Choose the experimental features you want to try

This document is an excerpt from the EUR-Lex website

Document 02007R0861-20170714

Consolidated text: Rozporządzenie (WE) nr 861/2007 Parlamentu Europejskiego i Rady z dnia 11 lipca 2007 r. ustanawiające europejskie postępowanie w sprawie drobnych roszczeń

ELI: http://data.europa.eu/eli/reg/2007/861/2017-07-14

02007R0861 — PL — 14.07.2017 — 003.004


Dokument ten służy wyłącznie do celów informacyjnych i nie ma mocy prawnej. Unijne instytucje nie ponoszą żadnej odpowiedzialności za jego treść. Autentyczne wersje odpowiednich aktów prawnych, włącznie z ich preambułami, zostały opublikowane w Dzienniku Urzędowym Unii Europejskiej i są dostępne na stronie EUR-Lex. Bezpośredni dostęp do tekstów urzędowych można uzyskać za pośrednictwem linków zawartych w dokumencie

►B

ROZPORZĄDZENIE (WE) NR 861/2007 PARLAMENTU EUROPEJSKIEGO I RADY

z dnia 11 lipca 2007 r.

ustanawiające europejskie postępowanie w sprawie drobnych roszczeń

(Dz.U. L 199 z 31.7.2007, s. 1)

zmienione przez:

 

 

Dziennik Urzędowy

  nr

strona

data

 M1

ROZPORZĄDZENIE RADY (UE) NR 517/2013 z dnia 13 maja 2013 r.

  L 158

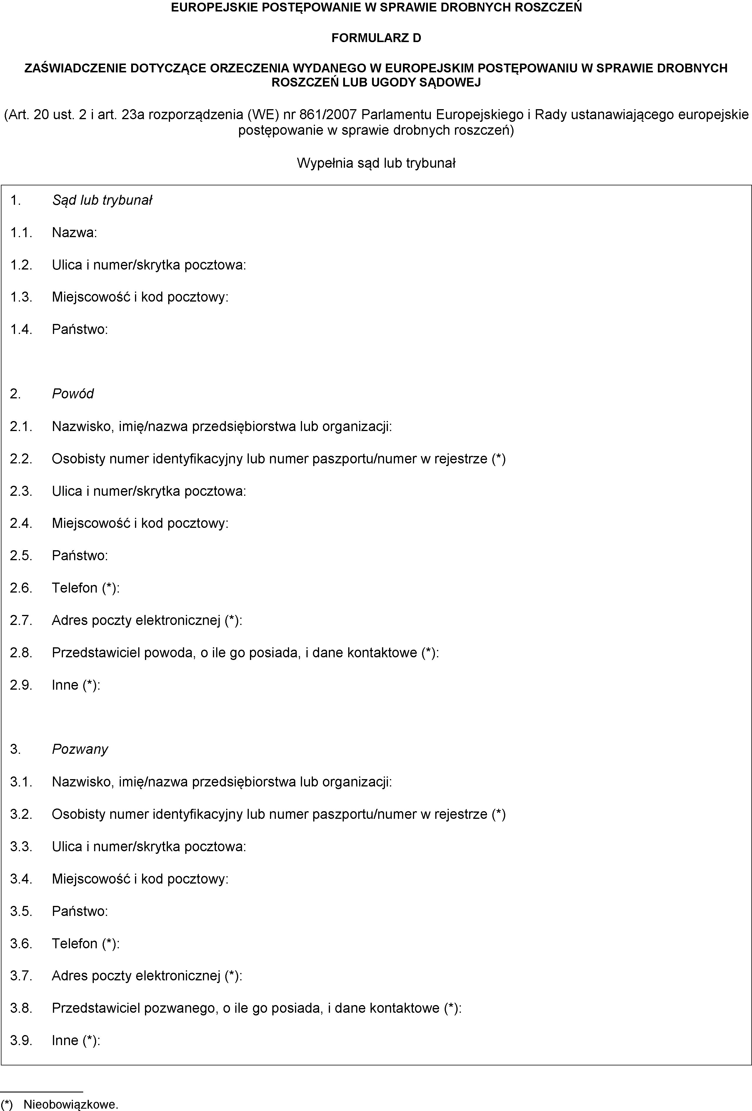
1

10.6.2013

►M2

ROZPORZĄDZENIE PARLAMENTU EUROPEJSKIEGO I RADY (UE) 2015/2421 z dnia 16 grudnia 2015 r.

  L 341

1

24.12.2015

►M3

ROZPORZĄDZENIE DELEGOWANE KOMISJI (UE) 2017/1259 z dnia 19 czerwca 2017 r.

  L 182

1

13.7.2017


sprostowane przez:

 C1

Sprostowanie, Dz.U. L 141, 5.6.2015, s.  118 (861/2007)

►C2

Sprostowanie, Dz.U. L 069, 13.3.2018, s.  63 (2017/1259)




▼B

ROZPORZĄDZENIE (WE) NR 861/2007 PARLAMENTU EUROPEJSKIEGO I RADY

z dnia 11 lipca 2007 r.

ustanawiające europejskie postępowanie w sprawie drobnych roszczeń



ROZDZIAŁ I

PRZEDMIOT I ZAKRES ZASTOSOWANIA

Artykuł 1

Przedmiot

Na mocy niniejszego rozporządzenia ustanowione zostaje europejskie postępowanie w sprawie drobnych roszczeń mające na celu uproszczenie i przyspieszenie postępowania spornego dotyczącego drobnych roszczeń w sprawach transgranicznych, a także służące obniżeniu kosztów. Europejskie postępowanie w sprawie drobnych roszczeń jest dostępne stronom jako alternatywa dla istniejących postępowań przewidzianych w prawie państw członkowskich.

Niniejsze rozporządzenie również eliminuje postępowania wpadkowe konieczne do uznania i stwierdzenia wykonalności w innych państwach członkowskich orzeczeń wydawanych w jednym z państw członkowskich w ramach europejskiego postępowania w sprawie drobnych roszczeń.

▼M2

Artykuł 2

Zakres stosowania

1.  Niniejsze rozporządzenie ma zastosowanie – w sprawach transgranicznych zgodnie z definicją zawartą w art. 3 – do spraw cywilnych i handlowych bez względu na rodzaj sądu lub trybunału, w przypadku gdy wartość przedmiotu sporu, z wyłączeniem wszystkich odsetek, wydatków i kosztów, nie przekracza 5 000  EUR w momencie wpłynięcia formularza pozwu do właściwego sądu lub trybunału. Niniejsze rozporządzenie nie ma zastosowania w szczególności do spraw podatkowych, celnych lub administracyjnych ani dotyczących odpowiedzialności państwa za działania i zaniechania w wykonywaniu władzy publicznej („acta iure imperii”).

2.  Niniejsze rozporządzenie nie ma zastosowania do spraw dotyczących:

a) stanu cywilnego oraz zdolności prawnej i zdolności do czynności prawnych osób fizycznych;

b) stosunków majątkowych wynikających z małżeństwa lub związku uznawanego na mocy przepisów mających zastosowanie do takiego związku za mający skutki porównywalne do skutków małżeństwa;

c) obowiązków alimentacyjnych wynikających ze stosunku rodzinnego, pokrewieństwa, małżeństwa lub powinowactwa;

d) testamentów i dziedziczenia, w tym obowiązków alimentacyjnych powstających w związku ze śmiercią;

e) upadłości, układów i innych podobnych postępowań;

f) ubezpieczeń społecznych;

g) sądownictwa polubownego;

h) prawa pracy;

i) najmu lub dzierżawy nieruchomości, z wyłączeniem powództw dotyczących roszczeń pieniężnych; lub

j) naruszenia prywatności i dóbr osobistych, w tym zniesławienia.

▼B

Artykuł 3

Sprawy transgraniczne

1.  Do celów niniejszego rozporządzenia przez sprawę transgraniczną rozumie się sprawę, w której przynajmniej jedna ze stron ma miejsce zamieszkania lub miejsce zwykłego pobytu w państwie członkowskim innym niż państwo członkowskie sądu lub trybunału rozpatrującego sprawę.

▼M2

2.  Miejsce zamieszkania ustala się zgodnie z art. 62 i 63 rozporządzenia Parlamentu Europejskiego i Rady (UE) nr 1215/2012 ( 1 ).

3.  Odpowiednim momentem dla rozstrzygnięcia, czy dana sprawa jest sprawą transgraniczną, jest dzień wpłynięcia formularza pozwu do właściwego sądu lub trybunału.

▼B



ROZDZIAŁ II

EUROPEJSKIE POSTĘPOWANIE W SPRAWIE DROBNYCH ROSZCZEŃ

Artykuł 4

Wszczęcie postępowania

1.  Powód wszczyna europejskie postępowanie w sprawie drobnych roszczeń, wypełniając formularz pozwu A zawarty w załączniku A i składając go we właściwym sądzie lub trybunale bezpośrednio, za pośrednictwem poczty lub innych środków komunikacji, takich jak faks lub poczta elektroniczna, akceptowanych przez państwo członkowskie, w którym wszczyna się postępowanie. Formularz pozwu zawiera opis dowodów uzasadniających powództwo, a w stosownych przypadkach dołącza się do niego wszelkie odpowiednie dokumenty uzupełniające.

2.  Państwa członkowskie powiadamiają Komisję o środkach komunikowania, które mogą zaakceptować. Komisja podaje te informacje do wiadomości publicznej.

3.  W przypadku gdy wytoczone powództwo nie dotyczy spraw objętych zakresem zastosowania niniejszego rozporządzenia, sąd lub trybunał informuje o tym powoda. Jeżeli powód nie cofnie pozwu, sąd lub trybunał prowadzi postępowanie zgodnie z odpowiednimi przepisami proceduralnymi państwa członkowskiego, w którym prowadzone jest postępowanie.

4.  W przypadku gdy sąd lub trybunał uznaje, że informacje przedstawione przez powoda nie są dostatecznie jasne lub odpowiednie, lub w przypadku niewłaściwego wypełnienia formularza pozwu, o ile powództwo nie jest oczywiście bezzasadne lub niedopuszczalne, sąd lub trybunał umożliwia powodowi uzupełnienie lub skorygowanie danych zawartych w formularzu pozwu lub dostarczenie uzupełniających informacji lub dokumentów lub cofnięcie pozwu, w terminie określonym przez sąd lub trybunał. W tym celu sąd lub trybunał korzysta z formularza B, załączonego w załączniku II.

W przypadku gdy powództwo jest oczywiście bezzasadne lub niedopuszczalne lub powód nie uzupełni lub nie skoryguje danych zawartych w formularzu pozwu w określonym terminie, pozew zostaje zwrócony. ►M2  Sąd lub trybunał informuje powoda o zwrocie pozwu oraz o tym, czy w związku z tym zwrotem istnieje możliwość wniesienia środka odwoławczego. ◄

▼M2

5.  Państwa członkowskie zapewniają dostępność formularza pozwu A we wszystkich sądach i trybunałach, w których istnieje możliwość wszczęcia europejskiego postępowania w sprawie drobnych roszczeń, a także zapewniają dostęp do niego poprzez odpowiednie krajowe strony internetowe.

▼B

Artykuł 5

Przebieg postępowania

▼M2

1.  Europejskie postępowanie w sprawie drobnych roszczeń jest postępowaniem pisemnym.

1a.  Sąd lub trybunał przeprowadza rozprawę tylko wtedy, jeżeli uzna, że wydanie orzeczenia nie jest możliwe na podstawie pisemnych dowodów lub jeżeli wnosi o to strona. Sąd lub trybunał może oddalić taki wniosek, jeżeli uzna, że w okolicznościach danej sprawy rozprawa nie jest konieczna do rzetelnego przeprowadzenia postępowania. Postanowienie o oddaleniu wniosku uzasadniane jest na piśmie. Postanowienie o oddaleniu nie podlega odrębnemu zaskarżeniu bez zaskarżenia samego orzeczenia.

▼B

2.  Po otrzymaniu odpowiednio wypełnionego formularza pozwu sąd lub trybunał wypełnia część I odpowiedzi formularza C, zawartego w załączniku III.

Odpis pozwu wraz, w stosownym przypadku, z załącznikami oraz z wypełnionym formularzem odpowiedzi zostaje doręczony pozwanemu zgodnie z art. 13. Dokumenty te są wysyłane w terminie 14 dni od otrzymania należycie wypełnionego formularza pozwu.

3.  Pozwany składa odpowiedź w terminie 30 dni od doręczenia formularza pozwu i formularza odpowiedzi, wypełniając część II formularza odpowiedzi C, załączając, w odpowiednich przypadkach, wszelkie odpowiednie dokumenty uzupełniające i odsyłając je do sądu lub trybunału, lub też udziela odpowiedzi w inny odpowiedni sposób bez wykorzystania formularza odpowiedzi.

4.  W terminie 14 dni od otrzymania odpowiedzi pozwanego sąd lub trybunał wysyła powodowi kopię odpowiedzi wraz ze wszelkimi istotnymi dokumentami uzupełniającymi.

5.  Jeżeli w swojej odpowiedzi pozwany twierdzi, że wartość roszczenia niepieniężnego przekracza wartość określoną w art. 2 ust. 1, sąd lub trybunał decyduje, w terminie 30 dni od wysłania odpowiedzi powodowi, czy roszczenie jest objęte zakresem zastosowania niniejszego rozporządzenia. Postanowienie w tym przedmiocie nie podlega odrębnemu zaskarżeniu.

6.  Każde powództwo wzajemne, które należy złożyć na formularzu A, oraz wszelkie istotne dokumenty uzupełniające przekazywane są powodowi zgodnie z art. 13. Dokumenty te są wysyłane w terminie 14 dni od ich otrzymania.

Powód ma 30 dni od daty doręczenia, aby odpowiedzieć na powództwo wzajemne.

7.  Jeśli w sprawie z powództwa wzajemnego wartość przedmiotu sporu przekracza wartość graniczną określoną w art. 2 ust. 1, roszczenia dochodzonego z powództwa głównego, a także roszczenia dochodzonego z powództwa wzajemnego nie można dochodzić w ramach europejskiego postępowania w sprawie drobnych roszczeń, lecz zgodnie z odpowiednimi przepisami proceduralnymi mającymi zastosowanie w państwie członkowskim, w którym prowadzone jest postępowanie.

Artykuł 2 i 4 oraz ust. 3, 4 i 5 niniejszego artykułu mają odpowiednie zastosowanie do powództw wzajemnych.

Artykuł 6

Języki

1.  Pozew, odpowiedź na pozew, powództwo wzajemne, odpowiedź na powództwo wzajemne oraz wszelkie opisy istotnych dokumentów uzupełniających są składane w języku lub jednym z języków sądu lub trybunału.

2.  Jeśli jakikolwiek inny dokument otrzymany przez sąd lub trybunał nie jest sporządzony w języku, w którym prowadzone jest postępowanie, sąd lub trybunał może wymagać tłumaczenia takiego dokumentu jedynie w przypadku, gdy tłumaczenie takie jest niezbędne do wydania orzeczenia.

3.  W przypadku gdy strona odmówi przyjęcia dokumentu, dlatego że nie jest on sporządzony w jednym z następujących języków:

a) w języku urzędowym państwa członkowskiego, do którego jest skierowany, lub — jeżeli w tym państwie członkowskim obowiązuje więcej niż jeden język urzędowy — w języku urzędowym lub w jednym z języków urzędowych obowiązujących w miejscu, w którym ma nastąpić doręczenie lub do którego dokument ma być wysłany; lub

b) w języku zrozumiałym dla adresata,

sąd lub trybunał powiadamia o tym drugą stronę, po to, aby strona ta dostarczyła tłumaczenie dokumentu.

Artykuł 7

Zakończenie postępowania

1.  W terminie 30 dni od otrzymania odpowiedzi pozwanego lub powoda, złożonych w terminie przewidzianym w art. 5 ust. 3 lub 6, sąd lub trybunał wydaje orzeczenie lub:

a) żąda od stron przedstawienia dalszych szczegółowych informacji dotyczących powództwa w określonym terminie nieprzekraczającym 30 dni;

b) przeprowadza postępowanie dowodowe zgodnie z art. 9; lub

c) wzywa strony na rozprawę, która ma odbyć się w terminie 30 dni od wezwania.

2.  Sąd lub trybunał wydaje orzeczenie w terminie 30 dni od dnia zamknięcia rozprawy albo od otrzymania wszystkich informacji niezbędnych do wydania orzeczenia. Orzeczenie zostaje doręczone stronom zgodnie z art. 13.

3.  Jeśli sąd lub trybunał nie otrzyma odpowiedzi od właściwej strony w terminie przewidzianym w art. 5 ust. 3 lub 6, sąd lub trybunał wydaje orzeczenie w sprawie z powództwa głównego lub z powództwa wzajemnego.

▼M2

Artykuł 8

Rozprawa

1.  W przypadku gdy przeprowadzenie rozprawy zostało uznane za konieczne zgodnie z art. 5 ust. 1a, rozprawę taką przeprowadza się z wykorzystaniem wszelkich odpowiednich środków technicznych porozumiewania się na odległość, takich jak wideokonferencja lub telekonferencja, dostępnych dla sądu lub trybunału, chyba że – ze względu na szczególne okoliczności danej sprawy – wykorzystanie takich środków nie byłoby właściwe z punktu widzenia rzetelnego przeprowadzenia postępowania.

W przypadku gdy osoba, która ma zostać wysłuchana, ma miejsce zamieszkania lub miejsce zwykłego pobytu w państwie członkowskim innym niż państwo członkowskie sądu lub trybunału rozpatrującego sprawę, uczestnictwo tej osoby w rozprawie w drodze wideokonferencji, telekonferencji lub z wykorzystaniem innych właściwych środków technicznych porozumiewania się na odległość, zapewnia się poprzez korzystanie z procedur przewidzianych w rozporządzeniu Rady (WE) nr 1206/2001 ( 2 ).

2.  Strona wezwana do stawienia się na rozprawę może wystąpić o wykorzystanie środków technicznych porozumiewania się na odległość, o ile środki te są dostępne dla sądu lub trybunału, podnosząc, że czynności związane z zapewnieniem osobistego stawiennictwa, a zwłaszcza ewentualne koszty, jakie musiałyby ponieść, byłyby nieproporcjonalne do wartości przedmiotu sporu.

3.  Strona wezwana do wzięcia udziału w rozprawie z wykorzystaniem środków technicznych porozumiewania się na odległość może wystąpić z wnioskiem o osobiste stawiennictwo w rozprawie. Formularz pozwu A i formularz odpowiedzi C, ustanowione zgodnie z procedurą, o której mowa w art. 27 ust. 2, zawierają informację dla stron, że odzyskanie jakichkolwiek kosztów poniesionych przez stronę w związku z osobistym stawiennictwem na rozprawie, na wniosek tej strony, podlega warunkom określonym w art. 16.

4.  Postanowienie sądu lub trybunału dotyczące wniosku, o którym mowa y w ust. 2 i 3, nie podlega odrębnemu zaskarżeniu bez zaskarżania samego orzeczenia.

Artykuł 9

Przeprowadzanie dowodów

1.  Sąd lub trybunał dopuszcza określone środki dowodowe oraz określa zakres przeprowadzenia dowodów niezbędny do wydania orzeczenia zgodnie z zasadami mającymi zastosowanie do dopuszczalności dowodu. Sąd lub trybunał wybiera najprostsze i najmniej obciążające sposoby przeprowadzenia dowodu.

2.  Sąd lub trybunał może dopuścić przeprowadzenie dowodu z pisemnych zeznań świadków, biegłych lub stron.

3.  Jeżeli przeprowadzenie dowodu wiąże się z wysłuchaniem danej osoby, wysłuchanie przeprowadza się zgodnie z warunkami określonymi w art. 8.

4.  Sąd lub trybunał może przeprowadzić dowód z opinii biegłych lub z zeznań ustnych tylko wówczas, gdy wydanie orzeczenia nie jest możliwe na podstawie innych dowodów.

▼B

Artykuł 10

Reprezentacja stron

Reprezentacja przez adwokata lub innego przedstawiciela zawodu prawniczego nie jest obowiązkowa.

▼M2

Artykuł 11

Pomoc udostępniana stronom

1.  Państwa członkowskie zapewniają możliwość uzyskania przez strony zarówno praktycznej pomocy w wypełnianiu formularzy, jak i ogólnych informacji dotyczących zakresu stosowania europejskiego postępowania w sprawie drobnych roszczeń, a także ogólnych informacji na temat tego, które sądy lub trybunały w tym państwie członkowskim są właściwe do wydania orzeczenia w europejskim postępowaniu w sprawie drobnych roszczeń. Pomoc ta jest nieodpłatna. Żadne z postanowień niniejszego ustępu nie zobowiązuje państw członkowskich do zapewnienia pomocy prawnej, w tym porady prawnej w formie oceny prawnej konkretnej sprawy.

2.  Państwa członkowskie zapewniają dostępność informacji dotyczących organów lub organizacji właściwych do udzielenia pomocy zgodnie z ust. 1, we wszystkich sądach i trybunałach, w których istnieje możliwość wszczęcia europejskiego postępowania w sprawie drobnych roszczeń, a także zapewniają dostęp do tych informacji poprzez odpowiednie krajowe strony internetowe.

▼B

Artykuł 12

Zakres kompetencji sądu lub trybunału

1.  Sąd lub trybunał nie zobowiązuje stron do dokonywania oceny prawnej powództwa.

2.  W razie potrzeby sąd lub trybunał informuje strony o kwestiach proceduralnych.

3.  W odpowiednich przypadkach sąd lub trybunał dąży do osiągnięcia ugody pomiędzy stronami.

▼M2

Artykuł 13

Doręczanie dokumentów i inna komunikacja pisemna

1.  Dokumenty, o których mowa w art. 5 ust. 2 i 6, oraz orzeczenia wydane zgodnie z art. 7 są doręczane:

a) drogą pocztową; lub

b) drogą elektroniczną:

(i) w przypadku gdy takie środki są technicznie dostępne i dopuszczalne zgodnie z przepisami procesowymi państwa członkowskiego, w którym prowadzone jest europejskie postępowanie w sprawie drobnych roszczeń, a jeżeli strona, której mają zostać doręczone dokumenty, ma miejsce zamieszkania lub miejsce zwykłego pobytu w innym państwie członkowskim – w przypadku, gdy takie środki techniczne są zgodne z przepisami procesowymi tego państwa członkowskiego; oraz

(ii) w przypadku gdy strona, której mają zostać doręczone dokumenty, udzieliła wcześniej wyraźnej zgody na doręczanie jej dokumentów drogą elektroniczną lub w przypadku gdy, zgodnie z przepisami procesowymi państwa członkowskiego, w którym strona ta ma miejsce zamieszkania lub miejsce zwykłego pobytu, strona ta ma prawny obowiązek zaakceptowania tej szczególnej metody doręczenia.

Doręczenie jest poświadczane potwierdzeniem odbioru wraz z datą odbioru.

2.  Cała niewymieniona w ust. 1 komunikacja pisemna między sądem lub trybunałem a stronami lub innymi osobami biorącymi udział w postępowaniu odbywa się z wykorzystaniem środków elektronicznych, za potwierdzeniem odbioru, jeżeli takie środki są technicznie dostępne i dopuszczalne zgodnie z przepisami procesowymi państwa członkowskiego, w którym prowadzone jest europejskie postępowanie w sprawie drobnych roszczeń, pod warunkiem że strona lub osoba wyraziła wcześniej zgodę na takie środki komunikowania się lub, zgodnie z przepisami procesowymi państwa członkowskiego, w którym strona ta lub osoba ma miejsce zamieszkania lub miejsce zwykłego pobytu, ma ona obowiązek zaakceptowania takich środków komunikowania się.

3.  Oprócz innych dostępnych zgodnie z przepisami procesowymi państwa członkowskiego metod wyrażania wcześniejszej zgody, która jest wymagana na podstawie ust. 1 i 2 do stosowania środków elektronicznych, możliwe jest wyrażenie takiej zgody za pomocą formularza pozwu A i formularza odpowiedzi C.

4.  Jeżeli doręczenie zgodnie z ust. 1 nie jest możliwe, doręczenie może nastąpić w jeden ze sposobów przewidzianych w art. 13 lub 14 rozporządzenia (WE) nr 1896/2006.

Jeżeli komunikacja zgodnie z ust. 2 jest niemożliwa lub, z uwagi na szczególne okoliczności danej sprawy, niewłaściwa, można skorzystać z innego sposobu komunikowania się dopuszczalnego na mocy prawa państwa członkowskiego, w którym prowadzone jest postępowanie w sprawie drobnych roszczeń.

▼B

Artykuł 14

Terminy

1.  W przypadku gdy sąd lub trybunał określa termin, strona, której to dotyczy, powinna zostać poinformowana o konsekwencjach niedotrzymania tego terminu.

2.  Sąd lub trybunał może przedłużyć terminy przewidziane w art. 4 ust. 4, art. 5 ust. 3 i 6 oraz art. 7 ust. 1 w wyjątkowych przypadkach, jeżeli jest to konieczne dla ochrony praw stron.

3.  Jeśli w wyjątkowych przypadkach dotrzymanie przez sąd lub trybunał terminów przewidzianych w art. 5 ust. 2–6 oraz art. 7 nie jest możliwe, sąd lub trybunał niezwłocznie podejmuje niezbędne kroki przewidziane w tych przepisach.

Artykuł 15

Wykonalność orzeczenia

1.  Orzeczenie jest wykonalne bez uszczerbku dla możliwości wniesienia odwołania. Nie jest konieczne złożenie zabezpieczenia.

2.  Artykuł 23 ma także zastosowanie w przypadku, gdy orzeczenie ma być wykonane w państwie członkowskim, w którym wydano orzeczenie.

▼M2

Artykuł 15a

Opłaty sądowe i metody ich uiszczania

1.  Opłaty sądowe pobierane w państwie członkowskim w związku z europejskim postępowaniem w sprawie drobnych roszczeń nie mogą być nieproporcjonalne ani wyższe, niż opłaty sądowe pobierane w związku z krajowymi uproszczonymi postępowaniami sądowymi w tym państwie członkowskim.

2.  Państwa członkowskie zapewniają, aby strony mogły uiszczać opłaty sądowe za pomocą metod dokonywania płatności na odległość umożliwiających stronom dokonanie płatności również z innego państwa członkowskiego niż to, w którym znajduje się sąd lub trybunał, oraz zapewniają możliwość korzystania z co najmniej jednej spośród następujących metod płatności:

a) polecenie przelewu;

b) płatność kartą kredytową lub debetową; lub

c) polecenie zapłaty z rachunku bankowego powoda.

▼B

Artykuł 16

Koszty

Koszty postępowania ponosi strona przegrywająca. Jednak sąd lub trybunał nie zasądza na rzecz strony wygrywającej kosztów, które były zbędne lub nieproporcjonalne do wartości przedmiotu sporu.

Artykuł 17

Środki odwoławcze

1.  Państwa członkowskie powiadamiają Komisję, czy zgodnie z ich prawem proceduralnym możliwe jest złożenie środka odwoławczego od orzeczenia wydanego w ramach europejskiego postępowania w sprawie drobnych roszczeń i w jakim terminie należy wnieść taki środek odwoławczy. Komisja podaje tę informację do publicznej wiadomości.

▼M2

2.  Art. 15a i 16 mają zastosowanie w przypadku wniesienia środka odwoławczego.

Artykuł 18

Ponowne zbadanie orzeczenia w wyjątkowych przypadkach

1.  Pozwany, który nie wdał się w spór przed sądem, ma prawo złożyć wniosek o ponowne zbadanie orzeczenia wydanego w ramach europejskiego postępowania w sprawie drobnych roszczeń – we właściwym sądzie lub trybunale państwa członkowskiego, w którym wydano orzeczenie, jeżeli:

a) pozwanemu nie doręczono formularza pozwu lub, w przypadku rozprawy, pozwany nie został wezwany na tę rozprawę z wystarczającym wyprzedzeniem i w sposób umożliwiający mu przygotowanie obrony; lub

b) pozwany nie miał możliwości zakwestionowania roszczenia z powodu działania siły wyższej lub z uwagi na nadzwyczajne okoliczności, bez jakiejkolwiek winy z jego strony,

chyba że pozwany nie wniósł środka odwoławczego, gdy miał taką możliwość.

2.  Termin złożenia wniosku o ponowne zbadanie orzeczenia wynosi 30 dni. Termin ten biegnie od dnia, w którym pozwany rzeczywiście zapoznał się z treścią orzeczenia i był w stanie podjąć odpowiednie działania, najpóźniej od dnia, w którym zastosowano pierwszy środek egzekucyjny, w wyniku którego pozwany utracił w całości lub części możliwość dysponowania swoim majątkiem. Termin nie podlega przedłużeniu.

3.  Jeżeli sąd odrzuci wniosek o ponowne zbadanie orzeczenia, o którym mowa w ust. 1, z uwagi na fakt, że żadna z przesłanek ponownego zbadania orzeczenia określonych w tym ustępie nie została spełniona, orzeczenie pozostaje w mocy.

Jeżeli sąd uzna wniosek o ponowne zbadanie orzeczenia za uzasadniony z uwagi na fakt, że spełniona została którakolwiek z przesłanek określonych w ust. 1, orzeczenie wydane w europejskim postępowaniu w sprawie drobnych roszczeń jest nieważne. Powód nie traci jednak korzyści wynikających z przerwania biegu terminu przedawnienia, jeżeli takie przerwanie ma zastosowanie na mocy prawa krajowego.

▼B

Artykuł 19

Właściwe prawo proceduralne

Z zastrzeżeniem przepisów niniejszego rozporządzenia, europejskie postępowanie w sprawie drobnych roszczeń podlega przepisom proceduralnym państwa członkowskiego, w którym prowadzone jest postępowanie.



ROZDZIAŁ III

UZNAWANIE I WYKONYWANIE ORZECZEŃ W INNYM PAŃSTWIE CZŁONKOWSKIM

Artykuł 20

Uznawanie i wykonywanie orzeczeń

1.  Orzeczenie wydane w państwie członkowskim w ramach europejskiego postępowania w sprawie drobnych roszczeń jest uznawane i wykonywane w innym państwie członkowskim bez potrzeby stwierdzania wykonalności oraz bez możliwości sprzeciwienia się co do jego uznania.

▼M2

2.  Na wniosek strony sąd lub trybunał wydaje zaświadczenie dotyczące orzeczenia wydanego w europejskim postępowaniu w sprawie drobnych roszczeń, używając do tego celu formularza D zawartego w załączniku IV, bez dodatkowych opłat. Sąd lub trybunał przekazuje stronie, na jej wniosek, zaświadczenie w jakimkolwiek innym języku urzędowym instytucji Unii z wykorzystaniem wielojęzycznego dynamicznego formularza dostępnego na europejskim portalu „e-Sprawiedliwość”. Żaden z przepisów niniejszego rozporządzenia nie zobowiązuje sądu ani trybunału do zapewniania tłumaczenia lub transliteracji tekstu wprowadzonego do wolnych pól tekstowych tego zaświadczenia.

▼B

Artykuł 21

Postępowanie egzekucyjne

1.  Bez uszczerbku dla przepisów niniejszego rozdziału, postępowania egzekucyjne podlegają prawu państwa członkowskiego wykonania.

Orzeczenie wydane w ramach europejskiego postępowania w sprawie drobnych roszczeń jest wykonywane na tych samych warunkach co orzeczenie wydane w państwie członkowskim wykonania.

2.  Strona dochodząca wykonania przedstawia:

a) odpis orzeczenia spełniający warunki niezbędne do ustalenia jego autentyczności; i

▼M2

b) zaświadczenie, o którym mowa w art. 20 ust. 2, oraz, w razie potrzeby, jego tłumaczenie na język urzędowy państwa członkowskiego wykonania lub, jeżeli w tym państwie członkowskim obowiązuje kilka języków urzędowych, na język urzędowy lub jeden z języków urzędowych, w jakim zgodnie z prawem tego państwa członkowskiego prowadzi się postępowanie przed sądem lub trybunałem w miejscu, gdzie dochodzi się wykonania, lub na jakikolwiek inny język wskazany przez państwo członkowskie wykonania jako przez nie akceptowany.

▼B

3.  Strona dochodząca wykonania orzeczenia wydanego w ramach europejskiego postępowania w sprawie drobnych roszczeń w innym państwie członkowskim nie musi posiadać:

a) pełnomocnika; lub

b) adresu pocztowego

w państwie członkowskim wykonania, innego niż osoba posiadająca uprawnienia w zakresie postępowania egzekucyjnego.

4.  Strona, która w jednym państwie członkowskim składa wniosek o wykonanie orzeczenia wydanego w ramach europejskiego postępowania w sprawie drobnych roszczeń w innym państwie członkowskim, nie jest zobowiązana do składania żadnego zabezpieczenia, gwarancji lub kaucji — bez względu na ich nazwę — z tego tytułu, że jest cudzoziemcem lub nie ma miejsca zamieszkania ani miejsca pobytu w państwie członkowskim wykonania.

▼M2

Artykuł 21a

Język zaświadczenia

1.  Każde państwo członkowskie może wskazać język urzędowy lub języki urzędowe instytucji Unii inne niż jego własny język urzędowy, które może zaakceptować na potrzeby zaświadczenia, o którym mowa w art. 20 ust. 2.

2.  Wszelkich tłumaczeń informacji dotyczących istoty orzeczenia zawartych w zaświadczeniu, o którym mowa w ust. 20 ust. 2, dokonuje osoba uprawniona do sporządzania tłumaczeń w jednym z państw członkowskich.

▼B

Artykuł 22

Odmowa wykonania

1.  Na wniosek strony, wobec której dochodzi się wykonania, właściwy sąd lub trybunał w państwie członkowskim wykonania odmawia wykonania, jeżeli orzeczenia wydanego w ramach europejskiego postępowania w sprawie drobnych roszczeń nie można pogodzić z wcześniejszym orzeczeniem wydanym w jakimkolwiek państwie członkowskim lub w państwie trzecim, o ile:

a) wcześniejsze orzeczenie zostało wydane w odniesieniu do tego samego roszczenia i dotyczyło tych samych stron;

b) wcześniejsze orzeczenie zostało wydane w państwie członkowskim wykonania lub spełnia warunki niezbędne do uznania go w państwie członkowskim wykonania; i

c) niemożność pogodzenia nie była i nie mogła być podniesiona w formie zarzutu w postępowaniu sądowym w państwie członkowskim, w którym wydano orzeczenie w ramach europejskiego postępowania w sprawie drobnych roszczeń.

2.  W żadnych okolicznościach orzeczenie wydane w ramach europejskiego postępowania w sprawie drobnych roszczeń nie może zostać ponownie zbadane pod względem merytorycznym w państwie członkowskim wykonania.

Artykuł 23

Zawieszenie lub ograniczenie wykonania

Jeżeli strona kwestionuje orzeczenie wydane w ramach europejskiego postępowania w sprawie drobnych roszczeń lub zakwestionowanie go jest nadal dopuszczalne lub gdy strona złożyła wniosek o ponowne zbadanie orzeczenia w rozumieniu art. 18, właściwy sąd, trybunał lub właściwy organ w państwie członkowskim wykonania może, na wniosek strony, wobec której dochodzi się wykonania:

a) ograniczyć postępowanie wykonawcze do środków zabezpieczających;

b) uzależnić wykonanie od złożenia zabezpieczenia określonego przez sąd, trybunał lub właściwy organ; lub

c) w wyjątkowych przypadkach zawiesić postępowanie wykonawcze.

▼M2

Artykuł 23a

Ugody sądowe

Ugoda sądowa zatwierdzona przez sąd lub trybunał lub zawarta przed sądem lub trybunałem w toku europejskiego postępowania w sprawie drobnych roszczeń, wykonalna w państwie członkowskim, w którym przeprowadzono postępowanie, jest uznawana i wykonywana w innym państwie członkowskim na tych samych warunkach, co orzeczenie wydane w europejskim postępowaniu w sprawie drobnych roszczeń.

Przepisy rozdziału III stosuje się odpowiednio do ugód sądowych.

▼B



ROZDZIAŁ IV

PRZEPISY KOŃCOWE

Artykuł 24

Informacje

Państwa członkowskie współpracują w celu informowania społeczeństwa i środowisk zawodowych o europejskim postępowaniu w sprawie drobnych roszczeń, w tym o kosztach tego postępowania, w szczególności poprzez Europejską Sieć Sądową w sprawach cywilnych i gospodarczych, utworzoną decyzją 2001/470/WE.

▼M2

Artykuł 25

Informacje przekazywane przez państwa członkowskie

1.  Do dnia 13 stycznia 2017 r. państwa członkowskie przekazują Komisji informacje o tym:

a) które sądy lub trybunały są właściwe do wydawania orzeczeń w europejskim postępowaniu w sprawie drobnych roszczeń;

b) które środki komunikowania się są akceptowane na potrzeby europejskiego postępowania w sprawie drobnych roszczeń i są dostępne dla sądów lub trybunałów zgodnie z art. 4 ust. 1;

c) które organy lub organizacje są właściwe do zapewnienia praktycznej pomocy zgodnie z art. 11;

d) które środki elektronicznego doręczania i elektronicznego komunikowania się są dopuszczalne na mocy ich przepisów procesowych i technicznie dostępne zgodnie z art. 13 ust. 1, 2 i 3 oraz które metody wyrażenia wcześniejszej zgody na stosowanie środków elektronicznych wymaganej na podstawie art. 13 ust. 1 i 2, jeżeli takie istnieją, są dostępne na mocy ich prawa krajowego;

e) jakie osoby lub przedstawiciele jakich rodzajów zawodów, o ile w ogóle, mają prawny obowiązek akceptowania doręczenia dokumentów lub innej komunikacji pisemnej drogą elektroniczną zgodnie z art. 13 ust. 1 i 2;

f) jakie są obowiązujące opłaty sądowe w europejskim postępowaniu w sprawie drobnych roszczeń lub jak są one obliczane, a także jakie metody płatności są akceptowane przy uiszczaniu opłat sądowych zgodnie z art. 15a;

g) czy zgodnie z ich prawem procesowym możliwe jest wniesienie środka odwoławczego zgodnie z art. 17, jaki jest termin do wniesienia takiego środka odwoławczego i w jakim sądzie lub trybunale można go wnieść;

h) jakie przepisy obowiązują przy składaniu wniosków o ponowne zbadanie orzeczenia przewidziane w art. 18 i które sądy lub trybunały są właściwe do takiego ponownego zbadania;

i) które języki akceptują zgodnie z art. 21a ust. 1; oraz

j) które organy są właściwe w zakresie wykonania i które organy są właściwe na potrzeby stosowania art. 23.

Państwa członkowskie informują Komisję o wszelkich późniejszych zmianach tych informacji.

2.  Komisja publicznie udostępnia informacje przekazane zgodnie z ust. 1 za pomocą wszelkich odpowiednich środków, takich jak europejski portal „e-Sprawiedliwość”.

Artykuł 26

Zmiana załączników

Komisja jest uprawniona do przyjęcia aktów delegowanych zgodnie z art. 27 dotyczących zmiany załączników I–IV.

Artykuł 27

Wykonywanie przekazanych uprawnień

1.  Powierzenie Komisji uprawnień do przyjęcia aktów delegowanych podlega warunkom określonym w niniejszym artykule.

2.  Uprawnienia do przyjęcia aktów delegowanych, o których mowa w art. 26, powierza się Komisji na czas nieokreślony od dnia 13 stycznia 2016 r.

3.  Przekazanie uprawnień, o którym mowa w art. 26, może zostać w dowolnym momencie odwołane przez Parlament Europejski lub przez Radę. Decyzja o odwołaniu kończy przekazanie określonych w niej uprawnień. Decyzja o odwołaniu staje się skuteczna od następnego dnia po jej opublikowaniu w Dzienniku Urzędowym Unii Europejskiej lub w określonym w tej decyzji późniejszym terminie. Nie wpływa ona na ważność jakichkolwiek już obowiązujących aktów delegowanych.

4.  Niezwłocznie po przyjęciu aktu delegowanego Komisja przekazuje go równocześnie Parlamentowi Europejskiemu i Radzie.

5.  Akt delegowany przyjęty na podstawie art. 26 wchodzi w życie tylko wówczas, gdy ani Parlament Europejski ani Rada nie wyraziły sprzeciwu w terminie dwóch miesięcy od przekazania tego aktu Parlamentowi Europejskiemu i Radzie lub gdy, przed upływem tego terminu, zarówno Parlament Europejski, jak i Rada poinformowały Komisję, że nie wniosą sprzeciwu. Termin ten przedłuża się o dwa miesiące z inicjatywy Parlamentu Europejskiego lub Rady.

Artykuł 28

Przegląd

1.  Do dnia 15 lipca 2022 r. Komisja przedkłada Parlamentowi Europejskiemu, Radzie i Europejskiemu Komitetowi Ekonomiczno-Społecznemu sprawozdanie ze stosowania niniejszego rozporządzenia zawierające ocenę odnośnie do tego, czy:

a) dalsze podwyższenie pułapu, o którym mowa w art. 2 ust. 1, jest właściwe dla realizacji celu niniejszego rozporządzenia, jakim jest ułatwienie obywatelom oraz małym i średnim przedsiębiorstwom, dostępu do wymiaru sprawiedliwości w sprawach transgranicznych; oraz

b) rozszerzenie zakresu europejskiego postępowania w sprawie drobnych roszczeń, w szczególności na roszczenia o wynagrodzenie, jest właściwe dla ułatwienia pracownikom dostępu do wymiaru sprawiedliwości w transgranicznych sporach pracowniczych z ich pracodawcami – po uwzględnieniu wszystkich skutków takiego rozszerzenia.

W razie potrzeby sprawozdaniu temu towarzyszą wnioski ustawodawcze.

W tym celu i w terminie do dnia 15 lipca 2021 r. państwa członkowskie przekazują Komisji informacje dotyczące liczby pozwów wniesionych w ramach europejskiego postępowania w sprawie drobnych roszczeń, a także liczby wniosków o wykonanie orzeczeń wydanych w europejskim postępowaniu w sprawie drobnych roszczeń.

2.  Do dnia 15 lipca 2019 r. Komisja przedstawia Parlamentowi Europejskiemu, Radzie i Europejskiemu Komitetowi Ekonomiczno-Społecznemu sprawozdanie na temat rozpowszechniania informacji o europejskim postępowaniu w sprawie drobnych roszczeń w państwach członkowskich i może przedstawić zalecenia co do upowszechniania wiedzy o tym postępowaniu.

▼B

Artykuł 29

Wejście w życie

1. Niniejsze rozporządzenie wchodzi w życie następnego dnia po jego publikacji w Dzienniku Urzędowym Unii Europejskiej.

2. Niniejsze rozporządzenie stosuje się od dnia 1 stycznia 2009 r. z wyjątkiem art. 25, który stosuje się od 1 stycznia 2008 r.

Niniejsze rozporządzenie wiąże w całości i jest bezpośrednio stosowane we wszystkich państwach członkowskich zgodnie z Traktatem ustanawiającym Wspólnotę Europejską.

▼M3




ZAŁĄCZNIK I

image

image

image

image ►(1) C2  

image

image

image

image

image

image ►(1) C2  




ZAŁĄCZNIK II

image

▼C2

image

▼M3




ZAŁĄCZNIK III

image ►(1) C2  

image

image




ZAŁĄCZNIK IV

image

image



( 1 ) Rozporządzenie Parlamentu Europejskiego i Rady (UE) nr 1215/2012 z dnia 12 grudnia 2012 r. w sprawie jurysdykcji i uznawania orzeczeń sądowych oraz ich wykonywania w sprawach cywilnych i handlowych (Dz.U. L 351 z 20.12.2012, s. 1).

( 2 ) Rozporządzenie Rady (WE) nr 1206/2001 z dnia 28 maja 2001 r. w sprawie współpracy między sądami państw członkowskich przy przeprowadzaniu dowodów w sprawach cywilnych lub handlowych (Dz.U. L 174 z 27.6.2001, s. 1).

Top