ISSN 1977-0960

Europos Sąjungos

oficialusis leidinys

C 88

European flag  

Leidimas lietuvių kalba

Informacija ir pranešimai

65 metai
2022m. vasario 24d.


Turinys

Puslapis

 

II   Komunikatai

 

EUROPOS SĄJUNGOS INSTITUCIJŲ, ĮSTAIGŲ IR ORGANŲ PRIIMTI KOMUNIKATAI

 

Europos Komisija

2022/C 88/01

AnaEE-ERIC – Europos Mokslinių Tyrimų Infrastruktūros Konsorciumas. — Įstatai

1


 

IV   Pranešimai

 

EUROPOS SĄJUNGOS INSTITUCIJŲ, ĮSTAIGŲ IR ORGANŲ PRANEŠIMAI

 

Europos Komisija

2022/C 88/02

2022 m. vasario 23 d. Euro kursas

23


 

V   Nuomonės

 

PROCEDŪROS, SUSIJUSIOS SU KONKURENCIJOS POLITIKOS ĮGYVENDINIMU

 

Europos Komisija

2022/C 88/03

Išankstinis pranešimas apie koncentraciją (Byla M.10606 – MUBADALA / NATIONALE-NEDERLANDEN / HEALTHCARE ACTIVOS MANAGEMENT / HEALTHCARE ACTIVOS YIELD SOCIMI / HEALTHCARE ACTIVOS INVESTMENT / SEQUÊNCIALTERNATIVA). Bylą numatoma nagrinėti supaprastinta tvarka ( 1 )

24

 

KITI AKTAI

 

Europos Komisija

2022/C 88/04

Pranešimo apie vyno sektoriaus produkto specifikacijos standartinio pakeitimo patvirtinimą paskelbimas pagal Komisijos deleguotojo reglamento (ES) 2019/33 17 straipsnio 2 ir 3 dalis

26

2022/C 88/05

Pranešimo apie vyno sektoriaus produkto specifikacijos standartinio pakeitimo patvirtinimą paskelbimas pagal Komisijos deleguotojo reglamento (ES) 2019/33 17 straipsnio 2 ir 3 dalis

32

2022/C 88/06

Komisijos deleguotojo reglamento (ES) 2019/33 17 straipsnio 2 ir 3 dalyse nurodyto pranešimo apie vyno sektoriaus produkto specifikacijos standartinio pakeitimo patvirtinimą paskelbimas

46

2022/C 88/07

Pranešimo apie vyno sektoriaus produkto specifikacijos standartinio pakeitimo patvirtinimą paskelbimas pagal Komisijos deleguotojo reglamento (ES) 2019/33 17 straipsnio 2 ir 3 dalis

58

2022/C 88/08

Pranešimo apie vyno sektoriaus produkto specifikacijos standartinio pakeitimo patvirtinimą paskelbimas pagal Komisijos deleguotojo reglamento (ES) 2019/33 17 straipsnio 2 ir 3 dalis

65

2022/C 88/09

Vyno sektoriaus produkto specifikacijos pakeitimo paraiškos, nurodytos Europos Parlamento ir Tarybos reglamento (ES) Nr. 1308/2013 105 straipsnyje, paskelbimas

70

2022/C 88/10

Pranešimo apie vyno sektoriaus produkto specifikacijos standartinio pakeitimo patvirtinimą paskelbimas pagal Komisijos deleguotojo reglamento (ES) 2019/33 17 straipsnio 2 ir 3 dalis

79

2022/C 88/11

Pranešimo apie vyno sektoriaus produkto specifikacijos standartinio pakeitimo patvirtinimą paskelbimas pagal Komisijos deleguotojo reglamento (ES) 2019/33 17 straipsnio 2 ir 3 dalis

87

2022/C 88/12

Pranešimo apie vyno sektoriaus produkto specifikacijos standartinio pakeitimo patvirtinimą paskelbimas pagal Komisijos deleguotojo reglamento (ES) 2019/33 17 straipsnio 2 ir 3 dalis

95

2022/C 88/13

Pranešimo apie vyno sektoriaus produkto specifikacijos standartinio pakeitimo patvirtinimą paskelbimas pagal Komisijos deleguotojo reglamento (ES) 2019/33 17 straipsnio 2 ir 3 dalis

101


 


 

(1)   Tekstas svarbus EEE.

LT

 


II Komunikatai

EUROPOS SĄJUNGOS INSTITUCIJŲ, ĮSTAIGŲ IR ORGANŲ PRIIMTI KOMUNIKATAI

Europos Komisija

2022 2 24   

LT

Europos Sąjungos oficialusis leidinys

C 88/1


„AnaEE-ERIC“ – Europos Mokslinių Tyrimų Infrastruktūros Konsorciumas

ĮSTATAI

(2022/C 88/01)

Turinys

PREAMBULĖ 2

1 SKYRIUS

ESMINIAI ELEMENTAI 3

1 straipsnis

Pavadinimas 3

2 straipsnis

Buveinė 3

3 straipsnis

Užduotys ir veikla 3

4 straipsnis

Veiklos trukmė ir likvidavimo tvarka 4

5 straipsnis

Taisyklės dėl atsakomybės 4

6 straipsnis

Politika dėl naudotojams suteikiamos prieigos 4

7 straipsnis

Mokslinio vertinimo politika 5

8 straipsnis

Rezultatų sklaidos politika 5

9 straipsnis

Intelektinės nuosavybės teisių politika 5

10 straipsnis

Užimtumo politika 5

11 straipsnis

Viešųjų pirkimų politika 6

2 SKYRIUS

NARYSTĖ 6

12 straipsnis

Narystė ir atstovaujantysis subjektas 6

13 straipsnis

Narių ir stebėtojų priėmimas 6

14 straipsnis

Nario arba stebėtojo pasitraukimas ir narystės arba stebėtojo statuso galiojimo nutraukimas 7

3 SKYRIUS

NARIŲ IR STEBĖTOJŲ TEISĖS IR PAREIGOS 8

15 straipsnis

Nariai 8

16 straipsnis

Stebėtojai 8

17 straipsnis

Įnašai 9

4 SKYRIUS

VALDYMAS 9

18 straipsnis

Narių susirinkimas 9

19 straipsnis

Generalinis direktorius 10

20 straipsnis

Centrinis padalinys 11

21 straipsnis

„AnaEE-ERIC“ paslaugų centrai 12

22 straipsnis

Nacionaliniai centrai ir nacionalinės platformos 12

23 straipsnis

Valdyba 12

24 straipsnis

Nepriklausomas patariamasis mokslinis komitetas (ISAC) 13

25 straipsnis

Nepriklausomas patariamasis etikos komitetas (IEAC) 13

26 straipsnis

Suinteresuotųjų subjektų komitetas 14

27 straipsnis

Pagalbiniai organai 14

5 SKYRIUS

ATASKAITŲ TEIKIMAS EUROPOS KOMISIJAI 14

28 straipsnis

Ataskaitų teikimas Europos Komisijai 14

6 SKYRIUS

FINANSAI 15

29 straipsnis

Finansiniai metai 15

30 straipsnis

Ištekliai 15

31 straipsnis

Narių ir stebėtojų įnašams taikomi principai 15

32 straipsnis

Biudžetas, biudžeto principai, finansinės ataskaitos ir auditas 15

33 straipsnis

Mokesčiai 16

7 SKYRIUS

ĮVAIRIOS NUOSTATOS 16

34 straipsnis

Taikytina teisė 16

35 straipsnis

Darbo kalba 16

36 straipsnis

Ginčai 16

37 straipsnis

Įstatų pakeitimai, atnaujinimai ir prieinamumas 17

38 straipsnis

Steigimo nuostatos 17

I priedas

APIBRĖŽTYS 18

II priedas

NARIŲ, STEBĖTOJŲ IR ATSTOVAUJANČIŲJŲ SUBJEKTŲ SĄRAŠAS 19

III priedas

ĮNAŠAI Į BIUDŽETĄ 20

PREAMBULĖ

ATSIŽVELGIANT Į TAI, kad žemės ūkio, miškų, gėlo vandens ir kitų žmogaus valdomų ir natūralių ekosistemų tvarumas yra labai svarbus žmonijos ateičiai, ir suprantant, kad klimato kaita, biogeocheminių ciklų trikdymas, biologinės įvairovės nykimas ir žemės naudojimo keitimas kelia grėsmę Tūkstantmečio ekosistemų vertinime nurodytoms ekosisteminėms paslaugoms;

ATSIŽVELGIANT Į TAI, kad, norint numatyti ir prognozuoti šių precedento neturinčių Žemės sistemos pokyčių pasekmes, reikia ne tik geriau suprasti ekosisteminių procesų sudėtingumą ir jų veiksnius, bet ir įgyti reikiamų žinių, kad būtų galima geriau prisitaikyti prie besikeičiančios ateities;

ATSIŽVELGIANT Į TAI, kad, stokodama žinių apie ekosistemų veikimo ir aplinkos tarpusavio priklausomybę, Europa ir toliau negalės vertinti klimato kaitos poveikio, švelninti rizikos ir rengti atitinkamų planų;

PRIPAŽĮSTANT, kad ekosistemų analizės ir eksperimentų infrastruktūra („AnaEE-ERIC“) bus unikali ilgalaikė ir integruota viso žemyno eksperimentinių mokslinių tyrimų infrastruktūra, pagrįsta paskirstytosiomis (dabartinėmis ir naujomis) pažangiomis eksperimentinėmis platformomis (lauko ir uždaromis ekosistemų platformomis), modeliavimo platformomis ir analizės platformomis;

PRIPAŽĮSTANT, kad šių nacionalinių platformų koordinavimas ir integravimas per viršvalstybinius subjektus (Centrinį padalinį ir paslaugų centrus) užtikrins plačią tarptautinę prieigą, platformų vykdomus bendrus mokslinių tyrimų projektus, tobulesnius ir darnesnius matavimus ir duomenis, duomenų ir modelių sąsajas ir atvirą prieigą prie duomenų ir sintezių;

PRIPAŽĮSTANT, kad „AnaEE-ERIC“ plėtos ekosistemų mokslo ir valdymo technologijas ir praktinę patirtį ir padės pereiti prie tvarių maisto sistemų bei siekti bendrųjų Europos bioekonomikos ir strategijos „nuo ūkio iki stalo“ tikslų;

šiuose įstatuose vartojamų terminų apibrėžtys nustatytos I priede.

TODĖL nariai prašo Europos Komisijos pagal 2009 m. birželio 25 d. Tarybos reglamentą (EB) Nr. 723/2009 įsteigti „AnaEE“ – Europos mokslinių tyrimų infrastruktūros konsorciumą (ERIC),

SUSITARĖ:

1 SKYRIUS

ESMINIAI ELEMENTAI

1 straipsnis

Pavadinimas

Įsteigiamas paskirstytosios Europos mokslinių tyrimų infrastruktūros konsorciumas (ERIC) „Ekosistemų analizė ir eksperimentai“ (toliau – „AnaEE-ERIC“). Šis konsorciumas turi Europos mokslinių tyrimų infrastruktūros konsorciumo (ERIC), įsteigto pagal Reglamento (EB) Nr. 723/2009 nuostatas, statusą.

2 straipsnis

Buveinė

„AnaEE-ERIC“ buveinė yra Žife prie Iveto (Prancūzija).

3 straipsnis

Užduotys ir veikla

1.   Pagrindinė „AnaEE-ERIC“ užduotis – sukurti ir eksploatuoti paskirstytąją mokslinių tyrimų infrastruktūrą, skirtą ekosistemų analizei ir eksperimentams. Jo tikslas – pasiūlyti priemonių, paslaugų ir žinių, reikalingų visuomenei kylančioms sudėtingoms pasaulinėms aplinkos ir klimato problemoms spręsti.

2.   „AnaEE-ERIC“ vykdo veiklą padedamas Centrinio padalinio, Sąveikos ir sintezės centro, Technologijų centro ir Duomenų modeliavimo centro.

3.   1 dalies taikymo tikslais „AnaEE-ERIC“:

a.

koordinuoja prieigą prie eksperimentus, analizes ir modeliavimą atliekančių nacionalinių platformų ir organizuoja bendradarbiavimą su Europoje veikiančiais objektais;

b.

sudaro geresnes sąlygas Europos mokslinių tyrimų programoms ir projektams vykdyti;

c.

plėtoja technologijas, derina metodus, kuria pramonės partnerystes ir lengvina žinių perdavimą;

d.

prisideda prie keitimosi žiniomis ir (arba) kompetencija Europos mokslinių tyrimų erdvėje (EMTE) ir didesnio intelektinio potencialo naudojimo visoje Europoje;

e.

plėtoja prieigą prie duomenų, dalijimąsi jais ir modeliavimą;

f.

organizuoja mokymus;

g.

įgyvendina komunikacijos strategiją;

h.

vykdo bet kokią kitą susijusią veiklą, reikalingą savo tikslams pasiekti.

4.   „AnaEE-ERIC“ savo pagrindinę užduotį vykdo nesiekdamas ekonominės naudos. „AnaEE-ERIC“ gali vykdyti ribotą ekonominę veiklą, jei ji yra glaudžiai susijusi su 3 straipsnio 3 dalyje nustatytomis pagrindinėmis užduotimis ir netrukdo jų vykdyti.

4 straipsnis

Veiklos trukmė ir likvidavimo tvarka

1.   „AnaEE-ERIC“ įsteigiamas pradiniam 10 metų laikotarpiui. Narių susirinkimas gali nuspręsti pratęsti jo veiklą papildomiems iš eilės einantiems 10 metų laikotarpiams.

2.   Dėl „AnaEE-ERIC“ likvidavimo sprendimą priima Narių susirinkimas, laikydamasis Įstatų 18 straipsnio 10 dalies.

3.   Be reikalo nedelsdamas ir bet kuriuo atveju per 10 dienų nuo sprendimo likviduoti „AnaEE-ERIC“ priėmimo tas konsorciumas praneša Europos Komisijai apie tokį sprendimą.

4.   Sumokėjus „AnaEE-ERIC“ skolas likęs turtas padalijamas nariams proporcingai jų sukauptai Įstatų 17 straipsnyje nurodyto konsorciumui „AnaEE-ERIC“ mokėtino metinio įnašo sumai.

5.   Be reikalo nedelsdamas ir bet kuriuo atveju per 10 dienų po likvidavimo procedūros užbaigimo „AnaEE-ERIC“ praneša apie tai Komisijai.

6.   „AnaEE-ERIC“ nustoja egzistuoti Europos Komisijos pranešimo apie tai paskelbimo Europos Sąjungos oficialiojo leidinio L serijoje dieną.

5 straipsnis

Taisyklės dėl atsakomybės

1.   „AnaEE-ERIC“ atsako už savo skolas.

2.   Narių finansinė atsakomybė už bet kokio pobūdžio „AnaEE-ERIC“ skolas neviršija jų atitinkamo įnašo į „AnaEE-ERIC“ už paskutinius ištisus veiklos metus.

3.   „AnaEE-ERIC“ įsigyja tinkamą draudimą savo veiklai būdingai rizikai padengti.

6 straipsnis

Politika dėl naudotojams suteikiamos prieigos

1.   Prieiga prie „AnaEE-ERIC“ įrenginių ir paslaugų, kurias teikia „AnaEE-ERIC“ centrinis padalinys arba jo paslaugų centrai, suteikiama remiantis atvirosios prieigos principais. „AnaEE-ERIC“ taiko prieigos prie infrastruktūros taisykles ir mokesčių politiką, kuria jo nariams suteikiama paskatų.

2.   „AnaEE-ERIC“ savo interneto portale teikia informaciją apie klimato ir biogeografinius gradientus, taip pat apie papildomus „AnaEE-ERIC“ platformų įgūdžius ir metodus, kad padėtų mokslininkams rengti projektus ir palengvintų projektų inkubavimą, naudojantis įvairiomis jo narių platformomis.

3.   „AnaEE-ERIC“ centrinis padalinys užtikrina prieigą prie „AnaEE-ERIC“ įrenginių ir paslaugų, kurias teikia paslaugų centrai arba nacionalinės platformos, remdamasis siūlomos naudojimo paskirties mokslinės kokybės vertinimu ir atsižvelgdamas į Narių susirinkimo paskirto ekspertų komiteto atliktą nepriklausomą mokslinį vertinimą ir „AnaEE-ERIC“ įvertintas technines galimybes. Galimus su pasiūlymu susijusius etikos klausimus spręs Nepriklausomas etikos patariamasis komitetas (žr. Įstatų 25 straipsnį).

4.   Jei tyrėjų prieiga prie „AnaEE-ERIC“ įrenginių ir paslaugų turi būti ribojama dėl su pajėgumu susijusių priežasčių, atranka atliekama Įstatų taikymo taisyklėse nustatyta tvarka, atsižvelgiant į atrankos kriterijus, grindžiamus moksline kompetencija, taip pat techniniu ir finansiniu pasiūlymų pagrįstumu.

5.   „AnaEE-ERIC“ užtikrina kiekvieno projekto metaduomenų (tiek eksperimentinių nuostačių nacionalinėse platformose, tiek paslaugų centrų rengiamų duomenų) prieinamumą ankstyvuoju etapu.

6.   Duomenys pateikiami pagal „AnaEE-ERIC“ atviros prieigos politiką. Prieiga bus reglamentuojama pagal Įstatų taikymo taisykles, paprastai numatant bendrą lengvatinį laikotarpį, kuriam pasibaigus duomenys taps prieinami visuomenei. Rengiant prieigos politiką atsižvelgiama į teisinę Europos duomenų apsaugos sistemą (1), susijusią su narių dalijimusi naudotojų asmens duomenimis.

7 straipsnis

Mokslinio vertinimo politika

„AnaEE-ERIC“ veiklą kas 5 metus vertina ad hoc nepriklausomas mokslinis komitetas. Narių susirinkimas inicijuoja tokį vertinimą ir prireikus duoda konkrečius nurodymus. Šio vertinimo principai ir procedūros bus apibrėžtos Įstatytų taikymo taisyklėse.

8 straipsnis

Rezultatų sklaidos politika

1.   „AnaEE-ERIC“ sudaro palankias sąlygas moksliniams tyrimams ir apskritai skatina teikti kuo atviresnę prieigą prie mokslinių tyrimų duomenų.

2.   „AnaEE-ERIC“ prašo naudotojų savo mokslinių tyrimų rezultatus skelbti viešai, o prieigą prie rezultatų suteikti per „AnaEE-ERIC“.

3.   Kad pasiektų tikslines auditorijas, „AnaEE-ERIC“ naudoja kelis kanalus, įskaitant interneto portalą, naujienlaiškius, praktinius seminarus, dalyvavimą konferencijose, straipsnius žurnaluose ir dienraščiuose, socialinius tinklus ir kt.

9 straipsnis

Intelektinės nuosavybės teisių politika

1.   Visos „AnaEE-ERIC“ veiklos metu sukurtos, atsiradusios, įgytos ar išplėtotos intelektinės nuosavybės teisės priklauso konsorciumui „AnaEE-ERIC“.

2.   Atsižvelgiant į „AnaEE-ERIC“ ir narių ar stebėtojų sutarčių sąlygas, visos intelektinės nuosavybės teisės, kurios yra sukurtos, atsiradusios, įgytos ar išplėtotos nario arba stebėtojo, priklauso tam nariui arba stebėtojui.

10 straipsnis

Užimtumo politika

1.   „AnaEE-ERIC“ užimtumo sąlygas reglamentuoja šalies, kurioje dirba „AnaEE-ERIC“ darbuotojai, įstatymai arba šalies, kurioje vykdoma jo veikla, įstatymai.

2.   „AnaEE-ERIC“ darbuotojų atrankos procedūra vyksta vadovaujantis skaidrumo, nediskriminavimo ir lygių galimybių principais. Samdant ir įdarbinant nediskriminuojama.

3.   Samdos procedūra bus vykdoma skelbiant kvietimą teikti paraiškas tarptautiniu mastu.

11 straipsnis

Viešųjų pirkimų politika

1.   „AnaEE-ERIC“ visus viešųjų pirkimų procedūrų kandidatus ir dalyvius vertina vienodai ir nediskriminuodamas, nepriklausomai nuo to, ar jie įsikūrę Europos Sąjungoje, ar už jos ribų. Vykdant „AnaEE-ERIC“ viešųjų pirkimų politiką paisoma skaidrumo, konkurencijos ir nediskriminavimo principų. Išsamios taisyklės dėl viešųjų pirkimų procedūrų ir kriterijų nustatomos Įstatų taikymo taisyklėse.

2.   Nariai ir stebėtojai su „AnaEE-ERIC“ veikla susijusius viešuosius pirkimus vykdo tinkamai atsižvelgdami į „AnaEE-ERIC“ poreikius, techninius reikalavimus ir atitinkamų įstaigų paskelbtas specifikacijas.

2 SKYRIUS

NARYSTĖ

12 straipsnis

Narystė ir atstovaujantysis subjektas

1.   „AnaEE-ERIC“ nariais arba balsavimo teisės neturinčiais „AnaEE-ERIC“ stebėtojais gali tapti šie subjektai:

a)

Europos Sąjungos valstybės narės;

b)

asocijuotosios šalys;

c)

trečiosios valstybės, kurios nėra asocijuotosios šalys;

d)

tarpvyriausybinės organizacijos.

2   Tapimo nariu arba stebėtoju sąlygos nustatytos 13 straipsnyje.

3   Tarp „AnaEE-ERIC“ narių turi būti bent viena valstybė narė ir dvi kitos šalys, kurios yra valstybės narės arba asocijuotosios šalys.

4   Visomis aplinkybėmis Europos Sąjungos valstybės narės arba asocijuotosios šalys kartu turi balsų daugumą Narių susirinkime. Narių susirinkimas nustato visus reikiamus balsavimo teisių pakeitimus, kad užtikrintų, jog „AnaEE-ERIC“ visada laikytųsi to reikalavimo.

5   12 straipsnio 1 dalyje nurodyti subjektai, pageidaujantys prisidėti prie „AnaEE-ERIC“ veiklos, tačiau dar negalintys prie jo prisijungti nario teisėmis, gali prašyti suteikti jiems stebėtojo statusą.

6   Bet kuriam 1 dalies a–c punktuose nurodytam nariui arba stebėtojui gali atstovauti vienas viešasis subjektas arba vienas privatusis subjektas, kuriam pavesta teikti viešąsias paslaugas; narys arba stebėtojas jį pasirenka savo nuožiūra ir paskiria pagal savo taisykles ir procedūras. Kiekvienas narys arba stebėtojas informuoja Narių susirinkimą, jeigu jis keičia atstovaujantįjį subjektą, jam paskirtas konkrečias teises ir pareigas ar atlieka kitus pakeitimus.

7   „AnaEE-ERIC“ nariai ir stebėtojai bei jiems atstovaujantys subjektai išvardyti II priede. II priedą nuolat atnaujina Narių susirinkimo pirmininkas.

13 straipsnis

Narių ir stebėtojų priėmimas

1.   Naujų narių priėmimo sąlygos:

a)

pareiškėjai raštu pateikia paraišką „AnaEE-ERIC“ narių susirinkimo pirmininkui ir generaliniam direktoriui;

b)

paraiškoje aprašoma, kaip pareiškėjas padės siekti 3 straipsnyje apibūdintų „AnaEE-ERIC“ tikslų ir vykdyti tame straipsnyje apibūdintą veiklą ir kaip jis vykdys 15 straipsnyje nurodytus įpareigojimus;

c)

naujų narių priėmimui turi pritarti Narių susirinkimas, kaip nurodyta 18 straipsnio 10 dalyje.

2.   Visų pirma, pareiškėjas turi įrodyti Narių susirinkimui priimtinu būdu (ir tai turi būti patikrinta tinkamomis kokybės užtikrinimo priemonėmis), kad jis turi priemonių ir yra pasiryžęs nuolat:

a)

prisidėti prie „AnaEE-ERIC“ išteklių ir paslaugų su ekosistemomis susijusių eksperimentų srityje;

b)

laikytis „AnaEE-ERIC“ nustatytų mokslinės kokybės standartų ir standartinių veiklos procedūrų;

c)

mokėti metinius finansinius įnašus į subalansuotą „AnaEE-ERIC“ metinį biudžetą;

d)

laikytis galiojančių įstatų;

e)

įsipareigoti būti „AnaEE-ERIC“ nariu mažiausiai penkerius metus.

3.   12 straipsnio 1 dalyje nurodyti subjektai, pageidaujantys prisidėti prie „AnaEE-ERIC“ veiklos, tačiau dar negalintys prie jo prisijungti nario teisėmis, gali prašyti suteikti jiems stebėtojo statusą. Stebėtojų priėmimo sąlygos:

a)

stebėtojai priimami ne daugiau kaip dviem dvejų metų laikotarpiams;

b)

pareiškėjai raštu pateikia paraišką Narių susirinkimo pirmininkui ir generaliniam direktoriui;

c)

paraiškoje aprašoma, kaip pareiškėjas prisidės prie „AnaEE-ERIC“ veiklos;

d)

stebėtojų priėmimui ar pakartotiniam priėmimui turi pritarti Narių susirinkimas.

14 straipsnis

Nario arba stebėtojo pasitraukimas ir narystės arba stebėtojo statuso galiojimo nutraukimas

1.   Per pirmuosius penkerius kalendorinius metus nuo „AnaEE-ERIC“ įsteigimo nė vienas narys negali pasitraukti.

2.   Pirmieji metai yra sutrumpinti metai, skaičiuojami nuo Komisijos sprendimo įsteigti „AnaEE-ERIC“ įsigaliojimo dienos.

3.   Praėjus pirmiems penkeriems narystės metams, narys gali pasitraukti pasibaigus finansiniams metams, einantiems po to, kai likus 12 mėnesių iki numatyto pasitraukimo pateikiamas prašymas.

4.   Prašymą leisti pasitraukti pateikęs narys nebeturi teisės balsuoti Narių susirinkime, jei siūlomi sprendimai jam neturi tiesioginio poveikio.

5.   Stebėtojai gali pasitraukti pasibaigus finansiniams metams, einantiems po to, kai likus 6 mėnesiams iki numatyto pasitraukimo pateikiamas prašymas.

6.   Visi finansiniai ir kiti įsipareigojimai turi būti įvykdyti iki pasitraukimo metų pabaigos. Jei to reikalauja aplinkybės, įsipareigojimai turi būti vykdomi ir įsigaliojus pasitraukimui, kad būtų užtikrintas teisiškai privalomų įsipareigojimų, kuriuos „AnaEE-ERIC“ prisiėmė dar iki atitinkamo nario prašymo leisti pasitraukti, vykdymas.

7.   Narių susirinkimas gali nutraukti narystę arba stebėtojo statuso galiojimą, jei tenkinamos visos šios sąlygos:

a)

narys arba stebėtojas šiurkščiai pažeidė vieną ar kelias šiuose įstatuose nustatytus įsipareigojimus;

b)

per 6 mėnesius po Narių susirinkimo pranešimo raštu apie pažeidimą gavimo narys arba stebėtojas tokio pažeidimo neištaisė.

8.   14 straipsnio 7 dalyje nurodytas narys arba stebėtojas turi paaiškinti savo poziciją „AnaEE-ERIC“ narių susirinkimui prieš šiam priimant sprendimą šiuo klausimu.

9.   14 straipsnio 7 dalyje nurodytomis aplinkybėmis Narių susirinkimas taip pat gali nuspręsti nario narystės nenutraukti, bet tam tikram laikotarpiui sustabdyti jo naudojimąsi balsavimo teise. Narių susirinkimas gali nubalsuoti už balsavimo teisės grąžinimą nariui, jei, Narių susirinkimo pasitenkinimui, toks narys ištaiso 14 straipsnio 7 dalyje nurodytą pažeidimą. Tokiame balsavime minėto nario atstovas nedalyvauja.

10.   Narių susirinkimas sustabdo nario naudojimąsi balsavimo teise iki tol, kol laiku neįvykdomi šių įstatų III priede nustatyti finansiniai įsipareigojimai.

11.   Nariai ar stebėtojai, kurie pasitraukia arba kurių narystė nutraukiama, neturi nei teisės susigrąžinti sumokėtų įnašų arba už juos gauti kompensaciją, nei teisės pretenduoti į „AnaEE-ERIC“ turtą.

3 SKYRIUS

NARIŲ IR STEBĖTOJŲ TEISĖS IR PAREIGOS

15 straipsnis

Nariai

1.   Narių teisės, be kita ko, yra:

a)

dalyvauti ir balsuoti Narių susirinkime;

b)

dalyvauti rengiant „AnaEE-ERIC“ strategiją ir politiką;

c)

naudoti „AnaEE-ERIC“ ženklą;

d)

prisidėti prie projektų pasiūlymų, kuriuos teikia konsorciumas „AnaEE-ERIC“;

e)

naudotis „AnaEE-ERIC“ koordinuojamomis paslaugomis ir veikla, skirtomis jo tyrėjų bendruomenei.

2.   Kiekvienas narys privalo:

a)

mokėti metinį finansinį įnašą, nurodytą Narių susirinkimo patvirtintuose atitinkamuose metiniuose finansiniuose biudžetuose;

b)

visapusiškai įgalioti savo atstovą (-us) balsuoti visais Narių susirinkime iškeltais ir darbotvarkėje paskelbtais klausimais;

c)

pagal „AnaEE-ERIC“ prieigos politiką suteikti prieigą prie nacionalinės platformos veiklos, atitinkančios „AnaEE-ERIC“ kriterijus;

d)

skatinti prie „AnaEE-ERIC“ veiklos prisidedančias nacionalines mokslinių tyrimų platformas pripažinti ir laikytis jo kokybės standartų ir standartinių veiklos procedūrų;

e)

skatinti tyrėjus naudotis „AnaEE-ERIC“ ištekliais ir paslaugomis.

16 straipsnis

Stebėtojai

1.   Stebėtojų teisės, be kita ko, yra:

a)

dalyvauti Narių susirinkime be balso teisės;

b)

dalyvauti „AnaEE-ERIC“ renginiuose, pavyzdžiui, praktiniuose seminaruose, konferencijose ir mokymuose, ir kitoje Narių susirinkimo numatytoje veikloje;

c)

gauti iš „AnaEE-ERIC“ paramą kuriant atitinkamas sistemas, procesus ir paslaugas.

2.   Kiekvienas stebėtojas privalo:

a)

pagal 18 straipsnį paskirti atstovaujantįjį subjektą;

b)

mokėti metinį įnašą, nustatytą atsižvelgiant į bendrus metinius narių finansinius įnašus, nedarant jiems jokio poveikio. Šio įnašo dydį nustato Narių susirinkimas;

c)

prisidėti prie „AnaEE-ERIC“ užduočių ir veiklos, nustatytų 3 straipsnyje;

d)

sudaryti susitarimą su „AnaEE-ERIC“, kuriame nustatomos sąlygos, kuriomis turi būti vykdomi įsipareigojimai ir gali būti įgyvendinamos jo teisės.

17 straipsnis

Įnašai

1.   Nariai ir stebėtojai moka III priede nustatytus metinius įnašus.

2.   Metinius įnašus nariai ir stebėtojai gali mokėti kaip įnašus grynaisiais pinigais ir (arba) kaip iš dalies nepiniginius įnašus. III priede išdėstomi ir Įstatytų taikymo taisyklėse patikslinami įnašų mokėjimo principai.

4 SKYRIUS

VALDYMAS

18 straipsnis

Narių susirinkimas

1.   Narių susirinkimas yra aukščiausias ir pagrindinis „AnaEE-ERIC“ valdymo organas, turintis visus sprendimų priėmimo įgaliojimus ir atsakingas už „AnaEE-ERIC“ valdymą bei priežiūrą. Jį sudaro tinkamai paskirti „AnaEE-ERIC“ narių ir stebėtojų atstovai. Nariams ir stebėtojams atstovauja ne daugiau kaip po du asmenis, iš kurių vienas turi mokslinės, o kitas – administracinės patirties. Laikoma, kad nariui ir stebėtojui yra atstovaujama, jei posėdyje dalyvauja bent po vieną jo atstovą.

2.   Kiekvienas narys turi po vieną balsą.

3.   Narių susirinkimas iš narių delegacijų išrenka pirmininką ir jo pavaduotoją. Pirmininkas ir jo pavaduotojas renkami 3 (trejų) metų kadencijai; ji paprastai gali būti pratęsiama vieną kartą. Pirmininkas neturi balsavimo teisės. Pirmininko pavaduotojas pavaduoja pirmininką, kai jis negali eiti pareigų. Išsami informacija apie rinkimus ir posėdžių eigą nustatyta Narių susirinkimo patvirtintose Įstatų taikymo taisyklėse.

4.   Narių susirinkimą pirmininkas šaukia pranešęs apie tai ne vėliau kaip prieš aštuonias savaites, o darbotvarkė su posėdžio dokumentais išplatinama likus ne mažiau kaip dviem savaitėms iki posėdžio. Kvietimas ir darbotvarkė paprastai išplatinami elektroninėmis priemonėmis. Išsami informacija nustatyta Narių susirinkimo patvirtintose Įstatų taikymo taisyklėse.

5.   Narių susirinkimas renkasi reguliariai, ne rečiau kaip kartą per metus. Posėdis laikomas įvykusiu, jei jame dalyvauja ne mažiau kaip 2/3 (du trečdaliai) narių arba jiems yra tinkamai atstovaujama. Posėdžiai gali vykti nuotoliniu būdu, įskaitant vaizdo konferencijas ir naudojant kitas sutartas elektronines priemones, tačiau jų metu priimti sprendimai ir išvados turi būti patvirtinti rašytine procedūra. Neeilinis Narių susirinkimo posėdis šaukiamas, jei to reikalauja ne mažiau kaip 1/3 (vienas trečdalis) narių.

6.   Narių susirinkimo posėdžiuose paprastai dalyvauja „AnaEE-ERIC“ generalinis direktorius.

7.   Narių susirinkimas gali kviesti į savo posėdžius ekspertus dalyvauti patarėjų teisėmis. Jei su konfidencialia informacija dirbama dalyvaujant išorės asmenims, jie turi iš anksto pasirašyti konfidencialumo deklaraciją.

8.   Narių susirinkimas sprendžia visus klausimus, kurie yra būtini „AnaEE-ERIC“ tikslams įgyvendinti ir kurie nėra aiškiai priskirti kitam valdymo organui ar kitai įstaigai.

9.   Jei aiškiai nenurodyta kitaip, visi Narių susirinkimo sprendimai priimami paprasta balsų dauguma.

10.   2/3 kvalifikuotos balsų daugumos reikia šiems sprendimams priimti:

a)

sprendimui dėl generalinio direktoriaus skyrimo ar atleidimo;

b)

sprendimui dėl pirmininko ir jo pavaduotojo rinkimo pagal šių įstatų 18 straipsnio 3 dalį;

c)

sprendimui dėl šių įstatų taikymo taisyklių patvirtinimo;

d)

sprendimui dėl „AnaEE-ERIC“ organų veiklos taisyklių patvirtinimo;

e)

sprendimui dėl „AnaEE-ERIC“ viešųjų pirkimų taisyklių patvirtinimo;

f)

sprendimui dėl metinės mokslinės darbo programos patvirtinimo;

g)

sprendimui dėl metinės finansinės ataskaitos patvirtinimo;

h)

sprendimui dėl metinio finansinio biudžeto keitimo atitinkamais finansiniais metais, kuriais biudžetas sumažinamas arba padidinamas mažiau nei 4 (keturiais) proc.;

i)

nutarimui dėl tinkamo pajamų lygio ir, be kita ko, rezervų formavimo;

j)

sprendimui dėl duomenų politikos principų ir prieigos politikos principų;

k)

sprendimui intelektinės nuosavybės teisių klausimais;

l)

sprendimui dėl valdybos steigimo;

m)

sprendimui dėl naujo nario priėmimo ir narystės nutraukimo;

n)

sprendimui dėl naujo stebėtojo priėmimo ir stebėtojo statuso galiojimo nutraukimo;

o)

sprendimui dėl „AnaEE-ERIC“ likvidavimo.

11.   Toliau nurodomi sprendimai priimami 2/3 kvalifikuota balsų dauguma, jei tokių narių įnašai sudaro ne mažiau kaip tris ketvirtadalius visų įnašų į „AnaEE-ERIC“ biudžetą arba jei už juos balsuoja visi dalyvaujantys arba atstovaujami ir balsuojantys nariai, išskyrus vieną:

a)

sprendimas dėl „AnaEE-ERIC“ finansinių taisyklių patvirtinimo;

b)

sprendimas dėl penkiamečio finansinio plano patvirtinimo;

c)

sprendimas dėl generalinio direktoriaus pateikto metinio finansinio biudžeto patvirtinimo;

d)

sprendimas dėl metinio finansinio biudžeto keitimo atitinkamais finansiniais metais, kuriais biudžetas sumažinamas arba padidinamas daugiau nei 4 (keturiais) proc.;

e)

sprendimas dėl pasiūlymo iš dalies keisti „AnaEE-ERIC“ įstatus ir atitinkamo pranešimo Europos Komisijai dėl patvirtinimo arba prieštaravimo pagal Reglamento (EB) Nr. 723/2009 9 ir 11 straipsnius.

12.   Susilaikiusiųjų balsai neįskaičiuojami kaip balsai už arba prieš atitinkamą nutarimą.

19 straipsnis

Generalinis direktorius

1.   Generalinis direktorius yra „AnaEE-ERIC“ vykdomasis direktorius ir teisinis atstovas.

2.   Paskelbęs tarptautinį konkursą, generalinį direktorių skiria Narių susirinkimas. Įstatų taikymo taisyklėse nustatytos išsamios vykdomojo direktoriaus skyrimo sąlygos.

3.   Generalinis direktorius atsako už:

a)

teisinį atstovavimą „AnaEE-ERIC“, įskaitant sutarčių sudarymą ir kitų teisinių bei administracinių procedūrų vykdymą pagal Narių susirinkimo sprendimus;

b)

„AnaEE-ERIC“ strategijos rengimą ir pasiūlymų teikimą Narių susirinkimui, remiantis tiesioginio bendravimo su „AnaEE-ERIC“ nariais, Valdyba, patariamosiomis tarybomis, centrais ir paslaugų centrais rezultatais;

c)

kasdienį vadovavimą „AnaEE-ERIC“, jo administravimą ir valdymą, įskaitant Narių susirinkimo priimtų sprendimų įgyvendinimą, vykdomų projektų ir iniciatyvų koordinavimą, visų „AnaEE-ERIC“ darbuotojų skyrimą ir vadovavimą sekretoriatui;

d)

pirmininkavimą Valdybai ir veiksmų delegavimą, kad būtų užtikrintas „AnaEE-ERIC“ sprendimų įgyvendinimas kiekviename paslaugų centre arba nacionaliniame centre;

e)

užtikrinimą, kad Valdyba ir centrai veiktų pagal Įstatų taikymo taisyklėse ir šiame dokumente nustatytus įgaliojimus;

f)

Narių susirinkimų posėdžių organizavimą, įskaitant siūlymus dėl posėdžių darbotvarkės punktų ir metinės veiklos ataskaitos rengimą bei pateikimą tvirtinti Narių susirinkimui, kaip nurodyta 28 straipsnyje;

g)

„AnaEE-ERIC“ patariamųjų komitetų posėdžių, skirtų mokslinei programai ir etikos politikai įvertinti, organizavimą pagal 24 ir 25 straipsnius;

h)

kandidatų į naujus „AnaEE-ERIC“ narius ar stebėtojus vertinimą ir pokalbių su jais rengimą, prieš siūlant juos priimti į konsorciumą.

4.   Generalinis direktorius per šešis mėnesius nuo finansinių metų pabaigos pateikia Narių susirinkimui pagal 32 straipsnį audituotos praėjusių finansinių metų sąskaitos išrašą. Įstatų taikymo taisyklėse nustatyti išsamūs tokio išrašo rengimo reikalavimai.

5.   Kaip išsamiau aprašyta Įstatų taikymo taisyklėse, generalinis direktorius iki lapkričio mėn. pabaigos Narių susirinkimui pateikia:

a)

per metus atlikto darbo ataskaitą su finansine ataskaita;

b)

ateinančių metų darbo programos projektą;

c)

ateinančių finansinių metų biudžeto prognozę.

6.   Generalinis direktorius bet kuriuo metu turi teisę sudaryti darbo grupes, kurių paskirtis – padėti vykdyti „AnaEE-ERIC“ veiklą pagal Įstatų taikymo taisykles.

20 straipsnis

Centrinis padalinys

1.   Centrinis padalinys teikia šias paramos paslaugas:

a)

padeda generaliniam direktoriui įgyvendinti „AnaEE-ERIC“ darbo programą;

b)

atlieka pagrindinio centro ryšiams su suinteresuotaisiais subjektais ir sąveikai su nacionaliniais centrais funkciją;

c)

koordinuoja centrų veiklą, įskaitant bendrą plėtros veiklą ir darbuotojų mainus;

d)

organizuoja „AnaEE-ERIC“ platformų darbuotojų mokymą ir rengia jų mokymo programas;

e)

organizuoja visus valdymo ir administravimo posėdžius;

f)

administruoja ir valdo interneto portalą;

g)

valdo „AnaEE-ERIC“ veiklą;

h)

populiarina „AnaEE-ERIC“, vykdo komunikacinę veiklą ir formuoja jo rinkodarą.

2.   Centrinio padalinio darbuotojai padeda generaliniam direktoriui visais klausimais ir jam atsiskaito.

3.   Centrinio padalinio darbuotojų sudėtis ir modus operandi išsamiai aprašyti Įstatų taikymo taisyklėse.

21 straipsnis

„AnaEE-ERIC“ paslaugų centrai

1.   „AnaEE-ERIC“ paslaugų centrai dalijasi patirtimi ir teikia paslaugas bei priemones, reikalingas „AnaEE-ERIC“ darbo programose nustatytoms konsorciumo užduotims ir veiklai vykdyti.

2.   Konsorciume „AnaEE-ERIC“ įsteigiami trys paslaugų centrai, už kuriuos atsako generalinis direktorius – Technologijų centras, Duomenų modeliavimo centras ir Sąveikos ir sintezės centras.

3.   Paslaugų centrų buveinė yra šalyse, kurios yra „AnaEE-ERIC“ narės.

4.   Kiekvienam paslaugų centrui vadovauja generaliniam direktoriui pavaldus vadovas, įdarbintas pagal užimtumo politiką.

22 straipsnis

Nacionaliniai centrai ir nacionalinės platformos

1.   Nacionalinis centras yra teisės subjektas arba įgalioja teisės subjektą jam atstovauti ir jo vardu pasirašyti susitarimą dėl paslaugų lygio.

2.   Kiekvienam nacionaliniam centrui atstovauja kontaktinis asmuo. „AnaEE-ERIC“ nariai praneša generaliniam direktoriui savo centro kontaktinio asmens vardą ir pavardę. Centro kontaktinis asmuo prireikus su generaliniu direktoriumi susitinka ne rečiau kaip du kartus per metus, o su Valdyba – ne rečiau kaip kartą per metus.

3.   Kiekvienas nacionalinis centras privalo laikytis su „AnaEE-ERIC“ sudaryto susitarimo dėl paslaugų lygio, pagal kurį jis privalo bent jau organizuoti ir koordinuoti nario nacionalinių platformų paslaugas ir organizuoti „AnaEE-ERIC“ ir nacionalinių platformų komunikaciją.

4.   Kiekviena nario nacionalinė platforma privalo laikytis su „AnaEE-ERIC“ sudaryto susitarimo dėl paslaugų lygio, pagal kurį ji privalo teikti mokslinių tyrimų infrastruktūros eksploatavimo paslaugas. Į šį susitarimą dėl paslaugų lygio įtraukiami kriterijai, pagal kuriuos nacionalinės platformos pripažįstamos „AnaEE-ERIC“ platformomis.

5.   Nukrypstant nuo 22 straipsnio 4 dalies, narys taip pat gali nuspręsti teisiškai susieti savo nacionalines platformas per nacionalinį centrą. Jei pagal 22 straipsnio 4 dalį su nacionalinėmis platformomis atskiras susitarimas dėl paslaugų lygio nesudaromas, nacionalinis centras sudaro teisiškai privalomus susitarimus su nacionalinėmis platformomis, kad būtų užtikrintas paslaugų teikimas konsorciumui „AnaEE-ERIC“. Tokiu atveju į susitarimą dėl paslaugų lygio su nacionaliniu centru, be 22 straipsnio 3 dalyje nustatytų kriterijų, taip pat įtraukiami kriterijai, pagal kuriuos nacionalinės platformos pripažįstamos „AnaEE-ERIC“ platformomis.

6.   Paslaugų centro kontaktinis asmuo reguliariai teikia „AnaEE-ERIC“ generaliniam direktoriui ataskaitą apie konsorciumo nacionalinio centro veiklą, kaip nustatyta Įstatų taikymo taisyklėse ir susitarime dėl paslaugų lygio.

23 straipsnis

Valdyba

1.   Valdybą sudaro „AnaEE-ERIC“ generalinis direktorius ir paslaugų centrų vadovai. Generalinis direktorius į Valdybos posėdžius gali kviesti ekspertus, nacionalinių centrų ir platformų tipo atstovus. Valdyba bent kartą per metus susitinka su nacionalinio centro ir platformų tipo atstovais.

2.   Valdybai pirmininkauja generalinis direktorius.

3.   Valdyba atsako už:

a)

dalyvavimą rengiant metinės darbo programos ir biudžeto (N metų) projektus, taip pat vėlesnių dvejų metų (N+1 metų ir N+2 metų) preliminarios darbo programos ir biudžeto projektus ir pagalbą generaliniam direktoriui juos rengiant;

b)

pagalbą generaliniam direktoriui vykdant darbo programą ir sudarant sąlygas veiksmingai sąveikai tarp „AnaEE-ERIC“ ir jo narių bei stebėtojų ir tarp „AnaEE-ERIC“ naudotojų ir suinteresuotųjų subjektų.

24 straipsnis

Nepriklausomas patariamasis mokslinis komitetas (ISAC)

1.   ISAC vaidmuo – patarti Narių susirinkimui šiais klausimais:

a)

platformos priėmimo į „AnaEE-ERIC“ kriterijų peržiūros;

b)

„AnaEE-ERIC“ strategijos dėl eksperimentinių pajėgumų ir platformų paslaugų;

c)

bendradarbiavimo su kitomis Europos ar tarptautinėmis infrastruktūromis;

d)

Centrinio padalinio ir paslaugų centrų veiklos ataskaitų analizės ir rekomendacijų dėl jų darbo programos ir ilgalaikės strategijos;

e)

generalinio direktoriaus prašymu atliekamos mokslinių tyrimų projektų atsitiktinės peržiūros, į kurią gali būti įtraukiami išorės ekspertai;

f)

ekosistemų mokslo ir jo sąsajų su maisto sistemos tvarumu, tvaria bioekonomika ir biologine įvairove ateityje.

2.   Nepriklausomo patariamojo mokslinio komiteto narius skiria Narių susirinkimas. Patariamąjį mokslinį komitetą sudaro nepriklausomi viešojo arba privačiojo sektoriaus ekspertai, turintys aukšto lygio patirties agronomijos, augalų sveikatos, ekologijos, biologinės įvairovės, aplinkotyros, visuotinės kaitos, duomenų tvarkymo ir modeliavimo srityse, taip pat patirties, įgytos valdant didelio masto mokslinių tyrimų infrastruktūrą arba programas, ir kiti nepriklausomi asmenys. Narių turėtų būti ne mažiau kaip 5 ir ne daugiau kaip 10.

3.   Nepriklausomo patariamojo mokslinio komiteto narius Narių susirinkimas skiria 5 metų kadencijai, kuri gali būti vieną kartą pratęsta. Jie išsirenka pirmininką ir susitinka bent kartą per metus. Generalinis direktorius bet kuriuo atveju gali konsultuotis su pirmininku.

4.   Narių susirinkimas priima išsamias nepriklausomo patariamojo mokslinio komiteto veiklos taisykles.

25 straipsnis

Nepriklausomas patariamasis etikos komitetas (IEAC)

1.   IEAC vaidmuo – patarti Narių susirinkimui etikos klausimais, kurie paslaugų centrams ir nacionalinėms platformoms iškyla vykdant veiklą.

2.   Nepriklausomo patariamojo etikos komiteto narius skiria Narių susirinkimas. Nepriklausomą patariamąjį etikos komitetą sudaro nepriklausomi viešojo arba privačiojo sektoriaus ekspertai, turintys aukšto lygio patirties aplinkotyros ir gyvybės mokslų etikos srityje. Narių turėtų būti ne mažiau kaip 3 ir ne daugiau kaip 10.

3.   Nepriklausomo patariamojo etikos komiteto narius Narių susirinkimas skiria 5 metų kadencijai, kuri gali būti vieną kartą pratęsta. Jie išsirenka pirmininką ir susitinka bent kartą per metus. Generalinis direktorius bet kuriuo atveju gali konsultuotis su pirmininku.

4.   Narių susirinkimas priima išsamias nepriklausomo patariamojo etikos komiteto veiklos taisykles.

26 straipsnis

Suinteresuotųjų subjektų komitetas

1.   Suinteresuotųjų subjektų komitetą sudaro „AnaEE-ERIC“ teikiamomis paslaugomis ir rezultatais suinteresuotų įstaigų ir institucijų atstovai, pavyzdžiui, „AnaEE-ERIC“ infrastruktūros ar duomenų naudotojai, politikos formuotojai, pramonės, nevyriausybinių organizacijų ir žiniasklaidos atstovai. Narių turėtų būti ne mažiau kaip 10 ir ne daugiau kaip 20.

2.   Suinteresuotųjų subjektų komiteto vaidmuo – patarti Narių susirinkimui šiais klausimais:

a)

paslaugų centrų veiklos ataskaitų analizės ir rekomendacijų dėl jų darbo programos ir ilgalaikės strategijos;

b)

komunikacijos plano;

c)

ekosistemų valdymo sprendimams priimti reikalingų priemonių rengimo;

d)

bendradarbiavimo su kitomis Europos ar tarptautinėmis infrastruktūromis.

3.   Suinteresuotųjų subjektų komiteto narius Narių susirinkimas skiria 5 metų kadencijai, kuri gali būti vieną kartą pratęsta. Jie išsirenka pirmininką ir susitinka bent kartą per metus. Generalinis direktorius bet kuriuo atveju gali konsultuotis su pirmininku.

4.   Narių susirinkimas priima išsamias suinteresuotųjų subjektų komiteto veiklos taisykles.

27 straipsnis

Pagalbiniai organai

1.   Narių susirinkimas gali nuspręsti įsteigti pagalbinį organą, jei to reikalauja aplinkybės, pavyzdžiui, rekomendacijoms konkrečiais klausimais teikti.

2.   Pagal 18 straipsnio 10 dalį Narių susirinkimas tvirtina pagalbinių organų sudėtį ir jų veiklos taisykles.

3.   Kiekvieno pagalbinio organo posėdžiai vyksta bent vieną kartą per metus. Narių susirinkimas gali prašyti pagalbinio organo pirmininko sušaukti posėdžius konkretiems klausimams svarstyti ir rekomendacijoms dėl jų teikti.

5 SKYRIUS

ATASKAITŲ TEIKIMAS EUROPOS KOMISIJAI

28 straipsnis

Ataskaitų teikimas Europos Komisijai

1.   „AnaEE-ERIC“ rengia metinę veiklos ataskaitą, kurioje, be kitų klausimų, aptaria mokslinius, einamuosius ir finansinius veiklos aspektus. Ataskaita per keturis mėnesius nuo atitinkamų finansinių metų pabaigos išsiunčiama tvirtinti Narių susirinkimui, o paskui per šešis mėnesius nuo atitinkamų finansinių metų pabaigos perduodama Komisijai ir atitinkamoms valdžios institucijoms. Ši ataskaita skelbiama viešai.

2.   „AnaEE-ERIC“ generalinis direktorius informuoja Komisiją apie visas aplinkybes, dėl kurių gali atsirasti didelių kliūčių įvykdyti „AnaEE-ERIC“ užduotis arba jai gali būti sukliudyta įvykdyti Reglamente (EB) Nr. 723/2009 nustatytus reikalavimus.

6 SKYRIUS

FINANSAI

29 straipsnis

Finansiniai metai

„AnaEE-ERIC“ finansiniai metai prasideda kiekvienų metų sausio 1 d. ir baigiasi gruodžio 31 d. Pirmieji „AnaEE-ERIC“ finansiniai metai yra sutrumpinti finansiniai metai, skaičiuojami nuo Komisijos sprendimo įsteigti „AnaEE-ERIC“ įsigaliojimo dienos.

30 straipsnis

Ištekliai

„AnaEE-ERIC“ išteklius sudaro:

1.

narių ir stebėtojų mokesčiai, nustatyti 17 ir 31 straipsniuose;

2.

narių, kuriuose yra Paslaugų centras ar Centrinis padalinys, mokamas priimančiojo nario įnašas, nurodytas III priede;

3.

kiti įnašai, pavyzdžiui, dotacijos arba pajamos, gaunamos iš „AnaEE-ERIC“ teikiamų paslaugų ar jai priklausančių intelektinės nuosavybės teisių, neviršijantys Narių susirinkimo nustatytų ribų ir atitinkantys jo nustatytas sąlygas.

31 straipsnis

Narių ir stebėtojų įnašams taikomi principai

1.   Nariai ir stebėtojai moka metinius įnašus į „AnaEE-ERIC“.

2.   18 straipsnyje ir III priede nustatyta tvarka Narių susirinkimas nustato ir tvirtina narių įnašų tam tikrame biudžeto cikle dydį.

3.   Nepiniginis įnašas galimas tik jei įnašas į „AnaEE-ERIC“, įskaitant į darbuotojus, deleguotus į konsorciumą, yra veiksmingas ir kiekybiškai įvertinamas ir jei tam pritaria Narių susirinkimas. Narių susirinkimas susitaria dėl apskaitos sistemos ir nepiniginių įnašų priėmimo bei jų vertės nustatymo taisyklių.

4.   Finansiniai įnašai mokami eurais.

5.   Siekiant apskaičiuoti i) bendrą per atitinkamus metus sumokėtų įnašų sumą ir ii) konkrečias kiekvieno nario sumokėtų bendros įnašų sumos dalis, apskaičiuojant per tą patį laikotarpį sumokėtus finansinius įnašus atsižvelgiama į visų nepiniginių įnašų vertę.

32 straipsnis

Biudžetas, biudžeto principai, finansinės ataskaitos ir auditas

1.   Visi „AnaEE-ERIC“ pajamų ir išlaidų punktai įtraukiami į kiekvienais finansiniais metais sudaromas sąmatas ir nurodomi biudžete.

2.   „AnaEE-ERIC“ pajamos ir išlaidos turi būti subalansuotos.

3.   Narių susirinkimas užtikrina, kad „AnaEE-ERIC“ ištekliai būtų naudojami laikantis patikimo finansų valdymo principų.

4.   Biudžetas sudaromas ir vykdomas, o finansinės ataskaitos pateikiamos laikantis skaidrumo principo.

5.   Kiekvienais metais atliekamas „AnaEE-ERIC“ finansinių ataskaitų auditas ir jos teikiamos kartu su praėjusių finansinių metų biudžeto ir finansų valdymo ataskaita. Per šešis mėnesius nuo kiekvienų finansinių metų pabaigos Narių susirinkimas patvirtina sprendimą dėl išorės auditoriaus skyrimo ir jo įgaliojimų trukmės, taip pat audituotas ataskaitas ir praėjusių finansinių metų biudžeto ir finansų valdymo ataskaitą.

6.   Konsorciumui „AnaEE-ERIC“ taikomi taikytinos teisės reikalavimai, susiję su finansinių ataskaitų rengimu, teikimu, auditavimu ir skelbimu.

33 straipsnis

Mokesčiai

1.   „AnaEE-ERIC“ arba Įstatų 2 ir 3 skyriuose apibrėžto jo nario perkamos prekės ir paslaugos, skirtos tik konsorciumui oficialiai naudoti ir perkamos tik neekonominės jo veiklos tikslais, suderinamais su jo veikla, pagal Tarybos direktyvos 2006/112/EB 143 straipsnio 1 dalies g punktą bei 151 straipsnio 1 dalies b punktą ir Tarybos įgyvendinimo reglamento (ES) Nr. 282/2011 50 ir 51 straipsnius atleidžiamos nuo PVM. Nuo PVM atleidžiami tik tie pirkiniai, kurių vertė viršija 300 EUR.

2.   Pagal Tarybos direktyvos 2020/262 12 straipsnį nuo akcizo atleidžiami tik tie „AnaEE-ERIC“ pirkiniai, kurie skirti tik konsorciumui oficialiai naudoti, su sąlyga, kad šie pirkiniai įsigyjami tik jo neekonominės veiklos tikslais, suderinamais su jo veikla, ir kad pirkinių vertė viršija 300 EUR.

3.   Nuo mokesčių ir akcizų neatleidžiami darbuotojų pirkiniai.

7 SKYRIUS

ĮVAIRIOS NUOSTATOS

34 straipsnis

Taikytina teisė

„AnaEE-ERIC“ vidaus veikimui taikoma:

1.

Sąjungos teisė, visų pirma Reglamentas (EB) Nr. 723/2009 su pakeitimais, padarytais Reglamentu (ES) Nr. 1261/2013;

2.

valstybės, kurioje yra „AnaEE-ERIC“ buveinė, teisė, jei Sąjungos teisė klausimo nereglamentuoja arba jei jį reglamentuoja tik iš dalies;

3.

šie įstatai ir jų taikymo taisyklės.

35 straipsnis

Darbo kalba

„AnaEE-ERIC“ darbo kalba yra anglų.

36 straipsnis

Ginčai

1.   Jei tarp narių kyla ginčas ar nesutarimas dėl Įstatų ar jei jis susijęs su Įstatais, Narių susirinkimas susirenka kai tai tik praktiškai įmanoma, kad geranoriškai pasitartų ir ginčą išspręstų taikiai.

2.   Narių tarpusavio teisinių ginčų dėl „AnaEE-ERIC“, teisinių ginčų tarp narių ir „AnaEE-ERIC“, taip pat teisinių ginčų, kuriuose viena iš šalių yra Europos Sąjunga, nagrinėjimas priklauso Europos Sąjungos Teisingumo Teismo jurisdikcijai.

3.   „AnaEE-ERIC“ ir trečiųjų šalių ginčams taikomi Europos Sąjungos teisės aktai dėl jurisdikcijos. Europos Sąjungos teisės aktuose nenumatytais atvejais ginčų sprendimo jurisdikcija nustatoma pagal valstybės, kurioje yra „AnaEE-ERIC“ buveinė, teisę.

37 straipsnis

Įstatų pakeitimai, atnaujinimai ir prieinamumas

1.   Įstatų pakeitimams taikomos Reglamento (EB) Nr. 723/2009 su pakeitimais, padarytais Reglamentu (ES) Nr. 1261/2013, 11 straipsnio nuostatos.

2.   Įstatai nuolat atnaujinami ir viešai skelbiami „AnaEE-ERIC“ interneto svetainėje ir buveinėje.

38 straipsnis

Steigimo nuostatos

1.   Įsigaliojus Komisijos sprendimui įsteigti „AnaEE-ERIC“, valstybė, kurioje yra jo buveinė, nedelsdama sušaukia pirmąjį Narių susirinkimo posėdį.

2.   Prieš pirmąjį posėdį, ne vėliau kaip per keturiasdešimt penkias kalendorines dienas nuo Komisijos sprendimo įsteigti „AnaEE-ERIC“ įsigaliojimo, atitinkama valstybė praneša nariams steigėjams ir stebėtojams, ar konsorciumo vardu reikia imtis kokio nors konkretaus skubaus teisinio veiksmo. Jei nė vienas narys steigėjas per penkias darbo dienas nuo pranešimo gavimo nepateikia prieštaravimo, teisinio veiksmo imasi atitinkamos valstybės tinkamai įgaliotas asmuo.


(1)  2016 m. balandžio 27 d. Europos Parlamento ir Tarybos reglamentas (ES) 2016/679 dėl fizinių asmenų apsaugos tvarkant asmens duomenis ir dėl laisvo tokių duomenų judėjimo ir kuriuo panaikinama Direktyva 95/46/EB (Bendrasis duomenų apsaugos reglamentas).


I PRIEDAS

APIBRĖŽTYS

Šiuose įstatuose vartojamų terminų apibrėžtys:

1.

AnaEE – valdomoms ir nevaldomoms sausumos ir vandens ekosistemoms skirta visos Europos mokslinių tyrimų infrastruktūra, suteiksianti prieigą prie daugybės paskirstytųjų ir koordinuojamųjų eksperimentinių platformų, apimančių įvairias Europos ekosistemas ir klimato zonas, ir prie moderniausių analizės ir modeliavimo platformų. Eksperimentiškai modeliuodama ateities scenarijus, „AnaEE“ matuos ir prognozuos aplinkos ir žemės naudojimo keitimo poveikį ekosistemoms ir išbandys klimato kaitos švelninimo ir prisitaikymo prie jos inžinerines galimybes, kad būtų išsaugotos ekosisteminės paslaugos.

2.

„AnaEE-ERIC“ – teisės subjektas, kurį sudaro Centrinis padalinys ir trys paslaugų centrai: Sąveikos ir sintezės centras, Technologijų centras ir Duomenų modeliavimo centras.

3.

Nacionalinis centras – veiklos subjektas, organizuojantis konkrečios šalies eksperimentavimo, analizės ir modeliavimo platformų indėlį į AnaEE.

4.

Centro kontaktinis asmuo – asmuo, nacionalinio centro paskirtas tiesiogiai bendrauti su generaliniu direktoriumi visais nacionalinio centro ar jam skirtais klausimais.

5.

Nacionalinė platforma – „AnaEE“ kriterijus atitinkanti eksperimentinė infrastruktūra, kurią remia „AnaEE-ERIC“ valstybės narės institucija.

6.

Platformos tipas – pagrindinis nacionalinės platformos siūlomas metodas. Galimi keturi metodai: lauko eksperimentų, uždarų eksperimentų, analizės priemonių ir modeliavimo.

7.

„AnaEE“ duomenys

a.

„AnaEE-ERIC“ parengti duomenys, programinė įranga, dokumentai, protokolai;

b.

pagrindiniai platformų duomenys – aplinkos parametrai, kuriuos platformos reguliariai ir ilgą laiką matuoja; kai kuriems iš jų gali būti taikomas INSPIRE reglamentas;

c.

„AnaEE“ platformose saugomų projektų duomenys.


II PRIEDAS

NARIŲ, STEBĖTOJŲ IR ATSTOVAUJANČIŲJŲ SUBJEKTŲ SĄRAŠAS

Narys

Atstovaujantysis subjektas

Prancūzijos Respublika

Centre National de la Recherche Scientifique (CNRS)

Danijos Karalystė

Kopenhagos universitetas

Čekija

Švietimo, jaunimo reikalų ir sporto ministerija

Italijos Respublika

Consiglio per la Ricerca in Agricoltura e l’Analisi dell’Economia Agraria (CREA)

Suomijos Respublika

Suomijos gamtos išteklių institutas (LUKE)

Bulgarijos Respublika

Švietimo ir mokslo ministerija

CIHEAM

Netaikoma


Stebėtojas

Atstovaujantysis subjektas

Belgijos Karalystė

Belgijos mokslo politikos biuras (BELSPO)


III PRIEDAS

ĮNAŠAI Į BIUDŽETĄ

„ANAEE-ERIC“ FINANSAVIMO MODELIS

Centrinių tarnybų biudžetai yra ERIC biudžeto dalis ir priklauso Narių susirinkimo sprendimų priėmimo kompetencijai. „AnaEE-ERIC“ veiklos sąnaudos iš esmės padengiamos jos narių viešosiomis lėšomis.

Tikimasi, kad, patvirtinus „AnaEE-ERIC“, veiklos etapu bus gauta ne mažiau kaip 50 proc. priimančiosios valstybės įnašo. Likusios centrinių tarnybų išlaidos padengiamos iš metinių narystės mokesčio įnašų (toliau – narystės mokestis) į steigiamą teisės subjektą, t. y. „AnaEE-ERIC“. Priimančiosios valstybės įnašas gali būti mokamas kaip įnašas grynaisiais pinigais ir (arba) kaip iš dalies nepiniginis įnašas, o narystės mokestis mokamas grynaisiais pinigais ir iš jo padengiamos centrinių tarnybų išlaidos, susijusios, pavyzdžiui, su vartojimo reikmenimis, darbuotojų kelionėmis, susitikimais, informavimo veikla, paslaugomis (įskaitant, pavyzdžiui, teisines, apskaitos, audito, rinkodaros, įdarbinimo ir subrangos), įranga (programine įranga, licencijomis ir kt.) ir generalinio direktoriaus atlyginimu. Nepriimančiųjų valstybių nepiniginiai įnašai, susiję su žmogiškaisiais ištekliais, svarstomi ir sprendimai dėl kiekvieno konkretaus atvejo priimami „AnaEE-ERIC“ narių susirinkime. „AnaEE-ERIC“ narystės mokestis paskirstomas visiems paslaugų centrams Narių susirinkimo sprendimu.

Centrinio padalinio ir paslaugų centrų išlaidas, padengiamas iš narystės mokesčio, siūloma pasidalyti taip: 50 proc. lygi dalis + 25 proc. BVP + 25 proc. platformų skaičiaus (žr. toliau pateikiamą informaciją).

Pirmąjį penkerių metų laikotarpį (įskaitant pirmuosius sutrumpintus metus) narystės ir priimančiosios valstybės įnašai nebus keičiami. Pasibaigus šiam laikotarpiui Narių susirinkimas peržiūrės narystės mokestį. Naujų narių įnašai bus apskaičiuojami pagal šiame priede siūlomą taisyklę, tačiau iki pirmojo penkerių metų ciklo pabaigos jie neturės įtakos kitų narių įnašams. Pasibaigus penkerių metų ciklui, narių (t. y. tų, kurie nariais tapo po ERIC įsteigimo) įnašas bus peržiūrėtas pagal Narių susirinkimo nustatytas taisykles.

Mielai priimami išskirtiniai narių ir stebėtojų įnašai į konkrečią „AnaEE-ERIC“ veiklą.

Narystės mokesčio modelį sudaro šie komponentai:

1.

lygi dalis = 50 proc. pagrindinių paslaugų išlaidų, kurių nepadengia priimančiosios valstybės įnašas, nariams padalijama po lygiai;

2.

bendrasis vidaus produktas [BVP] = 25 proc. išlaidų, kurių nepadengia priimančiosios valstybės įnašas, tarp narių padalijama naudojant konkretaus nario BVP procentinę dalį, palyginti su visų narių BVP. Atskaitos dydis bus paskutinio žinomo penkerių metų laikotarpio iki ERIC įsteigimo (2020 m. sausio mėn. – 2014–2018 m.) vidutinis BVP. ES BVP įverčiams rengti reikalingus duomenis pateiks Eurostatas, o kitų šalių BVP įverčiams rengti reikalingus duomenis – Pasaulio bankas;

3.

platformų skaičiumi pagrįstas įnašas = 25 proc. išlaidų, kurių nepadengia priimančiosios valstybės įnašas, nariams padalijama renkant įnašus iš konkrečių narių platformų. Įvairių tipų platformos apmokestinamos taip:

lauko ekosistemų platformos, kurios nevykdo su klimato kaita susijusių manipuliacijų, ir visos uždaros ekosistemų platformos mokės visą kainą;

lauko ekosistemų platformoms, kurios vykdo su klimato kaita susijusias manipuliacijas, bus taikoma 20 proc., analizės platformoms – 25 proc., o modeliavimo platformoms – 50 proc. nuolaida nuo visos kainos.

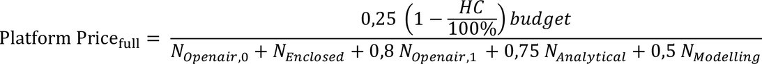
Toliau pateikiama atitinkama matematinė formulė, pagal kurią apskaičiuojama visa platformos mokėtina kaina ir „AnaEE-ERIC“ nario (pažymėto raide „i“) mokėtinas narystės mokestis.

Image 1
, (1 lygtis)

HC – priimančiosios valstybės įnašas (proc.), biudžetas – bendras pagrindinių paslaugų biudžetas, N – paskirstytųjų nacionalinių platformų skaičius „AnaEE-ERIC“ infrastruktūroje, o apatiniai indeksai apibūdina platformos tipą; Openair,0 – lauko ekosistemų platforma, nevykdanti su klimato kaita susijusių manipuliacijų, Openair,1 – lauko ekosistemų platforma, vykdanti su klimato kaita susijusias manipuliacijas, Enclosed – uždara ekosistemos platforma, Analytical – analizės platforma, o Modelling – modeliavimo platforma.

Taigi bendras i nario narystės mokestis yra lygus:

Image 2
(2 lygtis)

NMembers  – visateisių „AnaEE-ERIC“ narių skaičius, GDPi  – konkretaus nario procentinė BVP dalis, palyginti su visų narių BVP, o Ni  – konkretaus nario tam tikro tipo platformų skaičius (panašus į nurodytąjį).

Tarpvyriausybinių organizacijų narystės mokestis bus apskaičiuojamas kaip vienkartinė suma, dėl kurios turėtų būti susitariama remiantis penkerių metų taisykle (įskaitant galimą peržiūrą penkerių metų ciklo pabaigoje) ir prie kurios pridedamas iš 2 lygties išvestas mokestis, apskaičiuotas pagal joje esančių platformų skaičių ir tipą.

Image 3
(3 lygtis)

L – sutarta vienkartinė suma.

Stebėtojų mokestis bus fiksuotas ir lygus pusei narystės mokesčio medianos (taikoma tik valstybėms). Šis mokestis bus pridėtas apskaičiavus biudžetą.

Toliau pateikiamas numatomo bendro 900 000 EUR biudžeto pasiskirstymas tarp šiuo metu įgyvendinimo etape dalyvaujančių narių (šešių valstybių narių, vienos tarpvyriausybinės organizacijos ir vieno stebėtojo), kurių mokesčio mediana – 60 000 EUR.

Lentelėse „AnaEE-ERIC“ biudžetas apibendrinamas darant prielaidą, kad bendra valstybių narių mokesčių suma sieks 400 000 EUR, o tarpvyriausybinės organizacijos vienkartinis mokestis – 30 000 EUR ir kad dalyvaus vienas stebėtojas ir žinomos platformos.

1 Lentelė

Metiniai narystės mokesčiai

Nariai

Mokestis (tūkst. EUR)

Bulgarija

39

Čekija

47

Danija

58

Suomija

61

Prancūzija

103

Italija

92

Valstybių mokesčiai per metus

400

Tarptautinė organizacija [CIHEAM]

35

Bendra narių mokesčių suma

435

Stebėtojas (Belgija)

30

Iš viso mokesčių per metus (nariai + stebėtojas)

465


2 Lentelė

Metinis paslaugų centrų ir priimančiosios valstybės įnašo biudžetas

Paslaugų centrų biudžetas

(tūkst. EUR)

Priimančiosios valstybės įnašas

(tūkst. EUR)

Pagrindinis padalinys

360

40  proc.

174

Technologijų centras

207

23  %

100

Sąveikos ir sintezės centras

117

13  %

57

Duomenų modeliavimo centras

216

24  %

104

Iš viso

900

 

435


3 Lentelė

„AnaEE-ERIC“ BIUDŽETAS

Narys

Narystės mokestis (tūkst. EUR)

Priimančiosios valstybės įnašas (tūkst. EUR)

Iš viso įnašų (tūkst. EUR)

Bulgarija

39

0

39

Čekija

47

57

104

Danija

58

100

158

Suomija

61

0

61

Prancūzija

103

174

277

Italija

92

104

196

CIHEAM

35

0

35

Belgija

30

0

30

IŠ VISO

900


IV Pranešimai

EUROPOS SĄJUNGOS INSTITUCIJŲ, ĮSTAIGŲ IR ORGANŲ PRANEŠIMAI

Europos Komisija

2022 2 24   

LT

Europos Sąjungos oficialusis leidinys

C 88/23


Euro kursas (1)

2022 m. vasario 23 d.

(2022/C 88/02)

1 euro =


 

Valiuta

Valiutos kursas

USD

JAV doleris

1,1344

JPY

Japonijos jena

130,58

DKK

Danijos krona

7,4388

GBP

Svaras sterlingas

0,83463

SEK

Švedijos krona

10,5658

CHF

Šveicarijos frankas

1,0431

ISK

Islandijos krona

141,20

NOK

Norvegijos krona

10,0335

BGN

Bulgarijos levas

1,9558

CZK

Čekijos krona

24,473

HUF

Vengrijos forintas

357,25

PLN

Lenkijos zlotas

4,5481

RON

Rumunijos lėja

4,9468

TRY

Turkijos lira

15,6871

AUD

Australijos doleris

1,5592

CAD

Kanados doleris

1,4394

HKD

Honkongo doleris

8,8529

NZD

Naujosios Zelandijos doleris

1,6679

SGD

Singapūro doleris

1,5253

KRW

Pietų Korėjos vonas

1 350,23

ZAR

Pietų Afrikos randas

17,0508

CNY

Kinijos ženminbi juanis

7,1669

HRK

Kroatijos kuna

7,5362

IDR

Indonezijos rupija

16 270,12

MYR

Malaizijos ringitas

4,7480

PHP

Filipinų pesas

57,980

RUB

Rusijos rublis

90,8791

THB

Tailando batas

36,601

BRL

Brazilijos realas

5,6808

MXN

Meksikos pesas

22,9079

INR

Indijos rupija

84,6135


(1)  Šaltinis: valiutų perskaičiavimo kursai paskelbti ECB.


V Nuomonės

PROCEDŪROS, SUSIJUSIOS SU KONKURENCIJOS POLITIKOS ĮGYVENDINIMU

Europos Komisija

2022 2 24   

LT

Europos Sąjungos oficialusis leidinys

C 88/24


Išankstinis pranešimas apie koncentraciją

(Byla M.10606 – MUBADALA / NATIONALE-NEDERLANDEN / HEALTHCARE ACTIVOS MANAGEMENT / HEALTHCARE ACTIVOS YIELD SOCIMI / HEALTHCARE ACTIVOS INVESTMENT / SEQUÊNCIALTERNATIVA)

Bylą numatoma nagrinėti supaprastinta tvarka

(Tekstas svarbus EEE)

(2022/C 88/03)

1.   

2022 m. vasario 16 d. Komisija gavo pagal Tarybos reglamento (EB) Nr. 139/2004 (1) 4 straipsnį pateiktą pranešimą apie siūlomą koncentraciją.

Šis pranešimas susijęs su šiomis įmonėmis:

„Mubadala Investment Company“ (toliau – MIC, Jungtiniai Arabų Emyratai),

„Nationale-Nederlanden“ (toliau – NN, Nyderlandai),

„Healthcare Activos Management S.L.“ (toliau – HAM, Ispanija),

HEALTHCARE ACTIVOS YIELD SOCIMI S.A., (toliau – HAY, Ispanija),

įvairios nekilnojamojo turto bendrovės, priklausančios HEALTHCARE ACTIVOS INVESTMENT, S.A. (toliau – „HAISA Entities“, Ispanija),

„Sequêncialternativa S.A.“ (toliau – SQA, Portugalija).

Įmonės MIC, NN ir HAM įgyja, kaip apibrėžta Susijungimų reglamento 3 straipsnio 1 dalies b punkte ir 4 dalyje, bendrą įmonių HAY, „HAISA Entities“ ir SQA kontrolę.

Koncentracija vykdoma perkant akcijas.

2.   

Įmonių verslo veikla:

MIC – investicijos į įvairius strateginius sektorius, įskaitant energetiką, komunalines paslaugas, nekilnojamąjį turtą, pagrindines pramonės šakas ir paslaugas. MIC investuoja į subjektus, veikiančius daugelyje pasaulio šalių,

NN – tarptautinė finansinių paslaugų bendrovė, teikianti pensijų, draudimo, investicijų ir bankininkystės paslaugas,

HAM – nekilnojamojo turto portfelio valdymo paslaugų teikimas tikslinei įmonei,

tikslinė įmonė – nekilnojamojo turto, skirto sveikatos priežiūros reikmėms, pvz., klinikų, ligoninių, pirminės sveikatos priežiūros centrų, slaugos namų ir psichikos sveikatos priežiūros įstaigų, įsigijimas ir išperkamoji nuoma. Tikslinės įmonės turtas yra Ispanijoje ir Portugalijoje.

3.   

Preliminariai išnagrinėjusi pranešimą Komisija mano, kad sandoriui, apie kurį pranešta, galėtų būti taikomas Susijungimų reglamentas. Komisijai paliekama teisė dėl šio klausimo priimti galutinį sprendimą.

Pagal Komisijos pranešimą dėl supaprastintos tam tikrų koncentracijų nagrinėjimo pagal Tarybos reglamentą (EB) Nr. 139/2004 (2) procedūros reikėtų pažymėti, kad šią bylą numatoma nagrinėti pranešime nurodyta tvarka.

4.   

Komisija kviečia suinteresuotas trečiąsias šalis teikti pastabas dėl pasiūlyto veiksmo.

Pastabos Komisijai turi būti pateiktos ne vėliau kaip per 10 dienų nuo šio pranešimo paskelbimo. Visoje korespondencijoje turėtų būti pateikiama ši nuoroda:

M.10606 – MUBADALA / NATIONALE-NEDERLANDEN / HEALTHCARE ACTIVOS MANAGEMENT / HEALTHCARE ACTIVOS YIELD SOCIMI / HEALTHCARE ACTIVOS INVESTMENT / SEQUÊNCIALTERNATIVA

Pastabas Komisijai galima siųsti e. paštu, faksu arba paštu. Kontaktiniai duomenys:

E. paštas: COMP-MERGER-REGISTRY@ec.europa.eu

Faks. +32 22964301

Pašto adresas:

European Commission

Directorate-General for Competition

Merger Registry

1049 Bruxelles/Brussel

BELGIJA


(1)  OL L 24, 2004 1 29, p. 1 (Susijungimų reglamentas).

(2)  OL C 366, 2013 12 14, p. 5.


KITI AKTAI

Europos Komisija

2022 2 24   

LT

Europos Sąjungos oficialusis leidinys

C 88/26


Pranešimo apie vyno sektoriaus produkto specifikacijos standartinio pakeitimo patvirtinimą paskelbimas pagal Komisijos deleguotojo reglamento (ES) 2019/33 17 straipsnio 2 ir 3 dalis

(2022/C 88/04)

Šis pranešimas paskelbtas pagal Komisijos deleguotojo reglamento (ES) 2019/33 (1) 17 straipsnio 5 dalį.

PRANEŠIMAS APIE STANDARTINĮ BENDROJO DOKUMENTO PAKEITIMĄ

„Haut-Médoc“

PDO-FR-A0710-AM04

Pranešimo data: 2021.11.26

PATVIRTINTO PAKEITIMO APRAŠYMAS IR PAGRINDIMAS

1.   Oficialusis geografinių kodų registras

Arčiausiai esančios geografinės vietovės komunų sąrašas atnaujintas atsižvelgiant į Oficialųjį geografinių kodų registrą.

Vietovės ribos lieka nepakitusios.

Iš dalies pakeisti bendrojo dokumento 6 ir 9 punktai.

2.   Nustatytų sklypų plotas

2021 m. birželio 3 d. data įtraukta į kompetentingo nacionalinio komiteto, patvirtinusio nustatytas sklypų ribas, posėdžių sąrašą.

Šiuo pakeitimu siekiama įtraukti datą, kurią kompetentinga valdžios institucija patvirtino geografinėje gamybos vietovėje nustatyto sklypų ploto pakeitimą. Sklypų ribų nustatymas reiškia geografinėje gamybos vietovėje esančių sklypų, kuriuose gali būti gaminamas saugoma kilmės vietos nuoroda žymimas produktas, identifikavimą.

Bendrajam dokumentui šie pakeitimai įtakos neturi.

3.   Vyno išleidimas į apyvartą tarp įgaliotų sandėlių savininkų

Išbraukiamas 1 skyriaus IX antraštinės dalies 5 punkto b papunktis dėl vyno išleidimo į apyvartą tarp įgaliotų sandėlių savininkų datos.

Dėl šio pakeitimo bendrasis dokumentas nekeičiamas.

4.   Kontrolės įstaigos duomenys

Siekiant redakcijos suderinamumo su kitomis nuorodų specifikacijomis, peržiūrėta nuorodos į kontrolės įstaigą redakcija. Šis pakeitimas yra tik redakcinio pobūdžio. Šis pakeitimas bendrajam dokumentui įtakos neturi.

BENDRASIS DOKUMENTAS

1.   Pavadinimas (-ai)

„Haut-Médoc“

2.   Geografinės nuorodos tipas

SKVN – saugoma kilmės vietos nuoroda

3.   Vynuogių produktų kategorijos

1.

Vynas

4.   Vyno (-ų) aprašymas

TRUMPAS APRAŠYMAS

Šių vynų mažiausia natūrali alkoholio koncentracija tūrio procentais yra 11 %.

Po sodrinimo vynų bendra alkoholio koncentracija tūrio procentais neviršija 13 %.

Kiekvienos neišpilstyto ar išpilstyto parduodamo vyno partijos fermentuojamųjų cukrų (gliukozės ir fruktozės) kiekis yra ne didesnis nei 3 g/l.

Kiekvienos iki kitų metų po derliaus nuėmimo spalio 1 d. neišpilstyto ar išpilstyto parduodamo vyno partijos lakiųjų rūgščių kiekis yra ne didesnis nei 12,25 mekv/l (0,60 g/l išreiškiant H2SO4). Po šios datos didžiausias nustatytas lakiųjų rūgščių kiekis yra 16,33 mekv/l (0,80 g/l išreiškiant H2SO4).

Kiekvienos neišpilstyto parduodamo vyno partijos bendras SO2 kiekis yra ne didesnis nei 140 mg/l.

Kiekvienos neišpilstyto ar išpilstyto parduodamo vyno partijos obuolių rūgšties kiekis yra ne didesnis nei 0,20 g/l.

Tai neputojantis raudonasis ryškios spalvos, turintis taninų ir puikiai tinkantis brandinti vynas. Dažniausiai šis vynas gaminamas maišant vynuogių veisles, tarp kurių didžiausią dalį paprastai sudaro „Cabernet-Sauvignon N“. Šios veislės vynuogės suteikia vynui pikantiškų prieskonių, kurios, jei vynas brandinamas kubiluose, maišosi su vanilės aromato prieskoniais. Veislės „Merlot N“ vynuogės suteikia vynui švelnumo, minkštumo ir raudonųjų vaisių aromato. Vyno struktūrą ir sudėtingumą gali paryškinti „Cabernet franc N“ arba „Petit verdot N“ vynuogės (suteikiančios gerai subrendusiam vynui gaivumo).

Bendrosios analitinės savybės

Didžiausia bendra alkoholio koncentracija (tūrio %)

 

Mažiausia faktinė alkoholio koncentracija (tūrio %)

 

Mažiausias bendras rūgščių kiekis

(miliekvivalentais viename litre)

Didžiausias lakiųjų rūgščių kiekis (miliekvivalentais viename litre)

 

Didžiausias bendras sieros dioksido kiekis (miligramais viename litre)

 

5.   Vyno gamybos metodai

5.1.   Specifiniai vynininkystės metodai

1.   Sodinimo tankumas ir atstumai tarp eilių bei augalų

Auginimo praktika

Minimalus vynuogyno tankumas – 6 500 vynmedžių sodinių viename hektare. Atstumas tarp eilių turi būti ne didesnis nei 1,80 m, o atstumas tarp vienos eilės vynmedžių sodinių – ne mažesnis nei 0,80 m.

2.   Genėjimo taisyklės

Auginimo praktika

Genėjimas yra būtinas. Genima ne vėliau kaip išsiskleidus lapams (Lorenzo 9 etapas). Vynmedžiai genimi tokiais metodais:

genėjimas paliekant dvi vaisingas šakas, pagal dvipetę Guyot sistemą arba Medoko metodą, paliekant daugiausiai 5 pumpurus ant sodinio;

paprastu arba mišriu Guyot metodu, paliekant daugiausiai 7 pumpurus ant sodinio;

genėjimas trumpai vėduoklės forma paliekant 4 šakas arba 2 kordono rankoves su daugiausiai 12 pumpurų ant sodinio.

3.   Sodrinimas

Konkretus vynininkystės metodas

Leidžiama taikyti sodrinimo pašalinant vandenį metodus, jei koncentracija neviršija 15 %.

Po sodrinimo vynų bendra alkoholio koncentracija, išreikšta tūrio procentais, neviršija 13 %.

5.2.   Didžiausias gamybos kiekis

1.

65 hektolitrai iš vieno hektaro

6.   Nustatyta geografinė vietovė

Vynuogių derlius nurenkamas, vynas gaminamas ir brandinamas toliau nurodytų Žirondos departamento komunų, kaip jos 2021 m. sausio 1 d. apibrėžtos Oficialiajame geografinių kodų registre, teritorijoje: Arcins, Arsac, Avensan, Blanquefort, Castelnau-de-Médoc, Cissac-Médoc, Cussac-Fort-Médoc, Labarde, Lamarque, Listrac-Médoc, Ludon-Médoc, Macau, Margaux-Cantenac, Moulis-en-Médoc, Parempuyre, Pauillac, Le Pian-Médoc, Saint-Aubin-de-Médoc, Saint-Estèphe, Saint-Julien-Beychevelle, Saint-Laurent-Médoc, Saint-Médard-en-Jalles, Saint-Sauveur, Saint-Seurin-de-Cadourne, Sainte-Hélène, Soussans, Le Taillan-Médoc ir Vertheuil.

7.   Pagrindinė (-ės) vyninių vynuogių veislė (-ės)

„Cabernet franc N“

„Cabernet-Sauvignon N“

„Carménère N“

„Cot N“ – „Malbec N“

„Merlot N“

„Petit Verdot N“

8.   Ryšys (-iai) su geografine vietove

Saugomos kilmės vietos nuorodos „Haut-Médoc“ geografinė vietovė driekiasi kairiuoju Garonos, toliau – Žirondos krantu, kuris yra Bordo aglomeracijos tąsa. Nuo Le Tajan Medoko pietuose iki Sen Seren de Kadurno šiaurėje šios vietovės ilgis siekia beveik 50 kilometrų ir tik vos daugiau nei dešimt kilometrų iš rytų į vakarus. Taigi geografinė vietovė sutampa su saugomos kilmės vietos nuorodos „Médoc“ geografinės vietovės dalimi ir apima virš Žirondos žiočių esančias savivaldybes – tuo ir paaiškinamas šios nuorodos pavadinimas. Vietovė apima 28 Žirondos departamento savivaldybes.

Nepaisant vyraujančio atlantinio tipo klimato, upės pakrantėse esanti „Haut-Médoc“ vietovė skiriasi nuo šiauresnių Medoko savivaldybių dėl santykinai nedidelio sezoninio svyravimo ir nuosaikaus lietingumo. Tokius palankius klimato veiksnius lemia Atlanto vandenyno ir Žirondos vandens termoreguliacinis poveikis.

Jūrinis klimatas ir kai kuriais metais pasitaikantys žemo slėgio rudeniniai lietūs ar, priešingai, šilti ir ypač saulėti vėlyvieji rudenys leidžia subręsti ypatingiems vynuogių derliams. Tačiau pagrindiniai ypatumai yra susiję su tipinėmis šio nuosėdinio baseino geologinėmis savybėmis, susiformavusia savita dirvožemio geologine sankloda, reljefu, topografiniais ypatumais ir vynuogynų dirvos sudėtimi.

Visame pasaulyje garsių Medoko vynuogynų dirvos ypatumus puoselėjo ištisos vyndarių kartos. Bėgant laikui puikios vyndarių žinios apie dirvožemį ir noras pagerinti jo kokybę įvaldant drenavimo technikas leido išplėtoti tokius auginimo metodus, kurie labiausiai tinka brandinti skirto raudonojo vyno gamybai. Pažanga kovojant su kenkėjais ir piktžolėmis ir vynuogynų mechanizacija nepakeitė vyndarių ryžto išsaugoti pripažintų išskirtinių savybių brandžių vynų gamybos metodus.

Tradiciškai vynas „Haut-Médoc“ gaminamas iš įvairių veislių vynuogių, kurios, tikslingai sumaišius, pasirenkamos pagal jų savybes, geriausiai tinkančias brandiems vynams, gaminti. Todėl Medoko vyndariai tam tikrų veislių vynmedžius augina skirtingų tipų dirvose: veislę „Merlot N“ – koliuviniame dirvožemyje, veislę „Carmenère N“ – nederlingame ir sausame žvyro dirvožemyje, veislę „Cabernet franc N“ – užliejamame kalkingame arba smėlingame sausame dirvožemyje, kuris tinka ir veislei „Cot N“, veislę „Petit verdot N“ – rudžemyje. Pagrindinę vietą mišinyje užimanti veislė „Cabernet-sauvignon N“ auginama giliuose žvyro dirvožemiuose.

Dėl tokios veislių įvairovės vynuogynai turi būti prižiūrimi atrankiai: ribojant atstumą tarp eilių ir kontroliuojant didžiausią sklypui ir vynmedžio sodiniui tenkantį krūvį.

Vynų „Haut-Médoc“ pripažinimas ir reputacija daugiausia susijusi su įvairia klasifikacija, grindžiama istoriškai susiklosčiusiomis sąvokomis „cru“ ir „château“ ir naudojama kaip kokybinė hierarchija. 1647 m., kai Bordo miesto taryba paskelbė pirmą istorijoje Gijenės krašto vynų klasifikaciją, Medoko parapijų vynai jau garsėjo geru vardu. Valdant Liudvikui XV, ši klasifikacija buvo patobulinta išskiriant regionus, juos skirstant į parapijas ir toliau į „cru“ (ūkius ar vynuogynus). XIX amžiuje tokia Bordo vynų klasifikacija buvo patvirtinta 1855 m. Pasaulinėje parodoje pristatytame Bordo vynų klasifikatoriuje.

„Haut-Médoc“ vynų reputacija, be kita ko, grindžiama ir saugomos kilmės vietos nuorodos geografinėje vietovėje gaminamais penkiais į klasifikatorių įtrauktais „crus classés“ vynais.

XX amžiuje į 1932 metų vynų „crus bourgeois du Médoc“ klasifikatorių buvo įtraukti 444 vynai „cru“. Iš jų 153 priklausė saugomai kilmės vietos nuorodai „Haut-Médoc“.

Raudonieji vynai, kuriems suteikta saugoma kilmės vietos nuoroda „Haut-Médoc“, yra ryškios spalvos, turi daug taninų ir pagaminti daugiausia maišant vynuogių veisles, tarp kurių paprastai didžiausią dalį užima veislė „Cabernet-sauvignon N“, suteikianti vynui pikantiškų prieskonių, kurie, jei vynas brandinamas kubiluose (o šie vynai taip brandinami dažniau nei vynai su SKVN „Médoc“), maišosi su vanilės aromato prieskoniais. Veislės „Merlot N“ vynuogės suteikia vynui švelnumo, minkštumo ir raudonųjų vaisių aromato. Vyno struktūrą ir sudėtingumą gali paryškinti vynuogių veislės „Cabernet franc N“ arba „Petit verdot N“ (suteikiančios gerai subrendusiam vynui gaivumo).

Vynuogynai prižiūrimi taip, kad vynuogės gerai sunoksta, bet būna dar sveikos, o derlių galima iš anksto numatyti. Todėl vynuoges galima taip pat ilgą laiką maceruoti ir taip išgauti tokios koncentracijos vynus, kokios norima. Tinkamos maceravimui vynuogės tampa po mažiausiai šešių mėnesių auginimo trukmės. Taigi „Haut-Médoc“ vynai puikai tinka brandinti.

9.   Kitos pagrindinės sąlygos (išpilstymas, ženklinimas, kiti reikalavimai)

Arčiausiai esanti vietovė

Teisinis pagrindas:

Nacionalinės teisės aktai

Papildomų reikalavimų rūšis:

Su gamyba nustatytoje geografinėje vietovėje susijusi nukrypti leidžianti nuostata

Sąlygos aprašymas:

Pritaikius nukrypti leidžiančią nuostatą nustatyta arčiausiai esanti vyno gamybos vietovė apima toliau nurodytų Žirondos departamento komunų teritoriją (pagal 2021 m. sausio 1 d. Oficialųjį geografinių kodų registrą): Bégadan, Blaignan, Civrac-en-Médoc, Couquèques, Gaillan-en-Médoc, Jau-Dignac-et-Loirac, Lesparre-Médoc, Naujac-sur-Mer, Ordonnac, Prignac-en-Médoc, Queyrac, Saint-Christoly-Médoc, SaintGermain-d’Esteuil, Saint-Vivien-de-Médoc, Saint-Yzans-de-Médoc, Valeyrac, Vensac.

Arčiausiai esanti vietovė

Teisinis pagrindas:

Nacionalinės teisės aktai

Papildomų reikalavimų rūšis:

Su gamyba nustatytoje geografinėje vietovėje susijusi nukrypti leidžianti nuostata

Sąlygos aprašymas:

Pritaikius nukrypti leidžiančią nuostatą nustatyta arčiausiai esanti vyno gamybos ir brandinimo vietovė apima toliau nurodytų Žirondos departamento komunų teritoriją (pagal 2021 m. sausio 1 d. Oficialųjį geografinių kodų registrą): Abzac, Aillas, Ambarès-et-Lagrave, Ambès, Anglade, Arbanats, Les Artigues-de-Lussac, Artigues-près-Bordeaux, Arveyres, Asques, Aubiac, Auriolles, Auros, Ayguemorte-Les-Graves, Bagas, Baigneaux, Barie, Baron, Barsac, Bassanne, Bassens, Baurech, Bayas, Bayon-sur-Gironde, Bazas, Beautiran, Bégadan, Bègles, Béguey, Bellebat, Bellefond, Belvès-de-Castillon, Bernos-Beaulac, Berson, Berthez, Beychac-et-Caillau, Bieujac, Les Billaux, Birac, Blaignac, Blaignan-Prignac, Blasimon, Blaye, Blésignac, Bommes, Bonnetan, Bonzac, Bordeaux, Bossugan, Bouliac, Bourdelles, Bourg, Le Bouscat, Branne, Brannens, Braud-et-Saint-Louis, La Brède, Brouqueyran, Bruges, Budos, Cabanac-et-Villagrains, Cabara, Cadarsac, Cadaujac, Cadillac, Cadillac-en-Fronsadais, Camarsac, Cambes, Camblanes-et-Meynac, Camiac-et-Saint-Denis, Camiran, Camps-sur-l’Isle, Campugnan, Canéjan, Capian, Caplong, Carbon-Blanc, Cardan, Carignan-de-Bordeaux, Cars, Cartelègue, Casseuil, Castelmoron-d’Albret, Castelviel, Castets et Castillon, Castillon-la-Bataille, Castres-Gironde, Caudrot, Caumont, Cauvignac, Cavignac, Cazats, Cazaugitat, Cénac, Cenon, Cérons, Cessac, Cestas, Cézac, Chamadelle, Civrac-de-Blaye, Civrac-sur-Dordogne, Civrac-en-Médoc, Cleyrac, Coimères, Coirac, Comps, Coubeyrac, Couquèques, Courpiac, Cours-de-Monségur, Cours-les-Bains, Coutras, Coutures, Créon, Croignon, Cubnezais, Cubzac-les-Ponts, Cudos, Cursan, Daignac, Dardenac, Daubèze, Dieulivol, Donnezac, Donzac, Doulezon, Les Eglisottes-et-Chalaures, Escoussans, Espiet, Les Esseintes, Etauliers, Eynesse, Eyrans, Eysines, Faleyras, Fargues, Fargues-Saint-Hilaire, Le Fieu, Flaujagues, Floirac, Floudès, Fontet, Fossés-et-Baleyssac, Fours, Francs, Fronsac, Frontenac, Gabarnac, Gaillan-en-Médoc, Gajac, Galgon, Gans, Gardegan-et-Tourtirac, Gauriac, Gauriaguet, Générac, Génissac, Gensac, Gironde-sur-Dropt, Gornac, Gours, Gradignan, Grayan-et-l’Hôpital, Grézillac, Grignols, Guillac, Guillos, Guîtres, Le Haillan, Haux, Hure, Illats, Isle-Saint-Georges, Izon, Jau-Dignac-et-Loirac, Jugazan, Juillac, Labescau, Ladaux, Lados, Lagorce, Lalande-de-Pomerol, Lamothe-Landerron, La Lande-de-Fronsac, Landerrouat, Landerrouet-sur-Ségur, Landiras, Langoiran, Langon, Lansac, Lapouyade, Laroque, Laruscade, Latresne, Lavazan, Léogeats, Léognan, Lesparre-Médoc, Lestiac-sur-Garonne, Les Lèves-et-Thoumeyragues, Libourne, Lignan-de-Bazas, Lignan-de-Bordeaux, Ligueux, Listrac-de-Durèze, Lormont, Loubens, Loupes, Loupiac, Loupiac-de-la-Réole, Lugaignac, Lugasson, Lugon-et-l’Ile-du-Carnay, Lussac, Madirac, Maransin, Marcenais, Margueron, Marimbault, Marions, Marsas, Martignas-sur-Jalle, Martillac, Martres, Masseilles, Massugas, Mauriac, Mazères, Mazion, Mérignac, Mérignas, Mesterrieux, Mombrier, Mongauzy, Monprimblanc, Monségur, Montagne, Montagoudin, Montignac, Montussan, Morizès, Mouillac, Mouliets-et-Villemartin, Moulon, Mourens, Naujac-sur-Mer, Naujan-et-Postiac, Néac, Nérigean, Neuffons, Le Nizan, Noaillac, Noaillan, Omet, Ordonnac, Paillet, Les Peintures, Pellegrue, Périssac, Pessac, Pessac-sur-Dordogne, Petit-Palais-et-Cornemps, Peujard, Le Pian-sur-Garonne, Pineuilh, Plassac, Pleine-Selve, Podensac, Pomerol, Pompéjac, Pompignac, Pondaurat, Porchères, Porte-de-Benauge, Portets, Le Pout, Préchac, Preignac, Prignac-et-Marcamps, Pugnac, Puisseguin, Pujols, Pujols-sur-Ciron, Le Puy, Puybarban, Puynormand, Queyrac, Quinsac, Rauzan, Reignac, La Réole, Rimons, Riocaud, Rions, La Rivière, Roaillan, Romagne, Roquebrune, La Roquille, Ruch, Sablons, Sadirac, Saillans, Saint-Aignan, Saint-André-de-Cubzac, Saint-André-du-Bois, Saint-André-et-Appelles, Saint-Androny, Saint-Antoine-du-Queyret, Saint-Antoine-sur-l’Isle, Saint-Aubin-de-Blaye, Saint-Aubin-de-Branne, Saint-Avit-de-Soulège, Saint-Avit-Saint-Nazaire, Saint-Brice, Saint-Caprais-de-Bordeaux, Saint-Christoly-de-Blaye, Saint-Christoly-Médoc, Saint-Christophe-de-Double, Saint-Christophe-des-Bardes, Saint-Cibard, Saint-Ciers-d’Abzac, Saint-Ciers-de-Canesse, Saint-Ciers-sur-Gironde, Saint-Côme, Saint-Denis-de-Pile, Saint-Emilion, Saint-Etienne-de-Lisse, Saint-Exupéry, Saint-Félix-de-Foncaude, Saint-Ferme, Saint-Genès-de-Blaye, Saint-Genès-de-Castillon, Saint-Genès-de-Fronsac, Saint-Genès-de-Lombaud, Saint-Genis-du-Bois, Saint-Germain-de-Grave, Saint-Germain-de-la-Rivière, Saint-Germain-d’Esteuil, Saint-Germain-du-Puch, Saint-Gervais, Saint-Girons-d’Aiguevives, Saint-Hilaire-de-la-Noaille, Saint-Hilaire-du-Bois, Saint-Hippolyte, Saint-Jean-de-Blaignac, Saint-Jean-d’Illac, Saint-Laurent-d’Arce, Saint-Laurent-des-Combes, Saint-Laurent-du-Bois, Saint-Laurent-du-Plan, Saint-Léon, Saint-Loubert, Saint-Loubès, Saint-Louis-de-Montferrand, Saint-Macaire, Saint-Magne-de-Castillon, Saint-Maixant, Saint-Mariens, Saint-Martial, Saint-Martin-de-Laye, Saint-Martin-de-Lerm, Saint-Martin-de-Sescas, Saint-Martin-du-Bois, Saint-Martin-du-Puy, Saint-Martin-Lacaussade, Saint-Médard-de-Guizières, Saint-Médard-d’Eyrans, Saint-Michel-de-Fronsac, Saint-Michel-de-Lapujade, Saint-Michel-de-Rieufret, Saint-Morillon, Saint-Palais, Saint-Pardon-de-Conques, Saint-Paul, Saint-Pey-d’Armens, Saint-Pey-de-Castets, Saint-Philippe-d’Aiguille, Saint-Philippe-du-Seignal, Saint-Pierre-d’Aurillac, Saint-Pierre-de-Bat, Saint-Pierre-de-Mons, Saint-Quentin-de-Baron, Saint-Quentin-de-Caplong, Saint-Romain-la-Virvée, Saint-Sauveur-de-Puynormand, Saint-Savin, Saint-Selve, Saint-Seurin-de-Bourg, Saint-Seurin-de-Cursac, Saint-Seurin-sur-l’Isle, Saint-Sève, Saint-Sulpice-de-Faleyrens, Saint-Sulpice-de-Guilleragues, Saint-Sulpice-de-Pommiers, Saint-Sulpice-et-Cameyrac, Saint-Trojan, Saint-Vincent-de-Paul, Saint-Vincent-de-Pertignas, Saint-Vivien-de-Blaye, Saint-Vivien-de-Médoc, Saint-Vivien-de-Monségur, Saint-Yzan-de-Soudiac, Saint-Yzans-de-Médoc, Sainte-Colombe, Sainte-Croix-du-Mont, Sainte-Eulalie, Sainte-Florence, Sainte-Foy-la-Grande, Sainte-Foy-la-Longue, Sainte-Gemme, Sainte-Radegonde, Sainte-Terre, Salaunes, Salleboeuf, Les Salles-de-Castillon, Samonac, Saucats, Saugon, Sauternes, La Sauve, Sauveterre-de-Guyenne, Sauviac, Savignac, Savignac-de-l’Isle, Semens, Sendets, Sigalens, Sillas, Soulac-sur-Mer, Soulignac, Soussac, Tabanac, Taillecavat, Talais, Talence, Targon, Tarnès, Tauriac, Tayac, Teuillac, Tizac-de-Curton, Tizac-de-Lapouyade, Toulenne, Le Tourne, Tresses, Uzeste, Val-de-Livenne, Val de Virvée, Valeyrac, Vayres, Vendays-Montalivet, Vensac, Vérac, Verdelais, Le Verdon-sur-Mer, Vignonet, Villandraut, Villegouge, Villenave-de-Rions, Villenave-d’Ornon, Villeneuve, Virelade, Virsac, Yvrac.

Stambesnė geografinė vietovė

Teisinis pagrindas:

Nacionalinės teisės aktai

Papildomų reikalavimų rūšis:

Papildomos nuostatos dėl ženklinimo

Sąlygos aprašymas:

Etiketėje gali būti nurodytas stambesnis geografinis vienetas „Vin de Bordeaux - Médoc“ arba „Grand Vin de Bordeaux - Médoc“.

Šis pavadinimas užrašomas rašmenimis, kurių dydis (ir aukštis, ir plotis) nėra didesnis nei du trečdaliai rašmenų, kuriais užrašytas saugomos kilmės vietos nuorodos pavadinimas.

Nuoroda į produkto specifikaciją

http://info.agriculture.gouv.fr/gedei/site/bo-agri/document_administratif-3182161c-979d-466e-9a73-e1be118d74b0


(1)  OL L 9, 2019 1 11, p. 2.


2022 2 24   

LT

Europos Sąjungos oficialusis leidinys

C 88/32


Pranešimo apie vyno sektoriaus produkto specifikacijos standartinio pakeitimo patvirtinimą paskelbimas pagal Komisijos deleguotojo reglamento (ES) 2019/33 17 straipsnio 2 ir 3 dalis

(2022/C 88/05)

Šis pranešimas skelbiamas pagal Komisijos deleguotojo reglamento (ES) 2019/33 (1) 17 straipsnio 5 dalį.

PRANEŠIMAS APIE STANDARTINIO PAKEITIMO PATVIRTINIMĄ

„Islas Canarias“

PDO-ES-A1511-AM02

Pranešimo data: 2021 11 25

PATVIRTINTO PAKEITIMO APRAŠYMAS IR PAGRINDIMAS

1.   Nereikšmingas skvn pavadinimo pakeitimas

Aprašymas

Išbraukiamas saugomos nuorodos pavadinimo pradžioje rašomas artikelis „las“.

Pakeičiamas galiojančios produkto specifikacijos 1 punktas ir atitinkamai visi minėtame dokumente rasti saugomos kilmės vietos nuorodos pavadinimo paminėjimo atvejai. Šis pakeitimas nedaro įtakos bendrojo dokumento 1 daliai, nes joje minimas pavadinimas „Islas Canarias“. Tačiau keičiama minėto dokumento 8 dalis „Išpilstymas nustatytoje geografinėje vietovėje“, nes joje nuorodos pavadinimas pateiktas su artikeliu.

Tai yra standartinis pakeitimas, nes jo negalima priskirti nė vienai iš Reglamento (ES) 2019/33 14 straipsnio 1 dalyje nustatytų kategorijų. Šis pakeitimas negali būti laikomas saugomos kilmės vietos nuorodos pakeitimu, nes Bendrijos registre užregistruotas pavadinimas yra „Islas Canarias“, o ne „Las Islas Canarias“. Todėl tai tėra produkto specifikacijos teksto ištaisymas siekiant visur naudoti teisingą SKVN pavadinimą – be artikelio „las“, kaip užregistruotoje nuorodoje.

Priežastys

Šis pakeitimas nėra saugomos kilmės vietos nuorodos pakeitimas, nes Bendrijos registre jos pavadinimas užregistruotas be artikelio „las“. Jis per klaidą buvo įrašytas į produkto specifikaciją.

2.   Produkto rūšių suskirstymas kategorijomis

Aprašymas

Baltųjų, rožinių, raudonųjų ir naudojant maceravimą anglies dioksidu pagamintų raudonųjų vynų rūšys priskiriamos tai pačiai kategorijai – „Vynas“. Pakeičiamas produktų sąrašas taip siekiant suskirstymą į kategorijas ir jo eilės tvarką suderinti su numatytais Reglamento (ES) Nr. 1308/2013 VII priedo II dalyje: vynas (1 kategorija), likerinis vynas (3 kategorija), rūšinis putojantis vynas (5 kategorija), gazuotas pusiau putojantis vynas (9 kategorija) ir pernokusių vynuogių vynas (16 kategorija).

Atitinkamai pakeičiamas galiojančios specifikacijos 2.1 punktas ir netiesiogiai – 2 punkto dalys: a) analitinės savybės ir b) juslinės savybės, taip pat 2 priedo 3 punkto dalis a) vynininkystės metodai, išvardijant produktus klasifikacijoje nurodyta eilės tvarka.

Bendrasis dokumentas nekeičiamas.

Tai yra standartinis pakeitimas, nes jo negalima priskirti nė vienai iš Reglamento (ES) 2019/33 14 straipsnio 1 dalyje nustatytų kategorijų.

Priežastys

Dėl spalvos (baltasis, rožinis, raudonasis) ar gamybos būdo (maceravimo anglies dioksidu) produkto kategorija nekinta (pagal Reglamento (ES) Nr. 1308/2013 VII priedo II dalį – vynas, 1 kategorija). Eilės tvarkos pakeitimas grindžiamas siekiu laikytis bendrojo dokumento VII priedo II dalyje ir 2 punkte „Vynuogių produktų kategorijos“ nustatytos eilės tvarkos.

3.   Lakiojo rūgštingumo ir bendrojo rūgštingumo ribinių verčių pakeitimas

Aprašymas

Pernokusių vynuogių vynų didžiausias lakusis rūgštingumas, išreikštas acto rūgštimi, yra 1,08–1,60 g/l. Rūšiniams putojantiems vynams nustatyta ribinė vertė yra 1,08 g/l.

Šis pakeitimas netaikomas specifikacijos 2.2 punkto „Vyno aprašymas“ 3 dalies „Didžiausias lakusis rūgštingumas, išreikštas acto rūgštimi“ pirmajai pastraipai ir bendrojo dokumento 4 dalies „Vyno (-ų) aprašymas“ skirsniui, kuriame aprašomi pernokusių vynuogių vynai ir rūšiniai putojantys vynai.

Specifikacijoje bendrai nustatytas mažiausias bendrasis rūgštingumas, išreikštas vyno rūgštimi viename litre, yra 4 g/l, išskyrus likerinius vynus ir pernokusių vynuogių vynus, kuriems nustatyta vertė yra 3,5 g/l. Ši išimtis taip pat taikoma vynams, kurių natūrali alkoholio koncentracija tūrio procentais yra didesnė nei 15 % ir kurių faktinė alkoholio koncentracija tūrio procentais yra lygi arba didesnė nei 13 %. Jie turi būti pagaminti, dirbtinai nedidinant alkoholio koncentracijos, ir turėti tik fermentuojant susidariusio alkoholio. Remiantis 2011 m. spalio 7 d. Karališkojo dekreto Nr. 1363/2011, kuriuo įgyvendinami Bendrijos teisės aktai dėl tam tikrų vyno produktų ženklinimo, pateikimo ir identifikavimo („Real Decreto 1363/2011, de 7 de octubre, por el que se desarrolla la reglamentación comunitaria en materia de etiquetado, presentación e identificación de determinados productos vitivinícolas“), 17 straipsniu ir III priedu, tokie vynai gali būti žymimi papildoma nuoroda „naturalmente dulce“ (natūraliai saldus).

Šis pakeitimas taikomas specifikacijos 2.2 punkto „Vyno aprašymas“ 4 daliai „Mažiausias bendrasis rūgštingumas, išreikštas vyno rūgštimi“. Bendrasis dokumentas nekeičiamas.

Tai yra standartinis pakeitimas, nes jo negalima priskirti nė vienai iš Reglamento (ES) 2019/33 14 straipsnio 1 dalyje nustatytų kategorijų.

Priežastys

Šis pakeitimas yra klimato kaitos geografinėje vietovėje pasekmė. Jį lėmė ryšio su geografine vietove aprašyme (specifikacijos 7 punktas ir bendrojo dokumento 8 dalis) aprašyti gamtiniai veiksniai.

Aprašyti gamtiniai veiksniai rodo, kad nors Kanarų salynas yra pačioje dykumų zonos širdyje, skirtingų veiksnių nulemtas priešais šiaurės vakarinius Afrikos krantus esančių salų klimatas yra labai įvairus. Tarp tokių veiksnių yra ir oro temperatūrą švelninantys beveik ištisus metus pučiantys drėgmės pritvinkę atogrąžų vėjai ir mažas vidutinis metinis kritulių kiekis – apie 350 litrų kvadratiniam metrui, tačiau jis pasiskirstęs labai nevienodai: vienose vietovėse gali iškristi mažiau nei 100 l/m2, o kitose – beveik 1 000 l/m2.

Nedidelis kritulių kiekis ir labai nevienodas kritulių pasiskirstymas skirtingose vietovėse fiksuojamas dar nuo praėjusio amžiaus, bent jau nuo IX dešimtmečio: sausringi epizodai ilgėja ir stiprėja, temperatūra tampa ekstremali, trūksta vandens drėkinimui.

Būtent tai nurodoma Kanarų salų klimato kaitos ir energetikos pertvarkos įstatymo projekto aiškinamojoje dalyje („Exposición de Motivos del Anteproyecto de Ley Canaria de Cambio Climático y Transición Energética“), kurios visuomenei skirtas dokumentas buvo neseniai baigtas (2021 01 15). Nuo IX dešimtmečio visuotinėje atmosferos stebėjimo programoje („Programa de vigilancia atmosférica global“) dalyvaujančios Tenerifėje esančios Isanjos oro observatorijos („Observatorio Atmosférico de Izaña“) stebėjimo duomenimis, įvairiose Kanarų salų matavimo stotyse registruojamas vidutinės temperatūros augimas. Šis augimas dar didesnis salos gilumoje esančioje ir mažiau vandenyno veikiamoje Isanjoje (Teidės nacionaliniame parke Tenerifėje). Observatorijos duomenimis, taip pat daugėja atmosferoje pakibusių iš Afrikos žemyno atpūstų dulkių. Apie Kanarų salų klimato kaitą taip pat rašoma Kanarų salų darnaus vystymosi ir klimato kaitos agentūros parengtoje 2008–2015 m. kovos su klimato kaita strategijoje („Estrategia canaria de lucha contra el cambio climático, 2008/2015 de la Agencia Canaria de Desarrollo Sostenible y Cambio Climático“) ir Kanarų salų žemės biologinės įvairovės prisitaikymo prie klimato kaitos plano pagrindinių aspektų tyrime („Aspectos clave para un plan de adaptación de la biodiversidad terrestre de Canarias al cambio climático“), kurį parengė J. L. Martin ir M. V. Marrero iš Nacionalinio Teidės parko, taip pat M. del Arco ir V. Garzón iš Augalų biologijos (botanikos) katedros, Farmacijos fakulteto, La Lagūnos universiteto ir kurį paskelbė Žaliosios pertvarkos ir demografinių iššūkių ministerija.

Dėl klimato kaitos įtakos sausringų epizodų trukmei ir intensyvumui natūraliai didėja itin saldžių vynuogių, iš kurių gaminamų vynų alkoholio koncentracija savaime būna didelė, taip pat ant vynmedžių pernokusių vynuogių rūgštingumas.

Todėl, remiantis Komisijos deleguotojo reglamento (ES) 2019/934 I priedo C dalies 3 punktu, leidžiančiu valstybėms narėms suteikti leidimus nukrypti nuo 1 punkte nustatytų ribų, pernokusių vynuogių vynams, kurių visuminė alkoholio koncentracija tūrio procentais yra ne mažesnė nei 13 %, rekomenduojama padidinti rūgštingumą, išreikštą acto rūgštimi. Vynams, kurių natūrali alkoholio koncentracija tūrio procentais yra didesnė nei 15 % ir kurių faktinė alkoholio koncentracija tūrio procentais yra lygi arba didesnė nei 13 % ir yra susidariusi vien fermentuojant vynuoges, pageidautina taikyti tą pačią nukrypti leidžiančią nuostatą kaip ir likeriniams vynams ir pernokusių vynuogių vynams, nustatant 3,5 g/l mažiausią rūgštingumą, išreikštą vyno rūgštimi.

4.   Vyno gamybai taikomų apribojimų pakeitimas

Aprašymas

Dalyje „Vyndarystės metodai“ nustatytas išeigos apribojimas iki 74 l vyno iš 100 kg vynuogių perkeliamas į dalį „Apribojimai“.

Gaminant įvairių kategorijų SKVN „Islas Canarias“ raudonuosius vynus, būtina naudoti mažiausiai 85 proc. vienos arba kelių ar net visų šių veislių vynuogių: „Bastardo Negro“ ir „Baboso Negro“, „Cabernet Sauvignon“, „Castellana Negra“, „Listán Negro“ ir „Almuñeco“, „Listán Prieto“, „Malvasía Rosada“, „Merlot“, „Moscatel Negro“, „Negramoll“, „Pinot Noir“, „Ruby Cabernet“, „Syrah“, „Tempranillo“, „Tintilla“, „Vijariego Negro“.

Atitinkamai keičiamas produkto specifikacijos 3 punktas ir bendrojo dokumento 5.1 dalis.

Tai yra standartinis pakeitimas, nes jo negalima priskirti nė vienai iš Reglamento (ES) 2019/33 14 straipsnio 1 dalyje nustatytų kategorijų.

Priežastis

Su spaudimo išeiga susijęs tekstas perkeliamas, nes jis yra susijęs su ribojimu. Todėl jis turi būti toje dalyje.

Nustatant mažiausią raudonųjų vynuogių dalį gaminant raudonuosius vynus, siekiama išsaugoti vynų spalvos intensyvumą, nes jis yra juslinių vyno savybių kokybės rodiklis. Šis pakeitimas neturi įtakos produkto aprašymui.

5.   Vynmedžių formavimo būdų apibrėžimas ir naujo būdo įtraukimas

Aprašymas

Apibrėžiamas kiekvienas specifikacijoje nurodytas tradicinis vynmedžių formavimo būdas, išsamiai nurodant, koks jis yra (formavimas taure, kordonu, ant tradicinių atramų, ant žemų atramų). Įtraukiamas tradicinis formavimo būdas ant gulsčių atramų ir pateikiamas jo apibrėžimas.

Šis pakeitimas taikomas specifikacijos 3 punkto „Specifiniai vynininkystės metodai“ 3 daliai „Auginimo praktika“, 2 punktui „Vynmedžio formavimas ir auginimas“ ir bendrojo dokumento 5.1 dalies „Pagrindiniai vynininkystės metodai“ skirsniui „Auginimo praktika“.

Tai yra standartinis pakeitimas, nes jo negalima priskirti nė vienai iš Reglamento (ES) 2019/33 14 straipsnio 1 dalyje nustatytų kategorijų.

Priežastis

Nurodoma, koks yra kiekvienas specifikacijoje išvardytas tradicinis vynmedžių formavimo būdas, kad būtų išvengta painiavos dėl sutampančių pavadinimų, pavyzdžiui, formavimas kordonu, kitose vietovėse žinomas kaip formavimas naudojant metalinę vielą, skiriasi nuo tradicinio Kanaruose naudojamo auginimo būdo. Tai taip pat taikoma ir formavimui taure, kuriam Kanarų salose, skirtingai nuo kitų vynuogių auginimo vietovių, naudojamos atramos. Siekiant formuluočių nuoseklumo, kartu su šių tradicinių formavimo būdų aprašymais pateikiami kitų formavimo būdų aprašymai. Įtraukiamas tradicinis formavimo būdas ant gulsčių atramų ir pateikiamas jo apibrėžimas. Specifikacijos ryšio su geografine vietove aprašyme, 7 punkto a) dalies papunktyje „Žmogiškieji veiksniai“ jis minimas kaip pagrindinis formavimo būdas, tačiau vėliau tarp auginimo praktikų nebeminimas. Tad reikia ištaisyti šią spragą.

6.   Gamybos kiekio ribos padidinimas

Aprašymas

Padidinamas didžiausias vynuogių gamybos kiekis iš hektaro, taigi ir galutinio produkto hektolitrų skaičius iš hektaro. Didžiausias gamybos kiekis padidinamas nuo 10 000 kg/ha iki 15 000 kg/ha ir nuo 74 hl/ha iki 111 hl/ha.

Šis pakeitimas taikomas specifikacijos 5 punkto „Didžiausias gamybos kiekis“ ir Bendrojo dokumento 5 dalies „Vyno gaminimo metodai“ 2 skirsniui, kuriame nustatomi didžiausi gamybos kiekiai.

Tai yra standartinis pakeitimas, nes jo negalima priskirti nė vienai iš Reglamento (ES) 2019/33 14 straipsnio 1 dalyje nustatytų kategorijų.

Priežastis

Tam tikrais metais, kai susiklosto augti palankios klimato sąlygos, kai kurios vynuogių veislės būna derlingesnės nei kitos. Dėl per didelio šių veislių derlingumo kyla sunkumų, nes jų derlių draudžiama naudoti SKVN „Islas Canarias“ žymimo vyno gamybai.

Registruotųjų vyno daryklų technikai ne kartą reikalavo pakeisti specifikaciją padidinant didžiausius gamybos kiekius. Savo reikalavimą jie grindė tuo, kad vynuogių kokybė nesuprastėja, nes toks derlingumas jai poveikio nedaro.

Be to, žemės ūkio sklypų geografinėje informacinėje sistemoje (SIGPAC) nenustatyta atskirų reikalavimų vynuogynams, kuriuose vynmedžiai formuojami kitais nei gyvasienės būdais, todėl sumažėja auginimo plotas. Tad, net jei iki derliaus ėmimo pradžios priimamas sprendimas leisti viršyti specifikacijoje nustatytą ribą iki 25 proc., to nepakanka.

7.   Nuts kodų įtraukimas nustatant gamybos vietovę

Aprašymas

Į nustatytos vietovės aprašymą įtraukiamas Kanarų salų NUTS kodas.

Atitinkamai keičiamas produkto specifikacijos 4 punktas ir bendrojo dokumento 6 dalis.

Tai yra standartinis pakeitimas, nes jo negalima priskirti nė vienai iš Reglamento (ES) 2019/33 14 straipsnio 1 dalyje nustatytų kategorijų.

Priežastis

Šis pakeitimas leidžia tiksliau įvardyti, kur yra nustatyta geografinė vietovė.

8.   Su vyninių vynuogių veislėmis susiję pakeitimai

Aprašymas

Nebedaromas skirtumas tarp rekomenduojamų ir leidžiamų vyninių vynuogių veislių. Dabar leidžiama naudoti visas vyninių vynuogių veisles. Jos yra išvardytos abėcėlės tvarka, o baltųjų ir raudonųjų vynuogių veislės išvardytos atskirai. Todėl būtina visas šias vynuogių veisles ir bendrajame dokumente nurodyti kaip pagrindines vyninių vynuogių veisles.

Įtraukiama baltųjų vynuogių veislė „Albillo Criollo“.

Šis pakeitimas taikomas specifikacijos 6 punktui „Vyninių vynuogių veislės“ ir Bendrojo dokumento 7 daliai „Pagrindinės vyninių vynuogių veislės“.

Tai yra standartinis pakeitimas, nes jo negalima priskirti nė vienai iš Reglamento (ES) 2019/33 14 straipsnio 1 dalyje nustatytų kategorijų.

Priežastis

Suderinama su 2018 m. spalio 29 d. Karališkojo dekreto Nr. 1338/2018, kuriuo reglamentuojamas vyno produktų gamybos potencialas, iš dalies pakeisto Karališkuoju dekretu Nr. 558/2020 („Real Decreto 1338/2018, de 29 de octubre, por el que se regula el potencial de producción vitícola, modificado por el Real Decreto 558/2020“) XXI priedo 5 dalyje nustatyta klasifikacija, kurioje nebedaromas skirtumas tarp rekomenduojamų ir leidžiamų vyninių vynuogių veislių, taigi visos veislės tampa leidžiamos. Sąraše atskirai išvardijus baltųjų ir raudonųjų vynuogių veisles, tampa lengviau jį skaityti.

Vynuogių veislė „Albillo Criollo“ yra tradicinė SKVN „Islas Canarias“ vynuogių veislė, kuri jau buvo įtraukta į 2011 m. gegužės 2 d. įsakymo, kuriuo pripažįstamas rūšinis vynas ir tvirtinamas jo reglamentas („Orden de 2 de mayo de 2011, por la que se reconoce el Vino de Calidad de las Islas Canarias y se aprueba su Reglamento“) 6 straipsnį „Vyninių vynuogių veislės“. Jame ji minima „Albillo“ pavadinimu. Tačiau šis įsakymas buvo pakeistas 2011 m. spalio 21 d. Įsakymu („Orden de 21 de octubre de 2011“), siekiant jį suderinti su 2011 m. balandžio 1 d. Karališkuoju dekretu Nr. 461/2011 („Real Decreto 461/2011, de 1 de abril“), iš dalies pakeitusiu 2008 m. liepos 18 d. Karališkąjį dekretą Nr. 1244/2008, kuriuo reglamentuojamas vyno produktų gamybos potencialas („Real Decreto 1244/2008, de 18 de julio, por el que se regula el potencial de producción vitícola“), kuris, savo ruožtu, „Albillo“ vynuogių veislę išbraukė iš Kanarų salų leidžiamų vyninių vynuogių sąrašo. 2014 m. balandžio 7 d. Įsakymu Nr. AAA/580/2014 („Orden AAA/580/2014, de 7 de abril“) leista iš dalies pakeisti minėto karališkojo dekreto Nr. 1224/208 („Real Decreto 1244/2008“) XXI priedą ir vėl šią veislę įtraukti į Kanarų salų veislių sąrašą, tik dabar jos pavadinimas yra „Albillo Criollo“. Todėl tenka grįžti prie SKVN ištakų ir vėl šią vyninių vynuogių veislę įtraukti į specifikaciją. Šis pakeitimas neturi įtakos produkto aprašymui.

9.   Ryšį nusakančio teksto patobulinimas

Aprašymas

Patobulinamas ryšį nusakantis tekstas. Patobulinimas yra susijęs su kiekvienos vyno kategorijos priežastinio ryšio tarp žmogiškųjų, gamtinių veiksnių ir vyno savybių aprašymu.

Atitinkamai keičiamas produkto specifikacijos 7 punktas ir bendrojo dokumento 8 dalis.

Tai yra standartinis pakeitimas, nes jo negalima priskirti nė vienai iš Reglamento (ES) 2019/33 14 straipsnio 1 dalyje nustatytų kategorijų. Dėl šio pakeitimo ryšys nepanaikinamas, tiesiog patobulinamas aprašymo tekstas.

Priežastis

Aprašyti tokį ryšį, apibūdinant kiekvieną SKVN žymimo produkto kategoriją, reikalaujama Bendrijos teisės aktais. Tačiau pirmojoje 2011 m. šios SKVN specifikacijos redakcijoje į tai nebuvo atsižvelgta. Minėta spraga ištaisoma šiuo specifikacijos pakeitimu.

10.   Ženklinimo taisyklių pakeitimas

Aprašymas.

Išbraukiamas rašmenų, kuriais etiketėje užrašomas SKVN pavadinimas, dydžio apribojimas (4–10 mm).

Išbraukiamos dalys, kuriose nurodomi derliaus metai ir vynuogių veislės. Iš tiesų tai yra ES teisės aktų apibrėžta neprivaloma informacija, kuriai specifikacijoje netaikomos jokios griežtesnės sąlygos.

Išbraukiamos dalys, susijusios su papildomomis nuorodomis: „Fermentado en barrica“ (fermentuota statinėje), „Barrica“ (statinė) ir „Roble“ (ąžuolas). Atitinkamai iš specifikacijos išbraukiamos griežtesnės nei nacionalinės teisės aktuose šių nuorodų naudojimo nuostatos, susijusios su mažiausia talpyklų talpa (330 l) ir reikalavimu laikyti vyną tose talpyklose bent 3 mėnesius.

Todėl keičiamas produkto specifikacijos 8.2.8 punktas ir bendrojo dokumento 9 dalis.

Tai yra standartinis pakeitimas, nes jo negalima priskirti nė vienai iš Reglamento (ES) 2019/33 14 straipsnio 1 dalyje nustatytų kategorijų.

Priežastis

Nebūtina nustatyti kitokių rašmenų dydžio apribojimų, nei tai padaryta bendruosiuose teisės aktuose.

Nebūtina į specifikaciją įtraukti nuostatų dėl ES teisės aktų apibrėžtos neprivalomos informacijos, pavyzdžiui, susijusios su derliaus metais ar vynuogių veisle, nes ES teisės aktų nuostatos taikomos visiems veiklos vykdytojams, nepriklausomai nuo SKVN / SGN, be to, specifikacijoje nebuvo numatytos griežtesnės tokios informacijos naudojimo sąlygos.

Papildomų nuorodų – „Fermentado en barrica“, „Barrica“ ir „Roble“ – naudojimą jau reglamentuoja nacionalinės teisės aktai, ir jų naudojimo sąlygos prilyginamos bendrosioms Ispanijoje taikomoms sąlygoms. Ta aplinkybė, kad tam, jog SKVN ar SGN žymimiems vynams būtų galima vartoti tradicinius terminus „Noble“ ir „Añejo“, teisės aktuose nustatyta, jog didžiausia naudojamų ąžuolinių talpyklų talpa turi būti 600 l, o tam, kad SKVN ar SGN žymimiems vynams būtų galima naudoti papildomas nuorodas „Fermentado en barrica“, „Barrica“ arba „Roble“, didžiausia tų talpyklų talpa apribota iki 300 l, neturi jokios prasmės, nes 2011 m. spalio 7 d. Karališkajame dekrete Nr. 1363/2011, kuriuo įgyvendinami Bendrijos teisės aktai dėl tam tikrų vyno produktų ženklinimo, pateikimo ir identifikavimo („Real Decreto 1363/2011, de 7 de octubre, por el que se desarrolla la reglamentación comunitaria en materia de etiquetado, presentación e identificación de determinados productos vitivinícolas“) nustatyta riba yra 600 l. Išbraukiant griežtesnę sąlygą dėl statinių talpos ir trumpiausio laikymo jose laiko (minėtu karališkuoju dekretu trumpiausias laikas nenustatomas), sąlygos tampa tokios pat kaip ir bendrosios Karališkuoju dekretu Nr. 1363/2011 nustatytos sąlygos. Todėl jų nereikia įtraukti į specifikaciją.

11.   Mažesnių geografinių vietovių įtraukimas

Aprašymas

Įtraukiamos šios mažesnės geografinės vietovės:

a)

salos: Tenerifė (NUTS kodas ES709) ir Fuerteventūra (NUTS kodas ES704).

b)

savivaldybės:

 

El Hiero sala: El Pinar, La Frontera, Valverde.

 

Fuerteventūros sala: Antigua, Betancuria, La Oliva, Pájara, Puerto del Rosario, Tuineje.

 

Gran Kanarijos sala: Agaete, Agüimes, Artenara, Arucas, Firgas, Gáldar, Ingenio, La Aldea de San Nicolás, Mogán, Moya, San Bartolomé de Tirajana, Santa Brígida, Santa Lucía de Tirajana, Santa María de Guía, Valleseco, Valsequillo, Tejeda, Telde, Teror, Vega de San Mateo.

 

La Gomeros sala: Agulo, Alajeró, Hermigua, Vallehermoso, Valle Gran Rey.

 

Lansarotės sala: Arrecife, Haría, San Bartolomé, Teguise, Tías, Tinajo, Yaiza.

 

La Palmos sala: Barlovento, Breña Alta, Breña Baja, El Paso, Fuencaliente, Garafía, Los Llanos de Aridane, Puntagorda, Puntallana, San Andrés y Sauces, Tazacorte, Tijarafe, Villa del Mazo.

 

Tenerifės sala: Adeje, Arafo, Arico, Arona, Buenavista del Norte, Candelaria, Fasnia, Garachico, La Guancha, Los Silos, Icod de los Vinos, Puerto de la Cruz, Los Realejos, El Rosario, El Sauzal, El Tanque, San Cristóbal de la Laguna, San Juan de la Rambla, Santa Úrsula, Santiago del Teide, Tegueste, Vilaflor.

Norint etiketėje nurodyti mažesnės geografinės vietovės (salos arba savivaldybės) pavadinimą, vynas turi būti pagamintas tik iš toje mažesnėje geografinėje vietovėje išaugintų vynuogių, be to, vynas turi būti gaminamas ir prireikus brandinamas bei išpilstomas taip pat toje vietovėje.

Rašmenų, kuriais etiketėje užrašomas mažesnės geografinės vietovės pavadinimas, dydis neturi būti didesnis už rašmenų, kuriais užrašytas saugomos kilmės vietos nuorodos „Islas Canarias“ pavadinimas, dydį.

Šis pakeitimas taikomas specifikacijos 8 punkto c) dalies „Papildomi reikalavimai“ ii punktui „Papildomos su ženklinimu susijusios nuostatos“ ir bendrojo dokumento 9 daliai.

Tai yra standartinis pakeitimas, nes jo negalima priskirti nė vienai iš Reglamento (ES) 2019/33 14 straipsnio 1 dalyje nustatytų kategorijų.

Priežastis

Šios mažesnės geografinės vietovės įtraukiamos remiantis Europos Parlamento ir Tarybos reglamento (ES) Nr. 1308/2013 120 straipsnio 1 dalies g punktu, Komisijos deleguotojo reglamento (ES) 2019/33 55 straipsniu, o nuoroda „Tenerifė“ ir jos naudojimas ženklinimui įtraukiami remiantis 1999 m. birželio 7 d. Žemės ūkio, žuvininkystės ir kaimo plėtros ministerijos įsakymu („Orden de 7 de junio de 1999 del Consejero de Agricultura, Pesca y Alimentación“).

Šiuo pakeitimu siekiama pateisinti vartotojų, norinčių sužinoti tikslią vynų kilmės vietą, lūkesčius. Taip pat juo siekiama ginti gamintojų, vynuogių augintojų ir vyno daryklų interesus ir tenkinti jų prašymus, susijusius su jų poreikiu išskirti ir pabrėžti savo produkcijos vertę.

Kitų saugomų kilmės vietos nuorodų pavadinimus sudarantys salų ir savivaldybių pavadinimai ar juose esantys geografiniai pavadinimai buvo neįtraukti remiantis Reglamento (ES) Nr. 1308/2013 103 straipsnio 2 dalimi ir Žemės ūkio produktų kokybės įstatymo Nr. 6/2019 („Ley 6/2019, de Calidad Agroalimentaria“) 28 ir 29 straipsniais.

Įtraukiamos griežtesnės sąlygos, nei nustatytos Deleguotojo reglamento (ES) 2019/33 55 straipsnyje. Nustatant, kaip šie pavadinimai turi būti naudojami ženklinant, įtraukiama pakankamai su etiketėmis ir pateikimu susijusios informacijos: nurodomas rašmenų dydis ir jų vieta, kad paprastai ir aiškiai būtų atskirta produktų klasė ir kilmė ir būtų išvengta pavojaus suklaidinti vartotojus.

12.   Kontrolės įstaigų informacijos įtraukimas

Aprašymas

Įtraukiama prieigos nuoroda. Pasinaudojus šia nuoroda, galima sužinoti, kokioms kontrolės įstaigoms, remiantis 2016 m. balandžio 25 d. dekretu Nr. 39/2016 („Decreto 39/2016, de 25 de abril“), kompetentingos valdžios institucijos pavedė vykdyti produkto kontrolę ir sertifikavimą.

Keičiama specifikacijos 9 punkto a dalis „Kompetentingos valdžios institucijos ir kontrolės įstaigos“. Bendrasis dokumentas nekeičiamas.

Tai yra standartinis pakeitimas, nes jo negalima priskirti nė vienai iš Reglamento (ES) 2019/33 14 straipsnio 1 dalyje nustatytų kategorijų.

Priežastis

Minėtame dokumente būtina nurodyti produkto sertifikavimą atliekančias kontrolės įstaigas, kurioms pavesta vykdyti šios SKVN specifikacijos priežiūrą.

13.   Patikrinimų patobulinimas ir aprašymas

Aprašymas

Įtraukiami kontrolės įstaigų taikomi metodai:

kontrolės įstaiga, remdamasi pradiniais vyno daryklų patalpose atliekamais patikrinimais ir bent vėlesniais metiniais patikrinimais, pagal aprašytą užduočių sąrašą vertina atitiktį, kad užtikrintų, jog būtų laikomasi šios specifikacijos.

Vynuogynų auginimo sąlygų patikros apima atsitiktinius patikrinimus, grindžiamus pavojų vertinimu ir ėminių ėmimu.

Kiekvienoje vyno darykloje sistemingai, taikant atsitiktinę atranką, imami gatavo produkto atsargų ėminiai.

Keičiamas specifikacijos 9 punkto b dalies „Užduotys“ ii punktas „Patikrinimų metodika“. Bendrasis dokumentas nekeičiamas.

Tai yra standartinis pakeitimas, nes jo negalima priskirti nė vienai iš Reglamento (ES) 2019/33 14 straipsnio 1 dalyje nustatytų kategorijų.

Priežastis

Vykdomi Deleguotojo reglamento (ES) 2019/33 25 straipsnio 2 dalies reikalavimai, kad metiniai patikrinimai būtų atliekami laikantis specifikacijos, atliekant atsitiktinius pavojų analize grindžiamus patikrinimus, imant ėminius arba sistemingai. Atsitiktiniai patikrinimai gali būti derinami su patikrinimais, vykdomais imant ėminius.

14.   Specifikacijos teksto keitimas, nedarantis įtakos turiniui

Aprašymas

1.

Formos ir išdėstymo pakeitimai

Įvairių specifikacijos punktų (1, 2, 3 ir t. t.) papunkčiai yra atitinkamai sunumeruoti (2.2, 2.2.1, 2.2.2 ir t. t.), kad būtų sklandesnė jų tvarka ir aiškiau išdėstytas tekstas. Jei įmanoma, kiekviename punkte arba papunktyje abėcėlės tvarka (a, b, c ir t. t.) išdėstyti sąrašai pakeičiami skaitmenimis ir įtraukomis išdėstytais sąrašais, o abėcėlės raidės naudojamos įtraukomis išdėstytuose papunkčiuose, kad tekstas būtų nuosekliau išdėstytas.

Į vyno aprašymą prieš vyno produktų sąrašą įterpiama antraštė „Kategorijos“. Atitinkamai pakeičiama produktų sąrašo eilės tvarka siekiant laikytis Reglamento (ES) Nr. 1308/2013 VII priedo II dalyje nustatytos eilės tvarkos.

Antraštė „Analitinės savybės“ pakeičiama antrašte „Fizinės ir cheminės savybės“.

Fizines ir chemines savybes nusakančiuose punktuose buvę anksčiau sugrupuoti produktai atskiriami ir pakeičiama jų eilės tvarka siekiant laikytis Reglamento (ES) Nr. 1308/2013 VII priedo II dalyje nustatytos tvarkos.

2.

Pertvarkomos toliau nurodytos dalys

Anksčiau vyno gamybos metodų dalyje buvęs gamybos išeigos apribojimas perkeliamas į pagal pobūdį tinkamesnę specifikacijos dalį, kurioje pateikiami apribojimai.

Vyninių vynuogių veislių sąrašas pateikiamas abėcėlės tvarka pagal vynuogių – baltųjų arba raudonųjų – spalvas.

8 punktas. Ankstesnės specifikacijos nuostatos ir to paties dokumento dalies „Objektyvūs reikalavimai“ 4–10 papunkčiai perkeliami į dalį pavadinimu „Papildomi reikalavimai“, nes toks suskirstymas labiau atitinka jų pobūdį. Naujoje vietoje tekstas suskirstomas į sunumeruotas ir pagal turinį pavadintas grupes. Šis pertvarkymas nedaro poveikio turiniui.

3.

Terminų patikslinimas, gramatinių ir derinimo klaidų ištaisymas

Formuluotė „rūšiniai putojantys vynai“ pakeičiama šio produkto klasę atitinkančia formuluote „rūšinis putojantis vynas“.

„ši nuoroda“ keičiama į „ši saugoma kilmės vietos nuoroda“.

„ši autonominė sritis“ keičiama į „Kanarų autonominė sritis“.

Formuluotė „Kanarų salų rūšinis vynas“ keičiama į formuluotę „saugoma kilmės vietos nuoroda „Islas Canaria“ arba „Islas Canarias“ (priklausomai nuo atvejo), nes kalbama apie saugomą kilmės vietos nuorodą.

Formuluotė „šios specifikacijos“ keičiama į formuluotę „ši specifikacija“ (pavyzdžiui, ankstesnės specifikacijos 3 skirsnio a punkto 2 dalyje ir 8 skirsnio b punkto 3.a dalyje).

Ankstesnės specifikacijos 3 skirsnio a punkto 2 dalyje buvusi formuluotė „será de“ (yra [ko]) keičiama į formuluotę „será para“ (yra [kam]). Ji yra susijusi su natūralia vynų sąrašo derliaus partijų alkoholio koncentracija.

Atitinkamai iš dalies pakeičiami įvairūs specifikacijos punktai.

Tai yra standartinis pakeitimas, nes jo negalima priskirti nė vienai iš Reglamento (ES) 2019/33 14 straipsnio 1 dalyje nustatytų kategorijų.

Priežastis

Tekstas patobulinamas ir patikslinamas.

BENDRASIS DOKUMENTAS

1.   Produkto pavadinimas

„Islas Canarias“

2.   Geografinės nuorodos tipas

SKVN – saugoma kilmės vietos nuoroda

3.   Vynuogių produktų kategorijos

1.

Vynas

3.

Likerinis vynas

5.

Rūšinis putojantis vynas

9.

Gazuotas pusiau putojantis vynas

16.

Pernokusių vynuogių vynas

4.   Vyno (-ų) aprašymas

1.   Baltieji ir rožiniai vynai

TRUMPAS APRAŠYMAS

Baltieji vynai Geltonos spalvos su žalsvais ar gintariniais atspalviais. Aromatas vidutiniškai arba labai intensyvus, vaisinis. Gaivus ir subalansuotas. Juntamas vaisinis poskonis.

Rožiniai vynai Visų atspalvių rožinės spalvos. Aromatas vidutiniškai arba labai intensyvus. Skonis ir aromatas vaisiniai. Skonis nuosaikiai sodrus. Gaivus ir subalansuotas. Juntamas vaisinis poskonis.

Bendrosios analitinės savybės

Didžiausia visuminė alkoholio koncentracija (tūrio %)

 

Mažiausia faktinė alkoholio koncentracija (tūrio %)

10

Mažiausias bendrasis rūgštingumas

4 g/l vyno rūgšties

Didžiausias lakusis rūgštingumas (miliekvivalentais viename litre)

18

Didžiausias bendras sieros dioksido kiekis (miligramais viename litre)

200

2.   Raudonieji vynai

TRUMPAS APRAŠYMAS

Raudonieji vynai Vidutiniškai arba labai intensyvios vyšnių raudonumo spalvos su violetiniais atspalviais. Aromatas vidutiniškai arba labai intensyvus. Aiškiai justi raudonieji vaisiai ir uogos. Malonaus, ilgai išliekančio skonio, pasižymintis vidutiniu taninų kiekiu. Ilgiau brandinamas vynas pasižymi ilgiau išliekančiu skoniu ir labiau juntamais prieskonių ir balzaminio acto poskoniais, be to, jo spalva tampa čerpių raudonumo.

Bendrosios analitinės savybės

Didžiausia visuminė alkoholio koncentracija (tūrio %)

 

Mažiausia faktinė alkoholio koncentracija (tūrio %)

11,5

Mažiausias bendrasis rūgštingumas

4 g/l vyno rūgšties

Didžiausias lakusis rūgštingumas (miliekvivalentais viename litre)

20

Didžiausias bendras sieros dioksido kiekis (miligramais viename litre)

150

3.   Likeriniai vynai

TRUMPAS APRAŠYMAS

Likeriniai vynai. Skaidrūs ir žvilgūs, geltonos spalvos, tiršti. Aromatas intensyvus, primena razinų, prieskonių, abrikosų ir savitus vynuogių veislių aromatus. Skonis švelnus, subalansuotas ir intensyvus, pasižymintis labai ryškiu ir vaisiniu poskoniu.

*

didžiausias sieros dioksido kiekis – 200 mg/l, jei cukraus kiekis didesnis nei 5 g/l arba lygus

Bendrosios analitinės savybės

Didžiausia visuminė alkoholio koncentracija (tūrio %)

 

Mažiausia faktinė alkoholio koncentracija (tūrio %)

15

Mažiausias bendrasis rūgštingumas

3,5 g/l vyno rūgšties

Didžiausias lakusis rūgštingumas (miliekvivalentais viename litre)

18

Didžiausias bendras sieros dioksido kiekis (miligramais viename litre)

150

4.   Pernokusių vynuogių vynai

TRUMPAS APRAŠYMAS

Skaidrūs ir žvilgūs, geltonos spalvos, tiršti. Aromatas intensyvus, primena razinų, prieskonių, abrikosų ir savitus vynuogių veislių aromatus. Skonis švelnus, subalansuotas ir intensyvus, pasižymintis labai ryškiu ir vaisiniu poskoniu.

Bendrosios analitinės savybės

Didžiausia visuminė alkoholio koncentracija (tūrio %)

 

Mažiausia faktinė alkoholio koncentracija (tūrio %)

15

Mažiausias bendrasis rūgštingumas

3,5 g/l vyno rūgšties

Didžiausias lakusis rūgštingumas (miliekvivalentais viename litre)

26,6

Didžiausias bendras sieros dioksido kiekis (miligramais viename litre)

150

5.   Rūšinis putojantis vynas

TRUMPAS APRAŠYMAS

Nuo šviesiai geltonos iki auksinės spalvos, žvilgus, su smulkiais ilgai išliekančiais burbuliukais. Aromatas grynas, vaisinis. Skonis subalansuotas, gaivus, pasižymintis vaisiniu poskoniu.

Bendrosios analitinės savybės

Didžiausia visuminė alkoholio koncentracija (tūrio %)

 

Mažiausia faktinė alkoholio koncentracija (tūrio %)

10

Mažiausias bendrasis rūgštingumas

4 g/l vyno rūgšties

Didžiausias lakusis rūgštingumas (miliekvivalentais viename litre)

18

Didžiausias bendras sieros dioksido kiekis (miligramais viename litre)

185

6.   Gazuotas pusiau putojantis vynas

TRUMPAS APRAŠYMAS

Šių vynų burbuliukai yra aiškios formos. Baltieji vynai yra geltonos spalvos. Rožiniai vynai būna rožinių atspalvių, o raudonieji vynai – raudonos spalvos su violetiniu atspalviu. Aromatai gryni. Baltiesiems vynams būdingi baltųjų vaisių ir uogų aromatai, rožiniams ir raudoniesiems – raudonųjų vaisių ir uogų aromatai. Vynų skonis stiprus, subalansuotas ir gaivus, su vaisiniu poskoniu ir aiškiai juntamu anglies dioksido nulemtu aštrumu.

Bendrosios analitinės savybės

Didžiausia visuminė alkoholio koncentracija (tūrio %)

 

Mažiausia faktinė alkoholio koncentracija (tūrio %)

9,5

Mažiausias bendrasis rūgštingumas

4 g/l vyno rūgšties

Didžiausias lakusis rūgštingumas (miliekvivalentais viename litre)

18

Didžiausias bendras sieros dioksido kiekis (miligramais viename litre)

150

5.   Vyno gamybos metodai

5.1.   Specifiniai vynininkystės metodai

Pagrįstas vyno gamybos apribojimas

Iš 100 kg vynuogių pagaminto vyno išeiga neturi viršyti 74 l/100 kg vynuogių.

Raudonieji vynai gaminami naudojant visiškos arba dalinės fermentacijos metodą paliekant odeles, naudojant mažiausiai 85 % raudonųjų veislių vynuogių, prieš tai atskyrus kotelius nuo uogų arba jų neatskyrus.

Auginimo praktika

Mažiausias sodinimo tankumas yra 800 vynmedžių sodinukų viename hektare, išskyrus tradicinius Lansarotės ūkius, kur tankumas gali siekti 400 sodinukų viename hektare. Formavimo būdai yra pritaikyti prie dirvožemio ir klimato sąlygų. Jais siekiama išgauti optimalią kokybę. Tradiciškai Kanarų salose vynmedžiai formuojami taure, ant gulsčių atramų, kordonu, ant tradicinių atramų, žemų atramų ir jų variantų, taip pat gyvasiene. Laistymą reglamentuoja 1999 m. gegužės 17 d. Įsakymas, kuriuo reglamentuojamas drėkinimas vynuogynuose, kurių produkcija skirta tam tikruose Kanarų salų autonominės srities regionuose gaminamiems rūšiniams vynams gaminti („Orden de 17 de mayo de 1999 por la que se regula el riego en viñedos cuya producción se destina a la elaboración de vinos de calidad producidos en regiones determinadas, dentro del territorio de la Comunidad Autónoma de Canarias“).

Specifinis vynininkystės metodas

Mažiausia natūrali vienetinių baltųjų ir rožinių vynų derliaus partijų alkoholio koncentracija tūrio procentais yra 10 %; raudonųjų vynų – 11,50 %; likerinių vynų – 15,00 %; pernokusių vynuogių vynų – 17,00 %; rūšinių putojančių vynų ir gazuotų pusiau putojančių vynų – 10,00 %.

5.2.   Didžiausias gamybos kiekis

 

15 000 kilogramų vynuogių iš hektaro

 

111 hektolitrų iš hektaro

6.   Nustatyta geografinė vietovė

Šia saugoma kilmės vietos nuoroda žymimų vynų gamybos vietovė apima visą Kanarų salų (NUTS kodas ES70) teritoriją.

7.   Pagrindinės vyninių vynuogių veislės

 

„ALBILLO CRIOLLO“

 

„BASTARDO BLANCO“ ir „BABOSO BLANCO“

 

„BASTARDO NEGRO“ ir „BABOSO NEGRO“

 

„BERMEJUELA“ ir „MARMAJUELO“

 

„BREVAL“

 

„BURRABLANCA“

 

„CABERNET SAUVIGNON“

 

„CASTELLANA NEGRA“

 

„DORADILLA“

 

„FORASTERA BLANCA“

 

„GUAL“

 

„LISTAN BLANCO DE CANARIAS“

 

„LISTAN NEGRO“ ir „ALMUÑECO“

 

„LISTÁN PRIETO“

 

„MALVASIA AROMÁTICA“

 

„MALVASÍA ROSADA“

 

„MALVASÍA VOLCÁNICA“

 

„MERLOT“

 

„MOSCATEL DE ALEJANDRÍA“

 

„MOSCATEL NEGRO“

 

„NEGRAMOLL“

 

„PEDRO XIMÉNEZ“

 

„PINOT NOIR“

 

„RUBY CARBERNET“

 

„SABRO“

 

„SYRAH“

 

„TEMPRANILLO“

 

„TINTILLA“

 

„TORRONTÉS“

 

„VERDELLO“

 

„VIJARIEGO BLANCO“ ir „DIEGO“

 

„VIJARIEGO NEGRO“

8.   Ryšys (-iai) su geografine vietove

Vulkaniniai salų dirvožemiai suteikia įvairioms juose augti prisitaikiusioms vynuogių veislėms mineralų. Todėl vynai pasižymi savitais vulkaninių mineralų skoniais.

Minėti auginimo metodai ir pirmiau aprašyti gamybą ribojantys veiksniai (nelaistomi sklypai, daugelyje vietovių labai dideli vynuogynai, senstantys, senesni nei aštuoniasdešimties metų vynuogynai ir daugybė vynuogynų, augančių aukštai, ant stačių šlaitų plytinčiose vietovėse) gerina derliaus kokybę.

Vynuogių augimui būdingas ilgas vegetacinis laikotarpis ir lėtas nokimas. Taip susiklostė, nes šiai geografinei vietovei nebūdingi dideli temperatūros skirtumai, nėra šalnų pavojaus, žiemos ir vasaros temperatūra nelabai skiriasi, o šiauriniai atogrąžų vėjai lemia galybę įvairių mikroklimatų, kurie vienas nuo kito gerokai skiriasi: vos už 100 m situacija gali būti visiškai kitokia. Ilgas vynmedžių vegetacinis laikotarpis ir lėtas vynuogių nokimas daro lemiamą įtaką vynų savybėms. Pavyzdžiui:

baltieji vynai įgyja intensyvių aromatų su baltųjų vaisių ir uogų, atogrąžų vaisių, gėlių ir balzaminio acto pokvapiais. Jie subalansuoti, gaivūs, ilgai išliekančio skonio;

raudonieji vynai pasižymi intensyviais aromatais su juodųjų uogų (gervuogių) ir vaisių, augaliniais ir mineraliniais, primenančiais juoduosius pipirus, pokvapiais. Jiems būdinga gera struktūra ir gerai subalansuoti niuansai; rožiniams vynams būdingi gryni raudonųjų vaisių ir uogų (braškių, aviečių) aromatai su gėlių atspalviais ir įvairaus intensyvumo augaliniais pokvapiais, gomuryje juntamas geras rūgštumo ir gaivumo balansas;

kalbant apie likerinius vynus, reikia paminėti, kad dėl reljefo, dirvožemio ir atogrąžų vėjų įtakos nulemtos mikroklimatų gausos kai kurios vyninių vynuogių veislės nesunoksta tiek, kad iš jų būtų galima pagaminti natūraliai saldžius vynus, todėl, gaminant šiuos gaivaus vynuogių veislę primenančio aromato, kuris brandinant tampa sudėtingesnis, vynus, tradiciškai naudojamas vynuogių alkoholis;

rūšiniam putojančiam vynui įtaką daro ilgas vegetacinis laikotarpis ir lėtas vynuogių nokimas, dėl to jis gali įgyti intensyvų aromatą, rūgštoką skonį su vaisiniu poskoniu;

gazuoto pusiau putojančio vyno savybes nulemia vietovėje auginamų vynmedžių vegetacinis laikotarpis, dėl kurio tampa įmanoma pagaminti pusiau putojančio vyno savybėmis pasižyminčius vynus. Dėl nedidelių vietovės temperatūros skirtumų ir daugybės saulėtų valandų vynuogių vegetacinis laikotarpis būna ilgas, o uogos noksta lėtai, todėl iš jų galima pagaminti švelnaus, intensyvaus vaisinio skonio, gana rūgščius vynus;

svarbu žinoti, kad vynui iš pernokusių vynuogių gaminti skirtos vynuogės auga ant vynmedžių, suformuotų taip, kad juos kuo geriau apšviestų saulė ir visą augalą veiktų vienoda temperatūra. Taip pasiekiamas tobulas vyno skonio balansas: vienodai gerai juntamas ir saldumas, ir rūgštumas.

9.   Kitos pagrindinės sąlygos (išpilstymas, ženklinimas, kiti reikalavimai)

Teisinis pagrindas

Nustatyta nacionalinės teisės aktuose.

Papildomos sąlygos rūšis

Išpilstymas nustatytų ribų geografinėje vietovėje.

Sąlygos aprašymas

Dėl produkto ypatumų ir būtinybės apsaugoti su saugomos kilmės vietos nuorodos pavadinimu siejamą gerą vardą saugoma kilmės vietos nuoroda „Islas Canarias“ žymimi vynai turi būti išpilstomi tik į atitinkamą vyno daryklų registrą įtrauktose vyno daryklose. Priešingu atveju vynas negali būti žymimas SKVN.

Šia saugoma kilmės vietos nuoroda žymimų vynų gamyba nesibaigia misos perdirbimo į vyną alkoholinės fermentacijos procesu ir kitais papildomais procesais. Išpilstymas į butelius turi būti laikomas baigiamuoju šių vynų gamybos etapu, nes jo metu taikomi papildomi vynininkystės metodai – filtravimas, stabilizavimas, įvairaus pobūdžio korekcijos, galinčios paveikti vynų savybes ir jų savitumą. Net jei šiuos veiksmus ir galima atlikti už saugomos vietovės ribų, užtikrinti, kad būtų sudarytos optimalios sąlygos, lengviau tuomet, kai šie veiksmai atliekami gamybos vietovėje esančiose vyno daryklose, veikiančiose tiesiogiai prižiūrint kontrolės įstaigoms. Už gamybos vietovės ribų atliekami patikrinimai ne taip veiksmingai užtikrina vynų kokybę ir autentiškumą, nei atliekami gamybos vietovėje. Išpilstymas gamybos vietovėje yra reikšmingas nuorodos apsaugos veiksnys, nes rinkai pateikiamas galutiniam vartotojui skirtas produktas pakuojamas taip, kad vėliau su juo nebūtų galima atlikti jokių veiksmų, galinčių paveikti jo kokybę ar savybes.

Teisinis pagrindas

Nustatyta nacionalinės teisės aktuose.

Papildomos sąlygos rūšis

Papildomos su ženklinimu susijusios nuostatos

Sąlygos aprašymas

Etiketėse privaloma aiškiai pateikti nuorodą „Denominación de Origen Protegida „Islas Canarias“ (saugoma kilmės vietos nuoroda „Islas Canarias“), taip pat valdymo institucijos užregistruotą logotipą.

Pakuotes valdymo institucijos išduotomis sunumeruotomis etikečių nugarėlėmis arba plombomis ženklina pati vyno darykla. Nugarėlės ir plombos turi būti matomoje pakuočių vietoje ir uždėtos taip, kad nebūtų įmanoma jų pakartotinai panaudoti.

Etiketėse leidžiama naudoti kelis mažesnių geografinių vietovių (salų ir savivaldybių) pavadinimus, kai vynas yra pagamintas tik iš toje mažesnėje geografinėje vietovėje išaugintų vynuogių ir kai jis buvo pagamintas, brandinamas ir, priklausomai nuo atvejo, išpilstytas toje geografinėje vietovėje. Valdymo institucija gali išduoti kitokias, specialias etikečių nugarėles. Rašmenų, kuriais etiketėje užrašomas mažesnės geografinės vietovės pavadinimas, dydis negali būti didesnis nei rašmenų, kuriais užrašytas saugomos kilmės vietos nuorodos „Islas Canarias“ pavadinimas, dydis.

Nuoroda į produkto specifikaciją

https://www.gobiernodecanarias.org/cmsgobcan/export/sites/agp/icca/galerias/doc/calidad/Pliego-de-Condiciones-Islas-Canarias-modificado-1.pdf


(1)  OL L 9, 2019 1 11, p. 2.


2022 2 24   

LT

Europos Sąjungos oficialusis leidinys

C 88/46


Komisijos deleguotojo reglamento (ES) 2019/33 17 straipsnio 2 ir 3 dalyse nurodyto pranešimo apie vyno sektoriaus produkto specifikacijos standartinio pakeitimo patvirtinimą paskelbimas

(2022/C 88/06)

Šis pranešimas skelbiamas pagal Komisijos deleguotojo reglamento (ES) 2019/33 (1) 17 straipsnio 5 dalį

PRANEŠIMAS APIE STANDARTINĮ BENDROJO DOKUMENTO PAKEITIMĄ

„Rioja“

PDO-ES-A0117-AM09

Pranešimo data: 2021 11 25

PATVIRTINTO PAKEITIMO APRAŠYMAS IR PAGRINDIMAS

1.   Draudžiama auginti mišrius vynuogynus

Aprašymas

Uždraudžiama auginti vynuogynus, kuriuose skirtingos vynuogių veislės buvo auginamos dar iki įsigaliojant 1976 m. birželio 2 d. Įsakymui, jei nuimant vynuogių derlių neįmanoma atskirti įvairių vynuogių veislių.

Atitinkamai iš dalies keičiami produkto specifikacijos 3 dalies a.1 punktas ir bendrojo dokumento 5 dalies a punktas.

Tai yra standartinis pakeitimas, nes jo negalima priskirti nė vienai iš rūšių, nustatytų Komisijos deleguotojo reglamento (ES) 2019/33 14 straipsnio 1 dalyje.

Pagrindimas

Gaminant vyną „Rioja“ (SKVN), tokie mišrūs vynuogynai, kuriuose nuimant vynuogių derlių neįmanoma atskirti įvairių vynuogių veislių, yra uždrausti nuo 1976 m. Šis pakeitimas reiškia, kad draudimas įtrauktas į atitinkamą standartą, t. y. produkto specifikaciją.

2.   Žemės klasifikavimas ir pranešimų apie vynuogynų pokyčius teikimas

Aprašymas

Nurodyta, kad saugomos kilmės vietos nuorodos „Rioja“ reguliavimo taryba yra atsakinga už vynuogynams sodinti tinkamos auginimo teritorijos klasifikavimą, taip pat už pranešimus apie pokyčius, susijusius su naujais ar persodintais vynuogynais ir pasikeitusiomis aplinkybėmis, galinčiomis turėti įtakos produkto specifikacijos laikymuisi.

Reikia iš dalies pakeisti produkto specifikacijos 2 dalį, tačiau bendrojo dokumento dėl to keisti nereikia.

Tai yra standartinis pakeitimas, nes jo negalima priskirti nė vienai iš rūšių, nustatytų Komisijos deleguotojo reglamento (ES) 2019/33 14 straipsnio 1 dalyje.

Pagrindimas

Saugomos kilmės vietos nuorodos „Rioja“ reguliavimo taryba, veikdama kaip valdymo ir kontrolės institucija, privalo patikrinti žemės, kurioje bus sodinami vynuogynai, kurių vynuogės gali būti naudojamos gaminant saugomą vyną, savybes. Ji taip pat turi tikrinti, ar bet kokie vynuogyno pokyčiai atitinka specifikacijas.

3.   Naujų mažesnių geografinių vienetų, vadinamų „viñedo singular“ (vynininkystės vietovė), apibrėžtis

Aprašymas

Buvo pripažinta keletas naujų mažesnių geografinių vienetų, jie pavadinti ir apibrėžti produkto specifikacijoje.

Reikia iš dalies pakeisti produkto specifikacijos 4 dalį ir bendrojo dokumento 6 dalį.

Tai yra standartinis pakeitimas, nes jo negalima priskirti nė vienai iš rūšių, nustatytų Komisijos deleguotojo reglamento (ES) 2019/33 14 straipsnio 1 dalyje.

Pagrindimas

Pagal ES teisės aktus (Komisijos deleguotojo reglamento (ES) 2019/33 55 straipsnio 2 dalį) mažesni geografiniai vienetai turi būti aiškiai apibrėžti produkto specifikacijoje ir bendrajame dokumente.

4.   Brandinimo patalpoms taikomi reikalavimai

Aprašymas

Produkto specifikacija papildyta reikalavimais, taikomais patalpoms, kuriose vynai turi būti brandinami, t. y. turi būti vengiama vibracijos, patalpos turi būti gerai vėdinamos, taikomos tam tikros temperatūros ir drėgmės ribos. Taip pat buvo nustatyti reikalavimai dėl minimalaus atsargų kiekio, minimalaus statinių skaičiaus ir statinių talpos.

Reikia iš dalies pakeisti produkto specifikacijos 8 dalies b.10 ir b.11 punktus, tačiau bendrojo dokumento dėl to keisti nereikia.

Tai yra standartinis pakeitimas, nes jo negalima priskirti nė vienai iš rūšių, nustatytų Komisijos deleguotojo reglamento (ES) 2019/33 14 straipsnio 1 dalyje.

Pagrindimas

Šioms brandinimo patalpoms reikalavimai buvo nustatyti stebėsenos ir kokybės užtikrinimo tikslais.

BENDRASIS DOKUMENTAS

1.   Produkto pavadinimas

Rioja

2.   Geografinės nuorodos tipas

SKVN – saugoma kilmės vietos nuoroda

3.   Vynuogių produktų kategorijos

1.

Vynas

5.

Rūšinis putojantis vynas

4.   Vyno (-ų) aprašymas

1.   Baltieji ir rožiniai vynai (sausi ir pusiau sausi)

TRUMPAS APRAŠYMAS

Baltieji vynai: šiaudų geltonumo spalvos su žaliųjų citrinų atspalviais, skaidrūs, šviesūs. Kvapas – žalių vaisių, gėlių ir žolių, būdingas konkrečiai veislei. Skonis – vidutinio rūgštumo, gaivus.

Rožiniai vynai: braškių spalvos su aviečių (lašišos, jei tai vynas „Crianza“) atspalviu, šviesūs, skaidrūs. Kvapui būdingi raudonųjų vaisių ir uogų, gėlių pokvapiai. Skoniui būdinga gera rūgštumo ir vaisių poskonio pusiausvyra, juntamas gaivumas.

Abiem atvejais aromatai brandinimo proceso metu ąžuolo medienos aromatai maišosi su kitais aromatais (vanilės, skrudinimo ir dūmų pokvapiais), o rūgštumas jungiasi su skrudinto medžio pokvapiais.

*

Alkoholio koncentracija skiriasi priklausomai nuo parajonių ir brandinimo.

*

Senesniems nei vienų metų vynams būdingas didesnis lakumas.

*

Didžiausias SO2 kiekis – 180 mg/l, jei cukraus kiekis mažesnis kaip 5 g/l.

*

Kai apribojimų nėra numatyta, taikomi galiojantys teisės aktai.

Bendrosios analitinės savybės

Didžiausia visuminė alkoholio koncentracija (tūrio %)

 

Mažiausia faktinė alkoholio koncentracija (tūrio %)

10,5

Mažiausias bendrasis rūgštingumas

3,5 g/l vyno rūgšties

Didžiausias lakusis rūgštingumas (miliekvivalentais viename litre)

13,3

Didžiausias bendras sieros dioksido kiekis (miligramais viename litre)

240

2.   Baltieji ir rožiniai vynai (pusiau saldūs ir saldūs)

TRUMPAS APRAŠYMAS

Baltieji vynai: šiaudų geltonumo spalvos su žaliųjų citrinų atspalviais, skaidrūs, šviesūs. Kvapas – žalių vaisių, gėlių ir žolių, būdingas konkrečiai veislei. Skonis – vidutinio rūgštumo, ragaujant juntamas gaivumas ir saldumas (priklauso nuo rūšies).

Rožiniai vynai: braškių spalvos su aviečių (lašišos, jei tai vynas „Crianza“) atspalviu, šviesūs, skaidrūs. Kvapui būdingi raudonųjų vaisių ir uogų, gėlių pokvapiai. Skoniui būdinga gera rūgštumo ir vaisių poskonio pusiausvyra, ragaujant juntamas gaivumas ir saldumas (priklauso nuo rūšies).

Abiem atvejais aromatai brandinimo proceso metu ąžuolo medienos aromatai maišosi su kitais aromatais (vanilės, skrudinimo ir dūmų pokvapiais), o rūgštumas jungiasi su skrudinto medžio pokvapiais.

*

Alkoholio koncentracija skiriasi priklausomai nuo parajonių ir brandinimo.

*

Senesniems nei vienų metų vynams būdingas didesnis lakumas.

*

Didžiausias SO2 kiekis – 180 mg/l, jei cukraus kiekis mažesnis kaip 5 g/l.

*

Kai apribojimų nėra numatyta, taikomi galiojantys teisės aktai.

Bendrosios analitinės savybės

Didžiausia visuminė alkoholio koncentracija (tūrio %)

 

Mažiausia faktinė alkoholio koncentracija (tūrio %)

10,5

Mažiausias bendrasis rūgštingumas

3,5 g/l vyno rūgšties

Didžiausias lakusis rūgštingumas (miliekvivalentais viename litre)

25

Didžiausias bendras sieros dioksido kiekis (miligramais viename litre)

240

3.   Raudonieji vynai (sausi ir pusiau sausi)

TRUMPAS APRAŠYMAS

Jauni vynai – purpurinės spalvos, su violetiniais atspalviais; vynai „Crianza“ – kaštono spalvos ir vyšnių raudonumo; vynai „Rezerva“ – vyšnių raudonumo, su rubino atspalviais; vynai „Gran Rezerva“ – rubino raudonumo, su rusvais atspalviais. Kvapas: intensyvus, vaisinis, su vynuogių veislei būdingais aromatais ir gėlių pokvapiais, vynų „Crianza“ – su skrudinto ąžuolo aromatais. Vynų „Rezerva“ ir „Gran Rezerva“ kvapas kompleksiškesnis, su stipriais aromatais. Skonis: malonus, būdinga gera rūgštumo, alkoholio ir taninų kiekio pusiausvyra. Brandinant skonis tampa švelnesnis ir ilgiau juntamas.

*

Alkoholio koncentracijos ribos skiriasi priklausomai nuo parajonių ir brandinimo.

*

Lakusis rūgštingumas: jei tai senesnis kaip vienų metų sausas vynas, alkoholio koncentracijai neviršijant 10 % tūrio lakumas ne didesnis kaip 1 g/l, o viršijus 10 % – 0,06 g/l kiekvienam alkoholio laipsniui.

*

SO2: ne daugiau kaip 140 mg/l, jei cukraus kiekis mažesnis kaip 5 g/l.

*

Kai apribojimų nėra numatyta, taikomi galiojantys teisės aktai.

Bendrosios analitinės savybės

Didžiausia visuminė alkoholio koncentracija (tūrio %)

 

Mažiausia faktinė alkoholio koncentracija (tūrio %)

11,5

Mažiausias bendrasis rūgštingumas

3,5 g/l vyno rūgšties

Didžiausias lakusis rūgštingumas (miliekvivalentais viename litre)

13,3

Didžiausias bendras sieros dioksido kiekis (miligramais viename litre)

180

4.   Rūšiniai putojantys vynai (baltieji arba rožiniai)

TRUMPAS APRAŠYMAS

Iš gerti patiekto vyno smulkių burbuliukų pavidalu nuolat išsiskiria anglies dioksidas.

Rūšinis putojantis vynas, kaip ir jo pirminės fermentacijos cuvée, – skaidrus, be suspenduotų dalelių, įvairių gelsvų ir rausvų atspalvių.

Kvapui turi būti aiškiai būdingas gaivumas ir vaisių aromatas, taip pat kompleksiškumas dėl antrinės fermentacijos metu ant dugno buvusių nuosėdų. Tai ypač būdinga vynams „Reserva“ ir „Gran Añada“. Vynas turi būti be trūkumų, visų pirma – be tokių, kurių priežastis yra oksidacija arba redukcija.

*

Kai apribojimų nėra numatyta, taikomi galiojantys teisės aktai.

*

Didžiausia faktinė alkoholio koncentracija – 13 % tūrio.

Bendrosios analitinės savybės

Didžiausia visuminė alkoholio koncentracija (tūrio %)

 

Mažiausia faktinė alkoholio koncentracija (tūrio %)

11

Mažiausias bendrasis rūgštingumas

5,5 g/l vyno rūgšties

Didžiausias lakusis rūgštingumas (miliekvivalentais viename litre)

10,83

Didžiausias bendras sieros dioksido kiekis (miligramais viename litre)

140

5.   Vyno gamybos metodai

5.1.   Pagrindiniai vynininkystės metodai

Auginimo praktika

Laikoma, kad vynuogynai tampa tinkami derliui nuimti nuo ketvirtojo augimo ciklo (arba, gavus leidimą, anksčiau).

Išskyrus tam tikrus atvejus, draudžiama auginti mišrius vynuogynus, kuriuose nuimant vynuogių derlių būtų neįmanoma atskirti įvairių vynuogių veislių.

Tankis: 2 850–10 000 vynmedžių hektare.

Genėjimo ir (arba) formavimo sistemos: taurės formos genėjimas ir panašūs metodai, dviejų atšakų metodas, stiebo ir atšakos metodas, vienos atšakos arba vienakrypčių atšakų metodas, dvigubas „Guyot“ genėjimas (taikoma tik šioms veislėms: „Chardonnay“, „Sauvignon Blanc“, „Verdejo“, baltųjų vynuogių veislei „Maturana“, baltųjų vynuogių veislei „Tempranillo“ ir „Turruntés“).

Didžiausia apkrova: 12 pumpurų ant vieno vynmedžio; pirmiau nurodytų baltųjų vynuogių veislių atveju – 16 pumpurų ant vieno vynmedžio, veislės „Grenache“ atveju – 14 pumpurų ant vieno vynmedžio. Galimos išimtys.

Drėkinimas: leidžiamas. Nuo rugpjūčio 15 d. iki derliaus nuėmimo gali būti drėkinama tik naudojant vietines sistemas, iš anksto, prieš 24 valandas, turi būti pateiktas rašytinis pranešimas; drėkinti naudojant purkštuvus galima tik gavus leidimą; kitus metodus taikyti draudžiama.

Rūšiniams putojantiems vynams gaminti skirtos vynuogės gali būti skinamos tik rankomis (mechaninis skynimas draudžiamas).

Specialus vynininkystės metodas

Veislių santykis pagal vyno rūšis:

RAUDONIEJI VYNAI: ne mažiau kaip 95 % raudonųjų vynuogių veislių vynuogių, jei vynuogės be kotelių, ir ne mažiau kaip 85 %, jei vynuogės su koteliais.

BALTIEJI VYNAI: 100 % baltųjų vynuogių.

ROŽINIAI VYNAI: ne mažiau kaip 25 % raudonųjų vynuogių.

RŪŠINIAI PUTOJANTYS VYNAI (BALTIEJI IR ROŽINIAI): turi būti naudojamos baltosios ir (arba) raudonosios vynuogės. Rožiniuose vynuose turi būti ne mažiau kaip 25 % raudonųjų vynuogių.

Skirtingų spalvų vynuogės gali būti maišomos tik jas atvežus.

Vynuogių savybės: sveikos, pasiekiama alkoholio koncentracija ne mažesnė kaip: raudonųjų vynų – 11 % tūrio, baltųjų vynų – 10,5 % tūrio, rūšinių putojančių vynų – 9,5 % tūrio.

Didžiausia perdirbimo išeiga:

70 litrų / 100 kg derliaus, gaminant vynus. Išimtiniais atvejais ši išeiga gali būti kitokia, tačiau turi būti laikomasi tam tikrų ribų;

62 litrai / 100 kg derliaus, gaminant rūšinius putojančius vynus. Išimtiniais atvejais ši išeiga gali būti kitokia, tačiau turi būti laikomasi tam tikrų ribų;

65 litrai /100 kg derliaus, gaminant vynus, ženklinamus nuoroda „viñedo singular“ (vynininkystės vietovė). Nukrypimai negalimi.

Su vyno gamyba susiję apribojimai

Draudimai:

Gaminant vynus su saugoma kilmės vietos nuoroda draudžiama naudoti misos arba vyno frakcijas, gautas taikant netinkamą spaudimą.

Draudžiama naudoti nepertraukiamo veikimo sraigtinius presus, išcentrinio veikimo spaudimo įrenginius, draudžiama pašildyti vynuoges arba kaitinti misą ar vyną esant išspaudų, siekiant išgauti dažomąją medžiagą.

Gaminant, brandinant ir laikant vyną draudžiama naudoti ąžuolo medienos gabalus.

Draudžiama maišyti skirtingų rūšių vynus norint pagaminti vyną, kuris būtų kitoks nei maišomi vynai.

Konkrečios vyno gamybos sąlygos:

Fermentavimas statinėse: gali būti taikomas tik gaminant baltuosius ir rožinius vynus, jie statinėse turi būti laikomi ne trumpiau kaip mėnesį.

Maceravimas anglies dioksidu: gaminant raudonuosius vynus leidžiama naudoti ne daugiau kaip 5 % baltųjų vynuogių be kotelių arba 15 % baltųjų vynuogių su koteliais.

Rūšinis putojantis vynas: turi būti gaminamas tradiciniu būdu. Nuo išpilstymo į butelius iki nuosėdų nupylimo vynas ne trumpiau kaip 15 mėnesių iš eilės turi būti laikomas tame pačiame butelyje. Visas gamybos procesas, įskaitant etikečių klijavimą, turi būti atliekamas toje pačioje vyno darykloje. Antrinės fermentacijos metu faktinė alkoholio koncentracija neturi viršyti 1,5 % tūrio. Dėl expedition liqueur faktinė alkoholio koncentracija neturi padidėti daugiau kaip 0,5 % tūrio. Nupylus nuosėdas, vyną, jo nefiltruojant, galima perpilti į stiklinius butelius, kurių talpa mažesnė kaip 0,75 l ar bent 3 litrai. Rūgštinti arba blukinti draudžiama.

5.2.   Didžiausia išeiga

1.

Raudonųjų vynuogių veislės

6 500 kg vynuogių iš hektaro

2.

Raudonųjų vynuogių veislės

45,5 hektolitro iš hektaro

3.

Baltųjų vynuogių veislės

9 000 kg vynuogių iš hektaro

4.

Baltųjų vynuogių veislės

63 hektolitro iš hektaro

5.

Raudonosios vynuogės, skirtos vynams, kurie bus ženklinami nuoroda „viñedo singular“ (vynininkystės vietovė)

5 000 kg vynuogių iš hektaro

6.

Raudonosios vynuogės, skirtos vynams, kurie bus ženklinami nuoroda „viñedo singular“ (vynininkystės vietovė)

32,5 hektolitro iš hektaro

7.

Baltosios vynuogės, skirtos vynams, kurie bus ženklinami nuoroda „viñedo singular“ (vynininkystės vietovė)

6 922 kg vynuogių iš hektaro

8.

Baltosios vynuogės, skirtos vynams, kurie bus ženklinami nuoroda „viñedo singular“ (vynininkystės vietovė)

44,99 hektolitro iš hektaro

6.   Nustatyta geografinė vietovė

„RIOJA ALTA“ (AUKŠTUTINĖ RIOCHA)

La Riochos autonominė sritis

Ábalos

Alesanco

Alesón

Anguciana

Arenzana de Abajo

Arenzana de Arriba

Azofra

Badarán

Bañares

Baños de Río Tobía

Baños de Rioja

Berceo

Bezares

Bobadilla

Briñas

Briones

Camprovín

Canillas

Cañas

Cárdenas

Casalarreina

Castañares de Rioja

Cellórigo

Cenicero

Cidamón

Cihuri

Cirueña

Cordovín

Cuzcurrita de Río Tirón

Daroca de Rioja

Entrena

Estollo

Foncea

Fonzaleche

Fuenmayor

Galbárruli

Gimileo

Haro

Hervías

Herramélluri

Hormilla

Hormilleja

Hornos de Moncalvillo

Huércanos

Lardero

Leiva

Logroño

Manjarrés

Matute

Medrano

Nájera

Navarrete

Ochánduri

Ollauri

Rodezno

Sajazarra

San Asensio

San Millán de Yécora

San Torcuato

San Vicente de la Sonsierra

Santa Coloma

Sojuela

Sorzano

Sotés

Tirgo

Tormantos

Torrecilla sobre Alesanco

Torremontalbo

Treviana

Tricio

Uruñuela

Ventosa

Villalba de Rioja

Villar de Torre

Villarejo

Zarratón

Burgoso provincija (Ebro Miranda): El Ternero (anklavas)

„RIOJA ORIENTAL“ (RYTŲ RIOCHA)

La Riochos autonominė sritis

Agoncillo

Aguilar del Río Alhama

Albelda

Alberite

Alcanadre

Aldeanueva de Ebro

Alfaro

Arnedillo

Arnedo

Arrúbal

Ausejo

Autol

Bergasa

Bergasilla

Calahorra

Cervera del Río Alhama

Clavijo

Corera

Cornago

El Redal

El Villar de Arnedo

Galilea

Grávalos

Herce

Igea

Lagunilla de Jubera

Leza del Río Leza

Molinos de Ocón

Murillo de Río Leza

Muro de Aguas

Nalda

Ocón (La Villa)

Pradejón

Préjano

Quel

Ribafrecha

Rincón de Soto

Santa Engracia de Jubera (šiaurinis rajonas)

Santa Eulalia Bajera

Tudelilla

Villamediana de Iregua

Villarroya

Navaros autonominė sritis

Andosilla

Aras

Azagra

Bargota

Mendavia

San Adrián

Sartaguda

Viana

„RIOJA ALAVESA“ (ALAVOS RIOCHA)

Alavos provincija

Baños de Ebro

Barriobusto

Cripán

Elciego

Elvillar de Álava

Labastida

Labraza

Laguardia

Lanciego

Lapuebla de La barca

Leza

Moreda de Álava

Navaridas

Oyón

Salinillas de Buradón

Samaniego

Villabuena de Álava

Yécora

Lodosos savivaldybėje, dešiniajame Ebro krante esantys vynuogynai, įtraukti į tarybos vynuogynų registrą nuo 1991 m. balandžio 29 d., paliekami registre iki jų gyvavimo pabaigos.

Pasikeitus auginimo teritorijoje esančių savivaldybių riboms, registruoti vynuogynai iš vynuogynų registro nepašalinami.

Auginimo teritorijoje yra mažesnių geografinių vienetų, vadinamų „viñedos singulares“ (vynininkystės vietovės). Šie geografiniai vienetai yra mažesni už savivaldybes, juose gali būti vienas kadastrinis sklypas arba įvairūs atskiri sklypai. Vynmedžiams turi būti ne mažiau kaip 35 metai.

Pripažintos vynininkystės vietovės apibrėžtos 2019 m. birželio 28 d. Įsakymo Nr. APA/816/2019 priede (2019 m. liepos 30 d. Ispanijos oficialusis leidinys Nr. 181) (https://www.boe.es/boe/dias/2019/07/30/pdfs/BOE-A-2019-11186.pdf), 2020 m. rugpjūčio 3 d. Įsakymo Nr. APA/780/2020 priede (2020 m. rugpjūčio 8 d. Ispanijos oficialusis leidinys Nr. 214) (https://www.boe.es/boe/dias/2020/08/08/pdfs/BOE-A-2020-9446.pdf), 2021 m. gegužės 5 d. Įsakymo Nr. APA/468/2021 priede (2021 m. gegužės 14 d. Ispanijos oficialusis leidinys Nr. 115) (https://www.boe.es/boe/dias/2021/05/14/pdfs/BOE-A-2021-8011.pdf) ir 2021 m. gegužės 5 d. Įsakymo Nr. APA/468/2021 klaidų ištaisyme (2021 m. birželio 9 d. Ispanijos oficialusis leidinys Nr. 137) (https://www.boe.es/boe/dias/2021/06/09/pdfs/BOE-A-2021-9611.pdf).

7.   Pagrindinė (-s) vyninių vynuogių veislė (-ės)

„ALARIJE“ – „MALVASÍA RIOJANA“

„ALBILLO MAYOR“ – „TURRUNTÉS“

„CHARDONNAY“

„GARNACHA BLANCA“

„GARNACHA TINTA“

„GRACIANO“

„MACABEO“ – „VIURA“

„MATURANA BLANCA“

„MATURANA TINTA“

„MAZUELA“

„SAUVIGNON BLANC“

„TEMPRANILLO“

„TEMPRANILLO BLANCO“

„VERDEJO“

8.   Ryšys (-iai) su geografine vietove

8.1.   Vynas

Iš Aukštutinėje Riochoje auginamų vynuogių gaminamiems vynams ypatingos įtakos turi atlantinis klimatas. Dėl šio klimato vynams būdinga vidutinė alkoholio koncentracija ir didelis rūgštingumas. Dėl to šie vynai yra tinkami brandinti statinėse. Šiame rajone augimo ciklo metu yra mažiau valandų šviesos nei kilmės vietos nuorodos vietovėje, esančioje labiau į pietus. Joje taip pat daugiau lyja, o tai turi tiesioginės įtakos vyno rūgštingumui. Dėl šių veiksnių, taip pat dėl apsaugos, kurią suteikia Kantabrijos kalnų grandinė, vynai – tiek gryni, tiek maišomi su kituose rajonuose pagamintais vynais – įgyja geresnių savybių. Alavos Riochoje dėl atlantinio ir Viduržemio jūros klimato bendro poveikio vynams būdinga šiek tiek didesnė alkoholio koncentracija nei pirmiau minėtų vynų. Jie taip pat pasižymi mažesniu rūgštingumu ir yra universalesni, nes juos galima vartoti iš karto arba brandinti. Apsauga, kurią suteikia šiaurėje esanti Kantabrijos kalnų grandinė, turi dar didesnę reikšmę. Šviesos valandų skaičius panašus kaip ir Aukštutinėje Riochoje, tačiau lyja gerokai mažiau. Dėl universalumo šie vynai labai tinka maišytiems vynams gaminti. Galiausiai dėl piečiausiame rajone – Rytų Riochoje – gaminamų vynų pažymėtina, kad šiame rajone mažiau lyja ir vyrauja gana ryškus Viduržemio jūros klimatas, kuriam paprastai būdinga daugiau saulės šviesos. Vynai pasižymi didesne alkoholio koncentracija ir stipresniu alkoholio kvapu, šie vynai labai tinka maišyti norint pagaminti vynus, kuriuos ketinama brandinti. Be to, dėl klimatinių sąlygų vynus taip pat galima greičiau pradėti vartoti.

Analizuojant dirvožemį, išskiriami trys pagrindiniai tipai. Pirma, šiauriausia kilmės vietos nuorodos vietovės dalis pasižymi molingais ir klintingais dirvožemiais. Tai yra pagrindinė vynmedžių auginimo vietovė, besidriekianti nuo Alavos Riochos iki Aukštutinės Riochos. Be šių dirvožemių, pastarajame rajone ir Rytų Riochoje yra ir sąnašinių bei daug geležies turinčių dirvožemių, iš kurių gaunami ne tokie sodrūs vynai kaip minėtieji pirmiau.

Vertinant ekonominiu aspektu, vyno sektoriuje sukuriama 20 % regiono BVP. Atsižvelgiant į tai, kad taikomas senovinis vynuogynų auginimo metodas ir vynas regionui yra labai svarbus, būtina užtikrinti šio sektoriaus tvarumą. Todėl visiškai išnaudojamos aprašytosios gamtinės sąlygos. Pažymėtina, kad daug dėmesio skiriama brandinamiems vynams, dėl to čia yra didžiausia ąžuolinių statinių koncentracija pasaulyje.

8.2.   Rūšinis putojantis vynas

Nors kilmės vietos nuoroda daugiausia žinoma dėl neputojančių vynų gamybos, kai kurios vyno daryklos nuo devynioliktojo amžiaus vidurio tradiciniu būdu gamina ir rūšinius putojančius vynus, taigi yra įgijusios praktinių žinių ir patirties.

Gaivumas ir rūgštumas – du pagrindiniai gaminamų rūšinių putojančių vynų ypatumai. Kilmės vietos nuorodos vietovė yra teritorijoje, kuriai pagal Winklerio skalę yra būdingos vėsesnės temperatūros. Dėl to augimo ciklai yra trumpi, vynuogėse susiformuoja tinkamas fenolio junginių kiekis, tačiau nesusidaro didelė alkoholio koncentracija, todėl vynuogės labai tinka šiems vynams gaminti.

9.   Kitos pagrindinės sąlygos (išpilstymas, ženklinimas, kiti reikalavimai)

Teisinis pagrindas

Nustatytas nacionalinės teisės aktuose.

Papildomos sąlygos rūšis

Išpilstymas nustatytoje geografinėje vietovėje.

Sąlygos aprašymas

Vynai, kuriems suteikta saugoma kilmės vietos nuoroda „Rioja“, turi būti išpilstomi į butelius tik Reguliavimo tarybos registruotose vyno daryklose. Priešingu atveju vyno neleidžiama ženklinti kilmės vietos nuoroda.

Šis reikalavimas nustatytas atsižvelgiant į tai, kad tuo atveju, kai vynas išvežamas iš gamybos vietovės ir išpilstomas į butelius už jos ribų, vyno, kaip galutinio vartotojui siūlomo produkto, kokybei kyla didesnis pavojus nei tuo atveju, kai šios operacijos atliekamos toje pačioje vietovėje. Šiuo reikalavimu siekiama apsaugoti vyno „Rioja“ gerą vardą, sugriežtinant jo ypatingų savybių ir kokybės kontrolę. Juo užtikrinama pripažintos kilmės vietos nuorodos apsauga, o tai naudinga visiems susijusiems gamintojams. Šis sprendimas buvo patvirtintas 2000 m. gegužės 16 d. Europos Sąjungos Teisingumo Teismo sprendimu.

Teisinis pagrindas

Nustatytas nacionalinės teisės aktuose.

Papildomos sąlygos rūšis

Papildomos su ženklinimu susijusios nuostatos.

Sąlygos aprašymas

Žodis „RIOJA“ turi būti aiškiai matomas etiketėje. Iš karto po žodžiu „RIOJA“ turi būti pateikti šie elementai: užrašas „Denominación de Origen Calificada“ („Saugoma kilmės vietos nuoroda“), Reguliavimo tarybos spaudas, prekės ženklas, ir registruotos vyno daryklos pavadinimas arba prekybinis pavadinimas.

Kol nebaigtas brandinimo procesas, reklamuojant ir ženklinant parduodamus vynus negalima naudoti terminų „statinė“ ir „medis“.

Rajono arba savivaldybės pavadinimą naudoti galima, jei vynuogės yra iš tos vietovės ir jei vynas pagamintas, brandintas (jei taikytina) ir išpilstytas toje vietovėje. Tačiau vynui gaminti gali būti naudojama iki 15 % vynuogių, užaugintų registruotuose vynuogynuose, esančiuose savivaldybėse, kurios ribojasi su rajonu arba savivaldybe, kuriame (-ioje) yra įsisteigęs veiklos vykdytojas. Turi būti pateikti įrodymai, kad pirmiau minėtieji 15 % vynuogių bus specialiai tiekiami ne trumpiau kaip 10 metų iš eilės.

Rūšinių putojančių vynų etiketėse užrašas „Método Tradicional“ („Tradicinis metodas“) turi būti pateiktas iškart po termino, kuriuo nurodomas cukraus kiekis, o jo šriftas turi būti ne didesnis už šriftą, kuriuo užrašytas pavadinimas „Rioja“.

Etiketėje su privaloma informacija pateikto užrašo „Método Tradicional“ („Tradicinis metodas“) šriftas turi būti ne mažesnis kaip 0,3 cm.

Terminas „viñedo singular“ (vynininkystės vietovė) turi būti pateiktas tiesiai po vynuogyno, užregistruoto kaip prekės ženklas, pavadinimu, o jo šrifto dydis, storis ir spalva negali būti didesni ar ryškesni už šrifto, kuriuo užrašytas pavadinimas „Rioja“, dydį, storį ir spalvą.

Teisinis pagrindas

Nustatytas nacionalinės teisės aktuose.

Papildomos sąlygos rūšis

Papildomos su ženklinimu susijusios nuostatos.

Sąlygos aprašymas

Nepažeidžiant to, kas išdėstyta pirmiau, privaloma laikytis minimalių ženklinimo reikalavimų, nustatytų pagal 2015 m. gegužės 12 d. Įstatymo Nr. 6/2015 dėl saugomų kilmės vietos nuorodų ir geografinių nuorodų, taikomo plačiau nei autonominėse srityse, 17 straipsnio h dalies 4 punktą.

Nuoroda į produkto specifikaciją

https://www.mapa.gob.es/es/alimentacion/temas/calidad-diferenciada/dop-igp/htm/dop_rioja.aspx


(1)  OL L 9, 2019 1 11, p. 2.


2022 2 24   

LT

Europos Sąjungos oficialusis leidinys

C 88/58


Pranešimo apie vyno sektoriaus produkto specifikacijos standartinio pakeitimo patvirtinimą paskelbimas pagal Komisijos deleguotojo reglamento (ES) 2019/33 17 straipsnio 2 ir 3 dalis

(2022/C 88/07)

Šis pranešimas skelbiamas pagal Komisijos deleguotojo reglamento (ES) 2019/33 (1) 17 straipsnio 5 dalį.

PRANEŠIMAS APIE STANDARTINĮ BENDROJO DOKUMENTO PAKEITIMĄ

„Crémant de Bordeaux“

PDO-FR-A0488-AM06

Pranešimo data: 2021 11 26

PATVIRTINTO PAKEITIMO APRAŠYMAS IR PAGRINDIMAS

1.   Oficialusis geografinių kodų registras

Geografinės vietovės komunų sąrašas atnaujintas atsižvelgiant į Oficialųjį geografinių kodų registrą.

Iš dalies pakeistas bendrojo dokumento 6 punktas.

2.   Vynuogių veislės

Putojančių rožinių vynų gamybai skirtų vyninių vynuogių veislių sąrašas papildytas „Muscadelle B“, „Sauvignon B“, „Sauvignon gris G“, „Sémillon B“ vyninių vynuogių veislėmis.

Šios vyninių vynuogių veislės jau buvo įtrauktos į baltiesiems putojantiems vynams gaminti naudojamų vyninių vynuogių sąrašą.

Pridėjus šias vyninių vynuogių veisles, įterptas ir baltųjų vynuogių veislių naudojimo gaminant rožinių putojančių vynų kiuvė apribojimas.

Pridėjus šias vyninių vynuogių veisles vynams suteikiamas tam tikras gaivumas, kartu išlaikant rožinių putojančių vynų juslines savybes.

Dėl šio pakeitimo bendrasis dokumentas nekeičiamas.

3.   Agrarinės aplinkosaugos nuostatos

Į produkto specifikaciją įtraukiamos toliau išvardijamos agrarinės aplinkosaugos nuostatos.

Iš sklypų būtina pašalinti nudžiūvusius/nebegyvybingus vynmedžius; juos laikyti sklypuose draudžiama.

Draudžiamas cheminis piktžolių naikinimas visuose sklypuose.

Kiekvienas veiklos vykdytojas apskaičiuoja ir registruoja apdorojimo dažnio indeksą.

Šiais pakeitimais siekiama labiau atsižvelgti į visuomenės poreikius vartoti mažiau augalų apsaugos produktų ir labiau puoselėti aplinką.

Dėl šių pakeitimų bendrasis dokumentas nekeičiamas.

4.   Vynuogių derliaus gabenimas

Patikslinamos vynuogių derliaus gabenimo sąlygos – jos papildomos toliau nurodomomis nuostatomis.

Talpyklų šonų matmenys negali viršyti 1,20 x 1,00 m, o aukštis – 0,80 m. Pakrovimo aukštis neturi būti didesnis nei 0,60 m. Laikas nuo vynuogių surinkimo iki jų spaudimo neturi viršyti 24 valandų.

Šis pakeitimas leidžia išvengti vynuogių suspaudimo gabenimo metu, taigi, jos būna geresnės kokybės.

Todėl iš dalies keičiamas bendrojo dokumento 5.1 punktas.

5.   Vynuogių spaudimas

Patikslinta, kad vynuogės į presą pilamos nesutraiškytos, nepažeista odele.

Šitaip kontrolės reikmėms pabrėžiama, kad naudojamos nepažeistos uogos.

Dėl šio pakeitimo bendrasis dokumentas nekeičiamas.

6.   Homogenizavimas

Pridėta nuostata, kad veiklos vykdytojas gamintojas turi įrodyti, kad naudoja expedition liqueur ir vyno homogenizavimo priemonę, kelis kartus pakratant butelius, į kuriuos nuosėdų šalinimo metu įpilta cukraus turinčio expedition liqueur.

Tokiu būdu užtikrinamas geras butelių turinio homogenizavimas, ypač gaminant pusiau sausus vynus.

Dėl šio pakeitimo bendrasis dokumentas nekeičiamas.

7.   Laikymo vieta

Patikslinta, kad gamintojas visomis priemonėmis turi įrodyti, kad aukščiausia laikymo vietos temperatūra antrinės fermentacijos metu neviršija 14 oC ir iki nuosėdų pašalinimo – 20 oC.

Šiuo pakeitimu siekiama optimizuoti sėkmingą antrinę fermentaciją ir užtikrinti stabilią aplinką.

Dėl šio pakeitimo bendrasis dokumentas nekeičiamas.

8.   Vyno išleidimo į apyvartą tarp įgaliotų sandėlių savininkų data

Išbraukiamas 1 skyriaus IX antraštinės dalies 5 punkto b papunktis dėl vyno išleidimo į apyvartą tarp įgaliotų sandėlių savininkų datos.

Dėl šio pakeitimo bendrasis dokumentas nekeičiamas.

9.   Pereinamojo laikotarpio priemonė

Iš specifikacijos išbraukiamos nebeaktualios pereinamojo laikotarpio priemonės.

Dėl šio pakeitimo bendrasis dokumentas nekeičiamas.

10.   Nuosėdų šalinimo paraiškos deklaracija

Paraiškos deklaracija keičiama nuosėdų šalinimo paraiškos deklaracija.

Dėl šio pakeitimo bendrasis dokumentas nekeičiamas.

11.   Pagrindinių tikrintinų punktų suderinimas

Suderinami su nuosėdų šalinimo paraiškos deklaracija ir vynais po nuosėdų šalinimo susiję pagrindiniai tikrintini punktai.

Dėl šio pakeitimo bendrasis dokumentas nekeičiamas.

12.   Kontrolės įstaigos duomenys

Siekiant redakcijos suderinamumo su kitomis nuorodų specifikacijomis, peržiūrėta nuorodos į kontrolės įstaigą redakcija. Šis pakeitimas yra tik redakcinio pobūdžio.

Dėl šio pakeitimo bendrasis dokumentas nekeičiamas.

BENDRASIS DOKUMENTAS

1.   Pavadinimas (-ai)

Crémant de Bordeaux

2.   Geografinės nuorodos tipas

SKVN – saugoma kilmės vietos nuoroda

3.   Vynuogių produktų kategorijos

5.

Rūšinis putojantis vynas

4.   Vyno (-ų) aprašymas

Baltieji arba rožiniai rūšiniai putojantys vynai

GLAUSTAS APRAŠYMAS

Šių vynų natūrali alkoholio koncentracija tūrio procentais yra ≥ 9 proc.

Po antrinės fermentacijos šių vynų savybės yra tokios:

visuminė alkoholio koncentracija tūrio procentais yra ≥ 11 proc.;

lakusis rūgštingumas yra ≤ 18 meq/l;

bendras sieros dioksido kiekis yra ≤ 150 mg/l;

jei misa sodrinama, visuminė alkoholio koncentracija tūrio procentais yra ≤ 13 proc.

Šie vynai yra blizgūs, ilgai putoja ir palieka ilgai neišblėstantį vaisinį poskonį.

Baltasis vynas, kuriam būdingi smulkūs burbuliukai ir putojimas, yra gaivus ir rūgštokas, ypač jei gaminamas iš „Sauvignon B“ ir „Sémillon B“ veislių vynuogių. Vyną brandinant su nuosėdomis, atsiskleidžia brandesni aromatai, kuriuos dažnai lydi sviesto arba skrudintos duonos pokvapiai.

Rožiniam vynui, kuris daugiausia gaminamas iš „Merlot N“ ir „Cabernet franc N“ vynuogių veislių, būdingi vaisiniai pokvapiai. Šį vyną reikia gerti jauną.

Bendrosios analitinės savybės

Didžiausia visuminė alkoholio koncentracija (tūrio %)

 

Mažiausia faktinė alkoholio koncentracija (tūrio %)

 

Mažiausias bendrasis rūgštingumas

miliekvivalentais viename litre

Didžiausias lakusis rūgštingumas (miliekvivalentais viename litre)

 

Didžiausias bendras sieros dioksido kiekis (miligramais viename litre)

 

5.   Vynininkystės metodai

5.1.   Specifiniai vynininkystės metodai

1.   Sodinimo tankumas ir atstumas tarp eilių bei augalų

Auginimo praktika

Mažiausias vynuogyno tankumas – 4 000 vynmedžių sodinių viename hektare. Atstumas tarp eilių negali būti didesnis nei 2,50 m, o atstumas tarp augalų toje pačioje eilėje turi būti ne mažesnis nei 0,85 m.

Sodinimo tankumas gali būti sumažintas iki 3 300 vynmedžių sodinių viename hektare. Tokiu atveju atstumas tarp eilių negali būti didesnis nei 3 m, o atstumas tarp augalų toje pačioje eilėje turi būti ne mažesnis nei 0,85 m.

2.   Genėjimo taisyklės

Auginimo praktika

Vynmedžių šakas leidžiama genėti tik trumpai arba paliekant kelias ilgesnes šakas.

Nugenėtų „Merlot N“, „Muscadelle B“ ir „Sémillon B“ veislių vynuogienojų pumpurų skaičius negali viršyti 50 000 viename hektare ir 20 ant vieno vynmedžio sodinio.

Kitų veislių vynuogienojų pumpurų skaičius negali viršyti 60 000 viename hektare ir 22 ant vieno vynmedžio sodinio.

Genima ne vėliau kaip išsiskleidus lapams (Lorenzo 9 etapas).

3.   Vynuogių derliaus gabenimas

Auginimo praktika

Vynuogės gabenamos nehermetiškose talpyklose. Talpyklų šonų matmenys negali viršyti 1,20 x 1,00 m, o aukštis – 0,80 m. Pakrovimo aukštis neturi būti didesnis nei 0,60 m. Laikas nuo vynuogių surinkimo iki jų spaudimo neturi viršyti 24 valandų.

4.   Vynuogių priėmimas ir spaudimas

Specifinis vynininkystės metodas

Baltajam vynui gaminti skirtos vynuogės netraiškytos pilamos į presą.

Draudžiama naudoti vynuogių nusunkimo ir traiškymo įrangą su sraigtais.

Draudžiama naudoti vynuogių spaudimo įrangą su sraigtais arba presus su grandinėmis.

Privaloma naudoti svėrimo prietaisą, pritaikytą prie derliui rinkti naudojamų talpyklų tipo.

Vynuogės konvejeriu į presą turi būti paduodamos taip, kad nesusitraiškytų. Konkrečiai, reikia patikrinti arba pašalinti užsikimšimo šalinimo įrangą arba priemones, galinčias pažeisti vynuoges.

Į presą vienu kartu kraunamas toks vynuogių kiekis, koks atitinka preso talpą. Išskirtiniais atvejais galima krauti mažesnį vynuogių kiekį.

Vynuogių misą būtina atskirti.

Sultys, išsiskyrusios vynuogėms susispaudus ant konvejerio, atskiriamos. Apskaičiuojant išspaudų kiekį į šias atskirtas sultis neatsižvelgiama. Šios sultys iki einamųjų derliaus metų liepos 31 d. vežamos distiliuoti.

Presą privaloma plauti kiekvieną dieną.

Taip pat kasdien privaloma plauti derliaus rinkimo talpyklas.

Neturi būti kliūčių plauti vynuogių priėmimo ir spaudimo patalpų grindis.

5.   Sodrinimas

Specifinis vynininkystės metodas

Cukrumi sodrintame baziniame vyne fermentuojamo cukraus kiekis yra ≤ 5 g/l.

Jei misa buvo sodrinama, po antrinės fermentacijos vynų visuminė alkoholio koncentracija tūrio procentais yra 13 proc.

5.2.   Didžiausias gamybos kiekis

1.

78 hektolitrai iš hektaro

6.   Nustatyta geografinė vietovė

Vynuogių derlius renkamas, vynas gaminamas ir brandinamas šiose 2021 m. vasario 1 d. Oficialiajame geografinių kodų registre apibrėžtose Žirondos departamento komunose: Abzac, Aillas, Ambarès-et-Lagrave, Ambès, Anglade, Arbanats, Arcins, Arsac, Artigues-près-Bordeaux, Arveyres, Asques, Aubiac, Auriolles, Auros, Avensan, Ayguemorte-les-Graves, Bagas, Baigneaux, Barie, Baron, Barsac, Bassanne, Bassens, Baurech, Bayas, Bayon-sur-Gironde, Bazas, Beautiran, Bégadan, Bègles, Béguey, Bellebat, Bellefond, Belvès-de-Castillon, Bernos-Beaulac, Berson, Berthez, Beychac-et-Caillau, Bieujac, Birac, Blaignac, Blaignan-Prignac, Blanquefort, Blasimon, Blaye, Blésignac, Bommes, Bonnetan, Bonzac, Bordeaux, Bossugan, Bouliac, Bourdelles, Bourg, Branne, Brannens, Braud-et-Saint-Louis, Brouqueyran, Bruges, Budos, Cabanac-et-Villagrains, Cabara, Cadarsac, Cadaujac, Cadillac, Cadillac-en-Fronsadais, Camarsac, Cambes, Camblanes-et-Meynac, Camiac-et-Saint-Denis, Camiran, Camps-sur-l’Isle, Campugnan, Canéjan, Capian, Caplong, Carbon-Blanc, Cardan, Carignan-de-Bordeaux, Cars, Cartelègue, Casseuil, Castelmoron-d’Albret, Castelnau-de-Médoc, Castelviel, Castets et Castillon, Castillon-la-Bataille, Castres-Gironde, Caudrot, Caumont, Cauvignac, Cavignac, Cazats, Cazaugitat, Cénac, Cenon, Cérons, Cessac, Cestas, Cézac, Chamadelle, Cissac-Médoc, Civrac-de-Blaye, Civrac-sur-Dordogne, Civrac-en-Médoc, Cleyrac, Coimères, Coirac, Comps, Coubeyrac, Couquèques, Courpiac, Cours-de-Monségur, Cours-les-Bains, Coutras, Coutures, Créon, Croignon, Cubnezais, Cubzac-les-Ponts, Cudos, Cursan, Cussac-Fort-Médoc, Daignac, Dardenac, Daubèze, Dieulivol, Donnezac, Donzac, Doulezon, Escoussans, Espiet, Etauliers, Eynesse, Eyrans, Eysines, Faleyras, Fargues, Fargues-Saint-Hilaire, Flaujagues, Floirac, Floudès, Fontet, Fossés-et-Baleyssac, Fours, Francs, Fronsac, Frontenac, Gabarnac, Gaillan-en-Médoc, Gajac, Galgon, Gans, Gardegan-et-Tourtirac, Gauriac, Gauriaguet, Générac, Génissac, Gensac, Gironde-sur-Dropt, Gornac, Gours, Gradignan, Grayan-et-l’Hôpital, Grézillac, Grignols, Guillac, Guillos, Guîtres, Haux, Hure, Illats, Isle-Saint-Georges, Izon, Jau-Dignac-et-Loirac, Jugazan, Juillac, La Brède, La Lande-de-Fronsac, La Réole, La Rivière, La Roquille, La Sauve, Labarde, Labescau, Ladaux, Lados, Lagorce, Lalande-de-Pomerol, Lamarque, Lamothe-Landerron, Landerrouat, Landerrouet-sur-Ségur, Landiras, Langoiran, Langon, Lansac, Lapouyade, Laroque, Laruscade, Latresne, Lavazan, Le Bouscat, Le Fieu, Le Haillan, Le Nizan, Le Pian-Médoc, Le Pian-sur-Garonne, Le Pout, Le Puy, Le Taillan-Médoc, Le Tourne, Le Verdon-sur-Mer, Léogeats, Léognan, Les Artigues-de-Lussac, Les Billaux, Les Eglisottes-et-Chalaures, Les Esseintes, Les Lèves-et-Thoumeyragues, Les Peintures, Les Salles-de-Castillon, Lesparre-Médoc, Lestiac-sur-Garonne, Libourne, Lignan-de-Bazas, Lignan-de-Bordeaux, Ligueux, Listrac-de-Durèze, Listrac-Médoc, Lormont, Loubens, Loupes, Loupiac, Loupiac-de-la-Réole, Ludon-Médoc, Lugaignac, Lugasson, Lugon-et-l’Ile-du-Carnay, Lussac, Macau, Madirac, Maransin, Marcenais, Margaux-Cantenac, Margueron, Marimbault, Marions, Marsas, Martignas-sur-Jalle, Martillac, Martres, Masseilles, Massugas, Mauriac, Mazères, Mazion, Mérignac, Mérignas, Mesterrieux, Mombrier, Mongauzy, Monprimblanc, Monségur, Montagne, Montagoudin, Montignac, Montussan, Morizès, Mouillac, Mouliets-et-Villemartin, Moulis-en-Médoc, Moulon, Mourens, Naujac-sur-Mer, Naujan-et-Postiac, Néac, Nérigean, Neuffons, Noaillac, Noaillan, Omet, Ordonnac, Paillet, Parempuyre, Pauillac, Pellegrue, Périssac, Pessac, Pessac-sur-Dordogne, Petit-Palais-et-Cornemps, Peujard, Pineuilh, Plassac, Pleine-Selve, Podensac, Pomerol, Pompéjac, Pompignac, Pondaurat, Porchères, Porte-de-Benauge, Portets , Préchac, Preignac, Prignac-et-Marcamps, Pugnac, Puisseguin, Pujols, Pujols-sur-Ciron, Puybarban, Puynormand, Queyrac, Quinsac, Rauzan, Reignac, Rimons, Riocaud, Rions, Roaillan, Romagne, Roquebrune, Ruch, Sablons, Sadirac, Saillans, Saint-Aignan, Saint-André-de-Cubzac, Saint-André-du-Bois, Saint-André-et-Appelles, Saint-Androny, Saint-Antoine-du-Queyret, Saint-Antoine-sur-l’Isle, Saint-Aubin-de-Blaye, Saint-Aubin-de-Branne, Saint-Aubin-de-Médoc, Saint-Avit-de-Soulège, Saint-Avit-Saint-Nazaire, Saint-Brice, Saint-Caprais-de-Bordeaux, Saint-Christoly-de-Blaye, Saint-Christoly-Médoc, Saint-Christophe-de-Double, Saint-Christophe-des-Bardes, Saint-Cibard, Saint-Ciers-d’Abzac, Saint-Ciers-de-Canesse, Saint-Ciers-sur-Gironde, Sainte-Colombe, Saint-Côme, Sainte-Croix-du-Mont, Saint-Denis-de-Pile, Saint-Emilion, Saint-Estèphe, Saint-Etienne-de-Lisse, Sainte-Eulalie, Saint-Exupéry, Saint-Félix-de-Foncaude, Saint-Ferme, Sainte-Florence, Sainte-Foy-la-Grande, Sainte-Foy-la-Longue, Sainte-Gemme, Saint-Genès-de-Blaye, Saint-Genès-de-Castillon, Saint-Genès-de-Fronsac, Saint-Genès-de-Lombaud, Saint-Genis-du-Bois, Saint-Germain-de-Grave, Saint-Germain-de-la-Rivière, Saint-Germain-d’Esteuil, Saint-Germain-du-Puch, Saint-Gervais, Saint-Girons-d’Aiguevives, Sainte-Hélène, Saint-Hilaire-de-la-Noaille, Saint-Hilaire-du-Bois, Saint-Hippolyte, Saint-Jean-de-Blaignac, Saint-Jean-d’Illac, Saint-Julien-Beychevelle, Saint-Laurent-d’Arce, Saint-Laurent-des-Combes, Saint-Laurent-du-Bois, Saint-Laurent-du-Plan, Saint-Laurent-Médoc, Saint-Léon, Saint-Loubert, Saint-Loubès, Saint-Louis-de-Montferrand, Saint-Macaire, Saint-Magne-de-Castillon, Saint-Maixant, Saint-Mariens, Saint-Martial, Saint-Martin-de-Laye, Saint-Martin-de-Lerm, Saint-Martin-de-Sescas, Saint-Martin-du-Bois, Saint-Martin-du-Puy, Saint-Martin-Lacaussade, Saint-Médard-de-Guizières, Saint-Médard-d’Eyrans, Saint-Médard-en-Jalles, Saint-Michel-de-Fronsac, Saint-Michel-de-Lapujade, Saint-Michel-de-Rieufret, Saint-Morillon, Saint-Palais, Saint-Pardon-de-Conques, Saint-Paul, Saint-Pey-d’Armens, Saint-Pey-de-Castets, Saint-Philippe-d’Aiguille, Saint-Philippe-du-Seignal, Saint-Pierre-d’Aurillac, Saint-Pierre-de-Bat, Saint-Pierre-de-Mons, Saint-Quentin-de-Baron, Saint-Quentin-de-Caplong, Sainte-Radegonde, Saint-Romain-la-Virvée, Saint-Sauveur, Saint-Sauveur-de-Puynormand, Saint-Savin, Saint-Selve, Saint-Seurin-de-Bourg, Saint-Seurin-de-Cadourne, Saint-Seurin-de-Cursac, Saint-Seurin-sur-l’Isle, Saint-Sève, Saint-Sulpice-de-Faleyrens, Saint-Sulpice-de-Guilleragues, Saint-Sulpice-de-Pommiers, Saint-Sulpice-et-Cameyrac, Sainte-Terre, Saint-Trojan, Saint-Vincent-de-Paul, Saint-Vincent-de-Pertignas, Saint-Vivien-de-Blaye, Saint-Vivien-de-Médoc, Saint-Vivien-de-Monségur, Saint-Yzan-de-Soudiac, Saint-Yzans-de-Médoc, Salaunes, Salleboeuf, Samonac, Saucats, Saugon, Sauternes, Sauveterre-de-Guyenne, Sauviac, Savignac, Savignac-de-l’Isle, Semens, Sendets, Sigalens, Sillas, Soulac-sur-Mer, Soulignac, Soussac, Soussans, Tabanac, Taillecavat, Talais, Talence, Targon, Tarnès, Tauriac, Tayac, Teuillac, Tizac-de-Curton, Tizac-de-Lapouyade, Toulenne, Tresses, Uzeste, Val-de-Livenne, Val de Virvée, Valeyrac, Vayres, Vendays-Montalivet, Vensac, Vérac, Verdelais, Vertheuil, Vignonet, Villandraut, Villegouge, Villenave-de-Rions, Villenave-d’Ornon, Villeneuve, Virelade, Virsac, Yvrac.

7.   Pagrindinė (-ės) vyninių vynuogių veislė (-ės)

 

„Cabernet franc N“

 

„Cabernet-Sauvignon N“

 

„Carménère N“

 

„Cot N“ – „Malbec N“

 

„Merlot N“

 

„Muscadelle B“

 

„Petit Verdot N“

 

„Sauvignon B“ – „Sauvignon blanc“

 

„Sauvignon gris G“ – „Fié gris“

 

„Semillon B“

8.   Ryšys (-iai) su geografine vietove

Geografinei vietovei būdingos vyno gamybai ypač palankios ir palyginti vienodos klimato sąlygos. Vietovė yra arti didelių vandens telkinių (Atlanto vandenyno, Žirondos upės žiočių, Garonos ir Dordonės upių slėnių), kurie turi itin didelę termoreguliacinę reikšmę. Vis dėlto pavasario šalnas švelninanti vandenyno įtaka, tolstant nuo vandenyno ir didžiųjų slėnių ir artėjant prie Landų, Sentonžo ir Perigoro Dublio miškų masyvų, palaipsniui mažėja. Dėl šių ypatumų geografinės vietovės šiauriniuose ir pietiniuose bei pietvakariniuose pakraščiuose vynuogynų sodinama mažai. Geografinė vietovė apima 497 iš 538 Žirondos departamento komunų teritoriją, išskyrus departamento pietvakarinę dalį, kuri skirta ne vyno sektoriui, o miškininkystei.

Jau XVII ir XVIII amžiuje jūrinio klimato sąlygomis augintas Bordo vynuoges teko remti poliais. Vėliau paplito treliažai. Visa tai buvo daroma tam, kad vynuogių derlius būtų vienodai pasiskirstęs, o lapų paviršius – pakankamas chlorofilo sintezei, užtikrinančiai gerą brandą.

Derlius skinamas vynuogėms pasiekus optimalią brandą, nes taip užtikrinama tinkama saldumo ir rūgštumo pusiausvyra, kurios reikia, kad vynas pasižymėtų gaivumu ir tinkamai vyktų antrinė fermentacija.

Vietovei būdingas skirtingų tipų dirvožemis ir skirtinga vynuogynų padėtis saulės atžvilgiu lėmė tai, kad skirtingos vynuogių veislės atrinktos ir pritaikytos atsižvelgiant į aplinkos ypatumus ir kad nuo senų laikų paplito maišytų vynų gamyba. Galima išskirti keturis dirvožemio tipus:

kalvų šlaituose vyrauja kalkinio molio ir kalkinio mergelio dirvožemis, puikiai tinkantis veislės „Merlot N“ vynuogėms augti;

silicio dirvožemis su molio ir kalkių priemaišomis labai tinka, pavyzdžiui, „Merlot N“ ir „Sauvignon B“ veislėms;

lengvesnis aliuvinis dirvožemis su smulkiomis silicio smiltelėmis tinka baltųjų vynuogių veislėms, iš kurių gaminamas bazinis vynas;

gerai drenuojamose, šiltose ir puikiai vynuogėms, ypač „Cabernet sauvignon“ veislės, auginti tinkamose terasose vyrauja dirvožemis, kuriame gausu žvyro, kvarco samplovų ir stambesnio ar smulkesnio smėlio.

Vyno gamintojai sukaupė didžiulę patirtį vyną gaminti iš kiekvienos vynuogių veislės atskirai, tuomet meistriškai maišyti vynus atsižvelgiant į veisles bei derliaus metus ir taip užtikrinti daugmaž pastovią vyno rūgštaus ir vaisinio skonio pusiausvyrą.

Sulčių skaidrumą užtikrina tai, kad renkamos ir gabenamos vynuogės nesutraiškomos, ir tai, kad laikomasi griežtų specifikacijoje nustatytų vynuogių spaudimo taisyklių. Ribota sulfitacija yra būtina antrinės fermentacijos kokybei užtikrinti. Brandinimas su nuosėdomis leidžia atsiskleisti tretiniams aromatams ir sustiprina kompleksinį vyno skonį.

Bordo regione esantis uostas ir glaudūs istoriniai ryšiai su kitomis tautomis labai anksti paskatino vyno gamintojus imtis įvairiapusės ir plačios prekybos. Šio regiono vyndariai visada buvo atviri pasauliui, todėl turėjo galimybę naudotis techninėmis naujovėmis ir jas skleisti – taip jie galėjo didinti savo ūkių dinamiškumą ir įtvirtinti, plėtoti patirtį ir ja dalytis, kartu išsaugodami šimtametes tradicijas.

Nuo pat išskirtinių ryšių su Anglija užmezgimo XII amžiuje iki Azijos rinkų, kurios nuo šiol yra atviros vyno produktams, užkariavimo Bordo vyno gamintojai sugebėjo prisitaikyti prie rinkos pokyčių, neniokodami aplinkos, kurioje vynuogynai auga. Taigi produktų įvairovė yra didelė: šios rinkos dinamiškumą rodo auganti vynų „Crémant de Bordeaux“ gamybos apimtis.

Nors „Crémant de Bordeaux“ sudaro tik dalį Bordo regiono vyno produkcijos, šie vynai liudija dideles tradicinių vynuogių veislių galimybes, per šimtmečius Bordo vyno gamintojų ištobulintas vyno gamybos technikas ir jų novatoriškumą. Baltasis ir rožinis vynas „Crémant de Bordeaux“ – tai iš Bordo regiono vynuogių veislių pagal tradicinės antrinės fermentacijos metodus gaminami vynai.

„Crémant de Bordeaux“ yra blizgūs, ilgai putoja ir palieka ilgai neišblėstantį vaisinį poskonį.

Baltasis vynas, kuriam būdingi smulkūs burbuliukai ir putojimas, yra gaivus ir rūgštokas, ypač jei gaminamas iš „Sauvignon B“„Sémillon B“ vynuogių veislių.

Vyną brandinant su nuosėdomis atsiskleidžia brandesni aromatai, kuriuos dažnai papildo sviesto arba skrudintos duonos pokvapiai.

Rožiniam vynui, kuris daugiausia gaminamas iš „Merlot N“ ir „Cabernet franc N“ vynuogių veislių, būdingi vaisiniai pokvapiai. Šį vyną reikia gerti jauną.

9.   Kitos pagrindinės sąlygos (išpilstymas, ženklinimas, kiti reikalavimai)

Ženklinimas

Teisinis pagrindas

Nacionalinės teisės aktai

Papildomos sąlygos rūšis

Papildomos nuostatos dėl ženklinimo

Sąlygos aprašymas

Saugomos kilmės vietos nuorodos pavadinimas užrašomas ant butelio kaklelyje esančios kamščio dalies.

Saugoma kilmės vietos nuoroda žymimų vynų etiketėse galima nurodyti stambesnę geografinę vietovę – „Vin de Bordeaux“ arba „Grand Vin de Bordeaux“. Šios stambesnės geografinės vietovės pavadinimas turi būti užrašomas rašmenimis, kurių dydis (aukštis ir plotis) nėra didesnis nei 2/3 rašmenų, kuriais užrašytas saugomos kilmės vietos nuorodos pavadinimas, dydžio.

Išpilstymas

Teisinis pagrindas

Nacionalinės teisės aktai

Papildomos sąlygos rūšis

Išpilstymas nustatytų ribų geografinėje vietovėje

Sąlygos aprašymas

Visi veiksmai – nuo vynuogių derliaus nuėmimo iki nuosėdų pašalinimo – atliekami geografinėje vietovėje.

Vynai gaunami tik po antrinės fermentacijos stikliniuose buteliuose.

Atsižvelgiant į tai, kad vynas gaunamas antrinės fermentacijos buteliuose būdu, vynai išpilstomi geografinėje vietovėje.

Išpilstymas į stiklinius butelius, kuriuose vykdoma antrinė fermentacija, gali būti pradėtas tik praėjus 3 mėnesiams nuo vynuogių derliaus nuėmimo, bet ne anksčiau kaip derliaus metų gruodžio 1 d.

Vynai vartotojams tiekiami praėjus mažiausiai 12 mėnesių brandinimo nuo išpilstymo į butelius, įskaitant mažiausiai vieną mėnesį nuo nuosėdų pašalinimo.

Nuoroda į produkto specifikaciją

http://info.agriculture.gouv.fr/gedei/site/bo-agri/document_administratif-7df3447f-384a-4f7a-819e-2971ef1ae277


(1)  OL L 9, 2019 1 11, p. 2.


2022 2 24   

LT

Europos Sąjungos oficialusis leidinys

C 88/65


Pranešimo apie vyno sektoriaus produkto specifikacijos standartinio pakeitimo patvirtinimą paskelbimas pagal Komisijos deleguotojo reglamento (ES) 2019/33 17 straipsnio 2 ir 3 dalis

(2022/C 88/08)

Šis pranešimas skelbiamas pagal Komisijos deleguotojo reglamento (ES) 2019/33 (1) 17 straipsnio 5 dalį.

PRANEŠIMAS APIE STANDARTINĮ BENDROJO DOKUMENTO PAKEITIMĄ

„Saint-Estèphe“

PDO-FR-A0178-AM01

Pranešimo data: 2021 11 26

PATVIRTINTO PAKEITIMO APRAŠYMAS IR PAGRINDIMAS

1.   Oficialusis geografinių kodų registras

Arčiausiai esančios geografinės vietovės komunų sąrašas atnaujintas atsižvelgiant į Oficialųjį geografinių kodų registrą.

Vietovės ribos lieka nepakitusios.

Iš dalies pakeisti bendrojo dokumento 6 ir 9 punktai.

2.   Nustatyti sklypai

Į nustatytų sklypų ribas patvirtinusio kompetentingo nacionalinio komiteto posėdžių sąrašą įtraukta 2021 m. birželio 3 d. data.

Šio pakeitimo tikslas – įtraukti datą, kurią kompetentinga valdžios institucija patvirtino geografinėje gamybos vietovėje nustatytų sklypų pakeitimą. Sklypų nustatymas – geografinėje gamybos vietovėje esančių sklypų, kuriuose gali būti gaminamas saugomos kilmės vietos nuoroda žymimas produktas, parinkimas.

Bendrajam dokumentui šie pakeitimai įtakos neturi.

3.   Vyno išleidimas į apyvartą tarp įgaliotų sandėlių savininkų

Išbraukiamas 1 skyriaus IX antraštinės dalies 5 punkto b papunktis dėl vyno išleidimo į apyvartą tarp įgaliotų sandėlių savininkų datos.

Dėl šio pakeitimo bendrasis dokumentas nekeičiamas.

4.   Pereinamojo laikotarpio priemonės

Iš specifikacijos išbrauktos nebeaktualios pereinamojo laikotarpio priemonės.

Dėl šio pakeitimo bendrasis dokumentas nekeičiamas.

5.   Nuoroda į kontrolės įstaigą

Siekiant redakcijos suderinamumo su kitomis nuorodų specifikacijomis, peržiūrėta nuorodos į kontrolės įstaigą redakcija. Šis pakeitimas yra tik redakcinio pobūdžio. Dėl šio pakeitimo bendrasis dokumentas nekeičiamas.

BENDRASIS DOKUMENTAS

1.   Pavadinimas (-ai)

Saint-Estèphe

2.   Geografinės nuorodos tipas

SKVN – saugoma kilmės vietos nuoroda

3.   Vynuogių produktų kategorijos

1.

Vynas

4.   Vyno (-ų) aprašymas

TRUMPAS APRAŠYMAS

Tai neputojantys raudonieji vynai.

Šių vynų mažiausia natūrali alkoholio koncentracija tūrio procentais yra 11 proc., o po sodrinimo visuminė alkoholio koncentracija tūrio procentais neviršija 13,5 proc.

Kiekvienos partijos parduodamo vyno:

obuolių rūgšties kiekis yra ne didesnis kaip 0,30 g/l,

fermentuojamų cukrų (gliukozės ir fruktozės) kiekis – ne didesnis kaip 2 g/l,

neišpilstyto vyno lakusis rūgštingumas iki kitų metų, einančių po derliaus nuėmimo metų, liepos 31 d. neviršija 13,26 miliekvivalento viename litre, t. y. 0,79 g/l acto rūgšties (0,65 g/l, jei išreikštas H2SO4), o po tos datos – 16,33 miliekvivalento viename litre, t. y. 0,98 g/l acto rūgšties (0,80 g/l, jei išreikštas H2SO4).

Bendrojo rūgštingumo ir bendro sieros dioksido kiekiai nustatyti Sąjungos teisės aktuose. Vynai būna ryškiai raudonos spalvos. Dažniausiai jie gaminami iš kelių vyninių vynuogių veislių, tarp kurių vyrauja „Cabernet-sauvignon N“ veislė. Dėl šios veislės vynai yra tvirtos sandaros ir pasižymi išraiškinga taninų struktūra. „Merlot N“ veislė prieskonių pokvapius dažnai papildo raudonųjų vaisių ir uogų pokvapiais. Vyno struktūrą ir sudėtingumą paryškina veislės „Cabernet franc N“ arba „Petit-verdot N“. Pastaroji veislė gali suteikti gerai subrendusiam vynui gaivumo. Šie stiprūs ir galingi vynai turi būti brandinami kelerius metus, per kuriuos jie įgyja aptakumo, vaisiškumo ir subtilumo.

Bendrosios analitinės savybės

Didžiausia visuminė alkoholio koncentracija (tūrio %)

 

Mažiausia faktinė alkoholio koncentracija (tūrio %)

 

Mažiausias bendrasis rūgštingumas

 

Didžiausias lakusis rūgštingumas (miliekvivalentais viename litre)

 

Didžiausias bendras sieros dioksido kiekis (miligramais viename litre)

 

5.   Vynininkystės metodai

5.1.   Specifiniai vynininkystės metodai

1.   Specifinis vynininkystės metodas

Leidžiama taikyti sodrinimo pašalinant vandenį metodus, jei koncentracija neviršija 15 proc.

Po sodrinimo vynų bendra alkoholio koncentracija tūrio procentais neviršija 13,5 proc.

Be to, kas nurodyta pirmiau, vynai turi būti gaminami laikantis visoje Sąjungoje taikytinų ir Prancūzijos kaimo ir jūrų žuvininkystės kodekse nustatytų vynininkystės praktikos reikalavimų.

2.   Auginimo praktika

a)   Sodinimo tankumas

Minimalus vynuogyno tankumas – 7 000 vynmedžių sodinių viename hektare.

Atstumas tarp eilių negali būti didesnis nei 1,50 m, o atstumas tarp augalų toje pačioje eilėje turi būti ne mažesnis nei 0,80 m.

b)   Genėjimo taisyklės

Genima ne vėliau kaip išsiskleidus lapams (Lorenzo 9 etapas).

Vynmedžiai genimi toliau nurodytais metodais, ant sodinio paliekant ne daugiau kaip 12 pumpurų:

Medoko metodu, genint vaisines šakas arba trumpinant ūglius ir genint vaisines šakas; vynmedis turi dvi vaisines šakas su ne daugiau kaip 4 pumpurais ant kiekvienos šakos „Cot N“, „Cabernet-sauvignon N“, „Merlot N“ ir „Petit verdot N“ veislių atveju ir ne daugiau kaip 5 pumpurais ant vaisinės šakos „Cabernet franc N“ ir „Carmenère N“ veislių atveju. Ant ūglių paliekama po du pumpurus;

trumpai, kai paliekamos 2 šakos, arba vėduoklės forma, paliekant 4 šakas.

c)   Drėkinimas

Vynmedžių vegetacijos laikotarpiu gali būti leidžiama juos drėkinti pagal Kaimo ir jūrų žuvininkystės kodekso nuostatas.

5.2.   Didžiausias gamybos kiekis

1.

63 hektolitrai iš hektaro

6.   Nustatyta geografinė vietovė

Vynuogių derlius renkamas, vynas gaminamas ir brandinamas 2021 m. sausio 1 d. Oficialiajame geografinių kodų registre apibrėžtos Žirondos departamento Sent Estefo komunos teritorijoje.

7.   Pagrindinė (-ės) vyninių vynuogių veislė (-ės)

 

„Cabernet franc N“

 

„Cabernet-Sauvignon N“

 

„Carménère N“

 

„Cot N“ – „Malbec N“

 

„Merlot N“

 

„Petit Verdot N“

8.   Ryšys (-iai) su geografine vietove

8.1.   Gamtinių veiksnių, darančių įtaką ryšiui, aprašymas

Saugomos kilmės vietos nuorodos „Saint-Estèphe“ geografinė vietovė plyti kairiajame Žirondos upės krante, pusiaukelėje tarp Bordo ir Gravo kyšulio esančiame Medoko pusiasalyje.

Ši geografinė vietovė yra savita geologine sandara pasižyminčios Medoko pusiasalio vynuogių auginimo zonos dalis, besidriekianti išilgai Žirondos upės žiočių plytinčių 4–40 m aukščio žvyringų terasų tęsinyje.

Šios vidutiniškai apie dešimties metrų storio kvartero terasos slūgso ant Sent Estefo komunos vakarinėje dalyje paviršiun išlendančio eoceno ir oligoceno mergelio ir kalkakmenio. Visus šiuos darinius vakaruose, iki ribos su mišku, užklojęs Landų smėlis (dėl vėjo erozijos susidaręs kvartero periodo smėlis). Žiočių pakraštyje slūgsančios vėlyvesnės sąnašos, vietinių vadinamos „palus“, papildo vietovėje aptinkamų sanklodų įvairovę.

Šias vietoves išvagoję į Žirondą iš visų dirvožemių vandenį surenkantys upeliukai („jalles“ ir „esteys“) vienas nuo kitų atskyrė žvirgždo kalvas ir jų vagos sutampa su daugeliu komunų ribų. Tad saugomos kilmės vietos nuorodos „Saint-Estèphe“ geografinė vietovė sutampa su Sent Estefo komunos teritorija. Šiaurėje šios komunos teritoriją nuo Sen Seren de Kadurno komunos skiria pelkė, iš kurios išteka Kaliupero kanalas, o pietuose – Lafito pelkė, iš kurios išteka Brėjaus upelis.

Žvirgždo kalvų dirvožemiai daugiausia smėlingi ir žvyringi arba molingi ir žvyringi. Vakarinėje dalyje kieto kalkakmenio pagrindą dengia nevienodo storumo smėlingas ir žvyringas dirvožemis, taip pat paviršinis išplautžemis. Vietos nuosėdinių uolienų gausa iš dalies nulėmė kraštovaizdžių įvairovę ir skirtingas dirvožemių spalvas. Vietos vietovardžiai, pavyzdžiui, „Cos“ arba „Pez“, atspindi ir reljefo kalvotumą, ir dirvožemių žvyringumą.

Saugoma kilmės vietos nuoroda „Saint-Estèphe“ yra šiauriausia iš Medoko regiono komunų pavadinimais vadinamų saugomų kilmės vietos nuorodų ir antroji pagal plotą.

Vynuogynai užima didžiąją ant kalvų plytinčios komunos teritorijos dalį ir formuoja jos kraštovaizdį. Juos vagoja tankus daugybę kaimų jungiančių antraeilės svarbos kelių tinklas. Šie kaimai, pavyzdžiui, Marbiuze, Blanke, Pezas, Lesakas arba Sen Korbianas, išsidėstę aplink prie pilių įsikūrusius vyno ūkius.

Patys iškiliausi „crus“ vynai vadinami puikių vynuogynuose paskendusių pilių pavadinimais.

Komunos pietuose ir šiaurėje driekiasi drėgni pievomis, o kai kur ir miškais apaugę slėniai su statmenai upės žiotims plytinčiomis pelkėmis.

Galiausiai, saugomos kilmės vietos nuorodos „Saint-Estèphe“ vietovei būdingos rytuose stūksančios žvirgždo kalvos su ant jų augančiais vynuogynais yra išsidėsčiusios labai arti žiočių ir susiaurina sąnašų (palus), plotus iki 200–300 m. pločio juostų.

8.2.   Žmogiškųjų veiksnių, darančių įtaką ryšiui, aprašymas

XIII a. Lesparo dekanatui vadovavęs Gui Martin iš Sent Estefo buvo Kalono valdovas. Tuo metu Sent Estefas ėmė garsėti geros būklės vynmedžiais, kurie jau tada nešė daugiau pelno nei javai. Vėliau šioje teritorijoje, tapusioje Sent Estefo komuna, įsikūrę kiti dvarai, pavyzdžiui, Blankė dvaras arba Pezo Lasalio vasalo dvaras, paklojo istorinį kaimų pagrindą.

XVII–XVIII a. Sent Estefo dešimtinė buvo didžiausia iš visų Medoko regione. Tačiau istorija liudija, kad Sent Estefo vynų žinomumas yra glaudžiai susijęs su vyną brandinusių ir pardavinėjusių Bordo prekybininkų veikla.

XIX a. buvo klestėjimo metas – tuomet buvo įsteigti didieji šiandienos ūkiai. Tuo metu pastatytos puikios ir didelės pilys liudija apie savo klestėjimą, galią ir veržlumą.

Kaip ir kitų Medoko pusiasalio saugomų kilmės vietos nuorodų vynuogininkystės produkcija, Sent Estefo „crus“ vynai buvo pripažinti įvairiuose nuo XVII–XVIII a. sudaromuose savybių klasifikatoriuose. Antai į 1855 m. Bordo vynų klasifikatorių („Classement des vins de Bordeaux de 1855“) įtraukti penki Sent Estefo komunos „crus“ vynai, o į 1932 m. miestietiškų „crus“ klasifikatorių („Classement des crus Bourgeois de 1932“) – apie keturiasdešimt „crus“ vynų.

Šiandien beveik pusė Sent Estefo vynų parduodami už šalies ribų – Belgijoje, Anglijoje, Vokietijoje ir Nyderlanduose arba eksportuojami į Jungtines Valstijas, Šveicariją ir Aziją.

Saugoma kilmės vietos nuoroda „Saint-Estèphe“ buvo pripažinta 1936 m. rugsėjo 11 d. dekretu. Jos vynuogynuose pagaminama vidutiniškai 65 000 hektolitrų raudonųjų neputojančių vynų.

Vynai būna ryškiai raudonos spalvos. Dažniausiai jie gaminami iš kelių vyninių vynuogių veislių, tarp kurių vyrauja „Cabernet-sauvignon N“ veislė. Dėl šios veislės vynai yra tvirtos sandaros ir pasižymi išraiškinga taninų struktūra. „Merlot N“ veislė prieskonių pokvapius dažnai papildo raudonųjų vaisių ir uogų pokvapiais. Vyno struktūrą ir sudėtingumą paryškina veislės „Cabernet franc N“ arba „Petit-verdot N“. Pastaroji veislė gali suteikti gerai subrendusiam vynui gaivumo. Šie stiprūs ir galingi vynai turi būti brandinami kelerius metus, per kuriuos jie įgyja aptakumo, vaisiškumo ir subtilumo. Saugoma kilmės vietos nuoroda „Saint-Estèphe“ žymimų vynų kokybę ir originalumą lemia ypatingai vienas kitą papildantys dirvožemiai ir netoli upės žiočių, saugančių vynuogynus nuo oro užgaidų, plytinčių sklypų reljefas.

Laikantis nusistovėjusios ir saugomą kilmės vietos nuorodą „Saint-Estèphe“ apibrėžiančiame dekrete jau aprašytos praktikos, vynuogėms auginti skirtų sklypų ribos tiksliai nustatytos.

Rytinėje komunos dalyje į nustatytą sklypų teritoriją įtraukti žvyringo, natūraliai labai laidaus dirvožemio sklypai. Šie dirvožemiai labai tinka „Cabernet-sauvignon N“ veislės vynuogėms auginti. Į sklypų teritoriją neįtraukti sklypai, kurių dirvožemis susidarė ant vėlyvojo aliuvio ir smėlio, taip pat sklypai, kurių dirvožemis susidarė ant vandeniui nelaidaus podirvio.

Ant daugiau ar mažiau karstinių procesų paveikto kalkakmenio pagrindo plytinčioje vakarinėje komunos dalyje į sklypų teritoriją įtraukti natūraliai labai laidaus dirvožemio sklypai. Tokioje aplinkoje labai gerai prisitaikiusi augti „Merlot N“ vyninių vynuogių veislė. Į teritoriją neįtraukti smėlio kupinose daubose esantys daugiau ar mažiau įmirkę sklypai, taip pat molingo dirvožemio su užsistovėjusiu vandeniu, pelkėti ar durpingi sklypai.

Vynuogynai prižiūrimi taip, kad vynuogės gerai sunoksta, bet būna dar sveikos, o derlių galima kontroliuoti. Tad, norint išgauti vynams brandinti būtiną struktūrą, galima taikyti itin ilgą maceraciją. Todėl reikia ne mažesnio nei šešių mėnesių brandinimo laikotarpio, kad būtų paskatintas taninų ir antocianino susidarymas, reikalingas spalvai stabilizuoti ir taninams susilpninti.

Ne ką mažiau nei Bordo prekybininkai, prie šia saugoma kilmės vietos nuoroda žymimų vynų reputacijos ir vardo garsinimo prisidėjo iškilios pačių vynų savybės, kurių ne viena aprašyta 1855 m. Bordo vynų klasifikatoriuje („Classement des vins de Bordeaux de 1855“). Prie šios nuorodos savitumo pripažinimo Medoke, greta garsių vynų ūkių, aktyviai prisideda ir mažos bei vidutinės valdos, šeimų ūkiai ir kooperatinės įmonės, gaminantys „crus paysans“ ir „crus artisans“.

9.   Kitos pagrindinės sąlygos (išpilstymas, ženklinimas, kiti reikalavimai)

Teisinis pagrindas

ES teisės aktai

Papildomos sąlygos rūšis

Su gamyba nustatytoje geografinėje vietovėje susijusi nukrypti leidžianti nuostata

Sąlygos aprašymas

Pritaikius nukrypti leidžiančią nuostatą nustatyta arčiausiai esanti vyno gamybos ir brandinimo vietovė apima šių 2021 m. sausio 1 d. Oficialiajame geografinių kodų registre apibrėžtų Žirondos departamento komunų teritoriją: Cissac-Médoc, Pauillac, Saint-Sauveur, Saint-Seurin-de-Cadourne, Vertheuil.

Teisinis pagrindas

Nacionalinės teisės aktai

Papildomos sąlygos rūšis

Papildomos nuostatos dėl ženklinimo

Sąlygos aprašymas

Etiketėje galima nurodyti stambesnę geografinę vietovę: „Vin de Bordeaux-Médoc“ arba „Grand Vin de Bordeaux-Médoc“. Šis pavadinimas turi būti rašomas rašmenimis, kurių dydis (aukštis ir plotis) nėra didesnis nei 2/3 rašmenų, kuriais užrašytas saugomos kilmės vietos nuorodos pavadinimas, dydžio.

Nuoroda į produkto specifikaciją

http://info.agriculture.gouv.fr/gedei/site/bo-agri/document_administratif-93ceee01-eb46-4a2b-a4e3-3f5a1eaf13be


(1)  OL L 9, 2019 1 11, p. 2.


2022 2 24   

LT

Europos Sąjungos oficialusis leidinys

C 88/70


Vyno sektoriaus produkto specifikacijos pakeitimo paraiškos, nurodytos Europos Parlamento ir Tarybos reglamento (ES) Nr. 1308/2013 105 straipsnyje, paskelbimas

(2022/C 88/09)

Šiuo paskelbimu suteikiama teisė pareikšti prieštaravimą paraiškai pagal Europos Parlamento ir Tarybos reglamento (ES) Nr. 1308/2013 98 straipsnį (1) per du mėnesius nuo paskelbimo dienos.

PRODUKTO SPECIFIKACIJOS PAKEITIMO PARAIŠKA

„Bouches-du-Rhône“

PGI-FR-A1223-AM01

Paraiškos data: 2015 11 26

1.   Pakeitimui taikomos taisyklės

Reglamento (ES) Nr. 1308/2013 105 straipsnis (reikšmingas pakeitimas)

2.   Pakeitimo aprašymas ir pagrindimas

2.1.   Pavadinimo dalies pakeitimas

Pritaikius 2007 m. spalio 22 d. Reglamento (EB) Nr. 1234/2007, nustatančio bendrą žemės ūkio rinkų organizavimą, nuostatas dėl kilmės vietos nuorodų ir geografinių nuorodų, nuoroda „vin de pays des Bouches-du-Rhône“ tapo SGN „Bouches-du-Rhône“. Veiklos vykdytojai pastebėjo, kad SGN „Bouches-du-Rhône“ vartotojai nesiejo su nuoroda „vin de pays des Bouches-du-Rhône“, kita vertus, pavadinimas „Bouches-du-Rhône“, naudojamas be tradicinės nuorodos „vin de pays“, skamba pernelyg panašiai kaip saugomos kilmės vietos nuorodos (SKVN) „Côtes du Rhône“ pavadinimas, todėl abu produktai gali būti painiojami vienas su kitu.

Dėl šių priežasčių pareiškėjų grupė, apibrėžta Reglamento (ES) Nr. 1308/2013 95 straipsnyje, išreiškė norą saugomos nuorodos pavadinimą „Bouches-du-Rhône“ papildyti žodžiais „Pays des“.

Išnagrinėjusios paraišką, Prancūzijos valdžios institucijos ją patenkino minėtąjį produkto specifikacijos pakeitimą patvirtinusiu 2015 m. rugsėjo 4 d. sprendimu (paskelbta 2015 m. rugsėjo 12 d. Prancūzijos Respublikos oficialiajame leidinyje). Pakeista produkto specifikacija 2015 m. rugsėjo 17 d. buvo paskelbta Žemės ūkio, maisto produktų ir miškų ministerijos oficialiajame leidinyje.

Produkto specifikacija pakeičiama šitaip:

antraštinėje dalyje ir visame tekste pavadinimas „Bouches-du-Rhône“ pakeičiamas pavadinimu „Pays des Bouches-du Rhône“;

1 skyriaus 7.2 punkto paskutinės pastraipos paskutinis sakinys pakeičiamas sakiniu „Šioje geografinėje vietovėje gaminami tik SGN „Pays des Bouches-du Rhône“ žymimi vynai“.

2.2.   Išbraukiamos su rūšiniais putojančiais vynais susijusios nuostatos

Specifikacija taip pat keičiama išbraukiant visas su rūšinių putojančių vynų gamyba susijusias nuostatas. Šis pakeitimas yra susijęs su 2015 m. kovo 6 d. Valstybės Tarybos sprendimu, panaikinančiu 2011 m. lapkričio 2 d. sprendimo dėl SGN „Bouches-du-Rhône“ dalį, kuria patvirtinamos specifikacijos nuostatos dėl rūšinių raudonųjų, rožinių ir baltųjų putojančių vynų.

2.3.   Vyno (-ų) aprašymas

Papildomas baltųjų ir raudonųjų vynų aprašymas. Papildomas specifikacijos I skyriaus 3.3 punktas. Ta pati informacija įterpiama į bendrojo dokumento punktą „Vyno (-ų) aprašymas“.

Taip pat nurodoma, kad vynų analitinių savybių vertės atitinka ES teisės aktuose nustatytas ribas.

2.4.   Ryšys su geografine vietove

Pertvarkoma visa su produktų ryšiu su geografine vietove susijusi informacija. Išsamiau aprašius gamtos, žmogiškuosius veiksnius ir produktų savybes, parengiama dalis „Priežastinė sąveika“, kurioje patikslinama, kad SGN „Pays des Bouches-du-Rhône“ iš esmės grindžiama vynų ypatumais, kurie, savo ruožtu, yra susiję su gamtos (klimato ir dirvožemio), savybėmis.

Ši patikslinta informacija įterpiama į bendrojo dokumento dalį „Ryšys su geografine vietove“, taip pat į produkto specifikacijos I skyriaus 7 punktą.

2.5.   Papildomos sąlygos – ženklinimas

Atnaujinama bendrojo dokumento dalis „Papildomos sąlygos – ženklinimas“: iš jos išbraukiamos nuorodos į produkto specifikaciją ir jos pakeičiamos įvairių taikomų sąlygų aprašymu.

2.6.   Nustatyta geografinė vietovė

Produkto specifikacijos I skyriaus 4 punkte, taip pat bendrojo dokumento dalyje „Nustatyta geografinė vietovė“ nurodoma, kad gamybos geografinė vietovę sudaro visos Ronos deltos departamentui priklausančios komunos.

Nustatant arčiausiai esančią vietovę, produkto specifikacijos I skyriaus 4 punkte taip pat išvardijamos pasirinktoms apygardoms priklausančios komunos. Arčiausiai esančią vietovę sudarančių komunų sąrašai taip pat perkeliami į bendrojo dokumento dalį „Papildomos sąlygos“.

Be to, nurodomi Oficialiojo geografinių kodų registro, kuriuo buvo remtasi apibrėžiant geografinę vietovę ir arčiausiai esančią vietovę, metai – 2020 m. Šį nacionalinį sąrašą prižiūri INSEE: ji sudaro ir tvirtina kiekvienam departamentui priskiriamų komunų sąrašus. Tokiu redakcinio pobūdžio pakeitimu teisiškai užtikrinamos geografinių vietovių ribos.

2.7.   Vynuogių veislės

Papildoma bendrojo dokumento dalis „Pagrindinės vyninių vynuogių veislės“ ir produkto specifikacijos I skyriaus 5 punktas: įterpiama 13 naujų vyninių vynuogių veislių: „Artaban N“, „Cabernet blanc B“, „Cabernet Cortis N“, „Floréal B“, „Monarch N“, „Muscaris B“, „Prior N“, „Soreli B“, „Sauvignac B-Rs.“, „Solaris B.“, „Souvignier Gris Rs“, „Vidoc N“, „Voltis B“.

Tai veislės, atsparios sausrai ir grybelinėms ligoms, o jas auginant galima naudoti mažiau augalų apsaugos produktų. Šios veislės atitinka veislių, naudojamų SGN žymimiems vynams gaminti, savybes. Naudojant jas vynų savybės nekinta. Pasirinktos naujos atsparios veislės neturi įtakos nustatytam ryšiui su vietove.

BENDRASIS DOKUMENTAS

1.   Pavadinimas (-ai)

Pays des Bouches-du-Rhône

2.   Geografinės nuorodos tipas

SGN – saugoma geografinė nuoroda

3.   Vynuogių produktų kategorijos

1.

Vynas

4.   Vyno (-ų) aprašymas

Saugoma geografine nuoroda „Pays des Bouches-du Rhône“ žymimi neputojantys raudonieji, rožiniai ir baltieji vynai. Vynų analitinių savybių vertės atitinka ES teisės aktuose nustatytas ribas.

Bendrosios analitinės savybės

Didžiausia visuminė alkoholio koncentracija (tūrio %)

 

Mažiausia faktinė alkoholio koncentracija (tūrio %)

9

Mažiausias bendrasis rūgštingumas

 

Didžiausias lakusis rūgštingumas (miliekvivalentais viename litre)

 

Didžiausias bendras sieros dioksido kiekis (miligramais viename litre):

 

Baltieji vynai daugiausia gaminami naudojant tiesioginio spaudimo būdą. Šiems iš vietinių ir kituose regionuose augančių vyninių vynuogių veislių pagamintiems vynams būdingi gėlių aromatai ir gaivūs, aromatingi poskoniai. Vynai būna žvilgios ir skaisčios spalvos su žalsvais atspalviais, liudijančiais vynų jaunumą. Rožiniai vynai gaminami naudojant tiesioginio spaudimo ir (arba) odelių maceracijos būdą. Dėl ilgo sulčių ir minkštimo sąlyčio kvapiųjų medžiagų pirmtakai labiau pasklinda ir išryškėja skonio aptakumas. Šie vynai, daugiausia gaminami iš „Grenache N“, „Syrah N“, „Caladoc N“, „Cinsaut N“, „Cabernet-sauvignon N“ ir „Merlot N“ veislių vynuogių, kurios dažnai papildomos baltosiomis vynuogėmis (tokiu atveju pagaminami mišrūs rožiniai vynai), būna didesnio ar mažesnio ryškumo blyškios spalvos su natūraliai rožiniais atspalviais. Vynams būdingi išraiškingi raudonųjų vairių ir uogų ar citrusinių vaisių aromatai. Šie aromatingo skonio vynai yra maloniai gaivūs.

Raudonieji vynai dažniausiai gaminami iš kelių vynuogių veislių, nors kartais ir iš vienos vynuogių veislės („Merlot N“, „Cabernet N“, „Marselan N“, „Syrah N“, „Grenache N“ ir pan.). Vynuogės skinamos visiškai sunokusios, kai būna susidaręs tinkamas fenolių kiekis, todėl iš jų gaminami išraiškingi, sodrūs, tačiau vidutiniu taninų kiekiu pasižymintys Viduržemio jūros tipo vynai. Siekiant išgauti daug taninų turinčią, švelnią ir aptakią ilgai išliekančio skonio struktūrą, naudojamos ekstrahavimo technikos. Jauni vynai būna raudonos granatų spalvos su violetiniais atspalviais, o bręsdami vynai tampa tamsesnės raudonos spalvos. Šių vynų aromatas labai išraiškingas, su kalkingo dirvožemio augmenijos ar kiek druskingesniais (nelygu, vietovė) pokvapiais. Taip pat jiems būdingi raudonųjų vaisių ir uogų pokvapiai, kiek primenantys vaisių džemą. Vynų skonis rūgštokas, sodrus ir malonus, o taninai švelnūs.

5.   Vyno gamybos metodai

a)   Pagrindiniai vynininkystės metodai

Vynai turi būti gaminami laikantis visos ES lygmeniu taikytinų ir Kaimo ir jūrų žuvininkystės kodekse nustatytų vynininkystės praktikos reikalavimų.

b)   Didžiausias gamybos kiekis

120 hektolitrų iš hektaro

6.   Nustatyta geografinė vietovė

Saugoma geografine nuoroda „Pays des Bouches-du-Rhône“ žymimų vynų vynuogių derlius imamas, vyndaryste ir gamyba užsiimama visose Ronos deltos departamento komunose, apibrėžtose 2020 m. Oficialiajame geografinių kodų registre.

7.   Pagrindinės vyninių vynuogių veislės

„Alicante Henri Bouschet N“

„Aligoté B“

„Alphonse Lavallée N“

„Aléatico N“

„Aramon N“

„Aramon gris G“

„Aranel B“

„Arinarnoa N“

„Arriloba B“

„Artaban N“

„Aubun N“ – „Murescola“

„Barbaroux Rs“

„Bourboulenc B“ – „Doucillon blanc“

„Brachet N“ – „Braquet“’

„Brun argenté N“ – „Vaccarèse“

„Cabernet blanc B“

„Cabernet cortis N“

„Cabernet franc N“

„Cabernet-Sauvignon N“

„Caladoc N“

„Calitor N“

„Carignan N“

„Carignan blanc B“

„Carménère N“

„Chardonnay B“

„Chasan B“

„Chasselas B“

„Chasselas rose Rs“

„Chatus N“

„Chenanson N“

„Chenin B“

„Cinsaut N“ – „Cinsault“

„Clairette B“

„Clairette rose Rs“

„Clarin B“

„Colombard B“

„Cot N“ – „Malbec N“

„Counoise N“

„Egiodola N“

„Floreal B“

„Fuella nera N“

„Gamay Fréaux N“

„Gamay N“

„Gamay de Bouze N“

„Gamay de Chaudenay N“

„Ganson N“

„Gewurztraminer Rs“

„Gramon N“

„Grenache N“

„Grenache blanc B“

„Grenache gris G“

„Gros Manseng B“

„Gros vert B“

„Jurançon noir N“ – „Dame noire“

„Liliorila B“

„Listan B“ – „Palomino“

„Macabeu B“ – „Macabeo“

„Marsanne B“

„Marselan N“

„Mauzac rose Rs“

„Mayorquin B“

„Melon B“

„Merlot N“

„Merlot blanc B“

„Meunier N“

„Mollard N“

„Monarch N“

„Monerac N“

„Mourvaison N“

„Syrah N“ – „Shiraz“

„Muscadelle B“

„Muscardin N“

„Muscaris B“

„Muscat Ottonel B“ – „Muscat“, „Moscato“

„Muscat cendré B“ – „Muscat“, „Moscato“

„Muscat d’Alexandrie B“ – „Muscat“, „Moscato“

„Muscat de Hambourg N“ – „Muscat“, „Moscato“

„Muscat à petits blancs B“ – „Muscat“, „Moscato“

„Muscat à petits grains roses Rs“ – „Muscat“, „Moscato“

„Muscat à petits grains rouges Rs“ – „Muscat“, „Moscato“

„Nielluccio N“ – „Nielluciu“

„Négrette N“

„Perdea B“

„Petit Manseng B“

„Petit Verdot N“

„Picardan B“ – „Araignan“

„Pinot blanc B“

„Pinot gris G“

„Pinot noir N“

„Piquepoul blanc B“

„Piquepoul gris G“

„Piquepoul noir N“

„Plant droit N“ – „Espanenc“

„Portan N“

„Prior N“

„Riesling B“

„Riminèse B“

„Rosé du Var Rs“

„Roussanne B“

„Sauvignon B“ – „Sauvignon blanc“

„Sauvignon gris G“ – „Fié gris“

„Sciaccarello N“

„Semillon B“

„Servanin N“

„Solaris B“

„Soreli B“

„Souvignier gris Rs“

„Sylvaner B“

„Syrah N - Shiraz“

„Tannat N“

„Tempranillo N“

„Terret gris G“

„Terret noir N“

„Tibouren N“

„Téoulier N“

„Ugni blanc B“

„Valdiguié N“

„Vermentino B“ – „Rolle“

„Vidoc N“

„Viognier B“

„Voltis B“

8.   Ryšys (-iai) su geografine vietove

8.1.   Geografinės vietovės ir produkto ypatumai

Ronos deltos departamentas plyti pačioje Provanso širdyje. Jis užima 5 087 km2. Vakaruose jis ribojasi su Rona, atskiriančia jį nuo gretimo Garo departamento, o šiaurėje – su Diuranso upe, skiriančia jį nuo Vokliūzo departamento. Rytuose Ronos deltos departamentas ribojasi su Varo departamentu, o pietinę jo dalį skalauja Viduržemio jūra.

Departamente yra skirtingų vietovių. Departamento rytuose stūkso link vakarų besidriekiantys kalkiniai Provanso priealpių gūbriai. Čia viena paskui kitą seka Trevareso (501 m), L’Estako ir Etualio (793 m), Sent Vituaro (1 011 m), Sen Siro ir Sent Bomo (1 041 m vakarinėje dalyje) kalnų grandinės. Jas vagoja Arko (Provanso Ekso baseinas), Tulubro (Provanso Salonas) ir Hiuvono (Obanė, Marselis) slėniai – derlingesnės nuosėdinės, nelygaus reljefo žemumos. Vakaruose, aplink Alpijaus kalnus, driekiasi plačios lygumos. Iš buvusioje Diuranso ir Ronos santakoje sunešto žvirgždo sudaryta išilgai Arlio–Provanso Salono ašies plytinti Kro lyguma yra skurdi stepinė mistralio gairinama vietovė – vienintelė tokia Prancūzijoje. Kamargas – laukinių galvijų (Kamargo veislės), arklių ir 400 skirtingų rūšių faunos gausus rezervatas. Čia įsikūręs regioninis parkas, kur pakaitomis auga vynuogynai, ganiava ir ryžių laukai. Departamento šiaurėje iš vakarų į rytus driekiasi Alpijų kalnų grandinė, toliau plyti Diuranso slėnis.

Akmenuoti molingi ir kalkingi, smėlingi ar net žvyringi ant molasinio ar smiltainio pagrindo slūgsantys dirvožemiai yra nederlingi, labai laidūs, neatsparūs erozijai. Šie negilūs, ne per drėgniausi dirvožemiai puikiai tinka vynuogėms augti.

Ronos deltos departamentui būdingas Viduržemio jūros klimatas, tad, kaip tokiam klimatui įprasta, jį lepina daug saulėtų valandų. Vasaros čia būna labai karštos ir sausos, o žiemos – gana švelnios. Skirtingais metų laikais temperatūra gerokai skiriasi – vasarą ji būna aukšta ir dažnokai pakyla iki 35 oC pavėsyje. Vidutinės metinės nakties ir dienos temperatūros skirtumai gana dideli, ypač žiemą: tuomet pasitaiko stiprių naktinių šalnų epizodų. Kritulių kiekis netolygus ir nevienodai pasiskirstęs per visus metus. Ne taip retai užklumpa stiprios liūtys. Beveik 100 dienų per metus iš šiaurės pučia sausas ir šaltas mistralis, o jo gūsiai dažnokai pasiekia daugiau nei 100 km/val. greitį.

Daugiau nei 2 600 metų skaičiuojantys Provanso vynuogynai yra seniausi Prancūzijoje. Ypač jie garsėja savo rožiniais vynais. Nuo 1907 m. daugybė vyndarių pajuto poreikį burtis, kad kartu atsispirtų sunkumams. Imta reglamentuoti vyno gamybą, vynuogių augintojai ėmė burtis į kooperatyvus ir profesines sąjungas, o šie skatino gerinti produkcijos kokybę. 1964 metais buvo tiksliai apibrėžtas ir imtas reguliuoti teisės aktais su administracine gamybos vietove, pasižyminčia tam tikromis dirvožemio ir klimato sąlygomis, susijęs „vin de canton“ (kantono vynas). 1968 m. dekretu šie „vins de canton“ (kantono vynai) pakeičiami „vins de pays“ (krašto vynais): iš pradžių jie buvo vadinami departamento, kuriame pagaminti, pavadinimu ir atitiko konkrečius gamybos kriterijus, užtikrinančius aukštesnę produkcijos kokybę. Būtent šitaip buvo pripažintas Ronos deltos krašto vynas, 2011 m. tapęs saugoma geografine nuoroda „vin de pays des Bouches du Rhône“.

Vynas daugiausia gaminamas dviejose gerokai tarpusavyje besiskiriančiose vietovėse: pagrindinė vietovė įsikūrusi departamento viduryje ir rytinėje jo dalyje, aplink Provanso Eksą (čia pagaminama 65–70 % visos produkcijos), o vakaruose išsiskiria Kamargo vietovė, kurios ribas pietryčiuose žymi Taraskonas ir kuri apima Arlio ir Sent Meri de la Mero komunas. Šios Kamargo vietovės savitumą įkūnija nuoroda „Terre de Camargue“ – šioje geografinėje vietovėje gaminami tik SGN „Pays des Bouches-du Rhône“ žymimi vynai.

8.2.   Geografinės vietovės ypatumų ir produkto ypatumų priežastinis ryšys

Visas Ronos deltos departamento komunas apimanti SGN „Pays des Bouches-du Rhône“ daugiausia grindžiama vynų ypatumais, kurie, savo ruožtu, yra susiję su gamtinės aplinkos (klimato ir dirvožemio) savybėmis. Ronos deltos departamentas yra Prancūzijos pietryčiuose esančio Provanso-Alpių-Žydrojo kranto regiono dalis. Jam būdingas kalnuotas reljefas, pereinantis į iki pat jūros plytinčią lygumą, Viduržemio jūros klimatas ir augmenija, kurią daugiausia sudaro krūmynai ir kalkingam dirvožemiui būdingi augalai. Šiame regione pučia kartais darbą apsunkinantis mistralis, tačiau jis tuo pat metu leidžia išlaikyti vynuogyną sveiką, apsaugoti jį nuo grybinių ligų ir, galiausiai, pagerinti vynuogių kokybę, nokimo pabaigoje sudarydamas sąlygas jose kauptis reikiamoms medžiagoms. Akmenuoti molingi ir kalkingi, smėlingi ar net žvyringi ant molasinio ar smiltainio pagrindo slūgsantys dirvožemiai nėra per daug drėgni, tačiau yra labai laidūs ir puikiai tinka augti vynuogėms. Išnaudodami optimalias gamtines sąlygas ir mokėdami pasirinkti geriausius sklypus, dažnai nederlingo, bet laidaus ir itin gerai tinkančio vynuogėms augti dirvožemio vietovėje vynuogių augintojai sugebėjo su įvairiomis vynuogių veislėmis pasiekti puikių rezultatų. Dirvožemio savybės ir šiltas bei sausas Viduržemio jūros veikiamas klimatas sudaro optimalias sąlygas nokti uogoms ir leidžia išsaugoti pirminius šių vynuogių veislių aromatus, tad iš jų pagaminti vynai pasižymi savitu gaivumu ir aromatinėmis savybėmis. Gaiviems ir švelnaus skonio raudoniesiems vynams būdingas raudonųjų vaisių ir uogų aromatas. Gaivūs rožiniai vynai pasižymi aptakumu ir išraiškingais raudonųjų vaisių ir uogų arba citrusinių vaisių aromatais. Baltieji vynai būna aromatingi, gėlių ar vaisių aromato, gaivūs ir pasižymi jaunų vynų savybėmis. Šiuo metu 18 kooperatyvų ir 88 privačios vyno daryklos per metus pagamina ir į rinką pateikia maždaug 50 000 hl SGN „Pays des Bouches-du Rhône“ žymimų vynų. Beveik 50 proc. bendro pagaminto vyno kiekio sudaro rožiniai vynai, raudonieji vynai sudaro kiek daugiau kaip 40 proc., o baltieji – kiek mažiau nei 10 proc. šio kiekio.

9.   Kitos esminės sąlygos

Papildoma informacija

Teisinis pagrindas: nacionalinės teisės aktai

Papildomos sąlygos rūšis

Papildomos nuostatos dėl ženklinimo

Sąlygos aprašymas

Geografinės vietovės „Terre de Camargue“ pavadinimas užrašomas rašmenimis, kurių dydis (aukštis ir plotis) yra ne didesnis už rašmenis, kuriais užrašytas SGN „Pays des Bouches-du-Rhône“ pavadinimas. Jeigu nuoroda „Indication géographique protégée“ (saugoma geografinė nuoroda) pakeičiama tradicine nuoroda „Vin de Pays“ (krašto vynas), etiketėje turi būti pateikiamas Europos Sąjungos SGN logotipas.

Arčiausiai esanti vietovė

Teisinis pagrindas: nacionalinės teisės aktai

Papildomos sąlygos rūšis

Su gamyba nustatytoje geografinėje vietovėje susijusi nukrypti leidžianti nuostata

Sąlygos aprašymas

Pritaikius nukrypti leidžiančią nuostatą nustatyta arčiausiai esanti saugoma geografine nuoroda „Pays des Bouches-du-Rhône“ žymimų vynų gamybos vietovė apima toliau išvardytas greta geografinės vietovės esančių apygardų komunas, apibrėžtas 2020 m. Oficialiajame geografinių kodų registre:

Nimo apygarda (Garo departamente): Aigaliers, AiguesMortes, Aigues-Vives, Aiguèze, Aimargues, Les Angles, Aramon, Argilliers, Arpaillargues-et-Aureillac, Aspères, Aubais, Aubord, Aubussargues, Aujargues, Bagnols-sur-Cèze, Baron, La Bastide-d’Engras, Beaucaire, Beauvoisin, Bellegarde, Belvézet, Bernis, Bezouce, Blauzac, Boissières, Bouillargues, Bourdic, La Bruguière, Cabrières, Le Cailar, Caissargues, La Calmette, Calvisson, La Capelle-et-Masmolène, Carsan, Castillon-du-Gard, Caveirac, Cavillargues, Chusclan, Clarensac, Codognan, Codolet, Collias, Collorgues, Combas, Comps, Congénies, Connaux, Cornillon, Crespian, Dions, Domazan, Estézargues, Flaux, Foissac, Fons, Fons-sur-Lussan, Fontanès, Fontarèches, Fournès, Fourques, Gajan, Gallargues-le-Montueux, Le Garn, Garons, Garrigues-Sainte-Eulalie, Gaujac, Générac, Goudargues, Le Grau-du-Roi, Issirac, Jonquières-Saint-Vincent, Junas, Langlade, Laudun-l’Ardoise, Laval-SaintRoman, Lecques, Lédenon, Lirac, Lussan, Manduel, Marguerittes, Meynes, Milhaud, Montagnac, Montaren-et-Saint-Médiers, Montclus, Montfaucon, Montfrin, Montignargues, Montmirat, Montpezat, Moulézan, Moussac, Mus, Nages-et Solorgues, Nîmes, Orsan, Parignargues, Le Pin, Pont-Saint-Esprit, Pougnadoresse, Poulx, Pouzilhac, Pujaut, Redessan, Remoulins, Rochefort-du-Gard, Rodilhan, Roquemaure, La Roque-sur-Cèze, La Rouvière, Sabran, Saint-Alexandre, SainteAnastasie, Saint-André-de-Roquepertuis, Saint-André-d’Olérargues, Saint-Bauzély, Saint-Bonnet-du-Gard, Saint-Chaptes, Saint-Christol-de-Rodières, Saint-Clément, Saint-Côme-et-Maruéjols, Saint-Dézéry, Saint-Dionisy, Saint-Etienne-des-Sorts, Saint-Geniès-de-Comolas, Saint-Geniès-de-Malgoirès, Saint-Gervais, SaintGervasy, Saint-Gilles, Saint-Hilaire-d’Ozilhan, Saint-Hippolyte-de-Montaigu, SaintJulien-de-Peyrolas, Saint-Laurent-d’Aigouze, Saint-Laurent-de-Carnols, SaintLaurent-des-Arbres, Saint-Laurent-la-Vernède, Saint-Mamert-du-Gard, Saint- Marcel-de-Careiret, Saint-Maximin, Saint-Michel-d’Euzet, Saint-Nazaire, SaintPaul-les-Fonts, Saint-Paulet-de-Caisson, Saint-Pons-la-Calm, Saint-Quentin-laPoterie, Saint-Siffret, Saint-Victor-des-Oules, Saint-Victor-la-Coste, Salazac, Salinelles, Sanilhac-Sagriès, Sauveterre, Sauzet, Saze, Sernhac, Serviers-etLabaume, Sommières, Souvignargues, Tavel, Théziers, Tresques, Uchaud, Uzès, Vallabrègues, Vallabrix, Vallérargues, Valliguières, Vauvert, Vénéjan, Verfeuil, Vergèze, Vers-Pont-du-Gard, Vestric-et-Candiac, Villeneuve-lès-Avignon, Villevieille.

Apto apygarda (Vokliūzo departamente): Ansouis, Apt, Auribeau, La Bastide-des-Jourdans, La Bastidonne, Beaumettes, Beaumont-dePertuis, Bonnieux, Buoux, Cabrières-d’Aigues, Cabrières-d’Avignon, Cadenet, Caseneuve, Castellet-en-Luberon, Cavaillon, Cheval-Blanc, Cucuron, Gargas, Gignac, Gordes, Goult, Grambois, Joucas, Lacoste, Lagarde-d’Apt, Lagnes, Lauris, Lioux, Lourmarin, Maubec, Ménerbes, Mérindol, Mirabeau, La Motte-d’Aigues, Murs, Oppède, Pertuis, Peypin-d’Aigues, Puget, Puyvert, Robion, Roussillon, Rustrel, Saignon, Saint-Martin-de-Castillon, Saint-Martin-de-la-Brasque, Saint-Pantaléon, Saint-Saturnin-lès-Apt, Sannes, Sivergues, Taillades, La Tour-d’Aigues, Vaugines, Viens, Villars, Villelaure, Vitrolles-en-Lubéron.

Avinjono apygarda (Vokliūzo departamente): Avignon, Bédarrides, Caumont-sur-Durance, Châteauneuf-de-Gadagne, Courthézon, Fontainede-Vaucluse, L’Isle-sur-la-Sorgue, Jonquerettes, Morières-lès-Avignon, Le Pontet, Saint-Saturnin-lès-Avignon, Saumane-de-Vaucluse, Sorgues, Le Thor, Vedène.

Karpantra apygarda (Vokliūzo departamente): Bollène, Caderousse, Camaret-sur-Aigues, Châteauneuf-du-Pape, Grillon, Jonquières, Lagarde-Paréol, Lamotte-du-Rhône, Lapalud, Mondragon, Mornas, Orange, Piolenc, Richerenches, Sérigan, Sainte-Cécile-les-Vignes, Travaillan, Uchaux, Valréas, Violès, Visan.

Forkalkjė apygarda (Aukštutinio Provanso Alpių departamente): Aubenas-les-Alpes, Aubignosc, Authon, Banon, Bayons, Bellaffaire, Bevons, La Brillanne, Le Caire, Céreste, Châteaufort, Châteauneuf-Miravail, Châteauneuf-Val-Saint-Donat, Clamensane, Claret, Corbières-en-Provence, Cruis, Curbans, Curel, Dauphin, Entrepierres, Faucon-du-Caire, Fontienne, Forcalquier, Gigors, L’Hospitalet, Lardiers, Limans, Lurs, Mane, Manosque, Melve, Mison, Montfort, Montfuron, Montjustin, Montlaux, Montsalier, Motte-du-Caire, Nibles, Niozelles, Noyers-sur-Jabron, Les Omergues, Ongles, Oppedette, Peipin, Piégut, Pierrerue, Pierrevert, Redortiers, Reillanne, Revest-des-Brousses, Revest-du-Bion, Revest-Saint-Martin, La Rochegiron, Sainte-Croix-à-Lauze, Saint-Etienne-les- Orgues, Saint-Geniez, Saint-Maime, Saint-Martin-les-Eaux, Saint-Michell’Observatoire, Sainte-Tulle, Saint-Vincent-sur-Jabron, Salignac, Saumane, Sigonce, Sigoyer, Simiane-la-Rotonde, Sisteron, Sourribes, Thèze, Turriers, Vachères, Valavoire Valbelle, Valernes, Vaumeilh, Venterol, Villemus, Villeneuve, Volx.

Din le Beno apygarda (Aukštutinio Provanso Alpių departamente): Château-Arnoux-Saint-Auban, L’Escale, Ganagobie, Mallefougasse, Peyruis, Volonne.

Brinjolio apygarda (Varo departamente): Aiguines, Artignosc-sur-Verdon, Artigues, Aups, Barjols, Baudinard-sur-Verdon, Bauduen, Besse-sur-Issole, Bras, Brignoles, Brue-Auriac, Cabasse, Camps-la-Source, Carcès, Carnoules, La Celle, Châteauvert, Correns, Cotignac, Entrecasteaux, Esparron, Flassans-sur-Issole, Forcalqueiret, Fox-Amphoux, Garéoult, Ginasservis, Gonfaron, Mazaugues, Méounes-lès-Montrieux, Moissac-Bellevue, Montfort-sur-Argens, Montmeyan, Nans-les-Pins, Néoules, Ollières, Pignans, Plan-d’Aups-Sainte-Baume, Pontevès, Pourcieux, Pourrières, Puget-Ville, Régusse, Rians, Rocbaron, La Roquebrussanne, Rougiers, Sainte-Anastasie-sur-Issole, Saint-Julien, Saint-Martinde-Pallières, Saint-Maximin-la-Sainte-Baume, Saint-Zacharie, Les Salles-surVerdon, Seillons-Source-d’Argens, Tavernes, Le Thoronet, Tourtour, Tourves, Le Val, Varages, La Verdière, Vérignon, Vinon-sur-Verdon, Vins-sur-Caramy.

Draginjano apygarda (Varo departamente): Saint-Antonindu-Var, Sillans-la-Cascade.

Tulono apygarda (Varo departamente): Bandol, Le Beausset, Belgentier, Bormes-les-Mimosas, La Cadière-d’Azur, Carqueiranne, Castellet, Collobrières, La Crau, Cuers, Evenos, La Farlède, La Garde, Hyères, Le Lavandou , La Londe-les-Maures, Ollioules, Pierrefeu-du-Var, Le Pradet, Le Revestles-Eaux, Riboux, Saint-Cyr-sur-Mer, Saint-Mandrier-sur-Mer, Sanary-sur-Mer, La Seyne-sur-Mer, Signes, Six-Fours-les-Plages, Solliès-Pont, Solliès-Toucas, SollièsVille, Toulon, La Valette-du-Var.

Nuoroda į produkto specifikaciją

https://info.agriculture.gouv.fr/gedei/site/bo-agri/document_administratif-46477258-0f19-4b8a-b355-9b9e51ee6f45


(1)  OL L 347, 2013 12 20, p. 671.


2022 2 24   

LT

Europos Sąjungos oficialusis leidinys

C 88/79


Pranešimo apie vyno sektoriaus produkto specifikacijos standartinio pakeitimo patvirtinimą paskelbimas pagal Komisijos deleguotojo reglamento (ES) 2019/33 17 straipsnio 2 ir 3 dalis

(2022/C 88/10)

Šis pranešimas skelbiamas pagal Komisijos deleguotojo reglamento (ES) 2019/33 (1) 17 straipsnio 5 dalį.

PRANEŠIMAS APIE STANDARTINĮ BENDROJO DOKUMENTO PAKEITIMĄ

„Côtes de Bordeaux“

PDO-FR-A0987-AM04

Pranešimo data: 2021 11 26

PATVIRTINTO PAKEITIMO APRAŠYMAS IR PAGRINDIMAS

1.   Oficialusis geografinių kodų registras

Arčiausiai esančios geografinės vietovės komunų sąrašas atnaujintas atsižvelgiant į Oficialųjį geografinių kodų registrą.

Iš dalies pakeisti bendrojo dokumento 6 ir 9 punktai.

2.   Agrarinės aplinkosaugos nuostatos

Į produkto specifikaciją įtrauktos toliau išvardytos agrarinės aplinkosaugos nuostatos.

Iš sklypų būtina pašalinti nudžiūvusius vynmedžius; juos laikyti sklypuose draudžiama.

Draudžiamas cheminis piktžolių naikinimas visuose sklypuose.

Kiekvienas veiklos vykdytojas apskaičiuoja ir registruoja apdorojimo dažnio indeksą.

Šiais pakeitimais siekiama labiau atsižvelgti į visuomenės poreikius vartoti mažiau augalų apsaugos produktų ir labiau puoselėti aplinką.

Dėl šių pakeitimų bendrasis dokumentas nekeičiamas.

3.   Vyno išleidimo į apyvartą tarp įgaliotų sandėlių savininkų data

Išbraukiamas 1 skyriaus IX antraštinės dalies 5 punkto b papunktis dėl vyno išleidimo į apyvartą tarp įgaliotų sandėlių savininkų datos.

Dėl šio pakeitimo bendrasis dokumentas nekeičiamas.

4.   Ryšys su geografine vietove

Sujungus komunas ir pasikeitus jų skaičiui, peržiūrėtas ryšys su geografine vietove.

Dėl šio pakeitimo bendrasis dokumentas nekeičiamas.

5.   Pereinamojo laikotarpio priemonės

Iš specifikacijos išbrauktos nebeaktualios pereinamojo laikotarpio priemonės.

Dėl šio pakeitimo bendrasis dokumentas nekeičiamas.

6.   Nuoroda į kontrolės įstaigą

Siekiant redakcijos suderinamumo su kitomis nuorodų specifikacijomis, peržiūrėta nuorodos į kontrolės įstaigą redakcija. Šis pakeitimas yra tik redakcinio pobūdžio.

Dėl šio pakeitimo bendrasis dokumentas nekeičiamas.

BENDRASIS DOKUMENTAS

1.   Pavadinimas (-ai)

Côtes de Bordeaux

2.   Geografinės nuorodos tipas

SKVN – saugoma kilmės vietos nuoroda

3.   Vynuogių produktų kategorijos

1.

Vynas

4.   Vyno (-ų) aprašymas

1.   Raudonieji neputojantys vynai

TRUMPAS APRAŠYMAS

Šių vynų mažiausia natūrali alkoholio koncentracija tūrio procentais yra 11 proc.

Fermentuojamų cukrų kiekis juose yra ≤ 3g/l.

Po sodrinimo vynų visuminė alkoholio koncentracija tūrio procentais neviršija 13,5 proc.

Privalomas raudonojo vyno gamybos etapas – pienarūgštis rūgimas. Visose raudonojo vyno partijose iki išpilstymo (neišpilstytų vynų) arba išpilsčius didžiausias obuolių rūgšties kiekis yra 0,3 g/l.

Lakusis rūgštingumas iki kitų metų, einančių po derliaus nuėmimo metų, liepos 31 d. neviršija 13,26 mekv/l, o po tos datos neviršija 16,33 mekv/l.

Vynų iki išpilstymo ar neišpilstytų vynų didžiausias sieros dioksido kiekis yra ≤ 140 mg/l.

Gaminant raudonuosius vynus dažniausiai vyraujanti vyninių vynuogių veislė yra „Merlot N“, kurios geriausios savybės atsiskleidžia jai augant molingame ir kalkingame dirvožemyje ir kurią, sumaišius su „Cabernet-sauvignon N“, „Cabernet-franc N“ ir „Cot N“ (vietinių vadinama „Malbec“) veislėmis, gaunami vaisiniai ir švelnūs vynai.

Bendrosios analitinės savybės

Didžiausia visuminė alkoholio koncentracija (tūrio %)

 

Mažiausia faktinė alkoholio koncentracija (tūrio %)

 

Mažiausias bendrasis rūgštingumas

miliekvivalentais viename litre

Didžiausias lakusis rūgštingumas (miliekvivalentais litre)

 

Didžiausias bendras sieros dioksido kiekis (miligramais viename litre)

 

2.   Baltieji sausi neputojantys vynai

TRUMPAS APRAŠYMAS

Šių vynų mažiausia natūrali alkoholio koncentracija tūrio procentais yra 10,5 proc.

Fermentuojamų cukrų kiekis juose yra ≤ 4 g/l.

Po sodrinimo vynų visuminė alkoholio koncentracija tūrio procentais neviršija 13 proc.

Lakusis rūgštingumas iki kitų metų, einančių po derliaus nuėmimo metų, liepos 31 d. neviršija 13,26 mekv/l, o po tos datos neviršija 16,33 mekv/l.

Vynų iki išpilstymo ar neišpilstytų vynų didžiausias sieros dioksido kiekis yra ≤ 180 mg/l.

Baltieji vynai daugiausia gaminami iš „Sauvignon B“ veislės vynuogių kartu su „Sémillon B“ ir „Muscadelle B“ veislėmis.

Saugoma kilmės vietos nuoroda „Côtes de Bordeaux“ žymimi vynai yra aptakūs, vaisiniai ir gali būti laikomi nuo trejų iki dešimties metų.

Bendrosios analitinės savybės

Didžiausia visuminė alkoholio koncentracija (tūrio %)

 

Mažiausia faktinė alkoholio koncentracija (tūrio %)

 

Mažiausias bendrasis rūgštingumas

miliekvivalentais viename litre

Didžiausias lakusis rūgštingumas (miliekvivalentais litre)

 

Didžiausias bendras sieros dioksido kiekis (miligramais viename litre)

 

3.   Baltieji neputojantys saldieji, vadinamieji likeriniai, vynai

TRUMPAS APRAŠYMAS

Šių vynų mažiausia natūrali alkoholio koncentracija tūrio procentais yra 14,5 proc.

Fermentuojamų cukrų kiekis juose yra didesni nei 51 g/l.

Vynų iki išpilstymo arba neišpilstytų vynų didžiausias sieros dioksido kiekis yra ≤ 400 mg/l.

Prieš išpilstymą (neišpilstytų vynų) šių vynų lakusis rūgštingumas privalo atitikti nustatytąjį dekrete.

Baltiesiems vynams, turintiems likutinio cukraus, dažnai būdingi medaus ir citrusinių vaisių aromatai.

Bendrosios analitinės savybės

Didžiausia visuminė alkoholio koncentracija (tūrio %)

 

Mažiausia faktinė alkoholio koncentracija (tūrio %)

12

Mažiausias bendrasis rūgštingumas

miliekvivalentais viename litre

Didžiausias lakusis rūgštingumas (miliekvivalentais litre)

 

Didžiausias bendras sieros dioksido kiekis (miligramais viename litre)

 

4.   Baltieji neputojantys saldieji, vadinamieji pusiau saldūs, vynai

TRUMPAS APRAŠYMAS

Pusiau saldūs baltieji vynai, turintys likutinio cukraus, gaminami iš vynuogių, kurių misos mažiausias cukraus kiekis yra 221 g/l. Šie vynai pusiau saldūs, švelnūs ir subtilūs.

Mažiausia natūrali alkoholio koncentracijos tūrio procentais yra ≥ 13,5 proc.

Po sodrinimo natūrali alkoholio koncentracija tūrio procentais – 15 proc.

Fermentuojamų cukrų kiekis yra 17–45 g/l.

Bendrosios analitinės savybės

Didžiausia visuminė alkoholio koncentracija (tūrio %)

 

Mažiausia faktinė alkoholio koncentracija (tūrio %)

11,5

Mažiausias bendrasis rūgštingumas

miliekvivalentais viename litre

Didžiausias lakusis rūgštingumas (miliekvivalentais litre)

 

Didžiausias bendras sieros dioksido kiekis (miligramais viename litre)

300

5.   Vynininkystės metodai

5.1.   Specifiniai vynininkystės metodai

1.   Sodinimo tankumas ir atstumai tarp eilių bei augalų

Auginimo praktika

Minimalus vynuogyno tankumas – 4 500 vynmedžių sodinių viename hektare.

Atstumai tarp eilių turi būti ne didesni nei:

2,50 m, kai vynmedžiai formuojami vienpečiu ar dvipečiu Guyot metodu arba žemai parištu kordonu;

3 m, kai vynmedžiai formuojami lyros metodu, priraišiojant iš dviejų pusių.

Mažiausias atstumas tarp vienos eilės vynmedžių sodinių yra:

0,85 m, kai vynmedžiai formuojami vienpečiu ar dvipečiu Guyot metodu arba žemai parištu kordonu;

0,74 m, kai vynmedžiai formuojami lyros metodu, priraišiojant iš dviejų pusių.

2.   Genėjimo taisyklės

Auginimo praktika

Genima ne vėliau kaip išsiskleidus lapams (Lorenzo 9 etapas).

Vynmedžiai genimi paliekant trumpus arba ilgus ūglius, hektare paliekant ne daugiau kaip 45 000 pumpurų, o ant sodinio – ne daugiau kaip 14 pumpurų.

3.   Specifinės derliaus ėmimo nuostatos

Auginimo praktika

Baltiesiems saldiesiems, vadinamiesiems likeriniams, vynams gaminti skirtos vynuogės skinamos ir kelis kartus rūšiuojamos rankomis.

4.   Sodrinimas

Specifinis vynininkystės metodas

Gaminant raudonąjį vyną, leidžiama taikyti sodrinimo pašalinant vandenį metodus, jei koncentracija neviršija 15 proc.

Po sodrinimo raudonųjų vynų visuminė alkoholio koncentracija tūrio procentais neviršija 13,5 proc., sausų baltųjų vynų 13 proc., o baltųjų saldžiųjų, vadinamųjų pusiau saldžių, vynų – 15 proc.

Baltieji saldieji, vadinamieji likeriniai, vynai nesodrinami.

5.2.   Didžiausias gamybos kiekis

1.   Raudonieji neputojantys vynai

65 hektolitrai iš vieno hektaro

2.   Baltieji sausi neputojantys vynai

72 hektolitrai iš vieno hektaro

3.   Baltieji neputojantys saldieji, vadinamieji likeriniai, vynai

40 hektolitrų iš vieno hektaro

4.   Baltieji neputojantys saldieji, vadinamieji pusiau saldūs, vynai

55 hektolitrų iš vieno hektaro

6.   Nustatyta geografinė vietovė

Vynuogių derlius renkamas, vynas gaminamas ir brandinamas šiose 2021 m. sausio 1 d. Oficialiajame geografinių kodų registre apibrėžtose Žirondos departamento komunose arba jų dalyse: Anglade, Bassens, Baurech, Béguey, Belvès-de-Castillon, Berson, Blaye, Bouliac, Braud-et-Saint-Louis, Cadillac, Cambes, Camblanes-et-Meynac, Campugnan, Capian, Caplong, Carbon-Blanc, Cardan, Carignan-de-Bordeaux, Cars, Cartelègue, Castillon-la-Bataille, Cavignac, Cénac, Cenon, Cézac, Civrac-de-Blaye, Cubnezais, Donnezac, Donzac, Etauliers, Eynesse, Eyrans, Floirac, Fours, Francs, Gabarnac, Gardegan-et-Tourtirac, Générac, Gensac, Haux, Landerrouat, Langoiran, Laroque, Laruscade, Latresne, Lestiac-sur-Garonne, Les Lèves-et-Thoumeyragues, Ligueux, Lormont, Loupiac, Marcenais, Margueron, Marsas, Massugas, Mazion, Monprimblanc, Omet, Paillet, Pellegrue, Pessac-sur-Dordogne, Pineuilh, Plassac, Pleine-Selve, Pugnac (jos dalis, atitinkanti Lafoso komunos teritoriją iki susijungimo su ja 1974 m. liepos 1 d.), Puisseguin (jos dalis, atitinkanti Monbadono komunos teritoriją iki susijungimo su ja 1989 m. sausio 1 d.), Quinsac, Reignac, Riocaud, Rions, La Roquille, Saint-André-et-Appelles, Saint-Androny, Saint-Aubin-de-Blaye, Saint-Avit-de-Soulège, Saint-Avit-Saint-Nazaire, Saint-Caprais-de-Bordeaux, Saint-Christoly-de-Blaye, Saint-Cibard, Saint-Ciers-sur-Gironde, Saint-Genès-de-Blaye, Saint-Genès-de-Castillon, Saint-Germain-de-Grave, Saint-Girons-d’Aiguevives, Saint-Magne-de-Castillon, Saint-Maixant, Saint-Mariens, Saint-Martin-Lacaussade, Saint-Palais, Saint-Paul, Saint-Philippe-d’Aiguille, Saint-Philippe-du-Seignal, Saint-Quentin-de-Caplong, Sainte-Foy-la-Grande, Saint-Savin, Saint-Seurin-de-Cursac, Saint-Vivien-de-Blaye, Saint-Yzan-de-Soudiac, Sainte-Colombe, Sainte-Croix-du-Mont, Sainte-Eulalie, Les Salles-de-Castillon, Saugon, Semens, Tabanac, Tayac, Le Tourne, Val-de-Livenne, Verdelais, Villenave-de-Rions, Yvrac.

7.   Pagrindinė (-ės) vyninių vynuogių veislė (-ės)

„Cabernet franc N“

„Cabernet-Sauvignon N“

„Cot N“ – „Malbec N“

„Merlot N“

„Muscadelle B“

„Sauvignon B“ – „Sauvignon blanc“

„Sauvignon gris G“ – „Fié gris“

„Semillon B“

8.   Ryšys (-iai) su geografine vietove

Žirondos departamente esanti saugomos kilmės vietos nuorodos „Côtes de Bordeaux“ geografinė vietovė plyti ant Garonos, Dordonės ir Žirondos upių krantų. Vietovė kalvota, o jos dirvožemis daugiausia molingas ir kalkingas. SKVN pagrindą sudaro penki istoriniai vynuogininkystės centrai – Blajus, Kadijakas, Kastijon la Batajus, Franas ir Sent Fua la Grandas.

SKVN „Côtes de Bordeaux“ vynuogynai auga virš slėnių, kuriuos skalauja tiek gėlas, tiek sūrus vanduo. Vandenyno įtaka prasiskverbia giliai į sausumą, o Dordonė ir Garona susilieja į plačią tėkmę – Žirondos žiotis. SKVN „Côtes de Bordeaux“ vietovę sudaro aukščiau upės besidriekianti ir daugiausia į pietvakarius atsigręžusi lyguma ir kalvos papėdė su maždaug nuo trisdešimties iki daugiau kaip septyniasdešimties metrų aukščio stačiu šlaitu, virš kurio dunkso daugiau ar mažiau antrinio hidrografinio tinklo išvagotos plokštikalnės.

Šiam plačiam regionui būdingos palyginti vienodos ir puikiai vyno gamybai tinkančios klimato sąlygos: vietovė yra arti didelių vandens telkinių (Atlanto vandenyno, Žirondos upės žiočių, Garonos ir Dordonės upių slėnių), kurie turi itin didelę termoreguliacinę reikšmę. Be to, vandenyno įtaka sušvelnina pavasario šalnas.

Ilgametėmis gamybos tradicijomis galintys pasigirti „Côtes de Bordeaux“ vynai pasižymi aplinkos, vyninių vynuogių veislių ir žmonių įvairovės nulemtomis savybėmis. Atsižvelgiant į dirvožemio laidumą ir topografines sąlygas, sklypai būdavo parenkami ir kalvų papėdėje, ir ant šlaitų ar plokštikalnių. Kasmet, gamindami šiuos vynus, 1 000 vyndarių įgyja vis didesnę praktinę patirtį. Tad tam, kad pagamintų šį pripažintą produktą, kiekvienas ūkis vynuogyne ir vyno darykloje laikosi visų reikalavimų: sodinimo tankumo reikalavimo, didžiausio vynuogių kiekio sklype apribojimo, pagrindinių ir papildomų vynuogių veislių maišymo taisyklių ir taisyklės vynus brandinti mažiausiai iki kitų metų, einančių po derliaus nuėmimo metų, kovo 15 d.

„Côtes de Bordeaux“ vynuogynuose taip pat esti išskirtinių paveldo objektų – istorinių pilių, dvarų, tvirtovių, romaninės architektūros bažnyčių, ištaigingų garsius rašytojus ar aktorius menančių namų. Išlikę kaimai siauromis gatvelėmis, bastidės ir malūnai tvirtovės liudija apie aktyvią vynuogininkystę ir prekybą.

Maždaug 14 proc. Bordo vyno produkcijos sudarantys „Côtes de Bordeaux“ vynai įneša reikšmingą indėlį į šiandieninį Bordo vynų pasaulį. Jie mena apie turtingą vietinių Bordo vynuogių veislių praeitį ir potencialą.

Pagrindinėse rinkose (Prancūzijoje ir Belgijoje) „Côtes de Bordeaux“ ir papildomos geografinės nuorodos tapo puikiai žinomos. Per pastaruosius dešimt metų pardavimo apimtis Prancūzijos didžiųjų mažmenininkų rinkoje išaugo daugiau nei 40 proc., o šalies namų ūkiai įsigijo daugiau nei 15 proc. šio vyno. Eksportuojami „Côtes de Bordeaux“ vynai gerai žinomi Europoje (ypač Belgijoje) ir siekiama užkariauti kitas, būtent Azijos, rinkas.

Šie neputojantys vynai daugiausia gaminami maišant pagrindines ir papildomas vyninių vynuogių veisles.

Gaminant raudonuosius vynus dažniausiai vyraujanti vyninių vynuogių veislė yra „Merlot N“, kurios geriausios savybės atsiskleidžia jai augant molingame ir kalkingame dirvožemyje ir kurią, sumaišius su „Cabernet-sauvignon N“, „Cabernet-franc N“ ir „Cot N“ (vietinių vadinama „Malbec“) veislėmis, gaunami vaisiniai ir švelnūs vynai.

Baltieji vynai daugiausia gaminami iš „Sauvignon B“ veislės vynuogių kartu su „Sémillon B“ ir „Muscadelle B“ veislėmis.

Saugoma kilmės vietos nuoroda „Côtes de Bordeaux“ žymimi vynai yra aptakūs, vaisiniai ir gali būti laikomi nuo trejų iki dešimties metų.

9.   Kitos pagrindinės sąlygos (išpilstymas, ženklinimas, kiti reikalavimai)

Arčiausiai esanti vietovė

Teisinis pagrindas

Nacionalinės teisės aktai

Papildomos sąlygos rūšis

Su gamyba nustatytoje geografinėje vietovėje susijusi nukrypti leidžianti nuostata

Sąlygos aprašymas

Pritaikius nukrypti leidžiančią nuostatą nustatyta arčiausiai esanti vyno gaminimo ir brandinimo vietovė apima šių 2021 m. sausio 1 d. Oficialiajame geografinių kodų registre apibrėžtų komunų teritoriją:

Žirondos departamentas:

Ambarès-et-Lagrave, Arbanats, Artigues-près-Bordeaux, Auriolles, Ayguemorte-les-Graves, Baigneaux, Baron, Barsac, Beautiran, Bellebat, Bellefond, Beychac-et-Caillau, Blésignac, Bommes, Bonnetan, Bossugan, Branne, La Brède, Budos, Cabara, Cadarsac, Cadaujac, Camarsac, Camiac-et-Saint-Denis, Camiran, Casseuil, Castelviel, Castets et Castillon komunos dalis, atitinkanti deleguotosios komunos Castets-en-Dorthe teritoriją, Castres-Gironde, Caudrot, Caumont, Cazaugitat, Cérons, Cessac, Civrac-sur-Dordogne, Coirac, Coubeyrac, Courpiac, Créon, Croignon, Cursan, Daignac, Dardenac, Daubèze, Doulezon, Escoussans, Espiet, Les Esseintes, Faleyras, Fargues, Fargues-Saint-Hilaire, Flaujagues, Frontenac, Gauriac, Gauriaguet, Génissac, Gironde-sur-Dropt, Gornac, Grézillac, Guillac, Illats, Isle-Saint-Georges, Izon, Jugazan, Juillac, Ladaux, Landiras, Langon, Lansac, Lapouyade Léogeats, Léognan, Lignan-de-Bordeaux, Listrac-de-Durèze, Loupes, Lugaignac, Lugasson, Lussac, Madirac, Martillac, Martres, Mazères, Mombrier, Montagne, Montignac, Montussan, Morizès, Mouliets-et-Villemartin, Moulon, Mourens, Naujan-et-Postiac, Nérigean, Peujard, Le Pian-sur-Garonne, Podensac, Pompignac, Porte-de-Benauge, Portets, Le Pout, Preignac, Pugnac, Puisseguin, Pujols, Pujols-sur-Ciron, Rauzan, Roaillan, Romagne, Sadirac, Saint-Antoine-du-Queyret, Saint-Aubin-de-Branne, Saint-Brice, Saint-André-de-Cubzac, Saint-André-du-Bois, Saint-Brice, Saint-Christophe-des-Bardes, Saint-Ciers-de-Canesse, Saint-Emilion, Saint-Etienne-de-Lisse, Saint-Exupéry, Saint-Félix-de-Foncaude, Saint-Ferme, Saint-Genès-de-Lombaud, Saint-Genis-du-Bois, Saint-Germain-du-Puch, Saint-Hilaire-du-Bois, Saint-Hippolyte, Saint-Jean-de-Blaignac, Saint-Laurent-d’Arce, Saint-Laurent-du-Bois, Saint-Laurent-du-Plan, Saint-Laurent-des-Combes, Saint-Léon, Saint-Loubert, Saint-Loubès, Saint-Macaire, Saint-Martial, Saint-Martin-de-Sescas, Saint-Médard-d’Eyrans, Saint-Michel-de-Rieufret, Saint-Morillon, Saint-Pierre-de-Bat, Saint-Pierre-de-Mons, Saint-Pey-d’Armens, Saint-Pey-de-Castets, Saint-Pierre-d’Aurillac, Saint-Quentin-de-Baron, Saint-Selve, Saint-Sulpice-et-Cameyrac, Saint-Sulpice-de-Faleyrens, Saint-Sulpice-de-Pommiers, Saint-Trojan, Saint-Vincent-de-Paul, Saint-Vincent-de-Pertignas, Sainte-Florence, Sainte-Foy-la-longue, Sainte-Radegonde, Sainte-Terre, Salleboeuf, Samonac, Sauternes, La Sauve, Soulignac, Soussac, Targon, Tauriac, Teuillac, Tizac-de-Curton, Tizac-de-Lapouyade, Toulenne, Tresses, Vignonet, Villeneuve, Virelade.

Dordonės departamentas:

Bergerac, Bonneville-et-Saint-Avit-de-Fumadière, Bosset, Cunèges, Le Fleix, La Force, Fraisse, Gageac-et-Rouillac, Gardonne, Ginestet, Lamonzie-Saint-Martin, Lamothe-Montravel, Les Lèches, Lunas, Mescoules, Minzac, Monbazillac, Monestier, Monfaucon, Montazeau, Montcaret, Nastringues, Pomport, Port-Sainte-Foy-et-Ponchapt, Prigonrieux, Razac-de-Saussignac, Ribagnac, Rouffignac-de-Sigoulès, Saint-Antoine-de-Breuilh, Saint-Georges-de-Blancaneix, Saint-Géry, Saint-Méard-de-Gurçon, Saint-Michel-de-Montaigne, Saint-Pierre-d’Eyraud, Saint-Seurin-de-Prats, Saint-Vivien, Saussignac, Sigoulès et Flaugeac, Thénac, Vélines et Villefranche-de-Lonchat.

Pajūrio Šarantos departamentas: Saint-Georges-des-Agoûts.

Papildomos geografinės nuorodos

Teisinis pagrindas

Nacionalinės teisės aktai

Papildomos sąlygos rūšis

Papildomos nuostatos dėl ženklinimo

Sąlygos aprašymas

Saugomos kilmės vietos nuorodos pavadinimas gali būti papildomas viena iš šių geografinių nuorodų: „Blaye“, „Cadillac“, „Castillon“, „Francs“ arba „Sainte-Foy“, jei vynai pagaminti pagal šioms papildomoms geografinėms nuorodoms nustatytas sąlygas.

Didesnė geografinė vietovė

Teisinis pagrindas

Nacionalinės teisės aktai

Papildomos sąlygos rūšis

Papildomos nuostatos dėl ženklinimo

Sąlygos aprašymas

Vynų, kuriems suteikta saugoma kilmės vietos nuoroda, etiketėse galima nurodyti didesnę geografinę vietovę: „Vin de Bordeaux“ arba „Grand Vin de Bordeaux“.

Šios didesnės geografinės vietovės pavadinimas turi būti užrašomas rašmenimis, kurių dydis (aukštis ir plotis) nėra didesnis nei 2/3 rašmenų, kuriais užrašytas saugomos kilmės vietos nuorodos pavadinimas, dydžio.

Kolektyvinis identifikatorius

Teisinis pagrindas

Nacionalinės teisės aktai

Papildomos sąlygos rūšis

Papildomos nuostatos dėl ženklinimo

Sąlygos aprašymas

Remiantis pareiškėjų grupės sudarytos ir visiems veiklos vykdytojams pateiktos galiojančios kolektyvinės chartijos nuostatomis, saugoma kilmės vietos nuoroda „Côtes de Bordeaux“ kartu su papildomomis geografinėmis nuorodomis „Blaye“, „Cadillac“, „Castillon“, „Francs“ arba „Sainte-Foy“ ar be jų žymimų vynų etiketėse pateikiamas kolektyvinis identifikatorius.

Mažesnė geografinė vietovė

Teisinis pagrindas

Nacionalinės teisės aktai

Papildomos sąlygos rūšis

Papildomos nuostatos dėl ženklinimo

Sąlygos aprašymas

Vynų, kuriems suteikta saugoma kilmės vietos nuoroda, etiketėse galima nurodyti mažesnę geografinę vietovę, jeigu ji:

įtraukta į kadastrą;

nurodyta derliaus deklaracijoje.

Ženklinimo nuostatos

Teisinis pagrindas

Nacionalinės teisės aktai

Papildomos sąlygos rūšis

Papildomos nuostatos dėl ženklinimo

Sąlygos aprašymas

Baltieji vynai, kurių saugomos kilmės vietos nuorodos pavadinimas „Côtes de Bordeaux“ papildytas geografinės nuorodos pavadinimu „Sainte-Foy“ ir kurių fermentuojamų cukrų (gliukozės ir fruktozės) kiekis yra 17–45 g/l, žymimi nuoroda „moelleux “ (pusiau saldus).

Nuoroda į produkto specifikaciją

http://info.agriculture.gouv.fr/gedei/site/bo-agri/document_administratif-ecf05533-907b-480f-977d-56a768e55c78


(1)  OL L 9, 2019 1 11, p. 2.


2022 2 24   

LT

Europos Sąjungos oficialusis leidinys

C 88/87


Pranešimo apie vyno sektoriaus produkto specifikacijos standartinio pakeitimo patvirtinimą paskelbimas pagal Komisijos deleguotojo reglamento (ES) 2019/33 17 straipsnio 2 ir 3 dalis

(2022/C 88/11)

Šis pranešimas paskelbtas pagal Komisijos deleguotojo reglamento (ES) 2019/33 (1) 17 straipsnio 5 dalį.

PRANEŠIMAS APIE STANDARTINĮ BENDROJO DOKUMENTO PAKEITIMĄ

„Bordeaux“

PDO-FR-A0821-AM07

Pranešimo data: 2021.11.26

PATVIRTINTO PAKEITIMO APRAŠYMAS IR PAGRINDIMAS

1.   Oficialusis geografinių kodų registras

Arčiausiai esančios geografinės vietovės komunų sąrašas atnaujintas atsižvelgiant į Oficialųjį geografinių kodų registrą.

Vietovės ribos lieka nepakitusios.

Iš dalies pakeisti bendrojo dokumento 6 ir 9 punktai.

2.   Nustatytų sklypų plotas

Sent Estefo, Pomerolio ir Liburno komunų ribų nustatymo priede įrašyta 2021 m. birželio 3 d. data.

Šiuo pakeitimu siekiama įtraukti datą, kurią kompetentinga valdžios institucija patvirtino geografinėje gamybos vietovėje nustatyto sklypų ploto pakeitimą. Sklypų ribų nustatymas reiškia geografinėje gamybos vietovėje esančių sklypų, kuriuose gali būti gaminamas saugoma kilmės vietos nuoroda žymimas produktas, identifikavimą.

Bendrajam dokumentui šis pakeitimas įtakos neturi.

3.   Nuoroda į kontrolės įstaigą

Siekiant redakcijos suderinamumo su kitomis nuorodų specifikacijomis, peržiūrėta nuorodos į kontrolės įstaigą redakcija. Šis pakeitimas yra tik redakcinio pobūdžio.

Šis pakeitimas bendrajam dokumentui įtakos neturi.

BENDRASIS DOKUMENTAS

1.   Pavadinimas (-ai)

„Bordeaux“

2.   Geografinės nuorodos tipas

SKVN – saugoma kilmės vietos nuoroda

3.   Vynuogių produktų kategorijos

1.

Vynas

4.   Vyno (-ų) aprašymas

1.   Baltieji sausi neputojantys vynai

TRUMPAS APRAŠYMAS

Baltiesiems sausiems neputojantiems vynams būdinga:

ne mažesnė negu 10 % natūrali alkoholio koncentracija (tūrio procentais);

fermentuojamųjų cukrų kiekis ≤ 3 g/l. Šis kiekis gali būti padidintas iki 5 g/l, jei bendrasis rūgštingumas siekia ≥ 2,7 g/l H2SO4.

Papildomai pridėjus cukraus, bendra alkoholio koncentracija tūrio procentais yra ≤ 13 %.

Prieš išpilstymą vynui būdinga:

lakusis rūgštingumas yra ≤ 13,26 meq/l,

bendras SO2 kiekis yra ≤ 180 mg/l.

Kiti analizės kriterijai atitinka ES teisės aktuose nustatytus reikalavimus.

Iš veislės „Sauvignon B“ vynuogių gaminami baltieji sausi vynai yra labai aromatingi, gaivaus ir vaisinio kvapo su gėlių ir citrusinių vaisių natomis. Vynuogių veislė „Sémillon B“ vynams suteikia apimties ir tirštumo, o derinimas su veisle „Muscadelle B“ vynams suteikia gėlių aromato. Papildomos vynuogių veislės, derinamos su kitomis, suteikia rūgštumo ir citrusinių vaisių natų. Šiuos gaivinančius vynus labiausiai tinka vartoti jaunus (vienų ar dvejų metų senumo).

Bendrosios analitinės savybės

Didžiausia bendra alkoholio koncentracija (tūrio %)

 

Mažiausia faktinė alkoholio koncentracija (tūrio %)

 

Mažiausias bendras rūgščių kiekis

(miliekvivalentais viename litre)

Didžiausias lakiųjų rūgščių kiekis (miliekvivalentais viename litre)

18

Didžiausias bendras sieros dioksido kiekis (miligramais viename litre)

200

2.   Baltieji neputojantys vynai su likutiniu cukrumi

TRUMPAS APRAŠYMAS

Baltiesiems neputojantiems vynams su fermentuojamaisiais cukrumis būdinga:

ne mažesnė negu 10,5 % natūrali alkoholio koncentracija (tūrio procentais);

fermentuojamųjų cukrų kiekis > 5 g/l ir ≤ 60 g/l.

Papildomai pridėjus cukraus, bendra alkoholio koncentracija tūrio procentais yra ≤ 13,5 %.

Prieš išpilstymą vynui būdinga:

lakusis rūgštingumas yra ≤ 13,26 meq/l,

bendras SO2 kiekis yra ≤ 250 mg/l.

Kiti analizės kriterijai atitinka ES teisės aktuose nustatytus reikalavimus.

Baltieji vynai su fermentuojamaisiais cukrumis daugiausia gaminami iš veislės „Sémillon B“ vynuogių, kurios vynui suteikia sodrumo, ilgai išliekantį aromatą, aukso spalvą, cukatų natų, o šias vynuoges derinant su veislės „Sauvignon B“ vynuogėmis vynas įgauna gaivumo. Nors šie vynai brandinami ne vienus metus, jie gali būti vartojami ir jauni.

Bendrosios analitinės savybės

Didžiausia bendra alkoholio koncentracija (tūrio %)

 

Mažiausia faktinė alkoholio koncentracija (tūrio %)

10

Mažiausias bendras rūgščių kiekis

(miliekvivalentais viename litre)

Didžiausias lakiųjų rūgščių kiekis (miliekvivalentais viename litre)

18

Didžiausias bendras sieros dioksido kiekis (miligramais viename litre)

250

3.   Rožiniai neputojantys vynai

TRUMPAS APRAŠYMAS

Rožiniams neputojantiems vynams būdinga:

ne mažesnė negu 10 % natūrali alkoholio koncentracija (tūrio procentais);

fermentuojamųjų cukrų kiekis ≤ 3 g/l. Šis kiekis gali būti padidintas iki 5 g/l, jei bendrasis rūgštingumas siekia ≥ 2,7 g/l H2SO4;

pakeistas spalvos intensyvumas (DO420 + DO520 + DO620) ≤ 1,1.

Papildomai pridėjus cukraus, bendra alkoholio koncentracija tūrio procentais yra ≤ 13 %.

Prieš išpilstymą vyno:

lakusis rūgštingumas yra ≤ 13,26 meq/l,

bendras SO2 kiekis yra ≤ 180 mg/l.

Kiti analizės kriterijai atitinka ES teisės aktuose nustatytus reikalavimus.

Priklausomai nuo taikomos gamybos technikos (tiesioginis vynuogių spaudimas, apmirkymas, pirmųjų sulčių nutekinimas), rožiniai vynai būna nuo blankiai rožinės iki sodresnės rožinės spalvos, vaisių arba gėlių aromato, kurį papildo subalansuotas vos rūgštokas skonis. Puikiai atsiskleidžia visi skoniai ir aromatai. Šiuos vynus tinka vartoti jaunus (vienų ar dvejų metų senumo).

Bendrosios analitinės savybės

Didžiausia bendra alkoholio koncentracija (tūrio %)

 

Mažiausia faktinė alkoholio koncentracija (tūrio %)

 

Mažiausias bendras rūgščių kiekis

(miliekvivalentais viename litre)

Didžiausias lakiųjų rūgščių kiekis (miliekvivalentais viename litre)

18

Didžiausias bendras sieros dioksido kiekis (miligramais viename litre)

200

4.   Raudonieji neputojantys vynai

TRUMPAS APRAŠYMAS

Raudoniesiems neputojantiems vynams būdinga:

ne mažesnė negu 10,5 % natūrali alkoholio koncentracija (tūrio procentais);

fermentuojamųjų cukrų kiekis ≤ 3 g/l;

obuolių rūgšties kiekis ≤ 0,3 g/l.

Papildomai pridėjus cukraus, bendra alkoholio koncentracija tūrio procentais yra ≤ 13,5 %.

Prieš išpilstymą vyno:

lakusis rūgštingumas yra ≤ 13,26 meq/l,

bendras SO2 kiekis yra ≤ 140 mg/l.

Kiti analizės kriterijai atitinka ES teisės aktuose nustatytus reikalavimus.

Raudonuosiuose vynuose dominuoja vynuogių veislė „Merlot N“. Šie vynai yra vaisinio skonio ir ne itin rūgštūs. Jei gaminant papildomai dedama veislių „Petit verdot N“ ir „Cot N“ vynuogių, ilgai brandinamas vynas įgauna gaivaus rūgštumo. Vis dėlto dažniausiai veislės „Merlot N“ vynuogės derinamos su veislių „Cabernet-sauvignon N“, kiek rečiau – su „Cabernet franc N“ vynuogėmis, dėl kurių vynai įgauna kompleksišką aromatą ir ryškių taninų, leidžiančių išsaugoti ir plėtoti aromatus.

Bendrosios analitinės savybės

Didžiausia bendra alkoholio koncentracija (tūrio %)

 

Mažiausia faktinė alkoholio koncentracija (tūrio %)

 

Mažiausias bendras rūgščių kiekis

(miliekvivalentais viename litre)

Didžiausias lakiųjų rūgščių kiekis (miliekvivalentais viename litre)

20

Didžiausias bendras sieros dioksido kiekis (miligramais viename litre)

150

5.   Vyno gamybos metodai

5.1.   Specifiniai vynininkystės metodai

1.   Sodinimo tankumas ir atstumai tarp eilių bei augalų

Auginimo praktika

Nuo 2008 m. rugpjūčio 1 d. užsodinamuose sklypuose mažiausias vynuogienojų tankumas yra 4 000 sodinukų viename hektare. Atstumas tarp eilių negali būti didesnis nei 2,50 m, o atstumas tarp augalų toje pačioje eilėje turi būti ne mažesnis nei 0,85 m. Toks tankumas gali būti sumažintas iki 3 300 vynmedžių sodinių viename hektare. Tokiu atveju atstumas tarp eilių negali būti didesnis nei 3 m, o atstumas tarp augalų toje pačioje eilėje turi būti ne mažesnis nei 0,85 m.

2.   Genėjimo taisyklės

Auginimo praktika

Genėti leidžiama tik dviem būdais: trumpai arba paliekant ilgesnes šakeles. Genint veislių „Merlot N“, „Sémillon B“ ir „Muscadelle B“ vynuoges, ant vynuogienojų paliekama ne daugiau kaip 45 000 pumpurų viename hektare ir ne daugiau kaip 18 pumpurų ant vieno augalo. Genint kitų veislių, pvz., „Cabernet franc N“, „Cabernet sauvignon N“, „Sauvignon B“ ar „Sauvignon gris G“, vynuoges, ant vynuogienojų paliekama ne daugiau kaip 50 000 pumpurų viename hektare ir ne daugiau kaip 20 pumpurų ant vieno augalo. Pašalinus nereikalingus pumpurus, vaisingų šakų skaičius ant vieno vynuogienojaus negali viršyti:

vynuogių veislės „Merlot N“, „Sémillon B“ ir „Muscadelle B“ – 12 šakų ant vieno vynuogienojaus, jei vynuogienojų tankumas sklype yra ne mažesnis kaip 4 000 augalų viename hektare, ir 15 šakų ant vieno vynuogienojaus, jei vynuogienojų tankumas sklype mažesnis negu 4 000 augalų viename hektare;

kitos vynuogių veislės, pvz., „Cabernet franc N“, „Cabernet sauvignon N“, „Sauvignon B“ ar „Sauvignon gris G“, – 14 šakų ant vieno vynuogienojaus, jei vynuogienojų tankumas sklype yra ne mažesnis kaip 4 000 augalų viename hektare, ir 17 šakų ant vieno vynuogienojaus, jei vynuogienojų tankumas sklype mažesnis negu 4 000 augalų viename hektare.

Genima ne vėliau kaip išsiskleidus lapams (Lorenzo 9 etapas). Nereikalingi pumpurai pašalinami prieš užsimezgant vaisiams.

3.   Konkretus vynininkystės metodas

Gaminant rožinius vynus (išskyrus vynus, kuriems suteikiama nuoroda „Clairet“), misai apdoroti leidžiama naudoti vynininkystėje naudojamas medžio anglis neviršijant 20 % atitinkamo vyndario atitinkamais gamybos metais pagaminto rožinio vyno tūrio.

4.   Sodrinimas

Konkretus vynininkystės metodas

Leidžiama sodrinti iš dalies koncentruojant raudonuosius vynus, bet neviršijant 15 % tokiu būdu praturtinto tūrio koncentracijos. Po sodrinimo etapo vynų visuminė alkoholio koncentracija, išreikšta tūrio procentais, negali viršyti:

raudonieji ir baltieji vynų su fermentuojamaisiais cukrumis – 13,5 %;

rožiniai ir baltieji sausi vynai – 13 %.

5.2.   Didžiausias gamybos kiekis

1.

Baltieji neputojantys vynai (sausieji ir su fermentuojamaisiais cukrumis):

77 hektolitrai iš vieno hektaro

2.

Rožiniai neputojantys vynai:

72 hektolitrai iš vieno hektaro

3.

Rožiniai neputojantys vynai (vynuogienojų tankumas sklype ≥ 4 000 augalų/ha):

68 hektolitrai iš vieno hektaro

4.

Rožiniai neputojantys vynai (vynuogienojų tankumas sklype < 4 000 augalų/ha):

64 hektolitrai iš vieno hektaro

6.   Nustatyta geografinė vietovė

Vynuogių derlius nurenkamas, vynas gaminamas ir brandinamas toliau nurodytų Žirondos departamento komunų, kaip jos 2021 m. sausio 1 d. apibrėžtos Oficialiajame geografinių kodų registre, teritorijoje:

Abzac, Aillas, Ambarès-et-Lagrave, Ambès, Anglade, Arbanats, Arcins, Arsac, Artigues-près-Bordeaux, Arveyres, Asques, Aubiac, Auriolles, Auros, Avensan, Ayguemorte-les-Graves, Bagas, Baigneaux, Barie, Baron, Barsac, Bassanne, Bassens, Baurech, Bayas, Bayon-sur-Gironde, Bazas, Beautiran, Bégadan, Bègles, Béguey, Bellebat, Bellefond, Belvès-de-Castillon, Bernos-Beaulac, Berson, Berthez, Beychac-et-Caillau, Bieujac, Birac, Blaignac, Blaignan-Prignac, Blanquefort, Blasimon, Blaye, Blésignac, Bommes, Bonnetan, Bonzac, Bordeaux, Bossugan, Bouliac, Bourdelles, Bourg, Branne, Brannens, Braud-et-Saint-Louis, Brouqueyran, Bruges, Budos, Cabanac-et-Villagrains, Cabara, Cadarsac, Cadaujac, Cadillac, Cadillac-en-Fronsadais, Camarsac, Cambes, Camblanes-et-Meynac, Camiac-et-Saint-Denis, Camiran, Camps-sur-l’Isle, Campugnan, Canéjan, Capian, Caplong, Carbon-Blanc, Cardan, Carignan-de-Bordeaux, Cars, Cartelègue, Casseuil, Castelmoron-d’Albret, Castelnau-de-Médoc, Castelviel, Castets et Castillon, Castillon-la-Bataille, Castres-Gironde, Caudrot, Caumont, Cauvignac, Cavignac, Cazats, Cazaugitat, Cénac, Cenon, Cérons, Cessac, Cestas, Cézac, Chamadelle, Cissac-Médoc, Civrac-de-Blaye, Civrac-sur-Dordogne, Civrac-en-Médoc, Cleyrac, Coimères, Coirac, Comps, Coubeyrac, Couquèques, Courpiac, Cours-de-Monségur, Cours-les-Bains, Coutras, Coutures, Créon, Croignon, Cubnezais, Cubzac-les-Ponts, Cudos, Cursan, Cussac-Fort-Médoc, Daignac, Dardenac, Daubèze, Dieulivol, Donnezac, Donzac, Doulezon, Escoussans, Espiet, Etauliers, Eynesse, Eyrans, Eysines, Faleyras, Fargues, Fargues-Saint-Hilaire, Flaujagues, Floirac, Floudès, Fontet, Fossés-et-Baleyssac, Fours, Francs, Fronsac, Frontenac, Gabarnac, Gaillan-en-Médoc, Gajac, Galgon, Gans, Gardegan-et-Tourtirac, Gauriac, Gauriaguet, Générac, Génissac, Gensac, Gironde-sur-Dropt, Gornac, Gours, Gradignan, Grayan-et-l’Hôpital, Grézillac, Grignols, Guillac, Guillos, Guîtres, Haux, Hure, Illats, Isle-Saint-Georges, Izon, Jau-Dignac-et-Loirac, Jugazan, Juillac, La Brède, La Lande-de-Fronsac, La Réole, La Rivière, La Roquille, La Sauve, Labarde, Labescau, Ladaux, Lados, Lagorce, Lalande-de-Pomerol, Lamarque, Lamothe-Landerron, Landerrouat, Landerrouet-sur-Ségur, Landiras, Langoiran, Langon, Lansac, Lapouyade, Laroque, Laruscade, Latresne, Lavazan, Le Bouscat, Le Fieu, Le Haillan, Le Nizan, Le Pian-Médoc, Le Pian-sur-Garonne, Le Pout, Le Puy, Le Taillan-Médoc, Le Tourne, Le Verdon-sur-Mer, Léogeats, Léognan, Les Artigues-de-Lussac, Les Billaux, Les Eglisottes-et-Chalaures, Les Esseintes, Les Lèves-et-Thoumeyragues, Les Peintures, Les Salles, Lesparre-Médoc, Lestiac-sur-Garonne, Libourne, Lignan-de-Bazas, Lignan-de-Bordeaux, Ligueux, Listrac-de-Durèze, Listrac-Médoc, Lormont, Loubens, Loupes, Loupiac, Loupiac-de-la-Réole, Ludon-Médoc, Lugaignac, Lugasson, Lugon-et-l’Ile-du-Carnay, Lussac, Macau, Madirac, Maransin, Marcenais, Margaux-Cantenac, Margueron, Marimbault, Marions, Marsas, Martignas-sur-Jalle, Martillac, Martres, Masseilles, Massugas, Mauriac, Mazères, Mazion, Mérignac, Mérignas, Mesterrieux, Mombrier, Mongauzy, Monprimblanc, Monségur, Montagne, Montagoudin, Montignac, Montussan, Morizès, Mouillac, Mouliets-et-Villemartin, Moulis-en-Médoc, Moulon, Mourens, Naujac-sur-Mer, Naujan-et-Postiac, Néac, Nérigean, Neuffons, Noaillac, Noaillan, Omet, Ordonnac, Paillet, Parempuyre, Pauillac, Pellegrue, Périssac, Pessac, Pessac-sur-Dordogne, Petit-Palais-et-Cornemps, Peujard, Pineuilh, Plassac, Pleine-Selve, Podensac, Pomerol, Pompéjac, Pompignac, Pondaurat, Porchères, Porte-de-Benauge, Portets, Préchac, Preignac, Prignac-et-Marcamps, Pugnac, Puisseguin, Pujols, Pujols-sur-Ciron, Puybarban, Puynormand, Queyrac, Quinsac, Rauzan, Reignac, Rimons, Riocaud, Rions, Roaillan, Romagne, Roquebrune, Ruch, Sablons, Sadirac, Saillans, Saint-Aignan, Saint-André-de-Cubzac, Saint-André-du-Bois, Saint-André-et-Appelles, Saint-Androny, Saint-Antoine-du-Queyret, Saint-Antoine-sur-l’Isle, Saint-Aubin-de-Blaye, Saint-Aubin-de-Branne, Saint-Aubin-de-Médoc, Saint-Avit-de-Soulège, Saint-Avit-Saint-Nazaire, Saint-Brice, Saint-Caprais-de-Bordeaux, Saint-Christoly-de-Blaye, Saint-Christoly-Médoc, Saint-Christophe-de-Double, Saint-Christophe-des-Bardes, Saint-Cibard, Saint-Ciers-d’Abzac, Saint-Ciers-de-Canesse, Saint-Ciers-sur-Gironde, Sainte-Colombe, Saint-Côme, Sainte-Croix-du-Mont, Saint-Denis-de-Pile, Saint-Emilion, Saint-Estèphe, Saint-Etienne-de-Lisse, Sainte-Eulalie, Saint-Exupéry, Saint-Félix-de-Foncaude, Saint-Ferme, Sainte-Florence, Sainte-Foy-la-Grande, Sainte-Foy-la-Longue, Sainte-Gemme, Saint-Genès-de-Blaye, Saint-Genès-de-Castillon, Saint-Genès-de-Fronsac, Saint-Genès-de-Lombaud, Saint-Genis-du-Bois, Saint-Germain-de-Grave, Saint-Germain-de-la-Rivière, Saint-Germain-d’Esteuil, Saint-Germain-du-Puch, Saint-Gervais, Saint-Girons-d’Aiguevives, Sainte-Hélène, Saint-Hilaire-de-la-Noaille, Saint-Hilaire-du-Bois, Saint-Hippolyte, Saint-Jean-de-Blaignac, Saint-Jean-d’Illac, Saint-Julien-Beychevelle, Saint-Laurent-d’Arce, Saint-Laurent-des-Combes, Saint-Laurent-du-Bois, Saint-Laurent-du-Plan, Saint-Laurent-Médoc, Saint-Léon, Saint-Loubert, Saint-Loubès, Saint-Louis-de-Montferrand, Saint-Macaire, Saint-Magne-de-Castillon, Saint-Maixant, Saint-Mariens, Saint-Martial, Saint-Martin-de-Laye, Saint-Martin-de-Lerm, Saint-Martin-de-Sescas, Saint-Martin-du-Bois, Saint-Martin-du-Puy, Saint-Martin-Lacaussade, Saint-Médard-de-Guizières, Saint-Médard-d’Eyrans, Saint-Médard-en-Jalles, Saint-Michel-de-Fronsac, Saint-Michel-de-Lapujade, Saint-Michel-de-Rieufret, Saint-Morillon, Saint-Palais, Saint-Pardon-de-Conques, Saint-Paul, Saint-Pey-d’Armens, Saint-Pey-de-Castets, Saint-Philippe-d’Aiguille, Saint-Philippe-du-Seignal, Saint-Pierre-d’Aurillac, Saint-Pierre-de-Bat, Saint-Pierre-de-Mons, Saint-Quentin-de-Baron, Saint-Quentin-de-Caplong, Sainte-Radegonde, Saint-Romain-la-Virvée, Saint-Sauveur, Saint-Sauveur-de-Puynormand, Saint-Savin, Saint-Selve, Saint-Seurin-de-Bourg, Saint-Seurin-de-Cadourne, Saint-Seurin-de-Cursac, Saint-Seurin-sur-l’Isle, Saint-Sève, Saint-Sulpice-de-Faleyrens, Saint-Sulpice-de-Guilleragues, Saint-Sulpice-de-Pommiers, Saint-Sulpice-et-Cameyrac, Sainte-Terre, Saint-Trojan, Saint-Vincent-de-Paul, Saint-Vincent-de-Pertignas, Saint-Vivien-de-Blaye, Saint-Vivien-de-Médoc, Saint-Vivien-de-Monségur, Saint-Yzan-de-Soudiac, Saint-Yzans-de-Médoc, Salaunes, Salleboeuf, Samonac, Saucats, Saugon, Sauternes, Sauveterre-de-Guyenne, Sauviac, Savignac, Savignac-de-l’Isle, Semens, Sendets, Sigalens, Sillas, Soulac-sur-Mer, Soulignac, Soussac, Soussans, Tabanac, Taillecavat, Talais, Talence, Targon, Tarnès, Tauriac, Tayac, Teuillac, Tizac-de-Curton, Tizac-de-Lapouyade, Toulenne, Tresses, Uzeste, Val-de-Livenne, Val de Virvée, Valeyrac, Vayres, Vendays-Montalivet, Vensac, Vérac, Verdelais, Vertheuil, Vignonet, Villandraut, Villegouge, Villenave-de-Rions, Villenave-d’Ornon, Villeneuve, Virelade, Virsac, Yvrac.

7.   Pagrindinė (-ės) vyninių vynuogių veislė (-ės)

„Cabernet franc N“

„Cabernet-Sauvignon N“

„Carménère N“

„Cot N“ – „Malbec N“

„Merlot N“

„Muscadelle B“

„Petit Verdot N“

„Sauvignon B“ – „Sauvignon blanc“

„Sauvignon gris G“ – „Fié gris“

„Semillon B“

8.   Ryšys (-iai) su geografine vietove

Geografinei vietovei būdingos palyginti vienodos klimato sąlygos puikiai tinka vyno gamybai: netoliese esantys dideli vandens telkiniai (Atlanto vandenynas, Žirondos upės žiotys, Garonos ir Dordonės upių slėniai) turi svarbią termoreguliacinę reikšmę. Vis dėlto pavasario šalnas švelninanti vandenyno įtaka tolstant nuo jūros ir didžiųjų slėnių ir artėjant prie Landų, Sentonžo ir Perigoro Dublio miškų masyvų palaipsniui mažėja. Dėl šių ypatumų geografinės vietovės šiauriniuose ir pietiniuose bei pietvakariniuose pakraščiuose vynuogynų veisiama retai. Geografinė vietovė apima 494 iš 535 Žirondos departamento komunų, išskyrus departamento pietvakarinę dalį, kurioje plėtojama ne vyno gamyba, o miškininkystė.

Jūrinio klimato sąlygomis auginamos Bordo vynuogės nuo XVII ir XVIII amžių buvo paremiamos kuolais, po to paplito treliažai. Visa tai buvo daroma tam, kad vynuogių derlius būtų vienodas, o lapų paviršius – pakankamas tinkamai chlorofilo sintezei, užtikrinančiai geriausią brandą. Atsižvelgiant į aplinkos savybes – skirtingus dirvožemio tipus ir nevienodą saulės spindulių kiekį, buvo atrinktos ir pritaikytos įvairios vynuogių veislės. Galima išskirti keturis dirvožemio tipus:

kalkinio molio ir kalkinio mergelio dirvožemis labiausiai paplitęs kalvų šlaituose ir puikiai tinka veislės „Merlot N“ vynuogėms auginti;

dirvožemis, kuriame dominuoja silicis ir yra molio bei kalkių priemaišų, puikiai tinka tokių veislių kaip „Merlot N“ ar „Sauvignon B“ vynuogėms auginti;

lengvesnis sąnašinis dirvožemis su smulkiomis silicio dalelėmis labiausiai tinka vynuogėms, iš kurių gaminamas baltasis sausas vynas, auginti;

dirvožemis, kuriame gausu žvyro, kvarco ir stambesnių ar smulkesnių smėlio smiltelių, dažniausiai pasitaiko gerai drenuojamose, šiltose ir puikiai vynuogėms, ypač veislės „Cabernet-sauvignon“, auginti tinkamose terasose.

Vynuogių veislių, biologinės ir fizinės aplinkos įvairovės, vynuogyno priežiūros ir vyno gamybos būdų derinimas leidžia pagaminti išskirtinio stiliaus vynus, kuriems būdinga plati aromatų gama. Bordo uostas ir glaudūs istoriniai ryšiai su kitomis tautomis padėjo labai anksti išplėtoti struktūrišką ir galingą prekybą, o Bordo vyndariai visuomet buvo atviri pasauliui ir galėjo naudotis techninėmis naujovėmis ir jas skleisti, didinti ūkių dinamiškumą ir taip stiprinti, plėtoti ir perduoti savo patirtį nepamiršdami šimtamečių tradicijų. Po Akvitanijos kunigaikštytės Eleonoros ir būsimo Anglijos karaliaus Henriko Plantageneto santuokos 1152 m. prekybiniai mainai buvo išplėtoti dar labiau ir anglai ėmė importuoti Bordo vynus, kuriuos dėl šviesios spalvos vadino „Claret“. Ilgainiui šis pavadinimas prigijo, tad net ir dabar tam tikri vynai vadinami „Clairet“ arba „Claret“. XVII amžiuje atsiradus naujų vartotojų prasidėjo nauja prekybos era. Eksportas ir dabar tebėra svarbi Bordo vynų platinimo dalis. Trečdalis pagaminto kiekio išsiunčiama į daugiau nei 150 šalių. Vyno su saugoma kilmės vietos nuoroda (pagrindinio Žirondos departamento ištekliaus) gamyba reikšmingai prisidėjo formuojant kaimų ir miestų peizažą bei vietinę architektūrą (vyndarių pilaites, vyno rūsius). Pagrindiniai departamento miestai yra upių uostai, kurių plėtrą nulėmė prekyba vynais.

9.   Kitos pagrindinės sąlygos (išpilstymas, ženklinimas, kiti reikalavimai)

Arčiausiai esanti vietovė

Teisinis pagrindas:

Nacionalinės teisės aktai

Papildomų reikalavimų rūšis:

Su gamyba nustatytoje geografinėje vietovėje susijusi nukrypti leidžianti nuostata

Sąlygos aprašymas:

Arčiausiai esanti vietovė, nustatyta nukrypti leidžiančioje nuostatoje dėl vyno, kuris gali būti žymimas saugoma kilmės vietos nuoroda „Bordeaux“ su papildoma nuoroda „Clairet“ ar „Claret“ arba be jos, gamybos ir brandinimo, apima šių komunų teritorijas, kaip jos apibrėžtos 2021 m. sausio 1 d. Oficialiajame geografinių kodų registre:

Dordonės departamentas Le Fleix, Fougueyrolles, Gageac-et-Rouillac, Gardonne, Minzac, Pomport, Port-Sainte-Foy-et-Ponchapt, Razac-de-Saussignac, Saint-Antoine-de-Breuilh, Saint-Seurin-de-Prats, Saussignac, Thénac, Villefranche-de-Lonchat.

Lo ir Garonos departamentas: Baleyssagues, Beaupuy, Cocumont, Duras, Esclottes, Lagupie, Loubès-Bernac, Sainte-Colombe-de-Duras, Savignac-de-Duras, Villeneuve-de-Duras.

Geografiniai pavadinimai. Papildomos nuorodos

Teisinis pagrindas:

Nacionalinės teisės aktai

Papildomų reikalavimų rūšis:

Papildomos nuostatos dėl ženklinimo

Sąlygos aprašymas:

Atsižvelgiant į atitinkamam vynui nustatytus reikalavimus, visų pirma susijusius su jusliniais standartais, prie SKVN „Bordeaux“ papildomai gali būti pateikiama nuoroda „Clairet“ (raudonieji vynai) arba „Claret“ (tamsūs rožiniai vynai).

Prie SKVN „Bordeaux“ taip pat gali būti papildomai pateikiama geografinė nuoroda „Haut-Benauge“ (baltieji vynai) pagal šiai papildomai geografinei nuorodai nustatytus reikalavimus, visų pirma susijusius su geografine vietove, vynuogynų veisimu, gamybos kiekiu ir jusliniais standartais.

Teisinis pagrindas:

Nacionalinės teisės aktai

Papildomų reikalavimų rūšis:

Papildomos nuostatos dėl ženklinimo

Sąlygos aprašymas:

Geografinė nuoroda „Haut-Benauge“ iškart po saugomos kilmės vietos nuorodos pavadinimo „Bordeaux“ turi būti rašoma ne didesniu šriftu (nei aukštesniu, nei platesniu) nei šriftas, kuriuo užrašyta saugoma kilmės vietos nuoroda.

Teisinis pagrindas:

ES teisės aktai

Papildomų reikalavimų rūšis:

Papildomos nuostatos dėl ženklinimo

Sąlygos aprašymas:

Baltieji vynai, kurių fermentuojamųjų cukrų kiekis yra didesnis negu 5 gramai viename litre ir mažesnis negu 60 gramų viename litre, ženklinami atitinkama nuoroda į vyne esantį kiekį, kaip tai nustatyta ES teisės aktuose.

Stambesnė geografinė vietovė

Teisinis pagrindas:

Nacionalinės teisės aktai

Papildomų reikalavimų rūšis:

Papildomos nuostatos dėl ženklinimo

Sąlygos aprašymas:

Vynų, kuriems suteikta saugoma geografinė nuoroda, etiketėse galima nurodyti stambesnę geografinę vietovę „Vin de Bordeaux“. Šios stambesnės geografinės vietovės pavadinimas turi būti rašomas ne didesniu šriftu (nei aukštesniu, nei platesniu) nei 2/3 šrifto, kuriuo užrašyta saugoma kilmės vietos nuoroda.

Nuoroda į produkto specifikaciją

https://info.agriculture.gouv.fr/gedei/site/bo-agri/document_administratif-d06dfa30-84d5-4e29-8239-cbc0e6cd9793


(1)  OL L 9, 2019 1 11, p. 2.


2022 2 24   

LT

Europos Sąjungos oficialusis leidinys

C 88/95


Pranešimo apie vyno sektoriaus produkto specifikacijos standartinio pakeitimo patvirtinimą paskelbimas pagal Komisijos deleguotojo reglamento (ES) 2019/33 17 straipsnio 2 ir 3 dalis

(2022/C 88/12)

Šis pranešimas paskelbtas pagal Komisijos deleguotojo reglamento (ES) 2019/33 (1) 17 straipsnio 5 dalį.

PRANEŠIMAS APIE STANDARTINĮ BENDROJO DOKUMENTO PAKEITIMĄ

„Bordeaux supérieur“

PDO-FR-A0306-AM06

Pranešimo data: 2021.11.26

PATVIRTINTO PAKEITIMO APRAŠYMAS IR PAGRINDIMAS

1.   Oficialusis geografinių kodų registras

Arčiausiai esančios geografinės vietovės komunų sąrašas atnaujintas atsižvelgiant į Oficialųjį geografinių kodų registrą.

Vietovės ribos lieka nepakitusios.

Iš dalies pakeisti bendrojo dokumento 6 ir 9 punktai.

2.   Nustatytas sklypų plotas

Sent Estefo, Pomerolo ir Liborno komunų ribų nustatymo priede įrašyta 2021 m. birželio 3 d. data.

Šiuo pakeitimu siekiama įtraukti datą, kurią kompetentinga valdžios institucija patvirtino geografinėje gamybos vietovėje nustatyto sklypų ploto pakeitimą. Sklypų ribų nustatymas reiškia geografinėje gamybos vietovėje esančių sklypų, kuriuose gali būti gaminamas saugoma kilmės vietos nuoroda žymimas produktas, identifikavimą.

Bendrajam dokumentui šis pakeitimas įtakos neturi.

3.   Kontrolės įstaigos duomenys

Siekiant redakcijos suderinamumo su kitomis nuorodų specifikacijomis, peržiūrėta nuorodos į kontrolės įstaigą redakcija. Šis pakeitimas yra tik redakcinio pobūdžio. Šis pakeitimas bendrajam dokumentui įtakos neturi.

BENDRASIS DOKUMENTAS

1.   Pavadinimas (-ai)

Bordeaux supérieur

2.   Geografinės nuorodos tipas

SKVN – saugoma kilmės vietos nuoroda

3.   Vynuogių produktų kategorijos

1.

Vynas

4.   Vyno (-ų) aprašymas

1.   Baltieji neputojantys vynai su fermentuojamaisiais cukrumis

GLAUSTAS APRAŠYMAS

Baltiesiems neputojantiems vynams būdingos tokios savybės:

natūrali alkoholio koncentracija tūrio procentais – ≥ 12 %;

fermentuojamųjų cukrų kiekis – > 17 g/l.

Prieš išpilstymą vyno:

lakusis rūgštingumas yra ≤ 13,26 meq/l;

bendras SO2 kiekis – ≤ 260 mg/l.

Po sodrinimo vynų visuminė alkoholio koncentracija tūrio procentais yra ≤ 15 %.

Baltieji vynai su fermentuojamaisiais cukrumis daugiausia gaminami iš veislės „Sémillon B“ vynuogių, kurios vynui suteikia išbaigtumo, išskirtinumo, aukso spalvą, cukatų aromatą, o šias vynuoges derinant su veislių „Sauvignon B“ ir „Muscadelle B“ vynuogėmis vynas įgauna gaivumo. Brandiems vynams (4–8 metų) dažnai būdingas gėlių, medaus ir prieskonių aromatas.

Bendrosios analitinės savybės

Didžiausia bendra alkoholio koncentracija (tūrio %)

 

Mažiausia faktinė alkoholio koncentracija (tūrio %)

11

Mažiausias bendras rūgščių kiekis

 

Didžiausias lakiųjų rūgščių kiekis (miliekvivalentais viename litre)

18

Didžiausias bendras sieros dioksido kiekis (miligramais viename litre)

300

2.   Raudonieji neputojantys vynai

GLAUSTAS APRAŠYMAS

Raudoniesiems neputojantiems vynams būdingos tokios savybės:

natūrali alkoholio koncentracija tūrio procentais – ≥ 11 %;

fermentuojamųjų cukrų kiekis – ≤ 3 g/l;

obuolių rūgšties kiekis – ≤ 0,3 g/l.

Prieš išpilstymą vyno:

lakusis rūgštingumas yra ≤ 13,26 meq/l;

bendras SO2 kiekis – ≤ 140 mg/l.

Po sodrinimo vynų visuminė alkoholio koncentracija tūrio procentais yra ≤ 13,5 %.

Raudonieji vynai, daugiausia gaminami derinant veislių „Merlot N“ ir „Cabernet-Sauvignon N“ vynuoges ir šiek tiek rečiau – veislės „Cabernet franc N“ vynuoges, yra išbaigti, išskirtiniai, aiškios struktūros. Jauniems vynams paprastai būdingas šviežių ir konservuotų uogų kvapas, o brandintų vynų aromatą dažnai papildo prieskonių ir virtų vaisių pokvapiai.

Bendrosios analitinės savybės

Didžiausia bendra alkoholio koncentracija (tūrio %)

 

Mažiausia faktinė alkoholio koncentracija (tūrio %)

 

Mažiausias bendras rūgščių kiekis

 

Didžiausias lakiųjų rūgščių kiekis (miliekvivalentais viename litre)

20

Didžiausias bendras sieros dioksido kiekis (miligramais viename litre)

150

5.   Vyno gamybos metodai

5.1.   Specifiniai vynininkystės metodai

1.   Sodinimo tankumas ir atstumai tarp eilių bei augalų

Auginimo praktika

Nuo 2008 m. rugpjūčio 1 d. užsodintuose sklypuose mažiausias vynuogienojų tankumas yra 4 500 vynmedžių sodinių viename hektare. Atstumas tarp eilių negali būti didesnis nei 2,20 m, o atstumas tarp augalų toje pačioje eilėje turi būti ne mažesnis nei 0,85 m.

Toks tankumas gali būti sumažintas iki 3 300 vynmedžių sodinių viename hektare. Tokiu atveju atstumas tarp eilių negali būti didesnis nei 3 m, o atstumas tarp augalų toje pačioje eilėje turi būti ne mažesnis nei 1 m.

2.   Genėjimo taisyklės

Auginimo praktika

Vynmedžių šakas leidžiama genėti tik trumpai arba paliekant ilgesnes šakas. Po genėjimo veislių „Merlot N“, „Sémillon B“ ir „Muscadelle B“ vynuogienojų pumpurų skaičius neturi viršyti 40 000 viename hektare ir 17 ant vieno vynmedžio sodinio. Genint kitų veislių, pvz., „Cabernet franc N“, „Cabernet-Sauvignon N“, „Sauvignon B“, „Sauvignon gris G“, vynuoges, ant vynuogienojų paliekama ne daugiau kaip 45 000 pumpurų viename hektare ir ne daugiau kaip 19 pumpurų ant vieno augalo. Pašalinus nereikalingus pumpurus, vaisingų šakų skaičius ant vieno vynuogienojaus negali viršyti:

vynuogių veislių „Merlot N“, „Sémillon B“ ir „Muscadelle B“ atveju – 11 šakų ant vieno vynuogienojaus, jei vynuogienojų tankumas sklype yra ne mažesnis kaip 4 500 augalų viename hektare, ir 14 šakų ant vieno vynuogienojaus, jei vynuogienojų tankumas sklype mažesnis negu 4 500 augalų viename hektare;

kitų vynuogių veislių, pvz., „Cabernet franc N“, „Cabernet-Sauvignon N“, „Sauvignon B“, „Sauvignon gris G“, atveju – 13 šakų ant vieno vynuogienojaus, jei vynuogienojų tankumas sklype yra ne mažesnis kaip 4 500 augalų viename hektare, ir 16 šakų ant vieno vynuogienojaus, jei vynuogienojų tankumas sklype mažesnis negu 4 500 augalų viename hektare.

Genima ne vėliau kaip išsiskleidus lapams (Lorenzo 9 etapas).

Nereikalingi pumpurai pašalinami prieš užsimezgant vaisiams.

3.   Sodrinimas

Konkretus vynininkystės metodas

Po sodrinimo baltųjų vynų visuminė alkoholio koncentracija, išreikšta tūrio procentais, neviršija 13,5 %. Po sodrinimo baltųjų vynų visuminė alkoholio koncentracija tūrio procentais neviršija 15 %.

Leidžiama sodrinti iš dalies koncentruojant raudonuosius vynus, bet neviršijant 15 % tokiu būdu praturtinto tūrio koncentracijos.

5.2.   Didžiausias gamybos kiekis

1.   Baltieji neputojantys vynai su fermentuojamaisiais cukrumis:

60 hektolitrų iš hektaro.

2.   Raudonieji neputojantys vynai (vynuogienojų tankumas sklype – ≥ 4 500 sodinių/ha):

66 hektolitrų iš hektaro.

3.   Raudonieji neputojantys vynai (vynuogienojų tankumas sklype – ≥ 4 000 sodinių/ha ir < 4 500 sodinių/ha):

55 hektolitrų iš hektaro.

4.   Raudonieji neputojantys vynai (vynuogienojų tankumas sklype – ≥ 3 300 sodinių/ha ir < 4 000 sodinių/ha):

50 hektolitrų iš hektaro.

6.   Nustatyta geografinė vietovė

Vynuogių derlius nurenkamas, vynas gaminamas ir brandinamas toliau nurodytų Žirondos departamento komunų, kaip jos 2021 m. sausio 1 d. apibrėžtos Oficialiajame geografinių kodų registre, teritorijoje: Abzac, Aillas, Ambarès-et-Lagrave, Ambès, Anglade, Arbanats, Arcins, Arsac, Artigues-près-Bordeaux, Arveyres, Asques, Aubiac, Auriolles, Auros, Avensan, Ayguemorte-les-Graves, Bagas, Baigneaux, Barie, Baron, Barsac, Bassanne, Bassens, Baurech, Bayas, Bayon-sur-Gironde, Bazas, Beautiran, Bégadan, Bègles, Béguey, Bellebat, Bellefond, Belvès-de-Castillon, Bernos-Beaulac, Berson, Berthez, Beychac-et-Caillau, Bieujac, Birac, Blaignac, Blaignan-Prignac, Blanquefort, Blasimon, Blaye, Blésignac, Bommes, Bonnetan, Bonzac, Bordeaux, Bossugan, Bouliac, Bourdelles, Bourg, Branne, Brannens, Braud-et-Saint-Louis, Brouqueyran, Bruges, Budos, Cabanac-et-Villagrains, Cabara, Cadarsac, Cadaujac, Cadillac, Cadillac-en-Fronsadais, Camarsac, Cambes, Camblanes-et-Meynac, Camiac-et-Saint-Denis, Camiran, Camps-sur-l’Isle, Campugnan, Canéjan, Capian, Caplong, Carbon-Blanc, Cardan, Carignan-de-Bordeaux, Cars, Cartelègue, Casseuil, Castelmoron-d’Albret, Castelnau-de-Médoc, Castelviel, Castets et Castillon, Castillon-la-Bataille, Castres-Gironde, Caudrot, Caumont, Cauvignac, Cavignac, Cazats, Cazaugitat, Cénac, Cenon, Cérons, Cessac, Cestas, Cézac, Chamadelle, Cissac-Médoc, Civrac-de-Blaye, Civrac-sur-Dordogne, Civrac-en-Médoc, Cleyrac, Coimères, Coirac, Comps, Coubeyrac, Couquèques, Courpiac, Cours-de-Monségur, Cours-les-Bains, Coutras, Coutures, Créon, Croignon, Cubnezais, Cubzac-les-Ponts, Cudos, Cursan, Cussac-Fort-Médoc, Daignac, Dardenac, Daubèze, Dieulivol, Donnezac, Donzac, Doulezon, Escoussans, Espiet, Etauliers, Eynesse, Eyrans, Eysines, Faleyras, Fargues, Fargues-Saint-Hilaire, Flaujagues, Floirac, Floudès, Fontet, Fossés-et-Baleyssac, Fours, Francs, Fronsac, Frontenac, Gabarnac, Gaillan-en-Médoc, Gajac, Galgon, Gans, Gardegan-et-Tourtirac, Gauriac, Gauriaguet, Générac, Génissac, Gensac, Gironde-sur-Dropt, Gornac, Gours, Gradignan, Grayan-et-l’Hôpital, Grézillac, Grignols, Guillac, Guillos, Guîtres, Haux, Hure, Illats, Isle-Saint-Georges, Izon, Jau-Dignac-et-Loirac, Jugazan, Juillac, La Brède, La Lande-de-Fronsac, La Réole, La Rivière, La Roquille, La Sauve, Labarde, Labescau, Ladaux, Lados, Lagorce, Lalande-de-Pomerol, Lamarque, Lamothe-Landerron, Landerrouat, Landerrouet-sur-Ségur, Landiras, Langoiran, Langon, Lansac, Lapouyade, Laroque, Laruscade, Latresne, Lavazan, Le Bouscat, Le Fieu, Le Haillan, Le Nizan, Le Pian-Médoc, Le Pian-sur-Garonne, Le Pout, Le Puy, Le Taillan-Médoc, Le Tourne, Le Verdon-sur-Mer, Léogeats, Léognan, Les Artigues-de-Lussac, Les Billaux, Les Eglisottes-et-Chalaures, Les Esseintes, Les Lèves-et-Thoumeyragues, Les Peintures, Les Salles, Lesparre-Médoc, Lestiac-sur-Garonne, Libourne, Lignan-de-Bazas, Lignan-de-Bordeaux, Ligueux, Listrac-de-Durèze, Listrac-Médoc, Lormont, Loubens, Loupes, Loupiac, Loupiac-de-la-Réole, Ludon-Médoc, Lugaignac, Lugasson, Lugon-et-l’Ile-du-Carnay, Lussac, Macau, Madirac, Maransin, Marcenais, Margaux-Cantenac, Margueron, Marimbault, Marions, Marsas, Martignas-sur-Jalle, Martillac, Martres, Masseilles, Massugas, Mauriac, Mazères, Mazion, Mérignac, Mérignas, Mesterrieux, Mombrier, Mongauzy, Monprimblanc, Monségur, Montagne, Montagoudin, Montignac, Montussan, Morizès, Mouillac, Mouliets-et-Villemartin, Moulis-en-Médoc, Moulon, Mourens, Naujac-sur-Mer, Naujan-et-Postiac, Néac, Nérigean, Neuffons, Noaillac, Noaillan, Omet, Ordonnac, Paillet, Parempuyre, Pauillac, Pellegrue, Périssac, Pessac, Pessac-sur-Dordogne, Petit-Palais-et-Cornemps, Peujard, Pineuilh, Plassac, Pleine-Selve, Podensac, Pomerol, Pompéjac, Pompignac, Pondaurat, Porchères, Porte-de-Benauge, Portets, Préchac, Preignac, Prignac-et-Marcamps, Pugnac, Puisseguin, Pujols, Pujols-sur-Ciron, Puybarban, Puynormand, Queyrac, Quinsac, Rauzan, Reignac, Rimons, Riocaud, Rions, Roaillan, Romagne, Roquebrune, Ruch, Sablons, Sadirac, Saillans, Saint-Aignan, Saint-André-de-Cubzac, Saint-André-du-Bois, Saint-André-et-Appelles, Saint-Androny, Saint-Antoine-du-Queyret, Saint-Antoine-sur-l’Isle, Saint-Aubin-de-Blaye, Saint-Aubin-de-Branne, Saint-Aubin-de-Médoc, Saint-Avit-de-Soulège, Saint-Avit-Saint-Nazaire, Saint-Brice, Saint-Caprais-de-Bordeaux, Saint-Christoly-de-Blaye, Saint-Christoly-Médoc, Saint-Christophe-de-Double, Saint-Christophe-des-Bardes, Saint-Cibard, Saint-Ciers-d’Abzac, Saint-Ciers-de-Canesse, Saint-Ciers-sur-Gironde, Sainte-Colombe, Saint-Côme, Sainte-Croix-du-Mont, Saint-Denis-de-Pile, Saint-Emilion, Saint-Estèphe, Saint-Etienne-de-Lisse, Sainte-Eulalie, Saint-Exupéry, Saint-Félix-de-Foncaude, Saint-Ferme, Sainte-Florence, Sainte-Foy-la-Grande, Sainte-Foy-la-Longue, Sainte-Gemme, Saint-Genès-de-Blaye, Saint-Genès-de-Castillon, Saint-Genès-de-Fronsac, Saint-Genès-de-Lombaud, Saint-Genis-du-Bois, Saint-Germain-de-Grave, Saint-Germain-de-la-Rivière, Saint-Germain-d’Esteuil, Saint-Germain-du-Puch, Saint-Gervais, Saint-Girons-d’Aiguevives, Sainte-Hélène, Saint-Hilaire-de-la-Noaille, Saint-Hilaire-du-Bois, Saint-Hippolyte, Saint-Jean-de-Blaignac, Saint-Jean-d’Illac, Saint-Julien-Beychevelle, Saint-Laurent-d’Arce, Saint-Laurent-des-Combes, Saint-Laurent-du-Bois, Saint-Laurent-du-Plan, Saint-Laurent-Médoc, Saint-Léon, Saint-Loubert, Saint-Loubès, Saint-Louis-de-Montferrand, Saint-Macaire, Saint-Magne-de-Castillon, Saint-Maixant, Saint-Mariens, Saint-Martial, Saint-Martin-de-Laye, Saint-Martin-de-Lerm, Saint-Martin-de-Sescas, Saint-Martin-du-Bois, Saint-Martin-du-Puy, Saint-Martin-Lacaussade, Saint-Médard-de-Guizières, Saint-Médard-d’Eyrans, Saint-Médard-en-Jalles, Saint-Michel-de-Fronsac, Saint-Michel-de-Lapujade, Saint-Michel-de-Rieufret, Saint-Morillon, Saint-Palais, Saint-Pardon-de-Conques, Saint-Paul, Saint-Pey-d’Armens, Saint-Pey-de-Castets, Saint-Philippe-d’Aiguille, Saint-Philippe-du-Seignal, Saint-Pierre-d’Aurillac, Saint-Pierre-de-Bat, Saint-Pierre-de-Mons, Saint-Quentin-de-Baron, Saint-Quentin-de-Caplong, Sainte-Radegonde, Saint-Romain-la-Virvée, Saint-Sauveur, Saint-Sauveur-de-Puynormand, Saint-Savin, Saint-Selve, Saint-Seurin-de-Bourg, Saint-Seurin-de-Cadourne, Saint-Seurin-de-Cursac, Saint-Seurin-sur-l’Isle, Saint-Sève, Saint-Sulpice-de-Faleyrens, Saint-Sulpice-de-Guilleragues, Saint-Sulpice-de-Pommiers, Saint-Sulpice-et-Cameyrac, Sainte-Terre, Saint-Trojan, Saint-Vincent-de-Paul, Saint-Vincent-de-Pertignas, Saint-Vivien-de-Blaye, Saint-Vivien-de-Médoc, Saint-Vivien-de-Monségur, Saint-Yzan-de-Soudiac, Saint-Yzans-de-Médoc, Salaunes, Salleboeuf, Samonac, Saucats, Saugon, Sauternes, Sauveterre-de-Guyenne, Sauviac, Savignac, Savignac-de-l’Isle, Semens, Sendets, Sigalens, Sillas, Soulac-sur-Mer, Soulignac, Soussac, Soussans, Tabanac, Taillecavat, Talais, Talence, Targon, Tarnès, Tauriac, Tayac, Teuillac, Tizac-de-Curton, Tizac-de-Lapouyade, Toulenne, Tresses, Uzeste, Val-de-Livenne, Val de Virvée, Valeyrac, Vayres, Vendays-Montalivet, Vensac, Vérac, Verdelais, Vertheuil, Vignonet, Villandraut, Villegouge, Villenave-de-Rions, Villenave-d’Ornon, Villeneuve, Virelade, Virsac, Yvrac.

7.   Pagrindinė (-ės) vyninių vynuogių veislė (-ės)

„Cabernet franc N“

„Cabernet-Sauvignon N“

„Carménère N“

„Cot N“ – „Malbec N“

„Merlot N“

„Muscadelle B“

„Petit Verdot N“

„Sauvignon B“ – „Sauvignon blanc“

„Sauvignon gris G“ – „Fié gris“

„Semillon B“

8.   Ryšys (-iai) su geografine vietove

Jūrinio klimato sąlygomis auginamos Bordo vynuogės nuo XVII ir XVIII amžių buvo paremiamos poliais, po to paplito treliažai; visa tai buvo daroma tam, kad vynuogių derlius būtų vienodai pasiskirstęs, o lapų paviršius – pakankamas tinkamai chlorofilo sintezei, užtikrinančiai geriausią brandą. Vietovei būdingas įvairių tipų dirvožemis ir skirtinga vynuogynų padėtis saulės atžvilgiu, todėl, atsižvelgiant į aplinkos savybes ir nuo senų laikų paplitusią maišytų vynų gamybą, atrinktos ir pritaikytos įvairios vynuogių veislės. Galima išskirti keturis dirvožemio tipus:

daugiausia šlaituose paplitęs kalkinio molio ir kalkinio mergelio dirvožemis, kuriame puikiai auga veislė „Merlot N“;

dirvožemis, kuriame vyrauja silicis su molio ir kalkių priemaišomis, labai tinkantis veislėms „Merlot N“ ir „Sauvignon B“;

lengvesnis aliuvinis dirvožemis su smulkiomis silicio dalelėmis, labiausiai tinkantis vynuogėms, iš kurių gaminami baltieji vynai, auginti;

žvyringas dirvožemis, kurį sudaro žvyras, kvarcas ir smulkesnis arba stambesnis smėlis, būdingas gerai drenuojamose ir šiltose terasose, kurios puikiai tinka vynuogėms, ypač veislei „Cabernet-Sauvignon N“, auginti.

Saugoma kilmės vietos nuoroda „Bordeaux supérieur“ žymimi vynai atitinka reikalavimus, kuriuos ilgainiui nustatė saugoma kilmės vietos nuoroda „Bordeaux“ žymimų vynų gamintojai. Šie reikalavimai susiję su vynuogyno tankumu (didesnis), genėjimo taisyklėmis (mažesnis pumpurų skaičius), didžiausiu derliumi (mažesnis). Šiomis sąlygomis gaminami didesnės koncentracijos vynai, kuriuose mažiausias cukraus kiekis, pvz., mažiausia natūrali alkoholio koncentracija tūrio procentais, yra didesnis nei saugoma kilmės vietos nuoroda „Bordeaux“ žymimų vynų. Saugoma kilmės vietos nuoroda „Bordeaux supérieur“ žymimi raudonieji ir baltieji vynai laikomi išskirtinio stiliaus vynais. Jie išsiskiria savo harmoningumu, tam tikru subtilumu, tinkama pusiausvyra ir aromatų gausa – šias savybes, be kita ko, padėjo užtikrinti biologinės ir fizinės aplinkos įvairovė, vynuogių veislės, taip pat vynuogyno priežiūros ir vyno gamybos būdai, taikyti gaminant brandžius vynus. Turimas uostas ir glaudūs istoriniai ryšiai su kitomis tautomis labai anksti paskatino imtis įvairiapusės ir plačios prekybos. Bordo regiono vyno gamintojai visada buvo atviri pasauliui, todėl turėjo galimybę naudotis techninėmis naujovėmis ir jas skleisti, taigi galėjo skatinti savo vynuogynų dinamiškumą, stiprinti, plėtoti ir eksportuoti savo patirtį, kartu išsaugodami šimtametes tradicijas. Po Akvitanijos kunigaikštytės Eleonoros ir būsimo Anglijos karaliaus Henriko Plantageneto vedybų 1152 m. prasidėjo labai svarbūs prekybiniai mainai. Anglai eksportavo maisto produktus, tekstilės gaminius ir metalo dirbinius, o importavo Bordo vynus. XVII amžiuje atsiradus naujų vartotojų prasidėjo nauja prekybos era. Eksportas tebėra svarbi Bordo vynų platinimo dalis. Tokiu būdu visame pasaulyje taip pat skleidžiama praktinė patirtis, saugoma kilmės vietos nuoroda „Bordeaux supérieur“ žymimų vynų įvaizdis ir vardas. Šiandien du trečdaliai šių vynų išpilstomi į butelius gamybos vietovėje. Šiems vynams būdinga kompleksiškesnė struktūra ir juos galima brandinti ilgiau nei saugoma kilmės vietos nuoroda „Bordeaux“ žymimus vynus, t. y. penkerius ar šešerius metus.

9.   Kitos pagrindinės sąlygos (išpilstymas, ženklinimas, kiti reikalavimai)

Arčiausiai esanti vietovė

Teisinis pagrindas:

Nacionalinės teisės aktai

Papildomų reikalavimų rūšis:

Išpilstymas nustatytų ribų geografinėje vietovėje

Sąlygos aprašymas:

Pritaikius su vyndaryste susijusią nukrypti leidžiančią nuostatą, nustatyta arčiausiai esanti vynų gamybos ir brandinimo vietovė apima toliau nurodytų komunų, kaip jos apibrėžtos 2021 m. sausio 1 d. Oficialiajame geografinių kodų registre, teritoriją:

Dordonės departamentas: Le Fleix, Fougueyrolles, Gageac-et-Rouillac, Gardonne, Minzac, Pomport, Port-Sainte-Foy-et-Ponchapt, Razac-de-Saussignac, Saint-Antoine-de-Breuilh, Saint-Seurin-de-Prats, Saussignac, Thénac, Villefranche-de-Lonchat;

Lo ir Garonos departamentas: Baleyssagues, Cocumont, Duras, Esclottes, Loubès-Bernac, Sainte-Colombe-de-Duras, Savignac-de-Duras, Villeneuve-de-Duras.

Stambesnė geografinė vietovė

Teisinis pagrindas:

Nacionalinės teisės aktai

Papildomų reikalavimų rūšis:

Papildomos nuostatos dėl ženklinimo

Sąlygos aprašymas:

Vynų, kuriems suteikta saugoma kilmės vietos nuoroda, etiketėse galima nurodyti didesnę geografinę vietovę „Vin de Bordeaux“ arba „Grand Vin de Bordeaux“. Šios didesnės geografinės vietovės pavadinimas turi būti užrašomas rašmenimis, kurių dydis (aukštis ir plotis) yra ne didesnis kaip 2/3 rašmenų, kuriais užrašytas saugomos kilmės vietos nuorodos pavadinimas, dydžio.

Nuoroda į produkto specifikaciją

http://info.agriculture.gouv.fr/gedei/site/bo-agri/document_administratif-354b6f94-55e6-43d7-b232-33022fa4b246


(1)  OL L 9, 2019 1 11, p. 2.


2022 2 24   

LT

Europos Sąjungos oficialusis leidinys

C 88/101


Pranešimo apie vyno sektoriaus produkto specifikacijos standartinio pakeitimo patvirtinimą paskelbimas pagal Komisijos deleguotojo reglamento (ES) 2019/33 17 straipsnio 2 ir 3 dalis

(2022/C 88/13)

Šis pranešimas paskelbtas pagal Komisijos deleguotojo reglamento (ES) 2019/33 (1) 17 straipsnio 5 dalį.

PRANEŠIMAS APIE STANDARTINĮ BENDROJO DOKUMENTO PAKEITIMĄ

„Médoc“

PDO-FR-A0730-AM04

Pranešimo data: 2021.11.26

PATVIRTINTO PAKEITIMO APRAŠYMAS IR PAGRINDIMAS

1.   Oficialusis geografinių kodų registras

Arčiausiai esančios geografinės vietovės komunų sąrašas atnaujintas atsižvelgiant į Oficialųjį geografinių kodų registrą.

Vietovės ribos lieka nepakitusios.

Iš dalies pakeisti bendrojo dokumento 6 ir 9 punktai.

2.   Nustatytų sklypų plotas

2021 m. birželio 3 d. data įtraukta į kompetentingo nacionalinio komiteto, patvirtinusio nustatytas sklypų ribas, posėdžių sąrašą.

Šiuo pakeitimu siekiama įtraukti datą, kurią kompetentinga valdžios institucija patvirtino geografinėje gamybos vietovėje nustatyto sklypų ploto pakeitimą. Sklypų ribų nustatymas reiškia geografinėje gamybos vietovėje esančių sklypų, kuriuose gali būti gaminamas saugoma kilmės vietos nuoroda žymimas produktas, identifikavimą.

Bendrajam dokumentui šie pakeitimai įtakos neturi.

3.   Vyno išleidimas į apyvartą tarp įgaliotų sandėlių savininkų

Išbraukiamas 1 skyriaus IX antraštinės dalies 5 punkto b papunktis dėl vyno išleidimo į apyvartą tarp įgaliotų sandėlių savininkų datos.

Dėl šio pakeitimo bendrasis dokumentas nekeičiamas.

4.   Pereinamojo laikotarpio priemonės

Iš specifikacijos išbraukiamos nebegaliojančios pereinamojo laikotarpio priemonės.

Dėl šio pakeitimo bendrasis dokumentas nekeičiamas.

5.   Kontrolės įstaigos duomenys

Siekiant redakcijos suderinamumo su kitomis nuorodų specifikacijomis, peržiūrėta nuorodos į kontrolės įstaigą redakcija. Šis pakeitimas yra tik redakcinio pobūdžio.

Šis pakeitimas bendrajam dokumentui įtakos neturi.

6.   Ryšys su vietove

Atnaujinus informaciją apie komunas, kurioms suteiktas oficialus geografinis kodas, savivaldybių skaičius sumažėjo nuo 51 iki 50, taigi ryšys pakeistas atitinkamai.

Iš dalies keičiamas bendrojo dokumento 8 punktas.

BENDRASIS DOKUMENTAS

1.   Pavadinimas (-ai)

„Médoc“

2.   Geografinės nuorodos tipas

SKVN – saugoma kilmės vietos nuoroda

3.   Vynuogių produktų kategorijos

1.

Vynas

4.   Vyno (-ų) aprašymas

TRUMPAS APRAŠYMAS

„Médoc“ – neputojantys raudonieji vynai, puikiai tinkantys brandinti. Jiems būdingi taninai ir intensyvi spalva. Vyno struktūrą iš esmės lemia (tradicinė) vynuogių veislė „Cabernet-sauvignon N“, derinama su veisle „Merlot N“, rečiau – su „Cabernet franc N“ ir „Petit verdot N“, dar rečiau – su „Cot N“ ir „Carmenère N“. „Cabernet-sauvignon N“ vynams suteikia pikantiškų pokvapių. „Merlot N“ vynams suteikia švelnumo, minkštumo ir uogų aromato. Vyno struktūrą ir kompleksiškumą sustiprina derinimas su veislėmis „Cabernet franc N“ arba „Petit verdot N“. „Petit verdot N“ taip pat suteikia gaivumo.

Po sodrinimo šių vynų bendra alkoholio koncentracija tūrio procentais neviršija 13 %.

Natūrali alkoholio koncentracija tūrio procentais yra ne mažesnė nei 11 %.

Kiekvienos parduodamo išpilstyto ar neišpilstyto vyno partijos:

fermentuojamųjų cukrų (gliukozės ir fruktozės) kiekis yra 3 g/l arba mažiau;

obuolių rūgšties kiekis yra 0,2 g/l arba mažiau.

Vynų, kurie išpilstyti arba neišpilstyti parduodami iki metų, einančių po derliaus, spalio 1 d., lakiųjų rūgščių kiekis yra 12,25 meq/l arba mažiau. Po šios datos vynų lakiųjų rūgščių kiekis yra 16,33 meq/l arba mažiau.

Vynų, kurie parduodami neišpilstyti, sieros dioksido kiekis yra 140 mg/l arba mažiau.

Bendrosios analitinės savybės

Didžiausia bendra alkoholio koncentracija (tūrio %)

13

Mažiausia faktinė alkoholio koncentracija (tūrio %)

 

Mažiausias bendras rūgščių kiekis

(miliekvivalentais viename litre)

Didžiausias lakiųjų rūgščių kiekis (miliekvivalentais viename litre)

16,33

Didžiausias bendras sieros dioksido kiekis (miligramais viename litre)

 

5.   Vyno gamybos metodai

5.1.   Specifiniai vynininkystės metodai

1.

Sodrinimas

Konkretus vynininkystės metodas

Sodrinimui naudojamas skysčių šalinimo metodas leidžiamas neviršijant 15 % koncentracijos lygio. Po sodrinimo vynų bendra alkoholio koncentracija tūrio procentais neviršija 13 %.

2.

Vynmedžių auginimas

Auginimo praktika

Tankis: Minimalus vynuogyno tankumas – 5 000 vynmedžių sodinių viename hektare. Atstumas tarp eilių negali būti didesnis nei 2 m, o atstumas tarp augalų toje pačioje eilėje turi būti ne mažesnis nei 0,8 m.

Genėjimo taisyklės: Genėjimas yra būtinas. Genima ne vėliau kaip išsiskleidus lapams (Lorenzo 9 etapas). Vynmedžiai genimi tokiais metodais:

genėjimas paliekant dvi vaisingas šakas, pagal dvipetę Guyot sistemą arba Medoko metodą, paliekant daugiausiai 5 pumpurus ant sodinio;

paprastu arba mišriu Guyot metodu, paliekant daugiausiai 7 pumpurus ant sodinio;

genėjimas trumpai vėduoklės forma paliekant 4 šakas arba 2 kordono rankoves su daugiausiai 12 pumpurų ant sodinio.

5.2.   Didžiausias gamybos kiekis

1.

65 hektolitrai iš vieno hektaro

6.   Nustatyta geografinė vietovė

Vynuogių derlius nurenkamas, vynas gaminamas ir brandinamas toliau nurodytų Žirondos departamento komunų, kaip jos 2021 m. sausio 1 d. apibrėžtos Oficialiajame geografinių kodų registre, teritorijoje: Arcins, Arsac, Avensan, Bégadan, Blaignan-Prignac, Blanquefort, Castelnau-de-Médoc, Cissac-Médoc, Civrac-en-Médoc, Couquèques, Cussac-Fort-Médoc, Gaillan-en-Médoc, Grayan-et-l’Hôpital, Jau-Dignac-et-Loirac, Labarde, Lamarque, Lesparre-Médoc, Listrac-Médoc, Ludon-Médoc, Macau, Margaux-Cantenac, Moulis-en-Médoc, Naujac-sur-Mer, Ordonnac, Parempuyre, Pauillac, Le Pian-Médoc, Queyrac, Saint-Aubin-de-Médoc, Saint-Christoly-Médoc, Saint-Estèphe, Saint-Germain-d’Esteuil, Saint-Julien-Beychevelle, Saint-Laurent-Médoc, Saint-Médard-en-Jalles, Saint-Sauveur, Saint-Seurin-de-Cadourne, Saint-Vivien-de-Médoc, Saint-Yzans-de-Médoc, Sainte-Hélène, Salaunes, Soulac-sur-Mer, Soussans, Le Taillan-Médoc, Talais, Valeyrac, Vendays-Montalivet, Vensac, Le Verdon-sur-Mer et Vertheuil.

7.   Pagrindinė (-ės) vyninių vynuogių veislė (-ės)

 

„Cabernet franc N“

 

„Cabernet-Sauvignon N“

 

„Carménère N“

 

„Cot N“ – „Malbec N“

 

„Merlot N“

 

„Petit Verdot N“

8.   Ryšys (-iai) su geografine vietove

Saugomos kilmės vietos nuorodos „Médoc“ geografinė vietovė yra Žirondos departamente, kairėje Garonos upės pakrantėje, o Bordo šiaurėje – Žirondos pakrantėje. Medoko iškyšulio vynuogynas iš šiaurės į pietus driekiasi beveik 80 km, iš rytų į vakarus – vos daugiau nei dešimt kilometrų ir patenka į 50 komunos teritoriją.

Medoko regiono upių pakrantės išsiskiria nedideliu sezoniniu svyravimu ir atlantiniam klimatui nebūdingu labai saikingu kritulių kiekiu. Nors dėl šiaurinės geografinės vietovės padėties klimatas ne toks šiltas kaip iškyšulio pietinėje dalyje, kritulių iškrenta mažiau. Šiuos vynininkystei palankius klimato veiksnius lemia vakarinėje dalyje esančio Atlanto vandenyno termoreguliacinis poveikis ir rytinėje dalyje esančios Žirondos žiotys. Okeaninis klimatas, kai kuriais metais rudenį lydimas žemo slėgio lietaus arba, atvirkščiai, karšto ir itin saulėto rudens, sudaro palankias sąlygas gauti kokybišką vynuogių derlių.

Vynuogyno peizažui būdingas neaukštas reljefas (nuo 3 iki 50 m aukščio), kuris vakaruose atsiremia į girią, o rytuose – į Žirondos žiotis. Iš pietų į šiaurę driekiasi vynuogininkystei tinkamo smėlingo ir žvirgždingo dirvožemio keteros, kurias vagoja upeliai ir kerta vynuogininkystei netinkami pelkingesni plotai.

Vyndarių kartos sugebėjo įvaldyti pasaulyje gerai žinomo Medoko regiono vynuogyno dirvožemio ypatumus. Bėgant laikui puikios vyndarių žinios apie dirvožemį ir noras pagerinti jo kokybę įvaldant drenavimo technikas leido išplėtoti tokius auginimo metodus, kurie labiausiai tinka brandinti skirto raudonojo vyno gamybai. Sanitarinių sąlygų pažanga ir vynuogyno mechanizacija nenumaldė vyndarių noro išsaugoti vynininkystės praktiką, kurios tikslas – gaminti pripažintų tipinių savybių turinčius raudonuosius vynus.

Nūdien Medoko regione vynuogynams veisti daugiausiai naudojama vynuogių veislė „Cabernet-sauvignon N“, itin gerai prisitaikiusi prie smėlingo ir žvirgždingo dirvožemio, taip pat „Merlot N“, vertinama dėl vynams suteikiamo vaisių skonio, kalkingame dirvožemyje puikiai deranti veislė „Cabernet franc N“ ir šiltame filtruojamame dirvožemyje auganti veislė „Petit verdot N“. Tokia saugomos kilmės vietos nuorodos „Médoc“ vynuogių veislių ir dirvožemio įvairovė reikalauja atrankinės vynuogyno priežiūros.

Atrankinė priežiūra užtikrina gerą vynuogių prinokimą, sveikumą ir valdomą gamybos kiekį. Prinokusias ir sveikas vynuoges galima maceruoti ir taip gauti pageidaujamos koncentracijos vyną. Tinkamos maceravimui vynuogės tampa po mažiausiai šešių mėnesių auginimo trukmės.

Vynams būdingi taninai ir intensyvi spalva. Vyno struktūrą iš esmės lemia vynuogių veislė „Cabernet-sauvignon N“, derinama su veisle „Merlot N“, rečiau – su „Cabernet franc N“ ir „Petit verdot N“, dar rečiau – su „Cot N“ ir „Carmenère N“. „Cabernet-sauvignon N“ yra tradicinė veislė, suteikianti „Médoc“ vynams su prieskoniais. Derinant su veisle „Merlot N“, vynai įgauna švelnumo, minkštumo ir uogų aromato. Jeigu „Merlot N“ dominuoja, jos savybės leidžia greičiau pasiekti pageidaujamo intensyvumo aromatus. Vyno struktūrą ir kompleksiškumą sustiprina derinimas su veislėmis „Cabernet franc N“ arba „Petit verdot N“. „Petit verdot N“ taip pat suteikia gaivumo.

Šie vynai puikiai tinka brandinti.

Ne vieną amžių skaičiuojančią vynuogynų teritoriją kerta „Vyno kelias“ ir garsina ne tik vyndarių „châteaux“ – didingos įvairaus architektūrinio paveldo tėvonijos, bet ir šalia įsikūrę smulkūs šeimyniniai vynininkystės ūkiai ir kooperatyvai, užsiimantys vyno gamybos, prekybos ir reklamos veikla.

Šios saugomos kilmės vietos nuorodos vynai žinomi jau nuo seno, o toks žinomumas susijęs su sąvoka „château“ (dvaras, rūmai). Prekybinių mainų su Anglija plėtra po Akvitanijos kunigaikštytės Eleonoros ir būsimo Anglijos karaliaus Henriko Plantageneto santuokos 1152 m. turėjo didelę reikšmę vynų „Médoc“ išgarsėjimui užsienyje.

1647 m., kai Bordo miesto taryba paskelbė pirmą istorijoje Gijenės krašto vynų klasifikaciją, Medoko parapijų vynai jau garsėjo geru vardu. Valdant Liudvikui XV, ši klasifikacija buvo patobulinta išskiriant regionus, juos skirstant į parapijas ir toliau į „cru“ (ūkius ar vynuogynus). Galiausiai 1855 m. buvo sudarytas Bordo vynų registras, kuriame vynai „Médoc“ priskirti Žirondos regionui. Be to, 1932 m. paskelbtas „Crus Bourgeois du Médoc“ registras.

9.   Kitos pagrindinės sąlygos (išpilstymas, ženklinimas, kiti reikalavimai)

Arčiausiai esanti vietovė

Teisinis pagrindas:

Nacionalinės teisės aktai

Papildomų reikalavimų rūšis:

Su gamyba nustatytoje geografinėje vietovėje susijusi nukrypti leidžianti nuostata

Sąlygos aprašymas:

Pritaikius nukrypti leidžiančią nuostatą nustatyta arčiausiai esanti vyno gamybos ir brandinimo vietovė apima toliau nurodytų Žirondos departamento komunų teritoriją (pagal 2021 m. sausio 1 d. Oficialųjį geografinių kodų registrą): Abzac, Aillas, Ambarès-et-Lagrave, Ambès, Anglade, Arbanats, Les Artigues-de-Lussac, Artigues-près-Bordeaux, Arveyres, Asques, Aubiac, Auriolles, Auros, Ayguemorte-les-Graves, Bagas, Baigneaux, Barie, Baron, Barsac, Bassanne, Bassens, Baurech, Bayas, Bayon-sur-Gironde, Bazas, Beautiran, Bègles, Béguey, Bellebat, Bellefond, Belvès-de-Castillon, Bernos-Beaulac, Berson, Berthez, Beychac-et-Caillau, Bieujac, Les Billaux, Birac, Blaignac, Blasimon, Blaye, Blésignac, Bommes, Bonnetan, Bonzac, Bordeaux, Bossugan, Bouliac, Bourdelles, Bourg, Le Bouscat, Branne, Brannens, Braud-et-Saint-Louis, La Brède, Brouqueyran, Bruges, Budos, Cabanac-et-Villagrains, Cabara, Cadarsac, Cadaujac, Cadillac, Cadillac-en-Fronsadais, Camarsac, Cambes, Camblanes-et-Meynac, Camiac-et-Saint-Denis, Camiran, Camps-sur-l’Isle, Campugnan, Canéjan, Capian, Caplong, Carbon-Blanc, Cardan, Carignan-de-Bordeaux, Cars, Cartelègue, Casseuil, Castelmoron-d’Albret, Castelviel, Castets et Castillon, Castillon-la-Bataille, Castres-Gironde, Caudrot, Caumont, Cauvignac, Cavignac, Cazats, Cazaugitat, Cénac, Cenon, Cérons, Cessac, Cestas, Cézac, Chamadelle, Civrac-de-Blaye, Civrac-sur-Dordogne, Cleyrac, Coimères, Coirac, Comps, Coubeyrac, Courpiac, Cours-de-Monségur, Cours-les-Bains, Coutras, Coutures, Créon, Croignon, Cubnezais, Cubzac-les-Ponts, Cudos, Cursan, Daignac, Dardenac, Daubèze, Dieulivol, Donnezac, Donzac, Doulezon, Les Eglisottes-et-Chalaures, Escoussans, Espiet, Les Esseintes, Etauliers, Eynesse, Eyrans, Eysines, Faleyras, Fargues, Fargues-Saint-Hilaire, Le Fieu, Flaujagues, Floirac, Floudès, Fontet, Fossés-et-Baleyssac, Fours, Francs, Fronsac, Frontenac, Gabarnac, Gajac, Galgon, Gans, Gardegan-et-Tourtirac, Gauriac, Gauriaguet, Générac, Génissac, Gensac, Gironde-sur-Dropt, Gornac, Gours, Gradignan, Grézillac, Grignols, Guillac, Guillos, Guîtres, Le Haillan, Haux, Hure, Illats, Isle-Saint-Georges, Izon, Jugazan, Juillac, Labescau, Ladaux, Lados, Lagorce, Lalande-de-Pomerol, Lamothe-Landerron, La Lande-de-Fronsac, Landerrouat, Landerrouet-sur-Ségur, Landiras, Langoiran, Langon, Lansac, Lapouyade, Laroque, Laruscade, Latresne, Lavazan, Léogeats, Léognan, Lestiac-sur-Garonne, Les Lèves-et-Thoumeyragues, Libourne, Lignan-de-Bazas, Lignan-de-Bordeaux, Ligueux, Listrac-de-Durèze, Lormont, Loubens, Loupes, Loupiac, Loupiac-de-la-Réole, Lugaignac, Lugasson, Lugon-et-l’Ile-du-Carnay, Lussac, Madirac, Maransin, Marcenais, Margueron, Marimbault, Marions, Marsas, Martignas-sur-Jalle, Martillac, Martres, Masseilles, Massugas, Mauriac, Mazères, Mazion, Mérignac, Mérignas, Mesterrieux, Mombrier, Mongauzy, Monprimblanc, Monségur, Montagne, Montagoudin, Montignac, Montussan, Morizès, Mouillac, Mouliets-et-Villemartin, Moulon, Mourens, Naujan-et-Postiac, Néac, Nérigean, Neuffons, Le Nizan, Noaillac, Noaillan, Omet, Paillet, Les Peintures, Pellegrue, Périssac, Pessac, Pessac-sur-Dordogne, Petit-Palais-et-Cornemps, Peujard, Le Pian-sur-Garonne, Pineuilh, Plassac, Pleine-Selve, Podensac, Pomerol, Pompéjac, Pompignac, Pondaurat, Porchères, Porte-de-Benauge, Portets, Le Pout, Préchac, Preignac, Prignac-et-Marcamps, Pugnac, Puisseguin, Pujols, Pujols-sur-Ciron, Le Puy, Puybarban, Puynormand, Quinsac, Rauzan, Reignac, La Réole, Rimons, Riocaud, Rions, La Rivière, Roaillan, Romagne, Roquebrune, La Roquille, Ruch, Sablons, Sadirac, Saillans, Saint-Aignan, Saint-André-de-Cubzac, Saint-André-du-Bois, Saint-André-et-Appelles, Saint-Androny, Saint-Antoine-du-Queyret, Saint-Antoine-sur-l’Isle, Saint-Aubin-de-Blaye, Saint-Aubin-de-Branne, Saint-Avit-de-Soulège, Saint-Avit-Saint-Nazaire, Saint-Brice, Saint-Caprais-de-Bordeaux, Saint-Christoly-de-Blaye, Saint-Christophe-de-Double, Saint-Christophe-des-Bardes, Saint-Cibard, Saint-Ciers-d’Abzac, Saint-Ciers-de-Canesse, Saint-Ciers-sur-Gironde, Saint-Côme, Saint-Denis-de-Pile, Saint-Emilion, Saint-Etienne-de-Lisse, Saint-Exupéry, Saint-Félix-de-Foncaude, Saint-Ferme, Saint-Genès-de-Blaye, Saint-Genès-de-Castillon, Saint-Genès-de-Fronsac, Saint-Genès-de-Lombaud, Saint-Genis-du-Bois, Saint-Germain-de-Grave, Saint-Germain-de-la-Rivière, Saint-Germain-du-Puch, Saint-Gervais, Saint-Girons-d’Aiguevives, Saint-Hilaire-de-la-Noaille, Saint-Hilaire-du-Bois, Saint-Hippolyte, Saint-Jean-de-Blaignac, Saint-Jean-d’Illac, Saint-Laurent-d’Arce, Saint-Laurent-des-Combes, Saint-Laurent-du-Bois, Saint-Laurent-du-Plan, Saint-Léon, Saint-Loubert, Saint-Loubès, Saint-Louis-de-Montferrand, Saint-Macaire, Saint-Magne-de-Castillon, Saint-Maixant, Saint-Mariens, Saint-Martial, Saint-Martin-de-Laye, Saint-Martin-de-Lerm, Saint-Martin-de-Sescas, Saint-Martin-du-Bois, Saint-Martin-du-Puy, Saint-Martin-Lacaussade, Saint-Médard-de-Guizières, Saint-Médard-d’Eyrans, Saint-Michel-de-Fronsac, Saint-Michel-de-Lapujade, Saint-Michel-de-Rieufret, Saint-Morillon, Saint-Palais, Saint-Pardon-de-Conques, Saint-Paul, Saint-Pey-d’Armens, Saint-Pey-de-Castets, Saint-Philippe-d’Aiguille, Saint-Philippe-du-Seignal, Saint-Pierre-d’Aurillac, Saint-Pierre-de-Bat, Saint-Pierre-de-Mons, Saint-Quentin-de-Baron, Saint-Quentin-de-Caplong, Saint-Romain-la-Virvée, Saint-Sauveur-de-Puynormand, Saint-Savin, Saint-Selve, Saint-Seurin-de-Bourg, Saint-Seurin-de-Cursac, Saint-Seurin-sur-l’Isle, Saint-Sève, Saint-Sulpice-de-Faleyrens, Saint-Sulpice-de-Guilleragues, Saint-Sulpice-de-Pommiers, Saint-Sulpice-et-Cameyrac, Saint-Trojan, Saint-Vincent-de-Paul, Saint-Vincent-de-Pertignas, Saint-Vivien-de-Blaye, Saint-Vivien-de-Monségur, Saint-Yzan-de-Soudiac, Sainte-Colombe, Sainte-Croix-du-Mont, Sainte-Eulalie, Sainte-Florence, Sainte-Foy-la-Grande, Sainte-Foy-la-Longue, Sainte-Gemme, Sainte-Radegonde, Sainte-Terre, Sallebœuf, Les Salles-de-Castillon, Samonac, Saucats, Saugon, Sauternes, La Sauve, Sauveterre-de-Guyenne, Sauviac, Savignac, Savignac-de-l’Isle, Semens, Sendets, Sigalens, Sillas, Soulignac, Soussac, Tabanac, Taillecavat, Talence, Targon, Tarnès, Tauriac, Tayac, Teuillac, Tizac-de-Curton, Tizac-de-Lapouyade, Toulenne, Le Tourne, Tresses, Uzeste, Val-de-Livenne, Val de Virvée, Vayres, Vérac, Verdelais, Vignonet, Villandraut, Villegouge, Villenave-de-Rions, Villenave-d’Ornon, Villeneuve, Virelade, Virsac et Yvrac.

Stambesnė geografinė vietovė

Teisinis pagrindas:

Nacionalinės teisės aktai

Papildomų reikalavimų rūšis:

Papildomos nuostatos dėl ženklinimo

Sąlygos aprašymas:

Etiketėje gali būti nurodytas stambesnis geografinis vienetas „Vin de Bordeaux - Médoc“ arba „Grand Vin de Bordeaux - Médoc“. Tokio vieneto pavadinimas turi būti rašomas ne didesniu šriftu (nei aukštesniu, nei platesniu) nei 2/3 šrifto, kuriuo užrašyta saugoma kilmės vietos nuoroda.

Nuoroda į produkto specifikaciją

http://info.agriculture.gouv.fr/gedei/site/bo-agri/document_administratif-40c12dea-0f6d-4f13-accb-ed4795fb5f3a


(1)  OL L 9, 2019 1 11, p. 2.