15/Sv. 013

HR

Službeni list Europske unije

282


32012R0252


L 084/1

SLUŽBENI LIST EUROPSKE UNIJE

21.03.2012.


UREDBA KOMISIJE (EU) br. 252/2012

od 21. ožujka 2012.

o metodama uzorkovanja i analitičkim metodama za službenu kontrolu količina dioksina, dioksinima sličnih PCB-a i PCB-a koji nisu slični dioksinu u određenoj hrani i o stavljanju izvan snage Uredbe (EZ) br. 1883/2006

(Tekst značajan za EGP)

EUROPSKA KOMISIJA,

uzimajući u obzir Ugovor o funkcioniranju Europske unije,

uzimajući u obzir Uredbu (EZ) br. 882/2004 Europskog parlamenta i Vijeća od 29. travnja 2004. o službenim kontrolama koje se provode radi provjere pridržavanja propisa o hrani i hrani za životinje te pravila o zdravlju i dobrobiti životinja (1), a posebno njezin članak 11. stavak 4.,

budući da:

(1)

Uredba Komisije (EZ) br. 1881/2006 od 19. prosinca 2006. o utvrđivanju najvećih dopuštenih količina određenih kontaminanata u hrani (2) predviđa najveće dopuštene količine za PCB-ove koji nisu slični dioksinu, dioksine i furane i za zbroj dioksina, furana i dioksinu sličnih PCB-a u nekim prehrambenim proizvodima.

(2)

Preporuka Komisije 2011/516/EU od 23. kolovoza 2011. o smanjenju prisutnosti dioksina, furana i PCB-a u hrani i hrani za životinje (3) određuje pragove za pokretanje postupka kako bi se potaknuo proaktivni pristup za smanjenje prisutnosti polikloriranih dibenzo-para-dioksina i polikloriranih dibenzo furana (PCDD/Fs) i dioksinu sličnih PCB-a u hrani. Ti pragovi za pokretanje postupka su instrument za nadležna tijela i subjekte koji mogu izdvojiti one slučajeve u kojima je potrebno identificirati izvor kontaminacije i poduzeti mjere za njegovo smanjenje ili uklanjanje.

(3)

Uredba Komisije (EZ) br. 1883/2006 od 19. prosinca 2006. o metodama uzorkovanja i analiza za službenu kontrolu količina dioksina i dioksinu sličnih PCB-a u pojedinoj hrani (4) sadrži posebne odredbe o postupcima uzorkovanja i analitičkim metodama koje se primjenjuju pri službenim kontrolama.

(4)

Primjena novih najvećih dopuštenih količina za PCB-ove koji nisu slični dioksinu koje su određene na temelju znanstvenog mišljenja Europske agencije za sigurnost hrane (EFSA) o PCB-ima koji nisu slični dioksinu, zatim usklađivanje na razini Unije te ažuriranje kriterija za orijentacijske metode zahtijeva značajne izmjene. Stoga je zbog jasnoće primjereno zamijeniti Uredbu (EZ) br. 1883/2006 ovom Uredbom.

(5)

Odredbe koje propisuje ova Uredba odnose se samo na uzorkovanje i analizu dioksina, dioksinu sličnih PCB-a i PCB-a koji nisu slični dioksinu za provedbu Uredbe (EZ) br. 1881/2006. One ne utječu na strategiju, količine i učestalost uzorkovanja kako su navedeni u prilozima III. i IV. Direktivi Vijeća 96/23/EZ od 29. travnja 1996. o mjerama za praćenje određenih tvari i njihovih rezidua u živim životinjama i proizvodima životinjskog podrijetla i o stavljanju izvan snage direktiva 85/358/EEZ i 86/469/EEZ i odluka 89/187/EEZ i 91/664/EEZ (5). One ne utječu na ciljne kriterije za uzorkovanje propisane u Odluci Komisije 98/179/EZ od 23. veljače 1998. o detaljnim pravilima za službeno uzorkovanje i praćenje određenih tvari i njihovih rezidua kod živih životinja i u proizvodima životinjskog podrijetla (6).

(6)

Za identifikaciju uzoraka sa značajnom količinom PCDD/F i dioksinu sličnih PCB-a moguće je koristiti orijentacijsku metodu analize s opće prihvatljivom validacijom (po mogućnosti koja odabire uzorke koji prelaze pragove za pokretanje postupka i osigurava odabir uzoraka koji prelaze najveće dopuštene količine). Količinu PCDD/F i PCB-a sličnih dioksinu u ovim uzorcima je potrebno odrediti s potvrdnom analitičkom metodom. Stoga je primjereno utvrditi odgovarajuće zahtjeve za orijentacijsku metodu pri čemu je potrebno osigurati da je učestalost lažno sukladnih rezultata u pogledu najvećih dopuštenih količina manji od 5 % i stroge zahtjeve za potvrdne metode analize. Pored toga potvrdne metode analize dozvoljavaju određivanje količina čak i u području s niskom razinom prisutnosti. To je važno za praćenje vremenskih kretanja, procjenu izloženosti i za re-evaluaciju najvećih dopuštenih količina te granice za pokretanje postupka.

(7)

Kod uzorkovanja vrlo velikih riba, potrebno je precizirati način uzorkovanja kako bi se osigurao usklađen pristup u čitavoj Uniji.

(8)

Sadržaj dioksina, dioksinu sličnih PCB-a i PCB-a koji nisu slični dioksinu može se razlikovati kod riba iste vrste, koje potječu s istog područja s obzirom na veličinu i/ili starost ribe. Nadalje, razina dioksina, dioksinu sličnih PCB-a i PCB-a koji nisu slični dioksinu nije nužno ista u svim dijelovima ribe. Stoga je potrebno odrediti postupak uzorkovanja i pripremu uzoraka kako bi se osigurao usklađen pristup u čitavoj Uniji.

(9)

Važno je da se rezultati analiza isporučuju i tumače na ujednačen način kako bi se osigurao usklađen pristup provođenja u čitavoj Uniji.

(10)

Mjere predviđene ovom Uredbom su u skladu s mišljenjem Stalnog odbora za prehrambeni lanac i zdravlje životinja i nisu im se usprotivili ni Europski parlament niti Vijeće,

DONIJELA JE OVU UREDBU:

Članak 1.

U ovoj se Uredbi primjenjuju definicije i kratice iz Priloga I.

Članak 2.

Uzorkovanje za službenu kontrolu količina dioksina, furana, PCB-a sličnih dioksinu i PCB-a koji nisu slični dioksinu u hrani navedenoj u odjeljku 5. Priloga Uredbi (EZ) br. 1881/2006 provodi se u skladu s metodama iz Priloga II. ovoj Uredbi.

Članak 3.

Priprema uzoraka i analize za službenu kontrolu količina dioksina, furana i PCB-a sličnih dioksinu u hrani navedenoj u odjeljku 5. Priloga Uredbi (EZ) br. 1881/2006 provodi se u skladu s metodama iz Priloga III. ovoj Uredbi.

Članak 4.

Analize za službenu kontrolu količina PCB-a koji nisu slični dioksinu u hrani navedenoj u odjeljku 5. Priloga Uredbi (EZ) br. 1881/2006 provode se u skladu sa zahtjevima za postupke analize iz Priloga IV. ovoj Uredbi.

Članak 5.

Uredba (EZ) br. 1883/2006 se ovime stavlja izvan snage.

Upućivanja na Uredbu stavljenu izvan snage se smatrati kao upućivanja na ovu Uredbu.

Članak 6.

Ova Uredba stupa na snagu dvadesetog dana od dana objave u Službenom listu Europske unije.

Ona se primjenjuje od datuma stupanja na snagu.

Ova je Uredba u cijelosti obvezujuća i izravno se primjenjuje u svim državama članicama.

Sastavljeno u Bruxellesu 21. ožujka 2012.

Za Komisiju

Predsjednik

José Manuel BARROSO


(1)  SL L 165, 30.4.2004., str. 1.

(2)  SL L 364, 20.12.2006., str. 5.

(3)  SL L 218, 24.8.2011., str. 23.

(4)  SL L 364, 20.12.2006., str. 32.

(5)  SL L 125, 23.5.1996., str. 10.

(6)  SL L 65, 5.3.1998., str. 31.


PRILOG I.

Definicije i kratice

I.   DEFINICIJE

Za potrebe ove Uredbe primjenjuju se definicije iz Priloga I. Odluci Komisije 2002/657/EZ od 14. kolovoza 2002. o primjeni Direktive Vijeća 96/23/EZ o provođenju analitičkih metoda i tumačenju rezultata (1).

U smislu ove Uredbe se osim njih primjenjuju sljedeće definicije:

1.1.

„Prag za pokretanje postupka” znači količina dotične tvari kako je propisano u Prilogu Preporuci 2011/516/EU koja zahtijeva istragu za otkrivanje izvora te tvari u slučajevima kada su otkrivene povećane količine te tvari.

1.2.

„Bionalitičke metode” znači metode koje se temelje na biološkim načelima, kao što su stanične bioanalize, receptorski ili imunološki testovi. Te metode ne daju rezultate na razini kongenera već samo navode (2) vrijednosti TEQ izražene u bioanalitičkim ekvivalentima (BEQ), s obzirom da svi spojevi prisutni u izolatu uzorka koji proizvedu odgovor pri testiranju možda ne ispunjavaju sve zahtjeve načela TEQ.

1.3.

„Iskorištenje dobiveno bioanalizom” znači BEQ količina izračunana iz TCDD ili PCB 126 kalibracijske krivulje, korigirane za vrijednost slijepe probe i zatim podijeljene s vrijednošću TEQ određenom metodom GC/HRMS. Ta metoda pokušava korigirati faktore kao što su gubitak PCDD/PCDF i spojeva sličnih dioksinu tijekom ekstrakcije i čišćenja, koekstrakcijski spojevi koji povećavaju ili smanjuju odgovor (agonistički i antagonistički učinci), kvaliteta prilagodbe krivulje ili razlike između vrijednosti TEF i REP. Iskorištenje dobiveno bioanalizom se izračunava iz odgovarajućih referentnih uzoraka koji imaju reprezentativno raspoređene kongenere u interesnom području.

1.4.

„Semikvantitativne metode” znači metode koje pokazuju približnu koncentraciju analita, a numerički rezultat ne ispunjava zahtjeve kvantitativnih metoda.

1.5.

„Prihvaćena granica kvantifikacije pojedinoga kongenera” znači koncentracija analita u izolatu uzorka koja daje odgovor instrumenta na dva različita iona, koju treba pratiti uz omjer signala i šuma (signal/noise ratio) 3:1 pri manje osjetljivom signalu, te koja ispunjava zahtjeve opisane npr. u standardu prEN 16215 (Hrana za životinje – određivanje dioksina i dioksinu sličnih PCB-a pomoću GC/HRMS i PCB indikatora pomoću GC/HRMS) i/ili u metodi EPA 1613, revizija B.

1.6.

„Gornji” znači pojam koji zahtijeva primjenu granice kvantifikacije za izračun doprinosa svakoga pojedinačnoga nekvanitificiranog kongenera.

1.7.

„Donji” znači pojam koji zahtijeva primjenu nule za izračun doprinosa svakog pojedinačnoga nekvantificiranog kongenera.

1.8.

„Srednji” znači pojam koji zahtijeva primjenu polovice granice kvantifikacije za izračun doprinosa svakog pojedinačnoga nekvantificiranog kongenera.

1.9.

„Serija” znači točno određena količina hrane isporučena jednokratno i za koju nadležni inspektor može odrediti da posjeduje zajedničke karakteristike kao što su podrijetlo, vrsta, vrste pakiranja, osobu koja je pakirala, pošiljatelja ili oznake. U slučaju kada se radi o ribi i ribljim proizvodima također i veličina ribe mora biti usporediva. U slučaju kada veličina i/ili masa ribe nije usporediva u istoj pošiljci, pošiljka se može smatrati serijom, ali se tada uzorkovanje mora obaviti po posebnom postupku

1.10.

„Podserija” znači određeni dio velike serije na kojoj se provodi uzorkovanje. Svaka podserija mora biti fizički odvojena i prepoznatljiva.

1.11.

„Pojedinačni uzorak” znači količina materijala uzetoga s jednoga mjesta iz serije, odnosno podserije.

1.12.

„Skupni uzorak” znači zbroj svih pojedinačnih uzoraka uzetih iz serije, odnosno podserije.

1.13.

„Laboratorijski uzorak” znači reprezentativni dio/količina skupnog uzorka namijenjen laboratorijskoj analizi.

II.   UPOTRIJEBLJENE KRATICE

BEQ

bioanalitički ekvivalenti

GC

plinska kromatografija

HRMS

masena spektrometrija visoke razlučivosti

LRMS

masena spektrometrija niske razlučivosti

PCB

poliklorirani bifenili

PCDD

poliklorirani dibenzo-p-dioksini

PCDF

poliklorirani dibenzofurani

QC

kontrola kvalitete

REP

relativna učinkovitost

TEF

faktori ekvivalentne toksičnosti

TEQ

toksični ekvivalenti

TCDD

tetraklorodibenzodioksin

U

proširena mjerna nesigurnost


(1)  SL L 221., 17.8.2002., str. 8.

(2)  Bioanalitičke metode nisu specifične za određivanje spojeva kongenera uključenih u sustaf TEF. Drugi strukturno povezani spojevi koji se vežu na receptor aromatskih ugljikovodika (AhR) mogu biti prisutni u izolatu uzorka što pridonosi općem odgovoru. Stoga bioanalitički rezultati nisu procjena već više pokazatelj TEQ vrijednosti u uzorku.


PRILOG II.

Metode uzorkovanja za službene kontrole količina dioksina (PCDD/PCDF), dioksinu sličnih PCB-a i PCB-a koji nisu slični dioksinu u pojedinoj hrani

I.   PODRUČJE PRIMJENE

Uzorci koji su namijenjeni službenim kontrolama količina dioksina (PCDD/PCDF), dioksinu sličnih PCB-a i PCB-a koji nisu slični dioksinu, dalje u tekstu dioksini i PCB-i, u hrani moraju se uzimati u skladu s metodama opisanim u ovom Prilogu. Skupni uzorci dobiveni na taj način će se smatrati za reprezentativne uzorke serije ili podserije iz kojih su uzeti. Sukladnost s najvećim dopuštenim količinama propisanim Uredbom (EZ) br. 1881/2006 o određivanju najvećih dopuštenih količina za određene kontaminante u hrani će se uspostaviti na temelju količina određenih u laboratorijskim uzorcima.

II.   OPĆE ODREDBE

1.   Osoblje

Uzorkovanje obavlja ovlaštena osoba koju je odredila država članica.

2.   Materijal za uzorkovanje

Svaka serija koju treba ispitati se mora posebno uzorkovati.

3.   Mjere predostrožnosti koje treba poduzeti

Tijekom uzorkovanja i pripreme uzoraka, moraju se poduzeti mjere predostrožnosti kako bi se izbjegle sve promjene koje bi mogle utjecati na sadržaj dioksina i PCB-a, štetno djelovati na analitičko određivanje ili skupni uzorak učiniti nereprezentativnim

4.   Pojedinačni uzorci

Koliko je moguće, pojedinačni uzorci se uzimaju na različitim mjestima razdijeljenim unutar serije ili podserije. Odstupanje od ovog postupka se mora zabilježiti u evidenciji predviđenoj u točki II.8 ovog Priloga.

5.   Priprema skupnog uzorka

Skupni uzorak je sastavljen objedinjavanjem svih pojedinačnih uzoraka. Mora imati najmanje 1 kg, osim ako to nije moguće, npr. ako se uzorkuje jedno pakiranje ili ako proizvod ima visoku komercijalnu vrijednost.

6.   Ponovljeni uzorci

Ponovljeni uzorci zbog provedbe službene kontrole, sudskih sporova i referentnih namjena moraju se uzimati iz homogeniziranog skupnog uzorka, osim ako takav postupak nije u suprotnosti s pravilima država članica u pogledu prava subjekta u poslovanju s hranom. Količina laboratorijskog uzorka za potrebe provođenja kontrola mora biti dovoljna da se omogući najmanje dvostruka analiza.

7.   Pakiranje i dostava uzoraka

Svaki uzorak stavlja se u čist, inertan spremnik koji pruža odgovarajuću zaštitu od zagađenja, gubitka analita adsorpcijom na stijenke spremnika te od oštećenja tijekom dostave. Potrebno je poduzeti sve mjere opreza kako bi se izbjegle promjene u sastavu uzorka do kojih bi moglo doći tijekom dostave ili skladištenja.

8.   Pečaćenje i označivanje uzorka

Svaki uzorak uzet za službene potrebe mora se službeno zapečatiti na mjestu uzorkovanja i obilježiti u skladu s pravilima država članica.

O svakom uzorkovanju sastavlja se zapisnik koji omogućava jasno prepoznavanje svake serije, a sadrži podatke o vremenu i mjestu uzorkovanja te ostale dodatne podatke koji mogu poslužiti analitičaru.

III.   PLAN UZORKOVANJA

Metoda uzorkovanja koja se koristi mora osigurati reprezentativnost skupnog uzorka za (pod)seriju koja se kontrolira.

1.   Podjela serija u podserije

Velike serije dijele se na podserije pod uvjetom da se podserije mogu fizički odvojiti. Za proizvode koji se u prometu nalaze u velikim rasutim pošiljkama (npr. biljno ulje) primjenjuje se Tablica 1. Na ostale proizvode primjenjuje se Tablica 2. Uzimajući u obzir da masa serije ne predstavlja uvijek točan umnožak mase i broja uzoraka iz podserije, masa podserije može odstupati za najviše ± 20 %.

Tablica 1

Podjela serija na podserije za proizvode koji se prodaju u rasutim pošiljkama

Masa serija (tona)

Masa ili broj podserije

≥ 1 500

500 tona

> 300 i < 1500

3 podserije

≥ 50 i ≤ 300

100 tona

< 50


Tablica 2

Podjela serija na podserije za ostale proizvode

Masa serija (tona)

Masa ili broj podserije

≥ 15

15-30 tona

< 15

2.   Broj pojedinačnih uzoraka

Skupni uzorak koji objedinjuje sve pojedinačne uzorke ne smije biti manji od 1 kg (vidjeti točku II.5 ovog Priloga).

Najmanji broj pojedinačnih uzoraka koji se uzima iz serije ili podserija prikazan je u tablicama 3 i 4.

U slučaju da se radi o tekućim proizvodima u rasutoj pošiljci serija ili podserija moraju se dobro promiješati ručno ili mehaničkim sredstvima do mjere do koje to neće utjecati na kvalitetu proizvoda neposredno prije uzorkovanja.U tom slučaju pretpostavlja se da će se kontaminanti ravnomjerno rasporediti kroz cijelu seriju ili podseriju. Stoga je za skupni uzorak dovoljno uzeti tri pojedinačna uzorka iz serije odnosno podserije.

Pojedinačni uzorci trebaju biti podjednake mase. Masa pojedinačnih uzoraka ne smije biti manja od 100 g.

Svako odstupanje od ovakvog postupka mora se navesti u zapisniku iz točke II.8 ovog Priloga. U skladu s odredbama Odluke Komisije 97/747/EZ od 27. listopada 1997. o opsegu i učestalosti uzorkovanja predviđenog Direktivom Vijeća 96/23/EZ za monitoring određenih tvari i rezidua u određenim proizvodima životinjskog podrijetla (1), skupni uzorak za kokošja jaja je najmanje 12 jaja (za nepakirane serije, kao i za serije koje se sastoje od pojedinačnih pakiranja primjenjuju se tablice 3 i 4).

Tablica 3

Najmanji broj pojedinačnih uzoraka koji se uzimaju iz serije ili podserije

Masa ili volumen serije/podserije (u kg ili litrama)

Najmanji broj pojedinačnih uzoraka koje treba uzeti

< 50

3

50 do 500

5

> 500

10

Ako se serija ili podserija sastoji od pojedinačnih pakiranja ili jedinica, tada je broj pakiranja ili jedinica koji će se uzeti za skupni uzorak dan u Tablici 4.

Tablica 4

Broj pakiranja ili jedinica (pojedinačnih uzoraka) koji se uzorkuju za skupni uzorak kad se serija ili podserija sastoji od pojedinačnih pakiranja ili jedinica

Broj pakiranja ili jedinica u seriji/podseriji

Broj pakiranja ili jedinica koje treba uzeti

1 do 25

Najmanje 1 pakiranje ili jedinica

26 do 100

Oko 5 %, a najmanje 2 pakiranja ili jedinice

> 100

Oko 5 %, a najviše 10 pakiranja ili jedinica

3.   Posebne odredbe za uzorkovanje serija koje sadrže cijele ribe podjednake veličine i mase

Smatra se da su ribe podjednake veličine i mase kada njihova međusobna razlika u veličini i masi nije veća od oko 50 %.

Broj pojedinačnih uzoraka koji se uzimaju iz serije utvrđen je u Tablici 3. Skupni uzorak koji objedinjuje sve pojedinačne uzorke ne smije biti lakši od 1 kg (vidjeti točku II.5.).

U slučaju da serija koja se uzorkuje sadržava sitnu ribu (riba čija je pojedinačna masa manja od 1 kg), kao pojedinačni uzorak za tvorbu skupnog uzorka uzima se cijela riba. Kada bi tako dobiveni skupni uzorak težio više od 3 kg, pojedinačni uzorci mogu biti uzeti od sredine ribe ako svaki takav uzorak teži najmanje 100 g. Cijeli dio na koji se primjenjuju najveće dopuštene količine koristi se za homogenizaciju uzorka.

Sredina ribe jest i njezino težište. Ono se najčešće nalazi kod leđne peraje (ako ju riba ima), odnosno na pola puta između otvora za škrge i anusa.

Kada serija koju se uzorkuje sadrži veće ribe (svaka riba je teža od 1 kg), pojedinačni se uzorak sastoji od središnjega dijela ribe. Svaki pojedinačni uzorak teži najmanje 100 g.

Kod riba srednje veličine (od oko 1 do 6 kg) pojedinačni uzorak se odreže u srednjem dijelu ribe koji se proteže od kralježnice do trbuha.

Kod velike ribe (npr. teže od 6 kg), uzima se pojedinačni uzorak s desne strane (gledano sprijeda) dorzo-lateralnog (odozgo i sa strane) dijela mišića iz sredine ribe. U slučaju kada bi tako uzeti uzorak izazvao veliki trošak, može se smatrati dovoljnim uzimanje triju pojedinačnih uzoraka od kojih svaki ima najmanje 350 g bez obzira na veličinu serije ili alternativno jednaki dio mišićnog mesa u blizini repa ribe i dio mišićnog mesa u blizini glave iste ribe mogu se uzeti kao pojedinačni uzorak koji će biti reprezentativan za određivanje dioksina u cijeloj ribi.

4.   Uzorkovanje serija riba koje se sastoje od cijelih riba različite veličine i/ili mase

Za pripravu uzorka primjenjuju se odredbe iz točke III.3.

Kada prevladava određena kategorija, veličina ili masa (oko 80 % serije i više), uzorak se uzima od riba čija veličina ili masa prevladava. Ovakav se uzorak smatra reprezentativnim za cijelu seriju.

Kada ne prevladava određena kategorija, veličina ili masa, mora se osigurati da se za uzorkovanje izaberu ribe koje su reprezentativne za cijelu pošiljku. Posebne upute za ove slučajeve nalaze se u „Smjernicama za uzorkovanje cijelih riba različitih veličina i/ili mase” (2).

5.   Uzorkovanje u maloprodaji

Ako je moguće uzorkovanje hrane u maloprodaji provodi se u skladu s odredbama točke III.2. ovog Priloga.

Ako to nije moguće, primjenjuje se druga metoda uzorkovanja u maloprodaji, pod uvjetom da ona osigurava dovoljnu reprezentativnost uzorkovane serije ili podserije.

IV.   SUKLADNOST SERIJE ILI PODSERIJE SA SPECIFIKACIJAMA

1.   U pogledu PCB-a koji nisu slični dioksinu

Serija se prihvaća ako analitički rezultat ne prelazi najveće dopuštene količine za PCB-ove koji nisu slični dioksinu kako je propisano u Uredbi (EZ) br. 1881/2006 uzimajući u obzir mjernu nesigurnost.

Serija je nesukladna s najvećim dopuštenim količinama iz Uredbe (EZ) br. 1881/2006 ako gornji analitički rezultat potvrđen dvostrukom analizom (3) prelazi bez sumnje najveće dopuštene količine uzimajući u obzir mjernu nesigurnost.

Mjerna nesigurnost se može uzeti u obzir u skladu s jednim od sljedećih pristupa:

izračunom proširene nesigurnosti, koristeći faktor pokrivanja 2, čime se dobiva pouzdanost od oko 95 %. Serija odnosno podserija nije sukladna ako je izmjerena vrijednost umanjena za mjernu nesigurnost (U) iznad utvrđene najviše dopuštene količine.

postavljanjem granične količine (CCα) u skladu s odredbama Odluke 2002/657/EZ (točka 3.1.2.5 Priloga I. toj Odluci – primjer tvari s određenom dozvoljenom količinom. Serija ili podserija je nesukladna ako je izmjerena vrijednost jednaka ili iznad CCα.

Gore navedena pravila primjenjuju se na rezultate analize dobivene za uzorke za službene kontrole. U slučaju potrebe dodatne analize ili referentne potrebe primjenjuju se nacionalni propisi.

2.   U pogledu dioksina (PCDD/PCDF) i dioksinu sličnih PCB-a

Serija se prihvaća ako rezultat pojedinačne analize

provedene orijentacijskom metodom s udjelom lažno sukladnih rezultata manjim od 5 % ukazuje da razina ne prelazi dotične najveće dopuštene količine PCDD/F i zbroj PCDD/F i dioksinu sličnih PCB-a kako je propisano u Uredbi (EZ) br. 1881/2006,

provedene potvrdnom metodom ne prelazi dotične najveće dopuštene količine PCDD/F i zbroj PCDD/F i dioksinu sličnih PCB-a kako je propisano u Uredbi (EZ) br. 1881/2006 uzimajući u obzir mjernu nesigurnost.

Za orijentacijske testove potrebno je odrediti cut-off vrijednost za odluku o sukladnosti s dotičnim razinama od interesa određenim za ili PCDD/F ili za zbroj PCDD/F i dioksinu sličnih PCB-a.

Serija je nesukladna s najvećim dopuštenim količinama iz Uredbe (EZ) br. 1881/2006 ako gornji analitički rezultat dobiven potvrdnom i potvrđen dvostrukom analizom (3) prelazi bez sumnje najveće dopuštene količine uzimajući u obzir mjernu nesigurnost.

Mjerna nesigurnost se može uzeti u obzir u skladu s jednim od sljedećih pristupa:

izračunom proširene nesigurnosti, koristeći faktor pokrivanja 2, čime se dobiva pouzdanost od oko 95 %. Serija odnosno podserija nije sukladna ako je izmjerena vrijednost umanjena za mjernu nesigurnost (U) iznad utvrđene najviše dopuštene količine. U slučaju kada se odvojeno određuju PCDD/F i dioksinu slični PCB-i, tada se koristi zbroj procijenjenih proširenih nesigurnosti za svaki rezultat analize PCDD/F i dioksinu sličnih PCB-a zasebno, kako bi se dobio zbroj PCDD/F i dioksinu sličnih PCB-a,

postavljanjem granične količine (CCα) u skladu s odredbama Odluke 2002/657/EZ (točka 3.1.2.5 Priloga I. toj Odluci – primjer tvari s određenom dozvoljenom količinom. Serija ili podserija je nesukladna ako je izmjerena vrijednost jednaka ili iznad CCα.

Gore navedena pravila primjenjuju se na rezultate analize dobivene na uzorku službene kontrole. U slučaju potrebe dodatne analize ili referentne potrebe primjenjuju se nacionalni propisi.

V.   PRELAŽENJE PRAGA ZA POKRETANJE POSTUPKA

Pragovi za pokretanje postupka služe kao instrument za izdvajanje uzoraka u onim slučajevima kad je potrebno otkriti izvor kontaminacije i poduzeti mjere za njegovo smanjenje ili uklanjanje. Orijentacijske metode će uspostaviti odgovarajuće cut-off vrijednosti za odabir tih uzoraka. Mjere potrebne za otkrivanje izvora i za smanjenje ili uklanjanje kontaminacije će se provesti samo ako je prelaženje praga za pokretanje postupka potvrđeno dvostrukom analizom koristeći potvrdnu metodu i uzimajući u obzir mjernu nesigurnost (4).


(1)  SL L 303, 6.11.1997., str. 12.

(2)  http://ec.europa.eu/food/food/chemicalsafety/contaminants/dioxins_en.htm

(3)  Dvostruka je analiza potrebna kako bi se isključila mogućnost unutarnjeg unakrsnog zagađenja ili slučajna zamjena uzoraka. Uzimajući u obzir mjernu nesigurnost, prva se analiza rabi za provjeru sukladnosti. Ako se analiza provodi u okviru incidenta kontaminacije, potvrđivanje dvostrukom analizom neće biti nužno ako se, putem sljedivosti, uzorci izabrani za analizu mogu povezati s tom incidentnom kontaminacijom.

(4)  Jednako obrazloženje i zahtjevi za dvostruku analizu za kontrolu pragova za pokretanje postupka kao u bilješci 3 za najveće dopuštene količine.


PRILOG III.

Priprema uzorka i zahtjevi za metode analize koje se koriste za službenu kontrolu količina dioksina (PCDD/PCDF) i dioksinu sličnih PCB-a u određenoj hrani

1.   PODRUČJE PRIMJENE

Zahtjevi iz ovog Priloga se primjenjuju za službenu kontrolu hrane u kojoj se određuju količina 2,3,7,8-supstituiranih polikloriranih dibenzo-p-dioksina i polikloriranih dibenzofurana (PCDD/F) i dioksinu i dioksinu sličnih polikloriranih bifenila (dioksinu slični PCB-i) i za druge regulatorne potrebe.

Monitoring prisutnosti PCDD/F i dioksinu sličnih PCB-a u hrani može se obavljati s dvije namjene:

(a)

odabir onih uzoraka s razinama PCDD/F i dioksinu sličnih PCB-a koje prelaze najveće dopuštene količine ili granice za pokretanje postupka. Ovaj pristup može uključivati orijentacijsku metodu koja omogućava troškovno učinkovitu veliku propusnost uzoraka i tako povećava mogućnost za otkrivanje novih incidenata s velikom izloženosti i rizicima za zdravlje potrošača. Orijentacijske metode mogu uključivati bioanalize i GC/MS metode. Osmišljene su tako da se njima izbjegavaju lažno sukladni rezultati. Koncentracija PCDD/F i zbroj PCDD/F i dioksinu sličnih PCB-a u tim uzorcima s značajnim količinama treba biti određena/potvrđena pomoću potvrdne metode;

(b)

određivanje količine PCDD/F i dioksinu sličnih PCB-a u uzorcima hrane s niskom količinom prisutnosti. To je važno zbog praćenja vremenskih kretanja, procjene izloženosti populacije i za stvaranje baze podataka zbog moguće re-evaluacije pragova za pokretanje postupka i najvećih dopuštenih količina. Ovaj se cilj postiže potvrdnim metodama koje omogućavaju nedvosmisleno otkrivanje i kvantificiranje PCDD/F i dioksinu sličnih PCB-a na interesnoj razini. Ove se metode mogu koristiti za potvrdu rezultata dobivenih orijentacijskim metodama i za određivanje niskih količina prisutnosti kod monitoringa hrane. One su također važne za određivanje uzoraka kongenera kako bi se ustanovio izvor moguće kontaminacije. Trenutno se pri takvim metodama koriste plinska kromatografija visoke razlučivosti i masena spektrometrija visoke razlučivosti (HRGC/HRMS).

2.   METODE KLASIFIKACIJE PO STUPNJU KVANTIFIKACIJE (1)

„Kvalitativne metode” daju odgovor da/ne na prisutnost interesnih analita, bez navođenja količine ispitivanog analita. Te metode mogu dati djelomično kvantitativne rezultate, međutim one se koriste isključivo za izvještavanje o da/ne odluci ka navođenje količine iznad ili ispod nekih količina, npr. granica detekcije, granica kvantifikacije ili vrijednosti cut-off.

Za kontrolu najvećih dopuštenih količina i granica za pokretanje postupka za PCDD/F i dioksinu slične spojeve u hrani, mogu se koristiti orijentacijske metode koje se temelje na usporedbi analitičkog rezultata s vrijednosti cut-off i omogućuju odluku da/ne za navođenje mogućeg prelaženja postavljene granice. Zbog toga su uvedene bioanalitičke metode. Općenito, moguće bi bilo razviti fizikalno-kemijske metode; međutim s obzirom na najveće dopuštene količini i granice za pokretanje postupka temeljene na TEQ i kompleksnu analizu koja zahtijeva određivanje relevantnih pojedinačnih kongenera nema praktičnih primjera njihove uporabe.

„Djelomično kvantitativne metode” daju približnu koncentraciju koja može biti korisna kao informacija o stupnju koncentracije analita i može pomoći analitičaru odrediti kalibracijski raspon za potvrdni test koji se naknadno izvodi i za osiguranje kvalitete. Primjeri uključuju:

bioanalitičke metode koje mogu otkriti interesne analite, uključuju kalibracijsku krivulju, omogućavaju da/ne odluku za navođenje mogućeg prelaženja postavljene granice i omogućavaju izvještavanje o rezultatima izraženih u bioanalitičkim ekvivalentima (BEQ), koji pokazuju vrijednost TEQ u uzorku,

fizikalno kemijski test (npr. GC-MS/MS ili GC/LRMS kad karakteristike izmjerene preciznosti metode ne ispunjavaju zahtjeve za kvantitativne testove.

„Kvantitativne metode” ispunjavaju iste zahtjeve u pogledu točnosti, dinamičnog područja i preciznosti kao potvrdni testovi. Kad se zahtijeva kvantifikacija, ove će se metode validirati kao potvrdne metode, kako je u ovom dokumentu detaljno određeno za PCDD/F i dioksinu slične PCB-ove.

3.   POZADINA

Za izračun koncentracija toksičnih ekvivalenata (TEQ), koncentracije pojedinačnih tvari u danom uzorku se pomnože s njihovim odgovarajućim faktorom toksične ekvivalentnosti (TEF) kako ga je odredila Svjetska zdravstvena organizacija i navela u Dodatku ovom Prilogu, i zatim zbroje kako bi se dobila ukupna koncentracija dioksinu sličnih spojeva izraženih kao TEQ.

Orijentacijske i potvrdne metode se mogu koristiti samo za kontrolu određene matrice, ako su metode dovoljno osjetljive za pouzdano otkrivanje količine na ciljnoj razini (granica za pokretanje postupka ili najveće dopuštene količine).

4.   ZAHTJEVI ZA OSIGURANJE KVALITETE

Mjere za sprečavanja unakrsnog zagađenja moraju se poduzeti u svakom stupnju uzorkovanja i analize.

Uzorci se moraju čuvati i prevoziti u spremnicima od stakla, aluminija, polipropilena ili polietilena koji su primjereni za čuvanje i ne utječu na sadržaj PCDD/F i dioksinu sličnih PCB-a u uzorcima. Tragovi papirne prašine moraju se ukloniti iz spremnika.

Skladištenje i prijevoz moraju biti provedeni tako da se očuva cjelovitost uzorka hrane.

Gdje je to primjenjivo, svaki laboratorijski uzorak treba sitno samljeti i dobro promiješati koristeći postupak kojim se postiže potpuna homogenizacija (npr. prosijavanjem samljevenog uzorka kroz sito otvora 1 mm); ako je sadržaj vlage u uzorku previsok, uzorak se prije mljevenja mora osušiti.

Kontrola reagensa, staklovine i opreme zbog mogućeg utjecaja na rezultate izražene u TEQ ili BEQ od opće je važnosti.

Slijepu probu treba analizirati, provodeći cijeli analitički postupak ali bez uzorka.

Za bioanalitičke metode vrlo je važno da je sva staklovina i otapala koja se koriste u analizi testirana kao slobodna od spojeva koji interferiraju s otkrivanjem ciljnih spojeva u radnom rasponu. Staklovinu treba isprati otapalima ili/i grijati na temperaturama koje su primjerene za otklanjanje tragova PCDD/F, dioksinu sličnih spojeva te interferirajućih spojeva s njene površine.

Masa uzorka za ekstrakciju mora biti dovoljna da se zadovolje zahtjevi u pogledu dovoljno niskog radnog raspona uključujući koncentracije od interesa.

Posebni postupci priprave uzorka koji se koriste za dotične proizvode moraju slijediti međunarodno priznate smjernice.

Kod ribe treba ukloniti kožu jer su najviše dopuštene količine propisane za mišić bez kože. Međutim potrebno je pažljivo i potpuno sastrugati cjelokupno mišićno i masno tkivo koje se nalazi s unutarnje strane kože i dodati ih u uzorak koji se analizira.

5.   ZAHTJEVI ZA LABORATORIJE

U skladu s odredbama Uredbe (EZ) br. 882/2004, laboratorije akreditiraju priznata tijela koja rade u skladu sa zahtjevima ISO Guide 58 kako bi se osiguralo da primjenjuju analitičko osiguranje kvalitete. Laboratoriji se akreditiraju prema standardu EN ISO/IEC 17025.

Sposobnost laboratorija se dokazuje s kontinuiranim uspješnim sudjelovanjem u međulaboratorijskim studijama za određivanje PCDD/F i dioksinu sličnih PCB-a u relevantnim matricama hrane i rasponima koncentracija.

Laboratoriji koji provode orijentacijske metode pri rutinskim kontrolama uzoraka moraju uspostaviti usku suradnju s laboratorijima koji provode potvrdne metode zbog kontrole kvalitete, ako i zbog potvrde analitičkih rezultata sumnjivih uzoraka.

6.   OSNOVNI ZAHTJEVI ZA ANALITIČKE POSTUPKE ZA DIOKSINE (PCDD/F) I DIOKSINU SLIČNE PCB-ove

6.1.   Visoka osjetljivost i niske granice detekcije

Za PCDD/F, osjetljivost određivanja mora biti na razini pikograma (10-15 g) zbog visoke toksičnosti nekih od ovih spojeva. Za većinu PCB kongenera dovoljna je osjetljivost u području nanograma (10-9 g). Međutim za mjerenje toksičnijih kongenera PCB-a sličnih dioksinu (posebno ne-orto supstituiranih kongenera) mora donji dio radnog raspona doseći donje pikogramsko područje (10-12 g).

6.2.   Visoka selektivnost (specifičnost)

Potrebno je razlikovati između PCDD-a, PCDF-a i dioksinu sličnih PCB-a i mnogobrojnih drugih, istodobno ekstrahiranih i vjerojatno interferirajućih spojeva, prisutnih u koncentracijama koje su nekoliko redova veličine veće od koncentracija predmetnih analita. Kod metoda plinske kromatografije/masene spektrometrije (GC/MS) nužno je razlikovati između različitih kongenera, kao npr. između toksičnih (npr. 17 2,3,7,8-supstituiranih PCDD-a i PCDF-a i 12 dioksinu sličnih PCB-a) od drugih kongenera.

Bioanalitičke metode moraju moći otkriti ciljne spojeve kao zbroj PCDD/PCDF i/ili dioksinu sličnih PCB-a. Čišćenje uzorka ima za cilj uklanjanje spojeva koji uzrokuju lažnu nesukladnost rezultata ili spojeva koji mogu smanjiti odgovor i prouzročiti lažno sukladne rezultate.

6.3.   Visoka točnost (istinitost i preciznost, očito iskorištenje pri biološkim testovima)

Kod metoda GC/MS određivanje treba osigurati valjanu procjenu prave koncentracije u uzorku. Visoka točnost (točnost mjerenja: podudarnost između rezultata mjerenja i stvarne ili prihvaćene referentne vrijednosti mjerenoga) je potrebna da bi se izbjeglo odbijanje rezultata analize uzorka na temelju nepouzdane procjene rezultata TEQ-a. Točnost se izražava kao „istinitost” (razlika između izmjerene srednje vrijednosti za analit u certificiranome materijalu i njegove certificirane vrijednosti, izražene kao postotak ove vrijednosti) i „preciznost” (RSDR relativna standardna devijacija izračunana iz rezultata dobivenih u uvjetima obnovljivosti).

Kod bionalitičkih metoda potrebno je odrediti očito iskorištenje pri biološkim testovima.

6.4.   Validacija u rasponu ciljnih razina i opće mjere za kontrolu kvalitete

Laboratoriji moraju dokazati učinkovitost izvedbe metode u određenom rasponu prema ciljnom interesnom području, npr. 0,5 × 1 × i 2 × većom količinom od značajne količine, s prihvatljivim relativnom standardnom devijacijom ponovljene analize tijekom validacijskog postupka i/ili rutinske analize.

Redovite slijepe probe i pokusi s dodavanjem ili analize kontrolnih uzoraka (ako je dostupan, poželjan je certificirani referentni materijal) provode se kao mjere interne kontrole kvalitete. Dijagrami kontrole kvalitete (QC) za slijepe probe, pokuse s dodavanjem ili analize kontrolnih uzoraka bilježe se i provjeravaju kako bi se osiguralo da je provedba analiza u skladu sa zahtjevima.

6.5.   Granica određivanja

Za bioanalitičku orijentacijsku metodu, određivanje LOQ nije nužno potrebno, ali je potrebno dokazati da metoda može razlikovati slijepu vrijednost i cut-off vrijednost. Pri određivanju vrijednosti BEQ određuje se prag izvještavanja zbog postupanja s uzorcima koji daju odgovor ispod te razine. Za prag izvještavanja je potrebno dokazati da se razlikuje najmanje za tri puta od postupka sa slijepim uzorcima s odgovorom ispod radnog raspona. Stoga ga se izračunava na temelju uzoraka koji sadrže ciljne spojeve blizu najniže zahtijevane najniže razine, a ne iz omjera između signala i šuma ili slijepe probe.

Granica određivanja (LOQ) za potvrdnu metodu mora biti približno jedna petina ciljne razine.

6.6.   Analitički kriteriji

Za pouzdane rezultate potvrdnih ili orijentacijskih metoda moraju biti ispunjeni sljedeći kriteriji za TEQ vrijednosti odnosno BEQ vrijednosti, koje se određuju kao ukupna vrijednost TEQ (kao zbroj PCDD/F i dioksinu sličnih PCB-a), ili odvojeno za PCDD/F i dioksinu slične PCB-ove.

 

Orijentacijske metode s bioanalitičkim ili fizikalno kemijskim metodama

Potvrdne metode

Učestalost lažno sukladnih rezultata (2)

< 5 %

 

Istinitost

 

– 20 % do + 20 %

Ponovljivost (RSDr)

< 20 %

 

Interna laboratorijska obnovljivost (RSDR)

< 25 %

< 15 %

6.7.   Posebni zahtjevi za orijentacijske metode

Za orijentacijske metode mogu se koristiti GC/MS metode analize i bioanalitičke metode. Za GC/MS metode primjenjuju se zahtjevi navedeni u točki 7. ovog Priloga. Za stanične bioanalitičke metode primjenjuju se posebni zahtjevi iz točke 8. ovog Priloga.

Laboratoriji koji provode orijentacijske metode za rutinsku kontrolu uzoraka moraju uspostaviti usku suradnju s laboratorijima koji provode potvrdnu metodu.

Tijekom rutinske analize je potrebno provesti provjeru mogućnosti orijentacijske metode putem kontrole analitičke kvalitete i stalne validacije metoda. Kontinuirano se mora provoditi program za kontrolu sukladnih rezultata.

Provjera mogućeg smanjenja staničnog odgovora i citotoksičnosti

20 % izolata uzoraka se izmjeri u rutinskom „screeningu” bez i s dodanim 2,3,7,8-TCDD koji odgovara ciljnoj razini kako bi se provjerilo je li odgovor možda smanjen zbog interferirajućih supstanci prisutnih u izolatu uzorka. Izmjerena koncentracija uzorka s dodatkom se usporedi sa zbrojem koncentracija izolata bez dodatka i koncentracije za dodavanje. Ako je ta izmjerena koncentracija za više od 25 % manja od izračunanog (zbroja) koncentracija, to ukazuje na moguće smanjenje signala i dotični rezultat treba podvrgnuti GC/HRMS potvrdnoj analizi. Rezultati se moraju pratiti na dijagramima kontrole kvalitete.

Kontrola kvalitete sukladnih uzoraka

Otprilike od 2 % do 10 % sukladnih uzoraka, ovisno o matrici uzorka i laboratorijskim iskustvima će se potvrditi GC/HRMS metodom.

Određivanje učestalosti lažno sukladnih rezultata na temelju podataka QC

Potrebno je odrediti učestalost lažno sukladnih rezultata dobivenih orijentacijskim metodama analize uzoraka ispod i iznad najvećih dopuštenih količina ili praga za pokretanje postupka. Stvarna učestalost lažno sukladnih rezultata mora biti ispod 5 %.

Nakon što je najmanje 20 potvrđenih rezultata po matrici/skupini matrica dostupno iz kontrole kvalitete sukladnih uzoraka, donose se zaključci o učestalosti lažno sukladnih rezultata iz te baze podataka. Rezultati uzoraka analizirani prstenastim probama ili tijekom incidenata kontaminacije koji pokrivaju raspon koncentracije do npr. 2 × najveće dopuštene količine (NDK), mogu se također uključiti u minimum od 20 rezultata za procjenu učestalosti lažno sukladnih rezultata. Uzorci moraju uključivati najčešće uzorke kongenera koji predstavljaju različite izvore.

Iako su orijentacijske metode usmjerene prvenstveno na otkrivanje uzoraka koji prelaze prag za pokretanje postupka, kriterij za određivanje lažno sukladnih rezultata je najveća dopuštena količina, uzimajući u obzir mjernu nesigurnost potvrdne metode.

Mogući nesukladni rezultati iz orijentacijske metode moraju se uvijek provjeriti potvrdnom metodom analize (GC/HRMS). Ti se uzorci mogu također koristiti za procjenu učestalosti lažno nesukladnih rezultata. Kod orijentacijskih metoda učestalost „lažnih nesukladnih rezultata” je dio rezultata za koje je potvrđeno da su sukladni potvrdnom analizom GC/HRMS, dok je prethodnom orijentacijskom metodom analize za uzorak izražena sumnja da je nesukladan. Međutim procjena prednosti orijentacijske metode temelji se na usporedbi lažno nesukladnih rezultata s ukupnim brojem pregledanih uzoraka. Ta učestalost mora biti dovoljno niska da je uporaba orijentacijske metode korisna.

Bioanalitičke metode moraju barem u uvjetima validacije valjano pokazati količinu TEQ, izračunanu i izraženu kao BEQ.

Također kod bioanalitičkih metoda provedenih u uvjetima ponovljivosti, interna laboratorijska ponovljivost (RSDr) je uobičajeno manja nego obnovljivost (RSDR).

7.   POSEBNI ZAHTJEVI KOJE MORA ZADOVOLJITI GC/MS ZA ORIJENTACIJSKE ILI POTVRDNE METODE

7.1.   Opći zahtjevi

Razlika između gornje i donje granice ne smije biti veća od 20 % za hranu u kojoj je količina zagađena dioksinima od oko 1 pg WHO-TEQ/g masti (na temelju zbroja PCDD-ova/PCDF-ova i dioksinima sličnih PCB-a). Za hranu s manjim udjelom masti moraju se primjenjivati isti zahtjevi vezani uz razinu zagađenja oko 1 pg WHO-TEQ/g proizvoda. Za niže razine zagađenja, npr. 0,50 pg WHO-TEQ/g proizvoda, razlika između gornje i donje granice može biti od 25 % do 40 %.

7.2.   Kontrola iskorištenja

Dodavanje13C-označenih 2,3,7,8- klor supstituiranih internih standarda za PCDF/F i13C- označenih internih standarda za dioksinu slične PCB-ove je potrebno provesti na samom početku metode analize, na primjer prije ekstrakcije kako bi se validirao analitički postupak. Najmanje se mora dodati po jedan kongener za sve tetra do okta-klorirane homologne skupine za PCDD/F i najmanje po jedan kongener za sve homologne skupine za dioksinima slične PCB-ove (odnosno najmanje po jedan kongener za svaki izabrani ion u spektrometriji masa koja se koristi za monitoring PCDD/F-ova odnosno dioksinima sličnih PCB-a). U slučaju potvrdnih metoda se koristi svih 1713C-označenih 2,3,7,8-klor supstituiranih internih standarda za PCDD/F i svih 1213C-označenih internih standarda za dioksinima slične PCB-ove.

Relativne faktore odgovora treba utvrditi i za one kongenere za koje se ne dodaje ni jedan analog označen s13C, tako što će se koristiti odgovarajuće kalibracijske otopine.

Za hranu biljnog i životinjskoga podrijetla koja sadrži manje od 10 % masti, unutarnji se standardi obavezno dodaju prije ekstrakcije. Za hranu životinjskoga podrijetla u kojoj je udjel masti veći od 10 %, unutarnji se standardi mogu dodati prije ili poslije ekstrakcije masti. Mora se provesti odgovarajuće vrednovanje učinkovitosti ekstrakcije, što ovisi dodaje li se unutarnji standard prije ili nakon ekstrakcije masti, te o tome iskazuju li se rezultati na udio masti u uzorku ili na cijeli uzorak.

Prije GC/MS analize treba dodati 1 ili 2 (surogat) standarda radi provjere iskorištenja.

Potrebno je kontrolirati iskorištenje. Za potvrdne metode, iskorištenje pojedinačnih internih standarda mora biti u rasponu između 60 % i 120 %. Manje ili veće iskorištenje za pojedinačne kongenere, a posebno za neke hepta- i okta-klorirane dibenzo-p-dioksine i dibenzofurane, je prihvatljivo pod uvjetom da je njihov doprinos TEQ vrijednosti manji od 10 % ukupne TEQ vrijednosti (dobivene na temelju zbroja PCDD/F-ova i dioksinima sličnih PCB-a). Za orijentacijske metode GC/MS iskorištenje mora biti u rasponu između 30 % i 140 %.

7.3.   Uklanjanje interferirajućih tvari

Odvajanje PCDD/F od interferirajućih kloriranih spojeva kao što su PCB-i koji nisu slični dioksinu i klorirani difenil eteri se provodi pomoću odgovarajućih kromatografskih tehnika (najbolje pomoću kolone s florisilom, aluminijevim oksidom i/ili aktivnim ugljenom).

Razdvajanje izomera plinskom kromatografijom mora biti zadovoljavajuće (< 25 % od vrha do vrha između 1,2,3,4,7,8-HxCDF i 1,2,3,6,7,8-HxCDF).

7.4.   Kalibracija sa standardnom krivuljom

Raspon kalibracijske krivulje mora obuhvaćati relevantni raspon ciljne razine.

8.   POSEBNI ZAHTJEVI ZA BIOANALITIČKE METODE

Bioanalitičke metode su metode koje se temelje na uporabi bioloških načela kao što su testovi na staničnoj osnovi, testovi na temelju receptora ili imunološki testovi. U ovoj točki 8 su određeni općeniti zahtjevi za bioanalitičke metode.

Orijentacijska metoda u načelu klasificira uzorak kao sukladan ili kao sumnjiv da nije sukladan. U tu svrhu izračunata vrijednost BEQ se usporedi s vrijednosti cut-off (vidjeti (8.3.). Uzorci ispod cut-off vrijednosti se smatraju sukladnima, za uzorke jednake ili iznad cut-off vrijednosti sumnja se da su nesukladni, što zahtijeva analizu potvrdnom metodom. U praksi BEQ vrijednost koja odgovara 2/3 najveće dopuštene količine može se koristiti kao najprimjerenija cut-off vrijednost osiguravajući učestalost lažno sukladnih rezultata ispod 5 % i prihvatljivu učestalost lažno nesukladnih rezultata. Kako su najveće dopuštene količine odvojene za PCDD/F i za zbroj PCDD/F i dioksinu sličnih PCB-a, provjera sukladnosti uzoraka bez frakcioniranja zahtijeva odgovarajuće cut-off vrijednosti za PCDD/F kod bioloških testova. Za provjeru uzoraka koji prelaze granice za pokretanje postupka, odgovarajući postotak dotične ciljne razine može se koristiti kao cut-off vrijednost.

Nadalje, kod nekih bioanalitičkih metoda okvirna vrijednost izražena u BEQ može se navesti za uzorke unutar radnog raspona koji prelaze prag izvještavanja (vidjeti 8.1.1. i 8.1.6.).

8.1   Procjena odgovora na test

8.1.1.   Opći zahtjevi

Kada se koncentracije izračunavaju iz kalibracijske krivulje za TCDD, vrijednosti na donjem i gornjem kraju krivulje pokazuju veliku razliku (visok koeficijent varijacije (CV). Radni raspon je raspon u kojem je CV manji od 15 %. Donji dio radnog raspona (prag izvještavanja) mora se dalje odrediti u znatno većoj mjeri (najmanje tri puta više) od postupka slijepe probe. Gornji dio radnog raspona obično predstavlja vrijednost EC70 (70 % najveće učinkovite koncentracije), ali je niži ako je CV u tom rasponu veći od 15 %. Radni raspon se određuje tijekom validacije. Cut-off vrijednosti (8.3) moraju biti dobro unutar radnog raspona.

Standardne otopine i izolati uzoraka se testiraju barem dvostrukom analizom. Kad se koriste dvostruke analize, standardne otopine ili izolati kontrolnih uzoraka testirani u 4 do 6 bunarčića raspoređenih po pločici pokazuju odgovor ili koncentraciju (moguće samo u radnom rasponu) na temelju CV < 15 %.

8.1.2.   Kalibracija

8.1.2.1.   Kalibracija sa standardnom krivuljom

Razine u uzorcima se mogu procijeniti usporedbom odgovora na test s kalibracijskom krivuljom TCDD (ili PCB 126 ili standardna mješavina PCDD/F/dioksinu sličnih PCB-a) za izračun BEQ vrijednosti u izolatu i kasnije u uzorku.

Kalibracijska krivulja sadrži 8 do 12 koncentracija (barem dvostruko) s dovoljno koncentracija u donjem dijelu krivulje (radni raspon). Posebnu pažnju treba obratiti na kvalitetu prilagodbe krivulje u radnom rasponu. Tako R2 vrijednost ima malu ili nikakvu korist u procjeni ispravnosti prilagodbe pri nelinearnoj regresiji. Bolja prilagodba će se postići smanjivanjem razlike između izračunatih i primijećenih vrijednosti u radnom rasponu krivulje (npr. smanjivanjem zbroja kvadrata rezidua).

Procijenjena vrijednost u izolatu uzorka se zatim korigira za vrijednost BEQ, izračunanu za slijepi uzorak matrice/otapala (kako bi se uzele u obzir nečistoće iz upotrijebljenih otapala i kemikalija) i za očito iskorištenje (izračunato iz vrijednosti BEQ odgovarajućih referentnih uzoraka s reprezentativnim uzorcima kongenera u području razine od interesa). Za korekciju iskorištenja, očito iskorištenje mora uvijek biti unutar zahtijevanog raspona (vidjeti točku 8.1.4.). Referentni uzorci koji se koriste za korekciju iskorištenja moraju biti sukladni zahtjevima iz točke 8.2.

8.1.2.2.   Kalibracija s referentnim uzorcima

Druga mogućnost je da se da se u blizini ciljne razine upotrijebi kalibracijska krivulja pripremljena iz barem četiri referentna uzorka (vidjeti točku 8.2: jedna slijepa matrica te tri referentna uzorka s 0,5 ×, 1,0 × i 2,0 × većom vrijednosti od ciljne razine) zbog čega korekcija slijepih vrijednosti i iskorištenja više nije potrebna. U ovom slučaju se može odgovor testa koji odgovara 2/3 najveće dopuštene količine (vidjeti 8.3.) izračunani neposredno iz tih uzoraka i upotrijebiti kao vrijednost cut-off. Za provjeru uzoraka koji prelaze pragove za pokretanje postupka, odgovarajući postotak pragova za pokretanje postupka može odgovarati kao vrijednost cut-off.

8.1.3   Odvojeno određivanje PCDD/F i dioksinu sličnih PCB-a

Izolati se mogu podijeliti u frakcije koje sadrže PCDD/F i dioksinu slične PCB-ove omogućavajući odvojeno iskazivanje vrijednosti TEQ za PCDD/F i dioksinu slične PCB-ove (u BEQ). Po mogućnosti se koristi standardna kalibracijska krivulja PCB 126 za procjenu rezultata za frakciju koja sadrži dioksinu slične PCB-ove.

8.1.4.   Očito iskorištenje pri biološkim testovima

„Očito iskorištenje pri biološkim testovima” se izračunava iz odgovarajućih referentnih uzoraka s reprezentativnim uzorcima kongenera u području oko ciljne razine i izražava se kao postotak BEQ vrijednosti u usporedbi s TEQ vrijednosti. Zavisno od vrste testa i upotrijebljenog ili upotrijebljenih TEF (3), razlike između faktora TEF i REP za dioksinu slične PCB-ove mogu prouzročiti manje očito iskorištenje za dioksinu slične PCB-ove u usporedbi s PCDD/F. Stoga ako se provodi odvojeno određivanje PCDD/F i dioksinu sličnih PCB-a, očito iskorištenje pri biološkim testovima iznosi: za dioksinu slične PCB-ove 25 % do 60 %, za PCDD/F od 50 % do 130 % (rasponi vrijede za TCDD kalibracijsku krivulju). S obzirom da doprinos dioksinu sličnih PCB-a zbroju PCDD/F i dioksinu sličnih PCB-a može varirati kod različitih matrica i uzoraka, očito iskorištenje pri biološkim testovima za parametar zbroja održava ove raspone koji iznose od 30 % do 130 %.

8.1.5.   Kontrola iskorištenja pri čišćenju

Gubitak spojeva tijekom čišćenja se provjerava tijekom validacije. Slijepa proba s dodatkom mješavine različitih kongenera se podvrgava čišćenju (najmanje n = 3), a iskorištenje i varijabilnost se provjeravaju GC/HRMS analizom. Iskorištenje mora iznositi od 60 % do 120 % naročito za kongenere koji doprinose više od 10 % vrijednosti TEQ u različitim mješavinama.

8.1.6.   Prag izvještavanja

Za izvještavanje o vrijednostima BEQ, prag izvještavanja se određuje na temelju odgovarajućih uzoraka matrica koji uključuju tipične uzorke kongenera, ali ne na temelju kalibracijske krivulje standarda zbog niske preciznosti u donjem rasponu krivulje. Učinci ekstrakcije i čišćenja moraju se uzeti u obzir. Prag izvještavanja mora se odrediti značajno iznad postupka sa slijepim uzorcima (najmanje tri puta više).

8.2.   Korištenje referentnih uzoraka

Referentni uzorci predstavljaju uzorke matrica, uzorke kongenera i raspone koncentracija za PCDD/F i dioksinu slične PCB-ove u blizini ciljne razine (najveće dopuštene količine ili granice za pokretanje postupka).

Uz svaku seriju uzoraka koja se testira mora se uključiti jedna slijepa proba ili po mogućnosti slijepa matrica i jedan referentni uzorak pri ciljnoj razini. Ovi uzorci se moraju ekstrahirati i analizirati istodobno u istovjetnim uvjetima. Referentni uzorak mora pokazati izrazito veći odgovor od slijepog uzorka, što osigurava ispravnost testa. Ti se uzorci mogu koristiti za korekciju slijepe probe i iskorištenja.

Referentni uzorci koji se odabiru za korekciju iskorištenja su reprezentativni za pokusne uzorke, što znači da uzorci kongenera ne uzrokuju preniske procjene vrijednosti.

Dodatnim referentnim uzorcima kojima su količine 0,5 i 2 puta veće od ciljne razine mogu se uključiti za dokazivanje ispravnosti testa u rasponu propisanih količina za kontrolu ciljne razine. Ako se kombiniraju, ovi uzorci se mogu koristiti za izračun vrijednosti BEQ u pokusnim uzorcima (8.1.2.2).

8.3.   Određivanje cut-off vrijednosti

Odnos između bionalitičkih rezultata u BEQ i rezultati GC/HRMS u TEQ određuje se (npr. kalibracijskim pokusima u matrici, koji uključuju referentne uzorke s dodatkom 0, 0,5 ×, 1 × i 2 × najvećih dopuštenih količina (ML) sa šest ponavljanja na svakoj razini (n = 24)). Faktori korekcije (slijepa proba i iskorištenje) mogu se procijeniti iz ovog odnosa, ali ih se mora provjeravati u svakoj seriji testova uključivanjem slijepih uzoraka postupka/matrice i uzoraka iskorištenja (8.2).

Cut-off vrijednosti se određuju za donošenje odluke o sukladnosti uzorka s najvećim dopuštenim količinama ili za kontrolu granice za pokretanje postupka, ako je relevantno, s obzirom na dotične ciljne razine određene posebno za PCDD/F i za dioksinu slične PCB-ove ili za zbroj PCDD/F i dioksinu sličnih PCB-a. Prikazuje ih donja krajnja točka distribucije bioanalitičkih rezultata (korigirano za vrijednost slijepe probe i za iskorištenje) što odgovara odlučujućoj granici GC/HRMS na temelju 95 % razine pouzdanosti, što znači da je udio lažno sukladnih rezultata < 5 % i na temelju RSDR < 25 %. Odlučujuća granica GC/HRMS je najveća dopuštena količina uzimajući u obzir mjernu nesigurnost.

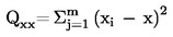
U praksi se cut-off vrijednost (u BEQ) može izračunati na sljedeći način (vidjeti crtež 1):

8.3.1.   Korištenje donjeg raspona 95 % intervala predviđanja pri odlučujućoj granici GC/HRMS

Formula

pri čemu je:

BEQDL

BEQ što odgovara odlučujućoj granici GC/HRMS, koja je najveća dopuštena količina uzimajući u obzir mjernu nesigurnost

sy,x

standardna devijacija rezidua

t α,f = m-2

student faktor (α = 5 %, f = slobodni stupnjevi, jednostrani)

m

ukupan broj kalibracijskih točaka (indeks j)

n

broj ponavljanja na svakoj razini

xi

koncentracija uzorka GC/HRMS (u TEQ) kalibracijske točke i

Formula

srednja vrijednost koncentracije (u TEQ) svih kalibriranih uzoraka

Formula parametar zbroja kvadrata točke, i = indeks za kalibracijsku točku i

8.3.2.   Izračun iz bioanalitičkih rezultata (korigirano za vrijednost slijepe probe i za iskorištenje) višestrukih analiza uzoraka (n ≥ 6) kontaminiranih na GC/HRMS odlučujućoj granici, kao donja krajnja točka distribucije podataka pri odgovarajućoj srednjoj BEQ vrijednosti:

Cut-off vrijednost = BEQDL – 1,64 × SDR

pri čemu je:

SDR

standardna devijacija rezultata bioanalitičkih testova pri BEQDL, izmjereno u uvjetima unutarnje laboratorijske obnovljivosti

8.3.3.   Izračun kao srednja vrijednost bioanalitičkih rezultata (u BEQ, korigirano za vrijednost slijepe probe i za iskorištenje) iz višestrukih analiza uzoraka (n ≥ 6) kontaminiranih na 2/3 ciljne razine. Ovo se temelji na opservaciji da će ta vrijednost biti oko cut-off vrijednosti određene u točkama 8.3.1 ili 8.3.2.

slika 1

Image

Izračun cut-off vrijednosti na temelju 95 % razine pouzdanosti, što znači da je udio lažno sukladnih rezultata < 5 % i na temelju RSDR < 25 %: 1. iz donjeg raspona 95 % intervala predviđanja pri odlučujućoj granici GC/HRMS, 2. iz višestrukih analiza uzoraka (n ≥ 6) kontaminiranih na GC/HRMS odlučujućoj granici, kao donja krajnja točka distribucije podataka (na slici prikazana s krivuljom u obliku zvona) pri odgovarajućoj srednjoj BEQ vrijednosti.

8.3.4.   Ograničenja cut-off vrijednosti:

Cut-off vrijednosti na temelju BEQ, izračunate iz RSDR, postignute tijekom validacije koristeći ograničen broj uzoraka s različitim uzorcima matrice/kongenera mogu biti veće od ciljne razine na temelju TEQ zbog veće preciznosti od one rutinski dobivene kada je potrebno kontrolirati nepoznati spektar mogućih uzoraka kongenera. U takvim slučajevima se cut-off vrijednosti izračunaju iz RSDR = 25 %, ili se daje prednost dvjema trećinama ciljne razine.

8.4.   Karakteristike izvedivosti

S obzirom da se u bioanalitičkim metodama ne mogu koristiti unutarnji standardi, moraju se provoditi ispitivanja ponovljivosti kako bi se dobili podaci o standardnoj devijaciji unutar i između serija ispitivanja. Ponovljivost mora biti manja od 20 %, a interna laboratorijska obnovljivost 25 % na temelju razina izračunatih u BEQ nakon korekcije za vrijednost slijepe probe i za iskorištenje.

U postupku validacije je potrebno dokazati da test pravi razliku između slijepe probe i razine na cut-off vrijednosti omogućavajući identifikaciju uzoraka iznad odgovarajuće cut-off vrijednosti (vidjeti 8.1.2.).

Moraju se utvrditi ciljni spojevi, moguće interferencije i najveće prihvatljive količine za slijepe probe.

Postotak standardne devijacije u odgovoru ili koncentraciji izračunan iz odgovora (moguće samo u radnom rasponu) pri trostrukom određivanju izolata uzorka ne smije biti iznad 15 %.

Nekorigirani rezultati referentnih uzoraka izraženi u BEQ (slijepa vrijednost i ciljna razina) će se koristiti za ocjenu izvedivosti bioanalitičke metode kroz kontinuirano vremensko razdoblje.

Dijagrami kontrole kvalitete (QC) za postupke sa slijepim uzorcima i svaku vrstu referentnog uzorka će se bilježiti i provjeravati kako bi se osiguralo da je izvedivost analiza u skladu sa zahtjevima, a posebno za postupak sa slijepim uzorcima u pogledu zahtijevane najmanje razlike do donjeg dijela radnog raspona i za referentne uzorke u pogledu unutar laboratorijske obnovljivosti. Postupke sa slijepim uzorcima je potrebno dobro kontrolirati kako bi se izbjegli lažno sukladni rezultati kada se oduzimaju.

Rezultati analiza GC/HRMS sumnjivih uzoraka i 2 do 10 % sukladnih uzoraka (najmanje 20 uzoraka po matrici) će se sakupiti i koristiti za procjenu izvedivosti orijentacijske metode i odnosa između BEQ i TEQ. Ova baza podataka se može koristiti za re-evaluaciju cut-off vrijednosti koje se primjenjuju na rutinske uzorke za validirane matrice.

Uspješna izvedivost metode može se također dokazati prstenastim probama. Rezultati uzoraka analiziranih prstenastim probama koje uključuju raspon koncentracija od npr. 2 × najvećih dopuštenih količina, mogu također biti uključeni u procjenu učestalosti lažno sukladnih rezultata, ako laboratorij može dokazati uspješnu izvedivost. Uzroci uključuju najčešće uzorke kongenera, koji predstavljaju različite izvore.

Tijekom incidenata se mogu ponovo procijeniti cut-off vrijednosti uzimajući u obzir posebne uzorke matrica i kongenera koji se pojavljuju u incidentu.

9.   IZVJEŠTAVANJE O REZULTATIMA

Potvrdne metode

U onoj mjeri u kojoj analitički postupak dopušta, analitički rezultati moraju sadržavati količine pojedinačnih PCDD/F i kongenera dioksinu sličnih PCB-a i treba ih definirati kao donje, gornje ili srednje kako bi se u izviješće uključilo što više podataka o rezultatima i na taj način omogućila interpretacija rezultata prema posebnim zahtjevima.

U izvješće je potrebno uključiti i metodu koja se koristi za ekstrakciju PCDD/F, dioksinu sličnih PCB-a i masti. Udio masti u uzorku se određuje i iskazuje za uzorke hrane s najvećim dopuštenim količinama ili rasponima za pokretanje postupka određenim na temelju masti i očekivanom koncentracijom masti u rasponu od 0 – 2 % (u skladu s važećim zakonodavstvom), za druge uzorke je određivanje udjela masti neobavezno.

Iskorištenja pojedinih unutarnjih standarda moraju biti navedena u slučaju da su izvan raspona navedenog u točki 7.2., u slučaju da je dobiveni rezultat veći od najvećih dopuštenih količina, a u drugim slučajevima na zahtjev.

S obzirom da mjernu nesigurnost treba uzeti u obzir pri odluci o sukladnosti uzorka, taj parametar je također potrebno navesti. Stoga se rezultati analize prikazuju kao × +/- U, gdje je x rezultat analize, a U je proširena mjerna nesigurnost koristeći faktor pokrivanja 2, čime se dobiva razina pouzdanosti od 95 %. Određuju li se odvojeno PCDD/F i dioksinu slični PCB-ovi, tada se zbroj procijenjene proširene nesigurnosti za pojedinačne rezultate analiza PCDD/F i dioksinu sličnih PCB-a koristi za zbroj PCDD/F i dioksinu sličnih PCB-a.

Ako se uzima u obzir mjerna nesigurnost primjenom CCα (kako je opisano u Prilogu II. točki IV.2) tada se mora navesti i taj parametar.

Rezultati se moraju iskazati u istim mjernim jedinicama i zaokružiti (barem) na jednak broj decimalnih mjesta, kako je određeno u Uredbi (EZ) br. 1881/2006.

Bioanalitičke orijentacijske metode

Rezultat orijentacijske metode se izražava kao sukladan ili se za njega sumnja da je nesukladan („sumnjiv”).

Nadalje, rezultat za PCDD/F i/ili dioksinu slične PCB-ove se može izraziti u bioanalitičkim ekvivalentima (ne TEQ) (vidjeti Prilog III. točku 2).

Ako se pri izračunu vrijednosti BEQ navede mjerna nesigurnost, npr. kao standardna devijacija, mora se temeljiti barem na trostrukoj analizi (uključujući ekstrakciju, čišćenje i određivanje odgovora testa).

Za uzorke s odgovorom ispod granice izvještavanja navodi se da su ispod granice izvještavanja.

Za svaku vrstu uzorka matrice se u izvještaju mora navesti ciljna razina (najveća dopuštena količina, prag za pokretanje postupka) na kojoj se procjena temelji.

U izvještaju se mora navesti vrsta testa koji se koristi, osnovno načelo testa i vrsta kalibracije.

U izvješće je potrebno uključiti i metodu koja se koristi za ekstrakciju PCDD/F, dioksinu sličnih PCB-a i masti. Udio masti u uzorku se određuje i iskazuje za uzorke hrane s najvećim dopuštenim količinama ili pragovima za pokretanje postupka određenim na temelju masti i očekivanom koncentracijom masti u rasponu od 0 – 2 % (u skladu s važećim zakonodavstvom), za druge uzorke je određivanje udjela masti neobavezno.


(1)  Prilagođeno PCDD/F i spojevima sličnim dioksinu iz „Smjernica za validaciju orijentacijskih metoda za rezidue veterinarskih lijekova”, Referentni laboratoriji EU (EURL-i) za rezidue veterinarskih lijekova i kontaminanata u hrani životnjskog podrijetla u Fougeresu, Berlinu i Bilthovenu, 20.1.2010., http://ec.europa.eu/food/food/chemicalsafety/residues/lab_analysis_en.htm.

(2)  u odnosu na najveće dopuštene količine.

(3)  Trenutačni zahtjevi se temelje na TEF objavljenim u: M. Van den Berg et al., Toxicol. Sci. 93 (2), 223-241 (2006).

Dodatak PRILOGU III.

WHO-TEF za procjenu rizika za zdravlje ljudi na temelju zaključaka sa stručnog zasjedanja Svjetske zdravstvene organizacije (WHO) – Međunarodni program za sigurnost kemikalija (IPCS) održanog u Ženevi u lipnju 2005. (Martin van den Berg et al., Reevaluacija Svjetske zdravstvene organizacije provedena 2005. godine faktora ekvivalentne toksičnosti za dioksine i spojeve slične dioksinu kod ljudi i sisavaca. Toksikološke znanosti 93 (2), 223-241 (2006))

Kongener

TEF vrijednost

Dibenzo-p-dioksini („PCDD-i”)

2,3,7,8-TCDD

1

1,2,3,7,8-PeCDD

1

1,2,3,4,7,8-HxCDD

0,1

1,2,3,6,7,8-HxCDD

0,1

1,2,3,7,8,9-HxCDD

0,1

1,2,3,4,6,7,8-HpCDD

0,01

OCDD

0,0003

Dibenzofurani („PCDF-i”)

2,3,7,8-TCDF

0,1

1,2,3,7,8-PeCDF

0,03

2,3,4,7,8-PeCDF

0,3

1,2,3,4,7,8-HxCDF

0,1

1,2,3,6,7,8-HxCDF

0,1

1,2,3,7,8,9-HxCDF

0,1

2,3,4,6,7,8-HxCDF

0,1

1,2,3,4,6,7,8-HpCDF

0,01

1,2,3,4,7,8,9-HpCDF

0,01

OCDF

0,0003

„Dioksinima slični” PCB-ovi Ne orto PCB-i + Mono orto PCB-ovi

Ne orto PCB-ovi

PCB 77

0,0001

PCB 81

0,0003

PCB 126

0,1

PCB 169

0,03

Mono orto PCB-ovi

PCB 105

0,0003

PCB 114

0,0003

PCB 118

0,0003

PCB 123

0,0003

PCB 156

0,0003

PCB 157

0,0003

PCB 167

0,0003

PCB 189

0,0003

Korištene kratice: „T” = tetra; „Pe” = penta; „Hx” = heksa; „Hp” = hepta; „O” = okta; „CDD” = klordibenzodioksin; „CDF” = klordibenzofuran; „CB” = klorbifenil.


PRILOG IV.

Priprema uzorka i zahtjevi za metode analize koje se koriste u službenim kontrolama količina PCB-a koji nisu slični dioksinu (PCB # 28, 52, 101, 138, 153, 180) u određenoj hrani

1.   Metode detekcije koje se koriste

Plinska kromatografija/detektor hvatanja elektrona (GC/ECD), GC/LRMS, GC/MS-MS, GC/HRMS ili istovjetne metode.

2.   Identifikacija i potvrđivanje predmetnih analita

Relativno retencijsko vrijeme u odnosu na interne standarde ili referentne standarde (prihvaćena devijacija od +/- 0,25 %).

Plinsko kromatografsko odvajanje svih šest indikatorskih PCB-a (PCB 28, PCB 52, PCB 101, PCB 138, PCB 153 i PCB 180) od interferirajućih tvari, posebno ko-eluiranih PCB-ova, a posebno ako su uzorci u rasponu zakonski dozvoljenih granica i nesukladnost se mora potvrditi.

Napomena: Kongeneri za koje je često ustanovljeno da ko-eluiraju su npr. PCB 28/31, PCB 52/69 i PCB 138/163/164. Za GC/MS se također moraju uzeti u obzir moguće interferencije fragmenata viših kloriranih kongenera.

Za GC/MS tehnike:

monitoring najmanje:

dva specifična iona za HRMS

dva specifična iona s m/z > 200 ili tri specifična iona s m/z > 100 za LRMS,

1 prekursor i dva produktna iona za MS-MS.

Najveće dozvoljene tolerancije za odgovore odabranih masenih fragmenata:

Relativna devijacija intenziteta odabranih masenih fragmenata od teoretskog odgovora ili kalibracijski standard za ciljni ion (ion s najsnažnijim odgovorom koji se prati) i potvrdnih iona:

Relativni odgovor potvrdnih iona u odnosu na ciljni ion

GC-EI-MS

(relativna devijacija)

GC-CI-MS, GC-MSn

(relativna devijacija)

> 50 %

± 10 %

± 20 %

> 20 % do 50 %

± 15 %

± 25 %

> 10 % do 20 %

± 20 %

± 30 %

≤ 10 %

± 50 % (1)

± 50 % (1)

Za GC/ECD:

Potvrda rezultata koji prelaze toleranciju s dvije kolone GC sa stacionarnim fazama različitog polariteta.

3.   Demonstracija izvođenja metode

Validacija u području ciljne razine (0,5 do 2 puta više od ciljne razine) s prihvatljivim koeficijentom varijacije za ponovljene analize (vidjeti zahtjeve za srednju preciznost u točki 8.).

4.   Granica kvantifikacije

Slijepe vrijednosti ne smiju biti veće od 30 % razine kontaminacije što odgovara najvećoj dopuštenoj količini (2).

5.   Kontrola kvalitete

Redovite slijepe kontrole, analize uzoraka s dodatkom, analize kontrolnih uzoraka, sudjelovanje u međulaboratorijskim studijama s različitim matricama uzoraka.

6.   Kontrola iskorištenja

Korištenje primjerenih internih standarda s fizikalno-kemijskim svojstvima koji odgovaraju predmetnim analitima.

Dodavanje internih standarda:

dodavanje proizvodima (prije ekstrakcije i postupka čišćenja),

moguće je dodavanje ekstrahiranoj masnoći (prije postupka čišćenja), ako se najveće dopuštene količine određuju na temelju masti.

Zahtjevi za metode u kojima se koristi svih šest indikatorskih kongenera PCB-a označenih izotopima:

korekcija rezultata za iskorištenje internih standarda,

opće prihvatljivo iskorištenje izotopski označenih internih standarda je između 50 i 120 %,

prihvatljivo je manje ili veće iskorištenje za pojedinačne kongenere s manje od 10-postotnim doprinosom zbroju šest indikatorskih PCB-a.

Zahtjevi za metode u kojima se ne koristi svih šest izotopski označenih internih standarda ili se koriste drugi interni standardi:

kontrola iskorištenja internih standarda za svaki uzorak,

prihvatljivo iskorištenje internih standarda između 60 i 120 %,

korekcija rezultata u pogledu iskorištenja internih standarda.

Iskorištenje neoznačenih kongenera se provjerava analizom uzoraka s dodatkom ili kontrolnih uzoraka s koncentracijama u rasponu ciljne razine. Prihvatljivo iskorištenje za te kongenere je između 70 i 120 %.

7.   Zahtjevi za laboratorije

U skladu s odredbama Uredbe (EZ) br. 882/2004, laboratorije akreditiraju priznata tijela koja rade u skladu sa zahtjevima ISO Guide 58 kako bi se osiguralo da primjenjuju analitičko osiguranje kvalitete. Laboratoriji se akreditiraju prema standardu EN ISO/IEC 17025.

8.   Karakteristike izvedivosti: Kriteriji za zbroj šest indikatorskih PCB-a na ciljnoj razini

Istinitost

– 30 do + 30 %

Srednja preciznost %

≤ 20 %

Razlika između izračuna gornje i donje granice

≤ 20 %

9.   Izvještavanje o rezultatima

U onoj mjeri u kojoj analitički postupak dopušta, analitički rezultati moraju sadržavati količine pojedinačnih PCB kongenera i treba ih definirati kao donje, gornje ili srednje kako bi se u izviješće uključilo što više podataka o rezultatima i na taj način omogućila interpretacija rezultata prema posebnim zahtjevima.

U izvješće je potrebno uključiti i metodu koja se koristi za ekstrakciju PCB-a i masti. Udio masti u uzorku se određuje i iskazuje za uzorke hrane s najvećim dopuštenim količinama određenim na temelju masti i očekivanom koncentracijom masti u rasponu od 0 – 2 % (u skladu s važećim zakonodavstvom), za druge uzorke je određivanje udjela masti neobavezno.

Iskorištenja pojedinih unutarnjih standarda moraju biti navedena u slučaju da su izvan raspona navedenog u točki 6., u slučaju da je dobiveni rezultat veći od najvećih dopuštenih količina, a u drugim slučajevima na zahtjev.

S obzirom da mjernu nesigurnost treba uzeti u obzir pri odluci o sukladnosti uzorka, taj parametar je također potrebno navesti. Stoga se rezultati analize prikazuju kao × +/- U, gdje je x rezultat analize, a U je proširena mjerna nesigurnost koristeći faktor pokrivanja 2, čime se dobiva razina pouzdanosti od 95 %.

Ako se uzima u obzir mjerna nesigurnost primjenom CCα (kako je opisano u Prilogu II. točki IV.1.) tada se mora navesti i taj parametar.

Rezultati se moraju iskazati u istim mjernim jedinicama i zaokružiti (barem) na jednak broj decimalnih mjesta, kako je određeno u Uredbi (EZ) br. 1881/2006.


(1)  Zadovoljavajući broj masenih fragmenata s relativnim intenzitetom > 10 % mora biti dostupan, zato uporaba potvrdnih iona s relativnim odgovorom manjim od 10 % u usporedbi s ciljnim ionom nije preporučljiva.

(2)  Preporučljiv je manji doprinos slijepog reagensa od razine kontaminanta u uzorku. Zadatak je laboratorija kontrolirati varijacije razina slijepih vrijednosti, a posebno ako se slijepe vrijednosti oduzimaju.