02016R2286 — PL — 13.03.2019 — 001.001


Dokument ten służy wyłącznie do celów informacyjnych i nie ma mocy prawnej. Unijne instytucje nie ponoszą żadnej odpowiedzialności za jego treść. Autentyczne wersje odpowiednich aktów prawnych, włącznie z ich preambułami, zostały opublikowane w Dzienniku Urzędowym Unii Europejskiej i są dostępne na stronie EUR-Lex. Bezpośredni dostęp do tekstów urzędowych można uzyskać za pośrednictwem linków zawartych w dokumencie

►B

ROZPORZĄDZENIE WYKONAWCZE KOMISJI (UE) 2016/2286

z dnia 15 grudnia 2016 r.

ustanawiające szczegółowe przepisy dotyczące stosowania polityki uczciwego korzystania i metod oceny zrównoważonego charakteru zniesienia dodatkowych opłat z tytułu detalicznych usług roamingu oraz dotyczące wniosku, jaki ma obowiązek złożyć dostawca usług roamingu na potrzeby tej oceny

(Tekst mający znaczenie dla EOG)

(Dz.U. L 344 z 17.12.2016, s. 46)

zmienione przez:

 

 

Dziennik Urzędowy

  nr

strona

data

 M1

ROZPORZĄDZENIE WYKONAWCZE KOMISJI (UE) 2019/296 z dnia 20 lutego 2019 r.

  L 50

4

21.2.2019




▼B

ROZPORZĄDZENIE WYKONAWCZE KOMISJI (UE) 2016/2286

z dnia 15 grudnia 2016 r.

ustanawiające szczegółowe przepisy dotyczące stosowania polityki uczciwego korzystania i metod oceny zrównoważonego charakteru zniesienia dodatkowych opłat z tytułu detalicznych usług roamingu oraz dotyczące wniosku, jaki ma obowiązek złożyć dostawca usług roamingu na potrzeby tej oceny

(Tekst mający znaczenie dla EOG)



SEKCJA I

POSTANOWIENIA OGÓLNE

Artykuł 1

Przedmiot i zakres stosowania

1.  Niniejsze rozporządzenie ustanawia szczegółowe zasady w celu zapewnienia spójnego wdrożenia polityki uczciwego korzystania, którą dostawcy usług roamingu mogą zastosować w odniesieniu do korzystania z detalicznych usług roamingu regulowanego świadczonych po mającej zastosowanie krajowej cenie detalicznej, zgodnie z art. 6b rozporządzenia (UE) nr 531/2012.

2.  Niniejsze rozporządzenie ustanawia również szczegółowe zasady dotyczące:

a) wniosków składanych przez dostawców usług roamingu o zezwolenie na stosowanie dodatkowych opłat w roamingu zgodnie z art. 6c ust. 2 rozporządzenia (UE) nr 531/2012 w celu zapewnienia zrównoważonego charakteru modelu opłat krajowych;

b) metody, która ma być stosowana przez krajowe organy regulacyjne przy ocenie, czy dostawca usług roamingu udowodnił, że nie jest w stanie odzyskać wartości kosztów świadczenia usług roamingu regulowanego, skutkiem czego zrównoważony charakter modelu jego opłat krajowych jest zagrożony.

Artykuł 2

Definicje

1.  Do celów niniejszego rozporządzenia stosuje się definicje zawarte w rozporządzeniu (UE) nr 531/2012.

2.  Stosuje się również następujące definicje:

a) „stałe powiązania” z danym państwem członkowskim oznaczają obecność na jego terytorium wynikającą z trwałego stosunku pracy w pełnym wymiarze godzin, włączając pracę pracowników przygranicznych, trwałych stosunków umownych wiążących się z podobnym stopniem fizycznej obecności osoby prowadzącej własną działalność, uczestnictwa w zajęciach w instytucjach szkolnictwa wyższego w pełnym wymiarze godzin lub z innych sytuacji, np. sytuacji pracowników delegowanych lub emerytów, gdy wymagają one analogicznego stopnia obecności na danym terytorium;

b) „detaliczne usługi łączności ruchomej” oznaczają publiczne usługi łączności ruchomej świadczone użytkownikom końcowym, obejmujące usługi połączeń głosowych, wiadomości SMS i transmisji danych;

c) „otwarty pakiet danych” oznacza plan taryfowy obejmujący świadczenie jednej detalicznej usługi łączności ruchomej lub większej liczby tych usług, w którym nie ogranicza się wliczonej puli detalicznych usług transmisji danych w łączności ruchomej, za które wnoszona jest stała okresowa opłata, lub za które krajowa cena jednostkowa detalicznych usług w łączności ruchomej, określona jako iloraz całkowitej krajowej ceny detalicznej bez podatku VAT usług łączności ruchomej odpowiadającej całemu okresowi fakturowania i całkowitej puli detalicznych usług transmisji danych w łączności ruchomej dostępnych na rynku krajowym, jest mniejsza niż maksymalna hurtowa opłata za usługi w roamingu regulowanym, o której mowa w art. 12 rozporządzenia (UE) nr 531/2012;

d) „plan taryfowy na zasadzie przedpłaty” oznacza plan taryfowy, w którym detaliczne usługi łączności ruchomej są świadczone po odliczeniu kredytu udostępnionego dostawcy przez klienta, na podstawie taryfikacji jednostkowej, przed korzystaniem z usług, z którego klient może się wycofać bez żadnych sankcji po wyczerpaniu lub wygaśnięciu kredytu;

e) „odwiedzane państwo członkowskie” oznacza państwo członkowskie inne niż państwo operatora krajowego klienta korzystającego z roamingu;

f) „marża usług łączności ruchomej” oznacza zyski, przed potrąceniem odsetek, podatków, deprecjacji i amortyzacji, ze sprzedaży usług łączności ruchomej innych niż detaliczne usługi roamingu świadczone na terytorium Unii, co oznacza, że wyłączone są z niej koszty i przychody związane ze świadczeniem detalicznych usług roamingu;

g) „grupa” oznacza jednostkę dominującą i wszystkie jej jednostki zależne podlegające jej kontroli w rozumieniu rozporządzenia Rady (WE) nr 139/2004 ( 1 ).



SEKCJA II

POLITYKA UCZCIWEGO KORZYSTANIA

Artykuł 3

Podstawowe zasady

1.  Dostawca usług roamingu dostarcza usługi roamingu regulowanego po cenach krajowych klientom podróżującym okresowo po Unii, którzy zamieszkują na stałe państwo członkowskie dostawcy usług roamingu lub mają z tym państwem stałe powiązania wiążące się z częstą obecnością na jego terytorium przez dłuższy czas.

2.  Polityka uczciwego korzystania stosowana przez dostawcę usług roamingu w celu zapobieżenia niewłaściwemu lub niestandardowemu korzystaniu z detalicznych usług roamingu regulowanego podlega warunkom ustanowionym w art. 4 i art. 5 oraz zapewnia, by wszyscy tacy klienci mieli dostęp do detalicznych usług roamingu regulowanego po cenach krajowych podczas tego typu okresowych podróży w Unii na takich samych warunkach, jakby korzystali z nich w swoim kraju.

Artykuł 4

Uczciwe korzystanie

1.  W celu stosowania polityki uczciwego korzystania dostawca usług roamingu może wymagać od klientów korzystających z roamingu przedstawienia dowodu stałego zamieszkania w państwie członkowskim dostawcy lub dowodu istnienia innych powiązań z tym państwem wiążących się z częstą obecnością na jego terytorium przez dłuższy czas.

2.  Bez uszczerbku dla mającego zastosowanie krajowego limitu puli w przypadku otwartego pakietu danych klient korzystający z roamingu ma możliwość do wykorzystania podczas okresowych podróży w Unii puli detalicznych usług transmisji danych w roamingu po krajowej cenie detalicznej równej co najmniej dwukrotności puli stanowiącej iloraz całkowitej krajowej ceny detalicznej tego otwartego pakietu danych bez podatku VAT odpowiadającej całemu okresowi fakturowania oraz maksymalnej hurtowej opłaty za usługi w roamingu regulowanym, o której mowa w art. 12 rozporządzenia (UE) nr 531/2012.

W przypadku sprzedaży detalicznych usług łączności ruchomej w pakiecie z innymi usługami lub urządzeniami końcowymi całkowitą krajową cenę detaliczną pakietu danych ustala się, na potrzeby art. 2 ust. 2 lit. c) i niniejszego ustępu, z uwzględnieniem ceny stosowanej w przypadku odrębnej sprzedaży detalicznych usług łączności ruchomej stanowiących składnik pakietu bez podatku VAT, jeśli są dostępne, lub ceny stosowanej w przypadku sprzedaży takich usług o takich samych cechach osobno.

3.  W przypadku planów taryfowych na zasadzie przedpłaty, alternatywnie do wymogu wynikającego z polityki uczciwego korzystania przewidzianego w ust. 1, dostawca usług roamingu może ograniczyć korzystanie z detalicznych usług transmisji danych w roamingu na terytorium Unii po krajowej cenie detalicznej do pul równych co najmniej puli stanowiącej iloraz całkowitych środków dostępnych i zapłaconych już dostawcy przez klienta w momencie rozpoczęcia korzystania z roamingu, bez podatku VAT, oraz maksymalnej hurtowej opłaty za usługi w roamingu regulowanym, o której mowa w art. 12 rozporządzenia (UE) nr 531/2012.

4.  W kontekście przetwarzania danych o ruchu, zgodnie z art. 6 dyrektywy 2002/58/WE, w celu zapobiegania niewłaściwemu lub niestandardowemu korzystaniu z detalicznych usług roamingu regulowanego świadczonych po mającej zastosowanie krajowej cenie detalicznej dostawca usług roamingu może zastosować sprawiedliwe, rozsądne i proporcjonalne mechanizmy kontroli, oparte na obiektywnych wskaźnikach ryzyka niewłaściwego lub niestandardowego korzystania wykraczającego poza okresowe podróże na terytorium Unii.

Obiektywne wskaźniki mogą obejmować środki mające na celu ustalenie, czy klienci częściej korzystają z usług krajowych niż z roamingu lub czy częściej przebywają we własnym kraju niż w innych państwach członkowskich Unii.

W celu zapewnienia, aby klienci korzystający z roamingu podczas okresowych podróży nie byli narażeni na zbędne lub nadmierne ostrzeżenia na podstawie art. 5 ust. 4, dostawcy usług roamingu, którzy stosują takie środki w celu ustalenie ryzyka niewłaściwego lub niestandardowego korzystania z usług roamingu obserwują takie wskaźniki obecności i korzystania z usług w sposób łączny i przez okres co najmniej czterech miesięcy.

Dostawca usług roamingu określa w umowach z klientami korzystającymi z roamingu, do jakiej detalicznej usługi lub jakiej detalicznych usług łączności ruchomej odnosi się wskaźnik konsumpcji, oraz minimalny czas trwania okresu obserwacji.

Przeważające korzystanie we własnym kraju lub przeważająca obecność we własnym kraju klienta korzystającego z roamingu w określonym okresie obserwacji uznaje się za dowód właściwego i standardowego korzystania z detalicznych usług roamingu regulowanego.

Do celów akapitu drugiego, trzeciego i piątego każdy dzień, w którym klient korzystający z roamingu zalogował się w krajowej sieci, liczy się jako dzień krajowej obecności tego klienta.

Inne obiektywne wskaźniki ryzyka niewłaściwego lub niestandardowego korzystania z detalicznych usług roamingu regulowanego świadczonych po detalicznej cenie krajowej mogą obejmować tylko:

a) długi okres nieaktywności karty SIM użytkowanej głównie, a nawet wyłącznie, w roamingu,

b) abonowanie i korzystanie kolejno z wielu kart SIM przez tego samego konsumenta w ramach roamingu.

5.  Jeżeli dostawca usług roamingu ustali, na podstawie obiektywnych i udokumentowanych dowodów, że kilka kart SIM było przedmiotem zorganizowanej odsprzedaży na rzecz osób niezamieszkujących państwa członkowskiego tego dostawcy oraz nieposiadających z nim stałych powiązań wiążących się z częstą obecnością na jego terytorium przez dłuższy czas, w celu umożliwienia korzystania z detalicznych usług roamingu regulowanego świadczonych po mającej zastosowanie krajowej cenie detalicznej do celów innych niż okresowe podróże, dostawca usług roamingu może bezzwłocznie zastosować proporcjonalne środki w celu zapewnienia przestrzegania wszystkich warunków umowy.

6.  Działając na mocy niniejszej sekcji, dostawca usług roamingu przestrzega przepisów dyrektyw 2002/58/WE i 95/46/WE oraz krajowych środków wykonawczych dotyczących tych dyrektyw, a także rozporządzenia (UE) nr 2016/679.

7.  Niniejsze rozporządzenie nie ma zastosowania do polityki uczciwego korzystania określonej w warunkach umownych alternatywnych taryf roamingowych oferowanych zgodnie z art. 6e ust. 3 rozporządzenia (UE) nr 531/2012.

Artykuł 5

Przejrzystość i nadzór nad polityką uczciwego korzystania

1.  Jeżeli dostawca usług roamingu stosuje politykę uczciwego korzystania, w umowach z klientami korzystającymi z roamingu musi on zawrzeć wszystkie warunki związane z tą polityką, w tym mechanizmy kontroli stosowane zgodnie z art. 4 ust. 4. W ramach polityki uczciwego korzystania dostawca usług roamingu wprowadza przejrzyste, proste i efektywne procedury rozpatrywania skarg klientów dotyczących stosowania tej polityki. Pozostaje to bez uszczerbku dla prawa klientów korzystających z roamingu wynikającego z art. 17 ust. 2 rozporządzenia (UE) nr 531/2012 do korzystania z przejrzystych, prostych, uczciwych i szybkich procedur pozasądowego rozstrzygania sporów ustanowionych w państwie członkowskim dostawcy usług roamingu zgodnie z art. 34 dyrektywy 2002/22/WE. Taki mechanizm składania skarg i te procedury rozstrzygania sporów umożliwiają klientowi korzystającemu z roamingu udowodnienie, w odpowiedzi na ostrzeżenie zgodne z pkt 3 akapit pierwszy, że nie korzysta z detalicznych usług roamingu regulowanego do celów innych niż okresowe wyjazdy.

2.  Dostawca usług roamingu zgłasza politykę uczciwego korzystania zgodną z niniejszym rozporządzeniem krajowemu organowi regulacyjnemu.

3.  W obliczu obiektywnych i udokumentowanych dowodów, opartych na obiektywnych wskaźnikach, o których mowa w art. 4 ust. 4, wskazujących na ryzyko niewłaściwego lub niestandardowego korzystania przez danego klienta z detalicznych usług roamingu regulowanego w ramach Unii po krajowej cenie detalicznej, dostawca usług roamingu powiadamia klienta o wykryciu modelu zachowania wskazującego na takie zagrożenie przed zastosowaniem dodatkowych opłat na podstawie art. 6e rozporządzenia (UE) nr 531/2012.

W przypadkach gdy takie zagrożenie wynika z niespełnienia zarówno kryteriów przeważającej krajowej konsumpcji i przeważającej obecności we własnym kraju w określonym okresie obserwacji, o których mowa w art. 4 ust. 4 akapit piąty, dodatkowe wskaźniki ryzyka związane z całkowitą obecnością lub użytkowaniem poza własnym krajem są uwzględniane do celów rozpatrywania wszelkich późniejszych skarg przewidzianych w ust. 1 lub procedury rozstrzygania sporów zgodnie z art. 17 ust. 2 rozporządzenia (UE) nr 531/2012, w odniesieniu do zasadności zastosowania dodatkowej opłaty.

Niniejszy ustęp stosuje się niezależnie od przedstawienia przez klienta korzystającego z roamingu dokumentów potwierdzających miejsce zamieszkania lub inne stabilne związki wiążące się z częstą obecnością przez dłuższy czas na terytorium państwa członkowskiego dostawcy usług roamingu zgodnie z art. 4 ust. 1.

4.  Ostrzegając klientów korzystających z usług roamingu zgodnie z ust. 3, dostawca usług roamingu informuje klienta, że w przypadku braku zmiany schematu korzystania w terminie, który nie może być krótszy niż dwa tygodnie, wykazującego rzeczywistą konsumpcję lub obecność krajową, po dacie takiego ostrzeżenia może zostać zastosowana dopłata zgodnie z art. 6e rozporządzenia (UE) nr 531/2012 w odniesieniu do dalszego korzystania z detalicznych usług roamingu regulowanego przy użyciu danej karty SIM.

5.  Dostawca usług roamingu zaprzestaje stosowania dodatkowych opłat, gdy tylko schemat korzystania przez klienta z usługi nie będzie już wskazywał n ryzyko niewłaściwego lub niestandardowego korzystania z detalicznych usług roamingu regulowanego, na podstawie wskaźników, o których mowa w art. 4 ust. 4.

6.  Jeżeli dostawca usług roamingu ustali, że karty SIM były przedmiotem zorganizowanej odsprzedaży na rzecz osób niezamieszkujących państwa członkowskiego dostawcy detalicznych usług roamingu oraz nieposiadających z nim stałych powiązań wiążących się z częstą obecnością na jego terytorium przez dłuższy czas w celu umożliwienia korzystania z detalicznych usług roamingu regulowanego do celów innych niż okresowe podróże poza to państwo członkowskie zgodnie z art. 4 ust. 3, dostawca usług roamingu zgłasza krajowemu organowi regulacyjnemu dowody dotyczące danych systematycznych nadużyć oraz środki podjęte w celu zapewnienia zgodności ze wszystkimi warunkami zawartej umowy najpóźniej w momencie zastosowania środka.



SEKCJA III

STOSOWANIE I METODA OCENY ZRÓWNOWAŻONEGO CHARAKTERU ZNIESIENIA DODATKOWYCH OPŁAT Z TYTUŁU DETALICZNYCH USŁUG ROAMINGU

Artykuł 6

Dane na poparcie wniosku o zezwolenie na stosowanie dodatkowych opłat w roamingu przez dostawcę usług roamingu zgodnie z art. 6c ust. 2 rozporządzenia (UE) nr 531/2012 w celu zapewnienia zrównoważonego charakteru modelu jego opłat krajowych

1.  Wnioski o zezwolenie na stosowanie dodatkowych opłat w roamingu złożone przez dostawcę usług roamingu zgodnie z art. 6c ust. 2 rozporządzenia (UE) nr 531/2012 w celu zapewnienia zrównoważonego charakteru modelu opłat krajowych („wnioski”) podlegają ocenie na podstawie danych na temat całkowitych pul detalicznych usług roamingu regulowanego świadczonych przez składającego wniosek dostawcę usług roamingu, prognozowanych na okres 12 miesięcy rozpoczynający się najwcześniej w dniu 15 czerwca 2017 r. Dla pierwszego wniosku te prognozy pul szacuje się, stosując jedną z następujących opcji lub ich połączenie:

a) pule rzeczywiste detalicznych usług roamingu regulowanego świadczonych przez wnioskodawcę po obowiązujących cenach detalicznych usług roamingu regulowanego przed dniem 15 czerwca 2017 r.;

b) prognozowane pule detalicznych usług roamingu regulowanego po dniu 15 czerwca 2017 r., jeżeli prognozowane pule detalicznych usług roamingu regulowanego w danym okresie szacuje się na podstawie rzeczywistej krajowej detalicznej konsumpcji usług łączności ruchomej i czasu spędzonego za granicą w Unii przez klientów wnioskodawcy korzystających z roamingu;

c) prognozowane pule detalicznych usług roamingu regulowanego po dniu 15 czerwca 2017 r., jeżeli pule detalicznych usług roamingu regulowanego szacuje się na podstawie proporcjonalnej zmiany pul detalicznych usług roamingu regulowanego, która wystąpiła w planach taryfowych wnioskodawcy reprezentujących znaczną część bazy klientów, na których podstawie wnioskodawca określił ceny detalicznych usług roamingu regulowanego na poziomie krajowym na okres co najmniej 30 dni, zgodnie z metodologią przedstawioną w załączniku I.

W przypadku aktualizacji wniosku złożonej na mocy art. 6c ust. 2 rozporządzenia (UE) nr 531/2012 prognozowane całkowite pule usług roamingu regulowanego są aktualizowane na podstawie faktycznego średniego schematu korzystania z krajowych usług łączności ruchomej pomnożonego przez odnotowaną liczbę klientów korzystających z roamingu i czas spędzony przez nich w odwiedzanych państwach członkowskich w ciągu ubiegłych 12 miesięcy.

2.  Dane dotyczące kosztów i przychodów wnioskodawcy są oparte na sprawozdaniach finansowych, które są udostępniane krajowemu organowi regulacyjnemu i mogą być dostosowane do szacowanej wielkości pul zgodnie z ust. 1. Przy prognozowaniu kosztów odchylenia od danych liczbowych wynikających z poprzednich sprawozdań finansowych uwzględnia się jedynie wtedy, gdy są poparte dowodem zaciągnięcia zobowiązań finansowych w okresie objętym prognozowaniem.

3.  Wnioskodawca dostarcza wszystkie niezbędne dane wykorzystywane do określenia marży usług łączności ruchomej i całkowitych rzeczywistych i prognozowanych kosztów i przychodów związanych ze świadczeniem usług roamingu regulowanego w danym okresie.

Artykuł 7

Określenie związanych z roamingiem kosztów świadczenia detalicznych usług roamingu regulowanego

1.  W celu ustalenia, że wnioskodawca nie jest w stanie odzyskać wartości swoich kosztów, skutkiem czego zrównoważony charakter modelu jego opłat krajowych jest zagrożony, uwzględnia się jedynie następujące koszty związane z roamingiem, o ile są one uzasadnione we wniosku o zezwolenie na stosowanie dodatkowych opłat w roamingu:

a) koszty zakupu hurtowego dostępu do usług roamingu;

b) koszty detaliczne związane z roamingiem.

2.  W odniesieniu do kosztów poniesionych na zakup hurtowych usług roamingu regulowanego uwzględnia się jedynie kwotę, o którą płatność całkowita wnioskodawcy na rzecz dostawców takich usług w Unii ma przekroczyć należną mu kwotę całkowitą za świadczenie tej samej usługi innym dostawcom usług roamingu w Unii. W odniesieniu do kwot należnych dostawcy usług roamingu za świadczenie hurtowych usług roamingu regulowanego dostawca usług roamingu przyjmuje prognozowane pule tych hurtowych usług roamingu, które są spójne z założeniem leżącym u podstaw jego prognozowanych pul w art. 6 ust. 1.

3.  W odniesieniu do detalicznych kosztów związanych z roamingiem uwzględnia się jedynie następujące koszty, o ile są one uzasadnione we wniosku:

a) koszty obsługi i zarządzania działaniami związanymi z roamingiem, w tym systemu analityki biznesowej i oprogramowania przeznaczonego do obsługi i zarządzania działaniami związanymi z roamingiem;

b) koszty gromadzenia i przekazywania danych i płatności, w tym zarówno koszty gromadzenia i przekazywania danych, jak i rozliczeń finansowych;

c) koszty negocjowania umów i porozumień, w tym zewnętrzne honoraria i koszty wykorzystania zasobów wewnętrznych;

d) koszty ponoszone w celu spełnienia wymogów dotyczących świadczenia detalicznych usług roamingu regulowanego ustanowionych w art. 14 i 15 rozporządzenia (UE) nr 531/2012, z uwzględnieniem obowiązującej polityki uczciwego korzystania stosowanej przez dostawcę usług roamingu.

4.  Koszty, o których mowa w ust. 3 lit. a), b) i c), są uwzględniane jedynie proporcjonalnie do stosunku całkowitej wielkości ruchu w ramach detalicznych usług roamingu regulowanego wnioskodawcy do całkowitej wielkości ruchu wychodzącego w ramach detalicznych usług roamingu i ruchu przychodzącego w ramach hurtowych usług roamingu tego wnioskodawcy, zgodnie z metodą przedstawioną w załączniku II pkt 1 i 2, i proporcjonalnie do stosunku całkowitej wielkości ruchu jego detalicznych usług roamingu w Unii do całkowitej wielkości ruchu jego detalicznych usług roamingu w Unii i poza nią, zgodnie z metodą przedstawioną w załączniku II pkt 1 i 3.

5.  Koszty, o których mowa w ust. 3 lit. d), uwzględnia się wyłącznie proporcjonalnie do stosunku całkowitej wielkości ruchu w ramach detalicznych usług roamingu wnioskodawcy w Unii do całkowitej wielkości ruchu w ramach jego detalicznych usług roamingu w Unii i poza nią, zgodnie z metodą przedstawioną w załączniku II pkt 1 i 3.

Artykuł 8

Alokacja kosztów łącznych i wspólnych na świadczenie detalicznych usług roamingu regulowanego

1.  Poza kosztami określonymi na mocy art. 7 we wniosku o zezwolenie na stosowanie dodatkowych opłat w roamingu można uwzględnić część kosztów łącznych i wspólnych poniesionych na świadczenie detalicznych usług łączności ruchomej ogółem. Uwzględnia się jedynie następujące koszty, o ile są one uzasadnione we wniosku:

a) koszty fakturowania i pobierania opłat, w tym wszystkie koszty związane z przetwarzaniem, obliczaniem, wystawianiem i powiadamianiem o fakturze klienta;

b) koszty sprzedaży i dystrybucji, w tym koszty prowadzenia sklepów i innych kanałów dystrybucyjnych na potrzeby sprzedaży detalicznych usług łączności ruchomej;

c) koszty obsługi klienta, w tym koszty eksploatacji wszystkich usług obsługi klienta dostępnych dla użytkownika końcowego;

d) koszty zarządzania wierzytelnościami wątpliwymi, w tym koszty poniesione na odpis nieściągalnych należności klientów i windykacji należności wątpliwych;

e) koszty handlowe, w tym koszty poniesione na reklamę usług łączności ruchomej.

2.  Koszty, o których mowa w ust. 1, o ile są uzasadnione we wniosku, uwzględnia się wyłącznie proporcjonalnie do stosunku całkowitej wielkości ruchu detalicznych usług roamingu świadczonych przez wnioskodawcę w Unii do całkowitej wielkości ruchu wszystkich detalicznych usług łączności ruchomej, uzyskanego jako średnia ważona tego stosunku na usługę łączności ruchomej, w której wagi odzwierciedlają odpowiednie średnie hurtowe ceny roamingu płacone przez wnioskodawcę, zgodnie z metodą określoną w załączniku II pkt 1) i 4).

Artykuł 9

Określenie przychodów związanych ze świadczeniem detalicznych usług roamingu regulowanego

1.  W celu ustalenia, że wnioskodawca nie jest w stanie odzyskać wartości kosztów, skutkiem czego zrównoważony charakter modelu jego opłat krajowych jest zagrożony, we wniosku o zezwolenie na stosowanie dodatkowych opłat w roamingu uwzględnia się i ujmuje tylko następujące przychody:

a) przychody wynikające bezpośrednio z detalicznych usług łączności ruchomej zainicjowanych w odwiedzanym państwie członkowskim;

b) część przychodów całkowitych ze sprzedaży detalicznych usług łączności ruchomej na podstawie okresowych opłat stałych.

2.  Przychody, o których mowa w ust. 1 lit. a), obejmują:

a) opłaty detaliczne pobierane na podstawie art. 6e rozporządzenia (UE) nr 531/2012 za ruch o wielkości stanowiącej naruszenie polityki uczciwego korzystania stosowanej przez dostawcę;

b) przychody z alternatywnych usług roamingu regulowanego zgodnie z art. 6e ust. 3 rozporządzenia (UE) nr 531/2012;

c) krajową cenę detaliczną naliczoną za jednostkę lub jako nadwyżka stałych opłat za świadczenie detalicznych usług łączności ruchomej, która wynika ze stosowania detalicznych usług łączności ruchomej w odwiedzanym państwie członkowskim.

3.  Do celów ustalenia przychodów, o których mowa w ust. 1 lit. b), w przypadku sprzedaży detalicznych usług łączności ruchomej w pakiecie z innymi usługami lub urządzeniami końcowymi uwzględnia się wyłącznie przychody związane ze sprzedażą detalicznych usług łączności ruchomej. Przychody te określane są poprzez odniesienie do cen stosowanych przy sprzedaży każdego produktu w pakiecie osobno, jeśli są one dostępne, lub przy sprzedaży jednostkowej usług o takich samych cechach.

4.  W celu określenia części całkowitych przychodów ze sprzedaży detalicznych usług łączności ruchomej związanych ze świadczeniem detalicznych usług roamingu regulowanego stosuje się metodę określoną w załączniku II pkt 1 i 5.

Artykuł 10

Ocena wniosków składanych przez dostawców usług roamingu o zezwolenie na stosowanie dodatkowych opłat w roamingu zgodnie z art. 6c ust. 2 rozporządzenia (UE) nr 531/2012 w celu zapewnienia zrównoważonego charakteru modelu opłat krajowych

1.  Przy dokonywaniu oceny wniosku o zezwolenie na stosowanie dodatkowych opłat w roamingu złożonego przez dostawcę usług roamingu zgodnie z art. 6c ust. 2 rozporządzenia (UE) nr 531/2012 w celu zapewnienia zrównoważonego charakteru modelu jego opłat krajowych, krajowy organ regulacyjny może uznać, że wnioskodawca nie jest w stanie odzyskać wartości kosztów świadczenia detalicznych usług roamingu regulowanego, skutkiem czego zrównoważony charakter modelu jego opłat krajowych jest zagrożony, wyłącznie jeżeli ujemna marża netto sprzedaży detalicznej w roamingu wnioskodawcy jest równa 3 % lub więcej marży usług łączności ruchomej.

Marżę netto z tytułu świadczenia detalicznych usług roamingu stanowi kwotą pozostała po odliczeniu kosztów świadczenia detalicznych usług roamingu regulowanego od przychodów ze świadczenia takich usług, określonych zgodnie z niniejszym rozporządzeniem. Aby ją określić, krajowy organ regulacyjny dokonuje przeglądu danych zawartych we wniosku w celu zapewnienia zgodności z metodą określania kosztów i przychodów określoną w art. 7, 8 i 9.

2.  W przypadku gdy wartość bezwzględna marży netto z tytułu świadczenia detalicznych usług roamingu stanowi 3 % lub więcej marży usług łączności ruchomej, krajowy organ regulacyjny może jednak odmówić zezwolenia na dodatkowe opłaty, jeżeli wykaże, że ze względu na specyficzne okoliczności zagrożenie zrównoważonego charakteru modelu opłat krajowych nie jest prawdopodobne. Okoliczności te obejmują sytuacje, w których:

a) wnioskodawca jest częścią grupy i są dowody na istnienie wewnętrznych cen transferowych na rzecz innych spółek zależnych grupy w Unii, w szczególności w świetle istotnych rozbieżności opłat hurtowych roamingu stosowanych wewnątrz grupy;

b) poziom konkurencji na rynkach krajowych oznacza, że jest zdolność absorpcji niższych marż;

c) stosowanie bardziej restrykcyjnej polityki uczciwego korzystania, nadal zgodnie z art. 3 i 4, mogłoby zmniejszyć marżę netto sprzedaży detalicznej w roamingu o odsetek wynoszący mniej niż 3 %.

3.  W wyjątkowych okolicznościach, jeśli operator ma ujemną marżę usług łączności ruchomej oraz ujemną marżę netto z tytułu świadczenia detalicznych usług roamingu, krajowy organ regulacyjny wyraża zgodę na stosowanie dodatkowej opłaty za usługi roamingu regulowanego.

4.  W ostatecznej decyzji krajowego organu regulacyjnego co do zezwolenia na stosowanie dodatkowej opłaty w roamingu regulowanym określa się wysokość obliczonej ujemnej marży netto sprzedaży detalicznej w roamingu, która może zostać odzyskana poprzez nałożenie dodatkowej opłaty na detaliczne usługi roamingu świadczone na terytorium Unii. Dodatkowa opłata jest spójna z założeniami dotyczącymi ruchu w roamingu, leżącymi u podstaw oceny wniosku, i jest ustalana zgodnie z zasadami określonymi w art. 8 dyrektywy Parlamentu Europejskiego i Rady 2002/21/WE ( 2 ).



SEKCJA IV

POSTANOWIENIA KOŃCOWE

Artykuł 11

Monitorowanie polityki uczciwego korzystania oraz wniosków o zezwolenie na stosowanie dodatkowych opłat w roamingu przez dostawcę usług roamingu zgodnie z art. 6c ust. 2 rozporządzenia (UE) nr 531/2012 w celu zapewnienia zrównoważonego charakteru modelu opłat krajowych

W celu monitorowania spójnego stosowania art. 6b i 6c rozporządzenia (UE) nr 531/2012 oraz niniejszego rozporządzenia oraz w celu corocznego informowania Komisji o wnioskach na mocy art. 6d ust. 5 rozporządzenia (UE) nr 531/2012 krajowe organy regulacyjne regularnie gromadzą informacje dotyczące:

a) jakiegokolwiek działania podjętego w celu nadzorowania stosowania art. 6b rozporządzenia (UE) nr 531/2012 oraz szczegółowych zasad ustanowionych w niniejszym rozporządzeniu;

b) liczby wniosków o zezwolenie na stosowanie dodatkowych opłat w roamingu, zatwierdzonych i odnowionych w ciągu roku zgodnie z art. 6c ust. 2 i 4 rozporządzenia (UE) nr 531/2012;

c) zakresu ujemnych marży netto w roamingu uznanych w decyzji o zezwoleniu na stosowanie dodatkowej opłaty w roamingu oraz ustaleń dotyczących dodatkowej opłaty zadeklarowanej we wniosku o zezwolenie na stosowanie dodatkowej opłaty w roamingu złożonym przez dostawcę usług roamingu zgodnie z art. 6c ust. 2 rozporządzenia (UE) nr 531/2012 w celu zapewnienia zrównoważonego charakteru modelu opłat krajowych.

Artykuł 12

Przegląd

Bez uszczerbku dla możliwości przeprowadzenia wcześniejszego przeglądu, biorąc pod uwagę doświadczenia zdobyte na początkowym etapie wdrażania przepisów i wszystkie istotne zmiany w zakresie czynników wymienionych w art. 6d ust. 2 rozporządzenia nr 531/2012, Komisja dokona przeglądu niniejszego aktu wykonawczego, po konsultacji z BEREC, najpóźniej do czerwca 2019 r.

Artykuł 13

Wejście w życie

Niniejsze rozporządzenie wchodzi w życie dwudziestego dnia po jego opublikowaniu w Dzienniku Urzędowym Unii Europejskiej.

Niniejsze rozporządzenie wiąże w całości i jest bezpośrednio stosowane we wszystkich państwach członkowskich.




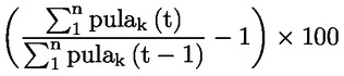
ZAŁĄCZNIK I

Proporcjonalna zmiana rzeczywistych pul usług roamingu regulowanego w ramach świadczenia usług roamingu po cenach krajowych w stosunku do tego samego okresu z poprzedniego roku:

image

Gdzie:

k = usługa (1 = połączenia głosowe, 2 = SMS, 3 = transfer danych),

n to liczba dni świadczenia usług roamingu po cenach krajowych (n ≥ 30), a

t to rok pierwszego świadczenia usług roamingu po cenach krajowych.

Ten procentowy wskaźnik powinien służyć oszacowaniu zmiany pul w prognozowanym 12-miesięcznym okresie poprzez pomnożenie go przez pule z poprzedniego roku.




ZAŁĄCZNIK II

1. Wagi wi detalicznych usług łączności ruchomej:

image

Gdzie:

k = usługa (1 = połączenia głosowe, 2 = SMS, 3 = transfer danych);

„średnia hurtowa cena roamingu płacona przez operatora” odnosi się do średniej ceny jednostkowej w niezbilansowanym ruchu płaconej przez operatora za każdą usługę, przy czym jednostką w przypadku poszczególnych usług są eurocenty za (i) minuty dla połączeń głosowych; (ii) SMS dla SMS i (iii) MB dla transferu danych.

2. Stosunek całkowitej wielkości ruchu dla detalicznych usług roamingu świadczonych przez wnioskodawcę do całkowitej wielkości ruchu wychodzącego dla detalicznych usług roamingu i ruchu przychodzącego dla hurtowych usług roamingu tego wnioskodawcy:

image

Gdzie:

k

=

usługa (1 = połączenia głosowe, 2 = SMS, 3 = transfer danych).

3. Stosunek całkowitej wielkości ruchu dla detalicznych usług roamingu wnioskodawcy w Unii do całkowitej wielkości ruchu dla jego detalicznych usług roamingu w Unii i poza nią:

image

Gdzie:

k

=

usługa (1 = połączenia głosowe, 2 = SMS, 3 = transfer danych).

4. Stosunek całkowitej wielkości ruchu dla detalicznych usług roamingu wnioskodawcy w Unii do całkowitej wielkości ruchu dla wszystkich detalicznych usług łączności ruchomej:

image

Gdzie:

k

=

usługa (1 = połączenia głosowe, 2 = SMS, 3 = transfer danych).

5. Przychody z detalicznych usług roamingu w UE:

image

Gdzie:

k

=

usługa (1 = połączenia głosowe, 2 = SMS, 3 = transfer danych).



( 1 ) Rozporządzenie Rady (WE) nr 139/2004 z dnia 20 stycznia 2004 r. w sprawie kontroli koncentracji przedsiębiorstw (rozporządzenie WE w sprawie kontroli łączenia przedsiębiorstw) (Dz.U. L 24 z 29.1.2004, s. 1).

( 2 ) Dyrektywa 2002/21/WE Parlamentu Europejskiego i Rady z dnia 7 marca 2002 r. w sprawie wspólnych ram regulacyjnych sieci i usług łączności elektronicznej (dyrektywa ramowa) (Dz.U. L 108 z 24.4.2002, s. 33).