15/Sv. 016

HR

Službeni list Europske unije

213


32010R1016


L 293/31

SLUŽBENI LIST EUROPSKE UNIJE

10.11.2010.


UREDBA KOMISIJE (EU) br. 1016/2010

od 10. studenoga 2010.

o provedbi Direktive 2009/125/EZ Europskog parlamenta i Vijeća o zahtjevima za ekološki dizajn kućanskih perilica posuđa

(Tekst značajan za EGP)

EUROPSKA KOMISIJA,

uzimajući u obzir Ugovor o funkcioniranju Europske unije,

uzimajući u obzir Direktivu 2009/125/EZ Europskog parlamenta i Vijeća od 21. listopada 2009. o uspostavi okvira za utvrđivanje zahtjeva za ekološki dizajn proizvoda koji koriste energiju (1), a posebno njezin članak 15. stavak 1.,

nakon savjetovanja sa Savjetodavnim forumom o ekološkom dizajnu,

budući da:

(1)

U skladu s Direktivom 2009/125/EZ Komisija utvrđuje zahtjeve za ekološki dizajn proizvoda povezanih s energijom, koji predstavljaju značajan udio u prodaji i trgovini i koji imaju značajan učinak na okoliš i predstavljaju značajan potencijal za poboljšanje učinka na okoliš, bez pretjeranih troškova.

(2)

U prvoj alineji članka 16. stavka 2. Direktive 2009/125/EZ predviđeno je da Komisija, u skladu s postupkom iz članka 19. stavka 3. i kriterijima iz članka 15. stavka 2., nakon savjetovanja sa Savjetodavnim forumom o ekološkom dizajnu, kad je primjereno, uvede provedbene mjere za kućanske aparate, uključujući kućanske perilice posuđa.

(3)

Komisija je provela pripremnu studiju, u kojoj je analizirala tehničke, okolišne i ekonomske aspekte kućanskih perilica posuđa koje se uobičajeno koriste u kućanstvima. Studija je razvijena zajedno s dionicima i zainteresiranim stranama iz Unije i trećih zemalja, a rezultati su dostupni javnosti.

(4)

Ova uredba trebala bi obuhvaćati proizvode dizajnirane za pranje posuđa u domaćinstvima.

(5)

Okolišni aspekt kućanskih perilica posuđa, za koji je utvrđeno da je značajan u smislu ove Uredbe, čini potrošnja energije u fazi korištenja. Procijenjeno je da je u Uniji u 2005., godišnja potrošnja električne energije proizvoda iz ove Uredbe iznosila 24,7 TWh, što odgovara 13 milijuna tona CO2. Ako se ne poduzmu posebne mjere, predviđa se da će se godišnja potrošnja električne energije u 2020. povećati na 35 TWh. Pripremna studija pokazuje da se potrošnja električne energije i vode proizvoda iz ove uredbe može značajno smanjiti.

(6)

Pripremna studija pokazuje da zahtjevi koji se odnose na ostale parametre ekološkog dizajna iz Priloga I., dijela 1. Direktive 2009/125/EZ nisu potrebni, jer potrošnja električne energije kućanskih perilica posuđa u fazi korištenja predstavlja daleko najvažniji okolišni aspekt.

(7)

Potrošnja električne energije proizvoda iz ove Uredbe trebala bi biti učinkovitija primjenom postojećih nezaštićenih troškovno učinkovitih tehnologija koje mogu smanjiti kombinirane troškove kupovine i rada tih proizvoda.

(8)

Zahtjevi za ekološki dizajn ne bi trebali utjecati na funkcionalnost iz perspektive krajnjeg korisnika i ne bi trebali negativno utjecati na zdravlje, sigurnost ili okoliš. Posebno bi koristi od smanjenja potrošnje električne energije tijekom faze korištenja trebali više nego nadoknaditi svaki dodatni učinak na okoliš tijekom faze proizvodnje.

(9)

Zahtjevi za ekološki dizajn trebali bi se uvoditi postupno, kako bi proizvođačima omogućili dovoljan vremenski okvir za promjenu dizajna proizvoda u skladu s ovom Uredbom. Vremenski raspored bi trebao biti takav da se izbjegnu negativni učinci na funkcionalnost uređaja na tržištu te da se vodi računa o utjecaju na troškove za krajnje korisnike i proizvođače, posebno mala i srednja poduzeća, te da se osigura pravovremeno ostvarenje ciljeva ove Uredbe.

(10)

Mjerenje predmetnih parametara proizvoda trebalo bi provesti pomoću pouzdanih, točnih i ponovljivih mjernih metoda, kojima se vodi računa o priznatim najnovijim mjernim metodama koje uključuju, gdje je dostupno, usklađene norme koje donose europska normirna tijela, kako je navedeno u Prilogu I. Direktivi 98/34/EZ Europskog parlamenta i Vijeća od 22. lipnja 1998. o utvrđivanju postupka osiguravanja informacija u području tehničkih normi i propisa o Uslugama informacijskog društva (2).

(11)

U skladu s člankom 8. Direktive 2009/125/EZ, ova bi Uredba trebala navesti primjenljive postupke ocjenjivanja sukladnosti.

(12)

Kako bi se olakšala provjera sukladnosti, proizvođači bi u tehničkoj dokumentaciji trebali pružiti podatke iz priloga V. i VI. Direktivi 2009/125/EZ ako su ti podaci povezani sa zahtjevima iz ove Uredbe.

(13)

Pored pravno obvezujućih zahtjeva iz ove Uredbe, trebalo bi identificirati okvirna mjerila za najbolje dostupne tehnologije, kako bi se osigurala široka dostupnost i lak pristup podacima o okolišnoj učinkovitosti u životnom vijeku proizvoda iz ove Uredbe.

(14)

Mjere predviđene ovom Uredbom u skladu su s mišljenjem Odbora iz članka 19. stavka 1. Direktive 2009/125/EZ,

DONIJELA JE OVU UREDBU:

Članak 1.

Predmet i područje primjene

Ovom Uredbom utvrđuju se zahtjevi za ekološki dizajn za stavljanje na tržište kućanskih električnih perilica posuđa i kućanskih električnih perilica posuđa koje mogu raditi i na baterije, uključujući one koje su prodane za korištenje izvan kućanstava te ugradbene kućanske perilice posuđa.

Članak 2.

Definicije

Pored definicija iz članka 2. Direktive 2009/125/EZ, za potrebe ove Uredbe primjenjuju se sljedeće definicije:

1.

„kućanska perilica posuđa” znači stroj koji čisti, ispire i suši posuđe, čaše, pribor za jelo i kuhinjski pribor pomoću kemijskih i mehaničkih sredstava te toplinske i električne energije te koji je dizajniran prvenstveno za neprofesionalnu upotrebu;

2.

„ugradbena kućanska perilica posuđa” znači kućanska perilica posuđa namijenjena ugradnji u ormarić, pripremljeni otvor u zidu ili slično mjesto, za što su potrebni elementi pokućstva;

3.

„komplet posuđa” znači definirani komplet porculanskog i staklenog posuđa i jedaćeg pribora za jednu osobu;

4.

„nazivni kapacitet” znači maksimalni broj kompleta posuđa, zajedno s komadima za serviranje, kako navodi proizvođač, koji se mogu obraditi u kućanskoj perilici posuđa s odabranim programom, ako je napunjena u skladu s uputama proizvođača;

5.

„program” znači serija zadanih radnji koje proizvođač navodi kao prikladne za navedene stupnjeve zaprljanosti ili vrste punjenja, ili oboje, a zajedno čine kompletan ciklus;

6.

„trajanje programa” znači vrijeme koje prođe od početka programa do završetka programa, bez odgađanja od strane krajnjeg korisnika;

7.

„ciklus” znači kompletan postupak pranja, ispiranja i sušenja, kako je definirano za odabrani program;

8.

„stanje isključenosti” znači stanje u kojem je kućanska perilica posuđa isključena pomoću upravljačkih mehanizama ili prekidača namijenjenih krajnjem korisniku tijekom normalnog korištenja, kako bi se dostiglo stanje najmanje potrošnje energije, koje može potrajati neodređeno vrijeme dok je kućanska perilica posuđa spojena na izvor energije i dok se koristi u skladu s uputama proizvođača; ako nema mehanizma ili prekidača dostupnih krajnjem korisniku, „stanje isključenosti” znači stanje do kojeg dolazi nakon što se kućanska perilica posuđa sama vrati u statičko stanje potrošnje energije;

9.

„stanje pripravnosti” znači stanje najmanje potrošnje energije koje može potrajati neodređeno vrijeme nakon završetka programa i pražnjenja stroja, bez daljnjih intervencija krajnjeg korisnika;

10.

„jednakovrijedna perilica posuđa” znači model kućanske perilice posuđa stavljen na tržište, s istim nazivnim kapacitetom, tehničkim i izvedbenim karakteristikama, potrošnjom energije i vode i emisijom buke koja se prenosi zrakom, kao i drugi model kućanske perilice posuđa koji isti proizvođač stavlja na tržište pod drugom trgovačkom šifrom.

Članak 3.

Zahtjevi za ekološki dizajn

Opći zahtjevi za ekološki dizajn za kućanske perilice posuđa utvrđeni su u točki 1. Priloga I.

Posebni zahtjevi za ekološki dizajn za kućanske perilice posuđa utvrđeni su u točki 2. Priloga I.

Članak 4.

Ocjena sukladnosti

1.   Postupak ocjene sukladnosti iz članka 8. Direktive 2009/125/EZ je unutarnji sustav kontrole dizajna iz Priloga IV. toj Direktivi ili sustav upravljanja iz Priloga V. toj Direktivi.

2.   U svrhu ocjene sukladnosti na temelju članka 8. Direktive 2009/125/EZ, tehnička dokumentacija sadrži rezultate izračuna utvrđenog u Prilogu II. ovoj Uredbi.

Ako su podaci iz tehničke dokumentacije za određeni model kućanske perilice posuđa, dobiveni izračunom na temelju dizajna ili ekstrapolacijom iz drugih istovjetnih perilica posuđa, ili objema metodama, tehnička dokumentacija sadrži podatke o takvim izračunima ili ekstrapolacijama, ili oboje, te o ispitivanjima koje je proizvođač obavio radi potvrde točnosti izvršenih izračuna. U takvim slučajevima, tehnička dokumentacija također obuhvaća popis svih drugih istovjetnih modela kućanskih perilica posuđa, čiji su podaci u tehničkoj dokumentaciji dobiveni na isti način.

Članak 5.

Postupak verifikacije za potrebe nadzora nad tržištem

Države članice, prilikom provjere nadzora nad tržištem iz članka 3. stavka 2. Direktive 2009/125/EZ za poštovanje zahtjeva iz Priloga I. ovoj Uredbi, primjenjuju postupak verifikacije iz Priloga III. ovoj Uredbi.

Članak 6.

Mjerila uspješnosti

Okvirna mjerila uspješnosti za najučinkovitije kućanske perilice posuđa dostupne na tržištu u vrijeme stupanja na snagu ove Uredbe utvrđena su u Prilogu IV.

Članak 7.

Revizija

Komisija revidira ovu Uredbu u svjetlu tehnološkog napretka, najkasnije 4 godine nakon stupanja na snagu, te predstavlja rezultate te revizije Savjetodavnom forumu o ekološkom dizajnu. Revizija posebno ocjenjuje odstupanja pri provjeri iz Priloga III., mogućnost utvrđivanja zahtjeva za potrošnju vode kućanskih perilica posuđa te mogućnost za dovod vruće vode.

Članak 8.

Stupanje na snagu i primjena

1.   Ova Uredba stupa na snagu dvadesetog dana od dana objave u Službenom listu Europske unije.

2.   Ona se primjenjuje od 1. prosinca 2011.

Ipak, dolje navedeni zahtjevi za ekološki dizajn primjenjuju se u skladu sa sljedećim vremenskim rasporedom:

(a)

opći zahtjevi za ekološki dizajn iz točke 1. podtočke 1Priloga I. primjenjuju se od 1. prosinca 2012.;

(b)

opći zahtjevi za ekološki dizajn iz točke 1. podtočke 2. Priloga I. primjenjuju se od 1. lipnja 2011.;

(c)

posebni zahtjevi za ekološki dizajn iz točke 2. podtočke 2. Priloga I. primjenjuju se od 1. prosinca 2013.;

(d)

posebni zahtjevi za ekološki dizajn iz točke 2. podtočke 3. Priloga I. primjenjuju se od 1. prosinca 2016.;

Ova je Uredba u cijelosti obvezujuća i izravno se primjenjuje u svim državama članicama.

Sastavljeno u Bruxellesu 10. studenoga 2010.

Za Komisiju

Predsjednik

José Manuel BARROSO


(1)  SL L 285, 31.10.2009., str. 10.

(2)  SL L 204, 21.7.1998., str. 37.


PRILOG I.

Zahtjevi za ekološki dizajn

1.   OPĆI ZAHTJEVI ZA EKOLOŠKI DIZAJN

1.

Za izračunavanje potrošnje energije i ostalih parametara za kućanske perilice posuđa, koristi se ciklus kojim se pere normalno zaprljano posuđe (dalje u tekstu: standardni ciklus pranja). Taj se ciklus može jasno prepoznati na uređaju za odabir programa na kućanskoj perilici posuđa ili na ekranu kućanske perilice posuđa, ako ga perilica ima, ili na oboje, i naveden je kao „standardni program” i utvrđen je kao zadani ciklus za kućanske perilice posuđa opremljene automatskim odabirom programa ili bilo kojom funkcijom za automatski odabir programa pranja ili održavanje odabira programa.

2.

Upute za uporabu, koje dostavlja proizvođač, sadrže:

(a)

standardni program pranja, nazvan „standardni program”, i navode da je prikladan za pranje normalno zaprljanog posuđa te da je to najučinkovitiji program u smislu kombinirane potrošnje energije i vode za tu vrstu posuđa;

(b)

potrošnju energije u stanju isključenosti i stanju pripravnosti;

(c)

okvirne podatke o trajanju programa, potrošnji energije i vode za osnovne programe pranja.

2.   POSEBNI ZAHTJEVI ZA EKOLOŠKI DIZAJN

Kućanske perilice posuđa udovoljavaju sljedećim zahtjevima:

1.

Od 1. prosinca 2011.:

(a)

za sve kućanske perilice posuđa, osim kućanskih perilica posuđa nazivnog kapaciteta 10 kompleta posuđa i širine 45 cm ili manje, indeks energetske učinkovitosti (EEI) je manji od 71;

(b)

za kućanske perilice posuđa nazivnog kapaciteta 10 kompleta posuđa i širine 45 cm ili manje, indeks energetske učinkovitosti (EEI) je manji od 80;

(c)

za sve kućanske perilice posuđa, indeks učinkovitosti pranja (Ic ) je veći od 1,12.

2.

Od 1. prosinca 2013.:

(a)

za kućanske perilice posuđa nazivnog kapaciteta jednakog ili većeg od 11 kompleta posuđa i za kućanske perilice posuđa nazivnog kapaciteta 10 kompleta posuđa i širine veće od 45 cm, indeks energetske učinkovitosti (EEI) je manji od 63;

(b)

za kućanske perilice posuđa nazivnog kapaciteta 10 kompleta posuđa i širine 45 cm ili manje, indeks energetske učinkovitosti (EEI) je manji od 71;

(c)

za kućanske perilice posuđa nazivnog kapaciteta jednakog ili većeg od 8 kompleta posuđa, indeks učinkovitosti sušenja (ID ) je veći od 1,08;

(d)

za kućanske perilice posuđa nazivnog kapaciteta jednakog ili manjeg od 7 kompleta posuđa, indeks učinkovitosti sušenja (ID) je veći od 0,86.

3.

Od 1. prosinca 2016.:

(a)

za kućanske perilice posuđa nazivnog kapaciteta 8 ili 9 kompleta posuđa i za kućanske perilice posuđa nazivnog kapaciteta 10 kompleta posuđa i širine jednake ili manje od 45 cm, indeks energetske učinkovitosti (EEI) je manji od 63.

Indeks energetske učinkovitosti (EEI), indeks učinkovitosti pranja (IC ) i indeks učinkovitosti sušenja (ID ) kućanskih perilica posuđa izračunani su u skladu s Prilogom II.w


PRILOG II.

Metoda izračunavanja indeksa energetske učinkovitosti, indeksa učinkovitosti pranja i indeksa učinkovitosti sušenja

1.   IZRAČUNAVANJE INDEKSA ENERGETSKE UČINKOVITOSTI

Za izračunavanje indeksa energetske učinkovitosti (EEI) modela kućanske perilice posuđa, godišnja potrošnja energije kućanske perilice posuđa uspoređuje se s njezinom standardnom potrošnjom energije.

(a)

Indeks energetske učinkovitosti (EEI) izračunava se na sljedeći način i zaokružuje na jedno decimalno mjesto:

Formula

gdje je:

AEC

=

godišnja potrošnja energije kućanske perilice posuđa;

SAEC

=

standardna godišnja potrošnja energije kućanske perilice posuđa.

(b)

Godišnja potrošnja energije (AEC ) izračunava se u kWh/godišnje na sljedeći način i zaokružuje na dva decimalna mjesta:

i.

Formula

gdje je:

Et

=

potrošnja energije za standardni ciklus, u kWh i zaokružena na tri decimalna mjesta;

Pl

=

energija u „stanju pripravnosti” za standardni ciklus pranja, u W i zaokružena na dva decimalna mjesta;

Po

=

energija u „stanju isključenosti” za standardni ciklus pranja, u W i zaokružena na dva decimalna mjesta;

Tt

=

trajanje programa za standardni ciklus pranja, u minutama i zaokružen na najbližu minutu;

ii.

ako je kućanska perilica posuđa opremljena sustavom za upravljanje korištenjem energije, pri čemu se kućanska perilica posuđa nakon završetka programa automatski vraća u „stanje isključenosti”, AEc se izračunava vodeći računa o stvarnom trajanju „stanja isključenosti”, prema sljedećoj formuli:

Formula

gdje je:

Tl

=

izmjereno trajanje „stanja pripravnosti” za standardni ciklus pranja, u minutama i zaokruženo na najbližu minutu;

280

=

ukupni broj standardnih ciklusa pranja godišnje.

(c)

Standardna godišnja potrošnja energije SAEC izračunava se u kWh/godišnje na sljedeći način i zaokružuje na dva decimalna mjesta:

i.

za kućanske perilice posuđa s nazivnim kapacitetom ps ≥ 10 i širinom > 50 cm:

Formula

ii.

za kućanske perilice posuđa s nazivnim kapacitetom ps ≤ 9 i za kućanske perilice posuđa s nazivnim kapacitetom ps > 9 i širinom ≤ 50 cm:

Formula

gdje je:

ps

=

broj kompleta posuđa.

2.   IZRAČUNAVANJE INDEKSA UČINKOVITOSTI PRANJA

Za izračunavanje indeksa učinkovitosti pranja (IC ) modela kućanske perilice posuđa, učinkovitost pranja kućanske perilice posuđa uspoređuje se s učinkovitošću pranja referentne perilice posuđa, gdje referentna perilica posuđa ima karakteristike navedene u opće priznatim najnovijim mjernim metodama, uključujući i metode iz dokumenata čiji su referentni brojevi objavljeni u tu svrhu u Službenom listu Europske unije.

(a)

Indeks učinkovitosti pranja (IC ) izračunava se na sljedeći način i zaokružuje na dva decimalna mjesta:

Formula

IC = exp(lnIC )

gdje je:

CT,i

=

učinkovitost pranja kućanske perilice posuđa koja se ispituje u jednom ispitnom ciklusu i.;

CR,i

=

učinkovitost pranja referentne perilice posuđa u jednom ispitnom ciklusu i.;

n

=

broj ispitnih ciklusa, n ≥ 5.

(b)

Učinkovitost čišćenja (C) predstavlja prosječni rezultat uklanjanja zaprljanja za svaki komad u punjenju, nakon završetka standardnog ciklusa pranja. Rezultat uklanjanja zaprljanja prikazan je u tablici 1.:

Tablica 1.

Broj čestica zaprljanja u obliku točkica (n)

Ukupna zaprljana površina (AS ) u mm2

Rezultat uklanjanja zaprljanja

n = 0

AS = 0

5 (najviša učinkovitost)

0 < n ≤ 4

0 < AS ≤ 4

4

4 < n ≤ 10

0 < AS ≤ 4

3

10 < n

4 < AS ≤ 50

2

Nije primjenljivo

50 < AS ≤ 200

1

Nije primjenljivo

200 < AS

0 (najniža učinkovitost)

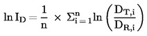
3.   IZRAČUNAVANJE INDEKSA UČINKOVITOSTI SUŠENJA

Za izračunavanje indeksa učinkovitosti sušenja (ID ) modela kućanske perilice posuđa, učinkovitost sušenja kućanske perilice posuđa uspoređuje se s učinkovitošću sušenja referentne perilice posuđa, gdje referentna perilica posuđa ima karakteristike navedene u opće priznatim najnovijim mjernim metodama, uključujući i metode iz dokumenata čiji su referentni brojevi objavljeni u tu svrhu u Službenom listu Europske unije.

(a)

Indeks učinkovitosti sušenja (ID) izračunava se na sljedeći način i zaokružuje na dva decimalna mjesta:

Formula

ID = exp(lnID )

gdje je:

DT,i

=

učinkovitost sušenja kućanske perilice posuđa koja se ispituje u jednom ispitnom ciklusu i.;

DR,i

=

učinkovitost pranja referentne perilice posuđa u jednom ispitnom ciklusu i.;

n

=

broj ispitnih ciklusa, n ≥ 5.

(b)

Učinkovitost sušenja (D) predstavlja prosječni rezultat sušenja za svaki komad u punjenju, nakon završetka standardnog ciklusa pranja. Rezultat sušenja prikazan je u tablici 2.:

Tablica 2.

Broj tragova vode (WT ) ili mokrih pruga (WS )

Ukupna mokra površina (AW ) u mm2

Rezultat sušenja

WT = 0 i WS = 0

Nije primjenljivo

2 (najviša učinkovitost)

1 < WT ≤ 2 ili WS = 1

AW < 50

1

2 < WT ili WS = 2

ili WS = 1 i WT = 1

AW > 50

0 (najniža učinkovitost)


PRILOG III.

Postupak verifikacije u svrhu nadzora nad tržištem

U svrhu provjere sukladnosti sa zahtjevima iz Priloga I., tijela država članica ispituju jednu kućansku perilicu posuđa. Ako izmjereni parametri ne zadovoljavaju vrijednosti koje je proizvođač naveo u tehničkoj dokumentaciji u smislu članka 4. stavka 2. i u rasponima iz tablice 1., mjerenja se provode na još tri kućanske perilice posuđa. Aritmetička sredina izmjerenih vrijednosti te tri kućanske perilice posuđa zadovoljava zahtjeve u rasponima iz tablice 1., osim potrošnje energije, gdje izmjerene vrijednosti nisu veće od nazivne vrijednosti Et za više od 6 %.

U protivnom, smatra se da taj model i svi drugi istovjetni modeli kućanskih perilica posuđa ne zadovoljavaju zahtjeve iz Priloga I.

Tijela država članica koriste pouzdane, točne i ponovljive postupke, koji vode računa o opće priznatim najnovijim mjernim metodama, uključujući i metode iz dokumenata čiji su referentni brojevi objavljeni u tu svrhu u Službenom listu Europske unije.

Tablica 1.

Izmjereni parametar

Odstupanja kod verifikacije

Godišnja potrošnja energije

Izmjerena vrijednost nije veća od nazivne vrijednosti (1) AEC za više od 10 %

Indeks učinkovitosti pranja

Izmjerena vrijednost nije manja od nazivne vrijednosti IC za više od 10 %

Indeks učinkovitosti sušenja

Izmjerena vrijednost nije manja od nazivne vrijednosti ID za više od 19 %

Potrošnja energije

Izmjerena vrijednost nije veća od nazivne vrijednosti Et za više od 10 %

Trajanje programa

Izmjerena vrijednost ne prelazi nazivnu vrijednost Tt za više od 10 %

Potrošnja snage u stanju isključenosti i stanju pripravnosti

Izmjerena vrijednost potrošnje snage Po i Pl koja je veća od 1,00 W, nije veća od nazivne vrijednosti za više od 10 %. Izmjerena vrijednost potrošnje snage Po i Pl koja je manja ili jednaka 1,00 W, nije veća od nazivne vrijednosti za više od 0,10 W.

Trajanje stanja pripravnosti

Izmjerena vrijednost ne prelazi nazivnu vrijednosti Tl za više od 10 %.


(1)  „nazivna vrijednost” znači vrijednost koju navodi proizvođač.


PRILOG IV.

Mjerila uspješnosti

U vrijeme stupanja na snagu ove Uredbe, utvrđeno je da je najbolja tehnologija na tržištu kućanskih perilica posuđa u smislu energetske učinkovitosti, potrošnje vode i energije, učinkovitosti pranja i sušenja i emisije buke koja se prenosi zrakom, sljedeća:

1.

Kućanske perilice posuđa s 15 kompleta posuđa (ugradbeni model):

(a)   potrošnja energije: 0,88 kWh/ciklus, što odgovara ukupnoj godišnjoj potrošnji energije od 268,9 kWh/godišnje, od čega 246,4 kWh/godišnje za 280 ciklusa pranja i 12,5 kWh/godišnje u stanjima s niskom potrošnjom snage.;

(b)   potrošnja vode: 10 litara/ciklus, što odgovara količini od 2 800 litara/godišnje za 280 ciklusa;

(c)   indeks učinkovitosti pranja: IC > 1,12;

(d)   indeks učinkovitosti sušenja: ID > 1,08;

(e)   emisija buke koja se prenosi zrakom: 45 dB(A) re 1 pW.

2.

Kućanske perilice posuđa s 14 kompleta posuđa (stolni model):

(a)   potrošnja energije: 0,83 kWh/ciklus, što odgovara ukupnoj godišnjoj potrošnji energije od 244,9 kWh/godišnje, od čega 232,4 kWh/godišnje za 280 ciklusa pranja i 12,5 kWh/godišnje u stanjima s niskom potrošnjom snage.;

(b)   potrošnja vode: 10 litara/ciklus, što odgovara količini od 2 800 litara/godišnje za 280 ciklusa;

(c)   indeks učinkovitosti pranja: IC > 1,12;

(d)   indeks učinkovitosti sušenja: ID > 1,08;

(e)   emisija buke koja se prenosi zrakom: 41 dB(A) re 1 pW.

3.

Kućanske perilice posuđa s 13 kompleta posuđa (stolni model):

(a)   potrošnja energije: 0,83 kWh/ciklus, što odgovara ukupnoj godišnjoj potrošnji energije od 244,9 kWh/godišnje, od čega 232,4 kWh/godišnje za 280 ciklusa pranja i 12,5 kWh/godišnje u stanjima s niskom potrošnjom snage.;

(b)   potrošnja vode: 10 litara/ciklus, što odgovara količini od 2 800 litara/godišnje za 280 ciklusa;

(c)   indeks učinkovitosti pranja: IC > 1,12;

(d)   indeks učinkovitosti sušenja: ID > 1,08;

(e)   emisija buke koja se prenosi zrakom: 42 dB(A) re 1 pW.

4.

Kućanske perilice posuđa s 12 kompleta posuđa (samostojeći model):

(a)   potrošnja energije: 0,950 kWh/ciklus, što odgovara ukupnoj godišnjoj potrošnji energije od 278,5 kWh/godišnje, od čega 266 kWh/godišnje za 280 ciklusa pranja i 12,5 kWh/godišnje u stanjima s niskom potrošnjom snage.;

(b)   potrošnja vode: 9 litara/ciklus, što odgovara količini od 2 520 litara/godišnje za 280 ciklusa;

(c)   indeks učinkovitosti pranja: IC > 1,12;

(d)   indeks učinkovitosti sušenja: ID > 1,08;

(e)   emisija buke koja se prenosi zrakom: 41 dB(A) re 1 pW.

5.

Kućanske perilice posuđa s 9 kompleta posuđa (ugradbeni model):

(a)   potrošnja energije: 0,800 kWh/ciklus, što odgovara ukupnoj godišnjoj potrošnji energije od 236,5 kWh/godišnje, od čega 224 kWh/godišnje za 280 ciklusa pranja i 12,5 kWh/godišnje u stanjima s niskom potrošnjom snage.;

(b)   potrošnja vode: 9 litara/ciklus, što odgovara količini od 2 520 litara/godišnje za 280 ciklusa;

(c)   indeks učinkovitosti pranja: IC > 1,12;

(d)   indeks učinkovitosti sušenja: ID > 1,08;

(e)   emisija buke koja se prenosi zrakom: 44 dB(A) re 1 pW.

6.

Kućanske perilice posuđa sa 6 kompleta posuđa (ugradbeni model):

(a)   potrošnja energije: 0,63 kWh/ciklus, što odgovara ukupnoj godišnjoj potrošnji energije od 208,5 kWh/godišnje, od čega 196 kWh/godišnje za 280 ciklusa pranja i 12,5 kWh/godišnje u stanjima s niskom potrošnjom snage.;

(b)   potrošnja vode: 7 litara/ciklus, što odgovara količini od 1 960 litara/godišnje za 280 ciklusa;

(c)   indeks učinkovitosti pranja: IC > 1,12;

(d)   indeks učinkovitosti sušenja: 1,08 ≥ ID > 0,86;

(e)   emisija buke koja se prenosi zrakom: 45 dB(A) re 1 pW.

7.

Kućanske perilice posuđa s 4 kompleta posuđa (samostojeći model):

(a)   potrošnja energije: 0,51 kWh/ciklus, što odgovara ukupnoj godišnjoj potrošnji energije od 155,3 kWh/godišnje, od čega 142,8 kWh/godišnje za 280 ciklusa pranja i 12,5 kWh/godišnje u stanjima s niskom potrošnjom snage.;

(b)   potrošnja vode: 9,5 litara/ciklus, što odgovara količini od 2 660 litara/godišnje za 280 ciklusa;

(c)   indeks učinkovitosti pranja: IC > 1,12;

(d)   indeks učinkovitosti sušenja: 1,08 ≥ ID > 0,86;

(e)   emisija buke koja se prenosi zrakom: 53 dB(A) re 1 pW.