e depois arrefecido durante pelo menos uma hora num exsicador.

2.6.   Primeira extracção

Coloca-se no aparelho de Soxhlet o cartucho (ou filtro de papel) que contém a toma. Verte-se para o balão a quantidade necessária de hexano. Adapta-se o balão ao aparelho de Soxhlet, coloca-se o conjunto sobre um banho com aquecimento eléctrico. Regula-se o aquecimento em condições tais que o refluxo seja pelo menos de três gotas por segundo (ebulição moderada, não tumultuosa).

Após quatro horas de extracção, deixa-se arrefecer. Tira-se o cartucho do aparelho de Soxhlet e coloca-se numa corrente de ar a fim de eliminar a maior parte do solvente que o impregna.

2.7.   Segunda extracção

Despeja-se o cartucho no microtriturador e tritura-se o mais possível. Volta-se a colocar quantitativamente a mistura no cartucho e este no aparelho de Soxhlet.

Recomeça-se a extracção ainda durante duas horas utilizando o mesmo balão que contém a primeira extracção.

A solução obtida no balão de extracção deve ser límpida. Se o não for, filtra-se por filtro de papel lavando várias vezes o primeiro balão e o filtro com hexano. Recolhe-se o filtrado e o solvente de lavagem num segundo balão previamente seco e pesado com uma precisão de 1 mg.

2.8.   Eliminação do solvente e pesagem do extracto

Expulsa-se, por destilação sobre banho de aquecimento eléctrico, a maior parte do solvente. Eliminam-se os últimos vestígios de solvente aquecendo o balão na estufa a 103 °C ± 2 °C durante 20 minutos. Facilita-se esta eliminação quer insuflando ar de vez em quando ou de preferência um gás inerte quer submetendo-o a pressão reduzida.

Deixa-se arrefecer o balão num exsicador durante pelo menos uma hora e pesa-se com uma precisão de 1 mg.

Volta-se a aquecer durante 10 minutos nas mesmas condições, arrefece-se no exsicador e pesa-se.

A diferença entre os resultados destas duas pesagens deve ser inferior ou igual a 10 mg. Se não, volta-se a aquecer durante períodos de dez minutos, seguidos de arrefecimento e de pesagem, até que a diferença de massa seja no máximo igual a 10 mg. Tenha-se em consideração a última pesagem do balão.

Efectuam-se duas determinações na mesma amostra para análise.

3.   EXPRESSÃO DOS RESULTADOS

3.1.   Cálculos

a) O extracto, expresso em percentagem em massa, do produto tal como se apresenta é:

image



onde:

S  é a percentagem em massa do extracto do produto tal como se apresenta.

m0  é a massa, em gramas, da toma.

m1  é a massa, em gramas, do extracto após secagem.

Toma-se como resultado a média aritmética de duas determinações se as condições de repetibilidade estiverem prenchidas.

O resultado exprime-se arredondado às décimas.

b) O extracto é referido à matéria seca utilizando a seguinte fórmula:

image

onde:

S = é percentagem em massa do extracto do produto tal como se apresenta [ver alínea a].

U = é o seu teor de água e de matérias voláteis.

3.2.   Repetibilidade

A diferença entre os resultados das duas determinações, efectuadas simultaneamente ou rapidamente uma após a outra pelo mesmo analista, não deve ser superior a 0,2 g de extracto com hexano para 100 g de amostra.

No caso contrário, repete-se a análise com outras duas tomas. Se ainda desta vez a diferança ultrapassar 0,2 g, toma-se como resultado a média aritmética das quatro determinações efectuadas.




ANEXO XVI

DETERMINAÇÃO DO ÍNDICE DE IODO

1.   OBJECTIVO

Determinação do índice de iodo de óleos e gorduras animais e vegetais, a seguir denominados gorduras.

2.   DEFINIÇÃO

No final da presente norma internacional, aplicar-se-á a seguinte definição:

2.1.

Índice de iodo: o peso de iodo absorvido pela amostra nas condições de trabalho que se especificam na presente norma internacional.

O índice de iodo expressa-se em gramas de iodo por 100 g de amostra.

3.   RESUMO DO PROCESSO

Dissolução de uma toma de amostra num solvente seguida da adição de reagente de Wijs. Após um intervalo de tempo determinado, adição de solução de iodeto de potássio e água, titulação do iodo libertado com uma solução de tiossulfato de sódio.

4.   REAGENTES

Todos os reagentes devem ser de qualidade analítica reconhecida.

4.1.

Iodeto de potássio, solução a 100 g/l, isenta de iodato e iodo livre.

4.2.

Amido, solução:

Dissolvem-se 5 g de amido solúvel em 30 ml de água, adiciona-se esta mistura a 1 000 ml de água em ebulição, mantém-se em ebulição durante 3 minutos e deixa-se arrefecer.

4.3.

Tiossulfato de sódio, solução titulada:

c (Na2 S2 O3 5H2 O) = 0,1 mol/l, titulada não mais de 7 dias antes da utilização.

4.4.

Solvente, preparado mediante mistura de volumes iguais de ciclohexano e ácido acético.

4.5.

Reagente de Wijs, contendo monocloreto de iodo em ácido acético.

Deverá usar-se reagente Wijs de origem comercial.

Nota:

O reagente contém 9 g de ICI3 + 9 g I em ácido acético.

5.   APARELHOS E UTENSÍLIOS

Material de uso corrente em laboratório, nomeadamente o seguinte:

5.1.

Cápsulas pequenas de vidro apropriadas para nelas pesar a toma e introduzi-las depois nos erlenmeyers (ponto 5.2).

5.2.

Erlenmeyers, de 500 ml de capacidade, equipados com rolhas de vidro esmerilado e completamente secos.

6.   PREPARAÇÃO DA AMOSTRA PARA ANÁLISE

A amostra homogeneizada é seca com sulfato de sódio e filtrada.

7.   TÉCNICA

7.1.

Toma

A massa da toma varia de acordo com o valor esperado do índice de iodo, como se indica no quadro 1.



Quadro 1

Índice de iodo esperado

Massa da toma (g)

inferior a 5

3,00

5 a 20

1,00

21 a 50

0,40

51 a 100

0,20

101 a 150

0,13

151 a 200

0,10

Pesa-se a toma de ensaio com aproximação a 0,1 mg numa cápsula pequena de vidro (ponto 5.1).

7.2.

Determinação

Introduz-se a toma num erlenmeyer de 500 ml (ponto 5.2). Juntam-se 20 ml do solvente (ponto 4.4), para dissolver a gordura. Adicionam-se exactamente 25 ml de reagente Wijs (ponto 4.6), coloca-se a rolha, agita-se o conteúdo e coloca-se o erlenmeyer no escuro. Não utilizar a sucção com a boca para medir por pipeta o reagente de Wijs.

De um modo similar, procede-se à preparação de um ensaio em branco com o solvente e o reagente, mas sem a toma de gordura.

Para amostras com um índice de iodo inferior a 150, mantêm-se os erlenmeyers no escuro durante 1 hora; para amostras com um índice de iodo superior a 150 e para produtos polimerizados ou oxidados em quantidade apreciável, durante 2 horas.

No final do intervalo de tempo prescrito, deitam-se 20 ml de solução de iodeto de potássio (ponto 4.1) e 150 ml de água em cada erlenmeyer.

Titula-se com a solução volumétrica padrão de tiossulfato de sódio (ponto 4.3), até a coloração amarela, devida à presença de iodo, ter praticamente desaparecido. Adicionam-se algumas gotas da solução de amido (ponto 4.2) e continua-se a titulação até à coloração azul desaparecer após agitação bastante vigorosa.

Nota:

a determinação potenciométrica do ponto final é permitida.

7.3.

Número de determinações

Efectuam-se duas determinações para cada amostra em estudo.

8.   EXPRESSÃO DOS RESULTADOS

O índice de iodo é dado pela expressão:

image

onde:

c = representa a concentração exacta, expressa em moles por litro, de solução titulada de tiossulfato de sódio (ponto 4.3) utilizada.

V1 = representa o volume, expresso em mililitros, da solução titulada de tiossulfato de sódio (ponto 4.3) gasto no ensaio em branco.

V2 = representa o volume, expresso em mililitros, da solução titulada de tiossulfato de sódio (ponto 4.3) gasto na determinação.

m = representa a massa, expressa em gramas, da toma (ponto 7.1).

Considera-se como resultado a média aritmética das duas determinações, desde que as exigências de repetibilidade (ponto 11.2) sejam satisfeitas.

▼M11




ANEXO XVII

MÉTODO PARA A DETERMINAÇÃO DE ESTIGMASTADIENOS EM ÓLEOS VEGETAIS

1.   OBJECTIVO

Determinação de estigmastadienos em óleos vegetais que contenham concentrações reduzidas destes hidrocarbonetos, nomeadamente azeites virgens e óleos de bagaço de azeitona.

2.   ÂMBITO

O método é aplicável a todos os óleos vegetais, embora as determinações apenas sejam fiáveis nos casos em que o teor de hidrocarbonetos em causa esteja compreendido entre de 0,01 e 4,0 mg/kg. O método é particularmente adequado para detectar a presença de óleos vegetais refinados (azeite, óleo de bagaço de azeitona, óleo de girassol, óleo de palma, etc.) em azeites virgens, uma vez que, contrariamente a estes últimos, os azeites refinados contêm estigmastadienos.

3.   PRINCÍPIO

Isolamento da matéria insaponificável, seguido de separação da fracção que contém hidrocarbonetos esteróides por cromatografia em coluna de silicagel e análise por cromatografia em fase gasosa com coluna capilar.

4.   EQUIPAMENTO

4.1.

Balões de 250 ml adequados para uso com refrigerante de refluxo.

4.2.

Ampolas de decantação de 500 ml.

4.3.

Balões de fundo redondo de 100 ml.

4.4.

Evaporador rotativo.

4.5.

Coluna de vidro para cromatografia (1,5-2,0 cm de diâmetro interno e 50 cm de comprimento), equipada com uma torneira de teflon e um tampão de lã de vidro ou um disco de vidro sinterizado. Para preparar a coluna de silicagel, deitar hexano na coluna cromatográfica até uma altura aproximada de 5 cm, enchendo de seguida com uma suspensão de silicagel em hexano (15 g em 40 ml), com o auxílio de várias porções de hexano. Deixar assentar, com o eventual recurso a uma ligeira vibração. Adicionar sulfato de sódio anidro até uma altura aproximada de 0,5 cm e eluir o excesso de hexano.

4.6.

Cromatógrafo de fase gasosa equipado com um detector de ionização de chama, um injector com divisão de fluxo ou um sistema de injecção directa na coluna a frio e forno com programação de temperatura com precisão de ± 1 °C.

4.7.

Coluna capilar de sílica fundida para cromatografia em fase gasosa (0,25 ou 0,30 mm de diâmetro interno e 25 m de comprimento), revestidas com uma fase de fenilmetilsilicone a 5 %, de 0,25 mm de espessura.

Nota 1.

Podem utilizar-se outras colunas de polaridade idêntica inferior.

4.8.

Registador-integrador com possibilidade de integração entre dois mínimos consecutivos.

4.9.

Microsseringa de 5-10 ml para cromatografia em fase gasosa, com agulha cementada.

4.10.

Manta ou placa de aquecimento.

5.   REAGENTES

Salvo indicação em contrário, todos os reagentes devem ser de qualidade analítica. Deve utilizar-se água destilada ou de grau de pureza equivalente.

▼M32

5.1.

Hexano ou mistura de alcanos com intervalo de ebulição 65 °C a 70 °C, destilada numa coluna de retificação. Se os valores de precisão obtidos forem semelhantes, pode substituir-se o hexano por iso-octano (2,2,4-trimetilpentano, para cromatografia). Pode verificar-se o resíduo, após evaporação, de 100 ml de solvente. Os solventes com temperatura de ebulição superior à do n-hexano demoram mais tempo a evaporar, embora sejam preferíveis, dada a toxicidade do hexano.

▼M11

5.2.

Etanol a 96 % v/v.

5.3.

Sulfato de sódio anidro.

5.4.

Solução alcoólica de hidróxido de potássio a 10 %. Adicionar 10 ml de água a 50 g de hidróxido de potássio, agitar e dissolver a mistura em etanol, até perfazer 500 ml.

Nota 3.

Em repouso, a solução alcoólica de hidróxido de potássio adquire uma coloração acastanhada, pelo que deve preparar-se diariamente antes do uso e armazenar-se, pelo que deve preparar-se diariamente antes do uso e armazenar-se em recipientes de vidro escuro, devidamente rolhados.

5.5.

Silicagel 60 para cromatografia em coluna, 70-230 mesh (Merck ref. 7734 ou similar)

Nota 4.

De um modo geral, a silicagel pode ser utilizada directamente, sem qualquer tratamento prévio. Contudo, alguns lotes podem exibir uma actividade reduzida, originando separações cromatográficas deficientes. Nestas circunstâncis, a silicagel deve ser tratada do seguinte modo: desactivar a silicagel por aquecimento a 500 °C durante 4 horas. Após o aquecimento, colocar a silicagel num exsicador, transferindo-a, após arrefecimento, para um balão rolhado. Adicionar 2 % de água e agitar até que deixem de observar-se aglomerados e o pó flua livremente.

Caso os lotes de silicagel originem cromatogramas com picos atribuíveis a interferências, a silicagel deve ser tratada de modo supra. Como alternativa, pode utilizar-se silicagel de qualidade extra (Merck, ref. 7754).

5.6.

Solução-mãe (200 ppm) de colesta-3,5-dieno (Sigma, 99 % de pureza) em hexano (10 mg em 50 ml).

5.7.

Solução-padrão de colesta-3,5-dieno em hexano, numa concentração de 20 ppm, obtida por diluição da solução supra.

Nota 5.

Se mantidas a uma temperatura inferior a 4 °C, as soluções 5.6 e 5.7 não sofrem deterioração durante um período de, pelo menos, 4 meses.

5.8.

Solução de n-nonacosano em hexano com uma concentração aproximada de 100 ppm.

5.9.

Gás de arrastamento para cromatografia: hélio ou hidrogénio com um grau de pureza de 99,9990 %.

5.10.

Gases auxiliares para o detector de ionização de chama: hidrogénio com um grau de pureza de 99,9990 % ou ar depurado.

6.   PROCEDIMENTO

6.1.   Preparação da matéria insaponificável:

6.1.1.

Pesar 20 ± 0,1 g de óleo num balão de 250 ml (4.1), adicionando 1 ml de solução-padrão de colesta-3,5-dieno (20 mg) e 75 ml de solução alcoólica de hidróxido de potássio a 10 %. Adaptar o refrigerante e aquecer à ebulição ligeira durante 30 minutos. Remover o balão da fonte de calor e deixar arrefecer ligeiramente (não deixar arrefecer até à temperatura ambiente, uma vez que a amostra poderá aderir ao fundo do balão). Adicionar 100 ml de água e transferir a solução para uma ampola de decantação (4.2), com o auxílio de 100 ml de hexano. Agitar a mistura vigorosamente durante 30 segundos e deixar separar as fases.

Nota 6.

Caso se observe a formação de uma emulsão persistente, adicionar pequenas quantidades de etanol

6.1.2.

Transferir a fase aquosa inferior para outra ampola de decantação e extrair novamente com 100 ml de hexano. Como anteriormente, recolher a fase inferior, lavando os extractos de hexano (combinados numa terceira ampola de decantação) com três porções de 100 ml de mistura etanol-água (1: 1), até obter pH neutro.

6.1.3.

Tratar a solução de hexano com sulfato de sódio anidro (50 g), lavar com 20 ml de hexano e evaporar à secura num evaporador rotativo a 30 °C e pressão reduzida.

6.2.   Separação da fracção que contém hidrocarbonetos esteróides:

6.2.1.

Remover o resíduo com o auxílio de duas porções de 1 ml de hexano, transferir para a coluna, de modo a que o nível da solução atinja no topo da camada de sulfato de sódio, e iniciar a eluição cromatográfica com hexano, a um fluxo aproximado de 1 ml/min. Desprezar os primeiros 25-30 ml de eluído e recolher os 40 ml seguintes. Transferir a fracção recolhida para um balão de fundo redondo em 100 ml (4.3).

Nota 7.

A primeira fracção contém os hidrocarbonetos saturados (figura 1a) e a segunda os hidrocarbonetos esteróides. O prosseguimento da eluição permite obter esqualeno e compostos afins. Para uma separação adequada dos hidrocarbonetos saturados e esteróides, é necessário optimizar os volumes das diversas fracções. Assim, o volume da primeira fracção deve ser ajustado de modo a que, aquando da análise da segundo fracção, os picos relativos aos hidrocarbonetos saturados sejam pouco intensos (veja-se a figura 1c); se estes picos estiverem ausentes e a intensidade do pico-padrão for reduzida, o volume deve ser reduzido. De qualquer modo, não é necessário efectuar a separação completa dos componentes da primeira e da segunda fracção, uma vez que, no caso de se ajustarem as condições de trabalho de acordo com 6.3.1, não ocorre a sobreposição dos picos durante a análise cromatográfica. Em geral, a optimização do volume da segunda fracção não é também necessária, em virtude da separação adequada dos restantes componentes. Todavia, a presença de um pico intenso com um tempo de retenção aproximadamente 1,5 minutos inferior ao pico relativo ao padrão resulta de uma separação deficiente, sendo atribuível ao esqualeno.

6.2.2.

Evaporar a segunda fracção num evaporador, a 30 °C e pressão reduzida, até à secura, e dissolver imediatamente o resíduo em 0,2 ml de hexano. Manter a solução no frigorífico até efectuar a análise.

Nota 8.

Os resíduos 6.1.3 e 6.2.2 não devem permanecer a seco, à temperatura ambiente. Logo que obtidos, deve adicionar-se solvente, devendo as soluções resultantes ser armazenadas no frigorífico.

6.3.   Cromatrografia em fase gasosa:

6.3.1.

Condições de trabalho no caso de injecção com divisão de fluxo:

 temperatura do injector: 300 °C,

 temperatura do detector: 320 °C.

 integrador-registrador: os parâmetros de integração devem ser seleccionados de modo a obter uma estimativa adequada das áreas. Recomenda-se um modo de integração entre dois mínimos consecutivos,

 sensibilidade: cerca de 16 vezes superior à atenuação mínima,

 quantidade de solução a injectar: 1ml,

 programação de temperatura: temperatura inicial de 235 °C durante 6 minutos, aumentando de seguida à razão de 2 °C/min até atingir 285 °C,

 injector com divisão de fluxo na proporção 1: 15,

 gás de arrastamento: hélio ou hidrogénio, a uma pressão aproximada de 120 kPa.

Estas condições podem ser ajustadas em função das características do cromatógrafo e da coluna, de modo a que, no cromatograma, o pico correspondente ao padrão interno ocorra a cerca de 5 minutos do tempo referido em 6.3.2 e tenha uma intensidade equivalente a, pelo menos 80 % da escala.

Deve proceder-se à verificação do sistema mediante a injecção de uma mistura de solução-mãe de colestadieno (5.6) e n-nonacosano (5.8). O pico correspondente ao colesta-3,5-dieno deve surgir antes do pico correspondente ao n-nonacosano (veja-se a figura 1c); se tal não suceder, pode proceder-se de dois modos: reduzir a temperatura do forno ou utilizar uma coluna de polaridade inferior.

6.3.2.

Identificação dos picos

O pico correspondente ao padrão interno surge a cerca de 19 minutos; o estigmasta-3,5-dieno possui um tempo de retenção relativo de aproximadamente 1,29 (veja-se a figura 1b). O estigmasta-3,5-dieno é acompanhado de pequenas quantidades de um isómero que não origina, em geral, um pico independente. Todavia, se a coluna possuir uma elevada polaridade ou um elevado poder de resolução, poderá surgir um pico pouco intenso imediatamente antes do pico relativo ao estigmasta-3,5-dieno (veja-se a figura 2). De modo a assegurar que a eluição dos estigmastadienos produza um único pico, é aconselhável substituir a coluna por outra menos polar ou de diâmetro interno superior.

Nota 9.

Pode obter-se um pico de referência para os estigmastadienos através da aplicação do método para a determinação de hidrocarbonetos esteróides a óleos vegetais; os estigmastadienos originam um pico característico, facilmente identificável.

6.3.3.

Análise quantitativa

O teor de estigmastadienos é determinado por recurso à fórmula:

mg/kg de estigmastadienos =

image



em que:

Ab = área do pico relativo aos estigmastadienos (ou soma das áreas dos picos correspondentes aos dois isómeros, se for caso disso).

Ac = área do pico relativo ao padrão interno (colestadieno).

Mc = massa de padrão adicionada, em microgramas.

Mo = massa de óleo, em gramas.

Limite de detecção: cerca de 0,01 mg/kg.

▼M32

Nota 10. Se a concentração de estigmastadienos exceder 4 mg/kg e for necessário determiná-los quantitativamente, o método a aplicar obrigatoriamente é o do Conselho Oleícola Internacional para determinação de esterenos.

▼M11

image

image

Figura 1

Cromatogramas obtidos na análise de amostras de azeite com uma coluna capilar de sílica fundida (0,25 mm de diâmetro interno e 25 m de comprimento), revestida com uma película de fenilmetilsilicone a 5 % de 0,25 mm de espessura.

a) Primeira fracção (30 ml) de um azeite virgem, adicionda do padrão.

c) Segunda fracção (40 ml) de um azeite contendo 0,10 mg/kg de estigmastadienos.

d) Segunda fracção (40 ml), contendo uma pequena quantidade da primeira fracção.

image

Figura 2

Cromatogramas obtidos na análise de uma amostra de azeite refinado com uma coluna DB-5, em que se observa o pico correspondente ao isómero do estigmasta-3,5-dieno.

▼M25




ANEXO XVIII

DETERMINAÇÃO DA DIFERENÇA ENTRE O TEOR REAL E O TEOR TEÓRICO DE TRIACILGLICERÓIS COM NCE42

1.   OBJETIVO

Determinação da diferença absoluta entre os valores experimentais de triacilgliceróis com número de átomos de carbono equivalente 42, determinados no azeite ou óleo por cromatografia de alta eficiência em fase líquida (NCE42HPLC), e o valor teórico de triacilgliceróis com número de átomos de carbono equivalente 42 (NCE42teórico), calculado a partir da composição de ácidos gordos.

2.   DOMÍNIO DE APLICAÇÃO

O presente método é aplicável aos azeites e óleos de bagaço de azeitona. O método é aplicável à pesquisa de pequenas quantidades de óleos de sementes (ricos em ácido linoleico) em todas as categorias de azeites e óleos de bagaço de azeitona.

3.   PRINCÍPIO

Nos azeites e óleos de bagaço de azeitona genuínos, o teor de triacilgliceróis com NCE42 determinado por HPLC e o teor teórico de triacilgliceróis com NCE42 (calculado a partir da composição de ácidos gordos determinada por cromatografia gás-líquido) equivalem-se, dentro de certos limites. Diferenças superiores às adotadas para cada categoria de azeite ou óleo de bagaço de azeitona indicam que o azeite ou óleo de bagaço de azeitona em questão contém óleos de sementes.

4.   MÉTODO

O método de cálculo do teor teórico de triacilgliceróis com NCE42 e da diferença entre este e o valor obtido por HPLC assenta essencialmente na coordenação de dados analíticos obtidos por outros métodos. Podem distinguir-se três etapas: determinação da composição de ácidos gordos por cromatografia em fase gasosa com coluna capilar; cálculo da composição teórica de triacilgliceróis com NCE42; determinação do teor de triacilgliceróis com NCE42 por HPLC.

4.1.    Aparelhos e utensílios

4.1.1.

Balões de fundo redondo de 250 ml e 500 ml.

4.1.2.

Copos de 100 ml.

4.1.3.

Coluna de vidro para cromatografia com 21 mm de diâmetro interno, 450 mm de comprimento, torneira e extremidade superior cónica (fêmea) normalizada.

4.1.4.

Funis separadores de 250 ml com extremidade inferior cónica (macho) normalizada, adaptável à parte superior da coluna.

4.1.5.

Vareta de vidro com 600 mm de comprimento.

4.1.6.

Funil de vidro com 80 mm de diâmetro.

4.1.7.

Balões aferidos de 50 ml.

4.1.8.

Balões aferidos de 20 ml.

4.1.9.

Evaporador rotativo.

4.1.10.

Cromatógrafo de HPLC com controlo termostático da temperatura da coluna.

4.1.11.

Seringas de injeção para tomas de 10 μl.

4.1.12.

Detetor: refratómetro diferencial. A sensibilidade mínima é de 10–4 unidades de índice de refração em toda a escala.

4.1.13.

Coluna: tubo de aço inoxidável de 250 mm de comprimento e 4,5 mm de diâmetro interno com um enchimento de partículas de sílica de 5 μm de diâmetro e 22 % a 23 % de carbono, na forma de octadecilsilano.

4.1.14.

Software de tratamento de dados.

4.1.15.

Frasquinhos com cerca de 2 ml, tampa de enroscar e septo revestido de Teflon.

4.2.    Reagentes

Os reagentes devem ser de qualidade analítica. Os solventes de eluição devem estar isentos de gases e podem ser reutilizados várias vezes sem prejuízo para as separações.

▼M32

4.2.1.

Éter de petróleo, 40 °C-60 °C, para cromatografia ou hexano. Se os valores de precisão obtidos forem semelhantes, pode substituir-se o hexano por iso-octano (2,2,4-trimetilpentano, para cromatografia). Os solventes com temperatura de ebulição superior à do n-hexano demoram mais tempo a evaporar, embora sejam preferíveis, dada a toxicidade do hexano.

▼M25

4.2.2.

Éter etílico destilado recentemente, isento de peróxidos.

4.2.3.

Solvente de eluição para purificação do azeite, ou óleo, por cromatografia em coluna: mistura a 87:13 (v/v) de éter de petróleo e éter etílico.

4.2.4.

Sílica-gel com granulometria de 70 a 230 mesh, tipo Merck 7734, com teor de água normalizado de 5 % (m/m).

4.2.5.

Fibra de vidro.

4.2.6.

Acetona para HPLC.

4.2.7.

Acetonitrilo ou propionitrilo para HPLC.

4.2.8.

Solvente de eluição para HPLC: mistura de acetonitrilo e acetona numa proporção a ajustar consoante a separação pretendida (começar com uma mistura 50:50) ou propionitrilo.

4.2.9.

Solvente de solubilização: acetona.

4.2.10.

Triacilgliceróis de referência: podem utilizar-se triacilgliceróis existentes no mercado (tripalmitina, trioleína, etc.), caso em que os tempos de retenção serão representados em função do número de átomos de carbono equivalente, ou, em alternativa, cromatogramas de referência obtidos para o óleo de soja, para uma mistura 30:70 de óleo de soja e azeite e para azeite puro (ver as notas 1 e 2 e as figuras 1 a 4).

4.2.11.

Coluna de extração de fase sólida com 1 g de fase de sílica e volume de 6 ml.

▼M32

4.2.12.

Heptano para cromatografia. Pode substituir-se o heptano por iso-octano (2,2,4-trimetilpentano, para cromatografia).

▼M25

4.3.    Preparação das amostras

Dado que há várias substâncias interferentes que podem gerar falsos positivos, as amostras devem ser sempre purificadas de acordo com o método IUPAC 2507, utilizado na determinação de compostos polares em gorduras de fritura.

4.3.1.    Preparação da coluna cromatográfica

Encher a coluna (4.1.3) com cerca de 30 ml de solvente de eluição (4.2.3). Introduzir um pouco de fibra de vidro (4.2.5), empurrando-a até ao fundo da coluna com a vareta (4.1.5).

Preparar, num copo de 100 ml, uma suspensão de 25 g de sílica-gel (4.2.4) em 80 ml da mistura de eluição (4.2.3). Transferir a suspensão para a coluna utilizando o funil de vidro (4.1.6).

Para garantir a transferência completa do sílica-gel para a coluna, lavar várias vezes o copo com a mistura de eluição e transferir o líquido de lavagem para a coluna.

Abrir a torneira da coluna e deixar escoar o solvente de eluição até que o nível deste desça até 1 cm acima do leito de sílica-gel.

4.3.2.    Cromatografia em coluna

Num balão aferido de 50 ml (4.1.7), pesar, com a aproximação de 0,001 g, 2,5 g ± 0,1 g de azeite ou óleo filtrado, homogeneizado e, se necessário, desidratado.

Diluir com cerca de 20 ml de solvente de eluição (4.2.3). Se necessário, aquecer ligeiramente para facilitar a dissolução. Arrefecer até à temperatura ambiente e completar o volume com solvente de eluição.

Com uma pipeta aferida, introduzir 20 ml desta solução na coluna preparada conforme descrito no ponto 4.3.1. Abrir a torneira e eluir o solvente até atingir o nível do enchimento de sílica-gel.

Proceder em seguida a uma eluição com 150 ml de solvente (4.2.3), regulando o caudal para aproximadamente 2 ml/minuto (de modo que os 150 ml passem pela coluna em 60 a 70 minutos).

Recolher o eluído num balão de fundo redondo de 250 ml (4.1.1), previamente tarado em estufa, e pesar com exatidão. Eliminar o solvente a pressão reduzida num evaporador rotativo (4.1.9) e pesar o resíduo, com o qual se preparará a solução destinada à análise por HPLC e à preparação dos ésteres metílicos.

No caso das categorias azeite virgem extra, azeite virgem, azeite comum, azeite refinado e azeite, a recuperação da amostra depois da passagem na coluna deve ser, pelo menos, de 90 %; no caso do azeite lampante e dos óleos de bagaço de azeitona, deve ser, no mínimo, de 80 %.

4.3.3.    Purificação por extração em fase sólida

Ativar a coluna de extração em fase sólida com enchimento de sílica passando, sob vácuo, 6 ml de hexano (4.2.3), tendo o cuidado de evitar a secagem.

Pesar 0,12 g, com a aproximação de 0,001 g, num frasquinho de 2 ml (4.1.15), e dissolver com 0,5 ml de hexano (4.2.3).

Transferir esta solução para a coluna de extração em fase sólida e eluir sob vácuo com 10 ml de mistura a 87:13 (v/v) de hexano e éter dietílico (4.2.3).

Evaporar a fração recolhida até à secura, num evaporador rotativo (4.1.9), sob pressão reduzida, à temperatura ambiente. Dissolver o resíduo em 2 ml de acetona (4.2.6), para a análise dos triacilgliceróis.

4.4.    Análise por HPLC

4.4.1.    Preparação das amostras para a análise cromatográfica

Preparar uma solução a 5 % da amostra a analisar pesando uma toma de 0,5 g ± 0,001 g da mesma num balão aferido de 10 ml e completando o volume até 10 ml com o solvente de solubilização (4.2.9).

4.4.2.    Técnica

Preparar o sistema cromatográfico para ser utilizado. Proceder à sua purga total por bombagem de solvente de eluição (4.2.8) ao caudal de 1,5 ml/minuto. Aguardar até ser obtida uma linha de base estável.

Injetar 10 μl de amostra, preparada conforme descrito no ponto 4.3.

4.4.3.    Cálculos e expressão dos resultados

Utilizar o método da normalização das áreas dos picos, isto é, considerar que a soma das áreas dos picos correspondentes aos triacilgliceróis com NCE42 a NCE52 é igual a 100 %.

A percentagem relativa de cada triacilglicerol calcula-se pela seguinte fórmula:

image

Os resultados devem ter, pelo menos, duas casas decimais.

Ver as notas 1 e 4.

4.5.    Cálculo da composição de triacilgliceróis (percentagem molar) a partir dos dados obtidos para a composição de ácidos gordos (percentagem correspondente a cada área)

4.5.1.    Determinação da composição de ácidos gordos

Determina-se a composição de ácidos gordos com base na norma ISO 5508, utilizando uma coluna capilar e preparando os ésteres metílicos de acordo com o COI/T.20/Doc. No 24.

4.5.2.    Ácidos gordos tidos em conta nos cálculos

Agrupam-se os acilgliceróis em função do número de átomos de carbono equivalente (NCE), com base nas equivalências entre este parâmetro e os ácidos gordos a seguir indicadas. Só são tidos em conta os ácidos gordos com 16 ou 18 átomos de carbono, os únicos com interesse no caso dos azeites e óleos de bagaço de azeitona. Normalizam-se estes ácidos gordos a 100 %.



Ácido gordo

Abreviatura

Peso molecular

(PM)

NCE

Ácido palmítico

P

256,4

16

Ácido palmitoleico

Po

254,4

14

Ácido esteárico

S

284,5

18

Ácido oleico

O

282,5

16

Ácido linoleico

L

280,4

14

Ácido linolénico

Ln

278,4

12

4.5.3.    Conversão em moles da percentagem correspondente a cada área para todos os ácidos gordos (1)



image

image

image

image

image

image

4.5.4.    Normalização das moles de ácidos gordos a 100 % (2)

image

image

image

image

image

image

O resultado indica a percentagem molar de cada ácido gordo em todas as posições (1, 2 e 3) dos triacilgliceróis.

Calcula-se a seguir o somatório dos ácidos gordos saturados P e S (AGS) e dos ácidos gordos insaturados Po, O, L e Ln (AGI) (3):

image

image

4.5.5.    Cálculo da composição de ácidos gordos na posição 2 e nas posições 1 e 3 dos triacilgliceróis

Distribuem-se os ácidos gordos por três grupos do seguinte modo: um grupo para a posição 2 e dois grupos idênticos para as posições 1 e 3, com coeficientes diferentes para os ácidos saturados (P e S) e insaturados (Po, O, L e Ln).

4.5.5.1.   Ácidos gordos saturados na posição 2 [P(2) e S(2)] (4):

image

image

4.5.5.2.   Ácidos gordos insaturados na posição 2 [Po(2), O(2), L(2) e Ln(2)] (5):

image

image

image

image

4.5.5.3.   Ácidos gordos nas posições 1,3 [P(1,3), S(1,3), Po(1,3), O(1,3), L(1,3) e Ln(1,3)] (6):

image

image

image

image

image

image

4.5.6.    Cálculos relativos aos triacilgliceróis

4.5.6.1.   Triacilgliceróis com um único ácido gordo (AAA, neste caso LLL, PoPoPo) (7)

image

4.5.6.2.   Triacilgliceróis com dois ácidos gordos diferentes (AAB, neste caso PoPoL, PoLL) (8)

image

image

4.5.6.3.   Triacilgliceróis com três ácidos gordos diferentes (ABC, neste caso OLLn, PLLn, PoOLn, PPoLn) (9)

image

image

image

4.5.6.4.   Triacilgliceróis com NCE42

Efetuam-se os cálculos relativos aos triacilgliceróis seguintes com NCE42 aplicando as equações 7, 8 e 9; apresentam-se os resultados correspondentes pela ordem de eluição esperada em HPLC (normalmente, evidenciam-se apenas três picos).

LLL

PoLL e o isómero posicional LPoL

OLLn e os isómeros posicionais OLnL e LnOL

PoPoL e o isómero posicional PoLPo

PoOLn e os isómeros posicionais OPoLn e OLnPo

PLLn e os isómeros posicionais LLnP e LnPL

PoPoPo

SLnLn e o isómero posicional LnSLn

PPoLn e os isómeros posicionais PLnPo e PoPLn

Os triacilgliceróis com NCE42 são dados pelo somatório dos nove triacilgliceróis acima indicados, incluindo os respetivos isómeros posicionais. Os resultados devem ter, pelo menos, duas casas decimais.

5.   AVALIAÇÃO DOS RESULTADOS

Compara-se o teor teórico calculado com o teor determinado por HPLC. Se o valor absoluto da diferença «teor determinado por HPLC – teor teórico calculado» exceder os valores indicados na norma para a categoria de azeite ou óleo de bagaço de azeitona em questão, conclui-se que a amostra contém óleos de sementes.

Os resultados apresentam-se com duas casas decimais.

6.   EXEMPLO (OS NÚMEROS DOS PONTOS CORRESPONDEM AOS DO TEXTO DESCRITIVO DO MÉTODO)

— 4.5.1.    Cálculo da percentagem molar dos ácidos gordos a partir de dados de cromatografia gás-líquido (percentagem normalizada correspondente a cada área)

Pelo método de cromatografia gás-líquido, obtiveram-se os dados seguintes para a composição de ácidos gordos:



Ácido gordo

P

S

Po

O

L

Ln

PM

256,4

284,5

254,4

282,5

280,4

278,4

% correspondente a cada área

10,0

3,0

1,0

75,0

10,0

1,0

— 4.5.3    Conversão, em moles, da percentagem correspondente a cada área para todos os ácidos gordos (ver a fórmula 1)

moles de P

=

image

moles de S

=

image

moles de Po

=

image

moles de O

=

image

moles de L

=

image

moles de Ln

=

image

Total

=

0,35821 moles de triacilgliceróis

— 4.5.4    Normalização das moles de ácidos gordos a 100 % (ver a fórmula 2)

% molar de P(1,2,3)

=

image

% molar de S(1,2,3)

=

image

% molar de Po(1,2,3)

=

image

% molar de O(1,2,3)

=

image

% molar de L(1,2,3)

=

image

% molar de Ln(1,2,3)

=

image

Total da percentagem molar

=

100 %

Somatório dos ácidos gordos saturados e insaturados nas posições 1, 2 e 3 dos triacilgliceróis (ver a fórmula 3):

image

image

— 4.5.5.    Cálculo da composição de ácidos gordos na posição 2 e nas posições 1 e 3 dos triacilgliceróis

— 4.5.5.1   Ácidos gordos saturados na posição 2 [P(2) e S(2)] (ver a fórmula 4)

image

image

— 4.5.5.2   Ácidos gordos insaturados na posição 2 [Po(1,3), O(1,3), L(1,3) e Ln(1,3)] (ver a fórmula 5)

image

image

image

image

— 4.5.5.3   Ácidos gordos nas posições 1,3 [P(1,3), S(1,3), Po(1,3), O(1,3), L(1,3) e Ln(1,3)] (ver a fórmula 6)

image

image

image

image

image

image

— 4.5.6.    Cálculos relativos aos triacilgliceróis

A partir da composição calculada de ácidos gordos na posição 2 e nas posições 1 e 3:



Ácido gordo

nas posições 1 e 3

na posição 2

P

16,004 %

0,653 %

S

4,325 %

0,177 %

Po

1,015 %

1,262 %

O

68,526 %

85,296 %

L

9,204 %

11,457 %

Ln

0,927 %

1,153 %

Somatório

100,0 %

100,0 %

procede-se aos cálculos relativos aos seguintes triacilgliceróis:

LLL

PoPoPo

PoLL com um isómero posicional

SLnLn com um isómero posicional

PoPoL com um isómero posicional

PPoLn com dois isómeros posicionais

OLLn com dois isómeros posicionais

PLLn com dois isómeros posicionais

PoOLn com dois isómeros posicionais.

— 4.5.6.1   Triacilgliceróis com um único ácido gordo (LLL, PoPoPo) (ver a fórmula 7)

image = 0,09706 %

image

— 4.5.6.2   Triacilgliceróis com dois ácidos gordos diferentes (PoLL, SLnLn, PoPoL) (ver a fórmula 8)

image

image

0,03210 % de moles de PoLL

image

image

0,00094 % de moles de SLnLn

image

image

0,00354 % de moles de PoPoL

— 4.5.6.3   Triacilgliceróis com três ácidos gordos diferentes (PoPLn, OLLn, PLLn, PoOLn) (ver a fórmula 9)

image

image

image

0,00761 % de moles de PPoLn

image

image

image

0,43655 % de moles de OLLn

image

image

image

0,06907 % de moles de PLLn

image

image

image

0,04812 % de moles de PoOLn

NCE42 = 0,69512 % de moles de triacilgliceróis

Nota 1: A ordem de eluição pode determinar-se calculando o número de átomos de carbono equivalente (NCE), normalmente definido pela relação
image , em que NC representa o número de átomos de carbono e n o número de ligações duplas (pode ser calculado com maior precisão tendo em conta a origem das ligações duplas). Se no, nl e nln representarem o número de ligações duplas atribuído, respetivamente, aos ácidos oleico, linoleico e linolénico, o número de átomos de carbono equivalente pode calcular-se pela seguinte fórmula:

image

na qual os coeficientes do, dl e dln podem ser calculados a partir dos triacilgliceróis de referência. Nas condições especificadas no presente método, a relação obtida deve aproximar-se da seguinte:

image

Nota 2: Com vários triacilgliceróis de referência, também é possível calcular a resolução relativamente à trioleína:

image

trioleínautilizando para o efeito o tempo de retenção reduzido,

image

.

A representação gráfica de log α em função de f (número de ligações duplas) permite determinar o valor de retenção de cada um dos triacilgliceróis de ácidos gordos presente nos triacilgliceróis de referência – ver a figura 1.

Nota 3: A eficiência da coluna deve permitir uma separação nítida entre o pico da trilinoleína e os picos dos triacilgliceróis com TR próximo. A eluição prossegue até ao pico correspondente a NCE52.

Nota 4: Para se poderem medir corretamente as áreas de todos os picos de interesse para esta determinação, é necessário que a intensidade do segundo pico correspondente a NCE50 seja igual a 50 % do máximo da escala do registador.

Figura 1

Gráfico de log α em função de f (número de ligações duplas)

image

Número de ligações duplas

La: ácido láurico; My: ácido mirístico; P: ácido palmítico; S: ácido esteárico; O: ácido oleico; L: ácido linoleico; Ln: ácido linolénico.

Figura 2

Azeite ou óleo de bagaço de azeitona com baixo teor de ácido linoleico

a)

image

Solvente: acetona/acetonitrilo.

TRAÇADO a: Principais componentes dos picos cromatográficos: NCE42: (1) LLL + PoLL; (2) OLLn + PoOLn; (3) PLLn; NCE44: (4) OLL + PoOL; (5) OOLn + PLL; (6) POLn + PPoPo; (7) OOL + PoOO; NCE46: (8) OOL + LnPP; (9) PoOO; (10) SLL + PLO; (11) PoOP + SPoL + SOLn + SPoPo; (12) PLP; NCE48: (13) OOO + PoPP; (14 + 15) SOL + POO; (16) POP; NCE50: (17) SOO; (18) POS + SLS.

b)

image

Solvente: propionitrilo.

TRAÇADO b: Principais componentes dos picos cromatográficos: NCE42: (1) LLL; (2) OLLn + PoLL; (3) PLLn; NCE44: (4) OLL; (5) OOLn + PoOL; (6) PLL + PoPoO; (7) POLn + PPoPo + PPoL; NCE46: (8) OOL + LnPP; (9) PoOO; (10) SLL + PLO; (11) PoOP + SPoL + SOLn + SPoPo; (12) PLP; NCE48: (13) OOO + PoPP; (14) SOL; (15) POO; (16) POP; NCE50: (17) SOO; (18) POS + SLS.

Figura 3

Azeite ou óleo de bagaço de azeitona com elevado teor de ácido linoleico

a)

image

Solvente: acetona/acetonitrilo (50:50).

Traçado a: Principais componentes dos picos cromatográficos: NCE42: (1’) LLL + PoLL; (2’) OLLn + PoOLn; (3’) PLLn; NCE44: (4’) OLL + PoOL; (5’) OOLn + PLL; (6’) POLn + PPoPo; NCE46: (7’) OOL + PoOO; (8’) PLO + SLL + PoOP; (9’) PLP + PoPP; NCE48: (10’) OOO; (11’) POO + SLL + PPoO; (12’) POP + PLS; NCE50: (13’) SOO; (14’) POS + SLS.

b)

image

Solvente: propionitrilo.

Traçado b: Principais componentes dos picos cromatográficos: NCE42: (1) LLL; (2 + 2’) OLLn + PoLL; (3) PLLn; NCE44: (4) OLL; (5) OOLn + PoOL; (6) PLL + PoPoO; (7) POLn + PPoPo + PPoL; NCE46: (8) OOL + LnPP; (9) PoOO; (10) SLL + PLO; (11) PoOP + SPoL + SOLn + SPoPo; NCE48: (12) PLP; (13) OOO + PoPP; (14) SOL; (15) POO; (16) POP; NCE50: (17) SOO; (18) POS + SLS; NCE52: (19) AOO.

▼M32




ANEXO XIX

DETERMINAÇÃO DA COMPOSIÇÃO ESTERÓLICA, DO TEOR DE ESTERÓIS E DO TEOR DE COMPOSTOS ALCOÓLICOS POR CROMATOGRAFIA EM FASE GASOSA COM COLUNA CAPILAR

1.   OBJETIVO

Este método descreve um processo de determinação do teor, individual e total, de compostos alcoólicos de azeites, de óleos de bagaço de azeitona e de misturas de azeites e óleos de bagaço de azeitona.

Os compostos alcoólicos dos azeites e óleos de bagaço de azeitona compreendem álcoois alifáticos, esteróis e diálcoois triterpénicos.

2.   PRINCÍPIO DO MÉTODO

Saponificação do azeite ou óleo, adicionado de α-colestanol e 1-eicosanol como padrões internos, com hidróxido de potássio em solução etanólica; em seguida, extração com éter etílico do insaponificável.

Separação, do insaponificável, das diversas frações de compostos alcoólicos, por cromatografia de camada fina numa placa de sílica-gel alcalinizada (método de referência) ou por HPLC numa coluna de sílica-gel. Conversão da fração recuperada do sílica-gel em éteres trimetilsilílicos. Análise dos éteres por cromatografia em fase gasosa com coluna capilar.

PARTE I

PREPARAÇÃO DO EXTRATO INSAPONIFICÁVEL

1.   OBJETIVO

Descreve-se a preparação e extração do insaponificável de azeites ou óleos de bagaço de azeitona.

2.   PRINCÍPIO DO MÉTODO

Saponificação de uma toma de ensaio, levando-a à ebulição sob refluxo com uma solução etanólica de hidróxido de potássio. Extração com éter dietílico do insaponificável.

3.   APARELHOS E UTENSÍLIOS

Material corrente de laboratório, nomeadamente:

3.1. Balão de 250 ml de fundo redondo, equipado com um condensador de refluxo com juntas esmeriladas;

3.2. Ampola de decantação de 500 ml;

3.3. Balões de 250 ml;

3.4. Microsseringas de 100 μl e 500 μl;

3.5. Cadinho cilíndrico de fundo filtrante com porosidade G3 (poros de 15 μm a 40 μm), de aproximadamente 2 cm de diâmetro e 5 cm de profundidade, adequado para filtração sob vácuo, com junta esmerilada macho;

3.6. Balão de erlenmeyer de 50 ml com junta esmerilada fêmea, adaptável ao cadinho de fundo filtrante (3.5);

3.7. Tubo de centrifugação de fundo cónico, de 10 ml, com tampa de vidro hermética;

3.8. Exsicador de dicloreto de cálcio.

4.   REAGENTES

4.1. Hidróxido de potássio a 85 % (ou de título superior).

4.2. Solução etanólica aproximadamente 2 M de hidróxido de potássio.

Dissolver, com arrefecimento, 130 g de hidróxido de potássio (4.1) em 200 ml de água destilada e completar o volume até um litro com etanol (4.7). Esta solução conserva-se em garrafas de vidro escuro bem fechadas, durante, no máximo, dois dias.

4.3. Éter etílico para análises.

4.4. Sulfato de sódio anidro para análises.

4.5. Acetona para cromatografia.

4.6. Éter etílico para cromatografia.

4.7. Etanol para análises.

4.8. Acetato de etilo para análises.

4.9. Padrão interno α-colestanol de pureza superior a 99 % (a verificar por análise cromatográfica em fase gasosa).

4.10. Solução de padrão interno a 0,2 % (m/v) de α-colestanol em acetato de etilo (4.8).

4.11. Solução a 10 g/l de fenolftaleína em etanol (4.7).

4.12. Solução a 0,1 % (m/v) de 1-eicosanol em acetato de etilo (padrão interno).

5.   TÉCNICA

Introduzir num balão de 250 ml (3.1), por meio de uma microsseringa de 500 μl (3.4), um volume da solução padrão interno de α-colestanol (4.10) e um volume da solução padrão interno de 1-eicosanol (4.12) cujas quantidades de colestanol e de eicosanol correspondam a cerca de 10 % do teor de álcoois e do teor de esteróis da amostra. Por exemplo, para 5 g de amostra de azeite, adicionar 500 μl de solução de α-colestanol (4.10) e 250 μl de solução de 1-eicosanol (4.12). Caso se trate de óleo de bagaço de azeitona, adicionar 1500 μl de solução de α-colestanol (4.10) e 1500 μl de solução de 1-eicosanol (4.12). Evaporar em banho-maria com uma corrente ligeira de azoto até à secura, arrefecer o balão e, em seguida, pesar exatamente 5 ± 0,01 g da amostra filtrada e seca para o mesmo balão.

Nota 1:  No caso das matérias gordas vegetais e animais que contenham quantidades consideráveis de colesterol, pode observar-se um pico com tempo de retenção igual ao do pico do colestanol. Nesse caso, é necessário analisar a fração esterólica em duplicado, com e sem padrão interno.

Juntar 50 ml de solução etanólica 2 M de hidróxido de potássio (4.2) e um pouco de pedra-pomes, montar o condensador de refluxo e aquecer até ligeira ebulição, até que se produza a saponificação (a solução fica límpida). Continuar a aquecer durante 20 minutos, juntar 50 ml de água destilada pela parte de cima do condensador, retirar este e arrefecer o balão a cerca de 30 °C.

Transferir quantitativamente o conteúdo do balão para uma ampola de decantação de 500 ml (3.2), utilizando diversas vezes água destilada (50 ml). Juntar cerca de 80 ml de éter etílico (4.6) e agitar energicamente durante cerca de 60 segundos. Libertar a pressão de vez em quando, invertendo a ampola e retirando a tampa. Deixar em repouso até à separação completa das duas fases (nota 2). Em seguida, separar a fase saponificada, tão completamente quanto possível, para outra ampola de decantação. Proceder a duas outras extrações análogas da fase hidroalcoólica, utilizando de cada vez 60-70 ml de éter etílico (4.6).

Nota 2:  As eventuais emulsões podem ser eliminadas juntando pequenas quantidades de etanol (4.7).

Reunir os três extratos etéreos numa ampola de decantação que já contenha 50 ml de água. Prosseguir a lavagem com água (50 ml), até a água deixar de produzir uma coloração rosada por adição de uma gota de solução de fenolftaleína (4.11). Uma vez eliminada a água de lavagem, filtrar através de sulfato de sódio anidro (4.4) para um balão de 250 ml previamente tarado. Lavar a ampola de decantação e o filtro com pequenas quantidades de éter etílico (4.6).

Evaporar o solvente por destilação sob vácuo, a 30 °C, num evaporador rotativo. Adicionar 5 ml de acetona (4.5) e eliminar completamente o solvente volátil com uma ligeira corrente de azoto. Secar o resíduo numa estufa a 103 °C ± 2 °C, durante 15 minutos. Arrefecer num exsicador e pesar com a aproximação de 0,1 mg.

PARTE 2

SEPARAÇÃO DAS FRAÇÕES ALCOÓLICAS

1.   OBJETIVO

Fracionamento do extrato insaponificável, preparado conforme se explicou na parte 1, nos diversos compostos alcoólicos: álcoois alifáticos, esteróis e diálcoois triterpénicos (eritrodiol e uvaol).

2.   PRINCÍPIO DO MÉTODO

Fracionamento do extrato insaponificável por cromatografia de camada fina em meio alcalino (método de referência), revelação das placas e raspagem e extração das bandas correspondentes. Como método alternativo de separação, pode utilizar-se HPLC em coluna de sílica-gel com detetor de UV, recolhendo-se as diversas frações. Os álcoois alifáticos e os álcoois triterpénicos, por um lado, e os esteróis e os diálcoois triterpénicos, por outro, são isolados conjuntamente.

3.   APARELHOS E UTENSÍLIOS

Material corrente de laboratório, nomeadamente:

3.1. Equipamento completo para análise por cromatografia em camada fina, com placas de vidro de 20 cm × 20 cm;

3.2. Lâmpada de ultravioleta de comprimento de onda de 366 nm ou 254 nm;

3.3. Microsseringas de 100 μl e 500 μl;

3.4. Cadinho cilíndrico de fundo filtrante com porosidade G3 (poros de 15 μm a 40 μm), de aproximadamente 2 cm de diâmetro e 5 cm de profundidade, adequado para filtração sob vácuo, com junta esmerilada macho;

3.5. Balão de erlenmeyer de 50 ml com junta esmerilada fêmea, adaptável ao cadinho de fundo filtrante (3.4);

3.6. Tubo de centrifugação de fundo cónico, de 10 ml, com tampa de vidro hermética;

3.7. Exsicador de dicloreto de cálcio;

3.8. Equipamento de HPLC, constituído por:

3.8.1. Bomba binária;

3.8.2. Injetor manual ou automático, equipado com circuito de injeção de 200 μl;

3.8.3. Desgasificador em linha;

3.8.4. Detetor UV-VIS ou IV;

3.9. Coluna para HPLC (25 cm × 4 mm de diâmetro interno), com enchimento de sílica gel 60 (granulometria de 5 μm);

3.10. Filtro para seringa, de 0,45 μm;

3.11. Balão de erlenmeyer de 25 ml.

4.   REAGENTES

4.1. Hidróxido de potássio a 85 % (ou de título superior).

4.2. Solução etanólica aproximadamente 2 M de hidróxido de potássio.

Dissolver, com arrefecimento, 130 g de hidróxido de potássio (4.1) em 200 ml de água destilada e completar o volume até um litro com etanol (4.9). Esta solução conserva-se em garrafas de vidro escuro bem fechadas, durante, no máximo, dois dias.

4.3. Éter etílico para análises.

4.4. Solução etanólica aproximadamente 0,2 M de hidróxido de potássio.

Dissolver 13 g de hidróxido de potássio (4.1) em 20 ml de água destilada e completar o volume até um litro com etanol (4.9).

4.5. Placas de vidro (20 cm x 20 cm) revestidas de uma camada de sílica-gel, sem indicador de fluorescência, com 0,25 mm de espessura (disponíveis no comércio prontas a utilizar).

4.6. Acetona para cromatografia.

4.7.  n-Hexano para cromatografia.

4.8. Éter etílico para cromatografia.

4.9. Etanol para análises.

4.10. Acetato de etilo para análises.

4.11. Solução de referência para a cromatografia em camada fina: solução a 5 % de colesterol, fitoesteróis, álcoois e eritrodiol em acetato de etilo (4.10).

4.12. Solução etanólica a 0,2 % de 2,7-diclorofluoresceína. Adicionar algumas gotas da solução alcoólica 2 M de hidróxido de potássio (4.2) para tornar a solução ligeiramente básica.

4.13. Mistura 65:35 (v/v) de n-hexano (4.7) e éter etílico (4.8).

4.14. Fase móvel para a HPLC: mistura 1:1 (v/v) de n-hexano (4.7) e éter etílico (4.8).

5.   MÉTODO DE REFERÊNCIA: SEPARAÇÃO DOS COMPOSTOS ALCOÓLICOS POR CROMATOGRAFIA EM CAMADA FINA EM PLACAS ALCALINIZADAS

Preparação das placas alcalinizadas para cromatografia em camada fina: imergir as placas com sílica-gel (4.5) cerca de 4 cm, durante 10 segundos, na solução etanólica 0,2 M de hidróxido de potássio (4.4); deixar secar durante duas horas numa câmara de exaustão e colocar numa estufa, a 100 °C, durante uma hora.

Retirar as placas da estufa e conservar num exsicador com cloreto de cálcio (3.7) até à utilização (devem utilizar-se no prazo de 15 dias).

Introduzir a mistura de hexano e éter etílico (4.13) na câmara de revelação das placas (nota 3), até uma altura de aproximadamente 1 cm. Fechar a câmara com uma tampa adequada e deixar em repouso durante, pelo menos, meia hora, num local fresco, de modo que se estabeleça o equilíbrio líquido/vapor. Podem colocar-se nas superfícies internas da câmara folhas de papel de filtro que mergulhem no eluente. Esta precaução permite reduzir o tempo de revelação em cerca de um terço e obter uma eluição mais uniforme e regular dos componentes.

Nota 3:  A fim de obter condições de eluição perfeitamente reprodutíveis, a mistura de revelação deve ser mudada em cada ensaio. Também pode utilizar-se um solvente constituído por uma mistura 50:50 (v/v) de n-hexano e éter etílico.

Preparar uma solução aproximadamente a 5 % do extrato insaponificável, preparado como se explicou na parte 1, em acetato de etilo (4.10) e, com a microsseringa de 100 μl (3.3), depositar na placa cromatográfica (4.5), a aproximadamente 2 cm do bordo inferior, 0,3 ml da solução supracitada, numa linha contínua, fina e uniforme. No alinhamento da linha de partida, depositar 2 μl a 3 μl da solução de referência (4.11), a fim de identificar a banda de esteróis, diálcoois triterpénicos e álcoois após a revelação.

Colocar a placa na câmara de revelação (3.1). A temperatura ambiente deve ser mantida entre 15 °C e 20 °C (nota 4). Tapar imediatamente a câmara e deixar eluir até que a frente de solvente chegue a cerca de 1 cm do bordo superior da placa. Retirar a placa da câmara de revelação e evaporar o solvente numa corrente de ar quente, ou deixando a placa sob um exaustor durante alguns momentos.

Nota 4:  Temperaturas mais elevadas podem dificultar a separação.

Nebulizar a placa, ligeira e uniformemente, com a solução de 2,7-diclorofluoresceína (4.12) e deixar a secar. Quando a placa é observada à luz ultravioleta (3.2), as bandas dos esteróis, diálcoois triterpénicos e álcoois podem ser identificadas pelo alinhamento com as manchas obtidas para a solução de referência (4.11). Delimitar as bandas com um lápis preto ao longo das margens de fluorescência (ver a placa de cromatografia em camada fina na figura 1).

Raspar, com uma espátula metálica, o sílica-gel da zona delimitada. Introduzir a matéria retirada, finamente triturada, no cadinho de fundo filtrante (3.4). Juntar 10 ml de acetato de etilo (4.10) quente, misturar cuidadosamente com a espátula metálica e filtrar (se necessário sob vácuo). Recolher o filtrado no balão de erlenmeyer (3.5) ligado ao cadinho de fundo filtrante.

Lavar o resíduo no cadinho três vezes com éter etílico (4.3) (cerca de 10 ml de cada vez) e recolher o filtrado no balão de erlenmeyer adaptado ao cadinho de fundo filtrante. Evaporar o filtrado até se obter um volume de 4-5 ml. Transferir a solução residual para um tubo de centrifugação de 10 ml (3.6), previamente tarado, e evaporar até à secura, aquecendo suavemente, numa ligeira corrente de azoto. Deitar algumas gotas de acetona (4.6) e evaporar novamente até à secura. O resíduo contido no tubo é constituído pela fração esterólica e de diálcoois triterpénicos ou pela fração de álcoois e álcoois triterpénicos.

6.   SEPARAÇÃO DOS COMPOSTOS ALCOÓLICOS POR HPLC

Dissolver em 3 ml da fase móvel (4.14) o extrato insaponificável obtido como se explicou na parte 1, filtrar a solução com um filtro para seringas (3.10) e guardar.

Injetar no equipamento de HPLC (3.8) 200 μl da solução filtrada do insaponificável.

Efetuar a separação por HPLC ao caudal de 0,8 ml/min, descartando o eluído dos primeiros cinco minutos e recolhendo em seguida o eluído em balões de erlenmeyer de 25 ml (3.11), entre os 5 e os 10 minutos de eluição os álcoois alifáticos e álcoois triterpénicos e entre os 11 e os 25 minutos de eluição os esteróis, o eritrodiol e o uvaol (nota 5).

Pode monitorizar-se a separação com um detetor de UV, ao comprimento de onda de 210 nm, ou com um detetor de índice de refração (ver a figura 6).

Evaporar as frações até à secura e prepará-las em seguida para a análise cromatográfica.

Nota 5:  Dado que o éter etílico pode aumentar a pressão, é necessário regular cuidadosamente a pressão da bomba do equipamento HPLC, adaptando o fluxo de modo a manter a pressão sob controlo.

PARTE 3

ANÁLISE DAS FRAÇÕES ALCOÓLICAS POR CROMATOGRAFIA EM FASE GASOSA

1.   OBJETIVO

Esta parte fornece orientações gerais para a aplicação de um método cromatográfico em fase gasosa com coluna capilar na determinação da composição qualitativa e quantitativa dos compostos alcoólicos isolados pelo método descrito na parte 2.

2.   PRINCÍPIO DO MÉTODO

Conversão das frações obtidas a partir do extrato insaponificável por cromatografia em camada fina ou HPLC em éteres trimetilsilílicos e análise destes por cromatografia em fase gasosa em coluna capilar, com injetor de divisão de fluxo e detetor de ionização por chama.

3.   APARELHOS E UTENSÍLIOS

Material corrente de laboratório, nomeadamente:

3.1. Tubo de centrifugação de fundo cónico, de 10 ml, com tampa de vidro hermética;

3.2. Cromatógrafo de fase gasosa adequado para colunas capilares, dotado de um sistema de injeção com divisão de fluxo («split»), constituído por:

3.2.1. Forno termostatizado para a coluna, que permita manter a temperatura desejada com a aproximação de ± 1 °C;

3.2.2. Unidade de injeção de temperatura regulável, com elemento vaporizador de vidro persilanizado e sistema de divisão de fluxo;

3.2.3. Detetor de ionização por chama;

3.2.4. Sistema de aquisição de dados adequado para o detetor de ionização por chama (3.10.3.), com possibilidade de integração manual;

3.3. Coluna capilar de sílica fundida, com 20-30 m de comprimento e 0,25-0,32 mm de diâmetro interno, revestida interiormente com uma camada de difenil (5 %) – dimetil (95 %) polissiloxano (fase estacionária SE-52, SE-54 ou equivalente), de espessura uniforme compreendida entre 0,10 μm e 0,30 μm;

3.4. Microsseringa de 10 μl para cromatografia em fase gasosa, com agulha cementada, adequada para o sistema de injeção com divisão de fluxo.

4.   REAGENTES

4.1. Piridina anidra para cromatografia.

4.2. Hexametildissilazano para análises.

4.3. Trimetilclorossilano para análises.

4.4. Soluções-amostra dos éteres trimetilsilílicos dos esteróis: a preparar no momento da utilização a partir dos esteróis e do eritrodiol provenientes dos azeites ou óleos que os contenham.

4.5. Solução-padrão de éteres trimetilsilílicos dos álcoois alifáticos C20 a C28: a preparar, a partir de misturas de álcoois puros, no momento da utilização.

4.6. Gás vetor: hidrogénio ou hélio, para cromatografia em fase gasosa.

4.7. Gases auxiliares: hidrogénio, hélio, azoto e ar, para cromatografia em fase gasosa.

4.8. Reagente de sililação, constituído por uma mistura 9:3.1 (v/v/v) de piridina, hexametildissilazano e trimetilclorossilano.

4.9.  n-Hexano para cromatografia.

5.   PREPARAÇÃO DOS ÉTERES TRIMETILSILÍLICOS

No tubo de centrifugação (3.1) que contém a fração alcoólica, juntar o reagente de sililação (4.8) (nota 6), na proporção de 50 μl por miligrama de compostos alcoólicos, evitando qualquer absorção de humidade (nota 7).

Nota 6:  Existem no comércio soluções prontas a utilizar. Estão igualmente disponíveis outros reagentes de sililação, como o bis(trimetilsilil)trifluoroacetamida + 1 % de trimetilclorossilano, a diluir num volume igual de piridina anidra. Pode substituir-se a piridina por igual quantidade de acetonitrilo.

Nota 7:  A ligeira opalescência eventualmente formada é normal e não provoca interferências. A formação de um floculado branco ou o aparecimento de uma coloração rosa indicam a presença de humidade ou deterioração do reagente. Nessa eventualidade, a análise tem de ser repetida (apenas se for utilizado hexametildissilazano/trimetilclorossilano).

Tapar o tubo de centrifugação (3.1) e agitar cuidadosamente (sem virar) até à solubilização completa dos compostos. Deixar repousar durante, pelo menos, 15 minutos à temperatura ambiente e depois centrifugar durante alguns minutos. A solução límpida está pronta a ser analisada por cromatografia em fase gasosa.

6.   ANÁLISE POR CROMATOGRAFIA EM FASE GASOSA

6.1.   Operações preliminares, condicionamento da coluna capilar

Instalar a coluna (3.3) no cromatógrafo de fase gasosa, ligando a extremidade de entrada à câmara de injeção com divisão de fluxo e a extremidade de saída ao detetor.

Efetuar as verificações gerais da unidade de cromatografia em fase gasosa (hermeticidade do circuito dos gases, eficácia do detetor, eficácia do sistema de divisão de fluxo e do sistema de registo etc.).

Se a coluna for utilizada pela primeira vez, é aconselhável condicioná-la. Para isso, faz-se passar um ligeiro fluxo gasoso pela coluna, liga-se a unidade de cromatografia em fase gasosa e aquece-se gradualmente, até atingir uma temperatura pelo menos 20 °C acima da temperatura de trabalho (nota 8). Mantém-se essa temperatura durante, pelo menos, duas horas. Em seguida, leva-se toda a unidade às condições de trabalho (regulação do fluxo gasoso e da divisão de fluxo, inflamação da chama, ligação ao sistema de computação, regulação da temperatura da coluna, do detetor e do injetor etc.) e regista-se o sinal com sensibilidade pelo menos duas vezes superior à pretendida para a análise. O traçado da linha de base obtida deve ser linear, sem qualquer pico ou desvio. Um desvio retilíneo negativo indica hermeticidade imperfeita das ligações da coluna; se for positivo, indica condicionamento inadequado da mesma.

Nota 8:  A temperatura de condicionamento deve ser sempre inferior, em pelo menos 20 °C, à temperatura máxima especificada para a fase estacionária utilizada.

6.2.   Condições de trabalho

Otimizar o programa de temperatura e o fluxo do gás vetor de modo a obter cromatogramas semelhantes aos ilustrados nas figuras 3 a 6.

Os seguintes parâmetros foram experimentados e revelaram-se úteis:

6.2.1.   Álcoois alifáticos



Programação da temperatura do forno

180 °C (8 min.) → 260 °C (gradiente de 5 °C/min.) → 260 °C (15 min)

Temperatura do injetor

280 °C

Temperatura do detetor

290 °C

Velocidade linear do gás vetor

hélio: 20-30 cm/s; hidrogénio: 30-50 cm/s

Divisão de fluxo («split»):

1:50 a 1:100

Volume injetado

0,5-1 μl de solução de éteres trimetilsilílicos

6.2.2.   Esteróis e diálcoois triterpénicos



Programação da temperatura do forno

260 °C ± 5 °C, condições isotérmicas

Temperatura do injetor

280 °C a 300 °C

Temperatura do detetor

280 °C a 300 °C

Velocidade linear do gás vetor

hélio: 20-30 cm/s; hidrogénio: 30-50 cm/s

Divisão de fluxo («split»):

1:50 a 1:100

Volume injetado

0,5-1 μl de solução de éteres trimetilsilílicos

Estas condições podem ser alteradas em função das características da coluna e do cromatógrafo de fase gasosa, de modo a obter cromatogramas que satisfaçam as seguintes condições:

 tempo de retenção do álcool C26: 18 minutos ± 5 minutos;

 pico do álcool C22: 80 % ± 20 % da escala completa, no caso do azeite, e 40 % ± 20 % da escala completa, no caso do óleo de bagaço de azeitona;

 tempo de retenção do pico do β-sitosterol: 20 minutos ± 5 minutos;

 pico do campesterol do azeite (teor médio de 3 %): 20 % ± 5 % da escala completa;

 separação de todos os esteróis presentes. É necessário que, além de se apresentarem separados, os picos apresentem também resolução completa, ou seja, o traçado do pico deve voltar à linha de base antes do arranque do pico seguinte. No entanto, é tolerada uma resolução incompleta, desde que o pico a TRR 1,02 (sitostanol) seja quantificável segundo a perpendicular.

6.3.   Técnica analítica

Com a microsseringa de 10 μl (3.4), tomar 1 μl de hexano, aspirar 0,5 μl de ar e, em seguida, 0,5 μl a 1 μl da solução da amostra. Puxar um pouco mais o êmbolo da seringa, para que a agulha fique vazia. Introduzir a agulha através da membrana do injetor e, transcorridos 1 s a 2 s, injetar rapidamente. Passados cerca de 5 s, retirar a agulha devagar. Também pode utilizar-se um injetor automático.

Efetuar o registo até à eluição completa dos éteres trimetilsilílicos dos compostos alcoólicos presentes. A linha de base deve continuar a corresponder às condições de trabalho respetivas (6.2.1 ou 6.2.2).

6.4.   Identificação dos picos

Identificam-se individualmente os picos com base nos tempos de retenção, por comparação com as misturas de éteres trimetilsilílicos de, respetivamente, álcoois alifáticos e álcoois triterpénicos, uma, e esteróis e diálcoois triterpénicos, a outra, cromatografadas nas mesmas condições. A figura 3 ilustra um cromatograma da fração de álcoois alifáticos e álcoois triterpénicos; a figura 2 o cromatograma correspondente à fração de esteróis e diálcoois triterpénicos.

A ordem de eluição dos álcoois alifáticos é a seguinte: C20-ol (P.I.), C22-ol, C23-ol, C24-ol, C25-ol, C26-ol, C27-ol e C28-ol.

A ordem de eluição dos esteróis e dos diálcoois triterpénicos é a seguinte: colesterol, brassicasterol, ergosterol, 24-metilenocolesterol, campesterol, campestanol, estigmasterol, Δ7-campesterol, Δ5,23-estigmastadienol, clerosterol, β-sitosterol, sitostanol, Δ5-avenasterol, Δ5,24-estigmastadienol, Δ7-estigmastenol, Δ7-avenasterol, eritrodiol e uvaol.

6.5.   Determinação quantitativa

Recorrendo ao sistema de aquisição de dados, calcula-se a área dos picos do 1-eicosanol e dos álcoois alifáticos C22, C24, C26 e C28. Considera-se o coeficiente de resposta para o 1-eicosanol igual a 1.

Recorrendo ao sistema de computação, calcula-se a área dos picos do α-colestanol, dos esteróis e dos diálcoois triterpénicos. Não se consideram os eventuais picos de compostos não incluídos na lista do quadro 1 (não se efetua o cálculo para o ergosterol). Considera-se o coeficiente de resposta para o α-colestanol igual a 1.

Calcula-se a concentração de cada composto alcoólico, em mg/kg de matéria gorda, do seguinte modo:

image

em que:

Ax

=

área do pico do composto alcoólico x, em unidades do sistema de computação;

As

=

área do pico do 1-eicosanol/α-colestanol, em unidades do sistema de computação;

ms

=

massa de 1-eicosanol/α-colestanol adicionada, em miligramas;

m

=

massa da toma de amostra utilizada na determinação, em gramas.

7.   EXPRESSÃO DOS RESULTADOS

Exprime-se a concentração de cada álcool alifático ou triterpénico em mg/kg de matéria gorda e a soma das concentrações respetivas como «teor total de álcoois alifáticos». O teor total corresponde à soma de C22, C24, C26 e C28.

Exprime-se a concentração de cada composto alcoólico com uma casa decimal.

A concentração de esteróis totais é expressa sem casas decimais.

Calcula-se a percentagem de cada esterol a partir da relação entre a área do pico respetivo e a soma das áreas dos picos de esteróis.

image

em que:

Ax

=

área do pico do esterol x;

ΣA

=

soma das áreas dos picos de esteróis.

β-sitosterol aparente: Δ5,23-estigmastadienol + clerosterol + β-sitosterol + sitostanol + Δ5-avenasterol + Δ5,24-estigmastadienol.

Cálculo da percentagem de eritrodiol e uvaol:

image

em que:

AEr

=

área do pico do eritrodiol, em unidades do sistema de computação;

AUv

=

área do pico do uvaol, em unidades do sistema de computação;

ΣAT

=

soma das áreas dos picos dos esteróis, do eritrodiol e do uvaol, em unidades do sistema de computação.

Além do cálculo da percentagem relativa de cada esterol e diálcool triterpénico e da concentração total de esteróis, calculam-se a concentração de eritrodiol, a concentração de uvaol e a soma destas concentrações, em mg/kg de matéria gorda, por aplicação das seguintes expressões:

image

image

em que:

AEr

=

área do pico do eritrodiol, em unidades do sistema de computação;

AUv

=

área do pico do uvaol, em unidades do sistema de computação;

As

=

área do pico do α-colestanol, em unidades do sistema de computação;

ms

=

massa de α-colestanol adicionada, em miligramas;

m

=

massa da toma de amostra utilizada na determinação, em gramas.




Apêndice



image

1  Hidrocarbonetos

2  α-Tocoferol

3  Prenóis

4  Álcoois triterpénicos

5  Álcoois alifáticos

6  Metilesteróis

7  Esteróis

8  Diálcoois triterpénicos

Figura 1 – Placa de cromatografia em camada fina da fração insaponificável de um óleo de bagaço de azeitona eluída duas vezes com uma mistura 65:35 de hexano e éter dietílico, revelada com H2SO4 (50 %) e aquecida. As bandas a raspar são as delimitadas pelos retângulos: 1 designa as bandas dos álcoois alifáticos e 2 as dos esteróis e dos diálcoois triterpénicos.



Quadro I – Tempos de retenção relativos dos esteróis

Pico

Identificação

Tempos de retenção relativos

Coluna SE 54

Coluna SE 52

1

Colesterol

Δ5-Colesten-3ß-ol

0,67

0,63

2

Colestanol

5α-Colestan-3ß-ol

0,68

0,64

3

Brassicasterol

[24S]-24-Metil-Δ5,22-colestadien-3β-ol

0,73

0,71

*

Ergosterol

[24S]-24-Metil-Δ5,7,22-colestatrien-3β-ol

0,78

0,76

4

24-Metilenocolesterol

24-Metileno-Δ5,24-colestadien-3ß-o1

0,82

0,80

5

Campesterol

[24R]-24-Metil-Δ5-colesten-3ß-ol

0,83

0,81

6

Campestanol

[24R]-24-Metilcolestan-3ß-ol

0,85

0,82

7

Estigmasterol

[24S]-24-Etil-Δ5,22-colestadien-3ß-ol

0,88

0,87

8

Δ7-Campesterol

[24R]-24-Metil-Δ7-colesten-3ß-ol

0,93

0,92

9

Δ-5,23-Estigmastadienol

[24R,S]-24-Etil-Δ5,23-colestadien-3ß-ol

0,95

0,95

10

Clerosterol

[24S]-24-Etil-Δ5,25-colestadien-3ß-ol

0,96

0,96

11

ß-Sitosterol

[24R]-24-etil-Δ5-colesten-3ß-ol

1,00

1,00

12

Sitostanol

24-Etilcolestan-3ß-ol

1,02

1,02

13

Δ5-Avenasterol

[24Z]-24-Etilideno-Δ7-colesten-3ß-ol

1,03

1,03

14

Δ5,24-Estigmastadienol

[24R,S]-24-Etil-Δ5,24-colestadien-3ß-ol

1,08

1,08

15

Δ7-Estigmastenol

[24R,S]-24-Etil-Δ7-colesten-3ß-ol

1,12

1,12

16

Δ7-Avenasterol

[24Z]-24-Etilideno-Δ7-colesten-3ß-ol

1,16

1,16

17

Eritrodiol

5α-Olean-12-eno-3β,28-diol

1,41

1,41

18

Uvaol

Δ12-Urseno-3ß,28-diol

1,52

1,52

image

Figura 2 – Traçado de cromatografia em fase gasosa com detetor de ionização por chama dos esteróis e dos diálcoois triterpénicos de um azeite refinado (tempo em minutos). (1) Colesterol, (2) α-colestanol (P.I.), (3) 24-metilenocolesterol, (4) campesterol, (5) campestanol, (6) estigmasterol, (7) Δ5,23-estigmastadienol, (8) clerosterol, (9) β-sitosterol, (10) sitostanol, (11) Δ5-avenasterol, (12) Δ5,24-estigmastadienol, (13) Δ7-estigmastenol, (14) Δ7-avenasterol, (15) eritrodiol, (16) uvaol.

image

Figura 3 – Traçado de cromatografia em fase gasosa com detetor de ionização por chama dos esteróis e dos diálcoois triterpénicos de um azeite lampante. (1) Colesterol, (2) α-colestanol, (3) brassicasterol, (4) 24-metilenocolesterol, (5) campesterol, (6) campestanol, (7) estigmasterol, (8) Δ7-campesterol, (9) Δ5,23-estigmastadienol, (10) clerosterol, (11) β-sitosterol, (12) sitostanol, (13) Δ5-avenasterol, (14) Δ5,24-estigmastadienol, (15) Δ7-estigmastenol, (16) Δ7-avenasterol, (17) eritrodiol, (18) uvaol.

image

Figura 4 – Traçado de cromatografia em fase gasosa com detetor de ionização por chama dos álcoois alifáticos e dos álcoois triterpénicos de um azeite. (I.S. – padrão interno) C20-ol, (1) C22-ol, (2) C24-ol, (3) C26-ol, (4) C28-ol, (5) álcoois triterpénicos.

image

Figura 5 – Traçado de cromatografia em fase gasosa com detetor de ionização por chama dos álcoois alifáticos e dos álcoois triterpénicos de um azeite refinado e de um azeite de segunda centrifugação. (I.S. – padrão interno) C20-ol, (1) C22-ol, (2) C24-ol, (3) C26-ol, (4) C28-ol, (5) álcoois triterpénicos.

image

Figura 6 – Traçado HPLC da fração insaponificável de um azeite separada por HPLC, utilizando um detetor UV (tempo de retenção em minutos). (1) Álcoois alifáticos e álcoois triterpénicos (2) Esteróis e diálcoois triterpénicos.

▼M23




ANEXO XX

Método de determinação do teor de ceras, de ésteres metílicos de ácidos gordos e de ésteres etílicos de ácidos gordos por cromatografia em fase gasosa com coluna capilar

1.   OBJECTIVO

Apresenta-se seguidamente o método de determinação do teor de ceras e de ésteres metílicos e etílicos de ácidos gordos de azeites e óleos de bagaço de azeitona. As ceras e os ésteres alquílicos são separados de acordo com o respectivo número de átomos de carbono. O método é recomendado para distinguir azeites de óleos de bagaço de azeitona e para determinar a qualidade dos azeites virgem extra, permitindo a detecção de misturas fraudulentas destes com azeites de qualidade inferior, quer sejam virgens, lampantes ou desodorizados.

2.   PRINCÍPIO

Adição ao azeite ou óleo de bagaço de azeitona de padrões internos adequados e fraccionamento por cromatografia com uma coluna de silicagel hidratada. Recuperação da fracção eluída nas condições de ensaio (fracção com polaridade inferior à dos triacilgliceróis) e análise directa por cromatografia em fase gasosa com coluna capilar.

3.   APARELHOS E UTENSÍLIOS

3.1.

Erlenmeyer de 25 ml.

3.2.

Coluna de vidro para cromatografia em fase líquida (15 mm de diâmetro interno, 30-40 cm de comprimento), munida de uma torneira adequada.

3.3.

Cromatógrafo de fase gasosa utilizável com coluna capilar, equipado com um sistema de injecção directa na coluna, constituído pelos seguintes componentes:

3.3.1.

Forno termostático com programação de temperatura.

3.3.2.

Injector para injecção directa a frio na coluna.

3.3.3.

Detector de ionização de chama e conversor-amplificador.

3.3.4.

Registador-integrador (nota 1) para utilização com o conversor-amplificador (3.3.3), com tempo de resposta não superior a 1 s e velocidade do papel variável.

Nota 1:  Podem também utilizar-se sistemas informatizados, no caso de os dados cromatográficos serem registados num computador pessoal.

3.3.5.

Coluna capilar de sílica fundida (para a análise das ceras e dos ésteres metílicos e etílicos), de 8-12 m de comprimento e 0,25-0,32 mm de diâmetro interno, com revestimento interno de fase líquida (nota 2) numa espessura uniforme de 0,10-0,30 μm.

Nota 2:  Para o fim em causa, encontram-se disponíveis no comércio fases líquidas como SE52, SE54, etc.

3.4.

Microsseringa de 10 μl, munida de agulha de aço cementado, para injecção directa na coluna.

3.5.

Vibrador eléctrico.

3.6.

Evaporador rotativo.

3.7.

Mufla.

3.8.

Balança analítica com sensibilidade de ± 0,1 mg.

3.9.

Material de vidro de uso laboratorial corrente.

4.   REAGENTES

4.1.

Silicagel com granulometria de 60-200 μm. Colocar a silicagel na mufla, a 500 °C, durante, pelo menos, 4 h. Deixar arrefecer e adicionar 2 % de água, relativamente à quantidade de silicagel. Agitar bem para homogeneizar e manter no exsicador durante, pelo menos, 12 h antes de utilizar.

▼M32

4.2.

n-hexano de qualidade cromatográfica ou para determinação de resíduos. Se os valores de precisão obtidos forem semelhantes, pode substituir-se o hexano por iso-octano (2,2,4-trimetilpentano, para cromatografia). Os solventes com temperatura de ebulição superior à do n-hexano demoram mais tempo a evaporar, embora sejam preferíveis, dada a toxicidade do hexano. É necessário comprovar o grau de pureza; por exemplo, verificando o resíduo, após evaporação, de 100 ml de solvente.

ADVERTÊNCIA – Possibilidade de ignição dos vapores. Manter afastado de fontes de calor, faíscas ou chamas descobertas. Assegurar que os frascos são devidamente fechados. Assegurar uma ventilação adequada durante o uso. Evitar a acumulação de vapores e eliminar todas as possíveis fontes de incêndio, como dispositivos de aquecimento e dispositivos elétricos que não sejam constituídos por matérias não-inflamáveis. Pernicioso por inalação, podendo causar danos às células nervosas. Evitar respirar os vapores. Se necessário, utilizar um dispositivo de respiração adequado. Evitar o contacto com os olhos e a pele.

O iso-octano é um líquido inflamável que pode provocar incêndios. É explosivo no ar entre as frações volúmicas de 1,1 % e 6,0 %. É tóxico por ingestão e por inalação. Utilizar um exaustor em bom estado de funcionamento para trabalhar com este solvente.

▼M23

4.3.

Éter etílico de qualidade cromatográfica.

ADVERTÊNCIA – Altamente inflamável e moderadamente tóxico. Irritante para a pele. Nocivo por inalação. Pode causar danos oculares. Possibilidade de efeitos retardados. Possibilidade de formação de peróxidos explosivos. Possibilidade de ignição dos vapores. Manter ao abrigo de fontes de calor, faíscas ou chamas descobertas. Assegurar que os frascos são devidamente fechados. Assegurar uma ventilação adequada durante o uso. Evitar a acumulação de vapores e eliminar todas as possíveis fontes de incêndio, como dispositivos de aquecimento e dispositivos eléctricos que não sejam constituídos por materiais não-inflamáveis. Não evaporar à secura ou perto da secura. A adição de água ou de um agente redutor adequado reduz o risco da formação de peróxidos. Não beber. Evitar respirar os vapores. Evitar o contacto prolongado ou repetido com a pele.

4.4.

n-Heptano de qualidade cromatográfica ou iso-octano.

ADVERTÊNCIA – Inflamável. Nocivo por inalação. Manter afastado de fontes de calor, faíscas ou chamas descobertas. Assegurar que os frascos são devidamente fechados. Assegurar uma ventilação adequada durante o uso. Evitar respirar os vapores. Evitar o contacto prolongado ou repetido com a pele.

4.5.

Solução-padrão de araquidato de laurilo (nota 3) a 0,05 % (m/V) em heptano (padrão interno para as ceras).

Nota 3:  Podem também utilizar-se palmitato de palmitilo, estearato de miristilo ou laureato de araquidilo.

4.6.

Solução-padrão de heptadecanoato de metilo a 0,02 % (m/v) em heptano (padrão interno para os ésteres metílicos e etílicos).

4.7.

Corante Sudan 1 (1-fenilazo-2-naftol).

4.8.

Gás vector: hidrogénio ou hélio puros, de qualidade para cromatografia em fase gasosa.

ADVERTÊNCIA

Hidrogénio. Altamente inflamável, sob pressão. Manter ao abrigo de fontes de calor, faíscas, chamas descobertas ou dispositivos eléctricos que não sejam constituídos por materiais não-inflamáveis. Assegurar que a torneira da garrafa se encontra fechada quando esta não estiver a ser utilizada. Utilizar sempre um redutor de pressão. Reduzir a tensão da mola redutora antes de abrir a torneira da garrafa. Não permanecer em frente da saída da garrafa ao abrir a torneira. Assegurar uma ventilação adequada durante o uso. Não transferir hidrogénio entre garrafas. Não misturar gases na garrafa. Assegurar que as garrafas não possam cair. Manter as garrafas ao abrigo da luz solar e de fontes de calor. Armazenar ao abrigo da corrosão. Não utilizar garrafas danificadas ou sem rótulo.

Hélio. Gás comprimido a alta pressão. Reduz a quantidade de oxigénio respirável. Manter a garrafa fechada. Assegurar uma ventilação adequada durante o uso. Não aceder aos locais de armazenagem se os mesmos não estiverem devidamente ventilados. Utilizar sempre um redutor de pressão. Reduzir a tensão da mola redutora antes de abrir a torneira da garrafa. Não transferir gás entre garrafas. Assegurar que as garrafas não possam cair. Não permanecer em frente da saída da garrafa ao abrir a torneira. Manter as garrafas ao abrigo da luz solar e de fontes de calor. Armazenar ao abrigo da corrosão. Não utilizar garrafas danificadas ou sem rótulo. Não inalar. Utilizar apenas para fins técnicos.

4.9.

Gases auxiliares:

 Hidrogénio puro, de qualidade cromatográfica.

 Ar puro, de qualidade para cromatografia em fase gasosa.

ADVERTÊNCIA

Ar. Gás comprimido a alta pressão. Utilizar com precaução na presença de substâncias combustíveis, dado que a temperatura de auto-ignição da maioria dos compostos orgânicos no ar é consideravelmente inferior a altas pressões. Assegurar que a torneira da garrafa se encontra fechada quando esta não estiver a ser utilizada. Utilizar sempre um redutor de pressão. Reduzir a tensão da mola redutora antes de abrir a torneira da garrafa. Não permanecer em frente da saída da garrafa ao abrir a torneira. Não transferir gás entre garrafas. Não misturar gases na garrafa. Assegurar que as garrafas não possam cair. Manter ao abrigo da luz solar e de fontes de calor. Armazenar ao abrigo da corrosão. Não utilizar garrafas danificadas ou sem rótulo. O ar destinado a utilizações técnicas não pode ser utilizado em dispositivos de inalação ou respiratórios.

5.   PROCEDIMENTO

5.1.    Preparação da coluna cromatográfica

Preparar uma suspensão de 15 g de silicagel (4.1) em n-hexano (4.2) e introduzi-la na coluna (3.2). Deixar assentar espontaneamente. Completar a operação por recurso a um vibrador eléctrico, de modo a tornar mais homogénea a camada cromatográfica. Fazer passar 30 ml de n-hexano para remover eventuais impurezas. Por recurso à balança analítica (3.8), pesar rigorosamente cerca de 500 mg da amostra no erlenmeyer de 25 ml (3.1), adicionando uma quantidade adequada de padrão interno (4.5), em função do teor de ceras previsível (adicionar, por exemplo, 0,1 mg de araquidato de laurilo no caso dos azeites, 0,25-0,50 mg no caso dos óleos de bagaço de azeitona e 0,05 mg de heptadecanoato de metilo no caso dos azeites e dos óleos de bagaço de azeitona (4.6)).

Transferir a amostra preparada para a coluna cromatográfica com o auxílio de duas porções de 2 ml de n-hexano (4.2).

Deixar fluir o solvente até 1 mm acima da camada de silicagel e fazer passar em seguida mistura n-hexano/éter etílico (99:1). Recolher 220 ml a um caudal aproximado de 15 gotas em cada 10 segundos. (Esta fracção contém os ésteres metílicos e etílicos e as ceras). (nota 4) (nota 5).

Nota 4:   A mistura de n-hexano/éter etílico (99:1) deve ser preparada diariamente.

Nota 5:  Com o objectivo de verificar visualmente se as ceras são eluídas de forma adequada, pode adicionar-se à solução-amostra 100 μl de corante Sudan I a 1 %.

O tempo de retenção do corante situa-se entre os tempos de retenção das ceras e dos triacilgliceróis. Assim, deve suspender-se a eluição quando o corante atinge a base da coluna cromatográfica, dado todas as ceras terem então sido eluídas.

Evaporar as fracções resultantes num evaporador rotativo, até à remoção quase total do solvente. Remover os últimos 2 ml com uma corrente de azoto ligeira. Recolher a fracção que contém os ésteres metílicos e etílicos e diluir com 2-4 ml de n-heptano ou iso-octano.

5.2.    Análise por cromatografia em fase gasosa

5.2.1.    Operações preliminares

Instalar a coluna no cromatógrafo de fase gasosa (3.3), ligando uma das extremidades ao sistema de injecção directa na coluna e a outra extremidade ao detector. Efectuar uma verificação do sistema cromatográfico (operacionalidade dos circuitos de gases, eficiência do detector e do registador, etc.).

Se a coluna for utilizada pela primeira vez, é aconselhável proceder ao seu condicionamento. Para o efeito, passar um ligeiro fluxo gasoso pela coluna, ligando o cromatógrafo de seguida. Aumentar a temperatura gradualmente de forma a atingir 350 °C após cerca de 4 h.

Manter esta temperatura durante, pelo menos, 2 h, regulando seguidamente o aparelho para as condições de trabalho (regular o caudal de gás, acender a chama, ligar ao registador electrónico - ponto 3.3.4 -, regular a temperatura do forno para a coluna, regular o detector, etc.). Registar o sinal obtido, com uma sensibilidade pelo menos dupla da sensibilidade prevista para a execução da análise. A linha de base deve ser linear, sem qualquer pico ou desvio.

A ocorrência de um desvio linear negativo indica que as ligações da coluna não foram efectuadas de modo correcto; a ocorrência de um desvio positivo indica que a coluna não foi condicionada de forma correcta.

5.2.2.    Escolha das condições de trabalho para a determinação das ceras e dos ésteres metílicos e etílicos (nota 6).

As condições de trabalho são, em geral, as seguintes:

Temperatura da coluna: :

20 °C/min 5 °C/min

80 °C no início (1′) image 140 °C image 335 °C (20′)

Temperatura do detector : 350 °C.

Quantidade injectada : 1 μl de solução de n-heptano (2-4 ml).

Gás vector : hélio ou hidrogénio, à velocidade linear óptima para o gás seleccionado (ver o apêndice A).

Sensibilidade dos instrumentos : adequada ao cumprimento das condições atrás referidas.

Nota 6:  Atendendo à elevada temperatura final, é admissível um desvio positivo, mas que não deverá exceder 10 % da escala.

Estas condições podem ser alteradas em função das características da coluna e do cromatógrafo, tendo em vista a separação total das ceras e dos ésteres metílicos e etílicos dos ácidos gordos e uma resolução satisfatória dos picos (ver as figuras 2, 3 e 4), bem como a obtenção de um tempo de retenção de 18 ± 3 minutos para o padrão interno (araquidato de laurilo). O pico mais representativo correspondente às ceras deverá elevar-se a pelo menos 60% da escala, devendo o pico correspondente ao padrão interno para os ésteres metílicos e etílicos (heptadecanoato de metilo) atingir a totalidade da escala.

Os parâmetros de integração dos picos devem ser determinados de modo a obter uma estimativa correcta das áreas dos picos pertinentes.

5.3.    Execução da análise

Efectuar uma toma de 10 μl de solução com a microsseringa de 10 μl, puxando o êmbolo até esvaziar a agulha. Introduzir a agulha no sistema de injecção e, decorridos 1-2 s, injectar rapidamente a amostra. Retirar cuidadosamente a agulha decorridos cerca de 5 s.

Efectuar o registo até à eluição completa das ceras ou dos estigmastadienos, consoante a fracção em análise.

A linha de base deve satisfazer sempre as condições requeridas.

5.4.    Identificação dos picos

Identificar os picos com base nos tempos de retenção, comparando-os com os tempos de retenção de misturas conhecidas de ceras, analisadas nas mesmas condições. Os ésteres alquílicos são identificados com base em misturas de ésteres metílicos e etílicos dos principais ácidos gordos presentes no azeite (ácidos palmítico e oleico).

A figura 1 apresenta um cromatograma característico das ceras de um azeite virgem. As figuras 2 e 3 apresentam cromatogramas de dois azeites extra virgem vendidos a retalho, num dos casos com os respectivos ésteres metílicos e etílicos e, no outro, sem eles. A figura 4 apresenta cromatogramas característicos de um azeite virgem extra de qualidade superior e do mesmo azeite após a adição de 20 % de um azeite desodorizado.

5.5.    Análise quantitativa das ceras

Com o auxílio do integrador, determinar a área dos picos correspondentes ao padrão interno (araquidato de laurilo) e aos ésteres alifáticos C40-C46.

Determinar o teor total de ceras, expresso em mg/kg de gordura, através do somatório das várias ceras, por recurso à seguinte fórmula:

image

sendo:

Ax

=

área do pico correspondente a um determinado éster, calculada por via informática

As

=

área do pico correspondente ao padrão interno (araquidato de laurilo), calculada por via informática

ms

=

massa de padrão interno (araquidato de laurilo) adicionada, em miligramas;

m

=

massa da toma de amostra para a determinação, em gramas.

5.5.1.    Análise quantitativa dos ésteres metílicos e etílicos

Com o auxílio do integrador, determinar a área dos picos correspondentes ao padrão interno (heptadecanoato de metilo), aos ésteres metílicos dos ácidos gordos C16 e C18 e aos ésteres etílicos dos mesmos ácidos gordos.

Determinar o teor de cada éster alquílico, expresso em mg/kg de gordura, por recurso à seguinte fórmula:

image

sendo:

Ax

=

área do pico correspondente a um determinado éster C16 ou C18, calculada por via informática

As

=

área do pico correspondente ao padrão interno (heptadecanoato de metilo), calculada por via informática

ms

=

massa de padrão interno (heptadecanoato de metilo) adicionada, em miligramas;

m

=

massa da toma de amostra para a determinação, em gramas.

6.   APRESENTAÇÃO DOS RESULTADOS

Apresentar a soma dos teores das várias ceras de C40 a C46 (nota 7), em miligramas por quilograma de gordura.

Apresentar a soma dos teores dos ésteres metílicos e dos ésteres etílicos de C16 a C18, bem como o total de ambos.

Os resultados devem ser expressos com a aproximação de 1 mg/kg.

Nota 7:  Os componentes a quantificar dizem respeito aos picos correspondentes aos ésteres C40 - C46 com número par de átomos de carbono, como se exemplifica no cromatograma das ceras de um azeite que consta da figura anexa. Para fins de identificação, em caso de desdobramento do éster C46, recomenda-se a análise da fracção de ceras de um óleo de bagaço de azeitona, no qual o pico correspondente ao éster C46 se distingue pela sua predominância.

Apresentar a relação entre ésteres etílicos e ésteres metílicos.

Figura 1

Exemplo de cromatograma de fase gasosa da fracção de ceras de um azeite ( 6 )

image

Picos com tempos de retenção compreendidos entre 5 e 8 min correspondentes aos ésteres metílicos e etílicos dos ácidos gordos

Legenda:

I.S.

=

Araquidato de laurilo

1

=

Ésteres diterpénicos

2+2′

=

Ésteres C40

3+3′

=

Ésteres C42

4+4′

=

Ésteres C44

5

=

Ésteres C46

6

=

Ésteres de esteróis e de álcoois triterpénicos

Figura 2

Ésteres metílicos, ésteres etílicos e ceras num azeite virgem

image

Legenda:

1

Ésteres metílicos C16

2

Ésteres etílicos C16

3

Padrão interno (heptadecanoato de metilo)

4

Ésteres metílicos C18

5

Ésteres etílicos C18

6

Esqualeno

7

Padrão interno (araquidato de laurilo)

A

Ésteres diterpénicos

B

Ceras

C

Ésteres de esteróis e ésteres triterpénicos

Figura 3

Ésteres metílicos, ésteres etílicos e ceras num azeite virgem extra

image

Legenda:

1

Padrão interno (heptadecanoato de metilo)

2

Ésteres metílicos C18

3

Ésteres etílicos C18

4

Esqualeno

5

Padrão interno (araquidato de laurilo)

A

Ésteres diterpénicos

B

Ceras

C

Ésteres de esteróis e ésteres triterpénicos

Figura 4

Parte do cromatograma de um azeite virgem extra e do mesmo azeite após a adição de azeite desodorizado

image

Legenda:

1

Padrão interno (miristato de metilo)

2

Palmitato de metilo

3

Palmitato de etilo

4

Padrão interno (heptadecanoato de metilo)

5

Linoleato de metilo

6

Oleato de metilo

7

Estearato de metilo

8

Linoleato de etilo

9

Oleato de etilo

10

Estearato de etilo




Apêndice A

Determinação da velocidade linear do gás

Injectar 1 a 3 μl de metano (ou propano) no cromatógrafo de fase gasosa, regulado para as condições normais de trabalho, e medir o tempo necessário para o gás percorrer a coluna, desde o momento da injecção até ao registo do respectivo pico (tM).

A velocidade linear, expressa em cm/s, é dada por L/tM, sendo L o comprimento da coluna, expresso em centímetros, e tM o tempo de retenção, expresso em segundos.

▼M28 —————

▼M25




ANEXO XXI



Resultados das verificações de conformidade efetuadas aos azeites e aos óleos de bagaço de azeitona referidas no artigo 8.o, n.o 2

 

Rotulagem

Parâmetros químicos

Características organoléticas (4)

Conclusão final

Amostra

Categoria

Pais de origem

Local da inspeção (1)

Designação legal

Designação de origem

Condições de armazenagem

Informações erradas

Legibilidade

C/NC (3)

Parâmetros fora dos limites

Sim/Não

Em caso afirmativo, qual ou quais (2)

C/NC (3)

Mediana dos defeitos

Mediana do frutado

C/NC (3)

Ações necessárias

Sanções

 

 

 

 

 

 

 

 

 

 

 

 

 

 

 

 

 

 

 

 

 

 

 

 

 

 

 

 

 

 

 

 

 

 

 

 

 

 

 

 

 

 

 

 

 

 

 

 

 

 

 

 

 

 

 

 

 

 

 

 

 

 

 

 

 

 

 

 

 

 

 

 

 

 

 

 

 

 

 

 

 

 

 

 

 

 

 

 

 

 

 

 

 

 

 

 

 

 

 

 

 

 

 

 

 

 

 

 

 

 

 

 

 

 

 

 

 

 

 

 

 

 

 

 

 

 

(1)   Mercado interno (lagar, engarrafadores, retalho), exportação, importação.

(2)   Cada característica dos azeites e óleos de bagaço de azeitona especificada no anexo I deve ser indicada por um código.

(3)   Conforme ou não-conforme.

(4)   Não exigido no caso do «azeite» e dos óleos de bagaço de azeitona.



( 1 ) JO L 228 de 1.9.2009, p. 3.

( 2 ) Diretiva 2011/91/UE do Parlamento Europeu e do Conselho, de 13 de dezembro de 2011, relativa às menções ou marcas que permitem identificar o lote ao qual pertence um género alimentício (JO L 334 de 16.12.2011, p. 1).

( 3 ) Após eluição dos ésteres dos esteróis, o traçado cromatográfico não deve apresentar picos significativos (triglicéridos).

( 4 ) Regulamento (UE) n.o 1308/2013 do Parlamento Europeu e do Conselho, de 17 de dezembro de 2013, que estabelece uma organização comum dos mercados dos produtos agrícolas e que revoga os Regulamentos (CEE) n.o 922/72, (CEE) n.o 234/79, (CE) n.o 1037/2001 e (CE) n.o 1234/2007 do Conselho (JO L 347 de 20.12.2013, p. 671).

( 5 ) Os provadores podem não provar o azeite se detetarem algum atributo negativo extremamente intenso por meios olfativos diretos, caso em que registarão essa circunstância excecional na folha de perfil.

( 6 ) O cromatograma não deve apresentar quaisquer picos significativos (correspondentes a triacilgliceróis) após a eluição dos ésteres de esteróis.