17.2.2011   

FR

Journal officiel de l'Union européenne

CE 50/1


POSITION (UE) No 5/2011 DU CONSEIL EN PREMIÈRE LECTURE

en vue de l'adoption d'un règlement du Parlement européen et du Conseil relatif aux dénominations des fibres textiles et à l'étiquetage et au marquage correspondants des produits textiles au regard de leur composition en fibres, et abrogeant la directive 73/44/CEE du Conseil, la directive 96/73/CE du Parlement européen et du Conseil et la directive 2008/121/CE du Parlement européen et du Conseil

Adoptée par le Conseil le 6 décembre 2010

(Texte présentant de l'intérêt pour l'EEE)

2011/C 50 E/01

LE PARLEMENT EUROPÉEN ET LE CONSEIL DE L'UNION EUROPÉENNE,

vu le traité sur le fonctionnement de l'Union européenne, et notamment son article 114,

vu la proposition de la Commission européenne,

vu l'avis du Comité économique et social européen (1),

statuant conformément à la procédure législative ordinaire (2),

considérant ce qui suit:

(1)

La directive 73/44/CEE du Conseil du 26 février 1973 concernant le rapprochement des législations des États membres relatives à l'analyse quantitative de mélanges ternaires de fibres textiles (3), la directive 96/73/CE du Parlement européen et du Conseil du 16 décembre 1996 relative à certaines méthodes d'analyse quantitative de mélanges binaires de fibres textiles (4) et la directive 2008/121/CE du Parlement européen et du Conseil du 14 janvier 2009 relative aux dénominations textiles (5) ont été modifiées à plusieurs reprises. De nouvelles modifications devant être apportées, il convient, dans un souci de clarté, de remplacer ces actes par un instrument juridique unique.

(2)

Les actes juridiques de l'Union relatifs aux dénominations des fibres textiles et à l'étiquetage et au marquage correspondants des produits textiles au regard de leur composition en fibres sont très techniques et comportent des dispositions détaillées qui doivent être adaptées régulièrement. Afin d'éviter que les États membres aient à transposer les modifications techniques dans la législation nationale et, par conséquent, pour réduire la charge administrative pesant sur les autorités nationales et en vue de permettre l'adoption plus rapide de nouvelles dénominations de fibres textiles simultanément dans toute l'Union, le règlement s'impose comme l'instrument juridique le plus approprié pour réaliser la simplification législative.

(3)

Afin d'éliminer les obstacles potentiels au bon fonctionnement du marché intérieur causés par les dispositions divergentes des États membres en ce qui concerne les dénominations des fibres textiles et l'étiquetage et le marquage correspondants des produits textiles au regard de leur composition en fibres, il est nécessaire d'harmoniser les dénominations des fibres textiles et les mentions figurant sur les étiquettes, marquages et documents qui accompagnent les produits textiles au cours des différentes étapes de la production, du traitement et de la distribution.

(4)

Le présent règlement établit des dispositions harmonisées concernant certains aspects de l'étiquetage et du marquage des produits textiles, en particulier les dénominations des fibres textiles. D'autres formes d'étiquetage et de marquage peuvent exister, pour autant qu'elles n'aient pas le même champ d'application que le présent règlement et qu'elles soient compatibles avec les traités.

(5)

Il convient d'établir des règles permettant aux fabricants de demander qu'une nouvelle dénomination de fibre textile soit inscrite aux annexes du présent règlement.

(6)

Il y a lieu également de prévoir des dispositions relatives à certains produits qui ne sont pas exclusivement composés de textiles, mais dont la partie textile constitue un élément essentiel ou est mise en valeur par l'opérateur économique.

(7)

La tolérance concernant les fibres étrangères, qui ne doivent pas figurer sur les étiquettes et les marquages, devrait s'appliquer à la fois aux produits purs et aux produits mélangés.

(8)

L'étiquetage ou le marquage concernant la composition en fibres devrait être obligatoire pour que des informations correctes et uniformes soient mises à la disposition de tous les consommateurs dans l'Union. Le présent règlement ne devrait toutefois pas empêcher les opérateurs économiques d'indiquer, en outre, la présence de petites quantités de fibres exigeant un soin particulier afin de maintenir la qualité initiale du produit textile. Lorsqu'il est techniquement difficile de préciser la composition en fibres d'un produit textile au moment de sa fabrication, il devrait être possible de mentionner sur l'étiquette ou le marquage uniquement les fibres connues à ce moment-là, à condition qu'elles représentent un certain pourcentage du produit fini.

(9)

Afin d'éviter des divergences de pratiques entre les États membres, il est nécessaire de déterminer avec précision les modalités d'étiquetage et de marquage de certains produits textiles composés de deux parties ou plus, ainsi que les éléments des produits textiles dont il n'est pas nécessaire de tenir compte aux fins de l'étiquetage, du marquage et de l'analyse.

(10)

Les produits textiles soumis uniquement à l'obligation d'étiquetage global et ceux vendus au mètre ou à la coupe devraient être mis à disposition sur le marché de manière que le consommateur puisse prendre pleinement connaissance des informations apposées sur l'emballage global ou le rouleau.

(11)

L'usage de dénominations pour les fibres textiles ou de descriptions relatives à la composition en fibres bénéficiant d'un crédit particulier auprès des utilisateurs et des consommateurs devrait être soumis à certaines conditions. En outre, afin de fournir des informations aux utilisateurs et aux consommateurs, il convient que les dénominations de fibres textiles soient liées aux caractéristiques des fibres.

(12)

La surveillance du marché, exercée dans les États membres, pour les produits relevant du présent règlement est soumise au règlement (CE) no 765/2008 du Parlement européen et du Conseil du 9 juillet 2008 fixant les prescriptions relatives à l'accréditation et à la surveillance du marché pour la commercialisation des produits (6) et à la directive 2001/95/CE du Parlement européen et du Conseil du 3 décembre 2001 relative à la sécurité générale des produits (7).

(13)

Il est nécessaire de prévoir des méthodes d'échantillonnage et d'analyse des produits textiles pour éliminer toute possibilité de contestation des méthodes appliquées. Les méthodes utilisées pour les essais officiels réalisés dans les États membres en vue de déterminer la composition en fibres de produits textiles composés de mélanges binaires et ternaires de fibres devraient être uniformes, tant en ce qui concerne le prétraitement de l'échantillon que son analyse quantitative. Il convient que les méthodes prévues à cet effet par le présent règlement soient transformées en normes harmonisées. En conséquence, la Commission devrait assurer le passage du système actuel, qui repose sur les méthodes exposées dans le présent règlement, à un système reposant sur des normes harmonisées. L'utilisation de méthodes uniformes d'analyse des produits textiles composés de mélanges binaires et ternaires de fibres facilitera la libre circulation de ces produits et, ce faisant, améliorera le fonctionnement du marché intérieur.

(14)

Dans le cas de mélanges binaires de fibres textiles pour lesquels il n'existe pas de méthode d'analyse uniforme au niveau de l'Union, le laboratoire chargé du contrôle devrait être autorisé à déterminer la composition de ces mélanges, en indiquant, dans le rapport d'analyse, le résultat obtenu, la méthode utilisée et le degré de précision de celle-ci.

(15)

Le présent règlement devrait fixer les taux conventionnels à appliquer à la masse anhydre de chaque fibre lors de la détermination par analyse de la composition en fibres des produits textiles et devrait donner deux taux conventionnels différents pour le calcul de la composition des fibres cardées ou peignées contenant de la laine et/ou du poil. Comme il ne peut pas toujours être établi si un produit est cardé ou peigné et que, par conséquent, des résultats incohérents peuvent résulter de l'application de tolérances lors des contrôles de conformité des produits textiles effectués dans l'Union, les laboratoires chargés de ces contrôles devraient être autorisés, dans les cas douteux, à appliquer un taux conventionnel unique.

(16)

Il convient d'établir des règles relatives aux produits exemptés des exigences générales établies par le présent règlement en matière d'étiquetage et de marquage, notamment en ce qui concerne les produits jetables ou les produits pour lesquels seul un étiquetage global est requis.

(17)

Il convient d'établir une procédure pour l'insertion de nouvelles dénominations de fibres textiles aux annexes du présent règlement. Le présent règlement devrait donc établir les exigences concernant les demandes de fabricants ou d'autres personnes agissant en leur nom ayant pour objet l'ajout de nouvelles dénominations de fibres textiles auxdites annexes.

(18)

Il convient d'habiliter la Commission à adopter des actes délégués conformément à l'article 290 du traité sur le fonctionnement de l'Union européenne concernant l'adoption des critères techniques et des règles de procédure en vue de l'autorisation de tolérances plus élevées, de la modification des annexes II, IV, V, VI, VII, VIII et IX pour les adapter au progrès technique et en vue de la modification de l'annexe I afin d'ajouter de nouvelles dénominations de fibres textiles à la liste figurant à ladite annexe. Il est particulièrement important que la Commission procède aux consultations appropriées tout au long de son travail préparatoire, y compris au niveau des experts.

(19)

Étant donné que l'objectif du présent règlement, à savoir l'adoption de règles uniformes applicables à l'utilisation de dénominations de fibres textiles et à l'étiquetage et au marquage correspondants des produits textiles au regard de leur composition en fibres, ne peut pas être réalisé de manière suffisante par les États membres et peut donc, en raison de ses dimensions, être mieux réalisé au niveau de l'Union, celle-ci peut prendre des mesures, conformément au principe de subsidiarité consacré à l'article 5 du traité sur l'Union européenne. Conformément au principe de proportionnalité tel qu'énoncé audit article, le présent règlement n'excède pas ce qui est nécessaire pour atteindre cet objectif.

(20)

Il convient d'abroger les directives 73/44/CEE, 96/73/CEE et 2008/121/CE,

ONT ADOPTÉ LE PRÉSENT RÈGLEMENT:

CHAPITRE 1

Dispositions générales

Article premier

Objet

Le présent règlement établit les règles relatives à l'utilisation des dénominations de fibres textiles et à l'étiquetage et au marquage correspondants des produits textiles au regard de leur composition en fibres, ainsi que les règles relatives à la détermination de la composition en fibres des produits textiles au moyen de l'analyse quantitative des mélanges binaires et ternaires de fibres textiles, dans le but d'améliorer le fonctionnement du marché intérieur et de fournir des informations précises aux consommateurs.

Article 2

Champ d'application

1.   Le présent règlement s'applique aux produits textiles mis à disposition sur le marché de l'Union et aux produits visés au paragraphe 2.

2.   Aux fins du présent règlement, les produits ci-après sont assimilés aux produits textiles:

a)

les produits qui sont constitués à au moins 80 % en poids de fibres textiles;

b)

les revêtements de meubles, de parapluies et de parasols qui sont constitués à au moins 80 % en poids de parties textiles;

c)

les parties textiles:

i)

de la couche supérieure des revêtements de sol à plusieurs couches;

ii)

des revêtements de matelas;

iii)

des revêtements des articles de camping;

à condition que ces parties textiles représentent au moins 80 % en poids desdits revêtements ou couches supérieures;

d)

les textiles incorporés à d'autres produits dont ils font partie intégrante lorsque leur composition est spécifiée.

3.   Le présent règlement ne s'applique pas aux produits textiles qui, sans donner lieu à cession à titre onéreux, sont confiés pour ouvraison à des travailleurs à domicile ou à des entreprises indépendantes travaillant à façon.

Article 3

Définitions

1.   Aux fins du présent règlement, on entend par:

a)

«produit textile», tout produit qui, à l'état brut, semi-ouvré, ouvré, semi-manufacturé, manufacturé, semi-confectionné ou confectionné, est exclusivement composé de fibres textiles, quel que soit le procédé de mélange ou d'assemblage mis en œuvre;

b)

«fibre textile»:

i)

un élément caractérisé par sa flexibilité, sa finesse et sa grande longueur par rapport à la dimension transversale maximale, qui le rendent apte à des applications textiles;

ii)

une bande ou un tube souple ne dépassant pas 5 millimètres de largeur apparente, y compris les bandes coupées de bandes ou de feuilles plus larges fabriquées à partir des substances servant à la fabrication des fibres figurant au tableau 2 de l'annexe I et aptes à des applications textiles;

c)

«largeur apparente», la largeur de la bande ou du tube sous forme pliée, aplatie, compressée ou tordue ou, dans le cas de largeur non uniforme, la largeur moyenne;

d)

«partie textile», une partie d'un produit textile ayant un contenu en fibre identifiable;

e)

«fibres étrangères», les fibres autres que celles mentionnées sur l'étiquette ou le marquage;

f)

«doublure», une partie séparée utilisée dans la confection de vêtements et autres produits, comprenant une ou plusieurs couches de matière textile maintenues sur un ou plusieurs bords;

g)

«étiquetage», l'indication des informations requises sur un produit textile par apposition d'une étiquette;

h)

«marquage», l'indication des informations requises directement sur un produit textile par couture, broderie, impression, gaufrage ou tout autre mode d'apposition;

i)

«étiquetage global», l'utilisation d'une étiquette unique pour plusieurs produits ou parties textiles;

j)

«produit jetable», un produit textile conçu pour être utilisé seulement une fois ou pendant un temps limité et qui n'est normalement pas utilisé ultérieurement à des fins identiques ou similaires;

k)

«taux conventionnel», la valeur de reprise d'humidité à utiliser dans le calcul du pourcentage de composants fibreux sur la base des masses de fibres pures à l'état sec après application de facteurs conventionnels.

2.   Aux fins du présent règlement, les définitions de «mise à disposition sur le marché», «mise sur le marché», «fabricant», «importateur», «distributeur», «opérateurs économiques», «norme harmonisée», «surveillance du marché» et «autorité de surveillance du marché» figurant à l'article 2 du règlement (CE) no 765/2008 s'appliquent.

Article 4

Exigence générale relative à la mise à disposition sur le marché de produits textiles

Les produits textiles ne sont mis à disposition sur le marché que s'ils sont étiquetés, marqués ou accompagnés de documents commerciaux conformément au présent règlement.

CHAPITRE 2

Dénominations des fibres textiles et exigences correspondantes en matière d'étiquetage et de marquage

Article 5

Dénominations des fibres textiles

1.   Seules les dénominations des fibres textiles énumérées à l'annexe I sont utilisées pour l'étiquetage et le marquage comportant la description de la composition en fibres des produits textiles.

2.   L'utilisation des dénominations énumérées à l'annexe I est réservée aux fibres textiles dont la nature correspond à la description figurant dans ladite annexe.

Les dénominations ne sont pas utilisées pour désigner d'autres fibres, à titre principal ou à titre de racine, ou sous forme d'adjectif.

Le terme «soie» n'est pas utilisé pour indiquer la forme ou présentation particulière en fil continu des fibres textiles.

Article 6

Demande de nouvelles dénominations de fibres textiles

Tout fabricant ou toute personne agissant en son nom peut demander à la Commission l'ajout d'une nouvelle dénomination de fibre textile à la liste figurant à l'annexe I.

La demande est accompagnée d'un dossier technique établi conformément à l'annexe II.

Article 7

Produits textiles purs

1.   Un produit textile ne peut être étiqueté ou marqué «100 %», «pur» ou «tout» que s'il est composé exclusivement d'une même fibre.

Ces termes ou des termes similaires ne sont pas utilisés pour d'autres produits textiles.

2.   Sans préjudice de l'article 8, paragraphe 3, un produit textile ne contenant pas plus de 2 % en poids de fibres étrangères peut être considéré comme étant composé exclusivement d'une même fibre pour autant que cette quantité soit justifiée par le fait qu'elle est techniquement inévitable dans de bonnes pratiques de fabrication et ne résulte pas d'une addition systématique.

Un produit textile obtenu par le cycle du cardé peut aussi être considéré comme étant composé exclusivement d'une même fibre s'il ne contient pas plus de 5 % en poids de fibres étrangères, pour autant que cette quantité soit justifiée par le fait qu'elle est techniquement inévitable dans de bonnes pratiques de fabrication et ne résulte pas d'une addition systématique.

Article 8

Produits en laine vierge ou laine de tonte

1.   Un produit textile peut comporter, sur l'étiquette ou le marquage, l'une des dénominations figurant à l'annexe III pourvu qu'il soit exclusivement composé d'une fibre de laine n'ayant pas été incorporée antérieurement à un produit fini et n'ayant pas subi des opérations de filature et/ou de feutrage autres que celles requises par la fabrication du produit, ni un traitement ou une utilisation qui ait endommagé la fibre.

2.   Par dérogation au paragraphe 1, les dénominations figurant à l'annexe III peuvent être utilisées pour qualifier la laine contenue dans un mélange de fibres textiles si toutes les conditions ci-après sont satisfaites:

a)

la totalité de la laine contenue dans le mélange répond aux caractéristiques définies au paragraphe 1;

b)

la quantité de cette laine par rapport au poids total du mélange n'est pas inférieure à 25 %;

c)

en cas de mélange intime, la laine n'est mélangée qu'avec une seule autre fibre.

La composition centésimale complète de ces mélanges est indiquée.

3.   Les fibres étrangères contenues dans les produits visés aux paragraphes 1 et 2, y compris dans les produits en laine obtenus par le cycle du cardé, ne dépassent pas 0,3 % en poids et leur présence est justifiée par le fait qu'elle est techniquement inévitable dans de bonnes pratiques de fabrication et ne résulte pas d'une addition systématique.

Article 9

Produits textiles composés de plusieurs fibres

1.   Un produit textile composé de deux fibres ou plus dont l'une représente au moins 85 % du poids total comporte, sur l'étiquette ou le marquage, l'un des éléments suivants:

a)

la dénomination de la fibre qui représente au moins 85 % du poids total, immédiatement précédée ou suivie de son pourcentage en poids;

b)

la dénomination de la fibre qui représente au moins 85 % du poids total, immédiatement précédée ou suivie de l'indication «85 % au minimum»; ou

c)

la composition centésimale complète du produit.

2.   Un produit textile composé de deux fibres ou plus dont aucune ne représente 85 % du poids total comporte, sur l'étiquette ou le marquage, au moins la dénomination et le pourcentage en poids des deux principales fibres en poids qui entrent dans la composition du produit, immédiatement suivis de l'énumération des dénominations des autres fibres qui composent le produit par ordre d'importance décroissante, avec ou sans indication de leur pourcentage en poids.

3.   Sans préjudice du paragraphe 2, les fibres dont chacune représente moins de 10 % du poids total d'un produit peuvent être désignées collectivement par les termes «autres fibres» immédiatement précédés ou suivis d'un pourcentage global en poids.

Au cas où serait spécifiée la dénomination d'une fibre représentant moins de 10 % du poids total d'un produit, la composition centésimale complète du produit est mentionnée.

4.   Les produits comportant une chaîne en pur coton et une trame en pur lin et dont le pourcentage de lin représente au moins 40 % du poids total du tissu désencollé peuvent être désignés par la dénomination «métis» obligatoirement complétée par l'indication de composition «chaîne pur coton – trame pur lin».

5.   Sans préjudice de l'article 5, paragraphe 1, les termes «fibres diverses» ou «composition textile non déterminée» peuvent être utilisés sur l'étiquette ou le marquage de tout produit textile dont il est difficile de préciser la composition au moment de la fabrication.

Article 10

Fibres à effet décoratif et fibres antistatiques

1.   Les fibres visibles et isolables destinées à produire un effet purement décoratif et ne dépassant pas 7 % du poids du produit fini ne doivent pas être prises en compte dans les compositions en fibres prévues aux articles 7 et 9.

2.   Les fibres métalliques et autres fibres incorporées en vue d'obtenir un effet antistatique et ne dépassant pas 2 % du poids du produit fini ne doivent pas être prises en compte dans les compositions en fibres prévues aux articles 7 et 9.

3.   Dans le cas des produits visés à l'article 9, paragraphe 4, les pourcentages prévus aux paragraphes 1 et 2 du présent article sont calculés séparément sur le poids de la chaîne et celui de la trame.

Article 11

Produits textiles composés de plusieurs parties

1.   Tout produit textile, constitué de deux parties textiles ou plus n'ayant pas la même composition en fibres textiles, est muni d'une étiquette ou d'un marquage indiquant la composition en fibres textiles de chacune des parties.

2.   L'étiquetage ou marquage visé au paragraphe 1 n'est pas obligatoire pour les parties textiles lorsque les deux conditions suivantes sont remplies:

a)

ces parties ne sont pas des doublures principales; et

b)

ces parties représentent moins de 30 % du poids total du produit textile.

3.   Deux produits textiles ou plus ayant la même composition en fibres qui forment, normalement, un ensemble unique, peuvent être munis d'une seule étiquette ou d'un seul marquage.

Article 12

Étiquetage et marquage des produits textiles énumérés à l'annexe IV

La composition en fibres des produits textiles énumérés à l'annexe IV est indiquée conformément aux dispositions relatives à l'étiquetage et au marquage figurant dans ladite annexe.

Article 13

Étiquettes et marquages

1.   Les produits textiles sont étiquetés ou marqués aux fins d'en indiquer la composition en fibres à l'occasion de toute opération de mise à disposition sur le marché.

L'étiquetage et le marquage des produits textiles est durable, aisément lisible, visible et accessible, et, dans le cas d'une étiquette, celle-ci est solidement fixée.

2.   Sans préjudice du paragraphe 1, les étiquettes ou les marquages peuvent être remplacés ou complétés par des documents commerciaux d'accompagnement, lorsque les produits sont fournis à des opérateurs économiques dans la chaîne d'approvisionnement ou lorsqu'ils sont livrés en exécution d'une commande d'un pouvoir adjudicateur au sens de l'article 1er de la directive 2004/18/CE du Parlement européen et du Conseil du 31 mars 2004 relative à la coordination des procédures de passation des marchés publics de travaux, de fournitures et de services (8).

3.   Les dénominations des fibres textiles et les descriptions des compositions en fibres visées aux articles 5, 7, 8 et 9 sont clairement indiquées sur les documents commerciaux d'accompagnement visés au paragraphe 2 du présent article.

Il n'est pas fait usage d'abréviations, à l'exception d'un code mécanographique, à condition que la signification de ce code figure dans le même document commercial.

Article 14

Obligation de fournir l'étiquette ou le marquage

1.   Lorsqu'il met un produit textile sur le marché, le fabricant veille à fournir l'étiquette ou le marquage et à l'exactitude des informations qui y figurent. Si le fabricant n'est pas établi dans l'Union, l'importateur veille à fournir l'étiquette ou le marquage et à la précision des informations qui y figurent.

2.   Aux fins du présent règlement, un distributeur est considéré comme un fabricant lorsqu'il met sur le marché un produit portant son propre nom ou sa propre marque, appose une étiquette ou modifie le contenu d'une étiquette.

3.   Lorsqu'il met un produit textile à disposition sur le marché, le distributeur veille à ce que celui-ci porte l'étiquetage ou le marquage approprié prescrit par le présent règlement.

4.   Les opérateurs économiques visés aux paragraphes 1, 2 et 3 veillent à ce qu'aucune information fournie lorsque des produits textiles sont mis à disposition sur le marché ne puisse être confondue avec les dénominations de fibres textiles et les descriptions des compositions en fibres prévues par le présent règlement.

Article 15

Utilisation des dénominations de fibres textiles et des descriptions relatives à la composition en fibres textiles

1.   Lors de la mise à disposition d'un produit textile sur le marché, les descriptions relatives à la composition en fibres textiles visées aux articles 5, 7, 8 et 9 sont indiquées dans les catalogues, les prospectus ainsi que sur les emballages, étiquettes et marquages d'une manière aisément lisible, visible, claire et avec les mêmes caractères typographiques ou polices de caractères. Ces informations sont clairement visibles pour le consommateur avant l'achat, y compris dans les cas où l'achat est effectué par voie électronique.

2.   Les marques et la raison sociale de l'entreprise peuvent figurer avant ou après les descriptions relatives à la composition en fibres textiles visées aux articles 5, 7, 8 et 9.

Toutefois, si la marque ou la raison sociale d'une entreprise comporte, à titre principal ou à titre de racine ou à titre d'adjectif, une des dénominations de fibres textiles énumérées à l'annexe I ou une dénomination pouvant prêter à confusion avec celle-ci, cette marque ou cette raison sociale figure juste avant ou après les descriptions relatives à la composition en fibres textiles visées aux articles 5, 7, 8 et 9.

Les autres informations apparaissent toujours séparément.

3.   L'étiquetage ou le marquage est fait dans la ou les langues officielles de l'État membre sur le territoire duquel les produits textiles sont mis à la disposition du consommateur, sauf prescription contraire dudit État membre.

Pour les bobines, fusettes, échevettes, pelotes ou toute autre petite unité de fil à coudre, à repriser et à broder, le premier alinéa s'applique à l'étiquetage global visé à l'article 16, paragraphe 3. Lorsque ces produits sont vendus individuellement, ils peuvent être étiquetés ou marqués dans l'une quelconque des langues officielles des institutions de l'Union, pour autant qu'ils comportent également un étiquetage global.

Article 16

Dérogations

1.   Les règles prévues aux articles 11, 13, 14 et 15 font l'objet des dérogations prévues aux paragraphes 2, 3 et 4 du présent article.

2.   L'indication des dénominations de fibres textiles et de la composition en fibres textiles sur les étiquettes et marquages des produits textiles énumérés à l'annexe V n'est pas requise.

Toutefois, si la marque ou la raison sociale d'une entreprise comporte, à titre principal ou à titre de racine ou à titre d'adjectif, une des dénominations énumérées à l'annexe I ou une dénomination pouvant prêter à confusion avec celle-ci, les articles 11, 13, 14 et 15 sont applicables.

3.   Lorsque les produits textiles visés à l'annexe VI sont de même type et de même composition en fibres, ils peuvent être mis à disposition sur le marché avec un étiquetage global.

4.   La composition en fibres des produits textiles qui se vendent au mètre peut figurer sur la pièce ou sur le rouleau mis à disposition sur le marché.

5.   Les produits textiles visés aux paragraphes 3 et 4 sont mis à disposition sur le marché de telle sorte que chaque acheteur dans la chaîne d'approvisionnement, y compris le consommateur, puisse en connaître la composition en fibres.

CHAPITRE 3

Surveillance du marché

Article 17

Contrôles aux fins de la surveillance du marché

Les autorités de surveillance du marché procèdent à des contrôles de la conformité de la composition en fibres des produits textiles avec les informations fournies sur la composition en fibres de ces produits conformément au présent règlement.

Article 18

Détermination de la composition en fibres

1.   Aux fins de déterminer la composition en fibres des produits textiles, les contrôles visés à l'article 17 sont réalisés conformément aux méthodes figurant à l'annexe VIII ou aux normes harmonisées à insérer dans ladite annexe.

2.   Lors de la détermination de la composition en fibres visée aux articles 7, 8 et 9, il n'est pas tenu compte des éléments énumérés à l'annexe VII.

3.   La composition en fibres visée aux articles 7, 8 et 9 est déterminée en appliquant à la masse anhydre de chaque fibre le taux conventionnel s'y rapportant, prévu à l'annexe IX, après avoir éliminé les éléments visés à l'annexe VII.

4.   Tout laboratoire chargé des contrôles des mélanges textiles pour lesquels il n'existe pas de méthode d'analyse uniforme au niveau de l'Union détermine la composition en fibres de ces mélanges, en indiquant dans le rapport d'analyse le résultat obtenu, la méthode utilisée et le degré de précision de celle-ci.

Article 19

Tolérances

1.   Lors de la détermination de la composition en fibres des produits textiles, les tolérances prévues aux paragraphes 2, 3 et 4 sont applicables.

2.   Sans préjudice de l'article 8, paragraphe 3, il n'est pas nécessaire d'indiquer la présence de fibres étrangères dans la composition en fibres à fournir conformément à l'article 9, si le pourcentage de ces fibres n'atteint pas les taux suivants:

a)

2 % du poids total du produit textile, pour autant que cette quantité soit justifiée par le fait qu'elle est techniquement inévitable dans de bonnes pratiques de fabrication et ne résulte pas d'une addition systématique; ou

b)

5 % du poids total pour les produits textiles obtenus par le cycle du cardé, pour autant que cette quantité soit justifiée par le fait qu'elle est techniquement inévitable dans de bonnes pratiques de fabrication et ne résulte pas d'une addition systématique.

3.   Une tolérance de fabrication de 3 % par rapport au poids total des fibres mentionnées sur l'étiquette ou le marquage est admise entre la composition en fibres indiquée conformément à l'article 9 et les pourcentages résultant de l'analyse réalisée conformément à l'article 18. Elle est également appliquée:

a)

aux fibres qui, conformément à l'article 9, paragraphe 2, sont énumérées sans indication de pourcentage;

b)

au pourcentage de laine visé à l'article 8, paragraphe 2, point b).

Lors de l'analyse, ces tolérances sont calculées séparément. Le poids total à prendre en considération pour le calcul de la tolérance visée au présent paragraphe est celui des fibres du produit fini, à l'exclusion des fibres étrangères éventuellement constatées en application de la tolérance visée au paragraphe 2 du présent article.

4.   Le cumul des tolérances visées aux paragraphes 2 et 3 n'est admis que dans le cas où les fibres étrangères éventuellement constatées lors de l'analyse, en application de la tolérance visée au paragraphe 2, se révèlent être de la même nature chimique qu'une ou plusieurs fibres mentionnées sur l'étiquette ou le marquage.

5.   Pour des produits textiles particuliers dont la technique de fabrication nécessite des tolérances supérieures à celles indiquées aux paragraphes 2 et 3, la Commission peut autoriser des tolérances plus élevées.

À cette fin, le fabricant présente une demande d'autorisation par la Commission, avant de mettre le produit textile sur le marché, en justifiant et en démontrant de manière appropriée le recours à la technique de fabrication exceptionnelle. L'autorisation ne peut être accordée qu'à titre exceptionnel et sur justification adéquate fournie par le fabricant.

Le cas échéant, la Commission adopte, par voie d'actes délégués, en conformité avec l'article 21 et dans le respect des conditions fixées aux articles 22 et 23, des critères techniques et des règles de procédure aux fins de l'application du présent paragraphe.

CHAPITRE 4

Dispositions finales

Article 20

Actes délégués

1.   La Commission peut adopter, par voie d'actes délégués, en conformité avec l'article 21 et dans le respect des conditions fixées aux articles 22 et 23, des critères techniques et des règles de procédure aux fins de l'application de l'article 19, paragraphe 5, des modifications aux annexes II, IV, V, VI, VII, VIII et IX, pour tenir compte du progrès technique, et des modifications à l'annexe I, conformément à l'article 6.

2.   Lorsqu'elle adopte de tels actes délégués, la Commission agit en conformité avec les dispositions du présent règlement.

Article 21

Exercice de la délégation

1.   Le pouvoir d'adopter les actes délégués visés à l'article 20 est conféré à la Commission pour une période de cinq ans à compter du … (9). La Commission présente un rapport relatif aux pouvoirs délégués au plus tard six mois avant la fin de la période de cinq ans. La délégation de pouvoir est automatiquement renouvelée pour des périodes d'une durée identique, sauf si le Parlement européen ou le Conseil la révoque conformément à l'article 22.

2.   Aussitôt qu'elle adopte un acte délégué, la Commission le notifie simultanément au Parlement européen et au Conseil.

3.   Le pouvoir d'adopter des actes délégués conféré à la Commission est soumis aux conditions fixées par les articles 22 et 23.

Article 22

Révocation de la délégation

1.   La délégation de pouvoir visée à l'article 20 peut être révoquée à tout moment par le Parlement européen ou le Conseil.

2.   L'institution qui a entamé une procédure interne afin de décider si elle entend révoquer la délégation de pouvoir s'efforce d'informer l'autre institution et la Commission, dans un délai raisonnable avant de prendre une décision finale, en indiquant les pouvoirs délégués qui pourraient faire l'objet d'une révocation ainsi que les motifs éventuels de celle-ci.

3.   La décision de révocation met un terme à la délégation des pouvoirs spécifiés dans ladite décision. Elle prend effet immédiatement ou à une date ultérieure qu'elle précise. Elle n'affecte pas la validité des actes délégués déjà en vigueur. Elle est publiée au Journal officiel de l'Union européenne.

Article 23

Objections aux actes délégués

1.   Le Parlement européen ou le Conseil peuvent formuler des objections à l'égard de l'acte délégué dans un délai de deux mois à compter de la date de la notification.

Sur l'initiative du Parlement européen ou du Conseil, ce délai est prolongé de deux mois.

2.   Si, à l'expiration de ce délai, ni le Parlement européen ni le Conseil n'ont formulé d'objections à l'égard de l'acte délégué, celui-ci est publié au Journal officiel de l'Union européenne et entre en vigueur à la date qu'il indique.

L'acte délégué peut être publié au Journal officiel de l'Union européenne et entrer en vigueur avant l'expiration de ce délai si le Parlement européen et le Conseil ont tous les deux informé la Commission de leur intention de ne pas formuler d'objections.

3.   Si le Parlement européen ou le Conseil formulent des objections à l'égard d'un acte délégué, celui-ci n'entre pas en vigueur. L'institution qui formule des objections à l'égard de l'acte délégué en expose les motifs.

Article 24

Rapports

Le … (10) au plus tard, la Commission présente un rapport au Parlement européen et au Conseil sur l'application du présent règlement, en mettant l'accent sur les demandes et l'adoption de nouvelles dénominations de fibres textiles.

Article 25

Dispositions transitoires

Les produits textiles conformes aux dispositions de la directive 2008/121/CE et mis sur le marché avant le … (11) peuvent continuer à être mis à disposition sur le marché jusqu'au … (12).

Article 26

Abrogation

Les directives 73/44/CEE, 96/73/CE et 2008/121/CE sont abrogées à compter du … (11).

Les références faites aux directives abrogées s'entendent comme faites au présent règlement et sont à lire selon les tableaux de correspondance figurant à l'annexe X.

Article 27

Entrée en vigueur

Le présent règlement entre en vigueur le vingtième jour suivant celui de sa publication au Journal officiel de l'Union européenne.

Il est applicable à partir du … (11).

Le présent règlement est obligatoire dans tous ses éléments et directement applicable dans tout État membre.

Fait à …, le …

Par le Parlement européen

Le président

Par le Conseil

Le président


(1)  JO C 255 du 22.9.2010, p. 37.

(2)  Position du Parlement européen du 18 mai 2010 (non encore parue au Journal officiel) et position du Conseil en première lecture du 6 décembre 2010. Position du Parlement européen du … (non encore parue au Journal officiel) et décision du Conseil du ….

(3)  JO L 83 du 30.3.1973, p. 1.

(4)  JO L 32 du 3.2.1997, p. 1.

(5)  JO L 19 du 23.1.2009, p. 29.

(6)  JO L 218 du 13.8.2008, p. 30.

(7)  JO L 11 du 15.1.2002, p. 4.

(8)  JO L 134 du 30.4.2004, p. 114.

(9)  Date d'entrée en vigueur du présent règlement.

(10)  Cinq ans après la date d'entrée en vigueur du présent règlement.

(11)  Six mois après la date d'entrée en vigueur du présent règlement.

(12)  Deux ans après la date d'application du présent règlement.


ANNEXE I

Liste des dénominations des fibres textiles

(visées à l'article 5)

Tableau 1

No

Dénomination

Description des fibres

1

Laine (f.)

Fibre de la toison du mouton (Ovis aries) ou mélange de fibres de la toison du mouton et de poils d'animaux visés au no 2

2

Alpaga (m.), lama (m.), chameau (m.), cachemire (m.), mohair (m.), angora (m.), vigogne (f.), yack (m.), guanaco (m.), cashgora (m.), castor (m.), loutre (f.), précédée ou non du mot «laine» ou «poil»

Poils des animaux mentionnés ci-après: alpaga, lama, chameau, chèvre cachemire, chèvre angora, lapin angora, vigogne, yack, guanaco, chèvre cashgora (croisement de la chèvre cachemire et de la chèvre angora), castor, loutre

3

Poil (m.) ou crin (m.) avec ou sans indication d'espèce animale (par exemple, poil de bovin, poil de chèvre commune, crin de cheval)

Poils de divers animaux autres que ceux mentionnés sous les nos 1 et 2

4

Soie (f.)

Fibre provenant exclusivement des insectes séricigènes

5

Coton (m.)

Fibre provenant des graines du cotonnier (Gossypium)

6

Capoc (m.)

Fibre provenant de l'intérieur du fruit du capoc (Ceiba pentandra)

7

Lin (m.)

Fibre provenant du liber du lin (Linum usitatissimum)

8

Chanvre (m.)

Fibre provenant du liber du chanvre (Cannabis sativa)

9

Jute (m.)

Fibre provenant du liber de Corchorus olitorius et de Corchorus capsularis. Aux fins du présent règlement, sont assimilées au jute les fibres libériennes provenant de Hibiscus cannabinus, Hibiscus sabdariffa, Abutilon avicennae, Urena lobata, Urena sinuata

10

Abaca (m.)

Fibre provenant des gaines foliaires de Musa textilis

11

Alfa (m.)

Fibre provenant de la feuille de Stipa tenacissima

12

Coco (m.)

Fibre provenant du fruit de Cocos nucifera

13

Genêt (m.)

Fibre provenant du liber de Cytisus scoparius et/ou du Spartium junceum

14

Ramie (f.)

Fibre provenant du liber de Boehmeria nivea et de Boehmeria tenacissima

15

Sisal (m.)

Fibre provenant des feuilles de Agave sisalana

16

Sunn (m.)

Fibre provenant du liber de Crotalaria juncea

17

Henequen (m.)

Fibre provenant du liber de Agave fourcroydes

18

Maguey (m.)

Fibre provenant du liber de Agave cantala


Tableau 2

No

Dénomination

Description des fibres

19

Acétate (m.)

Fibre d'acétate de cellulose dont moins de 92 %, mais au moins 74 % des groupes hydroxyles sont acétylés

20

Alginate (m.)

Fibre obtenue à partir de sels métalliques d'acide alginique

21

Cupro (m.)

Fibre de cellulose régénérée obtenue par le procédé cupro-ammoniacal

22

Modal (m.)

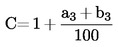
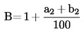
Fibre de cellulose régénérée obtenue moyennant une procédure viscose modifiée ayant une force de rupture élevée et un haut module au mouillé. La force de rupture (BC) à l'état conditionné et la force (BM) nécessaire pour donner un allongement de 5 % à l'état mouillé sont telles que:

 

Formula

 

Formula

où T est la masse linéique moyenne en décitex

23

Protéinique (f.)

Fibre obtenue à partir de substances protéiniques naturelles régénérées et stabilisées sous l'action d'agents chimiques

24

Triacétate (m.)

Fibre d'acétate de cellulose dont 92 % au moins des groupes hydroxyles sont acétylés

25

Viscose (f.)

Fibre de cellulose régénérée obtenue par le procédé viscose pour le filament et pour la fibre discontinue

26

Acrylique (m.)

Fibre formée de macromolécules linéaires présentant dans la chaîne 85 % au moins en masse du motif acrylonitrilique

27

Chlorofibre (f.)

Fibre formée de macromolécules linéaires présentant dans la chaîne plus de 50 % en masse d'un motif monomère vinyle chloré ou vinylidène chloré

28

Fluorofibre (f.)

Fibre formée de macromolécules linéaires obtenues à partir de monomères aliphatiques fluorocarbonés

29

Modacrylique (m.)

Fibre formée de macromolécules linéaires présentant dans la chaîne plus de 50 % et moins de 85 % en masse du motif acrylonitrilique

30

Polyamide (m.) ou nylon (m.)

Fibre formée à partir de macromolécules linéaires synthétiques ayant dans leur chaîne des liaisons amides récurrentes dont au moins 85 % sont liées à des motifs aliphatiques ou cycloaliphatiques

31

Aramide (m.)

Fibre formée à partir de macromolécules linéaires synthétiques formées de groupes aromatiques liés entre eux par des liaisons amides ou imides, dont au moins 85 % sont directement liées à deux noyaux aromatiques et dont le nombre de liaisons imides, lorsqu'elles sont présentes, ne peut pas excéder celui des liaisons amides

32

Polyimide (m.)

Fibre formée à partir de macromolécules linéaires synthétiques ayant des motifs imides récurrents dans la chaîne

33

Lyocell (m.)

Fibre de cellulose régénérée obtenue par un procédé de dissolution et de filage en solvant organique (mélange de produits chimiques organiques et d'eau), sans formation de dérivés

34

Polylactide (m.)

Fibre formée de macromolécules linéaires présentant dans la chaîne au moins 85 % (en masse) d'unités d'esters d'acide lactique obtenus à partir de sucres naturels et dont la température de fusion est d'au moins 135 °C

35

Polyester (m.)

Fibre formée de macromolécules linéaires présentant dans la chaîne au moins 85 % (en masse) d'un ester de diol et d'acide téréphtalique

36

Polyéthylène (m.)

Fibre formée de macromolécules linéaires saturées d'hydrocarbures aliphatiques non substitués

37

Polypropylène (m.)

Fibre formée de macromolécules linéaires saturées d'hydrocarbures aliphatiques, dont un atome de carbone sur deux porte une ramification méthyle, en disposition isotactique, et sans substitutions ultérieures

38

Polycarbamide (m.)

Fibre formée de macromolécules linéaires présentant dans la chaîne la répétition du groupement fonctionnel uréylène (NH—CO—NH)

39

Polyuréthane (m.)

Fibre formée de macromolécules linéaires présentant dans la chaîne la répétition du groupement fonctionnel uréthane

40

Vinylal (m.)

Fibre formée de macromolécules linéaires dont la chaîne est constituée d'alcool polyvinylique à taux d'acétalisation variable

41

Trivinyl (m.)

Fibre formée de terpolymère d'acrylonitrile, d'un monomère vinylique chloré et d'un troisième monomère vinylique dont aucun ne représente 50 % de la masse totale

42

Élastodiène (m.)

Élastofibre constituée soit de polyisoprène naturel ou synthétique, soit d'un ou de plusieurs diènes polymérisés avec ou sans un ou plusieurs monomères vinyliques, qui, allongée sous une force de traction jusqu'àatteindre trois fois sa longueur initiale, reprend rapidement et substantiellement cette longueur dès que la force de traction cesse d'être appliquée

43

Élasthanne (m.)

Élastofibre constituée pour au moins 85 % (en masse) de polyuréthane segmentaire, qui, allongée sous une force de traction jusqu'àatteindre trois fois sa longueur initiale, reprend rapidement et substantiellement cette longueur dès que la force de traction cesse d'être appliquée

44

Verre (m.) textile

Fibre constituée de verre

45

Élastomultiester (m.)

Fibre obtenue à partir de l'interaction, au cours de deux phases distinctes ou davantage, d'au moins deux macromolécules linéaires chimiquement distinctes (aucune d'entre elles n'excédant 85 % en masse), qui contient des groupes d'esters comme unité fonctionnelle dominante (au moins 85 %) et qui, après traitement convenable, lorsqu'elle est allongée sous une force de traction jusqu'àatteindre une fois et demie sa longueur initiale, reprend rapidement et substantiellement cette longueur dès que la force de traction cesse d'être appliquée

46

Élastoléfine (f.)

Fibre composée pour au moins 95 % (en masse) de macromolécules partiellement réticulées, constituées d'éthylène et d'au moins une autre oléfine, et qui, lorsqu'elle est allongée sous une force de traction jusqu'àatteindre une fois et demie sa longueur initiale, reprend rapidement et substantiellement cette longueur dès que la force de traction cesse d'être appliquée

47

Mélamine (f.)

Fibre composée pour au moins 85 % en masse de macromolécules réticulées, constituées de dérivés de la mélamine

48

Dénomination correspondant à la matière dont les fibres sont composées, par exemple de métal (métallique, métallisé), d'amiante, de papier (papetier), précédée ou non du mot «fil» ou «fibre»

Fibres obtenues à partir de matières diverses ou nouvelles autres que celles énumérées ci-dessus


ANNEXE II

Exigences minimales concernant le dossier technique à inclure dans la demande d'une nouvelle dénomination de fibre textile

(visé à l'article 6)

Un dossier technique à joindre à une demande d'inclusion d'une nouvelle dénomination de fibre textile sur la liste figurant à l'annexe I, tel que prévu à l'article 6, contient au moins les informations ci-après:

1)

Dénomination proposée de la fibre textile

La dénomination proposée est liée à la composition chimique et fournit des informations sur les caractéristiques de la fibre, le cas échéant. La dénomination proposée est libre de tout droit de propriété intellectuelle et n'est pas liée au fabricant.

2)

Définition proposée de la fibre textile

Les caractéristiques mentionnées dans la définition de la nouvelle fibre textile, comme l'élasticité, sont vérifiables par des méthodes d'analyse qui doivent figurer dans le dossier technique, accompagnées des résultats expérimentaux des analyses.

3)

Identification de la fibre textile: formule chimique, différences par rapport aux fibres textiles existantes et, le cas échéant, données détaillées, comme le point de fusion, la densité, l'indice de réfraction, le comportement au feu et le spectre IRTF.

4)

Taux conventionnel proposé à utiliser pour le calcul de la composition en fibres.

5)

Méthodes d'identification et de quantification suffisamment élaborées, y compris des données expérimentales

 

Le demandeur évalue la possibilité d'utiliser les méthodes énumérées à l'annexe VIII ou les normes harmonisées à insérer dans ladite annexe en vue d'analyser les mélanges commerciaux les plus attendus de la nouvelle fibre textile avec d'autres fibres textiles et propose au moins l'une de ces méthodes. En ce qui concerne les méthodes ou normes harmonisées pour lesquelles la fibre textile peut être considérée comme un composant insoluble, le demandeur évalue les facteurs de correction de masse de la nouvelle fibre textile. Toutes les données expérimentales sont soumises avec la demande.

 

Si les méthodes figurant dans le présent règlement ne conviennent pas, le demandeur fournit une motivation adéquate et propose une nouvelle méthode.

 

La demande contient toutes les données expérimentales des méthodes proposées. Des informations relatives à la précision, à la robustesse et à la reproductibilité des méthodes sont jointes au dossier.

6)

Informations supplémentaires à l'appui de la demande: processus de production, intérêt pour les consommateurs.

7)

Le fabricant ou toute personne agissant en son nom fournit des échantillons représentatifs de la nouvelle fibre textile pure et des mélanges de fibres textiles pertinents qui permettent de valider les méthodes d'identification et de quantification proposées. La Commission peut demander au fabricant ou à la personne agissant en son nom des échantillons supplémentaires des mélanges de fibres en cause.


ANNEXE III

Dénominations visées à l'article 8, paragraphe 1

—   en bulgare: «необработена вълна»

—   en espagnol: «lana virgen» ou «lana de esquilado»

—   en tchèque: «střižní vlna»

—   en danois: «ren, ny uld»

—   en allemand: «Schurwolle»

—   en estonien: «uus vill»

—   en irlandais: «olann lomra»

—   en grec: «παρθένο μαλλί»

—   en anglais: «fleece wool» ou «virgin wool»

—   en français: «laine vierge» ou «laine de tonte»

—   en italien: «lana vergine» ou «lana di tosa»

—   en letton: «pirmlietojuma vilna» ou «cirptā vilna»

—   en lituanien: «natūralioji vilna»

—   en hongrois: «élőgyapjú»

—   en maltais: «suf verġni»

—   en néerlandais: «scheerwol»

—   en polonais: «żywa wełna»

—   en portugais: «lã virgem»

—   en roumain: «lână virgină»

—   en slovaque: «strižná vlna»

—   en slovène: «runska volna»

—   en finnois: «uusi villa»

—   en suédois: «ny ull»


ANNEXE IV

Dispositions spéciales relatives à l'étiquetage et au marquage de certains produits textiles

(visées à l'article 12)

Produits

Dispositions relatives à l'étiquetage et au marquage

1.

Les articles suivants de corseterie:

La composition en fibres est indiquée sur l'étiquette et le marquage en donnant la composition de l'ensemble du produit ou bien, soit globalement, soit séparément, celle des parties visées ci-dessous:

a)

soutiens-gorge

tissus extérieur et intérieur de la surface des bonnets et du dos

b)

gaines et corsets

plastrons avant et arrière et de côté

c)

combinés

tissus extérieur et intérieur de la surface des bonnets, plastrons avant et arrière et panneaux de côté.

2.

Articles de corseterie autres que ceux visés ci-dessus

La composition en fibres est indiquée en donnant la composition de l'ensemble du produit ou, soit globalement, soit séparément, la composition des diverses parties de ces produits. L'étiquetage n'est pas obligatoire pour les parties qui représentent moins de 10 % du poids total du produit.

3.

Tous les articles de corseterie

L'étiquetage et le marquage séparé des diverses parties des produits de corseterie est effectué de manière que le consommateur puisse aisément comprendre à quelle partie du produit se rapportent les indications figurant sur l'étiquette ou le marquage.

4.

Produits textiles dévorés

La composition en fibres est donnée pour la totalité du produit et peut être indiquée en donnant séparément la composition de l'étoffe de base et celle du tissu dévoré, ces éléments devant être nommément indiqués.

5.

Produits textiles brodés

La composition en fibres est donnée pour la totalité du produit et peut être indiquée en donnant séparément la composition de l'étoffe de base et celle des fils de broderie, ces éléments devant être nommément indiqués. L'étiquetage ou le marquage est obligatoire uniquement pour les parties brodées qui représentent au moins 10 % de la surface du produit.

6.

Fils constitués d'une âme et d'un habillage composés de fibres différentes, qui sont mis à disposition sur le marché en tant que tels aux consommateurs

La composition en fibres est donnée pour la totalité du produit et peut être indiquée en donnant séparément la composition de l'âme et celle de l'habillage, ces parties devant être nommément indiquées.

7.

Produits textiles en velours et en peluche, ou ceux qui sont semblables à ceux-ci

La composition en fibres est donnée pour la totalité du produit et peut être indiquée, lorsque ces produits sont constitués d'un fond et d'une face d'usage distincts et composés de fibres différentes, séparément pour ces parties, qui doivent être nommément indiquées.

8.

Revêtements de sol et tapis dont le soubassement et la face d'usage sont composés de fibres différentes

La composition en fibres peut être donnée pour la seule face d'usage, qui doit être nommément indiquée.


ANNEXE V

Produits textiles pour lesquels l'étiquetage ou le marquage n'est pas obligatoire

(visés à l'article 16, paragraphe 2)

1.

Soutiens-manches de chemise

2.

Bracelets de montre en textile

3.

Étiquettes et écussons

4.

Poignées rembourrées et en textile

5.

Couvre-cafetières

6.

Couvre-théières

7.

Manches protectrices

8.

Manchons autres qu'en peluche

9.

Fleurs artificielles

10.

Pelotes d'épingles

11.

Toiles peintes

12.

Produits textiles pour renforts et supports

13.

Feutres

14.

Produits textiles confectionnés usagés, dans la mesure où ils sont explicitement déclarés comme tels

15.

Guêtres

16.

Emballages autres que neufs et vendus comme tels

17.

Chapeaux en feutre

18.

Articles de maroquinerie et de sellerie en textile

19.

Articles de voyage en textile

20.

Tapisseries brodées à la main, finies ou à parachever, et matériaux pour leur fabrication, y compris les fils à broder, vendus séparément du canevas et spécialement conditionnés pour être utilisés pour de telles tapisseries

21.

Fermetures à glissières

22.

Boutons et boucles recouverts de textile

23.

Couvertures de livres en textile

24.

Jouets

25.

Parties textiles des chaussures

26.

Napperons composés de plusieurs éléments et dont la surface est inférieure ou égale à 500 cm2

27.

Tissus et gants pour retirer les plats du four

28.

Couvre-œufs

29.

Étuis de maquillage

30.

Blagues à tabac en tissu

31.

Boîtes en tissu pour lunettes, cigarettes et cigares, briquets et peignes

32.

Étuis pour téléphones mobiles et lecteurs multimédias portatifs dont la surface est inférieure ou égale à 160 cm2

33.

Articles de protection pour le sport, à l'exclusion des gants

34.

Nécessaires de toilette

35.

Nécessaires à chaussures

36.

Produits funéraires

37.

Produits jetables, à l'exception des ouates

38.

Produits textiles assujettis aux règles de la pharmacopée européenne et couverts par une mention s'y référant, bandages non jetables à usage médical et orthopédique et produits textiles d'orthopédie en général

39.

Produits textiles, y compris cordes, cordages et ficelles (sous réserve de l'annexe VI, point 12), destinés normalement:

a)

à être utilisés de manière instrumentale dans les activités de production et de transformation des biens;

b)

à être incorporés dans des machines, installations (de chauffage, climatisation, éclairage, etc.), appareils ménagers et autres, véhicules et autres moyens de transport, ou à servir au fonctionnement, à l'entretien et à l'équipement de ceux-ci, à l'exception des bâches et des accessoires en textiles pour véhicules à moteur, vendus séparément des véhicules

40.

Produits textiles de protection et de sécurité, tels que ceintures de sécurité, parachutes, gilets de sauvetage, descentes de secours, dispositifs contre les incendies, gilets pare-balles, vêtements de protection spéciaux (par exemple: protection contre le feu, les agents chimiques ou d'autres risques de sécurité)

41.

Structures gonflables à pression pneumatique (halls pour sports, stands d'exposition, de stockage, etc.), à condition que des indications soient fournies concernant les performances et spécifications techniques de ces produits

42.

Voiles

43.

Articles textiles pour animaux

44.

Drapeaux et bannières


ANNEXE VI

Produits textiles pour lesquels un étiquetage global est suffisant

(visés à l'article 16, paragraphe 3)

1.

Serpillières

2.

Torchons de nettoyage

3.

Bordures et garnitures

4.

Passementerie

5.

Ceintures

6.

Bretelles

7.

Jarretelles et jarretières

8.

Lacets

9.

Rubans

10.

Élastiques

11.

Emballages neufs et vendus comme tels

12.

Ficelles d'emballage et agricoles; ficelles, cordes et cordages autres que ceux visés à l'annexe V, point 39 (1)

13.

Napperons

14.

Mouchoirs

15.

Résilles à chignons et filets à cheveux

16.

Cravates et nœuds papillons pour enfants

17.

Bavoirs, gants et chiffons de toilette

18.

Fils à coudre, à repriser et à broder, conditionnés pour la vente au détail en petites unités et dont le poids net ne dépasse pas 1 gramme

19.

Sangles pour rideaux et persiennes


(1)  Pour les produits visés ici et vendus à la coupe, l'étiquetage global est celui du rouleau. Parmi les cordes et cordages visés ici figurent notamment ceux pour l'alpinisme et les sports nautiques.


ANNEXE VII

Éléments dont il n'est pas tenu compte

pour la détermination de la composition en fibres (visés à l'article 18, paragraphe 2)

Produits

Éléments exclus

a)

Tous les produits textiles

i)

Parties non textiles, lisières, étiquettes et écussons, bordures et garnitures ne faisant pas partie intégrante du produit, boutons et boucles recouverts de textiles, accessoires, ornements, rubans non élastiques, fils et bandes élastiques ajoutés à des endroits spécifiques et limités du produit et, dans les conditions prévues à l'article 10, fibres visibles et isolables à effet purement décoratif et fibres à effet antistatique

ii)

Corps gras, liants, charges, produits d'encollage et apprêts, produits d'imprégnation, produits auxiliaires de teinture et d'impression et autres produits de traitement des textiles

b)

Revêtements de sol et tapis

Tous les éléments constituants autres que la face d'usage

c)

Tissus de recouvrement des meubles

Chaînes et trames de liage et de remplissage ne faisant pas partie de la face d'usage

d)

Tentures, rideaux et doubles rideaux

Chaînes et trames de liage et de remplissage ne faisant pas partie de l'endroit de l'étoffe

e)

Chaussettes

Fils élastiques supplémentaires utilisés dans le bord-côtes et fils de raidissement et de renforcement de la pointe et du talon

f)

Collants

Fils élastiques supplémentaires utilisés dans la ceinture et fils de raidissement et de renforcement de la pointe et du talon

g)

Produits textiles autres que ceux visés aux points b) à f)

Étoffes de base ou de support, raidissements et renforts, triplures et entoilages, fils de couture et d'assemblage à moins qu'ils ne remplacent la trame et/ou la chaîne du tissu, rembourrage n'ayant pas une fonction isolante, et sous réserve de l'article 11, paragraphe 2, doublures.

Au sens de la présente disposition:

i)

ne sont pas considérés comme des fonds à éliminer, les étoffes de base ou de support des produits textiles qui servent de fond à la face d'usage, notamment dans les couvertures et les étoffes double face et les fonds des produits en velours ou en peluche et apparentés;

ii)

on entend par «raidissements et renforts»les fils ou étoffes ajoutés à des endroits spécifiques et limités du produit textile afin de les renforcer ou de leur conférer rigidité ou épaisseur


ANNEXE VIII

Méthodes d'analyse quantitative de mélanges binaires et ternaires de fibres textiles

(visées à l'article 18, paragraphe 1)

CHAPITRE 1

I.   Préparation des échantillons réduits et des spécimens d'analyse en vue de déterminer la composition en fibres des produits textiles

1.   CHAMP D'APPLICATION

Le présent chapitre fournit des procédures à suivre pour préparer des échantillons réduits d'une taille appropriée aux prétraitements en vue des analyses quantitatives (c'est-à-dire d'une masse nette ne dépassant pas 100 g), à partir d'échantillons globaux pour laboratoire, et pour sélectionner des spécimens d'analyse à partir d'échantillons réduits ayant subi un prétraitement pour en éliminer les matières non fibreuses (1).

2.   DÉFINITIONS

2.1.   Lot

C'est la quantité de matériel qui est appréciée sur la base d'une série de résultats d'essais. Elle peut comprendre, par exemple, tout le matériel correspondant à une même livraison de tissu, tout le tissu tissé à partir d'une ensouple déterminée, une expédition de filés, une balle ou un groupe de balles de fibres brutes.

2.2.   Échantillon global pour laboratoire

C'est la portion du lot qui a été prélevée en vue d'être représentative de l'ensemble et qui est envoyée au laboratoire. La taille et la nature de l'échantillon global pour laboratoire sont choisies de manière à neutraliser valablement les effets de la variabilité du lot et pour assurer la facilité des manipulations de laboratoire (2).

2.3.   Échantillon réduit

C'est la portion de l'échantillon global pour laboratoire qui est soumise à un prétraitement pour en éliminer les matières non fibreuses et sur laquelle sont prélevés ensuite des spécimens d'analyse. La taille et la nature de l'échantillon réduit sont choisies de manière à neutraliser valablement les effets de la variabilité de l'échantillon global pour laboratoire (3).

2.4.   Spécimen d'analyse ou prise d'essai

C'est la portion du matériel nécessaire pour donner un résultat analytique individuel, prélevée sur l'échantillon réduit.

3.   PRINCIPE

L'échantillon réduit est choisi de manière à être représentatif de l'échantillon global pour laboratoire.

Les spécimens d'analyse sont prélevés sur un échantillon réduit de manière à ce qu'ils soient représentatifs de ce dernier.

4.   ÉCHANTILLONNAGE DE FIBRES LIBRES

4.1.   Fibres non orientées

Constituer l'échantillon réduit en prélevant des touffes au hasard dans l'échantillon global pour laboratoire. Prélever la totalité de l'échantillon réduit, le mélanger convenablement à l'aide d'une carde de laboratoire (4). Soumettre au prétraitement le voile ou le mélange, de même que les fibres adhérentes et celles qui s'échappent de l'appareil. Prélever ensuite, en proportion de la masse, les spécimens d'analyse sur le voile ou le mélange, parmi les fibres adhérentes et celles qui s'échappent de l'appareil.

Si la forme de voile de carde n'est guère affectée par le prétraitement, prélever les spécimens d'analyse de la façon décrite au point 4.2. Si le voile de carde est dérangé par le prétraitement, choisir les spécimens en prélevant au hasard sur l'échantillon prétraité au moins seize petites touffes de taille convenable, approximativement égales, et les réunir ensuite.

4.2.   Fibres orientées (voiles de carde, rubans, mèches)

Couper dans des parties choisies au hasard de l'échantillon global pour laboratoire au moins dix sections transversales pesant chacune 1 g environ. Soumettre l'échantillon réduit ainsi formé à l'opération de prétraitement. Réunir ensuite les sections en les plaçant côte à côte et former le spécimen d'analyse en coupant transversalement de manière à prélever une portion de chacune des 10 longueurs.

5.   ÉCHANTILLONNAGE DES FILS

5.1.   Fils en bobines ou en écheveaux

Utiliser toutes les bobines de l'échantillon global pour laboratoire.

Retirer de chaque bobine des longueurs continues, égales et appropriées, en bobinant des échevettes d'un même nombre de tours sur un dévidoir (5) ou par tout autre moyen. Réunir les longueurs côte à côte, sous forme d'une échevette unique ou d'un câble et s'assurer que des longueurs égales de chaque bobine constituent l'échevette ou le câble.

Soumettre au prétraitement l'échantillon réduit ainsi formé.

Prélever les spécimens d'analyse sur l'échantillon réduit prétraité, en coupant un faisceau de fils d'égale longueur à partir de l'échevette ou du câble et en veillant à n'omettre aucun des fils qui y sont contenus.

Si t est le «tex» du fil, et n le nombre de bobines de l'échantillon global pour laboratoire, il faut retirer de chaque bobine une longueur de fil de 106/nt cm pour obtenir un échantillon réduit de 10 g.

Si nt est élevé, c'est-à-dire supérieur à 2 000, on peut constituer une échevette plus importante et la couper transversalement en deux endroits, de manière à obtenir un câble d'un poids approprié. Les extrémités d'un échantillon se présentant sous forme d'un câble sont convenablement liées avant d'effectuer le prétraitement et les spécimens d'analyse sont prélevés à une distance suffisante du nœud.

5.2.   Fils sur ensouple

Prélever un échantillon réduit en coupant à l'extrémité de l'ensouple un faisceau d'au moins 20 cm de long et comprenant tous les fils, à l'exception des fils de lisière, qui sont rejetés. Lier le faisceau de fils par l'une de ses extrémités. Si l'échantillon est trop important pour effectuer un prétraitement global, le séparer en deux ou plusieurs portions qui seront chacune liées en vue du prétraitement et réunies après qu'elles auront été séparément prétraitées. Prélever un spécimen d'analyse de longueur appropriée sur l'échantillon réduit, en coupant suffisamment loin du nœud et en n'omettant aucun des fils de l'ensouple. Pour des ensouples comprenant n fils de t «tex», la longueur d'un spécimen pesant 1 g est de 105/nt cm.

6.   ÉCHANTILLONNAGE DE TISSU

6.1.   Échantillon global pour laboratoire constitué d'un coupon unique représentatif du tissu

Découper dans l'échantillon une bande diagonale allant d'un coin à l'autre et retirer les lisières. Cette bande constitue l'échantillon réduit. Pour obtenir un échantillon réduit de x grammes, la surface de la bande sera de x104/G cm2, G étant la mesure du tissu en grammes par m2.

Après avoir soumis l'échantillon réduit au prétraitement, couper la bande transversalement en quatre parties égales et superposer ces dernières. Prélever les spécimens d'analyse sur une partie quelconque du matériel ainsi préparé, en coupant au travers de toutes les couches, de manière à ce que tout spécimen comprenne une longueur égale de chacune d'elles.

Si le tissu présente un dessin tissé, la largeur de l'échantillon réduit, mesurée parallèlement à la direction de la chaîne, ne doit pas être inférieure à un rapport en chaîne du dessin. Si, cette condition étant remplie, l'échantillon réduit est trop grand pour être prétraité aisément en entier, le couper en parties égales, les prétraiter séparément, et superposer ces parties avant de prélever les spécimens d'analyse, mais en veillant à ce que les parties correspondantes du dessin ne coïncident pas.

6.2.   Échantillon global pour laboratoire constitué de plusieurs coupons

Analyser chaque coupon comme indiqué au point 6.1, puis donner chaque résultat séparément.

7.   ÉCHANTILLONNAGE DES ARTICLES FINIS ET CONFECTIONNÉS

L'échantillon global pour laboratoire est normalement constitué d'un article fini et confectionné entier ou d'une fraction représentative de l'article.

Déterminer éventuellement le pourcentage des différentes parties n'ayant pas la même teneur en fibres afin de pouvoir vérifier le respect des dispositions de l'article 11.

Prélever un échantillon réduit représentatif de la partie de l'article fini et confectionné dont la composition doit être indiquée par l'étiquette. Si l'article confectionné comporte plusieurs étiquettes, prélever des échantillons réduits représentatifs de chaque partie correspondant à une étiquette donnée.

Si l'article dont il s'agit de déterminer la composition n'est pas homogène, il peut être nécessaire de prélever des échantillons réduits de chacune des parties de l'article et de déterminer les proportions relatives des diverses parties par rapport à l'ensemble de l'article en cause.

Le calcul des pourcentages se fera alors en tenant compte des proportions relatives des parties échantillonnées.

Soumettre les échantillons réduits au prétraitement.

Prélever ensuite des spécimens d'analyse représentatifs des échantillons réduits prétraités.

II.   Introduction aux méthodes d'analyse quantitative de mélanges de fibres textiles

Les méthodes d'analyse quantitative de mélanges de fibres textiles sont fondées sur deux procédés principaux, celui de la séparation manuelle et celui de la séparation chimique des fibres.

Le procédé de séparation manuelle est choisi chaque fois que cela est possible, car il donne généralement des résultats plus précis que le procédé chimique. Il est applicable à tous les produits textiles dans lesquels les fibres composantes ne forment pas un mélange intime, comme par exemple dans le cas des fils composés de plusieurs éléments dont chacun est constitué d'une seule sorte de fibre, ou des tissus dans lesquels la fibre qui compose la chaîne est d'une nature différente de celle qui compose la trame, ou encore des tricots démaillables composés de fils de natures diverses.

Le procédé d'analyse chimique quantitative des mélanges de fibres textiles est fondé généralement sur la solubilité sélective des composants individuels du mélange. Après élimination d'un des composants, le résidu insoluble est pesé et la proportion du composant soluble est calculée à partir de la perte de masse. La présente première partie de l'annexe reprend les informations communes à l'analyse par ce procédé, valables pour tous les mélanges de fibres considérés dans la présente annexe, quelle qu'en soit la composition. Cette première partie doit donc être utilisée en liaison avec les sections individuelles suivantes de l'annexe qui décrivent les procédures détaillées applicables à des mélanges de fibres particuliers. Il se peut que certaines analyses chimiques soient fondées sur un principe différent de celui de la solubilité sélective. Dans ce cas, des détails complets sont fournis dans la section appropriée de la méthode applicable.

Les mélanges de fibres utilisés pendant la fabrication des produits textiles et, à un moindre degré, ceux qui se trouvent dans les produits finis contiennent parfois des matières non fibreuses, telles que des graisses, des cires ou des adjuvants, ou des produits solubles dans l'eau qui peuvent avoir une origine naturelle ou avoir été ajoutés pour faciliter la fabrication. Les matières non fibreuses doivent être éliminées avant l'analyse. C'est la raison pour laquelle une méthode de prétraitement permettant d'éliminer les huiles, les graisses, les cires et les produits solubles dans l'eau est également décrite.

Par ailleurs, les textiles peuvent contenir des résines ou d'autres matières ajoutées en vue de leur conférer des propriétés spéciales. De telles matières, y compris les colorants dans certains cas exceptionnels, peuvent modifier l'action du réactif sur le composant soluble et, de plus, être partiellement ou totalement éliminées par les réactifs. Ces matières ajoutées peuvent donc entraîner des erreurs et doivent être éliminées avant d'analyser l'échantillon. Au cas où cette élimination est impossible, les méthodes d'analyses chimiques quantitatives décrites dans la présente annexe ne sont plus applicables.

Le colorant présent dans les fibres teintes est considéré comme faisant partie intégrante de la fibre et n'est pas éliminé.

Ces analyses sont effectuées sur la base de la masse anhydre et une méthode est fournie pour la déterminer.

Le résultat est obtenu en appliquant à la masse de chaque fibre à l'état sec les taux conventionnels indiqués à l'annexe IX.

Toutes les fibres présentes dans le mélange sont identifiées avant de procéder aux analyses. Dans certaines méthodes, les composants insolubles d'un mélange peuvent être partiellement solubilisés par le réactif utilisé pour dissoudre le ou les composants solubles.

Chaque fois que cela est possible, les réactifs ont un effet faible ou nul sur les fibres insolubles. Si on sait qu'une perte de masse apparaît lors de l'analyse, il convient d'en corriger le résultat; des facteurs de correction sont fournis à cette fin. Ces facteurs ont été déterminés dans différents laboratoires en traitant dans le réactif approprié, spécifié dans la méthode d'analyse, les fibres nettoyées lors du prétraitement.

Ces facteurs de correction ne s'appliquent qu'à des fibres normales et d'autres facteurs peuvent être nécessaires si les fibres ont été dégradées avant ou durant le traitement. Les méthodes proposées s'appliquent à des analyses individuelles.

Deux analyses au moins sont effectuées sur des spécimens d'analyse distincts, en ce qui concerne aussi bien le procédé de séparation manuelle que celui de séparation chimique.

Pour confirmation, sauf impossibilité technique, il est recommandé d'effectuer une autre analyse en utilisant une méthode permettant la dissolution de la fibre qui constituait le résidu dans le cas de la première méthode.

CHAPITRE 2

Méthodes d'analyse quantitative de certains mélanges binaires de fibres textiles

I.   Informations générales communes aux méthodes à appliquer en vue de l'analyse chimique quantitative de mélanges de fibres textiles

I.1.   CHAMP D'APPLICATION

Dans le champ d'application de chaque méthode, il est précisé à quelles fibres cette méthode est applicable.

I.2.   PRINCIPE

Après avoir identifié les composants d'un mélange, on élimine d'abord les matières non fibreuses par un prétraitement approprié, puis l'un des deux composants, généralement par solubilisation sélective (6). On pèse le résidu insoluble et on calcule la proportion du composant soluble à partir de la perte de masse. Sauf difficultés techniques, il est préférable de dissoudre la fibre présente en plus grande proportion, afin d'obtenir comme résidu la fibre présente en plus faible proportion.

I.3.   APPAREILLAGE ET RÉACTIFS

I.3.1.   Appareillage

I.3.1.1.   Creusets filtrants et pèse-filtres permettant l'incorporation des creusets, ou tout autre appareillage donnant des résultats identiques

I.3.1.2.   Fiole à vide

I.3.1.3.   Dessiccateur contenant du gel de silice coloré au moyen d'un indicateur

I.3.1.4.   Étuve ventilée pour sécher les spécimens à 105 ± 3 °C

I.3.1.5.   Balance analytique sensible à 0,0002 g près

I.3.1.6.   Appareil d'extraction Soxhlet ou appareillage permettant d'obtenir un résultat identique

I.3.2.   Réactifs

I.3.2.1.   Éther de pétrole redistillé bouillant entre 40 et 60 °C

I.3.2.2.   Les autres réactifs sont mentionnés dans les parties appropriées de chaque méthode.

I.3.2.3.   Eau distillée ou désionisée

I.3.2.4.   Acétone

I.3.2.5.   Acide orthophosphorique

I.3.2.6.   Urée

I.3.2.7.   Bicarbonate de sodium

Tous les réactifs utilisés sont chimiquement purs.

I.4.   ATMOSPHÈRE DE CONDITIONNEMENT ET D'ANALYSE

Comme on détermine des masses anhydres, il n'est pas nécessaire de conditionner les spécimens, ni de faire les analyses dans une atmosphère conditionnée.

I.5.   ÉCHANTILLON RÉDUIT

Choisir un échantillon réduit représentatif de l'échantillon global pour laboratoire et suffisant pour fournir tous les spécimens d'analyse nécessaires, de 1 g au minimum chacun.

I.6.   PRÉTRAITEMENT DE L'ÉCHANTILLON RÉDUIT (7)

Si un élément n'entrant pas en ligne de compte pour le calcul des pourcentages (voir article 18) est présent, il est d'abord éliminé par une méthode appropriée n'affectant aucun des composants fibreux.

Dans ce but, les matières non fibreuses extractibles à l'éther de pétrole et à l'eau sont éliminées en traitant l'échantillon réduit à l'appareil Soxhlet, à l'éther de pétrole léger pendant une heure à un rythme minimal de six cycles par heure. Évaporer l'éther de pétrole de l'échantillon, qui sera ensuite extrait par traitement direct comportant un trempage de l'échantillon réduit pendant une heure à l'eau à température ambiante suivi d'un trempage d'une heure à l'eau à 65 ± 5 °C en agitant de temps en temps. Utiliser un rapport de bain 1/100. Éliminer l'excès d'eau de l'échantillon par exprimage, application du vide ou centrifugation et laisser sécher ensuite l'échantillon à l'air.

Dans le cas de l'élastoléfine ou de mélanges de fibres contenant de l'élastoléfine et d'autres fibres (laine, poil, soie, coton, lin, chanvre, jute, abaca, alfa, coco, genêt, ramie, sisal, cupro, modal, protéinique, viscose, acrylique, polyamide ou nylon, polyester, élastomultiester), la procédure décrite plus haut est légèrement modifiée en ce sens que l'éther de pétrole est remplacé par de l'acétone.

Dans le cas de mélanges binaires de fibres contenant de l'élastoléfine et de l'acétate, la procédure suivante est appliquée comme prétraitement. Extraire l'échantillon réduit pendant 10 minutes à 80 °C avec une solution contenant 25 g/l de 50 % d'acide orthophosphorique et 50 g/l d'urée. Utiliser un rapport de bain 1/100. Laver l'échantillon réduit dans l'eau, puis égoutter et laver dans une solution de bicarbonate de sodium de 0,1 % et enfin laver soigneusement dans l'eau.

Dans le cas où les matières non fibreuses ne peuvent être extraites à l'aide de l'éther de pétrole et à l'eau, elles sont éliminées en remplaçant le procédé à l'eau décrit plus haut par un procédé qui n'altère substantiellement aucun des composants fibreux. Toutefois, pour certaines fibres végétales naturelles écrues (jute, coco, par exemple), il est à remarquer que le prétraitement normal à l'éther de pétrole et à l'eau n'élimine pas toutes les substances non fibreuses naturelles; malgré cela, on n'applique pas de prétraitements complémentaires, pour autant que l'échantillon ne contienne pas d'apprêts non solubles dans l'éther de pétrole et dans l'eau.

Dans les rapports d'analyse, les méthodes de prétraitement appliquées sont décrites de façon détaillée.

I.7.   MODE OPÉRATOIRE

I.7.1.   Instructions générales

I.7.1.1.   Séchage

Effectuer toutes les opérations de séchage pendant une durée non inférieure à quatre heures, ni supérieure à seize heures, à 105 ± 3 °C, dans une étuve munie d'un passage pour l'air et dont la porte est fermée pendant toute la durée du séchage. Si la durée de séchage est inférieure à quatorze heures, vérifier qu'on a obtenu une masse constante. Celle-ci peut être considérée comme atteinte lorsque la variation de masse, après un nouveau séchage de soixante minutes, est inférieure à 0,05 %.

Éviter de manipuler les creusets et les pèse-filtres, les prises d'essais ou les résidus à mains nues pendant les opérations de séchage, de refroidissement et de pesage.

Sécher les spécimens dans un pèse-filtre dont le couvercle est placé à proximité. Après séchage, obturer le pèse-filtre avant de l'enlever de l'étuve et le placer rapidement dans le dessiccateur.

Sécher à l'étuve le creuset filtrant placé dans un pèse-filtre avec son couvercle à ses côtés. Après séchage, fermer le pèse-filtre et le transférer rapidement dans le dessiccateur.

Au cas où un appareillage autre que le creuset filtrant est employé, sécher à l'étuve de façon à déterminer la masse de fibres à l'état sec sans perte.

I.7.1.2.   Refroidissement

Effectuer toutes les opérations de refroidissement dans le dessiccateur, celui-ci étant placé à côté de la balance, pendant une durée suffisante pour obtenir le refroidissement total des pèse-filtres et, en tout cas, une durée non inférieure à deux heures.

I.7.1.3.   Pesée

Après refroidissement, peser le pèse-filtre dans les deux minutes suivant sa sortie du dessiccateur. Peser à 0,0002 g près.

I.7.2.   Mode opératoire

Prélever sur l'échantillon réduit prétraité un spécimen d'analyse d'une masse d'au moins 1 g. Les fils ou l'étoffe sont découpés en parties de 10 mm de long environ qu'on désagrège autant que possible. Sécher le spécimen dans un pèse-filtre, refroidir dans un dessiccateur et peser. Transférer le spécimen dans le récipient de verre mentionné dans la partie appropriée de la méthode de l'Union, repeser le pèse-filtre immédiatement après et calculer la masse anhydre du spécimen par différence. Compléter le processus d'analyse de la façon décrite dans la partie appropriée de la méthode applicable. Examiner au microscope le résidu pour vérifier que le traitement a bien éliminé complètement la fibre soluble.

I.8.   CALCUL ET EXPRESSION DES RÉSULTATS

Exprimer la masse du composant insoluble sous forme d'un pourcentage de la masse totale des fibres présentes dans le mélange. Le pourcentage du composant soluble est obtenu par différence. Calculer les résultats sur la base des masses de fibres pures à l'état sec auxquelles ont été appliqués a) les taux conventionnels et b) les facteurs de correction nécessaires pour tenir compte des pertes de matière lors des opérations de prétraitement et d'analyse. Ces calculs se font en appliquant la formule donnée au point I.8.2.

I.8.1.   Calcul du pourcentage de la masse du composant insoluble sec et pur, en ne tenant pas compte de la perte de masse subie par les fibres lors du prétraitement

Formula

P1%

est le pourcentage du composant insoluble sec et pur;

m

est la masse du spécimen à l'état sec après prétraitement;

r

est la masse du résidu à l'état sec;

d

est le facteur de correction qui tient compte de la perte de masse du composant insoluble dans le réactif lors de l'analyse. Les valeurs appropriées de «d» sont fournies dans les parties appropriées de chaque méthode.

Bien entendu, ces valeurs de «d» sont les valeurs normales applicables aux fibres non dégradées chimiquement.

I.8.2.   Calcul du pourcentage de la masse du composant insoluble sec et pur après application des facteurs conventionnels et des éventuels facteurs de correction, en tenant compte de la perte de masse occasionnée par le prétraitement

Formula

P1A%

est le pourcentage du composant insoluble, en tenant compte du taux conventionnel et de la perte de masse subie au cours du prétraitement;

P1

est le pourcentage du composant insoluble sec et pur obtenu par la formule donnée au point I.8.1;

a1

est le taux conventionnel du composant insoluble (voir annexe IX);

a2

est le taux conventionnel du composant soluble (voir annexe IX);

b1

est la perte de pourcentage du composant insoluble occasionnée par le prétraitement;

b2

est la perte de pourcentage du composant soluble occasionnée par le prétraitement.

Le pourcentage du deuxième composant (P2A %) est égal à 100 – P1A %.

Dans le cas où on applique un prétraitement spécial, les valeurs de b1 et b2 sont déterminées, si possible, en soumettant chacune des fibres composantes pures au prétraitement appliqué lors de l'analyse. Par fibres pures, il y a lieu d'entendre les fibres exemptes de toutes les matières non fibreuses, à l'exception de celles qu'elles contiennent normalement (de par leur nature ou en raison du procédé de fabrication), dans l'état (écru, blanchi) où elles se trouvent dans l'article soumis à l'analyse.

Au cas où on ne dispose pas de fibres composantes séparées et pures ayant servi à la fabrication de l'article soumis à l'analyse, il convient d'adopter les valeurs moyennes de b1 et b2 résultant d'essais effectués sur des fibres pures semblables à celles contenues dans le mélange examiné.

Si le prétraitement normal par extraction à l'éther de pétrole et à l'eau est appliqué, on peut en général négliger les facteurs de correction b1 et b2, sauf dans le cas du coton écru, du lin écru et du chanvre écru, où on admet conventionnellement que la perte due au prétraitement est égale à 4 %, et dans le cas du polypropylène, où on admet conventionnellement qu'elle est égale à 1 %.

Dans le cas des autres fibres, on admet conventionnellement de ne pas tenir compte dans les calculs de la perte due au prétraitement.

II.   Méthode d'analyse quantitative par séparation manuelle

II.1.   CHAMP D'APPLICATION

La méthode s'applique aux fibres textiles quelle que soit leur nature, à condition qu'elles ne forment pas un mélange intime et qu'il soit possible de les séparer à la main.

II.2.   PRINCIPE

Après avoir identifié les composants du textile, on élimine d'abord les matières non fibreuses par un prétraitement approprié, puis on sépare les fibres à la main, on les sèche et on les pèse pour calculer la proportion de chaque fibre dans le mélange.

II.3.   APPAREILLAGE

II.3.1.   Pèse-filtres ou tout autre appareillage donnant des résultats identiques

II.3.2.   Dessiccateur contenant du gel de silice coloré au moyen d'un indicateur

II.3.3.   Étuve ventilée pour sécher les spécimens à 105 ± 3 °C

II.3.4.   Balance analytique sensible à 0,0002 g

II.3.5.   Appareil d'extraction Soxhlet ou appareillage permettant d'obtenir un résultat identique

II.3.6.   Aiguille

II.3.7.   Torsiomètre ou appareil équivalent

II.4.   RÉACTIFS

II.4.1.   Éther de pétrole redistillé bouillant entre 40 et 60 °C

II.4.2.   Eau distillée ou désionisée

II.4.3.   Acétone

II.4.4.   Acide orthophosphorique

II.4.5.   Urée

II.4.6.   Bicarbonate de sodium

Tous les réactifs utilisés sont chimiquement purs.

II.5.   ATMOSPHÈRE DE CONDITIONNEMENT ET D'ANALYSE

Voir point I.4.

II.6.   ÉCHANTILLON RÉDUIT

Voir point I.5.

II.7.   PRÉTRAITEMENT DE L'ÉCHANTILLON RÉDUIT

Voir point I.6.

II.8.   MODE OPÉRATOIRE

II.8.1.   Analyse d'un fil

Prélever sur l'échantillon réduit prétraité un spécimen d'une masse d'au moins 1 g. Dans le cas d'un fil très fin, l'analyse peut être effectuée sur une longueur minimale de 30 m, quelle que soit sa masse.

Couper le fil en morceaux de longueur appropriée et en isoler les éléments à l'aide d'une aiguille et, si nécessaire, du torsiomètre. Les éléments ainsi isolés sont mis dans des pèse-filtres tarés et séchés à 105 ± 3 °C jusqu'à obtention d'une masse constante, comme décrit aux points I.7.1 et I.7.2.

II.8.2.   Analyse d'un tissu

Prélever sur l'échantillon réduit prétraité un spécimen d'une masse d'au moins 1 g, en dehors de la lisière, aux bords taillés avec précision, sans effilochure, et parallèles aux fils de chaîne ou de trame ou, dans le cas de tissus à mailles, parallèles aux rangs et aux fils des mailles. Séparer les fils de nature différente, les recueillir dans des pèse-filtres tarés et poursuivre comme indiqué au point II.8.1.

II.9.   CALCUL ET EXPRESSION DES RÉSULTATS

Exprimer la masse de chacun des composants sous forme d'un pourcentage de la masse totale des fibres présentes dans le mélange. Calculer les résultats sur la base des masses de fibres pures à l'état sec auxquelles ont été appliqués a) les taux conventionnels et b) les facteurs de correction nécessaires pour tenir compte des pertes de matières lors des opérations de prétraitement.

II.9.1.   Calcul des pourcentages des masses pures à l'état sec, en ne tenant pas compte de la perte de masse subie par la fibre lors du prétraitement:

Formula

P1%

est le pourcentage du premier composant sec et pur;

m1

est la masse pure à l'état sec du premier composant;

m2

est la masse pure à l'état sec du deuxième composant.

II.9.2.   Calcul des pourcentages de chacun des composants après avoir appliqué les taux conventionnels et les éventuels facteurs de correction qui tiennent compte des pertes de masse subies lors du prétraitement (voir point I.8.2)

III.1.   Précision des méthodes

La précision indiquée pour chaque méthode se rapporte à la reproductibilité.

La reproductibilité est la fidélité, c'est-à-dire la concordance entre les valeurs expérimentales obtenues dans le cas d'opérateurs travaillant dans des laboratoires différents ou à des moments différents, chacun d'eux obtenant avec la même méthode des résultats individuels sur des spécimens d'un mélange homogène identique.

La reproductibilité est exprimée par les limites de confiance des résultats pour un seuil de confiance de 95 %.

Par conséquent, l'écart entre deux résultats dans un ensemble d'analyses effectuées dans différents laboratoires ne dépasserait la limite de confiance que dans 5 cas sur 100, en appliquant normalement et correctement la méthode sur un mélange homogène identique.

III.2.   Rapport d'analyse

III.2.1.   Indiquer que l'analyse a été effectuée conformément à la présente méthode.

III.2.2.   Fournir des renseignements détaillés concernant les prétraitements spéciaux (voir point I.6).

III.2.3.   Indiquer les résultats individuels ainsi que la moyenne arithmétique à la première décimale.

IV.   Méthodes particulières

Tableau récapitulatif

Méthodes

Champ d'application

Réactif/Description

Composant soluble

Composant insoluble

No 1

Acétate

Certaines autres fibres

Acétone

No 2

Certaines fibres protéiniques

Certaines autres fibres

Hypochlorite

No 3

Viscose, cupro ou certains types de modal

Certaines autres fibres

Acide formique et chlorure de zinc

No 4

Polyamide ou nylon

Certaines autres fibres

Acide formique à 80 % en masse

No 5

Acétate

Certaines autres fibres

Alcool benzylique

No 6

Triacétate ou polylactide

Certaines autres fibres

Dichlorométhane

No 7

Certaines fibres cellulosiques

Certaines autres fibres

Acide sulfurique à 75 % en masse

No 8

Acryliques, certains modacryliques ou certaines chlorofibres

Certaines autres fibres

Diméthylformamide

No 9

Certaines chlorofibres

Certaines autres fibres

Sulfure de carbone/acétone, 55,5/44,5 % en volume

No 10

Acétate

Certaines autres fibres

Acide acétique glacial

No 11

Soie

Certaines autres fibres

Acide sulfurique à 75 % en masse

No 12

Jute

Certaines fibres animales

Méthode par dosage de l'azote

No 13

Polypropylène

Certaines autres fibres

Xylène

No 14

Certaines autres fibres

Chlorofibres (à base d'homopolymères de chlorure de vinyle), élastoléfine ou mélamine

Acide sulfurique concentré

No 15

Chlorofibres, certains modacryliques, certains élasthannes, acétate, triacétate

Certaines autres fibres

Cyclohexanone

No 16

Mélamine

Coton ou aramide

Acide formique chaud à 90 % en masse

MÉTHODE No 1

ACÉTATE ET CERTAINES AUTRES FIBRES

(méthode à l'acétone)

1.   CHAMP D'APPLICATION

Cette méthode s'applique, après élimination des matières non fibreuses, aux mélanges binaires de fibres de:

1.

acétate (19)

avec

2.

laine (1), poil (2 et 3), soie (4), coton (5), lin (7) chanvre (8), jute (9), abaca (10), alfa (11), coco (12), genêt (13), ramie (14), sisal (15), cupro (21), modal (22), protéinique (23), viscose (25), acrylique (26), polyamide ou nylon (30), polyester (35), élastomultiester (45), élastoléfine (46) et mélamine (47).

En aucun cas, cette méthode ne s'applique à l'acétate désacétylé en surface.

2.   PRINCIPE

Les fibres d'acétate sont dissoutes à partir d'une masse connue du mélange à l'état sec, à l'aide d'acétone. Le résidu est recueilli, lavé, séché et pesé; sa masse, corrigée si nécessaire, est exprimée en pourcentage de la masse du mélange à l'état sec. Le pourcentage d'acétate sec est obtenu par différence.

3.   APPAREILLAGE ET RÉACTIFS (autres que ceux mentionnés dans les généralités)

3.1.   Appareillage

Fioles coniques d'au moins 200 ml munies d'un bouchon rodé

3.2.   Réactif

Acétone

4.   MODE OPÉRATOIRE

Appliquer la procédure décrite dans les généralités, puis procéder comme suit.

 

Ajouter 100 ml d'acétone par gramme de spécimen d'analyse contenu dans la fiole conique d'au moins 200 ml munie d'un bouchon rodé, secouer la fiole, laisser pendant trente minutes à la température ambiante en agitant de temps en temps et décanter ensuite le liquide à travers le creuset filtrant taré.

 

Répéter ce traitement encore deux fois (trois extractions au total), mais uniquement pendant quinze minutes chaque fois, de manière à ce que le temps total du traitement acétonique soit d'une heure. Transvaser le résidu dans le creuset filtrant. Laver le résidu dans le creuset filtrant au moyen d'acétone, en s'aidant du vide. Remplir à nouveau le creuset d'acétone qu'on laisse ensuite s'écouler naturellement, sans succion.

 

Finalement, assécher le creuset à l'aide du vide, sécher le creuset et le résidu, refroidir et peser.

5.   CALCUL ET EXPRESSION DES RÉSULTATS

Calculer les résultats de la façon décrite dans les généralités. La valeur de «d» est de 1,00, sauf pour la mélamine, pour laquelle elle est de 1,01.

6.   PRÉCISION DE LA MÉTHODE

Sur un mélange homogène de matières textiles, les limites de confiance des résultats obtenus selon cette méthode ne sont pas supérieures à ± 1 pour un seuil de confiance de 95 %.

MÉTHODE No 2

CERTAINES FIBRES PROTÉINIQUES ET CERTAINES AUTRES FIBRES

(méthode à l'hypochlorite)

1.   CHAMP D'APPLICATION

Cette méthode s'applique, après élimination des matières non fibreuses, aux mélanges binaires de fibres de:

1.

certaines fibres protéiniques, à savoir laine (1), poil (2 et 3), soie (4), protéinique (23)

avec

2.

coton (5), cupro (21), modal (22), viscose (25), acrylique (26), chlorofibre (27), polyamide ou nylon (30), polyester (35), polypropylène (37), élasthanne (43), verre textile (44), élastomultiester (45), élastoléfine (46) et mélamine (47).

Si différentes fibres protéiniques sont présentes, la méthode en fournit la quantité globale, mais non leur pourcentage individuel.

2.   PRINCIPE

Les fibres protéiniques sont dissoutes à partir d'une masse connue du mélange à l'état sec, à l'aide d'une solution d'hypochlorite. Le résidu est recueilli, lavé, séché et pesé; sa masse, corrigée si nécessaire, est exprimée en pourcentage de la masse du mélange à l'état sec. Le pourcentage de fibres protéiniques sèches est obtenu par différence.

Pour préparer la solution d'hypochlorite, on peut utiliser de l'hypochlorite de lithium ou de l'hypochlorite de sodium.

L'hypochlorite de lithium est indiqué lorsque le nombre d'analyses est faible et lorsque les analyses sont effectuées à intervalles assez longs. L'hypochlorite de lithium solide présente en effet, contrairement à l'hypochlorite de sodium, une teneur en hypochlorite pratiquement constante. Si elle est connue, il n'est plus nécessaire de la contrôler par iodométrie lors de chaque analyse, et on peut travailler avec des reprises d'essai d'hypochlorite de lithium constantes.

3.   APPAREILLAGE ET RÉACTIFS (autres que ceux mentionnés dans les généralités)

3.1.   Appareillage

i)   Fiole conique de 250 ml munie d'un bouchon en verre rodé

ii)   Thermostat réglable à 20 (± 2) °C

3.2.   Réactifs

i)   Réactif à base d'hypochlorite

a)   Solution d'hypochlorite de lithium

Ce réactif est constitué d'une solution fraîchement préparée, d'une teneur en chlore actif de 35 (± 2) g/l (environ 1 M), à laquelle a été ajouté de l'hydroxyde de sodium préalablement dissous à raison de 5 (± 0,5) g/l. Pour préparer la solution, dissoudre 100 g d'hypochlorite de lithium présentant une teneur en chlore actif de 35 % (ou 115 g avec une teneur en chlore actif de 30 %) dans environ 700 ml d'eau distillée. Ajouter 5 g d'hydroxyde de sodium dissous dans environ 200 ml d'eau distillée et amener à 1 l en complétant avec de l'eau distillée. Il n'est pas nécessaire de contrôler par iodométrie cette solution fraîchement préparée.

b)   Solution d'hypochlorite de sodium

Cette solution est constituée d'une solution fraîchement préparée d'une teneur en chlore actif de 35 (± 2) g/l (environ 1 M), à laquelle a été ajouté de l'hydroxyde de sodium préalablement dissous à raison de 5 (± 0,5) g/l.

Vérifier par iodométrie, avant chaque analyse, le titre de la solution en chlore actif.

ii)   Acide acétique dilué

Étendre 5 ml d'acide acétique glacial à 1 l avec de l'eau.

4.   MODE OPÉRATOIRE

Appliquer la procédure décrite dans les généralités, puis procéder comme suit. Introduire environ 1 g du spécimen d'analyse dans la fiole de 250 ml; ajouter environ 100 ml de solution d'hypochlorite (hypochlorite de lithium ou de sodium). Agiter vigoureusement pour bien humecter le spécimen d'analyse.

Placer ensuite la fiole dans un thermostat à 20 °C pendant quarante minutes; au cours de ce laps de temps, agiter en permanence ou, tout au moins, fréquemment et à intervalles réguliers. Étant donné le caractère exothermique de la dissolution de la laine, la chaleur de réaction doit être répartie et évacuée de cette manière pour éviter d'importantes erreurs éventuelles dues à l'attaque des fibres insolubles.

À la fin des quarante minutes, filtrer le contenu de la fiole à travers un creuset filtrant en verre taré. Rincer la fiole au moyen d'un peu de réactif à l'hypochlorite pour enlever les fibres éventuellement encore présentes, et verser le tout dans le creuset filtrant. Vider le creuset filtrant par dépression; laver le résidu successivement à l'eau, à l'acide acétique dilué, puis de nouveau à l'eau. Au cours de cette opération, assécher le creuset par dépression après chaque adjonction de liquide, en attendant toutefois que le liquide se soit écoulé par gravité sans application de vide.

Finalement, assécher le creuset par dépression, puis sécher le creuset avec le résidu, refroidir et peser.

5.   CALCUL ET EXPRESSION DES RÉSULTATS

Calculer les résultats de la façon décrite dans les généralités. La valeur de «d» est de 1,00, sauf pour le coton, la viscose, le modal et la mélamine, pour lesquels elle est de 1,01 et pour le coton écru, pour lequel elle est de 1,03.

6.   PRÉCISION DE LA MÉTHODE

Sur des mélanges homogènes de fibres textiles, les limites de confiance des résultats obtenus selon cette méthode ne sont pas supérieures à ± 1 pour un seuil de confiance de 95 %.

MÉTHODE No 3

VISCOSE, CUPRO OU CERTAINS TYPES DE MODAL ET CERTAINES AUTRES FIBRES

(méthode à l'acide formique et au chlorure de zinc)

1.   CHAMP D'APPLICATION

Cette méthode s'applique, après élimination des matières non fibreuses, aux mélanges binaires de fibres de:

1.

viscose (25) ou cupro (21), y compris certains types de modal (22),

avec

2.

coton (5), élastoléfine (46) et mélamine (47).

Si on constate la présence d'une fibre de modal, il est nécessaire d'effectuer un test préliminaire pour vérifier si cette fibre est soluble dans le réactif.

Cette méthode n'est pas applicable aux mélanges dans lesquels le coton a subi une dégradation chimique excessive, ni lorsque la viscose ou le cupro est rendu incomplètement soluble par la présence de certains colorants ou d'apprêts qui ne peuvent être éliminés complètement.

2.   PRINCIPE

Les fibres de viscose, de cupro ou de modal sont dissoutes à partir d'une masse connue du mélange à l'état sec, à l'aide d'un réactif composé d'acide formique et de chlorure de zinc. Le résidu est recueilli, lavé, séché et pesé; après correction, sa masse est exprimée en pourcentage de la masse du mélange à l'état sec. Le pourcentage de viscose, de cupro ou de modal sec est obtenu par différence.

3.   APPAREILLAGE ET RÉACTIFS (autres que ceux mentionnés dans les généralités)

3.1.   Appareillage

i)   Fioles coniques d'au moins 200 ml munies d'un bouchon rodé

ii)   Dispositif permettant de maintenir les fioles à 40 (± 2) °C

3.2.   Réactifs

i)   Solution contenant 20 g de chlorure de zinc anhydre fondu et 68 g d'acide formique anhydre portée à 100 g avec de l'eau (soit 20 parties en masse de chlorure de zinc anhydre fondu dans 80 parties en masse d'acide formique à 85 % en masse).

Note

À cet égard, l'attention est attirée sur le point I.3.2.2 prescrivant que tous les réactifs utilisés doivent être chimiquement purs; en outre, il est nécessaire d'utiliser uniquement du chlorure de zinc anhydre fondu.

ii)   Solution d'hydroxyde d'ammonium: diluer 20 ml d'une solution concentrée d'ammoniaque (densité relative à 20 °C: 0,880) à 1 l avec de l'eau.

4.   MODE OPÉRATOIRE

Appliquer la procédure décrite dans les généralités, puis procéder comme suit. Introduire immédiatement le spécimen dans la fiole préchauffée à 40 °C. Ajouter 100 ml de solution d'acide formique et chlorure de zinc préchauffée à 40 °C par gramme de spécimen. Boucher la fiole et secouer vigoureusement. Maintenir la fiole et son contenu à 40 °C pendant deux heures et demie en agitant deux fois à intervalles d'une heure.

Filtrer le contenu de la fiole à travers un creuset filtrant taré et transférer dans le creuset, à l'aide du réactif, les fibres éventuellement présentes dans la fiole. Rincer avec 20 ml de réactif préchauffé à 40 °C.

Laver à fond le creuset et le résidu à l'aide d'eau à 40 °C. Rincer le résidu fibreux avec environ 100 ml de solution froide d'ammoniaque [point 3.2.ii)], en s'assurant que ce résidu reste totalement immergé dans la solution pendant dix minutes (8), puis rincer à fond avec de l'eau froide.

Ne pas appliquer le vide avant que le liquide de lavage ne se soit écoulé par gravité.

Éliminer enfin l'excès de liquide à l'aide du vide, sécher le creuset et son résidu, refroidir et peser.

5.   CALCUL ET EXPRESSION DES RÉSULTATS

Calculer les résultats de la façon décrite dans les généralités. La valeur de «d» est de 1,02 pour le coton, de 1,01 pour la mélamine et de 1,00 pour l'élastoléfine.

6.   PRÉCISION DE LA MÉTHODE

Sur un mélange homogène de matières textiles, les limites de confiance des résultats obtenus selon cette méthode ne sont pas supérieures à ± 2 pour un seuil de confiance de 95 %.

MÉTHODE No 4

POLYAMIDE OU NYLON ET CERTAINES AUTRES FIBRES

(méthode à l'acide formique à 80 % en masse)

1.   CHAMP D'APPLICATION

Cette méthode s'applique, après élimination des matières non fibreuses, aux mélanges binaires de fibres de:

1.

polyamide ou nylon (30),

avec

2.

laine (1), poil (2 et 3), coton (5), cupro (21), modal (22), viscose (25), acrylique (26), chlorofibre (27), polyester (35), polypropylène (37), verre textile (44), élastomultiester (45), élastoléfine (46) et mélamine (47).

Comme indiqué ci-dessus, cette méthode s'applique aussi aux mélanges contenant de la laine, mais, quand la proportion de cette dernière est supérieure à 25 %, on applique la méthode no 2 (dissolution de la laine dans une solution d'hypochlorite de sodium alcalin ou d'hypochlorite de lithium).

2.   PRINCIPE

Les fibres de polyamide ou de nylon sont dissoutes à partir d'une masse connue du mélange à l'état sec, à l'aide d'acide formique. Le résidu est recueilli, lavé, séché et pesé; sa masse, corrigée si nécessaire, est exprimée en pourcentage de la masse du mélange à l'état sec. Le pourcentage de polyamide ou de nylon sec est obtenu par différence.

3.   APPAREILLAGE ET RÉACTIFS (autres que ceux mentionnés dans les généralités)

3.1.   Appareillage

Fiole conique d'au moins 200 ml munie d'un bouchon rodé

3.2.   Réactifs

i)   Acide formique (80 % en masse, densité à 20 °C: 1,186). Amener 880 ml d'acide formique à 90 % en masse (densité à 20 °C: 1,204) à 1 l avec de l'eau. Ou encore, amener 780 ml d'acide formique entre 98 et 100 % en masse (densité à 20 °C: 1,220) à 1 l avec de l'eau.

La concentration n'est pas critique entre 77 et 83 % en masse d'acide formique.

ii)   Ammoniaque diluée: amener 80 ml d'ammoniaque concentrée (densité à 20 °C: 0,880) à 1 l avec de l'eau.

4.   MODE OPÉRATOIRE

Appliquer la procédure décrite dans les généralités, puis procéder comme suit. Le spécimen, placé dans la fiole conique d'au moins 200 ml, est additionné de 100 ml d'acide formique par gramme de spécimen. Boucher, agiter pour mouiller le spécimen. Laisser reposer pendant quinze minutes à température ambiante en agitant de temps en temps. Filtrer le contenu de la fiole sur un creuset filtrant taré, passer toutes les fibres dans le creuset par lavage de la fiole avec un peu d'acide formique.

Assécher le creuset par succion et laver le résidu sur le filtre, successivement avec de l'acide formique, de l'eau chaude, de l'ammoniaque diluée et finalement avec de l'eau froide. Assécher le creuset par succion après chaque addition. Ne pas appliquer la succion avant que chaque solution de lavage ne se soit écoulée par gravité.

Finalement, assécher le creuset par succion, le sécher avec le résidu, refroidir et peser.

5.   CALCUL ET EXPRESSION DES RÉSULTATS

Calculer les résultats de la façon décrite dans les généralités. La valeur de «d» est de 1,00, sauf pour la mélamine, pour laquelle elle est de 1,01.

6.   PRÉCISION DE LA MÉTHODE

Sur un mélange homogène de matières textiles, les limites de confiance des résultats obtenus selon cette méthode ne sont pas supérieures à ± 1 pour un seuil de confiance de 95 %.

MÉTHODE No 5

ACÉTATE ET CERTAINES AUTRES FIBRES

(méthode à l'alcool benzylique)

1.   CHAMP D'APPLICATION

Cette méthode s'applique, après élimination des matières non fibreuses, aux mélanges binaires de fibres de:

1.

acétate (19)

avec

2.

triacétate (24), élastoléfine (46) et mélamine (47).

2.   PRINCIPE

Les fibres d'acétate sont dissoutes à partir d'une masse connue du mélange à l'état sec au moyen d'alcool benzylique à 52 ± 2 °C.

Le résidu est recueilli, lavé, séché et pesé; sa masse est exprimée en pourcentage de la masse du mélange à l'état sec. Le pourcentage d'acétate sec est obtenu par différence.

3.   APPAREILLAGE ET RÉACTIFS (autres que ceux mentionnés dans les généralités)

3.1.   Appareillage

i)   Fiole conique d'au moins 200 ml munie d'un bouchon rodé

ii)   Agitateur mécanique

iii)   Thermostat ou autre appareil permettant de maintenir la fiole à 52 ± 2 °C

3.2.   Réactifs

i)   Alcool benzylique

ii)   Alcool éthylique

4.   MODE OPÉRATOIRE

Appliquer la procédure décrite dans les généralités, puis procéder comme suit.

 

Ajouter au spécimen contenu dans la fiole conique 100 ml d'alcool benzylique par gramme de spécimen. Insérer le bouchon, fixer la fiole sur le dispositif d'agitation de manière à ce qu'elle plonge dans le bain d'eau maintenu à 52 ± 2 °C et agiter pendant vingt minutes à cette température.

(On peut éventuellement remplacer l'agitation mécanique par une agitation manuelle vigoureuse.)

 

Décanter le liquide à travers le creuset filtrant taré. Ajouter dans la fiole une nouvelle portion d'alcool benzylique et agiter de nouveau à 52 ± 2 °C durant vingt minutes.

 

Décanter à travers le creuset. Répéter ce cycle d'opérations une troisième fois.

 

Verser enfin le liquide et le résidu dans le creuset; transférer les fibres qui pourraient rester dans la fiole, par addition d'une quantité supplémentaire d'alcool benzylique porté à 52 ± 2 °C. Assécher à fond le creuset.

 

Transférer les fibres dans une fiole, ajouter de l'alcool éthylique pour le rinçage; après agitation manuelle, décanter à travers le creuset filtrant.

 

Répéter cette opération de rinçage deux ou trois fois. Transférer le résidu dans le creuset et assécher à fond. Sécher le creuset et le résidu, refroidir et peser.

5.   CALCUL ET EXPRESSION DES RÉSULTATS

Calculer les résultats de la façon décrite dans les généralités. La valeur de «d» est de 1,00, sauf pour la mélamine, pour laquelle elle est de 1,01.

6.   PRÉCISION DE LA MÉTHODE

Sur un mélange homogène de matières textiles, les limites de confiance des résultats obtenus selon cette méthode ne sont pas supérieures à ± 1 pour un seuil de confiance de 95 %.

MÉTHODE No 6

TRIACÉTATE OU POLYLACTIDE ET CERTAINES AUTRES FIBRES

(méthode au dichlorométhane)

1.   CHAMP D'APPLICATION

Cette méthode s'applique, après élimination des matières non fibreuses, aux mélanges binaires de fibres de:

1.

triacétate (24) ou polylactide (34)

avec

2.

laine (1), poil (2 et 3), soie (4), coton (5), cupro (21), modal (22), viscose (25), acrylique (26), polyamide ou nylon (30), polyester (35), verre textile (44), élastomultiester (45), élastoléfine (46) et mélamine (47).

Note

Les fibres de triacétate partiellement saponifiées par un apprêt spécial cessent d'être complètement solubles dans le réactif. Dans ce cas, la méthode n'est pas applicable.

2.   PRINCIPE

Les fibres de triacétate ou de polylactide sont dissoutes à partir d'une masse connue de mélange à l'état sec, à l'aide de dichlorométhane. Le résidu est recueilli, lavé, séché et pesé; sa masse, corrigée si nécessaire, est exprimée en pourcentage de la masse du mélange à l'état sec. Le pourcentage de triacétate ou de polylactide sec est obtenu par différence.

3.   APPAREILLAGE ET RÉACTIFS (autres que ceux mentionnés dans les généralités)

3.1.   Appareillage

Fiole conique d'au moins 200 ml munie d'un bouchon rodé

3.2.   Réactif

Dichlorométhane

4.   MODE OPÉRATOIRE

Appliquer la procédure décrite dans les généralités, puis procéder comme suit.

 

Ajouter au spécimen d'analyse contenu dans une fiole conique de 200 ml, 100 ml de dichlorométhane par gramme de spécimen d'analyse, insérer le bouchon, agiter le flacon pour bien humecter le spécimen d'analyse et laisser reposer le flacon pendant trente minutes à température ambiante en agitant toutes les dix minutes. Décanter le liquide à travers le creuset filtrant taré. Ajouter 60 ml de dichlorométhane dans le flacon contenant le résidu, agiter manuellement et filtrer le contenu du flacon à travers le creuset filtrant. Transférer les fibres résiduelles dans le creuset par lavage à l'aide d'une petite quantité supplémentaire de dichlorométhane. Appliquer le vide pour éliminer l'excès de liquide, remplir à nouveau le creuset de dichlorométhane et laisser s'écouler le liquide par gravité.

 

Finalement, appliquer le vide pour éliminer l'excès de liquide, puis traiter le résidu à l'eau bouillante pour éliminer tout le solvant, appliquer le vide, sécher le creuset et le résidu, refroidir et peser.

5.   CALCUL ET EXPRESSION DES RÉSULTATS

Calculer les résultats de la façon décrite dans les généralités. La valeur de «d» est de 1,00, sauf pour le polyester, l'élastomultiester, l'élastoléfine et la mélamine, pour lesquels elle est de 1,01.

6.   PRÉCISION DE LA MÉTHODE

Sur un mélange homogène de matières textiles, les limites de confiance des résultats obtenus selon cette méthode ne sont pas supérieures à ± 1 pour un seuil de confiance de 95 %.

MÉTHODE No 7

CERTAINES FIBRES CELLULOSIQUES ET CERTAINES AUTRES FIBRES

(méthode à l'acide sulfurique à 75 % en masse)

1.   CHAMP D'APPLICATION

Cette méthode s'applique, après élimination des matières non fibreuses, aux mélanges binaires de fibres de:

1.

coton (5), lin (7), chanvre (8), ramie (14), cupro (21), modal (22), viscose (25)

avec

2.

polyester (35), élastomultiester (45) et élastoléfine (46).

2.   PRINCIPE

Les fibres cellulosiques sont dissoutes à partir d'une masse connue du mélange à l'état sec, à l'aide d'acide sulfurique à 75 % en masse. Le résidu est recueilli, lavé, séché et pesé; sa masse est exprimée en pourcentage de la masse du mélange à l'état sec. La proportion de fibres cellulosiques sèches est obtenue par différence.

3.   APPAREILLAGE ET RÉACTIFS (autres que ceux mentionnés dans les généralités)

3.1.   Appareillage

i)   Fiole conique d'au moins 500 ml munie d'un bouchon rodé

ii)   Thermostat ou autre appareil permettant de maintenir le flacon à 50 ± 5 °C

3.2.   Réactifs

i)   Acide sulfurique à 75 ± 2 % en masse

Préparer, en ajoutant prudemment, en refroidissant, 700 ml d'acide sulfurique (densité relative à 20 °C: 1,84) à 350 ml d'eau distillée.

Après refroidissement à la température ambiante, porter le volume à 1 l avec de l'eau.

ii)   Solution d'ammoniaque diluée

Étendre 80 ml de solution d'ammoniaque (densité relative à 20 °C: 0,880) à 1 l avec de l'eau.

4.   MODE OPÉRATOIRE

Appliquer la procédure décrite dans les généralités, puis procéder comme suit.

 

Ajouter au spécimen d'analyse contenu dans la fiole conique d'au moins 500 ml, 200 ml d'acide sulfurique à 75 % par gramme de spécimen, insérer le bouchon et agiter prudemment la fiole conique pour bien humecter le spécimen.

 

Maintenir le flacon à 50 ± 5 °C pendant une heure en agitant à intervalles réguliers de dix minutes approximativement. Filtrer le contenu du flacon à travers un creuset filtrant taré en s'aidant du vide. Transférer les fibres résiduelles en lavant le flacon à l'aide d'un peu d'acide sulfurique à 75 %. Assécher le creuset à l'aide du vide et laver une première fois le résidu se trouvant sur le filtre en remplissant le creuset d'acide sulfurique à 75 % frais. N'appliquer le vide qu'après écoulement de l'acide par gravité.

 

Laver le résidu à plusieurs reprises à l'aide d'eau froide, deux fois avec la solution d'ammoniaque diluée, puis à fond avec de l'eau froide, en asséchant le creuset à l'aide du vide après chaque addition. Attendre que chaque portion de liquide de lavage se soit écoulée par gravité avant d'appliquer le vide. Éliminer enfin les dernières portions de liquide à l'aide du vide, sécher le creuset et le résidu, refroidir et peser.

5.   CALCUL ET EXPRESSION DES RÉSULTATS

Calculer les résultats de la façon décrite dans les généralités. La valeur de «d» est de 1,00.

6.   PRÉCISION DE LA MÉTHODE

Sur un mélange homogène de matières textiles, les limites de confiance des résultats obtenus selon cette méthode ne sont pas supérieures à ± 1 pour un seuil de confiance de 95 %.

MÉTHODE No 8

ACRYLIQUES, CERTAINS MODACRYLIQUES OU CERTAINES CHLOROFIBRES ET CERTAINES AUTRES FIBRES

(méthode au diméthylformamide)

1.   CHAMP D'APPLICATION

Cette méthode s'applique, après élimination des matières non fibreuses, aux mélanges binaires de fibres de:

1.

acryliques (26), certains modacryliques (29) ou certaines chlorofibres (27) (9)

avec

2.

laine (1), poil (2 et 3), soie (4), coton (5), cupro (21), modal (22), viscose (25), polyamide ou nylon (30), polyester (35), élastomultiester (45), élastoléfine (46) et mélamine (47).

Cette méthode s'applique également aux acryliques et à certains modacryliques traités au moyen de colorants prémétallisés, mais non à ceux traités au moyen de colorants chromatables.

2.   PRINCIPE

Les fibres acryliques, certains modacryliques ou certaines chlorofibres sont dissous à partir d'une masse connue du mélange à l'état sec, à l'aide de diméthylformamide à température de bain-marie bouillant. Le résidu est recueilli, lavé, séché et pesé; sa masse, corrigée si nécessaire, est exprimée en pourcentage de la masse du mélange à l'état sec. Le pourcentage d'acryliques, de modacryliques ou de chlorofibres sèches est obtenu par différence.

3.   APPAREILLAGE ET RÉACTIFS (autres que ceux mentionnés dans les généralités)

3.1.   Appareillage

i)   Fiole conique d'au moins 200 ml munie d'un bouchon rodé

ii)   Bain-marie bouillant

3.2.   Réactif

Diméthylformamide (point d'ébullition 153 ±1 °C) ne contenant pas plus de 0,1 % d'eau.

Ce réactif étant toxique, il est recommandé de travailler sous une hotte.

4.   MODE OPÉRATOIRE

Appliquer la procédure décrite dans les généralités, puis procéder comme suit.

 

Ajouter au spécimen d'analyse contenu dans la fiole conique d'au moins 200 ml, 80 ml de diméthylformamide par gramme de spécimen préchauffé au bain-marie bouillant, insérer le bouchon, agiter de façon à humecter à fond la prise d'essai et maintenir dans le bain-marie bouillant pendant une heure. Agiter manuellement le flacon et son contenu à cinq reprises pendant cette période, en procédant prudemment.

 

Décanter le liquide à travers un creuset filtrant taré, en maintenant les fibres dans la fiole conique. Ajouter de nouveau 60 ml de diméthylformamide dans la fiole et chauffer encore pendant trente minutes, agiter manuellement la fiole et son contenu à deux reprises pendant cette période, en procédant prudemment.

 

Filtrer le contenu de la fiole à travers le creuset filtrant en s'aidant du vide.

 

Transférer les fibres résiduelles dans le creuset en lavant la fiole au moyen de diméthylformamide. Appliquer le vide pour éliminer l'excès de liquide. Laver le résidu au moyen de 1 l environ d'eau chaude à 70-80 °C, le creuset étant chaque fois rempli d'eau.

 

Après chaque addition d'eau, appliquer brièvement le vide, mais seulement après que l'eau s'est écoulée par gravité. Si le liquide de lavage s'écoule trop lentement à travers le creuset, un léger vide peut être appliqué.

 

Sécher le creuset avec le résidu, refroidir et peser.

5.   CALCUL ET EXPRESSION DES RÉSULTATS

Calculer les résultats de la façon décrite dans les généralités. La valeur de «d» est de 1,00, sauf pour la laine, le coton, le cupro, le modal, le polyester, l'élastomultiester et la mélamine, pour lesquels elle est de 1,01.

6.   PRÉCISION DE LA MÉTHODE

Sur un mélange homogène de matières textiles, les limites de confiance des résultats obtenus selon cette méthode ne sont pas supérieures à ± 1 pour un seuil de confiance de 95 %.

MÉTHODE No 9

CERTAINES CHLOROFIBRES ET CERTAINES AUTRES FIBRES

(méthode au sulfure de carbone/acétone 55,5/44,5 % en volume)

1.   CHAMP D'APPLICATION

Cette méthode s'applique, après élimination des matières non fibreuses, aux mélanges binaires de fibres de:

1.

certaines chlorofibres (27), à savoir certains polychlorures de vinyle, surchlorés ou non (10)

avec

2.

laine (1), poil (2 et 3), soie (4), coton (5), cupro (21), modal (22), viscose (25), acrylique (26), polyamide ou nylon (30), polyester (35), verre textile (44), élastomultiester (45) et mélamine (47).

Si la teneur en laine ou en soie du mélange dépasse 25 %, il convient d'utiliser la méthode no 2.

Si la teneur en polyamide ou en nylon du mélange dépasse 25 %, il convient d'utiliser la méthode no 4.

2.   PRINCIPE

Les fibres de chlorofibres sont dissoutes à partir d'une masse connue du mélange à l'état sec, à l'aide du mélange azéotropique de sulfure de carbone et d'acétone. Le résidu est recueilli, lavé, séché et pesé; sa masse, corrigée si nécessaire, est exprimée en pourcentage de la masse du mélange à l'état sec. Le pourcentage de fibres de polychlorure de vinyle sèches est obtenu par différence.

3.   APPAREILLAGE ET RÉACTIFS (autres que ceux mentionnés dans les généralités)

3.1.   Appareillage

i)   Fiole conique d'au moins 200 ml munie d'un bouchon rodé

ii)   Agitateur mécanique

3.2.   Réactifs

i)   Mélange azéotropique de sulfure de carbone et d'acétone (55,5 % de sulfure de carbone et 44,5 % d'acétone en volume). Ce réactif étant toxique, il est recommandé de travailler sous une hotte.

ii)   Alcool éthylique à 92 % en volume ou alcool méthylique.

4.   MODE OPÉRATOIRE

Appliquer la procédure décrite dans les généralités, puis procéder comme suit.

 

Ajouter au spécimen d'analyse contenu dans la fiole conique d'au moins 200 ml, 100ml de mélange azéotropique par gramme de spécimen. Obturer convenablement le flacon et agiter à température ambiante pendant vingt minutes au moyen de l'agitateur mécanique ou manuellement de façon vigoureuse.

 

Décanter le liquide surnageant à travers le creuset filtrant taré.

 

Répéter le traitement à l'aide de 100 ml de solvant frais. Continuer ce cycle d'opérations jusqu'à ce qu'une goutte de liquide d'extraction ne laisse plus de dépôt de polymère après évaporation sur un verre de montre. Transférer le résidu dans le creuset filtrant à l'aide d'une quantité supplémentaire de solvant, appliquer le vide pour éliminer le liquide et rincer le creuset et le résidu avec 20 ml d'alcool puis, à trois reprises, avec de l'eau. Laisser s'écouler le liquide de lavage par gravité avant d'appliquer le vide pour éliminer l'excès de liquide. Sécher le creuset et le résidu, refroidir et peser.

Note

Les échantillons de certains mélanges à haute teneur en chlorofibre se contractent fortement pendant l'opération de séchage, ce qui retarde l'élimination de la chlorofibre par le solvant.

Cette contraction n'empêche toutefois pas la dissolution totale de la chlorofibre dans le solvant.

5.   CALCUL ET EXPRESSION DES RÉSULTATS

Calculer les résultats de la façon décrite dans les généralités. La valeur de «d» est de 1,00, sauf pour la mélamine, pour laquelle elle est de 1,01.

6.   PRÉCISION DE LA MÉTHODE

Sur un mélange homogène de matières textiles, les limites de confiance des résultats obtenus selon cette méthode ne sont pas supérieures à ± 1 pour un seuil de confiance de 95 %.

MÉTHODE No 10

ACÉTATE ET CERTAINES AUTRES FIBRES

(méthode à l'acide acétique glacial)

1.   CHAMP D'APPLICATION

Cette méthode s'applique, après élimination des matières non fibreuses, aux mélanges binaires de fibres de:

1.

acétate (19)

avec

2.

certaines chlorofibres (27), à savoir le polychlorure de vinyle, surchloré ou non, l'élastoléfine (46) et la mélamine (47).

2.   PRINCIPE

Les fibres d'acétate sont dissoutes à partir d'une masse connue du mélange à l'état sec, à l'aide d'acide acétique glacial. Le résidu est recueilli, lavé, séché et pesé; sa masse, corrigée si nécessaire, est exprimée en pourcentage de la masse du mélange à l'état sec. Le pourcentage d'acétate sec est obtenu par différence.

3.   APPAREILLAGE ET RÉACTIFS (autres que ceux mentionnés dans les généralités)

3.1.   Appareillage

i)   Fiole conique d'au moins 200 ml munie d'un bouchon rodé

ii)   Agitateur mécanique

3.2.   Réactif

Acide acétique glacial (plus de 99 %). Ce réactif est très caustique et doit être manipulé avec précaution.

4.   MODE OPÉRATOIRE

Appliquer la procédure décrite dans les généralités, puis procéder comme suit.

 

Ajouter au spécimen d'analyse contenu dans la fiole conique d'au moins 200 ml, 100 ml d'acide acétique glacial par gramme de spécimen. Fermer soigneusement le flacon et agiter pendant vingt minutes à température ambiante au moyen de l'agitateur mécanique ou manuellement de façon vigoureuse. Décanter le liquide surnageant à travers le creuset filtrant taré. Répéter ce traitement deux fois en utilisant chaque fois 100 ml de solvant frais, de manière à effectuer trois extractions au total.

 

Transférer le résidu dans le creuset filtrant, appliquer le vide pour éliminer le liquide et rincer le creuset et le résidu au moyen de 50 ml d'acide acétique glacial, puis à trois reprises au moyen d'eau. Après chaque rinçage, laisser s'écouler le liquide par gravité avant d'appliquer le vide. Sécher le creuset et le résidu, refroidir et peser.

5.   CALCUL ET EXPRESSION DES RÉSULTATS

Calculer le résultat de la façon décrite dans les généralités. La valeur de «d» est de 1,00.

6.   PRÉCISION DE LA MÉTHODE

Sur un mélange homogène de matières textiles, les limites de confiance des résultats obtenus selon cette méthode ne sont pas supérieures à ± 1 pour un seuil de confiance de 95 %.

MÉTHODE No 11

SOIE ET CERTAINES AUTRES FIBRES

(méthode à l'acide sulfurique à 75 % en masse)

1.   CHAMP D'APPLICATION

Cette méthode s'applique, après élimination des matières non fibreuses, aux mélanges binaires de fibres de:

1.

soie (4)

avec

2.

laine (1), poil (2 et 3), élastoléfine (46) et mélamine (47).

2.   PRINCIPE

Les fibres de soie sont dissoutes à partir d'une masse connue du mélange à l'état sec, à l'aide d'acide sulfurique à 75 % en masse (11).

Le résidu est recueilli, lavé, séché et pesé; sa masse, corrigée si nécessaire, est exprimée en pourcentage de la masse du mélange à l'état sec. Le pourcentage de soie sèche est obtenu par différence.

3.   APPAREILLAGE ET RÉACTIFS (autres que ceux mentionnés dans les généralités)

3.1.   Appareillage

Fiole conique d'au moins 200 ml munie d'un bouchon rodé

3.2.   Réactifs

i)   Acide sulfurique (75 ± 2 % en masse)

Préparer, en ajoutant prudemment, en refroidissant, 700 ml d'acide sulfurique (densité relative à 20 °C: 1,84) à 350 ml d'eau distillée.

Après refroidissement à la température ambiante, porter le volume à 1 l avec de l'eau.

ii)   Acide sulfurique dilué: ajouter lentement 100 ml d'acide sulfurique (densité relative à 20 °C: 1,84) à 1 900 ml d'eau distillée.

iii)   200 ml d'ammoniaque diluée concentrée (densité relative à 20 °C: 0,880) sont portés à 1 l avec de l'eau.

4.   MODE OPÉRATOIRE

Appliquer la procédure décrite dans les généralités, puis procéder comme suit.

 

Ajouter au spécimen d'analyse contenu dans une fiole conique d'au moins 200 ml, 100 ml d'acide sulfurique à 75 % en masse par gramme de spécimen et insérer le bouchon. Agiter vigoureusement et laisser reposer trente minutes à température ambiante. Agiter à nouveau, laisser reposer trente minutes.

 

Agiter une dernière fois et faire passer le contenu de la fiole sur le creuset filtrant taré. Entraîner les fibres restant éventuellement dans la fiole au moyen d'acide sulfurique à 75 %. Laver le résidu sur le creuset, successivement avec 50 ml d'acide sulfurique dilué, 50 ml d'eau et 50 ml d'ammoniaque diluée. Laisser chaque fois les fibres en contact avec le liquide pendant environ dix minutes avant d'appliquer le vide. Rincer enfin à l'eau en laissant les fibres en contact avec l'eau pendant trente minutes environ.

 

Appliquer le vide pour éliminer l'excès de liquide. Sécher le creuset et le résidu, refroidir et peser.

5.   CALCUL ET EXPRESSION DES RÉSULTATS

Calculer les résultats de la façon décrite dans les généralités. La valeur «d» est de 0,985 pour la laine, de 1,00 pour l'élastoléfine et de 1,01 pour la mélamine.

6.   PRÉCISION DE LA MÉTHODE

Sur un mélange homogène de matières textiles, les limites de confiance des résultats obtenus selon cette méthode ne sont pas supérieures à ± 1 pour un seuil de confiance de 95 %.

MÉTHODE No 12

JUTE ET CERTAINES FIBRES D'ORIGINE ANIMALE

(méthode par dosage de l'azote)

1.   CHAMP D'APPLICATION

Cette méthode s'applique, après élimination des matières non fibreuses, aux mélanges binaires de fibres de:

1.

jute (9)

avec

2.

certaines fibres d'origine animale.

Ces dernières peuvent être constituées de poil (2 et 3) ou de laine (1) ou d'un mélange de poil et de laine. Il est entendu que cette méthode ne s'applique pas à des mélanges textiles comportant des matières non fibreuses (colorants, apprêts, etc.) à base d'azote.

2.   PRINCIPE

On détermine la teneur en azote du mélange et on calcule, à partir de cette donnée et de la teneur en azote connue des deux composants, la proportion de chacun des composants du mélange.

3.   APPAREILLAGE ET RÉACTIFS (autres que ceux mentionnés dans les généralités)

3.1.   Appareillage

i)   Ballon de digestion Kjeldahl de 200 à 300 ml

ii)   Appareils à distiller Kjeldahl avec injection de vapeur

iii)   Appareillage de titrage précis à 0,05 ml près

3.2.   Réactifs

i)   Toluène

ii)   Méthanol

iii)   Acide sulfurique, densité relative à 20 Â°C: 1,84 (12)

iv)   Sulfate de potassium (12)

v)   Dioxyde de sélénium (12)

vi)   Solution d'hydroxyde de sodium (400 g/l). Dissoudre 400 g d'hydroxyde de sodium dans 400-500 ml d'eau et porter à 1 l avec de l'eau.

vii)   Mélange d'indicateurs. Dissoudre 0,1 g de rouge de méthyle dans 95 ml d'éthanol et 5 ml d'eau, et mélanger cette solution avec 0,5 g de vert de bromocrésol dissous dans 475 ml d'éthanol et 25 ml d'eau.

viii)   Solution d'acide borique. Dissoudre 20 g d'acide borique dans 1 l d'eau.

ix)   Acide sulfurique 0,02 N (solution volumétrique étalon).

4.   PRÉTRAITEMENT DE L'ÉCHANTILLON RÉDUIT

Le prétraitement requis dans les généralités est remplacé par le prétraitement suivant.

Extraire l'échantillon réduit séché à l'air dans un appareil Soxhlet à l'aide d'un mélange d'un volume de toluène et de trois volumes de méthanol pendant quatre heures à un rythme minimal de cinq cycles par heure. Exposer l'échantillon à l'air pour permettre l'évaporation du solvant et éliminer les dernières traces de celui-ci par chauffage dans une étuve à 105 ± 3 °C. Extraire ensuite l'échantillon dans de l'eau (50 ml/g d'échantillon) en portant à ébullition sous reflux pendant trente minutes. Filtrer, réintroduire l'échantillon dans le flacon et répéter l'extraction au moyen d'un volume identique d'eau. Filtrer, éliminer l'excès d'eau de l'échantillon par exprimage, succion ou centrifugation et sécher ensuite l'échantillon à l'air.

Note

Le toluène et le méthanol sont toxiques et doivent être utilisés avec toute la prudence requise.

5.   MODE OPÉRATOIRE

5.1.   Instructions générales

Appliquer la procédure décrite dans les généralités en ce qui concerne le prélèvement, le séchage et la pesée du spécimen.

5.2.   Instructions détaillées

Transférer le spécimen dans un ballon Kjeldahl. Ajouter au spécimen d'au moins 1 g contenu dans le ballon de digestion et en respectant l'ordre suivant, 2,5 g de sulfate de potassium, 0,1-0,2 g de dioxyde de sélénium et 10 ml d'acide sulfurique (densité relative à 20 °C: 1,84). Chauffer le ballon, d'abord doucement, jusqu'à destruction totale des fibres, puis plus fortement, jusqu'à ce que la solution devienne claire et pratiquement incolore. Continuer à chauffer pendant quinze minutes. Laisser refroidir le ballon, diluer prudemment le contenu avec 10-20 ml d'eau, refroidir, transférer le contenu quantitativement dans un ballon gradué de 200 ml et porter au volume à l'aide d'eau pour obtenir la solution d'analyse. Introduire 20 ml environ de solution d'acide borique dans une fiole conique de 100 ml et placer cette dernière sous le réfrigérant de l'appareil à distiller Kjeldahl de manière que le tube de sortie plonge exactement sous la surface de la solution d'acide borique. Transférer exactement 10 ml de la solution d'analyse dans le ballon de distillation, ajouter au moins 5 ml de solution d'hydroxyde de sodium dans l'entonnoir, soulever légèrement le bouchon et laisser s'écouler lentement la solution d'hydroxyde de sodium dans le ballon. Si la solution d'analyse et la solution d'hydroxyde de sodium tendent à former deux couches séparées, mélanger celles-ci en agitant prudemment. Chauffer légèrement le ballon de distillation et introduire dans le liquide la vapeur en provenance du générateur. Recueillir 20 ml environ de distillat, abaisser la fiole conique de manière que l'extrémité du tube du réfrigérant soit située à 20 mm environ au-dessus de la surface du liquide et distiller pendant une minute supplémentaire. Rincer l'extrémité du tube à l'aide d'eau en recueillant le liquide de lavage dans la fiole conique. Enlever cette dernière et placer une seconde fiole conique contenant 10 ml environ de solution d'acide borique, puis recueillir environ 10 ml de distillat.

Titrer séparément les deux distillats avec l'acide sulfurique 0,02 N en utilisant le mélange d'indicateurs. Noter les résultats de titrage pour les deux distillats. Si le dosage du second distillat donne un résultat supérieur à 0,2 ml, répéter l'essai et recommencer la distillation sur une autre partie aliquote de la solution d'analyse.

Effectuer un essai à blanc, en soumettant seulement les réactifs à la digestion et la distillation.

6.   CALCUL ET EXPRESSION DES RÉSULTATS

6.1.   Calculer comme suit le pourcentage d'azote dans l'échantillon séché:

Formula

A

=

pourcentage d'azote dans le spécimen sec et pur;

V

=

volume total en ml d'acide sulfurique étalon de l'essai;

b

=

volume total en ml d'acide sulfurique étalon de l'essai à blanc;

N

=

titre réel de l'acide sulfurique étalon;

W

=

masse (g) de la prise d'essai à l'état sec.

6.2.   En utilisant les valeurs de 0,22 % pour la teneur en azote du jute et de 16,2 % pour celle des fibres d'origine animale, ces deux pourcentages étant exprimés sur la base de la masse des fibres à l'état sec, calculer la composition du mélange à l'aide de la formule suivante:

Formula

PA %

=

pourcentage de fibres d'origine animale dans l'échantillon pur à l'état sec.

7.   PRÉCISION DE LA MÉTHODE

Sur un mélange homogène de matières textiles, les limites de confiance des résultats obtenus selon cette méthode ne sont pas supérieures à ± 1 pour un seuil de confiance de 95 %.

MÉTHODE No 13

POLYPROPYLÈNE ET CERTAINES AUTRES FIBRES

(méthode au xylène)

1.   CHAMP D'APPLICATION

Cette méthode s'applique, après élimination des matières non fibreuses, aux mélanges binaires de fibres de:

1.

fibres de polypropylène (37)

avec

2.

laine (1), poil (2 et 3), soie (4), coton (5), acétate (19), cupro (21), modal (22), triacétate (24), viscose (25), acrylique (26), polyamide ou nylon (30), polyester (35), verre textile (44), élastomultiester (45) et mélamine (47).

2.   PRINCIPE

Les fibres de polypropylène sont dissoutes à l'aide de xylène à l'ébullition à partir d'une masse connue du mélange à l'état sec. Le résidu est recueilli, lavé, séché et pesé; sa masse, corrigée si nécessaire, est exprimée en pourcentage de la masse du mélange à l'état sec. Le pourcentage de polypropylène est obtenu par différence.

3.   APPAREILLAGE ET RÉACTIFS (autres que ceux mentionnés dans les généralités)

3.1.   Appareillage

i)   Fiole conique d'au moins 200 ml munie d'un bouchon rodé

ii)   Réfrigérant à reflux (adapté à des liquides à points d'ébullition élevés) à rodage adapté à la fiole conique visée au point i)

iii)   Chauffe-ballon atteignant le point d'ébullition du xylène

3.2.   Réactif

Xylène distillant entre 137 et 142 °C.

Note

Le xylène est très inflammable et dégage des vapeurs toxiques. Des précautions doivent être prises lors de son utilisation.

4.   MODE OPÉRATOIRE

Appliquer la procédure décrite dans les généralités, puis procéder comme suit.

 

Ajouter à la prise d'essai placée dans la fiole conique [point 3.1.i)] 100 ml de xylène (point 3.2) par gramme de prise d'essai. Mettre en place le réfrigérant [point 3.1.ii)] et porter à l'ébullition, qui sera maintenue pendant trois minutes.

 

Décanter immédiatement le liquide chaud sur le creuset en verre fritté taré (voir note 1). Répéter ce traitement encore deux fois en utilisant à chaque fois 50 ml de solvant frais.

 

Laver le résidu resté dans la fiole successivement par 30 ml de xylène bouillant (deux fois), puis à deux reprises par 75 ml à chaque fois d'éther de pétrole (point I.3.2.1 des généralités). Après le second lavage par l'éther de pétrole, filtrer le contenu de la fiole à travers le creuset filtrant et transférer les fibres résiduelles dans le creuset à l'aide d'une petite quantité supplémentaire d'éther de pétrole. Faire évaporer complètement le solvant. Sécher le creuset et le résidu, refroidir et peser.

Notes

1.

Le creuset filtrant sur lequel on décante le xylène doit être préchauffé.

2.

Après les opérations au xylène bouillant, veiller à ce que la fiole contenant le résidu soit suffisamment refroidie avant d'y introduire l'éther de pétrole.

3.

Afin d'atténuer pour les manipulateurs les dangers d'inflammabilité et de toxicité, des appareils d'extraction à chaud et des modes opératoires appropriés, donnant des résultats identiques, peuvent être utilisés (13).

5.   CALCUL ET EXPRESSION DES RÉSULTATS

Calculer les résultats de la façon décrite dans les généralités. La valeur de «d» est de 1,00, sauf pour la mélamine, pour laquelle elle est de 1,01.

6.   PRÉCISION DE LA MÉTHODE

Sur un mélange homogène de matières textiles, les limites de confiance des résultats obtenus selon cette méthode ne sont pas supérieures à ± 1 pour un seuil de confiance de 95 %.

MÉTHODE No 14

CERTAINES AUTRES FIBRES ET CHLOROFIBRES (À BASE D'HOMOPOLYMÈRES DE CHLORURE DE VINYLE), ÉLASTOLÉFINE OU MÉLAMINE

(méthode à l'acide sulfurique concentré)

1.   CHAMP D'APPLICATION

Cette méthode s'applique, après élimination des matières non fibreuses, aux mélanges binaires de fibres de:

1.

coton (5), acétate (19), cupro (21), modal (22), triacétate (24), viscose (25), certains acryliques (26), certains modacryliques (29), polyamide ou nylon (30), polyester (35) et élastomultiester (45),

avec

2.

chlorofibres (27) à base d'homopolymères de chlorure de vinyle (surchloré ou non), élastoléfine (46) et mélamine (47).

Les modacryliques concernés sont ceux qui donnent une solution limpide par immersion dans l'acide sulfurique concentré (densité relative à 20 °C: 1,84).

Cette méthode peut être utilisée en lieu et place des méthodes no 8 et no 9.

2.   PRINCIPE

Les constituants autres que la chlorofibre, l'élastoléfine ou la mélamine (c'est-à-dire les fibres mentionnées au point 1.1) sont dissous à partir d'une masse connue du mélange à l'état sec, à l'aide d'acide sulfurique concentré (densité relative à 20 °C: 1,84).

Le résidu, constitué de la chlorofibre, de l'élastoléfine ou de la mélamine, est recueilli, lavé, séché et pesé; sa masse, corrigée si nécessaire, est exprimée en pourcentage de la masse du mélange à l'état sec. Le pourcentage des deuxièmes constituants est obtenu par différence.

3.   APPAREILLAGE ET RÉACTIFS (autres que ceux mentionnés dans les généralités)

3.1.   Appareillage

i)   Fiole conique d'au moins 200 ml munie d'un bouchon rodé

ii)   Baguette de verre à bout aplati

3.2.   Réactifs

i)   Acide sulfurique concentré (densité relative à 20 °C: 1,84)

ii)   Acide sulfurique, solution aqueuse, environ 50 % (en masse) d'acide sulfurique

Pour préparer ce réactif, ajouter avec précaution, et en refroidissant, 400 ml d'acide sulfurique (densité relative à 20 °C: 1,84) à 500 ml d'eau distillée ou désionisée. Lorsque la solution a été refroidie à la température ambiante, porter à 1 l avec de l'eau.

iii)   Ammoniaque, solution diluée

Diluer avec de l'eau distillée 60 ml d'une solution d'ammoniaque concentrée (densité relative à 20 °C: 0,880) pour obtenir 1 l.

4.   MODE OPÉRATOIRE

Appliquer la procédure décrite dans les généralités, puis procéder comme suit.

 

À la prise d'essai placée dans la fiole [point 3.1.i)]), ajouter 100 ml d'acide sulfurique [point 3.2.i)] par gramme de prise d'essai.

 

Abandonner dix minutes à température ambiante, en agitant de temps à autre la prise d'essai à l'aide de la baguette de verre. S'il s'agit d'un tissu ou d'un tricot, le coincer entre la paroi et la baguette de verre et exercer à l'aide de la baguette une légère pression de façon à séparer la matière dissoute par l'acide sulfurique.

 

Décanter le liquide sur le creuset de verre fritté taré. Ajouter à nouveau, dans la fiole, 100 ml d'acide sulfurique [point 3.2.i)] et reprendre la même opération. Verser le contenu de la fiole sur le creuset et y entraîner le résidu fibreux en s'aidant de la baguette de verre. Au besoin, ajouter un peu de l'acide sulfurique concentré [point 3.2.i)] dans la fiole pour entraîner les restes des fibres adhérant aux parois. Vider le creuset par aspiration, éliminer le filtrat de la fiole à vide ou changer de fiole, puis laver le résidu dans le creuset successivement par la solution d'acide sulfurique à 50 % [point 3.2.ii)], de l'eau distillée ou désionisée (point I.3.2.3 des généralités), la solution d'ammoniaque [point 3.2.iii)], et enfin laver à fond avec de l'eau distillée ou désionisée, en vidant complètement le creuset par aspiration après chaque addition (ne pas appliquer l'aspiration au cours de l'opération de lavage, mais seulement après que le liquide s'est écoulé par gravité). Sécher le creuset et le résidu, refroidir et peser.

5.   CALCUL ET EXPRESSION DES RÉSULTATS

Calculer les résultats de la façon décrite dans les généralités. La valeur de «d» est de 1,00, sauf pour la mélamine, pour laquelle elle est de 1,01.

6.   PRÉCISION DE LA MÉTHODE

Sur un mélange homogène de matières textiles, les limites de confiance des résultats obtenus selon cette méthode ne sont pas supérieures à ± 1 pour un seuil de confiance de 95 %.

MÉTHODE No 15

CHLOROFIBRES, CERTAINS MODACRYLIQUES, CERTAINS ÉLASTHANNES, ACÉTATE, TRIACÉTATE ET CERTAINES AUTRES FIBRES

(méthode à la cyclohexanone)

1.   CHAMP D'APPLICATION

Cette méthode s'applique, après élimination des matières non fibreuses, aux mélanges binaires de fibres de:

1.

acétate (19), triacétate (24), chlorofibre (27), certains modacryliques (29) et certains élasthannes (43)

avec

2.

laine (1), poil (2 et 3), soie (4), coton (5), cupro (21), modal (22), viscose (25), polyamide ou nylon (30), acrylique (26), verre textile (44) et mélamine (47).

Si la présence d'une fibre modacrylique ou élasthanne est constatée, il y a lieu de procéder à un essai préliminaire pour déterminer si elle est complètement soluble dans le réactif.

Pour l'analyse des mélanges contenant des chlorofibres, la méthode no 9 ou la méthode no 14 peuvent également être appliquées.

2.   PRINCIPE

Les fibres d'acétate, de triacétate, les chlorofibres, certains modacryliques et certains élasthannes sont dissous à partir d'une masse connue du mélange à l'état sec, à l'aide de cyclohexanone à une température proche de celle de l'ébullition. Le résidu est recueilli, lavé, séché et pesé; sa masse, corrigée si nécessaire, est exprimée en pourcentage de la masse du mélange à l'état sec. Le pourcentage de chlorofibre, modacrylique, élasthanne, acétate et triacétate est obtenu par différence.

3.   APPAREILLAGE ET RÉACTIFS (autres que ceux mentionnés dans les généralités)

3.1.   Appareillage

i)   Appareil pour l'extraction à chaud permettant le mode opératoire prévu au point 4 (voir croquis joint, variante de l'appareillage décrit dans Melliand Textilberichte 56, 1975, p. 643-645)

ii)   Creuset filtrant destiné à contenir le spécimen d'analyse

iii)   Cloison poreuse (de porosité 1)

iv)   Réfrigérant à reflux qui s'adapte au ballon de distillation

v)   Appareil de chauffage

3.2.   Réactifs

i)   Cyclohexanone, point d'ébullition à 156 °C

ii)   Alcool éthylique, dilué à 50 % en volume

Note

La cyclohexanone est inflammable et toxique; lors de son utilisation, il y a lieu de prendre des mesures de protection adéquates.

4.   MODE OPÉRATOIRE

Appliquer la procédure décrite dans les généralités, puis procéder comme suit.

 

Verser dans le ballon de distillation 100 ml de cyclohexanone par gramme de matière, insérer le récipient d'extraction dans lequel ont été préalablement disposés le creuset filtrant contenant le spécimen et la cloison poreuse maintenue légèrement inclinée. Introduire le réfrigérant à reflux. Porter à ébullition et poursuivre l'extraction pendant 60 minutes à un rythme minimal de 12 cycles par heure.

 

Après extraction et refroidissement, enlever le récipient d'extraction, en ôter le creuset filtrant et retirer la cloison poreuse. Laver trois ou quatre fois le contenu du creuset filtrant à l'alcool éthylique à 50 %, préchauffé à environ 60 °C, puis avec 1 l d'eau à 60 °C.

 

Pendant et entre les lavages, ne pas appliquer le vide, mais laisser le solvant s'écouler par gravité, puis appliquer le vide.

 

Sécher le creuset avec le résidu, refroidir et peser.

5.   CALCUL ET EXPRESSION DES RÉSULTATS

Calculer les résultats de la façon indiquée dans les généralités. La valeur de «d» est de 1,00, sauf dans le cas de la soie et la mélamine pour lesquelles elle est de 1,01 et de l'acrylique pour lequel elle est de 0,98.

6.   PRÉCISION DE LA MÉTHODE

Sur un mélange homogène de matières textiles, les limites de confiance des résultats obtenus selon cette méthode ne sont pas supérieures à ± 1 pour un seuil de confiance de 95 %.

Image

MÉTHODE No 16

MÉLAMINE ET CERTAINES AUTRES FIBRES

(méthode à l'acide formique chaud)

1.   CHAMP D'APPLICATION

Cette méthode s'applique, après élimination des matières non fibreuses, aux mélanges binaires de fibres de:

1.

mélamine (47)

avec

2.

coton (5) et aramide (31).

2.   PRINCIPE

La mélamine est dissoute à partir d'une masse connue du mélange à l'état sec à l'aide d'acide formique à 90 % en masse.

Le résidu est recueilli, lavé, séché et pesé; sa masse, corrigée si nécessaire, est exprimée en pourcentage de la masse du mélange à l'état sec. Le pourcentage des deuxièmes constituants est obtenu par différence.

Note

Conserver strictement la gamme de températures recommandée, étant donné que la solubilité de la mélamine dépend très largement de la température.

3.   APPAREILLAGE ET RÉACTIFS (autres que ceux mentionnés dans les généralités)

3.1.   Appareillage

i)   Fiole conique d'au moins 200 ml munie d'un bouchon rodé

ii)   Bain-marie vibrant ou autre appareil agitateur maintenant la fiole à 90 ± 2 °C

3.2.   Réactifs

i)   Acide formique (90 % en masse, densité relative à 20 °C: 1,204). Amener 890 ml d'acide formique à 98-100 % en masse (densité relative à 20 °C: 1,220) à 1 l avec de l'eau.

L'acide formique chaud est très corrosif et doit être manipulé avec précaution.

ii)   Ammoniaque diluée: amener 80 ml d'ammoniaque concentrée (densité relative à 20 °C: 0,880) à 1 l avec de l'eau.

4.   MODE OPÉRATOIRE

Appliquer la procédure décrite dans les généralités, puis procéder comme suit.

Le spécimen d'analyse, placé dans la fiole conique d'au moins 200 ml munie d'un bouchon rodé, est additionné de 100 ml d'acide formique par gramme de spécimen. Boucher, agiter pour mouiller le spécimen. Maintenir la fiole dans un bain-marie vibrant à 90 ± 2 °C pendant une heure, en l'agitant vigoureusement. Refroidir la fiole à température ambiante. Décanter le liquide sur un creuset filtrant taré. Ajouter 50 ml d'acide formique à la fiole contenant le résidu, agiter manuellement et filtrer le contenu de la fiole sur un creuset filtrant. Passer toutes les fibres résiduelles dans le creuset par lavage de la fiole avec une petite quantité supplémentaire d'acide formique. Assécher le creuset en appliquant le vide et laver le résidu sur le filtre, successivement avec de l'acide formique, de l'eau chaude, de l'ammoniaque diluée et finalement avec de l'eau froide. Assécher le creuset en appliquant le vide après chaque addition. Ne pas appliquer le vide tant que chaque solution de lavage ne s'est pas écoulée par gravité. Finalement, assécher le creuset en appliquant le vide, le sécher avec le résidu, refroidir et peser.

5.   CALCUL ET EXPRESSION DES RÉSULTATS

Calculer les résultats de la façon décrite dans les généralités. La valeur de «d» est de 1,02.

6.   PRÉCISION DE LA MÉTHODE

Sur un mélange homogène de matières textiles, les limites de confiance des résultats obtenus selon cette méthode ne sont pas supérieures à ± 2 pour un seuil de confiance de 95 %.

CHAPITRE 3

Analyse quantitative de mélanges ternaires de fibres textiles

INTRODUCTION

Le procédé d'analyse chimique quantitative des mélanges de fibres textiles est fondé généralement sur la solubilité sélective des composants individuels du mélange. Quatre variantes de ce procédé sont possibles:

1.

On opère sur deux spécimens d'analyse différents en dissolvant un composant (a) du premier spécimen d'analyse et un autre composant (b) du deuxième spécimen d'analyse. Les résidus insolubles de chaque spécimen sont pesés et le pourcentage de chacun des deux composants solubles est calculé à partir des pertes de masse respectives. Le pourcentage du troisième composant (c) est calculé par différence.

2.

On opère sur deux spécimens d'analyse différents en dissolvant un composant (a) du premier spécimen d'analyse et deux composants (a) et (b) du deuxième spécimen d'analyse. Le résidu insoluble du premier spécimen d'analyse est pesé et le pourcentage du composant (a) est calculé à partir de la perte de masse. Le résidu insoluble du deuxième spécimen d'analyse est pesé; il correspond au composant (c). Le pourcentage du troisième composant (b) est calculé par différence.

3.

On opère sur deux spécimens d'analyse différents en dissolvant deux composants (a) et (b) du premier spécimen d'analyse et deux composants (b) et (c) du deuxième spécimen d'analyse. Les résidus insolubles correspondent respectivement aux composants (c) et (a). Le pourcentage du troisième composant (b) est calculé par différence.

4.

On opère sur un seul spécimen d'analyse. Après dissolution d'un des composants, le résidu insoluble constitué des deux autres fibres est pesé et le pourcentage du composant soluble est calculé à partir de la perte de masse. Une des deux fibres du résidu est éliminée par dissolution. Le composant insoluble est pesé et le pourcentage du deuxième composant soluble est calculé à partir de la perte de masse.

Au cas où le choix est possible, il est recommandé d'utiliser l'une des trois premières variantes.

L'expert chargé de l'analyse doit veiller, dans le cas de l'analyse chimique, à choisir des méthodes prescrivant des solvants qui ne dissolvent que la ou les fibres voulues, en laissant non dissoutes la ou les autres fibres.

À titre d'exemple, il est donné au point V un tableau présentant un certain nombre de mélanges ternaires de fibres, ainsi que les méthodes d'analyse de mélanges binaires de fibres qui peuvent, en principe, être employées pour l'analyse de ces mélanges ternaires de fibres.

Afin de réduire au minimum les possibilités d'erreur, il est recommandé d'effectuer l'analyse chimique, dans tous les cas où cela est possible, selon au moins deux des quatre variantes mentionnées plus haut.

Toutes les fibres présentes dans le mélange doivent être identifiées avant de procéder aux analyses. Dans certaines méthodes chimiques, la partie insoluble des composants d'un mélange peut être partiellement solubilisée par le réactif utilisé pour dissoudre le ou les composants solubles. Chaque fois que cela était possible, des réactifs ayant un effet faible ou nul sur les fibres insolubles ont été choisis. Si on sait qu'une perte de masse se produit lors de l'analyse, il est nécessaire d'en corriger le résultat; des facteurs de correction sont fournis à cette fin. Ces facteurs ont été déterminés dans différents laboratoires en traitant avec le réactif approprié, spécifié dans la méthode d'analyse, les fibres nettoyées lors du prétraitement. Ces facteurs de correction ne s'appliquent qu'à des fibres normales et d'autres facteurs de correction peuvent être nécessaires si les fibres ont été dégradées avant ou durant le traitement. Au cas où la quatrième variante doit être employée, dans laquelle une fibre textile est soumise à l'action successive de deux solvants différents, il est nécessaire d'appliquer des facteurs de correction tenant compte des éventuelles pertes de masse subies par la fibre au cours des deux traitements. Les déterminations sont effectuées au moins en double, en ce qui concerne aussi bien le procédé de séparation manuelle que celui de séparation par voie chimique.

I.   Généralités sur les méthodes d'analyse chimique quantitative de mélanges ternaires de fibres textiles

Informations communes aux méthodes à appliquer en vue de l'analyse chimique quantitative de mélanges ternaires de fibres textiles

I.1.   CHAMP D'APPLICATION

Dans le champ d'application de chaque méthode d'analyse de mélanges binaires, il est précisé à quelles fibres cette méthode est applicable (voir chapitre 2 relatif à des méthodes d'analyse quantitative de certains mélanges binaires de fibres textiles).

I.2.   PRINCIPE

Après avoir identifié les composants d'un mélange, on élimine d'abord les matières non fibreuses par un prétraitement approprié, puis on applique une ou plusieurs des quatre variantes du procédé de dissolution sélective décrites dans l'introduction. Il est préférable, sauf difficultés techniques, de dissoudre les fibres présentes en plus grande proportion, afin d'obtenir comme résidu final la fibre présente en plus faible proportion.

I.3.   APPAREILLAGE ET RÉACTIFS

I.3.1.   Appareillage

I.3.1.1.   Creusets filtrants et pèse-filtres permettant l'incorporation des creusets, ou tout autre appareillage donnant des résultats identiques

I.3.1.2.   Fiole à vide

I.3.1.3.   Dessiccateur contenant du gel de silice coloré au moyen d'un indicateur

I.3.1.4.   Étuve ventilée pour sécher les spécimens à 105 ± 3 °C

I.3.1.5.   Balance analytique sensible à 0,0002 g près

I.3.1.6.   Appareil d'extraction Soxhlet ou appareillage permettant d'obtenir un résultat identique

I.3.2.   Réactifs

I.3.2.1.   Éther de pétrole redistillé bouillant entre 40 et 60 °C

I.3.2.2.   Les autres réactifs sont mentionnés dans les parties appropriées de chaque méthode.

I.3.2.3.   Eau distillée ou désionisée

I.3.2.4.   Acétone

I.3.2.5.   Acide orthophosphorique

I.3.2.6.   Urée

I.3.2.7.   Bicarbonate de sodium

Tous les réactifs utilisés doivent être chimiquement purs.

I.4.   ATMOSPHÈRE DE CONDITIONNEMENT ET D'ANALYSE

Comme on détermine des masses anhydres, il n'est pas nécessaire de conditionner les spécimens, ni de faire les analyses dans une atmosphère conditionnée.

I.5.   ÉCHANTILLON RÉDUIT

Choisir un échantillon réduit représentatif de l'échantillon global pour laboratoire et suffisant pour fournir tous les spécimens d'analyse nécessaires de 1 g minimum chacun.

I.6.   PRÉTRAITEMENT DE L'ÉCHANTILLON RÉDUIT (14)

Si un élément n'entrant pas en ligne de compte pour le calcul des pourcentages (voir article 18) est présent, on commence par l'éliminer par une méthode appropriée n'affectant aucun des composants fibreux.

Dans ce but, les matières non fibreuses extractibles à l'éther de pétrole et à l'eau sont éliminées en traitant l'échantillon réduit à l'appareil Soxhlet, à l'éther de pétrole pendant une heure à un rythme minimal de six cycles par heure. Évaporer l'éther de pétrole de l'échantillon réduit, qui sera ensuite extrait par traitement direct comportant un trempage d'une heure à l'eau à température ambiante suivi d'un trempage d'une heure à l'eau à 65 ± 5 °C en agitant de temps en temps, rapport de bain 1/100. Éliminer l'excès d'eau de l'échantillon réduit par exprimage, application du vide ou centrifugation et laisser sécher ensuite l'échantillon réduit à l'air.

Dans le cas de l'élastoléfine ou de mélanges de fibres contenant de l'élastoléfine et d'autres fibres (laine, poil, soie, coton, lin, chanvre, jute, abaca, alfa, coco, genêt, ramie, sisal, cupro, modal, protéinique, viscose, acrylique, polyamide ou nylon, polyester, élastomultiester), la procédure décrite plus haut est légèrement modifiée en ce sens que l'éther de pétrole est remplacé par l'acétone.

Dans le cas où les matières non fibreuses ne peuvent être extraites à l'aide de l'éther de pétrole et à l'eau, on remplace, pour les éliminer, le procédé à l'eau décrit plus haut par un procédé qui n'altère substantiellement aucun des composants fibreux. Toutefois, pour certaines fibres végétales naturelles écrues (jute, coco, par exemple), il est à remarquer que le prétraitement normal à l'éther de pétrole et à l'eau n'élimine pas toutes les substances non fibreuses naturelles; malgré cela, on n'applique pas de prétraitements complémentaires, pour autant que l'échantillon ne contienne pas d'apprêts non solubles dans l'éther de pétrole et dans l'eau.

Dans les rapports d'analyse, les méthodes de prétraitement appliquées sont décrites de façon détaillée.

I.7.   MODE OPÉRATOIRE

I.7.1.   Instructions générales

I.7.1.1.   Séchage

Effectuer toutes les opérations de séchage pendant une durée non inférieure à quatre heures, ni supérieure à seize heures, à 105 ± 3 °C, dans une étuve munie d'un passage pour l'air et dont la porte sera fermée pendant toute la durée du séchage. Si la durée de séchage est inférieure à quatorze heures, vérifier qu'on a obtenu une masse constante. Celle-ci pourra être considérée comme atteinte lorsque la variation de masse, après un nouveau séchage de soixante minutes, sera inférieure à 0,05 %.

Éviter de manipuler les creusets et les pèse-filtres, les prises d'essais ou les résidus à mains nues pendant les opérations de séchage, de refroidissement et de pesage.

Sécher les spécimens dans un pèse-filtre dont le couvercle est placé à proximité. Après séchage, obturer le pèse-filtre et le placer rapidement dans le dessiccateur.

Sécher à l'étuve le creuset placé dans un pèse-filtre avec son couvercle à ses côtés. Après séchage, fermer le pèse-filtre et le transférer rapidement dans le dessiccateur.

Au cas où un appareillage autre que le creuset filtrant est employé, sécher à l'étuve de façon à déterminer la masse des fibres à l'état sec sans perte.

I.7.1.2.   Refroidissement

Effectuer toutes les opérations de refroidissement dans le dessiccateur, celui-ci étant placé à côté de la balance, pendant une durée suffisante pour obtenir le refroidissement total des pèse-filtres et, en tout cas, une durée non inférieure à deux heures.

I.7.1.3.   Pesée

Après refroidissement, peser le pèse-filtre dans les deux minutes suivant sa sortie du dessiccateur. Peser à 0,0002 g près.

I.7.2.   Mode opératoire

Prélever sur l'échantillon prétraité des spécimens d'analyse d'une masse d'au moins 1 g. Les fils ou l'étoffe sont découpés en parties de 10 mm de long environ, qu'on désagrège autant que possible. Sécher le spécimen dans un pèse-filtre, refroidir dans un dessiccateur et peser. Transférer le spécimen dans le récipient de verre mentionné dans la partie appropriée de la méthode de l'Union, repeser le pèse-filtre immédiatement après et calculer la masse anhydre du spécimen par différence. Compléter le processus d'analyse de la façon décrite dans la partie appropriée de la méthode applicable. Après pesée, examiner au microscope le résidu pour vérifier que le traitement a bien éliminé complètement la ou les fibres solubles.

I.8.   CALCUL ET EXPRESSION DES RÉSULTATS

Exprimer la masse de chaque composant sous forme d'un pourcentage de la masse totale des fibres présentes dans le mélange. Calculer les résultats sur la base des masses de fibres pures à l'état sec auxquelles ont été appliqués a) les taux conventionnels et b) les facteurs de correction nécessaires pour tenir compte des pertes de matière non fibreuse lors des opérations de prétraitement et d'analyse.

I.8.1.   Calcul des pourcentages des masses de fibres pures à l'état sec, en ne tenant pas compte des pertes de masse subies par les fibres lors du prétraitement

I.8.1.1.   VARIANTE 1

Formules à appliquer dans le cas où un composant du mélange est éliminé d'un seul spécimen et un autre composant d'un deuxième spécimen:

Formula

Formula

Formula

 

P1% est le pourcentage du premier composant sec et pur (composant du premier spécimen dissous dans le premier réactif);

 

P2 % est le pourcentage du deuxième composant sec et pur (composant du deuxième spécimen dissous dans le deuxième réactif);

 

P3 % est le pourcentage du troisième composant sec et pur (composant non dissous dans les deux spécimens);

 

m1 est la masse du premier spécimen à l'état sec après prétraitement;

 

m2 est la masse du deuxième spécimen à l'état sec après prétraitement;

 

r1 est la masse du résidu à l'état sec après élimination du premier composant du premier spécimen dans le premier réactif;

 

r2 est la masse du résidu à l'état sec après élimination du deuxième composant du deuxième spécimen dans le deuxième réactif;

 

d1 est le facteur de correction qui tient compte de la perte de masse dans le premier réactif du deuxième composant non dissous dans le premier spécimen (15);

 

d2 est le facteur de correction qui tient compte de la perte de masse dans le premier réactif du troisième composant non dissous dans le premier spécimen;

 

d3 est le facteur de correction qui tient compte de la perte de masse dans le deuxième réactif du premier composant non dissous dans le deuxième spécimen;

 

d4 est le facteur de correction qui tient compte de la perte de masse dans le second réactif du troisième composant non dissous dans le deuxième spécimen.

I.8.1.2.   VARIANTE 2

Formules à appliquer dans le cas où on élimine un composant (a) du premier spécimen d'analyse, avec comme résidu les deux autres composants (b) et (c), et deux composants (a) et (b) du deuxième spécimen d'analyse, avec comme résidu le troisième composant (c):

Formula

Formula

Formula

 

P1% est le pourcentage du premier composant sec et pur (composant du premier spécimen dissous dans le premier réactif);

 

P2% est le pourcentage du deuxième composant sec et pur (composant soluble, en même temps que le premier composant du deuxième spécimen dans le deuxième réactif);

 

P3% est le pourcentage du troisième composant sec et pur (composant non dissous dans les deux spécimens);

 

m1 est la masse du premier spécimen à l'état sec après prétraitement;

 

m2 est la masse du deuxième spécimen à l'état sec après prétraitement;

 

r1 est la masse du résidu à l'état sec après élimination du premier composant du premier spécimen dans le premier réactif;

 

r2 est la masse du résidu à l'état sec après élimination des premier et deuxième composants du deuxième spécimen dans le deuxième réactif;

 

d1 est le facteur de correction qui tient compte de la perte de masse dans le premier réactif du deuxième composant non dissous dans le premier spécimen;

 

d2 est le facteur de correction qui tient compte de la perte de masse dans le premier réactif du troisième composant non dissous dans le premier spécimen;

 

d4 est le facteur de correction qui tient compte de la perte de masse dans le deuxième réactif du troisième composant non dissous dans le deuxième spécimen.

I.8.1.3.   VARIANTE 3

Formules à appliquer dans le cas où on élimine deux composants (a) et (b) d'un spécimen, avec comme résidu le troisième composant (c), puis deux composants (b) et (c) d'un autre spécimen, avec comme résidu le premier composant (a):

Formula

Formula

Formula

 

P1% est le pourcentage du premier composant sec et pur (composant dissous par le réactif);

 

P2% est le pourcentage du deuxième composant sec et pur (composant dissous par le réactif);

 

P3% est le pourcentage du troisième composant sec et pur (composant dissous dans le deuxième spécimen par le réactif);

 

m1 est la masse du premier spécimen à l'état sec après prétraitement;

 

m2 est la masse du deuxième spécimen à l'état sec après prétraitement;

 

r1 est la masse du résidu à l'état sec après élimination des premier et deuxième composants du premier spécimen avec le premier réactif;

 

r2 est la masse du résidu à l'état sec après élimination des deuxième et troisième composants du deuxième spécimen avec le deuxième réactif;

 

d2 est le facteur de correction qui tient compte de la perte de masse du premier réactif du troisième composant non dissous dans le premier spécimen;

 

d3 est le facteur de correction qui tient compte de la perte de masse du deuxième réactif du premier composant non dissous dans le deuxième spécimen.

I.8.1.4.   VARIANTE 4

Formules à appliquer dans le cas où on élimine successivement deux composants du mélange du même spécimen:

Formula

Formula

Formula

 

P1% est le pourcentage du premier composant sec et pur (premier composant soluble);

 

P2% est le pourcentage du deuxième composant sec et pur (deuxième composant soluble);

 

P3% est le pourcentage du troisième composant sec et pur (composant insoluble);

 

m est la masse du spécimen à l'état sec après prétraitement;

 

r1 est la masse du résidu à l'état sec après élimination du premier composant par le premier réactif;

 

r2 est la masse du résidu à l'état sec après élimination des premier et deuxième composants par les premier et deuxième réactifs;

 

d1 est le facteur de correction qui tient compte de la perte de masse du deuxième composant dans le premier réactif;

 

d2 est le facteur de correction qui tient compte de la perte de masse du troisième composant dans le premier réactif;

 

d3 est le facteur de correction qui tient compte de la perte de masse du troisième composant dans les premier et deuxième réactifs (16).

I.8.2.   Calcul des pourcentages de chaque composant après application des taux conventionnels et des éventuels facteurs de correction, en tenant compte des pertes de masse occasionnées par le prétraitement

Si

Formula Formula Formula

alors

Formula

Formula

Formula

 

P1A% est le pourcentage du premier composant sec et pur, en tenant compte de la teneur en humidité et de la perte de masse lors du prétraitement;

 

P2A% est le pourcentage du deuxième composant sec et pur, en tenant compte de la teneur en humidité et de la perte de masse lors du prétraitement;

 

P3A% est le pourcentage du troisième composant sec et pur, en tenant compte de la teneur en humidité et de la perte de masse lors du prétraitement;

 

P1 est le pourcentage du premier composant sec et pur obtenu par l'une des formules données au point I.8.1;

 

P2 est le pourcentage du deuxième composant sec et pur obtenu par l'une des formules données au point I.8.1;

 

P3 est le pourcentage du troisième composant sec et pur obtenu par l'une des formules données au point I.8.1;

 

a1 est le taux conventionnel du premier composant;

 

a2 est le taux conventionnel du deuxième composant;

 

a3 est le taux conventionnel du troisième composant;

 

b1 est le pourcentage de la perte de masse du premier composant occasionnée par le prétraitement;

 

b2 est le pourcentage de la perte de masse du deuxième composant occasionnée par le prétraitement;

 

b3 est le pourcentage de la perte de masse du troisième composant occasionnée par le prétraitement.

Dans le cas où on applique un prétraitement spécial, les valeurs de b1, b2 et b3 sont déterminées, si possible, en soumettant chacune des fibres composantes pures au prétraitement appliqué lors de l'analyse. Par fibres pures, il y a lieu d'entendre les fibres exemptes de toutes les matières non fibreuses, à l'exception de celles qu'elles contiennent normalement (par leur nature ou en raison du procédé de fabrication), dans l'état (écru, blanchi) où elles se trouvent dans l'article soumis à l'analyse.

Au cas où on ne dispose pas de fibres composantes séparées et pures ayant servi à la fabrication de l'article soumis à l'analyse, il convient d'adopter les valeurs moyennes de b1, b2 et b3 résultant d'essais effectués sur des fibres pures semblables à celles contenues dans le mélange examiné.

Si le prétraitement normal par extraction à l'éther de pétrole et à l'eau est appliqué, on peut en général négliger les facteurs de correction b1, b2 et b3, sauf dans le cas du coton écru, du lin écru et du chanvre écru, où on admet conventionnellement que la perte due au prétraitement est égale à 4 %, et dans le cas du polypropylène, où on admet conventionnellement qu'elle est égale à 1 %.

Dans le cas des autres fibres, on admet conventionnellement de ne pas tenir compte dans les calculs de la perte due au prétraitement.

Note

Des exemples de calcul sont donnés au point IV.

II.   Méthode d'analyse quantitative par séparation manuelle de mélanges ternaires de fibres textiles

II.1.   CHAMP D'APPLICATION

La méthode s'applique aux fibres textiles quelle que soit leur nature, à condition qu'elles ne forment pas un mélange intime et qu'il soit possible de les séparer à la main.

II.2.   PRINCIPE

Après avoir identifié les composants du textile, on élimine d'abord les matières non fibreuses par un prétraitement approprié, puis on sépare les fibres à la main, on les sèche et on les pèse pour calculer la proportion de chaque fibre dans le mélange.

II.3.   APPAREILLAGE

II.3.1.   Pèse-filtres ou tout autre appareillage donnant des résultats identiques

II.3.2.   Dessiccateur contenant du gel de silice coloré au moyen d'un indicateur

II.3.3.   Étuve ventilée pour sécher les spécimens à 105 ± 3 °C

II.3.4.   Balance analytique sensible à 0,0002 g près

II.3.5.   Appareil d'extraction Soxhlet ou appareillage permettant d'obtenir un résultat identique

II.3.6.   Aiguille

II.3.7.   Torsiomètre ou appareil équivalent

II.4.   RÉACTIFS

II.4.1.   Éther de pétrole redistillé bouillant entre 40 et 60 °C

II.4.2.   Eau distillée ou désionisée

II.5.   ATMOSPHÈRE DE CONDITIONNEMENT ET D'ANALYSE

Voir point I.4.

II.6.   ÉCHANTILLON RÉDUIT

Voir point I.5.

II.7.   PRÉTRAITEMENT DE L'ÉCHANTILLON RÉDUIT

Voir point I.6.

II.8.   MODE OPÉRATOIRE

II.8.1.   Analyse du fil

Prélever sur l'échantillon réduit prétraité un spécimen d'analyse d'une masse d'au moins 1 g. Dans le cas d'un fil très fin, l'analyse peut être effectuée sur une longueur minimale de 30 m, quelle que soit sa masse.

Couper le fil en morceaux de longueur appropriée et en isoler les éléments à l'aide d'une aiguille et, si nécessaire, du torsiomètre. Les éléments ainsi isolés sont mis dans des pèse-filtres tarés et séchés à 105 ± 3 °C, jusqu'à obtention d'une masse constante, comme décrit aux points I.7.1 et I.7.2.

II.8.2.   Analyse d'un tissu

Prélever sur l'échantillon réduit prétraité un spécimen d'analyse d'une masse d'au moins 1 g, en dehors de la lisière, aux bords taillés avec précision, sans effilochure, et parallèles aux fils de chaîne ou de trame ou, dans le cas de tissus à mailles, parallèles aux rangs et aux fils des mailles. Séparer les fils de nature différente, les recueillir dans des pèse-filtres tarés et poursuivre comme indiqué au point II.8.1.

II.9.   CALCUL ET EXPRESSION DES RÉSULTATS

Exprimer la masse de chacun des composants sous forme d'un pourcentage de la masse totale des fibres présentes dans le mélange. Calculer les résultats sur la base des masses de fibres pures à l'état sec auxquelles ont été appliqués a) les taux conventionnels et b) les facteurs de correction nécessaires pour tenir compte des pertes de masse lors des opérations de prétraitement.

II.9.1.   Calcul des pourcentages de masses pures à l'état sec, en ne tenant pas compte des pertes de masse subies par les fibres lors du prétraitement:

Formula

Formula

Formula

 

P1% est le pourcentage du premier composant pur à l'état sec;

 

P2% est le pourcentage du deuxième composant pur à l'état sec;

 

P3% est le pourcentage du troisième composant pur à l'état sec;

 

m1 est la masse pure à l'état sec du premier composant;

 

m2 est la masse pure à l'état sec du deuxième composant;

 

m3 est la masse pure à l'état sec du troisième composant.

II.9.2.   Calcul des pourcentages de chacun des composants après avoir appliqué les taux conventionnels et les éventuels facteurs de correction qui tiennent compte des pertes de masse subies lors du prétraitement

(voir point I.8.2).

III.   Méthode d'analyse quantitative, par séparation manuelle et par séparation par voie chimique combinées, de mélanges ternaires de fibres textiles

Dans toute la mesure du possible, il y a lieu de procéder à la séparation manuelle et de tenir compte des proportions des éléments séparés avant de passer aux dosages éventuels par voie chimique sur chacun des éléments séparés.

III.1.   PRÉCISION DES MÉTHODES

La précision indiquée pour chaque méthode d'analyse de mélanges binaires de fibres se rapporte à la reproductibilité (voir chapitre 2 relatif à des méthodes d'analyse quantitative de certains mélanges binaires de fibres textiles).

La reproductibilité est la fidélité, c'est-à-dire la concordance entre les valeurs expérimentales obtenues dans le cas d'opérateurs travaillant dans des laboratoires différents ou à des moments différents, chacun d'eux obtenant avec la même méthode des résultats individuels sur un produit homogène identique.

La reproductibilité est exprimée par les limites de confiance des résultats pour un seuil de confiance de 95 %.

Par cela, on entend que l'écart entre deux résultats dans un ensemble d'analyses effectuées dans différents laboratoires ne dépasserait la limite de confiance que dans 5 cas sur 100, en appliquant normalement et correctement la méthode sur un mélange homogène identique.

Pour déterminer la précision de l'analyse d'un mélange ternaire de fibres, on applique normalement les valeurs indiquées dans les méthodes d'analyse de mélanges binaires de fibres qui ont été employées pour analyser le mélange ternaire de fibres.

Étant donné que, pour les quatre variantes de l'analyse chimique quantitative de mélanges ternaires de fibres, il est prévu deux dissolutions (sur deux spécimens distincts pour les trois premières variantes et sur le même spécimen pour la quatrième) et, en admettant qu'on désigne par E1 et E2 les précisions des deux méthodes d'analyse de mélanges binaires de fibres, la précision des résultats pour chaque composant figure dans le tableau suivant:

Fibre composante

Variantes

1

2 et 3

4

a

E1

E1

E1

b

E2

E1 + E2

E1 + E2

c

E1 + E2

E2

E1 + E2

Si on utilise la quatrième variante, la précision peut se révéler inférieure à celle calculée comme indiqué ci-dessus, du fait d'une action éventuelle, difficilement évaluable, du premier réactif sur le résidu constitué des composants (b) et (c).

III.2.   Rapport d'analyse

III.2.1.   Indiquer la ou les variantes employées pour effectuer l'analyse, les méthodes, les réactifs et les facteurs de correction.

III.2.2.   Fournir des renseignements détaillés concernant les prétraitements spéciaux (voir point I.6).

III.2.3.   Indiquer les résultats individuels ainsi que la moyenne arithmétique à la première décimale.

III.2.4.   Indiquer, chaque fois que cela est possible, la précision de la méthode pour chaque composant, calculée suivant le tableau du point III.1.

IV.   Exemples de calcul de pourcentages des composants de certains mélanges ternaires de fibres en utilisant certaines des variantes décrites au point I.8.1

Considérons le cas d'un mélange de fibres dont l'analyse qualitative a donné les composants suivants: 1. laine cardée; 2. nylon (polyamide); 3. coton écru.

VARIANTE 1

Il est possible d'obtenir, en opérant suivant cette variante, c'est-à-dire avec deux spécimens différents, en éliminant par dissolution un composant (a = laine) du premier spécimen et un deuxième composant (b = polyamide) du deuxième spécimen, les résultats suivants:

1.

Masse du premier spécimen à l'état sec après prétraitement (m1) = 1,6000 g

2.

Masse du résidu à l'état sec après traitement à l'hypochlorite de sodium alcalin (polyamide et coton) (r1) = 1,4166 g

3.

Masse du deuxième spécimen à l'état sec après prétraitement (m2) = 1,8000 g

4.

Masse du résidu à l'état sec après traitement à l'acide formique (laine et coton)

(r2) = 0,9000 g

Le traitement à l'hypochlorite de sodium alcalin n'entraîne aucune perte de masse de polyamide, alors que le coton écru perd 3 %, de sorte que d1 = 1,00 et d2 = 1,03.

Le traitement à l'acide formique n'entraîne aucune perte de masse de laine et de coton écru, de sorte que d3 et d4 = 1,00.

Si on reporte dans la formule indiquée au point I.8.1.1 les valeurs obtenues par analyse chimique et les facteurs de correction, on obtient:

 

P1 % (laine) = [1,03/1,00 – 1,03 × 1,4166/1,6000 + (0,9000/1,8000) × (1 – 1,03/1,00)] × 100 = 10,30

 

P2 % (polyamide) = [1,00/1,00 – 1,00 × 0,9000/1,8000 + (1,4166/1,6000) × (1 – 1,00/1,00)] × 100 = 50,00

 

P3 % (coton) = 100 – (10,30 + 50,00) = 39,70

Les pourcentages des différentes fibres pures à l'état sec du mélange sont les suivants:

Laine

10,30 %

Polyamide

50,00 %

Coton

39,70 %

Ces pourcentages doivent être corrigés selon les formules indiquées au point I.8.2, afin de tenir compte également des taux conventionnels ainsi que des facteurs de correction des pertes de masse éventuelles après prétraitement.

Ainsi qu'il est indiqué à l'annexe IX, les taux conventionnels sont les suivants: laine cardée 17,00 %, polyamide 6,25 %, coton 8,50 %; en outre, le coton écru accuse une perte de masse de 4 % après prétraitement à l'éther de pétrole et à l'eau.

On obtient donc:

 

P1A % (laine) = 10,30 × [1 + (17,00 + 0,0)/100]/[10,30 × (1 + (17,00 + 0,0)/100) + 50,00 × (1 + (6,25 + 0,0)/100) + 39,70 × (1 + (8,50 + 4,0)/100)] × 100 = 10,97

 

P2A % (polyamide) = 50,0 × [(1 + (6,25 + 0,0)/100)/109,8385] × 100 = 48,37

 

P3A % (coton) = 100 – (10,97 + 48,37) = 40,66

La composition du mélange est donc la suivante:

Polyamide

48,4 %

Coton

40,6 %

Laine

11,0 %

 

100,0 %

VARIANTE 4

Considérons le cas d'un mélange de fibres dont l'analyse qualitative a donné les composants suivants: laine cardée, viscose, coton écru.

Admettons qu'en opérant suivant la variante 4, c'est-à-dire en éliminant successivement deux composants du mélange d'un même spécimen, on obtienne les résultats suivants:

1.

Masse du spécimen à l'état sec après prétraitement (m) = 1,6000 g

2.

Masse du résidu à l'état sec après traitement à l'hypochlorite de sodium alcalin (viscose et coton) (r1) = 1,4166 g

3.

Masse du résidu à l'état sec après deuxième traitement du résidu r1 au chlorure de zinc/acide formique (coton) (r2) = 0,6630 g

Le traitement à l'hypochlorite de sodium alcalin n'entraîne aucune perte de masse de viscose, alors que le coton écru perd 3 %, de sorte que d1 = 1,00 et d2 = 1,03.

Par le traitement à l'acide formique-chlorure de zinc, la masse de coton augmente de 4 %, de sorte que d3 = 1,03 × 0,96 = 0,9888 arrondi à 0,99 (rappelons que d3 est le facteur qui tient compte respectivement de la perte et de l'augmentation de masse du troisième composant dans le premier et le deuxième réactifs).

Si on reporte dans les formules indiquées au point I.8.1.4 les valeurs obtenues par analyse chimique, ainsi que les facteurs de correction, on obtient:

 

P2 % (viscose) = 1,00 × (1,4166/1,6000) × 100 – (1,00/1,03) × 41,02 = 48,71 %

 

P3 % (coton) = 0,99 × (0,6630/1,6000) × 100 = 41,02 %

 

P1 % (laine) = 100 – (48,71 + 41,02) = 10,27 %.

Comme nous l'avons déjà précisé pour la variante 1, ces pourcentages doivent être corrigés selon les formules indiquées au point I.8.2.

 

P1A% (laine) = 10,27× [1 + (17,00 + 0,0)/100)]/[10,27 × (1 + (17,00 + 0,0)/100) + 48,71 × (1 + (13 + 0,0)/100) + 41,02 × (1 + (8,50 + 4,0)/100)] × 100 = 10,61 %

 

P2A % (viscose) = 48,71 × [1 + (13 + 0,0)/100]/113,2057 × 100 = 48,62 %

 

P3A % (coton) = 100 – (10,61 + 48,62) = 40,77 %

La composition du mélange est donc:

Viscose

48,6 %

Coton

40,8 %

Laine

10,6 %

 

100,0 %

V.   Tableau de mélanges ternaires de fibres types pouvant être analysés à l'aide de méthodes de l'Union en matière d'analyse de mélanges binaires de fibres (donné à titre d'exemple)

Numéro du mélange

Fibres composantes

Variante

Numéro de la méthode utilisée et réactif pour les mélanges binaires de fibres

Composant 1

Composant 2

Composant 3

1.

Laine ou poil

Viscose, cupro ou certains types de modal

Coton

1 et/ou 4

2 (hypochlorite) et 3 (chlorure de zinc/acide formique)

2.

Laine ou poil

Polyamide ou nylon

Coton, viscose, cupro ou modal

1 et/ou 4

2 (hypochlorite) et 4 (acide formique, 80 % en masse)

3.

Laine, poil ou soie

Certaines autres fibres

Viscose, cupro, modal ou coton

1 et/ou 4

2 (hypochlorite) et 9 (sulfure de carbone/acétone 55,5/44,5 % en volume)

4.

Laine ou poil

Polyamide ou nylon

Polyester, polypropylène, acrylique ou verre textile

1 et/ou 4

2 (hypochlorite) et 4 (acide formique, 80 % en masse)

5.

Laine, poil ou soie

Certaines autres fibres

Polyester, acrylique, polyamide ou nylon ou verre textile

1 et/ou 4

2 (hypochlorite) et 9 (sulfure de carbone/acétone 55,5/44,5 % en volume)

6.

Soie

Laine ou poil

Polyester

2

11 (acide sulfurique 75 % en masse) et 2 (hypochlorite)

7.

Polyamide ou nylon

Acrylique ou certaines autres fibres

Coton, viscose, cupro ou modal

1 et/ou 4

4 (acide formique 80 % en masse) et 8 (diméthylformamide)

8.

Certaines chlorofibres

Polyamide ou nylon

Coton, viscose, cupro ou modal

1 et/ou 4

8 (diméthylformamide) et 4 (acide formique 80 % en masse)

ou 9 (sulfure de carbone/acétone, 55,5/44,5 % en volume) et 4 (acide formique 80 % en masse)

9.

Acrylique

Polyamide ou nylon

Polyester

1 et/ou 4

8 (diméthylformamide) et 4 (acide formique 80 % en masse)

10.

Acétate

Polyamide ou nylon ou certaines autres fibres

Viscose, coton, cupro ou modal

4

1 (acétone) et 4 (acide formique 80 % en masse)

11.

Certaines chlorofibres

Acrylique ou certaines autres fibres

Polyamide ou nylon

2 et/ou 4

9 (sulfure de carbone/acétone 55,5/44,5 % en volume) et 8 (diméthylformamide)

12.

Certaines chlorofibres

Polyamide ou nylon

Acrylique

1 et/ou 4

9 (sulfure de carbone/acétone 55,5/44,5 % en volume) et 4 (acide formique 80 % en masse)

13.

Polyamide ou nylon

Viscose, cupro, modal ou coton

Polyester

4

4 (acide formique 80 % en masse) et 7 (acide sulfurique 75 % en masse)

14.

Acétate

Viscose, cupro, modal ou coton

Polyester

4

1 (acétone) et 7 (acide sulfurique 75 % en masse)

15.

Acrylique

Viscose, cupro, modal ou coton

Polyester

4

8 (diméthylformamide) et 7 (acide sulfurique 75 % en masse)

16.

Acétate

Laine, poil ou soie

Coton, viscose, cupro, modal, polyamide ou nylon, polyester, acrylique

4

1 (acétone) et 2 (hypochlorite)

17.

Triacétate

Laine, poil ou soie

Coton, viscose, cupro, modal, polyamide ou nylon, polyester, acrylique

4

6 (dichlorométhane) et 2 (hypochlorite)

18.

Acrylique

Laine, poil ou soie

Polyester

1 et/ou 4

8 (diméthylformamide) et 2 (hypochlorite)

19.

Acrylique

Soie

Laine ou poil

4

8 (diméthylformamide) et 11 (acide sulfurique 75 % en masse)

20.

Acrylique

Laine, poil ou soie

Coton, viscose, cupro ou modal

1 et/ou 4

8 (diméthylformamide) et 2 (hypochlorite)

21.

Laine, poil ou soie

Coton, viscose, modal, cupro

Polyester

4

2 (hypochlorite) et 7 (acide sulfurique 75 % en masse)

22.

Viscose, cupro ou certains types de modal

Coton

Polyester

2 et/ou 4

3 (chlorure de zinc/acide formique) et 7 (acide sulfurique 75 % en masse)

23.

Acrylique

Viscose, cupro ou certains types de modal

Coton

4

8 (diméthylformamide) et 3 (chlorure de zinc/acide formique)

24.

Certaines chlorofibres

Viscose, cupro ou certains types de modal

Coton

1 et/ou 4

9 (sulfure de carbone/acétone 55,5/44,5 % en volume) et 3 (chlorure de zinc/acide formique) ou 8 (diméthylformamide) et 3 (chlorure de zinc/acide formique)

25.

Acétate

Viscose, cupro ou certains types de modal

Coton

4

1 (acétone) et 3 (chlorure de zinc/acide formique)

26.

Triacétate

Viscose, cupro ou certains types de modal

Coton

4

6 (dichlorométhane) et 3 (chlorure de zinc/acide formique)

27.

Acétate

Soie

Laine ou poil

4

1 (acétone) et 11 (acide sulfurique 75 % en masse)

28.

Triacétate

Soie

Laine ou poil

4

6 (dichlorométhane) et 11 (acide sulfurique 75 % en masse)

29.

Acétate

Acrylique

Coton, viscose, cupro ou modal

4

1 (acétone) et 8 (diméthylformamide)

30.

Triacétate

Acrylique

Coton, viscose, cupro ou modal

4

6 (dichlorométhane) et 8 (diméthylformamide)

31.

Triacétate

Polyamide ou nylon

Coton, viscose, cupro ou modal

4

6 (dichlorométhane) et 4 (acide formique 80 % en masse)

32.

Triacétate

Coton, viscose, cupro ou modal

Polyester

4

6 (dichlorométhane) et 7 (acide sulfurique 75 % en masse)

33.

Acétate

Polyamide ou nylon

Polyester ou acrylique

4

1 (acétone) et 4 (acide formique 80 % en masse)

34.

Acétate

Acrylique

Polyester

4

1 (acétone) et 8 (diméthylformamide)

35.

Certaines chlorofibres

Coton, viscose, cupro ou modal

Polyester

4

8 (diméthylformamide) et 7 (acide sulfurique 75 % en masse)

ou 9 (sulfure de carbone/acétone 55,5/44,5 % en volume) et 7 (acide sulfurique 75 % en masse)

36.

Coton

Polyester

Élastoléfine

2 et/ou 4

7 (acide sulfurique 75 % en masse) et 14 (acide sulfurique concentré)

37.

Certains modacryliques

Polyester

Mélamine

2 et/ou 4

8 (diméthylformamide) et 14 (acide sulfurique concentré)


(1)  Éventuellement, on peut prétraiter directement les spécimens d'analyse.

(2)  Pour les articles finis et confectionnés, voir point 7.

(3)  Voir point 1.

(4)  On peut remplacer la carde de laboratoire par un mélangeur de fibres ou par la méthode dite des «touffes et rejets».

(5)  Si les bobines peuvent être placées sur un râtelier approprié, il est possible d'en dérouler simultanément un certain nombre.

(6)  La méthode no 12 constitue une exception. Elle se base sur la détermination du contenu d'une substance constitutive de l'une des deux composantes.

(7)  Voir chapitre 1.1.

(8)  Pour assurer l'immersion pendant dix minutes du résidu fibreux dans la solution d'ammoniaque, on peut, par exemple, adapter au creuset filtrant une allonge avec un robinet permettant de régler l'écoulement de l'ammoniaque.

(9)  La solubilité de ces modacryliques ou chlorofibres dans le réactif est contrôlée avant de procéder à l'analyse.

(10)  La solubilité des polychlorures de vinyle dans le réactif est contrôlée avant de procéder à l'analyse.

(11)  Les soies sauvages, telles que la soie tussah, ne sont pas complètement solubles dans l'acide sulfurique à 75 % en masse.

(12)  Il convient que ces réactifs soient exempts d'azote.

(13)  Voir, par exemple, l'appareillage décrit dans Melliand Textilberichte 56,1975, p. 643-645.

(14)  Voir chapitre 1.1.

(15)  Les valeurs de «d» sont indiquées au chapitre 2 de la présente annexe relative aux diverses méthodes d'analyse des mélanges binaires.

(16)  Chaque fois que cela est possible, il convient de déterminer d3 à l'avance, par des méthodes expérimentales.


ANNEXE IX

Taux conventionnels à utiliser pour le calcul de la masse de fibres contenues dans un produit textile

(visés à l'article 18, paragraphe 3)

Numéros des fibres

Fibres

Pourcentages

1-2

Laine et poil:

 

Fibres peignées

18,25

Fibres cardées

17,00 (1)

3

Poil:

 

Fibres peignées

18,25

Fibres cardées

17,00 (1)

Crin:

 

Fibres peignées

16,00

Fibres cardées

15,00

4

Soie

11,00

5

Coton:

 

Fibres normales

8,50

Fibres mercerisées

10,50

6

Capoc

10,90

7

Lin

12,00

8

Chanvre

12,00

9

Jute

17,00

10

Abaca

14,00

11

Alfa

14,00

12

Coco

13,00

13

Genêt

14,00

14

Ramie (fibre blanchie)

8,50

15

Sisal

14,00

16

Sunn

12,00

17

Henequen

14,00

18

Maguey

14,00

19

Acétate

9,00

20

Alginate

20,00

21

Cupro

13,00

22

Modal

13,00

23

Protéinique

17,00

24

Triacétate

7,00

25

Viscose

13,00

26

Acrylique

2,00

27

Chlorofibre

2,00

28

Fluorofibre

0,00

29

Modacrylique

2,00

30

Polyamide ou nylon:

 

Fibre discontinue

6,25

Filament

5,75

31

Aramide

8,00

32

Polyimide

3,50

33

Lyocell

13,00

34

Polylactide

1,50

35

Polyester

1,50

36

Polyéthylène

1,50

37

Polypropylène

2,00

38

Polycarbamide

2,00

39

Polyuréthane:

 

Fibre discontinue

3,50

Filament

3,00

40

Vinylal

5,00

41

Trivinyl

3,00

42

Elastodiène

1,00

43

Élasthanne

1,50

44

Verre textile:

 

d'un diamètre moyen supérieur à 5 μm

2,00

d'un diamètre moyen égal ou inférieur à 5 μm

3,00

45

Élastomultiester

1,50

46

Élastoléfine

1,50

47

Mélamine

7,00

48

Fibre métallique

2,00

Fibre métallisée

2,00

Amiante

2,00

Fil papetier

13,75


(1)  Le taux conventionnel de 17,00 % est appliqué dans les cas où il n'est pas possible de vérifier si le produit textile contenant de la laine et/ou du poil appartient au cycle peigné ou cardé.


ANNEXE X

Tableaux de correspondance

Directive 2008/121/CE

Le présent règlement

Article 1er, paragraphe 1

Article 4

Article 1er, paragraphe 2, point d)

Article 2, paragraphe 3

Article 2, paragraphe 1

Article 3, paragraphe 1

Article 2, paragraphe 2, mots introductifs

Article 2, paragraphe 2, mots introductifs

Article 2, paragraphe 2, point a)

Article 2, paragraphe 2, point a)

Article 2, paragraphe 2, point b)

Article 2, paragraphe 2, points b) et c)

Article 2, paragraphe 2, point c)

Article 2, paragraphe 2, point d)

Article 3

Article 5

Article 4

Article 7

Article 5

Article 8

Article 6, paragraphes 1 à 4

Article 9

Article 6, paragraphe 5

Article 19

Article 7

Article 10

Article 8, paragraphe 1

Article 13, paragraphe 1

Article 8, paragraphe 2

Article 15, paragraphe 1

Article 8, paragraphe 3

Article 15, paragraphe 2

Article 8, paragraphe 4

Article 15, paragraphe 3

Article 8, paragraphe 5

Article 9, paragraphe 1

Article 11, paragraphes 1 et 2

Article 9, paragraphe 2

Article 11, paragraphe 3

Article 9, paragraphe 3

Article 12 et annexe IV

Article 10, paragraphe 1, point a)

Article 16, paragraphe 2

Article 10, paragraphe 1, point b)

Article 16, paragraphe 3

Article 10, paragraphe 1, point c)

Article 16, paragraphe 4

Article 10, paragraphe 2

Article 16, paragraphe 5

Article 11

Article 14, paragraphe 4

Article 12

Article 18, paragraphe 2, et annexe VII

Article 13, paragraphe 1

Article 18, paragraphe 1

Article 13, paragraphe 2

Article 14, paragraphe 1

Article 14, paragraphe 2

Article 15

Article 20

Article 16

Article 17

Article 18

Article 19

Article 20

Annexe I

Annexe I

Annexe II

Annexe III

Annexe III

Annexe V

Annexe III, point 36

Article 3, paragraphe 1, point j)

Annexe IV

Annexe VI

Annexe V

Annexe IX

Annexe VI

Annexe VII


Directive 96/73/CE

Le présent règlement

Article 1er

Article 1er

Article 2

Annexe VIII, chapitre 1, point I.2

Article 3

Article 18, paragraphe 1

Article 4

Article 18, paragraphe 4

Article 5

Article 20

Article 6

Article 7

Article 8

Article 9

Annexe I

Annexe VIII, chapitre 1, point I

Annexe II, partie 1, introduction

Annexe VIII, chapitre 1, point II

Annexe II, partie 1, points I, II et III

Annexe VIII, chapitre 2, points I, II et III

Annexe II, partie 2

Annexe VIII, chapitre 2, point IV


Directive 73/44/CEE

Le présent règlement

Article 1er

Article 1er

Article 2

Annexe VIII, chapitre 1, point I

Article 3

Article 18, paragraphe 1

Article 4

Article 18, paragraphe 4

Article 5

Article 20

Article 6

Article 7

Annexe I

Annexe VIII, chapitre 3, introduction et points I à IV

Annexe II

Annexe VIII, chapitre 3, point V

Annexe III

Annexe VIII, chapitre 3, point VI


EXPOSÉ DES MOTIFS DU CONSEIL

I.   INTRODUCTION

Le 2 février 2009, la Commission a présenté sa proposition de règlement du Parlement européen et du Conseil relatif aux dénominations des produits textiles et à l'étiquetage y afférent (1). Cette proposition était initialement fondée sur l'article 95 du traité (2). Elle était accompagnée d'une analyse d'impact.

Le Parlement européen a rendu son avis en première lecture le 18 mai 2010 (3).

Le Comité économique et social a rendu son avis le 16 décembre 2009 (4).

Le 13 septembre 2010, le Conseil a confirmé l'accord politique intervenu en vue d'adopter à un stade ultérieur une position en première lecture conformément à l'article 294, paragraphe 5, du TFUE.

Le 6 décembre 2010, le Conseil a adopté sa position en première lecture sur la proposition dont le texte figure dans le document 13807/10.

II.   OBJECTIF

L'objectif de la proposition susmentionnée est de fusionner et de simplifier les trois directives existantes sur les dénominations et l'étiquetage des produits textiles (5). Le cadre réglementaire en vigueur pour le développement et l'utilisation de nouvelles fibres textiles devrait s'en trouver amélioré, ce qui devrait encourager l'innovation dans le secteur du textile et de l'habillement et permettre aux utilisateurs et aux consommateurs de fibres de bénéficier plus rapidement de produits innovants.

Le règlement proposé devrait également renforcer la transparence du processus par lequel de nouvelles fibres sont ajoutées à la liste des dénominations de fibres harmonisées et il devrait introduire une plus grande flexibilité en permettant d'adapter la législation au moyen d'actes délégués afin de suivre les besoins de l'évolution technique attendue dans l'industrie textile.

La proposition initiale de la Commission ne visait pas à étendre la législation de l'UE à d'autres exigences en matière d'étiquetage au-delà de la composition en fibres et de l'harmonisation des dénominations des fibres textiles couvertes par les directives actuelles.

III.   ANALYSE DE LA POSITION DU CONSEIL EN PREMIÈRE LECTURE  (6)

1.    Généralités

Le texte sur lequel un accord politique est intervenu au sein du Conseil préserve tous les objectifs de la proposition de la Commission. Il intègre essentiellement les amendements adoptés par le Parlement européen en première lecture qui sont compatibles avec l'objectif initial de la proposition. Les nouveaux éléments introduits durant les négociations menées au sein du groupe du Conseil portent sur la définition des taux conventionnels, certaines clarifications techniques et mises à jour dans les annexes et une disposition transitoire applicable aux produits textiles en stock et satisfaisant à toutes les exigences des directives existantes.

En outre, le Conseil a introduit un nouvel élément, à savoir une série de dispositions remplaçant la procédure de réglementation avec contrôle par la nouvelle procédure relative aux «actes délégués» prévue par le traité de Lisbonne (TFUE).

2.    Amendements du Parlement européen

Lors de sa première lecture, le Parlement européen a adopté 63 amendements au texte (7), parmi lesquels les amendements 9 et 26, les amendements 10 et 11, les amendements 12, 47, 48, 49, 50 et 51, les amendements 13 et 31 ainsi que les amendements 53, 54, 55 et 56 peuvent respectivement être considérés comme allant de pair, étant donné qu'ils procèdent d'une même logique ou couvrent le même sujet. Au cours des négociations menées au sein du groupe, le Conseil a examiné les amendements du Parlement européen à plusieurs reprises. Finalement, il a accepté la majorité des amendements du Parlement européen (40) au moins en partie, dont certains en substance et d'autres en l'état. Par ailleurs, il en a en définitive rejeté 23.

2.1.   Amendements du Parlement européen acceptés par le Conseil et intégrés au texte de la position en première lecture

Les amendements 1, 3, 6, 8, 15, 17, 22, 34, 35, 39, 40, 41, 42, 46, 52, 57 et 61 ont été intégrés au texte du Conseil pratiquement en l'état, le Conseil ayant approuvé plus ou moins la justification évoquée par le Parlement européen.

2.2.   Amendements du Parlement européen acceptés dans leur principe ou en partie, mais intégrés au texte avec des modifications

Amendement 2 — considérant 2 (législation de l'Union; dénominations de fibres)

L'amendement est d'ordre rédactionnel et ne suscite pas en soi d'objections particulières. Le texte du Conseil n'en intègre actuellement qu'une partie.

Amendement 5 — considérant 9, devenu considérant 10 (mise à disposition sur le marché)

Le Conseil a considéré qu'il n'était pas indispensable de s'aligner sur l'amendement du Parlement européen s'agissant de la formulation d'un considérant.

Amendement 7 — considérant 12, devenu considérant 13 (adaptation des méthodes uniformes au progrès technique)

Le Conseil est d'accord avec l'esprit de l'amendement mais considère que son propre texte est mieux rédigé que celui de l'amendement du Parlement européen.

Amendements 10 et 11 — considérants 17 et 18 (adaptation des considérants aux «actes délégués»)

Le Conseil est favorable, sur le principe, aux amendements du Parlement européen visant à adapter la proposition actuelle à la nouvelle situation juridique («actes délégués») découlant du traité de Lisbonne. Si le considérant 17 a bien été supprimé comme le proposait l'amendement du Parlement européen, la nouvelle formulation du considérant 18 diffère de celle du Parlement européen, essentiellement pour des raisons d'ordre rédactionnel il est vrai.

Amendement 14 — considérant 19 ter (nouveau) (établissement d'un rapport sur les nouvelles exigences d'étiquetage à introduire à l'avenir)

Le Conseil a bien noté que le Parlement européen souhaite l'introduction de nouvelles exigences d'étiquetage à l'avenir, qui pourraient prendre en compte les intérêts du secteur et des consommateurs ainsi que les évolutions technologiques mais qui ne peuvent pas encore être concrétisées dans le cadre de l'acte juridique actuel. Le Conseil estime cependant que les voies à suivre en vue de légiférer à l'avenir pourraient être étudiées dans le cadre du rapport que la Commission est tenue de présenter en vertu de l'article 21, devenu l'article 24. Cela étant, un considérant à la formulation resserrée pourrait être mieux accueilli par le Conseil.

Amendement 16 — article 1er (objet)

Le Conseil est favorable à l'esprit et à la majeure partie de l'amendement du Parlement européen. Toutefois, s'agissant de l'objet du règlement, le Conseil préfère l'expression «fonctionnement du marché intérieur», qu'il juge plus complète et plus pertinente pour un acte destiné à harmoniser la législation communautaire que les termes «libre circulation» proposés dans l'amendement.

Amendement 21 — article 3 (définition de l'«étiquetage»)

À ce stade, le Conseil utilise des définitions différentes pour l'«étiquetage» et le «marquage» alors que les dispositions et les exigences du règlement s'appliquent – en principe – aux deux. Le Conseil a agi ainsi pour des raisons de clarté. Dans son amendement, le Parlement européen cherche à intégrer la notion de marquage dans le concept général d'«étiquetage» afin que les autres mentions figurant dans le texte soient plus facilement lisibles. Au final, la différence semble être d'ordre rédactionnel car, rien que pour le concept d'«étiquetage global», les modes de marquage décrits n'entrent normalement pas en ligne de compte, ce qui ne pose toutefois pas de problèmes au niveau juridique.

Amendement 23 — article 4 (règles générales applicables à la mise sur le marché)

Le Conseil a accepté cet amendement en partie. L'une des deux différences entre le texte du Conseil et celui de l'amendement du Parlement européen n'est que la suite logique de l'utilisation du mot «marquage» dans le texte du Conseil (voir amendement 21); l'autre différence est seulement d'ordre rédactionnel.

Amendement 25 — article 5 (dénominations de fibres textiles)

Le Conseil est d'accord avec l'esprit de l'amendement du Parlement européen mais préfère sa propre formulation, la différence étant plutôt d'ordre rédactionnel.

Amendement 27 — article 7, paragraphe 2 (produits textiles purs)

Le Conseil soutient l'objectif et les éléments principaux de l'amendement du Parlement européen mais tient par ailleurs à insister en faveur d'un texte précisant le lien avec l'article 8 («produits en laine vierge ou laine de tonte»).

Amendement 29 — article 8, paragraphe 3 (fibres étrangères contenues dans la laine)

Le Conseil a accepté l'essentiel de l'amendement du Parlement européen mais est favorable à une clarification à la fin du paragraphe dans le droit fil de la formulation de l'article 7 et de l'article 18 (devenu l'article 19).

Amendement 32 — article 11, devenu article 13 (étiquetage)

Le Conseil a accepté cet amendement en grande partie. Toutefois, pour ce qui est des expressions «période d'utilisation normale du produit» et «limiter toute gêne», le Conseil préfère ne pas retenir ces notions dans l'article car elles ne semblent pas applicables en droit.

Amendement 33 — article 11, devenu article 14 (responsabilité des informations figurant sur l'étiquette)

Le Conseil a accepté l'essentiel de l'amendement du Parlement européen et souscrit à son principe. Pour ce qui est de la formulation précise et de l'ordre logique des paragraphes, le Conseil tendrait cependant à considérer que son propre texte convient mieux.

Amendement 36 — article 12, paragraphe 2, devenu article 15, paragraphe 1 (visibilité et lisibilité des informations)

Le Conseil a accepté l'essentiel du texte suggéré dans l'amendement et n'a écarté que les références faites à la taille et à la mise en forme des lettres et des chiffres.

Amendement 43 — article 17, paragraphe 2, devenu article 18 (détermination de la composition en fibres)

Le Conseil a accepté l'amendement, mais il a transformé le paragraphe entier en premier paragraphe d'un article nouveau et distinct intitulé «Détermination de la composition en fibres».

Amendement 44 — article 17, paragraphe 2, alinéa 2 bis (nouveau), devenu article 18 (non prise en compte des éléments énumérés à l'annexe VII)

Le Conseil a accepté l'amendement, mais il a transformé le paragraphe entier en deuxième paragraphe d'un article nouveau et distinct intitulé «Détermination de la composition en fibres».

Amendement 45 — article 17, paragraphe 3, devenu article 18 (méthodes utilisées par les laboratoires)

Le Conseil a accepté la deuxième partie de l'amendement, qui sert principalement à clarifier les choses. La première partie de l'amendement, dont l'objectif est d'exiger l'accréditation de tout laboratoire réalisant des essais pour le compte des autorités, a été rejetée car elle est trop restrictive et impose une charge trop lourde.

Amendements 53, 54, 55 et 56 — articles 19 à 19 quater, devenus articles 20 à 23 (dispositions en matière d'actes délégués)

Le Conseil a accepté ces amendements, dans l'esprit et pour l'essentiel en l'état, car ils sont nécessaires en raison de l'entrée en vigueur du traité de Lisbonne. Pour certaines parties de ces articles, le Conseil a toutefois considéré que sa propre formulation convenait mieux, par exemple en ce qui concerne la date d'expiration de la délégation de pouvoir. Concernant les éléments substantiels que le Conseil n'a de toute façon pas accepté de prendre en compte dans les articles, la possibilité de recourir à des actes délégués doit donc logiquement être exclue.

Amendement 60 — article 21 bis, devenu article 25 (dispositions transitoires)

Si le texte du Conseil et celui de l'amendement du Parlement européen ne diffèrent que légèrement quant au fond, le Conseil considère que sa propre formulation est juridiquement plus claire.

2.3.   Amendements rejetés et par conséquent non intégrés au texte du Conseil

Amendements 9 et 26 — considérant 16, devenu considérant 17, et article 6, premier alinéa (représentant du fabricant)

Le Conseil considère que sa propre formulation pour le considérant et l'article est plus claire. Du point de vue du Parlement européen, le mot «représentant» ne se limite apparemment pas à la notion de «représentant autorisé» en qualité d'opérateur économique spécifique; le Conseil préfère cependant sa propre formulation «personne agissant en son nom» car elle est plus précise à cet égard. Les amendements du Parlement européen ne sont pas totalement cohérents.

Amendements 12, 47, 48, 49, 50 et 51 — considérant 18 bis (nouveau); articles 18 bis à 18 quinquies (nouveau) (étiquetage du pays d'origine)

Le Conseil n'est pas favorable à un étiquetage obligatoire du pays d'origine. Premièrement, la question ne semble pas relever du champ d'application du règlement, qui traite des dénominations des produits textiles et fait la synthèse des obligations déjà présentes dans la législation existante. Deuxièmement, l'étiquetage du pays d'origine interférerait en partie avec des propositions d'actes juridiques horizontaux, dans lesquels une solution d'ensemble au problème est actuellement recherchée.

Amendement 66 — considérant 18 ter (nouveau) (relation entre l'étiquetage du pays d'origine dans l'acte juridique à l'examen et dans d'autres actes juridiques)

Si la formulation du considérant ne pose pas en soi de problèmes de fond, elle a dû être rejetée du fait du rejet des amendements 12 et 47 à 51 relatifs à l'étiquetage obligatoire du pays d'origine. Le considérant pourrait être accepté s'il devait être lié à un système d'étiquetage du pays d'origine qui soit plus libre.

Amendements 13 et 31 — considérant 19 bis et article 10 bis (nouveau) (produits d'origine animale)

Le Conseil a rejeté ces amendements. Ni le champ d'application et ni la finalité de ces dispositions ne sont très clairs et la formulation juridique n'est pas satisfaisante. La catégorie des fibres d'origine animale ferait double emploi avec plusieurs fibres figurant déjà à l'annexe I et soumises à des règles d'étiquetage beaucoup plus précises dans le cadre de la législation actuelle. Par ailleurs, l'étiquetage obligatoire des matières animales non fibreuses se situerait clairement en dehors du champ d'application du règlement, alors que les matières «non textiles» ne sont pas du tout définies. Une disposition trop générale de cette nature ne peut probablement pas assurer une protection directe de certaines espèces menacées. Tout bien considéré, les raisons à l'origine de ces amendements peuvent être mieux prises en compte dans la législation des États membres.

Amendement 19 — article 2, paragraphe 2, point d bis) (nouveau) (produits sur mesure)

Le Conseil s'est penché sur l'amendement et la charge qui pourrait peser sur les fabricants de produits en raison de l'étiquetage. Cependant, sachant qu'une information correcte du consommateur devrait aussi être valable pour les produits sur mesure et qu'il existe par ailleurs un marché croissant des produits de grande consommation personnalisés, le Conseil ne s'est pas montré favorable à ce que les produits sur mesure soient totalement exemptés des obligations découlant du règlement à l'examen.

Amendement 24 — article 4, paragraphe 2 (clause de sauvegarde)

Le Conseil a supprimé le paragraphe tout entier car cette disposition est de nature à induire en erreur et n'est pas indispensable dans le règlement. Il n'a donc pas été techniquement possible d'intégrer l'amendement du Parlement européen.

Amendement 30 — article 9 (produits textiles composés de plusieurs fibres)

Le Conseil a rejeté l'amendement car il a préféré rester plus proche de la proposition de la Commission.

Amendement 72 — article 12, paragraphe 4, premier alinéa, devenu article 15, paragraphe 3 (disposition en matière de langues et symboles)

Le Conseil a rejeté l'amendement. Premièrement, la disposition du Conseil en matière de «langues» donne davantage de liberté à certains États membres pour qu'ils puissent également autoriser l'utilisation d'autres langues que la ou les langues officielles; deuxièmement, le Conseil s'est montré très réticent à l'idée d'accepter des symboles indépendants de la langue qui ne sont actuellement ni harmonisés ni bien connus des consommateurs.

Amendement 37 — article 12, paragraphe 4, deuxième alinéa, devenu article 15, paragraphe 3 (disposition sur l'étiquetage global)

Le Conseil a rejeté cet amendement pour des raisons identiques à celles invoquées pour l'amendement 72.

Amendement 38 — article 12, paragraphe 4, nouvel alinéa, devenu article 15, paragraphe 3 (actes délégués pour les «symboles»)

Le Conseil a rejeté cet amendement en raison du rejet des amendements 72 et 37.

Amendement 58 — article 20 bis (nouveau) (réexamen)

Le Conseil n'a pas intégré cet amendement dans le texte pour le moment. Si plusieurs éléments mentionnés dans cette clause de réexamen assez longue méritent vraiment d'être pris en considération, il semblait justifié d'examiner l'amendement tout entier dans le cadre d'un «paquet» global sur le contenu et le champ d'application matériels du règlement. On pourrait également estimer qu'une partie du texte est mieux adaptée à la formulation d'un considérant.

Amendement 59 — article 21, devenu article 24 (rapports)

Le Conseil a préféré conserver le délai de cinq ans. Par ailleurs, l'ajout suggéré par le Parlement européen n'apporte rien en termes de clarté puisque les initiatives législatives de la Commission devraient toujours être accompagnées d'une justification.

Amendement 62 — annexe II bis — tiret 5 bis (tests pour les réactions allergiques)

Le Conseil n'a pas intégré cet amendement parce qu'il est indispensable que le Parlement européen donne au minimum quelques éclaircissements et explications et que la formulation pourrait être améliorée.

Amendement 64 — annexe V — point 13 (suppression du mot «feutres»)

Le Conseil considère que l'inclusion des feutres dans l'étiquetage obligatoire est un point mineur. Étant donné que l'acceptation de l'amendement entraînerait au minimum une charge supplémentaire pour les entreprises concernées, le Conseil n'a pas été en mesure de l'intégrer.

Amendement 65 — annexe V — point 17 (suppression des mots «chapeaux en feutre»)

Cet amendement est rejeté pour des raisons identiques à celles invoquées pour l'amendement 64.

Amendement 63 — annexe V — point 24 (suppression du mot «jouets»)

Le Conseil a considéré que l'utilité pratique de cet amendement est assez faible. Bien qu'il soit possible de limiter les doubles emplois avec la directive sur la sécurité des jouets, il ne semble pas absolument nécessaire d'étendre toutes les exigences en matière d'étiquetage aux jouets (textiles).

3.    Principales innovations apportées au texte par le Conseil

Article 3, point k) (définition du «taux conventionnel»)

Le Conseil a considéré qu'il était utile d'inclure une définition du «taux conventionnel» puisque ce terme est largement utilisé dans le règlement, en particulier à l'annexe VIII.

Article 25 (actuellement) (dispositions transitoires)

Par cette disposition transitoire, le Conseil a précisé que les produits mis sur le marché conformément à la législation en vigueur peuvent encore être vendus pendant environ deux ans et demi. Grâce à cette disposition, les modifications relativement limitées apportées au système actuel ne devraient pas se traduire par un nouvel étiquetage des produits textiles correctement étiquetés jusqu'à présent, ce qui serait une lourde tâche.

Articles 20 à 23 (actuellement) (actes délégués)

À la suite de l'entrée en vigueur du TFUE, certaines dispositions qui devaient initialement relever de la procédure de réglementation avec contrôle ont été intégrées dans les nouveaux articles énonçant la procédure prévue pour les actes délégués (conformément à l'article 290 du TFUE).

IV.   CONCLUSION

La position en première lecture adoptée par le Conseil conforte l'objectif principal de la proposition de la Commission. Il devrait être possible d'instaurer un cadre unifié mais flexible pour les exigences en matière d'étiquetage des produits textiles ainsi qu'une procédure rapide pour l'intégration des nouvelles dénominations de fibres, tout en prenant pleinement en compte l'importance que revêtent les obligations relatives à l'information des utilisateurs de produits textiles. Par le recours aux dispositions relatives aux «actes délégués», le cadre actuellement applicable aux dénominations et à l'étiquetage des produits textiles peut être adapté rapidement et efficacement.


(1)  JO C 76 du 25.3.2010.

(2)  La base juridique est devenue l'article 114 du TFUE du fait de l'entrée en vigueur du traité de Lisbonne.

(3)  Document 9905/10 du Conseil; non encore paru au Journal officiel.

(4)  JO C 255 du 22.9.2010, p. 37.

(5)  Directives 2008/121/CE, 96/73/CE (telle que modifiée) et 73/44/CEE.

(6)  Note: la numérotation des articles renvoie au résultat de la première lecture du Parlement (doc. 9905/10) ou, lorsqu'il est expressément indiqué «devenu(e) …», au document énonçant la position du Conseil en première lecture (doc. 13807/10).

(7)  Non votés: amendements 4, 18, 20, 28, 67, 68, 69, 70 et 71.