02015R1188 — PL — 09.01.2017 — 001.001


Dokument ten służy wyłącznie do celów informacyjnych i nie ma mocy prawnej. Unijne instytucje nie ponoszą żadnej odpowiedzialności za jego treść. Autentyczne wersje odpowiednich aktów prawnych, włącznie z ich preambułami, zostały opublikowane w Dzienniku Urzędowym Unii Europejskiej i są dostępne na stronie EUR-Lex. Bezpośredni dostęp do tekstów urzędowych można uzyskać za pośrednictwem linków zawartych w dokumencie

►B

ROZPORZĄDZENIE KOMISJI (UE) 2015/1188

z dnia 28 kwietnia 2015 r.

w sprawie wykonania dyrektywy Parlamentu Europejskiego i Rady 2009/125/WE w odniesieniu do wymogów dotyczących ekoprojektu dla miejscowych ogrzewaczy pomieszczeń

(Tekst mający znaczenie dla EOG)

(Dz.U. L 193 z 21.7.2015, s. 76)

zmienione przez:

 

 

Dziennik Urzędowy

  nr

strona

data

►M1

ROZPORZĄDZENIE KOMISJI (UE) 2016/2282 z dnia 30 listopada 2016 r.

  L 346

51

20.12.2016




▼B

ROZPORZĄDZENIE KOMISJI (UE) 2015/1188

z dnia 28 kwietnia 2015 r.

w sprawie wykonania dyrektywy Parlamentu Europejskiego i Rady 2009/125/WE w odniesieniu do wymogów dotyczących ekoprojektu dla miejscowych ogrzewaczy pomieszczeń

(Tekst mający znaczenie dla EOG)



Artykuł 1

Przedmiot i zakres stosowania

Niniejsze rozporządzenie ustanawia wymogi dotyczące ekoprojektu odnośnie do wprowadzania do obrotu i do użytkowania miejscowych ogrzewaczy pomieszczeń do użytku domowego o nominalnej mocy cieplnej wynoszącej 50 kW lub mniej i ogrzewaczy pomieszczeń do zastosowań komercyjnych o nominalnej mocy cieplnej produktu lub pojedynczego segmentu wynoszącej 120 kW lub mniej.

Niniejsze rozporządzenie nie ma zastosowania do:

a) miejscowych ogrzewaczy pomieszczeń wykorzystujących cykl sprężania par lub cykl sorpcyjny do wytwarzania ciepła, napędzanych elektrycznymi sprężarkami lub paliwem;

b) miejscowych ogrzewaczy pomieszczeń przeznaczonych do celów innych niż ogrzewanie wnętrz pomieszczeń w celu uzyskania i utrzymania komfortu termicznego dla człowieka za pomocą konwekcji cieplnej lub promieniowania cieplnego;

c) miejscowych ogrzewaczy pomieszczeń przeznaczonych wyłącznie do użytku na zewnątrz;

d) miejscowych ogrzewaczy pomieszczeń, których bezpośrednia moc cieplna wynosi mniej niż 6 % połączonej bezpośredniej i pośredniej mocy cieplnej przy nominalnej mocy cieplnej;

e) instalacji ogrzewania powietrznego;

f) pieców do saun;

g) ogrzewaczy podporządkowanych.

Artykuł 2

Definicje

Oprócz definicji podanych w art. 2 dyrektywy 2009/125/WE zastosowanie mają następujące definicje:

1) „miejscowy ogrzewacz pomieszczeń” oznacza urządzenie ogrzewające pomieszczenia, które wydziela ciepło przez bezpośrednie przenoszenie ciepła lub przez bezpośrednie przenoszenie ciepła w połączeniu z przenoszeniem ciepła do cieczy, w celu osiągnięcia i utrzymania pewnego poziomu komfortu termicznego dla człowieka w zamkniętym pomieszczeniu, w którym umieszczony jest produkt, ewentualnie w połączeniu z przekazywaniem mocy cieplnej do innych pomieszczeń; urządzenie jest wyposażone w co najmniej jedno źródło ciepła, które przetwarza energię elektryczną bądź paliwo gazowe lub ciekłe bezpośrednio w ciepło z wykorzystaniem, odpowiednio, efektu Joule'a lub spalania paliw;

2) „miejscowy ogrzewacz pomieszczeń do użytku domowego” oznacza miejscowy ogrzewacz pomieszczeń nieprzeznaczony do zastosowań komercyjnych;

3) „miejscowy ogrzewacz pomieszczeń na paliwo gazowe” oznacza miejscowy ogrzewacz pomieszczeń z otwartą komorą spalania lub miejscowy ogrzewacz pomieszczeń z zamkniętą komorą spalania na paliwa gazowe;

4) „miejscowy ogrzewacz pomieszczeń na paliwo ciekłe” oznacza miejscowy ogrzewacz pomieszczeń z otwartą komorą spalania lub miejscowy ogrzewacz pomieszczeń z zamkniętą komorą spalania na paliwa ciekłe;

5) „elektryczny miejscowy ogrzewacz pomieszczeń” oznacza miejscowy ogrzewacz pomieszczeń wytwarzający ciepło z wykorzystaniem efektu Joule'a;

6) „miejscowy ogrzewacz pomieszczeń do zastosowań komercyjnych” oznacza ceramiczny promiennik podczerwieni albo rurowy promiennik podczerwieni;

7) „miejscowy ogrzewacz pomieszczeń z otwartą komorą spalania” oznacza miejscowy ogrzewacz pomieszczeń na paliwo gazowe lub ciekłe, w którym palenisko i gazy spalinowe nie są szczelnie oddzielone od pomieszczenia, w którym umieszczony jest produkt, i który jest przymocowany do komina lub wylotu kominka albo wymaga kanału spalinowego do odprowadzania produktów spalania;

8) „miejscowy ogrzewacz pomieszczeń z zamkniętą komorą spalania” oznacza miejscowy ogrzewacz pomieszczeń na paliwo gazowe lub ciekłe, w którym palenisko i gazy spalinowe są szczelnie oddzielone od pomieszczenia, w którym umieszczony jest produkt, i który jest przymocowany do komina lub wylotu kominka, lub wymaga kanału spalinowego do odprowadzania produktów spalania;

9) „elektryczny przenośny miejscowy ogrzewacz pomieszczeń” oznacza miejscowy ogrzewacz pomieszczeń, który nie jest elektrycznym nieprzenośnym miejscowym ogrzewaczem pomieszczeń, elektrycznym akumulacyjnym miejscowym ogrzewaczem pomieszczeń, elektrycznym podłogowym ogrzewaczem pomieszczeń, elektrycznym promiennikiem ciepła, elektrycznym promiennikiem ciepła z widocznym elementem grzejnym lub ogrzewaczem podporządkowanym.

10) „elektryczny nieprzenośny ogrzewacz pomieszczeń” oznacza elektryczny miejscowy ogrzewacz pomieszczeń nieprzeznaczony do akumulowania energii termicznej i przeznaczony do stosowania po przymocowaniu lub zabezpieczeniu w określonym miejscu bądź przymocowania na ścianie i niewbudowany w konstrukcję lub wykończenie budynku;

11) „elektryczny akumulacyjny ogrzewacz pomieszczeń” oznacza elektryczny miejscowy ogrzewacz pomieszczeń przeznaczony do akumulowania ciepła w izolowanym rdzeniu akumulacyjnym oraz do uwalniania go po upływie kilku godzin po zakończeniu fazy akumulacyjnej;

12) „elektryczny podłogowy ogrzewacz pomieszczeń” oznacza elektryczny miejscowy ogrzewacz pomieszczeń przeznaczony do stosowania po wbudowaniu w konstrukcję lub wykończenie budynku;

13) „elektryczny promiennik ciepła” oznacza elektryczny miejscowy ogrzewacz pomieszczeń, w którym element grzejny ma być skierowany w stronę miejsca użytkowania, tak aby jego promieniowanie cieplne bezpośrednio ogrzewało obiekty, które należy ogrzać i w którego przypadku wzrost temperatury kratki przykrywającej element grzejny wynosi co najmniej 130 °C podczas normalnego użytkowania lub wzrost temperatury innych powierzchni wynosi 100 °C;

14) „elektryczny promiennik ciepła z widocznym elementem grzejnym” oznacza elektryczny miejscowy ogrzewacz pomieszczeń, w którym element grzejny jest widoczny z zewnątrz, a jego temperatura podczas normalnego użytkowania wynosi co najmniej 650 °C;

15) „piec do sauny” oznacza produkt do ogrzewania pomieszczeń zintegrowany z sauną suchą lub wilgotną lub przeznaczony do stosowania w saunach suchych lub wilgotnych lub w podobnych warunkach;

16) „ogrzewacz podporządkowany” oznacza elektryczny miejscowy ogrzewacz pomieszczeń, który nie jest zdolny do samodzielnego działania i musi otrzymywać sygnały z zewnętrznego sterownika głównego niebędącego częścią produktu, lecz połączonego z nim przewodem sterowniczym, bezprzewodowo, za pomocą linii energetycznej lub równorzędnej technologii w celu regulowania emisji ciepła do pomieszczenia, w którym produkt jest zainstalowany;

17) „ceramiczny promiennik podczerwieni” oznacza miejscowy ogrzewacz pomieszczeń na paliwo gazowe lub ciekłe, wyposażony w palnik; jest on instalowany powyżej poziomu głowy i skierowany w stronę miejsca użytkowania, tak aby emisja ciepła z palnika – stanowiąca w głównej mierze promieniowanie podczerwone – bezpośrednio ocieplała obiekty, które należy ogrzać; ogrzewacz ten emituje produkty spalania do pomieszczenia, w którym jest umieszczony;

18) „rurowy promiennik podczerwieni” oznacza miejscowy ogrzewacz pomieszczeń na paliwo gazowe lub ciekłe, wyposażony w palnik; jest on instalowany powyżej poziomu głowy w pobliżu obiektów, które należy ogrzać, i ogrzewa pomieszczenie w głównej mierze za pomocą promieniowania podczerwonego z rurki lub rurek ogrzewanych wewnętrznie przepływem produktów spalania, a jego produkty spalania muszą być odprowadzane przez kanał spalinowy;

19) „system promiennika rurowego” oznacza rurowy promiennik podczerwieni złożony z więcej niż jednego palnika, w którym produkty spalania z jednego palnika mogą zasilać następny palnik, i w którym produkty spalania wszystkich palników muszą być odprowadzane za pomocą jednego wentylatora spalin;

20) „segment systemu promiennika rurowego” oznacza część systemu promiennika rurowego, która zawiera wszystkie elementy potrzebne do samodzielnego funkcjonowania i jako taka może być testowana niezależnie od pozostałych części systemu promiennika rurowego;

21) „ogrzewacz z emisją spalin do pomieszczenia” oznacza miejscowy ogrzewacz pomieszczeń na paliwo gazowe lub ciekłe, emitujący produkty spalania do pomieszczenia, w którym jest umieszczony, inny niż ceramiczny promiennik podczerwieni;

22) „ogrzewacz otwarty na przewód kominowy” oznacza miejscowy ogrzewacz pomieszczeń na paliwo gazowe lub ciekłe, przeznaczony do umieszczenia pod kominem lub w kominku bez uszczelnienia między produktem a wylotem komina lub kominka i umożliwiający produktom spalania swobodny przepływ od paleniska do komina lub kanału spalinowego;

23) „produkt do ogrzewania powietrznego” oznacza produkt dostarczający ciepło tylko do systemu ogrzewania powietrznego; produkt może być tunelowy i jest przeznaczony do stosowania po przymocowaniu lub zabezpieczeniu w określonym miejscu bądź po przymocowaniu na ścianie i rozprowadza powietrze za pomocą urządzenia wywołującego ruch powietrza w celu uzyskania i utrzymania pewnego poziomu komfortu termicznego dla człowieka w zamkniętym pomieszczeniu, w którym umieszczony jest produkt;

24) „bezpośrednia moc cieplna” oznacza, wyrażoną w kW, moc cieplną produktu uzyskiwaną w wyniku promieniowania i konwekcji ciepła, emitowaną przez sam produkt lub z produktu do powietrza, z wyłączeniem mocy cieplnej produktu przenoszonej do cieczy będącej nośnikiem ciepła;

25) „pośrednia moc cieplna” oznacza, wyrażoną w kW, moc cieplną produktu przenoszoną do cieczy będącej nośnikiem ciepła w tym samym procesie wytwarzania ciepła, który dostarcza bezpośredniej mocy cieplnej produktu;

26) „funkcja ogrzewania pośredniego” oznacza, że produkt może przenosić część całkowitej mocy cieplnej do cieczy będącej nośnikiem ciepła w celu wykorzystania go do ogrzewania pomieszczenia lub podgrzewania wody do użytku domowego;

27) „nominalna moc cieplna” (Pnom ) oznacza, wyrażoną w kW, moc cieplną miejscowego ogrzewacza pomieszczeń, obejmującą zarówno bezpośrednią moc cieplną, jak i pośrednią moc cieplną (o ile dotyczy), podczas pracy przy ustawieniu maksymalnej mocy cieplnej, która może być utrzymywana przez dłuższy czas, zgodnie z deklaracją producenta;

28) „minimalna moc cieplna” (Pmin ) oznacza, wyrażoną w kW, moc cieplną miejscowego ogrzewacza pomieszczeń, obejmującą zarówno bezpośrednią moc cieplną, jak i pośrednią moc cieplną (o ile dotyczy) podczas pracy przy ustawieniu najniższej mocy cieplnej, zgodnie z deklaracją producenta;

29) „maksymalna stała moc cieplna” (Pmax,c ) oznacza, wyrażaną w kW, deklarowaną moc cieplną elektrycznego miejscowego ogrzewacza pomieszczeń podczas pracy przy ustawieniu maksymalnej mocy cieplnej, która może być utrzymywana stale przez dłuższy czas, zgodnie z deklaracją producenta;

30) „przeznaczony do użytku na zewnątrz” oznacza, że produkt nadaje się do bezpiecznego użytkowania poza zamkniętymi pomieszczeniami, w tym również do ewentualnego użytkowania na wolnym powietrzu;

31) „model równoważny” oznacza model wprowadzany do obrotu o takich samych parametrach technicznych, określonych w tabeli 1, tabeli 2 lub tabeli 3 w pkt 3 załącznika II, jak inny model wprowadzany do obrotu przez tego samego producenta.

Dodatkowe definicje odnoszące się do załączników II–V podano w załączniku I.

Artykuł 3

Wymogi dotyczące ekoprojektu i harmonogram

1.  Wymogi dotyczące ekoprojektu dla miejscowych ogrzewaczy pomieszczeń określono w załączniku II.

2.  Miejscowe ogrzewacze pomieszczeń muszą spełniać wymogi określone w załączniku II od dnia 1 stycznia 2018 r.

3.  Zgodność z wymogami dotyczącymi ekoprojektu ustala się, dokonując pomiarów i obliczeń zgodnie z metodami określonymi w załączniku III.

Artykuł 4

Ocena zgodności

1.  Procedurę oceny zgodności, o której mowa w art. 8 ust. 2 dyrektywy 2009/125/WE, stanowi wewnętrzna kontrola projektu określona w załączniku IV do wspomnianej dyrektywy lub system zarządzania określony w załączniku V do niej.

2.  Na potrzeby oceny zgodności zgodnie z art. 8 dyrektywy 2009/125/WE w dokumentacji technicznej uwzględnia się informacje określone w pkt 3 lit. b) załącznika II do niniejszego rozporządzenia.

3.  Jeżeli informacje zawarte w dokumentacji technicznej dla określonego modelu otrzymano na podstawie obliczeń opartych na projekcie lub ekstrapolacji danych dotyczących innych równoważnych urządzeń, bądź obu tych źródeł, dokumentacja techniczna powinna zawierać szczegóły takich obliczeń lub ekstrapolacji, bądź obydwu, a także badań przeprowadzonych przez producentów w celu weryfikacji dokładności przeprowadzonych obliczeń. W takich przypadkach dokumentacja techniczna musi również zawierać wykaz wszystkich pozostałych modeli równoważnych, w odniesieniu do których informacja zawarta w dokumentacji technicznej została uzyskana na tej samej podstawie.

Artykuł 5

Procedura weryfikacji do celów nadzoru rynku

Podczas przeprowadzania kontroli w ramach nadzoru rynku, o których mowa w art. 3 ust. 2 dyrektywy 2009/125/WE, w celu zapewnienia zgodności z wymogami określonymi w załączniku II do niniejszego rozporządzenia, państwa członkowskie stosują procedurę weryfikacji określoną w załączniku IV do niniejszego rozporządzenia.

Artykuł 6

Orientacyjne poziomy odniesienia

Orientacyjne poziomy odniesienia dla najlepszych miejscowych ogrzewaczy pomieszczeń dostępnych na rynku w chwili wejścia w życie niniejszego rozporządzenia określono w załączniku V.

Artykuł 7

Przegląd

Komisja dokonuje przeglądu niniejszego rozporządzenia w kontekście postępu technicznego i przedstawia wyniki tego przeglądu forum konsultacyjnemu w terminie do dnia 1 stycznia 2019 r. W szczególności w ramach przeglądu należy ocenić:

 czy konieczne jest ustanowienie bardziej surowych wymogów dotyczących ekoprojektu w odniesieniu do efektywności energetycznej oraz emisji tlenków azotu (NOx),

 czy należy zmodyfikować dopuszczalne odchylenia na potrzeby weryfikacji,

 termin obowiązywania współczynników korekcji wykorzystywanych do oceny sezonowej efektywności energetycznej ogrzewania pomieszczeń dla miejscowych ogrzewaczy pomieszczeń,

 zasadność wprowadzenia certyfikacji zewnętrznej.

Artykuł 8

Przepisy przejściowe

Do dnia 1 stycznia 2018 r. państwa członkowskie mogą zezwalać na wprowadzanie do obrotu i do użytkowania miejscowych ogrzewaczy pomieszczeń spełniających wymogi obowiązujących przepisów krajowych w odniesieniu do sezonowej efektywności energetycznej ogrzewania pomieszczeń i emisji tlenków azotu.

Artykuł 9

Wejście w życie

Niniejsze rozporządzenie wchodzi w życie dwudziestego dnia po jego opublikowaniu w Dzienniku Urzędowym Unii Europejskiej.

Niniejsze rozporządzenie wiąże w całości i jest bezpośrednio stosowane we wszystkich państwach członkowskich.




ZAŁĄCZNIK I

Definicje mające zastosowanie do załączników II–V

Do celów załączników II–V stosuje się następujące definicje:

1. „sezonowa efektywność energetyczna ogrzewania pomieszczeń” (ηs) oznacza, wyrażany w %, stosunek zapotrzebowania na ogrzewanie pomieszczeń zapewniane przez miejscowy ogrzewacz pomieszczeń do rocznego zużycia energii wymaganej do zaspokojenia tego zapotrzebowania;

2. „współczynnik konwersji” (CC) oznacza współczynnik, który odzwierciedla oszacowaną na 40 % średnią efektywność produkcji energii w UE, o której mowa w dyrektywie Parlamentu Europejskiego i Rady ( 1 ); wartość współczynnika konwersji CC = 2,5;

3. „emisje tlenków azotu” oznaczają, wyrażone w mg/kWhinput, emisje tlenków azotu przy nominalnej mocy cieplnej na podstawie GCV w przypadku miejscowych ogrzewaczy pomieszczeń na paliwo gazowe lub ciekłe i miejscowych ogrzewaczy pomieszczeń do zastosowań komercyjnych;

4. „wartość opałowa” (NCV) oznacza całkowitą ilość ciepła uwalnianego przez jednostkową ilość paliwa mającego właściwy poziom wilgotności podczas jego pełnego spalania w obecności tlenu i podczas ochładzania produktów spalania do temperatury otoczenia;

5. „ciepło spalania w stanie suchym” (GCV) oznacza całkowitą ilość ciepła uwalnianego przez jednostkową ilość paliwa pozbawionego naturalnej wilgoci podczas jego pełnego spalania w obecności tlenu i podczas ochładzania produktów spalania do temperatury otoczenia; ilość ta obejmuje ciepło kondensacji pary wodnej powstałej w wyniku spalania wodoru zawartego w paliwie;

6. „sprawność użytkowa przy nominalnej albo minimalnej mocy cieplnej” (odpowiednio ηth,nom lub ηth,min) oznacza, wyrażany w %, stosunek wytworzonego ciepła użytkowego do całkowitego poboru energii przez miejscowy ogrzewacz pomieszczeń, przy czym:

a) w przypadku miejscowych ogrzewaczy pomieszczeń do użytku domowego całkowity pobór energii jest wyrażany pod względem NCV lub pod względem ilości energii końcowej pomnożonej przez CC;

b) w przypadku miejscowych ogrzewaczy pomieszczeń do zastosowań komercyjnych całkowity pobór energii jest wyrażany pod względem GCV i pod względem ilości energii końcowej pomnożonej przez CC;

7. „zapotrzebowanie na energię elektryczną przy nominalnej mocy cieplnej” (elmax) oznacza zużycie energii elektrycznej przez miejscowy ogrzewacz pomieszczeń dostarczający nominalnej mocy cieplnej. Zużycie energii elektrycznej, wyrażane w kW, ustala się bez uwzględnienia zużycia energii przez pompę cyrkulacyjną, w przypadku gdy produkt ma funkcję ogrzewania pośredniego, a pompa cyrkulacyjna jest wbudowana;

8. „zapotrzebowanie na energię elektryczną przy minimalnej mocy cieplnej” (elmin) oznacza zużycie energii elektrycznej przez miejscowy ogrzewacz pomieszczeń dostarczający minimalnej mocy cieplnej. Zużycie energii elektrycznej, wyrażane w kW, ustala się bez uwzględnienia zużycia energii przez pompę cyrkulacyjną, w przypadku gdy produkt ma funkcję ogrzewania pośredniego, a pompa cyrkulacyjna jest wbudowana;

9. „zapotrzebowanie na energię elektryczną w trybie czuwania” (elsb) oznacza, wyrażane w kW, zużycie energii elektrycznej przez produkt w trybie czuwania;

10. „zapotrzebowanie na energię stałego płomienia pilotującego” (Ppilot) oznacza, wyrażane w kW, zużycie paliwa gazowego lub ciekłego przez produkt do uzyskania płomienia służącego jako źródło zapłonu na potrzeby intensywniejszego procesu spalania koniecznego do uzyskania nominalnej mocy cieplnej lub mocy cieplnej przy częściowym obciążeniu, jeżeli płomień ten jest zapalony przez więcej niż 5 minut przed włączeniem palnika głównego;

11. „ręczny regulator doprowadzania ciepła z wbudowanym termostatem” oznacza ręcznie obsługiwany czujnik zintegrowany z produktem, który mierzy i reguluje jego temperaturę rdzenia w celu dostosowania akumulowanej ilości ciepła;

12. „ręczny regulator doprowadzania ciepła z pomiarem temperatury w pomieszczeniu lub na zewnątrz” oznacza ręcznie obsługiwany czujnik zintegrowany z produktem, który mierzy jego temperaturę rdzenia i dostosowuje akumulowaną ilość ciepła na podstawie temperatury w pomieszczeniu lub na zewnątrz;

13. „elektroniczny regulator doprowadzania ciepła z pomiarem temperatury w pomieszczeniu lub na zewnątrz lub regulowany przez dostawcę energii” oznacza automatyczny czujnik zintegrowany z produktem, który mierzy jego temperaturę rdzenia i dostosowuje akumulowaną ilość ciepła na podstawie temperatury w pomieszczeniu lub na zewnątrz, lub urządzenie, w którym system doprowadzania może być regulowany przez dostawcę energii;

14. „moc cieplna regulowana wentylatorem” oznacza, że produkt jest wyposażony w zintegrowany i sterowany wentylator (lub wentylatory), służący do zmiany mocy cieplnej w celu dostosowania jej do zapotrzebowania na ciepło;

15. „jednostopniowa moc cieplna bez regulacji temperatury w pomieszczeniu” oznacza, że produkt nie posiada funkcji automatycznej zmiany mocy cieplnej i nie przeprowadza pomiaru temperatury w pomieszczeniu w celu automatycznego dostosowania mocy cieplnej;

16. „co najmniej dwa ręczne stopnie bez regulacji temperatury w pomieszczeniu” oznacza, że produkt posiada funkcję ręcznej co najmniej dwustopniowej zmiany mocy cieplnej i nie jest wyposażony w urządzenie, które automatycznie reguluje moc cieplną według pożądanej temperatury pomieszczenia;

17. „z mechaniczną regulacją temperatury w pomieszczeniu za pomocą termostatu” oznacza, że produkt jest wyposażony w nieelektroniczne urządzenie, które umożliwia produktowi automatyczną zmianę mocy cieplnej w określonym przedziale czasowym zgodnie z określonym wymaganym poziomem komfortu cieplnego w pomieszczeniu;

18. „z elektroniczną regulacją temperatury w pomieszczeniu” oznacza, że produkt jest wyposażony w elektroniczne urządzenie, wbudowane albo zewnętrzne, które umożliwia produktowi automatyczną zmianę mocy cieplnej w określonym przedziale czasowym zgodnie z określonym wymaganym poziomem komfortu cieplnego w pomieszczeniu;

19. „z elektroniczną regulacją temperatury w pomieszczeniu i sterownikiem dobowym” oznacza, że produkt jest wyposażony w elektroniczne urządzenie, wbudowane albo zewnętrzne, które umożliwia produktowi automatyczną zmianę mocy cieplnej w określonym przedziale czasowym zgodnie z określonym wymaganym poziomem komfortu cieplnego w pomieszczeniu i umożliwia zaprogramowanie czasu i poziomu temperatury w cyklu 24-godzinnym;

20. „z elektroniczną regulacją temperatury w pomieszczeniu i sterownikiem tygodniowym” oznacza, że produkt jest wyposażony w elektroniczne urządzenie, wbudowane albo zewnętrzne, które umożliwia produktowi automatyczną zmianę mocy cieplnej w określonym przedziale czasowym zgodnie z określonym wymaganym poziomem komfortu cieplnego w pomieszczeniu i umożliwia zaprogramowanie czasu i poziomów temperatury na cały tydzień. Musi istnieć możliwość zaprogramowania różnych temperatur na poszczególne dni w okresie 7-dniowym;

21. „regulacja temperatury w pomieszczeniu z wykrywaniem obecności” oznacza, że produkt jest wyposażony w elektroniczne urządzenie, wbudowane lub zewnętrzne, które automatycznie obniża wartość zadanej temperatury w pomieszczeniu, kiedy nie wykrywa w nim obecności osoby;

22. „regulacja temperatury w pomieszczeniu z wykrywaniem otwartego okna” oznacza, że produkt jest wyposażony w elektroniczne urządzenie, wbudowane lub zewnętrzne, które obniża moc cieplną w przypadku otwarcia okna lub drzwi. W przypadku stosowania czujnika wykrywającego otwarcie okna lub drzwi urządzenie takie może być zainstalowane wraz z produktem, zewnętrzne wobec produktu, wbudowane w strukturę budynku lub może występować w postaci kombinacji tych opcji;

23. „z opcją regulacji na odległość” oznacza funkcję, która umożliwia zdalną interakcję z regulatorem produktu spoza budynku, w którym produkt jest zainstalowany;

24. „z adaptacyjną regulacją startu” oznacza funkcję, która przewiduje i inicjuje optymalny start ogrzewania w celu osiągnięcia zadanej wartości temperatury w odpowiednim momencie;

25. „z ograniczeniem czasu pracy” oznacza, że produkt ma funkcję automatycznego wyłączenia się po upływie wyznaczonego czasu;

26. „z czujnikiem ciepła promieniowania” oznacza, że produkt jest wyposażony w urządzenie elektroniczne, zintegrowane lub zewnętrzne, które mierzy temperaturę powietrza i promieniowania;

27. „jednostopniowy” oznacza, że produkt nie ma funkcji automatycznej regulacji swojej mocy cieplnej;

28. „dwustopniowy” oznacza, że produkt ma funkcję automatycznej regulacji swojej mocy cieplnej na dwóch różnych poziomach według rzeczywistej temperatury powietrza w pomieszczeniu i pożądanej temperatury powietrza w pomieszczeniu za pomocą czujników temperatury i interfejsu, który nie musi być częścią produktu;

29. „modulujący” oznacza, że produkt ma funkcję automatycznej regulacji swojej mocy cieplnej na co najmniej trzech różnych poziomach według rzeczywistej temperatury powietrza w pomieszczeniu i pożądanej temperatury powietrza w pomieszczeniu za pomocą czujników temperatury i interfejsu, który nie musi być częścią produktu;

30. „tryb czuwania” oznacza stan, w którym produkt jest podłączony do sieci zasilania elektrycznego, musi pobierać energię z sieci zasilania elektrycznego, aby działać zgodnie z przeznaczeniem, oraz wykonuje przez dowolnie długi czas jedynie następujące funkcje: funkcja ponownego włączenia lub funkcja ponownego włączenia tylko ze wskazaniem aktywowania funkcji ponownego włączenia, lub wyświetlaniem informacji lub statusu;

31. „moc cieplna systemu promiennika rurowego” oznacza, wyrażaną w kW, łączną moc cieplną segmentów systemu promiennika w takiej konfiguracji, w jakiej zostały one wprowadzone do obrotu;

32. „moc cieplna segmentu systemu promiennika rurowego”oznacza, wyrażaną w kW, moc cieplną segmentu, który wraz z innymi segmentami systemu promiennika rurowego stanowi element konfiguracji systemu promiennika rurowego;

33. „współczynnik promieniowania przy nominalnej lub minimalnej mocy cieplnej” (odpowiednio RFnom lub RFmin) oznacza, wyrażany w %, stosunek mocy cieplnej promieniowania podczerwonego produktu do całkowitej ilości pobranej energii, gdy dostarczana jest nominalna lub minimalna moc cieplna, obliczany jako iloraz wyprodukowanej energii podczerwieni i całkowitej ilości pobranej energii z uwzględnieniem wartości opałowej (NCV) paliwa, gdy dostarczana jest nominalna lub minimalna moc cieplna;

34. „izolacja osłony” oznacza poziom izolacji termicznej osłony lub płaszcza izolacyjnego produktu, stosowanych w celu zminimalizowania strat ciepła, jeżeli produkt może być umieszczany na zewnątrz;

35. „współczynnik straty przez osłonę”, wyrażany w %, oznacza straty termiczne z tej części produktu, która jest zainstalowana na zewnątrz zamkniętego pomieszczenia, które ma być ogrzewane, i jest ustalany według współczynnika przepuszczania osłony na tej części produktu;

36. „identyfikator modelu” oznacza kod, zazwyczaj alfanumeryczny, odróżniający określony model miejscowego ogrzewacza pomieszczeń od innych modeli o takim samym znaku towarowym lub z taką samą nazwą producenta.

37. „wilgotność” oznacza masę wody w paliwie w stosunku do całkowitej masy paliwa wykorzystywanego w miejscowym ogrzewaczu pomieszczeń.




ZAŁĄCZNIK II

Wymogi dotyczące ekoprojektu

1.    Szczegółowe wymogi dotyczące ekoprojektu w odniesieniu do sezonowej efektywności energetycznej ogrzewania pomieszczeń

a) Od dnia 1 stycznia 2018 r. miejscowe ogrzewacze pomieszczeń muszą spełniać następujące wymogi:

(i) sezonowa efektywność energetyczna ogrzewania pomieszczeń przez miejscowe ogrzewacze pomieszczeń z otwartą komorą spalania na paliwa gazowe lub ciekłe nie może być niższa niż 42 %;

(ii) sezonowa efektywność energetyczna ogrzewania pomieszczeń przez miejscowe ogrzewacze pomieszczeń z zamkniętą komorą spalania na paliwa gazowe lub ciekłe nie może być niższa niż 72 %;

(iii) sezonowa efektywność energetyczna ogrzewania pomieszczeń przez elektryczne przenośne miejscowe ogrzewacze pomieszczeń nie może być niższa niż 36 %;

(iv) sezonowa efektywność energetyczna ogrzewania pomieszczeń przez elektryczne nieprzenośne miejscowe ogrzewacze pomieszczeń o nominalnej mocy cieplnej powyżej 250 W nie może być niższa niż 38 %;

(v) sezonowa efektywność energetyczna ogrzewania pomieszczeń przez elektryczne nieprzenośne miejscowe ogrzewacze pomieszczeń o nominalnej mocy cieplnej równej lub niższej niż 250 W nie może być niższa niż 34 %;

(vi) sezonowa efektywność energetyczna ogrzewania pomieszczeń przez elektryczne akumulacyjne miejscowe ogrzewacze pomieszczeń nie może być niższa niż 38,5 %;

(vii) sezonowa efektywność energetyczna ogrzewania pomieszczeń przez elektryczne podłogowe ogrzewacze pomieszczeń nie może być niższa niż 38 %;

(viii) sezonowa efektywność energetyczna ogrzewania pomieszczeń przez elektryczne promienniki ciepła nie może być niższa niż 35 %;

(ix) sezonowa efektywność energetyczna ogrzewania pomieszczeń przez elektryczne promienniki ciepła z widocznym elementem grzejnym o nominalnej mocy cieplnej powyżej 1,2 kW nie może być niższa niż 35 %;

(x) sezonowa efektywność energetyczna ogrzewania pomieszczeń przez elektryczne promienniki ciepła z widocznym elementem grzejnym o nominalnej mocy cieplnej równej lub niższej niż 1,2 kW nie może być niższa niż 31 %;

(xi) sezonowa efektywność energetyczna ogrzewania pomieszczeń przez ceramiczne promienniki podczerwieni nie może być niższa niż 85 %;

(xii) sezonowa efektywność energetyczna ogrzewania pomieszczeń przez rurowe promienniki podczerwieni nie może być niższa niż 74 %.

2.    Szczegółowe wymogi dotyczące ekoprojektu w odniesieniu do emisji

a) Od dnia 1 stycznia 2018 r. emisje tlenków azotu (NOx) z miejscowych ogrzewaczy pomieszczeń na paliwa ciekłe lub gazowe nie mogą przekraczać następujących wartości:

(i) emisje NOx z miejscowych ogrzewaczy pomieszczeń z otwartą komorą spalania i miejscowych ogrzewaczy pomieszczeń z zamkniętą komorą spalania na paliwa gazowe lub ciekłe nie przekraczają 130 mg/kWhinput na podstawie GCV;

(ii) emisje NOx z ceramicznych promienników podczerwieni i rurowych promienników podczerwieni nie przekraczają 200 mg/kWhinput na podstawie GCV.

3.    Wymogi dotyczące informacji o produkcie

a) Od dnia 1 stycznia 2018 r. w przypadku miejscowych ogrzewaczy pomieszczeń muszą być podawane następujące informacje o produkcie:

(i) w instrukcjach obsługi dla instalatorów i użytkowników końcowych oraz na ogólne dostępnych stronach internetowych producentów, ich upoważnionych przedstawicieli i importerów umieszczane są następujące informacje:

1) w przypadku miejscowych ogrzewaczy pomieszczeń na paliwa gazowe lub ciekłe – informacje określone w tabeli 1, w tym parametry techniczne zmierzone i obliczone zgodnie z załącznikiem III, oraz przedstawiające istotne dane wskazane w tabeli;

2) w przypadku elektrycznych miejscowych ogrzewaczy pomieszczeń – informacje określone w tabeli 2, w tym parametry techniczne zmierzone i obliczone zgodnie z załącznikiem III, przedstawiające istotne dane wskazane w tabeli;

3) w przypadku miejscowych ogrzewaczy pomieszczeń do zastosowań komercyjnych informacje określone w tabeli 3, w tym parametry techniczne zmierzone i obliczone zgodnie z załącznikiem III, przedstawiające istotne dane wskazane w tabeli;

4) wszelkie szczególne środki ostrożności, jakie muszą być stosowane podczas montażu, instalacji lub konserwacji miejscowego ogrzewacza pomieszczeń;

5) istotne informacje dotyczące demontażu, recyklingu lub unieszkodliwiania pod koniec przydatności do użycia;

(ii) dokumentacja techniczna do celów oceny zgodności na podstawie art. 4 zawiera następujące elementy:

1) elementy określone w lit. a);

2) wykaz wszystkich modeli równoważnych, o ile dotyczy;

b) Od dnia 1 stycznia 2018 r. w przypadku miejscowych ogrzewaczy pomieszczeń muszą być podawane następujące informacje o produkcie:

(i) wyłącznie w przypadku miejscowych ogrzewaczy pomieszczeń z emisją spalin do pomieszczenia i miejscowych ogrzewaczy pomieszczeń otwartych na przewód kominowy: w instrukcji obsługi dla użytkowników końcowych, na ogólnie dostępnych stronach internetowych producentów i na opakowaniu produktu umieszcza się dobrze widoczne i czytelne zdanie w języku łatwo zrozumiałym dla użytkowników końcowych w państwie członkowskim, w którym produkt wprowadzony jest do obrotu, w brzmieniu: „Ten produkt nie może służyć jako podstawowe źródło ogrzewania”;

1) w przypadku instrukcji dla użytkowników końcowych zdanie to znajduje się na stronie tytułowej;

2) na ogólnie dostępnych stronach internetowych producentów zdanie to jest umieszczone razem z opisem produktu;

3) w przypadku opakowania produktu zdanie to jest wyeksponowane w miejscu dobrze widocznym dla użytkownika przed zakupem;

(ii) wyłącznie w przypadku elektrycznych przenośnych miejscowych ogrzewaczy pomieszczeń: w instrukcji obsługi dla użytkowników końcowych, na ogólnie dostępnych stronach internetowych producentów i na opakowaniu produktu umieszcza się dobrze widoczne i czytelne zdanie w języku łatwo zrozumiałym dla użytkowników końcowych w państwie członkowskim, w którym produkt wprowadzony jest do obrotu, w brzmieniu: „Ten produkt jest odpowiedni tylko do sporadycznego użytku lub do stosowania w dobrze izolowanych pomieszczeniach”:

1) w przypadku instrukcji dla użytkowników końcowych zdanie to znajduje się na stronie tytułowej;

2) na ogólnie dostępnych stronach internetowych producentów zdanie to jest umieszczone razem z opisem produktu;

3) w przypadku opakowania produktu zdanie to jest wyeksponowane w miejscu dobrze widocznym dla użytkownika przed zakupem.



Tabela 1

Wymogi w zakresie informacji dotyczące miejscowych ogrzewaczy pomieszczeń na paliwa gazowe/ciekłe

Identyfikator(-y) modelu:

Funkcja ogrzewania pośredniego: [tak/nie]

Bezpośrednia moc cieplna: … (kW)

Pośrednia moc cieplna: … (kW)

Paliwo

 

 

Emisje z miejscowych ogrzewaczy pomieszczeń (1)

NOx

Należy wybrać rodzaj paliwa

[gazowe/ciekłe]

[należy określić]

[mg/kWhinput] (GCV)

 

 

 

 

Parametr

Oznaczenie

Wartość

Jednostka

 

Parametr

Oznaczenie

Wartość

Jednostka

Moc cieplna

 

Sprawność użytkowa (NCV)

Nominalna moc cieplna

Pnom

x,x

kW

 

Sprawność użytkowa przy nominalnej mocy cieplnej

ηth,nom

x,x

%

Minimalna moc cieplna (orientacyjna)

Pmin

[x,x/nd.]

kW

 

Sprawność użytkowa przy minimalnej mocy cieplnej (orientacyjnej)

ηth,min

[x,x/nd.]

%

 

 

 

 

 

 

Zużycie energii elektrycznej na potrzeby własne

 

Rodzaj mocy cieplnej/regulacja temperatury w pomieszczeniu (należy wybrać jedną opcję)

Przy nominalnej mocy cieplnej

elmax

x,xxx

kW

 

jednostopniowa moc cieplna, bez regulacji temperatury w pomieszczeniu

[tak/nie]

Przy minimalnej mocy cieplnej

elmin

x,xxx

kW

 

co najmniej dwa ręczne stopnie bez regulacji temperatury w pomieszczeniu

[tak/nie]

W trybie czuwania

elSB

x,xxx

kW

 

mechaniczna regulacja temperatury w pomieszczeniu za pomocą termostatu

[tak/nie]

 

 

elektroniczna regulacja temperatury w pomieszczeniu

[tak/nie]

 

 

elektroniczna regulacja temperatury w pomieszczeniu i sterownik dobowy

[tak/nie]

 

 

elektroniczna regulacja temperatury w pomieszczeniu i sterownik tygodniowy

[tak/nie]

 

 

Inne opcje regulacji (można wybrać kilka)

 

 

regulacja temperatury w pomieszczeniu z wykrywaniem obecności

[tak/nie]

 

 

regulacja temperatury w pomieszczeniu z wykrywaniem otwartego okna

[tak/nie]

 

 

opcję regulacji na odległość

[tak/nie]

 

 

adaptacyjną regulację startu

[tak/nie]

 

 

z ograniczeniem czasu pracy

[tak/nie]

 

 

z czujnikiem ciepła promieniowania

[tak/nie]

Zapotrzebowanie na energię stałego płomienia pilotującego

 

 

Zapotrzebowanie na energię płomienia pilotującego (o ile dotyczy)

Ppilot

[x,xxx/nd.]

kW

 

 

Dane teleadresowe

Nazwa/imię i nazwisko oraz adres producenta lub jego upoważnionego przedstawiciela:

(*1)    NOx = tlenki azotu.



Tabela 2

Wymogi w zakresie informacji dotyczące elektrycznych miejscowych ogrzewaczy pomieszczeń

Identyfikator(-y) modelu:

Parametr

Oznaczenie

Wartość

Jednostka

 

Parametr

Jednostka

Moc cieplna

 

Sposób doprowadzania ciepła wyłącznie w przypadku elektrycznych akumulacyjnych miejscowych ogrzewaczy pomieszczeń (należy wybrać jedną opcję)

Nominalna moc cieplna

Pnom

x,x

kW

 

ręczny regulator doprowadzania ciepła z wbudowanym termostatem

[tak/nie]

Minimalna moc cieplna (orientacyjna)

Pmin

[x,x/nd.]

kW

 

ręczny regulator doprowadzania ciepła z pomiarem temperatury w pomieszczeniu lub na zewnątrz

[tak/nie]

Maksymalna stała moc cieplna

Pmax,c

x,x

kW

 

elektroniczny regulator doprowadzania ciepła z pomiarem temperatury w pomieszczeniu lub na zewnątrz

[tak/nie]

Zużycie energii elektrycznej na potrzeby własne

 

 

 

 

moc cieplna regulowana wentylatorem

[tak/nie]

Przy nominalnej mocy cieplnej

elmax

x,xxx

kW

 

Rodzaj mocy cieplnej/regulacja temperatury w pomieszczeniu (należy wybrać jedną opcję)

Przy minimalnej mocy cieplnej

elmin

x,xxx

kW

 

jednostopniowa moc cieplna bez regulacji temperatury w pomieszczeniu

[tak/nie]

W trybie czuwania

elSB

x,xxx

kW

 

co najmniej dwa ręczne stopnie bez regulacji temperatury w pomieszczeniu

[tak/nie]

 

 

mechaniczna regulacja temperatury w pomieszczeniu za pomocą termostatu

[tak/nie]

 

 

elektroniczna regulacja temperatury w pomieszczeniu

[tak/nie]

 

 

elektroniczna regulacja temperatury w pomieszczeniu ze sterownikiem dobowym

[tak/nie]

 

 

elektroniczna regulacja temperatury w pomieszczeniu ze sterownikiem tygodniowym

[tak/nie]

 

 

Inne opcje regulacji (można wybrać kilka)

 

 

regulacja temperatury w pomieszczeniu z wykrywaniem obecności

[tak/nie]

 

 

regulacja temperatury w pomieszczeniu z wykrywaniem otwartego okna

[tak/nie]

 

 

z regulacją na odległość

[tak/nie]

 

 

z adaptacyjną regulacją startu

[tak/nie]

 

 

z ograniczeniem czasu pracy

[tak/nie]

 

 

z czujnikiem ciepła promieniowania

[tak/nie]

Dane teleadresowe

Nazwa/imię i nazwisko oraz adres producenta lub jego upoważnionego przedstawiciela:



Tabela 3

Wymogi w zakresie informacji dotyczące miejscowych ogrzewaczy pomieszczeń do zastosowań komercyjnych

Identyfikator(-y) modelu:

Typ ogrzewania:[promiennik ceramiczny/promiennik rurowy]

Paliwo

Paliwo

 

 

Emisje z miejscowych ogrzewaczy pomieszczeń (1)

NOx

Należy wybrać rodzaj paliwa

[gazowe/ciekłe]

[należy określić]

 

mg/kWhinput (GCV)

 

 

 

 

 

Charakterystyka w wypadku eksploatacji przy użyciu wyłącznie paliwa zalecanego

Parametr

Oznaczenie

Wartość

Jednostka

 

Parametr

Oznaczenie

Wartość

Jednostka

Moc cieplna

 

Sprawność użytkowa (GCV) – wyłącznie rurowe promienniki podczerwieni (2)

Nominalna moc cieplna

Pnom

x,x

kW

 

Sprawność użytkowa przy nominalnej mocy cieplnej

ηth,nom

x,x

%

Minimalna moc cieplna

Pmin

[x,x/nd.]

kW

 

Sprawność użytkowa przy minimalnej mocy cieplnej

ηth,min

[x,x/nd.]

%

Minimalna moc cieplna (jako procent nominalnej mocy cieplnej)

..

[x]

%

 

 

 

 

 

Nominalna moc cieplna systemu promiennika (o ile dotyczy)

Psystem

x,x

kW

 

 

 

 

 

Nominalna moc cieplna segmentu systemu promiennika (o ile dotyczy)

Pheater,i

[x,x/nd.]

kW

 

Sprawność użytkowa segmentu systemu promiennika przy minimalnej mocy cieplnej (o ile dotyczy)

ηi

[x,x/nd.]

%

(powtórzyć dla wszystkich segmentów, o ile dotyczy)

..

[x,x/nd.]

kW

 

(powtórzyć dla wszystkich segmentów, o ile dotyczy)

..

[x,x/nd.]

%

liczba identycznych segmentów promiennika

n

[x]

[-]

 

 

 

 

 

Współczynnik promieniowania

 

 

 

 

Straty przez osłonę

 

 

 

współczynnik promieniowania przy nominalnej mocy cieplnej

RFnom

[x,x]

[-]

 

klasa izolacji osłony

U

 

W/(m2K)

współczynnik promieniowania przy minimalnej mocy cieplnej

RFmin

[x,x]

[-]

 

współczynnik straty przez osłonę

Fenv

[x,x]

%

współczynnik promieniowania segmentu systemu promiennika przy nominalnej mocy cieplnej

RFi

[x,x]

[-]

 

źródło ciepła musi być instalowane poza ogrzewanym obszarem

 

[tak/nie]

 

(powtórzyć dla wszystkich segmentów, o ile dotyczy)

..

 

 

 

 

 

 

 

 

 

 

 

 

 

 

 

 

Zużycie energii elektrycznej na potrzeby własne

 

Typ regulacji mocy cieplnej (należy wybrać jedną opcję)

Przy nominalnej mocy cieplnej

elmax

x,xxx

kW

 

—  jednostopniowy

[tak/nie]

 

Przy minimalnej mocy cieplnej

elmin

x,xxx

kW

 

—  dwustopniowy

[tak/nie]

 

W trybie czuwania

elSB

x,xxx

kW

 

—  modulujący

[tak/nie]

 

 

 

 

Zapotrzebowanie na energię stałego płomienia pilotującego

 

 

Zapotrzebowanie na energię płomienia pilotującego (o ile dotyczy)

Ppilot

[x,xxx/nd.]

kW

 

 

Dane teleadresowe

Nazwa/imię i nazwisko oraz adres producenta lub jego upoważnionego przedstawiciela:

(*1)    NOx = tlenki azotu.

(*2)   W przypadku ceramicznych promienników podczerwieni ważona sprawność cieplna wynosi domyślnie 85,6 %.




ZAŁĄCZNIK III

Pomiary i obliczenia

1.

Pomiarów do celów zgodności i weryfikacji zgodności z wymogami niniejszego rozporządzenia dokonuje się z zastosowaniem zharmonizowanych norm, których numery referencyjne zostały w tym celu opublikowane w Dzienniku Urzędowym Unii Europejskiej, lub przy użyciu innych wiarygodnych, dokładnych i odtwarzalnych metod uwzględniających powszechnie uznane najnowsze metody. Muszą one spełniać warunki określone w pkt 2–5.

2.

Warunki ogólne pomiarów i obliczeń

a) Wartości deklarowane dla nominalnej mocy cieplnej i sezonowej efektywności energetycznej ogrzewania pomieszczeń zaokrągla się do jednego miejsca po przecinku;

b) Wartości deklarowane dla emisji zaokrągla się do najbliższej liczby całkowitej.

3.

Warunki ogólne dotyczące sezonowej efektywności energetycznej ogrzewania pomieszczeń

a) Sezonową efektywność energetyczną ogrzewania pomieszczeń (ηS ) oblicza się jako sezonową efektywność energetyczną ogrzewania pomieszczeń w trybie aktywnym (ηS,on ) skorygowaną o czynniki uwzględniające akumulację ciepła i regulację mocy cieplnej, zużycie energii elektrycznej na potrzeby własne i zużycie energii przez stały płomień pilotujący;

b) Zużycie energii elektrycznej mnoży się przez współczynnik konwersji (CC) wynoszący 2,5.

4.

Ogólne warunki dotyczące emisji

a) W przypadku miejscowych ogrzewaczy pomieszczeń na paliwa gazowe i ciekłe przy pomiarach uwzględnia się emisje tlenków azotu (NOx). Emisje tlenków azotu oblicza się jako sumę tlenku azotu i dwutlenku azotu i wyraża się jako dwutlenek azotu.

5.

Warunki szczególne dotyczące sezonowej efektywności energetycznej ogrzewania pomieszczeń

a) Sezonową efektywność energetyczną ogrzewania pomieszczeń wszystkich miejscowych ogrzewaczy pomieszczeń z wyjątkiem miejscowych ogrzewaczy pomieszczeń do zastosowań komercyjnych definiuje się jako:

ηS = ηS,on – 10 % + F(1) + F(2) + F(3) – F(4) – F(5)

Sezonową efektywność energetyczną ogrzewania pomieszczeń miejscowych ogrzewaczy pomieszczeń do zastosowań komercyjnych definiuje się jako:

ηS = ηS,on F(1) – F(4) – F(5)

gdzie:

  ηS,on oznacza sezonową efektywność energetyczną ogrzewania pomieszczeń w trybie aktywnym, wyrażaną w % i obliczaną zgodnie z pkt 5 lit. b),

  F(1) oznacza, wyrażany w %, współczynnik korekcji uwzględniający zwiększenie sezonowej efektywności energetycznej ogrzewania pomieszczeń przez elektryczne akumulacyjne miejscowe ogrzewacze pomieszczeń ze względu na skorygowane czynniki związane z opcjami akumulacji ciepła i mocy cieplnej; oraz uwzględniający zmniejszenie sezonowej efektywności energetycznej ogrzewania pomieszczeń przez miejscowe ogrzewacze pomieszczeń do zastosowań komercyjnych ze względu na skorygowane czynniki związane z opcjami mocy cieplnej,

  F(2) oznacza, wyrażany w %, współczynnik korekcji uwzględniający zwiększenie sezonowej efektywności ogrzewania pomieszczeń ze względu na skorygowane czynniki związane z regulacją temperatury w pomieszczeniu w celu uzyskania komfortu cieplnego, których wartości wykluczają się wzajemnie i nie mogą być do siebie dodawane,

  F(3) oznacza, wyrażany w %, współczynnik korekcji uwzględniający zwiększenie sezonowej efektywności energetycznej ogrzewania pomieszczeń ze względu na skorygowane czynniki związane z regulacją temperatury w pomieszczeniu w celu uzyskania komfortu cieplnego, których wartości mogą być do siebie dodawane,

  F(4) oznacza, wyrażany w %, współczynnik korekcji uwzględniający zmniejszenie sezonowej efektywności energetycznej ogrzewania pomieszczeń ze względu na zużycie energii elektrycznej na potrzeby własne,

  F(5) oznacza, wyrażany w %, współczynnik korekcji uwzględniający zmniejszenie sezonowej efektywności energetycznej ogrzewania pomieszczeń ze względu na zużycie energii przez stały płomień pilotujący;

b) Sezonową efektywność energetyczną ogrzewania pomieszczeń w trybie aktywnym oblicza się w następujący sposób:

W przypadku wszystkich miejscowych ogrzewaczy pomieszczeń z wyjątkiem elektrycznych miejscowych ogrzewaczy pomieszczeń i miejscowych ogrzewaczy pomieszczeń do zastosowań komercyjnych:

ηS,on = ηth,nom

gdzie:

  ηth,nom oznacza sprawność użytkową przy nominalnej mocy cieplnej, na podstawie NCV.

W przypadku elektrycznych miejscowych ogrzewaczy pomieszczeń:

image

gdzie:

  CC oznacza „współczynnik konwersji” energii elektrycznej na energię pierwotną,

  ηth,on dla elektrycznych miejscowych ogrzewaczy pomieszczeń wynosi 100 %.

W przypadku miejscowych ogrzewaczy pomieszczeń do zastosowań komercyjnych:

ηS,on = ηS,th · ηS,RF

gdzie:

  ηS,th oznacza ważoną sprawność cieplną wyrażaną w %,

  ηS,RF oznacza efektywność emisyjną wyrażaną w %.

W przypadku ceramicznych promienników podczerwieni ηS,th wynosi 85,6 %.

W przypadku rurowych promienników podczerwieni:

ηS,th = (0,15 · ηth,nom + 0,85 · ηth,min ) – Fenv

gdzie:

  ηth,nom oznacza sprawność użytkową przy nominalnej mocy cieplnej, wyrażaną w % na podstawie GCV,

  ηth,min oznacza sprawność użytkową przy minimalnej mocy cieplnej, wyrażaną w % na podstawie GCV,

  Fenv oznacza straty przez osłonę źródła ciepła, wyrażane w %.

Jeżeli producent lub dostawca określił, że źródło ciepła rurowego promiennika podczerwieni należy zainstalować w pomieszczeniu, które ma być ogrzewane, straty przez osłonę wynoszą 0 (zero).

Jeżeli producent lub dostawca określił, że źródło ciepła rurowego promiennika podczerwieni należy zainstalować poza ogrzewanym obszarem, współczynnik strat przez osłonę zależy od współczynnika przepuszczania osłony źródła ciepła zgodnie z tabelą 4.



Tabela 4

Współczynnik strat termicznych przez osłonę źródła ciepła

Współczynnik przepuszczania osłony (U)

 

U ≤ 0,5

2,2 %

0,5 < U ≤ 1,0

2,4 %

1,0 < U ≤ 1,4

3,2 %

1,4 < U ≤ 2,0

3,6 %

U > 2,0

6,0 %

Efektywność emisyjną miejscowych ogrzewaczy pomieszczeń do zastosowań komercyjnych oblicza się w następujący sposób:

image

gdzie:

  RFS oznacza współczynnik promieniowania miejscowego ogrzewacza pomieszczeń do zastosowań komercyjnych, wyrażany w %.

W przypadku wszystkich miejscowych ogrzewaczy pomieszczeń do zastosowań komercyjnych z wyjątkiem systemów promienników rurowych:

RFS = 0,15 · RFnom + 0,85 · RFmin

gdzie:

  RFnom oznacza współczynnik promieniowania przy nominalnej mocy cieplnej, wyrażany w %,

  RFmin oznacza współczynnik promieniowania przy minimalnej mocy cieplnej, wyrażany w %.

W przypadku systemów promienników rurowych:

image

gdzie:

  RFnom,i oznacza współczynnik promieniowania na segment promiennika rurowego przy nominalnej mocy cieplnej, wyrażany w %,

  RFmin,i oznacza współczynnik promieniowania na segment promiennika rurowego przy minimalnej mocy cieplnej, wyrażany w %,

  Pheater,i oznacza moc cieplną na segment systemu promiennika rurowego, wyrażaną w kW na podstawie GCV,

  Psystem oznacza moc cieplną na cały system rurowego promiennika podczerwieni, wyrażaną w kW na podstawie GCV.

Powyższe równanie ma zastosowanie wyłącznie wówczas, gdy konstrukcja palnika, rur i reflektorów segmentu stosowanego w systemie promiennika rurowego jest identyczna z pojedynczym rurowym promiennikiem podczerwieni, a ustawienia, które określają wydajność segmentu systemu promiennika rurowego, są identyczne z ustawieniami pojedynczego rurowego promiennika podczerwieni;

c) Współczynnik korekcji F(1) uwzględniający zwiększenie sezonowej efektywności energetycznej ogrzewania pomieszczeń ze względu na skorygowane czynniki związane z regulacją ciepła doprowadzanego i mocy cieplnej oraz uwzględniający to, czy ciepło jest rozprowadzane naturalnie czy za pomocą wentylatora w przypadku elektrycznych akumulacyjnych miejscowych ogrzewaczy pomieszczeń, a także uwzględniający zmniejszenie sezonowej efektywności energetycznej w przypadku miejscowych ogrzewaczy pomieszczeń do zastosowań komercyjnych w związku z możliwością regulacji przez produkt jego mocy cieplnej.

W przypadku elektrycznych akumulacyjnych miejscowych ogrzewaczy pomieszczeń współczynnik korekcji mocy cieplnej F(1) oblicza się w następujący sposób:

Jeżeli produkt jest wyposażony w jedną z (wykluczających się wzajemnie) opcji przedstawionych w tabeli 5, współczynnik korekcji F(1) wzrasta wraz odpowiednią wartością tej opcji.



Tabela 5

Współczynnik korekcji F(1) dla elektrycznych akumulacyjnych miejscowych ogrzewaczy pomieszczeń

Jeżeli produkt jest wyposażony w (może wystąpić tylko jedna opcja):

F(1) wzrasta o

ręczny regulator doprowadzania ciepła z wbudowanym termostatem

0,0 %

ręczny regulator doprowadzania ciepła z pomiarem temperatury w pomieszczeniu lub na zewnątrz

2,0 %

elektroniczny regulator doprowadzania ciepła z pomiarem temperatury w pomieszczeniu lub na zewnątrz lub opcję regulacji przez dostawcę energii

3,5 %

W przypadku gdy moc cieplna elektrycznego akumulacyjnego ogrzewacza pomieszczeń jest regulowana za pomocą wentylatora, do F(1) należy dodać 1,5 %.

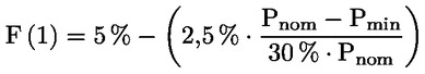
W przypadku miejscowych ogrzewaczy pomieszczeń do zastosowań komercyjnych współczynnik korekcji mocy cieplnej oblicza się w następujący sposób:



Tabela 6

Współczynnik korekcji F(1) dla miejscowych ogrzewaczy pomieszczeń do zastosowań komercyjnych

Typ regulacji mocy cieplnej produktu:

F(1) oblicza się w następujący sposób:

jednostopniowy

F(1) = 5 %

dwustopniowy

image

modulujący

image

Minimalna wartość współczynnika korekcji F(1) w przypadku dwustopniowych miejscowych ogrzewaczy do zastosowań komercyjnych wynosi 2,5 %, a w przypadku modulujących miejscowych ogrzewaczy do zastosowań komercyjnych – 5 %.

W przypadku ogrzewaczy pomieszczeń, które nie są elektrycznymi akumulacyjnymi miejscowymi ogrzewaczami lub miejscowymi ogrzewaczami pomieszczeń do zastosowań komercyjnych, współczynnik F(1) wynosi 0 (zero);

d) Współczynnik korekcji F(2) odpowiadający zwiększeniu sezonowej efektywności ogrzewania pomieszczeń z względu na skorygowane czynniki związane z regulacją temperatury w pomieszczeniu w celu uzyskania komfortu cieplnego, których wartości wykluczają się wzajemnie i nie mogą być do siebie dodawane, oblicza się w następujący sposób:

W przypadku wszystkich miejscowych ogrzewaczy pomieszczeń współczynnik korekcji F(2) jest równy jednemu ze współczynników podanych w tabeli 7, w zależności od tego, w jaki rodzaj regulacji wyposażony jest produkt. Można wybrać tylko jedną wartość.



Tabela 7

Współczynnik korekcji F(2)

Jeżeli produkt jest wyposażony w (może wystąpić tylko jedna opcja):

F(2)

elektryczne miejscowe ogrzewacze pomieszczeń

miejscowe ogrzewacze pomieszczeń na paliwa gazowe lub ciekłe

przenośne

nieprzenośne

akumulacyjne

podłogowe

promienniki

jednostopniową moc cieplną, bez regulacji temperatury w pomieszczeniu

0,0 %

0,0 %

0,0 %

0,0 %

0,0 %

0,0 %

co najmniej dwa ręczne stopnie bez regulacji temperatury

1,0 %

0,0 %

0,0 %

0,0 %

2,0 %

1,0 %

mechaniczną regulację temperatury w pomieszczeniu za pomocą termostatu

6,0 %

1,0 %

0,5 %

1,0 %

1,0 %

2,0 %

elektroniczną regulację temperatury w pomieszczeniu

7,0 %

3,0 %

1,5 %

3,0 %

2,0 %

4,0 %

elektroniczną regulację temperatury w pomieszczeniu i sterownik dobowy

8,0 %

5,0 %

2,5 %

5,0 %

3,0 %

6,0 %

elektroniczną regulację temperatury w pomieszczeniu i sterownik tygodniowy

9,0 %

7,0 %

3,5 %

7,0 %

4,0 %

7,0 %

Współczynnik korekcji F(2) nie ma zastosowania do miejscowych ogrzewaczy pomieszczeń do zastosowań komercyjnych;

e) Współczynnik korekcji F(3) uwzględniający zwiększenie sezonowej efektywności ogrzewania pomieszczeń z względu na skorygowane czynniki związane z regulacją temperatury w pomieszczeniu w celu uzyskania komfortu cieplnego, których wartości nie mogą być do siebie dodawane, oblicza się w następujący sposób:

W przypadku wszystkich miejscowych ogrzewaczy pomieszczeń współczynnik korekcji F(3) jest sumą wartości wynikających z tabeli 8, w zależności od tego, w jaki rodzaj regulacji wyposażony jest produkt.



Tabela 8

Współczynnik korekcji F(3)

Jeżeli produkt jest wyposażony w (może wystąpić kilka opcji):

F(3)

elektryczne miejscowe ogrzewacze pomieszczeń

miejscowe ogrzewacze pomieszczeń na paliwa gazowe lub ciekłe

przenośne

nieprzenośne

akumulacyjne

podłogowe

promienniki

regulację temperatury w pomieszczeniu z wykrywaniem obecności

1,0 %

0,0 %

0,0 %

0,0 %

2,0 %

1,0 %

regulację temperatury w pomieszczeniu z wykrywaniem otwartego okna

0,0 %

1,0 %

0,5 %

1,0 %

1,0 %

1,0 %

opcję regulacji na odległość

0,0 %

1,0 %

0,5 %

1,0 %

1,0 %

1,0 %

adaptacyjną regulację startu

0,0 %

1,0 %

0,5 %

1,0 %

0,0 %

0,0 %

z ograniczeniem czasu pracy

0,0 %

0,0 %

0,0 %

0,0 %

1,0 %

0,0 %

z czujnikiem ciepła promieniowania

0,0 %

0,0 %

0,0 %

0,0 %

1,0 %

0,0 %

f) Współczynnik korekcji zużycia energii na potrzeby własne F(4) oblicza się w następujący sposób:

Ten współczynnik korekcji uwzględnia zużycie energii na potrzeby własne podczas działania w trybie włączenia i w trybie czuwania.

W przypadku elektrycznych miejscowych ogrzewaczy pomieszczeń współczynnik korekcji oblicza się w następujący sposób:

Współczynnik korekcji zużycia energii na potrzeby własne F(4) oblicza się w następujący sposób:

image

gdzie:

  elsb oznacza zużycie energii elektrycznej w trybie czuwania, wyrażone w kW,

  Pnom oznacza nominalną moc cieplną produktu, wyrażoną w kW,

  α oznacza współczynnik, który określa to, czy produkt jest zgodny z rozporządzeniem Komisji (WE) nr 1275/2008 ( 2 ):

 

 jeżeli produkt jest zgodny z wartościami granicznymi ustanowionymi w rozporządzeniu (WE) nr 1275/2008, α domyślnie wynosi 0,

 jeżeli produkt nie jest zgodny z wartościami granicznymi ustanowionymi w rozporządzeniu (WE) nr 1275/2008, α domyślnie wynosi 1,3.

W przypadku miejscowych ogrzewaczy pomieszczeń na paliwa gazowe lub ciekłe korekcję zużycia energii na potrzeby własne oblicza się w następujący sposób:

image

gdzie:

  elmax oznacza zużycie energii elektrycznej przy nominalnej mocy cieplnej, wyrażane w kW,

  elmin oznacza zużycie energii elektrycznej przy minimalnej mocy cieplnej, wyrażane w kW; Jeżeli produkt nie zawiera opcji minimalnej mocy cieplnej, stosuje się wartość dla zużycia energii elektrycznej przy nominalnej mocy cieplnej,

  elsb oznacza zużycie energii elektrycznej przez produkt w trybie czuwania, wyrażane w kW,

  Pnom oznacza nominalną moc cieplną produktu, wyrażoną w kW.

W przypadku miejscowych ogrzewaczy pomieszczeń do zastosowań komercyjnych współczynnik korekcji zużycia energii na potrzeby własne oblicza się w następujący sposób:

image

g) Współczynnik korekcji F(5) związany z zużyciem energii na potrzeby stałego płomienia pilotującego oblicza się w następujący sposób:

Współczynnik korekcji uwzględnia zapotrzebowanie na energię stałego płomienia pilotującego.

W przypadku miejscowych ogrzewaczy pomieszczeń na paliwa gazowe lub ciekłe oblicza się go w następujący sposób:

image

gdzie:

  Ppilot oznacza zużycie energii przez płomień pilotujący, wyrażane w kW,

  Pnom oznacza nominalną moc cieplną produktu, wyrażoną w kW.

W przypadku miejscowych ogrzewaczy pomieszczeń do zastosowań komercyjnych współczynnik korekcji oblicza się w następujący sposób:

image

Jeżeli produkt nie ma stałego płomienia pilotującego, Ppilot wynosi 0 (zero).

gdzie:

  Ppilot oznacza zużycie energii przez płomień pilotujący, wyrażane w kW,

  Pnom oznacza nominalną moc cieplną produktu, wyrażoną w kW.

▼M1




ZAŁĄCZNIK IV

Weryfikacja zgodności produktu przez organy nadzoru rynku

Określone w niniejszym załączniku dopuszczalne odchylenia na potrzeby weryfikacji odnoszą się wyłącznie do weryfikacji zmierzonych parametrów prowadzonej przez organy państwa członkowskiego i nie mogą być stosowane przez producenta lub importera jako dopuszczalne tolerancje do określania wartości w dokumentacji technicznej, ani do interpretowania tych wartości w celu osiągnięcia zgodności, ani do podawania, w jakikolwiek sposób, informacji o lepszej charakterystyce produktu.

Weryfikując zgodność modelu produktu z wymaganiami ustanowionymi w niniejszym rozporządzeniu zgodnie z art. 3 ust. 2 dyrektywy 2009/125/WE, organy państw członkowskich stosują do celów wymagań, o których mowa w niniejszym załączniku, następującą procedurę:

1) Organy państwa członkowskiego poddają weryfikacji tylko jedno urządzenie danego modelu.

2) Model uznaje się za zgodny z mającymi zastosowanie wymogami, jeżeli:

a) wartości podane w dokumentacji technicznej zgodnie z pkt 2 załącznika IV do dyrektywy 2009/125/WE (wartości deklarowane) oraz, w stosownych przypadkach, wartości zastosowane do obliczenia tych wartości nie są korzystniejsze dla producenta lub importera niż wyniki odpowiadających im pomiarów wykonanych zgodnie z lit. g) wspomnianego przepisu; oraz

b) wartości deklarowane spełniają wszelkie wymagania ustanowione w niniejszym rozporządzeniu, a żadne wymagane informacje o produkcie opublikowane przez producenta lub importera nie zawierają wartości, które są bardziej korzystne dla producenta lub importera niż wartości deklarowane; oraz

c) gdy organy państwa członkowskiego badają jedno urządzenie danego modelu, ustalone wartości (wartości istotnych parametrów oraz wartości wyliczone na podstawie tych pomiarów) są zgodne z odpowiednimi dopuszczalnymi odchyleniami na potrzeby weryfikacji podanymi w tabeli 9.

3) W przypadku nieuzyskania wyników, o których mowa w pkt 2 lit. a) lub b), uznaje się, że dany model oraz wszystkie modele wymienione jako równoważne w dokumentacji technicznej producenta lub importera nie są zgodne z przepisami niniejszego rozporządzenia.

4) Jeżeli wynik, o którym mowa w pkt 2 lit. c), nie zostanie osiągnięty, organy państwa członkowskiego wybierają trzy dodatkowe urządzenia tego samego modelu w celu przetestowania, z wyłączeniem elektrycznych miejscowych ogrzewaczy pomieszczeń, w których przypadku niezgodność stwierdza się bez dalszych badań, a pkt 6 i 7 poniżej mają natychmiastowe zastosowanie. W przypadku innych modeli, w ramach alternatywy, trzy wybrane dodatkowe urządzenia mogą być egzemplarzami jednego lub kilku różnych modeli, które zostały wymienione jako modele równoważne w dokumentacji technicznej producenta lub importera.

5) Model uznaje się za zgodny z mającymi zastosowanie wymogami, jeżeli odnosząca się do wspomnianych trzech egzemplarzy średnia arytmetyczna ustalonych wartości pozostaje w zgodzie z odpowiednimi dopuszczalnymi odchyleniami na potrzeby weryfikacji podanymi w tabeli 9.

6) W przypadku nieuzyskania wyniku, o którym mowa w pkt 4 lub 5, uznaje się, że dany model oraz wszystkie modele wymienione jako równoważne w dokumentacji technicznej producenta lub importera nie są zgodne z przepisami niniejszego rozporządzenia.

7) Po podjęciu decyzji w sprawie niezgodności modelu zgodnie z pkt 3 i 6 organy państwa członkowskiego przekazują wszelkie istotne informacje organom pozostałych państw członkowskich oraz Komisji.

Organy państwa członkowskiego stosują metody pomiaru i obliczeń określone w załączniku III.

Do celów wymagań, o których mowa w niniejszym załączniku, organy państwa członkowskiego stosują wyłącznie dopuszczalne odchylenia na potrzeby weryfikacji określone w tabeli 9 i stosują wyłącznie procedurę opisaną w pkt 1–7. Nie stosuje się innych odchyleń, takich jak odchylenia określone w zharmonizowanych normach, ani innej metody pomiaru.



Tabela 9

Dopuszczalne odchylenia na potrzeby weryfikacji

Parametry

Dopuszczalne odchylenia na potrzeby weryfikacji

Sezonowa efektywność energetyczna ogrzewania pomieszczeń, η s, w odniesieniu do elektrycznych miejscowych ogrzewaczy pomieszczeń

Wartość ustalona nie może być niższa od wartości deklarowanej przy nominalnej mocy cieplnej urządzenia.

Sezonowa efektywność energetyczna ogrzewania pomieszczeń, η s, w odniesieniu do przeznaczonych do użytku domowego miejscowych ogrzewaczy pomieszczeń na paliwa ciekłe lub gazowe

Wartość ustalona nie może być niższa od wartości deklarowanej o więcej niż 8 %.

Sezonowa efektywność energetyczna ogrzewania pomieszczeń, η s, w odniesieniu do ceramicznych i rurowych promienników podczerwieni

Wartość ustalona nie może być niższa od wartości deklarowanej o więcej niż 10 %.

Emisje tlenków azotu w odniesieniu do przeznaczonych do użytku domowego miejscowych ogrzewaczy pomieszczeń na paliwa ciekłe lub gazowe oraz ceramicznych i rurowych promienników podczerwieni

Wartość ustalona nie może przekraczać wartości deklarowanej o więcej niż 10 %.

▼B




ZAŁĄCZNIK V

Orientacyjne poziomy odniesienia, o których mowa w art. 6

Stwierdzono, że w momencie wejścia w życie niniejszego rozporządzenia najlepsza dostępna na rynku technologia dla miejscowych ogrzewaczy pomieszczeń pod względem sezonowej efektywności energetycznej ogrzewania pomieszczeń i emisji tlenków azotu jest następująca:

1. Szczegółowe poziomy odniesienia dla sezonowej efektywności energetycznej ogrzewania pomieszczeń przez miejscowe ogrzewacze pomieszczeń:

a) poziom odniesienia dla sezonowej efektywności energetycznej ogrzewania pomieszczeń przez miejscowe ogrzewacze pomieszczeń z otwartą komorą spalania na paliwa gazowe lub ciekłe: 65 %;

b) poziom odniesienia dla sezonowej efektywności energetycznej ogrzewania pomieszczeń przez miejscowe ogrzewacze pomieszczeń z zamkniętą komorą spalania na paliwa gazowe lub ciekłe: 88 %;

c) poziom odniesienia dla sezonowej efektywności energetycznej ogrzewania pomieszczeń przez elektryczne miejscowe ogrzewacze pomieszczeń: więcej niż 39 %;

d) poziom odniesienia dla sezonowej efektywności energetycznej ogrzewania pomieszczeń przez ceramiczne promienniki podczerwieni: 92 %;

e) poziom odniesienia dla sezonowej efektywności energetycznej ogrzewania pomieszczeń przez rurowe promienniki podczerwieni: 88 %;

2. Szczegółowe poziomy odniesienia dla emisji tlenków azotu (NOx) z miejscowych ogrzewaczy pomieszczeń:

a) poziom odniesienia dla emisji NOx z miejscowych ogrzewaczy pomieszczeń na paliwa gazowe lub ciekłe: 50 mg/kWhinput na podstawie GCV;

b) poziom odniesienia dla emisji NOx z ceramicznych promienników podczerwieni i rurowych promienników podczerwieni: 50 mg/kWhinput na podstawie GCV.

Poziomy odniesienia określone w pkt 1 i 2 niekoniecznie oznaczają, że ten sam miejscowy ogrzewacz pomieszczeń musi osiągać wszystkie te wartości.



( 1 ) Dyrektywa Parlamentu Europejskiego i Rady 2012/27/UE z dnia 25 października 2012 r. w sprawie efektywności energetycznej, zmiany dyrektyw 2009/125/WE i 2010/30/UE oraz uchylenia dyrektyw 2004/8/WE i 2006/32/WE (Dz.U. L 315 z 14.11.2012, s. 1).

( 2 ) Rozporządzenie Komisji (WE) nr 1275/2008 w sprawie wykonania dyrektywy 2005/32/WE Parlamentu Europejskiego i Rady w odniesieniu do wymogów dotyczących ekoprojektu dla zużycia energii przez elektryczne i elektroniczne urządzenia gospodarstwa domowego i urządzenia biurowe w trybie czuwania i wyłączenia (Dz.U. L 339 z 18.12.2008, s. 45).