02014D0034 — PT — 03.05.2016 — 002.002


Este texto constitui um instrumento de documentação e não tem qualquer efeito jurídico. As Instituições da União não assumem qualquer responsabilidade pelo respetivo conteúdo. As versões dos atos relevantes que fazem fé, incluindo os respetivos preâmbulos, são as publicadas no Jornal Oficial da União Europeia e encontram-se disponíveis no EUR-Lex. É possível aceder diretamente a esses textos oficiais através das ligações incluídas no presente documento

►B

DECISÃO DO BANCO CENTRAL EUROPEU

de 29 de julho de 2014

relativa a medidas respeitantes às operações de refinanciamento de prazo alargado direcionadas

(BCE/2014/34)

(2014/541/UE)

(JO L 258 de 29.8.2014, p. 11)

Alterada por:

 

 

Jornal Oficial

  n.°

página

data

►M1

DECISÃO (UE) 2015/299 DO BANCO CENTRAL EUROPEU de 10 de fevereiro de 2015

  L 53

27

25.2.2015

►M2

DECISÃO (UE) 2016/811 DO BANCO CENTRAL EUROPEU de 28 de abril de 2016

  L 132

129

21.5.2016




▼B

DECISÃO DO BANCO CENTRAL EUROPEU

de 29 de julho de 2014

relativa a medidas respeitantes às operações de refinanciamento de prazo alargado direcionadas

(BCE/2014/34)

(2014/541/UE)



Artigo 1.o

Definições

Para efeitos da presente decisão, entende-se por:

1. 

«Mês de referência da colocação», o último mês em relação ao qual estejam disponíveis dados relativos ao crédito líquido para cada colocação no âmbito das ORPA direcionadas;

2. 

«Instituição de crédito», uma instituição de crédito tal como definida no apêndice 2 (Glossário) do anexo I da Orientação BCE/2011/14;

3. 

«Empréstimos elegíveis», empréstimos a sociedades não financeiras e a particulares (incluindo instituições não lucrativas ao serviço das famílias) residentes em Estados-Membros cuja moeda é o euro, excluindo empréstimos à habitação; e por «residente», para os presentes efeitos, o termo na aceção do artigo 1.o do Regulamento (CE) n.o 2533/98 do Conselho ( 1 );

4. 

«Crédito líquido elegível», crédito ilíquido concedido sob a forma de empréstimos elegíveis líquidos de reembolsos de saldos de empréstimos elegíveis durante um período determinado, conforme descrito de forma mais pormenorizada no Anexo II;

5. 

«Instituição financeira monetária» (IFM), o termo na aceção do artigo 1.o do Regulamento (CE) n.o 25/2009 do Banco Central Europeu (BCE/2008/32) ( 2 );

6. 

«Código IFM», código de identificação único relativo a uma IFM da lista de IFM, mantida e publicada pelo BCE para fins estatísticos, em conformidade com o Regulamento (CE) n.o 25/2009 (BCE/2008/32);

7. 

«Saldos de empréstimos elegíveis», empréstimos elegíveis em dívida inscritos no balanço, excluindo os empréstimos elegíveis titularizados ou cedidos por qualquer outra forma sem o seu desreconhecimento do balanço, conforme descrito de forma mais pormenorizada no Anexo II;

8. 

«Participante», uma contraparte elegível para operações de política monetária do Eurosistema de mercado aberto em conformidade com o Anexo I da Orientação BCE/2011/14, que apresenta propostas nos procedimentos de leilão das ORPA direcionadas, quer a título individual quer em grupo, na qualidade de instituição líder, e que tem todos os direitos e está sujeita a todas as obrigações associados à sua participação nos procedimentos de leilão das ORPA direcionadas;

9. 

«BCN competente», o BCN do Estado-Membro da área do euro onde o participante está estabelecido.

Artigo 2.o

Operações de refinanciamento de prazo alargado direcionadas

1.  O Eurosistema realizará oito ORPA direcionadas de acordo com um calendário publicado no sítio web do BCE.

2.  Todas as ORPA direcionadas em curso se vencem numa data fixa publicada no sítio web do BCE.

3.  As ORPA direcionadas serão:

a) 

operações reversíveis de cedência de liquidez;

b) 

realizadas de forma descentralizada pelos BCN;

c) 

através de leilões normais; e

d) 

sob a forma de leilões de taxa fixa.

4.  As condições gerais para a realização de operações de crédito pelos BCN serão aplicáveis às ORPA direcionadas, salvo disposição em contrário na presente decisão. Estas condições incluirão os procedimentos para a realização de operações de mercado aberto, os critérios determinantes da elegibilidade das contrapartes e dos ativos de garantia para efeitos das operações de crédito do Eurosistema e ainda as sanções a aplicar em caso de incumprimento de obrigações pelas contrapartes, todos conforme previstos nos quadros jurídicos gerais e temporários aplicáveis às operações de refinanciamento e aplicados nos quadros contratuais e/ou regulamentares nacionais dos BCN.

5.  Em caso de divergência entre a presente decisão e a Orientação BCE/2011/14, combinada com qualquer outro ato jurídico do BCE que estabeleça o enquadramento jurídico aplicável às operações de refinanciamento de prazo alargado e/ou quaisquer medidas nacionais que o apliquem a nível nacional, prevalece a presente decisão.

Artigo 3.o

Participação

1.  As instituições podem participar nas ORPA direcionadas a título individual se forem contrapartes elegíveis para operações de política monetária do Eurosistema de mercado aberto. Uma instituição que participe nas ORPA direcionadas a título individual não poderá participar em grupo.

2.  As instituições podem participar em grupo nas ORPA direcionadas mediante a constituição de um grupo para ORPA direcionadas. A participação em grupo é relevante para efeitos de cálculo dos limites de financiamento e dos valores de referência aplicáveis previstos no artigo 4.o e para efeitos das obrigações de prestação de informação previstas no artigo 8.o abaixo. A participação em grupo fica sujeita às seguintes restrições:

a) 

As instituições não podem ser membro de mais do que um grupo para ORPA direcionadas;

b) 

As instituições que participem em grupo nas ORPA direcionadas não podem participar a título individual;

c) 

A instituição designada como instituição líder será o único membro do grupo para ORPA direcionadas que poderá participar nos procedimentos de leilão das ORPA direcionadas; e

d) 

A composição e a instituição líder de um grupo para ORPA direcionadas permanecerão inalteradas durante todas as oito ORPA direcionadas, sem prejuízo do disposto nos n.os 5 e 6.

3.  Para poder participar nas ORPA direcionadas através de um grupo para ORPA direcionadas deverão ser preenchidas as seguintes condições.

a) 

A partir de 31 de julho de 2014, cada membro do grupo deve:

i) 

ter uma «relação estreita» com outro membro do grupo, na aceção do termo especificada no glossário do Anexo I da Orientação BCE/2011/14, entendendo-se as referências aí feitas a «contraparte», «garante», «emitente» ou «devedor» como referências feitas a um membro do grupo; ou

ii) 

constituir reservas obrigatórias no Eurosistema de forma indireta, em conformidade com o Regulamento (CE) n.o 1745/2003 do Banco Central Europeu (BCE/2003/9) ( 3 ), através de outro membro do grupo, ou ser utilizado por outro membro do grupo para, de forma indireta, deter reservas obrigatórias no Eurosistema.

b) 

O grupo designará, de entre os seus membros, a instituição líder do grupo. A instituição líder tem de ser uma contraparte elegível para operações de política monetária do Eurosistema de mercado aberto.

c) 

Todos os membros do grupo para ORPA direcionadas serão instituições de crédito com sede em Estados-Membros cuja moeda é o euro, que preencham os critérios previstos nas alíneas a) e b) da secção 2.1 do Anexo I da Orientação BCE/2011/14.

d) 

A instituição líder apresentará um pedido de participação em grupo ao respetivo BCN, de acordo com os calendários aprovados pelo Conselho do BCE e publicados no sítio web do BCE. O pedido incluirá:

i) 

o nome da instituição líder;

ii) 

a lista dos códigos IFM e dos nomes de todas as instituições a incluir no grupo para ORPA direcionadas;

iii) 

uma explicação do fundamento do pedido para a constituição do grupo, incluindo uma lista das relações estreitas e/ou das relações de constituição indireta de reservas entre os membros do grupo (identificando cada membro pelo seu código de IFM);

iv) 

no caso de membros do grupo aos quais se aplique o n.o 3, alínea a), ii): a confirmação, por escrito, da instituição líder certificando que cada um dos membros do respetivo grupo para direcionadas decidiu formalmente tornar-se membro do grupo para ORPA direcionadas em questão, assim como não participar em ORPA direcionadas nem como contraparte individual nem como membro de outros grupos para ORPA direcionadas, acompanhada com elementos de prova adequados de que a confirmação por escrito da instituição líder foi subscrita por signatários devidamente autorizados; a existência de contratos válidos, tais como contratos para a constituição indireta de reservas nos termos do artigo 10.o, n.o 2, do Regulamento (CE) n.o 1745/2003 (BCE/2003/9), possibilitará à instituição líder emitir as certificações necessárias no tocante aos membros do seu grupo para ORPA direcionadas quando tais contratos mencionarem expressamente que os referidos membros participam em operações de política monetária do Eurosistema de mercado aberto exclusivamente por intermédio da instituição líder; o BCN competente, em concertação com os BCN dos membros do grupo em questão, poderá decidir efetuar controlos ex-post no que respeita à forma e conteúdo da referida confirmação escrita; e

v) 

no caso de membros do grupo aos quais se aplique o n.o 3, alínea a), i): (1) a confirmação, por escrito, da parte de cada um desses membros, da sua decisão formal de se tornar membro do grupo para ORPA direcionadas em questão e de não participar nas ORPA direcionadas como contraparte individual ou como membro de outros grupos para ORPA direcionadas; e (2) elementos de prova adequados, confirmados pelo BCN do membro do grupo em questão, de que esta decisão formal foi tomada ao mais alto nível de decisão da estrutura empresarial do membro (por ex., pelo Conselho de Administração ou por um órgão decisório equivalente) em conformidade com as disposições legais e estatutárias aplicáveis.

e) 

A instituição líder obteve a confirmação do respetivo BCN de que o seu grupo para ORPA direcionadas foi reconhecido como tal. Antes de emitir a sua confirmação, o BCN competente pode solicitar à instituição líder que forneça quaisquer informações adicionais relevantes para a sua apreciação do potencial grupo para ORPA direcionadas. Na sua apreciação do pedido de grupo, o BCN competente também deve ter em conta as apreciações dos BCN de membros do grupo eventualmente necessárias, tais como verificações de documentos fornecidos nos termos do n.o 3, alínea d).

Para efeitos da presente decisão, as instituições de crédito sujeitas a supervisão em base consolidada, incluindo as sucursais de uma mesma instituição de crédito, também podem ser consideradas candidatas adequadas para o reconhecimento de grupo para ORPA direcionadas, devendo cumprir, com as necessárias adaptações,as restrições e condições previstas neste artigo. Esta disposição facilita a formação de grupos para ORPA direcionadas no caso das instituições que integram a mesma entidade jurídica. Para efeitos de confirmação da formação ou de alteração na composição de um grupo para ORPA direcionadas desta natureza, aplicam-se, respetivamente, o n.o 3, alínea d), iv), e o n.o 6, alínea c), ii), 4).

4.  Se uma ou mais das instituições incluídas no pedido de reconhecimento de grupo para ORPA direcionadas não preencherem as condições do n.o 3, o BCN competente poderá rejeitar parcialmente o pedido do grupo proposto. Neste caso, as instituições que apresentam o pedido poderão optar por agir como um grupo para ORPA direcionadas com uma composição reduzida em conformidade, ou por retirar o pedido de reconhecimento de grupo para ORPA direcionadas.

5.  Em casos excecionais, havendo motivos justificativos objetivos, o Conselho do BCE pode derrogar as restrições e condições registadas nos n.os 2 e 3.

6.  Sem prejuízo do n.o 5, a composição de um grupo reconhecido pelo Eurosistema em conformidade com o n.o 3 poderá sofrer alterações nas seguintes circunstâncias:

a) 

Um membro do grupo será excluído do grupo para ORPA direcionadas se:

i) 

perder o seu estatuto de instituição de crédito; ou

ii) 

deixar de preencher os requisitos do n.o 3, alíneas a) e c).

No caso das alíneas i) ou ii) que precedem, a instituição líder deve notificar ao respetivo BCN a alteração no estatuto do(s) membro(s) do grupo.

b) 

Se uma instituição líder perder a sua elegibilidade como contraparte das operações de política monetária do Eurosistema de mercado aberto, o grupo para ORPA direcionadas perderá o seu reconhecimento como grupo para ORPA direcionadas.

c) 

Se, em relação a um grupo para ORPA direcionadas, se estabelecerem relações estreitas adicionais ou a constituição indireta de reservas obrigatórias no Eurosistema depois de 31 de julho de 2014, a composição do grupo para ORPA direcionadas poderá ser alterada para permitir a inclusão de um novo membro no grupo para ORPA direcionadas desde que:

i) 

a instituição líder solicite ao respetivo BCN o reconhecimento da alteração na composição do grupo para ORPA direcionadas;

ii) 

o pedido inclua: 1) o nome da instituição líder, 2) a lista dos códigos IFM e dos nomes de todas as instituições que devem ser incluídas na nova composição do grupo para ORPA direcionadas, 3) uma explicação do fundamento para o pedido, incluindo uma lista das alterações nas relações estreitas e/ou nas relações de constituição indireta de reservas entre os membros do grupo (identificando cada membro pelo seu código de IFM); 4) no caso de membros do grupo aos quais se aplique o n.o 3, alínea a), ii): a confirmação, por escrito, da instituição líder certificando que cada um dos membros do respetivo grupo para direcionadas decidiu formalmente tornar-se membro do grupo para ORPA direcionadas em questão, assim como não participar em ORPA direcionadas nem como contraparte individual nem como membro de outros grupos para ORPA direcionadas, acompanhada com elementos de prova adequados de que a confirmação por escrito da instituição líder foi subscrita por signatários devidamente autorizados; a existência de contratos válidos, tais como contratos para a constituição indireta de reservas nos termos do artigo 10.o, n.o 2, do Regulamento (CE) n.o 1745/2003 (BCE/2003/9), possibilitará à instituição líder emitir as certificações necessárias no tocante aos membros do seu grupo para ORPA direcionadas quando tais contratos mencionarem expressamente que os referidos membros participam em operações de política monetária do Eurosistema de mercado aberto exclusivamente por intermédio da instituição líder; o BCN competente, em concertação com os BCN dos membros do grupo em questão, poderá decidir efetuar controlos ex-post no que respeita à forma e conteúdo da referida confirmação escrita; e 5) no caso de membros do grupo aos quais se aplique o n.o 3, alínea a), i), a confirmação por escrito de todos os novos membros da sua decisão formal de ser membro do grupo para ORPA direcionadas em questão e de não participar nas ORPA direcionadas como contraparte individual ou como membro de outros grupos para ORPA direcionadas, assim como a confirmação por escrito de cada instituição do grupo para ORPA direcionadas (incluída na antiga e/ou na nova composição) da sua decisão formal de aceitar a nova composição do grupo para ORPA direcionadas juntamente com elementos de prova adequados, confirmados pelo BCN do membro do grupo em questão, conforme descrito de forma detalhada no n.o 3, alínea d), v);

iii) 

a instituição líder tenha obtido a confirmação do seu BCN de que o grupo para ORPA direcionadas alterado foi reconhecido como tal. Antes de emitir a sua confirmação, o BCN competente pode solicitar à instituição líder que forneça quaisquer informações adicionais relevantes para a sua apreciação da composição do novo grupo para ORPA direcionadas. Na sua apreciação do pedido de grupo, o BCN competente também deve ter em conta a apreciações dos BCN de membros do grupo eventualmente necessárias, tais como verificações de documentos fornecidos nos termos do n.o 6, alínea c), ii), supra.

7.  Desde que tenham ocorrido factos implicando a exclusão de um membro do grupo, ou alterações na composição de um grupo para ORPA direcionadas que tenham sido aceites pelo Conselho do BCE em conformidade com os n.os 5 ou 6, serão aplicáveis os seguintes requisitos, salvo decisão em contrário do Conselho do BCE:

a) 

A instituição líder só poderá participar pela primeira vez numa ORPA direcionada com base na nova composição do seu grupo para ORPA direcionadas seis semanas a contar da data da boa aceitação do pedido de reconhecimento da alteração da composição do grupo apresentado por essa instituição líder ao respetivo BCN;

b) 

Uma instituição que deixe de ser membro de um grupo para ORPA direcionadas não poderá participar em nenhuma outra ORPA direcionada, a título individual ou como membro de outro grupo para ORPA direcionadas, a menos que apresente um novo pedido de acordo com o disposto nos n.os 1, 3 ou 6.

Artigo 4.o

Limites de financiamento

1.  A participação nas ORPA direcionadas a título individual ou enquanto instituição líder de um grupo para ORPA direcionadas fica sujeita a limites de financiamento. Os limites de financiamento aplicáveis a um participante individual serão calculados com base nos dados respeitantes aos saldos de empréstimos elegíveis e ao crédito líquido elegível do participante individual. Os limites de financiamento aplicáveis à instituição líder de um grupo para ORPA direcionadas serão calculados com base nos dados agregados respeitantes aos saldos de empréstimos elegíveis e ao crédito líquido elegível de todos os membros do grupo para ORPA direcionadas. Se tiverem sido reconhecidas alterações na composição de um grupo para ORPA direcionadas de acordo com os n.os 5 ou 6 do artigo 3.o, todos os cálculos dos limites de financiamento subsequentes serão efetuados com base nos dados do balanço da nova composição do grupo para ORPA direcionadas. O limite de financiamento aplicável a cada participante em relação a cada ORPA direcionada será considerado o montante máximo das propostas desse participante, sendo aplicáveis as regras relativas às propostas que excedam o montante máximo das propostas, conforme previsto na secção 5.1.4 do anexo I da Orientação BCE/2011/14.

2.  Nas duas ORPA direcionadas sucessivas a realizar em setembro e dezembro de 2014, cada participante poderá obter empréstimos num montante que, em termos acumulados, não exceda a autorização de empréstimo no âmbito da ORPA direcionada inicial. A autorização de empréstimo no âmbito da ORPA direcionada inicial de cada participante corresponderá a 7 % do respetivo saldo total dos empréstimos elegíveis em 30 de abril de 2014. O anexo I descreve os cálculos técnicos pertinentes. Os eventuais empréstimos autorizados e não utilizados no âmbito das ORPA direcionadas não ficam disponíveis para ORPA direcionadas subsequentes.

3.  Em relação a cada ORPA direcionada subsequente realizada trimestralmente durante o período compreendido entre março de 2015 e junho de 2016, cada participante terá direito a uma autorização de empréstimo adicional no âmbito das ORPA direcionadas. Esta autorização de empréstimo adicional corresponderá ao mais elevado dos seguintes valores: (i) zero e (ii) três vezes o crédito líquido elegível acumulado concedido por esse participante no período compreendido entre 1 de maio de 2014 e a correspondente data de referência da colocação, para além de um valor de referência determinado nos termos do n.o 4, menos o montante dos empréstimos previamente obtidos nas ORPA direcionadas realizadas a partir de março de 2015. O Anexo I descreve os cálculos técnicos relevantes.

4.  O valor de referência do participante será determinado com base no crédito líquido elegível por este concedido no período de doze meses compreendido entre 1 de maio de 2013 e 30 de abril de 2014 (a seguir «período de referência de base»), do seguinte modo:

a) 

Para os participantes que reportem crédito líquido elegível positivo no período de referência de base ou se o participante só tiver sido constituído depois de 1 de maio de 2013, o valor de referência aplicável será zero.

b) 

Para os participantes que reportem crédito líquido elegível negativo no período de referência de base, o valor de referência será calculado determinando o crédito líquido elegível mensal médio de cada participante no período de referência de base e multiplicando este valor médio pelo número de meses decorridos entre 30 de abril de 2014 e o final do mês de referência da colocação. Esta fórmula aplicar-se-á aos meses de referência da colocação até abril de 2015. Posteriormente, o valor de referência permanecerá inalterado no valor atingido em 30 de abril de 2015. O Anexo I descreve os cálculos técnicos aplicáveis.

▼M1

Artigo 5.o

Juros

A taxa de juros aplicável às ORPA direcionadas efetuadas em setembro e dezembro de 2014 será fixada, ao longo do prazo de cada operação, à taxa de juro das operações principais de refinanciamento prevalecente na data do anúncio do leilão da ORPA direcionada em causa, acrescida de um spread fixo de 10 pontos base. No que toca às ORPA direcionadas realizadas entre março de 2015 e junho de 2016, a taxa de juro aplicável ao longo do prazo de cada operação será igual à taxa de juro das OPR prevalecente na data do anúncio de leilão de cada ORPA direcionada.

Os juros serão pagos retroativamente na data de vencimento da operação, ou na data do reembolso antecipado, conforme previsto nos artigos 6.o e 7.o, consoante o caso.

▼M2

Artigo 6.o

Reembolso antecipado

1.  Sem prejuízo do disposto no n.o 2, 24 meses depois da realização de cada ORPA direcionada os participantes terão, semestralmente, a opção de reduzir o montante de ORPA direcionadas, ou de as cancelar antes do respetivo vencimento. As datas de reembolso antecipado coincidirão com o dia indicado pelo Eurosistema para a liquidação de uma operação principal de refinanciamento do Eurosistema.

2.  Os participantes também terão a opção de cancelar a operação ou de reduzir o montante de ORPA direcionadas antes do respetivo vencimento, numa data que coincida com a data de liquidação da primeira ORPA direcionada realizada ao abrigo da Decisão (UE) 2016/810 do Banco Central Europeu (BCE/2016/10) ( 4 ). Para poder beneficiar do procedimento do reembolso antecipado na primeira data de reembolso antecipado, o participante deve notificar o BCN competente de que pretende efetuar o reembolso ao abrigo do referido procedimento na data do reembolso antecipado, com uma antecedência mínima de três semanas em relação a essa data. Tal notificação tornar-se-á vinculativa para o participante três semanas antes da data do reembolso antecipado a que a mesma se referir. Para não haver dúvidas, a autorização de empréstimo adicional disponível para a ORPA direcionada a realizar em junho de 2016, a ser calculada de acordo com o previsto no artigo 4.o, n.o 3, será determinada com base nos montantes tomados de empréstimo durante as ORPA direcionadas realizadas desde março de 2015, sem dedução de qualquer valor pago na primeira data de reembolso antecipado.

3.  Relativamente a todas as outras datas de reembolso, para poder beneficiar do procedimento do reembolso antecipado, participante deve notificar o BCN competente de que pretende efetuar o reembolso ao abrigo do referido procedimento na data do reembolso antecipado, com uma antecedência mínima de duas semanas em relação a essa data. Tal notificação tornar-se-á vinculativa para o participante duas semanas antes da data do reembolso antecipado a que a mesma se referir.

4.  Se o participante não proceder à liquidação total ou parcial do montante devido ao abrigo do procedimento de reembolso antecipado até à data do respetivo reembolso, poderá ser imposta uma sanção pecuniária. A sanção pecuniária a aplicar será calculada de acordo com o anexo VII da Orientação (UE) 2015/510 do Banco Central Europeu (BCE/2014/60) ( 5 ) e corresponderá à sanção pecuniária aplicável no caso de não cumprimento da obrigação de fornecer ativos de garantia adequados e de liquidar o montante atribuído à contraparte, no que se refere às operações reversíveis realizadas para fins de política monetária. A aplicação de uma sanção pecuniária não prejudica o direito de os BCN adotarem as medidas corretivas em caso de incumprimento previstas no artigo 166.o da Orientação (UE) 2015/510 (BCE/2014/60).

▼B

Artigo 7.o

Reembolso antecipado obrigatório

▼M2

1.  Os participantes nas ORPA direcionadas, cujo crédito líquido elegível acumulado no período compreendido entre 1 de maio de 2014 e 30 de abril de 2016 seja inferior ao valor de referência que lhes seja aplicável em 30 de abril de 2016, ficam obrigados a reembolsar integralmente os respetivos empréstimos iniciais e adicionais ao abrigo das ORPA direcionadas em 28 de setembro de 2016, salvo se o Eurosistema especificar uma data alternativa. O anexo I descreve os cálculos técnicos.

2.  Se a totalidade dos empréstimos contraídos por um participante em relação à respetiva autorização de empréstimo adicional no âmbito das ORPA direcionadas realizadas no período compreendido entre março de 2015 e junho de 2016 exceder a autorização de empréstimo adicional calculada no mês de referência da colocação de abril de 2016, então o montante em excesso destes empréstimos adicionais deverá ser pago em 28 de setembro de 2016, salvo se o Eurosistema especificar uma data alternativa. O anexo I descreve os cálculos técnicos.

▼B

3.  Quando tenham sido reconhecidas alterações na composição de um grupo para ORPA direcionadas de acordo com os n.os 5 ou 6 do artigo 3.o, os cálculos dos reembolsos antecipados obrigatórios da instituição líder (incluindo do valor de referência aplicável) serão efetuados, em relação a todos os empréstimos e independentemente de terem sido contraídos antes ou depois da alteração do grupo para as ORPA direcionadas, com base nos dados do balanço da nova composição.

4.  O BCN competente deve notificar os seus participantes sujeitos ao reembolso antecipado obrigatório o mais tardar em 31 de agosto de 2016, salvo se o Eurosistema especificar uma data alternativa. A notificação de reembolso antecipado obrigatório efetuada por um BCN, nos termos deste artigo 7.o ou do artigo 9.o, não constitui uma notificação de verificação de incumprimento.

▼M2

5.  Se o participante não proceder à liquidação total ou parcial ao abrigo do procedimento de reembolso antecipado obrigatório até à data de reembolso, poderá ser imposta uma sanção pecuniária. A sanção pecuniária a aplicar será calculada de acordo com o anexo VII da Orientação (UE) 2015/510 (BCE/2014/60) e corresponderá à sanção pecuniária aplicável no caso de não cumprimento da obrigação de fornecer ativos de garantia adequados e de liquidar o montante atribuído à contraparte, no que se refere às operações reversíveis realizadas para fins de política monetária. A aplicação de uma sanção pecuniária não prejudica o direito de os BCN adotarem as medidas corretivas em caso de incumprimento previstas no artigo 166.o da Orientação (UE) 2015/510 (BCE/2014/60).

▼B

Artigo 8.o

Requisitos de informação estatística

1.  Os participantes nas ORPA direcionadas apresentarão aos respetivos BCN formulários de reporte corretamente preenchidos de acordo com:

a) 

O conteúdo e os calendários prescritos aprovados pelo Conselho do BCE e publicados no sítio web do BCE; e

b) 

As orientações detalhadas previstas no Anexo II.

2.  Os termos utilizados no formulário de reporte devem ser entendidos tal como definidos no Regulamento (CE) n.o 25/2009 (BCE/2008/32).

3.  No cumprimento dos requisitos de prestação de informação a que estão sujeitos por força do disposto no n.o 1, os participantes aplicarão os padrões mínimos de transmissão, exatidão, cumprimento dos conceitos e revisão estabelecidos no anexo IV do Regulamento (CE) n.o 25/2009 (BCE/2008/32).

▼M2

4.  Se uma instituição participar numa ORPA direcionada, e enquanto tiver crédito por liquidar ao abrigo da mesma, deverá apresentar trimestralmente formulários de reporte preenchidos de acordo com o n.o 1, até terem sido fornecidos todos os dados necessários para se determinar a obrigação de reembolso obrigatório nos termos do artigo 7.o.

▼B

5.  Os participantes apresentarão formulários de reporte relativos ao período de referência de base antes de participarem pela primeira vez nas ORPA direcionadas dentro dos prazos publicados no sítio web do BCE para o envio ao BCN competente dos formulários de reporte preenchidos.

6.  As instituições líder dos grupos para ORPA direcionadas apresentarão formulários de reporte que reflitam os dados agregados de todos os membros do grupo para ORPA direcionadas. O BCN da instituição líder, ou o BCN de um membro de um grupo para ORPA direcionadas sujeito a coordenação pelo BCN da instituição líder, poderá exigir que a instituição líder apresente dados desagregados para cada membro do grupo individual.

7.  Quando a introdução de alterações na composição de um grupo para ORPA direcionadas tenha sido reconhecida de acordo com os n.os 5 ou 6 do artigo 3.o, a instituição líder deve apresentar formulários de reporte para determinar a autorização de empréstimo pertinente e o valor de referência aplicável que reflitam a nova composição do grupo para ORPA direcionadas dentro dos prazos publicados no sítio web do BCE para o envio ao BCN competente dos formulários de reporte preenchidos.

▼M2

8.  A menos que tenha reembolsado todos os montantes em dívida relativos a ORPA direcionadas em conformidade com o disposto no artigo 6.o, n.o 2, todos os participantes numa ORPA direcionada terão de proceder a um exame anual ao rigor dos dados reportados de acordo com o disposto no n.o 1. Este exercício pode realizado por um auditor externo, eventualmente no âmbito do exame de contas anual. Em vez da contratação de um auditor externo, os participantes poderão utilizar mecanismos equivalentes aprovados pelo Eurosistema. O BCN do participante será informado dos resultados do referido exame. Se o participante fizer parte de um grupo para ORPA direcionadas, tais resultados também devem ser partilhados com BCN dos participantes desse grupo. A pedido do BCN do participante, os detalhes dos exames efetuados nos termos deste número devem ser colocados à sua disposição e, no caso de participação num grupo para ORPA direcionadas, posteriormente partilhados com os BCN dos participantes do grupo para ORPA direcionadas em causa.

▼B

9.  A informação sobre a composição dos grupos para ORPA direcionadas será armazenada no Registo da Base de Dados das Instituições e Filiais (RIAD), para ser partilhada em todo o Eurosistema.

Artigo 9.o

Inobservância dos requisitos de prestação de informação

1.  Se um participante não cumprir as obrigações de prestação de informação previstas no artigo 8.o:

a) 

Os limites de financiamento serão fixados em zero se o participante não reportar os dados relativos ao cálculo dos limites de financiamento da autorização de empréstimo inicial ou adicional no devido prazo; e

b) 

Se o participante não reportar os dados para efeitos de avaliação da aplicabilidade dos reembolsos antecipados obrigatórios e de cálculo dos reembolsos aplicáveis, conforme aplicável, o montante integral dos empréstimos respeitantes a todas as ORPA direcionadas tornar-se-á exigível.

Antes da aplicação de uma das medidas previstas neste número, será dada ao participante envolvido a possibilidade de fornecer explicações, se o mesmo considerar que o incumprimento se ficou a dever a circunstâncias fora do seu domínio.

2.  O disposto no n.o 1 não prejudica a aplicação de eventuais sanções ao abrigo da Decisão BCE/2010/10 ( 6 ) no que respeita às obrigações de prestação de informação previstas no Regulamento (CE) n.o 25/2009 (BCE/2008/32).

3.  Se um participante ou o BCN identificar e notificar erros nos dados apresentados nos formulários de reporte, o Eurosistema fará uma apreciação do impacto do erro em causa e tomará medidas adequadas, incluindo a possibilidade de exigir o reembolso antecipado obrigatório.

Artigo 10.o

Entrada em vigor

A presente decisão entra em vigor na data da sua publicação.




ANEXO I

REALIZAÇÃO DAS OPERAÇÕES DE REFINANCIAMENTO DE PRAZO ALARGADO DIRECIONADAS

1.    Cálculo dos limites de financiamento

Os participantes numa ORPA direcionada, quer agindo individualmente, quer enquanto instituição líder de um grupo para ORPA direcionadas, ficam sujeitos a limites de financiamento. Os limites de financiamento calculados serão arredondados por excesso para um valor múltiplo de 10 000 EUR.

Os limites de financiamento (e eventual reembolso antecipado obrigatório) aplicáveis a um participante individual nas ORPA direcionadas serão calculados com base nos saldos de empréstimos e no crédito líquido concedido pelo participante individual às sociedades não financeiras e a particulares da área do euro, excluindo os empréstimos à habitação. Os limites de financiamento (e eventual reembolso antecipado obrigatório) aplicáveis à instituição líder de um grupo para ORPA direcionadas serão calculados com base no conjunto dos saldos de empréstimos elegíveis e do crédito líquido elegível concedido por todos os membros do grupo para ORPA direcionadas.

Considere-se Ck ≥ 0 como sendo o empréstimo obtido por um participante ( 7 ) na ORPA direcionada k (em que k = 1,…,8). A autorização de empréstimo inicial deste participante (IA, initial allowance) é de:

image

Neste caso, OL é o montante em dívida, em 30 de abril de 2014, dos empréstimos elegíveis concedidos pelo participante, nas duas primeiras ORPA direcionadas deve ser respeitada a seguinte restrição:

C 1 + C 2IA

Isto significa que o total dos empréstimos nas primeiras duas ORPA direcionadas não pode exceder o montante da autorização inicial.

Considere-se NLm como sendo o crédito líquido elegível de um participante no mês civil m. Considere-se

image

o crédito líquido elegível médio deste participante no prazo compreendido entre maio de 2013 e abril de 2014.

Represente-se por BEk o valor de referência do participante em relação à ORPA direcionada k (em que, k = 3,…,8 ou seja, as ORPA direcionadas a realizar entre março de 2015 e junho de 2016).

Se
image (ou seja, se o participante tinha um crédito líquido elegível positivo ou nulo nos doze meses anteriores a 30 de abril de 2014), ou se o participante se constituiu apenas em data posterior a 1 de maio de 2013, então BEk = 0 em relação a todas as ORPA direcionadas k = 3,…,8.

Se

image

(ou seja, se o participante tinha crédito líquido elegível negativo nos doze meses anteriores a 30 de abril de 2014), então:

image

em que nk , é definido do seguinte modo:



(k)

3

4

5

6

7

8

Mês da realização da ORPA direcionada

Mar. 2015

Jun. 2015

Set. 2015

Dez. 2015

Mar. 2016

Jun. 2016

Mês de referência da colocação (1)

Jan. 2015

Abr. 2015

Jul. 2015

Out. 2015

Jan. 2016

Abr. 2016

nk

9

12

12

12

12

12

(1)   O mês de referência da colocação da ORPA direcionada k é o último mês em relação ao qual estejam disponíveis dados relativos ao crédito líquido para a ORPA direcionada k (para uma operação realizada no mês civil m, tratar-se-á dos dados relativos ao mês situado dois meses civis antes).

Isto significa que o valor de referência para cada mês de referência da colocação no âmbito das ORPA direcionadas corresponderá ao crédito líquido elegível mensal médio atingido nos doze meses anteriores a 30 de abril de 2014 (

image

), multiplicado pelo número de meses decorridos entre 30 de abril de 2014 e o final do mês de referência da colocação. Porém, tal aplicar-se-á apenas em relação aos meses de referência da colocação até abril de 2015, inclusive. Posteriormente, o valor de referência manter-se-á inalterado no valor atingido em abril de 2015.

A base para o cálculo da autorização de empréstimo adicional [AA, additional allowance] de um participante na ORPA direcionada k é:

AAk =3 × (CNLk BEk ),

em que CNLk (crédito líquido cumulativo/cumulative net lending) é definido do seguinte modo:

▼M1



(k)

Mês da realização da ORPA direcionada

Mês de referência da colocação

CNLk

3

Mar. 2015

Jan. 2015

NLMay 2014 + NLJune 2014 + … + NLJan 2015

4

Jun. de 2015

Abr. de 2015

NLMay 2014 + NLJune 2014 + … + NLApr 2015

5

Set. de 2015.

Jul. de 2015

NLMay 2014 + NLJune 2014 + … + NLJul 2015

6

Dez. de 2015

Out. de 2015

NLMay 2014 + NLJune 2014 + … + NLOct 2015

7

Mar. 2016

Jan. 2016

NLMay 2014 + NLJune 2014 + … + NLJan 2016

8

Jun. de 2016

Abr. de 2016

NLMay 2014 + NLJune 2014 + … + NLApr 2016

▼B

Em relação às últimas seis ORPA direcionadas k = 3,…,8 (ou seja, em relação a todas as ORPA direcionadas no âmbito das quais podem ser solicitadas autorizações adicionais), deve ser respeitada a seguinte restrição ( 8 ):

image

Isto significa que, em cada ORPA direcionada k, o participante não poderá obter empréstimos num montante superior a três vezes o montante pelo qual o seu crédito líquido elegível concedido entre 30 de abril de 2014 e o respetivo mês de referência da colocação (CNLk ) exceder o seu valor de referência nesse mês de referência da colocação (BEk ), menos o montante dos empréstimos previamente obtidos nas ORPA direcionadas que se realizarem no período posterior a março de 2015.

2.    Cálculo dos reembolsos antecipados obrigatórios

Os participantes que tenham obtido empréstimos nas ORPA direcionadas, mas cujo crédito líquido elegível, no período compreendido entre 1 de maio de 2014 e 30 de abril de 2016, seja inferior ao valor de referência, ficam obrigados a reembolsar os empréstimos em setembro de 2016.

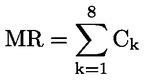
O reembolso antecipado obrigatório [MR, mandatory repayment] em setembro de 2016 de um participante é:

▼M1

image

, if

image

▼B

Isto significa que, se o crédito líquido elegível total concedido pelo participante no período compreendido entre 1 de maio de 2014 e 30 de abril de 2016 for inferior ao valor de referência relativo ao mês de referência da colocação de abril de 2016, o montante integral dos empréstimos respeitantes a todas as ORPA direcionadas deverá ser reembolsado em setembro de 2016.

Se BE 8CNL 8 mas
image , então em setembro de 2016 o participante deverá reembolsar
image das últimas seis ORPA direcionadas. Por outras palavras, se o total dos empréstimos contraídos por um participante nas ORPA direcionadas realizadas no período compreendido entre março de 2015 e junho de 2016
image exceder a base relativa ao cálculo da autorização de empréstimo adicional para o mês de referência da colocação de abril de 2016 (AA 8), o montante deste excesso deverá ser reembolsado em setembro de 2016.




ANEXO II

OPERAÇÕES DE REFINANCIAMENTO DE PRAZO ALARGADO DIRECIONADAS — ORIENTAÇÕES PARA O PREENCHIMENTO DO FORMULÁRIO DE REPORTE

1.    Introdução

Estas orientações fornecem instruções para o preenchimento do formulário de reporte a apresentar pelos participantes nas operações de refinanciamento de prazo alargado direcionadas («ORPA direcionadas») do BCE. Em especial, estas orientações também especificam os requisitos de prestação de informação das instituições líder de grupos para ORPA direcionadas que participam nas operações.

A próxima secção contém informações gerais relativas ao preenchimento e transmissão do formulário, e a seguinte analisa os indicadores que devem ser reportados.

2.    Informação geral

Os indicadores a utilizar no cálculo das autorizações de empréstimo (limites) e dos reembolsos antecipados obrigatórios incluem os empréstimos às sociedades não financeiras da área do euro e os empréstimos a particulares da área do euro  ( 9 ), excluindo empréstimos à habitação , em todas as moedas. Em relação a cada período de reporte especificado, deve ser comunicada informação sobre os saldos de empréstimos elegíveis no final do mês que precede o início do período e no final do período, e sobre o crédito líquido elegível durante o período (calculado como o crédito ilíquido concedido líquido de reembolsos de empréstimos) em separado em relação às sociedades não financeiras e a particulares. Estes indicadores são corrigidos do impacto da titularização tradicional e de outras cessões de empréstimos. Também têm de ser fornecidas informações sobre as subcomponentes pertinentes destas rubricas, assim como sobre os efeitos que produzem alterações nos saldos mas que não estão relacionados com operações (a seguir «ajustamentos aos saldos»).

No que diz respeito à utilização da informação recolhida, sublinha-se que os dados sobre saldos de empréstimos elegíveis a 30 de abril de 2014 serão utilizados para determinar a autorização de empréstimo inicial, enquanto os dados sobre crédito líquido elegível durante o período compreendido entre 1 de maio de 2013 e 30 de abril de 2014 serão utilizados para o cálculo do valor de referência. Os dados sobre saldos de empréstimos elegíveis e crédito líquido elegível respeitantes aos períodos de reporte anteriores a 30 de abril de 2016 serão utilizados para o cálculo de autorizações de empréstimo adicionais, para o cálculo dos reembolsos antecipados obrigatórios (em relação aos períodos de reporte compreendidos entre 1 de maio de 2014 e 30 de abril de 2016) e para fins de monitorização. Os dados reportados subsequentemente relativos aos períodos que precedem o vencimento das operações em setembro de 2018 serão utilizados apenas para fins de monitorização. Todos os outros indicadores incluídos no formulário são necessários para verificar a consistência interna da informação e a sua consistência com os dados estatísticos recolhidos dentro do Eurosistema, assim como para a monitorização estreita do impacto do programa das ORPA direcionadas.

O quadro geral subjacente ao preenchimento do formulário de reporte é fornecido pelos requisitos de prestação de informação das IFM da área do euro no contexto das estatísticas relativas ao balanço das IFM, conforme especificado no Regulamento do BCE relativo ao balanço das IFM. Estas orientações fazem referência aos requisitos do Regulamento (UE) n.o 1071/2013 do Banco Central Europeu relativo ao balanço das IFM reformulado (BCE/2013/33) ( 10 ), os primeiros requisitos de prestação de informação em relação aos quais se começa com dados a partir de dezembro de 2014 ( 11 ). No que diz respeito aos empréstimos, em particular, o artigo 8.o, n.o 2, do Regulamento (UE) n.o 1071/2013 (BCE/2013/33) exige que estes «devem ser reportad [o]s pelo valor do respetivo capital em dívida em fim de mês. Os créditos abatidos ao ativo (write-offs) e as depreciações de créditos (write-downs) calculados de acordo com as práticas contabilísticas aplicáveis devem ser excluídos desse montante. […] os empréstimos não podem ser reduzidos por compensação de outros ativos ou responsabilidades.» Porém, ao contrário das regras previstas no artigo 8.o, n.o 2, que também implicam que os empréstimos devam ser reportados pelos valores brutos, incluindo as provisões, o artigo 8.o, n.o 4, refere que «os BCN podem autorizar o reporte de empréstimos provisionados líquidos de provisões, assim como o reporte de empréstimos adquiridos ao preço acordado no momento da sua aquisição [ou seja, o valor da operação], desde que essas práticas de reporte sejam aplicadas por todos os inquiridos residentes». As implicações que este desvio da orientação geral relativa ao balanço tem para o preenchimento do formulário de reporte são analisadas de forma mais pormenorizada abaixo.

O Regulamento (UE) n.o 1071/2013 (BCE/2013/33) também deveria ser utilizado como documento de referência no que diz respeito às definições a aplicar no preenchimento do formulário. Ver, em especial, o artigo 1.o para as definições gerais, e as Partes 2 e 3 do Anexo II para a definição dos instrumentos a incluir nos «empréstimos», e dos setores de participantes, respetivamente ( 12 ). Note-se que, no quadro das rubricas do balanço, os juros corridos a receber relativos a empréstimos devem, por via de regra, ser contabilizados em rubricas patrimoniais à medida que forem acrescendo (isto é, de acordo com o princípio da especialização económica e não quando forem efetivamente recebidos), mas devem ser excluídos dos dados sobre saldos de empréstimos. No entanto, os juros capitalizados devem ser inscritos como parte dos saldos.

Embora uma grande parte dos dados a reportar no formulário já sejam compilados pelas IFM de acordo com os requisitos do Regulamento (UE) n.o 1071/2013 (BCE/2013/33), algumas informações adicionais devem ser compiladas junto dos participantes que licitam nas ORPA direcionadas. O quadro metodológico das estatísticas das rubricas do balanço, descrito no Manual sobre as estatísticas do balanço das IFM ( 13 ), fornece toda a informação de base necessária à compilação destes dados adicionais; outros pormenores são fornecidos mais abaixo, nas definições dos indicadores individuais.

3.    Instruções gerais de prestação de informação

a)   Estrutura do formulário

O formulário inclui a indicação do período a que se referem os dados e agrupa os indicadores em dois blocos: empréstimos às sociedades não financeiras da área do euro e empréstimos a particulares da área do euro, excluindo empréstimos à habitação. Os dados contidos em todas as células destacadas em amarelo são calculados automaticamente a partir dos dados introduzidos nas outras células, com base nas fórmulas fornecidas. A validação dos dados também é executada no formulário, mediante a verificação da coerência entre os saldos e as transações. Os dados devem ser reportados em milhares de euros.

b)   Definição do «período de reporte»

O período de reporte indica o intervalo de datas a que se referem os dados. Os indicadores respeitantes aos saldos devem ser reportados no final do mês que precede o início do período de reporte e no final desse período; ou seja, em relação ao período de reporte de 1 de maio de 2013 a 30 de abril de 2014, os saldos devem ser reportados com datas de 30 de abril de 2013 e de 30 de abril de 2014. Por sua vez, os dados sobre operações e ajustamentos devem abranger todos os efeitos pertinentes que tenham lugar durante o período de reporte.

c)   Prestação de informação respeitante aos grupos para ORPA direcionadas

Em relação à participação em grupo nas ORPA direcionadas, os dados devem ser reportados, por via de regra, em termos agregados. Contudo, os bancos centrais nacionais (BCN) poderão recolher a informação individualmente, por instituição, se o considerarem adequado.

d)   Transmissão do formulário

O formulário de reporte preenchido deverá ser transmitido ao BCN competente conforme especificado nas regras gerais e de acordo com o calendário oficial, que também estipula os períodos de referência a abranger em cada transmissão e as datas dos dados que devem ser utilizadas para o preenchimento do formulário.

4.    Definições

Esta secção contém definições detalhadas das diferentes rubricas a comunicar no formulário, sendo a numeração utilizada no formulário indicada entre parêntesis.

a)   Saldos de empréstimos elegíveis (1 e 4)

Os dados destas células são automaticamente calculados com base nos valores reportados em relação às rubricas subsequentes, a saber «Saldos no balanço» (1.1 e 4.1), menos «Saldos de empréstimos titularizados ou cedidos por qualquer outra forma mas não desreconhecidos do balanço» (1.2 e 4.2), mais «Saldos de provisões para empréstimos elegíveis» (1.3 e 4.3). Esta última subrubrica é apenas relevante nos casos em que, ao contrário da prática geral no quadro das rubricas de balanço, os empréstimos sejam reportados líquidos de provisões.

i)   Saldos no balanço (1.1 e 4.1)

Esta rubrica inclui os saldos de empréstimos concedidos às sociedades não financeiras da área do euro e a particulares, excluindo os empréstimos à habitação. Os juros corridos, por oposição aos juros capitalizados, são excluídos dos indicadores.

Estas células do formulário podem ser preenchidas com os dados compilados para satisfazer os requisitos da parte 2 do anexo I do Regulamento (UE) n.o 1071/2013 (BCE/2013/33) (bloco 2 do quadro 1 «Stocks mensais»).

Para uma definição mais detalhada das rubricas a incluir no formulário, ver parte 2 do anexo II do Regulamento (UE) n.o 1071/2013 (BCE/2013/33) e secção 2.1.4 do Manual sobre as estatísticas do balanço das IFM.

ii)   Saldos de empréstimos titularizados ou cedidos por qualquer outra forma mas não desreconhecidos do balanço (1.2 e 4.2)

Esta rubrica inclui os saldos de empréstimos que são titularizados ou de outro modo cedidos mas que não foram desreconhecidos do balanço. Todas as atividades de titularização devem ser comunicadas, independentemente do local onde as sociedades de titularização envolvidas sejam residentes. Os empréstimos dados em garantia ao Eurosistema como colateral para operações de política monetária sob a forma de direitos de crédito, que resultem numa transmissão sem desreconhecimento do balanço ficam excluídos desta rubrica.

A parte 5 do anexo I do Regulamento (UE) n.o 1071/2013 (BCE/2013/33) (bloco 5.1 do quadro 5-A sobre dados mensais) abrange a necessária informação sobre empréstimos titularizados a sociedades não financeiras e a família que não foram desreconhecidos, mas não exige que esta última seja desagregada por finalidade. Além disso, os saldos de empréstimos que foram cedidos por qualquer outra forma (que não uma titularização) que não foram desreconhecidos não estão abrangidos pelo Regulamento (UE) n.o 1071/2013 (BCE/2013/33). Portanto, para efeitos do preenchimento do formulário de reporte, são necessárias extrações de dadosseparadas das bases de dados internas das IFM.

Para uma definição mais detalhada das rubricas a incluir no formulário, ver parte 5 do anexo I do Regulamento (UE) n.o 1071/2013 (BCE/2013/33) e secção 2.3 do Manual sobre as estatísticas do balanço das IFM.

iii)   saldos de provisões para empréstimos elegíveis (1.3 e 4.3)

Estes dados só são relevantes para as instituições que, ao contrário da prática geral no âmbito das rubricas do balanço, comuniquem empréstimos líquidos de provisões. No caso das instituições que licitam em grupo para ORPA direcionadas, este requisito só se aplica às instituições do grupo que contabilizem os empréstimos líquidos de provisões.

Esta rubrica inclui deduções individuais e coletivas por imparidades e perdas resultantes de empréstimos (antes dos créditos abatidos ao ativo e das depreciações de créditos). Os dados devem referir-se a empréstimos elegíveis em dívida inscritos no balanço, ou seja, excluindo os empréstimos que são titularizados ou cedidos por qualquer outra forma mas não desreconhecidos do balanço.

Conforme acima referido, nas estatísticas das rubricas do balanço os empréstimos devem ser reportados, por via de regra, pelo valor do capital em dívida, sendo as respetivas provisões afetadas a «Capital e reservas». Nesses casos, não deve ser comunicada informação separada sobre as provisões. Paralelamente, quando os empréstimos são reportados líquidos de provisões, esta informação adicional deve ser comunicada para se obterem dados totalmente comparáveis entre todas as IFM.

Quando seja prática comum comunicar os saldos de empréstimos líquidos de provisões, os BCN poderão optar por dispensar a obrigatoriedade da prestação desta informação. Porém, nesses casos, os cálculos no quadro das ORPA direcionadas basear-se-ão em saldos de empréstimos inscritos no balanço líquidos de provisões ( 14 ).

Para algumas informações adicionais, ver a referência a provisões na definição de «Capital e reservas» fornecida na parte 2 do anexo II do Regulamento (UE) n.o 1071/2013 (BCE/2013/33).

b)   Crédito líquido elegível (2)

Estas células do formulário registam o crédito líquido (ou as operações do crédito líquido) concedido durante o período de reporte. Os dados são automaticamente calculados com base nos valores reportados para as subrubricas, a saber «Empréstimos brutos» (2.1) menos «Reembolsos» (2.2).

Os empréstimos renegociados durante o período de reporte devem ser reportados como «Reembolsos» e como «Empréstimos brutos» na data da renegociação. Os dados sobre ajustamentos devem incluir os efeitos da renegociação dos empréstimos.

As operações revertidas durante o período de reporte (ou seja, empréstimos concedidos e reembolsados durante esse período) devem, em princípio, ser comunicadas como «Empréstimos brutos» e como «Reembolsos». No entanto, também é permitido às IFM licitantes excluir estas operações do preenchimento do formulário se isso aliviar o respetivo esforço de prestação de informação. Neste caso, devem prestar informação no campo «Observações» do formulário e os dados sobre ajustamentos aos saldos também devem excluir os efeitos relativos a estas operações revertidas. Esta exceção não se aplica aos empréstimos concedidos durante o período que são titularizados ou cedidos por qualquer outra forma.

Também devem ser considerados a dívida de cartão de crédito, os empréstimos renováveis e os descobertos. Em relação a estes instrumentos, as alterações nos saldos devido à utilização ou levantamento de montantes durante os períodos de reporte devem ser utilizadas como indicadores aproximados (proxies) do crédito líquido. Os valores positivos devem ser reportados como «Empréstimos brutos» (2.1), e os valores negativos (com o sinal positivo) como «Reembolsos» (2.2).

i)   Empréstimos brutos (2.1)

Esta rubrica inclui o fluxo de novos empréstimos brutos no período de reporte, excluindo quaisquer aquisições de empréstimos. Também deverá ser comunicado o crédito concedido relativo a dívida de cartão de crédito, empréstimos renováveis e descobertos, conforme explicado acima.

Deverão igualmente incluir-se os montantes adicionados aos saldos dos clientes durante o período resultantes, por exemplo, da capitalização dos juros (por oposição aos juros corridos) e de comissões.

ii)   Reembolsos (2.2)

Esta rubrica inclui o fluxo de reembolsos de capital durante o período de reporte, excluindo os relativos a empréstimos titularizados ou cedidos por qualquer outra forma mas não desreconhecidos do balanço. Também deverão ser reportados os reembolsos relativos a dívida de cartão de crédito, empréstimos renováveis e descobertos, conforme explicado acima.

Não devem ser reportados os pagamentos de juros corridos ainda não capitalizados, cessões de empréstimos e outros ajustamentos aos saldos (incluindo os créditos abatidos ao ativo e as depreciações de créditos).

c)   Ajustamentos aos saldos

Estas células do formulário destinam-se à comunicação de alterações nos saldos (reduções (–) e aumentos (+)) ocorridas durante o período de reporte que não estejam relacionadas com o crédito líquido. Tais alterações resultam de operações como a titularização e outras cessões de empréstimos durante o período de reporte, assim como de outros ajustamentos relativos a reavaliações devido a alterações nas taxas de câmbio, créditos abatidos ao ativo e depreciações de créditos e reclassificações. Os dados destas células são automaticamente calculados com base nos valores reportados nas subrubricas, a saber «Vendas e aquisições de empréstimos e outras cedências de empréstimos durante o período de reporte» (3.1) mais «Outros ajustamentos» (3.2).

i)   Vendas e aquisições de empréstimos e outras cedências de empréstimos durante o período de reporte (3.1)

—   Fluxos líquidos de empréstimos titularizados que afetam os stocks de empréstimos (3.1A)

Esta rubrica inclui o montante líquido de empréstimos que são titularizados durante o período de reporte com impacto nos stocks de empréstimos reportados, calculados como aquisições menos cessões ( 15 ). Todas as atividades de titularização devem ser reportadas, independentemente de onde as sociedades de titularização envolvidas sejam residentes. As cessões de empréstimos deverão ser registadas pelo valor nominal líquido dos créditos abatidos ao ativo e das depreciações de créditos na data da venda. Estes créditos abatidos ao ativo e estas depreciações de créditos devem ser reportados, se forem identificáveis, na rubrica 3.2B do formulário (ver abaixo). No caso das IFM que reportam empréstimos líquidos de provisões, as cessões deverão ser registadas pelo valor do balanço (ou seja, pelo valor nominal líquido das provisões pendentes) ( 16 ).

Os requisitos da parte 5 do anexo I do Regulamento (UE) n.o 1071/2013 (BCE/2013/33) (bloco 1.1 do quadro 5-A sobre dados mensais e do quadro 5-B sobre dados trimestrais) cobrem estes elementos.

Para uma definição mais detalhada das rubricas a comunicar, ver parte 5 do anexo I do Regulamento (UE) n.o 1071/2013 (BCE/2013/33) e secção 2.3 do Manual sobre as estatísticas do balanço das IFM.

—   Fluxos líquidos de empréstimos cedidos por qualquer outra forma que afetam os stocks de empréstimos (3.1B)

Esta rubrica inclui o montante líquido de empréstimos cedidos ou adquiridos durante o período de reporte com impacto nos stocks de empréstimos reportados em operações não relacionadas com atividades de titularização, e é calculado como aquisições menos cessões. As cessões devem ser registadas pelo valor nominal líquido dos créditos abatidos ao ativo e das depreciações de créditos na data da venda. Estes créditos abatidos ao ativo e estas depreciações de créditos devem ser reportados, sempre que identificáveis, na rubrica 3.2B no formulário (ver abaixo). No caso das IFM que reportem empréstimos líquidos de provisões, as cessões devem ser registadas pelo valor do balanço (ou seja, o valor nominal líquido das provisões pendentes).

Os requisitos da parte 5 do anexo I do Regulamento (UE) n.o 1071/2013 (BCE/2013/33) cobrem parcialmente estes elementos. Os blocos 1.2 do Quadro 5-A sobre dados mensais e do quadro 5-B sobre dados trimestrais abrangem os dados sobre fluxos líquidos de empréstimos cedidos por qualquer outra forma que afetam os stocks de empréstimos, mas excluem:

1) 

empréstimos cedidos ou adquiridos a outras IFM nacionais, incluindo as cessões intragrupo devido a uma reestruturação do negócio (por exemplo, a cessão de um conjunto de empréstimos por uma IFM nacional filial à IFM sociedade-mãe) ( 17 );

2) 

cessões de empréstimos no contexto de reorganizações intragrupo devido a fusões, aquisições e cisões.

Todos estes efeitos devem ser reportados para os fins do preenchimento do formulário de reporte no âmbito das ORPA direcionadas. Para uma definição mais detalhada das rubricas a comunicar, ver parte 5 do anexo I do Regulamento (UE) n.o 1071/2013 (BCE/2013/33) e secção 2.3 do Manual sobre as estatísticas do balanço das IFM. No que diz respeito às «Alterações na estrutura do setor das IFM», a secção 1.6.3.4 do Manual sobre as estatísticas do balanço das IFM (e a secção 5.2 do anexo 1.1 com ela relacionada) apresentam uma descrição detalhada das cessões intragrupo, distinguindo os casos em que as cessões se realizam entre unidades institucionais separadas (por exemplo, antes de uma ou mais unidades deixarem de existir no contexto de uma fusão ou aquisição) e as que se realizam no momento em que algumas unidades deixam de existir, em cujo caso se deveria efetuar uma reclassificação estatística. Para efeitos do preenchimento do formulário de reporte no âmbito das ORPA direcionadas, as implicações são as mesmas em ambos os casos, devendo os dados ser reportados na rubrica 3.1C (e não na rubrica 3.2C).

—   Fluxos líquidos de empréstimos que são titularizados ou cedidos por qualquer outra forma que não afetam os stocks de empréstimos (3.1C)

Esta rubrica inclui o montante líquido dos empréstimos que são titularizados ou cedidos por qualquer outra forma durante o período de reporte sem impacto nos stocks de empréstimo reportados, e é calculado como aquisições menos cessões. As cessões devem ser registadas pelo valor nominal líquido dos créditos abatidos ao ativo e das depreciações de crédito na data da venda. Estes créditos abatidos ao ativo e estas depreciações de crédito devem ser reportados, sempre que identificáveis, na rubrica 3.2B no formulário de reporte (ver infra). No caso das IFM que reportam empréstimos líquidos de provisões, as cessões devem ser registadas pelo valor do balanço (ou seja, o valor nominal líquido das provisões pendentes). Os fluxos líquidos relativos aos empréstimos dados em garantia ao Eurosistema como colateral para operações de política monetária sob a forma de direitos de crédito, que resultem numa transmissão sem desreconhecimento do balanço ficam excluídos desta rubrica.

Os requisitos da parte 5 do anexo I do Regulamento (UE) n.o 1071/2013 (BCE/2013/33) cobrem parcialmente estes elementos. Os blocos 2.1 do quadro 5-A sobre dados mensais e do quadro 5-B sobre dados trimestrais abrangem os dados sobre fluxos líquidos de empréstimos titularizados ou cedidos por qualquer outra forma que não afetam os stocks de empréstimos, mas os empréstimos a particulares para aquisição de habitação não são identificados separadamente, pelo que os mesmos devem ser extraídos em separado das bases de dados internas das IFM. Além disso, conforme acima especificado, os requisitos excluem:

1) 

Empréstimos cedidos ou adquiridos a outras IFM nacionais, incluindo as cessões intragrupo devido a uma reestruturação do negócio (por exemplo, a cessão de um conjunto de empréstimos por uma IFM nacional filial â IFM sociedade-mãe);

2) 

Cessões de empréstimos no contexto de reorganizações intragrupo devido a fusões, aquisições e cisões.

Todos estes efeitos devem ser reportados para efeitos os fins do preenchimento do formulário de reporte no âmbito das ORPA direcionadas.

Para uma definição mais detalhada das rubricas a incluir, ver parte 5 do anexo I do Regulamento (UE) n.o 1071/2013 (BCE/2013/33) e secção 2.3 do Manual sobre as estatísticas do balanço das IFM.

ii)   Outros ajustamentos (3.2)

Os dados sobre outros ajustamentos devem ser reportados em relação aos empréstimos elegíveis em dívida inscritos no balanço, excluindo empréstimos titularizados ou cedidos por qualquer outra forma mas não desreconhecidos do balanço.

—   Reavaliações devido a variações cambiais (3.2A)

As alterações na taxa de câmbio em relação ao euro modificam o valor dos empréstimos denominados em moeda estrangeira quando expressos em euros. Os dados sobre estes efeitos devem ser reportados com um sinal negativo (ou positivo) quando, em termos líquidos, produzirem uma redução (aumento) nos saldos, e forem necessários para permitir a conciliação total entre o crédito líquido e as alterações dos saldos.

Estes ajustamentos não estão abrangidos pelos requisitos previstos no Regulamento (UE) n.o 1071/2013 (BCE/2013/33). Para efeitos do formulário de reporte no âmbito das ORPA direcionadas, se os dados (ou mesmo uma aproximação) não estiverem imediatamente à disposição das IFM, poderão ser calculados de acordo com a orientação fornecida na secção 4.2.2 do Manual sobre as estatísticas do balanço das IFM. O procedimento de estimativa sugerido limita o âmbito dos cálculos às principais moedas, e baseia-se nos seguintes passos:

1) 

os saldos de empréstimos elegíveis no final do mês que precede o início do período e no final do período (rubricas 1 e 4) são desagregados por moeda de denominação, incidindo-se sobre os empréstimos denominados em GBP, USD, CHF e JPY (se estes dados não estiverem imediatamente disponíveis, podem ser utilizados os dados sobre os saldos totais do balanço, incluindo os empréstimos titularizados ou cedidos por qualquer outra forma mas não desreconhecidos do balanço — rubricas 1.1 e 4.1);

2) 

cada conjunto de empréstimos agregados é tratado do seguinte modo (os números das equações pertinentes do Manual sobre as estatísticas do balanço das IFM são fornecidos entre parêntesis):

— 
os saldos no final do mês que precede o início do período de reporte e no final do período são convertidos para a moeda original de denominação, utilizando as correspondentes taxas de câmbio nominais ( 18 ) (equações [4.2.2] e [4.2.3]);
— 
a alteração dos saldos durante o período de referência denominados em moeda estrangeira é calculada e convertida de novo em euros utilizando o valor médio das taxas de câmbio diárias durante o período de reporte (equação [4.2.4]);
— 
é calculada a diferença entre a alteração nos saldos convertidos em euros, obtida no passo anterior, e a alteração nos saldos expressa em euros (equação [4.2.5], com o sinal contrário);
3) 

o ajustamento final da taxa de câmbio é calculado como a soma dos ajustamentos de cada moeda.

Para mais informações, ver as secções 1.6.3.5 e 4.2.2 do Manual sobre as estatísticas do balanço das IFM.

—   Créditos abatidos ao ativo/depreciações de créditos (3.2B)

De acordo com o Regulamento (UE) n.o 1071/2013 (BCE/2013/33), entende-se por «depreciação de créditos» (write-down), a redução direta do valor a transportar de um empréstimo no balanço (estatístico) devido à sua imparidade. De igual modo, entende-se por «créditos abatidos ao ativo» (write-off), a amortização total do valor contabilístico de um empréstimo conducente à remoção desse ativo do balanço. Os efeitos dos créditos abatidos ao ativo e das depreciações de créditos devem ser reportados com um sinal negativo (positivo) quando, em termos líquidos, produzirem uma redução (aumento) nos saldos. Estes dados são necessários para permitir a conciliação total entre o crédito líquido e as alterações dos saldos.

No que diz respeito aos créditos abatidos ao ativo e às depreciações de créditos referentes a empréstimos em dívida no balanço, podem ser utilizados os dados compilados com observância dos requisitos mínimos da parte 4 do anexo I do Regulamento (UE) n.o 1071/2013 (BCE/2013/33) (bloco 2 do quadro 1-A sobre ajustamentos de reavaliação). Contudo, a identificação do impacto dos créditos abatidos ao ativo e das depreciações de créditos nos empréstimos titularizados ou cedidos por qualquer outra forma mas não desreconhecidos do balanço exige uma extração de dados separada das bases de dados internas das IFM.

Os dados sobre saldos de empréstimos elegíveis (rubricas 1 e 4) são, em princípio, corrigidos dos saldos de provisões nos casos em que os empréstimos sejam registados líquidos de provisões no balanço estatístico.

Nos casos em que os participantes comunicam as rubricas 1.3 e 4.3, os dados sobre créditos abatidos ao ativo e sobre depreciações de créditos devem englobar o cancelamento das anteriores provisões de empréstimos que se tornaram (total ou parcialmente) irrecuperáveis e, além disso, devem também incluir as eventuais perdas que ultrapassem as provisões, se for o caso. De igual modo, quando um empréstimo aprovisionado for titularizado ou cedido por qualquer outra forma, será necessário registar um crédito abatido ao ativo ou uma depreciação do crédito equivalente às provisões pendentes, com o sinal contrário, para fazer corresponder a alteração de valor no balanço, corrigido dos montantes das provisões ao valor do fluxo líquido. As provisões podem variar ao longo do tempo em consequência de novas deduções por imparidades e perdas resultantes de empréstimos (líquidas de eventuais reversões, incluindo as que se verifiquem quando um empréstimo é reembolsado pelo mutuário). Tais alterações não deverão ser registadas no formulário de reporte no âmbito das ORPA direcionadas como parte dos créditos abatidos ao ativo e das depreciações de créditos (visto que o formulário reconstrói valores brutos de provisões) ( 19 ).

A identificação do impacto dos créditos abatidos ao ativo e das depreciações de créditos nos empréstimos titularizados ou cedidos por qualquer outra forma mas não desreconhecidos do balanço pode ser omitida se não se puderem extrair em separado dados sobre as provisões das bases de dados internas das IFM.

Quando for prática corrente comunicar os saldos de empréstimos líquidos de provisões, mas as rubricas pertinentes (1.3 e 4.3) relativas a provisões não forem comunicadas (ver acima), os créditos abatidos ao ativo e as depreciações de créditos devem incluir novas deduções por imparidades e perdas resultantes de empréstimos na carteira de empréstimos (líquidas de eventuais reversões, incluindo as que se verifiquem quando um empréstimo é reembolsado pelo mutuário) ( 20 ).

Não é necessário isolar o impacto dos créditos abatidos ao ativo e das depreciações de créditos nos empréstimos titularizados ou cedidos por qualquer outra forma, mas não desreconhecidos do balanço, se não se puderem extraídos em separado dados sobre as provisões das bases de dados internas das IFM.

Em princípio, estas rubricas também abrangem as reavaliações que se verificam quando os empréstimos são titularizados ou cedidos por qualquer outra forma e o valor de operação difere do valor nominal em dívida à data da cessão. Estas reavaliações devem ser comunicadas, sempre que identificáveis, devendo ser calculadas como a diferença entre o valor de operação e o valor nominal em dívida na data da venda.

Para mais informações, ver parte 4 do anexo I do Regulamento BCE/2013/33 e a secção 1.6.3.3 do Manual sobre as estatísticas do balanço das IFM.

—   Reclassificações (3.2C)

As reclassificações refletem todos os outros efeitos que não estão relacionados com o crédito líquido, conforme acima definido, mas produzem alterações nos saldos de empréstimos no balanço, excluindo empréstimos titularizados ou cedidos por qualquer outra forma mas não desreconhecidos do balanço.

Estes efeitos não estão abrangidos pelos requisitos previstos no Regulamento (UE) n.o 1071/2013 (BCE/2013/33), e o seu impacto é normalmente apreciado em termos agregados na compilação de estatísticas macroeconómicas. No entanto, são importantes ao nível das instituições individuais (ou dos grupos para ORPA direcionadas) para conciliar o crédito líquido com as alterações nos saldos.

Os seguintes efeitos devem ser reportados, em relação aos saldos de empréstimos no balanço, excluindo os empréstimos titularizados ou cedidos por qualquer outra forma mas não desreconhecidos do balanço, aplicando-se a convenção habitual de registo dos efeitos que conduzem a reduções (ou aumentos) nos saldos com um sinal negativo (ou positivo).

1) 

Alterações na classificação sectorial ou área de residência de mutuários que resultam em alterações nas posições pendentes comunicadas que não são devidas a crédito líquido e, portanto, necessitam de ser registadas ( 21 ).

2) 

Alterações na classificação dos instrumentos. Estas alterações também podem afetar os indicadores se os saldos de empréstimos aumentarem (ou diminuírem) devido, por exemplo, à reclassificação de um título de dívida como um empréstimo, ou vice-versa.

3) 

Ajustamentos que resultam da correção de erros ao nível da informação prestada.

Os efeitos relativos a cessões de empréstimos resultantes da reestruturação das sociedades e de reorganizações intragrupo devido a fusões, aquisições e cisões devem ser reportados na rubrica 3.1.B. Não são necessárias reclassificações na sequência das alterações na composição de grupos para ORPA direcionadas, porque nesses casos terão de ser enviados novos formulários de reporte com a nova composição do grupo para ORPA direcionadas.

Para mais informações, ver secção 1.6.3.4 do Manual sobre as estatísticas do balanço das IFM; no entanto, devem ser tidas em conta as diferenças conceptuais acima destacadas para efeitos de obtenção de dados de reclassificação ao nível das instituições individuais.

image



( 1 ) Regulamento (CE) n.o 2533/98 do Conselho, de 23 de novembro de 1998, relativo à compilação de informação estatística pelo Banco Central Europeu (JO L 318 de 27.11.1998, p. 8).

( 2 ) Regulamento (CE) n.o 25/2009 do Banco Central Europeu, de 19 de dezembro de 2008, relativo ao balanço do setor das instituições financeiras monetárias (BCE/2008/32) (JO L 15 de 20.1.2009, p. 14), que será substituído a partir de 1 de janeiro de 2015 pelo Regulamento (UE) n.o 1071/2013 do Banco Central Europeu, de 24 de setembro de 2013, relativo ao balanço do setor das instituições financeiras monetárias (BCE/2013/33) (JO L 297 de 7.11.2013, p. 1).

( 3 ) Regulamento (CE) n.o 1745/2003 do Banco Central Europeu, de 12 de setembro de 2003, relativo à aplicação do regime de reservas mínimas (BCE/2003/9) (JO L 250 de 2.10.2003, p. 10).

( 4 ) Decisão (UE) 2016/810 do Banco Central Europeu, de 28 de abril de 2016, relativa a uma segunda série de operações de refinanciamento de prazo alargado direcionadas (BCE/2016/10) (JO L 132 de 21.5.2016, p. 107).

( 5 ) Orientação (UE) 2015/510 do Banco Central Europeu, de 19 de dezembro de 2014, relativa ao enquadramento para a implementação da política monetária do Eurosistema (BCE/2014/60) (JO L 91 de 2.4.2015, p. 3).

( 6 ) Decisão BCE/2010/10, de 19 de agosto de 2010, relativa ao não cumprimento das obrigações de prestação de informação estatística (JO L 226 de 28.8.2010, p. 48).

( 7 ) As referências a «participante» devem entender-se como aplicáveis a participantes individuais ou a grupos de ORPAs direcionadas.

( 8 ►M1  Em relação à ORPA direcionada a realizar em março de 2015 (k = 3), a restrição é C 3max{0, AA 3}. ◄

( 9 ) Para efeitos do formulário de reporte de informações, o termo «particulares» inclui as «instituições sem fins lucrativos ao serviço das famílias».

( 10 ) Regulamento (UE) n.o 1071/2013 do Banco Central Europeu, de 24 de setembro de 2013, relativo ao balanço consolidado do setor das instituições financeiras monetárias (BCE/2013/33) (JO L 297 de 7.11.2013, p. 1).

( 11 ) O reporte pelas IFM nos termos do Regulamento (UE) n.o 1071/2013 (BCE/2013/33) começará a partir do mês de referência de dezembro de 2014. O ato jurídico anterior que constituía a base para a comunicação de estatísticas do balanço é o Regulamento (CE) n.o 25/2009 (BCE/2008/32). Portanto, este regulamento aplica-se às comunicações de dados respeitantes às ORPAs direcionadas relativamente a períodos de referência anteriores a dezembro de 2014. Contudo, as diferenças entre os dois regulamentos não são significativas em termos do respetivo impacto no programa das ORPAs direcionadas, com exceção da definição de «sociedades não financeiras» (ver nota abaixo).

( 12 ►M1  A classificação sectorial das sociedades gestoras de participações sociais (holdings) de sociedades não financeiras no Regulamento (CE) n.o 25/2009 (BCE/2008/32) foi alterada no Regulamento (UE) n.o 1071/2013 (BCE/2013/33) para refletir as alterações introduzidas nas normas estatísticas internacionais. O Regulamento (UE) n.o 1071/2013 (BCE/2013/33) reclassifica como sociedades financeiras as sociedades gestoras de participações sociais de sociedades não financeiras. A prestação de informações no âmbito das ORPA direcionadas deve, em princípio, estar de acordo com o quadro das rubricas do balanço: a partir de dezembro de 2014, os dados não devem abranger as sociedades gestoras de participações sociais, devendo ser reportados os correspondentes ajustamentos. ◄

( 13 ) Ver o «Manual on MFI balance sheet statistics» [Manual sobre as estatísticas do balanço das IFM], BCE, abril de 2012, disponível [N.T.: apenas em língua inglesa] em http://www.ecb.europa.eu. A secção 2.1.4, p. 76, em especial, trata da informação estatística relativa aos empréstimos.

( 14 ) Esta exceção também tem implicações para a comunicação de dados sobre créditos abatidos ao ativo/depreciações de créditos, como abaixo se esclarece.

( 15 ) Esta convenção do sinal [contrária à dos requisitos do Regulamento (UE) n.o 1071/2013 (BCE/2013/33)] é compatível com o requisito geral referente aos dados de ajustamento, conforme acima especificado — de que os efeitos que conduzem a aumentos (diminuições) nos saldos devem ser reportados com um sinal positivo (negativo).

( 16 ) Como já foi referido, o Regulamento (CE) n.o 25/2008 (BCE/2013/33) permite às IFM reportar os empréstimos adquiridos pelo valor da operação (desde que esta seja uma prática nacional aplicada por todas as IFM residentes no país). Nesses casos, os eventuais elementos de reavaliação devem ser reportados na rubrica 3.2B do formulário.

( 17 ) De acordo com os requisitos do Regulamento (CE) n.o 25/2008 (BCE/2008/32), que devem ser aplicados pelas IFM no reporte das estatísticas de rubricas do balanço até ao mês de referência de novembro de 2014, todas as cessões entre IFM da área do euro, e não apenas as cessões entre IFM nacionais, ficam excluídas dos fluxos líquidos.

( 18 ) Devem utilizar-se as taxas de câmbio de referência do BCE. Ver o comunicado de imprensa de 8 de julho de 1998 sobre a criação de normas do mercado comum disponível [N. T.: apenas em língua inglesa] no sítio web do BCE (http://www.ecb.europa.eu).

( 19 ) Importa observar que este requisito diverge dos requisitos de prestação de informação por força do Regulamento (UE) n.o 1071/2013 (BCE/2013/33).

( 20 ) Este requisito coincide com a informação a comunicar nos termos do Regulamento (UE) n.o 1071/2013 (BCE/2013/33) pelas IFM que registem empréstimos líquidos de provisões.

( 21 ►M1  Os efeitos da reclassificação como sociedades financeiras das sociedades gestoras de participações sociais de sociedades não financeiras, que se produziram em dezembro de 2014, devem ser inscritos na rubrica 3.2C. ◄