02014D0034 — MT — 03.05.2016 — 002.002


Dan it-test hu maħsub purament bħala għodda ta’ dokumentazzjoni u m’għandu l-ebda effett legali. L-istituzzjonijiet tal-Unjoni m'għandhom l-ebda responsabbiltà għall-kontenut tiegħu. Il-verżjonijiet awtentiċi tal-atti rilevanti, inklużi l-preamboli tagħhom, huma dawk ippubblikati fil-Ġurnal Uffiċjali tal-Unjoni Ewropea u disponibbli f’EUR-Lex. Dawk it-testi uffiċjali huma aċċessibbli direttament permezz tal-links inkorporati f’dan id-dokument

►B

DEĊIŻJONI TAL-BANK ĊENTRALI EWROPEW

tad-29 ta' Lulju 2014

dwar miżuri relatati ma' operazzjonijiet speċifiċi ta' rifinanzjament fuq żmien itwal

(BĊE/2014/34)

(2014/541/UE)

(ĠU L 258 29.8.2014, p. 11)

Emendata bi:

 

 

Il-Ġurnal Uffiċjali

  Nru

Paġna

Data

►M1

DEĊIŻJONI (UE) 2015/299 TAL-BANK ĊENTRALI EWROPEW tal-10 ta' Frar 2015

  L 53

27

25.2.2015

►M2

DEĊIŻJONI (UE) 2016/811 TAL-BANK ĊENTRALI EWROPEW tat-28 ta' April 2016

  L 132

129

21.5.2016




▼B

DEĊIŻJONI TAL-BANK ĊENTRALI EWROPEW

tad-29 ta' Lulju 2014

dwar miżuri relatati ma' operazzjonijiet speċifiċi ta' rifinanzjament fuq żmien itwal

(BĊE/2014/34)

(2014/541/UE)



Artikolu 1

Definizzjonijiet

Għall-finijiet ta' din id-Deċiżjoni, għandhom japplikaw id-definizzjonijiet li ġejjin:

1. 

“Xahar ta' referenza tal-allokazzjoni” tfisser l-iktar xahar riċenti li għalih hemm dejta dwar is-self nett eliġibbli għal kull allokazzjoni tat-TLTRO;

2. 

“Istituzzjoni ta' kreditu” tfisser istituzzjoni ta' kreditu kif iddefinita fl-Appendiċi 2 (Glossarju) tal-Anness I għal-Linja Gwida BĊE/2011/14;

3. 

“Self eliġibbli” tfisser self lil korporazzjonijiet mhux finanzjarji u unitajiet domestiċi (inklużi istituzzjonijiet mingħajr skop ta' qligħ li jaqdu unitajiet domestiċi) residenti fl-Istati Membri li jużaw l-euro bħala l-munita tagħhom, għajr self lil unitajiet domestiċi għax-xiri ta' dar, u “residenti”, għal dawn il-finijiet, tfisser it-terminu kif iddefinit fl-Artikolu 1 tar-Regolament tal-Kunsill (KE) Nru 2533/98 ( 1 );

4. 

“Self nett eliġibbli” tfisser self gross fil-forma ta' self eliġibbli nett mill-ħlasijiet lura tal-ammonti pendenti ta' self eliġibbli tul perjodu speċifiku, kif huwa spjegat iktar fl-Anness II;

5. 

“Istituzzjoni finanzjarja monetarja” (IFM) tfisser it-terminu kif iddefinit fl-Artikolu 1 tar-Regolament tal-Bank Ċentrali Ewropew (KE) Nru 25/2009 (BĊE/2008/32) ( 2 );

6. 

“Kodiċi tal-IFM” tfisser kodiċi uniku ta' identifikazzjoni għal IFM fil-lista ta' IFM miżmuma u ppubblikata mill-BĊE għal skopijiet statistiċi b'konformità mar-Regolament (KE) Nru 25/2009 (BĊE/2008/32);

7. 

“Ammonti pendenti ta' self eliġibbli” tfisser self eliġibbli pendenti fil-karta tal-bilanċ, għajr self eliġibbli titolizzat jew ittrasferit b'xi mod ieħor mingħajr dekontabilizzar mill-karta tal-bilanċ, kif huwa spjegat iktar fl-Anness II;

8. 

“Parteċipant” tfisser kontroparti eliġibbli għal operazzjonijiet ta' suq miftuħ tal-politika monetarja tal-Eurosistema b'konformità mal-Anness I għal-Linja Gwida BĊE/2011/14, li jagħmel offerti fi proċeduri tal-offerti tat-TLTRO jew fuq bażi individwali jew fuq bażi ta' grupp bħala istituzzjoni prinċipali u li huwa soġġett għad-drittijiet u l-obbligi kollha marbutin mal-parteċipazzjoni tiegħu fil-proċeduri tal-offerta tat-TLTRO;

9. 

“BĊN relevanti” tfisser il-BĊNi tal-Istat Membru taż-żona tal-euro fejn huwa stabbilit parteċipant.

Artikolu 2

Operazzjonijiet ta' rifinanzjament mirati fuq żmien itwal

1.  L-Eurosistema għandha twettaq tmien TLTROs skont skeda ta' żmien ippubblikata fuq is-sit tal-BĊE.

2.  It-TLTROs pendenti kollha għandhom jimmaturaw f'data fissa ppubblikata fuq is-sit tal-BĊE.

3.  It-TLTROs għandhom:

(a) 

ikunu operazzjonijiet ta' treġġigħ lura li jipprovdu likwidità;

(b) 

jiġu eżegwiti b'mod deċentralizzat mill-BĊNi;

(c) 

jiġu eżegwiti permezz ta' proċedura ta' offerti standard; u

(d) 

jiġu eżegwiti fil-forma ta' proċeduri ta' offerti b'rata fissa.

4.  Il-kundizzjonijiet standard li fihom il-BĊNi lesti li jidħlu f'operazzjonijiet ta' kreditu għandhom japplikaw fir-rigward tat-TLTROs, sakemm ma jkunx speċifikat mod ieħor f'din id-Deċiżjoni. Dawn il-kundizzjonijiet għandhom jinkludu l-proċeduri għat-twettiq ta' operazzjonijiet ta' suq miftuħ, il-kriterji li jistabbilixxu l-eliġibbiltà tal-kontropartijiet u l-kollateral għall-finijiet tal-operazzjonijiet ta' kreditu tal-Eurosistema u s-sanzjonijiet fil-każ ta' nuqqas ta' konformità mal-obbligi tal-kontropartijiet, kull wieħed minn dawn kif stipulat fl-oqfsa legali ġenerali u temporanji applikabbli għal operazzjonijiet ta' rifinanzjament u kif implimentata fl-oqfsa nazzjonali kuntrattwali u/jew regolatorji tal-BĊNi.

5.  F'każ li tfeġġ xi diskrepanza bejn din id-Deċiżjoni u l-Linja Gwida BĊE/2011/14, flimkien ma' kwalunkwe att legali ieħor tal-BĊE li jistabbilixxi l-qafas legali applikabbli għal operazzjonijiet ta' rifinanzjament fuq żmien itwal u/jew kwalunkwe miżura nazzjonali li timplimentah f'livell nazzjonali, din id-Deċiżjoni għandha tkun prevalenti.

Artikolu 3

Parteċipazzjoni

1.  L-istituzzjonijiet jistgħu jieħdu sehem fit-TLTROs fuq bażi individwali jekk ikunu kontropartijiet eliġibbli għal operazzjonijiet ta' suq miftuħ tal-politika monetarja tal-Eurosistema. Istituzzjoni li tieħu sehem fit-TLTROs fuq bażi individwali ma tistax tieħu sehem fuq bażi ta' grupp.

2.  L-istituzzjonijiet jistgħu jieħdu sehem f'TLTROs fuq bażi ta' grupp billi jgħaqqdu grupp tat-TLTROs. Il-parteċipazzjoni fuq bażi ta' grupp hija relevanti sabiex jiġu kkalkolati l-limiti fuq it-teħid b'self u l-punti ta' riferiment applikabbli kif stipulati fl-Artikolu 4 iktar 'il quddiem u l-obbligi ta' rapportar assoċjati kif stabbiliti fl-Artikolu 8 iktar 'il quddiem. Il-parteċipazzjoni fuq bażi ta' grupp għandha tkun soġġetta għar-restrizzjonijiet li ġejjin:

(a) 

istituzzjoni ma għandhiex tkun membru ta' iktar minn grupp wieħed tat-TLTRO;

(b) 

istituzzjoni li tieħu sehem fit-TLTROs fuq bażi ta' grupp ma għandhiex tieħu sehem fuq bażi individwali;

(c) 

l-istituzzjoni maħtura bħala l-istituzzjoni prinċipali għandha tkun l-uniku membru tal-grupp tat-TLTRO li tista' tieħu sehem fil-proċeduri ta' offerta tat-TLTRO; u

(d) 

il-kompożizzjoni u l-istituzzjoni prinċipali ta' grupp tat-TLTROs għandhom jibqgħu l-istess għat-tmien TLTROs kollha kemm huma, soġġetti għall-paragrafi 5 u 6 iktar 'il quddiem.

3.  Il-parteċipazzjoni fit-TLTROs permezz ta' grupp tat-TLTROs għandha tkun tiddependi skont jekk ikunux issodisfati l-kundizzjonijiet li ġejjin.

(a) 

Mill-31 ta' Lulju 2014 'il quddiem, kull membru tal-grupp għandu:

(i) 

ikollu rabta mill-qrib ma' membru ieħor tal-grupp skont it-tifsira ta' “rabta mill-qrib” stipulata fil-glossarju għall-Anness I għal-Linja Gwida BĊE/2011/14 u r-referenzi fihom għal “kontroparti”, “garanti”, “emittent” jew “debitur” għandhom jinftiehmu bħala referenza għal membru ta' grupp; jew

(ii) 

ikollu r-riżervi meħtieġa fl-Eurosistema skont ir-Regolament tal-Bank Ċentrali Ewropew (KE) Nru 1745/2003 (BĊE/2003/9) ( 3 ) b'mod indirett permezz ta' membru ieħor tal-grupp jew jintuża minn membru ieħor tal-grupp għaliex għandu b'mod indirett ir-riżervi meħtieġa fl-Eurosistema.

(b) 

Il-grupp għandu jaħtar membru wieħed tal-grupp bħala l-istituzzjoni prinċipali għall-grupp. L-istituzzjoni prinċipali għandha tkun kontroparti eliġibbli għal operazzjonijiet ta' suq miftuħ tal-politika monetarja tal-Eurosistema.

(c) 

Il-membri kollha tal-grupp tat-TLTROs għandhom ikunu istituzzjonijiet ta' kreditu stabbiliti fl-Istati Membri li jużaw l-euro bħala l-munita tagħhom, li jissodisfaw il-kriterji stabbiliti fil-paragrafi (a) u (b) tas-sezzjoni 2.1 tal-Anness I għal-Linja Gwida BĊE/2011/14.

(d) 

L-istituzzjoni prinċipali għandha tapplika għal parteċipazzjoni ta' grupp għall-BĊN tagħha skont l-iskedi ta' żmien approvati mill-Kunsill Governatti u ppubblikati fuq is-sit tal-BĊE. L-applikazzjoni għandha tinkludi:

(i) 

isem l-istituzzjoni prinċipali;

(ii) 

il-lista tal-kodiċijiet tal-IFM u l-ismijiet tal-istituzzjonijiet kollha li ser jiddaħħlu fil-grupp tat-TLTROs;

(iii) 

spjegazzjoni tal-bażi għal applikazzjoni fi grupp, inkluża lista tar-rabtiet mill-qrib u/jew ir-relazzjonijiet ta' żamma ta' riżervi b'mod indirett bejn il-membri tal-grupp (billi kull membru jiġi identifikat bil-kodiċi tal-IFM tiegħu);

(iv) 

fil-każ ta' membri ta' grupp li għalihom japplika l-paragrafu 3(a)(ii): konferma bil-miktub mingħand l-istituzzjoni prinċipalili tiċċertifika li kull membru tal-grupp tat-TLTROs iddeċieda formalment li jsir membru tal-grupp tat-TLTROs inkwistjoni u li ma jiħux sehem f'TLTROs bħala kontroparti individwali jew bħala membru fi gruppi oħrajn tat-TLTROs, flimkien mal-evidenza xierqa li l-konferma relevanti bil-miktub ġiet eżegwita minn firmatarji awtorizzati kif xieraq; l-eżistenza ta' ta' ftehimiet validi, bħal ma huma dawk għaż-żamma indiretta ta' riżervi minimi bis-saħħa tal-Artikolu 10(2) tar-Regolament (KE) Nru 1745/2003 (BĊE/2003/9), għandu jħalli lil istituzzjoni prinċipali tagħmel iċ-ċertifikazzjoni neċessarja fir-rigward tal-membri tal-grupp tat-TLTROs tagħha meta dawk il-ftehimiet jiddikjaraw espliċitament illi l-membri tal-grupp inkwistjoni jipparteċipaw esklussivament f'operazzjonijiet tas-suq miftuħ tal-Eurosistema permezz tal-istituzzjoni prinċipali; il-BĊN relevanti, flimkien mal-BĊN tal-membri tal-grupp relevanti, jista' jiddeċiedi li jiskatta kontrolli ex post fuq il-forma u fis-sustanza, fir-rigward tal-validità ta' konferma bil-miktub bħal din; u

(v) 

fil-każ ta' membri tal-grupp li għalihom japplika l-paragrafu 3(a)(i): (1) konferma bil-miktub minn kull tali membru dwar id-deċiżjoni formali tiegħu li jsir membru fil-grupp tat-TLTROs inkwistjoni u li ma jiħux sehem f'TLTROs bħala kontroparti individwali jew bħala membri fi gruppi oħrajn tat-TLTROs; u (2) evidenza xierqa, ikkonfermata mill-BĊN tal-membru tal-grupp relevanti, li din id-deċiżjoni formali ttieħdet fl-ogħla livell ta' teħid ta' deċiżjonijiet tal-istruttura korporattiva tal-membru (bħall-Bord tad-Diretturi jew korp ekwivalenti li jieħu deċiżjonijiet) b'konformità ma' kwalunkwe dispożizzjoni legali u statutorja applikabbli.

(e) 

L-istituzzjoni prinċipali kisbet konferma mill-BĊN tagħha li l-grupp tat-TLTROs ġie rikonoxxut bħala tali. Qabel ma joħroġ il-konferma tiegħu, il-BĊN relevanti jista' jitlob lill-istituzzjoni prinċipali sabiex tipprovdi kwalunke tagħrif addizzjonali relevanti għall-valutazzjoni tagħha tal-grupp potenzjali tat-TLTROs. Meta jivvaluta applikazzjoni ta' grupp, il-BĊN relevanti jrid iqis ukoll il-valutazzjoni tal-BĊN tal-membri tal-grupp li tista' tkun meħtieġa, bħal verifiki ta' dokumentazzjoni pprovduta skont il-paragrafu (3)(d) iktar 'il fuq.

Għall-finijiet ta' din id-Deċiżjoni, anki istituzzjonijiet ta' kreditu soġġetti għas-superviżjoni konsolidata, inklużi fergħat tal-istess istituzzjoni ta' kreditu, jistgħu jitqiesu bħala applikanti xierqa għar-rikonoxximent tal-grupp tat-TLTROs u għandhom ikunu meħtieġa jissodisfaw ir-restrizzjonijiet u l-kundizzjonijiet stipulati f'dan l-artikolu mutatis mutandis. Din id-dispożizzjoni tħaffef it-tiswir ta' gruppi tat-TLTROs fost it-tali istituzzjonijiet, meta dawn l-istituzzjonijiet ikunu parti mill-istess entità ġuridika. Sabiex tiġi pprovduta konferma fir-rigward tat-tiswir jew il-bidla fil-kompożizzjoni ta' grupp tat-TLTROs ta' dan it-tip, id-dispożizzjonijiet tal-paragrafi (3)(d)(iv) u (6)(c)(ii)(4) għandhom japplikaw rispettivament.

4.  Jekk waħda jew iktar mill-istituzzjonijiet inklużi fl-applikazzjoni għar-rikonoxximent tal-grupp tat-TLTRO ma jissodisfawx il-kundizzjonijiet tal-paragrafu 3, il-BĊN relevanti jista' jiċħad b'mod parzjali l-applikazzjoni tal-grupp propost. F'dan il-każ, l-istituzzjonijiet li jissottomettu l-applikazzjoni għandhom jiddeċiedu jekk jaġixxux bħala grupp tat-TLTRO bil-kompożizzjoni mnaqqsa kif xieraq jew inkella jirtirawx l-applikazzjoni għar-rikonoxximent tal-grupp tat-TLTROs.

5.  F'każijiet eċċezzjonali, meta jkun hemm ġustifikazzjonijiet oġġettivi, il-Kunsill Governattiv jista' jiddeċiedi li jitbiegħed mir-restrizzjonijiet u l-kundizzjonijiet stipulati fil-paragrafi 2 u 3.

6.  Mingħajr ħsara għall-paragrafu 5 ta' hawn fuq, il-kompożizzjoni ta' grupp rikonoxxut skont il-paragrafu 3 tista' tinbidel fiċ-ċirkustanzi li ġejjin:

(a) 

Membru tal-grupp għadu jiġi eskluż mill-grupp tat-TLTRO jekk:

(i) 

jitlef l-istatus tiegħu bħala istituzzjoni ta' kreditu; jew

(ii) 

ma jibqax jissodisfa r-rekwiżiti tal-paragrafu 3(a) u (c).

Fil-każ ta' (i) jew (ii) ta' hawn fuq, l-istituzzjoni prinċipali għandha tkun meħtieġa tgħarraf lill-BĊN tagħha dwar il-bidla fl-istatus tal-membru/i tal-grupp tagħha.

(b) 

Jekk istituzzjoni prinċipali titlef l-eliġibbiltà tagħha bħala kontroparti għal operazzjonijiet ta' suq miftuħ tal-politika monetarja tal-Eurosistema, il-grupp tat-TLTROs għandu jitlef ir-rikonoxximent tiegħu bħala grupp tat-TLTROs.

(c) 

Jekk, fir-rigward ta' grupp tat-TLTRO, ir-rabtiet addizzjonali mill-qrib jew iż-żamma tar-riżervi meħtieġa b'mod indirett mal-Eurosistema ġew stabbiliti wara l-31 ta' Lulju 2014, il-kompożizzjoni tal-grupp tat-TLTROs tista' tinbidel biex ikun jista' jiżdied membru ġdid tal-grupp tat-TLTROs diment li:

(i) 

l-istituzzjoni prinċipali tapplika għall-BĊN tagħha għar-rikonoxximent ta' bidla fil-kompożizzjoni tal-grupp tat-TLTROs;

(ii) 

l-applikazzjoni tinkludi: (1) isem l-istituzzjoni prinċipali, (2) il-lista tal-kodiċijiet tal-IFM u l-ismijiet tal-istituzzjonijiet kollha li għandhom ikunu inklużi fil-kompożizzjoni l-ġdida tal-grupp tat-TLTROs, (3) spjegazzjoni tal-bażi għall-applikazzjoni, inkluża lista tal-bidliet fir-rabtiet mill-qrib u/jew relazzjonijiet ta' żamma ta' riżerva b'mod indirett bejn il-membri tal-grupp (billi kull membru jiġi identifikat bil-kodiċi tal-IFM tiegħu); (4) fil-każ ta' membri tal-grupp li għalihom japplika l-paragrafu (3)(a)(ii): konferma bil-miktub mill-istituzzjoni prinċipali li tiċċertifika illi kull membru tal-grupp tat-TLTRO tiegħu ddeċieda formalment li jsir membru tal-grupp tat-TLTROs inkwistjoni u li ma jiħux sehem fit-TLTROs bħala kontroparti individwali jew bħala membru fi gruppi oħrajn tat-TLTRO; l-eżistenza ta' ftehimiet validi bħal dawk għaż-żamma indiretta ta' riżervi minimi bis-saħħa tal-Artikolu 10(2) tar-Regolement (KE) Nru 1745/2003 (BĊE/2003/9), għandhom iħallu istituzzjoni prinċipali tagħmel iċ-ċertifikazzjoni neċessarja fir-rigward tal-membri tal-grupp tat-TLTROs tiegħu fejn dawk il-ftehimiet jiddikjaraw espliċitament illi l-membi tal-grupp inkwistjoni jipparteċipaw esklussivament f'operazzjonijiet tas-suq miftuħ tal-Eurosistema permezz tal-istituzzjoni prinċipali; il-BĊN inkwistjoni, f'kooperazzjoni mal-BĊN tal-membri tal-grupp relevanti, jista' jiddeċiedi li jiskatta kontrolli ex post, fuq il-forma u fis-sustanza, fir-rigward tal-validità ta' konferma bil-miktub bħal din; u (5) fil-każ ta' membri tal-grupp li għalihom japplika l-paragrafu (3)(a)(i), konferma bil-miktub mingħand kwalunkwe membru addizzjonali dwar id-deċiżjoni formali tiegħu li jsir membru tal-grupp tat-TLTROs inkwistjoni u li ma jiħux sehem fit-TLTROs bħala kontroparti individwali jew bħala membru fi gruppi oħrajn tat-TLTROs u konferma bil-miktub mingħand kull istituzzjoni fi ħdan il-grupp tat-TLTROs (inklużi fil-kompożizzjoni l-qadima u l-ġdida) dwar id-deċiżjoni formali tiegħu li jaqbel fuq il-kompożizzjoni l-ġdida tal-grupp tat-TLTROs flimkien mal-evidenza xierqa, ikkonfermata mill-BĊN tal-membri tal-grupp relevanti, kif spjegat fil-paragrafu (3)(d)(v) iktar 'il fuq;

(iii) 

l-istituzzjoni prinċipali kisbet konferma mill-BĊN tagħha li l-grupp tat-TLTRO mibdul ġie rikonoxxut bħala tali. Qabel ma joħroġ il-konferma tiegħu, il-BĊN relevanti jista' jitlob lill-istituzzjoni prinċipali sabiex tipprovdi kwalunkwe tagħrif addizzjonali relevanti għall-valutazzjoni tiegħu tal-kompożizzjoni l-ġdida tal-grupp tat-TLTRO. Meta jivvaluta applikazzjoni ta' grupp, il-BĊN relevanti jrid iqis ukoll il-valutazzjoni tal-BĊNi ta' membri tal-grupp li jistgħu jkunu meħtieġa, bħal verifiki tad-dokumentazzjoni pprovduta skont il-paragrafu (6)(c)(ii) iktar 'il fuq.

7.  Diment li jkunu ġew aċċettati l-fatti li jwasslu għall-esklużjoni ta' membru ta' grupp jew li l-Kunsill Governattiv ikun aċċetta l-bidliet fil-kompożizzjoni ta' grupp tat-TLTROs b'konformità mal-paragrafi 5 jew 6, għandhom ikunu japplikaw ir-rekwiżiti li ġejjin, sakemm il-Kunsill Governattiv ma jiddeċidix mod ieħor:

(a) 

l-istituzzjoni prinċipali tista' tieħu sehem f'TLTRO fuq il-bażi tal-kompożizzjoni l-ġdida tal-grupp tat-TLTROs tagħha għall-ewwel darba sitt ġimgħat wara li dik l-istituzzjoni prinċipali tippreżenta l-applikazzjoni b'suċċess għar-rikonoxximent tal-bidla fil-kompożizzjoni tal-grupp lill-BĊN tagħha;

(b) 

istituzzjoni li ma għadhiex membru ta' grupp tat-TLTROs ma għandhiex tieħu sehem f'xi TLTRO oħra la b'mod individwali u lanqas bħala membru ta' grupp ieħor tat-TLTRO, sakemm ma tippreżentax applikazzjoni ġdida b'konformità mal-paragrafi 1, 3 jew 6..

Artikolu 4

Limiti fuq it-teħid b'self

1.  Il-parteċipazzjoni f'TLTROs fuq bażi individwali jew bħala l-istituzzjoni prinċipali ta' grupp tat-TLTROs għandha tkun soġġetta għal-limiti fuq it-teħid b'self. Il-limiti fuq it-teħid b'self applikabbli għal parteċipant individwali għandhom jiġu kkalkolati fuq il-bażi tad-dejta dwar is-self fir-rigward tal-ammonti pendenti ta' self eliġibbli u s-self nett eliġibbli tal-parteċipant individwali. Il-limiti fuq it-teħid b'self applikabbli għall-istituzzjoni prinċipali ta' grupp tat-TLTROs għandhom jiġu kkalkolati fuq il-bażi tad-dejta aggregata dwar is-self fir-rigward tal-ammonti pendenti ta' self eliġibbli u s-self nett eliġibbli tal-membri kollha tal-grupp tat-TLTROs. Meta l-bidliet fil-kompożizzjoni ta' grupp tat-TLTROs ikunu ġew rikonoxxuti skont il-paragrafi 5 jew 6 tal-Artikolu 3, il-kalkoli sussegwenti kollha tal-limiti fuq it-teħid b'self għandhom isiru fuq il-bażi tad-dejta dwar il-karta tal-bilanċ tal-kompożizzjoni l-ġdida tal-grupp tat-TLTROs. Il-limiti fuq it-teħid b'self applikabbli għal kull parteċipant fir-rigward ta' kull TLTRO għandhom jitqiesu li jirrappreżentaw limitu massimu tal-offerta għal kull tali parteċipant u għandhom ikunu japplikaw ir-regoli applikabbli għall-offerti li jaqbżu l-limitu massimu tal-offerta, kif stipulati fis-sezzjoni 5.1.4 tal-Anness I tal-Linja Gwida BĊE/2011/14.

2.  Fiż-żewġ TLTROs suċċessivi li jridu jsiru f'Settembru u Diċembru 2014, kull parteċipant għandu jkun intitolat li jieħu b'self ammont li b'kollox ma jaqbiżx provvediment inizjali għat-teħid b'self tat-TLTROs. Il-provvediment inizjali tat-teħid b'self tat-TLTROs ta' kull parteċipant għandu jkun ta' 7 % tal-ammont pendenti totali ta' self eliġibbli tiegħu fit-30 ta' April 2014. L-Anness I jispjega l-kalkoli tekniċi relevanti. Kwalunkwe provvediment inizjali mhux użat tat-TLTROs ma għandux ikun disponibbli f'xi TLTRO sussegwenti.

3.  Fir-rigward ta' kull TLTRO sussegwenti ta' kull tliet xhur matul il-perjodu minn Marzu 2015 sa Ġunju 2016, kull parteċipant għandu jkun inititolat għal provvediment addizzjonali tat-teħid b'self tat-TLTROs. Il-provvediment inizjali tat-teħid b'self tat-TLTROs ta' kull parteċipant għandu jkun l-ogħla numru minn (i) żero u (ii) tliet darbiet l-ammont ta' self nett eliġibbli kumulattiv tal-parteċipant ipprovdut bejn l-1 ta' Mejju 2014 u d-data ta' referenza tal-allokazzjoni rispettiva, li jaqbeż il-punt ta' riferiment misjub skont il-paragrafu 4 ta' hawn taħt, nieqes kwalunkwe ammont meħud b'self fl-imgħoddi fit-TLTROs mwettqa fil-perjodu minn Marzu 2015 'il quddiem. L-Anness I jispjega l-kalkoli tekniċi relevanti.

4.  Punt ta' riferiment tal-parteċipant għandu jinstab fuq il-bażi tas-self nett eliġibbli fil-perjodu ta' tnax-il xahar mill-1 ta' Mejju 2013 sat-30 ta' April 2014 (il-“perjodu ta' referenza tal-punt ta' riferiment”), kif ġej:

(a) 

Għal parteċipanti li jirrapportaw self nett eliġibbli fil-perjodu ta' referenza tal-punt ta' riferiment jew jekk il-parteċipant ġie stabbilit wara l-1 ta' Mejju 2013, il-punt ta' riferiment applikabbli għandu jkun ta' żero.

(b) 

Għal parteċipanti li jirrapportaw self nett eliġibbli negattiv fil-perjodu ta' referenza tal-punt ta' riferiment, il-punt ta' riferiment għandu jiġi kkalkolat billi jinstab is-self nett eliġibbli medju fix-xahar ta' kull parteċipant fil-perjodu ta' referenza tal-punt ta' riferiment u billi din il-figura medja tiġi mmultiplikata bin-numru ta' xhur li jkunu għaddew bejn it-30 ta' April 2014 u tmiem ix-xahar ta' referenza tal-allokazzjoni. Din il-formula għandha tapplika għax-xhur ta' referenza tal-allokazzjoni sa April 2015, inkluż dan ix-xahar. Wara, il-punt ta' riferiment għandu jibqa' bl-istess valur milħuq fit-30 ta' April 2015. L-Anness I jispjega l-kalkoli tekniċi relevanti.

▼M1

Artikolu 5

Imgħax

Fir-rigward tat-TLTROs imwettqa f'Settembru 2014 u Diċembru 2014, ir-rata tal-imgħax applikabbli għandha tiġi stabbilita tul il-ħajja ta' kull operazzjoni bir-rata għall-operazzjonijiet ta' rifinanzjament ewlenin prevalenti fi żmien it-tħabbira tas-sejħiet għall-offerti fir-rigward tat-TLTRO relevanti, flimkien ma' firxa fissa ta' 10 punti bażi. Fir-rigward tat-TLTROs imwettqa bejn Marzu 2015 u Ġunju 2016, ir-rata tal-imgħax applikabbli għandha tiġi stabbilita tul il-ħajja ta' kull operazzjoni bir-rata għall-operazzjonijiet ta' rifinanzjament ewlenin prevalenti fi żmien it-tħabbira tas-sejħiet għall-offerti fir-rigward tat-TLTRO relevanti.

L-imgħax għandu jkun pagabbli bl-arretrati malli timmatura l-operazzjoni, jew meta jsir il-ħlas lura bikri kif stipulat fl-Artikoli 6 u 7, skont kif ikun applikabbli.

▼M2

Artikolu 6

Ħlas lura bikri

1.  Mingħajr preġudizzju għall-paragrafu 2, bil-bidu jkun 24 xahar wara kull TLTRO, il-parteċipanti għandu jkollhom, fuq bażi semi-annwali, l-opzjoni li jitterminaw jew inaqqsu l-ammont tat-TLTROs qabel il-maturità. Dati ta' ħlas lura bikri għandhom jikkoinċidu ma' jum il-ħlas ta' operazzjoni ewlenija ta' rifinanzjament, kif speċifikat mill-Eurosistema.

2.  Il-partecipanti għandu jkollhom ukoll l-opzjoni li jitterminaw jew inaqqsu l-ammont ta' TLTROs qabel il-maturità f'data li tikkoinċidi ma' jum il-ħlas tal-ewwel TLTRO mwettaq bis-saħħa tad-Deċiżjoni (UE) 2016/810 tal-Bank Ċentrali Ewropew (BĊE/2016/10) ( 4 ). Sabiex jibbenefika mill-proċedura ta' ħlas lura bikri f'din l-ewwel data ta' ħlas lura bikri, parteċipant għandu jinnotifika lill-BĊN relevanti li biħsiebu jħallas lura bil-proċedura ta' ħlas lura bikri fid-data ta' ħlas lura bikri, tal-inqas tliet ġimgħat bil-quddiem ta' dik id-data ta' ħlas lura bikri. Din in-notifika għandha tkun vinkolanti fuq il-parteċipant tliet ġimgħat qabel id-data ta' ħlas lura bikri li tirreferi għaliha. Biex jiġi evitat id-dubju, l-allowance ta' self addizzjonali disponibbli għat-TLTRO li jsir f'Ġunju 2016 u li tiġi kkalkulata skont l-Artikolu 4(3) għandha tiġi kkalkulata fuq il-bażi tal-ammonti mislufin matul it-TLTROs magħmulin minn Marzu 2015 mingħajr tnaqqis ta' kull ammont imħallas lura fl-ewwel data ta' ħlas lura bikri.

3.  Fir-rigward ta' dati oħrajn ta' ħlas lura, sabiex jibbenefika mill-proċedura ta' ħlas lura bikri, il-parteċipant għandu jinnotifika lill-BĊN relevanti li biħsiebu jħallas lura bil-proċedura ta' ħlas lura bikri fid-data ta' ħlas lura bikri, tal-inqas ġimagħtejn bil-quddiem ta' dik id-data ta' ħlas lura bikri. Din in-notifika għandha tkun vinkolanti fuq il-parteċipant ġimagħtejn qabel id-data ta' ħlas lura bikri li tirreferi għaliha.

4.  Jekk il-partiċipant jonqos milli jħallas sad-data tal-ħlas lura, għal kollox jew parzjalment, l-ammont dovut taħt il-proċedura ta' ħlas lura bikri, tista' tiġi imposta penali finanzjarja. Il-penali finanzjarja applikabbli għandha tiġi kkalkulata skont l-Anness VII tal-Linja Gwida (UE) 2015/510 tal-Bank Ċentrali Ewropew (BĊE/2014/60) ( 5 ) u għandha tikkorrispondi mal-penali finanzjarja applikata għal nuqqasijiet ta' konformità ma' obbligi biex jiġi kkollateralizzat b'mod adegwat u mħallas l-ammont li l-kontroparti ġiet assenjat fir-rigward ta' tranżazzjoni mħassra għal għanijiet ta politika monetarja. L-impożizzjoni ta' penali finanzjarja għandha tkun mingħajr ħsara għad-dritt relevanti tal-BĊN li jeżerċita r-rimedji stabbiliti għal meta jseħħ każ ta' inadempjenza kif stabbilit fl-Artikolu 166 tal-Linja Gwida (UE) 2015/510 (BĊE/2014/60).

▼B

Artikolu 7

Ħlas lura bikri obbligatorju

▼M2

1.  Il-parteċipanti fit-TLTROs li s-self nett eliġibbli kumulattiv tagħhom fil-perjodu bejn l-1 ta' Mejju 2014 u t-30 ta' April 2016 ikun inqas mill-kriterju ta' referenza applikabbli tagħhom fit-30 ta' April 2016 għandhom ikunu meħtieġa jħallsu lura għal kollox l-ammonti inizjali u addizzjonali li ssellfu tat-TLTRO fid-28 ta' Settembru 2016, sakemm l-Eurosistema ma tispeċifikax xi data alternattiva oħra. L-Anness I jispjega l-kalkoli tekniċi.

2.  Jekk is-self totali ta' parteċipant fir-rigward ta' provvediment addizzjonali tiegħu fit-TLTROs imwettqin minn Marzu 2015 sa Ġunju 2016 jaqbeż il-provvediment addizzjonali kkalkolat mix-xahar ta' referenza tal-allokazzjoni ta' April 2016, f'dak il-każ l-ammont ta' dan it-teħid b'self addizzjonali eċċessiv għandu jkun pagabbli fid-28 ta' Settembru 2016, sakemm l-Eurosistema ma tispeċifikax xi data alternattiva oħra. L-Anness I jispjega l-kalkoli tekniċi.

▼B

3.  Meta l-bidliet fil-kompożizzjoni ta' grupp tat-TLTROs ikunu ġew rikonoxxuti b'konformità mal-paragrafi 5 jew 6 tal-Artikolu 3, il-kalkolu għall-fini tal-ħlasijiet lura bikrin obbligatorji tal-istituzzjoni prinċipali (inkluż il-punt ta' riferiment applikabbli) għandu jsir fuq il-bażi tad-dejta dwar il-karta tal-bilanċ tal-kompożizzjoni l-ġdida fir-rigward tal-ammonti kollha meħudin b'self, kemm jekk sar qabel kif ukoll jekk wara l-bidla fil-grupp tat-TLTROs.

4.  Il-BĊN relevanti għandu jgħarraf lill-parteċipanti tiegħu li huma soġġetti għal ħlas lura bikri obbligatorju sa mhux iktar tard mill-31 ta' Awwissu 2016, sakemm l-Eurosistema ma tispeċifikax xi data alternattiva oħra. Avviż ta' ħlas lura bikri obbligatorju pprovdut minn BĊN skont dan l-Artikolu 7 jew l-Artikolu 9 iktar 'il quddiem ma għandux jikkostitwixxi avviż ta' każ ta' inadempjenza.

▼M2

5.  Jekk il-partiċipant jonqos milli jħallas sad-data tal-ħlas lura, għal kollox jew parzjalment, l-ammont dovut taħt il-proċedura ta' ħlas lura bikri obbligatorja, tista tiġi imposta piena finanzjarja. Il-penali finanzjarja applikabbli għandha tiġi kkalkulata skont l-Anness VII tal-Linja Gwida (UE) 2015/510 (BĊE/2014/60) u għandha tikkorrispondi mal-penali finanzjarja applikata għal nuqqasijiet ta' konformità ma' obbligi biex jiġi kkollateralizzat b'mod adegwat u mħallas l-ammont li l-kontroparti ġiet assenjat fir-rigward ta' tranżazzjoni mħassra għal għanijiet ta politika monetarja. L-impożizzjoni ta' penali finanzjarja għandha tkun mingħajr ħsara għad-dritt relevanti tal-BĊN li jeżerċita r-rimedji stabbiliti għal meta jseħħ każ ta' inadempjenza kif stabbilit fl-Artikolu 166 tal-Linja Gwida (UE) 2015/510 (BĊE/2014/60).

▼B

Artikolu 8

Rekwiżiti ta' rapportar

1.  Il-parteċipanti f'TLTROs għandhom jissottomettu formoli ta' rapportar mimlijin mingħajr żbalji lill-BĊN tagħhom skont:

(a) 

il-kontenut u l-iskedi ta' żmien stipulati minn qabel kif approvati mill-Kunsill Governattiv u ppubblikat fuq is-sit tal-BĊE; u

(b) 

il-linji gwida spjegati fl-Anness II.

2.  It-termini użati fil-formola ta' rapportar għandhom jinftiehmu b'referenza għal dawk kif iddefiniti fir-Regolament (KE) Nru 25/2009 (BĊE/2008/32).

3.  Sabiex jikkonformaw mar-rekwiżiti ta' rapportar li l-parteċipanti huma soġġetti għalihom skont il-paragrafu 1, il-parteċipanti għandhom japplikaw l-istandards minimi applikabbli għall-bgħit, il-preċiżjoni, il-konformità mal-kunċetti u r-reviżjonijiet speċifikati fl-Anness IV tar-Regolament (KE) Nru 25/2009 (BĊE/2008/32).

▼M2

4.  Jekk istituzzjoni tieħu sehem f'TLTRO u sakemm ikollha kreditu pendenti f'TLTRO, din għandha tkun meħtieġa tissottometti formoli ta' rapportar tad-dejta mimlijin kull tliet xhur skont il-paragrafu 1 sakemm tkun intbagħtet id-dejta meħtieġa għad-determinazzjoni tal-obbligu tal-ħlas lura obbligatorju skont l-Artikolu 7.

▼B

5.  Il-parteċipanti għandhom jissottomettu formoli ta' rapportar marbutin mal-perjodu ta' referenza ta' punt ta' riferiment qabel ma l-ewwel jieħdu sehem fit-TLTROs fi ħdan l-iskedi ta' żmien ippubblikati fuq is-sit tal-BĊE għall-bgħit ta' formoli ta' rapportar mimlijin lill-BĊN relevanti.

6.  L-istituzzjonijiet prinċipali tal-gruppi ta' TLTROs għandhom jissottomettu formoli ta' rapportar tad-dejta li jirriflettu dejta aggregata fost il-membri kollha tal-grupp tat-TLTROs. Il-BĊN tal-istituzzjoni prinċipali jew BĊN ta' membru ta' grupp tat-TLTRO jistgħu, suġġetti għal koordinazzjoni mal-BĊN tal-istituzzjoni prinċipali, jeħtieġu li l-istituzzjoni prinċipali tissottometti dejta diżaggregata għal kull membru ta' grupp individwali.

7.  Meta l-bidliet fil-kompożizzjoni ta' grupp tat-TLTROs jkunu ġew rikonoxxuti skont il-paragrafi 5 jew 6 tal-Artikolu 3, l-istituzzjoni prinċipali għandha tissottometti formoli ta' rapportar biex issib il-provvediment relevanti ta' teħid b'self u l-punt ta' riferiment applikabbli li jirriflettu l-kompożizzjoni l-ġdida tal-grupp tat-TLTRO fi ħdan l-iskedi ta' żmien ippubblikati fuq is-sit tal-BĊE għall-bgħit ta' formoli ta' rapportar mimlijin lill-BĊN relevanti.

▼M2

8.  Sakemm ma jkunx ħallas lura l-ammonti kollha pendenti taħt it-TLTROs tiegħu skont l-Artikolu 6(2), kull parteċipant fit-TLTROs għandu jkun meħtieġ li jsirlu eżami tal-eżattezza dwar id-dejta rrapportata skont il-paragrafu 1. Dan l-eżerċizzju, li jista' jsir fil-kuntest ta' verifika annwali, jista' jsir minn awditur estern. Minflok ma jintuża awditur estern, il-partiċipanti jistgħu jagħmlu pjanijiet għal arranġamenti ekwivalenti, kif approvat mill-Eurosistema. Il-BĊN tal-parteċipant għandu jiġi infurmat bir-riżultat ta' dan l-eżami. Fil-każ ta' parteċipazzjoni tal-grupp TLTRO, ir-riżultati għandhom jiġu maqsuma mal-BĊNi tal-membri tal-grupp TLTRO. Fuq talba tal-BĊN tal-partiċipant, riżultati ddettaljati tal-eżamijiet li jsiru skont dan il-paragrafu għandhom jiġu pprovduti lil dak il-BĊN u, fil-każ ta' parteċipazzjoni tal-grupp, sussegwentement jinqasmu mal-BĊNi tal-membri tal-grupp TLTRO.

▼B

9.  It-tagħrif dwar il-kompożizzjoni tal-gruppi tat-TLTROs ser jinħażen fir-Reġistru tad-Database dwar l-Istituzzjonijiet u l-Affiljati (RIAD), sabiex jitqassam fi ħdan l-Eurosistema.

Artikolu 9

Nuqqas ta' konformità mar-rekwiżiti ta' rapportar

1.  Jekk parteċipant jonqos milli jikkonforma mal-obbligi ta' rapportar stipulati fl-Artikolu 8 ta' hawn fuq:

(a) 

il-limiti fuq it-teħid b'self għandhom jiġu stabbiliti għal żero meta parteċipant jonqos milli jirrapporta dejta għall-kalkolu tal-limiti fuq it-teħid b'self għall-provvediment inizjali jew inkella dak addizzjonali sad-data ta' skadenza relevanti; u

(b) 

l-ammont sħiħ ta' teħid b'self fir-rigward tat-TLTROs kollha għandu jsir pagabbli meta parteċipant jonqos milli jirrapporta dejta għall-fini ta' valutazzjoni ta' jekk il-ħlasijiet lura bikrin obbligatorji humiex applikabbli u sabiex jiġu kkalkolati l-ħlasijiet lura relevanti, skont xi jkun meħtieġ.

Qabel il-bidu ta' miżura bis-saħħa ta' dan il-paragrafu, il-parteċipant ikkonċernat għandu jingħata opportunità biex jagħti spjegazzjonijiet jekk iqis illi n-nuqqas ta' konformità kienet dovuta għal ċirkostanzi lil hinn mill-kontroll tiegħu.

2.  Id-dispożizzjonijiet fil-paragrafu 1 ta' hawn fuq għandhom ikunu mingħajr ħsara għal kwalunkwe sanzjoni li tista' tiġi imposta skont id-Deċiżjoni BĊE/2010/10 ( 6 ) fir-rigward tal-obbligi ta' rapportar stipulati fir-Regolament (KE) Nru 25/2009 (BĊE/2008/32).

3.  Meta jinstabu żbalji fid-dejta sottomessa fil-formoli ta' rapportar u dawn jiġu notifikati minn parteċipant jew il-BĊE, l-Eurosistema għandha twettaq valutazzjoni tal-impatt tal-iżball relevanti u tieħu l-azzjoni xierqa, inkluża l-possibbiltà li titlob ħlas lura bikri obbligatorju.

Artikolu 10

Dħul fis-seħħ

Din id-Deċiżjoni għandha tidħol fis-seħħ fil-jum tal-pubblikazzjoni tagħha.




ANNESS I

IT-TWETTIQ TAL-OPERAZZJONIJIET SPEĊIFIĊI TA' RIFINANZJAMENT FUQ ŻMIEN ITWAL

1.    Kalkolu tal-limiti fuq it-teħid b'self nett

Parteċipanti f'TLTRO, li jaġixxu jew b'mod individwali jew bħala l-istituzzjoni prinċipali ta' grupp tat-TLTROs, ser ikunu soġġetti għal limiti fuq it-teħid b'self. Il-limiti ta' teħid b'self ikkalkolati ser jitqarrbu għall-figura multipla li jmiss ta' EUR 10 000 .

Il-limiti fuq it-teħid b'self (u l-ħlas lura bikri obbligatorju possibbli) applikabbli għal parteċipant individwali fit-TLTROs ser jiġu kkalkolati billi bħala bażi jintużaw l-ammonti pendenti ta' self u għoti b'self nett lil korporazzjonijiet mhux finanzjarji u unitajiet domestiċi taż-żona tal-euro, għajr self lil unitajiet domestiċi għax-xiri ta' dar, mogħtijin mill-parteċipant individwali. Il-limiti fuq it-teħid b'self (u l-ħlas lura bikri obbligatorju possibbli) applikabbli għall-istituzzjoni prinċipali ta' grupp tat-TLTROs ser jiġu kkalkolati billi bħala bażi jintużaw l-ammonti pendenti ta' self eliġibbli u s-self nett eliġibbli mogħti mill-membri kollha tal-grupp tat-TLTROs b'mod aggregat.

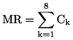
Ck ≥ 0 trid tkun it-teħid b'self ta' ( 7 ) f'TLTRO k (with k = 1,…,8). Il-provvediment inizjali tat-teħid b'self għal dan il-parteċipant (IA) huwa:

image

Hawnhekk OL, hija l-ammont pendenti fit-30 ta' April 2014 tas-self eliġibbli mogħti mill-parteċipanti. Fl-ewwel żewġ TLTROs, trid tiġi rrispettata r-restrizzjoni li ġejja:

C 1 + C 2IA

Dan ifisser li t-teħid b'self totali fl-ewwel żewġ TLTROs ma jistax jaqbeż l-ammont tal-provvediment inizjali.

NLm trid tkun is-self nett eliġibbli ta' parteċipant f'xahar kalendarju m.

image

trid tkun is-self nett eliġibbli medju ta' dan il-parteċipant minn Mejju 2013 sa April 2014.

BEk għandha tirrappreżenta punt ta' riferiment ta' parteċipant għat-TLTRO (b' k = 3,…,8, jiġifieri t-TLTROs li ser isiru bejn Marzu 2015 u Ġunju 2016).

Jekk
image (jiġifieri jekk il-parteċipant kellu self nett eliġibbli pożittiv jew żero fit-tnax-il xahar qabel it-30 ta' April 2014), jew jekk il-parteċipant ġie stabbilit biss wara l-1 ta' Mejju 2013, f'dak il-każ BEk = 0 għat-TLTROs kollha k = 3,…,8.

Jekk

image

(jiġifieri jekk il-parteċipant kellu self nett eliġibbli negattiv fit-tnax-il xahar qabel it-30 ta' April 2014), f'dak il-każ:

image

fejn nk , hija ddefinita kif ġej:



k

3

4

5

6

7

8

Xahar tat-TLTRO

Mar. 2015

Ġun. 2015

Sett. 2015

Diċ. 2015

Mar. 2016

Ġun. 2016

Xahar ta' referenza tal-allokazzjoni (1)

Jan. 2015

Apr. 2015

Lul. 2015

Ott. 2015

Jan. 2016

Apr. 2016

nk

9

12

12

12

12

12

(1)   Ix-xahar ta' referenza tal-allokazzjoni tat-TLTRO k huwa l-iktar xahar riċenti li għalih hemm dejta dwar is-self nett disponibbli għat-TLTRO k (għal operazzjoni mwettqa fix-xahar kalendarju m, din ser tkun dejta għal xahrejn tal-kalendarju qabel).

Dan ifisser li l-punt ta' riferiment għal kull xahar ta' referenza tal-allokazzjoni tat-TLTROs ser ikun daqs is-self nett eliġibbli medju fix-xahar miksub fit-tnax-il xahar ta' qabel it-30 ta' April 2014 (

image

), immoltiplikat bin-numru ta' xhur li jkunu għaddew bejn it-30 ta' April 2014 u tmiem ix-xahar ta' referenza tal-allokazzjoni. Madankollu, dan ser japplika biss għax-xhur ta' referenza tal-allokazzjoni sa April 2015, b'dan ix-xahar inkluż. Wara, il-punt ta' riferiment ser jibqa' l-istess bil-valur li laħaq f'April 2015.

Il-bażi għall-kalkolu tal-provvediment ta' self addizzjonali għal parteċipant f'TLTRO k hija:

AAk = 3 × (CNLk BEk ),

fejn CNL k (self nett kumulattiv) hija ddefinita kif ġej:

▼M1



k

Xahar tat-TLTRO

2016 Xahar ta' referenza tal-allokazzjoni

CNLk

3

Mar. 2015

Jan. 2015

NLMejju 2014 + NLGunju 2014 + … + NLJannar 2015

4

Ġunju 2015

Apr. 2015

NLMejju 2014 + NLGunju 2014 + … + NLApril 2015

5

Sett. 2015

Lulju 2015

NLMejju 2014 + NLGunju 2014 + … + NLLulju 2015

6

Diċ. 2015

Ott. 2015

NLMejju 2014 + NLGunju 2014 + … + NLOttubru 2015

7

Mar. 2016

Jan. 2016

NLMejju 2014 + NLGunju 2014 + … + NLJannar 2016

8

Ġunju 2016

Apr. 2016

NLMejju 2014 + NLGunju 2014 + … + NLApril 2016

▼B

Għall-aħħar sitt TLTROs k = 3,…,8 (jiġifieri għat-TLTROs kollha li fihom jistgħu jintalbu provvedimenti addizzjonali), trid tiġi rrispettata r-restrizzjoni li ġejja: ( 8 )

image

Dan ifisser li f'kull TLTRO k, il-parteċipant ma jistax jieħu b'self iktar minn tliet darbiet l-ammont li bih is-self nett eliġibbli tiegħu mogħti bejn it-30 ta' April 2014 u x-xahar ta' referenza tal-allokazzjoni (CNLk ) rispettiv jaqbeż il-punt ta' riferiment tiegħu f'dak ix-xahar ta' referenza tal-allokazzjoni (BEk ), nieqes kwalunkwe ammont meħud b'self fl-imgħoddi fit-TLTROs li jsiru fil-perjodu minn Marzu 2015.

2.    Kalkolu tal-ħlasijiet lura bikrin obbligatorji

Il-parteċipanti li ħadu b'self fit-TLTROs iżda li s-self nett eliġibbli tagħhom fil-perjodu mill-1 ta' Mejju 2014 sat-30 ta' April 2016 huwa inqas mill-punt ta' riferiment ser ikunu meħtieġa jħallsu lura l-ammont li ħadu b'self f'Settembru 2016.

Il-ħlas lura bikri obbligatorju f'Settembru 2016 ta' parteċipant huwa:

▼M1

image

, if

image

▼B

Dan ifisser li jekk is-self nett eliġibbli totali mogħti mill-parteċipant fil-perjodu bejn l-1 ta' Mejju 2014 u t-30 April 2016 ikun inqas mill-punt ta' riferiment għax-xahar ta' referenza tal-allokazzjoni ta' April 2016, f'dak il-każ l-ammont sħiħ tat-teħid b'self fit-TLTROs kollha jrid jitħallas lura f'Settembru 2016.

Jekk BE 8CNL 8 iżda
image , f'dak il-każ f'Settembru 2016 il-parteċipant irid iħallas lura
image mill-aħħar sitt TLTROs. Fi kliem ieħor, jekk l-ammont totali meħud b'self minn parteċipant fit-TLTROs imwettqin bejn Marzu 2015 u Ġunju 2016
image jaqbeż il-bażi għall-kalkolu tal-provvediment addizzjonali għax-xahar ta' referenza tal-allokazzjoni ta' April 2016 (AA 8), f'dak il-każ l-ammont ta' dan l-eċċess irid jitħallas lura f'Settembru 2016.




ANNESS II

OPERAZZJONIJIET TA' RIFINANZJAMENT MIRATI FUQ ŻMIEN ITWAL — LINJI GWIDA GĦALL-MILI TAL-FORMOLA TA' RAPPORTAR

1.    Introduzzjoni

Dawn il-linji gwida jipprovdu struzzjonijiet għall-mili tal-formola ta' rapportar li trid tiġi sottomessa mill-parteċipanti fl-operazzjonijiet speċifiċi ta' rifinanzjament fuq żmien itwal (TLTROs) tal-BĊE. B'mod partikolari, dawn il-linji gwida jispeċifikaw ukoll ir-rekwiżiti ta' rapportar tal-istituzzjonijiet prinċipali tal-gruppi tat-TLTROs li jieħdu sehem fl-operazzjonijiet.

Is-sezzjoni li jmiss tagħti tagħrif ġenerali marbut mal-mili u l-bgħit tal-formola, filwaqt li s-sezzjoni ta' wara tirrevedi l-indikaturi li jridu jiġu rrapportati.

2.    Informazzjoni ġenerali

Il-miżuri li għandhom jintużaw fil-kalkolu tal-provvedimenti ta' teħid b'self (limiti) u ħlasijiet lura bikrin obbligatorji huma marbutin ma' self lil korporazzjonijiet mhux finanzjarji taż-żona tal-euro u self lil unitajiet domestiċi taż-żona tal-euro  ( 9 ) għajr self għax-xiri ta' dar , fil-muniti kollha. Għal kull perjodu tar-rapportar speċifikat, it-tagħrif dwar l-ammonti pendenti ta' self eliġibbli fi tmiem ix-xahar ta' qabel il-bidu tal-perjodu u fi tmiem il-perjodu, kif ukoll is-self nett eliġibbli matul il-perjodu (ikkalkolat bħala self gross nett mill-ħlasijiet lura tas-self) irid jiġi rrapportat għalih għal korporazzjonijiet mhux finanzjarji u għal unitajiet domestiċi. Dawn l-indikaturi huma rranġati għall-impatt tat-titolizzazzjoni tradizzjonali u trasferimenti tas-self oħrajn. Tagħrif dettaljat fuq is-subkomponenti relevanti ta' dawn l-entrati, kif ukoll fuq l-effetti li jwasslu għall-bidliet fl-ammonti pendenti iżda li mhumiex marbutin mat-tranżazzjonijiet (iktar 'il quddiem “aġġustamenti fl-ammonti pendenti”) irid jingħata wkoll.

Fir-rigward tal-użu tat-tagħrif miġbur, huwa enfasizzat li d-dejta fuq l-ammonti pendenti ta' self eliġibbli mit-30 ta' April 2014 ser tintuża biex jiġi stabbilit il-provvediment inizjali ta' teħid b'self, filwaqt li d-dejta fuq is-self nett eliġibbli tul il-perjodu tal-1 ta' Mejju 2013 sat-30 ta' April 2014 ser tintuża għall-kalkolu tal-punt ta' riferiment. Id-dejta dwar l-ammonti pendenti ta' self eliġibbli u s-self nett eliġibbli għall-perjodi tar-rapportar sat-30 ta' April 2016 ser tintuża biex jiġu kkalkolati l-provvedimenti addizzjonali ta' teħid b'self, għall-kalkolu tal-ħlasijiet lura bikrin obbligatorji (għal perjodi tar-rapportar mill-1 ta' Mejju 2014 sat-30 ta' April 2016) u għal skopijiet ta' monitoraġġ. Dejta rrapportata wara għall-perjodi sal-maturità tal-operazzjonijiet f'Settembru 2018 ser tintuża biss għal skopijiet ta' monitoraġġ. L-indikaturi kollha l-oħrajn fil-formola huma meħtieġa sabiex tiġi vverifikata l-konsistenza interna tat-tagħrif u l-konsistenza tiegħu mad-dejta statistika miġbura fi ħdan l-Eurosistema, kif ukoll għall-monitoraġġ profond tal-impatt tal-programm tat-TLTROs.

Il-qafas ġenerali li japplika għall-mili tal-formola ta' rapportar huwa pprovdut mir-rekwiżiti ta' rapportar tal-IFM taż-żona tal-euro fil-kuntest tal-istatistiki dwar l-entrati tal-karta tal-bilanċ (BSI) tal-IFM, kif speċifikat fir-Regolament dwar il-BSI tal-BĊE. Dawn il-linji gwida jirreferu għar-rekwiżiti tar-Regolament riformulat dwar il-BSI Regolament tal-Bank Ċentrali Ewropew (UE) Nru 1071/2013 (BĊE/2013/33) ( 10 ), li l-ewwel rekwiżiti ta' rapportar relatati magħhom jibdew b'dejta minn Diċembru 2014 ( 11 ). B'mod partikolari, fir-rigward tas-self, l-Artikolu 8(2) tar-Regolament (UE) Nru 1071/2013 (BĊE/2013/33) jeħtieġ li dan “[għandu jiġi rrapportat] skont l-ammont tal-kapital pendenti fl-aħħar tax-xahar. Kanċellazzjonijiet u tnaqqis fil-valur kif iddeterminati mill-prattiċi ta' kontabilità relevanti għandhom jiġu esklużi minn dan l-ammont. […] self [m'għandux jiġi nnettjat] kontra kull attiv u passiv ieħor”. Madankollu, għall-kuntrarju tar-regoli stabbiliti fl-Artikolu 8(2), li jimplikaw ukoll li s-self irid jiġi rrapportat gross mill-provvedimenti, l-Artikolu 8(4) jistipula li l-“BĊNi jistgħu jħallu r-rapportar ta' self kopert wara li jitnaqqsu l-koperturi u r-rapportar ta' self mixtri skont il-prezz miftiehem fil-ħin tal-akkwist tagħhom [jiġifieri l-valur tat-tranżazzjoni tagħhom], sakemm dawn il-prattiċi tar-rapportar ikunu applikati mill-operaturi kollha residenti li jirrapportaw”. L-implikazzjonijiet li din id-devjazzjoni mill-gwida ġenerali dwar il-BSI għandha għall-mili tal-formola ta' rapportar huma rriveduti f'iktar dettall iktar 'il quddiem.

Ir-Regolament (UE) Nru 1071/2013 (BĊE/2013/33) għandu jintuża wkoll bħala d-dokument ta' referenza fir-rigward tad-definizzjonijiet li jridu jiġu applikati fil-mili tal-formola. B'mod partikolari, ara l-Artikolu 1 għad-definizzjonijiet ġenerali, u l-Partijiet 2 u 3 tal-Anness II għal definizzjoni tal-istrumenti li għandhom ikunu koperti taħt “self” u tas-setturi ta' parteċipanti rispettivament ( 12 ). Ta' min jinnota li, bħala regola, fil-qafas tal-BSI, ir-riċevibbli tal-imgħax dovut fuq is-self huwa soġġett għal reġistrazzjoni fuq il-karta tal-bilanċ hekk kif isir dovut (jiġifieri fuq bażi tad-dovuti minflok meta fil-fatt jiġi riċevut), iżda ma għandux ikun eskluż mid-dejta fuq l-ammonti pendenti ta' self. Madankollu, imgħax kapitalizzat għandu jiġi rreġistrat bħala parti mill-ammonti pendenti.

Filwaqt li ħafna mid-dejta li trid tiġi rrapportata fil-formola diġà tinġabar mill-IFM skont ir-rekwiżiti tar-Regolament (UE) Nru 1071/2013 (BĊE/2013/33), il-parteċipanti li jagħmlu offerti fit-TLTROs iridu jżommu ċerta informazzjoni addizzjonali. Il-qafas metodoloġiku tal-istatistiki tal-BSI, kif stipulat fil-“Manual on MFI balance sheet statistics” ( 13 ) (“Manwal dwar l-istatistiki tal-karta tal-bilanċ tal-IFM”), jipprovdi t-tagħrif ta' sfond kollu meħtieġ biex tinġabar din id-dejta addizzjonali; iktar dettalji huma pprovduti iktar 'il quddiem fid-definizzjonijiet tal-indikaturi individwali.

3.    Struzzjonijiet ġenerali dwar ir-rapportar

(a)   Struttura tal-formola

Il-formola tinkludi indikazzjoni tal-perjodu li għalih tirreferi d-dejta u tqiegħed l-indikaturi f'żewġ taqsimiet: self lil korporazzjonijiet mhux finanzjarji taż-żona tal-euro u self lil unitajiet domestiċi taż-żona tal-euro , għajr self għax-xiri ta' dar . Id-dejta fiċ-ċelloli kollha mdawlin bl-isfar hija kkalkolata b'mod awtomatiku mid-dejta mdaħħla f'ċelloli oħrajn, fuq il-bażi tal-formuli pprovduti. Il-validazzjoni tad-dejta ssir fil-formola wkoll, billi tiġi vverifikata l-konsistenza bejn l-ammonti pendenti u t-tranżazzjonijiet. Id-dejta trid tiġi rrapportata f'termini ta' eluf ta' euro.

(b)   Definizzjoni tal-“perjodu tar-rapportar”

Il-perjodu tar-rapportar jirrappreżenta l-medda ta' dati li għaliha tirreferi d-dejta. L-indikaturi marbutin ma' ammonti pendenti jridu jiġu rrapportati kif kienu fi tmiem ix-xahar ta' qabel ma beda l-perjodu tar-rapportar u fi tmiem il-perjodu tar-rapportar; jiġifieri għall-perjodu tar-rapportar tal-1 ta' Mejju 2013 sat-30 ta' April 2014, l-ammonti pendenti jridu jiġu rrapportati kif kienu fit-30 ta' April 2013 u t-30 ta' April 2014. Min-naħa tagħha, id-dejta fuq tranżazzjonijiet u aġġustamenti trid tkopri l-effetti relevanti kollha li jseħħu matul il-perjodu tar-rapportar.

(c)   Ir-rapportar fir-rigward ta' gruppi tat-TLTROs

Fir-rigward ta' parteċipazzjoni ta' grupp fit-TLTROs, bħala regola d-dejta għandha tiġi rrapportata fuq bażi aggregata. Madankollu, il-banek ċentrali nazzjonali (BĊNi) għandhom il-possibbiltà li jiġbru t-tagħrif fuq bażi ta' istitituzzjonijiet individwali, jekk iqisu li dan ikun xieraq.

(d)   Bgħit tal-formola

Il-formola ta' rapportar mimlija għandha tintbagħat lill-BĊN relevanti kif stipulat fir-regoli ġenerali u skont il-kalendarju uffiċjali, li jistipula wkoll il-perjodi ta' referenza li jridu jkunu koperti f'kull bgħit u liema vintages tad-dejta għandhom jintużaw għall-mili tal-formola.

4.    Definizzjonijiet

Din is-sezzjoni tipprovdi definizzjonijiet dettaljati tal-bosta entrati li jridu jiġu rrapportati fil-formola u l-enumerazzjoni użata fil-formola kif indikat fil-parentesi.

(a)   Ammonti pendenti ta' self eliġibbli (1 u 4)

Id-dejta f'dawn iċ-ċelloli tiġi kkalkolata b'mod awtomatiku fuq il-bażi tal-figuri rrapportati fir-rigward tal-entrati sussegwenti, jiġifieri “Ammonti pendenti fil-karta tal-bilanċ” (1.1 u 4.1), nieqes l-“Ammonti pendenti ta' self li huma titolizzati jew ittrasferiti b'xi mod ieħor iżda mhux dekontabilizzati mill-karta tal-bilanċ” (1.2 u 4.2), b'żieda tal-“Provvedimenti pendenti kontra self eliġibbli” (1.3 u 4.3). L-aħħar subterminu huwa relevanti biss f'każijiet li fihom, għall-kuntrarju tal-prattika ġenerali tal-BSI, is-self jiġi rrapportat nett mill-provvedimenti.

(i)   Ammonti pendenti fil-karta tal-bilanċ (1.1 u 4.1)

Din l-entrata tinkludi ammonti pendenti ta' self mogħti lil korporazzjonijiet mhux finanzjarji u unitajiet domestiċi taż-żona tal-euro, għajr self għax-xiri ta' dar. Għall-kuntrarju tal-imgħax kapitalizzat, l-imgħax dovut huwa eskluż mill-indikaturi.

Dawn iċ-ċelloli fuq il-formola jistgħu jimtlew b'dejta mimlija sabiex tissodisfa r-rekwiżiti tal-Parti 2 tal-Anness I għar-Regolament (UE) Nru 1071/2013 (BĊE/2013/33) (Taqsima 2 tat-Tabella 1 fuq stokks tax-xahar).

Għal definizzjoni iktar dettaljata tal-entrati li jridu jiddaħħlu fil-formola, ara l-Parti 2 tal-Anness II għar-Regolament (UE) Nru 1071/2013 (BĊE/2013/33) u s-Sezzjoni 2.1.4 tal-“Manual on IFM balance sheet statistics”.

(ii)   L-ammonti pendenti ta' self li huwa titolizzat jew ittrasferit b'xi mod ieħor iżda mhux dekontabilizzat mill-karta tal-bilanċ (1.2 u 4.2)

Din l-entrata tinkludi l-ammonti pendenti ta' self li huwa titolizzat jew ittrasferit b'xi mod ieħor iżda li ma ġiex dekontabilizzat mill-karta tal-bilanċ. L-attivitajiet kollha ta' titolizzazzjoni jridu jiġu rrapportati, indipendentement minn fejn huma residenti l-korporazzjonijiet tal-veikoli finanzjarji. Self mogħti lill-Eurosistema bħala kollateral għal operazzjonijiet ta' kreditu tal-politka monetarja fil-forma ta' klejms ta' kreditu, li jirriżulta fi trasferiment mingħajr dekontabilizzazzjoni mill-karta tal-bilanċ huwa eskluż minn din il-partita.

Il-Parti 5 tal-Anness I għar-Regolament (UE) Nru 1071/2013 (BĊE/2013/33) (Taqsima 5.1 tat-Tabella 5a fuq id-dejta tax-xahar) tkopri t-tagħrif meħtieġ fuq self titolizzat lil korporazzjonijiet mhux finanzjarji u unitajiet domestiċi li għadhom ma ġewx dekontabilizzati, iżda ma teħtieġx li dawn tal-aħħar jitqassmu skont l-iskop. Barra minn hekk, ammonti pendenti ta' self li ġie ttrasferit b'xi mod ieħor (jiġifieri mhux permezz ta' titolizzazzjoni) iżda li mhuwiex dekontabilizzat, mhumiex koperti mir-Regolament (UE) Nru 1071/2013 (BĊE/2013/33). Għalhekk, għall-finijiet tal-mili tal-formola ta' rapportar, huma meħtieġa estrazzjonijiet ta' dejta separati mid-databases interni tal-IFM.

Għal definizzjoni iktar dettaljata tal-entrati li jridu jiddaħħlu fil-formola, ara l-Parti 5 tal-Anness II għar-Regolament (UE) Nru 1071/2013 (BĊE/2013/33) u s-Sezzjoni 2.3 tal-“Manual on MFI balance sheet statistics”.

(iii)   Provvedimenti pendenti kontra self eliġibbli (1.3 u 4.3)

Din id-dejta hija relevanti biss għal dawk l-istituzzjonijiet li, għall-kuntrarju tal-prattika ġenerali tal-BSI, jirrapportaw self nett mill-provvedimenti. Fil-każ ta' istituzzjonijiet li jagħmlu offerti bħala grupp tat-TLTROs, dan ir-rekwiżit japplika biss għal dawk l-istituzzjonijiet fil-grupp li jirreġistraw self nett mill-provvedimenti.

Din l-entrata tinkludi provvedimenti individwali u kollettivi għal indeboliment u telf ta' self (qabel ma jsir tħassir/tniżżil fil-valur). Id-dejta trid tirreferi għal self eliġibbli pendenti fil-karta tal-bilanċ, jiġifieri huwa eskluż self li huwa titolizzat jew ittrasferit b'xi mod ieħor li ma ġiex dekontabilizzat mill-karta tal-bilanċ.

Kif intqal iktar 'il fuq, bħala regola, fl-istatistiki tal-BSI, is-self għandu jiġi rrapportat bl-ammont pendenti ta' kapital, bil-provvedimenti korrispondenti li jiġu allokati f'“Kapital u riżervi”. Fl-istess ħin, f'każijiet li fihom is-self jiġi rrapportat nett mill-provvedimenti, dan it-tagħrif addizzjonali jrid jiġi rrapportat sabiex tinġabar dejta kompletament paragunabbli bejn l-IFM.

Meta tkun prattika normali li jiġu rrapportati ammonti pendenti ta' self nett mill-provvedimenti, il-BĊNi għandhom l-għażla li jagħmlu r-rapportar ta' dan it-tagħrif mhux obbligatorju. Madankollu, f'dawn il-każijiet il-kalkoli skont il-qafas tat-TLTROs ser ikunu msejsin fuq l-ammonti ta' self pendenti fil-karta tal-bilanċ nett mill-provvedimenti ( 14 ).

Għal xi dettalji oħrajn, ara r-referenza għall-provvedimenti fid-definizzjoni ta' “Kapital u riżervi” pprovduta fil-Parti 2 tal-Anness II għar-Regolament (UE) Nru 1071/2013 (BĊE/2013/33).

(b)   Self nett eliġibbli (2)

Dawn iċ-ċelloli tal-formola jirreġistraw is-self nett (tranżazzjonijiet) mogħti matul il-perjodu tar-rapportar. Id-dejta tiġi kkalkolata b'mod awtomatiku fuq il-bażi tal-figuri rrapportati għas-subpartiti, jiġifieri s-“Self gross” (2.1) nieqes il-“Ħlasijiet lura” (2.2).

Self li huwa negozjat mill-ġdid matul il-perjodu tar-rapportar għandu jiġi rrapportat kemm bħala “Ħlasijiet lura” kif ukoll bħala “Self gross” meta jseħħ in-negozjar mill-ġdid. Id-dejta dwar l-aġġustament trid tinkludi effetti marbutin man-negozjar mill-ġdid tas-self.

Fil-prinċipju, tranżazzjonijiet “mreġġa' lura” matul il-perjodu (jiġifieri self mogħti u mħallas lura matul il-perjodu) għandhom jiġu rrapportati kemm bħala “Self gross” kif ukoll bħala “Ħlasijiet lura”. Madankollu, l-IFM li jagħmlu offerti jistgħu jitħallew jeskludu dawn l-operazzjonijiet ukoll meta jimlew il-formola, sabiex jitħaffef il-piż tar-rapportar tagħhom. F'dan il-każ, għandhom jipprovdu tagħrif fl-entrata tal-“Kummenti” tal-formola u d-dejta fuq l-aġġustamenti għall-ammonti pendenti trid teskludi wkoll effetti marbutin ma' dawn l-operazzjonijiet “imreġġa' lura”. Din l-eċċezzjoni ma tapplikax għal self mogħti matul il-perjodu li huwa titolizzat jew ittrasferit b'xi mod ieħor.

Għandhom jiġu kkunsidrati wkoll dejn tal-karta tal-kreditu, self ċirkolanti u kreditu fuq kont kurrenti bankarju. Għal dawn l-istrumenti, bidliet fil-bilanċi minħabba ammonti użati jew prelevati matul il-perjodi tar-rapportar għandhom jintużaw bħala indikaturi għas-self nett. L-ammonti pożittivi għandhom jiġu rrapportati bħala “Self gross” (2.1), filwaqt li l-ammonti negattivi għandhom jiġu rrapportati (bis-sinjal pożittiv) bħala “Ħlasijiet lura” (2.2).

(i)   Self gross (2.1)

Din l-entrata tinkludi l-fluss tas-self ġdid gross fil-perjodu tar-rapportar, għajr kwalunkwe akkwiżizzjoni ta' self. Kreditu mogħti relatat ma' dejn tal-karta tal-kreditu, self ċirkolanti u kreditu fuq kont kurrenti bankarju għandu jiġi rrapportat ukoll, kif spjegat iktar 'il fuq.

Ammonti miżjudin matul il-perjodu mal-bilanċi dovuti tal-klijent, pereżempju, mal-kapitalizzazzjoni tal-imgħax (għall-kuntrarju tad-dovuti tal-imgħax) u l-miżati, għandhom ikunu inklużi wkoll.

(ii)   Ħlasijiet lura (2.2)

Din l-entrata tinkludi l-fluss ta' ħlasijiet lura tal-kapital matul il-perjodu tar-rapportar, għajr dawk marbutin ma' self titolizzat jew ittrasferit b'xi mod ieħor li mhuwiex dekontabilizzat mill-karta tal-bilanċ. Il-ħlasijiet lura relatati mad-dejn tal-karta tal-kreditu, self ċirkolanti u kreditu fuq kont kurrenti bankarju għandhom jiġu rrapportati wkoll, kif spjegat iktar 'il fuq.

Il-pagamenti tal-imgħax marbutin mal-imgħax dovut li ma jkunx għadu ġie kapitalizzat, disponimenti tas-self u aġġustamenti oħrajn fl-ammonti pendenti (inklużi tħassir u tniżżil fil-valur) ma għandhomx jiġu rrapportati.

(c)   Aġġustamenti fl-ammonti pendenti

Dawn iċ-ċelloli tal-formola huma sabiex jiġu rrapportati bidliet fl-ammonti pendenti (tnaqqis (–) u żidiet (+)) li jseħħu tul il-perjodu tar-rapportar li mhumiex marbutin mas-self nett. It-tali bidliet iseħħu minn operazzjonijiet bħal titolizzazzjonijiet tas-self u trasferimenti oħrajn ta' self matul il-perjodu tar-rapportar, u minn aġġustamenti oħrajn marbutin mar-rivalutazzjonijiet dovuti għal bidliet fir-rati tal-kambju, tħassir/tniżżil fil-valur ta' self u riklassifikazzjonijiet. Id-dejta f'dawn iċ-ċelloli tiġi kkalkolata b'mod awtomatiku fuq il-bażi tal-figuri rrapportati fis-subpartiti, jiġifieri “Bejgħ u xiri ta' self u trasferimenti oħrajn ta' self matul il-perjodu tar-rapportar” (3.1) miżjuda ma' “Aġġustamenti oħrajn” (3.2).

(i)   Bejgħ u xiri ta' self u trasferimenti ta' self oħrajn u trasferimenti ta' self oħrajn matul il-perjodu tar-rapportar (3.1)

—   Flussi netti ta' self titolizzat b'impatt fuq l-istokks tas-self (3.1 A)

Din l-entrata tinkludi fiha l-ammont nett tas-self li huwa titolizzat matul il-perjodu tar-rapportar b'impatt fuq l-istokks tas-self irrapportati, ikkalkolati bħala l-akkwisti wara li jitnaqqsu ċ-ċessjonijiet ( 15 ). L-attivitajiet kollha ta' titolizzazzjoni jridu jiġu rrapportati, indipendentement minn fejn huma residenti l-korporazzjonijiet tal-veikoli finanzjarji. It-trasferimenti tas-self għandhom jiġu rreġistrati bl-ammont nominali ta' tħassir/tniżżil fil-valur fi żmien il-bejgħ. Dan it-tħassir/tniżżil fil-valur għandu jiġi rrapportat, meta jkun jista' jiġi identifikat, taħt l-entrata 3.2B fil-formola (ara iktar 'il quddiem). Fil-każ tal-IFM li jirrapportaw self nett mill-provvedimenti, it-trasferimenti għandhom jiġu rreġistrati bil-valur tal-karta tal-bilanċ (jiġifieri l-ammont nominali nett mill-provvedimenti pendenti) ( 16 ).

Ir-rekwiżiti tal-Parti 5 tal-Anness I għar-Regolament (UE) Nru 1071/2013 (BĊE/2013/33) (Taqsima 1.1 tat-Tabella 5a fuq id-dejta tax-xahar u t-Tabella 5b fuq id-dejta trimestrali) ikopru dawn l-elementi.

Għal definizzjoni iktar dettaljata tal-entrati li jridu jiġu rrapportati, ara l-Parti 5 tal-Anness II għar-Regolament (UE) Nru 1071/2013 (BĊE/2013/33) u s-Sezzjoni 2.3 tal-“Manual on IFM balance sheet statistics”.

—   Flussi netti ta' self li huwa ttrasferit b'xi mod ieħor b'impatt fuq l-istokks tas-self (3.1B)

Din l-entrata tinkludi l-ammont nett ta' self soġġett għal disponiment jew akkwiżizzjoni matul il-perjodu b'impatt fuq l-istokks tas-self irrapportat f'operazzjonijiet mhux relatati ma' attivitajiet ta' titolizzazzjoni, u hija kkalkolata bħala l-akkwisti wara li jitnaqqsu ċ-ċessjonijiet. It-trasferimenti għandhom jiġu rreġistrati bl-ammont nominali nett mit-tħassir/tniżżil fil-valur fi żmien il-bejgħ. Dan it-tħassir/tniżżil fil-valur għandu jiġi rrapportat, meta jkun jista' jiġi identifikat, taħt l-entrata 3.2B fil-mudell (ara iktar 'il quddiem). Fil-każ ta' IFM li jirrapportaw self nett mill-provvedimenti, it-trasferimenti għandhom jiġu rreġistrati bil-valur tal-karta tal-bilanċ (jiġifieri l-ammont nominali tal-provvedimenti pendenti). Flussi netti marbutin mal-għoti ta'self bħala kollateral mal-Eurosistema għal operazzjonijiet ta' kreditu tal-politika monetarja fil-forma ta' klejms ta' kreditu li jirriżultaw fi trasferiment mingħajr dekontabilizzazzjoni mill-karta tal-bilanċ huma esklużi minn din il-partita.

Ir-rekwiżiti tal-Parti 5 tal-Anness I għar-Regolament (UE) Nru 1071/2013 (BĊE/2013/33) ikopru b'mod parzjali dawn l-elementi. It-taqsimiet 1.2 tat-Tabella 5a fuq id-dejta tax-xahar u t-Tabella 5b dwar id-dejta trimestrali jkopru dejta fuq il-flussi netti tas-self li huwa ttrasferit b'xi mod ieħor b'impatt fuq l-istokks tas-self, iżda jeskludu:

(1) 

self soġġett għal disponiment lil, jew akkwiżizzjoni minn, IFM domestika oħra, inklużi trasferimenti intragrupp dovuti għar-ristrutturar tan-negozju korporattiv (eż. it-trasferiment ta' pool ta' self minn sussidjarja domestika tal-IFM lill-IFM prinċipali) ( 17 );

(2) 

trasferimenti ta' self fil-kuntest ta' riorganizzazzjonijiet intragrupp dovuti għal fużjonijiet, akkwiżizzjonijiet u diviżjonijiet.

Għall-finijiet ta' mili tal-formola ta' rapportar tat-TLTROs, iridu jiġu rrapportati dawn l-effetti kollha. Għal definizzjoni iktar dettaljata tal-entrati li jridu jiġu rrapportati, ara l-Parti 5 tal-Anness I għar-Regolament (UE) Nru 1071/2013 (BĊE/2013/33) u s-Sezzjoni 2.3 tal-“Manual on IFM balance sheet statistics”. Fir-rigward tal-“Bidliet fl-istruttura tas-settur tal-IFM”, is-Sezzjoni 1.6.3.4 tal-“Manual on IFM balance sheet statistics” (u s-Sezzjoni 5.2 relatata tal-Anness 1.1) tipprovdi deskrizzjoni dettaljata ta' trasferimenti intragrupp, li tagħmel distinzjoni bejn il-każijiet li fihom iseħħu trasferimenti bejn unitajiet istituzzjonali separati (eż. qabel ma unità waħda jew iktar ma jibqgħux jeżistu f'fużjoni jew akkwiżizzjoni) u dawk li jseħħu meta xi unitajiet ma jibqgħux jeżistu, f'liema każ għandha ssir riklassifikazzjoni statistika. Għall-finijiet tal-mili tal-formola tar-rapportar tat-TLTROs, fiż-żewġ każijiet l-implikazzjonijiet huma l-istess u d-dejta għandha tiġi rrapportata taħt l-entrata 3.1C (u mhux taħt l-entrata 3.2C).

—   Il-flussi netti tas-self li huwa titolizzat jew ittrasferit b'xi mod ieħor mingħajr ebda impatt fuq l-istokks tas-self (3.1C)

Din l-entrata tinkludi l-ammont nett ta' self li huwa titolizzat jew ittrasferit b'xi mod ieħor matul il-perjodu tar-rapportar mingħajr ebda impatt fuq l-istokks tas-self irrapportati, u hija kkalkolata bħala l-akkwisti wara li jitnaqqsu ċ-ċessjonijiet. It-trasferimenti għandhom jiġu rreġistrati bl-ammont nominali nett mit-tħassir/tniżżil fil-valur fi żmien il-bejgħ. Dan it-tħassir/tniżżil fil-valur għandu jiġi rrapportat, meta jkun jista' jiġi identifikat, taħt l-entrata 3.2B fil-formola tar-rapportar (ara iktar 'il quddiem). Fil-każ ta' IFM li jirrapportaw self nett mill-provvedimenti, it-trasferimenti għandhom jiġu rreġistrati bil-valur tal-karta tal-bilanċ (jiġifieri l-ammont nominali nett mill-provvedimenti pendenti). Flussi nett relatati mal-għoti ta' self bħala kollateral lill-Eurosistema għal operazzjonijiet ta' kreditu tal-politika monetarja fil-forma ta' klejms ta' kreditu li jirriżultaw fi trasferiment mhux dekontabilizzat mill-karta tal-bilanċ huma esklużi minn din l-entrata.

Ir-rekwiżiti tal-Parti 5 tal-Anness I għar-Regolament (UE) Nru 1071/2013 (BĊE/2013/33) ikopru dawn l-elementi b'mod parzjali. It-Taqsimiet 2.1 tat-Tabella 5a dwar id-dejta tax-xahar u t-Tabella 5b dwar id-dejta trimestrali jkopru dejta fuq il-flussi netti ta' self li huwa titolizzat jew ittrasferit b'xi mod ieħor mingħajr ebda impatt fuq l-istokks tas-self, iżda self lil unitajiet domestiċi għax-xiri ta' dar mhuwiex identifikat għalih u b'hekk għandu jinsilet għalih mid-databases interni tal-IFM. Barra minn hekk, kif ġie speċifikat iktar 'il fuq, ir-rekwiżiti jeskludu:

1. 

Self soġġett għal disponiment lil, jew akkwiżizzjoni minn, IFM domestika oħra, inklużi trasferimenti intragrupp dovuti għal ristrutturar tan-negozju korporattiv (eż. meta sussidjarja ta' IFM domestika tittrasferixxi pol ta' self lill-IFM prinċipali);

2. 

Trasferimenti ta' self fil-kuntest ta' riorganizzazzjonijiet intragrupp dovuti għal fużjonijiet, akkwiżizzjonijiet u diviżjonijiet.

Għall-finijiet tal-mili tal-formola tar-rapportar tat-TLTROs, iridu jiġu rrapportati dawn l-effetti kollha.

Għal definizzjoni iktar dettaljata tal-entrati li jridu jiġu inklużi, ara l-Parti 5 tal-Anness I għar-Regolament (UE) Nru 1071/2013 (BĊE/2013/33) u s-Sezzjoni 2.3 tal-“Manual on IFM balance sheet statistics”.

(ii)   Aġġustamenti oħrajn (3.2)

Dejta fuq aġġustamenti oħrajn trid tiġi rrapportata għal self eliġibbli pendenti fil-karta tal-bilanċ, eskluż self titolizzat jew ittrasferit b'xi mod ieħor li ma ġiex dekontabilizzat.

—   Rivalutazzjonijiet dovuti għal bidliet fir-rati tal-kambju (3.2 A)

Ċaqliq fir-rati tal-kambju kontra l-euro jġib miegħu bidliet fil-valur tas-self denominat f'muniti barranin meta jkun espress f'euro. Id-dejta fuq dawn l-effetti għandha tiġi rrapportata b'sinjal negattiv (pożittiv) meta f'termini netti jwasslu għal tnaqqis (żieda) fl-ammonti pendenti, u huma meħtieġa biex tkun tista' ssir rikonċiljazzjoni sħiħa bejn is-self nett u l-bidliet fl-ammonti pendenti.

Dawn l-aġġustamenti mhumiex koperti mir-rekwiżiti stabbiliti mir-Regolament (UE) Nru 1071/2013 (BĊE/2013/33). Għall-finijiet tal-formola tar-rapportar tat-TLTROs, jekk id-dejta (jew anki approssimazzjoni) ma tkunx disponibbli minnufih għall-IFM, dawn jistgħu jiġu kkalkolati skont il-gwida pprovduta fis-Sezzjoni 4.2.2 tal-“Manual on IFM balance sheet statistics”. Il-proċedura ta' stima ssuġġerita tillimita l-kamp ta' applikazzjoni tal-kalkoli għall-muniti ewlenin u hija msejsa fuq il-passi li ġejjin:

1. 

l-ammonti pendenti ta' self eliġibbli fi tmiem ix-xahar li jiġi qabel ma jibda l-perjodu u fi tmiem il-perjodu (entrati 1 u 4) huma disaggregati skont il-munita ta' denominazzjoni, b'enfasi fuq il-pools ta' self denominat f'GBP, USD, CHF u JPY (jekk din id-dejta mhijiex disponibbli minnufih, tista' tintuża dejta fuq l-ammonti pendenti totali fil-karta tal-bilanċ, inkluż self titolizzat jew ittrasferit b'xi mod ieħor li mhuwiex dekontabilizzat, l-entrati 1.1 u 4.1.);

2. 

kull pool ta' self hija ttrattata kif ġej (in-numri tal-ekwazzjoni relevanti fil-“Manual on IFM balance sheet statistics” huma pprovduti fil-parentesi):

— 
l-ammonti pendenti fi tmiem ix-xahar li jiġi qabel ma jibda l-perjodu tar-rapportar u fi tmiem il-perjodu huma kkonvertiti fil-munita oriġinali ta' denominazzjoni, billi jintużaw ir-rati tal-kambju nominali korrispondent ( 18 ) (l-ekwazzjonijiet [4.2.2] u [4.2.3]);
— 
il-bidla fl-ammonti pendenti matul il-perjodu ta' referenza denominati f'munita barranija hija kkalkolata u kkonvertita lura f'euro billi jintuża l-valur medju tar-rati tal-kambju ta' kuljum matul il-perjodu tar-rapportar (ekwazzjoni [4.2.4]);
— 
id-differenza bejn il-bidla fl-ammonti pendenti kkonvertiti f'euro, kif ikkalkolata fil-pass ta' qabel, u l-bidla fl-ammonti pendenti f'euro hija kkalkolata (ekwazzjoni [4.2.5], bis-sinjal oppost);
3. 

l-aġġustament finali tar-rata tal-kambju huwa stmat bħala s-somma tal-aġġustamenti għal kull munita.

Għal iktar tagħrif, ara s-Sezzjonijiet 1.6.3.5 u 4.2.2 tal-“Manual on IFM balance sheet statistics”.

—   Tħassir/tniżżil fil-valur (3.2B)

Skont ir-Regolament (UE) Nru 1071/2013 (BĊE/2013/33), “tniżżil fil-valur” tfisser it-tnaqqis dirett tal-ammont riportat ta' self fuq il-karta tal-bilanċ (statistika) dovut għall-indeboliment tiegħu. B'mod simili, “tħassir” tfisser tniżżil fil-valur tal-ammont riportat sħiħ ta' self li jwassal għat-tneħħija tiegħu mill-karta tal-bilanċ. L-effetti tat-tniżżil fil-valur u t-tneħħija għandhom jiġu rrapportati b'sinjal negattiv (pożittiv) meta f'termini netti dan jirriżulta fi tnaqqis (żieda) fl-ammonti pendenti. Din id-dejta hija meħtieġa biex tkun tista' ssir rikonċiljazzjoni sħiħa bejn is-self nett u l-bidliet fl-ammonti pendenti.

Fir-rigward tat-tneħħija/tniżżil fil-valur marbut ma' self pendenti fil-karta tal-bilanċ, tista' tintuża d-dejta miġbura biex tinżamm konformità mar-rekwiżiti minimi tal-Parti 4 tal-Anness I għar-Regolament (UE) Nru 1071/2013 (BĊE/2013/33) (Taqsima 2 tat-Tabella 1 A dwar l-aġġustamenti tar-rivalutazzjoni). Madankollu, is-separazzjoni tal-impatt tat-tneħħija/tniżżil fil-valur ta' self fuq self titolizzat jew ittrasferit b'xi mod ieħor li mhuwiex dekontabilizzat teħtieġ estrazzjoni ta' dejta separata mid-databases interni tal-IFM.

Fil-prinċipju, dejta fuq ammonti pendenti ta' self eliġibbli (entrati 1 u 4) hija korretta għall-ammonti pendenti ta' provvedimenti f'każijiet li fihom is-self jiġi rreġistrat bħala nett mill-provvedimenti fuq il-karta tal-bilanċ statistika.

F'każijiet li fihom il-parteċipanti jirrapportaw l-entrati 1.3 u 4.3, id-dejta fuq tħassir/tniżżil fil-valur tas-self għandha tinkorpora t-tħassir tal-kanċellazzjoni fl-imgħoddi fuq self li ma għadux rekuperabbli (b'mod parzjali jew sħiħ) u, barra minn hekk, għandha tinkludi wkoll kwalunkwe telf li jmur oltre l-provvedimenti, jekk dan ikun applikabbli. Bl-istess mod, meta self ipprovdut ikun titolizzat jew ittrasferit b'xi mod ieħor, irid jiġi rreġistrat tħassir/tniżżil fil-valur li jiġi daqs il-provvedimenti pendenti, bis-sinjal oppost, sabiex jaqbel mal-bidla fil-valur fil-karta tal-bilanċ, ikkoreġut għall-ammonti ta' provvedimenti u l-valur tal-fluss nett. Il-provvedimenti jistgħu jinbidlu maż-żmien minħabba provvedimenti ġodda għal indeboliment u telf minn self (nett minn reversals possibbli, inkluż dak li jseħħ meta self jitħallas lura mill-mutwatarju). It-tali bidliet ma għandhomx jiġu rreġistrati fil-formola ta' rapportar tat-TLTROs bħala parti mit-tħassir/tniżżil fil-valur (peress li l-formola terġa' ssawwar il-valuri gross mill-provvedimenti) ( 19 ).

Is-separazzjoni tal-impatt tat-tħassir/tniżżil fil-valur tas-self fuq self titolizzat jew ittrasferit b'xi mod ieħor li mhuwiex dekontabilizzat tista' titneħħa jekk ma tistax tiġi estratta dejta separata mid-databases interni tal-IFM.

Meta tkun il-prattika li l-ammonti pendenti ta' self jiġu rrapportati netti mill-provvedimenti, iżda l-entrati relevanti (1.3 u 4.3) relatati mal-provvedimenti ma jkunux irrapportati (ara iktar 'il fuq), it-tħassir/tniżżil fil-valur irid jinkludi provvedimenti ġodda għal indeboliment u għat-telf minn self fuq il-portafoll tas-self (nett minn “reversals” possibbli, inkluż dak li jseħħ meta self jitħallas lura mill-mutwatarju) ( 20 ).

Ma hemmx bżonn li jiġi separat l-impatt tat-tħassir/tniżżil fil-valur fuq self titolizzat jew self ittrasferit b'xi mod ieħor li mhuwiex dekontabilizzat jekk ma tkunx tista' tiġi estratta dejta separata fuq provvedimenti mid-databases interni tal-IFM.

Fil-prinċipju, dawn l-entrati jkopru wkoll rivalutazzjonijiet li jirriżultaw meta s-self ikun titolizzat jew ittrasferit b'xi mod ieħor u l-valur tat-tranżazzjoni jvarja mill-ammont nominali pendenti meta jseħħ it-trasferiment. Dawn ir-rivalutazzjonijiet iridu jiġu rrapportati, meta jkunu jistgħu jiġu identifikati, u għandhom jiġu kkalkolati bħala d-differenza bejn il-valur tat-tranżazzjoni u l-ammont nominali pendenti fi żmien il-bejgħ.

Għal iktar tagħrif, ara l-Parti 4 tal-Anness I għar-Regolament (UE) Nru 1071/2013 (BĊE/2013/33) u s-Sezzjoni 1.6.3.3 tal-“Manual on IFM balance sheet statistics”.

—   Riklassifikazzjonijiet (3.2C)

Ir-riklassifikazzjonijiet jirreġistraw l-effetti kollha l-oħrajn li mhumiex marbutin mas-self nett, kif iddefinit iktar 'il fuq, iżda jirriżultaw f'bidliet fl-ammonti pendenti ta' self fil-karta tal-bilanċ, għajr self titolizzat jew ittrasferit b'xi mod ieħor li ma ġiex dekontabilizzat.

Dawn l-effetti mhumiex koperti mir-rekwiżiti stabbiliti fir-Regolament (UE) Nru 1071/2013 (BĊE/2013/33) u l-impatt tagħhom normalment jiġi stmat fuq bażi aggregata meta jissawru statistiki makroekonomiċi. Madankollu, huma importanti fil-livell tal-istituzzjonijiet individwali (jew gruppi tat-TLTROs) sabiex jiġu rikonċiljati s-self nett u l-bidliet fl-ammonti pendenti.

Iridu jiġu rrapportati l-effetti li ġejjin, fir-rigward tal-ammonti pendenti ta' self fil-karta tal-bilanċ, għajr self titolizzat jew ittrasferit b'xi mod ieħor li mhuwiex dekontabilizzat u tapplika l-konvenzjoni tas-soltu ta' reġistrazzjoni tal-effetti li jwasslu għat-tnaqqis (żidiet) fl-ammonti pendenti b'sinjal negattiv (pożittiv).

1. 

Bidliet fil-klassifikazzjoni tas-settur jew il-post ta' residenza tal-mutwatarji li jirriżultaw f'bidliet fil-pożizzjonijiet pendenti rrapportati li mhumiex dovuti għas-self nett u b'hekk iridu jiġu rreġistrati ( 21 ).

2. 

Bidliet fil-klassifikazzjoni tal-istrumenti. Dawn jistgħu jaffettwaw l-indikaturi wkoll jekk l-ammonti pendenti ta' self jiżdiedu (jonqsu) minħabba, pereżempju, ir-riklassifikazzjoni ta' titolu ta' dejn (self) bħala self (titolu ta' dejn).

3. 

Aġġustamenti li jirriżultaw mill-korrezzjoni ta' żbalji fir-rapportar.

Effetti marbutin mat-trasferimenti ta' self li jirriżultaw fil-kuntest ta' ristrutturar korporattiv u riorganizzazzjonijiet intragrupp dovuti għal fużjonijiet, akkwiżizzjonijiet u diviżjonijiet iridu jiġu rrapportati fl-entrata 3.1.B. Ma hija meħtieġa ebda riklassifikazzjoni fir-rigward tal-bidliet fil-kompożizzjoni tal-gruppi tat-TLTROs, peress li f'dawn il-każijiet il-formoli tar-rapportar iridu jiġu sottomessi mill-ġdid filwaqt li jkunu jirriflettu l-kompożizzjoni l-ġdida tal-grupp tat-TLTROs.

Għal iktar tagħrif, ara s-Sezzjoni 1.6.3.4 tal-“Manual on IFM balance sheet statistics”; madankollu, id-differenzi kunċettwali enfasizzati hawn fuq għandhom jittieħdu f'kunsiderazzjoni għall-finijiet ta' derivazzjoni ta' dejta dwar ir-riklassifikazzjoni fil-livell tal-istituzzjonijiet individwali.

image



( 1 ) Ir-Regolament tal-Kunsill (KE) Nru 2533/98 tat-23 ta' Novembru 1998 dwar il-ġbir ta' tagħrif statistiku mill-Bank Ċentrali Ewropew (ĠU L 318, 27.11.1998, p. 8).

( 2 ) Ir-Regolament (KE) Nru 25/2009 tal-Bank Ċentrali Ewropew tad-19 ta' Diċembru 2008 dwar il-karta tal-bilanċ tas-settur tal-istituzzjonijiet finanzjarji monetarji (BĊE/2008/32) (ĠU L 15, 20.1.2009, p. 14), li mill-1 ta' Jannar 2015 għandu jiġi sostitwit mir-Regolament (UE) Nru 1071/2013 tal-Bank Ċentrali Ewropew tal-24 ta' Settembru 2013 dwar il-karta tal-bilanċ ikkonsolidata tas-settur tal-istituzzjonijiet finanzjarji monetarji (BĊE/2013/33) (ĠU L 297, 7.11.2013, p. 1).

( 3 ) Ir-Regolament (KE) Nru 1745/2003 tal-Bank Ċentrali Ewropew tat-12 ta' Settembru 2003 dwar l-applikazzjoni ta' riżervi minimi (BĊE/2003/9) (ĠU L 250, 2.10.2003, p. 10).

( 4 ) Deċiżjoni (UE) 2016/810 tal-Bank Ċentrali Ewropew tat-28 ta' April 2016 dwar it-tieni serje ta' operazzjonijiet speċifiċi ta' rifinanzjament għal żmien itwal (BĊE/2016/10) (ĠU L 132, 21.5.2016, p. 107).

( 5 ) Gwida (UE) 2015/510 tal-Bank Ċentrali Ewropew tad-19 ta' Diċembru 2014ĠU L 91, 2.4.2015, p. 3 dwar l-implimentazzjoni tal-politika monetarja tal-Eurosistema (BĊE/2014/60).

( 6 ) Id-Deċiżjoni tal-BĊE/2010/10 tad-19 ta' Awwissu 2010 dwar nuqqas ta' konformità mar-rekwiżiti għar-rappurtar tal-istatistika (ĠU L 226, 28.8.2010, p. 48).

( 7 ) Referenzi għal “parteċipant” għandhom jinftiehmu li japplikaw għal parteċipanti individwali jew gruppi tat-TLTROs.

( 8 ►M1  Għat-TLTRO li għandhom isiru f'Marzu 2015 (k = 3), il-limitu huwa C 3max{0, AA 3}. ◄

( 9 ) Għall-finijiet tal-formola ta' rapportar “unitajiet domestiċi” tinkludi istituzzjonijiet mingħajr skop ta' qligħ li jaqdu lil unitajiet domestiċi.

( 10 ) Ir-Regolament (UE) Nru 1071/2013 tal-Bank Ċentrali Ewropew tal-24 ta' Settembru 2013 dwar il-karta tal-bilanċ ikkonsolidata tas-settur tal-istituzzjonijiet finanzjarji monetarji (BĊE/2013/33) (ĠU L 297, 7.11.2013, p. 1).

( 11 ) Ir-rapportar tal-IFM skont ir-Regolament (UE) Nru 1071/2013 (BĊE/2013/33) ser jidħol fis-seħħ mix-xahar ta' referenza ta' Diċembru 2014. L-att legali ta' qabel li jifforma l-bażi għar-rapportar tal-istatistiki huwa r-Regolament (KE) Nru 25/2009 (BĊE/2008/32). Għalhekk, dan ir-Regolament japplika għar-rapportar ta' dejta tat-TLTROs għall-perjodi ta' referenza sa Diċembru 2014. Madankollu, id-differenzi bejn iż-żewġ Regolamenti mhumiex sinifikanti f'termini tal-impatt tagħhom fuq il-programm tat-TLTROs, bl-eċċezzjoni tad-definizzjoni ta' “korporazzjonijiet mhux finanzjarji” (ara n-nota f'qiegħ il-paġna iktar 'l isfel).

( 12 ►M1  Il-klassifikazzjoni tas-settur ta' korporazzjonijiet azzjonarji ta' korporazzjonijiet mhux finanzjarji fir-Regolament (KE) Nru 25/2009 (BĊE/2008/32) ġiet emendata fir-Regolament (UE) Nru 1071/2013 (BĊE/2013/33) sabiex tirrifletti bidliet fl-istandards internazzjonali tal-istatistika. Taħt ir-Regolament (UE) Nru BĊE/1071/2013, il-korporazzjonijiet azzjonarji ta' korporazzjonijiet mhux finanzjarji huma kklassifikati mill-ġdid bħala korporazzjonijiet finanzjarji. Ir-rapportar tat-TLTROs irid ikun konformi mal-qafas dwar il-BSI: b'effett minn Diċembru 2014, id-dejta ma għandhiex tkopri korporazzjonijiet azzjonarji u l-aġġustamenti għandhom jintbagħtu kif xieraq. ◄

( 13 ) Ara l-“Manual on MFI balance sheet statistics”, BĊE, April 2012, disponibbli fuq http://www.ecb.europa.eu. B'mod partikolari, is-Sezzjoni 2.1.4, p. 76 tittratta r-rapportar statistiku tas-self.

( 14 ) Din l-eċċezzjoni għandha applikazzjonijiet għar-rapportar tad-dejta fuq tħassir/tniżżil fil-valur ukoll, kif iċċarat iktar 'il quddiem.

( 15 ) Din il-konvenzjoni tas-sinjali (li hija l-kontra tar-rekwiżiti tar-Regolament (UE) Nru 1071/2013 (BĊE/2013/33) hija konsistenti mar-rekwiżit ġenerali dwar id-dejta ta' aġġustament, kif speċifikat iktar 'il fuq — jiġifieri effetti li jwasslu għal żidiet (tnaqqisijiet) fl-ammonti pendenti jridu jiġu rrapportati b'sinjal pożittiv (negattiv).

( 16 ) Kif intqal iktar 'il fuq, ir-Regolament (UE) Nru 1071/2013 (BĊE/2013/33) jippermetti lill-IFM sabiex jirrapportaw self mixtri bil-valur tat-tranżazzjoni tagħhom (diment li din tkun prattika nazzjonali applikati mill-IFM kollha residenti fil-pajjiż). F'każijiet bħal dawn, il-komponenti ta' rivalwazzjoni li jistgħu jiġġarrbu jridu jiġu rrapportati fil-formola taħt l-entrata 3.2B.

( 17 ) B'konformità mar-rekwiżiti tar-Regolament (KE) Nru 25/2009 (BĊE/2008/32), li għandhom jiġu applikati mill-IFM meta jirrapportaw statistiki dwar il-BSI sax-xahar ta' referenza ta' Novembru 2014, it-trasferimenti kollha bejn l-IFM taż-żona tal-euro huma esklużi mill-flussi netti, mhux biss dawk bejn IFM domestiċi.

( 18 ) Għandhom jintużaw ir-rati tal-kambju ta' referenza tal-BĊE. Ara l-istqarrija għall-istampa tat-8 ta' Lulju 1998 dwar l-istabbiliment ta' standards tas-suq komuni li hija disponibbli fis-sit tal-BĊE (http://www.ecb.europa.eu).

( 19 ) Ta' min jinnota li dan ir-rekwiżit ivarja mir-rekwiżiti ta' rapportar skont ir-Regolament (UE) Nru 1071/2013 (BĊE/2013/33).

( 20 ) Dan ir-rekwiżit huwa l-istess bħat-tagħrif li jrid jiġi rrapportat skont ir-Regolament (UE) Nru 1071/2013 (BĊE/2013/33) mill-IFM li jirreġistraw self nett mill-provvedimenti.

( 21 ►M1  L-effetti tar-riklassifikazzjoni tal-korporazzjonijiet azzjonarji ta' korporazzjonijiet mhux finanzjarji bħala korporazzjonijiet finanzjarji, li seħħet f'Diċembru 2014, għandhom jiġu rreġistrati taħt il-partita 3.2C. ◄