03/Sv. 022

HR

Službeni list Europske unije

106


31997R2472


L 341/25

SLUŽBENI LIST EUROPSKE UNIJE

11.12.1997.


UREDBA KOMISIJE (EZ) br. 2472/97

od 11. prosinca 1997.

o izmjeni Uredbe (EEZ) br. 2568/91 o karakteristikama maslinovog ulja i ulja komine maslina te o odgovarajućim metodama analize i Uredbe Vijeća (EEZ) br. 2658/87 o tarifnoj i statističkoj nomenklaturi i o Zajedničkoj carinskoj tarifi

KOMISIJA EUROPSKIH ZAJEDNICA,

uzimajući u obzir Ugovor o osnivanju Europske zajednice,

uzimajući u obzir Uredbu Vijeća br. 136/66/EEZ od 22. rujna 1966. o zajedničkoj organizaciji tržišta ulja i masti (1), kako je zadnje izmijenjena Uredbom (EZ) br. 1581/96 (2), a posebno njezin članak 35.a,

uzimajući u obzir Uredbu Vijeća (EEZ) br. 2658/87 od 23. srpnja 1987. o tarifnoj i statističkoj nomenklaturi i o Zajedničkoj carinskoj tarifi (3), kako je zadnje izmijenjena Uredbom (EZ) br. 2308/97 (4), a posebno njezin članak 9.,

budući da su Uredbom Komisije (EEZ) br. 2568/91 (5), kako je zadnje izmijenjena Uredbom (EZ) br. 2527/95 (6), određene karakteristike maslinovog ulja i ulja komine maslina te odgovarajuće metode analize; budući da se Uredbom (EEZ) br. 2568/91 također izmjenjuju dodatne napomene 2, 3 i 4 uz poglavlje 15. kombinirane nomenklature sadržane u Prilogu I. Uredbi (EEZ) br. 2658/87;

budući da, zbog razvoja u istraživanju, karakteristike maslinovog ulja kako su određene u Uredbi (EEZ) br. 2568/91 treba izmijeniti kako bi se bolje osigurala čistoća proizvoda stavljenih na tržište i treba odrediti odgovarajuću metodu analize;

budući da, s ciljem uzimanja u obzir razvoja tehnika ekstrakcije, posebno dvofazne ekstrakcije, i nastavka procesa usklađivanja s međunarodnim normama koje je utvrdilo Međunarodno vijeće za maslinovo ulje, treba prilagoditi određene granice u vezi s karakteristikama maslinovog ulja i ulja komine maslina;

budući da promjene karakteristika gore navedenog maslinovog ulja zahtijevaju izmjenu dodatnih napomena 2, 3 i 4 uz poglavlje 15. kombinirane nomenklature;

budući da, kako bi se omogućilo razdoblje prilagodbe novim standardima i uvođenje novih sredstava potrebnih za njihovu primjenu te kako bi se izbjegle smetnje trgovini, stupanje na snagu ove Uredbe treba odgoditi za približno dva mjeseca i treba osigurati ograničeno vrijeme za prodaju ulja koje je pakirano prije stupanja na snagu te Uredbe;

budući da, stoga, Uredbe(EEZ) br. 2658/87 i (EEZ) br. 2568/91 treba izmijeniti;

budući da su mjere predviđene ovom Uredbom u skladu s mišljenjem Upravljačkog odbora za ulja i masti,

DONIJELA JE OVU UREDBU:

Članak 1.

Uredba (EEZ) br. 2568/91 mijenja se kako slijedi:

1.

U članku 2. dodaje se sljedeća alineja:

„—

za određivanje sadržaja triglicerida s ECN42, metoda postavljena u Prilogu XVIII.”

2.

Prilozi se izmjenjuju u skladu s Prilogom I. ovoj Uredbi.

Članak 2.

Dodatne napomene 2, 3 i 4. uz poglavlje 15. kombinirane nomenklature sadržane u Prilogu I. Uredbi (EEZ) br. 2658/87 zamjenjuju se tekstom određenim u Prilogu II. ovoj Uredbi.

Članak 3.

Ova Uredba stupa na snagu šezdesetog dana od dana objave u Službenom listu Europskih zajednica.

Ne primjenjuje se na maslinovo ulje i ulje komine maslina pakirano prije dana njezinog stupanja na snagu i stavljeno na tržište do kraja desetog mjeseca nakon navedenog stupanja na snagu.

Ova je Uredba u cijelosti obvezujuća i izravno se primjenjuje u svim državama članicama.

Sastavljeno u Bruxellesu 11. prosinca 1997.

Za Komisiju

Franz FISCHLER

Član Komisije


(1)  SL 172, 30.9.1966., str. 3025/66.

(2)  SL L 206, 16.8.1996., str. 11.

(3)  SL L 256, 7.9.1987., str. 1.

(4)  SL L 321, 22.11.1997., str. 1.

(5)  SL L 248, 5.9.1991., str. 1.

(6)  SL L 258, 28.10.1995., str. 49.


PRILOG I.

1.   Dodaje se sljedeći naslov sažetku Priloga Uredbi (EEZ) br. 2568/91:

„Prilog XVIII.: Metoda određivanja sadržaja triglicerida s ECN42”.

2.   Prilog I. zamjenjuje se sljedećim tablicama i tekstom:

„PRILOG I.

KARAKTERISTIKE MASLINOVOG ULJA

Kategorija

Kiselost (%) (*)

Peroksidni broj mEq 02/kg (*)

Halogenirana otapala mg/kg (*) (1)

Voskovi mg/kg

Zasićene masne kiseline u položaju 2. na trigliceridima (%)

Stigmastadieni mg/kg (2)

Razlika između HPLC i teoretskog izračuna ECN42

K232 (*)

K270 (*)

K270 s aluminijevim oksidom (3)

Delta-K (*)

Sezonska ocjena (*)

1.

Ekstra djevičansko maslinovo ulje

≤ 1,0

≤ 20

≤ 0,20

≤ 250

≤ 1,3

≤ 15

≤ 0,2

≤ 2,50

≤ 0,20

≤ 0,10

≤ 0,01

≥ 6,5

2.

Djevičansko maslinovo ulje

≤ 2,0

≤ 20

≤ 0,20

≤ 250

≤ 1,3

≤ 15

≤ 0,2

≤ 2,60

≤ 0,25

≤ 0,10

≤ 0,01

≥ 5,5

3.

Obično djevičansko maslinovo ulje

≤ 3,3

≤ 20

≤ 0,20

≤ 250

≤ 1,3

≤ 15

≤ 0,2

≤ 2,60

≤ 0,25

≤ 0,10

≤ 0,01

≥ 3,5

4.

Djevičansko maslinovo ulje lampante

> 3,3

> 20

> 0,20

≤ 350

≤ 1,3

≤ 50

≤ 0,3

≤ 3,70

> 0,25

≤ 0,11

< 3,5

5.

Rafinirano maslinovo ulje

≤ 0,5

≤ 5

≤ 0,20

≤ 350

≤ 1,5

≤ 0,3

≤ 3,40

≤ 1,20

≤ 0,16

6.

Maslinovo ulje

≤ 1,5

≤ 15

≤ 0,20

≤ 350

≤ 1,5

≤ 0,3

≤ 3,30

≤ 1,00

≤ 0,13

7.

Sirovo ulje komine maslina

> 0,5

≤ 1,8

≤ 0,6

8.

Rafinirano ulje komine maslina

≤ 0,5

≤ 5

≤ 0,20

≤ 2,0

≤ 0,5

≤ 5,50

≤ 2,50

≤ 0,25

9.

Ulje komine maslina

≤ 1,5

≤ 15

≤ 0,20

> 350

≤ 2,0

≤ 0,5

≤ 5,30

≤ 2,00

≤ 0,20

Rezultati testova moraju biti izraženi istim brojem decimalnih mjesta kojima je izražena svaka karakteristika.

Zadnja znamenka mora se uvećati za jednu jedinicu ako je znamenka koja slijedi veća od 4.

Ako je neka od karakteristika izvan utvrđene granice, ulje se mora svrstati u drugu kategoriju ili deklarirati kao da nije usklađeno u smislu čistoće.

Zvjezdica (*) nakon karakteristike označava, u pogledu kakvoće ulja, da:

u slučaju maslinovog ulja lampante, utvrđene granice (osim K232) ne moraju sve biti istodobno usklađene,

u slučaju ostalih djevičanskih maslinovih ulja, neusklađenost s jednom ili više granica podrazumijeva promjenu kategorije unutar skupine djevičanskih maslinovih ulja.


Kategorija

Kiselinski sastav

Zbroj transoleinskih izomera (%)

Zbroj translinolnih i translinolenskih izomera (%)

Kolesterol (%)

Brasikasterol (%)

Kampesterol (%)

Stigmasterol (%)

Betasitosterol (4) (%)

Delta-7-stigma-steroli (%)

Ukupni steroli (mg/kg)

Eritrodiol i uvaol (%)

Miristinska (%)

Linolenska (%)

Arahinska (%)

Eikozenska (%)

Behenska (%)

Lignocerinska (%)

1.

Ekstra djevičansko maslinovo ulje

≤ 0,05

≤ 0,9

≤ 0,6

≤ 0,4

≤ 0,2

≤ 0,2

≤ 0,05

≤ 0,05

≤ 0,5

≤ 0,1

≤ 4,0

< Kamp.

≥ 93,0

≤ 0,5

≥ 1000

≤ 4,5

2.

Djevičansko maslinovo ulje

≤ 0,05

≤ 0,9

≤ 0,6

≤ 0,4

≤ 0,2

≤ 0,2

≤ 0,05

≤ 0,05

≤ 0,5

≤ 0,1

≤ 4,0

< Kamp.

≥ 93,0

≤ 0,5

≥ 1000

≤ 4,5

3.

Obično djevičansko maslinovo ulje

≤ 0,05

≤ 0,9

≤ 0,6

≤ 0,4

≤ 0,2

≤ 0,2

≤ 0,05

≤ 0,05

≤ 0,5

≤ 0,1

≤ 4,0

< Kamp.

≥ 93,0

≤ 0,5

≥ 1000

≤ 4,5

4.

Djevičansko maslinovo ulje lampante

≤ 0,05

≤ 0,9

≤ 0,6

≤ 0,4

≤ 0,2

≤ 0,2

≤ 0,10

≤ 0,10

≤ 0,5

≤ 0,1

≤ 4,0

≥ 93,0

≤ 0,5

≥ 1000

≤ 4,5

5.

Rafinirano maslinovo ulje

≤ 0,05

≤ 0,9

≤ 0,6

≤ 0,4

≤ 0,2

≤ 0,2

≤ 0,20

≤ 0,30

≤ 0,5

≤ 0,1

≤ 4,0

< Kamp.

≥ 93,0

≤ 0,5

≥ 1000

≤ 4,5

6.

Maslinovo ulje

≤ 0,05

≤ 0,9

≤ 0,6

≤ 0,4

≤ 0,2

≤ 0,2

≤ 0,20

≤ 0,30

≤ 0,5

≤ 0,1

≤ 4,0

< Kamp.

≥ 93,0

≤ 0,5

≥ 1000

≤ 4,5

7.

Sirovo ulje komine maslina

≤ 0,05

≤ 0,9

≤ 0,6

≤ 0,4

≤ 0,3

≤ 0,2

≤ 0,20

≤ 0,10

≤ 0,5

≤ 0,2

≤ 4,0

≥ 93,0

≤ 0,5

≥ 2500

≥ 12

8.

Rafinirano ulje komine maslina

≤ 0,05

≤ 0,9

≤ 0,6

≤ 0,4

≤ 0,3

≤ 0,2

≤ 0,40

≤ 0,35

≤ 0,5

≤ 0,2

≤ 4,0

< Kamp.

≥ 93,0

≤ 0,5

≥ 1800

≥ 12

9.

Ulje komine maslina

≤ 0,05

≤ 0,9

≤ 0,6

≤ 0,4

≤ 0,3

≤ 0,2

≤ 0,40

≤ 0,35

≤ 0,5

≤ 0,2

≤ 4,0

< Kamp.

≥ 93,0

≤ 0,5

≥ 1600

> 4,5

Rezultati testova moraju biti izraženi istim brojem decimalnih mjesta kojima je izražena svaka karakteristika.

Zadnja znamenka mora se uvećati za jednu jedinicu ako je znamenka koja slijedi veća od 4.

Ako je neka od karakteristika izvan utvrđene granice, ulje se mora svrstati u drugu kategoriju ili deklarirati kao da nije usklađeno u smislu čistoće.”

3.   Dodaje se sljedeći Prilog XVIII.:

„PRILOG XVIII.

ODREĐIVANJE TRIACILGLICEROLA S ECN42 (RAZLIKA IZMEĐU PODATAKA DOBIVENIH HPLC-om I TEORETSKOG SADRŽAJA)

1.   Opseg

Određivanje sastava triacilglicerola (TAG) u maslinovim uljima s obzirom na njihov ekvivalentni ugljikov broj kao razlike između rezultata dobivenih visoko djelotvornom tekućinskom kromatografijom (HPLC) i teoretskog sadržaja izračunanog na temelju sastava masnih kiselina.

2.   Područje primjene

Ova se norma primjenjuje na maslinova ulja. Metoda je primjenjiva na otkrivanje prisutnosti malih količina sjemenskih ulja (bogatih linolnom kiselinom) u svakoj klasi maslinovih ulja.

3.   Princip

Sadržaj triacilglicerola s ECN42 određen HPLC analizom i teoretski sadržaj triacilglicerola s ECN42 (izračunan na temelju određivanja sastava masnih kiselina kapilarnom plinskom kromatografijom) unutar određenih granica odgovara čistim uljima. Razlika veća od vrijednosti navedenih u Uredbi za svaku vrstu ulja ukazuje da ulje sadrži sjemenska ulja.

4.   Metoda

Metoda za izračun teoretskog sadržaja triacilglicerola s ECN42 i razlika između podataka dobivenih HPLC analizom i ovih u osnovi se vrši koordinacijom analitičkih podataka dobivenih pomoću ostalih metoda: moguće je razlikovati tri faze: određivanje sastava masnih kiselina kapilarnom plinskom kromatografijom, izračun teoretskog sastava triacilglicerola s ECN42, određivanje ECN42 triacilglicerola HPLC metodom.

4.1.   Oprema

4.1.1.   Tikvica okruglog dna volumena 250 i 500 ml.

4.1.2.   Čaša volumena 100 ml.

4.1.3.   Staklena kromatografska kolona unutarnjeg promjera 21 mm i duljine 450 mm, s pipcem i konusnim nastavkom (s unutarnje strane) pri vrhu.

4.1.4.   Lijevci za odvajanje volumena 250 ml, s konusnim nastavkom (s vanjske strane) na dnu, prikladnim za spajanje na vrh kolone.

4.1.5.   Stakleni štapić duljine 600 mm.

4.1.6.   Stakleni lijevak promjera 80 mm.

4.1.7.   Odmjerne tikvice volumena 50 ml.

4.1.8.   Odmjerne tikvice volumena 20 ml.

4.1.9.   Rotirajući isparivač.

4.1.10.   Visoko djelotvorna tekućinska kromatografija, koja omogućava termostatsku kontrolu temperature kolone.

4.1.11.   Jedinica za injektiranje 10 μl.

4.1.12.   Detektor: diferencijalni refraktometar. Osjetljivost pune skale treba biti najmanje 10-4 jedinica indeksa refrakcije.

4.1.13.   Kolona: cijev od nehrđajućeg čelika duljine 250 mm i unutarnjeg promjera 4,5 mm, napunjena česticama kvarca promjera 5 μm s između 22 i 23 % ugljika u obliku oktadecilsilana (bilješka 2).

4.1.14.   Pisač i/ili integrator.

4.2.   Reagensi

Reagensi moraju biti analitičke čistoće. Otapala za eluaciju moraju biti takva da se mogu nekoliko puta reciklirati bez da to utječe na odjeljivanja, a iz njih moraju biti odstranjeni svi plinovi.

4.2.1.   40 do 60 °C petroleter, kromatografske čistoće.

4.2.2.   Dietil eter, bez tragova peroksida, svježe destiliran.

4.2.3.   Otapalo za eluaciju za plinsku kromatografiju: mješavina petroletera/dietil etera 87/13 (v/v).

4.2.4.   Silikagel, 70-230 mesh, tip Merck 7734, sa standardiziranim udjelom vode od 5 % (w/w).

4.2.5.   Staklena vuna.

4.2.6.   Aceton.

4.2.7.   Acetonitril.

4.2.8.   Otapalo za eluaciju HPLC metodom: acetonitril + aceton (omjer treba prilagoditi postizanju željenog odjeljivanja; započeti s mješavinom 50: 50).

4.2.9.   Otapalo za rastapanje: aceton.

4.2.10.   Referentni trigliceridi: mogu se koristiti trigliceridi dostupni u slobodnoj trgovini (tripalmitin, triolein i tako dalje), u kojem se slučaju retencijska vremena bilježe u skladu s ekvivalentnim ugljikovim brojem, ili se može koristiti referentni kromatogram dobiven od sojinog ulja, mješavine 30:70 sojinog ulja i maslinovog ulja i čistog maslinovog ulja (vidjeti bilješke 3. i 4. i slike 1, 2, 3, 4).

4.3.   Pripremanje uzorka

Budući da niz interferentnih tvari može dovesti do lažno pozitivnih rezultata, uzorak se mora uvijek pročistiti prema metodi IUPAC 2.507, koja se koristi za određivanje polarnih tvari u oksidiranim uljima.

4.3.1.   Priprema kromatografske kolone

Napuniti kolonu (4.1.3) s oko 30 ml otapala za eluaciju (4.2.3), onda u kolonu unijeti malo staklene vune (4.2.5) gurajući je do dna kolone pomoću staklenog štapića (4.1.5).

U čaši volumena 100 ml pripremiti suspenziju 25 g silikagela (4.2.4) u 80 ml eluacijske mješavine (4.2.3) te je prebaciti u kolonu pomoću staklenog lijevka (4.1.6).

Kako bi se osigurao potpun prijenos silikagela u kolonu, isprati čašu eluacijskom mješavinom te također prenijeti isprane dijelove u kolonu.

Otvoriti pipac i pustiti da otopina eluira iz kolone dok mu razina ne bude oko 1 cm preko silikagela.

4.3.2.   Kromatografija na koloni

S točnošću od 0,001 g odvagnuti 2,5 ± 0,1 g prethodno filtriranog, homogeniziranog i, ako je potrebno, osušenog ulja u odmjernu tikvicu volumena 50 ml (4.1.7.). Otopiti u oko 20 ml otapala za eluaciju (4.2.3.), prema potrebi uz lagano zagrijavanje radi lakšeg otapanja. Ohladiti na sobnu temperaturu i prilagoditi volumen otapalom za eluiranje.

Pomoću odmjerne pipete unijeti 20 ml otapala u kolonu pripremljenu u skladu s 4.3.1, otvoriti pipac i pustiti da otopina eluira do razine sloja silikagela.

Potom eluirati sa 150 ml otapala za eluaciju (4.2.3), prilagođavajući protok otapala na oko 2 ml/min (150 ml treba 60 do 70 minuta da prođe kroz kolonu).

Eluat se vraća u tikvicu okruglog dna volumena 250 ml (4.1.1) prethodno tariranu u peći i točno izvaganu. Ukloniti otopinu pri smanjenom pritisku (rotirajućim isparivačem) i izvagati ostatak koji će se koristiti za pripremu otapala za HPLC analizu i za pripremu metil estera.

Prikupljeni uzorak iz kolone mora biti najmanje 90 % za kategorije ekstra djevičanskog, djevičanskog, običnog rafiniranog i maslinovog ulja, te najmanje 80 % za maslinovo ulje lampante i ulje komine maslina.

4.4.   Analiza HPLC metodom

4.4.1.   Priprema uzorka za kromatografsku analizu

Otopina od 5 % uzorka koji se analizira priprema se vaganjem 0,5 ± 0,001 g uzorka u graduiranu tikvicu volumena 10 ml i nadopunjuje se do 10 ml otapalom za rastapanje (4.2.9).

4.4.2.   Postupak

Postaviti sustav za kromatografiju. Upumpati otapalo za eluaciju (4.2.8) brzinom od 1,5 ml/mm da bi se pročistio cijeli sustav. Pričekati dok se ne dobije stabilna bazna linija. Injektirati 10 μl uzorka pripremljenog kao u točki 4.3.

4.4.3.   Izračunavanje i iskazivanje rezultata

Koristiti metodu interne standardizacije, odnosno, pretpostaviti da zbroj površina pikova koji odgovaraju TAG-ovima od ECN42 do ECN52 iznosi 100 %. Izračunati relativni postotak svakog triglicerida koristeći sljedeću formulu:

% triglicerida = površina pika × 100 / zbroj površine pikova

Rezultat treba iskazati s najmanje dva decimalna mjesta.

Bilješka 1.:

Redoslijed eluacije može se odrediti izračunavanjem ekvivalentnih ugljikovih brojeva, što se najčešće definira odnosom ECN = CN - 2n, pri čemu je CN ugljikov broj, a n broj dvostrukih veza; preciznije se može izračunati tako da se u obzir uzme izvor dvostruke veze. Ako su n0, n1 i n1n brojevi dvostrukih veza koje se pripisuju oleinskoj, linolnoj i linolenskoj kiselini, ekvivalentni ugljikov broj može se izračunati pomoću odnosa u formuli:

ECN = CN - dono- dlnl - dlnnln,

pri čemu se koeficijenti d0, d1 i d1n mogu izračunati pomoću referentnih triglicerida. Pod uvjetima utvrđenima ovom metodom, dobiveni odnos bit će blizak sljedećemu:

ECN = CN - (2,60 n0) - (2,35 n1) - (2,17 n1n)

Bilješka 2.:

Primjeri

:

Lichrosorb (Merck) RP 18 Art 50333

Lichrosphere ili ekvivalent (Merck) 100 CH18 Art 50377.

Bilješka 3.:

S nekoliko je referentnih triglicerida također moguće izračunati rezoluciju u odnosu na triolein:

α = RT’/RT triolein

korištenjem reduciranog retencijskog vremena RT’ = RT - RTotapalo.

Graf log ‚α’ u odnosu na ‚f’ (broj dvostrukih veza) omogućava određivanje retencijskih vrijednosti za sve trigliceride masnih kiselina sadržanih u referentnim trigliceridima - vidjeti sliku 2.

Bilješka 4.:

Učinkovitost kolone mora omogućiti jasno odvajanje pika trilinoleina od pikova triglicerida sličnog retencijskog vremena. Eluiranje se provodi do pika ECN52.

Bilješka 5.:

Ispravno određivanje površina svih pikova važnih za analizu osigurano je ako drugi pik koji odgovara ECN 50 doseže 50 % pune skale pisača.

4.5.   Izračunavanje sastava triacilglicerola

4.5.1.   Određivanje sastava masnih kiselina

Sastav masnih kiselina određuje se plinskom kromatografijom EEZ-a prema metodi opisanoj u Prilogu X.A Uredbi (EEZ) br. 2568/91, pomoću kapilarne kolone. Metil esteri masnih kiselina pripremaju se u skladu s Prilogom X.B (alkoholna otopina natrijevog metilata).

4.5.2.   Masne kiseline koje se uzimaju u obzir pri izračunavanju

Gliceridi se grupiraju prema njihovom ekvivalentnom broju ugljika (ECN), uzimajući u obzir sljedeće ekvivalentnosti između ECN-a i masnih kiselina. U obzir se uzimaju samo masne kiseline sa 16 i 18 atoma ugljika, jer su samo one bitne za maslinovo ulje.

Masna kiselina (MK)

Kratica

Molekularna masa (MM)

ECN

Palmitinska kiselina

P

256,4

16

Palmitoleinska kiselina

Po

254,4

14

Stearinska kiselina

S

284,5

18

Oleinska kiselina

O

282,5

16

Linolna kiselina

L

280,4

14

Linolenska kiselina

Ln

278,4

12

4.5.3.   Preračunavanje % površine u molove za sve masne kiseline

Formula

Formula

Formula

(1)

Formula

Formula

Formula

4.5.4.   Normalizacija masnih kiselina na 100 %

Formula

(2)

Formula

Formula

Formula

Formula

Formula

Kao rezultat se dobiva udio pojedine masne kiseline u molnim postocima s obzirom na sve položaje (1.,2.,3.) na trigliceridima.

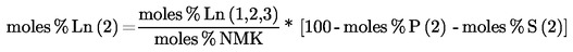
Zatim se izračunava zbroj zasićenih masnih kiselina P i S (ZMK) i nezasićenih masnih kiselina Po, O, L i Ln (NMK):

mol % ZMK = mol % P + mol % S

(3)

mol % NMK = 100 – mol % SFA

4.5.5.   Izračunavanje sastava masne kiseline u položaju 2. i 1.,3. na trigliceridima

Masne kiseline raspoređene su u tri skupine kako slijedi: dva istovjetne skupine za položaje 1., 3. i jedan za položaj 2., s različitim koeficijentima za zasićene (P i S) i nezasićene kiseline (Po, O, L i Ln).

4.5.5.1.   Zasićene masne kiseline u položaju 2. [P(2.) i S(2.)]

mol % P(2.) = mol % P (1.,2.,3.) × 0,06

(4)

mol % S(2.) = mol % S (1.,2.,3.) × 0,06

4.5.5.2.   Nezasićene masne kiseline u položaju 2. [Po(2.), O(2.), L(2.) i Ln(2.)]:

Formula

(5)

Formula

Formula

Formula

4.5.5.3.   Masne kiseline u položaju 1.,3. [P(1.,3.), S(1.,3.), Po(1.,3.) O(1.,3.), L(1.,3.) i Ln(1.,3.)]:

Formula

(6)

Formula

Formula

Formula

Formula

Formula

4.5.6.   Izračun triacilglicerola

4.5.6.1.   TAG s jednom masnom kiselinom (AAA, ovdje LLL, PoPoPo)

Formula

(7)

4.5.6.2.   TAG s dvije masne kiseline (AAB, ovdje PoPoL, PoLL)

Formula

(8)

Formula

4.5.6.3.   TAG s tri različite masne kiseline (ABC, ovdje OLLn, PLLn, PoOLn, PPoLn)

Formula

(9)

Formula

Formula

4.5.6.4.   Triacilgliceridi s ECN42

Sljedeći triagliceroli s ECN42 izračunavaju se prema jednadžbama 7, 8 i 9 redoslijedom očekivane elucije u analizi HPLC metodom (obično samo tri pika).

LLL

PoLL i pozicijski izomer LPoL

OLLn i pozicijski izomeri OLnL i LnOL

PoPoL i pozicijski izomer PoLPo

PoOLn i pozicijski izomeri OPoLn i OLnPo

PLLn i pozicijski izomeri LLnP i LnPL

PoPoPo

SLnLn i pozicijski izomer LnSLn

PPoLn i pozicijski izomeri PLnPo i PoPLn

Triacilgliceridi s ECN42 iskazani su kao zbroj devet triacilglicerola uključujući njihove pozicijski izomere. Rezultate treba iskazati s najmanje dva decimalna mjesta.

5.   Ocjenjivanje rezultata

Izračunati teoretski sadržaj uspoređuje se sa sadržajem utvrđenim HPLC analizom. Ako je razlika između podataka dobivenih HPLC metodom umanjenih za teoretske podatke veća od vrijednosti navedene za odgovarajuću kategoriju ulja u Uredbi, uzorak sadrži sjemensko ulje.

Bilješka: Rezultati su iskazani jednim decimalnim mjestom.

6.   Primjer (Brojevi se odnose na odjeljke u tekstu metode)

4.5.1.   Izračun molarnih % masnih kiselina podataka dobivenih plinsko-tekućinskom kromatografijom (GLC) (% površine)

Sljedeći su podaci dobiveni plinsko-tekućinskom kromarografijom za sastav masne kiseline:

FA

MW

P

256,4

S

284,5

Po

254,4

O

282,5

L

280,4

Ln

278,4

% površine

10,0

3,0

1,0

75,0

10,0

1,0

4.5.3.   Preračunavanje % površine u molove za sve masne kiseline

Formula

Vidjeti jednadžbu (1)

Formula

Vidjeti jednadžbu (1)

Formula

Vidjeti jednadžbu (1)

Formula

Vidjeti jednadžbu (1)

Formula

Vidjeti jednadžbu (1)

Formula

Vidjeti jednadžbu (1)

Ukupno

= 0,35822 moles TAGs

 

4.5.4.   Normalizacija masnih kiselina na 100 %

Formula

Vidjeti jednadžbu (2)

Formula

Vidjeti jednadžbu (2)

Formula

Vidjeti jednadžbu (2)

Formula

Vidjeti jednadžbu (2)

Formula

Vidjeti jednadžbu (2)

Formula

Vidjeti jednadžbu (2)

Ukupnomoles %

= 100,0 %

 

Zbroj zasićenih i nezasićenih masnih kiselina u položaju 1.,2.,3. na trigliceridima

mol % ZMK = 10,888 % + 2,944 % = 13,831 %

Vidjeti jednadžbu (3)

mol % NMK = 100,000 % - 13,831 % = 86,169 %

Vidjeti jednadžbu (3)

4.5.5.   Izračun sastava masne kiseline u položaju 2. i 1.,3. na trigliceridima

4.5.5.1.   Zasićene masne kiseline u položaju 2. [P(2.) i S(2.)]

mol % P(2) = 10,888 % × 0,06 = 0,653 %

Vidjeti jednadžbu (4)

mol % S(2) = 2,944 % × 0,06 = 0,177 %

Vidjeti jednadžbu (4)

4.5.5.2.   Nezasićene masne kiseline u položaju 1.,3. [Po(1.,3.), O(1.,3.), L(1.,3.) i Ln(1.,3.)]

Formula

Vidjeti jednadžbu (5)

Formula

Vidjeti jednadžbu (5)

Formula

Vidjeti jednadžbu (5)

Formula

Vidjeti jednadžbu (5)

4.5.5.3.   Masne kiseline u položaju 1.,3. [P(1.,3.), S(1.,3.), Po(1.,3.), O(1.,3.), L(1.,3.) i Ln(1.,3.)]

Formula

Vidjeti jednadžbu (6)

Formula

Vidjeti jednadžbu (6)

Formula

Vidjeti jednadžbu (6)

Formula

Vidjeti jednadžbu (6)

Formula

Vidjeti jednadžbu (6)

Formula

Vidjeti jednadžbu (6)

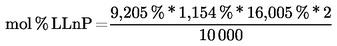
4.5.6.   Izračun triacilglicerola

Iz izračunanog sastava masne kiseline u položaju sn-2. i sn-1.,3. (vidjeti gore):

FA u:

pol. 1.,3.

pol. 2.

P

16,005 %

0,653 %

S

4,327 %

0,177 %

Po

1,015 %

1,263 %

O

68,522 %

85,295 %

L

9,205 %

11,458 %

Ln

0,927 %

1,154 %

Ukupno

100,0 %

100,0 %

izračunani su sljedeći triacilgliceroli:

 

LLL

 

PoPoPo

 

PoLL s 1 pozicijskim izomerom

 

SLnLn s 1 pozicijskim izomerom

 

PoPoL s 1 pozicijskim izomerom

 

PPoLn s 2 pozicijska izomera

 

OLLn s 2 pozicijska izomera

 

PLLn s 2 pozicijska izomera

 

PoOLn s 2 pozicijska izomera

4.5.6.1.   TAG s jednom masnom kiselinom (LLL, PoPoPo)

Vidjeti jednadžbu (7)

Formula

= 0,09708 mol LLL

Formula

= 0,00013 mol PoPoPo

4.5.6.2.   TAG s dvije masne kiseline (PoLL, SLnLn, PoPoL)

Vidjeti jednadžbu (8)

Formula

= 0,02141

Formula

= 0,01070

 

0,03211 mol PoLL

Formula

= 0,00093

Formula

= 0,00002

 

0,00095 mol SLnLn

Formula

= 0,00236

Formula

= 0,00118

 

0,00354 mol PoPoL

4.5.6.3.   TAG s tri različite masne kiseline (PoPLn, OLLn, PLLn, PoOLn)

Vidjeti jednadžbu (9)

Formula

= 0,00375

Formula

= 0,00012

Formula

= 0,00375

 

0,00762 mol PPoLn

Formula

= 0,14577

Formula

= 0,14577

Formula

= 0,14577

 

0,43671 mol OLLn

Formula

= 0,03400

Formula

= 0,00111

Formula

= 0,03400

 

0,06911 mol PLLn

Formula

= 0,01605

Formula

= 0,01605

Formula

= 0,01605

 

0,04815 mol PoOLn

ECN42

= 0,69540 mol TAGs”


(1)  Ukupna gornja granica za spojeve otkrivene detektorom zahvata elektrona.

Za pojedinačno otkrivene dijelove gornja granica je 0,10 mg/kg.

(2)  Zbroj izomera koji se (ne) može kapilarnom kolonom.

(3)  Da bi se provjerila prisutnost rafiniranog ulja, ako K279 premaši granicu za dotičnu kategoriju, mora se ponovno odrediti nakon prelaska preko aluminijevog oksida.

Bilješke:

Rezultati testova moraju biti izraženi istim brojem decimalnih mjesta kojima je izražena svaka karakteristika.

Zadnja znamenka mora se uvećati za jednu jedinicu ako je znamenka koja slijedi veća od 4.

Ako je neka od karakteristika izvan utvrđene granice, ulje se mora svrstati u drugu kategoriju ili deklarirati kao da nije usklađeno u smislu čistoće.

Zvjezdica (*) nakon karakteristike označava, u pogledu kakvoće ulja, da:

u slučaju maslinovog ulja lampante, utvrđene granice (osim K232) ne moraju sve biti istodobno usklađene,

u slučaju ostalih djevičanskih maslinovih ulja, neusklađenost s jednom ili više granica podrazumijeva promjenu kategorije unutar skupine djevičanskih maslinovih ulja.

(4)  Delta-5,23-stigmastadienol + kolesterol + sitosterol + sitosztanol + delta-5-avenosterol + delta-5-avenosterol + delta-5,24-stigmastadienol.

Napomene:

Rezultati testova moraju biti izraženi istim brojem decimalnih mjesta kojima je izražena svaka karakteristika.

Zadnja znamenka mora se uvećati za jednu jedinicu ako je znamenka koja slijedi veća od 4.

Ako je neka od karakteristika izvan utvrđene granice, ulje se mora svrstati u drugu kategoriju ili deklarirati kao da nije usklađeno u smislu čistoće.”


PRILOG II.

A.

Tarifni brojevi 1509 i 1510 obuhvaćaju samo ulja koja su dobivena isključivo preradom maslina čije su analitičke karakteristike sastava masne kiseline - određene pomoću metoda određenih u prilozima V., X.A i X.B Uredbi (EEZ) br. 2568/91 - i sastava sterola kako slijedi:

Tablica 1.

Sastav masnih kiselina kao postotak ukupnih masnih kiselina

Masna kiselina

Postotni udjeli

Miristinska kiselina

≤ 0,05

Linolenska kiselina

≤ 0,9

Arahinska kiselina

≤ 0,6

Eikozenska kiselina

≤ 0,4

Behenska kiselina (1)

≤ 0,3

Lignocerinska kiselina

≤ 0,2

Tablica 2.

Sastav sterola kao postotak ukupnih sterola

Sterol

Postotak

Kolesterol

≤ 0,5

Brasikasterol (2)

≤ 0,1

Kampestrol

≤ 4,0

Stigmasterol (3)

< Kampestrol

Betasitosterol (4)

≥ 93,0

Delta 7-sigmasterol

≤ 0,5

Tarifni brojevi 1509 i 1510 ne obuhvaćaju kemijski modificirano maslinovo ulje (posebno reesterificirano maslinovo ulje) i mješavine maslinovog ulja s drugim uljima. Prisutnost reesterificiranog maslinovog ulja ili drugih ulja utvrđuje se primjenom metoda određenih u Prilogu VII. Uredbi (EEZ) br. 2568/91.

B.

Tarifni podbroj 1509 10 obuhvaća samo maslinova ulja definirana u niže navedenim odjeljcima I. i II. koja su dobivena isključivo mehaničkim postupkom ili kakvim drugim fizikalnim putem pod uvjetima, a posebno toplinskim uvjetima, koji ne dovode do kvarenja ulja te koja nisu bila podvrgnuta niti jednom drugom postupku osim pranja, dekantiranja, centrifugiranja ili filtriranja. Ulja dobivena od maslina pomoću otapala obuhvaćena su tarifnim brojem 1510.

I.

Za potrebe tarifnog podbroja 1509 10 10, ‚djevičansko maslinovo ulje lampante’, bez obzira na njegovu kiselost, označava maslinovo ulje sa:

(a)

sadržajem voska ne većim od 350 mg/kg;

(b)

sadržajem eritrodiola i uvaola ne većim od 4,5 %;

(c)

sadržajem u zasićenim masnim kiselinama u položaju 2. na trigliceridima ne većim od 1,3 %;

(d)

ukupnim iznosom transoleinskih izomera ne većim od 0,10 % i ukupnim iznosom translinolnih + translinolenskih izomera ne većim od 0, 10 %;

(e)

sadržajem stigmastadiena ne većim od 0,50 mg/kg;

(f)

razlikom između sadržaja dobivenog HPLC metodom i teoretskog sadržaja triglicerida s ECN42 od 0,3 ili manje; i

(g)

jednim ili više sljedećih svojstava:

1.

peroksidni broj ne niži od 20 meq O2/kg;

2.

sadržaj hlapivih halogeniranih otapala ne niži od 0,2 mg/kg ukupno ili ne niži od 0,1 mg/kg za bilo koje pojedino otapalo;

3.

ekstinkcijski koeficijent K270 veći od 0,25, i, nakon tretiranja ulja aktivnim aluminijevim oksidom, ne veći od 0,11. Naime, neka ulja u kojima je sadržaj slobodnih masnih kiselina, koje su iskazane kao oleinska kiselina, veći od 3,3 g na 100 g mogu, nakon prelaska preko aktivnog aluminijevog oksida, u skladu s metodom određenom u Prilogu IX. Uredbi (EEZ) br. 2568/91, imati ekstinkcijski koeficijent K270 veći od 0,10. U tom slučaju, nakon neutralizacije i dekolorizacije u laboratoriju, u skladu s metodom iz Priloga XIII. gore navedenoj Uredbi, moraju imati sljedeća svojstva:

ekstinkcijski koeficijent K270 nije veći od 1,20,

odstupanje ekstinkcijskog koeficijenta (ΔΚ), u području 270 nm, veće od 0,01, ali nije veće od 0,16, npr.:

ΔΚ

= Km – 0,5 (Km – 4 + Km + 4)

Km

= ekstinkcijski koeficijent na valnoj duljini od maksimuma apsorpcijske krivulje u području 270 nm, i

Km-4 i Km + 4

= ekstinkcijski koeficijenti na valnim duljinama 4 nm nižima i višima od valne duljine Km;

4.

organoleptičke karakteristike koje uključuju prepoznatljive nedostatke koji prelaze granice prihvatljivosti i ocjenu ocjenjivačke komisije nižu od 3,5 u skladu s Prilogom XII. Uredbi (EEZ) br. 2568/91.

II.

Za potrebe podbroja 1509 10 90, ‚djevičansko ulje’” znači maslinovo ulje koje ima sljedeće karakteristike:

(a)

sadržaj kiselina, koje su iskazane kao oleinska kiselina, nije veći od 3,3 g na 100 g;

(b)

peroksidni broj nije veći od 20 meq 02/kg;

(c)

sadržaj voska nije veći od 250 mg/kg;

(d)

sadržaj hlapivih halogeniranih otapala nije veći od 0,2 mg/kg ukupno i nije veći od 0,1 mg/kg za svako pojedino otapalo;

(e)

ekstinkcijski koeficijent K270 nije veći od 0,25 i, nakon tretiranja ulja aktivnim aluminijevim oksidom, nije veći od 0,10;

(f)

odstupanje ekstinkcijskog koeficijenta (ΔΚ), u području 270 nm, nije veće od 0,01;

(g)

organoleptičke karakteristike koje mogu uključivati prepoznatljive nedostatke koji se nalaze unutar granica prihvatljivosti i ocjenu ocjenjivačke komisije ne nižu od 3,5 u skladu s Prilogom XII. Uredbi (EEZ) br. 2568/91;

(h)

sadržaj eritrodiola i uvaola nije veći od 4,5 %;

(ij)

sadržaj zasićenih masnih kiselina u položaju 2. na trigliceridima nije veći od 1,3 %;

(k)

ukupni iznos transoleinskih izomera nije veći od 0,05 %, a ukupni iznos translinolnih + translinolenskih izomera nije veći od 0,05 %;

(l)

sadržaj stigmastadiena nije veći od 0,15 mg/kg;

(m)

razlika sadržaja dobivenog HPLC metodom i teoretskog sadržaja triglicerida s ECN42 od 0,2 ili manje.

C.

Tarifni podbroj 1509 90 obuhvaća maslinovo ulje dobiveno obradom maslinovih ulja iz podbrojeva 1509 10 10 i/ili 1509 10 90, bez obzira jesu li miješana s djevičanskim maslinovim uljem ili ne, a koja imaju sljedeće karakteristike:

(a)

sadržaj kiselina, izraženih kao oleinska kiselina, nije veći od 1,5 g na 100 g;

(b)

sadržaj voska nije veći od 350 mg/kg;

(c)

ekstinkcijski koeficijent K270 nije veći od 1,0;

(d)

odstupanje koeficijenta ekstinkcije (ΔΚ), u području 270 nm, nije veće od 0,13;

(e)

sadržaj eritrodiola i uvaola nije veći od 4,5 %;

(f)

sadržaj zasićenih masnih kiselina u položaju 2. na trigliceridima nije veći od 1,5 %;

(g)

ukupni iznos transoleinskih izomera nije veći od 0,20 %, a ukupni iznos translinolnih + translinolenskih izomera nije veći od 0,30 %;

(h)

razlika sadržaja dobivenog HPLC metodom i teoretskog sadržaja triglicerida s ECN42 od 0,3 ili manje.

D.

Za potrebe tarifnog podbroja 1510 00 10, ‚sirova ulja’ znači ulja, posebno ulje komine maslina, koja imaju sljedeće karakteristike:

(a)

sadržaj kiselina, koje su iskazane kao oleinska kiselina, nije veći od 0,5 g na 100 g;

(b)

sadržaj eritrodiola i uvaola nije niži od 12 %;

(c)

sadržaj zasićenih masnih kiselina u položaju 2. na trigliceridima nije veći od 1,8 %;

(d)

ukupni iznos transoleinskih izomera nije veći od 0,20 %, a ukupni iznos translinolnih + translinolenskih izomera nije veći od 0,10 %;

(e)

razlika sadržaja dobivenog HPLC metodom i teoretskog sadržaja triglicerida s ECN42 od 0,6 ili manje.

E.

Tarifni podbroj 1510 00 90 obuhvaća ulja dobivena obradom ulja obuhvaćenih tarifnim podbrojem, 1510 00 10, bez obzira jesu li miješana s djevičanskim maslinovim uljem ili ne, i ulja koja nemaju karakteristike ulja opisanih iz dodatnih napomena 2.B, 2.C i 2.D. Ulja koja su obuhvaćena ovim podbrojem moraju imati sadržaj zasićenih masnih kiselina u položaju 2. na trigliceridima ne veći od 2,0 %, ukupni iznos transoleinskih izomera manji od 0,40 %, a ukupni iznos translinolnih + translinolenskih izomera manji od 0,35 %, dok razlika između sadržaja dobivenog HPLC metodom i teoretskog sadržaja triglicerida s ECN42 nije veća od 0,5.

3.   Tarifni podbrojevi 1522 00 31 i 1522 00 39 ne obuhvaćaju:

(a)

komine koje su nastale kao rezultat obrade masnih tvari koje sadrže ulje čiji je jodni broj, koji je određen u skladu s metodom utvrđenom u Prilogu XVI. Uredbi (EEZ) br. 2568/91, niži od 70 ili viši od 100;

(b)

komine koje su nastale kao rezultat obrade masnih tvari koje sadrže ulje čiji je jodni broj viši od 70 ili niži od 100, a čija površina pika koja predstavlja retencijski volumen betasitosterola (5), koji je određen u skladu s Prilogom Uredbi, iznosi manje od 93,0 % ukupnih površina pikova sterola.

4.   Analitičke metode za određivanje karakteristika gore navedenih proizvoda su one koje su utvrđene u prilozima Uredbi (EEZ) br. 2568/91. U skladu s tim, treba uzeti u obzir bilješke u Prilogu I. Uredbi.


(1)  ≤ 0,2 za ulja iz tarifnog broja 1509.

(2)  ≤ 0,2 za ulja iz tarifnog broja 1509.

(3)  Zahtjev ne vrijedi za djevičansko ulje lampante (podbroj 1509 10 10) ili za sirovo ulje komine maslina (podbroj 1510 00 10).

(4)  Delta 5,23-stigmastadienol + klerosterol + betasitosterol + sitostanol + delta-5-avenasterol + delta-5,24- stigmastadienol.

(5)  Delta-5,23-stigmastadienol + clerosterol + betasitosterol + sitostanol + delta-5-avenasterol + delta-5,24-stigmastadienol.”