02017R0654 — HU — 07.08.2018 — 002.001


Ez a dokumentum kizárólag tájékoztató jellegű és nem vált ki joghatást. Az EU intézményei semmiféle felelősséget nem vállalnak a tartalmáért. A jogi aktusoknak – ideértve azok bevezető hivatkozásait és preambulumbekezdéseit is – az Európai Unió Hivatalos Lapjában közzétett és az EUR-Lex portálon megtalálható változatai tekintendők hitelesnek. Az említett hivatalos szövegváltozatok közvetlenül elérhetők az ebben a dokumentumban elhelyezett linkeken keresztül

►B

A BIZOTTSÁG (EU) 2017/654 FELHATALMAZÁSON ALAPULÓ RENDELETE

(2016. december 19.)

az (EU) 2016/1628 európai parlamenti és tanácsi rendeletnek a nem közúti mozgó gépek belső égésű motorjainak kibocsátási határértékeire és típusjóváhagyására vonatkozó műszaki és általános követelmények tekintetében történő kiegészítéséről

(HL L 102, 2017.4.13., 1. o)

Módosította:

 

 

Hivatalos Lap

  Szám

Oldal

Dátum

 M1

A BIZOTTSÁG (EU) 2018/236 FELHATALMAZÁSON ALAPULÓ RENDELETE (2017. december 20.)

  L 50

1

22.2.2018

►M2

A BIZOTTSÁG (EU) 2018/989 FELHATALMAZÁSON ALAPULÓ RENDELETE (2018. május 18.)

  L 182

61

18.7.2018




▼B

A BIZOTTSÁG (EU) 2017/654 FELHATALMAZÁSON ALAPULÓ RENDELETE

(2016. december 19.)

az (EU) 2016/1628 európai parlamenti és tanácsi rendeletnek a nem közúti mozgó gépek belső égésű motorjainak kibocsátási határértékeire és típusjóváhagyására vonatkozó műszaki és általános követelmények tekintetében történő kiegészítéséről



1. cikk

Fogalommeghatározások

E rendelet alkalmazásában:

1.

„Wobbe-index” vagy „W” :

az egységnyi térfogatú gáz megfelelő fűtőértékének és az azonos referenciaviszonyok mellett mért relatív sűrűsége négyzetgyökének hányadosa:

image

2.

„λ-eltolási tényező” vagy „Sλ” : az a kifejezés, amely a motorvezérlő rendszer megkívánt flexibilitását írja le a λ levegőfelesleg-hányados változása esetén, ha a motor a tiszta metántól különböző összetételű gázzal üzemel;

3.

„folyékony üzemmód” : egy vegyes üzemű motor azon szokásos üzemmódja, amelynek során a motor semmilyen üzemállapotban nem használ gáz-halmazállapotú tüzelőanyagot;

4.

„vegyes üzemmód” : egy vegyes üzemű motor azon szokásos üzemmódja, amelynek során a motor egyes üzemállapotokban egyszerre használ folyékony tüzelőanyagot és gáz-halmazállapotú tüzelőanyagot;

5.

„részecske-utókezelő rendszer” : olyan kipufogógáz-utókezelő rendszer, amelyet arra terveztek, hogy mechanikai, aerodinamikai, diffúziós vagy inerciális leválasztással csökkentse a szilárd halmazállapotú szennyező anyagok kibocsátását;

6.

„fordulatszám-szabályozó” : a motorfordulatszámot vagy -terhelést automatikusan szabályozó berendezés vagy szabályozási stratégia; eltér az NRSh kategóriájú motorba épített fordulatszám-korlátozótól, amely kizárólag abból a célból korlátozza a motor maximális fordulatszámát, hogy a motor ne üzemeljen bizonyos határértéket meghaladó fordulatszámon;

7.

„környezeti hőmérséklet” : laboratóriumi környezet (például szűrőmérő helyiség vagy kamra) esetében az adott laboratóriumi környezeten belüli hőmérséklet;

8.

„kibocsátásszabályozási alapstratégia” : olyan kibocsátásszabályozási stratégia, amely a motor teljes üzemi terhelés- és fordulatszám-tartományában mindenkor kifejti hatását, kivéve, ha kibocsátásszabályozási segédstratégia lép életbe;

9.

„reagens” : bármely olyan fogyó vagy nem újratermelődő anyag, amelyre a kipufogógáz-utókezelő rendszer hatékony működéséhez szükség van, illetve amelyet erre használnak;

10.

„kibocsátásszabályozási segédstratégia” : olyan kibocsátásszabályozási stratégia, amely valamely konkrét cél érdekében és a környezeti és/vagy üzemállapotok valamely együttesére válaszként lép életbe, és kizárólag e feltételek fennállásának ideje alatt átmenetileg módosítja a kibocsátásszabályozási alapstratégiát;

11.

„helyes műszaki gyakorlat” : az általánosan elfogadott tudományos és műszaki elveknek, valamint a rendelkezésre álló információknak megfelelő döntések;

12.

„nagy fordulatszám” vagy „nhi” : az a legmagasabb motor-fordulatszám, amelynél a motor a legnagyobb teljesítmény 70 %-át adja le;

13.

„kis fordulatszám” vagy „nlo” : az a legalacsonyabb motor-fordulatszám, amelynél a motor a legnagyobb teljesítmény 50 %-át adja le;

14.

„legnagyobb teljesítmény” vagy „Pmax” : a gyártó által tervezett legnagyobb teljesítmény kW-ban;

15.

„részáramú hígítás” : a kipufogógáz elemzésére szolgáló módszer, amelynek értelmében a teljes kipufogógáz-áramból egy részt le kell választani, majd össze kell keverni megfelelő mennyiségű hígító levegővel, mielőtt elérné a részecske-mintavevő szűrőt;

16.

„eltolódás” : a nullázó jel vagy a kalibráló jel és a mérőeszköz által közvetlen azután kijelzett érték közötti eltérés, hogy a berendezést kibocsátásvizsgálat során használták;

17.

„mérési tartomány kalibrálása” : egy mérőkészülék oly módon történő beállítása, hogy megfelelő választ adjon a készülék mérési tartománya vagy várt használati tartománya legnagyobb értékének 75–100 %-át képviselő hitelesítő etalonra;

18.

„mérésitartomány-kalibráló gáz” : a gázelemzők mérési tartományának kalibrálására használt, tisztított gázkeverék;

19.

„HEPA-szűrő” : olyan, nagy hatásfokú levegőszűrők, amelyek kezdeti névleges részecskeeltávolítási hatásfoka 99,97 % az ASTM F 1471–93 szabványt követve;

20.

„kalibrálás” : a mérési rendszer által kijelzett értékek bemeneti jelhez való beállítása oly módon, hogy azok meghatározott referenciajelek tartományával összhangban legyenek;

21.

„fajlagos kibocsátások” : a g/kWh-ban kifejezett kibocsátott tömegek;

22.

„kezelői parancs” : a motor kezelője által a motor teljesítményének szabályozása érdekében alkalmazott bevitel;

23.

„a legnagyobb nyomatékhoz tartozó fordulatszám” : a gyártó által tervezett, a motorról levehető legnagyobb nyomatékhoz tartozó fordulatszám;

24.

„a motor által szabályozott fordulatszám” : beépített fordulatszám-szabályozó által szabályozott üzemi motorfordulatszám;

25.

„nyitott forgattyúsházból származó kibocsátások” : egy motor forgattyúsházából közvetlenül a környezetbe irányuló bármely kibocsátás;

26.

„szonda” : az átvezető cső azon első szakasza, amely a mintát a mintavevő rendszer következő eleméhez továbbítja;

27.

„vizsgálati intervallum” : egy olyan időszak, amely alatt meghatározzák a fékmunkára vonatkoztatott fajlagos kibocsátásokat;

28.

„nullázó gáz” : olyan gáz, amely a gázelemző készülékbe bevezetve nulla értéket eredményez;

29.

„nullázott” : a mérőkészülék úgy van beállítva, hogy nullapontválaszt adjon a nulla hitelesítő etalonra, például tisztított nitrogénre vagy tisztított levegőre;

30.

„változó fordulatszámú, nem közúti, állandósult állapotú vizsgálati ciklus” (a továbbiakban: változó fordulatszámú NRSC) : az állandó fordulatszámú NRSC-től eltérő, nem közúti, állandósult állapotú vizsgálati ciklus;

31.

„állandó fordulatszámú, nem közúti, állandósult állapotú vizsgálati ciklus” (a továbbiakban: állandó fordulatszámú NRSC) : valamely következő, az (EU) 2016/1628 rendelet IV. mellékletében meghatározott nem közúti, állandósult állapotú vizsgálati ciklus: D2, E2, G1, G2 vagy G3;

32.

„mérésaktualizálás” : az a gyakoriság, amellyel az elemzőberendezés új, aktuális értékeket ad;

33.

„kalibráló gáz” : a gázelemzők kalibrálására használt, tisztított gázkeverék;

34.

„sztöchiometrikus” : a levegő és a tüzelőanyag azon aránya, amelynél a tüzelőanyag teljes mértékű oxidálódása esetén nem maradna sem tüzelőanyag, sem oxigén;

35.

„tárolóközeg” : részecskeszűrő, mintavevő zsák vagy bármilyen más, tételes mintavételre használt tárolóeszköz;

36.

„teljes áramú hígítás” : az a módszer, amely szerint a kipufogógáz-áramot összekeverik hígító levegővel, mielőtt mintát vennének a hígított kipufogógáz áramából az elemzéshez;

37.

„tűrés” : az az intervallum, amelyen belül az egy mennyiséghez tartozó mért értékek 95 %-a elhelyezkedik, míg a fennmaradó 5 %-uk eltérhet ettől a toleranciaintervallumtól;

38.

„karbantartási üzemmód” : a vegyes üzemű motor olyan különleges üzemmódja, amelynek célja javítás vagy a nem közúti mozgó gép forgalomból való eltávolítása, ha a vegyes üzemű motor működésképtelen.

2. cikk

Egyéb megadott tüzelőanyagokra, tüzelőanyag-keverékekre vagy emulziós tüzelőanyagokra vonatkozó követelmények

Az (EU) 2016/1628 rendelet 25. cikkének (2) bekezdésében említett referencia-tüzelőanyagoknak és a gyártó által az EU-típusjóváhagyás iránti kérelemben megadott egyéb tüzelőanyagoknak, tüzelőanyag-keverékeknek és emulziós tüzelőanyagoknak az e rendelet I. mellékletében foglalt műszaki jellemzőkkel kell rendelkezniük, leírásuknak pedig szerepelnie kell az ugyanott előírt adatközlő mappában.

3. cikk

A gyártásmegfelelőségre vonatkozó intézkedések

Annak érdekében, hogy a gyártás alatt álló motorok az (EU) 2016/1628 rendelet 26. cikkének (1) bekezdése szerint megfeleljenek a jóváhagyott típusnak, a jóváhagyó hatóságoknak meg kell tenniük az e rendelet II. mellékletében meghatározott intézkedéseket, és követniük kell az ugyanott előírt eljárásokat.

▼M2

4. cikk

A laboratóriumi kibocsátásvizsgálatok eredményeinek a romlási tényezők beszámításával történő kiigazítására szolgáló módszer

A laboratóriumi kibocsátásvizsgálatok eredményeit az e rendelet III. mellékletében meghatározott módszerrel ki kell igazítani úgy, hogy magukban foglalják a romlási tényezőket, köztük az (EU) 2016/1628 rendelet 25. cikke (1) bekezdésének c) pontjában említett, a részecskeszám mérésével és gázüzemű motorokkal kapcsolatos romlási tényezőket.

▼B

5. cikk

A kibocsátásszabályozási stratégiákra, az NOx-szabályozásra és a részecskeszabályozásra szolgáló megoldásra vonatkozó követelmények

Az (EU) 2016/1628 rendelet 25. cikke (3) bekezdése f) pontjának i. alpontja szerinti kibocsátásszabályozási stratégiák és az ugyanazon rendelet 25. cikke (3) bekezdése f) pontjának ii. alpontja szerinti NOx-szabályozás tekintetében végzett méréseknek és vizsgálatoknak, a szilárd halmazállapotú szennyezőanyagok kibocsátására vonatkozó szabályozásoknak, valamint az ezek igazolására előírt dokumentációnak meg kell felelniük az e rendelet IV. mellékletében meghatározott műszaki követelményeknek.

6. cikk

A nem közúti, állandósult állapotú vizsgálati ciklushoz tartozó tartományra vonatkozó mérések és vizsgálatok

Az (EU) 2016/1628 rendelet 25. cikke (3) bekezdése f) pontjának iii. alpontja szerinti tartományra vonatkozó méréseket és vizsgálatokat az e rendelet V. mellékletében meghatározott részletes műszaki követelményeknek megfelelően kell elvégezni.

7. cikk

A vizsgálatok elvégzésének feltételei és módszerei

A vizsgálatok elvégzésére vonatkozóan az (EU) 2016/1628 rendelet 25. cikke (3) bekezdésének a) és b) pontjában foglalt feltételeknek, a motorterhelés és -fordulatszám meghatározására vonatkozóan az ugyanazon rendelet 24. cikke szerinti módszereknek, a kartergáz-kibocsátás figyelembevételére vonatkozóan az ugyanazon irányelv 25. cikke (3) bekezdése e) pontjának i. alpontjában hivatkozott módszereknek, valamint a kipufogógáz-utókezelő rendszerek folyamatos vagy időszakos regenerációjának meghatározására és figyelembevételére vonatkozóan az ugyanazon rendelet 25. cikke (3) bekezdése e) pontjának ii. alpontjában említett módszereknek meg kell felelniük az e rendelet VI. mellékletének 5. és 6. szakaszában előírt követelményeknek.

8. cikk

A vizsgálatok elvégzéséhez szükséges eljárások

Az (EU) 2016/1628 rendelet 25. cikke (3) bekezdésének a) pontjában és f) pontjának iv. alpontjában említett vizsgálatokat az e rendelet VI. mellékletének 7. szakaszában és VIII. mellékletében megállapított eljárások szerint kell elvégezni.

9. cikk

A kibocsátásméréshez és mintavételhez szükséges eljárások

Az (EU) 2016/1628 rendelet 25. cikke (3) bekezdésének b) pontjában említett kibocsátásmérést és mintavételt az e rendelet VI. mellékletének 8. szakaszában és ugyanazon melléklet 1. függelékében megállapított eljárások szerint kell elvégezni.

10. cikk

A vizsgálatok elvégzéséhez, valamint a kibocsátásméréshez és mintavételhez szükséges berendezések

Az (EU) 2016/1628 rendelet 25. cikke (3) bekezdésének a) pontjában említett, a vizsgálatok elvégzéséhez szükséges berendezéseknek, valamint az ugyanazon rendelet 25. cikke (3) bekezdésének b) pontjában említett, kibocsátásméréshez és mintavételhez szükséges berendezéseknek meg kell felelniük az e rendelet VI. mellékletének 9. szakaszában előírt műszaki követelményeknek, és rendelkezniük kell az ugyanott megadott jellemzőkkel.

11. cikk

Az adatok kiértékelésére és kiszámítására szolgáló módszer

Az (EU) 2016/1628 rendelet 25. cikke (3) bekezdésének c) pontjában említett adatokat az e rendelet VII. mellékletében meghatározott módszerrel kell értékelni és kiszámítani.

12. cikk

A referencia-tüzelőanyagok műszaki jellemzői

Az (EU) 2016/1628 rendelet 25. cikkének (2) bekezdésében említett referencia-tüzelőanyagoknak az e rendelet IX. mellékletében meghatározott műszaki jellemzőkkel kell rendelkezniük.

13. cikk

A motor és a kipufogógáz-utókezelő rendszer külön történő leszállítására vonatkozó részletes műszaki előírások és feltételek

Ha a gyártó az (EU) 2016/1628 rendelet 34. cikkének (3) bekezdése szerint a kipufogógáz-utókezelő rendszertől külön szállít motort egy eredetiberendezés-gyártónak az Unióban, akkor a szállítást az e rendelet X. mellékletében foglalt részletes műszaki előírásoknak és feltételeknek megfelelően kell teljesítenie.

14. cikk

A helyszíni vizsgálat céljára való ideiglenes forgalomba hozatalra vonatkozó részletes műszaki előírások és feltételek

Az (EU) 2016/1628 rendelet szerinti EU-típusjóváhagyással nem rendelkező motorok esetében az ugyanazon rendelet 34. cikkének (4) bekezdése szerint engedélyezhető a helyszíni vizsgálat céljára való ideiglenes forgalomba hozataluk, ha a motorok megfelelnek az e rendelet XI. mellékletében foglalt részletes műszaki előírásoknak és feltételeknek.

15. cikk

Különleges rendeltetésű motorokra vonatkozó részletes műszaki előírások és feltételek

A különleges rendeltetésű motorok EU-típusjóváhagyását és forgalombahozatali engedélyét az (EU) 2016/1628 rendelet 34. cikke (5) és (6) bekezdésének rendelkezései szerint meg kell adni, amennyiben az e rendelet XII. mellékletében foglalt részletes műszaki előírások és feltételek teljesülnek.

16. cikk

Egyenértékű motor-típusjóváhagyások elfogadása

Az (EU) 2016/1628 rendelet 42. cikke (4) bekezdésének a) pontjában hivatkozott ENSZ EGB-előírásokat és azok módosításait, valamint az ugyanazon rendelet 42. cikke (4) bekezdésének b) pontjában hivatkozott uniós jogi aktusokat e rendelet XIII. melléklete tartalmazza.

17. cikk

Az eredetiberendezés-gyártóknak szóló lényeges információk és utasítások részletei

Az (EU) 2016/1628 rendelet 43. cikkének (2), (3) és (4) bekezdésében említett, az eredetiberendezés-gyártóknak szóló információk és utasítások részleteit e rendelet XIV. melléklete tartalmazza.

18. cikk

A végfelhasználóknak szóló lényeges információk és utasítások részletei

Az (EU) 2016/1628 rendelet 43. cikkének (3) és (4) bekezdésében említett, a végfelhasználóknak szóló információk és utasítások részleteit e rendelet XV. melléklete tartalmazza.

19. cikk

A műszaki szolgálatok teljesítménynormái és értékelése

(1)  A műszaki szolgálatoknak meg kell felelniük a XVI. mellékletben meghatározott teljesítménynormáknak.

(2)  A jóváhagyó hatóságoknak az e rendelet XVI. mellékletében foglalt eljárásoknak megfelelően kell értékelniük a műszaki szolgálatokat.

20. cikk

Az állandósult állapotú és a tranziens vizsgálati ciklusok jellemzői

Az (EU) 2016/1628 rendelet 24. cikkében említett állandósult állapotú és tranziens vizsgálati ciklusoknak az e rendelet XVII. mellékletében meghatározott jellemzőkkel kell rendelkezniük.

▼M2

20a. cikk

Átmeneti rendelkezések

(1)  E rendeletnek az (EU) 2018/989 felhatalmazáson alapuló bizottsági rendelettel módosított rendelkezéseiben foglaltak alkalmazása ellenére a jóváhagyó hatóságok 2018. december 31-ig e rendelet 2018. augusztus 6-án alkalmazandó változatának megfelelően továbbra is megadják az EU-típusjóváhagyást a motortípusokra és a motorcsaládokra.

(2)  E rendeletnek az (EU) 2018/989 felhatalmazáson alapuló bizottsági rendelettel módosított rendelkezéseiben foglaltak alkalmazása ellenére a tagállamok 2019. június 30-ig engedélyezik az e rendelet 2018. augusztus 6-án alkalmazandó változatának megfelelően jóváhagyott motortípuson alapuló motorok forgalomba hozatalát.

▼B

21. cikk

Hatálybalépés és alkalmazás

Ez a rendelet az Európai Unió Hivatalos Lapjában való kihirdetését követő huszadik napon lép hatályba.

Ez a rendelet teljes egészében kötelező és közvetlenül alkalmazandó valamennyi tagállamban.




MELLÉKLETEK



Melléklet száma

Melléklet címe

Oldal

I.

Egyéb megadott tüzelőanyagokra, tüzelőanyag-keverékekre vagy emulziós tüzelőanyagokra vonatkozó követelmények

 

II.

A gyártásmegfelelőségre vonatkozó intézkedések

 

III.

A laboratóriumi kibocsátásvizsgálatok eredményeinek a romlási tényezők beszámításával történő kiigazítására szolgáló módszer

 

IV.

A kibocsátásszabályozási stratégiákra, az NOx-szabályozásra és a részecskeszabályozásra vonatkozó követelmények

 

V.

A nem közúti, állandósult állapotú vizsgálati ciklushoz tartozó tartományra vonatkozó mérések és vizsgálatok

 

VI.

A vizsgálatok elvégzéséhez, a kibocsátásméréshez és mintavételhez szükséges feltételek, módszerek, eljárások és berendezések

 

VII.

Az adatok kiértékelésére és kiszámítására szolgáló módszer

 

VIII.

Vegyes üzemű motorokra vonatkozó teljesítménykövetelmények és vizsgálati eljárások

 

IX.

A referencia-tüzelőanyagok műszaki jellemzői

 

X.

A motor kipufogógáz-utókezelő rendszertől külön történő leszállítására vonatkozó részletes műszaki elírások és feltételek

 

XI.

A helyszíni vizsgálat céljára való ideiglenes forgalomba hozatalra vonatkozó részletes műszaki előírások és feltételek

 

XII.

Különleges rendeltetésű motorokra vonatkozó részletes műszaki előírások és feltételek

 

XIII.

Egyenértékű motor-típusjóváhagyások elfogadása

 

XIV.

Az eredetiberendezés-gyártóknak szóló lényeges információk és utasítások részletei

 

XV.

A végfelhasználóknak szóló lényeges információk és utasítások részletei

 

XVI.

A műszaki szolgálatok teljesítménynormái és értékelése

 

XVII.

Az állandósult állapotú és tranziens vizsgálati ciklusok jellemzői

 




I. MELLÉKLET

Egyéb megadott tüzelőanyagokra, tüzelőanyag-keverékekre vagy emulziós tüzelőanyagokra vonatkozó követelmények

1.    Folyékony tüzelőanyagokkal működő motorokra vonatkozó követelmények

1.1.

EU-típusjóváhagyás kérelmezésekor a gyártók az alábbi lehetőségek közül választhatnak a motor tüzelőanyag-tartományát illetően:

a) tüzelőanyag-tartomány tekintetében szabványos motor az 1.2. pontban előírtaknak megfelelően; vagy,

b) tüzelőanyag-specifikus motor az 1.3. pontban előírtaknak megfelelően.

1.2.

Tüzelőanyag-tartomány tekintetében szabványos (dízel-, benzin-) motorra vonatkozó követelmények

A tüzelőanyag-tartomány tekintetében szabványos motoroknak az 1.2.1–1.2.4. pontban meghatározott követelményeknek kell megfelelniük.

1.2.1.

Az alapmotornak az (EU) 2016/1628 rendelet II. mellékletében meghatározott vonatkozó határértékeknek, valamint az e rendeletben előírt követelményeknek kell megfelelnie, amennyiben a motor a IX. melléklet 1.1. vagy 2.1. pontjában megadott referencia-tüzelőanyagokkal működik.

1.2.2.

▼M2

Amennyiben a nem közúti mozgó gépekben használt gázolajra vonatkozóan nem áll rendelkezésre az Európai Szabványügyi Bizottság által kiadott szabvány (a továbbiakban: CEN-szabvány), vagy a 98/70/EK európai parlamenti és tanácsi irányelv ( 1 ) nem tartalmaz a nem közúti mozgó gépekben használt gázolaj tüzelőanyag-jellemzőit összefoglaló táblázatot, akkor a IX. melléklet szerinti dízel (nem közúti mozgó gépekben használt gázolaj) referencia-tüzelőanyag képviseli a legfeljebb 10 mg/kg kéntartalmú, legalább 45 cetánszámú és legfeljebb 8,0 térfogatszázalék zsírsav-metil-észter-tartalmú, kereskedelmi forgalomban kapható, nem közúti mozgó gépekben használt gázolajakat. Az 1.2.2.1., 1.2.3. és 1.2.4. pont szerint megengedett kivételektől eltekintve a gyártónak a XV. melléklet követelményeinek megfelelően nyilatkozatot kell tennie a végfelhasználók részére arról, hogy a motor a nem közúti mozgó gépekben használt gázolajon kívül csak olyan tüzelőanyagokkal üzemeltethető, amelyek kéntartalma legfeljebb 10 mg/kg (a végső forgalmazás helyén 20 mg/kg), cetánszáma legalább 45, zsírsav-metil-észter-tartalma pedig legfeljebb 8,0 térfogatszázalék. A gyártó dönthet úgy is, hogy további paramétereket is megad (például a kenőképességre vonatkozóan).

▼B

1.2.2.1.

►M2  A motorgyártó csak akkor jelezheti, hogy valamely motortípus vagy motorcsalád üzemeltethető az e pontban meghatározott követelményeknek megfelelő tüzelőanyagoktól eltérő, kereskedelmi forgalomban kapható tüzelőanyagokkal az Unió területén, ha a gyártó az 1.2.3. pontban foglalt követelményeknek is eleget tesz. ◄

a) Benzin esetében a 98/70/EK irányelv vagy az EN 228:2012 CEN-szabvány. Kenőolaj a gyártó előírása szerint hozzáadható;

b) Dízel (a nem közúti mozgó gépekben használt gázolajtól eltérő tüzelőanyag) esetében a 98/70/EK európai parlamenti és tanácsi irányelv vagy az EN 590:2013 CEN-szabvány;

▼M2

c) Dízel (a nem közúti mozgó gépekben használt gázolaj) esetében a 98/70/EK irányelv, valamint a cetánszám legalább 45 és a zsírsav-metil-észter legfeljebb 8,0 térfogatszázalék.

▼B

1.2.3.

Ha a gyártó megengedi, hogy a motorok az 1.2.2. pontban megjelölt tüzelőanyagoktól eltérő egyéb, kereskedelmi forgalomban kapható tüzelőanyagokkal, például B100-zal (EN 14214:2012+A1:2014 szabvány), B20-szal vagy B30-cal (EN 16709:2015 szabvány), illetve megadott tüzelőanyagokkal, tüzelőanyag-keverékekkel vagy emulziós tüzelőanyagokkal is üzemeljenek, akkor a gyártónak az 1.2.2.1. pontban foglalt követelmények teljesítésén túlmenően minden alábbi intézkedést is meg kell tennie:

a) az (EU) 2017/656 bizottsági végrehajtási rendelet ( 2 ) szerinti adatközlő lapon közölnie kell a motorcsalád üzemeltetésére használható, kereskedelemben forgalmazott tüzelőanyagok, tüzelőanyag-keverékek vagy emulziós tüzelőanyagok leírását;

b) igazolnia kell az alapmotor arra vonatkozó képességét, hogy teljesítse e rendelet megadott tüzelőanyagokra, tüzelőanyag-keverékekre vagy emulziós tüzelőanyagokra vonatkozó előírásait;

c) felel az (EU) 2017/655 felhatalmazáson alapuló bizottsági rendelet ( 3 ) használat közbeni megfigyelésre vonatkozó előírásainak a megadott tüzelőanyagok, tüzelőanyag-keverékek vagy emulziós tüzelőanyagok (ideértve azok bármilyen elegyét is), valamint az 1.2.2.1 pontban megjelölt, kereskedelmi forgalomban kapható tüzelőanyag tekintetében történő teljesítéséért.

1.2.4.

Szikragyújtású motorok esetében a gyártó által ajánlott tüzelőanyag/olaj arányt kell alkalmazni. A tüzelőanyag/kenőanyag keverékhez felhasznált olaj százalékos arányát rögzíteni kell az adminisztratív követelményekről szóló (EU) 2017/656 végrehajtási rendelet szerinti adatközlő lapon.

1.3.

Tüzelőanyag-specifikus (ED 95 vagy E 85) motorra vonatkozó követelmények

A tüzelőanyag-specifikus (ED 95 vagy E 85) motoroknak az 1.3.1. és 1.3.2. pontban meghatározott követelményeknek kell megfelelniük.

1.3.1.

ED 95 esetében az alapmotornak az (EU) 2016/1628 rendelet II. mellékletében meghatározott vonatkozó határértékeknek, valamint az e rendeletben előírt követelményeknek kell megfelelnie, amennyiben a motor a IX. melléklet 1.2. pontjában megadott referencia-tüzelőanyaggal működik.

1.3.2.

E 85 esetében az alapmotornak az (EU) 2016/1628 rendelet II. mellékletében meghatározott vonatkozó határértékeknek, valamint az e rendeletben előírt követelményeknek kell megfelelnie, amennyiben a motor a IX. melléklet 2.2. pontjában megadott referencia-tüzelőanyaggal működik.

2.    Földgáz/biometán- vagy LPG- (cseppfolyós propán-bután) motorokra (a vegyes üzemű motorokat is beleértve) vonatkozó követelmények

2.1.

EU-típusjóváhagyás kérelmezésekor a gyártók az alábbi lehetőségek közül választhatnak a motor tüzelőanyag-tartományát illetően:

a) tüzelőanyag-tartomány tekintetében általános motor a 2.3. pontban előírtaknak megfelelően;

b) tüzelőanyag-tartomány tekintetében korlátozott motor a 2.4. pontban előírtaknak megfelelően;

c) tüzelőanyag-specifikus motor a 2.5. pontban előírtaknak megfelelően.

2.2.

A földgáz-/biometán-, az LPG- és a vegyes üzemű motorok EU-típusjóváhagyására vonatkozó követelményeket összefoglaló táblázatokat az 1. függelék tartalmazza.

2.3.

Tüzelőanyag-tartomány tekintetében általános motorra vonatkozó követelmények

2.3.1.

Földgáz-/biometánmotorok esetében (a vegyes üzemű motorokat is beleértve) a gyártónak az alapmotor tekintetében igazolnia kell, hogy az alapmotor a kereskedelmi forgalomban kapható bármely földgáz-/biometán-összetételhez képes alkalmazkodni. Ezt az igazolási eljárást e 2. szakasz szerint kell végrehajtani, illetve vegyes üzemű motorok esetében a VIII. melléklet 6.4. pontjában a tüzelőanyag minőségéhez való alkalmazkodás eljárására vonatkozó további rendelkezéseket is figyelembe kell venni.

2.3.1.1.

Sűrített földgáz- (CNG)/biometánmotorok esetében általában két tüzelőanyag-típus létezik: nagy fűtőértékű tüzelőanyag (H-gáz) és kis fűtőértékű tüzelőanyag (L-gáz), de mindkét tartományon belül nagyok az eltérések; a gázok jelentős mértékben különböznek egymástól Wobbe-indexszel kifejezett energiatartalmukban és λ-eltolódási tényezőjükben (Sλ). A 0,89 és 1,08 közötti λ-eltolódási tényezőjű földgázokat (0,89 ≤ Sλ ≤ 1,08) a H tartományba, míg az 1,08 és 1,19 közötti λ-eltolódási tényezőjű földgázokat (1,08 ≤ Sλ ≤ 1,19) az L tartományba tartozónak tekintik. A referencia-tüzelőanyagok összetétele az Sλ lehetséges szélső értékeit tükrözi.

Az alapmotornak a IX. mellékletben meghatározott GR (1. tüzelőanyag) és G25 (2. tüzelőanyag) referencia-tüzelőanyagokkal vagy azokkal egyenértékű, a IX. melléklet 1. függelékében meghatározott, vezetékes gáz más gázokkal alkotott keverékének felhasználásával előállított tüzelőanyagokkal meg kell felelnie e rendelet követelményeinek anélkül, hogy a két vizsgálat között kézzel utánállítanák a motor tüzelőanyag-ellátó rendszerét (önműködően alkalmazkodnia kell). A tüzelőanyag-váltás után egy alkalmazkodási menet megengedett. Az alkalmazkodási menet keretében a következő kibocsátási vizsgálatra való felkészülésként előkondicionálást kell végezni a vonatkozó vizsgálati ciklusnak megfelelően. A nem közúti állandósult állapotú vizsgálati ciklus („NRSC”) keretében vizsgált motorok esetében a gyártó által meghatározott másfajta alkalmazkodási menet is elvégezhető az előkondicionálás előtt, amennyiben az előkondicionálási ciklus nem elegendő ahhoz, hogy a motor tüzelőanyag-ellátó rendszere automatikusan alkalmazkodjon.

2.3.1.1.1.

A gyártó a motort egy harmadik tüzelőanyaggal (3. tüzelőanyag) is bevizsgálhatja, ha a λ-eltolódási tényező (Sλ) 0,89 (vagyis GR alsó értéke) és 1,19 (vagyis G25 felső értéke) között van, például ha a 3. tüzelőanyag kereskedelmi forgalomban kapható tüzelőanyag. Ennek a vizsgálatnak az eredményei alapul szolgálhatnak a gyártás megfelelőségének értékeléséhez.

2.3.1.2.

Cseppfolyósított földgáz- (LNG)/cseppfolyósított biometánmotorok esetében az alapmotornak a IX. mellékletben meghatározott GR (1. tüzelőanyag) és G20 (2. tüzelőanyag) referencia-tüzelőanyagokkal vagy azokkal egyenértékű, a IX. melléklet 1. függelékében meghatározott, vezetékes gáz más gázokkal alkotott keverékének felhasználásával előállított tüzelőanyagokkal meg kell felelnie e rendelet követelményeinek anélkül, hogy a két vizsgálat között kézzel utánállítanák a motor tüzelőanyag-ellátó rendszerét (önműködően alkalmazkodnia kell). A tüzelőanyag-váltás után egy alkalmazkodási menet megengedett. Az alkalmazkodási menet keretében a következő kibocsátási vizsgálatra való felkészülésként előkondicionálást kell végezni a vonatkozó vizsgálati ciklusnak megfelelően. A nem közúti állandósult állapotú vizsgálati ciklus (NRSC) keretében vizsgált motorok esetében a gyártó által meghatározott másfajta alkalmazkodási menet is elvégezhető az előkondicionálás előtt, amennyiben az előkondicionálási ciklus nem elegendő ahhoz, hogy a motor tüzelőanyag-ellátó rendszere automatikusan alkalmazkodjon.

2.3.2.

Olyan sűrítettföldgáz- (CNG-)/biometánmotorok esetében, amely automatikusan alkalmazkodik egyfelől a H tartományú gázokhoz, másfelől az L tartományú gázokhoz, és amelynél egy kapcsolóval kell átváltani a H tartomány és az L tartomány között, az alapmotort az egyes tartományokra a IX. mellékletben meghatározott megfelelő referencia-tüzelőanyaggal kell vizsgálni a kapcsoló mindkét állásában. A két tüzelőanyag a H tartományú gázok esetében a GR (1. tüzelőanyag) és a G23 (3. tüzelőanyag), az L tartományú gázok esetében pedig a G25 (2. tüzelőanyag) és a G23 (3. tüzelőanyag), illetve azokkal egyenértékű, a IX. melléklet 1. függelékében meghatározott, vezetékes gáz más gázokkal alkotott keverékének felhasználásával előállított tüzelőanyagok. Az alapmotornak meg kell felelnie e rendelet követelményeinek a kapcsoló mindkét állásában anélkül, hogy a kétféle kapcsolóállásban végzett két vizsgálat között bármilyen utánállítást végeznének a tüzelőanyag változtatása miatt. A tüzelőanyag-váltás után egy alkalmazkodási menet megengedett. Az alkalmazkodási menet keretében a következő kibocsátási vizsgálatra való felkészülésként előkondicionálást kell végezni a vonatkozó vizsgálati ciklusnak megfelelően. A nem közúti állandósult állapotú vizsgálati ciklus keretében vizsgált motorok esetében a gyártó által meghatározott másfajta alkalmazkodási menet is elvégezhető az előkondicionálás előtt, amennyiben az előkondicionálási ciklus nem elegendő ahhoz, hogy a motor tüzelőanyag-ellátó rendszere automatikusan alkalmazkodjon.

2.3.2.1.

A gyártó a motort a G23 tüzelőanyag helyett egy harmadik tüzelőanyaggal (3. tüzelőanyag) is bevizsgálhatja, ha a λ-eltolódási tényező (Sλ) 0,89 (vagyis GR alsó értéke) és 1,19 (vagyis G25 felső értéke) között van, például ha a 3. tüzelőanyag kereskedelmi forgalomban kapható tüzelőanyag. Ennek a vizsgálatnak az eredményei alapul szolgálhatnak a gyártás megfelelőségének értékeléséhez.

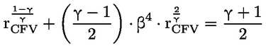
2.3.3.

Földgáz-/biometánmotorok esetében a mért kibocsátás „r” viszonyszámát minden egyes szennyező anyagra az alábbiak szerint kell meghatározni:

image

vagy,

image

valamint

image

2.3.4.

LPG-motorok esetében a gyártónak az alapmotor tekintetében igazolnia kell, hogy az a kereskedelmi forgalomban kapható bármely tüzelőanyag-összetételhez képes alkalmazkodni.

LPG-motorok esetében a C3/C4 összetétel többféle lehet. A referencia-tüzelőanyagok tükrözik ezeket a változatokat. Az alapmotornak ki kell elégítenie a szennyezőanyag-kibocsátási követelményeket a IX. mellékletben meghatározott „A” és „B” referencia-tüzelőanyaggal anélkül, hogy a két vizsgálat között a tüzelőanyag változása miatt bármilyen utánállítást végeznének. A tüzelőanyag-váltás után egy alkalmazkodási menet megengedett. Az alkalmazkodási menet keretében a következő kibocsátási vizsgálatra való felkészülésként előkondicionálást kell végezni a vonatkozó vizsgálati ciklusnak megfelelően. A nem közúti állandósult állapotú vizsgálati ciklus keretében vizsgált motorok esetében a gyártó által meghatározott másfajta alkalmazkodási menet is elvégezhető az előkondicionálás előtt, amennyiben az előkondicionálási ciklus nem elegendő ahhoz, hogy a motor tüzelőanyag-ellátó rendszere automatikusan alkalmazkodjon.

2.3.4.1.

A mért kibocsátás „r” viszonyszámát az egyes szennyező anyagokra az alábbiak szerint kell meghatározni:

image

2.4.

Tüzelőanyag-tartomány tekintetében korlátozott motorokra vonatkozó követelmények

A tüzelőanyag-tartomány tekintetében korlátozott motoroknak a 2.4.1–2.4.3. pontban meghatározott előírásoknak kell megfelelniük.

2.4.1.   H tartományú vagy L tartományú gázokkal való üzemelésre kialakított sűrítettföldgáz-motorok

2.4.1.1.

Az alapmotort a megfelelő tartományra a IX. mellékletben meghatározott megfelelő referencia-tüzelőanyaggal kell vizsgálni. A két tüzelőanyag a H tartományú gázok esetében a GR (1. tüzelőanyag) és a G23 (3. tüzelőanyag), az L tartományú gázok esetében pedig a G25 (2. tüzelőanyag) és a G23 (3. tüzelőanyag), illetve azokkal egyenértékű, a IX. melléklet 1. függelékében meghatározott, vezetékes gáz más gázokkal alkotott keverékének felhasználásával előállított tüzelőanyagok. Az alapmotornak meg kell felelnie e rendelet követelményeinek anélkül, hogy a két vizsgálat között bármilyen utánállítást végeznének a tüzelőanyag változtatása miatt. A tüzelőanyag-váltás után egy alkalmazkodási menet megengedett. Az alkalmazkodási menet keretében a következő kibocsátási vizsgálatra való felkészülésként előkondicionálást kell végezni a vonatkozó vizsgálati ciklusnak megfelelően. A nem közúti állandósult állapotú vizsgálati ciklus keretében vizsgált motorok esetében a gyártó által meghatározott másfajta alkalmazkodási menet is elvégezhető az előkondicionálás előtt, amennyiben az előkondicionálási ciklus nem elegendő ahhoz, hogy a motor tüzelőanyag-ellátó rendszere automatikusan alkalmazkodjon.

2.4.1.2.

A gyártó a motort a G23 tüzelőanyag helyett egy harmadik tüzelőanyaggal (3. tüzelőanyag) is bevizsgálhatja, ha a λ-eltolódási tényező (Sλ) 0,89 (vagyis GR alsó értéke) és 1,19 (vagyis G25 felső értéke) között van, például ha a 3. tüzelőanyag kereskedelmi forgalomban kapható tüzelőanyag. Ennek a vizsgálatnak az eredményei alapul szolgálhatnak a gyártás megfelelőségének értékeléséhez.

2.4.1.3.

A mért kibocsátás „r” viszonyszámát az egyes szennyező anyagokra az alábbiak szerint kell meghatározni:

image

vagy,

image

valamint

image

▼M2 —————

▼B

2.4.2.   Egy meghatározott összetételű gázzal történő üzemelésre kialakított földgáz- vagy LPG-motorok

2.4.2.1.

Az alapmotornak ki kell elégítenie a szennyezőanyag-kibocsátásra vonatkozó követelményeket a IX. mellékletben meghatározott referencia-tüzelőanyaggal, vagyis sűrített földgázzal működő motor esetében a GR és G25 vagy azokkal egyenértékű, a IX. melléklet 1. függelékében meghatározott, vezetékes gáz más gázokkal alkotott keverékének felhasználásával előállított tüzelőanyagokkal, cseppfolyósított földgázzal működő motor esetében a GR és G20 vagy azokkal egyenértékű, a VI. melléklet 2. függelékében meghatározott, vezetékes gáz más gázokkal alkotott keverékének felhasználásával előállított tüzelőanyagokkal, LPG-gázzal működő motor esetében pedig az „A” és „B” referencia-tüzelőanyaggal. A vizsgálatok között megengedett a tüzelőanyag-adagoló rendszer finombeállítása. Ez a finombeállítás a tüzelőanyag-adatbázis átkalibrálása lehet úgy, hogy sem az alapvető szabályozási stratégia, sem az adatbázis alapszerkezete nem változhat. Szükség esetén a tüzelőanyag-áramra közvetlenül kiható elemek (például befecskendezők) kicserélése megengedett.

2.4.2.2.

Sűrítettföldgáz-motorok esetén a gyártó a motort bevizsgálhatja a GR és G23 vagy a G25 és G23 referencia-tüzelőanyaggal, illetve azokkal egyenértékű, a IX. melléklet 1. függelékében meghatározott, vezetékes gáz más gázokkal alkotott keverékének felhasználásával előállított tüzelőanyagokkal, amely esetben az EU-típusjóváhagyás ennek megfelelően csak a gázok H, illetve L tartományára érvényes.

2.4.2.3.

A vevőnek történő átadáskor a motoron lennie kell egy címkének (lásd az adminisztratív követelményekről szóló (EU) 2017/656 végrehajtási rendelet III. mellékletét), amelyen fel van tüntetve, hogy a motort milyen összetételű tüzelőanyag-tartományra kalibrálták.

2.5.

A cseppfolyósított földgázzal (LNG)/cseppfolyósított biometánnal üzemelő tüzelőanyag-specifikus motorokra vonatkozó követelmények

A cseppfolyósított földgázzal (LNG)/cseppfolyósított biometánnal üzemelő tüzelőanyag-specifikus motoroknak meg kell felelniük a 2.5.1–2.5.2. pontokban meghatározott követelményeknek.

2.5.1.   Cseppfolyósított földgázzal (LNG)/cseppfolyósított biometánnal üzemelő tüzelőanyag-specifikus motorok

2.5.1.1.

A motort bizonyos összetételű cseppfolyósított földgázra kell kalibrálni, és a kapott λ-eltolódási tényező legfeljebb 3 %-kal térhet el a IX. mellékletben meghatározott G20 tüzelőanyag λ-eltolódási tényezőjétől, illetve a tüzelőanyag etántartalma nem haladhatja meg az 1,5 %-ot.

2.5.1.2.

Ha a 2.5.1.1. pontban foglalt követelmények nem teljesülnek, a gyártó a tüzelőanyag tekintetében általános motorra vonatkozó kérelmet nyújt be a 2.1.3.2. pont előírásai szerint.

▼M2

2.5.2.   Cseppfolyósított földgázzal (LNG) üzemelő tüzelőanyag-specifikus vegyes üzemű motorok

2.5.2.1.

Vegyes üzemű motorcsalád esetében, amennyiben a motorokat olyan meghatározott összetételű cseppfolyósított földgázra kalibrálták, amelynek a λ-eltolódási tényezője legfeljebb 3 %-kal tér el a IX. mellékletben meghatározott G20 tüzelőanyag λ-eltolódási tényezőjétől, és etántartalma nem haladja meg az 1,5 %-ot, az alapmotort csak a G20 referencia-tüzelőanyaggal vagy azzal egyenértékű, a IX. melléklet 1. függelékében meghatározott, vezetékes gáz más gázokkal alkotott keverékének felhasználásával előállított tüzelőanyaggal kell vizsgálni.

▼B

2.6.

Motorcsalád egy tagjának EU-típusjóváhagyása

2.6.1.

A 2.6.2. pontban említett eset kivételével az alapmotorra vonatkozó EU-típusjóváhagyást minden további vizsgálat nélkül ki kell terjeszteni a motorcsalád minden tagjára, (a 2.5. pontban leírt motorok esetében) abba a tartományba tartozó minden tüzelőanyag-összetételre, amely tartományra az alapmotort EU-típusjóváhagyást kapott, vagy (a 2.3. vagy 2.4. pontban leírt motorok esetében) ugyanarra a tüzelőanyag-tartományra, amelyre az alapmotort EU-jóváhagyásban részesítették.

2.6.2.

Ha a műszaki szolgálat úgy ítéli meg, hogy a kiválasztott alapmotor tekintetében a benyújtott kérelem nem reprezentatív teljes mértékben az (EU) 2017/656 végrehajtási rendelet IX. mellékletében meghatározott motorcsaládra, a műszaki szolgálat egy alternatív és szükség esetén egy további referenciamotort választhat ki és vizsgálhat meg.

2.7.

A vegyes üzemű motorokra vonatkozó további követelmények

Vegyes üzemű motortípus vagy motorcsalád EU-típusjóváhagyásának megszerzéséhez a gyártónak:

a) el kell végeznie az 1. függelék 1.3. táblázata szerinti vizsgálatokat;

b) a 2. szakaszban előírt követelményeken túlmenően igazolnia kell, hogy a vegyes üzemű motorokat bevizsgálják, és azok megfelelnek a VIII. mellékletben meghatározott követelményeknek.




1. függelék

A földgáz- és LPG-motorok (a vegyes üzemű motorokat is beleértve) jóváhagyási eljárásának összefoglalása

Az 1.1–1.3. táblázat a földgáz- és LPG-motorokra vonatkozó jóváhagyási eljárását, valamint a vegyes üzemű motorok jóváhagyásához elvégzendő vizsgálatok minimális számát foglalja össze.



1.1. táblázat:

Földgázüzemű motorok EU-típusjóváhagyása

 

2.3. pont: Tüzelőanyag-tartomány tekintetében általános motorokra vonatkozó követelmények

A vizsgálatok száma

Az „r” kiszámítása

2.4. pont: Tüzelőanyag-tartomány tekintetében korlátozott motorokra vonatkozó követelmények

A vizsgálatok száma

Az „r” kiszámítása

Lásd a 2.3.1. pontot.

Tetszőleges tüzelőanyag-összetételhez alkalmazkodó földgázmotor

GR (1) és G25 (2)

a gyártó kérésére a motor más, kereskedelmi forgalomban kapható tüzelőanyaggal (3) is vizsgálható,

ha Sl = 0,89–1,19

2

(max. 3)

image

illetve másik tüzelőanyaggal történő vizsgálat esetén

image

és

image

 

 

 

Lásd a 2.3.2. pontot.

Kapcsolóval működő, automatikusan alkalmazkodó földgázmotor

GR (1) és G23 (3) a H tartományban és

G25 (2) és G23 (3) az L tartományban

A gyártó kérésére a G23 helyett a motor más, kereskedelmi forgalomban kapható tüzelőanyaggal (3) is vizsgálható,

ha Sl = 0,89–1,19

2 a H tartományban és

2 az L tartományban

a kapcsoló megfelelő állásában

image

és

image

 

 

 

Lásd a 2.4.1. pontot.

Vagy H tartományú gázzal, vagy L tartományú gázzal való üzemelésre kialakított földgázüzemű motor

 

 

 

GR (1) és G23 (3) a H tartományban vagy

G25 (2) és G23 (3) az L tartományban

A gyártó kérésére a G23 helyett a motor más, kereskedelmi forgalomban kapható tüzelőanyaggal (3) is vizsgálható,

ha Sl = 0,89–1,19

2 a H tartományban

vagy

2 az L tartományban

2

image

or market fuel

vagy

image

az L tartományban

Lásd a 2.4.2. pontot.

Egy meghatározott összetételű tüzelőanyaggal való üzemelésre kialakított földgázmotor

 

 

 

GR (1) és G25 (2),

A vizsgálatok között a finombeállítás megengedett.

A gyártó kérésére a motor vizsgálható a következő tüzelőanyagokkal:

GR (1) és G23 (3) a H tartományban vagy

G25 (2) és G23 (3) az L tartományban

2

2 a H tartományban

vagy

2 az L tartományban

 



1.2. táblázat:

LPG-motorok EU-típusjóváhagyása

 

2.3. pont: Tüzelőanyag-tartomány tekintetében általános motorokra vonatkozó követelmények

A vizsgálatok száma

Az „r” kiszámítása

2.4. pont: Tüzelőanyag-tartomány tekintetében korlátozott motorokra vonatkozó követelmények

A vizsgálatok száma

Az „r” kiszámítása

Lásd a 2.3.4. pontot.

Tetszőleges tüzelőanyag-összetételhez alkalmazkodó LPG-motor

„A” tüzelőanyag és „B” tüzelőanyag

2

image

 

 

 

Lásd a 2.4.2. pontot.

Egy meghatározott összetételű tüzelőanyaggal való üzemelésre kialakított LPG-motor

 

 

 

„A” tüzelőanyag és „B” tüzelőanyag, a vizsgálatok között a finombeállítás megengedett

2

 



1.3. táblázat:

A vegyes üzemű motorok EU-típusjóváhagyásához elvégzendő vizsgálatok minimális száma

Vegyes üzemű típus

Folyékony üzem

Vegyes üzem

Sűrített földgáz

Cseppfolyósított földgáz

Cseppfolyósított földgáz20

LPG

1A

 

Általános vagy korlátozott

(2 vizsgálat)

Általános

(2 vizsgálat)

Tüzelőanyag-specifikus

(1 vizsgálat)

Általános vagy korlátozott

(2 vizsgálat)

1B

Általános

(1 vizsgálat)

Általános vagy korlátozott

(2 vizsgálat)

Általános

(2 vizsgálat)

Tüzelőanyag-specifikus

(1 vizsgálat)

Általános vagy korlátozott

(2 vizsgálat)

2A

 

Általános vagy korlátozott

(2 vizsgálat)

Általános

(2 vizsgálat)

Tüzelőanyag-specifikus

(1 vizsgálat)

Általános vagy korlátozott

(2 vizsgálat)

2B

Általános

(1 vizsgálat)

Általános vagy korlátozott

(2 vizsgálat)

Általános

(2 vizsgálat)

Tüzelőanyag-specifikus

(1 vizsgálat)

Általános vagy korlátozott

(2 vizsgálat)

3B

Általános

(1 vizsgálat)

Általános vagy korlátozott

(2 vizsgálat)

Általános

(2 vizsgálat)

Tüzelőanyag-specifikus

(1 vizsgálat)

Általános vagy korlátozott

(2 vizsgálat)




II. MELLÉKLET

A gyártásmegfelelőségre vonatkozó intézkedések

1.    Fogalommeghatározások

E melléklet alkalmazásában:

1.1.

„minőségirányítási rendszer” : azon összefüggő vagy egymásra ható elemek, amelyeket a szervezetek a minőségügyi szabályzatok végrehajtásának és a minőségügyi célok teljesítésének irányítására és ellenőrzésére használnak;

1.2.

„ellenőrzés” : az annak értékelésére használt információgyűjtési folyamat, hogy az ellenőrzési kritériumokat mennyiben megfelelően használják; az ellenőrzés legyen objektív, pártatlan és független, és az ellenőrzési folyamat legyen módszeres és dokumentált;

1.3.

„korrekciós intézkedések” : problémamegoldási eljárás, amelyet a megfelelés hiányát vagy a nem kívánatos állapotot előidéző ok megszüntetése érdekében végzett és az ismételt előfordulás megelőzése érdekében kialakított további lépések követnek;

2.    Cél

2.1.

A gyártásmegfelelőség ellenőrzésére szolgáló intézkedések célja annak biztosítása, hogy mindegyik motor megfeleljen a jóváhagyott motortípusra vagy motorcsaládra vonatkozó előírásoknak, valamint a teljesítmény- és jelölési követelményeknek.

2.2.

Az eljárások elválaszthatatlanul magukban foglalják a „kezdeti értékelés”-ként említett és a 3. szakaszban meghatározott, a minőségirányítási rendszerekre vonatkozó értékelést, valamint a „termékek megfelelőségét biztosító intézkedések”-ként említett és a 4. szakaszban meghatározott felülvizsgálatot és gyártással kapcsolatos ellenőrzést.

3.    Kezdeti értékelés

3.1.

A jóváhagyó hatóságnak az EU-típusjóváhagyás megadása előtt ellenőriznie kell a gyártó által a hatékony ellenőrzés biztosítása céljából meghatározott, kielégítő intézkedések és eljárások meglétét, hogy a motorok a gyártás során megfeleljenek a jóváhagyott motortípusnak vagy motorcsaládnak.

3.2.

A kezdeti értékelésre az EN ISO 19011:2011 szabványban meghatározott, a minőség- és/vagy környezeti irányítási rendszerek ellenőrzésére vonatkozó útmutató alkalmazandó.

3.3.

A jóváhagyó hatóságnak megfelelőnek kell találnia a kezdeti értékelést és a 4. szakasz szerinti, a termékek megfelelőségét biztosító kezdeti intézkedéseket, szükség szerint figyelemmel a 3.3.1–3.3.3. pontban meghatározott intézkedések egyikére, vagy adott esetben részben vagy egészben az intézkedések kombinációjára.

3.3.1.

A kezdeti értékelést és/vagy a termékek megfelelőségét biztosító intézkedések vizsgálatát a jóváhagyást megadó jóváhagyó hatóság vagy a jóváhagyó hatóság nevében eljáró kijelölt testület végzi el.

3.3.1.1.

Az elvégzendő kezdeti értékelés terjedelmének meghatározásához a jóváhagyó hatóság figyelembe veheti a gyártónak a 3.3.3. pont alapján el nem fogadott tanúsítványával kapcsolatosan rendelkezésre álló információkat.

3.3.2.

▼M2

A kezdeti értékelés és a termékek megfelelőségét biztosító intézkedések vizsgálata más tagállam jóváhagyó hatóságával vagy a jóváhagyó hatóság által erre a célra kijelölt testülettel együttműködve is elvégezhető.

▼B

3.3.2.1.

Ebben az esetben a másik tagállam jóváhagyó hatósága megfelelőségi tanúsítványt állít ki, amely vázolja az EU-típusjóváhagyás tárgyát képező motorok szempontjából lényeges területeket és gyártóüzemeket.

3.3.2.2.

Egy tagállam EU-típusjóváhagyást megadó jóváhagyó hatóságának megfelelőségi tanúsítvány iránti kérelmére a másik tagállam jóváhagyó hatósága haladéktalanul megküldi a megfelelőségi tanúsítványt vagy a tájékoztatást arról, hogy nincs módja ilyen tanúsítvány kiadására.

3.3.2.3.

A megfelelőségi tanúsítvány legalább a következőket tartalmazza:

3.3.2.3.1. vállalkozáscsoport vagy vállalkozás (például XYZ Gépgyártó);

3.3.2.3.2. a konkrét szervezet megjelölése (például európai részleg);

3.3.2.3.3. gyárak/telephelyek megnevezése (például 1. motorgyár [Egyesült Királyság] – 2. motorgyár [Németország]);

3.3.2.3.4. a tárgyát képező motortípusok/motorcsaládok;

3.3.2.3.5. az érintett területek (például motor-összeállítás, -vizsgálat, utókezelő rendszer gyártása)

3.3.2.3.6. a megvizsgált dokumentumok (például a vállalat és az üzem minőségbiztosítási kézikönyve és minőségbiztosítási eljárása);

3.3.2.3.7. az értékelés dátuma (például az ellenőrzésre 2013. május 18. és 2013. május 30. között került sor);

3.3.2.3.8. a tervezett ellenőrző látogatás időpontja (például 2014. október).

3.3.3.

A jóváhagyó hatóságnak továbbá el kell fogadnia a gyártónak az EN ISO 9001:2008 harmonizált szabvány vagy azzal egyenértékű harmonizált szabvány szerinti megfelelő bizonylatát a 3.3. pont szerinti kezdeti értékelés követelményeinek teljesítésére vonatkozóan. A gyártó részletes adatokat nyújt a minősítésről, és vállalja, hogy értesíti a jóváhagyó hatóságot a minősítés érvényességével és hatályával kapcsolatos minden változásról.

4.    A termékek megfelelőségét biztosító intézkedések

4.1.

Az (EU) 2016/1628 rendelet, e felhatalmazáson alapuló rendelet, az (EU) 2017/655 felhatalmazáson alapuló rendelet és az (EU) 2017/656 végrehajtási rendelet szerint EU-típusjóváhagyásban részesített motorokat úgy kell gyártani, hogy az e mellékletben, az (EU) 2016/1628 rendeletben, valamint az említett, felhatalmazáson alapuló és végrehajtási rendeletekben foglalt követelményeket teljesítve megfeleljenek a jóváhagyott motortípusnak vagy motorcsaládnak.

4.2.

Az (EU) 2016/1628 rendelet, valamint az ugyanazon rendelet alapján elfogadott, felhatalmazáson alapuló jogi aktusok és végrehajtási jogi aktusok szerinti EU-típusjóváhagyás megadása előtt a jóváhagyó hatóság ellenőrzi, hogy sor került-e a megfelelő intézkedésekre, és írásban rögzítve rendelkezésre állnak-e a vizsgálati eljárások, minden jóváhagyás tekintetében a gyártóval egyeztetve, amelyet követően az ilyen vizsgálatokat és kapcsolódó ellenőrzéseket rendszeres időközönként végre kell hajtani a jóváhagyott motortípusnak vagy motorcsaládnak való folyamatos megfelelés ellenőrzése céljából, ideértve adott esetben az (EU) 2016/1628 rendeletben, valamint az ugyanazon rendelet alapján elfogadott, felhatalmazáson alapuló jogi aktusokban és végrehajtási jogi aktusokban meghatározott vizsgálatokat.

4.3.

Az EU-típusjóváhagyás jogosultja:

4.3.1. gondoskodik a motorok jóváhagyott motortípusnak vagy motorcsaládnak való megfelelőségének hatékony ellenőrzését biztosító eljárások meglétéről és alkalmazásáról;

4.3.2. hozzáféréssel rendelkezik minden jóváhagyott motortípus vagy motorcsalád ellenőrzéséhez szükséges vizsgáló- vagy egyéb megfelelő rendszerhez;

4.3.3. biztosítja, hogy a vizsgálati vagy ellenőrzési eredményeket rögzítsék, és a csatolt iratok hozzáférhetők maradjanak a jóváhagyó hatósággal való megegyezés alapján meghatározott, akár 10 éves időtartamig;

4.3.4. az NRSh és az NRS motorkategória esetében – az NRS-v-2b és NRS-v-3 alkategória kivételével – gondoskodik legalább az (EU) 2016/1628 rendeletben, valamint az ugyanazon rendelet alapján elfogadott, felhatalmazáson alapuló jogi aktusokban és végrehajtási jogi aktusokban előírt ellenőrzések és vizsgálatok elvégzéséről. Egyéb motorkategóriák esetében a gyártó és a jóváhagyó hatóság megállapodhat a megfelelő kritérium alapján az alkatrész vagy alkatrész-összeállítás szintjén elvégzendő vizsgálatokról;

4.3.5. elemzi minden típusú vizsgálat vagy ellenőrzés eredményét, hogy az ipari termelésben megengedhető tűrések figyelembevételével ellenőrizze és biztosítsa a termék jellemzőinek állandóságát;

4.3.6. biztosítja, hogy ha a mintasorozat vagy a vizsgálati darab igazolhatóan nem felel meg az adott típusú vizsgálat során, további mintavételre, vizsgálatra és ellenőrzésre kerüljön sor.

4.4.

Ha a 4.3.6. pontban említett további vizsgálat és ellenőrzés eredménye a jóváhagyó hatóság véleménye szerint nem kielégítő, a gyártónak korrekciós intézkedésekkel kell gondoskodnia arról, hogy a gyártásmegfelelőség a hatóság számára hitelt érdemlően a lehető leghamarabb helyreálljon.

5.    Folyamatos felülvizsgálati intézkedések

5.1.

Az EU-típusjóváhagyást megadó hatóság időszakos ellenőrzések keretében bármikor ellenőrizheti az egyes termelőüzemekben alkalmazott gyártásmegfelelőség-ellenőrzési módszereket. A gyártónak ebből a célból lehetővé kell tennie a gyártási, műszaki ellenőrzési, vizsgálati, tárolási helyekre és forgalmazási létesítményekbe történő belépést, és rendelkezésre kell bocsátania minden szükséges információt a minőségirányítási rendszer dokumentációja és nyilvántartásai tekintetében.

5.1.1.

Az ilyen időszakos ellenőrzések során szokványos stratégiaként a 3. és 4. szakaszban meghatározott eljárások (kezdeti értékelés és a termékek megfelelőségét biztosító intézkedések) folyamatos hatékonyságát kell figyelemmel kísérni.

5.1.1.1.

A (3.3.3. pont szerint minősített vagy elismert) műszaki szolgálat által folytatott felügyeleti tevékenységet kielégítőnek kell tekinteni a 5.1.1. pont előírásai szempontjából, tekintettel a kezdeti értékelésnél meghatározott követelményekre.

5.1.1.2.

Az (5.1.1.1. pontban említettektől eltérő) felülvizsgálatokat legalább kétévente kell elvégezni annak biztosítása érdekében, hogy a 3. és 4. szakasz szerinti gyártásmegfelelőségi ellenőrzéseket olyan időközönként vizsgálják felül, amelyet a jóváhagyó hatóság az addigi tapasztalatok alapján állapít meg. A jóváhagyó hatóság mindazonáltal további felülvizsgálatokat végezhet az éves termeléstől, a korábbi értékelések eredményeitől és a korrekciós intézkedések ellenőrzésének szükségességétől függően, valamint másik jóváhagyó hatóság vagy valamely piacfelügyeleti hatóság indokolt kérelmére.

5.2.

A vizsgálatok vagy ellenőrzések adatait és a gyártási nyilvántartásokat minden felülvizsgálatkor hozzáférhetővé kell tenni az ellenőr számára; különösen azoknak az ellenőrzéseknek vagy dokumentált vizsgálatoknak az eredményeit, amelyek a 4.2. pont alapján szükségesek.

5.3.

Az ellenőr véletlenszerűen mintákat vehet, amelyeket a gyártó laboratóriumában vagy a műszaki szolgálat telephelyén megvizsgál, amely esetben csak fizikai vizsgálatok végezhetők el. A minták legkisebb száma a gyártó saját ellenőrzéseinek eredményei alapján határozható meg.

5.4.

Ha az ellenőrzés szintje elégtelennek látszik, vagy ha szükségesnek tűnik ellenőrizni az 5.2. bekezdés alkalmazásában elvégzett vizsgálatok érvényességét, illetve másik jóváhagyó hatóság vagy valamely piacfelügyeleti hatóság arra vonatkozó indokolt kérelmet nyújt be, akkor az ellenőrnek mintákat kell vennie, amelyeket a gyártó laboratóriumában kell bevizsgálni vagy a műszaki szolgálathoz kell beküldeni, hogy fizikai vizsgálatokat végezzen a 6. szakaszban, az (EU) 2016/1628 rendeletben, valamint az ugyanazon rendelet alapján elfogadott, felhatalmazáson alapuló jogi aktusokban és végrehajtási jogi aktusokban foglalt követelmények szerint.

5.5.

Amennyiben a műszaki ellenőrzés vagy a felülvizsgálat során a jóváhagyó hatóság vagy másik tagállam jóváhagyó hatósága az (EU) 2016/1628 rendelet 39. cikkének (3) bekezdésére figyelemmel hiányosságokat állapít meg, a jóváhagyó hatóság biztosítja, hogy minden szükséges intézkedést megtesznek a gyártás megfelelőségének helyreállítására, amilyen gyorsan az lehetséges.

6.    A gyártás megfelelőségének vizsgálati követelményei a gyártásmegfelelőségi ellenőrzés 5.4. pontban említett nem megfelelő szintje esetén

6.1.

A gyártásmegfelelőségi ellenőrzés 5.4. vagy 5.5. pontban említett nem megfelelő szintje esetén a gyártás megfelelőségét az adminisztratív követelményekről szóló (EU) 2017/656 végrehajtási rendelet IV. mellékletében meghatározott EU-típusbizonyítványban szereplő leírás alapján, kibocsátásvizsgálattal kell ellenőrizni.

6.2.

A 6.3. pont eltérő rendelkezése hiányában a következő eljárást kell alkalmazni:

6.2.1.

A vizsgált motortípus sorozatgyártásából három motort és – adott esetben – három utókezelő rendszert kell véletlenszerűen kiválasztani műszaki ellenőrzésre. További motorok is kiválaszthatók, ha erre az elfogadó vagy elutasító döntés meghozatalához szükség van. Az elfogadó döntéshez legalább négy motort kell bevizsgálni.

6.2.2.

Miután az ellenőr kiválasztotta a motorokat, a gyártó többé semmiféle beállítást sem végezhet a kiválasztott motorokon.

6.2.3.

A motorokon kibocsátásvizsgálatot kell végezni a VI. melléklet vagy vegyes üzemű motorok esetében a VIII. melléklet 2. függeléke szerinti követelményeknek megfelelően, a XVII. melléklet értelmében az adott motortípusra vonatkozó vizsgálati ciklusok során.

▼M2

6.2.3.1.

A 6.2.3. pont rendelkezéseinek sérelme nélkül, amennyiben RLL kategóriájú motorok esetében az (EU) 2017/656 végrehajtási rendelet 7. cikkének (2) bekezdésével összhangban meglévő vizsgálati jelentést használnak a típusjóváhagyáshoz, e melléklet alkalmazásában az F. típusú vizsgálati ciklus adott számú üzemmódjában a százalékos terhelés és teljesítmény, valamint a súlyozó tényező értéke megegyezhet a típusjóváhagyási vizsgálathoz használt értékekkel.

▼B

6.2.4.

Az (EU) 2016/1628 rendelet II. mellékletében meghatározott határértékeket kell alkalmazni. Amennyiben az utókezelő rendszerrel felszerelt motor a VI. melléklet 6.6.2. pontja szerint időszakosan regenerálódik, mindegyik gáz- vagy szilárd halmazállapotú szennyező anyag mért kibocsátását ki kell igazítani az adott motortípusra alkalmazandó tényezővel. Az egyes gáz- és szilárd halmazállapotú ►M2  szennyező anyagok mért kibocsátásának értékét minden esetben az adott motortípusra a III. mellékletnek megfelelően megállapított romlási tényezők alkalmazásával ◄ kell kiigazítani.

6.2.5.

A vizsgálatokat újonnan gyártott motorokon kell végezni.

6.2.5.1.

A gyártó kérésére a vizsgálatokat olyan motorokon is el lehet végezni, amelyeket a kibocsátástartóssági időtartam 2 %-ának megfelelő ideig, vagy ha ez rövidebb, 125 órán keresztül bejárattak. Amennyiben a bejáratást a gyártó végzi el, annak vállalnia kell, hogy semmilyen beállítást nem változtat meg ezeken a motorokon. Amennyiben a gyártó az adminisztratív követelményekről szóló (EU) 2017/656 végrehajtási rendelet I. melléklete értelmében bejáratási eljárást írt elő az adatközlő lap 3.3. pontjában, akkor a bejáratást azon eljárás szerint kell elvégezni.

6.2.6.

Az 1. függelékben meghatározottak szerint mintaként kiválasztott motor vizsgálata alapján a vizsgált motorok sorozatgyártását a jóváhagyott típusnak megfelelőnek kell tekinteni, ha az 1. függelék vizsgálati kritériumai alapján és a 2.1. ábrán látható módon az összes szennyező anyaggal kapcsolatban elfogadó döntés született, és a jóváhagyott típusnak nem megfelelőnek kell tekinteni, ha egy szennyező anyaggal kapcsolatban elutasító döntés született.

6.2.7.

Ha egy szennyező anyagra nézve elfogadó döntés született, ezt a döntést más szennyező anyagokkal kapcsolatos döntés érdekében végzett további vizsgálatok eredményei következtében nem változtathatják meg.

Ha nem született elfogadó döntés valamennyi szennyező anyag tekintetében, és egyik szennyező anyagra sem született elutasító döntés, a vizsgálatot egy másik motoron is el kell végezni.

6.2.8.

Ha nem született döntés, a gyártó bármikor leállíthatja a vizsgálatot. Ebben az esetben elutasító döntést kell rögzíteni.

6.3.

A 6.2.1. ponttól eltérve a következő eljárást kell alkalmazni azokra a motortípusokra, amelyek Unión belüli éves értékesítési volumene 100 egység alatt van:

6.3.1. A vizsgált motortípus sorozatgyártásából egy motort és – adott esetben – egy utókezelő rendszert kell véletlenszerűen kiválasztani műszaki ellenőrzésre.

6.3.2. Ha a motor megfelel a 6.2.4. pontban foglalt követelményeknek, elfogadó döntés születik, és nincs szükség további vizsgálatokra.

6.3.3. Ha a vizsgálat során nem teljesülnek a 6.2.4. pontban meghatározott követelmények, a 6.2.6–6.2.9. pontban leírt eljárást kell alkalmazni.

6.4.

Mindezek a vizsgálatok a megfelelő, kereskedelmi forgalomban kapható tüzelőanyagokkal végezhetők el. A gyártó kérésére azonban a IX. mellékletben leírt referencia-tüzelőanyagokat kell használni. ►M2  A földgáz/biometán- vagy LPG- (cseppfolyós propán-bután) motorok esetében (a vegyes üzemű motorokat is beleértve) a vizsgálatokat az I. melléklet 1. függelékében leírt módon mindegyik gázmotoron legalább két referencia-tüzelőanyaggal kell elvégezni, kivéve a tüzelőanyag-specifikus típusjóváhagyással rendelkező gázmotorokat, amelyek esetében csak egy referencia-tüzelőanyag szükséges. ◄ Több gáz-halmazállapotú referencia-tüzelőanyag használata esetén az eredményeknek igazolniuk kell, hogy a motor mindegyik tüzelőanyaggal megfelel a határértékeknek.

6.5.

Gázmotorok meg nem felelése

Ha a kereskedelmi forgalomban levő tüzelőanyag használatakor a gázmotorok (a vegyes üzemű motorokat is beleértve) megfelelését illetően vita alakulna ki, a vizsgálatokat minden olyan referencia-tüzelőanyaggal el kell végezni, amellyel az alapmotort vizsgálták, valamint a gyártó kérésére azzal az I. melléklet 2.3.1.1.1., 2.3.2.1. és 2.4.1.2. pontjában említett esetleges további harmadik tüzelőanyaggal, amellyel az alapmotort vizsgálhatták. Adott esetben az eredményt az I. melléklet 2.3.3., 2.3.4.1. és 2.4.1.3. pontjában leírt megfelelő „r”, „r a” vagy „r b” viszonyszámot alkalmazva át kell számítani. Ha az r, r a vagy r b kisebb egynél, nem kell korrekciót végezni. A mért és adott esetben a számított eredményeknek igazolniuk kell, hogy a motor minden vonatkozó tüzelőanyaggal (például földgáz-/biometánmotorok esetében az 1., 2. és adott esetben 3. tüzelőanyaggal, LPG-motorok esetében pedig az A. és B. tüzelőanyaggal) megfelel a határértékeknek.

2.1. ábra

A gyártásmegfelelőség vizsgálatának folyamatábrája

image




1. függelék

Eljárás a gyártás megfelelőségének vizsgálatára

1. Ez a függelék a gyártás szennyezőanyag-kibocsátás szempontjából tekintett megfelelőségének igazolására szolgáló eljárást írja le.

2. Legalább három motorból álló mintaméret mellett a mintavételi eljárást úgy kell meghatározni, hogy annak valószínűsége, hogy a tétel átmenjen a próbán 30 %-nyi hibás motor mellett, 0,90 (a gyártó kockázata = 10 %), míg annak valószínűsége, hogy a tételt elfogadják 65 %-nyi hibás motor mellett, 0,10 (a fogyasztó kockázata = 10 %).

3. Mindegyik kibocsátott szennyező anyagra a következő eljárást kell alkalmazni (lásd a 2.1. ábrát):

Legyen

:

n = a próbadarabok száma.

4. A minta tekintetében meg kell adni az n-edik vizsgálatnál nem megfelelő eredménnyel végződő vizsgálatok összesített számát meghatározó vizsgálati statisztikát.

5. Ezután:

a) ha a vizsgálati statisztika eredménye nem nagyobb, mint a mintaméretre a 2.1. táblázatban megadott elfogadási küszöbérték, a szennyező anyagra elfogadó döntés születik;

b) ha a vizsgálati statisztika eredménye nem kisebb, mint a mintaméretre a 2.1. táblázatban megadott elutasítási küszöbérték, a szennyező anyagra elutasító döntés születik;

c) minden más esetben meg kell vizsgálni egy újabb motort a 6.2. pont szerint, és a számítási eljárást az eggyel nagyobb mintaméretre kell alkalmazni.

A 2.1. táblázatban megadott elfogadási és elutasítási küszöbértékeket az ISO 8422/1991 szabvány segítségével kell kiszámítani.

2.1. táblázat

A gyártás megfelelőségének vizsgálatára vonatkozó vizsgálati statisztika



Legkisebb mintaméret: 3

Minimális mintaméret elfogadó döntéshez: 4



Vizsgált motorok összesen (mintaméret)

Elfogadási küszöbérték

Elutasítási küszöbérték

3

3

4

0

4

5

0

4

6

1

5

7

1

5

8

2

6

9

2

6

10

3

7

11

3

7

12

4

8

13

4

8

14

5

9

15

5

9

16

6

10

17

6

10

18

7

11

19

8

9




III. MELLÉKLET

A laboratóriumi kibocsátásvizsgálatok eredményeinek a romlási tényezők beszámításával történő kiigazítására szolgáló módszer

1.    Fogalommeghatározások

E melléklet alkalmazásában a következő fogalommeghatározásokat kell alkalmazni:

1.1.

„öregítési ciklus” : a nem közúti mozgó gép vagy a motor tartampróba ideje alatt végrehajtandó működtetése (fordulatszám, terhelés, teljesítmény);

1.2.

„kibocsátással kapcsolatos kritikus alkatrészek” : a kipufogógáz-utókezelő rendszer, az elektronikus motorvezérlő egység és a kapcsolódó érzékelők és működtetők, valamint kipufogógáz-visszavezető rendszer, beleértve az összes kapcsolódó szűrőt, hűtőt, szabályozószelepet és csőrendszert;

1.3.

„kibocsátással kapcsolatos kritikus karbantartás” : a motor kibocsátással kapcsolatos kritikus alkatrészein elvégzendő karbantartás;

1.4.

„kibocsátással kapcsolatos karbantartás” : olyan karbantartás, mely érdemben befolyásolja a kibocsátást, vagy amely a rendes használat során valószínűleg befolyásolja a nem közúti mozgó gép vagy a motor kibocsátáscsökkentési teljesítményét;

1.5.

„utókezelő rendszer szerinti motorcsalád” : olyan motoroknak a gyártó által kialakított csoportja, amelyek megfelelnek egy motorcsalád definíciójának, de amelyeket ezen túlmenően a motorcsaládok hasonló kipufogógáz-utókezelő rendszert alkalmazó családjába soroltak;

1.6.

„kibocsátással nem kapcsolatos karbantartás” : olyan karbantartás, amely érdemben nem befolyásolja a kibocsátást, vagy amely a rendes használat során nem fejt ki tartós hatást a nem közúti mozgó gép vagy a motor kibocsátásának romlására.

1.7.

„tartampróba” : az utókezelő rendszer szerinti motorcsalád romlási tényezőinek meghatározása tekintetében az öregítési ciklus és az összesített használati időszak;

2.    Általános rendelkezések

2.1.

Ez a melléklet a romlási tényezőknek a motortípusok vagy motorcsaládok EU-típusjóváhagyásához és a gyártás megfelelőségének megállapításához történő meghatározása céljából a tartampróba alatt vizsgálandó motorok kiválasztására szolgáló eljárásokat határozza meg. A romlási tényezőket a VI. melléklet szerint kell alkalmazni a mért kibocsátásra, és a VII. mellékletnek megfelelően, a 3.2.7., illetve a 4.3. pontban meghatározott eljárást követve kell kiszámítani.

2.2.

A romlás meghatározására elvégzett tartampróbákon vagy szennyezőanyag-kibocsátási vizsgálatokon a jóváhagyó hatóságnak nem kell részt vennie.

2.3.

Ez a melléklet részletesen leírja a motorokon a tartampróba alatt elvégzendő vagy elvégezhető, kibocsátással kapcsolatos és kibocsátással nem kapcsolatos karbantartásokat is. Az ilyen karbantartásnak meg kell felelnie a használatban lévő motorokon végzett karbantartásnak, és erről tájékoztatni kell az új motorok végfelhasználóit.

3.    NRE, NRG, IWP, IWA, RLL, RLR, SMB és ATS motorkategóriák, valamint NRS-v-2b és NRS-v-3 alkategóriák

3.1.   A motorok kiválasztása a kibocsátástartóssági időtartam romlási tényezőinek meghatározása céljából

3.1.1.

A kibocsátástartóssági időtartam romlási tényezőinek meghatározása céljából szennyezőanyag-kibocsátási vizsgálatra az adminisztratív követelményekről szóló (EU) 2017/656 végrehajtási rendelet IX. mellékletének 2. szakaszában meghatározott motorcsaládból választanak ki motorokat.

▼M2

3.1.2.

Különböző motorcsaládokból származó motorokból is kialakíthatók motorcsaládok, az alkalmazott kipufogógáz-utókezelő rendszer alapján, vagy amennyiben nem alkalmaznak utókezelő rendszert, a kibocsátáscsökkentési rendszer műszaki jellemzőinek hasonlósága alapján. A különböző furattal és lökettel, különböző konfigurációban, különböző levegőkezelő rendszerekkel és különböző tüzelőanyag-rendszerekkel készült motorokat a kibocsátásromlási jellemzők szempontjából egyenértékűnek lehet tekinteni, ha a gyártó adatokat szolgáltat a jóváhagyó hatóságnak arról, hogy a szóban forgó megállapítás műszakilag megalapozott. Annak érdekében, hogy a kipufogógáz-utókezelő rendszer vonatkozásában hasonló műszaki specifikációjú és beépítésű motorcsaládokat ugyanabba az utókezelő rendszer szerinti motorcsaládba lehessen besorolni, a gyártónak olyan adatokat kell szolgáltatnia a jóváhagyó hatóság számára, amelyek bizonyítják, hogy az ilyen motorok kibocsátáscsökkentési teljesítménye hasonló.

3.1.3.

A vizsgált motornak azon motorcsaládok kibocsátásromlási jellemzőit kell képviselnie, amelyek típusjóváhagyásánál a romlási tényezők kapott értékeit alkalmazni fogják. A motor gyártójának ki kell választania egy, a motorcsaládot, a motorcsaládok csoportját vagy az utókezelő rendszer szerinti, a 3.1.2. pontnak megfelelően meghatározott motorcsaládot reprezentáló motort a 3.2.2. pontban említett tartampróba alatti vizsgálatra, és ezt a vizsgálat megkezdése előtt jelentenie kell a jóváhagyó hatóságnak.

3.1.4.

Ha a jóváhagyó hatóság úgy határoz, hogy a motorcsalád, a motorcsaládok csoportja vagy az utókezelő rendszer szerinti motorcsalád legrosszabb szennyező anyag-kibocsátását egy másik vizsgált motor jobban jellemezheti, a felhasználandó vizsgált motort a jóváhagyó hatóságnak és a motor gyártójának közösen kell kiválasztania.

▼B

3.2.   A kibocsátástartóssági időtartam romlási tényezőinek meghatározása

▼M2

3.2.1.   Általános rendelkezések

A motorcsaládra, a motorcsaládok csoportjára vagy az utókezelő rendszer szerinti motorcsaládra alkalmazandó romlási tényezőket a kiválasztott motorok tartampróbája alapján kell meghatározni, amelynek része a gáz- és a szilárd halmazállapotú szennyező anyag-kibocsátásnak a motorkategóriára vonatkozó egyes vizsgálati ciklusok során történő időszakos vizsgálata az (EU) 2016/1628 rendelet IV. mellékletében foglaltak szerint. Az NRE kategóriájú motorok nem közúti tranziens vizsgálati ciklusainak („NRTC”) esetében csak az NRTC melegindításos vizsgálatainak („melegindításos NRTC”) eredményeit kell használni.

▼B

3.2.1.1.

A gyártó kérésére a jóváhagyó hatóság engedélyezheti a 3.2.2–3.2.5. pontban megállapított eljárásoktól eltérő eljárással meghatározott romlási tényezők alkalmazását. Ebben az esetben a gyártónak a jóváhagyó hatóság számára hitelt érdemlően igazolnia kell, hogy az alkalmazott eljárások nem kevésbé szigorúak, mint a 3.2.2–3.2.5. pontban megállapított eljárások.

3.2.2.   A tartampróba menetrendje

A tartampróbát a gyártó választása szerint a kiválasztott motorral felszerelt nem közúti mozgó gép egy tényleges tartampróba szerinti tényleges üzemeltetésével vagy a kiválasztott motor motorfékpados tartampróba szerinti üzemeltetésével lehet teljesíteni. A gyártó a kibocsátásmérés vizsgálati pontjai közötti tartampróbához nem köteles referencia-tüzelőanyagot használni.

3.2.2.1.   Tényleges és fékpados tartampróba

3.2.2.1.1.

A gyártónak a helyes műszaki megítélés szerint kell meghatároznia a motorok tekintetében a tartampróba és az öregítési ciklus formáját és tartamát.

3.2.2.1.2.

A gyártónak az alábbiak szerint kell meghatároznia az alkalmazandó ciklusok során a gáz- és szilárd halmazállapotú szennyezőanyag-kibocsátás méréséhez használt vizsgálati pontokat:

3.2.2.1.2.1. A 3.2.2.1.7. pont szerint a kibocsátástartóssági időtartamnál rövidebb tartampróba végrehajtása esetén a vizsgálatot legalább három ponton kell végezni: egyet a tartampróba kezdetén, egyet középidőben és egyet a program végén.

3.2.2.1.2.2. A tartampróba kibocsátástartóssági időtartam végéig történő végrehajtásakor a vizsgálatot legalább két ponton kell végezni: egyet a tartampróba kezdetén, egyet pedig a végén.

3.2.2.1.2.3. A gyártó ezen túlmenően egyenletesen elosztott közbenső pontokon is végezhet vizsgálatot.

3.2.2.1.3.

Az indulási ponton és a kibocsátástartóssági időtartam végpontján a 3.2.5.1. pont szerint számított vagy a 3.2.2.1.2.2. pont szerint közvetlenül mért kibocsátási értékeknek a motorcsaládra vonatkozó határértékek közé kell esniük. A közbenső vizsgálati pontokon mért egyes kibocsátási eredmények ugyanakkor túlléphetik a kibocsátási határértékeket.

3.2.2.1.4.

Azon motorkategóriák vagy -alkategóriák esetében, amelyekre NRTC vonatkozik, vagy azon NRS kategóriájú vagy alkategóriájú motorok esetében, amelyekre a nagy szikragyújtású motorokra vonatkozó nem közúti tranziens ciklus („LSI-NRTC”) vonatkozik, gyártó a jóváhagyó hatóság hozzájárulását kérheti ahhoz, hogy minden vizsgálati ponton csak egy vizsgálati ciklust (esettől függően a melegindításos NRTC- vagy LSI-NRTC-vizsgálatot, illetve az NRSC-vizsgálatot) futtasson, a másik vizsgálati ciklust pedig csak a tartampróba kezdetén és végén futtassa le.

3.2.2.1.5.

Azon motorkategóriák vagy -alkategóriák esetében, amelyekre vonatkozóan nem szerepel nem közúti tranziens ciklus az (EU) 2016/1628 rendelet IV. mellékletében, csak az NRSC-ciklust kell lefuttatni az egyes vizsgálati pontokon.

3.2.2.1.6.

A különböző utókezelő rendszer szerinti motorcsaládok tartampróbái különbözhetnek egymástól.

3.2.2.1.7.

A tartampróbák rövidebbek lehetnek a kibocsátástartóssági időtartamnál, de nem lehetnek rövidebbek az (EU) 2016/1628 rendelet V. mellékletében megadott, vonatkozó kibocsátástartóssági időtartam legalább egynegyedénél.

3.2.2.1.8.

A tartampróba tüzelőanyag-fogyasztás alapján történő kiigazításával megengedett a gyorsított öregítés. A kiigazításnak a használat közbeni jellemző tüzelőanyag-fogyasztás és az öregítési ciklus alatti tüzelőanyag-fogyasztás arányát kell alapul vennie, de az öregítési ciklus alatti tüzelőanyag-fogyasztás legfeljebb 30 %-kal haladhatja meg a használat közbeni jellemző tüzelőanyag-fogyasztást.

3.2.2.1.9.

A jóváhagyó hatóság jóváhagyásával a gyártó más gyorsított öregítési módszereket is használhat.

3.2.2.1.10.

A tényleges tartampróbát részletesen ismertetni kell a EU-típusjóváhagyásra irányuló kérelemben, és a vizsgálat megkezdése előtt jelenteni kell a jóváhagyó hatóságnak.

3.2.2.2.

Ha a jóváhagyó hatóság úgy dönt, hogy további méréseket kell végezni a gyártó által kiválasztott pontok között, akkor erről értesítenie kell a gyártót. A tartampróba módosított programját a gyártó készíti el és a jóváhagyó hatóság hagyja jóvá.

3.2.3.   A motor vizsgálata

3.2.3.1.   A motor stabilizálása

3.2.3.1.1.

A gyártónak az utókezelő rendszer szerinti minden egyes motorcsaládra meg kell határoznia a nem közúti mozgó gép vagy a motor azon üzemóraszámát, amely után az utókezelő rendszer működése stabilizálódik. A jóváhagyó hatóság kérésére a gyártó az ennek meghatározásához használt adatokat és elemzéseket rendelkezésre bocsátja. A gyártó ettől eltérően a motor-utókezelő rendszer stabilizálása érdekében 60–125 órán át vagy ennek megfelelő ideig az öregítési cikluson át is járathatja a motort vagy a nem közúti mozgó gépet.

3.2.3.1.2.

A 3.2.3.1.1. pontban meghatározott stabilizálási időszak végét kell a tényleges tartampróba kezdetének tekinteni.

3.2.3.2.   Vizsgálat tényleges használatban

3.2.3.2.1.

A stabilizálás után a motort a 3.2.2. pontban ismertetett módon a gyártó által választott tényleges tartampróba szerint kell járatni. A tartampróba alatt a gyártó által megadott, illetve adott esetben a jóváhagyó hatóság által a 3.2.2.2. pontnak megfelelően meghatározott időközönként a motor gáz- és szilárd halmazállapotú szennyezőanyag-kibocsátását a motorkategóriára vonatkozó melegindításos NRTC- és NRSC-ciklusokkal vagy LSI-NRTC- és NRSC-ciklusokkal kell vizsgálni az (EU) 2016/1628 rendelet IV. mellékletében foglaltak szerint.

A gyártó a szennyezőanyag-kibocsátásokat a kipufogógáz-utókezelő rendszer előtt is lemérheti, a kipufogógáz-utókezelő rendszer utáni szennyezőanyag-kibocsátásoktól függetlenül.

Ha a 3.2.2.1.4. pontnak megfelelően megállapodás született arról, hogy az egyes vizsgálati pontokon csak egy vizsgálati ciklust (melegindításos NRTC, LSI-NRTC vagy NRSC) futtatnak le, akkor a másik vizsgálati ciklust (melegindításos NRTC, LSI-NRTC vagy NRSC) a tartampróba kezdetén és végén kell lefuttatni.

A 3.2.2.1.5. pont szerint azon motorkategóriák vagy -alkategóriák esetében, amelyekre vonatkozóan nem szerepel nem közúti tranziens ciklus az (EU) 2016/1628 rendelet IV. mellékletében, csak az NRSC-ciklust kell lefuttatni az egyes vizsgálati pontokon.

3.2.3.2.2.

A tartampróba alatt a motoron a karbantartást a 3.4. pontnak megfelelően kell elvégezni.

3.2.3.2.3.

A tartampróba alatt nem tervezett karbantartást is lehet végezni a motoron vagy a nem közúti mozgó gépen, például, ha a gyártó szokásos diagnosztikai rendszere olyan problémát észlelt, amely hibát jelzett volna a nem közúti mozgó gép üzemeltetőjének.

3.2.4.   Jelentéstétel

3.2.4.1.

A tartampróba során végzett valamennyi kibocsátásmérés (melegindításos NRTC, LSI-NRTC és NRSC) eredményét a jóváhagyó hatóság rendelkezésére kell bocsátani. Ha egy kibocsátási vizsgálatot érvénytelennek nyilvánítanak, a gyártónak indokolnia kell, hogy miért lett érvénytelen a vizsgálat. Ilyen esetben a tartampróba következő 100 óráján belül másik kibocsátásmérési sorozatot kell lefolytatni.

3.2.4.2.

A gyártónak nyilvántartásában a tartampróba alatt végzett kibocsátásmérésre és a motort érintő karbantartásra vonatkozó minden információt meg kell őriznie. Ezeket az információkat a tartampróba során végzett szennyezőanyag-kibocsátási vizsgálati eredményekkel együtt be kell nyújtania a jóváhagyó hatósághoz.

3.2.5.   A romlási tényezők meghatározása

3.2.5.1.

A 3.2.2.1.2.1. vagy a 3.2.2.1.2.3. pont szerinti tartampróba során a melegindításos NRTC-, LSI-NRTC- és NRSC-vizsgálatokkal mért valamennyi szennyező anyag esetében és valamennyi vizsgálati ponton mért összes vizsgálati eredmény alapján „legjobban illeszkedő” lineáris regresszióanalízist kell végezni. Az egyes szennyező anyagokra vonatkozóan kapott minden vizsgálati eredményt eggyel több tizedesjegyig kell megadni, mint ahány tizedesjegyig az adott motorcsaládra az adott szennyező anyag tekintetében vonatkozó határértéket megadták.

Amennyiben a 3.2.2.1.4. vagy a 3.2.2.1.5. pontnak megfelelően minden vizsgálati ponton csak egy vizsgálati ciklust (melegindításos NRTC, LSI-NRTC vagy NRSC) folytatnak le, a regresszióanalízist csak az összes vizsgálati ponton végzett vizsgálati ciklus eredményei alapján kell elvégezni.

A gyártó kérheti a jóváhagyó hatóság előzetes jóváhagyását a nem lineáris regresszióhoz.

3.2.5.2.

Az egyes szennyező anyagok kibocsátási értékei a tartampróba kezdetén és a vizsgált motorra vonatkozó kibocsátástartóssági időtartam végpontján valamely alábbi módszerrel állapíthatók meg:

a) a 3.2.2.1.2.1. vagy a 3.2.2.1.2.3. pont szerinti tartampróba során a 3.2.5.1. pontban foglalt regressziós egyenlet extrapolációjával, vagy

b) a 3.2.2.1.2.2 pont szerinti tartampróba során közvetlenül méréssel.

▼M2

Amennyiben a motorcsaládok ugyanazon csoportjába vagy ugyanabba az utókezelő rendszer szerinti motorcsaládba tartozó, de eltérő kibocsátástartóssági időtartammal rendelkező motorcsaládok kibocsátási értékeit használják, valamennyi kibocsátástartóssági időtartam végpontjához tartozó kibocsátási értéket újra kell számolni a 3.2.5.1. pontban meghatározott regressziós egyenlet extrapolációjával vagy interpolációjával.

▼B

3.2.5.3.

A romlási tényező (DF) minden szennyező anyagra vonatkozóan a kibocsátástartóssági időtartam végpontján és a tartampróba kezdetén tervezett kibocsátási értékek aránya (multiplikatív romlási tényező).

A gyártó kérheti a jóváhagyó hatóság előzetes jóváhagyását ahhoz, hogy minden egyes szennyező anyagra additív romlási tényezőt alkalmazhasson. Az additív romlási tényező a kibocsátástartóssági időtartam végpontján és a tartampróba kezdetén számított kibocsátási értékek különbsége.

Az 3.1. ábrán a romlási tényezők lineáris regresszióval történő meghatározására látható példa az NOx-kibocsátásra vonatkozóan.

Ugyanazon szennyezőanyag-csoporton belül a multiplikatív és az additív romlási tényezők egyidejű alkalmazása nem megengedett.

Ha a számítások a multiplikatív romlási tényezőre vonatkozóan 1,00-nél kisebb, vagy az additív romlási tényezőre vonatkozóan 0,00-nál kisebb értéket eredményeznek, akkor a romlási tényezőnek 1,0-nek, illetve 0,00-nak kell lennie.

Ha a 3.2.2.1.4. pontnak megfelelően megállapodás született arról, hogy minden vizsgálati ponton csak egy vizsgálati ciklust (melegindításos NRTC, LSI-NRTC vagy NRSC) futtatnak le, és a másik vizsgálati ciklust (melegindításos NRTC, LSI-NRTC vagy NRSC) csak a tartampróba kezdetén és végén futtatják le, a többi vizsgálati ciklusra is alkalmazni kell az arra a vizsgálati ciklusra számított romlási tényezőt, amelyet minden vizsgálati ponton lefuttattak.

image

3.2.6.   Rögzített romlási tényezők

3.2.6.1.

A romlási tényezők tartampróbával való meghatározásának alternatívájaként a motorgyártók a 3.1. táblázatban szereplő rögzített multiplikatív romlási tényezőket is használhatják.



3.1. táblázat

Rögzített romlási tényezők

Vizsgálati ciklus

CO

CH

NOx

PM

PN

NRTC és LSI-NRTC

1,3

1,3

1,15

1,05

1,0

NRSC

1,3

1,3

1,15

1,05

1,0

Rögzített additív romlási tényezők nem adhatók meg. A rögzített multiplikatív romlási tényezők nem válthatók át additív romlási tényezőre.

▼M2 —————

▼M2

3.2.6.1.1.

A 3.2.6.1. pont rendelkezéseinek sérelme nélkül, a PN esetében 0,0 értékű additív romlási tényező vagy 1,0 multiplikatív romlási tényező alkalmazható annak az előző romlási tényezős vizsgálatnak az eredményeivel összefüggésben, amellyel nem sikerült megállapítani a PN értékét, feltéve, hogy mindkét alábbi feltétel teljesül:

a) az előző romlási tényezős vizsgálatot olyan motortechnológián végezték, amely a 3.1.2. pontban foglaltak szerint ugyanabba az utókezelő rendszer szerinti motorcsaládba tartozhatott volna, mint a motorcsalád, amelyre a romlási tényezőket szándékoztak alkalmazni; valamint

b) a mérési eredményeket egy, az (EU) 2016/1628 rendelet III. mellékletében meghatározott megfelelő EU-típusjóváhagyási határidő előtt megadott előző típusjóváhagyásban már felhasználták.

▼B

3.2.6.2.

Rögzített romlási tényezők alkalmazása esetén a gyártónak megingathatatlan bizonyítékokkal kell a jóváhagyó hatóságnak szolgálnia arról, hogy ésszerűen elvárható, hogy a kibocsátásszabályozó alkatrészek a rögzített tényezőkhöz tartozó kibocsátástartóssággal rendelkezzenek. A bizonyíték alapulhat a terv elemzésén, vizsgálatokon vagy ezek kombinációján.

3.2.7.   A romlási tényezők alkalmazása

3.2.7.1.

A motoroknak a romlási tényezőknek a VI. mellékletnek megfelelően mért vizsgálati eredményekre (a részecskék és az egyes gázok ciklustól függően súlyozott, fajlagos kibocsátása) történő alkalmazását követően minden egyes szennyező anyag tekintetében meg kell felelniük a motorcsaládra vonatkozó szennyezőanyag-kibocsátási határértékeknek. A romlási tényező (DF) típusától függően a következő rendelkezéseket kell alkalmazni:

a) Multiplikatív: (ciklustól függően súlyozott, fajlagos kibocsátás) × DF ≤ kibocsátási határérték

b) Additív: (ciklustól függően súlyozott, fajlagos kibocsátás) + DF ≤ kibocsátási határérték

A ciklustól függően súlyozott, fajlagos kibocsátás adott esetben magában foglalhatja az időszakos regenerálás miatt alkalmazott kiigazítást.

3.2.7.2.

A multiplikatív NOx + CH romlási tényezőre vonatkozóan külön CH és NOx romlási tényezőket kell meghatározni, és a rosszabbodó kibocsátási szinteknek a szennyezőanyag-kibocsátási vizsgálat eredményéből történő kiszámításakor azokat külön kell alkalmazni, mielőtt a kibocsátási határértéknek való megfelelés megállapítására a kapott leromlott NOx- és CH-értékeket összeadnák.

3.2.7.3.

A gyártó a valamely utókezelő rendszer szerinti motorcsaládra meghatározott romlási tényezőit olyan motorra is átviheti, mely nem tartozik ugyanabba az utókezelő rendszer szerinti motorcsaládba. Ilyen esetben a gyártónak igazolnia kell a jóváhagyó hatóság előtt, hogy arra a motorra, amelyre az utókezelő rendszer szerinti motorcsaládot eredetileg bevizsgálták, és arra a motorra, amelyre a romlási tényezőket átviszik, ugyanolyan műszaki specifikációk és nem közúti mozgó gépbe való beépítési követelmények vonatkoznak, és az ilyen motor kibocsátása is hasonló.

Amennyiben a romlási tényezőket olyan motorra viszik át, amely eltérő kibocsátástartóssági időtartammal rendelkezik, újra kell számolni a romlási tényezőket a vonatkozó kibocsátástartóssági időtartamnak megfelelően a 3.2.5.1. pontban meghatározott regressziós egyenlet extrapolációjával vagy interpolációjával.

3.2.7.4.

Valamennyi vizsgálati ciklusban, valamennyi szennyező anyagra vonatkozó romlási tényezőt fel kell jegyezni az adminisztratív követelményekről szóló (EU) 2017/656 végrehajtási rendelet VI. mellékletének 1. függelékében meghatározott vizsgálati jegyzőkönyvben.

3.3.   A gyártásmegfelelőség ellenőrzése

3.3.1.

A gyártásmegfelelőség szennyezőanyag-kibocsátás tekintetében történő ellenőrzése a II. melléklet 6. szakasza alapján történik.

3.3.2.

A gyártó a szennyezőanyag-kibocsátásokat a kipufogógáz-utókezelő rendszer előtt is lemérheti, az EU-típusjóváhagyási vizsgálat elvégzésével egyidejűleg. E célra a gyártó meghatározhat nem hivatalos romlási tényezőket külön az utókezelő rendszer nélküli motorra és külön az utókezelő rendszerre, amelyeket segítségként felhasználhat a sorozatgyártás ellenőrzéséhez.

3.3.3.

Az EU-típusjóváhagyás céljaira csak a 3.2.5. vagy a 3.2.6. pont szerint meghatározott romlási tényezőket kell rögzíteni az adminisztratív követelményekről szóló (EU) 2017/656 végrehajtási rendelet VI. melléklet 1. függelékében meghatározott vizsgálati jegyzőkönyvben.

3.4.   Karbantartás

A tartampróba céljaira a karbantartást a gyártó szerviz- és karbantartási kézikönyvének megfelelően kell elvégezni.

3.4.1.   Szennyezőanyag-kibocsátással kapcsolatos tervezett karbantartás

3.4.1.1.

A tartampróba végrehajtásához a motor működése közben elvégzendő, kibocsátással kapcsolatos tervezett karbantartásnak azonos időközönként kell megtörténnie, mint ahogyan azt az új, nem közúti mozgó gépek vagy új motorok végfelhasználói számára adott gyártói karbantartási utasításban megadták. Ezt a tervezett karbantartást a tartampróba alapján szükség esetén módosítani lehet, azzal a feltétellel, hogy olyan művelet nem törölhető a karbantartási tervből, amelyet a vizsgált motoron már elvégeztek.

3.4.1.2.

Minden, a motor működési hibájának megelőzését célzó, a kibocsátással kapcsolatos kritikus alkatrészeken a kibocsátástartóssági időtartam során rendszeres időközönként végzett beállítás, szétszerelés, tisztítás vagy csere csak a kibocsátásszabályozási rendszer kifogástalan működésének biztosításához technológiailag szükséges mértékben megengedett. El kell kerülni, hogy a kibocsátással kapcsolatos kritikus alkatrészek tervszerű cseréje a rutinszerűen cserélhető alkatrészektől eltekintve szükségessé váljon a tartampróba alatt és bizonyos motorüzemidő elteltével. Ezzel összefüggésben a rendszeres megújításhoz használt karbantartási fogyóeszközök vagy bizonyos motor-üzemóránként tisztítást igénylő alkatrészek minősülnek rutinszerűen cserélhető alkatrészeknek.

3.4.1.3.

A tervezett karbantartásra vonatkozó követelményeket a jóváhagyó hatóságnak az EU-típusjóváhagyás megadása előtt jóvá kell hagynia, és a vevőnek átadott felhasználói kézikönyvnek tartalmaznia kell. ►M2  A jóváhagyó hatóság nem tagadhatja meg az észszerű és műszakilag szükséges karbantartási követelmények – egyebek mellett a 3.4.1.4. pontban foglaltak – jóváhagyását. ◄

3.4.1.4.

A motorgyártónak a tartampróbára vonatkozóan pontosan meg kell határoznia a beállítást, a tisztítást és a karbantartást (ha szükséges), valamint a következők tervszerű cseréjét:

 a kipufogógáz-visszavezetés szűrői és hűtői,

 pozitív forgattyúsház-szellőzőszelep, ha van,

 tüzelőanyag-befecskendező csúcs (csak a tisztítás),

 tüzelőanyag-befecskendezők,

 turbókompresszor,

 elektronikus motorvezérlő egység és az ahhoz kapcsolódó érzékelők és működtető szerkezetek,

 részecske-utókezelő rendszer (beleértve a kapcsolódó alkatrészeket is),

 NOx-utókezelő rendszer (beleértve a kapcsolódó alkatrészeket is),

 kipufogógáz-visszavezetés, beleértve a kapcsolódó szabályozószelepeket és csőrendszert,

 minden más kipufogógáz-utókezelő rendszer.

3.4.1.5.

A kibocsátással kapcsolatos kritikus tervezett karbantartást csak akkor kell elvégezni, ha arra használat közben szükség van, és erről értesítik a motor vagy nem közúti mozgó gép végfelhasználóját.

3.4.2.   A tervezett karbantartás változásai

A gyártó az általa a tartampróba alatt elvégezni kívánt, és később a nem közúti mozgó gépek és motorok végfelhasználói számára javasolt minden új tervezett karbantartási műveletre vonatkozóan köteles jóváhagyási kérelmet benyújtani a jóváhagyó hatósághoz. A kérelemhez olyan adatokat kell csatolni, amelyek alátámasztják az új tervezett megelőző karbantartási művelet szükségességét és a karbantartási időközt.

3.4.3.   Kibocsátással nem kapcsolatos tervezett karbantartás

Az ésszerű és műszakilag indokolt, kibocsátással nem kapcsolatos tervezett karbantartást (úgymint olajcsere, olajszűrőcsere, tüzelőanyagszűrő-csere, levegőszűrő-csere, hűtőrendszer-karbantartás, alapjárati fordulatszám beállítása, fordulatszám-szabályozó, motor-forgatónyomaték, szelepholtjáték, porlasztóholtjáték, ékszíj feszességének beállítása stb.) a tartampróbára kiválasztott motorokon vagy nem közúti mozgó gépeken a gyártó által a végfelhasználó számára ajánlott legkisebb gyakorisággal lehet elvégezni (azaz nem a mostoha használati körülmények esetén ajánlott időközönként).

3.5.   Javítás

3.5.1.

A tartampróba során való vizsgálatra kiválasztott motor alkatrészeinek javítását csak alkatrészhiba vagy a motor működési hibája esetén szabad elvégezni. Magának a motornak, a kibocsátásszabályozási rendszernek vagy a tüzelőanyag-rendszernek a javítása nem megengedett, kivéve a 3.5.2. pontban meghatározott mértékben.

3.5.2.

Ha a motor, annak kibocsátásszabályozási rendszere vagy tüzelőanyag-rendszere a tartampróba során meghibásodik, a tartampróbát érvénytelennek kell tekinteni, és új motorral új tartampróbát kell kezdeni.

Az előző bekezdés nem alkalmazandó, ha a meghibásodott alkatrészeket lecserélik olyan egyenértékű alkatrészekre, amelyeket hasonló óraszámú tartampróbának vetettek alá.

4.    NRSh és NRS motorkategóriák és -alkategóriák az NRS-v-2b és az NRS-v-3 kivételével

4.1.

A kibocsátástartóssági időtartam vonatkozó kategóriáját és a megfelelő romlási tényezőt e 4. szakasz szerint kell megállapítani.

4.2.

Egy motorcsalád akkor tekinthető úgy, hogy megfelel az egy motor-alkategóriára vonatkozó határértékeknek, ha a motorcsaládot reprezentáló összes motor kibocsátásvizsgálati eredményeinek – a 2. szakaszban meghatározott romlási tényezőkkel való szorzással korrigált – értékei nem haladják meg az adott motor-alkategóriára érvényes határértékeket. Ha azonban a motorcsaládot reprezentáló egy vagy több motor kibocsátásvizsgálati eredményeinek – a 2. szakaszban meghatározott romlási tényezőkkel való szorzással korrigált – egy vagy több értéke magasabb az adott motor-alkategóriára érvényes egy vagy több kibocsátási határértéknél, akkor úgy tekintendő, hogy a motorcsalád nem felel meg az adott motor-alkategóriára érvényes határértékeknek.

4.3.

A romlási tényezőket a következőképpen kell meghatározni:

4.3.1. Legalább egy kiválasztott motoron, amelynek a konfigurációja a legvalószínűbben meghaladja a CH + NOx kibocsátási határértéket, a kialakítása pedig jellemző a sorozatgyártású motorokra, a kibocsátás stabilizálódásának megfelelő óraszáma után el kell végezni a VI. mellékletben meghatározott (teljes) kibocsátási vizsgálati eljárást.

4.3.2. Egynél több motor vizsgálata esetén az eredményeket az összes vizsgált motorra vonatkozó eredmények alkalmazandó határértékekhez képest egy további tizedesjegyre kerekített átlagaként kell kiszámítani.

4.3.3. A motorok öregítési eljárása után ismét el kell végezni e kibocsátási vizsgálatot. Az öregítési eljárást úgy kell megtervezni, hogy a gyártó előre jelezni tudja a motor kibocsátástartóssági időtartama során a kibocsátás várható romlását üzem közben, s hogy figyelembe vegyék a kopás jellegét és más, a jellemző fogyasztói felhasználás során várható romlási tényezőket, amelyek befolyásolhatják a kibocsátási jellemzőket. Egynél több motor vizsgálata esetén az eredményeket az összes vizsgált motorra vonatkozó eredmények alkalmazandó határértékeken belül egy további tizedesjegyre kerekített átlagaként kell kiszámítani.

4.3.4. A kibocsátástartóssági időtartam végén mért kibocsátásokat (adott esetben az átlagos kibocsátást) minden, az előírás hatálya alá eső szennyező anyag tekintetében el kell osztani a stabilizálódott kibocsátásokkal (átlagos kibocsátás, ha alkalmazható), az eredményt pedig két tizedesjegyre kell kerekíteni. Az eredményül kapott szám a DF, kivéve, ha kisebb mint 1,00, mert ebben az esetben a DF értéke 1,00.

4.3.5. A gyártó a kibocsátási vizsgálat során további ellenőrző pontokat tervezhet a stabilizálódott kibocsátás ellenőrzési pontja és a kibocsátástartóssági időtartam vége között. Amennyiben időközi vizsgálatokat terveznek, az ellenőrzési pontokat egyenletesen kell elosztani az EDP alatt (plusz/mínusz két óra eltéréssel), az egyik ellenőrzési pontot pedig a kibocsátástartóssági időtartam felénél kell elhelyezni (plusz/mínusz két óra eltéréssel).

4.3.6. Minden egyes CH + NOx és CO szennyező anyag tekintetében az adatpontok között egy egyenest kell húzni, miközben az első vizsgálat időpontját a nulla pontban feltételezik, és a legkisebb négyzetek módszerét alkalmazzák. A romlási tényező a tartóssági időtartam végén kiszámított kibocsátás és a nulla pontban kiszámított kibocsátás hányadosa.

A megfelelő vizsgálati ciklusban valamennyi szennyező anyagra vonatkozó romlási tényezőt fel kell jegyezni az adminisztratív követelményekről szóló (EU) 2017/656 végrehajtási rendelet VII. mellékletének 1. függelékében meghatározott vizsgálati jegyzőkönyvben.

4.3.7. A kiszámított romlási tényezők az alapul szolgáló típuson kívül további motorcsaládokra is alkalmazhatók, ha a gyártó az EU-típusjóváhagyás előtt a jóváhagyó hatóság számára elfogadhatóan megindokolja, hogy az érintett motorcsalád kibocsátásának romlási jellemzői az alkalmazott tervezési mód és a technológia alapján várhatóan hasonlóak lesznek.

A következő nem kizárólagos felsorolás a tervezési mód és a technológia csoportosítását adja meg.

 hagyományos kétütemű motorok kipufogógáz-utókezelő rendszer nélkül,

 katalizátorral felszerelt hagyományos kétütemű motorok, amelyek aktív anyaga, terhelése és az egy cm2-re eső cellaszáma azonos,

 rétegezett öblítő rendszerrel felszerelt kétütemű motorok,

 rétegezett öblítő rendszerrel és katalizátorral felszerelt kétütemű motorok, amelyek aktív anyaga, terhelése és az egy cm2-re eső cellaszáma azonos,

 katalizátorral felszerelt négyütemű motorok, amelyek szeleptechnológiája és kenési rendszere azonos,

 katalizátor nélküli négyütemű motorok, amelyek szeleptechnológiája és kenési rendszere azonos.

4.4.

A kibocsátástartóssági időtartam kategóriái

4.4.1.

Az (EU) 2016/1628 rendelet V. mellékletének V-3. vagy V-4. táblázatában szereplő azon motorkategóriák esetében, amelyek a kibocsátástartóssági időtartam tekintetében alternatív értékekkel rendelkeznek, a gyártóknak az EU-típusjóváhagyáskor kell megadniuk a kibocsátástartóssági időtartam egyes motorcsaládokra vonatkozó kategóriáit. Ez az a kategória a 3.2. táblázatból, amelyik a legjobban megközelíti azon rendszer várható élettartamát, amelybe a gyártó meghatározása szerint a motorokat beépítik. A gyártók minden motorcsalád tekintetében megőrzik azon adatokat, amelyekkel alá tudják támasztani a kibocsátástartóssági időtartam kategóriájának kiválasztását. Ezen adatokat kérésre be kell nyújtani a jóváhagyó hatóságnak.



3.2. táblázat

A kibocsátástartóssági időtartam kategóriái

A kibocsátástartóssági időtartam kategóriája

A motor felhasználási területe

1. kat.

Fogyasztási cikkek

2. kat.

Félprofesszionális termékek

3. kat.

Professzionális termékek

4.4.2.

A gyártónak a jóváhagyó hatóság számára hitelt érdemlően igazolnia kell, hogy a kibocsátástartóssági időtartam kategóriája helyes. Az egy adott motorcsaládra a kibocsátástartóssági időtartam kategóriájának gyártó általi kiválasztását alátámasztó adatok többek között a következőket foglalják magukban:

 azon rendszer élettartamára vonatkozó felmérések, amelybe a szóban forgó motort beépítik,

 az üzem során elöregedett motorok műszaki értékelése annak megállapítása érdekében, hogy a motor teljesítményének romlása mikor éri el azt a pontot, amikor a használhatóságának és/vagy megbízhatóságának romlása miatt a motor javítása vagy cseréje szükségessé válik,

 jótállási nyilatkozat és jótállási idő,

 a motor élettartamával kapcsolatos marketinganyagok,

 a motor vásárlóinak hibabejelentései, és

 a tartósság, a különleges motortechnológiák, a motorok anyagainak és tervezésének műszaki értékelése (órában).




IV. MELLÉKLET

A kibocsátásszabályozási stratégiákra, az NOx-szabályozásra és a részecskeszabályozásra vonatkozó követelmények

1.    Fogalommeghatározások, rövidítések és általános követelmények

1.1.

E melléklet alkalmazásában a következő fogalommeghatározásokat és rövidítéseket kell alkalmazni:

(1)

„diagnosztikai hibakód” („DTC”) : az NOx-szabályozás, illetve a részecskeszabályozás működési hibáját azonosító vagy címkéző szám vagy alfanumerikus azonosító;

(2)

„megerősített és aktív diagnosztikai hibakód” : olyan diagnosztikai hibakód, amelyet a rendszer elment, amikor az NOx-szabályozás-diagnosztikai és/vagy a részecskeszabályozás-diagnosztikai rendszer működési hibát jelez;

(3)

„NOx-szabályozás-diagnosztika szerinti motorcsalád” : a gyártó által az alapján csoportosított motorok, hogy az NOx-szabályozás működési hibáinak ellenőrzésére/diagnosztizálására szolgáló módszerek közösek;

(4)

„NO

x

-szabályozás-diagnosztikai rendszer” (NCD) :

a motor fedélzetén található rendszer, mely képes az alábbiakra:

a) az NOx-szabályozás működési hibájának észlelése;

b) az NOx-szabályozás működési hibája valószínű okának beazonosítása számítógépes memóriában tárolt adatok alapján és/vagy ilyen információk kiadása külső eszközre;

(5)

„NOx-szabályozás működési hibája” (NCM) : egy motor NOx-szabályozó rendszerébe való szakszerűtlen beavatkozásra tett kísérlet vagy a rendszert érintő olyan működési hiba, amely vélhetően ilyen szakszerűtlen beavatkozás következménye, amelynek észlelését követően e rendelet szerint figyelmeztetésnek vagy használatkorlátozó rendszernek kell bekapcsolódnia;

(6)

„részecskeszabályozás-diagnosztikai rendszer” (PCD) :

a motor fedélzetén található rendszer, amely képes az alábbiakra:

a) a részecskeszabályozás működési hibájának észlelése,

b) a részecskeszabályozás működési hibája valószínű okának beazonosítása számítógépes memóriában tárolt adatok alapján, és/vagy ilyen információk kiadása külső eszközre;

(7)

„részecskeszabályozás működési hibája” (PCM) : egy motor részecske-utókezelő rendszerébe való szakszerűtlen beavatkozásra tett kísérlet vagy a részecske-utókezelő rendszert érintő olyan működési hiba, amely vélhetően ilyen szakszerűtlen beavatkozás következménye, amelynek észlelését követően e rendelet szerint figyelmeztetésnek kell bekapcsolódnia;

(8)

„részecskeszabályozás-diagnosztika szerinti motorcsalád” : a gyártó által annak alapján csoportosított motorrendszerek, hogy a részecskeszabályozás működési hibáinak ellenőrzésére/diagnosztizálására szolgáló módszerek közösek;

(9)

„kiolvasó” : külső mérőberendezés, amely az NOx-szabályozás-diagnosztikai és/vagy a részecskeszabályozás-diagnosztikai rendszerrel való külső kommunikációra szolgál.

1.2.

Környezeti hőmérséklet

A 2. cikk (7) bekezdése ellenére a laboratóriumi környezettől eltérő környezetekkel összefüggésben környezeti hőmérsékletre való hivatkozás esetén a következő rendelkezéseket kell alkalmazni:

1.2.1. Próbapadra szerelt motoroknál a környezeti hőmérséklet a motorba táplált égési levegőnek a motor alkatrészei előtt mért hőmérséklete.

1.2.2. Nem közúti mozgó gépbe beépített motoroknál a környezeti hőmérséklet a közvetlenül a nem közúti mozgó gépen kívül mért léghőmérséklet.

2.    A kibocsátásszabályozási stratégiával kapcsolatos műszaki követelmények

2.1.

Ez a 2. szakasz azokra az NRE, NRG, IWP, IWA, RLL és RLR kategóriájú, elektronikus vezérlésű motorokra vonatkozik, amelyek megfelelnek az (EU) 2016/1628 rendelet II. mellékletben meghatározott, „V. szakasz” szerinti kibocsátási határértékeknek, és amelyeknél a befecskendezendő tüzelőanyag mennyiségét és a befecskendezés idejét elektronikus vezérlés határozza meg, vagy elektronikus vezérlés kapcsolja be, kapcsolja ki vagy modulálja az NOx csökkentésére szolgáló kibocsátásszabályozási rendszert.

2.2.

A kibocsátásszabályozási alapstratégiára vonatkozó követelmények

2.2.1.

A kibocsátásszabályozási alapstratégiát úgy kell megtervezni, hogy a motor – rendeltetésszerű használat esetén – megfeleljen e rendelet rendelkezéseinek. A rendeltetésszerű használat nem korlátozódik a 2.4. pontban meghatározott szabályozási feltételekre.

2.2.2.

A kibocsátásszabályozási alapstratégiák közé tartoznak egyebek mellett az alábbiak szabályozására szolgáló jelleggörbék vagy algoritmusok:

a) a tüzelőanyag-befecskendezés vagy a gyújtás vezérlése (motorvezérlés);

b) kipufogógáz-visszavezetés (EGR);

c) a szelektív katalitikus csökkentési rendszer reagensadagolása.

2.2.3.

Minden olyan kibocsátásszabályozási alapstratégia tilos, amely különbséget tud tenni a szabványosított EU-típusjóváhagyási vizsgálat alatti és egyéb üzemeltetési körülmények melletti motorműködés között, és ennélfogva az EU-típusjóváhagyási eljárás lényeges körülményeihez képest eltérő körülmények melletti működés esetén alacsonyabb kibocsátásszabályozási teljesítményt eredményez.

▼M2

2.2.3.1.

A 2.2.3. pont rendelkezéseinek sérelme nélkül, azon motor(-al)kategóriák esetében, amelyeket az EU-típusjóváhagyás megszerzéséhez nem kell nem közúti tranziens vizsgálati ciklusokban vizsgálni, a kibocsátásszabályozási alapstratégia meghatározhatja, hogy mikor állnak fenn tranziens üzemi feltételek, és alkalmazhatja a vonatkozó kibocsátásszabályozási stratégiát. Ebben az esetben ezt a kibocsátásszabályozási stratégiát bele kell foglalni a kibocsátásszabályozási alapstratégiának az (EU) 2017/656 végrehajtási rendelet I. mellékletének 1.4. pontjában előírt áttekintésébe, valamint az említett melléklet 2. függelékében foglalt, a kibocsátásszabályozási stratégiával kapcsolatos bizalmas információkba.

2.2.4.

A gyártó köteles a műszaki szolgálatnak az EU-típusjóváhagyási vizsgálat időpontjában a 2.6. pontban említett dokumentáció alapján igazolni, hogy a kibocsátásszabályozási alapstratégia működése megfelel az e szakaszban foglalt követelményeknek.

▼B

2.3.

A kibocsátásszabályozási segédstratégiára vonatkozó követelmények

2.3.1.

A kibocsátásszabályozási segédstratégiát motor vagy nem közúti mozgó gép léptetheti életbe, feltéve, ha a kibocsátásszabályozási segédstratégia:

2.3.1.1. nem csökkenti állandó jelleggel a kibocsátásszabályozási rendszer hatékonyságát;

2.3.1.2. kizárólag a 2.4.1., 2.4.2. vagy 2.4.3. pontban leírtaktól eltérő szabályozási feltételek mellett, a 2.3.5. pontban meghatározott célokra és legfeljebb az e célok eléréséhez szükséges ideig működik, a 2.3.1.3., 2.3.2. és 2.3.4. pontban megengedett kivételektől eltekintve;

2.3.1.3. kizárólag kivételesen, a 2.4.1., 2.4.2., illetve 2.4.3. pontban meghatározott szabályozási feltételek mellett, a 2.3.5. pontban megállapított célokból igazoltan szükséges és a jóváhagyó hatóság által jóváhagyott esetben, legfeljebb az említett célokhoz szükséges időre lép életbe;

2.3.1.4. biztosítja, hogy kibocsátásszabályozási rendszer teljesítménye a lehető legjobban megközelítse a kibocsátásszabályozási alapstratégiában megadott szintet.

2.3.2.

Ha a kibocsátásszabályozási segédstratégia életbe lép az EU-típusjóváhagyási vizsgálat alatt, arra nem kizárólag a 2.4. pontban meghatározottaktól eltérő szabályozási feltételek mellett kerülhet sor, a célja pedig nem korlátozódhat a 2.3.5. pontban meghatározott feltételekre.

2.3.3.

Ha a kibocsátásszabályozási segédstratégia nem lép életbe az EU-típusjóváhagyási vizsgálat alatt, igazolni kell, hogy a kibocsátásszabályozási segédstratégia csak annyi ideig aktív, amennyi a 2.3.5. pontban megjelölt célok érdekében szükséges.

2.3.4.

Hideg hőmérsékleti működés

A kibocsátásszabályozási segédstratégia a 2.4. pontban meghatározott szabályozási feltétektől függetlenül is életbe léphet a kipufogógáz-visszavezető rendszerrel (EGR) felszerelt motoron, ha a környezeti hőmérséklet 275 °K (2 °C) alatt van, és teljesül az alábbi két feltétel egyike:

a) a szívócső hőmérséklete legfeljebb a következő egyenlettel meghatározott hőmérséklet: IMTc = PIM / 15,75 + 304,4, ahol: IMTc a szívócső számított hőmérséklete, K és PIM pedig a szívócső abszolút nyomása kPa-ban;

b) a hűtőközeg hőmérséklete legfeljebb a következő egyenlettel meghatározott hőmérséklet: ECTc = PIM / 14,004 + 325,8, ahol: ECTc a hűtőközeg számított hőmérséklete (K), PIM pedig a szívócső abszolút nyomása kPa-ban.

2.3.5.

A 2.3.2. pontban megengedett kivételektől eltekintve a kibocsátásszabályozási segédstratégia kizárólag a következő célokból léphet életbe:

a) fedélzeti vezérlőjelek általi aktiválás a motor védelmében (ideértve a levegőrendszer védelmét is) és/vagy azon nem közúti mozgó gépek védelmében, amelyekbe a motor be van építve;

b) üzembiztonsági okokból;

c) a túlzott kibocsátás megelőzése érdekében hidegindítás, a motor bemelegítése vagy leállítása alatt;

d) meghatározott környezeti vagy üzemeltetési körülmények esetén az előírás hatálya alá eső valamelyik szennyező anyag kibocsátásának ellenőrzéséről történő lemondás annak érdekében, hogy cserében a többi szennyező anyag kibocsátása az adott motorra vonatkozó határértékeken belül maradjon. A cél egy természetes jelenség hatásának oly módon történő ellensúlyozása, hogy annak eredményeképpen a szennyező anyagok összes alkotóeleme elfogadható mértékben szabályozható marad.

2.3.6.

A gyártó köteles a műszaki szolgálatnak az EU-típusjóváhagyási vizsgálat időpontjában igazolni, hogy a kibocsátásszabályozási segédstratégiák működése megfelel az e szakaszban foglalt követelményeknek. Az igazolás a 2.6. pontban említett dokumentáció értékelésével történik.

2.3.7.

A kibocsátásszabályozási segédstratégiát tilos a 2.3.1–2.3.5. pontban leírtaktól eltérő módon életbe léptetni.

2.4.

Szabályozási feltételek

A szabályozási feltételek azt a tengerszint feletti magasságot, környezeti hőmérsékletet és hűtőközeg-tartományt állapítják meg, amely meghatározza, hogy a kibocsátásszabályozási segédstratégia általánosan vagy csak kivételes esetben léptethető életbe a 2.3. pont szerint.

A szabályozási feltételek abszolút, statikus (száraz vagy nedves) légnyomásként mért légnyomást írnak elő (lásd a „légnyomás” fogalommeghatározását).

2.4.1.

IWP és IWA kategóriájú motorokra vonatkozó szabályozási feltételek:

a) 500 métert meg nem haladó tengerszint feletti magasság (vagy 95,5 kPa-nak megfelelő légnyomás);

b) 275 K és 303 K (2 °C és 30 °C) közötti környezeti hőmérséklet;

c) a hűtőközeg hőmérséklete 343 K (70 °C) feletti.

2.4.2.

RLL kategóriájú motorokra vonatkozó szabályozási feltételek:

a) 1 000 métert meg nem haladó tengerszint feletti magasság (vagy 90 kPa-nak megfelelő légnyomás);

b) 275 K és 303 K (2 °C és 30 °C) közötti környezeti hőmérséklet;

c) a hűtőközeg hőmérséklete 343 K (70 °C) feletti.

2.4.3.

NRE, NRG és RLR kategóriájú motorokra vonatkozó szabályozási feltételek:

a) legalább 82,5 kPa légköri nyomás;

b) környezeti hőmérséklet a következő tartományban:

 legalább 266 K (– 7 °C),

 legfeljebb az adott légköri nyomásnál a következő egyenlettel meghatározott hőmérséklet: Tc = – 0,4514 × (101,3 – Pb) + 311, ahol: Tc a kiszámított környezeti léghőmérséklet K-ben és Pb a légköri nyomás kPa-ban;

c) a hűtőközeg hőmérséklete 343 K (70 °C) feletti.

2.5.

Amennyiben a motor bemeneti levegőhőmérséklet-érzékelőjét használják a környezeti hőmérséklet becslésére, akkor a két mérési pont közötti névleges eltérést motortípusra vagy motorcsaládra vonatkozóan kell értékelni. Használata esetén a beszívott levegő mért hőmérsékletét a névleges eltérésnek megfelelő értékkel kell kiigazítani a megjelölt motortípus vagy motorcsalád használatával történő beépítésre vonatkozó környezeti hőmérséklet becsléséhez.

Az eltérést a műszaki szempontok helyes megítélésével kell megbecsülni, többek között az alábbi műszaki tényezők (számítások, szimulációk, kísérleti eredmények, adatok stb.) alapján:

a) a nem közúti mozgó gépek jellemző kategóriái, amelyekbe a motortípust vagy motorcsaládot beépítik; és

b) a gyártó által az eredetiberendezés-gyártónak megadott beépítési utasítások.

Az értékelés egy példányát kérésre a jóváhagyó hatóság rendelkezésére kell bocsátani.

2.6.

A dokumentációra vonatkozó követelmények

▼M2 —————

▼M2

2.6.1.

A gyártónak eleget kell tennie az (EU) 2017/656 végrehajtási rendelet I. melléklete A. részének 1.4. pontjában és ugyanazon melléklet 2. függelékében előírt dokumentációs követelményeknek.

2.6.2.

A gyártónak gondoskodnia kell arról, hogy az e célra használt valamennyi dokumentumon feltüntessék az azonosító számot és a kiadás dátumát. A gyártónak értesítenie kell a jóváhagyó hatóságot minden olyan esetben, ha a rögzített információk megváltoznak. Ebben az esetben ki kell adnia vagy az érintett dokumentumok frissített változatát, amelyben egyértelműen jelölve vannak a vonatkozó oldalak, és fel van tüntetve a felülvizsgálat időpontja és a módosítás jellege, vagy ehelyett egy új, egységes szerkezetbe foglalt változatot, mellékleve hozzá az egyes módosítások részletes leírását és dátumát tartalmazó tárgymutatót.

▼B

3.    NOx-szabályozással kapcsolatos műszaki követelmények

3.1.

Ez a 3. szakasz azokra az NRE, NRG, IWP, IWA, RLL és RLR kategóriájú, elektronikus vezérlésű motorokra vonatkozik, amelyek megfelelnek az (EU) 2016/1628 rendelet II. mellékletben meghatározott, „V. szakasz” szerinti kibocsátási határértékeknek, és amelyeknél a befecskendezendő tüzelőanyag mennyiségét és a befecskendezés idejét elektronikus vezérlés határozza meg, vagy elektronikus vezérlés kapcsolja be, kapcsolja ki vagy modulálja az NOx csökkentésére szolgáló kibocsátásszabályozási rendszert.

3.2.

A gyártónak – az (EU) 2017/656 végrehajtási rendelet I. mellékletében meghatározott dokumentumokat használva – teljes körű tájékoztatást kell nyújtania az NOx-szabályozásra szolgáló intézkedések működési jellemzőiről.

3.3.

Az NOx-szabályozási stratégiának működnie kell az Unió területén szokásosan előforduló minden környezeti feltétel mellett, különösen alacsony környezeti hőmérsékletek esetében.

3.4.

A gyártónak igazolnia kell, hogy reagens használata esetén az EU-típusjóváhagyási eljárás során alkalmazandó kibocsátásvizsgálati ciklus alatt az ammóniakibocsátás nem haladja meg RLL kategóriájú motorok esetében a 25 ppm, egyéb vonatkozó kategóriájú motor esetében pedig a 10 ppm átlagértéket.

3.5.

Ha a nem közúti mozgó gépekre reagenstartályokat szerelnek fel vagy kapcsolnak hozzájuk, biztosítani kell a tartályban található reagensből való mintavétel lehetőségét. A mintavételi pontnak speciális szerszám vagy eszköz használata nélkül is könnyen hozzáférhetőnek kell lennie.

3.6.

A 3.2–3.5. pontban foglalt követelményeken túlmenően a következő követelményeket kell alkalmazni:

a) NRG kategóriájú motorok esetében az 1. függelékben foglalt műszaki követelmények;

b) NRE kategóriájú motorok esetében:

i. a 2. függelékben foglalt követelmények, ha a motor rendeltetése szerint kizárólag az „V. szakasz” szerinti kibocsátási határértékeknek megfelelő, IWP és IWA kategóriájú motorok helyett használható az (EU) 2016/1628 rendelet 4. cikke (1) bekezdése 1. pontjának b) alpontja szerint, vagy

ii. az 1. függelékben meghatározott követelmények az i. albekezdés hatálya alá nem tartozó motorok esetében;

c) IWP, IWA és RLR kategóriájú motorok esetében a 2. függelékben foglalt műszaki követelmények;

d) RLL kategóriájú motorok esetében a 3. függelékben foglalt műszaki követelmények.

4.    A szilárd szennyező anyagok szabályozásával kapcsolatos műszaki követelmények

4.1.

E szakasz rendelkezései azokba az alkategóriákba tartozó motorokra terjednek ki, amelyeket érint az (EU) 2016/1628 rendelet II. mellékletben meghatározott, „V. szakasz” szerinti részecskeszámra (PN) vonatkozó határérték, és részecske-utókezelő rendszerrel vannak felszerelve. Amennyiben az NOx-szabályozó rendszer és a részecskeszabályozó rendszer ugyanazokat a fizikai összetevőket [például azonos hordozóréteget (szelektív katalitikus csökkentési rendszert a szűrőn), azonos kipufogógázhőmérséklet-érzékelőt] használja, akkor az e szakaszban foglalt követelmények nem vonatkoznak olyan összetevőre vagy működési hibára, amelynek esetében a jóváhagyó hatóság a gyártó indoklással alátámasztott értékelésének vizsgálata után megállapítja, hogy a részecskeszabályozás e szakasz szerinti működési hibája az NOx-szabályozás 3. szakasz szerinti működési hibájához vezetne.

4.2.

A szilárd szennyező anyagokra vonatkozó szabályozással kapcsolatos részletes műszaki követelményeket a 4. függelék tartalmazza.




1. függelék

NOx-szabályozásra vonatkozó kiegészítő műszaki követelmények NRE és NRG kategóriájú motorok esetében, ideértve a vonatkozó stratégiák igazolásának módszerét is

1.    Bevezetés

Ez a függelék határozza meg az NOx-szabályozásra szolgáló megoldások helyes működését biztosító kiegészítő követelményeket. Előírásokat tartalmaz mindazon motorokra, amelyek a kibocsátáscsökkentés érdekében reagenst használnak. Az EU-típusjóváhagyást ahhoz a feltételhez kell kötni, hogy alkalmazzák az e függelékben szereplő, a használati utasításra, a beépítési útmutatóra, az üzemeltetőt figyelmeztető rendszerre, a használatkorlátozó rendszerre és a reagens fagyvédelmére vonatkozó rendelkezéseket.

2.    Általános követelmények

A motornak rendelkeznie kell NOx-szabályozás-diagnosztikai rendszerrel (NCD), amely azonosítani tudja az NOx-szabályozás működési hibáit. Az e 2. szakasz hatálya alá tartozó motorokat úgy kell megtervezni, legyártani és beépíteni, hogy hasznos élettartamuk alatt és szokásos használati körülmények között mindvégig alkalmasak legyenek e követelmények teljesítésére. Ennek a célkitűzésnek az eléréséhez elfogadható, ha azokon a motorokon, amelyeket az (EU) 2016/1628 rendelet V. mellékletében meghatározott kibocsátástartóssági időtartamon túl használnak, az NOx-szabályozás-diagnosztikai rendszer működésének és érzékenységének némi romlása mutatkozik, olyan mértékben, amelynek következtében előfordulhat, hogy a kibocsátás túllépi az e mellékletben meghatározott küszöbértékeket, mielőtt működésbe lép a figyelmeztető és/vagy a használatkorlátozó rendszer.

2.1.   Kért információk

2.1.1.

Reagenst igénylő kibocsátásszabályozási rendszer esetében a gyártónak – az (EU) 2017/656 végrehajtási rendelet I. mellékletének B. pontja szerint – meg kell adnia a reagens típusát, a feloldott reagens koncentrációját, az üzemi hőmérsékleti feltételeket, a reagens összetételére és minőségére vonatkozó nemzetközi szabványokra való hivatkozást, valamint a reagens egyéb jellemzőit.

2.1.2.

A gyártónak az EU-típusjóváhagyás iránti kérelemmel egyidejűleg be kell nyújtania a jóváhagyó hatóságnak a 4. szakaszban meghatározott, az üzemeltetőt figyelmeztető rendszer és az 5. szakaszban meghatározott használatkorlátozó rendszer működési jellemzőit teljes körűen leíró részletes írásos tájékoztatást.

2.1.3.

A gyártó átadja az eredetiberendezés-gyártónak mindazokat a dokumentumokat, amelyek tartalmazzák az utasításokat arra vonatkozóan, hogyan kell a motort a nem közúti mozgó gépbe úgy beszerelni, hogy a motor, annak kibocsátásszabályozási rendszere és a nem közúti mozgó gép alkatrészei az e függelékben előírt követelményeknek megfelelően működjenek. Ez a dokumentáció tartalmazza a motorra vonatkozó részletes műszaki előírásokat (szoftver, hardver és kommunikáció), amelyek a motornak a nem közúti mozgó gépbe való helyes beépítéséhez szükségesek.

2.2.   Üzemállapotok

▼M2

2.2.1.

A reagenstartályban lévő reagensszint ellenőrzésének minden olyan körülmény mellett működnie kell, amikor a mérés műszakilag megvalósítható (például minden olyan körülmény mellett, amikor a folyékony reagens nincs megfagyva).

▼M2

2.2.2.

A reagens tekintetében fagyvédelmet 266 K (– 7 °C) vagy annál alacsonyabb környezeti hőmérsékleten kell alkalmazni.

2.2.3.

A NOx-szabályozás-diagnosztikai rendszer valamennyi, a 2.2.1 és 2.2.2. pontban felsoroltaktól eltérő elemének legalább az egyes motorkategóriákra vonatkozóan az e melléklet 2.4. pontjában meghatározott vonatkozó ellenőrzési feltételek mellett működőképesnek kell lennie. A diagnosztikai rendszernek e tartományon kívül is működőképesnek kell maradnia, amennyiben ez műszakilag lehetséges.

▼B

2.3.   A reagens fagyvédelme

2.3.1.

▼M2

Fűtött és fűtés nélküli reagenstartály és -adagoló rendszer használata egyaránt megengedett. A fűtött rendszernek meg kell felelnie a 2.3.2.2–2.3.2.2.4. pont követelményeinek. A fűtés nélküli rendszernek pedig a 2.3.2.3. pont követelményeit kell teljesítenie.

▼B

2.3.1.1.

A fűtés nélküli reagenstartály és -adagoló rendszer használatát a nem közúti mozgó gép végfelhasználójának szóló írásbeli használati utasításban fel kell tüntetni.

2.3.2.

Reagenstartály és -adagoló rendszer

2.3.2.1.

A motor 266 K (– 7 °C) környezeti hőmérsékleten történő indításától számítva legkésőbb 70 percen belül a befagyott reagensnek is használhatónak kell lennie.

2.3.2.2.

Fűtött rendszerre vonatkozó tervezési kritériumok

▼M2

A fűtött rendszer kialakításának olyannak kell lennie, hogy a meghatározott eljárás szerint vizsgálva megfeleljen a 2.3.2–2.3.2.2.4. pontban megállapított teljesítménykövetelményeknek.

▼B

2.3.2.2.1.

A reagenstartályt és -adagoló rendszert 255 K (– 18 °C) hőmérsékleten 72 órán át vagy a reagens megszilárdulásáig kondicionálni kell, attól függően, hogy melyik következik be előbb.

2.3.2.2.2.

A 2.3.2.2.1. pontban előírt kondicionálási idő után a nem közúti mozgó gépet/motort be kell indítani és 266 K (– 7 °C) vagy annál alacsonyabb környezeti hőmérsékleten kell járatni a következők szerint:

a) 10–20 percig alapjáraton, majd

b) legfeljebb 50 percen át a névleges terhelés legfeljebb 40 %-ának megfelelő terhelés mellett.

2.3.2.2.3.

A reagensadagoló rendszernek a 2.3.2.2.2. pontban meghatározott vizsgálati eljárások végén teljes egészében működőképesnek kell lennie.

▼M2

2.3.2.2.4.

A tervezési kritériumok értékelése történhet hidegkamrás mérőállásban a nem közúti mozgó gép egészével vagy a nem közúti mozgó gépbe való beépítés szempontjából reprezentatív alkatrészekkel, illetve országúti vizsgálatok alapján.

▼M2

2.3.2.3.

A figyelmeztető és használatkorlátozó rendszer bekapcsolása nem fűtött rendszer esetében.

▼M2

2.3.2.3.1.

A 4–4.9. pontban ismertetett, az üzemeltetőt figyelmeztető rendszernek működésbe kell lépnie, ha 266 K (– 7 °C) vagy ez alatti környezeti hőmérsékleten nincs reagensadagolás.

2.3.2.3.2.

Az 5.4. pontban hivatkozott erős használatkorlátozó rendszernek működésbe kell lépnie, ha 266 K (– 7 °C) vagy ez alatti környezeti hőmérsékleten az indítástól számított legkésőbb 70 percen belül nincs reagensadagolás.

▼M2 —————

▼B

2.4.   Diagnosztikai követelmények

2.4.1.

Az NOx-szabályozás-diagnosztikai rendszernek (NCD) számítógépes memóriában tárolt diagnosztikai hibakódok (DTC-k) segítségével tudnia kell azonosítani az NOx-szabályozás e mellékletben szereplő működési hibáit (NCM-ek), és ezeket az információkat kérésre ki kell tudnia adni külső eszközre.

2.4.2.

A diagnosztikai hibakódok (DTC-k) rögzítésére vonatkozó követelmények

2.4.2.1

Az NCD-rendszernek az NOx-szabályozás minden egyes működési hibája (NCM) esetében diagnosztikai hibakódot kell rögzítenie.

2.4.2.2

Az NCD-rendszer a motor beindításától számított 60 percen belül eldönti, hogy észlelhető-e valamilyen működési hiba. Ekkor a rendszernek el kell mentenie egy „megerősített és aktív” diagnosztikai hibakódot, és a figyelmeztető rendszernek a 4. szakasz szerint működésbe kell lépnie.

2.4.2.3

Amennyiben az ellenőrző rutinoknak több mint 60 perc működési időre van szükségük ahhoz, hogy pontosan észleljék és megerősítsék az NOx-szabályozás működési hibáját (például statisztikai modelleket használó rutinok vagy a nem közúti mozgó gép fogyasztását figyelembe vevő rutinok esetében), a jóváhagyó hatóság hosszabb megfigyelési időt is engedélyezhet, feltéve, hogy a gyártó megindokolja ennek szükségességét (például műszaki indoklás, kísérleti eredmények, saját tapasztalatok stb.).

2.4.3.

A diagnosztikai hibakódok (DTC-k) törlésére vonatkozó követelmények

a) Az NOx-szabályozás-diagnosztikai rendszer maga nem törölheti ki a diagnosztikai hibakódokat a számítógép memóriájából, amíg az adott kódhoz kapcsolódó hibát meg nem szüntették.

b) Az NOx-szabályozás-diagnosztikai rendszer a motorgyártó által kérésre biztosított hibakód-kiolvasó vagy karbantartó szerszám vagy a motorgyártó által megadott kód segítségével az összes diagnosztikai hibakódot törölheti.

2.4.4.

Az NOx-szabályozás-diagnosztikai rendszert nem szabad úgy programozni vagy más módon úgy kialakítani, hogy a nem közúti mozgó gép kora alapján részlegesen vagy teljesen kikapcsoljon a motor tényleges élettartama alatt, és a rendszer nem tartalmazhat olyan algoritmust vagy stratégiát, amelynek célja az NOx-szabályozás-diagnosztikai rendszer teljesítőképességének az idő előrehaladtával való csökkentése.

2.4.5.

Az NOx-szabályozás-diagnosztikai rendszer esetlegesen újraprogramozható számítógépes kódjának vagy működési paraméterének ellen kell állnia a szakszerűtlen beavatkozásnak.

2.4.6.

NOx-szabályozás-diagnosztika szerinti motorcsalád

Az NOx-szabályozás-diagnosztika szerinti motorcsalád összetételének a meghatározása a gyártó feladata. A motorok egy NOx-szabályozás-diagnosztika szerinti motorcsaládba történő besorolásának műszakilag indokoltnak kell lennie, és azt jóvá kell hagyatni a jóváhagyó hatósággal.

A nem egy motorcsaládba tartozó motorok még tartozhatnak ugyanabba az NOx-szabályozás-diagnosztika szerinti motorcsaládba.

2.4.6.1.   Az NOx-szabályozás-diagnosztika szerinti motorcsaládot meghatározó paraméterek

Az NOx-szabályozás-diagnosztika szerinti motorcsaládot olyan alapvető tervezési paraméterekkel lehet meghatározni, amelyek a motorcsaládba tartozó motorok tekintetében közösek.

Ahhoz, hogy a motorokat az NOx-szabályozás-diagnosztika szerint egy motorcsaládba tartozónak lehessen tekinteni, a következő tervezési alapparamétereknek kell hasonlónak lenniük:

a) kibocsátásszabályozási rendszerek;

b) az NOx-szabályozás-diagnosztikai ellenőrzés módszerei;

c) az NOx-szabályozás-diagnosztikai ellenőrzés kritériumai;

d) ellenőrzési paraméterek (például gyakoriság).

Ezeket a hasonlóságokat a gyártónak megfelelő műszaki igazolási eljárással vagy más megfelelő eljárással igazolnia kell, és jóvá kell hagyatnia a jóváhagyó hatósággal.

A gyártó kérheti, hogy a jóváhagyó hatóság hagyja jóvá az NOx-szabályozás-diagnosztikai rendszer ellenőrzésre/diagnosztizálásra szolgáló módszereinek a motor elrendezésének különbségei miatti kisebb eltéréseit, amennyiben a gyártó ezeket a módszereket hasonlónak tekinti, és azok csak azért térnek el, hogy megfeleljenek egyes vizsgált alkatrészek konkrét jellemzőinek (például méret, kipufogógáz-áram stb.).

3.    Karbantartási követelmények

▼M2

3.1.

Az eredetiberendezés-gyártó az új, nem közúti mozgó gépek valamennyi végfelhasználóját köteles a XV. melléklet szerint ellátni írásbeli használati utasítással a kibocsátásszabályozási rendszerről és annak helyes működéséről.

▼B

4.    Üzemeltetőt figyelmeztető rendszer

4.1.

A nem közúti mozgó gépben lennie kell egy figyelmeztető rendszernek, amely fényjelzéssel tájékoztatja az üzemeltetőt arról, hogy a reagensszint túl alacsony, a reagens minősége nem megfelelő, az adagolás megszakadt, vagy a 9. szakaszban meghatározott meghibásodás lép fel, amelynek következtében a hiba kijavításának elmulasztása esetén működésbe léphet a használatkorlátozó rendszer. A figyelmeztető rendszernek akkor is működnie kell, ha az 5. szakaszban ismertetett használatkorlátozó rendszer működésbe lépett.

4.2.

A figyelmeztetés nem lehet ugyanaz, mint a működési hiba vagy a motorkarbantartás esetén használt figyelmeztetés, de a használt figyelmeztető rendszer lehet ugyanaz.

4.3.

Az üzemeltetőt figyelmeztető rendszer állhat egy vagy két lámpából, vagy rövid üzeneteket is kijelezhet, amelyek egyértelműen jelzik a következőket:

a) a mérsékelt és/vagy erős használatkorlátozás aktiválásáig hátralévő idő,

b) a mérsékelt és/vagy erős használatkorlátozás mértéke, például a nyomatékcsökkentés mértéke,

c) a nem közúti mozgó gép letilthatóságának feltételei.

Az említett üzenetek megjelenítésére használt rendszer lehet az egyéb karbantartási célokra használt rendszer.

4.4.

Ha a gyártó úgy dönt, az üzemeltetőt figyelmeztető rendszer hangjelzést is kiadhat. A hangjelzés üzemeltető általi kikapcsolása megengedett.

4.5.

Az üzemeltetőt figyelmeztető rendszernek a 2.3.3.1., 6.2., 7.2., 8.4., illetve 9.3. pontban meghatározottak szerint kell működésbe lépnie.

4.6.

Ha a működésbe lépést kiváltó feltételek már megszűntek, a figyelmeztető rendszernek ki kell kapcsolnia. Az üzemeltetőt figyelmeztető rendszer nem kapcsolhat ki automatikusan, ha működésbe lépésének okait nem szüntették meg.

4.7.

Fontos biztonsági vonatkozású üzeneteket tartalmazó figyelmeztető jelzések ideiglenesen megszakíthatják a figyelmeztető rendszer működését.

4.8.

Az üzemeltetőt figyelmeztető rendszer működésbe lépésére és kikapcsolására vonatkozó eljárások részleteit a 11. szakasz ismerteti.

4.9.

Az e rendelet szerinti EU-típusjóváhagyásra irányuló kérelem részeként a gyártónak a 10. szakaszban meghatározottak szerint igazolnia kell az üzemeltetőt figyelmeztető rendszer működését.

5.    Használatkorlátozó rendszer

5.1.

A motorban lennie kell egy használatkorlátozó rendszernek, amely a következő elvek egyikén alapul:

5.1.1. egy kétlépcsős használatkorlátozó rendszer, amely kezdetben mérsékelt (teljesítményben korlátozó), később pedig erős használatkorlátozást (a nem közúti mozgó gép működtetésének tényleges ellehetetlenítését) vált ki;

5.1.2. egylépcsős erős használatkorlátozó rendszer (a nem közúti mozgó gép működtetésének tényleges ellehetetlenítése), amely a 6.3.1., 7.3.1., 8.4.1. és 9.4.1. pontban meghatározott mérsékelt használatkorlátozó rendszerre vonatkozó feltételek mellett lép működésbe.

Amennyiben a gyártó úgy dönt, hogy az egylépcsős használatkorlátozásra vonatkozó követelmény teljesítéséhez leállítja a motort, akkor a reagensszintre vonatkozó használatkorlátozás a gyártó választása szerint a 6.3.1. pont feltételei helyett a 6.3.2. pont feltételei alapján is életbe léphet.

5.2.

A motor felszerelhető olyan eszközzel, amellyel a használatkorlátozás az 5.2.1. pontban foglalt követelmények teljesülése esetén kikapcsolható.

5.2.1

A motor felszerelhető olyan eszközzel, amellyel a nemzeti vagy regionális kormányzat, vagy sürgősségi segélyszolgálataik, vagy fegyveres erőik által kihirdetett szükségállapot alatt ideiglenesen ki lehet kapcsolni a használatkorlátozó rendszert.

5.2.1.1

Ha a motor fel van szerelve a használatkorlátozás szükségállapotban történő ideiglenes kikapcsolására szolgáló eszközzel, akkor az összes alábbi feltétel alkalmazandó:

a) az üzemeltető legfeljebb 120 órára kapcsolhatja ki a használatkorlátozást;

b) az aktiválás módját a véletlen bekapcsolás megelőzésére céljából kétszeri önkéntes művelet végrehajtásának előírásával kell kialakítani, és egyértelműen jelölni kell legalább a „CSAK VÉSZHELYZETBEN HASZNÁLHATÓ” figyelmeztetéssel;

c) a kikapcsolásnak a 120 óra elteltével automatikusan deaktiválódnia kell, és lehetőséget kell biztosítani az üzemeltetőnek arra, hogy a vészhelyzet elmúltával deaktiválja a kikapcsolást;

d) a 120 üzemóra elteltével már nem lehet kikapcsolni a használatkorlátozást, amennyiben a kikapcsolására szolgáló eszközt a gyártói ideiglenes biztonsági kód megadásával, a motor elektronikus vezérlőegységének szakképzett szerviztechnikus általi újrakonfigurálásával vagy a motor ezzel egyenértékű, egyedi biztonsági funkciójának használatával újra élesítették;

e) A kikapcsolás aktiválásainak teljes számát és időtartamát nem felejtő elektronikus memórián vagy számlálókon kell tárolni olyan módon, hogy az információk ne legyen szándékosan törölhetők. A nemzeti ellenőrző hatóságok számára lehetővé kell tenni, hogy e nyilvántartásokba kiolvasó használatával betekintsenek;

▼M2

ea) az e) pontban említett nyilvántartásokhoz való kapcsolódás és azok kiolvasási módjának leírását fel kell tüntetni az (EU) 2017/656 végrehajtási rendelet I. mellékletének A. részében meghatározott adatközlő mappában;

▼B

f) A gyártónak nyilvántartást kell vezetnie a használatkorlátozás ideiglenes kikapcsolására szolgáló eszköz újraélesítésére irányuló kérelmekre, és e nyilvántartást kérésre hozzáférhetővé kell tennie a Bizottság vagy a nemzeti hatóságok számára.

5.3.

Mérsékelt használatkorlátozó rendszer

5.3.1.

A mérsékelt használatkorlátozó rendszer a 6.3.1., 7.3.1., 8.4.1. és 9.4.1. pontban meghatározott feltételek valamelyikének bekövetkezése esetén kapcsolódik be.

5.3.2.

A mérsékelt használatkorlátozó rendszer a motor legnagyobb forgatónyomatékát a teljes fordulatszám-tartományában az 4.1. ábrán ismertetett teljes nyomatékterhelés és a fordulatszám-szabályozó töréspontja között fokozatosan legalább 25 %-kal csökkenti. A nyomatékcsökkentés mértékének percenként legalább 1 %-nak kell lennie.

5.3.3.

Egyéb olyan használatkorlátozó megoldások is alkalmazhatók, amelyekről igazolták a jóváhagyó hatóságnak, hogy legalább ugyanolyan hatásosak.

4.1. ábra

A mérsékelt használatkorlátozás nyomatékcsökkentési mechanizmusa

image

5.4.

Erős használatkorlátozó rendszer

5.4.1.

Az erős használatkorlátozó rendszer a 2.3.3.2., 6.3.2., 7.3.2., 8.4.2. és 9.4.2. pontban meghatározott feltételek valamelyikének bekövetkezése esetén lép működésbe.

5.4.2.

Az erős használatkorlátozó rendszer olyan szintre csökkenti a nem közúti mozgó gép használhatóságát, amely elég zavaró ahhoz, hogy az üzemeltető kiküszöbölje a 6–9. szakaszban felsoroltakkal kapcsolatos problémákat. A következő stratégiák fogadhatók el:

5.4.2.1. A rendszer a motor forgatónyomatékát a teljes nyomatékterhelés és a fordulatszám-szabályozó töréspontja között az 4.1. ábrán bemutatott, mérsékelt használatkorlátozás szerinti nyomatékértékről fokozatosan, percenként legalább 1 %-kal a legnagyobb nyomaték 50 %-ára vagy annál is alacsonyabb értékre, változó fordulatszámú motorok esetében pedig a fordulatszámot a nyomatékcsökkentéssel egy időben fokozatosan a névleges fordulatszám 60 %-ára vagy annál alacsonyabb értékre csökkenti, a 4.2. ábrán bemutatott módon.

4.2. ábra
Az erős használatkorlátozás nyomatékcsökkentési mechanizmusa image

5.4.2.2. Egyéb olyan használatkorlátozó megoldások is alkalmazhatók, amelyekről igazolták a jóváhagyó hatóságnak, hogy legalább ugyanolyan hatásosak.

5.5.

A biztonsági szempontok figyelembevétele és az öngyógyító diagnosztika lehetővé tétele érdekében lehetőség van a használatkorlátozást hatástalanító funkció alkalmazására a teljes motorteljesítmény felszabadítása érdekében, feltéve, hogy az

a) legfeljebb 30 percig működik; és

b) a használatkorlátozó rendszer működésének minden egyes periódusa alatt legfeljebb háromszor léphet működésbe.

5.6.

Ha a működésbe lépést kiváltó feltételek már megszűntek, a használatkorlátozó rendszernek ki kell kapcsolnia. A használatkorlátozó rendszer nem kapcsolhat ki automatikusan, ha működésbe lépésének okait nem szüntették meg.

5.7.

A használatkorlátozó rendszer működésbe lépésére és kikapcsolására vonatkozó eljárások részleteit a 11. szakasz ismerteti.

5.8.

Az e rendelet szerinti EU-típusjóváhagyásra irányuló kérelem részeként a gyártónak a 11. pontban meghatározottak szerint igazolnia kell a használatkorlátozó rendszer működését.

6.    A rendelkezésre álló reagens

6.1.   Reagensszint-kijelző

A nem közúti mozgó gépen lennie kell egy kijelzőnek, amely egyértelműen tájékoztatja az üzemeltetőt a reagenstartályban lévő reagens szintjéről. A reagenskijelző legalacsonyabb elfogadható működési szintje az, hogy folyamatosan jeleznie kell a reagensszintet, míg a 4. szakaszban említett figyelmeztető rendszer működik. A reagenskijelző lehet analóg vagy digitális, és mutathatja a szintet a teljes tartály űrtartalmának, a megmaradt reagens vagy a becsült hátralevő üzemórák arányában.

6.2.   Az üzemeltetőt figyelmeztető rendszer működésbe lépése

6.2.1.

A 4. szakaszban ismertetett, az üzemeltetőt figyelmeztető rendszernek működésbe kell lépnie, ha a reagensszint a reagenstartály űrtartalmának 10 %-a – vagy a gyártó választása szerint ennél magasabb százalékos szint – alá süllyed.

6.2.2.

A figyelmeztetésnek a reagenskijelzővel együtt elég egyértelműnek kell lennie ahhoz, hogy az üzemeltető megértse, hogy a reagensszint alacsony. Ha a figyelmeztető rendszernek üzenetkijelző rendszer is része, az optikai figyelmeztetésnek a reagens alacsony szintjére figyelmeztető üzenetet kell megjelenítenie. (például „karbamidszint alacsony”, „AdBlue-szint alacsony” vagy „kevés reagens”).

6.2.3.

Az üzemeltetőt figyelmeztető rendszernek kezdetben nem kell folyamatosan működésben lennie (például nem kell, hogy az üzenet kijelzése folyamatos legyen), a figyelmeztetés intenzitásának (például amilyen gyakorisággal felvillan a lámpa) azonban a folytonosig kell fokozódnia, ahogyan a reagensszint egyre csökken, és ahhoz a ponthoz közelít, amelynél működésbe lép a használatkorlátozó rendszer. A figyelmeztetés utolsó lépéseként a rendszer értesítést bocsát ki az üzemeltető számára egy, a gyártó által beállított szinten. A figyelmeztetés utolsó lépéseként a rendszer értesítést bocsát ki az üzemeltető számára egy, a gyártó által beállított szinten. A jelzésnek azon a ponton, amelyen a 6.3. pont szerinti használatkorlátozó rendszer működésbe lép, könnyebben észlelhetőnek kell lennie, mint azon a ponton, amelyen a figyelmeztetés először bekapcsolt.

6.2.4.

A folyamatos figyelmeztetés nem lehet egyszerűen kikapcsolható vagy figyelmen kívül hagyható. Ha a figyelmeztető rendszernek üzenetkijelző rendszer is része, annak egyértelmű üzenetet kell megjelenítenie (például „karbamidfeltöltés szükséges”, „AdBlue-feltöltés szükséges” vagy „reagensfeltöltés szükséges”). A folyamatos figyelmeztetést ideiglenesen megszakíthatják más fontos biztonsági vonatkozású üzeneteket tartalmazó figyelmeztető jelzések.

6.2.5.

Gondoskodni kell arról, hogy az üzemeltetőt figyelmeztető rendszert mindaddig ne lehessen kikapcsolni, amíg a reagenst a rendszer működésbe lépését nem eredményező szintig nem pótolják.

6.3   A használatkorlátozó rendszer működésbe lépése

6.3.1

Az 5.3. pontban ismertetett mérsékelten használatkorlátozó rendszernek működésbe kell lépnie, ha a reagensszint a reagenstartály névleges teljes űrtartalmának 2,5 %-a – vagy a gyártó választása szerint ennél magasabb szint – alá süllyed.

6.3.2.

Az 5.4. pontban ismertetett erős használatkorlátozó rendszernek működésbe kell lépnie, ha a reagenstartály kiürül, azaz az adagoló rendszer nem képes a tartályból reagens felvenni, vagy a gyártó választása szerint a névleges teljes űrtartalmának 2,5 %-a alatti szintet ér el.

6.3.3.

Az 5.5. pontban megengedett mértéktől eltekintve a mérsékelt vagy erős használatkorlátozó rendszert mindaddig nem lehet kikapcsolni, amíg a reagenst a rendszer működésbe lépését nem eredményező szintig után nem töltik.

7.    A reagensminőség figyelése

7.1.

A motornak vagy nem közúti mozgó gépnek rendelkeznie kell egy olyan funkcióval, amely megállapítja, ha nem megfelelő reagens van a nem közúti mozgó gépben.

7.1.1.

A gyártónak meg kell határoznia a legkisebb elfogadható reagenskoncentrációt (CDmin), amely nem haladja meg a vonatkozó NOx-határérték 2,25 szerese és a vonatkozó NOx-határérték plusz 1,5 g/kWh közül az alacsonyabb értéket. Az olyan motor-alkategóriák esetében, amelyekre kombinált CH- és NOx-határérték vonatkozik, az e pont céljából alkalmazandó NOx-határérték a kombinált CH- és NOx-határérték 0,19 g/kWh-val csökkentett értéke lesz.

▼M2

7.1.1.1.

A CDmin gyártó által megadott értékét kell a 13. szakaszban meghatározott eljárás során használni, és fel kell jegyezni az (EU) 2017/656 végrehajtási rendelet I. mellékletében meghatározott adatközlő lap C. részében.

▼B

7.1.2.

A CDmin értéknél alacsonyabb reagenskoncentrációt a rendszernek észlelnie kell, és az ilyen koncentrációjú reagenst a 7.1. pont alkalmazásában nem megfelelő reagensnek kell tekinteni.

7.1.3.

A reagensminőségnek külön számlálót („reagensminőség-számláló”) kell biztosítani. A reagensminőség-számlálónak számlálnia kell a nem megfelelő reagenssel eltöltött üzemórák számát.

7.1.3.1.

A gyártó a reagensminőséggel kapcsolatos hibát egy vagy több, a 8. és 9. szakaszban felsorolt hibával egy számlálóra is csoportosíthatja.

7.1.4.

A reagensminőség-számláló működésbe lépésére és kikapcsolására vonatkozó kritériumokat és mechanizmusokat a 11. szakasz ismerteti.

7.2.

Az üzemeltetőt figyelmeztető rendszer működésbe lépése

Amennyiben az ellenőrző rendszer megerősíti, hogy a reagensminőség nem megfelelő, a 4. szakaszban ismertetett, üzemeltetőt figyelmeztető rendszernek működésbe kell lépnie. Ha a figyelmeztető rendszernek üzenetkijelző rendszer is része, annak a figyelmeztetés okát megjelölő üzenetet kell megjelenítenie (például „nem megfelelő minőségű karbamid”, „nem megfelelő minőségű AdBlue” vagy „nem megfelelő minőségű reagens”).

7.3

A használatkorlátozó rendszer működésbe lépése

7.3.1.

Az 5.3. pontban ismertetett mérsékelt használatkorlátozó rendszernek működésbe kell lépnie, ha a reagensminőséget a 7.2. pontban ismertetett, üzemeltetőt figyelmeztető rendszer működésbe lépésétől számított legfeljebb 10 motorüzemórán belül nem orvosolják.

7.3.2.

Az 5.4. pontban ismertetett erős használatkorlátozó rendszernek működésbe kell lépnie, ha a reagensminőséget a 7.2. pontban ismertetett, üzemeltetőt figyelmeztető rendszer működésbe lépésétől számított legfeljebb 20 motorüzemórán belül nem orvosolják.

7.3.3.

A működési hiba ismételt előfordulása esetén a használatkorlátozó rendszer működésbe lépéséig eltelő óraszám csökkenthető a 11. szakaszban ismertetett mechanizmussal.

8.    Reagensadagolás

8.1

A motornak rendelkeznie kell egy olyan funkcióval, amely megállapítja, ha megszakad az adagolás.

8.2.

Reagensadagolás-számláló

8.2.1.

Külön számlálót kell biztosítani az adagolásnak (a továbbiakban: adagolásszámláló). Ennek a számlálónak azokat a motorüzemórákat kell számlálnia, amelyekben a reagensadagolás megszakadt. Ez nem szükséges akkor, ha az adagolást a motorvezérlő egység azért szakítja meg, mert a nem közúti mozgó gép adott üzemállapotában a nem közúti mozgó gép szennyezőanyag-kibocsátása miatt nincs szükség reagens adagolására.

8.2.1.1.

A gyártó a reagensadagolással kapcsolatos hibát egy vagy több, a 7. és 9. szakaszban felsorolt hibával egy számlálóra is csoportosíthatja.

8.2.2.

A reagensadagolás-számláló működésbe lépésére és kikapcsolására vonatkozó kritériumokat és mechanizmusokat a 11. szakasz ismerteti.

8.3.

Az üzemeltetőt figyelmeztető rendszer működésbe lépése

A 4. szakaszban ismertetett, az üzemeltetőt figyelmeztető rendszernek az adagolás megszakadása esetén működésbe kell lépnie, ami az adagolásszámlálót továbblépteti a 8.2.1. pont szerint. Ha a figyelmeztető rendszernek üzenetkijelző rendszer is része, annak a figyelmeztetés okát megjelölő üzenetet kell megjelenítenie (például „karbamidadagolási hiba”, „AdBlue-adagolási hiba” vagy „reagensadagolási hiba”).

8.4.

A használatkorlátozó rendszer működésbe lépése

8.4.1.

Az 5.3. pontban ismertetett, mérsékelt használatkorlátozó rendszernek működésbe kell lépnie, ha a reagensadagolás megszakadását a 8.3. pont szerinti, üzemeltetőt figyelmeztető rendszer működésbe lépésétől számított legfeljebb 10 motorüzemórán belül nem orvosolják.

8.4.2.

Az 5.4. pontban ismertetett erős használatkorlátozó rendszernek működésbe kell lépnie, ha a reagensadagolás megszakadását a 8.3. pont szerinti, üzemeltetőt figyelmeztető rendszer működésbe lépésétől számított legfeljebb 20 motorüzemórán belül nem orvosolják.

8.4.3.

A működési hiba ismételt előfordulása esetén a használatkorlátozó rendszer működésbe lépéséig eltelő óraszám csökkenthető a 11. szakaszban ismertetett mechanizmussal.

▼M2

9.    A szakszerűtlen beavatkozásnak betudható egyéb működési hibák

9.1.

A reagenstartályban lévő reagens szintjén, a reagensminőségen és az adagolás megszakadásán túlmenően a következő működési hibákat kell ellenőrizni, mivel azok szakszerűtlen beavatkozásnak lehetnek betudhatók:

a) a NOx-szabályozás-diagnosztikai rendszer 9.2.1. pontban ismertetett meghibásodásai;

b) a kipufogógáz-visszavezető szelep (EGR-szelep) 9.2.2. pontban ismertetett meghibásodásai.

9.2.

Ellenőrzési követelmények és számlálók

9.2.1.   A NOx-szabályozás-diagnosztikai rendszer

9.2.1.1.

A NOx-szabályozás-diagnosztikai rendszert (a továbbiakban: NCD-rendszer) folyamatosan ellenőrizni kell az elektromos hibák, illetve érzékelők kiesése vagy kiiktatása szempontjából, amely megakadályozná a 6–8. szakaszban megadott más működési hibák észlelését (alkatrész-ellenőrzés).

A diagnosztikai képességet befolyásoló érzékelők többek között a NOx-koncentrációt közvetlenül mérő érzékelők, a karbamid minőségét ellenőrző érzékelők, a környezeti viszonyok érzékelői, valamint a reagens adagolását, a reagens szintjét vagy a reagens fogyását ellenőrző érzékelők.

9.2.1.2.

Külön számlálót kell biztosítani minden ellenőrzési hiba számára. Az NCD-rendszer számlálóinak azokat a motorüzemórákat kell számlálniuk, amikor az NCD-rendszer működési hibájához kapcsolódó diagnosztikai hibakód igazoltan aktív. Az NCD-rendszer különböző hibáit egy számlálóra is lehet csoportosítani.

9.2.1.2.1.

A gyártó az NCD-rendszer hibáit egy vagy több, a 7. és a 8. szakaszban, valamint a 9.2.2. pontban felsorolt rendszerek hibáival egy számlálóra is csoportosíthatja.

9.2.1.3.

Az NCD-rendszer számlálójának (számlálóinak) működésbe lépésére és kikapcsolására vonatkozó kritériumokat és mechanizmusokat a 11. szakasz ismerteti.

9.2.2.   Működésben gátolt kipufogógáz-visszavezető szelep

9.2.2.1.

A kipufogógáz-visszavezető (EGR-) rendszert folyamatosan ellenőrizni kell a működésben gátolt EGR-szelep szempontjából.

9.2.2.2.

A kipufogógáz-visszavezető rendszer működésben gátolt szelepe számára számlálót kell biztosítani. A kipufogógáz-visszavezető rendszer szelepe számlálójának azokat a motorüzemórákat kell számlálnia, amikor a működésben gátolt kipufogógáz-visszavezető szelephez kapcsolódó diagnosztikai hibakód igazoltan aktív.

9.2.2.2.1.

A gyártó a működésben gátolt kipufogógáz-visszavezető szelep hibáit egy vagy több, a 7. és a 8. szakaszban, valamint a 9.2.1. pontban felsorolt rendszerek hibáival egy számlálóra is csoportosíthatja.

9.2.2.3.

A kipufogógáz-visszavezető rendszer szelepe számlálójának működésbe lépésére és kikapcsolására vonatkozó kritériumokat és mechanizmusokat a 11. szakasz ismerteti.

▼B

9.3.

Az üzemeltetőt figyelmeztető rendszer működésbe lépése

A 4. szakaszban ismertetett, az üzemeltetőt figyelmeztető rendszernek működésbe kell lépnie, ha a 9.1. pontban meghatározott működési hibák bármelyike előfordul, és jeleznie kell a sürgős javítás szükségességét. Ha a figyelmeztető rendszernek üzenetkijelző rendszer is része, annak a figyelmeztetés okát megjelölő üzenetet kell megjelenítenie (például „a reagensadagoló szelep csatlakozása megszakadt” vagy „szennyezőanyag-kibocsátást érintő kritikus hiba”).

9.4.

A használatkorlátozó rendszer működésbe lépése

9.4.1.

Az 5.3. pontban ismertetett, mérsékelt használatkorlátozó rendszernek működésbe kell lépnie, ha a 9.1. pontban meghatározott hibát a 9.3. pontban leírt, üzemeltetőt figyelmeztető rendszer működésbe lépésétől számított legfeljebb 36 motorüzemórán belül nem orvosolják.

9.4.2.

Az 5.4. pontban ismertetett, erős használatkorlátozó rendszernek működésbe kell lépnie, ha a 9.1. pontban meghatározott hibát a 9.3. pontban leírt, üzemeltetőt figyelmeztető rendszer működésbe lépésétől számított legfeljebb 100 motorüzemórán belül nem orvosolják.

9.4.3.

A működési hiba ismételt előfordulása esetén a használatkorlátozó rendszer működésbe lépéséig eltelő óraszám csökkenthető a 11. szakaszban ismertetett mechanizmussal.

▼M2

9.5.

A gyártó a 9.2. pontban meghatározott ellenőrzési követelmények helyett a kipufogórendszerben elhelyezkedő NOx-érzékelő használatával is ellenőrizheti a működési hibákat. Ebben az esetben

a) az a NOx-érték, amelynél a rendszer észleli a NOx-szabályozás működési hibáját, nem haladhatja meg a vonatkozó NOx-határérték 2,25-szorosa és a vonatkozó NOx-határérték plusz 1,5 g/kWh közül az alacsonyabb értéket. Az olyan motor-alkategóriák esetében, amelyekre kombinált CH- és NOx-határérték vonatkozik, az e pont céljából alkalmazandó NOx-határérték a kombinált CH- és NOx-határérték 0,19 g/kWh-val csökkentett értéke lesz;

b) alkalmazható egyetlen figyelmeztetés, ideértve – amennyiben üzeneteket alkalmaznak – a „magas NOx-koncentráció – oka ismeretlen” kijelentést;

c) a 9.4.1. pontban az üzemeltetőt figyelmeztető rendszer működésbe lépésétől a mérsékelt használatkorlátozó rendszer működésbe lépéséig eltelő üzemórák maximális számát 10-re kell csökkenteni;

d) a 9.4.2. pontban az üzemeltetőt figyelmeztető rendszer működésbe lépésétől az erős használatkorlátozó rendszer működésbe lépéséig eltelő üzemórák maximális számát 20-ra kell csökkenteni.

▼B

10.    Az igazolási eljárásra vonatkozó követelmények

10.1.   Általános rendelkezések

Az e függelék előírásainak való megfelelést az EU-típusjóváhagyás során a 4.1. táblázatban bemutatott és az e 10. szakaszban részletezett, következő igazolási eljárások elvégzésével kell igazolni:

a) a figyelmeztető rendszer működésbe lépésének igazolása;

b) a mérsékelt használatkorlátozó rendszer (ha van ilyen) működésbe lépésének igazolása;

c) az erős használatkorlátozó rendszer működésbe lépésének igazolása.

10.2.   Motorcsaládok és NOx-szabályozás-diagnosztika szerinti motorcsaládok

Egy motorcsalád vagy egy NOx-szabályozás-diagnosztika szerinti motorcsalád a 10. szakasz követelményeinek való megfelelése a vizsgált motorcsalád egyik tagján végzett vizsgálattal igazolható, feltéve, hogy a gyártó a jóváhagyó hatóság számára igazolja, hogy az e függelék követelményeinek való megfeleléshez szükséges ellenőrző rendszerek a családon belül hasonlóak.

▼M2

10.2.1.

Annak igazolása, hogy a NOx-szabályozás-diagnosztika szerinti motorcsalád egyéb tagjainak ellenőrző rendszerei hasonlóak, történhet úgy, hogy a gyártó benyújt a jóváhagyó hatósághoz egy dokumentációt, mint például algoritmusokat, funkcionális elemzéseket stb.

▼B

10.2.2.

A vizsgált motort a jóváhagyó hatósággal egyeztetve a gyártó választja ki. Ez lehet a vizsgált motorcsalád alapmotorja, de nem feltétlenül kell annak lennie.

▼M2

10.2.3.

Abban az esetben, ha a motorok olyan NOx-szabályozás-diagnosztika szerinti motorcsaládba tartoznak, amely már a 10.2.1. pontban említett módon EU-típusjóváhagyással rendelkezik (4.3. ábra), e motorcsalád megfelelőségét további vizsgálat nélkül igazoltnak kell tekinteni, feltéve, hogy a gyártó igazolja a típusjóváhagyó hatóságnak, hogy az e függelék követelményeinek való megfeleléshez szükséges ellenőrző rendszerek a családon és a vizsgált, NOx-szabályozás-diagnosztika szerinti motorcsaládon belül hasonlóak.



4.1. táblázat

A 10.3. és 10.4. pontnak megfelelő igazolási eljárás tartalmának szemléltetése

Mechanizmus

Az igazolási eljárás részei

A figyelmeztető rendszer 10.3. pont szerinti működésbe lépése

— 2 működésbelépési vizsgálat (például reagens hiánya),

— az igazolási eljárás kiegészítő részei igény szerint.

A mérsékelt használatkorlátozás működésbe lépése a 10.4. pont szerint

— 2 működésbelépési vizsgálat (például reagens hiánya),

— az igazolási eljárás kiegészítő részei igény szerint,

— 1 nyomatékcsökkentési vizsgálat.

Az erős használatkorlátozás működésbe lépése a 10.4. pont szerint

— 2 működésbelépési vizsgálat (például reagens hiánya),

— az igazolási eljárás kiegészítő részei igény szerint.

▼B

4.3. ábra

Egy NOx-szabályozás-diagnosztika szerinti motorcsalád korábban igazolt megfelelősége

image

10.3.   A figyelmeztető rendszer működésbe lépésének igazolása

▼M2

10.3.1.

A figyelmeztető rendszer működésbe lépésének megfelelőségét két vizsgálat elvégzésével kell igazolni: reagenshiány és egy, a 7., a 8. vagy a 9. pontban meghatározott működésihiba-kategória.

10.3.2.

A vizsgálandó működési hibák kiválasztása a 7., a 8. vagy a 9. pontban említettek közül

10.3.2.1.

A jóváhagyó hatóság kiválaszt egy működésihiba-kategóriát. Amennyiben a hibát a 7. vagy a 9. pontból választják ki, a 10.3.2.2., illetve a 10.3.2.3. pontban meghatározott kiegészítő követelményeket is alkalmazni kell.

10.3.2.2.

A figyelmeztető rendszer rossz reagensminőség esetén történő működésbe lépésének igazolására olyan reagenst kell választani, amelynek hatóanyag-tartalma legalább annyira fel van hígítva, mint a gyártó által a 7–7.3.3. pont követelményeinek megfelelően közölt érték.

10.3.2.3.

A figyelmeztető rendszeren végzett szakszerűtlen beavatkozásnak betudható, a 9. szakaszban meghatározott működési hibák esetén történő működésbe lépése igazolásának céljaira a kiválasztást a következő követelmények szerint kell végezni:

10.3.2.3.1. A gyártónak meg kell adnia a potenciális működési hibák jegyzékét a jóváhagyó hatóságnak.

10.3.2.3.2. A vizsgálandó működési hibát a jóváhagyó hatóság választja ki a 10.3.2.3.1. pontban említett jegyzékről.

10.3.3.

Igazolási eljárás

10.3.3.1.

Az igazolás céljaira külön vizsgálatot kell végezni a reagenshiány, valamint a 10.3.2–10.3.2.3.2. pontnak megfelelően kiválasztott működési hiba vonatkozásában.

▼B

10.3.3.2.

A vizsgálat alatt csak az éppen vizsgált működési hiba állhat fenn.

10.3.3.3.

A vizsgálat megkezdése előtt valamennyi hibakódot törölni kell.

10.3.3.4.

A gyártó kérésére és a jóváhagyó hatósággal egyetértésben a vizsgált működési hibát szimulálni is lehet.

10.3.3.5.

Reagenshiánytól eltérő működési hiba észlelése.

A reagenshiánytól eltérő működési hiba kiváltásakor vagy szimulálásakor a működési hiba észlelését a következőképpen kell végrehajtani:

10.3.3.5.1. Az NOx-szabályozás-diagnosztikai rendszernek reagálnia kell egy, a jóváhagyó hatóság által e függelék rendelkezései szerint kiválasztott megfelelő hiba megjelenésére. Ez igazoltnak tekinthető, ha a rendszer a 10.3.3.7. pont szerinti két egymást követő NOx-szabályozás-diagnosztikai vizsgálati ciklus során működésbe lép.

Ha az ellenőrzési funkció leírásában részletesen szerepel, és a jóváhagyó hatóság elfogadta, hogy egy adott ellenőrző rutinnál kettőnél több NOx-szabályozás-diagnosztikai vizsgálati ciklusra van szükség ahhoz, hogy az ellenőrzés befejeződjön, akkor az NOx-szabályozás-diagnosztikai vizsgálati ciklusok száma megnövelhető háromra.

Az igazolási eljárás során az egyes NOx-szabályozás-diagnosztikai vizsgálati ciklusok között le lehet állítani a motort. A következő beindításig eltelő idő meghatározásakor figyelembe kell venni minden olyan ellenőrzési funkciót, amely esetleg a motor leállása után megy végbe, és minden szükséges feltételt, amelynek fenn kell állnia ahhoz, hogy ellenőrzés történjen a következő beindításnál.

▼M2

10.3.3.5.2. A figyelmeztető rendszer működésbe lépésének igazolása megvalósultnak minősül, ha a figyelmeztető rendszer a 10.3.3. pont szerinti minden igazolási eljárás végén megfelelően működésbe lép, és a kiválasztott működési hiba diagnosztikai hibakódja „megerősített és aktív” státuszt kap.

▼B

10.3.3.6.

A reagens hiányának észlelése

A figyelmeztető rendszer reagenshiány esetén történő működésbe lépésének igazolására a motort a gyártó döntése szerint egy vagy több NOx-szabályozás-diagnosztikai vizsgálati cikluson át kell járatni.

10.3.3.6.1.

Az igazolási eljárást a tartályban lévő, a gyártó és a jóváhagyó hatóság által egyeztetett – a tartály névleges kapacitásának legalább 10 %-ának megfelelő – reagensszinttel kell kezdeni.

10.3.3.6.2.

A figyelmeztető rendszert akkor kell megfelelően működőnek tekinteni, ha a következő feltételek egyidejűleg teljesülnek:

a) a figyelmeztető rendszer a reagenstartály legalább 10 %-ának megfelelő reagens rendelkezésre állása esetén működésbe lép; és

b) a „folyamatos” figyelmeztető rendszer legalább a reagens rendelkezésre állásának a gyártó által a 6. szakasz rendelkezései szerint megadott értékénél működésbe lép.

10.3.3.7.

NCD-vizsgálati ciklus

10.3.3.7.1.

Az e 10. szakaszban vizsgált, az NOx-szabályozás-diagnosztikai rendszer helyes működésének igazolására szolgáló NOx-szabályozás-diagnosztikai vizsgálati ciklus az NRE-v-3, NRE-v-4, NRE-v-5 és NRE-v-6 alkategóriájú motorok esetében a melegindításos NRTC, minden egyéb kategória esetében pedig a vonatkozó NRSC.

10.3.3.7.2.

A gyártó kérésére és a jóváhagyó hatóság jóváhagyásával adott ellenőrző rutin esetében használható alternatív NOx-szabályozás-diagnosztikai vizsgálati (például NRTC-től vagy NRSC-től eltérő) ciklus. A kérelemnek tartalmaznia kell olyan elemeket (műszaki alátámasztás, szimuláció, mérési eredmények stb.), amelyek igazolják a következőket:

a) a kért vizsgálati ciklus olyan ellenőrzést eredményez, amely valós működtetés során is működni fog, és

b) a 10.3.3.7.1. pontban meghatározott vonatkozó NOx-szabályozás-diagnosztikai vizsgálati ciklus igazoltan kevésbé felel meg a tervezett ellenőrzésre.

10.3.4.

A figyelmeztető rendszer működésbe lépésének igazolása megvalósultnak minősül, ha a figyelmeztető rendszer a 10.3.3. pont szerinti minden igazolási eljárás végén megfelelően működésbe lép.

10.4.   A használatkorlátozó rendszer működésének igazolása

10.4.1.

A használatkorlátozó rendszer működésének igazolását motorfékpadon végzett vizsgálatokkal kell végrehajtani.

10.4.1.1.

A motorhoz e célból a jóváhagyó hatóság megelégedésére csatlakoztatni (vagy szimulálni) kell minden további, az igazolás elvégzéséhez szükséges, a motorhoz fizikailag nem felszerelt alkatrészt vagy alrendszert, úgymint többek között a környezeti hőmérséklet érzékelőjét, a szintérzékelőket, valamint az üzemeltetőt figyelmeztető és tájékoztató rendszereket.

10.4.1.2.

A gyártó a jóváhagyó hatóság egyetértésével az igazolási eljárásokat a nem közúti mozgó gép egészén is elvégezheti, a nem közúti mozgó gépet megfelelő próbapadra szerelve, vagy a 10.4.1. pont rendelkezéseinek sérelme nélkül azt ellenőrzött körülmények között próbapályán futtatva.

▼M2

10.4.2.

A vizsgálati ciklusnak igazolnia kell, hogy a használatkorlátozó rendszer a jóváhagyó hatóság által a figyelmeztető rendszer vizsgálatához a 10.3.2.1. pontban említett listáról választott hiba bekövetkezése esetén működésbe lép.

10.4.3.

Ezen igazolási eljárás céljaira:

a) a gyártó számára a jóváhagyó hatóság egyetértésével megengedett a vizsgálat felgyorsítása az üzemórák számának szimulálásával;

b) a mérsékelt használatkorlátozáshoz szükséges nyomatékcsökkenést az ezen rendeletnek megfelelően végzett, általános motorteljesítmény-jóváhagyási eljárással egyidejűleg is lehet igazolni. Ebben az esetben a használatkorlátozó rendszer igazolási eljárása során nincs szükség külön nyomatékmérésre;

c) a mérsékelt használatkorlátozást a 10.4.5. pont követelményeinek megfelelően kell igazolni;

d) az erős használatkorlátozást a 10.4.6. pont követelményeinek megfelelően kell igazolni.

▼B

10.4.4.

A gyártónak emellett igazolnia kell a használatkorlátozó rendszer működését a 7., 8. vagy 9. szakaszban meghatározott azon működési hibák esetében, aa 10.4.1–10.4.3. pontban ismertetett igazolási eljárásokra nem választottak ki.

Ezeket a további igazolásokat el lehet végezni a jóváhagyó hatóság részére egy műszaki eset bemutatásával, például algoritmusok, funkcionális elemzések, korábbi vizsgálatok eredményeinek felhasználásával.

10.4.4.1.

Ezeknek a további igazolásoknak különösen azt kell a jóváhagyó hatóság számára hitelt érdemlően igazolniuk, hogy a motor elektronikus vezérlőegységébe beépítették a megfelelő nyomatékcsökkentő mechanizmust.

10.4.5.

A mérsékelt használatkorlátozó rendszer működésbe lépésének igazolási eljárása

10.4.5.1.

Ez az igazolás akkor kezdődik, amikor a figyelmeztető rendszer vagy a megfelelő „folyamatos” figyelmeztető rendszer a jóváhagyó hatóság által kiválasztott működési hiba következtében működésbe lép.

10.4.5.2.

Amikor a rendszert a reagenshiány esetére való reagálására ellenőrzik, a motort addig kell járatni, míg a reagens rendelkezésre állása a tartály névleges kapacitásának 2,5 %-os értékét vagy a gyártó által a mérsékelt használatkorlátozás működésbe lépéséhez szükségesként megadott értéket eléri, a 6.3.1. ponttal összhangban.

10.4.5.2.1.

A gyártó a jóváhagyó hatóság egyetértésével a reagens tartályból történő kivételével is szimulálhatja a folyamatos üzemelést járó vagy álló motor mellett.

10.4.5.3.

Amikor a rendszernek a tartályban fellépő reagenshiánytól eltérő hibára való reagálását ellenőrzik, a motort a 4.3. táblázatban feltüntetett, megfelelő üzemóraszámon keresztül kell járatni, vagy pedig a gyártó választása szerint addig, amikor a megfelelő számláló eléri azt az értéket, amikor a mérsékelt használatkorlátozás működésbe lép.

10.4.5.4.

A mérsékelt használatkorlátozó rendszer működésbe lépésének igazolása megvalósultnak minősül, ha a 10.4.5.2. és 10.4.5.3. pontnak megfelelően elvégzett minden igazolási eljárás végén a gyártó igazolta a jóváhagyó hatóságnak, hogy a motorvezérlő egység működésbe hozta a nyomatékcsökkentő mechanizmust.

10.4.6.

Az erős használatkorlátozó rendszer működésbe lépésének igazolási eljárása

10.4.6.1.

Ez az igazolási eljárás abból az állapotból indul, amikor a mérsékelt használatkorlátozó rendszer előzőleg működésbe lépett, és végrehajtható a mérsékelt használatkorlátozó rendszer igazolására végzett vizsgálatok folytatásaként.

10.4.6.2.

Amikor a rendszernek a tartályban fellépő reagenshiányra való reagálását ellenőrzik, a motort vagy a reagenstartály kiürüléséig kell járatni, vagy pedig addig, amikor a reagensszint a tartály névleges teljes űrtartalmának 2,5 %-a alatti szintet ér el, amikor a gyártó nyilatkozata szerint működésbe lép az erős használatkorlátozó rendszer.

10.4.6.2.1.

A gyártó a jóváhagyó hatóság egyetértésével a reagens tartályból történő kivételével is szimulálhatja a folyamatos üzemelést járó vagy álló motor mellett.

10.4.6.3.

Amikor a rendszernek a tartályban fellépő reagenshiánytól eltérő hibára való reagálását ellenőrzik, a motort a 4.4. táblázatban feltüntetett, megfelelő üzemóraszámon keresztül kell járatni, vagy pedig a gyártó választása szerint addig, amikor a megfelelő számláló eléri azt az értéket, amikor az erős használatkorlátozás működésbe lép.

10.4.6.4.

Az erős használatkorlátozó rendszer működésbe lépésének igazolása megvalósultnak minősül, ha a 10.4.6.2. és 10.4.6.3. pontnak megfelelően elvégzett minden igazolási eljárás végén a gyártó igazolta a jóváhagyó hatóságnak, hogy az e függelékben vizsgált erős használatkorlátozó mechanizmus működésbe lépett.

10.4.7.

Ehelyett a gyártó a jóváhagyó hatóság egyetértésével a használatkorlátozás igazolását a nem közúti mozgó gép egészén is elvégezheti az 5.4. és 10.4.1.2. pont követelményeinek megfelelően, a nem közúti mozgó gépet megfelelő próbapadra szerelve, vagy azt ellenőrzött körülmények között próbapályán futtatva.

10.4.7.1.

A nem közúti mozgó gépet mindaddig járatni kell, amíg a kiválasztott működési hibához társított számláló eléri a 4.4. táblázatban megadott, vonatkozó üzemóraszámot, vagy adott esetben a reagenstartály kiürül, vagy a reagensszint a tartály névleges teljes kapacitásának 2,5 %-a alatt olyan szintet ér el, amelyet a gyártó az erős használatkorlátozó rendszer működésbe lépésére választott.

▼M2

10.5.   Az igazolás dokumentációja

10.5.1.

A NOx-szabályozás-diagnosztikai rendszer igazolását jelentésben kell dokumentálni. A jelentésnek:

a) meg kell határoznia a vizsgált működési hibákat;

b) ismertetnie kell az elvégzett igazoló vizsgálatot, beleértve az alkalmazandó vizsgálati ciklust is;

c) meg kell erősítenie, hogy a vonatkozó figyelmeztetések és használatkorlátozások e rendelet előírásainak megfelelően működésbe léptek; és

d) benne kell foglaltatnia az (EU) 2017/656 végrehajtási rendelet I. mellékletének A. részében meghatározott adatközlő mappában.

▼B

11.    Az üzemeltetőt figyelmeztető, illetve a használatkorlátozó és azt feloldó mechanizmusok ismertetése

11.1

Az e függelékben a figyelmeztető és a használatkorlátozó mechanizmusok működésbe lépésére és feloldására meghatározott előírások kiegészítésére ez a 11. pont meghatározza e működésbe léptető és feloldó mechanizmusok végrehajtásának műszaki követelményeit.

11.2.

A figyelmeztető rendszert működésbe léptető és feloldó mechanizmusok

11.2.1.

Az üzemeltetőt figyelmeztető rendszernek akkor kell működésbe lépnie, amikor az NOx-szabályozás működésbe lépést indokoló működési hibájához társított diagnosztikai hibakód az 4.2. táblázatban meghatározott státuszba kerül.



4.2. táblázat

Az üzemeltetőt figyelmeztető rendszer működésbe lépése

A hiba típusa

A figyelmeztető rendszert működésbe léptető diagnosztikai hibakód státusa

Nem megfelelő minőségű reagens

megerősített és aktív

Az adagolás megszakadása

megerősített és aktív

Működésben gátolt kipufogógáz-visszavezető szelep

megerősített és aktív

Az ellenőrző rendszer működési hibája

megerősített és aktív

NOx-küszöbérték, ha alkalmazható

megerősített és aktív

11.2.2.

Az üzemeltetőt figyelmeztető rendszernek akkor kell feloldania, amikor a diagnosztikai rendszer megállapítja, hogy az adott figyelmeztetés szempontjából jelentős működési hiba többé már nem áll fenn, vagy a működésbe lépést indokoló információt – beleértve a diagnosztikai hibakódot is – a kiolvasóval törlik.

11.2.2.1   Az „NOx-szabályozásra vonatkozó adatok” törlésére vonatkozó előírások

11.2.2.1.1.   Az „NOx-szabályozásra vonatkozó adatok” törlése/visszaállítása kiolvasóval

A kiolvasótól jövő kérésre a következő adatoknak törlődniük kell a számítógép memóriájából, illetve vissza kell állniuk az e függelékben előírt értékre (lásd a 4.3. táblázatot).



4.3. táblázat

Az „NOx-szabályozásra vonatkozó adatok” törlése/visszaállítása kiolvasóval

NOx-szabályozásra vonatkozó adatok

Törlendő

Visszaállítandó

Az összes diagnosztikai hibakód

X

 

A legtöbb üzemórát tartalmazó számláló értéke

 

X

Üzemórák száma az NCD-számláló(k)ból

 

X

11.2.2.1.2.

Az NOx-szabályozási adatoknak nem szabad törlődniük a nem közúti mozgó gép akkumulátorának/akkumulátorainak szétkapcsolásakor.

11.2.2.1.3.

Az NOx-szabályozási adatok törlésének csak álló motor üzemmódban szabad lehetségesnek lennie.

11.2.2.1.4.

Az „NOx-szabályozási adatok”, köztük diagnosztikai hibakódok törlésekor az e hibákhoz társított és e függelékben nem törlendőként megjelölt számlálókat nem szabad lenullázni, hanem az e függelék megfelelő pontjában előírt értékre kell azokat visszaállítani.

11.3.

A használatkorlátozó rendszert működésbe léptető és feloldó mechanizmusok

11.3.1.

A használatkorlátozó rendszernek működésbe kell lépnie, ha a figyelmeztető rendszer bekapcsolódott, és az NOx-szabályozás működésbe lépését indokoló működési hiba tekintetében jelentőséggel bíró számláló eléri a 4.4. táblázatban meghatározott értéket.

11.3.2.

A használatkorlátozó rendszernek akkor kell kioldania, amikor a rendszer már nem észleli az annak működésbe lépését indokoló működési hibát, vagy a működésbe lépést indokoló információt – beleértve az NOx-szabályozás működési hibájához kapcsolódó diagnosztikai hibakódot is – a kiolvasóval vagy karbantartó szerszámmal törlik.

11.3.3.

Az üzemeltetőt figyelmeztető és használatkorlátozó rendszernek a reagenstartályban lévő reagens mennyiségének értékelését követően a 6. szakaszának megfelelően azonnal működésbe kell lépnie vagy ki kell oldania. Ebben az esetben a működésbe léptető és feloldó mechanizmusok nem függhetnek a társított diagnosztikai hibakódok státusától.

11.4.

Számlálómechanizmus

11.4.1.   Általános rendelkezések

▼M2

11.4.1.1.

E függelék követelményeinek teljesítéséhez a rendszerben számlálóknak kell lennie azon üzemórák számának rögzítésére, amikor a motor úgy működött, hogy a rendszer a NOx-szabályozás következő működési hibáinak valamelyikét észlelte:

a) nem megfelelő reagensminőség;

b) a reagensadagolás megszakadása;

c) működésben gátolt kipufogógáz-visszavezető szelep;

d) a NOx-szabályozás-diagnosztikai rendszer hibája.

11.4.1.1.1.

A gyártó a NOx-szabályozás 11.4.1.1. pontban megadott működési hibáit egy vagy több számláló segítségével csoportosíthatja is.

▼B

11.4.1.2.

Mindezen számlálóknak egy 2 bájtos számlálóval elérhető legnagyobb értékig kell számolniuk egyórás felbontással, és ezt az értéket meg kell tartaniuk, kivéve, ha teljesülnek a számláló nullázásának feltételei.

11.4.1.3.

A gyártó használhat egyszeres vagy többszörös NCD-rendszer-számlálókat. Az egyszeres számláló több különböző, az adott számlálótípushoz tartozó működési hiba üzemóráit összegezheti, feltéve, hogy azok még nem érték el az egyszeres számláló által mutatott időt.

11.4.1.3.1.

Amennyiben a gyártó többszörös NCD-rendszer-számlálók használata mellett dönt, a rendszernek képesnek kell lennie arra, hogy egy adott ellenőrzőrendszer-számlálót hozzárendeljen az adott számlálóhoz tartozó minden működési hibához, e függelék szerint.

11.4.2.   A számlálómechanizmusok elve

11.4.2.1.

Minden számlálónak a következőképpen kell működnie:

11.4.2.1.1. Ha a számláló nulla állásból indul, a számlálást a hozzá tartozó működési hiba észlelésekor és a megfelelő diagnosztikai hibakód 4.2. táblázatban meghatározott státusra váltásakor azonnal el kell kezdenie.

11.4.2.1.2. Sorozatos hibák esetén az alábbi rendelkezések egyikét kell alkalmazni a gyártó választása szerint.

a) A számlálónak egyetlen ellenőrzési esemény előfordulásakor le kell állnia és az aktuális értékét meg kell tartania, ha a számlálót eredetileg működésbe hozó működési hiba már nem észlelhető, vagy azt kiolvasóval vagy karbantartó szerszámmal törlik. Ha a számláló az erős használatkorlátozó rendszer működése alatt nem számlál, akkor a 4.4. táblázatban megadott értéken vagy egy olyan értéken kell rögzülnie, amely egyenlő vagy nagyobb, mint az erős használatkorlátozás számlálójának értéke, mínusz 30 perc.

b) A számlálónak a 4.4. táblázatban megadott értéken vagy olyan értéken kell rögzülnie, amely egyenlő vagy nagyobb, mint az erős használatkorlátozás számlálójának értéke, mínusz 30 perc.

11.4.2.1.3. Egyszeres ellenőrzőrendszer-számláló esetében a számlálónak folytatnia kell a számlálást, ha az NOx-szabályozás adott számlálóhoz tartozó működési hibáját észleli, és a megfelelő diagnosztikai hibakód „megerősített és aktív” státust vesz fel. A számlálónak le kell állnia és a 11.4.2.1.2. pontban meghatározott értékek egyikét meg kell tartania, ha az NOx-szabályozásnak a számlálót eredetileg működésbe hozó működési hibája már nem észlelhető, vagy a számlálóhoz tartozó valamennyi működési hibát kiolvasóval vagy karbantartó szerszámmal törlik.



4.4. táblázat

Számlálók és használatkorlátozás

 

A számlálót először működésbe léptető diagnosztikai hibakód státusa

A számláló mérsékelt használatkorlátozást eredményező értéke

A számláló erős használatkorlátozást eredményező értéke

A számláló által megőrzött, rögzült érték

A reagensminőség számlálója

megerősített és aktív

≤ 10 óra

≤ 20 óra

≥ a számláló erős használatkorlátozást eredményező értékének 90 %-a

Az adagolás számlálója

megerősített és aktív

≤ 10 óra

≤ 20 óra

≥ a számláló erős használatkorlátozást eredményező értékének 90 %-a

A kipufogógáz-visszavezető rendszer szelepének számlálója

megerősített és aktív

≤ 36 óra

≤ 100 óra

≥ a számláló erős használatkorlátozást eredményező értékének 95 %-a

Az ellenőrző rendszer számlálója

megerősített és aktív

≤ 36 óra

≤ 100 óra

≥ a számláló erős használatkorlátozást eredményező értékének 95 %-a

NOx-küszöbérték, ha alkalmazható

megerősített és aktív

≤ 10 óra

≤ 20 óra

≥ a számláló erős használatkorlátozást eredményező értékének 90 %-a

11.4.2.1.4. A számláló rögzülését követően azt akkor kell lenullázni, ha a számlálóhoz tartozó ellenőrzési rutinok legalább egy teljes ellenőrző ciklust lefutottak működési hiba észlelése nélkül, és a számláló utolsó leállását követő 40 motorüzemóra alatt a számlálóhoz tartozó működési hibát nem észleltek (lásd a 4.4. ábrát).

11.4.2.1.5. Ha a rendszer a számlálóhoz tartozó működési hibát észlel a számláló rögzülése alatt, akkor a számlálónak attól a ponttól kell folytatnia a számlálást, amelynél korábban megállt (lásd a 4.4. ábrát).

12.    A működésbe léptetés és kioldás, valamint a számlálómechanizmusok szemléltetése

12.1.

Ez a 12. szakasz a működésbe léptetést és kioldást, valamint a számlálómechanizmusokat szemlélteti egyes jellemző esetekben. A 12.2., 12.3. és 12.4. pontban szereplő ábrák és leírások csak e függelék szemléltetésének céljára szolgálnak, és azokra nem lehet e rendelet követelményeinek példájaként vagy az érintett folyamatra vonatkozó határozott nyilatkozatként hivatkozni. A 4.6. és 4.7. ábrán szereplő, a számlálóra vonatkozó óraértékek a 4.4. táblázatban az erős használatkorlátozáshoz tartozó legnagyobb értékekre vonatkoznak. Az egyszerűség kedvéért például az illusztrációban nem szerepel az a tény, hogy a használatkorlátozó rendszer működésével egyidejűleg a figyelmeztető rendszer is működik.

4.4. ábra

A számláló újraindítása vagy lenullázása a számláló értékének rögzülését követően

image

12.2.

A 4.5. ábra szemlélteti a működésbe léptető és kioldó mechanizmusok működését a reagens rendelkezésre állásának alábbi négy esetére:

a) 1. használati eset: az üzemeltető a figyelmeztetés ellenére tovább járatja a nem közúti mozgó gépet mindaddig, amíg annak működése le nem áll,

b) 1. újratöltési eset („megfelelő” újratöltés): az üzemeltető újratölti a reagenstartályt úgy, hogy annak szintje a 10 %-os határérték fölé kerüljön. A figyelmeztető és használatkorlátozó rendszer kiold,

c) 2. és 3. újratöltési eset („nem megfelelő” újratöltés): a figyelmeztető rendszer működésbe lép. A figyelmeztetés szintje a rendelkezésre álló reagens mennyiségétől függ,

d) 4. újratöltési eset („teljesen elégtelen” újratöltés): a mérsékelt használatkorlátozás azonnal működésbe lép.

4.5. ábra

A rendelkezésre álló reagens

image

12.3.

A 4.6. ábra a nem megfelelő reagensminőség három esetét ismerteti:

a) 1. használati eset: az üzemeltető a figyelmeztetés ellenére tovább járatja a nem közúti mozgó gépet mindaddig, amíg annak működése le nem áll;

b) 1. javítási eset („rossz” vagy „csaló” javítás): a nem közúti mozgó gép működésképtelenné válása után az üzemeltető megváltoztatja a reagens minőségét, de nem sokkal később visszaáll rossz minőségűre. A használatkorlátozó rendszer rögtön újból működésbe lép, és a nem közúti mozgó gép 2 motorüzemóra után ismét működésképtelenné válik;

c) 2. javítási eset („megfelelő” javítás): a nem közúti mozgó gép működésképtelenné válása után az üzemeltető korrigálja a reagensminőséget. Bizonyos idő elteltével azonban ismét nem megfelelő minőségű reagensre vált. A figyelmeztetés, a használatkorlátozás és a számlálási folyamat ismét nulláról indul.

4.6. ábra

Nem megfelelő reagenssel való feltöltés

image

12.4.

A 4.7. ábra a karbamidadagoló rendszer meghibásodásának három esetét szemlélteti. Ez az ábra azt a folyamatot is szemlélteti, amely 9. szakaszban ismertetett ellenőrzési hibák esetében érvényesül.

a) 1. használati eset: az üzemeltető a figyelmeztetés ellenére tovább járatja a nem közúti mozgó gépet mindaddig, amíg annak működése le nem áll;

b) 1. javítási eset („megfelelő” javítás): a nem közúti mozgó gép működésképtelenné válása után az üzemeltető megjavítja a reagensadagolót. Bizonyos idő elteltével azonban az adagoló rendszer ismét meghibásodik. A figyelmeztetés, a használatkorlátozás és a számlálási folyamat ismét nulláról indul;

c) 2. javítási eset („rossz” javítás): a mérsékelt használatkorlátozás (nyomatékkorlátozás) alatt az üzemeltető megjavítja a reagensadagolót. Kis idő elteltével azonban az adagoló rendszer ismét meghibásodik. A mérsékelt használatkorlátozó rendszer azonnal újból működésbe lép, és a számláló a javításkori értékről folytatja a számlálás.

4.7. ábra

A reagensadagoló rendszer meghibásodása

image

13.    A legkisebb elfogadható reagenskoncentráció (CDmin) igazolása

13.1.

A gyártónak az EU-típusjóváhagyás során igazolnia kell a CDmin megfelelő értékét az NRE-v-3, NRE-v-4, NRE-v-5 és NRE-v-6 alkategóriájú motorok esetében a melegindításos NRTC-vizsgálatnak, minden egyéb kategória esetében pedig a vonatkozó NRSC-nek a CDmin koncentrációjú reagenssel való elvégzése útján.

13.2.

A vizsgálatnak követnie kell a megfelelő NCD-ciklus(oka)t vagy a gyártó által meghatározott előkondicionálási ciklust, a CDmin koncentrációjú reagenshez való alkalmazkodás elvégzéséhez zárt szabályozókörű NOx-szabályozó rendszer megengedésével.

▼M2

13.3.

Az e vizsgálatból származó szennyező anyag-kibocsátás nem haladhatja meg a 7.1.1. pontban meghatározott NOx-határértéket.

▼M2

13.4.

Az igazolás dokumentációja

13.4.1.

A legkisebb elfogadható reagenskoncentráció igazolását jelentésben kell dokumentálni. A jelentésnek:

a) meg kell határoznia a vizsgált működési hibákat;

b) ismertetnie kell az elvégzett igazoló vizsgálatot, beleértve az alkalmazandó vizsgálati ciklust is;

c) meg kell erősítenie, hogy az igazoló vizsgálatból származó szennyező anyag-kibocsátás nem haladta meg a 7.1.1. pontban meghatározott NOx-határértéket;

d) benne kell foglaltatnia az (EU) 2017/656 végrehajtási rendelet I. mellékletének A. részében meghatározott adatközlő mappában.

▼B




2. függelék

NOx-szabályozásra vonatkozó kiegészítő műszaki követelmények IWP, IWA és RLR kategóriájú motorok esetében, ideértve a vonatkozó stratégiák igazolásának módszerét is

1.    Bevezetés

Ez a függelék határozza meg az NOx-szabályozásra szolgáló megoldások helyes működését biztosító kiegészítő követelményeket az IWP, IWA és RLR kategóriájú motorok esetében.

▼M2

2.    Általános követelmények

Az 1. függelék követelményei az e függelék 3. és 4. pontjában meghatározott kivételekkel alkalmazandók az e függelék hatálya alá tartozó motorokra.

3.   Kivételek az 1. függelék követelményei alól

Az 1. függelék 5. és 11.3. pontjában előírt használatkorlátozó rendszer a biztonsági szempontok figyelembevétele érdekében nem vonatkozik az e függelék hatálya alá tartozó motorokra. Az adatoknak az e függelék 4. pontjában meghatározott fedélzeti számítógépes naplóban való tárolására vonatkozó követelményt minden olyan esetben alkalmazni kell, amikor a használatkorlátozás az 1. függelék 2.3.2.3.2., 6.3., 7.3., 8.4. és 9.4. pontjával összhangban működésbe lépett volna.

4.   A motor működése során elégtelen reagensbefecskendezés vagy reagensminőség miatt fellépő váratlan események tárolására vonatkozó követelmény

4.1.

A fedélzeti számítógép naplójának nem felejtő számítógépes memóriában vagy számlálókon rögzítenie kell a motor működése során elégtelen reagensbefecskendezés vagy reagensminőség miatt fellépő váratlan események teljes számát és időtartamát olyan módon, hogy az információk ne legyenek szándékosan törölhetők.

4.1.1.

A nemzeti ellenőrző hatóságok számára lehetővé kell tenni, hogy e nyilvántartásokba kiolvasó használatával betekintsenek.

4.1.2.

Az e nyilvántartásokhoz való kapcsolódás és azok kiolvasási módjának leírását fel kell tüntetni az (EU) 2017/656 végrehajtási rendelet I. mellékletének A. részében meghatározott adatközlő mappában.

4.2.

Az 1. függelék 6.3. pontja szerinti használatkorlátozás helyett a 4.1. pont szerint a fedélzeti számítógép naplójában rögzített, elégtelen reagensszint miatt fellépő váratlan esemény időtartama akkor indul, amikor a reagenstartály kiürül (azaz az adagoló rendszer nem képes a tartályból reagenst felvenni) vagy a gyártó választása szerint a névleges teljes űrtartalmának 2,5 %-a alatti szintet ér el.

4.3.

Az 1. függelék 6.3., 7.3., 8.4. és 9.4. pontjában meghatározott használatkorlátozás helyett a 4.1. pont szerint a fedélzeti számítógép naplójában rögzített váratlan esemény időtartama akkor indul, amikor a vonatkozó számláló eléri az 1. függelék 4.4. táblázatában az erős használatkorlátozásra vonatkozóan megadott értéket.

4.4.

Az 1. függelék 2.3.2.3.2. pontjában meghatározott használatkorlátozás helyett a 4.1. pont szerint a fedélzeti számítógép naplójában rögzített váratlan esemény időtartama akkor indul, amikor a használatkorlátozásra elkezdődött volna.

4.5.

A 4.1. pont szerint a fedélzeti számítógép naplójában rögzített váratlan esemény időtartama a váratlan esemény orvoslásakor ér véget.

▼M2

4.6.

Az 1. függelék 10.4. pontja szerinti igazolási eljárás elvégzésekor az igazolási eljárást az erős használatkorlátozó rendszer működésbe lépésének igazolására vonatkozó követelményekkel összhangban kell elvégezni, de az erős használatkorlátozó rendszer működésbe lépésének igazolását a motor működése során elégtelen reagensbefecskendezés vagy reagensminőség miatt fellépő váratlan esemény eltárolásának igazolásával kell helyettesíteni.

▼B




3. függelék

NOx-szabályozásra vonatkozó kiegészítő műszaki követelmények RLL kategóriájú motorok esetében

1.    Bevezetés

Ez a függelék határozza meg az NOx-szabályozásra szolgáló megoldások helyes működését biztosító kiegészítő követelményeket az RLL kategóriájú motorok esetében. Előírásokat tartalmaz mindazon motorokra, amelyek a kibocsátáscsökkentés érdekében reagenst használnak. Az EU-típusjóváhagyást ahhoz a feltételhez kell kötni, hogy alkalmazzák az e függelékben szereplő, a használati utasításra, a beépítési útmutatóra és az üzemeltetőt figyelmeztető rendszerre vonatkozó rendelkezéseket.

2.    Kért információk

2.1.

A gyártónak – az (EU) 2017/656 végrehajtási rendelet I. melléklete A. részének 1.5. pontja szerint – az NOx-szabályozásra szolgáló intézkedések működési jellemzőit teljes mértékben leíró információkat kell benyújtania.

2.2.

Reagenst igénylő kibocsátásszabályozási rendszer esetében a gyártónak – az (EU) 2017/656 végrehajtási rendelet I. mellékletének 3. függelékében meghatározott adatközlő lapot használva – meg kell adnia a reagens jellemzőit, ideértve a reagens típusát, a feloldott reagens koncentrációját, az üzemi hőmérsékleti feltételeket, valamint a reagens összetételére és minőségére vonatkozó nemzetközi szabványokra való hivatkozást.

3.    Reagens rendelkezésre állása és az üzemeltetőt figyelmeztető rendszer

Reagens használata esetén az EU-típusjóváhagyást ahhoz a feltételhez kell kötni, hogy a gép üzemeltetőjét kijelzőkkel vagy – a nem közúti mozgó gép adott konfigurációjának megfelelően – más alkalmas módon tájékoztassák a következőkről:

a) a reagenstároló tartályban maradt reagens mennyisége, valamint külön jelzés arról, ha a reagens mennyisége a teli tartály űrtartalmának 10 %-a alá csökkent;

b) ha a reagenstároló tartály kiürül vagy majdnem kiürül;

c) ha a tartályban lévő reagens a beépített eszközök szerint nem felel meg az adminisztratív követelményekről szóló (EU) 2017/656 végrehajtási rendelet I. mellékletének 3. függelékében meghatározott adatközlő lapon bejelentett és feljegyzett jellemzőknek;

d) ha megszakad a reagensadagolás, kivéve az olyan eseteket, amikor azt a motorvezérlő egység vagy az adagolásszabályozó szakítja meg azon üzemállapotok reagálva, amelyek mellett nincs szükség adagolásra, feltéve, hogy ezeket az üzemállapotokat a jóváhagyó hatóság tudomására hozták.

4.    Reagensminőség

A reagensnek a bejelentett jellemzőknek és a kapcsolódó NOx-kibocsátási tűréshatároknak való megfelelőségére vonatkozó követelményeket az alábbi módszerek valamelyikével kell teljesíteni, a gyártó döntése szerint:

a) közvetlen módszerek, mint például a reagens minőségét érzékelő szenzor használata;

b) közvetett módszerek, mint például NOx-érzékelő használata a kipufogórendszerben a reagens hatékonyságának értékelésére;

c) bármilyen egyéb módszer, feltéve, hogy hatékonysága legalább megegyezik az a) vagy b) alpontban említett módszerek hatékonyságával, és az e 4. szakaszban foglalt fő követelményeknek eleget tesznek.




4. függelék

A szilárd szennyező anyagok szabályozására vonatkozó műszaki követelmények, ideértve e szabályozás igazolásának módszerét is

1.    Bevezetés

Ez a függelék a részecskeszabályozásra szolgáló megoldások helyes működését biztosító követelményeket határozza meg.

2.    Általános követelmények

A motornak rendelkeznie kell részecskeszabályozás-diagnosztikai rendszerrel (NCD), amely azonosítani tudja a részecske-utókezelő rendszer azon működési hibáit, amelyek szerepelnek e mellékletben. Az e 2. szakasz hatálya alá tartozó motorokat úgy kell megtervezni, legyártani és beépíteni, hogy hasznos élettartamuk alatt és szokásos használati körülmények között mindvégig alkalmasak legyenek e követelmények teljesítésére. Ennek a célkitűzésnek az eléréséhez elfogadható, ha azokon a motorokon, amelyeket az (EU) 2016/1628 rendelet V. mellékletében említett kibocsátástartóssági időtartamon túl használnak, a részecskeszabályozás-diagnosztikai rendszer működésének és érzékenységének némi romlása mutatkozhat.

2.1.   Kért információk

2.1.1.

Reagenst, például tüzelőanyagban oldott katalizátort igénylő kibocsátásszabályozási rendszer esetében a gyártónak – az (EU) 2017/656 végrehajtási rendelet I. mellékletének 3. függelékében meghatározott adatközlő lapot használva – meg kell adnia a reagens jellemzőit, ideértve a reagens típusát, a feloldott reagens koncentrációját, az üzemi hőmérsékleti feltételeket, valamint a reagens összetételére és minőségére vonatkozó nemzetközi szabványokra való hivatkozást.

2.1.2.

Az EU-típusjóváhagyáskor a gyártónak a 4. szakasz szerinti, üzemeltetőt figyelmeztető rendszer működési jellemzőit teljes körűen leíró részletes írásos tájékoztatást kell benyújtania a jóváhagyó hatósághoz.

2.1.3.

A gyártó az eredetiberendezés-gyártó számára beépítési útmutatót biztosít, amelynek követése esetén garantált, hogy a motor, beleértve a jóváhagyott motortípus vagy motorcsalád részét képező kibocsátásszabályozási rendszert, a nem közúti mozgó gépbe beépítve e melléklet követelményeinek megfelelő módon együttműködik a gép megfelelő részeivel. Ez a dokumentáció tartalmazza a motorra vonatkozó részletes műszaki előírásokat és rendelkezéseket (szoftver, hardver és kommunikáció), amelyek a motornak a nem közúti mozgó gépbe való helyes beépítéséhez szükségesek.

2.2.   Üzemállapotok

▼M2

2.2.1.

A részecskeszabályozás-diagnosztikai rendszernek legalább az egyes motorkategóriákra vonatkozóan a IV. melléklet 2.4. pontjában meghatározott vonatkozó ellenőrzési feltételek mellett működőképesnek kell lennie. A diagnosztikai rendszernek e tartományon kívül is működőképesnek kell maradnia, amennyiben ez műszakilag lehetséges.

▼B

2.3.   Diagnosztikai követelmények

2.3.1.

A részecskeszabályozás-diagnosztikai rendszernek számítógépes memóriában tárolt diagnosztikai hibakódok segítségével tudnia kell azonosítani a részecskeszabályozás e mellékletben szereplő működési hibáit, és ezeket az információkat kérésre ki kell tudnia adni külső eszközre.

2.3.2.

A diagnosztikai hibakódok (DTC-k) rögzítésére vonatkozó követelmények

2.3.2.1.

A részecskeszabályozás-diagnosztikai rendszernek a részecskeszabályozás minden egyes működési hibája esetében diagnosztikai hibakódot kell rögzítenie.

2.3.2.2.

A részecskeszabályozás-diagnosztikai rendszer a motor 4.5. táblázatban megadott működési idején belül eldönti, hogy észlelhető-e valamilyen működési hiba. Ekkor a rendszernek „megerősített és aktív” diagnosztikai hibakódot kell mentenie, és a 4. szakaszban meghatározott figyelmeztető rendszernek működésbe kell lépnie.

2.3.2.3.

▼M2

Amennyiben az ellenőrző rutinoknak a 4.5. táblázatban megadottnál hosszabb működési időre van szükségük ahhoz, hogy pontosan észleljék és megerősítsék a részecskeszabályozás működési hibáját (például statisztikai modelleket használó rutinok vagy a nem közúti mozgó gép fogyasztását figyelembe vevő rutinok esetében), a jóváhagyó hatóság engedélyezhet hosszabb megfigyelési időt is, feltéve, hogy a gyártó megindokolja ennek szükségességét (például műszaki indoklás, kísérleti eredmények, saját tapasztalatok stb.).

▼B



4.5. táblázat

Az ellenőrző rutinok típusai és a megfelelő időtartam, amelyen belül „megerősített és aktív” diagnosztikai hibakódot kell tárolni

Az ellenőrző rutin típusa

Az összesített működési idők azon időtartama, amelyen belül a „megerősített és aktív” diagnosztikai hibakódokat tárolni kell

A részecske-utókezelő rendszer eltávolítása

60 perc nem alapjárati motorműködés

A részecske-utókezelő rendszer funkcióvesztése

240 perc nem alapjárati motorműködés

A részecskeszabályozás-diagnosztikai rendszer meghibásodása

60 perc motorműködés

2.3.3.

A diagnosztikai hibakódok (DTC-k) törlésére vonatkozó követelmények

a) a részecskeszabályozás-diagnosztikai rendszer maga nem törölheti ki a diagnosztikai hibakódokat a számítógép memóriájából, amíg az adott kódhoz kapcsolódó hibát meg nem szüntették;

b) a részecskeszabályozás-diagnosztikai rendszer a motorgyártó által kérésre biztosított hibakód-kiolvasó vagy karbantartó szerszám vagy a motorgyártó által megadott kód segítségével az összes diagnosztikai hibakódot törölheti;

c) a megerősített és aktív diagnosztikai hibakódú, működési közbeni váratlan eseményekről az 5.2. pont szerint nem felejtő memóriában tárolt bejegyzések nem törölhetők.

2.3.4.

A részecskeszabályozás-diagnosztikai rendszert nem szabad úgy programozni vagy más módon úgy kialakítani, hogy a nem közúti mozgó gép kora alapján részlegesen vagy teljesen kikapcsoljon a motor tényleges élettartama alatt, és a rendszer nem tartalmazhat olyan algoritmust vagy stratégiát, amelynek célja a részecskeszabályozás-diagnosztikai rendszer teljesítőképességének az idő előrehaladtával való csökkentése.

2.3.5.

A részecskeszabályozás-diagnosztikai rendszer újraprogramozható számítógépes kódjának vagy működési paramétereinek ellen kell állniuk a szakszerűtlen beavatkozásnak.

2.3.6.

Részecskeszabályozás-diagnosztika szerinti motorcsalád

A részecskeszabályozás-diagnosztika szerinti motorcsalád összetételének meghatározása a gyártó feladata. A motorrendszerek egy részecskeszabályozás-diagnosztika szerinti motorcsaládba történő besorolásának műszakilag indokoltnak kell lennie, és azt jóvá kell hagyatni a jóváhagyó hatósággal.

A nem egy motorcsaládba tartozó motorok még tartozhatnak ugyanabba az részecskeszabályozás-diagnosztika szerinti motorcsaládba.

2.3.6.1.   A részecskeszabályozás-diagnosztika szerinti motorcsaládot meghatározó paraméterek

A részecskeszabályozás-diagnosztika szerinti motorcsaládot olyan alapvető tervezési paraméterekkel lehet meghatározni, amelyek a motorcsaládba tartozó motorrendszerek tekintetében közösek.

Ahhoz, hogy a motorokat a részecskeszabályozás-diagnosztika szerint egy motorcsaládba tartozónak lehessen tekinteni, a következő alapparamétereknek kell hasonlónak lenniük:

a) a részecske-utókezelő rendszer működési elve (például mechanikus, aerodinamikai, diffúziós, inerciális, időszakosan regeneráló, folyamatosan regeneráló stb.);

b) a részecskeszabályozás-diagnosztikai ellenőrzés módszerei;

c) a részecskeszabályozás-diagnosztikai ellenőrzés kritériumai;

d) ellenőrzési paraméterek (például gyakoriság).

Ezeket a hasonlóságokat a gyártónak megfelelő műszaki igazolási eljárással vagy más megfelelő eljárással igazolnia kell, és jóvá kell hagyatnia a jóváhagyó hatósággal.

A gyártó kérheti, hogy a jóváhagyó hatóság hagyja jóvá a részecskeszabályozás-diagnosztikai ellenőrző rendszer ellenőrzésre/diagnosztizálásra szolgáló módszereinek a motorrendszer elrendezésének különbségei miatti kisebb eltéréseit, amennyiben a gyártó ezeket a módszereket hasonlónak tekinti, és azok csak azért térnek el, hogy megfeleljenek egyes vizsgált alkatrészek konkrét jellemzőinek (például méret, kipufogógáz-áram stb.),

3.    Karbantartási követelmények

▼M2

3.1.

Az eredetiberendezés-gyártó az új, nem közúti mozgó gépek valamennyi végfelhasználóját köteles a XV. mellékletben előírt módon ellátni írásbeli használati utasítással a kibocsátásszabályozási rendszerről és annak helyes működéséről.

▼B

4.    Üzemeltetőt figyelmeztető rendszer

4.1.

A nem közúti mozgó gépben lennie kell az üzemeltetőt fényjelzésekkel tájékoztató figyelmeztető rendszernek.

4.2.

Az üzemeltetőt figyelmeztető rendszer állhat egy vagy több lámpából, vagy rövid üzeneteket is kijelezhet.

Az említett üzenetek megjelenítésére használt rendszer lehet az egyéb karbantartási vagy NOx-szabályozás-diagnosztikai célokra használt rendszer.

A figyelmeztető rendszernek jeleznie a sürgős javítás szükségességét. Ha a figyelmeztető rendszernek üzenetkijelző rendszer is része, annak a figyelmeztetés okát megjelölő üzenetet kell megjelenítenie (például „az érzékelő csatlakozása megszakadt” vagy „szennyezőanyag-kibocsátást érintő kritikus hiba”).

4.3.

Ha a gyártó úgy dönt, az üzemeltetőt figyelmeztető rendszer hangjelzést is kiadhat. A hangjelzés üzemeltető általi kikapcsolása megengedett.

4.4.

Az üzemeltetőt figyelmeztető rendszernek a 2.3.2.2. pontban meghatározottak szerint kell működésbe lépnie.

4.5.

Ha a működésbe lépést kiváltó feltételek már megszűntek, a figyelmeztető rendszernek ki kell kapcsolnia. Az üzemeltetőt figyelmeztető rendszer nem kapcsolhat ki automatikusan, ha működésbe lépésének okait nem szüntették meg.

4.6.

Fontos biztonsági vonatkozású üzeneteket tartalmazó figyelmeztető jelzések ideiglenesen megszakíthatják a figyelmeztető rendszer működését.

4.7.

Az (EU) 2016/1628 rendelet szerinti EU-típusjóváhagyásra irányuló kérelemben a gyártónak a 9. szakaszban meghatározottak szerint igazolnia kell az üzemeltetőt figyelmeztető rendszer működését.

5.    Az üzemeltetőt figyelmeztető rendszer működésbe lépéséről információkat tároló rendszer

5.1

A részecskeszabályozás-diagnosztikai rendszernek tartalmaznia kell nem felejtő számítógépes memóriát vagy számlálókat, amelyek a megerősített és aktív diagnosztikai hibakódú, működési közbeni váratlan eseményeket tárolja olyan módon, hogy az információk ne legyen szándékosan törölhetők.

5.2

A részecskeszabályozás-diagnosztikai rendszernek nem felejtő számítógépes memóriában kell tárolnia a teljes számát és időtartamát minden olyan, megerősített és aktív diagnosztikai hibakódú, működési közbeni váratlan eseménynek, amelynél az üzemeltetőt figyelmeztető rendszer legalább 20 üzemórája vagy a gyártó által megadott rövidebb ideje működik.

5.2

A nemzeti hatóságok számára lehetővé kell tenni, hogy e nyilvántartásokba kiolvasó használatával betekintsenek.

▼M2

5.4.

Az e nyilvántartásokhoz való kapcsolódás és azok kiolvasási módjának leírását fel kell tüntetni az (EU) 2017/656 végrehajtási rendelet I. mellékletének A. részében meghatározott adatközlő mappában.

▼B

6.    A részecske-utókezelő rendszer eltávolításának figyelése

6.1

A részecskeszabályozás-diagnosztikai rendszernek észlelnie kell a részecske-utókezelő rendszer teljes eltávolítását, így az annak működését figyelő, aktiváló, deaktiváló vagy módosító érzékelők eltávolítását is.

7.    Kiegészítő követelmények reagenst (például tüzelőanyagban oldott katalizátort) használó részecske-utókezelő rendszer esetében

7.1

A részecske-utókezelő rendszer eltávolítására vagy funkcióvesztésére vonatkozó megerősített és aktív diagnosztikai hibakód esetében a reagensadagolást azonnal meg kell szakítani. Az adagolás akkor folytatódhat, ha a diagnosztikai hibakód már nem aktív.

7.2

A figyelmeztető rendszernek akkor kell működésbe lépnie, ha az adalékanyag-tartályban a reagensszint a gyártó által megadott legalacsonyabb érték alá csökken.

8.    A szakszerűtlen beavatkozásnak betudható működési hibák figyelése

8.1.

A részecske-utókezelő rendszer eltávolításának felügyeletén túlmenően a következő működési hibákat kell figyelni, mivel azok szakszerűtlen beavatkozásnak lehetnek betudhatók:

a) a részecske-utókezelő rendszer funkcióvesztése,

b) a részecskeszabályozás-diagnosztikai rendszer 8.3. pont szerinti meghibásodása.

8.2

A részecske-utókezelő rendszer funkcióvesztésének figyelése

A részecskeszabályozás-diagnosztikai rendszernek észlelnie kell a részecske-utókezelő rendszer hordozórétegének eltávolítását („üres doboz”). Ez esetben a részecske-utókezelő rendszer háza és a működését figyelő, aktiváló, deaktiváló vagy módosító érzékelők még a helyükön vannak.

8.3.

A részecskeszabályozás-diagnosztikai rendszer meghibásodásának figyelése

8.3.1.

A részecskeszabályozás-diagnosztikai rendszert folyamatosan figyelni kell olyan elektromos hibák, illetve érzékelők vagy működtetők kiesése vagy kiiktatása szempontjából, amelyek megakadályoznák a 6.1. pontban és a 8.1. pont a) alpontjában említett más működési hibák észlelését (alkatrész-ellenőrzés).

A diagnosztikai képességet befolyásoló érzékelők többek között a közvetlenül a részecske-utókezelő rendszeren keresztül nyomáskülönbséget mérő érzékelők és a részecske-utókezelő rendszer regenerálásának szabályozására szolgáló kipufogógázhőmérséklet-érzékelők.

8.3.2.

Amennyiben a részecskeszabályozás-diagnosztikai rendszer egyetlen érzékelőjének vagy működtetőjének meghibásodása, eltávolítása vagy deaktiválása nem gátolja a 6.1. pontban és a 8.1. pont a) alpontjában említett működési hibák előírt időn belüli diagnosztizálását (redundáns rendszer), a figyelmeztető rendszer működésbe lépésére és az üzemeltetőt figyelmeztető rendszer működésbe lépésével kapcsolatos információk tárolására csak akkor van szükség, ha további megerősített és aktív érzékelő- vagy működtetőhibák vannak.

9.    Az igazolási eljárásra vonatkozó követelmények

9.1.   Általános rendelkezések

Az e függelék előírásainak való megfelelést az EU-típusjóváhagyás során kell igazolni a 4.6. táblázatban bemutatott és a figyelmeztető rendszer működésbe lépésének igazolásáról szóló 9. szakaszban részletezett igazolások elvégzésével:



4.6. táblázat

 9.3. pontnak megfelelő igazolási eljárás tartalmának szemléltetése

Mechanizmus

Az igazolási eljárás részei

A figyelmeztető rendszer 4.4. pont szerinti működésbe lépése

— 2 működésbelépési vizsgálat (például a részecske-utókezelő rendszer funkcióvesztése),

— az igazolási eljárás kiegészítő részei igény szerint.

9.2.   Motorcsaládok és részecskeszabályozás-diagnosztika szerinti motorcsaládok

▼M2

9.2.1.

Abban az esetben, ha a motorcsalád olyan részecskeszabályozás-diagnosztika szerinti motorcsaládba tartozik, amely már rendelkezik a 2.3.6. pont (4.8. ábra) szerinti EU-típusjóváhagyással, e motorcsalád megfelelőségét további vizsgálat nélkül igazoltnak kell tekinteni, feltéve, hogy a gyártó igazolja a hatóságnak, hogy az e függelék követelményeinek való megfeleléshez szükséges ellenőrző rendszerek a motorcsaládon és a vizsgált részecskeszabályozás-diagnosztika szerinti motorcsaládon belül hasonlóak.

4.8. ábra

Egy részecskeszabályozás-diagnosztika szerinti motorcsalád korábban igazolt megfelelősége

image

▼B

9.3.   A figyelmeztető rendszer működésbe lépésének igazolása

9.3.1.

A figyelmeztető rendszer működésbe lépésének megfelelőségét két vizsgálat elvégzésével kell igazolni: a részecske-utókezelő rendszer funkcióvesztése és egy, az e melléklet 6. vagy 8.3. pontjában vizsgált működésihiba-kategória.

9.3.2.

A vizsgálandó működési hibák kiválasztása:

9.3.2.1.

A gyártónak meg kell adnia a potenciális működési hibák jegyzékét a jóváhagyó hatóságnak.

9.3.2.2.

A vizsgálandó működési hibát a jóváhagyó hatóság választja ki a 9.3.2.1. pontban említett jegyzékről.

9.3.3.

Igazolási eljárás

9.3.3.1.

Ezen igazolási eljárás céljaira külön vizsgálatot kell végezni a részecske-utókezelő rendszer 8.2. pont szerinti funkcióvesztésére, valamint a 6. és a 8.3. pontban említett működési hibákra vonatkozóan. A részecske-utókezelő rendszer funkcióvesztését a hordozórétegnek a részecske-utókezelő rendszer házából való teljes eltávolításával kell előidézni.

9.3.3.2.

A vizsgálat alatt csak az éppen vizsgált működési hiba állhat fenn.

9.3.3.3.

A vizsgálat megkezdése előtt valamennyi hibakódot törölni kell.

9.3.3.4.

A gyártó kérésére és a jóváhagyó hatósággal egyetértésben a vizsgált működési hibát szimulálni is lehet.

9.3.3.5.

Működési hibák észlelése

9.3.3.5.1.

A részecskeszabályozás-diagnosztikai rendszernek reagálnia kell egy, a jóváhagyó hatóság által e függelék rendelkezései szerint kiválasztott megfelelő hiba megjelenésére. Ez igazoltnak tekinthető, ha a rendszer a 4.7. táblázatban megadott számú, egymást követő részecskeszabályozás-diagnosztikai vizsgálati ciklus során működésbe lép.

Ha az ellenőrzési funkció leírásában részletesen szerepel, és a jóváhagyó hatóság elfogadta, hogy egy adott ellenőrző rutinnál a 4.7. táblázatban megadottnál több részecskeszabályozás-diagnosztikai vizsgálati ciklusra van szükség ahhoz, hogy az ellenőrzés befejeződjön, akkor a részecskeszabályozás-diagnosztikai vizsgálati ciklusok száma legfeljebb 50 %-kal megnövelhető.

Az igazolási eljárás során az egyes részecskeszabályozás-diagnosztikai vizsgálati ciklusok között le lehet állítani a motort. A következő beindításig eltelő idő meghatározásakor figyelembe kell venni minden olyan ellenőrzési funkciót, amely esetleg a motor leállása után megy végbe, és minden szükséges feltételt, amelynek fenn kell állnia ahhoz, hogy ellenőrzés történjen a következő beindításnál.



4.7. táblázat

Az ellenőrző rutinok típusai és azoknak a részecskeszabályozás-diagnosztikai vizsgálati ciklusoknak a megfelelő száma, amelyeken belül „megerősített és aktív” diagnosztikai hibakódot kell tárolni

Az ellenőrző rutin típusa

Azoknak a részecskeszabályozás-diagnosztikai vizsgálati ciklusoknak a megfelelő száma, amelyeken belül „megerősített és aktív” diagnosztikai hibakódot kell tárolni

A részecske-utókezelő rendszer eltávolítása

2

A részecske-utókezelő rendszer funkcióvesztése

8

A részecskeszabályozás-diagnosztikai rendszer meghibásodása

2

9.3.3.6.

A részecskeszabályozás-diagnosztikai vizsgálati ciklus

9.3.3.6.

. Az e 9. szakaszban vizsgált, a részecske-utókezelő rendszer ellenőrzésére szolgáló rendszer helyes működésének igazolására szolgáló részecskeszabályozás-diagnosztikai vizsgálati ciklus az NRE-v-3, NRE-v-4, NRE-v-5 és NRE-v-6 alkategóriájú motorok esetében a melegindításos NRTC, minden egyéb kategória esetében pedig a vonatkozó NRSC.

9.3.3.6.2.

A gyártó kérésére és a jóváhagyó hatóság jóváhagyásával adott ellenőrző rutin esetében alternatív részecskeszabályozás-diagnosztikai vizsgálati (például NRTC-től vagy NRSC-től eltérő) ciklus használható. A kérelemnek tartalmaznia kell olyan elemeket (műszaki alátámasztás, szimuláció, mérési eredmények stb.), amelyek igazolják a következőket:

▼M2

a) a kért vizsgálati ciklus olyan ellenőrzést eredményez, amely valós működési feltételek mellett is működni fog; és

▼B

b) a 9.3.3.6.1. pontban meghatározott vonatkozó részecskeszabályozás-diagnosztikai vizsgálati ciklus kevésbé felel meg a tervezett ellenőrzésre.

9.3.3.7

A figyelmeztető rendszer működésbe lépésének igazolásra való beállítása

9.3.3.7.1.

A figyelmeztető rendszer működésének igazolását motorfékpadon végzett vizsgálattal kell végrehajtani.

9.3.3.7.2.

A motorhoz e célból a jóváhagyó hatóság megelégedésére csatlakoztatni (vagy szimulálni) kell minden további, az igazolási eljárás elvégzéséhez szükséges, a motorhoz fizikailag nem felszerelt alkatrészt vagy alrendszert, úgymint többek között a környezeti hőmérséklet érzékelőjét, a szintérzékelőket, valamint az üzemeltetőt figyelmeztető és tájékoztató rendszereket.

9.3.3.7.3.

A gyártó a jóváhagyó hatóság egyetértésével az igazolási eljárásokat a 9.3.3.7.1. pont rendelkezéseinek sérelme nélkül a nem közúti mozgó gép egészén is elvégezheti, a nem közúti mozgó gépet megfelelő próbapadra szerelve vagy azt ellenőrzött körülmények között próbapályán futtatva.

9.3.4.

A figyelmeztető rendszer működésbe lépésének igazolása megvalósultnak minősül, ha a figyelmeztető rendszer a 9.3.3. pont szerinti minden igazolási eljárás végén megfelelően működésbe lép, és a kiválasztott működési hiba hibakódja „megerősített és aktív” státust kap.

9.3.5

Amennyiben reagenst használó részecske-utókezelő rendszeren végeznek igazolási eljárást a részecske-utókezelő rendszer funkcióvesztése vagy eltávolítása tekintetében, akkor a reagensadagolás megszakítását is meg kell erősíteni.

▼M2

9.3.6.

Az igazolás dokumentációja

9.3.6.1.

A részecskeszabályozás-diagnosztikai rendszer igazolását jelentésben kell dokumentálni. A jelentésnek:

a) meg kell határoznia a vizsgált működési hibákat;

b) ismertetnie kell az elvégzett igazoló vizsgálatot, beleértve az alkalmazandó vizsgálati ciklust is;

c) meg kell erősítenie, hogy a vonatkozó figyelmeztetések e rendelet előírásainak megfelelően működésbe léptek;

d) benne kell foglaltatnia az (EU) 2017/656 végrehajtási rendelet I. mellékletének A. részében meghatározott adatközlő mappában.

▼B




V. MELLÉKLET

A nem közúti, állandósult állapotú vizsgálati ciklushoz tartozó tartományra vonatkozó mérések és vizsgálatok

1.    Általános követelmények

Ez a melléklet azokra az NRE, NRG, IWP, IWA, RLL és RLR kategóriájú, elektronikus vezérlésű motorokra vonatkozik, amelyek megfelelnek az (EU) 2016/1628 rendelet II. mellékletben meghatározott, „V. szakasz” szerinti kibocsátási határértékeknek, és amelyeknél a befecskendezendő tüzelőanyag mennyiségét és a befecskendezés idejét elektronikus vezérlés határozza meg, vagy elektronikus vezérlés kapcsolja be, kapcsolja ki vagy modulálja az NOx csökkentésére szolgáló kibocsátásszabályozási rendszert.

▼M2

Ez a melléklet határozza meg a műszaki követelményeket arra a releváns NRSC ciklussal összefüggő tartományra vonatkozóan, amelyen belül ellenőrizni kell az értéket, amellyel az (EU) 2016/1628 rendelet II. mellékletében megállapított kibocsátási határértékek túlléphetők.

Ha a motort a 4. szakaszban előírt vizsgálati követelményeknek megfelelően vizsgálják, akkor a 2. szakaszban meghatározott, vonatkozó ellenőrzési tartományon belül véletlenszerűen kiválasztott pontokon vett gáz-halmazállapotú és szilárd szennyező anyagkibocsátás-minták nem léphetik túl az (EU) 2016/1628 rendelet II. mellékletében szereplő vonatkozó kibocsátási határértékek 2,0-szeresét.

▼B

A 3. szakasz rendelkezik azokról a kibocsátás próbapadi vizsgálata során a műszaki szolgálat által az ellenőrzési tartományban kiválasztott további mérési pontokról, amelyeket az 1. szakaszban foglalt követelmények teljesülésének igazolásához kell felhasználni.

A gyártó kérelmezheti, hogy a műszaki szolgálat a 3. szakasz szerinti igazolás során kizárjon bizonyos üzemi pontokat a 2. szakaszban meghatározott bármely ellenőrzési tartományból. A műszaki szolgálat akkor tehet eleget ennek a kérésnek, ha a gyártó igazolni tudja, hogy a motor egyetlen nem közúti mozgó gépkombináció esetében sem képes ezeken a pontokon működni.

▼M2

A XIV. melléklet szerint a gyártó által az eredetiberendezés-gyártónak megadott beépítési utasításokban meg kell jelölni a vonatkozó ellenőrzési tartomány felső és alsó határértékét, és egyértelműen közölni kell, hogy az eredetiberendezés-gyártó nem építheti be a motort úgy, hogy annak működése a jóváhagyott motortípushoz vagy motorcsaládhoz tartozó nyomatékgörbe tekintetében tartósan az ellenőrzési tartományon kívüli fordulatszám-nyomaték kombinációkra korlátozódjon.

▼B

2.    A motor ellenőrzési tartománya

A motorvizsgálat elvégzéséhez alkalmazandó ellenőrzési tartomány az e 2. szakaszban meghatározott tartomány, amely a vizsgált motor esetében megfelel a vonatkozó NRSC-nek.

2.1.   A C1. NRSC-ciklussal vizsgált motorok ellenőrzési tartománya

Ezek a motorok változó fordulatszámon és terhelésen működnek. Az ellenőrzési tartomány alól különböző kivételek vannak a motor (al)kategóriájától és üzemi fordulatszámától függően.

2.1.1.

Legalább 19 kW legnagyobb hasznos teljesítményű, NRE kategóriájú, változó fordulatszámú motorok, legalább 300 kW legnagyobb hasznos teljesítményű, IWA kategóriájú, változó fordulatszámú motorok, RLR kategóriájú, változó fordulatszámú motorok és NRG kategóriájú, változó fordulatszámú motorok.

Az ellenőrzési tartomány (lásd a 5.1. ábrát) meghatározása a következő:

felső nyomatékkorlát : teljes terhelési nyomatékgörbe;

fordulatszám-tartomány : az A fordulatszámtól az n hi fordulatszámig;

ahol:

A fordulatszám = n lo + 0,15 × (n hin lo);

n hi

=

magas fordulatszám (lásd az 1. cikk (12) bekezdését),

n lo

=

alacsony fordulatszám (lásd az 1. cikk (13) bekezdését),

A vizsgálatból ki kell zárni a motor következő üzemállapotait:

a) a legnagyobb nyomaték 30 %-a alatti pontok;

b) a legnagyobb hasznos teljesítmény 30 %-a alatti pontok.

Ha a mért A motorfordulatszám ± 3 %-ra megközelíti a gyártó által megadott motorfordulatszámot, a megadott motorfordulatszámokat kell használni. Ha az eltérés bármelyik vizsgálati sebességnél meghaladja ezt a tűrést, akkor a mért fordulatszámokat kell használni.

Az ellenőrzési tartományon belüli közbenső vizsgálati pontok az alábbiak szerint állapítandók meg:

%nyomaték = a legnagyobb nyomaték %-os hányada;

image

;

Ahol: n100% a 100 %-os fordulatszám az adott vizsgálati ciklus alatt.

5.1. ábra

Ellenőrzési tartomány legalább 19 kW legnagyobb hasznos teljesítményű, NRE kategóriájú, változó fordulatszámú motorok, legalább 300 kW legnagyobb hasznos teljesítményű, IWA kategóriájú, változó fordulatszámú motorok és NRG kategóriájú, változó fordulatszámú motorok esetében

image

2.1.2.

Kevesebb mint 19 kW legnagyobb hasznos teljesítményű, NRE kategóriájú, változó fordulatszámú motorok és kevesebb mint 300 kW legnagyobb hasznos teljesítményű, IWA kategóriájú, változó fordulatszámú motorok

A 2.1.1. pontban meghatározott ellenőrzési tartományt kell alkalmazni, de az e pontban megadott és az 5.2. és 5.3. ábrán szemléltetett üzemállapotok további kizárása mellett.

a) csak részecskék esetében, ha a C fordulatszám 2 400 fordulat/perc alatt van, akkor a B fordulatszám mellett a legnagyobb nyomaték 30 %-át, vagy ha nagyobb, a legnagyobb hasznos teljesítmény 30 %-át jelző pontok, magas fordulatszám mellett pedig a legnagyobb hasznos teljesítmény 70 %-át jelző pontok összekötésével kapott vonaltól jobbra vagy az alatt található pontok;

b) csak részecskék esetében, ha a C fordulatszám legalább 2 400 fordulat/perc, akkor a B fordulatszám mellett a legnagyobb nyomaték 30 %-át, vagy ha nagyobb, a legnagyobb hasznos teljesítmény 30 %-át jelző pontok, 2 400 fordulat/perc fordulatszám mellett a legnagyobb hasznos teljesítmény 50 %-át jelző pontok, magas fordulatszám mellett pedig a legnagyobb hasznos teljesítmény 70 %-át jelző pontok összekötésével kapott vonaltól jobbra vagy az alatt található pontok.

ahol:

B fordulatszám = n lo + 0,5 × (n hin lo);

C fordulatszám = n lo + 0,75 × (n hin lo).

n hi

=

magas fordulatszám (lásd az 1. cikk (12) bekezdését),

n lo

=

alacsony fordulatszám (lásd az 1. cikk (13) bekezdését)

Ha a mért A, B és C motorfordulatszám ± 3 %-ra megközelíti a gyártó által megadott motorfordulatszámot, a megadott motorfordulatszámokat kell használni. Ha az eltérés bármelyik vizsgálati sebességnél meghaladja ezt a tűrést, akkor a mért fordulatszámokat kell használni.

▼M2

5.2. ábra

Ellenőrzési tartomány kevesebb mint 19 kW legnagyobb hasznos teljesítményű, NRE kategóriájú, változó fordulatszámú motorok és kevesebb mint 300 kW legnagyobb hasznos teljesítményű, IWA kategóriájú, változó fordulatszámú motorok esetében, kevesebb mint 2 400 fordulat/perc C fordulatszám mellett

image

Jelmagyarázat

1.

A motor ellenőrzési tartománya

2.

Minden kibocsátásra vonatkozó, görbe alatti terület

3.

Részecskékre vonatkozó, görbe alatti terület

a

A legnagyobb hasznos teljesítmény %-os hányada

b

A legnagyobb nyomaték %-os hányada

5.3. ábra

Ellenőrzési tartomány kevesebb mint 19 kW legnagyobb hasznos teljesítményű, NRE kategóriájú, változó fordulatszámú motorok és kevesebb mint 300 kW legnagyobb hasznos teljesítményű, IWA kategóriájú, változó fordulatszámú motorok esetében, legalább 2 400  fordulat/perc C fordulatszám mellett

image

Jelmagyarázat

1.

A motor ellenőrzési tartománya

2.

Minden kibocsátásra vonatkozó, görbe alatti terület

3.

Részecskékre vonatkozó, görbe alatti terület

a

A legnagyobb hasznos teljesítmény %-os hányada

b

A legnagyobb nyomaték százalékos hányada

▼B

2.2.   A D2., E2. és G2. NRSC-ciklussal vizsgált motorok ellenőrzési tartománya

Ezek a motorok működés közben általában nagyon megközelítik a tervezett üzemi fordulatszámukat, ezért az ellenőrzési tartomány az alábbiak szerint állapítandó meg:

fordulatszám

:

100 %

nyomatéktartomány

:

50 %-tól a legnagyobb teljesítménynek megfelelő nyomatékig

2.3.   Az E3. NRSC-ciklussal vizsgált motorok ellenőrzési tartománya

Ezek a motorok általában némileg a fix állásszögű légcsavar görbéje alatt és felett működnek. Az ellenőrzési tartomány a légcsavar görbéjéhez viszonyul, határértékeit pedig matematikai egyenletek exponensei határozzák meg. Az ellenőrzési tartomány az alábbiak szerint állapítandó meg:

A fordulatszám alsó határértéke

:

0, 7 × n 100 %

Felső határgörbe

:

%teljesítmény = 100 × ( %fordulatszám/90)3,5;

Alsó határgörbe

:

%teljesítmény = 70 × ( %fordulatszám/100)2,5;

A teljesítmény felső határértéke

:

A teljes terhelés melletti teljesítménygörbe

A fordulatszám felső határértéke

:

A fordulatszám-szabályozó által engedett legnagyobb fordulatszám

ahol:

%teljesítmény a legnagyobb hasznos teljesítmény %-os hányada;

%fordulatszám a következő %-os hányada: n100%

n100% a 100 %-os fordulatszám az adott vizsgálati ciklus alatt.

5.4. ábra

Az E3. NRSC-ciklussal vizsgált motorok ellenőrzési tartománya

image

Jelmagyarázat:

1

A fordulatszám alsó határértéke

2

Felső határgörbe

3

Alsó határgörbe

4

A teljes terhelés melletti teljesítménygörbe

5

A fordulatszám-szabályozó által engedett legnagyobb fordulatszám görbéje

6

A motor ellenőrzési tartománya

3.    Az igazolási eljárásra vonatkozó követelmények

A műszaki szolgálat a vizsgálat céljára véletlenszerűen választ ki terhelési és sebességi pontokat az ellenőrzési tartományon belül. A 2.1. pont hatálya alá tartozó motorok esetében legfeljebb három pontot kell kiválasztani. A 2.2. pont hatálya alá tartozó motorok esetében egy pontot kell kiválasztani. A 2.3. vagy 2.4. pont hatálya alá tartozó motorok esetében legfeljebb két pontot kell kiválasztani. A műszaki szolgálat véletlenszerűen meghatározza a vizsgálati pontok sorrendjét. A vizsgálatot az NRSC (non-road steady cycle = nem közúti állandósult állapotú ciklus) fő követelményei szerint kell lebonyolítani, de minden vizsgálati pontot külön kell értékelni.

▼M2

3.1.

A 3. pontban előírt véletlenszerű kiválasztás céljából elismert statisztikai módszereket kell alkalmazni a randomizációra.

▼B

4.    Vizsgálati követelmények

▼M2

A vizsgálatot a vonatkozó NRSC ciklus után azonnal el kell végezni az alábbiak szerint:

a) a véletlenszerűen kiválasztott nyomaték- és fordulatszám-pontok vizsgálatát vagy a VI. melléklet 7.8.1.2. pontjának a)–e) alpontjában leírt módon végrehajtott, különálló NRSC ciklusokból álló vizsgálati program után, de az f) alpont szerinti vizsgálat utáni eljárások előtt, vagy a VI. melléklet 7.8.2.3. pontjának a)–d) alpontjában leírt, átmeneteket is magában foglaló, nem közút állandósult állapotú vizsgálati ciklusokból („RMC”) álló vizsgálati program után, de az e) alpont szerinti vizsgálat utáni eljárások előtt azonnal el kell végezni;

▼B

b) a vizsgálatot a VI. melléklet 7.8.1.2. pontjának b)–e) alpontjában előírt módon, a többszűrős módszerrel (minden vizsgálati ponton külön szűrővel) a 3. szakasz szerint kiválasztott vizsgálati pontokon el kell végezni;

c) minden egyes vizsgálati pontra ki kell számolni a fajlagos kibocsátási értéket (g/kWh vagy adott esetben #/kWh);

d) a kibocsátási értékeket ki lehet számolni tömegben a VII. melléklet 2. szakasza alapján vagy mólban a VII. melléklet 3. szakasza alapján, de összhangban kell lenniük a különálló NRSC vagy az RMC vizsgálat során alkalmazott módszerrel;

▼M2

e) gáz-halmazállapotú szennyező anyagok és részecskeszám esetében az összesítő számításokhoz a (7-64) vagy a (7-131) és a (7-178) egyenletben az Nmode értékét 1-nek kell venni és 1 értékű súlyozó tényezőt kell használni;

f) a részecskekibocsátás kiszámításához a többszűrős módszert kell használni; az összesítő számításokhoz a (7-67) vagy a (7-134) egyenletben az Nmode értékét 1-nek kell venni és 1 értékű súlyozó tényezőt kell használni.

▼M2

5.    Regeneráció

Abban az esetben, ha a 4. pontban meghatározott eljárás során vagy közvetlenül azt megelőzően regenerációs esemény következik be, a szóban forgó eljárás befejezését követően a vizsgálat a gyártó kérésére, a regenerálás okától függetlenül érvénytelennek nyilvánítható. Ebben az esetben a vizsgálatot meg kell ismételni. Ugyanazon nyomaték- és fordulatszám-pontokat kell használni, de a sorrendet meg lehet változtatni. Olyan nyomaték- és sebesség-ponton, amelyre vonatkozóan már megszerezték az elfogadáshoz vezető eredményt, nem kell megismételni a vizsgálatot. A vizsgálat megismétléséhez a következő eljárást kell alkalmazni:

a) a motort oly módon kell üzemeltetni, hogy biztosítsa, hogy a regenerációs esemény befejeződjön, és adott esetben a részecske-utókezelő rendszer koromterhelése helyreálljon;

b) a motor bemelegítésére szolgáló eljárást a VI. melléklet 7.8.1.1. pontja szerint kell elvégezni;

c) a 4. pontban meghatározott vizsgálati eljárást kell a 4.b) pontban említett szakasztól kezdve ismételni.

▼B




VI. MELLÉKLET

Kibocsátásvizsgálatok elvégzése és a mérőberendezésekre vonatkozó követelmények

▼M2

1.    Bevezetés

E melléklet a vizsgált motor által kibocsátott gáz-halmazállapotú és szilárd szennyező anyagok mennyiségének meghatározására szolgáló módszert és a mérőberendezésekre vonatkozó előírásokat ismerteti. E melléklet számozása a 6. szakasztól kezdve a 11. számú globális műszaki előírásnak ( 4 ) és a 04. módosítássorozattal módosított 96. számú ENSZ EGB-előírás ( 5 ) 4B. mellékletének számozását követi. A 11. számú globális műszaki előírás néhány pontja azonban e mellékletben nem szükséges, vagy a technológia fejlődésnek megfelelően módosításra került.

▼B

2.    Általános áttekintés

Ez a melléklet a kibocsátásvizsgálat elvégzéséhez szükséges alábbi műszaki rendelkezéseket tartalmazza. A további rendelkezések felsorolása a 3. pontban található.

 5. szakasz: teljesítménykövetelmények, ideértve a vizsgálati fordulatszámok meghatározását

 6. szakasz: vizsgálati feltételek, ideértve a kartergáz-kibocsátások figyelembevételének, valamint a kipufogógáz-utókezelő rendszerek folyamatos vagy időszakos regenerációjának meghatározására és figyelembevételére szolgáló módszert

 7. szakasz: vizsgálati eljárások, ideértve a motorok jelleggörbéjének felvételét, a vizsgálati ciklus előállítását és a vizsgálati ciklusok végrehajtási eljárását

 8. szakasz: mérési eljárások, ideértve a mérőműszerek kalibrálását és teljesítményvizsgálatát, valamint a műszerek vizsgálatra való hitelesítését

 9. szakasz: mérőberendezések, ideértve a mérőműszereket, a hígítási eljárásokat, a mintavételi eljárásokat, valamint az analitikai gázokat és a tömegelőírásokat

 1. függelék: részecskeszám-mérési eljárás

3.    Kapcsolódó mellékletek

Az adatok értékelése és számítások

:

VII. melléklet

A vegyes üzemű motorokra vonatkozó vizsgálati eljárások

:

VIII. melléklet

Referencia-tüzelőanyagok

:

IX. melléklet

Vizsgálati ciklusok

:

XVII. melléklet

4.    Általános követelmények

A vizsgálandó motoroknak a 6. szakaszban előírt vizsgálati feltételek és a 7. szakaszban előírt vizsgálati eljárások szerint végrehajtott vizsgálat során meg kell felelniük az 5. szakaszban előírt teljesítménykövetelményeknek.

5.    Teljesítménykövetelmények

5.1.   Gáz-halmazállapotú és szilárd szennyezőanyag-, CO2- és NH3-kibocsátások

A szennyező anyagok a következők:

a) nitrogén-oxidok, NOx;

b) összes szénhidrogén, CH vagy THC formájában kifejezett szénhidrogének;

c) szén-monoxid, CO;

d) részecskék;

e) részecskeszám.

▼M2

A motor gáz-halmazállapotú és szilárd szennyező anyag- és CO2-kibocsátásának mért értékei a motor fékmunkára vonatkoztatott fajlagos kibocsátásai gramm/kilowattórában (g/kWh) vagy részecskeszám/kilowattórában (#/kWh).

Azokat a gáz-halmazállapotú és szilárd szennyező anyagokat kell mérni, amelyek tekintetében az (EU) 2016/1628 rendelet II. mellékletében foglaltak szerint határértékek vonatkoznak a vizsgált motor-alkategóriára. Az eredmények, amelyek magukban foglalják:

a) a 6.10. pontnak megfelelően meghatározott forgattyúsház-kibocsátásokat (adott esetben);

b) az utókezelő rendszer időszakos regenerálásával összefüggésben a 6.6. pontnak megfelelően meghatározott korrekciós tényezőket (adott esetben); és

c) a számítás utolsó lépéseként a III. mellékletnek megfelelően meghatározott romlási tényezőt;

nem haladhatják meg a vonatkozó határértékeket.

A CO2-t az (EU) 2016/1628 rendelet 43. cikkének (4) bekezdésében előírtak szerint minden motor-alkategóriára vonatkozóan mérni és jelenteni kell.

▼B

Ezenkívül az ammónia (NH3) átlagos kibocsátását is mérni kell a IV. melléklet 3. szakasza szerint, amennyiben a motor kibocsátásszabályozási rendszerének részét képező NOx-szabályozás reagenst használ. Az így mért kibocsátás nem haladhatja meg az említett szakaszban előírt értékeket.

A kibocsátásokat a 7. szakaszban és a XVII. mellékletben leírt (állandósult állapotú és/vagy tranziens vizsgálati) ciklusokban kell meghatározni. A mérőrendszernek a 9. szakaszban leírt mérőberendezésekkel teljesítenie kell a 8. szakaszban foglalt kalibrálási és teljesítményellenőrzési előírásokat.

A jóváhagyó hatóság más rendszereket vagy elemző készülékeket is jóváhagyhat, ha úgy véli, hogy azok az 5.1.1. pont szerint egyenértékű eredményeket adnak. Az eredményeket a VII. mellékletben foglalt követelmények szerint kell kiszámítani.

5.1.1.   A mérőrendszerek egyenértékűsége

A rendszerek egyenértékűségének megállapítását a szóban forgó rendszer és e melléklet egyik rendszere közötti, hét (vagy több) mintapárral végzett korrelációs vizsgálatra kell alapozni. Az „eredmények” kifejezés az adott ciklusban mért súlyozott kibocsátásokat jelenti. A korrelációs vizsgálatokat ugyanabban a laboratóriumban, ugyanabban a mérőállásban, és ugyanazon a motoron kell elvégezni, lehetőleg egyidejűleg. A mintapárokkal a fenti laboratóriumi, mérőállásra és motorra vonatkozó körülmények között kapott átlagok egyenértékűségét a VII. melléklet 3. függelékében leírt módon F vizsgálattal és t vizsgálattal kell meghatározni. A kiugró értékeket az ISO 5725 szabvány szerint kell meghatározni, és ki kell őket zárni a vizsgálatból. A korrelációs vizsgálathoz használt rendszereket jóvá kell hagyatni a jóváhagyó hatósággal.

5.2.   A vizsgálati ciklusokra vonatkozó általános követelmények

5.2.1.

A típusjóváhagyási vizsgálatot a megfelelő NRSC és adott esetben NRTC vagy LSI-NRTC ciklus alkalmazásával kell elvégezni az (EU) 2016/1628 rendelet 24. cikkében és IV. mellékletében előírtaknak megfelelően.

5.2.2.

Az NRSC műszaki előírásait és jellemzőit a XVII. melléklet 1. függeléke (különálló NRSC) és 2. függeléke (átmeneteket magában foglaló NRSC) tartalmazza. Az NRSC vizsgálat a gyártó döntése szerint elvégezhető különálló NRSC ciklusként vagy adott esetben átmeneteket is magában foglaló NRSC ciklusként („RMC”) a 7.4.1. pontban foglaltak szerint.

5.2.3.

Az NRTC és az LSI-NRTC műszaki előírásait és jellemzőit a XVII. melléklet 3. függeléke tartalmazza.

5.2.4.

A 7.4. pontban és a XVII. mellékletben meghatározott vizsgálati ciklusok a maximális forgatónyomaték vagy teljesítmény százalékos értéke és a vizsgálati ciklusok helyes elvégzéséhez meghatározandó vizsgálati fordulatszámok figyelembevételével lettek kialakítva:

a) 100 %-os fordulatszám (legnagyobb vizsgálati fordulatszám, MTS vagy névleges fordulatszám);

b) az 5.2.5.4. pontban meghatározott közbenső fordulatszám(ok);

c) az 5.2.5.5. pontban meghatározott üresjárati fordulatszám.

A vizsgálati fordulatszámok meghatározásáról az 5.2.5. pont, a forgatónyomaték és a teljesítmény használatáról pedig az 5.2.6. pont rendelkezik.

5.2.5.

Vizsgálati fordulatszámok

5.2.5.1.   Legnagyobb vizsgálati fordulatszám (MTS)

Az MTS-t az 5.2.5.1.1. vagy az 5.2.5.1.3. pont szerint kell kiszámítani.

▼M2

5.2.5.1.1.   Az MTS kiszámítása

Az MTS kiszámításához a tranziens leképezési eljárást kell végrehajtani a 7.4. pont szerint. Az MTS-t ezután a teljesítményhez arányosított motorfordulatszám leképezett értékeiből kell meghatározni. Az MTS-t az alábbi lehetőségek egyikével kell kiszámítani:

a) Számítás a kis és a nagy fordulatszámértékek alapján



MTS = n lo + 0,95 · (n hin lo)

(6-1)

ahol:

n hi

az 1. cikk 12. pontjában meghatározott nagy fordulatszám

n lo

az 1. cikk 13. pontjában meghatározott kis fordulatszám

b) Számítás a leghosszabb vektor módszere alapján



MTS = ni

(6-2)

ahol:

n i

azon legkisebb és legnagyobb fordulatszám átlaga, amelyen az (n 2 norm i  + P 2 norm i ) értéke az (n 2 norm i  + P 2 norm i ) maximális értékének 98 %-a

Ha csak egy olyan fordulatszám van, amelyen az (n 2 norm i  + P 2 norm i ) értéke az (n 2 norm i  + P 2 norm i ) maximális értékének 98 %-a:



MTS = n i

(6-3)

ahol:

n i

az a fordulatszám, amelyen az (n 2 norm i  + P 2 norm i ) legnagyobb értéke előfordul.

ahol:

n

a motorfordulatszám

i

a motor jelleggörbéje egy feljegyzett értékének megfelelő változó index

n norm i

image

-szal osztva normált motorfordulatszám

P norm i

Pmax-szal osztva normált motorteljesítmény

image

azon legkisebb és azon legnagyobb fordulatszám átlaga, amelyen a teljesítmény a P max 98 %-a.

A leképezett értékek között lineáris interpolációval kell meghatározni az alábbiakat:

i. azok a fordulatszámok, amelyeken a teljesítmény a P max 98 %-a. Ha csak egy olyan fordulatszám van, amelyen a teljesítmény a Pmax 98 %-a, az
image lesz az a fordulatszám, amelyen a Pmax előfordul;

ii. azok a fordulatszámok, amelyeken az (n 2 norm i  + P 2 n orm i ) értéke az (n 2 norm i  + P 2 n orm i ) maximális értékének 98 %-a.

▼B

5.2.5.1.2.   A gyártó által megadott MTS használata

Ha az 5.2.5.1.1. vagy az 5.2.5.1.3. pont szerint kiszámított MTS a gyártó által megadott MTS-hez képest ± 3 % tűréshatáron belül van, akkor a megadott MTS is felhasználható a kibocsátási vizsgálatokhoz. Ha a megadott értékeken kívül esik, akkor a mért MTS-t kell a kibocsátási vizsgálatokhoz használni.

5.2.5.1.3.   Kiigazított MTS használata

Ha a teljes terhelés jelleggörbéje ereszkedő részének nagyon meredek a vége, az gondot okozhat az NRTC 105 %-os fordulatszámainál. Ez esetben a műszaki szolgálattal való előzetes megállapodást követően megengedett a valamely alábbi módszerrel meghatározott alternatív MTS-érték használata:

a) az MTS-t kis mértékben (legfeljebb 3 %-kal) lehet csökkenteni az NRTC ciklus helyes végrehajtása érdekében;

b) alternatív MTS kiszámítása a (6-4) egyenlettel:



MTS = ((n maxn idle)/1,05) + n idle

(6-4)

ahol:

n max

=

az a motorfordulatszám, amelyen a motor fordulatszám-szabályozó funkciója a kezelői parancs maximális értéke és nulla terhelés mellett szabályozza a fordulatszámot („terhelés nélküli legnagyobb fordulatszám”)

n idle

=

az üresjárati fordulatszám

5.2.5.2.   Névleges fordulatszám

▼M2

A névleges fordulatszám meghatározását az (EU) 2016/1628 rendelet 3. cikkének (29) bekezdése tartalmazza. Az e rendelet 1. cikkének 31. pontjában meghatározott, állandó fordulatszámú NRSC-ben vizsgáltaktól eltérő, kibocsátási vizsgálatnak alávetendő, változó fordulatszámú motorok névleges fordulatszámát az e melléklet 7.6. pontjában meghatározott, vonatkozó leképezési eljárással kell meghatározni. Az állandó fordulatszámú NRSC-ben vizsgált változó fordulatszámú motorok névleges fordulatszámát a gyártónak kell megadnia a motor jellemzői alapján. Az állandó fordulatszámú motorok névleges fordulatszámát a gyártónak kell megadnia a fordulatszám-szabályozó jellemzői alapján. Amennyiben az (EU) 2016/1628 rendelet 3. cikkének 21. pontjában megengedett módon eltérő fordulatszámokkal rendelkező motortípust kibocsátási vizsgálatnak kell alávetni, minden más fordulatszámot meg kell adni, és meg kell vizsgálni.

▼B

Ha a 7.6. pontban előírt leképezési eljárással meghatározott névleges fordulatszám a gyártó által a fordulatszám-szabályozóval felszerelt, NRS kategóriájú motorokra vonatkozóan megadott értékhez képest ± 150 fordulat/perc, a fordulatszám-szabályozó nélküli, NRS kategóriájú motorok esetében ± 350 fordulat/perc vagy ± 4 % (amelyik kisebb), illetve minden egyéb motorkategória esetében ± 100 fordulat/perc tűréshatáron belül van, használható a megadott érték is. A tűréshatár túllépése esetén a leképezési eljárással meghatározott névleges fordulatszámot kell használni.

▼M2

Az NRSh kategóriájú motorok esetében a 100 %-os vizsgálati fordulatszámnak a gyártó által megadott névleges fordulatszámhoz képest ± 350 fordulat/perc tűréshatáron belül kell lennie.

▼B

További lehetőségként az állandósult állapotú vizsgálati ciklusoknál az MTS is használható a névleges fordulatszám helyett.

5.2.5.3.   A legnagyobb nyomatékhoz tartozó fordulatszám változó fordulatszámú motoroknál

▼M2

A 7.6.1. vagy a 7.6.2. pontban foglalt motorjelleggörbe-felvételi eljárással megállapított legnagyobb nyomatékgörbéből meghatározott, a legnagyobb nyomatékhoz tartozó fordulatszámnak szükség esetén valamely alábbi értéknek kell lennie:

▼B

a) a fordulatszám, amelyen a legnagyobb nyomatékot rögzítették;. vagy,

b) azon legkisebb és a legnagyobb fordulatszám átlaga, amelyen a nyomaték a legnagyobb nyomaték 98 %-a. Szükség esetén lineáris interpolációval kell meghatározni azokat a fordulatszámokat, amelyeken a nyomaték a legnagyobb nyomaték 98 %-a.

Ha a legnagyobb nyomatékgörbe alapján meghatározott, a legnagyobb nyomatékhoz tartozó fordulatszám a gyártó által az ►M2  NRS kategóriájú motorokra ◄ vonatkozóan megadott, a legnagyobb nyomatékhoz tartozó fordulatszámhoz képest ± 4 %, illetve minden egyéb motor esetében a legnagyobb nyomatékhoz tartozó fordulatszámhoz képest ± 2,5 % tűréshatáron belül van, akkor e rendelet alkalmazásában a megadott érték is használható. A tűréshatár túllépése esetén a legnagyobb nyomatékgörbe alapján meghatározott, a legnagyobb nyomatékhoz tartozó fordulatszámot kell használni.

5.2.5.4.   Közbenső fordulatszám

A közbenső fordulatszámnak meg kell felelnie valamely alábbi követelménynek:

a) olyan motoroknál, amelyeket a teljes terhelési nyomatékgörbét átfogó fordulatszám-tartományban való működésre terveztek, a közbenső fordulatszám a legnagyobb nyomatékhoz tartozó fordulatszám, ha az a névleges fordulatszám 60 %-a és 75 %-a közé esik;

b) ha a legnagyobb nyomatékhoz tartozó fordulatszám kisebb, mint a névleges fordulatszám 60 %-a, akkor a közbenső fordulatszám a névleges fordulatszám 60 %-a;

c) ha a legnagyobb nyomatékhoz tartozó fordulatszám nagyobb, mint a névleges fordulatszám 75 %-a, akkor a közbenső fordulatszám a névleges fordulatszám 75 %-a. Amennyiben a motor csak a névleges fordulatszám 75 %-át meghaladó fordulatszámon képes üzemelni, akkor a közbenső fordulatszám a legkisebb fordulatszám, amelyen a motor üzemeltethető;

d) olyan motoroknál, amelyeket a teljes terhelési nyomatékgörbét átfogó fordulatszám-tartományban való működésre terveztek állandósult üzemállapotban, a közbenső fordulatszám a névleges fordulatszám 60 %-a és 70 %-a közé esik;

e) az ATS kategóriájú motorok kivételével a G1. ciklus szerint vizsgálandó motoroknál a közbenső fordulatszám a névleges fordulatszám 85 %-a;

f) a G1. ciklus szerint vizsgált, ATS kategóriájú motoroknál a közbenső fordulatszám a névleges fordulatszám 60 %-a vagy 85 %-a attól függően, melyik van közelebb a legnagyobb nyomatékhoz tartozó tényleges fordulatszámhoz.

Amennyiben 100 %-os vizsgálati fordulatszámként az MTS-t használják a névleges fordulatszám helyett, akkor a közbenső fordulatszám meghatározásakor is az MTS-t kell használni a névleges fordulatszám helyett.

5.2.5.5.   Üresjárati fordulatszám

Az üresjárati fordulatszám az a legalacsonyabb motorfordulatszám minimális (nulla vagy annál nagyobb) terhelésnél, amelyen a motor fordulatszám-szabályozója szabályozza a motor fordulatszámát. Olyan motorok esetében, amelyek nem rendelkeznek az üresjárati fordulatszámot szabályozó fordulatszám-szabályozóval, az üresjárati fordulatszám a gyártó által megadott legalacsonyabb fordulatszámérték minimális terhelés mellett. Megjegyzés: a melegindításos üresjárati fordulatszám a bemelegedett motor üresjárati fordulatszáma.

5.2.5.6.   Vizsgálati fordulatszám állandó fordulatszámú motoroknál

Az állandó fordulatszámú motorok fordulatszám-szabályozója nem feltétlenül tudja tartani az állandó fordulatszámot. A fordulatszám jellemzően 0,1–10 %-kal a nulla terhelés melletti fordulatszám alá eshet, és így a legkisebb fordulatszám közel a motor legnagyobb teljesítményének mérési pontjánál fordul elő. Az állandó fordulatszámú motorok vizsgálati fordulatszáma szabályozható a motorra szerelt fordulatszám-szabályozóval vagy próbapadi fordulatszámparancs használatával, ha az megfelel a motor fordulatszám-szabályozójának.

▼M2

A motorra szerelt fordulatszám-szabályozó használata esetén a 100 %-os fordulatszám az 1. cikk 24. pontjában meghatározott, motor által szabályozott fordulatszám lesz.

▼B

Amennyiben a fordulatszám-szabályozó szimulálására a próbapadi fordulatszámparancs jelét használják, a nulla terhelés melletti 100 %-os fordulatszám a fordulatszám-szabályozó adott beállítására vonatkozóan a gyártó által meghatározott, terhelés nélküli fordulatszám, a teljes terhelés melletti 100 %-os fordulatszám pedig a fordulatszám-szabályozó ugyanazon beállítására vonatkozó névleges fordulatszám lesz. A többi vizsgálati módra vonatkozó fordulatszámot interpolációval kell meghatározni.

Amennyiben a fordulatszám-szabályozó rendelkezik egyidejű üzemmód-beállítással, vagy a gyártó által megadott névleges fordulatszám és terhelés nélküli fordulatszám legfeljebb 3 %-kal tér el, a gyártó által megadott egyetlen érték használható 100 %-os fordulatszámként az összes terhelési ponton.

5.2.6.

Nyomaték és teljesítmény

5.2.6.1.   Nyomaték

A nyomatékra vonatkozóan a vizsgálati ciklusokban megadott számadatok százalékos értékek, amelyek az adott vizsgálati üzemmódban valamely alábbiak egyikét fejezik ki:

a) az előírt nyomaték lehetséges legnagyobb nyomatékhoz viszonyított aránya a megadott vizsgálati fordulatszámon (a D2 és az E2 kivételével az összes ciklus);

b) az előírt nyomaték gyártó által megadott névleges hasznos teljesítménynek megfelelő nyomatékhoz viszonyított aránya (D2. és E2. ciklus).

5.2.6.2.   Teljesítmény

A teljesítményre vonatkozóan a vizsgálati ciklusokban megadott számadatok százalékos értékek, amelyek az adott vizsgálati üzemmódban valamely alábbiak egyikét fejezik ki:

a) az E3. vizsgálati ciklusnál a teljesítményre vonatkozó számadatok a 100 %-os fordulatszám melletti legnagyobb hasznos teljesítmény százalékos értékei, mivel ez a ciklus a hossz korlátozása nélkül minden, nagy teljesítményű motorral hajtott hajóra vonatkozó elméleti propeller-jelleggörbén alapul;

b) az F. vizsgálati ciklusnál a teljesítményre vonatkozó számadatok az adott vizsgálati fordulatszám melletti legnagyobb hasznos teljesítmény százalékos értékei, az üresjárati fordulatszám kivételével, amely esetben a 100 %-os fordulatszám melletti legnagyobb hasznos teljesítmény százalékos értékei.

6.    Vizsgálati feltételek

6.1.   Laboratóriumi vizsgálati feltételek

A motor beömlőnyílásánál meg kell mérni az égési levegő Kelvinben kifejezett abszolút hőmérsékletét (T a), továbbá a kPa-ban kifejezett légköri nyomást is (p s), és meg kell határozni az f a paramétert a következő rendelkezések és a (6-5) vagy a (6-6) egyenletek szerint. Ha a légnyomást vezetékben mérik, gondoskodni kell arról, hogy a légkör és a mérés helye között csak elhanyagolható nyomásveszteség következzen be, és a vezeték statikus nyomásának az áramlásból eredő változását figyelembe kell venni a számítások során. A különálló szívócsőrendszerekkel rendelkező többhengeres motorok, például a V motorok esetében a különálló rendszerek átlaghőmérsékletét kell venni. Az fa paraméternek szerepelnie kell a vizsgálati jegyzőkönyvben.

Feltöltés nélküli és mechanikus feltöltésű motorok:



image

(6-5)

Turbófeltöltésű motorok a beszívott levegő hűtésével vagy anélkül:



image

(6-6)

6.1.1.

Mindkét alábbi feltételnek teljesülnie kell ahhoz, hogy a vizsgálat érvényesnek minősüljön:

a) az f a-nak a 6.1.2. és a 6.1.4. pontban megengedett kivételektől eltekintve a 0,93 ≤ f a ≤ 1,07 tartományban kell lennie;

b) a beszívott levegőnek a motor részei előtt mért hőmérsékletét a 6.1.3. és a 6.1.4. pontban megengedett kivételektől eltekintve és a 6.1.5. és 6.1.6. pontban előírtak szerint 298 ± 5 K-en (25 ± 5 °C-on) kell tartani.

6.1.2.

Amennyiben a motor vizsgálatának helyt adó laboratórium a tengerszint felett 600 méternél magasabban helyezkedik el, az f a a gyártó beleegyezésével meghaladhatja az 1,07-et azzal a feltétellel, hogy a p s nem lehet 80 kPa-nál több.

6.1.3.

Amennyiben a vizsgált motor teljesítménye meghaladja az 560 kW-ot, a beszívott levegő hőmérsékletének legnagyobb értéke a gyártó beleegyezésével meghaladhatja a 303 K-t (30 °C-t), de legfeljebb 308 K (35 °C) lehet.

6.1.4.

Amennyiben a motor vizsgálatának helyt adó laboratórium a tengerszint felett 300 méternél magasabban helyezkedik el és a vizsgált motor teljesítménye meghaladja az 560 kW-ot, az f a a gyártó beleegyezésével meghaladhatja az 1,07-et azzal a feltétellel, hogy a p s-nek legalább 80 kPa-nak kell lennie, a beszívott levegő hőmérsékletének legnagyobb értéke pedig meghaladhatja a 303 K-t (30 °C-t), de legfeljebb 308 K (35 °C) lehet.

6.1.5.

Kizárólag hómaró gépekben használandó motortípusokból álló, 19 kW-nál kisebb teljesítményű, NRS kategóriájú motorcsalád esetében a beszívott levegő hőmérsékletét 273 és 268 K (0 és –5 °C) között kell tartani.

6.1.6.

Az SMB kategóriájú motorok esetében a beszívott levegő hőmérsékletét a 6.1.6.1. pontban megengedett kivételtől eltekintve 263 ± 5 K-en (–10 ± 5 °C-on) kell tartani.

6.1.6.1.

Az tüzelőanyag-áramot a beszívott levegő hőmérsékletéhez igazító, elektronikusan vezérelt tüzelőanyag-befecskendezéssel felszerelt, SMB-kategóriájú motorok esetében a beszívott levegő hőmérsékletét 298 ± 5 K-en (25 ± 5 °C-on) is lehet tartani.

6.1.7.

Ehhez a következők használhatók:

a) légnyomásmérő, amelynek eredményeit egy több motorfékpados vizsgálókamrával rendelkező, teljes vizsgálati berendezés légnyomásértékének tekintik, amennyiben a beszívott levegőt kezelő berendezés a közös légköri nyomás ± 1 kPa-os tartományán belül tartja a környezeti nyomást, amelyben a motor vizsgálatára sor kerül;

b) páratartalom-mérő egy több motorfékpados vizsgálókamrával rendelkező, teljes vizsgálati berendezés esetében a beszívott levegő páratartalmának mérésére, amennyiben a beszívott levegőt kezelő berendezés a közös páratartalom-mérés ± 0,5 K-os tartományán belül tartja a harmatpontot, amelyen a motor vizsgálatára sor kerül.

6.2.   Feltöltőlevegő-hűtésű motorok

▼M2

A gyártott motorok használatban lévő berendezésének megfelelő levegőbeszívási összkapacitással rendelkező feltöltőlevegő-hűtőrendszert kell használni. Laboratóriumi feltöltőlevegő-hűtőrendszert kell tervezni annak érdekében, hogy csak minimális mennyiségű kondenzátum gyűljön össze. Az összegyűlt kondenzátumot le kell engedni, és a kibocsátásvizsgálat előtt minden lefolyót teljesen le kell zárni. A lefolyókat a kibocsátásvizsgálat alatt zárva kell tartani. A hűtőközeg következő állapotértékeit kell fenntartani:

a) a hűtőközeg hőmérsékletét a vizsgálat alatt mindvégig legalább 293 K-en (20 °C-on) kell tartani a feltöltőlevegő-hűtő bemeneti nyílásánál;

b) a névleges fordulatszámon és teljes terhelés mellett a hűtőközeg áramlási sebességét úgy kell beállítani, hogy a levegő hőmérséklete a feltöltőlevegő-hűtő kimenete után a gyártó által megadott érték ± 5 K (± 5 °C) legyen. A levegőkimenet hőmérsékletét a gyártó által meghatározott helyen kell mérni. A teljes vizsgálat alatt a hűtőközeg áramlási sebessége szempontjából kijelölt ugyanazon pontot kell használni;

c) amennyiben a motor gyártója nyomáscsökkenési határértéket ad meg a feltöltőlevegő-hűtőrendszerhez, gondoskodni kell arról, hogy a feltöltőlevegő-hűtőrendszerben a gyártó által meghatározott motorállapot-értékek mellett bekövetkező nyomáscsökkenés a gyártó által megadott határértékek között legyen. A nyomáscsökkenést a gyártó által meghatározott helyeken kell mérni.

▼B

Amennyiben a névleges fordulatszám helyett az 5.2.5.1. pontban meghatározott MTS-t használják a vizsgálati ciklus elvégzéséhez, akkor a töltőlevegő hőmérsékletének beállításakor is használható ez a fordulatszám a névleges fordulatszám helyett.

A cél az, hogy a használat közbeni működésre jellemző kibocsátási eredmények szülessenek. Ha a helyes műszaki gyakorlat szerint az ebben a szakaszban előírt követelmények eredményeként a vizsgálat nem lenne reprezentatív (például a beszívott levegő túl lenne hűtve), akkor a jellemzőbb eredmények érdekében körültekintőbben kijelölt pontokat és meghatározott beállításokat is lehet alkalmazni a feltöltőlevegő nyomáscsökkenése, a hűtőfolyadék hőmérséklete és áramlási sebessége tekintetében.

6.3.   Motorteljesítmény

▼M2

6.3.1.   A kibocsátásmérés alapja

A fajlagos kibocsátás mérésének alapja a korrigálás nélküli teljesítmény, az (EU) 2016/1628 rendelet 3. cikkének 25. pontjában szereplő meghatározás szerint.

▼B

6.3.2.   Felszerelendő segédberendezések

A vizsgálathoz a motor működéséhez szükséges segédberendezéseket a 2. függelék előírásai szerint fel kell szerelni a próbapadra.

Amennyiben a szükséges segédberendezések nem szerelhetők fel a vizsgálathoz, az általuk felvett teljesítményt meg kell határozni, és le kell vonni a mért motorteljesítményből.

6.3.3.   Eltávolítandó segédberendezések

Egyes, a motorra felszerelhető segédberendezéseket, amelyek meghatározása a nem közúti mozgó gép működésével függ össze, a vizsgálathoz el kell távolítani.

Amennyiben a segédberendezéseket nem lehet eltávolítani, meg lehet határozni az általuk terheletlen állapotban felvett teljesítményt, és azt hozzá lehet adni a motorteljesítmény mért értékéhez (lásd a g) megjegyzést a 2. függelékben). Ha ez az érték nagyobb, mint a vizsgálati fordulatszámon mért legnagyobb teljesítmény 3 %-a, akkor azt a műszaki szolgálat igazolhatja. ►M2  A segédberendezések által felvett teljesítménnyel módosítani kell a beállított értékeket és ki kell számolni a motor által a vizsgálati ciklus alatt végzett munkát a 7.7.1.3. pontnak vagy a 7.7.2.3. pont b) alpontjának megfelelően. ◄

▼M2

6.3.4.   A segédberendezések teljesítményének meghatározása

A 6.3.2. és 6.3.3. pont szerint alkalmazandó segédberendezések teljesítményértékeit és a segédberendezések teljesítményének meghatározásához alkalmazott módszert a motor gyártójának a vonatkozó vizsgálati ciklusok teljes működési területére vonatkozóan meg kell adnia, és azokat a jóváhagyó hatóságnak jóvá kell hagynia.

▼B

6.3.5.   A motor ciklusmunkája

A vonatkoztatási és tényleges ciklusmunkát (lásd a 7.8.3.4. pontot) a motorteljesítmény alapján kell kiszámítani a 6.3.1. pontban leírtak szerint. Ebben az esetben a (6-7) egyenlet P f és P r értéke nulla, P pedig megegyezik a P m értékkel.

Ha a szükséges (segéd)berendezések fel vannak szerelve a 6.3.2. és/vagy a 6.3.3. pont szerint, az általuk felvett teljesítménnyel helyesbíteni kell minden pillanatnyi P m,i ciklusteljesítmény-értéket a (6-8) egyenletet használva:



P i = P m,iP f,i + P r,i

(6-7)

P AUX = P r,i – P f,i

(6-8)

ahol:

P m,i

a mért motorteljesítmény, kW

P f,i

a vizsgálathoz felszerelendő, de fel nem szerelt (segéd)berendezések által felvett teljesítmény, kW

P r,i

a vizsgálathoz leszerelendő, de felszerelt (segéd)berendezések által felvett teljesítmény, kW

6.4.   A motor által beszívott levegő

6.4.1.   Bevezetés

A motorra szerelt levegőbevezető rendszert kell használni vagy egy olyat, amely megfelel egy használatban lévő jellemző összeállításnak. Ez magában foglalja a feltöltőlevegő-hűtő rendszert és a kipufogógáz-visszavezetési rendszert.

6.4.2.   A beszívott levegő nyomásának korlátozása

Olyan szívórendszert vagy a vizsgálati laboratórium olyan rendszerét kell alkalmazni, amely a gyártó által a névleges fordulatszámra és teljes terhelésre tiszta levegőszűrő mellett, megadott legnagyobb értékhez képest ± 300 Pa nyomástartományon belül tartja a beszívott levegő nyomását. Amennyiben ez a vizsgálati laboratórium levegőellátási rendszerének kialakítása miatt nem lehetséges, a gyártó által megadott értéket meg nem haladó nyomáskorlátozás megengedett a műszaki szolgálat előzetes jóváhagyásával. A nyomáskorlátozás statikus nyomáskülönbségét a gyártó által meghatározott helyen, valamint a fordulatszám és a nyomaték kijelölt pontjain kell mérni. Ha a gyártó nem határoz meg egy adott helyet, a nyomást a turbófeltöltőnek vagy a kipufogógáz-visszavezető rendszernek a levegőbevezető rendszerhez való csatlakozása előtt kell mérni.

Amennyiben a névleges fordulatszám helyett az 5.2.5.1. pontban meghatározott MTS-t használják a vizsgálati ciklus elvégzéséhez, akkor a beszívott levegő nyomáskorlátozásának beállításakor is használható ez a fordulatszám a névleges fordulatszám helyett.

6.5.   A motor kipufogórendszere

A motorra szerelt kipufogórendszert kell használni vagy egy olyat, amely megfelel egy használatban lévő jellemző összeállításnak. A kipufogórendszernek meg kell felelnie a 9.3. pontban a kipufogógáz kibocsátásából történő mintavételre megadott követelményeknek. Olyan motorkipufogó-rendszert vagy a vizsgálati laboratórium olyan rendszerét kell alkalmazni, amely a névleges fordulatszámhoz és teljes terheléshez tartozó legnagyobb kipufogógáznyomás-korlátozás 80–100 %-os tartományában tartja a kipufogógáz statikus ellennyomását. A kipufogógáz nyomásának korlátozása beállítható szelep használatával. Ha a kipufogógáz nyomásának maximális korlátozása 5 kPa vagy annál kevesebb, a kijelölt pont legfeljebb 1,0 kPa-lal haladhatja meg a maximumot. Amennyiben a névleges fordulatszám helyett az 5.2.5.1. pontban meghatározott MTS-t használják a vizsgálati ciklus elvégzéséhez, akkor a kipufogógáznyomás-korlátozás beállításakor is használható ez a fordulatszám a névleges fordulatszám helyett.

6.6.   Kipufogógáz-utókezelő rendszerrel felszerelt motor

Ha a motor nem közvetlenül a motorra szerelt kipufogógáz-utókezelő rendszerrel rendelkezik, akkor a kipufogócső átmérőjének az utókezelőt tartalmazó kibővülő csőszakasz előtt legalább négy csőátmérőnyi hosszon ugyanakkorának kell lennie, mint a gépjárműbe szerelt állapotban. A kipufogógáz-utókezelő rendszer távolságának a kipufogócsonk csatlakozó karimájától, illetve a turbótöltő kilépésétől azonosnak kell lennie a nem közúti mozgó gépekben alkalmazott konfigurációéval, vagy a gyártó által adott távolságspecifikációnak kell megfelelnie. Ha a gyártó előírja, a csövet szigetelni kell, hogy az utókezelő bemeneti hőmérséklete a gyártó által megadott tartományba essen. Amennyiben a gyártó más beszerelési követelményeket is megad, azoknak a vizsgálati összeállításnál is eleget kell tenni. A kipufogógáz-ellennyomást vagy -nyomáskorlátozást a 6.5. pont szerint kell beállítani. Változó kifpufogógáznyomás-korlátozású kipufogógáz-utókezelő berendezéseknél a 6.5. pontban használt maximális kipufogógáz-korlátozás meghatározása a gyártó által megadott utókezelési feltételek (érlelési/öregedési és regenerációs/töltési szint) mellett történik. Az utókezelő házát a mérés nélküli menetekhez és a motor jelleggörbéjének felvételéhez ki lehet szerelni, és helyettesíteni lehet egy hasonló házzal, amelyben inaktív katalizátortartó van.

A vizsgálati ciklusban mért szennyezőanyag-kibocsátásnak jellemzőnek kell lennie a tényleges használat közbeni szennyezőanyag-kibocsátásra. Reagens használatát igénylő kipufogógáz-utókezelő rendszerrel felszerelt motor esetében a vizsgálathoz használt összes reagensnek meg kell felelnie a gyártó által megadott előírásoknak.

A 6.6.2. pontban leírt időszakos (nem gyakori) regenerálású kipufogógáz-utókezelő rendszerrel felszerelt, NRE, NRG, IWP, IWA, RLR, NRS, NRSh, SMB és ATS kategóriájú motorok esetében a mért kibocsátásokat helyesbíteni kell a regenerálások figyelembevétele céljából. Ilyen esetben az átlagos kibocsátás a regenerálás gyakoriságától is függ, mivel a vizsgálatok egy része a regenerálás közben történik. Azoknál az utókezelő rendszereknél, amelyek regenerálása folyamatos, vagy amelyek regenerálására a vonatkozó tranziens (NRTC vagy LSI-NRTC) vizsgálati ciklus vagy RMC alatt legalább egyszer sor kerül a 6.6.1. pontnak megfelelően („folyamatos regenerálás”), nincs szükség egyedi mérési eljárásra.

6.6.1.   Folyamatos regenerálás

Folyamatos regenerálást alkalmazó kipufogógáz-utókezelő rendszer esetében a kibocsátásokat akkor kell mérni, amikor az utókezelő rendszer már stabilizálódott, hogy a kibocsátási viselkedés ismételhető legyen. A regenerálásnak a melegindításos NRTC, LSI-NRTC vagy NRSC során legalább egyszer meg kell történnie, és a gyártónak meg kell adnia azokat a szokásos feltételeket, amelyek között megtörténik a regenerálás (kormosodás, hőmérséklet, kipufogógáz ellennyomása stb.). A regeneráció folyamatos jellegének igazolására legalább az NRTC, az LSI-NRTC vagy az NRSC három melegindításos vizsgálati menetét kell elvégezni. A melegindításos NRTC esetében a motort fel kell melegíteni a 7.8.2.1. pontban leírtak szerint, melegen kell tartani a 7.4.2.1. pont b) alpontjában leírtak szerint, és el kell végezni az első melegindításos NRTC ciklust.

Az ezt követő melegindításos NRTC ciklusok a 7.4.2.1. pont b) alpontjában leírtak szerint végzett melegen tartás után indíthatók el. A vizsgálatok alatt fel kell jegyezni a kipufogógáz hőmérsékletét és nyomását (az utókezelő rendszer előtti és utáni hőmérséklet, a kipufogógáz ellennyomása stb.). A kipufogógáz-utókezelő rendszer akkor tekinthető elfogadhatónak, ha a gyártó által megadott feltételek a vizsgálat alatt megfelelő ideig fennállnak, és a mért kibocsátások számtani középhez viszonyított szórása nem haladja meg a ± 25 % vagy 0,005 g/kWh közül a nagyobbat.

6.6.2.   Időszakos regenerálás

Ez a rendelkezés csak időszakos – a motor szokásos működése során jellemzően kevesebb mint 100 üzemóránként történő – regenerálású kipufogógáz-utókezelő rendszerrel felszerelt motorokra vonatkozik. Ezekre a motorokra a 6.6.2.4. pont szerinti felfelé vagy lefelé történő korrekcióhoz additív vagy multiplikatív tényezőket kell meghatározni („korrekciós tényező”).

A korrekciós tényezők vizsgálatára és kidolgozására csak egy vonatkozó tranziens (NRTC vagy LSI-NRTC) vizsgálati ciklusnál vagy RMC-nél van szükség. A kidolgozott tényezők alkalmazhatók a más vonatkozó vizsgálati ciklusokból, például a különálló NRSC-vizsgálatból származó eredményekre.

Amennyiben a tranziens (NRTC vagy LSI-NRTC) vizsgálati ciklusokból vagy RMC-ből nem állnak rendelkezésre megfelelő korrekciós tényezők, akkor a vonatkozó különálló NRSC vizsgálattal kell meghatározni a korrekciós tényezőket. A különálló NRSC-vel kidolgozott tényezők csak különálló NRSC ciklusokban alkalmazhatók.

Nem szükséges vizsgálatot végezni és korrekciós tényezőket kidolgozni RMC-k és különálló NRSC-k esetében is.

6.6.2.1.   A korrekciós tényezők NRTC-, LSI-NRTC- vagy RMC-vizsgálatokkal történő meghatározására vonatkozó követelmény

A kibocsátásokat stabilizálódott utókezelő rendszerrel, legalább három melegindításos NRTC, LSI-NRTC vagy RMC során kell mérni, amelyek közül egy során bekövetkezik regenerálás, kettő során viszont nem. A regenerálásnak az NRTC, az LSI-NRTC vagy az RMC során legalább egyszer meg kell történnie regenerálási eseménnyel. Ha a regenerálás tovább tart egy NRTC, LSI-NRTC vagy RMC idejénél, NRTC-, LSI-NRTC- vagy RMC-vizsgálatokat kell végezni egymás után, és a kibocsátásokat folyamatosan mérni kell anélkül, hogy leállítanák a motort, amíg a regenerálás be nem fejeződik, és ki kell számítani a vizsgálatok átlagát. Ha a regenerálás bármelyik vizsgálat során befejeződik, akkor a vizsgálatot teljes egészében le kell folytatni.

A (6-10)–(6-13) egyenlet használatával kell meghatározni a megfelelő korrekciós tényezőt a teljes alkalmazandó ciklushoz.

6.6.2.2.   A korrekciós tényezők különálló NRSC-vizsgálatokkal történő meghatározására vonatkozó követelmény

A stabilizált kipufogógáz-utókezelő rendszerrel kezdve a kibocsátásokat a vonatkozó különálló NRSC minden olyan vizsgálati üzemmódjában legalább három vizsgálati menettel kell mérni, amelyben a regenerálás feltételei teljesíthetők, egyet regenerálási eseménnyel, kettőt pedig anélkül. A részecskék mérését a 7.8.1.2. pont c) alpontjában leírt többszűrős módszerrel kell elvégezni. Ha a regenerálás elindult, de az adott vizsgálati üzemmód mintavételi időszakának végéig nem fejeződött be, a mintavételi időszakot a regenerálás befejeződéséig meg kell hosszabbítani. Amennyiben ugyanabban az üzemmódban több vizsgálati menetet végeznek el, az átlageredményt kell kiszámítani. Az eljárást mindegyik vizsgálati üzemmódban meg kell ismételni.

A megfelelő korrekciós tényezőt a (6-10)–(6-13) egyenlettel kell meghatározni a vonatkozó ciklus azon üzemmódjaihoz, amelyeknél regenerálás történik.

6.6.2.3.   Az időszakos regenerálási korrekciós tényezők kidolgozásának általános eljárása

A gyártónak meg kell adnia azokat a szokásos feltételeket, amelyek között a regenerálás megtörténik (kormosodás, hőmérséklet, kipufogógáz-ellennyomás stb.). A gyártónak meg kell továbbá adnia a regenerálás gyakoriságát, azon vizsgálatok számával kifejezve, amelyek során bekövetkezik a regenerálás. ►M2  A gyakoriság meghatározására szolgáló pontos eljárást a jóváhagyó hatóságnak a helyes műszaki gyakorlat alapján jóvá kell hagynia. ◄

A regenerációs vizsgálathoz a gyártónak gondoskodnia kell egy terhelésnek már kitett kipufogógáz-utókezelő rendszerről. Regenerálás nem történhet ebben a motorkondicionálási szakaszban. További lehetőségként a gyártó a vonatkozó ciklus keretében egymást követő vizsgálatokat végezhet, hogy terhelés alá helyezze a kipufogógáz-utókezelő rendszert. A kibocsátást nem kell minden vizsgálat során mérni.

A regenerálási szakaszok közötti átlagos kibocsátásokat a vonatkozó ciklus közelítőleg egyenlő távolságra végzett vizsgálatainak számtani átlagával kell meghatározni. Legalább egy vonatkozó ciklust el kell végezni a regenerációs vizsgálat előtt, ahhoz a lehető legközelebbi időpontban, egy vonatkozó ciklust pedig közvetlenül utána.

A regenerációs vizsgálat során a regeneráció észleléséhez szükséges minden adatot fel kell jegyezni (CO-kibocsátás vagy NOx-kibocsátás, a kipufogógáz-utókezelő rendszer előtti és utáni hőmérséklet, a kipufogógáz ellennyomása stb.). A regenerálási folyamat alatt előfordulhat az előírt kibocsátási határértékek túllépése. A vizsgálati eljárás elvi felépítése a 6.1. ábrán látható.

▼M2

▼B

image

A 6.6.2.1. vagy a 6.6.2.2. pont szerint elvégzett vizsgálati menetekkel összefüggő átlagos fajlagos kibocsátást [g/kWh vagy #/kWh] a (6-9) egyenlet használatával kell súlyozni (lásd a 6.1. ábrát):

▼M2



image

(6-9)

ahol:

n

azon vizsgálatok száma, amelyek alatt nem következik be regenerálás,

n r

azon vizsgálatok száma, amelyek alatt regenerálás történik (legalább egy vizsgálat),

image

olyan vizsgálat során bekövetkező átlagos fajlagos kibocsátás, amely alatt nem történik regenerálás [g/kWh vagy #/kWh],

image

olyan vizsgálat során bekövetkező átlagos fajlagos kibocsátás, amely alatt regenerálás történik [g/kWh vagy #/kWh].

▼B

A gyártó választásának megfelelően és a helyes műszaki megítélés alapján az átlagos kibocsátást kifejező k r regenerálási korrekciós tényező multiplikatív vagy additív módszerrel számítható ki az összes gáz-halmazállapotú szennyező anyagra, és ha van vonatkozó határérték, a részecskékre és a részecskeszámra a (6-10)–(6-13) egyenletekkel:

Multiplikatív

▼M2



image

(felfelé módosító korrekciós tényező)

(6-10)

image

(lefelé módosító korrekciós tényező)

(6-11)

▼B

Additív

▼M2



image

(felfelé módosító korrekciós tényező)

(6-12)

image

(lefelé módosító korrekciós tényező)

(6-13)

▼B

6.6.2.4.   A korrekciós tényezők alkalmazása

A felfelé módosító korrekciós tényezőkkel meg kell szorozni vagy növelni kell a mért kibocsátási értékeket minden olyan vizsgálat esetében, amely alatt nem történik regenerálás. A lefelé módosító korrekciós tényezőkkel meg kell szorozni vagy növelni kell a mért kibocsátási értékeket minden olyan vizsgálat esetében, amely alatt regenerálás történik. A regenerálás bekövetkezését oly módon kell azonosítani, hogy valamennyi vizsgálat során azonnal nyilvánvaló legyen. Amennyiben nem lehet regenerálást azonosítani, a felfelé módosító korrekciós tényezőt kell alkalmazni.

A VII. melléklet és a VII. melléklet fékmunkára vonatkoztatott fajlagos kibocsátás kiszámításáról szóló 5. függeléke tekintetében a regenerálási korrekciós tényező:

a) alkalmazandó a súlyozott NRTC-, LSI-NRTC- és NRSC-vizsgálatok eredményeinek esetében, amennyiben teljes súlyozott ciklusra vonatkozóan határozzák meg;

b) alkalmazandó a vonatkozó különálló NRSC azon üzemmódjainak eredményeire, amelyeknél a regenerálás a ciklus súlyozott kibocsátási eredményének kiszámítása előtt történik, amennyiben kifejezetten a vonatkozó különálló NRSC egyes üzemmódjaihoz határozzák meg. Ebben az esetben a többszűrős módszert kell használni a részecskék méréséhez;

c) kiterjeszthető ugyanazon motorcsalád többi motorjára is;

d) az (EU) 2017/656 végrehajtási rendelet IX. mellékletében leírtak szerint kiterjeszthető az ugyanabba az utókezelő rendszer szerinti más motorcsaládba tartozó más motorokra is, ha ezt a jóváhagyó hatóság a gyártó által szolgáltatott, a kibocsátások hasonlóságát alátámasztó műszaki információk alapján előzetesen jóváhagyja.

A következő lehetőségek közül lehet választani:

a) a gyártó dönthet úgy, hogy egy vagy több motorcsalád (vagy összeállítás) esetében mellőzi a korrekciós tényezőket, mivel a regenerálás hatása kicsi, vagy mert a gyakorlatban nehezen meghatározható, hogy mikor történik a regenerálás. Ezekben az esetekben nem kell korrekciós tényezőt alkalmazni, és a gyártó felelős a kibocsátási határértékek betartásáért valamennyi vizsgálat során, függetlenül attól, hogy történik-e regenerálás vagy sem;

▼M2

b) a gyártó kérésére a jóváhagyó hatóság az a) alpontban leírtaktól eltérő módon is figyelembe veheti a regenerálásokat. Ez a lehetőség azonban csak nagyon ritkán előforduló eseményekre vonatkozik, amelyek esetében nem célszerű alkalmazni a 6.6.2.3. pontban leírt korrekciós tényezőket.

▼B

6.7.   Hűtőrendszer

Olyan motorhűtő rendszert kell alkalmazni, amelynek elég nagy a teljesítménye ahhoz, hogy a gyártó által előírt szokásos üzemi hőmérsékleten tudja tartani a motort, beleértve a beszívott levegő, olaj, hűtőközeg, blokk és fej hőmérsékletét. Laboratóriumi kiegészítő hűtőket és ventilátorokat lehet használni.

6.8.   Kenőolaj

A gyártó határozza meg a kenőolajat, amelynek kereskedelmi fogalomban kapható olajnak kell lennie; a vizsgálat során használt kenőolaj specifikációját fel kell jegyezni, és csatolni kell a vizsgálati eredményekhez.

6.9.   A referencia-tüzelőanyagra vonatkozó előírások

A vizsgálathoz használandó referencia-tüzelőanyagokat a IX. melléklet tartalmazza.

A tüzelőanyag hőmérsékletének meg kell felelnie a gyártó ajánlásainak. A tüzelőanyag hőmérsékletét a tüzelőanyag-befecskendező szivattyú bemeneténél kell mérni, vagy a gyártó által meghatározott helyen, és a mérés helyét fel kell jegyezni.

6.10.   A forgattyúsházból származó kibocsátások

E szakasz az (EU) 2016/1628 rendelet II. mellékletben meghatározott, „V. szakasz” szerinti kibocsátási határértékeknek megfelelő NRE, NRG, IWP, IWA, RLR, NRS, NRSh, SMB és ATS kategóriájú motorokra vonatkozik.

A forgattyúsházból közvetlenül a környezeti levegőbe jutó kibocsátásokat valamennyi kibocsátásvizsgálat során (fizikailag vagy matematikailag) hozzáadják a kipufogógáz-kibocsátáshoz.

Az ezzel a kivétellel élő gyártóknak úgy kell beszerelniük a motorokat, hogy a forgattyúsházból származó kibocsátást a mintavevő rendszerbe lehessen irányítani. E pont alkalmazásában a forgattyúházból származó és a teljes folyamat során a kipufogógáz-utókezelő rendszer előtt a kipufogógázba kerülő kibocsátások nem tekintendők közvetlenül a környezeti levegőbe jutó kibocsátásoknak.

A nyitott forgattyúsházból származó kibocsátásokat kibocsátásmérési célból a következőképpen kell a kipufogórendszerbe irányítani:

a) a csöveknek sima fallal kell rendelkezniük, elektromosan vezetőnek kell lenniük, és nem léphetnek reakcióba a forgattyúsházból származó kibocsátásokkal. A csöveknek a lehető legrövidebbnek kell lenniük;

b) a forgattyúsház csövezésében a lehető legkevesebb hajlatnak kell lennie, a feltétlenül szükséges hajlatok sugarát pedig a lehető legnagyobbra kell alakítani;

c) a laboratóriumi forgattyúsház kipufogó csövezésének teljesítenie kell a gyártónak a forgattyúsház ellennyomására vonatkozó előírásait;

d) a forgattyúsház kipufogócsövezése és a hígítatlan kipufogógáz találkozási pontjának az esetleges kipufogógáz-utókezelő rendszer után, az esetleges kipufogógázkibocsátás-korlátozás után, illetve kellő távolságra a mintavevő szondák előtt kell elhelyezkednie, így biztosítva, hogy a mintavétel előtt teljes legyen a keveredés a motor kipufogórendszerével. A forgattyúsház kipufogóba vezetett csövezésének be kell nyúlnia a kipufogórendszer szabad áramlásába a határfelületi hatás elkerülése és a keveredés elősegítése érdekében. A forgattyúsház kipufogócsövezésének kivezetése a hígítatlan kipufogógázhoz képest bármely irányba nézhet.

7.   Vizsgálati eljárások

7.1.   Bevezetés

E fejezet a vizsgált motorok fékmunkára vonatkoztatott fajlagos gáz-halmazállapotú és szilárd szennyezőanyag-kibocsátásának meghatározására szolgáló módszert írja le. A vizsgált motornak az (EU) 2017/656 végrehajtási rendelet IX. mellékletében meghatározott motorcsaládra vonatkozó alapmotor-összeállításnak kell lennie.

Egy laboratóriumi kibocsátásvizsgálat során a kibocsátásokat és egyéb paramétereket kell mérni a XVII. mellékletben ismertetett vizsgálati ciklusokban. A következő szempontokra tér ki:

a) a kibocsátások mérésére szolgáló laboratóriumi összeállítások (7.2. pont);

b) a vizsgálat előtti és utáni ellenőrzési eljárások (7.3. pont);

c) a vizsgálati ciklusok (7.4. pont);

d) az általános vizsgálati program (7.5. pont);

e) a motor jelleggörbéjének felvétele (7.6. pont);

f) a vizsgálati ciklus előállítása (7.7. pont);

g) a vizsgálati ciklusok konkrét végrehajtási eljárása (7.8. pont).

7.2.   A kibocsátásmérés elve

A fékmunkára vonatkoztatott fajlagos kibocsátás méréséhez a motort a 7.4. pontban meghatározott vizsgálati ciklusokban kell üzemeltetni. A fékmunkára vonatkoztatott fajlagos kibocsátás méréséhez meg kell határozni a kipufogógáz-kibocsátásban lévő szennyezőanyagok (CH, CO, NOx és részecskék) tömegét, a kipufogógáz-kibocsátásban lévő részecskék számát (vagyis a részecskeszámot), a CO2 tömegét és a motor megfelelő munkáját.

7.2.1.   Az összetevő tömege

Az egyes összetevők összmennyiségét a következő módszerek segítségével kell meghatározni a vonatkozó vizsgálati ciklus során:

7.2.1.1.   Folyamatos mintavétel

Folyamatos mintavétel esetén az összetevők koncentrációját folyamatosan mérik a hígítatlan vagy hígított kipufogógázban. Az adott összetevő áramának meghatározásához ezt a koncentrációt meg kell szorozni a (hígítatlan vagy hígított) kipufogógáz kibocsátási mintavételi ponton érvényes áramlási sebességével. Az összetevő kibocsátását a vizsgálati időköz alatt folyamatosan összegezni kell. Az összeg jelenti a kibocsátott összetevő teljes tömegét.

7.2.1.2.   Szakaszos mintavétel

Szakaszos mintavétel esetén folyamatosan kivonnak egy mintát a hígítatlan vagy hígított kipufogógázból, és azt későbbi mérések céljából tárolják. A kivont mintának arányosnak kell lennie a hígítatlan vagy hígított kipufogógáz áramlási sebességével. Szakaszos mintavételnek tekintendő például a hígított gáz-halmazállapotú kibocsátások zsákban vagy a részecskék (PM) szűrőn való összegyűjtése. A kibocsátás kiszámításának módszere elvben a következő: a szakaszos mintavételek koncentrációját meg kell szorozni azon kipufogógáz teljes tömegével vagy (hígítatlan vagy hígított) tömegáramával, amelyből a vizsgálati ciklus során kivonták. A szorzat a kibocsátott összetevő teljes tömegét vagy tömegáramát jelenti. A részecskék (PM) koncentrációjának kiszámításához az arányosan kivont kipufogógázból a szűrőre lerakódó részecskék (PM) mennyiségét el kell osztani a megszűrt kipufogógáz mennyiségével.

7.2.1.3.   Kombinált mintavétel

A folyamatos és a szakaszos mintavétel bármilyen kombinációja megengedett (pl. a részecskék szakaszos mintavétele és a gáz-halmazállapotú kibocsátások folyamatos mintavétele).

A 6.2. ábra a kibocsátások mérésére szolgáló vizsgálati eljárások két szempontját szemlélteti: a berendezések mintavevő vezetékei a hígítatlan és a hígított kipufogógázban, valamint a szennyezőanyag-kibocsátások kiszámításához szükséges műveletek az állandósult állapotú és a tranziens vizsgálati ciklusokban.

image Megjegyzés a 6.2. ábrához: A „részáramú részecske-mintavétel” kifejezés részáramú hígítást jelent, amelyben csak a hígítatlan kipufogógázból vesznek mintát állandó vagy változó hígítási arány mellett.

7.2.2.   A munka meghatározása

A vizsgálati ciklus során a munkát úgy kell meghatározni, hogy a fordulatszám- és nyomatékértékeket összeszorozva ki kell számítani a motorteljesítmény pillanatnyi értékeit. A teljes munka meghatározásához integrálni kell a vizsgálati ciklus alatti motorteljesítmény-értékeket.

7.3.   Ellenőrzés és kalibrálás

7.3.1.   Vizsgálat előtti eljárások

▼M2

7.3.1.1.   A mintavevő rendszer és a motor előkondicionálására vonatkozó általános követelmények

▼B

Stabil feltételek elérése érdekében a vizsgálati program elindítása előtt e pont szerint el kell végezni a mintavevő rendszer és a motor előkondicionálását.

A motor előkondicionálásának célja a kibocsátás és a kibocsátásszabályozás reprezentativitásának biztosítása a munkaciklus során, valamint a torzítás csökkentése a következő kibocsátásvizsgálathoz szükséges stabil feltételek elérése érdekében.

A kibocsátás mérhető az előkondicionálási ciklusok során, amennyiben előre meghatározott számú előkondicionálási ciklust végeznek el, és a mérőrendszert a 7.3.1.4. pontban foglalt követelmények szerint indították el. Az előkondicionálás mértékét az előkondicionálás indítása előtt a motorgyártónak kell meghatároznia. Az előkondicionálást az alábbiak szerint kell elvégezni annak figyelembevételével, hogy az egyes előkondicionálási ciklusok megegyeznek a kibocsátásvizsgálatra vonatkozó ciklusokkal.

▼M2

Az utókezelő rendszerrel felszerelt motorokat a 7.3.1.1.1–7.3.1.1.4. pontban meghatározott ciklusspecifikus előkondicionálás előtt is lehet üzemeltetni, hogy az utókezelő rendszer regenerálódjon, és adott esetben a részecske-utókezelő rendszer koromterhelése helyreálljon.

▼B

7.3.1.1.1.   Előkondicionálás hidegindításos NRTC vizsgálati menethez

A motort legalább egy melegindításos NRTC elvégzésével kell előkondicionálni. A motort rögtön az egyes előkondicionálási ciklusok befejezése után le kell állítani, és az álló motort melegen kell tartani. A motort rögtön az utolsó előkondicionálási ciklus befejezése után le kell állítani, és el kell kezdeni a motor 7.3.1.2. pont szerint lehűtését.

7.3.1.1.2.   Előkondicionálás melegindításos NRTC vizsgálati menethez vagy LSI-NRTC-hez

Ez az alpont ismerteti az előkondicionálást, amelyet akkor kell elvégezni, amikor a hidegindításos NRTC nélküli melegindításos NRTC vagy az LSI-NRTC keretében kívánnak kibocsátási mintákat venni. A motort legalább egy melegindításos NRTC vagy LSI-NRTC elvégzésével kell előkondicionálni. A motort rögtön az egyes előkondicionálási ciklusok befejezése után le kell állítani, majd a lehető leghamarabb el kell indítani a következő ciklust. A következő előkondicionálási ciklust ajánlott a legutóbbi előkondicionálási ciklus befejezése után 60 másodpercen belül elindítani. Adott esetben a legutóbbi előkondicionálási ciklus után a megfelelő melegentartási (melegindításos NRTC) vagy lehűtési (LSI-NRTC) időszaknak kell következnie, mielőtt a motor elindítható a kibocsátásvizsgálathoz. Ha nincs melegen tartás vagy lehűtés, a kibocsátásvizsgálatot ajánlott a legutóbbi előkondicionálási ciklus befejezése után 60 másodpercen belül elindítani.

7.3.1.1.3.   Előkondicionálás különálló NRSC-hez

Az NRS-től és az NRSh-tól eltérő motorkategóriák esetében a motort be kell melegíteni és addig járatni, amíg a motor (a hűtővíz és a kenőolaj) hőmérséklete nem stabilizálódik a fordulatszám 50 %-án és a nyomaték 50 %-ával a D2., E2. vagy G. típusú, különálló NRSC vizsgálati ciklushoz, illetve nominális motorfordulatszámon és a nyomaték 50 %-ával a D2., E2. vagy G. típusú, különálló NRSC vizsgálati ciklushoz. A fordulatszám 50 %-át az 5.2.5.1. pont szerint kell kiszámítani olyan motoroknál, amelyeknél az MTS-t használják a vizsgálati fordulatszámok előállításához, illetve a 7.7.1.3. pont szerint minden egyéb esetben. A nyomaték 50 %-a az e fordulatszámon elérhető legnagyobb nyomaték 50 %-a. A kibocsátásvizsgálatot a motor leállítása nélkül kell elkezdeni.

Az NRS és az NRSh motorkategóriák esetében a motort fel kell melegíteni a gyártó ajánlásainak megfelelően és a helyes műszaki gyakorlat alapján. Mielőtt elkezdődhetne a kibocsátási mintavétel, a motornak a megfelelő vizsgálati ciklus 1. üzemmódjában kell üzemelnie, amíg a hőmérséklete nem stabilizálódik. A kibocsátásvizsgálatot a motor leállítása nélkül kell elkezdeni.

7.3.1.1.4.   Előkondicionálás RMC-hez

A motorgyártónak az alábbi a) vagy b) előkondicionálási program közül kell választania. A motort a kiválasztott program szerint kell előkondicionálni.

a) A motort legalább az RMC második felének elvégzésével kell előkondicionálni a vizsgálati üzemmódok számától függően. A motor a ciklusok között nem állítható le. A következő ciklust (ideértve a kibocsátásvizsgálatot is) az egyes előkondicionálási ciklusok befejezése után a lehető leghamarabb el kell indítani. Ha lehetőség van rá, a következő ciklust ajánlott a legutóbbi előkondicionálási ciklus befejezése után 60 másodpercen belül elindítani.

b) A motort be kell melegíteni és addig járatni, amíg a motor (a hűtővíz és a kenőolaj) hőmérséklete nem stabilizálódik a fordulatszám 50 %-án és a nyomaték 50 %-ával a D2., E2. vagy G. típusú RMC vizsgálati ciklushoz, illetve nominális motorfordulatszámon és a nyomaték 50 %-ával a D2., E2. vagy G. típusú RMC vizsgálati ciklushoz. A fordulatszám 50 %-át az 5.2.5.1. pont szerint kell kiszámítani olyan motoroknál, amelyeknél az MTS-t használják a vizsgálati fordulatszámok előállításához, illetve a 7.7.1.3. pont szerint minden egyéb esetben. A nyomaték 50 %-a az e fordulatszámon elérhető legnagyobb nyomaték 50 %-a.

▼M2 —————

▼M2

7.3.1.2.   A motor lehűlése (NRTC)

Természetes lehűlés vagy kényszerhűtés alkalmazható. Kényszerhűtésnél a helyes műszaki gyakorlatnak megfelelően kell összeállítani azokat a rendszereket, melyek hűtőlevegőt fújnak a motorra, hideg olajat szállítanak a motor kenőrendszerében, valamint hőt vonnak el a motorhűtő rendszerben lévő hűtőközegtől és a kipufogógáz-utókezelő rendszerből. Az utókezelő kényszerhűtése esetén addig nem szabad hűtőlevegőt alkalmazni, amíg a kipufogógáz-utókezelő rendszer le nem hűl a katalizátor aktiválási hőmérséklete alá. Tilos minden olyan hűtési eljárás, amely nem jellemző kibocsátást eredményez.

7.3.1.3.   A szénhidrogén-szennyeződés ellenőrzése

Ha feltételezhető, hogy a kipufogógáz-mérő rendszer lényeges mértékben szénhidrogénnel szennyezett, a szénhidrogén-szennyeződés nullázó gázzal ellenőrizhető, majd az eltérés helyesbíthető. Amennyiben ellenőrizni kell a mérőrendszer és a háttérszénhidrogén-rendszer szennyezettségének mértékét, az ellenőrzést az egyes vizsgálati ciklusok elindításától számított 8 órán belül el kell végezni. Az értékeket fel kell jegyezni a későbbi korrekcióhoz. Ezen ellenőrzés előtt el kell végezni a szivárgásvizsgálatot, és kalibrálni kell a lángionizációs érzékelős gázelemző készüléket.

7.3.1.4.   A mérőberendezések előkészítése mintavételhez

A kibocsátásból való mintavétel megkezdése előtt az alábbi lépéseket kell végrehajtani:

a) a kibocsátásból való mintavétel előtt 8 órával a 8.1.8.7. pontnak megfelelően szivárgásvizsgálatot kell végezni;

b) szakaszos mintavétel esetén tiszta tárolóeszközöket kell csatlakoztatni, például légüres zsákokat vagy olyan szűrőket, amelyeknek megmérték a tárasúlyát;

c) minden mérőberendezést a mérőberendezés gyártója utasításainak és a műszaki szempontoknak megfelelően kell elindítani;

d) el kell indítani a hígítórendszereket, a mintavevő szivattyúkat, a hűtőventilátorokat és az adatgyűjtő rendszert;

e) a kívánt szinteknek megfelelően be kell állítani a mintaáramokat, szükség esetén kerülő alkalmazásával;

f) a mintavevő rendszer hőcserélőit elő kell melegíteni vagy előre le kell hűteni a vizsgálatokra meghatározott üzemi hőmérsékleti tartományukra;

g) a fűtött vagy hűtött alkatrészeket, például mintavevő vezetékeket, szűrőket, hűtőket és szivattyúkat hagyni kell, hogy üzemi hőmérsékletükön stabilizálódjanak;

h) a kipufogógáz-hígító rendszer áramlását legalább 10 perccel a vizsgálati program elindítása előtt be kell kapcsolni;

i) el kell végezni a gázelemző készülékek kalibrálását és a folyamatos gázelemző készülékek nullázását a 7.3.1.5. pontban meghatározott eljárás szerint;

j) a vizsgálati intervallumok elkezdése előtt az elektronikus integráló eszközöket nullázni kell, vagy vissza kell állítani.

7.3.1.5.   A gázelemző-készülékek kalibrálása

Megfelelően kell megválasztani a gázelemző készülékek tartományait. Az automatikus és a kézi tartományváltóval ellátott kibocsátáselemző készülékek használata egyaránt megengedett. Tranziens (NRTC vagy LSI-NRTC) vizsgálati ciklus vagy RMC alatt, valamint a különálló NRSC-k végén, a gáz-halmazállapotú kibocsátásból való mintavétel ideje alatt a kibocsátáselemző készülékek tartományát nem szabad átkapcsolni. Ezenkívül a vizsgálati ciklus során nem kapcsolható át a gázelemző készülékek analóg műveleti erősítőjének (erősítőinek) erősítési tényezője sem.

Valamennyi folyamatos gázelemző készüléket olyan, a nemzetközi etalonnak megfelelő gázok felhasználásával kell nullázni, illetve mérőtartománya tekintetében kalibrálni, amelyek eleget tesznek a 9.5.1. pontban leírt követelményeknek. A lángionizációs érzékelős gázelemző készülékek mérőtartományát egyes szénszámhoz (C1) kell beállítani.

▼M2

7.3.1.6.   A részecskeszűrő előkondicionálása és tárasúlyának megmérése

A részecskeszűrő előkondicionálását és tárasúlyának megmérését a 8.2.3. pontnak megfelelően kell elvégezni.

▼B

7.3.2.   Vizsgálat utáni eljárások

A kibocsátásból való mintavétel befejezése után az alábbi lépéseket kell végrehajtani:

7.3.2.1.   Az arányos mintavétel ellenőrzése

Bármely arányos szakaszos mintavételnél, például zsákos mintáknál vagy részecskemintáknál, meg kell bizonyosodni arról, hogy az arányos mintavételre valóban a 8.2.1. pontban leírtak szerint került sor. Az egyszűrős módszerhez és a különálló állandósult üzemállapotú vizsgálati ciklushoz ki kell számítani a tényleges részecskesúlyozó tényezőt. A 8.2.1. pontban foglalt követelményeket nem teljesítő minták nem érvényesek.

7.3.2.2.   A részecskék (PM) vizsgálat utáni kondicionálása és mérése

A használt részecskeminta-szűrőket fedett vagy zárt tartályokba kell helyezni, vagy a szűrőtartókat le kell zárni a mintavevő szűrők környezeti szennyeződések elleni védelme érdekében. Az így védett használt szűrőt vissza kell vinni a részecskeszűrő-kondicionáló kamrába vagy helyiségbe. Ezután a részecskeminta-szűrőket a 8.2.4. pontban leírtak szerint kondicionálni kell és meg kell mérni a tömegüket. (A részecskeszűrő utólagos kondicionálására és teljes tömegének mérésére irányuló eljárások).

7.3.2.3.   Szakaszosan mintavételezett gáz-halmazállapotú szennyező anyagok elemzése

A lehető leghamarabb el kell végezni az alábbiakat:

a) minden szakaszos gázelemző készüléket legkésőbb a vizsgálati ciklus befejezése után 30 perccel, vagy ha célszerű, a melegen tartás folyamán le kell nullázni, és mérőtartománya tekintetében kalibrálni kell, annak ellenőrzése érdekében, hogy a gázelemző készülékek továbbra is stabilak-e;

b) a hagyományos, gáz-halmazállapotú zsákos mintákat legkésőbb a melegindításos NRTC befejezése után 30 perccel vagy a melegen tartás folyamán elemezni kell;

c) a háttér-koncentráció meghatározásához használatos mintákat legkésőbb a melegindításos NRTC befejezése után 60 perccel elemezni kell.

7.3.2.4.   Az eltolódás ellenőrzése

A kipufogógáz mennyiségének meghatározása után a következőképpen ellenőrizni kell az eltolódást:

a) a szakaszos és a folyamatos gázelemző készülékek esetében a gázelemző készülék nullázó gázzal való stabilizálása után fel kell jegyezni a gázelemző készülék középértékét. A stabilizálódási időbe beletartozhat a gázminta elemzőkészülékből való kiszellőztetésére és az elemzőkészülék válaszának figyelembevételére fordított idő is;

b) a gázelemző készülék mérőtartomány-kalibráló gázzal való stabilizálása után fel kell jegyezni a gázelemző készülék középértékét. A stabilizálódási időbe beletartozhat a gázminta elemzőkészülékből való kiszellőztetésére és az elemzőkészülék válaszának figyelembevételére fordított idő is;

c) ezeket az adatokat kell használni a hitelesítéshez és az eltolódás 8.2.2. pontban leírt korrigálásához.

▼M2

7.4.   Vizsgálati ciklusok

Az EU-típusjóváhagyási vizsgálatot a megfelelő NRSC és adott esetben az NRTC vagy LSI-NRTC alkalmazásával kell elvégezni az (EU) 2016/1628 rendelet 18. cikkében és IV. mellékletében előírtaknak megfelelően. Az NRSC, az NRTC és az LSI-NRTC műszaki előírásait és jellemzőit e rendelet XVII. melléklete tartalmazza, a nyomaték-, teljesítmény- és fordulatszám-beállítások e ciklusokhoz való meghatározásának módszerét pedig az 5.2. pont.

▼B

7.4.1.   Állandósult üzemállapotú vizsgálati ciklusok

A XVII. melléklet 1. és 2. függelékének meghatározása szerint a nem közúti állandósult üzemállapotú vizsgálati ciklusok (NRSC) olyan különálló NRSC-k (működési pontok) sorozatai, amelyekben minden egyes működési ponthoz egy adott fordulatszám és egy adott nyomaték tartozik. Egy NRSC-ben a méréseket a gyártó előírásainak megfelelően felmelegített és üzemelő motorral kell elvégezni. Az NRSC a gyártó döntése szerint elvégezhető különálló NRSC-ként vagy RMC-ként a 7.4.1.1. és a 7.4.1.2. pontban foglaltak szerint. A kibocsátásvizsgálatot nem szükséges a 7.4.1.1. és a 7.4.1.2. pont szerint is elvégezni.

7.4.1.1.   Különálló NRSC-k

A különálló NRSC-k olyan melegindításos ciklusok, amelyek során a kibocsátásokat azt követően kezdik el mérni, hogy a motort a 7.8.1.2. pontban leírtak szerint beindították, az felmelegedett és üzemel. Mindegyik ciklus több, különböző fordulatszámú és terhelésű üzemmódból áll (minden egyes üzemmódhoz súlyozási tényező tartozik), amelyek a meghatározott motorkategória jellemző üzemi tartományainak felelnek meg.

7.4.1.2.   Átmeneteket magukban foglaló NRSC-k

Az átmeneteket magukban foglaló ciklusok (RMC) olyan melegindításos ciklusok, amelyek során a kibocsátásokat azt követően kezdik el mérni, hogy a motort a 7.8.2.1. pontban leírtak szerint beindították, az felmelegedett és üzemel. Az RMC során a próbapad vezérlőegysége folyamatosan ellenőrzi a motort. Az RMC során folyamatosan mérni kell a gáz-halmazállapotú és szilárd kibocsátásokat és mintát kell belőlük venni ugyanúgy, mint egy tranziens (NRTC vagy LSI-NRTC) vizsgálati ciklus alatt.

Az RMC az állandósult üzemállapotú vizsgálat pszeudotranziens módon történő elvégzéséhez szolgál módszerrel. Mindegyik RMC állandósult üzemállapotú üzemmódok sorozatából áll, köztük lineáris átmenettel. Az egyes üzemmódokban töltött relatív összidő és az azt megelőző átmenet megfelel a különálló NRSC-k súlyozásának. A két üzemmód közötti motorfordulatszám- és terhelésváltozást lineárisan kell vezérelni 20 ± 1 másodperc alatt. Az üzemmódváltás ideje az új üzemmódhoz tartozik (az első üzemmód esetében is). Bizonyos esetekben az üzemmódokat nem ugyanabban a sorrendben hajtják végre, mint a különálló NRSC-ket, vagy a szélsőséges hőmérséklet-változások elkerülése érdekében felosztják őket.

7.4.2.   Tranziens (NRTC és LSI-NRTC) vizsgálati ciklusok

Az NRE kategóriájú motorokra vonatkozó nem közúti tranziens ciklust (NRTC) és az NRS kategóriájú nagy szikragyújtású motorokra vonatkozó nem közúti tranziens ciklust (LSI-NRTC) a XVII. melléklet 3. függeléke írja le normált fordulatszámú és nyomatékú értékek másodpercalapú sorozataként. Ahhoz, hogy el lehessen végezni a vizsgálatot a mérőállásban, a normált értékeket a motor jelleggörbéjében megállapított fajlagos fordulatszám- és nyomatékértékek alapján át kell számítani a nekik megfelelő referenciaértékekre. Ez a művelet a visszaszámítás, az így kialakított vizsgálati ciklus pedig a vizsgált motor referencia NRTC vagy LSI-NRTC vizsgálati ciklusa (lásd a 7.7.2. pontot).

7.4.2.1.   Vizsgálati program NRTC esetében

A normált NRTC motorfékpadi ciklus menetének grafikus megjelenítése a 6.3. ábrán látható.

image

A NRTC-t az előkondicionálás (lásd a 7.3.1.1.1. pontot) befejeződése után kétszer kell elvégezni az alábbi eljárás szerint:

▼M2

a) a hidegindításos vizsgálat azt követően kezdődik, miután a motor és a kipufogógáz-utókezelő rendszerek szobahőmérsékletre hűltek vagy a motor természetes lehűlése után, vagy kényszerhűtés után, valamint a motor, a hűtőközeg és az olaj, a kipufogógáz-utókezelő rendszerek és minden motorvezérlő eszköz hőmérséklete 293 K és 303 K (20 °C és 30 °C) között stabilizálódott. Ebben a vizsgálatban a kibocsátások mérését a hideg motor elindításával egyidejűleg meg kell kezdeni;

▼B

b) a melegen tartási időszak rögtön a hidegindítási szakasz után kezdődik. A motort le kell állítani, és melegen tartással 20 ± 1 percen át kondicionálni kell a melegindításos vizsgálatra;

▼M2

c) a melegen tartás után azonnal el kell kezdeni a melegindításos vizsgálatot a motor megforgatásával. A kapcsolási jelcsúcsok elkerülése érdekében a melegen tartás vége előtt legalább 10 másodperccel be kell kapcsolni a gázelemző készülékeket. Ebben a vizsgálatban a kibocsátások mérését a motor megforgatásával párhuzamosan meg kell kezdeni.

A gramm/kilowattórában (g/kWh) vagy részecskeszám/kilowattórában (#/kWh) kifejezett, fékmunkára vonatkoztatott fajlagos kibocsátásokat a vizsgálati ciklusnak mind a hideg-, mind a melegindításos vizsgálata esetében az ebben a szakaszban meghatározott eljárások szerint kell meghatározni. Az összetett súlyozott kibocsátások kiszámításában a hidegindításos vizsgálat eredményeit 10 %-os, a melegindításos vizsgálat eredményeit 90 %-os súllyal kell figyelembe venni a VII. mellékletben leírtak szerint.

▼B

7.4.2.2.   Vizsgálati program LSI-NRTC esetében

Az LSI-NRTC-t az előkondicionálás (lásd a 7.3.1.1.2. pontot) befejeződése után egyszer melegindításos vizsgálatként kell elvégezni az alábbi eljárás szerint:

a) a motort el kell indítani, és a munkaciklus első 180 másodpercében járatni kell, majd 30 másodpercen át üresjáraton, terhelés nélkül kell működtetni. E bemelegítés során nem kell kibocsátást mérni;

b) a 30 másodperces üresjárati szakasz leteltével el kell kezdeni a kibocsátásmérést, a motort pedig elölről (0 másodperctől) kezdve a teljes munkaciklus során kell üzemeltetni.

A g/kWh-ban kifejezett, fékmunkára vonatkoztatott fajlagos kibocsátásokat a VII. mellékletben leírt eljárások szerint kell meghatározni.

Ha a motor a vizsgálat előtt már üzemelt, a helyes műszaki gyakorlat alapján hagyni lehet a motort annyira lehűlni, hogy a mért kibocsátások pontosan megfeleljenek a szobahőmérsékleten induló motorból származó kibocsátásoknak. Ha például a szobahőmérsékleten induló motor három perc alatt kellőképpen felmelegszik ahhoz, hogy zárt körű működésbe kezdjen, és elérje a teljes katalizátorkapacitást, akkor minimális motorhűtésre van szükség a következő vizsgálat elindítása előtt.

A motorbemelegítési eljárás a műszaki szolgálat előzetes beleegyezésével legfeljebb 15 perces működést foglalhat magában a munkaciklus során.

7.5.   Általános vizsgálati program

A motor kibocsátásainak méréséhez az alábbi lépéseket kell végrehajtani:

a) a vizsgált motor vizsgálati fordulatszámát és vizsgálati terhelését (állandó fordulatszámú motorok esetében) a legnagyobb nyomaték mérésével, illetve (változó fordulatszámú motorok esetében) a legnagyobb nyomatékot a motor fordulatszámának függvényben ábrázoló görbe alapján kell meghatározni;

b) a normált vizsgálati ciklusokat vissza kell számítani – a 7.5. pont előző, a) alpontjában már említett – (állandó fordulatszámú motorok esetében) a nyomaték, illetve (változó fordulatszámú motorok esetében) a fordulatszám és a nyomaték alapján;

c) a motort, a berendezéseket és a mérőműszereket előre elő kell készíteni a következő kibocsátási vizsgálathoz vagy vizsgálatsorozathoz (hideg- és melegindításos vizsgálat);

d) a vizsgálatot megelőző eljárások végrehajtásával ellenőrizni kell egyes berendezések és gázelemző készülékek megfelelő működését. Minden gázelemző készüléket kalibrálni kell. Minden vizsgálat előtti adatot fel kell jegyezni;

e) a motort a vizsgálati ciklus elején el kell indítani (NRTC ciklus) vagy folyamatosan üzemeltetni kell (állandósult állapotú és LSI-NRTC ciklus), és ezzel egy időben el kell indítani a mintavevő rendszereket;

f) a kibocsátásokat és egyéb előírt paramétereket mérni kell és fel kell jegyezni a mintavétel ideje alatt (az NRTC, az LSI-NRTC és az RMC esetében) az egész vizsgálati ciklus alatt;

g) a vizsgálatot követő eljárások végrehajtásával ellenőrizni kell egyes berendezések és gázelemző készülékek megfelelő működését;

▼M2

h) a részecskeszűrő(ke)t előkondicionálni kell, meg kell mérni (üres súly), terhelni kell, újra kondicionálni kell, ismét meg kell mérni (megnövekedett tömeg), majd a mintákat értékelni kell a vizsgálatot megelőző (7.3.1.6. pont) és a vizsgálatot követő eljárások (7.3.2.2. pont) szerint;

▼B

i) A kibocsátási vizsgálat eredményeit értékelni kell.

A 6.4. ábra áttekintést nyújt arról, hogy milyen eljárásokat kell végrehajtani, ha a nem közúti mozgó gépekre és berendezésekre vonatkozó vizsgálati ciklusokat a motorok kipufogógáz-kibocsátásának mérésével együtt hajtják végre.

▼M2

6.4. ábra

Vizsgálati program

image

▼B

7.5.1.   A motor elindítása és újraindítása

7.5.1.1.   A motor indítása

A motor elindításához:

a) a gyártó által a végfelhasználói utasításokban megadott ajánlások szerint sorozatgyártású indítómotort vagy légindító rendszert és egy megfelelően feltöltött akkumulátort, egy alkalmas energiaforrást vagy egy alkalmas sűrítettlevegő-forrást kell alkalmazni; vagy

b) a motort a fékpad segítségével kell megforgatni, amíg el nem indul. A motort általában a működés közbeni megforgatási fordulatszám ± 25 %-ával kell üzemeltetni, vagy nulláról lineárisan az alacsony üresjárati fordulatszám mínusz 100 min-1 értékre kell növelni a fékpad sebességét, amíg be nem indul a motor.

A megforgatást a motor beindulása után 1 másodpercen belül be kell fejezni. Ha a motor 15 másodpercig tartó megforgatás után nem indul be, akkor a megforgatást abba kell hagyni, és meg kell állapítani, hogy a beindítás miért nem sikerült, kivéve, ha a végfelhasználói utasítások vagy a szerviz-/javítási kézikönyv ennél hosszabb megforgatási időt ad meg szokásosként.

7.5.1.2.   A motor leállása

▼M2

a) ha a motor a hidegindításos NRTC ciklus során bármikor leáll, a teljes vizsgálatot érvénytelennek kell nyilvánítani;

b) ha a motor a melegindításos NRTC ciklus során bármikor leáll, akkor csak ezt a ciklust kell érvénytelennek nyilvánítani. A motort a 7.8.3. pontnak megfelelően be kell melegíteni, és a melegindításos vizsgálatot meg kell ismételni. Ilyenkor a hidegindításos vizsgálatot nem kell megismételni;

▼B

c) ha a motor az LSI-NRTC ciklus végrehajtása során leáll, a vizsgálat nem érvényes;

d) amennyiben a motor az NRSC (különálló vagy átmeneteket is magában foglaló) ciklus alatt bármikor leáll, a vizsgálatot érvénytelennek kell tekinteni, és a motorbemelegítéssel kezdve meg kell ismételni. Amennyiben a részecskeszámmérés többszűrős módszerrel történik (külön mintavételi szűrő minden egyes üzemmódhoz), a vizsgálatot úgy kell folytatni, hogy a motor hőmérsékletét az előző üzemmód hőmérsékletén stabilizálják, majd megkezdik a mérést abban az üzemmódban, amelyikben leállt a motor;

7.5.1.3   A motor működtetése

A kezelő lehet személy (kézi bevitel) vagy fordulatszám-szabályozó (automatikus bevitel), aki, illetve amely mechanikusan vagy elektronikusan jelzi a motorteljesítményt igénylő beviteleket. A bevitel történhet gyorsítópedállal vagy -jellel, gázszabályozó karral vagy jellel, tüzelőanyag-szabályozó karral vagy jellel, sebességszabályozó karral vagy jellel, vagy a fordulatszám-szabályozó beállítási pontjával vagy jelével.

7.6.   A motor jelleggörbéjének felvétele

A motor jelleggörbéjének felvétele előtt a motort be kell melegíteni, és a bemelegítés vége felé legalább 10 percig a legnagyobb teljesítményen vagy a gyártó ajánlása és a helyes műszaki gyakorlat szerint kell üzemeltetni a motor hűtőközege és a kenőolaj hőmérsékletének stabilizálása érdekében. Miután a motor működése stabilizálódott, a jelleggörbét fel kell venni.

Amennyiben a gyártó az elektronikus vezérlőegység általi nyomatékjel-sugárzást kívánja használni az ezzel felszerelt motoroknál a használatban lévő motorok kibocsátásainak nyomon követéséről szóló (EU) 2017/655 felhatalmazáson alapuló rendelet szerinti, használat közbeni nyomonkövetési vizsgálatok elvégzése során, a 3. függelékben meghatározott ellenőrzést is végre kell hajtani a motor jelleggörbéjének felvételekor.

Az állandó fordulatszámú motorok kivételével a motor jelleggörbéjét a legnagyobb állásban lévő sebességszabályozó karral vagy fordulatszám-szabályozóval kell felvenni. A jelleggörbe szerinti legkisebb és legnagyobb fordulatszámok az alábbiak:

Legkisebb fordulatszám a jelleggörbe felvételéhez

=

melegindításos üresjárati fordulatszám

A jelleggörbe szerinti legnagyobb fordulatszám

=

n hi × 1,02, illetve az, ahol a teljes terheléshez tartozó nyomaték nullára esik (amelyik kisebb).

ahol:

n hi ►M2  az 1. cikk 12. pontjában meghatározott ◄ felső fordulatszám

Ha a legnagyobb fordulatszám nem biztonságos vagy nem reprezentatív (például nem szabályozott motorok esetében), a helyes műszaki gyakorlat alapján kell felvenni a jelleggörbét a legnagyobb biztonságos vagy a legnagyobb reprezentatív fordulatszámig.

7.6.1.   A motor jelleggörbéjének felvétele változó fordulatszámú NRSC-hez

A motor jelleggörbéjének változó fordulatszámú NRSC-hez való felvétele esetén (csak olyan motorok esetében, amelyeknek nem kell végrehajtaniuk az NRTC vagy az LSI-NRTC ciklust), a helyes műszaki gyakorlat alapján ki kell választani megfelelő számú, egymástól egyenletes távolságra lévő pontot. Minden ponton hagyni kell, hogy legalább 15 másodpercig stabilizálódjon a fordulatszám, illetve a nyomaték. Minden egyes ponton fel kell jegyezni az átlagos fordulatszámot és nyomatékot. Az átlagos fordulatszámot és nyomatékot ajánlott a legutóbbi 4–6 másodpercben rögzített adatok használatával kiszámítani. Az NRSC-vizsgálathoz használt fordulatszámok és nyomatékok meghatározásához lineáris interpolációt kell alkalmazni, ha szükséges. Ha a motoroknak az NRTC vagy az LSI-NRTC ciklust is végre kell hajtaniuk, akkor a motor NRTC ciklusbeli jelleggörbéje segítségével kell meghatározni az állandósult állapotok szerinti vizsgálati fordulatszámokat és nyomatékokat.

Ha a gyártó úgy dönt, a motor jelleggörbéjének felvétele a 7.6.2. pontban leírt eljárással is elvégezhető.

7.6.2.   A motor jelleggörbéjének felvétele NRTC és LSI-NRTC ciklushoz

A jelleggörbét a következő eljárással kell felvenni:

a) a motorról le kell venni a terhelést, és üresjárati fordulatszámon kell járatni;

i. az alacsonyfordulatszám-szabályozóval ellátott motorok esetében a kezelői parancsot a minimumra kell beállítani, a fékpad vagy más terhelő berendezés segítségével nulla nyomatékot kell elérni a motor elsődleges leadótengelyén, és hagyni kell, hogy a motor szabályozza a fordulatszámot. Ezt a melegindításos üresjárati fordulatszámot meg kell mérni;

ii. az alacsonyfordulatszám-szabályozóval nem rendelkező motorok esetében a fékpadot úgy kell beállítani, hogy nulla nyomatékot érjen el a motor elsődleges leadótengelyén, a kezelői parancsot pedig úgy kell beállítani, hogy a fordulatszámot a gyártó által megadott, legkisebb terhelés mellett lehetséges legalacsonyabb motorfordulatszámra (más néven a gyártó által megadott melegindításos üresjárati fordulatszámra) szabályozza;

iii. a gyártó által megadott alapjárati nyomaték alkalmazható valamennyi változó fordulatszámú motornál (akár rendelkezik alacsonyfordulatszám-szabályozóval, akár nem), ha a nem nulla alapjárati nyomaték jól reprezentálja a használatot;

b) a kezelői parancsot a maximumra kell beállítani, a motor fordulatszámát pedig a melegindításos üresjárati fordulatszám és a melegindításos üresjárati fordulatszám 95 %-a között kell szabályozni. Olyan motorok esetében, amelyek referencia-munkaciklusainak legalacsonyabb fordulatszáma nagyobb, mint a melegindításos üresjárati fordulatszám, a jelleggörbe felvételét el lehet kezdeni a legalacsonyabb referencia-fordulatszám és annak 95 %-a között;

c) a motor fordulatszámát 8 ± 1 min– 1/s átlagos ütemben kell növelni, vagy a motor jelleggörbéjét a fordulatszám olyan folyamatos, állandó ütemű növelése mellett kell felvenni, amellyel 4–6 percig tart a legkisebb és a legnagyobb felvételi fordulatszám közötti átmenet. A jelleggörbe felvételéhez használt fordulatszám-tartomány a melegindításos üresjárati fordulatszám és annak 95 %-a között kezdődik, és a legnagyobb teljesítményt meghaladó legnagyobb fordulatszámon ér véget, amelynél a motor legnagyobb teljesítményének kevesebb mint 70 % éri el. Ha a legnagyobb fordulatszám nem biztonságos vagy nem reprezentatív (például nem szabályozott motorok esetében), a helyes műszaki gyakorlat alapján kell felvenni a jelleggörbét a legnagyobb biztonságos vagy a legnagyobb reprezentatív sebességig. A motor fordulatszámát és nyomatékát legalább 1 Hz gyakorisággal kell rögzíteni;

d) ha a gyártó úgy véli, hogy a jelleggörbe felvételének fenti eljárása nem biztonságos vagy nem kellőképpen jellemző egy adott motorra, más eljárások is használhatók. Ezeknek az alternatív eljárásoknak is el kell érniük a fent leírt eljárásnak azt a célját, hogy a vizsgálati ciklusok minden fordulatszámára meg legyen határozva a legnagyobb rendelkezésre álló nyomaték. Az e szakaszban leírt jelleggörbe-felvételi eljárástól biztonsági okokból vagy a reprezentativitás miatt való eltéréseket, valamint azok indoklását a jóváhagyó hatóságnak jóvá kell hagynia. Fordulatszám-szabályozóval vagy turbófeltöltővel felszerelt motorok esetében a nyomatékgörbét semmi esetre sem lehet a fordulatszám folyamatos csökkentésével meghatározni;

e) a motorok jelleggörbéjét nem kell minden egyes vizsgálati ciklus előtt felvenni. A motorok jelleggörbéjét akkor kell felvenni, ha:

i. műszakilag úgy ítélhető meg, hogy a legutóbbi jelleggörbe-felvétel óta ésszerűtlenül hosszú idő telt el; vagy

ii. a motoron olyan fizikai módosításokat vagy átállításokat végeztek, amelyek hatással lehetnek a motor működésére; vagy

iii. a motor levegőbemenete közelében lévő légköri nyomás kívül esik a legutóbbi jelleggörbe-felvételkor rögzített érték ± 5 kPa tartományon.

7.6.3.   A motor jelleggörbéjének felvétele állandó fordulatszámú NRSC ciklushoz

a motor üzemeltethető sorozatgyártású, állandó fordulatszámú fordulatszám-szabályozóval vagy az állandó fordulatszámú fordulatszám-szabályozó modellezhető a motor fordulatszámának kezelői parancson alapuló irányítási rendszer általi szabályozásával. A fordulatszám-szabályozót szükség szerint egyidejű vagy fordulatszámesésen alapuló üzemmódban kell üzemeltetni.

7.6.3.1.   A D2. vagy E2. ciklussal vizsgált motorok névleges teljesítményének ellenőrzése

Az alábbi ellenőrzést kell elvégezni:

a) a fordulatszámot fordulatszám-szabályozóval vagy a kezelő parancsai alapján, modellezett fordulatszám-szabályozóval szabályozva a motort a névleges fordulatszámon és teljesítménnyel kell üzemeltetni a stabil működés eléréséhez szükséges ideig;

b) a nyomatékot addig kell növelni, ameddig a motor nem tudja tartani a szabályozott fordulatszámot. Az e ponton elért teljesítményt rögzíteni kell. Ezen ellenőrzés elvégzése előtt a gyártónak és az ellenőrzést végző műszaki szolgálatnak meg kell állapodnia az e pont elérésének biztonságos megállapítására szolgáló módszerről a fordulatszám-szabályozó jellemzői alapján. ►M2  A rögzített teljesítmény nem haladhatja meg 12,5 %-nál nagyobb mértékben az (EU) 2016/1628 rendelet 3. cikkének 27. pontjában meghatározott névleges teljesítményt. Ezen érték túllépése esetén a gyártónak felül kell vizsgálnia a megadott névleges teljesítményt. ◄

Ha a vizsgált motoron ez az ellenőrzés a motor vagy a fékpad károsodásának veszélye miatt nem végezhető el, akkor a gyártónak megalapozott bizonyítékokat kell bemutatnia a jóváhagyó hatóságnak arról, hogy a legnagyobb teljesítmény nem haladja meg 12,5 %-nál nagyobb mértékben a névleges teljesítményt.

7.6.3.2.   A jelleggörbe felvétele állandó fordulatszámú NRSC-hez

a) a fordulatszámot fordulatszám-szabályozóval vagy a kezelő parancsai alapján, modellezett fordulatszám-szabályozóval szabályozva a motort legalább 15 másodpercig terhelés nélküli, szabályozott fordulatszámon kell üzemeltetni (magas fordulatszámon, nem alacsony alapjáraton), kivéve, ha az adott motorral nem hajtható végre ez a feladat;

b) a fékpad segítségével állandó ütemben növelni kell a nyomatékot. A jelleggörbe felvételét úgy kell elvégezni, hogy legalább 2 percig tartson a terhelés nélküli, szabályozott fordulatszámról a D2. vagy E2. ciklussal vizsgálandó motorok esetében a névleges teljesítményre, egyéb, állandó fordulatszámú vizsgálati ciklusok esetében pedig a legnagyobb nyomatékra való átmenet. A motor jelleggörbéjének felvétele során a tényleges fordulatszámot és nyomatékot legalább 1 Hz-es gyakorisággal fel kell venni;

c) A más fordulatszámokra átállítható fordulatszám-szabályozóval felszerelt, állandó fordulatszámú motor esetében a vonatkozó összes állandó fordulatszámon meg kell vizsgálni a motort.

Állandó fordulatszámú motorok esetében a helyes műszaki gyakorlat alapján, a jóváhagyó hatóság beleegyezésével alkalmazhatók egyéb módszerek a nyomaték és a teljesítmény rögzítésére a meghatározott üzemi fordulatszám(ok)on.

Ha a D2. és az E2. ciklustól eltérő ciklusban vizsgált motorok esetében a legnagyobb nyomaték mért és megadott értékei is rendelkezésre állnak, akkor a mért nyomatékérték helyett a névleges értéket is lehet használni, ha a mért érték 95–100 %-os tartományába esik.

7.7.   A vizsgálati ciklus előállítása

7.7.1.   NRSC előállítása

E pont alapján kell előállítani azokat a motorfordulatszámokat és -terheléseket, amelyekkel a motort az állandósult üzemállapotú, különálló NRSC-k vagy az RMC-k során üzemeltetni kell.

7.7.1.1.   Az NRSC vizsgálathoz használt fordulatszámok előállítása NRSC és NRTC vagy LSI-NRTC ciklusban is vizsgált motorok esetében

Az NRTC vagy LSI-NRTC ciklusban is vizsgált motorok esetében az 5.2.5.1. pontban meghatározott MTS-t kell 100 %-os fordulatszámként használni a tranziens és az állandósult üzemállapotú vizsgálatokhoz is.

Az MTS-t a közbenső fordulatszám 5.2.5.4. pont szerinti meghatározásakor kell a névleges fordulatszám helyett használni.

Az üresjárati fordulatszámot az 5.2.5.5. pont szerint kell meghatározni.

7.7.1.2.   Az NRSC vizsgálathoz használt fordulatszámok előállítása csak NRSC ciklusban vizsgált motorok esetében

Tranziens (NRTC vagy LSI-NRTC) ciklusban nem vizsgált motorok esetében az 5.2.5.3. pontban meghatározott névleges fordulatszámot kell 100 %-os fordulatszámként használni.

A névleges fordulatszámot kell használni a közbenső fordulatszám 5.2.5.4. pont szerinti meghatározásához. Ha az NRSC százalékos értékként további fordulatszámokat ír elő, azokat a névleges fordulatszám százalékában kell kifejezni.

Az üresjárati fordulatszámot az 5.2.5.5. pont szerint kell meghatározni.

A műszaki szolgálat előzetes hozzájárulásával az e pont szerinti vizsgálati fordulatszámok előállításához az MTS is használható a névleges fordulatszám helyett.

7.7.1.3.   NRSC-terhelés előállítása az egyes vizsgálati üzemmódokhoz

A kiválasztott vizsgálati ciklusok egyes vizsgálati üzemmódjai esetében a terhelés százalékos értékét a XVII. melléklet 1. vagy 2. függelékében szereplő megfelelő NRSC-táblázatból kell venni. E táblázatokban a százalékos terhelés a vizsgálati ciklustól függően teljesítményként vagy nyomatékként szerepel az 5.2.6. pont szerint és az egyes táblázatokhoz tartozó lábjegyzeteknek megfelelően.

Az adott vizsgálati fordulatszám melletti 100 % érték a 7.6.1., a 7.6.2., illetve a 7.6.3. pont szerint leképezett jelleggörbéből vett, teljesítményként (kW) kifejezett, mért vagy megadott érték lesz.

Az egyes vizsgálati módokhoz tartozó motorbeállításokat a (6-14) egyenlettel kell kiszámítani:



image

(6-14)

ahol:

S

a fékpad beállítása, kW

P max

a vizsgálati fordulatszámon, vizsgálati feltételek mellett megfigyelt vagy a (gyártó által megadott) névleges teljesítmény, kW

P AUX

a segédberendezések által a meghatározott vizsgálati fordulatszámon felvett, a (6-8) egyenletben (lásd a 6.3.5. pontot) meghatározott, kW-ban megadott összteljesítmény

L

a nyomaték százalékos értéke

Meg lehet adni egy, a használatra jellemző melegindításos legkisebb nyomatékértéket, és ezt minden olyan terhelési pontnál fel lehet használni, amely egyébként ezen érték alatt lenne, ha a motortípus általában nem üzemel ezen legkisebb nyomatékérték alatt, például ha a motort egy olyan nem közúti mozgó géphez csatlakoztatják, amely egy bizonyos legalacsonyabb nyomaték alatt nem üzemel.

Az E2. és a D2. ciklusokhoz a gyártónak kell megadnia a névleges teljesítményt, és annak értékét kell 100 %-os teljesítményként használni a vizsgálati ciklus előállításakor.

7.7.2.   Az NRTC- és LSI-NRTC-fordulatszám és -terhelés előállítása az egyes vizsgálati pontokon (visszaszámítás)

E pont alapján kell előállítani azokat a megfelelő motorfordulatszámokat és -terheléseket, amelyekkel a motort az NRTC vagy LSI-NRTC vizsgálatok során üzemeltetni kell. A XVII. melléklet 3. függeléke normált alakban határozza meg az alkalmazandó vizsgálati ciklusokat. A normált vizsgálati ciklus %-ban kifejezett fordulatszám- és nyomatékértékpárok sorozatából áll.

A normált fordulatszám- és nyomatékértékeket a következő egyezmények szerint kell átalakítani:

a) a normált fordulatszámot n ref vonatkoztatási fordulatszámok sorozatává kell alakítani a 7.7.2.2. pont szerint;

b) a normált nyomaték a 7.6.2. pont szerint előállított jelleggörbe szerint a megfelelő vonatkoztatási fordulatszámhoz tartozó nyomaték százalékában kifejezett érték. Ezeket a normált értékeket T ref vonatkoztatási nyomatékértékek sorozatává kell alakítani a 7.7.2.3. pont szerint;

c) az összetartozó egységekként kifejezett vonatkoztatási fordulatszám- és vonatkoztatási nyomatékértékeket összeszorozva kell kiszámítani a vonatkoztatási teljesítményértékeket.

7.7.2.1.   Fenntartva

7.7.2.2.   A motor fordulatszámának visszaszámítása

A motorfordulatszámot a (6-15) egyenlettel kell visszaszámítani:



image

(6-15)

ahol:

n ref

a vonatkoztatási fordulatszám

MTS

a legnagyobb vizsgálati fordulatszám

n idle

az üresjárati fordulatszám

%speed

a XVII. melléklet 3. függelékéből vett normált NRTC- vagy LSI-NRTC-fordulatszám értéke.

7.7.2.3.   A motor nyomatékának visszaszámítása

A XVII. melléklet 3. függelékében található fékpadprogramban szereplő nyomatékok az adott fordulatszámhoz tartozó legnagyobb nyomatékra vannak normálva. A vonatkoztatási ciklus nyomatékértékeit a 7.6.2. pont szerint készített jelleggörbe segítségével kell visszaszámítani, a (6-16) egyenlettel:



image

(6-16)

a 7.7.2.2. pontban meghatározott megfelelő vonatkoztatási fordulatszámra.

ahol:

T ref

a megfelelő vonatkoztatási fordulatszámhoz tartozó vonatkoztatási nyomaték

▼M2

max.torque

a 7.6.2. pont szerint elvégzett motorjelleggörbe-felvételből vett, szükség esetén a 7.7.2.3. pont b) alpontja szerint kiigazított legnagyobb nyomaték a megfelelő vizsgálati fordulatszámon

▼B

a nyomaték %-os értéke

a XVII. melléklet 3. függelékéből vett normált NRTC- vagy LSI-NRTC-nyomaték értéke

a)   Megadott legkisebb nyomaték

Meg lehet adni egy, a használatra jellemző legkisebb nyomatékértéket. Ha például a motort általában egy olyan nem közúti mozgó géphez csatlakoztatják, amely egy bizonyos legalacsonyabb nyomaték alatt nem üzemel, akkor a szóban forgó nyomatékot meg lehet adni, és mindazoknál a terhelési pontoknál felhasználni, amelyek egyébként ezen érték alatt lennének.

b)   A motornyomaték korrekciója a kibocsátásvizsgálathoz felszerelt segédberendezések miatt

Amennyiben segédberendezéseket szereltek fel a 2. függelék szerint, akkor a 7.6.2. pont szerint elvégzett motorjelleggörbe-felvételből vett, a megfelelő vizsgálati fordulatszámra vonatkozó legnagyobb nyomatékot nem kell kiigazítani.

Ha a 6.3.2. vagy 6.3.3. pont szerint a vizsgálathoz felszerelendő segédberendezéseket nem építették be, vagy a vizsgálathoz eltávolítandó segédberendezéseket beépítve hagyták, a T max értékét a (6-17) egyenlet szerint kell kiigazítani.



T max = T mapT AUX

(6-17)

ahol:



TAUX = Tr – Tf

(6-18)

ahol:

T map

a 7.6.2. pont szerint elvégzett motorjelleggörbe-felvételből vett, kiigazítatlan legnagyobb nyomaték a megfelelő vizsgálati fordulatszámon

T f

a felszerelendő, de a vizsgálathoz fel nem szerelt segédberendezések meghajtásához szükséges nyomaték

T r

a vizsgálathoz eltávolítandó, de felszerelve hagyott segédberendezések meghajtásához szükséges nyomaték

7.7.2.4.   Példa a visszaszámításra

Példaként az alábbi vizsgálati pontokat kell visszaszámítani:

fordulatszám %-a = 43 %

nyomaték %-a = 82 %

Ha adottak az alábbi értékek:

MTS = 2 200 min- 1

n idle = 600 min- 1

akkor:

image

A jelleggörbéből 1 288 min– 1 fordulatszámnál 700 Nm legnagyobb nyomaték adódik, így:

image

7.8.   Konkrét vizsgálati ciklus végrehajtása

7.8.1.   Kibocsátásvizsgálati program különálló NRSC ciklushoz

7.8.1.1.   A motor bemelegítése állandósult állapotú, különálló NRSC ciklusokhoz

El kell végezni a vizsgálat előtti eljárást a 7.3.1. pont szerint, beleértve a gázelemző készülék kalibrálását. A motort a 7.3.1.1.3. pont szerinti előkondicionálás szerint be kell melegíteni. E motorkondicionálási pont után azonnal megkezdődik a vizsgálati ciklus mérési része.

7.8.1.2.   Különálló NRSC ciklus elvégzése

a) a vizsgálatot a vizsgálati ciklusra vonatkozóan megállapított üzemmódszámok növekvő sorrendjében kell elvégezni (lásd a XVII. melléklet 1. függelékét);

▼M2

b) az egyes üzemmódok időtartama legalább 10 perc. A motort minden üzemmódban legalább 5 percig stabilizálni kell. A gáz-halmazállapotú kibocsátások és adott esetben a részecskeszám esetében 1–3 percig kell mintát venni a kibocsátásokból az egyes üzemmódok végén, a részecskekibocsátások esetében pedig a c) pontnak megfelelően kell mintát venni.

Az előző bekezdés rendelkezéseinek sérelme nélkül, szikragyújtású motoroknak a G1., a G2. vagy a G3. ciklusban történő vizsgálata vagy az e rendelet V. melléklete szerinti mérések végzése esetén mindegyik üzemmód időtartama legalább 3 perc. Ebben az esetben a gáz-halmazállapotú kibocsátások és adott esetben a részecskeszám esetében legalább 2 percig kell mintát venni a kibocsátásokból az egyes üzemmódok végén, a részecskekibocsátások esetében pedig a c) pontnak megfelelően kell mintát venni. A pontosság javítása érdekében az üzemmód hosszát és a mintavétel időtartamát meg lehet hosszabbítani.

Az üzemmód időtartamát fel kell jegyezni és fel kell tüntetni a jegyzőkönyvben;

▼B

c)  ►M2  a részecskekibocsátások esetében a részecske-mintavétel vagy egyszűrős, vagy többszűrős módszerrel történhet. Mivel a kétféle módszer eredményei némileg eltérhetnek egymástól, az eredményekkel együtt az alkalmazott módszert is fel kell jegyezni. ◄

Az egyszűrős módszer esetén a vizsgálati ciklusban megadott üzemmódonkénti súlyozó tényezőt és a tényleges kipufogógáz-áramot kell a mintavétel során figyelembe venni, a mintaáram és/vagy a mintavételi idő megfelelő szabályozásával. A részecskeminta-vétel effektív súlyozó tényezőjének az adott üzemmód súlyozó tényezőjének ± 0,005 %-os tartományában kell lennie;

a mintavételt az egyes üzemmódokban a lehető legkésőbb kell elvégezni. Az egyszűrős módszer esetében a részecske-mintavétel befejezésének ± 5 s tűréssel egybe kell esnie a gáz-halmazállapotú kibocsátások mérésének befejezésével. Az üzemmódonkénti mintavételi időnek legalább 20 s-nak kell lennie az egyszűrős és legalább 60 s-nak a többszűrős módszer esetében. Megkerülési lehetőséggel nem rendelkező rendszereknél az üzemmódonkénti mintavételi időnek legalább 60 s-nak kell lennie mind az egyszűrős, mind a többszűrős módszer esetén;

d) a motor fordulatszámát és terhelését, a beszívott levegő hőmérsékletét, a tüzelőanyag-áramot és adott esetben a levegő- vagy kipufogógáz-áramot minden üzemmódban ugyanolyan időközönként kell mérni, mint a gáz-halmazállapotú kibocsátások koncentrációit.

A számításhoz szükséges kiegészítő adatokat fel kell jegyezni;

e) amennyiben különálló NRSC ciklusban, egyszűrős módszer esetében a motor a mintavétel megkezdése után bármikor leáll, vagy a kibocsátás-mintavétel megszakad, a vizsgálatot érvénytelennek kell tekinteni, és a motorbemelegítéssel kezdve meg kell ismételni. Amennyiben a részecskeszámmérés többszűrős módszerrel történik (külön mintavételi szűrő minden egyes üzemmódhoz), a vizsgálatot úgy kell folytatni, hogy a motor hőmérsékletét az előző üzemmód hőmérsékletén stabilizálják, majd megkezdik a mérést abban az üzemmódban, amelyikben leállt a motor;

f) el kell végezni a vizsgálat utáni eljárásokat a 7.3.2. pont szerint.

7.8.1.3.   Hitelességi kritériumok

Az adott állandósult állapotú vizsgálati ciklus minden egyes üzemmódja alatt a kezdeti átmeneti időszak után a mért fordulatszám nem térhet el a vonatkoztatási fordulatszámtól ± 1 %-nál vagy ± 3 min–1-nél nagyobb mértékben attól függően, melyik a nagyobb, az alapjárat kivételével, amelynek a gyártó által megadott tűréshatárokon belül kell lennie. A mért nyomaték nem térhet el a vonatkoztatási nyomatéktól a vizsgálati fordulatszámon mért legnagyobb nyomaték ± 2 %-ánál nagyobb mértékben.

7.8.2.   Kibocsátásvizsgálati program RMC ciklushoz

7.8.2.1.   A motor bemelegítése

El kell végezni a vizsgálat előtti eljárást a 7.3.1. pont szerint, beleértve a gázelemző készülék kalibrálását. A motort a 7.3.1.1.4. pont szerinti előkondicionálás szerint be kell melegíteni. E motorkondicionálási eljárás után azonnal, 20 ± 1 másodperc alatt lineárisan a vizsgálat első üzemmódjának megfelelő értékekre kell emelni a motor fordulatszámát és nyomatékát, ha azok még nincsenek beállítva a vizsgálat első üzemmódjához. Az emelés vége után 5–10 másodperccel meg kell kezdeni a vizsgálati ciklusbeli mérést.

7.8.2.2.   RMC ciklus elvégzése

A vizsgálatot a vizsgálati ciklusra vonatkozóan megállapított üzemmódszámok sorrendjében kell elvégezni (lásd a XVII. melléklet 2. függelékét). Ha nem áll rendelkezésre RMC a megadott NRSC-hez, a 7.8.1. pont szerinti különálló NRSC eljárást kell követni.

A motort minden üzemmódban az előírt ideig kell működtetni. Az egyik üzemmódból a másikba való átmenetet lineárisan, 20 s ± 1 másodperc alatt kell végrehajtani a 7.8.2.4. pontban előírt tűréseket követve.

RMC ciklusok esetében a vonatkoztatási fordulatszám- és nyomatékértékeket legalább 1 Hz gyakorisággal kell előállítani, és ezt a pontsorozatot kell a ciklus végrehajtásához használni. Az üzemmódok közötti átmenet során a visszaszámított vonatkoztatási fordulatszám- és nyomatékértékeket lineárisan kell az üzemmódok között emelni a vonatkoztatási pontok előállítása érdekében. Nem szabad a normált vonatkoztatási nyomatékértékeket lineárisan emelni az üzemmódok között, majd visszaszámítani. Ha a fordulatszám- és nyomatékemelés a motor nyomatékgörbéje feletti ponton halad keresztül, továbbra is az határozza meg a vonatkoztatási nyomatékokat, és a kezelői parancs a legnagyobb értékig mehet el.

A teljes RMC során (minden üzemmódban, az üzemmódok közötti átmeneteket is beleértve) mérni kell az egyes gáz-halmazállapotú szennyező anyagok koncentrációját, és ha van vonatkozó határérték, mintát kell venni a részecskékből és a részecskeszámból. A gáz-halmazállapotú szennyező anyagokat lehet mérni hígítatlanul vagy hígítva és a kapott értékeket folyamatosan fel lehet jegyezni; hígítás esetén használható zsákos mintavétel. A részecskemintát kondicionált tiszta levegővel fel kell hígítani. A teljes vizsgálati eljárás során egy mintát kell venni, és részecskék esetében egy részecske-mintavevő szűrőn kell elkülöníteni.

A fékmunkára vonatkoztatott fajlagos kibocsátások kiszámításához a tényleges ciklusmunkát a teljes ciklus során mért tényleges motorteljesítmény integrálásával kell kiszámítani.

7.8.2.3.   A kibocsátásvizsgálati program

a) az RMC-ciklus végrehajtását, a mintavételt a kipufogógázból, az adatrögzítést és a mért értékek integrálását egyidejűleg el kell kezdeni;

b) a fordulatszámot és a nyomatékot a vizsgálati ciklus első üzemmódjának értékeire kell szabályozni;

c) ha a motor az RMC-ciklus végrehajtása során leáll, a vizsgálat nem érvényes. A motort elő kell kondicionálni, és a vizsgálatot meg kell ismételni;

d) az RMC-ciklus végén folytatni kell a mintavételt, kivéve a részecske-mintavételt, valamennyi rendszert üzemeltetve, hogy leteljen a rendszer válaszideje. Ezután minden mintavételt és adatrögzítést le kell állítani, beleértve a háttér-koncentrációk feljegyzését. Végezetül le kell állítani minden integráló eszközt, és a rögzített adatokban fel kell tüntetni a vizsgálati ciklus végét;

e) el kell végezni a vizsgálat utáni eljárásokat a 7.3.2. pont szerint.

7.8.2.4.   Hitelességi kritériumok

Az RMC-vizsgálatokat a 7.8.3.3. és a 7.8.3.5. pontban leírt regresszióanalízis segítségével kell hitelesíteni. Az RMC-ciklusban megengedett tűréseket a 6.1. táblázat tartalmazza. Meg kell jegyezni, hogy az RMC-ciklus tűrései eltérnek a 6.2. táblázatban az NRTC-ciklusra megadott tűrésektől. ►M2  Az 560 kW-nál nagyobb referenciateljesítményű motorok vizsgálatának elvégzésekor a regressziós egyenes 6.2. táblázatban megadott tűrései és a 6.3. táblázat szerinti adatpont-törlések alkalmazhatók. ◄



6.1. táblázat

Az RMC-ciklus regressziós egyenesének tűrései

 

Fordulatszám

Nyomaték

Teljesítmény

Az x alapján becsült y értékek szórása (SEE)

A névleges fordulatszám legfeljebb 1 %-a

A legnagyobb motornyomaték legfeljebb 2 %-a

A legnagyobb motorteljesítmény legfeljebb 2 %-a

Regressziós egyenes meredeksége, a 1

0,99 – 1,01

0,98 – 1,02

0,98 – 1,02

Determinációs együttható, r 2

legalább 0,990

legalább 0,950

legalább 0,950

a regressziós egyenes állandója (az egyenes és az y tengely metszéspontja), a 0

A névleges fordulatszám ± 1 %-a

± 20 Nm vagy a legnagyobb nyomaték ± 2 %-a, attól függően, hogy melyik a nagyobb

± 4 kW vagy a legnagyobb teljesítmény ± 2 %-a, attól függően, hogy melyik a nagyobb

Ha az RMC-vizsgálatot nem tranziens vizsgálati próbapadon végzik, és a fordulatszám- és nyomatékértékek nem állnak rendelkezésre másodpercenként, a következő hitelességi kritériumokat kell alkalmazni.

A 7.8.1.3. pont adja meg az egyes üzemmódokban a fordulatszám- és nyomatéktűrésre vonatkozó követelményeket. Az RMC vizsgálat állandósult állapotú üzemmódjai közötti 20 másodperces lineáris fordulatszám- és lineáris nyomatékátmenetek esetében (7.4.1.2. pont) az alábbi fordulatszám- és terheléstűréseket kell alkalmazni az emelkedésre:

a) gondoskodni kell arról, hogy a fordulatszám lineárisan emelkedjen a névleges fordulatszám ± 2 %-ának megfelelő tűréssel;

b) gondoskodni kell arról, hogy a nyomaték lineárisan emelkedjen a névleges fordulatszámhoz tartozó legnagyobb nyomaték ± 5 %-ának megfelelő tűréssel.

7.8.3.   Tranziens (NRTC és LSI-NRTC) vizsgálati ciklusok

Az NRTC és az LSI-NRTC ciklust a vonatkoztatási fordulatszámokra és nyomatékokra vonatkozó utasításokat egymás után végrehajtva kell lefuttatni. A fordulatszámra és nyomatékra vonatkozó utasításokat legalább 5 Hz gyakorisággal kell adni. Mivel a vonatkoztatási vizsgálati ciklus 1 Hz gyakorisággal van megadva, a fordulatszámra és nyomatékra vonatkozó köztes utasításokat lineáris interpolációval kell meghatározni a ciklus meghatározásakor előállított vonatkoztatási nyomatékértékekből.

A melegindításos üresjárati fordulatszámhoz közeli kis visszaszámított fordulatszámértékek beindíthatják az alacsony fordulatszámú üresjárati fordulatszám-szabályozót, és a motor nyomatéka meghaladhatja a vonatkoztatási nyomatékot, noha a kezelői utasítás a legalacsonyabb értékre vonatkozik. Ilyen esetekben ajánlott úgy szabályozni a próbapadot, hogy a vonatkoztatási fordulatszám helyett a vonatkoztatási nyomatéknak adjon elsőbbséget, és hagyja, hogy a motor szabályozza a fordulatszámot.

Hidegindítási feltételek mellett a motorok emelt alapjárati berendezést alkalmazhatnak a motor és a kipufogógáz-utókezelő rendszer gyors felmelegítésére. Ilyen feltételek mellett a nagyon alacsony normált fordulatszámokból az említett magasabb üresjárati fordulatszám alatti vonatkoztatási fordulatszámok adódnak. Ebben az esetben ajánlott úgy szabályozni a próbapadot, hogy a vonatkoztatási nyomatéknak adjon elsőbbséget, és hagyja, hogy a motor szabályozza a fordulatszámot, ha a kezelői utasítás a legalacsonyabb értékre vonatkozik.

A kibocsátásvizsgálat során legalább 1 Hz gyakorisággal, de lehetőleg inkább 5 Hz vagy 10 Hz gyakorisággal rögzíteni kell a vonatkoztatási fordulatszám- és nyomatékértékeket, valamint a visszacsatolási fordulatszám- és nyomatékértékeket. A nagyobb adatrögzítési gyakoriság azért fontos, mivel segít csökkenteni a vonatkoztatási és a mért visszacsatolási fordulatszám- és nyomatékértékek közötti időeltolódás torzító hatását.

A vonatkoztatási és visszacsatolt fordulatszám- és nyomatékértékeket kisebb (akár 1 Hz-es) gyakorisággal is lehet rögzíteni, ha az értékek rögzítése közötti időközök átlagértékeit is feljegyzik. Az átlagértékeket a legalább 5 Hz gyakorisággal frissített visszacsatolt értékek alapján kell kiszámítani. E rögzített értékek segítségével kell kiszámítani a ciklushitelesítési statisztikákat és az összes munkát.

7.8.3.1.   NRTC vizsgálati ciklus végrehajtása

El kell végezni a vizsgálat előtti eljárásokat a 7.3.1. pont szerint, beleértve az előkondicionálást, lehűlést és a gázelemző készülék kalibrálását.

A vizsgálatot a következőképpen kell elkezdeni:

A vizsgálati programot közvetlenül azután el kell kezdeni, hogy a motor hidegindításos NRTC-vizsgálat esetén a 7.3.1.2. pontban meghatározott hideg állapotban, vagy melegindításos NRTC vizsgálat esetén melegen tartott állapotban beindult. A 7.4.2.1. pontban megadott eljárást kell követni.

Az adatok naplózását, a kipufogógázból való mintavételt és a mért értékek integrálását a motor indításakor egyidejűleg el kell kezdeni. A vizsgálati ciklust a motor beindulásakor el kell kezdeni, és a XVII. melléklet 3. függelékben található ütemterv szerint kell végrehajtani.

A ciklus végén folytatni kell a mintavételt, valamennyi rendszert üzemeltetve, hogy leteljen a rendszer válaszideje. Ezután minden mintavételt és adatrögzítést le kell állítani, beleértve a háttér-koncentrációk feljegyzését. Végezetül le kell állítani minden integráló eszközt, és a rögzített adatokban fel kell tüntetni a vizsgálati ciklus végét.

El kell végezni a vizsgálat utáni eljárásokat a 7.3.2. pont szerint.

7.8.3.2.   Az LSI-NRTC vizsgálati ciklus végrehajtása

El kell végezni a vizsgálat előtti eljárásokat a 7.3.1. pont szerint, beleértve az előkondicionálást és a gázelemző készülék kalibrálását.

A vizsgálatot a következőképpen kell elkezdeni:

A vizsgálatot a 7.4.2.2. pontban megadott eljárás szerint kell megkezdeni.

Az adatok naplózását, a kipufogógázból való mintavételt és a mért értékek integrálását az LSI-NRTC vizsgálati ciklussal egyidejűleg kell elkezdeni a 7.4.2.2. pont b) alpontjában előírt 30 másodperces üresjárati szakasz leteltével. A vizsgálati ciklust a XVII. melléklet 3. függelékben található ütemterv szerint kell végrehajtani.

A ciklus végén folytatni kell a mintavételt, valamennyi rendszert üzemeltetve, hogy leteljen a rendszer válaszideje. Ezután minden mintavételt és adatrögzítést le kell állítani, beleértve a háttér-koncentrációk feljegyzését. Végezetül le kell állítani minden integráló eszközt, és a rögzített adatokban fel kell tüntetni a vizsgálati ciklus végét.

El kell végezni a vizsgálat utáni eljárásokat a 7.3.2. pont szerint.

7.8.3.3.   Tranziens (NRTC és LSI-NRTC) vizsgálati ciklusok ciklushitelességi kritériumai

Egy vizsgálat érvényességének ellenőrzéséhez az e pontban található ciklushitelesítési kritériumokat kell alkalmazni a fordulatszám, nyomaték, teljesítmény és összes munka vonatkoztatási és visszacsatolt értékeire.

7.8.3.4.   A ciklusban végzett munka kiszámítása

A ciklusmunka kiszámítása előtt ki kell hagyni a motorindítás alatt rögzített fordulatszám- és nyomatékértékeket. A negatív nyomatékértékű pontokat úgy kell tekinteni, hogy ott a munka értéke nulla. A W act tényleges ciklusmunkát (kWh) a motor visszacsatolt fordulatszám- és nyomatékértékei alapján kell kiszámítani. A W ref vonatkoztatási ciklusmunkát (kWh) a motor vonatkoztatási fordulatszám- és nyomatékértékei alapján kell kiszámítani. A W act tényleges ciklusmunkát a W ref vonatkoztatási ciklusmunkával való összehasonlításhoz és a fékmunkára vonatkoztatott fajlagos kibocsátás (lásd a 7.2. pontot) kiszámításához kell használni.

A W act értékének a W ref 85 %-a és 105 %-a közötti tartományba kell esnie.

7.8.3.5.   Hitelesítő statisztika (lásd a VII. melléklet 2. függelékét)

Ki kell számítani a fordulatszám, nyomaték és teljesítmény vonatkoztatási és visszacsatolt értékei közötti lineáris regressziót.

A vonatkoztatási és a visszacsatolt ciklusértékek közötti időeltolódás torzító hatásának csökkentése érdekében a motorfordulatszám és -nyomaték teljes visszacsatolási jelsorozatát időben el lehet tolni előre vagy hátra a vonatkoztatási fordulatszám és nyomaték jelsorozatához képest. A visszacsatolt értékek jeleinek eltolása esetén mind a fordulatszámot, mind a nyomatékot azonos mértékben és irányban kell eltolni.

A legkisebb négyzetek módszerét kell alkalmazni a (6-19) regresszióegyenlettel:



y = a 1 x + a 0

(6-19)

ahol:

y

a fordulatszám (min-1), nyomaték (Nm) vagy teljesítmény (kW) visszacsatolt értéke

a 1

a regressziós egyenes meredeksége

x

a fordulatszám (min-1), nyomaték (Nm) vagy teljesítmény (kW) vonatkoztatási értéke

a 0

a regressziós egyenes és az y tengely metszéspontja

A regressziós egyenesekre a VII. melléklet 3. függeléke szerint kell kiszámítani az x alapján becsült y értékek szórását (SEE) és a determinációs együtthatót (r 2).

Az elemzést ajánlott 1 Hz gyakorisággal végezni. Ahhoz, hogy a vizsgálatot hitelesnek lehessen tekinteni, teljesülniük kell az e szakasz 6.2. táblázatában meghatározott feltételeknek.



6.2. táblázat

A regressziós egyenes tűrései

 

Fordulatszám

Nyomaték

Teljesítmény

Az x alapján becsült y értékek szórása (SEE)

a legnagyobb vizsgálati fordulatszám legfeljebb 5,0 %-a

a jelleggörbe szerinti legnagyobb nyomaték legfeljebb 10,0 %-a

a jelleggörbe szerinti legnagyobb teljesítmény legfeljebb 10,0 %-a

Regressziós egyenes meredeksége, a 1

0,95 – 1,03

0,83 – 1,03

0,89 – 1,03

Determinációs együttható, r 2

legalább 0,970

legalább 0,850

legalább 0,910

a regressziós egyenes állandója (az egyenes és az y tengely metszéspontja), a 0

az alapjárat legfeljebb 10 %-a

± 20 Nm vagy ± a legnagyobb nyomaték ± 2 %-a, attól függően, hogy melyik a nagyobb

± 4 kW vagy a legnagyobb teljesítmény ± 2 %-a, attól függően, hogy melyik a nagyobb

Kizárólag regressziós célokból a regressziószámítás elvégzése előtt a 6.3. táblázatban jelölt helyeken a pontok törlése engedélyezett. A ciklusmunka és a kibocsátások kiszámításánál azonban ezeket az adatpontokat nem szabad elhagyni. Az alapjárati adatpont az a pont, ahol a normált vonatkoztatási nyomaték 0 % és a normált vonatkoztatási fordulatszám 0 % Az adatpontok elhagyhatók a ciklus egészében vagy csak egy részében; meg kell adni, hogy mely pontokat törlik.

▼M2



6.3. táblázat

A regresszióanalízisből kihagyható adatpontok

Esemény

Feltételek (n = a motor fordulatszáma, T = nyomaték)

Kihagyható adatpontok

Minimális kezelői parancs (alapjárati adatpont)

n ref = n idle

és

T ref = 0 %

és

T act > (T ref – 0,02 T maxmappedtorque)

és

T act < (T ref + 0,02 T maxmappedtorque)

fordulatszám és teljesítmény

Minimális kezelői parancs

n act ≤ 1,02 n ref és T act > T ref

vagy

n act > n ref és T actT ref'

vagy

n act > 1,02 n ref és T ref < T act ≤ (T ref + 0,02 T maxmappedtorque)

teljesítmény és vagy nyomaték, vagy fordulatszám

Maximális kezelői parancs

n act < n ref és T actT ref

vagy

n act ≥ 0,98 n ref és T act < T ref

vagy

n act < 0,98 n ref és T ref > T act ≥ (T ref – 0,02 T maxmappedtorque)

teljesítmény és vagy nyomaték, vagy fordulatszám

ahol:

nref a referencia-fordulatszám (lásd a 7.7.2. pontot),

nidle az üresjárati fordulatszám,

nact a tényleges (mért) fordulatszám,

Tref a referencianyomaték (lásd a 7.7.2. pontot),

Tact a tényleges (mért) nyomaték,

Tmaxmappedtorque a legnagyobb nyomatékérték a 7.6. pontnak megfelelően felvett, teljes terheléshez tartozó nyomatékgörbén.

▼B

8.   Mérési eljárások

8.1.   Kalibrálás és teljesítményvizsgálatok

8.1.1.   Bevezetés

Ez a pont a mérőrendszerek előírt kalibrálását és hitelesítését ismerteti. Az egyedi eszközökre vonatkozó előírásokat lásd a 9.4. pontban.

A kalibrálást és hitelesítést általában a mérési lánc egészében kell elvégezni.

Ha a mérési lánc egy részének kalibrálása vagy hitelesítése nincs előírva, a rendszer azon részét a mérőrendszer gyártója ajánlásának megfelelő és a helyes műszaki gyakorlaton alapuló gyakorisággal kell kalibrálni, illetve teljesítményét hitelesíteni.

Nemzetközileg elismert, nyomon követhető szabványok alkalmazásával kell megfelelni a kalibrálásra és hitelesítésre előírt tűréseknek.

8.1.2.   A kalibrálás és hitelesítés összefoglalása

A 6.4. táblázat a 8. szakaszban leírt kalibrálást és hitelesítést foglalja össze, és megadja, hogy ezeket mikor kell elvégezni.



6.4. táblázat

A kalibrálás és hitelesítés összefoglalása

A kalibrálás vagy hitelesítés típusa

Legkisebb gyakoriság ()

8.1.3.: pontosság, ismételhetőség és zaj

Pontosság: nincs előírva, de első beszereléskor ajánlott.

Ismételhetőség: nincs előírva, de első beszereléskor ajánlott.

Zaj: nincs előírva, de első beszereléskor ajánlott.

8.1.4.: a linearitás ellenőrzése

Fordulatszám: első beszereléskor, vizsgálatot megelőző 370 napon belül és jelentős karbantartás után.

Nyomaték: első beszereléskor, vizsgálatot megelőző 370 napon belül és jelentős karbantartás után.

A beszívott levegő, a hígító levegő és a hígított kipufogógáz árama és tételes mintavételi áramlási sebessége: első beszereléskor, vizsgálatot megelőző 370 napon belül és jelentős karbantartás után, hacsak nem ellenőrzik az áramot propángázos vizsgálattal vagy szén-, vagy oxigénegyensúly módszerrel.

Hígítatlan kipufogógáz-áram: első beszereléskor, vizsgálatot megelőző 185 napon belül és jelentős karbantartás után, hacsak nem ellenőrzik az áramot propángázos vizsgálattal vagy szén-, vagy oxigénegyensúly módszerrel.

Gázmegosztók: első beszereléskor, vizsgálatot megelőző 370 napon belül és jelentős karbantartás után.

Gázelemző készülékek (eltérő jelzés hiányában): első beszereléskor, vizsgálatot megelőző 35 napon belül és jelentős karbantartás után.

FTIR-elemző: beszereléskor, a vizsgálatot megelőző 370 napon belül és jelentős karbantartás után.

Analitikai mérleg: első beszereléskor, vizsgálatot megelőző 370 napon belül és jelentős karbantartás után.

Önálló nyomás és hőmérséklet: első beszereléskor, vizsgálatot megelőző 370 napon belül és jelentős karbantartás után.

8.1.5.: A folyamatos gázelemző rendszer válaszának és a frissítésnek-rögzítésnek a hitelesítése – az egyéb gázfajták tekintetében folyamatosan nem kompenzált gázelemző készülékek esetében

Első beszereléskor vagy a választ befolyásoló rendszermódosítás után.

8.1.6.: A folyamatos gázelemző rendszer válaszának és a frissítésnek-rögzítésnek a hitelesítése – az egyéb gázfajták tekintetében folyamatosan kompenzált gázelemző készülékek esetében

Első beszereléskor vagy a választ befolyásoló rendszermódosítás után.

8.1.7.1.: nyomaték

Első beszereléskor és jelentős karbantartás után.

8.1.7.2.: nyomás, hőmérséklet és harmatpont

Első beszereléskor és jelentős karbantartás után.

8.1.8.1.: tüzelőanyag-áram

Első beszereléskor és jelentős karbantartás után.

8.1.8.2.: beszívott levegőáram

Első beszereléskor és jelentős karbantartás után.

8.1.8.3.: kipufogógáz-áram

Első beszereléskor és jelentős karbantartás után.

8.1.8.4.: hígított kipufogógáz-áram (állandó térfogatú mintavétel, CVS és térfogat-kiszorításos szivattyú, PFD)

Első beszereléskor és jelentős karbantartás után.

8.1.8.5.: CVS/PFD és szakaszos mintavétel ellenőrzése ()

Első beszereléskor, vizsgálatot megelőző 35 napon belül és jelentős karbantartás után. (Propángázos vizsgálat)

8.1.8.8.: vákuumszivárgás

A mintavevő rendszer beszerelésekor. Minden laboratóriumi vizsgálat előtt a 7.1. pontnak megfelelően: az egyes munkaciklusok első vizsgálati időközének kezdete előtt 8 órán belül és karbantartás, például előszűrőcsere után.

8.1.9.1.: Az NDIR CO2-elemző készülék interferenciája H2O-val

Első beszereléskor és jelentős karbantartás után.

8.1.9.2.: Az NDIR CO-elemző készülék interferenciája CO2-vel és H2O-val

Első beszereléskor és jelentős karbantartás után.

8.1.10.1.: A FID (lángionizációs érzékelő) kalibrálása

A szénhidrogén kimutatására szolgáló FID optimalizálása és a szénhidrogén kimutatására szolgáló FID ellenőrzése

Kalibrálás, optimalizálás és a CH4-válasz meghatározása: első beszereléskor és jelentős karbantartás után.

A CH4-válasz ellenőrzése: első beszereléskor, vizsgálatot megelőző 185 napon belül és jelentős karbantartás után.

8.1.10.2.: a hígítatlan kipufogógáz kimutatására szolgáló FID interferenciája O2-vel

Valamennyi FID készülék esetében: első beszereléskor és jelentős karbantartás után.

Az összes szénhidrogén kimutatására szolgáló THC FID készülékek esetében: első beszereléskor, jelentős karbantartás után és

az FID optimalizálása a 8.1.10.1. szakasz szerint

8.1.11.1.: A kemilumineszcens detektoros gázelemző készülékre (CLD) a CO2 és a H2O által gyakorolt kioltó hatás

Első beszereléskor és jelentős karbantartás után.

8.1.11.3.: Nem diszperzív ultraibolya gázelemző (NDUV) készülék interferenciája szénhidrogénekkel és H2O-val

Első beszereléskor és jelentős karbantartás után.

▼M2

8.1.11.4.: A mintaszárító (hűtő) NO2-penetrációja

Első beszereléskor és jelentős karbantartás után.

▼B

8.1.11.5.: NO2-NO-átalakító általi átalakítás

Első beszereléskor, vizsgálatot megelőző 35 napon belül és jelentős karbantartás után.

▼M2

8.1.12.: A mintaszárító ellenőrzése

Termikus hűtők esetében: beszereléskor és jelentős karbantartás után. Ozmotikus membrán esetében: beszereléskor, a vizsgálattól számított 35 napon belül és jelentős karbantartás után.

▼B

8.1.13.1.: Analitikai mérleg és mérés

Független hitelesítés: első beszereléskor, vizsgálatot megelőző 370 napon belül és jelentős karbantartás után.

Nullázó, mérőtartomány-kalibráló és vonatkoztatási minta ellenőrzése: a méréstől számított 12 órán belül és jelentős karbantartás után.

(1)   A kalibrálást és hitelesítést a mérőrendszer gyártója utasításainak megfelelően és a helyes műszaki gyakorlat alapján gyakrabban kell végezni.

(2)   Az állandó térfogatú mintavétel ellenőrzése nem szükséges olyan rendszerek esetében, amelyek eltérése a beszívott levegő, a tüzelőanyag és a hígított kipufogógáz szén- vagy oxigénmérlege alapján ± 2 %-on belül van.

8.1.3.   A pontosság, ismételhetőség és zaj ellenőrzése

A 6.8. táblázatban az egyedi készülékekre meghatározott teljesítményértékek alapján lehet meghatározni egy készülék pontosságát, ismételhetőségét és zaját.

A készülék pontosságát, ismételhetőségét és zaját nem szükséges ellenőrizni. Hasznos lehet azonban figyelembe venni ezeket az ellenőrzéseket egy új készülékre vonatkozó előírások meghatározásánál, egy leszállított új készülék teljesítményének átvételkor való ellenőrzésénél vagy egy meglévő készülék hibaelhárításánál.

8.1.4.   A linearitás ellenőrzése

8.1.4.1.   Alkalmazási kör és gyakoriság

A 6.5. táblázatban felsorolt összes mérőrendszer linearitását legalább a táblázatban megadott gyakorisággal ellenőrizni kell a mérőrendszer gyártója ajánlásának megfelelően és a helyes műszaki gyakorlat alapján. A linearitás ellenőrzésének célja annak megállapítása, hogy a mérőrendszer arányos választ ad a vizsgált mérőtartományban. A linearitásellenőrzés egyéb rendelkezés hiányában abból áll, hogy legalább 10 vonatkoztatási értéket bevisznek egy mérőrendszerbe. A mérőrendszer valamennyi vonatkoztatási értéknek meghatározza a mennyiségét. A mért értékeket a legkisebb négyzetek módszerén alapuló lineáris regresszió és a 6.5. táblázatában megadott linearitási követelmények alapján, együttesen össze kell hasonlítani a vonatkoztatási értékekkel.

8.1.4.2.   Teljesítménykövetelmények

Ha egy mérőrendszer nem felel meg a 6.5. táblázatban megadott linearitási követelményeknek, akkor a hiányosságot szükség szerint újrakalibrálással, szervizeléssel vagy alkatrészek cseréjével orvosolni kell. A hiányosság orvosolása után meg kell ismételni a linearitásellenőrzést annak érdekében, hogy a mérőrendszer megfeleljen a linearitási követelményeknek.

8.1.4.3.   Az eljárás

A következő lineáris-ellenőrzési előírást kell követni:

a) a mérőrendszert az előírt hőmérsékleteken, nyomásokon és áramokkal kell működtetni;

b) a készüléket nullpontjel beadásával nullázni kell, mint egy kibocsátásvizsgálat előtt. Gázelemző készülékek esetében a 9.5.1. pont előírásainak megfelelő nullázó gázt kell közvetlenül bevezetni a készülékbe;

c) a készülék mérőtartományát mérőtartomány-beállító jel beadásával be kell állítani, mint egy kibocsátásvizsgálat előtt. Gázelemző készülékek esetében a 9.5.1. pont előírásainak megfelelő mérőtartomány-kalibráló gázt kell közvetlenül bevezetni a készülékbe;

d) a készülék mérőtartományának beállítása után a nullát ugyanazzal a jellel kell ellenőrizni, mint amelyiket e pont b) alpontjában használtak. A nullához tartozó érték leolvasása után a helyes műszaki gyakorlat alapján el kell dönteni, hogy a következő lépés előtt kell-e ismét nullázni a készüléket vagy beállítani a mérőtartományát;

e) az összes mért mennyiség esetében a gyártó ajánlásai és a helyes műszaki gyakorlat alapján kell kiválasztani az y ref i vonatkoztatási értékeket, amelyek a kibocsátásmérés során várható értékek teljes körét felölelik, így elkerülve, hogy ezen értékeken túl még extrapolációt kelljen alkalmazni. A linearitás ellenőrzéséhez használt egyik vonatkoztatási jelként a nulla vonatkoztatási jelet kell választani. A nyomás és hőmérséklet linearitásának önálló ellenőrzéséhez legalább három vonatkoztatási értéket kell kiválasztani. Minden más linearitás-ellenőrzéshez legalább tíz vonatkoztatási értéket kell kiválasztani;

f) a gyártó ajánlásai és a helyes műszaki gyakorlat alapján kell eldönteni, hogy a vonatkoztatási értékek sorozatát milyen sorrendben vigyék be;

g) a vonatkoztatási mennyiségeket a 8.1.4.4. pontban leírtak szerint kell előállítani és bevinni. Gázelemző készülékek esetében a 9.5.1. pont előírásainak megfelelő, ismert koncentrációjú gázokat kell használni és közvetlenül bevezetni a készülékbe;

h) a készüléknek időt kell hagyni, hogy stabilizálódjon, miközben a vonatkoztatási értékeket méri;

i) a vonatkoztatási értéket 30 s-on keresztül legalább a 6.7. táblázatban megadott legkisebb gyakorisággal mérni kell és fel kell jegyezni, valamint fel kell jegyezni a rögzített értékek számtani középértékét
image ;

j) az e pont g)–i) alpontjában szereplő lépéseket kell addig ismételni, amíg minden vonatkoztatási mennyiség mérése meg nem történik;

k) az számtani középértéket és a
image vonatkoztatási értékeket a legkisebb négyzetek módszerével kapott lineáris regresszió paramétereinek, valamint a 6.5. táblázatban megadott minimális teljesítményfeltételekkel összehasonlítandó statisztikai értékek kiszámítására kell használni A VII. melléklet 3. függelékében leírt számítások alkalmazandók

8.1.4.4.   Vonatkoztatási jelek

Ez a pont ismerteti a vonatkoztatási értékek előállítására ajánlott módszereket a 8.1.4.3. pontjában található linearitás-ellenőrzési előírásokhoz. A tényleges értékeket modellező vonatkoztatási értékeket kell használni, vagy tényleges értéket kell beadni és megmérni a vonatkoztatási mérőrendszerrel. Ez utóbbi esetben a vonatkoztatási érték a vonatkoztatási mérőrendszer által adott érték. A vonatkoztatási értékeknek és a vonatkoztatási mérőrendszereknek nemzetközileg nyomon követhetőnek kell lenniük.

Érzékelőkkel, úgymint termoelemekkel, ellenállás-hőmérőkkel vagy termisztorokkal ellátott hőmérsékletmérő rendszerek esetében a linearitásellenőrzés elvégezhető úgy, hogy az érzékelőt eltávolítják a rendszerből, és szimulátort alkalmaznak helyette. Szükség szerint függetlenül kalibrált és a hideg csatlakozás hatása ellen kompenzált szimulátort kell alkalmazni. A nemzetközileg visszakereshető szimulátor hőmérséklethez igazított bizonytalanságának kisebbnek kell lennie a T max legnagyobb üzemi hőmérséklet 0,5 %-ánál. Ha ezt a lehetőséget választják, olyan érzékelőket kell alkalmazni, amelyek a szállító állítása szerint a standard kalibrációs görbéjükkel összehasonlítva a T max 0,5 %-ánál pontosabbak.

8.1.4.5.   Olyan mérőrendszerek, amelyeknek ellenőrizni kell a linearitását

A 6.5. táblázat olyan mérőrendszereket mutat be, amelyeknek ellenőrizni kell a linearitását. Erre a táblázatra az alábbi rendelkezések vonatkoznak:

a) a linearitást gyakrabban kell ellenőrizni, amennyiben a műszer gyártója ezt ajánlja, vagy a helyes műszaki gyakorlat alapján;

b) „min” a linearitás ellenőrzése során alkalmazott legkisebb vonatkoztatási érték;

Meg kell jegyezni, hogy ez az érték a jelzéstől függően akár nulla vagy negatív érték is lehet;

c) „max” általában a linearitás ellenőrzése során alkalmazott legnagyobb vonatkoztatási érték. Például gázmegosztók esetében x max az osztatlan, hígítatlan mérőtartomány-kalibráló gáz koncentrációja. A következő különleges esetekben „max” egy másik értékre utal:

i. az analitikai mérleg linearitásának ellenőrzése esetén m max a részecskeszűrő jellemző tömege;

ii. a nyomaték linearitásának ellenőrzése esetén T max a vizsgált legnagyobb nyomatékú motor nyomatékának gyártó által megadott csúcsértéke;

d) a meghatározott tartományok szélső értékei beleértendők a tartományba. Például az a 1 meredekségre meghatározott 0,98–1,02 tartomány azt jelenti, hogy 0,98 ≤ a 1 ≤ 1,02;

e) a linearitás-ellenőrzés nem kötelező olyan rendszerek esetében, amelyek megfelelnek a hígított kipufogógáz áramlási sebességének ellenőrzésén a 8.1.8.5. pontban a propángázos vizsgálatra vonatkozóan leírtak szerint, vagy olyan rendszerek esetében, amelyek eltérése a beszívott levegő, a tüzelőanyag és a hígított kipufogógáz szén- vagy oxigénmérlege alapján ± 2 %-on belül van;

f) az e mennyiségekre vonatkozó a 1 feltételeknek csak akkor kell teljesülniük, ha a mennyiség abszolút értékére szükség van, szemben egy olyan jellel, amely csak lineárisan arányos a tényleges értékkel;

g) az önálló hőmérsékletértékek közé tartoznak a motor üzemállapotainak beállítására vagy ellenőrzésére használt motorhőmérséklet-értékek és környezeti feltételek; a vizsgálati rendszerben kritikus állapotok beállítására vagy ellenőrzésére használt hőmérsékletértékek; és a kibocsátások kiszámítására használt hőmérsékletértékek:

i. ezek a hőmérsékletlinearitás-ellenőrzések kötelezőek. Levegőbeszívás; utókezelővel felszerelt fékpad(ok) (olyan motorokhoz, amelyeket kipufogógáz-utókezelő berendezéssel vizsgálnak olyan ciklusokban, amelyek hidegindítást írnak elő); Hígító levegő részecske-mintavételhez (állandó térfogatú mintavétel, kétszeres hígítás és részáramú rendszerek); részecskeminta; és hűtőközegminta (olyan gázmintavevő rendszerekhez, amelyek hűtőközeget alkalmaznak a minták szárítására);

ii. ezeket a hőmérsékletlinearitás-ellenőrzéseket csak akkor kell elvégezni, ha a motor gyártója előírja. Tüzelőanyag-bevezetés; a vizsgálókamra töltőlevegő-hűtőjének levegőkivezetése (a nem közúti mozgó gép töltőlevegő-hűtőjét szimuláló vizsgálókamra-hőcserélővel vizsgált motorok esetében); a vizsgálókamra töltőlevegő-hűtőjének hűtőközeg-bevezetése (a nem közúti mozgó gép töltőlevegő-hűtőjét szimuláló vizsgálókamra-hőcserélővel vizsgált motorok esetében); és a teknőben/tálcán lévő olaj; hűtőközeg a termosztát előtt (folyadékhűtésű motorok esetében);

h) az önálló nyomásértékek közé tartoznak a motor üzemállapotainak beállítására vagy ellenőrzésére használt motornyomásértékek és környezeti feltételek; a vizsgálati rendszerben kritikus állapotok beállítására vagy ellenőrzésére használt nyomásértékek; és a kibocsátások kiszámítására használt nyomásértékek:

i. a kötelező nyomáslinearitás-ellenőrzések a következők: a beszívott levegő nyomásának korlátozása; a kipufogógáz ellennyomása; barométer; állandó térfogatú mintavevő bemeneti nyomása (ha a mérés állandó térfogatú mintavétellel történik); hűtőközegminta (olyan gázmintavevő rendszerekhez, amelyek hűtőközeget alkalmaznak a minták szárítására);

ii. nyomáslinearitás-ellenőrzések, amelyeket csak akkor kell elvégezni, ha a motor gyártója előírja: a vizsgálókamra töltőlevegő-hűtőjének és a csatlakozó csöveknek a nyomásesése (a nem közúti mozgó gép töltőlevegő-hűtőjét szimuláló vizsgálókamra-hőcserélővel vizsgált turbófeltöltéses motorok esetében); a tüzelőanyag-bevezetés; és a tüzelőanyag-kivezetés.



6.5. táblázat

Olyan mérőrendszerek, amelyeknek ellenőrizni kell a linearitását

Mérőrendszer

Mennyiség

Legkisebb ellenőrzési gyakoriság

Linearitási követelmények

image

a

SEE

r 2

A motor fordulatszáma

n

Vizsgálatot megelőző 370 napon belül

≤ 0,05 % n max

0,98-1,02

≤ 2 % n max

≥ 0,990

A motor nyomatéka

T

Vizsgálatot megelőző 370 napon belül

≤ 1 % T max

0,98-1,02

≤ 2 % T max

≥ 0,990

A tüzelőanyag árama

qm

Vizsgálatot megelőző 370 napon belül

≤ 1 %

0,98-1,02

≤ 2 %

≥ 0,990

A beszívott levegő árama (1)

qV

Vizsgálatot megelőző 370 napon belül

≤ 1 %

0,98-1,02

≤ 2 %

≥ 0,990

A hígító levegő árama (1)

qV

Vizsgálatot megelőző 370 napon belül

≤ 1 %

0,98-1,02

≤ 2 %

≥ 0,990

Hígított kipufogógáz árama (1)

qV

Vizsgálatot megelőző 370 napon belül

≤ 1 %

0,98-1,02

≤ 2 %

≥ 0,990

Hígítatlan kipufogógáz árama (1)

qV

Vizsgálatot megelőző 185 napon belül

≤ 1 %

0,98-1,02

≤ 2 %

≥ 0,990

Szakaszos mintavevő áramlási sebessége (1)

qV

Vizsgálatot megelőző 370 napon belül

≤ 1 %

0,98-1,02

≤ 2 %

≥ 0,990

Gázmegosztók

x/x span

Vizsgálatot megelőző 370 napon belül

≤ 0,5 % x max

0,98-1,02

≤ 2 % x max

≥ 0,990

Gázelemző készülékek

x

Vizsgálatot megelőző 35 napon belül

≤ 0,5 % x max

0,99-1,01

≤ 1 % x max

≥ 0,998

Analitikai mérleg

m

Vizsgálatot megelőző 370 napon belül

≤ 1 % m max

0,99-1,01

≤ 1 % m max

≥ 0,998

Önálló nyomásértékek

p

Vizsgálatot megelőző 370 napon belül

≤ 1 % p max

0,99-1,01

≤ 1 % p max

≥ 0,998

Az analóg önálló hőmérsékleti jelek átalakítása digitális jelekké

T

Vizsgálatot megelőző 370 napon belül

≤ 1 % T max

0,99-1,01

≤ 1 % T max

≥ 0,998

(1)   A moláris átfolyási sebesség használható a standard térfogatáram helyett a „mennyiséget” jelző fogalomként. Ebben az esetben a legnagyobb moláris átfolyási sebesség használható a legnagyobb standard térfogatáram helyett a megfelelő linearitási követelményekben.

8.1.5.   A folyamatos gázelemző rendszer válaszának és a frissítésnek-rögzítésnek a hitelesítése

Ez a szakasz a folyamatos gázelemző rendszerek válaszának és frissítése rögzítésének hitelesítésére szolgáló általános eljárást ír le. A kompenzációt alkalmazó gázelemző készülékek ellenőrzésére szolgáló eljárásokat lásd a 8.1.6. pontban.

8.1.5.1.   Alkalmazási kör és gyakoriság

Ezt az ellenőrzést el kell végezni a folyamatos mintavételre használt gázelemző készülékek üzembe helyezése vagy cseréje után. Ezt az ellenőrzést akkor is el kell végezni, ha a rendszert olyan módon átalakítják, hogy az megváltoztatja a rendszerválaszt. Ez az ellenőrzés szükséges a tranziens (NRTC és LSI-NRTC) vizsgálati ciklusokra vagy RMC ciklusokra használt folyamatos gázelemző készülékek esetében, de nem szükséges a szakaszos gázelemző rendszerek vagy a csak különálló NRSC ciklussal történő vizsgálathoz használt folyamatos gázelemző rendszerek esetében.

8.1.5.2.   Mérési alapelvek

Ez a vizsgálat azt ellenőrzi, hogy a frissítés és a rögzítés gyakorisága megfelelő a rendszer egésze által a mintavevő szonda által mért koncentrációértékek hirtelen változására adott válaszhoz. A gázelemző rendszereket úgy kell optimalizálni, hogy egy hirtelen koncentrációváltozásra adott válaszuk frissítése és rögzítése megfelelő gyakorisággal történjen az információvesztés elkerülése érdekében. Ez a vizsgálat azt is ellenőrzi, hogy a folyamatos gázelemző rendszerek megfelelnek egy, a válaszidőre vonatkozó minimumkövetelménynek.

A válaszidő értékeléséhez a rendszer beállításainak (úgymint nyomás, áramlás, szűrőbeállítások a gázelemző készülékeken és minden más, a válaszidőt befolyásoló tényező) pontosan ugyanolyanoknak kell lenniük, mint a vizsgálati eljárásban lefolytatott mérések idején. A válaszidőt közvetlenül a mintavevő szonda bevezetésénél történő gázváltással kell meghatározni. A gázváltásra szolgáló eszközöknek előírás szerint 0,1 s-nál rövidebb idő alatt el kell végezniük a gázváltást. A vizsgálathoz használt gázoknak legalább a teljes skála 60 %-ának megfelelő koncentrációváltozást kell okozniuk.

Az egyes gázösszetevők koncentrációit folyamatosan rögzíteni kell.

8.1.5.3.   Rendszerkövetelmények

a) a rendszer válaszideje az összes mért összetevő (CO, NOx, 2 és szénhidrogének) esetében és minden használt tartományban legfeljebb 10 s lehet, legfeljebb 5 s felfutási és lefutási idővel.

A VII. mellékletben megadott kibocsátásszámítások elvégzése előtt minden adatot (koncentráció, tüzelőanyag- és levegőáram) el kell tolni a mért válaszidővel;

b) a frissítésnek és a rögzítésnek a rendszerválasz szempontjából elfogadható voltának bizonyítása érdekében a rendszernek meg kell felelnie az alábbi feltételek valamelyikének:

i. az átlagos felfutási időnek és a frissített koncentráció rendszer általi rögzítése gyakoriságának a szorzata legalább 5 kell, hogy legyen. Az átlagos felfutási idő semmilyen esetben sem haladhatja meg a 10 s-ot;

ii. a rendszernek legalább 2 Hz gyakorisággal rögzítenie kell a koncentrációt (lásd még az 6.7. táblázatot).

8.1.5.4.   Az eljárás

Az egyes folyamatos gázelemző rendszerek válaszát a következő eljárással kell ellenőrizni:

a) a gázelemző rendszer gyártójának a készülék üzembe állítására és üzemeltetésére vonatkozó utasításait kell követni. A mérőrendszert a teljesítmény optimalizálása érdekében szükség szerint be kell állítani. Ehhez az ellenőrzéshez a gázelemző készüléket ugyanúgy kell üzemeltetni, mint kibocsátásvizsgálat esetén. Ha a gázelemző készülék mintavevő rendszere más gázelemző készülékekkel közös, és a többi gázelemző készülékhez folyó gázáram befolyásolja a rendszer válaszidejét, akkor az ellenőrző vizsgálat alatt a többi gázelemző készüléket is el kell indítani és üzemeltetni kell. Ez az ellenőrző vizsgálat végrehajtható egyidejűleg több olyan gázelemző készüléken, amelynek közös a mintavevő rendszere. Ha a kibocsátásmérések során analóg vagy valós idejű digitális szűrőket használnak, akkor a szűrőket az ellenőrző vizsgálat során is ugyanúgy kell működtetni;

b) a rendszer válaszidejének hitelesítésére használt berendezések esetében ajánlott, hogy a csatlakozások között a lehető legkisebb legyen a gázszállítási távolság, egy gyors 3-utas szelep (2 bemenet, 1 kimenet) egyik bemenetéhez nulla levegőt tartalmazó gázforrást kell csatlakoztatni, hogy szabályozni lehessen a nullázó- és a kevert kalibrálógázok áramát a mintavevő rendszer szondájának bemenetéhez vagy a szonda kimenetének közelében lévő T-csatlakozóhoz. Általában a gáz áramlási sebessége nagyobb, mint a szondán áthaladó minta árama, a felesleg pedig távozik a szonda bemeneti nyílásánál. Ha a gáz áramlási sebessége kisebb, mint a szondán áthaladó áram, akkor a gázkoncentrációt ki kell igazítani a szondába beáramló környezeti levegő által okozott hígulás miatt. Kettő vagy több gázból álló mérőtartomány-kalibráló gázokat is lehet használni. A kalibrálógázok összekeveréséhez gázkeverő berendezés használható. N2-be kevert hígított mérőtartomány-kalibráló gázok és levegőbe kevert mérőtartomány-kalibráló gázok összekeveréséhez gázkeverő berendezés használata ajánlott.

Gázmegosztó segítségével NO–CO–CO2–C3H8–CH4 (alapgáz N2) mérőtartomány-kalibráló gázt egyenlő mennyiségben össze kell keverni nagy tisztaságú szintetikus levegőbe kevert NO2 mérőtartomány-kalibráló gázzal. A N2-ben elegyített NO-CO-CO2-C3H8-CH4 keverékből álló mérőtartomány-kalibráló gáz helyett adott esetben szabványos kettős mérőtartomány-kalibráló gáz is használható; ebben az esetben minden gázelemző készülék válaszát külön kell vizsgálni. A gázmegosztó kimenetét csatlakoztatni kell a 3-utas szelep másik bemenetéhez. A szelep kimenetét csatlakoztatni kell egy, a gázelemző rendszer szondájánál található túlfolyóhoz vagy egy, a szonda és az összes ellenőrzött gázelemző készülékhez vezető cső közé illesztett túlfolyóhoz. Olyan összeállítást kell alkalmazni, amely az áramot a gázkeverő berendezésen átvezetve meggátolja a nyomás pulzáló változását. Minden olyan gázösszetevőt ki kell hagyni, amely a gázelemző készülékek ezen ellenőrzése szempontjából nem lényeges. Alternatív lehetőségként az egyféle gázt tartalmazó palackok használata és a válaszidők önálló mérése megengedett;

c) az adatgyűjtést a következőképpen kell végrehajtani:

i. a szelepet úgy kell állítani, hogy elinduljon a nullázó gáz árama;

ii. időt kell hagyni a stabilizációra, figyelembe véve a szállítás okozta késést, és meg kell várni a leglassabb gázelemző készülék teljes válaszát;

iii. el kell kezdeni az adatrögzítést a kibocsátásvizsgálat során alkalmazott gyakorisággal. Minden egyes rögzített érték a gázelemző készülék által mért egyedi aktualizált koncentráció; a rögzített értékeket nem lehet interpolációval vagy szűréssel módosítani;

iv. a szelepet úgy kell állítani, hogy a kevert mérőtartomány-kalibráló gázok a gázelemző készülékekhez áramolhassanak. Az ehhez szükséges t 0 időt fel kell jegyezni;

v. figyelembe kell venni a szállítás okozta késést, és meg kell várni a leglassabb gázelemző készülék teljes válaszát;

vi. az áramot úgy kell állítani, hogy a nullázó gáz a gázelemző készülékhez áramolhasson. Az ehhez szükséges t 100 időt fel kell jegyezni;

vii. figyelembe kell venni a szállítás okozta késést, és meg kell várni a leglassabb gázelemző készülék teljes válaszát;

viii. az e pont c) alpontjának iv–vii. bekezdésében szereplő lépéseket meg kell ismételni, és rögzíteni kell hét teljes ciklust, amelyek végén nullázó gáznak kell a gázelemző készülékekhez áramolnia;

ix. a rögzítést le kell állítani.

8.1.5.5.   Teljesítményértékelés

A 8.1.5.4. pont c) alpontjában említett adatokból ki kell számítani az egyes gázelemző készülékek átlagos felfutási idejét.

a) a 8.1.5.3. pont b) alpontja i. bekezdésének való megfelelés igazolásához a következő eljárást kell alkalmazni: A felfutási időt (s) meg kell szorozni a Hertzben (1/s) kifejezett megfelelő rögzítési gyakorisággal. Minden eredmény értékének legalább 5-nek kell lennie. Ha az érték kisebb, mint 5, növelni kell a gyakoriságot, vagy módosítani kell az áramokat, vagy módosítani kell a mintavevő rendszer összeállítását, hogy a felfutási idő szükség szerint növekedjen. A digitális szűrőket is át lehet úgy állítani, hogy nőjön a felfutási idő;

b) a 8.1.5.3. pont b) alpontja ii. bekezdésének való megfelelés igazolásához elegendő igazolni a 8.1.5.3. pont b) alpontja ii. bekezdésének való megfelelést.

8.1.6.   A kompenzációt alkalmazó gázelemző készülékek válaszidejének ellenőrzése

8.1.6.1.   Alkalmazási kör és gyakoriság

Ezt az ellenőrzést kell végrehajtani egy folyamatos gázelemző készülék válaszának meghatározására, amennyiben az egyik gázelemző készülék válaszát egy másik válasza kompenzálja, a gáz-halmazállapotú kibocsátás mennyiségének meghatározására. Ezen ellenőrzés szempontjából a vízgőz gáz-halmazállapotú összetevőnek tekintendő. Ez az ellenőrzés kötelező a tranziens (NRTC és LSI-NRTC) vizsgálati ciklusokra vagy RMC vizsgálatra használt folyamatos gázelemző készülékek esetében. Ez az ellenőrzés nem szükséges a szakaszos gázelemző készülékek vagy a csak különálló NRSC ciklusokkal történő vizsgálatra használt folyamatos gázelemző készülékek esetében. Az ellenőrzés nem vonatkozik az utófeldolgozás során a mintából eltávolított víz miatti korrekcióra. Ezt az ellenőrzést az első beszerelés (azaz a mérőállás üzembe helyezése) után kell elvégezni. Jelentős karbantartás után a 8.1.5. pont alkalmazható a válasz egységességének igazolására, feltéve, hogy minden kicserélt alkatrész valamikor átesett a válasz egységességének párás környezetben történő ellenőrzésén.

8.1.6.2.   Mérési alapelvek

Ez az eljárás a folyamatosan kombinált gázmérések válaszainak szinkronitását és egységességét ellenőrzi. Ehhez az eljáráshoz biztosítani kell, hogy minden kiegyenlítő algoritmus és páratartalom miatti korrekció be legyen kapcsolva.

8.1.6.3.   Rendszerkövetelmények

A 8.1.5.3. pont a) alpontjában az általános válaszidőre és a felfutási időre vonatkozóan megadott követelmények a kompenzációt alkalmazó gázelemző készülékekre is vonatkoznak. Ezen túlmenően, ha a rögzítési gyakoriság eltér a folyamatosan kombinált/kompenzált jel frissítési gyakoriságától, a 8.1.5.3. pont b) alpontjának i. bekezdésében előírt ellenőrzéshez e két gyakoriság közül a kisebbet kell alkalmazni.

8.1.6.4.   Az eljárás

A 8.1.5.4. pont a)–c) alpontjában meghatározott összes eljárást alkalmazni kell. Emellett a vízgőz válaszát és felfutási idejét is meg kell mérni, ha a mért vízpárán alapuló kiegyenlítő algoritmust alkalmaznak. Ebben az esetben az alkalmazott kalibráló gázok közül legalább egyet (de nem a NO2-ot) párásítani kell a következőképpen:

Ha a rendszer nem használ mintaszárítót a víznek a gázmintából való eltávolítására, a mérőtartomány-kalibráló gázt párásítani kell úgy, hogy a gázkeveréket átvezetik egy zárt tartályon, amely azt desztillált vízen átbuborékoltatva a mintának a kibocsátás-mintavétel során megbecsült legmagasabb harmatpontjáig párásítja a gázt. Ha a rendszer a vizsgálat során mintaszárítót használ, amely átesett az ellenőrzésen, a párásított gázkeveréket a mintaszárító után 298 ± 10 K (25 ± 10 °C-on) vagy a harmatpontnál nagyobb hőmérsékleten egy zárt tartályban, desztillált vízen átbuborékoltatva be lehet vezetni. A párásított gázt a tartály után minden esetben a cső helyi harmatpontját legalább 5 K (5 °C)-kal meghaladó hőmérsékleten kell tartani. Meg kell jegyezni, hogy minden olyan gázösszetevőt ki lehet hagyni, amely a gázelemző készülékek ezen ellenőrzése szempontjából nem lényeges. Ha valamely gázösszetevő nem érzékeny a vízre, e gázelemző készülékek válaszának ellenőrzése párásítás nélkül is elvégezhető.

▼M2

8.1.7.   A motorjellemzők és a környezeti feltételek mérése

Elismert nemzeti vagy nemzetközi szabványokra visszavezethető belső minőségbiztosítási eljárásokat kell alkalmazni. Ellenkező esetben a következő eljárásokat kell alkalmazni.

▼B

8.1.7.1.   A nyomaték kalibrálása

8.1.7.1.1.   Alkalmazási kör és gyakoriság

Minden nyomatékmérő rendszert – a fékpad nyomatékmérési jelátalakítóit és rendszereit is beleértve – kalibrálni kell az első beszereléskor és jelentős karbantartás után, többek között referenciaerővel vagy megadott hosszúságú erőkarral és nehezéksúllyal. A kalibrálást a helyes műszaki gyakorlat szerint kell megismételni. A nyomatékjel-átalakító gyártójának utasításait követve kell biztosítani a nyomatékérzékelő kimenetének linearitását. Egyéb kalibrálási módszerek is megengedettek.

8.1.7.1.2.   A nehezéksúly kalibrálása

Ez a módszer egy erőkaron ismert távolságra ismert súlyokat akasztva ismert erőt fejt ki. Gondoskodni kell arról, hogy súlyok erőkarja merőleges legyen a gravitációra (azaz vízszintes legyen), és merőleges legyen a fékpad forgástengelyére. Legalább hat kalibrálósúly-kombinációt kell alkalmazni minden egyes nyomatékmérőtartomány esetében, a súlyokat egyenletesen elosztva a tartományban. A fékpadot a kalibrálás alatt rezegtetni vagy forgatni kell a súrlódási statikus hiszterézis csökkentése érdekében. Minden súly által kifejtett erőt a nemzetközi etalonnak megfelelő tömegének és a Föld helyi gravitációs gyorsulásának szorzataként kell meghatározni.

8.1.7.1.3.   Tenzométer vagy hitelesítő gyűrűs dinamométer kalibrálása

Ez a módszer egy erőkarra súlyokat akasztva fejt ki erőt (ezek a súlyok és az erőkaruk hossza nem szerepel a vonatkoztatási nyomaték meghatározásában) vagy különböző nyomatékkal működtetve a fékpadot. Legalább hat erőkombinációt kell alkalmazni minden egyes nyomatékmérőtartomány esetében, az erőket egyenletesen elosztva a tartományban. A fékpadot a kalibrálás alatt rezegtetni vagy forgatni kell a súrlódási statikus hiszterézis csökkentése érdekében. Ebben az esetben a vonatkoztatási nyomatékot a vonatkoztatási mérő (mint például tenzométer vagy hitelesítő gyűrűs dinamométer) által mutatott erőnek és a tényleges erőkarnak az erőmérés pontjától a fékpad forgástengelyéig mért hosszának szorzataként kell meghatározni. Gondoskodni kell arról, hogy ez a hosszmérés a referenciamérő mérési tengelyére merőlegesen és a fékpad forgástengelyére merőlegesen történjen.

8.1.7.2.   Nyomás-, hőmérséklet- és harmatpont-kalibrálás

Az eszközöket első beszereléskor kalibrálni kell a nyomás, a hőmérséklet és a harmatpont méréséhez. Követni kell az eszköz gyártójának utasításait, és a kalibrálást a helyes műszaki gyakorlat szerint kell megismételni.

Termoelemekkel, ellenállás-hőmérőkkel vagy termisztorokkal ellátott hőmérsékletmérő rendszerek esetében a rendszer kalibrálását a 8.1.4.4. pontban a linearitás ellenőrzésénél leírt módon kell elvégezni.

8.1.8.   Az áramlással kapcsolatos mérések

8.1.8.1.   Tüzelőanyagáram-kalibrálás

A tüzelőanyag-áramlásmérőket első beszereléskor kalibrálni kell. Követni kell az eszköz gyártójának utasításait, és a kalibrálást a helyes műszaki gyakorlat szerint kell megismételni.

8.1.8.2.   A beszívott légáram kalibrálása

A beszívott légárammérőket első beszereléskor kalibrálni kell. Követni kell az eszköz gyártójának utasításait, és a kalibrálást a helyes műszaki gyakorlat szerint kell megismételni.

8.1.8.3.   A kipufogógáz-áram kalibrálása

A kipufogógáz-áramlásmérőket első beszereléskor kalibrálni kell. Követni kell az eszköz gyártójának utasításait, és a kalibrálást a helyes műszaki gyakorlat szerint kell megismételni.

8.1.8.4.   A hígított kipufogógáz-áram kalibrálása (állandó térfogatú mintavételnél)

8.1.8.4.1.   Áttekintés

a) Ez a szakasz azt írja le, hogy miként kell kalibrálni a hígított kipufogógázból állandó térfogatú mintát vevő (CVS) rendszerek áramlásmérőit.

b) A kalibrálást akkor kell elvégezni, amikor az áramlásmérőt beépítik a végleges helyére. A kalibrálást el kell végezni miután az áramlásmérő előtt vagy után oly módon megváltoztatják az összeállítás valamely részét, hogy az befolyásolhatja az áramlásmérő kalibrálását. A kalibrálást el kell végezni az állandó térfogatú mintavevő (CVS) első beszerelésekor, és abban az esetben, ha egy korrekciós intézkedés nem oldja meg a hígított kipufogógáz-áramnak a 8.1.8.5. pont szerinti ellenőrzésére (azaz a propángázos vizsgálatra) vonatkozó követelménynek való meg nem felelést.

c) Az állandó térfogatú mintavevő rendszer áramlásmérőjét kalibrálni kell egy referencia-áramlásmérővel, például hangsebesség alatti áramlású Venturi-csővel, hosszú sugarú mérőtorokkal, sima mérőperemmel, lamináris áramlási elemmel, kritikus áramlású Venturi-csövekkel vagy ultrahangos áramlásmérőkkel. Olyan vonatkoztatási áramlásmérőt kell használni, amely ± 1 %-nál kisebb bizonytalansággal mutat ki nemzetközi etalonnak megfelelő mennyiségeket. E vonatkoztatási áramlásmérő válaszát kell vonatkoztatási értéknek tekinteni az állandó térfogatú mintavétellel működő áramlásmérő kalibrálásánál.

d) Az áramlásmérő előtt nem alkalmazható szűrő vagy egyéb nyomáskorlátozás, amely a vonatkoztatási áramlásmérő előtt befolyásolhatja az áramlást, hacsak az áramlásmérőt nem ilyen nyomáskorlátozással kalibrálták.

e) A 8.1.8.4. pontban ismertetett kalibrálási sorrend a moláris alapú megközelítésre vonatkozik. A tömegalapú megközelítés megfelelő sorrendjét lásd a VII. melléklet 2.5. pontjában.

f)  ►M2  A kritikus áramlású Venturi-cső vagy a hangsebesség alatti áramlású Venturi-cső kalibrálás céljából eltávolítható állandó helyéről, feltéve, hogy az állandó térfogatú mintavevő rendszerbe szerelve teljesülnek az alábbi követelmények: ◄

(1) A kritikus áramlású Venturi-cső vagy hangsebesség alatti áramlású Venturi-cső állandó térfogatú mintavevő rendszerbe való beszerelésekor a helyes műszaki gyakorlat alapján ellenőrizni kell, hogy nem alakult-e ki szivárgás az állandó térfogatú mintavevő rendszer bemenete és a Venturi-cső között.

(2) A Venturi-cső külső kalibrálása után a kritikus áramlású Venturi-csövek esetében minden áramláskombinációt, a hangsebesség alatti áramlású Venturi-cső esetében pedig legalább 10 áramlási pontot ellenőrizni kell a 8.1.8.5. pontban leírt propángázos vizsgálattal. A Venturi-cső egyes áramlási pontjain elvégzett propángázos ellenőrzés eredményei nem haladhatják meg a 8.1.8.5.6. pontban meghatározott tűréshatárt.

(3) Egynél több kritikus áramlású Venturi-csővel felszerelt, állandó térfogatú mintavevő rendszer esetében a külső kalibrálás ellenőrzéséhez az alábbi ellenőrzést kell elvégezni:

i. állandó áramlású készüléket kell használni a hígítóalagúton keresztüli folyamatos propángázáramlás biztosításához;

ii. a szénhidrogén-koncentrációt a hangsebesség alatti áramlású Venturi-csöves áramlásmérő esetében legalább 10 különálló áramlási sebességen, kritikus áramlású Venturi-csöves áramlásmérő esetében pedig az összes lehetséges áramlási kombinációval kell mérni folyamatos propángázáramlás mellett;

iii. a szénhidrogén-háttérkoncentrációt a hígító levegőben e vizsgálat elején és végén meg kell mérni. Az átlagos háttér-koncentrációt le kell vonni az egyes áramlási pontokon végzett mérésekből a iv. bekezdés szerinti regresszióanalízis elvégzése előtt;

iv. a teljesítményregressziót az áramlási sebesség és a korrigált koncentráció összes párosított értékével elvégezve lehet megkapni a kapcsolatot y = a × xb formában, független változóként a koncentrációt, függő változóként pedig az áramlási sebességet használva. Az egyes adatpontok esetében ki kell számítani a mért áramlási sebesség és a görbéhez való illeszkedés által képviselt érték közötti különbséget. A különbségnek az egyes pontokon a megfelelő regressziós érték ± 1 %-ánál kevesebbnek kell lennie. A b értékének –1,005 és –0,995 között kell lennie. Ha az eredmények nem felelnek meg e határértékeknek, korrekciós intézkedéseket kell tenni a 8.1.8.5.1. pont a) alpontjának megfelelően.

8.1.8.4.2.   Térfogat-kiszorításos szivattyú kalibrálása

Egy térfogat-kiszorításos szivattyút (PDP) azért kell kalibrálni, hogy meghatározzák az anyagáram-PDP-sebesség egyenletet, amely a PDP belépési nyomásának függvényében fejezi ki a PDP felületeinek illesztésénél bekövetkező szivárgást. Egyedi együtthatókat kell meghatározni minden olyan sebességhez, amelyen a PDP-t üzemeltetik. A PDP áramlásmérőt a következőképpen kell kalibrálni:

a) a rendszert a 6.5. ábrán látható módon kell csatlakoztatni;

b) a kalibráló áramlásmérő és a PDP közötti szivárgásnak a legalacsonyabb kalibrált áramlási ponton kisebbnek kell lennie, mint a teljes áram 0,3 %-a; például a legnagyobb nyomáskorlátozásnál és a legalacsonyabb PDP-fordulatszámon;

c) a térfogat-kiszorításos szivattyú (PDP) működése alatt a T in abszolút bemeneti átlaghőmérséklet ± 2 %-án belüli, állandó hőmérsékletet kell fenntartani a térfogat-kiszorításos szivattyú (PDP) bemeneténél;

d) a térfogat-kiszorításos szivattyú (PDP) sebességét az első olyan sebességértékre kell állítani, amelyen kalibrálni kívánják;

e) a változtatható áramlású fojtószelepet teljesen nyitott helyzetbe kell állítani;

f) a térfogat-kiszorításos szivattyút (PDP) legalább 3 percig működtetni kell, hogy stabilizálódjon a rendszer. Ezután a térfogat-kiszorításos szivattyút (PDP) folyamatosan üzemeltetve fel kell jegyezni az alábbi mennyiségek legalább 30 s-nyi mintavételi adatainak átlagértékeit:

i. a vonatkoztatási áramlásmérő átlagos áramlási sebessége
image ;

ii. a T in átlaghőmérséklet a PDP belépőnyílásánál;

iii. a p in statikus átlagos abszolút nyomás a PDP belépőnyílásánál;

iv. a p out statikus átlagos abszolút nyomás a PDP kilépőnyílásánál;

v. a PDP n PDP átlagsebessége;

g) a fojtószelepet szűkebbre kell állítani, hogy csökkenjen a p in átlagos abszolút nyomás a PDP belépőnyílásánál;

h) a 8.1.8.4.2. pont f) és g) alpontjában foglalt lépéseket meg kell ismételni, hogy az adatokat a fojtószelep legalább hat olyan pozíciójában rögzítsék, amelyek a térfogat-kiszorításos szivattyú bemeneti nyílásánál használat közben fennálló lehetséges nyomásértékek teljes skáláját tükrözik;

i) a térfogat-kiszorításos szivattyút (PDP) az összegyűjtött adatok és a VII. mellékletekben megadott egyenletek segítségével kell kalibrálni;

j) az e pont f)–i) alpontjában leírt lépéseket meg kell ismételni a térfogat-kiszorításos szivattyú valamennyi sebességére vonatkozóan;

k) a VII. melléklet 3. szakaszában (moláris alapú megközelítés) vagy 2. szakaszában (tömegalapú megközelítés) szereplő egyenleteket kell alkalmazni a térfogat-kiszorításos szivattyú áramlási egyenletének meghatározására a kibocsátásvizsgálathoz;

l) a kalibrálást állandó térfogatú mintavevővel való ellenőrzéssel (azaz propángázos vizsgálattal) kell hitelesíteni a 8.1.8.5. pont szerint;

m) a térfogat-kiszorításos szivattyú (PDP) nem használható a kalibrálás során vizsgált legalacsonyabb belépő nyomás alatt.

8.1.8.4.3.   Kritikus áramlású Venturi-cső kalibrálása

A kritikus áramlású Venturi-csövet (CFV) kalibrálni kell a C d kifolyási tényezőnek a CFV bemenete és kimenete között várható legalacsonyabb statikus nyomáskülönbség ellenőrzése érdekében. A CFV áramlásmérőt a következőképpen kell kalibrálni:

a) a rendszert a 6.5. ábrán látható módon kell csatlakoztatni;

b) a befúvót a CFV után kell elindítani;

c) a kritikus áramlású Venturi-cső (CFV) működése alatt a T in abszolút bemeneti átlaghőmérséklet ± 2 %-án belüli, állandó hőmérsékletet kell fenntartani a kritikus áramlású Venturi-cső (CFV) bemeneténél;

d) a kalibráló áramlásmérő és a CFV közötti szivárgásnak a legnagyobb nyomáskorlátozásnál kisebbnek kell lennie, mint a teljes áram 0,3 %-a;

e) a változtatható áramlású fojtószelepet teljesen nyitott helyzetbe kell állítani; Változtatható áramlású fojtószelep helyett a CFV utáni nyomást a befúvó sebességének változtatásával vagy ellenőrzött szivárgással lehet módosítani. Meg kell jegyezni, hogy néhány befúvóra nem terhelt állapotban korlátozások vonatkoznak;

f) a kritikus áramlású Venturi-csövet (CFV) legalább 3 percig működtetni kell, hogy stabilizálódjon a rendszer. Ezután a kritikus áramlású Venturi-csövet (CFV) folyamatosan üzemeltetve fel kell jegyezni az alábbi mennyiségek legalább 30 s-nyi mintavételi adatainak átlagértékeit:

i. a vonatkoztatási áramlásmérő átlagos áramlási sebessége
image ;

ii. további lehetőség a kalibráló levegő T dew átlagos harmatpontja. A kibocsátásmérések alatt megengedett feltételezéseket lásd a VII melléklet;

iii. a T in átlaghőmérséklet a Venturi-cső belépőnyílásánál;

iv. a p in statikus átlagos abszolút nyomás a Venturi-cső belépőnyílásánál;

v. a CFV bemenete és kimenete közötti Δp CFV átlagos statikus nyomáskülönbség;

g) a fojtószelepet szűkebbre kell állítani, hogy csökkenjen a p in átlagos abszolút nyomás a CFV belépőnyílásánál;

h) az e pont f) és g) alpontjában foglalt lépéseket meg kell ismételni, hogy az átlagos adatokat a fojtószelep legalább tíz olyan pozíciójában rögzítsék, amelyek a Δp CFV vizsgálat közben várható értékeinek legszélesebb skáláját tükrözik. Kalibráláshoz használt alkatrészeket vagy az állandó térfogatú mintavevő alkatrészeit a lehető legkisebb nyomáskorlátozás mellett történő kalibráláshoz nem kötelező eltávolítani;

i) a C d és az r legnagyobb megengedhető nyomásarányt a VII. mellékletben leírt módon kell meghatározni;

j) a kritikus áramlású Venturi-cső (CFV) áramát kibocsátásvizsgálat közben a C d segítségével kell meghatározni. A kritikus áramlású Venturi-cső nem használható a VII. mellékletben meghatározott megengedett legmagasabb r felett;

k) a kalibrálást állandó térfogatú mintavevővel való ellenőrzéssel (azaz propángázos vizsgálattal) kell hitelesíteni a 8.1.8.5. pont szerint;

l) ha az állandó térfogatú mintavevő rendszer úgy van összeállítva, hogy egyszerre több kritikus áramlású Venturi-cső üzemeljen párhuzamosan, az állandó térfogatú mintavevő rendszer az alábbiak egyikével kell kalibrálni:

i. a kritikus áramlású Venturi-csövek minden kombinációját e szakasz és a VII. melléklet alapján kell kalibrálni. E lehetőség esetében az áramlási sebességek kiszámítására vonatkozó utasításokat lásd a VII melléklet;

ii. valamennyi kritikus áramlású Venturi-csövet e pont, valamint a VII. melléklet alapján kell kalibrálni. E lehetőség esetében az áramlási sebességek kiszámítására vonatkozó utasításokat lásd a VII. melléklet;

8.1.8.4.4.   Hangsebesség alatti áramlású Venturi-cső (SSV) kalibrálása

A hangsebesség alatti áramlású Venturi-csövet (SSV) kalibrálni kell a C d kalibrálási együtthatójának a bemeneti nyomásértékek várható tartományához való meghatározása érdekében. Az SSV áramlásmérőt a következőképpen kell kalibrálni:

a) a rendszert a 6.5. ábrán látható módon kell csatlakoztatni;

b) a befúvót az SSV után kell elindítani;

c) a kalibráló áramlásmérő és az SSV közötti szivárgásnak a legnagyobb nyomáskorlátozásnál kisebbnek kell lennie, mint a teljes áram 0,3 %-a;

d) a hangsebesség alatti áramlású Venturi-cső (SSV) működése alatt a T in abszolút bemeneti átlaghőmérséklet ± 2 %-án belüli, állandó hőmérsékletet kell fenntartani a hangsebesség alatti áramlású Venturi-cső (SSV) bemeneténél;

e) egy változtatható áramlású fojtószelepet vagy változtatható sebességű befúvót a vizsgálat alatt várható legnagyobb áramlási sebességnél nagyobb áramlási sebességre kell beállítani. Az áramlási sebességet nem lehet a kalibrált értékeken túl extrapolálni, ezért ajánlott megbizonyosodni arról, hogy a hangsebesség alatti áramlású Venturi-cső (SSV) torkánál a legnagyobb kalibrált áramlási sebesség Re Reynolds-száma nagyobb, mint a vizsgálat alatt várható legnagyobb Re érték;

f) a hangsebesség alatti áramlású Venturi-csövet (SSV) legalább 3 percig működtetni kell, hogy stabilizálódjon a rendszer. Ezután a hangsebesség alatti áramlású Venturi-csövet (SSV) folyamatosan üzemeltetve fel kell jegyezni az alábbi mennyiségek legalább 30 s-nyi mintavételi adatainak átlagértékeit:

i. a vonatkoztatási áramlásmérő átlagos áramlási sebessége
image ;

ii. további lehetőség a kalibráló levegő T dew átlagos harmatpontja. A megengedett feltételezéseket lásd a VII. melléklet;

iii. a T in átlaghőmérséklet a Venturi-cső belépőnyílásánál;

iv. a p in statikus átlagos abszolút nyomás a Venturi-cső belépőnyílásánál;

v. a Venturi-cső belépőnyílásánál uralkodó statikus nyomás és a Venturi-cső torkánál uralkodó statikus nyomás közötti Δp SSV statikus nyomáskülönbség;

g) a fojtószelepet szűkebbre kell állítani, vagy csökkenteni kell a befúvó sebességét, hogy csökkenjen az áramlási sebesség;

h) az e pont f) és g) alpontjában leírt lépéseket meg kell ismételni, hogy az adatokat legalább tíz áramlási sebesség mellett rögzítsék;

i) a C d-Re függvényt az összegyűjtött adatok és a VII. melléklet függelékben megadott egyenletek segítségével kell meghatározni;

j) a kalibrálást állandó térfogatú mintavevővel való ellenőrzéssel (azaz propángázos vizsgálattal) kell hitelesíteni a 8.1.8.5. pont szerint, a C d-Re függvény segítségével;

k) a hangsebesség alatti áramlású Venturi-csövet (SSV) csak a legkisebb és a legnagyobb kalibrált áramlási sebességek között lehet használni;

l) a VII. melléklet 3. szakaszában (moláris alapú megközelítés) vagy 2. szakaszában (tömegalapú megközelítés) szereplő egyenleteket kell alkalmazni a hangsebesség alatti áramlású Venturi-cső áramlásának meghatározására a vizsgálat során.

8.1.8.4.5.   Ultrahangos kalibrálás (fenntartva)

image

8.1.8.5.   Állandó térfogatú mintavevő (CVS) és szakaszos mintavevő ellenőrzése (propángázos vizsgálat)

8.1.8.5.1.   Bevezetés

a) A propángázos vizsgálat az állandó térfogatú mintavétel ellenőrzésére szolgál, annak megállapítására, hogy van-e eltérés a hígított kipufogógáz-áram mért értékei között. A propángázos vizsgálat a szakaszos mintavevő ellenőrzésére is szolgál, annak megállapítására, hogy vannak-e hibák a szakaszos mintavevőben, amely állandó térfogatú mintavevő rendszerből vesz mintát e pont f) alpontjában leírtak szerint. A helyes műszaki gyakorlat alapján és a biztonságos gyakorlatokat követve ezt a vizsgálatot a propánon kívül más gázzal, például CO2-dal vagy CO-dal is el lehet végezni. Egy sikertelen propángázos vizsgálat arra utalhat, hogy az alábbiak közül egy vagy több olyan probléma is fennállhat, amely korrekciós intézkedést igényel:

i. helytelen a gázelemző készülék kalibrálása. A lángionizációs érzékelős (FID) gázelemző készüléket újra kell kalibrálni, javítani kell, vagy ki kell cserélni;

ii. a 8.1.8.7. pont szerint szivárgásvizsgálatot kell végezni az állandó térfogatú mintavevő rendszer alagútján, csatlakozásain, rögzítésein és CH-mintavevő rendszerén;

iii. a 9.2.2. pont szerint ellenőrizni kell, hogy rossz-e a keveredés;

▼M2

iv. a 7.3.1.3. pontban leírtak szerint ellenőrizni kell a mintavevő rendszer szénhidrogénnel való szennyezettségét;

▼B

v. az állandó térfogatú mintavevő (CVS) rendszer kalibrálásának módosítása. Az állandó térfogatú mintavevő rendszer áramlásmérőjének helyszíni kalibrálását a 8.1.8.4. pontban leírtak szerint kell végezni;

vi. egyéb problémák az állandó térfogatú mintavevő (CVS) rendszerrel vagy a mintavétel-ellenőrző hardverrel vagy szoftverrel. Meg kell vizsgálni, hogy az állandó térfogatú mintavevő (CVS) rendszernek, valamint a CVS ellenőrző hardvernek és szoftvernek vannak-e hiányosságaik;

b) a propángázos vizsgálat során a C3H8 mint indikátorgáz vonatkoztatási tömegét vagy vonatkoztatási áramlási sebességét kell alkalmazni az állandó térfogatú mintavevő rendszerben. Ha a vonatkoztatási áramlási sebességet alkalmazzák, akkor figyelembe kell venni a C3H8 nem ideális gázként a vonatkoztatási áramlásmérőben mutatott viselkedését. Egyes áramlásmérők kalibrálásának és használatának leírását lásd a VII. melléklet 2. szakaszában (tömegalapú megközelítés) vagy 3. szakaszában (moláris alapú megközelítés). A 8.1.8.5. pont és a VII. melléklet vonatkozásában nem lehet feltételezésekkel élni az ideális gáz tekintetében. A propángázos vizsgálat során a befecskendezett C3H8 számított tömegét kell CH-mérések és CVS áramlási sebességének mérései segítségével összehasonlítani a vonatkoztatási értékekkel.

8.1.8.5.2.   Az állandó térfogatú mintavevő (CVS) rendszerbe ismert mennyiségű propánt bevezető módszer

Az állandó térfogatú mintavevő rendszer és az elemző rendszer teljes pontosságát úgy kell meghatározni, hogy ismert tömegű szennyező anyagot tartalmazó gázt bocsátanak át a szokásos módon működtetett rendszeren. A szennyező anyagot elemezni kell, és meg kell határozni a tömegét a VII. melléklet szerint. A következő két módszer valamelyikét kell alkalmazni:

a) a gravimetriás módszerrel történő mérést az alábbiak szerint kell elvégezni: Meg kell határozni egy szén-monoxiddal vagy propángázzal feltöltött kis palack tömegét ± 0,01 gramm pontossággal. Az állandó térfogatú mintavevő rendszert 5–10 percen át úgy kell működtetni, mint a szokásos kipufogógáz-kibocsátási méréseknél, miközben a szén-monoxidot vagy propánt bevezetik a rendszerbe. Különbözeti mérés segítségével meg kell határozni a palackból kiengedett tiszta gáz mennyiségét. A szokásos berendezéssel (mintavevő zsák vagy integrálás) elemezni kell a gázmintát, és ki kell számítani a gáz tömegét;

b) a kritikus áramlású mérőperemes áramlásmérővel történő mérést az alábbiak szerint kell elvégezni: Egy kalibrált kritikus áramlású mérőperemen át ismert mennyiségű tiszta gázt (szén-monoxidot vagy propánt) kell bevezetni az állandó térfogatú mintavevő rendszerbe. Ha a belépő nyomás elég nagy, akkor a kritikus áramlású mérőperem által szabályozott áramlási sebesség (kritikus áramlás) független a mérőperem kilépő oldalán mért nyomástól. Az állandó térfogatú mintavevő (CVS) rendszert 5–10 percen át úgy kell működtetni, mint a szokásos kipufogógáz-kibocsátási méréseknél. A szokásos berendezéssel (mintavevő zsák vagy integrálás) elemezni kell a gázmintát, és ki kell számítani a gáz tömegét.

8.1.8.5.3.   A propángázos vizsgálat előkészítése

A propángázos vizsgálatot a következőképpen kell előkészíteni:

a) ha vonatkoztatási áramlási sebesség helyett a C3H8 vonatkoztatási tömegét alkalmazzák, akkor a hengernek C3H8-cal kell lennie töltve. A vonatkoztatási henger C3H8-tömegét a várhatóan felhasznált C3H8-mennyiség ± 0,5 százalékán belüli pontossággal kell meghatározni;

b) megfelelő áramlási sebességet kell választani az állandó térfogatú mintavevő (CVS) rendszerhez és a C3H8-hoz;

c) ki kell választani az állandó térfogatú mintavevő (CVS) rendszer nyílását a C3H8 befecskendezéséhez. A nyílás helyét úgy kell megválasztani, hogy a lehető legközelebb legyen ahhoz a helyhez, ahol a motor kipufogógáz-rendszerét bevezetik az állandó térfogatú mintavevő (CVS) rendszerbe. A C3H8-hengert csatlakoztatni kell a befecskendező rendszerhez;

d) az állandó térfogatú mintavevőt (CVS) működtetni és stabilizálni kell;

e) a mintavevő rendszer hőcserélőit elő kell melegíteni vagy előre le kell hűteni;

f) a fűtött és a hűtött alkatrészeket, például mintavevő vezetékeket, szűrőket, hűtőket és szivattyúkat hagyni kell, hogy üzemi hőmérsékletükön stabilizálódjanak;

g) adott esetben el kell végezni a szénhidrogén-mintavevő rendszer vákuum oldali szivárgásának ellenőrzését a 8.1.8.7. pontban leírtak szerint.

8.1.8.5.4.   A szénhidrogén-mintavevő rendszer előkészítése a propángázos vizsgálathoz

►M2  A szénhidrogén-mintavevő rendszer vákuum oldali szivárgásának ellenőrzését a g) pont szerint is el lehet végezni. Az említett eljárás alkalmazása esetén választható a 7.3.1.3. pontban meghatározott eljárás a szénhidrogénnel való szennyeződés ellenőrzésére. ◄ Ha a vákuum oldali szivárgás ellenőrzését nem a g) alpont szerint végzik el, akkor a szénhidrogén-mintavevő rendszert le kell nullázni, be kell állítani a mérőtartományát és ellenőrizni kell a szennyezettségét az alábbiak szerint:

a) a szénhidrogéngáz-elemző készülék azon legalacsonyabb mérőtartományát kell választani, amely mérni tudja az állandó térfogatú mintavevő (CVS) C3H8-koncentrációját, valamint a C3H8 áramlási sebességét;

b) a gázelemző készülék bemenetén nullázó levegőt bevezetve le kell nullázni a szénhidrogén-elemző készüléket;

c) a gázelemző készülék bemenetén C3H8 mérőtartomány-kalibráló gázt bevezetve be kell állítani a szénhidrogén-elemző készülék mérőtartományát;

d) nullázó levegő feleslegét a CH-szondánál vagy egy, a CH-szonda és az átvezető cső közötti szerelvénybe kell elvezetni;

e) a szénhidrogén-mintavevő rendszer stabil CH-koncentrációját a nullázó levegő feleslegének elvezetése után kell mérni. Szakaszos CH-mérés esetén a tartályt (például zsákot) fel kell tölteni és meg kell mérni a túlfolyó szénhidrogén koncentrációját;

f) ha a túlfolyó szénhidrogén koncentrációja nagyobb, mint 2 μmol/mol, az eljárást a szennyeződés megszüntetéséig nem lehet folytatni. Meg kell határozni a szennyezés forrását, és korrekciós intézkedéseket kell hozni, mint például a rendszer tisztítása vagy a szennyezett részek cseréje;

g) ha a túlfolyó szénhidrogén koncentrációja nem nagyobb, mint 2 μmol/mol, akkor ezt az értéket mint x HCinit értéket fel kell jegyezni, és a szénhidrogén-szennyeződéssel való helyesbítésre kell használni a VII. melléklet 2. szakaszában (tömegalapú megközelítés) vagy 3. szakaszában (moláris alapú megközelítés) leírtak szerint.

8.1.8.5.5.   A propángázos vizsgálat végrehajtása

a) A propángázos vizsgálatot a következőképpen kell végrehajtani:

i. szakaszos szénhidrogén-mintavétel esetén tiszta tárolóeszközöket, például légüres zsákokat kell csatlakoztatni;

ii. a szénhidrogénmérő berendezéseket a gyártó utasításainak megfelelően kell működtetni;

iii. ha várhatóan korrekciót kell végezni a hígító levegő háttér-szénhidrogénkoncentrációja miatt, akkor meg kell mérni és fel kell jegyezni a hígító levegő háttér-szénhidrogénkoncentrációját;

iv. minden integráló készüléket le kell nullázni;

v. el kell kezdeni a mintavételt, és el kell indítani az áramintegrátorokat;

vi. a C3H8-at a kiválasztott sebességgel be kell vezetni. ha a C3H8 vonatkoztatási áramlási sebességét alkalmazzák, akkor el kell kezdeni ennek az áramnak az integrálását;

vii. a C3H8-at legalább addig be kell vezetni, amíg elegendő C3H8 nem került be, amely biztosítja a vonatkoztatási C3H8 és a mért C3H8 mennyiségének pontos meghatározását;

viii. a C3H8-hengert le kell zárni, és a mintavételt addig kell folytatni, amíg figyelembe nem vették a minta szállítása és az elemző készülék válasza miatti késés;

ix. a mintavételt, továbbá az integrátorokat le kell állítani;

b) amennyiben a kritikus áramlású mérőperemes áramlásmérővel való mérést választják, az alábbi eljárás alkalmazható a propángázos vizsgálatra a 8.1.8.5.5. pont a) alpontjában leírt módszer helyett;

i. szakaszos szénhidrogén-mintavétel esetén tiszta tárolóeszközöket, például légüres zsákokat kell csatlakoztatni;

ii. a szénhidrogénmérő berendezéseket a gyártó utasításainak megfelelően kell működtetni;

iii. ha várhatóan korrekciót kell végezni a hígító levegő háttér-szénhidrogénkoncentrációja miatt, akkor meg kell mérni és fel kell jegyezni a hígító levegő háttér-szénhidrogénkoncentrációját;

iv. minden integráló készüléket le kell nullázni;

v. a vonatkoztatási C3H8-henger tartalmát a kiválasztott sebességgel be kell vezetni;

vi. el kell kezdeni a mintavételt, és a CH-koncentráció stabilitásának megerősítése után el kell indítani az áramintegrátorokat;

vii. a henger tartalmát legalább addig be kell vezetni, amíg elegendő C3H8 nem került be, amely biztosítja a vonatkoztatási C3H8 és a mért C3H8 mennyiségének pontos meghatározását;

viii. az integrátorokat le kell állítani;

ix. a C3H8-hengert le kell zárni.

8.1.8.5.6.   A propángázos vizsgálat értékelése

A vizsgálat utáni eljárást az alábbiak szerint kell elvégezni:

a) szakaszos mintavétel esetén a mintákat a lehető leghamarabb elemezni kell;

b) szénhidrogén elemzése után korrekciót kell végrehajtani a szennyeződés és a háttér-koncentráció tekintetében;

c) az állandó térfogatú mintavétel és a szénhidrogénadatok alapján, a VII. mellékletben leírt módon ki kell számítani a C3H8 össztömegét úgy, hogy a szénhidrogén M HC tényleges móltömege helyett a C3H8 M C3H8 móltömegét kell alkalmazni;

d) ha a referenciatömeget (gravimetriás módszert) alkalmazzák, akkor a palack propántöltetének tömegét ± 0,5 %-on belüli pontossággal meg kell határozni, a C3H8 referenciatömegét pedig úgy, hogy a propángázzal teli palack tömegéből kivonják az üres palack tömegét. Ha kritikus áramlású mérőperemes készüléket (kritikus áramlású mérőperemes áramlásmérővel való mérést) alkalmaznak, akkor a propán tömegét az áramlási sebesség és a vizsgálati idő szorzataként kell meghatározni;

e) a C3H8 vonatkoztatási tömegét a számított tömegből kell kiszámítani. Ha ez a különbség a referenciatömeg ± 3,0 %-án belül esik, akkor az állandó térfogatú mintavevő (CVS) megfelel az ellenőrzésen.

8.1.8.5.7.   A másodlagos részecskehígító rendszer ellenőrzése

Ha a másodlagos részecskehígító rendszer ellenőrzése érdekében meg kell ismételni a propángázos vizsgálatot, akkor az ellenőrzésre a következő eljárást kell követni az a)–d) alpont szerint:

a) a szénhidrogén-mintavevő rendszert úgy kell összeállítani, hogy a mintatárolóhoz (pl. részecskeszűrőhöz) közel vegyen mintát. Ha ezen a helyen túl alacsony az abszolút nyomás ahhoz, hogy szénhidrogén-mintát lehessen venni, a szakaszos mintavevő szivattyújának kipufogógázából is lehet szénhidrogénmintát venni. Óvatosan kell kezelni a szivattyú kipufogógázából vett mintát, mert a szivattyúnak a szakaszos mintavevő után bekövetkező, egyébként elfogadható szivárgása a propángázos vizsgálaton álsikertelen eredményt ad;

b) a propángázos vizsgálatot meg kell ismételni az e pontban leírt módon, de a szénhidrogénmintát a szakaszos mintavevőből kell venni;

c) a C3H8 tömegét a szakaszos mintavevőből való másodlagos hígítást figyelembe véve kell kiszámítani;

d) a C3H8 vonatkoztatási tömegét a számított tömegből kell kiszámítani. Ha ez a különbség a referenciatömeg ± 5 %-án belül esik, akkor a szakaszos mintavevő megfelel az ellenőrzésen. Ellenkező esetben korrekciós intézkedést kell alkalmazni.

▼M2 —————

▼B

8.1.8.6.   A részleges áramlású részecske- és a kapcsolódó hígítatlankipufogógáz-mérő rendszerek időszakos kalibrálása

8.1.8.6.1.   Az áramláskülönbség-mérésre vonatkozó előírások

Amikor részáramú hígítórendszerek hígítatlan kipufogógázból vesznek arányos mintát, a qm p mintaáram pontossága külön problémát jelent, ha nem közvetlen méréssel, hanem az áramláskülönbség mérésével határozzák meg a (6-20) egyenlet szerint:



q m p = q m dewq m dw

(6-20)

ahol:

qm p

a részáramú hígítórendszerbe belépő kipufogógáz-minta tömegárama

qm dw

a hígító levegő tömegárama (nedves alapon)

qm dew

a hígított kipufogógáz tömegárama nedves alapon

Ebben az esetben a különbség legnagyobb hibájának olyannak kell lennie, hogy a qm p pontossága ± 5 %-on belül legyen, ha a hígítási arány kisebb, mint 15. Ezt az egyes műszerek hibáinak négyzetes középértékével lehet kiszámítani.

A q mp elfogadható pontosságát a következő módszerek valamelyikével lehet biztosítani:

a) a qm dew és a qm dw abszolút pontossága ± 0,2 %, ami biztosítja, hogy 15-ös hígítási aránynál a qm p pontossága ≤ 5 százalék. Nagyobb hígítási arányok esetében azonban nagyobb hibák fordulhatnak elő;

b) a qm dw qm dew-re vonatkozó kalibrálását úgy kell elvégezni, hogy a qm p-re vonatkozóan az a) ponttal megegyező pontosságot érjünk el. A részleteket lásd a 8.1.8.6.2. pontban;

c) a q mp pontosságának meghatározása közvetve történik, a hígítási aránynak indikátorgázzal (például CO2-vel) meghatározott pontosságából. A q mp-re vonatkozóan a fenti a) pontban leírt módszerével megegyező pontosság szükséges;

d) a qm dew és a qm dw abszolút pontossága a teljes skála ± 2 %-án belül van, a qm dew és a qm dw közötti különbség legnagyobb hibája 0,2 %-on belül van, és a linearitási hiba a vizsgálat során kapott legnagyobb qm dew érték ± 0,2 %-án belül van.

8.1.8.6.2.   Az áramláskülönbség-mérés kalibrálása

A hígítatlan kipufogógázból való arányos mintavételre szolgáló részáramú hígítórendszert nemzeti és/vagy nemzetközi etalonon alapuló pontos áramlásmérővel rendszeresen kalibrálni kell. Az áramlásmérőt vagy az áramlásmérő műszereket a következő eljárások egyikével kell kalibrálni, úgy, hogy a szondán áthaladó és az alagútba belépő qm p áram megfeleljen a 8.1.8.6.1. pontban előírt pontossági követelményeknek.

a) a qm dw áramlásmérőjét sorba kell kötni a qm dew áramlásmérőjével, a két áramlásmérő közötti különbséget kalibrálni kell legalább öt, egymástól egyenlő értékre lévő beállítási ponton a vizsgálathoz használt legkisebb qm dw érték és a vizsgálathoz használt qm dew érték között. A hígítóalagutat meg lehet kerülni;

b) egy kalibrált tömegárammérő készüléket sorba kell kötni a qm dew áramlásmérőjével, és a pontosságot ellenőrizni kell a vizsgálathoz használt értékre vonatkozóan. A kalibrált áramlásmérőt sorba kell kötni a qm dw áramlásmérőjével, és a pontosságot legalább 5, a vizsgálatokhoz használt qm dew értékre vonatkozó, 3 és 15 közötti hígítási aránynak megfelelő beállítási ponton ellenőrizni kell;

c) a TT átvezető csövet (lásd a 6.7. ábrát) le kell kapcsolni a kipufogórendszerről, és a qm p méréséhez megfelelő tartományú kalibrált áramlásmérőt kell rákötni az átvezető csőre. A qm dew értékét be kell állítani a vizsgálat során használt értékre, és a qm dw értékét egymás után be kell állítani legalább öt, 3 és 15 közötti hígítási aránynak megfelelő értékre. Alternatív megoldásként létre lehet hozni egy speciális kalibrálási áramlási útvonalat az alagút megkerülésével, de úgy az összes levegő és a hígító levegő átáramlik a megfelelő mérőkön ugyanúgy, mint a tényleges vizsgálat során;

d) egy indikátorgázt kell betáplálni a kipufogórendszer TL átvezető csövébe. Ez az indikátorgáz lehet a kipufogógáz egyik összetevője, mint például CO2 vagy NOx. Az alagútban történő hígítás után meg kell mérni az indikátorgázt. Ezt el kell végezni öt, 3 és 15 közötti hígítási arányra. A mintaáram pontosságát az r d hígítási arányból kell meghatározni: a (6-21) egyenlettel:



q m p = q m dew /r d

(6-21)

A gázelemző készülékek pontosságát a qm p pontosságának biztosítása érdekében figyelembe kell venni.

8.1.8.6.3.   Az áramláskülönbség-mérésre vonatkozó különleges követelmények

Határozottan ajánlott elvégezni a tényleges kipufogógázzal a szénáram ellenőrzését a mérési és szabályozási problémák kimutatására, valamint a részáramú rendszer helyes működésének ellenőrzésére. A szénáram ellenőrzését legalább minden olyan esetben el kell végezni, amikor új motort szerelnek fel, vagy lényeges változás történik a mérőállás összeállításában.

A motort teljes nyomatékterheléssel és fordulatszámon kell működtetni, vagy más, olyan állandósult állapotban, amely legalább 5 % CO2-t eredményez. A részáramú mintavevő rendszert körülbelül 15:1 hígítási tényezővel kell működtetni.

A szénáram ellenőrzését a VII. melléklet 2. függelékében megadott eljárással kell elvégezni. A szénáramot a VII. melléklet 2. függelékében szereplő egyenletekkel kell kiszámítani. A szénáramok legfeljebb 5 %-os tűréssel térhetnek el egymástól.

8.1.8.6.3.1.   Vizsgálat előtti ellenőrzés

A vizsgálatot megelőzően 2 órán belül vizsgálat előtti ellenőrzést kell végezni a következő módon.

Az áramlásmérők pontosságát legalább két ponton kell ellenőrizni – ugyanolyan módszerrel, mint amit a kalibráláshoz kell használni (lásd a 8.1.8.6.2. pontot) –, beleértve a qm dw-re vonatkoztatott, a vizsgálat során használt 5 és 15 közötti hígítási arányoknak megfelelő qm dew áramokat is.

Ha a 8.1.8.6.2. pontban leírt kalibrálási eljárás nyilvántartása alapján kimutatható, hogy az áramlásmérő kalibrálása egy hosszabb időszakon át állandó, akkor a vizsgálat előtti ellenőrzés elhagyható.

8.1.8.6.3.2.   Az átalakítási idő meghatározása

Az átalakítási idő meghatározásához használt rendszerbeállításoknak ugyanolyanoknak kell lenniük, mint a vizsgálat alatt. Az e melléklet 5. függelékének 2.4. pontjában és a 6.11. ábrán meghatározott átalakítási időt a következő módszerrel kell meghatározni:

A szondán áthaladó áramnak megfelelő mérési tartománnyal rendelkező független vonatkoztatási áramlásmérőt kell közvetlenül a szondára kötni, sorosan. Ennek az áramlásmérőnek a válaszidő méréséhez használt ugrásszerű áramlásváltozásra vonatkozóan kevesebb mint 100 ms átalakítási idővel kell rendelkeznie, az áramlás nyomásának olyan korlátozásával, amely elég kicsi ahhoz, hogy ne befolyásolja a részáramú hígítórendszer dinamikus teljesítményét, a helyes műszaki gyakorlat szerint. A részáramú hígítórendszer kipufogógáz-áramát (vagy levegőáramát, ha a kipufogógáz-áram számításon alapul) a bevezetésénél ugrásszerűen meg kell változtatni, egy kis áramlásértékről legalább a mérőtartomány végpontjának 90 %-ára. Az ugrásszerű változást ugyanannak kell kiváltania, mint ami a tényleges vizsgálatoknál elindítja a prediktív szabályozást. A kipufogógáz-áram ugrásszerű változását kiváltó hatást és az áramlásmérő válaszát legalább 10 Hz gyakorisággal kell rögzíteni.

Ezekből az adatokból kell meghatározni a részáramú hígítórendszerre vonatkozó átalakítási időt, ami az ugrásszerű változás kezdetétől az áramlásmérő válaszának 50 %-áig tartó idő. Hasonló módon kell meghatározni a részáramú hígítórendszer q mp (azaz a kipufogógáz-minta árama a részáramú hígítórendszerbe) jelének és a kipufogógáz áramlásmérője q mew,i (azaz a kipufogógáz nedves alapon vett tömegáramának a kipufogógázáramlás-mérő által adott) jelének átalakítási idejét. Ezek a jelek az egyes vizsgálatok utáni regressziószámításokhoz használatosak (lásd a 8.2.1.2. pontot).

A számítást legalább 5 felfutásra és lefutásra el kell végezni, és az eredményeket átlagolni kell. A vonatkoztatási áramlásmérő belső átalakítási idejét (< 100 ms) ki kell vonni ebből az értékből. Ha prediktív szabályozásra van szükség, a részáramú hígítórendszer „elővezérlési” értékét a 8.2.1.2. pont szerint kell alkalmazni.

8.1.8.7.   A vákuumoldali szivárgás ellenőrzése

8.1.8.7.1.   Alkalmazási kör és gyakoriság

A mintavevő rendszer első beszerelésekor és olyan jelentős karbantartás után, mint az előszűrő cseréje, továbbá minden üzemmódsorozatból álló ciklust megelőző 8 órán belül az e szakaszban ismertetett szivárgásvizsgálatok egyikével ellenőrizni kell, hogy nincs-e jelentős vákuum-oldali szivárgás. Az ellenőrzés nem alkalmazandó teljes áramú hígítórendszer (CVS) esetében.

8.1.8.7.2.   Mérési alapelvek

Szivárgás akkor észlelhető, ha kismértékű áramlást mérnek, amikor semmilyen áramlásnak nem lenne szabad lennie, ha ismert koncentrációjú mérőtartomány-kalibráló gáz hígulását észlelik, amikor az a mintavevő rendszer vákuum-oldalán folyik át, vagy ha a csökkentett nyomású rendszerben nyomásemelkedést mérnek.

8.1.8.7.3.   Kismértékű szivárgás vizsgálata

Egy mintavevő rendszer a következőképpen kell vizsgálni kismértékű szivárgás szempontjából:

a) a rendszer szonda felőli részét a következő lépések egyikével le kell zárni:

i. a mintavevő szonda végét sapkával vagy dugóval le kell zárni;

ii. az átvezető csövet le kell választani a szondáról és sapkával vagy dugóval le kell zárni;

iii. a szonda és az átvezető cső közötti szivárgásmentes szelepet el kell zárni;

b) minden vákuumszivattyút működtetni kell. Stabilizálódás után ellenőrizni kell, hogy a mintavevő rendszer vákuumoldalán áthaladó áram a rendszer normál használat közbeni áramának kevesebb, mint 0,5 %-a. Az elemző készüléken áthaladó, illetve azt megkerülő áramokat a rendszer normál használat közbeni áramához viszonyítva lehet megbecsülni.

8.1.8.7.4.   A mérőtartomány-kalibráló gáz hígulásával járó szivárgás ellenőrzése

Ehhez a vizsgálathoz bármilyen gázelemző készüléket lehet használni. Ha ehhez a vizsgálathoz lángionizációs érzékelős (FID) gázelemző készüléket használnak, a mintavevő rendszer szénhidrogénekkel való szennyeződését a VII. melléklet szénhidrogének meghatározásáról szóló 2. vagy 3. szakasza szerint kell korrigálni. A félrevezető eredményeket kizárólag olyan gázelemző készülékek használatával lehet elkerülni, amelyek az ehhez a vizsgálathoz használt mérőtartomány-kalibráló gáz koncentrációja mellett 0,5 %-os vagy annál jobb ismételhetőséggel rendelkeznek. A vákuumoldali szivárgásvizsgálatot a következőképpen kell végrehajtani:

a) a gázelemző készüléket úgy kell előkészíteni, mint egy kibocsátásvizsgálathoz;

b) mérőtartomány-kalibráló gázt kell bevezetni a gázelemző készülékbe, és meg kell győződni arról, hogy a mérőtartomány-kalibráló gáz koncentrációjának mérése a várható mérési pontossággal és ismételhetőséggel történik;

c) a túlfolyó mérőtartomány-kalibráló gázt az alábbi helyek valamelyikére kell irányítani a mintavevő rendszerben:

i. a mintavevő szonda vége;

ii. az átvezető csövet le kell választani a szondáról, és a mérőtartomány-kalibráló gáz feleslegét az átvezető cső nyitott végébe kell elvezetni;

iii. a szonda és az átvezető cső közé háromutas szelepet kell beépíteni;

d) meg kell győződni arról, hogy a túlfolyó mérőtartomány-kalibráló gáz mért koncentrációja a mérőtartomány-kalibráló gáz koncentrációjának ± 0,5 %-án belül van. A vártnál alacsonyabb mért érték szivárgásra utal, a vártnál magasabb érték pedig arra engedhet következtetni, hogy magával a mérőtartomány-kalibráló gázzal vagy a gázelemző készülékkel van gond. A vártnál magasabb mért érték nem utal szivárgásra.

8.1.8.7.5.   A vákuum csökkenésével járó szivárgás vizsgálata

E vizsgálat végrehajtásához vákuumot kell létrehozni a mintavevő rendszer vákuumoldalán, és a rendszer szivárgását mint a vákuum csökkenését kell megfigyelni. E vizsgálat végrehajtásához a mintavevő rendszer vákuumoldalának volumenét a valós volumen ± 10 %-án belül kell ismerni. Ehhez a vizsgálathoz olyan mérőeszközöket kell használni, amelyek megfelelnek az 8.1. és a 9.4. pont előírásainak.

A vákuum csökkenésével járó szivárgás vizsgálatát a következőképpen kell elvégezni:

a) a rendszer szonda felőli részét a szondához a lehető legközelebb a következő lépések egyikével le kell zárni:

i. a mintavevő szonda végét sapkával vagy dugóval le kell zárni;

ii. az átvezető csövet le kell választani a szondáról és sapkával vagy dugóval le kell zárni;

iii. a szonda és az átvezető cső közötti szivárgásmentes szelepet el kell zárni;

b) minden vákuumszivattyút működtetni kell. A szokásos üzemi feltételeknek megfelelő vákuumot kell létrehozni. Mintavevő zsákok esetében ajánlatos a szokásos mintavevőzsák-leszívási eljárást kétszer megismételni a beszorult mennyiségek minimálisra csökkentése érdekében;

c) a mintavevő szivattyúkat le kell állítani, és a rendszert le kell zárni. A beszorult gáz abszolút nyomását és esetleg a rendszer abszolút hőmérsékletét meg kell mérni, és fel kell jegyezni. Elegendő időt kell hagyni arra, hogy a tranziens állapotok megállapodjanak, illetve elég hosszú időt, hogy egy 0,5 %-os szivárgás a nyomás-jelátalakító felbontásának legalább 10-szeresének megfelelő nyomásváltozást okozzon. A nyomást és esetleg a hőmérsékletet ismét fel kell jegyezni;

d) ki kell számítani a szivárgás áramlási sebességét – mintavevő zsákból leszívott mennyiségek esetében nulla értéket feltételezve, a mintavevő rendszer esetében pedig ismert értékek alapján –, a kezdeti és a végső nyomást, a választható hőmérsékleteket, valamint az eltelt időt. A (6-22) egyenlettel ellenőrizni kell, hogy a vákuum csökkenésével járó szivárgás áramlási sebessége a rendszer normál használat közbeni áramának kevesebb, mint 0,5 %-a:



image

(6-22)

ahol:

qV leak

a vákuum csökkenésével járó szivárgás mértéke, mol/s

V vac

a mintavevő rendszer vákuumoldalának geometriai volumene, m3

R

moláris gázállandó, J/(mol K)

p 2

abszolút nyomás a vákuumoldalon a t 2 időpontban, Pa

T 2

abszolút hőmérséklet a vákuumoldalon a t 2 időpontban, K

p 1

abszolút nyomás a vákuumoldalon a t 1 időpontban, Pa

T 1

abszolút hőmérséklet a vákuumoldalon a t 1 időpontban, K

t 2

a vákuum csökkenésével járó szivárgás vizsgálatának vége, s

t 1

a vákuum csökkenésével járó szivárgás vizsgálatának kezdete, s

8.1.9.   CO- és CO2-mérések

8.1.9.1.   A CO2-t kimutató, nem diszperzív infravörös abszorpció (NDIR) elvén működő gázelemző készülékek H2O-val való interferenciájának vizsgálata

8.1.9.1.1.   Alkalmazási kör és gyakoriság

Ha a CO2 mérése nem diszperzív infravörös abszorpció (NDIR) elvén működő gázelemző készülékkel történik, a H2O interferenciájának mértékét a gázelemző készülék első beszerelésekor és jelentős karbantartás után ellenőrizni kell.

8.1.9.1.2.   Mérési alapelvek

A H2O zavarhatja a nem diszperzív infravörös abszorpció (NDIR) elvén működő gázelemző készülék CO2-re adott válaszát. Ha a nem diszperzív infravörös abszorpció (NDIR) elvén működő gázelemző készülék olyan kiegyenlítő algoritmusokat használ, amelyek más gázok mérési eredményei alapján teljesítik az interferencia-ellenőrzést, a gázelemző készülék interferencia-ellenőrzése során e méréseket is el kell végezni a kiegyenlítő algoritmusokat vizsgálatára.

8.1.9.1.3.   Rendszerkövetelmények

Egy CO2-t kimutató nem diszperzív infravörös abszorpció (NDIR) elvén működő gázelemző készülék H2O-interferenciájának 0,0 ± 0,4 mmol/molon belül kell lennie (a várható átlagos CO2-koncentrációhoz viszonyítva).

8.1.9.1.4.   Az eljárás

Az interferenciavizsgálatot a következőképpen kell végrehajtani:

a) a CO2 kimutató nem diszperzív infravörös abszorpció (NDIR) elvén működő gázelemző készüléket úgy kell elindítani, üzemeltetni, nullázni, illetve mérőtartománya tekintetében kalibrálni, mint egy kibocsátásvizsgálat előtt;

▼M2

b) a 9.5.1. pontban meghatározott előírásoknak megfelelő nullázó levegőt zárt tartályban desztillált vízen átbuborékoltatva párásított vizsgálati gázt kell létrehozni. Ha a minta nem halad át szárítón, akkor a tartály hőmérsékletét úgy kell szabályozni, hogy a vizsgálati gázban legalább olyan magas H2O-tartalom alakuljon ki, mint a vizsgálat alatt várható legnagyobb tartalom. Ha a minta a vizsgálat során szárítón halad át, akkor a tartály hőmérsékletét úgy kell szabályozni, hogy a vizsgálati gázban legalább olyan magas H2O-tartalom alakuljon ki, mint a szárító kimeneténél a 9.3.2.3.1.1. pontnak megfelelően várható legnagyobb tartalom;

▼B

c) a párásított vizsgálati gázt a tartály után a harmatpontját legalább 5 °K-kal meghaladó hőmérsékleten kell tartani;

d) a párásított gázt be kell vezetni a mintavevő rendszerbe. A párásított vizsgálati gázt a mintaszárító után kell bevezetni, ha használnak ilyet a vizsgálat során;

e) a párásított vizsgálati gáz vízzel alkotott x H2O mólfrakcióját a gázelemző készülék bemenetéhez a lehető legközelebb kell megmérni; Például az x H2O kiszámításához meg kell mérni a T dew harmatpontot és a p total abszolút nyomást;

f) a helyes műszaki gyakorlat alapján, az x H2O mérésének pontjától a gázelemző készülékig meg kell akadályozni a kondenzációt az átvezető csövekben, szerelvényekben és szelepekben;

g) időt kell hagyni arra, hogy a gázelemző készülék válasza stabilizálódjon. A stabilizálódási időbe beletartozik az átvezető cső átszellőztetésére és az elemzőkészülék válaszának figyelembevételére fordított idő is;

h) 30 másodpercnyi mintaadatot kell rögzíteni, míg a gázelemző készülék a minta koncentrációját méri. Ki kell számítani ezen adatok számtani közepét. A gázelemző készülék megfelel az interferenciaellenőrzésen, ha ez az érték (0,0 ± 0,4) mmol/mol értéken belül van.

8.1.9.2.   A CO-ot kimutató, nem diszperzív infravörös abszorpció (NDIR) elvén működő gázelemző készülékek H2O-val és CO2-vel való interferenciájának vizsgálata

8.1.9.2.1.   Alkalmazási kör és gyakoriság

Ha a CO mérése nem diszperzív infravörös abszorpció (NDIR) elvén működő gázelemző készülékkel történik, a H2O és a CO2 interferenciájának mértékét a gázelemző készülék első beszerelésekor és jelentős karbantartás után ellenőrizni kell.

8.1.9.2.2.   Mérési alapelvek

A H2O és a CO2 zavarhatja a nem diszperzív infravörös abszorpció (NDIR) elvén működő gázelemző készüléket azzal, hogy a CO-ra adott válaszhoz hasonló választ váltanak ki. Ha a nem diszperzív infravörös abszorpció (NDIR) elvén működő gázelemző készülék olyan kiegyenlítő algoritmusokat használ, amelyek más gázok mérési eredményei alapján teljesítik az interferencia-ellenőrzést, a gázelemző készülék interferencia-ellenőrzése során e méréseket is el kell végezni a kiegyenlítő algoritmusokat vizsgálatára.

8.1.9.2.3.   Rendszerkövetelmények

Egy CO-ot kimutató nem diszperzív infravörös abszorpció (NDIR) elvén működő gázelemző készülék együttes H2O- és CO2-interferenciájának a várható átlagos CO-koncentráció ± 2 %-án belül kell lennie.

8.1.9.2.4.   Az eljárás

Az interferenciavizsgálatot a következőképpen kell végrehajtani:

a) a CO-t kimutató nem diszperzív infravörös abszorpció (NDIR) elvén működő gázelemző készüléket úgy kell elindítani, üzemeltetni, nullázni, illetve mérőtartománya tekintetében kalibrálni, mint egy kibocsátásvizsgálat előtt;

▼M2

b) CO2 mérőtartomány-kalibráló gázt zárt tartályban desztillált vízen átbuborékoltatva párásított vizsgálati CO2-gázt kell létrehozni. Ha a minta nem halad át szárítón, akkor a tartály hőmérsékletét úgy kell szabályozni, hogy a vizsgálati gázban legalább olyan magas H2O-tartalom alakuljon ki, mint a vizsgálat alatt várható legnagyobb H2O-tartalom. Ha a minta a vizsgálat során szárítón halad át, akkor a tartály hőmérsékletét úgy kell szabályozni, hogy a vizsgálati gázban legalább olyan magas H2O-tartalom alakuljon ki, mint a szárító kimeneténél a 9.3.2.3.1.1. pontnak megfelelően várható legnagyobb tartalom. Legalább olyan magas koncentrációjú mérőtartomány-kalibráló CO2-gázt kell használni, mint a vizsgálat alatt várható legnagyobb koncentráció;

▼B

c) a párásított vizsgálati CO2-gázt be kell vezetni a mintavevő rendszerbe. A párásított vizsgálati CO2-gázt a mintaszárító után lehet bevezetni, ha használnak ilyet a vizsgálat során;

d) a párásított vizsgálati gáz vízzel alkotott x H2O mólfrakcióját a gázelemző készülék bemenetéhez a lehető legközelebb kell megmérni; Például az x H2O kiszámításához meg kell mérni a T dew harmatpontot és a p total abszolút nyomást;

e) a helyes műszaki gyakorlat alapján, az x H2O mérésének pontjától a gázelemző készülékig meg kell akadályozni a kondenzációt az átvezető csövekben, szerelvényekben és szelepekben;

f) időt kell hagyni arra, hogy a gázelemző készülék válasza stabilizálódjon;

g) 30 másodpercnyi mintaadatot kell rögzíteni, míg a gázelemző készülék a minta koncentrációját méri. Ki kell számítani ezen adatok számtani közepét;

h) a gázelemző készülék megfelel az interferenciaellenőrzésen, ha az e pont g) alpontja szerinti eredmény a 8.1.9.2.3. pont szerinti tűrésen belül van;

i) a CO2-ra és a H2O-ra vonatkozó interferencia-eljárások külön-külön is elvégezhetők. Ha az alkalmazott CO2- és H2O-szintek magasabbak a vizsgálat alatt várható legnagyobb szinteknél, a mért interferencia-értéket arányosan csökkenteni kell úgy, hogy a mért interferenciát meg kell szorozni a várható legnagyobb koncentrációs érték és az eljárás során mért tényleges érték közötti aránnyal. Olyan külön interferencia-eljárások is alkalmazhatók, amelyeknél a H2O-koncentrációk (csupán 0,025 mol/mol H2O tartalom) alacsonyabbak a vizsgálat alatt várható legnagyobb szinteknél, ám ilyenkor a mért H2O- interferenciát arányosan növelni kell úgy, hogy a mért interferenciát meg kell szorozni a várható legnagyobb H2O-koncentrációs érték és az eljárás során mért tényleges érték közötti aránnyal. A két arányosított interferencia-érték összegének eleget kell tennie a 8.1.9.2.3. pontban meghatározott toleranciának.

8.1.10.   Szénhidrogénmérések

8.1.10.1.   Lángionizációs érzékelő (FID) optimalizálása és ellenőrzése

8.1.10.1.1.   Alkalmazási kör és gyakoriság

Valamennyi lángionizációs érzékelős (FID) gázelemző készüléket kalibrálni kell az első beszereléskor. A kalibrálást a helyes műszaki gyakorlat szerint kell megismételni. Szénhidrogént mérő lángionizációs érzékelős (FID) gázelemző készülék esetében az alábbi lépéseket kell végrehajtani:

a) a lángionizációs érzékelős (FID) gázelemző készülék különböző szénhidrogénekre adott válaszát optimalizálni kell az első beszereléskor és jelentős karbantartás után. A lángionizációs érzékelős (FID) gázelemző készülék propilénre és toluolra adott válaszának a propánra adott válasz 0,9–1,1-szeresének kell lennie;

b) egy lángionizációs érzékelős (FID) gázelemző készülék metánra (CH4) adott válaszát az első beszereléskor és jelentős karbantartás után kell meghatározni a 8.1.10.1.4. pontban leírtak szerint;

c) a metánra (CH4) adott választ vizsgálatot megelőző 185 napon belül kell ellenőrizni.

8.1.10.1.2.   Kalibrálás

A helyes műszaki gyakorlat alapján ki kell dolgozni egy kalibrálási eljárást a lángionizációs érzékelős (FID) gázelemző készülék gyártójának utasításai és a lángionizációs érzékelő kalibrálásának általa ajánlott gyakorisága alapján. A FID gázelemző készülékeket a 9.5.1. pontban szereplő előírásoknak megfelelő C3H8 kalibráló gázokkal kell kalibrálni. A kalibrálást egyes szénszám (C1) alapján kell elvégezni;

8.1.10.1.3.   Szénhidrogének kimutatására szolgáló lángionizációs érzékelős (FID) gázelemző készülékek válaszának optimalizálása

Ez az eljárás csak az olyan lángionizációs érzékelős (FID) gázelemző készülékekre vonatkozik, amelyek a szénhidrogéneket mérik.

a) A műszer első elindítását és a működéshez való alapvető beállítását a gyártó követelményei és a helyes műszaki gyakorlat alapján kell végrehajtani a FID üzemanyagával és nullázó levegővel. a fűtött lángionizációs érzékelős (FID) gázelemző készülékeknek az előírt üzemi hőmérsékleti tartományon belül kell lenniük. A lángionizációs érzékelős (FID) gázelemző készülék válaszát optimalizálni kell, hogy a gázelemző készülék kibocsátásvizsgálat során leggyakrabban előforduló mérőtartományában a 8.1.10.1.1. pont a) alpontja és a 8.1.10.2. pont szerint megfeleljen a szénhidrogén-választényezőkre vonatkozó követelménynek és az oxigéninterferencia ellenőrzésekor. A műszer gyártójának ajánlásai és a helyes műszaki gyakorlat alapján a gázelemző készülék magasabb méréstartományát lehet használni a lángionizációs érzékelős (FID) gázelemző készülék pontosabb optimalizálása érdekében, ha a gázelemző készülék általános mérőtartománya alacsonyabb, mint a gyártó által az optimalizáláshoz megadott minimumtartomány;

b) a fűtött lángionizációs érzékelős (FID) gázelemző készülékeknek az előírt üzemi hőmérsékleti tartományon belül kell lenniük. A lángionizációs érzékelős (FID) gázelemző készülék válaszát a gázelemző készülék kibocsátásvizsgálat során leggyakrabban előforduló mérőtartományában kell optimalizálni. ►M2  A lángionizációs detektor tüzelőanyag- és levegőáramát a gyártó ajánlása szerint kell beállítani, majd egy mérőtartomány-kalibráló gázt kell a gázelemző készülékbe vezetni; ◄

c) az optimalizáláshoz a következő i–iv. bekezdésben leírt lépéseket vagy a műszer gyártója által előírt eljárást kell követni. Az optimalizálás történhet az SAE 770141 sz. specifikációjában leírt eljárásokkal is;

▼M2

i. a lángionizációs detektor adott tüzelőanyag-áramánál kiváltott válaszjelet a mérőtartomány-kalibráló gázra adott válaszjel és a nullázó gázra adott válaszjel különbségéből kell meghatározni;

▼B

ii. a tüzelőanyag-áramot lépésenként be kell állítani a gyártó által ajánlott érték alá és fölé. ►M2  A lángionizációs detektor ezen tüzelőanyag-áramainál a mérőtartomány-kalibráló gázra és a nullázó gázra adott válaszokat rögzíteni kell; ◄

iii. a kalibrálógáz és a nullázó gáz válaszjele közötti különbséget egy görbén kell ábrázolni, a tüzelőanyag-áramot pedig a görbe gázdús oldalára kell beállítani. Ez a tüzelőanyag-áram kiindulási beállítása, amelyet a szénhidrogénekre vonatkozó választényezőktől (a 8.1.10.1.1. pont a) alpontja) és az oxigéninterferencia ellenőrzésekor (8.1.10.2. pont) kapott eredményektől függően szükség esetén optimalizálni kell;

iv. ha az oxigéninterferencia vagy a szénhidrogénre vonatkozó választényezők nem felelnek meg az alábbi előírásoknak, akkor a levegőáramot fokozatosan a gyártó által megadott érték fölé, illetve alá kell beállítani, és az összes anyagáramra meg kell ismételni a 8.1.10.1.1. pont a) alpontjában és a 8.1.10.2. pontban leírtakat;

d) meg kell határozni a lángionizációs érzékelős (FID) gázelemző készülék tüzelőanyagának és égési levegőjének optimális áramlási sebességét és/vagy nyomását, és a jövőre nézve mintát kell venni belőlük, és fel kell őket jegyezni.

8.1.10.1.4.   Szénhidrogének kimutatására szolgáló lángionizációs érzékelős (FID) gázelemző készülékek CH4-re adott válaszának meghatározása

Mivel a lángionizációs érzékelős (FID) gázelemző készülékek általában eltérő választ adnak a CH4-re, illetve a C3H8-ra, a lángionizációs érzékelős (FID) gázelemző készülékek optimalizálása után valamennyi, az összes szénhidrogén kimutatására szolgáló FID készülék CH4-re adott RF CH4[THC-FID] választényezőjét meg kell határozni A CH4 válaszának ellensúlyozása céljából az e szakasz szerint mért legutóbbi RF CH4[THC-FID] választényezőt kell a VII. melléklet 2. szakaszában (tömegalapú megközelítés) vagy 3. szakaszában (moláris alapú megközelítés) leírt szénhidrogén-meghatározáshoz végzett számításokban alkalmazni. Az RF CH4[THC-FID] választényezőt az alábbiak szerint kell meghatározni:

a) a kibocsátásvizsgálat előtt ki kell választani a gázelemző készülék mérőtartományának meghatározásához használt C3H8 mérőtartomány-kalibráló gáz koncentrációját. Csak a 9.5.1. pontban leírt követelményeknek eleget tevő mérőtartomány-kalibráló gázokat lehet választani, és fel kell jegyezni a gáz C3H8 koncentrációját;

b) a 9.5.1. pontban leírt követelményeknek eleget tevő CH4 mérőtartomány-kalibráló gázt lehet választani, és fel kell jegyezni a gáz CH4 koncentrációját;

c) a lángionizációs érzékelős (FID) gázelemző készüléket a gyártó utasításainak megfelelően kell működtetni;

d) meg kell győződni arról, hogy a lángionizációs érzékelős (FID) gázelemző készülék kalibrálása C3H8 segítségével történt. A kalibrálást egyes szénszám (C1) alapján kell elvégezni;

e) a lángionizációs érzékelős (FID) gázelemző készüléket egy kibocsátásvizsgálathoz használt nullázó gázzal le kell nullázni;

f) be kell állítani a lángionizációs érzékelős (FID) gázelemző készülék mérőtartományát a kiválasztott C3H8 mérőtartomány-kalibráló gázzal;

g) a b) pont szerint kiválasztott CH4 mérőtartomány-kalibráló gázt a FID gázelemző készülék mintabevezető nyílásán keresztül kell bevezetni;

h) a gázelemző készülék válaszának stabilizálódnia kell. A stabilizálódási időbe beletartozhat a gázelemző készülék átszellőztetésére és a válaszának figyelembevételére fordított idő is;

i) 30 másodpercnyi mintaadatot kell rögzíteni, míg a gázelemző készülék a CH4-koncentrációt méri, és ki kell számítani ezen értékek számtani közepét;

j) az átlagos mért koncentrációt el kell osztani a CH4 kalibráló gáz feljegyzett koncentrációjával. Az eredmény a lángionizációs érzékelős (FID) gázelemző készülék CH4-re adott RF CH4[THC-FID] választényezője.

8.1.10.1.5.   Szénhidrogének kimutatására szolgáló lángionizációs érzékelős (FID) gázelemző készülékek metánra (CH4) adott válaszának ellenőrzése

Ha a 8.1.10.1.4. szakasz szerinti RF CH4[THC-FID] értéke a legutóbb meghatározott érték ± 5,0 százalékán belül van, akkor a szénhidrogének kimutatására szolgáló lángionizációs érzékelős (FID) gázelemző készülék megfelel a metánra adott válasz ellenőrzésén.

a) Először meg kell győződni arról, hogy a lángionizációs érzékelős (FID) gázelemző készülék tüzelőanyagának, égési levegőjének és mintájának nyomása és/vagy áramlási sebessége a legutóbb meghatározott érték ± 0,5 %-án belül van a 8.1.10.1.3. pontban leírtak szerint. Ha ezeket az áramlási sebességeket ki kell igazítani, akkor a 8.1.10.1.4. pontban leírtak szerint meg kell határozni az RF CH4[THC-FID] új értékét. Ellenőrizni kell, hogy az RF CH4[THC-FID] meghatározott értéke a 8.1.10.1.5. pontban meghatározott tűrésen belül esik-e;

b) ha az RF CH4[THC-FID] értéke a 8.1.10.1.5. pontban meghatározott tűrésen kívül esik, akkor a lángionizációs érzékelős (FID) gázelemző készülék válaszát a 8.1.10.1.3. pontban leírtak szerint újra optimalizálni kell;

c) a 8.1.10.1.4. pontban leírtak szerint meg kell határozni az RF CH4[THC-FID] új értékét. Az RF CH4[THC-FID] ezen új értékét kell a VII. melléklet 2. szakaszában (tömegalapú megközelítés) vagy 3. szakaszában (moláris alapú megközelítés) leírt szénhidrogén-meghatározáshoz végzett számításokban alkalmazni.

8.1.10.2.   A nem sztöchiometrikus hígítatlan kipufogógáz kimutatására szolgáló lángionizációs érzékelős (FID) gázelemző készülék O2-vel való interferenciájának ellenőrzése

8.1.10.2.1.   Alkalmazási kör és gyakoriság

Ha lángionizációs érzékelős (FID) gázelemző készülékekkel hígítatlan kipufogógázra vonatkozó méréseket végeznek, a lángionizációs érzékelős (FID) gázelemző készülék O2-vel való interferenciájának mértékét a gázelemző készülék első beszerelésekor és jelentős karbantartás után ellenőrizni kell.

8.1.10.2.2.   Mérési alapelvek

A hígítatlan kipufogógáz O2-koncentrációjának változása a lángionizációs érzékelős (FID) gázelemző készülék lángja hőmérsékletének megváltoztatásával befolyásolhatja a készülék válaszát. A lángionizációs érzékelős (FID) gázelemző készülék tüzelőanyag-, égési levegő- és mintaáramát optimalizálni kell, hogy megfeleljenek az ellenőrzésen. A lángionizációs érzékelős (FID) gázelemző készülék működését a kibocsátásvizsgálat során jelentkező O2-interferenciára vonatkozó kiegyenlítő algoritmusokkal kell ellenőrizni.

8.1.10.2.3.   Rendszerkövetelmények

A vizsgálat során használt minden lángionizációs érzékelős (FID) gázelemző készüléknek meg kell felelnie az O2-interferencia e szakaszban leírt eljárás szerint végzett ellenőrzésének.

8.1.10.2.4.   Az eljárás

A lángionizációs érzékelős (FID) gázelemző készülék O2-vel való interferenciáját a következők szerint kell meghatározni, figyelembe véve, hogy egy vagy több gázmegosztóval elő lehet állítani az ellenőrzés elvégzéséhez szükséges vonatkoztatási gázkoncentrációkat:

a) három olyan vonatkoztatási mérőtartomány-kalibráló gázt kell választani, amelyek megfelelnek a 9.5.1. pontban előírt követelményeknek, és kibocsátásvizsgálat előtt a gázelemző készülék mérőtartományának meghatározásához használt C3H8 koncentrációt tartalmaznak. ►M2  ————— ◄ A három kiegyensúlyozó gáz koncentrációját úgy kell megválasztani, hogy az O2 és az N2 koncentrációi a vizsgálat során várható legkisebb, legnagyobb és közbenső O2-koncentrációnak feleljenek meg. Az átlagos O2-koncentráció használatára vonatkozó követelménytől el lehet tekinteni, ha a lángionizációs érzékelős (FID) gázelemző készüléket az átlagos várható oxigénkoncentrációval kiegyensúlyozott mérőtartomány-kalibráló gázzal kalibrálták;

b) meg kell győződni arról, hogy a lángionizációs érzékelős (FID) gázelemző készülék megfelel a 8.1.10.1. pont előírásainak;

c) a lángionizációs érzékelős (FID) gázelemző készüléket úgy kell elindítani és üzemeltetni, mint egy kibocsátásvizsgálat előtt. A lángionizációs érzékelős (FID) gázelemző készülék égőjének légforrásától függetlenül ennél a vizsgálatnál nullázó levegőt kell használni a lángionizációs érzékelős (FID) gázelemző készülék égőjének légforrásaként;

d) a gázelemző készüléken el kell végezni a nullapont-beállítást;

e) a gázelemző készülék mérőtartományát egy kibocsátásvizsgálathoz használt mérőtartomány-kalibráló gázzal kell beállítani;

f) a nullapontválaszt a kibocsátásvizsgálathoz használt nullázó gázzal kell ellenőrizni. A következő lépésre kell továbblépni, ha 30 másodpercnyi mintaadat átlagos nullapontválasza az e pont e) alpontjában használt vonatkoztatási mérőtartomány-kalibrálási referenciaérték ± 0,5 %-án belül van, ellenkező esetben az eljárást újra kell kezdeni e pont d) alpontjától kezdve;

g) a gázelemző készülék válaszát a vizsgálatok alatt várható legkisebb O2-koncentrációjú mérőtartomány-kalibráló gáz segítségével kell ellenőrizni. 30 s-nyi stabilizált mintaadat átlagos válaszát x O2minHC néven kell rögzíteni;

h) a lángionizációs érzékelős (FID) gázelemző készülék nullapontválaszát a kibocsátásvizsgálathoz használt nullázó gázzal kell ellenőrizni. A következő lépést kell elvégezni, ha 30 másodpercnyi stabilizált minta adatának átlagos nullapontválasza az e pont e) alpontjában használt vonatkoztatási mérőtartomány-kalibrálási referenciaérték ± 0,5 %-án belül van, ellenkező esetben az eljárást újra kell kezdeni e pont d) alpontjától kezdve;

i) a gázelemző készülék válaszát a vizsgálatok alatt várható átlagos O2-koncentrációjú mérőtartomány-kalibráló gáz segítségével kell ellenőrizni. 30 s-nyi stabilizált mintaadat átlagos válaszát x O2avgHC néven kell rögzíteni;

j) a lángionizációs érzékelős (FID) gázelemző készülék nullapontválaszát a kibocsátásvizsgálathoz használt nullázó gázzal kell ellenőrizni. A következő lépést kell elvégezni, ha 30 másodpercnyi stabilizált minta adatának átlagos nullapontválasza az e pont e) alpontjában használt vonatkoztatási mérőtartomány-kalibrálási referenciaérték ± 0,5 %-án belül van, ellenkező esetben az eljárást újra kell kezdeni e pont d) alpontjától kezdve;

k) a gázelemző készülék válaszát a vizsgálatok alatt várható legnagyobb O2-koncentrációjú mérőtartomány-kalibráló gáz segítségével kell ellenőrizni. 30 s-nyi stabilizált mintaadat átlagos válaszát x O2maxHC néven kell rögzíteni;

l) a lángionizációs érzékelős (FID) gázelemző készülék nullapontválaszát a kibocsátásvizsgálathoz használt nullázó gázzal kell ellenőrizni. A következő lépést kell elvégezni, ha 30 másodpercnyi stabilizált minta adatának átlagos nullapontválasza az e pont e) alpontjában használt vonatkoztatási mérőtartomány-kalibrálási referenciaérték ± 0,5 %-án belül van, ellenkező esetben az eljárást újra kell kezdeni e pont d) alpontjától kezdve;

m) ki kell kiszámítani az x O2maxHC és a vonatkoztatási gáz koncentrációja közötti százalékos különbséget. Ki kell kiszámítani az x O2avgHC és a vonatkoztatási gáz koncentrációja közötti százalékos különbséget. ki kell kiszámítani az x O2minHC és a vonatkoztatási gáz koncentrációja közötti százalékos különbséget. Meg kell határozni a három érték közül a legmagasabb % különbséget. Ez az O2-interferencia;

n) ha az O2-interferencia ± 3 százalékon belül van, akkor a lángionizációs érzékelős (FID) gázelemző készülék megfelel az O2-interferencia ellenőrzésén; ellenkező esetben a következők közül egy vagy több lépést végre kell hajtani a probléma megoldására:

i. meg kell ismételni az ellenőrzést annak meghatározása érdekében, hogy történt-e hiba az eljárás során;

ii. magasabb vagy alacsonyabb O2-koncentrációjú nullázógázt és mérőtartomány-kalibráló gázt kell választani a kibocsátásvizsgálathoz, és meg kell ismételni az ellenőrzést;

iii. ki kell igazítani a lángionizációs érzékelős (FID) gázelemző készülék égésilevegő-, tüzelőanyag- és mintaáramát. Meg kell jegyezni, hogy ha ezeket az áramlási sebességeket az O2-interferencia ellenőrzésén való megfelelés érdekében kiigazítják az összes szénhidrogén kimutatására szolgáló FID készüléken, akkor az RF CH4 értékét ismét be kell állítani a következő RF CH4-ellenőrzéshez Az O2-interferencia ellenőrzését a kiigazítás után meg kell ismételni, és meg kell határozni az RF CH4 értékét;

iv. a lángionizációs érzékelős (FID) gázelemző készüléket meg kell javítani vagy ki kell cserélni, és az O2-interferencia ellenőrzését meg kell ismételni.

8.1.10.3.   A metánkiválasztó penetrációs hányadai (fenntartva)

8.1.11.   NOx-mérések

8.1.11.1.   A kemilumineszcens detektoros gázelemző készülékre (CLD) a CO2 és a H2O által gyakorolt kioltó hatás ellenőrzése

8.1.11.1.1.   Alkalmazási kör és gyakoriság

Ha a NOx mérése kemilumineszcens detektoros (CLD) gázelemző készülékkel történik, a H2O és CO2 kioltó hatásának mértékét a CLD gázelemző készülék első beszerelésekor és jelentős karbantartás után ellenőrizni kell.

8.1.11.1.2.   Mérési alapelvek

A H2O és CO2 ütközési kioltás révén csökkentheti a kemilumineszcens detektoros gázelemző készülék NOx-ra adott válaszát, az ütközési kioltás ugyanis gátolja a kemilumineszcens reakciót, amellyel a CLD gázelemző készülék kimutatja a NOx-okat. Ez az eljárás és a 8.1.11.2.3. pontban leírt számítások meghatározzák a kioltást, és a kioltás eredményeit összevetik a kibocsátásvizsgálat során várható legnagyobb H2O-mólfrakcióval és a legnagyobb CO2-koncentrációval. Ha a kemilumineszcens detektoros (CLD) gázelemző készülék olyan kiegyenlítő algoritmusokat használ, amelyek H2O- és/vagy CO2-mérő műszereken alapulnak, a kioltás értékelésekor ezeknek a műszereknek be kell lenniük kapcsolva, és a kiegyenlítő algoritmusokat is alkalmazni kell.

8.1.11.1.3.   Rendszerkövetelmények

Hígított kipufogógáz mérésekor a H2O és CO2 által a kemilumineszcens detektoros (CLD) gázelemző készülékre gyakorolt együttes kioltó hatás nem lehet nagyobb, mint ± 2 %. Hígított kipufogógáz mérésekor a H2O és CO2 által a kemilumineszcens detektoros (CLD) gázelemző készülékre gyakorolt együttes kioltó hatás nem lehet nagyobb, mint ± 2,5 %. Az együttes kioltó hatás a CO2-nek a 8.1.11.1.4. pont szerint meghatározott kioltó hatásának és a H2O-nak a 8.1.11.1.5. pont szerint meghatározott kioltó hatásának összege. Ha ezek a követelmények nem teljesülnek, korrekciós intézkedéseket kell tenni, azaz meg kell javítani vagy ki kell cserélni a gázelemző készüléket. A kibocsátásvizsgálatok végrehajtása előtt meg kell győződni arról, hogy a korrekciós intézkedés sikeresen helyreállította a gázelemző készülék megfelelő működését.

8.1.11.1.4.   A CO2 kioltó hatásának ellenőrzésére szolgáló eljárás

A következő módszer vagy a műszer gyártója által előírt módszer alkalmazható a CO2 kioltó hatásának meghatározására egy olyan gázmegosztót alkalmazva, amely a kétkomponensű mérőtartomány-kalibráló gázokat nullázó gázzal hígítja, és megfelel a 9.4.5.6. pontban foglalt előírásoknak, vagy a helyes műszaki gyakorlat alapján más protokollt fejlesztenek ki:

a) a szükséges csatlakozásokat teflonból vagy rozsdamentes acélból készült vezetékekből kell készíteni;

b) a gázmegosztót úgy kell összeállítani, hogy közel azonos mennyiségű mérőtartomány-kalibráló gázt és hígítógázt keverjen össze;

c) ha a kemilumineszcens detektoros (CLD) gázelemző készülék rendelkezik olyan üzemmóddal, amelyben az összes NOx helyett csak a NOx-ot észleli, a CLD gázelemző készüléket a csak a NO-ot észlelő üzemmódban kell üzemeltetni;

d) olyan CO2-kalibráló gázt kell használni, amely eleget tesz a 9.5.1. pontban leírt követelményeknek, és koncentrációja megközelítőleg kétszerese a kibocsátásmérések során várható legnagyobb CO2-koncentrációnak;

e) olyan NO mérőtartomány-kalibráló gázt kell használni, amely eleget tesz a 9.5.1. pontban leírt követelményeknek, és koncentrációja megközelítőleg kétszerese a kibocsátásmérések során várható legnagyobb NO-koncentrációnak. A műszer gyártójának ajánlásai és a helyes műszaki gyakorlat alapján nagyobb koncentrációt lehet használni a pontos ellenőrzés érdekében, ha a várható NO-koncentráció alacsonyabb, mint a műszer gyártója által az ellenőrzéshez megadott minimumtartomány;

f) a kemilumineszcens detektoros gázelemző készüléken be kell állítani a nullapontot és a mérőtartományt. A gázmegosztó segítségével be kell állítani a kemilumineszcens detektoros gázelemző készülék mérőtartományát az e pont e) alpontjában említett NO mérőtartomány-kalibráló gázzal. A NO mérőtartomány-kalibráló gáz vezetékét csatlakoztatni kell a gázmegosztó kalibráló bemenetéhez; a gázmegosztó hígító bemenetéhez a nullázó gáz vezetékét kell csatlakoztatni; az e pont b) alpontjában választott névleges keverési arányt kell alkalmazni; és a gázmegosztó által előállított koncentrációjú NO gázzal kell meghatározni a kemilumineszcens detektoros gázelemző készülék mérőtartományát. A pontos gázmegosztás érdekében szükség szerint helyesbíteni kell a gáz tulajdonságait;

g) a CO2 mérőtartomány-kalibráló gáz vezetékét csatlakoztatni kell a gázmegosztó kalibráló bemenetéhez;

h) a gázmegosztó hígító bemenetéhez az NO mérőtartomány-kalibráló gáz vezetékét kell csatlakoztatni;

i) miközben az NO és a CO2 átfolyik a gázmegosztón, stabilizálni kell a gázmegosztó kimenetét. Meg kell határozni a gázmegosztó kimenetének CO2-koncentrációját, a pontos gázmegosztás érdekében szükség szerint helyesbítve a gáz tulajdonságait; Az x CO2act koncentrációt fel kell jegyezni, és fel kell használni a kioltás 8.1.11.2.3. pont szerinti ellenőrzésének számításaiban. Gázmegosztó helyett más egyszerű gázkeverő berendezés is használható. Ebben az esetben a gázelemző készülékkel meg kell határozni a CO2 koncentrációt. Ha az NDIR nem diszperzív infravörös gázelemző készüléket egyszerű gázkeverő berendezéssel használják együtt, akkor annak meg kell felelnie az e szakaszban meghatározott követelményeknek, és mérőtartományát az e pont d) alpontjában említett CO2 mérőtartomány-kalibráló gázzal kell meghatározni. Az NDIR gázelemző készülék linearitását előbb a teljes skálán a vizsgálat alatt várható legnagyobb CO2-koncentráció kétszereséig ellenőrizni kell;

j) a CLD gázelemző készülékkel meg kell mérni az NO-koncentrációt a gázmegosztó után. időt kell hagyni arra, hogy a gázelemző készülék válasza stabilizálódjon. A stabilizálódási időbe beletartozhat az átvezető cső átszellőztetésére és az elemzőkészülék válaszának figyelembevételére fordított idő is. 30 másodpercnyi mintaadatot kell rögzíteni, míg a gázelemző készülék a minta koncentrációját méri. Ezekből az adatokból ki kell számítani a koncentráció x NOmeas számtani középértékét. Az x NOmeas értékét fel kell jegyezni, és fel kell használni a kioltás 8.1.11.2.3. pont szerinti ellenőrzésének számításaiban;

k) a (6-24) egyenlet segítségével ki kell számítani a gázmegosztó kimeneténél fennálló x NOact tényleges NO-koncentrációt a mérőtartomány-kalibráló gáz koncentrációi és x CO2act alapján. A kiszámított értéket kell használni a kioltás ellenőrzésének (6-23) egyenlet szerinti számításaiban;

l) a 8.1.11.1.4. és a 8.1.11.1.5. pont szerint feljegyzett értékek alapján kell kiszámítani a 8.1.11.2.3. pontban leírt kioltó hatást.

8.1.11.1.5.   A H2O kioltó hatásának ellenőrzésére szolgáló eljárás

A következő módszer vagy a műszer gyártója által előírt módszer alkalmazható a H2O kioltó hatásának meghatározására, vagy a helyes műszaki gyakorlat alapján más protokollt fejlesztenek ki:

a) a szükséges csatlakozásokat teflonból vagy rozsdamentes acélból készült vezetékekből kell készíteni;

b) ha a kemilumineszcens detektoros (CLD) gázelemző készülék rendelkezik olyan üzemmóddal, amelyben az összes NOx helyett csak a NOx-ot észleli, a CLD gázelemző készüléket a csak a NO-ot észlelő üzemmódban kell üzemeltetni;

c) olyan NO mérőtartomány-kalibráló gázt kell használni, amely eleget tesz a 9.5.1. pontban leírt követelményeknek, és koncentrációja megközelíti a kibocsátásmérések során várható legnagyobb koncentrációt. A műszer gyártójának ajánlásai és a helyes műszaki gyakorlat alapján nagyobb koncentrációt lehet használni a pontos ellenőrzés érdekében, ha a várható NO-koncentráció alacsonyabb, mint a műszer gyártója által az ellenőrzéshez megadott minimumtartomány;

d) a kemilumineszcens detektoros gázelemző készüléken be kell állítani a nullapontot és a mérőtartományt. Be kell állítani a kemilumineszcens detektoros gázelemző készülék mérőtartományát az e pont c) alpontjában említett NO mérőtartomány-kalibráló gázzal, a mérőtartomány-kalibráló gáz x NOdry koncentrációját fel kell jegyezni, és fel kell használni a kioltás 8.1.11.2.3. pont szerinti ellenőrzésének számításaiban;

▼M2

e) a NO mérőtartomány-kalibráló gázt zárt tartályban desztillált vízen átbuborékoltatva párásítani kell. Ha ennél az ellenőrző vizsgálatnál a párásított NO mérőtartomány-kalibráló gáz nem halad át mintaszárítón, akkor a tartály hőmérsékletét úgy kell szabályozni, hogy a mérőtartomány-kalibráló gázban hozzávetőleg olyan magas H2O-tartalom jöjjön létre, mint a kibocsátásvizsgálat alatt várható legnagyobb H2O-mólfrakció. Ha a párásított NO mérőtartomány-kalibráló gáz nem halad át mintaszárítón, akkor a 8.1.11.2.3. pontban leírt kioltás-ellenőrzési számítások a kibocsátásvizsgálat alatt várható legnagyobb H2O-mólfrakciónak megfelelő szintre növelik arányosan a H2O mért kioltó hatását. Ha ennél az ellenőrző vizsgálatnál a párásított NO kalibrálógáz a vizsgálat során szárítón halad át, akkor a tartály hőmérsékletét úgy kell szabályozni, hogy a mérőtartomány-kalibráló gázban legalább olyan magas H2O-tartalom alakuljon ki, mint a szárító kimeneténél a 9.3.2.3.1.1. pontnak megfelelően várható legnagyobb tartalom. Ez esetben a 8.1.11.2.3. pontban meghatározott kioltás-ellenőrzési számítások nem növelik meg arányosan a H2O mért kioltó hatását;

▼B

f) a párásított NO vizsgálati gázt be kell vezetni a mintavevő rendszerbe. A gázt a kibocsátásvizsgálat során használt mintaszárító előtt és után is be lehet vezetni. A bevezetés pontjától függően kell az e pont e) alpontjának megfelelő számítási módszerét választani. ►M2  Meg kell jegyezni, hogy a mintaszárítónak meg kell felelnie a 8.1.12. pontban említett mintaszárító-ellenőrzésen; ◄

g) meg kell mérni a H2O mólfrakcióját a párásított NO mérőtartomány-kalibráló gázban. Mintaszárító használata esetén a párásított NO mérőtartomány-kalibráló gáz x H2Omeas H2O mólfrakcióját a mintaszárító után kell megmérni. Az x H2Omea értékét ajánlott a CLD gázelemző készülék bemenetéhez a lehető legközelebb megmérni. Az x H2Omeas kiszámítható a T dew harmatpont és a p total abszolút nyomás mért értékéből;

h) a helyes műszaki gyakorlat alapján, az x H2Omeas mérésének pontjától a gázelemző készülékig meg kell akadályozni a kondenzációt az átvezető csövekben, szerelvényekben és szelepekben. A rendszert ajánlott úgy megtervezni, hogy az átvezető csövekben, szerelvényekben és szelepekben falhőmérséklete az x H2Omeas mérésének pontjától a gázelemző készülékig legalább 5 K-kal a mintagáz helyi harmatpontja felett legyen;

i) a párásított NO mérőtartomány-kalibráló gáz koncentrációját meg kell mérni a CLD gázelemző készülékkel. időt kell hagyni arra, hogy a gázelemző készülék válasza stabilizálódjon. A stabilizálódási időbe beletartozhat az átvezető cső átszellőztetésére és az elemzőkészülék válaszának figyelembevételére fordított idő is. 30 másodpercnyi mintaadatot kell rögzíteni, míg a gázelemző készülék a minta koncentrációját méri. Ezekből az adatokból ki kell számítani az x NOwet számtani középértéket. Az x NOwet értékét fel kell jegyezni, és fel kell használni a kioltás 8.1.11.2.3. pont szerinti ellenőrzésének számításaiban.

8.1.11.2.   A CLD kioltása ellenőrzésének számításai

A CLD kioltásának ellenőrző számításait az e pontban leírt módon kell elvégezni.

8.1.11.2.1.   A vizsgálat alatt várható víz mennyisége

Meg kell becsülni a víznek a kibocsátásvizsgálat során várható x H2Oexp legnagyobb mólfrakcióját. Ezt a becslést a párásított NO mérőtartomány-kalibráló gáznak a 8.1.11.1.5. pont f) alpontja szerinti bevezetésének helyén kell elvégezni. A víz várható legnagyobb mólfrakciójának megbecslésekor az égési levegő, a tüzelőanyag égéstermékei és (adott esetben) a hígító levegő várható legnagyobb víztartalmát egyaránt figyelembe kell venni. Ha ezen ellenőrző vizsgálat során a párásított NO mérőtartomány-kalibráló gázt egy mintaszárító előtt vezetik be a mintavevő rendszerbe, akkor a víz várható legnagyobb mólfrakcióját nem kell megbecsülni, és az x H2Oexp értékét az x H2Omeas értékével egyenlőnek kell tekinteni.

8.1.11.2.2.   Vizsgálat alatt várható CO2 mennyisége

Meg kell becsülni a CO2-nek a kibocsátásvizsgálat során várható x CO2exp legnagyobb koncentrációját. Ezt a becslést a mintavevő rendszer azon pontján kell elvégezni, ahol a kevert NO és CO2 mérőtartomány-kalibráló gázokat a 8.1.11.1.4. pont j) alpontja szerint bevezetik. A CO2 várható legnagyobb koncentrációjának megbecslésekor a tüzelőanyag égéstermékei és a hígító levegő várható legnagyobb CO2-tartalmát egyaránt figyelembe kell venni.

8.1.11.2.3.   A H2O és a CO2 által együttesen gyakorolt kioltó hatás kiszámítása

A H2O és a CO2 által együttesen gyakorolt kioltó hatást a (6-23) egyenlettel kell kiszámítani:



image

(6-23)

ahol:

quench =

a CLD kioltásának mértéke

x NOdry

a NO-nak a buborékoltató előtt a 8.1.11.1.5. pont d) alpontja szerint mért koncentrációja

x NOwet

a NO-nak a buborékoltató után a 8.1.11.1.5. pont i) alpontja szerint mért koncentrációja

x H2Oexp

a víznek a kibocsátásvizsgálat során várható legnagyobb mólfrakciója a 8.1.11.2.1. pont szerint

x H2Omeas

a víznek a kioltás ellenőrzése során a 8.1.11.1.5. pont g) alpontja szerint mért mólfrakciója

x NOmeas

a NO-nak a 8.1.11.1.4. pont j) alpontja szerint azon a ponton mért koncentrációja, amelyen a NO mérőtartomány-kalibráló gázt összekeverik CO2 mérőtartomány-kalibráló gázzal

x NOact

a NO-nak a 8.1.11.1.4. pont k) alpontja szerint, a (6-24) egyenlettel kiszámított, azon a ponton érvényes tényleges koncentrációja, amelyen a NO mérőtartomány-kalibráló gázt összekeverik CO2 mérőtartomány-kalibráló gázzal

x CO2exp

a CO2-nek a kibocsátásvizsgálat során várható legnagyobb koncentrációja a 8.1.11.2.2. pont szerint

x CO2act

a CO2-nek a 8.1.11.1.4. pont i) alpontja szerint azon a ponton érvényes tényleges koncentrációja, amelyen a NO mérőtartomány-kalibráló gázt összekeverik CO2 mérőtartomány-kalibráló gázzal



image

(6-24)

ahol:

x NOspan

a gázmegosztóba bemenő NO mérőtartomány-kalibráló gáz koncentrációja a 8.1.11.1.4. pont e) alpontja szerint

x CO2span

a gázmegosztóba bemenő CO2 mérőtartomány-kalibráló gáz koncentrációja a 8.1.11.1.4. pont d) alpontja szerint

8.1.11.3.   Nem diszperzív ultraibolya (NDUV) gázelemző készülék szénhidrogénekkel és H2O-val mutatott interferenciájának ellenőrzése

8.1.11.3.1.   Alkalmazási kör és gyakoriság

Ha az NOx mérése nem diszperzív infravörös abszorpció (NDIR) elvén működő gázelemző készülékkel történik, a H2O interferenciájának mértékét a gázelemző készülék első beszerelésekor és jelentős karbantartás után ellenőrizni kell.

8.1.11.3.2.   Mérési alapelvek

A szénhidrogének és a H2O zavarhatják a nem diszperzív ultraibolya (NDUV) gázelemző készüléket azzal, hogy a NOx-ra adott válaszhoz hasonló választ váltanak ki. Ha a nem diszperzív ultraibolya (NDUV) gázelemző készülék olyan kiegyenlítő algoritmusokat használ, amelyek más gázok mérési eredményei alapján teljesítik az interferencia-ellenőrzést, a gázelemző készülék interferencia-ellenőrzése során e méréseket is el kell végezni a kiegyenlítő algoritmusokat vizsgálatára.

8.1.11.3.3.   Rendszerkövetelmények

Egy NOx-ot kimutató nem diszperzív ultraibolya (NDUV) gázelemző készülék együttes H2O- és szénhidrogén-interferenciájának a várható átlagos NOx-koncentráció ± 2 % belül kell lennie.

8.1.11.3.4.   Az eljárás

Az interferenciavizsgálatot a következőképpen kell végrehajtani:

a) a NOx-ot kimutató nem diszperzív ultraibolya (NDUV) gázelemző készüléket a gyártó utasításainak megfelelően kell elindítani, üzemeltetni, nullázni, illetve mérőtartománya tekintetében kalibrálni;

b) az ellenőrzéshez ajánlott kivonni a motor kipufogógázát. Az NOx kipufogógázban található mennyiségét a 9.4. pontban szereplő előírásoknak megfelelő kemilumineszcens detektoros (CLD) gázelemző készülékkel kell meghatározni. A kemilumineszcens detektoros gázelemző készülék válaszát vonatkoztatási értéknek kell tekinteni. A kipufogógázban található szénhidrogének mennyiségét pedig a 9.4. pontban szereplő előírásoknak megfelelő lángionizációs érzékelős (FID) gázelemző készülékkel kell meghatározni. A lángionizációs érzékelő válaszát a szénhidrogének vonatkoztatási értékeként kell kezelni;

c) ha a vizsgálatban mintaszárító használatára is sor kerül, a motor kipufogógázát a mintaszárító előtt kell bevezetni az nem diszperzív ultraibolya (NDUV) gázelemző készülékbe;

d) időt kell hagyni arra, hogy a gázelemző készülék válasza stabilizálódjon. A stabilizálódási időbe beletartozhat az átvezető cső átszellőztetésére és az elemzőkészülék válaszának figyelembevételére fordított idő is;

e) 30 másodpercnyi mintaadatot kell rögzíteni, míg a gázelemző készülékek a minta koncentrációját mérik, és ki kell számítani a három gázelemző készülék értékeinek számtani közepét;

f) a kemilumineszcens detektoros (CLD) gázelemző készülék középértékét ki kell vonni a nem diszperzív ultraibolya (NDUV) gázelemző készülék középértékéből;

g)  ►M2  a különbséget meg kell szorozni a várható közepes szénhidrogén-koncentráció és az ellenőrzés során mért szénhidrogén-koncentráció közötti arányszámmal. A gázelemző készülék megfelel az e pont szerinti interferencia-ellenőrzésen, ha ez az eredmény a kibocsátási határértéknél várható NOx-koncentráció ± 2 %-án belül van a (6-25) egyenlet szerint: ◄



image

(6-25)

ahol:

image

az NOx CLD-vel mért átlagos koncentrációja, [μmol/mol] vagy [ppm]

image

az NOx NDUV-vel mért átlagos koncentrációja, [μmol/mol] vagy [ppm]

image

az átlagos mért szénhidrogén-koncentráció, [μmol/mol] vagy [ppm]

image

a standard esetében várható átlagos mért szénhidrogén-koncentráció, [μmol/mol] vagy [ppm]

image

a standard esetében várható átlagos NOx-koncentráció, [μmol/mol] vagy [ppm]

8.1.11.4   A mintaszárító NO2-penetrációja

8.1.11.4.1.   Alkalmazási kör és gyakoriság

Ha egy NOx-mérő eszköz előtt mintaszárítót alkalmaznak a minta szárítására, de nem használnak NO2-NO átalakítót a mintaszárító előtt, akkor el kell végezni a mintaszárító NO2-penetrációjának ellenőrzését. Ezt az ellenőrzést az első beszereléskor és jelentős karbantartás után kell elvégezni.

8.1.11.4.2.   Mérési alapelvek

A mintaszárító eltávolítja a vizet, amely egyébként interferálhatna az NOx-méréssel. Egy nem megfelelően kialakított ►M2  mintaszárítóban ◄ maradó folyékony víz eltávolíthatja a mintából a NO2-t. Ha előtte NO2-NO átalakító nélkül alkalmaznak mintaszárítót, akkor az az NOx megmérése előtt eltávolíthatja a NO2-ot a mintából.

8.1.11.4.3.   Rendszerkövetelmények

A mintaszárítónak lehetővé kell tennie a teljes NO2-szint legalább 95 %-ának mérését az NO2 várható maximális koncentrációján.

8.1.11.4.4.   Az eljárás

A mintaszárító működésének ellenőrzésére a következő eljárást kell alkalmazni:

a) a műszerek összeállítása. A gázelemző készülék és a mintaszárító gyártójának a beindításra és az üzemeltetésre vonatkozó utasításait követni kell. A gázelemző készüléket és a mintaszárítót a teljesítmény optimalizálása érdekében szükség szerint be kell állítani;

b) a berendezés összeállítása és adatgyűjtés;

i. az összes NOx-ot mérő gázelemző készüléket úgy kell nullázni, illetve mérőtartománya tekintetében kalibrálni, mint egy kibocsátásvizsgálat előtt;

ii. olyan NO2-kalibráló gázt (a száraz levegő alapgázát) kell választani, amelynek a NO2-koncentrációja megközelíti a kibocsátásmérések során várható legnagyobb koncentrációt. A műszer gyártójának ajánlásai és a helyes műszaki gyakorlat alapján nagyobb koncentrációt lehet használni a pontos ellenőrzés érdekében, ha a várható NO2-koncentráció alacsonyabb, mint a műszer gyártója által az ellenőrzéshez megadott minimumtartomány;

iii. a kalibráló gáz feleslegét a gázmintavevő rendszer szondájánál vagy túlfolyójánál kell elvezetni. Csak a szállítás okozta késést és a műszer válaszát figyelembe véve időt kell hagyni arra, hogy az összes NOx-ra adott válasz stabilizálódjon;

iv. az összes NOx-ra vonatkozó 30 s-nyi adat átlagát ki kell számítani és x NOxref néven kell rögzíteni;

v. a NO2 kalibráló gáz áramát le kell állítani;

vi. ezután 323 K (50 °C)-os harmatpontra állított harmatponti generátor által előállított gázt a gázmintavevő rendszer szondájánál vagy túlfolyójánál bevezetve telíteni kell a mintavevő rendszert. A harmatponti generátor által előállított gázból mintát kell venni a mintavevő rendszerrel, és legalább 10 percen keresztül át kell vezetni a mintaszárítón, amíg a mintaszárító egyenletes mennyiségű vizet nem távolít el;

vii. azonnal vissza kell kapcsolni az x NOxref megállapításához használt NO2 kalibráló gázzal való elárasztást. Csak a szállítás okozta késést és a műszer válaszát figyelembe véve időt kell hagyni arra, hogy az összes NOx-ra adott válasz stabilizálódjon. Az összes NOx-ra vonatkozó 30 s-nyi adat átlagát ki kell számítani és x NOxmeas néven kell rögzíteni;

viii. az x NOxmeas-t az x NOxdry-ra kell korrigálni a mintaszárító kimeneti hőmérsékletén és nyomásán a mintaszárítón keresztülhaladó maradék vízgőz alapján;

c) teljesítményértékelés: ha az x NOxdry kevesebb, mint az x NOxref 95 %-a, akkor a mintaszárítót meg kell javítani vagy ki kell cserélni.

8.1.11.5.   A NO2-NO-átalakító általi átalakítás hitelesítése

8.1.11.5.1.   Alkalmazási kör és gyakoriság

Ha az NOx meghatározására a csak a NO mennyiségét mérő gázelemző készüléket használnak, akkor a gázelemző készülék előtt NO2-NO átalakítót kell alkalmazni. Ezt az ellenőrzést az átalakító beszerelésekor, jelentős karbantartás után és vizsgálatot megelőző 35 napon belül kell elvégezni. Ezt az ellenőrző vizsgálatot ezzel a gyakorisággal meg kell ismételni annak ellenőrzése érdekében, hogy a NO2-NO átalakító katalitikus aktivitása nem romlott.

8.1.11.5.2.   Mérési alapelvek

Egy NO2-NO átalakító segítségével egy olyan gázelemző készülék, amely csak a NO mennyiségét méri, a kipufogógázban lévő NO2-t NO-dá alakítva képes meghatározni az összes NOx-at.

8.1.11.5.3.   Rendszerkövetelmények

Az NO2-NO átalakítónak a teljes NO2-szint legalább 95 %-ának mérését lehetővé kell tennie a NO2 várható legnagyobb koncentrációján.

8.1.11.5.4   Az eljárás

Egy NO2-NO átalakító működését a következő eljárással kell ellenőrizni:

a) a műszerek összeállítása tekintetében a gázelemző készülék és az NO2-NO átalakító gyártójának a beindításra és az üzemeltetésre vonatkozó utasításait követni kell. A gázelemző készüléket és az átalakítót a teljesítmény optimalizálása érdekében szükség szerint be kell állítani;

b) egy ózonfejlesztő bemenetét nullázólevegő- vagy oxigénforráshoz kell csatlakoztatni, kimenetét pedig egy háromutas T-csatlakozó egyik nyílásához. A NO mérőtartomány-kalibráló gázt egy másik nyíláshoz kell csatlakoztatni, az NO2-NO átalakító bemenetét pedig a maradék nyíláshoz;

c) az ellenőrzés elvégzése során az alábbi lépéseket kell végrehajtani:

i. az ózonfejlesztő levegőellátását el kell indítani, az ózonfejlesztő áramellátását ki kell kapcsolni, és az NO2-NO átalakítót megkerülő üzemmódra (azaz NO üzemmódra) kell kapcsolni. Csak a szállítás okozta késést és a műszer válaszát figyelembe véve időt kell hagyni a stabilizálódásra;

ii. az NO és a nullázógáz áramát úgy kell beállítani, hogy az NO-koncentráció a gázelemző készüléknél a vizsgálat alatt várható összes NOx-koncentráció csúcsértéke közelében legyen. A gázkeverék NO2-tartalmának kisebbnek kell lennie, mint az NO koncentráció 5 %-a. Az NO-koncentrációt úgy kell feljegyezni, hogy kiszámítják a gázelemző készülékből vett 30 másodpercnyi mintaadat átlagát, és ezt jegyzik fel mint az x NOref értéket. A műszer gyártójának ajánlásai és a helyes műszaki gyakorlat alapján nagyobb koncentrációt lehet használni a pontos ellenőrzés érdekében, ha a várható NO-koncentráció alacsonyabb, mint a műszer gyártója által az ellenőrzéshez megadott minimumtartomány;

iii. az ózonfejlesztő O2-ellátását el kell indítani, és az O2-áramot úgy kell beállítani, hogy a gázelemző készülék által kijelzett NO-érték körülbelül 10 százalékkal kisebb legyen, mint az x NOref érték. Az NO-koncentrációt úgy kell feljegyezni, hogy kiszámítják a gázelemző készülékből vett 30 másodpercnyi mintaadat átlagát, és ezt jegyzik fel mint az x NO+O2mix értéket;

iv. az ózonfejlesztőt be kell kapcsolni, és az ózonfejlesztés mértékét úgy kell beállítani, hogy a gázelemző készülék által mért NO-érték az x NOref érték körülbelül 20 százaléka legyen, ugyanakkor legalább 10 százalék legyen az olyan NO aránya, amely nem lépett reakcióba. Az NO-koncentrációt úgy kell feljegyezni, hogy kiszámítják a gázelemző készülékből vett 30 másodpercnyi mintaadat átlagát, és ezt jegyzik fel mint az x NOmeas értéket;

v. az NOx-gázelemző készüléket át kell kapcsolni NOx-üzemmódra, és meg kell mérni az összes NOx mennyiségét. Az NOx-koncentrációt úgy kell feljegyezni, hogy kiszámítják a gázelemző készülékből vett 30 másodpercnyi mintaadat átlagát, és ezt jegyzik fel mint az x NOxmeas értéket;

vi. az ózonfejlesztőt ki kell kapcsolni, de a rendszeren keresztülfolyó gázáramot fenn kell tartani. Az NOx-elemző kimutatja az NO + O2 keverék NOx-tartalmát. Az NOx-koncentrációt úgy kell feljegyezni, hogy kiszámítják a gázelemző készülékből vett 30 másodpercnyi mintaadat átlagát, és ezt jegyzik fel mint az x NOx+O2mix értéket;

vii. az O2-ellátást el kell zárni. Az NOx-elemző kimutatja az eredeti NO és N2 keverék NOx-tartalmát. Az NOx-koncentrációt úgy kell feljegyezni, hogy kiszámítják a gázelemző készülékből vett 30 másodpercnyi mintaadat átlagát, és ezt jegyzik fel mint az x NOxref értéket. Ez az érték legfeljebb 5 %-kal haladhatja meg az x NOref értéket;

d) teljesítményértékelés: az NOx-átalakító hatásfokát úgy kell kiszámítani, hogy a kapott koncentrációkat be kell helyettesíteni a (6-26) egyenletbe:



image

(6-26)

e) ha az eredmény kisebb, mint 95 %, akkor az NO2-NO átalakítót meg kell javítani vagy ki kell cserélni.

▼M2

8.1.12.   A mintaszárító ellenőrzése

Ha a mintaszárító kimenete harmatpontjának folyamatos ellenőrzésére páratartalom-érzékelőt alkalmaznak, akkor ezt az ellenőrzést mindaddig nem kell elvégezni, amíg biztosított, hogy a mintaszárító kimenetének páratartalma a kioltási, interferencia- és kiegyenlítés-ellenőrzésekhez használt minimumértékek alatt van.

Ha a 9.3.2.3.1. pont szerint megengedett módon mintaszárítóval történik a gázminta víztartalmának eltávolítása, a teljesítményt beszereléskor és jelentős karbantartás után ellenőrizni kell, termikus hűtők esetén. Ozmotikus membránnal működő szárítók esetében első beszereléskor, jelentős karbantartás után és vizsgálattól számított 35 napon belül kell ellenőrizni.

A víz gátolhatja a gázelemző készülék azon képességét, hogy megfelelően mérje a kipufogógáz vizsgált összetevőjét, így néha még azelőtt eltávolítják, mielőtt a gázminta elérné a gázelemző készüléket. A víz például ütközési kioltás révén csökkentheti a kemilumineszcens detektoros gázelemző készülék NOx-ra adott válaszát, és a CO-hoz hasonló választ adva növelheti az NDIR gázelemző készülék válaszát.

A mintaszárítónak teljesítenie kell a 9.3.2.3.1. pontban az ozmotikus membránnal működő szárító vagy a termikus hűtő alatti T dew harmatpontra és p total abszolút nyomásra vonatkozóan előírt követelményeket.

A mintaszárító működését a következő módszerrel kell ellenőrizni, vagy a helyes műszaki gyakorlat alapján más protokollt kell rá kidolgozni:

i. a szükséges csatlakozásokat politetrafluoretilénből (teflonból) vagy rozsdamentes acélból készült vezetékekből kell készíteni;

ii. a N2-t vagy a tisztított levegőt párásítani kell úgy, hogy egy zárt tartályban desztillált vízen kell átbuborékoltatni, ami a kibocsátás-mintavétel során megbecsült legmagasabb harmatpontjáig párásítja a gázt;

iii. a párásított gázt a mintaszárító előtt kell bevezetni;

iv. a párásított gáz hőmérsékletét a tartály alatt legalább 5 K-nel (5 °C-kal) a harmatpontja felett kell tartani;

v. a párásított gáz T dew harmatpontját és p total nyomását a mintaszárító bemenetéhez a lehető legközelebb kell megmérni annak ellenőrzésére, hogy a harmatpont valóban a kibocsátásból való mintavétel során becsült legmagasabb érték;

vi. a párásított gáz T dew harmatpontját és p total nyomását a mintaszárító kimenetéhez a lehető legközelebb kell megmérni;

vii. a mintaszárító megfelel az ellenőrzésen, ha az e pont d) pontjának vi. alpontja szerinti eredmény kisebb, mint a mintaszárítóra vonatkozóan a 9.3.2.3.1. pontban meghatározott előírásoknak megfelelő harmatpont plusz 2 K (2 °C), vagy ha a d) alpont vi. bekezdése szerinti mólfrakció kisebb, mint a mintaszárítóra vonatkozó megfelelő előírás plusz 0,002 mol/mol vagy 0,2 térfogatszázalék. Ezzel az ellenőrzéssel összefüggésben meg kell jegyezni, hogy a minta harmatpontjának abszolút hőmérséklete van megadva Kelvinben.

▼M2 —————

▼M2

8.1.13.   Részecskemérések

8.1.13.1.   Az analitikai mérleg ellenőrzése és a mérési eljárás ellenőrzése

8.1.13.1.1.   Alkalmazási kör és gyakoriság

Ez a szakasz három ellenőrzést ismertet:

a) az analitikai mérleg működésének független ellenőrzése bármilyen szűrő mérését megelőző 370 napon belül;

b) a mérleg nullázása és mérőtartományának meghatározása bármilyen szűrő mérését megelőző 12 órán belül;

c) szűrő mérése előtt és után annak ellenőrzése, hogy a referenciaszűrők tömegmeghatározása egy meghatározott tűrésen belül legyen.

8.1.13.1.2.   Független hitelesítés

A mérleg gyártója (vagy a mérleg gyártója által jóváhagyott képviselő) belső ellenőrzési eljárások keretében, a vizsgálatot megelőző 370 napon belül ellenőrzi a mérleg működését.

8.1.13.1.3.   Nullázás és mérőtartomány-meghatározás

A mérleget nullázva és mérőtartományát legalább egy kalibrálósúllyal meghatározva ellenőrizni kell a működését, a használt súlyoknak pedig az ellenőrzés végrehajtásához meg kell felelniük a 9.5.2. pontban foglalt előírásoknak. Manuális vagy automatikus eljárást kell alkalmazni:

a) a manuális eljáráshoz használni kell a mérleget, aminek során a mérleget nullázni kell és mérőtartományát legalább egy kalibrálósúllyal meg kell határozni. Ha a mérési folyamatnak a részecskemérések pontosságának és precizitásának javítása érdekében való megismétlésével kapott értékek általában átlagértékek, akkor a mérleg működésének ellenőrzésére is ugyanezt a módszert kell alkalmazni;

b) automatikus eljárásra kerül sor belső kalibrálósúlyokkal, amelyek automatikusan ellenőrzik a mérleg működését. Ezeknek a belső kalibrálósúlyoknak az ellenőrzés végrehajtásához meg kell felelniük a 9.5.2. pontban foglalt előírásoknak.

8.1.13.1.4.   A referenciaminta lemérése

Egy mérési sorozat alatt minden tömegmérést ellenőrizni kell a mérési vonatkoztatási részecskeminta-hordozókat (pl. szűrőket) a mérés előtt és után is lemérve. Egy mérési sorozat bármilyen rövid lehet, de nem lehet hosszabb 80 óránál, és vizsgálat előtti és utáni tömegméréseket is magában foglalhat. Az egyes vonatkoztatási részecskeminta-hordozók egymást követő tömegmeghatározásainak a várt összes részecsketömeg ± 10 μg vagy ± 10 % közül a magasabb értéken belül azonos eredményt kell adniuk. Amennyiben az egymást követő részecske-mintavevő szűrő mérései nem felelnek meg ennek a feltételnek, a vonatkoztatási szűrő tömegének egymást követő meghatározásai keretében történő összes egyedi vizsgálatiszűrőtömeg-meghatározás eredményét érvénytelennek kell tekinteni. Ezeket a szűrőket egy másik mérés során újra le lehet mérni. Amennyiben egy vizsgálat utáni szűrőmérést érvénytelennek kell nyilvánítani, a vizsgálati intervallum is érvénytelen. Az ellenőrzést a következőképpen kell végrehajtani:

a) legalább két részecskeminta-hordozót a részecskestabilizálási környezetben kell tartani. Ezeket kell referenciának tekinteni. Ugyanolyan anyagból készült és méretű, nem használt szűrőket kell referenciának választani;

b) a referenciákat a részecskestabilizálási környezetben kell stabilizálni. A referenciákat stabilizáltnak lehet tekinteni, amennyiben legalább 30 percig a részecskestabilizálási környezetben voltak, és az azt megelőző legalább 60 percen keresztül a részecskestabilizálási környezet megfelelt a 9.3.4.4. pont előírásainak;

c) a mérleget többször működtetni kell egy referenciamintával, de az eredményeket nem kell feljegyezni;

d) a mérleget le kell nullázni, és be kell állítani a mérőtartományát. Egy vizsgálati tömeget (pl. kalibrálósúlyt) kell a mérlegre helyezni, majd eltávolítani, és meg kell győződni arról, hogy a mérleg a rendes stabilizálódási időn belül újra elfogadhatóan pontos nulla értéket mutat;

e) a referenciahordozókat (pl. szűrőket) le kell mérni, és a tömegüket fel kell jegyezni. Ha a mérési folyamatnak a referenciahordozók (pl. szűrők) tömege pontosságának és precizitásának javítása érdekében való megismétlésével kapott értékek általában átlagértékek, akkor a mintahordozók (pl. szűrők) tömege átlagértékének megmérésére is ugyanezt a módszert kell alkalmazni;

f) a mérleg környezetének harmatpontját, környezeti hőmérsékletét és légköri nyomását fel kell jegyezni;

g) az eredményeket a feljegyzett környezeti feltételek alapján kell a felhajtóerő miatt korrigálni a 8.1.13.2. pont szerint. Valamennyi referencia felhajtóerővel korrigált tömegét fel kell jegyezni;

h) valamennyi referenciahordozó (pl. szűrő) felhajtóerővel korrigált referenciatömegét ki kell vonni a korábban mért és feljegyzett, felhajtóerővel korrigált tömegből;

i) ha a vizsgált referenciaszűrők tömege az e szakasz szerint megengedettnél nagyobb mértékben megváltozik, akkor a referenciahordozó (pl. szűrő) tömegének legutóbbi sikeres hitelesítése óta végzett összes részecsketömeg-meghatározást érvényteleníteni kell. A referencia részecskeszűrőket ki lehet selejtezni, ha csak az egyik szűrő tömege változott meg a megengedettnél nagyobb mértékben, és egyértelműen meg lehet határozni azt a különleges okot, amiért a szóban forgó szűrő tömege megváltozott, de amely nem befolyásolta a többi szűrőt. Így a hitelesítést sikeresnek lehet tekinteni. Ebben az esetben az érintett referenciahordozót az e pont j) alpontjának való megfelelés meghatározása során nem kell figyelembe venni, és az érintett referenciaszűrőt ki kell selejtezni és pótolni kell;

j) ha a referenciatömegek valamelyike a 8.1.13.1.4. pont szerint megengedettnél nagyobb mértékben megváltozik, akkor a referenciatömegek legutóbbi két meghatározása között végzett összes részecsketömeg-meghatározás eredményét érvényteleníteni kell. Ha az i) alpontnak megfelelően referencia részecskehordozó kiselejtezésére kerül sor, legalább egy olyan referencia tömegkülönbségnek lennie kell, amely megfelel a 8.1.13.1.4. pont feltételeinek. Ellenkező esetben a referenciahordozók (pl. szűrők) tömegének legutóbbi két meghatározása között végzett összes részecsketömeg-meghatározás eredményét érvényteleníteni kell.

8.1.13.2.   A részecske-mintavevő szűrő felhajtóerő miatti korrekciója

8.1.13.2.1.   Általános előírások

A részecske-mintavevő szűrők tömegét korrigálni kell a levegő felhajtóereje miatt. A felhajtóerő miatti korrekció a mintahordozó sűrűségétől, a levegő sűrűségétől és a mérleg kalibrálására használt súly sűrűségétől függ. A felhajtóerő miatti korrekció nem veszi figyelembe magukra a részecskékre ható felhajtóerőt, mivel a részecskék tömege általában az össztömegnek csupán a 0,01–0,10 %-át teszi ki. A tömeg ilyen kis hányadának a korrekciója legfeljebb 0,010 %-ot tenne ki. A felhajtóerővel korrigált értékek jelentik a részecskeminták tárasúlyát. Ezt követően a vizsgálat előtt megmért szűrők felhajtóerővel korrigált súlyát kivonják a vizsgálat után megmért megfelelő szűrők felhajtóerővel korrigált súlyából, hogy meghatározzák a vizsgálat során kibocsátott részecskék tömegét.

8.1.13.2.2.   A részecske-mintavevő szűrő sűrűsége

A különféle részecske-mintavevő szűrőknek más-más a sűrűsége. A mintahordozó ismert sűrűségét vagy egyes közös mintavevő-anyagok esetében valamelyik sűrűséget kell használni a következők szerint:

a) teflonborítású boroszilikát üveg esetében a mintavevő anyag sűrűsége 2 300  kg/m3;

b) a hordozó tömegének 95 %-át kitevő polimetilpentén tartógyűrűvel egybeépített teflon membrán (film) esetében a mintavevő közeg sűrűsége 920 kg/m3;

c) teflon tartógyűrűvel egybeépített teflon membrán (film) esetében a mintavevő közeg sűrűsége 2 144  kg/m3.

8.1.13.2.3.   A levegő sűrűsége

Mivel egy analitikai mérleg környezeti hőmérsékletét szigorúan 295 ± 1 K (22 ± 1 °C) értéken, harmatpontját pedig 282,5 ± 1 K (9,5 ± 1 °C) értéken kell tartani, a levegő sűrűsége elsősorban a légköri nyomás függvénye. Ezért a felhajtóerő miatti korrekció csupán a légköri nyomás függvényeként van megadva.

8.1.13.2.4.   A kalibrálósúly sűrűsége

A fém kalibrálósúly anyagára megadott sűrűséget kell használni.

8.1.13.2.5.   A korrekció kiszámítása

A részecske-mintavevő szűrők tömegét a (6-27) egyenlet szerint kell korrigálni a levegő felhajtóereje miatt:



image

(6-27)

ahol:

m cor

a részecske-mintavevő szűrő felhajtóerővel korrigált tömege

m uncor

a részecske-mintavevő szűrő felhajtóerővel nem korrigált tömege

ρ air

a levegő sűrűsége a mérleg környezetében

ρ weight

a mérleg mérőtartományának beállításához használt kalibrálósúly sűrűsége

ρ media

a részecske-mintavevő szűrő sűrűsége

ahol



image

(6-28)

ahol:

p abs

abszolút nyomás a mérleg környezetében

M mix

a levegő moláris tömege a mérleg környezetében

R

a moláris gázállandó

T amb

a mérleg környezetének abszolút környezeti hőmérséklete.

▼B

8.2.   A műszerek vizsgálatra való hitelesítése

8.2.1.   A szakaszos mintavételhez szükséges arányos áramlásszabályozás és a szakaszos részecske-mintavételre vonatkozó legkisebb hígítási arány hitelesítése

8.2.1.1.   Az állandó térfogatú mintavételre vonatkozó arányossági feltételek

8.2.1.1.1.   Arányos áram

Bármely páros áramlásmérő esetében a felvett mintát és a teljes áramokat vagy 1 Hz gyakoriságú átlagukat a VII. melléklet 3. függelékében szereplő statisztikai számításokkal kell alkalmazni. Meg kell határozni a teljes áramhoz viszonyított mintaáram becslésének szórását. Minden vizsgálati időközre vonatkozóan igazolni kell, hogy a becslés szórása nem haladta meg az átlagos mintaáram 3,5 %-át.

8.2.1.1.2.   Állandó áram

Bármely páros áramlásmérő esetében a felvett mintát és a teljes áramokat vagy 1 Hz gyakoriságú átlagukat kell használni annak alátámasztására, hogy az egyes áramok az átlagos vagy a beállított értékhez képest ± 2,5 %-os tűréssel állandók. Az összes mérőeszköztípusra vonatkozó áram rögzítése helyett a következő lehetőségek is alkalmazhatók:

a) kritikus áramlású Venturi-cső alkalmazása. A kritikus áramlású Venturi-csövek esetében a Venturi-cső belépőnyílásánál mért feltételeket vagy 1 Hz gyakoriságú átlagukat kell használni. Igazolni kell, hogy a Venturi-cső belépőnyílásánál az áramlási sűrűség az átlagos vagy a beállított sűrűséghez képest ± 2,5 %-os tűréssel állandó minden vizsgálati időköz tekintetében. Állandó térfogatú mintavételhez használt, kritikus áramlású Venturi-cső esetében ezt oly módon lehet igazolni, ha kimutatható, hogy a Venturi-cső belépőnyílásánál az abszolút hőmérséklet az átlagos vagy a beállított hőmérséklethez képest ± 4 %-os tűréssel állandó minden vizsgálati időköz tekintetében;

b) térfogat-kiszorításos szivattyú alkalmazása. A szivattyú szívócsonkjánál mért feltételeket vagy 1 Hz gyakoriságú átlagukat kell használni. Igazolni kell, hogy a szivattyú bemeneti nyílásánál az áramlási sűrűség az átlagos vagy a beállított sűrűséghez képest ± 2,5 %-os tűréssel állandó minden vizsgálati időköz tekintetében. Állandó térfogatú mintavételhez használt szivattyú esetében ezt oly módon lehet igazolni, ha kimutatható, hogy a szivattyú bemeneti nyílásánál az abszolút hőmérséklet az átlagos vagy a beállított hőmérséklethez képest ± 2 %-os tűréssel állandó minden vizsgálati időköz tekintetében.

8.2.1.1.3.   Az arányos mintavétel igazolása

Minden arányos szakaszos mintavételnél, például zsákos vagy részecskeszűrős mintavételnél, meg kell bizonyosodni arról, hogy az arányos mintavételre valóban az alábbi módszerek valamelyikének alkalmazásával került sor, tekintetbe véve azt is, hogy az összes adatpont legfeljebb 5 %-át mint kiugró értéket figyelmen kívül lehet hagyni.

A helyes műszaki gyakorlat alapján, műszaki elemzés segítségével igazolni kell, hogy az arányos áramlásszabályozási rendszer eleve biztosítja az arányos mintavételt a vizsgálat során számításba jövő valamennyi körülmény esetén. A kritikus áramlású Venturi-csövek például a mintaáram és a teljes áram esetében is használhatók, amennyiben igazolhatóan mindig azonos bemeneti nyomással és hőmérséklettel rendelkeznek, valamint ha a kritikus áramlás szempontjából mindig ugyanolyan feltételekkel működnek.

A vizsgálati időközben végzett szakaszos részecske-mintavételhez szükséges legkisebb hígítási arány meghatározásához az áramlás és/vagy az indikátorgáz-koncentráció (például CO2) mért vagy számított értékét kell használni.

8.2.1.2.   A részáramú hígítórendszer hitelesítése

Ahhoz, hogy a részáramú hígítórendszer szabályozásával a hígítatlan kipufogógázból arányos mintát lehessen nyerni, gyors rendszerreakcióra van szükség; ez tükröződik a részáramú hígítórendszer gyors működésében. A rendszerre vonatkozó átalakítási időt a 8.1.8.6.3.2. pontban szereplő eljárással kell meghatározni. A részáramú hígítórendszer tényleges szabályozásának a jelenlegi mért feltételeken kell alapulnia. Ha a kipufogógáz-áram mérésének és a részáramú rendszernek a kombinált átalakítási ideje rövidebb mint 0,3 másodperc, akkor online szabályozást kell használni. Ha az átalakítási idő hosszabb 0,3 másodpercnél, akkor egy előre rögzített mérési meneten alapuló prediktív szabályozást kell használni. Ez esetben a kombinált felfutási idő nem haladhatja meg az 1 másodpercet, a kombinált késés pedig a 10 másodpercet. A teljes rendszerreakciót úgy kell kialakítani, hogy biztosítsa a részecskékből vett minta, a q m p,i (részáramú hígítórendszerbe belépő kipufogógáz-minta árama) reprezentativitását, a kipufogógáz tömegáramával arányosan. Az arányosság meghatározásához a q m p,i kontra q m ew,i regresszióanalízist kell elvégezni (a kipufogógáz tömegárama nedves alapon) legalább 5 Hz adatgyűjtési gyakoriságon, valamint a következő kritériumoknak kell teljesülnie:

a) a qm p,i és a q m ew,i közötti lineáris regresszió r 2 korrelációs együtthatója nem lehet 0,95-nél kisebb;

b) a q m ew,i alapján becsült qm p,i értékek szórása nem haladhatja meg q m p legnagyobb értékének 5 %-át;

c) a regressziós egyenes állandója (az egyenes és a q m p tengely metszete) nem haladhatja meg a q m p legnagyobb értékének ± 2 %-át.

Prediktív szabályozásra van szükség, ha a részecske-mintavevő rendszer kombinált átalakítási ideje (t 50,P) és a kipufogógáz-tömegáram jeleinek átalakítási ideje (t 50,F) hosszabb 0,3 másodpercnél. Ilyen esetben egy előmérést kell végezni, és az előmérésben a kipufogógáz-áramra kapott jeleket lehet felhasználni a részecske-mintavevő rendszerbe belépő mintaáram szabályozására. A részáramú hígítórendszer szabályozása akkor helyes, ha a q m p szabályozására használt, az előmérésben kapott q m ew,pre-idősort, a t 50,P + t 50,F elővezérlési idővel eltolják.

A qm p,i és a qm ew,i közötti korreláció meghatározásához a tényleges vizsgálat során felvett adatokat kell használni oly módon, hogy a q m ew,i-t a q m p,i -hez képest a t 50,F idővel szinkronizálják (a szinkronizálásban t 50,P-nek nincs szerepe). A qm ew és a qm p közötti időeltolás egyenlő a 8.1.8.6.3.2. pontban meghatározott átalakítási idejük különbségével.

8.2.2.   A gázelemző készülékek tartományainak hitelesítése, valamint az eltolódás hitelesítése és korrigálása

8.2.2.1.   A tartományok hitelesítése

Amennyiben a gázelemző készülék a vizsgálat során bármikor a tartománya 100 %-a fölött működik, a következő lépéseket kell végrehajtani:

8.2.2.1.1.   Szakaszos mintavétel

A szakaszos mintavételhez a mintát újra kell elemezni a lehető legalacsonyabb tartománnyal, amely 100 % alatt a műszer legnagyobb válaszát eredményezi. Az eredményt fel kell jegyezni a legalacsonyabb olyan tartománytól kezdve, amelytől a gázelemző készülék a tartománya 100 %-a alatt működik az egész vizsgálat során.

8.2.2.1.2.   Folyamatos mintavétel

A folyamatos mintavételhez az egész vizsgálatot meg kell ismételni a gázelemző készülék következő, magasabb tartományának használatával. Ha a gázelemző készülék ismét a tartományának 100 %-a fölött működik, meg kell ismételni a vizsgálatot a következő, magasabb tartománnyal. A vizsgálatot addig kell ismételni, amíg a gázelemző készülék a teljes vizsgálat során folyamatosan a tartománya 100 %-a alatt működik.

8.2.2.2.   Az eltolódás hitelesítése és korrigálása

Amennyiben az eltolódás ± 1 %-on belül van, az adatok korrigálás nélkül vagy a korrigálást követően is elfogadhatók. Ha az eltolódás mértéke ± 1 %-nál nagyobb, valamennyi, fékmunkára vonatkoztatott fajlagos határértékkel rendelkező szennyező anyagra és CO2-re ki kell számolni a fékmunkára vonatkoztatott fajlagos kibocsátás eredményeinek két sorozatát, vagy a vizsgálatot érvénytelennek kell tekinteni. Az egyik sorozatot az eltolódás korrigálása előtti adatokkal kell kiszámítani, a másik sorozatot pedig azokkal az adatokkal, amelyeket valamennyi adatnak a VII. melléklet 2.6. pontjának és 1. függelékének megfelelő eltolódással való korrigálása után kaptak. Az összehasonlítást a nem korrigált eredmények százalékában kell elvégezni. A munkára vonatkoztatott fajlagos kibocsátás nem korrigált és korrigált értékei közötti eltérés nem lehet nagyobb a munkára vonatkoztatott fajlagos kibocsátás nem korrigált értékének vagy a megfelelő határértéknek (amelyik nagyobb) a ± 4 %-ánál. Amennyiben ezen kívül esik, a vizsgálat érvénytelen.

8.2.3.   A részecske-mintavevő közegek (például szűrők) előkondicionálása és tárasúlyának mérése

A részecske-mintavevő szűrők és eszközök mintavételre való előkészítése érdekében a kibocsátásvizsgálat előtt a következő lépéseket kell végrehajtani:

8.2.3.1.   Időszakos ellenőrzés

Gondoskodni kell arról, hogy a mérleg és a részecskestabilizálási környezetek megfeleljenek a 8.1.12. pont szerinti időszakos ellenőrzésen. A referenciaszűrőt a vizsgálati szűrők lemérése előtt kell megmérni a megfelelő referenciapont megállapítása érdekében (a folyamat részleteit lásd a 8.1.12.1. pontban). A referenciaszűrők stabilitásának ellenőrzését a vizsgálatot követő stabilizációs szakasz után, közvetlenül a vizsgálati utáni mérlegelés előtt kell elvégezni.

8.2.3.2.   Szemrevételezés

Szemrevételezéssel meg kell győződni arról, hogy nem hibásak-e a fel nem használt mintavevő szűrők, a hibás szűrőket pedig ki kell dobni.

8.2.3.3.   Földelés

A részecskeszűrők kezeléséhez a 9.3.4. pontnak megfelelően elektromosan földelt csipeszeket vagy földelőszalagot kell használni.

8.2.3.4.   Fel nem használt mintavevő közegek

A fel nem használt mintavevő közegeket egy vagy több olyan tartályba kell helyezni, amely nyitott a részecskestabilizálási környezetre. Ha szűrőket használnak, azok egy szűrőkazetta alsó részébe helyezhetők.

8.2.3.5.   Stabilizálás

A mintavevő közeget a részecskestabilizálási környezetben kell stabilizálni. A fel nem használt mintavevő közeget stabilizáltnak lehet tekinteni, amennyiben legalább 30 percig a részecskestabilizálási környezetben volt és ez idő alatt a részecskestabilizálási környezet megfelelt a 9.3.4. pont előírásainak. ►M2  Ha azonban 400 μg vagy annál nagyobb részecsketömeg várható, akkor a mintavevő közeget legalább 60 percig kell stabilizálni. ◄

8.2.3.6.   Tömegmérés

A mintavevő közeget automatikusan vagy manuálisan, a következő módon kell lemérni:

a) automatikus mérés esetében az automatizálási rendszer gyártójának utasításai alapján kell előkészíteni a mintákat a mérésre; ennek keretében a minták különleges tárolóba is helyezhetők;

b) a manuális mérést a helyes műszaki gyakorlat alapján kell végezni;

c) opcionálisan a helyettesítő mérés is megengedett (lásd a 8.2.3.10. pontot);

d) a mérés után a szűrőket vissza kell helyezni a Petri-csészébe és le kell takarni őket.

8.2.3.7.   Korrekció a felhajtóerő függvényében

A 8.1.13.2. pontban leírt követelményeknek megfelelően a felhajtóerő miatt korrigálni kell a mért tömeget.

8.2.3.8.   Ismétlés

A szűrő tömegének mérését meg lehet ismételni annak érdekében, hogy a helyes műszaki gyakorlat alapján meghatározzák a szűrő átlagos tömegét és kizárják a kiugró értékeket az átlagszámításból.

8.2.3.9.   A tárasúly mérése

A fel nem használt szűrőket, melyeknek tárasúlyát megmérték, tiszta szűrőkazettákba kell helyezni, a kazettákat pedig fedett vagy zárt tartályokba kell tenni, mielőtt a mérőállásba vinnék őket mintavételre.

8.2.3.10.   Helyettesítő mérés

A helyettesítő mérés egy választható lehetőség, melynek alkalmazása esetén a részecske-mintavevő közeg (pl. szűrő) minden mérése előtt és után meg kell mérni a referenciatömeget. Bár a helyettesítő mérés több méréssel jár, korrigálja a mérleg nullponthibáját és csak kis tartományban hagyatkozik a mérleg linearitására. Ez akkor ajánlott leginkább, mikor a teljes részecsketömeg, amelyet mérnek, kevesebb, mint a mintavevő közeg tömegének 0,1 %-a. Ha azonban a teljes részecsketömeg meghaladja a mintavevő közeg tömegének 1 %-át, előfordulhat, hogy az eljárás nem alkalmazható. Helyettesítő mérés esetén mind a vizsgálat előtti, mind a vizsgálat utáni mérést ezzel a módszerrel kell elvégezni. Mind a vizsgálat előtti, mind a vizsgálat utáni mérésnél ugyanazt a helyettesítő súlyt kell használni. Amennyiben a helyettesítő súly sűrűsége kevesebb, mint 2,0 g/cm3, a helyettesítő súly tömegét korrigálni kell a felhajtóerő függvényében. A következő lépések a helyettesítő mérés példáját mutatják be:

a) a 9.3.4.6. pontnak megfelelően elektromosan földelt csipeszeket vagy földelőszalagot kell használni;

b) a 9.3.4.6. pontban előírtaknak megfelelően a statikus elektromosság csökkentésére minden tárgyon statikus semlegesítőt kell alkalmazni, mielőtt a mérlegre helyeznék;

c) olyan helyettesítő súlyt kell választani, amely megfelel a 9.5.2. pont kalibrálósúlyokra vonatkozó előírásainak. A helyettesítő súlynak továbbá ugyanolyan sűrűségűnek kell lennie, mint a mikromérleg beállításához használt súlynak, valamint egy fel nem használt mintavevő közegéhez (például szűrőéhez) hasonló tömeggel kell rendelkeznie. Szűrők használata esetén a súly tömegének 80–100 mg-nak kell lennie a szokásos 47 mm átmérőjű szűrőhöz;

d) a mérleg egyensúlyi helyzetét fel kell jegyezni, majd a kalibrálósúlyt el kell távolítani;

e) le kell mérni egy fel nem használt mintavételi közeget (például szűrőt), a mérleg egyensúlyi helyzetét fel kell jegyezni, majd fel kell jegyezni a mérleg környezetének harmatpontját, környezeti nyomását és légköri nyomását;

f) a kalibrálósúlyt ismét le kell mérni és a mérleg egyensúlyi helyzetét fel kell jegyezni;

g) ki kell számítani a fel nem használt minta lemérése előtt és után rögzített két kalibrálási mérés eredményének számtani középértékét. A fel nem használt minta mérési eredményéből ki kell vonni ezt a középértéket, majd hozzá kell adni kalibrálósúly valódi tömegét, amely a kalibrálósúly tanúsítványán szerepel. Az eredményt fel kell jegyezni. Ez a fel nem használt minta tárasúlya a felhajtóerő függvényében végzett korrekció nélkül;

h) a fenti helyettesítő mérés lépéseit meg kell ismételni a fennmaradó fel nem használt mintavevő közegek esetében is;

i) a mérés befejezése után a 8.2.3.7–8.2.3.9. pontban előírt utasításokat kell követni.

8.2.4.   A részecskeminta vizsgálat utáni kondicionálása és mérése

A használt részecskeminta-szűrőket fedett vagy zárt tartályokba kell helyezni, vagy a szűrőtartókat le kell zárni a mintavevő szűrők környezeti szennyeződések elleni védelme érdekében. Az így védett használt szűrőt vissza kell vinni a részecskeszűrő-kondicionáló kamrába vagy helyiségbe. Ezután a részecskeminta-szűrőket megfelelően kondicionálni kell és meg kell mérni a tömegüket.

8.2.4.1.   Időszakos ellenőrzés

Gondoskodni kell arról, hogy a mérés és a részecskestabilizálási környezetek megfeleljenek a 8.1.13.1. pont szerinti időszakos ellenőrzésen. A vizsgálat befejezése után a szűrőket vissza kell helyezni a mérési és részecskestabilizálási környezetbe. A mérési és részecskestabilizálási környezetnek meg kell felelnie a 9.3.4.4. pont környezeti feltételekre vonatkozó előírásainak, ellenkező esetben a vizsgálati szűrőket lefedve kell tárolni, amíg a megfelelő feltételek be nem állnak.

8.2.4.2.   A zárt tartályokból való eltávolítás

A részecskemintákat a részecskestabilizálási környezetben kell eltávolítani a lezárt tartályokból. A szűrőket stabilizálás előtt vagy után is el lehet távolítani a kazettájukból. Mikor egy szűrőt eltávolítanak a kazettából, a kazetta felső felét egy erre a célra szolgáló kazettaszeparátorral el kell választani a kazetta alsó felétől.

8.2.4.3.   Elektromos földelés

A részecskeminták kezeléséhez a 9.3.4.5. pontnak megfelelően elektromosan földelt csipeszeket vagy földelőszalagot kell használni.

8.2.4.4.   Szemrevételezés

Szemrevételezéssel meg kell vizsgálni az összegyűjtött részecskemintákat és a hozzájuk tartozó szűrőközeget. Ha a szűrő vagy az összegyűjtött részecskeminta sérültnek tűnik, vagy ha a részecskék a szűrőn kívül bármilyen más felülettel érintkeztek, a minta nem használható a részecskekibocsátás meghatározására. Más felülettel való érintkezés esetén a további lépések végrehajtása előtt meg kell tisztítani az érintett felületet.

8.2.4.5.   A részecskeminták stabilizálása

A részecskeminták stabilizálása érdekében a mintákat egy vagy több olyan tartályba kell helyezni, amely nyitott a részecskestabilizálási környezetre, és amely megfelel a 9.3.4.3. pont előírásainak. A részecskemintát stabilizáltnak lehet tekinteni, amennyiben legalább a következő időtartamokon át a részecskestabilizálási környezetben volt, és ez idő alatt a stabilizálási környezet megfelelt a 9.3.4.3. pont előírásainak.

a) Amennyiben a szűrő teljes felületi részecskekoncentrációja várhatóan nagyobb lesz 0,353 μg/mm2-nél, egy 38 mm átmérőjű szűrőfelületen 400 μg-os terhelést feltételezve a szűrőt legalább 60 percig kell a stabilizálási környezetben tárolni a lemérés előtt;

b) amennyiben a szűrő teljes felületi részecskekoncentrációja várhatóan kisebb lesz 0,353 μg/mm2-nél, a szűrőt legalább 30 percig kell a stabilizálási környezetben tárolni a lemérés előtt;

c) amennyiben a szűrő várható teljes felületi részecskekoncentrációját nem lehet megbecsülni a vizsgálat során, a szűrőt legalább 60 percig kell a stabilizálási környezetben tárolni a lemérés előtt.

8.2.4.6.   A szűrő vizsgálat utáni tömegének meghatározása

A szűrő vizsgálat utáni tömegének meghatározásához meg kell ismételni a 8.2.3. pontban leírt eljárást (a 8.2.3.6. ponttól a 8.2.3.9. pontig).

8.2.4.7.   Teljes tömeg

Valamennyi szűrő felhajtóerő függvényében korrigált tárasúlyát ki kell vonni a megfelelő szűrő vizsgálat utáni, felhajtóerő függvényében korrigált tömegéből. Ennek eredménye az m total, a teljes tömeg, amelyet a VII. mellékletben szereplő kibocsátásszámításokban alkalmazni kell.

9.    Mérőeszközök

9.1.   A teljesítménymérő fékpadra vonatkozó előírások

9.1.1.   Tengelyteljesítmény

Olyan fékpadot kell használni, amely jellemzői alapján alkalmas a vonatkozó működési ciklus teljesítésére, valamint megfelel az idevágó ciklushitelesítési kritériumoknak. A következő fékpadok használhatók:

a) örvényáramú vagy vízfékpad;

b) váltakozó áramú vagy egyenáramú fékpad;

c) egy vagy több fékpad.

9.1.2.   Tranziens (NRTC és LSI-NRTC) vizsgálati ciklusok

A nyomaték méréséhez terhelésmérő cella vagy beépített nyomatékmérő használható.

Terhelésmérő cella használatakor a nyomatékjelet a motortengelyre kell vonatkoztatni, és a fékpad tehetetlenségét figyelembe kell venni. A tényleges motornyomaték a terhelésmérő cellán leolvasott nyomaték plusz a fékkar szöggyorsulással megszorzott tehetetlenségi nyomatéka. A vezérlési rendszernek az ilyen jellegű számításokat valós időben kell elvégeznie.

9.1.3.   Motortartozékok

A motortartozékoknak a motor tüzelőanyaggal való ellátásához, kenéséhez vagy melegítéséhez, a hűtőközeg keringetéséhez vagy a kipufogógáz-utókezelő rendszerek működtetéséhez szükséges munkáját számításba kell venni, a tartozékokat pedig a 6.3. pontnak megfelelően kell beszerelni.

9.1.4.   Motortartó szerkezet és erőátvitelitengely-rendszer (NRSh kategória)

Amennyiben az NRSh kategóriájú motor helyes vizsgálatához szükséges, próbapadhoz motortartó szerkezetet, a fékpad forgó rendszeréhez való csatlakozáshoz pedig erőátvitelitengely-rendszert kell használni a gyártó előírásai szerint.

9.2.   Hígítási folyamat (amennyiben szükséges)

9.2.1.   A hígító levegőre vonatkozó feltételek és háttér-koncentrációk

A gáz-halmazállapotú összetevők mérésére hígítatlan vagy hígított állapotukban is sor kerülhet, a részecskék méréséhez azonban általában hígításra van szükség. A hígítás teljes áramú vagy részáramú hígítórendszer révén valósítható meg. Hígítás alkalmazása esetén a kipufogógázt környezeti levegővel, szintetikus levegővel vagy nitrogénnel lehet hígítani. A gáz-halmazállapotú kibocsátás méréséhez a hígító levegőnek legalább 288 K(15 °C)-osnak kell lennie. A részecske-mintavételhez alkalmazott hígító levegő hőmérsékletét állandó térfogatú mintavétel esetén a 9.2.2. pont, részáramú hígítás esetén a 9.2.3. pont határozza meg, eltérő hígítási aránnyal. A hígítórendszer átbocsátóképességének elég nagynak kell lennie ahhoz, hogy teljes mértékben megakadályozza a víz lecsapódását a hígító- és mintavevő rendszerben. Ha a levegő páratartalma magas, a hígító levegőt vízteleníteni lehet a hígítórendszerbe való bevezetése előtt. A hígítóalagút falait, valamint a teljes kipufogógáz-áramnak az alagút után található csöveit melegíteni vagy szigetelni lehet annak érdekében, hogy a víztartalmú alkotóelemeknek a gázfázisból a folyadékfázisba való kicsapódása („a víz lecsapódása”) elkerülhető legyen.

A hígító levegőt a hőmérsékletének vagy a páratartalmának növelésével vagy csökkentésével elő lehet készíteni, mielőtt a kipufogógázhoz kevernék. Háttér-koncentrációjuk csökkentése érdekében megengedett az összetevők eltávolítása a hígító levegőből. Az összetevők eltávolítására vagy a háttér-koncentrációk figyelembevételére a következő előírások vonatkoznak:

a) a hígító levegőben lévő összetevők koncentrációját meg lehet mérni és a háttérhatások szempontjából ellensúlyozni lehet a vizsgálati eredményekben. A háttér-koncentrációkat ellensúlyozó számítások a VII. melléklet találhatók;

b) A 7.2., a 9.3. és a 9.4. pontokban szereplő követelményekben megengedhetőek az alábbi változtatások a gáz- és szilárd halmazállapotú szennyező anyagok háttérkoncentrációinak mérésére:

i. nem szükséges arányos mintavétel használata;

ii. használhatók fűtetlen mintavevő rendszerek;

iii. használható folyamatos mintavétel, függetlenül attól, hogy a hígított gáz-halmazállapotú kibocsátásokra szakaszos mintavételt alkalmaznak-e;

iv. használható szakaszos mintavétel függetlenül attól, hogy a hígított gáz-halmazállapotú kibocsátásokra folyamatos mintavételt alkalmaznak-e;

c) a háttérrészecskék figyelembevétele az alábbi módokon lehetséges:

▼M2

i. a háttérrészecskék eltávolítása érdekében a hígító levegőt nagy hatásfokú részecskeszűrőkkel (HEPA-szűrő) kell megszűrni, melyek kezdeti minimális részecskeeltávolítási hatásfoka 99,97 % (a HEPA-szűrési hatékonysággal kapcsolatos eljárások tekintetében lásd az 1. cikk 19. pontját);

▼B

ii. a háttérrészecskék HEPA-szűrés nélküli korrigálásához a háttérrészecskék nem haladhatják meg a mintavevő szűrőn gyűjtött nettó részecsketömeg 50 %-át;

iii. HEPA-szűrés mellett a nettó részecsketömeg háttérkorrekciója nyomáskorlátozás nélkül megengedett.

9.2.2.   Teljes áramú hígítórendszer

Teljes áramú hígítás; állandó térfogatú mintavétel. A hígítatlan kipufogógáz teljes árama hígításra kerül a hígítóalagútban. Az állandó áramlást az áramlásmérőnél a hőmérséklet és a nyomás határértékeken belül való fenntartásával lehet elérni. Nem állandó áramlás esetén az áramlást az arányos mintavétel érdekében közvetlenül kell megmérni. A rendszert a következőképpen kell kialakítani (lásd a 6.6. ábrát):

a) a hígítóalagút belső felületének saválló acélból kell készülnie. A teljes hígítóalagutat elektromosan földelni kell. Ellenkező esetben nem vezető anyagok használhatók azon motorkategóriák esetében, amelyekre sem részecske-, sem részecskeszám-határértékek nem vonatkoznak;

b) a kipufogógáz ellennyomását a hígítólevegő-bevezető rendszer mesterségesen nem csökkentheti. Azon a ponton, ahol a hígítatlan kipufogógáz belép a hígítóalagútba, a statikus nyomást ± 1,2 kPa légköri nyomáson kell tartani;

c) a hígítás elősegítése érdekében a hígítatlan kipufogógázt úgy kell bevezetni a hígítóalagútba, hogy az alagút középvonala mentén áramoljon tovább. A hígító levegő egy részét sugárirányban, az alagút falai felől is be lehet vezetni az alagútba, ezzel csökkentve a kipufogógáz és az alagút falai közötti érintkezést;

d) hígító levegő. A részecske-mintavételhez a hígító levegő (a 9.2.1. pontban említett környezeti levegő, szintetikus levegő vagy nitrogén) hőmérsékletét a hígítóalagút bejáratának közelében 293 és 325 K (20–52 °C) között kell tartani;

e) a hígított kipufogógáz-áram tekintetében az Re (Reynolds-szám) értékének legalább 4 000 -nek kell lennie, ahol az Re alapja a hígítóalagút belső átmérője. Az Re meghatározása az a.VII. mellékletben található. A megfelelő hígítás ellenőrzéséhez egy mintavevő szondát kell átvezetni az alagút átmérőjén, függőlegesen és vízszintesen. Ha ± 2 %-nál nagyobb különbség van a gázelemző készülék visszajelzése és az átlagos mért koncentráció között, az állandó térfogatú mintavételt nagyobb áramlási sebességgel kell működtetni, vagy a keveredés elősegítésére keverőlemez vagy szűkítő használható;

f) az áramlásmérés előkondicionálása. Áramlási sebességének mérése előtt előzetesen kondicionálni lehet a hígított kipufogógázt, amennyiben a kondicionálásra a fűtött szén-hidrogén- vagy részecske-mintavevő szondáktól áramlásirányban lefelé, a következőképpen kerül sor:

i. megengedett az örvénymentesítők és/vagy a nyomáslengés-csillapítók használata;

ii. szűrő használata megengedett;

iii. hőcserélő használható bármely áramlásmérő előtt a hőmérséklet szabályozására, de meg kell tenni a szükséges lépéseket a vízlecsapódás elkerülésére;

g) vízlecsapódás. A vízlecsapódás az egyéb alkotóelemek, mint pl. kénsav nedvességtartalmának, nyomásának, hőmérsékletének és koncentrációjának függvénye. Ezek a paraméterek a motor által beszívott levegő páratartalmának, a hígító levegő páratartalmának, a motorban található levegő és tüzelőanyag arányának és a tüzelőanyag összetételének – ideértve a hidrogén és a kéntartalmat is – függvényében változnak.

Annak érdekében, hogy a mért koncentrációnak megfelelő áramlás mérésére kerüljön sor, vagy meg kell akadályozni a víz lecsapódását a mintavevő szonda helye és az áramlásmérőnek a hígítóalagútba való bemenete között, vagy hagyni kell a vizet lecsapódni, és meg kell mérni a páratartalom mértékét az áramlásmérőnek a hígítóalagútba való bemeneténél. A hígítóalagút falait, valamint a teljes kipufogógáz-áramnak az alagút után található csöveit melegíteni vagy szigetelni lehet a víz lecsapódásának elkerülése érdekében. A hígítóalagút teljes hosszán meg kell akadályozni a víz lecsapódását. A nedvesség felhígíthatja vagy eltávolíthatja a kipufogógáz egyes összetevőit.

▼M2

A részecske-mintavételhez az állandó térfogatú mintavételi rendszerből érkező, már arányos áramlás (egy vagy több) másodlagos hígításon megy át (lásd a 6.7. ábrát), hogy a 9.2.3.2. pontban előírt teljes hígítási arány teljesüljön;

h) a legkisebb teljes hígítási aránynak az 5:1 és 7:1 közötti tartományba kell esnie, az elsődleges hígítási fázisban pedig legalább 2:1 arányúnak kell lennie a motor kipufogógázának legnagyobb áramlási sebessége mellett a vizsgálati ciklus vagy a vizsgálati időköz alatt;

i) a rendszerben töltött teljes tartózkodási időnek 0,5 és 5 másodperc között kell lennie; a tartózkodási idő kezdetét a hígító levegőnek a szűrőtartó(k)hoz való bevezetésétől kell mérni;

j) a másodlagos hígítási rendszerben töltött tartózkodási időnek legalább 0,5 másodpercnek kell lennie; a tartózkodási idő kezdetét a másodlagos hígító levegőnek a szűrőtartó(k)hoz való bevezetésétől kell mérni.

A részecskék tömegének meghatározásához egy részecske-mintavevő rendszerre, egy részecske-mintavevő szűrőre, gravimetrikai mérlegre, valamint hőmérséklet- és páratartalom-szabályozással ellátott mérlegkamrára van szükség.

6.6. ábra.

Példák a teljes áramú hígítást alkalmazó mintavételi elrendezésekre

image

9.2.3.   Részáramú (PFD) hígítórendszer

9.2.3.1.   A részáramú rendszer leírása

A részáramú rendszer elvi rajza a 6.7. ábrán látható. Az ábra egy általános példán mutatja be a mintavételi és hígítási alapelveket. Az ábra csak példa, nem szükséges minden ábrázolt alkatrészt felhasználni, mivel más lehetséges mintavételi rendszerek is eleget tesznek a mintagyűjtési követelményeknek. Az ábrától eltérő konfigurációk is megengedettek, ha azonos célra, azaz mintagyűjtésre, hígításra és részecske-mintavételre szolgálnak. ►M2  E konfigurációknak meg kell felelniük egyéb követelményeknek is, eltérő hígítású részáramú rendszer esetében többek között a 8.1.8.6. (rendszeres kalibrálás) és a 8.2.1.2. (hitelesítés) pontban előírt kritériumoknak, állandó hígítású részáramú rendszer esetében pedig a 8.1.4.5. pontban, a 6.5. táblázatban (linearitás ellenőrzése) és a 8.1.8.5.7. pontban (ellenőrzés) előírt kritériumoknak. ◄

A 6.7. ábrán látható, ahogy a hígítatlan kipufogógáz vagy az elsődleges hígított áram az EP jelű kipufogócsőből, illetve az állandó térfogatú mintavételi rendszerből az SP jelű mintavevő szondán és a TL jelű átvezető csövön át eljut a DT jelű hígítóalagútba. Az alagúton átömlő teljes áramot egy áramlásszabályozó és a részecske-mintavevő rendszer P jelű mintavevő szivattyúja szabályozza. A hígítatlan kipufogógázból való arányos mintavétel érdekében a hígító levegő áramlását az FC1 jelű áramlásszabályozó szabályozza, amely a qm ew-et (a kipufogógáz tömegárama nedves alapon) vagy a q m aw-ot (a beszívott levegő tömegáram nedves alapon) és a q m f-et (a tüzelőanyag tömegárama) használhatja vezérlőjelként a kívánt kipufogógáz-megosztáshoz. A DT jelű hígítóalagútba áramló mintamennyiség a teljes átáramló mennyiségnek és a hígító levegő mennyiségének különbsége. A hígító levegő áramát az FM1 áramlásmérő készülék, a teljes átáramló mennyiséget a részecske-mintavevő rendszer áramlásmérő készüléke méri. A hígítási arány ebből a két áramértékből számítható ki. A hígítatlan vagy hígított kipufogógázból és a kipufogógáz-áramból (például másodlagos hígítás részecske-mintavétel esetén) való állandó hígítási arányú mintavételnél a hígító levegő áramlási sebessége általában állandó, és az FC1 jelű áramlásszabályozó vagy a hígító levegő szivattyúja szabályozza.

A hígító levegőt (környezeti levegőt, szintetikus levegőt vagy nitrogént) nagy hatásfokú részecskeszűrővel (HEPA-szűrő) kell szűrni.

image

a

=

a motor kipufogógáza vagy az elsődleges hígított áram

b

=

választható

c

=

részecske-mintavétel

A 6.7. ábra elemei:

DAF

:

hígítólevegő-szűrő

DT

:

hígítóalagút vagy másodlagos hígítási rendszer

EP

:

kipufogócső vagy elsődleges hígítási rendszer

FC1

:

áramlásszabályozó

FH

:

szűrőtartó

FM1

:

áramlásmérő készülék, amely a hígító levegő áramlási sebességét méri

P

:

mintavevő szivattyú

PSS

:

részecske-mintavevő rendszer

PTL

:

részecskeátvezető cső

SP

:

a hígítatlan vagy hígított kipufogógáz mintavevő szondája

TL

:

részecskeátvezető cső

A kizárólag az arányos, hígítatlan kipufogógáz-mintákat vevő részáramú rendszerre vonatkozó tömegáramok:

qm ew

a kipufogógáz tömegárama nedves alapon

qm aw

a beszívott levegő tömegárama nedves alapon

qm f

a tüzelőanyag tömegárama

9.2.3.2.   Hígítás

A hígító levegő (a 9.2.1. pontban említett környezeti levegő, szintetikus levegő vagy nitrogén) hőmérsékletét a hígítóalagút bejáratának közelében 293 és 325 K (20–52 °C) között kell tartani.

A hígító levegőt vízteleníteni lehet a hígítórendszerbe való bevezetése előtt. A részáramú hígítórendszert úgy kell kialakítani, hogy a motor kipufogógáz-áramából arányos, hígítatlan kipufogógáz-mintát lehessen venni, így reagálva a kipufogógáz-áramban meglévő ingadozásokra, valamint úgy kell bevezetni a hígító levegőt ebbe a mintába, hogy a hőmérséklet a vizsgálati szűrőn a 9.3.3.4.3. pontban előírt értéket érje el. Ehhez elengedhetetlen, hogy a hígítási arány meghatározása a 8.1.8.6.1. pontban előírt pontossággal történjen.

Annak érdekében, hogy a mért koncentrációnak megfelelő áramlás mérésére kerüljön sor, vagy meg kell akadályozni a víz lecsapódását a mintavevő szonda helye és az áramlásmérőnek a hígítóalagútba való bemenete között, vagy hagyni kell a vizet lecsapódni, és meg kell mérni a páratartalom mértékét az áramlásmérőnek a hígítóalagútba való bemeneténél. A részáramú hígítórendszert melegíteni vagy szigetelni lehet a víz lecsapódásának elkerülése érdekében. A hígítóalagút teljes hosszán meg kell akadályozni a víz lecsapódását.

A legkisebb hígítási aránynak az 5:1 és 7:1 közötti tartományba kell esnie a motor kipufogógázának legnagyobb áramlási sebessége mellett a vizsgálati ciklus vagy a vizsgálati időköz alatt.

A rendszerben töltött tartózkodási időnek 0,5 és 5 s között kell lennie; a tartózkodási idő kezdetét a hígító levegőnek a szűrőtartó(k)hoz való bevezetésétől kell mérni.

A részecskék tömegének meghatározásához egy részecske-mintavevő rendszerre, egy részecske-mintavevő szűrőre, gravimetrikai mérlegre, valamint hőmérséklet- és páratartalom-szabályozással ellátott mérlegkamrára van szükség.

9.2.3.3.   Alkalmazhatóság

A részáramú hígítás használható a hígítatlan kipufogógáz arányos mintájának levételére bármely tétel esetében, vagy a részecskékből és a gáz-halmazállapotú kibocsátásból való folyamatos mintavételre bármely tranziens (NRTC és LSI-NRTC) vizsgálati ciklus, különálló NRSC vagy RMC vizsgálati ciklus során.

▼M2

A rendszer korábban hígított kipufogógáz esetében is alkalmazható, amennyiben egy már arányos áramot hígítottak állandó hígítási aránnyal (lásd a 6.7. ábrát). Ezzel a módszerrel másodlagos hígítást lehet végezni az állandó térfogatú mintavételi alagútból, így elérhető a részecske-mintavételhez szükséges teljes hígítási arány.

▼B

9.2.3.4.   Kalibrálás

A részáramú hígítás kalibrálását, amely a hígítatlan kipufogógázból való arányos mintavételhez szükséges, a 8.1.8.6. pont tárgyalja.

9.3.   Mintavételi eljárások

9.3.1.   Általános mintavételi előírások

9.3.1.1.   A szonda felépítése és kialakítása

A szonda az első berendezés a mintavételi rendszerben. A mintavételhez a szonda hígítatlan vagy hígított kipufogógáz-áramba van bevezetve úgy, hogy belső és külső felületeit kipufogógáz éri. A minta a szondából az átvezető csőbe kerül.

A mintavevő szonda belső felületének saválló acélból kell készülnie, illetve hígítatlan kipufogógázból való mintavétel esetén készülhet bármilyen nem reakcióképes anyagból, amely ellenáll a kipufogógáz hőmérsékletének. A mintavevő szondákat ott kell elhelyezni, ahol az összetevőket az átlagos mintavételi koncentrációra keverik, és ahol a lehető legkisebb az esélye a többi szondával való kölcsönhatásnak. Az összes szondánál ajánlatos biztosítani, hogy ne legyen kitéve a határrétegek, a hullámok vagy az örvények hatásának – különösen a hígítatlan kipufogógázt mérő cső kimeneti nyílása közelében, ahol nem tervezett hígítás következhet be. Valamely szonda tisztítása vagy öblítése nem befolyásolhatja a többi szondát a vizsgálat közben. Több összetevő mintája is levehető ugyanazzal a szondával, amennyiben a szonda minden összetevő tekintetében megfelel az előírásoknak.

9.3.1.1.1.   Keverőkamra (NRSh kategória)

Ha a gyártó megengedi, keverőkamra használható az NRSh kategóriájú motorok vizsgálatához. A keverőkamra a hígítatlangáz-mintavevő rendszer nem kötelező eleme, és a kipufogórendszerben a hangtompító és a mintavevő szonda között helyezkedik el. A keverőkamra, valamint az előtte és utána lévő csövek alakjának és méretének lehetővé kell tennie jól összekeveredett, homogén minta előállítását a mintavevő szonda helyén, és meg kell előznie a kamra kibocsátási eredményeket befolyásoló erős pulzálását vagy rezgését.

9.3.1.2.   Átvezető csövek

A felvett mintát a szondától a gázelemző készülékig, tárolóeszközig vagy hígítórendszerig továbbító átvezető csöveknek a lehető legrövidebbnek kell lenniük, ezért a gázelemző készüléket, a tárolóeszközt vagy a hígítórendszert a lehető legközelebb kell helyezni a szondákhoz. Az átvezető csövekben a lehető legkevesebb hajlatnak kell lennie, a feltétlenül szükséges hajlatok sugarát pedig a lehető legnagyobbra kell alakítani.

9.3.1.3.   Mintavételi módszerek

A 7.2. pont szerinti folyamatos és szakaszos mintavételre a következő előírások vonatkoznak:

a) állandó áramlási sebesség esetében a mintavételt is állandó áramlási sebesség mellett kell végezni;

b) változó áramlási sebesség esetében a mintavételi áramlási sebességet a változó áramlási sebességgel arányosan kell változtatni;

c) az arányos mintavételt a 8.2.1. pontban leírtaknak megfelelően hitelesíteni kell.

9.3.2.   Gázmintavétel

9.3.2.1.   Mintavevő szondák

A gáz-halmazállapotú kibocsátásokból való mintavételhez egy- vagy- többnyílású szonda használható. A szondák a hígítatlan vagy hígított kipufogógáz-áramhoz viszonyítva bármilyen irányban elhelyezkedhetnek. Egyes szondák esetében az alábbiak szerint kell szabályozni a minta hőmérsékletét:

a) azon szondák esetében, amelyek NOx-mintát vesznek a hígított kipufogógázból, a vízlecsapódás elkerülése érdekében szabályozni kell a szonda falának hőmérsékletét;

b) azon szondák esetében, amelyek szénhidrogénmintát vesznek a hígított kipufogógázból, a szennyezettség csökkentése érdekében ajánlott körülbelül 191 °C-on tartani a szonda falának hőmérsékletét.

9.3.2.1.1.   Keverőkamra (NRSh kategória)

►M2  A 9.3.1.1.1. pont szerinti használat esetén a keverőkamra belső térfogata nem lehet kisebb, mint a vizsgált motor egyes hengerei lökettérfogatának tízszerese. ◄ A keverőkamrát a lehető legközelebb kell csatlakoztatni a motor hangtompítójához, belső felületi hőmérsékletének pedig legalább 452 K-nek (179 °C-nak) kell lennie. A gyártó meghatározhatja a keverőkamra kialakítását.

9.3.2.2.   Átvezető csövek

Az átvezető csövek belső felületének rozsdamentes acélból, teflonból, VitonbólTM vagy bármely más olyan anyagból kell lennie, amely tulajdonságai alapján kifejezetten alkalmas a kibocsátási mintavételre. Az anyag nem lehet reakcióképes, és ellen kell állnia a kipufogógáz hőmérsékletének. Beépített szűrők használata megengedett, amennyiben a szűrő és a szűrőház is megfelel az átvezető csövekre vonatkozó hőmérsékleti előírásoknak, melyek a következők:

a) A 8.1.11.5. pont előírásainak megfelelő NO2–NO-átalakítótól vagy a 8.1.11.4. pont előírásainak megfelelő hűtő előtt elhelyezkedő, NOx-et szállító átvezető csövek esetében olyan hőmérsékletet kell fenntartani, amely megakadályozza a víz lecsapódását.

▼M2

b) Az összes szénhidrogént átvezető cső esetében a falak hőmérséklettűrésének a cső teljes hosszán (464 ± 11) K-nek [(191 ± 11) °C-nak] kell maradnia. Amennyiben hígítatlan kipufogógázból történik a mintavétel, közvetlenül a szondához egy fűtetlen, szigetelt átvezető csövet lehet csatlakoztatni. Az átvezető cső hosszát és szigetelését úgy kell kialakítani, hogy a legmagasabb várható hőmérsékletű hígítatlan kipufogógázt ne hűtse 191 °C-nál alacsonyabb hőmérsékletűre (az átvezető cső kimeneténél mérve). A hígított kipufogógázból való mintavétel esetén engedélyezett egy legfeljebb 0,92 m hosszúságú átmeneti zóna kialakítása a szonda és az átvezető cső között a fal hőmérsékletének (464 ± 11) K-re [(191 ± 11) °C-ra] való módosítása érdekében.

▼B

9.3.2.3.   A minták kondicionálására szolgáló alkatrészek

9.3.2.3.1.   Mintaszárítók

9.3.2.3.1.1.   Követelmények

A nedvesség mintából való eltávolítására használhatók mintaszárítók annak érdekében, hogy csökkenteni lehessen a víznek a gáz-halmazállapotú kibocsátások mérésére kifejtett hatását. A mintaszárítóknak meg kell felelniük a 9.3.2.3.1.1. és a 9.3.2.3.1.2. pontban meghatározott követelményeknek. A (7-13) egyenlet 0,8 térfogatszázalék nedvességtartalommal számol.

▼M2

A Hm legmagasabb várható vízgőz-koncentráció esetére a vízkivonási módszerrel a kemilumineszcens detektor páratartalmát ≤ 5 g víz/száraz levegő (másként kifejezve: körülbelül 0,8 térfogatszázalék H2O) szinten kell tartani, ami 100 % relatív páratartalmat jelent 277,1 K (3,9 °C) és 101,3 kPa mellett. Ez a páratartalom közelítőleg 25 %-os relatív páratartalomnak felel meg 298 K (25 °C) hőmérsékleten és 101,3 kPa nyomáson. Ez igazolható:

a) a hőmérsékletnek a mintaszárító kimeneténél történő mérésével; vagy

b) a páratartalomnak közvetlenül a kemilumineszcens detektor előtti ponton történő mérésével; vagy

c) a 8.1.12. pont szerinti ellenőrzési eljárás végrehajtásával.

▼B

9.3.2.3.1.2.   Az engedélyezett mintaszárítók típusa és a szárítás utáni nedvességtartalom becslésére szolgáló eljárás

Az e pontban meghatározott bármely típusú mintaszárító alkalmazható.

a) Ha bármely gázelemző készülék vagy tárolóeszköz előtt ozmotikus membránnal működő szárítót alkalmaznak, a szárítónak meg kell felelnie a 9.3.2.2. pontban meghatározott előírásoknak. Az ozmotikus membránnal működő szárító utáni részen figyelemmel kell követni a T dew harmatpont és a p total abszolút nyomás értékét. A víz mennyiségét a VII. mellékletben alapján kell meghatározni, a T dew és a p total folyamatosan rögzített értéke, egy vizsgálat alatt rögzített csúcsértéke vagy riasztási szintje alkalmazásával. Közvetlen mérés hiányában a p total névleges értékét a szárítónak a vizsgálat során várható legalacsonyabb abszolút nyomása adja meg;

b) kompressziós gyújtású motoroknál nem alkalmazható az összes szénhidrogént mérő rendszer előtt elhelyezkedő termikus hűtő. Az NO2–NO-átalakító előtt elhelyezkedő vagy NO2–NO-átalakító nélküli mintavételi rendszerben alkalmazott termikus hűtő esetében a hűtőnek meg kell felelnie a 8.1.11.4. pontban meghatározott NO2 csökkenési teljesítményvizsgálat követelményeinek. A termikus hűtő utáni részen figyelemmel kell követni a T dew harmatpont és a p total abszolút nyomás értékét. A víz mennyiségét a VII. mellékletben alapján kell meghatározni, a T dew és a p total folyamatosan rögzített értéke, egy vizsgálat alatt rögzített csúcsértéke vagy riasztási szintje alkalmazásával. Közvetlen mérés hiányában a p total névleges értékét a termikus hűtőnek a vizsgálat során várható legalacsonyabb abszolút nyomása adja. Amennyiben a hűtő ismert hatékonysága és a hűtő hőmérsékletének folyamatos megfigyelése alapján megalapozott a termikus hűtőben lévő telítettség mértékének, a T dew-nak becslése, engedélyezett a T chiller értékének kiszámítása. Ha a T chiller értéke nem kerül folyamatosan rögzítésre, akkor a T chiller egy vizsgálat során megfigyelt csúcsértékét vagy riasztási szintjét is lehet állandó értékként alkalmazni a víz állandó mennyiségének a VII. melléklet szerinti megállapításához. Amennyiben megalapozottan feltételezhető, hogy a T chiller egyenlő T dew-val, a VII. mellékletnek megfelelően a T dew helyett a T chiller értéke is használható. Amennyiben megalapozottan feltételezhető, hogy T chiller és T dew között állandó hőmérsékleti eltérés áll fenn a mintának a hűtő kimenete és a hőmérséklet mérésének helye közötti, ismert és állandó mértékű újramelegedése miatt, a feltételezett hőmérsékleti eltérés értékét figyelembe lehet venni a kibocsátásszámítások során. Az e pontban engedélyezett feltételezések érvényességét műszaki elemzéssel vagy adatokkal kell alátámasztani.

9.3.2.3.2.   Mintavevő szivattyúk

A gázelemző készülék vagy bármilyen gázt tároló eszköz előtt mintavevő szivattyúkat kell alkalmazni. A mintavevő szivattyúk belső felületének saválló acélból, teflonból vagy bármely más olyan anyagból kell lennie, amely tulajdonságai alapján kifejezetten alkalmas a kibocsátási mintavételre. Egyes mintavevő szivattyúk esetében az alábbiak szerint kell szabályozni hőmérsékletet:

a) ha egy NOx mintavevő szivattyú a 8.1.11.5. pontban foglalt követelményeknek megfelelő NO2–NO-átalakító vagy a 8.1.11.4. pontban foglalt követelményeknek megfelelő hűtő előtt helyezkedik el, a vízlecsapódás érdekében melegíteni kell a szivattyút;

b) ha az összes szénhidrogént elemző készülék vagy tárolóeszköz előtt az összes szénhidrogénből mintát vevő szivattyút alkalmaznak, a szivattyú belső felületét 464 ± 11 K, (191 ± 11) °C-ra kell melegíteni.

9.3.2.3.3.   Ammóniamosók

Ammóniamosók bármely gázmintavevő rendszerben használhatók az NH3 interferenciájának, az NO2-NO-átalakító mérgezésének és a mintavevő rendszerben vagy a gázelemző készülékekben való lerakódásoknak a megelőzése érdekében. Az ammóniamosót a gyártó ajánlásai szerint kell beszerelni.

9.3.2.4.   A minta tárolására szolgáló eszközök

Zsákos mintavétel esetén a gáztérfogatokat olyan, megfelelő tisztaságú tartályokban kell tárolni, amelyek csak minimális mértékben eresztik ki vagy át a gázokat. A tárolóeszközök tisztaságának és áteresztőképességének elfogadható mértékét a műszaki szempontok helyes mérlegelésével kell megállapítani. A tartály tisztítását ismételt átszellőztetéssel, kiürítéssel és melegítéssel lehet elvégezni. A tárolónak vagy rugalmasnak kell lennie (például zsák) és szabályozott hőmérsékletű környezetben kell elhelyezkednie, vagy szabályozott hőmérsékletű merev tárolót kell alkalmazni, amelyet először ki kell üríteni vagy amelynek űrtartalma szabályozható, például dugattyús-hengeres kialakítása révén. A tartályoknak meg kell felelniük az alábbi, 6.6. táblázatban meghatározott előírásoknak.



6.6. táblázat

A tételes gázminták tárolására szolgáló tartályok anyaga

CO, CO2, O2, CH4, C2H6, C3H8, NO, NO2 (1)

polivinil-fluorid (PVF) (2), például Tedlar, polivinilidén-fluorid (2), például Kynar, politetrafluoretilén (3), például Teflon vagy saválló acél (3)

HC

politetrafluoretilén (4) vagy saválló acél (4)

(1)   Amennyiben a tárolótartályban nincs vízlecsapódás.

(2)   Legfeljebb 313 K (40 °C).

(3)   Legfeljebb 475 K (202 °C).

(4)   464 ± 11 K-en (191 ± 11 °C-on).

9.3.3.   Részecske-mintavétel

9.3.3.1.   Mintavevő szondák

A részecske-mintavevő szondák végén egy nyílásnak kell lennie. A részecske-mintavevő szondákat egyenesen az áramlás irányával szembe kell fordítani.

A mintavevő szondát a 6.8. ábra előírásainak megfelelő tetővel lehet lefedni. Ez esetben a 9.3.3.3. pontban szereplő előosztályozó nem használható.

image

9.3.3.2.   Átvezető csövek

Szigetelt vagy fűtött átvezető csövek, vagy fűtött burkolat alkalmazása javasolt annak érdekében, hogy a lehető legkisebb legyen az átvezető csövek és a kipufogógáz alkotóelemei közötti hőmérséklet-különbség. Az átvezető csöveknek közömböseknek kell lenniük a részecskékkel szemben, belső felületüknek pedig elektromosan vezetőnek kell lennie. Ajánlott olyan részecskeátvezető csöveket használni, amelyek saválló acélból készültek; ha pedig más anyagból készült csöveket alkalmaznak, az adott anyagnak a saválló acéléval megegyező mintavételi teljesítménnyel kell rendelkeznie. A részecskeátvezető csövek belső felületét elektromosan földelni kell.

9.3.3.3.   Előosztályozó

A nagy átmérőjű részecskék eltávolítására részecske-előosztályozó használható, amelyet a hígítórendszerben közvetlenül a szűrőtartó elé kell felszerelni. Csak egy előosztályozó használata megengedett. Süveg alakú szonda (lásd a 6.8. ábrát) alkalmazása esetén tilos előosztályozót használni.

A részecske-előosztályozó tehetetlenségi ütközéses leválasztó vagy ciklon leválasztó lehet. Az előosztályozónak saválló acélból kell készülnie. Az előosztályozót úgy kell kalibrálni, hogy az adott áramlási sebességek mellett eltávolítsa a 10 μm aerodinamikai átmérőjű részecskék legalább 50 %, de az 1 μm aerodinamikai átmérőjű részecskék 1 % többet ne távolítson el. Az előosztályozó kilépő nyílását úgy kell kialakítani egy megkerülő részecske-mintavevő szűrő segítségével, hogy az előosztályozó árama stabilizálható legyen a vizsgálat megkezdése előtt. A részecske-mintavevő szűrőt az előosztályozó kilépő nyílása után található 75 cm-en belül kell elhelyezni.

9.3.3.4.   Mintavevő szűrő

A hígított kipufogógázból olyan szűrővel kell mintát venni, amely a vizsgálati program alatt megfelel a 9.3.3.4.1–9.3.3.4.4. pont előírásainak.

9.3.3.4.1.   A szűrőkre vonatkozó előírások

Minden szűrőtípusnak legalább 99,7 %-os befogási hatásfokúnak kell lennie. A mintavevő szűrő gyártójának a termékbesorolásban tükröződő mérései alapján eldönthető, hogy teljesül-e ez a követelmény. A szűrők anyaga a következők valamelyike lehet:

a) teflonborítású (PTFE) üvegszál; vagy

b) teflonmembrán (PTFE-membrán).

Amennyiben a szűrőn összegyűjtött részecskék nettó tömege várhatóan meghaladja a 400 μg-ot, minimum 98 %kezdeti részecskeeltávolítási hatásfokkal rendelkező szűrő használható.

9.3.3.4.2.   A szűrők mérete

A szűrők névleges átmérőjének 46,50 mm ± 0,6 mm méretűnek (legalább 37 mm hasznos átmérő) kell lennie. A jóváhagyó hatósággal való előzetes megegyezés alapján nagy átmérőjű szűrők is használhatók. A szűrőnek és a hasznos felületnek ajánlott arányban lennie egymással.

9.3.3.4.3.   A részecskeminták hígításának és hőmérsékletének szabályozása

A részecskemintákat legalább egyszer hígítani kell, állandó térfogatú mintavételi rendszer esetében az átvezető csövek előtt, részáramú hígítórendszer esetében pedig az átvezető csövek után (az átvezető csövekkel kapcsolatban lásd a 9.3.3.2. pontot). ►M2  A minták hőmérsékletét 320 ± 5 K-re (47 ± 5 °C-ra) kell beállítani, a részecskeszűrő közeg előtt vagy után 200 mm-en belül mérve. ◄ A részecskeminta melegítését vagy hűtését elsősorban a hígítási körülményekkel kell elérni, amelyeket a 9.2.1. pont a) alpontja határoz meg.

9.3.3.4.4.   Merőleges sebesség a szűrőnél

A szűrőfelületre merőleges sebességnek 0,90 és 1,00 m/s között kell lennie úgy, hogy a rögzített áramlási értékek kevesebb, mint 5 % haladja meg ezt a tartományt. Ha az összegyűlt részecskék tömege meghaladja a 400 μg-ot, a szűrőfelületre merőleges sebesség csökkenthető. A merőleges sebességet a mintának a szűrő előtt érvényesülő nyomáson és a szűrőfelületi hőmérsékleten mért térfogatárama és a szűrő átfolyási területe hányadosaként kell megmérni A kipufogórendszer-cső vagy az állandó térfogatú mintavételi alagút nyomását kell használni a bemeneti nyomáshoz, ha a részecske-mintavevő és a szűrő közötti nyomásesés kevesebb, mint 2 kPa.

9.3.3.4.5.   Szűrőtartó

A turbulencia miatti lerakódás csökkentése és a szűrőn való egyenletes részecskelerakódás érdekébeno a szűrőtartónak 12,5° divergens nyílásszöggel kell rendelkeznie (a középponthoz viszonyítva) az átvezető cső belső átmérője és a szűrőfelület átfolyási átmérője közötti átmenethez. Ehhez az átmenethez saválló acélt kell alkalmazni.

9.3.4.   Részecskestabilizáció és mérési környezet a gravimetriai elemzéshez

9.3.4.1.   Mérési környezet a gravimetriai elemzéshez

E fejezet a gravimetriai elemzéshez szükséges két környezetre vonatkozó követelményeket tartalmazza: az egyik a részecskestabilizációs környezet, ahol a mérés előtt tárolják a szűrőket, a másik pedig a mérési környezet, ahol a mérleg található. A két környezet közös térben is elhelyezhető.

Mind a stabilizációs, mind a mérési környezetet meg kell óvni a környezeti szennyeződésektől, például a portól, az aeroszoloktól vagy a félig illékony anyagoktól, amelyek beszennyezhetik a részecskemintákat.

9.3.4.2.   Tisztaság

A referenciaszűrőket alkalmazó részecskestabilizációs környezet tisztaságát a 8.1.12.1.4. pont előírásainak megfelelően ellenőrizni kell.

9.3.4.3.   A kamra hőmérséklete

A részecskeszűrők előkészítésére (kondicionálására) és tömegmérésére szolgáló kamrának (helyiségnek) a szűrők kondicionálása és mérése alatt mindig 295 ± 1 K (22 °C ± 1 °C) hőmérsékletűnek kell lennie. A páratartalmat 282,5 ± 1 K (9,5 °C ± 1 °C) harmatpont és 45 % ± 8 % relatív páratartalom értéken kell tartani. Különálló stabilizációs és mérési környezet esetében a stabilizációs környezet hőmérsékletét 295 ± 3 K (22 °C ± 3 °C) értéken kell tartani.

9.3.4.4.   A környezeti feltételek ellenőrzése

A 9.4. pont előírásainak megfelelő mérőműszerek használata során el kell végezni a következő környezeti feltételek ellenőrzését:

a) A harmatpontot és a környezeti hőmérsékletet fel kell jegyezni. Ezen értékek alapján kell meghatározni, hogy a stabilizációs és a mérési környezet legalább a szűrők mérése előtti 60 percben a 9.3.4.3. pontban meghatározott tűrési értékek között maradt-e.

b) A mérési környezeten belül folyamatosan rögzíteni kell a légköri nyomás értékét. Elfogadható megoldás az is, ha a mérési környezeten kívüli légköri nyomást mérik egy légnyomásmérővel, amennyiben biztosítható, hogy a mérleg körüli légköri nyomás legfeljebb ± 100 Pa-lal tér el a közös légköri nyomástól. Valamennyi részecskeminta mérésekor lehetőséget kell biztosítani a legutóbbi légköri nyomás értékének rögzítésére. ►M2  Ezt az értéket kell használni a részecske-mintavevő szűrő 8.1.13.2. pont szerinti, a felhajtóerő miatt történő korrekciójának kiszámítására. ◄

9.3.4.5.   A mérleg beállítása

A mérleget a következőképpen kell beállítani:

a) rezgéscsillapító padozatra kell helyezni a külső zajoktól és rezgésektől való elszigetelés érdekében;

b) a konvektív légáramlástól elektromosan földelt antisztatikus huzatvédővel kell árnyékolni.

9.3.4.6.   Statikus elektromos töltés

A statikus elektromos töltést a mérleg környezetében a lehető legkisebbre kell csökkenteni a következő módon:

a) a mérleget elektromosan földelni kell;

b) a részecskeminták manuális kezelése esetén saválló acél csipeszeket kell használni;

c) a csipeszeket földelőszalaggal kell földelni, vagy a kezelőt olyan földelőszalaggal kell ellátni, amely a mérleggel közös földet használ;

d) a részecskeminták statikus elektromosságának kiküszöbölése érdekében biztosítani kell egy statikus elektromosságot közömbösítő készüléket, amely a mérleghez hasonlóan elektromosan földelve van.

9.4.   Mérőműszerek

9.4.1.   Bevezetés

9.4.1.1.   Alkalmazási kör

E pont a kibocsátásvizsgálathoz kapcsolódó mérőeszközökre vonatkozó előírásokat és a hozzájuk tartozó rendszerkövetelményeket tartalmazza. Mindez a motorparamétereket, a környezeti feltételeket, az áramlással kapcsolatos paramétereket és a (hígítatlan vagy hígított) kibocsátáskoncentrációkat mérő laboratóriumi műszereket foglalja magában.

9.4.1.2.   Műszertípusok

Az e rendeletben említett valamennyi műszert a rendeletben meghatározott módon kell alkalmazni (a műszerek által mért mennyiségeket lásd a 6.5. táblázatban). Amennyiben egy e rendeletben említett műszert nem az előírt módon használnak vagy más műszerrel helyettesítenek, az 5.1.1. pontban meghatározott egyenértékűségi előírásokat kell alkalmazni. ►M2  Amennyiben egy adott méréshez több műszer is meg van határozva, a jóváhagyó hatóság az alkalmazáskor az egyik műszert referenciaként fogja megadni, ezzel jelezve, hogy az adott eljárásnál egy másik, egyenértékű eljárás is rendelkezésre áll. ◄

9.4.1.3.   Redundáns rendszerek

►M2  A jóváhagyó hatóság előzetes engedélyével az e pontban meghatározott valamennyi mérőeszköz esetében lehetőség van arra, hogy egy vizsgálathoz több műszer adataiból számítsák ki a vizsgálati eredményeket. ◄ Mérés eredményét fel kell jegyezni és a nyers adatokat meg kell őrizni. Ez a követelmény akkor is érvényes, ha a méréseket nem használják fel a tényleges számításokban.

9.4.2.   Adatrögzítés és vezérlés

A vizsgálati rendszernek alkalmasnak kell lennie az adatok frissítésére és rögzítésére, valamint a kezelő irányításához kötött rendszerek, a fékpad, a mintavételi rendszer és a mérőműszerek vezérlésére. Az adatfelvételi és vezérlőrendszereknek alkalmasnak kell lenniük az előírt legkisebb gyakoriság szerinti rögzítésre a 6.7. táblázatban megadott értékeknek megfelelően (a táblázat adatai a különálló vizsgálatokra nem vonatkoznak). (a táblázat adatai a különálló NRSC vizsgálatokra nem vonatkoznak).



6.7. táblázat

Az adatrögzítés és a vezérlés legkisebb gyakorisága

A vizsgálati eljárásra vonatkozó fejezet

Mért értékek

Legkisebb vezérlési és ellenőrzési gyakoriság

Legkisebb adatrögzítési gyakoriság

7.6.

Sebesség és nyomaték egy motorlépés jelleggörbéjének felvétele során

1 Hz

1 Hz-es átlagérték lépésenként

7.6.

Sebesség és nyomaték a motorfelpörgetés jelleggörbéjének felvétele során

5 Hz

1 Hz-es átlag

7.8.3.

A tranziens (NRTC és LSI-NRTC) vizsgálati ciklus referencia- és mért sebességei és nyomatékai

5 Hz

1 Hz-es átlag

7.8.2.

A különálló NRSC és RMC vizsgálati ciklus referencia- és mért sebességei és nyomatékai

1 Hz

1 Hz

7.3.

A hígítatlan gázt elemző készülékek állandó koncentrációja

n.a.

1 Hz

7.3.

A hígított gázt elemző készülékek állandó koncentrációja

n.a.

1 Hz

7.3.

A hígítatlan vagy hígított gázt elemző készülékek szakaszos koncentrációja

n.a.

1 Hz-es átlagérték vizsgálati időközönként

7.6.

8.2.1.

A hígított kipufogógáz áramlási sebessége az áramlásmérés előtt elhelyezkedő hőcserélővel felszerelt állandó térfogatú mintavételi rendszerben

n.a.

1 Hz

7.6.

8.2.1.

A hígított kipufogógáz áramlási sebessége az áramlásmérés előtt elhelyezkedő hőcserélő nélküli állandó térfogatú mintavételi rendszerben

5 Hz

1 Hz-es átlag

7.6.

8.2.1.

A beszívott levegő vagy a kipufogógáz áramlási sebessége (hígítatlan, tranziens mérésnél)

n.a.

1 Hz-es átlag

7.6.

8.2.1.

Hígító levegő, aktív szabályozás mellett

5 Hz

1 Hz-es átlag

7.6.

8.2.1.

Mintaáram a hőcserélővel rendelkező állandó térfogatú mintavételi rendszerből

1 Hz

1 Hz

7.6.

8.2.1.

Mintaáram a hőcserélő nélküli állandó térfogatú mintavételi rendszerből

5 Hz

1 Hz-es átlag

9.4.3.   A mérőműszerek teljesítményére vonatkozó előírások

9.4.3.1.   Áttekintés

A vizsgálati rendszer egészének meg kell felelnie a 8.1. pontban előírt kalibrálási, hitelesítési és vizsgálathitelesítési kritériumoknak, beleértve a 8.1.4. és 8.2. pontban előírt linearitási ellenőrzés követelményeit is. A műszereknek meg kell felelniük a 6.7. táblázatban szereplő előírásoknak az összes alkalmazott vizsgálati tartomány vonatkozásában. A műszerek gyártói által kiadott valamennyi olyan dokumentumot meg kell őrizni, amely igazolja, hogy a műszerek megfelelnek a 6.7. táblázatban szereplő előírásoknak.

9.4.3.2.   Az alkatrészekre vonatkozó követelmények

A 6.8. táblázat a nyomaték-, a fordulatszám- és a nyomás-jelátalakítókra, a hőmérséklet és a harmatpont érzékelőire és egyéb műszerekre vonatkozó követelményeket tartalmaz. Az adott fizikai és/vagy kémiai mennyiség mérésére szolgáló egész rendszernek meg kell felelnie a 8.1.4. pontban szereplő linearitási hitelesítés követelményeinek. A gáz-halmazállapotú kibocsátások mérésére olyan gázelemző készülékek használhatók, amelyek kompenzációs algoritmusai az egyéb mért gáz-halmazállapotú összetevők és az adott motorvizsgálatra vonatkozó tüzelőanyag-jellemzők függvényei. A kompenzációs algoritmusok csak ofszetkompenzálást biztosíthatnak, de nem befolyásolhatják egyik erősítési tényezőt sem (azaz nem torzíthatnak).



6.8. táblázat

A mérőműszerek ajánlott teljesítményére vonatkozó adatok

Mérőműszer

Mért mennyiség szimbóluma

A rendszer teljes

felfutási ideje

Rögzítés frissítési gyakorisága

Pontosság ()

Ismételhetőség ()

Fordulatszám-jelátalakító

n

1 s

1 Hz-es átlag

a pt. 2,0 %-a vagy

a max. 0,5 %-a

a pt. 1,0 %-a vagy

a max. 0,25 %-a

Motornyomaték-jelátalakító

T

1 s

1 Hz-es átlag

a pt. 2,0 %-a vagy

a max. 1,0 %-a

a pt. 1,0 %-a vagy

a max. 0,5 %-a

Tüzelőanyag-áramlásmérő

(Tüzelőanyag-szintmérő)

 

5 s

n.a.

1 Hz

n.a.

a pt. 2,0 %-a vagy

a max. 1,5 %-a

a pt. 1,0 %-a vagy

a max. 0,75 %-a

A teljes hígított kipufogógáz mérője (állandó térfogatú mintavételnél)

(a mérő előtti hőcserélővel)

 

1 s

(5 s)

1 Hz-es átlag

1 Hz

a pt. 2,0 %-a vagy

a max. 1,5 %-a

a pt. 1,0 %-a vagy

a max. 0,75 %-a

A hígító levegő, a beszívott levegő, a kipufogógáz és a mintaáram mérői

 

1 s

az 5 Hz gyakoriságú minták 1 Hz-es átlaga

a pt. 2,5 %-a vagy

a max. 1,5 %-a

a pt. 1,25 %-a vagy

a max. 0,75 %-a

Folyamatos gázelemző, hígítatlan

x

5 s

2 Hz

a pt. 2,0 %-a vagy

a mért 2,0 %-a

a pt. 1,0 %-a vagy

a mért 1,0 %-a

Folyamatos gázelemző, hígított

x

5 s

1 Hz

a pt. 2,0 %-a vagy

a mért 2,0 %-a

a pt. 1,0 %-a vagy

a mért 1,0 %-a

Folyamatos gázelemző

x

5 s

1 Hz

a pt. 2,0 %-a vagy

a mért 2,0 %-a

a pt. 1,0 %-a vagy

a mért 1,0 %-a

Szakaszos gázelemző

x

n.a.

n.a.

a pt. 2,0 %-a vagy

a mért 2,0 %-a

a pt. 1,0 %-a vagy

a mért 1,0 %-a

Gravimetrikus részecskemérleg

m PM

n.a.

n.a.

Lásd a 9.4.11. szakaszt.

0,5 μg

Tehetetlenségi részecskemérleg

m PM

5 s

1 Hz

a pt. 2,0 %-a vagy

a mért 2,0 %-a

a pt. 1,0 %-a vagy

a mért 1,0 %-a

(1)   A pontosságot és az ismételhetőséget ugyanazon gyűjtött adatokkal kell meghatározni a 9.4.3. pontban leírtak szerint, abszolút értékek alapján. A „pt.” a kibocsátási határnál várható teljes átlagérték; a „max” a teljes ciklus kibocsátási határánál várható legnagyobb érték, nem pedig a műszer tartományának maximuma; a „mért” a teljes ciklusban ténylegesen mért átlag.

9.4.4.   A motorjellemzők és a környezeti feltételek mérése

9.4.4.1.   Fordulatszám- és nyomatékérzékelők

9.4.4.1.1.   Alkalmazás

A motor működése alatt befektetett és leadott munkát mérő eszközöknek meg kell felelniük az e pontban szereplő előírásoknak. Javasolt olyan érzékelők, jelátalakítók és mérőeszközök használata, amelyek megfelelnek a 6.8. táblázatban szereplő követelményeknek. A befektetett és a leadott munkát mérő összes rendszernek meg kell felelnie a 8.1.4. pontban szereplő linearitási hitelesítés követelményeinek.

9.4.4.1.2.   Tengelyteljesítmény

A munkát és a teljesítményt a fordulatszám- és nyomaték-jelátalakítók jeleiből kell kiszámítani a 9.4.4.1. pont szerint. A fordulatszámot és a nyomatékot mérő összes rendszernek meg kell felelnie a 8.1.7. és 8.1.4. pontban szereplő kalibrálási és hitelesítési követelményeinek.

A lendkerékhez kapcsolódó alkatrészek (például a hajtótengely és a fékpadrotor) gyorsulásának és lassulásának tehetetlensége által létrehozott nyomatékot szükség szerint kompenzálni kell a helyes műszaki gyakorlat alapján.

9.4.4.2.   Nyomás-jelátalakítók, hőmérséklet- és harmatpont-érzékelők

A nyomás, a hőmérséklet és a harmatpont mérésére szolgáló összes rendszernek meg kell felelnie a 8.1.7. pontban szereplő kalibrálásnak.

A nyomás-jelátalakítókat szabályozott hőmérsékletű környezetben kell elhelyezni vagy ki kell egyenlíteni az üzemi tartományukat meghaladó hőmérséklet-változásokat. A jelátalakítóknak olyan anyagból kell készülnie, amely kompatibilis a mért folyadékkal.

9.4.5.   Az áramlással kapcsolatos mérések

Bármilyen típusú (tüzelőanyag, beszívott levegő, hígítatlan kipufogógáz, hígított kipufogógáz, minta) áramlásmérő esetében megfelelően kondicionálni kell az áramlást a mérés pontosságát vagy ismételhetőségét befolyásoló sodrások, örvények, keringő áramlások vagy pulzáló áramlások megelőzése érdekében. Bizonyos mérőeszközök esetében mindez egy megfelelő hosszúságú (például a cső átmérőjénél legalább 10-szer hosszabb) egyenes csőrendszerrel, vagy speciálisan kialakított csőkanyarulatokkal, egyenesítő lapokkal, nyíláslemezekkel (vagy a tüzelőanyag-áramlásmérő esetében pneumatikus pulzáláscsillapítókkal) is megvalósítható, amelyek állandó és kiszámítható sebességet biztosítanak a mérőeszköz előtt.

9.4.5.1.   Tüzelőanyag-áramlásmérő

A tüzelőanyag-áramot mérő egész rendszernek meg kell felelnie a 8.1.8.1. pontban szereplő kalibrálásnak. A tüzelőanyag-áramlásmérés során a motort megkerülő vagy a motorból a tüzelőanyag-tartályba visszatérő tüzelőanyag-mennyiségeket is figyelembe kell venni.

9.4.5.2.   A beszívott levegő áramlásmérője

A beszívott levegő áramát mérő egész rendszernek meg kell felelnie a 8.1.8.2. pontban szereplő kalibrálásnak.

9.4.5.3.   A hígítatlan kipufogógáz áramlásmérője

9.4.5.3.1.   Az alkatrészekre vonatkozó követelmények

A hígítatlan kipufogógáz áramlását mérő egész rendszernek meg kell felelnie a 8.1.4. pontban szereplő linearitási hitelesítés követelményeinek. A hígítatlan kipufogógáz valamennyi áramlásmérőjét úgy kell megtervezni, hogy megfelelően kompenzálja a hígítatlan kipufogógáz termodinamikai jellemzőiben, halmazállapotában és összetevőiben bekövetkező változásokat.

9.4.5.3.2.   Az áramlásmérő válaszideje

►M2  A hígítatlan kipufogógázból való arányos mintavételre szolgáló részáramú hígítórendszer szabályozásához az áramlásmérő válaszidejének rövidebbnek kell lennie, mint a 6.8. táblázatban feltüntetett érték. ◄ Az online szabályozással működő részáramú hígítórendszerek esetében az áramlásmérő válaszidejének meg kell felelnie a 8.2.1.2. szakasz előírásainak.

9.4.5.3.3.   A kipufogógáz hűtése

Ez a pont nem vonatkozik a motor kialakítása miatti kipufogógáz-hűtésre, így egyebek mellett a vízhűtéses kipufogó-gyűjtőcsövekre vagy a turbófeltöltőkre.

Az áramlásmérő előtt a következő feltételek mellett engedélyezett a kipufogógáz hűtése:

a) a hűtés utáni részen nem kerülhet sor részecske-mintavételre;

b) ha a hűtés következtében a kipufogógáz hőmérséklete 475 K (202 °C)-nál magasabb értékről 453 K (180 °C)-nál alacsonyabbra csökken, a hűtés utáni részen nem kerülhet sor a metántól különböző szénhidrogénekből való mintavételre;

c) ha a hűtés vízlecsapódást okoz, a hűtés utáni részen nem kerülhet sor NOx-ből való mintavételre, kivéve abban az esetben, ha a hűtő megfelel a 8.1.11.4. pont teljesítményhitelesítési követelményeinek;

d) Ha a hűtés vízlecsapódást okoz azelőtt, hogy az áramlás elérné az áramlásmérőt, a T dew harmatpont és a p total nyomás értékét az áramlásmérő bemeneti nyílása előtt kell megmérni Ezeket az értékeket kell használni a VII. melléklet szerinti kibocsátási számítások során.

9.4.5.4.   A hígító levegő és a hígított kipufogógáz áramlásmérői

9.4.5.4.1.   Alkalmazás

A hígított kipufogógáz pillanatnyi áramlási sebességét vagy a teljes hígított kipufogógáz egy vizsgálati időköz alatti áramlását a hígított kipufogógáz áramlásmérőjével kell megállapítani. A hígítatlan kipufogógáz áramlási sebessége vagy a teljes hígítatlan kipufogógáz egy vizsgálati időköz alatti áramlása kiszámítható a hígított kipufogógáz áramlásmérője és a hígító levegő mérője közötti különbségből.

9.4.5.4.2.   Az alkatrészekre vonatkozó követelmények

A hígított kipufogógáz áramlását mérő egész rendszernek meg kell felelnie a 8.1.8.4. és 8.1.8.5. pontban szereplő kalibrálási és hitelesítési követelményeknek. A következő mérőműszerek használhatók:

a) A teljes hígított kipufogógáz-áram állandó térfogatú mintavételéhez kritikus áramlású Venturi-cső, több párhuzamosan elrendezett kritikus áramlású Venturi-cső, térfogat-kiszorításos szivattyú, hangsebesség alatti áramlású Venturi-cső vagy ultrahangos áramlásmérő használható. Egy, az áramlásirányban előbb elhelyezkedő hőcserélővel kombinálva a kritikus áramlású Venturi-cső vagy a térfogat-kiszorításos szivattyú egyben passzív áramlásszabályozóként is működik, mivel egyenletes hőmérsékleten tartja a hígított kipufogógázt az állandó térfogatú mintavételi rendszerben.

b) Részáramú hígítórendszer esetében bármely áramlásmérő és bármely aktív áramlásszabályozási rendszer kombinációja alkalmazható a kipufogógáz-összetevők arányos mintavételének biztosítására. A teljes hígított kipufogógáz-áramot vagy egy, vagy több mintaáramot vagy ezen áramlásszabályozók kombinációját szabályozni lehet az arányos mintavétel fenntartása érdekében.

Bármilyen más hígítórendszer esetében lamináris áramlási elem, ultrahangos áramlásmérő, hangsebesség alatti áramlású Venturi-cső, kritikus áramlású Venturi-cső, több párhuzamosan elhelyezett kritikus áramlású Venturi-cső, térfogat-kiszorításos szivattyú, termikus tömegárammérő, átlagoló Pitot-cső vagy hődrótos anemométer használható.

9.4.5.4.3.   A kipufogógáz hűtése

A hígított áramlás mérője előtt engedélyezett a hígított kipufogógáz hűtése, amennyiben teljesülnek a következő feltételek:

a) a hűtés utáni részen nem kerülhet sor részecske-mintavételre;

b) ha a hűtés következtében a kipufogógáz hőmérséklete 475 K (202 °C)-nál magasabb értékről 453 K (180 °C)-nál alacsonyabbra csökken, a hűtés utáni részen nem kerülhet sor a metántól különböző szénhidrogénekből való mintavételre;

c) ha a hűtés vízlecsapódást okoz, a hűtés utáni részen nem kerülhet sor NOx-ből való mintavételre, kivéve abban az esetben, ha a hűtő megfelel a 8.1.11.4. pont teljesítményhitelesítési követelményeinek;

d) ha a hűtés vízlecsapódást okoz azelőtt, hogy az áramlás elérné az áramlásmérőt, a T dew harmatpont és a p total nyomás értékét az áramlásmérő bemeneti nyílása előtt kell megmérni Ezeket az értékeket kell használni a VII. melléklet szerinti kibocsátási számítások során.

9.4.5.5.   Mintaárammérő szakaszos mintavétel esetén

A minta áramlási sebessége vagy a szakaszos mintavételi rendszerben egy vizsgálati időköz alatt vételezett teljes áramlás meghatározására mintaárammérőt kell használni. A két áramlásmérő közötti különbség felhasználható a hígítóalagútba irányuló mintaáram kiszámítására, például részáramú hígított részecskemérés és másodlagos hígítású részecskemérés esetén. A hígítatlan kipufogógázból való arányos mintavételhez szükséges áramláskülönbség-mérésre vonatkozó előírásokat a 8.1.8.6.1. pont, az áramláskülönbség-mérés kalibrálását pedig a 8.1.8.6.2. pont tartalmazza.

A mintaáramot mérő egész rendszernek meg kell felelnie a 8.1.8. pontban szereplő kalibrálási követelményeknek.

9.4.5.6.   Gázmegosztó

A kalibráló gázok összekeveréséhez gázmegosztó használható.

A gázmegosztó a gázoknak a 9.5.1. pont előírásai és a vizsgálat során várható koncentrációk szerinti összekeverésére szolgál. Használható kritikus áramlású, kapillárcsöves vagy termikus tömegárammérő gázmegosztó. A megfelelő gázmegosztás biztosítása érdekében szükség esetén (amennyiben a gázmegosztó belső szoftvere nem végzi el) viszkozitási korrekciók alkalmazhatók. A gázmegosztó rendszernek meg kell felelnie a 8.1.4.5. pontban meghatározott linearitási hitelesítésnek. A keverőkészülék ellenőrzésére választható olyan műszer is, amely jellegéből adódóan lineáris, például amely NO-gázt alkalmaz kemilumineszcens detektorral. A műszer mérőtartományát úgy kell beállítani, hogy a mérőtartomány-kalibráló gáz közvetlenül rá van kötve a műszerre. A gázmegosztót a használt beállításokkal kell ellenőrizni, és a mért koncentrációt össze kell hasonlítani a névleges értékkel.

9.4.6.   CO- és CO2-mérések

A hígítatlan vagy hígított kipufogógáz szén-monoxid- és szén-dioxid-koncentrációjának mérésére nem diszperzív infravörös gázelemző készüléket kell használni szakaszos és folyamatos mintavétel esetén egyaránt.

▼M2

A nem diszperzív infravörös gázelemző készüléknek meg kell felelnie a 8.1.9.1. vagy adott esetben a 8.1.9.2. pontban megadott kalibrálásnak és hitelesítéseknek.

▼B

9.4.7.   Szénhidrogénmérések

9.4.7.1.   Lángionizációs érzékelő (FID)

9.4.7.1.1.   Alkalmazás

A hígított vagy hígítatlan kipufogógáz szénhidrogén-koncentrációinak mérésére fűtött lángionizációs detektorral (HFID-del) működő gázelemző készüléket kell használni szakaszos és folyamatos mintavétel esetén egyaránt. A szénhidrogének koncentrációját egyes szénszám (C1) alapján kell meghatározni. A fűtött FID-del működő gázelemző készülékeknek minden kibocsátásnak kitett felületet 464 ± 11 K (191 ± 11 °C) hőmérsékleten kell tartaniuk. A földgáz- és LPG-motorok, valamint a szikragyújtású motorok esetében választható olyan szénhidrogén-elemző készülék, amely nem fűtött lángionizációs detektorral (FID) működik.

9.4.7.1.2.   Az alkatrészekre vonatkozó követelmények

Az összes szénhidrogén mérésére szolgáló FID-del működő rendszernek meg kell felelnie a 8.1.10. pontban meghatározott összes, szénhidrogénmérésre vonatkozó hitelesítésnek.

9.4.7.1.3.   A FID tüzelőanyaga és égési levegője

A FID tüzelőanyagának és égési levegőjének meg kell felelnie a 9.5.1. pont előírásainak. Annak érdekében, hogy a FID-del működő gázelemző készülék ne előkevert, hanem diffúziós lánggal működjön, a FID tüzelőanyaga és égési levegője nem keveredhet össze a FID-del működő gázelemző készülékbe való belépés előtt.

9.4.7.1.4.   Fenntartva

9.4.7.1.5.   Fenntartva

9.4.7.2.   Fenntartva

9.4.8.   NOx-mérések

Az NOx méréséhez két mérőműszer van meghatározva, amelyek közül bármelyik használható, amennyiben megfelel a 9.4.8.1., illetve a 9.4.8.2. pontban leírt feltételeknek. Az 5.1.1. pont alapján javasolt bármely alternatív mérési eljárással való összehasonlítás érdekében a kemilumineszcens detektort kell használni referenciaeljárásként.

9.4.8.1.   Kemilumineszcens detektor

9.4.8.1.1.   Alkalmazás

A hígítatlan vagy hígított kipufogógáz NOx-koncentrációjának mérésére NO2–NO-átalakítóval összekapcsolt kemilumineszcens detektort kell használni szakaszos és folyamatos mintavétel esetén egyaránt.

9.4.8.1.2.   Az alkatrészekre vonatkozó követelmények

A kemilumineszcens detektoron alapuló rendszernek meg kell felelnie a 8.1.11.1. pontban meghatározott kioltási hitelesítésnek. A kemilumineszcens detektor lehet fűtött vagy fűtetlen, illetve működhet légköri nyomáson vagy vákuummal.

9.4.8.1.3.   NO2–NO-átalakító

A 8.1.11.5. pont előírásainak megfelelő külső vagy belső NO2–NO-átalakítót a kemilumineszcens detektor előtt kell elhelyezni, és az átalakítót megkerülő vezetékkel kell ellátni e hitelesítés megkönnyítése érdekében.

9.4.8.1.4.   A páratartalom hatásai

A kemilumineszcens detektor valamennyi hőmérsékletét olyan szinten kell tartani, amely megakadályozza a vízlecsapódást. A kemilumineszcens detektor előtt található minta páratartalmának eltávolítására az alábbi konfigurációk valamelyikét kell alkalmazni:

a) az NO2–NO-átalakító alatt elhelyezkedő bármely szárító vagy hűtő után csatlakoztatott kemilumineszcens detektor, amely megfelel a 8.1.11.5. pont szerinti hitelesítésnek;

b) bármely szárító vagy hűtő után csatlakoztatott kemilumineszcens detektor, amely megfelel a 8.1.11.4. pont szerinti hitelesítésnek.

9.4.8.1.5.   Válaszidő

A kemilumineszcens detektor válaszidejének javítása érdekében fűtött kemilumineszcens detektor alkalmazható.

9.4.8.2.   Nem diszperzív ultraibolya gázelemző készülék

9.4.8.2.1.   Alkalmazás

A hígítatlan vagy hígított kipufogógáz NOx-koncentrációjának mérésére nem diszperzív ultraibolya gázelemző készüléket (NDUV gázelemző készüléket) kell használni szakaszos és folyamatos mintavétel esetén egyaránt.

9.4.8.2.2.   Az alkatrészekre vonatkozó követelmények

Az NDUV gázelemző készüléken alapuló rendszernek meg kell felelnie a 8.1.11.3. pontban meghatározott hitelesítéseknek.

9.4.8.2.3.   NO2–NO-átalakító

Ha az NDUV gázelemző készülék csak NO-t mér, az NDUV gázelemző készülék előtt el kell helyezni egy olyan külső vagy belső NO2–NO-átalakítót, amely megfelel a 8.1.11.5. pont szerinti hitelesítésnek. E hitelesítés megkönnyítése érdekében az átalakítót megkerülő vezetékkel kell ellátni.

9.4.8.2.4.   A páratartalom hatásai

Az NDUV gázelemző készülék hőmérsékletét olyan szinten kell tartani, amely megakadályozza a vízlecsapódást, kivéve az alábbi konfigurációk alkalmazása esetén:

a) az NO2–NO-átalakító után elhelyezkedő bármely szárító vagy hűtő után csatlakoztatott NDUV gázelemző készülék, amely megfelel a 8.1.11.5. pont szerinti hitelesítésnek;

b) bármely szárító vagy hűtő után csatlakoztatott NDUV gázelemző készülék, amely megfelel a 8.1.11.4. pont szerinti hitelesítésnek.

9.4.9.   O2-mérések

A hígítatlan vagy hígított kipufogógáz O2 koncentrációjának mérésére paramágneses érzékelővel (PMD) vagy mágneses-pneumatikus érzékelővel működő gázelemző készüléket kell használni.

9.4.10.   A levegő-tüzelőanyag arány mérései

A hígítatlan kipufogógáz levegő-tüzelőanyag arányának mérésére folyamatos mintavétel esetén cirkónium-oxid (ZrO2) típusú gázelemző készüléket kell használni. A kipufogógáz áramlási sebességének kiszámítására a VII. melléklet alapján a beszívott levegővel való O2-mérések vagy a tüzelőanyag-áram mérései alkalmazhatók.

9.4.11.   Részecskemérések gravimetriai mérleggel

A mintaszűrő közegen összegyűjtött részecskék nettó tömegének mérésére mérleget kell használni.

A mérleg felbontásának kisebbnek vagy egyenlőnek kell lennie a 6.8. táblázatban megadott, 0,5 mikrogrammos ajánlott ismételhetőségi értéknél. Amennyiben a mérleg belső kalibrálósúlyokat alkalmaz a mérőtartomány és a linearitás rutinszerű hitelesítéseire, a kalibrálósúlyoknak meg kell felelniük a 9.5.2. pont előírásainak.

A mérleg konfigurációját úgy kell elvégezni, hogy optimális beállási időt és stabilitást biztosítson a mérleg helyén.

9.4.12.   Ammónia (NH3) mérése

▼M2

FTIR (Fourier-transzformációs infravörös), NDUV vagy lézeres infravörös gázelemző készülék a 4. függelék szerint használható.

▼B

9.5.   Analitikai gázok és tömegelőírások

9.5.1.   Analitikai gázok

Az analitikai gázoknak meg kell felelniük az e szakaszban előírt pontossági és tisztasági követelményeknek.

9.5.1.1.   A gázokra vonatkozó előírások

A gázok tekintetében a következő előírásokat kell figyelembe venni:

a) tisztított gázokat kell alkalmazni a kalibráló gázokkal való összekeveréshez és a mérőműszerek olyan módú beállításához, hogy azok nullapont-választ adjanak a nulla hitelesítő etalonra. A gáztartályban vagy a nullázógáz generátorának kimeneténél a gázok szennyezettsége nem lehet magasabb az alábbi értékeknél:

▼M2

i. 2 % szennyeződés a kibocsátási határértéknél várható átlagos koncentrációhoz viszonyítva. Ha például a várható szén-monoxid-koncentráció 100,0 μmol/mol, akkor a nullázó gáz megengedett szén-monoxid-szennyezettsége legfeljebb 2 000 μmol/mol lehet;

▼B

ii. a 6.9. táblázatban megadott, hígítatlan vagy hígított mérésekre vonatkozó szennyezettségi értékek;

iii. a 6.10. táblázatban megadott, hígítatlan mérésekre vonatkozó szennyezettségi értékek.



6.9. táblázat

A hígítatlan vagy hígított mérésekre vonatkozó szennyezettségi határértékek (μmol/mol = ppm (3,2)]

Összetevő

Tisztított szintetikus levegő ()

Tisztított N2 ()

Összes szénhidrogén (C1 egyenérték)

≤ 0,05 μmol/mol

≤ 0,05 μmol/mol

CO

≤ 1 μmol/mol

≤ 1 μmol/mol

▼M2

CO2

≤ 10 μmol/mol

≤ 10 μmol/mol

▼B

O2

0,205–0,215 mol/mol

≤ 2 μmol/mol

NOx

≤ 0,02 μmol/mol

≤ 0,02 μmol/mol

(1)   Ezen tisztasági szinteknek nem kell nemzetközileg és/vagy nemzetileg elismert szabványokhoz kapcsolódniuk.



6.10. táblázat

A hígítatlan mérésekre vonatkozó szennyezettségi határértékek [μmol/mol = ppm (3,2)]

Összetevő

Tisztított szintetikus levegő ()

Tisztított N2 ()

Összes szénhidrogén (C1 egyenérték)

≤ 1 μmol/mol

≤ 1 μmol/mol

CO

≤ 1 μmol/mol'

≤ 1 μmol/mol

CO2

≤ 400 μmol/mol

≤ 400 μmol/mol

O2

0,18–0,21 mol/mol

-

NOx

≤ 0,1 μmol/mol

≤ 0,1 μmol/mol

(1)   Ezen tisztasági szinteknek nem kell nemzetközi és/vagy nemzeti szabványokhoz kapcsolódniuk.

b) FID-del működő gázelemző készülékhez a következő gázokat kell alkalmazni:

i. a FID tüzelőanyagát 0,39–0,41 mol/mol koncentrációjú, héliummal vagy N2-vel hígított H2-vel kell alkalmazni. A keverék összes szénhidrogén-tartalma nem lehet magasabb 0,05 μmol/mol-nál;

ii. a FID égési levegőjének meg kell felelnie az e pont a) alpontjában szereplő, a tisztított levegőre vonatkozó előírásoknak;

iii. FID nullázó gáz. A lángionizációs érzékelőket olyan tisztított gázzal kell nullázni, amely megfelel az e pont a) alpontjában meghatározott előírásoknak, kivéve a tisztított O2 gázt, amely bármilyen koncentrációjú lehet;

iv. propán a FID mérőtartományának kalibrálásához. Az összes szénhidrogén FID-jének mérőtartományát mérőtartomány-kalibráló koncentrációjú propánnal (C3H8) kell beállítani. A kalibrálást egyes szénszám (C1) alapján kell elvégezni;

v. fenntartva;

c) a következő gázkeverékeket kell használni, amelyekben a gázok ± 1,0 %-os pontossággal megfelelnek a nemzetközi és/vagy nemzeti etalongázok valós értékének vagy más elismert gázszabványoknak:

▼M2

i. CH4 tisztított szintetikus levegővel és/vagy (adott esetben) N2-vel hígítva;

▼B

ii. fenntartva;

iii. C3H8 tisztított szintetikus levegővel és/vagy (adott esetben) N2-vel hígítva;

iv. CO tisztított N2-vel hígítva;

v. CO2 tisztított N2-vel hígítva;

vi. NO tisztított N2-vel hígítva;

vii. NO2 tisztított szintetikus levegővel hígítva;

viii. O2 tisztított N2-vel hígítva;

ix. C3H8, CO, CO2, NO tisztított N2-vel hígítva;

x. C3H8, CH4, CO, CO2, NO tisztított N2-vel hígítva;

d) az e pont c) alpontjában felsoroltaktól eltérő gázok is használhatók (például a választényezők meghatározására a levegővel hígított metanol), amennyiben ± 3,0 %-os pontossággal megfelelnek a nemzetközi és/vagy nemzeti szabványok valós értékének és teljesítik a 9.5.1.2. pontban előírt stabilitási követelményeket;

e) a saját kalibráló gázok elkészíthetők precíziós keverőberendezés, például gázmegosztó segítségével a gázoknak tisztított N2-vel vagy tisztított szintetikus levegővel való hígítása révén. Amennyiben a gázmegosztók megfelelnek a 9.4.5.6. pont előírásainak, és az összekevert gázok teljesítik az e pont a) és c) alpontjában foglalt követelményeket, akkor úgy tekinthető, hogy az eredményül kapott keverékek megfelelnek a 9.5.1.1. pont előírásainak.

9.5.1.2.   Koncentráció és lejárati idő

Valamennyi szabványos kalibráló gáz koncentrációját és beszállító által meghatározott lejárati idejét fel kell jegyezni.

a) A szabványos kalibráló gázok nem használhatók a lejáratuk után, kivéve az e pont b) alpontjában engedélyezett esetekben.

▼M2

b) Amennyiben a jóváhagyó hatóság előzetesen jóváhagyja, a mérőtartomány-kalibráló gázok újracímkézhetők és a lejárati idejük után is felhasználhatók.

▼B

9.5.1.3.   A gázok átvitele

A gázokat olyan alkatrészek felhasználásával kell továbbítani a forrásuktól a gázelemző készülékekig, amelyek kifejezetten az adott gáz szabályozására és továbbítására szolgálnak.

▼M2 —————

▼B

9.5.2.   Tömegszabványok

A részecskemérleghez olyan, tanúsítvánnyal ellátott kalibrálósúlyokat kell használni, amelyek 0,1 %-os bizonytalansággal megfelelnek a nemzetközi és/vagy nemzeti szabványoknak. A kalibrálósúlyok tanúsítását bármely olyan kalibrálólaboratórium elvégezheti, amely biztosítja a nemzetközi és/vagy nemzeti szabványoknak megfelelő nyomon követhetőséget. Gondoskodni kell arról, hogy a legkisebb kalibrálósúly legfeljebb tízszer akkora tömegű legyen, mint egy fel nem használt részecske-mintavevő közeg tömege. A kalibrálási jelentésben a súlyok sűrűségét is fel kell tüntetni.




1. függelék

Részecskeszám-kibocsátásokat mérő berendezés

1.    Mérésvizsgálati eljárások

1.1.   Mintavétel

A részecskeszám-kibocsátás mérése e melléklet 9.2.3. pontjában leírt részáramú hígítórendszer vagy e melléklet 9.2.2. pontjában leírt teljes áramú hígítórendszer folyamatos mintavételezésével történik.

1.1.1.   A hígító levegő szűrése

A hígítórendszerben a kipufogógáz elsődleges és adott esetben másodlagos hígításához használt hígító levegőt az 1. cikk (19) bekezdésében meghatározott nagy hatásfokú részecskeszűrő (HEPA-szűrő) követelményeit teljesítő szűrőkön kell átvezetni. A hígító levegőt a HEPA-szűrőhöz való eljuttatás előtt aktív szénen is át lehet vezetni a hígító levegőben lévő szénhidrogén-koncentráció csökkentése és stabilizálása érdekében. Ha kiegészítő durvaszemcséjű részecskeszűrőt alkalmaznak, ajánlatos azt az aktív szén és a HEPA-szűrő között elhelyezni.

1.2.   Részecskeszám mintaáramának kiegyenlítése – teljes áramú hígítórendszerek

A hígítórendszerből részecskeszám-mintavétel céljából kivont tömegáram kiegyenlítése érdekében a kivont (szűrt) tömegáramot vissza kell juttatni a hígítórendszerbe. Másik lehetőségként a hígítórendszer teljes tömegárama matematikai úton korrigálható a részecskeszám-mintavétel céljára kivont áram tekintetében. Amennyiben a hígítórendszerből részecskeszám-mintavétel és részecsketömeg-mintavétel céljából kivont teljes tömegáram a hígítóalagút teljes hígított kipufogógáz-áramának (középérték) kevesebb mint 0,5 %-a, akkor ez a korrekció, illetve áram-visszavezetés elhagyható.

1.3.   Részecskeszám mintaáramának kiegyenlítése – részáramú hígítórendszerek

1.3.1.

A részáramú hígítórendszerek esetében a hígítórendszerből részecskeszám-mintavétel céljából kivont tömegáramot a mintavétel arányosságának ellenőrzésekor kell figyelembe venni. Ez megvalósítható úgy, hogy a részecskeszám-mintaáramot visszatáplálják a hígítórendszerbe az áramlásmérő készülék előtt, vagy az 1.3.2. pontban foglalt matematikai korrekció révén. A teljes mintavételezési típusú részáramú hígítórendszerek esetében a részecskeszám-mintavétel céljából kivont tömegáramot – az 1.3.3. pontban foglaltak szerint – ugyancsak korrigálni kell a részecsketömeg-számításhoz.

1.3.2.

A kipufogógáz hígítórendszerbe irányuló áramának pillanatnyi értékét (qmp) – amelyet a mintavétel arányosságának ellenőrzésére használnak – a következő módszerek egyikével kell korrigálni:

a) Amennyiben a kivont részecskeszám mintaáramát figyelmen kívül hagyják, akkor az e melléklet 8.1.8.6.1. pontjában megadott (6-20) egyenlet helyébe a (6-29) egyenlet lép:



qmp = qmdew qmdw + qex

(6-29)

ahol:

qm dew

a hígított kipufogógáz tömegárama, kg/s,

qm dw

a hígító levegő tömegárama, kg/s,

q ex

a részecskeszámminta tömegárama, kg/s.

A részáramú rendszer szabályozójának küldött q ex jel pontossága mindenkor legalább a qm dew ± 0,1 %-a, a küldés gyakorisága pedig legalább 1 Hz.

b) Amennyiben a kivont részecskeszám mintaáramát teljesen vagy részben figyelmen kívül hagyják, de ezzel megegyező áramot táplálnak vissza a hígítórendszerbe az áramlásmérő előtt, akkor az e melléklet 8.1.8.6.1. pontjában megadott (6-20) egyenlet helyébe a (6-30) egyenlet lép:



qmp = qmdew qmdw + qex qsw

(6-30)

ahol:

qm dew

a hígított kipufogógáz tömegárama, kg/s,

qm dw

a hígító levegő tömegárama, kg/s,

q ex

a részecskeszámminta tömegárama, kg/s,

q sw

a részecskeszámminta kivonásának kompenzálására a hígítóalagútba visszatáplált tömegáram, kg/s.

A részáramú rendszerszabályozónak küldött q ex és q sw közötti különbség pontossága mindenkor legalább a qm dew ± 0,1 %-a. A jel (vagy jelek) küldési gyakorisága legalább 1 Hz.

1.3.3.

A részecskeszámmérés korrekciója

Részáramú hígítórendszerből történő teljes mintavétellel kivont részecskeszám-mintaáram esetén a VII. melléklet 2.3.1.1. pontjában kiszámított részecsketömeget (m PM) a kivont áram figyelembevétele céljából a következőképpen kell korrigálni. Ez a korrekció még akkor is szükséges, ha a kivont szűrt áramot visszatáplálják a részáramú hígítórendszerekbe. Lásd a (6-31) egyenletet:



image

(6-31)

ahol:

m PM

a VII. melléklet 2.3.1.1. pontja szerint meghatározott részecsketömeg, g/vizsgálat,

m sed

a hígítóalagúton áthaladó hígított kipufogógáz össztömege, kg,

m ex

a hígítóalagútból részecskeszám-mintavétel céljából kivont hígított kipufogógáz össztömege, kg.

1.3.4.

A részáramú hígítórendszer mintavételezésének arányossága

►M2  A részecskeszám mérése esetében a VII. melléklet 2.1.6.1–2.1.6.4. pontjában ismertetett módszerek szerint meghatározott kipufogógáz-tömegáram használandó a részáramú hígítórendszer szabályozására, hogy a vett minta arányos legyen a kipufogógáz tömegáramával. ◄ Az arányosság megfelelőségét a mintaáram és a kipufogógáz-áram közötti, az e melléklet 8.2.1.2. pontjában ismertetett regressziósanalízissel kell ellenőrizni.

1.3.5.

A részecskeszám kiszámítása

A részecskeszámot a VII. melléklet 5. függelékében foglaltak szerint kell meghatározni és kiszámítani.

2.    Mérőeszközök

2.1.   Leírás

2.1.1.   A rendszer áttekintése

2.1.1.1.

A részecske-mintavevő rendszer a hígítórendszer homogénre elkevert áramából e melléklet 9.2.2. vagy 9.2.3. pontjában foglaltak szerinti mintavevő szondából vagy mintavételi pontból, a részecskeszámláló (PNC) előtt elhelyezett illékonyrészecske-eltávolítóból (VPR) és megfelelő átvezető csövezésből áll.

2.1.1.2.

Az illékonyrészecske-eltávolító (VPR) bemeneti nyílása elé ajánlatos részecskeméret-előosztályozót (pl. ciklont, ütközéses leválasztót stb.) helyezni. Mindazonáltal a megfelelő méretosztályozó készülékként működő mintavevő szonda – amilyet a 6.8. ábra is mutat – elfogadható alternatíva a részecskeméret-előosztályozó helyett. A részáramú hígítórendszerek esetében a részecsketömeg és a részecskeszám mintavételezésére ugyanilyen előosztályozó használható, amely a részecskeszámmintát az előosztályozó után vonja ki a hígítórendszerből. Másik lehetőségként használhatók olyan különálló előosztályozók, amelyek a részecskeszámmintát a részecsketömeg-előosztályozó előtt vonják ki a hígítórendszerből.

2.1.2.   Általános követelmények

2.1.2.1.

A részecske-mintavételi pontot a hígítórendszeren belül kell elhelyezni.

A mintavevő szondacsúcs vagy a részecske-mintavételi pont és a részecske-átvezető cső (PTT) együtt alkotja a részecskeátvezető rendszert (PTS). A részecskeátvezető rendszer juttatja el a mintát a hígítóalagútból az illékonyrészecske-eltávolító (VPR) bemenetéhez. A részecskeátvezető rendszernek (PTS) az alábbi feltételeket kell teljesítenie:

A teljes áramú hígítórendszerek, valamint a részmintavételes részáramú hígítórendszerek esetében (az e melléklet 9.2.3. pontjában leírtak szerint) a mintavevő szondát az alagút középvonalának közelében, 10–20 alagútátmérő távolságra a gáz bemeneti nyílása után, az alagút gázáramával szembefordítva, a szondacsúcson áthaladó tengelyével a hígítóalagút tengelyére párhuzamosan kell felszerelni. A mintavevő szondát a hígítási szakaszon belül úgy kell elhelyezni, hogy a mintát homogén hígítógáz–kipufogógáz keverékből vegye.

A teljes mintavételt alkalmazó részáramú hígítórendszerek esetében (e melléklet 9.2.3. pontjában leírtak szerint) a részecske-mintavételi pontot vagy mintavevő szondát a részecske-átvezető csőben, a részecskeszűrő-tartó, az áramlásmérő vagy bármilyen mintavételi/kerülő elágazási pontja előtt kell elhelyezni. A mintavételi pontot vagy mintavevő szondát úgy kell elhelyezni, hogy a mintát homogén hígítógáz–kipufogógáz keverékből vegye. A részecske-mintavevő szonda méreteit úgy kell meghatározni, hogy az ne zavarja a részáramú hígítórendszer működését.

A részecskeátvezető rendszeren (PTS) átjuttatott mintagáznak az alábbi feltételeket kell teljesítenie:

a) a teljes áramú hígítórendszerek esetében az áramlás Reynolds-számának (Re) 1 700 -nál kisebbnek kell lennie;

b) a részáramú hígítórendszerek esetében az áramlás Reynolds-számának (Re) 1 700 -nál kisebbnek kell lennie a részecskeátvezető csőben (PTT), azaz a mintavevő szonda vagy a mintavételi pont után;

c) a részecskeátvezető rendszerben (PTS) való tartózkodási ideje legfeljebb 3 s lehet;

d) a kimeneti cső (PTS) bármely más olyan mintavételezési elrendezése elfogadhatónak tekintendő, amelyről bizonyítható, hogy 30 nm-en megegyező részecskepenetrációval rendelkezik;

e) a hígított mintát az illékonyrészecske-eltávolítótól (VPR) a részecskeszámláló (PNC) bemeneti csövéhez vezető kimeneti cső (OT) a következő jellemzőkkel rendelkezik:

f) belső átmérője legfeljebb 4 mm;

g) a kimeneti csövön (OT) átfolyó gázminta áramának tartózkodási ideje legfeljebb 0,8 másodperc;

h) a kimeneti cső (OT) bármely más olyan mintavételezési konfigurációja elfogadhatónak minősül, amelyre vonatkozóan bizonyítható, hogy 30 nm-en megegyező részecskepenetrációval rendelkezik.

2.1.2.2.

Az illékonyrészecske-eltávolító (VPR) tartalmaz mintahígítást és illékonyrészecske eltávolítást végző készülékeket.

2.1.2.3.

A hígítórendszernek és a mintavevő rendszernek a kipufogócső és a részecskeszámláló (PNC) közötti minden olyan részét, amely kapcsolatba kerül hígítatlan és hígított kipufogógázzal, úgy kell kialakítani, hogy a részecskék lerakódása a lehető legkisebb legyen. Minden alkatrésznek a kipufogógázok komponenseivel reakcióba nem lépő, villamos vezető anyagból kell készülnie, és az elektrosztatikus hatások kiküszöbölése céljából földeltnek kell lennie.

2.1.2.4.

A részecske-mintavevő rendszernek olyan bevált aeroszol-mintavételi gyakorlatot kell követnie, amely magában foglalja a meredek ívek és a keresztmetszet hirtelen változásainak elkerülését, a sima belső felületek használatát, illetve a mintavevő vezeték hosszának minimalizálását. A keresztmetszet fokozatos változtatása megengedett.

2.1.3.   Konkrét követelmények

2.1.3.1.

A részecskeminta nem haladhat át szivattyún a részecskeszámlálón (PNC) való áthaladás előtt.

2.1.3.2.

Ajánlott a minta-előosztályozó alkalmazása.

2.1.3.3.

A minta-előkondicionáló egység:

2.1.3.3.1. képes a mintát egy vagy több fázisban úgy hígítani, hogy a részecskeszám-koncentráció a részecskeszámláló (PNC) egyedirészecske-számlálási üzemmódjának felső küszöbértéke alá, valamint a részecskeszámláló bemeneti nyílásánál a gázhőmérséklet 308 K (35 °C) alá essen;

2.1.3.3.2. magában foglal egy kezdeti fűtött hígítási fázist, amely legalább ≥ 423 K(150 °C)-os és legfeljebb 673 K (400 °C)-os hőmérsékletű mintát eredményez, és legalább 10-szeres hígítást végez;

2.1.3.3.3.  ►M2  a fűtött fázisokat ± 10 K-es (± 10 °C-os) tűréshatár mellett állandó névleges üzemi hőmérsékletre szabályozza a 2.1.3.3.2. pontban meghatározott tartományon belül. ◄ Jelzi, hogy a fűtött fázisok helyes üzemi hőmérsékleten vannak-e;

2.1.3.3.4. a 30 nm-es és 50 nm-es elektromos mobilitási átmérőjű részecskék vonatkozásában a 2.2.2.2. pontban meghatározottak szerint az illékonyrészecske-eltávolító (VPR) egésze tekintetében olyan részecskekoncentráció-csökkentési tényezőt (fr (di )) valósít meg, amely legfeljebb 30, illetve 20 %-kal nagyobb, és legfeljebb 5 %-kal alacsonyabb a 100 nm-es elektromos mobilitási átmérőjű részecskék értékeinél;

2.1.3.3.5. a 30 nm-es tetrakontán (CH3(CH2)38CH3) részecskék 99,0 %-nál nagyobb mértékű párologtatását is megvalósítja, legalább 10 000 cm– 3-es bemeneti koncentrációval, a tetrakontán felmelegítése és parciális nyomásának csökkentése révén.

2.1.3.4.

A részecskeszámláló (PNC):

2.1.3.4.1. teljes üzemi körülmények között üzemel;

2.1.3.4.2. etalon alapján a részecskeszámláló (PNC) egyedirészecske-számlálási üzemmódja felső küszöbértékéhez viszonyítva ± 10 %-os számlálási pontossággal rendelkezik az 1 cm– 3-es tartományban. A 100 cm– 3 alatti koncentrációk esetén kiterjesztett mintavételezési időszakok tekintetében átlagolt mérésekre lehet szükség annak érdekében, hogy nagy statisztikai megbízhatósággal bizonyítható legyen a részecskeszámláló (PNC) pontossága;

2.1.3.4.3. a 100 cm– 3 alatti koncentrációk esetében legalább 0,1 részecske cm– 3 felbontással rendelkezik;

2.1.3.4.4. lineáris válaszreakciót ad a részecskekoncentrációkra az egyedirészecske-számlálási üzemmód teljes mérőtartományában;

2.1.3.4.5. legalább 0,5 Hz az adatjelentési gyakorisága;

2.1.3.4.6. a mért koncentrációs tartományban kevesebb mint 5 s válaszidővel rendelkezik;

2.1.3.4.7. legfeljebb 10 %-os korrekciót engedő koincidencia-korrigálási funkciót tartalmaz, illetve belső kalibrációs tényezőt is felhasználhat a 2.2.1.3. pontban meghatározottak szerint, azonban nem használhat fel a számlálási hatékonyság javítását vagy meghatározását szolgáló semmilyen más algoritmust;

2.1.3.4.8. 23 nm-es (± 1 nm) és 41 nm-es (± 1 nm) elektromos mobilitási átmérőjű részecskeméretek vonatkozásában 50 %-os (± 12 %), illetve 90 %-ot meghaladó számlálási hatékonysággal rendelkezik. Ezeket a számlálási hatékonyságokat belső eszközökkel (például a készülékek tervezésének ellenőrzésével) vagy külső eszközökkel (például a méret előosztályozásával) lehet megvalósítani;

2.1.3.4.9. ha a részecskeszámláló (PNC) munkafolyadékot használ, akkor azt a készülék gyártója által megadott gyakorisággal kell cserélni.

2.1.3.5.

Amennyiben azokat nem tartják ismert állandó szinten a részecskeszámláló-áram szabályozási pontján, akkor a részecskeszámláló (PNC) bemeneti nyílásánál kell mérni a nyomást és/vagy hőmérsékletet, és ezekről jelentést kell tenni annak érdekében, hogy a részecskekoncentráció-mérést standard körülményekre lehessen korrigálni.

2.1.3.6.

A részecskeátvezető rendszer (PTS), az illékonyrészecske-eltávolító (VPR) és a kimeneti cső (OT) tartózkodási időinek és a részecskeszámláló (PNC) válaszidejének összege nem haladhatja meg a 20 másodpercet.

2.1.3.7.

A teljes részecskeszám-mintavételezési rendszerre (PTS, VPR, OT és PNC) vonatkozó átalakítási időt aeroszol-kapcsolással kell meghatározni közvetlenül a részecskeátvezető rendszer (PTS) bemeneti nyílásánál. Az aeroszolt kevesebb mint 0,1 másodperc alatt kell bekapcsolni. A vizsgálathoz használt aeroszolnak legalább a teljes skála (FS) 60 %-ának megfelelő koncentrációváltozást kell okozniuk.

A koncentráció értékeit regisztrálni kell. A részecskeszám-koncentráció és a kipufogógáz-áram jeleinek szinkronizálásához használandó átalakítási idő az az idő, ami a változástól (t0) addig telik el, amíg a válasz a mért végérték 50 %-a nem lesz (t50).

2.1.4.   Ajánlott rendszerleírás

Ez a pont tartalmazza a részecskeszám mérésének ajánlott gyakorlatát. Azonban bármely olyan rendszer elfogadható, amely megfelel a 2.1.2. és a 2.1.3. pontban foglalt teljesítmény-előírásoknak.

A 6.9. és a 6.10. ábrán a részáramú, illetve a teljes áramú hígítórendszer ajánlott részecske-mintavevő rendszere konfigurációjának vázlatos rajza látható.

6.9. ábra:

Az ajánlott részecske-mintavevő rendszer elvi rajza – részáramú mintavétel

image

▼M2

6.10. ábra

Az ajánlott részecske-mintavevő rendszer elvi rajza – teljes áramú mintavétel

image

▼B

2.1.4.1.   Mintavevő rendszer leírása

A részecske-mintavevő rendszer a következőkből áll: egy mintavevő szondacsúcs vagy részecske-mintavételi pont a hígítórendszerben, egy részecske-átvezető cső (PTT), egy részecske-előosztályozó (PCF) és egy, a részecskeszám koncentrációját mérő (PNC) egység előtt elhelyezett illékonyrészecske-eltávolító (VPR). Az illékonyrészecske-eltávolító (VPR) tartalmaz mintahígítást végző készülékeket (részecskeszám-hígítókat: PND1 és PND2) és részecske-elpárologtatást végző készülékeket (elpárologtató cső, ET). A vizsgált gázáram mintavevő szondáját vagy mintavételi pontját a hígítási szakaszon belül úgy kell elhelyezni, hogy homogén hígítógáz–kipufogógáz keverékből vegyen reprezentatív gázáram-mintát. A rendszer tartózkodási idejének és a részecskeszámláló (PNC) válaszidejének összege nem haladhatja meg a 20 másodpercet.

2.1.4.2.   Részecskeátvezető rendszer

A mintavevő szondacsúcs vagy a részecske-mintavételi pont és a részecske-átvezető cső (PTT) együtt alkotja a részecskeátvezető rendszert (PTS). A részecskeátvezető rendszer a mintát a hígítóalagútból az első részecskeszám-hígító bemenetéhez továbbítja. A részecskeátvezető rendszernek (PTS) az alábbi feltételeket kell teljesítenie:

A teljes áramú hígítórendszerek, valamint a részmintavételes részáramú hígítórendszerek esetében (az e melléklet 9.2.3. pontjában leírtak szerint) a mintavevő szondát az alagút középvonalának közelében, 10–20 alagútátmérő távolságra a gáz bemeneti nyílása után, az alagút gázáramával szembefordítva, a szondacsúcson áthaladó tengelyével a hígítóalagút tengelyére párhuzamosan kell felszerelni. A mintavevő szondát a hígítási szakaszon belül úgy kell elhelyezni, hogy a mintát homogén hígítógáz–kipufogógáz keverékből vegye.

A teljes mintavételt alkalmazó részáramú hígítórendszerek esetében (e melléklet 9.2.3. pontjában leírtak szerint) a részecske-mintavételi pontot a részecskeátvezető csőben, a részecskeszűrő-tartó, az áramlásmérő vagy bármilyen mintavételi/kerülő elágazási pontja előtt kell elhelyezni. A mintavételi pontot vagy mintavevő szondát úgy kell elhelyezni, hogy a mintát homogén hígítógáz–kipufogógáz keverékből vegye.

A részecskeátvezető rendszeren (PTS) átjuttatott mintagáznak az alábbi feltételeket kell teljesítenie:

Az áramlásának Reynolds-száma (Re) nem éri el az 1 700 -at.

A részecskeátvezető rendszerben (PTS) való tartózkodási ideje legfeljebb 3 s lehet.

A részecskeátvezető rendszer (PTS) bármely más olyan mintavételezési konfigurációja elfogadhatónak minősül, amelyre vonatkozóan bizonyítható, hogy 30 nm-es elektromos mobilitási átmérőjű részecskékkel megegyező részecskepenetrációval rendelkezik.

A hígított mintát az illékonyrészecske-eltávolítótól (VPR) a részecskeszámláló (PNC) bemeneti csövéhez vezető kimeneti cső (OT) a következő jellemzőkkel rendelkezik:

belső átmérője legfeljebb 4 mm;

a kimeneti csövön (OT) áthaladó gázminta áramának tartózkodási ideje legfeljebb 0,8 s.

A kimeneti cső (OT) bármely más olyan mintavételezési konfigurációja elfogadhatónak minősül, amelyre vonatkozóan bizonyítható, hogy 30 nm-es elektromos mobilitási átmérőjű részecskékkel megegyező részecskepenetrációval rendelkezik.

2.1.4.3.   Részecske-előosztályozó

Az ajánlott részecske-előosztályozót az illékonyrészecske-eltávolító (VPR) előtt kell elhelyezni. Az előosztályozó 50 %-os leválasztási határpontja 2,5 μm és 10 μm között van a részecskeszám-kibocsátás mintavételezéséhez kiválasztott térfogatáram esetén. Az előosztályozó az 1 μm-es részecskék tömegkoncentrációjának legalább 99 %-át beengedi az előosztályozóba, és onnan az előosztályozó kimenetén a részecskeszám-kibocsátás mintavételezéséhez kiválasztott térfogatárammal engedi kilépni. A részáramú hígítórendszerek esetében a részecsketömeg és a részecskeszám mintavételezésére ugyanilyen előosztályozó használható, amely a részecskeszám-mintát az előosztályozó után vonja ki a hígítórendszerből. Másik lehetőségként használhatók olyan különálló előosztályozók, amelyek a részecskeszámmintát a részecsketömeg-előosztályozó előtt vonják ki a hígítórendszerből.

2.1.4.4.   Illékonyrészecske-eltávolító (VPR)

Az illékonyrészecske-eltávolító (VPR) egy részecskeszám-hígítót (PND1), egy elpárologtató csövet és egy második hígítót (PND2) tartalmaz sorosan kapcsolva. E hígítási funkciónak az a célja, hogy a részecskekoncentrációt mérő egységbe kerülő minta részecskeszám-koncentrációját annyira lecsökkentse, hogy az kisebb legyen a részecskeszámláló (PNC) egyedirészecske-számlálási üzemmódjának felső küszöbértékénél, valamint az, hogy megakadályozza a minta nukleációját. Az illékonyrészecske-eltávolító (VPR) jelzi, hogy az első részecskeszám-hígító (PND1) és az elpárologtató cső helyes üzemi hőmérsékletükön vannak-e.

A VPR a 30 nm-es tetrakontán (CH3(CH2)38CH3) részecskék 99,0 %-nál nagyobb mértékű párologtatását is megvalósítja, legalább 10 000 cm– 3-es bemeneti koncentrációval, a tetrakontán felmelegítése és parciális nyomásának csökkentése révén. A 30 nm-es és 50 nm-es elektromos mobilitási átmérőjű részecskék vonatkozásában az illékonyrészecske-eltávolító (VPR) egésze tekintetében ugyanakkor olyan részecskekoncentráció-csökkentési tényezőt (f r) valósít meg, amely legfeljebb 30, illetve 20 %-kal nagyobb, valamint legfeljebb 5 %-kal alacsonyabb a 100 nm-es elektromos mobilitási átmérőjű részecskék értékeinél.

2.1.4.4.1.   Az első részecskeszám-hígító készülék (PND1)

Az első részecskeszám-hígító készüléket speciálisan a részecskeszám-koncentráció hígítására és a 423 K–673 K (150–400 °C) közötti (fal)hőmérsékleten való üzemelésre kell kialakítani. A falhőmérséklet alapértékét ± 10 °C tűréshatárral a megadott tartományon belül állandó névleges üzemi hőmérsékleten kell tartani, és az nem haladhatja meg az elpárologtató cső (ET) falhőmérsékletét (2.1.4.4.2. pont). A hígítóba HEPA-szűrővel kezelt hígító levegőt kell betáplálni, továbbá a hígítónak képesnek kell lennie a 10–200 közötti hígítási tényező biztosítására.

2.1.4.4.2.   Elpárologtató cső (ET)

Az elpárologtató cső (ET) teljes hosszában úgy kell szabályozni a falhőmérsékletet, hogy ne legyen kisebb, mint az első részecskeszám-hígító falhőmérséklete, a falhőmérsékletet pedig ± 10 °C tűréshatárral 300–400 °C közötti állandó névleges üzemi hőmérsékleten kell tartani.

2.1.4.4.3.   A második részecskeszám-hígító készülék (PND2)

A második részecskeszám-hígító készüléket (PND2) speciálisan a részecskeszám-koncentráció hígítására kell kialakítani. A hígítóba HEPA-szűrővel kezelt hígító levegőt kell betáplálni, továbbá a hígítónak képesnek kell lennie a 10–30 közötti egyedi hígítási tényező fenntartására. A második részecskeszám-hígító (PND2) hígítási tényezőjét 10 és 15 közötti tartományból kell kiválasztani oly módon, hogy a második részecskeszám-hígító után a részecskeszám-koncentráció a részecskeszámláló egyedirészecske-számlálási üzemmódjának felső küszöbértéke alá, valamint a részecskeszámláló bemeneti nyílása előtt a gázhőmérséklet 35 °C alá essen.

2.1.4.5.   Részecskeszámláló (PNC)

A részecskeszámlálónak (PNC) teljesítenie kell a 2.1.3.4. pontban foglalt követelményeket.

2.2.   A részecske-mintavevő rendszer kalibrálása/hitelesítése ( 6 )

2.2.1.   A részecskeszámláló kalibrálása

2.2.1.1

A műszaki szolgálat gondoskodik a részecskeszámláló kalibrálási tanúsítványának meglétéről, amely igazolja egy etalonszabványnak való, a kibocsátásméréseket megelőző 12 hónapnál nem régebbi megfelelést.

2.2.1.2.

A részecskeszámlálót ezenkívül (PNC) minden jelentősebb karbantartást követően újra kell kalibrálni, és ahhoz új kalibrálási tanúsítványt kell kibocsátani.

2.2.1.3.

A kalibrálásnak szabványos kalibrálási módszeren kell alapulnia:

a) elektrosztatikusan osztályozott kalibráló részecskék egyidejű mintavételezésére a kalibrálás alatt álló részecskeszámláló (PNC) és egy kalibrált aeroszol-elektrométer által adott válaszreakciók összehasonlításával; vagy

b) a kalibrálás alatt álló részecskeszámláló (PNC) és egy második, a fent említett módszerrel közvetlenül kalibrált részecskeszámláló (PNC) válaszreakcióinak összehasonlításával.

Az elektrométer használata esetén a kalibrációt legalább hat olyan szabványos koncentráció alkalmazásával kell elvégezni, amelyeket a lehető legegyenletesebben kell elosztani a részecskeszámláló (PNC) méréstartományában. Ezek a kalibrációs pontok magukban foglalnak egy névleges nulla koncentrációs pontot, amely egy, az EN 1822:2008 szabvány legalább H13. osztályába tartozó, vagy megegyező teljesítményű HEPA-szűrő minden egyes készülék bemenetére történő felhelyezésével jön létre. Ha a kalibrálás alatt álló részecskeszámlálóra (PNC) nem alkalmaznak kalibrálási tényezőt, akkor a mért koncentrációknak minden egyes alkalmazott koncentráció esetében a szabványos koncentráció ± 10 %-os tűréshatárán belül kell esnie – a nullapont kivételével –, egyébként a kalibrálás alatt álló részecskeszámláló (PNC) tanúsítását elutasítják. A két adatkészlet lineáris regressziójából adódó gradienst ki kell számítani és rögzíteni kell. A gradiens reciprok értékével megegyező kalibrálási tényezőt alkalmazni kell a kalibrálás alatt álló részecskeszámlálóra (PNC). A válaszreakciók linearitását a két adatkészlet Pearson-féle szorzatmomentum korrelációs együtthatójának (R2) négyzetre emelésével kell kiszámítani, értéke pedig legalább 0,97. A gradiens és az R2 kiszámítása során a lineáris regressziónak át kell haladnia az origón (mindkét készülék nulla koncentrációja miatt).

A referencia-részecskeszámláló (PNC) esetében a kalibrálást legalább hat, a részecskeszámláló (PNC) méréstartományában elosztott szabványos koncentráció alkalmazásával kell elvégezni. Legalább három kalibrálási pontnak kell 1 000 cm– 3 alatti koncentrációjúnak lenni, a fennmaradó koncentrációkat lineárisan kell elosztani az 1 000 cm– 3 és a részecskeszámláló (PNC) egyedirészecske-számlálási tartományának legnagyobb értéke között. Ezek a kalibrációs pontok magukban foglalnak egy névleges nulla koncentrációs pontot, amely egy, az EN 1822:2008 szabvány legalább H13. osztályába tartozó, vagy megegyező teljesítményű HEPA-szűrő minden egyes készülék bemenetére történő felhelyezésével jön létre. Ha a kalibrálás alatt álló részecskeszámlálóra (PNC) nem alkalmaznak kalibrálási tényezőt, akkor a mért koncentrációknak minden egyes alkalmazott koncentráció esetében a szabványos koncentráció ± 10 %-os tűréshatárán belül kell esnie – a nullapont kivételével –, egyébként a kalibrálás alatt álló részecskeszámláló (PNC) tanúsítását elutasítják. A két adatkészlet lineáris regressziójából adódó gradienst ki kell számítani és rögzíteni kell. A gradiens reciprok értékével megegyező kalibrálási tényezőt alkalmazni kell a kalibrálás alatt álló részecskeszámlálóra (PNC). A válaszreakciók linearitását a két adatkészlet Pearson-féle szorzatmomentum korrelációs együtthatójának (R2) négyzetre emelésével kell kiszámítani, értéke pedig legalább 0,97. A gradiens és az R2 kiszámítása során a lineáris regressziónak át kell haladnia az origón (mindkét készülék nulla koncentrációja miatt).

2.2.1.4.

A kalibrálás a 2.1.3.4.8. pontban foglalt követelmények szerinti, a részecskeszámláló 23 nm elektromos mobilitási átmérőjű részecskék kimutatási hatékonyságára irányuló ellenőrzést is magában foglal. A számlálási hatékonyság ellenőrzése 41 nm-es részecskékkel nem szükséges.

2.2.2.   Az illékonyrészecske-eltávolító kalibrálása/hitelesítése

2.2.2.1.

Az illékonyrészecske-eltávolító (VPR) részecskekoncentráció-csökkentési tényezőjének valamennyi hígítási beállítás esetén, a készülék állandó névleges üzemi hőmérsékletén történő kalibrálására akkor van szükség, amikor az egység új, vagy jelentősebb karbantartást végeztek rajta. Az illékonyrészecske-eltávolító (VPR) részecskekoncentráció-csökkentési tényezőjére vonatkozó időszakos hitelesítési követelmény egyetlen olyan beállítással való ellenőrzésre korlátozódik, amelyet jellemzően a dízel részecskeszűrővel felszerelt nem közúti mozgó gépeken való méréshez használnak. A műszaki szolgálat gondoskodik arról, hogy az illékonyrészecske-eltávolító a kibocsátásméréseket megelőző 6 hónapon belül rendelkezzen kalibrálási vagy hitelesítési tanúsítvánnyal. Ha az illékonyrészecske-eltávolító hőmérséklet-ellenőrző riasztót tartalmaz, 12 hónapos hitelesítési időszak engedélyezett.

Az illékonyrészecske-eltávolítót (VPR) jellemezni kell a 30 nm, 50 nm és 100 nm elektromos mobilitási átmérőjű szilárd részecskékre vonatkozó részecskekoncentráció-csökkentési tényezők szempontjából. A 30 nm és 50 nm elektromos mobilitási átmérőjű részecskék vonatkozásában a részecskekoncentráció-csökkentési tényezők (fr (d)) legfeljebb 30, illetve 20 %-kal magasabbak, és legfeljebb 5 %-kal alacsonyabbak a 100 nm elektromos mobilitási átmérőjű részecskék értékeinél. A hitelesítés esetében a közepes részecskekoncentráció-csökkentési tényező a részecskeszámláló (VPR) elsődleges kalibrálása során meghatározott közepes részecskekoncentráció-csökkentési tényező (
image ) ± 10 %-os tűréshatárán belül esik.

2.2.2.2.

Ezeknél a méréseknél a vizsgálati aeroszol 30 nm, 50 nm és 100 nm elektromos mobilitási átmérőjű szilárd részecskékből áll, amelyek legkisebb koncentrációja az illékonyrészecske-eltávolító (VPR) bemeneti nyílásánál 5 000 részecske cm– 3. A részecskekoncentrációkat az egyes komponensek előtt és után kell mérni

Az egyes részecskeméretek esetében a részecskekoncentráció-csökkentési tényezőt (fr (di )) a (6-32) egyenlettel kell kiszámítani:



image

(6-32)

ahol:

Nin (di )

a di átmérőjű részecskék részecskeszám-koncentrációja a komponens előtt

Nout (di )

a di átmérőjű részecskék részecskeszám-koncentrációja a komponens után

di

a részecske elektromos mobilitási átmérője (30, 50 vagy 100 nm)

Az Nin (di ) és Nout (di ) értékeket ugyanilyen feltételek mellett kell korrigálni.

Az adott hígítási beállítás közepes részecskekoncentráció-csökkentési tényezőjét (

image

) a (6-33) egyenlettel kell kiszámítani:



image

(6-33)

Az illékonyrészecske-eltávolítót (VPR) teljes egységként ajánlott kalibrálni és hitelesíteni.

2.2.2.3.

A műszaki szolgálat gondoskodik az illékonyrészecske-eltávolító (VPR) hitelesítési tanúsítványának meglétéről, amely igazolja, hogy a kibocsátásméréseket megelőző 6 hónapban az illékonyrészecske-eltávolítás ténylegesen hatékony. Ha az illékonyrészecske-eltávolító hőmérséklet-ellenőrző riasztót tartalmaz, 12 hónapos hitelesítési időszak engedélyezett. Az illékonyrészecske-eltávolító (VPR) a legalább 30 nm elektromos mobilitási átmérőjű tetrakontán (CH3(CH2)38CH3) részecskék 99,0 %-nál nagyobb mértékű eltávolítását valósítja meg, legalább 10 000 cm– 3 bemeneti nyílásnál mért koncentrációval, legkisebb hígítási beállítás és a gyártók által ajánlott üzemi hőmérséklet esetén.

2.2.3.   Részecskeszám-mintavevő rendszer ellenőrzési eljárásai

2.2.3.1.

A részecskeszámlálónak minden egyes vizsgálatot megelőzően 0,5 részecske cm– 3 mért koncentrációnál kisebb értéket kell jelentenie, amennyiben a teljes részecske-mintavevő rendszer (VPR és PNC) bemeneti nyílására az EN 1822:2008 szabvány legalább H13. osztályába tartozó, vagy megegyező teljesítményű HEPA-szűrőt illesztettek.

2.2.3.2.

A részecskeszámlálóba irányuló áram havonta mért értékének – kalibrált áramlásmérővel történő ellenőrzése esetén – a részecskeszámláló névleges áramának 5 %-os tartományán belülre kell esnie.

2.2.3.3.

Az EN 1822:2008 szabvány legalább H13. osztályába tartozó, vagy megegyező teljesítményű HEPA-szűrőnek a részecskeszámláló bemeneti nyílására történő alkalmazását követően a részecskeszámláló minden nap legfeljebb 0,2 cm– 3 koncentrációt mutat. E szűrő eltávolításakor a részecskeszámláló legalább 100 részecske cm– 3 értékre növekedett koncentrációt mutat környezeti levegővel történő működtetés esetén, majd a HEPA-szűrő lecserélésekor visszatér a legfeljebb 0,2 cm– 3 értékre.

2.2.3.4.

Minden egyes vizsgálat megkezdése előtt meg kell győződni arról, hogy a mérőrendszer jelzi-e, hogy az elpárologtató cső – ha van ilyen a rendszerben – elérte helyes üzemi hőmérsékletét.

2.2.3.5.

Minden egyes vizsgálat megkezdése előtt meg kell győződni arról, hogy a mérőrendszer jelzi-e, hogy az első részecskeszám-hígító (PND1) elérte helyes üzemi hőmérsékletét.




2. függelék

A berendezések és segédberendezések beépítésére vonatkozó követelmények



Szám

Berendezés és segédberendezés

A kibocsátási vizsgálat céljából felszerelve

1

Szívórendszer

 

 

Szívócsővezeték

Igen

 

A forgattyúsházból származó kibocsátásokat szabályozó rendszer

Igen

 

Légáramlásmérő

Igen

 

Légszűrő

Igen (i. ii.)

 

Szívászajcsökkentő

Igen (i. ii.)

2

Kipufogórendszer

 

 

Kipufogógáz-utókezelő rendszer

Igen

 

Kipufogócsonk

Igen

 

Kipufogó-vezetékek

Igen (i. ii.)

 

Hangtompító

Igen (i. ii.)

 

Végcső

Igen (i. ii.)

 

Kipufogófék

Nem ()

 

Feltöltő

Igen

3

Tüzelőanyag-ellátó szivattyú

Igen ()

4

Tüzelőanyag-befecskendezés

 

 

Előszűrő

Igen

 

Szűrő

Igen

 

Szivattyú

Igen

5

Nagynyomású vezeték

Igen

 

Befecskendező

Igen

 

Elektronikus vezérlőegység, érzékelők stb.

Igen

 

Szabályozó/vezérlő rendszer

Igen

 

Automatikus (a légköri viszonyoktól függően működő) teljes terhelési leállító a kapcsolótáblához

Igen

6

Folyadékhűtés

 

 

Hűtő

Nem

 

Ventilátor

Nem

 

Ventilátorburkolat

Nem

 

Vízszivattyú

Igen ()

 

Termosztát

Igen ()

7

Léghűtés

 

 

Burkolat

Nem ()

 

Ventilátor vagy befúvó

Nem ()

 

Hőmérséklet-szabályozó berendezés

Nem

8

Turbófeltöltő berendezés

 

 

Közvetlenül a motorral és/vagy a kipufogórendszerrel meghajtott kompresszor

Igen

 

Töltőlevegő-hűtő

Igen () ()

 

Hűtőközeg-szivattyú vagy -ventilátor (a motorról meghajtva)

Nem ()

 

Hűtőközeg-áramlásszabályozó készülék

Igen

9

A próbapad segédventilátora

Igen, ha szükséges.

10

Szennyezéscsökkentő berendezés

Igen

11

Indítóberendezés

Igen vagy próbapadi berendezés ()

12

Kenőolaj-szivattyú

Igen

13

Egyes, a motorra felszerelhető segédberendezéseket, amelyek meghatározása a nem közúti mozgó gép működésével függ össze, a vizsgálathoz el kell távolítani.

Ilyen például:

i.  a fékek levegőkompresszora,

ii.  a szervokormány kompresszora,

iii.  a felfüggesztés kompresszora,

iv.  a légkondicionáló rendszer.

Nem

(1)   A teljes szívórendszert a rendeltetésszerű használatnak megfelelően kell felszerelni:
i.  amennyiben fennáll annak a kockázata, hogy jelentősen befolyásolja a motor teljesítményét;
ii.  amennyiben a gyártó kéri ennek elvégzését.

(2)   A teljes kipufogórendszert a rendeltetésszerű használatnak megfelelően kell felszerelni:
i.  amennyiben fennáll annak a kockázata, hogy jelentősen befolyásolja a motor teljesítményét;
ii.  amennyiben a gyártó kéri ennek elvégzését.

(3)   Amennyiben kipufogórendszer-féket építettek be a motorba, a fojtószelepet teljesen nyitott állásban kell rögzíteni.

(4)   A tüzelőanyag-ellátás nyomását szükség esetén utólag újra lehet állítani annak érdekében, hogy újra biztosítsák a motor adott alkalmazásában fellépő nyomást (különösen „tüzelőanyag-visszavezetéses” rendszer alkalmazása esetén).

(5)   A hűtőfolyadék keringtetését csak a motor vízszivattyúja működtetheti. A folyadék hűtése egy külső körfolyamon keresztül is történhet úgy, hogy a nyomásveszteség e körfolyamon belül és a szivattyú bemeneti nyílásánál mért nyomás lényegében azonos legyen a motor hűtőrendszerének adataival.

(6)   A termosztát teljesen nyitott állásban rögzíthető.

(7)   Amennyiben a hűtőventilátort vagy befúvót a vizsgálat céljából felszerelték, akkor a felvett teljesítményt hozzá kell adni az eredményekhez, kivéve, ha a léghűtéses motorok hűtőventilátora közvetlenül a forgattyústengelyre van felszerelve. A ventilátor, illetve a befúvó teljesítményét a vizsgálat során alkalmazott fordulatszámon szabványos jellemzőkön alapuló számítás vagy fizikai vizsgálat útján kell meghatározni.

(8)   A töltőlevegő-hűtéssel rendelkező motorokat töltőlevegő-hűtés mellett kell vizsgálni függetlenül attól, hogy folyadék- vagy léghűtésesek, de ha a gyártó jobbnak látja, a levegőhűtőt a próbapadon elhelyezett rendszerrel lehet helyettesíteni. A próbapadon a teljesítmény mérését mindkét esetben, minden fordulatszámon a motorlevegőnek a töltőlevegő-hűtőn keresztüli azon legnagyobb nyomásesése és legkisebb hőmérsékletesése mellett kell végezni, amelyet a gyártó meghatároz.

(9)   Az elektromos vagy más indítórendszerek meghajtását a próbapadról kell biztosítani.




3. függelék

Az elektronikus vezérlőegység általi nyomatékjel-sugárzás ellenőrzése

1.    Bevezetés

E függelék célja az ellenőrzési követelmények meghatározása arra az esetre, ha a gyártó az elektronikus vezérlőegység általi nyomatékjel-sugárzást kívánja használni az ezzel felszerelt motoroknál az (EU) 2017/655 felhatalmazáson alapuló rendelet szerinti, használat közbeni nyomonkövetési vizsgálatok elvégzése során.

A hasznos nyomaték a motor által a 2. függelék szerint kibocsátásvizsgálat céljából felszerelendő berendezésekkel és segédberendezésekkel együtt leadott, nem korrigált nyomatékon alapul.

2.    A motorvezérlő egység nyomatékjele

A jelleggörbe felvétele céljából a próbapadra szerelt motor esetében eszközt kell biztosítani az elektronikus vezérlőegység által sugárzott nyomatékjel olvasására az (EU) 2017/655 felhatalmazáson alapuló rendelet I. mellékletének 6. függelékében foglalt követelményeknek megfelelően.

3.    Ellenőrzési eljárás

Az e melléklet 7.6.2. pontja szerinti jelleggörbe-felvételkor a fékpaddal mért nyomatékértékeket és az elektronikus vezérlőegység által sugárzott nyomatékjelet egyszerre, a nyomatékgörbe legalább három pontján kell felvenni. A mért értékek közül legalább egyet a görbe azon pontján kell felvenni, ahol a nyomaték a legnagyobb érték legalább 98 %-a.

►M2  Az elektronikus vezérlőegység által sugárzott nyomatékot korrekció nélkül el kell fogadni, ha a fékpaddal mért nyomatékérték és az elektronikus vezérlőegység által sugárzott nyomatékérték hányadosaként kiszámított tényező mindegyik mérési ponton legalább 0,93 (vagyis legfeljebb 7 %-os különbség van köztük). ◄ Ez esetben rögzíteni kell a típusbizonyítványon, hogy az elektronikus vezérlőegység által sugárzott nyomatékot korrekció nélkül ellenőrizték. Amennyiben a tényező egy vagy több vizsgálati pont kevesebb, mint 0,93, a korrekciós átlagtényezőt mindazon pontok alapján kell meghatározni, ahol a mért értékeket felvették, és rögzíteni kell azt a típusbizonyítványban. Ha egy tényező rögzítésre kerül a típusbizonyítványban, azt alkalmazni kell az elektronikus vezérlőegység által sugárzott nyomatékra az (EU) 2017/655 felhatalmazáson alapuló rendelet szerinti, használat közbeni nyomonkövetési vizsgálatok elvégzése során.




4. függelék

Eljárás az ammóniakibocsátás mérésére

1.

Ez a függelék ismerteti az ammóniakibocsátás (NH3) mérésére szolgáló eljárást. Nem lineáris elemző készülékek esetében megengedett a linearizáló áramkörök használata.

2.

Az NH3-kibocsátás mérésére három mérési elv került meghatározásra és ezek közül bármelyik használható, feltéve, hogy a 2.1., a 2.2. vagy a 2.3. pontban meghatározott kritériumok teljesülnek. Az NH3-kibocsátás méréséhez gázszárító használata nem megengedett.

2.1.   Fourier-transzformációs infravörös gázelemző készülék (FTIR)

2.1.1.   Vizsgálati elv

Az FTIR a széles hullámsávú infravörös spektroszkópia elvét alkalmazza. A készülék lehetővé teszi a kipufogógáz több olyan összetevőjének egyidejű mérését, melyek szabványosított spektruma a készülékben rendelkezésre áll. Az abszorpciós spektrum (intenzitás/hullámhossz) kiszámítása a mért interferogramból (intenzitás/idő) történik, a Fourier-transzformációs módszerrel.

2.1.2.   Beépítés és mintavétel

Az FTIR-t a gyártó készülékhez adott utasításai szerint kell beépíteni. Az értékeléshez az ammónia hullámhosszát kell kiválasztani. A mintavételi útvonalat (mintavevő vezetéket, előszűrő(ke)t és szelepeket) rozsdamentes acélból vagy üvegszálas teflonból (PTFE) kell készíteni, és 383 K (110 °C) és 464 K (191 °C) között beállított hőmérsékleti értékre kell melegíteni az ammóniaveszteség és a mintagyűjtési hibák megelőzésére. Ezen túlmenően a mintavevő vezetéknek a lehető legrövidebbnek kell lennie.

2.1.3.   Keresztinterferencia

Az ammónia hullámhosszának 0,5 cm– 1-en belül kell lennie a kipufogógázban jelen lévő más gázok okozta keresztinterferencia lehető legkisebbre csökkentése érdekében.

2.2.   Nemdiszperzív ultraibolya-rezonanciaabszorpciós gázelemző készülék (a továbbiakban: NDUV)

2.2.1.   Vizsgálati elv

Az NDUV működése tisztán fizikai elven alapul, nincs szükség hozzá segédgázokra vagy segédberendezésekre. A fénymérő fő alkatrésze az elektróda nélküli kisülőlámpa. Éles sugárzást állít elő az ultraibolya tartományban, ezzel lehetővé téve több összetevő, például az NH3 mérését.

A fénymérő rendszer az idő függvényében kettős sugaras kialakítással rendelkezik, amely szerint mérő- és referenciasugarat bocsát ki szűrőkorrelációs technikával.

A mérőjel fokozott stabilitása érdekében az idő függvényében kettős sugaras kialakítást a tér függvényében kettős sugaras kialakítással kombinálja. A detektorjel-feldolgozás szinte elhanyagolható mértékű nullpont-eltolódási arányt tesz lehetővé.

A gázelemző készülék kalibrációs üzemmódban lezárt kvarc küvettát dönt a sugár útjába, ezzel megkapható a pontos kalibrációs érték, mivel így a küvettaablakok esetleges tükröződési és abszorpciós vesztesége kompenzálható. Mivel a küvetta gáztöltete nagyon stabil, ezzel a kalibrálási módszerrel biztosítható a fénymérő nagyon hosszú távú stabilitása.

2.2.2.   Beszerelés

A gázelemző készüléket gázelemző készülékházba kell szerelni, a készülékgyártó utasításainak megfelelően átszívásos mintavételt alkalmazva. A gázelemző készülék helyének képesnek kell lennie megtartani a gyártó által megadott tömeget.

A mintavételi útvonalat (mintavevő vezetéket, előszűrő(ke)t és szelepeket) rozsdamentes acélból vagy üvegszálas teflonból (PTFE) kell készíteni és 383 K (110 °C) és 464 K (191 °C) között beállított hőmérsékleti értékre kell melegíteni.

Ezen túlmenően a mintavevő vezetéknek a lehető legrövidebbnek kell lennie. Méréskor a kipufogógáz hőmérsékletének és nyomásának, a beépítési környezetnek és a rezgésnek a hatását a legkisebbre kell csökkenteni.

A gázelemző készüléket hidegtől, hőtől, hőmérséklet-változásoktól, erős légáramlatoktól, por felgyülemlésétől, maró légkörtől és rezgésektől óvni kell. Megfelelő levegőkeringetést kell biztosítani a hőfelhalmozódás elkerülése érdekében. A hőveszteségek eloszlatására a teljes felületet fel kell használni.

2.2.3.   Keresztérzékenység

Megfelelő spektrumtartományt kell választani a kísérőgázok keresztinterferenciájának minimalizálása érdekében. Az NH3-méréskor keresztérzékenységet okozó összetevők jellemzően a SO2, a NO2 és a NO.

Kiegészítésképpen további módszerek alkalmazhatók a keresztérzékenység csökkentésére:

a) interferenciaszűrők használata;

b) a keresztérzékenység kompenzálása a keresztérzékenységet okozó összetevők mérésével és a mérési jel kompenzálásra való felhasználásával.

2.3.   Lézeres infravörös gázelemző készülék

2.3.1.   Vizsgálati elv

Az infravörös lézer, például a hangolható diódalézer vagy a kvantumkaszkád lézer képes koherens fényt kibocsátani a közeli infravörös, illetve a közép-infravörös tartományban, ahol a nitrogénvegyületek, köztük az NH3 abszorpciója jelentős. Az ilyen lézeroptika impulzusüzemű, nagy felbontású, keskeny sávú, közeli infravörös vagy közép-infravörös spektrumot ad. A lézeres infravörös gázelemző készülékekkel ezért csökkenthető a motor kipufogógázában egyidejűleg megtalálható összetevők spektrális átfedése okozta interferencia.

2.3.2.   Beszerelés

A gázelemző készüléket közvetlenül a kipufogócsőbe (in-situ) vagy egy gázelemző készülékházba szerelik, a készülék gyártója utasításainak megfelelően átszívásos mintavételt alkalmazva. Ha a gázelemző készüléket házba építik, a mintavételi útvonalat (mintavevő vezetéket, előszűrő(ke)t és szelepeket) rozsdamentes acélból vagy üvegszálas teflonból (PTFE) kell készíteni, és 383 K (110 °C) és 464 K (191 °C) között beállított hőmérsékleti értékre kell melegíteni az ammóniaveszteség és a mintagyűjtési hibák megelőzésére. Ezen túlmenően a mintavevő vezetéknek a lehető legrövidebbnek kell lennie.

Méréskor a kipufogógáz hőmérsékletének és nyomásának, a beépítési környezetnek és a rezgésnek a hatását a legkisebbre kell csökkenteni, vagy pedig kompenzációs technológiát kell használni.

Adott esetben az in-situ méréssel összefüggésben a műszer védelmére használt szűrt levegő nem befolyásolja a kipufogógázban egy alkotóelemének a készülék után mért koncentrációját sem, vagy pedig a kipufogógáz más összetevőiből történő mintavételnek a készülék előtt kell történnie.

2.3.3.   Interferencia ellenőrzése a NH3-t kimutató lézeres infravörös gázelemző készülékek esetében

2.3.3.1.   Alkalmazási kör és gyakoriság

Ha a NH3 mérése lézeres infravörös gázelemző készülékkel történik, az interferencia mértékét a gázelemző készülék első beszerelésekor és jelentős karbantartás után ellenőrizni kell.

2.3.3.2.   Az interferencia ellenőrzésére vonatkozó mérési elvek

Az interferenciát ellenőrző gázok pozitívan interferálhatnak bizonyos lézeres infravörös gázelemző készülékekkel a NO3-hoz hasonló választ váltva ki. Ha a gázelemző készülék olyan kiegyenlítő algoritmusokat használ, amelyek más gázok mérési eredményei alapján teljesítik az interferencia-ellenőrzést, a gázelemző készülék interferencia-ellenőrzése során e méréseket is el kell végezni a kiegyenlítő algoritmusokat vizsgálatára.

Az interferenciát ellenőrző gázokat a helyes műszaki gyakorlat szerint kell meghatározni a lézeres infravörös gázelemző készülékhez. Megjegyzendő, hogy az interferenciát ellenőrző vegyületek a H2O kivételével a készülékgyártó által kiválasztott, NH3-t kimutató infravörös abszorpciós sávtól függenek. Mindegyik gázelemző készüléknél meg kell határozni a NH3-t kimutató infravörös abszorpciós sávot. Mindegyik, NH3-t kimutató infravörös abszorpciós sávnál a helyes műszaki gyakorlat szerint kell meghatározni az interferenciát ellenőrző gázokat.

3.

Kibocsátásvizsgálati eljárás

3.1.   A gázelemző készülékek ellenőrzése

A kibocsátásmérési előtt ki kell választani a gázelemző készülék méréstartományát. Megengedett automata vagy kézi méréstartomány-kapcsolóval felszerelt szennyezőanyag-kibocsátási gázelemző készülékek használata. A vizsgálati ciklus alatt a gázelemző készülék méréstartományát nem szabad átkapcsolni.

Meg kell határozni a nullpont- és mérőtartomány-választ, ha a készülékre a 3.4.2. pont rendelkezései nem vonatkoznak. A mérőtartomány-válasz tekintetében olyan ammóniagázt kell használni, amely megfelel a 4.2.7. pont előírásainak. Megengedett az ammónia mérőtartomány-kalibráló gázt tartalmazó referenciacellák használata.

3.2.   A szennyezőanyag-kibocsátás szempontjából jelentős adatok összegyűjtése

A vizsgálati program indításakor egyidejűleg el kell indítani az ammóniára vonatkozó adatok gyűjtését. Az ammóniakoncentrációt folyamatosan mérni kell és legalább 1 Hz gyakorisággal számítógépes rendszeren kell tárolni.

3.3.   A vizsgálat befejezése

A vizsgálat befejezésekor a mintavételt addig kell folytatni, amíg a rendszer válaszidői le nem telnek. A gázelemző készülék méréstartománya eltolódásának 3.4.1. pont szerinti meghatározása csak akkor szükséges, ha a 3.4.2. pontban meghatározott információk nem állnak rendelkezésre.

3.4.   A gázelemző készülék méréstartományának eltolódása

3.4.1.

Az első adandó alkalommal, de legkésőbb a vizsgálati ciklus befejezését követő 30 másodpercen belül vagy a kondicionálás alatt meg kell határozni a gázelemző készülék nullpont- és mérőtartomány-válaszát. ►M2  A mérések előtti és utáni ellenőrzés eredményei közötti különbségnek a teljes méréstartomány 2 %-ánál kisebbnek kell lennie. ◄

3.4.2.

A gázelemző készülék méréstartománya eltolódásának meghatározása nem szükséges az alábbi esetekben:

a) ha a készülék gyártója által a 4.2.3. és 4.2.4. pontban meghatározott nullpont- és felsőérték-eltolódás megfelel a 3.4.1. pont követelményeinek;

b) ha a készülék gyártója által a 4.2.3. és 4.2.4. pontban meghatározott nullpont- és felsőérték-eltolódás tekintetében az időköz meghaladja a vizsgálat időtartamát.

4.

A gázelemző készülékre vonatkozó előírások és a készülék ellenőrzése

4.1.   Linearitási követelmények

A gázelemző készüléknek teljesítenie kell az e melléklet 6.5. táblázatának linearitási követelményeit. Az e melléklet 8.1.4. pontja szerinti linearitás-ellenőrzést legalább az e melléklet 6.4. táblázatában megadott gyakorisággal el kell végezni. A jóváhagyó hatóság előzetes jóváhagyásával 10-nél kevesebb referenciapont is megengedett, ha az egyenértékű pontosság demonstrálható.

A linearitás-ellenőrzéshez olyan ammóniagázt kell használni, amely megfelel a 4.2.7. pont előírásainak. Megengedett az ammónia mérőtartomány-kalibráló gázt tartalmazó referenciacellák használata.

Azoknak a műszereknek, amelyek jeleit a kompenzációs algoritmus használja, meg kell felelniük az e melléklet 6.5. táblázatában meghatározott linearitási követelményeknek. A linearitás-ellenőrzést szükség szerint a belső ellenőrzési eljárások, a műszer gyártójának vagy az ISO 9000 szabványnak az előírásai szerint kell elvégezni.

4.2.   A gázelemző készülékre vonatkozó előírások

A gázelemző készüléknek olyan méréstartománnyal és válaszidővel kell rendelkeznie, amely alkalmas a kipufogógázban lévő összetevők koncentrációjának megkívánt pontosságú mérésére, a motorok tranziens és állandósult üzemállapotában egyaránt.

4.2.1.   Alsó észlelési küszöb

A gázelemző készüléknek minden vizsgálati feltétel mellett 2 ppm alatti alsó észlelési küszöbbel kell rendelkeznie.

4.2.2.   Pontosság

A pontosság (definíció szerint a készülék által mért érték és az etalonérték közötti különbség) nem lehet rosszabb a mért érték ± 3 %-ánál, illetve ± 2 ppm-nél (ha ez a nagyobb).

4.2.3.   Nullpont-eltolódás

A nullpont válasz eltolódását, valamint a kapcsolódó időközt a készülék gyártójának kell meghatározni.

4.2.4.   A mérőtartomány eltolódása

A mérőtartomány eltolódását, valamint a kapcsolódó időközt a készülék gyártójának kell meghatározni.

4.2.5.   A rendszer válaszideje

A rendszer válaszideje legfeljebb ≤ 20 másodperc lehet.

4.2.6.   Felfutási idő

A gázelemző készülék válaszideje legfeljebb ≤ 5 másodperc lehet.

4.2.7.   Kalibráló NH3-gáz

A következő kémiai összetételű gázkeveréknek kell rendelkezésre állnia:

NH3 és tisztított nitrogén.

A kalibráló gáz valódi koncentrációjának a névleges ± 3 %-án belül kell lenniük. Az ammónia koncentrációját mindig térfogatra vonatkoztatva kell megadni (térfogatszázalékban vagy térfogat ppm-ben).

▼M2

A kalibráló gázokra megadott lejárati időt fel kell jegyezni.

▼B

4.2.8.   Interferencia-ellenőrzési eljárás

Az interferenciavizsgálatot a következőképpen kell végrehajtani:

a) az NH3-t kimutató gázelemző készüléket úgy kell elindítani, üzemeltetni, nullázni, illetve mérőtartománya tekintetében kalibrálni, mint egy kibocsátásvizsgálat előtt;

b) többkomponensű mérőtartomány-kalibráló gázt zárt tartályban desztillált vízen átbuborékoltatva párásított, interferenciát ellenőrző vizsgálati gázt kell létrehozni. Ha a minta nem halad át mintaszárítón, akkor a tartály hőmérsékletét úgy kell szabályozni, hogy legalább olyan magas H2O-szint jöjjön létre, mint a kibocsátásvizsgálat alatt várható legnagyobb szint. Legalább olyan magas koncentrációjú, interferenciát ellenőrző mérőtartomány-kalibráló gázt kell használni, mint a vizsgálat alatt várható legnagyobb koncentráció;

c) az interferenciát ellenőrző párásított vizsgálati gázt be kell vezetni a mintavevő rendszerbe;

d) az interferenciát ellenőrző párásított vizsgálati gáz vízzel alkotott x H2O mólfrakcióját a gázelemző készülék bemenetéhez a lehető legközelebb kell megmérni. Például az x H2O kiszámításához meg kell mérni a T dew harmatpontot és a p total abszolút nyomást;

e) a helyes műszaki gyakorlat alapján, az x H2O mérésének pontjától a gázelemző készülékig meg kell akadályozni a kondenzációt az átvezető csövekben, szerelvényekben és szelepekben;

f) időt kell hagyni arra, hogy a gázelemző készülék válasza stabilizálódjon;

g) 30 másodpercnyi mintaadatot kell rögzíteni, míg a gázelemző készülék a minta koncentrációját méri. Ki kell számítani ezen adatok számtani közepét;

h) a gázelemző készülék megfelel az interferenciaellenőrzésen, ha az e pont g) alpontja szerinti eredmény az e szakasz szerinti tűrésen belül van;

i) az interferenciát ellenőrző egyes gázokra vonatkozó interferencia-eljárások külön-külön is elvégezhetők. Ha az interferenciát ellenőrző gáz alkalmazott szintjei magasabbak a vizsgálat alatt várható legnagyobb szinteknél, a mért interferencia-értéket arányosan csökkenteni lehet úgy, hogy a mért interferenciát meg kell szorozni a várható legnagyobb koncentrációs érték és az eljárás során mért tényleges érték közötti aránnyal. Az interferenciát ellenőrző külön H2O-koncentrációk (csupán 0,025 mol/mol H2O tartalom) is alkalmazhatók, amelyeknél alacsonyabbak a vizsgálat alatt várható legnagyobb szinteknél, ám ilyenkor a mért H2O-interferenciát arányosan növelni kell úgy, hogy a mért interferenciát meg kell szorozni a várható legnagyobb H2O-koncentrációs érték és az eljárás során mért tényleges érték közötti aránnyal. Az arányosított interferenciaértékek összegének eleget kell tennie az e pont j) alpontjában az együttes interferenciára vonatkozóan meghatározott tűrésnek;

▼M2

j) a gázelemző készülék együttes interferenciájának a IV. melléklet 3.4. pontjában az ammóniára (NH3) meghatározott alkalmazandó átlagérték ± 2 %-án belül kell lennie.

▼B

5.

Alternatív rendszerek

A jóváhagyó hatóság más rendszereket vagy elemző készülékeket is jóváhagyhat, ha úgy véli, hogy azok az e melléklet 5.1.1. pontja szerint egyenértékű eredményeket adnak. Ebben az esetben az „Eredmények” abban a pontban a vonatkozó ciklusra kiszámított NH3-átlagkoncentrációra vonatkoznak.




5. függelék

A rendszerválaszok bemutatása

1.

Ez a függelék bemutatja azokat az időket, amelyeket a gázelemző és más mérőrendszerek által egy bemeneti jelre adott válaszok kifejezésére használnak.

2.

A következő idők alkalmazandók (lásd a 6.11. ábrát):

2.1. „késés”: a mért összetevőnek a vonatkoztatási pontnál történő megváltozása és a mért végérték 10 %-ának megfelelő rendszerválasz megjelenése között eltelt idő (t 10) úgy, hogy a mintavevő szonda a vonatkoztatási pont;

2.2. „válaszidő”: a mért összetevőnek a vonatkoztatási pontnál történő megváltozása és a mért végérték 90 %-ának megfelelő rendszerválasz megjelenése között eltelt idő (t 90) úgy, hogy a mintavevő szonda a vonatkoztatási pont;

2.3. „felfutási idő” a mért végérték 10 %-os és a 90 %-os válaszideje között eltelt idő (t 90t 10);

2.4. „átalakítási idő” a mért összetevőnek a vonatkoztatási pontnál történő megváltozása és a mért végérték 50 %-ának megfelelő rendszerválasz megjelenése között eltelt idő (t 50) úgy, hogy a mintavevő szonda a vonatkoztatási pont;

▼M2

2.5. Az ugrásszerű bemenet ideje az az időpont, amikor változik a mért paraméter.

▼M2

6-11. ábra

A rendszerválaszok ábrázolása

image

▼B




VII. MELLÉKLET

Az adatok kiértékelésére és kiszámítására szolgáló módszer

1.    Általános követelmények

A kibocsátásokat vagy a 2. szakasz (tömegalapú számítások), vagy a 3. szakasz (moláris alapú számítások) szerint kell kiszámítani. A két módszer kizárja egymást. A számításokat nem szükséges a 2. és a 3. szakasz szerint is elvégezni.

Az adott esetben a részecskeszámmérésre vonatkozó külön követelményeket az 5. függelék tartalmazza.

1.1.   Általános jelölések



2. szakasz

3. szakasz

Mértékegység

Mennyiség

 

A

m2

terület

 

At

m2

a Venturi-cső torokkeresztmetszetének területe

b, D 0

a 0

m.v. (3)

a regressziós egyenes és az y tengely metszéspontja

A/F st

 

sztöchiometrikus levegő/tüzelőanyag arány

 

C

együttható

C d

C d

átfolyási tényező

 

C f

áramlási együttható

c

x

ppm, térf. %

koncentráció/mólfrakció (μmol/mol = ppm)

c d

 (1)

ppm, térf. %

szárazon mért koncentráció

c w

 (1)

ppm, térf. %

nedvesen mért koncentráció

cb

 (1)

ppm, térf. %

háttér-koncentráció

D

x dil

hígítási tényező (2)

D 0

 

m3/ford.

térfogat-kiszorításos szivattyú kalibrálási állandója

d

d

m

átmérő

d V

 

m

Venturi-cső torokátmérője

e

e

g/kWh

fékpadi fajlagos kibocsátás alapértéke

e gas

e gas

g/kWh

a gáz-halmazállapotú összetevők fajlagos kibocsátása

e PM

e PM

g/kWh

részecskék fajlagos kibocsátása

E

1 – PF

%

átalakítási hatásfok (PF = penetrációs hányados)

F s

 

sztöchiometrikus együttható

 

f

Hz

gyakoriság

f c

 

szénspecifikus tényező

 

γ

a fajhők aránya

H

 

g/kg

abszolút páratartalom

 

K

korrekciós tényező

K V

 

image

a kritikus áramlású Venturi-cső kalibrálási függvénye

k f

 

m3/tüzelőanyag kg

tüzelőanyag-specifikus tényező

k h

 

páratartalom-korrekciós tényező NOx-re dízelmotorok esetében

k Dr

k Dr

lefelé módosító korrekciós tényező

k r

k r

multiplikatív regenerálási tényező

k Ur

k Ur

felfelé módosító korrekciós tényező

k w,a

 

száraz-nedves korrekciós tényező a beszívott levegőre

k w,d

 

száraz-nedves korrekciós tényező a hígító levegőre

k w,e

 

száraz-nedves korrekciós tényező a hígított kipufogógázra

k w,r

 

száraz-nedves korrekciós tényező a hígítatlan kipufogógázra

μ

μ

kg/(m · s)

dinamikai viszkozitás

M

M

g/mol

moláris tömeg (3)

M a

 (1)

g/mol

a beszívott levegő moláris tömege

M e

v

g/mol

a kipufogógáz moláris tömege

M gas

M gas

g/mol

a gáz-halmazállapotú összetevők moláris tömege

m

m

kg

Tömeg

m

a 1

m.v. (3)

a regressziós egyenes meredeksége

 

ν

m2/s

kinematikai viszkozitás

m d

v

kg

a részecske-mintavevő szűrőkön átjutott hígítólevegő-minta tömege

m ed

 (1)

kg

az összes hígított kipufogógáz tömege a ciklusban

m edf

 (1)

kg

az egyenértékű hígított kipufogógáz tömege a vizsgálati ciklusban

m ew

 (1)

kg

az összes kipufogógáz tömege a ciklusban

m f

 (1)

mg

az összegyűjtött részecskeminta tömege

m f,d

 (1)

mg

az összegyűjtött hígító levegő részecskemintájának tömege

m gas

m gas

g

a gáz-halmazállapotú kibocsátások tömege a vizsgálati ciklusban

m PM

m PM

g

a szilárd kibocsátások tömege a vizsgálati ciklusban

m se

 (1)

kg

a kipufogógáz-minta tömege a vizsgálati ciklusban

m sed

 (1)

kg

a hígítóalagúton áthaladó hígított kipufogógáz tömege

m sep

 (1)

kg

a részecskegyűjtő szűrőkön áthaladó hígított kipufogógáz tömege

m ssd

 

kg

a másodlagos hígító levegő tömege

 

N

a sorozat teljes darabszáma

 

n

mol

anyagmennyiség

 

mol/s

az anyagmennyiség sebessége

n

f n

min– 1

a motor fordulatszáma

n p

 

r/s

a térfogat-kiszorításos szivattyú fordulatszáma

P

P

kW

teljesítmény

p

p

kPa

nyomás

p a

 

kPa

száraz atmoszferikus nyomás

p b

 

kPa

teljes légnyomás

p d

 

kPa

a hígító levegő telítési gőznyomása

p p

p abs

kPa

abszolút nyomás

p r

p H2O

kPa

vízgőznyomás

p s

 

kPa

száraz atmoszferikus nyomás

1 – E

PF

%

penetrációs hányad

qm

kg/s

tömegáram

qm ad

 (1)

kg/s

a beszívott levegő tömegárama száraz alapon

qm aw

 (1)

kg/s

a beszívott levegő tömegárama nedves alapon

qm Ce

 (1)

kg/s

a szén tömegárama a hígítatlan kipufogógázban

qm Cf

 (1)

kg/s

a motorba belépő szén tömegárama

qm Cp

 (1)

kg/s

a szén tömegárama a részáramú hígítórendszerben

qm dew

 (1)

kg/s

a hígított kipufogógáz tömegárama nedves alapon

qm dw

 (1)

kg/s

a hígító levegő tömegárama nedves alapon

qm edf

 (1)

kg/s

egyenértékű hígított kipufogógáz tömegárama nedves alapon

qm ew

 (1)

kg/s

a kipufogógáz tömegárama nedves alapon

qm ex

 (1)

kg/s

a hígítóalagútból kilépő minta tömegárama

qm f

 (1)

kg/s

a tüzelőanyag tömegárama

qm p

 (1)

kg/s

a részáramú hígítórendszerbe belépő kipufogógáz-minta árama

qV

m3/s

térfogatáram

qV CVS

 (1)

m3/s

az állandó térfogatú mintavétel térfogatárama

qV s

 (1)

dm3/min

a kipufogógáz-elemző rendszer átfolyási sebessége

qV t

 (1)

cm3/min

az indikátorgáz átfolyási sebessége

ρ

ρ

kg/m3

tömegsűrűség

ρ e

 

kg/m3

a kipufogógáz sűrűsége

 

r

a nyomások aránya

r d

DR

hígítási arány (2)

 

Ra

μm

átlagos felületi érdesség

RH

 

%

relatív páratartalom

r D

β

m/m

az átmérők aránya (állandó térfogatú mintavételi rendszerek)

r p

 

a hangsebesség alatti áramlású Venturi-cső nyomásaránya

Re

Re#

Reynolds-szám

 

S

K

Sutherland-állandó

σ

σ

szórás

T

T

°C

hőmérséklet

 

T

Nm

a motor nyomatéka

T a

 

K

abszolút hőmérséklet

t

t

s

idő

Δt

Δt

s

időintervallum

u

 

a kipufogógáz-összetevő sűrűsége és a kipufogógáz sűrűsége közötti arány

V

V

m3

térfogat

qV

m3/s

térfogatáram

V 0

 

m3/r

a térfogat-kiszorításos szivattyú által fordulatonként szállított gáztérfogat

W

W

kWh

munka

W act

W act

kWh

a vizsgálati ciklus alatti tényleges ciklusmunka

WF

WF

súlyozó tényező

w

w

g/g

tömeghányad

 

image

mol/mol

az áramlással súlyozott átlagos koncentráció

X 0

K s

s/ford

a térfogat-kiszorításos szivattyú kalibrálási függvénye

 

y

általános változó

image

image

 

számtani közép

 

Z

kompressziós tényező

(1)   Lásd az indexeket, például: air a száraz levegő tömegárama, fuel a tüzelőanyag tömegárama esetében stb.

(2)   A hígítási arány r d a 2. szakaszban és DR a 3. szakaszban: a jelölések eltérőek, de a jelentésük és a rájuk vonatkozó egyenletek azonosak. A hígítási tényező D a 2. szakaszban és x dil a 3. szakaszban: a jelölések eltérőek, de fizikai jelentésük azonos, a (7-124) egyenlet pedig az x dil és a DR közötti összefüggést mutatja be.

(3)   m. v.= meghatározásra vár.

1.2.   Indexek



2. szakasz (1)

3. szakasz

Mennyiség

act

act

tényleges mennyiség

i

 

pillanatnyi mérés (pl. 1 Hz)

 

i

egy sorozat egyedi eleme

(1)   A 2. szakaszban az alsó index jelentését a hozzá tartozó mennyiség határozza meg; az alsó indexben szereplő „d” betű például a következőket jelentheti: szárazon mért: „c d = szárazon mért koncentráció”, hígító levegő: „p d = a hígító levegő telített gőznyomása” vagy „k w,d = száraz-nedves korrekciós tényező a hígító levegőre”, hígítási arány: „r d”.

1.3.   A kémiai összetevőkre vonatkozó jelölések és rövidítések (amelyek alsó indexben is szerepelnek)



2. szakasz

3. szakasz

Mennyiség

Ar

Ar

Argon

C1

C1

1 szénnel egyenértékű szénhidrogén

CH4

CH4

Metán

C2H6

C2H6

Etán

C3H8

C3H8

Propán

CO

CO

Szén-monoxid

CO2

CO2

Szén-dioxid

 

H

Atomos hidrogén

 

H2

Molekuláris hidrogén

HC

HC

Szénhidrogén

H2O

H2O

Víz

 

He

Hélium

 

N

Atomos nitrogén

 

N2

Molekuláris nitrogén

NOx

NOx

Nitrogén-oxidok

NEM

NEM

Nitrogén-oxid

NO2

NO2

Nitrogén-dioxid

 

O

Atomos oxigén

PM

PM

Részecske

S

S

Kén

1.4.   A tüzelőanyag-összetételre vonatkozó jelölések és rövidítések



2. szakasz (1)

3. szakasz (2)

Mennyiség

w C (4)

w C (4)

A tüzelőanyag széntartalma, tömeghányad [g/g] vagy [tömegszázalék]

w H

w H

A tüzelőanyag hidrogéntartalma, tömeghányad [g/g] vagy [tömegszázalék]

w N

w N

A tüzelőanyag nitrogéntartalma, tömeghányad [g/g] vagy [tömegszázalék]

w O

w O

A tüzelőanyag oxigéntartalma, tömeghányad [g/g] vagy [tömegszázalék]

w S

w S

A tüzelőanyag kéntartalma, tömeghányad [g/g] vagy [tömegszázalék]

α

α

Atomos hidrogén-szén arány (H/C)

ε

β

Atomos oxigén-szén arány (O/C) (3)

γ

γ

Atomos kén-szén arány (S/C)

δ

δ

Atomos nitrogén-szén arány (N/C)

(1)   A CHαOεNδSγ kémiai összetételű tüzelőanyagra vonatkozik.

(2)   A CHαOβSγNδ kémiai összetételű tüzelőanyagra vonatkozik.

(3)   Különös figyelmet kell fordítani arra, hogy a β szimbólum eltérő jelentéssel rendelkezik a kibocsátásszámításokkal foglalkozó két szakaszban. A 2. szakaszban a CHαSCHαSγNδOε kémiai összetételű tüzelőanyagra vonatkozik (vagyis a CβHαSγNδOε képletben szerepel, ahol β = 1, molekulánként egy szénatomot feltételezve), a 3. szakaszban viszont a CHαOβSγNδ oxigén-szén arányára utal. A 3. szakaszban szereplő β tehát azonos a 2. szakaszban szereplő ε-nal.

(4)   A tömeghányad w jelét alsó indexben követi a kémiai összetevő szimbóluma.

2.    Tömegalapú kibocsátásszámítások

▼M2

2.1.   A gáz-halmazállapotú kibocsátások mérése a hígítatlan kipufogógázban

▼B

2.1.1.   Különálló NRSC vizsgálatok

A gáz-halmazállapotú kibocsátások qmgas,i kibocsátási arányát az állandósult üzemállapotú vizsgálat valamennyi i üzemmódjára vonatkozóan a gáz-halmazállapotú kibocsátás koncentrációjának és a rá vonatkozó anyagáramnak az összeszorzásával kell kiszámítani az alábbiak szerint:

▼M2



image

(7-1)

▼B

ahol:

k

=

a [ppm]-ben megadott cgasr,w,i esetében 1, a [térfogatszázalékban] megadott cgasr,w,i esetében 10 000

k h

=

NOx korrekciós tényező [-], csak NOx- kibocsátásszámításhoz (lásd a 2.1.4. pontot)

u gas

=

összetevő-specifikus tényező vagy gáz-halmazállapotú összetevő és a kipufogógáz sűrűségeinek aránya [-]

qm ew, i

=

a kipufogógáz tömegárama i üzemmódban nedves alapon [kg/s]

c gas, i

=

a kibocsátás koncentrációja a hígítatlan kipufogógázban i üzemmódban nedves alapon, [ppm] vagy [térfogatszázalék]

2.1.2.   Tranziens (NRTC és LSI-NRTC) vizsgálati ciklusok és RMC vizsgálatok

Valamely gáz-halmazállapotú kibocsátás vizsgálatonkénti teljes tömegét, az m gas-t [g/vizsgálat] a szinkronizált pillanatnyi koncentrációk és kipufogógáz-áramok összeszorzásával és a vizsgálati ciklusra való integrálásával kell kiszámítani a (7-2) egyenlettel:



image

(7-2)

ahol:

ƒ

=

adatlekérdezési gyakoriság [Hz]

k h

=

NOx korrekciós tényező [-], csak az NOx-kibocsátásszámításoknál kell alkalmazni

k

=

1 a [ppm]-ben megadott cgasr,w,i esetében, és k = 10 000 a [térfogatszázalékban] megadott cgasr,w, i esetében

u gas

=

összetevő-specifikus tényező [-] (lásd a 2.1.5. pontot)

N

=

a mérések száma [-]

qm ew, i

=

a kipufogógáz pillanatnyi tömegárama nedves alapon [kg/s]

c gas, i

=

pillanatnyi kibocsátáskoncentráció a hígítatlan kipufogógázban nedves alapon, [ppm] vagy [térfogatszázalék]

2.1.3.   A koncentrációk átszámítása szárazról nedves alapra

Amennyiben a kibocsátásokat száraz alapon mérik, a száraz alapon mért c d koncentrációt át kell számítani nedves alapú c w koncentrációvá a (7-3) egyenlettel:



image

(7-3)

ahol:

k w

=

száraz-nedves átszámítási tényező [-]

c d

=

a kibocsátás koncentrációja száraz alapon, [ppm] vagy [térfogatszázalék]

Tökéletes égés mellett a hígítatlan kipufogógázra vonatkozó száraz-nedves átszámítási tényező a k w,a [-], amelyet a (7-4) egyenlettel kell kiszámítani:

▼M2



image

(7-4)

▼B

ahol:

H a

=

a beszívott levegő páratartalma [g H2O/kg száraz levegő]

qm f, i

=

a tüzelőanyag pillanatnyi átfolyási sebessége [kg/s]

qm ad, i

=

a száraz beszívott levegő pillanatnyi átfolyási sebessége [kg/s]

p r

=

a hűtő utáni víznyomás [kPa]

p b

=

teljes légköri nyomás [kPa]

w H

=

a tüzelőanyag hidrogéntartalma [tömegszázalék]

k f

=

égési többletmennyiség [m3/kg tüzelőanyag]

ahol:



image

(7-5)

ahol:

w H

=

a tüzelőanyag hidrogéntartalma [tömegszázalék]

w N

=

a tüzelőanyag nitrogéntartalma [tömegszázalék]

w O

=

a tüzelőanyag oxigéntartalma [tömegszázalék]

A (7-4) egyenletben a p r/p b arányt a következőnek lehet feltételezni:



image

(7-6)

Tökéletlen égés (dús tüzelőanyag-levegő keverékek) mellett, valamint közvetlen levegőáramlás-mérés nélküli kibocsátásvizsgálatoknál a k w,a kiszámításának a következő módja javasolt:



image

(7-7)

ahol:

c CO2

=

a CO2 koncentrációja a hígítatlan kipufogógázban száraz alapon [térfogatszázalék]

c CO

=

a CO koncentrációja a hígítatlan kipufogógázban száraz alapon [ppm]

p r

=

a hűtő utáni víznyomás [kPa]

p b

=

teljes légköri nyomás [kPa]

α

=

moláris hidrogén-szén arány [-]

k w1

=

a beszívott levegő nedvessége [-]



image

(7-8)

2.1.4.   Páratartalom és hőmérséklet szerinti NOx-korrekció

Mivel az NOx-kibocsátás a környezeti levegő állapotától függ, az NOx-koncentrációt korrigálni kell a környezeti levegő hőmérséklete és páratartalma függvényében, a (7-9) és a (7-10) egyenletben megadott kh,D vagy kh,G [-] tényezővel. Ezek a tényezők a 0 és 25 g H2O/kg száraz levegő páratartalom-tartományban érvényesek.

a) kompressziós gyújtású motorok esetében:



image

(7-9)

b) szikragyújtású motorok esetében:



kh,G = 0,6272 + 44,030 × 10– 3 × Ha – 0,862 × 10– 3 × Ha 2

(7-10)

ahol:

H a

=

a beszívott levegő páratartalma [g H2O/kg száraz levegő]

2.1.5.   Az u összetevő-specifikus tényező

A két számítást a 2.1.5.1. és a 2.1.5.2. pont írja le. A 2.1.5.1. pontban leírt eljárás egyszerűbb, mivel az összetevő sűrűsége és a kipufogógáz sűrűsége közötti arányra táblázatba foglalt u értékeket használ. A 2.1.5.2. pontban leírt eljárás pontosabb módszer akkor, ha a tüzelőanyag minősége eltér a VIII. mellékletben megadott előírásoktól, de szükséges hozzá a tüzelőanyag elemi összetételének meghatározása.

2.1.5.1.   Táblázatos értékek

A 2.1.5.2. pontban szereplő egyenletekben megadott számokat némileg egyszerűsítve (a λ értékét és a beszívott levegő állapotát a 7.1. táblázat alapján feltételezve) az u gas-ra kapott értékeket a 7.1. táblázat tartalmazza.



7.1. táblázat

A hígítatlan kipufogógáz u értéke és az összetevők sűrűsége (a ppm-ben megadott kibocsátáskoncentrációkra vonatkozóan)

Tüzelőanyag

ρe

 

 

Gáz

 

 

 

NOx

CO

HC

CO2

O2

CH4

 

 

ρgas [kg/m3]

 

 

 

2,053

1,250

 ()

1,9636

1,4277

0,716

 

 

ugas ()

 

 

 

Dízelolaj (nem közúti használatú gázolaj)

1,2943

0,001586

0,000966

0,000482

0,001517

0,001103

0,000553

Etanol erre kialakított kompressziós gyújtású motorokhoz

(ED95)

1,2768

0,001609

0,000980

0,000780

0,001539

0,001119

0,000561

Földgáz/ biometán ()

1,2661

0,001621

0,000987

0,000528 ()

0,001551

0,001128

0,000565

Propán

1,2805

0,001603

0,000976

0,000512

0,001533

0,001115

0,000559

Bután

1,2832

0,001600

0,000974

0,000505

0,001530

0,001113

0,000558

LPG ()

1,2811

0,001602

0,000976

0,000510

0,001533

0,001115

0,000559

Benzin (E10)

1,2931

0,001587

0,000966

0,000499

0,001518

0,001104

0,000553

Etanol

(E85)

1,2797

0,001604

0,000977

0,000730

0,001534

0,001116

0,000559

(1)   A tüzelőanyagtól függően.

(2)   Ha λ = 2, száraz levegő, 273 K, 101,3 kPa.

(3)   Az u-értékek 0,2 %-os pontosságúak a következő tömegösszetételek esetében: C = 66 – 76 %; H = 22 – 25 %; N = 0 – 12 %.

(4)   Metántól különböző szénhidrogének CH2,93 összetétel alapján (az összes szénhidrogénre a CH4 u gas együtthatóját kell használni).

(5)   Az u-értékek 0,2 %-os pontosságúak a következő tömegösszetételek esetében: C3 = 70 – 90 %; C4 = 10 – 30 %.

2.1.5.2.   Számított értékek

Az u gas,i összetevő-specifikus tényezőt az összetevő és a kipufogógáz sűrűségének aránya vagy a megfelelő moláris tömegek aránya alapján lehet kiszámítani [(7-11) vagy (7-12) egyenlet]:



image

(7-11)

vagy



image

(7-12)

ahol:

M gas

=

a gáz-halmazállapotú összetevők moláris tömege [g/mol]

M e, i

=

a nedves hígítatlan kipufogógáz pillanatnyi moláris tömege [g/mol]

ρ gas

=

a gáz-halmazállapotú összetevő sűrűsége [kg/m3]

ρ e,i

=

a nedves hígítatlan kipufogógáz pillanatnyi sűrűsége [kg/m3]

A kipufogógáz M e,i moláris tömegét a CH α O ε N δ S γ általános tüzelőanyag-összetétel mellett, tökéletes égést feltételezve a (7-13) egyenlettel kell kiszámítani:

▼M2

image

(7-13)

▼B

Ahol:

qm f, i

=

a tüzelőanyag pillanatnyi átfolyási sebessége nedves alapon [kg/s]

qm aw, i

=

a beszívott levegő pillanatnyi tömegárama nedves alapon [kg/s]

α

=

moláris hidrogén-szén arány [-]

δ

=

moláris nitrogén-szén arány [-]

ε

=

moláris oxigén-szén arány [-]

γ

=

atomos kén-szén arány [-]

H a

=

a beszívott levegő páratartalma [g H2O/kg száraz levegő]

M a

=

a száraz beszívott levegő moláris tömege = 28,965 g/mol

A hígítatlan kipufogógáz ρ e, i [kg/m3] pillanatnyi sűrűségét a (7-14) egyenlettel kell kiszámítani:



image

(7-14)

ahol:

qm f, i

=

a tüzelőanyag pillanatnyi tömegárama [kg/s]

qm ad, i

=

a beszívott száraz levegő pillanatnyi tömegárama [kg/s]

H a

=

a beszívott levegő páratartalma [g H2O/kg száraz levegő]

k f

=

égési többletmennyiség [m3/kg tüzelőanyag] [lásd a (7-5) egyenletet]

2.1.6.   A kipufogógáz tömegárama

2.1.6.1.   Levegő- és tüzelőanyag-mérési módszer

Ez a módszer a levegőáram és a tüzelőanyag-áram mérését jelenti alkalmas áramlásmérőkkel. A qm ew, i [kg/s] pillanatnyi kipufogógáz-áramot a (7-15) egyenlettel kell kiszámítani:



qm ew, i = qm aw, i + qm f, i

(7-15)

ahol:

qm aw, i

=

a beszívott levegő pillanatnyi tömegárama [kg/s]

qm f, i

=

a tüzelőanyag pillanatnyi tömegárama [kg/s]

2.1.6.2.   Indikátorgázt használó mérési módszer

Ez a kipufogógázban lévő indikátorgáz koncentrációjának mérését jelenti. A q mew,i [kg/s] pillanatnyi kipufogógáz-áramot a (7-16) egyenlettel kell kiszámítani:



image

(7-16)

ahol:

qV t

=

az indikátorgáz áramlási sebessége [m3/s]

c mix, i

=

az indikátorgáz pillanatnyi koncentrációja a keveredés után [ppm]

q e

=

a hígítatlan kipufogógáz sűrűsége [kg/m3]

c b

=

az indikátorgáz háttér-koncentrációja a beszívott levegőben [ppm]

Az indikátorgáz c b háttér-koncentrációja a közvetlenül a vizsgálat előtt és után mért háttér-koncentrációk átlagolásával határozható meg. Ha a háttér-koncentráció alacsonyabb, mint az indikátorgáz koncentrációjának 1 %-a az elegyítés után (c mix, i ) maximális kipufogógáz-áramnál, akkor a háttér-koncentráció figyelmen kívül hagyható.

2.1.6.3.   A levegőáram és a levegő-tüzelőanyag arány mérése

Ez a kipufogógáz tömegének a levegőáramból és a levegő-tüzelőanyag arányból történő kiszámítását jelenti. A kipufogógáz pillanatnyi tömegáramát, a q mew, i -t [kg/s] a (7-17) egyenlettel kell kiszámítani:



image

(7-17)

ahol:



image

(7-18)

image

(7-19)

ahol:

qm aw, i

=

a nedves beszívott levegő tömegárama [kg/s]

A/F st

=

sztöchiometrikus levegő-tüzelőanyag arány [-]

λi

=

pillanatnyi levegőfelesleg-arány [-]

c COd

=

a CO koncentrációja a hígítatlan kipufogógázban száraz alapon [ppm]

c CO2d

=

a CO2 koncentrációja a hígítatlan kipufogógázban száraz alapon [térfogatszázalék]

c HCw

=

a HC koncentrációja a hígítatlan kipufogógázban nedves alapon [ppm C1]

α

=

moláris hidrogén-szén arány [-]

δ

=

moláris nitrogén-szén arány [-]

ε

=

moláris oxigén-szén arány [-]

γ

=

atomos kén-szén arány [-]

2.1.6.4.   Szénegyensúly módszer, egylépéses eljárás

A (7-20) egyenletben meghatározott, következő egylépéses eljárás alkalmazható a kipufogógáz nedves tömegáramának, a qm ew, i -nek [kg/s] kiszámítására:



image

(7-20)

ahol az f c [-] széntényezőt a következő egyenlet adja meg:



image

(7-21)

Ahol:

qm f, i

=

a tüzelőanyag pillanatnyi tömegárama [kg/s]

▼M2

w C

=

a tüzelőanyag széntartalma [tömegszázalék] (lásd a (7-82) egyenletet a 3.3.3.1. pontban vagy a 7.3. táblázatot)

▼B

H a

=

a beszívott levegő páratartalma [g H2O/kg száraz levegő]

k fd

=

égési többletmennyiség száraz alapon [m3/kg tüzelőanyag]

c CO2d

=

a CO2 száraz koncentrációja a hígítatlan kipufogógázban [ %]

c CO2d,a

=

a CO2 száraz koncentrációja a környezeti levegőben [ %]

c COd

=

a CO száraz koncentrációja a hígítatlan kipufogógázban [ppm]

c HCw

=

a szénhidrogének nedves koncentrációja a hígítatlan kipufogógázban [ppm]

a k fd [m3/kg tüzelőanyag] tényezőt pedig száraz alapon, a (7-22) egyenlettel kell kiszámítani, az égéssel keletkezett víz k f-ből való kivonásával:



k fd = k f – 0,11118 · w H

(7-22)

ahol:

k f

=

a (7-5) egyenlet tüzelőanyag-specifikus tényezője [m3/kg tüzelőanyag]

w H

=

a tüzelőanyag hidrogéntartalma [tömegszázalék]

2.2.   Hígított gáz-halmazállapotú kibocsátások

2.2.1.   A gáz-halmazállapotú kibocsátások tömege

A kipufogógáz tömegáramát állandó térfogatú mintavevő rendszerrel kell mérni, amelyben lehet térfogat-kiszorításos szivattyú, kritikus áramlású Venturi-cső vagy hangsebesség alatti áramlású Venturi-cső.

Állandó tömegáramú (hőcserélővel ellátott) rendszereknél a szennyező anyagok tömegét, az m gas-t [g/vizsgálat] a (7-23) egyenlettel kell meghatározni:



m gas = k h · k · u gas · c gas · m ed

(7-23)

ahol:

u gas a kipufogógáz-összetevő sűrűségének és a levegő sűrűségének aránya a 7.2. táblázatban megadott értékek vagy a (7-34) egyenlettel való számítás alapján [-]

c gas = az összetevő háttér-koncentrációval korrigált átlagos koncentrációja nedves alapon, [ppm] vagy [térfogatszázalék]

k h = NOx korrekciós tényező [-], csak az NOx-kibocsátásszámításoknál kell alkalmazni

k = 1 a [ppm]-ben megadott c gasr,w, i esetében, és k = 10 000 a [térfogatszázalékban] megadott c gasr,w, i esetében

m ed = a hígított kipufogógáz teljes tömege a ciklusban [kg/teszt]

Áramláskiegyenlítéses (hőcserélő nélküli) rendszereknél a szennyező anyagok tömegét, az m gas-t [g/vizsgálat] a pillanatnyi tömegkibocsátás kiszámításával kell meghatározni, integrálást és a háttérkorrekciót végezve a (7-24) egyenlettel:



image

(7-24)

Ahol:

c e

=

a kibocsátás koncentrációja a hígított kipufogógázban nedves alapon, [ppm] vagy [térfogatszázalék]

c d

=

a kibocsátás koncentrációja a hígító levegőben nedves alapon, [ppm] vagy [térfogatszázalék]

m ed, i

=

a hígított kipufogógáz tömege az i időintervallum alatt [kg]

m ed

=

a hígított kipufogógáz teljes tömege a ciklusban [kg]

u gas

=

a 7.2. táblázatban szereplő érték [-]

D

=

hígítási tényező [lásd a 2.2.2.2. pont (7-28) egyenletét] [-]

k h

=

NOx korrekciós tényező [-], csak az NOx-kibocsátásszámításoknál kell alkalmazni

k

=

1 a [ppm]-ben megadott c esetében, k = 10 000 a [térfogatszázalékban] megadott c esetében

A c gas, c e és c d koncentrációk lehetnek tételes mintán mért értékek (zsákos mintán, ami azonban nem megengedett az NOx és a szénhidrogének esetében) vagy integrálással kapott átlagértékek a folyamatos mérések alapján. Az m ed, i értékét szintén a vizsgálati ciklusra integrált átlagértékként kell megadni.

A következő egyenletek bemutatják, hogyan kell kiszámítani a szükséges értékeket(c e, u gas és m ed).

2.2.2.   A koncentrációk átszámítása szárazról nedves alapra

A 2.2.1. pontban meghatározott összes, száraz alapon mért koncentrációt át kell számítani nedves koncentrációra a (7-3) egyenlettel.

2.2.2.1.   Hígított kipufogógáz

A száraz koncentrációkat az alábbi két egyenlet [(7-25) vagy (7-26)] egyikének alkalmazásával kell átszámítani nedves koncentrációra:



image

(7-25)

vagy



image

(7-26)

ahol:

α

=

a tüzelőanyag moláris hidrogén-szén aránya [-]

c CO2w

=

a CO2 koncentrációja a hígított kipufogógázban nedves alapon [térfogatszázalék]

c CO2d

=

a CO2 koncentrációja a hígított kipufogógázban száraz alapon [térfogatszázalék]

A k w2 száraz-nedves korrekciós tényező figyelembe veszi mind a beszívott levegő, mind a hígító levegő víztartalmát, és a (7-27) egyenlettel számítandó ki:



image

(7-27)

Ahol:

H a

=

a beszívott levegő páratartalma [g H2O/kg száraz levegő]

H d

=

a hígító levegő páratartalma [g H2O/kg száraz levegő]

D

=

hígítási tényező [lásd a 2.2.2.2. pont (7-28) egyenletét] [-]

2.2.2.2.   Hígítási tényező

A D [-] hígítási tényezőt (amely a háttérkorrekcióhoz és a k w2 kiszámításához szükséges) a (7-28) egyenlettel kell kiszámítani:



image

(7-28)

ahol:

F S

=

sztöchiometriai együttható [-]

c CO2,e

=

a CO2 koncentrációja a hígított kipufogógázban nedves alapon [térfogatszázalék]

c HC,e

=

a szénhidrogének koncentrációja a hígított kipufogógázban nedves alapon [ppm C1]

c CO,e

=

a CO koncentrációja a hígított kipufogógázban nedves alapon [ppm]

A sztöchiometriai együtthatót a (7-29) egyenlettel kell kiszámítani:



image

(7-29)

Ahol:

α

=

a tüzelőanyag moláris hidrogén-szén aránya [-]

Ha a tüzelőanyag összetétele nem ismert, akkor alternatívaként a következő sztöchiometriai együtthatókat lehet használni:

F S (dízel) = 13,4

FS (LPG) = 11,6

FS (földgáz) = 9,5

FS (E10) = 13,3

FS (E85) = 11,5

Ha a közvetlen mérés a kipufogógáz-áramból történik, a D [-] hígítási tényezőt a (7-30) egyenlettel lehet kiszámítani:



image

(7-30)

Ahol:

a qV CVSs a hígított kipufogógáz térfogatárama [m3/s]

qV ew = a hígítatlan kipufogógáz térfogatárama [m3/s]

2.2.2.3.   Hígító levegő



k w,d = (1 – k w3) · 1,008

(7-31)

ahol:



image

(7-32)

ahol:

H d

=

a hígító levegő páratartalma [g H2O/kg száraz levegő]

2.2.2.4.   A háttérrel helyesbített koncentrációk meghatározása

A szennyező anyagok nettó koncentrációjának meghatározásához a hígító levegőben lévő gáz-halmazállapotú szennyező anyagok átlagos háttér-koncentrációját le kell vonni a mért koncentrációkból. A háttér-koncentrációk átlagos értékei mintavételező zsákos módszerrel vagy integrálásos, folyamatos méréssel határozhatók meg. A (7-33) egyenletet kell használni:



image

(7-33)

Ahol:

c gas

=

a gáz-halmazállapotú szennyező anyag nettó koncentrációja [ppm] vagy [térfogatszázalék]

c gas,e

=

a kibocsátás koncentrációja a hígított kipufogógázban nedves alapon, [ppm] vagy [térfogatszázalék]

c d

=

a kibocsátás koncentrációja a hígító levegőben nedves alapon, [ppm] vagy [térfogatszázalék]

D

=

hígítási tényező [lásd a 2.2.2.2. pont (7-28) egyenletét] [-]

2.2.3.   Az u összetevő-specifikus tényező

A hígított gáz u gas összetevő-specifikus tényezőjét ki lehet számítani a (7-34) egyenlettel, vagy meg lehet állapítani a 7.2. táblázatból. A 7.2. táblázat azt feltételezi, hogy a hígított kipufogógáz sűrűsége egyenlő a levegő sűrűségével.



image

(7-34)

Ahol:

M gas

=

a gáz-halmazállapotú összetevők moláris tömege [g/mol]

M d,w

=

a hígított kipufogógáz moláris tömege [g/mol]

▼M2

M da,w

=

a hígító levegő moláris tömege [g/mol] (lásd a (7-144) egyenletet a 3.9.3. pontban)

M r,w

=

a hígítatlan kipufogógáz moláris tömege [g/mol] (lásd a 2. függelék 5. pontját)

▼B

D

=

hígítási tényező [lásd a 2.2.2.2. pont (7-28) egyenletét] [-]



7.2. táblázat

A hígított kipufogógáz u-értékei (a ppm-ben megadott kibocsátáskoncentrációkra vonatkozóan) és az összetevők sűrűsége

Tüzelőanyag

ρe

 

 

Gáz

 

 

 

NOx

CO

HC

CO2

O2

CH4

 

 

ρgas [kg/m3]

 

 

 

2,053

1,250

 (1)

1,9636

1,4277

0,716

 

 

ugas (2)

 

 

 

Dízelolaj (nem közúti használatú gázolaj)

1,2943

0,001586

0,000966

0,000482

0,001517

0,001103

0,000553

Etanol erre kialakított kompressziós gyújtású motorokhoz (ED95)

1,2768

0,001609

0,000980

0,000780

0,001539

0,001119

0,000561

Földgáz/ biometán (3)

1,2661

0,001621

0,000987

0,000528 (4)

0,001551

0,001128

0,000565

Propán

1,2805

0,001603

0,000976

0,000512

0,001533

0,001115

0,000559

Bután

1,2832

0,001600

0,000974

0,000505

0,001530

0,001113

0,000558

LPG (5)

1,2811

0,001602

0,000976

0,000510

0,001533

0,001115

0,000559

Benzin (E10)

1,2931

0,001587

0,000966

0,000499

0,001518

0,001104

0,000553

Etanol (E85)

1,2797

0,001604

0,000977

0,000730

0,001534

0,001116

0,000559

(1)   A tüzelőanyagtól függően.

(2)   Ha λ = 2, száraz levegő, 273 K, 101,3 kPa.

(3)   Az u-értékek 0,2 %-os pontosságúak a következő tömegösszetételek esetében: C = 66 – 76 %; H = 22 – 25 %; N = 0 – 12 %.

(4)   Metántól különböző szénhidrogének CH2,93 összetétel alapján (az összes szénhidrogénre a CH4 u gas együtthatóját kell használni).

(5)   Az u-értékek 0,2 %-os pontosságúak a következő tömegösszetételek esetében: C3 = 70 – 90 %; C4 = 10 – 30 %.

2.2.4.   A kipufogógáz tömegáramának kiszámítása

2.2.4.1.   Térfogat-kiszorításos szivattyút használó rendszer (állandó térfogatú mintavétel)

A hígított kipufogógáz teljes ciklus alatti m ed [kg/vizsgálat] tömegét a (7-35) egyenlettel kell kiszámítani, ha a hőcserélő a hígított kipufogógáz hőmérsékletét a teljes ciklusban ± 6 K tűréssel tartja:



image

(7-35)

ahol:

V 0

=

a vizsgálati feltételek között fordulatonként átszivattyúzott gáz térfogata [m3/fordulat]

n P

=

a szivattyú összes fordulata a vizsgálat alatt [fordulat/vizsgálat]

p p

=

abszolút nyomás a szivattyú bemeneti nyílásánál [kPa]

image

=

a hígított kipufogógáz átlagos hőmérséklete a szivattyú bemeneti nyílásánál [K]

1,293 kg/m3

=

a levegő sűrűsége 273,15 K és 101,325 kPa mellett

Áramláskiegyenlítéses (hőcserélő nélküli) rendszereknél a hígított kipufogógáznak az időintervallum alatti m ed, i [kg] tömegét a (7-36) egyenlettel kell kiszámítani:



image

(7-36)

ahol:

V 0

=

a vizsgálati feltételek között fordulatonként átszivattyúzott gáz térfogata [m3/fordulat]

p p

=

abszolút nyomás a szivattyú bemeneti nyílásánál [kPa]

n P, i

=

a szivattyú összes fordulata az i időintervallum alatt [rev/Δt]

image

=

a hígított kipufogógáz átlagos hőmérséklete a szivattyú bemeneti nyílásánál [K]

1,293 kg/m3

=

a levegő sűrűsége 273,15 K és 101,325 kPa mellett

2.2.4.2.   Kritikus áramlású Venturi-csövet használó rendszer (állandó térfogatú mintavétel)

A teljes ciklus alatti m ed [g/vizsgálat] tömegáramot a (7-37) egyenlettel kell kiszámítani, ha a hőcserélő a hígított kipufogógáz hőmérsékletét a teljes ciklusban ± 11 K tűréssel tartja:



image

(7-37)

Ahol:

t

=

a ciklus időtartama [s]

K V

=

a kritikus áramlású Venturi-cső kalibrációs együtthatója normál állapotra

image

p p

=

abszolút nyomás a Venturi-cső belépőnyílásánál [kPa]

T

=

abszolút hőmérséklet a Venturi-cső belépőnyílásánál [K]

1,293 kg/m3

=

a levegő sűrűsége 273,15 K és 101,325 kPa mellett

Áramláskiegyenlítéses (hőcserélő nélküli) rendszereknél a hígított kipufogógáznak az időintervallum alatti m ed, i [kg] tömegét a (7-38) egyenlettel kell kiszámítani:



image

(7-38)

ahol:

Dti

=

a vizsgálati időintervallum [s]

K V

=

a kritikus áramlású Venturi-cső kalibrációs együtthatója normál állapotra

image

p p

=

abszolút nyomás a Venturi-cső belépőnyílásánál [kPa]

T

=

abszolút hőmérséklet a Venturi-cső belépőnyílásánál [K]

1,293 kg/m3

=

a levegő sűrűsége 273,15 K és 101,325 kPa mellett

2.2.4.3.   Hangsebesség alatti áramlású Venturi-csövet használó rendszer (állandó térfogatú mintavétel)

A teljes ciklus alatti hígított kipufogógáz m ed [kg/vizsgálat] tömegét a (7-39) egyenlettel kell kiszámítani, ha a hőcserélő a hígított kipufogógáz hőmérsékletét a teljes ciklusban ± 11 K tűréssel tartja:



m ed = 1,293 · qV SSV · Δt

(7-39)

Ahol:

1,293 kg/m3

=

a levegő sűrűsége 273,15 K és 101,325 kPa mellett

Δt

=

a ciklus időtartama [s]

qV SSV

=

a levegő átfolyási sebessége szabványos körülmények között (101,325 kPa, 273,15 K [m3/s]

ahol:



image

(7-40)

Ahol:

A 0

=

az állandók összevonása és a mértékegységek átváltása = 0,0056940

image

d V

=

hangsebesség alatti áramlású Venturi-cső torokátmérője [mm]

C d

=

a hangsebesség alatti áramlású Venturi-cső átfolyási tényezője [-]

p p

=

abszolút nyomás a Venturi-cső belépőnyílásánál [kPa]

T in

=

hőmérséklet a Venturi-cső belépőnyílásánál [K]

r p

=

a hangsebesség alatti áramlású Venturi-cső torkánál és belépőnyílásánál fennálló statikus abszolút nyomások aránya,

image

[-]

r D

=

a hangsebesség alatti áramlású Venturi-cső torokátmérőjének és a bevezető cső belső átmérőjének aránya

image

[-]

Áramláskiegyenlítéses (hőcserélő nélküli) rendszereknél a hígított kipufogógáznak az időintervallum alatti m ed, i [kg] tömegét a (7-41) egyenlettel kell kiszámítani:



m ed, i = 1,293 · qV SSV · Δt i

(7-41)

Ahol:

1,293 kg/m3

=

a levegő sűrűsége 273,15 K és 101,325 kPa mellett

Δti

=

Időintervallum[s]

qV SSV

=

a hangsebesség alatti áramlású Venturi-cső térfogatárama [m3/s]

2.3.   A részecskekibocsátás kiszámítása

▼M2

2.3.1.   Tranziens (NRTC és LSI-NRTC) vizsgálati ciklusok és RMC

A részecsketömeget a részecskeminta tömegének a VI. melléklet 8.1.13.2.5. pontja szerinti, a felhajtóerőre való korrekciója után a következőképpen kell kiszámítani:

▼B

2.3.1.1.   Részáramú hígítórendszer

2.3.1.1.1.   Számítások a mintavételi arány alapján

A ciklus alatti részecskekibocsátások tömegét, az m PM-et [g] a (7-42) egyenlettel kell kiszámítani:



image

(7-42)

ahol:

m f

=

a ciklus alatt összegyűjtött részecskék tömege [mg]

r s

=

az átlagos mintavételi arány a vizsgálati ciklus alatt [-]

ahol:



image

(7-43)

Ahol:

m se

=

a hígítatlan kipufogógáz-minta tömege a ciklusban [kg]

m ew

=

a hígítatlan kipufogógáz teljes tömege a ciklusban [kg]

m sep

=

a részecskegyűjtő szűrőkön áthaladó hígított kipufogógáz tömege [kg]

m sed

=

a hígítóalagúton áthaladó hígított kipufogógáz tömege [kg]

Teljes mintavételt alkalmazó rendszer esetében az m sep és az m sed megegyezik.

2.3.1.1.2.   Számítások a hígítási arány alapján

A ciklus alatti részecskekibocsátások tömegét, az m PM-et [g] a (7-44) egyenlettel kell kiszámítani:



image

(7-44)

Ahol:

m f

=

a ciklus alatt összegyűjtött részecskék tömege [mg]

m sep

=

a részecskegyűjtő szűrőkön áthaladó hígított kipufogógáz tömege [kg]

m edf

=

az egyenértékű hígított kipufogógáz tömege a ciklusban [kg]

Az egyenértékű hígított kipufogógáz m edf [kg] össztömegét a ciklusban a (7-45) egyenlettel kell meghatározni:



image

(7-45)

ahol:



▼M2

image

(7-46)

▼B

image

(7-47)

Ahol:

qm edf, i

=

az egyenértékű hígított kipufogógáz pillanatnyi tömegárama [kg/s]

qm ew, i

=

a kipufogógáz pillanatnyi tömegárama nedves alapon [kg/s]

r d, i

=

pillanatnyi hígítási arány [-]

qm dew, i

=

a hígított kipufogógáz pillanatnyi tömegárama nedves alapon [kg/s]

qm dw,i

=

a hígító levegő pillanatnyi tömegárama [kg/s]

ƒ

=

adatlekérdezési gyakoriság [Hz]

N

=

a mérések száma [-]

2.3.1.2.   Teljes áramú hígítórendszer

A kibocsátott tömeget a (7-48) egyenlettel kell kiszámítani:



image

(7-48)

ahol:

m f

=

a ciklusban összegyűlt részecskék tömege [mg]

m sep

=

a részecskegyűjtő szűrőkön áthaladó hígított kipufogógáz tömege [kg]

m ed

=

a hígított kipufogógáz tömege a ciklusban [kg]

ahol:



m sep = m setm ssd

(7-49)

Ahol:

m set

=

a részecskeszűrőn áthaladó kétszeresen hígított kipufogógáz tömege [kg]

m ssd

=

a másodlagos hígító levegő tömege [kg]

2.3.1.2.1.   Háttérkorrekció

Az m PM,c [g] részecsketömegen háttérkorrekció végezhető a (7-50) egyenlettel:



image

(7-50)

Ahol:

m f

=

a ciklus alatt összegyűjtött részecskék tömege [mg]

m sep

=

a részecskegyűjtő szűrőkön áthaladó hígított kipufogógáz tömege [kg]

m sd

=

a háttér-koncentráció mérésére szolgáló mintavevő által mintavételezett hígító levegő tömege [kg]

m b

=

a hígító levegőből begyűjtött háttérrészecskék tömege [mg]

m ed

=

a hígított kipufogógáz tömege a ciklusban [kg]

D

=

hígítási tényező [lásd a 2.2.2.2. pont (7-28) egyenletét] [-]

2.3.2.   Számítások különálló NRSC-hez

2.3.2.1.   Hígítórendszer

Minden számítást az egyes üzemmódoknak (i) a mintavételi időszak alatt mutatott átlagértékeire kell alapozni.

a) Részáramú hígítás esetén a hígított kipufogógáz egyenértékű tömegáramát a (7-51) egyenlettel és a 9.2. ábrán látható áramlásmérési rendszerrel kell meghatározni:



image

(7-51)

image

(7-52)

Ahol:

qm edf

=

az egyenértékű hígított kipufogógáz tömegárama [kg/s]

qm ew

=

a kipufogógáz tömegárama nedves alapon [kg/s]

r d

=

hígítási arány [-]

qm dew

=

a hígított kipufogógáz tömegárama nedves alapon, kg/s

qm dw

=

a hígító levegő tömegárama [kg/s]

b) Teljes áramú rendszerek esetében a qm dew helyett a qm edf-et kell használni.

2.3.2.2.   A részecske-tömegáram kiszámítása

A részecskekibocsátás ciklus alatti áramlási sebességét, a q mPM-et [g/h] a (7-53), a (7-56), a (7-57) vagy a (7-58) egyenlettel kell kiszámítani:

a) Egyszűrős módszer esetén



image

(7-53)

image

(7-54)

image

(7-55)

Ahol:

qm PM

=

részecske-tömegáram [g/h]

m f

=

a ciklus alatt összegyűjtött részecskék tömege [mg]

image

=

az egyenértékű hígított kipufogógáz átlagos tömegárama nedves alapon [kg/s]

qm edf i

=

az egyenértékű hígított kipufogógáz tömegárama nedves alapon i üzemmódban [kg/s]

WFi

=

az i üzemmód súlyozó tényezője [-]

m sep

=

A részecskegyűjtő szűrőkön áthaladó hígított kipufogógáz [kg]

m sep i

=

a részecske-mintavevő szűrőkön átáramló hígított kipufogógáz-minta tömege az i üzemmódban [kg]

N

=

a mérések száma [-]

b) Többszűrős módszer esetén



image

(7-56)

Ahol:

qm PM i

=

kibocsátási tömegáram az i üzemmódban [g/h]

m f i

=

az i üzemmódban összegyűjtött részecskék tömege [mg]

qm edf i

=

az egyenértékű hígított kipufogógáz tömegárama nedves alapon i üzemmódban [kg/s]

m sep i

=

a részecske-mintavevő szűrőkön átáramló hígított kipufogógáz-minta tömege az i üzemmódban [kg]

A vizsgálati ciklus alatti részecsketömeget a mintavételi időszak egyes i üzemmódjaira vonatkozó átlagértékek összegzésével kell meghatározni.

A qm PM [g/h] vagy a qm PM i [g/h] részecske-tömegáramon háttérkorrekció végezhető az alábbiak szerint:

c) Egyszűrős módszer esetén



image

(7-57)

Ahol:

qm PM

=

részecske-tömegáram [g/h]

m f

=

az összegyűjtött részecskeminta tömege [mg]

m sep

=

a részecske-mintavevő szűrőkön átáramló hígított kipufogógáz-minta tömege [kg]

m f,d

=

a hígító levegőből összegyűjtött részecskék tömege [mg]

m d

=

a részecske-mintavevő szűrőkön átáramló hígítólevegő-minta tömege [kg]

Di

=

hígítási tényező az i üzemmódban [lásd a 2.2.2.2. pont (7-28) egyenletét] [-]

WFi

=

az i üzemmód súlyozó tényezője [-]

image

=

az egyenértékű hígított kipufogógáz átlagos tömegárama nedves alapon [kg/s]

d) Többszűrős módszer esetén



image

(7-58)

Ahol:

qm PM i

=

részecske-tömegáram i üzemmódban [g/h]

m f i

=

az i üzemmódban összegyűjtött részecskék tömege [mg]

m sep i

=

a részecske-mintavevő szűrőkön átáramló hígított kipufogógáz-minta tömege az i üzemmódban [kg]

m f,d

=

a hígító levegőből összegyűjtött részecskék tömege [mg]

m d

=

a részecske-mintavevő szűrőkön átáramló hígítólevegő-minta tömege [kg]

D

=

hígítási tényező [lásd a 2.2.2.2. pont (7-28) egyenletét] [-]

q medf i

=

az egyenértékű hígított kipufogógáz tömegárama nedves alapon i üzemmódban [kg/s]

Ha egynél több mérést végeztek, az m f,d/m d -t az
image -vel kell helyettesíteni.

2.4.   Ciklusmunka és fajlagos kibocsátások

2.4.1.   Gáz-halmazállapotú kibocsátás

2.4.1.1.   Tranziens (NRTC és LSI-NRTC) vizsgálati ciklusok és RMC

A hígítatlan kipufogógázzal kapcsolatban lásd a 2.1., a hígított kipufogógázzal kapcsolatban pedig a 2.2. pontot. Az eredményként kapott, teljesítményre vonatkozó P [kW] értékeket integrálni kell egy vizsgálati intervallumra. A W act [kWh] tényleges munkát a (7-59) egyenlettel kell kiszámítani:

▼M2



image

(7-59)

▼B

Ahol:

Pi

=

pillanatnyi motorteljesítmény [kW]

ni

=

pillanatnyi motorfordulatszám [ford./perc]

Ti

=

pillanatnyi motornyomaték [Nm]

W act

=

tényleges ciklusmunka [kWh]

ƒ

=

adatlekérdezési gyakoriság [Hz]

N

=

a mérések száma [-]

▼M2

Δti

=

mérési intervallum [s]

▼B

Amennyiben segédberendezéseket szereltek fel a VI. melléklet 2. függeléke szerint, akkor a (7-59) egyenletben nem kell kiigazítani a pillanatnyi motornyomatékot. Ha az e rendelet VI. mellékletének 6.3.2. vagy 6.3.3. pontja szerint a vizsgálathoz felszerelendő segédberendezéseket nem építették be, vagy a vizsgálathoz eltávolítandó segédberendezéseket beépítve hagyták, a (7-59) egyenletben használt Ti értékét a (7-60) egyenlettel kell kiigazítani:



T i = T i ,meas + T i, AUX

(7-60)

Ahol:

Ti ,meas

=

a pillanatnyi motornyomaték mért értéke

▼M2

Ti, AUX

=

a segédberendezések hajtásához szükséges nyomaték vonatkozó értéke, amelyet a VI. melléklet (6-18) egyenlete szerint kell meghatározni.

▼B

Az e gas [g/kWh] fajlagos kibocsátást az alábbi módokon kell kiszámítani a vizsgálati ciklus típusától függően.



image

(7-61)

Ahol:

m gas

=

a kibocsátás teljes tömege [g/vizsgálat]

W act

=

ciklusmunka [kWh]

NRTC ciklus esetén a CO2-től eltérő gáz-halmazállapotú kibocsátásokra vonatkozó vizsgálat végeredményét, az e gas-t [g/kWh] a hidegindítással történő vizsgálati menet és a melegindítással történő vizsgálati menet adatainak súlyozott átlagaként kell kiszámítani a (7-62) egyenlettel:



image

(7-62)

Ahol:

m cold a hidegindításos NRTC ciklus gázkibocsátásának tömege [g]

W act, cold a hidegindításos NRTC tényleges ciklusmunkája [kWh]

m hot a melegindításos NRTC ciklus gázkibocsátásának tömege [g]

W act, hot a melegindításos NRTC ciklus tényleges ciklusmunkája [kWh]

NRTC ciklus esetén a CO2-re vonatkozó vizsgálat végeredményét, az e CO2-t [g/kWh] a melegindításos NRTC alapján kell kiszámítani a (7-63) egyenlettel:



image

(7-63)

Ahol:

m CO2, hot a melegindításos NRTC ciklus CO2-kibocsátásának tömege [g]

W act, hot a melegindításos NRTC ciklus tényleges ciklusmunkája [kWh]

2.4.1.2.   Különálló NRSC-k

Az e gas [g/kWh] fajlagos kibocsátást a (7-64) egyenlettel kell kiszámítani:



image

(7-64)

ahol:

qm gas, i

=

átlagos kibocsátási tömegáram i üzemmódban [g/h]

▼M2

Pi

=

motorteljesítmény az i üzemmódban [kW], amelyet úgy kell kiszámítani, hogy a Pmeas mért teljesítményhez [kW] hozzáadjuk a segédberendezések hajtásához szükséges PAUX teljesítményt [kW], amelyet a VI. melléklet (6-8) egyenlete szerint kell meghatározni (Pi = Pmeas  + PAUX )

▼B

WFi

=

az i üzemmód súlyozó tényezője [-]

▼M2

Nmode

=

az üzemmódok száma a vonatkozó különálló NRSC ciklusban

▼B

2.4.2.   Részecskekibocsátás

2.4.2.1.   Tranziens (NRTC és LSI-NRTC) vizsgálati ciklusok és RMC

A fajlagos részecskekibocsátásokat a (7-61) egyenlettel kell kiszámítani, ahol az e gas [g/kWh] és az m gas [g/vizsgálat] tényezőket az e PM [g/kWh] és az m PM [g/vizsgálat] tényezőkkel kell helyettesíteni:



image

(7-65)

ahol:

m PM

=

a részecskekibocsátás teljes tömege a 2.3.1.1. vagy a 2.3.1.2. pont szerinti számítás alapján [g/vizsgálat]

W act

=

ciklusmunka [kWh]

A tranziens összetett (azaz hideg- és melegindításos NRTC) ciklus kibocsátásait a 2.4.1.1. pontnak megfelelően kell kiszámítani.

2.4.2.2.   Különálló NRSC-k

Az e PM [g/kWh] fajlagos részecskekibocsátást a (7-66) vagy a (7-67) egyenlettel kell kiszámítani:

a) Egyszűrős módszer esetén

▼M2



image

(7-66)

ahol:

▼M2

Pi

=

motorteljesítmény az i üzemmódban [kW], amelyet úgy kell kiszámítani, hogy a Pmeas mért teljesítményhez [kW] hozzáadjuk a segédberendezések hajtásához szükséges PAUX teljesítményt [kW], amelyet a VI. melléklet (6-8) egyenlete szerint kell meghatározni (Pi = Pmeas  + PAUX )

▼B

WFi

=

az i üzemmód súlyozó tényezője [-]

qm PM

=

részecske-tömegáram [g/h]

▼M2

Nmode

=

az üzemmódok száma a vonatkozó különálló NRSC ciklusban

▼B

b) Többszűrős módszer esetén

▼M2



image

(7-67)

Ahol:

▼M2

Pi

=

motorteljesítmény az i üzemmódban [kW], amelyet úgy kell kiszámítani, hogy a Pmeas mért teljesítményhez [kW] hozzáadjuk a segédberendezések hajtásához szükséges PAUX teljesítményt [kW], amelyet a VI. melléklet (6-8) egyenlete szerint kell meghatározni (Pi = Pmeas  + PAUX )

▼B

WFi

=

az i üzemmód súlyozó tényezője [-]

qm PM i

=

részecske-tömegáram i üzemmódban [g/h]

▼M2

Nmode

=

az üzemmódok száma a vonatkozó különálló NRSC ciklusban

▼B

Egyszűrős módszer esetén a WF e i  tényleges súlyozó tényezőt az egyes üzemmódokban a (7-68) egyenlettel kell kiszámítani:



image

(7-68)

Ahol:

m sep i

=

a részecske-mintavevő szűrőkön átáramló hígított kipufogógáz-minta tömege az i üzemmódban [kg]

image

=

az egyenértékű hígított kipufogógáz átlagos tömegárama [kg/s]

qm edf i

=

az egyenértékű hígított kipufogógáz tömegárama i módban [kg/s]

m sep

=

a részecske-mintavevő szűrőkön átáramló hígított kipufogógáz-minta tömege [kg]

A tényleges súlyozó tényezők értéke nem térhet el 0,005-nél nagyobb mértékben (abszolút érték) a XVII. melléklet 1. függelékében felsorolt súlyozó tényezőktől.

2.4.3.   Az időszakos (nem gyakori) regenerálású kibocsátáscsökkentő miatti kiigazítás

Az időszakos (nem gyakori) regenerálású kipufogógáz-utókezelő rendszerrel (lásd a VI. melléklet 6.6.2. pontját) felszerelt, az RLL-től eltérő kategóriájú motorok esetében a 2.4.1. és 2.4.2. pont szerint kiszámított fajlagos gáz-halmazállapotú és szilárd szennyezőanyag-kibocsátást a vonatkozó multiplikatív korrekciós tényezővel vagy a vonatkozó additív korrekciós tényezővel kell kiigazítani. Amennyiben a vizsgálat ideje alatt nem történt időszakos regenerálás, akkor a felfelé módosító tényezőt kell alkalmazni (k ru,m vagy k ru,a). Ha a vizsgálat ideje alatt történt időszakos regenerálás, akkor a lefelé módosító tényezőt kell alkalmazni (k rd,m vagy k rd,a). Ha különálló NRSC esetében a korrekciós tényezőket már mindegyik üzemmódhoz meghatározták, akkor a súlyozott kibocsátás eredményének kiszámításához mindegyik üzemmódra alkalmazni kell őket.

2.4.4.   Romlási tényező miatti kiigazítás

A 2.4.1. és 2.4.2. pont szerint kiszámított – adott esetben a 2.4.3. pontban foglalt időszakos regenerálási korrekciós tényezőt is tartalmazó – fajlagos gáz-halmazállapotú és szilárd szennyezőanyag-kibocsátást a III. melléklet követelményeinek megfelelően meghatározott, vonatkozó multiplikatív vagy additív romlási tényezővel kell kiigazítani.

2.5.   A hígított kipufogógáz-áram kalibrálása (állandó térfogatú mintavételnél) és a kapcsolódó számítások

Az állandó térfogatú mintavevő rendszert pontos áramlásmérővel és fojtókészülékkel kell kalibrálni. A rendszeren átáramló gáz mennyiségét különböző fojtásbeállításoknál kell mérni, továbbá mérni kell a rendszer szabályozó paramétereit, az áramláshoz viszonyítva őket.

Többféle áramlásmérő használható, például kalibrált Venturi-cső, kalibrált lamináris (Hagen-Poiseuille elvű) áramlásmérő, kalibrált forgólapátos áramlásmérő.

2.5.1.   Térfogat-kiszorításos szivattyú

A szivattyú minden paraméterét a szivattyúval sorba kapcsolt kalibráló Venturi-cső paramétereivel egyidejűleg kell mérni. A számított áramlási sebességet (m3/s a szivattyú bemeneti nyílásánál, abszolút nyomás és hőmérséklet) diagramon ki kell szerkeszteni egy, a szivattyú-paraméterek kombinációját képviselő korrelációs függvényre vonatkoztatva. A szivattyúáramra és a korrelációs függvényre vonatkozó lineáris egyenletet meg kell határozni. Ha az állandó térfogatú mintavevő rendszer több fordulatszámon is működhet, a kalibrálást minden használt tartományra el kell végezni.

A kalibrálás alatt biztosítani kell a hőmérséklet stabilitását.

A kalibrációs Venturi-cső és a CVS-szivattyú közötti tömítetlenségeket minden csatlakozásban és csővezetékben a legkisebb átfolyás (legnagyobb fojtás és legalacsonyabb PDP-fordulatszám) 0,3 %-ánál alacsonyabban kell tartani.

A levegőáramot (qV CVS) minden fojtásbeállításnál (legalább 6 beállítás) m3/s mértékegységben ki kell számítani az áramlásmérő adataiból, a gyártó által előírt módszerrel. A levegő áramlási sebességét ezután a szivattyú bemeneti nyílásánál mért abszolút hőmérséklet és nyomás mellett át kell alakítani m3/fordulatban mért szivattyúárammá (V 0) a (7-69) egyenlettel:



image

(7-69)

ahol:

qV CVS

=

a levegő áramlási sebessége normál állapotra (101,325 kPa, 273,15 K) [m3/s]

T

=

hőmérséklet a szivattyú bemeneti nyílásánál [K]

p p

=

abszolút nyomás a szivattyú bemeneti nyílásánál [kPa]

n

=

a szivattyú fordulatszáma [ford./s]

A szivattyúnál lévő nyomásváltozások és a szivattyú résvesztesége kölcsönhatásának figyelembevételére a szivattyú-fordulatszám, a szivattyú bemeneti és a kimeneti nyílása közötti nyomáskülönbség, valamint a szivattyú kimeneti nyílásánál mért abszolút nyomás közötti korrelációs függvényt (X 0) [s/fordulat] a (7-70) egyenlettel kell kiszámítani:



image

(7-70)

Ahol:

Δp p

=

a szivattyú bemeneti és kimeneti nyílása közötti nyomáskülönbség [kPa]

p p

=

abszolút nyomás a szivattyú kimeneti nyílásánál [kPa]

n

=

a szivattyú fordulatszáma [ford./s]

A kalibrációs egyenlet létrehozásához a legkisebb négyzeteken alapuló lineáris regressziószámítást kell végezni a (7-71) egyenlettel:



V 0 = D 0m · X 0

(7-71)

ahol a D 0 [m3/fordulat] állandó és az m [m3/s] meredekség jellemzik a regressziós egyenest.

Többsebességes CVS-rendszer esetén a szivattyú különböző áramlási tartományai számára létrehozott kalibrációs görbéknek közel párhuzamosaknak kell lenniük, és a tengelymetszet-értékeknek (D 0) növekedniük kell, ahogy a szivattyú áramlási tartománya csökken.

Az egyenletből kiszámított értékeknek ± 0,5 %-ra meg kell közelíteniük a V 0 mért értéket. Az m értéke szivattyútól függően változik. A belépő részecskék miatt idővel csökken a szivattyú csúszása, ami abból látható, hogy az m értékei csökkennek. A kalibrálást ezért el kell végezni a szivattyú üzembe helyezésekor, nagyobb karbantartások után, és ha a teljes rendszer ellenőrzése jelzi a csúszás változását.

2.5.2.   Kritikus áramlású Venturi-cső

A kritikus áramlású Venturi-cső kalibrálása a kritikus Venturi-áramlás egyenletén alapul. A gázáram a Venturi-cső belépő nyomásának és hőmérsékletének függvénye.

A kritikus áramlás tartományának meghatározásához a K V-t a Venturi-cső bemeneti nyomásának függvényeként meg kell szerkeszteni. Kritikus (fojtásos) áramlás esetén, a K V viszonylagosan állandó értékkel fog rendelkezni. Ahogy a nyomás csökken (a vákuum növekszik), a Venturi-cső fojtatlanná válik, és a K V csökken, ami azt jelzi, hogy a kritikus áramlású Venturi-cső a megengedhető tartományon kívül működik.

A levegőáramot (qV CVS) minden fojtásbeállításnál (legalább 8 beállítás) m3/s mértékegységben ki kell számítani az áramlásmérő adataiból, a gyártó által előírt módszerrel. A kalibrálási adatokból minden beállításra ki kell számítani a K V
image kalibrációs együtthatót a (7-72) egyenlettel:



image

(7-72)

Ahol:

qV SSV

=

a levegő átfolyási sebessége szabványos körülmények között (101,325 kPa, 273,15 K) [m3/s]

T

=

hőmérséklet a Venturi-cső belépőnyílásánál [K]

p p

=

abszolút nyomás a Venturi-cső belépőnyílásánál [kPa]

Ki kell számítani a K V átlagértékét és a szórást. A szórás nem haladhatja meg az átlagos K V ± 0,3 %-át.

2.5.3.   Hangsebesség alatti áramlású Venturi-cső

A hangsebesség alatti áramlású Venturi-cső kalibrálása a hangsebesség alatti Venturi-áramlásra vonatkozó egyenleten alapul. A gázáramlás a bemeneti nyomás és hőmérséklet, valamint a hangsebesség alatti áramlású Venturi-cső bemenete és torka közötti nyomáscsökkenés függvénye, ahogy azt a (7-40) egyenlet is mutatja.

A levegőáramot (qV CVS) minden fojtásbeállításnál (legalább 16 beállítás) m3/s mértékegységben ki kell számítani az áramlásmérő adataiból, a gyártó által előírt módszerrel. Az átfolyási tényezőt minden egyes beállítás kalibrációs adataiból kell kiszámítani a (7-73) egyenlettel:



image

(7-73)

Ahol:

A 0

=

az állandók összevonása és a mértékegységek átváltása

image

qV SSV

=

a levegő átfolyási sebessége szabványos körülmények között (101,325 kPa, 273,15 K) [m3/s]

T in,V

=

hőmérséklet a Venturi-cső belépőnyílásánál [K]

d V

=

hangsebesség alatti áramlású Venturi-cső torokátmérője [mm]

r p

=

a hangsebesség alatti áramlású Venturi-cső torkánál és belépőnyílásnál fennálló statikus abszolút nyomások aránya = 1 – Δp/pp [-]

r D

=

a hangsebesség alatti áramlású Venturi-cső torokátmérőjének (d V) és a bevezető cső belső átmérőjének (D) aránya [-]

A hangsebesség alatti áramlás tartományának meghatározásához meg kell szerkeszteni a C d-t a hangsebesség alatti áramlású Venturi-cső torkánál érvényes Reynolds-szám (Re) függvényeként. A hangsebesség alatti áramlású Venturi-cső torkánál érvényes Re értéket a (7-74) egyenlettel kell kiszámítani:



image

(7-74)

ahol:



image

(7-75)

Ahol:

A1

=

az állandók összevonása és a mértékegységek átváltása = 27,43831

image

qV SSV

=

a levegő átfolyási sebessége szabványos körülmények között (101,325 kPa, 273,15 K) [m3/s]

d V

=

hangsebesség alatti áramlású Venturi-cső torokátmérője [mm]

μ

=

a gáz abszolút vagy dinamikus viszkozitása [kg/(m · s)]

b

=

1,458 × 106 (empirikus állandó) [kg/(m · s · K0,5)]

S

=

110,4 (empirikus állandó) [K]

Mivel a qV SSV a Re-egyenlet bemenő adata, a számításokat a qV SSV vagy a kalibrációs Venturi-cső C d-jének kezdeti becslésével kell kezdeni, és addig kell ismételni, amíg a qV SSV nem konvergál. A konvergencia módszerének 0,1 %-os pontosságúnak vagy jobbnak kell lennie.

A szubszonikus áramlás tartományában legalább tizenhat ponton az eredményezett kalibrálási görbének megfelelő egyenlet C d számított értékeinek az egyes kalibrálási pontokra mért C d érték ± 0,5 %-án belül kell lennie.

2.6.   Eltolódási korrekció

2.6.1.   Általános eljárás

Az e szakaszban szereplő egyenletek elvégzésének célja annak megállapítása, hogy a gázelemző készülék eltolódása érvényteleníti-e egy vizsgálati intervallum eredményeit. Amennyiben az eltolódás nem érvényteleníti a vizsgálati intervallum eredményeit, akkor a vizsgálati intervallum során a gázelemző készüléktől kapott válaszokat korrigálni kell az eltolódással a 2.6.2. pontnak megfelelően. A gázelemző készüléknek ezeket az eltolódással korrigált válaszait kell alkalmazni minden további kibocsátási számítás során. A gázelemző készülék egy vizsgálati intervallum alatti elfogadható eltolódásának határértékét a VI. melléklet 8.2.2.2. pontja határozza meg.

Az általános vizsgálati eljárásnak követnie kell az 1. függelékben foglalt rendelkezéseket azzal, hogy az xi vagy
image koncentráció helyett a ci vagy
image koncentrációt kell használni.

2.6.2.   Számítási eljárás

Az eltolódási korrekciót a (7-76) egyenlettel kell kiszámítani:



image

(7-76)

Ahol:

ci driftcor

=

az eltolódás függvényében korrigált koncentráció [ppm]

c refzero

=

a nullázó gáz referenciakoncentrációja, ami egyéb adat hiányában általában nulla [ppm]

c refspan

=

a mérőtartomány-kalibráló gáz referenciakoncentrációja [ppm]

c prespan

=

a gázelemző készülék vizsgálati intervallum előtti válasza a mérőtartomány-kalibráló gáz koncentrációjára [ppm]

c postspan

=

a gázelemző készülék vizsgálati intervallum utáni válasza a mérőtartomány-kalibráló gáz koncentrációjára [ppm]

ci vagy
image

=

a rögzített, azaz a vizsgálat alatt mért, az eltolódási korrekció előtti koncentráció [ppm]

c prezero

=

a gázelemző készülék vizsgálati intervallum előtti válasza a nullázó gáz koncentrációjára [ppm]

c postzero

=

a gázelemző készülék vizsgálati intervallum utáni válasza a nullázó gáz koncentrációjára [ppm]

3.    Moláris alapú kibocsátásszámítások

3.1.   Indexek



 

Mennyiség

abs

abszolút mennyiség

act

tényleges mennyiség

air

levegő, száraz

atmos

légköri

bkgnd

háttér

C

szén

cal

kalibrációs mennyiség

CFV

kritikus áramlású Venturi-cső

cor

korrigált mennyiség

dil

hígító levegő

dexh

hígított kipufogógáz

dry

száraz mennyiség

exh

hígítatlan kipufogógáz

exp

várható mennyiség

eq

egyenértékű mennyiség

fuel

tüzelőanyag

 

pillanatnyi mérés (pl. 1 Hz)

i

egy sorozat egyedi eleme

idle

alapjárati állapot

in

bemenő mennyiség

init

kezdeti mennyiség, általában a kibocsátásvizsgálat előtt

max

legnagyobb érték (csúcsérték)

meas

mért mennyiség

min

minimális érték

mix

a levegő moláris tömege

out

kimenő mennyiség

part

részleges mennyiség

PDP

térfogat-kiszorításos szivattyú

raw

hígítatlan kipufogógáz

ref

referenciamennyiség

rev

fordulatszám

sat

telített állapot

slip

a térfogat-kiszorításos szivattyú csúszása

smpl

mintavétel

span

a mérőtartomány terjedelme

SSV

szubszonikus légtorok

std

szabványos mennyiség

test

vizsgálati mennyiség

total

összmennyiség

uncor

nem korrigált mennyiség

vac

mennyiség vákuumban

weight

kalibrálósúly

wet

nedves mennyiség

zero

zérus mennyiség

3.2.   A kémiai egyenletben használt jelölések

x dil/exh = a hígító gáz vagy a levegőfelesleg mennyisége / a kipufogógáz mólszáma

x H2Oexh = a kipufogógázban lévő víz mennyisége / a kipufogógáz mólszáma

x Ccombdry = a szén mennyisége a kipufogógázban lévő tüzelőanyagban / a száraz kipufogógáz mólszáma

x H2Oexhdry = a víz mennyisége a kipufogógázban / a száraz kipufogógáz száraz mólszáma

x prod/intdry = a száraz sztöchiometriai termékek mennyisége / a beszívott levegő száraz mólszáma

x dil/exhdry = a hígító gáz és/vagy a levegőfelesleg mennyisége / a száraz kipufogógáz mólszáma

x int/exhdry = a tényleges égéstermék létrehozásához szükséges beszívott levegő mennyisége / a száraz (hígítatlan vagy hígított) kipufogógáz mólszáma

x raw/exhdry = a levegőfelesleg nélküli hígítatlan kipufogógáz mennyisége / a száraz (hígítatlan vagy hígított) kipufogógáz mólszáma

x O2intdry = az O2 mennyisége a beszívott levegőben / a száraz beszívott levegő mólszáma

x CO2intdry = a CO2 mennyisége a beszívott levegőben / a száraz beszívott levegő mólszáma

x H2Ointdry = a H2O mennyisége a beszívott levegőben / a száraz beszívott levegő mólszáma

x CO2int = a CO2 mennyisége a beszívott levegőben / a beszívott levegő mólszáma

x CO2dil = a CO2 mennyisége a hígító gázban / a hígító gáz mólszáma

x CO2dildry = a CO2 mennyisége a hígító gázban / a száraz hígító gáz mólszáma

x H2Odildry = a H2O mennyisége a hígító gázban / a száraz hígító gáz mólszáma

x H2Odil = a H2O mennyisége a hígító gázban / a hígító gáz mólszáma

x [emission]meas = a mintában található kibocsátásnak a megfelelő gázelemző készüléknél mért mennyisége

x [emission]dry = a kibocsátás mennyisége / a száraz minta száraz mólszáma

x H2O[emission]meas = a mintában lévő víz mennyisége a kibocsátás észlelésének helyén

x H2Oint = a beszívott levegőben lévő víz mennyisége a beszívott levegő páratartalmának mérése alapján

3.3.   Alapvető paraméterek és összefüggések

3.3.1.   Száraz levegő és kémiai anyagok

E szakasz a következő értékeket használja a száraz levegő összetételének tekintetében:

x O2airdry = 0,209445 mol/mol

x Arairdry = 0,00934 mol/mol

x N2airdry = 0,78084 mol/mol

x CO2airdry = 375 μmol/mol

E szakasz a következő moláris tömegeket vagy tényleges moláris tömegeket használja kémiai anyagok tekintetében:

M air = 28,96559 g/mol (száraz levegő)

M Ar = 39,948 g/mol (argon)

M C = 12,0107 g/mol (szén)

M CO = 28,0101 g/mol (szén-monoxid)

M CO2 = 44,0095 g/mol (szén-dioxid)

M H = 1,00794 g/mol (atomos hidrogén)

M H2 = 2,01588 g/mol (molekuláris hidrogén)

M H2O = 18,01528 g/mol (víz)

M He = 4,002602 g/mol (hélium)

M N = 14,0067 g/mol (atomos nitrogén)

M N2 = 28,0134 g/mol (molekuláris nitrogén)

M NOx = 46,0055 g/mol (nitrogén-oxidok (*))

M O = 15,9994 g/mol (atomos oxigén)

M O2 = 31,9988 g/mol (molekuláris oxigén)

M C3H8 = 44,09562 g/mol (propán)

M S = 32,065 g/mol (kén)

M HC = 13,875389 g/mol (összes szénhidrogén (**))

(**) A szénhidrogén tényleges moláris tömegét az 1,85 értékű α atomos hidrogén-szén arány határozza meg;

(*) Az NOx tényleges moláris tömegét a nitrogén-dioxid (NO2) moláris tömege határozza meg.

E szakasz a következő R moláris gázállandót alkalmazza az ideális gázokra vonatkozóan:

R = 8,314472J/(mol · K)

E szakasz a fajhők következő γ [J/(kg · K)]/[J/(kg · K)] arányait alkalmazza a hígító levegőre és a hígított kipufogógázra:

γ air = 1,399 (a fajhők aránya a beszívott levegőre vagy a hígító levegőre vonatkozóan)

γ dil = 1,399 (a fajhők aránya a hígított kipufogógázra vonatkozóan)

γ exh = 1,385 (a fajhők aránya a hígítatlan kipufogógázra vonatkozóan)

3.3.2.   Nedves levegő

E szakasz az ideális gázban lévő víz mennyiségének kiszámítási módját adja meg.

3.3.2.1.   A víz gőznyomása

A víz gőznyomását, a p H2O-t [kPa] egy adott telítési hőmérséklet, a T sat [K] mellett a (7-77) vagy a (7-78) egyenlettel kell kiszámítani:

a) A 0–100 oC közötti környezeti hőmérséklet mellett végzett páratartalom-mérések és a – 50–0 oC közötti környezeti hőmérséklet mellett, túlhűtött vízen végzett páratartalom-mérések esetén:



image

(7-77)

Ahol:

p H2O = a víz gőznyomása az adott telítési hőmérséklet mellett [kPa]

T sat = a víz telítési hőmérséklete a mérési körülmények között [K]

b) A – 100–0 oC közötti környezeti hőmérséklet mellett, jégen végzett páratartalom-mérések esetén:



image

(7-78)

Ahol:

T sat = a víz telítési hőmérséklete a mérési körülmények között [K]

3.3.2.2.   Harmatpont

Ha a páratartalmat a harmatpont mérésével állapítják meg, az ideális gáz víztartalmát, az x H2O-t [mol/mol] [mol/mol] a (7-79) egyenlettel kell kiszámítani:



image

(7-79)

Ahol:

x H2O = az ideális gáz víztartalma [mol/mol]

p H2O = a víz gőznyomása a mért harmatponton, T sat=T dew [kPa]

p abs = nedves statikus abszolút nyomás a harmatpont mérésének helyén [kPa]

3.3.2.3.   Relatív páratartalom

Ha a páratartalmat a relatív páratartalom, az RH % mérésével állapítják meg, az ideális gáz víztartalmát, az x H2O-t [mol/mol] a (7-80) egyenlettel kell kiszámítani:



image

(7-80)

Ahol:

RH % = relatív páratartalom [ %]

p H2O = a víz gőznyomása 100 % relatív páratartalom mellett, a relatív páratartalom mérésének helyén, T sat = T amb [kPa]

p abs = nedves statikus abszolút nyomás a relatív páratartalom mérésének helyén [kPa]

3.3.2.4.   A harmatpont meghatározása a relatív páratartalom és a száraz léghőmérséklet alapján

Ha a páratartalmat a relatív páratartalom, az RH % mérésével állapítják meg, a harmatpont, a T dew értékét az RH % és a száraz léghőmérséklet alapján kell meghatározni a (7-81) egyenlettel:

image

(7-81)

ahol:

p H2O = a relatív páratartalomhoz igazított vízgőznyomás a relatív páratartalom mérésének helyén, T sat = T amb

T dew = a relatív páratartalom és a száraz léghőmérséklet alapján meghatározott harmatpont

3.3.3.   A tüzelőanyag tulajdonságai

A tüzelőanyag általános kémiai képlete: CH α O β S γ N δ , ahol α az atomos hidrogén-szén arányt (H/C), β az atomos oxigén-szén arányt (O/C), γ az atomos kén-szén arányt (S/C) és δ az atomos nitrogén-szén arányt (N/C) jelenti. Ezen képlet alapján kiszámítható a tüzelőanyag széntartalmának w C tömeghányada. Dízel esetében az egyszerű CH α O β képletet lehet alkalmazni. A tüzelőanyag összetételére vonatkozó alapértelmezett értékek levezethetők a 7.3. táblázatból:



7.3. táblázat:

Alapértelmezett értékek az α atomos hidrogén-szén arányra, a atomos oxigén-szén arányra, a β atomos kén-szén arányra, a δ atomos nitrogén-szén arányra és a tüzelőanyag széntartalmának w C tömeghányadára vonatkozóan dízel tüzelőanyagok esetében

Tüzelőanyag

Atomos hidrogén-, oxigén-, kén- és nitrogén-szén arány

CHαOβSγNδ

A szén tömegkoncentrációja, w C

[g/g]

Dízelolaj (nem közúti használatú gázolaj)

CH1,80O0S0N0

0,869

Etanol erre kialakított kompressziós gyújtású motorokhoz (ED95)

CH2,92O0,46S0N0

0,538

Benzin (E10)

CH1,92O0,03S0N0

0,833

Benzin (E0)

CH1,85O0S0N0

0,866

Etanol (E85)

CH2,73O0,36S0N0

0,576

LPG

CH2,64O0S0N0

0,819

Földgáz/biometán

CH3,78O0,016S0N0

0,747

3.3.3.1.   A szén tömegkoncentrációjának (wC) kiszámítása

A 7.3. táblázatban szereplő alapértelmezett értékek helyett vagy a használt referencia-tüzelőanyagra vonatkozó alapértelmezett érték hiányában a tüzelőanyag széntartalmának w C tömeghányada a (7-82) egyenlettel számítható ki a mért tüzelőanyag-jellemzőkből. Az α és a β értékét meg kell határozni a tüzelőanyagra vonatkozóan, és minden esetben be kell illeszteni az egyenletbe, de a γ és a δ lehet nulla, ha a 7.3. táblázat vonatkozó sorában nulla az értéke:



image

(7-82)

ahol:

M C = a szén moláris tömege.

α = a felhasznált tüzelőanyag-keverék atomos hidrogén-szén aránya a moláris fogyasztással súlyozva.

M H = a hidrogén moláris tömege.

β = a felhasznált tüzelőanyag-keverék atomos oxigén-szén aránya a moláris fogyasztással súlyozva.

M O = az oxigén moláris tömege.

γ = a felhasznált tüzelőanyag-keverék atomos kén-szén aránya a moláris fogyasztással súlyozva.

M S = a kén moláris tömege.

δ = a felhasznált képletű tüzelőanyag-keverék atomos nitrogén-szén aránya a moláris fogyasztással súlyozva.

M N = a nitrogén moláris tömege.

3.3.4.   A teljes szénhidrogén-koncentráció kezdeti szennyezettségi korrekciója

▼M2

A szénhidrogén méréséhez az x THC[THC-FID] értékét a VI. melléklet 7.3.1.3. pontjában szereplő x THC[THC-FID]init összes szénhidrogénre vonatkozó kezdeti szennyezettségi koncentrációval kell kiszámítani a (7-83) egyenlettel:

▼B



image

(7-83)

Ahol:

x THC[THC-FID]cor = az összes szénhidrogén koncentrációja, a szennyezettséggel korrigálva [mol/mol]

x THC[THC-FID]uncorr = az összes szénhidrogén koncentrációja korrekció nélkül [mol/mol]

x THC[THC-FID]init = az összes szénhidrogén kezdeti szennyezettségi koncentrációja [mol/mol]

3.3.5.   Az áramlással súlyozott átlagos koncentráció

E szakasz egyes pontjainál szükség lehet az áramlással súlyozott átlagos koncentráció kiszámítására annak érdekében, hogy bizonyos előírások alkalmazhatóságát meg lehessen állapítani. Az áramlással súlyozott átlag egy adott mennyiségnek a vonatkozó áramlási sebességgel arányosan történő lemérése után megállapított átlaga. Ha például egy gáz koncentrációját folyamatosan mérik a motor hígítatlan kipufogógázában, a gáz áramlással súlyozott átlagos koncentrációját a következőképp lehet kiszámítani: össze kell adni a rögzített koncentrációk és a vonatkozó moláris áramlási sebességek szorzatait, majd elosztani a rögzített áramlási sebességek értékének összegével. Egy további példa az állandó térfogatú mintavételi rendszerben lévő zsákos koncentráció, ami azonos az áramlással súlyozott átlagos koncentrációval, mivel az állandó térfogatú mintavételi rendszer maga végzi a zsákos koncentráció áramlással való súlyozását. ►M2  Egy, a kibocsátási határértéken lévő kibocsátás adott áramlással súlyozott átlagos koncentrációja már előre látható lehet a hasonló motorokkal vagy hasonló rendszerrel és műszerekkel végzett korábbi vizsgálatok alapján. ◄

3.4.   A tüzelőanyag, a beszívott levegő és a kipufogógáz kémiai egyenlete

3.4.1.   Általános rendelkezések

A tüzelőanyag, a beszívott levegő és a kipufogógáz kémiai egyenletének segítségével kiszámíthatók az anyagáramok, az anyagáramokban található víz mennyisége és az anyagáramok összetevőinek nedves koncentrációja. Amennyiben a tüzelőanyag, a beszívott levegő vagy a kipufogógáz átfolyási sebességéből legalább egy ismert, a másik kettő kémiai egyenletek révén kiszámítható. Például a kémiai egyenletek és a beszívott levegő vagy a tüzelőanyag áramlási sebességének ismeretében meghatározható a hígítatlan kipufogógáz áramlási sebessége.

3.4.2.   Kémiai egyenleteket igénylő eljárások

A következők meghatározásához kémiai egyenletek használata szükséges:

a)  x H2Oexh, a hígítatlan vagy hígított kipufogógáz-áramban található víz mennyisége, amennyiben a mintavételi rendszer által eltávolított víz korrekciójára szolgáló vízmennyiség mérésére nem kerül sor;

b)  x dil/exh, a hígított kipufogógázban található hígító levegő áramlással súlyozott átlagos hányada, amennyiben a háttérkibocsátások korrekciójára szolgáló hígítólevegő-árammérésre nem kerül sor. Fontos megjegyezni, hogy amennyiben e célból kémiai egyenletek használatára kerül sor, a kipufogógázt mindenképpen sztöchiometriainak kell tekinteni, akkor is, ha valójában nem az.

3.4.3.   A kémiai egyenleteknél használandó eljárás

A kémiai egyenleteknél használt számítások egy iterációs eljárást igénylő egyenletrendszerből állnak. Meg kell becsülni legfeljebb három mennyiség kezdeti értékét: x H2Oexh-t, a mért anyagáramban található víz mennyiségét, x dil/exh-t, a hígított kipufogógázban található hígító levegő (vagy a hígítatlan kipufogógázban található levegőfelesleg) hányadát, és x Ccombdry-t, a termékek egyes szénszám alapú mennyiségének a száraz alapon mért anyagáram egy móljára eső részét. A kémiai egyenletben használhatók az égési levegő páratartalmának és a hígító levegő páratartalmának idővel súlyozott átlagai, amennyiben az égési levegő és a hígító levegő páratartalma ± 0,0025 mol/mol-os tűréssel a vonatkozó átlagértéken belül marad a vizsgálati intervallum során. Valamennyi x kibocsátási koncentrációra és x H2Oexh vízmennyiségre vonatkozóan meg kell határozni a teljesen száraz koncentrációt, x dry-t és x H2Oexhdry-t. Szintén szükség van az α, atomos hidrogén-szén arányra, a β atomos oxigén-szén arányra és a tüzelőanyag széntartalmának w C tömeghányadára. A vizsgálathoz használt tüzelőanyagnál az α-t és a β-t vagy a 7.3. táblázatban megadott alapértelmezett értékeket lehet használni.

A kémiai egyenlet felírásához a következő lépéseket kell végrehajtani:

a) A koncentrációk mért értékét, például az x CO2meas-t, az x NOmeas-t és az x H2Oint-et száraz koncentrációkká kell alakítani oly módon, hogy elosztjuk őket az adott mérésnél jelen lévő vízmennyiség 1-ből kivont értékével, így például a következőket kapjuk: x H2OxCO2meas, x H2OxNOmeas és x H2Oint. Amennyiben a valamelyik „nedves” mérésnél jelen lévő víz mennyisége megegyezik az x H2Oexh-val, a kipufogógáz-áramban jelen lévő víz ismeretlen mennyiségével, az adott értéket az egyenletrendszer segítségével, iterációs eljárással kell meghatározni. Ha csak az NOx-et mérik meg, nem pedig külön az NO-t és az NO2-t, a kémiai egyenletekhez a helyes műszaki gyakorlat alapján meg kell becsülni a teljes NOx koncentrációnak NO-ból és NO2-ből álló részét. Az NOx moláris koncentrációjához az x NOx-hez megfelelő becslés a 75 %-os NO és a 25 %-os NO2 arány. Az NO2-t tároló utókezelő rendszerekhez az x NOx-re vonatkozóan megfelelő becslés a 25 %-os NO és a 75 %-os NO2 arány. Az NOx kibocsátások tömegének kiszámításához valamennyi NOx anyag tényleges moláris tömege esetében az NO2 moláris tömegét kell használni, tekintet nélkül az NOx tényleges NO2 hányadára;

b) Az e pont d) alpontjában szereplő (7-82)–(7-99) egyenleteket be kell táplálni egy számítógépes programba, és ily módon, iterációs eljárással kell meghatározni az x H2Oexh, x Ccombdry és az x dil/exh értékét. Az x H2Oexh, x Ccombdry és x dil/exh kezdeti értékét a helyes műszaki gyakorlat alapján kell megbecsülni. A kezdeti vízmennyiség becslésénél ajánlott a beszívott levegőben vagy a hígító levegőben található víz mennyiségének körülbelül kétszeresét venni. Az x Ccombdry kezdeti értékének becslésénél ajánlott a CO2, a CO és az összes szénhidrogén mért értékének összegét venni. Az x dil kezdeti értékének becslésénél ajánlott 0,75 és 0,95 közötti értéket, például 0,8-at venni. Az egyenletrendszer értékeinél addig kell alkalmazni az iterációs eljárást, amíg valamennyi legutóbb frissített becslés legfeljebb ± 1 %-os eltérést nem mutat a legutóbb kiszámított vonatkozó értékhez képest;

c) Az e pont d) bekezdésében szereplő egyenletrendszer a következő jelöléseket és indexeket használja, amelyeknél az x mértékegysége mol/mol:



Jel

Leírás

x dil/exh

A hígított gáz vagy levegőfelesleg mennyisége / a kipufogógáz mólszáma

x H2Oexh

A H2O mennyisége a kipufogógázban / a kipufogógáz mólszáma

x Ccombdry

A szén mennyisége a kipufogógázban lévő tüzelőanyagban / a száraz kipufogógáz mólszáma

x H2Oexhdry

A víz mennyisége a kipufogógázban / a száraz kipufogógáz száraz mólszáma

x prod/intdry

A száraz sztöchiometriai termékek mennyisége / a beszívott levegő száraz mólszáma

x dil/exhdry

A gáz és/vagy levegőfelesleg mennyisége / a száraz kipufogógáz mólszáma

x int/exhdry

A tényleges égéstermék létrehozásához szükséges beszívott levegő mennyisége / a száraz (hígítatlan vagy hígított) kipufogógáz mólszáma

x raw/exhdry

A levegőfelesleg nélküli hígítatlan kipufogógáz mennyisége / a száraz (hígítatlan vagy hígított) kipufogógáz mólszáma

x O2intdry

A beszívott levegő O2 tartalma / a beszívott levegő mólszáma; becslésként x O2intdry = 0,209445 mol/mol használható

x CO2intdry

A CO2 mennyisége a beszívott levegőben / a száraz beszívott levegő mólszáma. x CO2intdry = 375 μmol/mol használható, de ajánlott megmérni a tényleges koncentrációt

x H2Ointdry

A H2O mennyisége a beszívott levegőben / a száraz beszívott levegő mólszáma

x CO2int

A CO2 mennyisége a beszívott levegőben / a beszívott levegő mólszáma

x CO2dil

A CO2 mennyisége a hígítógázban / a hígító gáz mólszáma

x CO2dildry

A CO2 mennyisége a hígítógázban / a száraz hígító gáz mólszáma. Ha a hígításhoz levegőt használnak, x CO2dildry = 375 μmol/mol használható, de ajánlott megmérni a tényleges koncentrációt a beszívott levegőben

x H2Odildry

A H2O mennyisége a hígítógázban / a száraz hígító gáz mólszáma

x H2Odil

A H2O mennyisége a hígítógázban / a hígító gáz mólszáma

x [emission]meas

A mintában található kibocsátásnak a megfelelő gázelemző készüléknél mért mennyisége

x [emission]dry

A kibocsátás mennyisége / a száraz minta száraz mólszáma

x H2O[emission]meas

A mintában lévő víz mennyisége a kibocsátás észlelésének helyén Ezeket az értékeket a 9.3.2.3.1. pontnak megfelelően kell megmérni vagy megbecsülni.

x H2Oint

A beszívott levegőben lévő víz mennyisége a beszívott levegő páratartalmának mérése alapján

K H2Ogas

A víz-gáz reakció egyensúlyi együtthatója. 3,5, de a helyes műszaki megítélés alapján más érték is kiszámítható.

α

A felhasznált, (CHαOβ) képletű tüzelőanyag-keverék atomos hidrogén-szén aránya a moláris fogyasztással súlyozva

β

A felhasznált, (CHαOβ) képletű tüzelőanyag-keverék atomos oxigén-szén aránya a moláris fogyasztással súlyozva

d) Az x dil/exh, az x H2Oexh és az x Ccombdry értékének kiszámításához a következő egyenleteket [(7-84)–(7-101)] kell megoldani iterációs eljárással:



image

(7-84)

image

(7-85)

image

(7-86)

image

(7-87)

image

(7-88)

image

(7-89)

image

(7-90)

image

(7-91)

image

(7-92)

image

(7-93)

image

(7-94)

image

(7-95)

image

(7-96)

image

(7-97)

image

(7-98)

image

(7-99)

image

(7-100)

image

(7-101)

A kémiai egyenlet végén a moláris átfolyási sebességet kapjuk a 3.5.3. és 3.6.3. pontnak megfelelően.

3.4.4.   Az NOx helyesbítése a páratartalomra

Valamennyi NOx-koncentrációt, a hígító levegő háttér-koncentrációját is beleértve, korrigálni kell a beszívott levegő páratartalmával a (7-102) vagy a (7-103) egyenlet szerint:

a) Kompressziós gyújtású motorok esetében:



x NOxcor = x NOxuncor · (9,953 · x H2O + 0,832)

(7-102)

b) Szikragyújtású motorok esetében:



x NOxcor = x NOxuncor · (18,840 · x H2O + 0,68094)

(7-103)

Ahol:

x NOxuncor

=

az NOx korrekció nélküli moláris koncentrációja a kipufogógázban [μmol/mol]

x H2O

=

a beszívott levegő víztartalma [mol/mol]

▼M2

3.5.   A gáz-halmazállapotú kibocsátások mérése a hígítatlan kipufogógázban

▼B

3.5.1.   A gáz-halmazállapotú kibocsátások tömege

Az m gas [g/vizsgálat], azaz a gáz-halmazállapotú kibocsátás vizsgálatonkénti teljes tömegének kiszámításához a gáz-halmazállapotú kibocsátás moláris koncentrációját meg kell szorozni a hozzá tartozó moláris anyagárammal és a kipufogógáz moláris tömegével, majd integrálni kell a vizsgálati ciklus során [(7-104 egyenlet)]:



image

(7-104)

Ahol:

M gas

=

az általános gáz-halmazállapotú kibocsátás moláris tömege [g/mol]

exh

=

a kipufogógáz pillanatnyi moláris átfolyási sebessége nedves alapon [mol/s]

x gas

=

a gáz pillanatnyi általános moláris koncentrációja nedves alapon [mol/mol]

t

=

idő [s]

Mivel a (7-104) egyenletnél numerikus integrálást kell végezni, az egyenletet át kell alakítani a (7-105) egyenletben:



image

image

(7-105)

Ahol:

M gas

=

az általános kibocsátás moláris tömege [g/mol]

exh i

=

a kipufogógáz pillanatnyi moláris átfolyási sebessége nedves alapon [mol/s]

x gas i

=

a gáz pillanatnyi általános moláris koncentrációja nedves alapon [mol/mol]

ƒ

=

adatlekérdezési gyakoriság [Hz]

N

=

a mérések száma [-]

Az általános egyenletet módosítani lehet az alkalmazott (szakaszos vagy folyamatos mintavételt biztosító) mérési rendszernek megfelelően, illetve az alapján, hogy változó vagy állandó átfolyási sebesség mellett kerül sor a mintavételre.

a) Folyamatos mintavétel mellett, az alapesetnek számító változó átfolyási sebességnél az m gas-t [g/vizsgálat], a gáz-halmazállapotú kibocsátás tömegét a (7-106) egyenlettel kell kiszámítani:



image

(7-106)

Ahol:

M gas

=

az általános kibocsátás moláris tömege [g/mol]

exh i

=

a kipufogógáz pillanatnyi moláris átfolyási sebessége nedves alapon [mol/s]

x gas i

=

a pillanatnyi gáz-halmazállapotú kibocsátás mólfrakciója nedves alapon [mol/mol]

ƒ

=

adatlekérdezési gyakoriság [Hz]

N

=

a mérések száma [-]

b) Szintén folyamatos mintavétel mellett, de a különleges esetnek számító állandó átfolyási sebességnél az m gas-t [g/vizsgálat], a gáz-halmazállapotú kibocsátás tömegét a (7-107) egyenlettel kell kiszámítani:



image

(7-107)

Ahol:

M gas

=

az általános kibocsátás moláris tömege [g/mol]

exh

=

a kipufogógáz moláris átfolyási sebessége nedves alapon [mol/s]

image

=

az átlagos gáz-halmazállapotú kibocsátás mólfrakciója nedves alapon [mol/mol]

Δt

=

a vizsgálati intervallum időtartama

c) Szakaszos mintavételnél, függetlenül attól, hogy az átfolyási sebesség változó vagy állandó-e, a (7-104) egyenletet a (7-108) egyenlettel lehet egyszerűsíteni:



image

(7-108)

Ahol:

M gas

=

az általános kibocsátás moláris tömege [g/mol]

exh i

=

a kipufogógáz pillanatnyi moláris átfolyási sebessége nedves alapon [mol/s]

image

=

az átlagos gáz-halmazállapotú kibocsátás mólfrakciója nedves alapon [mol/mol]

ƒ

=

adatlekérdezési gyakoriság [Hz]

N

=

a mérések száma [-]

3.5.2.   A koncentrációk átszámítása szárazról nedves alapra

Az e pontban szereplő paraméterek a 3.4.3. pontban kiszámított kémiai egyenlet eredményeiből következnek. A mért anyagáramban lévő gázok száraz és nedves alapon mért moláris koncentrációja, az x gasdry és az x gas [mol/mol] között a következő összefüggés áll fenn [(7-109) és (7-110) egyenlet]:



image

(7-109)

image

(7-110)

ahol:

x H2O

=

a víz mólfrakciója a mért anyagáramban nedves alapon [mol/mol]

x H2Odry

=

a víz mólfrakciója a mért anyagáramban száraz alapon [mol/mol]

A gáz-halmazállapotú kibocsátásoknál az x [mol/mol] általános koncentrációt korrigálni kell az eltávolított vízzel a (7-111) egyenlet szerint:



image

(7-111)

Ahol:

x [emission]meas

=

a kibocsátás mólfrakciója a mért anyagáramban a mérés helyén [mol/mol]

x H2O[emission]meas

=

a vízmennyiség mólfrakciója a mért anyagáramban a koncentrációmérés helyén [mol/mol]

x H2Oexh

=

a vízmennyiség az áramlásmérőnél [mol/mol]

3.5.3.   A kipufogógáz moláris átfolyási sebessége

A hígítatlan kipufogógáz átfolyási sebességét meg lehet állapítani közvetlenül, méréssel, vagy ki lehet számítani a 3.4.3. pontban meghatározott kémiai egyenlet alapján. A hígítatlan kipufogógáz moláris átfolyási sebességének számítását a beszívott levegő moláris átfolyási sebességének vagy a tüzelőanyag tömegáramának mért értéke alapján kell elvégezni. A hígítatlan kipufogógáz moláris átfolyási sebessége kiszámítható az exh kibocsátási mintákból a beszívott levegő moláris átfolyási sebességének ( int) vagy a tüzelőanyag tömegáramának mért értéke ( fuel) alapján, a 3.4.3. pontban megadott kémiai egyenlettel kiszámított értékek felhasználásával. A 3.4.3. pontban megadott kémiai egyenletet olyan gyakorisággal kell megoldani, amilyen gyakorisággal az int vagy az fuel frissítése és rögzítése történik.

a) Átfolyási sebesség a forgattyúsháznál. A hígítatlan kipufogógáz átfolyási sebességét csak akkor lehet int vagy fuel alapján kiszámítani, ha az alábbi állítások közül legalább egy igaz a forgattyúsházból származó kibocsátásra:

i. a vizsgált motor olyan zárt forgattyúházas, kibocsátásszabályozó rendszerrel rendelkezik, amely a forgattyúsházból származó áramlást visszavezeti a beszívott levegőbe, a beszívott légáram áramlásmérője után;

ii. a kibocsátásvizsgálat során a nyitott forgattyúsházból származó anyagáramot a VI. melléklet 6.10. pontjának megfelelően a kipufogógázba vezetik;

iii. a nyitott forgattyúsházból származó kibocsátásokat és anyagáramot megmérik és hozzáadják a fékmunkára vonatkoztatott fajlagos kibocsátások számításaihoz;

iv. a kibocsátási adatok vagy műszaki elemzés segítségével kimutatható, hogy a nyitott forgattyúsházból származó kibocsátások átfolyási sebességének figyelmen kívül hagyása nem befolyásolja hátrányosan a vonatkozó szabványoknak való megfelelést;

b) a moláris átfolyási sebesség kiszámítása a beszívott levegő alapján.

Az int alapján a kipufogógáz moláris átfolyási sebességét, az exh -t [mol/s] a (7-112) egyenlettel kell kiszámítani:



image

(7-112)

Ahol:

exh

=

a hígítatlan kipufogógáz moláris átfolyási sebessége, amely a kibocsátások mérésének alapja [mol/s]

int

=

a beszívott levegő moláris átfolyási sebessége, beleértve a beszívott levegő páratartalmát [mol/s]

x int/exhdry

=

a tényleges égéstermék létrehozásához szükséges beszívott levegő mennyisége / a száraz (hígítatlan vagy hígított) kipufogógáz mólszáma [mol/mol]

x raw/exhdry

=

a levegőfelesleg nélküli hígítatlan kipufogógáz mennyisége / a száraz (hígítatlan vagy hígított) kipufogógáz mólszáma [mol/mol];

x H2Oexhdry

=

a víz mennyisége a kipufogógázban / a száraz kipufogógáz mólszáma [mol/mol]

c) a moláris átfolyási sebesség kiszámítása a tüzelőanyag tömegárama alapján

Az fuel alapján a következőképpen kell kiszámítani az exh-t [mol/s]:

Laboratóriumi vizsgálat végzésekor ez a számítás csak különálló NRSC és RMC ciklusokhoz használható fel [(7-113) egyenlet]:

▼M2



image

(7-113)

Ahol:

exh

=

a hígítatlan kipufogógáz moláris átfolyási sebessége, amely a kibocsátások mérésének alapja

fuel

=

a tüzelőanyag átfolyási sebessége, beleértve a beszívott levegő páratartalmát [g/s]

w C

=

az adott tüzelőanyag szénre vonatkozó tömeghányada [g/g]

x H2Oexhdry

=

a H2O mennyisége / a mért anyagáram száraz mólszáma [mol/mol]

M C

=

a szén moláris tömege, 12,0107 g/mol

x Ccombdry

=

a szén mennyisége a kipufogógázban lévő tüzelőanyagban / a száraz kipufogógáz mólszáma [mol/mol]

d) a kipufogógáz moláris átfolyási sebességének kiszámítása a beszívott levegő mért moláris átfolyási sebessége, a hígított kipufogógáz moláris átfolyási sebessége és a hígítási kémiai egyenlet alapján.

A hígítatlan kipufogógáz moláris átfolyási sebessége ( exh) [mol/s] a beszívott levegő moláris átfolyási sebessége ( int), a hígított kipufogógáz moláris átfolyási sebessége ( dexh) és a 3.4.3. pontban megadott kémiai egyenlettel kiszámított értékek alapján számítható ki. Ügyelni kell arra, hogy a kémiai egyenletnek a hígított kipufogógázok koncentrációján kell alapulnia. A folyamatos áramú számításokhoz a 3.4.3. pontban megadott kémiai egyenletet olyan gyakorisággal kell megoldani, amilyen gyakorisággal az int és az dexh frissítése és rögzítése történik. Az így kiszámított dexh felhasználható a részecskehígítási arány ellenőrzéséhez, valamint a 3.6.1. pont szerinti háttérkorrekcióban a hígító levegő moláris átfolyási sebességének és a hígítatlan kipufogógázban mért anyagokra vonatkozóan a 3.5.1. pont szerinti kibocsátások tömegének kiszámításához.

A hígított kipufogógáz és a beszívott levegő alapján a kipufogógáz moláris átfolyási sebességét, az exh-t [mol/s] a következőképpen kell kiszámítani:



image

(7-114)

ahol

exh

=

a hígítatlan kipufogógáz moláris átfolyási sebessége, amely a kibocsátások mérésének alapja[mol/s];

x int/exhdry

=

a tényleges égéstermék létrehozásához szükséges beszívott levegő mennyisége / a száraz (hígítatlan vagy hígított) kipufogógáz mólszáma [mol/mol];

x raw/exhdry

=

a levegőfelesleg nélküli hígítatlan kipufogógáz mennyisége / a száraz (hígítatlan vagy hígított) kipufogógáz mólszáma [mol/mol]

x H2Oexh

=

a kipufogógázban lévő víz mennyisége / a kipufogógáz mólszáma [mol/mol];

dexh

=

a higított kipufogógáz moláris átfolyási sebessége, amely a kibocsátások mérésének alapja [mol/s];

int

=

a beszívott levegő moláris átfolyási sebessége, beleértve a beszívott levegő páratartalmát [mol/s].

3.6.   Hígított gáz-halmazállapotú kibocsátások

▼M2

3.6.1.   A kibocsátások tömegének kiszámítása és háttérkorrekciója

A gáz-halmazállapotú kibocsátások m gas tömegét [g/vizsgálat] a kibocsátások moláris átfolyási sebességének függvényeként a következőképpen kell kiszámolni:

a) folyamatos mintavétel, változó átfolyási sebesség esetén a (7-106) egyenlettel kell kiszámítani:



image

[lásd a (7-106) egyenletet]

ahol:

M gas

=

az általános kibocsátás moláris tömege [g/mol]

exhi

=

a kipufogógáz pillanatnyi moláris átfolyási sebessége nedves alapon [mol/s]

xgasi

=

a gáz pillanatnyi általános moláris koncentrációja nedves alapon [mol/mol]

f

=

adatlekérdezési gyakoriság [Hz]

N

=

a mérések száma [-]

b) folyamatos mintavétel, állandó átfolyási sebesség esetén a (7-107) egyenlettel kell kiszámítani:



image

[lásd a (7-107) egyenletet]

ahol:

Mgas

=

az általános kibocsátás moláris tömege [g/mol]

exh

=

a kipufogógáz moláris átfolyási sebessége nedves alapon [mol/s]

image

=

az átlagos gáz-halmazállapotú kibocsátás mólfrakciója nedves alapon [mol/mol]

Δt

=

a vizsgálati intervallum időtartama

c) szakaszos mintavételnél, függetlenül attól, hogy az átfolyási sebesség változó vagy állandó-e, a (7-108) egyenlettel kell kiszámítani:



image

[lásd a (7-108) egyenletet]

ahol:

M gas

=

az általános kibocsátás moláris tömege [g/mol]

exhi

=

a kipufogógáz pillanatnyi moláris átfolyási sebessége nedves alapon [mol/s]

image

=

az átlagos gáz-halmazállapotú kibocsátás mólfrakciója nedves alapon [mol/mol]

f

=

adatlekérdezési gyakoriság [Hz]

N

=

a mérések száma [-]

d) hígított kipufogógáz esetében a szennyező anyagok tömegének számított értékeit a hígító levegő függvényében korrigálni kell oly módon, hogy kivonjuk a háttérkibocsátások tömegét:

i. először meg kell határozni az nairdil, a hígító levegő moláris átfolyási sebességének értékét [mol/s] a vizsgálati intervallum során. Ezt meg lehet állapítani méréssel vagy számítással, a hígított kipufogógáz-áram és az
image , a hígított kipufogógázban lévő hígító levegő áramlással súlyozott átlagos hányada alapján számítva;

ii. a hígító levegő teljes anyagáramát, az n airdil -t [mol] meg kell szorozni a háttérkibocsátás átlagos koncentrációjával. Ez utóbbi átlag lehet idővel vagy áramlással súlyozott is (például arányos háttérmintavétel). Az n airdil és a háttérkibocsátás átlagos koncentrációjának szorzata adja meg a háttérkibocsátás teljes mennyiségét;

iii. ha az eredmény moláris mennyiség, ezt át kell alakítani a háttérkibocsátás m bkgnd tömegévé [g] oly módon, hogy megszorozzuk az M gas-zal [g/mol], a kibocsátás moláris tömegével;

iv. a teljes háttértömeget ki kell vonni a teljes tömegből, így korrigálva a háttérkibocsátásokat;

v. a hígító levegő teljes anyagáramát közvetlen áramlásméréssel is meg lehet állapítani. Ez esetben ki kell számítani a teljes háttértömeget a hígító levegő n airdil anyagárama segítségével. A háttértömeget ki kell vonni a teljes tömegből. A számítás eredményét fel kell használni a fékmunkára vonatkoztatott fajlagos kibocsátások számításai során;

vi. a hígító levegő teljes anyagárama meghatározható a hígított kipufogógáz teljes anyagárama és a 3.4. pontban szereplő, a tüzelőanyagra, a beszívott levegőre és a kipufogógázra vonatkozó kémiai egyenlet alapján. Ez esetben ki kell számítani a teljes háttértömeget a hígított kipufogógáz n dexh teljes anyagárama segítségével. Ezt követően az eredményt meg kell szorozni a hígított kipufogógázban lévő hígító levegő áramlással súlyozott átlagos hányadával,
image -val.

Az v. és vi. esetre figyelemmel a (7-115) és a (7-116) egyenletet kell alkalmazni:



image

ή

image

(7-115)

m gascor = m gasm bkgnd

(7-116)

ahol:

m gas

=

a gáz-halmazállapotú kibocsátás teljes tömege [g]

m bkgnd

=

a teljes háttértömegek [g]

m gascor

=

a gáz háttérkibocsátásokkal korrigált tömege [g]

M gas

=

az általános gáz-halmazállapotú kibocsátás moláris tömege [g/mol]

x gasdil

=

a gáz-halmazállapotú kibocsátás koncentrációja a hígító levegőben [mol/mol]

n airdil

=

a hígítólevegő moláris anyagárama [mol]

image

=

a hígító levegő áramlással súlyozott átlagos hányada a hígított kipufogógázban [mol/mol]

image

=

a háttér gázaránya [mol/mol]

n dexh

=

a hígított kipufogógáz teljes anyagárama [mol]

▼B

3.6.2.   A száraz és nedves koncentrációk átszámítása

A hígított minták száraz-nedves átszámítására is a hígítatlan gázokra vonatkozó összefüggéseket (3.5.2. pont) kell alkalmazni. A hígító levegő vízgőztartalma, az x H2Odildry [mol/mol] kiszámítása érdekében páratartalom-számítást kell végezni a (7-96) egyenlettel:



image

[lásd a (7-96) egyenletet]

Ahol:

x H2Odil

=

a víz mólfrakciója a hígító levegő anyagáramában [mol/mol]

3.6.3.   A kipufogógáz moláris átfolyási sebessége

a) Kémiai egyenlettel való számítás;

az exh [mol/s] moláris átfolyási sebességet az fuel, a tüzelőanyag tömegárama alapján lehet kiszámolni a (7-113) egyenlettel:



image

[lásd a (7-113) egyenletet]

Ahol:

exh

=

a hígítatlan kipufogógáz moláris átfolyási sebessége, amely a kibocsátások mérésének alapja

fuel

=

a tüzelőanyag átfolyási sebessége, beleértve a beszívott levegő páratartalmát [g/s]

w C

=

az adott tüzelőanyag szénre vonatkozó tömeghányada [g/g]

x H2Oexhdry

=

a H2O mennyisége / a mért anyagáram száraz mólszáma [mol/mol]

M C

=

a szén moláris tömege, 12,0107 g/mol

x Ccombdry

=

a szén mennyisége a kipufogógázban lévő tüzelőanyagban / a száraz kipufogógáz mólszáma [mol/mol]

b) mért mennyiség

A kipufogógáz moláris átfolyási sebességét az alábbi három rendszerrel lehet megmérni:

i.  ►M2  a térfogat-kiszorításos szivattyú moláris átfolyási sebessége. A térfogat-kiszorításos szivattyúnak a vizsgálati intervallum alatti sebessége alapján a 3.9.2. pontban meghatározott kalibrálási eljárással kapott vonatkozó a 1 meredekséget és a 0 állandót [-] kell használni az moláris áramlási sebesség [mol/s] (7-117) egyenlettel történő kiszámításához: ◄



image

(7-117)

ahol:



image

(7-118)

ahol:

a 1

=

kalibrációs együttható [m3/s]

a 0

=

kalibrációs együttható [m3/fordulat]

p in, p out

=

bemeneti/kimeneti nyomás [Pa]

R

=

moláris gázállandó [J/(mol · K)]

T in

=

bemeneti hőmérséklet [K]

V rev

=

a térfogat-kiszorításos szivattyú által szállított térfogat [m3/ford.]

f n.,PDP

=

a térfogat-kiszorításos szivattyú sebessége [ford./s]

ii.  ►M2  moláris átfolyási sebesség a hangsebesség alatti áramlású Venturi-csőnél. A 3.9.4. pontnak megfelelően meghatározott C dR e # egyenlet alapján a hangsebesség alatti áramlású Venturi-csőnek a vizsgálati intervallum alatti moláris átfolyási sebességét [mol/s] a (7-119) egyenlettel kell kiszámítani: ◄



image

(7-119)

Ahol:

p in

=

bemeneti nyomás [Pa]

A t

=

a Venturi-cső torokkeresztmetszetének területe [m2]

R

=

moláris gázállandó [J/(mol · K)]

T in

=

bemeneti hőmérséklet [K]

Z

=

kompressziós tényező

M mix

=

a hígított kipufogógáz moláris tömege [kg/mol]

C d

=

a hangsebesség alatti áramlású Venturi-cső átfolyási tényezője [-]

C f

=

a hangsebesség alatti áramlású Venturi-cső áramlási tényezője [-]

iii.  ►M2  moláris átfolyási sebesség a kritikus áramlású Venturi-csőnél. Egy Venturi-csövön vagy Venturi-csövek kombinációján áthaladó áram moláris átfolyási sebességének kiszámításához annak vonatkozó C d átlagát és egyéb állandókat kell alkalmazni, amelyeket a 3.9.5. ponttal összhangban kell meghatározni. A Venturi-cső egy kibocsátásvizsgálat alatti moláris átfolyási sebességét [mol/s] a (7-120) egyenlettel kell kiszámítani: ◄



image

(7-120)

Ahol:

p in

=

bemeneti nyomás [Pa]

A t

=

a Venturi-cső torokkeresztmetszetének területe [m2]

R

=

moláris gázállandó [J/(mol · K)]

T in

=

bemeneti hőmérséklet [K]

Z

=

kompressziós tényező

M mix

=

a hígított kipufogógáz moláris tömege [kg/mol]

C d

=

a kritikus áramlású Venturi-cső átfolyási tényezője [-]

C f

=

a kritikus áramlású Venturi-cső áramlási tényezője [-]

3.7.   A részecskekibocsátás meghatározása

3.7.1.   Mintavétel

a) Mintavétel változó átfolyási sebesség mellett:

Ha a kipufogógáz átfolyási sebessége változó, és így történik a mintavétel, a mintát a változó sebességgel arányosan kell felvenni. A teljes áram meghatározásához integrálni kell az átfolyási sebességet egy vizsgálati intervallumra. Az
image átlagos részecskekoncentrációt (amely már tömeg / a minta mólszáma formában van megadva) meg kell szorozni a teljes anyagárammal, így kapjuk meg a (7-121) egyenlettel a részecskék teljes tömegét, az m PM-et [g]:



image

(7-121)

Ahol:

i

=

a kipufogógáz pillanatnyi moláris átfolyási sebessége [mol/s]

image

=

átlagos részecskekoncentráció [g/mol]

Δti

=

mintavételi intervallum [s]

b) Mintavétel állandó átfolyási sebesség mellett

Ha a kipufogógáz átfolyási sebessége állandó, és így történik a mintavétel, meg kell határozni az átlagos moláris átfolyási sebességet, amelyből a mintát veszik. Az m PM [g], a teljes részecsketömeg kiszámításához az átlagos részecskekoncentrációt a (7-122) egyenlet szerint meg kell szorozni a teljes anyagárammal:



image

(7-122)

ahol:

=

a kipufogógáz moláris átfolyási sebessége [mol/s]

image

=

átlagos részecskekoncentráció [g/mol]

Δt

=

a vizsgálati intervallum időtartama [s]

Állandó hígítási arány (DR) melletti mintavétel esetén az m PM-et [g] a (7-123) egyenlettel kell kiszámítani:



image

(7-123)

ahol:

m PMdil

=

részecskék tömege a hígító levegőben [g]

DR

=

hígítási arány [-], a kibocsátás m tömegének és a hígított kipufogógáz m dil/exh tömegének aránya (DR = m/m dil/exh).

A DR hígítási arány felírható az x dil/exh függvényeként [(7-124) egyenlet]:



image

(7-124)

3.7.2.   Háttérkorrekció

A részecsketömeg háttérkorrekciójának elvégzéséhez a 3.6.1. pontban leírt stratégiát kell alkalmazni. Az
image -t a hígító levegő teljes anyagáramával megszorozva megkapjuk a részecskék teljes háttértömegét (m PMbkgnd [g]). A teljes tömegből ki kell vonni a teljes háttértömeget, így kapjuk meg a részecskék háttérrel korrigált tömegét, az m PMcor-t [g] [(7-125) egyenlet]:



image

(7-125)

ahol:

m PMuncor

=

a részecskék korrekció nélküli tömege [g]

image

=

átlagos részecskekoncentráció a hígító levegőben [g/mol]

n airdil

=

a hígító levegő moláris anyagárama [mol]

3.8.   Ciklusmunka és fajlagos kibocsátások

3.8.1.   Gáz-halmazállapotú kibocsátás

3.8.1.1.   Tranziens (NRTC és LSI-NRTC) vizsgálati ciklusok és RMC

A hígítatlan kipufogógázzal kapcsolatban lásd a 3.5.1., a hígított kipufogógázzal kapcsolatban pedig a 3.6.1. pontot. Az eredményként kapott, teljesítményre vonatkozó Pi [kW] értékeket integrálni kell egy vizsgálati intervallumra. A W act [kWh] tényleges munkát a (7-126) egyenlettel kell kiszámítani:

▼M2



image

(7-126)

▼B

Ahol:

Pi

=

pillanatnyi motorteljesítmény [kW]

ni

=

pillanatnyi motorfordulatszám [ford./perc]

Ti

=

pillanatnyi motornyomaték [N·m]

W act

=

tényleges ciklusmunka [kWh]

ƒ

=

adatlekérdezési gyakoriság [Hz]

N

=

a mérések száma [-]

▼M2

Δti

=

mérési intervallum [s]

▼B

Amennyiben segédberendezéseket szereltek fel a VI. melléklet 2. függeléke szerint, akkor a (7-126) egyenletben nem kell kiigazítani a pillanatnyi motornyomatékot. Ha e rendelet VI. mellékletének 6.3.2. vagy 6.3.3. pontja szerint a vizsgálathoz felszerelendő segédberendezéseket nem építették be, vagy a vizsgálathoz eltávolítandó segédberendezéseket beépítve hagyták, a (7-126) egyenletben használt Ti értékét a (7-127) egyenlettel kell kiigazítani:



Ti = Ti ,meas + Ti ,AUX

(7-127)

▼M2

Ahol:

T i,meas

a pillanatnyi motornyomaték mért értéke

T i,AUX

a segédberendezések hajtásához szükséges nyomaték vonatkozó értéke, amelyet a VI. melléklet 7.7.2.3. pontjának b) alpontja szerint kell meghatározni.

▼B

Az e gas [g/kWh] fajlagos kibocsátást az alábbi módokon kell kiszámítani a vizsgálati ciklus típusától függően.



image

(7-128)

ahol:

m gas

=

a kibocsátás teljes tömege [g/vizsgálat]

W act

=

ciklusmunka [kWh]

NRTC ciklus esetén a CO2-től eltérő gáz-halmazállapotú kibocsátásokra vonatkozó vizsgálat végeredményét, az e gas-t [g/kWh] a hidegindítással történő vizsgálati menet és a melegindítással történő vizsgálati menet adatainak súlyozott átlagaként kell kiszámítani a (7-129) egyenlettel:



image

(7-129)

Ahol:

m cold a hidegindításos NRTC ciklus gázkibocsátásának tömege [g]

W act, cold a hidegindításos NRTC tényleges ciklusmunkája [kWh]

m hot a melegindításos NRTC ciklus gázkibocsátásának tömege [g]

W act, hot a melegindításos NRTC ciklus tényleges ciklusmunkája [kWh]

NRTC ciklus esetén a CO2-re vonatkozó vizsgálat végeredményét, az e CO2-t [g/kWh] a melegindításos NRTC alapján kell kiszámítani a (7-130) egyenlettel:



image

(7-130)

Ahol:

m CO2, hot a melegindításos NRTC ciklus CO2-kibocsátásának tömege [g]

W act, hot a melegindításos NRTC ciklus tényleges ciklusmunkája [kWh]

3.8.1.2.   Különálló NRSC-k

Az e gas [g/kWh] fajlagos kibocsátást a (7-131) egyenlettel kell kiszámítani:



image

(7-131)

ahol:

gas, i

=

átlagos kibocsátási tömegáram i üzemmódban [g/h]

▼M2

Pi

=

motorteljesítmény az i üzemmódban [kW], amelyet úgy kell kiszámítani, hogy a Pmeas mért teljesítményhez [kW] hozzáadjuk a segédberendezések hajtásához szükséges PAUX teljesítményt [kW], amelyet a VI. melléklet (6-8) egyenlete szerint kell meghatározni (Pi = Pmeas  + PAUX )

▼B

WFi

=

az i üzemmód súlyozó tényezője [-]

▼M2

Nmode

=

az üzemmódok száma a vonatkozó különálló NRSC ciklusban

▼B

3.8.2.   Részecskekibocsátás

3.8.2.1.   Tranziens (NRTC és LSI-NRTC) vizsgálati ciklusok és RMC

A fajlagos részecskekibocsátásokat a (7-128) egyenlet (7-132) egyenletre való átalakításával kell kiszámítani, ahol az e gas [g/kWh] és az m gas [g/vizsgálat] tényezőket az e PM [g/kWh] és az m PM [g/vizsgálat] tényezőkkel kell helyettesíteni:



image

(7-132)

Ahol:

m PM

=

a részecskekibocsátás teljes tömege a 3.7.1. pont szerinti számítás alapján [g/vizsgálat]

W act

=

ciklusmunka [kWh]

A tranziens összetett (azaz hideg- és melegindításos NRTC) ciklus kibocsátásait a 3.8.1.1. pontnak megfelelően kell kiszámítani.

3.8.2.2.   Különálló NRSC-k

Az e PM [g/kWh] fajlagos részecskekibocsátást a következőképpen kell kiszámítani:

3.8.2.2.1.

Egyszűrős módszer esetén a (7-133) egyenlettel:

▼M2



image

(7-133)

▼B

Ahol:

▼M2

Pi

=

motorteljesítmény az i üzemmódban [kW], amelyet úgy kell kiszámítani, hogy a Pmeas mért teljesítményhez [kW] hozzáadjuk a segédberendezések hajtásához szükséges PAUX teljesítményt [kW], amelyet a VI. melléklet (6-8) egyenlete szerint kell meghatározni (Pi = Pmeas  + PAUX )

▼B

WFi

=

az i üzemmód súlyozó tényezője [-]

PM

=

részecske-tömegáram [g/h]

▼M2

Nmode

=

az üzemmódok száma a vonatkozó különálló NRSC ciklusban

▼B

3.8.2.2.2.

Többszűrős módszer esetén a (7-134) egyenlettel:

▼M2



image

(7-134)

▼B

Ahol:

▼M2

Pi

=

motorteljesítmény az i üzemmódban [kW], amelyet úgy kell kiszámítani, hogy a Pmeas mért teljesítményhez [kW] hozzáadjuk a segédberendezések hajtásához szükséges PAUX teljesítményt [kW], amelyet a VI. melléklet (6-8) egyenlete szerint kell meghatározni (Pi = Pmeas  + PAUX )

▼B

WFi

=

az i üzemmód súlyozó tényezője [-]

PM i

=

részecske-tömegáram i üzemmódban [g/h]

▼M2

Nmode

=

az üzemmódok száma a vonatkozó különálló NRSC ciklusban

▼B

Egyszűrős módszer esetén a WF eff i  tényleges súlyozó tényezőt az egyes üzemmódokban a (7-135) egyenlettel kell kiszámítani:



image

(7-135)

Ahol:

m smpldexh i

=

a részecske-mintavevő szűrőkön átáramló hígított kipufogógáz-minta tömege az i üzemmódban [kg]

m smpldexh

=

a részecske-mintavevő szűrőkön átáramló hígított kipufogógáz-minta tömege [kg]

eqdexhwet i

=

az egyenértékű hígított kipufogógáz tömegárama i módban [kg/s]

image

=

az egyenértékű hígított kipufogógáz átlagos tömegárama [kg/s]

A tényleges súlyozó tényezők értéke nem térhet el 0,005-nél nagyobb mértékben (abszolút érték) a XVII. melléklet 1. függelékében felsorolt súlyozó tényezőktől.

3.8.3.   Az időszakos (nem gyakori) regenerálású kibocsátáscsökkentő miatti kiigazítás

Az időszakos (nem gyakori) regenerálású kipufogógáz-utókezelő rendszerrel (lásd a VI. melléklet 6.6.2. pontját) felszerelt, az RLL-től eltérő kategóriájú motorok esetében a 3.8.1. és 3.8.2. pont szerint kiszámított fajlagos gáz-halmazállapotú és szilárd szennyezőanyag-kibocsátást a vonatkozó multiplikatív korrekciós tényezővel vagy a vonatkozó additív korrekciós tényezővel kell kiigazítani. Amennyiben a vizsgálat ideje alatt nem történt időszakos regenerálás, akkor a felfelé módosító tényezőt kell alkalmazni (k ru,m vagy k ru,a). Ha a vizsgálat ideje alatt történt időszakos regenerálás, akkor a lefelé módosító tényezőt kell alkalmazni (k rd,m vagy k rd,a). Ha különálló NRSC esetében a korrekciós tényezőket már mindegyik üzemmódhoz meghatározták, akkor a súlyozott kibocsátás eredményének kiszámításához mindegyik üzemmódra alkalmazni kell őket.

3.8.4.   Romlási tényező miatti kiigazítás

A 3.8.1. és 3.8.2. pont szerint kiszámított – adott esetben a 3.8.3. pontban foglalt időszakos regenerálási korrekciós tényezőt is tartalmazó – fajlagos gáz-halmazállapotú és szilárd szennyezőanyag-kibocsátást a III. melléklet követelményeinek megfelelően meghatározott vonatkozó multiplikatív vagy additív romlási tényezővel kell kiigazítani.

3.9.   A hígított kipufogógáz-áram kalibrálása (állandó térfogatú mintavételnél) és a kapcsolódó számítások

Ez a szakasz a különböző áramlásmérők kalibrálásához szükséges számításokat tartalmazza. A 3.9.1. pont először azt mutatja be, hogyan kell átállítani a referencia-áramlásmérők kimeneti jeleit a kalibrációs egyenletekben való használathoz, amelyek moláris alapon számolnak. A további pontok azokat a kalibrációs számításokat tartalmazzák, amelyek az áramlásmérők bizonyos típusaira vonatkoznak.

3.9.1.   A referenciamérők átalakítása

Az ebben a szakaszban szereplő kalibrációs egyenletek az ref moláris átfolyási sebességet használják referenciamennyiségként. Ha az elfogadott referenciamérő ettől eltérő mennyiségként adja meg az áramlási sebességet, például ̇ stdref standard térfogatáramként, ̇ actdref tényleges térfogatáramként vagy ref tömegáramként, akkor a referenciamérő kimeneti jelét át kell alakítani moláris áramlási sebességgé a (7-136), a (7-137) és a (7-138) egyenlettel. Ennek során figyelembe kell venni, hogy bár a kibocsátásvizsgálat során a térfogatáram, a tömegáram, a nyomás, a hőmérséklet és a moláris tömeg értékei változhatnak, az áramlásmérők kalibrálásához a lehető legállandóbb szinten kell tartani őket valamennyi beállítási pont vonatkozásában:



image

(7-136)

ahol:

ref

=

a moláris átfolyási sebesség referenciaértéke [mol/s]

stdref

=

a referencia-térfogatáram standard nyomásra és hőmérsékletre korrigálva [m3/s]

actref

=

a referencia-térfogatáram a tényleges nyomás és hőmérséklet mellett [m3/s]

ref

=

referencia-tömegáram [g/s]

p std

=

standard nyomás [Pa]

p act

=

a gáz tényleges nyomása [Pa]

T std

=

standard hőmérséklet [K]

T act

=

a gáz tényleges hőmérséklete [K]

R

=

moláris gázállandó [J/(mol · K)]

M mix

=

a gáz moláris tömege [g/mol]

3.9.2.   A térfogat-kiszorításos szivattyú kalibrálási számításai

Valamennyi fojtószelep-pozíció tekintetében ki kell számítani a következő értékeket a VI. melléklet 8.1.8.4. pontban meghatározott átlagértékekből a következőképpen:

a) a térfogat-kiszorításos szivattyú által fordulatonként szállított gáztérfogat, V rev (m3/ford.):



image

(7-137)

ahol:

image

=

a moláris átfolyási referenciasebesség átlaga [mol/s]

R

=

moláris gázállandó [J/(mol · K)]

image

=

átlagos bemeneti hőmérséklet [K]

image

=

átlagos bemeneti nyomás [Pa]

image

=

átlagos fordulatszám [ford./s]

b) a térfogat-kiszorításos szivattyú csúszásának korrekciós tényezője, K s [s/ford.]:



image

(7-138)

Ahol:

image

=

a moláris átfolyási sebesség átlagos referenciaértéke [mol/s]

image

=

átlagos bemeneti hőmérséklet [K]

image

=

átlagos bemeneti nyomás [Pa]

image

=

átlagos kimeneti nyomás [Pa]

image

=

a térfogat-kiszorításos szivattyú átlagos fordulatszáma [ford./s]

R

=

moláris gázállandó [J/(mol · K)]

c) a térfogat-kiszorításos szivattyú által fordulatonként szállított gáztérfogat, a V rev és a térfogat-kiszorításos szivattyú csúszásának korrekciós tényezője, a K s legkisebb négyzetek módszerével végzett regresszióját az a 1 meredekség és az a 0 állandó kiszámításával kell elvégezni a 4. függeléknek megfelelően;

d) az e pont a)–c) alpontjában leírt eljárást meg kell ismételni a térfogat-kiszorításos szivattyú valamennyi sebességére vonatkozóan;

e) a 7.4. táblázat ezeket a számításokat mutatja be az
image különböző értékeire vonatkozóan:



7.4. táblázat:

Példák a térfogat-kiszorításos szivattyú kalibrációs adataira

image

[ford./perc]

image

[ford./s]

a 1 [m3/min]

a 1 [m3/s]

a 0 [m3/ford.]

755,0

12,58

50,43

0,8405

0,056

987,6

16,46

49,86

0,831

– 0,013

1 254,5

20,9

48,54

0,809

0,028

1 401,3

23,355

47,30

0,7883

– 0,061

f) a térfogat-kiszorításos szivattyú működtetéséhez alkalmazott valamennyi fordulatszámra vonatkozóan a megfelelő a 1 meredekséget és a 0 állandót kell használni a kibocsátásvizsgálat alatti átfolyási sebesség 3.6.3. pont b) alpontja szerinti kiszámításához.

3.9.3.   A Venturi-csőre vonatkozó irányító egyenletek és megengedett feltevések

E szakasz a Venturi-cső kalibrálására és az anyagáram Venturi-csővel való kiszámítására vonatkozó irányító egyenleteket és megengedett feltevéseket tartalmazza. Mivel a hangsebesség alatti áramlású Venturi-cső és a kritikus áramlású Venturi-cső működése hasonló, a rájuk vonatkozó irányító egyenletek is szinte megegyeznek, az r nyomásarányt (vagyis az r SSV / r CFV arányt) leíró egyenlet kivételével. Ezek az egyenletek valamely ideális gáz egydimenziós, adiabatikus, kis viszkozitású, kompresszibilis áramlását feltételezik. A 3.9.3. pont d) alpontja tartalmazza a további megengedett feltevéseket. Amennyiben a mért anyagáram esetében nem megengedett az ideális gázra vonatkozó feltevés, az irányító egyenletek a reális gáz viselkedésére vonatkozóan egy elsőrendű korrekciót tartalmaznak,. mégpedig a Z kompressziós tényezőt Ha a helyes műszaki gyakorlat alapján a Z = 1-től eltérő érték alkalmazására van szükség, a Z értékének meghatározására használható olyan megfelelő állapotegyenlet, amely a mért nyomások és hőmérsékletek függvényeként határozza meg a kérdéses értéket, vagy a helyes műszaki gyakorlat alapján speciális kalibrációs egyenletek is kidolgozhatók. Fontos megjegyezni, hogy a C f áramlási tényező arra az ideális gázra vonatkozó feltevésre alapul, hogy a γ adiabatikus kitevő egyenlő a fajhők cp /c V arányával. Ha a helyes műszaki gyakorlat alapján a reális gázra vonatkozó adiabatikus kitevő alkalmazására van szükség, a γ értékének meghatározására használható olyan megfelelő állapotegyenlet, amely a mért nyomások és hőmérsékletek függvényeként határozza meg a kérdéses értéket, vagy speciális kalibrációs egyenletek is kidolgozhatók. A moláris átfolyási sebességet, az -t [mol/s] a (7-139) egyenlettel kell kiszámítani:



image

(7-139)

Ahol:

C d

=

átfolyási tényező, a 3.9.3. pont a) alpontjának meghatározása szerint [-]

C f

=

áramlási tényező, a 3.9.3. pont b) alpontjának meghatározása szerint [-]

A t

=

a Venturi-cső torokkeresztmetszetének területe [m2]

p in

=

statikus nyomás a Venturi-cső belépőnyílásánál [Pa]

Z

=

kompressziós tényező

M mix

=

a gázkeverék moláris tömege [kg/mol]

R

=

moláris gázállandó [J/(mol · K)]

T in

=

abszolút hőmérséklet a Venturi-cső belépőnyílásánál [K]

a) A VI. melléklet 8.1.8.4. pontja szerint gyűjtött adatok alapján a C d értékét a (7-140) egyenlettel kell kiszámítani:

▼M2



image

(7-140)

Ahol:

ref

=

a moláris átfolyási sebesség referenciaértéke [mol/s]

A további szimbólumok jelentését lásd a (7-139) egyenletnél.

b) A C f értékét az alábbi módszerek valamelyikével kell meghatározni:

i. kizárólag a kritikus áramlású Venturi-csővel működő áramlásmérők esetében a C fCFV értékét a 7.5. táblázatból lehet megállapítani, a β (a Venturi-cső torokátmérőjének és belépőnyílás-átmérőjének aránya) és a γ (a gázkeverék fajhőinek aránya) alapján, lineáris interpolációt alkalmazva a köztes értékek meghatározására:



7.5. táblázat

CfCFVβ and γ a kritikus áramlású Venturi-csővel működő áramlásmérők esetében

C fCFV

β

γ exh = 1,385

γ dexh = γ air = 1,399

0,000

0,6822

0,6846

0,400

0,6857

0,6881

0,500

0,6910

0,6934

0,550

0,6953

0,6977

0,600

0,7011

0,7036

0,625

0,7047

0,7072

0,650

0,7089

0,7114

0,675

0,7137

0,7163

0,700

0,7193

0,7219

0,720

0,7245

0,7271

0,740

0,7303

0,7329

0,760

0,7368

0,7395

0,770

0,7404

0,7431

0,780

0,7442

0,7470

0,790

0,7483

0,7511

0,800

0,7527

0,7555

0,810

0,7573

0,7602

0,820

0,7624

0,7652

0,830

0,7677

0,7707

0,840

0,7735

0,7765

0,850

0,7798

0,7828

ii. a (7-141) egyenlet bármely kritikus áramlású Venturi-csővel vagy hangsebesség alatti áramlású Venturi-csővel működő áramlásmérő esetében alkalmazható a C f értékének meghatározására:



image

(7-141)

Ahol:

γ

=

adiabatikus kitevő [-]. Ideális gázok esetében ez megegyezik a gázkeverék fajhőinek arányával: cp /c V

r

=

nyomásarány, e pont c) alpontjának (3) bekezdése alapján

β

=

a Venturi-cső torokátmérőjének és belépőnyílás-átmérőjének aránya

c) Az r nyomásarányt a következőképpen kell kiszámítani:

i. kizárólag a hangsebesség alatti áramlású Venturi-csővel működő rendszerek esetében az r SSV értékét a (7-142) egyenlettel kell kiszámítani:



image

(7-142)

Ahol:

Δp ssv

=

statikusnyomás-különbség; a Venturi-cső belépőnyílása mínusz a Venturi-cső torka [Pa]

ii. kizárólag a kritikus áramlású Venturi-csővel működő rendszerek esetében az r CFV értékét iterációs eljárással, a (7-143) egyenlettel kell kiszámítani:



image

(7-143)

d) Az irányító egyenletekre vonatkozóan az alábbi, egyszerűsítéseket tartalmazó feltevések bármelyike megengedett, vagy a helyes műszaki gyakorlat alapján egyéb megfelelő értékek is kidolgozhatók a vizsgálathoz:

i. a hígítatlan és hígított kipufogógáz, valamint a hígító levegő teljes tartományain végzett kibocsátásvizsgálat esetében feltételezhető, hogy a gázkeverék ideális gázként viselkedik; Z = 1;

ii. a hígítatlan kipufogógáz teljes tartománya esetében feltételezhető, hogy a fajhők aránya, a állandó értéke γ = 1,385;

iii. a hígított kipufogógáz és a levegő (például kalibráló vagy hígító levegő) teljes tartománya esetében feltételezhető, hogy a fajhők arányának állandó értéke γ = 1,399;

iv. a hígított kipufogógáz és a levegő teljes tartománya esetében az M mix-et [g/mol], a gázkeverék moláris tömegét csak a hígító levegő vagy a kalibráló levegő víztartalmának, a 3.3.2. pont szerint meghatározott x H2O-nak függvényeként lehet értelmezni, és a (7-144) egyenlettel kell kiszámítani:



M mix = M air· (1 –x H2O) +M H2O· (x H2O)

(7-144)

Ahol:

M air

=

28,96559 g/mol

M H2O

=

18,01528 g/mol

x H2O

=

a hígító levegő vagy a kalibráló levegő víztartalma [mol/mol]

v. a hígított kipufogógáz és a levegő teljes tartománya esetében feltételezhető, hogy a gázkeverék M mix állandó moláris tömege állandó valamennyi kalibrációra és vizsgálatra vonatkozóan, amennyiben a feltételezett moláris tömeg legfeljebb ± 1 %-kal tér el a becsült legkisebb és legnagyobb moláris tömegtől a kalibrálás és a vizsgálat során. Ez a feltevés akkor megengedett, ha biztosítható a kalibráló levegő és a hígító levegő víztartalmának megfelelő szabályozása, vagy ha mind a kalibráló levegőből, mind a hígító levegőből kellő mennyiségű vizet távolítanak el. A 7.6. táblázat példákkal szolgál a hígító levegő és a kalibráló levegő harmatpontjának megengedhető tartományaira:



7.6. táblázat

Példák a hígító levegő és a kalibráló levegő azon harmatpontjaira, amelyek mellett állandó M mix értéket lehet feltételezni

Ha a kalibráló levegő T dew harmatpontja (°C) …

A feltételezhető állandó M mix (g/mol)

A T dew (°C) következő tartományaira a kibocsátásvizsgálatok során ()

száraz

28,96559

száraztól 18-ig

0

28,89263

száraztól 21-ig

5

28,86148

száraztól 22-ig

10

28,81911

száraztól 24-ig

15

28,76224

száraztól 26-ig

20

28,68685

– 8-tól 28-ig

25

28,58806

12-től 31-ig

30

28,46005

23-tól 34-ig

(1)   A tartomány valamennyi kalibrálásra és kibocsátásvizsgálatra érvényes a légköri nyomás tartományában (80,000–103,325 kPa).

3.9.4.   Hangsebesség alatti áramlású Venturi-cső (SSV) kalibrálása

a)

Moláris alapú stratégia A hangsebesség alatti áramlású Venturi-csővel működő áramlásmérő kalibrálásához a következő lépéseket kell elvégezni:

i. minden moláris átfolyási referenciasebességre ki kell számítani az Re # Reynolds-számot a d t, a Venturi-cső torokátmérőjének segítségével [(7-145) egyenlet]. Mivel a μ dinamikus viszkozitásra szükség van az Re# kiszámításához, a helyes műszaki gyakorlat alapján egyedi viszkozitási modell használható a kalibráló gázra (általában levegőre) vonatkozó μ meghatározásához [(7-146) egyenlet]. Alternatív megoldásként a Sutherland-féle háromtényezős viszkozitási modell is alkalmazható a μ közelítő értékének meghatározásához (lásd a 7.7. táblázatot):



image

(7-145)

Ahol:

d t

=

a hangsebesség alatti áramlású Venturi-cső torokátmérője [m]

M mix

=

a keverék moláris tömege [kg/mol]

ref

=

a moláris átfolyási sebesség referenciaértéke [mol/s]

a Sutherland-féle háromtényezős viszkozitási modell alapján:



image

(7-146)

Ahol:

μ

=

a kalibráló gáz dinamikus viszkozitása [kg/(m · s)]

μ 0

=

a viszkozitás Sutherland-referenciaértéke [kg/(m · s)]

S

=

Sutherland-állandó [K]

T 0

=

a hőmérséklet Sutherland-referenciaértéke [K]

T in

=

abszolút hőmérséklet a Venturi-cső belépőnyílásánál [K]



7.7. táblázat

A Sutherland-féle háromtényezős viszkozitási modell paraméterei

Gáz ()

μ 0

T0

S

Hőmérséklet-tartomány, ± 2 %-os hibával

Nyomás határértéke

kg /(m · s)

K

K

K

kPa

Levegő

1,716 × 10– 5

273

111

170-től 1 900 -ig

≤ 1 800

CO2

1,370 × 10– 5

273

222

190-től 1 700 -ig

≤ 3 600

H2O

1,12 × 10– 5

350

1,064

360-tól 1 500 -ig

≤ 10 000

O2

1,919 × 10– 5

273

139

190-től 2 000 -ig

≤ 2 500

N2

1,663 × 10– 5

273

107

100-tól 1 500 -ig

≤ 1 600

(1)   A táblázatban szereplő paraméterek csak a felsorolt tiszta gázok esetében alkalmazhatók. A gázkeverékek viszkozitásának kiszámítására a paraméterek nem kombinálhatók.

ii. fel kell írni a C dRe# értékre vonatkozó egyenletet az (Re# , C d) páros értékeit felhasználva. A C d-t a (7-140) egyenlettel kell kiszámítani, ahol a C f-et vagy a (7-141) egyenlet adja meg, vagy bármilyen matematikai kifejezés használható helyette, beleértve a többtagú kifejezéseket és az exponenciális sorokat is. A (7-147) egyenletben arra látható példa, hogy milyen általánosan használt matematikai kifejezést lehet alkalmazni a C d és az Re# viszonyának kifejezésére;



image

(7-147)

iii. az egyenlet legmegfelelőbb együtthatóinak meghatározásához és az egyenlet regressziós statisztikáinak, az SEE-nek, a becslés szórásának és az r 2 determinációs együtthatónak a kiszámításához a legkisebb négyzetek módszerével végzett regresszióanalízist kell végrehajtani 3. függeléknek megfelelően;

iv. amennyiben az egyenlet megfelel az SEE < 0,5 % n ref max (vagy refmax) és az r 2 ≥ 0,995 feltételeknek, akkor az egyenlet felhasználható a C d meghatározására a kibocsátásvizsgálatok során a 3.6.3. pont b) alpontjában leírtak szerint;

v. ha az SEE és az r 2 feltételei nem teljesülnek, a regressziós statisztikák teljesítése érdekében a helyes műszaki gyakorlat alapján elhagyhatók kalibrációs adatpontok. A feltételek teljesítéséhez legalább hét kalibrációs adatpontot kell használni;

vi. ha a pontok elhagyása nem oldja meg a kiugró értékek problémáját, korrekciós intézkedést kell alkalmazni. Például más matematikai kifejezést kell választani a C d és az Re# egyenletéhez, ellenőrizni kell a szivárgást vagy meg kell ismételni a kalibrálási eljárást. Amennyiben meg kell ismételni az eljárást, szigorúbb tűréshatárokat kell alkalmazni a méréseknél és több időt kell hagyni az anyagáramok stabilizálására;

vii. miután az egyenlet teljesíti a regressziós feltételeket, az egyenletet csak olyan átfolyási sebességek meghatározására lehet használni, amelyek a C dRe# egyenlet regressziós feltételeinek teljesítéséhez használt átfolyási referenciasebességek tartományán belül vannak.

▼M2

3.9.5.   Kritikus áramlású Venturi-cső kalibrálása

A kritikus áramlású Venturi-csővel működő áramlásmérők állhatnak egy vagy több Venturi-csőből is, utóbbiak esetében a Venturi-csövek különböző kombinációit használják a különböző átfolyási sebességek méréséhez. Azon kritikus áramlású Venturi-csővel működő áramlásmérők esetében, amelyek több Venturi-csőből állnak, a kalibrálás elvégezhető egymástól függetlenül minden egyes Venturi-csőre a saját C d átfolyási tényezőjük megállapítása érdekében, vagy a Venturi-csövek minden egyes kombinációja egy csőként is kalibrálható. Amennyiben a Venturi-csövek valamely kombinációjának kalibrálására kerül sor, az aktív Venturi-csövek torkánál mért területek összegét kell A t-ként használni; az aktív Venturi-csövek torokátmérőinek négyzetét össze kell adni, majd ennek négyzetgyökét kell venni és ezt a d t értéket kell alkalmazni; valamint a Venturi-cső torokátmérőjének és belépőnyílás-átmérőjének arányát úgy kell értelmezni, mint az aktív Venturi-csövek torokátmérőinek összegéből számított négyzetgyöknek (d t) és az összes Venturi-cső közös bemeneti átmérőjének (D) arányát. Egyetlen Venturi-cső vagy Venturi-csőkombináció esetében a C d meghatározásához a következő lépéseket kell elvégezni:

a) az összes kalibrációs beállítási pontnál gyűjtött adatok segítségével valamennyi pontra vonatkozóan ki kell számítani a C d értékét a (7-140) egyenlet alkalmazásával;

b) ki kell számítani az összes C d érték középeltérését és szórását a (7-155) és (7-156) egyenletek segítségével;

c) ha valamennyi C d érték szórása kisebb vagy egyenlő a C d átlagának 0,3 %-ával, akkor a C d átlagát kell használni a (7-120) egyenletben, a kritikus áramlású Venturi-csövet pedig csak a kalibrálás során mért legalacsonyabb r-ig lehet használni;



r = 1 – (Δp/pin )

(7-148)

d) ha valamennyi C d érték szórása meghaladja a C d átlagának 0,3 %-át, akkor a kalibrálás során mért legalacsonyabb r-nél gyűjtött adatpontokhoz tartozó C d értékeket figyelmen kívül kell hagyni;

e) ha a megmaradó adatpontok száma hétnél kevesebb, korrekciós intézkedést alkalmazni: ellenőrizni kell a kalibrációs adatokat vagy meg kell ismételni a kalibrálási eljárást. Amennyiben meg kell ismételni a kalibrálási eljárást, ajánlatos ellenőrizni a szivárgást, szigorúbb tűréshatárokat alkalmazni a méréseknél és több időt hagyni az anyagáramok stabilizálására.

f) ha a megmaradó C d értékek száma hét vagy több, akkor a megmaradó C d értékek középeltérését és szórását újra kell számítani;

g) ha a megmaradó C d értékek szórása kisebb vagy egyenlő a megmaradó C d értékek átlagának 0,3 %-ával, akkor ezt a C d-átlagot kell használni a (7-120) egyenletben, és a kritikus áramlású Venturi-cső értékeit csak a megmaradó C d-hez társított legalacsonyabb r-ig lehet használni;

h) ha a megmaradó C d értékek szórása még mindig meghaladja a megmaradó C d értékek átlagának 0,3 %-át, meg kell ismételni a d)–g) pontban megadott lépéseket.

▼B




1. függelék

Eltolódási korrekció

1.    Alkalmazási kör és gyakoriság

Az e függelékben szereplő egyenletek elvégzésének célja annak megállapítása, hogy a gázelemző készülék eltolódása érvényteleníti-e egy vizsgálati intervallum eredményeit. Amennyiben az eltolódás nem érvényteleníti a vizsgálati intervallum eredményeit, akkor a vizsgálati intervallum során a gázelemző készüléktől kapott válaszokat korrigálni kell az eltolódással e függeléknek megfelelően. A gázelemző készüléknek ezeket az eltolódással korrigált válaszait kell alkalmazni minden további kibocsátási számítás során. A gázelemző készülék egy vizsgálati intervallum alatti elfogadható eltolódásának határértékét a VI. melléklet 8.2.2.2. pontja határozza meg.

2.    A korrekció alapelvei

Az e függelékben szereplő számítások a gázelemző készüléknek az analitikai gázok nullázó és kalibráló referenciakoncentrációira adott, egy vizsgálati intervallum előtt és után meghatározott válaszait veszik alapul. A számítások korrigálják a gázelemző készülék vizsgálati intervallum során rögzített válaszait. A korrekció a gázelemző készüléknek a nullázó és mérőtartomány-kalibráló gázokra adott átlagos válaszain, valamint a nullázó és mérőtartomány-kalibráló gázok referenciakoncentrációin alapul. Az eltolódás hitelesítését és korrekcióját a következőképpen kell végrehajtani:

3.    Az eltolódás hitelesítése

Miután az eltolódás korrekcióján kívül minden egyéb korrekciót elvégeztek valamennyi gázelemző készülék jelén, ki kell számítani a fékmunkára vonatkoztatott fajlagos kibocsátásokat a 3.8. pont alapján. Ezután valamennyi gázelemző készülék jelét korrigálni kell az eltolódással e függeléknek megfelelően. A fékmunkára vonatkoztatott fajlagos kibocsátásokat újra ki kell számítani a gázelemző készülékek eltolódással korrigált jeleit felhasználva. A fékmunkára vonatkoztatott fajlagos mért kibocsátásokat hitelesíteni kell és fel kell jegyezni az eltolódási korrekció előtt és után a VI. melléklet 8.2.2.2. pontjának megfelelően.

4.    Eltolódási korrekció

Valamennyi gázelemző készülék jelét korrigálni kell a következőképpen:

a) Valamennyi rögzített xi koncentrációt korrigálni kell a folyamatos vagy a szakaszos mintavétellel,
image ;

b) az eltolódási korrekciót a (7-149) egyenlettel kell kiszámítani:



image

(7-149)

Ahol:

xi driftcor

=

az eltolódással korrigált koncentráció [μmol/mol]

x refzero

=

a nullázó gáz referenciakoncentrációja, ami egyéb adat hiányában általában nulla [μmol/mol]

x refspan

=

a mérőtartomány-kalibráló gáz referenciakoncentrációja [μmol/mol]

x prespan

=

a gázelemző készülék vizsgálati intervallum előtti válasza a mérőtartomány-kalibráló gáz koncentrációjára [μmol/mol]

x postspan

=

a gázelemző készülék vizsgálati intervallum utáni válasza a mérőtartomány-kalibráló gáz koncentrációjára [μmol/mol]

xi vagy
image

=

a rögzített, azaz a vizsgálat alatt mért, az eltolódási korrekció előtti koncentráció [μmol/mol]

x prezero

=

a gázelemző készülék vizsgálati intervallum előtti válasza a nullázó gáz koncentrációjára [μmol/mol]

x postzero

=

a gázelemző készülék vizsgálati intervallum utáni válasza a nullázó gáz koncentrációjára [μmol/mol]

c) A vizsgálati intervallum előtti valamennyi koncentráció esetében a legutoljára meghatározott koncentrációkat kell alkalmazni. Egyes vizsgálati intervallumoknál előfordulhat, hogy a vizsgálati intervallum előtti legutolsó nullázó vagy mérőtartomány-kalibráló gázra adott válasz egy vagy több korábbi vizsgálati intervallum előtt történik;

d) A vizsgálati intervallum utáni valamennyi koncentráció esetében a legelőször meghatározott koncentrációkat kell alkalmazni. Egyes vizsgálati intervallumoknál előfordulhat, hogy a vizsgálati intervallum utáni legelső nullázó vagy mérőtartomány-kalibráló gázra adott válasz egy vagy több későbbi vizsgálati intervallum után történik;

e) Ha a gázelemző készülékek bármely, vizsgálati intervallum előtti, a mérőtartomány-kalibráló gázra adott válasza, az x prespan nem kerül rögzítésre, az x prespan-t egyenlőnek kell venni a mérőtartomány-kalibráló gáz referenciakoncentrációjával: x prespan = x refspan;

f) Ha a gázelemző készülékek bármely, vizsgálati intervallum előtti, a nullázó gázra adott válasza, az x prezero nem kerül rögzítésre, az x prezero-t egyenlőnek kell venni a nullázó gáz referenciakoncentrációjával: x prezero = x refzero;

g) A nullázó gáz xrefzero referenciakoncentrációja általában nulla: xrefzero = 0 μmol/mol. Egyes esetekben azonban előfordulhat, hogy az xrrefzero nullától eltérő koncentrációval rendelkezik. Például ha a CO2 gázelemző készüléket környezeti levegővel nullázzák, a környezeti levegő alapértelmezett CO2-koncentrációját, 375 μmol/mol-t lehet használni. Ez esetben az xrefzero = 375 μmol/mol. Ha egy gázelemző készüléket nullától eltérő xrefzero gázzal nulláznak, a gázelemző készüléket úgy kell beállítani, hogy az általa szolgáltatott adat a tényleges xrefzero koncentráció legyen. Ha például xrefzero = 375 μmol/mol, a gázelemző készüléket úgy kell beállítani, hogy az általa szolgáltatott adat 375 μmol/mol legyen, amikor a nullázó gáz áramlik át rajta.




2. függelék

A szénáram ellenőrzése

1.    Bevezetés

A kipufogógázban található szén csaknem egésze a tüzelőanyagból származik, és egy minimális részt leszámítva csaknem a teljes mennyiség CO2 formájában jelenik meg a kipufogógázban. Ez az alapja a teljes mérőrendszer CO2-mérésen alapuló ellenőrzésének. A λ levegőfelesleg-arányt szabályozó rendszer nélküli vagy a 0,97 ≤ λ ≤ 1,03 tartományon kívül üzemelő szikragyújtású motorok esetében az eljárásnak szénhidrogén- és szén-monoxid-mérést is magában kell foglalnia.

A kipufogógázt mérő rendszerbe jutó szén a tüzelőanyag-áramból kerül meghatározásra. A szénáramot a kibocsátásmérő és részecske-mintavevő rendszerek különböző pontjain, az ezeken a pontokon mért CO2- (vagy CO2-, szénhidrogén- és CO-) koncentrációkból és a gázáramból kell meghatározni.

Ennek értelmében a motor ismert forrása a szénáramnak, és ugyanennek a szénáramnak a kipufogócsőben és a részáramú részecske-mintavevő rendszer kimeneténél történő megfigyeléséből következtetni lehet a szivárgásra és az áramlásmérés pontosságára. Ennek az ellenőrzésnek az az előnye, hogy az alkatrészek a hőmérsékletek és az áramok tekintetében ugyanolyan körülmények között működnek, mint a motor tényleges vizsgálatakor.

A 7.1. ábrán láthatók azok a mintavételi pontok, amelyeken a szénáramot ellenőrizni kell. Az alábbi pontokban meg vannak adva a szénáramnak az egyes mintavételi pontokra vonatkozó kiszámításához szükséges konkrét egyenletek is.

7.1. ábra

Mérőpontok a szénáram ellenőrzéséhez

image

2.    Szénáram a motorba (1. mérőpont)

A motorba irányuló szénáram áramlási sebességét, a qm Cf-et [kg/s] a CHαOε tüzelőanyagra vonatkozóan a (7-150) egyenlettel kell kiszámítani:



image

(7-150)

Ahol:

qm f

=

a tüzelőanyag tömegárama (kg/s)

3.    Szénáram a hígítatlan kipufogógázban (2. mérőpont)

3.1.   CO2 alapján

A qm Ce-t, a motor kipufogócsövében a szén tömegáramát [kg/s] a hígítatlan kipufogógáz CO2-koncentrációjából és a kipufogógáz tömegáramából kell meghatározni a (7-151) egyenlettel:



image

(7-151)

ahol:

c CO2,r

=

nedves CO2-koncentráció a hígítatlan kipufogógázban, [ %]

c CO2,a

=

a CO2 nedves koncentrációja a környezeti levegőben [ %]

qm ew

=

a kipufogógáz tömegárama nedves alapon [kg/s]

M e

=

kipufogógáz moláris tömege [g/mol]

Ha a CO2-t száraz alapon mérik, az értékét a 2.1.3. vagy a 3.5.2. ponttal összhangban át kell alakítani nedves alapúra.

3.2.   CO2, szénhidrogén és CO alapján

A számítás 3.1. pont szerinti, kizárólag CO2 alapján történő elvégzése helyett a motor kipufogócsövében a szén qm Ce tömegáramát [kg/s] a hígítatlan kipufogógáz CO2-, szénhidrogén- és CO-koncentrációjából és a kipufogógáz tömegáramából is meg lehet határozni a (7-152) egyenlettel:



image

(7-152)

Ahol:

c CO2,r

=

nedves CO2-koncentráció a hígítatlan kipufogógázban, [ %]

c CO2,a

=

a CO2 nedves koncentrációja a környezeti levegőben [ %]

c THC(C1),r

=

az összes szénhidrogén (C1) koncentrációja a hígítatlan kipufogógázban [ %]

c THC(C1),a

=

az összes szénhidrogén (C1) koncentrációja a környezeti levegőben [ %]

c CO,r

=

a CO nedves koncentrációja a hígítatlan kipufogógázban [ %]

c CO,a

=

a CO nedves koncentrációja a környezeti levegőben [ %]

qm ew

=

a kipufogógáz tömegárama nedves alapon [kg/s]

M e

=

kipufogógáz moláris tömege [g/mol]

Ha a CO2-t vagy a CO-t száraz alapon mérik, az értéküket a 2.1.3. vagy a 3.5.2. ponttal összhangban át kell alakítani nedves alapúra.

4.    Szénáram a hígítórendszerben (3. mérőpont)

4.1.   CO2 alapján

A részáramú hígítórendszernél a megosztási arányt is figyelembe kell venni. A qm Cp-t [kg/s], a szénáramot az egyenértékű (a teljes áramot hígító teljes áramú rendszerrel egyenértékű) hígítórendszerben a hígított CO2-koncentrációból, a kipufogógáz tömegáramából és a minta átfolyási sebességéből kell meghatározni; a hígítási tényezővel (qm dew/qm p) való kiegészítést leszámítva az új (7-153) egyenlet megegyezik a (7-151) egyenlettel.



image

(7-153)

Ahol:

c CO2,d

=

nedves CO2-koncentráció a kipufogógázban a hígítóalagút kimeneténél [ %]

c CO2,a

=

a CO2 nedves koncentrációja a környezeti levegőben [ %]

qm dew

=

a hígított minta árama a részáramú hígítórendszerben [kg/s]

qm ew

=

a kipufogógáz tömegárama nedves alapon [kg/s]

qm p

=

a részáramú hígítórendszerbe belépő kipufogógáz-minta árama [kg/s]

M e

=

kipufogógáz moláris tömege [g/mol]

Ha a CO2-t száraz alapon mérik, az értékét a 2.1.3. vagy a 3.5.2. ponttal összhangban át kell alakítani nedves alapúra.

4.2.   CO2, szénhidrogén és CO alapján

A részáramú hígítórendszernél a megosztási arányt is figyelembe kell venni. A számítás 4.1. pont szerinti, kizárólag CO2 alapján történő elvégzése helyett a qm Cp-t [kg/s], a szénáramot az egyenértékű (a teljes áramot hígító teljes áramú rendszerrel egyenértékű) hígítórendszerben a hígított CO2-, szénhidrogén- és CO-koncentrációból, a kipufogógáz tömegáramából és a minta átfolyási sebességéből kell meghatározni; a hígítási tényezővel (qm dew/qm p) való kiegészítést leszámítva az új (7-154) egyenlet megegyezik a (7-152) egyenlettel.



image

(7-154)

Ahol:

c CO2,d

=

a CO2 nedves koncentrációja a higított kipufogógázban a hígítóalagút kimeneténél [ %]

c CO2,a

=

a CO2 nedves koncentrációja a környezeti levegőben [ %]

c THC(C1),d

=

az összes szénhidrogén (C1) koncentrációja a higított kipufogógázban a hígítóalagút kimeneténél [ %]

c THC(C1),a

=

az összes szénhidrogén (C1) koncentrációja a környezeti levegőben [ %]

c CO,d

=

a CO nedves koncentrációja a higított kipufogógázban a hígítóalagút kimeneténél [ %]

c CO,a

=

a CO nedves koncentrációja a környezeti levegőben [ %]

qm dew

=

a hígított minta árama a részáramú hígítórendszerben [kg/s]

qm ew

=

a kipufogógáz tömegárama nedves alapon [kg/s]

qm p

=

a részáramú hígítórendszerbe belépő kipufogógáz-minta árama [kg/s]

M e

=

kipufogógáz moláris tömege [g/mol]

Ha a CO2-t vagy a CO-t száraz alapon mérik, az értéküket e melléklet 2.1.3. vagy a 3.5.2. pontjával összhangban át kell alakítani nedves alapúra.

5.    A kipufogógáz moláris tömegének kiszámítása

A kipufogógáz moláris tömegét a (7-13) egyenlettel kell kiszámítani (lásd e melléklet 2.1.5.2. pontját).

Alternatívaként a kipufogógázra a következő moláris tömeget lehet használni:

M e (dízel) = 28,9 g/mol

M e (LPG) = 28,6 g/mol

M e (földgáz/biometán) = 28,3 g/mol

M e (benzin) = 29,0 g/mol




3. függelék

Statisztikák

1.    Számtani közép

Az

image

számtani középértéket a (7-155) egyenlettel kell kiszámítani:



image

(7-155)

2.    Szórás

A torzítatlan (például N–1) σ minta szórását a (7-156) egyenlettel kell kiszámítani:



image

(7-156)

3.    Négyzetes középérték

Az rms y négyzetes középértéket a (7-157) egyenlettel kell kiszámítani:



image

(7-157)

4.    t-próba

A következő egyenletekkel és a 7.8. táblázattal kell meghatározni, hogy az adatok megfelelnek-e a t-próbán:

a) Páratlan t-próba esetében a t statisztikai jellemzőt és szabadsági fokainak számát, v-t a (7-158) és a (7-159) egyenlettel kell kiszámítani:



image

(7-158)

image

(7-159)

b) Páros t-próba esetében a t statisztikai jellemzőt és szabadsági fokainak számát, v-t a (7-160) egyenlettel kell kiszámítani, figyelembe véve, hogy az ε i az egyes y ref i és yi párok közötti hibákat (például különbségeket) jelenti:



image

v = N – 1

(7-160)

c) A 7.8. táblázat a t értékeknek a t crit értékekkel való összehasonlítására szolgál, amelyek a táblázatban a szabadsági fokok száma szerint szerepelnek. Ha a t értéke kisebb a t crit értékénél, akkor a t megfelelt a t-próbán.



7.8. táblázat:

Kritikus t értékek a szabadságfok v számával szemben

v

Konfidencia

 

90 %

95 %

1

6,314

12,706

2

2,920

4,303

3

2,353

3,182

4

2,132

2,776

5

2,015

2,571

6

1,943

2,447

7

1,895

2,365

8

1,860

2,306

9

1,833

2,262

10

1,812

2,228

11

1,796

2,201

12

1,782

2,179

13

1,771

2,160

14

1,761

2,145

15

1,753

2,131

16

1,746

2,120

18

1,734

2,101

20

1,725

2,086

22

1,717

2,074

24

1,711

2,064

26

1,706

2,056

28

1,701

2,048

30

1,697

2,042

35

1,690

2,030

40

1,684

2,021

50

1,676

2,009

70

1,667

1,994

100

1,660

1,984

1 000 +

1,645

1,960

Az itt fel nem tüntetett értékek meghatározásához lineáris interpolációt kell alkalmazni.

5.    F-próba

Az F statisztikát a (7-161) egyenlettel kell kiszámítani:



image

(7-161)

a) 90 %-os konfidenciaszintű F-próba esetében a 7.9. táblázatot kell használni az F értékeknek az F crit90 értékekkel való összehasonlításához, amelyek az (N–1) és az (N ref–1) szerint szerepelnek a táblázatban. Ha az F értéke kisebb az F crit90 értékénél, akkor az F megfelelt az F-próbán 90 %-os konfidenciaszint mellett;

b) 95 %-os konfidenciaszintű F-próba esetében a 7.10. táblázatot kell használni az F értékeknek az F crit95 értékekkel való összehasonlításához, amelyek az (N–1) és az (N ref–1) szerint szerepelnek a táblázatban. Ha az F értéke kisebb az F crit95 értékénél, akkor az F megfelelt az F-próbán 95 %-os konfidenciaszint mellett.

▼M2



7.9. táblázat

Kritikus Fcrit90 F értékek az N-1 és az Nref - 1 értékével szemben, 90 %-os konfidenciaszint mellett

N - 1

1

2

3

4

5

6

7

8

9

10

12

15

20

24

30

40

60

120

1000+

N ref - 1

 

1

39,86

49,50

53,59

55,83

57,24

58,20

58,90

59,43

59,85

60,19

60,70

61,22

61,74

62,00

62,26

62,52

62,79

63,06

63,32

2

8,526

9,000

9,162

9,243

9,293

9,326

9,349

9,367

9,381

9,392

9,408

9,425

9,441

9,450

9,458

9,466

9,475

9,483

9,491

3

5,538

5,462

5,391

5,343

5,309

5,285

5,266

5,252

5,240

5,230

5,216

5,200

5,184

5,176

5,168

5,160

5,151

5,143

5,134

4

4,545

4,325

4,191

4,107

4,051

4,010

3,979

3,955

3,936

3,920

3,896

3,870

3,844

3,831

3,817

3,804

3,790

3,775

3,761

5

4,060

3,780

3,619

3,520

3,453

3,405

3,368

3,339

3,316

3,297

3,268

3,238

3,207

3,191

3,174

3,157

3,140

3,123

3,105

6

3,776

3,463

3,289

3,181

3,108

3,055

3,014

2,983

2,958

2,937

2,905

2,871

2,836

2,818

2,800

2,781

2,762

2,742

2,722

7

3,589

3,257

3,074

2,961

2,883

2,827

2,785

2,752

2,725

2,703

2,668

2,632

2,595

2,575

2,555

2,535

2,514

2,493

2,471

8

3,458

3,113

2,924

2,806

2,726

2,668

2,624

2,589

2,561

2,538

2,502

2,464

2,425

2,404

2,383

2,361

2,339

2,316

2,293

9

3,360

3,006

2,813

2,693

2,611

2,551

2,505

2,469

2,440

2,416

2,379

2,340

2,298

2,277

2,255

2,232

2,208

2,184

2,159

10

3,285

2,924

2,728

2,605

2,522

2,461

2,414

2,377

2,347

2,323

2,284

2,244

2,201

2,178

2,155

2,132

2,107

2,082

2,055

11

3,225

2,860

2,660

2,536

2,451

2,389

2,342

2,304

2,274

2,248

2,209

2,167

2,123

2,100

2,076

2,052

2,026

2,000

1,972

12

3,177

2,807

2,606

2,480

2,394

2,331

2,283

2,245

2,214

2,188

2,147

2,105

2,060

2,036

2,011

1,986

1,960

1,932

1,904

13

3,136

2,763

2,560

2,434

2,347

2,283

2,234

2,195

2,164

2,138

2,097

2,053

2,007

1,983

1,958

1,931

1,904

1,876

1,846

14

3,102

2,726

2,522

2,395

2,307

2,243

2,193

2,154

2,122

2,095

2,054

2,010

1,962

1,938

1,912

1,885

1,857

1,828

1,797

15

3,073

2,695

2,490

2,361

2,273

2,208

2,158

2,119

2,086

2,059

2,017

1,972

1,924

1,899

1,873

1,845

1,817

1,787

1,755

16

3,048

2,668

2,462

2,333

2,244

2,178

2,128

2,088

2,055

2,028

1,985

1,940

1,891

1,866

1,839

1,811

1,782

1,751

1,718

17

3,026

2,645

2,437

2,308

2,218

2,152

2,102

2,061

2,028

2,001

1,958

1,912

1,862

1,836

1,809

1,781

1,751

1,719

1,686

18

3,007

2,624

2,416

2,286

2,196

2,130

2,079

2,038

2,005

1,977

1,933

1,887

1,837

1,810

1,783

1,754

1,723

1,691

1,657

19

2,990

2,606

2,397

2,266

2,176

2,109

2,058

2,017

1,984

1,956

1,912

1,865

1,814

1,787

1,759

1,730

1,699

1,666

1,631

20

2,975

2,589

2,380

2,249

2,158

2,091

2,040

1,999

1,965

1,937

1,892

1,845

1,794

1,767

1,738

1,708

1,677

1,643

1,607

21

2,961

2,575

2,365

2,233

2,142

2,075

2,023

1,982

1,948

1,920

1,875

1,827

1,776

1,748

1,719

1,689

1,657

1,623

1,586

20

2,949

2,561

2,351

2,219

2,128

2,061

2,008

1,967

1,933

1,904

1,859

1,811

1,759

1,731

1,702

1,671

1,639

1,604

1,567

23

2,937

2,549

2,339

2,207

2,115

2,047

1,995

1,953

1,919

1,890

1,845

1,796

1,744

1,716

1,686

1,655

1,622

1,587

1,549

24

2,927

2,538

2,327

2,195

2,103

2,035

1,983

1,941

1,906

1,877

1,832

1,783

1,730

1,702

1,672

1,641

1,607

1,571

1,533

25

2,918

2,528

2,317

2,184

2,092

2,024

1,971

1,929

1,895

1,866

1,820

1,771

1,718

1,689

1,659

1,627

1,593

1,557

1,518

26

2,909

2,519

2,307

2,174

2,082

2,014

1,961

1,919

1,884

1,855

1,809

1,760

1,706

1,677

1,647

1,615

1,581

1,544

1,504

27

2,901

2,511

2,299

2,165

2,073

2,005

1,952

1,909

1,874

1,845

1,799

1,749

1,695

1,666

1,636

1,603

1,569

1,531

1,491

28

2,894

2,503

2,291

2,157

2,064

1,996

1,943

1,900

1,865

1,836

1,790

1,740

1,685

1,656

1,625

1,593

1,558

1,520

1,478

29

2,887

2,495

2,283

2,149

2,057

1,988

1,935

1,892

1,857

1,827

1,781

1,731

1,676

1,647

1,616

1,583

1,547

1,509

1,467

30

2,881

2,489

2,276

2,142

2,049

1,980

1,927

1,884

1,849

1,819

1,773

1,722

1,667

1,638

1,606

1,573

1,538

1,499

1,456

40

2,835

2,440

2,226

2,091

1,997

1,927

1,873

1,829

1,793

1,763

1,715

1,662

1,605

1,574

1,541

1,506

1,467

1,425

1,377

60

2,791

2,393

2,177

2,041

1,946

1,875

1,819

1,775

1,738

1,707

1,657

1,603

1,543

1,511

1,476

1,437

1,395

1,348

1,291

120

2,748

2,347

2,130

1,992

1,896

1,824

1,767

1,722

1,684

1,652

1,601

1,545

1,482

1,447

1,409

1,368

1,320

1,265

1,193

1000+

2,706

2,303

2,084

1,945

1,847

1,774

1,717

1,670

1,632

1,599

1,546

1,487

1,421

1,383

1,342

1,295

1,240

1,169

1,000



7.10. táblázat:

Kritikus Fcrit95 F értékek az N-1 és az Nref - 1 értékével szemben, 95 %-os konfidenciaszint mellett

N - 1

1

2

3

4

5

6

7

8

9

10

12

15

20

24

30

40

60

120

1000+

N ref - 1

 

1

161,4

199,5

215,7

224,5

230,1

233,9

236,7

238,8

240,5

241,8

243,9

245,9

248,0

249,0

250,1

251,1

252,2

253,2

254,3

2

18,51

19,00

19,16

19,24

19,29

19,33

19,35

19,37

19,38

19,39

19,41

19,42

19,44

19,45

19,46

19,47

19,47

19,48

19,49

3

10,12

9,552

9,277

9,117

9,014

8,941

8,887

8,845

8,812

8,786

8,745

8,703

8,660

8,639

8,617

8,594

8,572

8,549

8,526

4

7,709

6,944

6,591

6,388

6,256

6,163

6,094

6,041

5,999

5,964

5,912

5,858

5,803

5,774

5,746

5,717

5,688

5,658

5,628

5

6,608

5,786

5,410

5,192

5,050

4,950

4,876

4,818

4,773

4,735

4,678

4,619

4,558

4,527

4,496

4,464

4,431

4,399

4,365

6

5,987

5,143

4,757

4,534

4,387

4,284

4,207

4,147

4,099

4,060

4,000

3,938

3,874

3,842

3,808

3,774

3,740

3,705

3,669

7

5,591

4,737

4,347

4,120

3,972

3,866

3,787

3,726

3,677

3,637

3,575

3,511

3,445

3,411

3,376

3,340

3,304

3,267

3,230

8

5,318

4,459

4,066

3,838

3,688

3,581

3,501

3,438

3,388

3,347

3,284

3,218

3,150

3,115

3,079

3,043

3,005

2,967

2,928

9

5,117

4,257

3,863

3,633

3,482

3,374

3,293

3,230

3,179

3,137

3,073

3,006

2,937

2,901

2,864

2,826

2,787

2,748

2,707

10

4,965

4,103

3,708

3,478

3,326

3,217

3,136

3,072

3,020

2,978

2,913

2,845

2,774

2,737

2,700

2,661

2,621

2,580

2,538

11

4,844

3,982

3,587

3,357

3,204

3,095

3,012

2,948

2,896

2,854

2,788

2,719

2,646

2,609

2,571

2,531

2,490

2,448

2,405

12

4,747

3,885

3,490

3,259

3,106

2,996

2,913

2,849

2,796

2,753

2,687

2,617

2,544

2,506

2,466

2,426

2,384

2,341

2,296

13

4,667

3,806

3,411

3,179

3,025

2,915

2,832

2,767

2,714

2,671

2,604

2,533

2,459

2,420

2,380

2,339

2,297

2,252

2,206

14

4,600

3,739

3,344

3,112

2,958

2,848

2,764

2,699

2,646

2,602

2,534

2,463

2,388

2,349

2,308

2,266

2,223

2,178

2,131

15

4,543

3,682

3,287

3,056

2,901

2,791

2,707

2,641

2,588

2,544

2,475

2,403

2,328

2,288

2,247

2,204

2,160

2,114

2,066

16

4,494

3,634

3,239

3,007

2,852

2,741

2,657

2,591

2,538

2,494

2,425

2,352

2,276

2,235

2,194

2,151

2,106

2,059

2,010

17

4,451

3,592

3,197

2,965

2,810

2,699

2,614

2,548

2,494

2,450

2,381

2,308

2,230

2,190

2,148

2,104

2,058

2,011

1,960

18

4,414

3,555

3,160

2,928

2,773

2,661

2,577

2,510

2,456

2,412

2,342

2,269

2,191

2,150

2,107

2,063

2,017

1,968

1,917

19

4,381

3,522

3,127

2,895

2,740

2,628

2,544

2,477

2,423

2,378

2,308

2,234

2,156

2,114

2,071

2,026

1,980

1,930

1,878

20

4,351

3,493

3,098

2,866

2,711

2,599

2,514

2,447

2,393

2,348

2,278

2,203

2,124

2,083

2,039

1,994

1,946

1,896

1,843

21

4,325

3,467

3,073

2,840

2,685

2,573

2,488

2,421

2,366

2,321

2,250

2,176

2,096

2,054

2,010

1,965

1,917

1,866

1,812

22

4,301

3,443

3,049

2,817

2,661

2,549

2,464

2,397

2,342

2,297

2,226

2,151

2,071

2,028

1,984

1,938

1,889

1,838

1,783

23

4,279

3,422

3,028

2,796

2,640

2,528

2,442

2,375

2,320

2,275

2,204

2,128

2,048

2,005

1,961

1,914

1,865

1,813

1,757

24

4,260

3,403

3,009

2,776

2,621

2,508

2,423

2,355

2,300

2,255

2,183

2,108

2,027

1,984

1,939

1,892

1,842

1,790

1,733

25

4,242

3,385

2,991

2,759

2,603

2,490

2,405

2,337

2,282

2,237

2,165

2,089

2,008

1,964

1,919

1,872

1,822

1,768

1,711

26

4,225

3,369

2,975

2,743

2,587

2,474

2,388

2,321

2,266

2,220

2,148

2,072

1,990

1,946

1,901

1,853

1,803

1,749

1,691

27

4,210

3,354

2,960

2,728

2,572

2,459

2,373

2,305

2,250

2,204

2,132

2,056

1,974

1,930

1,884

1,836

1,785

1,731

1,672

28

4,196

3,340

2,947

2,714

2,558

2,445

2,359

2,291

2,236

2,190

2,118

2,041

1,959

1,915

1,869

1,820

1,769

1,714

1,654

29

4,183

3,328

2,934

2,701

2,545

2,432

2,346

2,278

2,223

2,177

2,105

2,028

1,945

1,901

1,854

1,806

1,754

1,698

1,638

30

4,171

3,316

2,922

2,690

2,534

2,421

2,334

2,266

2,211

2,165

2,092

2,015

1,932

1,887

1,841

1,792

1,740

1,684

1,622

40

4,085

3,232

2,839

2,606

2,450

2,336

2,249

2,180

2,124

2,077

2,004

1,925

1,839

1,793

1,744

1,693

1,637

1,577

1,509

60

4,001

3,150

2,758

2,525

2,368

2,254

2,167

2,097

2,040

1,993

1,917

1,836

1,748

1,700

1,649

1,594

1,534

1,467

1,389

120

3,920

3,072

2,680

2,447

2,290

2,175

2,087

2,016

1,959

1,911

1,834

1,751

1,659

1,608

1,554

1,495

1,429

1,352

1,254

1000+

3,842

2,996

2,605

2,372

2,214

2,099

2,010

1,938

1,880

1,831

1,752

1,666

1,571

1,517

1,459

1,394

1,318

1,221

1,000

▼B

6.    Meredekség

A legkisebb négyzetek módszerével végzett regresszió meredekségét, az a 1y-t a (7-162) egyenlettel kell kiszámítani:



image

(7-162)

7.    Állandó

A legkisebb négyzetek módszerével végzett regresszió állandóját, az a 0y-t a (7-163) egyenlettel kell kiszámítani:



image

(7-163)

8.    A becslés szórása

A becsült értékek szórását, az SEE-t a (7-164) egyenlettel kell kiszámítani:



image

(7-164)

9.    Determinációs együttható

Az r 2 determinációs együtthatót a (7-165) egyenlettel kell kiszámítani:



image

(7-165)




4. függelék

AZ 1980-AS NEMZETKÖZI GRAVITÁCIÓS FORMULA

A Föld gravitációjának gyorsulása (a g) az adott helytől függően változó, ezért az a g értékét a vonatkozó földrajzi szélesség alapján, a (7-166) egyenlettel kell kiszámítani:



ag = 9,7803267715 [1 + 5,2790414 × 10– 3 sin2 θ + 2,32718 × 10– 5 sin4 θ + 1,262 × 10– 7 sin6 θ+ 7 × 10– 10 sin8 θ]

(7-166)

Ahol:

θ

=

északi vagy déli szélességi fok




5. függelék

A részecskeszám kiszámítása

1.    A részecskeszámok meghatározása

1.1.   Szinkronizálás

A részáramú hígítórendszerek esetében a részecskeszám-mintavételezési és -mérési rendszerben való tartózkodási időt úgy kell figyelembe venni, hogy a részecskeszám-jelet a VI. melléklet 8.2.1.2. pontjában meghatározott eljárás szerint szinkronizálni kell a vizsgálati ciklussal és a kipufogógáz tömegáramával. A részecskeszám-mintavételezési és -mérési rendszerre vonatkozó átalakítási időt a VI. melléklet 1. függelékének 2.1.3.7. pontja szerint kell meghatározni.

1.2.   A tranziens (NRTC és LSI-NRTC) vizsgálati ciklusokra és az RMC-re vonatkozó részecskeszám meghatározása részáramú hígítórendszerrel

Amennyiben a részecskeszámot részáramú hígítórendszerrel mintavételezik a VI. melléklet 9.2.3. pontjában foglalt előírásoknak megfelelően, a vizsgálati ciklus során kibocsátott részecskék számát a (7-167) egyenlettel kell kiszámítani:



image

(7-167)

Ahol:

N

a vizsgálati ciklus során kibocsátott részecskék száma [#/vizsgálat],

medf

az ekvivalens hígított kipufogógáznak a (7-45) egyenlettel (2.3.1.1.2. pont) meghatározott tömege a ciklusban [kg/vizsgálat],

k

kalibrációs tényező a részecskeszámláló-méréseknek a referenciaeszköz szintjére történő kiigazításához, amennyiben a tényezőt nem alkalmazták eleve a részecskeszámlálóban. Amennyiben a kalibrációs tényezőt eleve alkalmazzák a részecskeszámlálóban, akkor a (7-167) egyenletben a k értéke 1,

image

a hígított kipufogógáz átlagos részecskekoncentrációja standard körülményekre korrigálva (273,2 K és 101,33 kPa), négyzetcentiméterenkénti részecskeszám,

image

az illékonyrészecske-eltávolító közepes részecskekoncentráció-csökkentési tényezője, amely a méréshez használt hígítási beállításokra jellemző

ahol:



image

(7-168)

Ahol:

cs,I

a részecskeszámlálóból származó hígított kipufogógáz részecskekoncentrációjának diszkrét mérése, a koincidenciára és a standard körülményekre (273,2 K és 101,33 kPa) korrigálva, négyzetcentiméterenkénti részecskeszám,

n

a vizsgálat időtartama alatt végrehajtott részecskekoncentrációs mérések száma.

1.3.   A tranziens (NRTC és LSI-NRTC) vizsgálati ciklusokra és az RMC-re vonatkozó részecskeszám meghatározása teljes áramú hígítórendszerrel

Amennyiben a részecskeszámot teljes áramú hígítórendszerrel mintavételezik a VI. melléklet 9.2.2. pontjában foglalt előírásoknak megfelelően, a vizsgálati ciklus során kibocsátott részecskék számát a (7-169) egyenlettel kell kiszámítani:



image

(7-169)

Ahol:

N

a vizsgálati ciklus során kibocsátott részecskék száma [#/vizsgálat],

med

a ciklus alatti teljes hígított kipufogógáz-áram, amelyet a VII. melléklet 2.2.4.1–2.2.4.3. pontjában ismertetett módszerek valamelyike szerint határoztak meg (kg/vizsgálat),

k

kalibrációs tényező a részecskeszámláló-méréseknek a referenciaeszköz szintjére történő kiigazításához, amennyiben a tényezőt nem alkalmazták eleve a részecskeszámlálóban. Amennyiben a kalibrációs tényezőt eleve alkalmazzák a részecskeszámlálóban, akkor a (7-169) egyenletben a k értéke 1,

image

a hígított kipufogógáz átlagos korrigált részecskekoncentrációja standard körülményekre korrigálva (273,2 K és 101,33 kPa), négyzetcentiméterenkénti részecskeszám,

image

az illékonyrészecske-eltávolító közepes részecskekoncentráció-csökkentési tényezője, amely a méréshez használt hígítási beállításokra jellemző.

ahol:



image

(7-170)

Ahol:

cs,I

a részecskeszámlálóból származó hígított kipufogógáz részecskekoncentrációjának diszkrét mérése, a koincidenciára és a standard körülményekre (273,2 K és 101,33 kPa) korrigálva, négyzetcentiméterenkénti részecskeszám,

n

a vizsgálat időtartama alatt végrehajtott részecskekoncentrációs mérések száma

1.4.   A különálló NRSC-kre vonatkozó részecskeszám meghatározása részáramú hígítórendszerrel

Amennyiben a részecskeszámot részáramú hígítórendszerrel mintavételezik a VI. melléklet 9.2.3. pontjában foglalt előírásoknak megfelelően, az egyes különálló üzemmódokban kibocsátott részecskék sebességét a (7-171) egyenlettel, az adott üzemmódra vonatkozó átlagértékek felhasználásával kell kiszámítani:



image

(7-171)

Ahol:

a részecskekibocsátás sebessége az egyes különálló üzemmódokban, [#/h],

qmedf

az ekvivalens hígított kipufogógáznak a 2.3.2.1. pontban foglalt (7-51) egyenlet szerint meghatározott nedves alapú tömegárama az egyes különálló üzemmódokban [kg/s],

k

kalibrációs tényező a részecskeszámláló-méréseknek a referenciaeszköz szintjére történő kiigazításához, amennyiben a tényezőt nem alkalmazták eleve a részecskeszámlálóban. Amennyiben a kalibrációs tényezőt eleve alkalmazzák a részecskeszámlálóban, akkor a (1-171) egyenletben a k értéke 1,

image

a hígított kipufogógáz átlagos részecskekoncentrációja standard körülményekre korrigálva (273,2 K és 101,33 kPa), az egyes különálló üzemmódokban, négyzetcentiméterenkénti részecskeszám,

image

az illékonyrészecske-eltávolító közepes részecskekoncentráció csökkentési tényezője, amely a méréshez használt hígítási beállításokra jellemző.

ahol:



image

(7-172)

Ahol:

cs,I

a részecskeszámlálóból származó hígított kipufogógáz részecskekoncentrációjának diszkrét mérése, a koincidenciára és a standard körülményekre (273,2 K és 101,33 kPa) korrigálva, négyzetcentiméterenkénti részecskeszám,

n

az egyes különálló üzemmódokban végzett mintavétel során végrehajtott részecskekoncentrációs mérések száma.

1.5.   A különálló ciklusokra vonatkozó részecskeszám meghatározása teljes áramú hígítórendszerrel

Amennyiben a részecskeszámot teljes áramú hígítórendszerrel mintavételezik a VI. melléklet 9.2.2. pontjában foglalt előírásoknak megfelelően, az egyes különálló üzemmódokban kibocsátott részecskék sebességét a (7-173) egyenlettel, az adott üzemmódra vonatkozó átlagértékek felhasználásával kell kiszámítani:



image

(7-173)

Ahol:

a részecskekibocsátás sebessége az egyes különálló üzemmódokban, [#/h],

qmdew

a hígított kipufogógáz nedves alapú teljes tömegárama az egyes különálló üzemmódokban [kg/s],

k

kalibrációs tényező a részecskeszámláló-méréseknek a referenciaeszköz szintjére történő kiigazításához, amennyiben a tényezőt nem alkalmazták eleve a részecskeszámlálóban. Amennyiben a kalibrációs tényezőt eleve alkalmazzák a részecskeszámlálóban, akkor a (7-173) egyenletben a k értéke 1,

image

a hígított kipufogógáz átlagos részecskekoncentrációja standard körülményekre korrigálva (273,2 K és 101,33 kPa), az egyes különálló üzemmódokban, négyzetcentiméterenkénti részecskeszám,

image

az illékonyrészecske-eltávolító közepes részecskekoncentráció csökkentési tényezője, amely a méréshez használt hígítási beállításokra jellemző

ahol:



image

(7-174)

Ahol:

cs,I

a részecskeszámlálóból származó hígított kipufogógáz részecskekoncentrációjának diszkrét mérése, a koincidenciára és a standard körülményekre (273,2 K és 101,33 kPa) korrigálva, négyzetcentiméterenkénti részecskeszám,

n

az egyes különálló üzemmódokban végzett mintavétel során végrehajtott részecskekoncentrációs mérések száma.

2.    Vizsgálati eredmény

2.1.   A tranziens (NRTC és LSI-NRTC) vizsgálati ciklusokra és RMC-re vonatkozó fajlagos kibocsátások kiszámítása

Minden egyes vonatkozó, RMC, melegindításos NRTC és hidegindításos NRTC esetében a részecskeszám/kWh-ban megadott fajlagos kibocsátásokat a (7-175) egyenlettel kell kiszámítani:



image

(7-175)

Ahol:

N

a vonatkozó RMC, melegindításos NRTC vizsgálati menet vagy hidegindításos NRTC során kibocsátott összes részecske száma,

Wact

a tényleges ciklusmunka a VI. melléklet 7.8.3.4. pontja szerint [kWh].

RMC-nél időszakos (nem gyakori) regenerálású kipufogógáz-utókezelő rendszerrel (lásd a VI. melléklet 6.6.2. pontját) felszerelt motorok esetében a fajlagos kibocsátást a vonatkozó multiplikatív korrekciós tényezővel vagy a vonatkozó additív korrekciós tényezővel kell kiigazítani. Amennyiben a vizsgálat ideje alatt nem történt időszakos regenerálás, akkor a felfelé módosító tényezőt kell alkalmazni (k ru,m vagy k ru,a). Ha a vizsgálat ideje alatt történt időszakos regenerálás, akkor a lefelé módosító tényezőt kell alkalmazni (k rd,m vagy k rd,a).

Átmeneteket magában foglaló ciklusnál a végeredményt is ki kell igazítani a III. melléklet követelményei szerint meghatározott, vonatkozó multiplikatív vagy additív romlási tényezővel.

2.1.1.   Az NRTC súlyozott átlagos mérési eredménye

Az NRTC esetében a mérés végeredményét súlyozottan átlagolni kell a hidegindításos és a melegindításos (adott esetben időszakos regenerálást magában foglaló) vizsgálati menet adataiból a (7-176) vagy a (7-177) egyenlettel:

a) A multiplikatív regenerációs kiigazítás, vagy időszakos regenerálású kipufogógáz-utókezelő rendszer nélküli motorok esetében:



image

(7-176)

Additív regenerációs kiigazítás esetében:



image

(7-177)

Ahol:

Ncold

a hidegindításos NRTC vizsgálati menet során kibocsátott összes részecske száma,

Nhot

a melegindításos NRTC vizsgálati menet során kibocsátott összes részecske száma,

Wact,cold

a hidegindításos NRTC során végzett tényleges ciklusmunka a VI. melléklet 7.8.3.4. pontja szerint [kWh],

Wact, hot

a melegindításos NRTC során végzett tényleges ciklusmunka a VI. melléklet 7.8.3.4. pontja szerint [kWh],

kr

a VI. melléklet 6.6.2. pontja szerinti, illetve a kr = 1 időszakos regenerálású kipufogógáz-utókezelő rendszer nélküli motorok esetében számított regenerációs kiigazítás

Amennyiben a vizsgálat ideje alatt nem történt időszakos regenerálás, akkor a felfelé módosító tényezőt kell alkalmazni (k ru,m vagy k ru,a). Ha a vizsgálat ideje alatt történt időszakos regenerálás, akkor a lefelé módosító tényezőt kell alkalmazni (k rd,m vagy k rd,a).

Az adott esetben az időszakos regenerálási korrekciós tényezőt is magában foglaló eredményt is ki kell igazítani a III. melléklet követelményei szerint meghatározott, vonatkozó multiplikatív vagy additív romlási tényezővel.

2.2.   A különálló NRSC-vizsgálatokra vonatkozó fajlagos kibocsátás kiszámítása

Az e [#/kWh] fajlagos kibocsátást a (7-178) egyenlettel kell kiszámítani:



image

(7-178)

Ahol:

▼M2

Pi

motorteljesítmény az i üzemmódban [kW], amelyet úgy kell kiszámítani, hogy a Pmeas mért teljesítményhez [kW] hozzáadjuk a segédberendezések hajtásához szükséges PAUX teljesítményt [kW], amelyet a VI. melléklet (6-8) egyenlete szerint kell meghatározni (Pi = Pmeas  + PAUX )

▼B

WFi

az i üzemmód súlyozó tényezője [-]

i

a kibocsátás átfolyási sebességének átlaga i üzemmódban [#/h], a hígítási módszertől függően a (7-171) vagy a (7-173) egyenlet alapján

Időszakos (nem gyakori) regenerálású kipufogógáz-utókezelő rendszerrel (lásd a VI. melléklet 6.6.2. pontját) felszerelt motorok esetében a fajlagos kibocsátást a vonatkozó multiplikatív korrekciós tényezővel vagy a vonatkozó additív korrekciós tényezővel kell kiigazítani. Amennyiben a vizsgálat ideje alatt nem történt időszakos regenerálás, akkor a felfelé módosító tényezőt kell alkalmazni (k ru,m vagy k ru,a). Ha a vizsgálat ideje alatt történt időszakos regenerálás, akkor a lefelé módosító tényezőt kell alkalmazni (k rd,m vagy k rd,a). Ha a korrekciós tényezőket már mindegyik üzemmódhoz meghatározták, akkor a súlyozott kibocsátás eredményének (7-178) egyenlettel történő kiszámításához mindegyik üzemmódra alkalmazni kell őket.

Az adott esetben az időszakos regenerálási korrekciós tényezőt is magában foglaló eredményt is ki kell igazítani a III. melléklet követelményei szerint meghatározott, vonatkozó multiplikatív vagy additív romlási tényezővel.

2.3.   A végeredmények kerekítése

►M2  Az NRSC-mérési végeredményeket és a súlyozott átlagként számított NRTC-mérési eredményeket – az ASTM E 29–06B szabványnak megfelelően – egy lépésben három szignifikáns számjegyre kell kerekíteni. ◄ A fékmunkára vonatkoztatott fajlagos kibocsátások végeredményeinek kiszámításához használt közbenső értékek kerekítése tilos.

2.4.   A részecskeszám háttér-koncentrációjának meghatározása

2.4.1.

A motor gyártójának kérésére a hígítóalagút részecskeszámának háttér-koncentrációiból – a mérést megelőzően vagy azt követően, a részecskeszámmérő rendszer részecske- és szénhidrogén-szűrői után – mintát lehet vételezni az alagútban lévő részecskék háttér-koncentrációjának meghatározásához.

2.4.2.

Az alagút részecskeszáma háttér-koncentrációinak kivonása típusjóváhagyás esetén nem engedélyezett, de a gyártó kérésére – a jóváhagyó hatóság előzetes jóváhagyásával – alkalmazható a gyártás megfelelőségének vizsgálatára, amennyiben bizonyítható, hogy az alagút háttér-koncentrációja jelentős, amely ezután kivonható a hígított kipufogógázban mért értékekből.




6. függelék

Az ammóniakibocsátás kiszámítása

1.    A tranziens (NRTC és LSI-NRTC) vizsgálati ciklusokra és RMC-re vonatkozó átlagos koncentráció kiszámítása

A cNH3 vizsgálati ciklus során a kipufogógázban mért átlagos NH3-koncentrációt [ppm] a ciklus pillanatnyi értékeinek integrálásával kell meghatározni. A (7-179) egyenletet kell alkalmazni:



image

(7-179)

Ahol:

cNH3,i

pillanatnyi NH3-koncentráció a kipufogógázban [ppm]

n

a mérések száma

Az NRTC esetében a mérés végeredményét a (7-180) egyenlettel kell kiszámítani:

▼M2



cNH3 = (0,1 × cNH3,cold) + (0,9 × cNH3,hot)

(7-180)

▼B

Ahol:

cNH3,cold

a hidegindításos NRTC átlagos NH3-koncentrációja [ppm]

cNH3,hot

a melegindításos NRTC átlagos NH3-koncentrációja [ppm]

2.    A különálló NRSC-vizsgálatokra vonatkozó átlagkoncentráció kiszámítása

A cNH3 vizsgálati ciklus során a kipufogógázban mért átlagos NH3-koncentrációt [ppm] az egyes üzemmódokra vonatkozó átlagkoncentráció mérésével és az eredményeknek az adott vizsgálati ciklusra vonatkozó súlyozó tényezőkkel való súlyozásával kell meghatározni. A (7-181) egyenletet kell alkalmazni:



image

(7-181)

Ahol:

image

átlagos NH3-koncentráció a kipufogógázban i mód esetén [ppm]

Nmode

a vizsgálati ciklus során használt üzemmódok száma

WFi

az i üzemmód súlyozó tényezője [-]




VIII. MELLÉKLET

Vegyes üzemű motorokra vonatkozó teljesítménykövetelmények és vizsgálati eljárások

1.    Alkalmazási kör

E melléklet az (EU) 2016/1628 rendelet 3. cikkének (18) bekezdésében meghatározott vegyes üzemű motorokra vonatkozik, azok folyékony és gáz-halmazállapotú tüzelőanyaggal egyidejűleg történő működtetése (vegyes üzemmód) esetén.

Az e mellékletben foglalt rendelkezések nem alkalmazandók a motorok, köztük a vegyes üzemű motorok vizsgálata során, amennyiben azok kizárólag folyékony vagy kizárólag gáz-halmazállapotú tüzelőanyaggal működnek (vagyis a gáz energiahányados [GER] értéke a tüzelőanyag-fajtától függően 1 vagy 0). Ebben az esetben az egyféle tüzelőanyaggal működő motorokra vonatkozó követelményeket kell alkalmazni.

Az egyidejűleg többféle folyékony tüzelőanyag és egy gáz-halmazállapotú tüzelőanyag vagy egy folyékony tüzelőanyag és többféle gáz-halmazállapotú tüzelőanyag kombinációjával működő motorok típusjóváhagyását az (EU) 2016/1628 rendelet 33. cikkében az új technológiákra vagy az új koncepciókra vonatkozóan meghatározott eljárás szerint kell elvégezni.

2.    Fogalommeghatározások és rövidítések

E melléklet alkalmazásában:

2.1.

„GER (gáz energiahányados, Gas Energy Ratio)” : jelentése megegyezik az (EU) 2016/1628 rendelet 3. cikkének (20) bekezdésében meghatározottakkal az alsó fűtőérték alapján;

2.2.

„GERcycle” : a GER átlagértéke a motor vonatkozó vizsgálati ciklusban történő működtetése során;

2.3.

„1A. típusú vegyes üzemű motor” :

lehet egyrészt:

a) legalább 19, de legfeljebb 560 kW teljesítményű, NRE alkategóriájú, vegyes üzemű motor, amely a melegindításos NRTC vizsgálati ciklusban legalább 90 %-os átlagos gáz energiahányadossal (GERNRTC, hot ≥ 0,9) működik, alapjáraton nem kizárólag folyékony tüzelőanyagot használ, és nem rendelkezik folyékony üzemmóddal, másrészt:

b) legalább 19, de legfeljebb 560 kW teljesítményű, az NRE-től eltérő (al)kategóriájú, vegyes üzemű motor, amely az NRSC során legalább 90 %-os átlagos gáz energiahányadossal (GERNRSC ≥ 0,9) működik, alapjáraton nem kizárólag folyékony tüzelőanyagot használ, és nem rendelkezik folyékony üzemmóddal;

2.4.

„1B. típusú vegyes üzemű motor” :

lehet egyrészt:

a) legalább 19, de legfeljebb 560 kW teljesítményű, NRE alkategóriájú, vegyes üzemű motor, amely a melegindításos NRTC vizsgálati ciklusban legalább 90 %-os átlagos gáz energiahányadossal (GERNRTC, hot ≥ 0,9) működik, vegyes üzemmódban alapjáraton nem kizárólag folyékony tüzelőanyagot használ, és rendelkezik folyékony üzemmóddal, másrészt:

b) legalább 19, de legfeljebb 560 kW teljesítményű, az NRE-től eltérő (al)kategóriájú, vegyes üzemű motor, amely az NRSC során legalább 90 %-os átlagos gáz energiahányadossal (GERNRSC ≥ 0,9) működik, vegyes üzemmódban alapjáraton nem kizárólag folyékony tüzelőanyagot használ, és rendelkezik folyékony üzemmóddal;

2.5.

„2A. típusú vegyes üzemű motor” :

lehet egyrészt:

a) legalább 19, de legfeljebb 560 kW teljesítményű, NRE alkategóriájú, vegyes üzemű motor, amely a melegindításos NRTC vizsgálati ciklusban 10–90 %-os átlagos gáz energiahányadossal (0,1 < GERNRTC, hot < 0,9) működik, és nem rendelkezik folyékony üzemmóddal, vagy a melegindításos NRTC vizsgálati ciklusban legalább 90 %-os átlagos gáz energiahányadossal (GERNRTC, hot ≥ 0,9) üzemel, de alapjáraton kizárólag folyékony tüzelőanyagot használ, és nem rendelkezik folyékony üzemmóddal, másrészt:

b) legalább 19, de legfeljebb 560 kW teljesítményű, az NRE-től eltérő (al)kategóriájú, vegyes üzemű motor, amely az NRSC során 10–90 %-os átlagos gáz energiahányadossal (0,1 < GERNRSC, hot < 0,9) működik, és nem rendelkezik folyékony üzemmóddal, vagy az NRSC során legalább 90 %-os átlagos gáz energiahányadossal (GERNRSC ≥ 0,9) üzemel, de alapjáraton kizárólag folyékony tüzelőanyagot használ, és nem rendelkezik folyékony üzemmóddal;

2.6.

„2B. típusú vegyes üzemű motor” :

lehet egyrészt:

a) legalább 19, de legfeljebb 560 kW teljesítményű, NRE alkategóriájú, vegyes üzemű motor, amely a melegindításos NRTC vizsgálati ciklusban 10–90 %-os átlagos gáz energiahányadossal (0,1 < GERNRTC, hot < 0,9) működik, és rendelkezik folyékony üzemmóddal, vagy a melegindításos NRTC vizsgálati ciklusban legalább 90 %-os átlagos gáz energiahányadossal (GERNRTC, hot ≥ 0,9) üzemel, és rendelkezik folyékony üzemmóddal, de vegyes üzemmódban alapjáraton használhat kizárólag folyékony tüzelőanyagot, másrészt:

b) legalább 19, de legfeljebb 560 kW teljesítményű, az NRE-től eltérő (al)kategóriájú, vegyes üzemű motor, amely az NRSC során 10–90 %-os átlagos gáz energiahányadossal (0,1 < GERNRSC, hot < 0,9) működik, és nem rendelkezik folyékony üzemmóddal, vagy az NRSC során legalább 90 %-os átlagos gáz energiahányadossal (GERNRSC ≥ 0,9) üzemel, és rendelkezik folyékony üzemmóddal, de vegyes üzemmódban alapjáraton használhat kizárólag folyékony tüzelőanyagot;

2.7.

„3B. típusú vegyes üzemű motor” :

lehet egyrészt:

a) legalább 19, de legfeljebb 560 kW teljesítményű, NRE alkategóriájú, vegyes üzemű motor, amely a melegindításos NRTC vizsgálati ciklusban legfeljebb 10 %-os átlagos gáz energiahányadossal (GERNRTC, hot ≤ 0,1) működik, és rendelkezik folyékony üzemmóddal, másrészt:

b) legalább 19, de legfeljebb 560 kW teljesítményű, az NRE-től eltérő (al)kategóriájú, vegyes üzemű motor, amely az NRSC során legfeljebb 10 %-os átlagos gáz energiahányadossal (GERNRSC ≤ 0,1) működik, és rendelkezik folyékony üzemmóddal.

3.    A vegyes üzemmódra vonatkozó kiegészítő jóváhagyási követelmények

3.1.   Motorok a GERcycle érték üzemeltető által állítható szabályozásával

Amennyiben adott motortípus esetében a GERcycle értéke üzemeltető által állítható szabályozás használatával a maximumhoz képest csökkenthető, akkor a GERcycle minimális értéke nem korlátozható, de a motornak a gyártó által megengedett bármely GERcycle-érték mellett meg kell felelnie a kibocsátási határértékeknek.

4.    Általános követelmények

4.1.   A vegyes üzemű motorok üzemmódjai

4.1.1.   A vegyes üzemű motor folyékony üzemmódban való működésének feltételei

A vegyes üzemű motorok csak akkor működhetnek folyékony üzemmódban, ha a folyékony üzemmódban működő motor az e rendeletben foglalt valamennyi követelmény szerint tanúsítást szerzett a kizárólag a megadott folyékony tüzelőanyaggal való működésre vonatkozóan.

Ha egy már tanúsított folyékony üzemű motorból fejlesztenek ki tanúsított vegyes üzemű motort, akkor a folyékony üzemmódra vonatkozóan új EU-típusjóváhagyásra van szükség.

4.1.2.   A vegyes üzemű motor alapjáraton kizárólag folyékony tüzelőanyaggal való működésének feltételei

4.1.2.1.

Az 1A. típusú vegyes üzemű motorok alapjáraton nem használhatnak kizárólag folyékony tüzelőanyagot, kivéve a 4.1.3. pontban meghatározott, a bemelegítésre és indításra vonatkozó feltételek teljesülése esetén.

4.1.2.2.

Az 1B. típusú vegyes üzemű motorok alapjáraton nem használhatnak kizárólag folyékony tüzelőanyagot vegyes üzemmódban.

4.1.2.3.

A 2A., 2B. és 3B. típusú vegyes üzemű motorok alapjáraton használhatnak kizárólag folyékony tüzelőanyagot.

4.1.3.   A vegyes üzemű motor kizárólag folyékony tüzelőanyag használatával történő felmelegítésének és indításának feltételei

4.1.3.1.

Az 1B., 2B. vagy 3B. típusú vegyes üzemű motorok bemelegítése vagy indítása történhet úgy, hogy a motor kizárólag folyékony tüzelőanyagot használ. Amennyiben a vegyes üzemmódban felmelegedés vagy indítás során alkalmazott kibocsátásszabályozási stratégia megegyezik a folyékony üzemmódban alkalmazott, megfelelő kibocsátásszabályozási stratégiával, akkor a motor a bemelegítés vagy az indítás során működhet vegyes üzemmódban. Ha ez a feltétel nem teljesül, akkor a motor csak folyékony üzemmódban melegíthető be vagy indítható el folyékony tüzelőanyaggal.

4.1.3.2.

Az 1A. vagy 2A. típusú vegyes üzemű motorok bemelegítése vagy indítása történhet úgy, hogy a motor kizárólag folyékony tüzelőanyagot használ. Ebben az esetben azonban a stratégiát kibocsátáscsökkentési segédstratégiaként kell bejelenteni, és a következő kiegészítő követelményeknek is eleget kell tenni:

4.1.3.2.1.

a stratégia működésének le kell állnia, amint a hűtőközeg hőmérséklete elérte a 343 K-t (70 °C), illetve eltelt 15 perc a stratégia működésbe lépését követően, attól függően, hogy a kettő közül melyik következik be hamarabb; és

4.1.3.2.2.

a karbantartási üzemmódnak működésbe kell lépnie, ha a stratégia is működésbe lépett.

4.2.   Karbantartási üzemmód

4.2.1.   A vegyes üzemű motorok karbantartási üzemmódban való működésének feltételei

Ha a motor karbantartási üzemmódban van, a működése korlátozódik, és átmenetileg mentesül az e rendeletben meghatározott, a kipufogógáz-kibocsátással és az NOx-szabályozással kapcsolatos követelmények alól.

4.2.2.   Működési korlátozás karbantartási üzemmódban

4.2.2.1.   Az IWP-től, IWA-tól, RLL-től és RLR-től eltérő kategóriájú motorokra vonatkozó követelmények

A karbantartási üzemmódban működtetett, az IWP-től, IWA-tól, RLL-től és RLR-től eltérő kategóriájú, vegyes üzemű motorral felszerelt, nem közúti mozgó gépekre vonatkozó működési korlátozás megegyezik a IV. melléklet 1. függelékének 5.4. pontjában leírt „erős használatkorlátozó rendszer” által okozott korlátozással.

A biztonsági szempontok figyelembevétele és az öngyógyító diagnosztika lehetővé tétele érdekében a IV. melléklet 1. függelékének 5.5. pontja megengedi a használatkorlátozást hatástalanító funkció alkalmazását a teljes motorteljesítmény felszabadításához.

Egyéb esetben a működési korlátozás nem szüntethető meg az IV. mellékletben meghatározott figyelmeztető és használatkorlátozó rendszerek be- vagy kikapcsolásával.

A karbantartási üzemmód be- és kikapcsolása nem járhat az IV. mellékletben meghatározott figyelmeztető és használatkorlátozó rendszerek be- vagy kikapcsolásával.

4.2.2.2.   Az IWP, IWA, RLL és RLR kategóriájú motorokra vonatkozó követelmények

Az IWP, IWA, RLL és RLR kategóriájú motorok biztonsági megfontolásokból működhetnek karbantartási üzemmódban a nyomaték vagy a fordulatszám korlátozása nélkül. Amennyiben a 4.2.2.3. pont értelmében működési korlátozásnak kellett volna életbe lépnie, a fedélzeti számítógép naplójának nem felejtő számítógépes memóriában rögzítenie kell a karbantartási üzemmód motorműködés közbeni bekapcsolásával járó váratlan eseményeket oly módon, hogy az információk szándékosan ne legyenek törölhetők.

A nemzeti ellenőrző hatóságok számára lehetővé kell tenni, e nyilvántartásokba kiolvasó használatával betekintsenek. ►M2  Az e nyilvántartásokhoz való kapcsolódás és azok kiolvasási módjának leírását fel kell tüntetni az (EU) 2017/656 végrehajtási rendelet I. mellékletének A. részében meghatározott adatközlő mappában. ◄

4.2.2.3.   A működési korlátozás bekapcsolása

A működési korlátozásnak automatikusan be kell kapcsolódnia karbantartási üzemmódban.

Abban az esetben, ha a karbantartási üzemmód a 4.2.3. pont szerint a gázellátás működési hibája miatt kapcsolódik be, a működési korlátozásnak a karbantartási üzemmód bekapcsolódása után eltelt 30 percen belül működésbe kell lépnie.

Ha a karbantartási üzemmód azért kapcsolódik be, mert üres a gáz-halmazállapotú tüzelőanyag tartálya, akkor a működési korlátozásnak rögtön életbe kell lépnie, amint a jármű karbantartási üzemmódba vált.

4.2.2.4.   A működési korlátozás kikapcsolása

A működési korlátozásnak ki kell kapcsolódnia, amint a motor már nem karbantartási üzemmódban működik.

4.2.3.   A gáz-halmazállapotú tüzelőanyag hiánya vegyes üzemű működés esetén

Annak érdekében, hogy a nem közúti mozgó gép biztonságos helyre érjen, amint a rendszer a gáz-halmazállapotú tüzelőanyag tartályának kiürülését vagy a gázellátás meghibásodását észleli:

a) az 1A. és 2A. típusú vegyes üzemű motoroknak karbantartási üzemmódra kell váltaniuk;

b) az 1B., 2B. és 3B. típusú vegyes üzemű motoroknak folyékony üzemmódra kell váltaniuk.

4.2.3.1.   Nem áll rendelkezésre gáz-halmazállapotú tüzelőanyag – kiürült a gáz-halmazállapotú tüzelőanyag tartálya

A gáz-halmazállapotú tüzelőanyag tartályának kiürülése esetén a karbantartási üzemmódnak, illetve adott esetben a 4.2.3. pont szerint a folyékony üzemmódnak kell bekapcsolódnia, amint a motorrendszer a tartály kiürülését észleli.

Amint a gáz-halmazállapotú tüzelőanyag szintje ismét eléri azt a szintet, amely az üres tartályra figyelmeztető rendszer 4.3.2. pont szerinti bekapcsolódását okozta, a karbantartási üzemmód kikapcsolódhat, illetve adott esetben a jármű vegyes üzemű működésre válthat át.

4.2.3.2.   Nem áll rendelkezésre gáz-halmazállapotú tüzelőanyag – meghibásodott a gázellátás

A gázellátás gáz-halmazállapotú tüzelőanyag elérhetetlenné válásával járó meghibásodása esetén a karbantartási üzemmódnak vagy adott esetben a 4.2.3. pont szerint a folyékony üzemmódnak be kell kapcsolódnia, ha a motor gáz-halmazállapotú tüzelőanyaggal való ellátása nem elérhető.

Amint a motor gáz-halmazállapotú tüzelőanyaggal való ellátása újra elérhetővé válik, a karbantartási üzemmód kikapcsolódhat, vagy adott esetben a motor visszaállhat a vegyes üzemű működésre.

4.3.   A vegyes üzemmód kijelzői

4.3.1.   A vegyes üzemű működés kijelzője

A nem közúti mozgó gépeknek vizuálisan ki kell jelezniük az üzemeltető számára azt az üzemmódot, amelyben a motor éppen működik (vegyes, folyékony vagy karbantartási üzemmód).

E kijelző tulajdonságairól és elhelyezéséről az eredetiberendezés-gyártó saját mérlegelési jogkörében dönt – a kijelző alkothatja egy már meglévő vizuális jelzőrendszer részét is.

A kijelzőt üzenetmegjelenítő is kiegészítheti. Az e szakaszban említett üzenetek megjelenítésére használt rendszer lehet az NOx-szabályozás-diagnosztikához vagy egyéb karbantartási célokra használt rendszer.

A vegyes üzemű működés kijelzőjének vizuális eleme nem egyezhet meg az NOx-szabályozás-diagnosztika céljára vagy egyéb karbantartási célokra használt vizuális elemmel.

A biztonsági figyelmeztetések mindenkor elsőbbséget élveznek a kijelzőben az üzemmód kijelzésével szemben.

4.3.1.1.

A vegyes üzemű működés kijelzője karbantartási üzemmódot kell, hogy mutasson, amint a karbantartási üzemmód aktiválódik (azaz mielőtt ténylegesen működésbe lép), és az üzemmód kijelzése mindaddig aktív kell, hogy maradjon, amíg a jármű karbantartási üzemmódban működik.

4.3.1.2.

A vegyes üzemű működés kijelzőjének legalább egy percig vegyes üzemű működést vagy folyékony üzemmódot kell mutatnia, amint a motor üzemmódja folyékonyról vegyes üzemre vált, vagy fordítva. Ennek a kijelzésnek bekapcsolt gyújtás vagy a gyártó kérésére a motor megforgatása esetén is legalább egy percig láthatónak kell lennie. A kijelzésnek az üzemeltető kérésére is leolvashatónak kell lennie.

4.3.2.   A gáz-halmazállapotú tüzelőanyag tartályának kiürülésére figyelmeztető rendszer (vegyes üzemű figyelmeztető rendszer)

A vegyes üzemű motorral felszerelt, nem közúti mozgó gépet el kell látni egy olyan figyelmeztetőrendszerrel, amely jelzi az üzemeltetőnek, ha a gáz-halmazállapotú tüzelőanyag tartálya hamarosan ki fog ürülni.

A vegyes üzemű figyelmeztetőrendszer mindaddig aktív kell, hogy maradjon, amíg a tartályt fel nem töltik a felé a szint felé, amely a figyelmeztető rendszer működését kiváltotta.

Fontos biztonsági figyelmeztető jelzések ideiglenesen megszakíthatják a vegyes üzemű figyelmeztetőrendszer működését.

A vegyes üzemű figyelmeztető rendszer a kiolvasóval nem lehet kikapcsolható mindaddig, amíg a figyelmeztetést kiváltó okot nem orvosolták.

4.3.2.1.   A vegyes üzemű figyelmeztető rendszer tulajdonságai

A vegyes üzemű figyelmeztető rendszer a gyártó által meghatározott vizuális figyelmeztetőrendszerből áll (ikon, piktogram stb.).

A gyártó a figyelmeztető rendszert hangjelzés kibocsátására is alkalmassá teheti. Ebben az esetben az említett jelzés üzemeltető általi kikapcsolása megengedett.

A vegyes üzemű figyelmeztető rendszer vizuális eleme nem egyezhet meg a NOx-szabályozás-diagnosztika céljára vagy egyéb karbantartási célokra használt vizuális elemmel.

A vegyes üzemű figyelmeztetőrendszer emellett rövid üzeneteket is megjeleníthet, beleértve a működési korlátozás működésbe lépéséig megtehető távolság vagy hátralévő idő egyértelmű jelzését.

Az e pontban említett figyelmeztetések vagy üzenetek megjelenítésére használt rendszer lehet a NOx-szabályozás-diagnosztikával vagy egyéb karbantartási célokkal összefüggő figyelmeztetések vagy üzenetek megjelenítésére használt rendszer.

A mentőszolgálatok általi használatra szánt, illetve a hadsereg, a polgári védelem, a tűzoltóság vagy a közrend fenntartásáért felelős erők használatára tervezett és épített, nem közúti mozgó gépeket el lehet látni a figyelmeztető rendszer fényjelzéseinek tompítására szolgáló eszközzel.

4.4.   Bejelentett nyomaték

4.4.1.   Bejelentett nyomaték vegyes üzemű motor vegyes üzemmódban való működése esetén

Amikor a vegyes üzemű motor vegyes üzemmódban működik:

a) a leolvasott referencia-nyomatékgörbének a motorfékpadon vegyes üzemmódban vizsgált motor nyomatékgörbéjének kell lennie;

b) a feljegyzett tényleges nyomatékok a vegyes üzemmód eredményeivel kell, hogy megegyezzenek, és nem a csak folyékony üzemmódban való működtetés eredményeivel.

4.4.2.   Bejelentett nyomaték vegyes üzemű motor folyékony üzemmódban való működése esetén

Amikor a vegyes üzemű motor folyékony üzemmódban működik, a leolvasott referencia-nyomatékgörbének a motorfékpadon folyékony üzemmódban vizsgált motor nyomatékgörbéjének kell lennie.

4.5.   További követelmények

4.5.1.

Vegyes üzemű motorokra való alkalmazásuk esetén az alkalmazkodási stratégiáknak a IV. mellékletben foglalt követelményeken túlmenően az alábbi feltételeknek is meg kell felelniük:

a) a motornak végig ugyanabban a vegyes üzemű motortípusban (azaz 1A., 2B. stb. típusban) kell maradnia, mint amelyet az EU-típusjóváhagyás céljára bejelentettek; és

▼M2

b) 2. típusú motor esetében a motorcsaládon belül a legnagyobb és a legkisebb maximális GERcycle érték különbsége a 3.1. pontban megengedett kivételektől eltekintve sohasem haladhatja meg az (EU) 2017/656 végrehajtási rendelet IX. mellékletének 2.4.15. pontjában megadott tartományt.

▼B

4.6.

A típusjóváhagyást ahhoz a feltételhez kell kötni, hogy az eredetiberendezés-gyártót és a végfelhasználókat a XIV. és a XV. mellékletnek megfelelően a vegyes üzemű motor beépítésére és működtetésére vonatkozó utasításokkal kell ellátni, amelyek kiterjednek a 4.2. pont szerinti karbantartási üzemmódra és a vegyes üzemmód 4.3. pont szerinti kijelzőrendszerére is.

5.    Teljesítménykövetelmények

5.1.

A vegyes üzemű motorokra vonatkozó teljesítménykövetelmények, köztük a kibocsátási határértékek, valamint EU-típusjóváhagyási követelmények e melléklet eltérő rendelkezése hiányában megegyeznek az adott motorkategóriába tartozó motorra vonatkozóan e rendeletben vagy az (EU) 2016/1628 rendeletben előírt követelményekkel.

5.2.

A vegyes üzemmódban való működtetésre vonatkozó szénhidrogén-határértéket az (EU) 2016/1628 rendelet II. mellékletében meghatározott vizsgálati ciklusra vetített átlagos gáz energiahányados (GER) felhasználásával kell meghatározni.

5.3.

A kibocsátásszabályozási stratégiákhoz kapcsolódó műszaki követelmények, így az e stratégiák igazolásához szükséges dokumentáció, a manipulálással szembeni védelemre vonatkozó műszaki rendelkezések és a hatástalanító berendezések használatának tilalma megegyezik az adott motorkategóriába tartozó motorra vonatkozóan a IV. mellékletben előírt követelményekkel.

5.4.

Az adott motorkategóriába tartozó motorra vonatkozóan a IV. mellékletben előírtakkal azonos részletes műszaki követelmények vonatkoznak arra az adott NRSC-vel összefüggő tartományra, amelyen belül szabályozható, hogy a kibocsátások mennyivel léphetik túl az (EU) 2016/1628 rendelet II. mellékletében meghatározott határértékeket.

6.    Az igazolási eljárásokra vonatkozó követelmények

6.1.

A vegyes üzemű motorok igazolási eljárására vonatkozó követelmények a 6. szakasz eltérő rendelkezése hiányában megegyeznek az adott motorkategóriába tartozó motorra vonatkozóan e rendeletben vagy az (EU) 2016/1628 rendeletben előírt követelményekkel.

6.2.

A vonatkozó határértékeknek való megfelelést vegyes üzemmódban kell igazolni.

6.3.

Folyékony üzemmóddal rendelkező vegyes üzemű (vagyis 1B., 2B. vagy 3B. típusú) motorok esetében a vonatkozó határértékeknek való megfelelést folyékony üzemmódban is igazolni kell.

6.4.

Az igazolási eljárásokra vonatkozó kiegészítő követelmények 2. típusú motorok esetében

▼M2

6.4.1

A gyártó (például algoritmusok, funkcionális elemzések, számítások, szimulációk, korábbi vizsgálati eredmények felhasználásával) bizonyítja a jóváhagyó hatóság előtt, hogy a vegyes üzemű motorcsalád valamennyi tagjának GERcycle mérési tartománya az (EU) 2017/656 végrehajtási rendelet IX. mellékletének 2.4.15. pontjában megadott tartományon belül marad, vagy az üzemeltető által állítható GERcycle-értékkel rendelkező motorok esetében megfelel a 6.5. pontban megfogalmazott követelményeknek.

▼B

6.5.

Az igazolási eljárásokra vonatkozó kiegészítő követelmények üzemeltető által állítható GERcycle értékkel rendelkező motorok esetében

6.5.1.

A vonatkozó határértékeknek való megfelelést a GERcycle gyártó által megengedett minimális és maximális értékén kell igazolni.

6.6.

A vegyes üzemű motor tartósságának igazolására vonatkozó követelmények

6.6.1.

A III. melléklet rendelkezéseit kell alkalmazni.

6.7.

A vegyes üzemmód kijelzőinek, a figyelmeztetéseknek és a működési korlátozásnak az igazolási eljárása

6.7.1.

Az e rendelet szerinti EU-típusjóváhagyás iránti kérelem részeként a gyártónak a 1. függelékében meghatározottak szerint igazolnia kell a vegyes üzemmód kijelzőinek, a figyelmeztetéseknek és a működési korlátozásnak a működését.

▼M2

6.8.

Az igazolás dokumentációja

A 6.1–6.7.1. pont szerint végzett igazolást jelentésben kell dokumentálni. A jelentésnek:

a) ismertetnie kell az elvégzett igazoló vizsgálatot, beleértve az alkalmazandó vizsgálati ciklust is;

b) benne kell foglaltatnia az (EU) 2017/656 végrehajtási rendelet I. mellékletének A. részében meghatározott adatközlő mappában.

▼B

7.    Az NOx-szabályozásra szolgáló megoldások helyes működését biztosító követelmények

7.1.

Az (NOx-szabályozásra szolgáló megoldások helyes működéséről szóló) IV. melléklet rendelkezései alkalmazandók a vegyes üzemű motorokra, függetlenül attól, hogy vegyes vagy folyékony üzemmódban működnek.

7.2.

Kiegészítő NOx-szabályozási követelmények 1B., 2B. és 3B. típusú vegyes üzemű motorok esetében

7.2.1.

A IV. melléklet 1. függelékének 5.4. pontjában meghatározott erős használatkorlátozás életbe lépéséhez szükséges nyomatéknak a folyékony üzemmódban és a vegyes üzemmódban kapott legalacsonyabb nyomatéknak kell lennie.

7.2.2

Az üzemmódok által a hibák észlelésére gyakorolt esetleges hatást tilos a használatkorlátozás bekapcsolódásának elhalasztására használni.

7.2.3.

Olyan működési hibák esetében, amelyek észlelése nem függ a motor üzemmódjától, a IV. melléklet 1. függelékében leírt, a hibakód státuszához társított mechanizmusok sem függnek a motor működési módjától (például ha a hibakód elérte a „potenciális” státuszt vegyes üzemmódban, a hiba következő alkalommal történő kimutatásakor az „aktív és megerősített” státuszt veszi fel folyékony üzemmódban is).

7.2.4.

Olyan működési hibák esetében, amelyek észlelése függ a motor üzemmódjától, a hibakódok csak ugyanabban az üzemmódban vehetik fel a „korábban aktív” státuszt, amelyben az „aktív és megerősített” státuszt elérték.

7.2.5.

A működési módok közötti átváltás (a vegyes üzemmódból a folyékony üzemmódba vagy fordítva) nem állíthatja le vagy nullázhatja le a IV. melléklet rendelkezéseinek betartása érdekében futtatott mechanizmusokat (pl. számlálók). Ha azonban e mechanizmusok egyike (pl. a diagnosztikai rendszer) a motor pillanatnyi üzemmódjától függ, az ehhez a mechanizmushoz társított számláló a gyártó kérésére és a jóváhagyó hatóság beleegyezésével:

a) leállhat és az üzemmódváltáskor kijelzett értéket megtarthatja;

b) amikor a motor egyik üzemmódról visszavált a másik üzemmódra, újraindulhat, és adott esetben attól a ponttól folytathatja a számlálást, amelyen leállt.




1. függelék

A vegyes üzemmód kijelzője, figyelmeztető rendszer, működési korlátozás vegyes üzemű motorok esetében – Az igazolási eljárásokra vonatkozó követelmények

1.    A vegyes üzemmód kijelzői

1.1.   A vegyes üzemű működés kijelzője

EU-típusjóváhagyáskor igazolni kell, hogy a motor képes vezérelni a vegyes üzemű működés kijelzőjét, amikor vegyes üzemmódban működik.

1.2.   A folyékony üzemű működés kijelzője

Az 1B., 2B. és 3B. típusú vegyes üzemű motorok EU-típusjóváhagyásakor igazolni kell, hogy a motor képes vezérelni a folyékony üzemű működés kijelzőjét, amikor folyékony üzemmódban működik.

1.3.   A karbantartási üzemmód kijelzője

EU-típusjóváhagyáskor igazolni kell, hogy a motor képes vezérelni a karbantartási üzemmód kijelzőjét, amikor karbantartási üzemmódban működik.

1.3.1.

Az így felszerelt járművek esetében elegendő a karbantartási üzemmóddal kapcsolatos igazolási eljárások elvégzése, amely a karbantartási üzemmód bekapcsolásában áll, valamint bizonyítékot (például algoritmusok, szimulációk, saját vizsgálatok eredményei stb.) kell benyújtani a jóváhagyó hatóságnak arra vonatkozóan, hogy az üzemmód akkor is működésbe lép, ha maga a motorrendszer váltja ki a karbantartási üzemmódot.

2.    Figyelmeztetőrendszer

EU-típusjóváhagyáskor igazolni kell, hogy a motor képes vezérelni a figyelmeztetőrendszer működésbe lépését, amikor a tartályban lévő gáz-halmazállapotú tüzelőanyag mennyisége a figyelmeztetési szint alá csökken. Ebből a célból a gáz-halmazállapotú tüzelőanyag tényleges mennyisége szimulálható.

3.    Működési korlátozás

Az 1A. és 2A. típusú vegyes üzemű motorok EU-típusjóváhagyásakor igazolni kell, hogy a motor képes vezérelni a működési korlátozás életbe lépését, amikor észleli, hogy üres a folyékony tüzelőanyag tartálya, vagy meghibásodott a gázellátás. Ebből a célból a gáz-halmazállapotú tüzelőanyag tartályának kiürülése és a gázellátás meghibásodása szimulálható.

3.1.

Az igazolási eljárást elegendő egy tipikus, a jóváhagyó hatóság egyetértésével kiválasztott használati esetben elvégezni, és a hatóságnak bizonyítékot (például algoritmusok, szimulációk, saját vizsgálatok eredményei stb.) kell benyújtani arra vonatkozóan, hogy a működési korlátozás a többi lehetséges használati esetben is bekövetkezik.




2. függelék

A vegyes üzemű motorok kibocsátásának vizsgálati eljárásaira vonatkozó követelmények

1.    Általános rendelkezések

Ez a pont az e mellékletben foglaltakhoz képest kiegészítő követelményeket és kivételeket határoz meg a vegyes üzemű motorok kibocsátásvizsgálatának lehetővé tétele érdekében, függetlenül attól, hogy a kibocsátások pusztán kipufogógázból állnak, vagy a kipufogógázokhoz még a VI. melléklet 6.10. pontja szerinti, forgattyúházból származó kibocsátások is hozzáadódnak. Amennyiben nincsenek kiegészítő követelmények vagy kivételek, e rendelet követelményei ugyanúgy vonatkoznak a vegyes üzemű motorokra, mint az (EU) 2016/1628 rendelet alapján jóváhagyott többi motortípusra vagy motorcsaládra.

A vegyes üzemű motorok kibocsátásvizsgálatát megnehezíti, hogy a motor a gyújtáshoz különféle tüzelőanyagokat használhat, kezdve a tiszta folyékony tüzelőanyagtól egészen a nagyrészt gáz-halmazállapotú tüzelőanyagból és csak kisrészt folyékony tüzelőanyagból álló keverékig. A vegyes üzemű motor által használt tüzelőanyagok aránya dinamikusan változhat a motor üzemi feltételeinek függvényében is. Következésképpen különleges óvintézkedésekre és korlátozásokra van szükség e motorok kibocsátásvizsgálatának lehető tétele érdekében.

2.    Vizsgálati feltételek

A VI. melléklet 6. szakaszát kell alkalmazni.

3.    Vizsgálati eljárások

A VI. melléklet 7. szakaszát kell alkalmazni.

4.    Mérési eljárások

Az e függelékben meghatározott kivételektől eltekintve a VI. melléklet 8. szakaszát kell alkalmazni.

A vegyes üzemű motorok esetében a teljes áramú hígítórendszerrel végzett mérés menetét a VI. mellékletben található 6.6. ábra (állandó térfogatú mintát vevő rendszer) szemlélteti.

Ez a mérési eljárás biztosítja, hogy a tüzelőanyag-összetétel változása a vizsgálat alatt főként a szénhidrogénmérés eredményeit befolyásolja. ►M2  Ezt a 7. pontban leírt módszerek valamelyikével kell ellensúlyozni. ◄

A hígítatlan gáz-halmazállapotú anyagáram/részáram mérése elvégezhető a VI. mellékletben foglalt 6.7. ábrán szemléltetett módon, a kipufogógáz tömegáramának meghatározására és kiszámítására szolgáló módszerekkel kapcsolatos elővigyázatossági intézkedések megtételével.

5.    Mérőeszközök

A VI. melléklet 9. szakaszát kell alkalmazni.

6.    Részecskeszám-kibocsátások mérése

A VI. melléklet 1. függelékének rendelkezéseit kell alkalmazni.

7.    A kibocsátások kiszámítása

A kibocsátásokat az e szakaszban foglalt kivételektől eltekintve a VII. melléklet szerint kell kiszámítani. A 7.1. pontban meghatározott kiegészítő követelmények a tömegalapú számításokra, a 7.2. pontban foglalt kiegészítő követelmények pedig a moláris alapú számításokra vonatkoznak.

A kibocsátások kiszámításához ismerni kell a használt tüzelőanyagok összetételét. Amennyiben a gáz-halmazállapotú tüzelőanyagra a tüzelőanyag-jellemzőket igazoló tanúsítvány vonatkozik (például palackozott gáz esetében), akkor elfogadható a szállító által megadott összetétel használata. Ha az összetétel nem áll rendelkezésre (például vezetékes tüzelőanyag esetében), akkor a tüzelőanyag-összetételt legalább a motor kibocsátásvizsgálata előtt és után elemezni kell. Az elemzés gyakrabban is elvégezhető, az eredmények pedig felhasználhatók a számításhoz.

A gáz energiahányados használatának összhangban kell lennie az (EU) 2016/1628 rendelet 3. cikkének (2) bekezdésében foglalt meghatározással és az ugyanazon rendelet II. mellékletében az összes szénhidrogénre vonatkozóan a teljesen és a részben gázüzemű motorokra megállapított határértékekről szóló különös rendelkezésekkel. A gáz energiahányados teljes ciklusra vonatkozó átlagértékét valamely alábbi módszerrel kell kiszámítani:

a) melegindításos NRTC és az átmeneteket magában foglaló NRSC-ciklus esetében a gáz energiahányados egyes mérési pontokra vonatkozó összegének a mérési pontok számával való elosztásával;

b) különálló NRSC esetében a gáz energiahányados egyes vizsgálati üzemmódokra vonatkozó átlagértékének az adott üzemmódhoz tartozó súlyozó tényezővel való megszorzásával és az összes üzemmódra vonatkozó összeg kiszámításával. Az adott ciklushoz tartozó súlyozó tényezők a XVII. melléklet 1. függelékében találhatók.

7.1.   Tömegalapú kibocsátásszámítás

Az e szakaszban meghatározott kivételektől eltekintve a VII. melléklet 2. szakaszát kell alkalmazni.

7.1.1.   Száraz/nedves korrekció

7.1.1.1.   Hígítatlan kipufogógáz

A VII. mellékletben foglalt (7-3) és (7-4) egyenlettel kell kiszámítani a száraz-nedves korrekciót.

A tüzelőanyag-specifikus paramétereket a 7.1.5. pont szerint kell meghatározni.

7.1.1.2.   Hígított kipufogógáz

A (7-3) egyenletet a VII. melléklet szerinti (7-25) vagy (7-26) egyenlettel együtt használva kell kiszámítani a száraz-nedves korrekciót.

A száraz/nedves korrekcióhoz a két tüzelőanyag kombinációjának α hidrogén mólarányát kell használni. A hidrogén mólarányát mindkét tüzelőanyag fogyasztásának mért értékeiből kell kiszámítani a 7.1.5. pont szerint.

7.1.2.   Az NOx helyesbítése a páratartalomra

A kompressziós gyújtású motorokra vonatkozóan a VII. mellékletben foglalt (7-9) egyenlettel kiszámított NOx-nedvességkorrekciót kell használni.

7.1.3.   Részáramú hígítórendszer és a hígítatlan gáz mérése

7.1.3.1.   A kipufogógáz tömegáramának meghatározása

A kipufogógáz tömegáramát a VI. melléklet 9.4.5.3. pontjában leírtak szerint a hígítatlan kipufogógáz áramlásmérőjével kell meghatározni.

Ettől eltérve a VII. mellékletben foglalt (7-17)–(7-19) egyenlet alapján alkalmazható a levegőáramot és levegő-tüzelőanyag arányt használó mérési módszer, de csak akkor, ha az α, γ, δ és ε értékeket a 7.1.5.3. pont szerint határozzák meg. Cirkónium-oxid típusú érzékelő nem használható a levegő-tüzelőanyag arány meghatározására.

Motorok állandósult állapotú vizsgálati ciklusokban való vizsgálatakor csak a kipufogógáz tömegárama határozható meg a levegő- és tüzelőanyag-mérési módszerrel a VII. mellékletben szereplő (7-15) egyenlet szerint.

7.1.3.2.   A gáz-halmazállapotú összetevők meghatározása

Az e szakaszban meghatározott kivételektől eltekintve a VII. melléklet 2.1. pontját kell alkalmazni.

A tüzelőanyag-összetétel esetleges változása a kibocsátásszámításokhoz használt összes ugas tényezőt és az összetevők mólarányát érinti. Az ugas tényezőknek és az összetevők mólarányának meghatározásához a gyártó választása szerint az egyik alábbi stratégiát kell alkalmazni:

a) a VII. melléklet 2.1.5.2. vagy 2.2.3. pontjában foglalt pontos egyenleteket alkalmazva kell kiszámítani a pillanatnyi ugas -értékeket a folyékony és a gáz-halmazállapotú tüzelőanyag (a tüzelőanyag-fogyasztás pillanatnyi értékének mérései vagy számításai alapján meghatározott) pillanatnyi arányának és az összetevők 7.1.5. pont szerint meghatározott pillanatnyi mólarányának felhasználásával; vagy,

b) ha a gáz-halmazállapotú tüzelőanyaggal és dízellel működtetett, vegyes üzemű motor konkrét esetében a VII. melléklet 2. szakasza szerint végzett tömegalapú számítást alkalmazzák, táblázatos értékek használhatók az összetevők mólarányára és az ugas -értékekre vonatkozóan. Ezeket a táblázatos értékeket a következőképpen kell alkalmazni:

i. A megfelelő vizsgálati ciklusban legalább 90 %-os átlagos gáz energiahányadossal (GER ≥ 0,9) működtetett motorok esetében a szükséges értékek a gáz-halmazállapotú tüzelőanyagra vonatkozóan a VII. melléklet 7.1. vagy 7.2. pontjának táblázataiból vett értékek lesznek.

ii. A megfelelő vizsgálati ciklusban legalább 10–90 %-os átlagos gáz energiahányadossal (0,1 < GER < 0,9) működtetett motorok esetében az 50 % gáz-halmazállapotú tüzelőanyagból és 50 % dízelből álló keverékre vonatkozóan a 8.1. és 8.2. táblázatból vett értékek tekintendők a szükséges értékeknek.

iii. A megfelelő vizsgálati ciklusban legfeljebb 10 %-os átlagos gáz energiahányadossal (GER ≤ 0,1) működtetett motorok esetében a szükséges értékek a dízelre vonatkozóan a VII. melléklet 7.1. vagy 7.2. pontjából vett értékek lesznek.

iv. A szénhidrogén-kibocsátások kiszámításához minden esetben a gáz-halmazállapotú tüzelőanyag ugas értékét kell használni, függetlenül az átlagos gáz energiahányadostól.



8.1. táblázat:

Az 50 %-ban (tömegszázalék) gáz-halmazállapotú tüzelőanyagból és 50 %-ban dízel tüzelőanyagból álló keverék összetevőinek mólaránya

Gáz-halmazállapotú tüzelőanyag

α

γ

δ

ε

CH4

2,8681

0

0

0,0040

GR

2,7676

0

0

0,0040

G23

2,7986

0

0,0703

0,0043

G25

2,7377

0

0,1319

0,0045

Propán

2,2633

0

0

0,0039

Bután

2,1837

0

0

0,0038

LPG

2,1957

0

0

0,0038

LPG, „A” tüzelőanyag

2,1740

0

0

0,0038

LPG, „B” tüzelőanyag

2,2402

0

0

0,0039

7.1.3.2.1.   A gáz-halmazállapotú kibocsátás vizsgálatonkénti tömege

▼M2

Amennyiben az u gas pillanatnyi értékeinek a 7.1.3.2. pont a) alpontja szerinti kiszámításához a pontos egyenleteket használják, akkor a gáz-halmazállapotú kibocsátás vizsgálatonkénti tömegének tranziens (NRTC és LSI-NRTC) vizsgálati ciklusokra és RMC-re vonatkozó kiszámításakor a VII. melléklet 2.1.2. pontjában foglalt (7-2) egyenlet szerinti összesítésbe az u gas értékét is bele kell venni a (8-1) egyenlettel:

▼B



image

(8-1)

Ahol:

u gas, i

az ugas pillanatnyi értéke

Az egyenlet többi elemét a VII. melléklet 2.1.2. pontja tartalmazza.



8.2. táblázat:

Az 50 %-ban (tömegszázalék) gáz-halmazállapotú tüzelőanyagból és 50 %-ban dízelből álló keverék hígítatlan kipufogógázának ugas-értékei és összetevőinek sűrűsége

Gáz-halmazállapotú tüzelőanyag

Gáz

ρ e

NOx

CO

CH

CO2

O2

CH4

 

 

ρ gas [kg/m 3 ]

 

 

 

2,053

1,250

 ()

1,9636

1,4277

0,716

 

 

u gas ()

 

 

 

CNG/LNG ()

1,2786

0,001606

0,000978

0,000528 ()

0,001536

0,001117

0,000560

Propán

1,2869

0,001596

0,000972

0,000510

0,001527

0,001110

0,000556

Bután

1,2883

0,001594

0,000971

0,000503

0,001525

0,001109

0,000556

LPG ()

1,2881

0,001594

0,000971

0,000506

0,001525

0,001109

0,000556

(1)   A tüzelőanyagtól függően.

(2)   Ha λ = 2, száraz levegő, 273 K, 101,3 kPa.

(3)   Az u értékek 0,2 %-os pontosságúak a következő tömegösszetételek esetében: C = 58–76 %; H = 19–25 %; N = 0–14 % (CH4, G20, G23, és G25).

(4)   Metántól különböző szénhidrogének CH2,93 összetétel alapján (az összes szénhidrogénre a CH4 u gas együtthatóját kell használni).

(5)   Az u értékek 0,2 %-os pontosságúak a következő tömegösszetételek esetében: C3 = 27–90 %; C4 = 10–73 % (LPG, „A” és „B” tüzelőanyag).

7.1.3.3.   A szilárd kibocsátás meghatározása

A részecskekibocsátás részáramú hígítórendszerrel végzett mérési módszerrel történő meghatározásához a VII. melléklet 2.3. pontjában foglalt egyenletek szerint kell elvégezni a számítást.

▼M2

A VI. melléklet 8.2.1.2. pontjában foglalt követelmények vonatkoznak a hígítási arány szabályozására. Előre rögzített vizsgálati meneten alapuló prediktív szabályozást kell alkalmazni különösen akkor, ha a kipufogógáz-áram mérésének és a részáramú rendszernek a kombinált átalakítási ideje meghaladja a 0,3 másodpercet. Ez esetben a kombinált felfutási idő nem haladhatja meg az 1 másodpercet, a kombinált késés pedig a 10 másodpercet. A kipufogógáz tömegáramának megállapításához a 7.1.5.3. pontnak megfelelően meghatározott α, γ, δ és ε értékeket kell használni, kivéve akkor, ha a kipufogógáz tömegáramát közvetlenül mérik.

▼B

Mindegyik mérésre vonatkozóan el kell végezni a VI. melléklet 8.2.1.2. pontja szerinti minőség-ellenőrzést.

7.1.3.4.   A kipufogógáz tömegárammérőjére vonatkozó további követelmények

►M2  A VI. melléklet 9.4.5.3. és 9.4.5.4. pontjában említett áramlásmérő nem lehet érzékeny a kipufogógáz összetételének és sűrűségének változásaira. ◄ A Pitot-csővel vagy a méréshez használt nyílás típusával összefüggő kisebb hibákat (egyenértékű a kipufogógáz sűrűségének négyzetgyökével) figyelmen kívül lehet hagyni.

7.1.4.   Mérés teljes áramú hígítórendszerrel (állandó térfogatú mintavétel)

Az e szakaszban meghatározott kivételektől eltekintve a VII. melléklet 2.2. pontját kell alkalmazni.

A tüzelőanyag-összetétel esetleges változása főként a szénhidrogének táblázatos ugas -értékét érinti. A szénhidrogén-kibocsátások kiszámításához pontosan követni kell az egyenleteket, az összetevőknek a 7.1.5. pont szerint mindkét tüzelőanyag fogyasztásának méréséből meghatározott mólarányait felhasználva.

▼M2

7.1.4.1.   A háttérrel helyesbített koncentrációk meghatározása

▼B

A sztöchiometriai együttható meghatározásához a tüzelőanyagban lévő hidrogén α mólarányát a 7.1.5.3. pont szerint a tüzelőanyag-keverékben lévő hidrogén átlagos mólarányaként kell kiszámítani a vizsgálat alatt.

Ehelyett a gáz-halmazállapotú tüzelőanyag Fs értékét is lehet használni a VII. melléklet (7-28) egyenletében.

7.1.5.   Az összetevők mólarányának meghatározása

7.1.5.1.   Általános rendelkezések

E szakasz alapján kell meghatározni az összetevők mólarányát, ha ismert a tüzelőanyag-keverék (pontos módszer).

▼M2

7.1.5.2.   A tüzelőanyag-keverék összetevőinek kiszámítása

A (8-2)–(8-7) egyenletet kell használni a tüzelőanyag-keverék elemi összetételének kiszámításához:



qmf = qmf1 + qmf2

(8-2)

image

(8-3)

image

(8-4)

image

(8-5)

image

(8-6)

image

(8-7)

ahol:

qm f1

az 1. tüzelőanyag tömegárama [kg/s]

qm f2

a 2. tüzelőanyag tömegárama [kg/s]

w H

a tüzelőanyag hidrogéntartalma [tömegszázalék]

w C

a tüzelőanyag széntartalma [tömegszázalék]

w S

a tüzelőanyag kéntartalma [tömegszázalék]

w N

a tüzelőanyag nitrogéntartalma [tömegszázalék]

w O

a tüzelőanyag oxigéntartalma [tömegszázalék]

▼M2

7.1.5.3.   A hidrogén, a szén, a kén, a nitrogén és az oxigén szénhez viszonyított mólarányának kiszámítása a tüzelőanyag-keverékre vonatkozóan

A VII. melléklet értelmében a (8-8)–(8-11) egyenlettel kell kiszámítani az atomszámarányokat (különösen az α hidrogén-szén arányt):



image

(8-8)

image

(8-9)

image

(8-10)

image

(8-11)

ahol:

w H

a tüzelőanyag hidrogéntartalma, tömeghányad [g/g] vagy [tömegszázalék]

w C

a tüzelőanyag széntartalma, tömeghányad [g/g] vagy [tömegszázalék]

w S

a tüzelőanyag kéntartalma, tömeghányad [g/g] vagy [tömegszázalék]

w N

a tüzelőanyag nitrogéntartalma, tömeghányad [g/g] vagy [tömegszázalék]

w O

a tüzelőanyag oxigéntartalma, tömeghányad [g/g] vagy [tömegszázalék]

α

a hidrogén mólaránya (H/C)

γ

a kén mólaránya (S/C)

δ

a nitrogén mólaránya (N/C)

ε

az oxigén mólaránya (O/C)

a CΗαΟεΝδSγ összetételű tüzelőanyagot tekintve

▼B

7.2.   Moláris alapú kibocsátásszámítás

Az e szakaszban meghatározott kivételektől eltekintve a VII. melléklet 3. szakaszát kell alkalmazni.

7.2.1.   Az NOx helyesbítése a páratartalomra

A VII. mellékletben megadott (7-102) egyenletet (kompressziós gyújtású motorokra vonatkozó korrekció) kell használni.

7.2.2.   A kipufogógáz tömegáramának meghatározása a hígítatlan kipufogógáz áramlásmérője nélkül

A VII. mellékletben foglalt (7-112) egyenletet (a moláris átfolyási sebesség kiszámítása a beszívott levegő alapján) kell használni. Ettől eltérve a VII. mellékletben megadott (7-113) egyenlet (a moláris átfolyási sebesség kiszámítása a tüzelőanyag tömegárama alapján) is használható NRSC-vizsgálat végzése esetén.

7.2.3.   Az összetevők mólaránya a gáz-halmazállapotú összetevők meghatározásához

Az összetevők mólarányának meghatározásához a pontos stratégiát kell alkalmazni a folyékony és a gáz-halmazállapotú tüzelőanyag – a tüzelőanyag-fogyasztás pillanatnyi értékének mérései vagy számításai alapján meghatározott – pillanatnyi arányának felhasználásával. ►M2  Az összetevők pillanatnyi mólarányát a VII. mellékletben megadott (7-88), (7-90) és (7-91) egyenletbe kell beírni a folyamatos kémiaiegyenlet-számításhoz. ◄

Az arányokat a 7.2.3.1. vagy a 7.1.5.3. pont szerint kell meghatározni.

A kevert vagy vezetékből vételezett gáz-halmazállapotú tüzelőanyagok jelentős mennyiségű inert összetevőt, például CO2-t és N2-t tartalmazhatnak. A gyártónak bele kell vennie ezeket az összetevőket a 7.2.3.1. vagy adott esetben a 7.1.5.3. pont szerinti atomszámarány-számításokba, vagy ettől eltérve dönthet úgy, hogy az atomarányok kiszámításához nem veszi figyelembe az inert összetevőket, hanem a VII. melléklet 3.4.3. pontban foglalt kémiai egyenlet beszívott levegőre vonatkozó x O2int, x CO2int és x H2Oint paramétereihez rendeli őket.

7.2.3.1.   Az összetevők mólarányának meghatározása

A vegyes üzemű motorok esetében a kevert tüzelőanyagban lévő hidrogén-, oxigén-, kén- és nitrogénatomok szénatomokhoz viszonyított pillanatnyi mólaránya a (8-12)–(8-15) egyenletekkel számítható ki:



image

(8-12)

image

(8-13)

image

(8-14)

image

(8-15)

Ahol:

w i, fuel

=

a vizsgált elem (C, H, O, S vagy N) tömegszázaléka a folyékony vagy gáz-halmazállapotú tüzelőanyagban;

liquid (t)

=

a folyékony tüzelőanyag pillanatnyi tömegárama t időpontban [kg/h];

gas (t)

=

a gáz-halmazállapotú tüzelőanyag pillanatnyi tömegárama t időpontban [kg/h];

▼M2

Amennyiben a kipufogógáz-tömegáramot a kevert tüzelőanyag árama alapján számítják ki, akkor a VII. melléklet (7-113) egyenletében foglalt wC a (8-16) egyenlettel számítandó ki:

▼B



image

(8-16)

Ahol:

w C

=

a szén tömegszázaléka a dízelben vagy gáz-halmazállapotú tüzelőanyagban;

liquid

=

a folyékony tüzelőanyag tömegárama [kg/h];

gas

=

a gáz-halmazállapotú tüzelőanyag tömegárama [kg/h];

7.3.   A CO2-kibocsátás meghatározása

A VII. mellékletet kell alkalmazni, kivéve, ha a motort tranziens (NRTC és LSI-NRTC) vizsgálati ciklusban vagy RMC-ben vizsgálják hígítatlangáz-mintavétel alkalmazásával.

7.3.1   A CO2-kibocsátás meghatározása a motor tranziens (NRTC és LSI-NRTC) vizsgálati ciklusban vagy RMC-ben hígítatlangáz-mintavétellel történő vizsgálatakor

A CO2-kibocsátás nem számítható ki a kipufogógázban mért CO2-értékekből a VII. melléklet szerint. Ehelyett a következő rendelkezéseket kell alkalmazni:

A mért tüzelőanyag-fogyasztás vizsgálatra átlagolt értékét a teljes ciklus alatt mért pillanatnyi értékek összegéből kell megállapítani, és a kapott eredmény alapján kell kiszámítani a vizsgálatra átlagolt CO2-kibocsátást.

A vizsgálatban használt tüzelőanyag-keverékben lévő hidrogén mólaránya és az egyes tüzelőanyagok tömegarányának a 7.1.5. pont szerint történő meghatározásához az egyes felhasznált tüzelőanyagok tömegéből kell kiindulni.

Mindkét tüzelőanyag korrigált össztömegét, az m fuel,corr-t [g/vizsgálat] és a tüzelőanyagból származó CO2-kibocsátás tömegét, az m CO2, fuel-t [g/vizsgálat] a (8-17) és a (8-18) egyenlettel kell meghatározni.



image

(8-17)

image

(8-18)

Ahol:

m fuel

=

a tüzelőanyag össztömege mindkét tüzelőanyag esetében [g/vizsgálat]

m THC

=

az összes szénhidrogén-kibocsátás tömege a kipufogógázban [g/vizsgálat]

m CO

=

a szén-monoxid-kibocsátás tömege a kipufogógázban [g/vizsgálat]

w GAM

=

a tüzelőanyagok kéntartalma [tömegszázalék]

w DEL

=

a tüzelőanyagok nitrogéntartalma [tömegszázalék]

w EPS

=

a tüzelőanyagok oxigéntartalma[ tömegszázalék]

α

=

a hidrogén mólaránya a tüzelőanyagokban (H/C)[-]

A C

=

a szén atomtömege: 12,011 [g/mól]

A H

=

a hidrogén atomtömege: 1,0079 [g/mól]

M CO

=

a szén-monoxid molekulatömege: 28,011 [g/mól]

M CO2

=

a szén-dioxid molekulatömege: 44,01 [g/mól]

A karbamidból származó CO2-kibocsátás tömegét, az mCO2,urea-t [g/vizsgálat] a (8-19) egyenlettel kell kiszámítani:



image

(8-19)

Ahol:

c urea

=

karbamidkoncentráció [százalék]

m urea

=

karbamid-összfogyasztás [g/vizsgálat]

M CO(NH2)2

=

a karbamid molekulatömege: 60,056 [g/mól]

A CO2-kibocsátás össztömegét, az m CO2-t [g/vizsgálat] a (8-20) egyenlettel kell kiszámítani:



m CO2 = m CO2,fuel + m CO2,urea

(8-20)

A CO2-kibocsátás (8-20) egyenlettel kiszámított össztömegének felhasználásával kell kiszámítani a fékmunkára vonatkoztatott fajlagos CO2-kibocsátást, az eCO2-t [g/kWh] a VII. melléklet 2.4.1.1 vagy 3.8.1.1 pontja szerint. A kipufogógázban a gáz-halmazállapotú tüzelőanyag CO2-tartalma miatt található CO2 korrekcióját adott esetben a IX. melléklet 3. függeléke szerint kell elvégezni.




3. függelék

A földgázzal/biometánnal vagy LPG-vel és folyékony tüzelőanyaggal működtetett vegyes üzemű motorok típusai – a fogalommeghatározások és főbb követelmények szemléltetése



Vegyes üzemű típus

GERcycle

Alapjárat folyékony tüzelőanyaggal

Bemelegítés folyékony tüzelőanyaggal

Működés kizárólag folyékony tüzelőanyaggal

Működés gáz-halmazállapotú tüzelőanyag hiányában

Megjegyzések

1A

GERNRTC, hot ≥ 0,9 vagy

GERNRSC, ≥ 0,9

NEM megengedett

csak karbantartási üzemmódban megengedett

csak karbantartási üzemmódban megengedett

karbantartási üzemmód

 

1B

GERNRTC, hot ≥ 0,9

vagy

GERNRSC ≥ 0,9

csak folyékony üzemmódban megengedett

csak folyékony üzemmódban megengedett

csak folyékony és karbantartási üzemmódban megengedett

Folyékony üzemmód

 

2A

0,1 < GERNRTC, hot < 0,9

vagy 0,1 < GERNRSC < 0,9

megengedett

csak karbantartási üzemmódban megengedett

csak karbantartási üzemmódban megengedett

karbantartási üzemmód

GERNRTC, hot ≥ 0,9

vagy

GERNRSC ≥ 0,9

megengedett

2B

0,1 < GERNRTC, hot < 0,9

vagy 0,1 < GERNRSC < 0,9

megengedett

megengedett

megengedett

Folyékony üzemmód

GERNRTC, hot ≥ 0,9

vagy

GERNRSC ≥ 0,9

megengedett

3A

nincs meghatározva és nem is megengedett

3B

GERNRTC, hot ≤ 0,1

vagy

GERNRSC ≤ 0,1

megengedett

megengedett

megengedett

Folyékony üzemmód

 




IX. MELLÉKLET

Referencia-tüzelőanyagok

1.    A kompressziós gyújtású motorok vizsgálatához használandó referencia-tüzelőanyagok műszaki adatai

1.1.   Típus: Dízel (nem közúti használatú gázolaj)



Paraméter

Mértékegység

Határértékek (1)

Vizsgálati módszer

minimum

maximum

Cetánszám (2)

 

45

56,0

EN-ISO 5165

Sűrűség 15 °C-on

kg/m (3)

833

865

EN-ISO 3675

Desztilláció:

 

 

 

 

50 % pont

°C

245

EN-ISO 3405

95 % pont

°C

345

350

EN-ISO 3405

— Végforrpont

°C

370

EN-ISO 3405

Lobbanáspont

°C

55

EN 22719

Hidegszűrhetőségi határhőmérséklet

°C

-5

EN 116

Viszkozitás 40 °C-on

mm2/s

2,3

3,3

EN-ISO 3104

Többgyűrűs aromás szénhidrogének (PAH)

% m/m

2,0

6,0

IP 391

Kéntartalom (3)

mg/kg

10

ASTM D 5453

Rézkorrózió

 

1. osztály

EN-ISO 2160

Conradson szénmaradék (10 % DR)

% m/m

0,2

EN-ISO 10370

Hamutartalom

% m/m

0,01

EN-ISO 6245

Összes szennyeződés

mg/kg

24

EN 12662

Víztartalom

% m/m

0,02

EN-ISO 12937

Közömbösítési (erős savassági) szám

mg KOH/g

0,10

ASTM D 974

Oxidációs stabilitás (3)

mg/ml

0,025

EN-ISO 12205

Kenőképesség (HFRR kopáskontúr átmérője 60 °C-on)

μm

400

CEC F-06-A-96

Oxidációs stabilitás 110 °C-on (3)

H

20,0

EN 15751

FAME

térf. %

7,0

EN 14078

(1)   A specifikációkban megadott értékek „valós értékek”. A határértékek megállapítása az „Olajtermékek – Pontossági adatok meghatározása és alkalmazása a vizsgálati módszerek viszonylatában” című ISO 4259 szabvány feltételeinek figyelembevételével történt; az alsó határérték meghatározásához a nulla érték feletti 2R legkisebb különbséget, a felső és alsó határérték meghatározásához pedig a 4R (R = reprodukálhatóság) legkisebb különbséget vették figyelembe.

(2)   A cetánszám tartománya nincs összhangban azzal a követelménnyel, hogy a tartomány legalább 4R legyen. A tüzelőanyag szállítója és felhasználója közötti viták esetén az ISO 4259 előírásait lehet használni a viták megoldására, feltéve, hogy egyszeri mérések helyett inkább annyi ismételt mérést végeznek, amennyi elegendő a szükséges pontosság eléréséhez.

(3)   Az eltarthatóság valószínűleg még ellenőrzött oxidációs stabilitás mellett is korlátozott. A tárolási körülményekre és az eltarthatóságra vonatkozóan célszerű kikérni a beszállító tanácsát.

1.2.   Típus: Etanol erre kialakított kompressziós gyújtású motorokhoz (ED95) (1)



Paraméter

Mértékegység

Határértékek (1)

Vizsgálati módszer (2)

Minimum

Maximum

Teljes alkoholtartalom (etanol, a nagyobb szénatomszámú alkoholokat is ideértve)

% m/m

92,4

 

EN 15721

Nagyobb szénatomszámú egyéb monoalkoholok (C3–C5)

% m/m

 

2,0

EN 15721

metanol

% m/m

 

0,3

EN 15721

Sűrűség 15 °C-on

kg/m3

793,0

815,0

EN ISO 12185

Savasság, ecetsavként számítva

% m/m

 

0,0025

EN 15491

Megjelenés

 

Tiszta és átlátszó

 

Lobbanáspont

°C

10

 

EN 3679

Szárazmaradék

mg/kg

 

15

EN 15691

Víztartalom

% m/m

 

6,5

EN 15489 (3)

EN-ISO 12937

EN15692

Aldehidek, acetaldehidként számítva

% m/m

 

0,0050

ISO 1388-4

Észterek, etilacetátként számítva

% m/m

 

0,1

ASTM D1617

Kéntartalom

mg/kg

 

10,0

EN 15485

EN 15486

Szulfátok

mg/kg

 

4,0

EN 15492

Szennyeződés részecskék által

mg/kg

 

24

EN 12662

Foszfor

mg/l

 

0,20

EN 15487

Szervetlen kloridok

mg/kg

 

1,0

EN 15484 vagy EN 15492

Réz

mg/kg

 

0,100

EN 15488

Elektromos vezetőképesség

μS/cm

 

2,50

DIN 51627-4 vagy prEN 15938

(1)   A specifikációkban megadott értékek „valós értékek”. A határértékek megállapítása az „Olajtermékek – Pontossági adatok meghatározása és alkalmazása a vizsgálati módszerek viszonylatában” című ISO 4259 szabvány feltételeinek figyelembevételével történt; az alsó határérték meghatározásához a nulla érték feletti 2R legkisebb különbséget, a felső és alsó határérték meghatározásához pedig a 4R (R = reprodukálhatóság) legkisebb különbséget vették figyelembe. E műszaki okokból szükséges megoldástól függetlenül a tüzelőanyag gyártójának a nulla értékre kell törekednie, ha a megadott legnagyobb érték 2R, illetve az átlagértékre, ha felső és alsó határértékek vannak megadva. Ha nem egyértelmű, hogy egy tüzelőanyag megfelel-e a specifikációknak, akkor az ISO 4259 szabvány előírásait kell alkalmazni.

(2)   Amint a fenti tulajdonságokra egyenértékű EN/ISO-módszereket tesznek közzé, ezeket át fogjuk venni.

(3)   Ha nem egyértelmű, hogy egy tüzelőanyag megfelel-e a specifikációknak, akkor az EN 15489 szabvány előírásait kell alkalmazni.

(1)  Az etanol tüzelőanyaghoz a motorgyártó előírása szerint adalékanyagok – például cetánszámjavító – adhatók, feltéve, hogy kedvezőtlen mellékhatások nem ismertek. Ha ezek a feltételek teljesülnek, a legnagyobb megengedett mennyiség 10 % m/m.

2.    A szikramotorok vizsgálatához használandó referencia-tüzelőanyagok műszaki adatai

2.1.   Típus: Benzin (E10)



Paraméter

Mértékegység

Határértékek (1)

Vizsgálati módszer (2)

Minimum

Maximum

Kísérleti oktánszám (RON)

 

91,0

98,0

EN ISO 5164:2005 (3)

Motoroktánszám (MON)

 

83,0

89,0

EN ISO 5163:2005 (3)

Sűrűség 15 °C-on

kg/m3

743

756

EN ISO 3675

EN ISO 12185

Gőznyomás

kPa

45,0

60,0

EN ISO 13016-1 (DVPE)

Víztartalom

 

 

Max. 0,05 % (v/v)

Megjelenés – 7 °C-on: áttetsző és világos

EN 12937

Desztilláció:

 

 

 

 

— párologtatás 70 °C-on

térf. %

18,0

46,0

EN-ISO 3405

— párologtatás 100 °C-on

térf. %

46,0

62,0

EN-ISO 3405

— párologtatás 150 °C-on

térf. %

75,0

94,0

EN-ISO 3405

— végforrpont

°C

170

210

EN-ISO 3405

Lepárlási maradék

térf. %

2,0

EN-ISO 3405

Szénhidrogén-elemzés:

 

 

 

 

— olefinek

térf. %

3,0

18,0

EN 14517

EN 15553

— aromások

térf. %

19,5

35,0

EN 14517

EN 15553

— benzol

térf. %

1,0

EN 12177

EN 238, EN 14517

— telítettek

térf. %

Jegyzőkönyv

EN 14517

EN 15553

Szén/hidrogén arány

 

Jegyzőkönyv

 

Szén/oxigén arány

 

Jegyzőkönyv

 

Indukciós periódus (4)

perc

480

 

EN-ISO 7536

Oxigéntartalom (5)

% m/m

3,3 (8)

3,7

EN 1601

EN 13132

EN 14517

Gyantamaradék

mg/ml

0,04

EN-ISO 6246

Kéntartalom (6)

mg/kg

10

EN ISO 20846

EN ISO 20884

Rézkorrózió (3 óra, 50 °C-on)

osztályozás

1. osztály

EN-ISO 2160

Ólomtartalom

mg/l

5

EN 237

Foszfortartalom (7)

mg/l

1,3

ASTM D 3231

Etanol (4)

térf. %

9,0 (8)

10,2 (8)

EN 22854

(1)   A specifikációkban megadott értékek „valós értékek”. A határértékek megállapítása az „Olajtermékek – Pontossági adatok meghatározása és alkalmazása a vizsgálati módszerek viszonylatában” című ISO 4259 szabvány feltételeinek figyelembevételével történt; az alsó határérték meghatározásához a nulla érték feletti 2R legkisebb különbséget, a felső és alsó határérték meghatározásához pedig a 4R (R = reprodukálhatóság) legkisebb különbséget vették figyelembe. E műszaki okokból szükséges megoldástól függetlenül a tüzelőanyag gyártójának a nulla értékre kell törekednie, ha a megadott legnagyobb érték 2R, illetve az átlagértékre, ha felső és alsó határértékek vannak megadva. Ha nem egyértelmű, hogy egy tüzelőanyag megfelel-e a specifikációknak, akkor az ISO 4259 szabvány előírásait kell alkalmazni.

(2)   Amint a fenti tulajdonságokra egyenértékű EN/ISO-módszereket tesznek közzé, ezeket át fogjuk venni.

(3)   A motoroktánszámra és a kísérleti oktánszámra vonatkozó végső eredmény kiszámításakor 0,2 korrekciós tényezőt le kell vonni a EN 228:2008 szabványnak megfelelően.

(4)   A tüzelőanyag tartalmazhat rendes körülmények között a finomítókban a benzin stabilizálására használt antioxidánsokat és fémdezaktivátorokat, de detergens/diszpergáló adalékokat és oldóolajokat nem szabad alkalmazni.

(5)   Az EN 15376 szabvány specifikációinak megfelelő etanol az egyetlen olyan oxigéntartalmú vegyület, amelyet kifejezetten hozzá szabad adni a referencia-tüzelőanyaghoz.

(6)   Az 1. típusú vizsgálathoz használt tüzelőanyag tényleges kéntartalmát kell megadni.

(7)   Ehhez a referencia-tüzelőanyaghoz tilos szándékosan olyan vegyületeket adni, amelyek foszfort, vasat, mangánt vagy ólmot tartalmaznak.

(8)   Az etanoltartalom és a megfelelő oxigéntartalom az SMB kategóriájú motorok esetében a gyártó választása szerint lehet nulla. Ebben az esetben a motorcsalád vagy motorcsalád hiányában a motortípus minden vizsgálatát etanolmentes benzinnel kell elvégezni.

2.2.   Típus: Etanol (E85)



Paraméter

Mértékegység

Határértékek (1)

Vizsgálati módszer

Minimum

Maximum

Kísérleti oktánszám (RON)

 

95,0

EN ISO 5164

Motoroktánszám (MON)

 

85,0

EN ISO 5163

Sűrűség 15 °C-on

kg/m3

Jegyzőkönyv

ISO 3675

Gőznyomás

kPa

40,0

60,0

EN ISO 13016-1 (DVPE)

Kéntartalom (2)

mg/kg

10

EN 15485 vagy EN 15486

Oxidációs stabilitás

perc

360

 

EN ISO 7536

Oldószerrel kimosott gyanta (Gyantamaradék)

mg/100 ml

5

EN-ISO 6246

Megjelenés

környezeti hőmérsékleten, illetve 15 °C hőmérsékleten (amelyik nagyobb) kell meghatározni

 

Tiszta és átlátszó, lebegő vagy lecsapódott szennyező anyagoktól szemmel láthatóan mentes

Szemrevételezés

Etanol és nagyobb szénatomszámú alkoholok (3)

térf. %

83

85

EN 1601

EN 13132

EN 14517

E DIN 51627-3

Nagyobb szénatomszámú alkoholok (C3–C8)

térf. %

2,0

E DIN 51627-3

metanol

térf. %

 

1,00

E DIN 51627-3

Benzin (4)

térf. %

Mérleg

EN 228

Foszfor

mg/l

0,20 (5)

EN 15487

Víztartalom

térf. %

 

0,300

EN 15489 vagy EN 15692

Szervetlen kloridok

mg/l

 

1

EN 15492

pHe

 

6,5

9,0

EN 15490

Rézszalagos korrózió (3 óra 50 °C-on)

osztályozás

1. osztály

 

EN ISO 2160

Savasság (ecetsavban kifejezve, CH3COOH)

% m/m

(mg/l)

0,0050

(40)

EN 15491

Elektromos vezetőképesség

μS/cm

1,5

DIN 51627-4 vagy prEN 15938

Szén/hidrogén arány

 

Jegyzőkönyv

 

Szén/oxigén arány

 

Jegyzőkönyv

 

(1)   A specifikációkban megadott értékek „valós értékek”. A határértékek megállapítása az „Olajtermékek – Pontossági adatok meghatározása és alkalmazása a vizsgálati módszerek viszonylatában” című ISO 4259 szabvány feltételeinek figyelembevételével történt; az alsó határérték meghatározásához a nulla érték feletti 2R legkisebb különbséget, a felső és alsó határérték meghatározásához pedig a 4R (R = reprodukálhatóság) legkisebb különbséget vették figyelembe. E műszaki okokból szükséges megoldástól függetlenül a tüzelőanyag gyártójának a nulla értékre kell törekednie, ha a megadott legnagyobb érték 2R, illetve az átlagértékre, ha felső és alsó határértékek vannak megadva. Ha nem egyértelmű, hogy egy tüzelőanyag megfelel-e a specifikációknak, akkor az ISO 4259 szabvány előírásait kell alkalmazni.

(2)   A kibocsátásvizsgálatokhoz használt tüzelőanyag tényleges kéntartalmát kell megadni.

(3)   Az EN 15376 szabvány specifikációinak megfelelő etanol az egyetlen olyan oxigéntartalmú vegyület, amelyet szándékosan hozzá szabad adni a referencia-tüzelőanyaghoz.

(4)   Az ólmozatlan benzin részaránya úgy határozható meg, hogy a 100-ból levonjuk a víz, az alkoholok, a metil-tercier-butil-éter és az etil-tercier-butil-éter százalékos részarányának összegét.

(5)   Ehhez a referencia-tüzelőanyaghoz tilos szándékosan olyan vegyületeket adni, amelyek foszfort, vasat, mangánt vagy ólmot tartalmaznak.

3.    Az egyféle tüzelőanyaggal működő és a vegyes üzemű motorok tüzelőanyagainak műszaki adatai

3.1.   Típus: LPG



Paraméter

Mértékegység

„A” tüzelőanyag

„B” tüzelőanyag

Vizsgálati módszer

Összetétel:

 

 

 

EN 27941

C3-tartalom

térf. %

30 ± 2

85 ± 2

 

C4-tartalom

térf. %

Mérleg (1)

Mérleg (1)

 

< C3, > C4

térf. %

maximum 2

maximum 2

 

Olefinek

térf. %

maximum 12

maximum 15

 

Bepárlás utáni maradék

mg/kg

maximum 50

maximum 50

EN 15470

Víz 0 °C-on

 

Szabad

Szabad

EN 15469

Teljes kéntartalom, szagosító anyagokkal együtt

mg/kg

maximum 10

maximum 10

EN 24260, ASTM D 3246, ASTM 6667

hidrogén-szulfid

 

Egyik sem

Egyik sem

EN ISO 8819

Rézszalagos korrózió (1 óra 40 °C-on)

osztályozás

1. osztály

1. osztály

ISO 6251 (2)

Szag

 

jellegzetes

jellegzetes

 

Motoroktánszám (3)

 

legalább 89,0

legalább 89,0

EN 589 B melléklet

(1)   A mérleg a következő: mérleg = 100 – C3 – < C3 – > C4.

(2)   Előfordulhat, hogy ez a módszer nem határozza meg pontosan a korrodáló anyagok jelenlétét, ha a minta korróziógátlót vagy más olyan vegyületet tartalmaz, amely csökkenti a minta rézszalagra gyakorolt korrodáló hatását. Ezért az ilyen vegyületeknek kizárólag a vizsgálati módszer befolyásolása céljából történő felhasználása tilos.

(3)   A motor gyártójának kérésére a típusjóváhagyási vizsgálatok elvégzéséhez magasabb motoroktánszám használható.

3.2.   Típus: Földgáz/biometán

3.2.1.   A rögzített jellemzőkkel szállított (például zárt tartályból származó) referencia-tüzelőanyagokra vonatkozó előírások.

Az e pontban megadott referencia-tüzelőanyagok alternatívájaként a 3.2.2. pontban meghatározott egyenértékű tüzelőanyagok is használhatók.



Jellemzők

Mértékegység

Alapérték

Határértékek

Vizsgálati módszer

minimum

maximum

GR referencia-tüzelőanyag

Összetétel:

 

 

 

 

 

Metán

 

87

84

89

 

Etán

 

13

11

15

 

Mérleg (1)

mol%

1

ISO 6974

Kéntartalom

mg/m3 (2)

 

10

ISO 6326-5

Megjegyzések:

(1)  Inert gázok + C2+

(2)  Az értéket normál körülmények között kell meghatározni: 293,2 K (20 °C) hőmérsékleten és 101,3 kPa nyomáson.

G23 referencia-tüzelőanyag

Összetétel:

 

 

 

 

 

Metán

 

92,5

91,5

93,5

 

Mérleg (1)

mol%

1

ISO 6974

N2

mol%

7,5

6,5

8,5

 

Kéntartalom

mg/m3 (2)

10

ISO 6326-5

Megjegyzések:

(1)  Inert gázok (az N2 kivételével) + C2 + C2+

(2)  Az értéket 293,2 K (20 °C) hőmérsékleten és 101,3 kPa nyomáson kell meghatározni.

G25 referencia-tüzelőanyag

Összetétel:

 

 

 

 

 

Metán

mol%

86

84

88

 

Mérleg (1)

mol%

1

ISO 6974

N2

mol%

14

12

16

 

Kéntartalom

mg/m3 (2)

10

ISO 6326-5

Megjegyzések:

(1)  Inert gázok (az N2 kivételével) + C2+ C2+

(2)  Az értéket 293,2 K (20 °C) hőmérsékleten és 101,3 kPa nyomáson kell meghatározni.

G20 referencia-tüzelőanyag

Összetétel:

 

 

 

 

 

Metán

mol%

100

99

100

ISO 6974

Mérleg (1)

mol%

1

ISO 6974

N2

mol%

 

 

 

ISO 6974

Kéntartalom

mg/m3 (2)

10

ISO 6326-5

Wobbe-index (nettó)

MJ/m3 (3)

48,2

47,2

49,2

 

(1)   Inert gázok (az N2 kivételével) + C2 + C2+.

(2)   Az értéket 293,2 K (20 °C) hőmérsékleten és 101,3 kPa nyomáson kell meghatározni.

(3)   Az értéket 273,2 K (0 °C) hőmérsékleten és 101,3 kPa nyomáson kell meghatározni.

3.2.2.   A más gázok keverékével együtt vezetékről vételezett, helyszíni méréssel megállapítandó jellemzőkkel rendelkező referencia-tüzelőanyagokra vonatkozó előírások

Az e pontban szerinti referencia-tüzelőanyagok alternatívájaként a 3.2.1. pontban meghatározott egyenértékű referencia-tüzelőanyagok is használhatók.

3.2.2.1.

Mindegyik vezetékes referencia-tüzelőanyag (GR, G20, stb.) alapját a közüzemi gázelosztó hálózatból vételezett gáznak kell képeznie, amelyet a 9.1. táblázatban foglalt, lambda-eltolódási (Sλ) tényezőre vonatkozó előírások teljesítése érdekében szükség szerint elegyíteni kell az alábbiak közül egy vagy több, kereskedelmi ( 7 ) forgalomban kapható gáz keverékével:

a) szén-dioxid;

b) etán;

c) metán;

d) nitrogén;

e) propán.

3.2.2.2.

A vezetékes gáz és a keverékgáz így kapott elegye esetében az Sλ-értéknek az adott referencia-tüzelőanyagra vonatkozóan a 9.1. táblázatban megadott tartományon belül kell lennie.



9.1. táblázat

Az Sλ előírt tartománya az egyes referencia-tüzelőanyagok esetében

Referencia-tüzelőanyag

Legkisebb Sλ

Legnagyobb Sλ

GR (1)

0,87

0,95

G20

0,97

1,03

G23

1,05

1,10

G25

1,12

1,20

(1)   A motort nem szükséges 70 alatti metánszámú gázeleggyel vizsgálni. Amennyiben a Sλ GR-re vonatkozóan előírt tartománya miatt a metánszám 70 alatt lenne, akkor az Sλ GR-re vonatkozó értéke szükség szerint kiigazítható úgy, hogy a metánszám legalább 70 legyen.

3.2.2.3.

Az egyes vizsgálati menetekről szóló motorvizsgálati jegyzőkönyvnek az alábbiakat kell tartalmaznia:

a) a 3.2.2.1. pontban szereplő felsorolásból kiválasztott keverékgáz(ok);

b) a kapott gázelegyre vonatkozó Sλ-érték;

c) a kapott gázelegyre vonatkozó metánszám.

3.2.2.4.

Az 1. és 2. függelékben meghatározott követelményeknek eleget kell tenni a vezetékes és keverékgázok jellemzőinek megállapítása, a kapott gázelegyre vonatkozó Sλ-érték és metánszám meghatározása, valamint az elegy vizsgálat közbeni megmaradásának ellenőrzése során.

3.2.2.5.

Amennyiben egy vagy több gázáram (vezetékes gáz vagy keverékgáz(ok)) az elenyészőnél nagyobb arányban tartalmaz CO2-t, a fajlagos CO2-kibocsátás VII. mellékletnek megfelelően kiszámított értékét a 3. függelék szerint ki kell igazítani.




1. függelék

A kibocsátásvizsgálat vezetékes gáz és más gázok keverékéből álló gáz-halmazállapotú referencia-tüzelőanyagok használatával történő elvégzésére vonatkozó kiegészítő követelmények

1.    A gázelemzés és a gázárammérés módszere

1.1.

E függelék alkalmazásában a gázösszetételt szükség esetén a gáz EN ISO 6974 szabvány szerinti gázkromatográfiás elemzésével vagy legalább ugyanolyan pontos és megbízható alternatív technikával kell megállapítani.

1.2.

E függelék alkalmazásában a gázárammérést szükség esetén tömegalapú áramlásmérővel kell elvégezni.

2.    A bejövő közüzemi gázellátás elemzése és áramlási sebessége

2.1.

A közüzemi gázellátás összetételét a keverékelegyítő rendszer előtt kell elemezni.

2.2.

A keverékelegyítő rendszerbe belépő közüzemi gáz áramlási sebességét meg kell mérni.

3.    A keverék elemzése és áramlási sebessége

3.1.

Amennyiben rendelkezésre áll megfelelő (például a gázszolgáltató által kiállított) tanúsítvány a keverék elemzéséről, akkor a keverék összetétele megállapítható e tanúsítvány alapján. Ilyen esetben a keverék-összetétel helyszíni elemzése megengedett, de nem kötelező.

3.2.

Amennyiben nem áll rendelkezésre megfelelő tanúsítvány a keverék elemzéséről, akkor annak összetételét elemezni kell.

3.3.

A keverékelegyítő rendszerbe belépő keverék áramlási sebességét meg kell mérni.

4.    Az elegyített gáz elemzése

4.1.

A keverékelegyítő rendszerből való kilépés után a motorba táplált gáz összetételének elemzése a 2.1. és 3.1. pontban előírt elemzésen túlmenően vagy annak alternatívájaként megengedett, de nem kötelező.

5.    Az elegyített gáz Sλ-értékének és metánszámának kiszámítása

5.1.

A 2.1., 3.1. vagy 3.2. és adott esetben 4.1. pont szerint elvégzett gázelemzés eredményeit a gáz 2.2. és 3.3. pont szerint mért tömegáramával együtt felhasználva kell kiszámítani a metánszámot az EN 16726:2015 szabványnak megfelelően. Ugyanezekkel az adatokkal kell kiszámítani az Sλ értékét a 2. függelékben meghatározott eljárás szerint.

6.    A gázelegy szabályozása és ellenőrzése a vizsgálat során

6.1.

A gázelegyet nyitott vagy zárt szabályozókörű rendszerrel kell szabályozni és ellenőrizni a vizsgálat során.

6.2.

Nyitott szabályozókörű elegyszabályozó rendszer

6.2.1.

Ez esetben az 1., 2., 3. és 4. pontban előírt gázelemzést, áramlásméréseket és számításokat a kibocsátásvizsgálat előtt kell elvégezni.

6.2.2.

A közüzemi gáz és a keverék(ek) arányát úgy kell meghatározni, hogy az Sλ-érték az adott referencia-tüzelőanyagra vonatkozóan a 9.1. táblázatban megengedett tartományba essen.

6.2.3.

A relatív arányokat a meghatározásuk után a kibocsátásvizsgálat teljes időtartama alatt fenn kell tartani. Az egyes átfolyási sebességek kiigazítása a relatív arányok fenntartása céljából megengedett.

6.2.4

A kibocsátásvizsgálat befejeztekor meg kell ismételni a 2., 3., 4. és 5. pontban meghatározott gázösszetétel elemzését, az áramlásméréseket és a számításokat. A vizsgálat akkor minősül érvényesnek, ha az Sλ-érték az adott referencia-tüzelőanyagra vonatkozóan a 9.1. táblázatban meghatározott tartományon belül marad.

6.3.

Zárt szabályozókörű elegyszabályozó rendszer

6.3.1.

Ez esetben az 2., 3., 4. és 5. pontban előírt gázösszetétel-elemzést, áramlásméréseket és számításokat a kibocsátásvizsgálat alatt, meghatározott időközönként kell elvégezni. Az időközöket a gázkromatográf és a hozzá tartozó számítási rendszer esetében megengedhető gyakoriság figyelembevételével kell megállapítani.

6.3.2.

Az időszakos mérések és számítások eredményeinek felhasználásával ki kell igazítani a vezetékes gáz és a keverék relatív arányát, hogy az Sλ-érték az adott referencia-tüzelőanyagra vonatkozóan a 9.1. táblázatban megadott tartományon maradjon. A kiigazítás nem végezhető el a mérési gyakoriságnál gyakrabban.

6.3.3.

A vizsgálat akkor minősül érvényesnek, ha az Sλ-érték az adott referencia-tüzelőanyagra vonatkozóan a 9.1. táblázatban meghatározott tartományon belül marad a mérési pontok legalább 90 %-ánál.




2. függelék

A λ-eltolódási tényező (Sλ) kiszámítása

1.    Számítás

A λ-eltolódási tényezőt (Sλ) ( 8 ) a (9-1) egyenlettel kell kiszámítani:



image

(9-1)

Ahol:

Sλ

=

λ-eltolódási tényező;

inert %

=

a tüzelőanyagban lévő semleges gázok (azaz N2, CO2, He stb.) térfogatszázalékban;

image

=

a tüzelőanyagban eredetileg meglévő oxigén, térfogat %-ban megadva;

n és m

=

a tüzelőanyagban lévő szénhidrogéneket képviselő átlagos CnHm-ra utal, azaz:



image

(9-2)

image

(9-3)

Ahol:

CH4

=

a tüzelőanyagban lévő metán, térfogat %-ban;

C2

=

a tüzelőanyagban lévő összes C2 szénhidrogén (például C2H6, C2H4, stb.), térfogatszázalékban;

C3

=

a tüzelőanyagban lévő összes C3 szénhidrogén (például C3H8, C3H6, stb.), térfogatszázalékban;

C4

=

a tüzelőanyagban lévő összes C4 szénhidrogén (például C4H10, C4H8, stb.), térfogatszázalékban;

C5

=

a tüzelőanyagban lévő összes C5 szénhidrogén (például C5H12, C5H10, stb.), térfogatszázalékban;

hígítógáz

=

a tüzelőanyagban lévő hígító gázok (azaz O2*, N2, CO2, He stb.), térfogatszázalékban.

2.    Példák az Sλ λ-eltolódási tényező kiszámítására:

1. példa: G25: CH4 = 86 %, N2 = 14 % (térfogatban)

image

image

image

2. példa: GR: CH4 = 87 %, C2H6 = 13 % (térfogatban)

image

image

image

3. példa: USA: CH4 = 89 %, C2H6 = 4,5 %, C3H8 = 2,3 %, C6H14 = 0,2 %, O2 = 0,6 %, N2 = 4 %

image

image

image

A fenti egyenlet alternatívájaként az Sλ-érték kiszámítható a tiszta metán sztöchiometrikus levegőigényének a motorba táplált tüzelőanyag-elegy sztöchiometrikus levegőigényéhez viszonyított aránya alapján, az alábbiak szerint.

A lambda-eltolódási tényező (Sλ) adott tüzelőanyag-elegy oxigénigényének a tiszta metán oxigénigényéhez viszonyított értékét fejezi ki. Az oxigénigény az az oxigénmennyiség, amely reakciópartnerek sztöchiometrikus összetételében a metán teljes égéstermékekké (vagyis szén-dioxiddá és vízzé) oxidálásához szükséges.

A tiszta metán égésére vonatkozó reakciót a (9-4) egyenlet tartalmazza:



1 · CH 4 + 2 · O 2 → 1 · CO 2 + 2 · H 2 O

(9-4)

Ez esetben a molekulaarány a reakciópartnerek sztöchiometrikus összetételében pontosan 2:

image

Ahol:

nO 2

=

az oxigénmolekulák száma

nCH 4

=

a metánmolekulák száma

A tiszta metán oxigénigénye tehát:

nO 2

=

2 ·nCH 4 [nCH4 ] referenciaértékkel = 1 kmol

▼M2

Az Sλ értéke meghatározható az oxigén és a metán sztöchiometrikus összetétele arányának az oxigén és a motorba táplált tüzelőanyag-elegy sztöchiometrikus összetételének arányához viszonyított aránya alapján, a (9-5) egyenlet szerint:

▼B



image

(9-5)

Ahol:

nblend

=

a tüzelőanyag-elegy molekulaszáma

(nO 2)blend

=

az oxigén és a motorba táplált tüzelőanyag-elegy sztöchiometrikus összetételében lévő molekulák aránya

Mivel a levegő 21 %-a oxigén, ezért az adott tüzelőanyag Lst sztöchiometrikus levegőigényét a (9-6) egyenlettel kell kiszámítani:



image

(9-6)

Ahol:

Lst,fuel

=

a tüzelőanyag sztöchiometrikus levegőigénye

nO 2 fuel

=

a tüzelőanyag sztöchiometrikus oxigénigénye

Következésképpen az Sλ értéke meghatározható a levegő és a metán sztöchiometrikus összetétele arányának a levegő és a motorba táplált tüzelőanyag-elegy sztöchiometrikus összetételének arányához viszonyított értéke, vagyis a metán sztöchiometrikus levegőigényének a motorba táplált tüzelőanyag-elegy sztöchiometrikus levegőigényéhez viszonyított aránya alapján, a (9-7) egyenlet szerint:



image

(9-7)

Ezért a sztöchiometrikus levegőigény meghatározására szolgáló bármely számítás felhasználható a lambda-eltolódási tényező kifejezésére.




3. függelék

A kipufogógázban a gáz-halmazállapotú tüzelőanyag CO2-tartalma miatt található CO2 korrekciója

1.    Pillanatnyi CO2-tömegáram a gáz-halmazállapotú tüzelőanyag áramában

1.1.

A gázösszetételt és a gázáramot az 1. függelék 1–4. szakaszában foglalt követelmények szerint kell meghatározni.

1.2.

A motorba táplált gáz áramán belüli pillanatnyi CO2-tömegáramot a (9-8) egyenlettel kell kiszámítani.



CO2i = (M CO2/M stream) · x CO2i · streami

(9-8)

Ahol:

CO2i

=

pillanatnyi CO2-tömegáram a gázáramból [g/s]

streami,

=

a gázáram pillanatnyi tömegárama [g/s]

x CO2i

=

CO2-mólfrakció a gázáramban [-]

M CO2

=

a CO2 moláris tömege [g/mol]

M stream

=

a gázáram moláris tömege [g/mol]

Az M stream értékét az összes mért összetevőből (1, 2, …, n) kell kiszámítani a (9-9) egyenlettel.



M stream = x 1 · M 1 + x 2 · M 2 + … + x n · M n

(9-9)

Ahol:

X 1, 2,n

=

Az egyes mért összetevők mólfrakciója a gázáramban (CH4, CO2 stb.) [-]

M 1, 2,n

=

Az egyes mért összetevők moláris tömege a gázáramban [g/mol]

1.3.

A motorba táplált gáz-halmazállapotú tüzelőanyagban lévő CO2 teljes tömegáramának megállapításához a (9-8) egyenlet szerinti számítást a gázelegyítő rendszerbe belépő, CO2-tartalmú gázáramokra külön-külön el kell végezni, majd a kapott eredményeket össze kell adni, vagy az egyenletet az elegyítőrendszert elhagyó és motorba belépő elegyített gázra kell alkalmazni a (9-10) egyenlettel:



CO2i, fuel = CO2i, a + CO2i, b + … + CO2i, n

(9-10)

Ahol:

CO2i, fuel

=

A motorba táplált gáz-halmazállapotú tüzelőanyagban lévő CO2-ből származó CO2 összesített pillanatnyi tömegárama [g/s]

CO2i, a, b, …, n

=

az egyes a, b, …, n gázáramban lévő CO2-ből származó CO2 pillanatnyi tömegárama [g/s]

2.    A tranziens (NRTC és LSI-NRTC) vizsgálati ciklusokra és RMC-re vonatkozó fajlagos CO2-kibocsátás kiszámítása

2.1.

A tüzelőanyagban lévő CO2-ből származó CO2-kibocsátás vizsgálatonkénti össztömegét, az m CO2, fuel-t [g/vizsgálat] a CO2 motorba táplált gáz-halmazállapotú tüzelőanyagban mért pillanatnyi tömegáramának ( CO2i, fuel) [g/s] a vizsgálati ciklusra való összesítésével kell kiszámítani a (9-11) egyenlet alapján:



image

(9-11)

Ahol:

ƒ

=

adatlekérdezési gyakoriság [Hz]

N

=

a mérések száma [-]

2.2.

A CO2-kibocsátásnak a VII. mellékletben foglalt (7-61), (7-63), (7-128) vagy (7-130) egyenletben az e CO2 fajlagos kibocsátási érték [g/kWh] kiszámításához használt össztömegét (m CO2) [g/vizsgálat] az említett egyenletekben be kell helyettesíteni a korrigált m CO2, corr [g/vizsgálat] (9-12) egyenlettel kiszámított értékével.



m CO2, corr = m CO2m CO2, fuel

(9-12)

3.    A különálló NRSC-re vonatkozó fajlagos CO2-kibocsátás kiszámítása

3.1.

A tüzelőanyagban lévő CO2-ből származó CO2-kibocsátás óránkénti átlagos tömegáramát (qm CO2, fuel vagy CO2 fuel) [g/h] mindegyik vizsgálati üzemmódra ki kell számítani a pillanatnyi CO2-tömegáramra ( CO2i, fuel) [g/s] vonatkozóan a (9-10) egyenletben megadott és a megfelelő vizsgálati üzemmód mintavételi szakaszában elvégzett mérések alapján, a (9-13) egyenlet szerint:



image

(9-13)

Ahol:

N

=

a vizsgálati üzemmód alatt végrehajtott mérések száma [-]

3.2.

A CO2-kibocsátásnak a VII. mellékletben foglalt (7-64) vagy (7-131) egyenletben az e CO2 fajlagos kibocsátási érték [g/kWh] kiszámításához használt, az egyes vizsgálati üzemmódokra vonatkozó átlagos tömegáramát (qm CO2 vagy CO2 [g/h]) az említett egyenletekben be kell helyettesíteni a korrigált qm CO2, corr vagy CO2, corr [g/h] (9-14) vagy (9-15) egyenlet szerint az egyes vizsgálati üzemmódokra vonatkozóan kiszámított értékével.



q m CO2, corr = q m CO2q m CO2, fuel

(9-14)

CO2, corr = CO2 CO2, fuel

(9-15)




X. MELLÉKLET

A motor és a kipufogógáz-utókezelő rendszer külön történő leszállítására vonatkozó részletes műszaki elírások és feltételek

1.

Az (EU) 2016/1628 rendelet 34. cikkének (3) bekezdésében meghatározott külön szállításra akkor történik, ha a gyártó és a motort beépítő eredetiberendezés-gyártó nem ugyanaz a jogi személy, és a gyártó a motort annak kipufogógáz-utókezelő rendszerétől külön szállítja az egyik helyről, a kipufogógáz-utókezelő rendszert pedig másik helyről, illetve másik időpontban kerül leszállításra.

2.

Ebben az esetben a gyártó köteles:

2.1.

felelősséget vállalni a motor forgalomba hozataláért és annak biztosításáért, hogy a motor megfeleljen a jóváhagyott motortípusnak;

2.2.

még azelőtt leadni a rendelést a külön szállított alkatrészekre, hogy a motort annak kipufogógáz-utókezelő rendszerétől külön leszállítaná az eredetiberendezés-gyártónak;

2.3.

az eredetiberendezés-gyártót utasításokkal ellátni a motor és a kipufogógáz-utókezelő rendszer beépítésére, valamint a külön szállított alkatrészek azonosító jelölésére vonatkozóan, és közölni vele az összeszerelt motor jóváhagyott motortípusnak vagy motorcsaládnak megfelelő működésének ellenőrzéséhez szükséges információkat;

2.4.

nyilvántartást vezetni:

(1) az eredetiberendezés-gyártónak adott utasításokról;

(2) a külön leszállított összes alkatrészről;

(3) az eredetiberendezés-gyártó által visszaküldött okiratokról, amelyek igazolják, hogy a leszállított motorok a 3. szakasz szerint már megfelelnek a rájuk vonatkozó előírásoknak;

2.4.1.

e nyilvántartást legalább tíz évig megőrizni;

2.4.2.

a nyilvántartásba kérésre betekintést engedni a jóváhagyó hatóságnak, az Európai Bizottságnak vagy a piacfelügyeleti hatóságoknak;

2.5.

biztosítani, hogy a kipufogógáz-utókezelő rendszer nélküli motorok az (EU) 2016/1628 rendelet 32. cikke szerint jogszabályban előírt jelölésen felül az ugyanazon rendelet 33. cikkének (1) bekezdésében előírt módon és az (EU) 2017/656 végrehajtási rendelet III. mellékletének rendelkezései szerint ideiglenes jelölésekkel is el legyenek látva;

2.6.

gondoskodni arról, hogy a motoroktól külön szállított alkatrészeken legyen azonosító jelölés (például alkatrészszám);

2.7.

biztosítani, hogy átmeneti motor esetében a motor (és a kipufogógáz-utókezelő rendszer) gyártási időpontja megelőzze a motorok forgalomba hozatalának (EU) 2016/1628 rendelet III. melléklete szerinti időpontját az ugyanazon rendelet 3. cikke (7), (30) és (32) bekezdésének megfelelően.

2.7.1.

A 2.4. pont szerinti nyilvántartásnak tartalmaznia kell annak igazolását, hogy az átmeneti motor részét képező kipufogógáz-utókezelő rendszer az említett időpont előtt készült, amennyiben a gyártási időpont nem állapítható meg egyértelműen a kipufogógáz-utókezelő rendszeren elhegyezett jelölésből.

3.

Az eredetiberendezés-gyártó köteles:

3.1.

visszaigazolni a gyártónak, hogy a kapott utasításokat végrehajtotta, így a motor már megfelel a jóváhagyott motortípusnak vagy motorcsaládnak, továbbá hogy az összeszerelt motor jóváhagyott motortípusnak megfelelő működésének biztosításához szükséges ellenőrzéseket elvégezte;

3.2.

ha az eredetiberendezés-gyártó rendszeresen kap motorszállítmányokat a gyártótól, akkor a 3.1. pont szerinti visszaigazolás a felek megegyezése szerinti rendszeres időközönként, de legalább évente is küldhető.




XI. MELLÉKLET

A helyszíni vizsgálat céljára való ideiglenes forgalomba hozatalra vonatkozó részletes műszaki előírások és feltételek

A motoroknak a (EU) 2016/1628 rendelet 34. cikke (4) bekezdése szerinti, helyszíni vizsgálat céljára való ideiglenes forgalomba hozatalára az alábbi feltételeket kell alkalmazni:

1.

Az 5. szakaszban meghatározott folyamat befejeződéséig a gyártó marad a motor tulajdonosa. Ez nem zárja ki, hogy a gyártó a vizsgálatban közreműködő eredetiberendezés-gyártóval vagy végfelhasználókkal pénzügyi megállapodást kössön.

2.

A motor forgalomba hozatala előtt a gyártónak közölnie kell a tagállami jóváhagyó hatósággal a nevét vagy védjegyét, a motor egyedi motorazonosító számát, gyártási idejét, kibocsátási teljesítményére vonatkozó információkat, valamint a vizsgálatban közreműködő eredetiberendezés-gyártókat vagy végfelhasználókat.

3.

A motort a gyártó által az (EU) 2017/656 végrehajtási rendelet II. mellékletének rendelkezései szerint kiállított megfelelőségi nyilatkozatnak kell kísérnie. E megfelelőségi nyilatkozatban többek között azt kell feltüntetni, hogy a motort helyszíni vizsgálat céljára hozzák ideiglenes forgalomba az (EU) 2016/1628 rendelet 34. cikkének (4) bekezdése szerint.

4.

A motoron el kell helyezni az (EU) 2017/656 végrehajtási rendelet III. mellékletében előírt jogszabályi jelölést.

5.

A gyártónak a vizsgálatok elvégzését követően, de a motor forgalomba hozatalától számított 24 hónapig mindenképpen gondoskodnia kell arról, hogy a motort kivonják a forgalomból, vagy a motor megfeleljen az (EU) 2016/1628 rendeletnek. A gyártónak tájékoztatnia az engedélyező jóváhagyó hatóságot a választott lehetőségről.

6.

Az 5. szakasz rendelkezései ellenére a gyártó megfelelő indoklással kérelmezheti a vizsgálat időtartamának legfeljebb további 24 hónappal való meghosszabbítását ugyanazon jóváhagyó hatóságtól.

6.1.

A jóváhagyó hatóság engedélyezheti a hosszabbítást, amennyiben azt indokoltnak ítéli. Ebben az esetben:

(1) a gyártónak új megfelelőségi nyilatkozatot kell kiállítania a hosszabbítás idejére; és

(2) az 5. szakaszban foglalt rendelkezéseket a hosszabbítás végéig, de a motor forgalomba hozatalától számított 48 hónapig mindenképpen alkalmazni kell.




XII. MELLÉKLET

Különleges rendeltetésű motorokra vonatkozó részletes műszaki előírások és feltételek

Az (EU) 2016/1628 rendelet VI. mellékletében a különleges rendeltetésű motorok tekintetében a gáz- és szilárd halmazállapotú szennyező anyagokra vonatkozóan meghatározott kibocsátási határértékeknek megfelelő motorok forgalomba hozatalára az alábbi feltételek alkalmazandók:

1.

A motor forgalomba helyezése előtt a gyártónak ésszerűen elvárható intézkedéseket kell tennie annak biztosítása érdekében, hogy a motort az említett rendelet 34. cikkének (5) bekezdése szerint kizárólag potenciálisan robbanásveszélyes légkörben való használatra szánt, vagy ugyanazon rendelet 34. cikkének (6) bekezdése szerint nemzeti mentőszolgálat által működtetett mentőcsónakok vízre bocsátására és kiemelésére szolgáló, nem közúti mozgó gépbe építsék be.

2.

Az 1. szakasz alkalmazásában ésszerűen elvárható intézkedésnek tekinthető, ha a motort átvevő eredetiberendezés-gyártó vagy gazdasági szereplő írásbeli nyilatkozattal erősíti meg, hogy a motort kizárólag az említett különleges célokra használandó, nem közúti mozgó gépbe építi be.

3.

A gyártó köteles:

(1) a 2. szakasz szerinti írásbeli nyilatkozatot legalább 10 évig megőrizni; és

(2) az említett nyilatkozatot kérésre a típusjóváhagyó hatóság, az Európai Bizottság vagy a piacfelügyeleti hatóságok rendelkezésére bocsátani.

4.

A motort a gyártó által az (EU) 2017/656 végrehajtási rendelet II. mellékletének rendelkezései szerint kiállított megfelelőségi nyilatkozatnak kell kísérnie. E megfelelőségi nyilatkozatban többek között azt kell feltüntetni, hogy a motor különleges rendeltetésű, amelyet az (EU) 2016/1628 rendelet 34. cikkének (5) vagy (6) bekezdésében foglalt feltételek szerint hoznak forgalomba.

5.

A motoron el kell helyezni az (EU) 2017/656 végrehajtási rendelet III. mellékletében előírt jogszabályi jelölést.




XIII. MELLÉKLET

Egyenértékű motor-típusjóváhagyások elfogadása

1.

Az NRE kategóriájú motorcsaládok vagy motortípusok esetében az alábbi típusjóváhagyásokat és adott esetben az ezekhez tartozó jogszabályi jelölést egyenértékűnek kell tekinteni a megadott EU-típusjóváhagyásokkal és az (EU) 2016/1628 rendeletben előírt jogszabályi jelöléssel:

(1) az 595/2009/EK európai parlamenti és tanácsi rendelet ( 9 ) és végrehajtási intézkedései alapján megadott EU-típusjóváhagyások, amennyiben műszaki szolgálat igazolja, hogy a motortípus megfelel:

▼M2

a) a IV. melléklet 2. függelékében foglalt követelményeknek, ha a motor rendeltetése szerint kizárólag az „V. szakasz” szerinti kibocsátási határértékeknek megfelelő, IWP és IWA kategóriájú motorok helyett használható az (EU) 2016/1628 rendelet 4. cikke (1) bekezdése 1. pontjának b) alpontja szerint, vagy

b) a IV. melléklet 1. függelékben meghatározott követelményeknek az a) alpont hatálya alá nem tartozó motorok esetében;

(2) az ENSZ EGB 06. módosítássorozattal módosított 49. sz. előírása ( 10 ) szerinti típusjóváhagyások, amennyiben műszaki szolgálat igazolja, hogy a motortípus megfelel:

▼M2

a) a IV. melléklet 2. függelékében foglalt követelményeknek, ha a motor rendeltetése szerint kizárólag az „V. szakasz” szerinti kibocsátási határértékeknek megfelelő, IWP és IWA kategóriájú motorok helyett használható az (EU) 2016/1628 rendelet 4. cikke (1) bekezdése 1. pontjának b) alpontja szerint, vagy

b) a IV. melléklet 1. függelékben meghatározott követelményeknek az a) alpont hatálya alá nem tartozó motorok esetében;




XIV. MELLÉKLET

Az eredetiberendezés-gyártóknak szóló lényeges információk és utasítások részletei

1.

Az (EU) 2016/1628 rendelet 43. cikkének (2) bekezdésében előírtak szerint a gyártónak minden olyan lényeges információt és utasítást közölnie kell az eredetiberendezés-gyártóval, amely szükséges ahhoz, hogy a motor nem közúti mozgó gépbe való beépítés esetén megfeleljen a jóváhagyott motortípusnak. Az e célt szolgáló utasításokat egyértelműen meg kell jelölni az eredetiberendezés-gyártó számára.

2.

Az utasítások megadhatók papíralapon vagy általánosan használt elektronikus formátumban.

3.

Ha az eredetiberendezés-gyártónak több olyan motort szállítanak, amelyre ugyanazok az utasítások vonatkoznak, akkor elegendő egyszer közölni az utasításokat.

4.

Legalább az alábbi információkat és utasításokat kell közölni az eredetiberendezés-gyártóval:

(1) a motortípus (ideértve a kibocsátáscsökkentő rendszert is) kibocsátáscsökkentési teljesítményének elérését célzó beépítési követelmények, amelyek a kibocsátáscsökkentő rendszer helyes működésének biztosításához szükségesek;

(2) az (EU) 2017/656 végrehajtási rendelet IV. melléklete szerinti EU-típusbizonyítványban említett, a motor beépítésével vagy használatával kapcsolatos különleges feltételek vagy korlátozások leírása;

(3) nyilatkozat arról, hogy a motor beépítése nem korlátozza tartósan annak működését az (al)kategóriájánál szigorúbb gáz- és szilárd halmazállapotú szennyezőanyag-kibocsátási határértékekkel rendelkező (al)kategóriának megfelelő teljesítménytartományra;

(4) az V. melléklet hatálya alá tartozó motorcsaládok esetében a vonatkozó ellenőrzési tartomány felső és alsó határértéke és nyilatkozat arról, hogy a motor beépítése nem korlátozza a motor működését a motor nyomatékgörbéjéhez tartozó ellenőrzési tartományon kívüli fordulatszámra és terhelési pontokra;

(5) adott esetben azokra az eredetiberendezés-gyártó által szállított alkatrészekre vonatkozó tervezési követelmények, amelyek nem képezik a motor részét, de szükségesek ahhoz, hogy a beépített motor megfeleljen a jóváhagyott motortípusnak;

(6) adott esetben a reagenstartály tervezésére vonatkozó követelmények, ideértve a fagyvédelmet, a reagensszint figyelését és a reagensből való mintavétel módszerét;

(7) adott esetben a fűtés nélküli reagensrendszer esetleges beépítésére vonatkozó tájékoztatás;

(8) adott esetben nyilatkozat arról, hogy a motor rendeltetése szerint kizárólag hómaró gépekbe építhető be;

(9) adott esetben nyilatkozat arról, hogy az eredetiberendezés-gyártónak biztosítania kell a IV. melléklet 1–4. függeléke szerinti figyelmeztető rendszert;

(10) adott esetben tájékoztatás a (9) pont szerinti, üzemeltetőt figyelmeztető rendszerhez szükséges, a motor és a nem közúti mozgó gép közötti kapcsolódási pontról;

(11) adott esetben tájékoztatás a IV. melléklet 1. függelékének 5. szakaszában meghatározott használatkorlátozó rendszerhez szükséges, a motor és a nem közúti mozgó gép közötti kapcsolódási pontról;

(12) adott esetben tájékoztatás a IV. melléklet 1. függelékének 5.2.1. pontjában meghatározott, a használatkorlátozás ideiglenes kikapcsolására szolgáló eszközről;

(13) adott esetben tájékoztatás a IV. melléklet 1. függelékének 5.5. pontjában meghatározott, használatkorlátozást hatástalanító funkcióról;

(14) vegyes üzemű motorok esetében:

a) nyilatkozat arról, hogy az eredetiberendezés-gyártónak biztosítania kell a vegyes üzemű működés VIII. melléklet 4.3.1. pontjában meghatározott kijelzőjét;

b) nyilatkozat arról, hogy az eredetiberendezés-gyártónak biztosítania kell a VIII. melléklet 4.3.2. pontjában meghatározott vegyes üzemű figyelmeztető rendszert;

c) tájékoztatás a (14) pont a) és b) alpontjában említett kijelző és figyelmeztető rendszerhez szükséges, a motor és a nem közúti mozgó gép közötti kapcsolódási pontról;

(15) az (EU) 2017/656 végrehajtási rendelet IX. mellékletének 1.1.1.2. pontja szerinti egy vagy több egyéb belvízi járműben való használatra típusjóváhagyással rendelkező, IWP kategóriájú, változó fordulatszámú motorok esetében minden olyan (al)kategória és üzemmód (fordulatszám-szabályozás) részletei, amelyre a motor típusjóváhagyással rendelkezik, és amely beépítés esetén beállítható;

(16) az (EU) 2017/656 végrehajtási rendelet IX. mellékletének 1.1.2.3. pontja szerint más fordulatszámokkal ellátott, állandó fordulatszámú motorok esetében:

a) nyilatkozat arról, hogy a motor beépítésével biztosítható:

i. hogy a motor az állandó fordulatszámú fordulatszám-szabályozó másik fordulatszámra való átállítása előtt a motor leáll; és

ii. hogy az állandó fordulatszámú fordulatszám-szabályozót csak a motorgyártó által megengedett más fordulatszámokra állítják;

b) minden olyan (al)kategória és üzemmód (fordulatszám-szabályozás) részletei, amelyre a motor típusjóváhagyással rendelkezik, és amely beépítés esetén beállítható;

(17) amennyiben a motor az (EU) 2016/1628 rendelet 3. cikkének (18) bekezdésében megengedett módon indítási és leállítási alapjárati fordulatszámmal rendelkezik, nyilatkozat arról, hogy a motor beszerelésével biztosítható, hogy az állandó fordulatszámú fordulatszám-szabályozó a motor terhelésének a terhelés nélküli beállításról való megnövelése előtt működésbe lépjen.

5.

Az (EU) 2016/1628 rendelet 43. cikkének (3) bekezdésében előírtak szerint a gyártónak minden olyan információt és utasítást közölnie kell az eredetiberendezés-gyártóval, amelyet az eredetiberendezés-gyártónak a XV. melléklet szerint meg kell adnia a végfelhasználóknak.

6.

Az (EU) 2016/1628 rendelet 43. cikkének (4) bekezdésében előírtak szerint a gyártónak közölnie kell az eredetiberendezés-gyártóval a szén-dioxid- (CO2-) kibocsátásnak az EU-típusjóváhagyási eljárás során meghatározott és az EU-típusbizonyítványban rögzített, g/kWh-ban kifejezett értékét. Ezt az értéket az eredetiberendezés-gyártónak a következő nyilatkozat kíséretében kell megadnia a végfelhasználóknak: „Ez a CO2-érték a motortípust (motorcsaládot) képviselő (alap)motoron, rögzített vizsgálati ciklus alatt, laboratóriumi körülmények között elvégzett vizsgálatból származik, és sem kifejezetten, sem hallgatólagosan nem jelent garanciát az adott motor teljesítményére vonatkozóan”.




XV. MELLÉKLET

A végfelhasználóknak szóló lényeges információk és utasítások részletei

1.

Az eredetiberendezés-gyártónak minden olyan információt és utasítást közölnie kell a végfelhasználókkal, amely a motor gáz- és szilárd halmazállapotú szennyezőanyag-kibocsátásának a jóváhagyott motortípusra vagy motorcsaládra vonatkozó határértékeken belül tartására tekintettel a motor helyes működtetéséhez szükséges. Az e célt szolgáló utasításokat egyértelműen meg kell jelölni a végfelhasználók számára.

2.

A végfelhasználóknak szóló utasításokat:

2.1.

egyértelműen és érthetően (nem szaknyelven) kell megfogalmazni, ugyanazt a nyelvezetet használva, mint a nem közúti mozgó gépekre vonatkozóan a végfelhasználóknak adott utasításokban;

2.2.

papíralapon vagy ettől eltérve általánosan használt elektronikus formátumban kell megadni;

2.3.

a nem közúti mozgó gépekre vonatkozóan a végfelhasználóknak adott utasítások részeként vagy ettől eltérve külön dokumentumban kell megadni;

2.3.1.

a nem közúti mozgó gépekre vonatkozóan a végfelhasználóknak adott utasításoktól külön történő közlés esetén azzal azonos formátumban kell megadni.

3.

Legalább az alábbi információkat és utasításokat kell közölni a végfelhasználókkal:

(1) az (EU) 2017/656 végrehajtási rendelet IV. melléklete szerinti EU-típusbizonyítványban említett, a motor használatával kapcsolatos különleges feltételek vagy korlátozások leírása;

(2) nyilatkozat arról, hogy a motort (ideértve a kibocsátáscsökkentő rendszert is) a végfelhasználóknak megadott utasítások szerint kell működtetni, használni és karbantartani annak érdekében, hogy a kibocsátáscsökkentési teljesítménye folyamatosan megfeleljen a motorkategóriára vonatkozó követelményeknek;

(3) nyilatkozat arról, hogy a motor kibocsátáscsökkentő rendszerét érintő szándékos manipulálást vagy téves használatot kerülni kell, és főként nem hatástalanítható a kipufogógáz-visszavezető rendszer (EGR) vagy a reagensadagoló rendszer;

(4) nyilatkozat arról, hogy a kibocsátáscsökkentő rendszer helytelen működtetése, használata vagy karbantartása esetén haladéktalanul közbe kell avatkozni az 5. és 6. pontban említett figyelmeztetésekben megadott hibaelhárítási intézkedéseknek megfelelően;

(5) részletes magyarázatok a kibocsátáscsökkentő rendszernek a beszerelt motor helytelen működtetéséből, használatából vagy karbantartásából eredő lehetséges működési hibáiról, a kapcsolódó figyelmeztető jelzésekkel és a megfelelő hibaelhárítási intézkedésekkel együtt;

(6) részletes magyarázatok a nem közúti mozgó gépnek a motor kibocsátáscsökkentő rendszerében működési hibát okozó esetleges helytelen használatáról, a kapcsolódó figyelmeztető jelzésekkel és a megfelelő hibaelhárítási intézkedésekkel együtt;

(7) adott esetben a fűtés nélküli reagenstartály és adagolórendszer esetleges használatára vonatkozó tájékoztatás;

(8) adott esetben nyilatkozat arról, hogy a motor rendeltetése szerint kizárólag hómaró gépekben használható;

(9) a IV. melléklet 1. függelékének 4. szakasza (kategória: NRE, NRG, IWP, IWA vagy RLR) és/vagy a IV. melléklet 4. függelékének 4. szakasza (kategória: NRE, NRG, IWP, IWA vagy RLR) vagy a IV. melléklet 3. függelékének 3. szakasza (kategória: RLL) szerinti, az üzemeltetőt figyelmeztető rendszerrel felszerelt nem közúti mozgó gépek esetében nyilatkozat arról, hogy az üzemeltetőt figyelmeztető rendszer értesíti az üzemeltetőt, ha a kibocsátásszabályozási rendszer nem működik megfelelően;

(10) a IV. melléklet 1. függelékének 5. szakasza (kategória: NRE, NRG) szerinti használatkorlátozó rendszerrel felszerelt nem közúti mozgó gép esetében nyilatkozat arról, hogy az üzemeltetőt figyelmeztető jelzések figyelmen kívül hagyása miatt működésbe lép a használatkorlátozó rendszer, ami a nem közúti mozgó gép tényleges működésképtelenné válását eredményezi;

(11) a IV. melléklet 1. függelékének 5.5. pontjában meghatározott, a teljes motorteljesítmény felszabadítására szolgáló, használatkorlátozást hatástalanító funkcióval rendelkező nem közúti mozgó gépek esetében e funkció működéséről szóló tájékoztatás;

(12) adott esetben magyarázatok a (9), (10) és (11) pontban említett, üzemeltetőt figyelmeztető és használatkorlátozó rendszerek működéséről, ideértve azt is, hogy milyen következményekkel jár a teljesítményre és a hibanaplózásra nézve, ha figyelmen kívül hagyják a figyelmeztető rendszer jelzéseit és nem pótolják az esetlegesen használt reagenst, vagy nem orvosolják az észlelt problémát;

(13) amennyiben a fedélzeti számítógép a IV. melléklet 2. függelékének 4.1. pontja (kategória: IWP, IWA, RLR) szerint naplóban rögzíti az elégtelen reagensbefecskendezést vagy reagensminőséget, nyilatkozat arról, hogy a nemzeti ellenőrző hatóságok kiolvasó használatával be tudnak tekinteni e feljegyzésekbe;

(14) a IV. melléklet 1. függelékének 5.2.1. pontja szerinti, használatkorlátozás kikapcsolására szolgáló eszközzel felszerelt nem közúti mozgó gépek esetében tájékoztatás e funkció működéséről, valamint nyilatkozat arról, hogy ez a funkció csak vészhelyzet esetén kapcsolható be, bekapcsolását a fedélzeti számítógép naplóban rögzíti, a nemzeti ellenőrző hatóságok pedig kiolvasó használatával be tudnak tekinteni az így készült feljegyzésekbe;

(15) tájékoztatás a kibocsátáscsökkentő rendszer teljesítményének az I. mellékletben meghatározott követelményeknek megfelelően és a motor EU-típusjóváhagyásában foglalt előírásokkal összhangban történő fenntartásához szükséges tüzelőanyag-előírás(ok)ról, ideértve adott esetben a vonatkozó uniós vagy nemzetközi szabványra való hivatkozást is, különösen az alábbi esetekben:

▼M2

a) ha a motort az Unión belül dízellel vagy nem közúti használatú gázolajjal fogják üzemeltetni, nyilatkozat arról, hogy a legfeljebb 10 mg/kg (a végső forgalmazás helyén 20 mg/kg) kéntartalmú, legalább 45 cetánszámú és legfeljebb 8,0 tömegszázalék zsírsav-metil-észter-tartalmú tüzelőanyagot kell használni;

▼B

b) ha a gyártó által megadott módon és az EU-típusbizonyítványban rögzítettek szerint további tüzelőanyagok, tüzelőanyag-keverékek vagy emulziós tüzelőanyagok is használhatók a motorhoz, akkor ezek feltüntetése;

(16) tájékoztatás a kibocsátáscsökkentő rendszer teljesítményének fenntartásához szükséges kenőolaj-előírásokról;

(17) reagenst igénylő kibocsátásszabályozási rendszer esetében a gyártónak – a motor EU-típusjóváhagyásában megadott előírások szerint – meg kell adnia a reagens jellemzőit, ideértve a EU reagens típusát, a feloldott reagens koncentrációját, az üzemi hőmérsékleti feltételeket, valamint a reagens összetételére és minőségére vonatkozó nemzetközi szabványokra való hivatkozást;

(18) adott esetben utasítások arra vonatkozóan, hogy miként kell az üzemeltetőnek a szokásos szervizelések között feltöltenie a fogyó reagenseket. Az utasításokban be kell mutatni, hogy az üzemeltetőnek hogyan és milyen gyakran kell feltöltenie a reagenstartályt a nem közúti mozgó gép használatától függően;

(19) nyilatkozat arról, hogy a motor kibocsátáscsökkentési teljesítményének fenntartásához elengedhetetlen a reagens használata és újratöltése a (17) és (18) pontban foglalt előírásoknak megfelelően;

(20) a kibocsátással kapcsolatos tervezett karbantartásra vonatkozó követelmények, ideértve a kibocsátással kapcsolatos kritikus alkatrészek tervezett cseréjét is;

(21) vegyes üzemű motorok esetében:

a) adott esetben tájékoztatás a vegyes üzemmódnak a VIII. melléklet 4.3. pontjában meghatározott kijelzőiről;

b) ha egy vegyes üzemű motorra karbantartási üzemmódban a VIII. melléklet 4.2.2.1. pontja szerinti működési korlátozások vonatkoznak (kivéve a következő kategóriákat: IWP, IWA, RLL és RLR), nyilatkozat arról, hogy a karbantartási üzemmód működésbe lépése a nem közúti mozgó gép tényleges működésképtelenné válását eredményezi;

c) ha rendelkezésre áll a teljes motorteljesítmény felszabadítására szolgáló, használatkorlátozást hatástalanító funkció, tájékoztatás annak működéséről;

d) ha a vegyes üzemű motor a VIII. melléklet 4.2.2.2. pontja (kategóriák: IWP, IWA, RLL és RLR) szerinti karbantartási üzemmódban üzemel, nyilatkozat arról, hogy a karbantartási üzemmód működésbe lépését a fedélzeti számítógép naplóban rögzíti, és a nemzeti ellenőrző hatóságok kiolvasó használatával be tudnak tekinteni az így készült feljegyzésekbe.

1.

Az (EU) 2016/1628 rendelet 43. cikkének (4) bekezdésében előírtak szerint az eredetiberendezés-gyártónak közölnie kell a végfelhasználókkal a szén-dioxid- (CO2-) kibocsátás EU-típusjóváhagyási eljárás során meghatározott és EU-típusbizonyítványban rögzített, g/kWh-ban kifejezett értékét a következő nyilatkozat kíséretében: „Ez a CO2-érték a motortípust (motorcsaládot) képviselő (alap)motoron, rögzített vizsgálati ciklus alatt, laboratóriumi körülmények között elvégzett vizsgálatból származik, és sem kifejezetten, sem hallgatólagosan nem jelent garanciát az adott motor teljesítményére vonatkozóan”.




XVI. MELLÉKLET

A műszaki szolgálatok teljesítménynormái és értékelése

1.    Általános követelmények

A műszaki szolgálatok igazolják, hogy az (EU) 2016/1628 rendelet és az ugyanazon rendelet alapján elfogadott, felhatalmazáson alapuló jogi aktusok és végrehajtási jogi aktusok hatálya alá tartozó konkrét területeken megfelelő szakértelemmel, konkrét szakismeretekkel és igazolt szakmai tapasztalattal rendelkeznek.

2.    Szabványok, amelyeknek a műszaki szolgálatoknak meg kell felelniük

2.1.

Az (EU) 2016/1628 rendelet 45. cikkében meghatározott kategóriákba tartozó műszaki szolgálatok kötelesek megfelelni a 2007/46/EK európai parlamenti és tanácsi irányelv ( 11 ) V. mellékletének 1. függelékében felsorolt, az általuk végzett tevékenységekre vonatkozó előírásoknak.

2.2.

Az említett függelékben szereplő, a 2007/46/EK irányelv 41. cikkére történő hivatkozásokat az (EU) 2016/1628 rendelet 45. cikkére való hivatkozásként kell értelmezni.

2.3.

Az említett függelékben szereplő, a 2007/46/EK irányelv IV. mellékletére történő hivatkozásokat az (EU) 2016/1628 rendeletre és az ugyanazon rendelet alapján elfogadott, felhatalmazáson alapuló jogi aktusokra és végrehajtási jogi aktusokra való hivatkozásként kell értelmezni.

3.    A műszaki szolgálatok értékelésére vonatkozó eljárás

3.1.

A műszaki szolgálatoknak az (EU) 2016/1628 rendeletnek és az ugyanazon rendelet alapján elfogadott, felhatalmazáson alapuló jogi aktusoknak és végrehajtási jogi aktusoknak való megfelelését értékelni kell a 2007/46/EK irányelv V. mellékletének 2. függelékében meghatározott eljárás szerint.

3.2.

A 2007/46/EK irányelv V. mellékletének 2. függelékében a 2007/46/EK irányelv 42. cikkére történő hivatkozásokat az (EU) 2016/1628 rendelet 48. cikkére való hivatkozásként kell értelmezni.




XVII. MELLÉKLET

Az állandósult üzemállapotú és tranziens vizsgálati ciklusok jellemzői

1.

A különálló NRSC-khez tartozó vizsgálati üzemmódokat és súlyozó tényezőket tartalmazó táblázatok az 1. függelékben találhatók.

2.

Az RMC-khez tartozó vizsgálati üzemmódokat és súlyozó tényezőket tartalmazó táblázatok a 2. függelékben találhatók.

3.

A tranziens (NRTC és LSI-NRTC) vizsgálati ciklusokhoz tartozó fékpadprogramokat tartalmazó táblázatok a 3. függelékben találhatók.




1. függelék

Állandósult üzemállapotú, különálló NRSC-k

C. típusú vizsgálati ciklusok



A C1. ciklusú vizsgálati üzemmódok és súlyozó tényezők táblázata

Üzemmód száma

1

2

3

4

5

6

7

8

Fordulatszám ()

100 %

Közbenső

Alapjárat

Nyomaték () (%)

100

75

50

10

100

75

50

0

Súlyozó tényező

0,15

0,15

0,15

0,1

0,1

0,1

0,1

0,15

(1)   Az előírt vizsgálati fordulatszámok meghatározásához lásd a VI. melléklet 5.2.5., 7.6. és 7.7. pontját.

(2)   A százalékos nyomaték a szabályozott motorfordulatszám melletti legnagyobb nyomatékhoz van viszonyítva.



A C2. ciklusú vizsgálati üzemmódok és súlyozó tényezők táblázata

Üzemmód száma

1

2

3

4

5

6

7

Fordulatszám ()

100 %

Közbenső

Alapjárat

Nyomaték () (%)

25

100

75

50

25

10

0

Súlyozó tényező

0,06

0,02

0,05

0,32

0,30

0,10

0,15

(1)   Az előírt vizsgálati fordulatszámok meghatározásához lásd a VI. melléklet 5.2.5., 7.6. és 7.7. pontját.

(2)   A százalékos nyomaték a szabályozott motorfordulatszám melletti legnagyobb nyomatékhoz van viszonyítva.

D. típusú vizsgálati ciklusok



A D2. ciklusú vizsgálati üzemmódok és súlyozó tényezők táblázata

Üzemmód száma

(D2. ciklus)

1

2

3

4

5

Fordulatszám ()

100 %

Nyomaték () (%)

100

75

50

25

10

Súlyozó tényező

0,05

0,25

0,3

0,3

0,1

(1)   Az előírt vizsgálati fordulatszámok meghatározásához lásd a VI. melléklet 5.2.5., 7.6. és 7.7. pontját.

(2)   A százalékos nyomaték a gyártó által megadott névleges hasznos teljesítménynek megfelelő nyomatékhoz van viszonyítva.

E. típusú vizsgálati ciklusok



Az E. ciklusú vizsgálati üzemmódok és súlyozó tényezők táblázata

Üzemmód száma

(E2. ciklus)

1

2

3

4

 

 

 

 

 

 

Fordulatszám ()

100 %

Közbenső

Nyomaték () (%)

100

75

50

25

 

 

 

 

 

 

Súlyozó tényező

0,2

0,5

0,15

0,15

 

 

 

 

 

 

Üzemmód száma

(E3. ciklus)

1

2

3

4

Fordulatszám () (%)

100

91

80

63

Teljesítmény () (%)

100

75

50

25

Súlyozó tényező

0,2

0,5

0,15

0,15

(1)   Az előírt vizsgálati fordulatszámok meghatározásához lásd a VI. melléklet 5.2.5., 7.6. és 7.7. pontját.

(2)   A százalékos nyomaték a gyártó által megadott névleges hasznos teljesítménynek megfelelő, a szabályozott motorfordulatszám melletti nyomatékhoz van viszonyítva.

(3)   A százalékos teljesítmény a 100 %-os fordulatszám melletti legnagyobb névleges teljesítményhez van viszonyítva.

F. típusú vizsgálati ciklusok



Az F. ciklusú vizsgálati üzemmódok és súlyozó tényezők táblázata

Üzemmód száma

1

()

3

Fordulatszám ()

100 %

Közbenső

Alapjárat

Teljesítmény (%)

100 ()

50 ()

()

Súlyozó tényező

0,15

0,25

0,6

(1)   Az előírt vizsgálati fordulatszámok meghatározásához lásd a VI. melléklet 5.2.5., 7.6. és 7.7. pontját.

(2)   Ebben az üzemmódban a százalékos teljesítmény az 1. üzemmódban leadott teljesítményhez van viszonyítva.

(3)   Ebben az üzemmódban a százalékos teljesítmény a szabályozott motorfordulatszám melletti legnagyobb hasznos teljesítményhez van viszonyítva.

(4)   A különálló vezérlőrendszert (vagyis fokozatbeosztásos vezérlőket) használó motorok esetében a 2. üzemmód a 2. üzemmódhoz legközelebbi fokozaton vagy a névleges teljesítmény 35 %-án való működésnek felel meg.

G. típusú vizsgálati ciklus



A G. ciklusú vizsgálati üzemmódok és súlyozó tényezők táblázata

Üzemmód száma (G1. ciklus)

 

 

 

 

 

1

2

3

4

5

6

Fordulatszám ()

100 %

Közbenső

Alapjárat

Nyomaték () %

 

 

 

 

 

100

75

50

25

10

0

Súlyozó tényező

 

 

 

 

 

0,09

0,20

0,29

0,30

0,07

0,05

Üzemmód száma (G2. ciklus)

1

2

3

4

5

 

 

 

 

 

6

Fordulatszám ()

100 %

Közbenső

Alapjárat

Nyomaték () %

100

75

50

25

10

 

 

 

 

 

0

Súlyozó tényező

0,09

0,20

0,29

0,30

0,07

 

 

 

 

 

0,05

Üzemmód száma (G3. ciklus)

1

 

 

 

 

 

 

 

 

 

2

Fordulatszám ()

100 %

Közbenső

Alapjárat

Nyomaték () %

100

 

 

 

 

 

 

 

 

 

0

Súlyozó tényező

0,85

 

 

 

 

 

 

 

 

 

0,15

(1)   Az előírt vizsgálati fordulatszámok meghatározásához lásd a VI. melléklet 5.2.5., 7.6. és 7.7. pontját.

(2)   A százalékos nyomaték a szabályozott motorfordulatszám melletti legnagyobb nyomatékhoz van viszonyítva.

H. típusú vizsgálati ciklusok



A H. ciklusú vizsgálati üzemmódok és súlyozó tényezők táblázata

Üzemmód száma

1

2

3

4

5

Fordulatszám () (%)

100

85

75

65

Alapjárat

Nyomaték () (%)

100

51

33

19

0

Súlyozó tényező

0,12

0,27

0,25

0,31

0,05

(1)   Az előírt vizsgálati fordulatszámok meghatározásához lásd a VI. melléklet 5.2.5., 7.6. és 7.7. pontját.

(2)   A százalékos nyomaték a szabályozott motorfordulatszám melletti legnagyobb nyomatékhoz van viszonyítva.




2. függelék

Állandósult állapotú, átmeneteket magában foglaló ciklusok (RMC-k)

C. típusú vizsgálati ciklusok



Az RMC-C1. vizsgálati üzemmódok táblázata

RMC

Üzemmód száma

Az üzemmód ideje (másodperc)

Motorfordulatszám () ()

Nyomaték (%) () ()

1a Állandósult üzemállapot

126

Alapjárat

0

1b Átmenet

20

Lineáris átmenet

Lineáris átmenet

2a Állandósult üzemállapot

159

Közbenső

100

2b Átmenet

20

Közbenső

Lineáris átmenet

3a Állandósult üzemállapot

160

Közbenső

50

3b Átmenet

20

Közbenső

Lineáris átmenet

4a Állandósult üzemállapot

162

Közbenső

75

4b Átmenet

20

Lineáris átmenet

Lineáris átmenet

5a Állandósult üzemállapot

246

100 %

100

5b Átmenet

20

100 %

Lineáris átmenet

6a Állandósult üzemállapot

164

100 %

10

6b Átmenet

20

100 %

Lineáris átmenet

7a Állandósult üzemállapot

248

100 %

75

7b Átmenet

20

100 %

Lineáris átmenet

8a Állandósult üzemállapot

247

100 %

50

8b Átmenet

20

Lineáris átmenet

Lineáris átmenet

9 Állandósult üzemállapot

128

Alapjárat

0

(1)   Az előírt vizsgálati fordulatszámok meghatározásához lásd a VI. melléklet 5.2.5., 7.6. és 7.7. pontját.

(2)   A százalékos nyomaték a szabályozott motorfordulatszám melletti legnagyobb nyomatékhoz van viszonyítva.

(3)   Váltás egyik üzemmódból a következőbe 20 másodperces átmeneti fázissal. Az átmeneti fázis alatt az aktuális üzemmód nyomatékbeállításából lineáris átmenet történik a következő üzemmód nyomatékbeállításába, és ha a fordulatszám beállítását is érinti a változás, ezzel egyidejűleg hasonló lineáris átmenet zajlik le a fordulatszámnál is.



Az RMC-C2. vizsgálati üzemmódok táblázata

RMC

Üzemmód száma

Az üzemmód ideje (másodperc)

Motorfordulatszám () ()

Nyomaték (%) () ()

1a Állandósult üzemállapot

119

Alapjárat

0

1b Átmenet

20

Lineáris átmenet

Lineáris átmenet

2a Állandósult üzemállapot

29

Közbenső

100

2b Átmenet

20

Közbenső

Lineáris átmenet

3a Állandósult üzemállapot

150

Közbenső

10

3b Átmenet

20

Közbenső

Lineáris átmenet

4a Állandósult üzemállapot

80

Közbenső

75

4b Átmenet

20

Közbenső

Lineáris átmenet

5a Állandósult üzemállapot

513

Közbenső

25

5b Átmenet

20

Közbenső

Lineáris átmenet

6a Állandósult üzemállapot

549

Közbenső

50

6b Átmenet

20

Lineáris átmenet

Lineáris átmenet

7a Állandósult üzemállapot

96

100 %

25

7b Átmenet

20

Lineáris átmenet

Lineáris átmenet

8 Állandósult üzemállapot

124

Alapjárat

0

(1)   Az előírt vizsgálati fordulatszámok meghatározásához lásd a VI. melléklet 5.2.5., 7.6. és 7.7. pontját.

(2)   A százalékos nyomaték a szabályozott motorfordulatszám melletti legnagyobb nyomatékhoz van viszonyítva.

(3)   Váltás egyik üzemmódból a következőbe 20 másodperces átmeneti fázissal. Az átmeneti fázis alatt az aktuális üzemmód nyomatékbeállításából lineáris átmenet történik a következő üzemmód nyomatékbeállításába, és ha a fordulatszám beállítását is érinti a változás, ezzel egyidejűleg hasonló lineáris átmenet zajlik le a fordulatszámnál is.

D. típusú vizsgálati ciklusok



Az RMC-D2. vizsgálati üzemmódok táblázata

RMC

Üzemmód száma

Az üzemmód ideje (másodperc)

Motorfordulatszám (%) ()

Nyomaték (%) () ()

1a Állandósult üzemállapot

53

100

100

1b Átmenet

20

100

Lineáris átmenet

2a Állandósult üzemállapot

101

100

10

2b Átmenet

20

100

Lineáris átmenet

3a Állandósult üzemállapot

277

100

75

3b Átmenet

20

100

Lineáris átmenet

4a Állandósult üzemállapot

339

100

25

4b Átmenet

20

100

Lineáris átmenet

5 Állandósult üzemállapot

350

100

50

(1)   Az előírt vizsgálati fordulatszámok meghatározásához lásd a VI. melléklet 5.2.5., 7.6. és 7.7. pontját.

(2)   A százalékos nyomaték a gyártó által megadott névleges hasznos teljesítménynek megfelelő nyomatékhoz van viszonyítva.

(3)   Váltás egyik üzemmódból a következőbe 20 másodperces átmeneti fázissal. Az átmeneti fázis alatt az aktuális üzemmód nyomatékbeállításából lineáris átmenet történik a következő üzemmód nyomatékbeállításába.

E. típusú vizsgálati ciklusok



Az RMC-E2. vizsgálati üzemmódok táblázata

RMC

Üzemmód száma

Az üzemmód ideje (másodperc)

Motorfordulatszám (%) ()

Nyomaték (%) () ()

1a Állandósult üzemállapot

229

100

100

1b Átmenet

20

100

Lineáris átmenet

2a Állandósult üzemállapot

166

100

25

2b Átmenet

20

100

Lineáris átmenet

3a Állandósult üzemállapot

570

100

75

3b Átmenet

20

100

Lineáris átmenet

4 Állandósult üzemállapot

175

100

50

(1)   Az előírt vizsgálati fordulatszámok meghatározásához lásd a VI. melléklet 5.2.5., 7.6. és 7.7. pontját.

(2)   A százalékos nyomaték a gyártó által megadott névleges hasznos teljesítménynek megfelelő, a szabályozott motorfordulatszám melletti legnagyobb nyomatékhoz van viszonyítva.

(3)   Váltás egyik üzemmódból a következőbe 20 másodperces átmeneti fázissal. Az átmeneti fázis alatt az aktuális üzemmód nyomatékbeállításából lineáris átmenet történik a következő üzemmód nyomatékbeállításába.



Az RMC-E3. vizsgálati üzemmódok táblázata

RMC

Üzemmód száma

Az üzemmód ideje (másodperc)

Motorfordulatszám (%) () ()

Teljesítmény (%) () ()

1a Állandósult üzemállapot

229

100

100

1b Átmenet

20

Lineáris átmenet

Lineáris átmenet

2a Állandósult üzemállapot

166

63

25

2b Átmenet

20

Lineáris átmenet

Lineáris átmenet

3a Állandósult üzemállapot

570

91

75

3b Átmenet

20

Lineáris átmenet

Lineáris átmenet

4 Állandósult üzemállapot

175

80

50

(1)   Az előírt vizsgálati fordulatszámok meghatározásához lásd a VI. melléklet 5.2.5., 7.6. és 7.7. pontját.

(2)   A százalékos teljesítmény a 100 %-os fordulatszám melletti legnagyobb névleges hasznos teljesítményhez van viszonyítva.

(3)   Váltás egyik üzemmódból a következőbe 20 másodperces átmeneti fázissal. Az átmeneti fázis alatt az aktuális üzemmód nyomatékbeállításából lineáris átmenet történik a következő üzemmód nyomatékbeállításába, és ezzel egyidejűleg hasonló lineáris átmenet zajlik le a motorfordulatszámnál is.

F. típusú vizsgálati ciklusok



Az RMC-F. vizsgálati üzemmódok táblázata

RMC

Üzemmód száma

Az üzemmód ideje (másodperc)

Motorfordulatszám () ()

Teljesítmény (%) ()

1a Állandósult üzemállapot

350

Alapjárat

()

1b Átmenet

20

Lineáris átmenet

Lineáris átmenet

2a Állandósult üzemállapot ()

280

Közbenső

50 ()

2b Átmenet

20

Lineáris átmenet

Lineáris átmenet

3a Állandósult üzemállapot

160

100 %

100 ()

3b Átmenet

20

Lineáris átmenet

Lineáris átmenet

4 Állandósult üzemállapot

350

Alapjárat

()

(1)   Az előírt vizsgálati fordulatszámok meghatározásához lásd a VI. melléklet 5.2.5., 7.6. és 7.7. pontját.

(2)   Ebben az üzemmódban a százalékos teljesítmény a 3a. üzemmódban leadott hasznos teljesítményhez van viszonyítva.

(3)   Ebben az üzemmódban a százalékos teljesítmény a szabályozott motorfordulatszám melletti legnagyobb hasznos teljesítményhez van viszonyítva.

(4)   A különálló vezérlőrendszert (vagyis fokozatbeosztásos vezérlőket) használó motorok esetében a 2a. üzemmód a 2a. üzemmódhoz legközelebbi fokozaton vagy a névleges teljesítmény 35 %-án való működésnek felel meg.

(5)   Váltás egyik üzemmódból a következőbe 20 másodperces átmeneti fázissal. Az átmeneti fázis alatt az aktuális üzemmód nyomatékbeállításából lineáris átmenet történik a következő üzemmód nyomatékbeállításába, és ha a fordulatszám beállítását is érinti a változás, ezzel egyidejűleg hasonló lineáris átmenet zajlik le a fordulatszámnál is.

G. típusú vizsgálati ciklusok



Az RMC-G1. vizsgálati üzemmódok táblázata

RMC

Üzemmód száma

Az üzemmód ideje (másodperc)

Motorfordulatszám () ()

Nyomaték (%) () ()

1a Állandósult üzemállapot

41

Alapjárat

0

1b Átmenet

20

Lineáris átmenet

Lineáris átmenet

2a Állandósult üzemállapot

135

Közbenső

100

2b Átmenet

20

Közbenső

Lineáris átmenet

3a Állandósult üzemállapot

112

Közbenső

10

3b Átmenet

20

Közbenső

Lineáris átmenet

4a Állandósult üzemállapot

337

Közbenső

75

4b Átmenet

20

Közbenső

Lineáris átmenet

5a Állandósult üzemállapot

518

Közbenső

25

5b Átmenet

20

Közbenső

Lineáris átmenet

6a Állandósult üzemállapot

494

Közbenső

50

6b Átmenet

20

Lineáris átmenet

Lineáris átmenet

7 Állandósult üzemállapot

43

Alapjárat

0

(1)   Az előírt vizsgálati fordulatszámok meghatározásához lásd a VI. melléklet 5.2.5., 7.6. és 7.7. pontját.

(2)   A százalékos nyomaték a szabályozott motorfordulatszám melletti legnagyobb nyomatékhoz van viszonyítva.

(3)   Váltás egyik üzemmódból a következőbe 20 másodperces átmeneti fázissal. Az átmeneti fázis alatt az aktuális üzemmód nyomatékbeállításából lineáris átmenet történik a következő üzemmód nyomatékbeállításába, és ha a fordulatszám beállítását is érinti a változás, ezzel egyidejűleg hasonló lineáris átmenet zajlik le a fordulatszámnál is.



Az RMC-G2. vizsgálati üzemmódok táblázata

RMC

Üzemmód száma

Az üzemmód ideje (másodperc)

Motorfordulatszám () ()

Nyomaték (%) () ()

1a Állandósult üzemállapot

41

Alapjárat

0

1b Átmenet

20

Lineáris átmenet

Lineáris átmenet

2a Állandósult üzemállapot

135

100 %

100

2b Átmenet

20

100 %

Lineáris átmenet

3a Állandósult üzemállapot

112

100 %

10

3b Átmenet

20

100 %

Lineáris átmenet

4a Állandósult üzemállapot

337

100 %

75

4b Átmenet

20

100 %

Lineáris átmenet

5a Állandósult üzemállapot

518

100 %

25

5b Átmenet

20

100 %

Lineáris átmenet

6a Állandósult üzemállapot

494

100 %

50

6b Átmenet

20

Lineáris átmenet

Lineáris átmenet

7 Állandósult üzemállapot

43

Alapjárat

0

(1)   Az előírt vizsgálati fordulatszámok meghatározásához lásd a VI. melléklet 5.2.5., 7.6. és 7.7. pontját.

(2)   A százalékos nyomaték a szabályozott motorfordulatszám melletti legnagyobb nyomatékhoz van viszonyítva.

(3)   Váltás egyik üzemmódból a következőbe 20 másodperces átmeneti fázissal. Az átmeneti fázis alatt az aktuális üzemmód nyomatékbeállításából lineáris átmenet történik a következő üzemmód nyomatékbeállításába, és ha a fordulatszám beállítását is érinti a változás, ezzel egyidejűleg hasonló lineáris átmenet zajlik le a fordulatszámnál is.

H. típusú vizsgálati ciklusok



Az RMC-H. vizsgálati üzemmódok táblázata

RMC

Üzemmód száma

Az üzemmód ideje (másodperc)

Motorfordulatszám () ()

Nyomaték (%) () ()

1a Állandósult üzemállapot

27

Alapjárat

0

1b Átmenet

20

Lineáris átmenet

Lineáris átmenet

2a Állandósult üzemállapot

121

100 %

100

2b Átmenet

20

Lineáris átmenet

Lineáris átmenet

3a Állandósult üzemállapot

347

65 %

19

3b Átmenet

20

Lineáris átmenet

Lineáris átmenet

4a Állandósult üzemállapot

305

85 %

51

4b Átmenet

20

Lineáris átmenet

Lineáris átmenet

5a Állandósult üzemállapot

272

75 %

33

5b Átmenet

20

Lineáris átmenet

Lineáris átmenet

6 Állandósult üzemállapot

28

Alapjárat

0

(1)   Az előírt vizsgálati fordulatszámok meghatározásához lásd a VI. melléklet 5.2.5., 7.6. és 7.7. pontját.

(2)   A százalékos nyomaték a szabályozott motorfordulatszám melletti legnagyobb nyomatékhoz van viszonyítva.

(3)   Váltás egyik üzemmódból a következőbe 20 másodperces átmeneti fázissal. Az átmeneti fázis alatt az aktuális üzemmód nyomatékbeállításából lineáris átmenet történik a következő üzemmód nyomatékbeállításába, és ha a fordulatszám beállítását is érinti a változás, ezzel egyidejűleg hasonló lineáris átmenet zajlik le a fordulatszámnál is.




3. függelék

2.4.2.1.    Tranziens (NRTC és LSI-NRTC) vizsgálati ciklusok

Az NRTC fékpadprogram



Idő (s)

Normált fordulatszám (%)

Normált nyomaték (%)

1

0

0

2

0

0

3

0

0

4

0

0

5

0

0

6

0

0

7

0

0

8

0

0

9

0

0

10

0

0

11

0

0

12

0

0

13

0

0

14

0

0

15

0

0

16

0

0

17

0

0

18

0

0

19

0

0

20

0

0

21

0

0

22

0

0

23

0

0

24

1

3

25

1

3

26

1

3

27

1

3

28

1

3

29

1

3

30

1

6

31

1

6

32

2

1

33

4

13

34

7

18

35

9

21

36

17

20

37

33

42

38

57

46

39

44

33

40

31

0

41

22

27

42

33

43

43

80

49

44

105

47

45

98

70

46

104

36

47

104

65

48

96

71

49

101

62

50

102

51

51

102

50

52

102

46

53

102

41

54

102

31

55

89

2

56

82

0

57

47

1

58

23

1

59

1

3

60

1

8

61

1

3

62

1

5

63

1

6

64

1

4

65

1

4

66

0

6

67

1

4

68

9

21

69

25

56

70

64

26

71

60

31

72

63

20

73

62

24

74

64

8

75

58

44

76

65

10

77

65

12

78

68

23

79

69

30

80

71

30

81

74

15

82

71

23

83

73

20

84

73

21

85

73

19

86

70

33

87

70

34

88

65

47

89

66

47

90

64

53

91

65

45

92

66

38

93

67

49

94

69

39

95

69

39

96

66

42

97

71

29

98

75

29

99

72

23

100

74

22

101

75

24

102

73

30

103

74

24

104

77

6

105

76

12

106

74

39

107

72

30

108

75

22

109

78

64

110

102

34

111

103

28

112

103

28

113

103

19

114

103

32

115

104

25

116

103

38

117

103

39

118

103

34

119

102

44

120

103

38

121

102

43

122

103

34

123

102

41

124

103

44

125

103

37

126

103

27

127

104

13

128

104

30

129

104

19

130

103

28

131

104

40

132

104

32

133

101

63

134

102

54

135

102

52

136

102

51

137

103

40

138

104

34

139

102

36

140

104

44

141

103

44

142

104

33

143

102

27

144

103

26

145

79

53

146

51

37

147

24

23

148

13

33

149

19

55

150

45

30

151

34

7

152

14

4

153

8

16

154

15

6

155

39

47

156

39

4

157

35

26

158

27

38

159

43

40

160

14

23

161

10

10

162

15

33

163

35

72

164

60

39

165

55

31

166

47

30

167

16

7

168

0

6

169

0

8

170

0

8

171

0

2

172

2

17

173

10

28

174

28

31

175

33

30

176

36

0

177

19

10

178

1

18

179

0

16

180

1

3

181

1

4

182

1

5

183

1

6

184

1

5

185

1

3

186

1

4

187

1

4

188

1

6

189

8

18

190

20

51

191

49

19

192

41

13

193

31

16

194

28

21

195

21

17

196

31

21

197

21

8

198

0

14

199

0

12

200

3

8

201

3

22

202

12

20

203

14

20

204

16

17

205

20

18

206

27

34

207

32

33

208

41

31

209

43

31

210

37

33

211

26

18

212

18

29

213

14

51

214

13

11

215

12

9

216

15

33

217

20

25

218

25

17

219

31

29

220

36

66

221

66

40

222

50

13

223

16

24

224

26

50

225

64

23

226

81

20

227

83

11

228

79

23

229

76

31

230

68

24

231

59

33

232

59

3

233

25

7

234

21

10

235

20

19

236

4

10

237

5

7

238

4

5

239

4

6

240

4

6

241

4

5

242

7

5

243

16

28

244

28

25

245

52

53

246

50

8

247

26

40

248

48

29

249

54

39

250

60

42

251

48

18

252

54

51

253

88

90

254

103

84

255

103

85

256

102

84

257

58

66

258

64

97

259

56

80

260

51

67

261

52

96

262

63

62

263

71

6

264

33

16

265

47

45

266

43

56

267

42

27

268

42

64

269

75

74

270

68

96

271

86

61

272

66

0

273

37

0

274

45

37

275

68

96

276

80

97

277

92

96

278

90

97

279

82

96

280

94

81

281

90

85

282

96

65

283

70

96

284

55

95

285

70

96

286

79

96

287

81

71

288

71

60

289

92

65

290

82

63

291

61

47

292

52

37

293

24

0

294

20

7

295

39

48

296

39

54

297

63

58

298

53

31

299

51

24

300

48

40

301

39

0

302

35

18

303

36

16

304

29

17

305

28

21

306

31

15

307

31

10

308

43

19

309

49

63

310

78

61

311

78

46

312

66

65

313

78

97

314

84

63

315

57

26

316

36

22

317

20

34

318

19

8

319

9

10

320

5

5

321

7

11

322

15

15

323

12

9

324

13

27

325

15

28

326

16

28

327

16

31

328

15

20

329

17

0

330

20

34

331

21

25

332

20

0

333

23

25

334

30

58

335

63

96

336

83

60

337

61

0

338

26

0

339

29

44

340

68

97

341

80

97

342

88

97

343

99

88

344

102

86

345

100

82

346

74

79

347

57

79

348

76

97

349

84

97

350

86

97

351

81

98

352

83

83

353

65

96

354

93

72

355

63

60

356

72

49

357

56

27

358

29

0

359

18

13

360

25

11

361

28

24

362

34

53

363

65

83

364

80

44

365

77

46

366

76

50

367

45

52

368

61

98

369

61

69

370

63

49

371

32

0

372

10

8

373

17

7

374

16

13

375

11

6

376

9

5

377

9

12

378

12

46

379

15

30

380

26

28

381

13

9

382

16

21

383

24

4

384

36

43

385

65

85

386

78

66

387

63

39

388

32

34

389

46

55

390

47

42

391

42

39

392

27

0

393

14

5

394

14

14

395

24

54

396

60

90

397

53

66

398

70

48

399

77

93

400

79

67

401

46

65

402

69

98

403

80

97

404

74

97

405

75

98

406

56

61

407

42

0

408

36

32

409

34

43

410

68

83

411

102

48

412

62

0

413

41

39

414

71

86

415

91

52

416

89

55

417

89

56

418

88

58

419

78

69

420

98

39

421

64

61

422

90

34

423

88

38

424

97

62

425

100

53

426

81

58

427

74

51

428

76

57

429

76

72

430

85

72

431

84

60

432

83

72

433

83

72

434

86

72

435

89

72

436

86

72

437

87

72

438

88

72

439

88

71

440

87

72

441

85

71

442

88

72

443

88

72

444

84

72

445

83

73

446

77

73

447

74

73

448

76

72

449

46

77

450

78

62

451

79

35

452

82

38

453

81

41

454

79

37

455

78

35

456

78

38

457

78

46

458

75

49

459

73

50

460

79

58

461

79

71

462

83

44

463

53

48

464

40

48

465

51

75

466

75

72

467

89

67

468

93

60

469

89

73

470

86

73

471

81

73

472

78

73

473

78

73

474

76

73

475

79

73

476

82

73

477

86

73

478

88

72

479

92

71

480

97

54

481

73

43

482

36

64

483

63

31

484

78

1

485

69

27

486

67

28

487

72

9

488

71

9

489

78

36

490

81

56

491

75

53

492

60

45

493

50

37

494

66

41

495

51

61

496

68

47

497

29

42

498

24

73

499

64

71

500

90

71

501

100

61

502

94

73

503

84

73

504

79

73

505

75

72

506

78

73

507

80

73

508

81

73

509

81

73

510

83

73

511

85

73

512

84

73

513

85

73

514

86

73

515

85

73

516

85

73

517

85

72

518

85

73

519

83

73

520

79

73

521

78

73

522

81

73

523

82

72

524

94

56

525

66

48

526

35

71

527

51

44

528

60

23

529

64

10

530

63

14

531

70

37

532

76

45

533

78

18

534

76

51

535

75

33

536

81

17

537

76

45

538

76

30

539

80

14

540

71

18

541

71

14

542

71

11

543

65

2

544

31

26

545

24

72

546

64

70

547

77

62

548

80

68

549

83

53

550

83

50

551

83

50

552

85

43

553

86

45

554

89

35

555

82

61

556

87

50

557

85

55

558

89

49

559

87

70

560

91

39

561

72

3

562

43

25

563

30

60

564

40

45

565

37

32

566

37

32

567

43

70

568

70

54

569

77

47

570

79

66

571

85

53

572

83

57

573

86

52

574

85

51

575

70

39

576

50

5

577

38

36

578

30

71

579

75

53

580

84

40

581

85

42

582

86

49

583

86

57

584

89

68

585

99

61

586

77

29

587

81

72

588

89

69

589

49

56

590

79

70

591

104

59

592

103

54

593

102

56

594

102

56

595

103

61

596

102

64

597

103

60

598

93

72

599

86

73

600

76

73

601

59

49

602

46

22

603

40

65

604

72

31

605

72

27

606

67

44

607

68

37

608

67

42

609

68

50

610

77

43

611

58

4

612

22

37

613

57

69

614

68

38

615

73

2

616

40

14

617

42

38

618

64

69

619

64

74

620

67

73

621

65

73

622

68

73

623

65

49

624

81

0

625

37

25

626

24

69

627

68

71

628

70

71

629

76

70

630

71

72

631

73

69

632

76

70

633

77

72

634

77

72

635

77

72

636

77

70

637

76

71

638

76

71

639

77

71

640

77

71

641

78

70

642

77

70

643

77

71

644

79

72

645

78

70

646

80

70

647

82

71

648

84

71

649

83

71

650

83

73

651

81

70

652

80

71

653

78

71

654

76

70

655

76

70

656

76

71

657

79

71

658

78

71

659

81

70

660

83

72

661

84

71

662

86

71

663

87

71

664

92

72

665

91

72

666

90

71

667

90

71

668

91

71

669

90

70

670

90

72

671

91

71

672

90

71

673

90

71

674

92

72

675

93

69

676

90

70

677

93

72

678

91

70

679

89

71

680

91

71

681

90

71

682

90

71

683

92

71

684

91

71

685

93

71

686

93

68

687

98

68

688

98

67

689

100

69

690

99

68

691

100

71

692

99

68

693

100

69

694

102

72

695

101

69

696

100

69

697

102

71

698

102

71

699

102

69

700

102

71

701

102

68

702

100

69

703

102

70

704

102

68

705

102

70

706

102

72

707

102

68

708

102

69

709

100

68

710

102

71

711

101

64

712

102

69

713

102

69

714

101

69

715

102

64

716

102

69

717

102

68

718

102

70

719

102

69

720

102

70

721

102

70

722

102

62

723

104

38

724

104

15

725

102

24

726

102

45

727

102

47

728

104

40

729

101

52

730

103

32

731

102

50

732

103

30

733

103

44

734

102

40

735

103

43

736

103

41

737

102

46

738

103

39

739

102

41

740

103

41

741

102

38

742

103

39

743

102

46

744

104

46

745

103

49

746

102

45

747

103

42

748

103

46

749

103

38

750

102

48

751

103

35

752

102

48

753

103

49

754

102

48

755

102

46

756

103

47

757

102

49

758

102

42

759

102

52

760

102

57

761

102

55

762

102

61

763

102

61

764

102

58

765

103

58

766

102

59

767

102

54

768

102

63

769

102

61

770

103

55

771

102

60

772

102

72

773

103

56

774

102

55

775

102

67

776

103

56

777

84

42

778

48

7

779

48

6

780

48

6

781

48

7

782

48

6

783

48

7

784

67

21

785

105

59

786

105

96

787

105

74

788

105

66

789

105

62

790

105

66

791

89

41

792

52

5

793

48

5

794

48

7

795

48

5

796

48

6

797

48

4

798

52

6

799

51

5

800

51

6

801

51

6

802

52

5

803

52

5

804

57

44

805

98

90

806

105

94

807

105

100

808

105

98

809

105

95

810

105

96

811

105

92

812

104

97

813

100

85

814

94

74

815

87

62

816

81

50

817

81

46

818

80

39

819

80

32

820

81

28

821

80

26

822

80

23

823

80

23

824

80

20

825

81

19

826

80

18

827

81

17

828

80

20

829

81

24

830

81

21

831

80

26

832

80

24

833

80

23

834

80

22

835

81

21

836

81

24

837

81

24

838

81

22

839

81

22

840

81

21

841

81

31

842

81

27

843

80

26

844

80

26

845

81

25

846

80

21

847

81

20

848

83

21

849

83

15

850

83

12

851

83

9

852

83

8

853

83

7

854

83

6

855

83

6

856

83

6

857

83

6

858

83

6

859

76

5

860

49

8

861

51

7

862

51

20

863

78

52

864

80

38

865

81

33

866

83

29

867

83

22

868

83

16

869

83

12

870

83

9

871

83

8

872

83

7

873

83

6

874

83

6

875

83

6

876

83

6

877

83

6

878

59

4

879

50

5

880

51

5

881

51

5

882

51

5

883

50

5

884

50

5

885

50

5

886

50

5

887

50

5

888

51

5

889

51

5

890

51

5

891

63

50

892

81

34

893

81

25

894

81

29

895

81

23

896

80

24

897

81

24

898

81

28

899

81

27

900

81

22

901

81

19

902

81

17

903

81

17

904

81

17

905

81

15

906

80

15

907

80

28

908

81

22

909

81

24

910

81

19

911

81

21

912

81

20

913

83

26

914

80

63

915

80

59

916

83

100

917

81

73

918

83

53

919

80

76

920

81

61

921

80

50

922

81

37

923

82

49

924

83

37

925

83

25

926

83

17

927

83

13

928

83

10

929

83

8

930

83

7

931

83

7

932

83

6

933

83

6

934

83

6

935

71

5

936

49

24

937

69

64

938

81

50

939

81

43

940

81

42

941

81

31

942

81

30

943

81

35

944

81

28

945

81

27

946

80

27

947

81

31

948

81

41

949

81

41

950

81

37

951

81

43

952

81

34

953

81

31

954

81

26

955

81

23

956

81

27

957

81

38

958

81

40

959

81

39

960

81

27

961

81

33

962

80

28

963

81

34

964

83

72

965

81

49

966

81

51

967

80

55

968

81

48

969

81

36

970

81

39

971

81

38

972

80

41

973

81

30

974

81

23

975

81

19

976

81

25

977

81

29

978

83

47

979

81

90

980

81

75

981

80

60

982

81

48

983

81

41

984

81

30

985

80

24

986

81

20

987

81

21

988

81

29

989

81

29

990

81

27

991

81

23

992

81

25

993

81

26

994

81

22

995

81

20

996

81

17

997

81

23

998

83

65

999

81

54

1000

81

50

1001

81

41

1002

81

35

1003

81

37

1004

81

29

1005

81

28

1006

81

24

1007

81

19

1008

81

16

1009

80

16

1010

83

23

1011

83

17

1012

83

13

1013

83

27

1014

81

58

1015

81

60

1016

81

46

1017

80

41

1018

80

36

1019

81

26

1020

86

18

1021

82

35

1022

79

53

1023

82

30

1024

83

29

1025

83

32

1026

83

28

1027

76

60

1028

79

51

1029

86

26

1030

82

34

1031

84

25

1032

86

23

1033

85

22

1034

83

26

1035

83

25

1036

83

37

1037

84

14

1038

83

39

1039

76

70

1040

78

81

1041

75

71

1042

86

47

1043

83

35

1044

81

43

1045

81

41

1046

79

46

1047

80

44

1048

84

20

1049

79

31

1050

87

29

1051

82

49

1052

84

21

1053

82

56

1054

81

30

1055

85

21

1056

86

16

1057

79

52

1058

78

60

1059

74

55

1060

78

84

1061

80

54

1062

80

35

1063

82

24

1064

83

43

1065

79

49

1066

83

50

1067

86

12

1068

64

14

1069

24

14

1070

49

21

1071

77

48

1072

103

11

1073

98

48

1074

101

34

1075

99

39

1076

103

11

1077

103

19

1078

103

7

1079

103

13

1080

103

10

1081

102

13

1082

101

29

1083

102

25

1084

102

20

1085

96

60

1086

99

38

1087

102

24

1088

100

31

1089

100

28

1090

98

3

1091

102

26

1092

95

64

1093

102

23

1094

102

25

1095

98

42

1096

93

68

1097

101

25

1098

95

64

1099

101

35

1100

94

59

1101

97

37

1102

97

60

1103

93

98

1104

98

53

1105

103

13

1106

103

11

1107

103

11

1108

103

13

1109

103

10

1110

103

10

1111

103

11

1112

103

10

1113

103

10

1114

102

18

1115

102

31

1116

101

24

1117

102

19

1118

103

10

1119

102

12

1120

99

56

1121

96

59

1122

74

28

1123

66

62

1124

74

29

1125

64

74

1126

69

40

1127

76

2

1128

72

29

1129

66

65

1130

54

69

1131

69

56

1132

69

40

1133

73

54

1134

63

92

1135

61

67

1136

72

42

1137

78

2

1138

76

34

1139

67

80

1140

70

67

1141

53

70

1142

72

65

1143

60

57

1144

74

29

1145

69

31

1146

76

1

1147

74

22

1148

72

52

1149

62

96

1150

54

72

1151

72

28

1152

72

35

1153

64

68

1154

74

27

1155

76

14

1156

69

38

1157

66

59

1158

64

99

1159

51

86

1160

70

53

1161

72

36

1162

71

47

1163

70

42

1164

67

34

1165

74

2

1166

75

21

1167

74

15

1168

75

13

1169

76

10

1170

75

13

1171

75

10

1172

75

7

1173

75

13

1174

76

8

1175

76

7

1176

67

45

1177

75

13

1178

75

12

1179

73

21

1180

68

46

1181

74

8

1182

76

11

1183

76

14

1184

74

11

1185

74

18

1186

73

22

1187

74

20

1188

74

19

1189

70

22

1190

71

23

1191

73

19

1192

73

19

1193

72

20

1194

64

60

1195

70

39

1196

66

56

1197

68

64

1198

30

68

1199

70

38

1200

66

47

1201

76

14

1202

74

18

1203

69

46

1204

68

62

1205

68

62

1206

68

62

1207

68

62

1208

68

62

1209

68

62

1210

54

50

1211

41

37

1212

27

25

1213

14

12

1214

0

0

1215

0

0

1216

0

0

1217

0

0

1218

0

0

1219

0

0

1220

0

0

1221

0

0

1222

0

0

1223

0

0

1224

0

0

1225

0

0

1226

0

0

1227

0

0

1228

0

0

1229

0

0

1230

0

0

1231

0

0

1232

0

0

1233

0

0

1234

0

0

1235

0

0

1236

0

0

1237

0

0

1238

0

0

LSI-NRTC fékpadprogram



Idő (s)

Normált fordulatszám (%)

Normált nyomaték (%)

0

0

0

1

0

0

2

0

0

3

0

0

4

0

0

5

0

0

6

0

0

7

0

0

8

0

0

9

1

8

10

6

54

11

8

61

12

34

59

13

22

46

14

5

51

15

18

51

16

31

50

17

30

56

18

31

49

19

25

66

20

58

55

21

43

31

22

16

45

23

24

38

24

24

27

25

30

33

26

45

65

27

50

49

28

23

42

29

13

42

30

9

45

31

23

30

32

37

45

33

44

50

34

49

52

35

55

49

36

61

46

37

66

38

38

42

33

39

17

41

40

17

37

41

7

50

42

20

32

43

5

55

44

30

42

45

44

53

46

45

56

47

41

52

48

24

41

49

15

40

50

11

44

51

32

31

52

38

54

53

38

47

54

9

55

55

10

50

56

33

55

57

48

56

58

49

47

59

33

44

60

52

43

61

55

43

62

59

38

63

44

28

64

24

37

65

12

44

66

9

47

67

12

52

68

34

21

69

29

44

70

44

54

71

54

62

72

62

57

73

72

56

74

88

71

75

100

69

76

100

34

77

100

42

78

100

54

79

100

58

80

100

38

81

83

17

82

61

15

83

43

22

84

24

35

85

16

39

86

15

45

87

32

34

88

14

42

89

8

48

90

5

51

91

10

41

92

12

37

93

4

47

94

3

49

95

3

50

96

4

49

97

4

48

98

8

43

99

2

51

100

5

46

101

8

41

102

4

47

103

3

49

104

6

45

105

3

48

106

10

42

107

18

27

108

3

50

109

11

41

110

34

29

111

51

57

112

67

63

113

61

32

114

44

31

115

48

54

116

69

65

117

85

65

118

81

29

119

74

21

120

62

23

121

76

58

122

96

75

123

100

77

124

100

27

125

100

79

126

100

79

127

100

81

128

100

57

129

99

52

130

81

35

131

69

29

132

47

22

133

34

28

134

27

37

135

83

60

136

100

74

137

100

7

138

100

2

139

70

18

140

23

39

141

5

54

142

11

40

143

11

34

144

11

41

145

19

25

146

16

32

147

20

31

148

21

38

149

21

42

150

9

51

151

4

49

152

2

51

153

1

58

154

21

57

155

29

47

156

33

45

157

16

49

158

38

45

159

37

43

160

35

42

161

39

43

162

51

49

163

59

55

164

65

54

165

76

62

166

84

59

167

83

29

168

67

35

169

84

54

170

90

58

171

93

43

172

90

29

173

66

19

174

52

16

175

49

17

176

56

38

177

73

71

178

86

80

179

96

75

180

89

27

181

66

17

182

50

18

183

36

25

184

36

24

185

38

40

186

40

50

187

27

48

188

19

48

189

23

50

190

19

45

191

6

51

192

24

48

193

49

67

194

47

49

195

22

44

196

25

40

197

38

54

198

43

55

199

40

52

200

14

49

201

11

45

202

7

48

203

26

41

204

41

59

205

53

60

206

44

54

207

22

40

208

24

41

209

32

53

210

44

74

211

57

25

212

22

49

213

29

45

214

19

37

215

14

43

216

36

40

217

43

63

218

42

49

219

15

50

220

19

44

221

47

59

222

67

80

223

76

74

224

87

66

225

98

61

226

100

38

227

97

27

228

100

53

229

100

72

230

100

49

231

100

4

232

100

13

233

87

15

234

53

26

235

33

27

236

39

19

237

51

33

238

67

54

239

83

60

240

95

52

241

100

50

242

100

36

243

100

25

244

85

16

245

62

16

246

40

26

247

56

39

248

81

75

249

98

86

250

100

76

251

100

51

252

100

78

253

100

83

254

100

100

255

100

66

256

100

85

257

100

72

258

100

45

259

98

58

260

60

30

261

43

32

262

71

36

263

44

32

264

24

38

265

42

17

266

22

51

267

13

53

268

23

45

269

29

50

270

28

42

271

21

55

272

34

57

273

44

47

274

19

46

275

13

44

276

25

36

277

43

51

278

55

73

279

68

72

280

76

63

281

80

45

282

83

40

283

78

26

284

60

20

285

47

19

286

52

25

287

36

30

288

40

26

289

45

34

290

47

35

291

42

28

292

46

38

293

48

44

294

68

61

295

70

47

296

48

28

297

42

22

298

31

29

299

22

35

300

28

28

301

46

46

302

62

69

303

76

81

304

88

85

305

98

81

306

100

74

307

100

13

308

100

11

309

100

17

310

99

3

311

80

7

312

62

11

313

63

11

314

64

16

315

69

43

316

81

67

317

93

74

318

100

72

319

94

27

320

73

15

321

40

33

322

40

52

323

50

50

324

11

53

325

12

45

326

5

50

327

1

55

328

7

55

329

62

60

330

80

28

331

23

37

332

39

58

333

47

24

334

59

51

335

58

68

336

36

52

337

18

42

338

36

52

339

59

73

340

72

85

341

85

92

342

99

90

343

100

72

344

100

18

345

100

76

346

100

64

347

100

87

348

100

97

349

100

84

350

100

100

351

100

91

352

100

83

353

100

93

354

100

100

355

94

43

356

72

10

357

77

3

358

48

2

359

29

5

360

59

19

361

63

5

362

35

2

363

24

3

364

28

2

365

36

16

366

54

23

367

60

10

368

33

1

369

23

0

370

16

0

371

11

0

372

20

0

373

25

2

374

40

3

375

33

4

376

34

5

377

46

7

378

57

10

379

66

11

380

75

14

381

79

11

382

80

16

383

92

21

384

99

16

385

83

2

386

71

2

387

69

4

388

67

4

389

74

16

390

86

25

391

97

28

392

100

15

393

83

2

394

62

4

395

40

6

396

49

10

397

36

5

398

27

4

399

29

3

400

22

2

401

13

3

402

37

36

403

90

26

404

41

2

405

25

2

406

29

2

407

38

7

408

50

13

409

55

10

410

29

3

411

24

7

412

51

16

413

62

15

414

72

35

415

91

74

416

100

73

417

100

8

418

98

11

419

100

59

420

100

98

421

100

99

422

100

75

423

100

95

424

100

100

425

100

97

426

100

90

427

100

86

428

100

82

429

97

43

430

70

16

431

50

20

432

42

33

433

89

64

434

89

77

435

99

95

436

100

41

437

77

12

438

29

37

439

16

41

440

16

38

441

15

36

442

18

44

443

4

55

444

24

26

445

26

35

446

15

45

447

21

39

448

29

52

449

26

46

450

27

50

451

13

43

452

25

36

453

37

57

454

29

46

455

17

39

456

13

41

457

19

38

458

28

35

459

8

51

460

14

36

461

17

47

462

34

39

463

34

57

464

11

70

465

13

51

466

13

68

467

38

44

468

53

67

469

29

69

470

19

65

471

52

45

472

61

79

473

29

70

474

15

53

475

15

60

476

52

40

477

50

61

478

13

74

479

46

51

480

60

73

481

33

84

482

31

63

483

41

42

484

26

69

485

23

65

486

48

49

487

28

57

488

16

67

489

39

48

490

47

73

491

35

87

492

26

73

493

30

61

494

34

49

495

35

66

496

56

47

497

49

64

498

59

64

499

42

69

500

6

77

501

5

59

502

17

59

503

45

53

504

21

62

505

31

60

506

53

68

507

48

79

508

45

61

509

51

47

510

41

48

511

26

58

512

21

62

513

50

52

514

39

65

515

23

65

516

42

62

517

57

80

518

66

81

519

64

62

520

45

42

521

33

42

522

27

57

523

31

59

524

41

53

525

45

72

526

48

73

527

46

90

528

56

76

529

64

76

530

69

64

531

72

59

532

73

58

533

71

56

534

66

48

535

61

50

536

55

56

537

52

52

538

54

49

539

61

50

540

64

54

541

67

54

542

68

52

543

60

53

544

52

50

545

45

49

546

38

45

547

32

45

548

26

53

549

23

56

550

30

49

551

33

55

552

35

59

553

33

65

554

30

67

555

28

59

556

25

58

557

23

56

558

22

57

559

19

63

560

14

63

561

31

61

562

35

62

563

21

80

564

28

65

565

7

74

566

23

54

567

38

54

568

14

78

569

38

58

570

52

75

571

59

81

572

66

69

573

54

44

574

48

34

575

44

33

576

40

40

577

28

58

578

27

63

579

35

45

580

20

66

581

15

60

582

10

52

583

22

56

584

30

62

585

21

67

586

29

53

587

41

56

588

15

67

589

24

56

590

42

69

591

39

83

592

40

73

593

35

67

594

32

61

595

30

65

596

30

72

597

48

51

598

66

58

599

62

71

600

36

63

601

17

59

602

16

50

603

16

62

604

34

48

605

51

66

606

35

74

607

15

56

608

19

54

609

43

65

610

52

80

611

52

83

612

49

57

613

48

46

614

37

36

615

25

44

616

14

53

617

13

64

618

23

56

619

21

63

620

18

67

621

20

54

622

16

67

623

26

56

624

41

65

625

28

62

626

19

60

627

33

56

628

37

70

629

24

79

630

28

57

631

40

57

632

40

58

633

28

44

634

25

41

635

29

53

636

31

55

637

26

64

638

20

50

639

16

53

640

11

54

641

13

53

642

23

50

643

32

59

644

36

63

645

33

59

646

24

52

647

20

52

648

22

55

649

30

53

650

37

59

651

41

58

652

36

54

653

29

49

654

24

53

655

14

57

656

10

54

657

9

55

658

10

57

659

13

55

660

15

64

661

31

57

662

19

69

663

14

59

664

33

57

665

41

65

666

39

64

667

39

59

668

39

51

669

28

41

670

19

49

671

27

54

672

37

63

673

32

74

674

16

70

675

12

67

676

13

60

677

17

56

678

15

62

679

25

47

680

27

64

681

14

71

682

5

65

683

6

57

684

6

57

685

15

52

686

22

61

687

14

77

688

12

67

689

12

62

690

14

59

691

15

58

692

18

55

693

22

53

694

19

69

695

14

67

696

9

63

697

8

56

698

17

49

699

25

55

700

14

70

701

12

60

702

22

57

703

27

67

704

29

68

705

34

62

706

35

61

707

28

78

708

11

71

709

4

58

710

5

58

711

10

56

712

20

63

713

13

76

714

11

65

715

9

60

716

7

55

717

8

53

718

10

60

719

28

53

720

12

73

721

4

64

722

4

61

723

4

61

724

10

56

725

8

61

726

20

56

727

32

62

728

33

66

729

34

73

730

31

61

731

33

55

732

33

60

733

31

59

734

29

58

735

31

53

736

33

51

737

33

48

738

27

44

739

21

52

740

13

57

741

12

56

742

10

64

743

22

47

744

15

74

745

8

66

746

34

47

747

18

71

748

9

57

749

11

55

750

12

57

751

10

61

752

16

53

753

12

75

754

6

70

755

12

55

756

24

50

757

28

60

758

28

64

759

23

60

760

20

56

761

26

50

762

28

55

763

18

56

764

15

52

765

11

59

766

16

59

767

34

54

768

16

82

769

15

64

770

36

53

771

45

64

772

41

59

773

34

50

774

27

45

775

22

52

776

18

55

777

26

54

778

39

62

779

37

71

780

32

58

781

24

48

782

14

59

783

7

59

784

7

55

785

18

49

786

40

62

787

44

73

788

41

68

789

35

48

790

29

54

791

22

69

792

46

53

793

59

71

794

69

68

795

75

47

796

62

32

797

48

35

798

27

59

799

13

58

800

14

54

801

21

53

802

23

56

803

23

57

804

23

65

805

13

65

806

9

64

807

27

56

808

26

78

809

40

61

810

35

76

811

28

66

812

23

57

813

16

50

814

11

53

815

9

57

816

9

62

817

27

57

818

42

69

819

47

75

820

53

67

821

61

62

822

63

53

823

60

54

824

56

44

825

49

39

826

39

35

827

30

34

828

33

46

829

44

56

830

50

56

831

44

52

832

38

46

833

33

44

834

29

45

835

24

46

836

18

52

837

9

55

838

10

54

839

20

53

840

27

58

841

29

59

842

30

62

843

30

65

844

27

66

845

32

58

846

40

56

847

41

57

848

18

73

849

15

55

850

18

50

851

17

52

852

20

49

853

16

62

854

4

67

855

2

64

856

7

54

857

10

50

858

9

57

859

5

62

860

12

51

861

14

65

862

9

64

863

31

50

864

30

78

865

21

65

866

14

51

867

10

55

868

6

59

869

7

59

870

19

54

871

23

61

872

24

62

873

34

61

874

51

67

875

60

66

876

58

55

877

60

52

878

64

55

879

68

51

880

63

54

881

64

50

882

68

58

883

73

47

884

63

40

885

50

38

886

29

61

887

14

61

888

14

53

889

42

6

890

58

6

891

58

6

892

77

39

893

93

56

894

93

44

895

93

37

896

93

31

897

93

25

898

93

26

899

93

27

900

93

25

901

93

21

902

93

22

903

93

24

904

93

23

905

93

27

906

93

34

907

93

32

908

93

26

909

93

31

910

93

34

911

93

31

912

93

33

913

93

36

914

93

37

915

93

34

916

93

30

917

93

32

918

93

35

919

93

35

920

93

32

921

93

28

922

93

23

923

94

18

924

95

18

925

96

17

926

95

13

927

96

10

928

95

9

929

95

7

930

95

7

931

96

7

932

96

6

933

96

6

934

95

6

935

90

6

936

69

43

937

76

62

938

93

47

939

93

39

940

93

35

941

93

34

942

93

36

943

93

39

944

93

34

945

93

26

946

93

23

947

93

24

948

93

24

949

93

22

950

93

19

951

93

17

952

93

19

953

93

22

954

93

24

955

93

23

956

93

20

957

93

20

958

94

19

959

95

19

960

95

17

961

96

13

962

95

10

963

96

9

964

95

7

965

95

7

966

95

7

967

95

6

968

96

6

969

96

6

970

89

6

971

68

6

972

57

6

973

66

32

974

84

52

975

93

46

976

93

42

977

93

36

978

93

28

979

93

23

980

93

19

981

93

16

982

93

15

983

93

16

984

93

15

985

93

14

986

93

15

987

93

16

988

94

15

989

93

32

990

93

45

991

93

43

992

93

37

993

93

29

994

93

23

995

93

20

996

93

18

997

93

16

998

93

17

999

93

16

1000

93

15

1001

93

15

1002

93

15

1003

93

14

1004

93

15

1005

93

15

1006

93

14

1007

93

13

1008

93

14

1009

93

14

1010

93

15

1011

93

16

1012

93

17

1013

93

20

1014

93

22

1015

93

20

1016

93

19

1017

93

20

1018

93

19

1019

93

19

1020

93

20

1021

93

32

1022

93

37

1023

93

28

1024

93

26

1025

93

24

1026

93

22

1027

93

22

1028

93

21

1029

93

20

1030

93

20

1031

93

20

1032

93

20

1033

93

19

1034

93

18

1035

93

20

1036

93

20

1037

93

20

1038

93

20

1039

93

19

1040

93

18

1041

93

18

1042

93

17

1043

93

16

1044

93

16

1045

93

15

1046

93

16

1047

93

18

1048

93

37

1049

93

48

1050

93

38

1051

93

31

1052

93

26

1053

93

21

1054

93

18

1055

93

16

1056

93

17

1057

93

18

1058

93

19

1059

93

21

1060

93

20

1061

93

18

1062

93

17

1063

93

17

1064

93

18

1065

93

18

1066

93

18

1067

93

19

1068

93

18

1069

93

18

1070

93

20

1071

93

23

1072

93

25

1073

93

25

1074

93

24

1075

93

24

1076

93

22

1077

93

22

1078

93

22

1079

93

19

1080

93

16

1081

95

17

1082

95

37

1083

93

43

1084

93

32

1085

93

27

1086

93

26

1087

93

24

1088

93

22

1089

93

22

1090

93

22

1091

93

23

1092

93

22

1093

93

22

1094

93

23

1095

93

23

1096

93

23

1097

93

22

1098

93

23

1099

93

23

1100

93

23

1101

93

25

1102

93

27

1103

93

26

1104

93

25

1105

93

27

1106

93

27

1107

93

27

1108

93

24

1109

93

20

1110

93

18

1111

93

17

1112

93

17

1113

93

18

1114

93

18

1115

93

18

1116

93

19

1117

93

22

1118

93

22

1119

93

19

1120

93

17

1121

93

17

1122

93

18

1123

93

18

1124

93

19

1125

93

19

1126

93

20

1127

93

19

1128

93

20

1129

93

25

1130

93

30

1131

93

31

1132

93

26

1133

93

21

1134

93

18

1135

93

20

1136

93

25

1137

93

24

1138

93

21

1139

93

21

1140

93

22

1141

93

22

1142

93

28

1143

93

29

1144

93

23

1145

93

21

1146

93

18

1147

93

16

1148

93

16

1149

93

16

1150

93

17

1151

93

17

1152

93

17

1153

93

17

1154

93

23

1155

93

26

1156

93

22

1157

93

18

1158

93

16

1159

93

16

1160

93

17

1161

93

19

1162

93

18

1163

93

16

1164

93

19

1165

93

22

1166

93

25

1167

93

29

1168

93

27

1169

93

22

1170

93

18

1171

93

16

1172

93

19

1173

93

19

1174

93

17

1175

93

17

1176

93

17

1177

93

16

1178

93

16

1179

93

15

1180

93

16

1181

93

15

1182

93

17

1183

93

21

1184

93

30

1185

93

53

1186

93

54

1187

93

38

1188

93

30

1189

93

24

1190

93

20

1191

95

20

1192

96

18

1193

96

15

1194

96

11

1195

95

9

1196

95

8

1197

96

7

1198

94

33

1199

93

46

1200

93

37

1201

16

8

1202

0

0

1203

0

0

1204

0

0

1205

0

0

1206

0

0

1207

0

0

1208

0

0

1209

0

0



( 1 ) Az Európai Parlament és a Tanács 98/70/EK irányelve (1998. október 13.) a benzin és a dízelüzemanyagok minőségéről, valamint a 93/12/EGK tanácsi irányelv módosításáról (HL L 350., 1998.12.28., 58. o.).

( 2 ) A Bizottság (EU) 2017/656 végrehajtási rendelete (2016. december 19.) a nem közúti mozgó gépek belső égésű motorjainak kibocsátási határértékeivel és típusjóváhagyásával kapcsolatos adminisztratív követelményeknek az (EU) 2016/1628 európai parlamenti és tanácsi rendelettel összhangban történő meghatározásáról (lásd e Hivatalos Lap 364. oldalát).

( 3 ) A Bizottság (EU) 2017/655 felhatalmazáson alapuló rendelete (2016. december 19.) az (EU) 2016/1628 európai parlamenti és tanácsi rendeletnek a nem közúti mozgó gépekbe beépített belső égésű motorok használat közbeni gáz-halmazállapotú szennyezőanyag-kibocsátásainak nyomon követése tekintetében történő kiegészítéséről (lásd e Hivatalos Lap 334. oldalát).

( 4 ) 11. számú globális műszaki előírás a mezőgazdasági és erdészeti traktoroknak, valamint a nem közúti mozgó gépeknek a 2004. november 18-án létrehozott globális nyilvántartás szerinti motorkibocsátásáról, a kerekes járművekről, valamint a kerekes járművekre felszerelhető és/vagy azokon használható berendezésekről és felszerelésekről szóló globális műszaki előírások kidolgozására irányuló megállapodás 6. cikke alapján.

( 5 ) Az Egyesült Nemzetek Európai Gazdasági Bizottságának (ENSZ EGB) 96. számú előírása – Egységes rendelkezések a mezőgazdasági és erdészeti traktorokba, valamint a nem közúti mozgó gépekbe és berendezésekbe szánt kompressziós gyújtású motoroknak a motor szennyező anyag-kibocsátása tekintetében történő jóváhagyásáról.

( 6 ) http://www.unece.org/trans/main/wp29/wp29wgs/wp29gen/wp29glob_registry.html

( 7 ) E célra nem szükséges kalibráló gázt használni

( 8 ) Stoichiometric Air/Fuel ratios of automotive fuels (Gépjármű-tüzelőanyagok sztöchiometrikus levegő/tüzelőanyag arányai) - SAE J1829, 1987. június. John B. Heywood, Internal Combustion Engine Fundamentals (A belső égésű motorok alapjai), McGraw-Hill, 1988, 3.4. fejezet: „Combustion stoichiometry” (Az égés sztöchiometriája) (68–72. oldal).

( 9 ) Az Európai Parlament és a Tanács 595/2009/EK rendelete (2009. június 18.) a nehéz tehergépjárművek kibocsátásai (Euro VI) tekintetében a gépjárművek és motorok típusjóváhagyásáról, a járművek javítására és karbantartására vonatkozó információkhoz való hozzáférésről, a 715/2007/EK rendelet és a 2007/46/EK irányelv módosításáról, valamint a 80/1269/EGK, a 2005/55/EK és a 2005/78/EK irányelv hatályon kívül helyezéséről (HL L 188., 2009.7.18., 1. o.).

( 10 ) Az Egyesült Nemzetek Európai Gazdasági Bizottságának (ENSZ EGB) 49. számú előírása – Járművekben használt kompressziós gyújtású motorok és szikragyújtású motorok gáznemű és szilárd károsanyag-kibocsátása elleni intézkedésekre vonatkozó egységes rendelkezések (HL L 171., 2013.6.24., 1. o.).

( 11 ) Az Európai Parlament és a Tanács 2007/46/EK irányelve (2007. szeptember 5.) a gépjárművek és pótkocsijaik, valamint az ilyen járművek rendszereinek, alkatrészeinek és önálló műszaki egységeinek jóváhagyásáról (HL L 263., 2007.10.9., 1. o.).