13/Sv. 018

HR

Službeni list Europske unije

116


32009R0761


L 220/1

SLUŽBENI LIST EUROPSKE UNIJE

23.07.2009.


UREDBA KOMISIJE (EZ) br. 761/2009

od 23. srpnja 2009.

o izmjeni Uredbe (EZ) br. 440/2008 o utvrđivanju ispitnih metoda u skladu s Uredbom (EZ) br. 1907/2006 Europskog parlamenta i Vijeća o registraciji, evaluaciji, autorizaciji i ograničavanju kemikalija (REACH) radi prilagodbe tehničkom napretku

(Tekst značajan za EGP)

KOMISIJA EUROPSKIH ZAJEDNICA,

uzimajući u obzir Ugovor o osnivanju Europske zajednice,

uzimajući u obzir Uredbu (EZ) br. 1907/2006 Europskog parlamenta i Vijeća od 18. prosinca 2006. o registraciji, evaluaciji, autorizaciji i ograničavanju kemikalija (REACH) i osnivanju Europske agencije za kemikalije, te o izmjenama Direktive 1999/45/EZ i stavljanju izvan snage Uredbe Vijeća (EEZ) br. 793/93 i Uredbe Komisije (EZ) br. 1488/94 kao i Direktive Vijeća 76/769/EEZ i direktive Komisije 91/155/EEZ, 93/67/EEZ, 93/105/EZ i 2000/21/EZ (1), a posebno njezin članak 13. stavak 3.,

budući da:

(1)

Uredba Komisije (EZ) br. 440/2008 (2) sadrži ispitne metode za određivanje fizikalno-kemijskih svojstava, toksičnosti i ekotoksičnosti tvari, koje se primjenjuju u smislu Uredbe (EZ) br. 1907/2006.

(2)

Uredbu (EZ) br. 440/2008 potrebno je ažurirati kako bi se unijele izmjene pojedinih ispitnih metoda te dodalo nekoliko novih metoda koje je donio OECD. Zainteresirane strane već su konzultirane o tom prijedlogu. Tim se izmjenama metode u pitanju prilagođavaju znanstvenom i tehničkom napretku.

(3)

Odredbe o tlaku pare trebalo bi revidirati kako bi se uključila nova metoda efuzije.

(4)

Nužno je dodati novu metodu za mjerenje duljine srednjega geometrijskog promjera vlakana.

(5)

Potrebno je ažurirati Uredbu (EZ) br. 440/2008 da bi se u nju prioritetno uključila nova in vitro metoda za ispitivanje nadraživanja kože u interesu smanjenja broja životinja koje se koriste u pokusima, u skladu s Direktivom Vijeća 86/609/EEZ od 24. studenoga 1986. o usklađivanju zakona i drugih propisa država članica u odnosu na zaštitu životinja koje se koriste u pokusne i druge znanstvene svrhe (3). Iako je nacrt in vitro metode za ispitivanje nadraživanja kože još uvijek predmet rasprave unutar OECD-a, u ovom je iznimnom slučaju primjereno uključiti u Uredbu metodu B 46 Metodu B 46 treba što prije ažurirati čim se postigne sporazum unutar OECD-a, ili ako se pojave dodatne informacije koje opravdavaju njezinu reviziju.

(6)

Potrebno je revidirati odredbe koje se odnose na test inhibicije rasta algi radi uključenja dodatnih vrsta i ispunjenja zahtjeva ocjenjivanja opasnosti i razvrstavanja kemikalija.

(7)

Nužno je dodati novu metodu za mjerenje aerobne mineralizacije u površinskoj vodi putem simulacijskog testa biorazgradnje i novu metodu ocjenjivanja toksičnosti za rod Lemna putem testa inhibicije rasta.

(8)

Stoga bi Uredbu (EZ) br. 440/2008 trebalo izmijeniti.

(9)

Mjere predviđene ovom Uredbom u skladu su s mišljenjem Odbora osnovanog na temelju članka 133. Uredbe (EZ) 1907/2006,

DONIJELA JE OVU UREDBU:

Članak 1.

Prilog Uredbi (EZ) br. 440/2008 mijenja se kako slijedi:

1.

Dio A mijenja se kako slijedi:

(a)

poglavlje A 4. zamjenjuje se poglavljem A 4. iz Priloga I. ovoj Uredbi;

(b)

dodaje se poglavlje A 22. iz Priloga II. ovoj Uredbi.

2.

Dio B mijenja se kako slijedi:

Dodaje se poglavlje B 46. iz Priloga III. ovoj Uredbi.

3.

Dio C mijenja se kako slijedi:

(a)

poglavlje C 3. zamjenjuje se poglavljem C 3. iz Priloga IV. ovoj Uredbi;

(b)

dodaju se poglavlja C 25. i C 26. iz Priloga V. i Priloga VI. ovoj Uredbi.

Članak 2.

Ova Uredba stupa na snagu trećega dana od dana objave u Službenom listu Europske unije.

Ova je Uredba u cijelosti obvezujuća i izravno se primjenjuje u svim državama članicama.

Sastavljeno u Bruxellesu 23. srpnja 2009.

Za Komisiju

Stavros DIMAS

Član Komisije


(1)  SL L 396, 30.12.2006., str. 1.

(2)  SL L 142, 31.5.2008., str. 1.

(3)  SL L 358, 18.12.1986., str. 1.


PRILOG I.

A 4.

TLAK PARE

1.   METODA

Ova metoda odgovara smjernici OECD TG 104 (2004.).

1.1.   UVOD

Ova izmijenjena verzija metode A 4. (1.) sadrži i jednu dodatnu metodu: „Metoda efuzije: izotermalna termogravimetrija”, koja je namijenjena tvarima s vrlo niskim tlakom (do 10–10 Pa). U svjetlu potreba za postupcima, posebno kad je u pitanju određivanje tlaka pare za tvari s niskim tlakom pare, ponovno se ocjenjuju i drugi postupci u okviru ove metode u odnosu na druga područja primjene.

U termodinamičkoj ravnoteži tlak pare čiste tvari ovisi samo o temperaturi. Temeljna načela opisana su na drugom mjestu (2.) (3.).

Ne postoji jedinstveni mjerni postupak koji bi se mogao primijeniti na cjelokupno područje tlakova para, koji se mogu kretati od ispod 10–10 sve do 105 Pa. Ova metoda obuhvaća osam metoda za mjerenje tlaka pare koje se mogu primijeniti u različitim područjima tlaka pare. U tablici 1. dana je usporedba različitih metoda s obzirom na primjenu i mjerno područje. Te se metode mogu primijeniti samo na spojeve koji se ne razgrađuju u uvjetima ispitivanja. Ako se tlak pare iz tehničkih razloga ne može odrediti nekom od navedenih pokusnih metoda, on se može i procijeniti; preporučena metoda procjene utvrđena je u Dodatku.

1.2.   DEFINICIJE I JEDINICE

Tlak pare tvari definira se kao tlak zasićenja iznad krute ili tekuće tvari.

Koristi se SI jedinica za tlak, paskal (Pa). U nastavku su navedene i druge jedinice koje su se koristile u prošlosti, zajedno s faktorima pretvorbe:

1 torr

=

1 mm Hg

=

1,333 × 102 Pa

1 atmosfera

=

1,013 × 105 Pa

 

 

1 bar

=

105 Pa

 

 

Jedinica za temperaturu u SI sustavu je kelvin (K). Za pretvorbu Celzijevih stupnjeva u kelvine koristi se sljedeća formula:

T = t + 273,15

gdje je T temperatura u kelvinima ili termodinamička temperatura, a t je Celzijeva temperatura.

Tablica 1.

Mjerna metoda

Tvari

Procijenjena ponovljivost

Procijenjena reproducibilnost

Preporučeno područje

Kruta tvar

Tekućina

Dinamička metoda

nisko talište

da

do 25 %

od 1 do 5 %

do 25 %

od 1 do 5 %

od 103 Pa do 2 × 103 Pa

od 2 × 103 Pa do 105 Pa

Statička metoda

da

da

od 5 do 10 %

od 5 do 10 %

od 10 Pa do 105 Pa

od 10–2 Pa do 105 Pa (1)

Metoda s izoteniskopom

da

da

od 5 do 10 %

od 5 do 10 %

od 102 Pa do 105 Pa

Metoda efuzije: vaganje tlaka pare

da

da

od 5 do 20 %

do 50 %

od 10–3 do 1 Pa

Metoda efuzije: Knudsenova ćelija

da

da

od 10 do 30 %

od 10–10 do 1 Pa

Metoda efuzije: izotermalna termogravimetrija

da

da

od 5 do 30 %

do 50 %

od 10–10 do 1 Pa

Metoda zasićenja plina

da

da

od 10 do 30 %

do 50 %

od 10–10 do 103 Pa

Metoda vrtećeg rotora

da

da

od 10 do 20 %

od 10–4 do 0,5 Pa

1.3.   NAČELO ISPITIVANJA

Tlak pare uglavnom se određuje pri različitim temperaturama. U ograničenom temperaturnom području, logaritam tlaka pare čiste tvari linearna je funkcija recipročne termodinamičke temperature, u skladu s pojednostavljenom Clapeyron-Clasiusovom jednadžbom:

Formula

gdje je:

p

=

tlak pare u paskalima

ΔHv

=

toplina isparavanja u J mol–1

R

=

univerzalna plinska konstanta, 8,314 J mol–1 K–1

T

=

temperatura u K

1.4.   REFERENTNE TVARI

Uporaba referentnih tvari nije obvezna. One prvenstveno služe za povremenu provjeru metode te omogućuju usporedbu rezultata različitih metoda.

1.5.   OPIS METODE

1.5.1.   Dinamička metoda (Cottrellova metoda)

1.5.1.1.   Načelo

Tlak pare određuje se mjerenjem temperature vrenja tvari pri različitim zadanim tlakovima između cca 103 i 105 Pa. Ova se metoda preporučuje i za određivanje temperature vrenja. U tu se svrhu može koristiti do temperature od 600 K. Temperature vrenja tekućina su za približno 0,1 °C više na dubini od 3 do 4 cm nego na površini zbog hidrostatskog tlaka stupca tekućine. Kod Cottrellove metode (4.) termometar se nalazi u pari iznad površine tekućine, a uzavrela se tekućina neprekidno pumpa preko glave termometra. Glava termometra prekrivena je tankim slojem tekućine koja je u ravnoteži s parom pri atmosferskom tlaku. Termometar stoga pokazuje stvarno vrelište bez grešaka zbog pregrijavanja i hidrostatskog tlaka. Izvorna Cottrellova crpka prikazana je na slici 1. Cijev A sadrži uzavrelu tekućinu. U dno je utisnuta platinasta žica B, koja pospješuje ravnomjerno vrenje. Bočna cjevčica C vodi do kondenzatora, dok plašt D onemogućuje da hladni kondenzat dođe do termometra E. Kad tekućina u A vrije, mjehurići i tekućina koji dospiju u lijevak prolaze kroz krakove crpke F i prelijevaju se preko tijela termometra.

Slika 1.

Image

Slika 2.

Image

Cottrellova crpka (4.)

A:

Termopar

B:

Vakuumski pufer-volumen

C:

Mjerač tlaka

D:

Vakuum

E:

Mjerna točka

F:

Grijaći element cca 150 W

1.5.1.2.   Aparatura

Na slici 2. prikazana je vrlo točna aparatura koja radi prema Cottrellovom načelu. Ona se sastoji od cijevi s prostorom za vrenje u donjem dijelu, hladilom u srednjem dijelu i ispustom i prirubnicom u gornjem dijelu. Cottrellova je crpka smještena u prostoru za vrenje koji se zagrijava električnom grijačem. Temperatura se mjeri termoparom s plaštem ili otporničkim termometrom, koji se umetne kroz prirubnicu na vrhu. Ispust je spojen na sustav regulacije tlaka. On se sastoji od vakuumske crpke, puferskog volumena, manostata za podešavanje dotoka dušika za regulaciju tlaka i manometra.

1.5.1.3.   Postupak

Tvar se stavi u prostor za vrenje. Određeni se problemi mogu javiti u slučaju kad krute tvari nisu praškaste, ali to je ponekad moguće riješiti zagrijavanjem rashladnog plašta. Aparatura se zabrtvi kod prirubnice i tvar odzračuje. Ovom se metodom ne mogu mjeriti tvari koje se pjene.

Zatim se podesi najniži željeni tlak i uključi zagrijavanje. Istovremeno se temperaturni senzor priključi na pisač.

Ravnoteža je postignuta kad se pri stalnom tlaku bilježi stalna temperatura vrenja. Osobito je važno paziti da se izbjegne burno vrenje („bumping”). Osim toga, na hladilu mora doći do potpune kondenzacije. Kod određivanja tlaka pare krutih tvari s niskim talištem treba voditi računa da ne dođe do začepljenja kondenzatora.

Kad se zabilježi točka ravnoteže, namjesti se viši tlak. Postupak se nastavlja na isti način dok se ne dođe do 105 Pa (sveukupno približno 5 do 10 mjernih točaka). Za provjeru, točke ravnoteže treba ponoviti pri padajućem tlaku.

1.5.2.   Statička metoda

1.5.2.1.   Načelo

Kod statičke metode (5.) tlak pare određuje se u termodinamičkoj ravnoteži pri zadanoj temperaturi. Ova je metoda prikladna za tvari i za višekomponentne tekućine i krute materijale u području od 10–1 do 105 Pa, a uz poseban oprez, i u području od 1 do 10 Pa.

1.5.2.2.   Aparatura

Oprema se sastoji od kupelji sa stalnom temperaturom (preciznost ± 0,2 K), posude za uzorak spojene s vakuumskom cijevi, manometra i sustava za regulaciju tlaka. Komora s uzorkom (slika 3.a) spojena je s vakuumskom cijevi preko ventila i diferencijalnog manometra (U-cijev koja sadrži prikladnu manometarsku tekućinu) koji služi kao nulti pokazivač. U diferencijalnom manometru mogu se koristiti živa, silikoni i ftalati, ovisno o području tlaka i kemijskim svojstvima ispitivane tvari. Ipak, s obzirom na štetnost za okoliš, uporabu žive treba izbjegavati kad god je to moguće. Ispitivana tvar ne smije se primjetno otapati u tekućini U-cijevi niti s njom reagirati. Umjesto U-cijevi može se koristiti mjerač tlaka (slika 3.b). Živa se u manometru može koristiti u području od normalnog tlaka do 102 Pa, dok su silikonske tekućine i ftalati prikladni za tlakove ispod 102 Pa do 10 Pa. Postoje i drugi uređaji za mjerenje tlaka koji se mogu koristiti i ispod 102 Pa, a membranski kapacitativni manometri prikladni za zagrijavanje mogu se koristiti čak i ispod 10–1. Temperatura se mjeri na vanjskoj stijenki posude s uzorkom ili u samoj posudi.

1.5.2.3.   Postupak

Koristeći aparaturu prikazanu na slici 3.a, U-cijev napuni se odabranom tekućinom koja se prije očitavanja vrijednosti mora odzračiti na povišenoj temperaturi. Ispitivana tvar se stavi u aparaturu i odzrači na sniženoj temperaturi. U slučaju višekomponentnih uzoraka temperatura mora biti dovoljno niska da ne dođe do promjene sastava materijala. Uspostava ravnoteže se može ubrzati miješanjem. Uzorak se može ohladiti tekućim dušikom ili suhim ledom, ali treba paziti da ne dođe do kondenzacije zraka ili tekućine u crpki. Otvori se ventil iznad posude s uzorkom i nekoliko minuta provodi usisavanje kako bi se uklonio zrak. Postupak odzračivanja se prema potrebi ponovi više puta.

Slika 3.a

Image

Slika 3.b

Image

Kad se uzorak zagrijava sa zatvorenim ventilom, tlak pare se povećava. To mijenja ravnotežu tekućine u U-cijevi. Da bi se povratila ravnoteža, u aparaturu se dovodi dušik ili zrak dok se pokazivač diferencijalnog tlaka ne vrati na ništicu. Tlak koji je za to potreban može se očitati na manometru ili na preciznijem instrumentu. Taj tlak odgovara tlaku pare tvari na temperaturi mjerenja. Ako se koristi aparatura opisana na slici 3.b, tlak pare može se izravno očitati.

Tlak pare određuje se u odgovarajuće malim temperaturnim intervalima (sveukupno približno 5 do 10 mjernih točaka) do željene maksimalne temperature.

Za provjeru treba ponoviti mjerenja na niskim temperaturama. Ako se vrijednosti dobivene pri ponovljenom mjerenju ne podudaraju s krivuljom za rastuću temperaturu, mogući razlozi su:

i.

u uzorku još ima zraka (npr. u slučaju jako viskoznih materijala) ili tvari s niskim vrelištem koje se oslobađaju prilikom zagrijavanja;

ii.

tvar kemijski reagira u temperaturnom podučju koje se ispituje (npr. razlaganje, polimerizacija).

1.5.3.   Metoda s izoteniskopom

1.5.3.1.   Načelo

Izoteniskop (6.) se temelji na načelu statičke metode. Kod primjene ove metode uzorak se stavlja u balon sa stalnom temperaturom koji je spojen na manometar i vakuumsku crpku. Nečistoće koje su hlapljivije od tvari uklanjaju se odzračivanjem na sniženom tlaku. Tlak pare uzorka pri odabranim temperaturama izjednačava se s poznatim tlakom inertnog plina. Izoteniskop je prvobitno izrađen za mjerenje tlaka pare nekih tekućih ugljikovodika, ali je prikladan i za ispitivanje krutih tvari. Metoda u pravilu nije prikladna za višekomponentne sustave. Sitne greške u rezultatima moguće su kod uzoraka koji sadrže nehlapljive nečistoće. Preporučeno područje je 102 do 105 Pa.

1.5.3.2.   Aparatura

Primjer mjernog uređaja prikazan je na slici 4. Potpun opis može se pronaći u ASTM D 2879-86 (6.).

1.5.3.3.   Postupak

Kad se ispituju tekućine, sama tvar služi kao tekućina diferencijalnog manometra. U izoteniskop stavi se količina tekućine koja je potrebna da se napuni balon i kraći krak manometra. Izoteniskop se priključi na vakuumski sustav kako bi se vakuumirao, a zatim napuni dušikom. Pražnjenje i čišćenje sustava treba dvaput ponoviti kako bi se uklonio preostali kisik. Napunjeni izoteniskop stavi se u vodoravan položaj tako da se uzorak u tankom sloju raširi po balonu i manometru. Tlak sustava se smanji na 133 Pa i uzorak polako zagrijava dok ne zavrije (uklanjanje otopljenih plinova). Izoteniskop se zatim položi tako da se uzorak vrati u balon i napuni kraći krak manometra. Tlak se održava na 133 Pa. Izduženi vrh balona s uzorkom se zagrijava na malom plamenu dok se para koja se oslobađa iz uzorka ne raširi dovoljno da istisne dio uzorka iz gornjeg dijela balona i kraka manometra u manometar, stvarajući prostor ispunjen parom u kojemu nema dušika. Izoteniskop se zatim stavi u kupelj sa stalnom temperaturom i tlak dušika podešava dok se ne izjednači s tlakom pare uzorka. U ravnoteži je tlak dušika jednak tlaku pare tvari.

Slika 4.

Image

Kod krutih tvari koriste se manometarske tekućine kao što su silikonske tekućine ili ftalati, ovisno o područjima tlaka i temperature. Odzračena manometarska tekućina stavi se u proširenje na dužem kraku izoteniskopa. Nakon toga se kruta tvar koja se ispituje stavi u balon za uzorak i odzrači na povišenoj temperaturi. Izoteniskop se zatim nagne tako da manometarska tekućina može otjecati u U-cijev.

1.5.4.   Metoda efuzije: vaganje tlaka pare (7.)

1.5.4.1.   Načelo

Uzorak ispitivane tvari se zagrije u maloj peći i stavi u vakuumirano zvono. Peć se prekrije poklopcem na kojemu se nalaze male rupice poznatoga promjera. Para tvari koja izlazi kroz jednu od rupica usmjeri se u zdjelicu vrlo osjetljive vage, koja je također smještena u zvonu. Kod nekih je izvedbi zdjelica vage uložena u kućište za hlađenje, koje procesom vođenja topline osigurava rasap topline prema van, i hladi se isijavanjem, tako da se izlazeća para na njoj kondenzira. Moment mlaza pare djeluje kao sila na vagu. Tlak pare može se odrediti na dva načina: izravno iz sile koja djeluje na zdjelicu vage ili iz brzine isparavanja pomoću Hertz-Knudsenove jednadžbe (2.):

Formula

gdje je:

G

=

brzina isparavanja (kg s–1 m–2)

M

=

molarna masa (g mol–1)

T

=

temperatura (K)

R

=

univerzalna plinska konstanta (J mol–1 K–1)

P

=

tlak pare (Pa)

Preporučeno područje je 10–3 do 1 Pa.

1.5.4.2.   Aparatura

Opće načelo aparature prikazano je na slici 5.

Slika 5.

Image

A:

Postolje

F:

Kućište i palica za hlađenje

B:

Instrument s pomičnom zavojnicom

G:

Peć za isparavanje

C:

Zvono

H:

Dewarova posuda s tekućim dušikom

D:

Vaga sa zdjelicom

I:

Mjerenje temperature uzorka

E:

Vakuumski mjerni uređaj

J:

Ispitivana tvar

1.5.5.   Metoda efuzije: Knudsenova ćelija

1.5.5.1.   Načelo

Metoda se temelji na procjeni mase ispitivane tvari koja u obliku pare istječe kroz mikrootvor Knudsenove ćelije (8.) u jedinici vremena u uvjetima ultravakuuma. Masa pare može se dobiti određivanjem gubitka mase ćelije ili kondenzacijom pare na niskoj temperaturi i kromatografskim određivanjem količine tvari koja je prešla u paru. Tlak pare izračunava se primjenom Hertz-Knudsenovog odnosa (vidi odjeljak 1.5.4.1.) uz faktore korekcije koji ovise o parametrima aparature (9.). Preporučeno područje je 10–10 do 1 Pa (10.) (11.) (12.) (13.) (14.).

1.5.5.2.   Aparatura

Opće načelo aparature prikazano je na slici 6.

Slika 6.

Image

1:

Priključak na vakuum

7:

Poklopac na navoj

2:

Otvori platinastog otporničkog termometra ili mjerenje i nadzor temperature

8:

Krilne matice

3:

Poklopac vakuumskog spremnika

9:

Vijci

4:

O-prsten

10:

Efuzijske ćelije od nehrđajućeg čelika

5:

Aluminijski vakuumski spremnik

11:

Grijaća patrona

6:

Uređaj za postavljanje i skidanje efuzijskih ćelija

 

 

1.5.6.   Metoda efuzije: izotermalna termogravimetrija

1.5.6.1.   Načelo

Metoda se temelji na određivanju brzina ubrzanog isparavanja ispitivane tvari pri povišenim temperaturama i okolnom tlaku primjenom termogravimetrije (10.) (15.) (16.) (17.) (18.) (19.) (20.). Brzine isparavanja vT dobivaju se izlaganjem odabranog spoja atmosferi spore struje inertnog plina i praćenjem gubitka mase pri definiranim izotermalnim temperaturama T u kelvinima u odgovarajućim vremenskim razdobljima. Tlakovi pare pT izračunavaju se iz vrijednosti vT na temelju linearnog odnosa između logaritma tlaka pare i logaritma brzine isparavanja. Ako je to potrebno, može se napraviti ekstrapolacija na temperature od 20 i 25 °C regresijskom analizom log pT u ovisnosti o 1/T. Ova je metoda prikladna za tvari s niskim tlakom pare čak do 10–10 Pa (10–12 mbar), s time da čistoća tvari mora biti blizu 100 % kako bi se izbjeglo pogrešno tumačenje izmjerenih gubitaka mase.

1.5.6.2.   Aparatura

Opće načelo pokusne aparature prikazano je na slici 7.

Slika 7.

Image

Preko nosača uzorka obješenog na mikrovagi u komori s nadziranom temperaturom pušta se struja suhog plinovitog dušika koja sa sobom odnosi molekule pare ispitivane tvari. Plinska struja po izlasku iz komore pročišćava se u sorpcijskoj jedinici.

1.5.6.3.   Postupak

Ispitivana se tvar homogeno nanese na površinu hrapave staklene ploče. U slučaju krutih tvari, ploča se jednoliko navlaži otopinom tvari u prikladnom otapalu i osuši u inertnoj atmosferi. Kod mjerenja, ploča s premazom objesi se u termogravimetrijski analizator i nakon toga gubitak mase neprekidno mjeri u ovisnosti o vremenu.

Brzina isparavanja vT pri određenoj temperaturi izračunava se iz gubitka mase Δm ploče s uzorkom pomoću sljedeće formule:

Formula

gdje je F površina nanesene ispitivane tvari, u pravilu površina ploče s uzorkom, a t je vrijeme gubitka mase Δm.

Tlak pare pT izračunava se na temelju funkcije brzine isparavanja vT:

Log pT = C + D · log vT

gdje su C i D specifične konstante pokusne aparature koje su ovisne o promjeru mjerne komore i brzini protoka plina. Te se kostante određuju jedanput mjerenjem niza spojeva poznatog tlaka pare i regresijom log pT u ovisnosti o log vT (11.) (21.) (22.).

Odnos između tlaka pare pT i temperature T u kelvinima proizlazi iz sljedeće formule:

Log pT = A + B · 1/T

gdje su A i B konstante dobivene regresijom log pT u ovisnosti o 1/T. Uz pomoć ove jednadžbe tlak pare može se ekstrapolirati na bilo koju drugu temperaturu.

1.5.7.   Metoda zasićenja plina (23.)

1.5.7.1.   Načelo

Inertni se plin pri sobnoj temperaturi provodi kroz uzorak ispitivane tvari ili prevodi preko njega poznatom brzinom koja mora biti dovoljno niska da se postigne zasićenje. Postizanje zasićenja u plinskoj fazi je od presudne važnosti. Tvar koja putuje s plinom odvaja se uglavnom pomoću sorbensa i određuje njezina količina. Za kvantitativno određivanje prenesenog materijala se umjesto odvajanja pare i naknadne analize mogu koristiti integrirani analitički postupci, kao što je plinska kromatografija. Kod izračunavanja tlaka pare polazi se od pretpostavke da vrijedi zakon o idealnom plinu i da je ukupni tlak smjese plinova jednak zbroju tlakova plinskih komponenti. Parcijalni tlak ispitivane tvari tj. tlak pare izračunava se iz poznatog ukupnog volumena plina i mase prenesenog materijala.

Postupak zasićenja plina može se primijeniti na krute i tekuće tvari. On se može koristiti za tlak pare do najmanje 10–10 Pa (10.) (11.) (12.) (13.) (14.). Metoda je najpouzdanija pri tlakovima pare ispod 103 Pa. Iznad 103 Pa općenito se dobivaju precijenjene vrijednosti tlaka pare, vjerojatno zbog tvorbe aerosola. Budući da se mjerenja tlaka pare provode na sobnoj temperaturi, nema potrebe za ekstrapolacijom podataka od visokih temperatura koja bi mogla dovesti do ozbiljnih grešaka.

1.5.7.2.   Aparatura

Postupak zahtijeva korištenje kućišta sa stalnom temperaturom. Shema na slici 8. prikazuje kućište u koje su smještena tri držača za krute uzorke i tri držača za tekuće uzorke, što omogućuje istovremenu analizu tri kruta uzorka ili tri tekuća uzorka. Temperatura se održava unutar ± 0,5 °C ili manje.

Slika 8.

Image

Kao inertni plin nositelj obično se koristi dušik, ali ponekad može biti potreban i neki drugi plin (24.). Plin nositelj mora biti suh. Plinska se struja podijeli u 6 manjih struja koje se reguliraju igličnim ventilima (otvora približno 0,79 mm), i odvodi u kućište bakrenim cijevima unutarnjeg promjera 3,8 mm. Kad se temperatura uravnoteži, plin protječe kroz uzorak i odvajač sa sorbensom te izlazi iz kućišta.

Kruti se uzorci stavljaju u staklenu cjevčicu unutarnjeg promjera 5 mm između čepova od staklene vune (vidi sliku 9.). Na slici 10. prikazan je držač tekućeg uzorka i sustav sorbensa. Najobnovljivije mjerenje tlaka pare tekućina postiže se ako se tekućina nanese na staklene kuglice ili na inertni sorbens, kao što je silikagel, i držač napuni kuglicama. Druga mogućnost je da se plin nositelj prevodi preko grubog metalnog sita i propuhuje kroz kolonu tekuće ispitivane tvari.

Slika 9.

Image

Slika 10.

Image

Sustav sorbensa se sastoji od prednjeg i pomoćnog dijela. Pri vrlo niskom tlaku pare, sorbens zadržava tek male količine tvari i adsorpcija na staklenoj vuni i staklenoj cjevčici između uzorka i sorbensa može predstavljati ozbiljan problem.

Odvajači hlađeni krutim CO2 još su jedan učinkovit način skupljanja isparenog materijala. Oni ne stvaraju protutlak na koloni za zasićenje, a odvojeni se materijal može lako kvantitativno ukloniti.

1.5.7.3.   Postupak

Brzina protoka izlaznog plina nositelja mjeri se pri sobnoj temperaturi. Tijekom pokusa treba često provjeravati brzinu protoka kako bi se dobila točna vrijednost ukupnog volumena plina nositelja. Poželjno je neprekidno praćenje mjeračem protoka mase. Za zasićenje plinovite faze ponekad je potrebno dugo vrijeme kontakta, a time i prilično male brzine protoka plina (25.).

Na kraju pokusa prednji i pomoćni dio sorbensa zasebno se analiziraju. Spoj se iz svakog dijela desorbira dodavanjem otapala. Nastale se otopine kvantitativno analiziraju radi određivanja desorbirane mase iz svakog dijela. Izbor metode analize (također i izbor sorbensa i desorpcijskog otapala) ovisi o vrsti ispitivanog materijala. Učinkovitost desorpcije određuje se ubrizgavanjem poznate količine uzorka na sorbens, desorbiranjem tvari i analiziranjem dobivene količine. Važno je da se kod provjere učinkovitosti desorpcije koristi koncentracija koja je jednaka ili slična koncentraciji uzorka u ispitnim uvjetima.

Da bi se osiguralo zasićenje plina nositelja ispitivanom tvari, koriste se tri različite brzine protoka plina. Ako se izračunani tlak pare ne mijenja s promjenom brzine protoka, smatra se da je plin zasićen.

Tlak pare izračunava se pomoću sljedeće jednadžbe:

Formula

gdje je:

p

=

tlak pare (Pa)

m

=

masa isparene ispitivane tvari (g)

V

=

volumen zasićenog plina (m3)

R

=

univerzalna plinska konstanta 8,314 (J mol–1 K–1)

T

=

temperatura (K)

M

=

molarna masa ispitivane tvari (g mol–1)

Izmjerene volumene treba ispraviti za razliku u tlaku i temperaturi između mjerača protoka i zasićivača.

1.5.8.   Metoda vrtećeg rotora

1.5.8.1.   Načelo

U ovoj se metodi koristi rotirajući viskozimetar čiji se mjerni element sastoji od male čelične kuglice obješene u magnetskom polju koja se vrti pod utjecajem okretnih polja (26.) (27.) (28.). Prijemne zavojnice omogućuju mjerenje brzine vrtnje. Kad kuglica postigne određenu brzinu vrtnje, obično oko 400 okretaja u sekundi, pobuda se prekida i nastupa usporavanje zbog trenja plina. Opadanje brzine vrtnje mjeri se u ovisnosti o vremenu. Tlak pare se izvodi iz usporavanja čelične kuglice, koje ovisi o tlaku. Preporučeno područje je od 10–4 do 0,5 Pa.

1.5.8.2.   Aparatura

Raspored pokusne aparature prikazan je na slici 11. Mjerna se glava nalazi u kućištu sa stalnom temperaturom koja se regulira s točnošću od 0,1 °C. Posuda s uzorkom stavi se u zasebno kućište gdje je temperatura također regulirana s točnošću od 0,1 °C. Svi ostali dijelovi aparature se drže na višoj temperaturi kako bi se spriječila kondenzacija. Čitava aparatura je spojena na visokovakuumski sustav.

Slika 11.

Image

2.   PODACI I IZVJEŠĆIVANJE

2.1.   PODACI

Tlak pare kod svake od prethodnih metoda treba odrediti za najmanje dvije temperature. Poželjno je odabrati tri ili više temperatura u području od 0 do 50 °C kako bi se provjerila linearnost krivulje tlaka pare. U slučaju metode efuzije (Knudsenova ćelija i izotermalna termogravimetrija) i metode zasićenja plina, za mjerenje se umjesto temperaturnog područja od 0 do 50 °C preporučuje područje od 120 do 150 °C.

2.2.   IZVJEŠĆE O ISPITIVANJU

Izvješće o ispitivanju sadrži sljedeće informacije:

primijenjenu metodu,

točnu specifikaciju tvari (identitet i nečistoće) i (prema potrebi) postupak prethodnog pročišćavanja,

najmanje dvije vrijednosti tlaka pare i temperature – poželjno je tri ili više – u području između 0 i 50 °C (odnosno od 120 do 150 °C),

najmanje jedna temperatura treba biti 25 °C ili niža, ako je to tehnički izvedivo kod odabrane metode,

sve izvorne podatke,

krivulju log p u ovisnosti o 1/T,

procjenu tlaka pare na 20 ili 25 °C.

Ako se zapazi prijelaz tvari (u drugo agregatno stanje ili razlaganje), treba navesti sljedeće informacije:

vrstu promjene,

temperaturu na kojoj dolazi do promjene pri atmosferskom tlaku,

tlak pare na 10 i 20 °C ispod temperature prijelaza i 10 i 20 °C iznad te temperature (osim u slučaju prijelaza iz krutog u plinovito stanje).

U izvješću treba navesti sve podatke i primjedbe bitne za tumačenje rezultata, posebno u vezi s nečistoćama i fizikalnim stanjem tvari.

3.   LITERATURA

1.

Službeni list Europskih zajednica L 383 A, 26-47 (1992.).

2.

Ambrose, D. (1975.). Experimental Thermodynamics, Vol. II, Le Neindre, B., and Vodar, B., Eds., Butterworths, London.

3.

Weissberger R., ed. (1959.). Technique of Organic Chemistry, Physical Methods of Organic Chemistry, 3rd ed., Vol. I, Part I. Chapter IX, Interscience Publ., New York.

4.

Glasstone, S. (1946.). Textbook of Physical Chemistry, 2nd ed., Van Nostrand Company, New York.

5.

NF T 20-048 AFNOR (September 1985.). Chemical products for industrial use – Determination of vapour pressure of solids and liquids within a range from 10–1 to 105 Pa – Static method.

6.

ASTM D 2879-86, Standard test method for vapour pressure – temperature relationship and initial decomposition temperature of liquids by isoteniscope.

7.

NF T 20-047 AFNOR (rujan 1985.). Chemical products for industrial use – Determination of vapour pressure of solids and liquids within range from 10–3 to 1 Pa – Vapour pressure balance method.

8.

Knudsen, M. (1909.). Ann. Phys. Lpz., 29, 1979; (1911), 34, 593.

9.

Ambrose, D., Lawrenson, I.J., Sprake, C.H.S. (1975.). J. Chem. Thermodynamics 7, 1173.

10.

Schmuckler, M.E., Barefoot, A.C., Kleier, D.A., Cobranchi, D.P. (2000.), Vapor pressures of sulfonylurea herbicides; Pest Management Science 56, 521-532.

11.

Tomlin, C.D.S. (ed.), The Pesticide Manual, Twelfth Edition (2000.).

12.

Friedrich, K., Stammbach, K., Gas chromatographic determination of small vapour pressures determination of the vapour pressures of some triazine herbicides. J. Chromatog. 16 (1964.), 22-28.

13.

Grayson, B.T., Fosbraey, L.A., Pesticide Science 16 (1982.), 269-278.

14.

Rordorf, B.F., Prediction of vapor pressures, boiling points and enthalpies of fusion for twenty-nine halogenated dibenzo-p-dioxins, Thermochimia Acta 112 Issue 1 (1987.), 117-122.

15.

Gückel, W., Synnatschke, G., Ritttig, R., A Method for Determining the Volatility of Active Ingredients Used in Plant Protection; Pesticide Science 4 (1973.) 137-147.

16.

Gückel, W., Synnatschke, G., Ritttig, R., A Method for Determining the Volatility of Active Ingredients Used in Plant Protection II. Application to Formulated Products; Pesticide Science 5 (1974.) 393-400.

17.

Gückel, W., Kaestel, R., Lewerenz, J., Synnatschke, G., A Method for Determining the Volatility of Active Ingredients Used in Plant Protection. Part III: The Temperature Relationship between Vapour Pressure and Evaporation Rate; Pesticide Science 13 (1982.) 161-168.

18.

Gückel, W., Kaestel, R., Kroehl, T., Parg, A., Methods for Determining the Vapour Pressure of Active Ingredients Used in Crop Protection. Part IV: An Improved Thermogravimetric Determination Based on Evaporation Rate; Pesticide Science 45 (1995.) 27-31.

19.

Kroehl, T., Kaestel, R., Koenig, W., Ziegler, H., Koehle, H., Parg, A., Methods for Determining the Vapour Pressure of Active Ingredients Used in Crop Protection. Part V: Thermogravimetry Combined with Solid Phase MicroExtraction (SPME); Pesticide Science, 53 (1998.) 300-310.

20.

Tesconi, M., Yalkowsky, S.H., A Novel Thermogravimetric Method for Estimating the Saturated Vapor Pressure of Low-Volatility Compounds; Journal of Pharmaceutical Science 87(12) (1998.) 1512-20.

21.

Lide, D.R. (ed.), CRC Handbook of Chemistry and Physics, 81st ed. (2000.), Vapour Pressure in the Range – 25 °C to 150 °C.

22.

Meister, R.T. (ed.), Farm Chemicals Handbook, Vol. 88 (2002.).

23.

40 CFR, 796. (1993.). pp 148-153, Office of the Federal Register, Washington DC.

24.

Rordorf B.F. (1985.). Thermochimica Acta 85, 435.

25.

Westcott et al. (1981.). Environ. Sci. Technol. 15, 1375.

26.

Messer G., Röhl, P., Grosse G., and Jitschin W. (1987.). J. Vac. Sci. Technol. (A), 5(4), 2440.

27.

Comsa G., Fremerey J.K., and Lindenau, B. (1980.). J. Vac. Sci. Technol. 17(2), 642.

28.

Fremerey, J.K. (1985.). J. Vac. Sci. Technol. (A), 3(3), 1715.


(1)  Ako se koristi kapacitivni manometar.

Dodatak

Metoda procjene

UVOD

Procijenjene vrijednosti tlaka pare mogu se koristiti:

za donošenje odluke o tome koja je pokusna metoda najprikladnija,

za navođenje procijenjene ili granične vrijednosti u slučaju kad se pokusna metoda ne može koristiti iz tehničkih razloga.

METODA PROCJENE

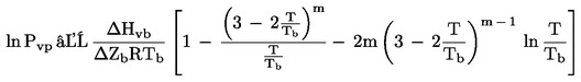
Tlak pare tekućina i krutih tvari može se procijeniti primjenom prilagođene Watsonove korelacije (a). Jedini pokusni podatak koji je potreban je uobičajeno vrelište. Metoda se može primijeniti u području tlaka od 105 Pa do 10–5 Pa.

Podrobne informacije o metodi nalaze se u priručniku „Handbook of Chemical Property Estimation Methods” (b). Vidi također OECD Environmental Monograph No. 67 (c).

RAČUNSKI POSTUPAK

Tlak pare izračunava se na sljedeći način:

Formula

gdje je:

T

=

tražena temperatura

Tb

=

uobičajeno vrelište

Pvp

=

tlak pare na temperaturi T

ΔHvb

=

toplina isparavanja

ΔZb

=

faktor stlačivosti (procijenjen na 0,97)

m

=

empirijski faktor koji ovisi o fizikalnom stanju na relevantnoj temperaturi

Osim toga:

Formula

gdje je KF empirijski faktor koji uzima u obzir polaritet tvari. Faktori KF za nekoliko vrsta spojeva navedeni su u literaturi (b).

Prilično se često može naići na podatke gdje je vrelište navedeno pri sniženom tlaku. U tom se slučaju tlak pare izračunava na sljedeći način:

Formula

gdje je T1 vrelište pri sniženom tlaku P1.

IZVJEŠĆE

Kad se koristi metoda procjene, u izvješću treba detaljno dokumentirati čitav računski postupak.

LITERATURA

(a)

Watson, K.M. (1943.). Ind. Eng. Chem, 35, 398.

(b)

Lyman, W.J., Reehl, W.F., Rosenblatt, D.H. (1982.). Handbook of Chemical Property Estimation Methods, McGraw-Hill.

(c)

OECD Environmental Monograph No.67. Application of Structure-Activity Relationships to the Estimation of Properties Important in Exposure Assessment (1993.).


PRILOG II.

A 22.

ODREĐIVANJE SREDNJEGA GEOMETRIJSKOG PROMJERA VLAKANA POMOĆU DULJINE

1.   METODA

1.1.   UVOD

U ovoj se metodi opisuje postupak za mjerenje srednjeg geometrijskog promjera pomoću duljine (LWGMD – Length Weighted Geometric Mean Diameter) umjetnih mineralnih vlakana (MMMF – Man-Made Mineral Fibres). Budući da se LWGMD vlakana s 95 % vjerojatnosti nalazi između razina pouzdanosti uzorka od 95 % (tj. LWGMD ± dvije standardne greške), vrijednost koja se navodi u izvješću (ispitna vrijednost) odgovarat će donjoj granici pouzdanosti uzorka od 95 % (tj. LWGMD – 2 standardne greške). Metoda se temelji na ažuriranoj verziji (lipanj 1994.) nacrta industrijskog postupka za zaštitu zdravlja, sigurnost i zaštitu okoliša (HSE) koji je dogovoren na sastanku između ECFIA-a i HSE-a u Chesteru 26.9.1993. i koji je izrađen za potrebe drugog međulaboratorijskog pokusa i na temelju tog pokusa (1., 2.). Ova mjerna metoda može se koristiti za opisivanje promjera vlakana materijala u rasutom stanju i proizvoda koji sadrže MMMF, uključujući vatrostalna keramička vlakna (RCF – Refractory Ceramic Fibres), umjetna staklena vlakna (MMVF – Man-Made Vitreous Fibres), kristalna i polikristalna vlakna.

Određivanje duljinom je način da se kompenzira utjecaj na razdiobu promjera zbog pucanja dugačkih vlakana do kojega dolazi prilikom uzorkovanja i rukovanja materijalom. Za mjerenje razdiobe veličina promjera MMMF koristi se geometrijska statistika (geometrijska sredina) budući da se njihove razdiobe veličina obično pribiližavaju log-normalnoj razdiobi.

Mjerenje duljine i promjera je zamoran i dugotrajan posao, ali ako se mjere samo vlakna koja dodiruju beskonačno tanku crtu u vidnom polju SEM-a, tada je vjerojatnost da se odabere određeno vlakno razmjerna duljini. Budući da je pitanje duljine za potrebe određivanja duljinom time riješeno, potrebno je samo izmjeriti promjer i LWGMD-2SE se tada može izračunati na način kako je opisano.

1.2.   DEFINICIJE

Čestica: Predmet čiji je omjer duljine i širine manji od 3:1.

Vlakno: Predmet čiji je omjer duljine i širine (razmjer stranica) najmanje 3:1.

1.3.   PODRUČJE PRIMJENE I OGRANIČENJA

Metoda je namijenjena proučavanju razdioba promjera kod srednjih promjera od 0,5 μm do 6 μm. Veći se promjeri mogu mjeriti uz primjenu manjih SEM povećanja, ali se time povećavaju ograničenja metode kod finijih razdioba vlakana, dok se u slučaju srednjih promjera ispod 0,5 μm preporučuje mjerenje uz pomoć TEM (transmisijski elektronski mikroskop) mikroskopa.

1.4.   NAČELO ISPITNE METODE

Uzme se određeni broj reprezentativnih uzoraka iz jezgre mekane ploče ili slobodnih vlakana u rasutom stanju. Vlakna u rasutom stanju se skrate drobljenjem i reprezentativni poduzorak dispergira u vodi. Zatim se vade alikvoti i filtriraju kroz polikarbonatni filtar veličine pora 0,2 μm i pripreme za pregled pod skenirajućim elektronskim mikroskopom (SEM). Promjeri vlakana mjere se pod povećanjem × 10 000 ili većim (1) metodom presijecanja linija da bi se dobila nepristrana procjena srednjeg promjera. Izračuna se donji interval pouzdanosti 95 % (na temelju jednostranog testa) tako da se dobije procjena najniže vrijednosti srednjega geometrijskog promjera vlakana materijala.

1.5.   OPIS ISPITNE METODE

1.5.1.   Sigurnost/mjere opreza

Izlaganje ljudi lebdećim vlaknima treba svesti na najmanju moguću mjeru te kod rukovanja suhim vlaknima koristiti digestor ili komoru za rukovanje s rukavicama („glove box”). Izloženost ljudi treba periodički provjeravati kako bi se utvrdila učinkovitost zaštitnih mjera. Kod rukovanja MMMF vlaknima treba nositi rukavice za jednokratnu uporabu kako bi se umanjilo nadraživanje kože i spriječila križna kontaminacija.

1.5.2.   Aparatura/oprema

Preša i kalupi (10 MPa),

Polikarbonatni filtri s kapilarnim porama veličine pora 0,2 μm (promjer 25 mm),

Membranski filtar od celuloznog estera veličine pora 5 μm, koji se koristi kao pomoćni filtar,

Stakleni uređaj za filtraciju (ili filtracijski sustavi za jednokratnu uporabu) za filtre promjera 25 mm (npr. stakleni komplet za mikroanalizu Milipore, tip XX10 025 00),

Svježe destilirana voda, filtrirana kroz filtar veličine pora 0,2 μm radi uklanjanja mikroorganizama,

Uređaj za naparivanje zlata ili zlata/paladija,

Skenirajući mikroskop razlučivosti do 10 nm i povećanjem × 10 000,

Razno: spatule, skalpelski nož tip 24, pinceta, SEM cjevčice, karbonsko ljepilo ili karbonska ljepljiva traka, koloidno srebro („silver dag”),

Ultrazvučna sonda ili stolna ultrazvučna kupelj,

Svrdlo za uzorkovanje jezgre ili svrdlo za pluto za uzimanje uzoraka iz MMMF ploča.

1.5.3.   Ispitni postupak

1.5.3.1.   Uzorkovanje

Za uzimanje uzoraka iz presjeka tvrdih ili mekanih vlaknastih ploča koristi se svrdlo za uzorkovanje jezgre ili svrdlo za pluto od 25 mm. Uzorci se uzimaju u jednolikim razmacima po širini ploče, ako se radi o pločama male duljine, ili nasumično, ako su raspoložive velike ploče. Ista se oprema može koristiti i za ekstrahiranje slučajnih uzoraka slobodnih vlakana. Po mogućnosti treba uzeti šest uzoraka kako bi se uzele u obzir prostorne varijacije unutar materijala.

Šest jezgrovanih uzoraka zdrobi se u kalupu promjera 50 mm pod tlakom od 10 MPa. Materijal se promiješa spatulom i ponovno stlači na 10 MPa. Materijal se zatim izvadi iz kalupa i pohrani u čvrsto zatvorenoj staklenoj boci.

1.5.3.2.   Priprema uzorka

Prema potrebi, vlakno treba ostaviti oko sat vremena u peći na temperaturi od 450 °C da bi se uklonilo organsko vezivo.

Uzorak se podijeli na poduzorke postupkom četvorenja stošca („cone and quarter”) (to treba učiniti u komori za zaštitu od prašine).

Mala se količina uzorka (< 0,5 g) spatulom doda u 100 ml svježe destilirane vode koja je profiltrirana kroz membranski filtar od 0,2 μm (mogu se koristiti i drugi izvori ultračiste vode ako se dokaže da su zadovoljavajuće kakvoće). Uzorak se dobro rasprši uz pomoć ultrazvučne sonde snage 100 W koja je ugođena tako da izazove kavitaciju. (Ako sonda nije raspoloživa, koristi se sljedeći postupak: uzorak protresti i okrenuti, ponavljajući postupak 30 sekundi – petminutna obrada u stolnoj ultrazvučnoj kupelji – još 30 sekundi protresati i okretati.)

Čim se vlakno dispergira, izvadi se određeni broj alikvota (npr. tri alikvota od 3, 6 i 10 ml) pipetom širokoga grla (zapremine 2 – 5 ml).

Svaki se alikvot filtrira pod vakuumom kroz polikarbonatni filtar 0,2 μm i pomoćni MEC filtar veličine pora 5 μm, koristeći stakleni filtar-lijevak s cilindričnim spremnikom. U lijevak se ulije oko 5 ml filtrirane destilirane vode i alikvot polako pipetira u vodu držeći vrh pipete ispod meniskusa. Pipetu i spremnik treba temeljito isprati nakon pipetiranja jer se tanka vlakna znaju nakupljati na površini.

Filtar se oprezno ukloni i odvoji od pomoćnog filtra te stavi u posudu da se osuši.

Ljuljajućim pokretima odreže se jedna četvrtina ili jedna polovina dijela filtra s filtarskim talogom koristeći skalpel tipa 24. Odrezani se dio pažljivo pričvrsti na SEM nosač („stub”) pomoću karbonske ljepljive trake ili karbonskog ljepila. Koloidno srebro treba nanijeti na najmanje tri mjesta kako bi se poboljšao električni kontakt na rubovima filtra i nosača. Kad se ljepilo/koloidno srebro osuši, na površinu taloga se naparivanjem nanese cca 50 nm zlata ili zlato/paladija.

1.5.3.3.   Kalibracija i rad SEM-a

1.5.3.3.1.   Kalibracija

Kalibraciju SEM-a treba provjeriti najmanje jedanput tjedno (u idealnom slučaju jedanput dnevno) pomoću ovjerene rešetke za kalibraciju. Kalibracija se provjerava u odnosu na odobreni standard; ako izmjerena vrijednost (SEM) nije u granicama ± 2 % odobrene vrijednosti, kalibraciju treba prilagoditi i ponovno provjeriti.

Na stvarnom matriksu uzorka, SEM mora imati mogućnost razlučivanja barem minimalnog vidljivog promjera od 0,2 μm pri povećanju × 2 000.

1.5.3.3.2.   Rad

SEM treba podesiti na povećanje od 10 000 (2) i osigurati uvjete koji daju dobru razlučivost i prihvatljivu kakvoću slike pri malim brzinama skeniranja, npr. 5 sekundi po sličici. Iako različiti uređaji mogu imati različite radne postavke, za najbolju vidljivost i razlučivost kod rada s materijalima relativno niske atomske mase uglavnom treba koristiti ubrzavajući napon od 5 – 10 keV i uređaj podesiti na malu veličinu točke i kratku radnu udaljenost. Kad se provodi linearna traverza, treba koristiti nagib od 0° da bi se smanjila potreba za ponovnim fokusiranjem, a ako SEM ima eucentričnu fazu, treba koristiti eucentričnu radnu udaljenost. Može se koristiti i manje povećanje ako materijal ne sadrži mala vlakna (malog promjera) i promjeri vlakana su veliki (> 5 μm).

1.5.3.4.   Određivanje veličine

1.5.3.4.1.   Ocjenjivanje uzorka pregledom pod malim povećanjem

Na početku uzorak treba pregledati pod malim povećanjem da bi se otkrile eventualne naznake stvaranja grudica velikih vlakana i procijenila gustoća vlakana. U slučaju pretjeranog broja grudica, preporučljivo je pripremiti novi uzorak.

Da bi se postigla statistička točnost, potrebno je izmjeriti određeni minimalni broj vlakana – velika gustoća vlakana može se smatrati poželjnom osobinom jer pregledavanje praznih polja oduzima vrijeme, a ne daje nikakav doprinos analizi. Međutim, ako je filtar preopterećen, bit će teško izmjeriti sva mjerljiva vlakna, a neka se manja vlakna mogu i previdjeti ako su sakrivena iza velikih vlakana.

Ako je gustoća vlakana iznad 150 vlakana po milimetru linearne traverze, može se javiti pristranost u smislu previsoke procjene LWGMD. S druge strane, male koncentracije vlakana produžuju vrijeme analize i često je isplativije pripremiti uzorak čija je gustoća vlakana bliža optimalnoj gustoći nego nastaviti s brojenjem na filtrima s niskom koncentracijom. Kod optimalne gustoće vlakana treba prosječno dobiti otprilike jedno do dva brojiva vlakna po vidnom polju pri povećanju od 5 000. Ipak, optimalna gustoća ovisi o veličini (promjeru) vlakana; stoga se ispitivač u određenoj mjeri mora osloniti na vlastitu stručnu prosudbu kako bi odlučio je li gustoća vlakana približno optimalna ili nije.

1.5.3.4.2.   Određivanje promjera vlakana duljinom

Broje se samo vlakna koja dodiruju (ili sijeku) (beskonačno) tanku crtu na zaslonu SEM-a. Stoga treba povući vodoravnu (ili okomitu) crtu kroz sredinu zaslona.

Druga je mogućnost da se u sredinu zaslona stavi samo točka i započne kontinuirano skeniranje u jednom smjeru preko filtra. Mjeri se i bilježi promjer svakog vlakna razmjera stranica većeg od 3:1 koje dodiruje ili siječe tu točku.

1.5.3.4.3.   Određivanje veličine vlakna

Preporučuje se da se izmjeri najmanje 300 vlakana. Svako se vlakno mjeri samo jedanput u točki gdje siječe crtu ili točku nacrtanu na slici (ili u blizini sjecišta ako su rubovi vlakna skriveni). Ako se naiđe na vlakna neujednačenog presjeka, uzima se u obzir mjerenje koje predstavlja prosječni promjer vlakna. Definiranje ruba i mjerenje najkraće udaljenosti između rubova vlakna zahtijeva poseban oprez. Određivanje veličine može se provoditi izravno „on line” ili „off-line” na pohranjenim slikama odnosno fotografijama. Preporučuju se poluautomatski sustavi mjerenja slike koji podatke izravno učitavaju u tablicu, jer se tako štedi vrijeme i izbjegavaju greške u prijepisu, a izračun se može automatizirati.

Krajeve dugačkih vlakana treba pregledati pod malim povećanjem da bi se provjerilo da ne zavijaju natrag u vidno polje mjerenja i da ne bi bili izmjereni više puta.

2.   PODACI

2.1.   OBRADA REZULTATA

Promjeri vlakana uglavnom nemaju normalnu razdiobu. Ipak, logaritamskom transformacijom može se dobiti približno normalna razdioba.

Izračuna se aritmetička sredina (srednji lnD) i standardna devijacija (SDlnD) vrijednosti logaritma po bazi e (lnD) n promjera vlakana (D).

Formula

(1.)

Formula

(2)

Standardna se devijacija podijeli kvadratnim korijenom broja mjerenja (n) da bi se dobila standardna greška (SElnD).

Formula

(3)

Da bi se dobila geometrijska sredina umanjena za dvije geometrijske standardne greške, dvostruka standardna greška oduzme se od srednje vrijednosti i izračuna eksponent te vrijednosti (srednja vrijednost minus dvije standardne greške).

LWGMD – 2SE = e(sred lnD – 2SElnd)

(4.)

3.   IZVJEŠĆIVANJE

IZVJEŠĆE O ISPITIVANJU

Izvješće o ispitivanju sadrži barem ove informacije:

vrijednost LWGMD-2SE,

sva odstupanja, a posebno ona koja imaju utjecaja na preciznost ili točnost rezultata, uz odgovarajuća obrazloženja.

4.   LITERATURA

1.

B. Tylee SOP MF 240. Health and Safety Executive, February 1999.

2.

G. Burdett and G. Revell. Development of a standard method to measure the length-weigthed geometric mean fibre diameter: Results of the Second inter-laboratory exchange. IR/L/MF/94/07. Project R42.75 HPD. Health and Safety Executive, Research and Laboratory Services Division, 1994.


(1)  Ova vrijednost povećanja odnosi se na vlakna od 3 μm, za vlakna od 6 μm možda je primjerenije koristiti povećanje × 5 000.

(2)  Za vlakna od 3 μm, vidi prethodnu napomenu.


PRILOG III.

B.46.

TEST NADRAŽIVANJA KOŽE IN VITRO NA MODELU REKONSTRUIRANE LJUDSKE EPIDERME

1.   METODA

1.1.   UVOD

Nadraživanje kože je izazivanje reverzibilnog oštećenja kože nakon primjene ispitivane tvari u trajanju do najviše 4 sata (prema definiciji u Globalno usklađenom sustavu razvrstavanja i označivanja kemikalija (GHS) Ujedinjenih naroda (UN)) (1.). Ova ispitna metoda predviđa in vitro postupak koji, ovisno o zahtjevima pružanja informacija, nudi mogućnost da se nadražujuće djelovanje tvari na kožu odredi samostalnim zamjenskim testom u okviru strategije ispitivanja, u skladu s pristupom ocjenjivanja dokazne snage („Weight of Evidence Approach”) (2.).

Ocjenjivanje nadraživanja kože do sada je uglavnom zahtijevalo korištenje laboratorijskih životinja (vidi metodu B 4.) (3.). Vodeći računa o dobrobiti životinja, metoda B 4. dopušta da se kod određivanja nagrizanja/nadraživanje kože primijeni strategija stupnjevitog ispitivanja i koriste validirane in vitro i ex vivo metode, kako bi se izbjegla bol i patnja životinja. Za ocjenjivanje nagrizajućeg djelovanja u okviru strategije stupnjevitog ispitivanja iz metode B 4., korisne su tri validirane in vitro ispitne metode odnosno smjernice – B 40, B 40.a i TG 435 (4., 5., 6.).

Ova se ispitna metoda temelji na modelima rekonstruirane ljudske epiderme koji u cjelokupnoj svojoj izvedbi (korištenje keratinocita iz ljudske epiderme kao izvora stanica, reprezentativnog tkiva i citoarhitekture) vjerno oponašaju biokemijska i fiziološka svojstva gornjih dijelova ljudske kože tj. epiderme. Postupak opisan u ovoj ispitnoj metodi omogućuje utvrđivanje opasnosti nadražujućih tvari u skladu s 2. kategorijom UN GHS. Ova ispitna metoda obuhvaća i niz referentnih normi koje se koriste za ocjenjivanje sličnih ispitnih metoda i varijanti metoda na temelju rekonstruirane ljudske epiderme (7.).

Za dvije in vitro ispitne metode (8., 9., 10., 11., 12., 13., 14., 15., 16., 17.) u kojima se koriste modeli rekonstruirane ljudske epiderme, koji su dostupni na tržištu kao EpiSkinTM i EpiDermTM, već su dovršene predvalidacijske, optimizacijske i validacijske studije. Gore spomenuta literatura temelji se na označavanju R 38. Određeni aspekti preračunavanja za potrebe GHS-a obrađeni su u literaturi pod brojem 25. Metode čije su radne značajke istovjetne metodi EpiSkinTM (validirana referentna metoda 1.) preporučuju se kao samostalni zamjenski test za in vivo pokus na kunićima za potrebe razvrstavanja nadražujućih tvari u 2. kategoriju GHS. Što se tiče metoda čije su radne značajke istovjetne metodi EpiDermTM (validirana referentna metoda 2.), one se u odnosu na razvrstavanje nadražujućih tvari u 2. kategoriju GHS preporučuju samo kao test pretraživanja ili kao dio strategije stupnjevitog ispitivanja u okviru pristupa ocjenjivanja dokazne snage. Da bi se predloženi in vitro test nadraživanja kože na modelu rekonstruirane ljudske epiderme mogao koristiti u regulatorne svrhe, potrebno je odrediti njegovu pouzdanost, relevantnost (točnost) i ograničenja s obzirom na predloženu uporabu i usporediti ih s validiranom referentnom metodom 1., u skladu s referentnim normama utvrđenim u ovoj ispitnoj metodi (Dodatak).

Još su dvije in vitro ispitne metode s modelom rekonstruirane ljudske epiderme validirane u skladu sa zahtjevima ove ispitne metode te daju slične rezultate kao validirana referentna metoda 1. (18.). To su varijanta ispitne metode EpiDermTM (varijanta referentne metode 2.) i ispitna metoda SkinEthic RHETM („me-too” metoda 1.).

1.2.   DEFINICIJE

U okviru ove ispitne metode primjenjuju se sljedeće definicije:

Točnost: Stupanj podudarnosti između rezultata ispitne metode i prihvaćenih referentnih vrijednosti. Ona je mjerilo radnih značajki ispitne metode i jedan od aspekata relevantnosti. Izraz se često koristi u istom značenju kao „podudarnost” kako bi se označio udio točnih rezultata metode.

Tvar za kontrolu šarže: Referentna tvar kod koje stanice tkiva pokazuju srednji stupanj vijabilnosti.

Vijabilnost stanica: Parametar za mjerenje ukupne aktivnosti populacije stanica, npr. sposobnost staničnih mitohondrijskih dehidrogenaza da reduciraju vitalnu boju MTT (3-(4,5-dimetiltiazol-2-il)-2,5-difeniltetrazolijev bromid, tiazolil plavo;), koji, ovisno o krajnjoj točki koja se mjeri i planu ispitivanja, korelira s ukupnim brojem i/ili vitalnošću živih stanica.

ET50 : Vrijeme izlaganja u kojem se vijabilnost stanica smanji za 50 % nakon primjene markerske tvari u unaprijed određenoj fiksnoj koncentraciji, vidi također IC50.

Lažno negativna kvota: Udio svih pozitivnih tvari koje je ispitna metoda pogrešno identificirala kao negativne. Ona je jedan od pokazatelja radnih značajki ispitne metode.

Lažno pozitivna kvota: Udio svih negativnih (neaktivnih) tvari koje su pogrešno identificirane kao pozitivne. Ona je jedan od pokazatelja radnih značajki ispitne metode.

Beskonačna doza: Količina ispitivane tvari nanesena na kožu koja prelazi količinu koja je potrebna da se potpuno i jednoliko prekrije površina kože.

GHS (Globalno usklađeni sustav razvrstavanja i označivanja kemikalija): Sustav za razvrstavanje tvari i smjesa prema standardiziranim vrstama i stupnjevima fizikalnih opasnosti i opasnosti za zdravlje i okoliš, koji obuhvaća odgovarajuća komunikacijska sredstva kao što su piktogrami, signalne riječi, obavijesti o opasnosti, obavijesti o mjerama opreza i sigurnosno-tehnički listovi, kojima se prenose informacije o njihovim štetnim učincima s ciljem zaštite ljudi (uključujući poslodavce, radnike, prijevoznike, potrošače i pružatelje pomoći) i okoliša (1.), i proveden je u EU-u Uredbom (EZ) br. 1272/2008.

IC50 : Koncentracija pri kojoj markerska tvar smanjuje vijabilnost tkiva za 50 % (IC50) nakon fiksnog vremena izlaganja, vidi također ET50.

Referentne norme: Norme na temelju validirane referentne metode koje čine osnovu za ocjenjivanje usporedivosti predložene ispitne metode koja je mehanicistički i funkcionalno slična validiranoj referentnoj metodi. One obuhvaćaju (I.) bitne elemente ispitne metode, (II.) minimalni popis referentnih tvari odabranih među tvarima koje su korištene za dokazivanje prihvatljivih radnih značajki validirane referentne metode i (III.) usporedive razine točnosti i pouzdanosti koje mora pokazati predložena ispitna metoda kod ocjenjivanja primjenom minimalnog popisa referentnih tvari u odnosu na validiranu referentnu metodu.

Pouzdanost: Pokazuje u kojoj se mjeri ispitna metoda može obnovljivo primijeniti unutar jednog laboratorija i između više laboratorija u određenom vremenu uz primjenu istog protokola. Ona se ocjenjuje izračunavanjem obnovljivosti unutar jednog laboratorija i između više laboratorija.

Osjetljivost: Udio svih pozitivnih/aktivnih tvari koje su pravilno razvrstane primjenom testa. Ona je mjera točnosti ispitne metode koja daje kategorijske rezultate i važan čimbenik za ocjenu relevantnosti ispitne metode.

Specifičnost: Udio svih negativnih/neaktivnih tvari koje su pravilno razvrstane primjenom testa. Ona je mjera točnosti ispitne metode koja daje kategorijske rezultate i važan čimbenik za ocjenu relevantnosti ispitne metode.

Nadraživanje kože: Izazivanje reverzibilnog oštećenja kože nakon primjene ispitivane tvari u trajanju do najviše 4 sata. Nadraživanje kože je lokalna neimunogena reakcija koja se javlja ubrzo nakon podražaja (24.). Njezina glavna značajka je reverzibilan proces koji uključuje upalne reakcije i većinu karakterističnih kliničkih znakova nadraživanja (eritem, edem, svrbež i bol) koji se povezuju s upalnim procesom.

1.3.   PODRUČJE PRIMJENE I OGRANIČENJA

Ograničenje testova s rekonstruiranom ljudskom epidermom u skladu s ovom ispitnom metodom sastoji se u tome što se pomoću njih tvari mogu razvrstavati samo u 2. kategoriju nadražujućih tvari u okviru sustava UN GHS. Budući da oni ne omogućuju razvrstavanje u fakultativnu 3. kategoriju prema definiciji UN GHS, sve će ostale tvari ostati nerazvrstane (izvan kategorije). Ovu ispitnu metodu treba revidirati ovisno o regulatornim potrebama i mogućem uključenju novih krajnjih točaka i poboljšanja, ali i u slučaju pojave novih zamjenskih „me-too” testova.

Ova ispitna metoda omogućuje utvrđivanje opasnosti monokonstituentnih nadražujućih tvari (19.), ali ne pruža odgovarajuće informacije o nagrizanju kože. Plinovi i aerosoli se ne mogu ispitivati, a smjese još nisu ocijenjene u validacijskoj studiji.

1.4.   NAČELO ISPITIVANJA

Ispitivana se tvar topikalno nanosi na trodimenzionalni model rekonstruirane ljudske epiderme, koji čine obični ljudski epidermalni keratinociti uzgojeni u svrhu dobivanja visoko izdiferenciranog modela ljudske epiderme. Sastoji se od organiziranih bazalnih, trnastih i zrnatih slojeva te višeslojnog rožnatog sloja (stratum corneum) koji između stanica sadrži lamelarne masne slojeve raspoređene analogno obrascu koji se susreće in vivo.

Načelo ispitivanja s modelom rekonstruirane ljudske epiderme temelji se na pretpostavci da nadražujuće tvari mogu prodrijeti u rožnati sloj difuzijom i da su citotoksične za stanice u nižim slojevima. Vijabilnost stanica mjeri se pretvorbom vitalne boje MTT [3-(4,5-dimetiltiazol-2-il)-2,5-difeniltetrazolijev bromid, tiazolil plava; EINECS broj 206-069-5, CAS broj 298-93-1)] u plavu sol formazana djelovanjem dehidrogenaza, koja se kvantitativno mjeri nakon ekstrakcije iz tkiva (20.). Nadražujuće tvari prepoznaju se po tome što spuštaju vijabilnost stanica ispod definiranih pragova (tj. ≤ 50 % za 2. kategoriju nadražujućih tvari UN GHS). Tvari kod kojih je vijabilnost stanica iznad definiranog praga se ne razvrstavaju (tj. > 50 %, izvan kategorije).

Sustavi koji se temelje na modelu rekonstruirane ljudske epiderme mogu se koristiti za ispitivanje krutih tvari, tekućina, polukrutih tvari i voskova. Tekućine mogu biti vodene i bezvodne; krute tvari mogu biti topljive ili netopljive u vodi. Kad god je to moguće krute tvari treba ispitivati u obliku sitnog praha. Budući da je validacijom ispitnih sustava s modelom rekonstruirane ljudske epiderme obuhvaćeno 58 pomno odabranih tvari koje predstavljaju širok spektar kemijskih razreda, očekuje se da će metode biti opće primjenjive u svim kemijskim razredima (16.). Validacijom je obuhvaćeno 13 nadražujućih tvari iz 2. kategorije GHS. Valja naglasiti da u validaciju nisu uključene nenagrizajuće kiseline, baze, soli i druge anorganske tvari kao i neki poznati razredi organskih nadražljivaca, kao što su hidroperoksidi, fenoli i površinski aktivne tvari, ili su uključeni tek u ograničenoj mjeri.

1.5.   DOKAZIVANJE OSPOSOBLJENOSTI

Poželjno je da laboratoriji prije rutinske primjene validirane metode koja ispunjava zahtjeve ove ispitne metode dokažu tehničku osposobljenost na deset preporučenih tvari koje su navedene u tablici 1. U okviru ove ispitne metode fakultativna 3. kategorija UN GHS ne smatra se kategorijom. Da bi se nove („me-too”) ispitne metode proizašle iz ove metode koje su strukturno i funkcionalno slične validiranim referentnim metodama kao i varijante validiranih metoda mogle koristiti u ispitivanjima za zadovoljavanje regulatornih zahtjeva, potrebno je dokazati usporedivu pouzdanost i točnost nove metode primjenom referentnih normi navedenih u Dodatku ove ispitne metode.

Tablica 1.

Tvari za provjeru tehničke osposobljenosti, koje predstavljaju podskup referentnih tvari iz Dodatka

Tvar

CAS broj

Rezultat in vivo

Agregatno stanje

Kategorija GHS

naftalenoctena kiselina

86-87-3

0

K

izvan kat.

izopropanol

67-63-0

0,3

T

izvan kat.

metil-stearat

112-61-8

1

K

izvan kat.

heptil-butirat

5870-93-9

1,7

T

fakultativna 3. kat

heksil-salicilat

6259-76-3

2

T

fakultativna 3. kat

ciklamen-aldehid

103-95-7

2,3

T

2. kat.

1-bromheksan

111-25-1

2,7

T

2. kat.

butil-metakrilat

97-88-1

3

T

2. kat.

1-metil-3-fenil-1-piperazin

5271-27-2

3,3

K

2. kat.

heptanal

111-71-7

4

T

2. kat.

1.6.   OPIS METODE

U nastavku se nalazi opis elemenata i postupaka u vezi s testom na modelu rekonstruirane ljudske epiderme za potrebe ocjenjivanja nadraživanja kože. Model rekonstruirane ljudske epiderme može se izraditi, preparirati ili nabaviti na tržištu (npr. EpiSkinTM, EpiDermTM i SkinEthic RHETM). Standardni ispitni protokoli za EpiSkinTM, EpiDermTM i SkinEthic RHETM mogu se preuzeti na (http://ecvam.jrc.ec.europa.eu)(21., 22., 23.)). Ispitivanje se provodi na sljedeći način:

1.6.1.   Elementi modela rekonstruirane ljudske epiderme

1.6.1.1.   Opći uvjeti koje model mora zadovoljiti

Za izgradnju epitela koriste se normalni ljudski keratinociti. Ispod funkcionalnog rožnatog sloja (stratum corneum) nalaze se višestruki slojevi vitalnih epitelnih stanica (bazalni sloj, trnasti sloj, zrnati sloj). I sam rožnati sloj je višeslojan te sadrži esencijalni profil lipida kao čvrstu funkcionalnu barijeru koja je sposobna zaustaviti brzi prodor citotoksičnih markerskih tvari, npr. natrijev dodecil-sulfat (SDS) ili Triton X-100. Funkcija barijere može se ocijeniti određivanjem koncentracije markerske tvari koja smanjuje vijabilnost tkiva za 50 % (IC50) nakon fiksnog vremena izlaganja ili određivanjem vremena izlaganja koje je potrebno da se vijabilnost tkiva smanji za 50 % (ET50) nakon primjene markerske tvari u unaprijed određenoj fiksnoj koncentraciji. Model mora biti dovoljno nepropustan da spriječi prolazak materijala oko rožnatog sloja do vitalnog tkiva jer bi to značilo loše modeliranje izlaganja kože. Kožni model ne smije biti onečišćen bakterijama, virusima, mikroplazmama i gljivicama.

1.6.1.2.   Funkcionalni uvjeti koje model mora zadovoljiti

1.6.1.2.1.   Vijabilnost

Preferirani test za određivanje stupnja vijabilnosti je MTT test (20.). Optička gustoća (OD) ekstrahirane (otopljene) boje iz tkiva obrađenog negativnom kontrolom (NK) treba biti najmanje 20 puta veća od vrijednosti OD samog ekstrakcijskog otapala. Potrebno je dokumentirati da je tkivo obrađeno negativnom kontrolom stabilno u kulturi (tj. daje slična mjerenja vijabilnosti) za vrijeme trajanja ispitnog izlaganja.

1.6.1.2.2.   Funkcija barijere

Rožnati sloj i njegov sastav lipida mora biti sposoban zaustaviti brzi prodor citotoksičnih markerskih tvari, npr. SDS ili Triton X-100, procijenjeno na temelju IC50 ili ET50.

1.6.1.2.3.   Morfologija

Histološki pregled rekonstruirane kože/epiderme mora obavljati odgovarajuće osposobljeno osoblje koje mora dokazati da je njezina struktura slična strukturi ljudske kože/epiderme (uključujući višeslojni rožnati sloj).

1.6.1.2.4.   Obnovljivost

Treba dokazati da su rezultati metode kod primjene određenog modela obnovljivi u vremenu, po mogućnosti putem odgovarajuće tvari za kontrolu šarže (referentne tvari) (vidi Dodatak).

1.6.1.2.5.   Kontrole kakvoće (KK) modela

Svaka šarža modela epiderme mora ispuniti definirane kriterije za odobrenje proizvoda, među kojima su najvažniji vijabilnost (stavak 1.6.1.2.1.) i funkcija barijere (stavak 1.6.1.2.2.). Područje prihvatljivosti (gornja i donja granica prihvatljivosti) za IC50 odnosno ET50 određuje dobavljač kožnog modela (ili ispitivač, ako se koristi vlastiti model). Svojstvo barijere tkiva provjerava laboratorij po primitku tkiva. Za pouzdano predviđanje nadražujućih učinaka prihvatljivi su isključivo rezultati dobiveni s tkivima koja ispunjavaju zadane kriterije. U nastavku su kao primjer navedena područja prihvatljivosti za validirane referentne metode.

Tablica 2.

Primjeri kriterija za odobrenje šarže u okviru kontrole kakvoće

 

Donja granica prihvatljivosti

Srednja vrijednost područja prihvatljivosti

Gornja granica prihvatljivosti

Validirana referentna metoda 1. (18-satna obrada SDS-om)

IC50 = 1,0 mg/ml

IC50 = 2,32 mg/ml

IC50 = 3,0 mg/ml

Validirana referentna metoda 2. (1 % Triton X-100)

ET50 = 4,8 sati

ET50 = 6,7 sati

ET50 = 8,7 sati

1.6.1.3.   Primjena ispitivanih i kontrolnih tvari

U svakoj obradi i kontrolama treba upotrijebiti dovoljan broj ponavljanja tkiva (najmanje tri po ispitivanju). Bilo da se radi o tekućinama ili o krutim tvarima, treba nanijeti dovoljnu količinu ispitivane tvari da površina kože bude ravnomjerno prekrivena, ali pazeći da se izbjegne beskonačna doza (vidi točku 1.2. Definicije), tj. najmanje 25 μl/cm2 ili 25 mg/cm2. U slučaju krutih tvari površinu epiderme treba prije nanošenja navlažiti deioniziranom ili destiliranom vodom kako bi se osiguralo dobro prianjanjenje uz kožu. Kad god je to moguće, krute tvari treba ispitivati u obliku sitnog praha. Na kraju razdoblja izlaganja ispitivanu tvar treba pažljivo oprati s površine kože vodenom puferskom otopinom ili 0,9 %-tnom NaCl. Ovisno o primijenjenom modelu rekonstruirane ljudske epiderme, razdoblje izlaganja može biti između 15 i 60 minuta, a temperatura inkubacije između 20 i 37 °C. Za podrobnije informacije vidi standardne radne postupke („Standard Operating Procedures”) za te tri metode (21., 22., 23.).

U svakom istraživanju treba paralelno koristiti negativne kontrole (NK) i pozitivne kontrole (PK) kako bi se dokazalo da se vijabilnost (NK), funkcija barijere i posljedična osjetljivost (PK) tkiva kreću u okvirima propisanog područja prihvatljivosti. Predlaže se da se kao PK tvar koristi 5 %-tna vodena otopina SDS. Predložene NK tvari su voda ili otopina soli puferirana fosfatom (PBS).

1.6.1.4.   Mjerenja vijabilnosti stanica

Najvažniji element ispitnog postupka je da se mjerenja vijabilnosti ne provode neposredno nakon izlaganja ispitivanoj tvari, već nakon dovoljno dugog razdoblja inkubacije nakon obrade tijekom koje se oprana tkiva drže u svježem mediju. Ova faza ostavlja dovoljno vremena da se tkivo oporavi od blago nadražujućih učinaka, ali i da se pojave jasni znakovi citotoksičnih učinaka. U fazi opitimizacije testa (9., 10., 11., 12., 13.) pokazalo se da je optimalno razdoblje inkubacije nakon obrade 42 sata te je ono korišteno i u validaciji referentnih metoda.

Test pretvorbe MTT je kvantitativna validirana metoda za mjerenje vijabilnosti stanica. Taj je test prikladan za trodimenzionalni model tkiva. Uzorak kože se stavi u otopinu MTT odgovarajuće koncentracije (npr. 0,3 – 1 mg/ml) i ostavi u njoj tri sata. Nataloženi plavi formazan se zatim ekstrahira iz tkiva pomoću otapala (npr. izopropanol, kiseli izopropanol) i koncentracija formazana izmjeri određivanjem vrijednosti OD na 570 nm uz pojas propuštanja do najviše ± 30 nm.

Optička svojstva ispitivane tvari odnosno njezino kemijsko djelovanje na MTT mogu ometati analizu i dovesti do pogrešne procjene vijabilnosti (budući da ispitivana tvar može spriječiti ili obrnuti proces nastajanja boje, ali ga i izazvati). To se može dogoditi kad se određena ispitivana tvar ne spere u potpunosti s kože ili prodre u epidermu. Ako ispitivana tvar izravno djeluje na MTT ili je prirodno obojena ili se oboji tijekom obrade tkiva, treba upotrijebiti dodatne kontrole kako bi se utvrdio i ispravio utjecaj ispitivane tvari na mjernu tehniku koja se koristi za mjerenje vijabilnosti. Podroban opis ispitivanja izravne redukcije MTT može se pronaći u ispitnom protokolu za validirane referentne metode (21., 22., 23.). Nespecifična boja („Non-Specific Colour”, NSC) zbog tih utjecaja ne smije prijeći 30 % NK (za ispravke). Ako je NSC > 30 %, smatra se da ispitivana tvar nije prikladna za ovu metodu.

1.6.1.5.   Kriteriji za prihvaćanje ispitivanja

U svakom pokusu s valjanim šaržama (vidi stavak 1.6.1.2.5.) OD vrijednost tkiva obrađenih negativnom kontrolom ukazuje na kakvoću tkiva nakon što su dovršeni svi koraci dopreme i preuzimanja te čitav postupak u skladu s protokolom za ispitivanje nadraživanja. OD vrijednosti kontrola ne smiju biti ispod propisanih donjih granica. Isto tako, tkiva obrađena pozitivnom kontrolom tj. 5 %-tnom vodenom otopinom SDS trebaju pokazivati zadržanu osjetljivost tkiva i sposobnost da reagiraju na nadražujuću tvar u uvjetima svakog pojedinog pokusa (npr. vijabilnost ≤ 40 % za validiranu referetnu metodu 1 i ≤ 20 % za validiranu referetnu metodu 2.). Potrebno je definirati odgovarajuće mjere varijabilnosti između tkiva u ponavljanjima (npr. ako se koriste standardne devijacije, one trebaju biti ≤ 18 %).

2.   PODACI

2.1.   PODACI

Podatke pojedinačnih ponavljanja u svakoj obradi (npr. vrijednosti OD i izračunani postoci vijabilnosti stanica za svaku ispitivanu tvar, zajedno s razvrstavanjem) treba prikazati u tabličnom obliku, uključujući eventualne podatke iz ponovljenih pokusa. Osim toga, za svaki pokus treba navesti srednje vrijednosti ± standardnu devijaciju. Za svaku ispitanu tvar treba navesti zapažene interakcije s MTT reagensom i obojenim ispitnim tvarima.

2.2.   TUMAČENJE REZULTATA

Na temelju OD vrijednosti za pojedinačne ispitne uzorke može se izračunati postotak vijabilnosti u odnosu na negativnu kontrolu, koja je određena kao 100 %. Potrebno je jasno utvrditi i dokumentirati prijelomnu vrijednost postotka vijabilnosti stanica koja se koristi za razlikovanje nadražujućih tvari od nerazvrstanih ispitivanih tvari i statistički postupak ili postupke koji su korišteni za vrednovanje rezultata i identifikaciju nadražujućih tvari te dokazati njihovu prikladnost. Prijelomne vrijednosti za predviđanje nadraživanja u vezi s validiranim referentnim metodama navedene su u nastavku:

Smatra se da je ispitivana tvar nadražujuća za kožu u smislu 2. kategorije UN GHS:

i.

ako je vijabilnost tkiva nakon izlaganja i inkubacije nakon obrade manja ili jednaka (≤) 50 %.

Smatra se da je ispitivana tvar izvan kategorije:

ii.

ako je vijabilnost tkiva nakon izlaganja i inkubacije nakon obrade viša od (>) 50 %.

3.   IZVJEŠĆIVANJE

3.1.   IZVJEŠĆE O ISPITIVANJU

Izvješće o ispitivanju sadrži sljedeće informacije:

Ispitivane i kontrolne tvari:

kemijski naziv(i), npr. naziv iz nomenklature IUPAC ili CAS naziv i CAS broj, ako su poznati,

čistoća i sastav tvari (u masenom postotku/cima),

fizikalno-kemijska svojstva bitna za provedbu istraživanja (npr. fizikalno stanje, stabilnost i hlapljivost, pH, topljivost u vodi, ako su poznati),

obrada ispitivanih/kontrolnih tvari prije ispitivanja, prema potrebi (npr. zagrijavanje, usitnjavanje),

uvjeti skladištenja.

Obrazloženje kožnog modela i protokola koji je primijenjen.

Ispitni uvjeti:

sustav stanica koji je upotrijebljen,

informacije o umjeravanju mjernog uređaja i pojasu propuštanja koji je upotrijebljen kod mjerenja vijabilnosti stanica (npr. spektrofotometar),

potpune popratne informacije o konkretnom kožnom modelu koji je korišten, uključujući njegove radne značajke; to između ostalog uključuje sljedeće podatke:

i.

vijabilnost;

ii.

funkcija barijere;

iii.

morfologija;

iv.

obnovljivost i prediktivnost;

v.

kontrole kakvoće (KK) modela;

detalji ispitnog postupka,

ispitne doze, trajanje izlaganja i razdoblje inkubacije nakon obrade,

opis mogućih izmjena ispitne metode,

uputa na postojeće podatke o modelu; to između ostalog uključuje:

i.

prihvatljivost podataka o kontroli kakvoće s uputom na postojeće podatke o šarži;

ii.

prihvatljivost vrijednosti pozitivnih i negativnih kontrola s uputom na srednje vrijednosti i područja za pozitivne i negativne kontrole,

opis primijenjenih kriterija vrednovanja, uključujući obrazloženje odabrane/ih prijelomne/ih vrijednosti modela predviđanja.

Rezultati:

tablični prikaz podataka za pojedinačne ispitne uzorke,

opis drugih zapaženih učinaka.

Rasprava rezultata.

Zaključci.

4.   LITERATURA

1.

United Nations (UN) (2007.). Globally Harmonized System of Classification and Labelling of Chemicals (GHS), Second revised edition, UN New York and Geneva, 2007. Dostupno na: http://www.unece.org/trans/danger/publi/ghs/ghs_rev02/02files_e.html.

2.

REACH: Guidance on Information Requirements and Chemical Safety Assessment. Dostupno na: http://guidance.echa.europa.eu/docs/guidance_document/information_requirements_en.htm?time= 1232447649.

3.

Ispitna metoda B.4. ACUTE TOXICITY; DERMAL IRRITATION/CORROSION.

4.

Ispitna metoda B.40. IN VITRO SKIN CORROSION: TRANSCUTANEOUS ELECTRICAL RESISTANCE TEST TER.

5.

Ispitna metoda B.40. BIS. IN VITRO SKIN CORROSION: HUMAN SKIN MODEL TEST.

6.

OECD (2006.). Test Guideline 435. OECD Guideline for the Testing of Chemicals. In Vitro Membrane Barrier Test Method. Adopted July 19, 2006. Dostupno na: http://www.oecd.org/document/22/0,2340,en_2649_34377_1916054_1_1_1_1,00.html.

7.

ECVAM (2009.) Performance Standards for applying human skin models to in vitro skin irritation. Dostupno na: http://ecvam.jrc.ec.europa.eu.

8.

Fentem, J.H., Briggs, D., Chesné, C., Elliot, G.R., Harbell, J.W., Heylings, J.R., Portes, P., Roguet, R., van de Sandt, J.J.M. & Botham, P. (2001.). A prevalidation study on in vitro tests for acute skin irritation. Results and evaluation by the Management Team. Toxicology in Vitro 15, 57-93.

9.

Portes, P., Grandidier, M.H., Cohen, C. & Roguet, R.(2002.). Refinement of the EPISKIN protocol for the assessment of acute skin irritation of chemicals: follow-up to the ECVAM prevalidation study. Toxicology in Vitro 16, 765-770.

10.

Kandárová, H., Liebsch, M., Genschow, E., Gerner, I., Traue, D., Slawik, B. & Spielmann, H. (2004.). Optimisation of the EpiDerm test protocol for the upcoming ECVAM validation study on in vitro skin irritation tests. ALTEX 21, 107-114.

11.

Kandárová, H., Liebsch, M., Gerner, I., Schmidt, E., Genschow, E., Traue, D. & Spielmann H. (2005.) The EpiDerm Test Protocol fort the Upcoming ECVAM Validation Study on In Vitro Skin Irritation Tests – An Assessment of the Performance of the Optimised Test. ATLA 33, 351-367.

12.

Cotovio, J., Grandidier, M.-H., Portes, P., Roguet, R. & G. Rubinsteen. (2005.). The In Vitro Acute Skin Irritation of Chemicals: Optimisation of the EPISKIN Prediction Model within the Framework of the ECVAM Validation Process. ATLA 33, 329-249.

13.

Zuang, V., Balls, M., Botham, P.A., Coquette, A., Corsini, E., Curren, R.D., Elliot, G.R., Fentem, J.H., Heylings, J.R., Liebsch, M., Medina, J., Roguet, R., van De Sandt, J.J.M., Wiemann, C. & Worth, A.(2002.). Follow-up to the ECVAM prevalidation study on in vitro tests for acute skin irritation. ECVAM Skin Irritation Task Force Report 2. ATLA 30,109-129.

14.

Spielmann, H., Hoffmann, S., Liebsch, M., Botham, P., Fentem, J., Eskes, C., Roguet, R., Cotovió, J., Cole, T., Worth, A., Heylings, J., Jones, P., Robles, C., Kandárová, H., Gamer, A., Remmele, M., Curren, R., Raabe, H., Cockshott, A., Gerner, I. and Zuang, V. (2007.) The ECVAM International Validation Study on In Vitro Tests for Acute Skin Irritation: Report on the Validity of the EPISKIN and EpiDerm Assays and on the Skin Integrity Function Test. ATLA 35, 559-601.

15.

Hoffmann, S. (2006.). ECVAM Skin Irritation Validation Study Phase II: Analysis of the Primary Endpoint MTT and the Secondary Endpoint IL1-α. 135 pp. + annexes. Dostupno na: http://ecvam.jrc.ec.europa.eu.

16.

Eskes, C., Cole, T., Hoffmann, S., Worth, A., Cockshott, A., Gerner, I. & Zuang. V (2007.) ECVAM International Validation Study on In Vitro Tests for Acute Skin Irritation: Selection of Test Chemicals. ATLA 35, 603-619.

17.

J. Cotovio, M.-H. Grandidier, D. Lelièvre, R. Roguet, E. Tinois-Tessonneaud, J. Leclaire (2007.). In vitro acute skin irritancy of chemicals using the validated EPISKIN model in a tiered strategy – Results and performances with 184 cosmetic ingredients, AATEX, Special Issue-proceedings from WC6. Vol.14, 351-358.

18.

ESAC statement on updated EpiDerm and similar SkinEthic assays. 5 November 2008.

19.

EZ (2006.) Uredba (EZ) br. 1907/2006 Europskog parlamenta i Vijeća o registraciji, evaluaciji, autorizaciji i ograničavanju kemikalija (REACH) radi prilagodbe tehničkom napretku, osnivanju Europske agencije za kemikalije, izmjeni Direktive 1999/45/EZ i stavljanju izvan snage Uredbe Vijeća br. 793/93, i Uredbe Komisije (EZ) br. 1488/94 kao i Uredbe Vijeća 76/769/EEZ i direktive Komisije 91/155/EEZ, 93/67/EEZ, 93/105/EZ i 2000/21/EZ. Službeni list Europske unije L 396 od 30. prosinca 2006., str. 1. OPOCE Luksemburg.

20.

Mosman, T. (1983.) Rapid colorimetric assay for cellular growth and survival: application to proliferation and cytotoxicity assays. Journal of Immunological Methods 65, 55-63.

21.

EpiSkinTM SOP, Version 1.6 (January 2005.). Validation of the EpiSkin Skin Irritation Test – 42 Hours Assay For The Prediction of Acute Skin Irritation of Chemicals. Dostupno na: http://ecvam.jrc.ec.europa.eu.

22.

EpiDermTM SOP, Version 5.0 (October 2004.). Draft Standard Operating Procedure. In Vitro Skin Irritation Test: Human Skin Model. Model: EpiDermTM- 200. Dostupno na: http://ecvam.jrc.ec.europa.eu.

23.

SkinEthic RHETM SOP. Bit će dostupno na: http://ecvam.jrc.ec.europa.eu.

24.

Harvell, J.D., Lammintausta, K., Maibach H.I. (1995) Irritant contact dermatitis IN: Guin J.D. Practical Contact Dermatitis Mc Graw-Hill New York, pp 7-18

25.

Griesinger C, Barroso J & Zuang V: ECVAM background document on the recent adaptations of the ECVAM performance standards for in vitro skin irritation testing in the context of the drafting process of an EU test method and an OECD draft test guideline. Ispra, November 13, 2008.

Dodatak

Ocjenjivanje radnih značajki predloženih in vitro modela rekonstruirane ljudske epiderme za ispitivanje nadraživanja kože

UVOD

Predložene postupke u okviru ove ispitne metode potrebno je ocijeniti kako bi se odredila njihova pouzdanost i točnost, koristeći tvari koje predstavljaju čitavo područje vrijednosti nadraživanja prema Draizeu. Kod ocjenjivanja predloženih postupaka primjenom 20 preporučenih referentnih tvari (tablica 2.) treba dobiti vrijednosti pouzdanosti i točnosti usporedive s vrijednostima validirane referentne metode 1. (tablica 3.) (1.). Norme točnosti i pouzdanosti koje pritom treba ispuniti nalaze se u točkama I. i II. u nastavku. Obuhvaćene su nerazvrstane i razvrstane tvari (2. kategorija UN GHS) koje predstavljaju relevantne kemijske razrede, tako da se pouzdanost i radne značajke (osjetljivost, specifičnost, lažno negativne kvote, lažno pozitivne kvote i točnost) predložene ispitne metode mogu usporediti s odgovarajućim vrijednostima validirane ispitne metode 1. Prije nego što se ispitna metoda primijeni za ispitivanje novih tvari treba odrediti njezinu pouzdanost kao i sposobnost da točno identificira nadražujuće tvari 2. kategorije UN GHS.

REFERENTNE NORME

Referentne norme obuhvaćaju tri elementa I.) bitne elemente ispitne metode, II.) referentne tvari i III.) definirane vrijednosti točnosti i pouzdanosti (2.). Ove se referentne norme temelje na referentnim normama koje su definirane po dovršetku validacijske studije nadraživanja kože Europskoga centra za validaciju alternativnih metoda (ECVAM) (3.).

(I.)   Bitni elementi ispitne metode

Opći uvjeti koje model mora zadovoljiti

Za izgradnju epitela koriste se normalni ljudski keratinociti. Ispod funkcionalnog rožnatog sloja (stratum corneum) nalaze se višestruki slojevi vitalnih epitelnih stanica (bazalni sloj, trnasti sloj, zrnati sloj). I sam rožnati sloj je višeslojan te sadrži esencijalni profil lipida kao čvrstu funkcionalnu barijeru koja je sposobna zaustaviti brzi prodor citotoksičnih markerskih tvari, npr. SDS ili Triton X-100. Funkcija barijere može se ocijeniti određivanjem koncentracije markerske tvari koja smanjuje vijabilnost tkiva za 50 % (IC50) nakon fiksnog vremena izlaganja ili određivanjem vremena izlaganja koje je potrebno da se vijabilnost tkiva smanji za 50 % (ET50) nakon primjene markerske tvari u unaprijed određenoj fiksnoj koncentraciji. Model mora biti dovoljno nepropustan da spriječi prolazak materijala oko rožnatog sloja do vitalnog tkiva, jer bi to značilo loše modeliranje izlaganja kože. Kožni model ne smije biti onečišćen bakterijama, virusima, mikroplazmama i gljivicama.

Funkcionalni uvjeti koje model mora zadovoljiti

Vijabilnost

Preferirani test za određivanje stupnja vijabilnosti je MTT test (4.). OD ekstrahirane (otopljene) boje iz tkiva obrađenog negativnom kontrolom (NK) treba biti najmanje 20 puta veća od vrijednosti OD samog ekstrakcijskog otapala. Potrebno je dokumentirati da je tkivo obrađeno negativnom kontrolom stabilno u kulturi (tj. daje slična mjerenja vijabilnosti) za vrijeme trajanja ispitnog izlaganja.

Funkcija barijere

Rožnati sloj i njegov sastav lipida mora biti sposoban zaustaviti brzi prodor citotoksičnih markerskih tvari, npr. SDS ili Triton X-100, procijenjeno na temelju IC50 ili ET50.

Morfologija

Histološki pregled rekonstruirane kože/epiderme mora obavljati odgovarajuće osposobljeno osoblje koje mora dokazati da je njezina struktura slična strukturi ljudske kože/epiderme (uključujući višeslojni rožnati sloj).

Obnovljivost

Treba dokazati da su rezultati metode kod primjene određenog modela obnovljivi u vremenu, po mogućnosti putem odgovarajuće tvari za kontrolu šarže (referentne tvari) (vidi definicije u odjeljku 1.2.).

Kontrole kakvoće (KK) modela

Svaka šarža modela epiderme mora ispuniti definirane kriterije za odobrenje proizvoda, među kojima su najvažniji vijabilnost i funkcija barijere. Područje prihvatljivosti (gornja i donja granica prihvatljivosti) za IC50 odnosno ET50 određuje dobavljač kožnog modela (ili ispitivač, ako se koristi vlastiti model). Svojstvo barijere tkiva provjerava laboratorij po primitku tkiva. Za pouzdano predviđanje nadražujućih učinaka prihvatljivi su isključivo rezultati dobiveni s tkivima koja ispunjavaju zadane kriterije. U nastavku su kao primjer navedena područja prihvatljivosti za validirane referentne metode.

Tablica 1.

Primjeri kriterija za odobrenje šarže u sklopu kontrole kakvoće

 

Donja granica prihvatljivosti

Srednja vrijednost područja prihvatljivosti

Gornja granica prihvatljivosti

Validirana referentna metoda 1. (18-satna obrada SDS-om)

IC50 = 1,0 mg/ml

IC50 = 2,32 mg/ml

IC50 = 3,0 mg/ml

Validirana referentna metoda 2. (1 % Triton X-100)

ET50 = 4,8 sati

ET50 = 6,7 sati

ET50 = 8,7 sati

(II.)   Referentne tvari

Referentne tvari se koriste da bi se utvrdilo je li pouzdanost i točnost predložene nove in vitro ispitne metode s rekonstruiranom ljudskom epidermom za koju je dokazano da je strukturno i funkcionalno dovoljno slična validiranim referentnim metodama, ili koja predstavlja neznatno izmijenjenu varijantu validirane referentne metode, usporediva s pouzdanošću i točnošću validirane ispitne metode 1. (1.). 20 referentnih tvari u tablici 2. obuhvaćaju tvari iz različitih relevantnih kemijskih razreda kao i tvari iz 2. kategorije UN GHS. Popis sadrži 10 tvari iz 2. kategorije UN GHS, 3 tvari iz fakultativne 3. kategorije UN GHS i 7 nerazvrstanih tvari. U okviru ove ispitne metode fakultativna 3. kategorija se ne smatra kategorijom. Ove referentne tvari predstavljaju minimalni broj tvari koji se mora koristiti kod ocjenjivanja točnosti i pouzdanosti predložene metode za ispitivanje nadraživanja kože na modelu rekonstruirane ljudske epiderme. U slučajevima kad tvar s popisa nije raspoloživa, mogu se koristiti i druge tvari za koje su raspoloživi odgovarajući referentni podaci in vivo. Minimalnom popisu referentnih tvari se prema želji mogu dodati još neke tvari koje predstavljaju druge kemijske razrede i za koje su raspoloživi odgovarajući referentni podaci in vivo, kako bi se dodatno ocijenila točnost predložene ispitne metode.

Tablica 2.

Referentne tvari za određivanje točnosti i pouzdanosti modela rekonstruirane ljudske epiderme koji se koriste u ispitivanju nadraživanja kože

Tvar (1)

CAS br.

EINECS br.

Fizikalno stanje

Rezultat ocjenjivanja in vivo

Kat. GHS in vitro

Kat. GHS in vivo

1-brom-4-klorbutan

6940-78-9

230-089-3

T

0

2. kat.

izvan kat.

dietil-ftalat

84-66-2

201-550-6

T

0

izvan kat.

izvan kat.

naftalenoctena kiselina

86-87-3

201-705-8

K

0

izvan kat.

izvan kat.

alil-fenoksiacetat

7493-74-5

231-335-2

T

0,3

izvan kat.

izvan kat.

izopropanol

67-63-0

200-661-7

T

0,3

izvan kat.

izvan kat.

4-metil-tio-benzaldehid

3446-89-7

222-365-7

T

1

2. kat.

izvan kat.

metil-stearat

112-61-8

203-990-4

K

1

izvan kat.

izvan kat.

heptil-butirat

5870-93-9

227-526-5

T

1,7

izvan kat.

fakultativna 3. kat

heksil-salicilat

6259-76-3

228-408-6

T

2

izvan kat.

fakultativna 3. kat

tri-izobutil-fosfat

126-71-6

204-798-3

T

2

2. kat.

fakultativna 3. kat

1-dekanol

112-30-1

203-956-9

T

2,3

2. kat.

2. kat.

ciklamen-aldehid

103-95-7

203-161-7

T

2,3

2. kat.

2. kat.

1-bromheksan

111-25-1

203-850-2

T

2,7

2. kat.

2. kat.

2-klormetil-3,5-dimetil-4-metoksipiridin-hidroklorid

86604-75-3

434-680-9

K

2,7

2. kat.

2. kat.

a-terpineol

98-55-5

202-680-6

T

2,7

2. kat.

2. kat.

di-n-propil disulfid

629-19-6

211-079-8

T

3

izvan kat.

2 kat.

butil-metakrilat

97-88-1

202-615-1

T

3

2. kat.

2. kat.

benzenetiol, 5-(1,1-dimetiletil)-2-metil

7340-90-1

438-520-9

T

3,3

2. kat.

2. kat.

1-metil-3-fenil-1-piperazin

5271-27-2

431-180-2

K

3,3

2. kat.

2. kat.

heptanal

111-71-7

203-898-4

T

4

2. kat.

2. kat.

Tvari navedene u tablici 2. predstavljaju reprezentativni izbor između 58 tvari korištenih u međunarodnoj validacijskoj studiji nadraživanja kože Europskoga centra za validaciju alternativnih metoda (ECVAM) (1.). Njihov se odabir temelji na sljedećim kriterijima:

dostupne su na tržištu,

reprezentativne su za čitavo područje vrijednosti nadraživanja prema Draizeu (od nenadražujuće do jako nadražujuće),

imaju dobro definiranu kemijsku strukturu,

reprezentativne su za obnovljivost i prediktivnu sposobnost validirane metode, kako je utvrđeno u validacijskom istraživanju ECVAM-a,

reprezentativne su za kemijsku funkcionalnost koja je korištena u validacijskom postupku,

nemaju ekstremni toksični profil (npr. kancerogeno ili reproduktivno toksično djelovanje) i nisu povezane s neprimjerno visokim troškovima zbrinjavanja.

(III.)   Definirane vrijednosti točnosti i pouzdanosti

Radne značajke (osjetljivost, specifičnost, lažno negativna kvota, lažno pozitivna kvota i točnost) predložene ispitne metode moraju biti usporedive s odgovarajućim vrijednostima validirane referentne metode 1. (tablica 3.), tj. osjetljivost treba biti jednaka ili viša (≥) od 80 %, specifičnost treba biti jednaka ili viša (≥) 70 % i točnost treba biti jednaka ili viša (≥) od 75 %. One se izračunavaju na temelju svih razvrstavanja 20 tvari dobivenih u različitim laboratorijima koji su sudjelovali u istraživanju. Razvrstavanje tvari u pojedinom laboratoriju određuje se na temelju srednje vrijednosti vijabilnosti iz različitih ispitivanja (najmanje tri valjana ispitivanja).

Tablica 3.

Radne značajke validirane referentne metode 1.  (2)

Ispitna metoda

Broj tvari

Osjetljivost

Specifičnost

Lažno negativna kvota

Lažno negativna kvota

Točnost

Validirana referentna metoda 1. (3)

58

87,2 % (4)

71,1 % (5)

12,8 %

29,9 %

74,7 %

Validirana referentna metoda 1. (3)

20

90 %

73,3 %

10 %

26,7 %

81,7 %

Pouzdanost predložene ispitne metode mora biti usporediva s pouzdanošću validiranih referentnih metoda.

Obnovljivost unutar laboratorija

Kod ocjenjivanja varijabilnosti unutar laboratorija podudarnost između razvrstavanja (2. kategorija/izvan kategorije) dobivenih u različitim nezavisnim ispitivanjima 20 referentnih tvari u istom laboratoriju mora biti ≥ 90 %.

Obnovljivost između laboratorija

Ocjenjivanje obnovljivosti između laboratorija nije nužno ako će se predložena ispitna metoda koristiti samo u jednom laboratoriju. Ako će se metoda koristiti u više laboratorija, podudarnost između razvrstavanja (2. kategorija/izvan kategorije) dobivenih u različitim nezavisnim ispitivanjima 20 referentnih tvari, po mogućnosti u najmanje tri laboratorija, mora iznositi ≥ 80 %.

LITERATURA

1.

Spielmann, H., Hoffmann, S., Liebsch, M., Botham, P., Fentem, J., Eskes, C., Roguet, R., Cotovió, J., Cole, T., Worth, A., Heylings, J., Jones, P., Robles, C., Kandárová, H., Gamer, A., Remmele, M., Curren, R., Raabe, H., Cockshott, A., Gerner, I. and Zuang, V. (2007.) The ECVAM International Validation Study on In Vitro Tests for Acute Skin Irritation: Report on the Validity of the EPISKIN and EpiDerm Assays and on the Skin Integrity Function Test. ATLA 35, 559-601.

2.

OECD (2005.) Guidance Document No. 34 on the validation and international acceptance of new or updated test methods for hazard assessment. OECD, Paris.

3.

ECVAM (2007.) Performance Standards for applying human skin models to in vitro skin irritation. Dostupno na http://ecvam.jrc.ec.europa.eu. Accessed on 27.10.2008.

4.

Mosman, T. (1983.) Rapid colorimetric assay for cellular growth and survival: application to proliferation and cytotoxicity assays. Journal of Immunological Methods 65, 55-63.

5.

Eskes, C., Cole, T., Hoffmann, S., Worth, A., Cockshott, A., Gerner, I. & Zuang. V (2007.) ECVAM International Validation Study on In Vitro Tests for Acute Skin Irritation: Selection of Test Chemicals. ATLA 35, 603-619.


(1)  Ovih 20 referentnih tvari predstavljaju reprezentativni izbor između 58 tvari koje su korištene u validaciji referentne metode 1. (EpiSkinTM). Raspoloživ je cjelovit popis ispitivanih tvari i kriterija za njihov odabir (5.).

(2)  U tablici 3. prikazane su radne značajke validirane referentne metode 1. s obzirom na sposobnost točnog identificiranja nadražujućih tvari (2. kategorija UN GHS) i nerazvrstanih tvari (izvan kategorije, uključujući fakultativnu 3. kategoriju) za 58 odnosno 20 referentnih tvari (tablica 2.).

(3)  EpiSkin TM

(4)  Na temelju 13 nadražujućih tvari 2. kat. GHS.

(5)  Na temelju 45 nadražujućih tvari 3. kat. GHS ili kemikalija izvan kategorija GHS.


PRILOG IV.

C.3.

TEST INHIBICIJE RASTA SLATKOVODNIH ALGI I CIJANOBAKTERIJA

1.   METODA

Ova metoda odgovara smjernici OECD TG 201 (2006.) (1.).

1.1.   UVOD

Ispitne metode se periodički preispituju i ažuriraju u svjetlu znanstvenoga napretka. Ispitnu metodu C.3. bilo je potrebno revidirati kako bi se uključile još neke vrste i ispunili zahtjevi ocjenjivanja opasnosti i razvrstavanja kemikalija. Revizija je provedena na temelju širokog praktičnog iskustva, znanstvenog napretka u području toksikoloških istraživanja s algama i široke regulatorne primjene koja je uslijedila nakon njezinoga donošenja.

1.2.   DEFINICIJE

Za potrebe ove ispitne metode koriste se sljedeće definicije i skraćenice:

Biomasa: je suha masa žive tvari u populaciji izražena u odnosu na dani volumen; npr. mg algi/l ispitne tekućine. „Biomasa” se obično definira kao masa, ali se u ovom testu izraz „biomasa” odnosi na masu po volumenu. Osim toga, u ovom se testu u pravilu mjere i zamjenski parametri biomase, kao što je broj stanica, fluorescencija itd., pa se izraz „biomasa” odnosi i na te zamjenske mjere.

Koeficijent varijacije: je bezdimenzionalna mjera varijabilnosti parametra, definirana kao omjer standardne devijacije i srednje vrijednosti. On se može izraziti i kao postotak. Srednji koeficijent varijacije prosječne specifične brzine rasta u ponavljanjima kontrolnih kultura izračunava se na sljedeći način:

1.

Izračuna se postotak koeficijenta varijacije (KV) prosječne specifične brzine rasta iz dnevnih/etapnih brzina rasta za odgovarajuće ponavljanje.

2.

Izračuna se srednja vrijednost svih izračunanih vrijednosti iz točke 1. kako bi se dobio srednji koeficijent varijacije dnevne/etapne specifične brzine rasta u ponavljanjima kontrolnih kultura.

ECx : je koncentracija ispitivane tvari otopljene u ispitnom mediju koja rezultira x %-tnim (npr. 50 %) smanjenjem rasta ispitnog organizma unutar navedenoga razdoblja izlaganja (koje treba izričito navesti ako odstupa od punog ili uobičajenog trajanja ispitivanja). Da bi se nedvosmisleno pokazalo je li vrijednost EC dobivena iz brzine rasta („growth rate”) ili iz prirasta („yield”) koriste se simboli „ErC” i „EyC”.

Uzgojni medij: je kompletan sintetički medij kulture u kojemu ispitivane alge rastu kad se izlože ispitivanoj tvari. Ispitivana se tvar u pravilu otapa u ispitnom mediju.

Brzina rasta (prosječna specifična brzina rasta): je logaritamsko povećanje biomase u razdoblju izlaganja.

Najniža koncentracija s vidljivim učinkom (LOEC): je najniža ispitana koncentracija kod koje je unutar određenog razdoblja izlaganja zapažen statistički značajan negativni učinak tvari na rast (pri p < 0,05) u usporedbi s kontrolom. Ipak, sve ispitne koncentracije iznad LOEC-a moraju imati jednak ili veći štetan učinak od onoga koji je zabilježen pri LOEC-u. Ako se ova dva uvjeta ne mogu zadovoljiti, treba detaljno objasniti kako je odabran LOEC (a prema tomu i NOEC).

Najviša koncentracija bez vidljivog učinka (NOEC): je ispitna koncentracija neposredno ispod LOEC-a.

Varijabla odgovora: je varijabla za procjenu toksičnosti izvedena iz bilo kojeg mjerenog parametra koji opisuje biomasu primjenom različitih računskih metoda. Kod ove metode brzina rasta i prirast su varijable odgovora dobivene izravnim mjerenjem biomase ili bilo kojeg navedenog zamjenskog parametra.

Specifična brzina rasta: je varijabla odgovora definirana kao kvocijent razlike prirodnih logaritama promatranog parametra (kod ove ispitne metode biomasa) i odgovarajućeg vremenskog razdoblja.

Prirast: je vrijednost mjerne varijable na kraju razdoblja izlaganja umanjena za vrijednost mjerne varijable na početku razdoblja izlaganja, kojom se izražava povećanje biomase tijekom ispitivanja.

1.3.   PRIMJENJIVOST TESTA

Ova se metoda najlakše primijenjuje kod tvari topljivih u vodi za koje se može pretpostaviti da će u ispitnim uvjetima ostati u vodi. Opisani postupak ponekad je potrebno izmijeniti (npr. zatvoreni sustav, kondicioniranje ispitnih posuda) kad se ispituju tvari koje su hlapljive, jako adsorptivne, obojene, slabo topljive u vodi i tvari koje mogu utjecati na raspoloživost nutrijenata ili minerala u ispitnom mediju. Smjernice za neke izmjene mogu se pronaći u literaturi pod 2., 3. i 4.

1.4.   NAČELO ISPITIVANJA

Svrha je ispitivanja odrediti učinke tvari na rast slatkovodnih mikroalgi i/ili cijanobakterija. Eksponencijalno rastući ispitni organizmi izlažu se ispitivanoj tvari u šaržnim kulturama, u pravilu tijekom 72 sata. Unatoč relativno kratkom trajanju ispitivanja mogu se ocijeniti učinci na nekoliko generacija.

Odgovor sustava sastoji se u smanjenju rasta niza kultura algi (ispitne jedinice) koje su izložene različitim koncentracijama ispitivane tvari. Odgovor se ocjenjuje kao funkcija koncentracije izlaganja u odnosu na prosječni rast neizloženih kontrolnih kultura. Da bi se u punoj mjeri izrazila reakcija sustava na toksične učinke (optimalna osjetljivost), kulturama treba prije mjerenja smanjenja specifične brzine rasta ostaviti dovoljno vremena da postignu neograničeni eksponencijalni rast, uz dovoljno nutrijenata i neprekidno osvjetljenje.

Rast i inhibicija rasta kvantificiraju se mjerenjima biomase algi u ovisnosti o vremenu. Biomasa algi definirana je kao suha masa po volumenu, npr. mg algi/l ispitne otopine. Ipak, suhu je masu teško mjeriti pa se stoga koriste zamjenski parametri. Od zamjenskih parametara najčešće se koristi broj stanica. Ostali zamjenski parametri su volumen stanica, fluorescencija, optička gustoća itd. Mora biti poznat faktor pretvorbe za prevođenje izmjerenih zamjenskih parametara u biomasu.

Krajnja točka ispitivanja je inhibicija rasta, izražena kao logaritamsko povećanje biomase (prosječna specifična brzina rasta) u razdoblju izlaganja. Iz prosječnih specifičnih brzina rasta zabilježenih u nizu ispitnih otopina određuje se koncentracija koja izaziva određeno x %-tno smanjenje brzine rasta (npr. 50 %), koja se izražava kao ErCx (npr. ErC50).

Da bi se ova ispitna metoda mogla primijeniti unutar regulatornog okvira EU-a, izračun rezultata se zbog navedenih u odjeljku 2.2. u nastavku mora temeljiti na prosječnoj specifičnoj brzini rasta. U ovoj se ispitnoj metodi koristi i dodatna varijabla odgovora, prirast, koja je potrebna da bi se ispunili određeni regulatorni zahtjevi u nekim državama. Prirast se definira kao biomasa na kraju razdoblja izlaganja umanjena za biomasu na početku razdoblja izlaganja. Iz prirasta zabilježenog u nizu ispitnih otopina izračunava se koncentracija koja izaziva određeno x %-tno smanjenje prirasta (npr. 50 %), koja se izražava kao EyCx (npr. EyC50).

Osim toga, može se statistički odrediti najniža koncentracija s vidljivim učinkom (LOEC) i najviša koncentracija bez vidljivog učinka (NOEC).

1.5.   INFORMACIJE O ISPITIVANOJ TVARI

Za određivanje ispitnih uvjeta korisno je imati informacije o ispitivanoj tvari kao što su strukturna formula, čistoća, stabilnost na svjetlosti, stabilnost u uvjetima ispitivanja, svojstva apsorpcije svjetlosti, pKa i rezultati istraživanja pretvorbe, uključujući biorazgradivost u vodi.

Treba biti poznata topljivost u vodi, podjelni koeficijent oktanol/voda (Pow) i tlak pare ispitivane tvari te biti raspoloživa validirana metoda za kvantifikaciju tvari u ispitnim otopinama s dokumentiranim iskorištenjem i granicom detekcije.

1.6.   REFERENTNA TVAR

Jedna ili više referentnih tvari (npr. 3,5-diklorfenol korišten u međunarodnom prstenastom testu (4.)) mogu se ispitati za provjeru ispitnog postupka. Kao referentna tvar za zelene alge može se koristiti i kalijev dikromat. Poželjno je da se referentna tvar ispita najmanje dvaput godišnje.

1.7.   VALJANOST ISPITIVANJA

Da bi ispitivanje bilo valjano, ono mora ispuniti sljedeće kriterije:

Biomasa u kontrolnim kulturama mora se eksponencijalno povećati barem za faktor 16 u razdoblju ispitivanja od 72 sata. To odgovara specifičnoj brzini rasta od 0,92 dan–1. Kod vrsta koje se najčešće koriste brzina rasta je uglavnom znatno viša (vidi Dodatak 1.). Ovaj kriterij možda neće biti zadovoljen ako se koriste vrste koje rastu sporije od onih koje su navedene u Dodatku 1. U tom slučaju razdoblje ispitivanja treba produžiti koliko je potrebno da se u kontrolnim kulturama dobije barem 16-struki rast, uz eskponencijalni rast tijekom cjelokupnog razdoblja ispitivanja. Razdoblje ispitivanja može se skratiti na najmanje 48 sati da bi se održao neograničeni eksponencijalni rast tijekom ispitivanja, pod uvjetom da je postignut minimalni faktor povećanja 16.

Srednji koeficijent varijacije etapnih specifičnih brzina rasta (dan 0 – 1, 1 – 2, 2 – 3, za ispitivanje koje traje 72 sata) u kontrolnim kulturama (vidi odjeljak 1.2. „koeficijent varijacije”) ne smije biti viši od 35 %. Za izračunavanje etapne specifične brzine rasta vidi odjeljak 2.2.1. stavak 2. Ovaj kriterij vrijedi za srednju vrijednost koeficijenata varijacije izračunanih za ponavljanja kontrolnih kultura.

Kod ispitivanja s vrstama Pseudokirchneriella subcapitata i Desmodesmus subspicatus koeficijent varijacije prosječnih specifičnih brzina rasta u ponavljanjima s kontrolnim kulturama tijekom ukupnog razdoblja ispitivanja ne smije biti viši od 7 %. Kod ostalih ispitnih vrsta koje se rjeđe koriste ta vrijednost ne smije biti viša od 10 %.

1.8.   OPIS METODE

1.8.1.   Aparatura

Ispitne posude i ostala aparatura koja dolazi u dodir s ispitnim otopinama mora biti u cijelosti izrađena od stakla ili drugog kemijski inertnog materijala. Aparaturu treba temeljito oprati kako organski i anorganski onečišćivači ne bi utjecali na rast algi ili na sastav ispitnih otopina.

Ispitne posude su u pravilu staklene tikvice dovoljnih dimenzija da se osigura potreban volumen kulture za mjerenja tijekom ispitivanja i dovoljan prijenos mase CO2 iz atmosfere (vidi odjeljak 1.8.9. stavak 2.). Volumen tekućine mora biti dovoljan za analitička određivanja (vidi odjeljak 1.8.1.1. stavak 5.).

Osim toga, potrebna je sljedeća oprema odnosno dijelovi opreme:

Inkubator za uzgoj: preporučuje se ormar ili komora u kojoj se može održavati odabrana temperatura inkubacije u granicama ± 2 °C.

Instrumenti za mjerenje svjetlosti: važno je napomenuti da metoda koja se koristi za mjerenje intenziteta svjetlosti, a posebno vrsta prijamnika (senzora), može utjecati na mjernu vrijednost. Mjerenja po mogućnosti treba provoditi uz pomoć sferičnog prijamnika (4 π) (koji reagira na izravnu i reflektiranu svjetlost iz svih kutova iznad i ispod mjerne ravnine) ili prijamnika 2 π (koji reagira na svjetlost iz svih kutova iznad mjerne ravnine).

Aparatura za određivanje biomase algi. Broj stanica, najčešće korišteni zamjenski parametar za biomasu algi, može se odrediti pomoću elektroničnog brojača čestica, mikroskopa s komorom za brojenje ili protočnog citometra. Ostali se zamjenski parametri za biomasu mogu mjeriti pomoću protočnog citometra, fluorimetra, spektrofotometra i kolorimetra. Korisno je izračunati faktor pretvorbe broj stanica – suha masa. Da bi se kod mjerenja spektrofotometrom dobile upotrebive mjerne vrijednosti pri niskim koncentracijama biomase, ponekad je potrebno upotrijebiti kivete s putom svjetlosti od najmanje 4 cm.

1.8.2.   Ispitni organizmi

Može se koristiti nekoliko vrsta slobodno plivajućih mikroalgi i cijanobakterija. Za sojeve navedene u Dodatku 1. dokazano je da su prikladni za ispitni postupak iz ove ispitne metode.

Ako se koriste druge vrste, treba navesti soj i/ili podrijetlo. Treba se uvjeriti da se eksponencijalni rast odabranih ispitnih algi može održati u odgovarajućim ispitnim uvjetima tijekom cjelokupnog razdoblja ispitivanja.

1.8.3.   Uzgojni medij

Preporučuju se dva alternativna uzgojna medija, OECD i AAP. Sastav tih medija prikazan je u Dodatku 2. Valja napomenuti da ta dva medija imaju različitu početnu pH vrijednost i puferski kapacitet (za regulaciju povećanja pH vrijednosti). Stoga se kod ispitivanja mogu dobiti različiti rezultati ovisno o mediju koji se koristi, posebno kad se ispituju ionizirajuće tvari.

U određenim je slučajevima potrebno izmijeniti uzgojni medij npr. kad se ispituju metali i kelatna sredstva ili kad se ispitivanje provodi s različitim pH vrijednostima. Korištenje izmijenjenog medija treba detaljno opisati i obrazložiti (3.) (4.).

1.8.4.   Početna koncentracija biomase

Početna biomasa mora biti jednaka u svim ispitnim kulturama i mora biti dovoljno niska da se može postići eksponencijalni rast tijekom čitavog razdoblja inkubacije bez bojazni da bi se mogle iscrpiti zalihe nutrijenata. Početna biomasa ne smije biti viša od 0,5 mg/l suhe mase. Preporučuju se sljedeće početne koncentracije stanica:

Pseudokirchneriella subcapitata

5 × 103–104

stanica/ml

Desmodesmus subspicatus

2 5 × 103

stanica/ml

Navicula pelliculosa

104

stanica/ml

Anabaena flos-aquae

104

stanica/ml

Synechococcus leopoliensis

5 × 104–105

stanica/ml

1.8.5.   Koncentracije ispitivane tvari

Raspon koncentracija u kojemu se mogu očekivati učinci tvari može se odrediti na temelju rezultata ispitivanja za određivanje raspona. Za konačno, glavno ispitivanje treba odabrati najmanje pet koncentracija raspoređenih u geometrijskom nizu uz faktor do najviše 3,2. Kod ispitivanih tvari čija je krivulja koncentracija-odgovor ravna ponekad je opravdano koristiti viši faktor. Niz koncentracija treba po mogućnosti obuhvatiti područje u kojemu se javlja inhibicija rasta algi od 5 – 75 %.

1.8.6.   Ponavljanja i kontrole

U planu ispitivanja treba predvidjeti po tri ponavljanja pri svakoj ispitnoj koncentraciji. Ako nije potrebno odrediti NOEC, plan ispitivanja se može promijeniti tako da se poveća broj koncentracija i smanji broj ponavljanja po koncentraciji. Broj kontrolnih ponavljanja mora biti najmanje tri, a u idealnom slučaju dvostruko veći od broja ponavljanja za svaku ispitnu koncentraciju.

Za analitička određivanja koncentracija ispitivane tvar može se pripremiti zaseban niz ispitnih otopina (vidi stavke 4. i 6. u odjeljku 1.8.11.).

Ako se za otapanje ispitivane tvari koristi otapalo, treba predvidjeti dodatne kontrole koje sadrže istu koncentraciju otapala kao ispitne kulture.

1.8.7.   Priprema kulture inokuluma

Kulturu inokuluma u ispitnom mediju treba pripremiti 2 – 4 dana prije početka ispitivanja kako bi se ispitne alge prilagodile uvjetima ispitivanja i bile u fazi eksponencijalnog rasta u trenutku kad se koriste za inokulaciju ispitnih otopina. Biomasu algi treba podesiti tako da kultura inokuluma može eksponencijalno rasti do početka ispitivanja. Kulturu inokuluma treba inkubirati u istim uvjetima kao ispitne kulture. Mjerenjem povećanja biomase u kulturi inokuluma treba se uvjeriti da je rast u granicama normale za ispitivani soj u uvjetima uzgoja. Primjer postupka uzgoja kulture algi opisan je u Dodatku 3. Ponekad treba provesti još jedan korak razmnožavanja kulture inokuluma da bi se izbjegla istotobna dijeljenja stanica za vrijeme ispitivanja.

1.8.8.   Priprema ispitnih otopina

Sve ispitne otopine moraju sadržavati istu koncentraciju uzgojnog medija i istu početnu biomasu ispitnih algi. Ispitne otopine odabranih koncentracija uglavnom se pripremaju miješanjem radne otopine ispitivane tvari s uzgojnim medijem i kulturom inokuluma. Radne otopine se u pravilu pripremaju otapanjem tvari u ispitnom mediju.

Ako je ispitivana tvar slabo topljiva u vodi, kao nosači za dodavanje tvari u ispitni medij mogu se koristiti otapala npr. aceton, t-butil alkohol i dimetilformamid (2.) (3.). Koncentracija otapala ne smije biti viša od 100 μm/l i mora biti jednaka u svim kulturama u ispitnom nizu (uključujući kontrole).

1.8.9.   Inkubacija

Ispitne se posude začepe zrakopropusnim čepovima. Posude se protresu i stave u inkubator za uzgoj. Alge se tijekom ispitivanja moraju držati u suspenziji kako bi se pospiješio prijenos CO2. To se postiže stalnim tresenjem ili miješanjem. Kulture treba držati na temperaturi u području od 21 do 24 °C uz toleranciju ± 2 °C. Kod vrsta koje nisu navedene u Dodatku 1., npr. tropske vrste, mogu biti primjerene više temperature, pod uvjetom da se mogu ispuniti kriteriji valjanosti. Preporučuje se da se tikvice nasumično rasporede u inkubatoru i svakodnevno razmještaju po inkubatoru.

pH vrijednost kontrolnog medija tijekom ispitivanja ne smije se povećati za više od 1,5 jedinica. Kod metala i spojeva koji djelomično ioniziraju pri pH vrijednostima oko ispitne vrijednosti ponekad je nužno ograničiti pomak pH vrijednosti kako bi se dobili obnovljivi i dobro definirani rezultati. Pomak od < 0,5 pH jedinica je tehnički izvediv i može se postići osiguravanjem odgovarajućeg prijenosa mase CO2 iz okolnog zraka u ispitnu otopinu, npr. povećanjem brzine tresenja. Druga je mogućnost da se smanji potrošnja CO2 smanjenjem početne biomase ili trajanja ispitivanja.

Na površini gdje se kulture inkubiraju treba osigurati neprekidnu i ravnomjernu fluorescentnu rasvjetu npr. tipa „cool white” (hladnobijela) ili „daylight” (dnevno svjetlo). Različiti sojevi algi i cijanobakterija imaju različite potrebe za svjetlošću. Intenzitet svjetlosti treba prilagoditi ispitnim organizmima. Intenzitet svjetlosti na razini ispitnih otopina za preporučene vrste zelenih algi treba odabrati unutar području od 60 – 120 μE·m–2·s–1, mjereno u fotosintetički učinkovitom spektralnom području od 400 do 700 nm primjenom odgovarajućeg prijemnika. Neke vrste, posebno Anabena flos-aquae, rastu dobro na svjetlosti slabijeg intenziteta i jaka ih svjetlost može oštetiti. Kod tih vrsta treba odabrati prosječni intenzitet svjetlosti u području od 40 – 60 μE·m–2·s–1. (Kod instrumenata za mjerenje intenziteta svjetlosti baždarenih u luksima područje od 4 440 – 8 880 lx za „cool white” rasvjetu približno odgovara preporučenom intenzitetu svjetlosti od 60 – 120 μE·m–2·s–1.) Intenzitet svjetlosti u prostoru inkubacije ne smije odstupati više od ± 15 % od prosječnog intenziteta svjetlosti.

1.8.10.   Trajanje ispitivanja

Ispitivanje u pravilu traje 72 sata. Ipak, ispitivanje može trajati i duže ili kraće, pod uvjetom da su zadovoljeni svi kriteriji valjanosti iz odjeljka 1.7.

1.8.11.   Mjerenja i analitička određivanja

Biomasa algi u svakoj tikvici određuje se najmanje jedanput dnevno tijekom ispitivanja. Ako se mjerenja provode na malom volumenu pipetiranom iz ispitne otopine, izvađenu otopinu ne treba nadomjestiti.

Mjerenje biomase provodi se ručnim brojenjem stanica pod mikroskopom ili elektroničkim brojačem čestica (za broj stanica i/ili biovolumen). Mogu se koristiti i alternativne tehnike, npr. protočna citometrija, flourescencija klorofila in vitro ili in vivo (6.) (7.) ili optička gustoća, pod uvjetom da se može dokazati zadovoljavajuća korelacija s biomasom unutar područja biomasa koje se javljaju u ispitivanju.

pH vrijednost otopina mjeri se na početku i na kraju ispitivanja.

Ako je raspoloživ analitički postupak za određivanje ispitivane tvari u rasponu koncentracija koje se koriste u ispitivanju, ispitne otopine se analiziraju kako bi se provjerile početne koncentracije i ujednačenost koncentracija izlaganja tijekom ispitivanja.

Ponekad je dovoljno analizirati koncentraciju ispitivane tvari u jednoj niskoj i jednoj visokoj ispitnoj koncentraciji na početku i kraju ispitivanja te koncentraciju oko očekivane vrijednosti EC50, ukoliko se očekuje da će koncentracije izlaganja tijekom ispitivanja odstupati manje od 20 % od nazivnih vrijednosti. Ako nije vjerojatno da će koncentracije ostati unutar 80 – 120 % nazivne vrijednosti, preporučuje se analiza svih ispitnih koncentracija na početku i na kraju ispitivanja. U slučaju hlapljivih, nestabilnih i jako adsorptivnih ispitivanih tvari preporučuje se da se tijekom razdoblja izlaganja obave dodatna uzorkovanja i analize u razmacima od 24 sata kako bi se mogao bolje odrediti gubitak ispitivane tvari. Kod takvih su tvari potrebna dodatna ponavljanja. U svakom slučaju, koncentraciju ispitivane tvari treba određivati samo na jednoj posudi u svakoj ispitnoj koncentraciji (ili na združenom sadržaju posuda ponavljanja).

S ispitnim medijima koji su posebno pripremljeni za analizu koncentracija izlaganja tijekom ispitivanja treba postupati jednako kao s medijima na kojima se provodi ispitivanje tj. treba ih inokulirati algama i inkubirati u jednakim uvjetima. Ponekad je za analizu koncentracije otopljene ispitivane tvari potrebno odvojiti alge od medija. Odvajanje se po mogućnosti provodi laganim centrifugiranjem gdje je g-sila tek tolika da se postigne taloženje algi.

Ako se može dokazati da se koncentracija ispitivane tvari tijekom ukupnog trajanja ispitivanja na zadovoljavajući način održava u granicama ± 20 % nazivne ili izmjerene početne koncentracije, analiza rezultata može se temeljiti na nazivnim ili izmjerenim početnim vrijednostima. Ako je odstupanje od nazivne odnosno izmjerene početne koncentracije veće od ± 20 %, analiza rezultata se temelji na srednjoj geometrijskoj koncentraciji tijekom izlaganja ili modelima koji opisuju opadanje koncentracije ispitivane tvari (3.) (8.).

Test inhibicije rasta algi je dinamični ispitni sustav koji je dinamičniji od većine testova kratkotrajne toksičnosti u vodi. Stoga je ponekad teško odrediti stvarne koncentracije izlaganja, što posebno vrijedi za ispitivanja adsorptivnih tvari u niskim koncentracijama. U tom slučaju nestanak tvari iz otopine adsorpcijom na rastuću biomasu algi ne znači gubitak tvari iz ispitnog sustava. Kod analize rezultata ispitivanja treba provjeriti je li smanjenje koncentracije ispitivane tvari tijekom ispitivanja praćeno smanjenjem inhibicija rasta. Ako je to slučaj, može se razmotriti primjena prikladnog modela koji opisuje opadanje koncentracije ispitivane tvari (8.). U protivnom će možda biti primjereno provesti analizu rezultata na temelju početnih (nazivnih ili izmjerenih) koncentracija.

1.8.12.   Ostala zapažanja

Mikroskopskim pregledom treba se uvjeriti u normalan i zdrav izgled kulture inokuluma te uočiti eventualne promjene u izgledu algi (one koje mogu biti posljedica izlaganja ispitivanoj tvari) na kraju ispitivanja.

1.8.13.   Granično ispitivanje

U određenim okolnostima, npr. kad preliminarno ispitivanje ukazuje na to da ispitivana tvar nema toksično djelovanje u koncentraciji do 100 mg·l–1 ili do granice topljivosti u ispitnom mediju (ovisno o tomu što je manje), može se provesti granično ispitivanje za usporedbu odgovora kontrolne skupine s jednom ispitnom skupinom (100 mg·l–1 ili koncentracija koja odgovara granici topljivosti). Preporučuje se da se uz granično ispitivanje svakako provede analiza koncentracije izlaganja. Za granično ispitivanje vrijede svi gore spomenuti ispitni uvjeti i kriteriji valjanosti, s time da broj ponavljanja u ispitnoj skupini ne smije biti manji od šest. Varijable odgovora u kontrolnoj i ispitnoj skupini mogu se analizirati statističkim testom za usporedbu srednjih vrijednosti npr. Studentov t-test. Ako su varijance dviju skupina nejednake, treba provesti prilagođeni t-test za nejednake varijance.

1.8.14.   Varijanta za jako obojene tvari

Zračenje (intenzitet svjetlosti) treba biti u gornjem dijelu pojasa propisanog za ovu ispitnu metodu tj. 120 μE m–2 s–1 ili više.

Put svjetlosti treba skratiti smanjenjem volumena ispitnih otopina (u rasponu od 5 – 25 ml).

Treba osigurati dostatno mućkanje (primjerice umjerenim tresenjem) kako bi se osigurala visoka učestalost izlaganja algi visokom zračenju na površini kulture.

2.   PODACI

2.1.   GRAFIČKI PRIKAZ KRIVULJA RASTA

Biomasa u ispitnim posudama može se izraziti u jedinicama mjerenog zamjenskog parametra (npr. broj stanica, fluorescencija).

Da bi se dobio grafički prikaz krivulja rasta, treba izraditi tablicu procijenjenih koncentracija biomase u ispitnim i kontrolnim kulturama, zajedno s koncentracijama ispitivanog materijala, koje se bilježe s razlučljivošću od najmanje jednog cijelog sata, i vremenima mjerenja. U ovoj prvoj fazi mogu biti korisne i logaritamske i linearne skale; međutim, logaritamske su skale obvezatne i općenito daju bolji prikaz promjena uzorka rasta u razdoblju ispitivanja. Kad se eksponencijalni rast prikaže na logaritamskoj skali, kao rezultat se dobije pravac, a nagib pravca pokazuje specifičnu brzinu rasta.

Na grafičkim prikazima treba provjeriti rastu li kontrolne kulture tijekom ispitivanja eksponencijalno i očekivanom brzinom. Treba kritički preispitati sve točke podataka i izgled grafova te provjeriti sirove podatke i postupke kako bi se utvrdile eventualne greške. Posebno treba provjeriti one točke podataka kod kojih se čini da su odstupanja posljedica sustavne greške. Ako je očito i/ili vrlo vjerojatno da se radi o greškama u postupku, odgovarajuću točku treba označiti kao stršeću vrijednost i isključiti iz kasnije statističke analize. (Nulta koncentracija algi u jednoj od dvije ili tri posude ponavljanja može ukazivati na to da posuda nije pravilno inokulirana ili da nije bila dobro očišćena). U izvješću o ispitivanju treba jasno navesti zašto je određena točka odbačena kao stršeća vrijednost. Prihvatljivi razlozi su samo (rijetke) greške u postupku, ali ne i loša preciznost. Statistički postupci za utvrđivanje stršećih vrijednosti imaju kod ove vrste problema ograničenu primjenu i ne mogu zamijeniti stručnu prosudbu. Stršeće vrijednosti (koje su označene kao takve) treba po mogućnosti zadržati među točkama podataka u kasnijim grafičkim odnosno tabličnim prikazima podataka.

2.2.   VARIJABLE ODGOVORA

Svrha ispitivanja je utvrditi učinke ispitivane tvari na rast algi. U ovoj su ispitnoj metodi opisane dvije varijable odgovora, budući da države članice imaju različite preferencije i regulatorne zahtjeve. Da bi rezultati ispitivanja bili prihvatljivi u svim državama članicama, učinke treba ocijeniti primjenom obiju varijabli opisanih u nastavku pod (a) i (b).

(a)

Prosječna specifična brzina rasta: ova se varijabla odgovora izačunava na temelju logaritamskog povećanja biomase u razdoblju ispitivanja, izraženog po danu.

(b)

Prirast: ova varijabla odgovora predstavlja razliku između biomase na kraju ispitivanja i početne biomase.

Iz razloga navedenih u nastavku, izračun rezultata za potrebe primjene ove metode unutar regulatornog okvira EU-a treba temeljiti na prosječnoj specifičnoj brzini rasta. Valja napomenuti da vrijednosti toksičnosti izračunane primjenom tih dviju varijabli odgovora nisu usporedive i tu razliku treba uzeti u obzir kod korištenja rezultata ispitivanja. Ako su ispoštovani ispitni uvjeti ove metode, vrijednosti ECx na temelju prosječne specifične brzine rasta (ErCx) općenito su više od rezultata na temelju prirasta (EyCx) zbog razlike u matematičkoj osnovi tih dvaju pristupa. To ne treba tumačiti kao razliku u osjetljivosti dviju varijabli odgovora, već naprosto prihvatiti da su te vrijednosti matematički različite. Pojam prosječne specifične brzine rasta temelji se na općenitom obrascu eksponencijalnog rasta algi u neograničenim kulturama, gdje se toksičnost procjenjuje na temelju učinaka na brzinu rasta neovisno o apsolutnoj vrijednosti specifične brzine rasta u kontrolnoj skupini, nagibu krivulje koncentracija-odgovor i trajanju ispitivanja. Za razliku od toga, rezultati koji se temelje na varijabli odgovora „prirast” ovise o svim tim drugim varijablama. EyCx ovisi o specifičnoj brzini rasta vrsta algi koje se koriste u ispitivanju i o maksimalnoj specifičnoj brzini rasta, koja se može razlikovati između vrsta, pa čak i između sojeva algi. Ovu varijablu odgovora ne treba koristiti za usporedbu osjetljivosti na toksine među vrstama, pa čak ni među sojevima algi. Iako se, sa znanstvenog stajališta, procjeni toksičnosti na temelju procječne specifične brzine rasta daje prednost, u ovu su ispitnu metodu uključene i procjene na temelju prirasta kako bi se zadovoljili trenutačni regulatorni zahtjevi u nekim državama.

2.2.1.   Prosječna brzina rasta

Prosječna specifična brzina rasta u određenom razdoblju izračunava se kao logaritamsko povećanje biomase za svaku kontrolnu i ispitnu posudu primjenom sljedeće jednadžbe:

Formula

gdje je:

μ i-j

:

prosječna specifična brzina rasta od vremena i do vremena j;

X i

:

biomasa u vremenu i;

X j

:

biomasa u vremenu j.

Za svaku ispitnu i kontrolnu skupinu treba izračunati srednju vrijednost brzine rasta s procjenom varijance.

Izračuna se prosječna specifična brzina rasta za ukupno vrijeme ispitivanja (obično dan 0 – 3); pritom se umjesto izmjerene početne vrijednosti kao početna vrijednost uzima nazivna inokulirana biomasa, jer se na taj način u pravilu postiže veća preciznost. Ako oprema koja se koristi za mjerenje biomase dopušta dovoljno precizno određivanje biomase i kod male biomase inokuluma (npr. protočni citometar), može se koristiti izmjerena početna koncentracija biomase. Osim toga, treba odrediti etapnu brzinu rasta, koja se izračunava kao specifična brzina rasta za svaki dan ispitivanja (dan 0 – 1, 1 – 2 i 2 – 3), i provjeriti je li kontrolna brzina rasta stalna (vidi kriterije valjanosti, odjeljak 1.7.). Ako je specifična brzina rasta prvoga dana znatno niža od ukupne prosječne specifične brzine, to može ukazivati na fazu prilagodbe. Dok se faza prilagodbe u kontrolnim kulturama može smanjiti i gotovo eliminirati pravilnim razmnožavanjem pretkulture, kad su u pitanju izložene kulture, faza prilagodbe može biti znak oporavka nakon prvobitnog toksičnog šoka ili smanjenog izlaganja zbog gubitka ispitivane tvari (uključujući sorpciju na biomasu algi) nakon početnog izlaganja. Stoga se može ocijeniti etapni rast kako bi se ocijenili učinci ispitivane tvari koji se javljaju tijekom razdoblja izlaganja. Značajne razlike između etapne brzine rasta i prosječne brzine rasta ukazuju na odstupanje od stalnog eksponencijalnog rasta i zahtijevaju detaljno preispitivanje krivulja rasta.

Postotak inhibicije brzine rasta za pojedina ponavljanja u ispitnim skupinama izračunava se pomoću sljedeće jednadžbe:

Formula

gdje je:

%Ir

:

postotak inhibicije prosječne specifične brzine rasta;

μC

:

srednja vrijednost prosječne specifične brzine rasta (μ) u kontrolnoj skupini;

μT

:

prosječna specifična brzina rasta ponavljanja u ispitnoj skupini.

Ako se za pripremu ispitnih otopina koriste otapala, za izračun postotka inhibicije treba koristiti kontrole s otapalom, a ne one bez otapala.

2.2.2.   Prirast

Prirast se izračunava kao biomasa na kraju ispitivanja umanjena za početnu biomasu za svaku kontrolnu i ispitnu posudu. Za svaku ispitnu koncentraciju i kontrolu treba izračunati srednju vrijednost prirasta s procjenom varijance. Postotak inhibicije prirasta (%Iy) za pojedina ponavljanja u ispitnoj skupini može se izračunati na sljedeći način:

Formula

gdje je:

%Iy

:

postotak inhibicije prirasta;

YC

:

srednja vrijednost prirasta u kontrolnoj skupini;

YT

:

vrijednost prirasta ponavljanja u ispitnoj skupini.

2.3.   GRAFIČKI PRIKAZ KRIVULJE KONCENTRACIJA-ODGOVOR

Napravi se grafički prikaz postotka inhibicije u odnosu na logaritam koncentracije ispitivane tvari i dobiveni graf detaljno pregleda, zanemarujući sve točke podataka koje su u prvoj fazi izdvojene kao stršeće vrijednosti. Točkama podataka se prilagodi glatka krivulja prostim okom ili računalnom interpolacijom, kako bi se dobio prvi dojam odnosa koncentracija-odgovor, i zatim nastavlja detaljnijom metodom, po mogućnosti računalnom statističkom metodom. Ovisno o predviđenoj uporabi podataka, kakvoći (preciznosti) i količini podataka te raspoloživosti analitičkih alata za analizu podataka, može se donijeti odluka (koja je u određenim slučajevima posve opravdana) da se u ovoj fazi prekine analiza podataka i jednostavno očitaju ključne vrijednosti EC50 i EC10 (i/ili EC20) s krivulje prilagođene prostim okom (vidi i odjeljak u nastavku o stimulirajućim učincima). Neki od valjanih razloga za nekorištenje statističke metode su:

s obzirom na raspoložive podatke, računalnim metodama se ne mogu dobiti pouzdaniji rezultati od onih koji se mogu dobiti stručnom prosudbom – može se dogoditi da neki računalni programi uopće ne daju nikakvo pouzdano rješenje (iteracije ne konvergiraju itd.).

raspoloživi računalni programi nisu prikladni za obradu učinaka stimulacije rasta (vidi u nastavku).

2.4.   STATISTIČKI POSTUPCI

Cilj je dobiti kvantitativni odnos koncentracija-odgovor regresijskom analizom. Ako se provede linearizacijska pretvorba podataka odgovora – npr. u jedinice probit, logit ili Weibullovog modela (9.) – može se provesti ponderirana linearna regresija; ipak, prednost se daje postupcima nelinearne regresije koje se bolje nose s neizbježnim nepravilnostima podataka i odstupanjima od pravilnih razdioba. Približavanjem nultoj ili potpunoj inhibiciji te se nepravilnosti mogu pretvorbom i dodatno povećati i tako otežati analizu (9.). Valja napomenuti da su standardne metode analize za vrijednosti dobivene pretvorbom (probit, logit ili Weibull) namijenjene kvantalnim podacima (npr. smrtnost ili preživljavanje) i moraju se posebno prilagoditi da bi se mogle primijeniti na podatke o rastu i biomasi. Konkretni postupci za određivanje vrijednosti ECx iz kontinuiranih podataka mogu se pronaći u literaturi pod 10., 11. i 12. Korištenje nelinearne regresijske analize podrobnije je opisano u Dodatku 4.

Za svaku varijablu odgovora koja se analizira treba izračunati procjene točaka za vrijednosti ECx na temelju odnosa koncentracija-odgovor. Po mogućnosti, za sve procjene treba odrediti granice pouzdanosti 95 %. Valjanost podudaranja podataka odgovora s regresijskim modelom procjenjuje se grafički ili statistički. Regresijska analiza se provodi na temelju pojedinačnih odgovora u ponavljanjima, a ne na temelju srednjih vrijednosti ispitnih skupina. Ipak, ako je nelinearno prilagođavanje krivulje teško ili nemoguće zbog velike raspršenosti podataka, problem se može zaobići provođenjem regresije na srednjim vrijednostima po skupinama kao praktičnim načinom da se smanji utjecaj mogućih stršećih vrijednosti. Ako se koristi ova opcija, to treba navesti u izvješću o ispitivanju kao odstupanje od uobičajenog postupka uz napomenu da prilagođavanje krivulje pojedinačnim ponavljanjima nije dalo dobar rezultat.

Ako raspoloživi regresijski modeli/metode nisu prikladni za podatke, procjene EC50 i granice pouzdanosti mogu se dobiti i linearnom interpolacijom sa samonadopunjavanjem („bootstrapping”) (13.).

Za procjenu LOEC-a, a time i NOEC-a, u vezi s učincima ispitivane tvari na brzinu rasta potrebno je usporediti srednje vrijednosti obrada primjenom tehnika analize varijance (ANOVA). Zatim srednju vrijednost za svaku koncentraciju treba usporediti s kontrolnom srednjom vrijednošću primjenom odgovarajuće metode višestruke usporedbe ili testa trenda. Ovdje može biti koristan Dunnettov ili Williamsov test (14.) (15.) (16.) (17.) (18.). Treba provjeriti vrijedi li pretpostavka homogenosti varijanci ANOVA-e. To se može učiniti grafički ili formalnim testom (18.). Prikladni su Leveneov i Bartlettov test. Ako pretpostavka homogenosti varijanci nije zadovoljena, to se ponekad može ispraviti logaritamskom pretvorbom podataka. Ako je heterogenost varijance prevelika da bi se mogla ispraviti pretvorbom, treba razmotriti mogućnost analize metodama kao što su Jonckheereovi „step-down” testovi trenda. Dodatne smjernice za određivanje NOEC-a mogu se pronaći u literaturi (12.).

Novije znanstvene spoznaje rezultirale su preporukom da se pojam NOEC-a napusti i zamijeni procjenama točaka ECx dobivenih regresijom. Za ovaj test s algama nije utvrđena određena vrijednost x. Čini se da je primjereno područje od 10 do 20 % (ovisno o odabranoj varijabli odgovora), a poželjno je da se navedu obje vrijednosti, EC10 i EC20.

2.5.   STIMULACIJA RASTA

Ponekad se pri niskim koncentracijama može zapaziti stimulacija rasta (negativna inhibicija). To može biti posljedica hormeze (toksička stimulacija) ili unošenja stimulirajućih faktora rasta s ispitivanim materijalom u upotrijebljeni minimalni medij. Dodavanje anorganskih nutrijenata ne bi smjelo imati nikakav izravni utjecaj budući da ispitni medij tijekom ispitivanja treba stalno sadržavati višak nutrijenata. Stimulacija pri niskim dozama se u pravilu može zanemariti kod izračunavanja EC50 osim ako je ona ekstremno visoka. U slučaju ektremne stimulacije, ili kad je potrebno izračunati ECx za niske vrijednosti x, ponekad je potrebno primijeniti posebne postupke. Pojave stimulacije rasta treba kad god je to moguće uključiti u analizu podataka, a ako raspoloživi softver za prilagođavanje krivulje ne može prihvatiti male vrijednosti stimulacije, može se koristiti linearna interpolacija sa samonadopunjavanjem („bootstrapping”). U slučaju ekstremne stimulacije može se razmotriti primjena modela hormeze (19.).

2.6.   NETOKSIČKA INHIBICIJA RASTA

Ispitivani materijal koji apsorbiraju svjetlost mogu izazvati smanjenje brzine rasta stvaranjem sjene, koja smanjuje raspoloživu količinu svjetlosti. Ove i druge slične fizikalne učinke treba odvojiti od toksičnih učinaka izmjenom ispitnih uvjeta i treba ih posebno navesti u izvješću o ispitivanju. Smjernice se mogu pronaći u literaturi pod 2. i 3.

3.   IZVJEŠĆIVANJE

3.1.   IZVJEŠĆE O ISPITIVANJU

Izvješće o ispitivanju sadrži sljedeće informacije:

Ispitivana tvar:

fizikalno stanje i relevantna fizikalno-kemijska svojstva, uključujući granicu topljivosti u vodi,

podaci za identifikaciju kemikalije, uključujući čistoću.

Ispitna vrsta:

soj, dobavljač odnosno izvor i uvjeti uzgoja.

Ispitni uvjeti:

datum početka i trajanje ispitivanja,

plan ispitivanja: ispitne posude, volumeni kulture, gustoća biomase na početku ispitivanja,

sastav medija,

ispitne koncentracije i ponavljanja (npr. broj ponavljanja, broj ispitnih koncentracija i primijenjena geometrijska progresija),

opis pripreme ispitnih otopina, uključujući primjenu otapala itd.,

inkubator za uzgoj,

intenzitet i kakvoća svjetlosti (izvor, homogenost),

temperatura,

ispitane koncentracije: nazivne ispitne koncentracije i rezultati analiza za određivanje koncentracije ispitivane tvari u ispitnim posudama; treba navesti iskorištenje metode i granicu kvantifikacije u ispitnom matriksu,

moguća odstupanja od ispitne metode,

metoda određivanja biomase i dokaz korelacije između izmjerenog parametra i suhe mase.

Rezultati:

pH vrijednosti na početku i kraju ispitivanja u svim obradama,

biomasa svake tikvice u svakoj mjernoj točki i metoda mjerenja biomase,

krivulje rasta (grafički prikaz biomase u ovisnosti o vremenu),

izračunane varijable odgovora za svako ponavljanje u obradama, uključujući srednje vrijednosti i koeficijent varijacije za ponavljanja,

grafički prikaz odnosa koncentracija/učinak,

procjene toksičnosti za varijable odgovora, npr. EC50, EC10, EC20 i odgovarajući intervali pouzdanosti; ako se izračunavaju LOEC i NOEC, njihove vrijednosti i statističke metode koje su upotrijebljene za određivanje,

ako se koristi ANOVA, veličina učinka koja se može utvrditi (npr. najmanja značajna razlika),

eventualna stimulacija rasta u bilo kojoj obradi,

svi ostali zapaženi učinci, npr. morfološke promjene algi,

rasprava rezultata, uključujući mogući utjecaj odstupanja od ispitne metode na rezultate ispitivanja.

4.   LITERATURA

1.

OECD TG 201 (2006.). Freshwater Alga and Cyanobacteria, Growth Inhibition Test.

2.

ISO 1998: Water quality – Guidance for algal growth inhibition tests with poorly soluble materials, volatile compounds, metals and waster water. ISO/DIS 14442.

3.

OECD 2000: Guidance Document on Aquatic Toxicity Testing of Difficult Substances and mixtures. Environmental Health and Safety Publications. Series on Testing and Assessment, no. 23.

4.

ISO 1998: Water quality – Sampling – Part 16: General Guidance for Biotesting. ISO 5667-16.

5.

ISO 1993: Water quality – Algal growth inhibition test. ISO 8692.

6.

Mayer, P., Cuhel, R. and Nyholm, N. (1997.). A simple in vitro fluorescence method for biomass measurements in algal growth inhibition tests. Water Research 31: 2525-2531.

7.

Slovacey, R.E. and Hanna, P.J. In vivo fluorescence determinations of phytoplancton chlorophyll, Limnology & Oceanography 22,5 (1977.), pp.919-925.

8.

Simpson, S.L., Roland, M.G.E., Stauber, J.L. and Batley, G.E. (2003.). Effect of declining toxicant concentrations on algal bioassay endpoints. Environ. Toxicol. Chem 22, 2073-2079.

9.

Christensen, E.R., Nyholm, N. (1984): Ecotoxicological Assays with Algae: Weibull Dose-Response Curves. Env. Sci. Technol. 19, 713-718.

10.

Nyholm, N. Sørensen, P.S., Kusk, K.O. and Christensen, E.R. (1992.): Statistical treatment of data from microbial toxicity tests. Environ. Toxicol. Chem. 11, 157-167.

11.

Bruce, R.D., and Versteeg, D.J. (1992.). A statistical procedure for modelling continuous toxicity data. Env. Toxicol. Chem. 11:1485-1494.

12.

OECD. (2004.). Guidance Document on Statistical Analysis of Ecotoxicity Data.

13.

Norberg-King T.J. (1988.). An interpolation estimate for chronic toxicity: The ICp approach. National Effluent Toxicity Assessment Center Technical Report 05-88. USEPA, Duluth, MN.

14.

Dunnett, C.W. (1955.). A multiple comparisons procedure for comparing several treatments with a control. J. Amer. Statist. Assoc. 50: 1096-1121

15.

Dunnett, C.W. (1964.). New tables for multiple comparisons with a control. Biometrics 20: 482-491.

16.

Williams, D.A. (1971.). A test for differences between treatment means when several dose levels are compared with a zero dose control. Biometrics 27: 103-117.

17.

Williams, D.A. (1972.). The comparison of several dose levels with a zero dose control. Biometrics 28: 510-531.

18.

Draper, N.R. and Smith, H. (1981.). Applied Regression Analysis, second edition. Wiley, New York.

19.

Brain P. and Cousens R. (1989.). An equation to describe dose-responses where there is stimulation of growth at low doses. Weed Research, 29, 93-96.

Dodatak 1.

Sojevi koji su se pokazali prikladnima za ispitivanje

Zelene alge

Pseudokirchneriella subcapitata (ranije poznata kao Selenastrum capricornutum), ATCC 22662, CCAP 278/4, 61.81 SAG

Desmodesmus subspicatus (ranije poznata kao Scenedesmus subspicatus, 86.81 SAG

Dijatomeje

Navicula pelliculosa, UTEX 664

Cijanobakterije

Anabaena flos-aquae, UTEX 1444, ATCC 29413, CCAP 1403/13A

Synechococcus leopoliensis, UTEX 625, CCAP 1405/1

Izvori sojeva

Preporučeni sojevi raspoloživi su u kulturama jedne vrste algi iz sljedećih zbirki (abecednim redom):

 

ATCC: American Type Culture Collection

10801 University Boulevard

Manassas, Virginia 20110-2209

SJEDINJENE AMERIČKE DRŽAVE

 

CCAP, Culture Collection of Algae and Protozoa

Institute of Freshwater Ecology,

Windermere Laboratory

Far Sawrey, Amblerside

Cumbria

LA22 0LP

UJEDINJENA KRALJEVINA

 

SAG: Sammlung Algenkulturen

Albrecht-von-Haller-Institut

Universität Göttingen

Nicholausberger Weg 18

3400 Göttingen

NJEMAČKA

 

UTEX Culture Collection of Algae

Section of Molecular, Cellular and Developmental Biology

School of Biological Sciences

the University of Texas at Austin

Austin, Texas 78712

SAD

Izgled i svojstva prepoučenih vrsta

 

P. subcapitata

D. subspicatus

N. pelliculosa

A. flos-aquae

S. leopoliensis

Izgled

Zakrivljene, uvijene pojedinačne stanice

Dugoljaste, većinom pojedinačne stanice

Štapićaste

Lanci dugoljastih stanica

Štapićaste

Veličina (D × Š) μm

8–14 × 2–3

7–15 × 3–12

7,1 × 3,7

4,5 × 3

6 × 1

Volumen stanica (μm3/stanica)

40–60 (1)

60–80 (1)

40–50 (1)

30–40 (1)

2,5 (2)

Suha masa stanica (mg/stanica)

2–3 × 10–8

3–4 × 10–8

3–4 × 10–8

1–2 × 10–8

2–3 × 10–9

Brzina rasta (3) dan–1

1,5–1,7

1,2–1,5

1,4

1,1–1,4

2,0–2,4

Posebne preporuke za uzgoj i rukovanje preporučenim ispitnim vrstama

Pseudokirchneriella subcapitata i Desmodesmus subspicatus

Ove zelene alge općenito se lako održavaju u različitim medijima kulture. Informacije o prikladnim medijima mogu se dobiti u zbirkama kultura. U pravilu se radi o pojedinačnim stanicama i mjerenja gustoće stanica mogu se jednostavno obaviti uz pomoć elektroničkog brojača čestica ili mikroskopa.

Anabaena flos-aquae

Za držanje radne kulture mogu se koristiti različiti uzgojni mediji. Osobito je važno ne dopustiti da šaržna kultura kod obnavljanja ne prođe logaritamsku fazu rasta jer je tada regeneracija teška.

Anabaena flos-aquae tvori nakupine isprepletenih lanaca stanica. Veličina nakupina može biti različita, ovisno o uzgojnim uvjetima. Te je nakupine ponekad potrebno razbiti ako se biomasa određuje brojenjem pod mikroskopom ili elektroničkim brojačem čestica.

Da bi se smanjila varijabilnost rezultata brojenja, lanci se mogu razbiti ultrazvučnom obradom poduzoraka. Ultrazvučna obrada ne smije trajati duže nego što je potrebno da se lanci razbiju na kraće lance, jer se u protivnom stanice mogu uništiti. Intenzitet i trajanje ultrazvučne obrade moraju biti jednaki kod svih uzoraka.

Na hemocitometru treba izbrojiti dovoljan broj polja (najmanje 400 stanica) da bi se mogla ispraviti odstupanja. Time se poboljšava pouzdanost mikroskopskih određivanja gustoće.

Nakon što se lanci stanica razbiju pažljivom ultrazvučnom obradom, za određivanje ukupnog volumena stanica Anabaena može se koristiti elektronički brojač čestica. Ultrazvučnu energiju treba podesiti tako da se izbjegne oštećenje stanica.

Da bi se dobila dobro izmiješana i homogena suspenzija algi za inokulaciju ispitnih posuda, treba koristiti vortex mješalicu ili sličnu prikladnu metodu.

Ispitne posude treba staviti na orbitalnu ili linearnu tresilicu na oko 150 okretaja u minuti. Drugi način da se smanji tendencija tvorbe gruda kod Anabaena je periodično mućkanje. Kod pojave gruda treba paziti da se za mjerenje biomase dobiju reprezentativni uzorci. Ponekad je prije uzorkovanja potrebno snažno protresti posude da bi se razbile grude algi.

Synechococcus leopoliensis

Za držanje radne kulture mogu se koristiti različiti uzgojni mediji. Informacije o prikladnim medijima mogu se dobiti u zbirkama kultura.

Synechococcus leopoliensis raste u obliku pojedinačnih štapićastih stanica. Stanice su vrlo malene, što otežava mjerenje biomase brojenjem pod mikroskopom. Ovdje mogu pomoći elektronički brojači čestica opremljeni za brojenje čestica do veličine od cca 1 μm. Osim toga, mogu se koristiti fluorometrijska mjerenja in vitro.

Navicula pelliculosa

Za držanje radne kulture mogu se koristiti različiti uzgojni mediji. Informacije o prikladnim medijima mogu se dobiti u zbirkama kultura. Medij mora sadržavati silikat.

Navicula pelliculosa može u određenim uvjetima rasta stvarati nakupine. Stanice algi se ponekad znaju nakupljati u površinskoj emulziji zbog tvorbe lipida. U tom slučaju kod uzimanja poduzoraka za određivanje biomase treba poduzeti posebne mjere kako bi se dobili reprezentativni uzorci. Ponekad je nužno i snažno protresanje npr. uz pomoć vortex mješalice.


(1)  Mjereno elektroničkim brojačem čestica.

(2)  Izračunato iz veličine.

(3)  Najčešće zapažena brzina rasta u mediju OECD pri intenzitetu svjetlosti cca 70 μE·m–2·s–1 i temperaturi 21 °C.

Dodatak 2.

Uzgojni mediji

Može se koristiti jedan od dva uzgojna medija:

Medij OECD: izvorni medij OECD TG 201, također u skladu s normom ISO 8692

Medij AAP US. EPA, također u skladu s normom ASTM.

Kod pripreme tih medija treba koristiti reagencijski odnosno analitički čiste kemikalije i deioniziranu vodu.

Sastav medija AAP (US. EPA) i medija OECD TG 201

Sastojak

EPA

OECD

 

mg/l

mM

mg/l

mM

NaHCO3

15,0

0,179

50,0

0,595

NaNO3

25,5

0,300

 

 

NH4Cl

 

 

15,0

0,280

MgCl2·6(H2O)

12,16

0,0598

12,0

0,0590

CaCl2·2(H2O)

4,41

0,0300

18,0

0,122

MgSO4·7(H2O)

14,6

0,0592

15,0

0,0609

K2HPO4

1,044

0,00599

 

 

KH2PO4

 

 

1,60

0,00919

FeCl3·6(H2O)

0,160

0,000591

0,0640

0,000237

Na2EDTA·2(H2O)

0,300

0,000806

0,100

0,000269 (1)

H3BO3

0,186

0,00300

0,185

0,00299

MnCl2·4(H2O)

0,415

0,00201

0,415

0,00210

ZnCl2

0,00327

0,000024

0,00300

0,0000220

CoCl2·6(H2O)

0,00143

0,000006

0,00150

0,00000630

Na2MoO4·2(H2O)

0,00726

0,000030

0,00700

0,0000289

CuCl2.2(H2O)

0,000012

0,00000007

0,00001

0,00000006

pH

7,5

8,1

Kod ispitivanja s dijatomejom Navicula pelliculosa oba medija treba nadopuniti s Na2SiO3·9H2O tako da se dobije koncentracija od 1,4 mg Si/l.

pH vrijednost medija određuje se kad se uspostavi ravnoteža između karbonatnog sustava medija i parcijalnog tlaka CO2 u atmosferskom zraku. Približni odnos između pH na 25 °C i molarne koncentracije bikarbonata proizlazi iz sljedeće formule:

pHeq = 11,30 + log [HCO3]

Kod 15 mg NaHCO3 pHeq = 7,5 (medij U.S. EPA), a kod 50 mg NaHCO3/l pHeq = 8,1 (medij OECD).

Elementarni sastav ispitnih medija

Element

EPA

OECD

 

mg/l

mg/l

C

2,144

7,148

N

4,202

3,927

P

0,186

0,285

K

0,469

0,459

Na

11,044

13,704

Ca

1,202

4,905

Mg

2,909

2,913

Fe

0,033

0,017

Mn

0,115

0,115

Priprema medija OECD

Nutrijent

Koncentracija u radnoj otopini

Radna otopina 1: makronutrijenti

NH4Cl

MgCl2·6H2O

CaCl2·2H2O

MgSO4·7H2O

KH2PO4

1,5 g·l–1

1,2 g·l–1

1,8 g·l–1

1,5 g·l–1

0,16 g·l–1

Radna otopina 2: željezo

FeCl3·6H2O

Na2EDTA·2H2O

64 mg·l–1

100 mg·l–1

Radna otopina 3: elementi u tragovima

H3BO3

MnCl2·4H2O

ZnCl2

CoCl2·6H2O

CuCl2·2H2O

Na2MoO4·2H2O

185 mg·l–1

415 mg·l–1

3 mg·l–1

1,5 mg·l–1

0,01 mg·l–1

7 mg·l–1

Radna otopina 4: bikarbonat

NaHCO3

NaSiO3·9H2O

50 g·l–1

Radne se otopine steriliziraju membranskom filtracijom (srednji promjer pora 0,2 μm) ili obradom u autoklavu (120 °C, 15 min). Otopine se pohrane u mraku na temperaturi od 4 °C.

Radne otopine 2 i 4 ne sterilizaju se u autoklavu već isključivo membranskom filtracijom.

Uzgojni medij priprema se dodavanjem odgovarajućeg volumena radnih otopina 1 – 4 u vodu:

U 500 ml sterilizirane vode doda se:

10 ml radne otopine 1

1 ml radne otopine 2

1 ml radne otopine 3

1 ml radne otopine 4.

Nadopuni se steriliziranom vodom do 1 000 ml.

Zatim treba ostaviti dovoljno vremena za uspostavu ravnoteže između medija i atmosferskog CO2, prema potrebi upuhivanjem sterilnog filtriranog zraka u trajanju od nekoliko sati.

Priprema medija AAP

A1.1.

U približno 900 ml deionizirane ili destilirane vode doda se po 1 ml radnih otopina iz A1.2.1. – A1.2.7. i razrijedi do 1 l.

A1.2.

Pripreme se radne otopine s makronutrijentima otapanjem sljedećih količina tvari u 500 ml deionizirane ili destilirane vode. Reagensi A1.2.1., A1.2.2., A1.2.3. i A1.2.4. mogu se objediniti u jednu radnu otopinu.

A1.2.1.

NaNO3 –12,750 g.

A1.2.2.

MgCL2·6H2O–6,082 g.

A1.2.3.

CaCl2·2H2O–2,205 g.

A1.2.4.

Radna otopina s mikronutrijentima–(vidi A1.3.).

A1.2.5.

MgSO4·7H2O–7,350 g.

A1.2.6.

K2HPO4 –0,522 g.

A1.2.7.

NaHCO3 –7,500 g.

A1.2.8.

Na2SiO3·9H2O– vidi napomenu A1.1.

Napomena A1.1. – Koristiti samo kod ispitivanja s dijatomejama. Može se dodati izravno (202,4 mg) ili putem radne otopine tako da se dobije konačna koncentracija 20 mg/l Si u mediju.

A1.3.

Radna otopina s mikronutrijentima priprema se otapanjem sljedećih količina tvari u 500 ml deionizirane ili destilirane vode:

A1.3.1.

H3BO3 –92,760 mg.

A1.3.2.

MnCl2·4H2O–207,690 mg.

A1.3.3.

ZnCl2 –1,635 mg.

A1.3.4.

FeCl3·6H2O–79,880 mg.

A1.3.5.

CoCl2·6H2O–0,714 mg.

A1.3.6.

Na2MoO4·2H2O–3,630 mg.

A1.3.7.

CuCl2·2H2O–0,006 mg.

A1.3.8.

Na2EDTA·2H2O–150,000 mg.

[dinatrijev (etilendinitrilo) tetraacetat].

A1.3.9.

Na2SeO4·5H2O–0,005 mg, vidi napomenu A1.2.

Napomena A1.2. – Koristiti samo u mediju za radne kulture s dijatomejama.

A1.4.

pH vrijednost se podesi na 7,5 ± 0,1 pomoću 0,1 N ili 1,0 N NaOH ili HCl.

A1.5.

Medij se profiltrira u sterilnu posudu kroz membranski filtar 0,22 μm, ako se koristi brojač čestica, ili kroz membranski filtar 0,45 μm, ako se neće koristiti brojač čestica.

A1.6.

Medij se do uporabe pohrani u mraku na temperaturi od približno 4 °C.


(1)  Molarni omjer EDTA – željezo je nešto veći od jedan. Time se sprečava taloženje željeza i istovremeno smanjuje kelatiranje teških metalnih iona.

Dodatak 3.

Primjer postupka za uzgoj kulture algi

Opće napomene

Uzgoj kultura u skladu s ovim postupkom provodi se radi dobivanja kultura algi za toksikološka ispitivanja.

Treba koristiti prikladne metode kako se kulture algi ne bi inficirale bakterijama. Iako su u određenim slučajevima poželjne aksenične kulture, u svakom slučaju se moraju uspostaviti i koristiti kulture koje sadrže samo jednu vrstu algi.

Sve postupke treba provoditi u sterilnim uvjetima kako bi se izbjeglo onečišćenje bakterijama i drugim algama.

Oprema i materijali

Vidi: Ispitna metoda: Aparatura.

Postupci za dobivanje kultura algi

Priprema hranjivih otopina (medija):

Sve se hranjive soli medija pripremaju kao koncentrirane radne otopine i čuvaju na tamnom i hladnom mjestu. Otopine se steriliziraju filtracijom ili obradom u autoklavu.

Medij se priprema dodavanjem odgovarajuće količine radne otopine u sterilnu destiliranu vodu, pazeći da ne dođe do infekcije. Kod krutih medija treba dodati 0,8 % agara.

Radna kultura:

Radne kulture su male kulture algi koje se redovito prenose u svježi medij i koriste kao polazni ispitni materijal. Ako se kulture ne koriste redovito, one se nanose na kosi agar. Kulture se prenose u svježi medij najmanje jedanput u dva mjeseca.

Radne se kulture uzgajaju u stožastim tikvicama koje sadrže odgovarajući medij (oko 100 ml). Kad se alge inkubiraju na 20 °C uz neprekidno osvjetljenje, potrebno je tjedno prenošenje.

Kod prenošenja, određena količina „stare” kulture prenese se sterilnim pipetama u tikvicu sa svježim medijem tako da kod brzorastućih vrsta početna koncentracija bude oko 100 puta niža nego u staroj kulturi.

Brzina rasta vrste može se odrediti iz krivulje rasta. Ako je ona poznata, moguće je procijeniti gustoću pri kojoj kulturu treba prenijeti u novi medij. To se mora učiniti prije nego što kultura dosegne fazu odumiranja.

Pretkultura:

Pretkultura treba dati određenu količinu algi koje su prikladne za inokulaciju ispitnih kultura. Pretkultura se inkubira u uvjetima ispitivanja i koristi dok još eksponencijalno raste, u pravilu nakon razdoblja inkubacije od 2 do 4 dana. Kulture algi koje sadrže deformirane ili abnormalne stanice treba odbaciti.

Dodatak 4.

Analiza podataka nelinearnom regresijom

Opće napomene

Kod testova s algama i drugih testova mikrobnog rasta – rast biomase je po svojoj prirodi kontinuirana ili metrička varijabla – rezultat je brzina procesa, ako se koristi brzina rasta, odnosno njezin vremenski integral, ako je odabrana biomasa. Oba se parametra stavljaju u odnos prema odgovarajućem srednjem odgovoru ponavljanja neizloženih kontrola koje najjače reagiraju na dane uvjete; u testu s algama glavni čimbenici su svjetlost i temperatura. Sustav je podijeljen ili homogen, a biomasa se može promatrati kao kontinuum bez razmatranja pojedinačnih stanica. Razdioba varijance za odgovore kakvi se javljaju kod ovakvih sustava ovisi isključivo o pokusnim čimbenicima (koji se obično opisuju putem lognormalnih ili normalnih razdioba greške). To je u suprotnosti s tipičnim odgovorima kod biopokusa s kvantalnim podacima, gdje se tolerancija (u pravilu s binomnom razdiobom) pojedinačnih organizama često smatra dominantnom komponentom varijance. Ovdje su odgovori kontrola nula ili na razini osnovne vrijednosti.

U najjednostavnijem slučaju, normirani odnosno relativni odgovor r jednoliko opada od 1 (nulta inhibicija) do 0 (stopostotna inhibicija). Valja napomenuti da su svi odgovori povezani s greškom te da se očite negativne inhibicije mogu izračunati samo kao rezultat slučajne greške.

Regresijska analiza

Modeli

Cilj regresijske analize je kvantitativno opisati krivulju koncentracija-odgovor u obliku matematičke regresijske funkcije Y = f (C), ili češće F (Z), gdje je Z = log C. Inverzna funkcija C = f–1 (Y) omogućuje izračunavanje vrijednosti ECx, uključujući EC50, EC10 i EC20 i njihove granice pouzdanosti 95 %. Pokazalo se da nekoliko jednostavnih matematičkih funkcija uspješno opisuju odnose koncentracija-odgovor koji se dobivaju u testovima inhibicije rasta algi. Te funkcije obuhvaćaju npr. logističku jednadžbu, nesimetričnu Weibullovu jednadžbu i funkciju lognormalne razdiobe, koje sve predstavljaju sigmoidne krivulje koje se asimptotski približavaju vrijednosti 1 kod C → 0 i nuli kod C → beskonačno.

U zadnje vrijeme, kao alternativa asimptotskim modelima predlaže se korištenje modela neprekinute funkcije s pragom (npr. Kooijmanov model „inhibicije rasta populacije” (Kooijman i sur., 1996.). Ovaj model polazi od pretpostavke da u koncentracijama ispod određenoga praga (EC0+) nema nikakvih učinaka; EC0+ se procjenjuje ekstrapolacijom odnosa koncentracija-odgovor sa sjecištem u osi koncentracije primjenom jednostavne neprekinute funkcije koja nije diferencijabilna u polaznoj točki.

Valja napomenuti da se analiza može provesti jednostavnim minimiziranjem zbrojeva rezidualnih kvadrata (uz pretpostavku stalne varijance) ili ponderiranih kvadrata, ako se ispravlja heterogenost varijance.

Postupak

Postupak se može ukratko opisati na sljedeći način: Odabere se odgovarajuća funkcionalna jednadžba, Y = f (C), i prilagodi podacima nelinearnom regresijom. Poželjno je da se umjesto srednjih vrijednosti ponavljanja koriste mjerenja pojedinačnih tikvica kako bi se iz podataka izvuklo što je moguće više informacija. Međutim, ako je varijanca visoka, praktična iskustva pokazuju da srednje vrijednosti ponavljanja mogu dati pouzdaniju matematičku procjenu uz manji utjecaj sustavnih grešaka podataka nego što je to slučaj kad se zadrže pojedinačne točke podataka.

Napravi se grafički prikaz prilagođene krivulje i izmjerenih podataka i provjeri je li prilagođavanje ispravno provedeno. Ovdje se posebno korisnom može pokazati analiza reziduala. Ako funkcionalni odnos koji je odabran za prilagođavanje krivulje koncentracija-odgovor ne opisuje dobro čitavu krivulju ili neki njezin bitni dio, npr. odgovor pri niskoj koncentraciji, za prilagođavanje krivulje treba odabrati neku drugu opciju – npr. nesimetrična krivulja Weibullove funkcije umjesto simetrične. Negativne inhibicije mogu predstavljati problem npr. kod funkcije lognormalne razdiobe i zahtijevati da se upotrijebi i alternativna regresijska funkcija. Nije preporučljivo da se tim negativnim vrijednostima dodijeli vrijednost nula ili mala pozitivna vrijednost jer se time iskrivljuje razdioba grešaka. Ponekad je primjereno napraviti zasebno prilagođavanje određenih dijelova krivulje, npr. dio krivulje s niskom inhibicijom kako bi se dobila procjena vrijednosti EClow x. Iz prilagođene jednadžbe se izračunaju („inverznom procjenom” C = f–1 (Y)) karakteristične procjene točaka ECx i dokumentira barem EC50 i jedna ili dvije procjene EClow x. Iskustva s praktičnim ispitivanjima pokazuju da je test s algama dovoljno precizan da se u pravilu može dobiti dovoljno točna procjena kod inhibicije od 10 %, pod uvjetom da su točke podataka dostatne – osim ako se pri niskim koncentracija javlja stimulacija rasta kao zbunjujući faktor. Preciznost procjene EC20 često je znatno veća od EC10 jer je EC20 obično smješten u približno linearnom dijelu središnje krivulje koncentracija-odgovor. Ponekad se EC10 teško tumači zbog stimulacije rasta. Prema tomu, iako se EC10 u pravilu može dobiti s dovoljnom točnošću, preporučuje se da se uz njega uvijek navede i EC20.

Ponderi

Varijanca pokusa općenito nije stalna i obično uključuje proporcionalnu komponentu; stoga je uvijek dobro provesti ponderiranu regresiju. Kod takve analize obično se uzima da su ponderi obrnuto proporcionalni varijanci.

Wi = 1/Var(ri)

Brojni regresijski programi nude mogućnost ponderirane regresijske analize primjenom pondera koji su navedeni u tablici. Ponderi se radi jednostavnosti normiraju množenjem s n/Σ wi (n je broj točaka podataka) tako da njihov zbroj bude 1.

Normiranje odgovora

Normiranjem srednjeg odgovora kontrola javljaju se neki temeljni problemi i dobiva prilično komplicirana struktura varijance. Dijeljenjem odgovora sa srednjim odgovorom kontrola da bi se dobio postotak inhibicije uvodi se dodatna greška koja proizlazi iz greške srednje kontrolne vrijednosti. Osim kad je ta greška zanemarivo mala, ponderi regresije i granice pouzdanosti moraju se ispraviti za kovarijancu s kontrolom (17.). Ovdje je važna preciznost procjene srednje vrijednosti kontrolnih odgovora kako bi se smanjila ukupna varijanca relativnog odgovora. Ova se varijanca može opisati ovako:

(indeks i se odnosi na koncentraciju i, a indeks 0 na kontrolu)

Yi = relativni odgovor = ri/r0 = 1 – I = f (Ci)

uz varijancu:

Var (Yi) = Var (ri/r0) ≅ (∂Yi / ∂ ri)2·Var(ri) + (∂ Yi/ ∂ r0)2·Var (r0)

budući da je

(∂ Yi/ ∂ ri) = 1/r0 i (∂ Yi / ∂ r0) = ri/r0 2

uz normalnu razdiobu podataka i ponavljanja mi i m0:

Var(ri) = σ2/mi

ukupna varijanca relativnog odgovora Yi je prema tomu:

Var(Yi) = σ2/(r0 2 mi) + ri 2·σ2/r0 4 m0

Greška srednje kontrolne vrijednosti je obrnuto proporcionalna kvadratnom korijenu broja prosječnih kontrolnih ponavljanja i stoga je ponekad opravdano uključiti podatke iz ranijih ispitivanja, čime se može znatno smanjiti greška. Druga je mogućnost da se umjesto normiranja podataka i prilagođavanja apsolutnih odgovora, uključujući podatke o kontrolnim odgovorima, kontrolni odgovor uvede kao dodatni parametar koji se prilagođava linearnom regresijom. Ova metoda uz uobičajenu regresijsku jednadžbu s 2 parametra zahtijeva prilagođavanje 3 parametra, tako da je potrebno više točaka podataka nego što je to slučaj kod nelinearne regresije podataka normiranih na unaprijed definirani kontrolni odgovor.

Obrnuti intervali pouzdanosti

Izračunavanje intervala pouzdanosti nelinearne regresije inverznom procjenom je prilično složeno i ne predstavlja standardnu opciju u uobičajenim statističkim računalnim programskim paketima. Približne granice pouzdanosti mogu se dobiti standardnim programima nelinearne regresije s reparametrizacijom (Bruce i Versteeg, 1992.), pri čemu se matematička jednadžba mora preraditi tako da se na mjesto parametara za procjenu uvrste željene procjene točaka, npr. EC10 i EC50. (Ako je funkcija I = f (α, β, koncentracija), funkciju f (α, β, koncentracija) treba zamijeniti istovjetnom funkcijom g (EC10, EC50, koncentracija), koristeći definicijske odnose f (α, β, EC10) = 0,1 i f (α, β, EC50) = 0,5.

Izravniji izračun (Andersen i sur., 1998.) dobije se ako se zadrži izvorna jednadžba i upotrijebi Taylorov razvoj oko srednjih vrijednosti ri i r0.

U posljednje su vrijeme postale popularne metode samonadopunjavanja („boot strap” metode). Te metode uključuju procjenu empirijske razdiobe varijance na temelju izmjerenih podataka i učestalog uzorkovanja primjenom generatora slučajnih brojeva.

Literatura

Kooijman, S.A.L.M.; Hanstveit, A.O.; Nyholm, N. (1996): No-effect concentrations in algal growth inhibition tests. WaterResearch, 30, 1625-1632.

Bruce, R.D. and Versteeg, D.J.(1992) A Statistical Procedure for Modelling Continuous Ecotoxicity Data. Env. Toxicol.Chem.11, 1485-1494.

Andersen, J.S., Holst, H., Spliid, H., Andersen, H., Baun, A. & Nyholm, N. (1998): Continuous ecotoxicological data evaluated relative to a control response. Journal of Agricultural, Biological and Environmental Statistics, 3, 405-420.


PRILOG V.

C.25.

AEROBNA MINERALIZACIJA U POVRŠINSKOJ VODI – SIMULACIJSKI TEST BIORAZGRADNJE

1.   METODA

Ova metoda odgovara smjernici OECD TG 309 (2004) (1.).

1.1.   UVOD

Svrha je ovog testa izmjeriti vremenski tijek biorazgradnje ispitivane tvari koja je prisutna u aerobnoj prirodnoj vodi u niskoj koncentraciji i kvantificirati zapažanja u obliku izraza za kinetičku brzinu. Ovaj simulacijski test je laboratorijski šaržni test protresanjem u tikvici kojim se određuju brzine aerobne biorazgradnje organskih tvari u uzorcima prirodne površinske vode (slatka, bočata ili morska). Temelji se na ISO/DIS 14592-1 (2.), a sadrži i elemente ispitnih metoda C.23. i C.24. (3.) (4.). U slučaju dužih vremena ispitivanja, šaržni postupak može se fakultativno zamijeniti polukontinuiranim kako se ne bi narušio ispitni mikrokozmos. Glavni cilj simulacijskog testa je određivanje mineralizacije ispitivane tvari u površinskoj vodi, koja čini osnovu za opisivanje kinetike razgradnje. Međutim, ispitivanje ima i fakultativni sekundarni cilj – dobivanje informacija o primarnoj razgradnji i tvorbi značajnih proizvoda razgradnje. Utvrđivanje proizvoda pretvorbe i, po mogućnosti, kvantificiranje njihovih koncentracija posebno je važno kod tvari koje se vrlo sporo mineraliziraju (npr. kad vrijeme poluraspada ukupnog preostalog 14C iznosi više od 60 dana). Zbog analitičkih ograničenja, za identifikaciju i kvantifikaciju značajnih proizvoda pretvorbe u pravilu treba koristiti više koncentracije ispitivane tvari (npr. > 100 μg/l).

U okviru ovog testa, niska koncentracija je koncentracija koja je dovoljno niska (npr. manje od 1 μg/l do 100 μg/l) da se prilikom ispitivanja postigne kinetika biorazgradnje kakva se može očekivati u okolišu. Uzimajući u obzir ukupnu masu biorazgradivih ugljičnih supstrata u prirodnoj vodi koja se koristi u ispitivanju, nisko koncentrirana ispitivana tvar služi kao sekundarni supstrat. To znači da je očekivana kinetika biorazgradnje kinetika prvog reda (kinetika „bez rasta”) i da se ispitivana tvar može razgraditi „kometabolizmom”. Kinetika prvog reda podrazumijeva da je brzina razgradnje (mg/l/dan) razmjerna koncentraciji supstrata, koja opada s vremenom. Kod prave kinetike prvog reda konstanta specifične brzine razgradnje (k) je neovisna o vremenu i koncentraciji. Prema tomu, k se ne mijenja značajnije tijekom jednog pokusa, ali ni s povećanjem koncentracije između pokusa. Prema definiciji, konstanta specifične brzine razgradnje jednaka je relativnoj promjeni koncentracije po jedinici vremena: k = (1/C) · (dC/dt). Iako se u propisanim uvjetima u pravilu očekuje kinetika prvog reda, u određenim su okolnostima možda primjerenije druge vrste kinetike. Odstupanja od kinetike prvog reda mogu se primjerice zapaziti kad brzinu biorazgradnje više ograničava pojava prijenosa mase, npr. brzina difuzije, nego brzina biološke reakcije. Ipak, podaci se gotovo uvijek mogu opisati kinetikom pseudoprvog reda, ako se prihvati konstanta brzine ovisna o koncentraciji.

Prije ispitivanja trebale bi biti raspoložive informacije o biorazgradivosti ispitivane tvari pri višim koncentracijama (npr. iz standardnih testova pretraživanja) kao i podaci o abiotičkoj razgradivosti, proizvodima pretvorbe i relevantnim fizikalno-kemijskim svojstvima koji mogu pomoći kod planiranja pokusa i tumačenja rezultata. Sposobnost potpune biorazgradnje može se odrediti primjenom 14C obilježene ispitivane tvari i određivanjem fazne razdiobe 14C na kraju ispitivanja. Ako se koristi neobilježena ispitivana tvar, konačna biorazgradnja se može procijeniti samo ako se ispituje viša koncentracija i ako su poznati svi značajni proizvodi razgradnje.

1.2.   DEFINICIJE

Primarna biorazgradnja: Promjena strukture kemikalije (pretvorba) djelovanjem mikroorganizama koja rezultira gubitkom kemijskog identiteta.

Funkcionalna biorazgradnja: Promjena strukture kemikalije (pretvorba) djelovanjem mikroorganizama koja rezultira gubitkom određenog svojstva.

Potpuna aerobna biorazgradnja: Razgradnja kemikalije djelovanjem mikroorganizama u prisutnosti kisika na ugljikov dioksid, vodu i mineralne soli drugih prisutnih elemenata (mineralizacija) i stvaranje nove biomase i organskih proizvoda mikrobne biosinteze.

Mineralizacija: Razgradnja kemikalije odnosno organske tvari djelovanjem mikroorganizama u prisutnosti kisika na ugljikov dioksid, vodu i mineralne soli drugih prisutnih elemenata.

Faza prilagodbe („lag” faza): Vrijeme koje je potrebno da se mikroorganizmi koji obavljaju razgradnju prilagode i stupanj biorazgradnje kemikalije odnosno organske tvari dosegne razinu detekcije (npr. 10 % maksimalne teoretske biorazgradnje ili manje, ovisno o točnosti mjerne tehnike), računajući od početka ispitivanja.

Maksimalna biorazgradnja: Stupanj biorazgradnje kemikalije ili organske tvari u okviru ispitivanja, izražen u postotku, iznad kojega se kemikalija odnosno tvar biološki ne razgrađuje tijekom ispitivanja.

Primarni supstrat: Spoj prirodnog ugljika i izvora energije koji osiguravaju rast i održavanje mikrobne biomase.

Sekundarni supstrat: Komponenta supstrata koja je prisutna u tako niskoj koncentraciji da njezinom razgradnjom relevantni mikroorganizmi primaju tek neznatne količine ugljika i energije u odnosu na ugljik i energiju koja se osigurava razgradnjom glavnih komponenti supstrata (primarni supstrati).

Konstanta brzine razgradnje: Konstanta brzine kinetike prvog reda ili pseudoprvog reda k (d-1) kojom se označava brzina procesa razgradnje. U slučaju šaržnih pokusa k se procjenjuje iz početnog dijela krivulje razgradnje dobivene po završetku faze prilagodbe.

Vrijeme poluraspada, t1/2 (d): Izraz koji se koristi za opisivanje brzine reakcije prvog reda. To je vremenski interval koji odgovara smanjenju koncentracije za faktor 2. Odnos između vremena poluraspada i konstante brzine razgradnje opisan je jednadžbom t1/2 = ln2/k.

Vrijeme polurazgradnje, DT50 (d): Izraz koji se koristi za kvantifikaciju rezultata ispitivanja biorazagradnje. To je vrijeme koje je potrebno da se dosegne 50 %-tna biorazgradnja, uključujući fazu prilagodbe.

Granica detekcije (Limit of Detection, LOD) i granica kvantifikacije (Limit of Quantification, LOQ): Granica detekcije (LOD) je koncentracija tvari ispod koje se tvar više ne može razlikovati od analitičkih artefakata. Granica kvantifikacije (LOQ) je koncentracija tvari ispod koje se koncentracija ne može odrediti s prihvatljivom točnošću.

Otopljeni organski ugljik (DOC): Dio organskog ugljika u uzorku vode koji se ne može ukloniti predviđenim odjeljivanjem faza, npr. 15-minutnim centrifugiranjem na 40 000 ms-2 ili membranskom filtracijom s membranama veličine pora 0,2 μm – 0,45 μm.

Ukupna aktivnost organskog 14C (Total Organic 14C Activity, TOA): Ukupna aktivnost 14C povezana s organskim ugljikom.

Aktivnost otopljenog organskog 14C (Dissolved Organic 14C Activity, DOA): Ukupna aktivnost 14C povezana s otopljenim organskim ugljikom.

Aktivnost čestičnog organskog 14C (Particulate Organic 14C Activity, POA): Ukupna aktivnost 14C povezana s organskim ugljikom u česticama.

1.3.   PRIMJENJIVOST TESTA

Simulacijski test primjenjiv je u slučaju nehlapljivih i blago hlapljivih organskih tvari koje se ispituju pri niskim koncentracijama. Ako se korise tikvice otvorene prema atmosferi (npr. začepljene vatom), tvari s konstantom Henryjevog zakona ispod cca 1 Pa·m3/mol (cca 10–5 atm·m3/mol) mogu se u praksi smatrati nehlapljivima. Ako se koriste zatvorene tikvice sa zračnim prostorom, mogu se ispitivati i blago hlapljive tvari (s konstantama Henryjevog zakona < 100 Pa·m3/mol ili < 10–3 atm·m3/mol) bez gubitaka iz ispitnog sustava. Kod stripiranja CO2 može doći do gubitaka 14C obilježenih tvari ako se ne provedu odgovarajuće mjere predostrožnosti. U takvim je slučajevima ponekad potrebno odvajati CO2 na unutarnjem alkalijskom apsorberu ili koristiti vanjski apsorberski sustav CO2 (izravno određivanje 14CO2; vidi Dodatak 3.). Za određivanje kinetike biorazgradnje koncentracije ispitivane tvari moraju biti ispod topljivosti u vodi. Ipak, treba imati na umu da vrijednosti topljivosti u vodi koje se navode u literaturi mogu biti znatno više od topljivosti ispitivane tvari u prirodnim vodama. Topljivost izrazito slabo topljivih ispitivanih tvari može se prema želji utvrditi pomoću prirodnih voda koje će se koristiti u ispitivanju.

Metoda se može koristiti za simulaciju biorazgradnje u površinskoj vodi bez grubih čestica (pelagički test) ili u mutnoj površinskoj vodi kakva se npr. može pronaći u blizini sučelja voda/sediment (test sa suspendiranim sedimentom).

1.4.   NAČELO ISPITIVANJA

Ispitivanje se provodi u šaržnom postupku inkubiranjem ispitivane tvari s površinskom vodom (pelagički test) ili s površinskom vodom kojoj je dodana suspendirana kruta tvar/sediment u koncentraciji od 0,01 do 1 g/l suhe mase (test sa suspendiranim sedimentom) radi simulacije vodne cjeline sa suspendiranom krutom tvari ili resuspendiranim sedimentom. Koncentracija suspendirane krute tvari/sedimenta u donjem segmentu ovog područja reprezentativna je za većinu površinskih voda. Ispitne se tikvice inkubiraju u mraku na temperaturi okoliša u aerobnim uvjetima, uz mućkanje. Za određivanje kinetike razgradnje koriste se najmanje dvije koncentracije ispitivane tvari. Koncentracije se moraju razlikovati za faktor 5 do 10 i trebaju predstavljati očekivani raspon koncentracija u okolišu. Maksimalna koncentracija ispitivane tvari ne smije biti viša od 100 μg/l, a poželjno je da maksimalne ispitne koncentracije budu i niže od 10 μg/l kako bi se zajamčila biorazgradnja u skladu s kinetikom prvog reda. Najniža koncentracija ne smije biti viša od 10 μg/l, a prednost treba dati ispitnim koncentracijama od 1 – 2 μg/l ili čak ispod 1 μg/l. U pravilu se i tako niske koncentracije mogu dovoljno dobro analizirati primjenom 14C obilježenih tvari koje su dostupne na tržištu. Ako se ispitivana tvar primjenjuje u koncentraciji ≤ 100 μg/l, njezinu koncentraciju često nije moguće izmjeriti s potrebnom točnošću zbog analitičkih ograničenja (vidi odjeljak 1.7.2. stavak 2.). Više koncentracije ispitivane tvari (> 100 μg/l, a ponekad i 1 mg/l) mogu se koristiti za identifikaciju i kvantifikaciju značajnih proizvoda pretvorbe te u slučajevima kad nije raspoloživa specifična analitička metoda s niskom granicom detekcije. Ako se ispituju visoke koncentracije ispitivane tvari, ponekad nije moguće procijeniti konstantu razgradnje prvog reda i vrijeme poluraspada na temelju dobivenih rezultata budući da razgradnja vjerojatno neće slijediti kinetiku prvog reda.

Razgradnja se prati mjerenjem preostalog 14C ili preostale koncentracije ispitivane tvari, ako se provodi specifična kemijska analiza, u odgovarajućim vremenskim razmacima. 14C obilježavanjem najstabilnijeg dijela molekule može se odrediti ukupna mineralizacija, dok se 14C obilježavanjem manje stabilnog dijela molekule i primjenom specifične analize može odrediti samo primarna biorazgradnja. Ipak, najstabilniji dio ne mora nužno uključivati relevantni funkcionalni dio molekule (koji je povezan sa specifičnim svojstvom, kao što je toksičnost, bioakumulacija itd.). U tom je slučaju kod ispitivanja možda primjerenije koristiti tvar s 14C oznakom u funkcionalnom dijelu kako bi se moglo pratiti nestajanje specifičnog svojstva.

1.5.   INFORMACIJE O ISPITIVANOJ TVARI

Za ovaj se test mogu koristiti radioaktivno obilježene i neobilježene tvari. 14C obilježavanje je preporučeni postupak, a oznaka se u pravilu treba nalaziti na najstabilnijem dijelu ili dijelovima molekule (vidi također odjeljak 1.4.). Kod tvari koje sadrže više od jednog aromatskog prstena treba po mogućnosti obilježiti jedan ili više ugljika u svakom prstenu. Osim toga, poželjno je obilježiti jedan ili više ugljika s obje strane lako razgradivih veza. Kemijska i/ili radioaktivna čistoća ispitivane tvari treba biti > 95 %. Kod radioaktivno obilježenih tvari poželjna je specifična aktivnost od približno 50 μCi/mg (1,85 MBq) ili više da bi se olakšala mjerenja 14C kod ispitivanja s niskim početnim koncentracijama. Trebaju biti raspoložive sljedeće informacije o ispitivanoj tvari:

topljivost u vodi (metoda A.6.),

topljivost u organskom otapalu ili otapalima (ako se tvar primjenjuje pomoću otapala ili ima nisku topljivost u vodi),

konstanta disocijacije (pKa), ako je tvar sklona protonaciji ili deprotonaciji (OECD TG 112) (5.),

tlak pare (metoda A.4.) i konstanta Henryjevog zakona,

kemijska stabilnost u vodi i u mraku (hidroliza) (metoda C.7.).

Ako se tvari koje su slabo topljive u vodi ispituju u morskoj vodi, korisno je znati konstantu isoljivanja (ili „Setschenowu konstantu”) Ks, koja se definira izrazom: log (S/S') = Ks Cm, gdje su S i S' topljivost tvari u slatkoj i morskoj vodi i Cm je molarna koncentracija soli.

Ako se ispitivanje provodi kao „test sa suspendiranim sedimentom”, moraju biti raspoložive i ove informacije:

podjelni koeficijent n-oktanol/voda (metoda A.8.),

koeficijent adsorpcije (metoda C.18.).

Ostale korisne informacije su:

koncentracija u okolišu, ako je poznata ili procijenjena,

toksičnost ispitivane tvari za mikroorganizme (metoda C.11.),

laka i/ili svojstvena biorazgradivost (metoda C.4. A-F, C.12., C.9, OECD TG 302 (5.)),

aerobna ili anaerobna biorazgradivost u tlu i studije pretvorbe u sedimentu/vodi (metoda C.23., C.24.).

1.6.   REFERENTNE TVARI

Kao referentnu tvar treba koristiti tvar koja se u pravilu lako razgrađuje u aerobnim uvjetima (npr. anilin ili natrijev benzoat). Očekivano vrijeme razgradnje anilina i natrijevog benzoata uglavnom je kraće od 2 tjedna. Svrha korištenja referentnih tvari je uvjeriti se da se mikrobna aktivnost ispitne vode kreće unutar određenih granica, tj. da voda sadrži aktivnu mikrobnu populaciju.

1.7.   KRITERIJI KAKVOĆE

1.7.1.   Iskorištenje

Svaka početna ispitna koncentracija provjerava se odmah nakon dodavanja ispitivane tvari u najmanje dva uzorka mjerenjem aktivnosti 14C ili, u slučaju neobilježenih tvari, kemijskom analizom. Time se dobivaju informacije o primjenjivosti i ponovljivosti metode analize i homogenosti razdiobe ispitivane tvari. Kod kasnijih analiza podataka u pravilu se ne koristi nazivna koncentracija već izmjerena početna aktivnost 14C odnosno izmjerena koncentracija ispitivane tvari, jer se time ispravljaju gubici zbog sorpcije i greške u doziranju. Kod 14C obilježenih tvari iskorištenje na kraju pokusa proizlazi iz bilance mase (vidi zadnji stavak odjeljka 1.8.9.4.). U idealnom slučaju bilanca mase radioaktivno obilježene tvari trebala bi se kretati u području od 90 % do 110 %, dok bi analitička točnost kod neobilježenih tvari trebala biti takva da se dobije početno iskorištenje u području od 70 % do 110 %. Ta područja treba shvatiti kao ciljne vrijednosti, a ne kao kriterij za prihvaćanje ispitivanja. Analitička točnost može se fakultativno odrediti pri koncentraciji ispitivane tvari koja je niža od početne kao i za značajne proizvode pretvorbe.

1.7.2.   Ponovljivost i osjetljivost metode analize

Ponovljivost metode analize (uključujući učinkovitost početne ekstrakcije) za kvantifikaciju ispitivane tvari i proizvoda pretvorbe (prema potrebi) treba provjeriti peterostrukom analizom pojedinačnih ekstrakata površinske vode.

Granica detekcije (LOD) metode analize za ispitivanu tvar i proizvode pretvorbe treba po mogućnosti biti najmanje 1 % početne količine koja je primijenjena na ispitni sustav. Granica kvantifikacije (LOQ) treba biti jednaka ili manja od 10 % primijenjene koncentracije. Za kemijsku analiza brojnih organskih tvari i njihovih proizvoda pretvorbe često su potrebne relativno visoke koncentracije ispitivane tvari tj. > 100 μg/l.

1.8.   OPIS ISPITNE METODE

1.8.1.   Oprema

Ispitivanje se može provesti u stožastim ili cilindričnim tikvicama odgovarajuće zapremine (npr. 0,5 ili 1,0 l) sa silikonskim ili gumenim čepovima ili u serumskim bocama s poklopcima koji ne propuštaju CO2 (npr. sa zatvaračem od butilne gume). Druga je mogućnost da se upotrijebi veći broj tikvica i u svakom vremenu uzorkovanja uzimaju čitave tikvice, najmanje po dvije, (vidi zadnji stavak odjeljka 1.8.9.1.). Kod nehlapljivih ispitivanih tvari koje nisu radioaktivno obilježene nisu potrebni plinonepropusni čepovi i poklopci; dovoljno ih je začepiti vatom koja sprečava onečišćenje iz zraka (vidi stavak 2. odjeljka 1.8.9.1.). Blago hlapljive tvari treba ispitati u sustavu biometarskog tipa uz nježno miješanje po površini vode. Da bi se izbjeglo onečišćenje bakterijama, posude se mogu prije uporabe sterilizirati zagrijavanjem ili obradom u autoklavu. Osim toga, koristi se sljedeća standardna laboratorijska oprema:

tresilica ili magnetski mješači za neprekidno mućkanje ispitnih posuda,

centrifuga,

mjerač pH vrijednosti,

turbidimetar za nefelometrijska mjerenja mutnoće,

peć ili mikrovalna peć za određivanje suhe mase,

uređaj za membransku filtraciju,

autoklav ili peć za toplinsku sterilizaciju staklene opreme,

oprema za rukovanje 14C obilježenim tvarima,

oprema za kvantifikaciju aktivnosti 14C u uzorcima iz otopina za odvajanje CO2 i, prema potrebi, iz uzoraka sedimenta,

analitička oprema za određivanje ispitivane (i referentne) tvari, ako se koristi specifična kemijska analiza (npr. plinski kromatograf, visokotlačni tekućinski kromatograf).

1.8.2.   Radne otopine ispitivane tvari

Za pripremu radnih otopina ispitivanih i referentnih tvari treba koristiti deioniziranu vodu (vidi odjeljak 1.8.7. stavak 1.). U deioniziranoj vodi ne smije biti tvari koje bi mogle biti toksične za mikroorganizme, a udio otopljenog organskog ugljika (DOC) ne smije biti viši od 1 mg/l (6.).

1.8.3.   Skupljanje i prijevoz površinske vode

Mjesto za uzorkovanje površinske vode treba odabrati u skladu sa svrhom ispitivanja. Kod odabira mjesta treba uzeti u obzir moguću povijest unosa materijala iz poljoprivrede, industrije i kućanstava. Voda za ispitivanje ne smije se skupljati na mjestima za koja se zna da su u prethodne četiri godine onečišćena ispitivanom tvari ili njezinim strukturnim analozima, osim ako je svrha istraživanja ispitati brzinu razgradnje na onečišćenim lokacijama. Na mjestu uzorkovanja treba izmjeriti pH vrijednost i temperaturu vode. Osim toga, treba zabilježiti dubinu uzorkovanja i izgled vodenog uzorka (npr. boja i mutnoća) (vidi odjeljak 3.). Da bi se dokazali aerobni uvjeti, treba izmjeriti koncentraciju kisika i/ili redoks potencijal u vodi i površinskom sloju sedimenta, osim ako je to nedvojbeno s obzirom na izgled i ranija iskustva s lokacijom. Površinsku vodu treba prenositi u temeljito očišćenim spremnicima. Za to vrijeme temperatura uzorka ne smije biti značajno viša od ispitne temperature. Ako prijevoz traje dulje od 2 do 3 sata, preporučuje se hlađenje na 4 °C. Vodeni uzorak ne smije biti zamrznut.

1.8.4.   Skladištenje i priprema površinske vode

Ispitivanje po mogućnosti treba započeti u roku od jednoga dana od uzimanja uzorka. Skladištenje vode, ako je ono potrebno, treba svesti na najmanju moguću mjeru, a u svakom slučaju ne smije trajati duže od 4 tjedna. Vodeni uzorak treba do uporabe držati na temperaturi od 4 °C uz dozračivanje. Prije uporabe treba ukloniti krupne čestice npr. filtriranjem kroz najlonski filtar veličine otvora 100 μm ili kroz grubi filtar-papir ili taloženjem.

1.8.5.   Priprema vode sa sedimentom (fakultativno)

Kod testa sa suspendiranim sedimentom treba pripremiti suspenziju dodavanjem površinskog sedimenta u tikvice koje sadrže prirodnu vodu (koja je prethodno filtrirana radi uklanjanja krupnih čestica, kako je opisano u odjeljku 1.8.4.); koncentracija suspendirane krute tvari treba biti između 0,01 i 1 g/l. Površinski sediment mora potjecati s istog mjesta kao vodeni uzorak. Ovisno o vodnom okolišu, površinski sediment može imati visok sadržaj organskog ugljika (2,5 – 7,5 %) i finu teksturu ili nizak sadržaj organskog ugljika (0,5 – 2,5 %) i grubu teksturu (3.). Površinski se sediment može pripremiti na sljedeći način: uz pomoć prozirne plastične cjevčice izvuče se nekoliko sedimentnih jezgri; odmah nakon uzorkovanja odrežu se gornji aerobni slojevi (od površine do dubine od najviše 5 mm) i združe. Dobiveni uzorak sedimenta prenosi se u posudi s velikim zračnim prostorom kako bi se osigurali aerobni uvjeti (uz hlađenje na 4 °C ako prijevoz traje više od 2 – 3 sata). Uzorak sedimenta se suspendira u ispitnoj vodi u omjeru 1: 10 i drži do uporabe na temperaturi od 4 °C uz dozračivanje. Skladištenje sedimenta, ako je ono potrebno, treba svesti na najmanju moguću mjeru, a u svakom slučaju ne smije trajati duže od 4 tjedna.

1.8.6.   Polukontinuirani postupak (fakultativno)

Inkubaciju je ponekad potrebno produžiti (na nekoliko mjeseci) ako se značajna razgradnja ispitivane tvari izmjeri tek nakon dugog vremena prilagodbe. Ako je to poznato iz ranijeg ispitivanja tvari, ispitivanje se može započeti polukontinuiranim postupkom, koji omogućuje periodičko obnavljanje dijela ispitne vode odnosno suspenzije (vidi Dodatak 2.). Druga je mogućnost da se uobičajeni šaržni test pretvori u polukontinuirani ako tijekom približno 60 dana ispitivanja šaržnim postupkom nije došlo do razgradnje ispitivane tvari (vidi odjeljak 1.8.8.3. stavak 2.).

1.8.7.   Dodavanje ispitivane (ili referentne) tvari

U slučaju tvari visoke topljivosti u vodi (> 1 mg/l) i niske hlapljivosti (konstanta Henryjevog zakona < 1 Pa·m3/mol ili < 10–5 atm·m3/mol), može se pripremiti radna otopina u deioniziranoj vodi (vidi odjeljak 1.8.2.); u ispitne se posude doda odgovarajući volumen radne otopine da bi se dobila željena koncentracija. Volumen radne otopine koja se dodaje u posudu treba svesti na najmanju moguću mjeru (po mogućnosti < 10 % konačnog volumena tekućine). Druga mogućnost je da se ispitivana tvar otopi u većem volumenu ispitne vode, što se može smatrati zamjenom za korištenje organskih otapala.

Ako kod pripreme radnih otopina nehlapljivih tvari koje su slabo topljive u vodi nije moguće izbjeći primjenu otapala, treba koristiti hlapljiva organska otapala, s time da količina otapala koja se unosi u ispitni sustav ne smije biti viša od 1 % v/v i ne smije imati štetni učinak na mikrobnu aktivnost. Otapalo ne smije utjecati na stabilnost ispitivane tvari u vodi. Otapalo treba stripirati na najmanju moguću količinu kako ne bi došlo do značajnog povećanja koncentracije DOC-a u ispitnoj vodi odnosno suspenziji. To treba provjeriti specifičnom analizom tvari odnosno, ukoliko je to moguće, analizom DOC-a (6.). Treba paziti da se prenesena količina otapala svede na nužnu mjeru i uvjeriti se da se prisutna količina ispitivane tvari može otopiti u konačnom volumenu ispitne vode. Mogu se koristiti i druge tehnike za uvođenje ispitivane tvari u ispitne posude, kako je opisano u (7.) i (8.). Ako se za primjenu ispitivane tvari koristi organsko otapalo, treba uvesti kontrole s otapalom koje sadrže ispitnu vodu (bez dodataka) i ispitnu vodu s referentnom tvari i s njima postupati na sličan način kao s aktivnim ispitnim posudama u koje je dodana ispitivana tvar u otapalu kao nosaču. Svrha kontrola s otapalom je ispitati moguće štetne učinke otapala na mikrobnu populaciju na temelju razgradnje referentne tvari.

1.8.8.   Ispitni uvjeti

1.8.8.1.   Ispitna temperatura

Inkubacija se provodi u mraku (poželjno) ili pod difuznom rasvjetom na kontroliranoj temperaturi (± 2 °C), koja može odgovarati temperaturi na terenu ili standardnoj temperaturi od 20 – 25 °C. Temperatura na terenu može biti stvarna temperatura uzorka u trenutku uzorkovanja ili prosječna temperatura na mjestu uzorkovanja.

1.8.8.2.   Mućkanje

Čestice i mikroorganizme treba držati u suspenziji neprekidnim mućkanjem tj. tresenjem ili miješanjem. Mućkanjem se također olakšava prijenos kisika iz zračnog prostora u tekućinu i tako osiguravaju potrebni aerobni uvjeti. Tikvice se stave na tresilicu (cca 100 o/min) ili se koristi magnetska mješalica. Mućkanje se ne smije prekidati. Tresenje odnosno miješanje mora biti što je moguće nježnije, ali istovremeno treba voditi računa da se održi homogenost suspenzije.

1.8.8.3.   Trajanje ispitivanja

Ispitivanje uglavnom ne bi smjelo trajati duže od 60 dana, osim ako se primjenjuje polukontinuirani postupak s periodičkim obnavljanjem ispitne suspenzije (vidi odjeljak 1.8.6. i Dodatak 2.). Ipak, vrijeme ispitivanja se i kod primjene šaržnog postupka može produžiti do najviše 90 dana ako je razgradnja ispitivane tvari započela unutar prvih 60 dana. Razgradnja se prati u odgovarajućim vremenskim razmacima određivanjem preostale aktivnosti 14C odnosno nastalog 14CO2 (vidi odjeljak 1.8.9.4.) i/ili kemijskom analizom (odjeljak 1.8.9.5.). Vrijeme inkubacije mora biti dovoljno dugo da se ocijeni proces razgradnje. Poželjno je da stupanj razgradnje bude viši od 50 %; kod tvari koje se sporo razgrađuju stupanj razgradnje mora biti dovoljan (u pravilu iznad 20 %) da se može procijeniti konstanta kinetičke brzine razgradnje.

Provode se periodička mjerenja pH vrijednosti i koncentracije kisika u ispitnom sustavu, osim ako zahvaljujući ranijim iskustvima s uzorcima vode i sedimenta s iste lokacije u sličnim ispitivanjima takva mjerenja nisu potrebna. U određenim uvjetima zbog metabolizma primarnih supstrata, koji mogu biti prisutni u vodi ili sedimentu u znatno višim koncentracijama, može doći do stvaranja povećanih količina CO2 i povećane potrošnje kisika, što može izazvati značajne promjene pokusnih uvjeta tijekom ispitivanja.

1.8.9.   Postupak

1.8.9.1.   Priprema tikvica za pelagički test

U ispitne se tikvice stavi prikladna količina ispitivane tvari koja je otprilike dovoljna da se ispuni jedna trećina zapremine tikvice, ali ne manje od cca 100 ml. I ako se koristi veći broj tikvica (kako bi se u svakom vremenu uzorkovanja mogle uzimati čitave tikvice), potrebno je oko 100 ml ispitne vode, budući da male veličine uzorka mogu utjecati na duljinu faze prilagodbe. Ispitivana se tvar dodaje putem radne otopine kako je opisano u odjeljku 1.8.2. i 1.8.7. Da bi se mogla odrediti kinetika razgradnje i izračunati konstanta kinetičke brzine razgradnje, potrebne su najmanje dvije koncentracije ispitivane tvari koje se razlikuju za faktor 5 do 10. Obje odabrane koncentracije moraju biti manje od 100 μg/l, a poželjno je da budu u rasponu od < 1 – 10 μg/l.

Tikvice se zatvore čepovima ili poklopcima koji propuštaju zrak i CO2. Ako se ispituju nehlapljive kemikalije koje nisu radioaktivno obilježene, posude se mogu začepiti vatom koja sprečava onečišćenje iz zraka (vidi odjeljak 1.8.1.), pod uvjetom da se zna da su svi značajni proizvodi razgradnje nehlapljivi i primjenjuje se neizravno određivanje CO2 (vidi Dodatak 3.).

Tikvice se inkubiraju na odabranoj temperaturi (vidi odjeljak 1.8.8.1.). Uzorci se uzimaju na kemijsku analizu ili mjerenje 14C na početku ispitivanja (tj. prije nego što započne razgradnja; vidi odjeljak 1.7.1.) i u odgovarajućim vremenskim razmacima tijekom ispitivanja. Uzorkovanje se može obaviti izvlačenjem poduzoraka (npr. alikvoti od 5 ml) iz svakog ponavljanja ili uzimanjem čitavih tikvica u svakom vremenu uzorkovanja. Mineralizacija ispitivane tvari može se odrediti neizravno ili izravno (vidi Dodatak 3.). Obično je za pouzdanu procjenu konstante brzine potrebno najmanje pet točaka uzorkovanja u fazi razgradnje (tj. nakon završetka faze prilagodbe), osim u slučaju brzo razgradivih tvari, kada se uz odgovarajuće obrazloženje mogu dopustiti i tri točke uzorkovanja. Kod tvari koje nisu brzo razgradive, u fazi razgradnje se bez problema može obaviti više mjerenja i stoga za procjenu k treba koristiti više točaka podataka. Nije moguće navesti točan vremenski raspored uzorkovanja budući da su brzine biorazgradnje različite; ipak, preporučuje se da se u slučaju spore razgradnje uzorkovanje provodi jedanput tjedno. Ako se ispitivana tvar brzo razgrađuje, uzorkovanje treba obavljati jedanput dnevno u prva tri dana, a zatim svaki drugi ili treći dan. U određenim okolnostima, npr. kod tvari koje vrlo brzo hidroliziraju, ponekad je potrebno uzimati uzorke svaki sat. Preporučuje se da se prije ispitivanja provede preliminarno istraživanje kako bi se odredili prikladni intervali uzorkovanja. Ako se uzorci moraju sačuvati za daljnju specifičnu analizu, preporučljivo je uzeti više uzoraka i zatim na kraju pokusa odabrati one koji će se analizirati obrnutim redoslijedom tj. prvo se analiziraju uzorci koji su uzeti zadnji (za smjernice o stabilnosti uzoraka tijekom skladištenja vidi odjeljak 1.8.9.5. stavak 2.).

1.8.9.2.   Broj tikvica i uzoraka

Pripremi se dovoljan broj ispitnih tikvica tako da se dobije:

ispitne tikvice; najmanje dvije tikvice za svaku koncentraciju ispitivane tvari (poželjno je najmanje 3) ili veći broj ispitnih tikvica po koncentraciji, ako se u svakom vremenu uzorkovanja uzimaju čitave tikvice (označene kao FT);

ispitne tikvice za izračunavanje bilance mase; najmanje dvije tikvice za svaku ispitnu koncentraciju (označene kao FM);

slijepa proba, bez ispitivane tvari; najmanje jedna tikvica za slijepu probu koja sadrži samo ispitnu vodu (označena kao FB);

kontrola s referentnom tvari; dvije tikvice s referentnom tvari (npr. anilin ili natrijev benzoat, 10 μg/l) (označene kao FC). Svrha kontrole s referentnom tvari je potvrditi minimalnu mikrobnu aktivnost. Ako je to praktično, može se koristiti radioaktivno obilježena referentna tvar, također i onda kad se razgradnja ispitivane tvari prati kemijskim analizama;

sterilna kontrola; jedna ili dvije tikvice koje sadrže steriliziranu ispitnu vodu radi provjere moguće abiotičke razgradnje ili drugog nebiološkog uklanjanja ispitivane tvari (označene kao FS). Biološka se aktivnost može prekinuti obradom ispitne vode u autoklavu (121 °C; 20 min), dodavanjem toksične tvari (npr. natrijev azid (NaN3) u koncentraciji 10 – 20 g/l, živin klorid (HgCl2) u koncentraciji 100 mg/l ili formalin u koncentraciji 100 mg/l) ili gama zračenjem. Ako se koristi HgCl2, on se mora zbrinuti kao toksični otpad. U vodi u koju je dodana velika količina sedimenta nije lako postići sterilne uvjete; u tom se slučaju preporučuje višekratna obrada u autoklavu (npr. tri puta). Treba uzeti u obzir da se sorpcijska svojstva sedimenta mogu promijeniti obradom u autoklavu;

kontrole s otapalom, koje sadrže ispitnu vodu i ispitnu vodu s referentnom tvari; po dvije tikvice koje su obrađene istom količinom otapala uz primjenu istog postupka kao u slučaju ispitivane tvari. Svrha ove kontrole je ispitati moguće štetne učinke otapala određivanjem razgradnje referentne tvari.

Kod planiranja ispitivanja treba uzeti u obzir relativnu važnost povećanog broja ponavljanja u odnosu na povećani broj uzorkovanja. Točan broj tikvica ovisi o metodi mjerenja razgradnje (vidi odjeljak 1.8.9.1. stavak 3., odjeljak 1.8.9.4. i Dodatak 3.).

U svakom vremenu uzorkovanja treba iz svake ispitne tikvice uzeti po dva poduzorka (npr. alikvoti od 5 ml). Ako se koristi veći broj tikvica radi uzorkovanja čitavih tikvica, u svakom vremenu uzorkovanja treba uzeti najmanje dvije tikvice (vidi odjeljak 1.8.9.1. stavak 1.).

1.8.9.3.   Priprema tikvica za test sa suspendiranim sedimentom (fakultativno)

U ispitne se posude dodaju potrebni volumeni ispitne vode i sedimenta (prema potrebi, vidi odjeljak 1.8.5.). Priprema tikvica za test sa suspendiranim sedimentom je ista kao kod pelagičkog testa (vidi odjeljke 1.8.9.1. i 1.8.9.2.). Poželjno je koristiti serumske boce ili tikvice sličnog oblika. Zatvorene tikvice polažu se vodoravno na tresilicu. Naravno, otvorene tikvice za nehlapljive tvari koje nisu radioaktivno obilježene treba staviti u uspravan položaj; u ovom se slučaju preporučuje korištenje magnetske mješalice s mješačima obloženim staklom. Boce prema potrebi treba dozračivati kako bi se održali porebni aerobni uvjeti.

1.8.9.4.   Radiokemijska određivanja

Nastali 14CO2 mjeri se neizravno i izravno (vidi Dodatak 3.). Neizravno određivanje 14CO2 temelji se na razlici između početne aktivnosti 14C u ispitnoj vodi odnosno suspenziji i ukupne preostale aktivnosti u vremenu uzorkovanja, koja se mjeri nakon zakiseljavanja uzorka na pH 2 – 3 i stripiranja CO2. Time je anorganski ugljik uklonjen i preostala izmjerena aktivnost potječe od organskog materijala. Neizravno određivanje 14CO2 ne treba koristiti ako pretvorbom ispitivane tvari nastaju značajni hlapljivi proizvodi (vidi Dodatak 3.). Nastajanje 14CO2 treba po mogućnosti izravno mjeriti (vidi Dodatak 3.) u najmanje jednoj ispitnoj tikvici u svakom vremenu uzorkovanja; taj postupak omogućuje da se provjeri i bilanca mase i proces biorazgradnje, ali je ograničen na ispitivanja koja se provode sa zatvorenim tikvicama.

Ako se nastali 14CO2 izravno mjeri tijekom ispitivanja, na početku ispitivanja treba pripremiti veći broj tikvica. Izravno određivanje 14CO2 preporučuje se ako pretvorbom ispitivane tvari nastaju značajni hlapljivi proizvodi. Dodatne ispitne tikvice se u svakoj točki mjerenja zakisele na pH 2 – 3 i 14CO2 skuplja na unutarnjem ili vanjskom apsorberu (vidi Dodatak 3.).

Koncentracije 14C obilježene ispitivane tvari i značajnih proizvoda pretvorbe mogu se fakultativno odrediti primjenom radiokromatografije (npr. tankoslojna kromatografija, RAD-TLC) ili HPLC-a s radiokemijskom detekcijom.

Isto tako, može se odrediti fazna razdioba preostale radioaktivnosti (vidi Dodatak 1.) te preostala ispitivana tvar i proizvodi pretvorbe.

Na kraju ispitivanja treba odrediti bilancu mase izravnim mjerenjem 14CO2 na zasebnim ispitnim tikvicama iz kojih se ne uzimaju uzorci tijekom ispitivanja (vidi Dodatak 3.).

1.8.9.5.   Specifična kemijska analiza

Ako je raspoloživa osjetljiva metoda za specifičnu kemijsku analizu, primarna biorazgradnja može se ocijeniti bez radioaktivnog obilježavanja mjerenjem ukupne preostale koncentracije ispitivane tvari. Ako se koristi radioaktivno obilježena ispitivana tvar (za mjerenje ukupne mineralizacije), specifična kemijska analiza se može paralelno provoditi da bi se dobile dodatne informacije i provjerio postupak. Osim toga, specifičnom kemijskom analizom mogu se mjeriti proizvodi pretvorbe nastali razgradnjom ispitivane tvari, a to se u svakom slučaju preporučuje u slučaju tvari koje se mineraliziraju s vremenom poluraspada iznad 60 dana. U svakom vremenu uzorkovanja treba izmjeriti i dokumentirati koncentraciju ispitivane tvari i proizvode pretvorbe (kao koncentraciju i kao postotak primijenjene koncentracije). U pravilu je u svakom vremenu uzorkovanja potrebno identificirati proizvode pretvorbe koji su utvrđeni na razini ≥ 10 % primijenjene koncentracije, osim ako postoje opravdani razlozi da se to ne učini. Također treba razmisliti o identifikaciji proizvoda pretvorbe čije se koncentracije stalno povećavaju tijekom istraživanja, čak i ako njihove koncentracije ne prelaze gore spomenuti prag, jer to može ukazivati na postojanost. Ako se smatra da bi moglo doći do brze abiotičke pretvorbe ispitivane tvari (npr. hidroliza), treba razmisliti o analiziranju proizvoda pretvorbe u sterilnim kontrolama. O kvantifikaciji i identifikaciji proizvoda pretvorbe treba odlučiti za svaki slučaj posebno i u izvješću navesti odgovarajuće obrazloženje. Postupci ekstrakcije organskim otapalom primjenjuju se u skladu s uputama danim u odgovarajućoj analitičkoj metodi.

Sve uzorke treba skladištiti na temperaturi od 2 do 4 °C bez pristupa zraka, ako će se analiza obaviti u roku od 24 sata (poželjno). Kod dužeg skladištenja uzorke treba zamrznuti ispod – 18 °C ili kemijski konzervirati. Konzerviranje uzoraka zakiseljavanjem se ne preporučuje jer zakiseljeni uzorci mogu biti nestabilni. Ako se uzorci neće analizirati u roku od 24 sata i moraju se duže skladištiti, treba provesti istraživanje stabilnosti u uvjetima skladištenja kako bi se dokazala stabilnost kemikalija u pitanju na temperaturama ispod – 18 °C odnosno u uvjetima konzerviranja. Ako analitička metoda uključuje ekstrakciju otapalom ili ekstrakciju krute faze (SPE), ekstrakciju treba obaviti neposredno nakon uzorkovanja ili nakon hladnog skladištenja u trajanju od najviše 24 sata.

Ovisno o osjetljivosti metode analize, ponekad su potrebni veći volumeni uzoraka od onih koji su navedeni u odjeljku 1.8.1. Ispitivanje se bez problema može obaviti s ispitnim volumenima od jedne litre u tikvicama od 2 – 3 litre, što omogućuje uzimanje uzoraka od cca 100 ml.

2.   PODACI I IZVJEŠĆIVANJE

2.1.   OBRADA REZULTATA

2.1.1.   Grafički prikaz podataka

Vremena uzorkovanja treba zaokružiti na cijeli broj sati (osim ako se tvar značajno razgrađuje u nekoliko minuta ili sati), ali ne i na cijeli broj dana. Napravi se linearni i polulogaritamski prikaz procijenjenih vrijednosti preostale aktivnosti ispitivane tvari (za 14C obilježene tvari) odnosno preostale koncentracije (za neobilježene tvari) u ovisnosti o vremenu (vidi sliku 1.a i 1.b). Ako je došlo do razgradnje, rezultati tikvica FT se usporede s rezultatima tikvica FS. Ako se srednje vrijednosti rezultata tikvica s ispitivanom tvari (FT) i sterilnih tikvica (FS) razlikuju za manje od 10 %, može se pretpostaviti da je zapažena razgradnja pretežito abiotička. Ako je razgradnja u tikvicama FS manja, dobivene brojke se mogu upotrijebiti za ispravak rezultata tikvica FT (oduzimanjem) i procjenu stupnja biorazgradnje. Ako se provode fakultativne analize značajnih proizvoda pretvorbe, osim grafičkog prikaza opadanja ispitivane tvari treba prikazati tvorbu i opadanje proizvoda pretvorbe.

Trajanje faze prilagodbe tL procijeni se iz krivulje razgradnje (polulogaritamski prikaz) ekstrapolacijom linearnog dijela krivulje do nulte razgradnje ili, kao druga mogućnost, određivanjem vremena koje je potrebno da se postigne približno 10 %-tna razgradnja (vidi sliku 1.a i 1.b). Iz polulogaritamskoga grafa procijeni se konstanta brzine prvog reda k i njezina standardna greška linearnom regresijom ln (preostala aktivnost 14C ili koncentracija ispitivane tvari) u ovisnosti o vremenu. Posebice kad su u pitanju mjerenja 14C treba koristiti samo podatke iz početnog linearnog dijela krivulje po završetku faze prilagodbe; pritom treba radije odabrati manje reprezentativnih podataka nego veći broj nesigurnijih podataka. U ovom smislu nesigurnost uključuje i greške vezane uz preporučeno izravno korištenje izmjerenih vrijednosti preostale aktivnosti 14C (vidi u nastavku). Ponekad je relevantno izračunati dvije različite konstante brzine ako se razgradnja odvija u dvije faze. Za to je potrebno definirati dvije različite faze krivulje razgradnje. Ako se uzimaju uzorci iz iste tikvice, konstantu brzine k i vrijeme poluraspada t1/2 = ln2/k treba izračunati za svaku pojedinačnu tikvicu, dok se u slučaju uzorkovanja čitavih tikvica za izračun koriste prosječne vrijednosti (vidi zadnji stavak odjeljka 1.8.9.2.). Ako se koristi prvi postupak, konstantu brzine i vrijeme poluraspada treba navesti zasebno za svaku pojedinačnu tikvicu i kao prosječnu vrijednost sa standardnom greškom. Ako se koriste visoke koncentracije ispitivane tvari, krivulja razgradnje može znatno odstupati od pravca (polulogaritamski graf) i možda neće vrijediti kinetika prvog reda. U tom slučaju nema smisla određivati vrijeme poluraspada. Međutim, za ograničeni raspon podataka moguće je primijeniti kinetiku pseudoprvog reda i procijeniti vrijeme polurazgradnje DT50 (vrijeme potrebno da se postigne 50 %-tna razgradnja). Pritom ipak treba imati na umu da na temelju tog DT50 nije moguće predvidjeti vremenski tijek razgradnje izvan odabranog raspona podataka jer se radi o vrijednosti koja opisuje samo određeni skup podataka. Analitički alati koji olakšavaju statističke izračune i prilagođavanje krivulja su lako dostupni te se stoga preporučuje korištenje takvog softvera.

Ako se provode specifične kemijske analize, treba procijeniti konstante brzine i vremena poluraspada za primarnu razgradnju na način kako je je gore opisano za ukupnu mineralizaciju. Ako je primarna razgradnja ograničavajući proces, ponekad se mogu koristiti točke podataka iz čitavog tijeka razgradnje. To je stoga što se ovdje provode izravna mjerenja za razliku od mjerenja aktivnosti 14C.

Ako se koriste 14C obilježene tvari, bilancu mase treba izraziti u postotku primijenjene početne koncentracije barem na kraju ispitivanja.

2.1.2.   Preostala aktivnost

Kad se 14C obilježeni dio organske tvari biološki razgrađuje, najveći dio 14C pretvara se u 14CO2, dok se drugi dio troši na rast biomase i/ili sintezu izvanstaničnih metabolita. Prema tomu, „potpuna” biorazgradnja tvari ne rezultira 100 %-tnom pretvorbom njezinog ugljika u 14CO2. 14C ugrađen u proizvode biosinteze kasnije se polako oslobađa kao 14CO2 zbog „sekundarne mineralizacije”. Iz tog su razloga na grafičkim prikazima preostale aktivnosti organskog 14C (izmjerene nakon stripiranja CO2) odnosno nastalog 14CO2 u ovisnosti o vremenu vidljivi „repovi” po završetku razgradnje. To komplicira kinetičko tumačenje podataka i stoga za procjenu konstante brzine razgradnje u pravilu treba koristiti samo početni dio krivulje (po završetku faze prilagodbe, a prije nego što se postigne približno 50 %-tna razgradnja). Ako se ispitivana tvar razgrađuje, ukupna preostala aktivnost organskog 14C je uvijek viša od aktivnosti 14C povezane s preostalom nepromijenjenom ispitivanom tvari. Ako se ispitivana tvar razgrađuje reakcijom prvog reda i ako se stalni udio (α) mineralizira u CO2, početni nagib krivulje nestajanja 14C (ukupni organski 14C u vremenu) je α puta nagib odgovarajuće krivulje za koncentraciju ispitivane tvari (ili točnije 14C obilježenog dijela ispitivane tvari). Prema tomu, primjenom neispravljenih vrijednosti mjerenja ukupne aktivnosti organskog 14C dobiva se konzervativna procjena konstante brzine razgradnje. Postupci za procjenu koncentracija ispitivane tvari iz izmjerene radiokemijske aktivnosti na temelju različitih pojednostavljujućih pretpostavki opisani su u literaturi pod 2., 9., 10. i 11. Ti se postupci najlakše primjenjuju kod brzo razgradivih tvari.

2.2.   TUMAČENJE REZULTATA

Ako se utvrdi da je k neovisan o povećanju koncentracije (tj. ako je izračunani k približno jednak pri različitim koncentracijama ispitivane tvari), može se poći od pretpostavke da je konstanta brzine prvog reda reprezentativna za primijenjene ispitne uvjete tj. za ispitivanu tvar, vodeni uzorak i ispitnu temperaturu. U kojoj se mjeri rezultati mogu uopćiti odnosno ekstrapolirati na druge sustave treba ocijeniti stručnom prosudbom. Ako se koristi visoka koncentracija ispitivane tvari i razgradnja stoga ne slijedi kinetiku prvog reda, podaci se neće moći koristiti za izravnu procjenu konstante brzine prvog reda odnosno odgovarajućeg vremena poluraspada. Ipak, podaci dobiveni u ispitivanju s visokom koncentracijom ispitivane tvari mogu se iskoristiti za procjenu stupnja ukupne mineralizacije i/ili utvrđivanje i kvantifikaciju proizvoda pretvorbe.

Ako su poznati gubici u procesima različitim od biorazgradnje (npr. hidroliza ili isparavanje), oni se mogu oduzeti od neto gubitaka utvrđenih tijekom ispitivanja kako bi se dobila približna procjena biorazgradnje. Podaci o hidrolizi mogu se dobiti npr. pomoću sterilne kontrole ili iz paralelnog ispitivanja s višom koncentracijom ispitivane tvari.

Neizravno i izravno određivanje 14CO2 (odjeljak 1.8.9.4. i Dodatak 3.) može se koristiti samo za mjerenje stupnja mineralizacije ispitivane tvari u CO2. Radiokromatografija (RAD-TLC) i HPLC mogu se koristiti za analizu koncentracija 14C obilježene ispitivane tvari i tvorbe značajnih proizvoda pretvorbe (odjeljak 1.8.9.4. stavak 3.). Izravna procjena vremena poluraspada moguća je samo ako nisu prisutni značajni proizvodi pretvorbe (definirani kao ≥ 10 % primijenjene količine ispitivane tvari). Ako su prisutni značajni proizvodi pretvorbe u smislu ove definicije, potrebno je detaljno vrednovanje podataka. To može uključivati ponovljeno ispitivanje i/ili utvrđivanje proizvoda pretvorbe (vidi odjeljak 1.8.9.5. prvi stavak), osim ako se sudbina proizvoda pretvorbe može prilično dobro odrediti na temelju iskustva (npr. informacije o putu razgradnje). Budući da udio ugljika ispitivane tvari koji prelazi u CO2 nije uvijek jednak (što u velikoj mjeri ovisi o koncentraiji ispitivane tvari i drugih raspoloživih supstrata, ispitnim uvjetima i mikrobnoj zajednici), ovaj test ne omogućuje izravnu procjenu potpune biorazgradnje kao što je to slučaj kod testa opadanja DOC-a, ali rezultat je sličan onomu koji se dobije respirometrijskim testom. Stupanj mineralizacije će, prema tomu biti manji ili jednak minimalnom stupnju potpune biorazgradnje. Da bi se dobila cjelovitija slika potpune biorazgradnje (mineralizacija i ugradnja u biomasu), na kraju ispitivanja treba provesti analizu fazne razdiobe 14C (vidi Dodatak 1.). Čestični 14C sastojat će se od 14C ugrađenog u bakterijsku biomasu i 14C sorbiranog na organske čestice.

2.3.   VALJANOST ISPITIVANJA

Ako se referentna tvar ne razgradi u očekivanom vremenskom razdoblju (za anilin i natrijev benzoat u pravilu manje od dva tjedna), treba posumnjati u valjanost ispitivanja i ispitivanje podvrgnuti dodatnim provjerama, ili ga ponoviti s novim vodenim uzorkom. U ISO prstenastom testu ove metode u kojemu je sudjelovalo sedam laboratorija iz raznih dijelova Europe, prilagođene konstante brzine razgradnje za anilin kretale su se između 0,3 i 1,7 dan–1, prosječno 0,8 dan–1, pri temperaturi od 20 °C uz standardnu grešku od ± 0,4 d–1 (t1/2 = 0,9 dana). Uobičajena vremena prilagodbe bila su između 1 i 7 dana. Kod ispitanih voda zabilježena je bakterijska biomasa od 103 do 104 jedinica koje tvore kolonije (Colony Forming Units, CFU) po ml. Brzine razgradnje u srednjoeuropskim vodama koje su bogate nutrijentima bile su više nego u nordijskim oligotrofnim vodama, što može biti posljedica razlike u trofičkom stanju ili ranijeg izlaganja kemikalijama.

Kod radioaktivno obilježenih tvari ukupno iskorištenje (bilanca mase) na kraju pokusa trebalo bi iznositi između 90 % i 110 %, dok bi kod neobilježenih tvari početno iskorištenje na početku pokusa trebalo biti između 70 % i 110 %. Ipak, navedena područja treba shvatiti kao ciljne vrijednosti i ne treba ih koristiti kao kriterij za prihvaćanje ispitivanja.

3.   IZVJEŠĆE O ISPITIVANJU

U izvješću o ispitivanju treba biti jasno navedena vrsta ispitivanja koje se provodi – pelagički test ili test sa suspendiranim sedimentom; osim toga, izvješće o ispitivanju mora sadržavati barem sljedeće informacije:

Ispitivana tvar i referentna(-e) tvar(i):

uobičajeni nazivi, kemijski nazivi (po mogućnosti naziv IUPAC i/ili CAS), CAS brojevi, strukturne formule (uz naznaku položaja 14C, ako se koristi radioaktivno obilježena tvar) i relevantna fizikalno-kemijska svojstva ispitivane i referentne tvari (vidi odjeljke 1.5. i 1.6.),

kemijski nazivi, CAS brojevi, strukturne formule (uz naznaku položaja 14C, ako se koristi radioaktivno obilježena tvar) i relevantna fizikalno-kemijska svojstva tvari koje se koriste kao standardi za identifikaciju i kvantifikaciju proizvoda pretvorbe,

čistoća (nečistoće) ispitivanih i referentnih tvari,

radiokemijska čistoća obilježene kemikalije i specifična aktivnost (prema potrebi).

Površinska voda:

Za vodeni uzorak treba navesti barem sljedeće podatke:

lokacija i opis mjesta uzorkovanja uključujući, po mogućnosti, povijest onečišćenja,

datum i vrijeme uzimanja uzorka,

nutrijenti (ukupni N, amonij, nitrit, nitrat, ukupni P, otopljeni ortofosfat),

dubina uzorkovanja,

izgled uzorka (npr. boja, mutnoća),

DOC i TOC,

BPK,

temperatura i pH na mjestu uzorkovanja u vrijeme uzorkovanja,

kisik ili redoks potencijal (obvezno samo ako aerobni uvjeti nisu očiti),

salinitet ili provodljivost (u slučaju morske i bočate vode),

suspendirana kruta tvar (u slučaju mutnog uzorka),

po mogućnosti i druge relevantne informacije o mjestu uzorkovanja u trenutku uzorkovanja (npr. aktualni ili povijesni podaci o brzini protoka rijeka ili morskih struja, značajnija ispuštanja otpadnih voda u blizini i vrsta otpadnih voda, vremenski uvjeti prije uzorkovanja),

i fakultativno:

mikrobna biomasa (npr. izravno brojenje tehnikom bojenja akridinskom bojama ili jedinice koje tvore kolonije),

anorganski ugljik,

koncentracija klorofila kao specifična procjena biomase algi.

Ako se provodi test sa suspendiranim sedimentom, treba navesti i sljedeće podatke o sedimentu:

dubina uzorkovanja sedimenta,

izgled sedimenta (npr. obojen, muljevit, praškast, pjeskovit),

tekstura (npr. % krupnog pijeska, finog pijeska, praha i ilovače),

suha masa u g/l suspendirane krute tvari, koncentracija TOC-a ili gubitak mase nakon zapaljenja kao mjera sadržaja organske tvari,

pH,

kisik ili redoks potencijal (obvezno samo ako aerobni uvjeti nisu očiti).

Ispitni uvjeti:

vremenski razmak između uzorkovanja i uporabe u laboratorijskom ispitivanju, skladištenje uzorka i prethodna obrada uzorka, datumi provedbe istraživanja,

primijenjena količina ispitivane tvari, ispitna koncentracija i referentna tvar,

način primjene ispitivane tvari, uključujući uporabu otapala (prema potrebi),

volumen upotrijebljene površinske vode i sedimenta (ako se koristi) i volumen uzorka koji se uzima na analizu u svakom vremenu uzorkovanja,

opis ispitnog sustava koji se koristi.

Ako se ispitivanje ne može provesti u mraku, informacije o uvjetima „difuzne rasvjete”:

informacije o metodi(-ama) koje su upotrijebljene za pripremu sterilnih kontrola (npr. temperatura, vrijeme i broj obrada u autoklavu),

temperatura inkubacije,

informacije o analitičkim tehnikama i metodi(-ama) koje se koriste za radiokemijska mjerenja i provjeru bilance mase te mjerenja fazne razdiobe (ako se provode),

broj ponavljanja.

Rezultati:

postotak iskorištenja (vidi odjeljak 1.7.1.),

ponovljivost i osjetljivost primijenjenih analitičkih metoda, uključujući granicu detekcije (LOD) i granicu kvantifikacije (LOQ) (vidi odjeljak 1.7.2.),

prikaz svih izmjerenih podataka (uključujući vremena uzorkovanja) i izračunanih vrijednosti u tabličnom obliku i krivulje razgradnje; za svaku ispitnu koncentraciju i svako ponavljanje treba navesti koeficijent linearne korelacije za nagib logaritamskoga grafa, procijenjenu fazu prilagodbe i konstantu brzine prvog reda ili pseudoprvog reda (po mogućnosti) te odgovarajuće vrijeme polurazgradnje (odnosno vrijeme poluraspada t50),

prosjeci rezultata pojedinačnih ponavljanja za odgovarajuće vrijednosti, npr. dužina faze prilagodbe, konstanta brzine razgradnje i vrijeme polurazgradnje (ili t50),

kategorizirati sustav kao neprilagođeni sustav ili prilagođeni sustav s obzirom na izgled krivulje razgradnje i mogući utjecaj ispitne koncentracije,

rezultati završne provjere bilance mase i rezultati mjerenja fazne razdiobe (prema potrebi),

udio mineraliziranog 14C i, ako se koriste specifične analize, konačna razina primarne razgradnje,

utvrđivanje, molarna koncentracija i postotak primijenjene koncentracije i značajnih proizvoda pretvorbe (prema potrebi) (vidi odjeljak 1.8.9.5. prvi stavak),

predloženi put pretvorbe, prema potrebi,

rasprava rezultata.

4.   LITERATURA

1.

OECD TG 309 (2004.) Aerobic Mineralisation in surface water – Simulation Biodegradation Test.

2.

ISO/DIS 14592-1 (1999.) Water quality – Evaluation of the aerobic biodegradability of organic compounds at low concentrations – Part 1: Shake flask batch test with surface water or surface water/sediment suspensions.

3.

Ispitna metoda C.23. Aerobic and anaerobic transformation in soil.

4.

Ispitna metoda C.24. Aerobic and anaerobic transformation in aquatic sediments.

5.

OECD (1993.). Guidelines for the Testing of Chemicals. OECD, Paris.

6.

ISO 8245 (1999.). Water quality – Guidelines on the determination of total organic carbon (TOC) and dissolved organic carbon (DOC).

7.

ISO 10634 (1995.). Water quality – Guidance for the preparation and treatment of poorly water-soluble organic compounds for the subsequent evaluation of their biodegradability in an aqueous medium.

8.

OECD (2000.). Guidance Document on aquatic toxicity testing of difficult substances and mixtures. Environmental Health and Safety Publications. Series on Testing and Assessment. No 22.

9.

Simkins, S. and Alexander, M. (1984.). Models for mineralisation kinetics with the variables of substrate concentration and population density. Appl. Environ. Microbiol.47, 394-401.

10.

Ingerslev, F. and N. Nyholm. (2000.). Shake-flask test for determination of biodegradation rates of 14C-labeled chemicals at low concentrations in surface water systems. Ecotoxicol. Environ. Saf. 45, 274-283.

11.

ISO/CD 14592-1 (1999.). Ring test report: Water Quality – Evaluation of the aerobic biodegradability of organic compounds at low concentrations part 1 – report of 1998/1999 ring-test. Shake flask batch test with surface water or surface water/sediment suspensions.

Dodatak 1.

Fazna razdioba 14C

U svrhu provjere postupka, rutinska mjerenja aktivnosti preostalog ukupnog organskog 14C (TOA) treba nadopuniti mjerenjima bilance mase s izravnim određivanjem nastalog 14CO2 koji se skuplja u apsorberu (vidi Dodatak 3.). Potvrda tvorbe 14CO2 sama je po sebi izravan dokaz biorazgradnje, za razliku od abiotičke razgradnje i drugih mehanizama gubitaka, kao što je isparavanje ili sorpcija. Dodatne informacije koje mogu biti korisne za opisivanje procesa biorazgradnje mogu se dobiti mjerenjem razdiobe TOA između otopljenog stanja (aktivnost otopljenog organskog 14C, DOA) i čestičnog stanja (aktivnost čestičnog organskog 14C, POA) nakon odvajanja čestica membranskom filtracijom ili centrifugiranjem. POA se sastoji od ispitivane tvari sorbirane na mikrobnu biomasu i druge čestice te od ugljika sadržanog u ispitivanoj tvari koji se koristi za sintezu novog staničnog materijala i tako ugrađuje u čestičnu frakciju biomase. Tvorba otopljenog organskog 14C materijala može se procijeniti kao DOA na kraju biorazgradnje (plato krivulje razgradnje u ovisnosti o vremenu).

Faznu razdiobu preostalog 14C u odabranim uzorcima treba procijeniti filtriranjem uzoraka na membranskom filtru 0,22 μm ili 0,45 μm izrađenom od materijala koji ne adsorbira značajne količine ispitivane tvari (npr. polikarbonatni filteri). Ako dolazi do znatne sorpcije ispitivane tvari na filter koja se ne može zanemariti (ovo treba provjeriti prije pokusa), umjesto filtriranja se može koristiti centrifugiranje pri velikoj brzini (2 000 g; 10 min).

S filtratom odnosno centrifugatom se postupa kao s nefiltriranim uzorcima iz Dodatka 3. Membranski se filteri otope u prikladnoj scintilacijskoj tekućini i broji na uobičajeni način, u pravilu uz ispravak gašenja („quenching“) primjenom vanjskog standarda („external standard ratio method“), ili se upotrijebi oksidacijsko sredstvo za uzorak. Ako se koristi centrifugiranje, nastalu peletu čestične frakcije treba resuspendirati u 1 – 2 ml destilirane vode i prenijeti u scintilacijsku bočicu. Zatim se posuda dvaput ispere s 1 ml destilirane vode i voda od pranja prenese u bočicu. Suspenzija se prije brojenja metodom tekućinske scintilacije može prema potrebi obložiti gelom.

Dodatak 2.

Polukontinuirani postupak

U slučaju postojanih tvari ponekad je potrebno produžiti vrijeme inkubacije i do nekoliko mjeseci da bi se postigla dostatna razgradnja. Ispitivanje u pravilu ne bi smjelo trajati duže od 60 dana, osim ako se ispitna suspenzija obnavlja kako bi se održala izvorna svojstva vodenog uzorka. Ipak, trajanje ispitivanja se može produžiti do najviše 90 dana i bez obnavljanja ispitne suspenzije ako je razgradnja ispitivane tvari započela unutar prvih 60 dana.

Kod dugotrajnije inkubacije raznolikost mikrobne zajednice može se smanjiti zbog različitih mehanizama gubitaka i mogućeg iscrpljenja zaliha esencijalnih nutrijenata i primarnih ugljičnih supstrata u vodenom uzorku. Stoga se kod tvari koje se sporo razgrađuju preporučuje primjena polukontinuiranog postupka kako bi se mogla pravilno odrediti brzina razgradnje. Ispitivanje treba započeti u polukontinuiranom postupku ako se na temelju ranijih iskustava očekuje da će za 20 %-tnu razgradnju tvari biti potrebno razdoblje inkubacije od tri mjeseca. Druga je mogućnost da se uobičajeni šaržni test pretvori u polukontinuirani ako tijekom približno 60 dana ispitivanja šaržnim postupkom nije došlo do razgradnje ispitivane tvari. Polukontinuirani postupak se može prekinuti i ispitivanje nastaviti šaržnim postupkom kad se zabilježi značajna razgradnja (npr. > 20 %).

U polukontinuiranom postupku se svaka dva tjedna otprilike jedna trećina volumena ispitne suspenzije zamjenjuje svježe prikupljenom vodom u koju je dodana ispitivana tvar u početnoj koncentraciji. Ako se koristi fakultativni test sa suspendiranim sedimentom, zamjenskoj vodi treba dodati i sediment u početnoj koncentraciji (između 0,01 i 1 g/l). Važno je naglasiti da se u slučaju provedbe testa sa suspendiranim česticama sedimenta sustav mora održavati u potpunoj suspenziji i tijekom obnavljanja vode te da vrijeme zadržavanja mora biti jednako za krute tvari i vodu, jer se u protivnome gubi predviđena sličnost s homogenim vodenim sustavom bez čvrstih faza. Stoga je kod primjene polukontinuiranog postupka poželjno da se početna koncentracija suspendiranog sedimenta odabere iz donjeg segmenta utvrđenog područja.

Ispitivana se tvar mora dodavati tako da kod djelomičnog obnavljanja ispitne suspenzije ne dođe do prekoračenja početne koncentracije ispitivane tvari kako bi se izbjegla prilagodba koja se često javlja pri visokim koncentracijama ispitivane tvari. Budući da postupak uključuje i ponovnu inokulaciju i nadoknađivanje potrošenih nutrijenata i primarnih supstrata, izvorna mikrobna raznolikost se ponovno uspostavlja i ispitivanje se teoretski može nastavljati beskonačno. Kod polukontinuiranog postupka važno je napomenuti da se preostala koncentracija ispitivane tvari mora ispraviti s obzirom na količine ispitivane tvari koje se dodaju i uklanjaju u svakom postupku obnavljanja. Ukupna koncentracija ispitivane tvari i koncentracija otopljene ispitivane tvari mogu se naizmjenično koristiti u slučaju spojeva kod kojih se ne dolazi do znatnije sorpcije. Sorpcija je u utvrđenim uvjetima (0,1 – 1 g krute tvari/l) beznačajna (< 5 %) kod tvari s log Kow < 3 (vrijedi za neutralne, lipofilne spojeve). To se može vidjeti i na računskom primjeru u nastavku. 0,1 g/l krute tvari otprilike odgovara 10 mg ugljika po litri (udio ugljika fC = 0,01). Pretpostavimo da je:

Log Kow (ispitivane tvari) = 3

Koc = 0,42 × Kow

podjelni koeficijent Kd = fC × Koc

tada je otopljena frakcija ukupne koncentracije (C-voda (Cw)/C-ukupni (Ct)):

Cw/Ct = 1/(1 + Kd × SS) = 1(1 + Koc × fC × SS) = 1/(1 + 0,42 × 103 × 0,01 × 0,1 × 10-3) = 0,999

Dodatak 3.

Određivanje 14CO2

Neizravno određivanje 14CO2

Neizravna metoda kod rutinskih mjerenja u pravilu zahtijeva manje vremena, a usto je i najpreciznija u slučaju tvari koje nisu hlapljive i ne prelaze u hlapljive proizvode. Nefiltrirani uzorci od npr. 5 ml jednostavno se prenesu u scintilacijske bočice. Prikladna početna aktivnost u uzorcima je 5 000 dpm – 10 000 dpm (80 – 170 Bq), a minimalna početna aktivnost iznosi oko 1 000 dpm. CO2 se stripira nakon zakiseljavanja na pH 2 – 3 s 1 – 2 kapi koncentrirane H3PO4 ili HCl. Stripiranje CO2 može se provesti upuhivanjem mjehurića zraka oko ½ do 1 sata. Kao druga mogućnost, bočice se snažno protresaju 1 – 2 sata (npr. na tresilici s mikropločama) ili se uz lakše protresanje ostave na tresilici preko noći. Učinkovitost postupka odvajanja CO2 treba provjeriti (produženjem vremena dozračivanja ili tresenja). Zatim se doda scintilacijska tekućina prikladna za brojenje vodenih uzoraka, uzorak se homogenizira na vrtložnoj mješalici i odredi radioaktivnost brojenjem metodom tekućinske scintilacije te oduzme osnovna aktivnost utvrđena u slijepim probama (FB). Ako ispitna voda nije jako obojena i ne sadrži visoku koncentraciju čestica, uzorci će u pravilu pokazivati ujednačeno gašenje („quenching”) i bit će dovoljno provesti ispravke za gašenje primjenom vanjskog standarda. Ako je ispitna voda jako obojena, ispravak za gašenje se ponekad mora provesti dodavanjem unutarnjeg standarda. U slučaju visoke koncentracije čestica nije uvijek moguće dobiti homogenu otopinu odnosno gel, ili se mogu javiti velike razlike u gašenju među uzorcima. U tom se slučaju na ispitni mulj može primijeniti metoda brojenja opisana u nastavku. Ako se koristi test sa suspendiranim sedimentom, mjerenje 14CO2 može se provesti neizravno tako da se uzme homogeni uzorak ispitne vode/suspenzije od 10 ml i faze odvoje centrifugiranjem na prikladnoj brzini (npr. 15 minuta na 40 000 m/s2). Zatim se s vodenom fazom postupa kako je gore opisano. Aktivnost 14C u čestičnoj fazi (POA) određuje se tako da se sediment resuspendira u malom volumenu destilirane vode, prenese u scintilacijske bočice i zatim doda scintilacijska tekućina da bi se dobio gel (za ovo su predviđene posebne scintilacijske tekućine). Ovisno o vrsti čestica (npr. sadržaj organskog materijala), uzorak se eventualno može ostaviti preko noći da se otopi u sredstvu za otapanje tkiva, zatim homogenizirati na vrtložnoj mješalici i onda dodati scintilacijsku tekućinu. Druga je mogućnost da se POA odredi sagorijevanjem viška kisika pomoću oksidacijskog sredstva. Kod brojenja treba uvijek uključiti unutarnje standarde, a ispravke za gašenje ponekad je potrebno napraviti dodavanjem unutarnjeg standarda u svaki pojedini uzorak.

Izravno određivanje 14CO2

Ako se nastali 14CO2 mjeri izravno, na početku ispitivanja treba pripremiti više ispitnih tikvica i u svakoj mjernoj točki uzimati čitave tikvice, zakiseliti na pH 2 – 3 i skupljati 14CO2 u unutarnjem apsorberu (koji se stavlja u svaku ispitnu tikvicu na početku ispitivanja) ili vanjskom apsorberu. Kao apsorpcijsko sredstvo može se koristiti alkalijska tvar (npr. otopina 1 N NaOH ili peleta NaOH), etanolamin ili apsorberi na bazi etanolamina koji su dostupni na tržištu. Kod izravnog mjerenja 14CO2 tikvice moraju biti zatvorene npr. zatvaračima od butilne gume.

Slika 1.a

Primjer aritmetičkog prikaza podataka (preostala aktivnost u ovisnosti o vremenu)

Image

Slika 1.b

Primjer polulogaritamskog prikaza podataka (ln preostale aktivnosti u ovisnosti o vremenu)

Image


PRILOG VI.

C.26.

TEST INHIBICIJE RASTA LEMNA SP.

1.   METODA

Ova metoda odgovara smjernici OECD TG 221 (2006) (1.). Među tijelima EU-a postoji općenita suglasnost da je u slučaju jako obojenih tvari test Lemna sp. prikladna alternativa testu s algama (2.) (3.).

1.1.   UVOD

Ova ispitna metoda namijenjena je ocjenjivanju toksičnosti tvari za slatkovodne biljke roda Lemna (vodena leća). Ona se temelji na postojećim smjernicama (4.) (5.) (6.) (7.) (8.) (9.), ali uključuje neke izmjene tih metoda u svjetlu posljednjih istraživanja i savjetovanja o nizu ključnih pitanja. Predložena metoda validirana je međunarodnim prstenastim testom (10.).

U ovoj su ispitnoj metodi opisana toksikološka ispitivanja s vrstama Lemna gibba i Lemna minor koje su do sada već znatno proučavane i predmet su gore spomenutih standarda. Taksonomija Lemna spp. složena je zbog velikog broja različitih fenotipa. Iako se u odgovoru na toksično djelovanje kod vrsta Lemna može javiti određena genetska varijabilnost, trenutačno nema dovoljno podataka o tom izvoru varijabilnosti da bi se mogao preporučiti neki određeni klon za ovu ispitnu metodu. Valja napomenuti da se ispitivanje ne provodi aksenično, ali se u pojedinim fazama ispitnog postupka poduzimaju koraci kako bi se onečišćenje drugim organizmima svelo na najmanju moguću mjeru.

Opisani su detalji ispitivanja s obnavljanjem (polustatičko i protočno) i bez obnavljanja (statičko) ispitne otopine. Ovisno o ciljevima ispitivanja i regulatornim zahtjevima, preporučuje se da se ispita mogućnost primjene polustatičkih i protočnih metoda (npr. kod tvari koje se brzo gube iz otopine zbog isparavanja, fotokemijske razgradnje, taloženja ili biorazgradnje). Dodatne smjernice mogu se pronaći u literaturi (11.).

1.2.   DEFINICIJE

Za potrebe ove ispitne metode primjenjuju se sljedeće definicije i skraćenice:

Biomasa je suha masa žive tvari u populaciji. U ovoj se metodi u pravilu mjere zamjenski parametri biomase, kao što je broj listova i lisna površina, pa se izraz „biomasa” odnosi i na te zamjenske mjere.

Kloroza je žućenje lisnog tkiva.

Klon je organizam ili stanica nastala od jedne jedinke nespolnim razmnožavanjem. Prema tomu, jedinke potekle od istog klona su genetski istovjetne.

Kolonija su svi listovi majke i kćeri (obično 2 do 4) koji su međusobno spojeni. Ponekad se se naziva i biljkom.

ECx je koncentracija ispitivane tvari otopljene u ispitnom mediju koja rezultira x %-tnim (npr. 50 %) smanjenjem rasta Lemna unutar određenog razdoblja izlaganja (koje treba izričito navesti ako je različito od punog odnosno uobičajenog trajanja ispitivanja). Da bi se nedvosmisleno pokazalo je li vrijednost EC dobivena iz brzine rasta ili iz prirasta, koristi se simbol „ErC” za brzinu rasta („growth rate”) i „EyC” za prirast („yield”), iza čega se navodi mjerna varijabla npr. ErC (broj listova).

Protočno ispitivanje je ispitivanje gdje se ispitne otopine stalno zamjenjuju.

List je zasebna/pojedinačna „listasta” struktura vodene leće. To je najmanja reproduktivno sposobna jedinica odnosno jedinka.

Nabreklina su grbavi ili nabrekli listovi.

Rast je povećanje mjerne varijable, npr. broj listova, suha masa, mokra masa ili lisna površina, u razdoblju ispitivanja.

Brzina rasta (prosječna specifična brzina rasta) je logaritamsko povećanje biomase tijekom razdoblja izlaganja.

Najniža koncentracija s vidljivim učinkom (LOEC) je najniža ispitana koncentracija kod koje je uočen statistički značajan usporavajući učinak na rast (pri p < 0,05) u usporedbi s kontrolom u određenom razdoblju izlaganja. Ipak, sve ispitne koncentracije iznad LOEC-a moraju imati jednak ili veći štetan učinak od onoga koji je zabilježen pri LOEC-u. Ako se ova dva uvjeta ne mogu ispuniti, treba navesti detaljno obrazloženje za odabir LOEC-a (a time i NOEC-a).

Mjerna varijabla je bilo koja varijabla koja se mjeri kako bi se izrazila krajnja točka ispitivanja primjenom jedne ili više varijabli odgovora. Mjerne varijable kod ove metode su broj listova, lisna površina, svježa masa i suha masa.

Monokultura je kultura koja sadrži jednu biljnu vrstu.

Nekroza je mrtvo (tj. bijelo ili vodom natopljeno) lisno tkivo.

Najviša koncentracija bez vidljivog učinka (NOEC) je ispitna koncentracija neposredno ispod LOEC-a.

Fenotip su vidljive značajke organizma određene interakcijom gena i okoliša.

Varijabla odgovora je varijabla za procjenu toksičnosti izvedena iz bilo koje mjerene varijable koja opisuje biomasu primjenom različitih računskih metoda. Kod ove metode brzine rasta i prirast su varijable odgovora izvedene iz mjernih varijabli kao što su broj listova, lisna površina, svježa masa i suha masa.

Polustatičko ispitivanje (ispitivanje s obnavljanjem) je ispitivanje gdje se ispitna otopina zamjenjuje periodički, u određenim razmacima, tijekom ispitivanja.

Statičko ispitivanje je ispitna metoda gdje se ispitna otopina ne obnavlja tijekom ispitivanja.

Krajnja točka ispitivanja je opći faktor koji se mijenja u odnosu na kontrolu zbog djelovanja ispitivane tvari kao cilj ispitivanja. Kod ove metode krajnja točka ispitivanja je inhibicija rasta koja se može izraziti različitim varijablama odgovora koje se temelje na jednoj ili više mjernih varijabli.

Ispitni medij je cjelokupni sintetički uzgojni medij u kojem ispitne biljke rastu kad se izlože ispitivanoj tvari. Ispitivana se tvar u pravilu otapa u ispitnom mediju.

Prirast je vrijednost mjerne varijable kojom se izražava razlika između biomase na kraju razdoblja izlaganja i mjerne varijable na početku razdoblja izlaganja.

1.3.   NAČELO ISPITIVANJA

Eksponencijalno rastuće biljne kulture roda Lemna puste se da rastu kao monokulture u različitim koncentracijama ispitivane tvari u razdoblju od sedam dana. Cilj ispitivanja je kvantificirati učinke tvari na vegetativni rast tijekom toga razdoblja ocjenjivanjem odabranih mjernih varijabli. Broj listova je primarna mjerna varijabla. Osim toga, mjeri se barem još jedna mjerna varijabla (ukupna lisna površina, suha masa ili svježa masa), budući da neke tvari znatno više utječu na neke druge mjerne varijable nego na broj listova. Da bi se kvantificirali učinci tvari, rast u ispitnim otopinama uspoređuje se s rastom u kontrolama i određuje koncentracija koja izaziva određeni postotak (x %) inhibicije rasta (npr. 50 %), koja se izražava kao ECx (npr. EC50).

Krajnja točka ispitivanja je inhibicija rasta koja se izražava kao logaritamsko povećanje mjerne varijable (prosječna specifična brzina rasta) u razdoblju izlaganja. Iz prosječnih specifičnih brzina rasta zabilježenih u nizu ispitnih otopina određuje se koncentracija koja izaziva određeni postotak (x %) inhibicije brzine rasta (npr. 50 %) koja se izražava kao ErCx (npr. ErC50).

U ovoj se ispitnoj metodi koristi i prirast kao dodatna varijabla odgovora koja je potrebna da bi se ispunili određeni regulatorni zahtjevi u nekim državama. On je definiran kao razlika između mjernih varijabli na kraju razdoblja izlaganja i mjernih varijabli na početku razdoblja izlaganja. Iz prirasta zabilježenog u nizu ispitnih otopina izračunava se koncentracija koja izaziva određeni postotak (x %) inhibicije prirasta (npr. 50 %), koja se izražava kao EyCx (npr. EyC50).

Osim toga, može se statistički odrediti najniža koncentracija s vidljivim učinkom (LOEC) i najviša koncentracija bez vidljivog učinka (NOEC).

1.4.   INFORMACIJE O ISPITIVANOJ TVARI

Mora biti raspoloživa analitička metoda odgovarajuće osjetljivosti za kvanitifikaciju tvari u ispitnom mediju.

Za određivanje ispitnih uvjeta korisno je imati informacije o ispitivanoj tvari kao što su strukturna formula, čistoća, topljivost u vodi, stabilnost u vodi i na svjetlosti, pKa, Kow, tlak pare i biorazgradivost. Topljivost u vodi i tlak pare mogu se upotrijebiti za izračunavanje konstante Henryjevog zakona, iz koje se može zaključiti treba li u razdoblju ispitivanja očekivati značajne gubitke ispitivane tvari. Na taj se način prema potrebi mogu poduzeti određene mjere za nadzor tih gubitaka. Ako su informacije o topljivosti i stabilnosti ispitivane tvari nesigurne, preporučuje se da se topljivost i stabilnost ispitivane tvari ocijene u uvjetima ispitivanja tj. uzgojni medij, temperatura, režim rasvjete koji će se koristi tijekom ispitivanja.

U slučajevima kad je nadziranje pH vrijednosti ispitnog medija posebno važno, npr. kod ispitivanja metala ili tvari koje su hidrolitički nestabilne, preporučuje se da se u uzgojni medij doda pufer (vidi odjeljak 1.7.4. prvi stavak). Dodatne smjernice za ispitivanje tvari čija fizikalno-kemijska svojstva otežavaju ispitivanje nalaze se u literaturi pod 11.

1.5.   REFERENTNA TVAR

Jedna ili više referentnih tvari, kao što je 3,5-diklorfenol koji je korišten u međulaboratorijskom ispitivanju (10.), mogu se ispitati radi provjere postupka. Preporučljivo je da se referentna tvar ispita barem dvaput godišnje ili, ako se ispitivanje provodi rjeđe, istovremeno s određivanjem toksičnosti ispitivane tvari.

1.6.   VALJANOST ISPITIVANJA

Da bi ispitivanje bilo valjano, vrijeme potrebno da se broj listova u kontrolnom uzorku udvostruči mora biti kraće od 2,5 dana (60 sati), što približno odgovara sedmorostrukom povećanju u sedam dana i prosječnoj specifičnoj brzini rasta od 0,275 d-1 . Uz medije i ispitne uvjete opisane u metodi, taj se kriterij može zadovoljiti primjenom statičkog režima ispitivanja (8.). Također se očekuje da će se taj kriterij moći ispuniti u polustatičkim i protočnim uvjetima ispitivanja. Izračunavanje vremena potrebnog za udvostručenje prikazano je u odjeljku 2.1.

1.7.   OPIS METODE

1.7.1.   Aparatura

Sva oprema koja dolazi u dodir s ispitnim medijima mora biti izrađena od stakla ili drugog kemijski inertnog materijala. Staklena oprema koja se koristi za uzgoj i ispitivanje mora biti sterilna i treba je očistiti od kemijskih onečišćivača koji bi mogli dospjeti u ispitni medij. Ispitne posude trebaju biti dovoljno široke da listovi različitih kolonija u kontrolnim posudama mogu rasti tako da na kraju ispitivanja ne dođe do preklapanja među listovima. Ne smeta ako korijenje dodiruje dno ispitne posude, ali preporučuje se da sve posude imaju dubinu od najmanje 20 mm i volumen od najmanje 100 ml. Vrsta ispitnih posuda nije važna sve dok su ti zahtjevi ispunjeni. Prikladnima su se pokazale staklene čaše, zdjelice za kristalizaciju i staklene petrijevke odgovarajućih dimenzija. Ispitne posude treba prekriti kako bi se smanjilo isparavanje i slučajna onečišćenja, ali pritom treba omogućiti nužan protok zraka. Ispitne posude, a posebno poklopci, ne smiju stvarati sjenu niti izazivati promjene u spektralnim osobinama svjetlosti.

Kulture i ispitne posude se ne smiju držati zajedno. To je najlakše postići ako se koriste odvojene uzgojne komore, inkubatori odnosno prostorije. Osvjetljenje i temperaturu treba nadzirati i održavati na stalnoj razini (vidi odjeljak 1.7.8.).

1.7.2.   Ispitni organizam

Organizmi koji se koriste za potrebe ovog testa su Lemna gibba ili Lemna minor. Kratki opis vrsta vodenih leća koje se koriste u toksikološkim ispitivanjima nalazi se u Dodatku 1. Biljni se materijal može nabaviti u zbirkama kultura, od drugog laboratorija ili prikupiti na terenu. Ako se materijal prikuplja na terenu, biljke treba držati u kulturi u mediju kakav će se koristiti u ispitivanju najmanje osam tjedana prije uporabe. Mjesta na kojima se prikupljaju polazne kulture ne smiju biti onečišćena očitim izvorima onečišćenja. Ako se kulture nabavljaju od drugog laboratorija ili iz zbirke kultura, treba ih držati u sličnim uvjetima najmanje tri tjedna. Izvor biljnog materijala te vrstu i klon (ako je poznat) koji se koriste kod ispitivanja treba svaki puta dokumentirati.

Koriste se monokulture kod kojih nisu prisutna vidljiva onečišćenja drugim organizmima kao što su alge i praživotinje. Zdrave biljke L. minor sastoje se od kolonija koje sadrže između dva i pet listova, dok zdrave kolonije L. gibba mogu imati i do sedam listova.

Biljke treba pažljivo odabrati jer kakvoća i jednolikost biljaka koje se koriste u ispitivanju imaju značajan utjecaj na rezultate ispitivanja. Treba koristiti mlade, brzo rastuće biljke bez vidljivih oštećenja i promjena boje (kloroza). Osobina kvalitetnih kultura je visok udio kolonija koje sadrže najmanje dva lista. Veliki broj kolonija s jednim listom ukazuje na okolišni stres (npr. ograničeni nutrijenti) pa biljni materijal iz takvih kultura ne treba koristiti kod ispitivanja.

1.7.3.   Uzgoj kulture

Da bi se smanjili zahtjevi održavanja (npr. kad određeno vrijeme nisu planirana ispitivanja s vodenom lećom), kulture se mogu držati pod smanjenim osvjetljenjem i na nižoj temperaturi (4 – 10 °C). Informacije o uzgoju nalaze su u Dodatku 2. U slučaju očitih znakova onečišćenja algama i drugim organizmima, poduzorak listova Lemna treba podvrgnuti površinskoj sterilizaciji i prenijeti ga u svježi medij (vidi Dodatak 2.). U ovom slučaju ostatak onečišćene kulture treba baciti.

Najmanje sedam dana prije ispitivanja dovoljno kolonija treba aseptički prenijeti u svježi sterilni medij i uzgajati 7 – 10 dana u uvjetima ispitivanja.

1.7.4.   Ispitni medij

Za vrste Lemna minor i Lemna gibba preporučuju se različiti mediji, kako je opisano u nastavku. Ako se sumnja da bi pH pufer (MOPS (4-morfolinpropan-sulfonska kiselina, CAS br. 1132-61-2, EINECS br. 214-478-5) za medij L. minor i NaHCO3 za medij L. gibba) mogao reagirati s ispitivanom tvari i utjecati na očitovanje njezinih toksičnih svojstava, treba dobro razmisliti prije nego što se pufer doda u ispitni medij. Prihvatljiv je i medij Steinberg (12.) pod uvjetom da su zadovoljeni kriteriji valjanosti.

Za uzgoj kulture i ispitivanje s L. minor preporučuje se izmijenjena varijanta uzgojnog medija Lemna prema švedskoj normi (SIS). Sastav medija naveden je u Dodatku 3.

Uzgojni medij 20X – AAP, opisan u Dodatku 3., preporučuje se za uzgoj kulture i ispitivanja s L. gibba.

Medij Steinberg koji je opisan u Dodatku 3. također je prikladan za L. minor, ali se može koristiti i za L. gibba pod uvjetom da su zadovoljeni kriteriji valjanosti.

1.7.5.   Ispitne otopine

Ispitne se otopine obično pripremaju razrjeđivanjem radne otopine. Radne otopine ispitivane tvari se, u pravilu, pripremaju otapanjem tvari u uzgojnom mediju.

Najviša ispitna koncentracija ispitivane tvari u pravilu ne smije biti viša od topljivosti tvari u vodi u ispitnim uvjetima. Ipak, valja napomenuti da Lemna spp. plutaju na površini i mogu biti izložene tvarima koje se skupljaju u sučelju voda-zrak (npr. tvari koje su slabo topljive u vodi, hidrofobne tvari, površinski aktivne tvari). U tim uvjetima organizmi su izloženi materijalu koji se nalazi izvan otopine i ispitne koncentracije mogu, ovisno o svojstvima ispitivane tvari, biti više od topljivosti u vodi. Kod ispitivanih tvari niske topljivosti u vodi ponekad je potrebno pripremiti koncentriranu radnu otopinu ili disperziju tvari koristeći organsko otapalo ili dispergent kako bi se olakšalo dodavanje točnih količina ispitivane tvari u ispitni medij i pospiješilo njezino dispergiranje i otapanje. U svakom slučaju, treba nastojati izbjeći korištenje takvih materijala kad god je to moguće. Upotrijebljena pomoćna otapala odnosno dispergenti ne bi smjeli imati fitotoksično djelovanje. Primjeri otapala u širokoj uporabi koja nemaju fitotoksično djelovanje u koncentracijama do 100 μl·l–1 su aceton i dimetilformamid. Ako se koristi otapalo ili dispergent, treba navesti njegovu konačnu koncentraciju, koju u svakom slučaju treba svesti na najmanju moguću mjeru (≤ 100 μl·l—1) i voditi računa da sve obrade i kontrole sadrže istu koncentraciju otapala odnosno dispergenta. Dodatne smjernice o uporabi dispergenata navedene su u literaturi pod (11.).

1.7.6.   Ispitne i kontrolne skupine

Prethodna saznanja o toksičnosti ispitivane tvari za vodenu leću, npr. na temelju ispitivanja za određivanje raspona, mogu pomoći u odabiru prikladnih ispitnih koncentracija. Kod glavnog ispitivanja toksičnosti u pravilu je potrebno najmanje pet ispitnih koncentracija raspoređenih u geometrijskom nizu. Ispitne koncentracije se po mogućnosti ne bi smjele razlikovati za faktor viši od 3,2, ali može se koristiti i viša vrijednost ako je krivulja koncentracija-odgovor ravna. Ako se koristi manje od pet koncentracija, treba dati obrazloženje. Pri svakoj je koncentraciji potrebno najmanje tri ponavljanja.

Kod određivanja raspona ispitnih koncentracija (za ispitivanje za određivanje raspona i/ili glavno ispitivanje toksičnosti) treba uzeti u obzir sljedeće:

da bi se kod određivanja ECx osigurala potrebna razina pouzdanosti, vrijednost ECx mora se nalaziti između najviše i najniže ispitne koncentracije. Primjerice, ako se procjenjuje EC50, najviša ispitna koncentracija treba biti viša od EC50. Ako se vrijednost EC50 nalazi izvan raspona ispitnih koncentracija, pripadajući intervali pouzdanosti bit će veliki i možda neće biti moguće ispravno ocijeniti statističku prikladnost modela;

ako je cilj procijeniti LOEC/NOEC, najniža ispitna koncentracija mora biti dovoljno niska da rast ne bude značajno niži od rasta u kontrolnoj skupini. Isto tako, najviša ispitna koncentracija treba biti dovoljno visoka da rast bude značajno niži nego u kontrolnoj skupini. Ako to nije slučaj, ispitivanje treba ponoviti s drugim rasponom koncentracija (osim ako je najviša koncentracija na granici topljivosti ili jednaka maksimalnoj predviđenoj graničnoj koncentraciji, npr. 100 mg·l–1).

Svako ispitivanje uključuje kontrole s istim hranjivim medijem, istim brojem listova i kolonija, okolnim uvjetima i postupcima kao kod ispitnih posuda, ali bez ispitivane tvari. Ako se koristi pomoćno otapalo ili dispergent, potrebna je dodatna kontrola koja sadrži istu koncentraciju otapala/dispergenta kao posude s ispitivanom tvari. Broj ponavljanja kontrolnih posuda (i posuda s otapalom, ako se ono koristi) treba biti barem jednak broju posuda koje se koriste za svaku ispitnu koncentraciju, a po mogućnosti i dvostruko veći.

Ako nije potrebno odrediti NOEC, plan ispitivanja može se izmijeniti tako da se poveća broj koncentracija i smanji broj ponavljanja po koncentraciji. Ipak, broj kontrolnih ponavljanja mora biti najmanje tri.

1.7.7.   Izlaganje

Kolonije koje se sastoje od 2 do 4 vidljiva lista prenesu se iz kulutre inokuluma i nasumično raspodijele po ispitnim posudama u aseptičkim uvjetima. Svaka ispitna posuda treba sadržavati ukupno 9 do 12 listova. Broj listova i kolonija mora biti jednak u svim ispitnim posudama. Iskustva s ovom metodom i podaci iz međulaboratorijskog ispitivanja pokazuju da je dovoljno koristiti tri ponavljanja po obradi, od kojih svako u početku sadrži 9 do 12 listova, da se između obrada utvrde razlike u rastu na razini inhibicije od približno 4 do 7 %, izračunano na temelju brzine rasta (10 do 15 % izračunano na temelju prirasta) (10.).

Ispitne posude treba nasumično rasporediti po inkubatoru kako bi se smanjio utjecaj prostornih razlika u svjetlosti i temperaturi. Osim toga, kod promatranja treba primijeniti blokni raspored ili slučajno razmještanje posuda (ili češće razmještanje).

Ako preliminarno ispitivanje stabilnosti pokaže da se koncentracija ispitivane tvari ne može održati (tj. izmjerena koncentracija padne ispod 80 % izmjerene početne koncentracije) tijekom razdoblja ispitivanja (7 dana), preporučuje se polustatički ispitni režim. U tom slučaju kolonije treba izložiti svježe pripremljenim ispitnim i kontrolnim otopinama najmanje dvaput tijekom ispitivanja (npr. 3. i 5. dan). Učestalost izlaganja svježem mediju ovisit će o stabilnosti ispitivane tvari; u slučaju jako nestabilnih i hlapljivih tvari potrebno je češće izlaganje svježem mediju da bi se održale približno stalne koncentracije. U određenim okolnostima može biti potrebna primjena protočnog postupka (11.) (13.).

Ova ispitna metoda ne uključuje scenarij izlaganja kod folijarne primjene (sprej) (vidi literaturu (14.).

1.7.8.   Uvjeti inkubacije

Potrebna je neprekidna topla ili hladnobijela fluorescentna rasvjeta čiji intenzitet treba odabrati unutar područja od 85 – 135 μE·m–2·s–1, mjereno u području fotosintetički aktivnog zračenja (400 – 700 nm) u točkama koje su jednako udaljene od izvora svjetlosti i listova Lemna (što odgovara 6 500 - 10 000 lx). Odstupanja od odabranog intenziteta svjetlosti u ispitnom prostoru ne smiju biti viša od ± 15 %. Metoda detekcije i mjerenja svjetlosti, posebno vrsta senzora, utječu na izmjerenu vrijednost. Sferičnim senzorima (koji reagiraju na svjetlost iz svih kutova iznad i ispod mjerne ravnine) i „kosinusnim” senzorima (koji reagiraju na svjetlost iz svih kutova iznad mjerne ravnine) daje se prednost u odnosu na usmjerene senzore jer daju više mjerne vrijednosti kod višetočkastog izvora svjetlosti kakav je ovdje opisan.

Temperatura u ispitnim posudama treba biti 24 ± 2 °C. pH vrijednost kontrolnog medija tijekom ispitivanja ne smije se povećati za više od 1,5 jedinica. Ipak, odstupanje za više od 1,5 jedinica ne dovodi u pitanje valjanost ispitivanja ako se može dokazati da su zadovoljeni kriteriji valjanosti. Pomak pH vrijednosti ipak u nekim posebnim slučajevima zahtijeva povećanu pozornost, npr. kad se ispituju nestabilne tvari i metali. Za dodatne smjernice vidi (11.).

1.7.9.   Trajanje

Ispitivanje se prekida 7 dana nakon što se biljke prenesu u ispitne posude.

1.7.10.   Mjerenja i analitička određivanja

Na početku ispitivanja se izbroje listovi u svim ispitnim posudama i zabilježi broj listova, pazeći da se uzmu u obzir svi istureni, jasno vidljivi listovi. Broj listova normalnog i promijenjenog izgleda određuje se na početku ispitivanja, najmanje jedanput svaka 3 dana u razdoblju izlaganja (tj. najmanje 2 puta u razdoblju od 7 dana) i po završetku ispitivanja. Treba zabilježiti sve promjene u razvoju biljaka npr. veličina listova, izgled, naznake nekroze, kloroze ili nabrekline, raspadanje kolonija, gubitak sposobnosti plivanja te promjene dužine i izgleda korijenja. Također treba zabilježiti značajne osobine ispitnog medija (npr. prisutnost neotopljenog materijala, rast algi u ispitnoj posudi).

Osim određivanja broja listova tijekom ispitivanja, potrebno je ocijeniti učinke ispitivane tvari na jednu (ili više) sljedećih mjernih varijabli:

i.

ukupna lisna površina;

ii.

suha masa;

iii.

svježa masa.

Određivanje ukupne lisne površine ima prednost da se može odrediti za svaku ispitnu i kontrolnu posudu na početku, za vrijeme i na kraju ispitivanja. Suha odnosno svježa masa određuje se na početku ispitivanja – na uzorku kulture inokuluma koja je reprezentativna za materijal koji se koristi na početku ispitivanja, i na kraju ispitivanja – na biljnom materijalu iz svake ispitne i kontrolne posude. Ako se ne mjeri lisna površina, suhoj se masi daje prednost u odnosu na svježu masu.

Ukupna lisna površina, suha masa i svježa masa mogu se odrediti na sljedeći način:

i.

Ukupna lisna površina: Ukupna lisna površina svih kolonija može se odrediti slikovnom analizom. Obris ispitne posude i biljaka snimi se video-kamerom (npr. posuda se položi na rasvjetnu kutiju) i dobivena slika digitalizira. Ukupna lisna površina u ispitnoj posudi može se zatim odrediti kalibracijom s plošnim oblicima poznate površine. Pritom treba voditi računa da se isključi utjecaj ruba ispitne posude. Drugi, nešto zamorniji postupak je da se ispitne posude i biljke fotokopiraju, dobiveni obris kolonija izreže i odredi površina uz pomoć analizatora lisne površine ili milimetarskog papira. Mogu biti prikladne i druge tehnike (npr. omjer papirne mase između površine obrisa kolonija i jedinične površine).

ii.

Suha masa: Izvade se sve kolonije iz ispitnih posuda i isperu destiliranom ili deioniziranom vodom. Višak vode upije se papirom i kolonije suše na 60 °C dok se ne postigne stalna masa. Treba uključiti sve ostatke korijenja. Suhu masu treba izraziti s točnošću od najmanje 0,1 mg.

iii.

Svježa masa: Sve se kolonije prenesu u prethodno izvagane polistirenske epruvete (ili epruvete od drugog inertnog materijala) koje u zaobljenom dnu imaju sitne rupice (1 mm). Epruvete se zatim 10 minuta centrifugiraju na 3 000 o/min pri sobnoj temperaturi. Epruvete, koje sada sadrže osušene kolonije, ponovno se izvažu i izračuna se svježa masa oduzimanjem mase prazne epruvete.

1.7.10.1.   Učestalost mjerenja i analitičkih određivanja

Ako se primjenjuje statički postupak, pH vrijednost mjeri se u svakoj obradi na početku i na kraju ispitivanja. U slučaju polustatičkog postupka pH treba izmjeriti u svakoj šarži „svježe” ispitne otopine prije svakog obnavljanja te u odgovarajućim „potrošenim” otopinama.

Intenzitet svjetlosti mjeri se u uzgojnoj komori, inkubatoru odnosno prostoriji u točkama koje su jednako udaljene od izvora svjetlosti i listova vodene leće. Mjerenja se provode najmanje jedanput tijekom ispitivanja. Osim toga, najmanje jedanput dnevno treba bilježiti temperaturu medija u jednoj zamjenskoj („surogat”) posudi koja se drži u istim uvjetima u uzgojnoj komori, inkubatoru odnosno prostoriji.

Koncentracije ispitivane tvari određuju se u prikladnim razmacima tijekom ispitivanja. Kod statičkog ispitivanja koncentracije se moraju odrediti barem na početku i kraju ispitivanja.

Ako se u slučaju polustatičkog ispitivanja pretpostavlja da koncentracija ispitivane tvari neće ostati u granicama ± 20 % nazivne koncentracije, potrebno je analizirati sve svježe pripremljene ispitne otopine i zatim ponoviti analizu kod svakog obnavljanja (vidi odjeljak 1.7.7. treći stavak). Ipak, kod ispitivanja gdje izmjerena početna koncentracija ispitivane tvari nije u granicama ± 20 % nazivne koncentracije, ali ima dovoljno dokaza da su početne koncentracije ponovljive i stabilne (tj. unutar područja 80 – 120 % početne koncentracije), kemijska se određivanja mogu provoditi samo na najvišoj i najnižoj ispitnoj koncentraciji. U svakom slučaju, određivanje koncentracija ispitivane tvari prije obnavljanja treba provesti samo na jednoj posudi u svakoj ispitnoj koncentraciji (ili na združenom sadržaju posuda ponavljanja).

Ako se primjenjuje protočni postupak, koristi se sličan režim uzorkovanja poput onoga koji je opisan za polustatička ispitivanja, uključujući analizu na početku, u sredini i na kraju ispitivanja, s time da ovdje nema mjerenja „potrošene” otopine. Kod ovakvih ispitivanja treba svakodnevno provjeravati brzinu protoka vode za razrjeđivanje i ispitivane tvari odnosno radne otopine ispitivane tvari.

Ako se može dokazati da se koncentracija ispitivane tvari u čitavom tijeku ispitivanja na zadovoljavajući način održava u granicama ± 20 % nazivne ili izmjerene početne koncentracije, analiza rezultata može se temeljiti na nazivnim ili izmjerenim početnim vrijednostima. Ako je odstupanje od nazivne odnosno izmjerene početne koncentracije veće od ± 20 %, analiza rezultata temelji se na srednjoj geometrijskoj koncentraciji tijekom izlaganja ili modelima koji opisuju opadanje koncentracije ispitivane tvari (11.).

1.7.11.   Granično ispitivanje

U određenim okolnostima, npr. kad preliminarno ispitivanje ukazuje na to da ispitivana tvar nema toksično djelovanje u koncentracijama do 100 mg·l-1 ili do njezine granice topljivosti u ispitnom mediju (ovisno o tome što je manje), moguće je provesti granično ispitivanje kako bi se odgovor ispitne skupine (100 mg·l-1 ili koncentracija jednaka granici topljivosti) usporedio s kontrolnom skupinom. Preporučuje se da se uz granično ispitivanje svakako napravi analiza koncentracije izlaganja. Za granično ispitivanje vrijede svi gore spomenuti ispitni uvjeti i kriteriji valjanosti, s time da broj ponavljanja u ispitnoj skupini treba udvostručiti. Rast u kontrolnoj i ispitnoj skupini može se analizirati statističkim testom za usporedbu srednjih vrijednosti, npr. Studentov t-test.

2.   PODACI I IZVJEŠĆIVANJE

2.1.   VRIJEME UDVOSTRUČENJA

Da bi se odredilo vrijeme koje je potrebno da se broj listova udvostruči (Td) i utvrdilo ispunjava li istraživanje ovaj kriterij valjanosti (odjeljak 1.6.), dobivene podatke za kontrolne posude treba uvrstiti u sljedeću formulu:

Td = ln 2/μ

gdje je μ prosječna specifična brzina rasta određena na način kako je opisano u prvom i drugom stavku odjeljka 2.2.1.

2.2.   VARIJABLE ODGOVORA

Svrha ispitivanja je odrediti učinke ispitivane tvari na vegetativni rast Lemna. U ovoj su ispitnoj metodi opisane dvije varijable odgovora, budući da države članice imaju različite preferencije i regulatorne zahtjeve. Da bi rezultati ispitivanja bili prihvatljivi u svim državama članicama, učinke treba ocijeniti primjenom obiju varijabli opisanih u nastavku pod točkama (a) i (b).

(a)

Prosječna specifična brzina rasta: ova se varijabla odgovora izračunava na temelju promjena logaritama broja listova i, osim toga, na temelju promjena logaritama nekog drugog mjernog parametra (ukupna lisna površina, suha masa ili svježa masa) u vremenu (izraženo po danu) u kontrolama i svim ispitnim skupinama. Ona se ponekad naziva i relativna brzina rasta (15.).

(b)

Prirast: ova se varijabla odgovora izračunava na temelju promjena broja listova i, osim toga, na temelju promjena nekog drugog mjernog parametra (ukupna lisna površina, suha masa ili svježa masa) u kontrolama i svim ispitnim skupinama do kraja ispitivanja.

Valja napomenuti da vrijednosti toksičnosti izračunane primjenom tih dviju varijabli odgovora nisu usporedive i tu razliku treba uzeti u obzir kod korištenja rezultata ispitivanja. Ako su ispoštovani ispitni uvjeti ove metode, vrijednosti ECx na temelju prosječne specifične brzine rasta (ErCx) općenito su više od rezultata na temelju prirasta (EyCx) zbog razlike u matematičkoj osnovi tih dvaju pristupa. To ne treba tumačiti kao razliku u osjetljivosti dviju varijabli odgovora, već naprosto prihvatiti da su te vrijednosti matematički različite. Pojam prosječne specifične brzine rasta temelji se na općenitom obrascu eksponencijalnog rasta vodene leće u neograničenim kulturama, gdje se toksičnost procjenjuje na temelju učinaka na brzinu rasta neovisno o apsolutnoj vrijednosti specifične brzine rasta u kontrolnoj skupini, nagibu krivulje koncentracija-odgovor i trajanju ispitivanja. Za razliku od toga, rezultati koji se temelje na varijabli odgovora „prirast” ovise o svim tim drugim varijablama. EyCx ovisi o specifičnoj brzini rasta vrsta vodene leće koje se koriste u ispitivanju i o maksimalnoj specifičnoj brzini rasta, koja se može razlikovati među vrstama, pa čak i klonovima. Ovu varijablu odgovora ne treba koristiti za usporedbu osjetljivosti na toksine među vrstama vodene leće, pa čak ni među klonovima. Iako se, sa znanstvenog stajališta, procjeni toksičnosti na temelju procječne specifične brzine rasta daje prednost, u ovu su ispitnu metodu uključene i procjene na temelju prirasta kako bi se zadovoljili trenutačni regulatorni zahtjevi u nekim državama.

Procjene toksičnosti treba temeljiti na broju listova i jednoj dodatnoj mjernoj varijabli (ukupna lisna površina, suha masa ili svježa masa) budući da neke tvari znatno više utječu na neke druge mjerne varijable nego na broj listova. Taj bi utjecaj ostao neotkriven kad bi se samo računao broj listova.

Broj listova kao i sve druge dokumentirane mjerne varijable, tj. ukupna lisna površina, suha masa ili svježa masa, treba uvrstiti u tablicu, zajedno s koncentracijama ispitivane tvari pri svakom mjerenju. Kasnija analiza podataka, npr. za procjenu vrijednosti LOEC, NOEC ili ECx, treba se temeljiti na vrijednostima pojedinačnih ponavljanja, a ne na izračunanim srednjim vrijednostima po ispitnim skupinama.

2.2.1.   Prosječna specifična brzina rasta

Prosječna specifična brzina rasta za određeno razdoblje izračunava se kao logaritamsko povećanje varijabli rasta – broj listova i još jedna mjerna varijabla (ukupna lisna površina suha masa ili svježa masa) – primjenom formule u nastavku za svako ponavljanje u kontrolama i obradama:

Formula

gdje je:

:

μi-j

:

prosječna specifična brzina rasta od vremena i do j

:

Ni

:

mjerna varijabla u ispitnoj ili kontrolnoj posudi u vremenu i

:

Nj

:

mjerna varijabla u ispitnoj ili kontrolnoj posudi u vremenu j

:

t

:

vremensko razdoblje od i do j

Za svaku ispitnu i kontrolnu skupinu izračuna se srednja vrijednost brzine rasta s procjenama varijance.

Prosječnu specifičnu brzinu rasta treba izračunati za čitavo razdoblje ispitivanja (vrijeme „i” u gornjoj formuli je početak ispitivanja, a vrijeme „j” je kraj ispitivanja). Izračuna se srednja vrijednost prosječne specifične brzine rasta s procjenom varijance za svaku ispitnu koncentraciju i kontrolu. Osim toga, odredi se etapna brzina rasta kako bi se mogli ocijeniti učinci ispitivane tvari koji se javljaju tijekom razdoblja izlaganja (npr. pregledom logaritamski transformiranih krivulja rasta). Značajne razlike između etapne brzine rasta i prosječne brzine rasta ukazuju na odstupanje od stalnog eksponencijalnog rasta i u tom slučaju treba temeljito preispitati krivulju rasta. Konzervativniji pristup u ovakvim slučajevima bio bi usporediti specifične brzine rasta obrađenih kultura u razdoblju maksimalne inhibicije sa specifičnim brzinama rasta kontrolnih kultura tijekom istog razdoblja.

Postotak inhibicije brzine rasta (Ir) tada se može izračunati za svaku ispitnu koncentraciju (ispitnu skupinu) prema sljedećoj formuli:

Formula

gdje je:

:

% Ir

:

postotak inhibicije prosječne specifične brzine rasta

:

μC

:

srednja vrijednost μ u kontroli

:

μT

:

srednja vrijednost μ u ispitnoj skupini

2.2.2.   Prirast

Učinci na prirast određuju se na temelju dviju mjernih varijabli, broja listova i još jedne mjerne varijable (ukupna lisna površina, suha masa ili svježa masa) u svakoj ispitnoj posudi na početku i na kraju ispitivanja. Početna biomasa za suhu i svježu masu određuje se na temelju uzorka listova uzetog iz šarže koja se koristi za inokulaciju ispitnih posuda (vidi odjeljak 1.7.3. drugi stavak). Za svaku ispitnu koncentraciju i kontrolu treba izračunati srednju vrijednost prirasta s procjenama varijance. Srednji postotak inhibicije prirasta (% Iy) za svaku ispitnu skupinu može se izračunati na sljedeći način:

Formula

gdje je:

:

% Iy

:

postotak smanjenja prirasta

:

bC

:

konačna biomasa umanjena za početnu biomasu kontrolne skupine

:

bT

:

konačna biomasa umanjena za početnu biomasu ispitne skupine

2.2.3.   Prikaz krivulja koncentracija-odgovor

Treba prikazati krivulje koncentracija-odgovor iz kojih je vidljiv odnos srednjeg postotka inhibicije varijable odgovora (Ir ili Iy, izračunan kako je prikazano u zadnjem stavku odjeljka 2.2.1. ili u odjeljku 2.2.2.) i logaritamske koncentracije ispitivane tvari.

2.2.4.   Procjena ECx

Procjene ECx (npr. EC50) potrebno je izračunati i na temelju prosječne specifične brzine rasta (ErCx) i na temelju prirasta (EyCx), a njih opet na temelju broja listova i još jedne mjerne varijable (ukupna lisna površina, suha masa ili svježa masa). To je stoga što neke ispitivane tvari ne utječu jednako na broj listova i na druge mjerne varijable. Traženi parametri toksičnosti su stoga četiri vrijednosti ECx za svaku izračunanu razinu inhibicije x: ErCx (broj listova); ErCx (ukupna lisna površina, suha masa ili svježa masa); EyCx (broj listova); EyCx (ukupna lisna površina, suha masa ili svježa masa).

2.3.   STATISTIČKI POSTUPCI

Cilj je dobiti kvantitativni odnos koncentracija-odgovor regresijskom analizom. Ako se provede linearizacijska pretvorba podataka odgovora – npr. u jedinice probit, logit ili Weibullovog modela (16.) – može se provesti ponderirana linearna regresija; ipak, prednost se daje postupcima nelinearne regresije koje se bolje nose s neizbježnim nepravilnostima podataka i odstupanjima od pravilnih razdioba. S približavanjem nultoj ili potpunoj inhibiciji te se nepravilnosti mogu pretvorbom i dodatno povećati i tako otežati analizu (16.). Valja napomenuti da su standardne metode analize za vrijednosti dobivene pretvorbom (probit, logit ili Weibull) namijenjene kvantalnim podacima (npr. smrtnost ili preživljavanje) i moraju se posebno prilagoditi da bi se mogle primijeniti na podatke o brzini rasta i prirastu. Posebni postupci za određivanje vrijednosti ECx iz kontinuiranih podataka mogu se pronaći u literaturi pod 17., 18. i 19.

Za svaku varijablu odgovora koja se analizira treba izračunati procjene točaka za vrijednosti ECx na temelju odnosa koncentracija-odgovor. Po mogućnosti, za sve procjene treba odrediti granice pouzdanosti 95 %. Valjanost podudaranja podataka odgovora s regresijskim modelom procjenjuje se grafički ili statistički. Regresijska analiza se provodi na temelju pojedinačnih odgovora u ponavljanjima, a ne na temelju srednjih vrijednosti ispitnih skupina.

Ako raspoloživi regresijski modeli/metode nisu prikladni za podatke, procjene EC50 i granice pouzdanosti mogu se dobiti i linearnom interpolacijom sa samonadopunjavanjem („bootstrapping”) (20.).

Za procjenu LOEC-a, a time i NOEC-a, potrebno je usporediti srednje vrijednosti obrada primjenom tehnika analize varijance (ANOVA). Zatim srednju vrijednost za svaku koncentraciju treba usporediti s kontrolnom srednjom vrijednošću primjenom odgovarajuće metode višestruke usporedbe ili testa trenda. Ovdje može biti koristan Dunnettov ili Williamsov test (21.) (22.) (23.) (24.). Treba provjeriti vrijedi li pretpostavka homogenosti varijanci ANOVA-e. To se može učiniti grafički ili formalnim testom (25.). Prikladni su Leveneov i Bartlettov test. Ako pretpostavka homogenosti varijanci nije zadovoljena, to se ponekad može ispraviti logaritamskom pretvorbom podataka. Ako je heterogenost varijance prevelika da bi se mogla ispraviti pretvorbom, treba razmotriti mogućnost analize metodama kao što su Jonckheereovi „step-down” testovi trenda. Dodatne smjernice za određivanje NOEC-a mogu se pronaći u literaturi (19.).

Novije znanstvene spoznaje rezultirale su preporukom da se pojam NOEC-a napusti i zamijeni procjenama točaka ECx dobivenih regresijom. Za ovaj test Lemna sp. nije utvrđena određena vrijednost x. Ipak, čini se da je primjereno područje od 10 do 20 % (ovisno o odabranoj varijabli odgovora), a poželjno je da se navedu obje vrijednosti, EC10 i EC20.

3.   IZVJEŠĆIVANJE

3.1.   IZVJEŠĆE O ISPITIVANJU

Izvješće o ispitivanju sadrži sljedeće informacije:

Ispitivana tvar:

fizikalno stanje i fizikalno-kemijska svojstva, uključujući granicu topljivosti u vodi,

podaci za identifikaciju kemikalije (npr. CAS broj), uključujući čistoću.

Ispitna vrsta:

znanstveni naziv, klon (ako je poznat) i izvor.

Ispitni uvjeti:

ispitni postupak (statički, polustatički ili protočni)

datum početka ispitivanja i trajanje,

ispitni medij,

plan pokusa: ispitne posude i pokrovi, volumeni otopina, broj kolonija i listova po ispitnoj posudi na početku ispitivanja,

ispitne koncentracije (nazivne odnosno izmjerene, ovisno o slučaju) i broj ponavljanja po koncentraciji,

način pripreme radnih i ispitnih otopina, uključujući korištenje otapala odnosno dispergenata (prema potrebi),

temperatura tijekom ispitivanja,

izvor svjetlosti, intenzitet svjetlosti i homogenost,

pH vrijednosti ispitnih i kontrolnih medija,

koncentracije ispitivane tvari i analitička metoda s odgovarajućim podacima za ocjenu kakvoće (validacijska istraživanja, standardne devijacije ili granice pouzdanosti analiza),

metode određivanja broja listova i drugih mjernih varijabli, npr. suha masa, svježa masa ili lisna površina.

eventualna odstupanja od ispitne metode.

Rezultati:

sirovi podaci: broj listova i druge mjerne varijable u svakoj ispitnoj i kontrolnoj posudi kod svakog promatranja i analize,

srednje vrijednosti i standardne devijacije svih mjernih varijabli,

krivulje rasta za svaku koncentraciju (po mogućnosti s logaritamski transformiranom mjernom varijablom, vidi odjeljak 2.2.1. drugi stavak),

vrijeme udvostručenja/brzina rasta u kontroli na temelju broja listova,

izračunane varijable odgovora za svako ponavljanje u ispitnim skupinama, uključujući srednje vrijednosti i koeficijente varijacije ponavljanja,

grafički prikaz odnosa koncentracija/učinak,

procjene krajnjih točaka toksičnosti za varijable odgovora, npr. EC50, EC10, EC20, i pripadajući intervali pouzdanosti; ako se izračunavaju LOEC i NOEC, njihove vrijednosti i statističke metode koje su upotrijebljene za određivanje,

ako se koristi ANOVA, veličina učinka koja se može utvrditi (npr. najmanja značajna razlika),

eventualna stimulacija rasta u bilo kojoj obradi,

svi vidljivi znakovi fitotoksičnosti i zapažanja u ispitnim otopinama,

rasprava rezultata, uključujući mogući utjecaj odstupanja od ispitne metode na rezultate ispitivanja.

4.   LITERATURA

1.

OECD TG 221 (2006.) Lemna Sp. Growth Inhibition Test.

2.

Primjena istraživanja Lemna kod obojenih tvari podrobnije je opisana u odjeljku 13.5.3. Priručnika odluka EU-a („EU Manual of Decisions”) iz lipnja 2006.: http://ecb.jrc.ec.europa.eu/new-chemicals

3.

Guidance on information requirements and chemical safety assessment – Chapter R.7b: Endpoint specific guidance; Table 7.8.3 Summary of difficult substance testing issues, dostupno na:

http://guidance.echa.europa.eu/docs/guidance_document/information_requirements_en.htm?time= 1234958685#A

4.

ASTM International. (2003). Standard Guide for Conducting Static Toxicity Test With Lemna gibba G3. E 1415-91 (Reapproved 1998). pp. 733-742. In, Annual Book of ASTM Standards, Vol. 11.05 Biological Effects and Environmental Fate; Biotechnology; Pesticides, ASTM, West Conshohocken, PA.

5.

USEPA – United States Environmental Protection Agency. (1996.). OPPTS 850.4400 Aquatic Plant Toxicity Test Using Lemna spp., „Public draft”. EPA 712-C-96-156. 8pp.

6.

AFNOR – Association Française de Normalisation. (1996). XP T 90-337: Détermination de l’inhibition de la croissance de Lemna minor. 10pp.

7.

SSI – Swedish Standards Institute. (1995). Water quality – Determination of growth inhibition (7-d) Lemna minor, duckweed. SS 02 82 13. 15pp. (na švedskom).

8.

Environment Canada. (1999.). Biological Test Method: Test for Measuring the Inhibition of Growth Using the Freshwater Macrophyte, Lemna minor. EPS 1/RM/37-120 pp.

9.

Environment Canada. (1993.) Proposed Guidelines for Registration of Chemical Pesticides: Non-Target Plant Testing and Evaluation. Canadian Wildlife Service, Technical Report Series No. 145.

10.

Sims I., Whitehouse P., and Lacey R. (1999.). The OECD Lemna Growth Inhibition Test. Development and Ring-testing of draft OECD Test Guideline. R&D Technical Report EMA 003. WRc plc – Environment Agency.

11.

OECD (2000.). Guidance Document on Aquatic Toxicity Testing of Difficult Substances and Mixtures. OECD Environmental Health and Safety Publications, Series on Testing and Assessment No 23.

12.

ISO DIS 20079. Water Quality – Determination of the Toxic Effect of Water Constituents and Waste Water to Duckweed (Lemna minor) – Duckweed Growth Inhibition Test.

13.

Walbridge C. T. (1977.). A flow-through testing procedure with duckweed (Lemna minor L.). Environmental Research Laboratory – Duluth, Minnesota 55804. US EPA Report No. EPA-600/3-77 108. September 1977.

14.

Lockhart W. L., Billeck B. N. and Baron C. L. (1989.). Bioassays with a floating plant (Lemna minor) for effects of sprayed and dissolved glyphosate. Hydrobiologia, 118/119, 353-359.

15.

Huebert, D.B. and Shay J.M. (1993.). Considerations in the assessment of toxicity using duckweeds. Environmental Toxicology and Chemistry, 12, 481-483.

16.

Christensen, E.R., Nyholm, N. (1984.): Ecotoxicological Assays with Algae: Weibull Dose-Response Curves. Env. Sci. Technol. 19, 713-718.

17.

Nyholm, N. Sørensen, P.S., Kusk, K.O. and Christensen, E.R. (1992.): Statistical treatment of data from microbial toxicity tests. Environ. Toxicol. Chem. 11, 157-167.

18.

Bruce R.D. and Versteeg D.J. (1992.). A statistical procedure for modelling continuous toxicity data. Environmental Toxicology and Chemistry, 11, 1485-1494.

19.

OECD. (2004.). Guidance Document on Statistical Analysis of Ecotoxicity Data.

20.

Norberg-King T.J. (1988.). An interpolation estimate for chronic toxicity: The ICp approach. National Effluent Toxicity Assessment Center Technical Report 05-88. USEPA, Duluth, MN.

21.

Dunnett, C.W. (1955.). A multiple comparisons procedure for comparing several treatments with a control. J. Amer. Statist. Assoc., 50, 1096-1121.

22.

Dunnett, C.W. (1964.). New tables for multiple comparisons with a control. Biometrics, 20, 482-491.

23.

Williams, D.A. (1971.). A test for differences between treatment means when several dose levels are compared with a zero dose control. Biometrics, 27: 103-117.

24.

Williams, D.A. (1972.). The comparison of several dose levels with a zero dose control. Biometrics, 28: 510-531.

25.

Brain P. and Cousens R. (1989.). An equation to describe dose-responses where there is stimulation of growth at low doses. Weed Research, 29, 93-96.

Dodatak 1.

Opis Lemna spp.

Vodena biljka poznata pod nazivom vodena leća, Lemna spp., pripada porodici Lemnaceae, u koju se ubrajaju različite vrste diljem svijeta koje su podijeljene u četiri roda. Njihov izgled i taksonomija su iscrpno opisani (1.) (2.). Vrste Lemna gibba i L. minor reprezentativne su vrste umjerenih pojasa i vrlo se često koriste u toksikološkim ispitivanjima. Obje vrste imaju plivajuću ili uronjenu diskoidnu stabljiku (list) i vrlo tanak korijen koji izbija iz sredine naličja lista. Lemna spp. rijetko daju cvjetove, a biljke se vegetativno razmnožavaju stvaranjem novih listova (3.). Mlađe biljke su uglavnom bljeđe od starijih biljaka, imaju kraće korijenje i sastoje se od dva do tri lista različite veličine. Biljke iz ovog roda vrlo su pogodne za laboratorijsko ispitivanje zahvaljujući maloj veličini, jednostavnoj građi, nespolnom razmnožavanju i kratkom generacijskom vremenu (4.) (5.).

Zbog vjerojatnih razlika u osjetljivosti među vrstama valjane su samo usporedbe osjetljivosti unutar iste vrste.

Primjeri vrsta Lemna koje su korištene u ispitivanjima: referentni popis

Lemna aequinoctialis: Eklund, B. (1996.). The use of the red alga Ceramium strictum and the duckweed Lemna aequinoctialis in aquatic ecotoxicological bioassays. Licentiate in Philosophy Thesis 1996:2. Dep. of Systems Ecology, Stockholm University.

Lemna major: Clark, N. A. (1925.). The rate of reproduction of Lemna major as a function of intensity and duration of light. J. phys. Chem., 29: 935-941.

Lemna minor: United States Environmental Protection Agency (USEPA). (1996.). OPPTS 850.4400 Aquatic Plant Toxicity Test Using Lemna spp., „Public draft”. EPA 712-C-96-156. 8pp.

Association Française de Normalisation (AFNOR). (1996.). XP T 90-337: Détermination de l’inhibition de la croissance de Lemna minor. 10pp.

Swedish Standards Institute (SIS). (1995.). Water quality – Determination of growth inhibition (7-d) Lemna minor, duckweed. SS 02 82 13. 15pp. (na švedskom).

Lemna gibba: ASTM International. (2003.). Standard Guide for Conducting Static Toxicity Test With Lemna gibba G3. E 1415-91 (Reapproved 1998). pp. 733-742.

United States Environmental Protection Agency (USEPA). (1996.). OPPTS 850.4400 Aquatic Plant Toxicity Test Using Lemna spp., „Public draft”. EPA 712-C-96-156. 8pp.

Lemna paucicostata: Nasu, Y., Kugimoto, M. (1981.). Lemna (duckweed) as an indicator of water pollution. I. The sensitivity of Lemna paucicostata to heavy metals. Arch. Environ. Contam. Toxicol., 10:1959-1969.

Lemna perpusilla: Clark, J. R. et al. (1981.). Accumulation and depuration of metals by duckweed (Lemna perpusilla). Ecotoxicol. Environ. Saf., 5:87-96.

Lemna trisulca: Huebert, D. B., Shay, J. M. (1993.). Considerations in the assessment of toxicity using duckweeds. Environ. Toxicol. and Chem., 12:481-483.

Lemna valdiviana: Hutchinson, T.C., Czyrska, H. (1975.). Heavy metal toxicity and synergism to floating aquatic weeds. Verh.-Int. Ver. Limnol., 19:2102-2111.

Izvori vrsta Lemna

University of Toronto Culture Collection of Algae and Cyanobacteria

Department of Botany, University of Toronto

Toronto, Ontario, Canada, M5S 3 B2

Tel.: +1-416-978-3641

Faks: +1-416-978-5878

e-mail: jacreman@botany.utoronto.ca

http://www.botany.utoronto.ca/utcc

North Carolina State University

Forestry Dept

Duckweed Culture Collection

Campus Box 8002

Raleigh, NC 27695-8002

SJEDINJENE AMERIČKE DRŽAVE

Tel.: 001 (919) 515-7572

astomp@unity.ncsu.edu

Institute of Applied Environmental Research (ITM) Stockholm University

SE-106 91 Stockholm

ŠVEDSKA

Tel.: +46 86747240

Faks: +46 86747636

Umweltbundesamt (UBA)

FG III 3.4

Schichauweg 58

12307 Berlin

NJEMAČKA

e-mail: lemna@uba.de

http://www.umweltbundesamt.de/contact.htm

Literatura

1.

Hillman, W.S. (1961.). The Lemnaceae or duckweeds: A review of the descriptive and experimental literature. The Botanical Review, 27:221-287.

2.

Landolt, E. (1986.). Biosystematic investigations in the family of duckweed (Lemnaceae). Vol. 2. Geobotanischen Inst. ETH, Stiftung Rubel, Zürich, Switzerland.

3.

Björndahl, G. (1982.). Growth performance, nutrient uptake and human utilization of duckweeds (Lemnaceae family). ISBN 82-991150-0-0. The Agricultural Research Council of Norway, University of Oslo.

4.

Wang, W. (1986.). Toxicity tests of aquatic pollutants by using common duckweed. Environmental Pollution, Ser B, 11:1-14.

5.

Wang, W. (1990.). Literature review on duckweed toxicity testing. Environmental Research, 52:7-22.

Dodatak 2.

Întreținerea culturii mamă

Radne se kulture na nižoj temperaturi (4 – 10 °C) mogu duže vrijeme držati bez presađivanja. Kao uzgojni medij za radne kulture Lemna može se koristiti medij koji se koristi u ispitivanju, ali moguće je koristiti i druge medije bogate nutrijentima.

Određeni broj mladih svjetlozelenih biljaka povremeno se premješta u nove uzgojne posude sa svježim medijem primjenom aseptičkih postupaka. U hladnijim uvjetima, kakvi se ovdje preporučuju, presađivanje se može provoditi u razmacima do tri mjeseca.

Koriste se kemijski čiste (očišćene kiselinom) i sterilne staklene uzgojne posude, a kod rukovanja se primjenjuju aseptički postupci. Ako dođe do onečišćenja radne kulture npr. algama ili gljivicama, treba poduzeti potrebne mjere za uklanjanje onečišćujućih organizama. U slučaju algi i većine drugih onečišćujućih organizama to se može postići površinskom sterilizacijom. Uzme se uzorak onečišćenog biljnog materijala i odreže korijenje. Materijal se zatim snažno protrese u čistoj vodi i uroni u 0,5 %-tnu (v/v) otopinu natrijevog hipoklorita između 30 sekundi i 5 minuta. Biljni se materijal zatim ispere sterilnom vodom i prenese u više šarži u uzgojne posude koje sadrže svježi uzgojni medij. U ovom će postupku mnogi listovi uginuti, posebno kod dužeg vremena izlaganja, ali bi barem neki od preživjelih trebali biti čisti. Oni se zatim ponovno mogu koristiti za inokuliranje novih kultura.

Dodatak 3.

Mediji

Za vrste L. minor i L. gibba preporučuju se različiti uzgojni mediji. Za L. minor se preporučuje prilagođena varijanta medija prema švedskoj normi (SIS), a za L. gibba medij 20X – AAP. Sastav ta dva medija naveden je u nastavku. Kod pripreme medija treba koristiti reagencijski odnosno analitički čiste kemikalije i deioniziranu vodu.

Uzgojni medij Lemna prema švedskoj normi (SIS)

radne otopine I. – V. steriliziraju se obradom u autoklavu (120 °C, 15 minuta) ili membranskom filtracijom (veličina pora cca 0,2 μm),

otopina VI. (i fakultativno VII.) steriliziraju se isključivo membranskom filtracijom; one se ne smiju obrađivati u autoklavu,

sterilne radne otopine pohrane se na hladnom i mračnom mjestu. Radne otopine I. – V. treba baciti nakon šest mjeseci, dok otopine VI. (i fakultativno VII.) imaju rok uporabe 1 mjesec.

Radna otopina br.

Tvar

Koncentracija u radnoj otopini (g·l–1)

Koncentracija u pripremljenom mediju (mg·l–1)

Pripremljeni medij

Element

Koncentracija (mg·l–1)

I.

NaNO3

KH2PO4

8,50

1,34

85

13,4

Na; N

K; P

32; 14

6,0; 2,4

II.

MgSO4 · 7H2O

15

75

Mg; S

7,4; 9,8

III.

CaCl2 · 2H2O

7,2

36

Ca; Cl

9,8; 17,5

IV.

Na2CO3

4,0

20

C

2,3

V.

H3BO3

MnCl2 · 4H2O

Na2MoO4 · 2H2O

ZnSO4 · 7H2O

CuSO4 · 5H2O

Co(NO3)2 · 6H2O

1,0

0,20

0,010

0,050

0,0050

0,010

1,00

0,20

0,010

0,050

0,0050

0,010

B

Mn

Mo

Zn

Cu

Co

0,17

0,056

0,0040

0,011

0,0013

0,0020

VI.

FeCl3 · 6H2O

Na2-EDTA·2H2O

0,17

0,28

0,84

1,4

Fe

0,17

VII.

MOPS (pufer)

490

490

da bi se dobila jedna litra medija SIS, u 900 ml deionizirane vode doda se:

10 ml radne otopine I.

5 ml radne otopine II.

5 ml radne otopine III.

5 ml radne otopine IV.

1 ml radne otopine V.

5 ml radne otopine VI.

1 ml radne otopine VII. (fakultativno)

Napomena: Kod nekih je tvari potrebna još jedna radna otopina VII. (pufer MOPS) (vidi zadnji stavak u odjeljku 1.4.).

pH vrijednost podesi se na 6,5 ± 0,2 pomoću 0,1 ili 1 mol HCl ili NaOH i nadopuni deioniziranom vodom do volumena od jedne litre.

Uzgojni medij 20X AAP

Radne otopine pripremaju se u sterilnoj destiliranoj ili deioniziranoj vodi.

Sterilne radne otopine čuvaju se na hladnom i mračnom mjestu. U tim će uvjetima radne otopine imati rok uporabe najmanje 6 – 8 tjedana.

Za medij 20X – AAP treba pripremiti pet radnih otopina s nutrijentima (A1, A2, A3, B i C) koristeći reagencijski čiste kemikalije. Uzgojni medij dobije se tako da se u približno 850 ml deionizirane vode doda po 20 ml svake od radnih otopina s nutrijentima. pH vrijednost podesi se na 7,5 ± 0,1 pomoću 0,1 ili 1 mol HCl ili NaOH i nadopuni deioniziranom vodom do volumena od jedne litre. Zatim se medij profiltrira u sterilnu posudu kroz membranski filter 0,2 μm (približno).

Uzgojni medij za ispitivanje treba pripremiti 1 – 2 dana prije uporabe kako bi se stabilizirala pH vrijednost. pH vrijednost uzgojnog medija treba provjeriti prije uporabe i prema potrebi podesiti dodavanjem 0,1 ili 1 M NaOH ili HCl, kako je navedeno gore.

Radna otopina br.

Tvar

Koncentracija u radnoj otopini (g·l–1) (1)

Koncentracija u pripremljenom mediju (mg·l–1) (1)

Pripremljeni medij

Element

Koncentracija (mg·l–1) (1)

A1

NaNO3

MgCl2·6H2O

CaCl2·2H2O

26

12

4,4

510

240

90

Na; N

Mg

Ca

190; 84

58,08

24,04

A2

MgSO4·7H2O

15

290

S

38,22

A3

K2HPO4·3H2O

1,4

30

K; P

9,4;3,7

B

H3BO3

MnCl2·4H2O

FeCl3·6H2O

Na2EDTA·2H2O

ZnCl2

CoCl2·6H2O

Na2MoO4·2H2O

CuCl2·2H2O

0,19

0,42

0,16

0,30

3,3 mg·l–1

1,4 mg·l–1

7,3 mg·l–1

0,012 mg·l–1

3,7

8,3

3,2

6,0

66 μg·l–1

29 μg·l–1

145 μg·l–1

0,24 μg·l–1

B

Mn

Fe

Zn

Co

Mo

Cu

0,65

2,3

0,66

31 μg·l–1

7,1 μg·l–1

58 μg·l–1

0,080 μg·l–1

C

NaHCO3

15

300

Na; C

220; 43

Bilješka: Teoretski prikladna konačna koncentracija bikarbonata (kojom se izbjegavaju značajnija podešavanja pH vrijednosti) je 15 mg/l, a ne 300 mg/l. Međutim, prethodna iskustva s uporabom medija 20X-AAP, uključujući međulaboratorijsko ispitivanje za ovu metodu, temelje se na 300 mg/l. (Sims, P. Whitehouse and R. Lacey. (1999.) The OECD Lemna Growth Inhibition Test. Development and Ring-testing of draft OECD Test Guideline. R & D Technical Report EMA 003. WRc plc – Environment Agency).

Medij STEINBERG (prema ISO 20079)

Koncentracije i radne otopine

prilagođeni medij Steinberg je u ISO 20079 predviđen samo za Lemna minor (budući da je ondje jedino i dopuštena Lemna minor), ali ispitivanja su pokazala da se i s vrstom Lemna gibba mogu postići dobri rezultati,

kod pripreme medija treba koristiti reagencijski odnosno analitički čiste kemikalije i deioniziranu vodu,

hranjivi se medij priprema iz radnih otopina ili 10-struko koncentriranog medija kako bi se dobila najviša koncentracija medija koja se može postići bez taloženja.

Tablica 1.

pH stabilizirani medij STEINBERG (varijanta prema Altenburgeru)

Tvar

Hranjivi medij

Makroelementi

molarna masa

mg/l

mmol/l

KNO3

101,12

350,00

3,46

Ca(NO3)2 · 4H2O

236,15

295,00

1,25

KH2PO4

136,09

90,00

0,66

K2HPO4

174,18

12,60

0,072

MgSO4 · 7H2O

246,37

100,00

0,41

Mikroelementi

molarna masa

μg/l

μmol/l

H3BO3

61,83

120,00

1,94

ZnSO4 · 7H2O

287,43

180,00

0,63

Na2MoO4 · 2H2O

241,92

44,00

0,18

MnCl2 · 4H2O

197,84

180,00

0,91

FeCl3 · 6H2O

270,21

760,00

2,81

EDTA dinatrijev dihidrat

372,24

1 500,00

4,03


Tablica 2.

Radne otopine (makroelementi)

1.

Makroelementi (50-struko koncentrirano)

g/l

Radna otopina 1:

KNO3

17,50

KH2PO4

4,5

K2HPO4

0,63

Radna otopina 2:

MgSO4 · 7H2O

5,00

Radna otopina 3:

Ca(NO3)2 · 4H2O

14,75


Tablica 3.

Radne otopine (mikroelementi)

2.

Mikroelementi (1 000-struko koncentrirano)

mg/l

Radna otopina 4:

H3BO3

120,0

Radna otopina 5:

ZnSO4 · 7H2O

180,0

Radna otopina 6:

Na2MoO4 · 2H2O

44,0

Radna otopina 7:

MnCl2 · 4H2O

180,0

Radna otopina 8:

FeCl3 · 6H2O

760,00

EDTA dinatrijev dihidrat

1 500,00

radne otopine 2 i 3 mogu se objediniti, kao i radne otopine 4 do 7 (uzimajući u obzir tražene koncentracije),

za duži rok uporabe radne otopine treba obraditi u autoklavu 20 minuta na temperaturi od 121 °C ili provesti sterilnu filtraciju (0,2 μm). Za radnu otopinu 8 se u svakom slučaju preporučuje sterilna filtracija (0,2 μm).

Priprema konačne koncentracija medija STEINBERG (varijanta)

20 ml radnih otopina 1, 2 i 3 (vidi tablicu 2.) doda se u cca 900 ml deionizirane vode kako bi se izbjeglo taloženje,

doda se 1,0 ml radnih otopina 4, 5, 6, 7 i 8 (vidi tablicu 3.),

pH vrijednost treba biti 5,5 ± 0,2 (podesiti dodavanjem minimalnog volumena otopine NaOH ili HCl),

nadopuni se vodom do 1 000 ml,

ako su radne otopine sterilizirane i koristi se prikladna voda, nije potrebna dodatna sterilizacija. Ako se sterilizacija provodi na konačnom mediju, radnu otopinu 8 treba dodati nakon obrade u autoklavu (20 minuta na 121 °C).

Priprema 10-struko koncentriranog medija STEINBER (varijanta) za međuskladištenje

20 ml radnih otopina 1, 2 i 3 (vidi tablicu 2.) doda se u cca 30 ml vode kako bi se izbjeglo taloženje,

doda se 1,0 ml radnih otopina 4, 5, 6, 7 i 8 (vidi tablicu 3.). Nadopuni se vodom do 100 ml,

ako su radne otopine sterilizirane i koristi se prikladna voda, nije potrebna dodatna sterilizacija. Ako se sterilizacija provodi na konačnom mediju, radnu otopinu 8 treba dodati nakon obrade u autoklavu (20 minuta na 121 °C),

pH vrijednost medija (konačna koncentracija) treba biti 5,5 ± 0,2.


(1)  Ako nije navedeno drukčije.