03/Sv. 059

HR

Službeni list Europske unije

251


32012R0468


L 144/1

SLUŽBENI LIST EUROPSKE UNIJE

01.06.2012.


PROVEDBENA UREDBA KOMISIJE (EU) br. 468/2012

od 1. lipnja 2012.

o izmjeni Uredbe (EU) br. 28/2012 o utvrđivanju zahtjeva za certificiranje uvoza u Uniju i provoza kroz Uniju određenih mješovitih proizvoda

(Tekst značajan za EGP)

EUROPSKA KOMISIJA,

uzimajući u obzir Ugovor o funkcioniranju Europske unije,

uzimajući u obzir Direktivu Vijeća 2002/99/EZ od 16. prosinca 2002. o utvrđivanju zdravstvenih pravila za životinje kojima se uređuje proizvodnja, prerada, stavljanje u promet i unošenje proizvoda životinjskog podrijetla namijenjenih prehrani ljudi (1), a posebno njezin članak 8. stavak 5.,

budući da:

(1)

Uredbom Komisije (EU) br. 28/2012 (2) utvrđuju se pravila za certificiranje pošiljki određenih mješovitih proizvoda koje se unose u Uniju iz trećih zemalja, između ostalog i mješovitih proizvoda koji sadrže prerađene proizvode od jaja.

(2)

Sukladno Uredbi (EU) br. 28/2012, pošiljke mješovitih proizvoda koje se unose u Uniju ili provoze kroz Uniju mora pratiti zdravstveni certifikat koji je u skladu s obrascem utvrđenim u prilozima I. i II. toj Uredbi i pošiljke moraju ispunjavati uvjete utvrđene u tom certifikatu.

(3)

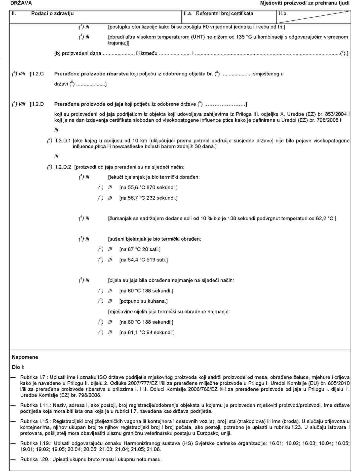
Obrasci certifikata utvrđeni u prilozima I. i II. Uredbi (EU) 28/2012 trenutačno ne uključuju detaljne uvjete u pogledu prerađenih proizvoda od jaja što ih sadrže mješoviti proizvodi koji se unose u Uniju ili provoze kroz Uniju.

(4)

Uredom Komisije (EZ) br. 798/2008 od 8. kolovoza 2008. o utvrđivanju popisa trećih zemalja, državnih područja, zona ili kompartmenta iz kojih je dozvoljen uvoz i provoz peradi i proizvoda od peradi kroz Zajednicu te o zahtjevima veterinarskog certificiranja (3) utvrđuju se zahtjevi veterinarskog certificiranja za uvoz u Uniju i provoz kroz Uniju određenih proizvoda, uključujući i proizvode od jaja. Njome se predviđa da proizvode koji se uvoze u Uniju ili provoze kroz Uniju mora pratiti veterinarski certifikat za predmetne proizvode te da ti proizvodi moraju ispunjavati uvjete utvrđene u certifikatu.

(5)

Prerađeni proizvodi od jaja predstavljaju potencijalnu opasnost za zdravlje životinja, čak i onda kad se koriste za proizvodnju određenih mješovitih proizvoda. Stoga je primjereno da se na prerađene proizvode od jaja koji se koriste za proizvodnju mješovitih proizvoda primjenjuju isti oni uvjeti koje sukladno Uredbi (EZ) br. 798/2008 moraju ispunjavati proizvodi od jaja kada se unose u Uniju ili provoze kroz Uniju.

(6)

Obrasci certifikata utvrđeni u prilozima I. i II. Uredbi (EU) br. 28/2012 uključuju uvjet da državi podrijetla mesnih ili mliječnih proizvoda korištenih za proizvodnju mješovitih proizvoda koji se uvoze u Uniju ili provoze kroz Uniju mora relevantnim zakonodavstvom Unije biti odobreno izvoziti mesne ili mliječne proizvode u Uniju. Osim toga, ti obrasci certifikata uključuju i uvjet da država podrijetla mesnih ili mliječnih proizvoda mora biti i država izvoza mješovitih proizvoda.

(7)

Ta dva uvjeta osiguravaju da mesni i mliječni proizvodi podrijetlom iz trećih zemalja koji se koriste za proizvodnju mješovitih proizvoda udovoljavaju pravilima Unije u pogledu zdravlja ljudi i životinja. Međutim, uvjet da država podrijetla i država izvoznica moraju biti iste ne omogućuje uvoz u Uniju ili provoz kroz Uniju mješovitih proizvoda koji se izvoze iz treće zemlje, ali koji sadrže mesne ili mliječne proizvode podrijetlom iz Unije.

(8)

Mesni i mliječni proizvodi podrijetlom iz Unije ispunjavaju uvjete u pogledu zdravlja ljudi i životinja utvrđene zakonodavstvom Unije. Stoga je primjereno izmijeniti uvjete navedene u obrascima certifikata utvrđenima u prilozima I. i II. Uredbi (EU) br. 28/2012 kako bi se omogućilo korištenje mesnih i mliječnih proizvoda podrijetlom iz Unije za proizvodnju mješovitih proizvoda u trećim zemljama iz kojih je dopušten izvoz mješovitih proizvoda u Uniju.

(9)

Odlukom Komisije 2007/777/EC od 29. studenoga 2007. o utvrđivanju uvjeta za zdravlje životinja i javno zdravlje te obrazaca certifikata za uvoz iz trećih zemalja određenih mesnih proizvoda i obrađenih želudaca, mjehura i crijeva za prehranu ljudi (4) predviđeno je da države članice odobravaju uvoz u Uniju određenih mesnih proizvoda koji ispunjavaju uvjete u pogledu podrijetla i obrade iz Priloga II. toj Odluci. U tom su Prilogu navedena pravila o nespecifičnoj obradi (obradi A) kojoj moraju biti podvrgnuti uvezeni proizvodi podrijetlom iz trećih zemalja u kojima je zdravstveni status životinja takav da ne predstavlja opasnost za zdravstveni status životinja u Uniji. S obzirom na to da se ti proizvodi smiju izravno uvoziti u Uniju, primjereno je izmijeniti uvjete navedene u obrascima utvrđenima u prilozima I. i II. Uredbi (EU) br. 28/2012 kako bi se omogućilo korištenje takvih mesnih proizvoda za proizvodnju mješovitih proizvoda u trećim zemljama kojima je dopušten izvoz mješovitih proizvoda u Uniju, pod uvjetom da treća zemlja koja izvozi mješovite proizvode osigurava da ti mesni proizvodi ispunjavaju zahtjeve u pogledu zdravstvene ispravnosti i podrijetla koji su predviđeni zakonodavstvom Unije te da je i njoj samoj dopušteno izvoziti iste mesne proizvode u Uniju pod istim uvjetima.

(10)

Uredbom Komisije (EU) br. 605/2010 od 2. srpnja 2010. o uvjetima zdravlja životinja i javnog zdravlja te uvjetima veterinarskog certificiranja za unošenje sirovog mlijeka i mliječnih proizvoda namijenjenih prehrani ljudi u Europsku uniju (5) predviđeno je da države članice odobravaju uvoz pošiljki sirovog mlijeka i mliječnih proizvoda iz trećih zemalja ili njihovih dijelova navedenih u stupcu A Priloga I. toj Uredbi. Osim toga, Uredbom (EU) br. 605/2010 predviđeno je i da države članice odobravaju uvoz pošiljki određenih mliječnih proizvoda iz trećih zemalja ili njihovih dijelova navedenih u stupcu B Priloga I. toj Uredbi u kojima nema rizika od bolesti slinavke i šapa, pod uvjetom da su takvi mliječni proizvodi bili podvrgnuti postupku pasterizacije jednokratnom toplinskom obradom ili su dobiveni od sirovog mlijeka koje je bilo podvrgnuto postupku pasterizacije jednokratnom toplinskom obradom. S obzirom na to da se ti mliječni proizvodi smiju izravno uvoziti u Uniju, primjereno je izmijeniti uvjete navedene u obrascima utvrđenima u prilozima I. i II. Uredbi (EU) br. 28/2012 kako bi se omogućilo korištenje takvih mliječnih proizvoda za proizvodnju mješovitih proizvoda u trećim zemljama kojima je dopušten izvoz mješovitih proizvoda u Uniju, pod uvjetom da treća zemlja koja izvozi mješovite proizvode osigurava da ti mliječni proizvodi ispunjavaju zahtjeve u pogledu zdravstvene ispravnosti i podrijetla koji su predviđeni zakonodavstvom Unije te da je i njoj samoj dopušteno izvoziti iste mliječne proizvode u Uniju pod istim uvjetima.

(11)

Uredbu (EU) br. 28/2012 bi stoga trebalo na odgovarajući način izmijeniti.

(12)

Kako bi se izbjegli bilo kakvi poremećaji u trgovini, u prijelaznom bi razdoblju trebalo odobriti korištenje certifikata koji su izdani u skladu s Uredbom (EU) br. 28/2012 prije stupanja na snagu ove Uredbe.

(13)

Mjere predviđene ovom Uredbom u skladu su s mišljenjem Stalnog odbora za prehrambeni lanac i zdravlje životinja,

DONIJELA JE OVU UREDBU:

Članak 1.

Prilozi I. i II. Uredbi (EU) br. 28/2012 zamjenjuju se tekstom iz Priloga ovoj Uredbi.

Članak 2.

U prijelaznom razdoblju do 31. prosinca 2012. u Uniju se i dalje mogu unositi pošiljke mješovitih proizvoda koje prati certifikat izdan prije 1. listopada 2012. u skladu s obrascima iz priloga I. i II. Uredbi (EU) br. 28/2012 prije izmjena uvedenih ovom Uredbom.

Članak 3.

Ova Uredba stupa na snagu dvadesetog dana od dana objave u Službenom listu Europske unije.

Ova je Uredba u cijelosti obvezujuća i izravno se primjenjuje u svim državama članicama.

Sastavljeno u Bruxellesu 1. lipnja 2012.

Za Komisiju

Predsjednik

José Manuel BARROSO


(1)  SL L 18, 23.1.2003., str. 11.

(2)  SL L 12, 14.1.2012., str. 1.

(3)  SL L 226, 23.8.2008., str. 1.

(4)  SL L 312, 30.11.2007., str. 49.

(5)  SL L 175, 10.7.2010., str. 1.


PRILOG

„PRILOG I.

Obrazac zdravstvenog certifikata za mješovite proizvode za prehranu ljudi namijenjene uvozu u Europsku uniju

Image

Image

Image

Image

Image

Image

Image

PRILOG II.

Obrazac zdravstvenog certifikata za provoz mješovitih proizvoda namijenjenih prehrani ljudi preko područja EU ili za njihovo skladištenje u EU

Image

Image

Image

Image