|
13/Sv. 043
|
HR
|
Službeni list Europske unije
|
35
|
32005L0078
|
L 313/1
|
SLUŽBENI LIST EUROPSKE UNIJE
|
14.11.2005.
|
DIREKTIVA KOMISIJE 2005/78/EZ
od 14. studenoga 2005.
o provedbi Direktive 2005/55/EZ Europskog parlamenta i Vijeća o usklađivanju zakonodavstva država članica u odnosu na mjere koje treba poduzeti protiv emisije plinovitih i krutih onečišćujućih tvari iz motora s kompresijskim paljenjem za primjenu u vozilima i emisije plinovitih onečišćujućih tvari iz motora s vanjskim izvorom paljenja koji kao gorivo koriste prirodni plin ili ukapljeni naftni plin za primjenu u vozilima i o izmjeni njezinih priloga I., II., III., IV. i VI.
(Tekst značajan za EGP)
KOMISIJA EUROPSKIH ZAJEDNICA,
uzimajući u obzir Ugovor o osnivanju Europske zajednice,
uzimajući u obzir Direktivu Vijeća 70/156/EEZ od 6. veljače 1970. o usklađivanju zakonodavstava država članica u odnosu na homologaciju tipa motornih vozila i njihovih prikolica (1), a posebno njezin članak 13. stavak 2. drugu alineju,
uzimajući u obzir Direktivu 2005/55/EZ Europskog parlamenta i Vijeća od 28. rujna 2005. o usklađivanju zakonodavstava država članica u odnosu na mjere koje treba poduzeti protiv emisije plinovitih i krutih onečišćujućih tvari iz motora s kompresijskim paljenjem za primjenu u vozilima i emisije plinovitih onečišćujućih tvari iz motora s vanjskim izvorom paljenja koji kao gorivo koriste prirodni plin ili ukapljeni naftni plin za primjenu u vozilima (2), a posebno njezin članak 7.,
budući da:
|
(1)
|
Direktiva 2005/55/EZ jedna je od posebnih direktiva na temelju postupka homologacije utvrđenog Direktivom 70/156/EEZ.
|
|
(2)
|
Direktiva 2005/55/EZ zahtijeva da od 1. listopada 2005. teški motori i motori novih teških vozila udovoljavaju novim tehničkim zahtjevima koji obuhvaćaju sustave automatske dijagnostike, trajnost i usklađenost vozila u uporabi koja se primjereno održavaju i koriste. Potrebno je donijeti tehničke odredbe potrebne za provedbu članaka 3. i 4. te Direktive.
|
|
(3)
|
Kako bi se osigurala usklađenost s člankom 5. Direktive 2005/55/EZ, primjereno je uvesti zahtjeve koji potiču ispravnu uporabu, koju im je namijenio proizvođač, novih teških vozila opremljenih motorima sa sustavom naknadne obrade ispušnih plinova koji zahtijeva primjenu potrošnog reagensa radi postizanja namjeravanog smanjenja onečišćujućih tvari. Mjere treba uvesti radi osiguranja da vozač takvog vozila bude pravovremeno obaviješten da će doći do isteka zaliha potrošnog reagensa u vozilu ili da ne dolazi do doziranja reagensa. Ako vozač zanemaruje takva ograničenja, karakteristike motora treba izmijeniti dok vozač ne nadopuni zalihu potrošnog reagensa potrebnog za učinkovit rad sustava naknadne obrade ispušnih plinova.
|
|
(4)
|
Kada motori u okviru područja primjene Direktive 2005/55/EZ zahtijevaju primjenu potrošnog reagensa kako bi se postigle granice emisije prema kojima je tim motorima dodijeljeno homologacijsko odobrenje, države članice trebaju poduzeti odgovarajuće korake kako bi se osiguralo da takvi reagensi budu odgovarajuće dostupni u svim dijelovima zemlje. Državama članicama trebalo bi biti omogućeno poduzimanje odgovarajućih koraka kako bi potakle primjenu takvih reagensa.
|
|
(5)
|
Primjereno je uvesti zahtjeve koji će državama članicama tijekom periodičnog tehničkog pregleda omogućiti nadzor i utvrđivanje jesu li teška vozila koja su opremljena sustavima naknadne obrade ispušnih plinova tijekom razdoblja koje je prethodilo tehničkom pregledu imala ispravnu primjenu potrošnog reagensa.
|
|
(6)
|
Države članice trebale bi moći zabraniti primjenu nekog teškog vozila opremljenog sustavom naknadne obrade ispušnih plinova koji zahtijeva primjenu potrošnog reagensa kako bi se postigle granice emisije prema kojima je takvo vozilo homologirano ako sustav naknadne obrade ispušnih plinova u stvari ne troši potreban reagens ili ako vozilo uopće nema potreban reagens.
|
|
(7)
|
Proizvođači teških vozila opremljenih sustavima naknadne obrade ispušnih plinova koji zahtijevaju primjenu potrošnog reagensa trebali bi obavijestiti svoje klijente o tome kako ispravno koristiti takva vozila.
|
|
(8)
|
Zahtjeve Direktive 2005/55/EZ s obzirom na primjenu poremećajnih strategija treba prilagoditi dostignutom tehničkom napretku. Također bi trebalo odrediti zahtjeve za motore s višestrukim podešavanjem te za uređaje koji mogu ograničiti zakretni moment motora u određenim radnim uvjetima.
|
|
(9)
|
Prilozi III. i IV. Direktivi 98/70/EZ Europskog parlamenta i Vijeća od 13. listopada 1998. u odnosu na kvalitetu benzinskog i dizelskoga goriva i o izmjeni Direktive 93/12/EEZ (3) zahtijevaju da benzinska i dizelska motorna goriva za prodaju u Zajednici imaju sadržaj sumpora ne veći od 50 mg/kg (dijelovi na milijun, ppm) od 1. siječnja 2005. Motorna goriva sa sadržajem sumpora od 10 mg/kg ili manje sve su više dostupna u čitavoj Zajednici, a Direktivom 98/70/EZ zahtijeva se da takva goriva budu dostupna od 1. siječnja 2009. Referentna goriva koja se koriste za homologacijska ispitivanja motora u odnosu na granice emisije navedene u retku B1, retku B2 i retku C tablica iz Priloga I. Direktivi 2005/55/EZ treba stoga ponovno definirati kako bi bolje odražavala, prema potrebi, sadržaj sumpora dizelskih goriva koja su dostupna na tržištu od 1. siječnja 2005. i koja koriste motori s naprednim sustavima kontrole emisije. Također je primjereno ponovno definirati referentno gorivo ukapljenog naftnog plina (LPG) radi usklađivanja s napretkom na tržištu od 1. siječnja 2005.
|
|
(10)
|
Tehničke prilagodbe postupcima uzorkovanja i mjerenja nužne su kako bi se omogućilo pouzdano i ponovljivo mjerenje masenih emisija čestica za motore s kompresijskim paljenjem kojima je dodijeljeno homologacijsko odobrenje sukladno ograničenjima čestica navedenim bilo u retku B1, retku B2 ili retku C tablica iz odjeljka 6.2.1. Priloga I. Direktivi 2005/55/EZ i za plinske motore kojima je dodijeljeno homologacijsko odobrenje sukladno granicama emisije navedenim u retku C tablice 2. iz odjeljka 6.2.1. tog Priloga.
|
|
(11)
|
S obzirom na to da se odredbe vezane uz provedbu članaka 3. i 4. Direktive 2005/55/EZ donose istovremeno s onima kojima se ta Direktiva prilagođava tehničkom napretku, obje vrste mjera obuhvaćene su istim aktom.
|
|
(12)
|
S obzirom na brzi tehnološki napredak u ovom području, ova će se Direktiva, prema potrebi, preispitati do 31. prosinca 2006.
|
|
(13)
|
Direktivu 2005/55/EZ treba stoga sukladno tome izmijeniti.
|
|
(14)
|
Mjere predviđene ovom Direktivom u skladu su s mišljenjem Odbora za prilagodbu tehničkom napretku utvrđenog u članku 13. stavku 1. Direktive 70/156/EEZ,
|
DONIJELA JE OVU DIREKTIVU:
Članak 1.
Prilozi I., II., III., IV. i VI. Direktivi 2005/55/EZ izmjenjuju se u skladu s Prilogom I. ovoj Direktivi.
Članak 2.
Mjere za provedbu članaka 3. i 4. Direktive 2005/55/EZ propisane su u prilozima od II. do V. ovoj Direktivi.
Članak 3.
1. Države članice donose i objavljuju zakone i druge propise potrebne za usklađivanje s ovom Direktivom najkasnije do 8. studenoga 2006. One Komisiji odmah dostavljaju tekst tih odredaba i korelacijsku tablicu između tih odredaba i ove Direktive.
Te odredbe države članice primjenjuju od 9. studenoga 2006.
Kada države članice donose ove odredbe, te odredbe prilikom njihove službene objave sadržavaju uputu na ovu Direktivu ili se uz njih navodi takva uputa. Načine tog upućivanja određuju države članice.
2. Države članice Komisiji dostavljaju tekst glavnih odredaba nacionalnog prava koje donesu u području na koje se odnosi ova Direktiva.
Članak 4.
Ova Direktiva stupa na snagu dvadesetog dana od dana objave u Službenom listu Europske unije.
Članak 5.
Ova je Direktiva upućena državama članicama.
Sastavljeno u Bruxellesu 14. studenoga 2005.
Za Komisiju
Günter VERHEUGEN
Potpredsjednik
(1) SL L 42, 23.2.1970., str. 1. Direktiva kako je zadnje izmijenjena Direktivom Komisije 2005/49/EZ (SL L 194, 26.7.2005., str. 12.).
(2) SL L 275, 20.10.2005., str. 1.
(3) SL L 350, 28.12.1998., str. 58. Direktiva kako je zadnje izmijenjena Uredbom (EZ) br. 1882/2003 Europskog parlamenta i Vijeća (SL L 284, 31.10.2003., str. 1.).
PRILOG I.
IZMJENE PRILOGA I., II., III., IV. I VI. DIREKTIVI 2005/55/EZ
Direktiva 2005/55/EZ mijenja se kako slijedi:
|
1.
|
Prilog I. mijenja se kako slijedi:
|
(a)
|
odjeljak 1. zamjenjuje se sljedećim:
„1. PODRUČJE PRIMJENE
Ova se Direktiva odnosi na kontrolu emisije plinovitih onečišćujućih tvari i onečišćujućih čestica, uporabni vijek uređaja za kontrolu emisije, usklađenost vozila/motora u uporabi i sustava automatske dijagnostike (OBD) svih motornih vozila opremljenih motorima s kompresijskim paljenjem te na plinovite onečišćujuće tvari, uporabni vijek, usklađenost vozila/motora u uporabi i sustava automatske dijagnostike (OBD) svih motornih vozila opremljenih motorima s vanjskim izvorom paljenja koja kao gorivo koriste prirodni plin ili LPG, te na motore s kompresijskim paljenjem i s vanjskim izvorom paljenja kako je navedeno u članku 1., uz izuzetak motora s kompresijskim paljenjem onih vozila kategorije N1, N2 i M2 i motora s vanjskim izvorom paljenja koji kao gorivo koriste prirodni plin ili LPG onih vozila kategorije N1 za koje je dodijeljeno homologacijsko odobrenje na temelju Direktive Vijeća 70/220/EEZ (1).
|
|
(b)
|
u odjeljku 2., naslov i odjeljci 2.1. do 2.32.1. zamjenjuju se sljedećim:
„2. DEFINICIJE
2.1. Za potrebe ove Direktive primjenjuju se sljedeće definicije:
‚homologacija motora (porodica motora)’ znači homologacija tipa motora (porodica motora) s obzirom na razinu emisije plinovitih i onečišćujućih tvari i onečišćujućih čestica;
‚pomoćna strategija kontrole emisije (AECS)’ znači strategija kontrole emisije koja postaje aktivna ili kojom se mijenja osnovna strategija kontrole emisije u posebnu svrhu ili svrhe i kao odgovor na posebnu skupinu okolnih i/ili radnih uvjeta, npr. brzinu vozila, brzinu motora, uključeni stupanj prijenosa, temperaturu usisa ili tlak usisa;
‚osnovna strategija kontrole emisije (BECS)’ znači strategija kontrole emisije koja je aktivna tijekom čitavog radnog raspona brzina i opterećenja motora osim ako je AECS uključen. Primjeri za BECS su sljedeći (ali nisu jedini):
|
—
|
mapa upravljanja radom motora,
|
|
—
|
mapa doziranja reagensa SCR katalizatora;
|
‚kombinirani filtar deNOx čestica’ znači sustav naknadne obrade ispušnih plinova konstruiran za istovremeno smanjenje emisija oksida dušika (NOx) i onečišćujućih čestica (P);
‚stalna regeneracija’ znači postupak regeneracije sustava naknadne obrade ispušnih plinova do kojeg dolazi bilo trajno ili najmanje jednom po ETC ispitivanju. Takav postupak regeneracije ne zahtijeva poseban postupak ispitivanja;
‚područje kontrole’ znači područje između brzina motora A i C i između 25 do 100 posto opterećenja;
‚najveća deklarirana snaga (Pmax)’ znači najveću snagu u kW u EZ-u (neto snaga), kako ju je naveo proizvođač u svojem zahtjevu za homologaciju;
‚poremećajna strategija’ znači:
|
—
|
AECS (pomoćna strategija kontrole emisije) koji smanjuje učinkovitost kontrole emisije s obzirom na BECS (osnovnu strategiju kontrole emisije) u uvjetima koji se realno mogu očekivati tijekom uobičajenog rada i uporabe vozila,
ili
|
|
—
|
BECS (osnovna strategija kontrole emisije) čije se djelovanje razlikuje tijekom standardiziranog homologacijskog ispitivanja od drugih djelovanja te osigurava manju razinu kontrole emisije u uvjetima koji nisu temeljno uključeni kod primijenjenih homologacijskih ispitivanja;
|
‚sustav deNOx’ znači sustav naknadne obrade ispušnih plinova konstruiran za smanjenje emisija oksida dušika (NOx) (npr. trenutačno postoje pasivni i aktivni NOx katalizatori, NOx apsorberi i sustavi selektivnog katalitičkog reduciranja (SCR);
‚vremenska zadrška’ znači vrijeme između promjene sastavnog dijela koje se mjeri u referentnoj točki i reakcije sustava od 10 % od konačnog očitanja (t
10). Kad je riječ o plinovitim sastojcima, to je zapravo vrijeme prijenosa mjerenog sastojka od sonde za uzorkovanje do detektora. Kad se radi o vremenskoj zadršci, sonda za uzorkovanje se smatra referentnom točkom;
‚dizelski motor’ znači motor koji radi na načelu kompresijskog paljenja;
‚ELR ispitivanje’ znači ciklus ispitivanja koji se sastoji od slijeda stupnjeva opterećenja pri stalnim brzinama motora, a koji treba primjenjivati u skladu s odjeljkom 6.2. ovog Priloga;
‚ESC ispitivanje’ znači ciklus ispitivanja koji se sastoji od 13 ustaljenih načina rada, a koji treba primjenjivati u skladu s odjeljkom 6.2. ovog Priloga;
‚ETC ispitivanje’ znači ciklus ispitivanja koji se sastoji od 1 800 prijelaznih načina rada iz sekunde u sekundu, a koji treba primjenjivati u skladu s odjeljkom 6.2. ovog Priloga;
‚element konstrukcije’ znači s obzirom na vozilo ili motor:
|
—
|
svaki sustav kontrole, uključujući programsku opremu (softver) za računala, elektroničke upravljačke sustave i računalnu logiku,
|
|
—
|
sva umjeravanja sustava kontrole,
|
|
—
|
rezultat međusobnog djelovanja sustava,
ili
|
|
—
|
bilo koji elementi strojne opreme (hardver);
|
‚greška vezana uz emisiju’ znači nedostatak ili odstupanje od uobičajenih dopuštenih odstupanja proizvodnje s obzirom na konstrukciju, materijale ili izradu uređaja, sustava ili sklopa koji utječe na neki parametar, specifikaciju ili sastavni dio koji pripada sustavu kontrole emisije. Nedostatak (nekog) sastavnog dijela može se smatrati ‚greškom vezanom uz emisiju’;
‚strategija kontrole emisije (ECS)’ znači element ili skupina elemenata konstrukcije uključenih cjelokupnom konstrukcijom sustava motora ili vozila u svrhu kontroliranja ispušnih emisija što uključuje jedan BECS (osnovnu strategiju kontrole emisije) i jednu skupinu AECS (pomoćne strategije kontrole emisije);
‚sustav kontrole emisije’ znači sustav naknadne obrade ispušnih plinova, elektronička upravljačka jedinica (jedinice) sustava motora i svaki drugi sastavni dio povezan s emisijama sustava motora u ispuhu koji daje ulazni podatak ili prima izlazni podatak iz te jedinice (tih jedinica) i, kada je potrebno, komunikacijsko sučelje (hardver i poruke) između elektroničke upravljačke jedinice (jedinica) sustava motora (EECU) i bilo kojeg drugog pogonskog sklopa ili upravljačke jedinice vozila s obzirom na upravljanje emisijama;
‚porodica motora sa sustavom naknadne obrade ispušnih plinova’ znači, u okviru jedne porodice motora, ona podskupina motora kako ju je definirao proizvođač koja koristi sličan sustav naknadne obrade ispušnih plinova i za koju se ispitivanjem tijekom uporabe sakupljaju podaci radi utvrđivanja faktora pogoršanja u skladu s Prilogom II. Direktivi Komisije 2005/78/EZ o provedbi Direktive 2005/55/EZ Europskog parlamenta i Vijeća o usklađivanju zakonodavstva država članica u vezi s mjerama koje treba poduzeti protiv emisije plinovitih onečišćujućih tvari i onečišćujućih čestica iz motora s kompresijskim paljenjem za primjenu u vozilima, i emisije plinovitih onečišćujućih tvari iz motora s vanjskim izvorom paljenja koji kao gorivo koriste prirodni plin ili ukapljeni naftni plin za primjenu u vozilima i o izmjeni njezinih priloga I., II., III., IV. i VI. (2) i za provjeru sukladnosti vozila/motora u uporabi u skladu s Prilogom III. Direktivi 2005/78/EZ;
‚sustav motora’ znači motor, sustav upravljanja emisijom i komunikacijsko sučelje (hardver i poruke) između elektroničke upravljačke jedinice (elektroničkih upravljačkih jedinica) sustava motora (EECU) i bilo kojeg pogonskog sklopa ili upravljačke jedinice vozila;
‚porodica motora’ znači skupina motora određena od strane proizvođača koji zbog svoje konstrukcije prema definiciji iz Priloga II., Dodatka 2. ovoj Direktivi imaju slične značajke ispušnih emisija; svi članovi porodice moraju udovoljavati važećim graničnim vrijednostima emisije;
‚radno područje brzine vrtnje motora’ znači područje brzine vrtnje motora, koje se najčešće koristi tijekom rada motora na terenu, a nalazi se između niske i visoke brzine vrtnje motora, kako je navedeno u Prilogu III. ovoj Direktivi;
‚brzine vrtnje motora A, B i C’ znači brzine vrtnje ispitivanja unutar područja brzina vrtnje motora koje će se koristiti tijekom ESC ispitivanja i ELR ispitivanja, kako je navedeno u Prilogu III., Dodatku 1. ovoj Direktivi;
‚podešenost motora’ znači posebna konfiguracija motora/vozila koja uključuje strategiju kontrole emisije (ECS), karakteristiku učinkovitosti jednog motora (homologiranu krivulju punog opterećenja) i, prema potrebi, jednu skupinu uređaja za ograničavanje zakretnog momenta;
‚tip motora’ znači kategorija motora koji se bitno ne razlikuju po svojim značajkama kako je definirano u Prilogu II. ovoj Direktivi;
‚sustav naknadne obrade ispušnih plinova’ znači katalizator (oksidacijski ili 3-smjerni), filtar čestica, kombinirani filtar deNOx čestica ili svaki drugi uređaj za smanjenje emisije koji je ugrađen iza motora. Ova definicija isključuje recirkulaciju ispušnog plina, koja se, kada je ugrađena, smatra sastavnim dijelom sustava motora;
‚plinski motor’ znači motor s vanjskim izvorom paljenja koji kao gorivo koristi prirodni plin (NG) ili ukapljeni naftni plin (LPG);
‚plinovite onečišćujuće tvari’ znači ugljični monoksid, ugljikovodici (pod pretpostavkom omjera CH1,85 za dizel, CH2,525 za LPG i CH2,93 za NG (NMHC) i pretpostavljenu molekulu CH3O0,5 za dizelske motore koji kao gorivo koriste etanol), metan (pod pretpostavkom omjera CH4 za NG) i oksidi dušika, pri čemu se ovi zadnje navedeni iskazuju u ekvivalentu dušikovog dioksida (NO2);
‚velika brzina (nhi)’ znači najveća brzina vrtnje motora pri snazi koja iznosi 70 % deklarirane najveće snage;
‚mala brzina (nlo)’ znači najmanja brzina vrtnje motora pri snazi koja iznosi 50 % deklarirane najveće snage;
‚velika funkcionalna greška’ (3) znači trajna ili privremena neispravnost nekog sustava naknadne obrade ispušnih plinova za koju se očekuje da će za posljedicu imati trenutačno ili odgođeno povećanje plinovitih emisija ili emisija čestica iz sustava motora, a koja se ne može primjereno procijeniti OBD sustavom;
‚neispravnost djelovanja’ znači:
|
—
|
svako pogoršanje ili kvar, uključujući električne kvarove, sustava kontrole emisije koji bi za posljedicu imali emisije preko OBD graničnih vrijednosti ili, kada se primjenjuje, nepostizanje raspona funkcionalnih učinaka sustava naknadne obrade ispušnih plinova kada bi emisija svake regulirane onečišćujuće tvari prelazila OBD granične vrijednosti,
|
|
—
|
svaki slučaj kada OBD sustav nije u mogućnosti ispuniti zahtjeve ove Direktive.
|
Proizvođač, bez obzira na to, može kao neispravnost smatrati pogoršanje ili grešku koja za posljedicu ima i emisije koje ne prelaze OBD granične vrijednosti;
‚pokazatelj neispravnosti (MI)’ znači vidljivi pokazatelj koji jasno obavješćuje vozača vozila u slučaju neispravnosti u smislu ove Direktive;
‚višestruko podesiv motor’ znači motor koji sadrži više od jednog podešavanja motora;
‚područje NG plina’ znači jedno od H ili L područja prema definiciji iz europske norme EN 437 iz studenoga 1993.;
‚neto snaga’ znači snaga u kW u EZ-u dobivena na uređaju za ispitivanje na kraju koljenaste osovine ili njezinom ekvivalentu, mjereno u skladu s europskom metodom mjerenja snage kako je navedeno u Direktivi Komisije 80/1269/EEZ (4);
‚OBD’ znači sustav ugrađene dijagnostike za upravljanje emisijom na vozilu, koji ima sposobnost utvrđivanja nastanka neispravnosti i određivanja područja neispravnosti pomoću kodova grešaka pohranjenih u memoriji računala;
‚porodica motora s OBD-om’ znači skupina motora određena od strane proizvođača koji imaju zajedničke parametre konstrukcije OBD sustava u skladu s odjeljkom 8. ovog Priloga, za potrebe homologacije OBD sustava u skladu sa zahtjevima iz Priloga IV. Direktivi 2005/78/EZ;
‚mjerilo zacrnjenja’ znači uređaj konstruiran za mjerenje zacrnjenja čestica dima pomoću načela prigušenja izvora svjetla;
‚osnovni motor’ znači motor odabran iz porodice motora tako da značajke njegovih emisija predstavljaju tu porodicu motora;
‚uređaj za naknadnu obradu čestica’ znači sustav naknadne obrade ispušnih plinova konstruiran za smanjenje emisija onečišćujućih čestica (PT) mehaničkim, aerodinamičkim, difuzijskim ili inercijskim odvajanjem;
‚onečišćujuće čestice’ znači svaki materijal prikupljen na posebnom filtarskom mediju nakon razrjeđivanja ispušnih plinova čistim pročišćenim zrakom tako da temperatura ne prelazi 325 K (52 °C);
‚postotak opterećenja’ znači dio najvećeg raspoloživog zakretnog momenta pri brzini motora;
‚periodična regeneracija’ znači postupak regeneracije uređaja za kontrolu emisije koji se javlja periodično u manje od 100 sati tijekom uobičajenog rada motora. Tijekom ciklusa regeneracije, granične vrijednosti emisije smiju se prekoračiti;
‚stanje neispravnog sustava kontrole emisije’ znači aktiviranje AECS-a u slučaju neispravnosti ECS-a otkrivenog pomoću OBD sustava, što dovodi do aktiviranja MI-ja i ne zahtijeva ulazni podatak od sastavnog dijela ili sustava u kvaru;
‚pogonski priključak’ znači uređaj izlazne snage pokretan motorom u svrhu napajanja pomoćne opreme ugrađene u vozilu;
‚reagens’ znači svaki medij koji je uskladišten u vozilu u spremniku i dobavlja se u sustav naknadne obrade ispušnih plinova (prema potrebi) na zahtjev sustava kontrole emisije;
‚ponovno umjeravanje’ znači fino podešavanje motora s prirodnim plinom (NG) kako bi se osigurale iste karakteristike (snaga, potrošnja goriva) za drugo područje prirodnog plina;
‚referentna brzina vrtnje (nref)’ znači 100-postotna vrijednost brzine vrtnje koja se koristi za denormalizaciju relativnih vrijednosti brzina vrtnje za ETC ispitivanja, kako je navedeno u Prilogu III., Dodatku 2. ovoj Direktivi;
‚vrijeme odziva’ znači razlika u vremenu između brze promjene sastavnog dijela koji se mjeri u referentnoj točki i odgovarajuće promjene u odzivu mjernog sustava pri čemu promjena izmjerenog sastavnog dijela iznosi najmanje 60 % FS-a i odvija se u manje od 0,1 sekunde. Vrijeme odziva sustava (t
90) čini vrijeme odgode prema sustavu i vrijeme porasta sustava (vidi također ISO 16183);
‚vrijeme porasta’ znači vrijeme između 10 % i 90 % odziva konačnog očitanja (t
90 – t
10). To je odziv uređaja nakon što sastavni dio koji će se mjeriti dođe do uređaja. Za vrijeme porasta, sonda za uzorkovanje određuje se kao referentna točka;
‚samopodesivost’ znači svaki uređaj motora koji omogućuje održavanje omjera zraka i goriva stalnim;
‚dimljenje’ znači čestice koje lebde u ispušnom strujanju dizelskog motora koje upijaju, odbijaju ili lome svjetlost;
‚ciklus ispitivanja’ znači slijed točaka ispitivanja pri čemu svaka ima određenu brzinu i zakretni moment koje motor treba slijediti u ustaljenim (ESC ispitivanje) ili prijelaznim radnim uvjetima (ETC, ELR ispitivanje);
‚uređaj za ograničavanje zakretnog momenta’ znači uređaj koji privremeno ograničava najveći zakretni moment motora;
‚transformacijsko vrijeme’ znači vrijeme između promjene sastavnog dijela koje će se mjeriti u sondi za uzorkovanje i reakcije sustava od 50 % od konačnog očitanja (t
50). Vrijeme transformacije koristi se za usklađivanje signala različitih mjernih instrumenata;
‚vijek korištenja’ znači, za vozila i motore koji su homologirani bilo prema retku B1, retku B2 ili retku C tablice navedene u odjeljku 6.2.1. ovog Priloga, odgovarajuće razdoblje udaljenosti i/ili vremena definiranog u članku 3. (trajnost sustava kontrole emisije) ove Direktive prema kojoj, kao dio homologacije, treba osigurati usklađenost s odgovarajućim ograničenjima emisija plina, čestica i dima;
‚Wobbeov indeks (donja vrijednost Wl; ili gornja vrijednost Wu)’ znači omjer odgovarajuće kalorične vrijednosti plina po jedinici obujma i kvadratnog korijena njegove relativne gustoće pri istim referentnim uvjetima:
‚faktor pomaka λ (Sλ)’ znači jednadžba koja opisuje zahtijevanu prilagodljivost sustava upravljanja radom motora s obzirom na promjenu koeficijenta viška zraka λ ako motor kao gorivo upotrebljava plin čiji se sastav razlikuje od sastava čistog metana (vidjeti Prilog VII. za izračun Sλ).
2.2. Simboli, kratice i međunarodne norme
2.2.1. Simboli parametara ispitivanja
|
Simbol
|
Jedinica
|
Pojam
|
|
A
p
|
m2
|
Područje poprečnog presjeka izokinetičke sonde za uzorkovanje
|
|
A
e
|
m2
|
Područje poprečnog presjeka ispušne cijevi
|
|
c
|
ppm/vol. %
|
Koncentracija
|
|
C
d
|
—
|
Koeficijent ispuštanja SSV-CVS
|
|
C1
|
—
|
Ugljik 1 ekvivalent ugljikovodika
|
|
d
|
M
|
Promjer
|
|
D
0
|
m3/s
|
Prekidanje PDP funkcije umjeravanja
|
|
D
|
—
|
Faktor razrjeđivanja
|
|
D
|
—
|
Konstanta Besselove funkcije
|
|
E
|
—
|
Konstanta Besselove funkcije
|
|
E
E
|
—
|
Učinkovitost etana
|
|
E
M
|
—
|
Učinkovitost metana
|
|
E
Z
|
g/kWh
|
Interpolarna NOx emisija kontrolne točke
|
|
f
|
l/s
|
Učestalost
|
|
f
a
|
—
|
Laboratorijski atmosferski faktor
|
|
ƒc
|
s–1
|
Granična frekvencija Besselovog filtra
|
|
F
s
|
—
|
Stoihiometrijski faktor
|
|
H
|
MJ/m3
|
Kalorična vrijednost
|
|
H
a
|
g/kg
|
Apsolutna vlažnost ulaznog zraka
|
|
H
d
|
g/kg
|
Apsolutna vlažnost zraka za razrjeđivanje
|
|
i
|
—
|
Indeks koji označava pojedinačni način ispitivanja ili trenutačno mjerenje
|
|
K
|
—
|
Besselova konstanta
|
|
k
|
m–1
|
Koeficijent apsorpcije svjetlosti
|
|
k
f
|
—
|
Specifični faktor goriva u vezi s korekcijom iz suhog u mokro
|
|
k
h,D
|
—
|
Faktor korekcije vlažnosti za NOx za dizel motore
|
|
k
h,G
|
—
|
Faktor korekcije vlažnosti za NOx za plinske motore
|
|
K
v
|
|
Funkcija umjeravanja CFV
|
|
k
W,a
|
—
|
Faktor korekcije iz suhog u vlažno stanje, za ulazni zrak
|
|
k
W,d
|
—
|
Faktor korekcije iz suhog u vlažno stanje, za razrjeđivanje
|
|
k
W,e
|
—
|
Faktor korekcije iz suhog u vlažno stanje, za razrijeđeni ispušni plin
|
|
k
W,r
|
—
|
Faktor korekcije iz suhog u vlažno stanje, za neobrađeni ispušni plin
|
|
L
|
%
|
Postotak zakretnog momenta s obzirom na najveći zakretni moment ispitnog motora
|
|
La
|
m
|
Stvarna duljina optičkog puta
|
|
M
ra
|
g/mol
|
Molekularna masa ulaznog zraka
|
|
M
re
|
g/mol
|
Molekularna masa ispušnih plinova
|
|
m
d
|
kg
|
Masa uzorka zraka razrjeđivanja koji prolazi kroz filtre za uzorkovanje čestica
|
|
m
ed
|
kg
|
Ukupna masa razrijeđenih ispušnih plinova tijekom ciklusa
|
|
m
edf
|
kg
|
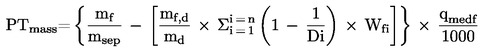
Masa ekvivalenta razrijeđenih ispušnih plinova tijekom ciklusa
|
|
m
ew
|
kg
|
Ukupna masa ispušnih plinova tijekom ciklusa
|
|
m
f
|
mg
|
Masa prikupljenog uzorka čestica
|
|
m
f,d
|
mg
|
Masa uzorka čestica prikupljenog zraka za razrjeđivanje
|
|
m
plin
|
g/h ili g
|
Maseni protok (brzina) plinovitih emisija
|
|
m
se
|
kg
|
Masa uzorka tijekom ciklusa
|
|
m
sep
|
kg
|
Masa uzorka razrijeđenog ispušnog plina koji prolazi kroz filtre za uzorkovanje čestica
|
|
m
set
|
kg
|
Masa uzorka dvostruko razrijeđenog ispušnog plina koji prolazi kroz filtre za uzorkovanje čestica
|
|
m
ssd
|
kg
|
Masa sekundarnog zraka za razrjeđivanje
|
|
N
|
%
|
Zacrnjenje
|
|
N
P
|
—
|
Ukupni okretaji PDP-a tijekom ciklusa
|
|
N
P,i
|
—
|
Okretaji PDP-a tijekom vremenskog razmaka
|
|
N
|
min–1
|
Brzina vrtnje motora
|
|
n
p
|
s–1
|
Brzina vrtnje PDP-a
|
|
nhi
|
min–1
|
Velika brzina vrtnje motora
|
|
nlo
|
min–1
|
Mala brzina vrtnje motora
|
|
nref
|
min–1
|
Referentna brzina vrtnje motora prilikom ETC ispitivanja
|
|
p
a
|
kPa
|
Tlak zasićene pare ulaznog zraka motora
|
|
p
b
|
kPa
|
Ukupan atmosferski tlak
|
|
p
d
|
kPa
|
Tlak zasićene pare zraka razrjeđivanja
|
|
p
p
|
kPa
|
Apsolutni tlak
|
|
p
r
|
kPa
|
Tlak vodene pare nakon rashladne kupelji
|
|
p
s
|
kPa
|
Suhi atmosferski tlak
|
|
p
1
|
kPa
|
Podtlak na ulazu pumpe
|
|
P(a)
|
kW
|
Snaga koju troše pomoćni uređaji koji se ugrađuju radi ispitivanja
|
|
P(b)
|
kW
|
Snaga koju troše pomoćni uređaji koje je potrebno ukloniti radi ispitivanja
|
|
P(n)
|
kW
|
Nekorigirana neto snaga
|
|
P(m)
|
kW
|
Snaga mjerena na ispitnom stolu
|
|
q
maw
|
kg/h ili kg/s
|
Brzina masenog protoka ulaznog zraka na vlažnoj bazi
|
|
q
mad
|
kg/h ili kg/s
|
Brzina masenog protoka ulaznog zraka na suhoj bazi
|
|
q
mdw
|
kg/h ili kg/s
|
Brzina masenog protoka zraka razrjeđivanja na vlažnoj bazi
|
|
q
mdew
|
kg/h ili kg/s
|
Brzina masenog protoka razrijeđenog ispušnog plina na vlažnoj bazi
|
|
q
mdew,i
|
kg/s
|
Masa protoka trenutačnog CVS-a na vlažnoj bazi
|
|
q
medf
|
kg/h ili kg/s
|
Brzina masenog protoka ekvivalenta razrijeđenog ispušnog plina na vlažnoj bazi
|
|
q
mew
|
kg/h ili kg/s
|
Brzina masenog protoka ispušnog plina na vlažnoj bazi
|
|
q
mf
|
kg/h ili kg/s
|
Brzina masenog protoka goriva
|
|
q
mp
|
kg/h ili kg/s
|
Brzina masenog protoka uzorka čestica
|
|
q
vs
|
dm3/min
|
Brzina protoka uzorka u klupi analizatora
|
|
q
vt
|
cm3/min
|
Brzina protoka plina u tragovima
|
|
Ω
|
—
|
Besselova konstanta
|
|
Q
s
|
m3/s
|
Brzina obujamskog protoka PDP/CFV-CVS
|
|
Q
SSV
|
m3/s
|
Brzina obujamskog protoka SSV-CVS
|
|
ra
|
—
|
Omjer područja poprečnih presjeka izokinetičke sonde i ispušne cijevi
|
|
r
d
|
—
|
Omjer razrjeđivanja
|
|
r
D
|
—
|
Omjer promjera SSV-CVS
|
|
r
p
|
—
|
Omjer tlaka SSV-CVS
|
|
r
s
|
—
|
Omjer uzorka
|
|
Rf
|
—
|
Odzivni faktor FID-a
|
|
P
|
kg/m3
|
Gustoća
|
|
S
|
kW
|
Postavna vrijednost dinamometra
|
|
Si
|
m–1
|
Trenutna vrijednost dimljenja
|
|
Sλ
|
—
|
Faktor pomaka λ
|
|
T
|
K
|
Apsolutna temperatura
|
|
T
a
|
K
|
Apsolutna temperatura ulaznog zraka
|
|
t
|
s
|
Vrijeme mjerenja
|
|
te
|
s
|
Vrijeme električnog odziva
|
|
tf
|
s
|
Vrijeme odziva filtara za Besselovu funkciju
|
|
tp
|
s
|
Vrijeme fizičkog odziva
|
|
Δt
|
s
|
Vremenski razmak između uzastopnih dimnih podataka (= 1/brzina uzorkovanja)
|
|
Δt
i
|
s
|
Vremenski razmak za trenutni CVS protok
|
|
τ
|
%
|
Dimni prijenos
|
|
u
|
—
|
Omjer između gustoća sastavnog dijela plina i ispušnog plina
|
|
V
0
|
m3/rev
|
Obujam PDP-a plina pumpanog po okretaju
|
|
V
s
|
l
|
Obujam sustava klupe analizatora
|
|
W
|
—
|
Wobbeov indeks
|
|
Wact
|
kWh
|
Stvarni rad ciklusa ETC-a
|
|
Wref
|
kWh
|
Referentni rad ciklusa ETC-a
|
|
W
F
|
—
|
Težinski faktor
|
|
WFE
|
—
|
Stvarni težinski faktor
|
|
X
0
|
m3/rev
|
Funkcija umjeravanja obujamskog protoka PDP-a
|
|
Yi
|
m–1
|
1 s prosječna vrijednost dimljenja po Besselu
|
|
|
(c)
|
prijašnji odjeljci 2.32.2. i 2.32.3. postaju odjeljak 2.2.2., odnosno 2.2.3.;
|
|
(d)
|
dodaju se sljedeći odjeljci 2.2.4. i 2.2.5.:
„2.2.4. Simboli za sastav goriva
|
WALF
|
udio vodika u gorivu, % mase
|
|
WBET
|
udio ugljika u gorivu, % mase
|
|
WGAM
|
udio sumpora u gorivu, % mase
|
|
WDEL
|
udio dušika u gorivu, % mase
|
|
WEPS
|
udio kisika u gorivu, % mase
|
|
Α
|
molarni omjer vodika (H/C)
|
|
Β
|
molarni omjer ugljika (C/C)
|
|
Γ
|
molarni omjer sumpora (S/C)
|
|
Δ
|
molarni omjer dušika (N/C)
|
|
Ε
|
molarni omjer kisika (O/C)
|
s obzirom na gorivo CβHαOεNδSγ
β = 1 za goriva na bazi ugljika, β = 0 za vodikovo gorivo.
2.2.5. Norme na koje se poziva ova Direktiva
|
ISO 15031-1
|
ISO 15031-1: 2001 Cestovna vozila – Komunikacija između vozila i vanjske opreme glede dijagnostike u vezi s emisijama – Dio 1.: Općenite informacije.
|
|
ISO 15031-2
|
ISO/PRF TR 15031-2: 2004 Cestovna vozila – Komunikacija između vozila i vanjske opreme glede dijagnostike u vezi s emisijama – Dio 2.: Pojmovi, definicije, kratice i akronimi.
|
|
ISO 15031-3
|
ISO 15031-3: 2004 Cestovna vozila – Komunikacija između vozila i vanjske opreme glede dijagnostike u vezi s emisijama – Dio 3.: Dijagnostički priključak i pripadajući električni sklopovi, specifikacija i primjena.
|
|
SAE J1939-13
|
SAE J1939-13: Dijagnostički priključak izvan vozila.
|
|
ISO 15031-4
|
ISO DIS 15031-4.3: 2004 Cestovna vozila – Komunikacija između vozila i vanjske opreme glede dijagnostike u vezi s emisijama – Dio 4.: Vanjska oprema za ispitivanje.
|
|
SAE J1939-73
|
SAE J1939-73: Sloj primjene – Dijagnostika.
|
|
ISO 15031-5
|
ISO DIS 15031-5.4: 2004 Cestovna vozila – Komunikacija između vozila i vanjske opreme glede dijagnostike u vezi s emisijama – Dio 5.: Usluge dijagnostike povezane s emisijama.
|
|
ISO 15031-6
|
ISO DIS 15031-6.4: 2004 Cestovna vozila – Komunikacija između vozila i vanjske opreme glede dijagnostike u vezi s emisijama – Dio 6.: Definicije oznaka problema s dijagnostikom.
|
|
SAE J2012
|
SAE J2012: Definicije oznaka problema s dijagnostikom istovjetnom ISO/DIS 15031-6, 30. travnja 2002.
|
|
ISO 15031-7
|
ISO 15031-7: 2001 Cestovna vozila – Komunikacija između vozila i vanjske opreme glede dijagnostike u vezi s emisijama – Dio 7.: Sigurnost veza između podataka.
|
|
SAE J2186
|
SAE J2186: E/E Sigurnost veza između podataka, iz listopada 1996.
|
|
ISO 15765-4
|
ISO 15765-4: 2001 Cestovna vozila – Dijagnostika na komunikacijskoj sabirnici (CAN) – Dio 4.: Zahtjevi za sustave povezane s emisijama.
|
|
SAE J1939
|
SAE J1939: Preporučena praksa za mrežu vozila serijske kontrole i komunikacije vozila.
|
|
ISO 16185
|
ISO 16185: 2000 Cestovna vozila – Porodica motora za homologaciju.
|
|
ISO 2575
|
ISO 2575: 2000 Cestovna vozila – Simboli za upravljače, pokazivače i pokazne svjetiljke.
|
|
ISO 16183
|
ISO 16183: 2002 Teški motori – Mjerenje plinovitih emisija iz neobrađenog ispušnog plina i emisija onečišćujućih krutih čestica koristeći sustave djelomičnog razrjeđivanja protoka u prijelaznim uvjetima ispitivanja.”;
|
|
|
(e)
|
odjeljak 3.1.1. zamjenjuje se sljedećim:
3.1.1. Zahtjev za homologaciju tipa motora ili porodica motora s obzirom na razinu štetne emisije plinova i čestica iz dizelskih motora i s obzirom na razinu štetne emisije plinova za plinske motore, kao i vijek korištenja i sustav dijagnostike na vozilu (OBD) podnosi proizvođač motora ili valjano ovlašteni predstavnik.
Ako se zahtjev odnosi na motor opremljen sustavom ugrađene dijagnostike (OBD), moraju se ispuniti zahtjevi iz odjeljka 3.4.”;
|
|
(f)
|
odjeljak 3.2.1. zamjenjuje se sljedećim:
3.2.1. Zahtjev za homologaciju vozila s obzirom na emisiju plinovitih onečišćujućih tvari i onečišćujućih čestica koju stvara njegov dizelski motor ili porodica dizelskih motora i s obzirom na razinu emisije plinovitih onečišćujućih tvari koju stvara njegov plinski motor ili porodica plinskih motora, kao i vijek korištenja i sustav ugrađene dijagnostike (OBD) podnosi proizvođač vozila ili valjano ovlašteni predstavnik.
Ako se zahtjev odnosi na motor opremljen sustavom ugrađene dijagnostike (OBD), moraju biti ispunjeni zahtjevi iz odjeljka 3.4.”;
|
|
(g)
|
dodaje se sljedeći odjeljak 3.2.3.:
3.2.3. Proizvođač daje opis pokazatelja neispravnosti (MI) koji koristi OBD sustav kako bi vozaču vozila signalizirao prisutnost greške.
Proizvođač daje opis pokazatelja i načina upozorenja koji se koristi da bi sevozaču vozila signalizirao nedostatak potrebnog reagensa.”;
|
|
(h)
|
odjeljak 3.3.1. zamjenjuje se sljedećim:
3.3.1. Zahtjev za homologaciju vozila s obzirom na emisiju plinovitih onečišćujućih tvari i onečišćujućih čestica koju stvara njegov homologirani dizelski motor ili porodica dizelskih motora i s obzirom na razinu emisije plinova koju stvara njegov homologirani plinski motor ili porodica plinskih motora, kao i vijek korištenja i sustav dijagnostike na vozilu (OBD) podnosi proizvođač vozila ili valjano ovlašteni predstavnik.”;
|
|
(i)
|
dodaje se sljedeći odjeljak 3.3.3.:
3.3.3. Proizvođač daje opis pokazatelja neispravnosti (MI) koji koristi OBD sustav kako bi vozaču vozila signalizirao prisutnost greške.
Proizvođač daje opis pokazatelja i načina upozorenja koji se koristi da bi se vozaču vozila signalizirao nedostatak potrebnog reagensa.”;
|
|
(j)
|
dodaje se sljedeći odjeljak 3.4.:
„3.4. Sustavi dijagnostike na vozilu
3.4.1. Uz zahtjev za homologaciju motora opremljenog sustavom ugrađene dijagnostike (OBD) moraju se priložiti podaci koji se zahtijevaju u odjeljku 9. Dodatka 1. Prilogu II. (opis osnovnog motora) i/ili u odjeljku 6. Dodatka 3. Prilogu II. (opis tipa motora unutar porodica) zajedno s:
3.4.1.1. detaljnim pisanim informacijama uz potpun opis funkcionalnih radnih značajki OBD sustava, uključujući popis svih relevantnih dijelova sustava kontrole emisije motora, tj. senzora, aktuatora i sastavnih dijelova, koje prati OBD sustav;
3.4.1.2. prema potrebi, izjavom proizvođača glede parametara koji su korišteni kao osnova za praćenje značajnog funkcionalnog kvara i, pored toga:
3.4.1.2.1. proizvođač tehničkoj službi daje opis mogućih kvarova unutar sustava kontrole emisije koji će utjecati na emisije. Ovi podaci podliježu raspravi i dogovoru između tehničke službe i proizvođača vozila;
3.4.1.3. prema potrebi, opisom komunikacijskog sučelja (hardver i poruke) između elektroničke upravljačke jedinice motora (EECU) i nekog drugog pogonskog sklopa ili upravljačke jedinice vozila kada razmijenjene informacije utječu na ispravno funkcioniranje sustava kontrole emisije;
3.4.1.4. prema potrebi, kopijama drugih homologacija s odgovarajućim podacima kako bi se omogućilo produljenje homologacija;
3.4.1.5. ako je primjenjivo, pojedinostima o porodici motora na koje se odnosi odjeljak 8. ovog Priloga;
3.4.1.6. proizvođač mora opisati mjere poduzete u svrhu sprečavanja neovlaštene uporabe i izmjene EECU-a ili nekog parametra sučelja koji se razmatra u odjeljku 3.4.1.3.”;
|
|
(k)
|
u odjeljku 5.1.3. napomena se briše;
|
|
(l)
|
odjeljak 6.1. zamjenjuje se sljedećim:
„6.1. Općenito
6.1.1. Oprema za kontrolu emisije
6.1.1.1. Sastavni dijelovi skloni utjecaju, prema potrebi, na emisiju plinovitih onečišćujućih tvari i onečišćujućih čestica iz dizelskih i plinskih motora konstruiraju se, izrađuju, sastavljaju i ugrađuju tako da se omogući da se motor, u uobičajenoj uporabi, pridržava odredaba ove Direktive.
6.1.2. Primjena poremećajne strategije je zabranjena.
6.1.2.1. Primjena višestrukog podešavanja motora je zabranjena dok se u ovoj Direktivi ne navedu odgovarajuće i postojanije odredbe za višestruko podešavanje motora (5).
6.1.3. Strategija kontrole emisije
|
6.1.3.1.
|
Svaki element konstrukcije i strategije kontrole emisije (ECS) sklon utjecaju na emisiju plinovitih onečišćujućih tvari i onečišćujućih čestica iz dizelskih motora i emisiju plinovitih onečišćujućih tvari iz plinskih motora konstruira se, izrađuje, sastavlja i ugrađuje tako da se motoru, u uobičajenoj uporabi, omogući pridržavanje odredaba ove Direktive. ECS čini osnovna strategija kontrole emisije (BECS) i u pravilu jedna ili više pomoćnih strategija kontrole emisije (AECS).
|
6.1.4. Zahtjevi za osnovnu strategiju kontrole emisije
6.1.4.1. Osnovna strategija kontrole emisije (BECS) osmišljena je tako da se motoru, u uobičajenoj uporabi, omogući pridržavanje odredaba ove Direktive. Uobičajena uporaba nije ograničena na uvjete primjene kako je navedeno u odjeljku 6.1.5.4.
6.1.5. Zahtjevi za pomoćnu strategiju kontrole emisije
6.1.5.1. Pomoćna strategija kontrole emisije (AECS) može se ugraditi u motor ili na vozila pod uvjetom da AECS:
|
—
|
funkcionira samo izvan uvjeta primjene navedenih u stavku 6.1.5.4. u svrhu utvrđenu u stavku 6.1.5.5.,
ili
|
|
—
|
se aktivira samo u iznimnim okolnostima u okviru uvjeta primjene navedenih u stavku 6.1.5.4. u svrhu utvrđenu u stavku 6.1.5.6. i ne dulje nego je u tu svrhu potrebno.
|
6.1.5.2. Pomoćna strategija kontrole emisije (AECS) koja funkcionira u okviru uvjeta primjene navedenih u odjeljku 6.1.5.4. i čiji je rezultat primjena drukčije ili izmijenjene strategije kontrole emisije (ECS) od one koja se uobičajeno koristi tijekom primjenjivih ciklusa ispitivanja emisije dozvolit će se ako se, pridržavajući se zahtjeva iz odjeljka 6.1.7., u potpunosti pokaže da se tom mjerom trajno ne smanjuje učinkovitost sustava kontrole emisije. U svim ostalim slučajevima, takva se strategija smatra poremećajnom strategijom.
6.1.5.3. Pomoćna strategija kontrole emisije (AECS) koja funkcionira izvan uvjeta primjene navedenih u odjeljku 6.1.5.4. dozvolit će se ako se, pridržavajući se zahtjeva iz odjeljka 6.1.7., u potpunosti pokaže da je ta mjera najmanja strategija nužna u smislu odjeljka 6.1.5.6. s obzirom na zaštitu okoliša i druge tehničke aspekte. U svim ostalim slučajevima takva se strategija smatra poremećajnom strategijom.
6.1.5.4. Kako je predviđeno u odjeljku 6.1.5.1., trebaju se zadovoljiti sljedeći uvjeti u ustaljenom i prijelaznom načinu rada motora:
|
—
|
visina koja ne prelazi 1 000 metara (ili istovjetan atmosferski tlak od 90 kPa),
i
|
|
—
|
okolna temperatura unutar raspona od 275 K do 303 K (2 °C do 30 °C) (6)
(7),
i
|
|
—
|
temperatura rashladnog sredstva motora unutar raspona od 343 K do 373 K (70 °C do 100 °C).
|
6.1.5.5. Pomoćna strategija kontrole emisije (AECS) može se ugraditi u motor, ili na vozilo, pod uvjetom da je funkcioniranje AECS-a uključeno u primjenjivo ispitivanje homologacije i aktivirano u skladu s odjeljkom 6.1.5.6.
6.1.5.6. AECS se aktivira:
|
—
|
jedino pomoću signala na vozilu u svrhu zaštite sustava motora (uključujući zaštitu uređaja za upravljanje protoka zraka) i/ili vozila od oštećenja,
ili
|
|
—
|
u svrhe kao što je sigurnost rada, stanje neispravnog sustava kontrole emisije i strategije prisilnog djelovanja (tzv. limp-home),
ili
|
|
—
|
u svrhe kao što su sprečavanje prekomjernih emisija, hladno pokretanje ili zagrijavanje,
ili
|
|
—
|
ako se koristi u posebnim okolišnim ili radnim uvjetima gdje treba dozvoliti povećanje emisije jedne regulirane onečišćujuće tvari, a kako bi se održavala razina emisije svih drugih reguliranih onečišćujućih tvari unutar graničnih vrijednosti primjerenih za predmetni motor. Na taj način AECS osigurava cjelokupni učinak jer kompenzira prirodne pojave i ostvaruje prihvatljivu kontrolu svih sastavnih dijelova emisije.
|
6.1.6. Zahtjevi za uređaje ograničavanja zakretnog momenta
6.1.6.1. Uređaj za ograničavanje zakretnog momenta dozvolit će se ako zadovoljava zahtjeve iz odjeljka 6.1.6.2. ili 6.5.5. U svim ostalim slučajevima, uređaj za ograničavanje zakretnog momenta smatra se poremećajnom strategijom.
6.1.6.2. Uređaj za ograničavanje zakretnog momenta može se ugraditi u motor ili na vozilo, pod uvjetom da:
|
—
|
se uređaj za ograničavanje zakretnog momenta aktivira samo pomoću signala u vozilu u svrhu zaštite pogonskog sklopa ili vozila od oštećenja i/ili u svrhu sigurnosti vozila, ili za uključivanje pogonskog priključka kad je vozilo u mirovanju, ili mjera osiguravanja ispravnog funkcioniranja sustava deNOx,
i
|
|
—
|
se uređaj za ograničavanje zakretnog momenta aktivira samo privremeno,
i
|
|
—
|
uređaj za ograničavanje zakretnog momenta ne mijenja strategiju kontrole emisije (ECS),
i
|
|
—
|
se u slučaju zaštite pogonskog priključka ili pogonskog sklopa, zakretni moment ograničava na konstantnu vrijednost, neovisno o brzini vrtnje motora, tako da nikada ne prelazi zakretni moment pri punom opterećenju,
i
|
|
—
|
aktivira se na isti način radi smanjivanja sposobnosti vozila s ciljem poticanja vozača da poduzme nužne mjere za osiguranje ispravnog funkcioniranja mjera kontrole NOx sustava motora.
|
6.1.7. Posebni zahtjevi za elektroničke sustave kontrole emisije
6.1.7.1. Zahtjevi u vezi s dokumentacijom
Proizvođač dostavlja dokumentacijski paket koji daje pristup svakom elementu konstrukcije i strategije kontrole emisije (ECS), te uređaju za ograničavanje zakretnog momenta sustava motora i sredstvima pomoću kojih kontrolira njegove izlazne varijable, bilo da je ta kontrola izravna ili neizravna. Dokumentacija se stavlja na raspolaganje u dva dijela:
|
(a)
|
službeni dokumentacijski paket, koji se dostavlja tehničkoj službi u trenutku podnošenja zahtjeva za homologaciju, obuhvaća cjelokupni opis ECS-a i, prema potrebi, uređaja za ograničavanje zakretnog momenta. Ova dokumentacija može biti kratka, pod uvjetom da navede dokaze o utvrđivanju svih izlaznih podataka dozvoljenih matricom dobivenom iz raspona kontrole ulaznih podataka pojedinačne jedinice. Ovaj se podatak prilaže dokumentaciji koja se zahtijeva u odjeljku 3. ovog Priloga;
|
|
(b)
|
dodatni materijal koji prikazuje parametre koje mijenja neka pomoćna strategija kontrole emisije (AECS) i granične uvjete u kojima djeluje AECS. Dodatni materijal uključuje opis logike kontrole sustava goriva, strategije određivanja vremena i točke prebacivanja tijekom svih načina rada. Također obuhvaća opis uređaja za ograničavanje zakretnog momenta opisanog u odjeljku 6.5.5. ovog Priloga.
|
Dodatni materijal također treba sadržavati objašnjenje za primjenu nekog AECS-a i uključuje dodatni materijal i podatke ispitivanja kako bi se pokazao učinak AECS-a ugrađenog u motor ili na vozilo na emisiju ispušnih plinova. Opravdanje za primjenu AECS-a može se temeljiti na podacima ispitivanja i/ili odgovarajućoj tehničkoj analizi.
Ovaj dodatni materijal je vrlo povjerljiv, i daje se tijelu za homologaciju na njegov zahtjev. Tijelo za homologaciju čuvat će taj materijal kao povjerljiv.
6.1.8. Posebnosti kod homologacije tipa motora sukladno retku A tablica iz odjeljka 6.2.1. (motori koji se uobičajeno ne ispituju na ETC-u)
6.1.8.1. Kako bi provjerilo treba li neku strategiju ili mjeru smatrati poremećajnom strategijom u skladu s definicijama navedenim u odjeljku 2., tijelo za homologaciju i/ili tehnička služba mogu dodatno zatražiti pregledno ispitivanje NOx koristeći ETC koje se može provesti u kombinaciji bilo s ispitivanjem prilikom homologacije ili postupcima provjere sukladnosti proizvodnje.
6.1.8.2. Prilikom provjeravanja treba li neku strategiju ili mjeru smatrati poremećajnom strategijom u skladu s definicijama navedenim u odjeljku 2., vezano uz odgovarajuću graničnu vrijednost NOx dozvoljava se dodatno odstupanje od 10 %.
6.1.9. Prijelazne odredbe u vezi s produljenjem homologacije navedene u odjeljku 6.1.5. Priloga I. Direktivi 2001/27/EZ
Do 8. studenoga 2006., postojeći homologacijski certifikacijski broj ostat će važeći. U slučaju produljenja, promijenit će se samo slijedni broj kako bi označio produljenje osnovnog homologacijskog broja i to na sljedeći način:
primjer drugog produljenja četvrte homologacije što odgovara datumu početka primjene A, a koju je dodijelila Njemačka:
e1*88/77*2001/27A*0004*02
6.1.10. Odredbe s obzirom na sigurnosti elektroničkog sustava
6.1.10.1. Svako vozilo s jedinicom kontrole emisije mora biti zaštićeno od mogućih preinaka, osim onih odobrenih od strane proizvođača. Proizvođač odobrava preinake ako su te preinake nužne za dijagnostiku, servisiranje, tehnički pregled, naknadno poboljšanje ili popravak vozila. Svi računalni kodovi koji se mogu ponovno programirati ili radni parametri moraju se zaštititi od neovlaštene uporabe i moraju omogućiti razinu zaštite barem tako dobru kao što je ona predviđena odredbama norme ISO 15031-7 (SAE J2186) pod uvjetom da se razmjena sigurnosnih podataka provodi primjenom protokola i dijagnostičkog priključka kako je propisano u odjeljku 6. Priloga IV. Direktivi 2005/78/EZ. Svi odvojivi kalibracijski memorijski čipovi moraju se pohraniti, zatvoriti u zabrtvljeni spremnik ili zaštititi elektroničkim algoritmima i ne smiju se mijenjati bez uporabe posebnih alata i postupaka.
6.1.10.2. Računalno kodirani radni parametri motora ne smiju se mijenjati bez primjene posebnih alata i postupaka (npr. zalemljeni ili pohranjeni računalni sastavni dijelovi ili zabrtvljena (ili zalemljena) računalna kućišta).
6.1.10.3. Proizvođači moraju poduzeti odgovarajuće korake radi zaštite podešenosti najveće dobave goriva od neovlaštene uporabe dok je vozilo u uporabi.
6.1.10.4. Proizvođači mogu podnijeti zahtjev tijelu za homologaciju za izuzeće od jednog od ovih zahtjeva za ona vozila koja vjerojatno neće trebati zaštitu. Kriteriji koje će tijelo za homologaciju procjenjivati prilikom razmatranja izuzeća odnose se, između ostalih, na dostupnost mikroprocesora (za povećanje snage motora), sportske sposobnosti vozila, predviđenu količinu prodaje vozila i ostalo.
6.1.10.5. Proizvođači koji upotrebljavaju računalne kodne sustave koji se programiraju (npr. električna izbrisiva programirajuća memorija, EEPROM) moraju onemogućiti neovlašteno reprogramiranje. Proizvođači moraju primijeniti povećanu zaštitu od neovlaštene uporabe i zaštitu od unošenja upisa koje zahtijeva elektronički pristup na vanjsko računalo proizvođača. Tijelo može odobriti alternativne metode koje pružaju istovjetnu razinu zaštite od neovlaštene uporabe.
|
|
(m)
|
uvodni dio odjeljka 6.2. zamjenjuje se sljedećim:
„6.2. Zahtjevi s obzirom na emisiju plinovitih onečišćujućih tvari i onečišćujućih čestica i dimljenje
Za homologaciju prema retku A tablica iz odjeljka 6.2.1., emisije se utvrđuju na ESC i ELR ispitivanjima konvencionalnim dizelskim motorima, uključujući one opremljene elektroničkom opremom ubrizgavanja goriva, recirkulacijom ispušnog plina (EGR) i/ili oksidacijskim katalizatorima. Dizelski motori opremljeni naprednim sustavima naknadne obrade ispušnih plinova, uključujući deNOx katalizatore i/ili uređaje za odvajanje čestica, dodatno se ispituju podvrgavanjem ETC ispitivanju.
Za homologacijska ispitivanja bilo prema retku B1 ili B2 ili retku C tablica iz odjeljka 6.2.1., emisije se utvrđuju ESC, ELR i ETC ispitivanjima.
Za plinske motore, plinovite se emisije utvrđuju ETC ispitivanjem.
Postupci ESC i ELR ispitivanja opisani su u Prilogu III. Dodatku 1., a postupak ETC ispitivanja u Prilogu III. dodacima 2. i 3.
Štetne emisije plinovitih onečišćujućih tvari i onečišćujućih čestica, ako se primjenjuje, i dimljenje, ako se primjenjuje, iz motora podvrgnutog ispitivanju mjere se metodama opisanim u Prilogu III. Dodatku 4. U Prilogu V. opisuju se preporučeni analitički sustavi za plinovite onečišćujuće tvari, preporučeni sustavi uzorkovanja čestica i preporučeni sustav mjerenja dima.
Ostale sustave i analizatore može odobriti tehnička služba ako se pokaže da donose istovjetne rezultate tijekom odnosnih ciklusa ispitivanja. Utvrđivanje jednakovrijednosti sustava temelji se na usporednoj studiji 7 parova uzoraka (ili većem broju) između razmatranog sustava i jednog od referentnih sustava ove Direktive. Kad je riječ o emisijama čestica, kao istovjetni referentni sustav priznaje se sustav razrjeđivanja punog protoka ili sustav razrjeđivanja djelomičnog protoka koji udovoljava zahtjevima norme ISO 16183. ‚Rezultati’ se odnose na vrijednost emisija posebnog ciklusa. Usporedno se ispitivanje provodi u istom laboratoriju, komori za ispitivanje i na istom motoru, te ga po mogućnosti treba obavljati istovremeno. Jednakovrijednost prosječnih vrijednosti parova uzoraka određuje se statistikom od F-ispitivanja i t-ispitivanja kako je opisano u Dodatku 4. ovom Prilogu dobivenom u tim laboratorijskim uvjetima, uvjetima komore za ispitivanje i rada motora. Odstupajuće vrijednosti se određuju sukladno normi ISO 5725 i izostavljaju se iz baze podataka. Prilikom uvrštavanja novog sustava u ovu Direktivu, određivanje jednakovrijednosti temelji se na izračunu ponovljivosti i obnovljivosti, kako je opisano u normi ISO 5725.”;
|
|
(n)
|
dodaju se sljedeći odjeljci 6.3., 6.4. i 6.5.:
„6.3. Trajnost i faktori pogoršanja
6.3.1. Za potrebe ove Direktive, proizvođač utvrđuje faktore pogoršanja koji će služiti za dokazivanje da je emisija štetnih plinova i čestica porodice motora ili porodice motora sa sustavom naknadne obrade sukladna odgovarajućim granicama emisije navedenim u tablicama iz odjeljka 6.2.1. ovog Priloga tijekom razdoblja trajanja navedenog u članku 3. ove Direktive.
6.3.2. Postupci dokazivanja sukladnosti motora ili porodica motora sa sustavom naknadne obrade s odgovarajućim ograničenjima emisije tijekom odgovarajućeg razdoblja trajanja navedeni su u Prilogu II. Direktivi 2005/78/EZ.
6.4. Sustav dijagnostike na vozilu (OBD)
6.4.1. Kako je utvrđeno u članku 4. stavku 1. i članku 4. stavku 2. ove Direktive, dizelski motori ili vozila opremljena dizelskim motorom moraju imati ugrađen sustav dijagnostike na vozilu (OBD) za kontrolu emisije u skladu sa zahtjevima Priloga IV. Direktivi 2005/78/EZ.
Kako je utvrđeno u članku 4. stavku 2. ove Direktive, plinski motori ili vozila opremljena plinskim motorom moraju imati ugrađen sustav dijagnostike na vozilu (OBD) za kontrolu emisije u skladu sa zahtjevima Priloga IV. Direktivi 2005/78/EZ.
6.4.2. Proizvodnja motora u maloj seriji
Umjesto ispunjavanja zahtjeva ove točke, proizvođači motora čija godišnja proizvodnja na svjetskoj razini tipa motora, koji pripadaju porodici motora s OBD-om:
|
—
|
iznosi manje od 500 jedinica godišnje, mogu dobiti europsku homologaciju na temelju zahtjeva ove Direktive ako se motor pregleda s obzirom na neprekidnost kružnog sustava, a sustav naknadne obrade s obzirom na značajniju funkcionalnu grešku;
|
|
—
|
iznosi manje od 50 jedinica godišnje, mogu dobiti europsku homologaciju na temelju zahtjeva ove Direktive ako se cijeli sustav kontrole emisije (tj. motor i sustav naknadne obrade) provjeri s obzirom na neprekidnost kružnog sustava.
|
Tijelo za homologaciju mora obavijestiti Komisiju o okolnostima svake homologacije dodijeljene prema ovoj odredbi.
6.5. Zahtjevi za osiguranje ispravnog djelovanja mjera kontrole NOx
(8)
6.5.1. Općenito
6.5.1.1. Ovaj se odjeljak odnosi na sve sustave motora bez obzira na tehnologiju primijenjenu radi pridržavanja graničnih vrijednosti emisije navedenih u tablicama iz odjeljka 6.2.1. ovog Priloga.
6.5.1.2. Datumi primjene
Zahtjevi odjeljaka 6.5.3., 6.5.4. i 6.5.5. primjenjuju se od 1. listopada 2006. za nove homologacije i od 1. listopada 2007. za sve registracije novih vozila.
6.5.1.3. Svaki sustav motora obuhvaćen ovim odjeljkom konstruira se, izrađuje i ugrađuje kako bi bio u mogućnosti udovoljiti ovim zahtjevima tijekom vijeka korištenja motora.
6.5.1.4. Podatke koji u potpunosti opisuju funkcionalna svojstva sustava motora obuhvaćenog ovim odjeljkom daje proizvođač, kako je navedeno u Prilogu II. ovoj Direktivi.
6.5.1.5. U svojem zahtjevu za homologaciju, ako sustav motora zahtijeva reagens, proizvođač navodi karakteristike svakog (svih) reagensa koji (koje) troši sustav naknadne obrade ispušnih plinova, npr. vrstu i koncentracije, uvjete radne temperature, pozivanje na međunarodne norme, itd.
6.5.1.6. Pozivajući se na odjeljak 6.1., svaki sustav motora treba zadržati svoju funkciju kontrole emisije tijekom svih uvjeta koji se mogu javiti na području Europske unije, posebno pri niskim temperaturama okoline.
6.5.1.7. Za potrebe homologacije, proizvođač treba dokazati tehničkoj službi da za sustave motora koji zahtijevaju reagens emisija amonijaka niti jednom ne prelazi, tijekom primjenjivog ciklusa ispitivanja emisija, srednju vrijednost od 25 ppm.
6.5.1.8. Za sustave motora koji zahtijevaju reagens, svaki zasebni spremnik reagensa ugrađen u vozilo uključuje sredstvo uzimanja uzoraka neke tekućine unutar spremnika. Mjesto uzimanja uzoraka treba biti lako dostupno bez uporabe nekog posebnog alata ili uređaja.
6.5.2. Zahtjevi za održavanje
6.5.2.1. Proizvođač treba opskrbiti ili osigurati pribavljanje svim vlasnicima novih teških vozila ili novih teških motora, pisane upute u kojima se navodi da će, ako sustav kontrole emisije vozila ne radi ispravno, vozača o problemu obavjestiti indikator neispravnosti (MI), a motor će posljedično raditi smanjenom učinkovitošću.
6.5.2.2. U uputama trebaju biti navedeni zahtjevi za primjerenu uporabu i održavanje vozila, uključujući, gdje je to primjereno, i uporabu potrošnih reagensa.
6.5.2.3. Upute trebaju biti pisane jasnim i netehničkim jezikom i to na jeziku zemlje u kojoj je to novo teško vozilo ili teški motor prodan ili registriran.
6.5.2.4. U uputama treba navesti treba li korisnik vozila dopunjavati potrošne reagense između uobičajenih razdoblja održavanja i treba navesti vjerojatnu potrošnju reagensa s obzirom na tip tog novog teškog vozila.
6.5.2.5. U uputama treba navesti da je primjena i ponovno punjenje propisanog reagensa obavezno da bi vozilo odgovaralo potvrdi o sukladnosti izdanoj za taj tip vozila ili motora.
6.5.2.6. U uputama se mora navesti da se uporaba vozila koje ne troši reagens koji je potreban radi smanjenja emisija onečišćujućih tvari može smatrati kaznenim prekršajem i da, kao posljedica toga, svi povoljni uvjeti za kupnju ili uporabu vozila dobiveni u zemlji registracije ili drugoj zemlji u kojoj se vozilo koristi mogu postati nevažeći.
6.5.3. Kontrola sustava motora za smanjivanje emisije NOx
6.5.3.1. Neispravan rad sustava motora s obzirom na kontrolu emisija NOx (na primjer zbog nedostatka potrebnog reagensa, neispravnog protoka EGR-a ili deaktivacije EGR-a) utvrđuje se kroz praćenje razine NOx senzorima postavljenim u struji ispušnih plinova.
6.5.3.2. Sustavi motora raspolažu sredstvom utvrđivanja razine NOx u struji ispušnih plinova. Svako odstupanje u razini NOx za više od 1,5 g/kWh iznad primjenjive granične vrijednosti navedene u tablici I. odjeljka 6.2.1. Priloga I. ovoj Direktivi imaju za posljedicu obavješćivanje vozača aktiviranjem MI-ja (vidjeti odjeljak 3.6.5. Priloga IV. Direktivi 2005/78/EZ).
6.5.3.3. Pored toga, neizbrisivi kod greške kojim se utvrđuje razlog zašto NOx prelazi razine navedene u gornjem odjeljku pohranjuje se u skladu s odjeljkom 3.9.2. Priloga IV. Direktivi 2005/78/EZ na najmanje 400 dana ili 9 600 sati rada motora.
6.5.3.4. Ako razina NOx prelazi OBD granične vrijednosti navedene u tablici u članku 4. stavku 3. ove Direktive (9), uređaj za ograničavanje zakretnog momenta smanjuje učinkovitost motora u skladu sa zahtjevima odjeljka 6.5.5. tako da to vozač vozila jasno uoči. Kada se uređaj za ograničavanje zakretnog momenta aktivira, vozač se i dalje upozorava u skladu sa zahtjevima odjeljka 6.5.3.2.
6.5.3.5. U slučaju sustava motora koji se oslanjaju na uporabu EGR-a i niti na jedan drugi sustav naknadne obrade za kontrolu emisije NOx, proizvođač može koristiti alternativnu metodu u pogledu zahtjeva odjeljka 6.5.3.1. za utvrđivanje razine NOx. Prilikom homologacije, proizvođač treba dokazati da je ta alternativna metoda u vezi s zahtjevom pravovremenog i točnog utvrđivanja razine NOx jednaka onoj iz odjeljka 6.5.3.1. i da povlači za sobom iste posljedice poput onih navedenih u odjeljcima 6.5.3.2., 6.5.3.3. i 6.5.3.4.
6.5.4. Kontrola reagensa
6.5.4.1. Kad je riječ o vozilima koja zahtijevaju primjenu reagensa kako bi se zadovoljili zahtjevi iz ovog odjeljka, vozač treba biti obavješten o razini reagensa u spremniku u vozilu putem posebnog mehaničkog ili elektroničkog indikatora na upravljačkoj ploči vozila. To uključuje upozorenje kada je razina reagensa:
|
—
|
ispod 10 % od spremnika ili je taj postotak prema izboru proizvođača viši,
ili
|
|
—
|
ispod razine koja odgovara udaljenosti koju je moguće prijeći s rezervom goriva koju odredi proizvođač.
|
Pokazatelj razine reagensa smješta se u neposrednoj blizini pokazatelja razine goriva.
6.5.4.2. Vozač se obavješćuje, u skladu sa zahtjevima odjeljka 3.6.5. Priloga IV. Direktivi 2005/78/EZ, ako se spremnik reagensa isprazni.
6.5.4.3. Čim se spremnik reagensa isprazni, uz zahtjeve odjeljka 6.5.5. primjenjuju se i zahtjevi odjeljka 6.5.4.2.
6.5.4.4. Proizvođač može odabrati zahtjeve iz odjeljaka 6.5.4.5. do 6.5.4.13. kao alternativu zahtjevima iz odjeljka 6.5.3.
6.5.4.5. Sustavi motora moraju imati način da se utvrdi odgovara li tekućina prisutna u vozilu značajkama reagensa koje traži proizvođač i koje su navedene u Prilogu II. ovoj Direktivi.
6.5.4.6. Ako tekućina u spremniku reagensa ne odgovara najmanjim zahtjevima koje traži proizvođač, a koji su navedeni u Prilogu II. ovoj Direktivi, primjenjuju se dodatni zahtjevi iz odjeljka 6.5.4.13.
6.5.4.7. Sustavi motora uključuju sredstvo utvrđivanja potrošnje reagensa i osiguravanja pristupa podacima o potrošnji napravom koja se nalazi izvan vozila.
6.5.4.8. Prosječna potrošnja reagensa i prosječna zahtijevana potrošnja reagensa sustava motora bilo tijekom proteklog cjelokupnog 48-satnog razdoblja rada motora ili razdoblja potrebnog za zahtijevanu potrošnju reagensa od najmanje 15 litara, ovisno o tome koje je dulje, treba biti dostupna putem serijskog ulaza standardnog dijagnostičkog priključka (vidjeti odjeljak 6.8.3. Priloga IV. Direktivi 2005/78/EZ).
6.5.4.9. S ciljem praćenja potrošnje reagensa, u okviru sustava motora trebaju se pratiti barem sljedeći parametri:
|
—
|
razina reagensa u spremniku,
|
|
—
|
protok reagensa ili količina ubrizganog reagensa što je tehnički moguće bliže mjestu ubrizgavanja u sustav naknadne obrade ispušnih plinova.
|
6.5.4.10. Svako odstupanje preko 50 % u prosječnoj potrošnji reagensa i prosječnoj zahtijevanoj potrošnji reagensa sustava motora tijekom razdoblja navedenog u odjeljku 6.5.4.8. za posljedicu treba imati primjenu mjera predviđenih odjeljkom 6.5.4.13.
6.5.4.11. U slučaju prekida u aktivnosti doziranja reagensa, primjenjuju se mjere predviđene odjeljkom 6.5.4.13. To nije potrebno ako takav prekid zahtijeva ECU (elektronička upravljačka jedinica) motora jer su trenutačni radni uvjeti motora takvi da učinak motora u vezi s emisijom ne zahtijeva doziranje reagensa, pod uvjetom da je proizvođač jasno izvijestio tijelo za homologaciju o trenutku primjene takvih radnih uvjeta.
6.5.4.12. Ako razina NOx prijeđe 7,0 g/kWh u ciklusu ETC ispitivanja, primjenjuju se mjere predviđene odjeljkom 6.5.4.13.
6.5.4.13. Kada se poziva na ovaj odjeljak, vozač se upozorava putem aktiviranja MI-ja (indikatora neispravnosti) (vidjeti odjeljak 3.6.5. Priloga IV. Direktivi 2005/78/EZ), a uređaj za ograničavanje zakretnog momenta smanjuje učinak motora u skladu sa zahtjevima odjeljka 6.5.5. na način koji vozač vozila jasno uočava.
Neizbrisivi kod greške kojim se utvrđuje razlog aktiviranja uređaja za ograničavanje zakretnog momenta pohranjuje se u skladu sa stavkom 3.9.2. Priloga IV. Direktivi 2005/78/EZ na najmanje 400 dana ili 9 600 sati rada motora.
6.5.5. Mjere onemogućavanja neovlaštene uporabe sustava naknadne obrade ispušnih plinova
6.5.5.1. Svaki sustav motora obuhvaćen ovim odjeljkom uključuje uređaj za ograničavanje zakretnog momenta koji će upozoriti vozača na neispravan rad sustava motora ili na neispravan način upravljanja vozilom i time potaknuti brzo uklanjanje bilo koje greške (grešaka).
6.5.5.2. Uređaj za ograničavanje zakretnog momenta aktivira se kada je vozilo u mirovanju prvi put nakon nastupanja uvjeta bilo iz odjeljka 6.5.3.4., 6.5.4.3., 6.5.4.6., 6.5.4.10., 6.5.4.11. ili 6.5.4.12.
6.5.5.3. Kada uređaj za ograničavanje zakretnog momenta proradi, zakretni moment motora ni u kojem slučaju ne smije prijeći konstantnu vrijednost od:
|
—
|
60 % zakretnog momenta punog opterećenja, neovisno o brzini vrtnje motora, za vozila kategorije N3 > 16 tona, M3/III i M3/B > 7,5 tona,
|
|
—
|
75 % zakretnog momenta punog opterećenja, neovisno o brzini vrtnje motora, za vozila kategorije N1, N2, N3 ≤ 16 tona, M2, M3/I, M3/II, M3/A i M3/B ≤ 7,5 tona.
|
6.5.5.4. Shema ograničenja zakretnog momenta navedena je u odjeljcima 6.5.5.5. do 6.5.5.6.
6.5.5.5. Detaljni pisani podaci koji u cijelosti opisuju funkcionalne radne karakteristike uređaja za ograničavanje zakretnog momenta utvrđuju se u skladu sa zahtjevima dokumentacije iz odjeljka 6.1.7.1. ovog Priloga.
6.5.5.6. Uređaj za ograničavanje zakretnog momenta isključuje se kada je brzina vrtnje motora u praznom hodu ako su uvjeti za njegovo aktiviranje prestali postojati. Uređaj za ograničavanje zakretnog momenta se ne smije automatski isključiti ako razlog za njegovo aktiviranje nije uklonjen.
6.5.5.7. Prikaz rada uređaja za ograničavanje zakretnog momenta
6.5.5.7.1. Kao dio zahtjeva za homologaciju predviđenog u odjeljku 3. ovog Priloga, proizvođač prikazuje rad uređaja za ograničavanje zakretnog momenta bilo kroz ispitivanja na dinamometru motora ili ispitivanje vozila.
6.5.5.7.2. Ako se provodi ispitivanje pomoću dinamometra motora, proizvođač treba provesti uzastopne cikluse ETC ispitivanja kako bi pokazao da će uređaj za ograničavanje zakretnog momenta raditi, uključujući njegovo aktiviranje, u skladu sa zahtjevima odjeljka 6.5., a posebno u skladu s onima iz odjeljaka 6.5.5.2. i 6.5.5.3.
6.5.5.7.3. Ako će se provesti ispitivanje vozila, vozilo se vozi po cesti ili traci za ispitivanje kako bi se pokazalo da će uređaj za ograničavanje zakretnog momenta raditi, uključujući njegovo aktiviranje, u skladu sa zahtjevima odjeljka 6.5., a posebno u skladu s onima iz odjeljaka 6.5.5.2. i 6.5.5.3.
|
|
(o)
|
odjeljak 8.1. zamjenjuje se sljedećim:
„8.1. Parametri određivanja porodice motora
Porodica motora, kako ju je odredio proizvođač motora, mora udovoljavati odredbama norme ISO 16185.”;
|
|
(p)
|
dodaje se sljedeći odjeljak 8.3.:
„8.3. Parametri određivanja porodice motora s OBD-om
Porodica motora s OBD-om (sustavom dijagnostike na vozilu) može se utvrditi pomoću osnovnih konstrukcijskih parametara koji moraju biti zajednički sustavima motora unutar porodice.
Kako bi se sustavi motora mogli smatrati pripadnicima iste porodice motora s OBD-om, sljedeći popis osnovnih parametara mora biti zajednički:
|
—
|
metode otkrivanja neispravnosti,
|
osim ako te metode proizvođač nije prikazao kao istovjetne pomoću odgovarajućeg tehničkog prikaza ili drugim primjerenim postupcima.
Napomena: Motori koji ne pripadaju istoj porodici motora ipak mogu pripadati istoj porodici motora s OBD-om pod uvjetom da su zadovoljeni gore navedeni kriteriji.”;
|
|
(q)
|
odjeljak 9.1. zamjenjuje se sljedećim:
9.1. Mjere osiguranja sukladnosti proizvodnje moraju se poduzeti u skladu s odredbama članka 10. Direktive 70/156/EEZ. Sukladnost proizvodnje provjerava se na temelju opisa iz certifikata o homologaciji navedenog u Prilogu VI. ovoj Direktivi. Prilikom primjene dodataka 1., 2. ili 3., izmjerena emisija plinovitih onečišćujućih tvari i onečišćujućih čestica iz motora koji podliježu provjeri sukladnosti proizvodnje prilagođava se primjenom odgovarajućih faktora pogoršanja (DF) za taj motor kako je zabilježeno u odjeljku 1.5. Dodatka Prilogu VI.
Odjeljci 2.4.2. i 2.4.3. Priloga X. Direktivi 70/156/EEZ primjenjuju se ako nadležna tijela nisu zadovoljna postupkom revizije proizvođača.”;
|
|
(r)
|
dodaje se sljedeći odjeljak 9.1.2.:
„9.1.2. Sustav ugrađene dijagnostike (OBD)
9.1.2.1. Ako se provodi provjera sukladnosti proizvodnje OBD sustava, mora se provesti u skladu sa sljedećim:
9.1.2.2. Ako tijelo za homologaciju utvrdi da se kvaliteta proizvodnje čini nezadovoljavajućom, motor se nasumce uzima iz serije i podvrgava ispitivanjima opisanim u Dodatku 1. Prilogu IV. Direktivi 2005/78/EZ. Ispitivanja treba provesti na motoru koji se uhodavao do najviše 100 sati.
9.1.2.3. Smatra se da proizvodnja zadovoljava ako taj motor ispunjava zahtjeve ispitivanja opisane u Dodatku 1. Prilogu IV. Direktivi 2005/78/EZ.
9.1.2.4. Ako motor koji je uzet iz serije ne zadovoljava zahtjeve odjeljka 9.1.2.2., iz serije treba uzeti sljedeći slučajni uzorak od još četiri motora i podvrgnuti ga ispitivanjima opisanim u Dodatku 1. Prilogu IV. Direktivi 2005/78/EZ. Ispitivanja treba provesti na motoru koji se uhodavao do najviše 100 sati.
9.1.2.5. Smatra se da proizvodnja zadovoljava ako najmanje tri motora iz tog slučajnog uzorka od četiri motora ispunjavaju zahtjeve ispitivanja opisane u Dodatku 1. Prilogu IV. Direktivi 2005/78/EZ.”;
|
|
(s)
|
dodaje se sljedeći odjeljak 10.:
„10. SUKLADNOST VOZILA/MOTORA U UPORABI
10.1. Za potrebe ove Direktive, sukladnost vozila/motora u uporabi mora se provjeravati periodično tijekom razdoblja vijeka korištenja motora ugrađenog u vozilo.
10.2. Pozivajući se na homologacije dodijeljene za emisije, potrebno je primijeniti dodatne mjere primjerene za potvrđivanje funkcionalnosti uređaja kontrole emisije tijekom vijeka korištenja motora ugrađenog u vozilo u uobičajenim uvjetima uporabe.
10.3. Postupci koje treba slijediti vezano uz sukladnost vozila/motora u uporabi navedeni su u Prilogu III. Direktivi 2005/78/EZ.”;
|
|
(t)
|
Dodatak 1., odjeljak 3. zamjenjuje se sljedećim:
3. Za svaku od onečišćujućih tvari navedenih u odjeljku 6.2.1. Priloga I. (vidjeti sliku 2.) koristi se sljedeći postupak:
neka je:
|
L
|
=
|
prirodni algoritam granične vrijednosti onečišćujuće tvari
|
|
xi
|
=
|
prirodni algoritam mjerenja (nakon primjene odgovarajućeg DF-a) i-th motora uzorka
|
|
s
|
=
|
procjena standardnog odstupanja proizvodnje (nakon uzimanja prirodnog algoritma mjerenja)
|
|
n
|
=
|
trenutačni broj uzorka.”;
|
|
|
(u)
|
u Dodatku 2., odjeljak 3. i uvodna rečenica odjeljka 4. zamjenjuju se sljedećim:
3. Vrijednosti onečišćujućih tvari iz odjeljka 6.2.1. Priloga I., nakon primjene odgovarajućeg DF-a, smatraju se uobičajeno raspodijeljenima i trebaju se prenijeti uzimanjem njihovih prirodnih logaritama. Neka mo i m označavaju najmanju odnosno najveću veličinu uzorka (mo = 3 i m = 32) i neka n označava trenutačni broj uzorka.
4. Ako su prirodni logaritmi izmjerenih vrijednosti (nakon primjene odgovarajućeg DF-a) u nizu x1, x2, … xi, a L je prirodni logaritam granične vrijednosti onečišćujuće tvari, tada treba odrediti:”;
|
|
(v)
|
u Dodatku 3., odjeljak 3. zamjenjuje se sljedećim:
3. Za svaku od onečišćujućih tvari navedenih u odjeljku 6.2.1. Priloga I. (vidjeti sliku 2.) koristi se sljedeći postupak:
neka je:
|
L
|
=
|
prirodni logaritam granične vrijednosti onečišćujuće tvari
|
|
xi
|
=
|
prirodni logaritam mjerenja (nakon primjene odgovarajućeg DF-a) i-th motora uzorka
|
|
s
|
=
|
procjena standardnog odstupanja proizvodnje (nakon uzimanja prirodnog logaritma mjerenja)
|
|
n
|
=
|
trenutačni broj uzorka.”;
|
|
|
(w)
|
dodaje se sljedeći dodatak 4.:
„Dodatak 4.
UTVRĐIVANJE JEDNAKOVRIJEDNOSTI SUSTAVA
Utvrđivanje jednakovrijednosti sustava u skladu s odjeljkom 6.2. ovog Priloga temelji se na korelacijskoj studiji od 7 parova uzoraka (ili više) između sustava kandidata i jednog od prihvaćenih referentnih sustava ove Direktive primjenom odgovarajućeg (odgovarajućih) ciklusa ispitivanja. Kriteriji jednakovrijednosti koji će se primjenjivati su F-ispitivanje i dvostrano Student t-ispitivanje.
Ova statistička metoda proučava hipotezu da se standardno odstupanje i srednja vrijednost populacije za emisiju izmjerenu sa sustavom kandidata ne razlikuje od uobičajenog odstupanja i srednje vrijednosti populacije za tu emisiju izmjerenu pomoću referentnog sustava. Hipoteza se ispituje na temelju razine značaja od 5 % s obzirom na F i t vrijednosti. Kritične F i t vrijednosti za 7 do 10 parova uzoraka navedene su u donjoj tablici. Ako su F i t vrijednosti izračunane u skladu s niže navedenim formulama veće od kritičnih F i t vrijednosti, tada sustav kandidata nije jednakovrijedan.
Potrebno je pridržavati se sljedećeg postupka. Indeksi R i C odnose se na referentni sustav, odnosno na sustav kandidata:
|
(a)
|
Provodi se najmanje 7 ispitivanja sa sustavom kandidata i referentnim sustavom po mogućnosti paralelno. Broj ispitivanja označava se kao nR i nC.
|
|
(b)
|
Izračunati srednje vrijednosti xR i xC i standardna odstupanja sR i sC.
|
|
(c)
|
Izračunati F vrijednost kako slijedi:
(veći od dva standardna odstupanja SR ili SC mora biti u brojniku).
|
|
(d)
|
Izračunati t vrijednost, kako slijedi:
|
|
(e)
|
Usporediti izračunane F i t vrijednosti s kritičnim F i t vrijednostima koje odgovaraju odnosnom broju navedenom u donjoj tablici. Ako se odaberu veće veličine uzoraka, pogledati u statističke tablice za 5 % razine značaja (95 % pouzdanosti).
|
|
(f)
|
Utvrditi stupnjeve slobode (df), kako slijedi:
|
za F-ispitivanje:
|
df = nR – 1 / nc – 1
|
|
za t-ispitivanje:
|
df = nc + nR – 2
|
F i t vrijednosti za odabrane veličine uzorka
|
Veličina uzorka
|
F-ispitivanje
|
t-ispitivanje
|
|
|
df
|
Fcrit
|
df
|
tcrit
|
|
7
|
6/6
|
4,284
|
12
|
2,179
|
|
8
|
7/7
|
3,787
|
14
|
2,145
|
|
9
|
8/8
|
3,438
|
16
|
2,120
|
|
10
|
9/9
|
3,179
|
18
|
2,101
|
|
|
(g)
|
Utvrditi jednakovrijednost, kako slijedi:
|
—
|
ako F < Fcrit i t < tcrit, tada je sustav kandidata istovjetan referentnom sustavu ove Direktive,
|
|
—
|
ako F ≥ Fcrit i t ≥ tcrit, tada se sustav kandidata razlikuje od referentnog sustava ove Direktive.”
|
|
|
|
|
2.
|
Prilog II. mijenja se kako slijedi:
|
(a)
|
umeće se sljedeći odjeljak 0.7.:
0.7. Naziv i adresa predstavnika proizvođača:”;
|
|
(b)
|
prijašnji odjeljak 0.7. i odjeljci 0.8. i 0.9. postaju odjeljci 0.8., 0.9. odnosno 0.10.;
|
|
(c)
|
dodaje se sljedeći odjeljak 0.11.:
0.11. U slučaju vozila opremljenog sustavom ugrađene dijagnostike (OBD), opis riječima i/ili crtež MI-ja (indikator neispravnosti):”;
|
|
(d)
|
Dodatak 1. mijenja se kako slijedi:
|
i.
|
dodaje se sljedeći odjeljak 1.20.:
1.20. Elektronička upravljačka jedinica motora (EECU) (svi tipovi motora):
1.20.1. Marka: …
1.20.2. Tip: …
1.20.3. Broj(evi) umjeravanja programske opreme: …”;
|
|
ii.
|
dodaju se sljedeći odjeljci 2.2.1.12. i 2.2.1.13.:
2.2.1.12. Uobičajeni raspon radnih temperatura (K): …
2.2.1.13. Potrošni reagensi (prema potrebi):
2.2.1.13.1. Vrsta i koncentracija reagensa nužnog za katalitički proces: …
2.2.1.13.2. Uobičajeni raspon radnih temperatura reagensa: …
2.2.1.13.3. Međunarodna norma (prema potrebi): …
2.2.1.13.4. Učestalost ponovnog punjenja reagensa: neprekidno/održavanje (10).
|
|
iii.
|
odjeljak 2.2.4.1. zamjenjuje se sljedećim:
2.2.4.1. Značajke (naziv, tip, protok, itd.): …”;
|
|
iv.
|
dodaju se sljedeći odjeljci 2.2.5.5. i 2.2.5.6.:
2.2.5.5. Uobičajeni raspon radne temperature (K) i tlaka (kPa): …
2.2.5.6. U slučaju periodične regeneracije:
|
—
|
broj ciklusa ETC ispitivanja između 2 regeneracije (n1):
|
|
—
|
broj ciklusa ETC ispitivanja tijekom regeneracije (n2)”;
|
|
|
v.
|
dodaje se sljedeći odjeljak 3.1.2.2.3.:
3.1.2.2.3. Zajednički vod, marka i tip: …”;
|
|
vi.
|
dodaju se sljedeći odjeljci 9. i 10.:
„9. Sustav dijagnostike na vozilu (OBD)
9.1. Opis riječima i/ili crtež MI-ja (11): …
9.2. Popis i svrha svih sastavnih dijelova koje prati OBD sustav: …
9.3. Opis riječima (općeniti načini rada OBD-a) za:
9.3.1. dizelske/plinske motore (11): …
9.3.1.1. nadzor katalizatora (11): …
9.3.1.2. nadzor sustava deNOx
(11): …
9.3.1.3. nadzor filtra čestica dizelskog motora (11): …
9.3.1.4. elektronički nadzor sustava napajanja goriva (11): …
9.3.1.5. drugi sastavni dijelovi koje prati OBD sustav (11): …
9.4. Kriteriji aktiviranja MI-ja (stalni broj ciklusa pokretanja ili statističke metode): …
9.5. Popis svih izlaznih kodova i formata podataka koje koristi OBD (s objašnjenjem svakog): …
10. Uređaj za ograničavanje zakretnog momenta
10.1. Opis aktiviranja uređaja za ograničavanje zakretnog momenta
10.2. Opis ograničenja krivulje punog opterećenja
|
|
|
(e)
|
u Dodatku 2., četvrti redak prvog stupca u tablici iz odjeljka 2.1.1. zamjenjuje se sljedećim:
„Protok goriva po taktu (mm3)”;
|
|
(f)
|
Dodatak 3. mijenja se kako slijedi:
|
i.
|
dodaje se sljedeći odjeljak 1.20.:
1.20. Elektronička upravljačka jedinica motora (EECU) (svi tipovi motora):
1.20.1. Marka:
1.20.2. Tip:
1.20.3. Broj(evi) umjeravanja programske opreme: …”;
|
|
ii.
|
dodaju se sljedeći odjeljci 2.2.1.12. i 2.2.1.13.:
2.2.1.12. Uobičajeni raspon radne temperature (K): …
2.2.1.13. Potrošni reagensi (prema potrebi):
2.2.1.13.1. Vrsta i koncentracija reagensa nužnog za katalitički proces: …
2.2.1.13.2. Uobičajeni raspon radne temperature reagensa: …
2.2.1.13.3. Međunarodna norma (prema potrebi): …
2.2.1.13.4. Učestalost ponovnog punjenja reagensa: neprekidno/održavanje (12)
|
|
iii.
|
odjeljak 2.2.4.1. zamjenjuje se sljedećim:
2.2.4.1. Značajke (marka, tip, protok, itd.): …”;
|
|
iv.
|
dodaju se sljedeći odjeljci 2.2.5.5. i 2.2.5.6.:
2.2.5.5. Uobičajeni raspon radne temperature (K) i tlaka (kPa): …
2.2.5.6. U slučaju periodične regeneracije:
|
—
|
broj ciklusa ETC ispitivanja između 2 regeneracije (n1)
|
|
—
|
broj ciklusa ETC ispitivanja tijekom regeneracije (n2)”;
|
|
|
v.
|
dodaje se sljedeći odjeljak 3.1.2.2.3.:
3.1.2.2.3. Zajednički vod (common rail), marka i tip: …”;
|
|
vi.
|
dodaju se sljedeći odjeljci 6. i 7.:
„6. Sustav dijagnostike na vozilu (OBD)
6.1. Opis riječima i/ili crtež MI-ja (13):
6.2. Popis i svrha svih sastavnih dijelova koje prati OBD sustav: …
6.3. Opis riječima (opći princip rada OBD-a) za:
6.3.1. dizelske/plinske motore (13): …
6.3.1.1. nadzor katalizatora (13): …
6.3.1.2. nadzor sustava deNOx
(13): …
6.3.1.3. nadzor filtra čestica za dizelski motor (13): …
6.3.1.4. elektroničko nadzor sustava napajanja gorivom (13): …
6.3.1.5. druge sastavne dijelove koje prati OBD sustav (13): …
6.4. Kriteriji za aktiviranje MI-ja (stalan broj pogonskih ciklusa ili statistička metoda): …
6.5. Popis svih izlaznih kodova i formata podataka koje koristi OBD (s objašnjenjem svakog): …
7. Uređaj za ograničavanje zakretnog momenta
7.1. Opis aktiviranja uređaja za ograničavanje zakretnog momenta
7.2. Opis ograničenja krivulje punog opterećenja
|
|
|
(g)
|
dodaje se sljedeći dodatak 5.:
„Dodatak 5.
PODACI U VEZI S OBD-om
|
1.
|
U skladu s odredbama odjeljka 5. Priloga IV. Direktivi 2005/78/EZ, u svrhu omogućavanja proizvodnje zamjenskih ili servisnih dijelova sukladnih OBD-u te dijagnostičkih alata i opreme za ispitivanje, proizvođač vozila mora dostaviti sljedeće podatke, osim ako takvi podaci nisu obuhvaćeni pravima intelektualnog vlasništva ili predstavljaju posebna znanja proizvođača ili dobavljača OEM-a.
Ako je primjereno, podaci navedeni u ovom odjeljku ponavljaju se u Dodatku 2. certifikatu o homologaciji (Prilog VI. ovoj Direktivi):
|
1.1.
|
Opis tipa i broj ciklusa prekondicioniranja koji se koriste prilikom prvotne homologacije vozila.
|
|
1.2.
|
Opis tipa pokaznog ciklusa OBD-a koji se koristi prilikom prvotne homologacije vozila za sastavni dio koji prati OBD sustav.
|
|
1.3.
|
Sveobuhvatni dokument koji opisuje sve osjetljive sastavne dijelove sa strategijom otkrivanja greške i aktiviranjem MI-ja (stalni broj pogonskih ciklusa ili statistička metoda), uključujući popis odgovarajućih sekundarnih osjetnih parametara za svaki sastavni dio koji prati OBD sustav. Popis svih izlaznih kodova i formata upotrijebljenih podataka OBD-a (s objašnjenjem svakog) povezan s pojedinačnom emisijom u odnosu na sastavne dijelove pogonskog sklopa i pojedinih sastavnih dijelova koji nisu povezani s emisijama, kada se praćenje sastavnog dijela koristi u svrhu utvrđivanja aktiviranja MI-ja.
|
1.3.1.
|
Podaci koji se zahtijevaju ovim odjeljkom mogu se primjerice odrediti popunjavanjem sljedeće tablice, koja je priložena ovom Prilogu:
|
Sastavni dio
|
Kod greške
|
Strategija nadzora
|
Kriteriji otkrivanja greške
|
Kriteriji aktivira-nja MI-ja
|
Sekundarni parametri
|
Prekondicioni-ranje
|
Pokazno ispitivanje
|
|
SCR katalizator
|
Pxxx
|
NOx osjetnik 1 i 2 signala
|
Razlika između signala osjetnika 1 i osjetnika 2
|
3. ciklus
|
Brzina vrtnje motora, opterećenje motora, temperatura katalizatora, djelovanje reagensa
|
Tri ciklusa ispitivanja OBD-a (3 kratka ESC ciklusa)
|
Ciklus ispitivanja OBD-a (kratak ESC ciklus)
|
|
|
1.3.2.
|
Podaci koji se zahtijevaju ovim dodatkom mogu se ograničiti na cjelokupni popis kodova grešaka zabilježenih OBD sustavom ako se odjeljak 5.1.2.1. Priloga IV. Direktivi 2005/78/EZ ne primjenjuje kao u slučaju zamjenskih ili servisnih sastavnih dijelova. Ovi se podaci mogu, primjerice, odrediti popunjavanjem prva dva stupca tablice iz gornjeg odjeljka1.3.1.
Cjelokupan informacijski paket treba biti dostupan tijelu za homologaciju kao dio dodatnog materijala koji se zahtijeva odjeljkom 6.1.7.1. Priloga I. ovoj Direktivi, ‚zahtjevi u pogledu dokumentacije’.
|
|
1.3.3.
|
Podaci koji se zahtijevaju ovim odjeljkom ponavljaju se u Dodatku 2. certifikata o homologaciji (Prilog VI. ovoj Direktivi).
Kada se odjeljak 5.1.2.1. Priloga IV. Direktivi 2005/78/EZ ne primjenjuje u slučaju zamjenskih ili servisnih sastavnih dijelova, podaci predviđeni Dodatkom 2. certifikatu o homologaciji (Prilog VI. ovoj Direktivi) mogu se ograničiti na one spomenute u odjeljku 1.3.2.”
|
|
|
|
|
|
3.
|
Prilog III. mijenja se kako slijedi:
|
(a)
|
odjeljak 1.3.1. zamjenjuje se sljedećim:
„1.3.1. ESC ispitivanje
Tijekom propisanog redoslijeda radnih uvjeta prilikom zagrijavanja motora, količine gore navedenih ispušnih emisija neprekidno se ispituju uzimanjem uzorka iz neobrađenog ili razrijeđenog ispušnog plina. Ciklus ispitivanja sastoji se od niza načina rada u vezi s brzinom i snagom koji obuhvaćaju uobičajeni raspon radnih karakteristika dizelskih motora. Tijekom svakog načina rada utvrđuje se koncentracija svake plinovite onečišćujuće tvari, protok ispušnih plinova i izlaz snage, a izmjerene se vrijednosti težinski vrednuju. Prilikom mjerenja čestica ispušni se plin razrjeđuje kondicioniranim okolnim zrakom bilo primjenom sustava razrjeđivanja djelomičnog ili punog protoka. Čestice se sakupljaju u jedinstveni primjereni filtar razmjerno težinskim faktorima svakog načina rada. Za svaku onečišćujuću tvar izračunava se emisija u gramima po kilovatsatu kako je opisano u Dodatku 1. ovom Prilogu. Pored toga, obavlja se mjerenje NOx u tri točke ispitivanja unutar područja nadzora koje odabere tehnička služba, a izmjerene se vrijednosti uspoređuju s vrijednostima izračunanim iz onih faza ispitinog ciklusa koje obuhvaćaju odabrane točke ispitivanja. Provjerom nadzora NOx osigurava se učinkovitost kontrole emisije motora unutar njegovog uobičajenog radnog područja.”;
|
|
(b)
|
odjeljak 1.3.3. zamjenjuje se sljedećim:
„1.3.3. ETC ispitivanje
Tijekom propisanog prijelaznog ciklusa radnih uvjeta zagrijavanja motora, koji je usko povezan i temelji se na uzorcima posebnih načina vožnje teških motora ugrađenih u kamione i autobuse, gore navedene onečišćujuće tvari ispituju se bilo nakon razrjeđivanja ukupnog ispušnog plina kondicioniranim okolnim zrakom (CVS sustav s dvostrukim razrjeđivanjem za čestice) ili utvrđivanjem plinovitih sastavnih dijelova u neobrađenom ispušnom plinu te čestica sa sustavom djelomičnog razrjeđivanja protoka. Koristeći zakretni moment motora i povratne signale brzine vrtnje dinamometra motora, snagu motora treba sagledati s obzirom na vrijeme ciklusa i rad koji je tijekom njega ostvario motor. Kad je riječ o CVS sustavu, koncentracija NOx i HC utvrđuje se tijekom ciklusa ispitivanja uvođenjem signala analizatora, dok se koncentracija CO, CO2 i NMHC može utvrditi uvođenjem signala analizatora ili uzorkovanjem pomoću vreće. Ako se mjere u neobrađenom ispušnom plinu, svi plinoviti sastojci utvrđuju se tijekom ciklusa uključivanjem signala analizatora. Kad je riječ o česticama, razmjerni uzorak treba prikupiti u odgovarajućem filtru. Brzinu protoka neobrađenog ili razrijeđenog ispušnog plina treba utvrditi tijekom ciklusa kako bi se izračunale masene vrijednosti emisije. Masene vrijednosti emisije povezuju se s radom motora kako bi se dobili grami svake onečišćujuće tvari ispuštene po kilovatsatu, kako je opisano u Dodatku 2. ovom Prilogu.”;
|
|
(c)
|
odjeljak 2.1. zamjenjuje se sljedećim:
„2.1. Uvjeti ispitivanja motora
2.1.1. Mjere se apsolutna temperatura (T
a) zraka motora na ulazu motora iskazana u Kelvinima i suhi atmosferski tlak (p
s), iskazan u kPa, a parametar f
a određuje se u skladu sa sljedećim odredbama. Kod višecilindarskih motora s odvojenim skupinama usisnih kolektora, na primjer, u ‚V’ konfiguraciji motora, uzima se prosječna temperatura različitih skupina.
|
(a)
|
za motore s kompresijskim paljenjem:
Motori s prirodnim usisom i prednabijeni motori s mehaničkim kompresorom:
Prednabijeni motori s turbopunjačima sa ili bez hlađenja usisnog zraka:
|
|
(b)
|
za motore s paljenjem pomoću svjećica:
|
2.1.2. Valjanost ispitivanja
Da bi se ispitivanje priznalo kao valjano, parametar f
a treba biti takav da je:
0,96 ≤ ƒ
a ≤ 1,06”;
|
|
(d)
|
odjeljak 2.8. zamjenjuje se sljedećim:
2.8. Ako je motor opremljen sustavom naknadne obrade ispušnih plinova, emisije izmjerene tijekom ciklusa ispitivanja predstavljaju emisije motora u uporabi. U slučaju motora opremljenog sustavom naknadne obrade ispušnih plinova koji zahtijeva potrošnju reagensa, reagens koji se koristi za sva ispitivanja treba ispunjavati zahtjeve odjeljka 2.2.1.13. Dodatka 1. Prilogu II.
2.8.1. Kad je riječ o sustavu naknadne obrade ispušnih plinova koji se temelji na stalnom postupku regeneracije, emisije se mjere na stabiliziranom sustavu naknadne obrade.
Do postupka regeneracije dolazi najmanje jednom tijekom ETC ispitivanja, a proizvođač treba navesti uobičajene uvjete u kojima dolazi do regeneracije (opterećenje čađe, temperatura, protutlak ispušnih plinova, itd.).
Kako bi se provjerio postupak regeneracije, provodi se najmanje 5 ETC ispitivanja. Tijekom ispitivanja bilježi se temperatura i tlak ispušnih plinova (temperatura prije i nakon sustava naknadne obrade, protutlak ispušnih plinova, itd.).
Sustav naknadne obrade smatra se zadovoljavajućim ako uvjeti koje navodi proizvođač tijekom ispitivanja traju dovoljno dugo.
Konačni rezultat ispitivanja je aritmetička sredina rezultata različitih ETC ispitivanja.
Ako naknadna obrada ispušnih plinova posjeduje sigurnosni mod koji prebacuje na mod periodične regeneracije, to treba provjeriti prema odjeljku 2.8.2. U tom se slučaju granične vrijednosti emisije iz tablice 2. Priloga I. mogu prijeći i neće se ponderirati.
2.8.2. Kad se radi o naknadnoj obradi ispušnih plinova temeljenoj na postupku periodične regeneracije, emisije se mjere tijekom najmanje dva ETC ispitivanja, jedno tijekom, a drugo nakon same regeneracije na stabilnom sustavu naknadne obrade, a rezultati se ponderiraju.
Do postupka regeneracije dolazi najmanje jednom tijekom ETC ispitivanja. Motor može biti opremljen sklopkom koja je u mogućnosti spriječiti ili pokrenuti postupak regeneracije pod uvjetom da ta radnja ne utječe na umjeravanje izvornog motora.
Proizvođač navodi uobičajene uvjete parametra u kojima se javlja postupak regeneracije (opterećenje čađe, temperaturu, protutlak ispuha, itd.) i vrijeme njegovog trajanja (n2). Proizvođač također daje sve podatke kako bi se odredilo vrijeme između dvije regeneracije (n1). O točnom postupku utvrđivanja ovog vremena svoju suglasnost daje tehnička služba na temelju ispravne tehničke prosudbe.
Proizvođač treba osigurati takav sustav naknadne obrade koji je napunjen kako bi došlo do regeneracije tijekom ETC ispitivanja. Do regeneracije ne smije doći tijekom ove faze kondicioniranja motora.
Prosječne emisije između faza regeneracije utvrđuju se iz aritmetičke sredine nekoliko približno podjednako udaljenih ETC ispitivanja. Preporuča se provesti najmanje jedno ETC ispitivanje neposredno prije ispitivanja regeneracije i jedno ETC ispitivanje odmah nakon ispitivanja regeneracije. Kao drugo rješenje, proizvođač može dati podatke kojima će pokazati stalnost emisija (± 15 %) između faza regeneracije. U ovom se slučaju mogu koristiti emisije samo jednog ETC ispitivanja.
Tijekom ispitivanja regeneracije svi podaci potrebni za uočavanje postupka regeneracije se bilježe (emisije CO ili NOx, temperatura prije i nakon sustava naknadne obrade, protutlak ispuha, itd.).
Tijekom postupka regeneracije granične vrijednosti emisije iz tablice 2. Priloga I. smiju se prijeći.
Izmjerene se emisije težinski vrednuju u skladu s odjeljcima 5.5. i 6.3. Dodatka 2. ovom Prilogu, a konačni rezultat ne smije prelaziti granične vrijednosti iz tablice 2. Priloga I.”;
|
|
(e)
|
Dodatak 1. mijenja se kako slijedi:
|
i.
|
odjeljak 2.1. zamjenjuje se sljedećim:
„2.1. Priprema filtra za uzorkovanje
Najmanje jedan sat prije ispitivanja, svaki se filtar stavlja u djelomično zatvorenu Petrijevu zdjelicu koja je zaštićena od ulaska prašine te se smješta u komoru za vaganje radi stabilizacije. Po završetku stabilizacije svaki se filtar važe, a bilježi se tara masa. Filtar se zatim pohranjuje u zatvorenoj Petrijevoj zdjelici ili zabrtvljenom držaču filtara dok ne bude potreban za ispitivanje. Filtar treba koristiti u roku od osam sati od njegovog uklanjanja iz komore za vaganje. Bilježi se tara masa.”;
|
|
ii.
|
odjeljak 2.7.4. zamjenjuje se sljedećim:
„2.7.4. Uzorkovanje čestica
Za cjelokupni se postupak ispitivanja koristi jedan filtar. Modalni težinski faktori utvrđeni postupkom s obzirom na ciklus ispitivanja uzimaju se u obzir uzimanjem uzorka razmjernog ispušnom masenom protoku tijekom svakog pojedinog načina rada u ispitnom ciklusu. To se može postići prilagođavanjem brzine protoka uzorka, vremena uzorkovanja i/ili omjera razrjeđivanja sukladno tome, tako da bude zadovoljen kriterij za učinkovite težinske faktore iz odjeljka 5.6.
Vrijeme uzorkovanja po načinu rada mora trajati najmanje 4 sekunde po 0,01 težinskom faktoru. Uzorkovanje se mora provesti što je moguće kasnije unutar svakog načina rada. Uzorkovanje čestica treba završiti najkasnije 5 sekundi prije kraja svakog načina rada.”;
|
|
iii.
|
umeće se novi odjeljak 4.:
„4. IZRAČUN PROTOKA ISPUŠNIH PLINOVA
4.1. Utvrđivanje masenog protoka neobrađenih ispušnih plinova
Za izračun emisija u neobrađenom ispuhu, potrebno je poznavati protok ispušnog plina. Maseni protok ispušnog plina utvrđuje se u skladu s odjeljkom 4.1.1. ili 4.1.2. Točnost utvrđivanja ispušnog protoka je ± 2,5 % od očitane vrijednosti ili ± 1,5 % od najveće vrijednosti motora, ovisno o tome koja je veća. Mogu se koristiti i istovjetne metode (npr. one opisane u odjeljku 4.2. Dodatka 2. ovom Prilogu).
4.1.1. Metoda izravnog mjerenja
Izravno mjerenje protoka ispušnih plinova može se provesti pomoću sustava kao što su:
|
—
|
uređaji za mjerenje razlike tlakova, poput mlaznice protoka,
|
|
—
|
ultrazvučno mjerilo protoka,
|
|
—
|
vortex mjerilo protoka.
|
Poduzimaju se mjere opreza kako bi se izbjegle pogreške pri mjerenju koje će utjecati na pogreške vrijednosti emisija. Takve mjere opreza uključuju pažljivu ugradbu uređaja u ispušni sustav motora u skladu s preporukama proizvođača instrumenta i dobrom inženjerskom praksom. Posebno, ugradba uređaja ne smije utjecati na učinak motora i emisije.
4.1.2. Metoda mjerenja zraka i goriva
Ovo uključuje mjerenje protoka zraka i protoka goriva. Mjerila protoka zraka i mjerila protoka goriva koriste se prema zahtjevu ukupne točnosti iz odjeljka 4.1. Izračun protoka ispušnog plina je sljedeći:
4.2. Utvrđivanje masenog protoka razrijeđenog ispušnog plina
Za izračun emisija u razrijeđenom ispuhu primjenom sustava razrjeđivanja punog protoka, potrebno je poznavati protok razrijeđenog ispušnog plina. Brzina protoka razrijeđenih ispušnih plinova (qmdew
) mjeri se tijekom svakog načina rada s PDP-CVS, CFV-CVS ili SSV-CVS u skladu s općim formulama navedenim u odjeljku 4.1. Dodatka 2. ovom Prilogu. Točnost iznosi ± 2 % očitane vrijednosti ili je bolja, i utvrđuje se u skladu s odredbama iz odjeljka 2.4. Dodatka 5. ovom Prilogu.”;
|
|
iv.
|
odjeljci 4. i 5. zamjenjuju se sljedećim:
„5. IZRAČUN PLINOVITIH EMISIJA
5.1. Vrednovanje podataka
Prilikom vrednovanja plinovitih emisija, utvrđuje se prosjek očitane vrijednosti s trake u posljednjih 30 sekundi svakog moda rada, a prosječne se koncentracije (conc) HC, CO i NOx tijekom svakog moda rada utvrđuju iz prosječnih očitanih vrijednosti s trake i odgovarajućih podataka umjeravanja. Može se koristiti i drugi način bilježenja ako se time osigurava istovjetno prikupljanje podataka.
Kod provjere NOx unutar nadziranog područja, gore navedeni zahtjevi primjenjuju se samo za NOx.
Protok ispušnog plina qmew
ili protok razrijeđenog ispušnog plina qmdew
, ako se koristi po izboru, utvrđuje se u skladu s odjeljkom 2.3. Dodatka 4. ovom Prilogu.
5.2. Suha/mokra korekcija
Izmjerena koncentracija, ako već nije izmjerena na vlažnoj osnovi, pretvara se na vlažnu osnovu prema sljedećoj formuli. Pretvaranje se obavlja za svaki pojedini način rada.
Za neobrađeni ispušni plin:
ili
gdje je:
|
pr
|
=
|
tlak vodene pare nakon rashladne kupelji, kPa,
|
|
pb
|
=
|
ukupan atmosferski tlak, kPa,
|
|
Ha
|
=
|
vlažnost ulaznog zraka, g vode po kg suhog zraka,
|
|
kf
|
=
|
0,055584 × wALF – 0,0001083 × wBET – 0,0001562 × wGAM + 0,0079936 × wDEL + 0,0069978 × wEPS
|
Za razrijeđeni ispušni plin:
ili
Za zrak razrjeđivanja:
Za usisni zrak:
gdje je:
|
Ha
|
=
|
vlažnost usisnog zraka, g vode po kg suhog zraka
|
|
Hd
|
=
|
vlažnost zraka razrjeđivanja, g vode po kg suhog zraka
|
i može se izvesti iz mjerenja relativne vlažnosti, mjerenja točke rosišta, mjerenja tlaka pare ili mjerenja suhim/vlažnim termometrom primjenom općeprihvaćenih jednadžbi.
5.3. NOx korekcija vlažnosti i temperature
Budući da emisija NOx ovisi o uvjetima okolnog zraka, koncentracija NOx korigira se s obzirom na temperaturu i vlažnost okolnog zraka pomoću faktora navedenih u sljedećim formulama. Faktori su važeći unutar raspona od 0 do 25 g/kg suhog zraka.
|
(a)
|
Za motore s kompresijskim paljenjem:
pri čemu je:
|
Ta
|
=
|
temperatura usisnog zraka, K
|
|
Ha
|
=
|
vlažnost usisnog zraka, g vode po kg suhog zraka
|
gdje se:
H
a može izvesti iz mjerenja relativne vlažnosti, mjerenja točke rosišta, mjerenja tlaka pare ili mjerenja suhim/vlažnim termometrom primjenom općeprihvaćenih formula.
|
|
(b)
|
Za motore s paljenjem pomoću svjećica
gdje se:
H
a može izvesti iz mjerenja relativne vlažnosti, mjerenja točke rosišta, mjerenja tlaka pare ili mjerenja suhim/vlažnim termometrom primjenom općeprihvaćenih formula.
|
5.4. Izračun brzina masenih protoka emisije
Brzina masenog protoka emisije (g/h) za svaki način rada izračunava se na sljedeći način. Za izračun NOx koristi se faktor korekcije vlažnosti k
h,D ili k
h,G, prema potrebi, a kako je utvrđeno u skladu s odjeljkom 5.3.
Izmjerena koncentracija, ako već nije izmjerena na vlažnoj osnovi, pretvara se na vlažnu osnovu u skladu s odjeljkom 5.2. Vrijednosti za u
plin navedene su u tablici 6. za odabrane sastavne dijelove koji se temelje na idealnim svojstvima plina i goriva relevantnim za ovu Direktivu.
|
(a)
|
Za neobrađeni ispušni plin
gdje je:
|
uplin
|
=
|
omjer između gustoće sastavnih dijelova ispušnog plina i gustoće ispušnog plina
|
|
cplin
|
=
|
koncentracija odnosnih sastavnih dijelova u neobrađenom ispušnom plinu, ppm
|
|
qmew
|
=
|
brzina masenog protoka ispušnih plinova, kg/h
|
|
|
(b)
|
Za plin razrjeđivanja
gdje je:
|
uplin
|
=
|
omjer između gustoće sastavnih dijelova ispušnog plina i gustoće zraka
|
|
cplin,c
|
=
|
pozadinska ispravljena koncentracija odnosnih sastavnih dijelova u razrijeđenom ispušnom plinu, ppm
|
|
qmdew
|
=
|
brzina protoka razrijeđenog ispušnog plina, kg/h
|
gdje je:
Faktor razrjeđivanja D izračunava se u skladu s odjeljkom 5.4.1. Dodatka 2. ovom Prilogu.
|
5.5. Izračun specifičnih emisija
Emisije (g/kWh) izračunavaju se za sve pojedinačne sastavne dijelove na sljedeći način:
pri čemu:
m
plin označava masu pojedinnog plina
P
n označava neto snagu utvrđenu u skladu s odjeljkom 8.2. u Prilogu II.
Težinski faktori korišteni u gore navedenom izračunu u skladu su s odjeljkom 2.7.1.
Tablica 6.
Vrijednosti u
plin u neobrađenom i razrijeđenom ispušnom plinu za različite sastavne dijelove ispušnih plinova
|
gorivo
|
|
NOx
|
CO
|
THC/NMHC
|
CO2
|
CH4
|
|
dizel
|
neobrađeni ispušni plinovi
|
0,001587
|
0,000966
|
0,000479
|
0,001518
|
0,000553
|
|
razrijeđeni ispušni plinovi
|
0,001588
|
0,000967
|
0,000480
|
0,001519
|
0,000553
|
|
etanol
|
neobrađeni ispušni plinovi
|
0,001609
|
0,000980
|
0,000805
|
0,001539
|
0,000561
|
|
razrijeđeni ispušni plinovi
|
0,001588
|
0,000967
|
0,000795
|
0,001519
|
0,000553
|
|
Gaz natural comprimat
|
neobrađeni ispušni plinovi
|
0,001622
|
0,000987
|
0,000523
|
0,001552
|
0,000565
|
|
razrijeđeni ispušni plinovi
|
0,001588
|
0,000967
|
0,000584
|
0,001519
|
0,000553
|
|
propan
|
neobrađeni ispušni plinovi
|
0,001603
|
0,000976
|
0,000511
|
0,001533
|
0,000559
|
|
razrijeđeni ispušni plinovi
|
0,001588
|
0,000967
|
0,000507
|
0,001519
|
0,000553
|
|
butan
|
neobrađeni ispušni plinovi
|
0,001600
|
0,000974
|
0,000505
|
0,001530
|
0,000558
|
|
razrijeđeni ispušni plinovi
|
0,001588
|
0,000967
|
0,000501
|
0,001519
|
0,000553
|
|
—
|
u vrijednosti neobrađenih ispušnih plinova temeljene na idealnim svojstvima plina pri λ = 2, suhi zrak, 273K, 101,3 kPa,
|
|
—
|
u vrijednosti razrijeđenih ispušnih plinova temeljene na idealnim svojstvima plina i gustoći zraka,
|
|
—
|
u vrijednosti CNG točnosti unutar 0,2 % za maseni sastav: C = 66 – 76 %; H = 22 – 25 %; N = 0 – 12 %,
|
|
—
|
u vrijednost CNG za HC odgovara CH2,93 (za ukupni HC koristiti u vrijednost CH4).
|
|
5.6. Izračun kontrolnih vrijednosti upravljanog područja
Za tri kontrolne točke odabrane u skladu s odjeljkom 2.7.6., emisija NOx mjeri se i izračunava u skladu s odjeljkom 5.6.1. te se također utvrđuje uvođenjem načina rada ciklusa ispitivanja najbližih odnosnoj kontrolnoj točki u skladu s odjeljkom 5.6.2. Izmjerene se vrijednosti zatim uspoređuju s interpoliranim vrijednostima u skladu s odjeljkom 5.6.3.
5.6.1. Izračun specifične emisije
Emisija NOx za svaku od kontrolnih točaka (Z) izračunava se na sljedeći način:
5.6.2. Utvrđivanje vrijednosti emisije iz ciklusa ispitivanja
Emisija NOx za svaku od kontrolnih točaka interpolira se iz četiri najbliža načina rada ciklusa ispitivanja koji obuhvaćaju odabranu kontrolnu točku Z kako je prikazano na slici 4. Kod ovih načina rada (R, S, T, U) primjenjuju se sljedeće definicije:
Brzina vrtnje (R) = Brzina vrtnje (T) = nRT
Brzina vrtnje (S) = Brzina vrtnje (U) = nSU
Postotak opterećenja (R) = Postotak opterećenja (S)
Postotak opterećenja (T) = Postotak opterećenja (U).
Emisija NOx odabrane kontrolne točke Z izračunava se na sljedeći način:
i:
gdje je:
|
ER, ES, ET, EU
|
=
|
specifična emisija NOx obuhvatnih načina rada izračunana u skladu s odjeljkom 5.6.1.
|
|
MR, MS, MT, MU
|
=
|
zakretni moment motora obuhvatnih načina rada.
|
Slika 4.
Interpolacija kontrolne točke NOx
5.6.3. Usporedba vrijednosti emisije NOx
Izmjerena specifična emisija NOx kontrolne točke Z (NOx,Z) uspoređuje se s interpoliranom vrijednosti (EZ) kako slijedi:
6. IZRAČUN EMISIJA ČESTICA
6.1. Vrednovanje podataka
Prilikom vrednovanja čestica, za svaki se mod rada bilježe ukupne mase uzorka (m
sep).
Filtar se vraća u komoru za vaganje i kondicionira najmanje jedan sat, ali ne dulje od 80 sati, i tada se važe. Bilježi se bruto težina filtara, a odbija se tara (vidjeti odjeljak 2.1.), što rezultira masom uzorka čestica m
f.
Ako se primjenjuje pozadinska korekcija, bilježi se masa zraka za razrjeđivanje (m
d) kroz filtar i masu čestica (m
f,d). Ako je provedeno više od jednog mjerenja, za svako se pojedino mjerenje izračunava kvocijent m
f,d/m
d te prosjek vrijednosti.
6.2. Sustav razrjeđivanja dijela protoka
Rezultati ispitivanja emisije čestica za potrebe izvještaja o ispitivanju utvrđuju se kroz sljedeće korake. Budući da se mogu koristiti različite vrste kontrole brzine razrjeđivanja, primjenjuju se različite metode izračuna za q
medf. Svi izračuni temelje se na prosječnim vrijednostima pojedinačnih načina rada tijekom razdoblja uzorkovanja.
6.2.1. Izokinetički sustavi
pri čemu r
a odgovara omjeru područja poprečnog presjeka izokinetičke sonde i ispušne cijevi:
6.2.2. Sustavi s mjerenjem koncentracije CO2 ili NOx
gdje je:
|
cwE
|
=
|
vlažna koncentracija obilježavajućeg plina u neobrađenom ispuhu
|
|
cwD
|
=
|
vlažna koncentracija obilježavajućeg plina u razrijeđenom ispuhu
|
|
cwA
|
=
|
mokra koncentracija obilježavajućeg plina u zraku za razrjeđivanje
|
Koncentracije izmjerene na suhoj osnovi pretvaraju se na vlažnu osnovu u skladu s odjeljkom 5.2. ovog Dodatka.
6.2.3. Sustavi s mjerenjem CO2 i metodom bilance ugljika
(14)
gdje je:
|
c(CO2)D
|
=
|
koncentracija CO2 razrijeđenih ispušnih plinova
|
|
c(CO2)А
|
=
|
koncentracija CO2 zraka za razrjeđivanje
|
(koncentracije u obujamskom postotku na vlažnoj osnovi)
Ova se jednadžba temelji na pretpostavci bilance ugljika (atomi ugljika koji ulaze u motor ispuštaju se kao CO2) i utvrđuje kroz sljedeće korake:
i
6.2.4. Sustavi s mjerenjem protoka
6.3. Sustav razrjeđivanja punog protoka
Svi se izračuni temelje na prosječnim vrijednostima pojedinačnih načina rada tijekom razdoblja uzorkovanja. Protok razrijeđenog ispušnog plina q
mdew utvrđuje se u skladu s odjeljkom 4.1. Dodatka 2. ovom Prilogu. Ukupna masa uzorka m
sep izračunava se u skladu s odjeljkom 6.2.1. Dodatka 2. ovom Prilogu.
6.4. Izračun brzine masenog protoka čestica
Brzina masenog protoka čestica izračunava se na sljedeći način. Ako se koristi sustav razrjeđivanja punog protoka, q
medf utvrđen u skladu s odjeljkom 6.2. zamjenjuje se s q
mdew utvrđenim u skladu s odjeljkom 6.3.
i = 1, … n
Brzina masenog protoka čestica može se pozadinski ispraviti kako slijedi:
pri čemu se D izračunava u skladu s odjeljkom 5.4.1. Dodatka 2. ovom Prilogu.
|
|
v.
|
prijašnji odjeljak 6. sada se brojčano označava kao odjeljak 7.;
|
|
|
(f)
|
Dodatak 2. mijenja se kako slijedi:
|
i.
|
odjeljak 3. zamjenjuje se sljedećim:
„3. PROVEDBA ISPITIVANJA ZA ODREĐIVANJE EMISIJA
Na zahtjev proizvođača može se, prije ciklusa mjerenja, provesti probno ispitivanje u svrhu kondicioniranja motora i sustava ispušnih plinova.
Motori koji kao gorivo koriste NG i LPG trebaju se uhodati primjenom ETC ispitivanja. Motor treba raditi najmanje dva ETC ciklusa i dalje, sve dok emisija CO izmjerena tijekom jednog ETC ciklusa ne prijeđe za više od 10 % emisiju CO izmjerenu tijekom prethodnog ETC ciklusa.
3.1. Priprema filtara za uzorkovanje (ako se koriste)
Najmanje jedan sat prije ispitivanja, svaki se filtar treba staviti u djelomično zatvorenu Petrijevu zdjelicu koja je zaštićena od onečišćenja prašinom te smjestiti u komoru za vaganje radi stabilizacije. Na kraju razdoblja stabilizacije svaki se filtar važe, a bilježi se tara masa. Filtar se zatim pohranjuje u zatvorenoj Petrijevoj zdjelici ili zabrtvljenom držaču filtara dok ne bude potreban za ispitivanje. Filtar se koristi u roku od osam sati od njegovog uklanjanja iz komore za vaganje. Bilježi se tara masa.
3.2. Ugradnja mjerne opreme
Prema potrebi se ugrađuje mjerna oprema i sonde za uzorke. Ako se koristi, ispušnu cijev treba priključiti na sustav razrjeđivanja punog protoka.
3.3. Pokretanje sustava razrjeđivanja i motora
Sustav razrjeđivanja i motor se pokreću i zagrijavaju sve do stabilizacije svih temperatura i tlakova pri najvećoj snazi sukladno preporuci proizvođača i dobroj inženjerskoj praksi.
3.4. Pokretanje sustava za uzorkovanje čestica (samo dizelski motori)
Sustav za uzorkovanje čestica se pokreće i usmjerava da teče obilazno. Postojeća razina čestica zraka za razrjeđivanje može se utvrditi prolaskom zraka za razrjeđivanje kroz filtre čestica. Ako se koristi filtrirani zrak za razrjeđivanje, može se provesti samo jedno mjerenje, prije ili nakon ispitivanja. Ako zrak za razrjeđivanje nije filtriran, mogu se obaviti mjerenja na početku i na kraju ciklusa te izračunati prosjek vrijednosti.
Sustav razrjeđivanja i motor se pokreću i zagrijavaju sve do stabilizacije svih temperatura i tlakova sukladno preporuci proizvođača i dobroj inženjerskoj praksi.
U slučaju naknadne obrade periodične regeneracije, regeneracija se ne smije dogoditi tijekom zagrijavanja motora.
3.5. Prilagodba sustava razrjeđivanja
Brzine protoka sustava razrjeđivanja (puni protok ili djelomični protok) namještaju se kako bi se isključila mogućnost kondenzacije vode u sustavu i dobila najveća temperatura na dovodu filtra od 325 K (52 °C) ili manja (vidjeti odjeljak 2.3.1. Priloga V., DT).
3.6. Provjera analizatora
Analizatori emisije se postavljaju na nulu i mjeri se njihov raspon. Ako se koriste vreće za uzorke, potrebno ih je ukloniti.
3.7. Postupak pokretanja motora
Stabiliziran motor se pokreće sukladno preporuci proizvođača u priručniku za uporabu, koristeći bilo ugrađeni pokretač na motoru ili dinamometar. Također, ispitivanje može započeti izravno iz faze prekondicioniranja motora bez njegovog isključivanja kada motor postigne brzinu vrtnje u praznom hodu.
3.8. Ciklus ispitivanja
3.8.1. Redoslijed ispitivanja
Ispitivanje započinje kad je motor postigao brzinu vrtnje u praznom hodu. Ispitivanje se provodi sukladno referentnom ciklusu kako je navedeno u odjeljku 2. ovog Dodatka. Postavne komandne vrijednosti brzine motora i zakretnog momenta izdaju se pri 5 Hz (10 Hz se preporuča) ili više. Dobiveni podaci o brzini motora i zakretnom momentu bilježe se najmanje jednom svake sekunde tijekom ciklusa ispitivanja, a signali se mogu elektronički filtrirati.
3.8.2. Mjerenje plinovitih emisija
3.8.2.1. Sustav razrjeđivanja punog protoka
Pri pokretanju motora ili na početku ispitivanja, ako se ciklus započinje izravno iz prekondicioniranja, pokreće se mjerna oprema s istovremenim:
|
—
|
početkom prikupljanja ili analiziranja zraka za razrjeđivanje,
|
|
—
|
početkom prikupljanja ili analiziranja razrijeđenog ispušnog plina,
|
|
—
|
početkom mjerenja količine razrijeđenog ispušnog plina (CVS) i potrebnih temperatura i tlaka,
|
|
—
|
početkom bilježenja povratnih podataka o brzini i zakretnom momentu dinamometra.
|
HC i NOx se neprekidno mjere u tunelu za razrjeđivanje uz frekvenciju od 2Hz. Prosječne se koncentracije utvrđuju uvođenjem signala analizatora tijekom ciklusa ispitivanja. Vrijeme odziva sustava ne smije biti veće od 20 s, i usklađuje se s nestalnošću protoka CVS i odstupanjem ciklusa ispitivanja/vremena uzorkovanja, ako je potrebno. CO, CO2, NMHC i CH4 utvrđuju se uključivanjem ili analiziranjem koncentracija u vreći za uzorke, prikupljenih tijekom ciklusa. Koncentracije plinovitih onečišćujućih tvari u zraku za razrjeđivanje utvrđuju se uključivanjem ili prikupljanjem u pozadinsku vreću. Sve druge vrijednosti bilježe se uz najmanje jedno mjerenje u sekundi (1 Hz).
3.8.2.2. Mjerenje neobrađenih ispušnih plinova
Pri pokretanju motora ili na početku ispitivanja, ako se ciklus započinje izravno iz prekondicioniranja, pokreće se mjerna oprema s istovremenim:
|
—
|
početkom analiziranja koncentracija neobrađenog ispušnog plina,
|
|
—
|
početkom mjerenja ispušnog plina ili ulaznog zraka i brzine protoka goriva,
|
|
—
|
početkom bilježenja povratnih podataka o brzini i zakretnom momentu dinamometra.
|
Prilikom procjene plinovitih emisija, koncentracije emisije (HC, CO i NOx) i brzina masenog protoka ispušnog plina se bilježe i pohranjuju uz najmanje 2 Hz u računalni sustav. Vrijeme odziva sustava nije veće od 10 s. Svi ostali podaci mogu se zabilježiti uz brzinu uzorka od najmanje 1 Hz. Za analogne analizatore, odziv se bilježi, a podaci umjeravanja mogu se primjenjivati izravno (online) ili neizravno (offline) tijekom vrednovanja podataka.
Prilikom izračuna masene emisije plinovitih sastavnih dijelova, tragovi zabilježenih koncentracija i trag brzine masenog protoka ispušnog plina vremenski se usklađuju s vremenom transformacije prema definiciji iz odjeljka 2. Priloga I. Stoga se vrijeme odziva svakog analizatora plinovitih emisija i sustava masenog protoka ispušnog plina utvrđuje u skladu s odredbama odjeljka 4.2.1. i odjeljka 1.5. Dodatka 5. ovom Prilogu i bilježi se.
3.8.3. Uzorkovanje čestica (ako se primjenjuje)
3.8.3.1. Sustav razrjeđivanja punim protokom
Prilikom pokretanja motora ili početkom ispitivanja, kad ciklus započinje izravno iz prekondicioniranja, sustav za uzorkovanje čestica treba prebaciti s obilaznog voda na prikupljanje čestica.
Ako se ne koristi nikakva kompenzacija toka, crpka (crpke) za uzorke podešavaju se tako da se brzina protoka kroz sondu za uzorke čestica ili prijenosnu cijev održava pri vrijednosti u okviru ± 5 % od postavne brzine protoka. Ako se kompenzacija protoka koristi (tj. razmjerna kontrola toka uzorka), mora se pokazati da se omjer protoka glavnog tunela prema protoku uzorka čestica ne mijenja za više od ± 5 % od njegove postavne vrijednosti (osim za prvih 10 sekundi uzorkovanja).
Napomena: Kod radnje dvostrukog razrjeđivanja, protok uzoraka predstavlja neto razliku između brzine protoka kroz filtre za uzorke i brzine protoka sekundarnog zraka za razrjeđivanje.
Bilježi se prosječna temperatura i tlak na ulazu u plinomjer(e) ili mjerila protoka. Ako se namještena brzina protoka ne može održavati tijekom čitavog ciklusa (unutar ± 5 %) zbog velikog dotoka čestica u filtar, ispitivanje se poništava. Ispitivanje se ponovno provodi primjenom niže brzine protoka i/ili filtra većeg promjera.
3.8.3.2. Sustav razrjeđivanja djelomičnim protokom
Prilikom pokretanja motora ili početkom ispitivanja, kad ciklus započinje izravno iz prekondicioniranja, sustav za uzorkovanje čestica treba prebaciti s obilaznog načina rada na prikupljanje čestica.
Kad se radi o kontroli sustava razrjeđivanja djelomičnim protokom, zahtijeva se brzi odziv sustava. Vrijeme transformacije sustava utvrđuje se postupkom iz odjeljka 3.3. Dodatka 5. Prilogu III. Ako je kombinirano vrijeme transformacije mjerenja protoka ispušnih plinova (vidjeti odjeljak 4.2.1.) i sustava djelomičnog protoka manje od 0,3 sek, može se koristiti izravna (online) kontrola. Ako vrijeme transformacije prelazi 0,3 sek, mora se koristiti kontrola s pogledom unaprijed temeljena na prethodno zabilježenom tijeku ispitivanja. U tom slučaju, vrijeme porasta iznosi ≤ 1 sek, a vrijeme odgode kombinacije ≤ 10 sek.
Ukupni odziv sustava izvodi se tako da se osigura razmjernost reprezentativnog uzorka čestica, qmp,i, masenom protoku ispušnih plinova. U svrhu utvrđivanja razmjernosti, provodi se regresijska analiza qmp,i prema qmew,i pri najmanjoj brzini prikupljanja podataka od 1 Hz, te uz ispunjavanje sljedećih kriterija:
|
—
|
korelacijski koeficijent R2 linearne regresije između qmp,i i qmew,i ne smije biti manji od 0,95,
|
|
—
|
standardna pogreška procjene qmp,i na qmew,i ne smije prelaziti 5 % od najvećeg qmp,
|
|
—
|
qmp prekidanje regresijske linije ne smije prelaziti ± 2 % od najvećeg qmp.
|
Također, može se provesti predispitivanje iz kojeg se signal masenog protoka može koristiti za upravljanje protoka uzorka u sustav čestica (tzv. look ahead control). Takav se postupak zahtijeva kad su vrijeme transformacije sustava čestica, t50,P ili vrijeme transformacije signala masenog protoka ispušnih plinova, t50,F, ili oba, > 0,3 sek. Točna kontrola sustava djelomičnog razrjeđivanja postiže se ako se vremenski slijed qmew,pre predispitivanja, koji kontrolira qmp, pomakne za vrijeme utvrđeno predispitivanjem s t50,P + t50,F.
Prilikom uspostave odnosa između qmp,i i qmew,i koriste se podaci dobiveni tijekom ispitivanja, s qmew,i vremenski usklađenim za t50,F u odnosu na qmp,i (bez doprinosa iz t50,P vremenskom usklađenju). To znači da vremenski pomak između qmew i qmp označava razliku u njihovim vremenima transformacije utvrđenim u odjeljku 3.3. Dodatka 5. Prilogu III.
3.8.4. Zaustavljanje motora
Ako se motor zaustavi bilo kada tijekom ciklusa ispitivanja, motor se prekondicionira i ponovno pokreće, a ispitivanje se ponavlja. Ako dođe do kvara neke od potrebne opreme za ispitivanje tijekom ciklusa ispitivanja, ispitivanje se poništava.
3.8.5. Postupci nakon ispitivanja
Po završetku ispitivanja, mjerenje obujma razrijeđenog ispušnog plina ili brzine protoka neobrađenog ispušnog plina, dotok plina u vreće za prikupljanje i crpka uzoraka čestica se zaustavljaju. Kod integriranog sustava analizatora, uzorkovanje se nastavlja do isteka vremena odziva sustava.
Koncentracije vreća za prikupljanje, ako se koriste, analiziraju se čim je moguće prije, a u svakom slučaju najkasnije 20 minuta nakon isteka ciklusa ispitivanja.
Nakon ispitivanja emisije, nulti plin i isti umjerni plin (tzv. span plin) koriste se za ponovnu provjeru analizatora. Ispitivanje se smatra prihvatljivim ako je razlika između rezultata predispitivanja i naknadnog ispitivanja manja od 2 % od vrijednosti plina za određivanje najvećeg otklona analizatora.
3.9. Provjera ispitivanja
3.9.1. Pomak podataka
Kako bi se na najmanju moguću mjeru sveo učinak odstupanja vremenskog raspona između povratnih i referentnih vrijednosti ciklusa, čitav slijed povratnih signala brzine motora i zakretnog momenta može se pomaknuti prema naprijed ili unazad s obzirom na referentni slijed brzine i zakretnog momenta. Ako su povratni signali pomaknuti, tada se i brzina i zakretni moment moraju pomaknuti za istu količinu u istom smjeru.
3.9.2. Izračun ostvarenog rada u ciklusu
Stvarni rad ciklusa Wact (kWh) izračunava se korištenjem pojedinih parova zabilježenih vrijednosti brzine i zakretnog momenta motora. To se provodi nakon što dođe do pomaka povratnih podataka ako se odabere ova opcija. Stvarni rad ciklusa Wact koristi se za usporedbu s referentnim radom ciklusa Wref i za izračun emisija specifičnih za kočenje (vidjeti odjeljke 4.4. i 5.2.). Ista se metodologija koristi za objedinjavanje referentne i stvarne snage motora. Ako treba odrediti vrijednosti između susjednih referentnih ili izmjerenih vrijednosti, koristi se linearna interpolacija.
Prilikom objedinjavanja referentnog i stvarnog rada ciklusa, sve negativne vrijednosti zakretnog momenta postavljaju se na nulu i uključuju. Ako se objedinjavanje provodi pri frekvenciji manjoj od 5 Hz i ako se tijekom određenog vremenskog razdoblja vrijednost zakretnog momenta promijeni od pozitivne na negativnu ili od negativne na pozitivnu, negativni se dio izračunava i postavlja tako da bude istovjetan nuli. Pozitivan se dio uključuje u integriranu vrijednost.
Wact je između – 15 % i + 5 % od Wref
3.9.3. Validacijska statistika ciklusa ispitivanja
Linearne regresije povratnih vrijednosti na referentne vrijednosti provode se za brzinu, zakretni moment i snagu. To se provodi nakon svakog pomicanja povratnih podataka ako se odabere ova opcija. Koristi se metoda najmanjih kvadrata pri čemu najpogodnija jednadžba ima oblik:
gdje je:
|
y
|
=
|
povratna (stvarna) vrijednost brzine (min-1), zakretnog momenta (Nm), ili snage (kW)
|
|
m
|
=
|
nagib regresijske linije
|
|
x
|
=
|
referentna vrijednost brzine (min-1), zakretnog momenta (Nm), ili snage (kW)
|
|
b
|
=
|
prekidanje regresijske linije na osi y
|
Standardna pogreška procjene (SE) y na x i koeficijent utvrđivanja (r2) izračunavaju se za svaku regresijsku liniju.
Preporuča se da se ova analiza provede pri 1 Hz. Sve negativne referentne vrijednosti zakretnog momenta i pridružene povratne vrijednosti se brišu iz izračuna statistike validacije zakretnog momenta i snage ciklusa. Da bi se ispitivanje smatralo valjanim, moraju se zadovoljiti kriteriji iz tablice 7.
Tablica 7.
Dopuštena odstupanja regresijske linije
|
|
Brzina vrtnje
|
Zakretni moment
|
Snaga
|
|
Standardna pogreška procjene Y na X
|
Najviše 100 min–1
|
Najviše 13 % (15 %) (15) najvećeg zakretnog momenta motora iz dijagrama snage
|
Najviše 8 % (15 %) (15) najvećeg zakretnog momenta motora iz dijagrama snage
|
|
Nagib regresijske linije, m
|
0,95 do 1,03
|
0,83-1,03
|
0,89-1,03
|
|
(0,83-1,03) (15)
|
|
Koeficijent utvrđivanja, r2
|
Najmanje 0,9700
|
Najmanje 0,8800
|
Najmanje 0,9100
|
|
(najmanje 0,9500) (15)
|
(najmanje 0,7500) (15)
|
(najmanje 0,7500) (15)
|
|
Prekidanje regresijske linije na osi Y, b
|
± 50 min–1
|
± 20 Nm ili ± 2 % (± 20 Nm ili ± 3 %) (15) od najvećeg zakretnog momenta ovisno o tome koji je veći
|
± 4 kW ili ± 2 % (± 4 kW ili ± 3 %) (15) od najveće snage ovisno o tome koja je veća
|
Brisanja točaka iz regresijskih analiza su dozvoljena ako je tako naznačeno u tablici 8.
Tablica 8.
Dozvoljena brisanja točaka iz regresijske analize
|
Uvjeti
|
Točke koje se brišu
|
|
Puno opterećenje i izmjerena vrijednost zakretnog momenta < 95 % referentne vrijednosti zakretnog momenta
|
Zakretni moment i/ili snaga
|
|
Puno opterećenje i izmjerena brzina vrtnje < 95 % referentne vrijednosti brzine vrtnje
|
Brzina i/ili snaga
|
|
Bez opterećenja, nije prazni hod, i izmjerena vrijednost zakretnog momenta > referentne vrijednosti zakretnog momenta
|
Zakretni moment i/ili snaga
|
|
Bez opterećenja, izmjerena vrijednost brzine vrtnje ≤ prazni hod + 50 min–1 i izmjerena vrijednost zakretnog momenta = zakretni moment praznog hoda prema mjerama/definiciji proizvođača ± 2 % najvećeg zakretnog momenta
|
Brzina i/ili snaga
|
|
Bez opterećenja, izmjerena brzina vrtnje > prazni hod + 50 min–1 i izmjerena vrijednost zakretnog momenta > 105 % referentne vrijednosti zakretnog momenta
|
Zakretni moment i/ili snaga
|
|
Bez opterećenja i izmjerena brzina vrtnje > 105 % referentne vrijednosti brzine vrtnje
|
Brzina i/ili snaga”
|
|
|
ii.
|
umeće se sljedeći odjeljak 4.:
„4. IZRAČUN PROTOKA ISPUŠNIH PLINOVA
4.1. Utvrđivanje protoka razrijeđenih ispušnih plinova
Ukupan protok razrijeđenih ispušnih plinova tijekom ciklusa (kg/ispitivanje) izračunava se iz vrijednosti mjerenja tijekom ciklusa i odgovarajućih podataka umjeravanja uređaja za mjerenje protoka (V
0 za PDP, K
V za CFV, C
d za SSV), kako je utvrđeno u odjeljku 2. Dodatka 5. Prilogu III.). Primjenjuju se sljedeće formule ako je temperatura razrijeđenih ispušnih plinova ujednačena tijekom ciklusa primjenom izmjenjivača topline (± 6 K za PDP-CVS, ± 11 K za CFV-CVS ili ± 11 K za SSV-CVS (vidjeti odjeljak 2.3. Priloga V.)).
Za PDP-CVS sustav:
gdje je:
|
V0
|
=
|
obujam plina potisnutog po okretaju u uvjetima ispitivanja, m3/okretaj
|
|
NP
|
=
|
ukupni broj okretaja crpke po ispitivanju
|
|
pb
|
=
|
atmosferski tlak u ispitnoj napravi, kPa
|
|
p1
|
=
|
podtlak na usisu crpke, kPa
|
|
T
|
=
|
prosječna temperatura razrijeđenog ispušnog plina na usisu crpke tijekom ciklusa, K
|
Za CFV-CVS sustav:
gdje je:
|
t
|
=
|
vrijeme ciklusa, s
|
|
Kv
|
=
|
koeficijent umjeravanja venturijeve cijevi s kritičnim protokom za standardne uvjete,
|
|
pp
|
=
|
apsolutni tlak na ulazu venturijeve cijevi, kPa
|
|
T
|
=
|
apsolutna temperatura na ulazu venturijeve cijevi, K
|
Za SSV-CVS sustav
gdje je:
pri čemu je:
|
A0
|
=
|
skup konstanti i jedinica pretvaranja
= 0,006111 u SI jedinicama
|
|
d
|
=
|
promjer SSV grla, m
|
|
Cd
|
=
|
koeficijent ispuštanja SSV-a
|
|
pp
|
=
|
apsolutni tlak na ulazu Venturijeve cijevi, kPa
|
|
T
|
=
|
temperatura na ulazu venturijeve cijevi, K
|
|
rp
|
=
|
omjer SSV grla prema apsolutnoj vrijednosti ulaza, statički tlak =
|
|
rD
|
=
|
omjer promjera SSV grla, d, i unutarnjeg promjera ulazne cijevi =
|
Ako se koristi sustav s kompenzacijom protoka (tj. bez izmjenjivača topline), tijekom ciklusa se izračunavaju i integriraju trenutačne masene emisije. U ovom slučaju, trenutačna masa razrijeđenog ispušnog plina izračunava se na sljedeći način.
ZA PDP-CVS sustav:
gdje su:
|
NP,i
|
=
|
ukupni broj okretaja crpke u vremenskom razmaku
|
Za CFV-CVS sustav:
gdje je:
|
Δti
|
=
|
vremenski razmak, s
|
Za SSV-CVS sustav:
gdje je:
|
Δti
|
=
|
vremenski razmak, s
|
Izračun u stvarnom vremenu započinje se bilo razumnom vrijednosti za C
d, poput 0,98, ili razumnom vrijednosti Q
ssv. Ako se izračun započinje s Q
ssv, početna se vrijednost Q
ssv koristi za procjenu Re.
Tijekom svih ispitivanja emisije, Reynoldsov broj kod SSV grla mora biti u rasponu Reynoldsovih brojeva koji se koriste za izvođenje krivulje umjeravanja razrađene u odjeljku 2.4. Dodatka 5. ovom Prilogu.
4.2. Utvrđivanje masenog protoka neobrađenih ispušnih plinova
Za izračun emisija u neobrađenom ispušnom plinu i kontrolu sustava razrjeđivanja djelomičnog protoka potrebno je poznavati brzinu masenog protoka ispušnog plina. Za utvrđivanje brzine masenog protoka ispušnih plinova može se koristi bilo koja od metoda opisanih u odjeljcima 4.2.2. do 4.2.5.
4.2.1. Vrijeme odziva
U svrhu izračuna emisija, vrijeme odziva bilo koje od metoda niže opisanih jednako je ili manje od zahtijeva za vrijeme odziva analizatora, prema definiciji iz odjeljka 1.5. Dodatka 5. ovom Prilogu.
U svrhu nadzora sustava razrjeđivanja djelomičnog protoka, potreban je brži odziv. Kad se radi o sustavima razrjeđivanja djelomičnog protoka s izravnom (online) kontrolom, zahtijeva se vrijeme odziva ≤ 0,3 sekunde. Kod sustava razrjeđivanja dijela protoka s unaprijed određenim upravljanjem na temelju prethodno zabilježenog tijeka ispitivanja, zahtijeva se vrijeme odziva sustava mjerenja protoka ispušnih plinova ≤ 5 sekundi s vremenom porasta ≤ 1 sekundu. Vrijeme odziva sustava određuje proizvođač mjernog instrumenata. Kombinirani zahtjevi vremena odziva za protok ispušnih plinova i sustav razrjeđivanja dijela protoka navedeni su u odjeljku 3.8.3.2.
4.2.2. Metoda neposrednog mjerenja
Neposredno mjerenje trenutačnog protoka ispušnih plinova može se provesti pomoću sustava kao što su:
|
—
|
uređaji za mjerenje razlike tlakova, poput mlaznice protoka,
|
|
—
|
ultrazvučno mjerilo protoka,
|
|
—
|
vortex mjerilo protoka.
|
Poduzimaju se mjere opreza kako bi se izbjegle pogreške pri mjerenju koje bi mogle utjecati na pogreške vrijednosti emisija. Takve mjere opreza uključuju pažljivu ugradbu uređaja u ispušni sustav motora u skladu s preporukama proizvođača instrumenta i dobrom inženjerskom praksom. Posebno, ugradba uređaja ne smije utjecati na karakteristike motora i emisije.
Točnost utvrđivanja protoka ispušnih plinova iznosi najmanje ± 2,5 % od očitane vrijednosti ili 1,5 % od najveće vrijednosti motora, ovisno o tome koja je veća.
4.2.3. Metoda mjerenja zraka i goriva
Ovo uključuje mjerenje protoka zraka i protoka goriva. Mjerači protoka zraka i mjerila protoka goriva koriste se u svrhu ispunjavanja zahtjeva ukupne točnosti protoka ispušnih plinova iz odjeljka 4.2.2. Izračun protoka ispušnog plina je sljedeći:
4.2.4. Metoda mjerenja plinom obilježivačem
Ova se metoda sastoji od mjerenja koncentracije plina obilježivača u ispuhu. Poznata količina inertnog plina (npr. čisti helij) ubrizgava se u protok ispušnog plina kao obilježivač. Plin se miješa i razrjeđuje ispušnim plinom, ali ne reagira u ispušnoj cijevi. Koncentracija tog plina se tada mjeri u uzorku ispušnog plina.
Kako bi se osiguralo potpuno miješanje ovog plina obilježivača, sonda za uzorkovanje ispušnog plina postavlja se najmanje 1 m ili 30 puta promjer ispušne cijevi (što je više), dalje od točke ubrizgavanja plina obilježivača. Sonda za uzorkovanje smije se smjestiti bliže točki ubrizgavanja ako se, usporedbom koncentracije plina obilježivača s referentnom koncentracijom kada je plin obilježivač ubrizgan prije motora dokaže potpuna izmiješanost plina obilježivača.
Brzina protoka plina obilježivača namješta se tako da njegova koncentracija pri brzini praznog hoda motora nakon miješanja bude niža od cjelokupnog mjernog raspona analizatora kojim se on mjeri.
Izračun protoka ispušnog plina je sljedeći:
gdje je:
|
qmew,i
|
=
|
trenutni maseni protok ispušnih plinova, kg/s
|
|
qvt
|
=
|
protok plina obilježivača, cm3/min
|
|
cmix.i
|
=
|
trenutačna koncentracija plina obiježivača nakon miješanja, ppm
|
|
ρe
|
=
|
gustoća ispušnog plina, kg/m3 (vidjeti tablicu 3.)
|
|
ca
|
=
|
postojeća koncentracija plina obilježivača u usisnom zraku, ppm
|
Kada je postojeća koncentracija manja od 1 % koncentracije plina obilježivača nakon miješanja (c
mix.i) pri najvećoj brzini protoka, postojeća se koncentracija može zanemariti.
Ukupan sustav mora zadovoljiti zahtjeve za točnost protoka ispušnog plina i umjerava se u skladu s odjeljkom 1.7. Dodatka 5. ovom Prilogu.
4.2.5. Metoda mjerenja protoka zraka i omjera zraka i goriva
Ovo obuhvaća izračun mase ispušnih plinova iz protoka zraka i omjera zraka i goriva. Izračun trenutačnog masenog protoka ispušnog plina je sljedeći:
uz:
gdje je:
|
A/Fst
|
=
|
stehiometrijski omjer zraka prema gorivu, kg/kg
|
|
λ
|
=
|
omjer prekomjernog zraka
|
|
cCO2
|
=
|
koncentracija suhog CO2, %
|
|
cCO
|
=
|
koncentracija suhog CO, ppm
|
|
cHC
|
=
|
koncentracija HC, ppm
|
Napomena: β može biti 1 za goriva koja sadrže ugljik, odnosno 0 za goriva s vodikom.
Mjerilo protoka zraka ispunjava zahtjeve za točnost iz odjeljka 2.2. Dodatka 4. ovom Prilogu, analizator CO2 koji se koristi ispunjava zahtjeve iz odjeljka 3.3.2. Dodatka 4. ovom Prilogu, a ukupni sustav ispunjava zahtjeve za točnost za protok ispušnog plina.
Po izboru, oprema za mjerenje omjera zraka i goriva kao što je senzor tipa cirkonija može se koristiti za mjerenje prekomjernog omjera zraka koji ispunjava zahtjeve odjeljka 3.3.6. Dodatka 4. ovom Prilogu.”;
|
|
iii.
|
odjeljci 4. i 5. zamjenjuju se sljedećim:
„5. IZRAČUN PLINOVITIH EMISIJA
5.1. Vrednovanje podataka
Prilikom vrednovanja plinovitih emisija u razrijeđenom ispušnom plinu, koncentracije emisije (HC, CO i NOx) i brzina masenog protoka razrijeđenog ispušnog plina se bilježe u skladu s odjeljkom 3.8.2.1. i pohranjuju u računalni sustav. Za analogne analizatore bilježi se odziv, a podaci umjeravanja mogu se primjenjivati izravno (online) ili neizravno (offline) tijekom vrednovanja podataka.
Prilikom vrednovanja plinovitih emisija u neobrađenom ispušnom plinu, koncentracije emisije (HC, CO i NOx) i brzina masenog protoka razrijeđenog ispušnog plina se bilježe u skladu s odjeljkom 3.8.2.2 i pohranjuju u računalni sustav. Za analogne analizatore bilježi se odziv, a podaci umjeravanja mogu se primjenjivati izravno (online) ili neizravno (offline) tijekom vrednovanja podataka.
5.2. Suha/vlažna korekcija
Ako se koncentracija mjeri na suhoj osnovi, pretvara se na vlažnu osnovu u skladu sa sljedećom formulom. Kad se radi o stalnom mjerenju, prije bilo kakvog daljnjeg izračuna potrebno je pretvaranje kod svakog trenutačnog mjerenja.
Primjenjuju se jednadžbe pretvaranja iz odjeljka 5.2. Dodatka 1. ovog Priloga.
5.3. Korekcija NOx s obzirom na vlažnost i temperaturu
Budući da emisija NOx ovisi o uvjetima okolnog zraka, koncentracija NOx se ispravlja s obzirom na temperaturu i vlažnost okolnog zraka pomoću faktora navedenih u odjeljku 5.3. Dodatka 1. ovom Prilogu. Ti su faktori važeći u rasponu između 0 i 25 g/kg suhog zraka.
5.4. Izračun brzina masenog protoka emisije
Masa emisije tijekom ciklusa (g/ispitivanje) izračunava se na sljedeći način ovisno o primijenjenoj metodi mjerenja. Izmjerena se koncentracija pretvara na vlažnu osnovu u skladu s odjeljkom 5.2. Dodatka 1. ovom Prilogu, ako već nije izmjerena na vlažnoj osnovi. Primjenjuju se odnosne vrijednosti za u
plin koje su navedene u tablici 6. Dodatka 1. ovom Prilogu za odabrane sastavne dijelove na temelju idealnih svojstava plina i goriva na koje se odnosi ova Direktiva.
|
(a)
|
za neobrađeni ispušni plin:
gdje je:
|
uplin
|
=
|
omjer između gustoće sastavnog dijela ispušnih plinova i gustoće ispušnog plina iz tablice 6.
|
|
cplin,i
|
=
|
trenutačna koncentracija odnosnih sastavnih dijelova u neobrađenom ispušnom plinu, ppm
|
|
qmew,i
|
=
|
trenutačna brzina masenog protoka ispušnih plinova, kg/s
|
|
f
|
=
|
brzina uzorkovanja podataka, Hz
|
|
n
|
=
|
broj mjerenja
|
|
|
(b)
|
za razrijeđeni ispušni plin bez kompenzacije protoka:
gdje je:
|
uplin
|
=
|
omjer između gustoće sastavnih dijelova ispušnog plina i gustoće zraka iz tablice 6.
|
|
cplin
|
=
|
prosječna postojeća ispravljena koncentracija odnosnih sastavnih dijelova, ppm
|
|
med
|
=
|
ukupna masa razrijeđenog ciklusa tijekom ciklusa, kg
|
|
|
(c)
|
za razrijeđeni ispušni plin s kompenzacijom protoka:
gdje je:
|
ce,i
|
=
|
trenutačna koncentracija odnosnog sastavnog dijela izmjerena u razrijeđenom ispušnom plinu, ppm (broj dijelova na milijun)
|
|
cd
|
=
|
koncentracija odnosnih sastavnih dijelova izmjerena u zraku za razrjeđivanje, ppm
|
|
qmdew,i
|
=
|
trenutačna brzina masenog protoka razrijeđenog ispušnog plina, kg/s
|
|
med
|
=
|
ukupna masa razrijeđenog ispušnog plina tijekom ciklusa, kg
|
|
uplin
|
=
|
omjer između gustoće sastavnih dijelova ispušnog plina i gustoće zraka iz tablice 6.
|
|
D
|
=
|
faktor razrjeđivanja (vidjeti odjeljak 5.4.1.)
|
|
Ako je primjenjivo, koncentracija NMHC i CH4 izračunava se bilo kojom od metoda prikazanih u odjeljku 3.3.4. Dodatka 4. ovom Prilogu, kako slijedi:
|
(a)
|
GC metoda (samo sustav razrjeđivanja punog protoka):
|
|
(b)
|
NMC metoda:
gdje je:
|
cHC(w/Cutter)
|
=
|
koncentracija HC s plinom uzorkom koji protječe kroz NMC
|
|
cHC(w/oCutter)
|
=
|
koncentracija HC s plinom uzorkom koji zaobilazi NMC
|
|
5.4.1. Utvrđivanje pozadinskih ispravljenih koncentracija (samo sustav razrjeđivanja punog protoka)
Prosječna postojeća koncentracija plinovitih onečišćujućih tvari u zraku razrjeđivanja odbija se od izmjerenih koncentracija kako bi se dobile neto koncentracije onečišćujućih tvari. Prosječne vrijednosti postojećih koncentracija mogu se utvrditi metodom primjene vreća za uzorke ili stalnim mjerenjem uz integraciju. Koriste se sljedeće formule:
gdje je:
|
ce
|
=
|
koncentracija pojedine onečišćujuće tvari izmjerena u razrijeđenom ispušnom plinu, ppm
|
|
cd
|
=
|
koncentracija pojedine onečišćujuće tvari izmjerena u zraku za razrjeđivanje, ppm
|
|
D
|
=
|
faktor razrjeđivanja
|
Faktor razrjeđivanja izračunava se na sljedeći način:
|
(a)
|
za dizelske i plinske motore koji kao gorivo koriste LPG (ukapljeni naftni plin)
|
|
(b)
|
za plinske motore koji kao gorivo koriste NG (prirodni plin)
gdje je:
|
cCO2
|
=
|
koncentracija CO2 u razrijeđenom ispušnom plinu, % obujma
|
|
cHC
|
=
|
koncentracija HC u razrijeđenom ispušnom plinu, ppm C1
|
|
cNMHC
|
=
|
koncentracija NMHC u razrijeđenom ispušnom plinu, ppm C1
|
|
cCO
|
=
|
koncentracija CO u razrijeđenom ispušnom plinu, ppm
|
|
FS
|
=
|
stehiometrijski faktor
|
Koncentracije izmjerene na suhoj osnovi mogu se pretvoriti na vlažnu osnovu u skladu s odjeljkom 5.2. Dodatka 1. ovom Prilogu.
Stehiometrijski se faktor izračunava kako slijedi:
gdje su:
α, ε molarni omjeri koji se odnose na gorivo CHαOε
|
Alternativno, ako sastav goriva nije poznat, mogu se koristiti sljedeći stehiometrijski faktori:
|
F
S (dizel)
|
=
|
13,4
|
|
F
S (LPG)
|
=
|
11,6
|
|
F
S (NG)
|
=
|
9,5
|
5.5. Izračun specifičnih emisija
Emisije (g/kWh) izračunavaju se na sljedeći način:
|
(a)
|
svi sastavni dijelovi, izuzev NOx:
|
|
(b)
|
NOx:
gdje je:
|
Wact
|
=
|
stvarni rad ciklusa kako je utvrđeno u skladu s odjeljkom 3.9.2.
|
|
5.5.1. U slučaju periodičkog sustava naknadne obrade ispušnih plinova, emisije se ponderiraju na sljedeći način:
gdje je:
|
n1
|
=
|
broj ETC ispitivanja između dvije regeneracije
|
|
n2
|
=
|
broj ETC ispitivanja tijekom regeneracije (najmanje jedno ETC ispitivanje)
|
|
M plin,n2
|
=
|
emisije tijekom regeneracije
|
|
M plin,n1
|
=
|
emisije nakon regeneracije.
|
6. IZRAČUN EMISIJE ČESTICA (AKO JE PRIMJENJIVO)
6.1. Evaluacija podataka
Filtar za čestice vraća se u komoru za vaganje najkasnije jedan sat nakon završetka ispitivanja. Do kondicioniranja filtara dolazi u djelomično zatvorenoj Petrijevoj zdjelici, koja je zaštićena od onečišćenja prašinom, najmanje jedan sat, ali ne dulje od 80 sati, i tada se važe. Bruto masa filtara se bilježi, a tara masa se odbija, što rezultira masom uzorka čestica m
f. Prilikom procjene koncentracije čestica, bilježi se ukupna masa uzorka (m
sep) kroz filtre tijekom ciklusa ispitivanja.
Ako se primjenjuje pozadinska korekcija, bilježi se masa zraka za razrjeđivanje (m
d) kroz filtar i masa čestica (m
f,d).
6.2. Izračun masenog protoka
6.2.1. Sustav razrjeđivanja punog protoka
Masa čestica (g/ispitivanje) izračunava se kako slijedi:
gdje je:
|
mf
|
=
|
masa čestica uzorkovanih tijekom ciklusa, mg
|
|
msep
|
=
|
masa razrijeđenog ispušnog plina koji prolazi kroz filtre prikupljanja čestica, kg
|
|
med
|
=
|
masa razrijeđenog ispušnog plina tijekom ciklusa, kg
|
Ako se koristi sustav dvostrukog razrjeđivanja, masa sekundarnog zraka za razrjeđivanje oduzima se iz ukupne mase dvostruko razrijeđenog ispušnog plina uzorkovanog kroz filtre za čestice.
gdje je:
|
mset
|
=
|
masa dvostruko razrijeđenog ispušnog plina kroz filtar za čestice, kg
|
|
mssd
|
=
|
masa sekundarnog zraka za razrjeđivanje, kg
|
Ako se postojeća razina čestica zraka za razrjeđivanje utvrđuje u skladu s odjeljkom 3.4., masa čestica može se podvrći korekciji. U tom slučaju masa čestica (g/ispitivanje) izračunava se na sljedeći način:
gdje je:
|
mPT, msep, med
|
=
|
vidjeti gore
|
|
md
|
=
|
masa primarnog zraka za razrjeđivanje uzorkovanog uređajem za uzorkovanje postojećih čestica, kg
|
|
mf,d
|
=
|
masa sakupljenih postojećih čestica primarnog zraka za razrjeđivanje, mg
|
|
D
|
=
|
faktor razrjeđivanja kako je utvrđeno u odjeljku 5.4.1.
|
6.2.2. Sustav razrjeđivanja djelomičnog protoka
Masa čestica (g/ispitivanje) izračunava se nekom od sljedećih metoda:
|
(a)
|
gdje je:
|
mf
|
=
|
masa čestica uzorkovana tijekom ciklusa, mg
|
|
msep
|
=
|
masa razrijeđenog ispušnog plina koji prolazi kroz filtre za prikupljanje čestica, kg
|
|
medf
|
=
|
masa istovjetnog razrijeđenog ispušnog plina tijekom ciklusa, kg
|
Ukupna masa istovjetnog razrijeđenog ispušnog plina tijekom ciklusa utvrđuje se na sljedeći način:
gdje je:
|
qmedf,i
|
=
|
trenutačna istovjetna brzina masenog protoka razrijeđenih ispušnih plinova, kg/s
|
|
qmew,i
|
=
|
trenutačna brzina masenog protoka ispušnih plinova, kg/s
|
|
r d,i
|
=
|
trenutni omjer razrjeđivanja
|
|
qmdew,i
|
=
|
trenutačna brzina masenog protoka razrijeđenih ispušnih plinova kroz tunel za razrjeđivanje, kg/s
|
|
qmdw,i
|
=
|
trenutačna brzina masenog protoka zraka za razrjeđivanje, kg/s
|
|
f
|
=
|
brzina uzorkovanja podataka, Hz
|
|
n
|
=
|
broj mjerenja
|
|
|
(b)
|
gdje je:
|
mf
|
=
|
masa čestica uzorkovana tijekom ciklusa, mg
|
|
rs
|
=
|
prosječni omjer uzorka tijekom ciklusa ispitivanja
|
sa:
gdje je:
|
mse
|
=
|
masa uzorka tijekom ciklusa, kg
|
|
mew
|
=
|
ukupni maseni protok ispušnih plinova tijekom ciklusa, kg
|
|
msep
|
=
|
masa razrijeđenog ispušnog plina koji prolazi kroz filtre za prikupljanje čestica, kg
|
|
msed
|
=
|
masa razrijeđenog ispušnog plina koji prolazi tunelom za razrjeđivanje, kg.
|
Napomena: U slučaju sustava tipa ukupnog uzorkovanja, m
sep i m
sed su identični.
|
6.3. Izračun specifične emisije
Emisija čestica (g/kWh) izračunava se na sljedeći način:
gdje je:
|
Wact
|
=
|
stvarni rad ciklusa utvrđen u skladu s odjeljkom 3.9.2., kWh.
|
6.3.1. U slučaju sustava naknadne obrade periodične regeneracije, emisije se težinski vrednuju kako slijedi:
gdje je:
|
n1
|
=
|
broj ETC ispitivanja između dvije regeneracije
|
|
n2
|
=
|
broj ETC ispitivanja tijekom regeneracije (najmanje jedno ETC ispitivanje)
|
|
|
=
|
emisije tijekom regeneracije
|
|
|
=
|
emisije izvan regeneracije.”;
|
|
|
|
(g)
|
Dodatak 4. mijenja se kako slijedi:
|
i.
|
odjeljak 1. se zamjenjuje sljedećim:
„1. UVOD
Plinoviti sastavni dijelovi, čestice i dim koje ispušta motor, a koji su podvrgnuti ispitivanju, mjere se metodama opisanim u Prilogu V. Odjeljci Priloga V. opisuju preporučene analitičke sustave za plinovite emisije (odjeljak 1.), preporučene sustave uzorkovanja i razrjeđivanja čestica (odjeljak 2.), te preporučene opacimetre za mjerenje dima (odjeljak 3.).
Prilikom ESC-a, plinoviti sastavni dijelovi utvrđuju se u neobrađenom ispušnom plinu. Po izboru, mogu se utvrditi u razrijeđenom ispušnom plinu ako se za određivanje čestica koristi sustav razrjeđivanja punog protoka. Čestice se utvrđuju bilo sustavom razrjeđivanja dijela protoka ili punog protoka.
Prilikom ETC-a mogu se koristiti sljedeći sustavi:
|
—
|
CVS sustav razrjeđivanja punog protoka za utvrđivanje plinovitih emisija i emisija čestica (sustavi dvostrukog razrjeđivanja su dopušteni),
ili
|
|
—
|
kombinacija mjerenja neobrađenih ispušnih plinova za plinovite emisije i sustava razrjeđivanja djelomičnog protoka za emisije čestica,
ili
|
|
—
|
svaka kombinacija dvaju načela (npr. mjerenje neobrađenih plinova i mjerenje čestica punog protoka).”;
|
|
|
ii.
|
odjeljak 2.2. zamjenjuje se sljedećim:
„2.2. Ostali instrumenti
Prema potrebi se koriste mjerni instrumenti za potrošnju goriva, potrošnju zraka, temperaturu rashladnog sredstva i maziva, tlaka ispušnog plina i podtlak usisnog kolektora, temperaturu ispušnog plina, temperaturu usisnog zraka, atmosferski tlak, vlažnost i temperaturu goriva. Ovi instrumenti zadovoljavaju zahtjeve navedene u tablici 9.:
Tablica 9.
Točnost mjernih instrumenata
|
Mjerni instrument
|
Točnost
|
|
Potrošnja goriva
|
± 2 % od najveće vrijednosti motora
|
|
Potrošnja zraka
|
± 2 % od očitane vrijednosti ili ± 1 % od najveće vrijednosti motora, ovisno o tome koja je veća
|
|
Protok ispušnog plina
|
± 2,5 % od očitane vrijednosti ili ± 1,5 % od najveće vrijednosti motora, ovisno o tome koja je veća
|
|
Temperature ≤ 600 K (327 °C)
|
± 2 K apsolutno
|
|
Temperature ≥ 600 K (327 °C)
|
± 1 % od očitane vrijednosti
|
|
Atmosferski tlak
|
± 0,1 kPa apsolutno
|
|
Tlak ispušnog plina
|
± 0,2 kPa apsolutno
|
|
Podtlak usisa
|
± 0,05 kPa apsolutno
|
|
Ostali tlakovi
|
± 0,1 kPa apsolutno
|
|
Relativna vlažnost
|
± 3 % apsolutno
|
|
Apsolutna vlažnost
|
± 5 % od očitane vrijednosti
|
|
Protok zraka za razrjeđivanje
|
± 2 % od očitane vrijednosti
|
|
Protok razrijeđenog ispušnog plina
|
± 2 % od očitane vrijednosti”
|
|
|
iii.
|
odjeljci 2.3. i 2.4. se brišu;
|
|
iv.
|
odjeljci 3. i 4. zamjenjuju se sljedećim:
„3. UTVRĐIVANJE PLINOVITIH SASTAVNIH DIJELOVA
3.1. Opći tehnički zahtjevi za analizator
Analizatori trebaju imati mjerno područje koje odgovara točnosti potrebnoj za mjerenje koncentracija sastavnih dijelova ispušnih plinova (odjeljak 3.1.1.). Preporuča se da analizatori rade tako da izmjerena koncentracija bude između 15 % i 100 % cjelokupnog mjernog raspona.
Ako sustavi očitavanja (računala, uređaji za bilježenje podataka) pružaju dostatnu točnost i razlučivost ispod 15 % cjelokupnog mjernog raspona, prihvatljiva su i mjerenja ispod 15 % cjelokupnog mjernog raspona. U tom slučaju, potrebno je obaviti dodatna umjeravanja četiri podjednako razmaknute točke (koje nisu ništice) kako bi se osigurala točnost krivulja umjeravanja u skladu s odjeljkom 1.6.4. Dodatka 5. ovom Prilogu.
Elektromagnetska uskladivost (EMC) opreme treba biti na takvoj razini da se dodatne pogreške svedu na najmanju mjeru.
3.1.1. Točnost
Analizator ne smije odstupati od nominalne točke umjeravanja za više od ± 2 % od očitane vrijednosti preko čitavog mjernog područja osim ništice, ili ± 3 % cjelokupnog mjernog raspona, ovisno o tome što je veće. Točnost se utvrđuje u skladu sa zahtjevima umjeravanja navedenim u odjeljku 1.6. Dodatka 5. ovom Prilogu.
Napomena: Za potrebe ove Direktive, točnost se definira kao odstupanje očitane vrijednosti analizatora od nominalnih vrijednosti umjeravanja primjenom plina za umjeravanje (= prava vrijednost).
3.1.2. Preciznost
Preciznost, definirana kao 2,5-kratno standardno odstupanje od 10 ponavljajućih odziva na određeni umjerni plin ili plin za određivanje najvećeg otklona analizatora, ne smije biti veća od ± 1 % koncentracije cjelokupnog mjernog raspona za svako korišteno područje iznad 155 ppm (ili ppmC) ili ± 2 % za svako korišteno područje ispod 155 ppm (ili ppmC).
3.1.3. Šum
Međuvršni odziv analizatora za nulti, umjerni plin ili plin za određivanje najvećeg otklona analizatora tijekom bilo kojeg razdoblja od 10 sekundi, ne smije ni na jednom korištenom području prelaziti 2 % mjernog raspona.
3.1.4. Nulti pomak
Nulti se odziv definira kao srednji odziv, uključujući šum na nulti plin (za namještanje nulte točke) tijekom vremenskog razdoblja od 30 sekundi. Pomak nultog odziva tijekom razdoblja od jednog sata mora biti manji od 2 % mjernog raspona na najnižem korištenom području.
3.1.5. Pomak raspona
Odziv raspona definira se kao srednji odziv, uključujući šum, na umjerni plin tijekom 30 sekundi. Pomak odziva raspona tijekom jednog sata mora biti manji od 2 % cijelog opsega skale na najnižem korištenom području.
3.1.6. Vrijeme porasta
Vrijeme porasta analizatora ugrađenog u sustav mjerenja ne smije prelaziti 3,5 s.
Napomena: Sama procjena vremena porasta analizatora neće jasno definirati prikladnost ukupnog sustava za prijelazno ispitivanje. Količine, a naročito nepokretne količine kroz čitav sustav ne utječu samo na vrijeme prijenosa od sonde do analizatora, već također utječu na vrijeme porasta. Također, vremena prijenosa unutar analizatora definirala bi se kao vrijeme odziva analizatora, poput pretvarača ili uređaja za uklanjanje vode unutar NOx analizatora. Utvrđivanje ukupnog vremena odziva sustava opisano je u odjeljku 1.5. Dodatka 5. ovom Prilogu.
3.2. Sušenje plina
Uređaj za sušenje plina koji se može koristiti mora proizvoditi najmanji učinak na koncentraciju izmjerenih plinova. Kemijska sredstva za sušenje ne predstavljaju prihvatljivu metodu uklanjanja vode iz uzorka.
3.3. Analizatori
Odjeljci 3.3.1. do 3.3.4. opisuju načela mjerenja koja se trebaju koristiti. Detaljan opis sustava mjerenja naveden je u Prilogu V. Plinovi koji će se mjeriti analiziraju se pomoću sljedećih instrumenata. Za nelinearne analizatore dopuštena je uporaba linearizirajućih sklopova.
3.3.1. Analiza ugljičnog monoksida (CO)
Analizator ugljičnog monoksida je neraspršujućeg infracrvenog (NIDR) apsorpcijskog tipa.
3.3.2. Analiza ugljičnog dioksida (CO2)
Analizator ugljičnog dioksida je neraspršujućeg infracrvenog (NIDR) apsorpcijskog tipa.
3.3.3. Analiza ugljikovodika (HC)
Kod dizelskih i plinskih motora koji kao gorivo koriste LPG (ukapljeni naftni plin), analizator ugljikovodika mora biti tipa HFID (grijani plameno-ionizacijski detektor) s detektorom, ventilima, cjevovodom, itd. zagrijan tako da održava temperaturu plina od 463 K ± 10 K (190 °C ± 10 °C). Kad je riječ o plinskim motorima koji kao gorivo koriste NG (prirodni plin), analizator ugljikovodika može biti tipa FID (negrijani plameno-ionizacijski detektor) ovisno o primijenjenoj metodi (vidjeti odjeljak 1.3. Priloga V.).
3.3.4. Analiza nemetanskih ugljikovodika (NMHC) (samo plinski motori koji kao gorivo koriste NG)
Nemetanski ugljikovodici se moraju ispitivati jednom od sljedećih metoda:
3.3.4.1. Metoda plinske kromatografije (GC)
Nemetanski ugljikovodici utvrđuju se izdvajanjem metana analiziranog plinskim kromatografom (GC) kondicioniranim pri 423 K (150 °C) iz ugljikovodika izmjerenih u skladu s odjeljkom 3.3.3.
3.3.4.2. Metoda odvajanja nemetana (NMC)
Utvrđivanje frakcije nemetana provodi se s ugrijanim NMC-om koji radi u skladu s FID-om prema odjeljku 3.3.3. izdvajanjem metana iz ugljikovodika.
3.3.5. Analiza oksida dušika (NOx)
Analizator oksida dušika je tip kemiluminiscentnog detektora (CLD) ili zagrijanog kemiluminiscentnog detektora (HCLD) s pretvaračem NO2/NO, ako se mjeri na suhoj osnovi. Ako se mjeri na vlažnoj osnovi, koristi se HCLD s pretvaračem koji se održava iznad 328 K (55 °C), pod uvjetom da je zadovoljena provjera hlađenja vodom (vidjeti odjeljak 1.9.2.2. Dodatka 5. ovom Prilogu).
3.3.6. Mjerenje omjera zraka i goriva
Oprema za mjerenje zraka i goriva koja se koristi za utvrđivanje protoka ispušnog plina kako je navedeno u odjeljku 4.2.5. Dodatka 2. ovom Prilogu je tipa širokog raspona senzora omjera zraka i goriva ili lambda senzor cirkonijevog tipa. Senzor se postavlja izravno na ispušnu cijev ako je temperatura ispušnog plina dovoljno visoka da ne dolazi do kondenzacije vode.
Točnost senzora s građenom elektronikom treba biti unutar:
|
± 3 % od očitane vrijednosti
|
λ < 2
|
|
± 5 % od očitane vrijednosti
|
2 ≤ λ < 5
|
|
± 10 % od očitane vrijednosti
|
5 ≤ λ
|
Kako bi ispunio gore navedenu točnost, senzor se umjerava prema zahtjevima proizvođača instrumenta.
3.4. Uzorkovanje plinovitih emisija
3.4.1. Neobrađeni ispušni plin
Sonde za uzorkovanje plinovitih emisija ugrađuju se najmanje 0,5 m ili za trostruki promjer ispušne cijevi — što je već veće — od kraja ispuha, ali dovoljno blizu motoru kako bi se osigurala temperatura ispušnog plina u sondi od najmanje 343 K (70 °C).
U slučaju višecilindarskog motora s odvojenim granama ispušnog kolektora, ulaz u sondu treba biti smješten dovoljno daleko od motora kako bi se osigurala reprezentativnost uzorka prosječnih ispušnih emisija iz svih cilindara. Kad se radi o višecilindarskim motorima s odvojenim kolektorima, kao kod izvedbe V-motora, preporuča se spajanje kolektora iznad/prije sonde za uzorkovanje. Ako je to nepraktično, dozvoljeno je prikupljanje uzorka iz kolektora s najvišom emisijom CO2. Mogu se koristiti i druge metode koje odgovaraju gore navedenim metodama. Za izračun ispušne emisije koristi se ukupni maseni protok ispušnih plinova.
Ako je motor opremljen sustavom naknadne obrade ispušnih plinova, uzorak iz ispušnih plinova uzima se nakon sustava naknadne obrade ispušnih plinova.
3.4.2. Razrijeđeni ispušni plin
Ispušna cijev između motora i sustava razrjeđivanja punog protoka ispunjava zahtjeve iz odjeljka 2.3.1. Priloga V. (EP).
Sonda (sonde) za uzorkovanje plinovitih emisija ugrađuje(-u) se u tunelu za razrjeđivanje na mjestu miješanja zraka za razrjeđivanje i ispušnog plina, i u neposrednoj blizini sonde za uzorkovanje čestica.
Uzorkovanje se općenito može provoditi na dva načina:
|
—
|
uzorci onečišćujućih tvari uzimaju se pomoću vreće za uzorkovanje tijekom ciklusa i mjere se nakon završetka ispitivanja,
|
|
—
|
uzorci onečišćujućih tvari stalno se uzimaju i objedinjavaju tijekom ciklusa; ta je metoda obvezna za HC i NOx.
|
4. UTVRĐIVANJE ČESTICA
Za utvrđivanje čestica potreban je sustav razrjeđivanja. Razrjeđivanje se može postići sustavom razrjeđivanja djelomičnim protokom ili sustavom dvostrukog razrjeđivanja s cijelim protokom. Kapacitet protoka sustava razrjeđivanja dovoljno je velik da se u potpunosti ukloni kondenzacija vode iz sustava razrjeđivanja i uzorkovanja. Temperatura razrijeđenog ispušnog plina ispred držača filtra treba biti ispod 325 K (52 °C) (16). Kontrola vlažnosti zraka za razrjeđivanje prije ulaska u sustav razrjeđivanja je dozvoljena, a ako je vlažnost zraka za razrjeđivanje velika, posebno se preporuča odvlaživanje. Temperatura zraka za razrjeđivanje treba biti veća od 288 K (15 °C) u neposrednoj blizini ulaska u tunel za razrjeđivanje.
Sustav razrjeđivanja djelomičnim protokom treba projektirati tako da se iz strujanja ispušnih plinova motora može izdvojiti razmjerni uzorak neobrađenih ispušnih plinova, odazivajući se time na otklone u brzini protoka strujanja u ispuhu, te da se u taj uzorak uvede zrak za razrjeđivanje kako bi se postigla temperatura ispod 325 K (52 °C) u filtru za ispitivanje. Za to je bitno utvrđivanje omjera razrjeđivanja ili omjera uzorkovanja r
dil ili r
s tako da se zadovolje granične vrijednosti za točnost iz odjeljka 3.2.1. Dodatka 5. ovom Prilogu. Mogu se koristiti različite metode izvlačenja, pri čemu vrsta izvlačenja koja se koristi u značajnoj mjeri određuje koja će se strojna oprema i postupci uzorkovanja koristiti (odjeljak 2.2. Priloga V.).
Načelno, sondu za uzorkovanje čestica treba ugraditi u neposrednoj blizini sonde za uzorkovanje plinovitih emisija, ali dovoljno daleko da ne uzrokuje međudjelovanje. Stoga se odredbe o ugradnji iz odjeljka 3.4.1. također primjenjuju kod uzorkovanje čestica. Linija uzorkovanja treba odgovarati zahtjevima iz odjeljka 2. Priloga V.
U slučaju višecilindarskog motora s odvojenim granama ispušnog kolektora, ulaz u sondu treba biti smješten dovoljno daleko od motora kako bi se osigurala reprezentativnost uzorka prosječnih ispušnih emisija iz svih cilindara. Kad se radi o višecilindarskim motorima s odvojenim kolektorima, kao kod izvedbe V-motora, preporuča se združivanje kolektora iznad/prije sonde za uzorkovanje. Ako je to nepraktično, dozvoljeno je prikupljanje uzorka iz skupine kolektora s najvišom emisijom čestica. Mogu se koristiti i druge metode koje su se pokazale odgovarajuće gornjim metodama. Za izračun ispušne emisije koristi se ukupni maseni protok ispušnih plinova.
Za utvrđivanje mase čestica potrebni su sustav uzorkovanja čestica, filtri za uzorkovanje čestica, mikrogramska vaga te komora za vaganje s kontroliranom temperaturom i vlagom.
Prilikom uzorkovanja čestica primjenjuje se metoda jedinstvenog filtra gdje se koristi jedan filtar (vidjeti odjeljak 4.1.3.) za čitav ciklus ispitivanja. Kad se radi o ESC ispitivanju, treba voditi računa o vremenu uzorkovanja i protocima tijekom faze uzorkovanja kod ispitivanja.
4.1. Filtri za uzorkovanje čestica
Razrijeđeni se ispuh uzorkuje filtrom koji ispunjava zahtjeve iz odjeljaka 4.1.1. i 4.1.2. tijekom slijeda ispitivanja.
4.1.1. Zahtjevi za filtre
Potrebni su filtri od staklenog vlakna prevučeni fluorougljikom. Svi tipovi filtara imaju učinkovitost sakupljanja 0,3 μm DOP (dioktilftalat) od najmanje 99 % pri brzini dotoka plina između 35 i 100 cm/s.
4.1.2. Veličina filtra
Preporučaju se filtri čestica promjera od 47 mm ili 70 mm. Filtri većeg promjera su prihvatljivi (odjeljak 4.1.4.), no filtri manjeg promjera nisu dozvoljeni.
4.1.3. Brzina dotoka u filtar
Treba doseći brzinu dotoka plinova u filtar od 35 do 100 cm/s. Povećanje pada tlaka između početka i kraja ispitivanja ne smije biti veće od 25 kPa.
4.1.4. Opterećenje filtra
Zahtijevano najmanje opterećenja filtra za najčešće veličine filtara prikazano je u tablici 10. Za velike filtre, najmanje opterećenje filtara iznosi 0,065 mg/1 000 mm2 područja filtara.
Tablica 10.
Najmanja opterećenja filtara
|
Promjer filtra (mm)
|
Najmanje opterećenje (mg)
|
|
47
|
0,11
|
|
70
|
0,25
|
|
90
|
0,41
|
|
110
|
0,62
|
Ako se, na temelju prethodnog ispitivanja, zahtijevano najmanje opterećenje filtra neće postići u ciklusu ispitivanja nakon namještanja brzina protoka i omjera razrjeđivanja, može se prihvatiti i manje opterećenje filtra, uz suglasnost uključenih strana, ako se mogu ispuniti zahtjevi točnosti iz odjeljka 4.2., npr. uz ravnotežu od 0,1 μg.
4.1.5. Držač filtra
Za ispitivanje emisija, filtri se smještaju u sklop držača filtra koji ispunjava zahtjeve iz odjeljka 2.2. Priloga V. Sklop držača filtra treba biti takve konstrukcije da osigura jednakomjernu raspodjelu protoka po radnoj površini filtra. Ventili brzog djelovanja ugrađuju se prije ili poslije držača filtra. Inercijski predklasifikator s 50 % točkom odsijecanja između 2,5 μm i 10 μm može se ugraditi odmah uzvodno od držača filtara. Uporaba predklasifikatora izričito se preporuča ako se koristi sonda za uzrokovanje s otvorenom cijevi okrenutom prema dotoku ispušnih plinova.
4.2. Zahtjevi za komoru za vaganje i analitičku vagu
4.2.1. Uvjeti u komori za vaganje
Temperaturu komore (ili prostorije) u kojoj se kondicioniraju i važu filtri čestica treba održavati unutar 295 K ± 3 K (22 °C ± 3 °C) tijekom kondicioniranja i vaganja svih filtara. Vlažnost treba održavati pri točki rosišta od 282,5 K ± 3 K (9,5 °C ± 3 °C) i relativnoj vlažnosti od 45 % ± 8 %.
4.2.2. Vaganje referentnih filtara
U okruženju komore (ili prostorije) ne smije biti nikakvih onečišćujućih sastojaka iz okoline (poput prašine) koji bi se taložili na filtre čestica tijekom njihove stabilizacije. Poremećaji u odnosu na zahtjeve prostorije za vaganje kako je navedeno u odjeljku 4.2.1. dopustit će se ako trajanje tih poremećaja ne prelazi 30 minuta. Prostorija za vaganje treba ispunjavati zahtjeve prije ulaska osoba u prostoriju za vaganje. Najmanje dva nekorištena referentna filtra važu se u roku od 4 sata od vaganja filtara uzorka, ali je bolje da se to izvede istovremeno. Ovi filtri trebaju biti iste veličine i od istog materijala kao i filtri za uzorke.
Ako se prosječna masa referentnih filtara mijenja između vaganja filtara uzorka za više od 10 μg, tada se svi filtri uzoraka odbacuju, a ispitivanje emisija se ponavlja.
Ako nisu zadovoljeni kriteriji u vezi sa stabilnošću prostorije za vaganje navedeni u odjeljku 4.2.1., ali vaganja referentnih filtara zadovoljavaju gore navedene kriterije, proizvođač motora može prihvatiti težine filtara uzorka ili poništiti ispitivanja postavljanjem sustava kontrole prostorije za vaganje i ponovnim provođenjem ispitivanja.
4.2.3. Analitička vaga
Analitička vaga koja se koristi za utvrđivanje filtra ima preciznost (standardno odstupanje) od najmanje 2 μg i razlučivost od najmanje 1 μg (1 znamenka = 1 μg) prema specifikaciji proizvođača vage.
4.2.4. Uklanjanje učinaka statičkog elektriciteta
Kako bi se uklonili učinci statičkog elektriciteta, filtri se neutraliziraju prije vaganja, npr. pomoću polonijevog neutralizatora, Faradayevog kaveza ili uređaja sa sličnim učinkom.
4.2.5. Zahtjevi kod mjerenje protoka
4.2.5.1. Opći zahtjevi
Apsolutne točnosti mjerila protoka ili instrumenata za mjerenje protoka navedene su u odjeljku 2.2.
4.2.5.2. Posebne odredbe s obzirom na sustave razrjeđivanja dijela protoka
S obzirom na sustave razrjeđivanja djelomičnog protoka, točnost protoka uzoraka q
mp je od posebne važnosti, ako se ne mjeri izravno, nego se utvrđuje diferencijalnim mjerenjem protoka:
U ovom slučaju točnost od ± 2 % za q
mdew i q
mdw nije dostatna da se zajamče prihvatljive točnosti q
mp. Ako se protok plina utvrđuje diferencijalnim mjerenjem protoka, najveća pogreška razlike smije biti takva da točnost q
mp treba biti unutar ± 5 % ako je omjer razrjeđivanja manji od 15. Također se može izračunati preko korijena srednje vrijednosti kvadrata pogreške svakog instrumenta.
Prihvatljive se točnosti q
mp mogu dobiti nekom od sljedećih metoda:
apsolutne točnosti q
mdew i q
mdw su ± 0,2 % što jamči točnost q
mp od ≤ 5 % pri omjeru razrjeđivanja 15. Međutim, do većih će pogrešaka doći pri većim omjerima razrjeđivanja;
umjeravanje q
mdw s obzirom na q
mdew provodi se tako da se dobiju iste točnosti za q
mp kao pod a). Za detalje takvog umjeravanja pogledati odjeljak 3.2.1. Dodatka 5. Prilogu III.;
točnost q
mp utvrđuje se posredno iz točnosti omjera razrjeđivanja plinom obilježivačem, npr. CO2. I opet su potrebne točnosti istovjetne metodi pod a);
apsolutna točnost q
mdew i q
mdw je unutar ± 2 % cjelokupnog mjernog raspona, najveća pogreška razlike između q
mdew i q
mdw je unutar 0,2 %, a pogreška linearnosti je unutar ± 0,2 % od najvećeg q
mdew uočenog tijekom ispitivanja.
|
|
|
(h)
|
Dodatak 5. mijenja se kako slijedi:
|
i.
|
dodaje se sljedeći odjeljak 1.2.3.:
„1.2.3. Uporaba uređaja za precizno miješanje
Plinovi koji se koriste za umjeravanje i određivanje najvećeg otklona analizatora mogu se također dobiti pomoću uređaja za precizno miješanje (uređaji za razdvajanje plinova) razrjeđivanjem s pročišćenim N2 ili pročišćenim sintetskim zrakom. Točnost uređaja za miješanje mora biti takva da točnost koncentracije izmiješanih plinova za umjeravanje bude u okviru ± 2 %. Ova točnost podrazumijeva da primarni plinovi koji se koriste prilikom miješanja moraju biti poznati do točnosti od najmanje ± 1 %, mogu se dokazati prema nacionalnim ili međunarodnim normama za plin. Provjera se obavlja između 15 i 50 % cjelokupnog mjernog raspona svakog umjeravanja koje obuhvaća uređaj za miješanje.
Po izboru, uređaj za miješanje može se provjeriti pomoću instrumenta koji je po prirodi linearan, npr. primjenom NO plina s CLD-om. Vrijednost najvećeg otklona instrumenta namješta se plinom za određivanje najvećeg otklona koji je izravno povezan s instrumentom. Uređaj za miješanje provjerava se pri primijenjenim postavnim vrijednostima, a nominalna se vrijednost uspoređuje s izmjerenom koncentracijom instrumenta. U svakoj točki razlika je unutar ± 1 % nominalne vrijednosti.”;
|
|
ii.
|
odjeljak 1.4. zamjenjuje se sljedećim:
„1.4. Ispitivanje propuštanja
Provodi se ispitivanje propuštanja sustava. Sonda se odspaja od ispušnog sustava i njezin se kraj zatvara. Crpka analizatora se uključuje. Nakon početnog razdoblja stabilizacije, sva mjerila protoka trebaju pokazivati nulu. Ako to nije slučaj, linije za uzorkovanje se provjeravaju i greška se ispravlja.
Najveći dopušteni stupanj propuštanja na podtlačnoj strani iznosi 0,5 % od brzine protoka u uporabi za dio sustava koji se provjerava. Protoci u analizatoru i obilazni protoci mogu se koristiti kako bi se procijenile brzine protoka u uporabi.
Alternativno, sustav se može isprazniti do podtlaka od najmanje 20 kPa vakuuma (80 kPa apsolutne vrijednosti). Nakon početnog razdoblja stabilizacije, rast tlaka Δp (kPa/min) u sustavu ne smije prijeći:
gdje je:
|
Vs
|
=
|
obujam sustava, l
|
|
qvs
|
=
|
brzina protoka sustava, l/min
|
Druga metoda je uvođenje postupne promjene koncentracija na početku linije uzorkovanja s prebacivanjem plina za namještanje nulte točke na plin za određivanje najvećeg otklona. Ako nakon primjerenog vremenskog razdoblja očitana vrijednost bude oko 1 % niža u usporedbi s uvedenom koncentracijom, to ukazuje na probleme s umjeravanjem ili propuštanjem.”;
|
|
iii.
|
umeće se sljedeći odjeljak 1.5.:
„1.5. Provjera vremena odziva analitičkog sustava
Postavne vrijednosti sustava za procjenu vremena odziva trebaju biti potpuno iste kao i tijekom mjerenja ispitivanja (npr. tlak, brzine protoka, postavne vrijednosti filtra na analizatoru i svi drugi utjecaji na vrijeme odziva). Utvrđivanje vremena odziva provodi se izmjenjivanjem plinova izravno na ulazu u sondu za uzorke. Promjenu plinova treba provesti za manje od 0,1 sekunde. Plinovi koji se koriste za ispitivanje trebaju izazvati promjenu koncentracije od najmanje 60 % FS.
Treba bilježiti promjenu koncentracije svakog pojedinog sastavnog dijela plina. Vrijeme odziva definira se kao razlika u vremenu između promjene plinova i odgovarajuće promjene koncentracije. Vrijeme odziva sustava (t
90) sastoji se od vremena odgode prema mjernom detektoru i vremena porasta detektora. Vrijeme odgode definira se kao vrijeme od promjene (t
0) dok odziv ne bude 10 % od konačne očitane vrijednosti (t
10). Vrijeme porasta definira se kao vrijeme između 10 % i 90 % odziva konačne očitane vrijednosti (t
90 – t
10).
Prilikom vremenskog usklađenja analizatora i signala protoka ispušnih plinova u slučaju grubog mjerenja, vrijeme transformacije definira se kao vrijeme od promjene (t
0) dok odziv ne bude 50 % konačne očitane vrijednosti (t
50).
Vrijeme odziva sustava iznosi ≤ 10 sekundi s vremenom porasta ≤ 3,5 sekundi za sve ograničene sastavne dijelove (CO, NOx, HC ili NMHC) i sve korištene raspone.”;
|
|
iv.
|
prijašnji odjeljak 1.5. zamjenjuje se sljedećim:
„1.6. Umjeravanje
1.6.1. Sklop instrumenata
Sklop instrumenata treba umjeriti i krivulje umjeravanja provjeriti prema etalonskim plinovima. Koriste se iste brzine protoka plinova kao i prilikom uzorkovanja ispušnih plinova.
1.6.2. Vrijeme zagrijavanja
Vrijeme zagrijavanja treba biti u skladu s preporukama proizvođača. Ako nije navedeno, preporuča se najmanje dva sata za zagrijavanje analizatora.
1.6.3. NDIR i HFID analizator
NDIR analizator se, prema potrebi, podešava, a plamen izgaranja HFID analizatora se optimizira (odjeljak 1.8.1.).
1.6.4. Određivanje krivulje umjeravanja
|
—
|
Svako uobičajeno korišteno radno područje se umjerava.
|
|
—
|
Primjenom pročišćenog sintetskog zraka (ili dušika), analizatori CO, CO2, NOx i HC postavljaju se na nulu.
|
|
—
|
U analizatore se uvode primjereni plinovi umjeravanja, vrijednosti se bilježe, a krivulja umjeravanja uspostavlja.
|
|
—
|
Krivulja umjeravanja određuje se u najmanje 6 točaka umjeravanja (isključujući ništicu) otprilike jednakomjerno raspoređenih u radnom području. Najviša nominalna koncentracija jednaka je ili veća od 90 % cjelokupnog mjernog raspona.
|
|
—
|
Krivulja umjeravanja izračunava se metodom najmanjih kvadrata. Može se koristiti najprikladnija linearna ili nelinearna jednadžba.
|
|
—
|
Točke umjeravanja ne smiju odstupati od crte koja najbliže priliježe najmanjim kvadratima za više od ± 2 % od očitane vrijednosti ili ± 0,3 % cjelokupnog mjernog raspona, ovisno o tome što je veće.
|
|
—
|
Postavljanje ništice se prema potrebi ponovno provjerava, a postupak umjeravanja ponavlja.
|
1.6.5. Alternative metode
Ako se može dokazati da alternativna tehnologija (npr. računalo, elektronički upravljana sklopka raspona, itd.) može dati istovjetnu točnost, tada se ona smije i koristiti.
1.6.6. Umjeravanja analizatora obilježavajućeg plina za mjerenje protoka ispušnih plinova
Krivulja umjeravanja uspostavlja se na najmanje 6 točaka umjeravanja (isključujući ništicu) otprilike jednakomjerno raspoređenih u radnom području. Najviša nominalna koncentracija treba biti jednaka ili veća od 90 % cjelokupnog mjernog raspona. Krivulja umjeravanja izračunava se metodom najmanjih kvadrata.
Točke umjeravanja ne razlikuju se od najprikladnije linije najmanjih kvadrata za više od ± 2 % očitane vrijednosti ili ± 0,3 % cjelokupnog mjernog raspona, ovisno o tome što je veće.
Analizator se postavlja na nulu, a njegov se raspon mjeri prije ispitivanja primjenom nultog plina i plina za određivanje najvećeg otklona analizatora čija je nominalna vrijednost veća od 80 % cjelokupnog mjernog raspona analizatora.”;
|
|
v.
|
prijašnji odjeljak 1.6. postaje odjeljak 1.6.7.;
|
|
vi.
|
umeće se sljedeći odjeljak 2.4.:
„2.4. Umjeravanje podzvučne Venturijeve cijevi (SSV)
Umjeravanje SSV-a temelji se na jednadžbi protoka za podzvučnu Venturijevu cijev. Protok plina je funkcija ulaznog tlaka i temperature, pada tlaka između ulaza u SSV i grla.
2.4.1. Analiza podataka
Brzina protoka zraka (QSSV) pri svakoj ograničenoj postavnoj vrijednosti (najmanje 16 postavnih vrijednosti) izračunava se u standardnim m3/min od podataka mjerila protoka primjenom metode koju je propisao proizvođač. Koeficijent ispuštanja izračunava se iz podataka umjeravanja za svaku postavnu vrijednost kako slijedi:
gdje je:
|
QSSV
|
=
|
brzina protoka zraka pri standardnim uvjetima (101,3 kPa, 273 K), m3/s
|
|
T
|
=
|
temperatura na ulazu u Venturijevu cijev, K
|
|
d
|
=
|
promjer grla SSV, m
|
|
rp
|
=
|
omjer apsolutnog statičkog tlaka između grla SSV i ulaza =
|
|
rD
|
=
|
omjer promjera grla SSV, d, i unutarnjeg promjera ulazne cijevi =
|
Kako bi se utvrdio raspon podzvučnog protoka, C
d se ucrtava na dijagramu kao funkcija Reynoldsovog broja na grlu SSV. Re na grlu SSV izračunava se pomoću sljedeće formule:
gdje je:
|
A1
|
=
|
skup konstanti i jedinica pretvaranja
|
|
QSSV
|
=
|
brzina protoka zraka pri standardnim uvjetima (101,3 kPa, 273 K), m3/s
|
|
d
|
=
|
promjer grla SSV, m
|
|
μ
|
=
|
apsolutni ili dinamički viskozitet plina, izračunan pomoću sljedeće formule:
|
|
b
|
=
|
empirijska konstanta =
|
|
S
|
=
|
empirijska konstanta = 110,4 K
|
Budući da je Q
SSV ulazni podatak za Re formulu, izračuni moraju započeti početnom procjenom za Q
SSV ili C
d Venturijeve cijevi za umjeravanje i ponavljati se dok se Q
SSV ne konvergira. Točnost metode konvergencije mora biti 0,1 % od svake točke ili bolja.
Za najmanje šesnaest točaka u regiji podzvučnog protoka, izračunane vrijednosti C
d za dobivenu jednadžbu primjerenu krivulji umjeravanja moraju biti unutar ± 0,5 % od izmjerenog C
d za svaku točku umjeravanja.”;
|
|
vii.
|
prijašnji odjeljak 2.4. postaje odjeljak 2.5.;
|
|
viii.
|
odjeljak 3. zamjenjuje se sljedećim:
„3. UMJERAVANJE SUSTAVA MJERENJA ČESTICA
3.1. Uvod
Umjeravanje s obzirom na mjerenje čestica ograničeno je na mjerila protoka koja se koriste za utvrđivanje protoka uzoraka i omjera razrjeđivanja. Svako mjerilo protoka umjerava se onoliko često koliko je potrebno da se ispune zahtjevi točnosti ove Direktive. Metoda umjeravanja koja se treba primijeniti opisana je u odjeljku 3.2.
3.2. Mjerenje protoka
3.2.1. Periodično umjeravanje
|
—
|
Kako bi se postigla apsolutna točnost mjerenja protoka kako je navedeno u odjeljku 2.2. Dodatka 4. ovom Prilogu, mjerilo protoka ili instrumenti mjerenja protoka umjeravaju se ispravnim mjerilom protoka sljedivim prema međunarodnim i/ili nacionalnim normama.
|
|
—
|
Ako se protok plina uzorka utvrđuje diferencijalnim mjerenjem protoka, mjerilo protoka ili instrumenti mjerenja protoka umjeravaju se jednim od sljedećih postupaka, tako da protok sonde q
mp u tunelu ispuni zahtjeve za točnost iz odjeljka 4.2.5.2. Dodatka 4. ovom Prilogu:
|
(a)
|
Mjerilo protoka za q
mdw spaja se u nizu na mjerilo protoka za q
mdew, a razlika između dva mjerila protoka umjerava se za najmanje 5 postavnih točaka pri čemu su vrijednosti protoka podjednako raspoređene između najniže q
mdw vrijednosti korištene tijekom ispitivanja i vrijednosti q
mdew korištene tijekom ispitivanja. Tunel za razrjeđivanje smije se zaobići;
|
|
(b)
|
Umjereni uređaj masenog protoka spaja se u nizu na mjerilo protoka za q
mdew i točnost se provjerava za vrijednost korištenu tijekom ispitivanja. Tada se umjereni uređaj masenog protoka spaja u nizu na mjerilo protoka za q
mdw, a točnost se provjerava za najmanje 5 postavnih vrijednosti koje odgovaraju omjeru razrjeđivanja između 3 i 50, u odnosu na q
mdew korišten tijekom ispitivanja;
|
|
(c)
|
Prijenosna cijev TT odspaja se iz ispušnih plinova, a umjereni se uređaj za mjerenje protoka s odgovarajućim rasponom za mjerenje q
mp spaja na prijenosnu cijev. Tada se q
mdew postavlja na vrijednost upotrebljavanu tijekom ispitivanja, a q
mdw se uzastopno postavlja na najmanje 5 vrijednosti koje odgovaraju omjerima razrjeđivanja q između 3 i 50. Alternativno se može osigurati poseban put protoka umjeravanja, u kojem se tunel zaobilazi, ali ukupni zrak i zrak za razrjeđivanje protječu kroz odgovarajuća mjerila kao pri stvarnom ispitivanju;
|
|
(d)
|
U prijenosnu cijev ispušnih plinova TT dobavlja se obilježavajući plin koji može biti i sastavni dio ispušnog plina, poput CO2 ili NOx. Nakon razrjeđivanja u tunelu, mjeri se sastojak obilježavajućeg plina. Mjerenje se provodi za 5 omjera razrjeđivanja između 3 i 50. Točnost protoka uzoraka utvrđuje se iz omjera razrjeđivanja r
d:
|
|
|
—
|
Točnosti analizatora plina uzimaju se u obzir kako bi se osigurala točnost q
mp.
|
3.2.2. Provjera protoka ugljika
|
—
|
Provjeru protoka ugljika se preporuča obaviti u stvarnom ispušnom plinu radi otkrivanja problema kontrole i mjerenja te provjere ispravnog funkcioniranja sustava djelomičnog protoka. Provjeru protoka ugljika treba provoditi barem svaki put kada se ugrađuje novi motor, ili dođe do neke značajne promjene u izvedbi ispitne komore.
|
|
—
|
Motor radi pri vršnom opterećenju i brzini zakretnog momenta ili bilo kojem drugom ustaljenom načinu rada koji proizvodi 5 % ili više CO2. Sustav uzorkovanja djelomičnog protoka djeluje s faktorom razrjeđivanja od otprilike 15 do 1.
|
|
—
|
Ako se provodi provjera protoka ugljika, primjenjuje se postupak naveden u Dodatku 6. ovom Prilogu. Brzine protoka ugljika izračunavaju se u skladu s odjeljcima 2.1. do 2.3. Dodatka 6. ovom Prilogu. Sve brzine protoka ugljika trebaju biti međusobno usklađene do unutar 6 %.
|
3.2.3. Provjera prije ispitivanja
|
—
|
Provjera prije ispitivanja obavlja se u roku od 2 sata prije provedbe ispitivanja na sljedeći način:
|
|
—
|
točnost mjerila protoka provjerava se istom metodom koja se upotrebljavala za umjeravanje (vidjeti odjeljak 3.2.1.) za najmanje dvije točke, uključujući vrijednosti protoka q
mdw koje odgovaraju omjerima razrjeđivanja između 5 i 15 za q
mdew vrijednost korištenu tijekom ispitivanja;
|
|
—
|
ako se evidencijom postupka umjeravanja u okviru odjeljka 3.2.1. može pokazati da je umjeravanje mjerila protoka stabilno tijekom duljeg vremenskog razdoblja, provjera prije ispitivanja može se izostaviti.
|
3.3. Utvrđivanje vremena transformacije (samo za sustave razrjeđivanja dijela protoka na ETC-u)
|
—
|
Postavne vrijednosti sustava za procjenu vremena transformacije potpuno su iste kao i one tijekom mjerenja ispitivanja. Vrijeme transformacije utvrđuje se sljedećom metodom:
|
|
—
|
nezavisno referentno mjerilo protoka s mjernim rasponom primjerenim protoku sonde stavlja se u seriju i vrlo blizu sonde. Vrijeme transformacije ovog mjerila protoka je manje od 100 ms za postupnu veličinu protoka koja se koristi prilikom mjerenja vremena odziva, uz dovoljno malo ograničenje protoka da ne utječe na dinamičnu izvedbu sustava razrjeđivanja djelomičnim protokom, te sukladno dobroj inženjerskoj praksi;
|
|
—
|
u ulaznoj količini protoka ispušnih plinova (ili protoka zraka ako je protok ispušnih plinova izračunan) sustava razrjeđivanja djelomičnog protoka uvodi se postupna promjena, od niskog protoka do najmanje 90 % cjelokupnog mjernog raspona. Pokretač promjene treba biti isti kao onaj koji se koristi za započinjanje tzv. unaprijed odlučene (look-ahead) kontrole kod stvarnog ispitivanja. Povećanje protoka ispušnih plinova i odziv mjerila protoka bilježe se pri brzini uzorkovanja od najmanje 10 Hz;
|
|
—
|
iz ovih se podataka utvrđuje vrijeme transformacije za sustav razrjeđivanja djelomičnog protoka, što predstavlja vrijeme od započinjanja postupnog poticaja do točke od 50 % odziva mjerila protoka. Na sličan se način utvrđuje vrijeme transformacije qmp
signala sustava razrjeđivanja djelomičnog protoka i q
mew,i signala mjerila protoka ispušnih plinova. Ovi se signali koriste pri regresijskim provjerama koje se obavljaju nakon svakog ispitivanja (vidjeti odjeljak 3.8.3.2. Dodatka 2. ovom Prilogu);
|
|
—
|
izračun se ponavlja za najmanje 5 poticaja porasta i pada, te se izračunava prosječna vrijednost rezultata. Unutarnje vrijeme transformacije (< 100 msek) referentnog mjerača protoka odbija se od te vrijednosti. Radi se o vrijednosti unaprijed odlučene (look-ahead) kontrole sustava razrjeđivanja djelomičnim protokom, koja se primjenjuje u skladu s odjeljkom 3.8.3.2. Dodatka 2. ovom Prilogu.
|
3.4. Provjera uvjeta djelomičnim protokom
Raspon brzine ispušnog plina i oscilacije tlaka provjeravaju se i prilagođavaju prema zahtjevima iz odjeljka 2.2.1. Priloga V. (EP), ako se primjenjuju.
3.5. Razmaci umjeravanja
Instrumenti za mjerenje protoka umjeravaju se najmanje svaka 3 mjeseca ili kad dođe do popravka ili preinake sustava koji bi mogli utjecati na umjeravanje.”;
|
|
|
(i)
|
dodaje se sljedeći dodatak 6.:
„Dodatak 6.
PROVJERA PROTOKA UGLJIKA
1. UVOD
Skoro sav ugljik u ispuhu dolazi iz goriva, i većina se tog ugljika pojavljuje u ispušnom plinu u obliku CO2. To čini osnovu za provjeru sustava koja se temelji na mjerenju CO2.
Protok ugljika u sustavima mjerenja ispušnih plinova utvrđuje se iz brzine protoka goriva. Protok ugljika u različitim točkama uzorkovanja pri uzorkovanju emisija i čestica utvrđuje se iz koncentracija CO2 i brzina protoka plina na tim točkama.
U tom smislu, motor predstavlja poznati izvor protoka ugljika, a promatrajući taj protok ugljika u ispušnoj cijevi i na izlazu iz sustava djelomičnog protoka za uzorkovanje PM provjerava se cjelovitost sustava na curenje i točnost mjerenja protoka. Prednost ove metode je u tome što sastavni dijelovi djeluju u stvarnim uvjetima ispitivanja motora s obzirom na temperaturu i protok.
Sljedeći dijagram prikazuje točke uzorkovanja u kojima treba provjeriti protoke ugljika. Niže su navedene posebne jednadžbe za protoke ugljika u svakoj od točaka uzorkovanja.
Slika 7.
2. IZRAČUNI
2.1. Brzina protoka ugljika u motor (lokacija 1)
Brzina masenog protoka ugljika u motor za gorivo CHαOε dana je pomoću:
gdje je:
|
qmf
|
=
|
brzina masenog protoka goriva, kg/s
|
2.2. Brzina protoka ugljika u neobrađenom ispuhu (lokacija 2)
Brzina masenog protoka ugljika u ispušnoj cijevi motora utvrđuje se iz koncentracije neobrađenog CO2 i brzine masenog protoka ispušnog plina:
gdje je:
|
c
CO2,r
|
=
|
koncentracija vlažnog CO2 u neobrađenom ispušnom plinu, %
|
|
c
CO2,а
|
=
|
koncentracija vlažnog CO2 u okolnom zraku, % (oko 0,04 %)
|
|
qmew
|
=
|
brzina masenog protoka ispušnog plina na vlažnoj osnovi, kg/s
|
|
Mre
|
=
|
molekularna masa ispušnog plina
|
Ako je CO2 izmjeren na suhoj osnovi, pretvara se na vlažnu osnovu u skladu s odjeljkom 5.2. Dodatka 1. ovom Prilogu.
2.3. Brzina protoka ugljika u sustavu razrjeđivanja (lokacija 3)
Brzina protoka ugljika utvrđuje se iz koncentracije razrijeđenog CO2, brzine masenog protoka ispušnog plina i brzine protoka uzorka:
gdje je:
|
c
CO2,d
|
=
|
koncentracija vlažnog CO2 u razrijeđenom ispušnom plinu na izlazu tunela za razrjeđivanje, %
|
|
c
CO2,а
|
=
|
koncentracija vlažnog CO2 u okolnom zraku, % (oko 0,04 %)
|
|
qmdew
|
=
|
brzina masenog protoka ispušnog plina na vlažnoj osnovi, kg/s
|
|
qmew
|
=
|
brzina masenog protoka ispušnog plina na vlažnoj osnovi, kg/s (samo sustav djelomičnog protoka)
|
|
qmp
|
=
|
protok uzorka ispušnog plina u sustav razrjeđivanja ispušnog plina, kg/s (samo sustav djelomičnog protoka)
|
|
Mre
|
=
|
molekularna masa ispušnog plina
|
Ako je CO2 izmjeren na suhoj osnovi, pretvara se na vlažnu osnovu u skladu s odjeljkom 5.2. Dodatka 1. ovom Prilogu.
2.4. Molekularna masa (Mre) ispušnog plina izračunava se na sljedeći način:
gdje je:
|
qmf
|
=
|
brzina masenog protoka goriva, kg/s
|
|
qmaw
|
=
|
brzina masenog protoka ulaznog zraka na vlažnoj bazi, kg/s
|
|
Ha
|
=
|
vlažnost ulaznog zraka, g vode po kg suhog zraka
|
|
Mra
|
=
|
molekularna masa suhog ulaznog zraka (= 28,9 g/mol)
|
|
α, δ, ε, γ
|
=
|
molarni omjeri s obzirom na gorivo CHαOδNεSγ
|
Alternativno se mogu koristiti sljedeće molekularne mase:
|
Mre (dizel)
|
=
|
28,9 g/mol
|
|
Mre (LPG)
|
=
|
28,6 g/mol
|
|
Mre (NG)
|
=
|
28,3 g/mol”.
|
|
|
|
4.
|
Prilog IV. mijenja se kako slijedi:
|
(a)
|
naslov odjeljka 1.1. zamjenjuje se sljedećim:
1.1. Dizelsko referentno gorivo za motore za ispitivanje prema granicama emisije navedenim u retku A tablica iz odjeljka 6.2.1. Priloga I. (1)”;
|
|
(b)
|
umeće se sljedeći odjeljak 1.2.:
1.2. Dizelsko referentno gorivo za motore za ispitivanje prema granicama emisije navedenim u recima B1, B2 ili C tablica iz odjeljka 6.2.1. Priloga I.
|
Parametar
|
Jedinica
|
Ograničenja (17)
|
Metoda ispitivanja
|
|
Najmanja
|
Najveća
|
|
Cetanski broj (18)
|
|
52,0
|
54,0
|
EN-ISO 5165
|
|
Gustoća pri 15 °C
|
kg/m3
|
833
|
837
|
EN-ISO 3675
|
|
Destilacija:
|
|
|
|
|
|
— u točki od 50 %
|
°C
|
245
|
—
|
EN-ISO 3405
|
|
— u točki od 95 %
|
°C
|
345
|
350
|
EN-ISO 3405
|
|
— Završno vrelište
|
°C
|
—
|
370
|
EN-ISO 3405
|
|
Plamište
|
°C
|
55
|
—
|
EN 22719
|
|
CFPP
|
°C
|
—
|
–5
|
EN 116
|
|
Viskozitet pri 40 °C
|
mm2/s
|
2,3
|
3,3
|
EN-ISO 3104
|
|
Policiklički aromatski ugljikovodici
|
% m/m
|
2,0
|
6,0
|
IP 391
|
|
Sadržaj sumpora (19)
|
mg/kg
|
—
|
10
|
ASTM D 5453
|
|
Korozija bakra
|
|
—
|
klasa 1
|
EN-ISO 2160
|
|
Ostaci ugljika po Conradsonu (10 % DR)
|
% m/m
|
—
|
0,2
|
EN-ISO 10370
|
|
Udio pepela
|
% m/m
|
—
|
0,01
|
EN-ISO 6245
|
|
Udio vode
|
% m/m
|
—
|
0,02
|
EN-ISO 12937
|
|
Broj neutralizacije (jake kiseline)
|
mg KOH/g
|
—
|
0,02
|
ASTM D 974
|
|
Oksidacijska stabilnost (20)
|
mg/ml
|
—
|
0,025
|
EN-ISO 12205
|
|
Mazivost (promjer preglednika istrošenosti HFRR pri 60 °C)
|
μm
|
—
|
400
|
CEC F-06-A-96
|
|
FAME
|
zabranjeno
|
|
|
(c)
|
prijašnji odjeljak 1.2. postaje odjeljak 1.3.;
|
|
(d)
|
odjeljak 3. zamjenjuje se sljedećim:
„3. TEHNIČKI PODACI ZA UKAPLJENI NAFTNI PLIN (LPG) KAO REFERENTNO GORIVO
A. Tehnički podaci za ukapljeni naftni plin (LPG) kao referentno gorivo koje se koristi za ispitivanje vozila za granične vrijednosti emisije navedene u retku A tablice iz odjeljka 6.2.1. Priloga I.
|
Parametar
|
Jedinica
|
Gorivo A
|
Gorivo B
|
Metoda ispitivanja
|
|
Sastav:
|
|
|
|
ISO 7941
|
|
Udio C3
|
% vol
|
50 ± 2
|
85 ± 2
|
|
|
Udio C4
|
% vol
|
ravnoteža
|
ravnoteža
|
|
|
< C3, > C4
|
% vol
|
najviše 2
|
najviše 2
|
|
|
Olefini
|
% vol
|
najviše 12
|
Najviše 14
|
|
|
Ostaci isparavanja
|
mg/kg
|
najviše 50
|
Najviše 50
|
ISO 13757
|
|
Voda pri 0 °C
|
|
bez
|
Bez
|
vizualni pregled
|
|
Ukupan udio sumpora
|
mg/kg
|
najviše 50
|
Najviše 50
|
EN 24260
|
|
Vodikov sulfid
|
|
nema
|
nema
|
ISO 8819
|
|
Korozija bakrene trake
|
procjena
|
klasa 1
|
Klasa 1
|
ISO 6251 (21)
|
|
Miris
|
|
karakterističan
|
karakterističan
|
|
|
Oktanski broj motora
|
|
najmanje 92,5
|
Najmanje 92,5
|
EN 589 Prilog B
|
B. Tehnički podaci za ukapljeni naftni plin (LPG) kao referentno gorivo koje se koristi za ispitivanje vozila za granične vrijednosti emisije navedene u retku B1, B2 ili C tablica iz odjeljka 6.2.1. Priloga I.
|
Parametar
|
Jedinica
|
Gorivo A
|
Gorivo B
|
Metoda ispitivanja
|
|
Sastav:
|
|
|
|
ISO 7941
|
|
Udio C3
|
% vol
|
50 ± 2
|
85 ± 2
|
|
|
Udio C4
|
% vol
|
ravnoteža
|
ravnoteža
|
|
|
< C3, > C4
|
% vol
|
najviše 2
|
najviše 2
|
|
|
Olefini
|
% vol
|
najviše 12
|
najviše 14
|
|
|
Ostaci isparavanja
|
mg/kg
|
najviše 50
|
najviše 50
|
ISO 13757
|
|
Voda pri 0 °C
|
|
bez
|
bez
|
vizualni pregled
|
|
Ukupan udio sumpora
|
mg/kg
|
najviše 10
|
najviše 10
|
EN 24260
|
|
Vodikov sulfid
|
|
nema
|
nema
|
ISO 8819
|
|
Korozija bakrene trake
|
procjena
|
klasa 1
|
klasa 1
|
ISO 6251 (22)
|
|
Miris
|
|
karakterističan
|
karakterističan
|
|
|
Oktanski broj motora
|
|
najmanje 92,5
|
najmanje 92,5
|
EN 589 Prilog B
|
|
|
|
5.
|
Prilog VI. mijenja se kako slijedi:
|
(a)
|
Dodatak postaje „Dodatak 1.”;
|
|
(b)
|
Dodatak 1. mijenja se kako slijedi:
|
i.
|
dodaje se sljedeći odjeljak 1.2.2.:
1.2.2. Broj programske opreme upravljačke jedinice motora (EECU) za umjeravanje:”;
|
|
ii.
|
odjeljak 1.4. zamjenjuje se sljedećim:
„1.4. Razine emisije motora/osnovnog motora (23):
1.4.1. ESC ispitivanje:
Faktor pogoršanja (DF): izračunan/stalni (23)
Odrediti vrijednosti DF-a i emisije tijekom ESC ispitivanja u donjoj tablici:
|
ESC ispitivanje
|
|
DF:
|
CO
|
THC
|
NOx
|
PT
|
|
|
|
|
|
|
Emisije
|
CO
|
THC
|
NOx
|
PT
|
|
(g/kWh)
|
(g/kWh)
|
(g/kWh)
|
(g/kWh)
|
|
Izmjereno:
|
|
|
|
|
|
Izračunato s DF-om (faktorom pogoršanja):
|
|
|
|
|
1.4.2. ELR ispitivanje:
vrijednost dima: … m–1
1.4.3. ETC ispitivanje:
Faktor pogoršanja (DF): izračunan/stalni (23)
|
ETC ispitivanje
|
|
DF:
|
CO
|
NMHC
|
CH4
|
NOx
|
PT
|
|
|
|
|
|
|
|
Emisije
|
CO
|
NMHC
|
CH4
|
NOx
|
PT
|
|
(g/kWh)
|
(g/kWh) (24)
|
(g/kWh) (24)
|
(g/kWh)
|
(g/kWh) (24)
|
|
Izmjereno s regeneracijom:
|
|
|
|
|
|
|
Izmjereno bez regeneracije:
|
|
|
|
|
|
|
Izmjereno/izvagano:
|
|
|
|
|
|
|
Izračunato s DF-om (faktorom pogoršanja):
|
|
|
|
|
|
|
|
|
(c)
|
dodaje se sljedeći Dodatak 2.:
„Dodatak 2.
PODACI VEZANI UZ OBD
Kako je navedeno u Dodatku 5. Prilogu II. ovoj Direktivi, podatke iz ovog Dodatka daje proizvođač vozila u svrhu omogućavanja proizvodnje zamjenskih ili servisnih dijelova sukladnih OBD-u, te dijagnostičkih alata i opreme za ispitivanje. Takve podatke proizvođač vozila ne mora dati ako su obuhvaćeni pravima intelektualnog vlasništva ili čine posebna znanja proizvođača ili dobavljača OEM-a.
Na zahtjev, ovaj Dodatak treba biti dostupan svakom zainteresiranom proizvođaču sastavnog dijela, dijagnostičkih alata ili opreme za ispitivanje na nediskriminirajućoj osnovi.
U skladu s odredbama odjeljka 1.3.3. Dodatka 5. Prilogu II., podaci koji se zahtijevaju ovim odjeljkom trebaju biti istovjetni onima navedenima u tom Dodatku.
|
1.
|
Opis tipa i broja ciklusa prekondicioniranja koji se koriste za prvu homologaciju vozila.
|
|
2.
|
Opis tipa pokaznog ciklusa OBD-a korištenog za prvotnu homologaciju vozila za sastavni dio koji prati OBD sustav.
|
|
3.
|
Sveobuhvatni dokument kojim se opisuju svi dijelovi nadzirani strategijom otkrivanja greške i aktiviranjem MI-ja (utvrđeni broj ciklusa vožnje ili statistička metoda), uključujući popis određenih sekundarnih mjerenih parametara za svaki dio koji nadzire OBD sustav. Popis svih izlaznih kodova i formata podataka OBD-a (uz objašnjenje svakog) povezanih s pojedinačnim pogonskim sklopovima povezanim s obzirom na emisiju i pojedinačnim sastavnim dijelovima koji nisu povezani s emisijom, kada se nadzor tog dijela koristi za utvrđivanje MI aktivacije.”
|
|
|
(1) SL L 76, 6.4.1970., str. 1. Direktiva kako je zadnje izmijenjena Direktivom Komisije 2003/76/EZ (SL L 206, 15.8.2003., str. 29.).”;
(2) SL L 313, 29.11.2005., str. 1.
(3) Članak 4. stavak 1. ove Direktive osigurava praćenje značajnog funkcionalnog kvara umjesto praćenja degradacije ili gubitka katalitičke/filtrirne učinkovitosti sustava naknadne obrade ispušnih plinova. Primjeri značajnog funkcionalnog kvara dani su u odjeljcima 3.2.3.2. i 3.2.3.3. Priloga IV. Direktivi 2005/78/EZ.
(4) SL L 375, 31.12.1980., str. 46. Direktiva kako je zadnje izmijenjena Direktivom 1999/99/EZ (SL L 334, 28.12.1999., str. 32.).”;
(5) Komisija će odrediti trebaju li se posebne mjere s obzirom na višestruko podešavanje motora utvrditi ovom Direktivom istovremeno s prijedlogom koji se odnosi na zahtjeve iz članka 10. ove Direktive.
(6) Do 1. listopada 2008. primjenjuje se sljedeće: ‚temperatura okoliša unutar raspona od 279 K do 303 K (6 °C do 30 °C)’.
(7) Ovaj temperaturni raspon ponovno će se razmotriti u okviru preispitivanja ove Direktive s posebnim naglaskom na primjerenost niže temperaturne granice.”;
(8) Komisija namjerava preispitati ovaj odjeljak do 31. prosinca 2006.
(9) Komisija namjerava preispitati ove vrijednosti do 31. prosinca 2005.”;
(10) Prekrižiti nepotrebno.”;
(11) Prekrižiti nepotrebno.”;
(12) Prekrižiti nepotrebno.”;
(13) Prekrižiti nepotrebno.”;
(14) Ova vrijednost vrijedi samo za referentno gorivo navedeno u Prilogu IV.”;
(15) Do 1. listopada 2005. za homologacijska ispitivanja plinskih motora smiju se koristiti vrijednosti prikazane u zagradama. (Komisija će u izvješću o razvoju tehnologije plinskih motora potvrditi ili izmjeniti dopuštena odstupanja regresijske linije koja se primjenjuju na plinske motore, a navedena su u ovoj tablici.)
(16) Komisija preispituje temperaturu prije držača filtra, 325 K (52 °C), i, ako je potrebno, predlaže alternativnu temperaturu koja će se primjenjivati za homologaciju novih tipova od 1. listopada 2008.”:
(17) Vrijednosti navedene u specifikaciji su ‚stvarne vrijednosti’. Pri utvrđivanju njihovih graničnih vrijednosti, primijenjeni su uvjeti iz ISO 4259 ‚Naftni derivati – Utvrđivanje i primjena preciznih podataka s obzirom na metode ispitivanja’, a pri utvrđivanju najmanje vrijednosti, u obzir je uzeta najmanja razlika 2R iznad nule; pri utvrđivanju najveće i najmanje vrijednosti, najmanja razlika je 4R (R = mogućnost ponavljanja).
Bez obzira na ovu mjeru, koja je nužna iz statističkih razloga, proizvođač goriva bi ipak trebao težiti nultoj vrijednosti tamo gdje je predviđena vrijednost 2R te srednjoj vrijednosti u slučaju navođenja najvećih i najmanjih ograničenja. Ako je potrebno utvrditi ispunjava li gorivo propisane zahtjeve, treba primijeniti uvjete ISO 4259.
(18) Raspon cetanskog broja nije u skladu sa zahtjevima najmanjeg raspona 4R. Međutim, u slučaju spora između dobavljača goriva i korisnika goriva, odredbe ISO 4259 mogu se koristiti za rješavanje takvih sporova pod uvjetom da se provedu ponovna mjerenja, radije nego pojedinačna utvrđivanja, u dovoljnom broju da se arhivira nužna preciznost.
(19) Izvještava se o stvarnom sadržaju sumpora u gorivu koje se koristi za ispitivanje tipa I.
(20) Iako se oksidacijska stabilnost kontrolira, vijek trajanja vjerojatno će biti ograničen. Od dobavljača treba potražiti savjet u vezi s uvjetima skladištenja i vijekom trajanja.”;
(21) Ovom se metodom možda ne može točno utvrditi prisustvo korozivnih materijala ako uzorak sadrži korozijske inhibitore ili druge kemikalije koje smanjuju korozivnost uzorka na bakrenoj traci. Stoga je dodavanje takvih spojeva isključivo u svrhu priklanjanja određenoj metodi ispitivanja zabranjeno.
(22) Ovom se metodom možda ne može točno utvrditi prisustvo korozivnih materijala ako uzorak sadrži korozijske inhibitore ili druge kemikalije koje smanjuju korozivnost uzorka na bakrenoj traci. Stoga je dodavanje takvih spojeva zbog utjecaja na ispitnu metodu zabranjeno.”
(23) Prekrižiti nepotrebno.
(24) Prekrižiti nepotrebno.
PRILOG II.
POSTUPCI ZA PROVEDBU ISPITIVANJA TRAJNOSTI SUSTAVA KONTROLE EMISIJE
1. UVOD
Ovaj Prilog detaljno navodi postupke odabira porodice motora koji će se ispitivati tijekom određenog vremenskog razdoblja u svrhu utvrđivanja faktora pogoršanja. Takvi će se faktori pogoršanja primjenjivati na izmjerene vrijednosti emisija motora koji su podvrgnuti periodičnom pregledu kako bi se osiguralo da emisije motora u uporabi ostanu u skladu s graničnim vrijednostima emisije, navedenim u tablicama u odjeljku 6.2.1. Priloga I. Direktivi 2005/55/EZ, tijekom vijeka trajanja primjenjivog na vozilo u koje je motor ugrađen.
Ovaj Prilog također daje detaljan prikaz održavanja motora koje je ili nije povezano s emisijama, a koje se provodi na motorima koje se ispituje tijekom određenog vremenskog razdoblja. Takvo će se održavanje obaviti na motorima u uporabi i informacije će se prenijeti vlasnicima novih teških motora.
2. ODABIR MOTORA ZA UTVRĐIVANJE FAKTORA POGORŠANJA S OBZIROM NA NJEGOV UPORABNI VIJEK
2.1. Iz porodice motora navedene u odjeljku 8.1. Priloga I. Direktivi 2005/55/EZ odabrat će se motori za ispitivanje emisije radi određivanja faktora pogoršanja s obzirom na njihov uporabni vijek.
2.2. Motori iz različitih porodica motora mogu se dalje udruživati u porodice na temelju tipa upotrebljavanog sustava naknadne obrade ispušnih plinova. Kako bi se motori s različitim brojevima cilindara i različitom konfiguracijom cilindara, ali s istim tehničkim specifikacijama i ugradbom kad je riječ o sustavu naknadne obrade ispušnih plinova, smjestili u istu porodicu sustava naknadne obrade ispušnih plinova, proizvođač treba tijelu za homologaciju dostaviti podatke koji pokazuju sličnost emisija takvih motora.
2.3. Proizvođač motora odabire jedan motor koji predstavlja porodicu motora sa sustavom naknadne obrade za ispitivanje u uporabi prema određenom vremenskom rasporedu definiranom u odjeljku 3.2. ovog Priloga, u skladu s kriterijima odabira motora navedenim u odjeljku 8.2. Priloga I. Direktivi 2005/55/EZ, i o tome prije početka ispitivanja izvješćuje tijelo za homologaciju.
2.3.1. Ako tijelo za homologaciju odluči da najlošiji slučaj stupnja emisije porodice motora sa sustavom naknadne obrade može bolje predstavljati neki drugi motor, tada tijelo za homologaciju i proizvođač motora zajednički odabiru motor za ispitivanje.
3. UTVRĐIVANJE FAKTORA POGORŠANJA TIJEKOM UPORABNOG VIJEKA
3.1. Općenito
Faktori pogoršanja koji se odnose na porodicu motora sa sustavom naknadne obrade određuju se na temelju ispitivanja odabranih motora tijekom uporabe u određenom vremenskom razdoblju što uključuje periodično ispitivanje emisije plinova i čestica tijekom ESC i ETC ispitivanja. Kod toga se u obzir uzima vrijeme uporabe i prijeđena udaljenost.
3.2. Program ispitivanja u uporabi
Program ispitivanja u uporabi može provesti proizvođač korištenjem vozila opremljenog odabranim osnovnim motorom prema posebnom programu vožnji ili ispitivanjem odabranog osnovnog motora prema posebnom programu na dinamometru.
3.2.1. Ispitivanje u vožnji i ispitivanje na dinamometru
3.2.1.1. Proizvođač, sukladno dobroj inženjerskoj praksi, određuje oblik i opseg prijeđenih kilometara i vrijeme ispitivanja motora.
3.2.1.2. Proizvođač će odrediti trenutak ispitivanja motora s obzirom na emisiju plinova i čestica putem ESC i ETC ispitivanja.
3.2.1.3. Za sve se motore iz porodice motora sa sustavom naknadne obrade primjenjuje jedinstveni raspored rada motora.
3.2.1.4. Na zahtjev proizvođača i uz suglasnost tijela za homologaciju, potrebno je provesti samo jedan ciklus ispitivanja (bilo ESC ili ETC ispitivanje) na svakoj točki ispitivanja, dok se drugi ciklus ispitivanja provodi samo na početku i na kraju rasporeda ispitivanja.
3.2.1.5. Programi djelovanja se mogu razlikovati za različite porodice motora sa sustavom naknadne obrade.
3.2.1.6. Programi djelovanja mogu biti kraći od uporabnog vijeka pod uvjetom da broj točaka ispitivanja omogući pravilnu ekstrapolaciju rezultata ispitivanja, u skladu s odjeljkom 3.5.2. U svakom slučaju razdoblje ispitivanja ne smije biti kraće od onog prikazanog u tablici iz odjeljka 3.2.1.8.
3.2.1.7. Proizvođač treba osigurati primjenjiv odnos najmanjeg razdoblja ispitivanja u vožnji (prevožena udaljenost) i vremena rada (sata) motora na dinamometru, na primjer odnos potrošnje goriva, odnos brzine vozila prema okretajima motora, itd.
3.2.1.8. Potrebna razdoblja ispitivanja
|
Kategorija vozila u koja će se motor ugraditi
|
Najmanje razdoblje ispitivanja
|
Uporabni vijek
(članak ove Direktive)
|
|
Vozila kategorije N1
|
100 000 km
|
članak 3. stavak 1. točka (a)
|
|
Vozila kategorije N2
|
125 000 km
|
članak 3. stavak 1. točka (b)
|
|
Vozila kategorije N3 najveće tehnički dopuštene mase ne veće od 16 tona
|
125 000 km
|
članak 3. stavak 1. točka (b)
|
|
Vozila kategorije N3 najveće tehnički dopuštene mase preko 16 tona
|
167 000 km
|
članak 3. stavak 1. točka (c)
|
|
Vozila kategorije M2
|
100 000 km
|
članak 3. stavak 1. točka (a)
|
|
Vozila kategorije M3 klasa I, II, A i B, najveće tehnički dopuštene mase ne veće od 7,5 tona
|
125 000 km
|
članak 3. stavak 1. točka (b)
|
|
Vozila kategorije M3 klasa III i B, najveće tehnički dopuštene mase preko 7,5 tona
|
167 000 km
|
članak 3. stavak 1. točka (c)
|
3.2.1.9. Raspored ispitivanja u uporabi tijekom određenog vremenskog razdoblja treba biti u potpunosti opisan u zahtjevu za homologaciju i treba ga dostaviti tijelu za homologaciju prije početka bilo kojeg ispitivanja.
3.2.2. Ako tijelo za homologaciju odluči da je potrebno provesti dodatna mjerenja tijekom ESC i ETC ispitivanja između točaka koje odabere proizvođač, o tome obavješćuje proizvođača. Proizvođač priprema revidirani raspored ispitivanja u vožnji ili ispitivanja na dinamometru, a tijelo za homologaciju daje svoju suglasnost.
3.3. Ispitivanje motora
3.3.1. Početak ispitivanja
3.3.1.1. Za svaku porodicu motora sa sustavom naknadne obrade, proizvođač određuje broj sati rada motora nakon čega dolazi do stabilizacije funkcioniranja motora sa sustavom naknadne obrade. Ako to zatraži tijelo za homologaciju, proizvođač stavlja na raspolaganje podatke i analizu korištenu prilikom tog utvrđivanja. Kao drugo rješenje, proizvođač može odabrati rad motora u trajanju od 125 sati kako bi se stabilizirao sustav naknadne obrade na motoru.
3.3.1.2. Razdoblje stabilizacije utvrđeno u odjeljku 3.3.1.1. smatrat će se početkom provedbe programa ispitivanja u uporabi.
3.3.2. Ispitivanje motora u uporabi
3.3.2.1. Nakon stabilizacije, motor će raditi prema rasporedu programa ispitivanja u uporabi koji odabere proizvođač, kako je opisano u odjeljku 3.2. U periodičnim razmacima rasporeda ispitivanja koji odabere proizvođač, i koji je, prema potrebi, odredilo tijelo za homologaciju u skladu s odjeljkom 3.2.2., motor se ispituje s obzirom na emisiju plinova i emisiju čestica tijekom ESC i ETC ispitivanja. U skladu s odjeljkom 3.2., ako je dogovoreno da će se na svakoj točki ispitivanja provesti samo jedan ciklus ispitivanja (ESC ili ETC), drugi ciklus ispitivanja (ESC ili ETC) mora se provesti na početku i kraju rasporeda skupljanja vožnji.
3.3.2.2. Tijekom ispitivanja na motoru će se obaviti održavanje u skladu s odjeljkom 4.
3.3.2.3. Tijekom provedbe ispitivanja u uporabi, na motoru ili vozilu može se obaviti neplanirano održavanje, na primjer ako je OBD sustav uočio problem koji je rezultirao aktiviranjem pokazatelja neispravnosti (MI).
3.4. Izvješćivanje
3.4.1. Rezultati svih ispitivanja emisije (ESC i ETC) provedenih tijekom ispitivanja u uporabi stavljaju se na raspolaganje tijelu za homologaciju. Ako se neko ispitivanje emisije proglasi ništavnim, proizvođač daje objašnjenje o tome zašto je ispitivanje proglašeno ništavnim. U tom slučaju, u roku od narednih 100 sati uporabe, provodi se drugi niz ispitivanja emisije pomoću ESC i ETC ispitivanja.
3.4.2. Kad god proizvođač ispituje motor prema rasporedu ispitivanja u uporabi radi utvrđivanja faktora pogoršanja, proizvođač u svojoj evidenciji zadržava sve podatke u vezi sa svim ispitivanjima emisije i održavanjem provedenima na motoru tijekom rasporeda ispitivanja u uporabi. Ovi se podaci dostavljaju tijelu za homologaciju zajedno s rezultatima ispitivanja emisije provedenih tijekom ispitivanja u uporabi.
3.5. Utvrđivanje faktora pogoršanja
3.5.1. Za svaku onečišćujuću tvar izmjerenu ESC i ETC ispitivanjima i na svakoj točki ispitivanja tijekom provedbe programa ispitivanja u uporabi, izrađuje se ‚najprikladnija’ regresijska analiza na temelju svih rezultata ispitivanja. Rezultati svakog ispitivanja za svaku onečišćujuću tvar iskazuju se istim brojem decimalnih mjesta kao i granična vrijednost za tu onečišćujuću tvar, kako je prikazano u tablicama iz odjeljka 6.2.1. Priloga I. Direktivi 2005/55/EZ, plus jedno dodatno decimalno mjesto. U skladu s odjeljkom 3.2., ako je dogovoreno da će se na svakoj točki ispitivanja provesti samo jedan ciklus ispitivanja (ESC ili ETC), a drugi će se ciklus ispitivanja (ESC ili ETC) provesti samo na početku i na kraju programa ispitivanja u uporabi, regresijska se analiza izrađuje samo na temelju rezultata ispitivanja iz provedbe ciklusa ispitivanja u svakoj točki ispitivanja.
3.5.2. Na osnovi regresijske analize, proizvođač izračunava vrijednosti predviđene emisije za svaku onečišćujuću tvar na početku programa ispitivanja u uporabi i s obzirom na uporabni vijek koji se primjenjuje za motor u ispitivanju ekstrapolacijom jednadžbe regresije kako je navedeno u odjeljku 3.5.1.
3.5.3. Za motore koji nisu opremljeni sustavom naknadne obrade ispušnih plinova, faktor pogoršanja za svaku onečišćujuću tvar predstavlja razliku između vrijednosti predviđenih emisija tijekom razdoblja uporabnog vijeka i na početku programa ispitivanja u uporabi.
Za motore koji su opremljeni sustavom naknadne obrade ispušnih plinova, faktor pogoršanja za svaku onečišćujuću tvar predstavlja omjer vrijednosti predviđenih emisija tijekom razdoblja vijeka korištenja i na početku rasporeda skupljanja vožnji.
U skladu s odjeljkom 3.2., ako je dogovoreno da će se na svakoj točki ispitivanja provesti samo jedan ciklus ispitivanja (ESC ili ETC), a da će se drugi ciklus ispitivanja (ESC ili ETC) provesti na početku i na kraju programa ispitivanja u uporabi, faktor pogoršanja izračunan za ciklus ispitivanja koji je proveden na svakoj točki ispitivanja, primjenjuje se također za drugi ciklus ispitivanja, pod uvjetom da je za oba ciklusa ispitivanja odnos između izmjerenih vrijednosti provedenih na početku i na kraju programa ispitivanja u uporabi sličan.
3.5.4. Faktori pogoršanja za svaku onečišćujuću tvar tijekom odgovarajućih ciklusa ispitivanja bilježe se u odjeljku 1.5. Dodatka 1. Prilogu VI. Direktivi 2005/55/EZ.
3.6. Umjesto primjene programa ispitivanja u uporabi radi utvrđivanja faktora pogoršanja, proizvođači motora mogu odabrati primjenu sljedećih faktora pogoršanja:
|
Tip motora
|
Ciklus ispitivanja
|
CO
|
HC
|
NMHC
|
CH4
|
NOx
|
PM
|
|
Dizelski motor (1)
|
ESC
|
1,1
|
1,05
|
—
|
—
|
1,05
|
1,1
|
|
ETC
|
1,1
|
1,05
|
—
|
—
|
1,05
|
1,1
|
|
Plinski motor (1)
|
ETC
|
1,1
|
1,05
|
1,05
|
1,2
|
1,05
|
—
|
3.6.1. Proizvođač može odabrati prijenos DF-a utvrđenih za motor ili kombinaciju motora/sustava naknadne obrade na motore ili kombinacije motora/sustava naknadne obrade koji ne spadaju u istu kategoriju porodice motora kako je utvrđeno u skladu s odjeljkom 2.1. U takvim slučajevima, proizvođač mora dokazati tijelu za homologaciju da osnovni motor ili kombinacija motora/sustava naknadne obrade te motor ili kombinacija motora/sustava naknadne obrade na koje su DF-i prenijeti imaju iste tehničke specifikacije i zahtjeve ugradbe u vozilu te da su emisije takvog motora ili kombinacija motora/sustava naknadne obrade slične.
3.7. Provjera sukladnosti proizvodnje
3.7.1. Sukladnost proizvodnje s obzirom na pridržavanje emisija provjerava se na temelju odjeljka 9. Priloga I. Direktivi 2005/55/EZ.
3.7.2. Prilikom homologacije tipa, proizvođač može izabrati istovremeno mjerenje emisija onečišćujućih tvari prije bilo kojeg sustava naknadne obrade ispušnih plinova. Pri tome proizvođač može izraditi neformalni faktor pogoršanja posebno za motor i sustav naknadne obrade koji proizvođač može koristiti kao pomoć za dovršenje revizije proizvodne linije.
3.7.3. U svrhu homologacije tipa, u odjeljku 1.4. Dodatka 1. Prilogu VI. Direktivi 2005/55/EZ bilježe se samo faktori pogoršanja iz odjeljka 3.6.1. koje je proizvođač usvojio ili faktori pogoršanja izrađeni u skladu s odjeljkom 3.5.
4. ODRŽAVANJE
Tijekom programa ispitivanja u uporabi, održavanje motora i pravilna potrošnja bilo kojeg potrebnog reagensa koji se koriste za utvrđivanje faktora pogoršanja može se podijeliti na one povezane ili nepovezane s emisijama, a svaki od njih može se odrediti kao predviđen i nepredviđen. Neka održavanja koja su povezana s emisijama također se smatraju kritičnim održavanjem povezanim s emisijama.
4.1. Predviđeno održavanje povezano s emisijama
4.1.1. U ovom se odjeljku navodi predviđeno održavanje povezano s emisijama u svrhu programa ispitivanja u uporabi i uvrštenja u upute o održavanju koje se daju vlasnicima novih teških vozila i teških motora.
4.1.2. Sva predviđena održavanja povezana s emisijama u svrhu programa ispitivanja u uporabi moraju se provesti u istim ili istovjetnim razmacima udaljenosti koji će se odrediti u uputama o održavanju proizvođača namijenjenim vlasniku teškog vozila ili teških motora. Ovaj se raspored održavanja može prema potrebi ažurirati tijekom čitavog programa ispitivanja u uporabi, pod uvjetom da niti jedna radnja održavanja nije izbrisana iz rasporeda održavanja nakon obavljanja te radnje na motoru za ispitivanje.
4.1.3. Svako održavanje motora povezano s emisijama mora biti nužno kako bi se osigurala uobičajena sukladnost s odgovarajućim normama emisije. Proizvođač dostavlja podatke tijelu za homologaciju tipa kako bi pokazao da su sva predviđena održavanja povezana s emisijama tehnički nužna.
4.1.4. Proizvođač motora određuje podešavanje, čišćenje i održavanje (prema potrebi):
|
—
|
filtara i hladnjaka u sustavu recirkulacije ispušnog plina,
|
|
—
|
odzračnog ventila kućišta koljenaste osovine,
|
|
—
|
vrhova brizgaljki goriva (samo čišćenje),
|
|
—
|
elektroničke upravljačke jedinice motora i njenih pridruženih senzora i aktuatora,
|
|
—
|
sustava filtara čestica (uključujući pripadne sastavne dijelove),
|
|
—
|
sustava recirkulacije ispušnog plina, uključujući sve pripadne kontrolne ventile i cijevi,
|
|
—
|
svih sustava naknadne obrade ispušnih plinova.
|
4.1.5. Za potrebe održavanja, sljedeći se sastavni dijelovi definiraju kao kritične stavke povezane s emisijama:
|
—
|
svaki sustav naknadne obrade ispušnih plinova,
|
|
—
|
elektronička upravljačka jedinica motora i njeni pridruženi osjetnici i aktuatori,
|
|
—
|
sustav recirkulacije ispušnog plina, uključujući sve pripadajuće filtre, hladnjake, kontrolne ventile i cijevi,
|
|
—
|
odzračni ventil kućišta koljenaste osovine.
|
4.1.6. Sva predviđena kritična održavanja povezana s emisijama moraju imati opravdanje ako se provode tijekom uporabe. Proizvođač dokazuje tijelu za homologaciju opravdanost potrebe takvog održavanja u prometu, a to se dokazivanje obavlja prije provedbe programa ispitivanja u uporabi.
4.1.7. Kritične stavke predviđenog održavanja povezanog s emisijama navedene u odjeljcima 4.1.7.1. do 4.1.7.4. prihvatit će se kao one kod kojih postoji opravdanost da se provode tijekom uporabe.
4.1.7.1. Dostavljaju se podaci kojima se uspostavlja veza između emisija i karakteristika vozila tako da se, kada dođe do povećanja emisija zbog nedostatka održavanja, učinkovitost vozila istovremeno smanjuje do stanja neprihvatljivog za uobičajenu vožnju.
4.1.7.2. Dostavljaju se podaci ispitivanja koji pokazuju da, pri 80 %-tnoj razini pouzdanosti, 80 % takvih motora već posjeduje ovu kritičnu stavku održavanja provedenu u uporabi u preporučenom razmaku (razmacima).
4.1.7.3. U vezi sa zahtjevima odjeljka 4.7. Priloga IV. ovoj Direktivi, potrebno je ugraditi uočljivi indikator na upravljačku ploču vozila kako bi se upozorilo vozača da je vrijeme za održavanje. Ovaj se pokazatelj uključuje na odgovarajućoj udaljenosti ili prilikom kvara sastavnog dijela. Pokazatelj mora ostati aktiviran dok motor radi i ne smije se brisati prije nego je provedeno potrebno održavanje. Ponovno namještanje signala predstavlja nužan korak u rasporedu održavanja. Sustav ne smije biti projektiran tako da se isključi nakon isteka odgovarajućeg razdoblja uporabnog vijeka korištenja motora ili nakon toga.
4.1.7.4. Svaka druga metoda za koju tijelo za homologaciju utvrdi da je opravdana za provođenje kao dio kritičnog održavanja tijekom uporabe.
4.2. Promjene u predviđenom održavanju
4.2.1. Proizvođač mora tijelu za homologaciju tipa podnijeti zahtjev za odobrenje svakog novog održavanja koje želi obaviti tijekom programa ispitivanja u uporabi, a time i preporučiti vlasnicima teških vozila i motora. Proizvođač također navodi svoju preporuku u pogledu kategorije (tj. je li povezana s emisijama, nije povezana s emisijama, kritično ili nekritično) novog predviđenog održavanja koje se predlaže, a za održavanje povezano s emisijama, najveći mogući razmak održavanja. Uz zahtjev se moraju dostaviti podaci koji podržavaju potrebu za novim predviđenim održavanjem i razmakom održavanja.
4.3. Predviđeno održavanje koje nije povezano s emisijama
4.3.1. Predviđeno održavanje koje nije povezano s emisijama, a koje je razumno i tehnički nužno (npr. promjena ulja, promjena uljnog filtra, promjena filtra za gorivo, promjena zračnog filtra, održavanje sustava hlađenja, podešavanja brzine praznog hoda, regulator, zakretni moment vijka motora, remen ventila, remen ubrizgača, vrijeme, podešavanje napetosti svakog remena za vožnju, itd.) može se obaviti na motorima ili vozilima odabranim u programu ispitivanja u uporabi u najmanje učestalim razmacima koje proizvođač preporuči vlasniku (npr. ne u razmacima preporučenima za teške uvjete uporabe).
4.4. Održavanje motora odabranih za ispitivanje prema programu ispitivanja u uporabi
4.4.1. Popravci na sastavnim dijelovima motora odabranih za ispitivanje u programu ispitivanja u uporabi, osim samog motora, sustava kontrole emisije ili sustava goriva obavljaju se samo kao rezultat kvara nekog dijela ili neispravnosti sustava motora.
4.4.2. Oprema, instrumenti ili alati ne smiju se koristiti za utvrđivanje neispravnosti, pogrešnog funkcioniranja ili neispravnih sastavnih dijelova motora osim ako će ista ili istovjetna oprema, instrumenti ili alati biti na raspolaganju trgovcima i:
|
—
|
koriste se sukladno predviđenom održavanju takvih sastavnih dijelova,
i
|
|
—
|
koriste se nakon utvrđivanja neispravnosti motora.
|
4.5. Kritično nepredviđeno održavanje povezano s emisijama
4.5.1. Potrošnja zahtijevanog reagensa definira se kao kritično nepredviđeno održavanje povezano s emisijama u svrhu provedbe programa ispitivanja u uporabi i uvrštenja u upute o održavanju koje proizvođači daju vlasnicima novih teških vozila ili teških motora.
(1) Prema potrebi i na temelju podataka koje dostavljaju države članice, Komisija može predložiti reviziju DF-a prikazanih u ovoj tablici u skladu s postupkom predviđenim u članku 13. Direktive 70/156/EEZ.
PRILOG III.
SUKLADNOST VOZILA/MOTORA U UPORABI
1. OPĆENITO
1.1. S obzirom na homologacije dodijeljene za emisije, potrebne su primjerene mjere za potvrđivanje funkcionalnosti uređaja za kontrolu emisije tijekom vijeka korištenja motora ugrađenog u vozilo u uobičajenim uvjetima uporabe (sukladnost vozila/motora u uporabi ispravno održavanih i korištenih).
1.2. Za potrebe ove Direktive, ove se mjere moraju provjeravati tijekom razdoblja koje odgovara primjerenom razdoblju vijeka korištenja definiranom u članku 3. ove Direktive za vozila i motore koji su homologirani bilo prema retku B1, retku B2 ili retku C tablica iz odjeljka 6.2.1. Priloga I. Direktivi 2005/55/EZ.
1.3. Provjera sukladnosti vozila/motora u uporabi provodi se na temelju podataka koje proizvođač dostavlja tijelu za homologaciju koje provodi reviziju karakteristika s obzirom na emisije niza vozila ili motora predstavnika za koje proizvođač posjeduje homologaciju.
Slika 1. iz ovog Priloga prikazuje postupak provjere sukladnosti u uporabi.
2. PROVJERE SUKLADNOSTI
2.1. Provjere sukladnosti u uporabi provodi tijelo za homologaciju na temelju svih bitnih podataka koje proizvođač posjeduje, prema postupcima sličnim onima iz članka 10. stavaka 1. i 2., i u odjeljcima 1. i 2. Priloga X. Direktivi 70/156/EEZ.
Alternativno mogu se prihvatiti proizvođačeva izvješća o praćenju u uporabi, nadzorna ispitivanja koja provode tijela za homologaciju i/ili podaci o nadzornom ispitivanju koje provodi država članica. Postupci koji će se koristiti navedeni su u odjeljku 3.
3. POSTUPCI PROVJERE SUKLADNOSTI
3.1. Provjere sukladnosti u uporabi provodit će tijelo za homologaciju na temelju podataka koje dostavlja proizvođač. Izvješće proizvođača o praćenju u uporabi (ISM) treba se temeljiti na ispitivanju motora ili vozila u uporabi primjenom dokazanih i određenih protokola ispitivanja. Takvi podaci (ISM izvješće) moraju uključivati, ali se ne ograničavaju na sljedeće (vidjeti odjeljke 3.1.1. do 3.1.13.):
3.1.1. Naziv i adresa proizvođača.
3.1.2. Naziv, adresa, brojevi telefona i faksa te adresa elektroničke pošte njegovog ovlaštenog predstavnika unutar područja obuhvaćenih podacima proizvođača.
3.1.3. Naziv(i) modela motora uvrštenih u podatke proizvođača.
3.1.4. Prema potrebi, popis tipova motora obuhvaćenih podacima proizvođača, tj. porodicama motora sa sustavom naknadne obrade.
3.1.5. Oznake identifikacijskog broja vozila (VIN) koje se primjenjuju na vozila opremljena motorom koji je dio revizije.
Slika 1.
Provjera sukladnosti u uporabi – postupak
3.1.6. Brojevi homologacija tipa koji se odnose na tipove motora unutar porodice u uporabi, uključujući, prema potrebi, brojeve svih produljenja i dorada u uporabi/povlačenja (tvorničke prerade):
3.1.7. Detalji o produljenjima, doradama u uporabi/povlačenjima onih homologacija za motore koji su obuhvaćeni podacima proizvođača (ako ih zatraži tijelo za homologaciju).
3.1.8. Vremensko razdoblje prikupljanja podataka proizvođača.
3.1.9. Rok izrade motora obuhvaćen podacima proizvođača (npr. „vozila ili motori proizvedeni tijekom kalendarske godine 2005.”).
3.1.10. Proizvođačev postupak provjere sukladnosti u uporabi, uključujući:
3.1.10.1. metodu lociranja vozila ili motora
3.1.10.2. kriterije odabira i odbijanja vozila ili motora
3.1.10.3. tipove i postupke ispitivanja koji se koriste za program
3.1.10.4. kriterije prihvaćanja/odbijanja proizvođača za skupinu porodicu u uporabi
3.1.10.5. geografsko područje (geografska područja) unutar kojih je proizvođač prikupljao podatke
3.1.10.6. veličinu uzorka i upotrijebljeni plan uzorkovanja.
3.1.11. Rezultati dobiveni iz proizvođačevog postupka sukladnosti u uporabi, uključujući:
3.1.11.1. Identifikaciju motora uključenih u program (bilo da su ispitani ili ne). Identifikacija će obuhvaćati:
|
—
|
identifikacijsku oznaku vozila (VIN),
|
|
—
|
identifikacijski broj motora,
|
|
—
|
registracijski broj vozila opremljenog motorom koji je dio provjere,
|
|
—
|
područje uporabe (ako je poznato),
|
|
—
|
vrstu primjene vozila (ako je poznato), tj. gradska dostava, prijevoz na dugim udaljenostima, itd.
|
3.1.11.2. Razlog (razlozi) odbijanja vozila ili motora iz uzorka (npr. vozilo je u uporabi manje od godinu dana, neprimjereno održavanje povezano s emisijama, dokaz o uporabi goriva s višim sadržajem sumpora od zahtijevanog za uobičajenu uporabu vozila, oprema za kontrolu emisije koja nije u skladu s homologacijom). Razlog odbijanja se obrazlaže argumentima (npr. priroda nepridržavanja uputa održavanja, itd.). Vozilo ne smije biti isključeno samo na temelju mogućeg prekomjernog rada AECS-a.
3.1.11.3. Prijašnji podaci o servisiranju i održavanju povezani s emisijama za svaki motor iz uzorka (uključujući bilo koje prerade).
3.1.11.4. Prijašnji podaci o popravku za svaki motor iz uzorka (ako su poznati).
3.1.11.5. Podaci ispitivanja, koji uključuju:
|
(c)
|
prema potrebi, mjerilo prijeđenog puta vozila opremljenog motorom obuhvaćenim provjerom;
|
|
(d)
|
specifikacije ispitivanja goriva (npr. referentno gorivo ispitivanja ili gorivo na tržištu);
|
|
(e)
|
uvjeti ispitivanja (temperatura, vlažnost, inercijska masa dinamometra);
|
|
(f)
|
postavne vrijednosti dinamometra (npr. podešavanje snage);
|
|
(g)
|
rezultati ispitivanja emisije provedenih na ESC, ETC i ELR ispitivanjima u skladu s odjeljkom 4. ovog Priloga. Ispituje se najmanje pet motora;
|
|
(h)
|
kao drugo rješenje s obzirom na gornju točku (g) mogu se provesti ispitivanja primjenom nekog drugog protokola. Proizvođač navodi i potkrepljuje važnost praćenja funkcionalnosti u uporabi uz takvo ispitivanje, sukladno postupku homologacije (odjeljci 3. i 4. Priloga I. Direktivi 2005/55/EZ).
|
3.1.12. Zapisi podataka iz OBD sustava.
3.1.13. Zapis o iskustvima primjene potrošnog reagensa. U izvješćima treba detaljno navesti, ali ne ograničavati se na, iskustva vozača u vezi s postupanjem ili punjenjem, ponovnim punjenjem i potrošnjom reagensa, te odvijanjem rada postrojenja za punjenje, a naročito učestalošću aktiviranja u uporabi uređaja za ograničavanje privremenih karakteristika i događaja pojava drugih kvarova, aktiviranjem MI-ja i registriranjem koda greške s obzirom na nedostatak potrošnog reagensa.
3.1.13.1. Proizvođač dostavlja izvješća o uporabi i oštećenjima. Proizvođač izvješćuje o jamstvenim zahtjevima i njihovoj prirodi, o aktiviranju/deaktiviranju MI-ja u uporabi i bilježenja koda greške u vezi s nedostatkom potrošnog reagensa i aktiviranju/deaktiviranju uređaja za ograničavanje učinka motora (vidjeti odjeljak 6.5.5. Priloga I. Direktivi 2005/55/EZ).
3.2. Podaci koje proizvođač prikupi moraju biti dovoljno sveobuhvatni kako bi se osigurala procjena značajki u uporabi s obzirom na uobičajene uvjete tijekom odgovarajućeg razdoblja trajanja/uporabnog vijeka prema definiciji iz članka 3. ove Direktive i tako da se pokaže proizvođačev geografski prodor na tržište.
3.3. Proizvođač možda želi provesti praćenje u uporabi koje će obuhvaćati manje motora/vozila od broja navedenog u odjeljku 3.1.11.5. točki (g), i uz primjenu postupka iz odjeljka 3.1.11.5. točke (h). Razlog tome može biti mali broj motora u porodici (porodicama) motora obuhvaćenih izvješćem. Svoju suglasnost na uvjete prethodno treba dati tijelo za homologaciju.
3.4. Na temelju izvješća o praćenju iz ovog odjeljka, tijelo za homologaciju mora:
|
—
|
donijeti odluku da je sukladnost tipa motora ili porodice motora u uporabi zadovoljavajuća i da nije potrebno poduzimati nikakve daljnje radnje;
|
|
—
|
ili donijeti odluku da su podaci koje je proizvođač dostavio nedostatni i od proizvođača zatražiti dodatne informacije i/ili podatke o ispitivanjima. Kada se to zahtijeva, a ovisno o homologaciji motora, takvi dodatni podaci ispitivanja uključuju rezultate ESC, ELR i ETC ispitivanja, ili iz drugih prihvaćenih postupaka u skladu s odjeljkom 3.1.11.5. točkom (h);
|
|
—
|
ili donijeti odluku da je sukladnost porodice motora u uporabi nezadovoljavajuća i nastaviti s provedbom potvrdnog ispitivanja na uzorku motora iz porodice motora, u skladu s odjeljkom 5. ovog Priloga.
|
3.5. Država članica može provesti i izvijestiti o svojem nadzornom ispitivanju, na temelju postupka provjere sukladnosti navedenog u ovom odjeljku. Mogu se zabilježiti podaci o nabavi, održavanju i sudjelovanju proizvođača u tim aktivnostima. Isto tako, država članica može koristiti zamjenske protokole ispitivanja emisije, u skladu s odjeljkom 3.1.11.5. točkom (h).
3.6. Tijelo za homologaciju tipa može, kao osnovu za donošenje odluka u skladu s odjeljkom 3.4. uzeti nadzorno ispitivanje koje je provela država članica i o njemu sastavila izvješće.
3.7. Proizvođač treba podnijeti izvješće tijelu za homologaciju tipa i državi članici (državama članicama) gdje se predmetni motori/vozila upotrebljavaju prilikom planiranja provedbe dobrovoljnih popravnih radnji. Izvješće podnosi proizvođač sukladno donošenju odluke o poduzimanju mjera, navodeći pojedinosti tih mjera, uz opis skupina motora/vozila koja će se obuhvatiti mjerama, a nakon toga redovito o početku kampanje. Primjenjive pojedinosti iz odjeljka 7. ovog Priloga mogu se koristiti.
4. ISPITIVANJA EMISIJE
4.1. Motor izabran iz porodice motora ispituje se tijekom ciklusa ESC i ETC ispitivanja s obzirom na štetne emisije plinova i čestica i tijekom ciklusa ELR ispitivanja zbog emisije dima. Motor mora biti predstavnik za način uporabe kakav se očekuje za taj tip motora i dolazi iz vozila u uobičajenoj uporabi. Nabava, tehnički pregled i održavanje u smislu obnavljanja motora/vozila provode se primjenom protokola utvrđenog u odjeljku 3. i dokumentiraju se.
Odgovarajući raspored održavanja iz odjeljka 4. Priloga II. primjenjuje se na motor.
4.2. Vrijednosti emisije utvrđene ESC, ETC i ELR ispitivanjima iskazuju se istim brojem decimalnih mjesta kao i granična vrijednost za tu onečišćujuću tvar, kako je prikazano u tablicama iz odjeljka 6.2.1. Priloga I. Direktivi 2005/55/EZ, dodajući još jedno decimalno mjesto.
5. POTVRDNO ISPITIVANJE
5.1. Potvrdno se ispitivanje provodi u svrhu potvrde funkcionalnosti emisije porodice motora u uporabi.
5.1.1. Ako tijelo za homologaciju tipa nije zadovoljno proizvođačevim ISM-om prema odjeljku 3.4. ili u izvještajima postoje dokazi o nezadovoljavajućoj sukladnosti u uporabi, npr. u skladu s odjeljkom 3.5., tijelo za homologaciju može naložiti proizvođaču da provede potvrdno ispitivanje. Tijelo za homologaciju tipa pregledat će izvješće o potvrdnom ispitivanju koje je dostavio proizvođač.
5.1.2. Tijelo za homologaciju tipa može provesti potvrdno ispitivanje.
5.2. Potvrdno ispitivanje treba uključivati odgovarajuća ESC, ETC i ELR ispitivanja motora, kako je navedeno u odjeljku 4. Motore uzorke koji će se ispitati treba uzeti iz vozila korištenih u uobičajenim uvjetima i ispitati. Umjesto toga, a uz prethodnu suglasnost tijela za homologaciju, proizvođač može ispitati sastavne dijelove za kontrolu emisije iz vozila u uporabi, nakon što su uzeti i ugrađeni na motor (motore) uzorak (uzorke) u ispravnoj uporabi. Za svaku seriju ispitivanja odabire se isti paket sastavnih dijelova za kontrolu emisije, uz navođenje razloga odabira.
5.3. Rezultat ispitivanja može se smatrati nezadovoljavajućim ako je, iz ispitivanja dva ili više motora uzorka predstavnika iste porodice motora, za neki regulirani sastavni dio onečišćujućih tvari, granična vrijednost prikazana u odjeljku 6.2.1. Priloga I. Direktivi 2005/55/EZ značajno prijeđena.
6. POTREBNE MJERE
6.1. Ako tijelo za homologaciju tipa nije zadovoljno informacijama ili podacima ispitivanja koje je dostavio proizvođač, a nakon što je provelo potvrdno ispitivanje motora u skladu s odjeljkom 5., ili na temelju potvrdnog ispitivanja koje je provela država članica (odjeljak 6.3.), i izvjesno je da tip motora nije u skladu sa zahtjevima ovih odredaba, tijelo za homologaciju tipa mora od proizvođača zatražiti da podnese plan popravnih mjera za ispravljanje nesukladnosti.
6.2. U tom slučaju, popravne mjere iz članka 11. stavka 2. i iz Priloga X. Direktivi 70/156/EEZ [ili novo izdanje okvirne Direktive] proširuju se na motore u uporabi koji pripadaju istom tipu vozila, a na koje će vjerojatno utjecati ista oštećenja, prema odjeljku 8.
Da bi bio valjan, plan popravnih mjera koji predstavi proizvođač mora odobriti tijelo za homologaciju tipa. Proizvođač je odgovoran za provedbu odobrenog plana popravnih mjera.
Tijelo za homologaciju mora o svojoj odluci obavijestiti sve države članice u roku od 30 dana. Države članice mogu zahtijevati da se isti plan popravnih mjera primijeni na sve motore istog tipa registrirane na njihovom državnom području.
6.3. Ako je država članica utvrdila da tip motora ne ispunjava primjenjive zahtjeve ovog Priloga, mora o tome odmah obavijestiti državu članicu koja je dodijelila prvotnu homologaciju u skladu sa zahtjevima članka 11. stavka 3. Direktive 70/156/EEZ.
Zatim, podložno odredbi članka 11. stavka 6. Direktive 70/156/EEZ, nadležno tijelo države članice koja je dodijelila prvotnu homologaciju tipa obavješćuje proizvođača da tip motora ne ispunjava zahtjeve iz ovih odredaba i da se od proizvođača očekuje poduzimanje određenih mjera. Proizvođač, u roku od dva mjeseca od te obavijesti, dostavlja nadležnom tijelu plan mjera za svladavanje nedostataka, čiji bi se sadržaj trebao podudarati sa zahtjevima iz odjeljka 7. Nadležno tijelo koje je dodijelilo prvotnu homologaciju, u roku od dva mjeseca, savjetuje proizvođača kako bi se osigurao dogovor o planu mjera i provedbi toga plana. Ako nadležno tijelo koje je dodijelilo prvotnu homologaciju utvrdi da se dogovor ne može postići, pokreće se postupak u skladu s člankom 11. stavcima 3. i 4. Direktive 70/156/EEZ.
7. PLAN POPRAVNIH MJERA
7.1. Plan popravnih mjera, zatražen u skladu s odjeljkom 6.1., mora se podnijeti tijelu za homologaciju tipa najkasnije 60 radnih dana od datuma obavijesti iz odjeljka 6.1. Tijelo za homologaciju mora u roku od 30 radnih dana odobriti ili ne odobriti plan popravnih mjera. Međutim, ako proizvođač može dokazati na način prihvatljiv nadležnom tijelu za homologaciju da mu je potrebno još vremena da ispita nesukladnost kako bi podnio plan popravnih mjera, produljenje se odobrava.
7.2. Popravne se mjere moraju odnositi na sve motore na koje će vjerojatno utjecati isto oštećenje. Mora se procijeniti potreba za izmjenom homologacijskih dokumenata.
7.3. Proizvođač mora dostaviti kopiju svih dopisa u vezi s planom popravnih mjera, mora također voditi evidenciju o kampanji povlačenja i dostavljati redovita izvješća o stanju tijelu za homologaciju.
7.4. Plan popravnih mjera mora obuhvaćati zahtjeve navedene u odjeljcima 7.4.1. do 7.4.11. Proizvođač mora dodijeliti jedinstveni identifikacijski naziv ili broj planu popravnih mjera.
7.4.1. Opis svakog tipa motora uključenog u plan popravnih mjera.
7.4.2. Opis posebnih preinaka, izmjena, popravaka, ispravaka, prilagođavanja ili drugih promjena koje će se izvršiti s ciljem postizanja sukladnosti motora, uključujući kratak sažetak podataka i tehničkih studija koji podržavaju odluku proizvođača o određenim mjerama koje treba poduzeti kako bi se ispravila nesukladnost.
7.4.3. Opis metode kojom proizvođač obavješćuje vlasnike motora ili vozila o popravnim mjerama.
7.4.4. Opis ispravnog održavanja ili primjene, ako postoji, koje proizvođač utvrđuje kao uvjete prihvatljivosti za popravak prema planu popravnih mjera, i objašnjenje proizvođačevih razloga za postavljanje nekog od tih uvjeta. Nikakvi se uvjeti o održavanju ili primjeni ne smiju postavljati osim ako su očito povezani s nesukladnosti i popravnim mjerama, što se može i dokazati.
7.4.5. Opis postupka kojeg se trebaju pridržavati vlasnici motora kako bi ispravili nesukladnosti. On mora sadržavati datum nakon kojeg se popravne mjere mogu poduzeti, procijenjeno vrijeme potrebno da radionica obavi popravke i mjesto gdje se mogu obaviti. Popravak se mora obaviti na primjeren način, u razumnom roku nakon isporuke vozila.
7.4.6. Kopiju informacija poslanih vlasniku vozila.
7.4.7. Kratak opis sustava koji proizvođač koristi kako bi osigurao primjerenu opskrbu sastavnog dijela ili sustava za provedbu popravne mjere. Mora se navesti kada će uslijediti primjerena opskrba sastavnih dijelova ili sustava s ciljem započinjanja kampanje.
7.4.8. Kopiju svih uputa koje će se poslati onim osobama koje će obaviti popravak.
7.4.9. Opis učinka predloženih popravnih mjera na emisije, potrošnju goriva, sposobnost vožnje i sigurnost svakog tipa motora, obuhvaćenog planom popravnih mjera s podacima, tehničkim studijama, itd. koji podupiru te zaključke.
7.4.10. Sve druge informacije, izvješća ili podatke za koje tijelo za homologaciju tipa može razumno utvrditi da su nužne radi procjene plana popravnih mjera.
7.4.11. Ako plan popravnih mjera uključuje povlačenje, tijelu za homologaciju tipa mora se dostaviti opis metode bilježenja popravka. Ako se koristi oznaka, mora se dostaviti primjerak takve oznake.
7.5. Od proizvođača se može zatražiti da provede razumno osmišljena i nužna ispitivanja sastavnih dijelova i motora obuhvaćajući predloženu promjenu, popravak ili preinaku kako bi se pokazala učinkovitost promjene, popravka ili preinake.
7.6. Proizvođač je odgovoran za vođenje evidencije o svakom motoru ili vozilu povučenom i popravljenom i servisu koji je izvršio popravak. Tijelo za homologaciju tipa mora, na zahtjev, dobiti pristup tim zapisima u razdoblju od 5 godina od provedbe plana popravnih mjera.
7.7. Popravak i/ili preinaka ili dodavanje nove opreme treba biti navedeno u certifikatu koji proizvođač dostavlja vlasniku motora.
PRILOG IV.
SUSTAVI UGRAĐENE DIJAGNOSTIKE (OBD)
1. UVOD
U ovom su Prilogu opisane posebne odredbe za sustav ugrađene dijagnostike (OBD) s obzirom na sustave kontrole emisije motornih vozila.
2. DEFINICIJE
Za potrebe ovog Priloga primjenjuju se sljedeće definicije, pored definicija sadržanih u odjeljku 2. Priloga I. Direktivi 2005/55/EZ:
„ciklus zagrijavanja” znači dovoljno dug rad motora da se temperatura rashladnog sredstva poveća za najmanje 22 K od pokretanja motora i da se postigne najmanja temperatura od 343 K (70 °C);
„pristup” znači raspoloživost svih OBD podataka povezanih s emisijama, uključujući sve kodove grešaka potrebne za tehnički pregled, dijagnostiku, servisiranje ili popravak dijelova vozila povezanih s emisijama, putem serijskog sučelja standardnog dijagnostičkog priključka;
„nedostatak” znači, s obzirom na OBD sustave motora, da najviše dva zasebna sastavna dijela ili sustava koji se prate sadrže privremene ili trajne radne karakteristike koje narušavaju inače učinkovito praćenje OBD-a tih sastavnih dijelova ili sustava ili ne ispunjavaju sve druge detaljne zahtjeve OBD-a. Motori ili vozila s obzirom na njihov motor mogu se homologirati, registrirati i prodavati s takvim nedostacima u skladu sa zahtjevima odjeljka 4.3. ovog Priloga;
„pogoršani sastavni dio/sustav” znači motor ili sastavni dio/sustav naknadne obrade ispušnih plinova koji je proizvođač na kontrolirani način namjerno pogoršao u svrhu provedbe homologacijskog ispitivanja na OBD sustavu;
„ciklus ispitivanja OBD” znači ciklus vožnje koji predstavlja izvedbu ciklusa ESC ispitivanja s istim tijekom provedbe od 13 pojedinačnih načina rada kako je opisano u odjeljku 2.7.1. Dodatka 1. Prilogu III. Direktivi 2005/55/EZ, ali uz smanjenje trajanja svakog načina rada na 60 sekundi;
„redoslijed djelovanja” znači slijed koji se koristi za utvrđivanje uvjeta za isključivanje MI-ja. Sastoji se od pokretanja motora, razdoblja rada, isključivanja motora, i vremena do ponovnog pokretanja, kada je sustav praćenja OBD-a uključen, a neispravnost bi se, ako postoji, uočila;
„ciklus prekondicioniranja” znači provedba najmanje tri uzastopna OBD ciklusa ispitivanja ili ciklusa ispitivanja emisije u svrhu postizanja stabilnosti rada motora, sustava kontrole emisije i spremnosti OBD praćenja;
„podaci o popravku” znače svi podaci potrebni za dijagnostiku, servisiranje, tehnički pregled, periodično praćenje ili popravak motora i koje proizvođači dobavljaju svojim ovlaštenim zastupnicima/servisnim radionicama. Prema potrebi, takvi podaci uključuju servisne priručnike, tehničke upute, dijagnostičke podatke (npr. najmanje i najveće teorijske vrijednosti prilikom mjerenja), dijagrame ožičenja, identifikacijski broj umjeravanja programske opreme koji se odnosi na tip motora, podatke koji omogućavaju ažuriranje programske opreme elektroničkih sustava u skladu sa zahtjevima proizvođača vozila, upute u pojedinačnim i posebnim slučajevima, pribavljene podatke o alatima i opremi, informacije o bilježenju podataka te podatke o dvosmjernom praćenju i ispitivanju. Proizvođač nije obvezan staviti na raspolaganje one podatke koji su obuhvaćeni pravima intelektualnog vlasništva ili čine posebna znanja proizvođača i/ili dobavljača OEM-a; u tom slučaju, potrebne tehničke informacije nisu nepropisno uskraćene;
„standardiziran” značida se svi OBD podaci povezani s emisijama (tj. podaci o toku podataka u slučaju korištenja uređaja za skeniranje), uključujući sve korištene kodove grešaka, dobivaju samo u skladu s industrijskim normama koje, na temelju činjenice da su njihove dozvoljene opcije i oblik jasno definirani, pružaju najvišu razinu usklađenosti u industriji motornih vozila, a njihova je primjena izričito dozvoljena ovom Direktivom;
„neograničen” znači:
|
—
|
pristup neovisan o pristupnom kodu koji se može dobiti samo od proizvođača, ili odgovarajućeg uređaja,
ili
|
|
—
|
pristup koji omogućava procjenu dobivenih podataka bez potrebe za nekim podacima za dekodiranje, osim ako su ti sami podaci standardizirani.
|
3. ZAHTJEVI I ISPITIVANJA
3.1.1. OBD sustavi se moraju konstruirati, izraditi i ugraditi u vozilo kako bi se mogle utvrditi vrste neispravnosti koje se pojavljuju tijekom čitavog vijeka trajanja motora. Pri tome tijelo za homologaciju dozvoljava da motori koji su u uporabi nakon odgovarajućeg uporabnog vijeka definiranog u članku 3. ove Direktive mogu pokazivati neka pogoršanja u djelovanju OBD sustava tako da se granične vrijednosti OBD sustava navedene u tablici iz članka 4. stavka 3. ove Direktive smiju premašiti prije nego OBD sustav signalizira grešku vozaču vozila.
3.1.2. Slijed dijagnostičkih provjera mora započeti pri svakom pokretanju motora i završiti najmanje jednom, pod uvjetom da su zadovoljeni uvjeti ispravnog ispitivanja. Uvjeti ispitivanja moraju se odabrati tako da se provode u uvjetima vožnje kako je prikazano ispitivanjem navedenim u odjeljku 2. Dodatka 1. ovom Prilogu.
3.1.2.1. Proizvođač ne treba aktivirati sastavni dio/sustav isključivo u svrhu OBD nadzora u uvjetima rada vozila kada on ne bi bio aktiviran (npr. uključivanje grijača spremnika reagensa sustava deNOx ili kombiniranog filtra deNOx čestica kada takav sustav u pravilu ne bi bio aktivan).
3.1.3. OBD može obuhvaćati uređaje, koji mjere, prepoznaju ili odgovaraju na radne promjenljive veličine (npr. brzina vozila, brzina vrtnje motora, korišteni prijenos, temperatura, ulazni tlak ili neki drugi parametar) u svrhu otkrivanja neispravnosti i smanjivanja rizika pokazivanja pogrešne neispravnosti. Ovi uređaji nisu poremećajni uređaji.
3.1.4. Pristup OBD sustavu koji je potreban za tehnički pregled, dijagnostiku, servisiranje ili popravak motora mora biti neograničen i standardiziran. Svi kodovi grešaka povezani s emisijama moraju odgovarati onim opisanima u odjeljku 6.8.5. ovog Priloga.
3.2. Zahtjevi za OBD - faza 1.
3.2.1. Od datuma navedenih u članku 4. stavku 1. ove Direktive, OBD sustav svih dizelskih motora i vozila opremljenih dizelskim motorima mora ukazivati na kvar sastavnog dijela ili sustava povezanih s emisijama kada taj kvar rezultira povećanjem emisija iznad graničnih vrijednosti OBD-a navedenih u tablici iz članka 4. stavka 3. ove Direktive.
3.2.2. Kako bi zadovoljio zahtjeve stupnja 1, OBD sustav mora nadzirati:
3.2.2.1. potpuno uklanjanje katalizatora, kada je ugrađen u zasebno kućište, a koji može ili ne mora biti dio sustava deNOx ili filtra čestica;
3.2.2.2. smanjenje učinkovitosti sustava deNOx, ako je ugrađen, samo s obzirom na emisije NOx;
3.2.2.3. smanjenje učinkovitosti filtra čestica, ako je ugrađen, samo s obzirom na emisije čestica;
3.2.2.4. smanjenje učinkovitosti sustava kombiniranog filtra deNOx čestica, s obzirom na emisije NOx i čestica.
3.2.3. Značajan funkcionalni kvar
3.2.3.1. Umjesto praćenja prema odgovarajućim graničnim vrijednostima OBD-a s obzirom na odjeljke 3.2.2.1. do 3.2.2.4., OBD sustavi dizelskih motora mogu, u skladu s člankom 4. stavkom 1. ove Direktive, pratiti značajni funkcionalni kvar sljedećih sastavnih dijelova:
|
—
|
katalizatora, kada je ugrađen kao zasebna jedinica, a može ili ne mora biti dio sustava deNOx ili filtara čestica,
|
|
—
|
sustava deNOx, ako je ugrađen,
|
|
—
|
filtra čestica, ako je ugrađen,
|
|
—
|
sustava kombiniranog filtra deNOx čestica.
|
3.2.3.2. U slučaju motora opremljenog sustavom deNOx, primjeri praćenja značajnog funkcionalnog kvara su potpuno uklanjanje sustava ili zamjena sustava simuliranim (oba predstavljaju namjerni značajni funkcionalni kvar), nedostatak potrebnog reagensa za sustav deNOx, kvar nekog SCR električnog sastavnog dijela, svaki električni kvar sastavnog dijela (npr. osjetnika i aktuatora, jedinice za kontrolu doziranja) sustava deNOx, uključujući, prema potrebi, sustav zagrijavanja reagensa, kvar sustava za doziranje reagensa (npr. pomanjkanje dovoda zraka, začepljena mlaznica, kvar crpke za doziranje).
3.2.3.3. Kad je riječ o motoru opremljenom filtrom čestica, primjeri nadzora s obzirom na nastajanje značajnog funkcionalnog kvara su značajno taljenje supstrata filtra ili začepljenje filtra što za posljedicu ima diferencijalni tlak izvan područja koje je naveo proizvođač, svaki električni kvar sastavnog dijela (npr. osjetnika i aktuatora, jedinice za kontrolu doziranja) filtra čestica, kvar sustava doziranja reagensa (npr. začepljena mlaznica, kvar crpke za doziranje).
3.2.4. Proizvođači mogu pokazati tijelu za homologaciju da određene sastavne dijelove ili sustave nije potrebno nadzirati ako, u slučaju njihovog potpunog kvara ili uklanjanja, emisije ne prelaze primjenjive granične vrijednosti praga za fazu 1. OBD-a, navedene u tablici iz članka 4. stavka 3. ove Direktive kada se mjere tijekom ciklusa prikazanih u odjeljku 1.1. Dodatka 1. ovom Prilogu. Ova se odredba ne odnosi na uređaj recirkulacije ispušnog plina (EGR), sustav deNOx, filtar čestica ili sustav kombiniranog filtra deNOx čestica, niti se primjenjuje na sastavni dio ili sustav koji se prate zbog značajnog funkcionalnog kvara.
3.3. Zahtjevi za OBD - faza 2.
3.3.1. Od datuma navedenih u članku 4. stavku 2. ove Direktive, OBD sustav svih dizelskih ili plinskih motora i vozila opremljenih dizelskim ili plinskim motorom mora ukazivati na kvar sastavnog dijela ili sustava povezanih s emisijama kada taj kvar rezultira povećanjem emisija iznad graničnih vrijednosti OBD-a navedenih u tablici iz članka 4. stavka 3. ove Direktive.
OBD sustav mora uzeti u obzir komunikacijsko sučelje (hardver i poruke) između elektroničke upravljačke jedinice (elektroničkih upravljačkih jedinica) sustava motora (EECU) i bilo kojeg drugog pogonskog sklopa ili upravljačke jedinice vozila kada razmijenjene informacije utječu na ispravno funkcioniranje kontrole emisije. OBD sustav mora dijagnosticirati kvalitetu povezanosti između EECU-a i medija koji osigurava vezu s tim drugim sastavnim dijelovima vozila (npr. komunikacijska sabirnica).
3.3.2. Za ispunjavanje zahtjeva OBD - faze 2., sustav mora pratiti:
3.3.2.1. smanjenje učinkovitosti katalizatora, kada je ugrađen kao zasebna jedinica, a može ili ne mora biti dio sustava deNOx ili filtra čestica;
3.3.2.2. smanjenje učinkovitosti sustava deNOx, ako je ugrađen, ali samo s obzirom na emisije NOx;
3.3.2.3. smanjenje učinkovitosti filtra čestica, ako je ugrađen, ali samo s obzirom na emisije čestica;
3.3.2.4. smanjenje učinkovitosti sustava kombiniranog filtara deNOx čestica, s obzirom na emisije NOx i čestica;
3.3.2.5. sučelje između elektroničke upravljačke jedinice (elektroničkih upravljačkih jedinica) sustava motora (EECU) i bilo kojeg drugog pogonskog sklopa ili upravljačke jedinice vozila ili elektroničkog sustava (npr. elektronička upravljačka jedinica mjenjača (TECU)) za prekid elektroničke veze.
3.3.3. Proizvođači mogu dokazati tijelu za homologaciju da određene sastavne dijelove ili sustave nije potrebno nadzirati ako, u slučaju njihovog potpunog kvara ili uklanjanja, emisije ne prelaze primjenjive granične vrijednosti OBD-a, faze 2., navedene u tablici iz članka 4. stavka 3. ove Direktive kada se mjere tijekom ciklusa prikazanih u odjeljku 1.1. Dodatka 1. ovom Prilogu. Ova se odredba ne odnosi na uređaj recirkulacije ispušnog plina (EGR), sustav deNOx, filtar čestica ili sustav kombiniranog filtra deNOx čestica.
3.4. Zahtjevi za fazu 1. i fazu 2.
3.4.1. Da bi zadovoljio zahtjeve faze 1. ili faze 2., OBD sustav mora pratiti:
3.4.1.1. elektronički sustav ubrizgavanja goriva, količinu goriva i vremenski(-e) aktuator(e) za neprekinutost strujnog kruga (tj. otvoren strujni krug ili kratki spoj) i ukupni funkcionalni kvar;
3.4.1.2. sve druge sastavne dijelove ili sustave motora ili naknadne obrade ispušnih plinova povezane s emisijama, koji su priključeni na računalo, a čiji bi kvar rezultirao emisijama iz ispušne cijevi koje prelaze granične vrijednosti OBD-a navedene u članku 4. stavku 3. ove Direktive. To uključuje još najmanje sustav recirkulacije ispušnog plina (EGR), sustave ili sastavne dijelove za praćenje i kontrolu masenog protoka zraka, obujamski protok zraka (i temperaturu), tlak povećanja i tlak na ulazu u kolektor (te odgovarajuće osjetnike koji omogućavaju provedbu tih funkcija), osjetnike i aktuatore sustava deNOx, osjetnike i aktuatore aktivnog filtra čestica elektronički aktiviranog;
3.4.1.3. bilo koji drugi sastavni dio ili sustav motora ili sustava naknadne obrade ispušnih plinova povezane s emisijama i spojene na elektroničku upravljačku jedinicu koji se moraju pratiti radi prekida elektroničke veze, osim ako se prate drukčije.
3.4.1.4. U slučaju motora opremljenog sustavom naknadne obrade koji koristi potrošni reagens, OBD sustav mora pratiti:
|
—
|
nedostatak bilo kojeg potrebnog reagensa,
|
|
—
|
kvalitetu potrebnog reagensa u okviru zahtjeva koje je naveo proizvođač u Prilogu II. Direktivi 2005/55/EZ,
|
|
—
|
potrošnju reagensa i doziranje
|
u skladu s odjeljkom 6.5.4. Priloga I. Direktivi 2005/55/EZ.
3.5. Rad OBD-a i privremena onesposobljenost određenih mogućnosti OBD praćenja
3.5.1. OBD sustav mora biti konstruiran, izrađen i ugrađen u vozilo na način koji mu omogućuje ispunjavanje zahtjeva ovog Priloga u uvjetima primjene navedenim u odjeljku 6.1.5.4. Priloga I. Direktivi 2005/55/EZ.
Izvan ovih uobičajenih radnih uvjeta, sustav kontrole emisije može pokazivati određeno pogoršanje u karakteristikama OBD sustava, te se vrijednosti praga navedene u tablici iz članka 4. stavka 3. ove Direktive mogu premašiti prije nego OBD sustav signalizira kvar vozaču vozila.
OBD sustav se ne smije isključiti ako nije ispunjen jedan ili više sljedećih uvjeta onesposobljavanja:
3.5.1.1. OBD sustavi praćenja smiju se isključiti ako je na njihovu sposobnost praćenja utjecala niska razina goriva. Tako je isključivanje dozvoljeno ako razina goriva u spremniku padne ispod 20 % nominalnog kapaciteta spremnika goriva.
3.5.1.2. Pogođeni OBD sustavi praćenja mogu se privremeno isključiti tijekom djelovanja pomoćne strategije kontrole emisije kako je opisano u odjeljku 6.1.5.1. Priloga I. Direktivi 2005/55/EZ.
3.5.1.3. Pogođeni OBD sustavi praćenja mogu se privremeno isključiti ako je aktivirana strategija sigurnosnog djelovanja ili strategija prisilnog djelovanja (tzv. limp-home).
3.5.1.4. Na vozilima konstruiranim za ugradbu pogonskih priključaka isključivanje OBD sustava praćenja dozvoljeno je pod uvjetom da do isključivanja dolazi samo kada je pogonski priključak uključen, a vozilo miruje.
3.5.1.5. Pogođeni OBD sustavi praćenja mogu se privremeno isključiti tijekom periodične regeneracije sustava kontrole emisije postavljenog poslije motora (tj. filtar čestica, sustav deNOx ili kombinacija filtra i sustava deNOx čestica).
3.5.1.6. Pogođeni OBD sustavi praćenja mogu se privremeno isključiti i u slučaju da nisu zadovoljeni uvjeti navedeni u odjeljku 6.1.5.4. Priloga I. Direktivi 2005/55/EZ kada se to isključivanje može opravdati ograničenjem OBD sposobnosti praćenja (uključujući modeliranje).
3.5.2. OBD-ov sustav praćenja ne mora procjenjivati sastavne dijelove tijekom njihovog neispravnog djelovanja ako bi to ocjenjivanje moglo za posljedicu imati rizik za sigurnost ili kvar sastavnog dijela.
3.6. Aktiviranje indikatora neispravnosti (MI)
3.6.1. OBD sustav mora sadržavati indikator neispravnosti koji vozač može lako uočiti. Osim u slučaju navedenom u odjeljku 3.6.2. ovog Priloga, MI (npr. simbol ili svjetiljka) ne smije se koristiti ni u koju svrhu osim za neispravnost povezanu s emisijama, izuzev za ukazivanje vozaču na postupak pokretanja u nuždi ili strategiju prisilnog djelovanja. Porukama u vezi sa sigurnošću može se dati najveća prednost. MI mora biti vidljiv u svim razumnim uvjetima osvjetljenja. Kad je aktiviran, mora pokazivati simbol sukladno normi ISO 2575 (1) (kao pokazna svjetiljka na upravljačkoj ploči ili simbol na zaslonu upravljačke ploče). Vozilo ne smije imati više od jednog općeg MI-ja za probleme povezane s emisijama. Prikazivanje zasebnih posebnih informacija je dozvoljeno (npr. informacije u vezi sa sustavom kočenja, vezanjem sigurnosnih pojaseva, s pritiskom ulja, zahtjevima servisiranja ili ukazivanjem na nedostatak potrebnog reagensa za sustav deNOx). Primjena crvene boje za MI je zabranjena.
3.6.2. MI se može koristiti da ukaže vozaču na nužnost provedbe hitnog servisa. To upozorenje može pratiti odgovarajuća poruka na zaslonu upravljačke ploče da je potrebno obaviti hitan servis.
3.6.3. Kad se radi o strategijama koje zahtijevaju više od jednog ciklusa prekondicioniranja za aktiviranje MI-ja, proizvođač mora dostaviti podatke i/ili tehničku ocjenu koja na primjeren način pokazuje da je sustav praćenja jednako učinkovit i pravovremen u otkrivanju pogoršanja sastavnog dijela. Strategije koje u prosjeku zahtijevaju više od deset OBD-a ili ciklusa ispitivanja emisije za aktiviranje MI-ja ne prihvaćaju se.
3.6.4. MI se također mora aktivirati kad god upravljački sustav motora započne djelovanje stalnim zadanim načinom emisije. MI se također mora aktivirati kada OBD sustav nije u mogućnosti ispuniti osnovne zahtjeve praćenja utvrđene u ovoj Direktivi.
3.6.5. Kada se upućuje na ovu točku, MI se mora uključiti, a pored toga treba aktivirati zasebno upozorenje, npr. bljeskanje MI-ja ili uključivanje simbola sukladno normi ISO 2575 (2) pored aktiviranja MI-ja.
3.6.6. MI se mora aktivirati kada je paljenje motora uključeno odnosno prije pokretanja motora ili okretanja motora pokretačem i deaktivirati u roku od 10 sekundi nakon pokretanja motora ako prethodno nije uočena nikakva neispravnost.
3.7. Pohranjivanje kodova grešaka
OBD sustav mora bilježiti kod(ove) grešaka navodeći stanje sustava kontrole emisije. Kod greške mora se pohraniti prilikom svake uočene i provjerene neispravnosti koja uzrokuje aktiviranje MI-ja i mora utvrditi neispravan sustav ili sastavni dio što je više moguće jedinstveno. Zasebni kod koji ukazuje na očekivano stanje aktiviranja MI-ja treba pohraniti (npr. MI s naredbom „UKLJUČI”, MI s naredbom „ISKLJUČI”).
Zasebni kodovi stanja moraju se koristiti za utvrđivanje ispravnog funkcioniranja sustava kontrole emisije i onih sustava kontrole emisije kod kojih je potreban daljnji rad motora za potpunu procjenu. Ako je MI aktiviran zbog neispravnosti ili djelovanja stalnog zadanog načina emisije, kod greške mora se pohraniti tako da se utvrdi vjerojatno područje neispravnosti. Kod greške se mora također pohraniti u slučajevima iz odjeljaka 3.4.1.1. i 3.4.1.3. ovog Priloga.
3.7.1. Ako je praćenje onemogućeno tijekom 10 ciklusa vožnji zbog neprekidnog rada motora u uvjetima koji odgovaraju onima navedenim u odjeljku 3.5.1.2. ovog Priloga, spremnost predmetnog sustava praćenja može se postaviti u položaj „spreman”, a da praćenje nije završeno.
3.7.2. Sati rada motora, dok je MI aktiviran, moraju na zahtjev biti dostupni u svakom trenutku kroz serijski ulaz standardnog veznog priključka, u skladu sa zahtjevima navedenim u odjeljku 6.8. ovog Priloga.
3.8. Isključivanje MI-ja
3.8.1. MI se može deaktivirati nakon tri uzastopna slijeda djelovanja ili 24-satnog rada motora tijekom kojeg sustav praćenja odgovoran za aktiviranje MI-ja prestaje uočavati neispravnost i ako nije utvrđena niti jedna druga neispravnost koja bi neovisno aktivirala MI.
3.8.2. U slučaju aktiviranja MI-ja zbog nedostatka reagensa za sustav deNOx, ili kombiniranog uređaja naknadne obrade deNOx čestica ili primjene reagensa izvan zahtjeva koje je naveo proizvođač, MI se može vratiti u prethodno stanje uključenosti nakon ispunjenja ili zamjene skladišnog medija reagensom s ispravnim specifikacijama.
3.8.3. U slučaju uključivanja MI-ja zbog neispravne potrošnje reagensa i doziranja, MI se može vratiti u prethodno stanje uključenosti ako se uvjeti navedeni u odjeljku 6.5.4. Priloga I. Direktivi 2005/55/EZ više ne primjenjuju.
3.9. Brisanje koda greške
3.9.1. OBD sustav može izbrisati kod pogreške i sate rada motora te memorirana očitanja stanja ako ista greška nije registrirana u najmanje 40 ciklusa zagrijavanja motora ili 100 sati rada motora, ovisno o tome što nastupi prije, uz izuzetak slučajeva iz odjeljka 3.9.2.
3.9.2. Od 1. listopada 2006. za nove homologacije tipa i od 1. listopada 2007. za sve registracije, u slučaju nastanka koda greške u skladu s odjeljcima 6.5.3. ili 6.5.4. Priloga I. Direktivi 2005/55/EZ, OBD sustav zadržava zapis o kodu greške i satima rada motora tijekom uključivanja MI-ja u trajanju od najmanje 400 dana ili 9 600 sati rada motora.
Svaki takav kod greške i odgovarajući sati rada motora tijekom uključivanja MI-ja ne smiju se brisati kroz primjenu nekog vanjskog dijagnostičkog ili drugog alata iz odjeljka 6.8.3. ovog Priloga.
4. ZAHTJEVI U VEZI S HOMOLOGACIJOM TIPA OBD SUSTAVA
4.1. U svrhu homologacije tipa, OBD sustav ispituje se sukladno postupcima navedenim u Dodatku 1. ovom Prilogu.
Motor predstavnik porodice motora (vidjeti odjeljak 8. Priloga I. Direktivi 2005/55/EZ) koristi se za pokazna ispitivanja OBD-a ili će se umjesto umjesto tog ispitivanja tijelu za homologaciju dostaviti izvješće o ispitivanju osnovnog OBD sustava OBD porodice motora.
4.1.1. U slučaju OBD faze 1. iz odjeljka 3.2., OBD sustav mora:
4.1.1.1. ukazati na kvar sastavnog dijela ili sustava povezanih s emisijama ako taj kvar ima za posljedicu povećanje emisija iznad OBD graničnih vrijednosti navedenih u tablici iz članka 4. stavka 3. ove Direktive; ili
4.1.1.2. prema potrebi, ukazati na bilo koji značajan funkcionalni kvar sustava naknadne obrade ispušnih plinova.
4.1.2. U slučaju OBD faze 2. na koju se odnosi odjeljak 3.3., OBD sustav mora ukazati na kvar sastavnog dijela ili sustava povezanih s emisijama ako taj kvar ima za posljedicu povećanje emisija iznad OBD vrijednosti praga navedenih u tablici iz članka 4. stavka 3. ove Direktive.
4.1.3. U slučaju OBD 1 i OBD 2, OBD sustav mora ukazati na nedostatak svakog zahtijevanog reagensa potrebnog za rad sustava naknadne obrade ispušnih plinova.
4.2. Zahtjevi ugradbe
4.2.1. Ugradba u vozilo motora opremljenog OBD sustavom ispunjava sljedeće odredbe ovog Priloga s obzirom na opremu vozila:
|
—
|
odredbe iz odjeljaka 3.6.1., 3.6.2. i 3.6.5. u pogledu MI-ja i, prema potrebi, dodatnih načina upozoravanja,
|
|
—
|
prema potrebi, odredbe odjeljaka 6.8.3.1. u pogledu primjene instalacije automatske dijagnostike,
|
|
—
|
odredbe odjeljka 6.8.6. u pogledu sučelja priključka.
|
4.3. Homologacija tipa OBD sustava s nedostacima
4.3.1. Proizvođač može podnijeti zahtjev nadležnom tijelu za prihvaćanje OBD sustava na homologaciju tipa iako sustav sadržava jedan ili više nedostataka tako da posebni zahtjevi ovog Priloga nisu u potpunosti ispunjeni.
4.3.2. Prilikom razmatranja zahtjeva, nadležno tijelo utvrđuje provedivost ili neopravdanost pridržavanja zahtjeva iz ovog Priloga.
Nadležno tijelo uzima u obzir podatke proizvođača koji detaljno navode, ali se ne ograničavaju na čimbenike kao što su tehnička izvedivost, vrijeme do početka proizvodnje i ciklusi proizvodnje, uključujući postupno uvođenje ili postupno ukidanje konstrukcija motora i programiranih dogradnji računala, u mjeri u kojoj će proizlazeći OBD sustav biti učinkovit u smislu pridržavanja zahtjeva ove Direktive i da je proizvođač pokazao prihvatljivu razinu uloženog napora za ispunjavanje zahtjeva ove Direktive.
4.3.3. Nadležno tijelo neće prihvatiti niti jedan zahtjev za prihvaćanje nedostatka koji uključuje potpuni izostanak potrebnog dijagnostičkog praćenja.
4.3.4. Nadležno tijelo ne smije prihvatiti niti jedan zahtjev za prihvaćanje nedostatka koji se ne pridržava OBD graničnih vrijednosti navedenih u tablici iz članka 4. stavka 3. ove Direktive.
4.3.5. Pri određivanju redoslijeda utvrđivanja nedostataka, prvo se utvrđuju nedostaci u vezi s OBD fazom 1. s obzirom na odjeljke 3.2.2.1., 3.2.2.2., 3.2.2.3., 3.2.2.4. i 3.4.1.1. i OBD fazom 2. s obzirom na odjeljke 3.3.2.1., 3.3.2.2., 3.3.2.3., 3.3.2.4. i 3.4.1.1. ovog Priloga.
4.3.6. Prije ili za vrijeme homologacije tipa, nikakav se nedostatak ne odobrava u pogledu zahtjeva odjeljka 3.2.3. i odjeljka 6., osim odjeljka 6.8.5. ovog Priloga.
4.3.7. Razdoblje u kojem su nedostaci dopustivi
4.3.7.1. Prisutnost nedostatka može se dopustiti tijekom dvogodišnjeg razdoblja nakon datuma homologacije tipa motora ili vozila s obzirom na njegov tip motora, osim ako se može primjereno pokazati da bi znatne preinake motora i dodatno vrijeme do početka proizvodnje preko dvije godine bili nužni za uklanjanje nedostatka. U tom se slučaju prisutnost nedostatka može dozvoliti tijekom razdoblja ne duljeg od tri godine.
4.3.7.2. Proizvođač može zatražiti od tijela koje je dodijelilo prvotnu homologaciju tipa da retroaktivno odobri nedostatak kada je taj nedostatak otkriven nakon dodjele prvotne homologacije tipa. U tom slučaju prisutnost nedostataka može se dopustiti tijekom dvogodišnjeg razdoblja od datuma slanja obavijesti tijelu za homologaciju tipa, osim ako se može primjereno pokazati da bi znatne preinake motora i dodatno vrijeme do početka proizvodnje preko dvije godine bili nužni za uklanjanje nedostatka. U tom se slučaju prisutnost nedostatka može dozvoliti tijekom razdoblja ne duljeg od tri godine.
4.3.7.3. Nadležno tijelo o svojoj odluci odobravanja zahtjeva u vezi s nedostatkom obavješćuje sva nadležna tijela u drugim državama članicama sukladno zahtjevima članka 4. Direktive 70/156/EEZ.
5. PRISTUP OBD PODACIMA
5.1. Zamjenski dijelovi, dijagnostički alati i oprema za ispitivanje
5.1.1. Uz zahtjeve za homologaciju ili izmjene homologacije u skladu s člankom 3. ili člankom 5. Direktive 70/156/EEZ prilažu se određeni podaci u vezi s OBD sustavom. Ti određeni podaci omogućavaju proizvođačima zamjenskih sastavnih dijelova ili sastavnih dijelova za naknadno poboljšanje sukladnost dijelova koje proizvode s OBD sustavom s ciljem rada bez grešaka, koji korisniku vozila osigurava rad vozila bez neispravnosti. Slično tome, ti odgovarajući podaci omogućavaju proizvođačima dijagnostičkih alata i opreme za ispitivanje izradu alata i opreme koji osiguravaju učinkovitu i točnu dijagnostiku sustava kontrole emisije.
5.1.2. Tijela za homologaciju izrađuju, na zahtjev, Dodatak 2. certifikatu o EZ homologaciji koji sadrži podatke u vezi s OBD sustavom dostupne svakom zainteresiranom proizvođaču sastavnih dijelova, dijagnostičkih alata ili opreme za ispitivanje na nediskriminirajućoj osnovi.
5.1.2.1. U slučaju zamjenskih ili servisnih sastavnih dijelova, podaci se mogu zatražiti samo za one sastavne dijelove koji su predmet EZ homologacije tipa ili za sastavne dijelove koji čine dio sustava koji je predmet EZ homologacije tipa.
5.1.2.2. U zahtjevu za podatke mora se navesti točna specifikacija tipa modela motora/tipa modela motora unutar porodice motora za koji se podaci traže. Zahtjev mora sadržavati potvrdu da se podaci traže radi izrade zamjenskih dijelova ili dijelova za naknadno poboljšanje ili sastavnih dijelova ili dijagnostičkih alata ili opreme za ispitivanje.
5.2. Upute za održavanje i popravak
5.2.1. Najkasnije tri mjeseca nakon što je svakom ovlaštenom zastupniku ili servisnoj radionici unutar Zajednice dostavio podatke o popravcima, proizvođač te podatke (uključujući sve naknadne izmjene i dodatke) stavlja na raspolaganje po razumnoj i nediskriminirajućoj cijeni.
5.2.2. Proizvođač mora također osigurati dostupnost, prema potrebi i uz primitak uplate, tehničkih podataka potrebnih za popravak ili održavanje motornih vozila osim ako su ti podaci obuhvaćeni pravom intelektualnog vlasništva ili čine bitna, povjerljiva znanja, što se utvrđuje odgovarajućim obrascem; u tom slučaju tehnički se podaci ne smiju neprimjereno uskraćivati.
Pravo na takve upute ima svaka osoba koja se bavi uslugom servisiranja ili popravcima, pružanjem pomoći na cesti, tehničkim pregledom ili ispitivanjem vozila ili proizvodnjom ili prodajom zamjenskih dijelova ili sastavnih dijelova za naknadno poboljšanje, dijagnostičkih alata i opreme za ispitivanje.
5.2.3. U slučaju nepridržavanja ovih odredaba, tijelo za homologaciju poduzima odgovarajuće mjere kako bi osiguralo dostupnost uputa za popravak, u skladu s postupcima predviđenim za homologacijska ispitivanja i preglede vozila u uporabi.
6. DIJAGNOSTIČKI SIGNALI
6.1. Nakon utvrđivanja prve neispravnosti nekog sastavnog dijela ili sustava, memorirana očitanja stanja motora u tom trenutku (tzv. freeze-frame uvjeti) moraju se pohraniti u računalnoj memoriji. Pohranjeno stanje motora mora uključivati, ali nije ograničeno na, izračunanu vrijednost opterećenja, brzinu vrtnje motora, temperaturu rashladnog sredstva, ulazni tlak kolektora (ako je dostupan), te kod greške koja je uzrokovala pohranjivanje podataka. Za pohranjivanje memoriranih očitanja stanja proizvođač mora odabrati najprimjereniju skupinu stanja koja olakšavaju učinkovite popravke.
6.2. Potreban je samo jedan okvir podataka. Proizvođači mogu odabrati pohranjivanje dodatnih okvira pod uvjetom da se barem zahtijevani okvir može očitati generičkim uređajem za pretraživanje koji ispunjava zahtjeve iz odjeljaka 6.8.3. i 6.8.4. Ako se kod greške koja je uzrokovala pohranjivanje stanja izbriše u skladu s odjeljkom 3.9. ovog Priloga, pohranjeno stanje motora može se također izbrisati.
6.3. Ako postoje, sljedeći signali osim zahtijevanih memoriranih očitanja stanja podataka moraju biti dostupni na zahtjev kroz serijski ulaz standardiziranog veznog priključka podataka, ako su podaci dostupni na računalu u vozilu ili se mogu utvrditi primjenom podataka dostupnih na računalu u vozilu: kodovi dijagnosticiranja problema, temperatura rashladnog sredstva motora, vrijeme ubrizgivanja, temperatura ulaznog zraka, tlak zraka u kolektoru, brzina protoka zraka, brzina vrtnje motora, izlazna vrijednost osjetnika pedale, izračunana vrijednost opterećenja, brzina vozila i tlak goriva.
Signali se moraju pružiti u standardnim jedinicama na temelju zahtjeva navedenih u odjeljku 6.8. Stvarni se signali moraju jasno odvojiti od zadanih vrijednosti ili sigurnosnih (tzv. limp-home) signala.
6.4. Za sve sustave kontrole emisije za koje se provode posebna ispitivanja procjene na vozilu, zasebni kodovi stanja ili kodovi spremnosti moraju se pohraniti u memoriji računala kako bi se odredilo ispravno funkcioniranje sustava kontrole emisije i onih sustava kontrole emisije koji zahtijevaju daljnji rad vozila radi okončanja primjerene dijagnostičke procjene. Kodove spremnosti nije potrebno pohranjivati kada se radi o nadzornim elementima koji se smatraju elementima u neprekidnom radu. Kodovi spremnosti nikada se ne bi smjeli postaviti u položaj „nije spreman” nakon „uključivanja” (key-on) ili „isključivanja” (key-off). Namjerno postavljanje kodova spremnosti u položaj „nije spreman” zbog postupka održavanja mora se primjenjivati na sve takve kodove, a ne samo na pojedinačne.
6.5. OBD zahtjevi prema kojima je vozilo dobilo certifikat (tj. OBD faza 1. ili OBD faza 2.) i glavni sustavi kontrole emisije koje prati OBD sustav u skladu s odjeljkom 6.8.4. moraju biti dostupni kroz serijski ulaz podataka standardiziranog veznog priključka podataka prema zahtjevima navedenim u odjeljku 6.8.
6.6. Dostupnost identifikacijskog broja umjeravanja programske opreme navedenog u prilozima II. i VI. Direktivi 2005/55/EZ osigurava se kroz serijski ulaz standardiziranog dijagnostičkog priključka. Identifikacijski broj umjeravanja programske opreme dostupan je u standardiziranom obliku.
6.7. Dostupnost identifikacijskog broja vozila (VIN) osigurava se kroz serijski ulaz standardiziranog dijagnostičkog priključka. VIN broj dostupan je u standardiziranom obliku.
6.8. Dijagnostički sustav kontrole emisije mora pružiti standardizirani ili neograničen pristup i ispunjavati normu ISO 15765 ili SAE J1939, kako je navedeno u sljedećim odjeljcima (3).
6.8.1. Primjena norme ISO 15765 ili SAE J1939 dosljedna je u svim odjeljcima od 6.8.2 do 6.8.5.
6.8.2. Komunikacijska veza u vozilu i izvan vozila mora ispunjavati normu ISO 15765-4 ili slične odredbe u okviru niza normi SAE J1939.
6.8.3. Oprema za ispitivanje i dijagnostički alati potrebni za komunikaciju s OBD sustavima moraju ispunjavati ili nadilaziti funkcionalne zahtjeve navedene u normi ISO 15031-4 ili SAE J1939-73, odjeljku 5.2.2.1.
6.8.3.1. Primjena dijagnostičkog uređaja u vozilu kao što je videozaslon postavljen na upravljačkoj ploči radi omogućavanja pristupa OBD podacima je dozvoljena, ali predstavlja dodatak omogućavanju pristupa OBD podacima pomoću standardnog dijagnostičkog priključka.
6.8.4. Dijagnostički podaci (navedeni u ovom odjeljku) i dvosmjerni podaci o kontroli moraju se pružati korištenjem oblika i jedinica opisanih u normi ISO 15031-5 ili SAE J1939-73, odjeljku 5.2.2.1., i moraju biti dostupni uz primjenu dijagnostičkog alata koji ispunjava zahtjeve norme ISO 15031-4 ili SAE J1939-73, odjeljka 5.2.2.1.
Proizvođač nacionalnom tijelu za normizaciju dostavlja dijagnostičke podatke povezane s emisijama, npr. PID-ove, broj identifikacije OBD promatrača, identifikacijski broj ispitivanja, koji nisu navedeni u normi ISO 15031-5, ali se odnose na ovu Direktivu.
6.8.5. Kada je greška registrirana, proizvođač mora utvrditi grešku primjenom koda greške sukladnog onima navedenim u odjeljku 6.3. norme ISO 15031-6 u vezi s kodovima problema dijagnostičkog sustava povezanih s emisijama. Ako takva identifikacija nije moguća, proizvođač može koristiti dijagnostičke kodove problema u skladu s odjeljcima 5.3. i 5.6. norme ISO 15031-6. Dostupnost kodova grešaka mora se u potpunosti osigurati putem standardizirane dijagnostičke opreme, pridržavajući se odredaba iz odjeljka 6.8.3. ovog Priloga.
Proizvođač nacionalnom tijelu za normizaciju dostavlja dijagnostičke podatke povezane s emisijama, npr. PID-ove, broj identifikacije OBD promatrača, identifikacijski broj ispitivanja, koji nisu navedeni u normi ISO 15031-5, ali se odnose na ovu Direktivu.
Umjesto toga, proizvođač može utvrditi grešku primjenom najprimjerenijeg koda greške dosljednog onima navedenim u normi SAE J2012 ili SAE J1939-73.
6.8.6. Sučelje povezivanja između vozila i dijagnostičkog uređaja za ispitivanje mora biti standardizirano i mora ispunjavati sve zahtjeve norme ISO 15031-3 ili SAE J1939-13.
U slučaju kategorije vozila N2, N3, M2 i M3, umjesto položaja priključka opisanog u gore spomenutim normama i pod uvjetom zadovoljavanja svih drugih zahtjeva norme ISO 15031-3, priključak se može smjestiti u odgovarajući položaj pored vozačevog sjedala, uključujući i pod u kabini. U ovom slučaju priključak treba biti dostupan osobi koja stoji izvan vozila i ne smije ograničavati pristup vozačevom sjedalu.
Položaj ugradbe obavezno podliježe suglasnosti tijela za homologaciju, tako da je lako dostupan servisnom osoblju, ali zaštićen od slučajnih oštećenja tijekom uobičajenih uvjeta primjene.
(1) Brojevi simbola F01 ili F22.
(2) Broj simbola F24.
(3) Primjenu budućeg jedinstvenog protokola ISO norme sastavljenog u okviru UN-ECE-a za globalni tehnički propis o OBD teškim vozilima Komisija će razmotriti u prijedlogu o zamjeni uporabe niza normi SAE J1939 i ISO 15765 kako bi se ispunili odgovarajući zahtjevi iz odjeljka 6. čim jedinstveni protokol ISO norme dođe u fazu DIS.
Dodatak 1.
HOMOLOGACIJSKA ISPITIVANJA SUSTAVA UGRAĐENE DIAJGNOSTIKE (OBD)
1. UVOD
U ovom se dodatku opisuje postupak provjere djelovanja sustava dijagnostike (OBD) ugrađenog na motor simuliranjem kvara određenih sustava povezanih s emisijama u sustavu upravljanja motorom ili kontrole emisije. Također se navode postupci utvrđivanja trajnosti OBD sustava.
|
1.1.
|
Sastavni dijelovi/sustavi s greškom
Kako bi dokazao učinkovito praćenje sustava ili sastavnog dijela kontrole emisije, čiji kvar može rezultirati emisijama iz ispušne cijevi koje prelaze primjerene OBD granične vrijednosti praga, proizvođač mora staviti na raspolaganje sastavne dijelove s greškom i/ili električne uređaje koji bi se koristili za simuliranje kvarova.
Takvi sastavni dijelovi ili uređaji s greškom ne smiju biti uzrokom povećanja emisija preko OBD graničnih vrijednosti iz tablice u članku 4. stavku 3. ove Direktive za više od 20 %.
U slučaju homologacije OBD sustava u skladu s člankom 4. stavkom 1. ove Direktive, emisije se mjere tijekom ciklusa ESC ispitivanja (vidjeti Dodatak 1. Prilogu III. Direktivi 2005/55/EZ). U slučaju homologacije tipa OBD sustava prema članku 4. stavku 2. ove Direktive, emisije se mjere tijekom ciklusa ETC ispitivanja (vidjeti Dodatak 2. Prilogu III. Direktivi 2005/55/EZ).
|
1.1.1.
|
Ako se utvrdi da ugradba sastavnog dijela ili uređaja s greškom na motoru znači nemogućnost usporedbe s OBD graničnim vrijednostima praga (npr. zbog neispunjavanja statističkih uvjeta potvrđivanja ciklusa ETC ispitivanja), nedostatak tog sastavnog dijela ili uređaja može se smatrati zadovoljavajućim za ugradbu, uz suglasnost tijela za homologaciju na temelju tehničkih argumenata dobivenih od proizvođača.
|
|
1.1.2.
|
U slučaju da ugradba sastavnog dijela ili uređaja s greškom u motor onemogućuje postizanje (čak ni djelomično) krivulje punog opterećenja (utvrđene s motorom u ispravnom radu) tijekom ispitivanja, sastavni dio ili uređaj s greškom može se smatrati zadoljavajućim za ugradbu uz suglasnost tijela za homologaciju na temelju tehničkih objašnjenja dobivenih od proizvođača.
|
|
1.1.3.
|
Primjena sastavnih dijelova ili uređaja s greškom koji uzrokuju povećanje emisija preko OBD graničnih vrijednosti iz tablice u članku 4. stavku 3. ove Direktive za najviše 20 % ne smije se zahtijevati u nekim vrlo specifičnim slučajevima (primjerice, ako je aktivirana primjena prisilne (tzv. limp home) strategije, ako na motoru nije moguće provesti niti jedno ispitivanje, ili u slučaju EGR-a, ako je došlo do zaglavljenja ventila, itd.). Proizvođač treba dokumentirati ovu iznimku koja podliježe suglasnosti tehničke službe.
|
|
|
1.2.
|
Načelo ispitivanja
Prilikom ispitivanja motora pomoću ugrađenog sastavnog dijela ili uređaja s greškom, OBD sustav se odobrava ako je MI aktiviran. OBD sustav također se odobrava ako je MI aktiviran ispod OBD graničnih vrijednosti.
Upotreba sastavnih dijelova ili uređaja s greškom koji uzrokuju povećanje emisija preko OBD graničnih vrijednosti praga iz tablice u članku 4. stavku 3. ove Direktive za najviše 20 % nije potrebna kad se radi o posebnom slučaju grešaka, opisanih u odjeljcima 6.3.1.6. i 6.3.1.7. ovog Dodatka te također kad se radi o praćenju većeg funkcionalnog kvara.
|
1.2.1.
|
Upotreba sastavnih dijelova ili uređaja s greškom koji uzrokuju povećanje emisija preko OBD graničnih vrijednosti praga iz tablice u članku 4. stavku 3. ove Direktive za najviše 20 % u nekim vrlo specifičnim slučajevima nije potrebna (primjerice, ako je aktivirana primjena prisilne (tzv. limp home) strategije, ako na motoru nije moguće provesti niti jedno ispitivanje, ili u slučaju zaglavljenja ventila EGR-a, itd.). Proizvođač treba dokumentirati ovu iznimku koja podliježe suglasnosti tehničke službe.
|
|
2. OPIS ISPITIVANJA
|
2.1.
|
Ispitivanje OBD sustava sastoji se od sljedećih faza:
|
—
|
simuliranja neispravnosti sastavnog dijela upravljačkog sustava motora ili sustava kontrole emisije kako je opisano u odjeljku 1.1. ovog Dodatka,
|
|
—
|
prekondicioniranja OBD sustava pomoću simulirane neispravnosti tijekom ciklusa prekondicioniranja navedenog u odjeljku 6.2.,
|
|
—
|
rada motora sa simuliranom neispravnosti tijekom OBD ciklusa ispitivanja iz odjeljka 6.1.,
|
|
—
|
utvrđivanja reagira li ili ne OBD sustav na simuliranu neispravnost i navodi li neispravnost na primjeren način.
|
|
2.1.1.
|
Ako na karakteristike (npr. krivulju snage) motora utječe ta neispravnost, ciklus OBD ispitivanja ostaje kao skraćena verzija ciklusa ESC ispitivanja koji se koristi pri procjeni emisija ispušnih plinova iz motora bez te neispravnosti.
|
|
|
2.2.
|
Alternativno, na zahtjev proizvođača, neispravnost jednog ili više sastavnih dijelova može se elektronički simulirati prema zahtjevima iz odjeljka 6.
|
|
2.3.
|
Proizvođači mogu zatražiti da se praćenje odvija izvan ciklusa OBD ispitivanja na koji se odnosi odjeljak 6.1. ako se nadležnom tijelu dokaže da bi praćenje u uvjetima do kojih dolazi tijekom ovog ciklusa OBD ispitivanja ograničavalo mogućnost praćenja kad je vozilo u uporabi.
|
3. MOTOR I GORIVO ZA ISPITIVANJE
|
3.1.
|
Motor
Ispitni motor zadovoljava zahtjeve navedene u Dodatku 1. Prilogu II. Direktivi 2005/55/EZ.
|
|
3.2.
|
Gorivo
Za ispitivanje se mora koristiti odgovarajuće referentno gorivo kako je opisano u Prilogu IV. Direktivi 2005/55/EZ.
|
4. UVJETI ISPITIVANJA
Uvjeti ispitivanja moraju ispunjavati zahtjeve za ispitivanje emisije opisane u ovoj Direktivi.
5. OPREMA ZA ISPITIVANJE
Dinamometar za ispitivanje motora mora ispunjavati zahtjeve Priloga III. Direktivi 2005/55/EZ.
6. OBD CIKLUS ISPITIVANJA
|
6.1.
|
OBD ciklus ispitivanja je skraćeni ciklus ESC ispitivanja. Pojedinačni načini rada obavljaju se istim redoslijedom kao ciklus ESC ispitivanja, prema definiciji iz odjeljka 2.7.1. Dodatka 1. Prilogu III. Direktivi 2005/55/EZ.
Motor mora raditi najviše 60 sekundi u svakom načinu rada, uz provedbu brzine vrtnje motora i promjena opterećenja u prvih 20 sekundi. Navedenu brzinu treba održavati unutar ± 50 okretaja u minuti, a navedeni zakretni moment unutar ± 2 % najvećeg zakretnog momenta pri svakoj brzini.
Mjerenje emisija ispušnih plinova ne zahtijeva se tijekom ciklusa OBD ispitivanja.
|
|
6.2.
|
Ciklus prekondicioniranja
|
6.2.1.
|
Nakon uvođenja jednog od načina kvarova navedenih u odjeljku 6.3., motor i njegov OBD sustav prekondicioniraju se izvođenjem ciklusa prekondicioniranja.
|
|
6.2.2.
|
Na zahtjev proizvođača i uz suglasnost tijela za homologaciju tipa, može se koristiti alternativni broj od najviše devet uzastopnih OBD ciklusa ispitivanja.
|
|
|
6.3.
|
Ispitivanje OBD sustava
|
6.3.1.
|
Dizelski motori i vozila opremljena dizelskim motorima
|
6.3.1.1.
|
Nakon prekondicioniranja u skladu s odjeljkom 6.2., motor ispitivanja radi tijekom ciklusa OBD ispitivanja opisanog u odjeljku 6.1. ovog Dodatka. MI se mora aktivirati prije završetka ovog ispitivanja u bilo kojim uvjetima navedenim u odjeljcima 6.3.1.2 do 6.3.1.7. Tehnička služba može te uvjete zamijeniti drugima u skladu s odjeljkom 6.3.1.7. Za potrebe homologacije ukupni broj kvarova podložnih ispitivanju, u slučaju različitih sustava ili sastavnih dijelova, ne smije prelaziti četiri.
Ako se ispitivanje provodi u svrhu dodjele homologacije porodice motora s OBD-om, koja se sastoji od motora koji ne pripadaju istoj porodici motora, tijelo za homologaciju povećat će broj kvarova podložnih ispitivanju do najviše četiri puta od broja porodice motora prisutnih u porodici motora s OBD-om. Tijelo za homologaciju može donijeti odluku o skraćivanju ispitivanja u bilo kojem trenutku prije nego se dosegne najveći broj ispitivanja kvarova.
|
|
6.3.1.2.
|
Kada je ugrađen u zasebno kućište koje može ili ne mora biti dio sustava deNOx ili filtra dizelskih čestica, zamjena nekog katalizatora s greškom ili neispravnog katalizatora ili elektronička simulacija takvog kvara.
|
|
6.3.1.3.
|
Ako je ugrađen, zamjena sustava deNOx (uključujući sve osjetnike koji čine sastavni dio sustava) s greškom ili neispravnim sustavom deNOx ili elektroničkim simuliranjem pokvarenog ili neispravnog sustava deNOx što za posljedicu ima emisije koje prelaze OBD graničnu vrijednost u vezi s NOx iz tablice navedene u članku 4. stavku 3. ove Direktive.
U slučaju homologacije tipa motora u skladu s člankom 4. stavkom 1. ove Direktive u vezi s praćenjem većeg funkcionalnog kvara, ispitivanjem sustava deNOx provjerava se hoće li MI zasvijetliti u nekom od sljedećih uvjeta:
|
—
|
potpuno uklanjanje sustava ili zamjena sustava simuliranim sustavom,
|
|
—
|
nedostatak nekog potrebnog reagensa za sustav deNOx,
|
|
—
|
svaki elektronički kvar sastavnog dijela (npr. osjetnika i aktuatora, jedinice za kontrolu doziranja) sustava deNOx, uključujući, prema potrebi, sustav zagrijavanja reagensa,
|
|
—
|
kvar sustava za doziranje reagensa (npr. pomanjkanje dovoda zraka, začepljena mlaznica, kvar crpke za doziranje) sustava deNOx,
|
|
|
6.3.1.4.
|
Potpuno uklanjanje, ako je ugrađen, filtra čestica ili zamjena filtara čestica filtrom čestica s greškom što za posljedicu ima emisije koje prelaze OBD graničnu vrijednost u pogledu čestica navedenu u tablici iz članka 4. stavka 3. ove Direktive.
U slučaju homologacije motora u skladu s člankom 4. stavkom 1. ove Direktive u vezi s praćenjem većeg funkcionalnog kvara, ispitivanjem filtra čestica utvrđuje se hoće li MI zasvijetliti u nekom od sljedećih uvjeta:
|
—
|
potpuno uklanjanje filtra čestica ili zamjena sustava simuliranim sustavom,
|
|
—
|
veće taljenje supstrata filtra čestica,
|
|
—
|
veća napuklina na supstratu filtra čestica,
|
|
—
|
svaki elektronički kvar sastavnog dijela (npr. osjetnika i aktuatora, jedinice za kontrolu doziranja) filtara čestica,
|
|
—
|
kvar, ako se primjenjuje, sustava doziranja reagensa (npr. začepljena mlaznica, kvar crpke za doziranje) filtara čestica,
|
|
—
|
začepljeni filtar čestica što uzrokuje diferencijalni tlak izvan područja koje je naveo proizvođač.
|
|
|
6.3.1.5.
|
Ako je ugrađen, zamjena sustava kombiniranog filtra deNOx čestica (uključujući sve osjetnike koji čine sastavni dio sustava) oštećenim ili neispravnim sustavom deNOx ili elektronička simulacija oštećenog ili neispravnog sustava što za posljedicu ima emisije koje premašuju OBD granične vrijednosti u vezi s NOx i česticama navedene u tablici iz članka 4. stavka 3. ove Direktive.
U slučaju homologacije motora u skladu s člankom 4. stavkom 1. ove Direktive u vezi s praćenjem većeg funkcionalnog kvara, ispitivanjem sustava kombiniranog filtra deNOx čestica utvrđuje se hoće li MI zasvijetliti u nekom od sljedećih uvjeta:
|
—
|
potpuno uklanjanje sustava ili zamjena sustava simuliranim sustavom,
|
|
—
|
nedostatak potrebnog reagensa za sustav kombiniranog filtra deNOx čestica,
|
|
—
|
svaki elektronički kvar sastavnog dijela (npr. osjetnika i aktuatora, jedinice za kontrolu doziranja) sustava kombiniranog filtra deNOx čestica, uključujući, prema potrebi, sustav zagrijavanja reagensa,
|
|
—
|
kvar sustava za doziranje reagensa (npr. pomanjkanje dovoda zraka, začepljena mlaznica, kvar crpke za doziranje) sustava kombiniranog filtra deNOx čestica,
|
|
—
|
značajan kvar sustava hvatanja NOx,
|
|
—
|
veće taljenje supstrata filtra čestica,
|
|
—
|
veća napuklina na supstratu filtra čestica,
|
|
—
|
začepljeni filtar čestica što rezultira diferencijalnim pritiskom izvan raspona koji je naveo proizvođač.
|
|
|
6.3.1.6.
|
Prekid veze aktuatora elektroničkog sustava dovoda goriva za količinu goriva i vrijeme ubrizgavanja, što za posljedicu ima povećanje emisija preko OBD graničnih vrijednosti navedenih u tablici iz članka 4. stavka 3. ove Direktive.
|
|
6.3.1.7.
|
Prekid veze nekog drugog sastavnog dijela motora povezanog s emisijama, a koji je priključen na računalo, što za posljedicu ima povećanje emisija iznad graničnih vrijednosti navedenih u tablici iz članka 4. stavka 3. ove Direktive.
|
|
6.3.1.8.
|
Prilikom dokazivanja usklađenosti sa zahtjevima iz odjeljaka 6.3.1.6. i 6.3.1.7. i uz suglasnost tijela za homologaciju, proizvođač može poduzeti odgovarajuće mjere da pokaže kako će OBD sustav ukazati na grešku kada dođe do prekida veza.
|
|
|
PRILOG V.
SUSTAV OZNAČIVANJA CERTIFIKATA O HOMOLOGACIJI
|
1.
|
Broj se sastoji od pet dijelova odvojenih znakom „*”.
|
Dio 1.
|
:
|
malo slovo „e” iza kojeg slijedi razlikovni broj koji označava državu članicu koja je dodijelila homologaciju:
|
1
|
za Njemačku
|
|
2
|
za Francusku
|
|
3
|
za Italiju
|
|
4
|
za Nizozemsku
|
|
5
|
za Švedsku
|
|
6
|
za Belgiju
|
|
7
|
za Mađarsku
|
|
8
|
za Češku
|
|
9
|
za Španjolsku
|
|
11
|
za Ujedinjenu Kraljevinu
|
|
12
|
za Austriju
|
|
13
|
za Luksemburg
|
|
17
|
za Finsku
|
|
18
|
za Dansku
|
|
20
|
za Poljsku
|
|
21
|
za Portugal
|
|
23
|
za Grčku
|
|
24
|
za Irsku
|
|
26
|
za Sloveniju
|
|
27
|
za Slovačku
|
|
29
|
za Estoniju
|
|
32
|
za Latviju
|
|
36
|
za Litvu
|
|
49
|
za Cipar
|
|
50
|
za Maltu
|
|
|
Dio 2.
|
:
|
broj ove Direktive.
|
|
Dio 3.
|
:
|
broj Direktive s posljednjim izmjenama koja se odnosi na homologaciju. Budući da sadrži različite datume provedbe i različite tehničke standarde, dodaje se slovo abecede sukladno tablici iz donjeg odjeljka 4. Ovaj se znak odnosi na različite datume primjene za pojedine stupnjeve strogosti na temelju koje je homologacija tipa dodijeljena.
|
|
Dio 4.
|
:
|
četveroznamenkasti slijedni broj (koji prema potrebi započinje nulama) radi označavanja osnovnog homologacijskog broja. Slijed započinje od 0001.
|
|
Dio 5.
|
:
|
dvoznamenkasti slijedni broj (koji prema potrebi započinje nulom) radi označavanja proširenja. Slijed započinje od 01 za svaki osnovni homologacijski broj.
|
|
|
2.
|
Primjer treće homologacije (do sada bez proširenja) što odgovara datumu početka primjene B1 s OBD-om faze I., a koju je dodijelila Ujedinjena Kraljevina:
e11*2004/…*2005/…B*0003*00
|
|
3.
|
Primjer drugog proširenja četvrte homologacije što odgovara datumu početka primjene B2, s OBD-om faze II., a koju je dodijelila Njemačka:
e1*2004/…*2005/…F*0004*02
|
Slovni znak
|
Redak (1)
|
OBD faza I. (2)
|
OBD faza II.
|
Trajnost
i primjena
|
Kontrola NOx
(3)
|
|
A
|
A
|
—
|
—
|
—
|
—
|
|
B
|
B1 (2005)
|
DA
|
—
|
DA
|
—
|
|
C
|
B1 (2005)
|
DA
|
—
|
DA
|
DA
|
|
D
|
B2 (2008)
|
DA
|
—
|
DA
|
—
|
|
E
|
B2 (2008)
|
DA
|
—
|
DA
|
DA
|
|
F
|
B2 (2008)
|
—
|
DA
|
DA
|
—
|
|
G
|
B2 (2008)
|
—
|
DA
|
DA
|
DA
|
|
H
|
C
|
DA
|
—
|
DA
|
—
|
|
I
|
C
|
DA
|
—
|
DA
|
DA
|
|
J
|
C
|
—
|
DA
|
DA
|
—
|
|
K
|
C
|
—
|
DA
|
DA
|
DA
|
|
(1) U skladu s tablicom I. u odjeljku 6. Priloga I. Direktivi 2005/55/EZ.
(2) U skladu s člankom 4., plinski se motori izuzimaju iz OBD faze I.
(3) U skladu s člankom 6.5. Priloga I. Direktivi 2005/55/EZ.