13/Sv. 2

HR

Službeni list Europske unije

3


31975L0107


L 042/14

SLUŽBENI LIST EUROPSKE UNIJE


DIREKTIVA VIJEĆA

od 19. prosinca 1974.

o usklađivanju zakonodavstava država članica u odnosu na boce koje se upotrebljavaju kao mjerni spremnici

(75/107/EEZ)

VIJEĆE EUROPSKIH ZAJEDNICA,

uzimajući u obzir Ugovor o osnivanju Europske ekonomske zajednice, a posebno njegov članak 100.,

uzimajući u obzir prijedlog Komisije,

uzimajući u obzir mišljenje Europskog parlamenta (1),

uzimajući u obzir mišljenje Gospodarskog i socijalnog odbora (2),

budući da u nekim državama članicama proizvodnja i ispitivanje boca koje se upotrebljavaju kao mjerni spremnici podliježu obvezujućim propisima koji se razlikuju od jedne do druge države članice te tako ometaju trgovinu tom vrstom boca; budući da se takve odredbe zato moraju uskladiti;

budući da boce koje se upotrebljavaju kao mjerni spremnici moraju imati posebne mjeriteljske značajke i da je potrebno u tu svrhu specificirati najveće dopuštene pogreške u njihovoj nazivnoj primljivosti te odrediti referentnu metodu za provjeru takvih pogrešaka;

budući da je važno da boce koje se upotrebljavaju kao mjerni spremnici, kako su određene ovom Direktivom, trebaju nositi ne samo oznaku svoje nazivne primljivosti nego i zahtijevane podatke za njihovo punjenje,

DONIJELO JE OVU DIREKTIVU:

Članak 1.

Ova se Direktiva primjenjuje na spremnike koje obično nazivamo bocama, a izrađeni su od stakla ili druge tvari čija krutost i stabilnost pruža jednako mjeriteljsko jamstvo kao i staklo, kad su takvi spremnici:

1.

začepljeni ili izvedeni tako da se mogu začepiti, namijenjeni za skladištenje, prijevoz ili isporuku kapljevina;

2.

kad imaju nazivnu primljivost od 0,05 litara do uključivo pet litara;

3.

kad imaju takve mjeriteljske značajke (konstrukcijske značajke i jednolikost proizvodnje) da se mogu upotrebljavati kao mjerni spremnici, tj. da se njihovi sadržaji mogu mjeriti s dostatnom točnošću kad su napunjeni do specificirane razine ili do specificiranoga postotka njihova rubnog obujma.

Ti se spremnici nazivaju bocama mjernim spremnicima.

Članak 2.

Samo boce mjerni spremnici koje zadovoljavaju zahtjeve ove Direktive mogu se označivati EEZ znakom predviđenim u Prilogu I., točki 5., trećem odlomku.

One podliježu mjeriteljskomu nadzoru uz uvjete navedene u Prilozima.

Članak 3.

Države članice ne smiju odbiti, zabraniti ili ograničiti stavljanje na tržište ili u uporabu boca mjernih spremnika koje ispunjavaju zahtjeve i ispitivanja utvrđene u ovoj Direktivi iz razloga koji se odnose na njihov obujam, određivanje njihova obujma ili metode kojima se provjeravaju.

Članak 4.

1.   Države članice donose odredbe potrebne za usklađivanje s ovom Direktivom, u roku 18 mjeseci od njezinog priopćenja i o tome odmah obavješćuju Komisiju.

2.   Države članice osiguravaju da se Komisiji dostave tekstovi odredaba nacionalnog prava koje donesu u području na koje se odnosi ova Direktiva.

Članak 5.

Ova je Direktiva upućena državama članicama.

Sastavljeno u Bruxellesu 19. prosinca 1974.

Za Vijeće

Predsjednik

J. P. FOURCADE


(1)  SL C 56, 2.6.1972., str. 35.

(2)  SL C 123, 27.11.1972., str. 7.


PRILOG I.

1.   Boce mjerni spremnici moraju se odrediti sljedećim primljivostima koje se uvijek specificiraju za temperaturu od 20 °C:

1.1.

nazivna primljivost Vn jednaka je obujmu koji je označen na boci; to je obujam kapljevine za koji se smatra da ga boca sadržava kad je napunjena u uvjetima uporabe za koju je namijenjena;

1.2.

rubna primljivost boce je obujam kapljevine koji boca sadržava kad je napunjena do ruba;

1.3.

stvarna primljivost boce jednaka je obujmu kapljevine koji boca stvarno sadržava kad je točno napunjena uz uvjete koji teoretski odgovaraju nazivnoj primljivosti.

2.   Postoje dvije metode punjenja boca mjernih spremnika:

(1)

do stalne razine;

(2)

do stalne praznine.

Udaljenost između teoretske razine punjenja za nazivnu primljivost i rubne razine, i razlika između rubne primljivosti i nazivne primljivosti, koja se naziva obujmom širenja ili praznine, mora biti zamjetno stalna za sve boce istoga tipa, tj. za boce izrađene prema istoj konstrukciji.

Da bi se, uz uobičajeno postojanje nesigurnosti punjenja, s dostatnom točnošću omogućilo mjerenje obujma sadržaja boca mjernih spremnika, posebno s točnošću koja se zahtijeva Direktivama o pretpakovinama, najveće dopuštene pogreške (pozitivne ili negativne) u primljivosti boca mjernih spremnika, tj. najveće dopuštene razlike (pozitivne i negativne) na temperaturi od 20°C i pod upravljanim uvjetima utvrđenima u Prilogu II. između stvarne primljivosti i nazivne primljivosti Vn, moraju biti u skladu sa sljedećom tablicom:


Nazivna primljivost Vn u mililitrima

Najveće dopuštene pogreške

u % od Vn

u mililitrima

od 50 do 100

3

od 100 do 200

3

od 200 do 300

6

od 300 do 500

2

od 500 do 1 000

10

od 1 000 do 5 000

1

Najveća dopuštena pogreška rubne primljivosti jednaka je najvećoj dopuštenoj pogrešci odgovarajuće nazivne primljivosti.

Zabranjena je sustavna uporaba dopuštenih odstupanja.

4.   U praksi se stvarna primljivost boce mjernog spremnika provjerava određivanjem količine vode na 20 °C koju boca stvarno sadržava kad je napunjena do razine koja teoretski odgovara nazivnoj primljivosti. To se također može provjeriti neizravno, metodom istovrijedne točnosti.

5.   Svaki proizvođač boca mjernih spremnika podnosi nadležnom tijelu na odobrenje oznaku kojom se on može identificirati.

Kad to tijelo izda svoje odobrenje, mora u roku od mjesec dana o tome obavijestiti nadležna tijela drugih država članica i Komisiju.

Proizvođač mora na vlastitu odgovornost staviti znak з (obrnuto slovo epsilon) iz članka 6. Direktive Vijeća 71/316/EEZ (1) od 26. srpnja 1971. o zajedničkim odredbama za mjerne instrumente i metode mjeriteljskog nadzora, kako je zadnje izmijenjena Aktom (2) o uvjetima pristupa i prilagodbi Ugovorima, kojim se potvrđuje da ta boca zadovoljava zahtjeve te Direktive i njezinih Priloga. Međutim, ne zahtijeva se datum, podrijetlo i referentni broj, kako je navedeno u Prilogu I. pododjeljku 6.3. iste Direktive.

Taj znak mora biti visine barem 3 mm.

6.   Nadležna tijela država članica provjeravaju uzorkovanjem na mjestu proizvodnje ili, ako to nije praktično moguće, u prostorijama uvoznika ili njegova zastupnika s poslovnim nastanom u Zajednici, zadovoljavaju li boce mjerni spremnici odredbe ove Direktive.

Ta se provjera statističkim uzorkovanjem mora provoditi u skladu s prihvaćenim metodama pregleda na prihvatljivost kvalitete. Njezina djelotvornost mora biti usporediva s referentnom metodom specificiranom u Prilogu II.

7.   Ova Direktiva ne isključuje nikakve provjere koje mogu provoditi nadležna tijela država članica tijekom trgovine.

8.   Boca mjerni spremnik mora nositi sljedeće neizbrisive, lako čitljive i vidljive oznake:

8.1.

na svojoj bočnoj strani, na obrubu dna ili na samome dnu:

8.1.1.

oznaku svoje nazivne primljivosti u litrama, centilitrima ili mililitrima izraženu brojkama visine od najmanje 6 mm ako je nazivna primljivost veća do 100 cl, visine 4 mm ako se nalazi u području od 100 cl naniže do, ali ne uključivo, 20 cl i visine 3 mm ako nije veća od 20 cl; iza oznake slijedi znak mjerne jedinice koja se upotrebljava ili, ako je to prikladno, naziv mjerne jedinice u skladu s odredbama Direktive Vijeća 71/354/EEZ (3) od 18. listopada 1971. o usklađivanju zakonodavstava država članica o mjernim jedinicama kako je izmijenjena Aktom o uvjetima pristupa i prilagodbi Ugovorima;

8.1.2.

identifikacijsku oznaku proizvođača propisanu u točki 5., prvom odlomku

8.1.3.

znak propisan u točki 5., trećem odlomku

8.2.

na dnu ili na obrubu dna, na takav način da se izbjegne zabuna s prethodnom oznakom, brojkama iste najmanje visine kao i brojke kojima se izražava odgovarajuća nazivna primljivost u skladu s metodom ili metodama punjenja za koje je boca namijenjena:

8.2.1.

oznaku rubne primljivosti izraženu u centilitrima iza koje ne stoji znak cl;

8.2.2.

i/ili oznaku udaljenosti u milimetrima od rubne razine do razine punjenja koja odgovara nazivnoj primljivosti, iza koje slijedi znak mm.

Na boci se mogu nalaziti i druge oznake uz uvjet da ne stvaraju zabunu prema obveznim oznakama.


(1)  SL L 202, 6.9.1971., str. 1.

(2)  SL L 73, 27.3.1972., str. 14.

(3)  SL L 243, 29.10.1971., str. 29.


PRILOG II.

Ovaj Prilog utvrđuje postupke za statističku provjeru boca mjernih spremnika kako bi se ispunili zahtjevi iz članka 2. Direktive i točke 6. Priloga I.

1.   METODA UZORKOVANJA

Uzorak boca mjernih spremnika iste konstrukcije i istoga proizvođača odabire se iz serije koja načelno odgovara jednosatnoj proizvodnji.

Ako rezultat provjere serije koja odgovara jednosatnoj proizvodnji nije zadovoljavajući, može se provesti drugo ispitivanje na temelju drugog uzorka iz serije koja dogovara duljemu razdoblju proizvodnje ili, ako proizvodnja podliježe provjeri priznatoj od nadležnih tijela države članice, na temelju rezultata zapisanih na provjernim karticama proizvođača.

Broj boca mjernih spremnika koje čine uzorak mora biti 35 ili 40, ovisno o tome koju je od dviju metoda primjene rezultata, koje su podrobno navedene u točki 3., odabrala pojedina država članica.

2.   MJERENJE PRIMLJIVOSTI BOCA MJERNIH SPREMNIKA KOJE ČINE UZORAK

Boce mjerni spremnici važu se prazne.

Pune se vodom poznate gustoće na 20 °C do razine punjenja koja odgovara upotrijebljenoj metodi provjere.

Zatim se važu pune.

Provjera se provodi pomoću prikladnog mjernog instrumenta koji osigurava mjernu sljedivost.

Mjerna pogreška primljivosti ne smije biti veća od jedne petine najveće dopuštene pogreške koja odgovara nazivnoj primljivosti boce mjernog spremnika.

3.   PRIMJENA REZULTATA

3.1.   Uporaba metode standardne devijacije

Broj boca mjernih spremnika u uzorku jednak je 35.

3.1.1.   Izračunajte kako slijedi (vidjeti točku 3.1.4):

3.1.1.1.

prosječnu vrijednost

Formula

stvarnih primljivosti xi boca u uzorku;

3.1.1.2.

procijenjenu standardnu devijaciju stvarnih primljivosti xi boca u seriji.

3.1.2.   Izračunajte:

3.1.2.1.

gornju granicu Ts: zbroj označene primljivosti (vidjeti Prilog I. točku 8.) i najveće dopuštene pogreške koja odgovara toj primljivosti;

3.1.2.2.

donju granicu Ti: razliku između označene primljivosti (vidjeti Prilog I. točku 8.) i najveće dopuštene pogreške koja odgovara toj primljivosti.

3.1.3.   Kriteriji prihvaćanja:

Smatra se da je serija u skladu s Direktivom ako brojevi Formula i s istodobno potvrđuju ove tri nejednadžbe:

Formula

Formula

Formula

gdje je

k = 1,57

 

F = 0,266

3.1.4.   Izračun srednje vrijednosti Formula i procijenjene standardne devijacije s serije.

Izračunajte:

zbroj od 35 mjerenja stvarnih primljivosti Formula

srednju vrijednost od 35 mjerenja Formula

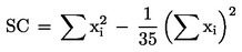
zbroj kvadrata od 35 mjerenja Formula

kvadrat zbroja od 35 mjerenja Formula, zatim Formula

ispravljeni zbroj Formula

procijenjenu varijancij Formula

Prema tomu, procijenjena standardna devijacija Formula

3.2.   Uporaba metode prosječnog raspona

Broj boca mjernih spremnika u uzorku je 40.

3.2.1.   Izračunajte kako slijedi (vidjeti točku 3.2.4.):

3.2.1.1.

prosječnu vrijednost

Formula

stvarnih primljivosti x boca u uzorku;

3.2.1.2.

prosječni raspon

Formula

stvarnih primljivosti xi boca u uzorku.

3.2.2.   Izračunajte:

3.2.2.1.

gornju granicu Ts: zbroj označene primljivosti (vidjeti Prilog I. točku 8.) i najveće dopuštene pogreške koja odgovara toj primljivosti;

3.2.2.2.

donju granicu Ti:

 

razliku između označene primljivosti (vidjeti Prilog I. točku 8.) i najveće dopuštene pogreške koja odgovara toj primljivosti.

3.2.3.   Kriterij prihvaćanja

Smatra se da je serija u skladu s Direktivom ako brojevi Formula i Formula istodobno potvrđuju ove tri nejednadžbe:

Formula

Formula

Formula

gdje je k′ = 0,668

F′ = 0,628.

3.2.4.   Izračun srednje vrijednosti Formula i prosječnog raspona Formula od 40 boca mjernih spremnika u uzorku.

3.2.4.1.   Da bi se dobila prosječna vrijednost Formula, izračunajte:

zbroj 40 stvarnih mjerenja primljivosti xi: Formula

srednju vrijednost tih 40 mjerenja: Formula

3.2.4.2.   Da bi se dobio Formula:

Podijelite uzorak kronološkim redom odabira u osam poduzoraka od po pet boca mjernih spremnika.

Izračunajte:

raspon svakoga poduzorka, tj. razliku između stvarne primljivosti najveće i najmanje od pet boca u poduzorku; tako se dobije osam raspona: R1, R2, …, R8

zbroj raspona osam poduzoraka:

Formula

Prema tomu prosječni raspon: Formula