1970L0220 — PL — 01.01.2007 — 023.001


Dokument ten służy wyłącznie do celów dokumentacyjnych i instytucje nie ponoszą żadnej odpowiedzialności za jego zawartość

►B

DYREKTYWA RADY

z dnia 20 marca 1970 r.

w sprawie zbliżenia ustawodawstw Państw Członkowskich odnoszących się do działań, jakie mają być podjęte w celu ograniczenia zanieczyszczania powietrza przez emisje z pojazdów silnikowych

(70/220/EWG)

(Dz.U. L 076, 6.4.1970, p.1)

zmienione przez:

 

 

Dziennik Urzędowy

  No

page

date

 M1

DYREKTYWA RADY 74/290/EWG z dnia 28 maja 1974 r.

  L 159

61

15.6.1974

 M2

DYREKTYWA KOMISJI 77/102/EWG z dnia 30 listopada 1976 r.

  L 32

32

3.2.1977

 M3

DYREKTYWA KOMISJI 78/665/EWG z dnia 14 lipca 1978 r.

  L 223

48

14.8.1978

 M4

DYREKTYWA RADY 83/351/EWG z dnia 16 czerwca 1983 r.

  L 197

1

20.7.1983

 M5

DYREKTYWA RADY z dnia 3 grudnia 1987 r.

  L 36

1

9.2.1988

►M6

DYREKTYWA RADY 88/436/EWG z dnia 16 czerwca 1988 r.

  L 214

1

6.8.1988

 M7

DYREKTYWA RADY 89/458/EWG z dnia 18 lipca 1989 r.

  L 226

1

3.8.1989

 M8

DYREKTYWA KOMISJI 89/491/EWG z dnia 17 lipca 1989 r.

  L 238

43

15.8.1989

►M9

DYREKTYWA RADY 91/441/EWG z dnia 26 czerwca 1991 r.

  L 242

1

30.8.1991

►M10

DYREKTYWA RADY 93/59/EWG z dnia 28 czerwca 1993 r.

  L 186

21

28.7.1993

►M11

DYREKTYWA 94/12/WE PARLAMENTU EUROPEJSKIEGO I RADY z dnia 23 marca 1994 r.

  L 100

42

19.4.1994

►M12

DYREKTYWA KOMISJI 96/44/WE Tekst mający znaczenie dla EOG z dnia 1 lipca 1996 r.

  L 210

25

20.8.1996

►M13

DYREKTYWA 96/69/WE PARLAMENTU EUROPEJSKIEGO I RADY z dnia 8 października 1996 r.

  L 282

64

1.11.1996

►M14

DYREKTYWA KOMISJI 98/77/WE Tekst mający znaczenie dla EOG z dnia 2 października 1998 r.

  L 286

34

23.10.1998

►M15

DYREKTYWA 98/69/WE PARLAMENTU EUROPEJSKIEGO I RADY z dnia 13 października 1998 r.

  L 350

1

28.12.1998

►M16

DYREKTYWA KOMISJI 1999/102/WE Tekst mający znaczenie dla EOG z dnia 15 grudnia 1999 r.

  L 334

43

28.12.1999

►M17

DYREKTYWA 2001/1/WE PARLAMENTU EUROPEJSKIEGO I RADY z dnia 22 stycznia 2001 r.

  L 35

34

6.2.2001

►M18

DYREKTYWA 2001/100/WE PARLAMENTU EUROPEJSKIEGO I RADY Tekst mający znaczenie dla EOG z dnia 7 grudnia 2001 r.

  L 16

32

18.1.2002

►M19

DYREKTYWA KOMISJI 2002/80/WE Tekst mający znaczenie dla EOG z dnia 3 października 2002 r.

  L 291

20

28.10.2002

►M20

DYREKTYWA KOMISJI 2003/76/WE Tekst mający znaczenie dla EOG z dnia 11 sierpnia 2003 r.

  L 206

29

15.8.2003

►M21

DYREKTYWA RADY 2006 /96/WE z dnia 20 listopada 2006 r.

  L 363

81

20.12.2006


zmienione przez:

►A1

Akt Przystąpienia Danii, Irlandii i Zjednoczonego Królestwa Wielkiej Brytanii i Irlandii Północnej

  L 73

14

27.3.1972

►A2

Akt dotyczący warunków przystąpienia Republiki Czeskiej, Republiki Estońskiej, Republiki Cypryjskiej, Republiki Łotewskiej, Republiki Litewskiej, Republiki Węgierskiej, Republiki Malty, Rzeczypospolitej Polskiej, Republiki Słowenii i Republiki Słowackiej oraz dostosowań w Traktatach stanowiących podstawę Unii Europejskiej

  L 236

33

23.9.2003




▼B

▼M6

DYREKTYWA RADY

z dnia 20 marca 1970 r.

w sprawie zbliżenia ustawodawstw Państw Członkowskich odnoszących się do działań, jakie mają być podjęte w celu ograniczenia zanieczyszczania powietrza przez emisje z pojazdów silnikowych

▼B

(70/220/EWG)



RADA WSPÓLNOT EUROPEJSKICH,

uwzględniając Traktat ustanawiający Europejską Wspólnotę Gospodarczą, w szczególności jego art. 100,

uwzględniając wniosek Komisji,

uwzględniając opinię Parlamentu Europejskiego ( 1 ),

uwzględniając opinię Komitetu Ekonomiczno-Społecznego ( 2 ),

a także mając na uwadze, co następuje:

w Niemczech zostało opublikowane w „Bundesgesetzblatt I”, z dnia 18 października 1968 r. rozporządzenie z dnia 14 października 1968 r. zmieniające „Straßenverkehrs-Zullassungs-Ordnung”; rozporządzenie to zawiera przepisy dotyczące środków, jakie należy podjąć w celu zapobiegania zanieczyszczeniu powietrza przez silniki o zapłonie iskrowym pojazdów silnikowych; przepisy te wejdą w życie z dniem 1 października 1970 r.;

rozporządzenie z dnia31 marca 1969 r. dotyczące „Składu gazów spalinowych emitowanych przez silniki benzynowe pojazdów silnikowych” zostało opublikowane we Francji w „Dzienniku Urzędowym” z dnia 17 maja 1969 r.; rozporządzenie to stosuje się:

 od dnia 1 września 1971 r. do homologowanych pojazdów z nowym typem silnika, to znaczy z typem silnika, który nigdy przedtem nie był instalowany w pojeździe homologowanym;

 od dnia 1 września 1972 r. do pojazdów dopuszczanych do ruchu po raz pierwszy;

przepisy te mogą utrudnić tworzenie i funkcjonowaniu wspólnego rynku; wynika stąd konieczność, aby wszystkie Państwa Członkowskie wprowadziły takie same wymagania albo przez uzupełnienie, albo przez zastąpienie istniejących przepisów, szczególnie w celu umożliwienia objęcia wszystkich typów pojazdów procedurą homologacji typu EWG, która była przedmiotem dyrektywy Rady z dnia 6 lutego 1970 r.w sprawie zbliżenia ustawodawstw Państw Członkowskich odnoszących się do homologacji typu pojazdów silnikowych i ich przyczep ( 3 );

jednakże przepisy niniejszej dyrektywy będą stosowane począwszy od daty wcześniejszej niż data wprowadzenia w życie dyrektywy z dnia 6 lutego 1970 r.; zatem procedury przewidziane w tej ostatniej dyrektywie nie będą jeszcze miały zastosowania; toteż należy przewidzieć procedurę ad hoc, w formie powiadomienia stwierdzającego fakt, że dany typ pojazdu został poddany badaniu i że spełnia przepisy niniejszej dyrektywy;

powiadomienie takie powinno pozwolić każdemu Państwu Członkowskiemu, do którego wpłynie wniosek o przyznanie krajowej homologacji tego samego typu pojazdu, stwierdzić, czy typ ten został poddany badaniom przewidzianym w niniejszej dyrektywie; w tym celu każde Państwo Członkowskie powinno poinformować pozostałe Państwa Członkowskie o tym fakcie, przesyłając im kopię powiadomienia sporządzonego dla każdego typu pojazdu, poddanego badaniom;

należy przewidzieć dłuższy okres, w porównaniu do innych wymagań technicznych niniejszej dyrektywy, dostosowania się przemysłu w zakresie wymagań odnoszących się do badań średniej emisji zanieczyszczeń gazowych po rozruchu silnika na zimno w zatłoczonym pojazdami obszarze miejskim;

w zakresie wymagań technicznych jest pożądane zastosowanie wymagań technicznych przyjętych przez Europejską Komisję Gospodarczą ONZ w jej regulaminie nr 15 („Ujednolicone przepisy dotyczące homologacji pojazdów wyposażonych w silnik o zapłonie iskrowym w odniesieniu do emisji przez silnik zanieczyszczeń gazowych”) załączonym do porozumienia z dnia 20 marca 1958 r. dotyczącego przyjęcia jednolitych warunków homologacji i wzajemnego uznawania homologacji wyposażenia i części pojazdów silnikowych ( 4 );

wymagania techniczne muszą być szybko dostosowywane do postępu technicznego; w tym celu należy przewidzieć zastosowanie procedury określonej w art. 13 dyrektywy Rady z dnia 6 lutego 1970 r. w sprawie homologacji typu pojazdów silnikowych i ich przyczep,

PRZYJMUJE NINIEJSZĄ DYREKTYWĘ:



▼M19

Artykuł 1

Do celów niniejszej dyrektywy:

a) „pojazd” oznacza każdy pojazd jak określono w sekcji A załącznika II do dyrektywy 70/156/EWG;

b) „pojazd zasilany gazem płynnym lub ziemnym” oznacza pojazd wyposażony w specjalną aparaturę do wykorzystywania gazu płynnego lub gazu ziemnego w jego systemie napędowym. Taki pojazd zasilany gazem płynnym lub ziemnym może być zaprojektowany i zbudowany jako pojazd jednopaliwowy lub pojazd dwupaliwowy;

c) „pojazd jednopaliwowy” oznacza pojazd, który jest zaprojektowany przede wszystkim do stałego zasilania gazem płynnym lub ziemnym, ale może również posiadać układ benzynowy do celów awaryjnych lub do uruchamiania w przypadku gdy zbiornik na benzynę nie mieści więcej niż 15 litrów benzyny;

d) pojazd dwupaliwowy „oznacza pojazd, który może funkcjonować czasowo przy zasilaniu benzyną i również czasowo przy zasilaniu gazem płynnym lub ziemnym”.

▼B

Artykuł 2

Żadne Państwo Członkowskie nie może odmówić przyznania homologacji typu EWG lub homologacji krajowej pojazdu z powodów odnoszących się do zanieczyszczania powietrza przez spaliny pochodzące z silników z zapłonem iskrowym pojazdów silnikowych:

 od dnia 1 października 1970 r., jeśli pojazd ten spełnia wymagania zawarte w załączniku I, z wyjątkiem ppkt 3.2.1.1 i 3.2.2.1, a także w załącznikach II, IV, V i VI;

 od dnia 1 października 1971 r., jeśli pojazd ten spełnia, poza tym, wymagania zawarte w ppkt 3.2.1.1 i 3.2.2.1 załącznika I oraz w załączniku III.

▼A1

Artykuł 2a

Państwa Członkowskie nie mogą odmówić lub zabronić sprzedaży, rejestracji, wprowadzania do ruchu bądź użytkowania pojazdów z powodów dotyczących zanieczyszczenia powietrza przez spaliny pochodzące z silnika z zapłonem iskrowym, będącym w wyposażeniu wspomnianego pojazdu, jeżeli pojazd ten odpowiada przepisom, zawartym w załącznikach I, II, III, IV, V i VI.

▼B

Artykuł 3

1.  Na wniosek producenta lub jego upoważnionego przedstawiciela właściwe władze Państwa Członkowskiego wypełniają rubryki powiadomienia przewidzianego w załączniku VII. Kopię tego powiadomienia przesyła się pozostałym Państwom Członkowskim i wnioskodawcy. Inne Państwa Członkowskie, do których skierowany jest wniosek o przyznanie homologacji krajowej tego samego typu pojazdu, zaakceptują ten dokument jako dowód, że zostały przeprowadzone wszystkie przewidziane badania.

2.  Przepisy ust. 1 zostaną uchylone z chwilą wejścia w życie dyrektywy Rady z dnia 6 lutego 1970 r. w sprawie homologacji typu pojazdów silnikowych i ich przyczep.

Artykuł 4

Państwo Członkowskie, które przyznało homologację, podejmie niezbędne środki celem zapewnienia, że będzie informowane o wszelkich modyfikacjach części lub danych technicznych określonych w ppkt 1.1 załącznika I. Właściwe władze tego Państwa Członkowskiego określają, czy zachodzi konieczność przeprowadzenia nowych badań na zmodyfikowanym typie pojazdu i sporządzenia nowego sprawozdania. W przypadku gdy takie badania wykażą brak zgodności z wymaganiami niniejszej dyrektywy, zmiany nie są zatwierdzane.

Artykuł 5

Zmiany niezbędne do dostosowania ►M15  załączniki I–XI ◄ , tak by uwzględniały one postęp techniczny, przyjmuje się zgodnie z procedurą przewidzianą w art. 13 dyrektywy Rady z dnia 6 lutego 1970 r. w sprawie homologacji typu pojazdów silnikowych i ich przyczep.

Artykuł 6

1.  Państwa Członkowskie przyjmują przepisy zawierające wymagania niezbędne do wykonania niniejszej dyrektywy przed dniem 30 czerwca 1970 r. i niezwłocznie powiadomią o tym Komisję.

2.  Państwa Członkowskie zapewniają, że przekażą Komisji teksty podstawowych przepisów prawa krajowego, przyjętych w dziedzinach objętych niniejszą dyrektywą.

Artykuł 7

Niniejsza dyrektywa skierowana jest do Państw Członkowskich.




▼M15

WYKAZ ZAŁĄCZNIKÓW



ZAŁĄCZNIK I:

ZAKRES, DEFINICJE, ZASTOSOWANIE W ODNIESIENIU DO HOMOLOGACJI TYPU WE, UDZIELANIE HOMOLOGACJI TYPU WE, WYMAGANIA I BADANIA, ROZSZERZANIE HOMOLOGACJI, ZGODNOŚĆ PRODUKCJI I POJAZDÓW UŻYTKOWANYCH Z WYMOGAMI, POKŁADOWE SYSTEMY DIAGNOSTYCZNE

Dodatek 1:

Weryfikacja zgodności produkcji z wymogami

(pierwsza metoda statystyczna)

Dodatek 2:

Weryfikacja zgodności produkcji z wymogami

(druga metoda statystyczna)

Dodatek 3:

Kontrola zgodności z wymogami pojazdów użytkowanych

Dodatek 4:

Statystyczna procedura badania zgodności z wymogami pojazdów użytkowanych

ZAŁĄCZNIK II:

DOKUMENT INFORMACYJNY

Dodatek:

Informacja na temat warunków badania

ZAŁĄCZNIK III:

BADANIE TYPU I (sprawdzające przeciętną wielkość emisji zanieczyszczeń z rury wydechowej po uruchomieniu zimnego silnika)

Dodatek 1:

Cykl pracy stosowany do badania typu I

Dodatek 2:

Hamownia podwoziowa

Dodatek 3:

Metoda pomiarowa symulacji drogi na hamowni podwoziowej

Dodatek 4:

Sprawdzenie bezwładności innych niż mechaniczne

Dodatek 5:

Opis układów diagnostycznych emisji zanieczyszczeń z rury wydechowej

Dodatek 6:

Metoda kalibracji sprzętu

Dodatek 7:

Sprawdzenie całego układu

Dodatek 8:

Obliczanie wielkości emisji zanieczyszczeń

ZAŁĄCZNIK IV:

BADANIE TYPU II (badanie wielkości emisji tlenku węgla na biegu jałowym)

ZAŁĄCZNIK V:

BADANIE TYPU III (sprawdzające wielkość emisji gazów ze skrzyni korbowej)

ZAŁĄCZNIK VI:

BADANIE TYPU IV (określenie wielkości emisji par pojazdów z silnikiem o zapłonie iskrowym)

Dodatek 1:

Kalibracja częstotliwości i metod

Dodatek 2:

Profil dobowy temperatury otoczenia w badaniu dobowym wielkości emisji

ZAŁĄCZNIK VII:

BADANIE TYPU VI: sprawdzające średnią wielkość emisji tlenku węgla i węglowodorów z rury wydechowej w niskiej temperaturze otoczenia po rozruchu zimnego silnika

ZAŁĄCZNIK VIII:

BADANIE TYPU V (badanie zużycia się sprawdzające trwałość urządzeń kontroli zanieczyszczeń)

ZAŁĄCZNIK IX:

SPECYFIKACJA PALIW ODNIESIENIA

▼M14

ZAŁĄCZNIK IX a:

Wymagania dotyczące gazowych paliw wzorcowych

▼M15

ZAŁĄCZNIK X:

Wzór świadectwa homologacji typu we

Dodatek:

Dodatek do dokumentu informacyjnego WE

ZAŁĄCZNIK XI:

Pokładowa diagnostyka w pojazdach silnikowych

Dodatek 1:

Aspekty funkcjonalne pokładowych systemów diagnostycznych

Dodatek 2:

Podstawowe charakterystyki rodziny pojazdów

▼M14

ZAŁĄCZNIK XII:

Homologacja typu WE pojazdu zasilanego gazem płynnym lub gazem ziemnym z uwzględnieniem emisji

ZAŁĄCZNIK XIII:

Homologacja typu WE wymiennego katalizatora jako oddzielnego zespołu technicznego

Dodatek 1

Dokument informacyjny

Dodatek 2

Świadectwo homologacji typu WE

Dodatek 3

Znak homologacji WE

▼M9




ZAŁĄCZNIK I

▼M15

ZAKRES, DEFINICJE, ZASTOSOWANIE W ODNIESIENIU DO HOMOLOGACJI TYPU WE, UDZIELANIE HOMOLOGACJI TYPU WE, WYMAGANIA I BADANIA, ROZSZERZANIE HOMOLOGACJI, ZGODNOŚĆ PRODUKCJI I POJAZDÓW UŻYTKOWANYCH Z WYMOGAMI, POKŁADOWE SYSTEMY DIAGNOSTYCZNE

▼M9

1.   ZAKRES OBOWIĄZYWANIA

▼M15

Niniejsza dyrektywa ma zastosowanie do

 emisji zanieczyszczeń z rury wydechowej w normalnej i niskiej temperaturze otoczenia, emisji par, emisji gazów ze skrzyni korbowej, trwałości urządzeń kontroli zanieczyszczeń oraz pokładowych systemów diagnostycznych w pojazdach silnikowych z silnikiem o zapłonie iskrowym,

 oraz

 emisji zanieczyszczeń z rury wydechowej, trwałości urządzeń kontroli zanieczyszczeń oraz pokładowych systemów diagnostycznych w pojazdach kategorii M1 oraz N2 ( 5 ) z silnikami o zapłonie samoczynnym,

objętych zakresem art. 1 dyrektywy 70/220/EWG w wersji dyrektywy 83/351/EWG, z wyjątkiem tych pojazdów kategorii N1, w odniesieniu do których przyznano homologację zgodnie z dyrektywą 88/77/EWG ( 6 ).

▼M9

Na wniosek producenta homologacja typu przyznana na mocy niniejszej dyrektywy może być rozszerzona z pojazdów kategorii M1 i N1 wyposażonych w silniki wysokoprężne, które już otrzymały homologację, na pojazdy kategorii M2 i N2, o masie odniesienia nieprzekraczającej 2840 kg i spełniającej warunki pkt 6 niniejszego Załącznika (rozszerzenie homologacji typu EWG).

▼M19

Niniejsza dyrektywa ma również zastosowanie do procedury homologacji typu WE dla wymiennych konwerterów katalitycznych jako oddzielnych zespołów technicznych przeznaczonych do instalowania w pojazdach kategorii M1 i N1.

▼M9

2.   DEFINICJE

Do celów niniejszej dyrektywy:

2.1.

„Typ pojazdu” w odniesieniu do emisji zanieczyszczeń z rury wydechowej oznacza kategorię pojazdów silnikowych, które nie różnią się w istotnych aspektach, takich jak:

2.1.1.

bezwładność równoważna ustalona w odniesieniu do masy odniesienia, jak określono w ppkt 5.1 załącznika III; oraz

2.1.2.

charakterystyki pojazdu i silnika, jak określono w załączniku II.

2.2.

„Masa odniesienia” oznacza masę pojazdu przygotowanego do jazdy pomniejszoną o standardową wagę kierowcy 75 kg oraz powiększoną o standardową wagę 100 kg.

2.2.1.

„Masa pojazdu przygotowanego do jazdy” oznacza masę określoną w ppkt 2.6. załącznika I do dyrektywy 70/156/EWG.

2.3.

„Masa maksymalna” oznacza masę określoną w sekcji 2.7 załącznika I do dyrektywy 70/156/EWG.

▼M14

2.4.

„Gazowe substancje zanieczyszczające środowisko” oznacza spalinowe emisje tlenku węgla, tlenków azotu, wyrażone jako odpowiednik dwutlenku azotu (NO2), oraz węglowodorów przyjmujące stosunek:

 C1H1.85 dla benzyny,

 C1H1.86 dla oleju napędowego,

 C1H2 525 dla gazu płynnego,

 CH4 dla gazu ziemnego.

▼M9

2.5.

„Zanieczyszczenia w postaci cząstek stałych” oznacza części składowe spalin, które są usuwane z rozrzedzonych spalin w maksymalnej temperaturze 325 K (52 °C) za pomocą filtrów opisanych w załączniku III.

2.6.

„Emisja zanieczyszczeń z rury wydechowej” oznacza:

 dla silników o zapłonie iskrowym emisję gazowych zanieczyszczeń,

 dla silników wysokoprężnych emisję zanieczyszczeń gazowych oraz zanieczyszczeń w postaci cząstek stałych.

2.7.

„Emisja par” oznacza pary węglowodorów tracone z układu paliwowego pojazdu silnikowego inne niż emisje zanieczyszczeń z rury wydechowej.

2.7.1.

„Straty z odpowietrzania zbiornika” oznacza emisje węglowodorów wywołane zmianami temperatury w zbiorniku paliwa (przyjmując stosunek C1H2,33).

2.7.2.

Straty z parowania „oznacza emisje węglowodorów” pochodzące z układu paliwowego stojącego pojazdu po czasie jazdy (przyjmując stosunek C1H2,20).

2.8.

Skrzynia korbowa „oznacza wszelkie przestrzenie,” które istnieją zarówno w silniku jak i poza silnikiem i które są połączone z miską olejową przez wewnętrzne lub zewnętrzne połączenia, przez które wydostają się gazy i pary.

2.9.

„Układ rozruchu zimnego silnika” oznacza urządzenie czasowo wzbogacające mieszankę paliwo/powietrze w silniku i wspomagające w ten sposób zapłon.

2.10.

„Wspomaganie rozruchu” oznacza urządzenie pomagające w zapłonie silnika bez wzbogacania mieszanki paliwo/powietrze w silniku, np. świece żarowe, zmiany w taktowaniu wtrysku.

2.11.

„Pojemność silnika” oznacza:

2.11.1.

dla silnika suwowego nominalną pojemność skokową silnika,

2.11.2.

dla silnika z tłokiem obrotowym (silnika Wankla), podwójną nominalną pojemność skokową silnika.

2.12.

„Urządzenie zapobiegające zanieczyszczeniom” oznacza te części składowe pojazdu, które ograniczają i kontrolują emisje z rury wydechowej oraz emisje par.

▼M15

2.13.

„Pokładowy system diagnostyczny” oznacza montowany na stałe układ kontroli emisji zanieczyszczeń mogący identyfikować możliwą sferę nieprawidłowego działania przy pomocy kodów błędów przechowywanych w pamięci komputera.

2.14.

„Badanie pojazdu użytkowanego” oznacza badanie i ocenę zgodności z wymogami, przeprowadzone zgodnie z ppkt 7.1.7 niniejszego załącznika.

2.15.

„W prawidłowy sposób konserwowane i użytkowane” oznacza, w odniesieniu do badanego pojazdu, że pojazd taki spełnia kryteria dopuszczenia wybranego pojazdu, ustalone w ppkt 2 dodatku 3 do niniejszego załącznika.

2.16.

„Urządzenie spowalniające” oznacza dowolny element konstrukcyjny, rejestrujący temperaturę, prędkość pojazdu, obroty silnika, przełożenie biegów, podciśnienie w kolektorze lub wszelkie inne parametry w celu włączenia, modulacji, opóźnienia czy wyłączenia działania dowolnej części układu kontroli emisji zanieczyszczeń, która zmniejsza skuteczność działania układu kontroli zanieczyszczeń w warunkach, jakich można w sposób racjonalny oczekiwać podczas normalnej pracy pojazdu. Takiego elementu konstrukcyjnego nie można uznać za urządzenie spowalniające, jeśli:

I. potrzeba korzystania z takiego urządzenia uzasadniona jest ochroną silnika przed uszkodzeniem lub wypadkiem oraz w celu bezpiecznego działania pojazdu, lub

II. urządzenie takie nie działa w oderwaniu od wymogów dotyczących rozruchu silnika, lub

III. warunki są wyraźnie podane w procedurach badawczych typu I lub typu VI.

▼M19

2.17.

sformułowanie „oryginalny konwerter katalityczny” oznacza konwerter katalityczny lub zespół konwerterów katalitycznych objętych świadectwem homologacji typu wydanym dla pojazdu, oraz wymienionych w ppkt 1.10 Dodatku do załącznika II do niniejszej dyrektywy.

2.18.

„wymienny konwerter katalityczny” oznacza konwerter katalityczny lub zespół konwerterów katalitycznych przeznaczonych do wymiany w miejsce oryginalnego konwertera katalitycznego w pojeździe homologowanym zgodnie z przepisami dyrektywy 70/220/EWG, który można homologować jako oddzielny zespół techniczny określony w art. 4 ust. 1 lit. d) dyrektywy 70/156/EWG.

2.19.

„oryginalny wymienny konwerter katalityczny” oznacza konwerter katalityczny lub zespół konwerterów katalitycznych, których typy wykazano w ppkt 1.10 Dodatku do załącznika X do niniejszej dyrektywy, ale są oferowane na rynku przez posiadacza homologacji typu pojazdu jako oddzielne zespoły techniczne.

▼M14

2.20.

„rodzina pojazdów” oznacza grupę typów pojazdów identyfikowaną z pojazdem macierzystym do celów załącznika XII.

2.21.

„silnikowe zapotrzebowanie paliwa” oznacza typ paliwa zwykle stosowanego w przypadku danego silnika:

 benzyna

 gaz płynny (LPG)

 gaz ziemny (NG)

 benzyna i gaz płynny

 benzyna i gaz ziemny

 olej napędowy.

▼M15

3.   WNIOSEK O HOMOLOGACJĘ TYPU EWG

3.1.

Producent pojazdu winien złożyć wniosek o homologację typu WE zgodnie z art. 3 ust. 4 dyrektywy 70/156/EWG, dla typu pojazdu w odniesieniu do jego emisji zanieczyszczeń z rury wydechowej, emisji par, trwałości urządzeń kontroli zanieczyszczeń, jak również do jego pokładowego systemu diagnostycznego.

W przypadku gdy wniosek dotyczy pokładowego systemu diagnostycznego, należy postępować zgodnie z procedurą opisaną w ppkt 3 załącznika XI.

3.1.1.

W przypadku gdy wniosek dotyczy pokładowego systemu diagnostycznego, musi mu towarzyszyć dodatkowa informacja, wymagana zgodnie z ppkt 3.2.12.2.8 załącznika II, wraz z:

3.1.1.1.

oświadczeniem producenta na temat:

3.1.1.1.1.

w przypadku pojazdów z silnikiem o zapłonie iskrowym, odsetka przerw w zapłonie w całkowitej liczbie zapłonów, które mogłyby spowodować wydzielenie ilości zanieczyszczeń przekraczającej wartości dopuszczalne podane w ppkt 3.3.2. załącznika XI, jeśli odsetek przerw w zapłonie występował od początku badania typu I, zgodnie z opisem w ppkt 5.3.1 załącznika III;

3.1.1.1.2.

w przypadku pojazdów z silnikiem o zapłonie iskrowym, odsetka przerw w zapłonie w całkowitej liczbie zapłonów, mogącego doprowadzić do przegrzania katalizatora (lub katalizatorów) spalin prowadząc do jego nieodwracalnego uszkodzenia;

3.1.1.2.

szczegółową informacją na piśmie, w pełni opisującą charakterystykę działania pokładowego systemu diagnostycznego, w tym wykaz wszystkich istotnych części układu kontroli emisji zanieczyszczeń pojazdu, tj. czujników, urządzeń uruchamiających oraz części składowych, kontrolowanych przez pokładowy system diagnostyczny.

3.1.1.3.

opisem wskaźnika nieprawidłowego działania wykorzystywanego przez układ do sygnalizowania obecności usterki kierowcy pojazdu;

3.1.1.4.

producent musi opisać środki podjęte w celu zapobieżenia ingerencji osób niepowołanych oraz zmian w komputerze układu kontroli zanieczyszczeń;

3.1.1.5.

tam gdzie jest to właściwe, kopiami innych homologacji typu z odpowiednimi danymi, pozwalającymi na rozszerzenie homologacji;

3.1.1.6.

tam gdzie ma to zastosowanie, dane rodziny pojazdów, określone w dodatku 2 do załącznika XI.

3.1.2.

W odniesieniu do badań opisanych w pkt 3 załącznika XI należy placówce technicznej odpowiedzialnej za przeprowadzenie badania homologacyjnego dostarczyć przedstawiciela typu pojazdu lub przedstawiciela rodziny pojazdów wyposażonych w pokładowe systemy diagnostyczne, które mają być homologowane. Jeśli placówka techniczna ustali, że przedstawiony pojazd nie reprezentuje w pełni typu lub rodziny pojazdów, opisanych w dodatku 2 do załącznika XI, do badania należy przedstawić inny, lub tam gdzie to konieczne, dodatkowy pojazd, zgodnie z pkt 3 załącznika XI.

3.2.

▼M19

Wzór dokumentu informacyjnego odnoszącego się do emisji zanieczyszczeń z rury wydechowej, emisji zanieczyszczeń par, trwałości oraz systemu OBD podany jest w załączniku II. Informacje wymienione w ppkt 3.2.12.2.8.6 załącznika II należy załączyć do Informacji dotyczących pokładowego systemu diagnostycznego OBD dodatku 2 do świadectwa homologacji typu WE wymienionego w załączniku X.

▼M15

3.2.1.

Tam gdzie jest to właściwe, należy przedłożyć kopie innych homologacji typu z odpowiednimi danymi pozwalającymi na rozszerzenie homologacji oraz ustalenie czynników pogorszenia działania.

▼M9

3.3.

Do badań określonych w pkt 5 niniejszego Załącznika pojazd reprezentatywny dla danego typu pojazdu powinien być dostarczony służbom technicznym odpowiedzialnym za badania homologacyjne typu.

▼M15

4.   HOMOLOGACJA TYPU EWG

4.1.

Jeżeli spełnione są odpowiednie wymogi homologacji typu WE udziela się na podstawie z art. 4 ust. 3 dyrektywy 70/156/EWG.

4.2.

Wzór świadectwa homologacji typu WE w odniesieniu do emisji zanieczyszczeń z rury wydechowej, emisji par, trwałości oraz pokładowego systemu diagnostycznego znajduje się w załączniku X.

▼M12

4.3.

Numer homologacji przyznaje się każdemu typowi homologowanego pojazdu zgodnie z załącznikiem VII do dyrektywy 70/156/EWG. To samo Państwo Członkowskie nie przydziela tego samego numeru innemu typowi pojazdu.

▼M9

5.   WYMAGANIA I BADANIA

▼M15

Uwaga:

Producenci pojazdów, których roczna produkcja na świecie wynosi mniej niż 10 000sztuk, mogą uzyskać homologację typu WE na podstawie odpowiednich wymogów technicznych (alternatywnych w stosunku do wymogów wyszczególnionych w niniejszym punkcie) zamieszczonych w:

 California Code of Regulations, tytuł 13, sekcje 1960.1 lit. f) (2) lub lit. g) (1) oraz lit. g) (2), 1960.1 lit. p) mających zastosowanie do pojazdów z roku 1996 oraz pojazdów późniejszych modeli, 1968.1, 1976 oraz 1975, mających zastosowanie do lekkich pojazdów ciężarowych z roku 1995 oraz pojazdów późniejszych modeli, wydanego przez Barclay's Publishing.

Władza homologacyjna musi powiadomić Komisję o okolicznościach udzielenia każdej homologacji typu na podstawie niniejszego przepisu.

▼M9

5.1.   Ogólne

5.1.1.

Części składowe mogące wpływać na emisję zanieczyszczeń z rury wydechowej i emisje par powinny być projektowane, konstruowane i montowane w sposób zapewniający w warunkach normalnego użytkowania, zgodność z wymogami niniejszej dyrektywy, pomimo wibracji, na jakie mogą być narażone.

▼M15

Środki techniczne podejmowane przez producenta muszą zapewniać skuteczne ograniczanie emisji zanieczyszczeń z rury wydechowej oraz emisji par, zgodnie z przepisami niniejszej dyrektywy, przez cały normalny okres użytkowania pojazdu oraz w normalnych warunkach jego użytkowania. Dotyczy to również bezpieczeństwa przewodów giętkich i ich łączy oraz połączeń, stosowanych w układach kontroli emisji zanieczyszczeń, które muszą być tak skonstruowane, by spełniać oryginalne założenia projektowe.

W odniesieniu do emisji zanieczyszczeń z rury wydechowej uznaje się, że wymienione wymogi zostały spełnione, jeśli wypełnione zostały przepisy zawarte, odpowiednio, w ppkt 5.3.1.4 (homologacja) oraz w pkt 7 (zgodność produkcji oraz pojazdów użytkowanych z wymogami).

W odniesieniu do emisji par uznaje się, że niniejsze przepisy zostały spełnione, jeśli spełnione zostały przepisy zawarte w ppkt 5.3.4 (homologacja) oraz w pkt 7 (zgodność produkcji z wymogami).

Zabrania się stosowania środka spowalniającego.

5.1.2.

▼M14

Wlewy zbiorników paliwa:

▼M9

5.1.2.1

Z zastrzeżeniem ppkt 5.1.2.2. kryza wlotowa zbiornika paliwa musi być zaprojektowana w sposób zapobiegający napełnianiu zbiornika paliwa z dyszy dystrybutora paliwa o zewnętrznej średnicy 23,6 mm lub większej.

5.1.2.2.

Ppkt 5.1.2.2. nie ma zastosowania do pojazdów, które spełniają łącznie wymienione poniżej warunki:

5.1.2.2.1.

pojazd jest zaprojektowany i zbudowany w taki sposób, że zastosowanie benzyny ołowiowej nie ma negatywnego wpływu na znajdujące się w nim urządzenia zaprojektowane w celu ograniczania emisji gazowych zanieczyszczeń środowiska, oraz

5.1.2.2.2.

pojazd jest w sposób widoczny, czytelny i nieusuwalny oznaczony symbolem benzyny bezołowiowej określonym w ISO 2575–1982 w miejscu natychmiast widocznym dla osoby napełniającej zbiornik paliwa. Dodatkowe oznakowania są dozwolone.

▼M15

5.1.3.

Należy uwzględnić zapobieganie nadmiernej emisji par oraz wyciekowi paliwa powodowanego brakiem korka wlewu paliwa. Można to osiągnąć poprzez zastosowanie jednego z poniższych rozwiązań:

 automatycznie otwieranego i zamykanego oraz nieusuwalnego korka wlewu paliwa,

 cech konstrukcji pozwalających uniknąć dodatkowej emisji par w przypadku braku korka wlewu paliwa,

 wszelkich innych środków pozwalających osiągnąć ten sam skutek. Przykłady mogą obejmować, choć nie ograniczają się do tego, korek wlewu paliwa na łańcuszku/lince lub korek wlewu paliwa otwierany kluczykiem służącym do uruchomienia silnika. W takim przypadku kluczyk daje się wyjmować z korka jedynie w położeniu zamknięcia.

5.1.4.

Przepisy dotyczące bezpieczeństwa układu elektronicznego

▼M16

5.1.4.1.

Jakikolwiek pojazd wyposażony w komputer kontrolujący emisje musi być zaopatrzony w środki zapobiegające zmianom, oprócz zmian zatwierdzonych przez producenta. Producent zezwala na zmiany, jeżeli będą one konieczne do diagnozowania, obsługi, kontroli, zmiany przez wprowadzenie nowych elementów lub naprawy pojazdu. Jakiekolwiek reprogramowalne kody komputera lub parametry działania muszą być zabezpieczone przed nieuprawnionym manipulowaniem i muszą zapewniać poziom ochrony przynajmniej taki, jaki jest określony przepisami normy ISO DIS 15031-7 z października 1998 r. (Dziennik SAE J2186 z października 1996 r.), pod warunkiem że wymiana zabezpieczeń jest dokonywana z wykorzystaniem Protokołów i połączeń diagnostycznych opisanych w ppkt 6.5 załącznika XI, dodatek 1. Jakiekolwiek możliwe do usunięcia kalibrowane układy pamięciowe muszą być umieszczone w szczelnej obudowie, zamontowane w zaplombowanym pojemniku lub chronione algorytmami elektronicznymi i nie może być możliwości ich zmiany bez użycia specjalistycznych narzędzi i procedur.

▼M15

5.1.4.2.

Zaprogramowanych komputerowo parametrów pracy silnika nie wolno zmieniać bez zastosowania specjalistycznych narzędzi i procedur (np. przylutowanych lub obudowanych części komputerowych bądź zaplombowanej (lub zalutowanej) części obudowy komputera).

5.1.4.3.

W przypadku mechanicznych pomp wtrysku paliwa, montowanych do silników o zapłonie samoczynnym, producenci muszą podjąć odpowiednie kroki w celu zabezpieczenia ustawiania maksymalnej podaży paliwa przed ingerencją osób niepowołanych w czasie użytkowania pojazdu.

5.1.4.4.

Producenci mogą zwrócić się do władzy homologacyjnej o zwolnienie ich ze spełnienia jednego ze wspomnianych wymogów w odniesieniu do pojazdów, co do których istnieje małe prawdopodobieństwo, że mogą wymagać zabezpieczenia. Do kryteriów ocenianych przez władze homologacyjne podczas rozpatrywania wniosku o wspomniane zwolnienie należeć będą, choć nie będą do nich ograniczone, aktualna dostępność podzespołów rejestrujących pracę pojazdu, osiągi pojazdu oraz przewidywana wielkość sprzedaży pojazdu.

▼M16

5.1.4.5.

Producenci wykorzystujący programowalne systemy kodów komputerowych (np. programowalna pamięć stała możliwa do usunięcia elektrycznie — EEPROM) muszą zapobiec nieuprawnionemu przeprogramowaniu. Producenci muszą wykorzystać wyższej jakości strategie zapobiegania nieuprawnionemu manipulowaniu oraz sposoby zapobiegania usunięciu zapisów, wymagających elektronicznego dostępu do komputera zewnętrznego będącego w gestii producenta. Metody dające pożądany poziom ochrony przed nieuprawnionym manipulowaniem zostaną homologowane przez władze.

▼M9

5.2.   Stosowanie badań

Rysunek 1.5.2. przedstawia procedury dokonywania homologacji typu pojazdu.

▼M15

5.2.1.

Pojazdy z silnikami o zapłonie iskrowym muszą zostać poddane następującym badaniom:

 Typ I (sprawdzające przeciętną ilość emisji zanieczyszczeń z rury wydechowej po rozruchu zimnego silnika),

 Typ II (emisja tlenku węgla na biegu jałowym),

 Typ III (emisja gazów z komory korbowej),

 Typ IV (emisja par),

 Typ V (trwałość urządzeń kontroli zanieczyszczeń),

 Typ VI (sprawdzające przeciętną wielkość emisji tlenku węgla oraz węglowodorów z rury wydechowej w niskiej temperaturze otoczenia po rozruchu zimnego silnika),

 badanie z użyciem diagnostyki pokładowej.

▼M10 —————

▼M19

5.2.2.

Pojazdy z silnikiem o zapłonie iskrowym zasilane gazem płynnym lub ziemnym podlegają następującym testom:

typu I (sprawdzające przeciętną ilość emisji zanieczyszczeń z rury wydechowej po rozruchu zimnego silnika),

typu II (emisja tlenku węgla na biegu jałowym),

typu III (wydalania gazów z komory korbowej),

typu IV (emisja par), gdzie stosowne,

typu V (trwałość urządzeń kontrolowania zanieczyszczeń),

typu VI (sprawdzające przeciętną wielkość emisji tlenku węgla oraz węglowodorów z rury wydechowej w niskiej temperaturze otoczenia po rozruchu zimnego silnika),

badaniu OBD, gdzie stosowne.

▼M15

5.2.3.

Pojazdy z silnikami o zapłonie samoczynnym muszą być poddane następującym badaniom:

 Typ I (sprawdzające przeciętną wielkość emisji zanieczyszczeń z rury wydechowej po rozruchu zimnego silnika)

 Typ V (trwałość urządzeń kontroli zanieczyszczeń) oraz

 tam gdzie to ma zastosowanie, badanie z użyciem diagnostyki pokładowej.

▼M10 —————

▼M9

5.3.   Opis badań

5.3.1.

Badanie typu I (symulacja średnich emisji zanieczyszczeń z rury wydechowej po rozruchu zimnego silnika).

5.3.1.1.

Rysunek I.5.3 przedstawia procedury dokonywania badania typu I. Badanie to powinno być przeprowadzane w odniesieniu do wszystkich pojazdów określonych w pkt 1, o maksymalnej masie nieprzekraczającej 3,5 tony.

5.3.1.2.

Pojazd umieszcza się na hamowni podwoziowej wyposażonej w środki symulacji obciążenia i bezwładności.

►M10  5.3.1.2.1.

Badanie trwające łącznie ◄ 19 minut i 40 sekund bez przerwy, składające się z dwóch części, pierwszej i drugiej. Okres bez pobierania próbek, trwający nie dłużej niż 20 sekund, może być wprowadzony, za zgodą producenta, między końcem Części Pierwszej a początkiem Części Drugiej w celu ułatwienia dostosowania wyposażenia badawczego.

▼M14

5.3.1.2.1.1.

W przypadku pojazdów zasilanych gazem płynnym lub ziemnym przeprowadza się badanie typu I dla zmian w składzie gazu płynnego lub gazu ziemnego, jak ustalono w załączniku XII. W przypadku pojazdów, które mogą być zasilane albo benzyną, albo gazem płynnym lub ziemnym, przeprowadza się badanie typu I dla obu paliw, przy czym badania dla gazu płynnego lub gazu ziemnego należy przeprowadzić z uwzględnieniem zmian w ich składzie, jak ustalono w załączniku XII.

5.3.1.2.1.2.

Nie naruszając wymagań ppkt 5.3.1.2.1.1, pojazdy, które mogą być zasilane zarówno benzyną, jak i paliwami gazowymi, ale w których instalacja benzynowa jest zainstalowana wyłącznie do celów awaryjnych lub do rozruchu i których zbiornik na benzynę nie może pomieścić więcej niż 15 litrów, z punktu widzenia badania typu I są traktowane jako pojazdy napędzane wyłącznie paliwem gazowym.

▼M9

5.3.1.2.2.

Część Pierwsza badania składa się z czterech podstawowych cykli miejskich. Każdy podstawowy cykl miejski składa się z piętnastu faz (bieg jałowy, przyspieszenie, prędkość stała, spowalnianie itd.)

5.3.1.2.3.

Część Druga badania składa się z jednego cyklu pozamiejskiego. Cykl pozamiejski składa się z 13 faz (bieg jałowy, przyspieszanie, prędkość stała, spowalnianie itd.)

▼M15



Rysunek I.5.2

Różne drogi dokonywania homologacji typu oraz jej rozszerzania

Badanie homologacji typu

Pojazdy z silnikami o zapłonie iskrowym kategorii M i N

Pojazdy z silnikiem o zapłonie samoczynnym kategorii M1 i N1

Pojazd zasilany benzyną

Pojazd o zasilaniu dwupaliwowym

Pojazd o zasilaniu jednopaliwowym

Typ I

Tak (maksymalna masa ≤ 3,5 t)

Tak (badanie z obu typami paliwa)

(maksymalna masa ≤ 3,5 t)

Tak (maksymalna masa ≤ 3,5 t)

Tak (maksymalna masa ≤ 3,5 t)

Typ II

Tak

Tak (badanie z obu typami paliwa)

Tak

Typ III

Tak

Tak (badanie tylko z benzyną)

Tak

Typ IV

Tak (maksymalna masa ≤ 3,5 t)

Tak (badanie tylko z benzyną) (maksymalna masa ≤ 3,5 t)

Typ V

Tak (maksymalna masa ≤ 3,5 t)

Tak (badanie tylko z benzyną) (maksymalna masa ≤ 3,5 t)

Tak (maksymalna masa ≤ 3,5 t)

Tak (maksymalna masa ≤ 3,5 t)

Typ VI

Tak (maksymalna masa ≤ 3,5 t)

Tak (maksymalna masa ≤ 3,5 t) (badanie tylko z benzyną)

Rozszerzenie

Punkt 6

Punkt 6

Punkt 6

Punkt 6; M2 i N2 z masą wzorcową ≤ 2 840 kg (1)

Diagnostyka pokładowa

Tak, zgodnie z ppkt 8.1.1 lub 8.4

Tak, zgodnie z ppkt 8.1.2 lub 8.4

Tak, zgodnie z ppkt 8.1.2 lub 8.4

Tak, zgodnie z ppkt 8.2, 8.3 lub 8.4

(1)   Komisja dalej zbada zagadnienie rozszerzenia badania homologacyjnego typu dla pojazdów kategorii M2 i N2 z masą wzorcową nieprzekraczającą 2 840 kg i przedłoży propozycje nie później niż w roku 2004 zgodnie z procedurą ustanowioną w art. 13 dyrektywy 70/156/EWG dla środków, które mają być stosowane w 2005 r.

▼M10 —————

▼M9

5.3.1.2.5.

Podczas badania gazy spalinowe są rozrzedzane i pobierana jest ich proporcjonalna próbka w jednym lub większej ilości worków. Gazy spalinowe badanego pojazdu są rozrzedzane, pobierane z nich są próbki, analizowane zgodnie z procedurą określoną poniżej, oraz dokonuje się pomiaru całkowitej objętości spalin rozrzedzonych. Zapisowi podlegają nie tylko emisje tlenku węgla, węglowodorów oraz tlenków azotu, ale także zanieczyszczenia w postaci cząstek stałych w odniesieniu do pojazdów wyposażonych w silniki wysokoprężne.

5.3.1.3.

Badanie jest przeprowadzane z zastosowaniem procedury określonej w załączniku III. Należy opisać metody wykorzystywane do zbierania i analizowania gazów oraz do oddzielenia i ważenia cząstek stałych.

5.3.1.4.

►M12  Z zastrzeżeniem wymagań ppkt 5.3.1.5 badanie musi być powtórzone trzy razy. ◄ ►M10  Wyniki mnoży się przez ◄ właściwe czynniki pogorszenia jakości uzyskane w ppkt 5.3.5. Otrzymane w każdym badaniu wyniki dotyczące masy wyemitowanych gazowych zanieczyszczeń oraz, w odniesieniu do pojazdów wyposażonych w silniki wysokoprężne, dotyczące masy cząstek stałych, muszą być niższe od wartości znajdujących się w poniższej tabeli:

▼M15



 

Masa referencyjna

(MR)

(kg)

Wartości dopuszczalne

Masa tlenku węgla

(CO)

Masa węglowodorów

(HC)

Masa tlenków azotu

(NOX)

Łączna masa węglowodorów oraz tlenków azotu

(HC + NOx)

Masa cząstek stałych (1)

(MU)

L1

(g/km)

L2

(g/km)

L3

(g/km)

L2 + L3

(g/km)

L4

(g/km)

Kategoria

Klasa

 

Benzynowy

Wysokoprężny

Benzynowy

Wysokoprężny

Benzynowy

Wysokoprężny

Benzynowy

Wysokoprężny

Wysokoprężny

A (2000)

(2)

-

wszystkie

2,3

0,64

0,20

-

0,15

0,50

-

0,56

0,05

N1 (3)

I

MR ≤ 1305

2,3

0,64

0,20

-

0,15

0,50

-

0,56

0,05

II

1305 < MR ≤ 1760

4,17

0,80

0,25

-

0,18

0,65

-

0,72

0,07

III

1760 < MR

5,22

0,95

0,29

-

0,21

0,78

-

0,86

0,10

B (2005)

(2)

-

wszystkie

1,0

0,50

0,10

-

0,08

0,25

-

0,30

0,025

N1 (3)

I

MR ≤ 1305

1,0

0,50

0,10

-

0,08

0,25

-

0,30

0,025

II

1305 < MR ≤ 1760

1,81

0,63

0,13

-

0,10

0,33

-

0,39

0,04

III

1760 < MR

2,27

0,74

0,16

-

0,11

0,39

-

0,46

0,06

(1)   Dla silników o zapłonie samoczynnym.

(2)   Z wyjątkiem pojazdów o masie maksymalnej przekraczającej

(3)   Oraz pojazdy kategorii M wymienione w przypisie 2.

▼M13



Kategoria/klasa pojazdu

Wartości graniczne

Masa odniesienia

RW

(kg)

Masa tlenku węgla

L1

(g/km)

Łączna masa węglowodorów i tlenków azotu

L2

(g/km)

Masa cząstek stałych

L3

(g/km)

Kategoria

Klasa

 

Benzyna

Olej napędowy

Benzyna

Olej napędowy (1)

Olej napędowy1

(2)

wszystkie

2,2

1,0

0,5

0,7

0,08

N1 (3)

I

RW ≤ 1250

2,2

1,0

0,5

0,7

0,08

II

1250 < RW ≤ 1700

4,0

1,25

0,6

1,0

0,12

III

1700 < RW

5,0

1,5

0,7

1,2

0,17

(1)   Do dnia 30 września 1999 r., w przypadku pojazdów wyposażonych w silniki Diesla z wtryskiem bezpośrednim, wartości graniczne L2 i L3 wynoszą:

(2)   Wyjątek:

— pojazdy przeznaczone do przewozu więcej niż sześciu osób łącznie z kierowcą,

— pojazdy, których masa maksymalna przekracza 2500 kg.

(3)   Oraz te kategorie M samochodów, które są wyszczególnione w przypisie (2).

▼M9

5.3.1.4.1.

Bez względu na wymogi ppkt 5.3.1.4, w odniesieniu do poszczególnych zanieczyszczeń, najwyżej jeden z trzech uzyskanych wyników może przekroczyć wyznaczone wartości dopuszczalne o nie więcej niż 10 %, pod warunkiem że średnia arytmetyczna tych trzech wyników kształtuje się poniżej wyznaczonej wartości dopuszczalnej. W przypadku gdy wyznaczone wartości dopuszczalne zostały przekroczone w odniesieniu do więcej niż jednego rodzaju zanieczyszczeń, nie ma znaczenia, czy taka sytuacja występuje w tym samym badaniu, czy w różnych badaniach ►M12   ◄ .

▼M12 —————

▼M14

5.3.1.4.2.

W przypadku badań z zastosowaniem paliw gazowych wypadkowa masa emisji gazów ma być niższa niż wartości graniczne podane w powyższej tabeli dla pojazdów o silnikach benzynowych.

▼M9

5.3.1.5.

Ilość badań określonych w sekcji 5.3.1.4 jest zmniejszana w warunkach określonych poniżej, w przypadku gdy V1 jest wynikiem pierwszego badania, a V2 jest wynikiem drugiego badania dla każdego zanieczyszczenia lub łącznej emisji dwóch zanieczyszczeń podlegających ograniczeniom:

5.3.1.5.1.

Przeprowadzane jest tylko jedno badanie, jeżeli wynik otrzymany dla każdego zanieczyszczenia lub łącznej emisji dwóch zanieczyszczeń podlegających ograniczeniom jest mniejszy lub równy 0,70 L (tzn. V1 ≤ 0,70 L).

5.3.1.5.2.

Jeżeli warunek podany w ppkt 5.3.1.5.1 nie jest spełniony, wykonuje się tylko dwa badania, jeżeli dla każdego zanieczyszczenia lub łącznej emisji dwóch zanieczyszczeń podlegających ograniczeniom są spełnione następujące wymogi:

V1 ≤ 0,85 L oraz V1 + V2 ≤ 1,70 oraz V2 ≤ L.

5.3.2.

Badanie typu II (badanie emisji tlenku węgla na biegu jałowym)

▼M10

5.3.2.1.

Badanie to przeprowadza się we wszystkich pojazdach napędzanych silnikiem o zapłonie iskrowym, do których nie stosuje się badanie określone w ppkt 5.3.1.

▼M14

5.3.2.1.1.

Pojazdy, które mogą być zasilane albo benzyną, albo gazem płynnym lub ziemnym, poddaje się badaniom typu II dla obu rodzajów paliwa.

5.3.2.1.2.

Nie naruszając wymagań ppkt 5.3.2.1.1, pojazdy, które mogą być zasilane zarówno benzyną, jak i paliwami gazowymi, ale w których instalacja benzynowa jest zainstalowana wyłącznie do celów awaryjnych lub do rozruchu i których zbiornik na benzynę nie może pomieścić więcej niż 15 litrów, z punktu widzenia badania typu II są traktowane jako pojazdy napędzane wyłącznie paliwem gazowym.

▼M10

5.3.2.2.

Przy badaniu zgodnie z załącznikiem IV, ilość tlenku węgla zawarta w jednostce objętości gazów wydechowych emitowanych przez silnik pracujący na biegu jałowym nie może przekroczyć 3,5 % przy regulacji określonej przez producenta oraz 4,5 % w zakresie regulacji określonych w tym załączniku.

▼M9

5.3.3.

Badanie typu III (weryfikacja emisji gazów ze skrzyni korbowej)

5.3.3.1.

Badanie to powinno być wykonywane w odniesieniu do wszystkich pojazdów określonych w sekcji 1 z wyjątkiem pojazdów wyposażonych w silnik wysokoprężny.

▼M14

5.3.3.1.1.

Pojazdy, które mogą być zasilane albo benzyną, albo gazem płynnym lub gazem ziemnym, poddawane są badaniom typu III wyłącznie dla benzyny.

5.3.3.1.2.

Nie naruszając wymagań ustalonych w ppkt 5.3.3.1.1, pojazdy, które mogą być zasilane zarówno benzyną, jak i paliwem gazowym, w których instalacja benzynowa jest zainstalowana wyłącznie do celów awaryjnych lub do rozruchu i których zbiornik na benzynę nie może pomieścić więcej niż 15 litrów, ze względu na badanie typu III są traktowane jak pojazdy napędzane wyłącznie paliwem gazowym.

▼M12

image

Rysunek I.5.3

Schemat technologiczny dla homologacji typuI

(patrz ppkt 5.3.1)

▼M9

5.3.3.2.

Podczas badania zgodnego z załącznikiem V układ wentylacji skrzyni korbowej nie może pozwolić na emisję jakiegokolwiek gazu ze skrzyni korbowej do atmosfery.

5.3.4.

Badanie typu IV (oznaczanie emisji par)

5.3.4.1.

▼M10

Badanie to przeprowadza się dla wszystkich pojazdów, określonych w pkt 1, z wyjątkiem ►M14  z silnikiem o zapłonie samoczynnym oraz pojazdy zasilane gazem płynnym lub ziemnym. ◄

▼M14

5.3.4.1.1.

Pojazdy, które mogą być zasilane albo benzyną, albo gazem płynnym lub gazem ziemnym, należy poddać badaniu typu IV wyłącznie dla benzyny.

▼M9

5.3.4.2.

Podczas badania przeprowadzanego zgodnie z załącznikiem VI emisje par są niższe niż 2 g/badanie.

▼M15

5.3.5.

►M18   ◄ Badanie typu VI (sprawdzające średnią wielkość emisji tlenku węgla oraz węglowodorów z rury wydechowej w niskiej temperaturze otoczenia po rozruchu zimnego silnika).

5.3.5.1.

▼M18

Test ten powinien być prowadzony na wszystkich pojazdach kategorii M1 i N1, wyposażonych w silnik z zapłonem iskrowym, z wyjątkiem pojazdów, które zasilane są wyłącznie paliwem gazowym (LPG lub NG). Pojazdy, które mogą być zasilane zarówno paliwem benzynowym jak i gazowym są uważane za pojazdy zasilane wyłącznie paliwem gazowym do celów testu typu VI, ale tylko w przypadku gdy system benzynowy używany jest w sytuacjach awaryjnych lub przy uruchamianiu, a objętość baku na benzynę nie przekracza 15 litrów.

Pojazdy, które mogą być zasilane paliwem benzynowym i LPG lub NG, są testowane za pomocą testu typu VI tylko na benzynę.

Niniejszy podpunkt stosuje się do nowych typów pojazdów kategorii M1 i kategorii N1, klasy I, z wyjątkiem pojazdów przeznaczonych do przewozu więcej niż sześciu osób, o dopuszczalnej masie całkowitej powyżej 2500 kg ( 7 ).

Od 1 stycznia 2003 r. niniejszy podpunkt stosuje się do nowych typów pojazdów kategorii N1 klas II i III, nowych typów kategorii M1 przeznaczonych do przewozu więcej niż sześciu osób i pojazdów nowych typów kategorii M1, z dopuszczalną masą całkowita powyżej 2500 kg, lecz nieprzekraczającą 3500 kg.

▼M15

5.3.5.1.1.

Pojazd umieszcza się na hamowni podwoziowej wyposażonej w możliwości symulacji obciążenia i bezwładności.

5.3.5.1.2.

Badanie to składa się z czterech podstawowych cyklów jazdy miejskiej w ramach części pierwszej badania typu I. Część pierwsza badania opisana jest w dodatku do 1 załącznika III oraz zilustrowana na rysunkach III.1.1 oraz III.1.2 wspomnianego dodatku. Badanie w niskiej temperaturze otoczenia, trwające 780 sekund, musi być przeprowadzone bez przerwy oraz rozpocząć się po rozpoczęciu pracy silnika.

5.3.5.1.3.

Badanie w niskiej temperaturze otoczenia musi być przeprowadzone w temperaturze otoczenia wynoszącej 266 °K (-7 °C). Przed przeprowadzeniem badania badane pojazdy należy przygotować w jednolity sposób w celu zapewnienia powtarzalności badania. Przygotowanie oraz inne procedury diagnostyczne przeprowadza się tak, jak to zostało opisane w załączniku VII.

5.3.5.1.4.

W czasie badania gazy spalinowe są rozrzedzane i pobierana jest ich proporcjonalna próbka. Gazy spalinowe badanego pojazdu są rozrzedzane, pobierana jest ich próbka i poddawane są analizie, zgodnie z procedurą opisaną w załączniku VII, oraz dokonuje się pomiaru całkowitej objętości rozrzedzonych gazów wydechowych. Rozrzedzone gazy spalinowe poddaje się analizie na zawartość tlenku węgla oraz węglowodorów.

5.3.5.2.

Przy zachowaniu wymogów określonych w ppkt 5.3.5.2.2. i 5.3.5.3 badanie należy przeprowadzić trzykrotnie. Stwierdzona masa emisji tlenku węgla oraz węglowodorów musi być mniejsza od wartości dopuszczalnych wykazanych w poniższej tabeli:

▼M18



Test w temperaturze 266 K (-7°C)

Kategoria

Klasa

Masa tlenku węgla (CO) L1 (g/km)

Masa węglowodorów (HC) L2 (g/km)

M1 (1)

15

1,8

N1

I

15

1,8

N1 (2)

II

24

2,7

III

30

3,2

(1)   Z wyjątkiem pojazdów przeznaczonych do przewozu powyżej sześciu osób i pojazdów o dopuszczalnej masie całkowitej powyżej 2500 kg.

(2)   Oraz pojazdy kategorii M1, wskazane w uwadze 1.

▼M15

5.3.5.2.1.

Bez względu na wymogi ppkt 5.3.5.2, w odniesieniu do poszczególnych zanieczyszczeń, najwyżej jeden z trzech uzyskanych wyników może przekroczyć wyznaczone wartości dopuszczalne o nie więcej niż 10 %, pod warunkiem że średnia arytmetyczna tych trzech wyników kształtuje się poniżej wyznaczonej wartości dopuszczalnej. Tam gdzie wyznaczone wartości dopuszczalne zostały przekroczone w odniesieniu do więcej niż jednego rodzaju zanieczyszczeń, nie ma znaczenia czy taka sytuacja występuje w tym samym badaniu, czy w różnych badaniach.

5.3.5.2.2.

Liczba badań przewidziana w ppkt 5.3.5.2 może zostać, na wniosek producenta, zwiększona do 10, pod warunkiem że średnia arytmetyczna pierwszych trzech wyników będzie mieścić się między 100 % a 110 % wartości dopuszczalnej. W takim przypadku po wykonaniu badania wymagane jest jedynie, aby średnia arytmetyczna wszystkich 10 wyników kształtowała się poniżej wartości dopuszczalnej.

5.3.5.3.

Liczba badań przewidziana w ppkt 5.3.5.2 może być zmniejszona zgodnie z przepisami ppkt 5.3.5.3.1 i 5.3.5.3.2.

5.3.5.3.1.

Wykonuje się tylko jedno badanie, jeśli wynik pierwszego badania, otrzymany dla każdego rodzaju zanieczyszczeń, jest mniejszy lub równy 0,70 L.

5.3.5.3.2.

Jeśli wymóg ppkt 5.3.5.3.1 nie zostanie spełniony, wykonuje się tylko dwa badania, jeżeli w odniesieniu do każdego rodzaju zanieczyszczeń wynik pierwszego badania jest mniejszy lub równy 0,85 L, oraz jeżeli suma pierwszych dwóch wyników jest mniejsza lub równa 1,70 L i jeśli wynik drugiego badania jest mniejszy lub równy L.

(V1 ≤ 0,85 L i V1 + V2 ≤ 1,70 L i V2 ≤ L).

▼M9

►M15  5.3.6. ◄

Badanie typu V (trwałość urządzeń zapobiegających zanieczyszczeniom)

►M10   ►M15  5.3.6.1 ◄

Badanie przeprowadza się dla wszystkich pojazdów, określonych w pkt 1, do których stosuje się badanie określone w ppkt 5.3.1. ◄ Badanie dotyczy starzenia się po przejechaniu 80 000 km zgodnie z programem określonym w załączniku VII na torze testu, na drodze lub w hamowni podwoziowej.

▼M14

►M15  5.3.6.1.1 ◄

Pojazdy, które mogą być zasilane albo benzyną, albo gazem płynnym lub gazem ziemnym, należy poddać badaniu typu V wyłącznie dla benzyny.

▼M9

►M15  5.3.6.2 ◄

Bez względu na wymogi ppkt ►M15  5.3.6.1. ◄ producent może wybrać współczynniki pogorszenia z poniższej tabeli, wykorzystywane jako alternatywne do badania ppkt ►M15  5.3.6.1.1. ◄ .

▼M15



Kategoria silnika

Współczynniki pogorszenia

CO

HC

NOx

HC + NOx (1)

Cząstki stałe

Silniki z zapłonem iskrowym

1,2

1,2

1,2

-

-

Silniki o zapłonie samoczynnym

1,1

-

1,0

1,0

1,2

(1)   Dla pojazdów z silnikiem o zapłonie samoczynnym.

▼M9

Na wniosek producenta służba techniczna może wykonać badanie typu I przed zakończeniem badania typu V, wykorzystując współczynniki pogorszenia z powyższej tabeli. Po zakończeniu badania typu V służba techniczna może zmienić wyniki homologacji typu zapisane w załączniku IX, zastępując współczynniki pogorszenia z powyższej tabeli współczynnikami zmierzonymi w badaniu typu V.

▼M15

5.3.6.3

zostaje zmieniony w sposób następujący:Podpunkt 5.3.6.3. zostaje zmieniony w sposób następujący:Współczynniki pogorszenia określa się stosując albo procedurę określoną w ppkt 5.3.6.1 albo stosując wartości z tabeli zawartej w ppkt 5.3.6.2. Współczynniki pogorszenia stosuje się do ustalenia zgodności z wymogami określonymi w ppkt 5.3.1.4.

▼M15

5.3.7.

Dane dotyczące emisji wymagane do badania zdatności pojazdu do jazdy

5.3.7.1.

Wymóg ten ma zastosowanie do wszystkich pojazdów napędzanych silnikiem z zapłonem iskrowym, w odniesieniu do których czynione są starania o uzyskanie homologacji typu WE zgodnie z niniejszą dyrektywą.

5.3.7.2.

Podczas badania zgodnie z załącznikiem IV (badanie typu II) na normalnym biegu jałowym:

 należy zarejestrować objętościową zawartość tlenku węgla w wydzielanych gazach spalinowych,

 należy zarejestrować liczbę obrotów silnika, włącznie z wszelkimi tolerancjami.

5.3.7.3.

Podczas badania na „wysokim” biegu jałowym (tj. >2 000 min-1):

 należy rejestrować objętościową zawartość tlenku węgla w wydzielanych gazach spalinowych,

 należy rejestrować wartość Lambda ( 8 ),

 należy rejestrować liczbę obrotów silnika, włącznie z wszelkimi tolerancjami.

5.3.7.4.

Należy mierzyć i rejestrować temperaturę oleju silnikowego w czasie badania.

5.3.7.5.

Należy wypełnić tabelę w ppkt 1.9 dodatku do załącznika X.

5.3.7.6.

Producent musi potwierdzić dokładność wartości Lambda zarejestrowanej w czasie badania homologacyjnego typu, zgodnie z ppkt 5.3.7.3, jako reprezentatywnej dla pojazdów z produkcji seryjnej w terminie do 24 miesięcy od daty udzielenia homologacji typu przez placówkę techniczną. Należy dokonać oceny na podstawie przeglądów i badań produkowanych pojazdów.

▼M19

5.3.8.

Wymienne konwertery katalityczne i oryginalne wymienne konwertery katalityczne

5.3.8.1.

Wymienne konwertery katalityczne przeznaczone do zainstalowania w pojazdach posiadających homologację typu WE muszą być badane zgodnie z załącznikiem XIII.

5.3.8.2.

Oryginalne wymienne konwertery katalityczne, które należą do typu objętego ppkt 1.10 Dodatku do załącznika X i są przeznaczone do zainstalowania w pojeździe, do którego odnosi się dany dokument homologacji typu, nie muszą spełniać wymagań załącznika XIII do niniejszej dyrektywy, o ile spełniają wymagania ppkt 5.3.8.2.1 i 5.3.8.2.2.

5.3.8.2.1.

Oznakowanie

Oryginalne wymienne konwertery katalityczne posiadają co najmniej następujące oznakowania identyfikacyjne:

5.3.8.2.1.1.

nazwę producenta lub znak handlowy;

5.3.8.2.1.2.

markę i numer identyfikacyjny części oryginalnego wymiennego konwertera katalitycznego, jak odnotowano w informacjach wymienionych w ppkt 5.3.8.3.

5.3.8.2.2.

Dokumentacja

Do oryginalnych wymiennych konwerterów katalitycznych załącza się następujące informacje:

5.3.8.2.2.1.

nazwę producenta lub znak handlowy;

5.3.8.2.2.2.

markę i numer identyfikacyjny części oryginalnego wymiennego konwertera katalitycznego, jak odnotowano w informacjach wymienionych w ppkt 5.3.8.3;

5.3.8.2.2.3.

pojazdy, dla których oryginalny wymienny konwerter katalityczny jest typu objętego ppkt 1.10 Dodatku do załącznika X, włączając, gdzie stosowne, oznakowanie w celu zidentyfikowania czy oryginalny wymienny konwerter katalityczny nadaje się do zamontowania w pojeździe wyposażonym w pokładowy system diagnostyczny OBD;

5.3.8.2.2.4.

instrukcje montażowe, gdzie zachodzi taka konieczność;

5.3.8.2.2.5.

informacje są dostarczane jako:

 ulotka załączona do oryginalnego wymiennego konwertera katalitycznego, lub

 na opakowaniu, w którym sprzedaje się oryginalny wymienny konwerter katalityczny, lub

 za pomocą wszelkich innych stosowanych środków.

W każdym przypadku informacje muszą być dostępne w katalogu produktu, którego dystrybucji dokonuje się w punktach sprzedaży producenta pojazdu.

5.3.8.3.

Producent pojazdu dostarcza służbie technicznej i/lub organowi udzielającemu homologacji niezbędnych informacji w postaci elektronicznej, które stanowią powiązanie między odpowiednimi numerami części a dokumentami homologacyjnymi.

Informacje te zawierają, co następuje:

 markę(-i) i typ(-y) pojazdu,

 markę(-i) i typ(-y) oryginalnego wymiennego konwertera katalitycznego,

 numer(-y) części oryginalnego wymiennego konwertera katalitycznego,

 numer homologacji odpowiedniego typu(-ów) pojazdu.

▼M12

6.   MODYFIKACJE TYPU I ZMIANY DO HOMOLOGACJI

W przypadku zmiany typu homologowanego na mocy niniejszej dyrektywy, stosuje się przepisy art. 5 dyrektywy 70/156/EWG oraz, gdzie stosowne, następujące przepisy szczególne:

▼M15

6.1.   Rozszerzenie homologacji związane z emisją zanieczyszczeń z rury wydechowej

▼M10

6.1.1.

Typy pojazdów o różnej masie odniesienia.

▼M12

6.1.1.1.

Homologacja przyznana typowi pojazdu może zostać rozszerzona tylko na typy pojazdów o masie odniesienia wymagającej stosowania następnych dwóch wyższych wartości bezwładności równoważnych lub wszelkiej niższej bezwładności równoważnej.

▼M10

6.1.1.2.

W przypadku pojazdów kategorii N1 i pojazdów kategorii M określonych w przypisie 2 do ppkt 5.3.1.4, jeśli masa odniesienia pojazdu należącego do typu, dla którego wnioskuje się rozszerzenie homologacji, wymaga zastosowania koła zamachowego o równoważnej masie bezwładnej mniejszej niż zastosowana dla typu pojazdu już homologowanego, udziela się rozszerzenia homologacji, jeśli masy zanieczyszczeń otrzymanych z pojazdu już homologowanego mieszczą się w granicach przepisanych dla pojazdu, dla którego wnioskuje się o rozszerzenie homologacji

▼M9

6.1.2.

Typy pojazdów o różnych przełożeniach całkowitych biegów

Homologacja przyznana pojazdowi może pod następującymi warunkami zostać rozszerzona na typy pojazdów, które różnią się od rodzaju homologowanego wyłącznie przełożeniem napędu:

►M15  6.1.2.1.

Dla każdego z przełożeń stosowanych w badaniach typu I i VI, ◄

image

gdzie, przy prędkości silnika wynoszącej 1 000 obrotów na minutę, V1 jest prędkością homologowanego typu pojazdu, a V2 jest prędkością pojazdu, którego dotyczy wniosek o rozszerzenie homologacji.

▼M15

6.1.2.2.

Jeśli dla każdego z przełożeń E ≤ 8 %, udziela się rozszerzenia homologacji bez powtarzania badania typu I oraz VI.

▼M9

►M15  6.1.2.3.

Jeśli dla co najmniej jednego z przełożeń E ≤ 8 %, oraz jeśli dla każdego z przełożeń E ≤ 13 %, należy powtórzyć badanie typu I oraz VI, ◄ ale może ono być wykonane w laboratorium wybranym przez producenta, ►M12  z zastrzeżeniem zatwierdzenia służby technicznej. ◄ Sprawozdanie z badań musi być przesłane służbie technicznej odpowiedzialnej za badania homologacji typu.

6.1.3.

Typy pojazdów o różnych masach odniesienia i różnych przełożeniach całkowitych napędu

Homologacja przyznana pojazdowi może zostać rozszerzona na typy pojazdów, które różnią się od typu homologowanego wyłącznie masą odniesienia i całkowitym przełożeniem napędu pod warunkiem że spełnione są wszystkie wymagania określone w ppkt 6.1.1 oraz 6.1.2.

6.1.4.

Uwaga:

W przypadku gdy typ pojazdu został homologowany zgodnie z przepisami ppkt 6.1.1–6.1.3, homologacja taka nie może być rozszerzona na inne typy pojazdów.

6.2.   Emisja par (badanie typu IV)

6.2.1.

Homologacja przyznana pojazdowi wyposażonemu w układ ograniczania emisji par może być rozszerzona pod następującymi warunkami:

6.2.1.1.

Podstawowa zasada dozowania mieszanki paliwo/powietrze (np. wtrysk jednopunktowy, gaźnik) musi być identyczna.

6.2.1.2.

Kształt oraz materiał zbiornika paliwa oraz przewody paliwa płynnego muszą być identyczne. Musi być zbadana grupa najgorszych warunków w odniesieniu do przekroju i przybliżonej długości przewodu. Służba techniczna odpowiedzialna za badania homologacyjne typu decyduje, czy dopuszczalne są nieidentyczne rozdzielacze pary/płynu. Objętość zbiornika paliwa musi mieścić się w zakresie ± 10 %. Ustawienie zasuwy odcinającej podcięcie zbiornika musi być identyczne.

6.2.1.3.

Metoda magazynowania par paliwa musi być identyczna, tzn. kształt filtru i objętość, sposób przechowywania, oczyszczacz powietrza (jeżeli używany do kontroli emisji par) itp.

6.2.1.4.

Objętość paliwa w misce gaźnika musi mieścić się w zakresie 10 mililitrów.

6.2.1.5.

Metoda pozbywania się zmagazynowanych par musi być identyczna (np. przepływ powietrza, punkt rozruchu lub czyszczenie objętości w cyklu jazdy).

6.2.1.6.

Metoda zamykania i wietrzenia układu dozowania paliwa musi być identyczna.

6.2.2.

Dalsze uwagi:

i) różne wielkości silnika są dopuszczalne;

ii) różne moce silnika są dopuszczalne;

iii) ręczne i automatyczne skrzynie biegów, napędy na dwa i cztery koła są dopuszczalne;

iv) różne rodzaje karoserii są dopuszczalne;

v) różne wielkości kół i opon są dopuszczalne.

6.3.   Trwałość urządzeń zapobiegających zanieczyszczeniom

6.3.1.

Homologacja przyznana pojazdowi może być rozszerzona na różne typy pojazdów, pod warunkiem że połączenie układu kontroli silnika/zanieczyszczeń jest identyczne z występującym w pojeździe już homologowanym. W tym celu uznaje się, że do tego samego połączenia układu kontroli silnika/zanieczyszczeń należą te rodzaje pojazdów, których parametry opisane poniżej są identyczne lub pozostają w przewidzianych wartościach dopuszczalnych:

6.3.1.1.

Silnik:

 liczba cylindrów,

 pojemność silnika (± 15 %),

 układ bloku cylindrów,

 ilość zaworów,

 układ paliwowy,

 rodzaj układu chłodzącego,

 proces spalania,

▼M12

 wymiary od osi otworu cylindrowego do środka.

▼M9

6.3.1.2.

Układ kontroli zanieczyszczeń:

 katalizatory:

 

 liczba katalizatorów i ich części,

▼M12

 wielkość i kształt katalizatorów (objętość monolityczna ± 10 %),

▼M9

 typ działania katalitycznego (utleniający, trójdrożny, …)

 obciążenie metalami szlachetnymi (identyczne lub większe),

 stosunek metali szlachetnych (± 15 %),

 podłoże (struktura i materiał),

 gęstość komórki,

 typ obudowy katalizatora,

 lokalizacja katalizatorów (pozycja i rozmiar w układzie wydechowym, który nie powoduje zmienności temperatury o więcej niż 50 K przy wlocie do katalizatora) ►M12  . Ta zmiana temperatury jest sprawdzana w warunkach ustalonych przy prędkości 120 km/h i ustawieniu obciążenia dla badania typu I ◄ ,

 wtrysk powietrza:

 

 z lub bez,

 typ (impulsowy, pompy powietrza, …),

 EGR:

 

 z lub bez.

▼M12

6.3.1.3.

Kategoria bezwładności: dwie kategorie bezwładności bezpośrednio powyżej i wszelkie kategorie bezwładności poniżej.

▼M9

6.3.1.4.

Badanie trwałości może być wykonane przy użyciu pojazdu, rodzaju karoserii, skrzyni biegów (ręcznej lub automatycznej) oraz wielkości kół i opon, które różnią się od należących do pojazdu, którego dotyczy wniosek o homologację typu.

▼M15

6.4.   Pokładowa diagnostyka

6.4.1.

Homologacja udzielona danemu typowi pojazdu w odniesieniu do pokładowego systemu diagnostycznego może być rozszerzona na różne typy pojazdów należących do tej samej rodziny zgodnie z opisem w dodatku 2 do załącznika XI. Układ kontroli emisji zanieczyszczeń silnika musi być identyczny z takim układem pojazdu posiadającego już homologację oraz musi odpowiadać opisowi rodziny silników z takim układem, zawartemu w dodatku 2 do załącznika XI, niezależnie od wymienionej poniżej charakterystyki pojazdu:

 akcesoria silnikowe,

 opony,

 bezwładność równoważna,

 układ chłodzący,

 przełożenie całkowite,

 rodzaj przeniesienia napędu,

 rodzaj nadwozia.

▼M11

7.   ZGODNOŚĆ PRODUKCJI.

7.1.

▼M15

Muszą być podjęte środki, zgodnie z przepisami art. 10 dyrektywy 70/156/EWG zmienionej ostatnio dyrektywą 96/27/EWG (homologacja typu całego pojazdu), mające zapewnić zgodność produkcji ze stosownymi wymogami. Artykuł ten nakłada na producenta obowiązek podjęcia środków mających zapewnić zgodność produkcji z wymogami homologacyjnymi typu. Zgodność produkcji sprawdza się na podstawie opisu zawartego w świadectwie homologacyjnym, określonym załączniku X do niniejszej dyrektywy.

Z reguły zgodność produkcji w odniesieniu do ograniczeń emisji zanieczyszczeń z rury wydechowej oraz emisji par z pojazdu sprawdza się na podstawie opisu zawartego w świadectwie homologacyjnym, ustalonym w załączniku X oraz, tam gdzie jest to konieczne, wszystkich lub niektórych badań typu I, II, III i IV, opisanych w ppkt 5.2.

Zgodność pojazdów użytkowanych

W odniesieniu do homologacji typu udzielanych dla emisji, środki te muszą również być odpowiednie dla potwierdzenia funkcjonalności urządzeń kontroli zanieczyszczeń podczas normalnego okresu użytkowania pojazdów w warunkach normalnych (zgodność pojazdów właściwie konserwowanych i użytkowanych). W rozumieniu niniejszej dyrektywy opisane środki należy sprawdzać przez okres do pięciu lat użytkowania pojazdu lub do osiągnięcia przebiegu 80 000 km, w zależności od tego, co nastąpi wcześniej, a od dnia 1 stycznia 2005 r. przez okres do pięciu lat użytkowania lub do osiągnięcia przebiegu 100 000 km, w zależności do tego, co nastąpi wcześniej.

▼M19

7.1.1.

Kontrolę zgodności pojazdu użytkowanego organ udzielający homologacji typu na podstawie odpowiednich informacji posiadanych przez producenta, zgodnie z procedurami podobnymi do procedur określonych w art. 10 ust. 1 i 2 dyrektywy 70/156/EWG, oraz w pkt 1 i 2 jej załącznika X.

Rysunki I.8 oraz I.9 w dodatku 4 do niniejszego załącznika przedstawiają procedurę sprawdzania zgodności pojazdu użytkowanego.

7.1.1.1.

Parametry określające rodzinę pojazdów użytkowych

Rodzinę pojazdów użytkowanych można określić w oparciu o podstawowe parametry konstrukcyjne, które muszą być wspólne dla pojazdów należących do danej rodziny. Odpowiednio te typy pojazdów, które mają parametry opisane poniżej co najmniej wspólne lub w granicach ustalonej tolerancji mogą być uznane za należące do tej samej rodziny pojazdów użytkowanych:

 proces spalania (dwusuwowy, czterosuwowy, obrotowy),

 liczba cylindrów,

 układ bloku cylindrowego (rzędowy, V, promienisty, przeciwsobny poziomy, inny). Nachylenie lub ukierunkowanie cylindrów nie stanowią kryterium,

 sposób doprowadzenia paliwa do silnika (np. pośrednio lub bezpośredni wtrysk),

 typ układu chłodzenia (powietrzem, wodą, olejem),

 metoda zasysania (wolnossący, wymuszony pod ciśnieniem),

 paliwo, dla którego zaprojektowano silnik (benzyna, olej napędowy, gaz ziemny, gaz płynny itp.) Pojazdy dwupaliwowe mogą być zgrupowane z pojazdami o wyznaczonym typie paliwa, o ile jedno z paliw jest wspólne,

 typ konwertera katalitycznego (katalizator trójścieżkowy lub inny(-e)),

 typ pochłaniacza cząsteczek stałych (z lub bez),

 ponowny obieg gazów spalinowych (tzn. z obiegiem lub bez),

 pojemność cylindra silnikowego największego silnika w obrębie rodziny minus 30 %.

7.1.1.2.

Kontrolę zgodności pojazdu użytkowanego przeprowadza organ udzielający homologacji typu na podstawie informacji dostarczonych przez producenta. Informacje muszą zawierać, lecz nie są ograniczona do:

7.1.1.2.1.

nazwy i adresu producenta;

7.1.1.2.2.

nazwy, adresu, numeru telefonu i faksu oraz adresu e-mail: jego upoważnionego przedstawiciela w obszarach objętych informacjami producenta;

7.1.1.2.3.

nazwę(-y) modelu(-i) pojazdów włączonych do informacji producenta;

7.1.1.2.4.

w odpowiednim przypadku wykaz typów pojazdów objętych informacjami producenta, tj. grupę rodziny eksploatacyjnej zgodnie z ppkt 7.1.1.1;

7.1.1.2.5.

kody numeru identyfikacyjnego pojazdu (VIN) stosowane do tych typów pojazdu w obrębie rodziny użytkowanego pojazdu (VIN);

7.1.1.2.6.

numery homologacji typu stosowane do tych typów pojazdów w obrębie rodziny użytkowanych pojazdów, gdzie stosowne, numery wszystkich rozszerzeń homologacji typu i nieznaczne zmiany/przeróbki;

7.1.1.2.7.

szczegóły rozszerzenia homologacji typu, nieznacznych zmian/przeróbek do tych homologacji typu dla pojazdów objętych informacjami producenta (jeżeli wymagane przez organ udzielający homologacji typu);

7.1.1.2.8.

czas, w którym zebrano informacje producenta;

7.1.1.2.9.

czas budowy pojazdu objęty informacjami producenta (np. pojazdy wyprodukowane w roku kalendarzowym 2001);

7.1.1.2.10.

procedura producenta dotycząca sprawdzania zgodności użytkowanego pojazdu, włączając:

7.1.1.2.10.1.

metodę lokalizacji pojazdu;

7.1.1.2.10.2.

kryteria wyboru i odrzucania pojazdu;

7.1.1.2.10.3.

typy badań i procedury stosowane do programu;

7.1.1.2.10.4.

kryteria producenta dotyczące przyjęcia/odrzucenia dla grupy rodziny pojazdów użytkowanych;

7.1.1.2.10.5.

obszary geograficzne, na których producent zebrał informacje;

7.1.1.2.10.6.

wielkość próbki i stosowany plan pobierania próbek;

7.1.1.2.11.

wyniki procedury producenta dotyczącej zgodności eksploatacyjnej, włączając:

7.1.1.2.11.1.

identyfikację pojazdów włączonych do programu (badane czy nie). Identyfikacja obejmuje:

 nazwę modelu,

 numer identyfikacyjny pojazdu (VIN),

 numer rejestracyjny pojazdu,

 datę produkcji,

 region użytkowania (w przypadku gdy znany),

 zamontowane opony;

7.1.1.2.11.2.

przyczyna(-y) odrzucenia pojazdu z próbki;

7.1.1.2.11.3.

historię obsługi dla każdego pojazdu w próbce (włączając wszelkie przeróbki);

7.1.1.2.11.4.

historię napraw dla każdego pojazdu w próbce (w przypadku gdy znana);

7.1.1.2.11.5.

dane z badania, włączając:

 datę badania,

 lokalizację badania,

 wskazaną drogę przebytą na drogomierzu,

 specyfikacje dotyczące badania paliwa (np. badane paliwo wzorcowe lub paliwo rynkowe),

 warunki badania (temperatura, wilgotność, masa bezwładności hamowni),

 ustawienia hamowni (np. ustawienie mocy),

 wyniki badania (z co najmniej trzech różnych pojazdów na rodzinę);

7.1.1.2.12.

zapisy wskazań systemu OBD.

7.1.2.

Informacje zgromadzone przez producenta muszą być wyczerpujące w celu umożliwienia oceny funkcjonowania pojazdu w normalnych warunkach użytkowania, jak to zostało określone w ppkt 7.1, oraz w sposób reprezentatywny dla zasięgu rynkowego działania producenta.

Do celów niniejszej dyrektywy producent nie jest zobowiązany do przeprowadzania kontroli zgodności pojazdu użytkowanego dla typu pojazdu, jeżeli może on wykazać w sposób zadowalający dla organu udzielającego homologacji, że roczna sprzedaż tego typu pojazdu we Wspólnocie wynosi mniej niż 5 000 sztuk.

►M15  7.1.3. ◄

▼M12

Jeżeli wykonuje się badanie typu I, a homologacja typu pojazdu posiada jedno lub więcej rozszerzeń, badania wykonane zostaną na pojeździe opisanym w początkowym zestawie informacyjnym albo na pojeździe opisanym w zestawie informacyjnym dotyczącym właściwego rozszerzenia.

▼M11

►M15  7.1.3.1. ◄    Kontrola zgodności pojazdu w przypadku badania typu I.

Po dokonaniu wyboru przez władze, producent nie wykonuje żadnych regulacji na wybranych pojazdach.

►M15  7.1.3.1.1. ◄

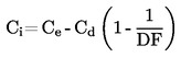
Wybierane są losowo kolejno trzy pojazdy i poddawane są badaniu określonemu w ppkt 5.3.1 niniejszego załącznika. Czynniki pogarszające są stosowane w taki sam sposób. Wartości graniczne przedstawiono w ppkt 5.3.1.4. niniejszego Załącznika.

►M15  7.1.3.1.2. ◄

Jeśli władze uznają odchylenie standardowe produkcji podane przez producenta zgodnie z załącznikiem X do dyrektywy 70/156/EWG za zadowalające, badanie przeprowadza się zgodnie z dodatkiem 1 do niniejszego Załącznika.

Jeśli właściwe władze uznają odchylenie standardowe produkcji podane przez producenta zgodnie z załącznikiem X do dyrektywy 70/156/EWG za niezadowalające, badanie przeprowadza się zgodnie z dodatkiem 2 do niniejszego Załącznika.

►M15  7.1.3.1.3. ◄

Produkcja z jednej serii traktowana jest jako zgodna lub niezgodna na podstawie badania pojazdów wykonanej na próbkach w chwili gdy uzyskuje się decyzję pozytywną dla wszystkich substancji zanieczyszczających lub decyzję negatywną dla jednej substancji zanieczyszczającej, zgodnie z kryteriami badań stosowanymi w odpowiednim dodatku.

W przypadku gdy wydana zostanie decyzja pozytywna dotycząca jednej substancji zanieczyszczającej, decyzji tej nie można zmienić poprzez dodatkowe badania przeprowadzone w celu uzyskania decyzji dla innych zanieczyszczeń.

Jeżeli dla żadnej z substancji zanieczyszczających nie zostanie wydana decyzja pozytywna lub, jeżeli dla jednej substancji zanieczyszczającej nie zostanie wydana decyzja negatywna, badanie przeprowadza się na innym pojeździe (patrz rysunek I/7).

►M15  7.1.3.2. ◄

Bez względu na wymagania ppkt 3.1.1 załącznika III, badania przeprowadza się na pojazdach schodzących bezpośrednio z taśmy produkcyjnej.

►M15  7.1.3.2.1. ◄

Jednakże na wniosek producenta, badania mogą być przeprowadzone na pojazdach, które przejechały:

 maksymalnie 3 000 km w przypadku pojazdów z silnikiem z zapłonem wymuszonym,

 maksymalnie 15 000 km dla pojazdów z silnikiem z zapłonem samoczynnym.

W obu przypadkach procedura dotarcia odbywa się na koszt producenta, który zobowiązuje się nie wykonywać żadnych regulacji na tych pojazdach.

image

Rysunek I.7

►M15  7.1.3.2.2. ◄

Jeżeli producent wnioskuje o wykonanie dotarcia pojazdów („x” km, gdzie x ≤ 3 000 km przypadku pojazdów wyposażonych w silnik z zapłonem wymuszonym, x ≤ 15 000 km dla pojazdów wyposażonych w silnik z zapłonem samoczynnym), procedura jest następująca:

 emisje substancji zanieczyszczających (typu I) będą mierzone przy zerze i „x” km na pierwszym badanym pojeździe,

 współczynnik rozwoju emisji od zero do „x” km będzie obliczany dla każdej z substancji zanieczyszczających:

 

image

 Może on być mniejszy od 1,

 pozostałe pojazdy nie będą docierane, lecz ich emisje przy zero km będą przemnożone przez uzyskany współczynnik rozwoju.

 W tym przypadku wartościami, które zostaną wzięte pod uwagę są:

 

 wartości przy „x” km dla pierwszego pojazdu

 wartości przy zero km pomnożone przez współczynnik dla pozostałych pojazdów.

►M15  7.1.3.2.3. ◄

Wszystkie badania mogą być przeprowadzane z użyciem paliwa dostępnego w handlu. Jednakże na żądanie producenta, można użyć paliw wzorcowych opisanych w załączniku VIII.

►M15  7.1.4. ◄

Jeżeli ma zostać przeprowadzone badanie typu III, przeprowadza się je na pojazdach wybranych do badania zgodności produkcji typu I (ppkt ►M15  7.1.3.1.1 ◄ ). Przestrzegane muszą być warunki ustanowione w ppkt 5.3.3.2.

►M15  7.1.5. ◄

Jeżeli ma zostać przeprowadzone badanie typu IV, przeprowadza się je zgodnie z pkt 7 załącznika VI.

▼M15

7.1.6.

W przypadku gdy konieczne jest przeprowadzenie kontroli działania pokładowego systemu diagnostycznego, należy ją przeprowadzić zgodnie z następującymi zasadami:

7.1.6.1.

W przypadku gdy władza homologacyjna uzna, że jakość produkcji wydaje się niezadowalająca, wybiera się losowo pojazd z danej serii i poddaje się go badaniom opisanym w dodatku 1 do załącznika XI.

7.1.6.2.

Uznaje się, że produkcja jest zgodna z wymogami, gdy pojazd taki spełnia wymogi badań opisanych w dodatku 1 załącznika XI.

7.1.6.3.

W przypadku gdy taki pojazd wybrany z danej serii nie spełnia wymogów opisanych w ppkt 7.1.6.1, należy wybrać losowo dalszą próbkę czterech pojazdów z danej serii oraz poddać je badaniom opisanym w dodatku 1 do załącznika XI. Badania takie można przeprowadzić na pojazdach o przebiegu nie większym niż 15 000 km.

7.1.6.4.

Uznaje się, że produkcja jest zgodna z wymogami, gdy co najmniej 3 pojazdy spełniają wymogi badań opisanych w dodatku 1 do załącznika XI.

7.1.7.

▼M19

Na podstawie kontroli, określonej w ppkt 7.1.1, organ udzielający homologacji typu musi:

 zadecydować, że zgodność typu pojazdu użytkowanego lub rodziny pojazdów użytkowanych jest zadowalająca i nie podejmować żadnego dalszego działania, albo

 zadecydować, że dostarczone przez producenta dane są niewystarczające do podjęcia decyzji i zwrócić się od producenta o podanie dodatkowych informacji lub wyników badań, lub

 zadecydować, że zgodność eksploatacyjna typu lub typu(-ów) pojazdów, który(-e) jest/są częścią rodziny eksploatacyjnej, jest niezadowalająca i przystąpić do badania takiego typu(-ów) pojazdu zgodnie z przepisami dodatku 3 do niniejszego załącznika.

W przypadku kiedy producent został zwolniony z przeprowadzania audytu dla konkretnego typu pojazdu zgodnie z ppkt 7.1.2, organ udzielający homologacji może przystąpić do badania takich typów pojazdów zgodnie z przepisami dodatku 3 niniejszego załącznika.

▼M15

7.1.7.1.

W przypadkach, gdy uznaje się, że badania typu I są konieczne do sprawdzenia zgodności urządzeń kontroli emisji z wymogami dotyczącymi ich działania podczas użytkowania pojazdu, badania takie należy przeprowadzać z zastosowaniem procedury diagnostycznej spełniającej kryteria statystyczne określone w dodatku 4 do niniejszego załącznika.

7.1.7.2.

Władza homologacyjna, we współpracy z producentem, musi wybrać pojazdy z wystarczającym przebiegiem, których użytkowanie w normalnych warunkach można ocenić we właściwy sposób. Należy skonsultować w producentem wybór pojazdów w próbce oraz zezwolić mu na uczestniczenie w kontrolnych badaniach potwierdzających pojazdów.

7.1.7.3.

Producent jest uprawniony, pod nadzorem władzy homologacyjnej, do przeprowadzania badań kontrolnych, nawet o charakterze niszczącym, tych pojazdów, których poziom emisji przekracza wartości dopuszczalne, w celu ustalenia możliwych przyczyn pogorszenia się tego stanu, którego nie można przypisać samemu producentowi (np. używanie benzyny ołowiowej przed dniem badania). W przypadku gdy wyniki badań kontrolnych potwierdzają takie przyczyny, wyniki te wyłącza się z badania zgodności z wymogami.

7.1.7.4.

W przypadku gdy wyniki badań przeprowadzonych zgodnie z kryteriami określonymi w dodatku 4 nie są zadowalające dla władzy homologacyjnej, na pojazdy użytkowane należące do tego samego typu, co do których istnieje prawdopodobieństwo, że mają takie same usterki, rozszerza się środki zaradcze, określone w art. 11 ust. 2 oraz w załączniku X do dyrektywy 70/156/EWG, zgodnie z pkt 6 dodatku 3.

Plan środków zaradczych przedstawionych przez producenta musi być zatwierdzony przez władzę homologacyjną. Producent odpowiedzialny jest za wykonanie zatwierdzonego planu naprawczego.

Władza homologacyjna musi w ciągu 30 dni powiadomić o swojej decyzji wszystkie Państwa Członkowskie. Państwa Członkowskie mogą wymagać zastosowania takiego samego planu środków zaradczych do wszystkich pojazdów tego samego typu, zarejestrowanych na ich terytorium.

7.1.7.5.

Jeśli dane Państwo Członkowskie ustaliło, że typ pojazdu nie odpowiada obowiązującym wymogom dodatku 3 niniejszego załącznika, musi niezwłocznie powiadomić Państwo Członkowskie, które pierwotnie udzieliło homologacji typu zgodnie z wymogami art. 11 ust. 3 dyrektywy 70/156/EWG.

Następnie, zgodnie z przepisami art. 11 ust. 6 dyrektywy 70/156/EWG, właściwy organ Państwa Członkowskiego, który pierwotnie udzielił homologacji, informuje producenta, że typ pojazdu nie spełnia wymogów ustalonych w tych przepisach, oraz że oczekiwane są odpowiednie działania ze strony producenta. Producent przedstawi temu organowi, w terminie do dwóch miesięcy po otrzymaniu wspomnianego powiadomienia, plan środków mających na celu usunięcie usterek, istota których powinna odpowiadać wymogom ppkt 6.1–6.8 dodatku 3. Właściwy organ, który pierwotnie udzielił homologacji, (w terminie do dwóch miesięcy) zasięga opinii producenta w celu osiągnięcia porozumienia w sprawie planu środków zaradczych oraz realizacji tego planu. Jeśli właściwy organ, który pierwotnie udzielił homologacji typu, ustali, że porozumienie nie może być osiągnięte, należy wszcząć procedurę na podstawie art. 11 ust. 3 i 4 dyrektywy 70/156/EWG.

▼M15 —————

▼M15

8.   POKŁADOWY SYSTEM DIAGNOSTYCZNY W POJAZDACH SILNIKOWYCH

▼M17

8.1.   Pojazdy z silnikami z zapłonem iskrowym

8.1.1.   Silniki zasilane benzyną

Od dnia 1 stycznia 2000 r. w odniesieniu do nowych typów oraz od dnia 1 stycznia 2001 r. w odniesieniu do wszystkich typów pojazdy kategorii M1 – z wyjątkiem pojazdów, których masa maksymalna przekracza 2 500 kg – oraz pojazdy kategorii N1 klasa I muszą być wyposażone w układ OBD dla kontroli emisji zgodnie z załącznikiem XI.

Od dnia 1 stycznia 2001 r. w odniesieniu do nowych typów oraz od dnia 1 stycznia 2002 r. w odniesieniu do wszystkich typów, pojazdy kategorii N1 klasa II i III oraz pojazdy kategorii M1, których masa maksymalna przekracza 2 500 kg, muszą być wyposażone w układ OBD dla kontroli emisji zgodnie z załącznikiem XI.

8.1.2.   Pojazdy zasilane LPG i gazem ziemnym

Od dnia 1 stycznia 2003 r. w odniesieniu do nowych typów oraz od dnia 1 stycznia 2004 r. w odniesieniu do wszystkich typów, pojazdy kategorii M1 – z wyjątkiem pojazdów, których masa maksymalna przekracza 2 500 kg – oraz pojazdy kategorii N1 klasa I, zasilane trwale lub czasowo LPG, albo gazem ziemnym, muszą być wyposażone w układ OBD dla kontroli emisji zgodnie z załącznikiem XI.

Od dnia 1 stycznia 2006 r. w odniesieniu do nowych typów oraz od dnia 1 stycznia 2007 r. w odniesieniu do wszystkich typów pojazdy kategorii N1 klasa II i III oraz pojazdy kategorii M1, których masa maksymalna przekracza 2 500 kg, zasilane trwale lub czasowo LPG albo gazem ziemnym, muszą być wyposażone w układ OBD dla kontroli emisji zgodnie z załącznikiem XI.

▼M16

8.2.   Pojazdy z silnikami o zapłonie samoczynnym

Pojazdy kategorii M1, z wyjątkiem:

 pojazdów zaprojektowanych do przewozu więcej niż sześciu osób łącznie z kierowcą,

 pojazdów, których maksymalna masa przekracza 2 500 kg,

od dnia 1 stycznia 2003 r. dla nowych typów oraz od dnia 1 stycznia 2004 r. dla wszystkich typów, muszą zostać wyposażone w pokładowy system diagnostyczny w celu kontroli emisji zgodnie z załącznikiem XI.

W przypadku gdy nowe typy pojazdów napędzanych silnikami o zapłonie samoczynnym, dopuszczane do ruchu przed tą datą są wyposażone w pokładowy system diagnostyczny stosuje się przepisy ppkt 6.5.3–6.5.3.6 załącznika XI, dodatek 1.

8.3.   Pojazdy z silnikami o zapłonie samoczynnym wyłączone z zastosowania ppkt 8.2

Od dnia 1 stycznia 2005 r. dla nowych typów oraz od dnia 1 stycznia 2006 r. dla wszystkich typów, pojazdy kategorii M1, wyłączone z zastosowania ppkt 8.2., z wyjątkiem pojazdów kategorii M1 wyposażonych w silniki o zapłonie samoczynnym oraz maksymalnej masie przekraczającej 2 500 kg, oraz pojazdy kategorii N1 klasy I wyposażone w silniki o zapłonie samoczynnym, muszą zostać wyposażone w pokładowy system diagnostyczny w celu kontroli emisji zgodnie z załącznikiem XI.

Od dnia 1 stycznia 2006 r. dla nowych typów oraz od dnia 1 stycznia 2007 r. dla wszystkich typów, pojazdy kategorii N1 klasy II i III, wyposażone w silniki o zapłonie samoczynnym, oraz pojazdy kategorii M1 wyposażone w silniki o zapłonie samoczynnym i maksymalnej masie przekraczającej 2 500 kg, muszą zostać wyposażone w pokładowy system diagnostyczny w celu kontroli emisji zgodnie z załącznikiem XI.

W przypadku gdy pojazdy wyposażone w silniki o zapłonie samoczynnym, dopuszczane do ruchu przed datami podanymi w niniejszym podpunkcie są wyposażone w pokładowy system diagnostyczny, stosuje się przepisy ppkt 6.5.3-6.5.3.6 załącznika XI, dodatek 1.

8.4.   Pojazdy innych kategorii

Pojazdy innych kategorii lub pojazdy kategorii M1 i N1, nieobjęte przepisami ppkt 8.1, 8.2 lub 8.3, mogą zostać wyposażone w pokładowy system diagnostyczny. W tym przypadku stosuje się ppkt 6.5.3–6.5.3.6 załącznika XI, dodatek 1.

▼M11




DODATEK 1

1.

Niniejszy dodatek opisuje procedurę stosowaną w celu weryfikacji zgodności produkcji w dla badania typu I w przypadku gdy odchylenie standardowe dla produkcji jest zadowalające.

2.

Przy minimalnej liczebności próbki wynoszącej trzy, procedura pobierania próbek jest tak ustalona, aby prawdopodobieństwo pomyślnego przejścia badania przez partię samochodów przy produkcji wadliwej w 40 % wynosiło 0,95 (ryzyko producenta = 5 %), podczas gdy prawdopodobieństwo zaakceptowania partii przy produkcji wadliwej w 65 % wynosi 0,1 (ryzyko konsumenta = 10 %).

3.

Dla każdej z substancji zanieczyszczających znajdujących się w ppkt 5.3.1.4. załącznika I stosuje się następującą procedurę (patrz rysunek I.7).

Przyjmując, że

L

=

logarytm naturalny wartości granicznej dla substancji zanieczyszczającej;

xi

=

logarytm naturalny pomiaru dla i-go pojazdu z próbki;

s

=

prognozy odchylenia standardowego dla produkcji (po obliczeniu logarytmu naturalnego pomiaru,

n –

=

bieżąca liczebność próbki.

4.

image

5.

Wówczas:

 jeśli statystyka badania jest większa od liczby oznaczającej decyzję pozytywną dla danej liczebności próbki określonej w tabeli (I.1.5), substancja zanieczyszczająca otrzymuje decyzję pozytywną,

 jeżeli statystyka badania jest mniejsza od liczby oznaczającej decyzję negatywną dla danej liczebności próbki określonej w tabeli (I.1.5), substancja zanieczyszczająca otrzymuje decyzję negatywną; w przeciwnym przypadku, dodatkowy pojazd badany jest zgodnie ppkt 7.1.1.1 załącznika I i obliczenia ponownie stosowane do próbki z liczebnością próbki zwiększoną o jeden.



TABELA I.1.5

Łączna liczba badanych pojazdów

(bieżąca liczebność próbki)

Próg dla decyzji pozytywnej

Próg dla decyzji negatywnej

3

3,327

- 4,724

4

3,261

- 4,790

5

3,195

- 4,856

6

3,129

- 4,922

7

3,063

- 4,988

8

2,997

- 5,054

9

2,931

- 5,120

10

2,865

- 5,185

11

2,799

- 5,251

12

2,733

- 5,317

13

2,667

- 5,383

14

2,601

- 5,449

15

2,535

- 5,515

16

2,469

- 5,581

17

2,403

- 5,647

18

2,337

- 5,713

19

2,271

- 5,779

20

2,205

- 5,845

21

2,139

- 5,911

22

2,073

- 5,977

23

2,007

- 6,043

24

1,941

- 6,109

25

1,875

- 6,175

26

1,809

- 6,241

27

1,743

- 6,307

28

1,677

- 6,373

29

1,611

- 6,439

30

1,545

- 6,505

31

1,479

- 6,571

32

- 2,112

- 2,112




DODATEK 2

1.

Niniejszy dodatek opisuje procedurę stosowaną w celu weryfikacji zgodności produkcji w dla badania typu I w przypadku gdy dowód na odchylenie standardowe dla produkcji jest albo niezadowalający, albo niedostępny.

2.

Przy minimalnej liczebności próbki wynoszącej trzy, procedura pobierania próbek jest tak ustalona, aby prawdopodobieństwo pomyślnego przejścia badania przez partię samochodów przy produkcji wadliwej w 40 % wynosiło 0,95 (ryzyko producenta = 5 %), podczas gdy prawdopodobieństwo zaakceptowania partii przy produkcji wadliwej w 65 % wynosi 0,1 (ryzyko konsumenta = 10 %).

3.

Uważa się, że pomiary dla substancji zanieczyszczających przedstawione w ppkt 5.3.1.4 załącznika I posiadają normalny rozkład logarytmiczny i należy je przekształcić przyjmując ich logarytmy naturalne. Niech m0 i m oznaczają minimalną i maksymalną liczebność próbki (m0 = 3 i m = 32) i niech n oznacza bieżącą liczebność próbki.

4.

Jeżeli logarytmami naturalnymi pomiarów dla serii są x1, x2,…, xj, a L jest logarytmem naturalnym wartości granicznej dla substancji zanieczyszczającej, wówczas definiuje się:

image

image

image

5.

Tabela I.2.5 przedstawia wartości decyzji pozytywnej (An) i negatywnej (Bn) w odniesieniu do bieżącej liczebności próbki. Statystyka badania jest stosunkiem

image

i należy ją wykorzystać do stwierdzenia czy seria została przyjęta czy odrzucona następująco:

Dla m0 ≤ n ≤ m

 przyjmuje się serię, jeżeli

image

,

 odrzuca się serię, jeżeli

image

,

 przeprowadzą dodatkowy pomiar, jeżeli

image

.

6.

Uwagi

Do obliczania kolejnych wartości statystyki badania stosowane są następujące wzory rekurencyjne:

image

image

image



Tabela I.2.5

Minimalna liczebność próbki = 3

Liczebność próbki

n

Próg dla decyzji pozytywnej

An

Próg dla decyzji negatywnej

Bn

3

- 0,80381

16,64743

4

- 0,76339

7,68627

5

- 0,72982

4,67136

6

- 0,69962

3,25573

7

- 0,67129

2,45431

8

- 0,64406

1,94369

9

- 0,61750

1,59105

10

- 0,59135

1,33295

11

- 0,56542

1,13566

12

- 0,53960

0,97970

13

- 0,51379

0,85307

14

- 0,48791

0,74801

15

- 0,46191

0,65928

16

- 0,43573

0,58321

17

- 0,40933

0,51718

18

- 0,38266

0,45922

19

- 0,35570

0,40788

20

- 0,32840

0,36203

21

- 0,30072

0,32078

22

- 0,27263

0,28343

23

- 0,24410

0,24943

24

- 0,21509

0,21831

25

- 0,18557

0,18970

26

- 0,15550

0,16328

27

- 0,12483

0,13880

28

- 0,09354

0,11603

29

- 0,06159

0,09480

30

- 0,02892

0,07493

31

0,00449

0,05629

32

0,03876

0,03876

▼M15




DODATEK 3

Sprawdzanie zgodności pojazdów użytkowanych

1.   WPROWADZENIE

Niniejszy dodatek ustala kryteria, określone w ppkt 7.1.7 niniejszego załącznika, dotyczące wyboru pojazdów do badań oraz procedur kontroli zgodności pojazdu użytkowanego.

2.   KRYTERIA WYBORU

Kryteria dopuszczenia wybranego pojazdu określone są w ppkt 2.1–2.8 niniejszego dodatku. Informacje uzyskuje się na podstawie przeprowadzonego badania oraz rozmowy z właścicielem/kierowcą.

2.1.

Pojazd musi należeć do typu pojazdów, który posiada homologację typu zgodnie z niniejszą dyrektywą i jest objęty zakresem świadectwa zgodności, zgodnie z dyrektywą 70/156/EWG. Musi on być zarejestrowany i użytkowany na terenie Wspólnoty Europejskiej.

2.2.

Pojazd musi być użytkowany przez co najmniej 15 000 km lub 6 miesięcy, w zależności od tego, co nastąpi później, i nie dłużej niż przez 80 000 km lub 5 lat, w zależności od tego, co nastąpi wcześniej.

2.3.

Musi być prowadzona dokumentacja konserwacji wykazująca, że pojazd był konserwowany w sposób właściwy, tj. poddawany przeglądom technicznym zgodnie z zaleceniami producenta.

2.4.

Pojazd nie może wykazywać oznak nadmiernej eksploatacji (np. jazdy rajdowej, przeciążenia, tankowania niewłaściwym paliwem czy innego rodzaju niewłaściwego użytkowania) ani innych czynników (np. użytkowania przez osoby nieupoważnione), które mogłyby wpłynąć na jego działanie w odniesieniu do emisji zanieczyszczeń. W przypadku pojazdów wyposażonych w pokładowy system diagnostyczny bierze się pod uwagę kod błędów oraz dane przebiegu, zgromadzone w komputerze. Pojazd nie może być wybrany do badania, jeśli informacje przechowywane w komputerze wskazują na to, że był on użytkowany po zapisaniu kodu błędów i nie przeprowadzono naprawy w stosunkowo szybkim czasie.

2.5.

Niedopuszczalne jest dokonywanie poważniejszych napraw silnika dokonana przez osoby nieupoważnione ani innych poważnych napraw pojazdu.

▼M19

2.6.

Zawartość ołowiu i zawartość siarki w próbce paliwa ze zbiornika paliwowego pojazdu musi być zgodna z obowiązującymi normami określonymi w dyrektywie 98/70/WE ( 9 ) oraz nie może być oznak tankowania niewłaściwego paliwa. Pomiary kontrolne można wykonać w rurze wydechowej itp.

▼M15

2.7.

Nie może być oznak jakiegokolwiek problemu mogącego zagrozić bezpieczeństwu personelu laboratorium.

2.8.

Wszelkie części układu kontroli zanieczyszczeń, zamontowanego w pojeździe, muszą odpowiadać obowiązującym wymogom danej homologacji typu.

3.   DIAGNOSTYKA I KONSERWACJA

W odniesieniu do pojazdów przyjętych do badania diagnostyka i wszelka wymagana typowa konserwacja musi być wykonana przed pomiarem emisji zanieczyszczeń, zgodnie z procedurą ustanowioną w ppkt 3.1–3.7.

3.1.

Należy wykonać następujące badania kontrolne: kontrolę filtra powietrza, wszystkich pasków napędowych, poziomu wszystkich płynów, korka chłodnicy, wszystkich przewodów podciśnieniowych oraz przewodów instalacji elektrycznej związanych z układem kontroli zanieczyszczeń pod względem ich integralności; kontrolę zapłonu, części urządzeń pomiaru paliwa oraz kontroli zanieczyszczeń pod względem nieprawidłowego ustawienia i/lub ingerencji osób nieuprawnionych. Wszelkie odchylenia należy zarejestrować.

3.2.

Pokładowy system diagnostyczny należy sprawdzać pod względem jego właściwego działania. Wszelkie oznaki nieprawidłowego działania muszą zostać zapisane w pamięci układu oraz należy przeprowadzić niezbędne naprawy. Jeśli wskaźnik nieprawidłowego działania zarejestruje nieprawidłowe działanie w czasie cyklu przygotowania wstępnego, można zidentyfikować i naprawić usterkę. Można ponownie przeprowadzić badanie i wykorzystać wyniki badania naprawionego pojazdu.

3.3.

Należy sprawdzać układ zapłonu i wymieniać wadliwe części, na przykład świece zapłonowe, kable itd.

3.4.

Należy sprawdzać kompresję. Jeśli wyniki badania są niezadowalające, należy wykluczyć pojazd z badania.

3.5.

Należy sprawdzać parametry silnika według specyfikacji producenta oraz w razie konieczności wyregulować je.

3.6.

Jeśli pojazdowi brakuje nie więcej niż 800 km do planowego przeglądu technicznego, przegląd taki należy wykonać zgodnie ze wskazaniami producenta. Bez względu na wskazania drogomierza, na wniosek producenta można wymienić olej oraz filtr powietrza.

3.7.

Po przyjęciu pojazdu należy wymienić paliwo na paliwo odniesienia wykorzystywane do badania emisji zanieczyszczeń, chyba że producent zaakceptuje zastosowanie paliwa dostępnego na rynku.

4.   BADANIE POJAZDU UŻYTKOWANEGO

4.1.

W przypadku uznania za konieczne badania kontrolnego pojazdu, wykonuje się badania emisji pojazdów zgodnie z załącznikiem III do niniejszej dyrektywy, po przygotowaniu wstępnym pojazdów wybranych zgodnie z wymaganiami pkt 2 i 3 niniejszego dodatku.

4.2.

Pojazdy wyposażone w pokładowy system diagnostyczny można sprawdzać pod względem właściwego działania wskaźników nieprawidłowego działania itd., w odniesieniu do poziomu emisji (np. wartości dopuszczalne dotyczące wskaźników nieprawidłowego działania, określone w załączniku XI do niniejszej dyrektywy) ustalonego dla wymogów homologacyjnych.

4.3.

Pokładowy system diagnostyczny można sprawdzać na przykład pod względem poziomu emisji zanieczyszczeń przekraczającego stosowane wartości dopuszczalne przy braku wskazania tego nieprawidłowego działania, systematycznego błędnego włączania się wskaźnika, nieprawidłowego działania bądź wadliwych lub gorzej działających części układu diagnostycznego.

4.4.

Jeśli część lub układ działa w sposób nie objęty zakresem świadectwa homologacji typu i/lub jeśli pakiet informacyjny dla takich typów pojazdów i takie odchylenie nie zostało upoważnione na mocy art. 5 ust. 3 lub 4 dyrektywy 70/156/EWG, przy braku wskazania nieprawidłowego działania przez układu diagnostyczny nie można zastąpić takiej części lub układu przed przeprowadzeniem badania emisji, chyba że stwierdzono, że miała miejsce nieuprawniona ingerencja w taką część lub układ lub ich nieprawidłowe użytkowanie prowadzące do niemożności wykrycia nieprawidłowego działania przez ten układ.

5.   OCENA WYNIKÓW

5.1.

Wyniki badań poddawane są procedurze oceny, zgodnie z dodatkiem 4 do niniejszego załącznika.

5.2.

Wyników badań nie można mnożyć przez współczynniki pogorszenia.

6.   PLAN ŚRODKÓW ZARADCZYCH

▼M19

6.1.

Jeżeli stwierdzono, że więcej niż jeden pojazd stanowi źródło nadmiernych emisji zanieczyszczeń, który

 spełnia warunki ppkt 3.2.3 dodatku 4 i w przypadku gdy zarówno organ udzielający homologacji typu jak i producent zgadzają się, że nadmierna emisja zanieczyszczeń jest spowodowana tą samą przyczyną, lub

 spełnia warunki ppkt 3.2.4 dodatku 4 w przypadku gdy organ udzielający homologacji typu określił, że nadmierna emisja zanieczyszczeń jest spowodowana tą samą przyczyną,

organ udzielający homologacji typu musi zwrócić się do producenta o przedłożenie planu środków zaradczych w celu usunięcia niezgodności.

▼M15

6.2.

Plan środków zaradczych należy przedłożyć władzy homologacyjnej w terminie nie później niż 60 dni roboczych od daty zawiadomienia, określonego w ppkt 6.1. Władza homologacyjna musi w terminie do 30 dni roboczych wyrazić swoje potwierdzenie lub brak potwierdzenia dla planu środków zaradczych. Jednakże w przypadkach, gdy producent wykaże, w sposób zadowalający właściwą władzę homologacyjną, że potrzeba więcej czasu na zbadanie braku zgodności z wymogami przed przedstawieniem planu środków zaradczych, udziela się przedłużenia homologacji.

6.3.

Środki zaradcze muszą być stosowane do wszystkich pojazdów, co do których istnieje prawdopodobieństwo, że mają taką samą wadę. Należy ocenić potrzebę wprowadzenia zmian do dokumentów homologacji typu.

6.4.

Producent musi dostarczać kopie wszelkiej korespondencji związanej z planem środków zaradczych; musi również prowadzić zapis akcji wycofywania z rynku oraz dostarczać władzy homologacyjnej regularne sprawozdania na temat aktualnego stanu rzeczy.

6.5.

Plan środków zaradczych musi uwzględniać wymogi określone w ppkt 6.5.1–6.5.11. Producent musi nadać planowi środków zaradczych nie powtarzającą się nazwę identyfikacyjną lub numer identyfikacyjny.

6.5.1.

Opis każdego z typów pojazdów objętych planem środków zaradczych.

6.5.2.

Opis określonych zmian, przeróbek, napraw, poprawek, regulacji lub innych zmian, jakich należy dokonać w celu dostosowania pojazdu do wymogów, obejmujący krótkie streszczenie danych oraz badań technicznych uzasadniających decyzję producenta o podjęciu szczególnych środków w celu poprawienia braku zgodności.

6.5.3.

Opis sposobu informowania właścicieli pojazdu przez producenta.

6.5.4.

Opis właściwego konserwowania lub użytkowania (jeśli taki istnieje), który producent określa jako warunek dopuszczenia do naprawy w ramach planu środków zaradczych, oraz wyjaśnienie powodów wysunięcia takiego warunku przez producenta. Nie należy narzucać warunków konserwacji lub użytkowania, chyba że jest to wyraźnie związane z brakiem zgodności ze środkami zaradczymi.

6.5.5.

Opis czynności, które powinni wykonać właściciele pojazdu w celu uzyskania poprawy braku zgodności pojazdu z wymogami homologacji. Musi on zawierać datę, po upłynięciu której mogą być stosowane środki zaradcze, przybliżony czas wykonania naprawy w warsztacie oraz wykaz miejsc, w których można je wykonać. Naprawę należy wykonywać w sposób rzetelny, w możliwie krótkim czasie po dostarczeniu pojazdu.

6.5.6.

Kopia informacji przekazanych właścicielowi pojazdu.

6.5.7.

Krótki opis układu używanego przez producenta w celu zapewnienia wystarczającego zapasu części lub układów potrzebnych do realizacji środków zaradczych. Należy określić, kiedy zapewniona zostanie wystarczający zapasu części lub układów pozwalająca na rozpoczęcie kampanii.

6.5.8.

Kopie wszystkich instrukcji wysyłanych osobom mającym dokonywać napraw.

6.5.9.

Opis wpływu zaproponowanych środków zaradczych na wielkość emisji zanieczyszczeń, zużycie paliwa, właściwości jezdne oraz bezpieczeństwo wszystkich typów pojazdów, objętych planem środków zaradczych wraz z danymi, badaniami technicznymi itp., które uzasadniają takie wnioski.

6.5.10.

Wszelkie inne informacje, sprawozdania lub dane, które władza homologacyjna może uznać za konieczne dla dokonania oceny planu środków zaradczych.

6.5.11.

W przypadku gdy plan środków zaradczych obejmuje wymianę pojazdu lub części, należy przedłożyć władzy homologacyjnej opis metody zapisu dokonywanych napraw. Jeśli stosuje się etykietę, należy przedstawić jej wzór.

6.6.

Od producenta można wymagać, by przeprowadził dobrze zaplanowane i konieczne badania części i pojazdów, obejmujące proponowane zmiany, naprawy i modyfikacje w celu wykazania skuteczności tych zmian, napraw czy modyfikacji.

6.7.

Producent odpowiedzialny jest za prowadzenie rejestru każdego pojazdu wymienionego oraz naprawionego, a także warsztatu, który dokonał naprawy. Władza homologacyjna musi mieć dostęp do takiego rejestru na żądanie, przez okres 5 lat od zrealizowania planu środków zaradczych.

6.8.

Naprawę i/lub zmianę bądź dodanie nowego wyposażenia należy odnotować w świadectwie wydanym przez producenta właścicielowi pojazdu.




DODATEK 4 ( 10 )

Procedura statystyczna badania zgodności z wymogami pojazdu użytkowanego

1.

Niniejszy dodatek opisuje procedurę, jaką należy stosować w celu sprawdzenia wymogów zgodności pojazdu użytkowanego w ramach badania typu I.

2.

Należy stosować dwie różne procedury:

1. Pierwszą, dotyczącą pojazdów zidentyfikowanych w próbce, w związku z wadą dotyczącą emisji zanieczyszczeń, powodującą wystąpienie w wynikach wartości mieszczących się poza ustalonymi granicami (pkt 3).

2. Drugą dotyczącą całej próbki (pkt 4).

▼M19

3.

PROCEDURA, KTÓRĄ NALEŻY STOSOWAĆ WOBEC POJAZDÓW SKŁADAJĄCYCH SIĘ NA PRÓBKĘ STANOWIĄCYCH NADMIERNE ŹRÓDŁO EMISJI ZANIECZYSZCZEŃ ( 11 )

3.1.

Przy minimalnej wielkości próbki wynoszącej trzy pojazdy i maksymalnej wielkości próbki, jak określono w procedurze ust. 4, pojazd wybiera się z próbki losowo i mierzy się emisję kontrolowanych substancji zanieczyszczających środowisko w celu określenia czy jest to pojazd stanowiący nadmierne źródło emisji zanieczyszczeń.

3.2.

O pojeździe mówi się, że stanowi źródło nadmiernych emisji zanieczyszczeń, kiedy spełnione są warunki podane albo w ppkt 3.2.1 lub 3.2.2.

3.2.1.

W przypadku pojazdu, który otrzymał homologację typu zgodnie z limitami podanymi w załączniku I wiersz A tabeli w ppkt 5.3.1.4, pojazdem stanowiącym nadmierne źródło emisji zanieczyszczeń jest pojazd, w przypadku którego stosowana wartość graniczna dla każdej kontrolowanej substancji zanieczyszczającej środowisko zostaje przekroczona o współczynnik wynoszący 1,2.

3.2.2.

W przypadku pojazdu, który otrzymał homologację typu zgodnie z limitami podanymi w załączniku I wiersz B tabeli w ppkt 5.3.1.4, pojazdem stanowiącym nadmierne źródło emisji zanieczyszczeń jest pojazd, w przypadku którego stosowana wartość graniczna dla każdej kontrolowanej substancji zanieczyszczającej środowisko zostaje przekroczona o współczynnik wynoszący 1,5.

3.2.3.

W szczególnym przypadku pojazdu ze zmierzoną emisją dla każdej kontrolowanej substancji zanieczyszczającej środowisko w obrębie „strefy pośredniej” ( 12 ).

3.2.3.1.

Jeżeli pojazd spełnia warunki niniejszego punktu, należy ustalić przyczynę nadmiernej emisji zanieczyszczeń i wtedy pobiera się losowo kolejny pojazd z próbki.

3.2.3.2.

W przypadku gdy więcej niż jeden pojazd spełnia warunki niniejszego punktu, organ udzielający homologacji typu oraz producent muszą ustalić czy nadmierna emisja zanieczyszczeń z obu pojazdów jest spowodowana tą samą przyczyną.

3.2.3.2.1.

Jeżeli zarówno organ udzielający homologacji typu jak i producent zgadzają się, że nadmierna emisja zanieczyszczeń jest spowodowana tą samą przyczyną, uznaje się, że próbka nie spełniła wymagań i stosuje się plan środków zaradczych określony w pkt 6 dodatku 3.

3.2.3.2.2.

Jeżeli organ udzielający homologacji typu oraz producent nie osiągają porozumienia odnośnie do przyczyny nadmiernej emisji zanieczyszczeń z pojedynczego pojazdu, albo co do tego czy takie same przyczyny występują dla więcej niż jednego pojazdu, pobiera się losowo kolejny pojazd z próbki, chyba że już osiągnięto maksymalną wielkość próbki.

3.2.3.3.

Jeżeli stwierdzono, że tylko jeden lub więcej niż jeden pojazd spełnia warunki niniejszego punktu, zaś organ udzielający homologacji typu i producent zgadzają się, że jest to spowodowane różnymi przyczynami, pobiera się losowo kolejny pojazd z próbki, chyba że już osiągnięto maksymalną wielkość próbki.

3.2.3.4.

Jeżeli osiągnięto maksymalną wielkość próbki i stwierdzono nie więcej niż jeden pojazd spełniający wymagania niniejszego punktu w przypadku gdy nadmierna emisja zanieczyszczeń jest spowodowana tą samą przyczyną, uznaje się, że próbka spełniła wymagania pkt 3 niniejszego dodatku.

3.2.3.5.

Jeżeli w dowolnym czasie wyczerpano pierwotną próbkę, dodaje się do niej kolejny pojazd i pobiera się ten pojazd.

3.2.3.6.

Za każdym razem, gdy pobiera się kolejny pojazd z próbki, do powiększonej próbki stosuje się procedurę statystyczną pkt 4 niniejszego dodatku.

3.2.4.

W szczególnym przypadku pojazdu ze zmierzoną emisją zanieczyszczeń dla każdej kontrolowanej substancji zanieczyszczającej środowisko w obrębie „strefy niespełnienia wymagań” ( 13 ).

3.2.4.1.

Jeżeli pojazd spełnia warunki niniejszego punktu organ udzielający homologacji typu ustala przyczynę nadmiernej emisji zanieczyszczeń i pobiera się losowo kolejny pojazd z próbki.

3.2.4.2.

W przypadku gdy więcej niż jeden pojazd spełnia warunek niniejszego punktu, zaś organ udzielający homologacji typu ustala, że nadmierna emisja zanieczyszczeń jest spowodowana tą samą przyczyną, producent zostaje poinformowany, że uznano, iż próbka nie spełniła wymagań, wraz z podaniem przyczyn takiej decyzji i stosuje się plan środków zaradczych określony w pkt 6 dodatku 3.

3.2.4.3.

Kiedy stwierdzono tylko jeden pojazd spełniający warunki niniejszego punktu lub kiedy stwierdzono więcej niż jeden pojazd, zaś organ udzielający homologacji typu ustalił, że jest to spowodowane różnymi przyczynami, pobiera się losowo kolejny pojazd z próbki, chyba że już osiągnięto maksymalną wielkość próbki.

3.2.4.4.

Jeżeli osiągnięto maksymalną wielkość próbki i stwierdzono nie więcej niż jeden pojazd spełniający wymagania niniejszego punktu w przypadku gdy nadmierna emisja zanieczyszczeń jest spowodowana tą samą przyczyną, uznaje się, że próbka spełniła wymagania pkt 3 niniejszego dodatku.

3.2.4.5.

Jeżeli w dowolnym czasie wyczerpano początkową próbkę, dodaje się do niej kolejny pojazd i pobiera się go.

3.2.4.6.

W każdym przypadku gdy kolejny pojazd jest pobrany z próbki, do powiększonej próbki stosuje się statystyczną procedurę pkt 4 niniejszego dodatku.

3.2.5.

W każdym przypadku gdy nie stwierdzono, że pojazd stanowi nadmierne źródło emisji zanieczyszczeń, pobiera się losowo kolejny pojazd z próbki.

▼M15

4.

PROCEDURA, JAKĄ NALEŻY STOSOWAĆ BEZ DOKONYWANIA ODDZIELNEJ OCENY POJAZDÓW W PRÓBCE, NIESPEŁNIAJĄCYCH WYMOGÓW

4.1.

W przypadku minimalnej wielkości próbki liczącej trzy pojazdy procedurę doboru pojazdów do badania ustala się tak, aby prawdopodobieństwo przejścia przez partię badania z wynikiem pozytywnym przy 40 % wadliwej produkcji wynosiło 0,95 (ryzyko producenta = 5 %), natomiast prawdopodobieństwo przyjęcia partii przy 75 % wadliwej produkcji wynosiło 0,15 (ryzyko konsumenta = 15 %).

4.2.

Dla każdego z zanieczyszczeń znajdujących się w ppkt 5.3.1.4. załącznika I stosuje się następującą procedurę ►M19  (patrz rysunek I.9) ◄ ,

Gdzie

L

=

wartość dopuszczalna dla danego rodzaju zanieczyszczenia,

Xi

=

wartość pomiaru dla i-tego pojazdu próbki,

n

=

bieżący numer próbki.

4.3.

Dla próbki oblicza się wartość statystyczną badania określającą liczbę pojazdów niespełniających wymogów, tj. xi> L.

4.4.

Następnie:

 jeśli wartość statystyczna badania nie przekracza liczby decyzji pozytywnych w odniesieniu do wielkości próbki podanej w zamieszczonej poniżej tabeli, dla danego rodzaju zanieczyszczenia zapada decyzja pozytywna,

 jeśli wartość statystyczna badania jest równa lub przekracza liczbę decyzji negatywnych w odniesieniu do wielkości próbki podanej w zamieszczonej poniżej tabeli, dla danego rodzaju zanieczyszczeń zapada decyzja negatywna,

 w przeciwnym razie poddaje się badaniu dodatkowy pojazd i stosuje się opisaną procedurę do próbki zawierającej ten dodatkowy pojazd.

W zamieszczonej poniżej tabeli liczbę decyzji pozytywnych i negatywnych obliczono zgodnie z Międzynarodową Normą ISO 8422:1991.

5.

Uznaje się, że próbka przeszła badanie z wynikiem pozytywnym, jeśli spełniła wymogi ustalone w pkt 3 i 4 niniejszego dodatku.



Tabela dla przyjęcia – odrzucenia planu próbkowania wg cech

Łączna wielkość próbki

Liczba decyzji pozytywnych

Liczba decyzji negatywnych

3

0

4

1

5

1

5

6

2

6

7

2

6

8

3

7

9

4

8

10

4

8

11

5

9

12

5

9

13

6

10

14

6

11

15

7

11

16

8

12

17

8

12

18

9

13

19

9

13

20

11

12

▼M19

image

Rysunek I.8

Sprawdzanie zgodności pojazdu użytkowanego — procedura kontroli

▼M19

Rysunek I.9

Badanie zgodności pojazdu użytkowanego-wybór i badanie pojazdów

▼M15

image

►(1) M19  

▼M12




ZAŁĄCZNIK II

DOKUMENT INFORMACYJNY NR…

na mocy załącznika I do dyrektywy 70/156/EWG ( 14 ) odnoszącej się do homologacji typu EWG pojazdu w odniesieniu do działań, jakie mają być podjęte w celu ograniczenia zanieczyszczenia powietrza przez emisje pochodzące z pojazdów silnikowych (dyrektywa 70/220/EWG ostatnio zmieniona dyrektywą…/…/WE)

Jeśli ma to zastosowanie należy dostarczyć w trzech egzemplarzach, wraz ze spisem treści, następujące informacje. Rysunki w odpowiedniej skali, dostatecznie szczegółowe, należy dostarczać w formacie A4 lub na folderze formatu A4. Zdjęcia, jeśli zostały załączone, muszą być dostatecznie szczegółowe.

Jeżeli układy, części lub oddzielne zespoły techniczne są sterowane elektronicznie, należy dostarczyć informacje dotyczące ich działania.

image

image

►(2) M14  

►(2) M15  

image

image

image

►(1) M15  

image

►(2) M15  

►(2) M19  

image

►(1) M14  

image




DODATEK

Informacja dotycząca warunków badania

image

▼M9




ZAŁĄCZNIK III

BADANIE TYPU I

(Sprawdzające przeciętną wielkość emisji zanieczyszczeń z rury wydechowej po rozruchu zimnego silnika)

▼M14

1.   WPROWADZENIE

Niniejszy załącznik opisuje procedurę przeprowadzania badania typu I, określonego w ppkt 5.3.1 załącznika I. Jeżeli stosowanym paliwem wzorcowym jest gaz płynny lub gaz ziemny dodatkowo obowiązują przepisy załącznika XII.

▼M9

2.   CYKL OPERACYJNY NA HAMOWNI PODWOZIOWEJ

2.1.   Opis cyklu

Cykl operacyjny na hamowni podwoziowej jest opisany w dodatku 1 do niniejszego Załącznika.

2.2.   Ogólne warunki przeprowadzania cyklu

W razie konieczności określenia najlepszego sposobu operowania przyspiesznikiem i hamulcami w celu osiągnięcia cyklu zbliżonego do cyklu teoretycznego w ramach istniejących ograniczeń muszą być przeprowadzane wstępne cykle badań.

2.3.   Używanie skrzyni biegów

2.3.1.

Jeżeli prędkość maksymalna, którą można osiągnąć na pierwszym biegu, wynosi poniżej 15 km/h, drugi, trzeci oraz czwarty bieg są wykorzystywane w podstawowym cyklu miejskim (Część Pierwsza), oraz drugi, trzeci, czwarty i piąty bieg są używane w cyklu pozamiejskim (Część Druga). Biegi drugi, trzeci oraz czwarty mogą być także użyte w cyklu miejskim (Część Pierwsza), a biegi drugi, trzeci, czwarty oraz piąty w cyklu pozamiejskim (Część Druga), jeżeli instrukcje dotyczące jazdy zalecają rozpoczęcie jazdy na poziomie podłoża na biegu drugim, lub kiedy bieg pierwszy jest w nich określony jako zarezerwowany do jazdy terenowej, pełzania lub holowania.

▼M15 —————

▼M10

Po tych datach ►M15  Pojazdy nieosiągające przyspieszenia ◄ i maksymalnej prędkości wymaganej w cyklu działania, muszą być prowadzone z urządzeniem do sterowania i kontroli przyspieszenia w pełni włączonym, dopóki znów nie osiągną wymaganej krzywej działania. Odchylenia od cyklu działania muszą być zarejestrowane w sprawozdaniu z badań.

▼M9

2.3.2.

Pojazdy wyposażone w półautomatyczną skrzynię biegów badane są przy wykorzystaniu biegów zwykle używanych do jazdy, a bieg jest używany zgodnie z instrukcjami producenta.

2.3.3.

Pojazdy wyposażone w automatyczną skrzynię biegów badane są przy użyciu najwyższego biegu (jazda). Przyspiesznik powinien być używany w sposób umożliwiający uzyskanie możliwie najrówniejszego przyspieszenia, umożliwiając włączanie kolejnych biegów w zwykłej kolejności. Ponadto punkty zmiany biegów, określone w dodatku 1 do niniejszego Załącznika, nie mają zastosowania; przyspieszenie jest kontynuowane przez okres obrazowany linią prostą łączącą koniec każdego okresu jałowego z początkiem kolejnego okresu stałej prędkości. Stosuje się tolerancje określone w ppkt 2.4.

2.3.4.

Pojazdy wyposażone w nadbieg włączany przez kierowcę badane są przy nadbiegu wyłączonym dla cyklu miejskiego (Część Pierwsza) oraz nadbiegu włączonym dla cyklu pozamiejskiego (Część Druga).

▼M19

2.3.5.

Na wniosek producenta dla typu pojazdu, w którym bieg jałowy silnika jest wyższy niż bieg silnika, który występowałby w trakcie operacji 5, 12 i 24 podstawowego cyklu miejskiego (część pierwsza), sprzęgło może pozostać wyłączone w trakcie poprzedniej operacji.

▼M9

2.4.   Tolerancje

2.4.1.

Dozwolona jest tolerancja ± 2 km/h między prędkością wskazywaną a prędkością teoretyczną podczas przyspieszania, podczas okresu stałej prędkości oraz podczas spowalniania, kiedy używane są hamulce pojazdu. Jeżeli pojazd zwalnia szybciej bez użycia hamulców, mają zastosowanie jedynie wymogi ppkt 6.5.3. Dopuszczalne są większe tolerancje prędkości przy zmianie faz, pod warunkiem że tolerancje nie są przekraczane o więcej niż 0,5 za każdym razem.

2.4.2.

Tolerancje czasowe wynoszą ± 1,0 s. Powyższe tolerancje mają zastosowanie zarówno na początku, jak i na końcu każdego okresu zmiany biegu ( 15 ) dla cyklu miejskiego (Część Pierwsza) oraz dla działań nr 3, 5 i 7 cyklu pozamiejskiego (Część Druga).

2.4.3.

Tolerancje w odniesieniu do prędkości i czasu są łączone jak określono w dodatku 1.

3.   POJAZD I PALIWO

3.1.   Pojazd do badania

3.1.1.

Pojazd powinien być w dobrym stanie mechanicznym. Powinien być dotarty oraz przejechać przed badaniem co najmniej 3000 km.

3.1.2.

Układ wydechowy nie może wykazywać nieszczelności, które mogłyby doprowadzić do zmniejszenia ilości zbieranych spalin; ilość ta musi odpowiadać ilości spalin wydostających się z silnika.

3.1.3.

Szczelność układu ssącego może być sprawdzona celem zapewnienia, że wywarzanie mieszaniny palnej nie będzie zmienione przez przypadkowy dopływ powietrza.

3.1.4.

Ustawienia silnika i urządzeń kontrolno-sterujących pojazdu muszą być na poziomie zalecanym przez producenta. Ten wymóg znajduje także zastosowanie w szczególności do ustawień jałowych (prędkość obrotowa i zawartość tlenku węgla w gazach spalinowych), do urządzenia rozruchu zimnego silnika oraz do układu kontrolującego emisję zanieczyszczeń w gazach spalinowych.

3.1.5.

Pojazd badany lub równoważny pojazd musi być w razie konieczności wyposażony w urządzenie umożliwiające pomiar parametrów charakterystyk niezbędnych do ustawienia hamowni podwoziowej, zgodnie z ppkt 4.1.1.

3.1.6.

Służba techniczna może sprawdzić, czy osiągi pojazdu są zgodne z określanymi przez producenta, czy może być on używany do zwykłej jazdy oraz, w szczególności, czy jest on zdolny do rozruchu zimnego oraz ciepłego.

▼M19

3.2.   Paliwo

Podczas badania pojazdu na okoliczność wartości dopuszczalnych emisji zanieczyszczeń podanych w załączniku I wiersz A tabeli w ppkt. 5.3.1.4 do niniejszej dyrektywy, odpowiednie paliwo wzorcowe musi spełniać wymagania podane w sekcji A załącznika IX lub, w przypadku wzorcowych paliw gazowych, albo sekcji A.1, lub sekcji B załącznika IXa.

Podczas badania pojazdu na wartości dopuszczalne emisji zanieczyszczeń podane w załączniku I wiersz B tabeli w ppkt. 5.3.1.4 do niniejszej dyrektywy, stosowne wzorcowe paliwo musi być zgodne ze specyfikacjami podanymi w sekcji B załącznika IX lub w przypadku wzorcowych paliw gazowych w sekcji A.2 lub sekcji B załącznika IXa.

▼M14

3.2.1.

Pojazdy zasilane albo benzyną, albo gazem płynnym lub gazem ziemnym poddawane są próbom zgodnie z załącznikiem XII z właściwym(-i) paliwem(-ami) wzorcowym(-i) określonym(-i) w załączniku IX a.

▼M9

4.   WYPOSAŻENIE BADAWCZE

4.1.   Hamownia podwoziowa

4.1.1.

Dynamometr musi mieć zdolność symulacji obciążenia drogowego w ramach jednej z poniższych klasyfikacji:

 dynamometr ze stałą krzywą obciążenia, tzn. dynamometr, którego charakterystyka fizyczna zapewnia stały kształt krzywej obciążenia,

 dynamometr z regulowaną krzywą obciążenia, tzn. dynamometr co najmniej z dwoma parametrami obciążenia drogowego, które mogą być dostosowane dla ukształtowania krzywej obciążenia.

4.1.2.

Ustawienie dynamometru nie może być uzależnione od upływu czasu. Nie może wytwarzać żadnych drgań wyczuwalnych przez pojazd oraz mogących wpłynąć na jego normalne działanie.

4.1.3.

Musi być wyposażony w środki umożliwiające symulację obciążenia i bezwładności. W przypadku dynamometru z dwiema rolkami są one połączone z przednią rolką.

4.1.4.

Dokładność

4.1.4.1.

Musi być możliwe zmierzenie i odczytanie wskazanego obciążenia z dokładnością do 5 %.

4.1.4.2.

W odniesieniu do dynamometru ze stałą krzywą obciążenia dokładność ustawienia obciążenia przy 80 km/h wynosi ± 5 %. W odniesieniu do dynamometru z regulowaną krzywą obciążenia dokładność dopasowania obciążenia dynamometru do drogi ►M12  musi wynosić 5 % przy 120, 100, 80, 60 i 40, oraz 10 % przy 20 km/h. ◄ Poniżej tej wartości absorbowanie dynamometru musi być dodatnie.

4.1.4.3.

Całkowita bezwładność ruchomych części (włączając bezwładność symulowaną, gdzie stosowne) musi być znana oraz leżeć w zakresie ± 20 kilogramów dla klasy bezwładności badania.

4.1.4.4.

Prędkość pojazdu musi być mierzona za pomocą szybkościomierza rolki (przedniej rolki w odniesieniu do dynamometru z dwiema rolkami). Musi być możliwy jej pomiar z dokładnością do ± 1 km/h przy prędkościach powyżej 10 km/h.

4.1.5.

Ustawienie obciążenia i bezwładności

4.1.5.1.

Dynamometr ze stałą krzywą obciążenia: symulator obciążenia musi być dostosowany do absorbowania mocy wywieranej na koła jezdne przy stałej prędkości 80 km/h, a moc pochłoniętą przy 50 km/h należy zarejestrować. Sposoby ustalania i ustawiania tych obciążeń są określone w dodatku 3.

4.1.5.2.

Dynamometr z regulowaną krzywą obciążenia: symulator obciążenia musi być dostosowany tak, aby absorbować moc wywieraną na koła jezdne przy stałych ►M12  prędkości 120, 100, 80, 60, 40 i 20 km/h. ◄ Sposoby ustalania i ustawiania tych obciążeń są określone w dodatku 3.

4.1.5.3.

Bezwładność

Dynamometry z elektryczną symulacją bezwładności muszą być ustalone równoważnie do mechanicznych układów bezwładności. Sposoby ustalania równoważności określone są w dodatku 4.

4.2.   Układ pobierania próbek gazów spalinowych

4.2.1.

Układ pobierania próbek gazów spalinowych musi umożliwiać zmierzenie rzeczywistych wielkości zanieczyszczeń emitowanych w gazach spalinowych podlegających pomiarowi. Używanym układem jest układ ciągłego pobierania próbek objętościowych (CVS). Wymaga to, aby spaliny pojazdu były stale rozrzedzane otaczającym powietrzem w kontrolowanych warunkach. W układzie ciągłego pobierania próbek objętościowych należy spełnić dwa warunki: całkowita objętość mieszaniny gazów spalinowych i powietrza do rozrzedzania musi być mierzona oraz musi być zbierana do celów analizy stale proporcjonalna próbka objętości.

Ilości emitowanych zanieczyszczeń są ustalane ze stężeń próbki, skorygowanych o zawartość zanieczyszczeń w otaczającym powietrzu oraz całkowity przepływ w okresie badania.

Poziom emisji zanieczyszczających cząstek stałych jest ustalany z wykorzystaniem odpowiednich filtrów do zbierania cząstek stałych z proporcjonalnej części przepływu w badaniu oraz poprzez ustalanie ich ilości w sposób grawimetryczny zgodnie z ppkt 4.3.2.

4.2.2.

Przepływ przez układ musi być wystarczający do wyeliminowania kondensacji wody we wszystkich warunkach, które mogą wystąpić podczas badania, jak określono w dodatku 5.

4.2.3.

►M12  ————— ◄ Dodatek 5 zawiera przykłady trzech typów układów ciągłego pobierania próbek objętościowych, które są zgodne z wymogami wymienionymi w niniejszym Załączniku.

4.2.4.

Mieszanina gazu i powietrza musi być jednorodna w punkcie S2 sondy do pobierania próbek.

4.2.5.

Sonda musi wydzielać rzeczywistą próbkę rozrzedzonych gazów spalinowych.

4.2.6.

Układ musi być wolny od wycieków gazu. Projekt i materiały muszą zapewniać, że układ nie wpłynie na stężenie zanieczyszczeń w rozrzedzonych gazach spalinowych. Jeżeli jakikolwiek składnik (wymiennik ciepła, dmuchawa itp.) zmienia stężenie jakiegokolwiek gazu zanieczyszczającego w rozrzedzonym gazie, pobranie próbek danego zanieczyszczenia musi być wykonane przed tym składnikiem, jeżeli problem ten nie może być skorygowany.

▼M12 —————

▼M9

4.2.7.

Jeżeli badany pojazd wyposażony jest w rurę wydechową składającą się z kilku odgałęzień, ►M12  przewody łączące muszą zostać podłączone możliwie najbliżej do pojazdu, lecz w taki sposób, aby nie zakłócić funkcjonowania pojazdu. ◄

4.2.8.

Zmiany ciśnienia statycznego w rurze(-ach) wydechowej(-ych) pojazdu nie mogą przekraczać ± 1,25 kPa w stosunku do zmian ciśnienia statycznego zmierzonych podczas cyklu jazdy na dynamometrze bez podłączenia do rury(rur) wydechowej(-ych). Układy pobierania próbek umożliwiające utrzymanie ciśnienia statycznego w zakresie ± 0,25 kPa są stosowane na pisemny wniosek producenta złożony właściwym władzom homologacyjnym, uzasadniający potrzebę węższego zakresu tolerancji. Przeciwciśnienie musi być mierzone w rurze wydechowej, możliwie jak najbliżej jej końca lub w przedłużeniu o tej samej średnicy.

4.2.9.

Zróżnicowane zawory wykorzystywane do kierowania gazów spalinowych muszą dostosowywać się i działać szybko.

4.2.10.

Próbki gazu zbierane są do worków na próbki o odpowiedniej pojemności. Worki te muszą być wykonane z materiałów niezmieniających zanieczyszczeń gazowych o więcej niż ± 2 % po 20 minutach przechowywania.

4.3.   Wyposażenie analityczne

4.3.1.   Wymagania

4.3.1.1.

Zanieczyszczenia gazowe muszą być analizowane z wykorzystaniem następujących instrumentów:

Analiza tlenku węgla (CO) i ditlenku węgla (CO2):

Analizatory tlenku i ditlenku węgla muszą być analizatorami typu nie dyspersyjnej absorpcji tlenku węgla na podczerwień (NDIR).

Analiza węglowodorów (HC) – silnik spalinowy o zapłonie iskrowym:

Analizator węglowodorów musi być typu płomieniowo jonizacyjnego (FID), kalibrowanego propanem wyrażonym jako równoważnik atomów węgla (C1).

Analiza węglowodorów (HC) – silnik wysokoprężny:

Analizator węglowodorów musi być typu płomieniowo jonizacyjnego z detektorem, zaworami, układem rurociągów itp., podgrzany do temperatury 463 K (190 °C) ± 10 K (HFID). Musi być skalibrowany propanem wyrażonym jako równoważnik atomów węgla (C1).

Analiza tlenków azotu (NOX):

Analizator tlenków azotu musi należeć do typu cheminoluminescencyjnego (CLA) lub niedyspersyjnej ultrafioletowej absorpcji rezonansu (NDUVR), oba wyposażone w konwerter NOX – NO.

Cząstki stałe:

Grawimetryczny pomiar zebranych cząstek stałych. Cząstki te są w każdym przypadku zbierane przez dwa filtry zamontowane seryjnie w przepływie próbki gazu. Ilość cząstek stałych zebranych przez każdą parę filtrów wynosi:



Vep:

Przepływ przez filtry

Vmix:

Przepływ przez tunel

Μ:

Masa cząstek stałych (g/km)

Mlimit:

Dopuszczalna masa cząstek stałych (obowiązująca dopuszczalna masa, g/km)

m:

Masa cząstek stałych zebranych przez filtry g)

d:

Rzeczywista odległość odpowiadająca cyklowi operacyjnemu (km)

 

image

lub

image

 

Stosunek próbki cząstek stałych (Vep/Vmix) jest dostosowywany tak, aby dla M = Mlimit 1 ≤ m ≤ 5 mg (przy wykorzystaniu filtrów o średnicy 47 mm).

 

Powierzchnia filtra składa się z materiału hydrofobowego, obojętnego wobec składników gazów spalinowych (filtry wykonane z włókna szklanego powlekanego fluoropochodnymi węglowodorów lub równoważne).

4.3.1.2.

Dokładność

Analizatory muszą posiadać zakres pomiarowy zgodny z dokładnością wymaganą do pomiaru stężeń zanieczyszczeń w próbce gazów spalinowych.

▼M12

Błąd pomiarowy nie może przekroczyć ± 2 % (błąd wewnętrzny analizatora) bez względu na rzeczywistą wartość dla gazów kalibracyjnych. W przypadku stężeń poniżej 100 ppm, błąd pomiarowy nie może przekroczyć ± 2 ppm. Próbka powietrza otoczenia musi być mierzona przy pomocy tego samego analizatora we właściwym zakresie.

▼M12 —————

▼M9

Pomiar zebranych cząstek stałych gwarantuje dokładność do 1 μg.

▼M12

Bilans mikrogramowy stosowany do określania ciężaru wszelkich filtrów musi posiadać dokładność 5 μg oraz podziałkę skali 1 μg.

▼M9

4.3.1.3.

Filtr chłodzący

Żadne urządzenie do suszenia gazu nie może być wykorzystane przed analizatorami, chyba że wykazany zostanie brak wpływu tego urządzenia na zawartość zanieczyszczeń strumienia gazów.

4.3.2.   Szczególne wymagania dla silników wysokoprężnych

Należy wykorzystywać podgrzewany ciąg do pobierania próbek dla ciągłej analizy HC za pomocą płomieniowego detektora jonizacji (HFID), zawierającego rejestrator (R). Średnie stężenie zmierzonych węglowodorów musi być ustalone przez całkowanie. W czasie badania temperatura podgrzewanego ciągu do pobierania próbek powinna być utrzymywana na poziomie 463 K (190 °C) ± 10 K. Podgrzewany ciąg do pobierania próbek musi być wyposażony w podgrzewany filtr (Fh), skuteczny w 99 % w odniesieniu do cząstek ≥ 0,3 μm celem wyodrębnienia wszystkich cząstek stałych z ciągłego przepływu gazów wymaganego do analizy. Czas odpowiedzi układu pobierania próbek (z sondy we wlocie analizatora) nie może być dłuższy niż cztery sekundy.

Należy stosować HFID z układem ciągłego przepływu (wymiennik ciepła) celem zapewnienia reprezentatywnej próby, chyba że przeprowadzane jest wyrównanie dla zmieniających się przepływów CFV lub CFO.

Jednostka do pobierania próbek cząstek stałych składa się z tunelu do rozrzedzania, sondy do pobierania próbek, filtru, pompy przepływu częściowego oraz regulatora wielkości przepływu i jednostki pomiarowej. Przepływ częściowy pobierania próbek cząstek stałych jest przepuszczany przez filtry seryjnie montowane. ►M12  Sonda do pobierania próbek pyłów w przepływie gazu badanego musi być usytuowana w ciągu rozcieńczającym w taki sposób, aby próbka reprezentatywna gazu przepływającego mogła być pobierana z jednorodnej mieszanki powietrze/spaliny, a temperatura mieszanki powietrze/gazy spalinowe 325 K (52 °C) nie została przekroczona bezpośrednio przed filtrem pyłów. ◄ Temperatura przepływu gazów w mierniku przepływu nie może zmieniać się o więcej niż ± 3 K, a wielkość masy przepływu nie może zmieniać się o więcej niż ± 5 %. Jeżeli objętość przepływu zmieni się w stopniu niedopuszczalnym w wyniku przeciążenia filtra, badanie należy przerwać. Podczas powtórki należy zmniejszyć wielkość przepływu i/lub wykorzystać większy filtr. Filtry należy usunąć z komory nie wcześniej niż na godzinę przed rozpoczęciem badania.

Potrzebne filtry cząstek stałych muszą być kondycjonowane (w odniesieniu do temperatury i wilgotności) w otwartym naczyniu zabezpieczonym przed osadzaniem kurzu w klimatyzowanej komorze na przynajmniej 8 i nie więcej niż 56 godzin przed badaniem. Po tym przygotowaniu niezanieczyszczone filtry są ważone i magazynowane do wykorzystania.

Jeżeli filtry nie są wykorzystane w ciągu jednej godziny od wyjęcia ich z komory wagowej, podlegają ponownemu zważeniu.

Limit jednogodzinny może być zastąpiony ośmiogodzinnym, jeżeli jeden lub oba z poniższych warunków są spełnione:

 ustabilizowany filtr jest umieszczony i przechowywany w zapieczętowanym pojemniku na filtry wyposażonym w zaślepki, lub

 ustabilizowany filtr jest umieszczany w zapieczętowanym pojemniku na filtry, który jest następnie niezwłocznie umieszczany w ciągu do pobierania próbek, przez który nie ma przepływu.

4.3.3.   Kalibrowanie

Każdy analizator musi być kalibrowany tak często, jak to konieczne, i w żadnym przypadku w miesiącu przed badaniem homologacji typu oraz co najmniej raz na sześć miesięcy dla sprawdzenia zgodności produkcji. Wykorzystywana metoda kalibracyjna określona jest w dodatku 6 w odniesieniu do analizatorów określonych w ppkt 4.3.1.

4.4.   Pomiar objętości

4.4.1.

Metoda pomiaru całkowitej objętości rozrzedzonych gazów spalinowych wykorzystana w układzie ciągłego pobierania próbek objętościowych musi zapewniać dokładność pomiaru do ± 2 %.

4.4.2.

Kalibracja układu ciągłego pobierania próbek objętościowych

Układ ciągłego pobierania próbek objętościowych musi być skalibrowany z wykorzystaniem metody wystarczającej do zapewnienia określonej dokładności oraz z częstotliwością wystarczającą do utrzymania takiej dokładności.

Przykład procedury kalibracyjnej, która zapewnia wymaganą dokładność, opisany jest w dodatku 6. Metoda wykorzystuje urządzenie pomiaru przepływu, które charakteryzuje się dynamiką i jest odpowiednie do wysokich wielkości przepływu spotykanych w badaniach układu ciągłego pobierania próbek objętościowych. Urządzenie musi zapewniać dokładność potwierdzoną przyjętymi normami krajowymi lub międzynarodowymi.

4.5.   Gazy

4.5.1.   Gazy w stanie czystym

Do kalibracji i pracy układu potrzebne są wymienione gazy w stanie czystym:

 oczyszczony azot

 (czystość ≤ 1 części na milion C, ≤ 1 części na milion CO, ≤ 400 części na milion CO2, ≤ 0,1 części na milion NO),

 oczyszczone powietrze syntetyczne

 (czystość: ≤ 1 części na milion C, ≤ 1 części na milion CO, ≤ 400 części na milion CO2, ≤ 0,1 części na milion NO); zawartość tlenu między 18 a 21 % objętościowo,

 oczyszczony tlen (czystość ≤ 99,5 % objętościowo O2),

 oczyszczony wodór (oraz mieszanina zawierająca wodór)

 (czystość ≤ 1 części na milion C, ≤ 400 części na milion CO2).

4.5.2.   Gazy kalibracyjne

Potrzebne są gazy o następujących składnikach chemicznych: Mieszaniny:

 C3H8 i oczyszczonego syntetycznego powietrza (ppkt 4.5.1.),

 CO i oczyszczonego azotu,

 CO2 i oczyszczonego azotu,

 NO i oczyszczonego azotu.

(Ilość NO2 zawarta w tym gazie kalibracyjnym nie może przekraczać 5 % zawartości NO).

Rzeczywista wartość stężenia gazu kalibracyjnego musi zawierać się w zakresie ± 2 % danych stwierdzonych.

Stężenia określone w dodatku 6 można również otrzymać przez rozdzielenie gazów, rozrzedzanie oczyszczonym N2 lub oczyszczonym powietrzem syntetycznym. Dokładność urządzenia mieszającego musi być taka, aby stężenie rozrzedzonych gazów kalibracyjnych można było ustalić w zakresie ± 2 %.

4.6.   Wyposażenie dodatkowe

4.6.1.   Temperatury

Temperatury określone w dodatku 8 są mierzone z dokładnością do ± 1,5 K

4.6.2.   Ciśnienie

Musi być możliwe zmierzenie ciśnienia atmosferycznego z dokładnością do ± 0,1 kPa.

4.6.3.   Wilgotność bezwzględna

Pomiar wilgotności bezwzględnej w strefie badania musi być wykonany z dokładnością do ± 5 %.

4.7.

Układ pobierania próbek gazów spalinowych musi być sprawdzony z wykorzystaniem metody określonej w dodatku 7 pkt 3. Maksymalne dopuszczalne odchylenie między wprowadzoną ilością gazów a zmierzoną ilością gazów wynosi 5 %.

5.   PRZYGOTOWANIE BADANIA

5.1.   Dostosowanie symulatorów bezwładności do bezwładności postępowej pojazdu

Symulator bezwładności jest wykorzystywany celem umożliwienia osiągnięcia całkowitej bezwładności mas wirujących proporcjonalnie do masy odniesienia w zakresie następujących limitów:

▼M12



Masa odniesienia pojazdu RW

(kg)

Bezwładność równoważna

(kg)

RW ≤ 480

455

480 < RW ≤ 540

510

540 < RW ≤ 595

570

595 < RW ≤ 650

625

650 < RW ≤ 710

680

710 < RW ≤ 765

740

765 < RW ≤ 850

800

850 < RW ≤ 965

910

965 < RW ≤ 1 080

1 020

1 080< RW ≤ 1 190

1 130

1 190< RW ≤ 1 305

1 250

1 305< RW ≤ 1 420

1 360

1 420< RW ≤ 1 530

1 470

1 530< RW ≤ 1 640

1 590

1 640< RW ≤ 1 760

1 700

1 760< RW ≤ 1 870

1 810

1 870< RW ≤ 1 980

1 930

1 980< RW ≤ 2 100

2 040

2 100< RW ≤ 2 210

2 150

2 210< RW ≤ 2 380

2 270

2 380< RW ≤ 2 610

2 270

2 610< RW

2 270

▼M12

Jeżeli na dynamometrze nie jest dostępna odpowiednia wartość bezwładności równoważnej, należy wybrać wartość większą, najbliższą masy odniesienia pojazdu.

▼M9

5.2.   Ustawienie dynamometru

Obciążenie jest dostosowywane zgodnie z metodami określonymi w ppkt 4.1.4.

Zastosowana metoda oraz osiągnięte wartości (bezwładność równoważna – parametr dostosowania charakterystyki) muszą być zarejestrowane w sprawozdaniu z badań.

5.3.   Kondycjonowanie wstępne pojazdu

5.3.1.

Do celów pomiaru cząstek stałych w odniesieniu do pojazdów z silnikami wysokoprężnymi Część Druga cyklu opisanego w dodatku I musi być przeprowadzona najwyżej 36 godzin, a najmniej sześć godzin przed badaniem. Należy przejechać trzy następujące po sobie cykle. Ustawienia dynamometru określone są w ppkt 5.1 i 5.2.

▼M12

Na wniosek producenta pojazdy z silnikiem o zapłonie iskrowym można przygotowywać w ramach cyklu jazdy części I i części II.

▼M9

Po kondycjonowaniu wstępnym charakterystycznym dla silników wysokoprężnych, a przed badaniem, pojazdy z silnikiem o zapłonie iskrowym oraz silnikiem wysokoprężnym muszą być przechowywane w pomieszczeniu, w którym temperatura pozostaje względnie stała między 293 a 303 K (20 a 30 °C). To kondycjonowanie trwa co najmniej sześć godzin, aż do czasu, gdy temperatura oleju silnikowego i płynu w chłodnicy, jeśli występuje, odpowiada temperaturze pomieszczenia ± 2 K.

Na wniosek producenta badanie musi być wykonane nie później niż 30 godzin od przejazdu pojazdem w jego zwykłej temperaturze.

▼M14

5.3.1.1.

W przypadku pojazdów z silnikiem o zapłonie iskrowym zasilanych gazem płynnym lub ziemnym oraz pojazdów zasilanych albo benzyną, albo gazem płynnym lub gazem ziemnym, między badaniami na pierwszym i drugim gazowym paliwie wzorcowym pojazd jest poddawany kondycjonowaniu z zastosowaniem drugiego paliwa wzorcowego. Kondycjonowanie to polega na przejechaniu cyklu kondycjonującego składającego się z jednej części pierwszej (miejskiej) i dwóch części drugich (pozamiejskich) cyklu badania opisanego w dodatku 1 do niniejszego załącznika. Na wniosek producenta i za zgodą placówki technicznej ten cykl kondycjonujący można rozszerzyć. Ustawienie dynamometru odpowiada temu wskazanemu w ppkt 5.1 i 5.2 niniejszego załącznika.

▼M9

5.3.2.

Ciśnienie w ogumieniu musi być identyczne ze wskazanym przez producenta oraz wykorzystywanym do wstępnego badania dostosowania hamulców na drodze. Ciśnienie w ogumieniu może zostać podniesione o najwyżej 50 % w porównaniu z ustawieniami zalecanymi przez producenta w przypadku stosowania dynamometru o dwóch rolkach. Rzeczywisty poziom ciśnienia należy wykazać w sprawozdaniu z badań.

6.   PROCEDURA BADAŃ NA STANOWISKU POMIAROWYM

6.1.   Szczególne warunki wykonywania cyklu

6.1.1.

Podczas badania temperatura komory badań musi wynosić od 293 do 303 K (20–30 °C). Wilgotność bezwzględna (H) zarówno powietrza w komorze badań, jak i powietrza zasysanego do silnika musi spełniać poniższe warunki:

5,5 ≤ H ≤ 12,2 g H2O/kg suchego powietrza

6.1.2.

Podczas badania pojazd musi być w położeniu zbliżonym do poziomego celem uniknięcia każdej nietypowej dystrybucji paliwa.

▼M12

6.1.3.

►M15  Strumień powietrza o zmiennej prędkości skierowany jest ponad pojazdem. ◄ Prędkość dmuchawy jest taka, aby przy zakresie działania od 10 km/h do co najmniej 50 km/h prędkość liniowa powietrza przy wylocie dmuchawy wynosiła do ± 5 km/h odpowiedniej prędkości wałków. Ostatecznie dobrane warunki pracy dmuchawy mają następującą charakterystykę:

 Powierzchnia: co najmniej 0,2 m2

 Wznios dolnej krawędzi ponad podłożem: około 20 cm

 Odległość od czoła pojazdu: około 30 cm

Alternatywna prędkość powietrza z dmuchawy wynosi co najmniej 6 m/s (21,6 km/h). Na wniosek producenta w odniesieniu do określonych pojazdów (np. półciężarówek, pojazdów poruszających się poza drogami publicznymi) można zmodyfikować wysokość położenia dmuchawy.

6.1.4.

Podczas badania prędkość jest rejestrowana w funkcji czasu lub przejmowana przez układ gromadzenia danych tak, aby możliwa była ocena prawidłowości wykonywanych cykli.

▼M9

6.2.   Rozruch silnika

6.2.1.

Uruchomienie silnika następuje z wykorzystaniem urządzeń do tego celu służących, zgodnie z instrukcjami producenta zawartymi w książce pojazdu.

6.2.2.

►M15  Pierwszy cykl rozpoczyna się po zapoczątkowaniu procedury rozruchowej silnika. ◄

▼M14

6.2.3.

W przypadku stosowania jako paliwa gazu płynnego lub gazu ziemnego dopuszcza się uruchomienie silnika z zastosowaniem benzyny, a następnie przełączenie na układ zasilania gazem płynnym lub ziemnym po uprzednio ustalonym czasie, którego kierowca nie może zmienić.

▼M9

6.3.   Bieg jałowy

6.3.1.   Ręczna lub półautomatyczna skrzynia biegów

▼M12

Patrz dodatek tabelaryczny III.1.2 i III.1.3.

▼M12 —————

▼M9

6.3.2.   Automatyczna skrzynia biegów

Po początkowym włączeniu nie należy w żadnym przypadku podczas badania używać przełącznika, z wyjątkiem przypadku określonego w ppkt 6.4.3 lub jeżeli przełącznik może włączyć nadbieg, o ile ten występuje.

6.4.   Przyspieszanie

6.4.1.

Przyspieszenia muszą być wykonywane tak, aby wielkość przyspieszania pozostawała możliwie stała podczas całej fazy.

6.4.2.

Jeżeli przyspieszanie nie może być wykonane we właściwym czasie, wymagany dodatkowy czas jest w miarę możliwości odliczany od czasu przeznaczonego na zmianę biegów, a w innym przypadku od kolejnego okresu stałej prędkości.

6.4.3.

Automatyczne skrzynie biegów

Jeżeli przyspieszanie nie może być wykonane we właściwym czasie, przełącznik biegów jest używany zgodnie z wymaganiami dla ręcznych skrzyń biegów.

6.5.   Spowolnienie

6.5.1.

Wszystkie spowolnienia w podstawowym cyklu miejskim (Część Pierwsza) są wykonywane przez całkowite zdjęcie stopy z przyspiesznika, z włączonym sprzęgłem. Sprzęgło jest wyłączane, bez użycia dźwigni zmiany biegów, przy prędkości 10 km/h.

Wszystkie spowolnienia w cyklu pozamiejskim (Część Druga) są wykonywane przez całkowite zdjęcie stopy z przyspiesznika, z włączonym sprzęgłem. Sprzęgło jest wyłączane, bez użycia dźwigni zmiany biegów, przy prędkości 50 km/h dla ostatniego spowolnienia.

6.5.2.

Jeżeli czas spowolnienia jest dłuższy niż przeznaczony dla odpowiadającej fazy, wykorzystywane są hamulce pojazdu celem umożliwienia zgodności z czasem cyklu.

6.5.3.

Jeżeli okres spowalniania jest krótszy niż przewidziany dla odpowiadającej fazy, czas cyklu teoretycznego jest przywracany poprzez stałą prędkość lub okres jałowy łączący się z kolejną operacją.

6.5.4.

Na końcu okresu spowolnienia (zatrzymanie się pojazdu na rolkach) podstawowego cyklu miejskiego (Część Pierwsza) skrzynia biegów ustawiana jest w położeniu neutralnym z włączonym sprzęgłem.

6.6.   Stałe prędkości

6.6.1.

Należy unikać „pompowania” lub zamykania przepustnicy przy przechodzeniu z przyspieszenia do kolejnego okresu stałej prędkości.

6.6.2.

Okresy stałej prędkości są uzyskiwane przez utrzymywanie stałej pozycji przyspiesznika.

7.   POBIERANIE PRÓBEK I ANALIZA GAZÓW I CZĄSTEK STAŁYCH

▼M10

7.1.   Pobieranie próbek

▼M15

Pobieranie próbek rozpoczyna się przed lub w momencie rozpoczęcia procedury rozruchowej silnika i kończy się wraz z zakończeniem ostatniego okresu biegu jałowego w cyklu pozamiejskim (część druga, koniec pobierania próbek) lub, w przypadku badania typu VI, wraz z ostatnim okresem biegu jałowego ostatniego cyklu podstawowego (część pierwsza).

▼M9

7.2.   Analiza

7.2.1.

Gazy spalinowe znajdujące się w worku muszą być analizowane tak szybko, jak to możliwe, a w żadnym wypadku nie później niż 20 minut po zakończeniu cyklu badań. Zużyte filtry pyłowe muszą być zabrane do komory nie później niż godzinę po zakończeniu badania gazów spalinowych oraz muszą być tam kondycjonowane przez okres od 2 do 36 godzin, a następnie ważone.

7.2.2.

Przed każdą analizą próbek zakres analizatora, który ma być wykorzystany w odniesieniu do każdego zanieczyszczenia, jest ustawiany na zero za pomocą właściwego gazu zerowego.

7.2.3.

Analizatory są następnie ustawiane do krzywych kalibracyjnych za pomocą gazu zakresowego o nominalnym stężeniu od 70 do 100 % zakresu.

7.2.4.

Ponownie sprawdzane są ustawienia zerowe w analizatorach. Jeżeli odczyt różni się o więcej niż 2 % zakresu od ustalonego w ppkt 7.2.2, procedura jest powtarzana.

7.2.5.

Następuje analiza próbek.

7.2.6.

Po przeprowadzeniu analizy punkty zerowy i zakresowy są ponownie sprawdzane z wykorzystaniem tych samych gazów. Jeżeli ponowne sprawdzenia mieszczą się w zakresie 2 % w stosunku do określonych w ppkt 7.2.3, uznaje się analizę za akceptowalną.

7.2.7.

We odniesieniu do wszystkich podpunktów niniejszego punktu wielkości przepływu i ciśnienia różnych gazów muszą być identyczne z wykorzystanymi podczas kalibracji analizatorów.

7.2.8.

Wielkością przyjmowaną za stężenie każdego zmierzonego zanieczyszczenia w gazach jest odczyt po stabilizacji urządzeń pomiarowych. Wartości emisji węglowodorów z silników wysokoprężnych są przeliczane z całkowanego odczytu HFID, skorygowanego w razie konieczności w odniesieniu do zróżnicowanego przepływu, jak określono w dodatku 5.

8.   USTALENIE ILOŚCI WYEMITOWANYCH ZANIECZYSZCZEŃ GAZOWYCH I CZĄSTEK STAŁYCH

8.1.   Rozważana objętość

Rozważana objętość musi być skorygowana do warunków 101,33 kPa oraz 273,2 K.

8.2.   Całkowita masa wyemitowanych zanieczyszczeń gazowych i pyłowych

Masa m każdego zanieczyszczenia gazowego wyemitowanego przez pojazd podczas badania jest ustalana przez uzyskanie wyniku stężenia objętościowego oraz objętości przedmiotowego gazu, z uwzględnieniem następujących gęstości we wspomnianych powyżej warunkach odniesienia.

▼M14



W przypadku tlenku węgla (CO):

d = 1,25 g/l

W przypadku węglowodorów:

 

dla benzyny (CH1.85):

d = 0,619 g/l

dla oleju napędowego (CH1.86):

d = 0,619 g/l

dla gazu płynnego (CH2 525):

d = 0,649 g/l

dla gazu ziemnego (CH4):

d = 0,714 g/l

W przypadku tlenków azotu (NO2):

d = 2,05 g/l

▼M9

Masa m poszczególnych emisji cząstek stałych z pojazdu podczas badania jest określana przez ważenie masy cząstek stałych zebranych przez dwa filtry, m1 przez filtr pierwszy, oraz m2 przez filtr drugi:

 jeżeli 0,95 (m1 + m2) ≤m1, m = m1,

 jeżeli 0,95 (m1 + m2) > m1, m = m1 + m2,

 jeżeli m2> m1, badanie jest anulowane.

W dodatku 8 znajdują się obliczenia poparte przykładami, wykorzystane do oznaczania masy emisji zanieczyszczeń gazowych i pyłowych.




DODATEK 1

Struktura cyklu operacyjnego wykorzystywanego dla badania typu I

1.   CYKL OPERACYJNY

1.1.

Rysunek III.1.1 przedstawia cykl operacyjny składający się z Części Pierwszej (cykl miejski) oraz Części Drugiej (cykl pozamiejski).

2.   PODSTAWOWY CYKL MIEJSKI (CZĘŚĆ PIERWSZA)

Patrz rysunek III.1.2 oraz tabela III.1.2.

2.1.   Struktura według faz



 

Czas

s)

%

Bieg jałowy

60

30,8

right accolade 35,4

Bieg jałowy, pojazd porusza się, sprzęgło włączone w jednej z kombinacji

9

4,6

Zmiana biegu

8

4,1

 

Przyspieszenie

36

18,5

 

Okresy stałej prędkości

57

29,2

 

Spowalnianie

25

12,8

 
 

195

100

 

2.2.   Struktura według użycia biegów



 

Czas

s)

%

Bieg jałowy

60

30,8

right accolade 35,4

Bieg jałowy, pojazd porusza się, sprzęgło włączone w jednej z kombinacji

9

4,6

Zmiana biegu

8

4,1

 

Pierwszy bieg

24

12,3

 

Drugi bieg

53

27,2

 

Trzeci bieg

41

21

 
 

195

100

 

2.3.   Informacje ogólne

Średnia prędkość podczas badania: 19 km/h.

Efektywny czas jazdy: 195 sekund.

Teoretyczna odległość pokonana podczas cyklu: 1,013 km.

Równoważna odległość dla czterech cykli: 4,052 km.

▼M15

image

Rysunek III.1.1

▼M9



Tabela III.1.2

Cykl operacyjny na hamowni podwoziowej (Część Pierwsza)

Lp działania

Działanie

Faza

Przyspieszenie

(m/s2)

Prędkość

(km/h)

Czas trwania każdego (-ej)

Kumulatywny czas

s)

Bieg używany w przypadku ręcznej skrzyni biegów

Działania

s)

Fazy

s)

1

Bieg jałowy

1

 
 

11

11

11

6 s PM + 5 s K (1)

2

Przyspieszenie

2

1,04

0–15

4

4

15

1

3

Prędkość stała

3

 

15

9

8

23

1

4

Spowolnienie

right accolade 4

- 0,69

15–10

2

right accolade 5

25

1

5

Spowolnienie,

 
 
 
 
 

sprzęgło wyłączone

- 0,92

10–0

3

28

K

6

Bieg jałowy

5

 
 

21

21

49

16sPM + 5sK (1)

7

Przyspieszenie

right accolade 6

0,83

0–15

5

right accolade 12

54

1

8

Zmiana biegów

 
 

2

56

 

9

Przyspieszenie

0,94

15–32

5

61

2

10

Prędkość stała

7

 

32

24

24

85

2

11

Spowolnienie

right accolade 8

- 0,75

32–10

8

right accolade 11

93

2

12

Spowolnienie,

 
 
 
 
 

sprzęgło wyłączone

- 0,92

10–0

3

96

K2 (1)

13

Bieg jałowy

9

 
 

21

21

117

16 s PM + 5 s K (1)

14

Przyspieszenie

right accolade 10

0–15

0–15

5

right accolade 26

122

1

15

Zmiana biegów

 
 

2

124

 

16

Przyspieszenie

0,62

15–35

9

133

2

17

Zmiana biegów

 
 

2

135

 

18

Przyspieszenie

0,52

35–50

8

143

3

19

Prędkość stała

11

 

50

12

12

155

3

20

Spowolnienie

12

- 0,52

50–35

8

8

163

3

21

Prędkość stała

13

 

35

13

13

176

3

22

Zmiana biegów

right accolade 14
 
 

2

right accolade 12

178

 

23

Spowolnienie

- 0,86

►M19  35-10 ◄

7

185

2

24

Spowolnienie,

 
 
 
 
 

sprzęgło wyłączone

- 0,92

10–0

3

188

K2 (1)

25

Bieg jałowy

15

 
 

7

7

195

7 s PM (1)

(1)   PM = skrzynia biegów w pozycji neutralnej, sprzęgło włączone.

image

Rysunek III. 1.2

Podstawowy cykl miejski dla badania typu I

3.   CYKL POZAMIEJSKI (Część Druga)

Patrz rysunek III.1.3 oraz tabela III.1.3

3.1.   Struktura według faz



 

Czas

s)

%

Bieg jałowy

20

5,0

Bieg jałowy, pojazd porusza się, sprzęgło włączone w jednej z kombinacji

20

5,0

Zmiana biegu

6

1,5

Przyspieszenie

103

25,8

Okresy stałej prędkości

209

52,2

Spowalnianie

42

10,5

 

400

100

3.2.   Struktura według użycia biegów



 

Czas

s)

%

Bieg jałowy

20

5,0

Bieg jałowy, pojazd porusza się, sprzęgło włączone w jednej z kombinacji

20

5,0

Zmiana biegu

6

1,5

Pierwszy bieg

5

1,3

Drugi bieg

9

2,2

Trzeci bieg

8

2,0

Czwarty bieg

99

24,8

Piąty bieg

233

58,2

 

400

100

3.3.   Informacje ogólne

Średnia prędkość podczas badania: 62,6 km/h.

Efektywny czas jazdy: 400 sek.

Odległość teoretyczna pokonana w jednym cyklu: 6,955 km.

Prędkość maksymalna: 120 km/h.

Przyspieszenie maksymalne: 0,833 m/s2.

Spowolnienie maksymalne: - 1,389 m/s2.



Tabela III.1.3

Cykl pozamiejski (Część Druga) dla badania typu I

Lp działania

Działanie

Faza

Przyspieszenie

m)

Prędkość

(km/h)

Czas trwania każdego(-ej)

Kumulatywny czas

s)

Bieg używany w przypadku ręcznej skrzyni biegów

Działania

s)

Fazy

s)

1

Bieg jałowy

1

 
 

20

20

20

K1 (1)

2

Przyspieszanie

right accolade 2

0,83

0–15

5

right accolade 41

25

1

3

Zmiana biegu

 
 

2

27

4

Przyspieszanie

0,62

15–35

9

36

2

5

Zmiana biegu

 
 

2

38

6

Przyspieszanie

0,52

35–30

8

46

3

7

Zmiana biegu

 
 

2

48

8

Przyspieszanie

0,43

50–70

13

61

4

9

Prędkość stała

3

 

70

50

50

111

5

10

Spowolnienie

4

- 0,69

70–50

8

8

119

4 s.5 + 4 s.4

11

Prędkość stała

5

 

50

69

69

188

4

12

Przyspieszanie

6

0,43

50–70

13

13

201

4

13

Prędkość stała

7

 

70

50

50

251

.5

14

Przyspieszanie

8

0,24

70–100

35

35

286

5

15

Prędkość stała

9

 

100

30

30

316

(2)

16

Przyspieszanie

10

0,28

100–120

20

20

336

(2)

17

Prędkość stała

11

 

120

10

20

346

(2)

18

Spowolnienie

right accolade 12

- 0,69

120–80

16

right accolade 34

362

(2)

19

Spowolnienie

- 1,04

80–50

8

370

(2)

20

Spowolnienie,

 
 
 
 
 

Sprzęgło wyłączone

- 1,39

50–0

10

380

K5 (1)

21

Bieg jałowy

13

 
 

20

20

400

PM (1)

(1)   PM = skrzynia biegów w pozycji neutralnej, sprzęgło włączone

(2)   Mogą być użyte dodatkowe biegi zgodnie z zaleceniami producenta, jeżeli pojazd wyposażony jest w skrzynię biegów z więcej niż pięcioma biegami.

image

Rysunek III.1.3

Cykl pozamiejski (Część Druga) dla badania typu I

▼M15 —————

▼M9




DODATEK 2

Hamownia podwoziowa

1.   DEFINICJA HAMOWNI PODWOZIOWEJ ZE STAŁĄ KRZYWĄ OBCIĄŻENIA

1.1.   Wstęp

W przypadku, w którym na hamowni podwoziowej całkowity opór na ruch postępowy na drodze jest pominięty w zakresie prędkości 10– ►M12  120 km/h ◄ , zaleca się wykorzystanie hamowni podwoziowej o podanych poniżej charakterystykach.

1.2.   Definicja

1.2.1.

Hamownia podwoziowa może mieć jedną lub dwie rolki.

Przedni wałek prowadzi, bezpośrednio lub pośrednio, masy bezwładności oraz urządzenie absorbujące moc.

▼M12

1.2.2.

Obciążenie pochłaniane przez efekty tarcia wewnętrznego hamulca i hamowni podwoziowej od prędkości 0 do 120 km/h wynosi:

F = (a + b · V2) ± 0,1 · F80 (bez wartości ujemnej)

gdzie:

F

=

obciążenie całkowite pochłaniane przez hamownię podwoziową (N)

a

=

wartość równoważna z oporem toczenia (N)

b

=

wartość równoważna ze współczynnikiem oporu powietrza (N/(km/h)2)

V

=

prędkość (km/h)

F80

=

obciążenie przy prędkości 80 km/h (N).

▼M9

2.   METODA KALIBRACJI DYNAMOMETRU

2.1.   Wstęp

▼M12

Niniejszy dodatek opisuje metodę, którą należy stosować do ustalania obciążenia pochłanianego przez hamulec dynamometryczny.

Pochłaniane obciążenie obejmuje obciążenie pochłaniane przez efekty tarcia oraz obciążenie pochłaniane przez urządzenie pochłaniające.

▼M9

Dynamometr jest napędzany z prędkością, która jest większa niż najwyższa prędkość przewidziana dla badania.

Energia kinetyczna rolek zostaje rozproszona między urządzenie absorpcji mocy i efekty tarcia. Metoda ta pomija odchylenia wynikające z efektów tarcia wewnątrz rolek wywołanych rolkami niezależnie od obecności pojazdu. Efekty tarcia w rolce tylnej są pomijane, jeżeli rolka ta obraca się swobodnie.

2.2.    ►M12  Kalibrowanie wskaźnika obciążenia w funkcji pochłanianego obciążenia ◄

Wykorzystywana jest następująca procedura (patrz także rysunek III.2.2.2).

2.2.1.

Jeżeli nie przeprowadzono tego wcześniej, należy dokonać pomiaru prędkości obrotowej rolki napędowej. Można w tym celu użyć piątego koła, licznika obrotów lub innego odpowiedniego sposobu.

2.2.2..

Umieszcza się pojazd na dynamometrze albo stosuje inną metodę uruchamiania dynamometru.

2.2.3.

Używa się koła zamachowego lub innego układu symulacji bezwładności dla zastosowania szczególnej klasy bezwładności.

▼M12

image

Rysunek III.2.2.2

Wykres ilustrujący wielkość obciążenia na hamowni podwoziowej

▼M9

2.2.4.

Doprowadza się dynamometr do prędkości 80 km/h.

▼M12

2.2.5.

Odnotować obciążenie oznaczone Fi (N).

▼M9

2.2.6.

Doprowadza się dynamometr do prędkości 90 km/h.

2.2.7.

Rozłącza się urządzenie napędzające dynamometr.

2.2.8.

Czas wymagany przez dynamometr do przejścia z prędkości 85 km/h do prędkości 75 km/h jest zapisywany.

2.2.9.

Ustawia się urządzenie absorbujące moc na inny poziom.

2.2.10.

Wymogi ppkt 2.2.4 do 2.2.9 muszą być powtórzone wystarczającą ilość razy dla objęcia zakresu wykorzystywanych ►M12  obciążenie ◄ .

▼M12

2.2.11.

Obliczyć pochłaniane obciążenie przy pomocy wzoru:

image

gdzie:

F

=

obciążenie pochłonięte w N

Mi

=

bezwładność równoważna w kilogramach (z wyłączeniem wpływów bezwładnościowych swobodnego wałka tylnego)

ΔV

=

odchylenie prędkości w m/s (10 km/h = 2,775 m/s)

t

=

czas zużyty na przejście rolki z 85 na 75 km/h.

2.2.12.

Rysunek III.2.2.12 pokazuje obciążenie wykazane przy 80 km/h w odniesieniu do obciążenia pochłanianego przy 80 km/h.

image

Rysunek III.2.2.12

Obciążenie wykazane przy 80 km/h w odniesieniu do obciążenia pochłanianego przy 80 km/h

▼M9

2.2.13.

Działania określone w ppkt 2.2.3–2.2.12 muszą być powtórzone dla wszystkich klas bezwładności, które mają być wykorzystane.

2.3.    ►M12  Kalibracja wskaźnika obciążenia w funkcji obciążenia pochłanianego dla innych prędkości ◄

Procedury określone w ppkt 2.2 muszą być powtarzane tak często, jak jest to konieczne dla wybranych prędkości.

2.4.   Sprawdzenie krzywej absorbowania ►M12  obciążenie ◄ dynamometru z ustawienia odniesienia przy prędkości 80 km/h

2.4.1.

Umieszcza się pojazd na dynamometrze lub wykorzystuje inną metodę napędzania dynamometru.

2.4.2.

Dostosowuje się dynamometr do absorbowanej ►M12  obciążenie ◄ przy prędkości 80 km/h.

▼M12

2.4.3.

Odnotować obciążenie pochłaniane przy 120, 100, 80, 60, 40 i 20 km/h.

▼M9

►M12  2.4.4.

Wykreślić krzywą F(V) ◄ i sprawdza, czy odpowiada ona wymaganiom ppkt 1.2.2.

2.4.5.

Procedura określona w ppkt 2.4–4.4 jest powtarzana dla innych wartości ►M12  obciążenie F ◄ przy prędkości 80 km/h oraz dla innych wartości bezwładności.

2.5.

Ta sama procedura musi być wykorzystana do kalibracji mocy lub momentu obrotowego.

3.   USTAWIENIE DYNAMOMETRU

▼M12

3.1.   Metody dokonywania ustawień

Ustawienia hamulca dynamometrycznego mogą być dokonane przy stałej prędkości 80 km/h zgodnie z wymaganiami określonymi w dodatku 3.

▼M9

3.1.1.   Wstęp

Metoda ta nie jest metodą preferowaną i jest wykorzystywana wyłącznie w odniesieniu do dynamometru o stałym kształcie krzywej obciążenia dla określania ustawienia obciążenia przy prędkości 80 km/h oraz nie może być wykorzystana w odniesieniu do pojazdów z silnikami wysokoprężnymi.

3.1.2.   Oprzyrządowanie badania

Próżnia (lub ciśnienie bezwzględne) w pojazdach z kolektorem ssącym jest mierzone z dokładnością do ± 0,25 kPa. Należy umożliwić rejestrowanie tego odczytu w sposób ciągły lub w odstępach nie dłuższych niż 1 sekunda. Prędkość musi być rejestrowana w sposób ciągły z dokładnością do ± 0,4 m/h.

3.1.3.   Badanie drogowe

3.1.3.1.

Zapewnia się spełnienie wymogów określonych w pkt 4 dodatku 3.

3.1.3.2.

Pojazd musi być doprowadzony do stałej prędkości 80 km/h, z zarejestrowaniem prędkości, a próżnia (lub ciśnienie bezwzględne) musi pozostawać w zgodności z wymogami ppkt 3.1.2.

3.1.3.3.

Powtarza się procedurę określoną w ppkt 3.1.3.2 trzykrotnie w każdym kierunku. Wszystkie sześć przebiegów musi być zakończone w ciągu czterech godzin.

3.1.4.   Redukcja danych i kryteria przyjęcia

3.1.4.1.

Zweryfikować wyniki uzyskane zgodnie z ppkt 3.1.3.2 i 3.1.3.3 (prędkość nie może być mniejsza niż 79,5 km/h lub większa niż 80,5 km/h przez dłużej niż 1 sekundę). Dla każdego przebiegu odczytać poziom próżni w odstępach jednosekundowych, obliczyć średnią próżnię

image

oraz odchylenie standardowe s). Obliczenie to musi składać się co najmniej z dziesięciu odczytów próżni.

3.1.4.2.

Odchylenie standardowe nie może przekraczać 10 % średniej

image

dla każdego przebiegu.

3.1.4.3.

Obliczyć średnią wartość

image

dla sześciu przebiegów (trzech przebiegów w każdym kierunku).

3.1.5.   Ustawienie dynamometru

3.1.5.1.   Przygotowanie

Wykonać działania określone w ppkt 5.1.2.2.1–5.1.2.2.4 dodatku 3.

3.1.5.2.   Ustawienia

Po rozgrzaniu pojazd jest prowadzony przy stałej prędkości 80 km/h, a obciążenie dynamometru dostosowane do odtworzenia odczytu próżni

image

uzyskanego zgodnie z ppkt 3.1.4.3. Odchylenie od tego odczytu nie może być większe niż 0,25 kPa. Do tego działania muszą być użyte przyrządy wykorzystywane podczas badania drogowego.

▼M12

3.2.

Metoda alternatywna

Za zgodą producenta można użyć następującej metody:

3.2.1.

Hamulec zostaje ustawiony tak, aby wchłonąć obciążenie wywierane na koła napędzające przy stałej prędkości 80 km/h, zgodnie z tabelą poniżej:



Masa odniesienia pojazdu

Bezwładność równoważna

Moc i obciążenie pochłaniane przez dynamometr przy 80 km/h

Współczynniki

a

b

RW (kg)

kg

kW

N

N

N/(km/h)2

RW ≤ 480

455

3,8

171

3,8

0,0261

480 < RW ≤ 540

510

4,1

185

4,2

0,0282

540 < RW ≤ 595

570

4,3

194

4,4

0,0296

595 < RW ≤ 650

625

4,5

203

4,6

0,0309

650 < RW ≤ 710

680

4,7

212

4,8

0,0323

710 < RW ≤ 765

740

4,9

221

5,0

0,0337

765 < RW ≤ 850

800

5,1

230

5,2

0,0351

850 < RW ≤ 965

910

5,6

252

5,7

0,0385

965 < RW ≤ 1 080

1 020

6,0

270

6,1

0,0412

1 080< RW ≤ 1 190

1 130

6,3

284

6,4

0,0433

1 190< RW ≤ 1 305

1 250

6,7

302

6,8

0,0460

1 305< RW ≤ 1 420

1 360

7,0

315

7,1

0,0481

1 420< RW ≤ 1 530

1 470

7,3

329

7,4

0,0502

1 530< RW ≤ 1 640

1 590

7,5

338

7,6

0,0515

1 640< RW ≤ 1 760

1 700

7,8

351

7,9

0,0536

1 760< RW ≤ 1 870

1 810

8,1

365

8,2

0,0557

1 870< RW ≤ 1 980

1 930

8,4

378

8,5

0,0577

1 980< RW ≤ 2 100

2 040

8,6

387

8,7

0,0591

2 100< RW ≤ 2 210

2 150

8,8

396

8,9

0,0605

2 210< RW ≤ 2 380

2 270

9,0

405

9,1

0,0619

2 380< RW ≤ 2 610

2 270

9,4

423

9,5

0,0646

2 610< RW

2 270

9,8

441

9,9

0,0674

3.2.2.

W przypadku pojazdów innych niż samochody osobowe, posiadających masę odniesienia powyżej 1 700 kg, lub pojazdów ze stałym napędem na wszystkie koła, wartości mocy podane w tabeli ujętej w ppkt 3.2.1 mnoży się przez współczynnik 1,3.

▼M12 —————

▼M9




DODATEK 3

Opór na ruch postępowy pojazdu — metoda pomiaru na drodze — symulacja na hamowni podwoziowej

1.   CEL METOD

Celem określonych poniżej metod jest pomiar oporu na ruch postępowy pojazdu przy ustabilizowanej prędkości na drodze oraz symulacja tego oporu na dynamometrze, zgodnie z ppkt 4.1.5 załącznika III.

2.   DEFINICJA DROGI

Droga musi być płaska oraz wystarczająco długa dla umożliwienia wykonania określonych poniżej pomiarów. Kąt nachylenia musi być stały w zakresie ± 0,1 % oraz nie może przekraczać 1,5 %.

3.   WARUNKI ATMOSFERYCZNE

3.1.   Wiatr

Badanie musi być ograniczone do średnich prędkości wiatru nieprzekraczających 3 m/s, z wartościami szczytowymi mniejszymi niż 5 m/s. Dodatkowo składnik wektora prędkości wiatru w poprzek drogi musi być mniejszy niż 2 m/s. Prędkość wiatru podlega pomiarowi 0,7 m nad powierzchnią drogi.

3.2.   Wilgotność

Droga musi być sucha.

3.3.   Ciśnienie – temperatura

Gęstość powietrza w czasie badania nie może różnić się o więcej niż 7,5 % od warunków odniesienia, p = 100 kPa oraz T = 293,2 K.

4.   PRZYGOTOWANIE POJAZDU

▼M12

4.1.

Selekcja badanych pojazdów

Jeżeli nie wszystkie odmiany typów pojazdów ( 16 ) poddaje się pomiarom, stosuje się następujące kryteria w odniesieniu do pojazdów badanych.

4.1.1.

Nadwozie

Jeżeli występują różne typy nadwozi, wybiera się najgorsze pod względem aerodynamicznym. Dla wykonania selekcji producent przekazuje odpowiednie dane.

4.1.2.

Opony

Wybiera się oponę najszerszą. Jeżeli występują więcej niż trzy rozmiary opon wybiera się wielkość najszerszą minus jeden.

4.1.3.

Badanie masy

Masą badaną jest masa odniesienia pojazdu z najwyższym zakresem bezwładności.

4.1.4.

Silnik

Pojazd badany posiada największy wymiennik(-i) cieplny(-e).

4.1.5.

Przekładnia

Badanie jest wykonywane dla każdego typu następujących przekładni:

 napęd na koła przednie

 napęd na koła tylne

 stały 4 x 4

 niestały 4 x 4

 automatyczna skrzynia biegów

 ręczna skrzynia biegów

▼M9

►M12  4.2. ◄

Docieranie silnika

Pojazd musi być normalnie przygotowany do jazdy oraz dostosowany po przejechaniu co najmniej 3000 km. Opony muszą być dotarte w tym samym czasie co pojazd lub mieć głębokość bieżnika 90–50 % początkowej głębokości bieżnika.

►M12  4.3. ◄

Sprawdzanie

Należy wykonać następujące kontrole zgodnie ze specyfikacją producenta dla przewidzianego użytkowania:

 kół, wyważenia kół, opon (marka, rodzaj, ciśnienie),

 geometrii przedniej osi,

 dostosowania hamulców (zniesienie oporu szkodliwego),

 smarowania przedniej i tylnej osi,

 dostosowania zawieszenia oraz poziomu pojazdu itp.

►M12  4.4. ◄

Przygotowanie do badania

►M12  4.4.1 ◄

Pojazd jest obciążany do swojej masy odniesienia. Poziom pojazdu jest dostosowywany do uzyskanego wtedy, gdy środek ciężkości obciążenia jest umiejscowiony w połowie odległości między punktami „R” przednich siedzeń zewnętrznych oraz na prostej linii przechodzącej przez te punkty.

►M12  4.4.2 ◄

Podczas badań drogowych okna pojazdu muszą być zamknięte. Wszelkie zasłony układu klimatyzacji powietrza, świateł przednich itp. muszą pozostawać w pozycji nieaktywnej.

►M12  4.4.3 ◄

Pojazd musi być czysty.

►M12  4.4.4 ◄

Niezwłocznie przed badaniem pojazd jest doprowadzany we właściwy sposób do normalnej temperatury działania.

5.   METODY

5.1.   Metoda zmiany energii podczas wybiegu

5.1.1.   Na drodze

5.1.1.1.   Wyposażenie badawcze oraz błąd:

 czas podlega pomiarowi w granicach błędu nieprzekraczających 0,1 sekundy,

 prędkość podlega pomiarowi w granicach błędu nieprzekraczających 2 %.

5.1.1.2.   Procedura badawcza

5.1.1.2.1.

Pojazd jest rozpędzany do prędkości o 10 km/h większej od wybranej prędkości badania V.

5.1.1.2.2.

Skrzynia biegów jest ustawiona w pozycji neutralnej.

5.1.1.2.3.

Czas t1 podlega pomiarowi w odniesieniu do pojazdu spowalnianego z;

V2 = V + V km/h do V1 = V – V km/h przy V ≤ 5 km/h.

5.1.1.2.4.

Przeprowadza się identyczne badanie także w kierunku przeciwnym: t2.

5.1.1.2.5.

Uwzględnia się średnią

image

z dwóch czasów t1 oraz t2.

5.1.1.2.6.

Badania te są kilkakrotnie powtarzane dla uzyskania statystycznej dokładności p) średniej.

image

nie większej niż 2 % (p ≤ 2 %)

Dokładność statystyczna p) jest określona przez:

image

gdzie:

t

=

współczynnik określony w poniższej tabeli,

s

=

odchylenie standardowe,

image

n

=

liczba badań,



n

4

5

6

7

8

9

10

11

12

13

14

15

t

3,2

2,8

2,6

2,5

2,4

2,3

2,3

2,2

2,2

2,2

2,2

2,2

image

1,6

1,25

1,06

0,94

0,85

0,77

0,73

0,66

0,64

0,61

0,59

0,57

5.1.1.2.7.

Obliczanie mocy z zastosowaniem wzoru:

▼M15

image

▼M9

gdzie:

P

=

jest wyrażona w kW,

V

=

prędkość badania w m/s,

Δ V

=

odchylenie prędkości od prędkości V, w m/s,

M

=

masa odniesienia w kg,

T

=

czas w sekundach.

▼M12

5.1.1.2.8.

Moc (P) ustaloną na torze koryguje się do warunków odniesienia otoczenia w sposób następujący:

Pskorygowana = K · Pmierzona

image

gdzie:

RR

=

opór toczenia przy prędkości V

RAERO

=

ciąg aerodynamiczny przy prędkości V

RT

=

całkowity opór jazdy = RR + RAERO

▼M14

KR

=

współczynnik poprawki na temperaturę oporu toczenia, przyjmowany jako równy 8,64 x 10-3/ °C lub współczynnik poprawki ustalony przez producenta i zatwierdzony przez władze

▼M12

t

=

temperatura otoczenia badania drogowego w °C

t0

=

temperatura odniesienia otoczenia = 20 °C

ρ

=

gęstość powietrza w warunkach badania

ρ0

=

gęstość powietrza w warunkach odniesienia (20 °C, 100 kPa)

Stosunki RR/RT i RAERO/RT zostają podane przez producenta pojazdu w oparciu o dane dostępne dla spółki.

Jeżeli wartości te nie są dostępne, z zastrzeżeniem zgody producenta oraz właściwej służby technicznej, można użyć danych dotyczących stosunku oporów toczenia do całkowitego przy wykorzystaniu wzoru:

image

gdzie:

M = masa pojazdu w kg

▼M14

i dla każdej prędkości współrzędne a i b są podane w następującej tabeli:



Prędkość (km/h)

a

b

20

7,24 x 10-5

0,82

40

1,59 x 10-4

0,54

60

1,96 x 10-4

0,33

80

1,85 x 10-4

0,23

100

1,63 x 10-4

0,18

120

1,57 x 10-4

0,14

▼M9

5.1.2.   Na dynamometrze

5.1.2.1.   Wyposażenie pomiarowe i dokładność

Wyposażenie musi być identyczne z używanym na drodze.

5.1.2.2.   Procedura badania

5.1.2.2.1.

Ustawić pojazd na dynamometrze.

5.1.2.2.2.

Dostosować ciśnienie w ogumieniu (zimne) kół jezdnych zgodnie z wymaganiami dynamometru.

5.1.2.2.3.

Dostosować bezwładność równoważną dynamometru.

5.1.2.2.4.

Doprowadzić pojazd i dynamometr we właściwy sposób do temperatury działania.

5.1.2.2.5.

Wykonać działania określone w ppkt 5.1.1.2 z wyjątkiem 5.1.1.2.4 oraz 5.1.1.2.5 oraz zastępując M przez I we wzorze określonym w 5.1.1.2.7.

▼M12

5.1.2.2.6.

Ustawić hamulec do odtwarzania mocy skorygowanej (ppkt 5.1.1.2.8) oraz uwzględnić różnicę między masą pojazdu (M) na torze a masą badaną bezwładności równoważnej, jakiej należy użyć (I). Powyższe można wykonać poprzez obliczenie średniej skorygowanej jazdy bezwładnej od V2 do V1 a następnie odtwarzając ten czas na dynamometrze poprzez następującą współzależność:

image

K = wyszczególnione w ppkt 5.1.1.2.8.

▼M12

5.1.2.2.7.

Moc P, pochłaniana na stanowisku powinna być ustalona w celu umożliwienia odtwarzania tej samej mocy (ppkt 5.1.1.2.8) dla tego samego pojazdu w różnych dniach.

▼M9

5.2.   Metoda pomiaru momentu obrotowego przy stałej prędkości

5.2.1.   Na drodze

5.2.1.1.   Wyposażenie pomiarowe oraz błąd pomiaru

Pomiar momentu obrotowego musi być przeprowadzany za pomocą właściwego urządzenia pomiarowego o dokładności w zakresie 2 %.

Pomiar prędkości musi być wykonany z dokładnością w zakresie 2 %.

5.2.1.2.   Procedura badania

5.2.1.2.1.

Pojazd jest rozpędzany do wybranej ustabilizowanej prędkości V.

▼M12

5.2.1.2.2.

Zarejestrować moment obrotowy Ct) i prędkość w okresie co najmniej 20 s. Dokładność układu zapisu danych wynosi co najmniej ± 1 Nm dla momentu obrotowego i ± 0,2 km/h dla prędkości.

▼M9

5.2.1.2.3.

Zależne od czasu różnice w momencie obrotowym Ct oraz prędkości nie mogą przekraczać 5 % w odniesieniu do każdej sekundy okresu pomiarowego.

5.2.1.2.4.

Moment obrotowy C jest średnim momentem obrotowym uzyskanym za pomocą następującego wzoru:

image

▼M12

5.2.1.2.5.

Badanie zostaje przeprowadzone trzy razy w obu kierunkach. Określić średni moment obrotowy z wymienionych sześciu pomiarów dla prędkości odniesienia. Jeżeli prędkość średnia wykazuje odchylenie większe niż 1 km/h od prędkości odniesienia, do obliczeń średniego momentu obrotowego używa się metody regresji liniowej.

▼M9

5.2.1.2.6.

Ustala się średnią tych obu momentów obrotowych Ct1 oraz Ct2, tzn. Ct.

▼M12

5.2.1.2.7.

Średni moment obrotowy CT ustalony na torze skoryguje się do warunków odniesienia otoczenia jak następuje:

CTskoryg. = K · CTmierzone

gdzie K jest określone w ppkt 5.1.1.2.8 niniejszego dodatku.

▼M9

5.2.2.   Na dynamometrze

5.2.2.1.   Wyposażenie pomiarowe oraz błąd pomiaru

Wyposażenie musi być identyczne do wykorzystywanego na drodze.

5.2.2.2.   Procedura badania

5.2.2.2.1.

Wykonuje się działania określone w ppkt 5.1.2.2.1–5.1.2.2.4.

5.2.2.2.2.

Wykonuje się działania określone w ppkt 5.2.1.2.1–5.2.1.2.4.

▼M12

5.2.2.2.3.

Ustawić zespół pochłaniania mocy do odtwarzania skorygowanego całkowitego momentu obrotowego toru zgodnie z ppktl 5.2.1.2.7.

▼M12

5.2.2.2.4.

Wykonać takie same działania jak opisane w ppkt 5.1.2.2.7, w tym samym celu.

▼M12 —————

▼M9




DODATEK 4

Sprawdzenie bezwładności innych niż mechaniczne

1.   CEL

Metoda określona w niniejszym dodatku umożliwia sprawdzenie, że symulowana całkowita bezwładność dynamometru wykonywana jest w sposób zadowalający w fazach ruchu cyklu operacyjnego. ►M12  Producent dynamometru przedstawia metodę sprawdzania danych zgodnie z pkt 3. ◄

2.   ZASADA

2.1.   Wyprowadzenie równań roboczych

Ponieważ dynamometr podlega zmianom prędkości obrotowej rolki(-ek) dynamometru, moc na powierzchni rolki(-ek) może być wyrażona za pomocą wzoru:

F = I · γ = IM · γ + FI

gdzie:

F

=

moc na powierzchni rolki(-ek),

I

=

całkowita bezwładność dynamometru (bezwładność równoważna pojazdu: patrz tabela ppkt 5.1 załącznika III),

IM

=

bezwładność mas mechanicznych dynamometru,

γ

=

przyspieszenie styczne na powierzchni rolki,

F1

=

moc bezwładności.

Uwaga:

Wyjaśnienie tego wzoru w odniesieniu do dynamometrów z mechanicznie symulowaną bezwładnością jest załączone.

Całkowita bezwładność jest wyrażona w sposób następujący:

image

gdzie:

IM może być obliczone lub zmierzone z zastosowaniem tradycyjnych metod.

Fi może być zmierzone na dynamometrze, ale może także być obliczone z prędkości obwodowej rolek. γ może być obliczone z prędkości obwodowej rolek.

Całkowita bezwładność (I) jest ustalana podczas badania przyspieszenia lub spowolnienia z wartościami wyższymi niż lub równymi wartościom uzyskanym w cyklu operacyjnym.

2.2.   Opis obliczania całkowitej bezwładności

Metody badania i obliczania muszą umożliwiać ustalenie całkowitej bezwładności I w granicach błędu (ΔI/I) poniżej 2 %.

3.   SPECYFIKACJA

3.1.

Masa symulowanej całkowitej bezwładności I musi być taka sama jak wartość teoretyczna bezwładności równoważnej (patrz ppkt 5.1 załącznika III) w następujących zakresach:

3.1.1.

± 5 % wartości teoretycznej dla każdej wartości chwilowej;

3.1.2.

± 2 % wartości teoretycznej dla średniej wartości obliczonej dla każdej sekwencji cyklu.

3.2.

Zakres podany w ppkt 3.1.1 zmieniany jest o ± 50 % dla jednej sekundy w momencie rozruchu oraz, dla pojazdów z przekładnią ręczną, przez dwie sekundy podczas zmiany biegów.

4.   PROCEDURA SPRAWDZENIA

4.1.

Sprawdzenie wykonywane jest podczas każdego badania w cyklu określonym w ppkt 2.1 załącznika III.

4.2.

Jednakże jeżeli spełnione są wymogi pkt 3, przy przyspieszeniach chwilowych, które są co najmniej trzy razy większe lub mniejsze od wartości uzyskanych w sekwencjach cyklu teoretycznego, sprawdzenie określone powyżej nie jest konieczne.

▼M12 —————

▼M9




DODATEK 5

Opis układów pobierania próbek emisji z rury wydechowej

1.   WPROWADZENIE

1.1.

Istnieje kilka rodzajów urządzeń do pobierania próbek spełniających wymagania określone w ppkt 4.2 załącznika III.

Urządzenia opisane w ppkt 3.1, 3.2 oraz 3.3 zostaną uznane za zadowalające, jeżeli spełniają główne kryteria odnoszące się do zasady zmiennego rozrzedzania.

1.2.

W swoich komunikatach laboratorium musi wskazać układ pobierania próbek wykorzystany podczas badań.

2.   KRYTERIA ODNOSZĄCE SIĘ DO UKŁADU ZMIENNEGO ROZRZEDZANIA W ODNIESIENIU DO POMIARU EMISJI GAZÓW SPALINOWYCH

2.1.   Zakres

Niniejszy punkt określa charakterystyki działania układu pobierania próbek gazów spalinowych, przeznaczonego do pomiaru rzeczywistej emisji masy gazów spalinowych pojazdu zgodnie z przepisami niniejszej dyrektywy. Zasada pobierania próbek o zmiennym rozrzedzeniu dla pomiaru emisji masy wymaga spełnienia trzech warunków:

2.1.1.

Gazy spalinowe pojazdu należy rozrzedzać powietrzem w sposób ciągły w określonych warunkach;

2.1.2.

Całkowita objętość mieszaniny gazów spalinowych i powietrza do rozrzedzania podlega dokładnemu pomiarowi;

2.1.3.

Do analizy należy pobierać stale proporcjonalną próbkę rozrzedzonych gazów spalinowych oraz powietrza do rozrzedzania.

Ilość wyemitowanych zanieczyszczeń gazowych jest określana ze stężenia proporcjonalnej próbki oraz całkowitej objętości zmierzonej podczas badania. Stężenia próbki są korygowane w celu uwzględnienia zawartości zanieczyszczeń w powietrzu. Dodatkowo, jeżeli pojazdy wyposażone są w silniki wysokoprężne, wykreślane są ich emisje cząstek stałych.

2.2.   Podsumowanie techniczne

Rysunek III.5.2.2 przedstawia uproszczony schemat układu pobierania próbek.

2.2.1.

Gazy spalinowe pojazdu należy rozrzedzać ilością powietrza wystarczającą do zapobiegania skraplaniu wody w układzie pobierania próbek i układzie pomiarowym.

2.2.2.

Układ pobierania próbek gazów spalinowych musi być zaprojektowany w sposób umożliwiający pomiar średniego stężenia objętościowego CO2, CO, HC oraz NOX, oraz dodatkowo w odniesieniu do pojazdów wyposażonych w silniki wysokoprężne emisji cząstek stałych zawartych w gazach spalinowych emitowanych podczas cyklu badań pojazdu.

2.2.3.

Mieszanina powietrza i gazów spalinowych musi być jednorodna w punkcie umiejscowienia sondy do pobierania próbek (patrz ppkt 2.3.1.2).

2.2.4.

Sonda musi pobierać reprezentatywną próbkę rozrzedzonych gazów.

2.2.5.

Układ musi umożliwiać pomiar całkowitej objętości rozrzedzonych gazów spalinowych z badanego pojazdu.

image

Rysunek III.5.2.2

Schemat układu zmiennego rozrzedzania dla pomiaru emisji gazów spalinowych

2.2.6.

Układ pobierania próbek musi być szczelny na wycieki gazu. Projekt układu pobierania próbek o zmiennym rozrzedzaniu oraz materiały, z których jest on wykonany, muszą zapewniać, że nie wpłynie on na stężenie zanieczyszczeń w rozrzedzonych gazach spalinowych. Jeżeli jakikolwiek składnik układu (wymiennik ciepła, odpylacz cyklonowy, dmuchawa itp.) zmienia stężenie jakiegokolwiek zanieczyszczenia w rozrzedzonych gazach spalinowych, a błąd ten nie może zostać skorygowany, pobieranie próbek tego zanieczyszczenia musi być wykonywane przed tym składnikiem.

2.2.7.

Jeżeli badany pojazd wyposażony jest w układ wydechowy składający się z więcej niż jednej rury wydechowej, przewody łączące muszą być połączone za pomocą kolektora zainstalowanego możliwie najbliżej pojazdu.

2.2.8.

Próbki gazu muszą być zbierane do worka do pobierania próbek o odpowiedniej pojemności tak, aby nie utrudniać przepływu gazu w czasie pobierania próbek. Worki te muszą być wykonane z takich materiałów, które nie będą wpływać na stężenie zanieczyszczeń gazowych (patrz ppkt 2.3.4.4).

2.2.9.

Układ o zmiennym rozrzedzaniu musi być zaprojektowany w sposób umożliwiający pobieranie gazów spalinowych bez dostrzegalnej zmiany przeciwciśnienia w wylocie rury wydechowej (patrz ppkt 2.3.1.1).

2.3.   Szczególne wymagania

2.3.1.   Urządzenie do zbierania i rozrzedzania gazów spalinowych

2.3.1.1.

Przewód łączący pomiędzy rurą(-ami) wydechową(-ymi) pojazdu a komorą mieszania musi być możliwie krótki; w żadnym wypadku nie może:

 powodować zmiany ciśnienia statycznego w rurze(-ach) wydechowej(-ych) pojazdu badanego o więcej niż ± 0,75 kPa przy prędkości 50 km/h lub więcej niż ± 1,25 kPa dla czasu trwania całego badania w stosunku do ciśnienia statycznego zarejestrowanego, kiedy nic nie jest podłączone do rur wydechowych pojazdu. Ciśnienie podlega pomiarowi w rurze wydechowej lub przedłużeniu o tej samej średnicy, możliwie najbliżej końca rury,

 zmieniać natury gazu spalinowego.

2.3.1.2.

Musi istnieć komora mieszania, w której gazy spalinowe pojazdu i powietrze do rozrzedzania są mieszane w celu otrzymania jednorodnej mieszaniny w wylocie komory.

Jednorodność mieszaniny w każdym przekroju miejsca lokalizacji sondy do pobierania próbek nie może różnić się o więcej niż ± 2 % od średniej wartości uzyskanej co najmniej w pięciu punktach umiejscowionych w równych odstępach na średnicy strumienia gazu. W celu minimalizacji wpływu na warunki w rurze wydechowej oraz ograniczenie spadku ciśnienia wewnątrz urządzenia rozrzedzającego powietrze, o ile występuje, ciśnienie wewnątrz komory mieszania nie może różnić się o więcej niż 0,25 kPa od ciśnienia atmosferycznego.

2.3.2.   Urządzenie ssące/Objętościomierz

Urządzenie to może mieć zasięg ustalonych prędkości w celu zapewnienia odpowiedniego przepływu zapobiegającego skraplaniu wody. Wynik ten jest ogólnie uzyskiwany przez utrzymywanie stężenia CO2 w worku do pobierania próbek rozrzedzonych gazów spalinowych poniżej 3 % objętości.

2.3.3.   Pomiar objętości

2.3.3.1.

Objętościomierz musi utrzymać dokładność kalibracji w zakresie ± 2 % w każdych warunkach działalności. Jeżeli urządzenie nie może zrównoważyć zmian w temperaturze mieszaniny gazów spalinowych i rozrzedzonego powietrza w punkcie pomiarowym, należy wykorzystać wymiennik ciepła w celu utrzymania temperatury w zakresie ± 6 K określonej temperatury działania.

W razie konieczności do ochrony objętościomierza, może być wykorzystany odpylacz cyklonowy.

2.3.3.2.

Należy zainstalować czujnik temperatury bezpośrednio przed objętościomierzem. Czujnik temperatury musi charakteryzować się dokładnością i precyzją ± 1 K oraz czasem odpowiedzi 0,1 sekundy przy 62 % określonej zmienności temperatury (wartość mierzona w oleju krzemowym).

2.3.3.3.

Pomiar ciśnienia podczas badania musi być wykonywany z dokładnością i precyzją ± 0,4 kPa.

2.3.3.4.

Pomiar różnicy ciśnienia w porównaniu do ciśnienia atmosferycznego jest wykonywany przed oraz, gdzie stosowne, za objętościomierzem.

2.3.4.   Pobieranie próbek gazu

2.3.4.1.   Rozrzedzanie gazów spalinowych

2.3.4.1.1.

Próbka rozrzedzonych gazów spalinowych jest pobierana przed urządzeniem ssącym, ale po urządzeniach kondycjonujących (o ile występują).

2.3.4.1.2.

Wielkość przepływu nie może różnić się więcej niż ± 2 % od średniej.

2.3.4.1.3.

Wielkość pobierania próbek nie może spaść poniżej 5 litrów na minutę i nie może przekraczać 0,2 % wielkości przepływu rozrzedzonych gazów spalinowych.

2.3.4.1.4.

Równoważne ograniczenie ma zastosowanie do układów pobierania próbek o stałej masie.

2.3.4.2.   Powietrze do rozrzedzania

2.3.4.2.1.

Próbka powietrza do rozrzedzania pobierana jest przy stałej wielkości przepływu w pobliżu wlotu powietrza (za filtrem, o ile jest zainstalowany).

2.3.4.2.2.

Powietrze nie może być zanieczyszczone gazami spalinowymi z obszaru mieszania.

2.3.4.2.3.

Wielkość pobieranych próbek powietrza do rozrzedzania musi być porównywalna do używanej w przypadku rozrzedzonych gazów spalinowych.

2.3.4.3.   Operacje pobierania próbek

2.3.4.3.1.

Materiały używane podczas operacji pobierania próbek nie mogą zmieniać stężenia zanieczyszczeń.

2.3.4.3.2.

Mogą być wykorzystane filtry w celu wyodrębnienia z próbki cząstek stałych.

2.3.4.3.3.

Pompy są niezbędne do doprowadzenia próbki do worka(-ów) do pobierania próbek.

2.3.4.3.4.

Zawory regulacji przepływu oraz przepływomierze są konieczne w celu uzyskania wielkości przepływu wymaganej do pobierania próbek.

2.3.4.3.5.

Mogą być wykorzystane szybko zamykające się szczelne połączenia pomiędzy zaworami trójdrożnymi a workami do pobierania próbek; połączenia zamykają się automatycznie na boku worka. Mogą być wykorzystane inne układy doprowadzania próbek do analizatora (na przykład trójdrożne zawory odcinające).

2.3.4.3.6.

Rożne zawory wykorzystywane do kierowania próbek gazów muszą być rodzaju szybko dostosowujących się i szybko działających.

2.3.4.4.   Magazynowanie próbki

Próbki gazu są zbierane do worków do pobierania próbek o odpowiedniej pojemności tak, aby nie zmniejszać wielkości pobierania próbek. Worki muszą być wykonane z materiałów, które nie zmienią stężenia syntetycznych gazów zanieczyszczających o więcej niż ± 2 % po 20 minutach.

2.4.   Dodatkowa jednostka pobierania próbek do badania pojazdów wyposażonych w silnik wysokoprężny.

2.4.1.

Inaczej niż w przypadku pobierania próbek gazu z pojazdów wyposażonych w silnik o zapłonie iskrowym, punkty pobierania próbek węglowodorów i cząstek stałych umiejscowione są w tunelu rozrzedzania.

2.4.2.

W celu zmniejszenia strat ciepła w gazach spalinowych pomiędzy rurą wydechową a wlotem tunelu rozrzedzania, przewód nie może być dłuższy niż 3,6 m, lub dłuższy niż 6,1 m, jeżeli jest izolowany. Jego wewnętrzna średnica nie może przekraczać 105 mm.

image

Rysunek III.5.2.4.4.

Konfiguracja sondy do pobierania próbek cząstek stałych

2.4.3.

W tunelu rozrzedzania składającym się z prostego przewodu z materiału przewodzącego elektryczność, mają zastosowanie głównie warunki niespokojnego przepływu (liczba Reynoldsa ≥ 4 000), służące zapewnieniu, że rozrzedzone gazy spalinowe są jednorodne w punktach pobierania próbek oraz że próbki składają się z reprezentatywnych gazów i cząstek stałych. Tunel rozrzedzania musi mieć przynajmniej 200 mm średnicy, a układ musi być uziemiony.

2.4.4.

Układ pobierania próbek cząstek stałych składa się z sondy do pobierania próbek w tunelu rozrzedzania oraz dwóch seryjnie montowanych filtrów. Szybko działające zawory są umiejscowione powyżej i poniżej dwóch filtrów w kierunku przepływu.

Konfigurację sondy do pobierania próbek pokazuje rysunek III.5.2.4.4.

2.4.5.

Sonda do pobierania próbek cząstek stałych musi być rozmieszczona w następujący sposób:

Musi być zainstalowana w pobliżu linii centralnej tunelu, w przybliżeniu w odległości 10 średnic tunelu poniżej wlotu gazu, oraz mieć średnicę wewnętrzną wynoszącą co najmniej 12 mm.

Odległość od końcówki pobierania próbek do zamocowania filtra musi wynosić co najmniej pięć średnic sondy, ale nie może przekraczać 1 020 mm.

2.4.6.

Jednostka pomiarowa przepływu próbki gazu składa się z pomp, regulatorów przepływu gazu oraz jednostek pomiaru przepływu.

2.4.7.

Układ pobierania próbek węglowodorów składa się z podgrzewanej sondy do pobierania próbek, ciągu, filtra oraz pompy. Sonda do pobierania próbek musi być zainstalowana w identycznej odległości od wlotu gazów spalinowych co sonda do pobierania próbek cząstek stałych, w taki sposób aby żadna z nich nie kolidowała z próbkami innej. Musi mieć minimalną średnicę wewnętrzną wynoszącą 4 mm.

2.4.8.

Wszystkie podgrzewane części muszą być utrzymywane przez układ grzewczy w temperaturze 463 K (190 °C) ± 10 K.

2.4.9.

Jeżeli nie jest możliwe zrównoważenie zmian wielkości przepływu, należy zainstalować wymiennik ciepła oraz urządzenie kontrolujące temperaturę jak określono w ppkt 2.3.3.1, w celu zapewnienia, że wielkość przepływu w układzie jest stała oraz wielkość pobierania próbek jest odpowiednio proporcjonalna.

3.   OPIS URZĄDZEŃ

3.1.   Urządzenie zmiennego rozrzedzania z pompą wyporową (PDP - CVS) (rysunek III.5.3.1.)

3.1.1.

Pompa wyporowa - próbnik o stałej objętości (PDP - CVS) spełnia wymagania niniejszego Załącznika w odniesieniu do pomiaru przez pompę przy stałej temperaturze i ciśnieniu. Całkowita objętość podlega pomiarowi przez obliczenie obrotów skalibrowanej pompy wyporowej. Proporcjonalna próbka jest uzyskiwana przez pobieranie próbek za pomocą pompy, przepływomierza oraz zaworu regulacji przepływu przy stałej wielkości przepływu.

3.1.2.

Rysunek III.5.3.1 jest uproszczonym schematem takiego układu pobierania próbek. Ponieważ dokładne wyniki mogą być uzyskane przez różne konfiguracje, dokładna zgodność z rysunkiem nie jest konieczna. Dodatkowe części składowe, takie jak instrumenty, zawory, solenoidy oraz przełączniki mogą być wykorzystane w celu dostarczenia dodatkowej informacji oraz koordynacji funkcji systemu składników.

3.1.3.

Wyposażenie zbierające składa się z:

3.1.3.1.

filtra (D) na powietrze do rozrzedzania, który w razie potrzeby może być podgrzany. Filtr składa się z aktywnego węgla drzewnego włożonego pomiędzy dwie warstwy papieru i jest wykorzystany do obniżenia i stabilizacji stężenia węglowodorów otaczających emisji w powietrzu do rozrzedzania;

3.1.3.2.

komory mieszania (M), w której gazy spalinowe i powietrze są mieszane jednorodnie;

image

Rysunek III.5.3.1

Układ ciągłego pobierania próbek objętościowych z pompą wyporową (PDP - CVS)

3.1.3.3.

wymiennika ciepła (H) o objętości wystarczającej do zapewnienia, że podczas badania temperatura mieszanki gaz spalinowy/powietrze mierzonej w punkcie bezpośrednio powyżej pompy wyporowej znajduje się w zakresie ± 6 K od zaprojektowanej temperatury operacyjnej. Urządzenie to nie może wpływać na stężenia zanieczyszczeń rozrzedzonych gazów pobranych do analizy;

3.1.3.4.

układu kontroli temperatury (TC), wykorzystywanego do wstępnego podgrzania wymiennika ciepła przed badaniem oraz kontrolowania jego temperatury podczas badania, tak aby odchylenia od zaprojektowanej temperatury operacyjnej nie przekraczały zakresu ± 6 K;

3.1.3.5.

pompy wyporowej (PDP), wykorzystywanej do przesyłu mieszanki powietrze/gaz spalinowy o stałej objętości; przepustowość pompy musi być wystarczająco duża do wyeliminowania skraplania wody w układzie we wszystkich warunkach działalności, które mogą wystąpić podczas badania; może to być ogólnie zapewnione przez wykorzystanie pompy wyporowej o przepustowości:

3.1.3.5.1.

- dwukrotnie większej od maksymalnego przepływu gazów spalinowych wytwarzanych przez przyspieszanie w cyklu jazdy, lub

3.1.3.5.2.

- wystarczającej do zapewnienia, że stężenie CO2 w worku na próbki z rozrzedzonym gazem spalinowym ►M14  mniej niż 3 % objętościowo w przypadku benzyny i oleju napędowego, mniej niż 2,2 % objętościowo w przypadku gazu płynnego i mniej niż 1,5 % objętościowo w przypadku gazu ziemnego; ◄

3.1.3.6.

czujnika temperatury (T1) (dokładność i precyzja ± 1 K), umocowanego w punkcie bezpośrednio powyżej pompy wyporowej; musi być on zaprojektowany do kontrolowania w sposób ciągły temperatury rozrzedzonej mieszanki gazu spalinowego podczas badania;

3.1.3.7.

ciśnieniomierza (G1) (dokładność i precyzja ± 0,4 kPa), umocowanego bezpośrednio powyżej objętościomierza i wykorzystywanego do rejestrowania gradientu ciśnienia pomiędzy mieszaniną gazu a powietrzem;

3.1.3.8.

innego ciśnieniomierza (G2) (dokładność i precyzja ± 0,4 kPa), umocowanego w sposób umożliwiający rejestrowanie różnicy ciśnień pomiędzy wlotem a wylotem pompy;

3.1.3.9.

dwóch wylotów do pobierania próbek (S1 oraz S2) dla pobierania w sposób ciągły próbek powietrza do rozrzedzania oraz rozrzedzonej mieszanki gaz spalinowy/powietrze;

3.1.3.10.

filtra (F) do zebrania cząstek stałych z przepływu gazów zbieranych do analizy;

3.1.3.11.

pomp (P) do zbierania podczas badania stałego przepływu powietrza do rozrzedzania oraz rozrzedzonej mieszanki spaliny/powietrze;

3.1.3.12.

kontrolerów przepływu (N) celem zapewnienia stałego unormowanego przepływu próbek gazu pobranych podczas badania z sond do pobierania próbek S1 oraz S2; przepływ próbek gazu powinien zapewniać, na końcu każdego badania, odpowiednią ilość próbek do analiz ( 10 litrów na minutę);

3.1.3.13.

przepływomierzy (FL), dla dostosowania i kontrolowania stałego przepływu próbek gazu podczas badania;

3.1.3.14.

szybko działających zaworów (V), do rozdzielenia stałego przepływu próbek gazu do worków do pobierania próbek lub do zewnętrznego odpowietrznika;

3.1.3.15.

szczelnych na wycieki gazu, szybko zamykających się elementów łączących (Q) między szybko działającymi zaworami a workami do pobierania próbek; łączenie musi zamykać się automatycznie na boku worka do pobierania próbek; mogą być wykorzystane, jako alternatywa, inne drogi przemieszczania próbek do analizatorów (na przykład trójdrożne zawory odcinające);

3.1.3.16.

worków (B) do zbierania podczas badania próbek rozrzedzonego gazu spalinowego oraz powietrza do rozrzedzania; muszą one mieć wystarczającą pojemność, aby nie utrudniać przepływu próbek; materiał, z którego wykonany jest worek, nie może wpływać zarówno na same pomiary, jak i na skład chemiczny próbek gazu (na przykład: laminowane błony polietanowe/poliamidowe lub fluorowane poliwęglowodory);

3.1.3.17.

licznika cyfrowego (C) do rejestrowania ilości obrotów wykonanych podczas badania przez pompę wyporową.

3.1.4.

Wyposażenie dodatkowe wymagane do badania pojazdów z silnikami Diesla

Dla zgodności z wymaganiami ppkt 4.3.1.1 oraz ppkt 4.3.2 załącznika III podczas badania pojazdów wyposażonych w silniki wysokoprężne należy wykorzystać dodatkowe części składowe w obszarze zaznaczonym linią przerywaną na rysunku III.5.3.1:

Fh

oznacza podgrzewany filtr,

S3

oznacza punkt pobierania próbek w pobliżu komory mieszania,

Vh

oznacza podgrzewaną wielodrożną zasuwę odcinającą,

Q

oznacza szybki łącznik umożliwiający analizowanie próbki BA otaczającego powietrza na HFID,

HFID

oznacza płomieniowy analizator jonizacji,

R oraz I

oznaczają sposoby scalania i zapisu chwilowych stężeń węglowodorów,

Lh

oznacza podgrzewany ciąg pobierania próbek.

Wszystkie podgrzewane części składowe muszą być utrzymywane w temperaturze 463 K (190 °C) ± 10 K.

Układ pobierania próbek cząstek stałych:

S4

oznacza sondę do pobierania próbek w tunelu rozrzedzania,

Fp

oznaczają jednostkę filtrującą składającą się z dwóch seryjnie montowanych filtrów; układ przełącznikowy do dalszych równolegle montowanych par filtrów,

ciąg pobierania próbek,

pompy, regulatory przepływu, jednostki pomiaru przepływu.

3.2.   Urządzenie do rozrzedzania zwężki przepływu krytycznego (CFV–CVS) (rysunek III.5.3.2.)

3.2.1.

Poprzez zwężkę przepływu krytycznego w połączeniu z CVS procedura pobierania próbek oparta jest na zasadach mechaniki przepływu dla przepływów krytycznych. Zmienna wielkość przepływu mieszanki gazu do rozrzedzania i spalinowego utrzymywana jest jako prędkość dźwięku, bezpośrednio proporcjonalna do pierwiastka kwadratowego temperatury gazu. Przepływ jest kontrolowany w sposób ciągły, obliczany oraz całkowany podczas badania.

W przypadku wykorzystania dodatkowej zwężki do pobierania próbek przepływu krytycznego zapewniana jest proporcjonalność zebranych próbek gazu. Ponieważ ciśnienie i temperatura w dwóch zwężkowych wlotach są równe, objętość przepływu gazu rozdzielonego do pobierania próbek jest proporcjonalna do całkowitej wytworzonej objętości rozrzedzonej mieszaniny gazu spalinowego, a zatem spełnione są wymagania niniejszego Załącznika.

3.2.2.

Rysunek III.5.3.2 jest uproszczonym rysunkiem takiego układu pobierania próbek. Ponieważ dokładne wyniki mogą być uzyskane przez różne konfiguracje, nie jest konieczna dokładna zgodność z rysunkiem. Dodatkowe części składowe, takie jak instrumenty, zawory, solenoidy oraz przełączniki, mogą być wykorzystane w celu dostarczenia dodatkowej informacji oraz koordynacji funkcji systemu składników.

3.2.3.

Wyposażenie zbierające składa się z:

3.2.3.1.

filtra (D) na powietrze do rozrzedzania, który może w razie potrzeby być podgrzany. Filtr musi składać się z aktywnego węgla drzewnego włożonego pomiędzy dwie warstwy papieru i jest wykorzystywany do obniżenia i stabilizacji stężenia emisji tła węglowodorów w powietrzu do rozrzedzania;

3.2.3.2.

komory mieszania (M), w której gaz spalinowy i powietrze są mieszane jednorodnie;

3.2.3.3.

odpylacza cyklonowego (CS) do wyodrębniania cząstek stałych;

3.2.3.4.

dwóch sond do pobierania próbek (S1 oraz S2) w celu pobierania próbek powietrza do rozrzedzania oraz rozrzedzonej mieszaniny gazu/powietrza;

3.2.3.5.

zwężki przepływu krytycznego do pobierania próbek (SV) w celu pobierania proporcjonalnych próbek rozrzedzonego gazu spalinowego w sondzie do pobierania próbek S2;

3.2.3.6.

filtra (F) w celu wyodrębniania cząstek stałych z przepływów gazów rozdzielanych do analizy;

3.2.3.7.

pomp (P) w celu zbierania podczas badania części przepływu powietrza oraz rozrzedzonego gazu spalinowego w workach;

3.2.3.8.

kontrolera przepływu (N) w celu zapewnienia stałego przepływu próbek gazu pobranych podczas badania z sondy do pobierania próbek S1; przepływ próbek gazu powinien zapewniać, pod koniec badania, wystarczającą ilość próbek do analizy (10 litrów na minutę);

3.2.3.9.

otworu wyłomowego (PS) w ciągu do pobierania próbek;

image

Rysunek III.5.3.2

Układ ciągłego pobierania próbek objętościowych ze zwężką przepływu krytycznego (Układ CFV–CVS)

3.2.3.10.

przepływomierzy (FL) w celu dostosowania i kontrolowania przepływu próbek gazu podczas badań;

3.2.3.11.

szybko działających zaworów solenoidowych (V) do rozdzielania stałego przepływu próbek gazu do worków do pobierania próbek lub odpowietrznika;

3.2.3.12.

szczelnych na wycieki gazu, szybko zamykających się elementów łączących (Q) między szybko działającymi zaworami a workami do pobierania próbek; łączenie musi zamykać się automatycznie na boku worka do pobierania próbek; mogą być wykorzystane, jako alternatywa, inne drogi przesyłu próbek do analizatorów (na przykład trójdrożne zawory odcinające);

3.2.3.13.

worków (B) do zbierania podczas badania próbek rozrzedzonego gazu spalinowego oraz powietrza do rozrzedzania; muszą mieć one wystarczającą pojemność, aby nie utrudniać przepływu próbek; materiał, z którego wykonany jest worek, nie może wpływać zarówno na same pomiary, jak i na skład chemiczny próbek gazu (na przykład: laminowane błony polietanowe/poliamidowe lub fluorowane poliwęglowodory);

3.2.3.14.

ciśnieniomierza (G), precyzyjnego i dokładnego do zakresu ± 0,4 kPa;

3.2.3.15.

czujnika temperatury (T), precyzyjnego i dokładnego do ± 1 K, o czasie odpowiedzi 0,1 sekundy w odniesieniu do 62 % zmiany temperatury (zgodnie z pomiarem w oleju silnikowym);

3.2.3.16.

przewodu pomiaru zwężki przepływu krytycznego (MV) do pomiaru objętościowego natężenia przepływu rozrzedzonego gazu spalinowego;

3.2.3.17.

dmuchawy (BL) o wydajności wystarczającej do podtrzymania całkowitej objętości rozrzedzonego gazu spalinowego;

3.2.3.18.

układu CFS–CVS, którego wydajność musi uniemożliwiać skraplanie wody w każdych warunkach działalności, które mogą wystąpić podczas badania. Jest to ogólnie zapewniane przez użycie dmuchawy, której wydajność jest:

3.2.3.18.1.

dwukrotnie wyższa od maksymalnego przepływu gazu spalinowego wytworzonego podczas przyspieszania w cyklu jazdy, lub

3.2.3.18.2.

wystarczająca do zapewnienia, że stężenie CO2 w worku na rozrzedzony gaz spalinowy jest mniejsze objętościowo niż 3 %.

3.2.4.

Wyposażenie dodatkowe wymagane do badania pojazdów z silnikami Diesla

Zgodnie z wymaganiami ppkt 4.3.1.1 oraz ppkt 4.3.2 załącznika III podczas badania pojazdów wyposażonych w silniki Diesla muszą być wykorzystane dodatkowe części składowe w obszarze zaznaczonym linią przerywaną na rysunku III.5.3.2:

Fh

oznacza podgrzewany filtr,

S3

oznacza punkt pobierania próbek w pobliżu komory mieszania,

Vh

oznacza podgrzewaną wielodrożną zasuwę odcinającą,

Q

oznacza szybki łącznik umożliwiający analizowanie próbki BA otaczającego powietrza na HFID,

HFID

oznacza płomieniowy analizator jonizacji,

R oraz I

oznaczają sposoby scalania i zapisu chwilowego stężenia węglowodorów,

Lh

oznacza podgrzewany ciąg do pobierania próbek.

Wszystkie podgrzewane części składowe muszą być utrzymywane w temperaturze 463 K (190 °C) ± 10 K.

Jeżeli zrównoważenie zmieniających się przepływów nie jest możliwe, należy wykorzystać wymiennik ciepła (H) oraz układ kontroli temperatury (TC) określone w ppkt 2.2.3 celem zapewnienia stałego przepływu przez zwężkę (MV), a zatem proporcjonalnego przepływu przez S3.

Układ pobierania próbek cząstek stałych:

S4

oznacza sondę do pobierania próbek w tunelu rozrzedzania,

Fp

oznaczają jednostkę filtrującą składającą się z dwóch seryjnie montowanych filtrów; układ przełącznikowy do dalszych równolegle montowanych par filtrów,

ciąg pobierania próbek,

pompy, regulatory przepływu, jednostki pomiaru przepływu.

▼M12 —————

▼M9




DODATEK 6

Metoda kalibrowania wyposażenia

1.   WYZNACZANIE KRZYWEJ KALIBRACJI

1.1.

Każdy normalnie wykorzystywany zakres czynności jest kalibrowany zgodnie z wymaganiami ppkt 4.3.3 załącznika III z zastosowaniem następującej procedury:

1.2.

Krzywa kalibracji analizatora jest wyznaczana z zastosowaniem przynajmniej pięciu punktów kalibracji rozmieszczonych możliwie równomiernie. Nominalne stężenie gazu kalibracyjnego o najwyższym stężeniu nie może być niższe od 80 % pełnej skali.

1.3.

Krzywa kalibracji obliczana jest za pomocą metody najmniejszych kwadratów. Jeżeli stopień wielomianu będącego wynikiem jest większy niż trzy, ilość punktów kalibracyjnych musi być przynajmniej równa temu stopniowi wielomianu plus dwa.

1.4.

Krzywa kalibracji nie może różnić się o więcej niż 2 % od wartości nominalnej każdego gazu kalibracyjnego.

1.5.

Przebieg krzywej kalibracji

Możliwe jest sprawdzenie na podstawie przebiegu krzywej kalibracji oraz punktów kalibracyjnych, czy kalibracja wykonana została prawidłowo. Muszą być wskazane różne parametry charakterystyczne analizatora, w szczególności:

 skala,

 czułość,

 punkt zerowy,

 data przeprowadzenia kalibracji.

1.6.

Jeżeli można udowodnić w sposób zadowalający dla służb technicznych, iż przy pomocy technologii alternatywnej (np. komputer, kontrolowany elektronicznie przełącznik zasięgu) możliwe jest oznaczenie równoważnej dokładności, alternatywa ta może zostać wykorzystana.

1.7.

Sprawdzenie kalibracji

1.7.1.

Każdy wykorzystywany normalnie zakres działania musi być sprawdzony przed każdą analizą zgodnie z poniższymi wymaganiami:

1.7.2.

Kalibracja jest sprawdzana z zastosowaniem gazu zerowego oraz gazu zakresowego, którego wartość nominalna wynosi 80–95 % wartości podlegającej sprawdzeniu.

1.7.3.

Jeżeli w odniesieniu do dwóch rozważanych punktów wartość stwierdzona nie różni się o więcej niż ± 5 % pełnej skali od wartości teoretycznej, mogą być zmienione parametry nastawów. Jeżeli tak nie jest, należy wyznaczyć nową krzywą kalibracji zgodnie z pkt 1.

1.7.4.

Po przeprowadzeniu badania te same gazy zerowe oraz zakresowe są wykorzystywane do ponownego sprawdzenia. Analiza jest uznana za zadowalającą, jeżeli różnica pomiędzy dwoma pomiarami wynosi nie więcej niż 2 %.

2.   SPRAWDZENIE FID, REAKCJA WĘGLOWODORÓW

2.1.   Optymalizacja reakcji detektora

FID musi być dostosowany zgodnie z instrukcjami producenta instrumentu. Do optymalizacji reakcji należy wykorzystać propan w powietrzu, w najczęściej wykorzystywanym zakresie działania.

2.2.   Kalibracja analizatora HC

Analizator powinien być kalibrowany za pomocą propanu w powietrzu oraz oczyszczonego powietrza syntetycznego. Patrz ppkt 4.5.2 załącznika III (gazy kalibracyjne i zakresowe)

Wyznaczyć krzywą wzorcową, jak określono w ppkt 1.1–1.5 niniejszego dodatku.

2.3.   Współczynniki reakcji dla niektórych odmian węglowodorów oraz zalecane ograniczenia

Współczynnik reakcji (Rf) dla niektórych odmian węglowodorów jest stosunkiem odczytu C1 FID do stężenia gazu w cylindrze, wyrażonym w częściach na milion C1.

Stężenie gazu wykorzystywanego podczas badania musi znajdować się na poziomie dającym odpowiedź około 80 % pełnej skali dla zakresu działań. Stężenie musi być znane z dokładnością do ± 2 % w odniesieniu do normy grawimetrycznej wyrażonej objętościowo. Ponadto cylinder gazu musi być wstępnie kondycjonowany przez 24 g w temperaturze pomiędzy 293 K i 303 K (20 i 30 °C).

Współczynniki reakcji są wyznaczane podczas wprowadzania analizatora do użytku oraz później w głównych przedziałach roboczych. Wykorzystywane do badania gazy oraz zalecane współczynniki reakcji są następujące:



▼M14

—  metan i oczyszczone powietrze

1,00< Rf < 1,15

lub

1,00< Rf < 1,05 w przypadku pojazdów zasilanych gazem ziemnym

▼M9

—  propylen oraz oczyszczone powietrze

0,90< Rf <1,00,

—  toluen oraz oczyszczone powietrzem

0,90< Rf <1,00.

Odnoszą się do współczynnika reakcji (Rf) 1,00 dla propanu oraz oczyszczonego powietrza.

2.4.   Sprawdzenie interakcji tlenu oraz zalecane ograniczenia

Współczynnik reakcji powinien być ustalony, jak określono w ppkt 2.3. Wykorzystywanym do badania gazem oraz zalecanym zakresem współczynnika reakcji są:



—  Propan i azot

0,95 ≤ Rf ≤ 1,05

3.   BADANIE EFEKTYWNOŚCI KONWERTERA NOX

Efektywność konwertera wykorzystanego do konwersji NO2 w NO jest badana w następujący sposób:

Wykorzystując ustawienia badawcze, jak pokazano na rysunku III.6.3, oraz opisaną poniżej procedurę, bada się efektywność konwerterów za pomocą ozonatora.

3.1.

CLA podlega kalibracji w najczęściej stosowanym zakresie działania zgodnie ze specyfikacjami producenta z zastosowaniem gazu zerowego i zakresowego (w którym zawartość NO musi wynosić około 80 % zakresu działania, a stężenie NO2 w mieszaninie gazów mniej niż 5 % stężenia NO). Analizator NOX musi być w trybie NO, tak aby gaz zakresowy nie przechodził przez konwerter. Zapisuje się wskazane stężenie.

3.2.

Za pomocą rozgałęźnika T do przepływu gazu w sposób ciągły dodawany jest tlen lub powietrze syntetyczne do momentu, gdy oznaczone stężenie osiągnie wartość o 10 % niższą niż oznaczone stężenie kalibracji przedstawione w ppkt 3.1. Zapisuje się wskazane stężenie (C). W czasie trwania całego procesu ozonator jest wyłączony.

3.3.

Następnie włącza się ozonator celem wytworzenia odpowiedniej ilości ozonu, by obniżyć stężenie NO do 20 % (minimum 10 %) stężenia kalibracyjnego określonego w ppkt 3.1. Zapisuje się wskazane stężenie d).

3.4.

Analizator NOx jest następnie przełączany w tryb NOX, co oznacza, że mieszanina gazów (składająca się z NO, NO2, O2 oraz N2) przepływa przez konwerter. Zapisuje się wskazane stężenie a).

3.5.

Następnie wyłącza się ozonator. Mieszanina gazów określona w ppkt 3.2 przepływa przez konwerter do czujnika. Rejestruje się wskazane stężenie b).

3.6.

Przy wyłączonym ozonatorze wyłącza się dopływ tlenu lub powietrza syntetycznego. Odczyt NOX analizatora nie może być większy niż 5 % powyżej liczby określonej w ppkt 3.1.

3.7.

Efektywność konwertera NOX obliczana jest w następujący sposób:

image

image

Rysunek III.6.3

Schemat urządzenia badającego efektywność konwertera NOX

3.8.

Efektywność konwertera nie może być mniejsza niż 95 %.

3.9.

Efektywność konwertera musi być badana przynajmniej raz w tygodniu.

4.   KALIBRACJA UKŁADU CVS

4.1.

Układ CVS musi być skalibrowany za pomocą dokładnego przepływomierza oraz urządzenia ograniczającego. Przepływ przez układ podlega pomiarowi przy różnych odczytach ciśnienia, a parametry kontrolne układu są mierzone i odnoszone do przepływów.

4.1.1.

Mogą być wykorzystane różne rodzaje przepływomierzy, np. zwężka skalibrowana, przepływomierz laminarny, skalibrowany miernik turbinowy, pod warunkiem że są to układy pomiaru dynamicznego spełniające wymagania ppkt 4.2.2 oraz ppkt 4.2.3 załącznika III.

4.1.2.

Poniższe podpunkty określają szczegóły dotyczące metod kalibracji jednostek PDP oraz CVS za pomocą przepływomierza laminarnego, który daje wymaganą dokładność, wraz ze sprawdzeniem statystycznym dotyczącym ważności kalibracji.

4.2.

Kalibracja pompy wyporowej (PDP)

4.2.1.

Poniższa procedura kalibracji określa wyposażenie, ustawienie badania oraz różne parametry podlegające pomiarowi, które są mierzone celem ustalenia przepływu pompy CVS. Wszystkie parametry odnoszące się do pompy są mierzone jednocześnie w parametrami odnoszącymi się do przepływomierza, który jest szeregowo podłączony do pompy. Obliczona wielkość przepływu (podana w m3/min. przy wlocie do pompy, ciśnieniu bezwzględnym oraz temperaturze) może być następnie wykreślona w odniesieniu do funkcji korelacji będącej wartością szczególnego połączenia parametrów pompy. Następnie jest określane równanie liniowe odnoszące się do przepływu pompy i funkcji korelacji. W przypadku gdy CVS posiada napęd o wielu prędkościach, należy przeprowadzić kalibrację w odniesieniu do każdego wykorzystywanego zakresu.

4.2.2.

Niniejsza procedura kalibracji opiera się na pomiarze wartości bezwzględnych parametrów pompy i przepływomierza odniesionych do wielkości przepływu w każdym punkcie. Dla zapewnienia dokładności i ciągłości krzywej kalibracyjnej muszą być spełnione trzy warunki:

4.2.2.1.

Ciśnienia pompy podlegają pomiarowi raczej przy upustach pompy niż przy zewnętrznej instalacji rurowej wlotu i wylotu pompy. Ciśnieniomierze zamontowane na środku na górze lub na dole pokrywy przedniej pompy są wystawione na rzeczywiste ciśnienia wnękowe pompy, więc przedstawiają zróżnicowanie ciśnienia bezwzględnego.

4.2.2.2.

Należy zachować stabilność temperatury podczas kalibracji. Przepływomierz laminarny jest czuły na wahania temperatury wlotu, które powodują rozproszenie punktów danych. Stopniowe zmiany temperatury w wysokości ± 1 K są dopuszczalne, o ile występują w czasie kilku minut.

4.2.2.3.

Wszystkie połączenia pomiędzy przepływomierzem a pompą CVS muszą być wolne od wycieków.

4.2.3.

Podczas badania emisji gazów spalinowych pomiar identycznych parametrów pompy umożliwia użytkownikowi przeliczenie wielkości przepływu na podstawie równania kalibracyjnego.

4.2.3.1.

Rysunek III.6.4.2.3.1 niniejszego dodatku przedstawia jedno z możliwych ustawień badania. Dopuszczalne są odstępstwa pod warunkiem zatwierdzenia ich przez organ udzielający homologacji jako mających porównywalną dokładność. Jeżeli wykorzystywane jest ustawienie pokazane na rysunku III.5.3.2 w dodatku 5, należy uzyskać następujące dane w podanym zakresie precyzji:



Ciśnienie atmosferyczne (skorygowane) (PB)

± 0,03 kPa

Temperatura otoczenia (T)

± 0,2 K

Temperatura powietrza w LFE (ETI)

± 0,15 K

Obniżenie ciśnienia powyżej LFE (EPI)

± 0,01 kPa

Spadek ciśnienia w matrycy LFE (EDP)

± 0,0015 kPa

Temperatura powietrza przy wlocie pompy CVS (PTI)

± 0,2 K

Temperatura powietrza przy wylocie CVS (PTO)

± 0,2 K

Obniżenie ciśnienia na wlocie pompy CVS (PPI)

± 0,22 kPa

Wysokość ciśnienia na wylocie pompy CVS (PPO)

± 0,22 kPa

Obroty pompy podczas okresu badania n)

± 1 obrót

Czas trwania okresu (minimum 250 s) t)

± 0,1 s.

4.2.3.2.

Po podłączeniu układu, jak przedstawiono na rysunku III.6.4.2.3.1, ustawia się przepustnicę zmienną w pozycji szeroko otwartej i włącza pompę CVS na 20 minut przed rozpoczęciem kalibracji.

4.2.3.3.

Przestawia się zawór przepustnicy na bardziej ograniczone warunki w przyroście podciśnienia wlotowego pompy (około 1 kPa), które zapewni minimum sześć punktów danych dla całkowitej kalibracji. Pozostawia się układ do stabilizacji przez trzy minuty i powtarza pobieranie danych.

image

Rysunek III.6.4.2.3.1

Konfiguracja kalibracji PDP - CVS

4.2.4.

Analiza danych

4.2.4.1.

Wielkość przepływu powietrza (Qs) w każdym punkcie jest obliczana z przepływomierza w unormowanych m3/min z zastosowaniem metody zalecanej przez producenta.

4.2.4.2.

Wielkość przepływu powietrza jest następnie przekształcana w przepływ pompy (V0) w m3/obrót w temperaturze i ciśnieniu bezwzględnym we wlocie pompy.

image

gdzie:

V0

=

wielkość przepływu pompy w m3/obrót, przy Tp i Pp

Qs

=

przepływ powietrza przy 101,33 kPa i 273,2 K w m3/min,

Tp

=

temperatura wlotu pompy (K),

Pp

=

ciśnienie bezwzględne wlotu pompy,

n

=

prędkość pompy w obrotach na minutę.

Celem wyrównania powiązań pomiędzy zmianami ciśnienia prędkości pompy na pompie oraz współczynnikiem poślizgu pompy, wyliczana jest w następujący sposób funkcja korelacji (X0) między prędkością pompy n), różnicą ciśnień między wlotem a wylotem z pompy oraz bezwzględnym ciśnieniem u wylotu pompy:

image

gdzie:

Xo

=

funkcja korelacji,

ΔPp

=

Różnica ciśnień od wlotu do wylotu pompy (kPa),

Pe

=

ciśnienie bezwzględne na wylocie (PPO + PB (kPa).

Wykonywane jest dopasowanie liniowe metodą najmniejszych kwadratów celem otrzymania równań kalibracji o wzorach:

image

image

Do, M, A oraz B są stałymi punktami przecięcia nachylenia opisującymi linie.

4.2.4.3.

Układ CVS, który posiada kilka prędkości, musi być skalibrowany dla każdej wykorzystywanej prędkości. Krzywe kalibracji stworzone dla zakresów muszą w przybliżeniu być równoległe, a wartości przecięcia (Do) muszą zwiększać się wraz ze spadkiem zakresu przepływów pompy.

Jeżeli kalibracja została przeprowadzona uważnie, obliczone wartości równania mieszczą się w zakresie ± 0,5 % od zmierzonej wartości Vo. Wartości M będą się różnić w zależności od pompy. Kalibracja jest wykonywana podczas rozruchu pompy oraz po przeglądzie głównym.

4.3.

Kalibracja zwężki przepływu krytycznego (CFV)

4.3.1.

Kalibracja CFV oparta jest na równaniu przepływu dla zwężki krytycznej.

image

gdzie:

Qs

=

przepływ,

Kv

=

współczynnik kalibracji,

P

=

ciśnienie bezwzględne (kPa),

T

=

Temperatura bezwzględna (K).

Przepływ gazu jest funkcją ciśnienia wlotowego i temperatury.

Niżej opisana procedura kalibracji ustanawia wartości współczynnika kalibracji przy zmierzonych wartościach ciśnienia, temperatury oraz przepływu powietrza.

4.3.2.

Należy stosować się do procedury zalecanej przez producenta do kalibracji części elektronicznych CFV.

4.3.3.

Wymagane pomiary kalibracji zwężki przepływu krytycznego oraz następujące dane muszą być uzyskane w podanym zakresie precyzji:



ciśnienie atmosferyczne (skorygowane) (PB)

± 0,03 kPa,

temperatura powietrza LFE, przepływomierz (ETI)

± 0,15 K,

obniżenie ciśnienia powyżej LFE (EPI)

± 0,01 kPa,

spadek ciśnienia w matrycy (EDP) LFE

± 0,0015 kPa,

przepływ powietrza (Qs)

± 0,5 %,

podciśnienie wlotowe CFV (PPI)

± 0,02 kPa,

temperatura przy wlocie zwężki (Tv)

± 0,2 K.

4.3.4.

Wyposażenie podlega ustawieniu jak przedstawiono na rysunku III.6.4.3.4 oraz sprawdzeniu na obecność wycieków. Wszystkie wycieki pomiędzy urządzeniem pomiaru przepływu a zwężką przepływu krytycznego poważnie wpływają na dokładność kalibracji.

image

Rysunek III.6.4.3.4

Konfiguracja kalibracji CFV –CVS

4.3.5.

Przepustnica zmiennego przepływu musi być ustawiona w pozycji otwartej, dmuchawa włączona, a układ ustabilizowany. Muszą być rejestrowane dane ze wszystkich instrumentów.

4.3.6.

Przepustnica przepływu musi być zmieniona i musi zostać wykonane co najmniej osiem odczytów w całym zakresie przepływu krytycznego zwężki.

4.3.7.

Dane zarejestrowane podczas kalibracji muszą być wykorzystane w poniższych obliczeniach. Wielkość przepływu powietrza (Qs) w każdym punkcie obliczana jest z danych przepływomierza przy wykorzystaniu metod zalecanych przez producenta.

Oblicza się wartości współczynnika kalibracji dla każdego badanego punktu:

image

gdzie:

Qs

=

przepływ w m/min przy 273,2 K i 101,33 kPa,

Tv

=

temperatura na wlocie zwężki (K),

Pv

=

ciśnienie bezwzględne na wlocie zwężki (kPa).

Wykreśla się Kv jako funkcję ciśnienia przy wlocie zwężki. Dla niektórych przepływów Kv będzie miało względnie stałą wartość. Wraz ze spadkiem ciśnienia (wzrostem próżni) zwężka staje się drożna i Kv spada. Nie są dozwolone zmiany Kv będące wynikiem.

Oblicza się średnią Kv i odchylenie standardowe dla minimum 8 punktów oraz obszaru krytycznego.

Jeżeli odchylenie standardowe przekroczy 0,3 % wartości średniej Kv, podejmuje się działanie korygujące.




DODATEK 7

Całkowite sprawdzenie układu

1.

W celu spełnienia wymogów ppkt 4.7 załącznika III należy ustalić całkowitą dokładność układu pobierania próbek CVS oraz układu analitycznego za pomocą wprowadzenia do układu znanej masy zanieczyszczeń podczas jego działania w trakcie normalnego badania, a następnie zanalizowania i obliczenia masy zanieczyszczeń zgodnie z wzorami z dodatku 8 do niniejszego Załącznika, z wyłączeniem faktu, że gęstość propanu jest ustalana jako 1,967 gramów na litr w normalnych warunkach. Obie podane poniżej techniki dostarczają wystarczająco dokładnych danych.

2.

Pomiar stałego przepływu czystego gazu (CO lub C3H8) z wykorzystaniem urządzenia z kryzą przepływu krytycznego.

2.1

Znana ilość czystego gazu (CO lub C3H8) jest wprowadzana do układu CVS przez skalibrowaną kryzę przepływu krytycznego. Jeżeli ciśnienie wlotowe jest wystarczająco wysokie, wielkość przepływu q), która jest dostosowywana za pomocą kryzy przepływu krytycznego, jest niezależna od ciśnienia wylotowego kryzy (przepływu krytycznego). Jeżeli występują odchylenia przekraczające 5 %, należy zlokalizować i ustalić przyczyny niesprawności. Układ CVS działa jak podczas badania emisji gazów spalinowych przez 5–10 minut. Gaz zebrany w worku do pobierania próbek jest analizowany z zastosowaniem zwykłego wyposażenia, a wyniki porównywane są do uprzednio znanych stężeń próbek gazu.

3.

Pomiar ograniczonej ilości czystego gazu (CO lub C3H8) za pomocą techniki grawimetrycznej.

3.1.

3.1. Celem sprawdzenia układu CVS może być wykorzystana poniższa procedura grawimetryczna. Masę małego cylindra wypełnionego tlenkiem węgla lub propanem ustala się z dokładnością do ± 0,01 grama. Układ CVS uruchamia się na około 5–10 minut tak, jak podczas badania normalnego poziomu emisji spalin, jednocześnie wprowadzając do układu tlenek węgla lub propan.. Ilość użytego czystego gazu jest ustalana w oparciu o różnicę masy. Gaz zebrany w worku jest następnie analizowany z wykorzystaniem wyposażenia normalnie używanego przy analizie gazu spalinowego. Wyniki są następnie porównywane z uzyskanymi uprzednio wielkościami stężenia.




DODATEK 8

Obliczanie emisji zanieczyszczeń

1.   PRZEPISY OGÓLNE

1.1.

Emisje zanieczyszczeń gazowych obliczane są za pomocą następującego równania:

image

(1)

gdzie:

Mi

=

masa wyemitowanego zanieczyszczenia i w gramach na kilometr,

Vmix

=

objętość rozrzedzonych gazów spalinowych wyrażona w litrach, na badanie i skorygowana do poziomu warunków standardowych (273,2 K i 101,33 kPa)

Qi

=

gęstość substancji zanieczyszczającej i, w gramach na litr, przy normalnej temperaturze i ciśnieniu (273,2 K i 101,33 kPa),

KH

=

współczynnik korygujący wilgotności wykorzystywany jest do obliczenia masy wyemitowanych tlenków azotu (nie dokonuje się poprawki wilgotności dla HC i CO),

Ci

=

stężenie zanieczyszczenia i w rozrzedzonym gazie spalinowym wyrażone w cząstkach na milion i skorygowane o wielkość zanieczyszczenia oraz zawarte w powietrzu do rozrzedzania,

d

=

rzeczywista odległość odpowiadająca cyklowi operacyjnemu w km.

1.2.

Obliczanie objętości

1.2.1.

Obliczanie objętości w przypadku stosowania urządzenia o zmiennym roztworze z kontrolą stałego przepływu za pomocą kryzy lub zwężki. Należy stale zapisywać parametry przepływu objętościowego i obliczyć całkowitą objętość dla czasu trwania badania.

1.2.2.

Obliczenie objętości w przypadku stosowania pompy wyporowej. Objętość rozrzedzonych gazów spalinowych w układzie zawierającym pompę wyporową obliczana jest według następującego wzoru:

image

gdzie:

V

=

objętość rozrzedzonego gazu spalinowego wyrażona w litrach na badanie (przed korektą),

Vo

=

objętość gazu dostarczanego przez pompę wyporową podczas badania w litrach na obrót,

N

=

ilość obrotów na badanie.

1.2.3.

Korekta objętości rozrzedzonego gazu spalinowego do warunków normalnych. Objętość rozrzedzonego gazu spalinowego jest korygowana z zastosowaniem następującego wzoru:

image

(2)

w którym:

image

(3)

gdzie:

PB

=

ciśnienie atmosferyczne w pomieszczeniu badawczym w kPa,

P1

=

próżnia na wlocie do pompy wyporowej w kPa odniesiona do ciśnienia atmosferycznego otoczenia,

Tp

=

średnia temperatura rozrzedzonego gazu spalinowego wchodzącego do pompy wyporowej podczas badania (K).

1.3

Obliczanie skorygowanego stężenia zanieczyszczeń w worku do pobierania próbek

image

(4)

gdzie:

Ci

=

stężenie zanieczyszczenia i w rozrzedzonym gazie spalinowym, wyrażone w częściach na milion i skorygowane o ilość i zawartą w powietrzu do rozrzedzania,

Ce

=

zmierzone stężenie zanieczyszczenia i w rozrzedzonym gazie spalinowym, wyrażone w częściach na milion,

Cd

=

zmierzone stężenie zanieczyszczenia i w powietrzu użytym do rozrzedzania, wyrażone w częściach na milion,

DF

=

współczynnik rozrzedzenia.

▼M14

Współczynnik rozcieńczenia oblicza się następująco:

image

image

image

▼M9

w równaniu tym:

CCO2

=

stężenie CO2 w rozrzedzonym gazie spalinowym zawartym w worku do zbierania próbek, wyrażone w % objętości,

CHC

=

stężenie HC w rozrzedzonym gazie spalinowym zawartym w worku do zbierania próbek, wyrażone w częściach na milion równoważnika węgla,

CCO

=

stężenie CO w rozrzedzonym gazie spalinowym zawartym w worku do zbierania próbek, wyrażone w częściach na milion.

1.4

Określenie współczynnika korygującego wilgotności NO

W celu korekty wpływu wilgotności na wyniki tlenków azotu stosuje się następujące wzory:

image

(6)

w którym:

image

gdzie:

H

=

wilgotność bezwzględna wyrażona w gramach wody na kilogram suchego powietrza,

Ra

=

wilgotność względna otaczającego powietrza wyrażona procentowo,

Pd

=

ciśnienie pary nasyconej w temperaturze otoczenia wyrażone w kPa,

PB

=

ciśnienie atmosferyczne w pomieszczeniu, wyrażone w kPa.

1.5

Przykład

1.5.1.   Dane

1.5.1.1.

Warunki otoczenia:

temperatura otoczenia: 23 °C = 296,2 K,

ciśnienie barometryczne: PB = 101,33 kPa,

wilgotność względna: Ra = 60 %,

▼M12

ciśnienie pary nasyconej: Pd = 2,81 kPa H2O przy 23 °C.

▼M9

1.5.1.2.

Zmierzona objętość skorygowana do warunków normalnych (ustęp 1)

V = 51,961 m3

1.5.1.3.

Odczyty analizatora:



 

Rozrzedzony gaz spalinowy

Powietrze do rozrzedzania

HC1

92 części na milion

3,0 części na milion

CO

470 części na milion

0 części na milion

NOX

70 części na milion

0 części na milion

CO2

l,6 % obj.

0,03 % obj.

(1)   W częściach na milion równoważnika węgla.

1.5.2.   Obliczenie

▼M12

1.5.2.1.

Współczynnik poprawkowy wilgotności (KH) (patrz wzór (6))

image

image

H = 10,5092

image

image

kH = 0,9934.

▼M9

1.5.2.2.

Współczynnik rozrzedzenia (DF) (patrz wzór 5)

image

image

DF = 8,091

1.5.2.3.

Obliczenie skorygowanego stężenia zanieczyszczeń w worku do pobierania próbek:

HC, mas emisji (patrz wzory 4 i 1)

image

image

C i = 89,371

image

▼M14

QHC = 0,619 dla benzyny i oleju napędowego

QHC = 0,649 dla gazu płynnego

QHC = 0,714 dla gazu ziemnego

▼M9

image

image

CO, masa emisji (patrz wzór 1)

image

QCO = 1,25

image

image

Masa emisji NOX (patrz wzór 1)

image

QNox = 2,05

▼M12

image

image

▼M9

2.   SZCZEGÓLNE PRZEPISY ODNOSZĄCE SIĘ DO POJAZDÓW WYPOSAŻONYCH W SILNIKI WYSOKOPRĘŻNE

2.1.   Pomiar HC dla silników wysokoprężnych

Średnie stężenie HC wykorzystane w określaniu masy emisji HC z silników wysokoprężnych jest obliczane z zastosowaniem następującego wzoru:

image

(7)

gdzie:

image

=

całka z danych z podgrzewanego FID zarejestrowanych w okresie badania (t2 -t1),

Ce

=

stężenie HC zmierzone w rozrzedzonym gazie spalinowym w częściach na milion Ci,

Ci jest zastępowane bezpośrednio dla CHC we wszystkich odpowiednich równaniach.

2.2.   Oznaczenie cząstek stałych

Emisja cząstek stałych Mp (g/km) jest obliczana z zastosowaniem następującego równania:

image

w przypadku gdy gazy spalinowe są odprowadzane poza tunel,

image

w przypadku gdy gazy spalinowe są zawracane do tunelu.

gdzie:

Vmix

:

objętość rozrzedzonych gazów spalinowych (patrz ppkt 1.1) w warunkach normalnych,

Vep

:

objętość gazu spalinowego przepływającego przez filtr cząstek stałych w warunkach normalnych,

Pe

:

masa cząstek stałych zebranych przez filtry,

d

:

odległość rzeczywista odpowiadająca cyklowi działania w km,

Mp

:

emisja cząstek stałych w g/km.




ZAŁĄCZNIK IV

BADANIE TYPU II

(Badanie emisji tlenku węgla na biegu jałowym)

1.   WPROWADZENIE

Niniejszy Załącznik opisuje procedurę dla badania typu II określonego w ppkt 5.3.2 załącznika I.

2.   WARUNKI POMIARU

2.1.

Paliwem musi być paliwo odniesienia, specyfikacja, którego jest określona w załączniku VIII.

▼M10

2.2.

Podczas badania temperatura otoczenia mieści się między 293 a 303 K (20 i 30 °C).

Silnik rozgrzewany jest do momentu, gdy wszystkie temperatury środków chłodzących i smarów oraz ciśnienie smarów nie osiągną równowagi.

▼M14

2.2.1.

Pojazdy zasilane albo benzyną, albo gazem płynnym lub gazem ziemnym są poddawane badaniom z zastosowaniem paliwa (paliw) wzorcowego(-ych) używanego(-ych) w badaniu typu I.

▼M9

2.3.

W odniesieniu do pojazdów wyposażonych w ręczną lub półautomatyczną skrzynię biegów badanie należy przeprowadzić w „neutralnym” położeniu dźwigni zmiany biegów oraz z włączonym sprzęgłem.

2.4.

W odniesieniu do pojazdów wyposażonych w automatyczną skrzynię biegów badanie należy przeprowadzić w położeniu dźwigni zmiany biegów w pozycji „neutralnej” lub „parkingowej”.

2.5.

Części składowe dla dostosowania biegu jałowego

2.5.1.   Definicja

Do celów niniejszej dyrektywy „części składowe dla dostosowania biegu jałowego” oznaczają środki do zmiany warunków jałowych silnika, które mogą być z łatwością dokonywane przez mechanika z zastosowaniem wyłącznie narzędzi określonych w ppkt 2.5.1.1. W szczególności nie uważa się urządzeń do kalibrowania paliwa i przepływu powietrza za części składowe dla dostosowania, jeżeli ich ustawienie wymaga usunięcia części zabezpieczających oraz działania, które może być przeprowadzone wyłącznie przez zawodowego mechanika.

2.5.1.1.

Narzędzia, które mogą być wykorzystane do kontroli części składowych dla dostosowania biegu jałowego: śrubokręty (zwykłe lub krzyżakowe), klucze (pierścieniowy, płaski lub regulowany), szczypce, klucze Allena.

2.5.2.   Oznaczanie punktów pomiaru

▼M10

2.5.2.1.

Pomiar przy regulacji zgodnej z warunkami ustalonymi przez producenta wykonywany jest jako pierwszy.

▼M9

2.5.2.2.

W odniesieniu do każdej części składowej dostosowania o ciągłej zmienności jest ustalona wystarczająca liczba charakterystycznych pozycji.

2.5.2.3.

Pomiar zawartości tlenku węgla w gazach spalinowych powinien musi być wykonany dla wszystkich możliwych pozycji części składowych dostosowania, ale dla części składowych o zmienności ciągłej przyjmuje się tylko pozycje określone w ppkt 2.5.2.2.

2.5.2.4.

Badanie typu II jest uznane za zadowalające, jeżeli jest spełniony przynajmniej jeden z dwóch poniższych warunków:

2.5.2.4.1.

żadna z wartości zmierzonych zgodnie z ppkt 2.5.2.3 nie przekracza wartości dopuszczalnych;

2.5.2.4.2.

maksymalna zawartość uzyskana przez ciągłą zmianę jednej z części składowych dostosowania, podczas gdy inne części składowe utrzymywane są na stałym poziomie, nie przekracza wartości dopuszczalnych, przy spełnieniu tego warunku dla różnych kombinacji części składowych dostosowania innych, niż część podlegająca zmianom w sposób ciągły.

2.5.2.5.

Możliwe pozycje dostosowania części składowych są ograniczone:

2.5.2.5.1.

z jednej strony przez większą z następujących dwu wartości: najniższą prędkość jałową, którą może osiągnąć silnik; prędkość zalecaną przez producenta pomniejszoną o 100 obrotów na minutę;

2.5.2.5.2.

z drugiej strony przez najmniejszą z następujących trzech wartości: najwyższą prędkość, którą może osiągnąć silnik przy włączeniu części składowych biegu jałowego; prędkość zalecaną przez producenta zwiększoną o 250 obrotów na minutę; prędkość wyłączenia automatycznego sprzęgła.

2.5.2.6.

Dodatkowo ustawienia niezgodne z prawidłowym działaniem silnika nie mogą zostać przyjęte jako ustawienia pomiarowe. W szczególności kiedy silnik jest wyposażony w kilka gaźników, wszystkie gaźniki muszą mieć identyczne ustawienie.

3.   POBIERANIE PRÓBEK SPALIN

3.1.

Sonda do pobierania próbek jest umieszczana w rurze łączącej rurę wydechową z workiem do pobierania próbek, możliwie najbliżej rury wydechowej.

3.2.

Stężenie CO (CCO) i CO2 (CCO2) oznaczane jest na podstawie odczytu lub zapisu z przyrządu pomiarowego, za pomocą właściwych krzywych kalibracji.

3.3.

Skorygowane stężenie tlenku węgla dotyczące silników czterosuwowych wynosi:

image

3.4.

Stężenie w CCO (patrz ppkt 3.2) zmierzone zgodnie z wzorem zawartym w ppkt 3.3 nie podlega korekcie, jeżeli całość zmierzonych stężeń (CCO + CCO2) wynosi co najmniej 15 dla silników czterosuwowych.




ZAŁĄCZNIK V

BADANIE TYPU III

(Sprawdzenie emisji gazów ze skrzyni korbowej)

1.   WPROWADZENIE

Niniejszy Załącznik opisuje procedurę dla badania typu III określonego w ppkt 5.3.3 załącznika I.

2.   PRZEPISY OGÓLNE

▼M10

2.1.

Badanie typu III przeprowadza się na pojeździe z silnikiem o zapłonie iskrowym, który poddany został, odpowiednio, badaniom typu I lub typu III.

▼M9

2.2.

Badane silniki obejmują szczelne silniki sprawdzone na obecność przecieków, z wyjątkiem tych, w których nawet najmniejszy przeciek powoduje nieakceptowalne błędy w działaniu (takie jak silniki typu flat-twin).

3.   WARUNKI BADANIA

3.1.

Bieg jałowy musi być wyregulowany zgodnie z zaleceniami producenta.

3.2.

Pomiary są wykonywane w następujących trzech ustawieniach warunków działania silnika:



Nr warunku

Prędkość pojazdu (km/h)

1

Bieg jałowy

2

50 ± 2 (na trzecim biegu lub „jeździe”)

3

50 ± 2 (na trzecim biegu lub „jeździe”)



Nr warunku

Moc zaabsorbowana przez hamulec

1

Zerowa

2

Odpowiadająca ustawieniom ►M12  badania typu I przy 50 km/h ◄

3

Taka jak dla warunku nr 2, pomnożona przez czynnik 1,7

4.   METODA BADANIA

4.1.

W odniesieniu do warunków działania wymienionych w ppkt 3.2 należy sprawdzić rzetelną funkcję układu wentylacji skrzyni korbowej.

5.   METODA SPRAWDZANIA UKŁADU WENTYLACJI SKRZYNI KORBOWEJ

(patrz także rysunek V.5)

5.1.

Otwory silnika należy pozostawić bez zmian.

5.2.

Ciśnienie w skrzyni korbowej podlega pomiarowi we właściwym punkcie. Jest mierzone w otworze prętowego wskaźnika poziomu za pomocą ciśnieniomierza z pochyłą rurką.

5.3.

Pojazd uznaje się za odpowiedni, jeżeli, w każdych warunkach pomiaru określonych w ppkt 3.2, zmierzone ciśnienie w skrzyni korbowej nie przekracza dominującego w czasie pomiaru ciśnienia atmosferycznego.

5.4.

W odniesieniu do badania metodą określoną powyżej ciśnienie we wlocie rozgałęzionym jest mierzone z dokładnością do ± 1 kPa.

5.5.

Prędkość pojazdu wskazana przez dynamometr podlega pomiarowi z dokładnością do ± 2 km/h.

5.6.

Ciśnienie w skrzyni korbowej podlega pomiarowi z dokładnością do ± 0,01 kPa.

5.7.

Jeżeli w jednym z warunków pomiaru określonych w ppkt 3.2 ciśnienie zmierzone w skrzyni korbowej przekracza ciśnienie atmosferyczne, na wniosek producenta przeprowadzane jest dodatkowe badanie, jak określono w pkt 6.

6.   DODATKOWA METODA BADANIA

6.1.

Otwory silnika muszą być pozostawione bez zmian.

6.2.

Elastyczny worek nieprzepuszczalny wobec gazów ze skrzyni korbowej o pojemności około pięciu litrów jest podłączany do otworu wskaźnika poziomu oleju. Worek musi być pusty przed każdym pomiarem.

6.3.

Worek musi być zamykany przed każdym pomiarem. Jest otwierany w kierunku skrzyni korbowej na pięć minut w odniesieniu do każdego warunku pomiaru określonego w ppkt 3.2.

6.4.

Pojazd jest uznany za odpowiedni, jeżeli nie występuje widoczne napełnienie worka w żadnym z warunków pomiaru określonych w ppkt 3.2.

6.5.

Uwaga

6.5.1.

Jeżeli układ strukturalny silnika nie pozwala na wykonanie badania za pomocą metody określonej w pkt 6, pomiar musi być wykonany za pomocą tej metody zmodyfikowanej w następujący sposób:

6.5.2.

przed badaniem wszystkie otwory z wyjątkiem wymaganego do pobierania gazów są zamknięte;

6.5.3.

worek jest umieszczony na odpowiednim urządzeniu pobierającym, które nie powoduje żadnych dodatkowych strat ciśnienia, umiejscowionym na obwodzie zawracającym do obiegu urządzenia umieszczonego bezpośrednio przy otworze silnika.

image

Rysunek V.5.

Badanie typu III




ZAŁĄCZNIK VI

BADANIE TYPU IV

(Oznaczanie emisji par z pojazdów wyposażonych w silniki o zapłonie iskrowym)

▼M15

1.   WPROWADZENIE

Niniejszy załącznik opisuje procedurę w odniesieniu do badania typu IV zgodnie z ppkt 5.3.4 załącznika I.

Procedura ta opisuje metodę określania ubytku węglowodorów w wyniku ich odparowania z układu paliwowego pojazdów z silnikiem o zapłonie iskrowym.

2.   OPIS BADANIA

Badanie emisji par (rysunek VI.1) przeznaczone jest do określenia wielkości emisji par w następstwie dobowych wahań temperatury, parowania po wyłączeniu silnika podczas parkowania oraz jazdy miejskiej. Badanie składa się z trzech faz:

 przygotowanie do badania, obejmujące cykl jazdy miejskiej (część pierwsza) oraz pozamiejskiej (część druga),

 określenie ubytku podczas parowania po wyłączeniu silnika,

 określenie ubytku dobowego.

Sumuje się masy emisji węglowodorów z faz podczas parowania po wyłączeniu silnika oraz utraty dobowej w celu otrzymania całkowitego wyniku badania.

3.   POJAZD I PALIWO

3.1.   Pojazd

3.1.1.

Przed wykonaniem badania pojazd musi być w dobrym stanie technicznym, dotarty oraz po przebiegu co najmniej 3 000km. Musi być podłączony układ kontroli emisji par, prawidłowo działający przez ten okres; pochłaniacz węglowy musi być użytkowany w sposób prawidłowy i nie poddany nieprawidłowemu czyszczeniu, ani nieprawidłowemu obciążeniu.

3.2.   Paliwo

3.2.1.

Należy stosować odpowiednie paliwo odniesienia, określone w załączniku IX do niniejszej dyrektywy.

4.   WYPOSAŻENIE DIAGNOSTYCZNE DO BADANIA EMISJI PAR

4.1.   Hamownia podwoziowa

Hamownia podwoziowa musi spełniać wymogi określone w załączniku III.

4.2.   Komora pomiaru emisji par

Komora pomiaru emisji par musi być szczelną prostopadłościenną komorą pomiarową, mogącą pomieścić badany pojazd. Do pojazdu musi być dostęp z każdej strony, a komora po zamknięciu musi być szczelna, zgodnie z dodatkiem 1. Wewnętrzna powierzchnia komory musi być nieprzepuszczalna dla węglowodorów oraz nie może wchodzić z nimi w reakcję. Układ utrzymania temperatury musi być w stanie kontrolować temperaturę powietrza wewnątrz komory zgodnie z ustalonym profilem temperatura/czas przez cały okres badania, z przeciętną tolerancją ± 1 K przez cały okres badania.

Układ kontroli musi być tak ustawiony, aby osiągnąć wzorzec temperatury o minimalnej liczbie przeregulowania, niestateczności oraz niestabilności w odniesieniu do pożądanego długoterminowego profilu temperatury otoczenia. Temperatura wewnętrznej powierzchni nie może być mniejsza niż 278 oK (5 °C), ani większa niż 320 oK (55 °C) w żadnym momencie trwania dobowego badania emisji par.

Konstrukcja ścian musi sprzyjać dobremu rozpraszaniu ciepła. Podczas badania adaptacji pojazdu w wysokiej temperaturze temperatura powierzchni wewnętrznej nie może być niższa niż 293 oK (20 °C) ani wyższa niż 325 oK (52 °C).

W celu wyrównania zmian objętości spowodowanych zmianami temperatury komory można stosować albo komorę o zmiennej objętości, albo komorę o stałej objętości.

4.2.1.   Komora o zmiennej objętości

Komora o zmiennej objętości rozszerza się i kurczy w odpowiedzi na zmiany temperatury wypełniającej ją masy powietrza. Dwa potencjalne sposoby wyrównania zmian objętości to ruchome panele lub mechanizm miecha, w którym worek lub worki umieszczone wewnątrz komory rozszerzają się i kurczą w odpowiedzi na zmiany ciśnienia w jej wnętrzu poprzez wymianę powietrza z otoczeniem zewnętrznym komory. Wszelkie konstrukcje pozwalające na wyrównanie objętości muszą zapewniać stałość warunków panujących w komorze, jak to zostało określone w dodatku 1, w określonym zakresie temperatur.

Wszelkie metody wyrównania objętości muszą ograniczać różnicę między ciśnieniem wewnątrz komory a ciśnieniem atmosferycznym do maksymalnej wartości ± 5 hPa.

Komora musi stwarzać możliwość ustawienia jej na utrzymanie określonej objętości. Komora o zmiennej objętości musi być w stanie wyrównać zmianę ± 7 % od „objętości nominalnej” (patrz dodatek 1 ppkt 2.1.1), z uwzględnieniem zmian temperatury oraz ciśnienia atmosferycznego, zachodzących w całym okresie badania.

4.2.2.   Komora o stałej objętości

Komora o stałej objętości musi być zbudowana ze sztywnych paneli, które utrzymują stałą objętość komory, oraz spełniać wymogi podane poniżej.

4.2.2.1.

Komora musi być wyposażona w układ wylotu powietrza usuwający powietrze z komory z niewielką stałą szybkością przez cały okres badania. Układ wylotu powietrza może w sposób kompensacyjny doprowadzać powietrze otoczenia do komory w celu zrównoważenia ubytku powietrza z niej wychodzącego. Powietrze wlotowe należy filtrować węglem aktywowanym w celu utrzymania stosunkowo stałego stężenia węglowodorów. Wszelkie metody wyrównywania objętości muszą utrzymywać różnicę między ciśnieniem wewnątrz komory a ciśnieniem atmosferycznym między 0 a –5 hPa.

4.2.2.2.

Wyposażenie musi być w stanie mierzyć masę węglowodorów w strumieniu wlotowym i wylotowym z dokładnością do 0,01 grama. Można zastosować układ pobierania próbek do worków w celu pobrania proporcjonalnej próbki powietrza usuniętego oraz pobranego. Alternatywnie, strumień wlotowy i wylotowy można analizować w sposób ciągły przy użyciu włączonego analizatora jonizacji płomienia, zintegrowanego z pomiarem przepływu w celu utrzymania stałego zapisu usuwania węglowodorów.

4.3.   Układy analityczne

4.3.1.   Analizator węglowodorów

4.3.1.1.

Atmosferę wewnątrz komory kontroluje się przy użyciu detektora węglowodorów typu detektora jonizacji płomienia. Należy pobrać próbkę gazu ze środkowego punktu jednej ze ścian bocznych lub ze ściany górnej komory, a wszelki przepływ omijający musi powracać do komory, najlepiej do punktu położonego bezpośrednio poniżej strumienia dmuchawy mieszającej.

4.3.1.2.

Analizator węglowodorów musi mieć nastawiony czas odpowiedzi na 90 % całkowitego odczytu wynoszący poniżej 1,5 sekundy. Jego stabilność musi przekraczać 2 % pełnej skali przy zerze oraz 80 % ± 20 % pełnej skali przez okres piętnastominutowy dla wszystkich zakresów działania.

4.3.1.3.

Powtarzalność analizatora wyrażona jako jedno odchylenie standardowe musi przekraczać 1 % pełnego odchylenia przy zerze oraz 80 % ± 20 % pełnej skali na wszystkich stosowanych zakresach.

4.3.1.4.

Zakresy działania analizatora należy wybierać tak, aby osiągać najlepszą dokładność podczas procedur pomiaru, kalibracji oraz sprawdzania nieszczelności.

4.3.2.   Układ zapisujący dane analizatora węglowodorów

4.3.2.1.

Analizator węglowodorów musi być wyposażony w urządzenie do zapisu wyjściowego sygnału elektrycznego przy użyciu rejestratora taśmowego albo innego układu obróbki danych, z częstotliwością co najmniej raz na minutę. Układ rejestrujący musi posiadać charakterystykę działania co najmniej równą zapisywanemu sygnałowi oraz musi zapewniać stałe zapisywanie wyników. Zapis musi pokazywać wskazanie pozytywne na początku i na końcu badania adaptacji pojazdu w wysokiej temperaturze oraz dobowego badania emisji par (obejmując początek i koniec okresów pobierania próbek wraz z czasem, jaki upłynął między rozpoczęciem i zakończeniem poszczególnych badań).

image

Rysunek VI.1

Określenie emisji par

Uwaga:

1. Rodziny kontroli emisji par - objaśnienie szczegółów.

2. Emisję zanieczyszczeń z rury wydechowej można mierzyć podczas jazdy w trakcie badania typu I, lecz zmierzonych wartości nie używa się do celów legislacyjnych. Oddzielnie wykonuje się badanie legislacyjne emisji spalin wydechowych.

4.4.   Ogrzewanie zbiornika paliwa (dotyczy jedynie opcji obciążenia pochłaniacza paliwem)

4.4.1.

Paliwo w zbiorniku (zbiornikach) paliwa należy podgrzać przy użyciu dającego się kontrolować źródła ciepła; na przykład nadaje się do tego poduszka cieplna o mocy 2 000W. Układ ogrzewania musi równomiernie dostarczać ciepło do ścian zbiornika poniżej poziomu paliwa tak, aby nie spowodować miejscowego przegrzania paliwa. Nie wolno stosować ciepła do oparów w zbiorniku powyżej poziomu paliwa.

4.4.2.

Urządzenie do podgrzewania zbiornika musi umożliwić podgrzanie paliwa w zbiorniku równomiernie o 14 °K od temperatury 289 °K (16 °C) w ciągu 60 minut, z czujnikiem temperatury w pozycji określonej w ppkt 5.1.1. Układ ogrzewania musi być w stanie kontrolować temperaturę paliwa do ± 1,5 °K pożądanej temperatury podczas procesu ogrzewania zbiornika.

4.5.   Zapis temperatury

4.5.1.

Temperaturę w komorze zapisuje się w dwóch punktach za pomocą czujników temperatury połączonych w taki sposób, by wykazywały średnią wartość. Punkty pomiaru przesunięte są o około 0,1 m w głąb komory od środkowej linii pionowej każdej ze ścian bocznych i znajdują się na wysokości 0,9 ± 0,2 m.

4.5.2.

Temperaturę zbiornika (zbiorników) paliwa rejestruje się za pomocą czujnika umieszczonego w zbiorniku paliwa, jak to opisano w ppkt 5.1.1, w przypadku opcji pochłaniacza obciążonego paliwem (5.1.5.).

4.5.3.

Należy rejestrować temperaturę przez cały czas pomiaru wielkości emisji par oraz wprowadzać do układu przetwarzania danych z częstotliwością co najmniej raz na minutę.

4.5.4.

Dokładność układu pomiaru temperatury musi wynosić ± 1,0 °K, a rozdzielczość pomiaru temperatury musi wynosić ± 0,4 °K.

4.5.5.

Układ zapisu lub przetwarzania danych musi mieć zdolność analizowania czasu do ± 15 sekund.

4.6.   Zapis ciśnienia

4.6.1.

Należy zapisywać różnicę Δp między ciśnieniem atmosferycznym w strefie badania a ciśnieniem wewnątrz komory przez cały czas pomiarów emisji par oraz wprowadzać do układu przetwarzania danych z częstotliwością co najmniej raz na minutę.

4.6.2.

Dokładność układu zapisu ciśnienia musi wynosić ± 2 hPa, a rozdzielczość pomiaru ciśnienia musi wynosić ± 0,2 hPa.

4.6.3.

Układ zapisu lub przetwarzania danych musi mieć zdolność analizowania czasu do ± 15 sekund.

4.7.   Dmuchawy

4.7.1.

Podczas stosowania jednego lub więcej wiatraków lub dmuchaw z otwartymi drzwiami komory musi być możliwe zmniejszenie stężenia węglowodorów w komorze do wartości węglowodorów w warunkach otoczenia.

4.7.2.

Komora musie mieć jeden lub więcej wiatraków czy dmuchaw o wydajności 0,1 do 0,5 m3s-1, pozwalających na dokładne wymieszanie powietrza komory. Należy stworzyć odpowiednie warunki do osiągania stałej temperatury oraz stężenia węglowodorów w komorze podczas pomiarów. Pojazd umieszczony w komorze nie może znajdować się w bezpośrednim strumieniu wychodzącym z wiatraków lub dmuchaw.

4.8.   Gazy

4.8.1.

Do kalibracji i pracy układu potrzebne są wymienione niżej gazy w stanie czystym:

 oczyszczone powietrze syntetyczne (czystość: <1 części milionowych C1 odpowiadających ≤ 1 części milionowych CO, ≤ 400 części milionowych CO2, ≤ 0,1 części milionowych NO); zawartość tlenu między 18 % a 21 % objętościowych,

 gaz zasilający do analizatora węglowodorów (40 % ± 2 wodoru, oraz helu z mniej niż 1 częścią milionową C1 w przeliczeniu na węglowodory, mniej niż 400 części milionowych CO2),

 

 propan (C3H8), 99,5 % czystości minimalnej,

 butan (C4H10), 98 % czystości minimalnej,

 azot (N2), 98 % czystości minimalnej.

4.8.2.

Muszą być dostępne gazy do kalibracji oraz nastawienia zakresu, zawierające mieszankę propanu (C3H8) oraz oczyszczonego powietrza syntetycznego. Rzeczywista wartość stężenia gazu do kalibracji musi mieścić się w granicach ± 2 % danych stwierdzonych. Dokładność wartości stężenia gazów rozrzedzonych uzyskanych podczas stosowania rozdzielacza gazu musi mieścić się w granicach ± 2 % rzeczywistej wartości. Stężenia opisane w dodatku I można również otrzymać stosując rozdzielacz gazu wykorzystujący syntetyczne powietrze jako gaz rozrzedzający.

4.9.   Wyposażenie dodatkowe

4.9.1.

Pomiar wilgotności bezwzględnej w strefie badania musi być wykonany z dokładnością do ± 5 %.

5.   PROCEDURA BADANIA

5.1.   Przygotowanie do badania

5.1.1.

Przed wykonaniem badania pojazd jest przygotowywany mechanicznie w następujący sposób:

 układ wydechowy pojazdu nie może wykazywać żadnych nieszczelności,

 przed badaniem pojazd należy wyczyścić przy użyciu pary,

 w przypadku opcji pochłaniacza obciążonego paliwem (ppkt 5.1.5) zbiornik paliwa pojazdu musi być wyposażony w czujnik temperatury, będący w stanie zmierzyć temperaturę w środkowej części paliwa zawartego w zbiorniku paliwowym wypełnionym do 40 % swojej pojemności,

 do układu paliwowego może być zamontowane dodatkowe wyposażenie w celu umożliwienia całkowitego opróżnienia zbiornika paliwa. Do osiągnięcia tego celu nie ma potrzeby dokonywania zmiany skorupy zbiornika,

 producent może zaproponować metodę badawczą w celu uwzględnienia ubytku węglowodorów w wyniku odparowania, pochodzącego jedynie z układu paliwowego pojazdu.

5.1.2.

Pojazd wprowadza się do strefy badania, w której temperatura otoczenia wynosi między 293 oK i 303 oK (20 i 30 °C).

5.1.3.

Proces starzenia się pochłaniacza musi być sprawdzony. Można to wykonać wykazując, że zgromadził on masę typową dla przejechanych minimum 3 000 km. Jeśli nie da się tego wykazać, stosuje się następującą procedurę. W przypadku układu wielu pochłaniaczy każdy pochłaniacz musi być poddany odrębnej procedurze.

5.1.3.1.

Z pojazdu usuwa się pochłaniacz. Podczas tego etapu procedury musi być zwrócona szczególna uwaga w celu uniknięcia uszkodzenia elementów składowych oraz naruszenia integralności układu paliwowego.

5.1.3.2.

Musi być sprawdzona waga pochłaniacza.

5.1.3.3.

Pochłaniacz przyłącza się do zbiornika paliwa, jeśli to możliwe zewnętrznego, wypełnionego paliwem odniesienia do 40 % swojej pojemności.

5.1.3.4.

Temperatura paliwa w zbiorniku paliwa musi wynosić między 283 oK (10 °C) i 287 oK (14 °C).

5.1.3.5.

(Zewnętrzny) zbiornik paliwa podgrzewa się do temperatury od 288 oK do 318 oK (15o do 45 °C) (wzrost o 1 °C co 9 minut).

5.1.3.6.

Jeśli pochłaniacz osiągnie stan przełomowy zanim temperatura osiągnie 318 oK (45 °C), należy odłączyć źródło ciepła. Następnie waży się pochłaniacz. Jeśli pochłaniacz nie osiągnie stanu przełomowego podczas ogrzewania do 318 oK (45 °C), należy powtórzyć procedurę opisaną w ppkt 5.1.3.3 aż do osiągnięcia tego stanu.

5.1.3.7.

Stan przełomowy sprawdza się tak, jak zostało to opisane w ppkt 5.1.5 i 5.1.6 niniejszego załącznika, lub za pomocą innej metody badawczej będącej w stanie wykryć emisję węglowodorów z pochłaniacza w momencie osiągnięcia przez niego stanu przełomowego.

5.1.3.8.

Pochłaniacz musi być wyczyszczony powietrzem laboratoryjnym o szybkości przepływu 25 ± 5 litrów na minutę aż do osiągnięcia trzystukrotnej wymiany objętości.

5.1.3.9.

Musi być sprawdzona waga pochłaniacza.

5.1.3.10.

Etapy procedury opisane w ppkt 5.1.3.4–5.1.3.9 muszą być powtórzone dziewięć razy. Badanie można zakończyć przed tym momentem, ale nie wcześniej niż po trzech cyklach badania zużycia, jeśli waga pochłaniacza po ostatnim cyklu ustabilizuje się.

5.1.3.11.

Pochłaniacz emisji par przyłącza się ponownie i pojazd przywraca się do normalnych warunków użytkowania.

5.1.4.

Do wstępnego przygotowania pochłaniacza par musi być zastosowana jedna z metod opisanych w ppkt 5.1.5 i 5.1.6. W przypadku pojazdów z wieloma pochłaniaczami każdy pochłaniacz musi być przygotowany osobno.

5.1.4.1.

Dokonuje się pomiarów emisji pochłaniacza w celu ustalenia stanu przełomowego.

Stan przełomowy w tym przypadku określa się jako moment, w którym łączna ilość wydzielonych węglowodorów jest równa 2 gramom.

5.1.4.2.

Stan przełomowy można sprawdzić stosując komorę pomiaru emisji par, opisanego odpowiednio w ppkt 5.1.5 i 5.1.6. Alternatywnie można określić stan przełomowy stosując dodatkowy pochłaniacz par połączony do układu za pochłaniaczem pojazdu. Przed obciążeniem pochłaniacz dodatkowy musi być należycie wyczyszczony suchym powietrzem.

5.1.4.3.

Komorę pomiarową musi być czyszczona przez kilka minut bezpośrednio przed badaniem aż do osiągnięcia stabilnego tła. W tym czasie musi być włączona dmuchawa powietrza komory.

Bezpośrednio przed badaniem musi być wyzerowany analizator węglowodorów oraz nastawiony jego zakres.

5.1.5.

Obciążenie pochłaniacza metodą powtarzanych przyrostów ciepła aż do osiągnięcia stanu przełomowego

5.1.5.1.

Zbiorniki paliwa pojazdu opróżnia się za pomocą spustu zbiornika paliwa. Musi to być dokonane tak, aby nie wyczyścić w sposób nieprawidłowy czy obciążyć w sposób nieprawidłowy urządzeń kontroli emisji par zamontowanych w pojeździe. Do osiągnięcia tego wystarczy zazwyczaj zdjęcie korka spustu paliwa.

5.1.5.2.

Zbiornik(-i) paliwa napełnia się ponownie badanym paliwem w temperaturze między 283 oK i 287 oK (10°-14 °C) do 40 % ± 2 % normalnej pojemności zbiornika. W tym momencie korek spustu paliwa musi zostać założony.

5.1.5.3.

W ciągu godziny od napełnienia zbiornika pojazd z wyłączonym silnikiem musi być umieszczony w komorze pomiaru emisji par. Do układu pomiaru temperatury przyłącza się czujniki temperatury zbiornika paliwa. Źródło ciepła musi być ustawione we właściwy sposób względem zbiornika paliwa i przyłączone do urządzenia kontroli temperatury. Źródło ciepła określone jest w ppkt 4.4. W przypadku pojazdów z więcej niż jednym zbiornikiem paliwa muszą być podgrzane wszystkie zbiorniki w taki sam sposób jak opisano poniżej. Temperatura w zbiornikach musi być taka sama, z dokładnością do ± 1,5 oK.

5.1.5.4.

Paliwo można sztucznie podgrzać do dobowej temperatury wyjściowej 293 oK (20 °C) ± 1 oK.

5.1.5.5.

Gdy temperatura paliwa osiągnie co najmniej 292 oK (19 °C), muszą być podjęte następujące kroki: dmuchawa czyszcząca musi zostać wyłączona; drzwi komory zamknięte i uszczelnione; rozpoczęty pomiar stężenia węglowodorów w komorze.

5.1.5.6.

Gdy temperatura paliwa w zbiorniku paliwa osiągnie 293 oK (20 °C), rozpoczyna się liniowy przyrost ciepła o 15 oK (15 °C). Paliwo musi być podgrzane w taki sposób, aby jego temperatura w czasie podgrzewania była zgodna z poniższą funkcją z dokładnością do ± 1,5 oK. Dokonuje się zapisu czasu przyrostu ciepła oraz wzrostu temperatury.

Tr = T0 + ,2333 x t

gdzie:

Tr

=

wymagana temperatura (K);

To

=

temperatura początkowa (K);

t

=

czas od początku przyrostu ciepła zbiornika, w minutach.

5.1.5.7.

Gdy tylko wystąpi stan przełomowy, lub gdy temperatura paliwa osiągnie 308 oK (35 °C), w zależności od tego, co nastąpi wcześniej, wyłącza się źródło ciepła, rozszczelnia i otwiera się drzwi komory i zdejmuje się korek wlewu paliwa. Jeśli stan przełomowy nie wystąpił do czasu osiągnięcia temperatury paliwa 308 oK (35 °C), usuwa się źródło ciepła z pojazdu, pojazd usuwa się z komory pomiaru emisji par oraz powtarza się całą procedurę opisaną w ppkt 5.1.7 aż do wystąpienia stanu przełomowego.

5.1.6.

Obciążanie butanem do stanu przełomowego

5.1.6.1.

Jeśli komorę używa się do określenia stanu przełomowego (patrz ppkt 5.1.4.2), pojazd musi być umieszczony, z wyłączonym silnikiem, w komorze pomiaru emisji par.

5.1.6.2.

Musi być przygotowany pochłaniacz emisji par do czynności obciążenia pochłaniacza. Nie wolno usuwać pochłaniacza z pojazdu, chyba że w normalnym położeniu dostęp do niego jest ograniczony do tego stopnia, że obciążenie można praktycznie osiągnąć jedynie poprzez usunięcie go z pojazdu. Podczas tego etapu procedury musi być zachowana szczególna uwaga w celu uniknięcia uszkodzenia części oraz naruszenia integralności układu paliwowego.

5.1.6.3.

Pochłaniacz obciąża się mieszaniną złożoną z 50 % objętościowych butanu i 50 % objętościowych azotu szybkością 40 gramów butanu na godzinę.

5.1.6.4.

Gdy tylko pochłaniacz osiągnie stan przełomowy, źródło oparów musi być wyłączone.

5.1.6.5.

Pochłaniacz emisji par musi być następnie podłączony ponownie oraz przywrócone warunki normalnego użytkowania pojazdu.

5.1.7.

Opróżnianie i ponowne napełnianie zbiornika

5.1.7.1.

Zbiornik paliwa pojazdu opróżnia się za pomocą spustu zbiornika paliwa. Musi to być wykonywane w taki sposób, aby nie wyczyścić nieprawidłowo ani nie obciążyć nieprawidłowo urządzeń kontroli emisji par zamontowanych w pojeździe. W tym celu zazwyczaj wystarczy zdjąć korek spustu paliwa.

5.1.7.2.

Zbiorniki paliwa napełnia się ponownie paliwem badanym w temperaturze 291 oK ± 8 oK (18 ± 8 °C) do 40 ± 2 % normalnej pojemności zbiornika. W tym momencie korek spustu paliwa musi być założony.

5.2.   Jazda wstępna

5.2.1.

W ciągu jednej godziny od zakończenia procesu obciążania pochłaniacza zgodnie z ppkt 5.1.5 lub 5.1.6, umieszcza się pojazd na hamowni podwoziowej i przeprowadza część I i część II cyklu jazdy w ramach badania typu I, tak jak to zostało opisane w załączniku III. Podczas tej operacji nie pobiera się próbek emisji zanieczyszczeń.

5.3.   Przebywanie w strefie wilgotnej

5.3.1.

W ciągu pięciu minut od zakończenia czynności jazdy wstępnej określonej w ppkt 5.2.1 pokrywę komory silnika musi być całkowicie zamknięta a pojazd usunięty z hamowni oraz zaparkowany w strefie wilgotnej. Pojazd pozostawia się tam przez minimum 12 godzin, a maksymalnie przez 36 godzin. Pod koniec tego okresu temperatura oleju silnikowego oraz płynu chłodniczego musi osiągnąć temperaturę panującą w strefie lub różniącą się od niej o ± 3 oK.

5.4.   Badanie na dynamometrze

5.4.1.

Po zakończeniu okresu wilgotnego pojazd przechodzi kompletne badanie typu I, opisane w załączniku III (badanie jazdy miejskiej i pozamiejskiej po uruchomieniu zimnego silnika). Następnie wyłącza się silnik. Podczas tej operacji można pobrać próbki emisji zanieczyszczeń, ale nie należy wykorzystywać wyników badania w celu uzyskania homologacji typu dotyczącej emisji zanieczyszczeń.

5.4.2.

W ciągu dwóch minut od zakończenia jazdy w ramach badania typu I, opisanej w ppkt 5.4.1, pojazd przechodzi dalszą jazdę wstępną składającą się z jednego cyklu jazdy miejskiej (rozruch rozgrzanego silnika) w ramach badania typu I. Następnie ponownie wyłącza się silnik. Podczas tej czynności nie trzeba pobierać próbek emisji zanieczyszczeń.

5.5.   Badanie emisji par podczas przebywania w strefie wilgotnej

5.5.1.

Przed ukończeniem jazdy wstępnej komora pomiarowa musi być czyszczona przez kilka minut aż do uzyskania stabilnego tła węglowodorów. W tym czasie muszą być włączone dmuchawy komory.

5.5.2.

Analizator węglowodorów musi być wyzerowany i a jego zakres nastawiony bezpośrednio przed badaniem.

5.5.3.

Pod koniec jazdy wstępnej pokrywa komory silnika musi być całkowicie zamknięta, a wszystkie połączenia między pojazdem a stanowiskiem diagnostycznym odłączone. Następnie wjeżdża się pojazdem do komory pomiarowej używając w minimalnym stopniu pedału przyspieszenia. Zanim jakakolwiek część pojazdu znajdzie się w komorze pomiarowej, silnik musi zostać wyłączony. Moment wyłączenia silnika rejestruje się na układzie zapisu danych pomiaru emisji par i rozpoczyna się zapis temperatury. Jeśli nie zostały jeszcze otwarte okna pojazdu ani klapa bagażnika, muszą zostać otwarte na tym etapie badania.

5.5.4.

Pojazd musi być wepchnięty lub w inny sposób wprowadzony do komory pomiarowej, przy wyłączonym silniku.

5.5.5.

Zamyka się drzwi komory i uszczelnia do dwóch minut po wyłączeniu silnika oraz do siedmiu minut po zakończeniu jazdy wstępnej.

5.5.6.

Po uszczelnieniu komory następuje początek okresu parowania po wyłączeniu silnika, trwającego 60 ± 0,5 minut. Dokonuje się pomiaru stężenia węglowodorów, temperatury oraz ciśnienia atmosferycznego w celu uzyskania wstępnych wyników CHC,i, Pi oraz Ti tego badania. Wartości te wykorzystuje się do obliczenia wielkości emisji par, w sposób podany w pkt 6. Podczas sześćdziesięciominutowego okresu parowania po wyłączeniu silnika, temperatura T otoczenia nie może być niższa niż 296 oK i nie może przekraczać 304 oK.

5.5.7.

Analizator węglowodorów musi być wyzerowany oraz jego zakres nastawiony bezpośrednio przed zakończeniem okresu badania, trwającego 60 ± 0,5 minut.

5.5.8.

Pod koniec okresu badania, trwającego 60 ± 0,5 minut, musi być wykonany pomiar stężenia węglowodorów w komorze. Temperatura oraz ciśnienie atmosferyczne są również mierzone. Uzyskane wartości są końcowymi wartościami CHC,f, Pf oraz Tf badania parowania po wyłączeniu silnika, używanymi do obliczeń przedstawionych w pkt 6.

5.6.   Przebywanie w strefie wilgotnej

5.6.1.

Badany pojazd musi być wepchnięty lub w inny sposób wprowadzony do strefy wilgotnej bez użycia silnika, a następnie pozostawiony tam przez okres nie krótszy niż 6 godzin i nie dłuższy niż 36 godzin, dzielący zakończenie badania parowania po wyłączeniu silnika i początek badania dobowego pomiaru emisji par. Przez co najmniej 6 godzin tego okresu pojazd musi przebywać w strefie wilgotnej w temperaturze 293 oK ± 2oK (20° ± 2 °C).

5.7.   Badanie dobowe

5.7.1.

Badany pojazd musi przejść jeden cykl badania w temperaturze otoczenia zgodnie z profilem określonym w dodatku 2, przy maksymalnym odchyleniu wynoszącym ± 2 oK w dowolnym czasie. Przeciętne odchylenie temperatury od tego profilu, obliczone przy użyciu wartości bezwzględnych każdego odchylenia pomiaru, nie może przekroczyć 1 oK. Temperaturę otoczenia musi być mierzona co najmniej raz na minutę. Cykl temperatury rozpoczyna się, gdy tstart = 0, jak określono w 5.7.6.

5.7.2.

Komora pomiarowa musi być czyszczona przez co najmniej kilka minut bezpośrednio przed badaniem do osiągnięcia stabilnego tła. W tym czasie muszą być również włączone dmuchawy komory.

5.7.3.

Badany pojazd, z wyłączonym silnikiem oraz otwartymi oknami i bagażnikiem, musi być wprowadzony do komory pomiarowej. Dmuchawy muszą być nastawione w taki sposób, by pod zbiornikiem paliwa badanego pojazdu utrzymywać minimalne krążenie powietrza z prędkością 8 km/h.

5.7.4.

Analizator węglowodorów musi być wyzerowany a jego zakres nastawiony bezpośrednio przed badaniem.

5.7.5.

Drzwi komory muszą być zamknięte i uszczelnione.

5.7.6.

W ciągu dziesięciu minut od zamknięcia i uszczelnienia drzwi wykonuje się pomiar stężenia węglowodorów, temperatury oraz ciśnienia atmosferycznego w celu uzyskania wyników CHC,i, Pf i Tf badania dobowego. Jest to moment, kiedy czas tstart = 0.

5.7.7.

Analizator węglowodorów musi być wyzerowany a jego zakres nastawiony bezpośrednio przed zakończeniem badania.

5.7.8.

Koniec okresu pobierania próbek emisji ma miejsce 24 godziny ± 6 minut po rozpoczęciu wstępnego pobierania próbek, jak określono w ppkt 5.7.6. Rejestruje się czas, jaki upłynął. Wykonuje się pomiar stężenia węglowodorów, temperatury oraz ciśnienia atmosferycznego w celu uzyskania końcowych wartości CHC,i+, Pf i Tf badania dobowego dla wykonania obliczeń, określonych w pkt 6. Czynność ta kończy procedurę badania emisji par.

6.   OBLICZENIA

6.1.

Badania emisji par opisane w pkt 5 powyżej pozwalają na obliczenie wielkości emisji węglowodorów w fazie dobowej oraz fazie parowania po wyłączeniu silnika. Ubytek par w każdej z tych faz oblicza się stosując wartości początkowe i końcowe stężenia węglowodorów, temperatury oraz ciśnienia w komorze, wraz z objętością netto komory.

Do tego celu stosuje się podany poniżej wzór:

image

gdzie:

MHC

=

masa węglowodorów w gramach,

MHC,out

=

masa węglowodorów opuszczających komorę, w przypadku komór o stałej objętości w badaniach dobowej emisji (w gramach),

MHC,i

=

masa węglowodorów wchodzących do komory, w przypadku komór o stałej objętości w badaniach dobowej emisji (w gramach),

CHC

=

zmierzone stężenie węglowodorów w komorze (w milionowych częściach objętości, równoważne C1),

V

=

objętość netto komory w metrach sześciennych skorygowana o objętość pojazdu, z oknami i bagażnikiem otwartym. Jeśli nie jest obliczona objętość pojazdu, odejmuje się objętość 1,42 m3,

T

=

temperatura otoczenia w komorze, w oK,

P

=

ciśnienie atmosferyczne w kPa,

H/C

=

stosunek wodoru do węgla,

k

=

1,2 . (12 + H/C);

gdzie:

i

to odczyt początkowy,

f

to odczyt końcowy,

H/C

przyjmuje się, że wynosi 2,33 dla badania ubytku dobowego,

H/C

przyjmuje się, że wynosi 2,20 dla ubytku okresu adaptacji w wysokiej temperaturze.

6.2.

Końcowe wyniki badania

Przyjmuje się, że całkowita wielkość emisji węglowodorów pojazdu wynosi:

Mtotal = MDI + MHS

gdzie:

Mtotal

=

całkowita masa emisji pojazdu (w gramach),

MDI

=

masa emisji węglowodorów w badaniu dobowym (w gramach),

MHS

=

masa emisji węglowodorów w badaniu adaptacji w wysokiej temperaturze (w gramach).

▼M9

7.   ZGODNOŚĆ PRODUKCJI

7.1.

W rutynowym badaniu końca linii produkcyjnej właściciel homologacji może udowodnić zgodność przez pobranie próbek pojazdów, które spełniają następujące wymagania.

7.2.

Badanie szczelności

7.2.1.

Odpowietrzniki do powietrza z układu kontroli emisji są odcinane.

7.2.2.

Należy zastosować ciśnienie 370 ± 10 mm H2O do układu paliwowego.

7.2.3.

Należy umożliwić stabilizację ciśnienia przez odcięciem układu paliwowego od źródła ciśnienia.

7.2.4.

Po odcięciu układu paliwowego ciśnienie nie może spaść o więcej niż 50 mm H2O w okresie pięciu minut.

7.3.

Badanie wentylacji

7.3.1.

Odpowietrzniki z układu kontroli emisji do powietrza są odcinane.

7.3.2.

Do układu paliwowego należy zastosować ciśnienie 370 ± 10 H2O.

7.3.3.

Należy umożliwić stabilizację ciśnienia przez odcięcie układu paliwowego od źródła ciśnienia.

7.3.4.

Otwory wentylacyjne z układów kontroli emisji do powietrza muszą być przywracane do warunków produkcji.

7.3.5.

Ciśnienie w układzie paliwowym nie może spaść poniżej 100 mm H2O w czasie nie krótszym niż 30 sekund, ale w ciągu dwóch minut.

▼M12

7.3.6.

Na wniosek producenta pojemność użytkowa do odpowietrzania może być przedstawiana przy pomocy równoważnej procedury alternatywnej. Procedura właściwa powinna być przedstawiana przez producenta służbom technicznym w trakcie procedury homologacji typu.

▼M9

7.4.

Badanie oczyszczania

7.4.1.

Wyposażenie przystosowane do wykrycia przepływu powietrza o szybkości 1,0 litra na minutę należy podłączyć do wlotu oczyszczania, a zbiornik ciśnieniowy odpowiedniej wielkości należy podłączyć przez zasuwę odcinającą do wlotu oczyszczania w celu osiągnięcia pomijalnego wpływu na układ oczyszczania, lub alternatywnie:

7.4.2.

producent może wykorzystać wybrany przez siebie przepływomierz, o ile jest on zatwierdzony przez właściwe władze.

7.4.3.

Pojazdem należy kierować w sposób umożliwiający wykrycie każdej właściwości układu oczyszczania oraz zapisanie każdej okoliczności, które mogłyby spowodować ograniczenie operacji oczyszczania.

7.4.4.

Podczas gdy silnik pracuje w sposób określony w sekcji 7.4.3, przepływ powietrza musi być określony przez:

7.4.4.1.

włączenie urządzenia określonego w ppkt 7.4.1. Należy zaobserwować w ciągu jednej minuty spadek ciśnienia z poziomu atmosferycznego do poziomu wskazującego, że do układu kontroli emisji par zostało wprowadzone 1,0 litra powietrza; lub

7.4.4.2.

jeżeli wykorzystane jest alternatywne urządzenie pomiaru przepływu, powinien być wykrywalny odczyt nie mniejszy niż 1,0 litra na minutę.

▼M12

7.4.4.3.

Na wniosek producenta może być użyta alternatywna procedura badania przedmuchu pod warunkiem że procedura ta została przedstawiona i przyjęta przez służby techniczne w trakcie procedury homologacji typu.

▼M9

7.5.

Właściwy organ, który udzielił homologacji typu, może w każdej chwili zweryfikować metodę kontroli zgodności stosowaną do każdej jednostki produkcyjnej.

7.5.1.

Inspektor musi pobrać odpowiednio dużą próbkę z serii.

7.5.2.

Inspektor może zbadać te pojazdy przez zastosowanie przepisów albo ppkt 7.1.4 albo ppkt 7.1.5 załącznika I.

7.5.3.

Jeżeli w zastosowaniu przepisów ppkt 7.1.5 załącznika I wyniki badania pojazdu znajdują się poza uzgodnionymi wartościami dopuszczalnymi określonymi w ppkt 5.3.4.2 załącznika I, producent może wystąpić z wnioskiem o zastosowanie procedury homologacyjnej określonej w ppkt 7.1.4 załącznika I.

7.5.3.1.

Producent nie może uzyskać pozwolenia na dostosowywanie, naprawianie lub zmianę jakiegokolwiek pojazdu, chyba że nie spełnił on wymagań ppkt 7.1.4 załącznika I oraz że prace takie są udokumentowane w procedurach producenta dotyczących składania i kontroli pojazdu.

7.5.3.2.

Producent może wystąpić o jednorazowe ponowne zbadanie pojazdu, którego właściwości emisji par mogły się zmienić na skutek jego działań zgodnie z ppkt 7.5.3.1.

7.6.

Jeżeli nie są spełnione wymogi określone w ppkt 7.5, właściwy organ musi zapewnić, że zostały podjęte wszystkie niezbędne kroki celem możliwie najszybszego ponownego ustanowienia zgodności produkcji.




DODATEK 1

Kalibracja wyposażenia do badania emisji par

▼M15

1.   CZĘSTOTLIWOŚĆ I METODY KALIBRACJI

1.1.

Cały sprzęt musi zostać skalibrowany przed pierwszym użyciem, a następnie w zależności od potrzeb oraz zawsze w miesiącu poprzedzającym wykonanie badania homologacyjnego. Metody kalibracji, które należy stosować, opisane są w niniejszym dodatku.

1.2.

Zazwyczaj musi być stosowana temperatura wymieniona w pierwszej pozycji. Alternatywnie można zastosować temperatury podane w nawiasach kwadratowych.

2.   KALIBRACJA KOMORY

2.1.   Początkowe określenie wewnętrznej objętości komory

2.1.1.

Przed pierwszym użyciem komory musi być określona jej wewnętrzną objętość w podany dalej sposób. Dokonuje się dokładnego pomiaru wewnętrznych wymiarów komory, uwzględniającego wszelkie nieregularności, takie jak rozpórki wzmacniające. Na podstawie tych pomiarów ustala się wewnętrzną objętość komory.

W przypadku komór o zmiennej objętości komora musi być nastawiona na stałą objętość, kiedy to utrzymuje się tę komorę w stałej temperaturze otoczenia 303 oK (30 °C) [302 oK (29 °C)]. Objętość nominalna musi być powtarzalna w zakresie ± 0,5 % podanej wartości.

2.1.2.

Objętość wewnętrzną netto oblicza się odejmując 1,42 m3 od wewnętrznej objętości komory. Ewentualnie zamiast wartości 1,42 m3 można użyć objętość badanego pojazdu z otwartym bagażnikiem i oknami.

2.1.3.

Komora musi być sprawdzona tak, zgodnie z 2.3. Jeśli masa propanu nie jest zgodna z wprowadzoną masą z dokładnością do 2 %, wymagane są czynności korekcyjne.

2.2.   Określenie emisji tła komory

Operacja ta określa, czy komora nie zawiera żadnych materiałów emitujących istotne ilości węglowodorów. Takie badanie kontrolne musi być przeprowadzone z chwilą rozpoczęcia użytkowania komory, po wszelkich działaniach przeprowadzonych w komorze mogących mieć wpływ na emisję tła oraz z częstotliwością co najmniej raz w roku.

2.2.1.

Komory o zmiennej objętości można użytkować albo w konfiguracji nastawienia na daną objętość albo bez nastawiania, jak opisano w ppkt 2.1.1. Temperatura otoczenia musi być utrzymywana 308 oK ± 2 oK (35o ± 2 °C) [309 oK ± 2 oK (36o ± 2 °C)], przez cały czterogodzinny okres wymieniony poniżej.

2.2.2.

Komory o stałej objętości muszą być obsługiwane przy zamkniętych strumieniach wlotowych i wylotowych. Temperatura otoczenia musi być utrzymywana 308 oK ± 2 oK (35o ± 2 °C) [309 oK ± 2 oK (36o ± 2 °C)] przez cały czterogodzinny okres wymieniony poniżej.

2.2.3.

Przed rozpoczęciem czterogodzinnego okresu pobierania próbek tła komora może być uszczelniona oraz dmuchawy mogą pracować przez okres do 12 godzin.

2.2.4.

Jeśli jest to wymagane, analizator musi zostać skalibrowany, następnie wyzerowany i odpowiednio nastawiony.

2.2.5.

Komorę musi być czyszczona aż do osiągnięcia stabilnego odczytu wartości węglowodorów a dmuchawy włączone, jeśli jeszcze nie zostały włączone.

2.2.6.

Następnie uszczelnia się komorę oraz dokonuje pomiaru stężenia węglowodorów tła, temperatury oraz ciśnienia atmosferycznego. Są to początkowe wartości pomiaru CCH,i, Pi i Ti, użyte do obliczenia tła komory.

2.2.7.

Następnie pozostawia się komorę w stanie nieruszonym, z włączonymi dmuchawami, przez okres czterech godzin.

2.2.8.

Pod koniec tego okresu stosuje się ten sam analizator w celu pomiaru stężenia węglowodorów w komorze. Wykonuje się również pomiar temperatury oraz ciśnienia atmosferycznego. Są to końcowe wyniki pomiarów CHC,f, Pf i Tf.

2.2.9.

Zmiana masy węglowodorów musi zostać obliczona w komorze w ciągu tego okresu, zgodnie z ppkt 2.4; nie może ona przekraczać 0,05 g.

2.3.   Kalibracja oraz badanie zalegania węglowodorów w komorze

Kalibracja oraz badanie zalegania węglowodorów w komorze stanowi badanie kontrolne obliczonej objętości w ppkt 2.1, oraz pomiar szybkości przecieku. Szybkość przecieku w komorze musi być określona po rozpoczęciu użytkowania komory, po wszelkich czynnościach przeprowadzonych w komorze, mogących naruszyć integralność komory, a później co najmniej raz w miesiącu. Jeśli przeprowadzi się sześć kolejnych miesięcznych kontroli bez potrzeby podjęcia czynności korygujących, po tym okresie można określać szybkość przecieku w komorze co kwartał dopóki nie wystąpi potrzeba podjęcia czynności korygujących.

2.3.1.

Komora musi być czyszczona aż do osiągnięcia stabilnego stężenia węglowodorów. Włącza się dmuchawę, jeśli nie została ona jeszcze włączona. Zeruje się analizator węglowodorów, w razie potrzeby kalibruje oraz nastawia się jego zakres.

2.3.2.

W przypadku komór o zmiennej objętości komorę musi być nastawiona na nominalną objętość. W przypadku komór o stałej objętości strumień wylotowy i wlotowy muszą być zamknięte.

2.3.3.

Następnie włącza się układ kontroli temperatury otoczenia (jeśli jeszcze nie został włączony) i ustawia go na temperaturę 308 oK (35 °C) [309 oK (36 °C)].

2.3.4.

Kiedy temperatura komory ustabilizuje się na 308 oK ± 2 oK (35o ± 2 °C) [309 oK ± 2 oK (36o ± 2 °C)], uszczelnia się komorę oraz dokonuje się pomiaru stężenia węglowodorów tła, temperatury oraz ciśnienia atmosferycznego. Są to początkowe wartości pomiaru CHC,i, Pi i Ti, użyte do kalibracji komory.

2.3.5.

Do komory wprowadza się około 4 gramów propanu. Masa wprowadzonego propanu musi być zmierzona z dokładnością do ± 0,2 % wartości zmierzonej.

2.3.6.

Zawartość komory musi być pozostawiona przez 5 minut do wymieszania, a następnie dokonuje się pomiaru stężenia węglowodorów, temperatury oraz ciśnienia atmosferycznego. Są to końcowe wartości pomiaru CHC,f, Pf i Tf kalibracji komory jak również początkowe wartości pomiaru CHC,i, Pi i Ti w badaniu kontrolnym zalegania.

2.3.7.

Na podstawie wyników pomiarów wykonanych zgodnie z ppkt 2.3.4 i 2.3.6 oraz ze wzorem podanym w 2.4 oblicza się masę propanu w komorze. Musi ona być równa, z dokładnością do ± 2 %, masie propanu zmierzonej w zgodnie z 2.3.5.

2.3.8.

W przypadku komór o zmiennej objętości nastawienie komory musi być zmienione z konfiguracji objętości nominalnej. W przypadku komór o stałej objętości strumienie wlotowe i wylotowe muszą być otwarte.

2.3.9.

Następnie, w ciągu 15 minut od uszczelnienia komory, rozpoczyna się proces zmieniania temperatury otoczenia od 308 oK (35 °C) do 293 oK (20 °C) i z powrotem do 308 oK (35 °C) [308,6 oK (35,6 °C) do 295,2 oK (22,2 °C) i z powrotem do 308,6 oK (35,6 °C)] przez okres dwudziestu czterech godzin, zgodnie z profilem [profilem alternatywnym] określonym w dodatku 2. (Granice tolerancji określone są w ppkt 5.7.1 załącznika VII).

2.3.10.

Po zakończeniu dwudziestoczterogodzinnego okresu zmieniania temperatury dokonuje się pomiaru i zapisu końcowego stężenia węglowodorów, temperatury oraz ciśnienia atmosferycznego. Są to końcowe wyniki pomiaru CHC,f, Tf i Pf badania kontrolnego zalegania węglowodorów.

2.3.11.

Następnie, przy pomocy wzoru podanego w 2.4, oblicza się masę węglowodorów na podstawie wyników pomiarów, wykonanych zgodnie z 2.3.10 i 2.3.6. Masa ta nie może się różnić o więcej niż o 3 % od masy węglowodorów otrzymanych zgodnie z ppkt 2.3.7.

2.4.   Obliczenia

Obliczenie zmiany masy netto węglowodorów wewnątrz komory stosuje się do określenia tła węglowodorów komory oraz szybkości przecieku. Początkowe i końcowe wyniki pomiaru stężenia węglowodorów, temperatury oraz ciśnienia atmosferycznego stosuje się w celu obliczenia zmiany masy zgodnie z podanym poniżej wzorem:

image

gdzie:

MHC

=

masa węglowodorów w gramach

MHC,out

=

masa węglowodorów opuszczających komorę, w przypadku komór o stałej objętości w badaniu emisji dobowej (w gramach)

MCH,i

=

masa węglowodorów wchodzących do komory, w przypadku komór o stałej objętości w badaniu emisji dobowej (w gramach)

CHC

=

stężenie węglowodorów w komorze (w częściach milionowych węgla (NB: liczba części milionowych węgla = liczba części milionowych propanu x 3))

V

=

objętość komory w metrach sześciennych, zmierzona zgodnie z ppkt 2.1.1,

T

=

temperatura otoczenia w komorze w °K,

P

=

ciśnienie atmosferyczne w kPa,

k

=

17,6;

gdzie:

i

to odczyt początkowy,

f

to odczyt końcowy.

▼M9

3.   SPRAWDZENIE ANALIZATORA FID WĘGLOWODORÓW

3.1.   Optymalizacja odpowiedzi detektora

FID należy ustawić zgodnie z zaleceniami producenta urządzenia. Do zoptymalizowania odpowiedzi na najbardziej powszechnym zakresie roboczym wykorzystuje się propan znajdujący się w powietrzu.

3.2.   Kalibracja analizatora HC

Analizator HC powinien być skalibrowany z wykorzystaniem propanu znajdującego się w powietrzu oraz oczyszczonego powietrza syntetycznego. Patrz ppkt 4.5.2 załącznika III (gazy kalibracyjny i zakresowy).

Ustala się krzywą kalibracji, jak określono w ppkt 4.1–4.5 niniejszego dodatku.

3.3.   Sprawdzenie interferencji tlenu i zalecane ograniczenia

Współczynnikiem odpowiedzi (Rf) dla niektórych odmian węglowodoru jest stosunek odczytu C1 z FID do stężenia gazu w cylindrze, wyrażony jako części na milion C1.

Stężenie badanego gazu musi znajdować się na poziomie dającym odpowiedź około 80 % pełnej skali. Stężenie musi być znane z dokładnością do ± 2 % w odniesieniu do normy grawimetrycznej wyrażonej objętościowo. Ponadto cylinder gazu musi być wstępnie kondycjonowany przez 24 godziny w temperaturze pomiędzy 293 K a 303 K (20 °C a 30 °C).

Współczynniki odpowiedzi muszą być ustalane podczas wprowadzenia analizatora do użytkowania i po głównych przedziałach roboczych. Jako gaz odniesienia należy wykorzystać propan z balansem oczyszczonego powietrza, które jest wykorzystywane do osiągnięcia współczynnika odpowiedzi 1,00.

Gaz badany, który ma być wykorzystywany dla interferencji tlenu, oraz zalecany zakres współczynnika odpowiedzi są określone poniżej:

Propan i azot 0,95 ≤ Rf ≤ 1,05

4.   KALIBRACJA ANALIZATORA WĘGLOWODORÓW

Każdy z zazwyczaj wykorzystywanych zakresów roboczych jest kalibrowany zgodnie z poniższą procedurą:

4.1.

Ustala się krzywą kalibracji za pomocą co najmniej pięciu punktów kalibracji, rozmieszczonych w sposób możliwie równomierny w zakresie roboczym. Nominalne stężenie gazu kalibracyjnego o najwyższym stężeniu wynosi co najmniej 80 % pełnej skali.

4.2.

Krzywą kalibracji oblicza się metodą najmniejszych kwadratów. Jeżeli uzyskany stopień wielomianu jest większy niż 3, ilość punktów kalibracyjnych musi być równa co najmniej stopniowi wielomianu plus 2.

4.3.

Krzywa kalibracyjna nie może różnić się o więcej niż 2 % od wartości nominalnej każdego gazu kalibracyjnego.

4.4.

Wykorzystując współczynniki wielomianu wyprowadzone z ppkt 3.2, sporządza się tabelę wskazanych odczytów w odniesieniu do rzeczywistego stężenia, w przedziałach nie większych niż 1 % pełnej skali. Przeprowadza się to w odniesieniu do każdego skalibrowanego zakresu analizatora. Tabela zawiera też inne odpowiednie dane, takie jak:

data kalibracji,

odczyty zerowy i zakresowy potencjometru (gdzie stosowne),

skala nominalna,

dane odniesienia każdego wykorzystanego gazu kalibracyjnego,

rzeczywista i wskazana wartość każdego wykorzystanego gazu kalibracyjnego wraz z różnicami procentowymi,

rodzaj i paliwo FID,

ciśnienie powietrza FID.

4.5.

Jeżeli możliwe jest wykazanie organowi regulacyjnemu równoważnej dokładności metody alternatywnej (np. komputera, przełącznika zakresu sterowanego elektronicznie), to metoda ta może zostać zastosowana.

▼M15




DODATEK 2



►M16  


Dobowy wykres temperatury otoczenia dla kalibracji osłony i dobowe badanie emisji

Czas

(godziny)

Temperatura

(°C)

Kalibracja

Badanie

13

0/24

20

14

1

20,2

15

2

20,5

16

3

21,2

17

4

23,1

18

5

25,1

19

6

27,2

20

7

29,8

21

8

31,8

22

9

33,3

23

10

34,4

24/0

11

35

1

12

34,7

2

13

33,8

3

14

32

4

15

30

5

16

28,4

6

17

26,9

7

18

25,2

8

19

24

9

20

23

10

21

22

11

22

20,8

12

23

20,2

 ◄


Alternatywny profil dobowy temperatury otoczenia w kalibracji komory, zgodnie z ppkt 1.2 i 2.3.9 dodatku 1

Czas

(w godzinach)

Temperatura

(w °Ci)

0

35,6

1

35,3

2

34,5

3

33,2

4

31,4

5

29,7

6

28,2

7

27,2

8

26,1

9

25,1

10

24,3

11

23,7

12

23,3

13

22,9

14

22,6

15

22,2

16

22,5

17

24,2

18

26,8

19

29,6

20

31,9

21

33,9

22

35,1

23

35,4

24

35,6




ZAŁĄCZNIK VII

BADANIE TYPU VI

(Sprawdzające przeciętną wielkość emisji z rury wydechowej tlenku węgla oraz węglowodorów, w niskiej temperaturze otoczenia i po rozruchu zimnego silnika)

1.   WPROWADZENIE

►M18  Niniejszy Załącznik stosuje się wyłącznie do pojazdów z silnikiem z zapłonem iskrowym, w rozumieniu załącznika I ppkt 5.3.5. ◄ Opisuje wymagany sprzęt oraz procedurę badania typu VI, określoną w ppkt 5.3.5 załącznika I w celu sprawdzenia emisji tlenku węgla oraz węglowodorów w niskich temperaturach otoczenia. Kwestie uwzględnione w niniejszym załączniku obejmują:

1. Wymagania sprzętowe;

2. Warunki badania;

3. Wymagania dotyczące procedur i danych badania.

2.   URZĄDZENIA DIAGNOSTYCZNE

2.1.   Streszczenie

►M18  2.1.1.

Niniejszy rozdział dotyczy wyposażenia wymaganego przy teście emisji spalin w niskiej temperaturze otoczenia w odniesieniu do pojazdów wyposażonych w silniki z zapłonem iskrowym, w rozumieniu załącznika I ppkt 5.3.5. ◄ Wymagany sprzęt oraz wymogi są identyczne z wymaganiami w przypadku badania typu I, opisanymi w załączniku III, z dodatkami, o ile nie zostały ustanowione szczególne wymogi stosowane w badaniu typu VI. Ppkt. 2.2–2.6 opisują odchylenia mające zastosowanie do badania typu VI, przeprowadzanego w niskiej temperaturze otoczenia.

2.2.   Hamownia

2.2.1.

Zastosowanie mają wymogi ppkt 4.1 załącznika III. Dynamometr należy ustawić na symulację pracy pojazdu na drodze w temperaturze 266 oK (-7 °C). Ustawienie takie może być oparte na określeniu profilu sił obciążenia na drodze w temperaturze 266 oK (-7 °C). Alternatywnie, opór jezdny, określony zgodnie z dodatkiem 3 do załącznika III można skorygować o 10-cio procentowe skrócenie czasu biegu bezwładnego pojazdu. Placówka techniczna może zatwierdzić zastosowanie innych metod określenia oporu jezdnego.

2.2.2.

Do kalibracji dynamometru stosuje się przepisy dodatku 2 do załącznika III.

2.3.   Układ pobierania próbek

2.3.1.

Stosuje się przepisy ppkt 4.2 załącznika III i dodatku 5 do załącznika III. Ppkt 2.3.2 dodatku 5 otrzymuje brzmienie: „Układ przewodów elastycznych, przepustowość próbnika o stałej objętości, temperatura oraz wilgotność właściwa powietrza rozrzedzającego (które może się różnić od źródła powietrza do spalania w danym pojeździe) muszą być kontrolowane, aby praktycznie wyeliminować skraplanie się pary wodnej w układzie (dla większości pojazdów wystarczający jest przepływ 0,142 do 0,165 m2/s).”

2.4.   Sprzęt diagnostyczny

2.4.1.

Stosuje się przepisy ppkt 4.3 załącznika III, ale jedynie w odniesieniu do badania emisji tlenku węgla, ditlenku węgla oraz węglowodorów.

2.4.2.

W odniesieniu do kalibracji sprzętu diagnostycznego stosuje się przepisy dodatku 6 do załącznika III.

2.5.   Gazy

2.5.1.

Tam gdzie to właściwe, stosuje się przepisy ppkt 4.5 załącznika III.

2.6.   Sprzęt dodatkowy

2.6.1.

W odniesieniu do sprzętu stosowanego do pomiaru objętości, temperatury, ciśnienia oraz wilgotności stosuje się przepisy ppkt 4.4 i 4.6 załącznika III.

3.   KOLEJNOŚĆ BADANIA ORAZ PALIWO

3.1.   Wymogi ogólne

3.1.1.

Kolejność badania pokazana na rysunku VII.1 przedstawia etapy, które przechodzi badany pojazd poddawany procedurom badania typu VI. Temperatura otoczenia podczas badania pojazdu musi wynosić przeciętnie: 266 oK (-7 °C) ± 3 oK i nie może:

być niższa niż 260 oK (-13 °C), ani wyższa niż 272 oK (-1 °C).

Temperatura nie może:

spaść poniżej 263 oK (-10 °C), ani przekroczyć 269 oK (-4 °C)

przez więcej niż trzy kolejne minuty.

3.1.2.

Temperatura komory diagnostycznej kontrolowana podczas badania musi być mierzona przy wylocie dmuchawy chłodzącej (ppkt 5.2.1 niniejszego załącznika). Temperatura otoczenia musi być średnią arytmetyczną temperatur komory diagnostycznej, mierzonych w stałych odstępach czasowych wynoszących nie więcej niż jedną minutę.

3.2.   Procedura badania

Część pierwsza cyklu jazdy miejskiej, zgodnie z rysunkiem III.1.1 w dodatku 1 do załącznika III składa się z czterech podstawowych cykli, które razem stanowią pełną część pierwszą cyklu.

3.2.1.

Uruchomienie silnika, rozpoczęcie procedury pobierania próbek oraz praca pierwszego cyklu muszą być zgodne z tabelą III.1.2 oraz rysunkiem III.1.2.

3.3.   Przygotowanie do badania

3.3.1.

W odniesieniu do badanego pojazdu stosuje się przepisy ppkt 3.1 załącznika III. W odniesieniu do ustawienia równoważnej masy bezwładności na dynamometrze stosuje się przepisy ppkt 5.1 załącznika III.

image

Rysunek VII.1

Procedura badania w niskiej temperaturze otoczenia

3.4.   Paliwo stosowane do przeprowadzania testów

▼M19

3.4.1.

Badane paliwo musi być zgodne ze specyfikacjami podanymi w sekcji C załącznika IX.

▼M15

4.   PRZYGOTOWANIE WSTĘPNE POJAZDU

4.1.   Streszczenie

4.1.1.

W celu zapewnienia powtarzalności badań emisji badane pojazdy muszą być przygotowane w jednolity sposób. Przygotowanie polega na jeździe przygotowawczej na hamowni, po której następuje okres przebywania w strefie wilgotnej przed wykonaniem badania emisji zgodnie z ppkt 4.3.

4.2.   Przygotowanie wstępne

4.2.1.

Zbiornik paliwa musi być napełniony określonym paliwem stosowanym do przeprowadzania testów. Jeśli paliwo znajdujące się w zbiorniku paliwa nie spełnia wymogów zawartych w ppkt 3.4.1, przed napełnieniem zbiornika znajdujące się tam paliwo musi zostać spuszczone. Paliwo stosowane do przeprowadzania testów musi mieć temperaturę niższą lub równą 289 oK (+ 16 °C). Do przeprowadzenia opisanych wyżej czynności układ kontroli emisji nie może być ani nieprawidłowo czyszczony ani nieprawidłowo obciążany.

4.2.2.

Pojazd wprowadza się do komory badania i umieszcza na hamowni.

4.2.3.

Wstępne przygotowanie składa się z cyklu jazdy zgodnie z rysunkiem III.1.1 znajdującym się w dodatku 1 do załącznika III, część pierwsza i druga. Na wniosek producenta pojazdy z silnikiem o zapłonie iskrowym można przygotowywać w ramach cyklu jazdy części pierwszej i drugiej.

4.2.4.

Podczas przygotowywania wstępnego temperatura w komorze badań musi się utrzymywać na stosunkowo stałym poziomie i nie może być wyższa niż 303 oK (30 °C).

4.2.5.

Ciśnienie w oponach kół napędzających musi mieć wartość określoną w ppkt 5.3.2 załącznika III.

4.2.6.

W ciągu dziesięciu minut od zakończenia przygotowania wstępnego silnik musi zostać wyłączony.

4.2.7.

Na wniosek producenta oraz za zgodą placówki technicznej dozwolone jest, w wyjątkowych przypadkach, przeprowadzenie dodatkowego przygotowania wstępnego. Placówka techniczna może również zadecydować o przeprowadzeniu dodatkowego przygotowania wstępnego. Dodatkowe przygotowanie wstępne składa się z jednego lub więcej programów jazdy w ramach części pierwszej cyklu, jak określono w dodatku 1 do załącznika III. Zakres takiego dodatkowego przygotowania wstępnego musi być odnotowany w sprawozdaniu z badania.

4.3.   Metody parowania

4.3.1.

Musi być zastosowana jedna z podanych niżej metod, wybranych przez producenta, w celu uzyskania stanu stabilnego pojazdu przed wykonaniem badania emisji.

4.3.2.

Metoda standardowa. Pojazd pozostawia się na okres nie krótszy niż 12 godzin i nie dłuższy niż 36 godzin przed badaniem emisji z rury wydechowej w niskiej temperaturze otoczenia. Temperatura otoczenia (suchy termometr) w czasie tego okresu musi wynosić średnio:

266 oK (-7 °C) ± 3 oK w ciągu każdej godziny badania i nie może być niższa niż 260 oK (-13 °C) ani wyższa niż 272 °K (-1 °C). Ponadto temperatura nie może spaść poniżej 263 oK (-10 °C) ani przekroczyć 269 oK (-4 °C) przez więcej niż trzy kolejne minuty.

4.3.3.

Metoda wymuszona ►M18   ◄ . Pojazd musi być pozostawiony na nie więcej niż 36 godzin przed wykonaniem badania emisji zanieczyszczeń z rury wydechowej w niskiej temperaturze otoczenia.

4.3.3.1.

W okresie tym nie można pozostawiać pojazdu w temperaturze otoczenia przekraczającej 303 oK (30 °C).

4.3.3.2.

Chłodzenie pojazdu można uzyskać poprzez chłodzenie wymuszone pojazdu do temperatury badania. Jeśli chłodzenie jest nasilone przez zastosowanie dmuchaw, dmuchawy należy ustawić w pozycji pionowej tak, aby osiągnąć maksymalne chłodzenie mechanizmu napędowego oraz silnika, a nie głównie miski olejowej. Nie można umieszczać dmuchaw pod pojazdem.

4.3.3.3.

Należy jedynie ściśle kontrolować temperaturę otoczenia po ochłodzeniu pojazdu do temperatury:

266 oK (-7 °C) ± 2 oK,

ustalonej na podstawie temperatury reprezentatywnej ilości oleju. Temperatura reprezentatywnej ilości oleju jest temperaturą oleju mierzoną w okolicy środka objętości oleju, a nie na powierzchni czy na dnie miski olejowej. W przypadku kontroli bardziej zróżnicowanych punktów w objętości oleju, wszystkie one muszą spełniać odpowiednie wymogi temperatury.

4.3.3.4.

Pojazd musi być pozostawiony na co najmniej godzinę po jego ochłodzeniu do 266 oK (-7 °C) ± 2 oK przed wykonaniem badania emisji zanieczyszczeń z rury wydechowej w niskiej temperaturze otoczenia. Temperatura otoczenia (sucha żarówka) podczas tego okresu musi wynosić średnio 266 oK (-7 °C) ± 3 oK, oraz:

nie może być niższa niż 260 oK (-13 °C) ani wyższa niż 272 oK (-1 °C).

Ponadto temperatura:

nie może spaść poniżej 263 oK (-10 °C) ani przekroczyć 269 oK (-4 °C),

przez więcej niż trzy kolejne minuty.

4.3.4.

Jeśli pojazd osiągnie stan stabilny w temperaturze 266 oK (-7 °C) w osobnej strefie oraz jeśli przemieści się go do komory diagnostycznej przez strefę ciepłą, musi ponownie osiągnąć stan stabilizacji w komorze diagnostycznej przez okres co najmniej sześciokrotnie dłuższy niż okres przebywania w cieplejszej temperaturze. Temperatura otoczenia (suchy termometr) podczas tego okresu

musi wynosić średnio 266 oK (-7 °C) ± 3 oK i nie może być niższa niż 260 oK (-13 °C) ani wyższa niż 272 oK (-1 °C).

Ponadto temperatura:

nie może spaść poniżej 263 oK (-10 °C) ani przekroczyć 269 oK (-4 °C) przez więcej niż trzy kolejne minuty.

5.   PROCEDURA BADANIA NA HAMOWNI

5.1.   Streszczenie

5.1.1.

Pobieranie próbek emisji odbywa się podczas procedury diagnostycznej, składającej się z cyklu części pierwszej (rysunek III.1.1 w dodatku 1 do załącznika III). Rozruch silnika, bezpośrednie pobranie próbek, praca cyklu części pierwszej oraz wyłączenie silnika stanowią całość badania w niskiej temperaturze otoczenia, trwające łącznie 780 sekund. Spaliny z rury wydechowej rozrzedza się powietrzem otoczenia oraz pobiera się do analizy próbkę w stałej proporcji. Gazy spalinowe zgromadzone w worku analizuje się pod względem zawartości węglowodorów, tlenku węgla oraz ditlenku węgla. Pobraną jednocześnie próbkę powietrza użytego do rozrzedzenia analizuje się w podobny sposób pod względem zawartości tlenku węgla, węglowodorów oraz ditlenku węgla.

5.2.   Działanie hamowni

5.2.1.   Dmuchawa chłodząca

5.2.1.1.

Dmuchawę chłodzącą ustawia się w taki sposób, aby powietrze chłodzące było odpowiednio skierowane na chłodnicę (chłodzenie wodą) lub na wlot powietrza (chłodzenie powietrzem) oraz na pojazd.

5.2.1.2.

W przypadku pojazdów z silnikiem umieszczonym z przodu, dmuchawa musi być ustawiona z przodu pojazdu, w odległości do 300 mm od niego. W przypadku pojazdów z silnikiem umieszczonym z tyłu lub gdy powyższa sytuacja jest trudna do osiągnięcia, dmuchawę chłodzącą należy ustawić w taki sposób, aby dostarczyć ilość powietrza wystarczającą do ochłodzenia pojazdu.

5.2.1.3.

Szybkość dmuchawy musi być taka, aby przy zakresie działania od 10 km/h do co najmniej 50 km/h prędkość liniowa powietrza przy wylocie dmuchawy wynosiła do ± 5 km/h odpowiedniej prędkości wałków. Ostatecznie dobrane warunki pracy dmuchawy muszą mieć następującą charakterystykę:

 powierzchnia: co najmniej 0,2 m2,

 wysokość dolnej krawędzi nad podłożem: około 20 cm.

Alternatywna prędkość powietrza z dmuchawy musi wynosić co najmniej 6 m/s (21,6 km/h). Na wniosek producenta w odniesieniu do określonych pojazdów (np. półciężarówek, pojazdów poruszających poza drogami publicznymi) można zmodyfikować wysokość położenia dmuchawy.

5.2.1.4.

Musi być zastosowana prędkość pojazdu wyliczoną na podstawie prędkości obrotów wałków dynamometru (ppkt 4.1.4.4 załącznika III).

5.2.3.

Jeśli to konieczne, mogą być przeprowadzone wstępne cykle diagnostyczne w celu określenia najlepszego sposobu włączania się układów kontrolnych przyspieszenia i hamowania tak, aby osiągnąć cykl przypominający teoretyczny cykl, mieszczący się w zaleconych granicach lub aby umożliwić regulację układu diagnostycznego. Jazdę taką należy przeprowadzić przed etapem „START” przedstawionym na rysunku VII.1.

5.2.4.

Wilgotność powietrza musi być utrzymywana na wystarczająco niskim poziomie w celu uniknięcia skraplania się pary wodnej na wałkach dynamometru.

5.2.5.

Dynamometr musi być dokładnie ogrzany zgodnie z zaleceniami producenta dynamometru oraz z zastosowaniem procedur lub metod kontrolnych, pozwalających na utrzymanie stabilności resztkowej mocy tarcia.

5.2.6.

Czas między ogrzaniem dynamometru a rozpoczęciem badania emisji nie może być dłuższy niż 10 minut, jeśli łożyska dynamometru nie są ogrzewane niezależnie. Jeśli łożyska dynamometru są ogrzewane niezależnie, badanie emisji musi się zacząć nie później niż 20 minut po ogrzaniu dynamometru.

5.2.7.

Jeśli moc dynamometru trzeba ustawiać ręcznie, musi to być zrobione w ciągu godziny przed fazą badania emisji zanieczyszczeń z rury wydechowej. Do ustawienia dynamometru nie można używać pojazdu badanego. Dynamometr wyposażony w automatyczną regulację ustawień mocy można nastawić w dowolnym czasie przed rozpoczęciem badania emisji.

5.2.8.

Zanim będzie można rozpocząć program jazdy w ramach badania emisji zanieczyszczeń, temperatura komory diagnostycznej musi wynosić 266 oK (-7 °C) ± 2 °C, mierzona w strumieniu powietrza dmuchawy chłodzącej znajdującej się w maksymalnej odległości 1–1,5 m od pojazdu.

5.2.9.

Podczas pracy pojazdu urządzenia grzewcze oraz odszraniające muszą być wyłączone.

5.2.10.

Wykonuje się zapis całkowitej drogi przejechanej przez pojazd lub obrotów wałków.

5.2.11.

Pojazd z napędem na cztery koła musi być badany w trybie pracy z napędem na dwa koła. Wykonuje się obliczenie całkowitej siły obciążenia na drodze do ustawienia dynamometru podczas pracy pojazdu w jego podstawowym trybie jazdy.

5.3.   Wykonanie badania

5.3.1.

Przepisy ppkt 6.2–6.6 załącznika III, z wyłączeniem ppkt 6.2.2, mają zastosowanie do uruchomienia silnika, przeprowadzania badania oraz pobierania próbek zanieczyszczeń. Pobieranie próbek rozpoczyna się przed i podczas rozpoczęcia procedury rozruchu silnika, a kończy się po zakończeniu końcowego okresu pracy na biegu jałowym ostatniego cyklu podstawowego części pierwszej (cykl jazdy miejskiej), po 780 sekundach.

Pierwszy cykl jazdy rozpoczyna się okresem 11 sekund biegu jałowego bezpośrednio po uruchomieniu silnika.

5.3.2.

W odniesieniu do analizy pobranych próbek emisji zanieczyszczeń stosuje się przepisy ppkt 7.2 załącznika III. Wykonując analizę próbek zanieczyszczeń wydechowych placówka techniczna musi dołożyć starań mających zapobiec skropleniu się pary wodnej w workach gromadzących próbki gazu wydechowego.

5.3.3.

W odniesieniu do obliczenia masy emisji zanieczyszczeń stosuje się przepisy ppkt 8 załącznika III.

6.   INNE WYMOGI

6.1.   Nieracjonalna strategia kontroli emisji

6.1.1.

Nieracjonalną strategię kontroli emisji, powodującą zmniejszenie się skuteczności układu kontroli emisji w normalnych warunkach pracy podczas jazdy w niskiej temperaturze, dotychczas niebędącą przedmiotem znormalizowanych badań emisji, można uznać za środek spowalniający.

▼M9




ZAŁĄCZNIK ►M15  VIII ◄

Opis badania starzenia się dla sprawdzenia trwałości urządzeń zapobiegających zanieczyszczeniom

1.   WPROWADZENIE

Niniejszy Załącznik opisuje badanie sprawdzające trwałość urządzeń zapobiegających zanieczyszczeniom, w które jest wyposażony pojazd z silnikiem o zapłonie iskrowym lub silnikiem wysokoprężnym, podczas badania starzenia się po 80 000 km.

2.   POJAZD BADANY

2.1.

Pojazd musi być w dobrym stanie mechanicznym; silnik oraz urządzenia zapobiegające zanieczyszczeniom muszą być nowe.

Pojazd musi być identyczny z przedstawionym do badania typu I; to badanie typu I musi być przeprowadzone po przejechaniu przez pojazd przynajmniej 3000 km cyklu starzenia się określonego w ppkt 5.1.

▼M14

3.   PALIWO

Badanie trwałości przeprowadza się przy zastosowaniu odpowiedniego paliwa dostępnego na rynku.

▼M9

4.   UTRZYMANIE I DOSTOSOWANIE POJAZDU

Utrzymanie, dostosowanie, jak również wykorzystanie badań kontroli pojazdu jest zgodne z zaleceniami producenta.

5.   PROWADZENIE POJAZDU NA TORZE, DRODZE LUB HAMOWNI PODWOZIOWEJ

5.1.   Cykl operacyjny

Podczas prowadzenia na torze, drodze lub stanowisku pomiarowym z rolkami należy przejechać odległość zgodną z określonym poniżej harmonogramem jazdy (rysunek ►M15  VIII. ◄ 5.1.):

 harmonogram badania trwałości składa się z 11 cykli, z których każdy ma długość sześciu kilometrów,

 podczas pierwszych dziewięć cykli pojazd jest zatrzymywany cztery razy w środku cyklu, z silnikiem na biegu jałowym za każdym razem po 15 sekund,

 normalne przyspieszenie i spowolnienie,

 pięć spowolnień w środku każdego cyklu, zmniejszających prędkość pojazdu do 32 km/h, po czym następuje ponowne stopniowe przyspieszenie pojazdu, dopóki nie zostanie osiągnięta prędkość cyklu,

 cykl dziesiąty jest wykonywany przy stałej prędkości 89 km/h,

 cykl jedenasty rozpoczyna się przy maksymalnym przyspieszeniu od punktu zatrzymania do 113 km/h. W połowie drogi uruchamia się w sposób normalny hamulce, dopóki pojazd się nie zatrzyma. Po tym następuje 15-sekundowy okres biegu jałowego i drugie maksymalne przyspieszenie.

Następnie harmonogram powtarza się od początku. Maksymalna prędkość każdego cyklu jest podana w poniższej Tabeli.



Tabela ►M15  VIII. ◄ 5.1.

Maksymalna prędkość dla każdego cyklu

Cykl

Prędkość cyklu w

km/h

1

64

2

48

3

64

4

64

5

56

6

48

7

56

8

72

9

56

10

89

11

113

Rysunek ►M15  VIII ◄ 5.1

Harmonogram jazdy

image

5.1.1.

Na wniosek producenta może być wykorzystany alternatywny harmonogram badania drogowego. Takie alternatywne harmonogramy podlegają zatwierdzeniu przez służbę techniczną wyprzedzająco do badania oraz muszą mieć tę samą prędkość średnią, rozkład prędkości, liczbę zatrzymań na kilometr oraz ilość przyspieszeń na kilometr, co harmonogram wykorzystywany na torze lub stanowisku pomiarowym z rolkami, jak określono w ppkt 5.1 oraz na rysunku ►M15  VIII ◄ 5.1.

5.1.2.

Badanie trwałości lub, zgodnie z decyzją producenta, zmodyfikowane badanie trwałości jest przeprowadzane do chwili pokonania przez pojazd minimum 80 000 km.

5.2.   Wyposażenie badawcze

5.2.1.   Hamownia podwoziowa

5.2.1.1.

W przypadku gdy badanie trwałości jest wykonywane na hamowni podwoziowej, dynamometr musi umożliwiać przeprowadzenie cyklu opisanego w ppkt 5.1. W szczególności musi on być wyposażony w układy symulacji bezwładności oraz oporu na ruch postępowy.

5.2.1.2.

Hamulec musi być dostosowany do absorbowania mocy wywieranej na koła jezdne przy stałej prędkości 80 km/h. Metody wykorzystywane do ustalania tej mocy oraz dostosowania hamulca są identyczne z określonymi w dodatku 3 do załącznika III.

5.2.1.3.

Układ chłodzenia pojazdu powinien umożliwiać działanie pojazdu w temperaturach zbliżonych do uzyskiwanych na drodze (olej, woda, układ wydechowy itp.).

5.2.1.4.

Uznaje się, że niektóre inne dostosowania stanowiska pomiarowego oraz właściwości są identyczne, w miarę potrzeby, z opisanymi w załączniku III do niniejszej dyrektywy (bezwładność, na przykład, która może być mechaniczna lub elektroniczna).

5.2.1.5.

Pojazd może być, w miarę potrzeby, przestawiony na inne stanowisko w celu przeprowadzenia badań pomiaru emisji.

5.2.2.   Operacje na torze lub drodze

W przypadku gdy badanie trwałości jest przeprowadzane na torze lub drodze, masa odniesienia pojazdu będzie co najmniej równa utrzymywanej podczas badań przeprowadzanych na hamowni podwoziowej.

6.   POMIAR EMISJI ZANIECZYSZCZEŃ

▼M15

Na początku badania (0 km) oraz co 10 000 km (± 400 km) lub częściej, w regularnych odstępach aż do osiągnięcia 80 000 km, należy dokonywać pomiaru emisji zanieczyszczeń z rury wydechowej zgodnie z badaniem typu I określonym w ppkt 5.3.1 załącznika I. Obowiązujące wartości dopuszczalne wymienione są w ppkt 5.3.1.4. załącznika I.

▼M9

Wszystkie wyniki emisji spalin są przedstawiane w wykresie jako funkcja przejechanej odległości do układu, zaokrąglona do najbliższego kilometra, połączone najlepiej dopasowaną za pomocą metody najmniejszych kwadratów linią prostą, przechodzącą przez wszystkie punkty danych. To obliczenie nie uwzględnia wyniku badania przy 0 km.

Dane są akceptowalne do wykorzystania w obliczeniach czynnika pogorszenia jakości tylko wtedy, jeżeli punkty interpolacji na linii przy 6400 km i 80 000 km leżą w zakresie wyżej wspomnianych ograniczeń. Dane są również akceptowalne w przypadku, gdy najlepiej dopasowana linia prosta przechodzi przez stosowane ograniczenie z nachyleniem ujemnym (punkt interpolowany przy 6400 km jest wyższy niż punkt interpolowany przy 80 000 km), ale rzeczywisty punkt danych przy 80 000 km leży poniżej tego ograniczenia.

Czynnik mnożnikowy pogorszenia jakości w odniesieniu do emisji spalin jest obliczany dla każdego zanieczyszczenia, jak następuje:

image

gdzie:

Mi1

=

masa emisji zanieczyszczenia i w gramach na kilometr interpolowana do 6400 km,

Mi2

=

masa emisji zanieczyszczenia i w gramach na kilometr interpolowana do 80 000 km.

Te interpolowane wartości muszą być podane do minimum czterech miejsc po przecinku przed podziałem jednego przez drugi celem ustalenia współczynnika pogorszenia jakości. Wynik musi być zaokrąglony do trzech miejsc po przecinku.

Jeżeli czynnik pogorszenia jakości jest mniejszy od jednego, zakłada się, że jest on równy jeden.

▼M19




ZAŁĄCZNIK IX

A.   Specyfikacje paliw wzorcowych do badania pojazdów w przypadku wartości dopuszczalnych emisji zanieczyszczeń podanych w załączniku I — Badanie typu I wiersz A tabeli w ppkt. 5.3.1.4

1.   DANE TECHNICZNE PALIW WZORCOWYCH STOSOWANYCH DO BADANIA POJAZDÓW WYPOSAŻONYCH W SILNIK O ZAPŁONIE ISKROWYM



Typ: Benzyna bezołowiowa

Parametry

Jednostka

Limity (1)

Metoda badania

Minimum

Maksimum

Badana liczba oktanowa, RON

 

95,0

EN 25164

Liczba oktanowa silnika, MON

 

85,0

EN 25163

Gęstość przy 15 °C

kg/m3

748

762

ISO 3675

Prężność oparów

kPa

56,0

60,0

EN 12

Destylacja:

 
 
 
 

— początkowa temperatura wrzenia

°C

24

40

EN-ISO 3405

— odparowanie przy 100 °C

% v/v

49,0

57,0

EN-ISO 3405

— odparowanie przy 150 °C

% v/v

81,0

87,0

EN-ISO 3405

— końcowa temperatura wrzenia

°C

190

215

EN-ISO 3405

Pozostałość

% v/v

2

EN-ISO 3405

Analizator węglowodorów:

 
 
 
 

— olefiny

% v/v

10

ASTM D 1319

— węglowodory aromatyczne

% v/v

28,0

40,0

ASTM D 1319

— benzen

% v/v

1,0

Pr. EN 12177

— węglowodory nasycone

% v/v

równowaga

ASTM D 1319

Stosunek węgiel / wodór

 

sprawo-zdanie

sprawo-zdanie

 

Okres indukcji (2)

minuty

480

EN-ISO 7536

Zawartość tlenu

% m/m

2,3

EN1601

Występująca żywica

mg/ml

0,04

EN- ISO 6246

Zawartość siarki (3)

mg/kg

100

Pr. EN-ISO/DIS 14596

Korozja miedzi klasy I

 

1

EN-ISO 2160

Zawartość ołowiu

mg/l

5

EN 237

Zawartość fosforu

mg/l

1,3

ASTM D 3231

(1)   Wartości podane w specyfikacjach są „wartościami rzeczywistymi”. Dla ustalenia ich wartości dopuszczalnych zastosowano warunki normy ISO 4259 Produkty ropopochodne: określanie i stosowanie precyzyjnych danych odnoszących się do metod badania, a dla określenia wartości minimalnej wzięto pod uwagę minimalną różnicę 2R powyżej zera; dla określenia wartości maksymalnej i minimalnej, minimalna różnica wynosi 4R (R = odtwarzalność). Niezależnie od tego środka, który jest niezbędny z przyczyn technicznych, producent paliwa powinien jednak zmierzać do osiągnięcia wartości zero w przypadku, kiedy ustalona maksymalna wartość wynosi 2R oraz do średniej wartości, w przypadku podania wartości minimalnych i maksymalnych. W przypadku zaistnienia potrzeby ustalenia, czy paliwo odpowiada wymogom specyfikacji stosuje się warunki normy ISO 4259.

(2)   Paliwo może zawierać inhibitory utleniania i dezaktywatory metalu normalnie wykorzystywane do stabilizowania strumieni benzyny rafinowanej, ale nie można dodawać detergentów/dodatków dyspersyjnych i olejów rozpuszczających.

(3)   Podaje się rzeczywistą zawartość siarki paliwa wykorzystywanego do badania typu I.

2.   DANE TECHNICZNE DOTYCZĄCE WZORCOWEGO PALIWA WYKORZYSTYWANEGO DO BADANIA POJAZDÓW WYPOSAŻONYCH W SILNIK DIESLA



Typ: Olej napędowy

Parametry

Jednostka

Limity (1)

Metoda badania

Minimum

Maksimum

Liczba cetanowa (2)

 

52,0

54,0

EN-ISO 5165

Gęstość przy 15 °C

kg/m3

833

837

EN-ISO 3675

Destylacja:

 
 
 
 

— punkt 50 %

°C

245

EN-ISO 3405

— punkt 95 %

°C

345

350

EN-ISO 3405

— końcowa temperatura wrzenia

°C

370

EN-ISO 3405

Temperatura zapłonu

°C

55

EN 22719

CFPP

°C

-5

EN 116

Lepkość przy 40 °C

mm2/s

2,5

3,5

EN-ISO 3104

Wielopierścieniowe węglowodory aromatyczne

% m/m

3

6,0

IP 391

Zawartość siarki (3)

mg/kg

300

Pr. EN-ISO /DIS 14596

Korozja miedzi

 

1

EN-ISO 2160

Pozostałości węglowe Konradsona (10 % DR)

% m/m

0,2

EN-ISO 10370

Zawartość popiołu

% m/m

0,01

EN-ISO 6245

Zawartość wody

% m/m

0,02

EN-ISO 12937

Liczba neutralizacji (silny kwas)

mg KOH/g

0,02

ASTM D974–95

Stabilność tlenowa (4)

mg/ml

0,025

EN-ISO 12205

Nowa lepsza metoda dla wielopierścieniowych węglowodorów aromatycznych, w trakcie opracowania

% m/m

EN 12916

(1)   Wartości podane w specyfikacjach są „wartościami rzeczywistymi”. Dla ustalenia ich wartości dopuszczalnych zastosowano warunki normy ISO 4259 Produkty ropopochodne: określanie i stosowanie precyzyjnych danych odnoszących się do metod badania, a dla określenia wartości minimalnej wzięto pod uwagę minimalną różnicę 2R powyżej zera; dla określenia wartości maksymalnej i minimalnej, minimalna różnica wynosi 4R (R = odtwarzalność). Niezależnie od tego środka, który jest niezbędny z przyczyn technicznych, producent paliwa powinien jednak zmierzać do osiągnięcia wartości zero w przypadku, kiedy ustalona maksymalna wartość wynosi 2R oraz do średniej wartości, w przypadku podania wartości minimalnych i maksymalnych. W przypadku zaistnienia potrzeby ustalenia, czy paliwo odpowiada wymogom specyfikacji, stosuje się warunki normy ISO 4259.

(2)   Zakres liczby cetanowej nie jest zgodny z wymaganiami minimalnego zakresu różnicy wynoszącego 4R. Jednakże w przypadku sporu między dostawcą paliwa a użytkownikiem paliwa można wykorzystać warunki normy ISO 4259 w celu rozstrzygania takich sporów, o ile zostają dokonane pomiary powtarzalne, w liczbie wystarczającej do uzyskania niezbędnej precyzji, z preferencją dla oznaczeń pojedynczych.

(3)   Podaje się rzeczywistą zawartość siarki paliwa wykorzystywanego do badania typu I.

(4)   Nawet w przypadku kontrolowanych procesów utleniania możliwe jest, że trwałość powłoki jest ograniczona. W tym celu konieczne jest uzyskanie od dostawcy informacji dotyczących warunków przechowywania i trwałości.

B.   Specyfikacje paliw wzorcowych dla badania pojazdów na okoliczność wartości dopuszczalnych emisji zanieczyszczeń podanych w załączniku I — Badanie typu I wiersz B tabeli w ppkt. 5.3.1.4

1.   DANE TECHNICZNE PALIW WZORCOWYCH, KTÓRE MAJĄ BYĆ STOSOWANE DO BADANIA POJAZDÓW WYPOSAŻONYCH W SILNIK O ZAPŁONIE ISKROWYM



Typ: Benzyna bezołowiowa

Parametry

Jednostka

Limity (1)

Metoda badania

Minimum

Maksimum

Badana liczba oktanowa, RON

 

95,0

EN 25164

Liczba oktanowa silnika, MON

 

85,0

EN 25163

Gęstość przy 15 °C

kg/m3

740

754

ISO 3675

Ciśnienie pary według metody Reid'a

kPa

56,0

60,0

PrEN ISO 13016-1 (DVPE)

Destylacja:

 
 
 
 

— odparowanie przy 70 °C

% v/v

24,0

40,0

EN-ISO 3405

— odparowanie przy 100 °C

% v/v

50,0

58,0

EN-ISO 3405

— odparowanie przy 150 °C

% v/v

83,0

89,0

EN-ISO 3405

— końcowa temperatura wrzenia

°C

190

210

EN-ISO 3405

Pozostałość

% v/v

2,0

EN-ISO 3405

Analizator węglowodorów:

 
 
 
 

— olefiny

% v/v

10,0

ASTM D 1319

— węglowodory aromatyczne

% v/v

29,0

35,0

ASTM D 1319

— benzen

% v/v

1,0

ASTM D 1319

— węglowodory nasycone

% v/v

sprawozdanie

Pr. EN 12177

Stosunek węgiel / wodór

 

sprawozdanie

 

Okres indukcji (2)

minuty

480

EN-ISO 7536

Zawartość tlenu

% m/m

1,0

EN 1601

Występująca żywica

mg/ml

0,04

EN-ISO 6246

Zawartość siarki (3)

mg/kg

10

ASTM D 5453

Korozja miedzi

 

klasa 1

EN-ISO 2160

Zawartość ołowiu

mg/l

5

EN 237

Zawartość fosforu

mg/l

1,3

ASTM D 3231

(1)   Wartości podane w specyfikacjach są „wartościami rzeczywistymi”. Dla ustalenia ich wartości dopuszczalnych zastosowano warunki normy ISO 4259 Produkty ropopochodne: określanie i stosowanie precyzyjnych danych odnoszących się do metod badania, a dla określenia wartości minimalnej wzięto pod uwagę minimalną różnicę 2R powyżej zera; dla określenia wartości maksymalnej i minimalnej, minimalna różnica wynosi 4R (R = odtwarzalność). Niezależnie od tego środka, który jest niezbędny z przyczyn technicznych, producent paliwa powinien jednak zmierzać do osiągnięcia wartości zero w przypadku, kiedy ustalona maksymalna wartość wynosi 2R oraz do średniej wartości, w przypadku podania wartości minimalnych i maksymalnych. W przypadku zaistnienia potrzeby ustalenia, czy paliwo odpowiada wymogom specyfikacji stosuje się warunki normy ISO 4259.

(2)   Paliwo może zawierać inhibitory utleniania i dezaktywatory metalu normalnie wykorzystywane do stabilizowania strumieni benzyny rafinowanej, ale nie można dodawać detergentów / dodatków dyspersyjnych i olejów rozpuszczających.

(3)   Podaje się rzeczywistą zawartość siarki paliwa wykorzystywanego do badania typu I.

2.   DANE TECHNICZNE DOTYCZĄCE WZORCOWEGO PALIWA WYKORZYSTYWANEGO DO BADANIA POJAZDÓW WYPOSAŻONYCH W SILNIK DIESLA



Typ: Olej napędowy

Parametry

Jednostka

Limity (1)

Metoda badania

Minimum

Maksimum

Liczba cetanowa (2)

 

52,0

54,0

EN-ISO 5165

Gęstość przy 15 °C

kg/m3

833

837

EN-ISO 3675

Destylacja:

 
 
 
 

— punkt 50 %

°C

245

EN-ISO 3405

— punkt 95 %

°C

345

350

EN-ISO 3405

— końcowa temperatura wrzenia

°C

370

EN-ISO 3405

Temperatura zapłonu

°C

55

EN 22719

CFPP

°C

-5

EN 116

Lepkość przy 40 °C

mm2/s

2,3

3,3

EN-ISO 3104

Wielopierścieniowe węglowodory aromatyczne

% m/m

3,0

6,0

IP 391

Zawartość siarki (3)

mg/kg

10

ASTM D 5453

Korozja miedzi

 

klasa 1

EN-ISO 2160

Pozostałości węglowe Konradsona (10 % DR)

% m/m

0,2

EN-ISO 10370

Zawartość popiołu

% m/m

0,01

EN-ISO 6245

Zawartość wody

% m/m

0,02

EN-ISO 12937

Liczba neutralizacji (silny kwas)

mg KOH/g

0,02

ASTM D 974

Stabilność tlenowa (4)

mg/ml

0,025

EN-ISO 12205

Smarowność (HFRR badana średnica zużycia tarciowego przy 60 °C)

μm

400

CEC F-06-A-96

FAME

Zakazany

(1)   Wartości podane w specyfikacjach są „wartościami rzeczywistymi”. Dla ustalenia ich wartości dopuszczalnych zastosowano warunki normy ISO 4259 Produkty ropopochodne: określanie i stosowanie precyzyjnych danych odnoszących się do metod badania, a dla określenia wartości minimalnej wzięto pod uwagę minimalną różnicę 2R powyżej zera; dla określenia wartości maksymalnej i minimalnej, minimalna różnica wynosi 4R (R = odtwarzalność). Niezależnie od tego środka, który jest niezbędny z przyczyn technicznych, producent paliwa powinien jednak zmierzać do osiągnięcia wartości zero, w przypadku kiedy ustalona maksymalna wartość wynosi 2R oraz do średniej wartości, w przypadku podania wartości minimalnych i maksymalnych. W przypadku zaistnienia potrzeby ustalenia, czy paliwo odpowiada wymogom specyfikacji stosuje się warunki normy ISO 4259.

(2)   Zakres liczby cetanowej nie jest zgodny z wymogiem, aby minimalny zakres różnicy wynosił 4R. Jednak w przypadku sporu między dostawcą a użytkownikiem paliwa można stosować warunki normy ISO 4259, stosując raczej wielokrotne niż pojedyncze pomiary, w zakresie, w jakim jest to konieczne dla osiągnięcia stosownego poziomu precyzyjności pomiarów.

(3)   Podaje się rzeczywistą zawartość siarki paliwa wykorzystywanego do badania typu I.

(4)   Nawet w przypadku kontrolowanych procesów utleniania możliwe jest, że trwałość powłoki jest ograniczona. W tym celu konieczne jest uzyskanie od dostawcy informacji dotyczących warunków przechowywania i trwałości.

C.   Specyfikacje paliwa wzorcowego, wykorzystywanego do badania pojazdów wyposażonych w silniki o zapłonie iskrowym przy niskiej temperaturze otoczenia — Badanie typu VI



Typ: Benzyna bezołowiowa

Parametry

Jednostka

Limity (1)

Metoda badania

Minimum

Maksimum

Badana liczba oktanowa, RON

 

95,0

EN 25164

Liczba oktanowa silnika, MON

 

85,0

EN 25163

Gęstość przy 15 °C

kg/m3

740

754

ISO 3675

Prężność oparów

kPa

56,0

95,0

Pr. EN ISO 13016-1 (DVPE)

Destylacja:

 
 
 
 

— odparowanie przy 70 °C

% v/v

24,0

40,0

EN-ISO 3405

— odparowanie przy 100 °C

% v/v

50,0

58,0

EN-ISO 3405

— odparowanie przy 150 °C

% v/v

83,0

89,0

EN-ISO 3405

— końcowa temperatura wrzenia

°C

190

210

EN-ISO 3405

Pozostałość

% v/v

2,0

EN-ISO 3405

Analizator węglowodorów:

 
 
 
 

— olefiny

% v/v

10,0

ASTMD 1319

— węglowodory aromatyczne

% v/v

29,0

35,0

ASTMD 1319

— benzen

% v/v

1,0

ASTMD 1319

— węglowodory nasycone

% v/v

sprawozdanie

Pr. EN 12177

Stosunek węgiel / wodór

 

sprawozdanie

 

Okres indukcji (2)

protokół

480

EN-ISO 7536

Zawartość tlenu

% m/m

1,0

EN 1601

Występująca żywica

mg/ml

0,04

EN-ISO 6246

Zawartość siarki (3)

mg/kg

10

ASTMD 5453

Korozja miedzi

 

klasa 1

EN-ISO 2160

Zawartość ołowiu

mg/l

5

EN 237

Zawartość fosforu

mg/l

1,3

ASTMD 3231

(1)   Wartości podane w specyfikacjach są „wartościami rzeczywistymi”. Dla ustalenia ich wartości dopuszczalnych zastosowano warunki normy ISO 4259 Produkty ropopochodne: określanie i stosowanie precyzyjnych danych odnoszących się do metod badania, a dla określenia wartości minimalnej wzięto pod uwagę minimalną różnicę 2R powyżej zera; dla określenia wartości maksymalnej i minimalnej, minimalna różnica wynosi 4R (R = odtwarzalność). Niezależnie od tego środka, który jest niezbędny z przyczyn technicznych, producent paliwa powinien jednak zmierzać do osiągnięcia wartości zero w przypadku, kiedy ustalona maksymalna wartość wynosi 2R oraz do średniej wartości, w przypadku podania wartości minimalnych i maksymalnych. W przypadku zaistnienia potrzeby ustalenia, czy paliwo odpowiada wymogom specyfikacji stosuje się warunki normy ISO 4259.

(2)   Paliwo może zawierać inhibitory utleniania i dezaktywatory metalu normalnie wykorzystywane do stabilizowania strumieni benzyny rafinowanej, ale nie można dodawać detergentów / dodatków dyspersyjnych i olejów rozpuszczających.

(3)   Podaje się rzeczywistą zawartość siarki paliwa wykorzystywanego do badania typu VI.




ZAŁĄCZNIK IXa

SPECYFIKACJE GAZOWYCH PALIW WZORCOWYCH

A.   Dane techniczne wzorcowych paliw gazu płynnego

1.   DANE TECHNICZNE WZORCOWYCH PALIW GAZU PŁYNNEGO WYKORZYSTYWANYCH DO BADANIA POJAZDÓW DOTYCZĄCE LIMITÓW EMISJI ZANIECZYSZCZEŃ PODANYCH W ZAŁĄCZNIKU I — BADANIE TYPU I WIERSZ A TABELI W PPKT. 5.3.1.4.



Parametry

Jednostka

Paliwo A

Paliwo Β

Metoda badania

Skład:

 
 
 

ISO 7941

C3 - zawartość

% vol.

30 ± 2

85 ± 2

 

C4 - zawartość

% vol.

baza

baza

 

< C3, > C4

% vol.

maksimum 2

maksimum 2

 

Olefiny

% vol.

maksimum 12

maksimum 15

 

Pozostałość odparowania

mg/kg

maksimum 50

maksimum 50

ISO 13757

Woda przy 0 °C

 

wolna

wolna

badanie wizualne

Całkowita zawartość siarki

mg/kg

maksimum 50

maksimum 50

EN 24260

Siarczek wodoru

 

żadne

żadne

ISO 8819

Korozja paska miedzianego

wartość znamionowa

klasa 1

klasa 1

ISO 6251 ()

Zapach

 

charaktery-styczny

charaktery-styczny

 

Liczba oktanowa silnika

 

minimum 89

minimum 89

EN 589 załącznik B

(1)   Niniejsza metoda nie pozwala ustalić dokładnie obecności materiałów korozyjnych, jeżeli próbka zawiera inhibitory korozji lub inne związki chemiczne, które zmniejszają korozyjność próbki na pasku miedzianym. Dlatego zakazuje się dodawania takich związków chemicznych jedynie w celu obciążenia metody badania.

2.   DANE TECHNICZNE WZORCOWYCH PALIW GAZU PŁYNNEGO WYKORZYSTYWANYCH DO BADANIA POJAZDÓW NA OKOLICZNOŚĆ WARTOŚCI DOPUSZCZALNYCH EMISJI ZANIECZYSZCZEŃ PODANYCH W ZAŁĄCZNIKU I — BADANIE TYPU I WIERSZ B TABELI W PPKT. 5.3.1.4.



Parametry

Jednostka

Paliwo A

Paliwo Β

Metoda badania

Skład:

 
 
 

ISO 7941

C3 - zawartość

% vol

30 ± 2

85 ± 2

 

C4 - zawartość

% vol

baza

baza

 

< C3> C4

% vol

maksimum 2

maksimum 2

 

Olefiny

% vol

maksimum 12

maksimum 15

 

Pozostałość odparowana

mg/kg

maksimum 50

maksimum 50

ISO 13757

Woda przy 0 °C

 

wolna

wolna

kontrola wizualna

Całkowita zawartość siarki

mg/kg

maksimum 10

maksimum 10

EN 24260

Siarczek wodoru

 

żadne

żadne

ISO 8819

Korozja paska miedzianego

Wartość znamionowa

klasa 1

klasa 1

ISO 6251 ()

Zapach

 

charaktery-styczny

charaktery-styczny

 

Liczba oktanowa silnika

 

minimum 89

minimum 89

EN 589 załącznik B

(1)   Niniejszą metodą można nie ustalić dokładnie obecności materiałów korozyjnych, jeżeli próbka zawiera inhibitory korozji lub inne związki chemiczne, które zmniejszają korozyjność próbki na pasku miedzianym. Dlatego zakazuje się dodawania takich związków chemicznych jedynie w celu obciążenia metody badania.

B.   Dane techniczne paliw wzorcowych gazu ziemnego



Charakterystyka

Jednostki

Podstawa

Limity

Metoda badania

minimum

maksimum

Paliwo odniesienia G20

Skład:

Metan

% mol

100

99

100

ISO 6974

Baza ()

% mol

1

ISO 6974

N2

% mol

 
 
 

ISO 6974

Zawartość siarki

mg/m3 ()

10

ISO 6326-5

Liczba Wobbego (netto)

MJ/m3 ()

48,2

47,2

49,2

 

Paliwo wzorcowe G25

Skład:

Metan

% mol

86

84

88

ISO 6974

Baza ()

% mol

1

ISO 6974

N2

% mol

14

12

16

ISO 6974

Zawartość siarki

mg/m3 ()

10

ISO 6326-5

Liczba Wobbego (netto)

MJ/m3 ()

39,4

38,2

40,6

 

(1)   Obojętne (inne niż N2) + C2 + C2+.

(2)   Wartość należy ustalić przy 293,2 K (20 °C) i 101,3 kPa.

(3)   Wartość należy ustalić przy 273,2 Κ (0 °C) i 101,3 kPa.

▼M12




ZAŁĄCZNIK ►M15  X ◄

WZÓR

(Format maksymalny: A4 (210 x 297 mm))

▼M19

ŚWIADECTWO HOMOLOGACJI TYPU WE

image




DODATEK 1

Uzupełnienie do świadectwa homologacji typu WE nr…

▼M12

dotyczące homologacji typu pojazdu w odniesieniu do dyrektywy 70/220/EWG ostatnio zmienioną dyrektywą…/…/WE

image

►(5) M15  

►(5) M16  

►(5) M16  

►(5) M16  

►(5) M19  

image

►(23) M15  

►(23) M15  

►(23) M16  

►(23) M16  

►(23) M16  

►(23) M16  

►(23) M16  

►(23) M16  

►(23) M16  

►(23) M16  

►(23) M16  

►(23) M16  

►(23) M16  

►(23) M16  

►(23) M16  

►(23) M16  

►(23) M16  

►(23) M16  

►(23) M16  

►(23) M16  

►(23) M16  

►(23) M16  

►(23) M19  

▼M19




DODATEK 2

Informacje związane z systemem OBD

Jak podano w ppkt 3.2.12.2.8.6 dokumentu informacyjnego, informacje w niniejszym dodatku są dostarczone przez producenta pojazdu do celów umożliwienia produkcji wymiennych i eksploatacyjnych części kompatybilnych systemu OBD oraz narzędzi diagnostycznych i sprzętu badawczego. Producent pojazdu nie musi dostarczać takich informacji, jeżeli są one objęte prawami własności intelektualnej lub stanowią specyficzne know-how producenta lub dostawcy(-ów) oryginalnego sprzętu systemu OEM.

Na wniosek, niniejszy dodatek zostaje udostępniony w sposób niedyskryminujący dla każdego zainteresowanego producenta części, narzędzi diagnostycznych lub sprzętu badawczego.

1. Opis typu i liczby cykli kondycjonowania wykorzystywanych do pierwotnej homologacji typu pojazdu.

2. Opis typu cyklu prezentacyjnego systemu OBD wykorzystywanego dla pierwotnej homologacji typu pojazdu dla części monitorowanej przez system OBD.

3. Obszerny dokument opisujący wszystkie odczytane części ze strategią do wykrywania usterek i aktywacją MI (ustalona liczba cykli jazdy lub metoda statystyczna), włączając wykaz odpowiednich wtórnych odczytanych parametrów dla każdej części monitorowanej przez system OBD. Wykaz wszystkich kodów wyjściowych systemu OBD i wykorzystywany format (z objaśnieniem każdego) związany z pojedynczymi częściami emisji zanieczyszczeń związanymi z mechanizmem napędowym zębatym oraz częściami pojedynczymi niezwiązanymi z emisją, w przypadku gdy monitorowanie części jest wykorzystywane do ustalenia aktywacji MI. W szczególności, należy dostarczyć wyczerpujące objaśnienia danych podanych w serwisie USD 05 Test ID USD 21 do FRF oraz danych podanych w serwisie USD 06. W przypadku typów pojazdów, które wykorzystują łącze komunikacyjne zgodnie z normami ISO 15765-4 „Pojazdy drogowe — Diagnostyka dotycząca Lokalnej sieci sterującej (CAN) Część 4: Wymogi dla systemów związanych z emisją zanieczyszczeń”, należy dostarczyć wyczerpujące objaśnienia danych podanych w serwisie USD 06 Test ID USD 00 do FRF, dla każdego monitora systemu OBD wspomaganego identyfikator (id).



Część

Kod usterki

Strategia monito-rowania

Kryteria wykry-wania usterki

Kryteria aktywacji MI

Parametry wtórne

Wstępne kondycjo-nowanie

Badanie pokazowe

Kataliza-tor

P0420

Czujnik tlenu 1- i 2- sygnałowy

Różnica miedzy czujnikiem 1- a czujnikiem 2- sygnało-wym

Trzeci cykl

Prędkość obrotowa silnika, obciążenie silnika, tryb A/F, tempera-tura kataliza-tora

Dwa cykle typu I

typ I

▼M15




ZAŁĄCZNIK XI

POKŁADOWA DIAGNOSTYKA W POJAZDACH SILNIKOWYCH

1.   WPROWADZENIE

Niniejszy załącznik stosuje się do aspektów działania pokładowego systemu diagnostycznego do kontroli emisji zanieczyszczeń pojazdów silnikowych.

2.   DEFINICJE

W rozumieniu niniejszego załącznika:

2.1.

Pokładowy system diagnostyczny oznacza montowany na stałe w pojeździe system diagnostyczny do kontroli emisji zanieczyszczeń, który musi być w stanie identyfikować prawdopodobny obszar nieprawidłowego działania za pomocą kodów błędów przechowywanych w pamięci komputera.

2.2.

„Typ pojazdu” oznacza kategorię pojazdów o napędzie silnikowym, które nie różnią się w zasadniczy sposób pod względem charakterystyki silnika oraz układu diagnostycznego jak określono w dodatku 2.

2.3.

„Rodzina pojazdu” oznacza ustaloną przez producenta grupę pojazdów, które, jak można się spodziewać, z powodu swojej konstrukcji będą miały podobną charakterystykę emisji zanieczyszczeń oraz układu diagnostycznego. Każdy silnik z tej rodziny musi odpowiadać wymogom niniejszej dyrektywy.

2.4.

„Układ kontroli emisji zanieczyszczeń” oznacza elektroniczny układ kontroli pracy silnika oraz wszelkie związane z emisjami zanieczyszczeń części układu kontroli zanieczyszczeń lub par, które dostarczają dane wejściowe do układu lub otrzymują od niego dane wyjściowe.

2.5.

„Wskaźnik nieprawidłowego działania” oznacza widoczny lub słyszalny wskaźnik, jasno informujący kierowcę pojazdu o nieprawidłowym działaniu któregokolwiek związanego z emisją zanieczyszczeń elementu składowego podłączonego do układu diagnostycznego, lub samego układu.

▼M19

2.6.

„Wadliwe funkcjonowanie” oznacza awarię części związanej z emisją lub systemu, której wynikiem byłyby emisje przekraczające limity podane w ppkt 3.3.2 lub, jeżeli system OBD nie jest w stanie spełnić podstawowych wymagań niniejszego załącznika dotyczących monitorowania.

▼M15

2.7.

„Powietrze wtórne” odnosi się do powietrza wprowadzonego do układu wydechowego za pomocą pompy lub zaworu ssącego, bądź innym sposobem, które ma pomóc w utlenieniu HC oraz CO obecnych w strumieniu gazów wydechowych.

2.8.

„Przerwy w zapłonie silnika” oznacza brak spalania w cylindrze silnika o zapłonie iskrowym z powodu braku iskry, złego dozowania paliwa, złego sprężania lub z innych przyczyn. W przypadku pokładowych urządzeń diagnostycznych jest to odsetek przerw w zapłonie spośród całkowitej liczby zapłonu (podane przez producenta), który mógłby spowodować powstanie ilości emisji przekraczającej wartości dopuszczalne podane w ppkt 3.3.2. lub odsetek, który mógłby doprowadzić do przegrzania katalizatora lub katalizatorów zanieczyszczeń, powodując ich nieodwracalne uszkodzenie.

2.9.

„Badanie typu I” oznacza cykl jazdy (część pierwsza i druga) stosowany do homologacji, jak określono w dodatku 1 do załącznika III.

2.10.

„Cykl jazdy” składa się z uruchomienia silnika, trybu jazdy, podczas którego można wykryć nieprawidłowe działanie, oraz wyłączenia silnika.

2.11.

„Cykl rozgrzania” oznacza pracę pojazdu wystarczającą do tego, aby temperatura płynu chłodniczego wzrosła o co najmniej 22 oK od uruchomienia silnika i osiągnęła wartość minimum 343 oK (70 °C).

2.12.

„Korekta zasilania” odnosi się do zwrotnego ustawienia na podstawowy schemat zasilania paliwem. Krótkotrwała korekta odnosi się do nastawienia dynamicznego lub natychmiastowego. Długotrwała korekta odnosi się do bardziej stopniowego ustawienia schematu kalibracji zasilania paliwem niż w przypadku korekty krótkotrwałej. Ustawienia długotrwałe kompensują różnice między pojazdami oraz stopniowe zmiany występujące w czasie pracy pojazdu.

2.13.

„Obliczona wartość obciążenia” odnosi się do wskazania aktualnego przepływu powietrza podzielonego przez szczytowy przepływ powietrza, gdzie szczytowy przepływ powietrza skorygowany jest o wysokość, jeśli dane takie są dostępne. Definicja ta opisuje liczbę bezwymiarową, która nie jest charakterystyczna dla silnika oraz stanowi wskazówkę dla personelu obsługi na temat proporcji wykorzystanej pojemności silnika (przy przepustnicy otwartej szeroko do 100 %);

image

2.14.

„Stały tryb pracy awaryjnej” odnosi się do przypadku, gdy układ kontroli pracy silnika przełącza się na stałe do ustawienia, które nie wymaga przyjmowania danych wejściowych od uszkodzonej części lub układu, gdy taka uszkodzona część lub układ powodowałby zwiększenie wielkości emisji zanieczyszczeń pojazdu do wartości przekraczających wartości dopuszczalne podane w ppkt 3.3.2.

2.15.

„Zespół awaryjnego odcięcia zasilania” oznacza możliwość zasilania wyposażenia zainstalowanego w pojeździe pracą silnika dodatkowego.

2.16.

„Dostęp” oznacza dostępność wszelkich danych pokładowego systemu diagnostycznego związanych z emisjami zanieczyszczeń, łącznie z kodami błędów, wymaganych do celów kontroli, diagnostyki, obsługi technicznej lub naprawy części pojazdu związanych z emisją zanieczyszczeń, poprzez szeregowy interfejs znormalizowanego połączenia diagnostycznego (zgodnie z ppkt 6.5.3.5 dodatku 1 do niniejszego załącznika).

2.17.

„Nieograniczony” oznacza

 dostęp nieuzależniony od kodu dostępu, który można uzyskać jedynie od producenta, lub podobne urządzenie, bądź

 dostęp umożliwiający ocenę uzyskanych danych bez konieczności posiadania określonych informacji dekodujących, chyba że sama taka informacja jest znormalizowana.

2.18.

„Znormalizowana” oznacza, że wszelkie informacje ciągu danych, w tym wszelkie zastosowane kody błędów, otrzymuje się zgodnie z normami przemysłowymi, które z powodu tego, że ich format i dozwolone opcje są jasno określone, umożliwiają maksymalny poziom harmonizacji w przemyśle motoryzacyjnym, i których zastosowanie jest wyraźnie dozwolone przez niniejszą dyrektywę.

2.19.

„Informacje o naprawach” oznaczają wszelkie informacje wymagane do celów diagnostyki, obsługi technicznej, kontroli, okresowego monitorowania lub naprawy pojazdu, które producenci przekazują swoim upoważnionym pośrednikom/punktom napraw. jeśli to konieczne, informacje te obejmują książki napraw, podręczniki techniczne, informacje diagnostyczne (np. teoretyczne minimalne i maksymalne wartości dla pomiarów), blokowy schemat połączeń elektrycznych, numer identyfikacyjny oprogramowania do kalibracji, mającego zastosowanie do określonego typu pojazdu, instrukcje dla poszczególnych i specjalnych przypadków, informacje dotyczące narzędzi i wyposażenia, informacje dotyczące rejestracji danych, oraz dane dotyczące dwukierunkowego monitorowania tych informacji i testowania. Producent nie ma obowiązku udostępniania tych informacji, które są objęte prawem własności intelektualnej, lub wchodzących w zakres know-how producentów/dostawców OEM; w tym przypadku nie odmawia się bezpodstawnie informacji technicznej.

▼M16

2.20.

oznacza w odniesieniu do pokładowych systemów diagnostycznych pojazdów, że maksymalnie dwie oddzielne części lub systemy, które podlegają monitorowaniu, zawierają tymczasowe lub stałe charakterystyki działania, które negatywnie wpływają na sprawny pokładowy system diagnostyczny tych części lub systemów, lub nie spełniają wszystkich innych wymienionych wymagań dla pokładowych systemów diagnostycznych. Pojazdy mogą posiadać homologację typu, mogą zostać zarejestrowane i sprzedane z takimi nieprawidłowościami, zgodnie z wymaganiami pkt 4 niniejszego załącznika

▼M15

3.   WYMOGI I BADANIA

3.1.

Wszystkie pojazdy muszą być wyposażone w pokładowy system diagnostyczny zaprojektowany, zbudowany oraz zainstalowany w pojeździe w taki sposób, aby mógł wykrywać różne rodzaje pogorszenia się pracy lub nieprawidłowego działania przez cały okres użytkowania pojazdu. W celu osiągnięcia tego celu władza homologacyjna musi przyjąć, że pojazdy, które przejechały dystans większy niż dystans trwałości przyjęty do badania typu V, określony w ppkt 3.3.1, mogą wykazywać gorsze działanie układu diagnostycznego powodujące, że wartości dopuszczalne emisji zanieczyszczeń podane w ppkt 3.3.2 mogą ulec przekroczeniu, zanim system diagnostyczny zasygnalizuje usterkę kierowcy pojazdu.

▼M16

3.1.1.

Dostęp do pokładowego systemu diagnostycznego do celów kontroli, diagnozy, obsługi lub naprawy pojazdu musi być nieograniczony i unormowany. Wszystkie kody błędów odnoszące się do emisji muszą być zgodne z przepisami ppkt 6.5.3.4 dodatku 1 do niniejszego załącznika.

▼M15

3.1.2.

Nie później niż trzy miesiące od dostarczenia upoważnionemu sprzedawcy lub warsztatowi naprawczemu, działającemu we Wspólnocie, informacji dotyczących napraw, producent udostępnia te informacje (w tym wszelkie późniejsze poprawki i uzupełnienia) za umiarkowaną i jednolitą opłatą oraz w odpowiedni sposób powiadamia o tym władze homologacyjne.

W przypadku niedostosowania się do wspomnianych przepisów, władza homologacyjna podejmuje właściwe kroki w celu udostępnienia informacji dotyczących napraw, zgodnie z procedurami ustalonymi w odniesieniu do procedury homologacyjnej oraz przeglądów eksploatacyjnych.

3.2.

Pokładowy system diagnostyczny musi być zaprojektowany, zbudowany i zainstalowany w pojeździe w sposób zgodny z wymogami niniejszego załącznika w warunkach normalnego użytkowania.

3.2.1.   Czasowe uznanie niezdatności pokładowego systemu diagnostycznego

3.2.1.1.

Producent może uznać system diagnostycznyza niezdatny, jeśli jego zdolność do kontroli emisji zanieczyszczeń jest zmniejszona z powodu niskiego poziomu paliwa. Uznanie niezdatności nie może mieć miejsca, jeśli poziom paliwa w zbiorniku wynosi powyżej 20 % nominalnej pojemności zbiornika.

3.2.1.2.

Producent może uznać za niezdatny pokładowy system diagnostyczny w temperaturze otoczenia przy rozruchu silnika poniżej 266 oK (-7 °C) lub na wysokości ponad 2 500 m powyżej poziomu morza pod warunkiem że dostarczy on dane i/lub ocenę techniczną, wykazującą w sposób wystarczający fakt, że wyniki kontroli emisji zanieczyszczeń będą niewiarygodne w takich warunkach. Producent może również ubiegać się o uznanie niezdatności układu diagnostycznego w innej temperaturze otoczenia podczas rozruchu silnika, jeśli przedstawi władzy homologacyjnej dane i/lub ocenę techniczną wykazującą, że w takich warunkach może wystąpić błąd diagnozy.

3.2.1.3.

W przypadku pojazdów zaprojektowanych z myślą o możliwości instalacji zespołów awaryjnego zasilania dopuszczalne jest uznanie niezdatności układu kontroli pod warunkiem że uznanie niezdatności nastąpi w momencie, gdy zespół awaryjnego zasilania jest włączony.

3.2.2.   Przerwy w zapłonie – pojazdy wyposażone w silniki o zapłonie iskrowym

3.2.2.1.

Producenci mogą przyjąć wyższe kryteria dotyczące odsetka przerw w zapłonie niż kryteria zgłoszone władzy homologacyjnej, przy określonych obrotach silnika oraz w warunkach obciążenia, jeśli można wykazać władzy homologacyjnej, że wykrywanie niskich wartości przerw w zapłonie byłoby niewiarygodne.

▼M16

3.2.2.2.

Jeżeli producent może wykazać władzom, że wykrycie wyższych poziomów procentowych przerw w zapłonie nie jest celowe lub nie można odróżnić przerw w zapłonie od innych przyczyn (np. droga o nierównej nawierzchni, zmiany biegów, opóźniony rozruch silnika), system monitorowania przerw w zapłonie może zostać odłączony przy wystąpieniu takich warunków.

▼M15

3.3.

Opis badań

3.3.1.

Badanie przeprowadza się w pojeździe użytym do badania wytrzymałości w ramach badania typu V, znajdującego się w załączniku VIII, i z zastosowaniem procedury badania opisanej w dodatku 1 do niniejszego załącznika. Badania przeprowadza się po zakończeniu badania wytrzymałości typu V. W przypadku gdy nie przeprowadza badania wytrzymałości typu V, lub na wniosek producenta, do badania działania pokładowego systemu diagnostycznego można użyć przedstawiciel typu pojazdu z odpowiedniego rocznika.

▼M16

3.3.2.

Pokładowy system diagnostyczny pojazdu musi wskazywać na pojawienie się błędu w części lub systemie związanym z emisją, gdy błąd ten skutkuje emisjami przekraczającymi progowe wartości przedstawione poniżej:



 

Masa odniesienia

(RW)

(kg)

Masa tlenku węgla

Masa wszystkich węglowodorów

Masa tlenków azotu

asa cząstek stałych ()

(CO)

L1

(g/km)

(THC)

L2

(g/km)

(NOx)

L3

(g/km)

(PM)

L4

(g/km)

Kategoria

Klasa

 

Benzyna

Diesel

Benzyna

Diesel

Benzyma

Diesel

Diesel

() (4)

wszystkie

3,20

3,20

0,40

0,40

0,60

1,20

0,18

() (4)

I

RW = 1305

3,20

3,20

0,40

0,40

0,60

1,20

0,18

II

1305<RW≤ 1760

5,80

4,00

0,50

0,50

0,70

1,60

0,23

III

1760<RW

7,30

4,80

0,60

0,60

0,80

1,90

0,28

(1)   Dla silników o zapłonie samoczynnym

(2)   Z wyjątkiem pojazdów, których masa maksymalna przekracza 2 500 kg

(3)   I te pojazdy kategorii M, które są wymienione w przypisie 2.

(4)   Wniosek Komisji, określony w art. 3 ust. 1 niniejszej dyrektywy, powinien zawierać wartości progowe dla pokładowych systemów diagnostycznych na lata 2005/6 dla pojazdów kategorii M1 i N1.

▼M15

3.3.3.

Wymogi dotyczące kontroli pojazdów z silnikiem o zapłonie iskrowym

Aby spełnić wymogi ppkt 3.3.2, pokładowy system diagnostyczny musi kontrolować przynajmniej:

▼M16

3.3.3.1.

Zmniejszenie efektywności konwertera katalitycznego jedynie w odniesieniu do emisji węglowodorów. Producenci mogą monitorować jedynie przedni katalizator lub przedni w połączeniu z kolejnym(-i) katalizatorem(-ami). Każdy monitorowany katalizator lub połączenie katalizatorów zostają uznane za niedziałające, gdy emisje przekroczą wartość progową węglowodorów podaną w tabeli w ppkt 3.3.2;

▼M15

3.3.3.2.

występowanie przerw w zapłonie w zakresie działania silnika ograniczonego przez następujące wartości:

a) maksymalną liczbę obrotów 4 500 min-1 lub o 1 000 min-1 większą niż najwyższa liczba obrotów osiągnięta podczas cyklu badania typu I, w zależności do tego, która wartość jest niższa;

b) linię dodatniego momentu obrotowego (tzn. obciążenie silnika na biegu neutralnym);

c) linię łączącą następujące punkty działania silnika: linię dodatniego momentu obrotowego przy 3 000min-1 oraz punkt na linii maksymalnej liczby obrotów określonej w wymienionym wyżej lit. a) przy podciśnieniu w kolektorze silnika o 13,33 kPa niższym niż podciśnienie na linii dodatniego momentu obrotowego.

3.3.3.3.

pogorszenie się działania czujnika tlenu;

▼M20

3.3.3.4.

Jeżeli aktywne dla wybranego paliwa inne części lub układy kontroli emisji lub związane z emisją zanieczyszczeń części lub układy mechanizmu napędowego, połączone z komputerem, których awaria może spowodować zwiększenie emisji zanieczyszczeń z rury wydechowej, przekraczające wartości graniczne podane w ppkt 3.3.2;

▼M16

3.3.3.5.

Jakakolwiek inna część mechanizmu napędowego związana z emisją, połączona z komputerem, łącznie z jakimikolwiek odnoszącymi się do tego czujnikami umożliwiającymi spełnianie funkcji monitorowania musi być monitorowana pod kątem ciągłości obwodu, chyba że jest monitorowana w inny sposób;

▼M15

3.3.3.6.

elektroniczny układ kontroli emisji par musi być sprawdzany przynajmniej pod względem ciągłości obwodu.

3.3.4.

Wymogi dotyczące kontroli pojazdów wyposażonych w silnik o zapłonie samoczynnym

Aby spełnić wymogi ppkt 3.3.2, pokładowy system diagnostyczny musi monitorować:

3.3.4.1.

Zmniejszenie skuteczności działania katalizatora, jeśli taki jest zamontowany;

3.3.4.2.

Działanie oraz integralność pochłaniacza cząstek stałych, jeśli jest zamontowany;

3.3.4.3.

Elektroniczne urządzenie kontroli ilości i czasu wtrysku paliwa układu wtrysku paliwa jest monitorowane pod względem ciągłości obwodu oraz całkowitego zaprzestania działania;

3.3.4.4.

Inne części lub układy kontroli emisji, bądź związane z emisją zanieczyszczeń części lub układy mechanizmu napędowego, połączone z komputerem, których awaria może spowodować zwiększenie emisji zanieczyszczeń z rury wydechowej, przekraczające wartości dopuszczalne podane w ppkt 3.3.2. Przykładem takich układów lub części są układy lub części monitorowania lub kontroli przepływu masy powietrza, przepływu objętości powietrza (i temperatury), ciśnienia wspomagania oraz ciśnienia w kolektorze dolotowym (oraz stosownych czujników pozwalających na wykonanie tych czynności).

▼M16

3.3.4.5.

Jakakolwiek inna część mechanizmu napędowego związana z emisja, połączona z komputerem musi być monitorowana pod kątem ciągłości obwodu, chyba że jest monitorowana w inny sposób.

▼M15

3.3.5.

Producenci mogą wykazać władzy homologacyjnej, że nie ma potrzeby sprawdzania pewnych elementów składowych lub układów, jeśli w przypadku ich całkowitej awarii lub ich usunięcia emisja nie przekracza wartości dopuszczalnych podanych w ppkt 3.3.2.

3.4.

Po każdym uruchomieniu silnika musi być uaktywniona sekwencja czynności diagnostycznych i co najmniej jeden raz ukończona pod warunkiem że spełnione są prawidłowe warunki przeprowadzenia badania. Warunki badania muszą być dobrane w taki sposób, aby wszystkie one występowały podczas normalnej jazdy, tak jak podczas badania typu I.

3.5.

Włączanie się wskaźnika nieprawidłowego działania

3.5.1.

W skład pokładowego systemu diagnostycznego musi wchodzić wskaźnik nieprawidłowego działania, łatwo dostrzegalny przez kierującego pojazdem. Nie można stosować wskaźnika nieprawidłowego działania do innych celów z wyjątkiem zasygnalizowania kierowcy powstania awarii lub konieczności dojechania do stacji obsługi. Wskaźnik musi być widoczny w każdym normalnym stanie oświetlenia. Po włączeniu się musi przedstawiać symbol zgodnie z ISO 2575 ( 17 ). Pojazd nie może być wyposażony w więcej niż jeden wskaźnik wystąpienia problemów związanych z emisją zanieczyszczeń. Dopuszczalne są osobne kontrolki (np. układ hamulcowy, zapiąć pasy bezpieczeństwa, ciśnienie oleju, etc.). Użycie czerwonego koloru dla wskaźnika jest zabronione.

▼M19

3.5.2.

Dla strategii wymagających więcej niż jednego cyklu kondycjonowana do aktywacji MI producent musi dostarczyć dane i/lub techniczną ocenę, która odpowiednio przedstawia, że system monitorowania jest równie skuteczny i w porę wykrywa pogorszenie się funkcjonowania części. Strategie wymagające średnio więcej niż 10 cyklów jazdy do aktywacji MI nie są przyjmowane. MI musi również uaktywnić się, kiedy tylko kontrola silnika wchodzi w domyślny tryb operacyjny ciągłej emisji zanieczyszczeń, jeżeli limity emisji zanieczyszczeń podane w ppkt 3.3.2 zostają przekroczone lub jeżeli system OBD nie jest w stanie spełnić podstawowych wymagań monitorowania określonych w ppkt 3.3.3 lub 3.3.4 niniejszego załącznika. MI musi funkcjonować w trybie wyraźnego ostrzeżenia, np. migającego światła, w każdym okresie, podczas którego występuje przerwa w zapłonie silnika na poziomie, który może spowodować uszkodzenie katalizatora, jak określił producent. MI musi się również uaktywnić, kiedy zapłon pojazdu jest w pozycji „gotowości” przed rozruchem lub rozpoczęciem pracy silnika i wyłączyć się po rozruchu silnika, jeżeli wcześniej nie wykryto żadnego nieprawidłowego funkcjonowania.

▼M15

3.6.

Przechowywanie kodów błędów

▼M19

System OBD musi rejestrować kody pokazujące stan układu kontroli emisji. Muszą być stosowane oddzielne kody stanu układu w celu identyfikacji prawidłowego funkcjonowania układu kontroli emisji zanieczyszczeń oraz tych układów kontroli emisji zanieczyszczeń, do pełnej oceny których potrzebna jest dalsza praca pojazdu, Należy przechowywać kody błędów identyfikujące rodzaj wadliwego funkcjonowania. Należy również zachować kod usterki w przypadkach, określonych w ppkt 3.3.3.5 i 3.3.4.5 niniejszego załącznika.

▼M16

3.6.1.

Dane o drodze przejechanej przez pojazd od momentu włączenia się wskaźnika nieprawidłowego działania muszą być dostępne w każdej chwili przez port szeregowy znormalizowanego złącza komunikacyjnego ( 18 ).

▼M15

3.6.2.

W przypadku pojazdów z silnikiem o zapłonie iskrowym nie ma potrzeby osobnej identyfikacji cylindrów, w których występuje przerwa w zapłonie, jeśli zachowany jest kod błędu dotyczący przerwy w zapłonie jednego lub wielu cylindrów.

3.7.

Gaśniecie wskaźnika nieprawidłowego działania

▼M16

3.7.1.

Jeżeli nie występują już przerwy w zapłonie na poziomie, który może spowodować uszkodzenie katalizatora (zgodnie z danymi producenta), lub jeżeli silnik jest użytkowany po zmianach stosownie do warunków prędkości i obciążenia, gdy poziom przerw w zapłonie nie spowoduje uszkodzenia katalizatora, wskaźnik nieprawidłowego działania może zostać przełączony na poprzednie położenie aktywacji podczas pierwszego cyklu jazdy, w trakcie którego wykryto poziom przerwy w zapłonie, oraz może zostać przełączony do normalnego trybu pracy w kolejnych cyklach jazdy. Jeżeli wskaźnik nieprawidłowego działania jest z powrotem przełączony do poprzedniego stanu aktywacji, odpowiadające mu kody błędów i zapamiętane warunki stałe mogą zostać wymazane z pamięci.

▼M15

3.7.2.

W przypadku innych rodzajów nieprawidłowego działania wskaźnik może się wyłączyć po trzech kolejnych cyklach jazdy, podczas których układ kontroli odpowiedzialny za włączenie się wskaźnika przestanie wykrywać nieprawidłowe działanie lub jeśli nie zostanie wykryty inny rodzaj nieprawidłowego działania, który mógłby, niezależnie od innych przyczyn, spowodować włączenie się wskaźnika.

3.8.

Usuwanie kodu błędu

3.8.1.

Pokładowy system diagnostyczny może usunąć kod błędu i dane dotyczące przejechanej odległości oraz zamrożoną informację, jeśli ten sam błąd nie został zapisany ponownie w ciągu co najmniej 40 cykli rozgrzania silnika.

▼M19

3.9.

Dwupaliwowe pojazdy zasilane gazem

3.9.1.

Dla dwupaliwowych pojazdów zasilanych gazem procedury:

 aktywacji wskaźnika wadliwego funkcjonowania (MI) (patrz ppkt 3.5 niniejszego załącznika),

 zachowania kodu usterki (patrz ppkt 3.6 niniejszego załącznika),

 wygaszania MI (patrz ppkt 3.7 niniejszego załącznika),

 usuwania kodu usterki (patrz ppkt 3.8 niniejszego załącznika),

stosuje się niezależnie kiedy pojazd funkcjonuje przy zasilaniu benzyną lub gazem. Kiedy pojazd funkcjonuje przy zasilaniu benzyną, na wynik każdej ze wskazanych powyżej procedur nie ma wpływu sytuacja, w której pojazd funkcjonuje przy zasilaniu gazem. Kiedy pojazd funkcjonuje przy zasilaniu gazem, na wynik każdej ze wskazanych powyżej procedur nie ma wpływu sytuacja kiedy pojazd funkcjonuje przy zasilaniu benzyną.

Bez względu na ten wymóg kod statusu (opisany w ppkt 3.6 niniejszego załącznika) wskazuje całkowicie ocenione systemy kontroli dla obu typów paliwa (benzyny i gazu), kiedy systemy kontroli są całkowicie ocenione dla jednego z typów paliwa.

▼M16

4.   WYMAGANIA ODNOSZĄCE SIĘ DO HOMOLOGACJI TYPU POKŁADOWYCH SYSTEMÓW DIAGNOSTYCZNYCH

4.1.

Producent ma prawo wnioskować, aby władza przyjęła do homologacji typu pokładowy system diagnostyczny nawet, gdy system ten zawiera jedną lub dwie nieprawidłowości takie, że szczegółowe wymagania niniejszego załącznika nie zostają spełnione.

4.2.

Rozpatrując ten wniosek, władza określa, czy zgodność z wymaganiami niniejszego załącznika jest niewykonalna lub wygórowana.

Władza uwzględnia dane producenta, w których są wyszczególnione takie czynniki, ale nie tylko ograniczone do tych czynników, jak techniczna możliwość wykonania, okres projektowania i wdrażania i cykle produkcyjne, łącznie z etapem wprowadzenia silnika do produkcji i etapem ograniczenia produkcji silnika lub projektu pojazdu oraz zaprojektowanych uaktualnień komputera, zasięg, w którym dany pokładowy system diagnostyczny będzie skutecznie spełniał wymagania niniejszej dyrektywy oraz, czy producent wykazał możliwy do akceptowania poziom starań w celu uzyskania zgodności z wymaganiami niniejszej dyrektywy.

4.2.1.

Władza nie zaakceptuje żadnego wniosku, w którym występuje całkowity brak wymaganego monitorowania diagnostycznego.

4.2.2.

Władza nie zaakceptuje żadnego wniosku, który nie uwzględnia wartości progowych pokładowych systemów diagnostycznych zawartych w ppkt 3.3.2.

4.3.

Określając ustalony porządek nieprawidłowości, te, które zostały określone w ppkt 3.3.3.1, 3.3.3.2 oraz 3.3.3.3 niniejszego załącznika dla silników z zapłonem iskrowym, oraz ppkt 3.3.4.1, 3.3.4.2 i 3.3.4.3 niniejszego załącznika dla silników z zapłonem samoczynnym, są określane w pierwszej kolejności.

▼M19

4.4.

Przed lub w trakcie homologacji typu nie wydaje się zgody na zaistnienie nieprawidłowości w odniesieniu do wymagań ppkt 6.5., z wyjątkiem ppkt 6.5.3.4 dodatku 1 do niniejszego załącznika. Niniejszy podpunkt nie ma zastosowania względem dwupaliwowych pojazdów zasilanych gazem.

4.5.

Dwupaliwowe pojazdy zasilane gazem

4.5.1.

Bez względu na wymagania ppkt 3.9.1 oraz w przypadku gdy taki wniosek złożył producent, organ udzielający homologacji typu przyjmuje następujące nieprawidłowości jako spełniające wymagania niniejszego załącznika do celów homologacji typu dwupaliwowych pojazdów zasilanych gazem:

 usuwanie kodów usterki, informacji o przebytej drodze oraz zamrożoną informację po 40 cyklach rozgrzewania silnika, niezależnie od obecnie używanego paliwa,

 aktywacja MI przy obu typach paliwa (benzynie i gazie) po wykryciu wadliwego funkcjonowania przy jednym z typów paliwa,

 wyłączanie MI po trzech kolejnych, sekwencyjnych cyklach jazdy bez wadliwego funkcjonowania, niezależnie od obecnie używanego paliwa,

 wykorzystywanie dwóch kodów statusu, jednego dla każdego typu paliwa.

Producent może wnieść prośbę o kolejne opcje i można mu je przyznać w drodze swobodnego uznania organu udzielającego homologacji typu.

▼M20

4.5.2.

Bez względu na wymagania ppkt 6.6 dodatku 1 do niniejszego Załącznika w przypadku wniosku producenta władza homologacyjna przyjmuje następujące braki za spełniające wymagania niniejszego Załącznika w zakresie przetwarzania i przesyłania sygnałów diagnostycznych:

 przesyłanie sygnałów diagnostycznych dotyczących aktualnie stosowanego paliwa za pomocą pojedynczego adresu źródłowego,

 przetwarzanie jednego zestawu sygnałów diagnostycznych dla obu typów paliwa (odpowiadające przetwarzaniu w pojazdach jednopaliwowych na gaz i niezależne od aktualnie stosowanego paliwa),

 wybieranie jednego zestawu sygnałów diagnostycznych (związanych z jednym z dwóch typów paliwa) za pomocą przełącznika wyboru typu paliwa,

 przetwarzanie i przesyłanie jednego zestawu sygnałów diagnostycznych dla obu paliw w komputerze dla benzyny niezależnym od stosowanego paliwa. Komputer układu zasilania gazem przetwarza i przesyła sygnały diagnostyczne odnoszące się do gazowego układu paliwowego i zachowuje historię stanu paliwa.

Producent może wnioskować o dalsze wyłączenia, na które zgodę wyraża, według uznania, władza homologacyjna.

▼M19

4.6.

Okres trwania nieprawidłowości

4.6.1.

Zezwolenie na istnienie nieprawidłowości może być rozciągnięte na okres ponad dwóch lat od daty homologacji typu pojazdu, o ile nie można będzie w wystarczającym stopniu wykazać, że podstawowe zmiany sprzętu komputerowego pojazdu oraz dodatkowy czas realizacji poza okresem dwóch lat będą konieczne dla naprawienia nieprawidłowości. W takim przypadku czas trwania nieprawidłowości może być rozciągnięty na okres nieprzekraczający trzech lat.

4.6.1.1.

Czas trwania nieprawidłowości może być rozciągnięty na okres trzech lat od daty homologacji typu pojazdu, o ile nie można będzie w wystarczającym stopniu wykazać, że podstawowe zmiany sprzętu komputerowego pojazdu oraz dodatkowy czas realizacji poza okresem trzech lat będą konieczne dla naprawienia nieprawidłowości. W takim przypadku czas trwania nieprawidłowości może być rozciągnięty na okres nieprzekraczający czterech lat.

4.6.2.

Producent może wnioskować, aby organ udzielający homologacji typu udzielił z mocą wsteczną zgody na istnienie nieprawidłowości, gdy taka nieprawidłowość zostanie wykryta po uzyskaniu pierwotnej homologacji typu. W takim przypadku czas trwania nieprawidłowości może być rozciągnięty poza okres dwóch lat od daty powiadomienia organu udzielającego homologacji typu, o ile nie zostanie w wystarczającym stopniu wykazane, że podstawowe zmiany sprzętu komputerowego pojazdu oraz dodatkowy czas realizacji poza okresem dwóch lat będą konieczne dla naprawienia nieprawidłowości. W takim przypadku czas trwania nieprawidłowości może być rozciągnięty na okres nieprzekraczający trzech lata.

▼M16

►M19  4.7. ◄

Władza powiadamia o swej decyzji udzielenia zgody na nieprawidłowość wszystkie władze w innych Państwach Członkowskich, zgodnie z wymaganiami art. 4 dyrektywy 70/156/EWG.

▼M19

5.   DOSTĘP DO INFORMACJI SYSTEMU OBD

5.1.

Do wniosków o homologację typu lub zmianę homologacji typu zgodnie albo z art. 3, albo z art. 5 dyrektywy 70/156/EWG, załącza się odpowiednie informacje dotyczące systemu OBD pojazdu. Te odpowiednie informacje umożliwiają producentom części wymiennych lub modernizujących, tworzenie części kompatybilnych z systemem OBD pojazdu w celu uzyskania funkcjonowania pozbawionego usterek i zagwarantowania użytkownikowi pojazdu, że nie wystąpi wadliwe funkcjonowanie. Podobnie, takie istotne informacje umożliwiają producentom narzędzi diagnostycznych i sprzętu badawczego produkowanie wyrobów zapewniających skuteczną i dokładną diagnozę systemu kontroli emisji zanieczyszczeń pojazdu.

5.2.

Na wniosek, organy udzielające homologacji typu sporządzają dodatek 2 do świadectwa homologacji typu WE zawierający istotne informacje dotyczące systemu OBD, dostępne na niedyskryminacyjnych podstawach dla wszystkich zainteresowanych producentów części, narzędzi diagnostycznych lub sprzętu badawczego.

5.2.1.

Jeżeli organ udzielający homologacji typu otrzymuje od dowolnego zainteresowanego producenta części, narzędzi diagnostycznych lub sprzętu badawczego wniosek o informacje dotyczące systemu OBD pojazdu, który uzyskał homologację typu na podstawie poprzedniej wersji dyrektywy 70/220/EWG,

 organ udzielający homologacji typu, w terminie 30 dni, występuje do danego producenta pojazdu z wnioskiem o udostępnienie informacji wymaganych w ppkt 3.2.12.2.8.6 załącznika II. Nie stosuje się wymagań ppkt 3.2.12.2.8.6 akapit drugi,

 producent dostarcza organowi udzielającemu homologacji informacji w terminie dwóch miesięcy od wystąpienia z wnioskiem,

 organ udzielający homologacji typu przekazuje organom udzielającym homologacji Państw Członkowskich a organ, który udzielił pierwotnej homologacji typu dołącza te informacje do załącznika II do informacji homologacyjnych typu pojazdu.

Wymaganie to nie unieważnia żadnej homologacji udzielonej wcześniej na podstawie dyrektywy 70/220/EWG ani wcześniejszych rozszerzeń do takich homologacji zgodnych z warunkami dyrektywy, na podstawie której zostały pierwotnie przyznane.

5.2.2.

Można składać wniosek tylko o informacje dotyczące części wymiennych lub eksploatacyjnych zgodnych z homologacją typu WE, albo części, które stanowią część układu zgodnego z homologacją typu WE.

5.2.3.

Wniosek o informacje musi identyfikować dokładną specyfikację modelu pojazdu, dla którego się o nie wnosi. Musi on potwierdzać, że informacje są pożądane dla rozwoju części wymiennych lub modernizacyjnych albo też części lub narzędzi diagnostycznych albo sprzętu badawczego.

▼M15




DODATEK 1

Aspekty funkcjonalne pokładowych systemów diagnostycznych

1.   WPROWADZENIE

Niniejszy dodatek opisuje procedurę badania zgodnie z pkt 5 niniejszego załącznika. Procedura ta opisuje sposób sprawdzania działania montowanego w pojeździe pokładowego systemu diagnostycznego poprzez symulację awarii odpowiednich układów kontroli pracy silnika lub układu kontroli emisji zanieczyszczeń. Ustala również procedury określania trwałości pokładowych systemów diagnostycznych.

Producent musi udostępnić wadliwe części i/lub urządzenia elektryczne, które mogą być użyte do symulacji awarii. Podczas pomiarów w czasie cyklu w ramach badania typu I takie wadliwe części lub urządzenia nie mogą spowodować przekroczenia wartości dopuszczalnych emisji zanieczyszczeń pojazdu, wymienionych w ppkt 3.3.2, o więcej niż 20 %.

▼M16

Gdy badany jest pojazd z zamontowaną wadliwą częścią lub urządzeniem, pokładowy system diagnostyczny jest homologowany, jeżeli zostanie aktywowany wskaźnik nieprawidłowego działania. Pokładowy system diagnostyczny jest homologowany także w przypadku, gdy wskaźnik nieprawidłowego działania jest aktywowany poniżej wartości progowych systemu diagnostycznego.

▼M15

2.   OPIS BADANIA

2.1.

Badanie pokładowego systemu diagnostycznego składa się z następujących faz:

 symulacji nieprawidłowego działania części kontroli pracy silnika lub układu kontroli emisji zanieczyszczeń,

▼M16

 wstępne kondycjonowanie pojazdu symulujące niewłaściwe działanie poza wstępnym kondycjonowaniem określonym w ppkt 6.2.1 lub ppkt 6.2.2.,

▼M15

 jazdy pojazdu z symulacją nieprawidłowego działania w czasie cykl badania typu I oraz pomiarów wielkości emisji zanieczyszczeń pojazdu,

 określenia, czy pokładowy system diagnostyczny reaguje na symulowane nieprawidłowe działanie oraz czy w odpowiedni sposób wskazuje takie działanie kierowcy pojazdu.

2.2.

Alternatywnie, na wniosek producenta, można wykonać elektroniczną symulację nieprawidłowego działania jednej lub więcej części, zgodnie z wymogami wymienionymi w pkt 6.

2.3.

Producenci mogą zgłosić wniosek o przeprowadzenie kontroli poza cyklem badania typu I, jeśli można wykazać władzy homologacyjnej, że kontrola przeprowadzona w warunkach cyklu badania typu I narzucałaby restrykcyjne warunki kontroli podczas normalnego użytkowania pojazdu.

3.   BADANY POJAZD I PALIWO

3.1.   Pojazd

Pojazd badany musi spełniać wymogi podane w ppkt 3.1 załącznika III.

▼M19

3.2.   Paliwo

Do badania należy wykorzystywać odpowiednie paliwo wzorcowe, jak opisano w załączniku IX dla benzyny i olejów napędowych do silników wysokoprężnych oraz w załączniku IXa dla paliw gazu płynnego i ziemnego. Typ paliwa dla każdego trybu awaryjnego, który ma zostać zbadany (opisanego w ppkt 6.3 niniejszego dodatku) może zostać wybrany przez organ udzielający homologacji typu spośród paliw wzorcowych opisanych w załączniku IXa w przypadku badania jednopaliwowego pojazdu zasilanego gazem oraz spośród paliw wzorcowych opisanych w załączniku IX lub IXa w przypadku badania dwupaliwowego pojazdu zasilanego gazem. Nie można zmieniać wybranego typu paliwa podczas żadnego z etapów badania (opisanych w ppkt 2.1-2.3 niniejszego dodatku). W przypadku stosowania jako paliwa gazu płynnego lub gazu ziemnego, dopuszcza się rozruch silnika z zastosowaniem benzyny a następnie przełączenie na układ zasilania gazem płynnym lub ziemnym po uprzednio ustalonym czasie, którego kierowca nie może zmienić.

▼M15

4.   TEMPERATURA I CIŚNIENIE BADANIA

4.1.

Temperatura i ciśnienie badania musi spełniać wymogi badania typu I, opisane w załączniku III.

5.   SPRZĘT DO BADAŃ

5.1.   Hamownia

Hamownia musi spełniać wymogi załącznika III.

6.   PROCEDURA BADAWCZA POKŁADOWEGO SYSTEMU DIAGNOSTYCZNEGO

6.1.

Cykl pracy na hamowni musi spełniać wymogi wymienione w załączniku III.

6.2.

Wstępne przygotowanie pojazdu

6.2.1.

W zależności od rodzaju silnika oraz po wprowadzeniu jednego z trybów awaryjnych, podanych w ppkt 6.3, pojazd powinien przejść fazę przygotowania wstępnego obejmującego jazdę w ramach co najmniej dwóch kolejnych badań typu I (część pierwsza i druga). W przypadku silników o zapłonie samoczynnym dozwolone jest dodatkowe wstępne przygotowanie pojazdu w ramach dwóch cyklów części drugiej badania.

6.2.2.

Na wniosek producenta można zastosować alternatywne metody wstępnego przygotowania pojazdu.

6.3.

Tryby awaryjne, które należy poddać badaniu

6.3.1.   Pojazdy z silnikiem o zapłonie iskrowym:

6.3.1.1.

Zastąpienie katalizatora katalizatorem gorzej działającym lub uszkodzonym bądź elektroniczna symulacja takiej awarii.

6.3.1.2.

Warunki występowania przerw w zapłonie zgodnie z warunkami występującymi w czasie badania przerw w zapłonie, opisanymi w ppkt. 3.3.3.2 niniejszego załącznika.

6.3.1.3.

Zastąpienie czujnika tlenu czujnikiem tlenu gorzej działającym lub uszkodzonym bądź elektroniczna symulacja takiej awarii.

▼M19

6.3.1.4.

Elektryczne rozłączenie wszelkich innych części związanych z emisją podłączonych do komputera zarządzającego mechanizmem napędowym zębatym (jeżeli działa na wybranym typie paliwa).

6.3.1.5.

Elektryczne rozłączenie urządzenia kontrolującego elektroniczne oczyszczanie wyparne (jeżeli zamontowane i działa na wybranym typie paliwa). Dla tego szczególnego trybu awaryjnego nie trzeba przeprowadzać badania typu I.

▼M15

6.3.2.   Pojazdy z silnikiem o zapłonie samoczynnym:

6.3.2.1.

Zastąpienie katalizatora, jeśli pojazd jest w niego wyposażony, katalizatorem gorzej działającym lub uszkodzonym bądź elektroniczna symulacja takie awarii.

6.3.2.2.

Całkowite usunięcie pochłaniacza cząstek stałych, jeśli pojazd jest w niego wyposażony, lub, jeśli czujniki są integralną częścią tego filtra, uszkodzony podzespół pochłaniacza cząstek stałych.

6.3.2.3.

Odłączenie połączeń elektrycznych elektronicznego urządzenia kontroli ilości i czasu wtrysku paliwa układu paliwowego.

6.3.2.4.

Odłączenie innych połączeń elektrycznych związanych z emisją części połączonych z komputerem kontroli mechanizmu napędowego.

6.3.2.5.

W celu spełnienia wymogów zawartych w ppkt 6.3.2.3 i 6.3.2.4 oraz za zgodą władzy homologacyjnej producent musi podjąć właściwe kroki w celu wykazania, że pokładowy system diagnostyczny wskaże usterkę po wystąpieniu przerwy w połączeniu.

6.4.

Badanie pokładowego systemu diagnostycznego

6.4.1.   Pojazdy wyposażone w silniki o zapłonie iskrowym:

6.4.1.1.

Po wstępnym przygotowaniu pojazdu zgodnie z ppkt 6.2, pojazd badany przechodzi badanie typu I (część pierwsza i druga). Wskaźnik nieprawidłowego działania musi się włączyć przed końcem tego badania w każdym z warunków podanych w ppkt 6.4.1.2 i 6.4.1.5. Placówka techniczna może zastąpić opisane warunki innymi warunkami, zgodnie z ppkt 6.4.1.6. Jednakże dla uzyskania homologacji całkowita liczba symulowanych awarii nie może przekraczać 4.

6.4.1.2.

Zastąpienie katalizatora katalizatorem o gorszym działaniu lub uszkodzonym bądź elektroniczna symulacja działania gorzej działającego lub uszkodzonego katalizatora powodującego emisję zanieczyszczeń przekraczającą wartości dopuszczalne HC podane w ppkt 3.3.2 niniejszego załącznika.

6.4.1.3.

Sztucznie wywołane warunki przerw w zapłonie zgodnie z warunkami kontroli przerw w zapłonie podanymi w ppkt 3.3.3.2 niniejszego załącznika, powodującymi emisję przekraczającą wartości dopuszczalne podane w ppkt 3.3.2.

6.4.1.4.

Zastąpienie czujnika tlenu czujnikiem tlenu gorzej działającym lub uszkodzonym bądź elektroniczna symulacja działania gorzej działającego lub uszkodzonego czujnika tlenu, powodująca emisję zanieczyszczeń przekraczającą wartości dopuszczalne podane w ppkt 3.3.2 niniejszego załącznika.

▼M19

6.4.1.5.

Elektryczne rozłączenie urządzenia kontrolującego elektroniczne oczyszczanie wyparne (jeżeli zamontowane i działa na wybranym typie paliwa).

6.4.1.6.

Odłączenie połączeń elektrycznych innej związanej z emisją części mechanizmu napędowego, połączonego z komputerem, powodujące emisję zanieczyszczeń przekraczającą wartości dopuszczalne podane w ppkt 3.3.2 niniejszego załącznika (o ile działa na wybranym typie paliwa.

▼M15

6.4.2.   Pojazdy wyposażone w silniki o zapłonie samoczynnym:

6.4.2.1.

Po wstępnym przygotowaniu pojazdu zgodnie z ppkt 6.2 pojazd badany przechodzi badanie typu I (część pierwsza i druga). Wskaźnik nieprawidłowego działania musi się włączyć przed końcem tego badania w warunkach podanych w ppkt 6.4.2.2–6.4.2.5. Placówka techniczna może zastąpić te warunki innymi warunkami zgodnie z ppkt 6.4.2.5. Jednakże dla uzyskania homologacji całkowita liczba symulowanych awarii nie może przekraczać czterech.

6.4.2.2.

Zastąpienie katalizatora, jeśli pojazd jest w niego wyposażony, katalizatorem gorzej działającym lub uszkodzonym bądź elektroniczna symulacja działania gorzej działającego lub uszkodzonego katalizatora, powodująca emisję zanieczyszczeń przekraczającą wartości dopuszczalne podane w ppkt 3.3.2 niniejszego załącznika.

6.4.2.3.

Całkowite usunięcie filtra cząsteczek lub zastąpienie takiego filtra filtrem uszkodzonym spełniającym warunki wymienione w ppkt 6.3.2.2, powodujące emisję zanieczyszczeń przekraczającą wartości dopuszczalne podane w ppkt 3.3.2 niniejszego załącznika.

6.4.2.4.

W odniesieniu do ppkt 6.3.2.5, odłączenie elektronicznego urządzenia kontroli ilości i czasu wtrysku paliwa układu paliwowego, powodujące emisję przekraczającą wartości dopuszczalne podane w ppkt 3.3.2 niniejszego załącznika.

6.4.2.5.

W odniesieniu do ppkt 6.3.2.5, odłączenie innej związanej z emisją części mechanizmu napędu, podłączonego do komputera, powodującego emisję zanieczyszczeń przekraczającą wartości dopuszczalne podane w ppkt 3.3.2 niniejszego załącznika.

6.5.

Sygnały diagnostyczne

6.5.1.1.

Po stwierdzeniu pierwszego przypadku nieprawidłowego działania części lub układu, w pamięci komputera muszą być zachowane „stop-klatka” warunki pracy silnika w tym czasie. Jeśli wystąpią kolejne przypadki nieprawidłowego działania układu paliwowego lub przerwy w zapłonie, wszystkie wcześniej zachowane „stop-klatka” warunki należy zastąpić warunkami działania układu paliwowego lub warunkami wystąpienia przerw w zapłonie (w zależności od tego, które wystąpią wcześniej). Zachowane warunki pracy silnika muszą obejmować, choć nie mogą być ograniczone do obliczonych wartości obciążenia, liczby obrotów silnika, wartości korekty zasilania (jeśli są dostępne), ciśnienia paliwa (jest są dostępne), prędkości pojazdu (jeśli są dostępne), temperatury płynu chłodzącego, ciśnienia w kolektorze dolotowym (jeśli są dostępne), operacji zamkniętej i otwartej pętli (jeśli są dostępne) oraz kodu błędu, który spowodował zachowanie danych. Producent musi wybrać najbardziej odpowiedni zestaw warunków ułatwiających skuteczne naprawy zgromadzonych danych „stop-klatka”. Wymagana jest tylko jedna „klatka” danych. Producenci mogą zdecydować się na przechowanie dodatkowych „klatek” pod warunkiem że przynajmniej wymagane dane można odczytać za pomocą ogólnie dostępnego urządzenia skanującego spełniającego wymogi podane w ppkt 6.5.3.2 i 6.5.3.3. Jeśli kod błędu powodujący przechowanie warunków zostaje usunięty zgodnie z ppkt 3.7 niniejszego załącznika, można również usunąć zachowane warunki pracy silnika.

6.5.1.2.

Z wyjątkiem wymaganych informacji „stop-klatka” muszą być udostępnione na każde żądanie następujące sygnały poprzez port szeregowy znormalizowanego złącza komunikacyjnego, jeśli informacje te są dostępne dla komputera pokładowego lub gdy można je określić przy użyciu informacji dostępnych dla komputera pokładowego: kody problemów diagnostycznych, temperaturę płynu chłodzącego, stan układu kontroli paliwa (zamknięta pętla, otwarta pętla, inne) korektę zasilania, wyprzedzenie zapłonu, temperaturę wlotu powietrza, ciśnienie powietrza w kolektorze, szybkość przepływu powietrza, liczbę obrotów silnika, wartość wyjściową czujnika pozycji przepustnicy, stan powietrza wtórnego (ciśnienie wyższe, niższe lub atmosferyczne), obliczoną wartość obciążenia, prędkość pojazdu oraz ciśnienie paliwa.

▼M16

Sygnały muszą być generowane w jednostkach standardowych w oparciu o wymagania zawarte w ppkt 6.5.3. Rzeczywiste sygnały musza być jednoznacznie identyfikowane oddzielnie od wartości domyślnej lub sygnałów bazowych o zmiennym natężeniu.

▼M15

6.5.1.3.

W przypadku wszystkich układów kontroli emisji, dla których przeprowadza się określone badania diagnostyczne za pomocą urządzeń pokładowych (katalizator, czujnik tlenu itp.), z wyjątkiem detekcji przerw w zapłonie, kontroli układu paliwowego oraz pełnej kontroli części, wyniki ostatniego badania pojazdu oraz wartości dopuszczalne, z którymi porównuje się układ, muszą być dostępne poprzez port szeregowy znormalizowanego złącza komunikacyjnego zgodnie z wymogami podanymi w ppkt 6.5.3. W odniesieniu do kontrolowanych części oraz układów wyłączonych z badania, podanych powyżej, muszą być dostępne wskazania pozytywne/negatywne dla wyników ostatniego badania poprzez znormalizowane złącze komunikacyjne.

6.5.1.4.

Wymogi dotyczące pokładowego systemu diagnostycznego objętego zakresem świadectwa homologacyjnego (tj. niniejszy załącznik lub wymogi alternatywne określone w pkt 5 załącznika I) oraz ważniejsze układy kontroli emisji zanieczyszczeń kontrolowane przez układ spełniający wymogi ppkt 6.5.3.3 muszą być dostępne poprzez port szeregowy znormalizowanego złącza komunikacyjnego zgodnie z wymogami podanymi w ppkt 6.5.3.

▼M16

6.5.1.5.

Od dnia 1 stycznia 2003 r. dla nowych typów oraz od dnia 1 stycznia 2005 r. dla wszystkich typów pojazdów dopuszczanych do ruchu, numer identyfikacyjny kalibracji oprogramowania jest udostępniany poprzez port szeregowy znormalizowanego złącza komunikacyjnego. Numer identyfikacyjny kalibracji oprogramowania jest podany w formacie standardowym.

▼M15

6.5.2.

Nie ma wymogu, aby diagnostyczny układ kontroli emisji zanieczyszczeń oceniał części podczas wystąpienia nieprawidłowego działania, jeśli taka ocena mogłaby spowodować ryzyko dla bezpieczeństwa lub awarię części.

▼M19

6.5.3.

Diagnostyczny układ kontroli emisji zanieczyszczeń musi zapewniać znormalizowany i nieograniczony dostęp do danych oraz spełniać wymagania wymienionych poniżej norm ISO i/lub specyfikacji SAE.

6.5.3.1.

Musi być zastosowana jedna z wymienionych niżej norm z podanymi ograniczeniami jako połączenie między systemem OBD a systemem zewnętrznym:

ISO 9141-2: 1994 (zmieniona w 1996 r.) „Pojazdy drogowe — Systemy Diagnostyczne — część 2: Wymagania CARB (Kalifornijskiej Rady ds. Zasobów Powietrza) dla wzajemnej wymiany informacji cyfrowych”;

SAE J1850: Marzec 1998 r. „Sprzężenie Sieci Komunikacyjnej Danych Klasy B”. Wiadomości związane z emisją muszą wykorzystywać cykliczny test redundancji oraz trzybajtowy nagłówek i nie stosować separatora międzybajtowego czy sum kontrolnych;

ISO 14230 — część 4 „Pojazdy drogowe — Kluczowy Protokół 2000 dla systemów diagnostycznych — część 4: Wymagania dla systemów związanych z emisja zanieczyszczeń”;

ISO DIS 15765-4 „Pojazdy drogowe — Diagnostyka dotycząca Lokalnej sieci sterującej (CAN) — część 4: Wymagania dla systemów związanych z emisją zanieczyszczeń”, z dnia 1 listopada 2001 r.

6.5.3.2.

Sprzęt badawczy i narzędzia diagnostyczne niezbędne do utrzymywania łączności z systemami OBD muszą spełniać warunki lub przekraczać funkcyjną specyfikację podaną w ISO DIS 15031-4 „Pojazdy drogowe — Komunikacja między pojazdem a zewnętrznym sprzętem badawczym dla diagnostyki związanej z emisją zanieczyszczeń — część 4: Zewnętrzny sprzęt badawczy” z dnia 1 listopada 2001 r.

6.5.3.3.

Podstawowe dane diagnostyczne (jak określono w ppkt 6.5.1) oraz informacje dotyczące dwukierunkowej kontroli muszą być dostarczone z wykorzystaniem formatu i jednostek opisanych w ISO DIS 15031-5 „Pojazdy drogowe — Komunikacja między pojazdem a zewnętrznym sprzętem badawczym dla diagnostyki związanej z emisją zanieczyszczeń — część 5: Służby diagnostyczne zajmujące się emisją zanieczyszczeń”, z dnia 1 listopada 2001 r., oraz muszą być dostępne z wykorzystaniem narzędzi diagnostycznych spełniających wymagania ISO DIS 15031-4.

Producent pojazdu dostarcza krajowemu organowi normalizacyjnemu szczegóły wszelkich danych diagnostycznych dotyczących emisji zanieczyszczeń, np. PID, Id monitora, systemu OBD. Badanie Id nie jest określone w ISO DIS 15031-5, ale związane z niniejszą dyrektywą.

6.5.3.4.

Kiedy zostaje zarejestrowana usterka, producent musi ją zidentyfikować wykorzystując odpowiedni kod usterki zgodny z kodami podanymi w ppkt 6.3. ISO DIS 15031-6 „Pojazdy drogowe — Komunikacja między pojazdem a zewnętrznym sprzętem badawczym dla diagnostyki związanej z emisją zanieczyszczeń — część 6: Definicje Kodu Problemu Diagnostycznego”, związanymi z „kodami problemu diagnostycznego dotyczącymi systemu związanego z emisją”. Jeżeli taka identyfikacja nie jest możliwa producent może wykorzystać kody problemu diagnostycznego zgodnie z ppkt 5.3 i 5.6 ISO DIS 15031-6. Kody błędów muszą być w pełni udostępnione poprzez znormalizowany sprzęt diagnostyczny zgodny z przepisami ppkt 6.5.3.2.

Producent pojazdu dostarcza krajowemu organowi normalizacyjnemu szczegółów wszelkich danych diagnostycznych dotyczących emisji zanieczyszczeń, np. PID, Id monitora systemu OBD. Badanie Id nie jest określone w ISO DIS 15031-5, ale związane z niniejszą dyrektywą.

6.5.3.5.

Interfejs połączenia między pojazdem a badawczym urządzeniem diagnostycznym musi być znormalizowany i musi spełniać wszystkie wymagania ISO DIS 15031-3 „Pojazdy drogowe — Komunikacja między pojazdem a zewnętrznym sprzętem badawczym dla diagnostyki związanej z emisją zanieczyszczeń — część 3: Łącze diagnostyczne i związane obwody elektryczne: specyfikacja i użytkowanie” z dnia 1 listopada 2001 r.

Położenie instalacji musi podlegać zgodzie organu udzielającego homologacji, na podstawie której jest ona łatwo dostępna dla personelu serwisowego, ale chroniona przed przypadkowym uszkodzeniem w trakcie normalnych warunków użytkowania.

▼M20

6.6.

Szczególne wymagania dotyczące przesyłania sygnałów diagnostycznych z pojazdów dwupaliwowych na gaz

6.6.1.

W przypadku pojazdów dwupaliwowych na gaz, w których określone sygnały z różnych układów paliwowych są zachowywane w tym samym komputerze, sygnały diagnostyczne odpowiadające napędowi benzynowemu i napędowi gazowemu są przetwarzane i przesyłane niezależnie od siebie.

6.6.2.

W przypadku pojazdów dwupaliwowych na gaz, w których określone sygnały z różnych układów paliwowych są zachowywane w oddzielnych komputerach, sygnały diagnostyczne odpowiadające napędowi benzynowemu i napędowi gazowemu są przetwarzane i przesyłane z komputera właściwego dla danego paliwa.

6.6.3.

Na żądanie diagnostycznego programu narzędziowego sygnały diagnostyczne dla pojazdu napędzanego benzyną są przesyłane za pomocą pojedynczego adresu źródłowego, a sygnały diagnostyczne dla pojazdu napędzanego gazem za pomocą innego adresu źródłowego. Stosowanie adresów źródłowych opisane jest w ISO DIS 15031-5 „Pojazdy drogowe — wymiana informacji między pojazdami i zewnętrznymi urządzeniami badawczymi w zakresie diagnostyki emisji — Część 5: Usługi w zakresie diagnostyki emisji” z dnia 1 listopada 2001 r.

▼M14




ZAŁĄCZNIK XII

HOMOLOGACJA TYPU WE POJAZDU ZASILANEGO GAZEM PŁYNNYM LUB GAZEM ZIEMNYM W ODNIESIENIU DO JEGO EMISJI

1.   WPROWADZENIE

Niniejszy załącznik określa szczególne wymagania, które stosują się w przypadku homologacji pojazdu napędzanego gazem płynnym lub gazem ziemnym lub pojazdu, który może być napędzany albo benzyną bezołowiową, albo gazem płynnym lub gazem ziemnym, w zakresie prób z zastosowaniem gazu płynnego lub gazu ziemnego.

W przypadku gazu płynnego i gazu ziemnego na rynku istnieje duże zróżnicowanie mieszanek paliwowych, które wymagają dostosowania układu paliwowego pod względem jednostkowego zużycia paliwa. Aby potwierdzić tę zdolność pojazdu, należy przeprowadzić badanie typu I na dwóch skrajnych paliwach wzorcowych i sprawdzić, czy układ paliwowy wykazuje zdolność samodostosowania się. Jeżeli zdolność ta zostanie potwierdzona w przypadku danego pojazdu, można go traktować jako pojazd macierzysty rodziny. W przypadku pojazdów, które spełniają warunki dla przedstawicieli danej rodziny i mają ten sam układ paliwowy wystarczy przeprowadzić badania z zastosowaniem jednego rodzaju paliwa.

2.   DEFINICJE

Do celów niniejszego załącznika:

2.1.

Pojazd macierzysty jest to pojazd, który wybrano w celu wykazania zdolności samodostosowania układu paliwowego, stanowiący odniesienie dla innych pojazdów w rodzinie. W rodzinie może być więcej niż jeden pojazd macierzysty.

2.2.

Przedstawicielem rodziny jest pojazd, który posiada z pojazdem(-ami) macierzystym(-i) następujące cechy wspólne:

2.2.1.

a) Jest wytwarzany przez tego samego producenta.

b) Podlega takim samym wartościom granicznym emisji.

c) Jeżeli gazowy układ paliwowy posiada centralne dozowanie dla całego silnika:

wartość jego mocy wyjściowej mieści się między 0,7-1,15 wartości mocy wyjściowej pojazdu macierzystego.

Jeżeli gazowy układ paliwowy posiada odrębne dozowanie do każdego cylindra:

wartość jego mocy wyjściowej na jednym cylindrze wynosi od 0,7 do 1,15 wartości mocy pojazdu macierzystego.

d) Jeżeli posiada układ katalizatora, jest to ten sam typ katalizatora, tj. trójdrożny, utleniający, dezoksy-NOx.

e) Gazowy układ paliwowy (w tym regulator ciśnienia) pochodzi od tego samego producenta i jest tego samego typu: ssący, z wtryskiem lotnego gazu (jednopunktowym, wielopunktowym), z wtryskiem płynnego gazu (jednopunktowym, wielopunktowym).

f) Ten gazowy układ paliwowy jest sterowany elektronicznym urządzeniem sterującym parametrami pracy silnika (ECU) tego samego typu i o tej samej specyfikacji technicznej, zawierającym te same zasady oprogramowania i tę samą strategię sterowania.

2.2.2.

W odniesieniu do wymogu lit. c): jeżeli podczas wykazywania okazuje się, że dwa pojazdy zasilane gazem mogą być przedstawicielami tej samej rodziny, ale nie posiadają tej samej poświadczonej mocy wyjściowej, lecz różne, o wartościach kolejno P1 i P2 (P1 < P2), i podczas badań są traktowane jako dwa pojazdy macierzyste, przynależność do rodziny obowiązuje dla wszystkich pojazdów o mocy wyjściowej między 0,7* P1 i 1,15* P2.

3.   UDZIELENIE HOMOLOGACJI TYPU WE

Homologacja typu WE zostaje udzielona pod warunkiem spełnienia następujących wymagań:

3.1.

Homologacja emisji spalin pojazdu macierzystego.

Pojazd macierzysty powinien wykazać zdolność samodostosowania się do dowolnej mieszanki paliwowej dostępnej na rynku. W przypadku gazu płynnego występują zmiany w składzie C3/C4. W przypadku gazu ziemnego ogólnie występują dwa rodzaje paliwa: wysokokaloryczne i niskokaloryczne, z dużym rozrzutem w obydwu przypadkach; różnią się one znacząco pod względem liczby Wobbego. Różnice te znajdują odbicie w paliwach wzorcowych.

3.1.1.

W przypadku pojazdu(-ów) macierzystego(-ych) przeprowadza się badanie typu I na dwóch skrajnych paliwach wzorcowych wyszczególnionych w załączniku IX a.

3.1.1.1.

Jeżeli przejście z jednego paliwa na drugie jest w praktyce wspomagane przełącznikiem, nie można go użyć podczas badania homologacyjnego typu. W takich przypadkach na wniosek producenta i za zgodą placówki technicznej można przedłużyć cykl kondycjonowania, określony w ppkt 5.3.1 załącznika III.

3.1.2.

Uważa się, że pojazd(-y) spełniają warunki, jeżeli w przypadku obu paliw wzorcowych spełnia(-ją) wartości graniczne emisji.

3.1.3.

Stosunek wyników emisji „r” oblicza się dla poszczególnych składników zanieczyszczających środowisko za pomocą następującego wzoru:

image

3.2.

Homologacja emisji spalin dla przedstawiciela danej rodziny:

W przypadku przedstawiciela rodziny przeprowadza się badanie typu I na jednym paliwie wzorcowym. Paliwem tym może być dowolne z dwóch wyżej wymienionych. Pojazd uważa się za zgodny, jeżeli spełnia następujące warunki:

3.2.1.

Pojazd odpowiada definicji przedstawiciela rodziny podanej w ppkt 2.2.

3.2.2.

Wyniki badań dla poszczególnych substancji zanieczyszczających środowisko mnoży się przez współczynnik „r” (patrz ppkt 3.1.3), jeżeli r jest większe od 1,0. Jeżeli r jest mniejsze od 1,0, jako jego wartość przyjmuje się 1. Wynik tego mnożenia przyjmuje się jako ostateczny wynik emisji. Na wniosek producenta można przeprowadzić badanie typu I na paliwie wzorcowym 2 lub na obydwu paliwach wzorcowych, wówczas nie są konieczne żadne poprawki.

3.2.3.

Pojazd spełnia wartości graniczne emisji obowiązujące dla danej kategorii, zarówno dla wartości uzyskanych wskutek pomiarów, jak i obliczenia.

4.   WARUNKI OGÓLNE

4.1.

Badania na zgodność produkcji można wykonywać przy użyciu paliwa dostępnego na rynku, którego stosunek C3/C4 mieści się między wartościami ustalonymi dla paliw wzorcowych, w przypadku gazu płynnego lub którego liczba Wobbego mieści się między wartościami dla skrajnych paliw wzorcowych w przypadku gazu ziemnego. W takich przypadkach należy przeprowadzić analizę paliwa.

▼M19




ZAŁĄCZNIK XIII

HOMOLOGACJA TYPU WE WYMIENNEGO KONWERTERA KATALITYCZNEGO JAKO ODDZIELNEGO ZESPOŁU TECHNICZNEGO

1.   ZAKRES

Niniejszy załącznik stosuje się w przypadku homologacji typu WE, jako oddzielnych zespołów technicznych w rozumieniu art. 4 ust. 1 lit. d) dyrektywy 70/156/EWG, typów konwerterów katalitycznych przeznaczonych do instalowania jako części zamienne w jednym lub kilku typach pojazdów silnikowych kategorii M1 i N1 ( 19 ).

2.   DEFINICJE

Do celów niniejszego załącznika:

2.1.

„oryginalny konwerter katalityczny” - patrz ppkt 2.17 załącznika I;

2.2.

„wymienny konwerter katalityczny” - patrz ppkt 2.18 załącznika I;

2.3.

„oryginalny wymienny konwerter katalityczny” - patrz ppkt 2.19 załącznika I;

2.4.

„typ konwertera katalitycznego” oznacza konwertery katalityczne, które nie różnią się w tak istotnych aspektach jak:

2.4.1.

liczba powlekanych warstw podłoża, budowa i materiał;

2.4.2.

typ działania katalitycznego (utleniające, trójdrożne itd.);

2.4.3.

pojemność, stosunek powierzchni czołowej i długość warstwy podłoża;

2.4.4.

zawartość materiału katalitycznego;

2.4.5.

proporcja materiału katalitycznego;

2.4.6.

gęstość komórki;

2.4.7.

wymiary i kształt;

2.4.8.

ochrona termiczna;

2.5.

„typ pojazdu”, patrz ppkt 2.1 załącznika I;

2.6.

„Homologacja wymiennego konwertera katalitycznego” oznacza homologację konwertera przeznaczonego do instalowania jako część zamienna do jednego lub kilku szczególnych typów pojazdów, w celu zmniejszenia emisji spalin, poziomu hałasu i wpływu na funkcjonowanie pojazdu, oraz gdzie stosowne, OBD;

2.7.

„wymienny konwerter katalityczny pogorszonej jakości” jest konwerterem, który jest zużyty, lub którego jakość została pogorszona w nienaturalny sposób do takiego stopnia, że spełnia wymagania ustanowione w pkt 1 dodatku 1 do załącznika XI do niniejszej dyrektywy ( 20 ).

3.   WNIOSEK O UDZIELENIE HOMOLOGACJI TYPU WE

3.1.

Wniosek o udzielenie homologacji typu WE, zgodnie z art. 3 ust. 4 dyrektywy 70/156/EWG, dla typu wymiennego konwertera katalitycznego, składa jego producent.

3.2.

Wzór dokumentu informacyjnego znajduje się w dodatku 1 do niniejszego załącznika.

3.3.

W przypadku wniosku o udzielenie homologacji wymiennego konwertera katalitycznego należy przedłożyć służbie technicznej odpowiedzialnej za badanie homologacyjne typu jak następuje:

3.3.1.

Pojazd lub pojazdy typu homologowanego zgodnie z przepisami dyrektywy 70/220/EWG, wyposażone w nowy oryginalny konwerter katalityczny. Pojazdy te wybiera wnioskodawca za zgodą placówki technicznej. Pojazd(-y) spełniają wymagania określone w pkt 3 załącznika III do niniejszej dyrektywy.

Badane pojazdy nie mogą mieć usterek w systemie sterowania emisją; wszelkie zużyte lub niesprawne części oryginalne związane z emisją wymienia się lub naprawia. Przed rozpoczęciem badania badane pojazdy zostają odpowiednio wyregulowane i ustawione zgodnie ze specyfikacją producenta.

3.3.2.

Próbkę danego typu wymiennego konwertera katalitycznego. Na próbce należy wyraźnie i trwale umieścić nazwę handlową lub znak towarowy wnioskodawcy oraz informację o przeznaczeniu handlowym tego konwertera katalitycznego.

3.3.3.

Dodatkowa próbka typu wymiennego konwertera katalitycznego, w przypadku wymiennego konwertera katalitycznego przeznaczonego do zainstalowania w pojeździe wyposażonym w system OBD. Na próbce należy wyraźnie i trwale umieścić nazwę handlową lub znak towarowy wnioskodawcy oraz informację o przeznaczeniu handlowym tego konwertera katalitycznego. Jej jakość musiała zostać pogorszona jak określono w ppkt 2.7.

4.   UDZIELENIE HOMOLOGACJI TYPU WE

4.1.

Jeśli istotne wymagania są spełnione, udziela się homologacji typu WE na podstawie art. 4 ust. 3 dyrektywy 70/156/EWG.

4.2.

Wzór świadectwa homologacji typu WE jest podany w dodatku 2 do niniejszego załącznika.

4.3.

Numer homologacji, zgodnie z załącznikiem VII do dyrektywy 70/156/EWG przydziela się każdemu homologowanemu typowi wymiennego konwertera katalitycznego. Dane Państwo Członkowskie nie przydziela tego samego numeru innemu homologowanemu typowi wymiennego konwertera katalitycznego. Ten sam numer może obejmować zastosowanie danego typu wymiennego konwertera katalitycznego w kilku różnych typach pojazdów.

▼M20

4.4.

Jeśli składający wniosek o udzielenie homologacji typu jest w stanie wykazać wobec władzy homologacyjnej lub placówki technicznej, że zamienny katalizator jest katalizatorem typu wskazanego w ppkt 1.10 dodatku do załącznika X do niniejszej dyrektywy, to udzielenie świadectwa homologacji nie zależy od sprawdzenia zgodności z wymaganiami określonymi w ppkt 6.

▼M19

5.   OZNAKOWANIE HOMOLOGACJI TYPU WE

5.1.

Każdy wymienny konwerter katalityczny odpowiadający typowi homologowanemu zgodnie z niniejszą dyrektywą jako oddzielny zespół techniczny otrzymuje znak homologacji WE.

5.2.

Znak składa się z prostokąta otaczającego literę „e” i cyfr lub liter wyróżniających Państwo Członkowskie, które udzieliło homologacji typu WE:

1 dla Niemiec

2 dla Francji

3 dla Włoch

4 dla Niderlandów

5 dla Szwecji

6 dla Belgii

▼A2

7 dla Węgier

8 dla Republiki Czeskiej

▼M19

9 dla Hiszpanii

11 dla Zjednoczonego Królestwa

12 dla Austrii

13 dla Luksemburga

17 dla Finlandii

18 dla Danii

▼M21

19 dla Rumunii

▼A2

20 dla Polski

▼M19

21 dla Portugalii

23 dla Grecji

24 dla Irlandii

▼A2

26 dla Słowenii

27 dla Słowacji

29 dla Estonii

32 dla Łotwy

▼M21

34 dla Bułgarii

▼A2

36 dla Litwy

CY dla Cypru

MT dla Malty

▼M19

W pobliżu prostokąta musi znajdować się „podstawowy numer homologacji” zawarty w pkt 4 numeru homologacji typu, określonego w załączniku VII do dyrektywy 70/156/EWG, poprzedzony dwiema cyframi odpowiadającymi kolejnemu numerowi przyporządkowanemu najnowszej znaczącej zmianie technicznej wprowadzonej do dyrektywy 70/220/EWG z datą udzielenia homologacji WE części. W niniejszej dyrektywie numerem kolejnym jest 01.

5.3.

Znak homologacji WE, określony w ppkt 5.2, jest czytelny i trwały oraz musi, gdzie jest to możliwe, być widoczny po zainstalowaniu wymiennego konwertera katalitycznego w pojeździe.

5.4.

Dodatek 3 do niniejszego załącznika podaje przykłady układów znaku homologacji i danych homologacyjnych określonych powyżej.

6.   WYMAGANIA

6.1.   Wymagania ogólne

6.1.1.

Wymienny konwerter katalityczny jest zaprojektowany, zbudowany i możliwy do zainstalowania w sposób umożliwiający pojazdowi spełnienie przepisów niniejszej dyrektywy, które pierwotnie spełniał, oraz w taki sposób, aby emisje substancji zanieczyszczających środowisko były skutecznie ograniczone podczas zwykłego użytkowania pojazdu w normalnych warunkach.

6.1.2.

Wymienny konwerter katalityczny jest zainstalowany dokładnie w miejsce oryginalnego konwertera katalitycznego a pozycja próbnika(-ów) tlenu oraz innych czujników w przewodzie wydechowym, jeżeli stosowne, nie ulega zmianie.

6.1.3.

Jeżeli oryginalny konwerter katalityczny posiada ochronę termiczną, wymienny konwerter katalityczny również posiada odpowiednią ochronę.

6.1.4.

Wymienny konwerter katalityczny jest trwały, czyli jest zaprojektowany, skonstruowany i przystosowany do montażu w ten sposób, aby uzyskać określoną odporność na korozję i utlenianie, uwzględniając warunki użytkowania pojazdu.

6.2.   Wymagania w odniesieniu do emisji

Pojazd(-y) wymieniony(-e) w ppkt 3.3.1 niniejszego załącznika wyposażony(-e) w wymienny konwerter katalityczny typu, o którego homologację złożono wniosek poddaje się badaniom typu I w warunkach opisanych w odpowiednim załączniku do niniejszej dyrektywy, w celu porównania jego funkcjonowania z funkcjonowaniem oryginalnego konwertera katalitycznego, zgodnie z procedurą opisaną poniżej.

6.2.1.   Wyznaczenie podstawy porównania

W pojeździe (pojazdach) instaluje się nowy oryginalny konwerter katalityczny (patrz ppkt 3.3.1) i poddaje się go 12 cyklom pozamiejskim (badanie typu I, część 2).

Po takim kondycjonowaniu, pojazd (pojazdy) przechowuje się w pomieszczeniu o stosunkowo stałej temperaturze między 293 a 303 K (20-30oC). To kondycjonowanie trwa co najmniej sześć godzin, aż do czasu, gdy temperatura oleju silnikowego i płynu w chłodnicy odpowiada temperaturze pomieszczenia ± - 2 K. Następnie wykonuje się trzy testy typu I.

6.2.2.   Badanie spalin przy użyciu wymiennego konwertera katalitycznego

Oryginalny konwerter katalityczny badanego pojazdu(-ów) zastępuje się wymiennym konwerterem katalitycznym (patrz ppkt 3.3.2) i poddaje się 12 cyklom pozamiejskim (badanie typu I, część 2).

Po takim kondycjonowaniu, pojazd (pojazdy) przechowuje się w pomieszczeniu o stosunkowo stałej temperaturze między 293 a 303 K (20-30oC). To kondycjonowanie trwa co najmniej sześć godzin, aż do czasu, gdy temperatura oleju silnikowego i płynu w chłodnicy odpowiada temperaturze pomieszczenia ± - 2 K. Następnie wykonuje się trzy badania typu I.

6.2.3.   Ocena emisji zanieczyszczeń substancji zanieczyszczających środowisko pojazdów wyposażonych w wymienne konwertery katalityczne

Badany(-e) pojazd(-y) z oryginalnymi konwerterami katalitycznymi odpowiadają limitom zgodnie z homologacją typu pojazdu, z uwzględnieniem, jeżeli stosowne, czynników pogarszających zastosowanych w trakcie homologacji typu pojazdu(-ów).

Wymagania dotyczące emisji przez pojazdy z wymiennym konwerterem katalitycznym uznaje się za spełnione, jeżeli poziom emisji każdej weryfikowanej substancji zanieczyszczającej środowisko (CO, HC, NOx i zawiesin stałych) spełnia następujące warunki:

image

image

gdzie:

M jest wartością średnią emisji jednej substancji zanieczyszczającej środowisko lub sumy dwóch substancji zanieczyszczających środowisko ( 21 ), uzyskaną z trzech badań typu I przy użyciu wymiennego konwertera katalitycznego;

S jest wartością średnią emisji jednej substancji zanieczyszczającej środowisko lub sumy dwóch substancji zanieczyszczających środowisko (21)  uzyskaną z trzech badań typu I przy użyciu wymiennego konwertera katalitycznego;

G jest wartością graniczną emisji jednej substancji zanieczyszczającej środowisko lub sumy dwóch substancji zanieczyszczających środowisko (21) , zgodnie z homologacją typu pojazdu, podzieloną, jeżeli stosowne, przez czynniki pogarszające wyznaczone zgodnie z ppkt 6.4.

Jeżeli wnioskuje się o homologację różnych typów pojazdów tego samego producenta, i pod warunkiem że pojazdy te są wyposażone w oryginalne konwertery katalityczne tego samego typu, badanie typu I można ograniczyć do przynajmniej dwóch pojazdów wybranych za zgodą placówki technicznej odpowiedzialnej za homologację.

6.3.   Wymagania w odniesieniu do hałasu i ciśnienia zwrotnego w układzie wydechowym

Wymienny konwerter katalityczny spełnia techniczne wymagania załącznika II do dyrektywy 70/157/EWG.

6.4.   Wymagania dotyczące trwałości

Wymienny konwerter katalityczny spełnia warunki wyszczególnione w ppkt 5.3.5 załącznika I do niniejszej dyrektywy, tj. badania typu V lub czynników pogarszających wymienionych w poniższej tabeli, dla wyników badania typu I).



Tabela XIII.6.4

Kategoria silnika

Czynniki pogorszenia jakości

CO

HC (2)

NOx (2)

HC + NOx

Cząsteczka stała

Zapłon iskrowy

1,2

1,2

1,2

1,2 (2)

Zapłon samoczynny

1,1

1,0

1,0

1,2

(1)   Stosowany tylko względem pojazdów homologowanych zgodnie z dyrektywą 70/220/EWG, zmienioną dyrektywą 98/69/WE lub kolejnymi zmieniającymi dyrektywami.

(2)   Stosowany tylko względem pojazdów z silnikiem o zapłonie iskrowym homologowanych zgodnie z dyrektywą 70/220/EWG, zmienioną dyrektywą 96/69/WE lub wcześniejszymi dyrektywami.

6.5.   Wymagania dotyczące zgodności systemu OBD (stosowane tylko względem wymiennych konwerterów katalitycznych, przeznaczonych do zainstalowania w pojazdach wyposażonych w system OBD)

Wykazania zgodności systemu OBD wymaga się tylko gdy oryginalny katalizator był kontrolowany w oryginalnej konfiguracji.

6.5.1.

Zgodność wymiennego konwertera katalitycznego z systemem OBD jest wykazywana przy wykorzystaniu procedur opisanych w dyrektywie 98/69/WE, załącznik XI, dodatek 1.

6.5.2.

Nie stosuje się przepisów dyrektywy 98/69/WE, załącznik XI, dodatek 1 stosowanych względem części innych niż konwerter katalityczny.

6.5.3.

Producent dla rynku wtórnego może wykorzystywać to samo kondycjonowanie i procedury badania, które są wykorzystywane przy pierwotnej homologacji typu. W tym przypadku organ udzielający homologacji typu dostarcza, na wniosek i na niedyskryminacyjnych podstawach, dodatek 2 do świadectwa homologacji typu WE, który zawiera numer i typ cykli kondycjonowania oraz typ cyklu badania wykorzystywanego przez producenta pierwotnego wyposażenia do badania systemu OBD konwertera katalitycznego.

6.5.4.

W celu sprawdzenia prawidłowej instalacji i funkcjonowania wszystkich innych części kontrolowanych przez system OBD, system ten nie wskazuje żadnego wadliwego funkcjonowania i nie ma zachowanych żadnych kodów usterki przed zainstalowaniem każdego z wymiennych konwerterów katalitycznych. Ocena statusu systemu OBD na koniec badań opisanych w ppkt 6.2.1 niniejszego załącznika może być wykorzystana do tego celu.

6.5.5.

MI (odnośny ppkt 2.5 załącznika XI do niniejszej dyrektywy) nie może uruchamiać się podczas funkcjonowania pojazdu wymaganego w ppkt 6.2.2 niniejszego załącznika.

7.   DOKUMENTACJA

7.1.

Do każdego nowego wymiennego konwertera katalitycznego zostają załączone następujące informacje:

7.1.1.

nazwa producenta katalizatora i znak towarowy;

7.1.2.

pojazdy (włączając rok produkcji), dla których homologowano zastępczy konwerter katalityczny, włączając gdzie stosowne, oznakowanie w celu zidentyfikowania czy wymienny konwerter katalityczny nadaje się do zainstalowania w pojeździe, który jest wyposażony w system OBD;

7.1.3.

instrukcje instalacji, gdzie zachodzi taka konieczność.

7.2.

Niniejsze informacje są dostarczone:

w postaci ulotki załączonej do wymiennego konwertera katalitycznego; albo

na opakowaniu, w którym sprzedaje się wymienny konwerter katalityczny; albo

za pomocą wszelkich innych stosownych środków.

W każdym przypadku, informacje muszą być dostępne w katalogu produktu rozprowadzanym w punktach sprzedaży przez producenta wymiennych konwerterów katalitycznych.

8.   ZMIANA TYPU I ZMIANY DO HOMOLOGACJI

W przypadku zmiany typu homologowanego na mocy niniejszej dyrektywy, stosuje się przepisy art. 5 dyrektywy 70/156/EWG.

9.   ZGODNOŚĆ PRODUKCJI

Środki mające na celu zapewnienie zgodności produkcji przyjmuje się zgodnie z przepisami ustanowionymi w art. 10 dyrektywy 70/156/EWG.

9.2.   Przepisy szczególne

9.2.1.

Kontrole określone w ppkt 2.2 załącznika X do dyrektywy 70/156/EWG obejmują zgodność z charakterystyką, jak określono w ppkt 2.4 niniejszego załącznika.

9.2.2.

W celu zastosowania ppkt 3.5 załącznika X do dyrektywy 70/156/EWG, można przeprowadzić badania opisane w ppkt 6.2 niniejszego załącznika (wymagania dotyczące emisji zanieczyszczeń). W takim przypadku posiadacz homologacji może wnioskować o użycie jako podstawy porównania nie oryginalnego konwertera katalitycznego, a wymiennego konwertera katalitycznego, którego użyto podczas badań homologacyjnych typu (lub innej próbki, która odpowiada typowi homologowanemu). Wartości emisji zmierzone przy użyciu weryfikowanej próbki nie mogą przekraczać o więcej niż o 15 % średnich wartości wyznaczonych przy użyciu próbki wzorcowej.




DODATEK 1

Dokument informacyjny nr… odnoszący się do homologacji typu WE wymiennych konwerterów katalitycznych (dyrektywa 70/220/EWG ostatnio zmieniona dyrektywą…)

Następujące informacje, jeżeli stosowne, należy dostarczyć w trzech egzemplarzach z załączonym spisem treści. Wszelkie rysunki muszą być dostarczone w odpowiedniej skali oraz w wystarczających szczegółach na formacie A4 lub na folderze formatu A4. Fotografie, jeżeli załączone, muszą prezentować wystarczające szczegóły.

Jeżeli układ, części lub oddzielne zespoły techniczne posiadają sterowniki elektroniczne, należy podać informacje dotyczącej ich funkcjonowania.

0.   OGÓLNE

0.1.

Marka (nazwa handlowa producenta):

0.2.

Typ:

0.5.

Nazwa i adres producenta:

0.7.

W przypadku części i oddzielnych zespołów technicznych umiejscowienie i metoda umieszczenia znaku homologacji WE:

0.8.

Adres(-y) zakładu montażu/zakładów montażu:

1.   OPIS URZĄDZENIA

1.1.

Marka i typ wymiennego konwertera katalitycznego:

1.2.

Rysunki wymiennego konwertera katalitycznego, szczegółowo identyfikujące wszystkie części charakterystyczne wymienione w ppkt 2.3 niniejszego załącznika:

1.3.

Opis typu lub typów pojazdu, dla których przeznaczony jest wymienny konwerter katalityczny:

1.3.1.

Numer(-y) i/lub symbole charakteryzujące silnik i typ(-y) pojazdu:

1.3.2.

Czy wymienny konwerter katalityczny ma być kompatybilny z wymaganiami systemu OBD (tak/nie) ( 22 ):

1.4.

Opis i rysunki ukazujące położenie wymiennego konwertera katalitycznego względem kolektora(-ów) wydechowego(-ych) silnika:




DODATEK 2

Model

(Maksymalny format: A4 (210 mm × 297 mm))

ŚWIADECTWO HOMOLOGACJI WE

Pieczęć organu administracji

Powiadomienie dotyczące:

 homologacji typu ( 23 ),

 rozszerzenia homologacji typu (23) ,

 odmowy udzielenia homologacji typu (23) ,

 cofnięcia homologacji typu (23) ,

dla typu pojazdu/części/oddzielnego zespołu technicznego (23)  w odniesieniu do dyrektywy…, ostatnio zmienionej dyrektywą…

Numer homologacji typu:

Powód przedłużenia:

Sekcja I

0.1.

Marka (nazwa handlowa producenta):

0.2.

Typ:

0.3.

Sposób identyfikacji typu, o ile oznakowany jest na pojeździe/części/oddzielnym zespole technicznym ( 24 ):

0.3.1.

Umiejscowienie oznakowania:

0.4.

Kategoria pojazdu ( 25 ):

0.5.

Nazwa i adres producenta:

0.7.

W przypadku części i oddzielnych zespołów technicznych, umiejscowienie i metoda umieszczenia znaku homologacji WE:

0.8.

Adres(-y) zakładu montażu/zakładów montażu:

Sekcja II

1.

Dodatkowe informacje (tam, gdzie mają zastosowanie): patrz uzupełnienie

2.

Obsługa techniczna odpowiedzialna za przeprowadzenie testów:

3.

Data sprawozdania z testów:

4.

Numer sprawozdania z testów:

5.

Uwagi (jeżeli występują): zobacz uzupełnienie

6.

Miejsce:

7.

Data:

8.

Podpis:

9.

Wykaz załączony do zestawu informacji wniesiony na żądanie organu udzielającego homologacji, który można uzyskać na wniosek.




Uzupełnienie

do świadectwa homologacji typu WE nr…

dotyczącego homologacji typu oddzielnego zespołu technicznego wymiennych konwerterów katalitycznych dla pojazdów silnikowych w odniesieniu do dyrektywy 70/220/EWG, ostatnio zmienionej dyrektywą…

1.

Informacje dodatkowe

1.1.

Marka i typ wymiennego konwertera katalitycznego:

1.2.

Typ(-y) pojazdu, dla którego typ konwertera katalitycznego kwalifikuje się jako część wymienna:

1.3.

Typ(-y) pojazdu(-ów), na których badano wymienny konwerter katalityczny:

1.3.1.

Czy wymienny konwerter katalityczny wykazał zgodność z wymaganiami systemu OBD (tak/nie) ( 26 ):

5.

Uwagi:




DODATEK 3

image

Wzór znaków homologacji typu WE

(patrz ppkt 5.2 niniejszego załącznika)

Powyższy znak homologacji umieszczony na części wymiennego konwertera katalitycznego pokazuje, że dany typ uzyskał homologację we Francji (e 2) na podstawie niniejszej dyrektywy. Pierwsze dwie cyfry numeru homologacyjnego (00) odnoszą się do kolejnego numeru przydzielonego ostatnim przyjętym zmianom do dyrektywy 70/220/EWG. Następne cztery cyfry (1 2 3 4) są tymi, które przydzielił wymiennemu konwerterowi katalitycznemu organ udzielający homologacji jako podstawowy numer homologacji.”



( 1 ) Dz.U. C 160 z 18.12.1969, str. 7.

( 2 ) Dz.U. C 48 z 16.4.1969, str. 16.

( 3 ) Dz.U. L 42 z 23.2.1970, str. 1.

( 4 ) Dokument EWG z Genewy W/TRANS/WP 29/293/Rev. 1 z 11.4.1969.

( 5 ) Określone w części A załącznika II do dyrektywy 70/156/EWG.

( 6 ) Dz.U. L 36 z 9.2.1998, str. 33.

( 7 ) Niniejszy podpunkt stosuje się do nowych typów od 1 stycznia 2002 r.

( 8 ) Wartość Lambda należy obliczać korzystając z uproszczonego równania Brettschneidera w sposób następujący:

image

Gdzie:

[]

=

stężenie w % objętościowych

K1

=

współczynnik konwersji dla pomiaru NDIR pomiaru FID (dostarczone przez producenta urządzeń pomiarowych)

 

Hcv

=

atomowy stosunek wodoru do węgla [1,73], w przypadku gazu płynnego [2,53], w przypadku gazu ziemnego [4,0]

Ocv

=

atomowy stosunek tlenu do węgla [0,02], w przypadku gazu płynnego [zero], w przypadku gazu ziemnego [zero].

 ◄

( 9 ) Dz.U. L 350 z 28.12.1998, str. 58.

( 10 ) Przepisy ustanowione w dodatku 4 należy bezzwłocznie poddać ponownej analizie i uzupełnić zgodnie z procedurą ustanowioną w art. 13 dyrektywy 70/156/EWG.

( 11 ) Na podstawie rzeczywistych danych eksploatacyjnych, które mają być dostarczone przed dniem 31 grudnia 2003 r. przez Państwa Członkowskie można dokonać przeglądu wymagań niniejszego punktu i uznać a) czy należy dokonać przeglądu definicji pojazdu stanowiącego nadmierne źródło emisji zanieczyszczeń w odniesieniu do pojazdów, które otrzymały homologację typu zgodnie z limitami podanymi w załączniku I wiersz B tabeli w ppkt 5.3.1.4, b) czy należy zmienić procedurę identyfikacji pojazdów stanowiących źródło nadmiernej emisji zanieczyszczeń i c) czy należy zastąpić w odpowiednim czasie trwania procedury badania zgodności pojazdów użytkowych nową procedurą statystyczną. Jeżeli, stosowne, Komisja zaproponuje niezbędne zmiany zgodnie z procedurą przewidzianą w art. 13 dyrektywy 70/156/EWG.

( 12 ) Dla każdego pojazdu „strefa pośrednia” jest określona w następujący sposób. Pojazd spełnia warunki podane w ppkt 3.2.1 lub 3.2.2 i dodatkowo, zmierzona wartość dla tej samej weryfikowanej substancji zanieczyszczającej środowisko jest poniżej poziomu, który jest określony na podstawie produktu o wartości dopuszczalnej dla tej samej weryfikowanej substancji zanieczyszczającej środowisko podanej w załączniku I wiersza A tabeli w ppkt 5.3.1.4 pomnożonej przez współczynnik wynoszący 2,5.

( 13 ) Dla każdego pojazdu „strefa niespełnienia wymagań” jest określona następująco. Zmierzona wartość dla każdej kontrolowanej substancji zanieczyszczającej środowisko przekracza poziom, który jest określony na podstawie produktu o wartości dopuszczalnej tej samej weryfikowanej substancji zanieczyszczającej środowisko podanej w załączniku I wiersz A tabeli w ppkt 5.3.1.4 pomnożonej przez współczynnik wynoszący 2,5.

( 14 ) Numery pozycji i przypisów stosowane w niniejszym dokumencie informacyjnym odpowiadają właściwym numerom w załączniku I do dyrektywy 70/156/EWG. Pozycje niezwiązane z celem niniejszej dyrektywy zostały opuszczone.

( 15 ) Należy zwrócić uwagę, że dozwolony okres dwóch sekund zawiera czas na zmianę biegu oraz, gdzie konieczne, pewną ilość czasu na powrót do cyklu.

( 16 ) Zgodnie z dyrektywą 70/156/EWG.

( 17 ) Międzynarodowa norma ISO 2575–1982 (E), zatytułowana „Pojazdy drogowe – symbole wskaźników i kontrolek”, symbol numer 4.36.

( 18 ) Wymaganie to stasuje się dopiero od dnia 1 stycznia 2003 r. dla nowych typów pojazdów z elektronicznym sygnałem prędkości w sterowaniu silnikiem. Stosuje się do wszystkich nowych typów pojazdów dopuszczanych do ruchu od dnia 1 stycznia 2005 r.

( 19 ) Jak określono w sekcji A załącznika II do dyrektywy 70/156/EWG.

( 20 ) Do celów badania pokazowego pojazdów wyposażonych w silniki o zapłonie iskrowym, kiedy wartość HC mierzona w ramach ppkt 6.2.1 niniejszego załącznika jest wyższa niż wartość mierzona podczas udzielania homologacji pojazdu, różnicę należy dodać do wartości progowych wymienionych w ppkt 3.3.2 załącznika XI, względem którego stosuje się rozciągnięcie przyznane w pkt 1 dodatku 1 do załącznika XI.

( 21 ) Odpowiednio w odniesieniu do wartości dopuszczalnych określonych w ppkt 5.3.2.4 załącznika I do dyrektywy 70/220/WE w wersji, na którą pojazdy wyposażone w oryginalny konwerter katalityczny otrzymały homologację typu.

( 22 ) Niepotrzebne skreślić.

( 23 ) Niepotrzebne skreślić.

( 24 ) Jeżeli środki identyfikacji typu zawierają znaki nieodpowiednie do opisania typu pojazdu, części lub oddzielnych zespołów technicznych objętych niniejszym świadectwem homologacji typu, takie znaki są przedstawione w dokumencie za pomocą symbolu: „?” (np. ABC??123??).

( 25 ) Jak określono w sekcji A załącznika II do dyrektywy 70/156/EWG.

( 26 ) Niepotrzebne skreślić.