Choose the experimental features you want to try

This document is an excerpt from the EUR-Lex website

Document 52018PC0633

Muudetud ettepanek: EUROOPA PARLAMENDI JA NÕUKOGU MÄÄRUS, milles käsitletakse Euroopa Liidu Varjupaigaametit ja millega tunnistatakse kehtetuks määrus (EL) nr 439/2010 Euroopa Komisjoni panus 19.–20. septembril 2018 Salzburgis toimuvasse riigijuhtide kohtumisse

COM/2018/633 final

Brüssel,12.9.2018

COM(2018) 633 final

2016/0131(COD)

Muudetud ettepanek:

EUROOPA PARLAMENDI JA NÕUKOGU MÄÄRUS,

milles käsitletakse Euroopa Liidu Varjupaigaametit ja millega tunnistatakse kehtetuks määrus (EL) nr 439/2010




FMT:ItalicEuroopa Komisjoni panus 19.–20. septembril 2018
FMT:ItalicSalzburgis toimuvasse riigijuhtide kohtumisse


SELETUSKIRI

1.MUUDETUD ETTEPANEKU TAUST

Muudetud ettepaneku põhjused ja eesmärgid

Käesolev ettepanek kuulub 28. juunil 2018 toimunud Euroopa Ülemkogu järelduste 1 järelmeetmete paketti, millega komisjon teeb ettepaneku tugevdada Euroopa piiri- ja rannikuvalvet ja vaadata läbi tagasisaatmisdirektiiv ning muudab oma esialgset ettepanekut Euroopa Liidu Varjupaigaameti määruse kohta. Need ettepanekud tuginevad solidaarsuse ja vastutuse põhimõttele ning võimaldavad liikmesriikidel toetuda segarändevoogude haldamisel täielikult liidu abile, nii et nad suudaksid rahvusvahelist kaitset taotlevate kolmandate riikide kodanike taotlusi ja liikmesriigi territooriumil ebaseaduslikult viibivate kolmandate riikide kodanike juhtumeid kiiresti menetleda, sh kontrollitavates keskustes.

Euroopa Ülemkogu rõhutas oma järeldustes taas rände suhtes võetava tervikliku lähenemisviisi tähtsust ja leidis, et ränne ei ole väljakutse mitte ainult ühe liikmesriigi jaoks, vaid kogu Euroopa jaoks tervikuna. Sellega seoses toonitas ülemkogu, et on väga oluline, et liit toetaks täielikult rändevoogude korrakohast haldamist. Liikmesriigid on Euroopa Ülemkogu järeldustes kokku lepitud peamistele põhimõtetele eri foorumitel 2 täiendavat toetust avaldanud, kusjuures eriti on rõhutatud vajadust tugevdada Euroopa solidaarsusel põhinevaid vahendeid. Euroopa Liidu Varjupaigaamet peaks olema käegakatsutav näide Euroopa solidaarsusest ning see peaks olema võimeline täitma Euroopa Liidu vajadusi tõhusa ja tulemusliku Euroopa ühise varjupaigasüsteemi rakendamisel.

Euroopa Liidu Varjupaigaamet peab olema suuteline pakkuma liikmesriikidele täielikku operatiivtuge seal, kus seda vajatakse, ja tugevdama liikmesriikide suutlikkust menetleda varjupaigataotlusi nii menetluse haldusetapis kui ka tehtud otsuste edasikaebamisel. Käesolevas muudetud ettepanekus määruse kohta, mis käsitleb Euroopa Liidu Varjupaigaametit, on põhirõhk operatiiv- ja tehnilise abi sätetel tagamaks, et kui liikmesriik seda taotleb, siis on amet suuteline pakkuma talle võimalikult palju tuge, võttes enda kanda kogu rahvusvahelise kaitse taotluste haldusmenetluse või osad sellest, viies läbi menetluse, millega selgitatakse välja, milline liikmesriik vastutab rahvusvahelise kaitse taotluse läbivaatamise eest, või abistades selle menetluse läbiviimisel ning abistades kohtuid edasikaebuste menetlemisel, ilma et see piiraks liikmesriikide pädevust teha otsuseid konkreetsete taotluste kohta ning austades täielikult kohtumõistmise korraldust igas liikmesriigis ning kohtute sõltumatust ja erapooletust. 

Euroopa Ülemkogu järelduste järelmeetmena töötas komisjon välja piirkondlike maabumisplatvormide ja kontrollitavate keskuste süsteemi ning teeb koostööd liikmesriikide, asjaomaste liidu ametite ja muude sidusrühmadega, et see süsteem ühise jõupingutuse tulemusena ja liidu täieliku toetusega ellu rakendada. Seda arvesse võttes ja pidades silmas Euroopa piiri- ja rannikuvalve määrusesse kavandatud muudatusi, on käesoleva muudetud ettepaneku eesmärk tugevdada koostööd Euroopa Liidu Varjupaigaameti ning Euroopa piiri- ja rannikuvalve vahel ning tagada kooskõla komisjoni ettepanekuga, millega muudetakse Euroopa piiri- ja rannikuvalve määrust, eeskätt selles osas, mis puudutab rändehalduse tugirühmade lähetamist esmase vastuvõtu keskustesse ja kontrollitavatesse keskustesse. Komisjoni nägemuse kohaselt saab liikmesriikide pädevate asutuste ja asjaomaste liidu asutuste vahelise koordineerimise kaudu tagada sünergia rahvusvahelise kaitse ja tagasisaatmise menetluste vahel.

Käesolevat muudetud ettepanekut tuleb vaadelda seoses institutsioonidevaheliste läbirääkimistega, mille sisuks on komisjoni 4. mai 2016. aasta ettepanek määruse kohta, milles käsitletakse Euroopa Liidu Varjupaigaametit ja millega tunnistatakse kehtetuks määrus (EL) nr 439/2010 3 . Läbirääkimiste tulemusena jõudsid Euroopa Parlament ja nõukogu 28. juunil 2017 esialgse kokkuleppeni, mis komisjoni arvates juba tugevdab Euroopa Liidu Varjupaigaameti (edaspidi „amet“) volitusi märkimisväärselt, võrreldes Euroopa Varjupaigaküsimuste Tugiameti praeguste volitustega. Euroopa Liidu Varjupaigaameti määrust ei ole veel vastu võetud, kuna käimas on arutelud kogu Euroopa ühise varjupaigasüsteemi reformimise üle. Komisjon arvestab Euroopa Parlamendi ja nõukogu 28. juunil 2017 saavutatud esialgse kokkuleppega ning tunnustab selle kompromissi lisaväärtust kehtiva määrusega võrreldes. Komisjon leiab, et käesolevat muudetud ettepanekut tuleks arutada ühise varjupaigasüsteemi reformimist käsitlevate pooleliolevate läbirääkimiste raames ja et see on mõeldud neid arutelusid täiendama. Käesolev muudetud ettepanek ei tohiks Euroopa Liidu Varjupaigaameti määruse vastuvõtmist kuidagi edasi lükata.

Euroopa Ülemkogu juhtis tähelepanu asjaolule, et kogu Euroopa ühise varjupaigasüsteemi paketile tuleb kiiresti lahendus leida, ja oli seisukohal, et tööd tuleks jätkata eesmärgiga pakett esimesel võimalusel vastu võtta. Käesolevas ettepanekus sisalduvad sihipärased muudatused koos ettepanekutega, mis käsitlevad Euroopa piiri- ja rannikuvalvet ning tagasisaatmisdirektiivi, põhinevad terviklikul lähenemisviisil, mis aitab saavutada kokkuleppe, milles solidaarsus ja vastutus on omavahel sobivas tasakaalus.

Kooskõla poliitikavaldkonnas praegu kehtivate õigusnormidega

2016. aasta aprillis teatas komisjon vastusena Euroopa Ülemkogu üleskutsetele, 4 et ta liigub edasi liidu kehtiva raamistiku reformimisega, et tagada inimlik ja tõhus varjupaigapoliitika, ning sama aasta mais ja juulis esitas komisjon hulga ettepanekuid Euroopa ühise varjupaigasüsteemi reformimiseks. Nende hulka kuulus Euroopa Liidu Varjupaigaameti määruse ettepanek. Käesolev muutmisettepanek täiendab komisjoni algset ettepanekut ja on Euroopa Ülemkogu 2018. aasta juuni järelduste valguses kooskõlas eesmärgiga kujundada välja sisepoliitika, mis põhineb solidaarsuse ja vastutuse vahelisel tasakaalul. Euroopa Liidu Varjupaigaameti tugevdamine on solidaarsuse oluline osa.

Kooskõla muude liidu tegevuspõhimõtetega

Käesolev ettepanek on kooskõlas rände paremat haldamist käsitleva laiaulatusliku pikaajalise poliitikaga, mille komisjon on sätestanud Euroopa rände tegevuskavas, kus president Junckeri poliitilistest suunistest on välja arendatud hulk neljal sambal põhinevaid sidusaid ja vastastikku tugevdavaid algatusi. Kõnealused sambad on ebaseadusliku rände stiimulite vähendamine, välispiiride kindlustamine ja elude päästmine, tugev varjupaigapoliitika ning uus seadusliku rände poliitika. Käesoleva ettepanekuga jätkatakse Euroopa rände tegevuskava elluviimist, eelkõige liidu varjupaigapoliitika tugevdamise osas, kuivõrd Euroopa Liidu Varjupaigaamet tagab Euroopa ühise varjupaigasüsteemi täieliku ja sidusa rakendamise. Vastavalt Euroopa Ülemkogu 2018. aasta juunis esitatud üleskutsetele on ettepanekus rände käsitlemisel tuginetud terviklikule lähenemisviisile, mis koosneb liidu välispiiride tõhusamast kontrollist, jõulisemast välistegevusest ja sisepoliitilistest aspektidest, eeskätt Euroopa ühise varjupaigasüsteemi reformist.

Käesolevas ettepanekus esitatud norme täiendab läbivaadatud raamfinantsmäärus 5 detsentraliseeritud asutuste jaoks, sealhulgas selliste asutuste juhtimises kohaldatavad rangemad normid pettuste, normide rikkumiste, huvide konfliktide ja sisekontrolli valdkonnas.

2.ÕIGUSLIK ALUS, SUBSIDIAARSUS JA PROPORTSIONAALSUS

Õiguslik alus

Seadusandliku ettepaneku alus on Euroopa Liidu toimimise lepingu artikli 78 lõiked 1 ja 2.

Subsidiaarsus

Käesoleva ettepaneku eesmärgid on: i) tagada, et liikmesriigid saaksid ametilt rohkem tuge, muu hulgas sel teel, et amet osaleb rahvusvahelise kaitse taotluste menetlemise haldusetapis ning määruse (EL) nr XXX/XXX [Dublini määrus] kohases menetluses, mis võimaldab liikmesriikidel rahvusvahelise kaitse taotlusi kiiresti ja õigeaegselt menetleda, mis omakorda tagab varjupaiga- ja vastuvõtusüsteemi tõhusa ja korrakohase toimimise; ii) tugevdada Euroopa Liidu Varjupaigaameti ning Euroopa piiri- ja rannikuvalve vahelise koostöö elemente ning iii) määrata komisjonile ülesandeks esitada tegevdirektori asetäitja kandidaatide nimekiri.

Kuna varjupaigaalase õigusraamistiku nõuetekohane kohaldamine ja Euroopa ühise varjupaigasüsteemi tõhus toimimine tervikuna on ühistes huvides ning liikmesriigid ei suuda käesoleva ettepaneku eesmärke piisaval määral saavutada, on need tegevuse ulatuse ja mõju tõttu paremini saavutatavad liidu tasandil. Seega võib liit võtta meetmeid kooskõlas Euroopa Liidu lepingu artiklis 5 sätestatud subsidiaarsuse põhimõttega.

Proportsionaalsus

Käesoleva ettepanekuga nähakse ametile ette võimalus pakkuda liikmesriikidele suuremat toetust, muu hulgas sel teel, et amet osaleb rahvusvahelise kaitse taotluste menetlemise haldusetapis ning määruse (EL) nr XXX/XXX [Dublini määrus] kohases menetluses, kaasa arvatud rahvusvahelise kaitse taotluste kohta tehtavate otsuste ettevalmistamine. Sellist toetust saab liikmesriikidele pakkuda ainult juhul, kui nad seda taotlevad, ja vastavalt nende vajadustele. Seega ei lähe käesolev ettepanek Euroopa Liidu lepingu artiklis 5 sätestatud proportsionaalsuse põhimõtte kohaselt kaugemale, kui on vaja nende eesmärkide saavutamiseks.

Vahendi valik

Vaid määrus suudab tagada tõhususe ja ühtluse, mis on vajalik liidu varjupaigaõiguse kohaldamisel. Pealegi, võttes arvesse asjaolu, et komisjoni algne ettepanek oli võtta vastu Euroopa Liidu Varjupaigaameti määrus, on sama õigusakt asjakohane ka käesoleva ettepaneku puhul.

3. JÄRELHINDAMISE, SIDUSRÜHMADEGA KONSULTEERIMISE JA MÕJU HINDAMISE TULEMUSED

Käesoleva muudetud ettepaneku ettevalmistamisel võttis komisjon arvesse Euroopa Ülemkogus, Euroopa Liidu Nõukogus ja Euroopa Parlamendis viimasel ajal toimunud arutelusid jätkuvatest rände ja varjupaigaga seotud probleemidest ning sellest, kui oluline on muuta liidu asutused veelgi tulemuslikumaks, et nad saaksid nende probleemidega jõuliselt tegeleda. Eeskätt Euroopa Ülemkogu rõhutas oma 28. juuni 2018. aasta järeldustes taas, et ränne ei ole väljakutse mitte ainult ühe liikmesriigi jaoks, vaid kogu Euroopa jaoks tervikuna. Sellega seoses toonitas ülemkogu, et on väga oluline, et liit toetaks täielikult rändevoogude korrakohast haldamist. Seetõttu on käesolevas ettepanekus seda ideed arvesse võetud ja nähakse ette suurem operatiivtoetus, mis aitab liikmesriikidel ameti abiga praeguste rändealaste väljakutsetega paremini toime tulla.

Seepärast, võttes arvesse institutsioonidevahelisi läbirääkimisi ning Euroopa Parlamendi ja nõukogu 28. juunil 2017 saavutatud esialgset kokkulepet, on käesolevas ettepanekus esitatud üksnes sihipärased muudatused artiklis 16 (operatiiv- ja tehnilise abi) ja artiklis 21 (rändehalduse tugirühmad) (et tagada sidusus Euroopa piiri- ja rannikuvalve määruse ettepanekuga, mis esitatakse koos käesoleva muudetud ettepanekuga). Lisaks on ettepanekuga lisatud uus artikkel 16a, mis käsitleb tõhustatud abi andmist rahvusvahelise kaitse menetluste ja Dublini menetluse puhul, ning muudetud artiklit 47 seoses tegevdirektori asetäitja valimisega. Seega on ettepaneku eesmärk reageerida rändesurve all kannatavate liikmesriikide kiireloomulistele hetkevajadustele ja see vastab praegusele olukorrale, kusjuures kavandatud muudatused piirduvad sellega, mis on praeguses olukorras vajalik.

Pidades silmas eeltoodud selgitust ja asjaolu, et käesolev muutmisettepanek sisaldab vaid väheseid muudatusi, otsustas komisjon mitte algatada täiendavat hindamist, sidusrühmadega konsulteerimist ega mõjuhinnangu koostamist, vaid tugineda selles osas tööle, mis on tehtud algse Euroopa Liidu Varjupaigaameti määruse ettepaneku koostamisel (selle esitas komisjon 4. mail 2016).

Põhiõigused

Käesolevas ettepanekus austatakse põhiõigusi ja peetakse eelkõige kinni Euroopa Liidu põhiõiguste hartas tunnustatud põhimõtetest. Euroopa Liidu Varjupaigaamet austab oma tegevuses täielikult hartas sätestatud põhiõigusi, sealhulgas varjupaigaõigust (harta artikkel 18), õigust kaitsele tagasisaatmise korral (harta artikkel 19), õigust era- ja perekonnaelu austamisele (harta artikkel 7), õigust isikuandmete kaitsele (harta artikkel 8) ja õigust tõhusale õiguskaitsevahendile (harta artikkel 47). Ettepanekus võetakse igati arvesse lapse õigusi ja haavatavas olukorras olevate isikute erivajadusi.

4.MÕJU EELARVELE

Käesoleva ettepanekuga muudetakse komisjoni algset Euroopa Liidu Varjupaigaameti määruse ettepanekut, nähes ette võimaluse, et amet annab liikmesriikidele tõhustatud operatiiv- ja tehnilist abi, eeskätt seoses rahvusvahelise kaitse menetlusega ja Dublini määruse rakendamisega. Lisaks nähakse ettepanekuga ette rändehalduse tugirühmade laiema kasutamise võimaluse. Seetõttu on vaja täiendavaid rahalisi vahendeid, mis võimaldaks ametil lähetada vajalikke varjupaigatugirühmasid (kuhu kuuluvad varjupaigaeksperdid, ajutised töötajad ja tõlgid) ning kasutada nende tegevuse jaoks vajalikku tehnilist varustust ja taristut (näiteks Eurodaci seadmeid).

Täiendavaid rahalisi vahendeid taotletakse summas 55 miljonit eurot iga aasta kohta ajavahemikus 2019–2027. Vajalikud rahalised vahendid, mis võimaldavad ametil saavutada kavandatavate laiendatud volituste alusel oma tegevuseesmärgid, on kokku 320,8 miljonit eurot ajavahemikul 2019–2020 ja 1,25 miljardit eurot ajavahemikul 2021–2027.

Võrreldes komisjoni algse ettepanekuga, mille kohaselt pidi ameti täistööajale taandatud töötajate arv kasvama 2020. aastaks järk-järgult 500ni, ei ole ametile tema uute ülesannete tõhusaks täitmiseks täiendavaid ametikohti ette nähtud, kuna suurema osa uutest tegevustest kataksid täiendavad varjupaigatugirühmad.

Rahalised vajadused on kooskõlas kehtiva mitmeaastase finantsraamistikuga ja võivad kaasa tuua nõukogu määruses (EL, Euratom) nr 1311/2013 määratletud erivahendite kasutamise. Ajavahemikuks 2021–2027 taotletud ELi rahalist panust saab rahastada 2. mail 2018 esitatud mitmeaastase finantsraamistiku ettepanekus sätestatud ülemmäärade piires.

5.MUU TEAVE

Ettepaneku sätete üksikasjalik selgitus

Käesolevas ettepanekus, millega muudetakse komisjoni algset Euroopa Liidu Varjupaigaameti määruse ettepanekut, on arvesse võetud institutsioonidevahelisi läbirääkimisi ning Euroopa Parlamendi ja nõukogu 28. juunil 2017 saavutatud esialgset kokkulepet. Selle kokkuleppe kohaselt on uus amet suuteline andma liikmesriikidele, eelkõige ebaproportsionaalse surve all olevatele riikidele, suuremat operatiiv- ja tehnilist abi, sealhulgas luues 500st liikmesriigi eksperdist koosneva varjupaigaekspertide reservnimekirja, mis võimaldab kiiret lähetamist. Operatiiv- ja tehniline abi, mida amet võib anda, hõlmab rahvusvahelise kaitse taotluste läbivaatamise hõlbustamist ja liikmesriikide abistamist rahvusvahelise kaitse menetluses. Juhul kui liikmesriigi varjupaiga- ja vastuvõtusüsteemile esitatakse ebaproportsionaalse surve tõttu erakordselt suuri ja kiireloomulisi nõudmisi ning vajalikke meetmeid ei võeta või ei võeta neid piisavalt või kui asjaomane liikmesriik ei ole täitnud jälgimise järel antud komisjoni soovitusi, on ametil võimalik selles liikmesriigis sekkuda, kui nõukogu teeb sellekohase rakendusotsuse. Amet parandab Euroopa ühise varjupaigasüsteemi toimimist, kuna üks tema ülesannetest on jälgida, kuidas liikmesriigid Euroopa ühist varjupaigasüsteemi praktiliselt ja tehniliselt kohaldavad, selleks et kindlaks teha ja ennetada võimalikke puudusi ning pakkuda vajalikku tuge.

Käesolev muudetud ettepanek sisaldab sihipäraseid muudatusi, millega komisjon teeb ettepaneku asendada algses ettepanekus kaks artiklit – nimelt artikli 16 (operatiiv- ja tehniline abi) ja artikli 21 (rändehalduse tugirühmad). Samuti tehakse ettepanek lisada uus artikkel 16a, mis käsitleb tõhustatud abi andmist rahvusvahelise kaitse menetluste ja Dublini menetluse puhul. Peale selle tehakse ettepanekuga muudatusi artiklis 47 seoses tegevdirektori asetäitja ametissenimetamisega.

Mis puudutab artiklit 16, mis käsitleb operatiiv- ja tehnilist abi, mida amet saab liikmesriikidele anda, siis komisjon on oma muudetud ettepanekusse lisanud ka Euroopa Parlamendi ja nõukogu vahel saavutatud esialgse kokkuleppe teksti. See tähendab, et muudetud ettepanekus on esitatud kõik olukorrad ja tingimused, mille puhul amet saab pakkuda operatiiv- ja tehnilist abi, ning need on: asjaomase liikmesriigi taotlusel, ameti algatusel asjaomase liikmesriigi nõusolekul või tuginedes nõukogu rakendusotsusele. Samuti on käesolevas muudetud ettepanekus loetletud ülesanded, mida amet saab operatiiv- ja tehnilise abi pakkumisel täita, võttes aluseks esialgse kokkuleppe artiklites 16 ja 21 sätestatud ülesanded. Lisaks on artikli 16 alla käivaid ülesandeid veelgi kohandatud, et võtta arvesse uut artiklit 16a, mis käsitleb tõhustatud abi andmist rahvusvahelise kaitse menetluste ja Dublini menetluse puhul, ning muudatusi rändehalduse tugirühmasid käsitlevas artiklis 21.

Käesoleva muudetud ettepaneku tähtsaim osa on uus artikkel 16a, millega nähakse liikmesriikide jaoks ette võimalus taotleda ja saada ametilt rohkem toetust, muu hulgas sel teel, et amet viib täielikult või osaliselt läbi rahvusvahelise kaitse menetluse haldusetapis ning osaleb määruse (EL) nr XXX/XXX [Dublini määrus] kohases menetluses. See võimaldaks liikmesriikidel rahvusvahelise kaitse taotlusi kiiresti ja õigeaegselt menetleda, mis omakorda tagab varjupaiga- ja vastuvõtusüsteemi tõhusa ja korrakohase toimimise. Amet oleks liikmesriigi pädeva asutuse palvel suuteline koostama otsuseid rahvusvahelise kaitse taotluste kohta ja esitama need otsused liikmesriigi pädevale asutusele, kes seejärel teeb otsuse konkreetse taotluse kohta ja vastutab täielikult taotluse menetlemise eest. Amet suudaks liikmesriike abistada ka varjupaigataotluste kohta tehtud otsuste peale esitatud kaebuste menetlemisel, muu hulgas tehes kohtute palvel õigusalast uurimistööd, koostades aruandeid ja analüüse ning pakkudes muud õigusalast tuge. Amet austab liikmesriike abistades täielikult kohtute sõltumatust ja erapooletust.

Mis puudutab rändehalduse tugirühmasid käsitlevat artiklit 21, siis komisjon teeb ettepaneku asendada algses ettepanekus esinenud artikkel uue artikliga, selleks et tagada sidusus Euroopa piiri- ja rannikuvalve määruse ettepanekuga, mis esitatakse koos käesoleva muudetud ettepanekuga. Komisjon teeb ettepaneku laiendada rändehalduse tugirühmade kasutuselevõtmise võimalust – rühmasid lähetataks endiselt liikmesriigi taotlusel, kuid enam ei pea piirduma olukordadega, kus on tegemist ebaproportsionaalselt suurte rändeprobleemidega. Muudetud ettepaneku kohaselt vastutab komisjon nii tegevuse koordineerimise eest kohapeal, nagu on juba ette nähtud Euroopa Parlamendi ja nõukogu vahel saavutatud esialgse kokkuleppega, kui ka liikmesriikide taotluste koordineerimise ja vajaduste hindamise eest. See aitaks tagada asjakohaste liidu asutuste võetavate meetmete sidususe ning nende asutuste ja liikmesriikide vahendite kokkuhoiu.

Artikli 47 osas teeb komisjon ettepaneku, et tegevdirektori asetäitja kandidaatide nimekirja esitamise eest ameti haldusnõukogule peaks tegevdirektori asemel vastutama komisjon. Selle muudatusega tuuakse tagasi säte, mis oli komisjoni algses ettepanekus ja mille eesmärk on tagada sidusus tegevdirektori ametisse nimetamise korraga ning sel viisil viia ameti juhtimisraamistik rohkem kooskõlla liidu detsentraliseeritud asutusi käsitleva ühise lähenemisviisi põhimõtetega, mille võtsid 12. juulil 2012 vastu Euroopa Parlament, nõukogu ja Euroopa Komisjon. See vastab ka lähenemisviisile, mida komisjon on kasutanud Euroopa piiri- ja rannikuvalve määruse ettepaneku puhul.

Kui kaasseadusandjad nõustuvad komisjoni poolt käesolevas muudetud ettepanekus esitatud muudatustega ja lisavad need teksti, tuleb tagada nende sidusus Euroopa Varjupaigaameti määruse ettepaneku teiste artiklitega, mis käsitlevad operatiiv- ja tehnilise abi andmise korda, tegevusplaani ja varjupaigatugirühmade lähetamist, samuti isikuandmete kaitse sätetega ning muude seotud õigusaktidega, eeskätt varjupaigamenetluse määruse ettepaneku ja Dublini määruse ettepanekuga; lisaks tuleb artiklid ja põhjendused ümber nummerdada.

2016/0131 (COD)

Muudetud ettepanek:

EUROOPA PARLAMENDI JA NÕUKOGU MÄÄRUS,

milles käsitletakse Euroopa Liidu Varjupaigaametit ja millega tunnistatakse kehtetuks määrus (EL) nr 439/2010




Euroopa Komisjoni panus 19.–20. septembril 2018
Salzburgis toimuvasse riigijuhtide kohtumisse

EUROOPA PARLAMENT JA EUROOPA LIIDU NÕUKOGU,

võttes arvesse Euroopa Liidu toimimise lepingut, eriti selle artikli 78 lõikeid 1 ja 2,

võttes arvesse Euroopa Komisjoni ettepanekut,

olles edastanud seadusandliku akti eelnõu liikmesriikide parlamentidele,

toimides seadusandliku tavamenetluse kohaselt

ning arvestades järgmist:

(1)    Põhjenduse 20 järele lisatakse järgmised põhjendused:

„(1)2018. aasta juunis rõhutas Euroopa Ülemkogu taas rände suhtes võetava tervikliku lähenemisviisi tähtsust ja leidis, et ränne ei ole väljakutse mitte ainult ühe liikmesriigi jaoks, vaid kogu Euroopa jaoks tervikuna. Sellega seoses toonitas ülemkogu, et on väga oluline, et liit toetaks täielikult rändevoogude korrakohast haldamist, eeskätt aidates varjupaigataotlusi kiiresti menetleda, muu hulgas kontrollitavates keskustes, selleks et need, kes kaitset vajavad, selle saaksid ja need, kes ei vaja, kiiresti tagasi saadetaks. Seetõttu peaks liit olema suuteline andma vastavate liidu asutuste, sealhulgas Euroopa Liidu Varjupaigaameti kaudu asjaomastele liikmesriikidele võimalikult ulatuslikku rahalist ja operatiivabi.

(2)Sellega seoses peaks ametil olema võimalik, juhul kui liikmesriik seda taotleb, pakkuda veelgi rohkem operatiiv- ja tehnilist abi, võttes enda kanda kogu rahvusvahelise kaitse menetluse haldusetapi või osad sellest ning abistades määruse (EL) nr XXX/XXX [Dublini määrus] kohase menetlusega, ilma et see piiraks liikmesriikide pädevust teha otsuseid konkreetsete taotluste kohta.

(3)Ameti osalemine rahvusvahelise kaitse menetluse haldusetapis ning määruse (EL) nr XXX/XXX [Dublini määrus] kohases menetluses võimaldaks liikmesriikidel rahvusvahelise kaitse taotlusi kiiresti ja õigeaegselt menetleda, mis omakorda tagab varjupaiga- ja vastuvõtusüsteemi tõhusa ja korrakohase toimimise. Sel eesmärgil peaks amet samuti olema suuteline abistama liikmesriikide pädevaid asutusi menetluse haldusetapis rahvusvahelise kaitse taotluste kohta otsuste koostamisel. Liikmesriikide pädevad asutused peaksid saama ameti koostatud otsuste kavandeid arvesse võtta, ilma et see piiraks nende pädevust teha otsuseid konkreetsete taotluste kohta.

(4)Amet ning Euroopa Piiri- ja Rannikuvalve Amet peaksid rändeprobleemide tõhusaks lahendamiseks tihedat koostööd tegema, eeskätt välispiiridel, kuhu sageli suundub suur segarändevoogude sissevool. Eelkõige peaksid mõlemad ametid oma tegevust koordineerima ja liikmesriike toetama, et rahvusvahelise kaitse menetlust ja tagasisaatmismenetlust võimalikult hõlbustada selliste kolmanda riigi kodanike puhul, kelle rahvusvahelise kaitse taotlus on tagasi lükatud või kes muul viisil ebaseaduslikult liikmesriikides viibivad. Lisaks peaksid amet ning Euroopa Piiri- ja Rannikuvalve Amet tegema tihedat koostööd muudes ühistes operatiivtegevustes, nagu jagatud riskianalüüs, statistiliste andmete kogumine, koolitus ja liikmesriikide toetamine erandolukorra plaanimisel.

(5)Liikmesriigid peaksid saama tugineda suuremale operatiivsele ja tehnilisele toele, mida pakuvad rändehalduse tugirühmad, eeskätt esmase vastuvõtu piirkondades ja kontrollitavates keskustes. Rändehalduse tugirühmad peaksid koosnema ameti, Euroopa Piiri- ja Rannikuvalve Ameti ja Europoli või muude asjakohaste liidu asutuste kaudu lähetatud liikmesriikide ekspertide rühmadest ning ameti ja Euroopa Piiri- ja Rannikuvalve Ameti töötajate hulka kuuluvatest ekspertidest. Komisjon peaks tagama vajaduste hindamise ja kohapealse tegevuse vajaliku koordineerimise, pidades eelkõige silmas asjaolu, et tegevusse kaasatakse mitu liidu asutust ja võib-olla ka muid sidusrühmi.

(6)Sellega seoses peaks amet olema suuteline võtma kasutusele varjupaigatugirühmade jaoks vajaliku taristu ja tehnilise varustuse ning abistama liikmesriikide pädevaid asutusi, sealhulgas kohtuasutusi.

(7)Esmase vastuvõtu piirkondades ja kontrollitavates keskustes peaksid liikmesriigid tegema koostööd asjakohaste liidu asutustega, kes peaksid tegutsema oma mandaadi ja volituste piires ning komisjoni koordineerimisel.

(8)Sellistel juhtudel peaksid liidu asutused liikmesriigi taotlusel ja komisjoni koordineerimisel tegutsema vastuvõtvat liikmesriiki toetades, selleks et kohaldada rahvusvahelise kaitse ja/või tagasisaatmise kiirmenetlusi. Peaks olema võimalik kiiresti kindlaks teha, millised kolmanda riigi kodanikud vajavad rahvusvahelist kaitset ja millised seda ei vaja, viia läbi julgeolekukontrollid ning kogu rahvusvahelise kaitse ja/või tagasisaatmismenetlus või osa sellest.

(9)Liikmesriikidel peaks olema võimalik paluda ametilt abi mitte üksnes riigiasutustele, vaid ka varjupaigaasju menetlevatele kohtutele, ilma et see piiraks kohtute sõltumatust ning austades täielikult kohtumõistmise korraldust igas liikmesriigis. Selleks peaks amet ekspertide profiilide koostamisel ette nägema sellise eksperdi profiili, kes on liikmesriigi haldusasutustest sõltumatu ja kes suudab kohtuid nende taotlusel abistada muu hulgas õigusalase uurimistöö ja analüüside ning muu õigusalase toe pakkumisega.“

(2) Põhjenduse 42 järele lisatakse järgmised põhjendused:

„(1)Käesoleva määruse teine eesmärk on tagada, et liikmesriigid saaksid taotluse esitamisel ja vastavalt nende vajadustele ametilt rohkem tuge, muu hulgas sel teel, et amet osaleb rahvusvahelise kaitse menetluses ning määruse (EL) nr XXX/XXX [Dublini määrus] kohases menetlus, mis võimaldab liikmesriikidel rahvusvahelise kaitse taotlusi kiiresti ja õigeaegselt menetleda, mis omakorda tagab varjupaiga- ja vastuvõtusüsteemi tõhusa ja korrakohase toimimise, ning tugevdada Euroopa Liidu Varjupaigaameti ning Euroopa piiri- ja rannikuvalve vahelise koostöö elemente.

(2)Kuna seda eesmärki ei suuda liikmesriigid piisavalt saavutada ning tegevuse ulatuse ja toime tõttu on seda parem saavutada liidu tasandil, võib liit võtta meetmeid kooskõlas Euroopa Liidu lepingu artiklis 5 sätestatud subsidiaarsuse põhimõttega. Kõnealuses artiklis sätestatud proportsionaalsuse põhimõtte kohaselt ei lähe käesolev määrus nimetatud eesmärkide saavutamiseks vajalikust kaugemale.“,

ON VASTU VÕTNUD KÄESOLEVA MÄÄRUSE:

(3) Artikkel 16 asendatakse järgmisega:

„Artikkel 16

Ameti antav operatiiv- ja tehniline abi

1. Amet annab käesoleva peatüki kohaselt liikmesriikidele operatiiv- ja tehnilist abi:

(a) kui asjaomane liikmesriik seda ametilt taotleb seoses Euroopa ühise varjupaigasüsteemi rakendamisest tulenevate kohustuste täitmisega;

(b) kui asjaomane liikmesriik seda ametilt taotleb kooskõlas artikliga 16a;

(c) kui asjaomane liikmesriik seda ametilt taotleb, kuna liikmesriigi varjupaiga- või vastuvõtusüsteem on sattunud ebaproportsionaalse surve alla;

(d) kui asjaomane liikmesriik seda ametilt taotleb kooskõlas artikliga 21;

(e) ameti algatusel ja asjaomase liikmesriigi nõusolekul, kui liikmesriigi varjupaiga- või vastuvõtusüsteemid on ebaproportsionaalse surve all;

(f) kui amet annab operatiiv- ja tehnilist abi kooskõlas artikliga 22.

2. Amet korraldab ja kooskõlastab piiratud aja jooksul täielikult põhiõigusi järgides nõuetekohase operatiiv- ja tehnilise abi andmist, mis võib hõlmata üht või mitut järgmist operatiiv- ja tehnilist toimingut:

(a) vajaduse korral ja tihedas koostöös liidu teiste ametitega tuvastab ja registreerib kolmandate riikide kodanikke, võtab nende biomeetrilised andmed ja teavitab neid nimetatud menetlustest;

(b) abistab rahvusvahelise kaitse taotluste registreerimisel ja viib seda läbi;

(c)annab esialgset teavet kolmandate riikide kodanikele, kes soovivad esitada rahvusvahelise kaitse taotluse, ja suunab neid liikmesriikide pädevatesse asutustesse;

(d) hõlbustab abistab liikmesriikide pädevates asutustes läbivaatamisel olevate rahvusvahelise kaitse taotluste läbivaatamistläbivaatamisel või pakub neile rahvusvahelise kaitse menetluses vajalikku abi, tehes eeskätt järgmist;

(i)    viib vastavalt vajadusele läbi taotluse vastuvõetavust käsitleva või isikliku vestluse või abistab selles ning viib läbi vastutava liikmesriigi määramiseks vajaliku vestluse või abistab selles;

(ii)    registreerib rahvusvahelise kaitse taotluse määruses (EL) nr XXX/XXX [Dublini määrus] osutatud automaatses süsteemis;

(c)    abistab rahvusvahelise kaitse taotluste läbivaatamise eest vastutavaid liikmesriikide pädevaid asutusi;

(iii)    aitab anda teavet abistab taotlejatele teabe andmisel rahvusvahelise kaitse andmise taotlemise menetluse kohta ning vajaduse korral vastuvõtutingimuste kohta; 

(iv)    abistab teabe andmisel ümberpaigutamise kohta ja osutab vajalikku abi taotlejatele, keda võidakse ümber paigutada; 

(e)    hõlbustab rahvusvahelise kaitse taotluste menetlemisel tehtavale tehnilisele koostööle keskenduvate liikmesriikide ühisalgatuste elluviimist;

(f)    nõustab ja abistab liikmesriikides vastuvõtuteenuste, eelkõige erakorralise majutuse, transpordi ja arstiabi korraldamisel või pakkumisel ning koordineerib seda tegevust;

(g)    aitab täita määruses (EL) nr XXX/XXX [Dublini määrus] sätestatud ülesandeid ja kohustusi, sealhulgas tegeleb rahvusvahelise kaitse taotlejate või saajate ümberpaigutamise või üleviimisega liidu piires või koordineerib seda tegevust;

(h)    aitab toimetada määruse (EL) nr XXX/XXX [Dublini määrus] kohaseid menetlusi;

   (i)    osutab tõlketeenuseid;

(j)    aitab liikmesriikidel tagada kõikide vajalike lapse õiguste ja lapse suhtes kohaldatavate kaitsemeetmete olemasolu, eelkõige saatjata alaealiste puhul;

(k)    aitab liikmesriikidel kindlaks teha taotlejad, kes vajavad erimenetlustagatisi, või vastuvõtu erivajadustega taotlejad või muud kaitsetus olukorras olevad isikud, sealhulgas alaealised, ning aitab suunata need isikud riigi pädevatesse asutustesse asjakohase abi saamiseks riiklike meetmete alusel ja aitab tagada, et kõik neile taotlejatele ette nähtud kaitsemeetmed oleksid kehtestatud;

(l)    aitab koordineerida liikmesriikide asjaomaste asutuste tegevust rahvusvahelise kaitse menetluse järelmeetmete võtmisel, sh varjupaigataotluse lõpliku tagasilükkamise puhul võimaliku tagasisaatmismenetluse toimetamisel, ja toetab seda tegevust;

(m)    koostab otsuseid rahvusvahelise kaitse taotluste kohta, ilma et see piiraks liikmesriigi pädeva asutuse pädevust teha otsuseid konkreetsete taotluste kohta;

(n)    aitab kaebusi menetleda muu hulgas õigusalase uurimistöö ja analüüsi tegemise ning muu õigusalase toe pakkumisega;

(o)    osaleb määruses 2016/1624 artiklis 21 osutatud esmase vastuvõtu piirkondades rändehalduse tugirühmades tihedas koostöös muude asjaomaste liidu ametitega;

(p)    lähetab varjupaigatugirühmi;

(q)    nõustab vajaduse korral ja võtab kasutusele varjupaigatugirühmade jaoks vajaliku taristu ja tehnilise varustuse ning abistab liikmesriikide pädevaid asutusi, sealhulgas kohtuasutusi.

3.    Amet rahastab või kaasrahastab lõikes 12 osutatud tegevust oma eelarvest kooskõlas ameti suhtes kohaldatavate finantseeskirjadega.

4.    Tegevdirektor hindab operatiiv- ja tehniliste meetmete rakendamise tulemusi ning esitab haldusnõukogule vastavalt tegevusplaanis ette nähtud aruandlus- ja hindamiskavale üksikasjalikud hindamisaruanded 60 päeva jooksul pärast asjaomaste meetmete võtmise lõpetamist, lisades neile põhiõiguste ametniku tähelepanekud. Amet teeb nende tulemuste põhjaliku võrdleva analüüsi, mis lisatakse artiklis 65 osutatud iga-aastasesse tegevusaruandesse.“

(4) Lisatakse artikkel 16a:

„Artikkel 16a

Tõhustatud abi rahvusvahelise kaitse menetluste ja Dublini menetluste puhul

1. Liikmesriik võib taotleda ametilt tõhustatud abi liikmesriigi varjupaigapoliitika rakendamiseks, sealhulgas Euroopa ühise varjupaigasüsteemiga seotud kohustuste täitmiseks. Sel eesmärgil lähetab amet varjupaigatugirühmad, sealhulgas vajaduse korral varjupaigaekspertide reservnimekirjast lähetatud rühmad, selleks et:

(a)toimetada kogu rahvusvahelise kaitse menetlus haldusetapis või osad sellest kooskõlas määrusega (EL) nr XXX/XXX [varjupaigamenetluse määrus], ilma et see piiraks liikmesriikide pädevust teha otsuseid konkreetsete taotluste kohta, ja/või;

(b)aidata kiiresti toimetada määruse (EL) nr XXX/XXX [Dublini määrus] kohaseid menetlusi ja/või;

(c)aidata menetleda punktides a ja b osutatud menetlustega seotud kaebusi.

2.Lõike 1 punkti a kohaldamisel täidavad varjupaigatugirühmade eksperdid vajaduse korral järgmisi ülesandeid:

(a)annavad taotlejatele teavet rahvusvahelise kaitse menetluse kohta ning vajaduse korral vastuvõtutingimuste kohta;

(b)registreerivad rahvusvahelise kaitse taotlusi;

(c)võtavad biomeetrilisi andmeid ja edastavad need andmed vastavalt määruse (EL) nr XXX/XXX [Eurodaci määrus] artiklile 10;

(d)abistavad taotlejaid rahvusvahelise kaitse taotluse esitamisel;

(e)selgitavad välja ja hindavad, kas on olemas vajadus erimenetlustagatiste järele või vastuvõtu erivajadus;

(f)viivad vastavalt vajadusele läbi taotluse vastuvõetavust käsitleva või isikliku vestluse;

(g)hindavad rahvusvahelise kaitse taotlustega seotud tõendeid;

(h)koostavad rahvusvahelise kaitse taotluste kohta otsuseid ja esitavad need otsused liikmesriigi pädevale asutusele, kes vastutab konkreetsete taotluste kohta otsuste tegemise eest vastavalt määruses (EL) nr XXX/XXX [varjupaigamenetluse määrus] sätestatud üldpõhimõtetele ja tagatistele;

(i)aitavad koordineerida liikmesriikide asjaomaste asutuste tegevust rahvusvahelise kaitse menetluse järelmeetmete võtmisel, sh varjupaigataotluse lõpliku tagasilükkamise puhul võimaliku tagasisaatmismenetluse toimetamisel, ja toetavad seda tegevust.

3.Lõike 1 punkti b kohaldamisel täidavad varjupaigatugirühmade eksperdid vajaduse korral järgmisi ülesandeid:

(a)registreerivad rahvusvahelise kaitse taotluse määruses (EL) nr XXX/XXX [Dublini määrus] osutatud automaatses süsteemis;

(b)annavad taotlejatele teavet määruse (EL) nr XXX/XXX [Dublini määrus] kohaste menetluste kohta;

(c)viivad läbi vestluse, millega selgitatakse välja, milline liikmesriik vastutab rahvusvahelise kaitse taotluse läbivaatamise eest;

(d)viivad läbi pereliikmete otsimist ja perekondade kokkuviimist koos liikmesriigiga, kes vastutab rahvusvahelise kaitse taotluse läbivaatamise eest;

(e)teevad kindlaks, millised taotlejad vastavad ümberpaigutamise või üleviimise tingimustele;

(f)aitavad rahvusvahelise kaitse taotlejaid ja saajaid ümber paigutada või üle viia, viivad seda läbi või koordineerivad seda;

(g)viivad läbi menetluse, millega selgitatakse välja, milline liikmesriik vastutab rahvusvahelise kaitse taotluse läbivaatamise eest, või aitavad seda läbi viia;

(h)abistavad vastuvõtmismenetluste ja tagasivõtmisteadetega vastavalt määrusele (EL) nr XXX/XXX [Dublini määrus] või korraldavad need ära.

4. Lõike 1 punkti c kohaldamisel abistavad varjupaigatugirühmade eksperdid vajaduse korral kohtuid nende taotlusel kaebuste menetlemisel, muu hulgas tehes õigusalast uurimistööd, koostades analüüse ja pakkudes muud õigusalast tuge, kusjuures eksperdid austavad oma tegevuses täielikult kohtute sõltumatust ja erapooletust. 

5.Amet tagab asjakohaste dokumentide tõlkimise ja vajaliku suulise tõlke.“

(5) Artikkel 21 asendatakse järgmisega:

„Artikkel 21

Rändehalduse tugirühmad

1.Kui liikmesriik taotleb määruse (EL) nr XXX/XXX artikli 17 kohaselt rändehalduse tugirühmade pakutavat operatiiv- ja tehnilist tuge või kui rändehalduse tugirühmad lähetatakse määruse (EL) nr XXX/XXX artikli 18 kohaselt esmase vastuvõtu piirkondadesse, koordineerib tegevdirektor rändehalduse tugirühmades toimuvat ameti tegevust komisjoniga ja liidu muude asjakohaste ametite ja agentuuridega, eelkõige Euroopa Liidu Liikmesriikide Välispiiril Tehtava Operatiivkoostöö Juhtimise Euroopa Agentuuriga. 2.

2.Tegevdirektor algatab vajaduse korral varjupaigatugirühmade või varjupaigaekspertide reservnimekirja kuuluvate ekspertide lähetamise kooskõlas artiklitega 17 ja 18. Operatiiv- ja tehniline tugi, mida pakuvad rändehalduse tugirühmade raames varjupaigatugirühmad või varjupaigaekspertide reservnimekirjast lähetatavad eksperdid, võib hõlmata järgmist:

(a) kolmandate riikide kodanike tausta kontrollimine, sealhulgas nende tuvastamine, registreerimine ja liikmesriigi taotluse korral nende sõrmejälgede võtmine;

(b) rahvusvahelise kaitse taotluste registreerimine ja liikmesriigi taotluse korral selliste taotluste läbivaatamine;

(c) teabe andmine varjupaigamenetluste, sealhulgas ümberpaigutamise kohta ning eriabi andmine taotlejatele või võimalikele taotlejatele, keda võidakse ümber paigutada.

1.Liikmesriigi taotluse korral või ameti algatusel ja asjaomase liikmesriigi nõusolekul võidakse lähetada rändehalduse tugirühmad, et pakkuda sellele liikmesriigile tehnilist ja operatiivtuge.

2.Rändehalduse tugirühmad koosnevad varjupaigatugirühmadest, Euroopa piiri- ja rannikuvalve alalise korpuse operatiivtöötajatest ning Europoli ja muude liidu asutuste ekspertidest.

3.Lõikes 1 osutatud liikmesriik esitab rändehalduse tugirühmade toe saamise taotluse ja oma vajaduste hinnangu komisjonile. Liikmesriigi vajaduste hinnangust lähtudes edastab komisjon taotluse ametile, Euroopa Piiri- ja Rannikuvalve Ametile, Europolile ja muudele asjaomastele liidu ametitele ning tagab vajaduste hindamise üldise koordineerimise.

4.Asjaomased liidu ametid hindavad komisjoni koordineerimisel liikmesriigi taotlust toe saamiseks ja tema vajadusi, et määrata kindlaks vajalikud meetmed, sealhulgas tehniliste seadmete saatmise, milles tuleb asjaomase liikmesriigiga kokku leppida.

5.Komisjon kehtestab koostöös vastuvõtva liikmesriigi ja asjaomaste liidu ametitega rändehalduse tugirühmade lähetamise ja tehniliste seadmete saatmise koostöökorra ning vastutab osutatud rühmade tegevuse koordineerimise eest.

6. Rändehalduse tugirühmade raames ameti poolt lähetatud varjupaigatugirühmad võivad täita artikli 16 lõikes 2 ja artiklis 16a osutatud ülesandeid.

7.Rändehalduse tugirühmadesse kuuluvad vajaduse korral töötajad, kellel on eriteadmisi lastekaitse, inimkaubanduse, põhiõiguste, soolise võrdõiguslikkuse ja soopõhise tagakiusamise eest kaitsmise alal.“

(6) Artikkel 47 asendatakse järgmisega:

Artikkel 47
Tegevdirektori asetäitja

1. Tegevdirektori asetäitja abistab tegevdirektorit ameti juhtimisel ja artikli 46 lõikes 5 osutatud ülesannete täimisel. Kui tegevdirektor puudub või ei saa oma kohustusi täita, täidab tema ülesandeid tegevdirektori asetäitja.

2. Tegevdirektori asetäitja nimetab ametisse haldusnõukogu tegevdirektori ettepanekul komisjoni esitatud kandidaatide nimekirjast pärast avatud ja läbipaistvat valikumenetlust. Tegevdirektori asetäitja ametissenimetamisel võetakse arvesse tema pädevust ning asjakohast haldus- ja juhtimisoskust, sealhulgas erialaseid kogemusi rände- ja varjupaigaküsimuste valdkonnas. Tegevdirektor Komisjon esitab tegevdirektori asetäitja ametikohale vähemalt kolm kandidaati. Haldusnõukogul on õigus tegevdirektori ettepanekul tegevdirektori asetäitja ametiaega pikendada või ta ametist kõrvaldada. Tegevdirektori asetäitja suhtes kohaldatakse artikli 45 lõikeid 1, 4, 5, 7, 8 ja 9.

Käesolev määrus on tervikuna siduv ja liikmesriikides vahetult kohaldatav kooskõlas aluslepingutega.

Brüssel,

Euroopa Parlamendi nimel                Nõukogu nimel

president                eesistuja

FINANTSSELGITUS

1.ETTEPANEKU RAAMISTIK

1.1.Ettepaneku nimetus

1.2.Asjaomane poliitikavaldkond vastavalt tegevuspõhise juhtimise ja eelarvestamise (ABM/ABB) struktuurile

1.3.Ettepaneku liik

1.4.Eesmärgid

1.5.Ettepaneku põhjused

1.6.Meetme kestus ja finantsmõju

1.7.Kavandatud eelarve täitmise viisid

2.HALDUSMEETMED

2.1.Järelevalve ja aruandluse eeskirjad

2.2.Haldus- ja kontrollisüsteem

2.3.Pettuse ja eeskirjade eiramise ärahoidmise meetmed:

3.ETTEPANEKU HINNANGULINE FINANTSMÕJU

3.1.Mitmeaastase finantsraamistiku rubriigid ja kulude eelarveread, millele mõju avaldub

3.2.Hinnanguline mõju kuludele 

3.2.1.Üldine hinnanguline mõju kuludele

3.2.2.Hinnanguline mõju tegevusassigneeringutele

3.2.3.Hinnanguline mõju haldusassigneeringutele

3.2.4.Kooskõla kehtiva mitmeaastase finantsraamistikuga

3.2.5.Kolmandate isikute rahaline osalus

3.3.Hinnanguline mõju tuludele

FINANTSSELGITUS

1.ETTEPANEKU RAAMISTIK

1.1.Ettepaneku nimetus

Ettepanek: EUROOPA PARLAMENDI JA NÕUKOGU MÄÄRUS, milles käsitletakse Euroopa Liidu Varjupaigaametit ja millega tunnistatakse kehtetuks määrus (EÜ) nr 439/2010

1.2.Asjaomane poliitikavaldkond vastavalt tegevuspõhise juhtimise ja eelarvestamise (ABM/ABB) struktuurile 6  

Poliitikavaldkond: varjupaik ja ränne (jaotis 18)

Tegevusala: varjupaigaküsimused

1.3.Ettepaneku liik

 Ettepanek käsitleb uut meedet 

 Ettepanek käsitleb uut meedet, mis tuleneb katseprojektist / ettevalmistavast meetmest 7  

 Ettepanek käsitleb olemasoleva meetme pikendamist 

 Ettepanek käsitleb ümbersuunatud meedet 

1.4.Eesmärk

1.4.1.Komisjoni mitmeaastane strateegiline eesmärk, mida ettepaneku kaudu täidetakse

Käesoleva ettepaneku eesmärk on tugevdada EASO rolli ja muuta EASO täieõiguslikuks ametiks, mis pakub terviklikku operatiivabi, hõlbustab Euroopa ühise varjupaigasüsteemi rakendamist ja parandab selle toimimist.

Selle arengu väljendusena nimetatakse Euroopa Varjupaigaküsimuste Tugiamet käesolevas otsuses ümber Euroopa Liidu Varjupaigaametiks.

1.4.2.Erieesmärgid ning asjaomased tegevusalad vastavalt tegevuspõhise juhtimise ja eelarvestamise süsteemile

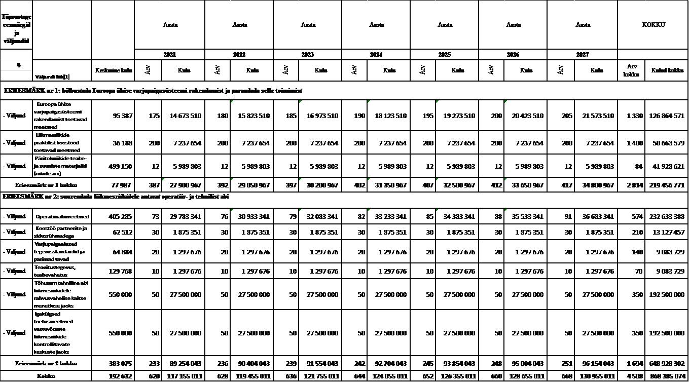
Erieesmärk nr 1: hõlbustada Euroopa ühise varjupaigasüsteemi rakendamist ja parandada selle toimimist

- Euroopa ühise varjupaigasüsteemi rakendamise jälgimine ja hindamine

- Euroopa ühise varjupaigasüsteemi rakendamist toetavad meetmed

- liikmesriikide praktilist koostööd toetavad meetmed

- päritoluriigi teave ja ühine analüüs

- liidu varjupaigaõiguse ja varjupaigaalaste tegevusstandardite edendamine

Erieesmärk nr 2: suurendada liikmesriikidele antavat operatiiv- ja tehnilist abi

- praktilise koostöö ja teabevahetuse tõhustamine

- operatiivabimeetmed

- koostöö partnerite ja sidusrühmadega

- varjupaigaalased tegevusstandardid, suunised ja parimad tavad

- teavitustegevus, teabevahetus

Asjaomane tegevusala vastavalt tegevuspõhise juhtimise ja eelarvestamise süsteemile:

→MFR 2014–2020

Tegevusala 18 03: varjupaik ja ränne

→MFR 2021-2027

Tegevusala 10: ränne

1.4.3.Oodatavad tulemused ja mõju

Täpsustage, milline peaks olema ettepaneku oodatav mõju toetusesaajatele/sihtrühmale.

Eesmärk on muuta EASO täieõiguslikuks ametiks, mis suudab:

- anda liikmesriikidele vajalikku operatiiv- ja tehnilist abi;

- suurendada praktilist koostööd ja teabevahetust liikmesriikide seas;

- toetada rahvusvahelise kaitse taotluste jätkusuutlikku ja õiglast jaotamist;

- jälgida ja hinnata Euroopa ühise varjupaigasüsteemi rakendamist ning liikmesriikide varjupaiga- ja vastuvõtusüsteemide suutlikkust ning

- võimaldada ühtlustada rahvusvahelise kaitse taotluste hindamist kogu liidus.

1.4.4.Tulemus- ja mõjunäitajad

Täpsustage, milliste näitajate alusel hinnatakse ettepaneku elluviimist.

- Euroopa ühise varjupaigasüsteemi rakendamise jälgimise ja hindamise käigus kindlakstehtud puuduste arv aastas

- Euroopa ühise varjupaigasüsteemi rakendamist toetavate meetmete arv aastas

- liikmesriikide praktilist koostööd toetavate meetmete arv aastas

- nende päritoluriikide arv aastas, mille kohta koostatakse teabearuanded ja mille puhul tehakse ühine analüüs

- varjupaigaalaste tegevusstandardite, suuniste ja parimate tavade arv aastas

- loodud praktilise koostöö suhete ja võrgustike arv aastas

- teabevahetuseks tehtud korralduste arv aastas

- operatiivabimeetmete arv aastas

- partnerite ja sidusrühmadega sõlmitud kokkulepete ja elluviidud meetmete arv aastas

- teavitusmeetmete arv aastas

1.5.Ettepaneku põhjused

1.5.1.Lühi- või pikaajalises perspektiivis täidetavad vajadused

Käesolevas ettepanekus tuginetakse EASO kehtivatele volitustele ja laiendatakse neid, et muuta EASO täieõiguslikuks ametiks, millel on vajalikud vahendid, et 1) tihendada varjupaigaalast praktilist koostööd ja teabevahetust; 2) edendada liidu õigust ja tegevusstandardeid, et tagada varjupaigaalase õigusraamistiku ühetaoline kohaldamine; 3) tagada kogu liidus kaitsevajaduste hindamisel suurem ühtsus; 4) jälgida ja hinnata Euroopa ühise varjupaigasüsteemi rakendamist; 5) anda liikmesriikidele varjupaiga- ja vastuvõtusüsteemide haldamisel rohkem operatiiv- ja tehnilist abi, sealhulgas tõhustatud abi rahvusvahelise kaitse menetluse valdkonnas, et tagada rahvusvahelise kaitse taotluste kiire ja õigeaegne menetlemine, mis omakorda tagab varjupaiga- ja vastuvõtusüsteemi tõhusa ja korrakohase toimimise, ning abistada liikmesriike Dublini menetlusega; 6) pakkuda vastuvõtvale liikmesriigile igakülgseid toetusmeetmeid, et tagada taotluste kiire menetlemine, võttes enda kanda kogu rahvusvahelise kaitse haldusmenetluse või osa sellest, kaasa arvatud kontrollitavates keskustes, ja abistada kohtuasutusi kaebuste menetlemisel.

1.5.2.Euroopa Liidu meetme lisandväärtus

Käesoleva ettepaneku eesmärk on hõlbustada Euroopa ühise varjupaigasüsteemi rakendamist ja parandada selle toimimist, tihendada liikmesriikide praktilist koostööd ja teabevahetust varjupaigaküsimustes, edendada liidu õigust ja tegevusstandardeid, et tagada kõikjal liidus varjupaigamenetluste, vastuvõtutingimuste ja kaitsevajaduste hindamise ühtlus, jälgida liidu varjupaigaõiguse ja -standardite praktilist ja tehnilist kohaldamist ning anda liikmesriikidele – eriti neile, kelle varjupaiga- ja vastuvõtusüsteem on sattunud ebaproportsionaalse surve alla – varjupaiga- ja vastuvõtusüsteemide haldamiseks suuremat operatiiv- ja tehnilist abi.

Kuna varjupaigaalase õigusraamistiku nõuetekohane kohaldamine Euroopa Liidu Varjupaigaameti toetusel toimuva liikmesriikide kooskõlastatud tegevuse kaudu on ühistes huvides, et tagada Euroopa ühise varjupaigasüsteemi toimimises stabiilsus ja kord, ei suuda liikmesriigid üksi käesoleva ettepaneku eesmärke piisaval määral saavutada ja neid on parem saavutada liidu tasandil.

1.5.3.Samalaadsetest kogemustest saadud õppetunnid

Alates 2011. aastast, kui EASO asus oma kohustusi täitma, on amet pidevalt aidanud liikmesriikidel kohaldada kehtivaid õigusnorme ja parandada olemasolevate vahendite toimimist. Amet on omandanud kogemusi ja pälvinud usalduse tänu oma tööle liikmesriikidevahelise praktilise koostöö vallas ja liikmesriikide toetamisel Euroopa ühisest varjupaigasüsteemist tulenevate kohustuste täitmisel. EASO täidetavad ülesanded on järk-järgult arenenud, et rahuldada liikmesriikide ja Euroopa ühise varjupaigasüsteemi kui terviku üha kasvavaid vajadusi. Liikmesriigid tuginevad järjest enam ameti pakutavale operatiiv- ja tehnilisele abile. Amet on omandanud märkimisväärseid teadmisi ja kogemusi varjupaigavaldkonnas ning selle asemel, et lasta ametil tugineda jätkuvalt peamiselt liikmesriikide pakutavale teabele ja erialateadmistele, on aeg muuta see iseseisvaks eksperdikeskuseks.

Komisjoni meelest on amet üks vahendeid, mida on võimalik kasutada selleks, et tõhusalt kõrvaldada Euroopa ühise varjupaigasüsteemi struktuursed puudused, mida on veelgi süvendanud rändajate ja varjupaigataotlejate massiline ja kontrollimatu saabumine Euroopa Liitu, eriti viimastel aastatel. Ei ole tõenäoline, et Euroopa ühist varjupaigasüsteemi õnnestub reformida, andmata ametile volitusi, mis vastavad reformiga kaasnevatele nõudmistele. On oluline varustada amet vahenditega, mis on vajalikud liikmesriikide abistamiseks kriisiolukordades, kuid veelgi tähtsam on luua kindel õigus-, operatiiv- ja praktiline raamistik, et amet saaks tugevdada ja täiendada liikmesriikide varjupaiga- ja vastuvõtusüsteeme.

1.5.4.Kooskõla ja võimalik koostoime muude asjaomaste meetmetega

Käesolev ettepanek on kooskõlas rände paremat haldamist käsitleva laiaulatusliku pikaajalise poliitikaga, mille komisjon on sätestanud Euroopa rände tegevuskavas, kus president Junckeri poliitilistest suunistest on välja arendatud hulk neljal sambal põhinevaid sidusaid ja vastastikku tugevdavaid algatusi. Need sambad on ebaseadusliku rände stiimulite vähendamine, välispiiride kindlustamine ja elude päästmine, tugev varjupaigapoliitika ning uus seadusliku rände poliitika. Käesoleva ettepanekuga jätkatakse Euroopa rände tegevuskava elluviimist, eelkõige liidu varjupaigapoliitika tugevdamise osas, kuivõrd Euroopa Liidu Varjupaigaamet tagab Euroopa ühise varjupaigasüsteemi täieliku ja sidusa rakendamise. Käesolev muutmisettepanek täiendab komisjoni algset ettepanekut ja on Euroopa Ülemkogu 2018. aasta juuni järelduste valguses kooskõlas eesmärgiga kujundada välja sisepoliitika, mis põhineb solidaarsuse ja vastutuse vahelisel tasakaalul. Euroopa Liidu Varjupaigaameti tugevdamine on solidaarsuse oluline osa. Käesoleva ettepanekuga tugevdatakse koostööd Euroopa Liidu Varjupaigaameti ning Euroopa piiri- ja rannikuvalve vahel, et tagada kooskõla komisjoni ettepanekuga, millega muudetakse Euroopa piiri- ja rannikuvalve määrust, eeskätt selles osas, mis puudutab rändehalduse tugirühmade lähetamist.

1.6.Meetme kestus ja finantsmõju

 Piiratud kestusega ettepanek 

   Ettepanek hõlmab ajavahemikku [PP/KK]AAAA–[PP/KK]AAAA

   Finantsmõju avaldub ajavahemikul AAAA–AAAA

 Piiramatu kestusega ettepanek

rakendamise käivitumisperiood hõlmab ajavahemikku AAAA–AAAA,

millele järgneb täieulatuslik rakendamine.

1.7.Kavandatud eelarve täitmise viis 8  

 Otsene eelarve täitmine komisjoni poolt

oma talituste kaudu, sealhulgas kasutades liidu delegatsioonides töötavat komisjoni personali;

   rakendusametite kaudu

 Eelarve täitmine koostöös liikmesriikidega

 Kaudne eelarve täitmine, mille puhul eelarve täitmise ülesanded on delegeeritud:

kolmandatele riikidele või nende määratud asutustele;

rahvusvahelistele organisatsioonidele ja nende esindajatele (täpsustage);

Euroopa Investeerimispangale (EIP) ja Euroopa Investeerimisfondile (EIF);

finantsmääruse artiklites 208 ja 209 nimetatud asutustele;

avalik-õiguslikele asutustele;

avalikke teenuseid osutavatele eraõiguslikele asutustele, kuivõrd nad esitavad piisavad finantstagatised;

liikmesriigi eraõigusega reguleeritud asutustele, kellele on delegeeritud avaliku ja erasektori partnerluse rakendamine ja kes esitavad piisavad finantstagatised;

isikutele, kellele on delegeeritud Euroopa Liidu lepingu V jaotise kohaste ÜVJP erimeetmete rakendamine ja kes on kindlaks määratud asjaomases alusaktis.

Mitme eelarve täitmise viisi valimise korral esitage üksikasjad rubriigis „Märkused“.

Märkused

2.HALDUSMEETMED

2.1.Järelevalve ja aruandluse eeskirjad

Täpsustage tingimused ja sagedus.

Euroopa Liidu Varjupaigaametil on kohustus oma tegevusest aru anda. Amet peab igal aastal koostama varjupaigavaldkonna olukorda käsitleva tegevusaruande, kus tal tuleb hinnata aasta jooksul ellu viidud tegevuse tulemusi. Aruanne peab sisaldama ameti tegevuse võrdlevat analüüsi, nii et amet saaks parandada Euroopa ühise varjupaigasüsteemi kvaliteeti, järjepidevust ja tõhusust. Amet peab aasta tegevusaruande edastama haldusnõukogule, Euroopa Parlamendile ja nõukogule.

Kolme aasta jooksul pärast käesoleva määruse jõustumist ja seejärel iga viie aasta järel peab komisjon tellima hindamise, et eelkõige hinnata ameti tegevuse mõju, tõhusust ja tulemuslikkust ning ameti töötavasid. Hindamine peab hõlmama ameti tegevuse mõju praktilisele koostööle varjupaigaküsimustes ja Euroopa ühisele varjupaigasüsteemile. Komisjon peab saatma hindamisaruande koos oma järeldustega aruande kohta Euroopa Parlamendile, nõukogule ja haldusnõukogule. Hindamise järeldused tuleb avalikustada.

2.2.Haldus- ja kontrollisüsteem

2.2.1.Tuvastatud ohud

- Ameti praegust pädevusvaldkonda on vaja laiendada, et tagada Euroopa ühise varjupaigasüsteemi ja reformitud Dublini süsteemi rakendamine. Tuleb suurendada ameti personali ja vahendeid, et tagada ameti tegevuseesmärkide saavutamine. Ilma nende muudatusteta satub ohtu Euroopa ühise varjupaigasüsteemi toimimine.

- Ulatuslikud ja kontrollimatud rändevood, mis panevad varjupaiga- ja vastuvõtusüsteemid jätkuvalt surve alla, lükates sellega edasi ülemineku erakorraliselt režiimilt rände- ja varjupaigasüsteemide tavapärasele haldamisele.

- Töötajate värbamine: töötajate värbamise rütm võib kujutada endast ohtu, võttes arvesse seda, et ameti suutlikkus on endiselt vähene, värbamine on võrdlemisi aeglane ja uute ülesannete hulk kasvab. Rände ja siseasjade peadirektoraat (DG HOME) püüab seda olukorda leevendada, pakkudes pidevat tuge ja teostades järelevalvet.

- Viivitused ameti hallatava muudetud Dublini süsteemi õigusliku aluse vastuvõtmises ja sellega seotud infotehnoloogia arengus võivad takistada ameti uute sellealaste ülesannete täitmist.

- Jätkuvalt suur sõltuvus liikmesriikide teadmistest ning viivitused ameti enda teadmusbaasi väljakujundamisel ja iseseisvaks eksperdikeskuseks muutumisel.

Kui Euroopa Kontrollikoda ja siseauditi talitus tuvastasid EASO juhtimises ja kontrollis olulisi puudusi, mis tõid kaasa reservatsioonide esitamise 2017. aasta tegevusaruandele, koostas DG HOME probleemide lahendamiseks tegevuskava. Tõhusam koordineerimine, vastutava peadirektoraadi ja ameti vaheline töökorraldus ning range järelevalve peaksid olukorda parandama ja aitama vältida korduvaid riske.

Komisjon jälgib tähelepanelikult ameti toimimist, sealhulgas eelarve täitmist, osaledes aktiivselt haldusnõukogu ja haldusnõukogu ettevalmistusrühma koosolekutel. Selleks et haldusnõukogu saaks oma järelevalveülesandeid paremini täita, saab komisjon 2018. aasta veebruarist saadik haldusnõukogu otsuse (millega kohaldatakse tegevdirektori suhtes ajutisi meetmeid) kohaselt korrapäraselt (iga kahe nädala tagant) ka järelevalvearuandeid, milles käsitletakse põhiliselt rahastamist, hankeid ja värbamist, ning vaatab need läbi.

2.2.2.Ettenähtud kontrollimeetodid

Ameti raamatupidamisaruanded esitatakse heakskiitmiseks Euroopa Kontrollikojale ja nende suhtes kohaldatakse eelarve täitmisele heakskiidu andmise menetlust. Komisjoni siseauditi talitus teeb auditeid koostöös ameti siseaudiitoriga.

Peale kontrollikoja ja siseauditi talituse sõltumatute kontrollide võimaldab ameti põhimõttepõhise sisekontrolliraamistiku rakendamine tuvastatud riske ohjata. Teabe ja teabevahetuse osa peaks suurendama teadlikkust nende töötajate hulgas, kes puutuvad kokku detsentraliseeritud asutustega, ning jälgimistoimingute osa võimaldab aruannete esitamisel võtta aluseks usaldusväärsed järelevalvenäitajad, selleks et puudusi juba ette välja selgitada.

2.3.Pettuse ja eeskirjade eiramise ärahoidmise meetmed:

Täpsustage rakendatavad või kavandatud ennetus- ja kaitsemeetmed.

- Amet: ameti eelarve täitmise eest vastutab tegevdirektor. Tegevdirektor saadab igal aastal komisjonile, haldusnõukogule ja kontrollikojale üksikasjaliku aruande ameti eelmise eelarveaasta kõikide tulude ja kulude kohta. Lisaks esitab komisjoni siseauditi talitus arvamuse siseauditi talituse 2016. aasta eelarve täitmise ja hangete planeerimise auditist tulenevate meetmete rakendamise järelauditi tulemuste kohta. Auditi tulemused peaksid andma ameti juhtkonnale kinnitust kehtestatud kontrollide tõhususe kohta ja suuniseid täiendavate meetmete kohta, mis võivad olla vajalikud.

Amet võtab vastu oma finantsmääruse vastavalt delegeeritud määrusele nr 1271/2013 pärast komisjonilt ja kontrollikojalt nõusoleku saamist. Amet kehtestab siseauditisüsteemi, mis sarnaneb komisjonis ümberkorralduste käigus kasutusele võetud süsteemiga. Amet kehtestab sama sisekontrolliraamistiku, nagu on kehtestatud komisjonis, mis sisaldab tõhusaid meetmeid pettuse avastamiseks ja ennetamiseks, ning rände ja siseasjade peadirektoraadi pettustevastane strateegia hõlmab ametis tuvastatud riskivaldkondi.

- Koostöö OLAFiga: töötajad, kelle suhtes kohaldatakse komisjoni personalieeskirju, teevad võitluseks pettustega koostööd OLAFiga.

- Kontrollikoda: kontrollikoda kontrollib aruandeid vastavalt aluslepingu artiklile 248 ja avaldab ameti tegevuse kohta aastaaruande.

3.ETTEPANEKU HINNANGULINE FINANTSMÕJU

3.1.Mitmeaastase finantsraamistiku rubriigid ja kulude eelarveread, millele mõju avaldub

·Olemasolevad eelarveread

Järjestage mitmeaastase finantsraamistiku rubriikide ja iga rubriigi sees eelarveridade kaupa.

Mitmeaastase finantsraamistiku rubriik

Eelarverida

Assigneeringute
liik

Rahaline osalus

Nr
[Rubriik 3]

Liigendatud/liigendamata

EFTA riigid

kandidaatriigid

kolmandad riigid

finantsmääruse artikli 21 lõike 2 punkti b tähenduses

3

18.03.02 Euroopa Varjupaigaküsimuste Tugiamet (EASO)

Liigendatud/liigendamata

EI

EI

JAH*

EI

* EASO saab toetust Schengeni lepinguga ühinenud riikidelt.

·MFR 2021–2027 raames taotletavad uued eelarveread.

·Puudub vajadus MFR 2014–2020 raames uue eelarverea loomise taotlemiseks, aga eelarverida 18 03 02 tuleks vastavalt ümber nimetada.

Järjestage mitmeaastase finantsraamistiku rubriikide ja iga rubriigi sees eelarveridade kaupa.

Mitmeaastase finantsraamistiku rubriik

Eelarverida

Assigneeringute
liik

Rahaline osalus

Nr
[Rubriik 4 Ränne ja piirihaldus]

Liigendatud/liigendamata

EFTA riigid

kandidaatriigid

kolmandad riigid

finantsmääruse artikli 21 lõike 2 punkti b tähenduses

4

10.YY.YY Euroopa Liidu Varjupaigaamet

 

Liigendatud/liigendamata

EI

EI

JAH*

EI

3.2.Hinnanguline mõju kuludele

Kulud suurenevad 2019.–2027. aastal 55 miljoni euro võrra, võrreldes komisjoni 4. mai 2016. aasta ettepaneku COM(2016) 271 final juurde kuuluva finantsselgitusega.

Kulude suurendamise eesmärk on kahekordistada vahendeid, mis on kättesaadavad operatiivabiga seotud kulude (ameti eelarverida 33) katmiseks järgmiste tegevuste puhul:

1) anda liikmesriikidele varjupaiga- ja vastuvõtusüsteemide haldamisel rohkem operatiiv- ja tehnilist abi, sealhulgas tõhustatud abi rahvusvahelise kaitse menetluse valdkonnas, et tagada rahvusvahelise kaitse taotluste kiire ja õigeaegne menetlemine, mis omakorda tagab varjupaiga- ja vastuvõtusüsteemi tõhusa ja korrakohase toimimise, ning abistada liikmesriike Dublini menetlusega;

2) pakkuda vastuvõtvale liikmesriigile tõhustatud toetusmeetmeid, et tagada taotluste kiire menetlemine, võttes enda kanda kogu rahvusvahelise kaitse haldusmenetluse või osa sellest, kaasa arvatud kontrollitavates keskustes, ja abistada kohtuasutusi kaebuste menetlemisel.

Eeldatakse, et järgmise kümne aasta jooksul esitatakse kõigi ELi riikide peale kokku umbes 500 000 varjupaigataotlust aastas (praegu on ELis 2018. aasta esimese kaheksa kuuga saadud 382 000 varjupaigataotlust). Kreekas ja Itaalias eeldatakse aastas ligikaudu 120 00 juhtumit, nendest 60 000 Kreekas ja 60 000 Itaalias. Kreeka saartel tuleb tegeleda keskmiselt 150 000 juhtumiga. EASO tegeleb praegu osaga saartele saabunud taotlejatest ja ei paku esialgu samalaadset toetust Kreeka mandriosas, kuigi Kreeka on seda taotlenud. Üleüldse on EASO võimalused liikmesriike varjupaigajuhtumite menetlemisel abistada hetkel piiratud. Muudetud määruse eesmärk on EASO suutlikkust ja tegevusvaldkondi laiendada, et liikmesriike, eeskätt kõige suurema surve all olevaid riike (nagu Kreeka ja Itaalia), rohkem toetada, muu hulgas kontrollitavate keskuste loomisega, nagu on ette nähtud Euroopa Ülemkogu 28. juuni järeldustega.



3.2.1.Üldine hinnanguline mõju kuludele

miljonites eurodes (kolm kohta pärast koma)

Mitmeaastase finantsraamistiku
2014-2020 rubriik

3

Julgeolek ja kodakondsus

Euroopa Liidu Varjupaigaamet

Aasta
2018

Aasta
2019

Aasta
2020

KOKKU

• Tegevusassigneeringud

Eelarverida nr

Kulukohustused

(1)

Maksed

(2)

Eelarverida nr

Kulukohustused

(1a)

Maksed

(2 a)

Eriprogrammide vahenditest rahastatavad haldusassigneeringud

Eelarverida nr

(3)

Euroopa Liidu Varjupaigaameti (algne ettepanek COM (2016) 271)
assigneeringud KOKKU

Kulukohustused

=1+1 a +3

86,971

96,686

114,100

297,757

Maksed

=2+2a

+3

86,971

96,686

114,100

297,757

Käesoleva ettepanekuga seotud lisaressursid

Kulukohustused

55,000

55,000

110,000

Maksed

55,000

55,000

110,000

Euroopa Liidu Varjupaigaameti
assigneeringud KOKKU

86,971

151,686

169,100

407,757

86,971

151,686

169,100

407,757



Mitmeaastase finantsraamistiku
2014-2020 rubriik

5

Halduskulud

miljonites eurodes (kolm kohta pärast koma)

Aasta
2018

Aasta
2019

Aasta
2020

KOKKU

RÄNDE JA SISEASJADE PEADIREKTORAAT

• Inimressursid

0,536

0,536

0,536

1,608

• Muud halduskulud

0,030

0,030

0,030

0,090

RÄNDE JA SISEASJADE PEADIREKTORAAT KOKKU

Assigneeringud

0,566

0,566

0,566

1,698

Mitmeaastase finantsraamistiku 
RUBRIIGI 5
assigneeringud KOKKU
 

2014-2020

(Kulukohustuste kogusumma = maksete kogusumma)

0,566

0,566

0,566

1,698

miljonites eurodes (kolm kohta pärast koma)

Aasta
2018

Aasta
2019

Aasta
2020

KOKKU

Mitmeaastase finantsraamistiku
RUBRIIKIDE 1–5
assigneeringud KOKKU
 

2014-2020

Kulukohustused

87,537

152,252

169,666

409,455

Maksed

87,537

152,252

169,666

409,455

Mitmeaastase finantsraamistiku
2021-2027 rubriik

4

Ränne ja piirihaldus

Euroopa Liidu Varjupaigaamet

Aasta
2021

Aasta
2022

Aasta
2023

Aasta
2024

Aasta
2025

Aasta
2026

Aasta
2027

KOKKU

• Tegevusassigneeringud

Eelarverida nr

Kulukohustused

(1)

Maksed

(2)

Eelarverida nr

Kulukohustused

(1a)

Maksed

(2 a)

Eriprogrammide vahenditest rahastatavad haldusassigneeringud 9  

Eelarverida nr

(3)

Euroopa Liidu Varjupaigaameti
assigneeringud KOKKU

Kulukohustused

=1+1 a +3

171,400

173,700

176,100

178,500

180,900

183,500

185,900

1 250,000

Maksed

=2+2a +3

171,400

173,700

176,100

178,500

180,900

183,500

185,900

1 250,000



Mitmeaastase finantsraamistiku
2021-2027 rubriik

7

„Euroopa avalik haldus“

miljonites eurodes (kolm kohta pärast koma)

Aasta
2021

Aasta
2022

Aasta
2023

Aasta
2024

Aasta
2025

Aasta
2026

Aasta
2027

KOKKU

RÄNDE JA SISEASJADE PEADIREKTORAAT

• Inimressursid

0,536

0,536

0,536

0,536

0,536

0,536

0,536

3,752

• Muud halduskulud

0,030

0,030

0,030

0,030

0,030

0,030

0,030

0,210

RÄNDE JA SISEASJADE PEADIREKTORAAT KOKKU

Assigneeringud

0,566

0,566

0,566

0,566

0,566

0,566

0,566

3,962

Mitmeaastase finantsraamistiku
RUBRIIGI 7 
assigneeringud KOKKU 2021–2027

(Kulukohustuste kogusumma = maksete kogusumma)

0,566

0,566

0,566

0,566

0,566

0,566

0,566

3,962

miljonites eurodes (kolm kohta pärast koma)

Aasta
2021

Aasta
2022

Aasta
2023

Aasta
2024

Aasta
2025

Aasta
2026

Aasta
2027

KOKKU

Mitmeaastase finantsraamistiku
RUBRIIKIDE 1–7
assigneeringud KOKKU
 

Kulukohustused

171,966

174,266

176,666

179,066

181,466

184,066

186,466

1 253,962

Maksed

171,966

174,266

176,666

179,066

181,466

184,066

186,466

1 253,962

3.2.2.Hinnanguline mõju Euroopa Liidu Varjupaigaameti assigneeringutele

   Ettepanek ei hõlma tegevusassigneeringute kasutamist

   Ettepanek hõlmab tegevusassigneeringute kasutamist, mis toimub järgmiselt:

MFR 2014-2020* (Kulukohustuste assigneeringud eurodes)

* Tabelis on esitatud vaid 3. jaotise kohased tegevuskulud    

MFR 2021-2027*

Kulukohustuste assigneeringud eurodes

* Tabelis on esitatud vaid 3. jaotise kohased tegevuskulud    

3.2.3.Hinnanguline mõju haldusassigneeringutele

3.2.3.1.Kokkuvõte

   Ettepanek ei hõlma haldusassigneeringute kasutamist

   Ettepanek hõlmab haldusassigneeringute kasutamist, mis toimub järgmiselt:

Ameti jaoks vajalik töötajate arv jääb samaks, nagu oli komisjoni algses 4. mai 2016. aasta ettepanekus, st see peaks järk-järgult kasvama kuni 500 täistööajale taandatud töötajani 2020. aastal.

miljonites eurodes (kolm kohta pärast koma)

Inimressursid (*)

2018

2019

2020

2021-2027

KOKKU

C(2013)519 lähtestsenaarium

51

51

51

51

51

Muudatused

40

40

40

40

40

Muudetud lähtestsenaarium

91

91

91

91

91

Taotletavate täiendavate ametikohtade arv*

59

70

82

0

0

Ametikohtade loeteluga ette nähtud ametikohad (töötajate arv)

214

284

366

366

366

AD palgaastmed

135

179

231

231

231

AST palgaastmed

79

105

135

135

135

Koosseisuväline personal (täistööajale taandatud töötajad)

83

106

134

134

134

Lepingulised töötajad

72

95

123

123

123

Riikide lähetatud eksperdid

11

11

11

11

11

KOKKU

297

390

500

500

500

* Selles tabelis on esitatud komisjoni ettepanekus COM(2016) 271 final (4.5.2016) juba taotletud töötajate arv. Alates 2021. aastast edasi täiendavaid töötajaid ei taotleta.

Personalikulud

2018

2019

2020

2021-2027 (igal aastal)

Ametikohtade loeteluga ette nähtud ametikohad
(töötajate arv)

28 676 000

38 056 000

49 044 000

49 044 000

- AD palgaastmed

18 090 000

23 986 000

30 954 000

30 954 000

- AST palgaastmed

10 586 000

14 070 000

18 090 000

18 090 000

Koosseisuväline personal (täistööajale taandatud töötajad)

5 898 000

7 508 000

9 468 000

9 468 000

- lepingulised töötajad

5 040 000

6 650 000

8 610 000

8 610 000

- riikide lähetatud eksperdid

858 000

858 000

858 000

858 000

Töötajad kokku

34 574 000

45 564 000

58 512 000

58 512 000

3.2.3.2.Hinnanguline personalivajadus

   Ettepanek ei hõlma personali kasutamist

   Ettepanek hõlmab personali kasutamist, mis toimub järgmiselt:

Hinnanguline väärtus täistööaja ekvivalendina

2018

2019

2020

Lisage vajalik arv aastaid, et kajastada kogu finantsmõju kestust (vt punkt 1.6)

•·Ametikohtade loeteluga ette nähtud ametikohad (ametnikud ja ajutised töötajad)

XX 01 01 01 (komisjoni peakorteris ja esindustes)

4

4

4

XX 01 01 02 (delegatsioonides)

XX 01 05 01 (kaudne teadustegevus)

10 01 05 01 (otsene teadustegevus)

Koosseisuväline personal (täistööajale taandatud töötajad) 10

XX 01 02 01 (üldvahenditest rahastatavad lepingulised töötajad, riikide lähetatud eksperdid ja renditööjõud)

XX 01 02 02 (lepingulised töötajad, kohalikud töötajad, riikide lähetatud eksperdid, renditööjõud ja noored eksperdid delegatsioonides)

XX 01 04 aa  11

- peakorteris

- delegatsioonides

XX 01 05 02 (lepingulised töötajad, riikide lähetatud eksperdid ja renditööjõud kaudse teadustegevuse valdkonnas)

10 01 05 02 (lepingulised töötajad, riikide lähetatud eksperdid ja renditööjõud otsese teadustegevuse valdkonnas)

Muu eelarverida (täpsustage)

KOKKU

4

4

4

XX osutab asjaomasele poliitikavaldkonnale või eelarvejaotisele.

Personalivajadused kaetakse juba meedet haldavate peadirektoraadi töötajatega ja/või töötajate ümberpaigutamise teel peadirektoraadi siseselt. Vajaduse korral võidakse personali täiendada iga-aastase vahendite eraldamise menetluse käigus, arvestades olemasolevate eelarvepiirangutega.

Ülesannete kirjeldus:

Ametnikud ja ajutised töötajad

Komisjoni esindamine ameti haldusnõukogus. Iga-aastase tööprogrammi kohta komisjoni arvamuse koostamine ja tööprogrammi elluviimise jälgimine. Ameti eelarve koostamise järelevalve ning eelarve rakendamise jälgimine. Ameti abistamine tema tegevuse kavandamisel kooskõlas ELi poliitikaga, sealhulgas osaledes ekspertide kohtumistel.

Koosseisuvälised töötajad

3.2.4.Kooskõla kehtiva mitmeaastase finantsraamistikuga

   Ettepanek on kooskõlas kehtiva mitmeaastase finantsraamistikuga, aga võib hõlmata mitmeaastase finantsraamistiku määruses määratletud eriinstrumentide kasutamist.

   Ettepanekuga kaasneb mitmeaastase finantsraamistiku asjaomase rubriigi ümberplaneerimine.

   Ettepanek eeldab paindlikkusinstrumendi kohaldamist või mitmeaastase finantsraamistiku läbivaatamist 12 .

3.2.5.Kolmandate isikute rahaline osalus

Ettepanek ei hõlma kolmandate isikute poolset kaasrahastamist.

Ettepanek hõlmab kaasrahastamist, mille hinnanguline summa on järgmine:

Assigneeringud miljonites eurodes (kolm kohta pärast koma)

2018

2019

2020

2021-2027

Lisage vajalik arv aastaid, et kajastada kogu finantsmõju kestust (vt punkt 1.6)

Kokku

Schengeniga ühinenud riikide osamaks 

p.m.

p.m.

p.m.

p.m.

Kaasrahastatavad assigneeringud KOKKU




Hinnanguline mõju tuludele

   Ettepanekul puudub finantsmõju tuludele.

   Ettepanekul on järgmine finantsmõju:

   omavahenditele

   mitmesugustele tuludele

miljonites eurodes (kolm kohta pärast koma)

Tulude eelarverida

Jooksva aasta eelarves kättesaadavad assigneeringud

Ettepaneku mõju 13

Aasta
N

Aasta
N+1

Aasta
N+2

Aasta
N+3

Lisage vajalik arv aastaid, et kajastada kogu finantsmõju kestust (vt punkt 1.6)

Artikkel ….

Mitmesuguste sihtotstarbeliste tulude puhul täpsustage, milliseid kulude eelarveridasid ettepanek mõjutab.

Täpsustage tuludele avaldatava mõju arvutusmeetod.

(1)    Euroopa Ülemkogu järeldused 28.6.2018.
(2)    Saksamaa ja Prantsusmaa Mesebergi deklaratsioon „Renewing Europe’s promises of security and prosperity“, 19. juuni 2018.
(3)    COM(2016) 271 final.
(4)    Euroopa Ülemkogu järeldused 19.2.2016.
(5)    [Viited lisatakse, kui uus raamfinantsmäärus (delegeeritud õigusakt) on vastu võetud; eeldatavasti aasta lõpuks.]
(6)    ABM: tegevuspõhine juhtimine; ABB: tegevuspõhine eelarvestamine.
(7)    Vastavalt finantsmääruse artikli 54 lõike 2 punktile a või b.
(8)    Eelarve täitmise viise on üksikasjalikult kirjeldatud ja viited finantsmäärusele esitatud veebilehel BudgWeb: http://www.cc.cec/budg/man/budgmanag/budgmanag_en.htm.l
(9)    Tehniline ja/või haldusabi ning ELi programmide ja/või meetmete rakendamiseks antava toetusega seotud kulud (endised BA read), kaudne teadustegevus, otsene teadustegevus.
(10)    Lepingulised töötajad, kohalikud töötajad, riikide lähetatud eksperdid, renditööjõud, noored eksperdid delegatsioonides.
(11)    Tegevusassigneeringutest rahastatavate koosseisuväliste töötajate ülempiiri arvestades (endised BA read).
(12)    Vt nõukogu määruse (EL, Euratom) nr 1311/2013 (millega sätestatakse mitmeaastane finantsraamistik aastateks 2014–2020) artiklid 11 ja 17.
(13)    Traditsiooniliste omavahendite (tollimaksud ja suhkrumaksud) korral peab märgitud olema netosumma, st brutosumma pärast 25 % sissenõudmiskulude mahaarvamist.
Top