02014R0680 — ES — 01.03.2018 — 008.001
Este texto es exclusivamente un instrumento de documentación y no surte efecto jurídico. Las instituciones de la UE no asumen responsabilidad alguna por su contenido. Las versiones auténticas de los actos pertinentes, incluidos sus preámbulos, son las publicadas en el Diario Oficial de la Unión Europea, que pueden consultarse a través de EUR-Lex. Los textos oficiales son accesibles directamente mediante los enlaces integrados en este documento
|
REGLAMENTO DE EJECUCIÓN (UE) No 680/2014 DE LA COMISIÓN de 16 de abril de 2014 por el que se establecen normas técnicas de ejecución en relación con la comunicación de información con fines de supervisión por parte de las entidades, de conformidad con el Reglamento (UE) no 575/2013 del Parlamento Europeo y del Consejo (Texto pertinente a efectos del EEE) (DO L 191 de 28.6.2014, p. 1) |
Modificado por:
|
|
|
Diario Oficial |
||
|
n° |
página |
fecha |
||
|
REGLAMENTO DE EJECUCIÓN (UE) 2015/79 DE LA COMISIÓN de 18 de diciembre de 2014 |
L 14 |
1 |
21.1.2015 |
|
|
REGLAMENTO DE EJECUCIÓN (UE) 2015/227 DE LA COMISIÓN de 9 de enero de 2015 |
L 48 |
1 |
20.2.2015 |
|
|
REGLAMENTO DE EJECUCIÓN (UE) 2015/1278 DE LA COMISIÓN de 9 de julio de 2015 |
L 205 |
1 |
31.7.2015 |
|
|
REGLAMENTO DE EJECUCIÓN (UE) 2016/313 DE LA COMISIÓN de 1 de marzo de 2016 |
L 60 |
5 |
5.3.2016 |
|
|
REGLAMENTO DE EJECUCIÓN (UE) 2016/322 DE LA COMISIÓN de 10 de febrero de 2016 |
L 64 |
1 |
10.3.2016 |
|
|
REGLAMENTO DE EJECUCIÓN (UE) 2016/428 DE LA COMISIÓN de 23 de marzo de 2016 |
L 83 |
1 |
31.3.2016 |
|
|
REGLAMENTO DE EJECUCIÓN (UE) 2016/1702 DE LA COMISIÓN de 18 de agosto de 2016 |
L 263 |
1 |
29.9.2016 |
|
|
REGLAMENTO DE EJECUCIÓN (UE) 2017/1443 DE LA COMISIÓN de 29 de junio de 2017 |
L 213 |
1 |
17.8.2017 |
|
|
REGLAMENTO DE EJECUCIÓN (UE) 2017/2114 DE LA COMISIÓN de 9 de noviembre de 2017 |
L 321 |
1 |
6.12.2017 |
|
Rectificado por:
REGLAMENTO DE EJECUCIÓN (UE) No 680/2014 DE LA COMISIÓN
de 16 de abril de 2014
por el que se establecen normas técnicas de ejecución en relación con la comunicación de información con fines de supervisión por parte de las entidades, de conformidad con el Reglamento (UE) no 575/2013 del Parlamento Europeo y del Consejo
(Texto pertinente a efectos del EEE)
CAPÍTULO 1
OBJETO Y ÁMBITO DE APLICACIÓN
Artículo 1
Objeto y ámbito de aplicación
El presente Reglamento establece requisitos uniformes en relación con la información presentada a efectos de supervisión a las autoridades competentes en los siguientes ámbitos:
a) los requisitos de fondos propios y la información financiera, de conformidad con el artículo 99 del Reglamento (UE) no 575/2013;
b) las pérdidas resultantes de operaciones de préstamo garantizadas mediante bienes inmuebles, de conformidad con el artículo 101, apartado 4, letra a), del Reglamento (UE) no 575/2013;
c) las grandes exposiciones y las mayores exposiciones, de conformidad con el artículo 394, apartado 1, del Reglamento (UE) no 575/2013;
d) la ratio de apalancamiento, de conformidad con el artículo 430 del Reglamento (UE) no 575/2013;
e) los requisitos de cobertura de liquidez y los requisitos de financiación estable neta, de conformidad con el artículo 415 del Reglamento (UE) no 575/2013;
f) las cargas de los activos, de conformidad con el artículo 100 del Reglamento (UE) no 575/2013;
g) los parámetros de control de la liquidez adicionales, de conformidad con el artículo 415, apartado 3, letra b), del Reglamento (UE) n.o 575/2013.
CAPÍTULO 2
FECHAS DE REFERENCIA Y DE ENVÍO DE LA INFORMACIÓN Y UMBRALES DE DECLARACIÓN
Artículo 2
Fechas de referencia de la información
1. Las entidades transmitirán a las autoridades competentes información actual en las fechas de referencia siguientes:
a) Información mensual: el último día de cada mes.
b) Información trimestral: el 31 de marzo, el 30 de junio, el 30 de septiembre y el 31 de diciembre.
c) Información semestral: el 30 de junio y el 31 de diciembre.
d) Información anual: el 31 de diciembre.
2. La información referida a un determinado período, presentada en las plantillas incluidas en los anexos III y IV, de acuerdo con las instrucciones del anexo V, se suministrará acumulativamente desde el primer día del ejercicio contable hasta la fecha de referencia.
3. Cuando las entidades estén facultadas por la legislación nacional para comunicar su información financiera sobre la base de la fecha de cierre de su ejercicio contable, no coincidiendo este con el año natural, podrán adaptarse en consecuencia las fechas de referencia, de modo que se facilite información financiera cada tres, seis o doce meses, respectivamente, a partir del cierre del ejercicio contable.
Artículo 3
Fechas de envío de la información
1. Las entidades transmitirán la información a las autoridades competentes al cierre de la actividad de las siguientes fechas de envío:
a) Información mensual: el 15o día natural siguiente a la fecha de referencia.
b) Información trimestral: el 12 de mayo, el 11 de agosto, el 11 de noviembre y el 11 de febrero.
c) Información semestral: el 11 de agosto y el 11 de febrero.
d) Información anual: el 11 de febrero.
2. Cuando el día de envío sea festivo en el Estado miembro de la autoridad competente a la que deba facilitarse la información, o bien sábado o domingo, los datos se presentarán en el siguiente día hábil.
3. Cuando las entidades comuniquen su información financiera en fechas de referencia adaptadas, basadas en el cierre de su ejercicio contable, de acuerdo con lo indicado en el artículo 2, apartado 3, las fechas de envío podrán adaptarse a su vez, de modo que se mantenga el mismo espacio de tiempo desde la fecha de referencia adaptada.
4. Las entidades podrán presentar cifras no auditadas. Cuando las cifras auditadas no coincidan con las cifras no auditadas que se hayan presentado, se transmitirán sin demora indebida las cifras auditadas y revisadas. Las cifras no auditadas son cifras que no han recibido la opinión de un auditor externo, mientras que las auditadas son las cifras fiscalizadas por un auditor externo que ha formulado una opinión de auditoría.
5. Se presentarán asimismo a las autoridades competentes, sin demora indebida, cualesquiera otras correcciones de la información presentada.
Artículo 4
Umbrales de declaración — Criterios de entrada y salida
1. Las entidades empezarán a comunicar la información sujeta a umbrales a partir de la fecha de referencia siguiente a la superación del umbral en dos fechas de referencia consecutivas.
2. En las dos primeras fechas de referencia en las que deban cumplir los requisitos del presente Reglamento, las entidades presentarán la información sujeta a umbrales, si superan los umbrales pertinentes en la misma fecha de referencia.
3. Las entidades podrán dejar de comunicar la información sujeta a umbrales a partir de la fecha de referencia siguiente cuando dejen de alcanzar los umbrales correspondientes en tres fechas de referencia consecutivas.
CAPÍTULO 3
FORMATO Y FRECUENCIA DE LA INFORMACIÓN SOBRE LOS FONDOS PROPIOS, LOS REQUISITOS DE FONDOS PROPIOS Y LA INFORMACIÓN FINANCIERA
SECCIÓN 1
Formato y frecuencia de la información sobre los fondos propios y los requisitos de fondos propios
Artículo 5
Formato y frecuencia de la información sobre los fondos propios y los requisitos de fondos propios para las entidades, en base individual, a excepción de las empresas de inversión sujetas a los artículos 95 y 96 del Reglamento (UE) no 575/2013
En el marco de la comunicación de información sobre los fondos propios y los requisitos de fondos propios de conformidad con el artículo 99 del Reglamento (UE) no 575/2013, en base individual, las entidades presentarán todas las informaciones enumeradas en las letras a) y b).
a) Las entidades presentarán la siguiente información con frecuencia trimestral:
1) la información relativa a los fondos propios y los requisitos de fondos propios que se especifica en las plantillas 1 a 5 del anexo I, de acuerdo con las instrucciones del anexo II, parte II, punto 1;
2) la información sobre las exposiciones al riesgo de crédito y al riesgo de contraparte calculadas mediante el método estándar que se especifica en la plantilla 7 del anexo I, de acuerdo con las instrucciones del anexo II, parte II, punto 3.2;
3) la información sobre las exposiciones al riesgo de crédito y al riesgo de contraparte calculadas mediante el método basado en calificaciones internas que se especifica en la plantilla 8 del anexo I, de acuerdo con las instrucciones del anexo II, parte II, punto 3.3;
4) la información sobre el desglose geográfico de las exposiciones por países que se especifica en la plantilla 9 del anexo I, de acuerdo con las instrucciones del anexo II, parte II, punto 3.4, cuando las exposiciones originales no nacionales en todos los países «no nacionales» y en todas las categorías de exposición, tal como se recoge en la fila 850 de la plantilla 4 del anexo I, sean iguales o superiores al 10 % del total de las exposiciones originales nacionales y no nacionales consignadas en la fila 860 de la plantilla 4 del anexo I; a tal efecto, se considerarán nacionales las exposiciones frente a contrapartes residentes en el Estado miembro en el que esté situada la entidad; se aplicarán los criterios de entrada y salida del artículo 4;
5) la información sobre las exposiciones de renta variable calculadas mediante el método basado en calificaciones internas que se especifica en la plantilla 10 del anexo I, de acuerdo con las instrucciones del anexo II, parte II, punto 3.5;
6) la información sobre el riesgo de liquidación que se especifica en la plantilla 11 del anexo I, de acuerdo con las instrucciones del anexo II, parte II, punto 3.6;
7) la información sobre las exposiciones de titulización calculadas mediante el método estándar que se especifica en la plantilla 12 del anexo I, de acuerdo con las instrucciones del anexo II, parte II, punto 3.7;
8) la información sobre las exposiciones de titulización calculadas mediante el método basado en calificaciones internas que se especifica en la plantilla 13 del anexo I, de acuerdo con las instrucciones del anexo II, parte II, punto 3.8;
9) la información sobre los requisitos de fondos propios y las pérdidas en relación con el riesgo operativo que se especifica en la plantilla 16 del anexo I, de acuerdo con las instrucciones del anexo II, parte II, punto 4.1;
10) la información sobre los requisitos de fondos propios en relación con el riesgo de mercado que se especifica en las plantillas 18 a 24 del anexo I, de acuerdo con las instrucciones del anexo II, parte II, puntos 5.1 a 5.7;
11) la información sobre los requisitos de fondos propios en relación con el riesgo de ajuste de valoración del crédito que se especifica en la plantilla 25 del anexo I, de acuerdo con las instrucciones del anexo II, parte II, punto 5.8.
b) Las entidades presentarán la siguiente información con frecuencia semestral:
1) la información sobre todas las exposiciones de titulización que se especifica en la plantilla 14 del anexo I, de acuerdo con las instrucciones del anexo II, parte II, punto 3.9.
Las entidades quedarán exentas de presentar dichos datos sobre titulizaciones cuando formen parte de un grupo en el mismo país en el que estén sujetas a requisitos de fondos propios;
2) la información sobre pérdidas significativas derivadas de eventos de riesgo operativo de la forma siguiente:
a) las entidades que calculen los requisitos de fondos propios en relación con el riesgo operativo con arreglo a la parte tercera, título III, capítulo 4, del Reglamento (UE) n.o 575/2013 comunicarán esa información tal como se especifica en las plantillas 17.01 y 17.02 del anexo I, de acuerdo con las instrucciones del anexo II, parte II, punto 4.2;
b) las entidades que calculen los requisitos de fondos propios en relación con el riesgo operativo con arreglo a la parte tercera, título III, capítulo 3, del Reglamento (UE) n.o 575/2013 y que satisfagan al menos una de las siguientes condiciones comunicarán esa información tal como se especifica en las plantillas 17.01 y 17.02 del anexo I, de acuerdo con las instrucciones del anexo II, parte II, punto 4.2:
i) que la ratio entre el total del balance individual y la suma de los totales de los balances individuales de todas las entidades del mismo Estado miembro sea igual o superior al 1 %, cuando los totales de los balances se basen en las cifras de cierre de ejercicio del año anterior al año que preceda a la fecha de referencia de la información,
ii) que el valor total de los activos de la entidad sea superior a 30 000 millones EUR,
iii) que el valor total de los activos de la entidad supere a un tiempo los 5 000 millones EUR y el 20 % del PIB del Estado miembro en el que esté establecida,
iv) que la entidad sea una de las tres mayores entidades establecidas en un determinado Estado miembro, a la luz del valor total de sus activos,
v) que la entidad sea la matriz de filiales que, a su vez, sean entidades de crédito establecidas en al menos dos Estados miembros distintos del Estado miembro en que esté autorizada la entidad matriz, siempre que concurran además las dos condiciones siguientes:
— que el valor total de los activos consolidados de la entidad sea superior a 5 000 millones EUR,
— que más del 20 %, bien del total de activos consolidados de la entidad, con arreglo a lo definido en la plantilla 1.1 del anexo III o del anexo IV, según proceda, o bien del total de pasivos consolidados de la entidad, con arreglo a lo definido en la plantilla 1.2 del anexo III o del anexo IV, según proceda, se refiera a actividades con contrapartes que estén situadas en un Estado miembro distinto de aquel en el que esté autorizada la entidad matriz;
c) las entidades que calculen los requisitos de fondos propios en relación con el riesgo operativo con arreglo a la parte tercera, título III, capítulo 3, del Reglamento (UE) n.o 575/2013 y que no cumplan ninguna de las condiciones de la letra b) comunicarán la información a que se refieren los incisos i) y ii) siguientes, de acuerdo con las instrucciones del anexo II, parte II, punto 4.2:
i) la información correspondiente a la columna 080 de la plantilla 17.01 del anexo I y a las siguientes filas:
— número de eventos (nuevos eventos) (fila 910),
— importe de pérdidas brutas (nuevos eventos) (fila 920),
— número de eventos sujetos a ajustes de pérdidas (fila 930),
— ajustes de pérdidas relativos a períodos de referencia anteriores (fila 940),
— máxima pérdida unitaria (fila 950),
— suma de las cinco mayores pérdidas (fila 960),
— total de recuperaciones directas de pérdidas (excluidos seguros y otros mecanismos de transferencia de riesgo) (fila 970),
— total de recuperaciones procedentes de seguros y otros mecanismos de transferencia de riesgo (fila 980),
ii) la información que se especifica en la plantilla 17.02 del anexo I;
d) las entidades a que se refiere la letra c) podrán presentar el conjunto completo de la información especificada en las plantillas 17.01 y 17.02 del anexo I, de acuerdo con las instrucciones el anexo II, parte II, punto 4.2;
e) las entidades que calculen los requisitos de fondos propios en relación con el riesgo operativo con arreglo a la parte tercera, título III, capítulo 2, del Reglamento (UE) n.o 575/2013 y que cumplan al menos una de las condiciones señaladas en la letra b), incisos ii) a v), comunicarán esa información tal como se especifica en las plantillas 17.01 y 17.02 del anexo I, de acuerdo con las instrucciones del anexo II, parte II, punto 4.2;
f) las entidades que calculen los requisitos de fondos propios en relación con el riesgo operativo con arreglo a la parte tercera, título III, capítulo 2, del Reglamento (UE) n.o 575/2013 y que no cumplan ninguna de las condiciones de la letra b), incisos ii) a v), podrán comunicar la información de las plantillas 17.01 y 17.02 del anexo I, de acuerdo con las instrucciones del anexo II, parte II, punto 4.2;
g) se aplicarán los criterios de entrada y salida del artículo 4;
3) la información sobre las exposiciones soberanas de la forma siguiente:
a) las entidades comunicarán la información que se especifica en la plantilla 33 del anexo I, de acuerdo con las instrucciones del anexo II, parte II, punto 6, cuando el importe en libros agregado de los activos financieros del sector de la contraparte «Administraciones públicas» sea igual o superior al 1 % de la suma del importe en libros total de «Valores representativos de deuda» y «Préstamos y anticipos»; a efectos de la determinación de esos importes en libros, las entidades aplicarán las definiciones utilizadas en las plantillas 4.1 a 4.4.1 del anexo III o las plantillas 4.1 a 4.4.1 y 4.6 a 4.10 del anexo IV, según proceda;
b) cuando las entidades satisfagan la condición contemplada en la letra a) y el valor comunicado de las exposiciones nacionales de activos financieros no derivados tal como se definen en la fila 010 de la columna 010 de la plantilla 33 del anexo I sea inferior al 90 % del valor comunicado de las exposiciones nacionales y no nacionales para el mismo punto de datos, comunicarán la información que se especifica en la plantilla 33 del anexo I, de acuerdo con las instrucciones del anexo II, parte II, punto 6, agregada a nivel total y por cada país concreto al que estén expuestas;
c) las entidades que cumplan la condición de la letra a) pero no la de la letra b) comunicarán la información que se especifica en la plantilla 33 del anexo I, de acuerdo con las instrucciones del anexo II, parte II, punto 6, agregando las exposiciones tanto a nivel total como a nivel nacional;
d) se aplicarán los criterios de entrada y salida del artículo 4.
Artículo 6
Formato y frecuencia de la información sobre los fondos propios y los requisitos de fondos propios, en base consolidada, a excepción de los grupos constituidos exclusivamente por empresas de inversión sujetas a los artículos 95 y 96 del Reglamento (UE) no 575/2013
En el marco de la comunicación de información sobre los fondos propios y los requisitos de fondos propios de conformidad con el artículo 99 del Reglamento (UE) no 575/2013, en base consolidada, las entidades de un Estado miembro presentarán:
a) la información que se especifica en el artículo 5 con la frecuencia señalada en el mismo, pero en base consolidada;
b) la información que se especifica en la plantilla 6 del anexo I, de acuerdo con las instrucciones del anexo II, parte II, punto 2, en lo que respecta a los entes incluidos en el ámbito de consolidación, con una frecuencia semestral.
Artículo 7
Formato y frecuencia de la información sobre los fondos propios y los requisitos de fondos propios para las empresas de inversión sujetas a los artículos 95 y 96 del Reglamento (UE) no 575/2013, en base individual
1. En el marco de la comunicación de información sobre los fondos propios y los requisitos de fondos propios de conformidad con el artículo 99 del Reglamento (UE) no 575/2013, en base individual, las empresas de inversión sujetas al artículo 95 del Reglamento (UE) no 575/2013 presentarán con frecuencia trimestral la información que se especifica en las plantillas 1 a 5 del anexo I, de acuerdo con las instrucciones del anexo II, parte II, punto 1.
2. En el marco de la comunicación de información sobre los fondos propios y los requisitos de fondos propios de conformidad con el artículo 99 del Reglamento (UE) no 575/2013, en base individual, las empresas de inversión sujetas al artículo 96 del Reglamento (UE) no 575/2013 presentarán la información especificada en el artículo 5, letra a) y letra b), punto 1, del presente Reglamento con la frecuencia señalada en el mismo.
Artículo 8
Formato y frecuencia de la información sobre los fondos propios y los requisitos de fondos propios para los grupos constituidos exclusivamente por empresas de inversión sujetas a los artículos 95 y 96 Reglamento (UE) no 575/2013, en base consolidada
1. En el marco de la comunicación de información sobre los fondos propios y los requisitos de fondos propios de conformidad con el artículo 99 del Reglamento (UE) no 575/2013, en base consolidada, las empresas de inversión de los grupos constituidos exclusivamente por empresas de inversión sujetas al artículo 95 del Reglamento (UE) no 575/2013 presentarán la siguiente información en base consolidada:
a) la información sobre los fondos propios y los requisitos de fondos propios que se especifica en las plantillas 1 a 5 del anexo I, de acuerdo con las instrucciones del anexo II, parte II, punto 1, con frecuencia trimestral;
b) la información sobre los fondos propios y los requisitos de fondos propios relativa a los entes incluidos en el ámbito de consolidación que se especifica en la plantilla 6 del anexo I, de acuerdo con las instrucciones del anexo II, parte II, punto 2, con frecuencia semestral.
2. En el marco de la comunicación de información sobre los fondos propios y los requisitos de fondos propios de conformidad con el artículo 99 del Reglamento (UE) no 575/2013, en base consolidada, las empresas de inversión de los grupos constituidos exclusivamente por empresas de inversión sujetas a los artículos 95 y 96 y los grupos constituidos exclusivamente por empresas de inversión sujetas al artículo 96 del Reglamento (UE) no 575/2013 presentarán la información siguiente en base consolidada:
a) la información que se especifica en el artículo 5, letra a) y letra b), punto 1, con la frecuencia señalada en el mismo;
b) la información relativa a los entes incluidos en el ámbito de consolidación que se especifica en la plantilla 6 del anexo I, de acuerdo con las instrucciones del anexo II, parte II, punto 2, con frecuencia semestral.
SECCIÓN 2
Formato y frecuencia de la comunicación de información financiera en base consolidada
Artículo 9
Formato y frecuencia de la comunicación de información financiera para las entidades sujetas al artículo 4 del Reglamento (CE) no 1606/2002 y otras entidades de crédito que apliquen el Reglamento (CE) no 1606/2002, en base consolidada
1. En el marco de la comunicación de información financiera de conformidad con el artículo 99, apartado 2, del Reglamento (UE) no 575/2013, en base consolidada, las entidades establecidas en un Estado miembro presentarán la información que se indica en el anexo III, en base consolidada, de acuerdo con las instrucciones del anexo V, y la información que se indica en el anexo VIII, en base consolidada, de acuerdo con las instrucciones del anexo IX.
2. La información a que se refiere el apartado 1 se presentará con arreglo a las disposiciones siguientes:
a) la información indicada en el anexo III, parte 1, con frecuencia trimestral;
b) la información indicada en el anexo III, parte 3, con frecuencia semestral;
c) la información indicada en el anexo III, parte 4, con frecuencia anual;
d) la información que se especifica en la plantilla 20 del anexo III, parte 2, con frecuencia trimestral, del modo previsto en el artículo 5, letra a), punto 4; se aplicarán los criterios de entrada y salida contemplados en el artículo 4;
e) la información que se especifica en la plantilla 21 del anexo III, parte 2, cuando los activos tangibles objeto de arrendamiento operativo sean iguales o superiores al 10 % del total de los activos tangibles según lo consignado en la plantilla 1.1 del anexo III, parte 1, con frecuencia trimestral; se aplicarán los criterios de entrada y salida contemplados en el artículo 4;
f) la información que se especifica en la plantilla 22 del anexo III, parte 2, cuando los ingresos netos por comisiones sean iguales o superiores al 10 % de la suma de los ingresos netos por comisiones y los ingresos netos por intereses, según lo consignado en la plantilla 2 del anexo III, parte 1, con frecuencia trimestral; se aplicarán los criterios de entrada y salida contemplados en el artículo 4;
g) la información indicada en el anexo VIII en el caso de las exposiciones cuyo valor de exposición sea igual o superior a 300 millones EUR pero inferior al 10 % del capital admisible de la entidad, con frecuencia trimestral.
Artículo 10
Formato y frecuencia de la comunicación de información financiera para las entidades de crédito que apliquen el Reglamento (CE) no 1606/2002, en base consolidada, en virtud del artículo 99, apartado 3, del Reglamento (UE) no 575/2013
Cuando, de conformidad con el artículo 99, apartado 3, del Reglamento (UE) no 575/2013, una autoridad competente haya ampliado a las entidades de un Estado miembro los requisitos de comunicación de información financiera en base consolidada, estas entidades presentarán la información financiera de conformidad con el artículo 9.
Artículo 11
Formato y frecuencia de la comunicación de información financiera para las entidades que apliquen los marcos contables nacionales elaborados con arreglo a la Directiva 86/635/CEE, en base consolidada
1. Cuando, de conformidad con el artículo 99, apartado 6, del Reglamento (UE) no 575/2013, una autoridad competente haya ampliado a las entidades establecidas en un Estado miembro los requisitos de comunicación de información financiera en base consolidada, estas entidades presentarán la información indicada en el anexo IV en base consolidada, de acuerdo con las instrucciones del anexo V, y la información indicada en el anexo VIII en base consolidada, de acuerdo con las instrucciones del anexo IX.
2. La información a que se refiere el apartado 1 se presentará con arreglo a las disposiciones siguientes:
a) la información indicada en el anexo IV, parte 1, con frecuencia trimestral;
b) la información indicada en el anexo IV, parte 3, con frecuencia semestral;
c) la información indicada en el anexo IV, parte 4, con frecuencia anual;
d) la información que se especifica en la plantilla 20 del anexo IV, parte 2, con frecuencia trimestral, del modo previsto en el artículo 5, letra a), punto 4; se aplicarán los criterios de entrada y salida contemplados en el artículo 4;
e) la información que se especifica en la plantilla 21 del anexo IV, parte 2, cuando los activos tangibles objeto de arrendamiento operativo sean iguales o superiores al 10 % del total de los activos tangibles según lo consignado en la plantilla 1.1 del anexo IV, parte 1, con frecuencia trimestral; se aplicarán los criterios de entrada y salida contemplados en el artículo 4;
f) la información que se especifica en la plantilla 22 del anexo IV, parte 2, cuando los ingresos netos por comisiones sean iguales o superiores al 10 % de la suma de los ingresos netos por comisiones y los ingresos netos por intereses según lo consignado en la plantilla 2 del anexo IV, parte 1, con frecuencia trimestral; se aplicarán los criterios de entrada y salida contemplados en el artículo 4;
g) la información indicada en el anexo VIII en el caso de las exposiciones cuyo valor de exposición sea igual o superior a 300 millones EUR pero inferior al 10 % del capital admisible de la entidad, con frecuencia trimestral.
CAPÍTULO 4
FORMATO Y FRECUENCIA DE LAS OBLIGACIONES ESPECÍFICAS DE INFORMACIÓN SOBRE LAS PÉRDIDAS RESULTANTES DE OPERACIONES DE PRÉSTAMO GARANTIZADAS MEDIANTE BIENES INMUEBLES, DE CONFORMIDAD CON EL ARTÍCULO 101 DEL REGLAMENTO (UE) No 575/2013
Artículo 12
1. Las entidades presentarán la información que se especifica en el anexo VI, de acuerdo con las instrucciones del anexo VII, en base consolidada, con frecuencia semestral.
2. Las entidades presentarán la información que se especifica en el anexo VI, de acuerdo con las instrucciones del anexo VII, en base individual, con frecuencia semestral.
3. Las sucursales situadas en otro Estado miembro también presentarán a la autoridad competente del Estado miembro de acogida la información relativa a ellas que se especifica en el anexo VI, de acuerdo con las instrucciones del anexo VII, con frecuencia semestral.
CAPÍTULO 5
FORMATO Y FRECUENCIA DE LA INFORMACIÓN SOBRE GRANDES EXPOSICIONES EN BASE INDIVIDUAL Y EN BASE CONSOLIDADA
Artículo 13
1. En el marco de la comunicación de información sobre grandes exposiciones frente a clientes y grupos de clientes vinculados entre sí, de conformidad con el artículo 394, apartado 1, del Reglamento (UE) no 575/2013, en base individual y en base consolidada, las entidades presentarán la información indicada en el anexo VIII, de acuerdo con las instrucciones del anexo IX, con frecuencia trimestral.
2. En el marco de la comunicación de información sobre las veinte mayores exposiciones frente a clientes o grupos de clientes vinculados entre sí, de conformidad con el artículo 394, apartado 1, última frase, del Reglamento (UE) no 575/2013, en base consolidada, las entidades sujetas a la parte tercera, título II, capítulo 3, del Reglamento (UE) no 575/2013 presentarán la información que se especifica en el anexo VIII, de acuerdo con las instrucciones del anexo IX, con frecuencia trimestral.
3. En el marco de la comunicación de información sobre las diez mayores exposiciones frente a entidades, así como sobre las diez mayores exposiciones frente a entes financieros no regulados, de conformidad con el artículo 394, apartado 2, del Reglamento (UE) no 575/2013, en base consolidada, las entidades presentarán la información que se especifica en el anexo VIII, de acuerdo con las instrucciones del anexo IX, con frecuencia trimestral.
CAPÍTULO 6
FORMATO Y FRECUENCIA DE LA INFORMACIÓN SOBRE LA RATIO DE APALANCAMIENTO EN BASE INDIVIDUAL Y EN BASE CONSOLIDADA
Artículo 14
1. En el marco de la comunicación de información sobre la ratio de apalancamiento de conformidad con el artículo 430, apartado 1, del Reglamento (UE) no 575/2013, en base individual y en base consolidada, las entidades presentarán la información que se especifica en el anexo X, de acuerdo con las instrucciones del anexo XI, con frecuencia trimestral.
2. La comunicación de los datos se basará en el método utilizado para el cálculo de la ratio de apalancamiento correspondiente al final del trimestre.
3. Las entidades deberán suministrar la información contemplada en el anexo XI, parte II, punto 14, en el siguiente período de referencia, si se cumple una de las condiciones siguientes:
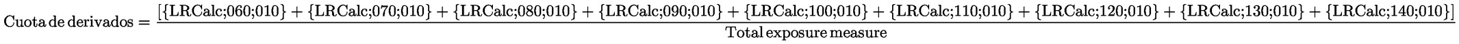
a) que la cuota de derivados contemplada en el anexo XI, parte II, punto 7, sea superior al 1,5 %;
b) que la cuota de derivados contemplada en el anexo XI, parte II, punto 7, sea superior al 2,0 %.
Se aplicarán los criterios de entrada del artículo 4, salvo en el caso a que se refiere el párrafo primero, letra b), del presente apartado, en que las entidades empezarán a comunicar información a partir de la fecha de referencia siguiente a la superación del umbral aplicable pertinente en una fecha de referencia.
4. Las entidades en las que el valor nocional total de los derivados, definido en el anexo XI, parte II, punto 9, sea superior a 10 000 millones EUR comunicarán la información prevista en la parte II, punto 14, de ese mismo anexo, con independencia de que su cuota de derivados cumpla o no las condiciones del apartado 3.
No se aplicarán los criterios de entrada establecidos en el artículo 4. Las entidades empezarán a comunicar información a partir de la fecha de referencia siguiente a la superación del umbral aplicable pertinente en una fecha de referencia.
5. Las entidades deberán suministrar la información contemplada en el anexo XI, parte II, punto 15, en el siguiente período de referencia, si se cumple una de las condiciones siguientes:
a) que el volumen de derivados de crédito contemplado en el anexo XI, parte II, punto 10, sea superior a 300 millones EUR;
b) que el volumen de derivados de crédito contemplado en el anexo XI, parte II, punto 10, sea superior a 500 millones EUR.
Se aplicarán los criterios de entrada establecidos en el artículo 4, salvo en el caso de la letra b), en que las entidades empezarán a comunicar información a partir de la fecha de referencia siguiente a la superación del umbral aplicable pertinente en una fecha de referencia.
▼M6 —————
CAPÍTULO 7
FORMATO Y FRECUENCIA DE LA INFORMACIÓN SOBRE LA LIQUIDEZ Y SOBRE LA FINANCIACIÓN ESTABLE EN BASE INDIVIDUAL Y EN BASE CONSOLIDADA
Artículo 15
Formato y frecuencia de la información sobre el requisito de cobertura de liquidez
1. En el marco de la comunicación de información sobre el requisito de cobertura de liquidez de conformidad con el artículo 415 del Reglamento (UE) n.o 575/2013, en base individual y en base consolidada, las entidades se atendrán a lo siguiente:
a) las entidades de crédito presentarán la información que se indica en el anexo XXIV, de acuerdo con las instrucciones del anexo XXV, con periodicidad mensual;
b) todas las demás las entidades, salvedad hecha de las mencionadas en la letra a), presentarán la información que se indica en el anexo XII, de acuerdo con las instrucciones del anexo XIII, con periodicidad mensual.
2. La información recogida en los anexos XII y XXIV tendrá en cuenta la información presentada en la fecha de referencia y la información sobre los flujos de efectivo de la entidad durante los 30 días naturales siguientes.
Artículo 16
Formato y frecuencia de la información sobre la financiación estable
En el marco de la comunicación de información sobre la financiación estable de conformidad con el artículo 415 del Reglamento (UE) no 575/2013, en base individual y en base consolidada, las entidades presentarán la información que se especifica en el anexo XII, de acuerdo con las instrucciones del anexo XIII, con frecuencia trimestral.
CAPÍTULO 7 bis
FORMATO Y FRECUENCIA DE LA INFORMACIÓN SOBRE LAS CARGAS DE LOS ACTIVOS EN BASE INDIVIDUAL Y EN BASE CONSOLIDADA
Artículo 16 bis
Formato y frecuencia de la información sobre las cargas de los activos en base individual y en base consolidada
1. A fin de proporcionar información sobre las cargas de los activos, de conformidad con el artículo 100 del Reglamento (UE) no 575/2013, en base individual y consolidada, las entidades presentarán la información que se especifica en el anexo XVI del presente Reglamento de acuerdo con las instrucciones del anexo XVII del mismo.
2. La información a que se refiere el apartado 1 se presentará con arreglo a las disposiciones siguientes:
a) la información indicada en el anexo XVI, partes A, B y D, con periodicidad trimestral;
b) la información indicada en el anexo XVI, parte C, con frecuencia anual;
c) la información indicada en el anexo XVI, parte E, con frecuencia semestral.
3. Las entidades no estarán obligadas a comunicar la información del anexo XVI, partes B, C o E, cuando reúnan todas las condiciones siguientes:
a) que el total de sus activos, calculado según lo dispuesto en el anexo XVII, sección 1.6, punto 10, sea inferior a 30 000 millones EUR;
b) que el nivel de cargas de sus activos, calculado según lo dispuesto en el anexo XVII, sección 1.6, punto 9, se sitúe por debajo del 15 %.
4. Las entidades solo estarán obligadas a comunicar la información del anexo XVI, parte D, si emiten bonos según lo contemplado en el artículo 52, apartado 4, párrafo primero, de la Directiva 2009/65/CE del Parlamento Europeo y del Consejo ( 1 ).
CAPÍTULO 7 ter
FORMATO Y FRECUENCIA DE LA INFORMACIÓN SOBRE LOS PARÁMETROS DE CONTROL DE LA LIQUIDEZ ADICIONALES, EN BASE INDIVIDUAL Y EN BASE CONSOLIDADA
Artículo 16 ter
1. A fin de proporcionar información sobre los parámetros de control de la liquidez adicionales, de conformidad con el artículo 415, apartado 3, letra b), del Reglamento (UE) n.o 575/2013, en base individual y en base consolidada, las entidades presentarán toda la información siguiente, con frecuencia mensual:
a) la información indicada en el anexo XVIII, de acuerdo con las instrucciones del anexo XIX;
b) la información indicada en el anexo XX, de acuerdo con las instrucciones del anexo XXI;
c) la información indicada en el anexo XXII, de acuerdo con las instrucciones del anexo XXIII.
2. No obstante lo dispuesto en el apartado 1, las entidades podrán comunicar la información sobre los parámetros de control de la liquidez adicionales con frecuencia trimestral, siempre que concurran todas las condiciones siguientes:
a) que la entidad no forme parte de un grupo que comprenda entidades de crédito, empresas de inversión o entidades financieras con filiales o entidades matrices ubicadas en territorios distintos del de constitución de la entidad;
b) que la ratio entre el total del balance individual de la entidad y la suma de los totales de los balances individuales de todas las entidades en el Estado miembro de que se trate sea inferior al 1 %, en los dos ejercicios consecutivos que precedan al ejercicio de declaración;
c) que los activos totales de la entidad, calculados de conformidad con la Directiva 86/635/CEE del Consejo ( 2 ), sean inferiores a 30 000 millones EUR.
A efectos de la letra b), las cifras del total del balance para el cálculo de la ratio se basarán en las cifras auditadas de cierre de ejercicio correspondientes al ejercicio anterior a aquel que preceda a la fecha de referencia.
3. A efectos de las obligaciones establecidas en los apartados 1 y 2, el primer mes con respecto al cual deberá comunicarse la información relativa a los parámetros de control de la liquidez adicionales será abril.
CAPÍTULO 8
SOLUCIONES INFORMÁTICAS PARA LA PRESENTACIÓN DE DATOS DE LAS ENTIDADES A LAS AUTORIDADES COMPETENTES
Artículo 17
1. Las entidades comunicarán la información contemplada en el presente Reglamento en los formatos de intercambio de datos y la presentación que especifiquen las autoridades competentes, respetando las definiciones de los puntos de datos del modelo de puntos de datos único que figura en el anexo XIV y las normas de validación especificadas en el anexo XV, así como las disposiciones siguientes:
a) no se incluirá en los datos comunicados información no exigida o no procedente;
b) los valores numéricos se presentarán como datos con arreglo a lo siguiente:
i) los puntos de datos con datos de tipo «monetario» se comunicarán con una precisión mínima de miles de unidades;
ii) los puntos de datos con datos de tipo «porcentaje» se expresarán por unidad con una precisión mínima de cuatro decimales;
iii) los puntos de datos con datos de tipo «números enteros» se comunicarán sin decimales y con una precisión de unidades.
2. Los datos presentados por las entidades irán acompañados de la información siguiente:
a) fecha de referencia y período de referencia de la información;
b) divisa de referencia;
c) norma contable;
d) identificador de la entidad informante;
e) nivel de aplicación, es decir, en base individual o consolidada.
CAPÍTULO 9
DISPOSICIONES TRANSITORIAS Y FINALES
Artículo 18
Período transitorio
La fecha de envío de los datos que deben comunicarse con una frecuencia trimestral y cuya fecha de referencia para la información que debe transmitirse es el 31 de marzo de 2014, será el 30 de junio de 2014 a más tardar.
Para el período comprendido entre el 31 de marzo de 2014 y el 30 de abril de 2014, no obstante lo previsto en el artículo 3, apartado 1, letra a), la fecha de envío de la información que debe comunicarse con una frecuencia mensual será el 30 de junio de 2014.
Para el período comprendido entre el 31 de mayo de 2014 y el 31 de diciembre de 2014, no obstante lo previsto en el artículo 3, apartado 1, letra a), la fecha de envío de la información que debe comunicarse con una frecuencia mensual será el trigésimo día natural siguiente a la fecha de referencia.
En relación con la información que deberá comunicarse con arreglo al artículo 16 bis, la primera fecha de referencia será el 31 de diciembre de 2014.
Sin perjuicio de lo dispuesto en el artículo 2, la primera fecha de envío de las plantillas 18 y 19 del anexo III será el 31 de diciembre de 2014. Las filas y columnas de las plantillas 6, 9.1, 20.4, 20.5 y 20.7 del anexo III que se refieren a exposiciones reestructuradas o refinanciadas y a exposiciones con incumplimientos deberán cumplimentarse para la fecha de envío del 31 de diciembre de 2014.
No obstante lo dispuesto en el artículo 3, apartado 1, letra a), desde abril de 2016 hasta octubre de 2016 inclusive, la fecha de envío de la información mensual sobre los parámetros de control de la liquidez adicionales será el trigésimo día natural siguiente a la fecha de referencia.
Para el período comprendido entre el 10 de septiembre de 2016 y el 10 de marzo de 2017, no obstante lo previsto en el artículo 3, apartado 1, letra a), la fecha de envío de la información que debe comunicarse con una frecuencia mensual en relación con la ratio de cobertura de liquidez de las entidades de crédito será el trigésimo día natural siguiente a la fecha de referencia.
Artículo 19
Entrada en vigor
El presente Reglamento entrará en vigor el día siguiente al de su publicación en el Diario Oficial de la Unión Europea.
Se aplicará a partir del 1 de enero de 2014.
Los artículos 9, 10 y 11 se aplicarán a partir del 1 de julio de 2014.
El artículo 15 será aplicable a partir del 1 de marzo de 2014.
El artículo 16 bis será de aplicación a partir del 1 de diciembre de 2014.
El presente Reglamento será obligatorio en todos sus elementos y directamente aplicable en cada Estado miembro.
ANEXO I
COMUNICACIÓN DE INFORMACIÓN SOBRE LOS FONDOS PROPIOS Y LOS REQUISITOS DE FONDOS PROPIOS
|
PLANTILLAS COREP |
|||
|
Número de plantilla |
Código de plantilla |
Nombre de la plantilla/grupo de plantillas |
Nombre abreviado |
|
|
|
Adecuación del capital |
CA |
|
1 |
C 01.00 |
FONDOS PROPIOS |
CA1 |
|
2 |
C 02.00 |
REQUISITOS DE FONDOS PROPIOS |
CA2 |
|
3 |
C 03.00 |
RATIOS DE CAPITAL |
CA3 |
|
4 |
C 04.00 |
PRO MEMORIA |
CA4 |
|
|
|
Disposiciones transitorias |
CA5 |
|
5,1 |
C 05.01 |
DISPOSICIONES TRANSITORIAS |
CA5.1 |
|
5,2 |
C 05.02 |
INSTRUMENTOS EN RÉGIMEN DE ANTERIORIDAD: INSTRUMENTOS QUE NO CONSTITUYEN AYUDAS ESTATALES |
CA5.2 |
|
|
|
Solvencia del grupo |
GS |
|
6,1 |
C 06.01 |
SOLVENCIA DEL GRUPO: INFORMACIÓN SOBRE FILIALES — TOTAL |
GS Total |
|
6,2 |
C 06.02 |
SOLVENCIA DEL GRUPO: INFORMACIÓN SOBRE FILIALES |
GS |
|
|
|
Riesgo de crédito |
CR |
|
7 |
C 07.00 |
RIESGO DE CRÉDITO Y DE CONTRAPARTE Y OPERACIONES INCOMPLETAS: MÉTODO ESTÁNDAR PARA LOS REQUISITOS DE CAPITAL |
CR SA |
|
|
|
RIESGO DE CRÉDITO Y DE CONTRAPARTE Y OPERACIONES INCOMPLETAS: MÉTODO IRB PARA LOS REQUISITOS DE CAPITAL |
CR IRB |
|
8,1 |
C 08.01 |
RIESGO DE CRÉDITO Y DE CONTRAPARTE Y OPERACIONES INCOMPLETAS: MÉTODO IRB PARA LOS REQUISITOS DE CAPITAL |
CR IRB 1 |
|
8,2 |
C 08.02 |
RIESGO DE CRÉDITO Y DE CONTRAPARTE Y OPERACIONES INCOMPLETAS: MÉTODO IRB PARA LOS REQUISITOS DE CAPITAL (desglose por conjuntos o grados de deudores) |
CR IRB 2 |
|
|
|
DESGLOSE GEOGRÁFICO |
CR GB |
|
9,1 |
C 09.01 |
Cuadro 9.1 — Desglose geográfico de las exposiciones por residencia del deudor (exposición según el método estándar) |
CR GB 1 |
|
9,2 |
C 09.02 |
Cuadro 9.2 — Desglose geográfico de las exposiciones por residencia del deudor (exposición según el método IRB) |
CR GB 2 |
|
9,4 |
C 09.04 |
Cuadro 9.4 — Desglose de las exposiciones crediticias pertinentes para el cálculo del colchón anticíclico por país y el porcentaje del colchón anticíclico específico de cada entidad |
CCB |
|
|
|
RIESGO DE CRÉDITO: RENTA VARIABLE — MÉTODO IRB PARA LOS REQUISITOS DE CAPITAL |
CR EQU IRB |
|
10,1 |
C 10.01 |
RIESGO DE CRÉDITO: RENTA VARIABLE — MÉTODO IRB PARA LOS REQUISITOS DE CAPITAL |
CR EQU IRB 1 |
|
10,2 |
C 10.02 |
RIESGO DE CRÉDITO: RENTA VARIABLE — MÉTODO IRB PARA LOS REQUISITOS DE CAPITAL. DESGLOSE POR GRADOS DE DEUDORES DEL TOTAL DE EXPOSICIONES CON ARREGLO AL MÉTODO PD/LGD |
CR EQU IRB 2 |
|
11 |
C 11.00 |
RIESGO DE LIQUIDACIÓN/ENTREGA |
CR SETT |
|
12 |
C 12.00 |
RIESGO DE CRÉDITO: TITULIZACIONES — MÉTODO ESTÁNDAR PARA LOS REQUISITOS DE FONDOS PROPIOS |
CR SEC SA |
|
13 |
C 13.00 |
RIESGO DE CRÉDITO: TITULIZACIONES — MÉTODO IRB PARA LOS REQUISITOS DE FONDOS PROPIOS |
CR SEC IRB |
|
14 |
C 14.00 |
INFORMACIÓN DETALLADA SOBRE TITULIZACIONES |
CR SEC Details |
|
|
|
Riesgo operativo |
OPR |
|
16 |
C 16.00 |
RIESGO OPERATIVO |
OPR |
|
17 |
C 17.00 |
RIESGO OPERATIVO: PÉRDIDAS BRUTAS POR LÍNEAS DE NEGOCIO Y TIPOS DE EVENTOS EN EL ÚLTIMO AÑO |
OPR Details |
|
|
|
Riesgo de mercado |
MKR |
|
18 |
C 18.00 |
RIESGO DE MERCADO: MÉTODO ESTÁNDAR PARA LOS RIESGOS DE POSICIÓN EN INSTRUMENTOS DE DEUDA NEGOCIABLES |
MKR SA TDI |
|
19 |
C 19.00 |
RIESGO DE MERCADO: MÉTODO ESTÁNDAR PARA EL RIESGO ESPECÍFICO EN TITULIZACIONES |
MKR SA SEC |
|
20 |
C 20.00 |
RIESGO DE MERCADO: MÉTODO ESTÁNDAR PARA EL RIESGO ESPECÍFICO EN LA CARTERA DE NEGOCIACIÓN DE CORRELACIÓN |
MKR SA CTP |
|
21 |
C 21.00 |
RIESGO DE MERCADO: MÉTODO ESTÁNDAR PARA EL RIESGO DE POSICIÓN EN INSTRUMENTOS DE PATRIMONIO |
MKR SA EQU |
|
22 |
C 22.00 |
RIESGO DE MERCADO: MÉTODOS ESTÁNDAR PARA EL RIESGO DE TIPO DE CAMBIO |
MKR SA FX |
|
23 |
C 23.00 |
RIESGO DE MERCADO: MÉTODOS ESTÁNDAR PARA MATERIAS PRIMAS |
MKR SA COM |
|
24 |
C 24.00 |
MODELOS INTERNOS DEL RIESGO DE MERCADO |
MKR IM |
|
25 |
C 25.00 |
RIESGO DE AJUSTE DE VALORACIÓN DEL CRÉDITO |
CVA |
|
33 |
C 33.00 |
EXPOSICIONES FRENTE A ADMINISTRACIONES PÚBLICAS POR PAÍS DE LA CONTRAPARTE |
GOV |
C 01.00 — FONDOS PROPIOS (CA1)
|
Filas |
ID |
Partida |
Importe |
|
010 |
1 |
FONDOS PROPIOS |
|
|
015 |
1.1 |
CAPITAL DE NIVEL 1 |
|
|
020 |
1.1.1 |
CAPITAL DE NIVEL 1 ORDINARIO |
|
|
030 |
1.1.1.1 |
Instrumentos de capital admisibles como capital de nivel 1 ordinario |
|
|
040 |
1.1.1.1.1 |
Instrumentos de capital desembolsados |
|
|
045 |
1.1.1.1.1* |
De los cuales: instrumentos de capital suscritos por autoridades públicas en situaciones de urgencia |
|
|
050 |
1.1.1.1.2* |
Pro memoria: instrumentos de capital no admisibles |
|
|
060 |
1.1.1.1.3 |
Prima de emisión |
|
|
070 |
1.1.1.1.4 |
(-) Instrumentos propios de capital de nivel 1 ordinario |
|
|
080 |
1.1.1.1.4.1 |
(-) Tenencias directas de instrumentos de capital de nivel 1 ordinario |
|
|
090 |
1.1.1.1.4.2 |
(-) Tenencias indirectas de instrumentos de capital de nivel 1 ordinario |
|
|
091 |
1.1.1.1.4.3 |
(-) Tenencias sintéticas de instrumentos de capital de nivel 1 ordinario |
|
|
092 |
1.1.1.1.5 |
(-) Obligaciones reales o contingentes de adquirir instrumentos propios de capital de nivel 1 ordinario |
|
|
130 |
1.1.1.2 |
Ganancias acumuladas |
|
|
140 |
1.1.1.2.1 |
Ganancias acumuladas de ejercicios anteriores |
|
|
150 |
1.1.1.2.2 |
Resultados admisibles |
|
|
160 |
1.1.1.2.2.1 |
Resultados atribuibles a los propietarios de la sociedad matriz |
|
|
170 |
1.1.1.2.2.2 |
(-) Parte del beneficio provisional o de cierre de ejercicio no admisible |
|
|
180 |
1.1.1.3 |
Otro resultado global acumulado |
|
|
200 |
1.1.1.4 |
Otras reservas |
|
|
210 |
1.1.1.5 |
Fondos para riesgos bancarios generales |
|
|
220 |
1.1.1.6 |
Ajustes transitorios debidos a instrumentos de capital de nivel 1 ordinario en régimen de anterioridad |
|
|
230 |
1.1.1.7 |
Intereses minoritarios reconocidos en el capital de nivel 1 ordinario |
|
|
240 |
1.1.1.8 |
Ajustes transitorios debidos a intereses minoritarios adicionales |
|
|
250 |
1.1.1.9 |
Ajustes del capital de nivel 1 ordinario debidos a filtros prudenciales |
|
|
260 |
1.1.1.9.1 |
(-) Incrementos del patrimonio neto derivados de activos titulizados |
|
|
270 |
1.1.1.9.2 |
Reserva de cobertura de flujos de efectivo |
|
|
280 |
1.1.1.9.3 |
Pérdidas y ganancias acumuladas debidas a cambios en el riesgo de crédito propio relacionado con pasivos valorados a valor razonable |
|
|
285 |
1.1.1.9.4 |
Pérdidas y ganancias a valor razonable derivadas del propio riesgo de crédito de la entidad relacionado con los pasivos por derivados |
|
|
290 |
1.1.1.9.5 |
(-) Ajustes por valoración debidos a los requisitos de valoración prudente |
|
|
300 |
1.1.1.10 |
(-) Fondo de comercio |
|
|
310 |
1.1.1.10.1 |
(-) Fondo de comercio contabilizado como activo intangible |
|
|
320 |
1.1.1.10.2 |
(-) Fondo de comercio incluido en la valoración de inversiones significativas |
|
|
330 |
1.1.1.10.3 |
Pasivos por impuestos diferidos asociados al fondo de comercio |
|
|
340 |
1.1.1.11 |
(-) Otros activos intangibles |
|
|
350 |
1.1.1.11.1 |
(-) Otros activos intangibles antes de deducir los pasivos por impuestos diferidos |
|
|
360 |
1.1.1.11.2 |
Pasivos por impuestos diferidos asociados a otros activos intangibles |
|
|
370 |
1.1.1.12 |
(-) Activos por impuestos diferidos que dependan de rendimientos futuros y no se deriven de diferencias temporales, deducidos los pasivos por impuestos conexos |
|
|
380 |
1.1.1.13 |
(-) Insuficiencia de los ajustes por riesgo de crédito según el método IRB respecto a las pérdidas esperadas |
|
|
390 |
1.1.1.14 |
(-) Activos de fondos de pensiones de prestaciones definidas |
|
|
400 |
1.1.1.14.1 |
(-) Activos de fondos de pensiones de prestaciones definidas |
|
|
410 |
1.1.1.14.2 |
Pasivos por impuestos diferidos asociados a activos de fondos de pensiones de prestaciones definidas |
|
|
420 |
1.1.1.14.3 |
Activos de fondos de pensiones de prestaciones definidas que la entidad puede utilizar sin restricciones |
|
|
430 |
1.1.1.15 |
(-) Tenencias recíprocas en el capital de nivel 1 ordinario |
|
|
440 |
1.1.1.16 |
(-) Exceso de los elementos deducidos del capital de nivel 1 adicional con respecto al capital de nivel 1 adicional |
|
|
450 |
1.1.1.17 |
(-) Participaciones cualificadas fuera del sector financiero que pueden someterse alternativamente a una ponderación de riesgo del 1 250 % |
|
|
460 |
1.1.1.18 |
(-) Posiciones de titulización que pueden someterse alternativamente a una ponderación de riesgo del 1 250 % |
|
|
470 |
1.1.1.19 |
(-) Operaciones incompletas que pueden someterse alternativamente a una ponderación de riesgo del 1 250 % |
|
|
471 |
1.1.1.20 |
(-) Posiciones en una cesta respecto a las que una entidad no puede determinar la ponderación de riesgo según el método IRB, y que, alternativamente, pueden someterse a una ponderación de riesgo del 1 250 % |
|
|
472 |
1.1.1.21 |
(-) Exposiciones de renta variable con arreglo a un método de modelos internos que pueden someterse alternativamente a una ponderación de riesgo del 1 250 % |
|
|
480 |
1.1.1.22 |
(-) Instrumentos de capital de nivel 1 ordinario de entes del sector financiero en los que la entidad no tiene una inversión significativa |
|
|
490 |
1.1.1.23 |
(-) Activos por impuestos diferidos deducibles que dependan de rendimientos futuros y se originen por diferencias temporales |
|
|
500 |
1.1.1.24 |
(-) Instrumentos de capital de nivel 1 ordinario de entes del sector financiero en los que la entidad tiene una inversión significativa |
|
|
510 |
1.1.1.25 |
(-) Importe superior al umbral del 17,65 % |
|
|
520 |
1.1.1.26 |
Otros ajustes transitorios del capital de nivel 1 ordinario |
|
|
524 |
1.1.1.27 |
(-) Deducciones adicionales del capital de nivel 1 ordinario debidas al artículo 3 del RRC |
|
|
529 |
1.1.1.28 |
Elementos o deducciones del capital de nivel 1 ordinario — otros |
|
|
530 |
1.1.2 |
CAPITAL DE NIVEL 1 ADICIONAL |
|
|
540 |
1.1.2.1 |
Instrumentos de capital admisibles como capital de nivel 1 adicional |
|
|
550 |
1.1.2.1.1 |
Instrumentos de capital desembolsados |
|
|
560 |
1.1.2.1.2* |
Pro memoria: instrumentos de capital no admisibles |
|
|
570 |
1.1.2.1.3 |
Prima de emisión |
|
|
580 |
1.1.2.1.4 |
(-) Instrumentos propios de capital de nivel 1 adicional |
|
|
590 |
1.1.2.1.4.1 |
(-) Tenencias directas de instrumentos de capital de nivel 1 adicional |
|
|
620 |
1.1.2.1.4.2 |
(-) Tenencias indirectas de instrumentos de capital de nivel 1 adicional |
|
|
621 |
1.1.2.1.4.3 |
(-) Tenencias sintéticas de instrumentos de capital de nivel 1 adicional |
|
|
622 |
1.1.2.1.5 |
(-) Obligaciones reales o contingentes de adquirir instrumentos propios de capital de nivel 1 adicional |
|
|
660 |
1.1.2.2 |
Ajustes transitorios debidos a instrumentos de capital de nivel 1 adicional en régimen de anterioridad |
|
|
670 |
1.1.2.3 |
Instrumentos emitidos por filiales reconocidos en el capital de nivel 1 adicional |
|
|
680 |
1.1.2.4 |
Ajustes transitorios debidos al reconocimiento adicional en el capital de nivel 1 adicional de instrumentos emitidos por filiales |
|
|
690 |
1.1.2.5 |
(-) Tenencias recíprocas en el capital de nivel 1 adicional |
|
|
700 |
1.1.2.6 |
(-) Instrumentos de capital de nivel 1 adicional de entes del sector financiero en los que la entidad no tiene una inversión significativa |
|
|
710 |
1.1.2.7 |
(-) Instrumentos de capital de nivel 1 adicional de entes del sector financiero en los que la entidad tiene una inversión significativa |
|
|
720 |
1.1.2.8 |
(-) Exceso de los elementos deducidos del capital de nivel 2 con respecto al capital de nivel 2 |
|
|
730 |
1.1.2.9 |
Otros ajustes transitorios del capital de nivel 1 adicional |
|
|
740 |
1.1.2.10 |
(-) Exceso de los elementos deducidos del capital de nivel 1 adicional con respecto al capital de nivel 1 adicional (deducido en el capital de nivel 1 ordinario) |
|
|
744 |
1.1.2.11 |
(-) Deducciones adicionales del capital de nivel 1 adicional debidas al artículo 3 del RRC |
|
|
748 |
1.1.2.12 |
Elementos o deducciones del capital de nivel 1 adicional — otros |
|
|
750 |
1.2 |
CAPITAL DE NIVEL 2 |
|
|
760 |
1.2.1 |
Instrumentos de capital y préstamos subordinados admisibles como capital de nivel 2 |
|
|
770 |
1.2.1.1 |
Instrumentos de capital desembolsados y préstamos subordinados |
|
|
780 |
1.2.1.2* |
Pro memoria: instrumentos de capital y préstamos subordinados no admisibles |
|
|
790 |
1.2.1.3 |
Prima de emisión |
|
|
800 |
1.2.1.4 |
(-) Instrumentos propios de capital de nivel 2 |
|
|
810 |
1.2.1.4.1 |
(-) Tenencias directas de instrumentos de capital de nivel 2 |
|
|
840 |
1.2.1.4.2 |
(-) Tenencias indirectas de instrumentos de capital de nivel 2 |
|
|
841 |
1.2.1.4.3 |
(-) Tenencias sintéticas de instrumentos de capital de nivel 2 |
|
|
842 |
1.2.1.5 |
(-) Obligaciones reales o contingentes de adquirir instrumentos propios de capital de nivel 2 |
|
|
880 |
1.2.2 |
Ajustes transitorios debidos a instrumentos de capital de nivel 2 y préstamos subordinados en régimen de anterioridad |
|
|
890 |
1.2.3 |
Instrumentos emitidos por filiales reconocidos en el capital de nivel 2 |
|
|
900 |
1.2.4 |
Ajustes transitorios debidos al reconocimiento adicional en el capital de nivel 2 de instrumentos emitidos por filiales |
|
|
910 |
1.2.5 |
Exceso de provisiones según el método IRB sobre las pérdidas esperadas admisibles |
|
|
920 |
1.2.6 |
Ajustes por riesgo de crédito general por el método estándar |
|
|
930 |
1.2.7 |
(-) Tenencias recíprocas en el capital de nivel 2 |
|
|
940 |
1.2.8 |
(-) Instrumentos de capital de nivel 2 de entes del sector financiero en los que la entidad no tiene una inversión significativa |
|
|
950 |
1.2.9 |
(-) Instrumentos de capital de nivel 2 de entes del sector financiero en los que la entidad tiene una inversión significativa |
|
|
960 |
1.2.10 |
Otros ajustes transitorios del capital de nivel 2 |
|
|
970 |
1.2.11 |
Exceso de los elementos deducidos del capital de nivel 2 con respecto al capital de nivel 2 (deducido en el capital de nivel 1 adicional) |
|
|
974 |
1.2.12 |
(-) Deducciones adicionales del capital de nivel 2 debidas al artículo 3 del RRC |
|
|
978 |
1.2.13 |
Elementos o deducciones del capital de nivel 2 — otros |
|
C 02.00 — REQUISITOS DE FONDOS PROPIOS (CA2)
|
Filas |
Partida |
Designación |
Importe |
|
010 |
1 |
TOTAL DE LA EXPOSICIÓN AL RIESGO |
|
|
020 |
1* |
Del cual: empresas de inversión con arreglo al artículo 95, apartado 2, y al artículo 98 del RRC |
|
|
030 |
1** |
Del cual: empresas de inversión con arreglo al artículo 96, apartado 2, y al artículo 97 del RRC |
|
|
040 |
1.1 |
IMPORTE DE LAS EXPOSICIONES PONDERADAS POR RIESGO DE CRÉDITO, CONTRAPARTE Y DILUCIÓN Y OPERACIONES INCOMPLETAS |
|
|
050 |
1.1.1 |
Método estándar |
|
|
060 |
1.1.1.1 |
Categorías de exposición del método estándar excluidas las posiciones de titulización |
|
|
070 |
1.1.1.1.01 |
Administraciones centrales o bancos centrales |
|
|
080 |
1.1.1.1.02 |
Administraciones regionales o autoridades locales |
|
|
090 |
1.1.1.1.03 |
Entes del sector público |
|
|
100 |
1.1.1.1.04 |
Bancos multilaterales de desarrollo |
|
|
110 |
1.1.1.1.05 |
Organizaciones internacionales |
|
|
120 |
1.1.1.1.06 |
Entidades |
|
|
130 |
1.1.1.1.07 |
Empresas |
|
|
140 |
1.1.1.1.08 |
Exposiciones minoristas |
|
|
150 |
1.1.1.1.09 |
Exposiciones garantizadas por hipotecas sobre bienes inmuebles |
|
|
160 |
1.1.1.1.10 |
Exposiciones en situación de impago |
|
|
170 |
1.1.1.1.11 |
Partidas asociadas a riesgos especialmente elevados |
|
|
180 |
1.1.1.1.12 |
Bonos garantizados |
|
|
190 |
1.1.1.1.13 |
Exposiciones frente a entidades y empresas con evaluación crediticia a corto plazo |
|
|
200 |
1.1.1.1.14 |
Participaciones o acciones en organismos de inversión colectiva (OIC) |
|
|
210 |
1.1.1.1.15 |
Exposiciones de renta variable |
|
|
211 |
1.1.1.1.16 |
Otras |
|
|
220 |
1.1.1.2 |
Posiciones de titulización según método estándar |
|
|
230 |
1.1.1.2* |
De las cuales: retitulización |
|
|
240 |
1.1.2 |
Método basado en calificaciones internas (IRB) |
|
|
250 |
1.1.2.1 |
Métodos IRB cuando no se utilizan ni estimaciones propias de LGD ni factores de conversión |
|
|
260 |
1.1.2.1.01 |
Administraciones centrales y bancos centrales |
|
|
270 |
1.1.2.1.02 |
Entidades |
|
|
280 |
1.1.2.1.03 |
Empresas — PYME |
|
|
290 |
1.1.2.1.04 |
Empresas — financiación especializada |
|
|
300 |
1.1.2.1.05 |
Empresas — otros |
|
|
310 |
1.1.2.2 |
Métodos IRB cuando se utilizan estimaciones propias de LGD y/o factores de conversión |
|
|
320 |
1.1.2.2.01 |
Administraciones centrales y bancos centrales |
|
|
330 |
1.1.2.2.02 |
Entidades |
|
|
340 |
1.1.2.2.03 |
Empresas — PYME |
|
|
350 |
1.1.2.2.04 |
Empresas — financiación especializada |
|
|
360 |
1.1.2.2.05 |
Empresas — otros |
|
|
370 |
1.1.2.2.06 |
Exposiciones minoristas — garantizadas por bienes inmuebles, PYME |
|
|
380 |
1.1.2.2.07 |
Exposiciones minoristas — garantizadas por bienes inmuebles, no PYME |
|
|
390 |
1.1.2.2.08 |
Exposiciones minoristas renovables admisibles |
|
|
400 |
1.1.2.2.09 |
Exposiciones minoristas — otras, PYME |
|
|
410 |
1.1.2.2.10 |
Exposiciones minoristas — otras, no PYME |
|
|
420 |
1.1.2.3 |
Exposiciones de renta variable según el método IRB |
|
|
430 |
1.1.2.4 |
Posiciones de titulización según el método IRB |
|
|
440 |
1.1.2.4* |
De las cuales: retitulización |
|
|
450 |
1.1.2.5 |
Otros activos que no sean obligaciones crediticias |
|
|
460 |
1.1.3 |
Importe de la exposición al riesgo por contribución al fondo de garantía para impagos de una ECC |
|
|
490 |
1.2 |
TOTAL DE LA EXPOSICIÓN AL RIESGO DE LIQUIDACIÓN/ENTREGA |
|
|
500 |
1.2.1 |
Riesgo de liquidación/entrega en la cartera de inversión |
|
|
510 |
1.2.2 |
Riesgo de liquidación/entrega en la cartera de negociación |
|
|
520 |
1.3 |
TOTAL DE LA EXPOSICIÓN A LOS RIESGOS DE POSICIÓN, TIPO DE CAMBIO Y MATERIAS PRIMAS |
|
|
530 |
1.3.1 |
Importe de la exposición a los riesgos de posición, tipo de cambio y materias primas con arreglo a métodos estándar |
|
|
540 |
1.3.1.1 |
Instrumentos de deuda negociables |
|
|
550 |
1.3.1.2 |
Instrumentos de patrimonio |
|
|
555 |
1.3.1.3 |
Método particular para el riesgo de posición en OIC |
|
|
556 |
1.3.1.3* |
Pro memoria: OIC invertidos exclusivamente en instrumentos de deuda negociables |
|
|
557 |
1.3.1.3** |
Pro memoria: OIC invertidos exclusivamente en instrumentos de patrimonio o en una combinación de instrumentos |
|
|
560 |
1.3.1.4 |
Divisas |
|
|
570 |
1.3.1.5 |
Materias primas |
|
|
580 |
1.3.2 |
Importe de la exposición a los riesgos de posición, tipo de cambio y materias primas con arreglo a modelos internos |
|
|
590 |
1.4 |
TOTAL DE LA EXPOSICIÓN AL RIESGO OPERATIVO |
|
|
600 |
1.4.1 |
Riesgo operativo — método del indicador básico |
|
|
610 |
1.4.2 |
Riesgo operativo — métodos estándar/estándar alternativo |
|
|
620 |
1.4.3 |
Riesgo operativo — métodos avanzados de cálculo |
|
|
630 |
1.5 |
IMPORTE ADICIONAL DE LA EXPOSICIÓN AL RIESGO DEBIDO A GASTOS FIJOS GENERALES |
|
|
640 |
1.6 |
TOTAL DE LA EXPOSICIÓN AL RIESGO POR AJUSTE DE VALORACIÓN DEL CRÉDITO |
|
|
650 |
1.6.1 |
Método avanzado |
|
|
660 |
1.6.2 |
Método estándar |
|
|
670 |
1.6.3 |
Método de la exposición original |
|
|
680 |
1.7 |
IMPORTE DE LA EXPOSICIÓN TOTAL AL RIESGO ASOCIADA A GRANDES EXPOSICIONES EN LA CARTERA DE NEGOCIACIÓN |
|
|
690 |
1.8 |
OTROS IMPORTES DE EXPOSICIÓN AL RIESGO |
|
|
710 |
1.8.2 |
De los cuales: requisitos prudenciales adicionales más rigurosos con arreglo al artículo 458 |
|
|
720 |
1.8.2* |
De los cuales: requisitos para grandes exposiciones |
|
|
730 |
1.8.2** |
De los cuales: debidos a ponderaciones de riesgo modificadas para hacer frente a burbujas de activos en el sector inmobiliario residencial o comercial |
|
|
740 |
1.8.2*** |
De los cuales: debidos a exposiciones dentro del sector financiero |
|
|
750 |
1.8.3 |
De los cuales: requisitos prudenciales adicionales más rigurosos con arreglo al artículo 459 |
|
|
760 |
1.8.4 |
De los cuales: importe adicional de la exposición al riesgo debido al artículo 3 del RRC |
|
C 03.00 — RATIOS DE CAPITAL Y NIVELES DE CAPITAL (CA3)
|
Filas |
ID |
Partida |
Importe |
|
010 |
1 |
Ratio de capital de nivel 1 ordinario |
|
|
020 |
2 |
Superávit (+) / déficit (-) de capital de nivel 1 ordinario |
|
|
030 |
3 |
Ratio de capital de nivel 1 |
|
|
040 |
4 |
Superávit (+) / déficit (-) de capital de nivel 1 |
|
|
050 |
5 |
Ratio de capital total |
|
|
060 |
6 |
Superávit (+) / déficit (-) de capital total |
|
|
Pro memoria: ratios de capital debidas a ajustes de pilar II |
|||
|
070 |
7 |
Ratio de capital de nivel 1 ordinario, incluidos los ajustes de pilar II |
|
|
080 |
8 |
Objetivo de ratio de capital de nivel 1 ordinario debido a los ajustes de pilar II |
|
|
090 |
9 |
Ratio de capital de nivel 1, incluidos los ajustes de pilar II |
|
|
100 |
10 |
Objetivo de ratio de capital de nivel 1 debido a los ajustes de pilar II |
|
|
110 |
11 |
Ratio de capital total, incluidos los ajustes de pilar II |
|
|
120 |
12 |
Objetivo de ratio de capital total debido a los ajustes de pilar II |
|
C 04.00 — PRO MEMORIA (CA4)
|
Fila |
ID |
Partida |
Columna |
|
Activos y pasivos por impuestos diferidos |
010 |
||
|
010 |
1 |
Total de activos por impuestos diferidos |
|
|
020 |
1.1 |
Activos por impuestos diferidos que no dependan de rendimientos futuros |
|
|
030 |
1.2 |
Activos por impuestos diferidos que dependan de rendimientos futuros y no se originen por diferencias temporales |
|
|
040 |
1.3 |
Activos por impuestos diferidos que dependan de rendimientos futuros y se originen por diferencias temporales |
|
|
050 |
2 |
Total de pasivos por impuestos diferidos |
|
|
060 |
2.1 |
Pasivos por impuestos diferidos no deducibles de activos por impuestos diferidos que dependan de rendimientos futuros |
|
|
070 |
2.2 |
Pasivos por impuestos diferidos deducibles de activos por impuestos diferidos que dependan de rendimientos futuros |
|
|
080 |
2.2.1 |
Pasivos por impuestos diferidos deducibles asociados a activos por impuestos diferidos que dependan de rendimientos futuros y no se originen por diferencias temporales |
|
|
090 |
2.2.2 |
Pasivos por impuestos diferidos deducibles asociados a activos por impuestos diferidos que dependan de rendimientos futuros y se originen por diferencias temporales |
|
|
093 |
2A |
Impuestos abonados por exceso y pérdidas fiscales retrotraídas |
|
|
096 |
2B |
Activos por impuestos diferidos con una ponderación de riesgo del 250 % |
|
|
097 |
2C |
Activos por impuestos diferidos con una ponderación de riesgo del 0 % |
|
|
Ajustes por riesgo de crédito y pérdidas esperadas |
|||
|
100 |
3 |
Exceso (+) o insuficiencia (-) de los ajustes por riesgo de crédito, los ajustes de valoración adicionales y otras reducciones de los fondos propios según el método IRB respecto a las pérdidas esperadas por exposiciones no impagadas |
|
|
110 |
3.1 |
Total de ajustes por riesgo de crédito, ajustes de valoración adicionales y otras reducciones de los fondos propios admisibles para su inclusión en el cálculo del importe de las pérdidas esperadas |
|
|
120 |
3.1.1 |
Ajustes por riesgo de crédito general |
|
|
130 |
3.1.2 |
Ajustes por riesgo de crédito específico |
|
|
131 |
3.1.3 |
Ajustes de valoración adicionales y otras reducciones de los fondos propios |
|
|
140 |
3.2 |
Total de pérdidas esperadas admisibles |
|
|
145 |
4 |
Exceso (+) o insuficiencia (-) de los ajustes por riesgo de crédito específico según el método IRB con respecto a las pérdidas esperadas por exposiciones impagadas |
|
|
150 |
4.1 |
Ajustes por riesgo de crédito específico y posiciones tratadas de manera similar |
|
|
155 |
4.2 |
Total de pérdidas esperadas admisibles |
|
|
160 |
5 |
Importe de las exposiciones ponderadas por riesgo para calcular el exceso máximo de provisión admisible como capital de nivel 2 |
|
|
170 |
6 |
Provisiones brutas totales admisibles para su inclusión en el capital de nivel 2 |
|
|
180 |
7 |
Importe de las exposiciones ponderadas por riesgo para calcular la provisión máxima admisible como capital de nivel 2 |
|
|
Umbrales para las deducciones del capital de nivel 1 ordinario |
|||
|
190 |
8 |
Umbral no deducible de tenencias en entes del sector financiero en los que la entidad no tiene una inversión significativa |
|
|
200 |
9 |
Umbral del 10 % del capital de nivel 1 ordinario |
|
|
210 |
10 |
Umbral del 17,65 % del capital de nivel 1 ordinario |
|
|
225 |
11,1 |
Capital admisible a efectos de las participaciones cualificadas fuera del sector financiero |
|
|
226 |
11,2 |
Capital admisible a efectos de las grandes exposiciones |
|
|
Inversiones en el capital de entes del sector financiero en los que la entidad no tiene una inversión significativa |
|||
|
230 |
12 |
Tenencias de capital de nivel 1 ordinario de entes del sector financiero en los que la entidad no tiene una inversión significativa, deducidas las posiciones cortas |
|
|
240 |
12.1 |
Tenencias directas de capital de nivel 1 ordinario de entes del sector financiero en los que la entidad no tiene una inversión significativa |
|
|
250 |
12.1.1 |
Tenencias directas brutas de capital de nivel 1 ordinario de entes del sector financiero en los que la entidad no tiene una inversión significativa |
|
|
260 |
12.1.2 |
(-) Compensación permitida de posiciones cortas en relación con las tenencias directas brutas incluidas arriba |
|
|
270 |
12.2 |
Tenencias indirectas de capital de nivel 1 ordinario de entes del sector financiero en los que la entidad no tiene una inversión significativa |
|
|
280 |
12.2.1 |
Tenencias indirectas brutas de capital de nivel 1 ordinario de entes del sector financiero en los que la entidad no tiene una inversión significativa |
|
|
290 |
12.2.2 |
(-) Compensación permitida de posiciones cortas en relación con las tenencias indirectas brutas incluidas arriba |
|
|
291 |
12.3 |
Tenencias sintéticas de capital de nivel 1 ordinario de entes del sector financiero en los que la entidad no tiene una inversión significativa |
|
|
292 |
12.3.1 |
Tenencias sintéticas brutas de capital de nivel 1 ordinario de entes del sector financiero en los que la entidad no tiene una inversión significativa |
|
|
293 |
12.3.2 |
(-) Compensación permitida de posiciones cortas en relación con las tenencias sintéticas brutas incluidas arriba |
|
|
300 |
13 |
Tenencias de capital de nivel 1 adicional de entes del sector financiero en los que la entidad no tiene una inversión significativa, deducidas las posiciones cortas |
|
|
310 |
13.1 |
Tenencias directas de capital de nivel 1 adicional de entes del sector financiero en los que la entidad no tiene una inversión significativa |
|
|
320 |
13.1.1 |
Tenencias directas brutas de capital de nivel 1 adicional de entes del sector financiero en los que la entidad no tiene una inversión significativa |
|
|
330 |
13.1.2 |
(-) Compensación permitida de posiciones cortas en relación con las tenencias directas brutas incluidas arriba |
|
|
340 |
13.2 |
Tenencias indirectas de capital de nivel 1 adicional de entes del sector financiero en los que la entidad no tiene una inversión significativa |
|
|
350 |
13.2.1 |
Tenencias indirectas brutas de capital de nivel 1 adicional de entes del sector financiero en los que la entidad no tiene una inversión significativa |
|
|
360 |
13.2.2 |
(-) Compensación permitida de posiciones cortas en relación con las tenencias indirectas brutas incluidas arriba |
|
|
361 |
13.3 |
Tenencias sintéticas de capital de nivel 1 adicional de entes del sector financiero en los que la entidad no tiene una inversión significativa |
|
|
362 |
13.3.1 |
Tenencias sintéticas brutas de capital de nivel 1 adicional de entes del sector financiero en los que la entidad no tiene una inversión significativa |
|
|
363 |
13.3.2 |
(-) Compensación permitida de posiciones cortas en relación con las tenencias sintéticas brutas incluidas arriba |
|
|
370 |
14 |
Tenencias de capital de nivel 2 de entes del sector financiero en los que la entidad no tiene una inversión significativa, deducidas las posiciones cortas |
|
|
380 |
14.1 |
Tenencias directas de capital de nivel 2 de entes del sector financiero en los que la entidad no tiene una inversión significativa |
|
|
390 |
14.1.1 |
Tenencias directas brutas de capital de nivel 2 de entes del sector financiero en los que la entidad no tiene una inversión significativa |
|
|
400 |
14.1.2 |
(-) Compensación permitida de posiciones cortas en relación con las tenencias directas brutas incluidas arriba |
|
|
410 |
14.2 |
Tenencias indirectas de capital de nivel 2 de entes del sector financiero en los que la entidad no tiene una inversión significativa |
|
|
420 |
14.2.1 |
Tenencias indirectas brutas de capital de nivel 2 de entes del sector financiero en los que la entidad no tiene una inversión significativa |
|
|
430 |
14.2.2 |
(-) Compensación permitida de posiciones cortas en relación con las tenencias indirectas brutas incluidas arriba |
|
|
431 |
14.3 |
Tenencias sintéticas de capital de nivel 2 de entes del sector financiero en los que la entidad no tiene una inversión significativa |
|
|
432 |
14.3.1 |
Tenencias sintéticas brutas de capital de nivel 2 de entes del sector financiero en los que la entidad no tiene una inversión significativa |
|
|
433 |
14.3.2 |
(-) Compensación permitida de posiciones cortas en relación con las tenencias sintéticas brutas incluidas arriba |
|
|
Inversiones en el capital de entes del sector financiero en los que la entidad tiene una inversión significativa |
|||
|
440 |
15 |
Tenencias de capital de nivel 1 ordinario de entes del sector financiero en los que la entidad tiene una inversión significativa, deducidas las posiciones cortas |
|
|
450 |
15.1 |
Tenencias directas de capital de nivel 1 ordinario de entes del sector financiero en los que la entidad tiene una inversión significativa |
|
|
460 |
15.1.1 |
Tenencias directas brutas de capital de nivel 1 ordinario de entes del sector financiero en los que la entidad tiene una inversión significativa |
|
|
470 |
15.1.2 |
(-) Compensación permitida de posiciones cortas en relación con las tenencias directas brutas incluidas arriba |
|
|
480 |
15.2 |
Tenencias indirectas de capital de nivel 1 ordinario de entes del sector financiero en los que la entidad tiene una inversión significativa |
|
|
490 |
15.2.1 |
Tenencias indirectas brutas de capital de nivel 1 ordinario de entes del sector financiero en los que la entidad tiene una inversión significativa |
|
|
500 |
15.2.2 |
(-) Compensación permitida de posiciones cortas en relación con las tenencias indirectas brutas incluidas arriba |
|
|
501 |
15.3 |
Tenencias sintéticas de capital de nivel 1 ordinario de entes del sector financiero en los que la entidad tiene una inversión significativa |
|
|
502 |
15.3.1 |
Tenencias sintéticas brutas de capital de nivel 1 ordinario de entes del sector financiero en los que la entidad tiene una inversión significativa |
|
|
503 |
15.3.2 |
(-) Compensación permitida de posiciones cortas en relación con las tenencias sintéticas brutas incluidas arriba |
|
|
510 |
16 |
Tenencias de capital de nivel 1 adicional de entes del sector financiero en los que la entidad tiene una inversión significativa, deducidas las posiciones cortas |
|
|
520 |
16.1 |
Tenencias directas de capital de nivel 1 adicional de entes del sector financiero en los que la entidad tiene una inversión significativa |
|
|
530 |
16.1.1 |
Tenencias directas brutas de capital de nivel 1 adicional de entes del sector financiero en los que la entidad tiene una inversión significativa |
|
|
540 |
16.1.2 |
(-) Compensación permitida de posiciones cortas en relación con las tenencias directas brutas incluidas arriba |
|
|
550 |
16.2 |
Tenencias indirectas de capital de nivel 1 adicional de entes del sector financiero en los que la entidad tiene una inversión significativa |
|
|
560 |
16.2.1 |
Tenencias indirectas brutas de capital de nivel 1 adicional de entes del sector financiero en los que la entidad tiene una inversión significativa |
|
|
570 |
16.2.2 |
(-) Compensación permitida de posiciones cortas en relación con las tenencias indirectas brutas incluidas arriba |
|
|
571 |
16.3 |
Tenencias sintéticas de capital de nivel 1 adicional de entes del sector financiero en los que la entidad tiene una inversión significativa |
|
|
572 |
16.3.1 |
Tenencias sintéticas brutas de capital de nivel 1 adicional de entes del sector financiero en los que la entidad tiene una inversión significativa |
|
|
573 |
16.3.2 |
(-) Compensación permitida de posiciones cortas en relación con las tenencias sintéticas brutas incluidas arriba |
|
|
580 |
17 |
Tenencias de capital de nivel 2 de entes del sector financiero en los que la entidad tiene una inversión significativa, deducidas las posiciones cortas |
|
|
590 |
17.1 |
Tenencias directas de capital de nivel 2 de entes del sector financiero en los que la entidad tiene una inversión significativa |
|
|
600 |
17.1.1 |
Tenencias directas brutas de capital de nivel 2 de entes del sector financiero en los que la entidad tiene una inversión significativa |
|
|
610 |
17.1.2 |
(-) Compensación permitida de posiciones cortas en relación con las tenencias directas brutas incluidas arriba |
|
|
620 |
17.2 |
Tenencias indirectas de capital de nivel 2 de entes del sector financiero en los que la entidad tiene una inversión significativa |
|
|
630 |
17.2.1 |
Tenencias indirectas brutas de capital de nivel 2 de entes del sector financiero en los que la entidad tiene una inversión significativa |
|
|
640 |
17.2.2 |
(-) Compensación permitida de posiciones cortas en relación con las tenencias indirectas brutas incluidas arriba |
|
|
641 |
17.3 |
Tenencias sintéticas de capital de nivel 2 de entes del sector financiero en los que la entidad tiene una inversión significativa |
|
|
642 |
17.3.1 |
Tenencias sintéticas brutas de capital de nivel 2 de entes del sector financiero en los que la entidad tiene una inversión significativa |
|
|
643 |
17.3.2 |
(-) Compensación permitida de posiciones cortas en relación con las tenencias sintéticas brutas incluidas arriba |
|
|
Importes totales de exposición al riesgo de las tenencias no deducidas de la categoría de capital correspondiente |
|||
|
650 |
18 |
Exposiciones ponderadas por riesgo de tenencias de capital de nivel 1 ordinario en entes del sector financiero que no se deducen del capital de nivel 1 ordinario de la entidad |
|
|
660 |
19 |
Exposiciones ponderadas por riesgo de tenencias de capital de nivel 1 adicional en entes del sector financiero que no se deducen del capital de nivel 1 adicional de la entidad |
|
|
670 |
20 |
Exposiciones ponderadas por riesgo de tenencias de capital de nivel 2 en entes del sector financiero que no se deducen del capital de nivel 2 de la entidad |
|
|
Dispensa temporal de deducción de los fondos propios |
|||
|
680 |
21 |
Tenencias de instrumentos de capital de nivel 1 ordinario de entes del sector financiero en los que la entidad no tiene una inversión significativa con dispensa temporal |
|
|
690 |
22 |
Tenencias de instrumentos de capital de nivel 1 ordinario de entes del sector financiero en los que la entidad tiene una inversión significativa con dispensa temporal |
|
|
700 |
23 |
Tenencias de instrumentos de capital de nivel 1 adicional de entes del sector financiero en los que la entidad no tiene una inversión significativa con dispensa temporal |
|
|
710 |
24 |
Tenencias de instrumentos de capital de nivel 1 adicional de entes del sector financiero en los que la entidad tiene una inversión significativa con dispensa temporal |
|
|
720 |
25 |
Tenencias de instrumentos de capital de nivel 2 de entes del sector financiero en los que la entidad no tiene una inversión significativa con dispensa temporal |
|
|
730 |
26 |
Tenencias de instrumentos de capital de nivel 2 de entes del sector financiero en los que la entidad tiene una inversión significativa con dispensa temporal |
|
|
Colchones de capital |
|||
|
740 |
27 |
Requisitos combinados de colchón |
|
|
750 |
|
Colchón de conservación de capital |
|
|
760 |
|
Colchón de conservación debido al riesgo macroprudencial o sistémico observado en un Estado miembro |
|
|
770 |
|
Colchón de capital anticíclico específico de la entidad |
|
|
780 |
|
Colchón de riesgo sistémico |
|
|
800 |
|
Colchón de entidades de importancia sistémica mundial |
|
|
810 |
|
Colchón de otras entidades de importancia sistémica |
|
|
Requisitos de pilar II |
|||
|
820 |
28 |
Requisitos de fondos propios relacionados con los ajustes de pilar II |
|
|
Información adicional para empresas de inversión |
|||
|
830 |
29 |
Capital inicial |
|
|
840 |
30 |
Fondos propios basados en los gastos fijos generales |
|
|
Datos adicionales para el cálculo de los umbrales de información |
|||
|
850 |
31 |
Exposiciones originales no nacionales |
|
|
860 |
32 |
Exposiciones originales totales |
|
|
Límite mínimo de Basilea I |
|||
|
870 |
|
Ajustes de los fondos propios totales |
|
|
880 |
|
Fondos propios plenamente ajustados por límite mínimo de Basilea I |
|
|
890 |
|
Requisitos de fondos propios por límite mínimo de Basilea I |
|
|
900 |
|
Requisitos de fondos propios por límite mínimo de Basilea I — Método estándar alternativo |
|
|
910 |
|
Déficit de capital total con relación a los requisitos mínimos de fondos propios por límite mínimo de Basilea I |
|
C 05.01 — DISPOSICIONES TRANSITORIAS (CA5.1)
|
|
Ajustes del capital de nivel 1 ordinario |
Ajustes del capital de nivel 1 adicional |
Ajustes del capital de nivel 2 |
Ajustes incluidos en activos ponderados por riesgo |
Pro memoria |
|||
|
Porcentaje aplicable |
Importe admisible sin disposiciones transitorias |
|||||||
|
Código |
ID |
Partida |
010 |
020 |
030 |
040 |
050 |
060 |
|
010 |
1 |
AJUSTES TOTALES |
|
|
|
|
|
|
|
020 |
1.1 |
INSTRUMENTOS EN RÉGIMEN DE ANTERIORIDAD |
enlace a {CA1;r220} |
enlace a {CA1;r660} |
enlace a {CA1;r880} |
|
|
|
|
030 |
1.1.1 |
Instrumentos en régimen de anterioridad: instrumentos que constituyen ayudas estatales |
|
|
|
|
|
|
|
040 |
1.1.1.1 |
Instrumentos que se consideraban fondos propios de acuerdo con 2006/48/CE |
|
|
|
|
|
|
|
050 |
1.1.1.2 |
Instrumentos emitidos por entidades constituidas en un Estado miembro que está sujeto a un programa de ajuste económico |
|
|
|
|
|
|
|
060 |
1.1.2 |
Instrumentos que no constituyen ayudas estatales |
enlace a {CA5.2;r010;c060} |
enlace a {CA5.2;r020;c060} |
enlace a {CA5.2;r090;c060} |
|
|
|
|
070 |
1.2 |
INTERESES MINORITARIOS Y EQUIVALENTES |
enlace a {CA1;r240} |
enlace a {CA1;r680} |
enlace a {CA1;r900} |
|
|
|
|
080 |
1.2.1 |
Instrumentos de capital y elementos que no se consideran intereses minoritarios |
|
|
|
|
|
|
|
090 |
1.2.2 |
Reconocimiento transitorio en los fondos propios consolidados de intereses minoritarios |
|
|
|
|
|
|
|
091 |
1.2.3 |
Reconocimiento transitorio en los fondos propios consolidados del capital de nivel 1 adicional admisible |
|
|
|
|
|
|
|
092 |
1.2.4 |
Reconocimiento transitorio en los fondos propios consolidados del capital de nivel 2 admisible |
|
|
|
|
|
|
|
100 |
1.3 |
OTROS AJUSTES TRANSITORIOS |
enlace a {CA1;r520} |
enlace a {CA1;r730} |
enlace a {CA1;r960} |
|
|
|
|
110 |
1.3.1 |
Ganancias y pérdidas no realizadas |
|
|
|
|
|
|
|
120 |
1.3.1.1 |
Ganancias no realizadas |
|
|
|
|
|
|
|
130 |
1.3.1.2 |
Pérdidas no realizadas |
|
|
|
|
|
|
|
133 |
1.3.1.3 |
Ganancias no realizadas en exposiciones frente a administraciones centrales clasificadas en la categoría «Disponible para la venta» de la norma NIC 39 refrendada por la UE |
|
|
|
|
|
|
|
136 |
1.3.1.4 |
Pérdidas no realizadas en exposiciones frente a administraciones centrales clasificadas en la categoría «Disponible para la venta» de la norma NIC 39 refrendada por la UE |
|
|
|
|
|
|
|
138 |
1.3.1.5 |
Pérdidas y ganancias a valor razonable derivadas del propio riesgo de crédito de la entidad relacionado con los pasivos por derivados |
|
|
|
|
|
|
|
140 |
1.3.2 |
Deducciones |
|
|
|
|
|
|
|
150 |
1.3.2.1 |
Pérdidas del ejercicio en curso |
|
|
|
|
|
|
|
160 |
1.3.2.2 |
Activos intangibles |
|
|
|
|
|
|
|
170 |
1.3.2.3 |
Activos por impuestos diferidos que dependan de rendimientos futuros y no se originen por diferencias temporales |
|
|
|
|
|
|
|
180 |
1.3.2.4 |
Insuficiencia de las provisiones para pérdidas esperadas según el método IRB |
|
|
|
|
|
|
|
190 |
1.3.2.5 |
Activos de fondos de pensiones de prestaciones definidas |
|
|
|
|
|
|
|
194 |
1.3.2.5* |
De los cuales: introducción de modificaciones en la norma NIC 19 — elemento positivo |
|
|
|
|
|
|
|
198 |
1.3.2.5** |
De los cuales: introducción de modificaciones en la norma NIC 19 — elemento negativo |
|
|
|
|
|
|
|
200 |
1.3.2.6 |
Instrumentos propios |
|
|
|
|
|
|
|
210 |
1.3.2.6.1 |
Instrumentos propios de capital de nivel 1 ordinario |
|
|
|
|
|
|
|
211 |
1.3.2.6.1** |
De los cuales: tenencias directas |
|
|
|
|
|
|
|
212 |
1.3.2.6.1* |
De los cuales: tenencias indirectas |
|
|
|
|
|
|
|
220 |
1.3.2.6.2 |
Instrumentos propios de capital de nivel 1 adicional |
|
|
|
|
|
|
|
221 |
1.3.2.6.2** |
De los cuales: tenencias directas |
|
|
|
|
|
|
|
222 |
1.3.2.6.2* |
De los cuales: tenencias indirectas |
|
|
|
|
|
|
|
230 |
1.3.2.6.3 |
Instrumentos propios de capital de nivel 2 |
|
|
|
|
|
|
|
231 |
1.3.2.6.3* |
De los cuales: tenencias directas |
|
|
|
|
|
|
|
232 |
1.3.2.6.3** |
De los cuales: tenencias indirectas |
|
|
|
|
|
|
|
240 |
1.3.2.7 |
Tenencias recíprocas |
|
|
|
|
|
|
|
250 |
1.3.2.7.1 |
Tenencias recíprocas en el capital de nivel 1 ordinario |
|
|
|
|
|
|
|
260 |
1.3.2.7.1.1 |
Tenencias recíprocas en el capital de nivel 1 ordinario de entes del sector financiero en los que la entidad no tiene una inversión significativa |
|
|
|
|
|
|
|
270 |
1.3.2.7.1.2 |
Tenencias recíprocas en el capital de nivel 1 ordinario de entes del sector financiero en los que la entidad tiene una inversión significativa |
|
|
|
|
|
|
|
280 |
1.3.2.7.2 |
Tenencias recíprocas en el capital de nivel 1 adicional |
|
|
|
|
|
|
|
290 |
1.3.2.7.2.1 |
Tenencias recíprocas en el capital de nivel 1 adicional de entes del sector financiero en los que la entidad no tiene una inversión significativa |
|
|
|
|
|
|
|
300 |
1.3.2.7.2.2 |
Tenencias recíprocas en el capital de nivel 1 adicional de entes del sector financiero en los que la entidad tiene una inversión significativa |
|
|
|
|
|
|
|
310 |
1.3.2.7.3 |
Tenencias recíprocas en el capital de nivel 2 |
|
|
|
|
|
|
|
320 |
1.3.2.7.3.1 |
Tenencias recíprocas en el capital de nivel 2 de entes del sector financiero en los que la entidad no tiene una inversión significativa |
|
|
|
|
|
|
|
330 |
1.3.2.7.3.2 |
Tenencias recíprocas en el capital de nivel 2 de entes del sector financiero en los que la entidad tiene una inversión significativa |
|
|
|
|
|
|
|
340 |
1.3.2.8 |
Instrumentos de fondos propios de entes del sector financiero en los que la entidad no tiene una inversión significativa |
|
|
|
|
|
|
|
350 |
1.3.2.8.1 |
Instrumentos de capital de nivel 1 ordinario de entes del sector financiero en los que la entidad no tiene una inversión significativa |
|
|
|
|
|
|
|
360 |
1.3.2.8.2 |
Instrumentos de capital de nivel 1 adicional de entes del sector financiero en los que la entidad no tiene una inversión significativa |
|
|
|
|
|
|
|
370 |
1.3.2.8.3 |
Instrumentos de capital de nivel 2 de entes del sector financiero en los que la entidad no tiene una inversión significativa |
|
|
|
|
|
|
|
380 |
1.3.2.9 |
Activos por impuestos diferidos que dependan de rendimientos futuros y se originen por diferencias temporales, e instrumentos de capital de nivel 1 ordinario de entes del sector financiero en los que la entidad tiene una inversión significativa |
|
|
|
|
|
|
|
385 |
1.3.2.9a |
Activos por impuestos diferidos que dependan de rendimientos futuros y se originen por diferencias temporales |
|
|
|
|
|
|
|
390 |
1.3.2.10 |
Instrumentos de fondos propios de entes del sector financiero en los que la entidad tiene una inversión significativa |
|
|
|
|
|
|
|
400 |
1.3.2.10.1 |
Instrumentos de capital de nivel 1 ordinario de entes del sector financiero en los que la entidad tiene una inversión significativa |
|
|
|
|
|
|
|
410 |
1.3.2.10.2 |
Instrumentos de capital de nivel 1 adicional de entes del sector financiero en los que la entidad tiene una inversión significativa |
|
|
|
|
|
|
|
420 |
1.3.2.10.3 |
Instrumentos de capital de nivel 2 de entes del sector financiero en los que la entidad tiene una inversión significativa |
|
|
|
|
|
|
|
425 |
1.3.2.11 |
Exención de la obligación de deducir las participaciones en el capital de empresas de seguros de los elementos del capital de nivel 1 ordinario |
|
|
|
|
|
|
|
430 |
1.3.3 |
Deducciones y filtros adicionales |
|
|
|
|
|
|
|
440 |
1.3.4 |
Ajustes debidos a las disposiciones transitorias derivadas de la NIIF 9 |
|
|
|
|
|
|
C 05.02 — INSTRUMENTOS EN RÉGIMEN DE ANTERIORIDAD: INSTRUMENTOS QUE NO CONSTITUYEN AYUDAS ESTATALES (CA5.2)
|
CA5.2 Instrumentos en régimen de anterioridad: instrumentos que no constituyen ayudas estatales |
Importe de los instrumentos más las primas de emisión conexas |
Base para el cálculo del límite |
Porcentaje aplicable |
Límite |
(-) Importe que excede de los límites para la aplicación de las disposiciones de anterioridad |
Total del importe en régimen de anterioridad |
||
|
Código |
ID |
Partida |
010 |
020 |
030 |
040 |
050 |
060 |
|
010 |
1. |
Instrumentos que entran en el artículo 57, letra a), de 2006/48/CE |
|
|
|
|
|
enlace a {CA5.1;r060;c010} |
|
020 |
2. |
Instrumentos que entran en el artículo 57, letra c bis), y el artículo 154, apartados 8 y 9, de 2006/48/CE, con sujeción al límite del artículo 489 |
|
|
|
|
|
enlace a {CA5.1;r060;c020} |
|
030 |
2.1 |
Total de instrumentos sin opción ni incentivos de amortización |
|
|
|
|
|
|
|
040 |
2.2 |
Instrumentos en régimen de anterioridad con opción e incentivos de amortización |
|
|
|
|
|
|
|
050 |
2.2.1 |
Instrumentos con una opción ejercitable tras la fecha de información, y que cumplen las condiciones del artículo 52 del RRC después de la fecha de vencimiento efectivo |
|
|
|
|
|
|
|
060 |
2.2.2 |
Instrumentos con una opción ejercitable tras la fecha de información, y que no cumplen las condiciones del artículo 52 del RRC después de la fecha de vencimiento efectivo |
|
|
|
|
|
|
|
070 |
2.2.3 |
Instrumentos con una opción ejercitable, a más tardar, el 20 de julio de 2011, y que no cumplen las condiciones del artículo 52 del RRC después de la fecha de vencimiento efectivo |
|
|
|
|
|
|
|
080 |
2.3 |
Exceso respecto al límite de los instrumentos de capital de nivel 1 ordinario en régimen de anterioridad |
|
|
|
|
|
|
|
090 |
3 |
Elementos que entran en el artículo 57, letras e), f), g) o h), de 2006/48/CE, con sujeción al límite del artículo 490 |
|
|
|
|
|
enlace a {CA5.1;r060;c030} |
|
100 |
3.1 |
Total de elementos sin incentivos de amortización |
|
|
|
|
|
|
|
110 |
3.2 |
Elementos en régimen de anterioridad con incentivos de amortización |
|
|
|
|
|
|
|
120 |
3.2.1 |
Elementos con una opción ejercitable tras la fecha de información, y que cumplen las condiciones del artículo 63 del RRC después de la fecha de vencimiento efectivo |
|
|
|
|
|
|
|
130 |
3.2.2 |
Elementos con una opción ejercitable tras la fecha de información, y que no cumplen las condiciones del artículo 63 del RRC después de la fecha de vencimiento efectivo |
|
|
|
|
|
|
|
140 |
3.2.3 |
Elementos con una opción ejercitable, a más tardar, el 20 de julio de 2011, y que no cumplen las condiciones del artículo 63 del RRC después de la fecha de vencimiento efectivo |
|
|
|
|
|
|
|
150 |
3.3 |
Exceso respecto al límite de los instrumentos de capital de nivel 1 adicional en régimen de anterioridad |
|
|
|
|
|
|
C 06.01 — SOLVENCIA DEL GRUPO: INFORMACIÓN SOBRE FILIALES — TOTAL (GS TOTAL)
|
|
INFORMACIÓN SOBRE LA CONTRIBUCIÓN DE LOS ENTES A LA SOLVENCIA DEL GRUPO |
COLCHONES DE CAPITAL |
||||||||||||||||||||||
|
TOTAL DE LA EXPOSICIÓN AL RIESGO |
|
FONDOS PROPIOS ADMISIBLES INCLUIDOS EN LOS FONDOS PROPIOS CONSOLIDADOS |
|
FONDOS PROPIOS CONSOLIDADOS |
|
REQUISITOS COMBINADOS DE COLCHÓN |
|
|||||||||||||||||
|
RIESGOS DE CRÉDITO, CONTRAPARTE Y DILUCIÓN, OPERACIONES INCOMPLETAS Y RIESGO DE LIQUIDACIÓN/ENTREGA |
RIESGOS DE POSICIÓN, TIPO DE CAMBIO Y MATERIAS PRIMAS |
RIESGO OPERATIVO |
IMPORTES DE LAS EXPOSICIONES A OTROS RIESGOS |
INSTRUMENTOS DE CAPITAL DE NIVEL 1 ADMISIBLES INCLUIDOS EN EL CAPITAL DE NIVEL 1 CONSOLIDADO |
|
INSTRUMENTOS DE FONDOS PROPIOS ADMISIBLES INCLUIDOS EN EL CAPITAL DE NIVEL 2 CONSOLIDADO |
PRO MEMORIA: FONDO DE COMERCIO (-) / FONDO DE COMERCIO NEGATIVO (+) |
DE LOS CUALES: CAPITAL DE NIVEL 1 ORDINARIO |
DE LOS CUALES: CAPITAL DE NIVEL 1 ADICIONAL |
DE LOS CUALES: CONTRIBUCIONES AL RESULTADO CONSOLIDADO |
DE LOS CUALES: FONDO DE COMERCIO (-) / FONDO DE COMERCIO NEGATIVO (+) |
COLCHÓN DE CONSERVACIÓN DE CAPITAL |
COLCHÓN DE CAPITAL ANTICÍCLICO ESPECÍFICO DE LA ENTIDAD |
COLCHÓN DE CONSERVACIÓN DEBIDO AL RIESGO MACROPRUDENCIAL O SISTÉMICO OBSERVADO EN UN ESTADO MIEMBRO |
COLCHÓN DE RIESGO SISTÉMICO |
COLCHÓN DE ENTIDADES DE IMPORTANCIA SISTÉMICA MUNDIAL |
COLCHÓN DE OTRAS ENTIDADES DE IMPORTANCIA SISTÉMICA |
|||||||
|
INTERESES MINORITARIOS INCLUIDOS EN EL CAPITAL DE NIVEL 1 ORDINARIO CONSOLIDADO |
INSTRUMENTOS DE CAPITAL DE NIVEL 1 ADMISIBLES INCLUIDOS EN EL CAPITAL DE NIVEL 1 ADICIONAL CONSOLIDADO |
|||||||||||||||||||||||
|
250 |
260 |
270 |
280 |
290 |
300 |
310 |
320 |
330 |
340 |
350 |
360 |
370 |
380 |
390 |
400 |
410 |
420 |
430 |
440 |
450 |
470 |
480 |
||
|
010 |
TOTAL |
|
|
|
|
|
|
|
|
|
|
|
|
|
|
|
|
|
|
|
|
|
|
|
C 06.02 — SOLVENCIA DEL GRUPO: INFORMACIÓN SOBRE FILIALES (GS)
|
ENTES INCLUIDOS EN EL ÁMBITO DE CONSOLIDACIÓN |
INFORMACIÓN SOBRE ENTES SUJETOS A REQUISITOS DE FONDOS PROPIOS |
INFORMACIÓN SOBRE LA CONTRIBUCIÓN DE LOS ENTES A LA SOLVENCIA DEL GRUPO |
COLCHONES DE CAPITAL |
||||||||||||||||||||||||||||||||||||||||||||
|
NOMBRE |
CÓDIGO |
Código LEI |
ENTIDAD O EQUIVALENTE (SÍ / NO) |
ÁMBITO DE LOS DATOS: INDIVIDUAL PLENAMENTE CONSOLIDADO (SF) O INDIVIDUAL PARCIALMENTE CONSOLIDADO (SP) |
CÓDIGO DE PAÍS |
PARTICIPACIÓN (%) |
TOTAL DE LA EXPOSICIÓN AL RIESGO |
|
FONDOS PROPIOS |
|
|
TOTAL DE LA EXPOSICIÓN AL RIESGO |
|
FONDOS PROPIOS ADMISIBLES INCLUIDOS EN LOS FONDOS PROPIOS CONSOLIDADOS |
|
FONDOS PROPIOS CONSOLIDADOS |
|
REQUISITOS COMBINADOS DE COLCHÓN |
|
||||||||||||||||||||||||||||
|
RIESGOS DE CRÉDITO, CONTRAPARTE Y DILUCIÓN, OPERACIONES INCOMPLETAS Y RIESGO DE LIQUIDACIÓN/ENTREGA |
RIESGOS DE POSICIÓN, TIPO DE CAMBIO Y MATERIAS PRIMAS |
RIESGO OPERATIVO |
IMPORTES DE LAS EXPOSICIONES A OTROS RIESGOS |
|
CAPITAL DE NIVEL 1 TOTAL |
|
|
CAPITAL DE NIVEL 2 |
|
RIESGOS DE CRÉDITO, CONTRAPARTE Y DILUCIÓN, OPERACIONES INCOMPLETAS Y RIESGO DE LIQUIDACIÓN/ENTREGA |
RIESGOS DE POSICIÓN, TIPO DE CAMBIO Y MATERIAS PRIMAS |
RIESGO OPERATIVO |
IMPORTES DE LAS EXPOSICIONES A OTROS RIESGOS |
INSTRUMENTOS DE CAPITAL DE NIVEL 1 ADMISIBLES INCLUIDOS EN EL CAPITAL DE NIVEL 1 CONSOLIDADO |
|
INSTRUMENTOS DE FONDOS PROPIOS ADMISIBLES INCLUIDOS EN EL CAPITAL DE NIVEL 2 CONSOLIDADO |
PRO MEMORIA: FONDO DE COMERCIO (-) / FONDO DE COMERCIO NEGATIVO (+) |
DE LOS CUALES: CAPITAL DE NIVEL 1 ORDINARIO |
DE LOS CUALES: CAPITAL DE NIVEL 1 ADICIONAL |
DE LOS CUALES: CONTRIBUCIONES AL RESULTADO CONSOLIDADO |
DE LOS CUALES: FONDO DE COMERCIO (-) / FONDO DE COMERCIO NEGATIVO (+) |
COLCHÓN DE CONSERVACIÓN DE CAPITAL |
COLCHÓN DE CAPITAL ANTICÍCLICO ESPECÍFICO DE LA ENTIDAD |
COLCHÓN DE CONSERVACIÓN DEBIDO AL RIESGO MACROPRUDENCIAL O SISTÉMICO OBSERVADO EN UN ESTADO MIEMBRO |
COLCHÓN DE RIESGO SISTÉMICO |
COLCHÓN DE ENTIDADES DE IMPORTANCIA SISTÉMICA MUNDIAL |
COLCHÓN DE OTRAS ENTIDADES DE IMPORTANCIA SISTÉMICA |
||||||||||||||||||||
|
|
CAPITAL DE NIVEL 1 ORDINARIO |
|
CAPITAL DE NIVEL 1 ADICIONAL |
|
INTERESES MINORITARIOS INCLUIDOS EN EL CAPITAL DE NIVEL 1 ORDINARIO CONSOLIDADO |
INSTRUMENTOS DE CAPITAL DE NIVEL 1 ADMISIBLES INCLUIDOS EN EL CAPITAL DE NIVEL 1 ADICIONAL CONSOLIDADO |
|||||||||||||||||||||||||||||||||||||||||
|
DE LOS CUALES: FONDOS PROPIOS ADMISIBLES |
INSTRUMENTOS DE FONDOS PROPIOS CONEXOS, GANANCIAS ACUMULADAS CONEXAS Y CUENTAS DE PRIMAS DE EMISIÓN |
DEL CUAL: CAPITAL DE NIVEL 1 ADMISIBLE |
INSTRUMENTOS DE CAPITAL DE NIVEL 1 CONEXOS, GANANCIAS ACUMULADAS CONEXAS Y CUENTAS DE PRIMAS DE EMISIÓN |
DEL CUAL: INTERESES MINORITARIOS |
INSTRUMENTOS DE FONDOS PROPIOS CONEXOS, GANANCIAS ACUMULADAS CONEXAS, CUENTAS DE PRIMAS DE EMISIÓN Y OTRAS RESERVAS |
DEL CUAL: CAPITAL DE NIVEL 1 ADICIONAL ADMISIBLE |
DEL CUAL: CAPITAL DE NIVEL 2 ADMISIBLE |
||||||||||||||||||||||||||||||||||||||||
|
010 |
020 |
025 |
030 |
040 |
050 |
060 |
070 |
080 |
090 |
100 |
110 |
120 |
130 |
140 |
150 |
160 |
170 |
180 |
190 |
200 |
210 |
220 |
230 |
240 |
250 |
260 |
270 |
280 |
290 |
300 |
310 |
320 |
330 |
340 |
350 |
360 |
370 |
380 |
390 |
400 |
410 |
420 |
430 |
440 |
450 |
470 |
480 |
|
|
|
|
|
|
|
|
|
|
|
|
|
|
|
|
|
|
|
|
|
|
|
|
|
|
|
|
|
|
|
|
|
|
|
|
|
|
|
|
|
|
|
|
|
|
|
|
|
C 07 00 — RIESGO DE CRÉDITO Y DE CONTRAPARTE Y OPERACIONES INCOMPLETAS: MÉTODO ESTÁNDAR PARA LOS REQUISITOS DE CAPITAL (CR SA)
Categoría de exposición del método estándar
|
|
|
EXPOSICIÓN ORIGINAL ANTES DE APLICAR LOS FACTORES DE CONVERSIÓN |
(-) AJUSTES DE VALOR Y PROVISIONES ASOCIADOS A LA EXPOSICIÓN ORIGINAL |
EXPOSICIÓN NETA DE AJUSTES DE VALOR Y PROVISIONES |
TÉCNICAS DE REDUCCIÓN DEL RIESGO DE CRÉDITO CON EFECTOS DE SUSTITUCIÓN SOBRE LA EXPOSICIÓN |
EXPOSICIÓN NETA DESPUÉS DE LOS EFECTOS DE SUSTITUCIÓN DE LA REDUCCIÓN DEL RIESGO DE CRÉDITO Y ANTES DE LOS FACTORES DE CONVERSIÓN |
TÉCNICAS DE REDUCCIÓN DEL RIESGO DE CRÉDITO QUE AFECTAN AL IMPORTE DE LA EXPOSICIÓN: COBERTURA DEL RIESGO DE CRÉDITO CON GARANTÍAS REALES O INSTRUMENTOS SIMILARES, MÉTODO AMPLIO PARA LAS GARANTÍAS REALES DE NATURALEZA FINANCIERA |
VALOR DE EXPOSICIÓN PLENAMENTE AJUSTADO (E*) |
DESGLOSE DEL VALOR DE EXPOSICIÓN PLENAMENTE AJUSTADO DE LAS PARTIDAS FUERA DE BALANCE, POR FACTORES DE CONVERSIÓN |
VALOR DE LA EXPOSICIÓN |
|
IMPORTE DE LA EXPOSICIÓN PONDERADA POR RIESGO ANTES DE APLICAR EL FACTOR DE APOYO A PYME |
IMPORTE DE LA EXPOSICIÓN PONDERADA POR RIESGO DESPUÉS DE APLICAR EL FACTOR DE APOYO A PYME |
|
|||||||||||
|
COBERTURA DEL RIESGO DE CRÉDITO CON GARANTÍAS PERSONALES: VALORES AJUSTADOS (Ga) |
COBERTURA DEL RIESGO DE CRÉDITO CON GARANTÍAS REALES O INSTRUMENTOS SIMILARES |
SUSTITUCIÓN DE LA EXPOSICIÓN DEBIDA A LA REDUCCIÓN DEL RIESGO DE CRÉDITO |
AJUSTE DE LA EXPOSICIÓN POR VOLATILIDAD |
(-) GARANTÍA REAL DE NATURALEZA FINANCIERA: VALOR AJUSTADO (Cvam) |
0 % |
20 % |
50 % |
100 % |
DEL CUAL: RESULTANTE DEL RIESGO DE CONTRAPARTE |
DEL CUAL: CON EVALUACIÓN CREDITICIA EFECTUADA POR UNA ECAI DESIGNADA |
DEL CUAL: CON EVALUACIÓN CREDITICIA PROCEDENTE DE UNA ADMINISTRACIÓN CENTRAL |
||||||||||||||
|
(-) GARANTÍAS |
(-) DERIVADOS DE CRÉDITO |
(-) GARANTÍAS REALES DE NATURALEZA FINANCIERA: MÉTODO SIMPLE |
(-) OTRA COBERTURA DEL RIESGO DE CRÉDITO CON GARANTÍAS REALES O INSTRUMENTOS SIMILARES |
(-) SALIDAS TOTALES |
ENTRADAS TOTALES (+) |
|
(-) DEL CUAL: AJUSTES POR VOLATILIDAD Y VENCIMIENTO |
||||||||||||||||||
|
010 |
030 |
040 |
050 |
060 |
070 |
080 |
090 |
100 |
110 |
120 |
130 |
140 |
150 |
160 |
170 |
180 |
190 |
200 |
210 |
215 |
220 |
230 |
240 |
||
|
010 |
TOTAL EXPOSICIONES |
|
|
|
|
|
|
|
|
|
|
|
|
|
|
|
|
|
|
|
|
|
Celda con enlace a CA |
|
|
|
015 |
De las cuales: exposiciones en situación de impago |
|
|
|
|
|
|
|
|
|
|
|
|
|
|
|
|
|
|
|
|
|
|
|
|
|
020 |
De las cuales: PYME |
|
|
|
|
|
|
|
|
|
|
|
|
|
|
|
|
|
|
|
|
|
|
|
|
|
030 |
De las cuales: exposiciones sujetas al factor de apoyo a PYME |
|
|
|
|
|
|
|
|
|
|
|
|
|
|
|
|
|
|
|
|
|
|
|
|
|
040 |
De las cuales: garantizadas por hipotecas sobre bienes inmuebles residenciales |
|
|
|
|
|
|
|
|
|
|
|
|
|
|
|
|
|
|
|
|
|
|
|
|
|
050 |
De las cuales: exposiciones sujetas a uso parcial permanente del método estándar |
|
|
|
|
|
|
|
|
|
|
|
|
|
|
|
|
|
|
|
|
|
|
|
|
|
060 |
De las cuales: exposiciones sujetas al método estándar con autorización supervisora previa para realizar una instrumentación progresiva del método IRB |
|
|
|
|
|
|
|
|
|
|
|
|
|
|
|
|
|
|
|
|
|
|
|
|
|
DESGLOSE DEL TOTAL DE EXPOSICIONES POR TIPOS DE EXPOSICIÓN: |
|||||||||||||||||||||||||
|
070 |
Exposiciones en balance sujetas a riesgo de crédito |
|
|
|
|
|
|
|
|
|
|
|
|
|
|
|
|
|
|
|
|
|
|
|
|
|
080 |
Exposiciones fuera de balance sujetas a riesgo de crédito |
|
|
|
|
|
|
|
|
|
|
|
|
|
|
|
|
|
|
|
|
|
|
|
|
|
|
Exposiciones / operaciones sujetas a riesgo de contraparte |
|
|
|
|
|
|
|
|
|
|
|
|
|
|
|
|
|
|
|
|
|
|
|
|
|
090 |
Operaciones de financiación de valores |
|
|
|
|
|
|
|
|
|
|
|
|
|
|
|
|
|
|
|
|
|
|
|
|
|
100 |
De las cuales: compensadas centralmente a través de ECC cualificadas |
|
|
|
|
|
|
|
|
|
|
|
|
|
|
|
|
|
|
|
|
|
|
|
|
|
110 |
Derivados y operaciones con liquidación diferida |
|
|
|
|
|
|
|
|
|
|
|
|
|
|
|
|
|
|
|
|
|
|
|
|
|
120 |
De las cuales: compensadas centralmente a través de ECC cualificadas |
|
|
|
|
|
|
|
|
|
|
|
|
|
|
|
|
|
|
|
|
|
|
|
|
|
130 |
Procedentes de la compensación contractual entre productos |
|
|
|
|
|
|
|
|
|
|
|
|
|
|
|
|
|
|
|
|
|
|
|
|
|
DESGLOSE DEL TOTAL DE EXPOSICIONES POR PONDERACIONES DE RIESGO: |
|||||||||||||||||||||||||
|
140 |
0 % |
|
|
|
|
|
|
|
|
|
|
|
|
|
|
|
|
|
|
|
|
|
|
|
|
|
150 |
2 % |
|
|
|
|
|
|
|
|
|
|
|
|
|
|
|
|
|
|
|
|
|
|
|
|
|
160 |
4 % |
|
|
|
|
|
|
|
|
|
|
|
|
|
|
|
|
|
|
|
|
|
|
|
|
|
170 |
10 % |
|
|
|
|
|
|
|
|
|
|
|
|
|
|
|
|
|
|
|
|
|
|
|
|
|
180 |
20 % |
|
|
|
|
|
|
|
|
|
|
|
|
|
|
|
|
|
|
|
|
|
|
|
|
|
190 |
35 % |
|
|
|
|
|
|
|
|
|
|
|
|
|
|
|
|
|
|
|
|
|
|
|
|
|
200 |
50 % |
|
|
|
|
|
|
|
|
|
|
|
|
|
|
|
|
|
|
|
|
|
|
|
|
|
210 |
70 % |
|
|
|
|
|
|
|
|
|
|
|
|
|
|
|
|
|
|
|
|
|
|
|
|
|
220 |
75 % |
|
|
|
|
|
|
|
|
|
|
|
|
|
|
|
|
|
|
|
|
|
|
|
|
|
230 |
100 % |
|
|
|
|
|
|
|
|
|
|
|
|
|
|
|
|
|
|
|
|
|
|
|
|
|
240 |
150 % |
|
|
|
|
|
|
|
|
|
|
|
|
|
|
|
|
|
|
|
|
|
|
|
|
|
250 |
250 % |
|
|
|
|
|
|
|
|
|
|
|
|
|
|
|
|
|
|
|
|
|
|
|
|
|
260 |
370 % |
|
|
|
|
|
|
|
|
|
|
|
|
|
|
|
|
|
|
|
|
|
|
|
|
|
270 |
1 250 % |
|
|
|
|
|
|
|
|
|
|
|
|
|
|
|
|
|
|
|
|
|
|
|
|
|
280 |
Otras ponderaciones de riesgo |
|
|
|
|
|
|
|
|
|
|
|
|
|
|
|
|
|
|
|
|
|
|
|
|
|
PRO MEMORIA |
|||||||||||||||||||||||||
|
290 |
Exposiciones garantizadas por hipotecas sobre bienes inmuebles comerciales |
|
|
|
|
|
|
|
|
|
|
|
|
|
|
|
|
|
|
|
|
|
|
|
|
|
300 |
Exposiciones en situación de impago con una ponderación de riesgo del 100 % |
|
|
|
|
|
|
|
|
|
|
|
|
|
|
|
|
|
|
|
|
|
|
|
|
|
310 |
Exposiciones garantizadas por hipotecas sobre bienes inmuebles residenciales |
|
|
|
|
|
|
|
|
|
|
|
|
|
|
|
|
|
|
|
|
|
|
|
|
|
320 |
Exposiciones en situación de impago con una ponderación de riesgo del 150 % |
|
|
|
|
|
|
|
|
|
|
|
|
|
|
|
|
|
|
|
|
|
|
|
|
C 08.01 — RIESGO DE CRÉDITO Y DE CONTRAPARTE Y OPERACIONES INCOMPLETAS: MÉTODO IRB PARA LOS REQUISITOS DE CAPITAL (CR IRB 1)
Categoría de exposición IRB:
Estimaciones propias de LGD y/o factores de conversión:
|
|
SISTEMA DE CALIFICACIÓN INTERNA |
EXPOSICIÓN ORIGINAL ANTES DE APLICAR LOS FACTORES DE CONVERSIÓN |
TÉCNICAS DE REDUCCIÓN DEL RIESGO DE CRÉDITO CON EFECTOS DE SUSTITUCIÓN SOBRE LA EXPOSICIÓN |
EXPOSICIÓN DESPUÉS DE LOS EFECTOS DE SUSTITUCIÓN DE LA REDUCCIÓN DEL RIESGO DE CRÉDITO Y ANTES DE LOS FACTORES DE CONVERSIÓN |
|
VALOR DE LA EXPOSICIÓN |
|
TÉCNICAS DE REDUCCIÓN DEL RIESGO DE CRÉDITO CON EFECTO EN LAS ESTIMACIONES DE LGD EXCLUYENDO EL TRATAMIENTO DE DOBLE IMPAGO |
SUJETO A TRATAMIENTO DE DOBLE IMPAGO |
LGD MEDIA PONDERADA POR EXPOSICIÓN (%) |
LGD MEDIA PONDERADA POR EXPOSICIÓN (%) PARA GRANDES ENTES DEL SECTOR FINANCIERO Y ENTES FINANCIEROS NO REGULADOS |
VENCIMIENTO MEDIO PONDERADO POR EXPOSICIÓN (DÍAS) |
IMPORTE DE LA EXPOSICIÓN PONDERADA POR RIESGO ANTES DE APLICAR EL FACTOR DE APOYO A PYME |
IMPORTE DE LA EXPOSICIÓN PONDERADA POR RIESGO DESPUÉS DE APLICAR EL FACTOR DE APOYO A PYME |
PRO MEMORIA: |
|||||||||||||||||
|
COBERTURA DEL RIESGO DE CRÉDITO CON GARANTÍAS PERSONALES |
(-) OTRA COBERTURA DEL RIESGO DE CRÉDITO CON GARANTÍAS REALES O INSTRUMENTOS SIMILARES |
SUSTITUCIÓN DE LA EXPOSICIÓN DEBIDA A LA REDUCCIÓN DEL RIESGO DE CRÉDITO |
USO DE ESTIMACIONES PROPIAS DE LGD: COBERTURA DEL RIESGO DE CRÉDITO CON GARANTÍAS PERSONALES |
COBERTURA DEL RIESGO DE CRÉDITO CON GARANTÍAS REALES O INSTRUMENTOS SIMILARES |
COBERTURA DEL RIESGO DE CRÉDITO CON GARANTÍAS PERSONALES |
PÉRDIDAS ESPERADAS |
(-) AJUSTES DE VALOR Y PROVISIONES |
NÚMERO DE DEUDORES |
||||||||||||||||||||||||
|
PD ASIGNADA AL GRADO DE DEUDORES O EL CONJUNTO DE EXPOSICIONES (%) |
|
DE LA CUAL: GRANDES ENTES DEL SECTOR FINANCIERO Y ENTES FINANCIEROS NO REGULADOS |
(-) GARANTÍAS |
(-) DERIVADOS DE CRÉDITO |
(-) SALIDAS TOTALES |
ENTRADAS TOTALES (+) |
DE LA CUAL: PARTIDAS FUERA DE BALANCE |
DEL CUAL: PARTIDAS FUERA DE BALANCE |
DEL CUAL: RESULTANTE DEL RIESGO DE CONTRAPARTE |
DEL CUAL: GRANDES ENTES DEL SECTOR FINANCIERO Y ENTES FINANCIEROS NO REGULADOS |
GARANTÍAS |
DERIVADOS DE CRÉDITO |
USO DE ESTIMACIONES PROPIAS DE LGD: OTRA COBERTURA DEL RIESGO DE CRÉDITO CON GARANTÍAS REALES O INSTRUMENTOS SIMILARES |
GARANTÍAS REALES DE NATURALEZA FINANCIERA ADMISIBLES |
OTRAS GARANTÍAS REALES ADMISIBLES |
|
DEL CUAL: GRANDES ENTES DEL SECTOR FINANCIERO Y ENTES FINANCIEROS NO REGULADOS |
|||||||||||||||
|
BIENES INMUEBLES |
OTRAS GARANTÍAS REALES FÍSICAS |
DERECHOS DE COBRO |
||||||||||||||||||||||||||||||
|
010 |
020 |
030 |
040 |
050 |
060 |
070 |
080 |
090 |
100 |
110 |
120 |
130 |
140 |
150 |
160 |
170 |
180 |
190 |
200 |
210 |
220 |
230 |
240 |
250 |
255 |
260 |
270 |
280 |
290 |
300 |
||
|
010 |
TOTAL EXPOSICIONES |
|
|
|
|
|
|
|
|
|
|
|
|
|
|
|
|
|
|
|
|
|
|
|
|
|
|
Celda con enlace a CA |
|
|
|
|
|
015 |
De las cuales: exposiciones sujetas al factor de apoyo a PYME |
|
|
|
|
|
|
|
|
|
|
|
|
|
|
|
|
|
|
|
|
|
|
|
|
|
|
|
|
|
|
|
|
|
DESGLOSE DEL TOTAL DE EXPOSICIONES POR TIPOS DE EXPOSICIÓN: |
|||||||||||||||||||||||||||||||
|
020 |
Partidas del balance sujetas a riesgo de crédito |
|
|
|
|
|
|
|
|
|
|
|
|
|
|
|
|
|
|
|
|
|
|
|
|
|
|
|
|
|
|
|
|
030 |
Partidas fuera de balance sujetas a riesgo de crédito |
|
|
|
|
|
|
|
|
|
|
|
|
|
|
|
|
|
|
|
|
|
|
|
|
|
|
|
|
|
|
|
|
|
Exposiciones / operaciones sujetas a riesgo de contraparte |
|
|
|
|
|
|
|
|
|
|
|
|
|
|
|
|
|
|
|
|
|
|
|
|
|
|
|
|
|
|
|
|
040 |
Operaciones de financiación de valores |
|
|
|
|
|
|
|
|
|
|
|
|
|
|
|
|
|
|
|
|
|
|
|
|
|
|
|
|
|
|
|
|
050 |
Derivados y operaciones con liquidación diferida |
|
|
|
|
|
|
|
|
|
|
|
|
|
|
|
|
|
|
|
|
|
|
|
|
|
|
|
|
|
|
|
|
060 |
Procedentes de la compensación contractual entre productos |
|
|
|
|
|
|
|
|
|
|
|
|
|
|
|
|
|
|
|
|
|
|
|
|
|
|
|
|
|
|
|
|
070 |
EXPOSICIONES ASIGNADAS A GRADOS DE DEUDORES O CONJUNTOS DE EXPOSICIONES: TOTAL |
|
|
|
|
|
|
|
|
|
|
|
|
|
|
|
|
|
|
|
|
|
|
|
|
|
|
|
|
|
|
|
|
080 |
CRITERIOS DE ASIGNACIÓN DE LA FINANCIACIÓN ESPECIALIZADA: TOTAL |
|
|
|
|
|
|
|
|
|
|
|
|
|
|
|
|
|
|
|
|
|
|
|
|
|
|
|
|
|
|
|
|
|
DESGLOSE POR PONDERACIONES DE RIESGO DEL TOTAL DE EXPOSICIONES A LAS QUE SE APLICAN CRITERIOS DE ASIGNACIÓN DE LA FINANCIACIÓN ESPECIALIZADA |
|||||||||||||||||||||||||||||||
|
090 |
PONDERACIÓN DE RIESGO: 0 % |
|
|
|
|
|
|
|
|
|
|
|
|
|
|
|
|
|
|
|
|
|
|
|
|
|
|
|
|
|
|
|
|
100 |
50 % |
|
|
|
|
|
|
|
|
|
|
|
|
|
|
|
|
|
|
|
|
|
|
|
|
|
|
|
|
|
|
|
|
110 |
70 % |
|
|
|
|
|
|
|
|
|
|
|
|
|
|
|
|
|
|
|
|
|
|
|
|
|
|
|
|
|
|
|
|
120 |
De las cuales: en la categoría 1 |
|
|
|
|
|
|
|
|
|
|
|
|
|
|
|
|
|
|
|
|
|
|
|
|
|
|
|
|
|
|
|
|
130 |
90 % |
|
|
|
|
|
|
|
|
|
|
|
|
|
|
|
|
|
|
|
|
|
|
|
|
|
|
|
|
|
|
|
|
140 |
115 % |
|
|
|
|
|
|
|
|
|
|
|
|
|
|
|
|
|
|
|
|
|
|
|
|
|
|
|
|
|
|
|
|
150 |
250 % |
|
|
|
|
|
|
|
|
|
|
|
|
|
|
|
|
|
|
|
|
|
|
|
|
|
|
|
|
|
|
|
|
160 |
TRATAMIENTO ALTERNATIVO: GARANTIZADAS POR BIENES INMUEBLES |
|
|
|
|
|
|
|
|
|
|
|
|
|
|
|
|
|
|
|
|
|
|
|
|
|
|
|
|
|
|
|
|
170 |
EXPOSICIONES DE OPERACIONES INCOMPLETAS APLICANDO PONDERACIONES DE RIESGO SEGÚN EL TRATAMIENTO ALTERNATIVO O EL 100 % Y OTRAS EXPOSICIONES SUJETAS A PONDERACIONES DE RIESGO |
|
|
|
|
|
|
|
|
|
|
|
|
|
|
|
|
|
|
|
|
|
|
|
|
|
|
|
|
|
|
|
|
180 |
RIESGO DE DILUCIÓN: TOTAL DE DERECHOS DE COBRO ADQUIRIDOS |
|
|
|
|
|
|
|
|
|
|
|
|
|
|
|
|
|
|
|
|
|
|
|
|
|
|
|
|
|
|
|
C 08.02 — RIESGO DE CRÉDITO Y DE CONTRAPARTE Y OPERACIONES INCOMPLETAS: MÉTODO IRB PARA LOS REQUISITOS DE CAPITAL: DESGLOSE POR GRADOS DE DEUDORES O CONJUNTOS DE EXPOSICIONES (CR IRB 2)
Categoría de exposición IRB:
Estimaciones propias de LGD y/o factores de conversión:
|
GRADO DE DEUDORES (IDENTIFICADOR DE FILA) |
SISTEMA DE CALIFICACIÓN INTERNA |
EXPOSICIÓN ORIGINAL ANTES DE APLICAR LOS FACTORES DE CONVERSIÓN |
TÉCNICAS DE REDUCCIÓN DEL RIESGO DE CRÉDITO CON EFECTOS DE SUSTITUCIÓN SOBRE LA EXPOSICIÓN |
EXPOSICIÓN DESPUÉS DE LOS EFECTOS DE SUSTITUCIÓN DE LA REDUCCIÓN DEL RIESGO DE CRÉDITO Y ANTES DE LOS FACTORES DE CONVERSIÓN |
|
VALOR DE LA EXPOSICIÓN |
|
TÉCNICAS DE REDUCCIÓN DEL RIESGO DE CRÉDITO CON EFECTO EN LAS ESTIMACIONES DE LGD EXCLUYENDO EL TRATAMIENTO DE DOBLE IMPAGO |
SUJETO A TRATAMIENTO DE DOBLE IMPAGO |
LGD MEDIA PONDERADA POR EXPOSICIÓN (%) |
LGD MEDIA PONDERADA POR EXPOSICIÓN (%) PARA GRANDES ENTES DEL SECTOR FINANCIERO Y ENTES FINANCIEROS NO REGULADOS |
VENCIMIENTO MEDIO PONDERADO POR EXPOSICIÓN (DÍAS) |
IMPORTE DE LA EXPOSICIÓN PONDERADA POR RIESGO ANTES DE APLICAR EL FACTOR DE APOYO A PYME |
IMPORTE DE LA EXPOSICIÓN PONDERADA POR RIESGO DESPUÉS DE APLICAR EL FACTOR DE APOYO A PYME |
PRO MEMORIA: |
||||||||||||||||
|
COBERTURA DEL RIESGO DE CRÉDITO CON GARANTÍAS PERSONALES |
(-) OTRA COBERTURA DEL RIESGO DE CRÉDITO CON GARANTÍAS REALES O INSTRUMENTOS SIMILARES |
SUSTITUCIÓN DE LA EXPOSICIÓN DEBIDA A LA REDUCCIÓN DEL RIESGO DE CRÉDITO |
USO DE ESTIMACIONES PROPIAS DE LGD: COBERTURA DEL RIESGO DE CRÉDITO CON GARANTÍAS PERSONALES |
COBERTURA DEL RIESGO DE CRÉDITO CON GARANTÍAS REALES O INSTRUMENTOS SIMILARES |
COBERTURA DEL RIESGO DE CRÉDITO CON GARANTÍAS PERSONALES |
PÉRDIDAS ESPERADAS |
(-) AJUSTES DE VALOR Y PROVISIONES |
NÚMERO DE DEUDORES |
|||||||||||||||||||||||
|
PD ASIGNADA AL GRADO DE DEUDORES O EL CONJUNTO DE EXPOSICIONES (%) |
|
DE LA CUAL: GRANDES ENTES DEL SECTOR FINANCIERO Y ENTES FINANCIEROS NO REGULADOS |
(-) GARANTÍAS |
(-) DERIVADOS DE CRÉDITO |
(-) SALIDAS TOTALES |
ENTRADAS TOTALES (+) |
DE LA CUAL: PARTIDAS FUERA DE BALANCE |
DEL CUAL: PARTIDAS FUERA DE BALANCE |
DEL CUAL: RESULTANTE DEL RIESGO DE CONTRAPARTE |
DEL CUAL: GRANDES ENTES DEL SECTOR FINANCIERO Y ENTES FINANCIEROS NO REGULADOS |
GARANTÍAS |
DERIVADOS DE CRÉDITO |
USO DE ESTIMACIONES PROPIAS DE LGD: OTRA COBERTURA DEL RIESGO DE CRÉDITO CON GARANTÍAS REALES O INSTRUMENTOS SIMILARES |
GARANTÍAS REALES DE NATURALEZA FINANCIERA ADMISIBLES |
OTRAS GARANTÍAS REALES ADMISIBLES |
|
DEL CUAL: GRANDES ENTES DEL SECTOR FINANCIERO Y ENTES FINANCIEROS NO REGULADOS |
||||||||||||||
|
BIENES INMUEBLES |
OTRAS GARANTÍAS REALES FÍSICAS |
DERECHOS DE COBRO |
|||||||||||||||||||||||||||||
|
005 |
010 |
020 |
030 |
040 |
050 |
060 |
070 |
080 |
090 |
100 |
110 |
120 |
130 |
140 |
150 |
160 |
170 |
180 |
190 |
200 |
210 |
220 |
230 |
240 |
250 |
255 |
260 |
270 |
280 |
290 |
300 |
|
|
|
|
|
|
|
|
|
|
|
|
|
|
|
|
|
|
|
|
|
|
|
|
|
|
|
|
|
|
|
|
|
C 09.01 — DESGLOSE GEOGRÁFICO DE LAS EXPOSICIONES POR RESIDENCIA DEL DEUDOR: EXPOSICIONES SEGÚN EL MÉTODO ESTÁNDAR (CR GB 1)
País:
|
|
EXPOSICIÓN ORIGINAL ANTES DE APLICAR LOS FACTORES DE CONVERSIÓN |
Exposiciones impagadas |
Nuevos impagos observados en el período |
Ajustes por riesgo de crédito general |
Ajustes por riesgo de crédito específico |
De los cuales: bajas en cuentas |
Ajustes por riesgo de crédito/bajas en cuentas correspondientes a nuevos impagos observados |
VALOR DE LA EXPOSICIÓN |
IMPORTE DE LA EXPOSICIÓN PONDERADA POR RIESGO ANTES DE APLICAR EL FACTOR DE APOYO A PYME |
IMPORTE DE LA EXPOSICIÓN PONDERADA POR RIESGO DESPUÉS DE APLICAR EL FACTOR DE APOYO A PYME |
|
|
010 |
020 |
040 |
050 |
055 |
060 |
070 |
075 |
080 |
090 |
||
|
010 |
Administraciones centrales o bancos centrales |
|
|
|
|
|
|
|
|
|
|
|
020 |
Administraciones regionales o autoridades locales |
|
|
|
|
|
|
|
|
|
|
|
030 |
Entes del sector público |
|
|
|
|
|
|
|
|
|
|
|
040 |
Bancos multilaterales de desarrollo |
|
|
|
|
|
|
|
|
|
|
|
050 |
Organizaciones internacionales |
|
|
|
|
|
|
|
|
|
|
|
060 |
Entidades |
|
|
|
|
|
|
|
|
|
|
|
070 |
Empresas |
|
|
|
|
|
|
|
|
|
|
|
075 |
De las cuales: PYME |
|
|
|
|
|
|
|
|
|
|
|
080 |
Exposiciones minoristas |
|
|
|
|
|
|
|
|
|
|
|
085 |
De las cuales: PYME |
|
|
|
|
|
|
|
|
|
|
|
090 |
Exposiciones garantizadas por hipotecas sobre bienes inmuebles |
|
|
|
|
|
|
|
|
|
|
|
095 |
De las cuales: PYME |
|
|
|
|
|
|
|
|
|
|
|
100 |
Exposiciones en situación de impago |
|
|
|
|
|
|
|
|
|
|
|
110 |
Partidas asociadas a riesgos especialmente elevados |
|
|
|
|
|
|
|
|
|
|
|
120 |
Bonos garantizados |
|
|
|
|
|
|
|
|
|
|
|
130 |
Exposiciones frente a entidades y empresas con evaluación crediticia a corto plazo |
|
|
|
|
|
|
|
|
|
|
|
140 |
Organismos de inversión colectiva (OIC) |
|
|
|
|
|
|
|
|
|
|
|
150 |
Exposiciones de renta variable |
|
|
|
|
|
|
|
|
|
|
|
160 |
Otras exposiciones |
|
|
|
|
|
|
|
|
|
|
|
170 |
Total de exposiciones |
|
|
|
|
|
|
|
|
|
|
C 09.02 — DESGLOSE GEOGRÁFICO DE LAS EXPOSICIONES POR RESIDENCIA DEL DEUDOR: EXPOSICIONES SEGÚN EL MÉTODO IRB (CR GB 2)
País:
|
|
EXPOSICIÓN ORIGINAL ANTES DE APLICAR LOS FACTORES DE CONVERSIÓN |
De la cual: impagada |
Nuevos impagos observados en el período |
Ajustes por riesgo de crédito general |
Ajustes por riesgo de crédito específico |
De los cuales: bajas en cuentas |
Ajustes por riesgo de crédito/bajas en cuentas correspondientes a nuevos impagos observados |
PD ASIGNADA AL GRADO DE DEUDORES O EL CONJUNTO DE EXPOSICIONES (%) |
LGD MEDIA PONDERADA POR EXPOSICIÓN (%) |
De la cual: impagada |
VALOR DE LA EXPOSICIÓN |
IMPORTE DE LA EXPOSICIÓN PONDERADA POR RIESGO ANTES DE APLICAR EL FACTOR DE APOYO A PYME |
Del cual: impagado |
IMPORTE DE LA EXPOSICIÓN PONDERADA POR RIESGO DESPUÉS DE APLICAR EL FACTOR DE APOYO A PYME |
PÉRDIDAS ESPERADAS |
|
|
010 |
030 |
040 |
050 |
055 |
060 |
070 |
080 |
090 |
100 |
105 |
110 |
120 |
125 |
130 |
||
|
010 |
Administraciones centrales o bancos centrales |
|
|
|
|
|
|
|
|
|
|
|
|
|
|
|
|
020 |
Entidades |
|
|
|
|
|
|
|
|
|
|
|
|
|
|
|
|
030 |
Empresas |
|
|
|
|
|
|
|
|
|
|
|
|
|
|
|
|
042 |
De las cuales: financiación especializada (excepto la sujeta a los criterios de asignación) |
|
|
|
|
|
|
|
|
|
|
|
|
|
|
|
|
045 |
De las cuales: financiación especializada sujeta a los criterios de asignación |
|
|
|
|
|
|
|
|
|
|
|
|
|
|
|
|
050 |
De las cuales: PYME |
|
|
|
|
|
|
|
|
|
|
|
|
|
|
|
|
060 |
Exposiciones minoristas |
|
|
|
|
|
|
|
|
|
|
|
|
|
|
|
|
070 |
Garantizadas por bienes inmuebles |
|
|
|
|
|
|
|
|
|
|
|
|
|
|
|
|
080 |
PYME |
|
|
|
|
|
|
|
|
|
|
|
|
|
|
|
|
090 |
No PYME |
|
|
|
|
|
|
|
|
|
|
|
|
|
|
|
|
100 |
Renovables admisibles |
|
|
|
|
|
|
|
|
|
|
|
|
|
|
|
|
110 |
Otras exposiciones minoristas |
|
|
|
|
|
|
|
|
|
|
|
|
|
|
|
|
120 |
PYME |
|
|
|
|
|
|
|
|
|
|
|
|
|
|
|
|
130 |
No PYME |
|
|
|
|
|
|
|
|
|
|
|
|
|
|
|
|
140 |
Exposiciones de renta variable |
|
|
|
|
|
|
|
|
|
|
|
|
|
|
|
|
150 |
Total de exposiciones |
|
|
|
|
|
|
|
|
|
|
|
|
|
|
|
C 09.04 — DESGLOSE DE LAS EXPOSICIONES CREDITICIAS PERTINENTES PARA EL CÁLCULO DEL COLCHÓN ANTICÍCLICO POR PAÍS Y EL PORCENTAJE DEL COLCHÓN ANTICÍCLICO ESPECÍFICO DE CADA ENTIDAD
|
País: |
|
|
||
|
|
||||
|
|
Importe |
Porcentaje |
Información cualitativa |
|
|
010 |
020 |
030 |
||
|
Exposiciones crediticias pertinentes — Riesgo de crédito |
|
|||
|
010 |
Valor de exposición según el método estándar |
|
|
|
|
020 |
Valor de exposición según el método IRB |
|
|
|
|
Exposiciones crediticias pertinentes — Riesgo de mercado |
|
|||
|
030 |
Suma de las posiciones largas y cortas de las exposiciones de la cartera de negociación para los métodos estándar |
|
|
|
|
040 |
Valor de las exposiciones de la cartera de negociación para los modelos internos |
|
|
|
|
Exposiciones crediticias pertinentes — Titulización |
|
|||
|
050 |
Valor de exposición de las posiciones de titulización de la cartera bancaria según el método estándar |
|
|
|
|
060 |
Valor de exposición de las posiciones de titulización de la cartera bancaria según el método IRB |
|
|
|
|
Requisitos de fondos propios y ponderaciones |
|
|||
|
070 |
Requisitos de fondos propios totales para el colchón anticíclico |
|
|
|
|
080 |
Requisitos de fondos propios para las exposiciones crediticias pertinentes — Riesgo de crédito |
|
|
|
|
090 |
Requisitos de fondos propios para las exposiciones crediticias pertinentes — Riesgo de mercado |
|
|
|
|
100 |
Requisitos de fondos propios para las exposiciones crediticias pertinentes — Posiciones de titulización de la cartera bancaria |
|
|
|
|
110 |
Ponderaciones de los requisitos de fondos propios |
|
|
|
|
Porcentajes del colchón de capital anticíclico |
|
|||
|
120 |
Porcentaje del colchón de capital anticíclico fijado por la autoridad designada |
|
|
|
|
130 |
Porcentaje del colchón de capital anticíclico aplicable al país de la entidad |
|
|
|
|
140 |
Porcentaje del colchón de capital anticíclico específico de la entidad |
|
|
|
|
Uso del umbral del 2 % |
|
|||
|
150 |
Uso del umbral del 2 % a efectos de las exposiciones crediticias generales |
|
|
|
|
160 |
Uso del umbral del 2 % a efectos de las exposiciones de la cartera de negociación |
|
|
|
C 10.01 — RIESGO DE CRÉDITO: RENTA VARIABLE — MÉTODOS IRB PARA LOS REQUISITOS DE CAPITAL (CR EQU IRB 1)
|
|
SISTEMA DE CALIFICACIÓN INTERNA |
EXPOSICIÓN ORIGINAL ANTES DE APLICAR LOS FACTORES DE CONVERSIÓN |
TÉCNICAS DE REDUCCIÓN DEL RIESGO DE CRÉDITO CON EFECTOS DE SUSTITUCIÓN SOBRE LA EXPOSICIÓN |
VALOR DE LA EXPOSICIÓN |
LGD MEDIA PONDERADA POR EXPOSICIÓN (%) |
IMPORTE DE LA EXPOSICIÓN PONDERADA POR RIESGO |
PRO MEMORIA: |
|||
|
COBERTURA DEL RIESGO DE CRÉDITO CON GARANTÍAS PERSONALES |
SUSTITUCIÓN DE LA EXPOSICIÓN DEBIDA A LA REDUCCIÓN DEL RIESGO DE CRÉDITO |
PÉRDIDAS ESPERADAS |
||||||||
|
PD ASIGNADA AL GRADO DE DEUDORES (%) |
(-) GARANTÍAS |
(-) DERIVADOS DE CRÉDITO |
(-) SALIDAS TOTALES |
|||||||
|
010 |
020 |
030 |
040 |
050 |
060 |
070 |
080 |
090 |
||
|
010 |
TOTAL EXPOSICIONES DE RENTA VARIABLE SEGÚN EL MÉTODO IRB |
|
|
|
|
|
|
|
Celda con enlace a CA |
|
|
020 |
MÉTODO PD/LGD: TOTAL |
|
|
|
|
|
|
|
|
|
|
050 |
MÉTODO SIMPLE DE PONDERACIÓN DE RIESGO: TOTAL |
|
|
|
|
|
|
|
|
|
|
060 |
DESGLOSE, POR PONDERACIONES DE RIESGO, DEL TOTAL DE EXPOSICIONES SEGÚN EL MÉTODO SIMPLE DE PONDERACIÓN DE RIESGO |
|||||||||
|
070 |
PONDERACIÓN DE RIESGO: 190 % |
|
|
|
|
|
|
|
|
|
|
080 |
290 % |
|
|
|
|
|
|
|
|
|
|
090 |
370 % |
|
|
|
|
|
|
|
|
|
|
100 |
MÉTODO DE MODELOS INTERNOS |
|
|
|
|
|
|
|
|
|
|
110 |
EXPOSICIONES DE RENTA VARIABLE SUJETAS A PONDERACIONES DE RIESGO |
|
|
|
|
|
|
|
|
|
C 10.02 — RIESGO DE CRÉDITO: RENTA VARIABLE — MÉTODOS IRB PARA LOS REQUISITOS DE CAPITAL. DESGLOSE POR GRADOS DE DEUDORES DEL TOTAL DE EXPOSICIONES CON ARREGLO AL MÉTODO PD/LGD (CR EQU IRB 2)
|
GRADO DE DEUDORES (IDENTIFICADOR DE FILA) |
SISTEMA DE CALIFICACIÓN INTERNA |
EXPOSICIÓN ORIGINAL ANTES DE APLICAR LOS FACTORES DE CONVERSIÓN |
TÉCNICAS DE REDUCCIÓN DEL RIESGO DE CRÉDITO CON EFECTOS DE SUSTITUCIÓN SOBRE LA EXPOSICIÓN |
VALOR DE LA EXPOSICIÓN |
LGD MEDIA PONDERADA POR EXPOSICIÓN (%) |
IMPORTE DE LA EXPOSICIÓN PONDERADA POR RIESGO |
PRO MEMORIA: |
||
|
COBERTURA DEL RIESGO DE CRÉDITO CON GARANTÍAS PERSONALES |
SUSTITUCIÓN DE LA EXPOSICIÓN DEBIDA A LA REDUCCIÓN DEL RIESGO DE CRÉDITO |
PÉRDIDAS ESPERADAS |
|||||||
|
PD ASIGNADA AL GRADO DE DEUDORES (%) |
(-) GARANTÍAS |
(-) DERIVADOS DE CRÉDITO |
(-) SALIDAS TOTALES |
||||||
|
005 |
010 |
020 |
030 |
040 |
050 |
060 |
070 |
080 |
090 |
|
|
|
|
|
|
|
|
|
|
|
C 11.00 — RIESGO DE LIQUIDACIÓN/ENTREGA (CR SETT)
|
|
OPERACIONES NO LIQUIDADAS, AL PRECIO DE LIQUIDACIÓN |
EXPOSICIÓN A LA DIFERENCIA DE PRECIO DEBIDA A LAS OPERACIONES NO LIQUIDADAS |
REQUISITOS DE FONDOS PROPIOS |
TOTAL DE LA EXPOSICIÓN AL RIESGO DE LIQUIDACIÓN |
|
|
010 |
020 |
030 |
040 |
||
|
010 |
Total de operaciones no liquidadas de la cartera de inversión |
|
|
|
Celda con enlace a CA |
|
020 |
Operaciones sin liquidar hasta 4 días (factor 0 %) |
|
|
|
|
|
030 |
Operaciones sin liquidar entre 5 y 15 días (factor 8 %) |
|
|
|
|
|
040 |
Operaciones sin liquidar entre 16 y 30 días (factor 50 %) |
|
|
|
|
|
050 |
Operaciones sin liquidar entre 31 y 45 días (factor 75 %) |
|
|
|
|
|
060 |
Operaciones sin liquidar durante 46 días o más (factor 100 %) |
|
|
|
|
|
070 |
Total de operaciones no liquidadas de la cartera de negociación |
|
|
|
Celda con enlace a CA |
|
080 |
Operaciones sin liquidar hasta 4 días (factor 0 %) |
|
|
|
|
|
090 |
Operaciones sin liquidar entre 5 y 15 días (factor 8 %) |
|
|
|
|
|
100 |
Operaciones sin liquidar entre 16 y 30 días (factor 50 %) |
|
|
|
|
|
110 |
Operaciones sin liquidar entre 31 y 45 días (factor 75 %) |
|
|
|
|
|
120 |
Operaciones sin liquidar durante 46 días o más (factor 100 %) |
|
|
|
|
C 12.00 — RIESGO DE CRÉDITO: TITULIZACIONES — MÉTODO ESTÁNDAR PARA LOS REQUISITOS DE FONDOS PROPIOS (CR SEC SA)
|
|
TOTAL DE LAS EXPOSICIONES DE TITULIZACIÓN ORIGINADAS |
TITULIZACIONES SINTÉTICAS: COBERTURA DEL RIESGO DE CRÉDITO DE LAS EXPOSICIONES TITULIZADAS |
POSICIONES DE TITULIZACIÓN |
(-) AJUSTES DE VALOR Y PROVISIONES |
EXPOSICIÓN NETA DE AJUSTES DE VALOR Y PROVISIONES |
TÉCNICAS DE REDUCCIÓN DEL RIESGO DE CRÉDITO CON EFECTOS DE SUSTITUCIÓN SOBRE LA EXPOSICIÓN |
EXPOSICIÓN NETA DESPUÉS DE LOS EFECTOS DE SUSTITUCIÓN DE LA REDUCCIÓN DEL RIESGO DE CRÉDITO Y ANTES DE LOS FACTORES DE CONVERSIÓN |
(-) TÉCNICAS DE REDUCCIÓN DEL RIESGO DE CRÉDITO QUE INFLUYEN SOBRE EL IMPORTE DE LA EXPOSICION: VALOR AJUSTADO DE LA COBERTURA DEL RIESGO DE CRÉDITO MEDIANTE GARANTÍAS REALES O INSTRUMENTOS SIMILARES DE NATURALEZA FINANCIERA CON ARREGLO AL MÉTODO AMPLIO (Cvam) |
VALOR DE EXPOSICIÓN PLENAMENTE AJUSTADO (E*) |
DESGLOSE DEL VALOR DE EXPOSICIÓN PLENAMENTE AJUSTADO (E*) DE LAS PARTIDAS FUERA DE BALANCE POR FACTORES DE CONVERSIÓN |
VALOR DE LA EXPOSICIÓN |
|
DESGLOSE DEL VALOR DE LA EXPOSICIÓN SUJETO A PONDERACIONES DE RIESGO |
DESGLOSE DEL VALOR DE LA EXPOSICIÓN SUJETO A PONDERACIONES DE RIESGO |
IMPORTE DE LA EXPOSICIÓN PONDERADA POR RIESGO |
EFECTO GLOBAL (AJUSTE) DEBIDO A LA INFRACCIÓN DE LAS DISPOSICIONES SOBRE DILIGENCIA DEBIDA |
AJUSTE DEL IMPORTE DE LA EXPOSICIÓN PONDERADA POR RIESGO CORRESPONDIENTE A DESFASES DE VENCIMIENTO |
TOTAL DE LA EXPOSICIÓN PONDERADA POR RIESGO |
PRO MEMORIA: IMPORTE DE LA EXPOSICIÓN PONDERADA POR RIESGO CORRESPONDIENTE A LAS SALIDAS DE LA CATEGORÍA TITULIZACIÓN SEGÚN EL MÉTODO ESTÁNDAR HACIA OTRAS CATEGORÍAS DE EXPOSICIÓN |
|||||||||||||||||||||
|
(-) COBERTURA DEL RIESGO DE CRÉDITO CON GARANTÍAS REALES O INSTRUMENTOS SIMILARES (Cva) |
(-) SALIDAS TOTALES |
IMPORTE NOCIONAL DE LA COBERTURA DEL RIESGO DE CRÉDITO RETENIDO O RECOMPRADO |
EXPOSICIÓN ORIGINAL ANTES DE APLICAR LOS FACTORES DE CONVERSIÓN |
(-) VALORES AJUSTADOS DE LA COBERTURA DEL RIESGO DE CRÉDITO CON GARANTÍAS PERSONALES (Ga) |
(-) COBERTURA DEL RIESGO DE CRÉDITO CON GARANTÍAS REALES O INSTRUMENTOS SIMILARES |
SUSTITUCIÓN DE LA EXPOSICIÓN DEBIDA A LA REDUCCIÓN DEL RIESGO DE CRÉDITO |
0 % |
> 0 % e ≤ 20 % |
> 20 % e ≤ 50 % |
> 50 % e ≤ 100 % |
(-) DEDUCIDO DE LOS FONDOS PROPIOS |
CON SUJECIÓN A PONDERACIONES DE RIESGO |
CON CALIFICACIÓN (NIVELES DE CALIDAD CREDITICIA) |
1 250 % |
ENFOQUE DE TRANSPARENCIA |
MÉTODO DE EVALUACIÓN INTERNA |
||||||||||||||||||||||||
|
(-) VALORES AJUSTADOS DE LA COBERTURA DEL RIESGO DE CRÉDITO CON GARANTÍAS PERSONALES (G*) |
(-) SALIDAS TOTALES |
ENTRADAS TOTALES |
NIVEL 1 |
NIVEL 2 |
NIVEL 3 |
NIVEL 4 |
LOS DEMÁS NIVELES |
SIN CALIFICACIÓN |
|
DEL CUAL: SEGUNDA PÉRDIDA EN UN PROGRAMA ABCP |
DEL CUAL: PONDERACIÓN MEDIA DEL RIESGO (%) |
|
PONDERACIÓN MEDIA DEL RIESGO (%) |
|
DEL CUAL: TITULIZACIONES SINTÉTICAS |
ANTES DE APLICAR EL LÍMITE MÁXIMO |
DESPUÉS DE APLICAR EL LÍMITE MÁXIMO |
|||||||||||||||||||||||
|
010 |
020 |
030 |
040 |
050 |
060 |
070 |
080 |
090 |
100 |
110 |
120 |
130 |
140 |
150 |
160 |
170 |
180 |
190 |
200 |
210 |
220 |
230 |
240 |
250 |
260 |
270 |
280 |
290 |
300 |
310 |
320 |
330 |
340 |
350 |
360 |
370 |
380 |
390 |
||
|
010 |
TOTAL EXPOSICIONES |
|
|
|
|
|
|
|
|
|
|
|
|
|
|
|
|
|
|
|
|
|
|
|
|
|
|
|
|
|
|
|
|
|
|
|
|
|
Celda con enlace a CA |
|
|
020 |
DE LAS CUALES: RETITULIZACIONES |
|
|
|
|
|
|
|
|
|
|
|
|
|
|
|
|
|
|
|
|
|
|
|
|
|
|
|
|
|
|
|
|
|
|
|
|
|
Celda con enlace a CA |
|
|
030 |
ORIGINADORA: TOTAL EXPOSICIONES |
|
|
|
|
|
|
|
|
|
|
|
|
|
|
|
|
|
|
|
|
|
|
|
|
|
|
|
|
|
|
|
|
|
|
|
|
|
|
|
|
040 |
PARTIDAS EN BALANCE |
|
|
|
|
|
|
|
|
|
|
|
|
|
|
|
|
|
|
|
|
|
|
|
|
|
|
|
|
|
|
|
|
|
|
|
|
|
|
|
|
050 |
TITULIZACIONES |
|
|
|
|
|
|
|
|
|
|
|
|
|
|
|
|
|
|
|
|
|
|
|
|
|
|
|
|
|
|
|
|
|
|
|
|
|
|
|
|
060 |
RETITULIZACIONES |
|
|
|
|
|
|
|
|
|
|
|
|
|
|
|
|
|
|
|
|
|
|
|
|
|
|
|
|
|
|
|
|
|
|
|
|
|
|
|
|
070 |
DERIVADOS Y PARTIDAS FUERA DE BALANCE |
|
|
|
|
|
|
|
|
|
|
|
|
|
|
|
|
|
|
|
|
|
|
|
|
|
|
|
|
|
|
|
|
|
|
|
|
|
|
|
|
080 |
TITULIZACIONES |
|
|
|
|
|
|
|
|
|
|
|
|
|
|
|
|
|
|
|
|
|
|
|
|
|
|
|
|
|
|
|
|
|
|
|
|
|
|
|
|
090 |
RETITULIZACIONES |
|
|
|
|
|
|
|
|
|
|
|
|
|
|
|
|
|
|
|
|
|
|
|
|
|
|
|
|
|
|
|
|
|
|
|
|
|
|
|
|
100 |
AMORTIZACIÓN ANTICIPADA |
|
|
|
|
|
|
|
|
|
|
|
|
|
|
|
|
|
|
|
|
|
|
|
|
|
|
|
|
|
|
|
|
|
|
|
|
|
|
|
|
110 |
INVERSORA: TOTAL EXPOSICIONES |
|
|
|
|
|
|
|
|
|
|
|
|
|
|
|
|
|
|
|
|
|
|
|
|
|
|
|
|
|
|
|
|
|
|
|
|
|
|
|
|
120 |
PARTIDAS EN BALANCE |
|
|
|
|
|
|
|
|
|
|
|
|
|
|
|
|
|
|
|
|
|
|
|
|
|
|
|
|
|
|
|
|
|
|
|
|
|
|
|
|
130 |
TITULIZACIONES |
|
|
|
|
|
|
|
|
|
|
|
|
|
|
|
|
|
|
|
|
|
|
|
|
|
|
|
|
|
|
|
|
|
|
|
|
|
|
|
|
140 |
RETITULIZACIONES |
|
|
|
|
|
|
|
|
|
|
|
|
|
|
|
|
|
|
|
|
|
|
|
|
|
|
|
|
|
|
|
|
|
|
|
|
|
|
|
|
150 |
DERIVADOS Y PARTIDAS FUERA DE BALANCE |
|
|
|
|
|
|
|
|
|
|
|
|
|
|
|
|
|
|
|
|
|
|
|
|
|
|
|
|
|
|
|
|
|
|
|
|
|
|
|
|
160 |
TITULIZACIONES |
|
|
|
|
|
|
|
|
|
|
|
|
|
|
|
|
|
|
|
|
|
|
|
|
|
|
|
|
|
|
|
|
|
|
|
|
|
|
|
|
170 |
RETITULIZACIONES |
|
|
|
|
|
|
|
|
|
|
|
|
|
|
|
|
|
|
|
|
|
|
|
|
|
|
|
|
|
|
|
|
|
|
|
|
|
|
|
|
180 |
PATROCINADORA: TOTAL EXPOSICIONES |
|
|
|
|
|
|
|
|
|
|
|
|
|
|
|
|
|
|
|
|
|
|
|
|
|
|
|
|
|
|
|
|
|
|
|
|
|
|
|
|
190 |
PARTIDAS EN BALANCE |
|
|
|
|
|
|
|
|
|
|
|
|
|
|
|
|
|
|
|
|
|
|
|
|
|
|
|
|
|
|
|
|
|
|
|
|
|
|
|
|
200 |
TITULIZACIONES |
|
|
|
|
|
|
|
|
|
|
|
|
|
|
|
|
|
|
|
|
|
|
|
|
|
|
|
|
|
|
|
|
|
|
|
|
|
|
|
|
210 |
RETITULIZACIONES |
|
|
|
|
|
|
|
|
|
|
|
|
|
|
|
|
|
|
|
|
|
|
|
|
|
|
|
|
|
|
|
|
|
|
|
|
|
|
|
|
220 |
DERIVADOS Y PARTIDAS FUERA DE BALANCE |
|
|
|
|
|
|
|
|
|
|
|
|
|
|
|
|
|
|
|
|
|
|
|
|
|
|
|
|
|
|
|
|
|
|
|
|
|
|
|
|
230 |
TITULIZACIONES |
|
|
|
|
|
|
|
|
|
|
|
|
|
|
|
|
|
|
|
|
|
|
|
|
|
|
|
|
|
|
|
|
|
|
|
|
|
|
|
|
240 |
RETITULIZACIONES |
|
|
|
|
|
|
|
|
|
|
|
|
|
|
|
|
|
|
|
|
|
|
|
|
|
|
|
|
|
|
|
|
|
|
|
|
|
|
|
|
|
DESGLOSE DE LAS POSICIONES VIVAS POR NIVEL DE CALIDAD CREDITICIA EN LA FECHA DE ORIGINACIÓN |
|||||||||||||||||||||||||||||||||||||||
|
250 |
NIVEL DE CALIDAD CREDITICIA 1 |
|
|
|
|
|
|
|
|
|
|
|
|
|
|
|
|
|
|
|
|
|
|
|
|
|
|
|
|
|
|
|
|
|
|
|
|
|
|
|
|
260 |
NIVEL DE CALIDAD CREDITICIA 2 |
|
|
|
|
|
|
|
|
|
|
|
|
|
|
|
|
|
|
|
|
|
|
|
|
|
|
|
|
|
|
|
|
|
|
|
|
|
|
|
|
270 |
NIVEL DE CALIDAD CREDITICIA 3 |
|
|
|
|
|
|
|
|
|
|
|
|
|
|
|
|
|
|
|
|
|
|
|
|
|
|
|
|
|
|
|
|
|
|
|
|
|
|
|
|
280 |
NIVEL DE CALIDAD CREDITICIA 4 |
|
|
|
|
|
|
|
|
|
|
|
|
|
|
|
|
|
|
|
|
|
|
|
|
|
|
|
|
|
|
|
|
|
|
|
|
|
|
|
|
290 |
RESTANTES NIVELES Y SIN CALIFICAR |
|
|
|
|
|
|
|
|
|
|
|
|
|
|
|
|
|
|
|
|
|
|
|
|
|
|
|
|
|
|
|
|
|
|
|
|
|
|
|
C 13.00 — RIESGO DE CRÉDITO: TITULIZACIONES — MÉTODO IRB PARA LOS REQUISITOS DE FONDOS PROPIOS (CR SEC IRB)
|
|
IMPORTE TOTAL DE LAS EXPOSICIONES DE TITULIZACIÓN ORIGINADAS |
TITULIZACIONES SINTÉTICAS: COBERTURA DEL RIESGO DE CRÉDITO DE LAS EXPOSICIONES TITULIZADAS |
POSICIONES DE TITULIZACIÓN |
TÉCNICAS DE REDUCCIÓN DEL RIESGO DE CRÉDITO CON EFECTOS DE SUSTITUCIÓN SOBRE LA EXPOSICIÓN |
EXPOSICIÓN DESPUÉS DE LOS EFECTOS DE SUSTITUCIÓN DE LA REDUCCIÓN DEL RIESGO DE CRÉDITO Y ANTES DE LOS FACTORES DE CONVERSIÓN |
(-) TÉCNICAS DE REDUCCIÓN DEL RIESGO DE CRÉDITO QUE INFLUYEN SOBRE EL IMPORTE DE LA EXPOSICION: VALOR AJUSTADO DE LA COBERTURA DEL RIESGO DE CRÉDITO MEDIANTE GARANTÍAS REALES O INSTRUMENTOS SIMILARES DE NATURALEZA FINANCIERA CON ARREGLO AL MÉTODO AMPLIO (Cvam) |
VALOR DE EXPOSICIÓN PLENAMENTE AJUSTADO (E*) |
DESGLOSE DEL VALOR DE EXPOSICIÓN PLENAMENTE AJUSTADO (E*) DE LAS PARTIDAS FUERA DE BALANCE POR FACTORES DE CONVERSIÓN |
VALOR DE LA EXPOSICIÓN |
|
DESGLOSE DEL VALOR DE LA EXPOSICIÓN SUJETO A PONDERACIONES DE RIESGO |
(-) REDUCCIÓN DEL IMPORTE DE LA EXPOSICIÓN PONDERADA POR RIESGO DEBIDA A LOS AJUSTES DE VALOR Y PROVISIONES |
IMPORTE DE LA EXPOSICIÓN PONDERADA POR RIESGO |
EFECTO GLOBAL (AJUSTE) DEBIDO A LA INFRACCIÓN DE LAS DISPOSICIONES SOBRE DILIGENCIA DEBIDA |
AJUSTE DEL IMPORTE DE LA EXPOSICIÓN PONDERADA POR RIESGO CORRESPONDIENTE A DESFASES DE VENCIMIENTO |
TOTAL DE LA EXPOSICIÓN PONDERADA POR RIESGO |
PRO MEMORIA: IMPORTE DE LA EXPOSICIÓN PONDERADA POR RIESGO CORRESPONDIENTE A LAS SALIDAS DE LA CATEGORÍA TITULIZACIÓN SEGÚN EL MÉTODO IRB HACIA OTRAS CATEGORÍAS DE EXPOSICIÓN |
|||||||||||||||||||||||||||||||
|
(-) COBERTURA DEL RIESGO DE CRÉDITO CON GARANTÍAS REALES O INSTRUMENTOS SIMILARES (Cva) |
(-) SALIDAS TOTALES |
IMPORTE NOCIONAL DE LA COBERTURA DEL RIESGO DE CRÉDITO RETENIDO O RECOMPRADO |
EXPOSICIÓN ORIGINAL ANTES DE APLICAR LOS FACTORES DE CONVERSIÓN |
(-) VALORES AJUSTADOS DE LA COBERTURA DEL RIESGO DE CRÉDITO CON GARANTÍAS PERSONALES (Ga) |
(-) COBERTURA DEL RIESGO DE CRÉDITO CON GARANTÍAS REALES O INSTRUMENTOS SIMILARES |
SUSTITUCIÓN DE LA EXPOSICIÓN DEBIDA A LA REDUCCIÓN DEL RIESGO DE CRÉDITO |
0 % |
> 0 % e ≤ 20 % |
> 20 % e ≤ 50 % |
> 50 % e ≤ 100 % |
(-) DEDUCIDO DE LOS FONDOS PROPIOS |
CON SUJECIÓN A PONDERACIONES DE RIESGO |
MÉTODO BASADO EN CALIFICACIONES (NIVELES DE CALIDAD CREDITICIA) |
1 250 % |
MÉTODO BASADO EN LA FÓRMULA SUPERVISORA |
ENFOQUE DE TRANSPARENCIA |
MÉTODO DE EVALUACIÓN INTERNA |
|||||||||||||||||||||||||||||||
|
(-) VALORES AJUSTADOS DE LA COBERTURA DEL RIESGO DE CRÉDITO CON GARANTÍAS PERSONALES (G*) |
(-) SALIDAS TOTALES |
ENTRADAS TOTALES |
NIVEL 1 Y NIVEL 1 CORTO PLAZO |
NIVEL 2 |
NIVEL 3 |
NIVEL 4 Y NIVEL 2 CORTO PLAZO |
NIVEL 5 |
NIVEL 6 |
NIVEL 7 Y NIVEL 3 CORTO PLAZO |
NIVEL 8 |
NIVEL 9 |
NIVEL 10 |
NIVEL 11 |
LOS DEMÁS NIVELES |
SIN CALIFICACIÓN |
|
PONDERACIÓN MEDIA DEL RIESGO (%) |
|
PONDERACIÓN MEDIA DEL RIESGO (%) |
|
PONDERACIÓN MEDIA DEL RIESGO (%) |
|
DEL CUAL: TITULIZACIONES SINTÉTICAS |
ANTES DE APLICAR EL LÍMITE MÁXIMO |
DESPUÉS DE APLICAR EL LÍMITE MÁXIMO |
|||||||||||||||||||||||
|
010 |
020 |
030 |
040 |
050 |
060 |
070 |
080 |
090 |
100 |
110 |
120 |
130 |
140 |
150 |
160 |
170 |
180 |
190 |
200 |
210 |
220 |
230 |
240 |
250 |
260 |
270 |
280 |
290 |
300 |
310 |
320 |
330 |
340 |
350 |
360 |
370 |
380 |
390 |
400 |
410 |
420 |
430 |
440 |
450 |
460 |
|||
|
010 |
TOTAL EXPOSICIONES |
|
|
|
|
|
|
|
|
|
|
|
|
|
|
|
|
|
|
|
|
|
|
|
|
|
|
|
|
|
|
|
|
|
|
|
|
|
|
|
|
|
|
|
|
Celda con enlace a CA |
|
|
|
020 |
DE LAS CUALES: RETITULIZACIONES |
|
|
|
|
|
|
|
|
|
|
|
|
|
|
|
|
|
|
|
|
|
|
|
|
|
|
|
|
|
|
|
|
|
|
|
|
|
|
|
|
|
|
|
|
Celda con enlace a CA |
|
|
|
030 |
ORIGINADORA: TOTAL EXPOSICIONES |
|
|
|
|
|
|
|
|
|
|
|
|
|
|
|
|
|
|
|
|
|
|
|
|
|
|
|
|
|
|
|
|
|
|
|
|
|
|
|
|
|
|
|
|
|
|
|
|
040 |
PARTIDAS EN BALANCE |
|
|
|
|
|
|
|
|
|
|
|
|
|
|
|
|
|
|
|
|
|
|
|
|
|
|
|
|
|
|
|
|
|
|
|
|
|
|
|
|
|
|
|
|
|
|
|
|
050 |
TITULIZACIONES |
A |
|
|
|
|
|
|
|
|
|
|
|
|
|
|
|
|
|
|
|
|
|
|
|
|
|
|
|
|
|
|
|
|
|
|
|
|
|
|
|
|
|
|
|
|
|
|
|
060 |
B |
|
|
|
|
|
|
|
|
|
|
|
|
|
|
|
|
|
|
|
|
|
|
|
|
|
|
|
|
|
|
|
|
|
|
|
|
|
|
|
|
|
|
|
|
|
|
|
|
070 |
C |
|
|
|
|
|
|
|
|
|
|
|
|
|
|
|
|
|
|
|
|
|
|
|
|
|
|
|
|
|
|
|
|
|
|
|
|
|
|
|
|
|
|
|
|
|
|
|
|
080 |
RETITULIZACIONES |
D |
|
|
|
|
|
|
|
|
|
|
|
|
|
|
|
|
|
|
|
|
|
|
|
|
|
|
|
|
|
|
|
|
|
|
|
|
|
|
|
|
|
|
|
|
|
|
|
090 |
E |
|
|
|
|
|
|
|
|
|
|
|
|
|
|
|
|
|
|
|
|
|
|
|
|
|
|
|
|
|
|
|
|
|
|
|
|
|
|
|
|
|
|
|
|
|
|
|
|
100 |
DERIVADOS Y PARTIDAS FUERA DE BALANCE |
|
|
|
|
|
|
|
|
|
|
|
|
|
|
|
|
|
|
|
|
|
|
|
|
|
|
|
|
|
|
|
|
|
|
|
|
|
|
|
|
|
|
|
|
|
|
|
|
110 |
TITULIZACIONES |
A |
|
|
|
|
|
|
|
|
|
|
|
|
|
|
|
|
|
|
|
|
|
|
|
|
|
|
|
|
|
|
|
|
|
|
|
|
|
|
|
|
|
|
|
|
|
|
|
120 |
B |
|
|
|
|
|
|
|
|
|
|
|
|
|
|
|
|
|
|
|
|
|
|
|
|
|
|
|
|
|
|
|
|
|
|
|
|
|
|
|
|
|
|
|
|
|
|
|
|
130 |
C |
|
|
|
|
|
|
|
|
|
|
|
|
|
|
|
|
|
|
|
|
|
|
|
|
|
|
|
|
|
|
|
|
|
|
|
|
|
|
|
|
|
|
|
|
|
|
|
|
140 |
RETITULIZACIONES |
D |
|
|
|
|
|
|
|
|
|
|
|
|
|
|
|
|
|
|
|
|
|
|
|
|
|
|
|
|
|
|
|
|
|
|
|
|
|
|
|
|
|
|
|
|
|
|
|
150 |
E |
|
|
|
|
|
|
|
|
|
|
|
|
|
|
|
|
|
|
|
|
|
|
|
|
|
|
|
|
|
|
|
|
|
|
|
|
|
|
|
|
|
|
|
|
|
|
|
|
160 |
AMORTIZACIÓN ANTICIPADA |
|
|
|
|
|
|
|
|
|
|
|
|
|
|
|
|
|
|
|
|
|
|
|
|
|
|
|
|
|
|
|
|
|
|
|
|
|
|
|
|
|
|
|
|
|
|
|
|
170 |
INVERSORA: TOTAL EXPOSICIONES |
|
|
|
|
|
|
|
|
|
|
|
|
|
|
|
|
|
|
|
|
|
|
|
|
|
|
|
|
|
|
|
|
|
|
|
|
|
|
|
|
|
|
|
|
|
|
|
|
180 |
PARTIDAS EN BALANCE |
|
|
|
|
|
|
|
|
|
|
|
|
|
|
|
|
|
|
|
|
|
|
|
|
|
|
|
|
|
|
|
|
|
|
|
|
|
|
|
|
|
|
|
|
|
|
|
|
190 |
TITULIZACIONES |
A |
|
|
|
|
|
|
|
|
|
|
|
|
|
|
|
|
|
|
|
|
|
|
|
|
|
|
|
|
|
|
|
|
|
|
|
|
|
|
|
|
|
|
|
|
|
|
|
200 |
B |
|
|
|
|
|
|
|
|
|
|
|
|
|
|
|
|
|
|
|
|
|
|
|
|
|
|
|
|
|
|
|
|
|
|
|
|
|
|
|
|
|
|
|
|
|
|
|
|
210 |
C |
|
|
|
|
|
|
|
|
|
|
|
|
|
|
|
|
|
|
|
|
|
|
|
|
|
|
|
|
|
|
|
|
|
|
|
|
|
|
|
|
|
|
|
|
|
|
|
|
220 |
RETITULIZACIONES |
D |
|
|
|
|
|
|
|
|
|
|
|
|
|
|
|
|
|
|
|
|
|
|
|
|
|
|
|
|
|
|
|
|
|
|
|
|
|
|
|
|
|
|
|
|
|
|
|
230 |
E |
|
|
|
|
|
|
|
|
|
|
|
|
|
|
|
|
|
|
|
|
|
|
|
|
|
|
|
|
|
|
|
|
|
|
|
|
|
|
|
|
|
|
|
|
|
|
|
|
240 |
DERIVADOS Y PARTIDAS FUERA DE BALANCE |
|
|
|
|
|
|
|
|
|
|
|
|
|
|
|
|
|
|
|
|
|
|
|
|
|
|
|
|
|
|
|
|
|
|
|
|
|
|
|
|
|
|
|
|
|
|
|
|
250 |
TITULIZACIONES |
A |
|
|
|
|
|
|
|
|
|
|
|
|
|
|
|
|
|
|
|
|
|
|
|
|
|
|
|
|
|
|
|
|
|
|
|
|
|
|
|
|
|
|
|
|
|
|
|
260 |
B |
|
|
|
|
|
|
|
|
|
|
|
|
|
|
|
|
|
|
|
|
|
|
|
|
|
|
|
|
|
|
|
|
|
|
|
|
|
|
|
|
|
|
|
|
|
|
|
|
270 |
C |
|
|
|
|
|
|
|
|
|
|
|
|
|
|
|
|
|
|
|
|
|
|
|
|
|
|
|
|
|
|
|
|
|
|
|
|
|
|
|
|
|
|
|
|
|
|
|
|
280 |
RETITULIZACIONES |
D |
|
|
|
|
|
|
|
|
|
|
|
|
|
|
|
|
|
|
|
|
|
|
|
|
|
|
|
|
|
|
|
|
|
|
|
|
|
|
|
|
|
|
|
|
|
|
|
290 |
E |
|
|
|
|
|
|
|
|
|
|
|
|
|
|
|
|
|
|
|
|
|
|
|
|
|
|
|
|
|
|
|
|
|
|
|
|
|
|
|
|
|
|
|
|
|
|
|
|
300 |
PATROCINADORA: TOTAL EXPOSICIONES |
|
|
|
|
|
|
|
|
|
|
|
|
|
|
|
|
|
|
|
|
|
|
|
|
|
|
|
|
|
|
|
|
|
|
|
|
|
|
|
|
|
|
|
|
|
|
|
|
310 |
PARTIDAS EN BALANCE |
|
|
|
|
|
|
|
|
|
|
|
|
|
|
|
|
|
|
|
|
|
|
|
|
|
|
|
|
|
|
|
|
|
|
|
|
|
|
|
|
|
|
|
|
|
|
|
|
320 |
TITULIZACIONES |
A |
|
|
|
|
|
|
|
|
|
|
|
|
|
|
|
|
|
|
|
|
|
|
|
|
|
|
|
|
|
|
|
|
|
|
|
|
|
|
|
|
|
|
|
|
|
|
|
330 |
B |
|
|
|
|
|
|
|
|
|
|
|
|
|
|
|
|
|
|
|
|
|
|
|
|
|
|
|
|
|
|
|
|
|
|
|
|
|
|
|
|
|
|
|
|
|
|
|
|
340 |
C |
|
|
|
|
|
|
|
|
|
|
|
|
|
|
|
|
|
|
|
|
|
|
|
|
|
|
|
|
|
|
|
|
|
|
|
|
|
|
|
|
|
|
|
|
|
|
|
|
350 |
RETITULIZACIONES |
D |
|
|
|
|
|
|
|
|
|
|
|
|
|
|
|
|
|
|
|
|
|
|
|
|
|
|
|
|
|
|
|
|
|
|
|
|
|
|
|
|
|
|
|
|
|
|
|
360 |
E |
|
|
|
|
|
|
|
|
|
|
|
|
|
|
|
|
|
|
|
|
|
|
|
|
|
|
|
|
|
|
|
|
|
|
|
|
|
|
|
|
|
|
|
|
|
|
|
|
370 |
DERIVADOS Y PARTIDAS FUERA DE BALANCE |
|
|
|
|
|
|
|
|
|
|
|
|
|
|
|
|
|
|
|
|
|
|
|
|
|
|
|
|
|
|
|
|
|
|
|
|
|
|
|
|
|
|
|
|
|
|
|
|
380 |
TITULIZACIONES |
A |
|
|
|
|
|
|
|
|
|
|
|
|
|
|
|
|
|
|
|
|
|
|
|
|
|
|
|
|
|
|
|
|
|
|
|
|
|
|
|
|
|
|
|
|
|
|
|
390 |
B |
|
|
|
|
|
|
|
|
|
|
|
|
|
|
|
|
|
|
|
|
|
|
|
|
|
|
|
|
|
|
|
|
|
|
|
|
|
|
|
|
|
|
|
|
|
|
|
|
400 |
C |
|
|
|
|
|
|
|
|
|
|
|
|
|
|
|
|
|
|
|
|
|
|
|
|
|
|
|
|
|
|
|
|
|
|
|
|
|
|
|
|
|
|
|
|
|
|
|
|
410 |
RETITULIZACIONES |
D |
|
|
|
|
|
|
|
|
|
|
|
|
|
|
|
|
|
|
|
|
|
|
|
|
|
|
|
|
|
|
|
|
|
|
|
|
|
|
|
|
|
|
|
|
|
|
|
420 |
E |
|
|
|
|
|
|
|
|
|
|
|
|
|
|
|
|
|
|
|
|
|
|
|
|
|
|
|
|
|
|
|
|
|
|
|
|
|
|
|
|
|
|
|
|
|
|
|
|
|
DESGLOSE DE LAS POSICIONES VIVAS POR NIVEL DE CALIDAD CREDITICIA EN LA FECHA DE ORIGINACIÓN: |
|||||||||||||||||||||||||||||||||||||||||||||||
|
430 |
NIVEL 1 Y NIVEL 1 CORTO PLAZO |
|
|
|
|
|
|
|
|
|
|
|
|
|
|
|
|
|
|
|
|
|
|
|
|
|
|
|
|
|
|
|
|
|
|
|
|
|
|
|
|
|
|
|
|
|
|
|
|
440 |
NIVEL 2 |
|
|
|
|
|
|
|
|
|
|
|
|
|
|
|
|
|
|
|
|
|
|
|
|
|
|
|
|
|
|
|
|
|
|
|
|
|
|
|
|
|
|
|
|
|
|
|
|
450 |
NIVEL 3 |
|
|
|
|
|
|
|
|
|
|
|
|
|
|
|
|
|
|
|
|
|
|
|
|
|
|
|
|
|
|
|
|
|
|
|
|
|
|
|
|
|
|
|
|
|
|
|
|
460 |
NIVEL 4 Y NIVEL 2 CORTO PLAZO |
|
|
|
|
|
|
|
|
|
|
|
|
|
|
|
|
|
|
|
|
|
|
|
|
|
|
|
|
|
|
|
|
|
|
|
|
|
|
|
|
|
|
|
|
|
|
|
|
470 |
NIVEL 5 |
|
|
|
|
|
|
|
|
|
|
|
|
|
|
|
|
|
|
|
|
|
|
|
|
|
|
|
|
|
|
|
|
|
|
|
|
|
|
|
|
|
|
|
|
|
|
|
|
480 |
NIVEL 6 |
|
|
|
|
|
|
|
|
|
|
|
|
|
|
|
|
|
|
|
|
|
|
|
|
|
|
|
|
|
|
|
|
|
|
|
|
|
|
|
|
|
|
|
|
|
|
|
|
490 |
NIVEL 7 Y NIVEL 3 CORTO PLAZO |
|
|
|
|
|
|
|
|
|
|
|
|
|
|
|
|
|
|
|
|
|
|
|
|
|
|
|
|
|
|
|
|
|
|
|
|
|
|
|
|
|
|
|
|
|
|
|
|
500 |
NIVEL 8 |
|
|
|
|
|
|
|
|
|
|
|
|
|
|
|
|
|
|
|
|
|
|
|
|
|
|
|
|
|
|
|
|
|
|
|
|
|
|
|
|
|
|
|
|
|
|
|
|
510 |
NIVEL 9 |
|
|
|
|
|
|
|
|
|
|
|
|
|
|
|
|
|
|
|
|
|
|
|
|
|
|
|
|
|
|
|
|
|
|
|
|
|
|
|
|
|
|
|
|
|
|
|
|
520 |
NIVEL 10 |
|
|
|
|
|
|
|
|
|
|
|
|
|
|
|
|
|
|
|
|
|
|
|
|
|
|
|
|
|
|
|
|
|
|
|
|
|
|
|
|
|
|
|
|
|
|
|
|
530 |
NIVEL 11 |
|
|
|
|
|
|
|
|
|
|
|
|
|
|
|
|
|
|
|
|
|
|
|
|
|
|
|
|
|
|
|
|
|
|
|
|
|
|
|
|
|
|
|
|
|
|
|
|
540 |
RESTANTES NIVELES Y SIN CALIFICAR |
|
|
|
|
|
|
|
|
|
|
|
|
|
|
|
|
|
|
|
|
|
|
|
|
|
|
|
|
|
|
|
|
|
|
|
|
|
|
|
|
|
|
|
|
|
|
|
C 14.00 — INFORMACIÓN DETALLADA SOBRE TITULIZACIONES (SEC DETAILS)
|
NÚMERO DE FILA |
CÓDIGO INTERNO |
IDENTIFICADOR DE LA TITULIZACIÓN |
IDENTIFICADOR DE LA ENTIDAD ORIGINADORA |
TIPO DE TITULIZACIÓN (TRADICIONAL / SINTÉTICA) |
TRATAMIENTO CONTABLE: las exposiciones titulizadas ¿se mantienen en balance o se han dado de baja en el mismo? |
TRATAMIENTO DE LA SOLVENCIA: ¿las posiciones de titulización están sujetas a requisitos de fondos propios? |
¿TITULIZACIÓN O RETITULIZACIÓN? |
RETENCIÓN DE UN INTERÉS ECONÓMICO |
FUNCIÓN DE LA ENTIDAD (ORIGINADORA / PATROCINADORA / ACREEDORA ORIGINAL / INVERSORA) |
PROGRAMAS QUE NO SEAN ABCP |
|
EXPOSICIONES TITULIZADAS |
ESTRUCTURA DE LA TITULIZACIÓN |
POSICIONES DE TITULIZACIÓN |
(-) VALOR DE LA EXPOSICIÓN DEDUCIDO DE LOS FONDOS PROPIOS |
TOTAL DE LA EXPOSICIÓN PONDERADA POR RIESGO |
POSICIONES DE TITULIZACIÓN — CARTERA DE NEGOCIACIÓN |
|||||||||||||||||||||||||||||||
|
TIPO DE RETENCIÓN APLICADO |
% DE RETENCIÓN EN LA FECHA DE INFORMACIÓN |
¿SE CUMPLE EL REQUISITO DE RETENCIÓN? |
FECHA DE ORIGINACIÓN (mm/aaaa) |
TOTAL DE LAS EXPOSICIONES TITULIZADAS EN LA FECHA DE ORIGINACIÓN |
IMPORTE TOTAL |
PARTICIPACIÓN DE LA ENTIDAD (%) |
TIPO |
MÉTODO APLICADO (ESTÁNDAR/IRB/MIXTO) |
NÚMERO DE EXPOSICIONES |
PAÍS |
ELGD (%) |
(-) AJUSTES DE VALOR Y PROVISIONES |
REQUISITOS DE FONDOS PROPIOS ANTES DE LA TITULIZACIÓN (%) |
PARTIDAS EN BALANCE |
DERIVADOS Y PARTIDAS FUERA DE BALANCE |
VENCIMIENTO |
EXPOSICIÓN ORIGINAL ANTES DE APLICAR LOS FACTORES DE CONVERSIÓN |
PRO MEMORIA: DERIVADOS Y PARTIDAS FUERA DE BALANCE |
AMORTIZACIÓN ANTICIPADA |
¿CARTERA DE NEGOCIACIÓN DE CORRELACIÓN (CNC) O NO CNC? |
POSICIONES NETAS |
REQUISITOS DE FONDOS PROPIOS TOTALES (MÉTODO ESTÁNDAR) |
||||||||||||||||||||||||||
|
PREFERENTE |
INTERMEDIO |
PRIMERA PÉRDIDA |
PREFERENTE |
INTERMEDIO |
PRIMERA PÉRDIDA |
PRIMERA FECHA PREVISIBLE DE TERMINACIÓN |
FECHA FINAL LEGAL DE VENCIMIENTO |
PARTIDAS EN BALANCE |
DERIVADOS Y PARTIDAS FUERA DE BALANCE |
SUSTITUTIVOS DIRECTOS DE CRÉDITO |
PTI / PTC |
LÍNEAS DE LIQUIDEZ ADMISIBLES |
OTROS (incluidas las líneas de liquidez no admisibles) |
FACTOR DE CONVERSIÓN APLICADO |
||||||||||||||||||||||||||||||||||
|
PREFERENTE |
INTERMEDIO |
PRIMERA PÉRDIDA |
PREFERENTE |
INTERMEDIO |
PRIMERA PÉRDIDA |
ANTES DE APLICAR EL LÍMITE MÁXIMO |
DESPUÉS DE APLICAR EL LÍMITE MÁXIMO |
|||||||||||||||||||||||||||||||||||||||||
|
LARGAS |
CORTAS |
RIESGO ESPECÍFICO |
||||||||||||||||||||||||||||||||||||||||||||||
|
005 |
010 |
020 |
030 |
040 |
050 |
060 |
070 |
080 |
090 |
100 |
110 |
120 |
130 |
140 |
150 |
160 |
170 |
180 |
190 |
200 |
210 |
220 |
230 |
240 |
250 |
260 |
270 |
280 |
290 |
300 |
310 |
320 |
330 |
340 |
350 |
360 |
370 |
380 |
390 |
400 |
410 |
420 |
430 |
440 |
450 |
460 |
470 |
480 |
|
|
|
|
|
|
|
|
|
|
|
|
|
|
|
|
|
|
|
|
|
|
|
|
|
|
|
|
|
|
|
|
|
|
|
|
|
|
|
|
|
|
|
|
|
|
|
|
|
|
C 16.00 — RIESGO OPERATIVO (OPR)
|
ACTIVIDADES BANCARIAS |
INDICADOR RELEVANTE |
PRÉSTAMOS Y ANTICIPOS (EN CASO DE APLICACIÓN DEL MÉTODO ESTÁNDAR ALTERNATIVO) |
REQUISITO DE FONDOS PROPIOS |
Importe total de exposición al riesgo operativo |
MÉTODO AVANZADO DE CÁLCULO: PARTIDAS PRO MEMORIA QUE DEBEN COMUNICARSE CUANDO PROCEDA |
|||||||||
|
AÑO-3 |
AÑO-2 |
ÚLTIMO AÑO |
AÑO-3 |
AÑO-2 |
ÚLTIMO AÑO |
DE LAS CUALES: DEBIDO A UN MECANISMO DE ASIGNACIÓN |
REQUISITO DE FONDOS PROPIOS ANTES DE LA MINORACIÓN POR PÉRDIDAS ESPERADAS, DIVERSIFICACIÓN Y TÉCNICAS DE REDUCCIÓN DEL RIESGO |
(-) MINORACIÓN DEL REQUISITO DE FONDOS PROPIOS DEBIDA A LAS PÉRDIDAS ESPERADAS RECOGIDAS EN LAS PRÁCTICAS EMPRESARIALES |
(-) MINORACIÓN DEL REQUISITO DE FONDOS PROPIOS DEBIDA A LA DIVERSIFICACIÓN |
(-) MINORACIÓN DEL REQUISITO DE FONDOS PROPIOS DEBIDA A LAS TÉCNICAS DE REDUCCIÓN DEL RIESGO (SEGUROS Y OTROS MECANISMOS DE TRANSFERENCIA DE RIESGO) |
||||
|
010 |
020 |
030 |
040 |
050 |
060 |
070 |
O71 |
080 |
090 |
100 |
110 |
120 |
||
|
010 |
1. ACTIVIDADES BANCARIAS SUJETAS AL MÉTODO DEL INDICADOR BÁSICO |
|
|
|
|
|
|
|
Celda con enlace a CA2 |
|
|
|
|
|
|
020 |
2. ACTIVIDADES BANCARIAS SUJETAS AL MÉTODO ESTÁNDAR O AL MÉTODO ESTÁNDAR ALTERNATIVO |
|
|
|
|
|
|
|
Celda con enlace a CA2 |
|
|
|
|
|
|
|
SUJETAS AL MÉTODO ESTÁNDAR: |
|
|
|
|
|
|
|
|
|
|
|
|
|
|
030 |
FINANCIACIÓN EMPRESARIAL |
|
|
|
|
|
|
|
|
|
|
|
|
|
|
040 |
NEGOCIACIÓN Y VENTAS |
|
|
|
|
|
|
|
|
|
|
|
|
|
|
050 |
INTERMEDIACIÓN MINORISTA |
|
|
|
|
|
|
|
|
|
|
|
|
|
|
060 |
BANCA COMERCIAL |
|
|
|
|
|
|
|
|
|
|
|
|
|
|
070 |
BANCA MINORISTA |
|
|
|
|
|
|
|
|
|
|
|
|
|
|
080 |
PAGO Y LIQUIDACIÓN |
|
|
|
|
|
|
|
|
|
|
|
|
|
|
090 |
SERVICIOS DE AGENCIA |
|
|
|
|
|
|
|
|
|
|
|
|
|
|
100 |
GESTIÓN DE ACTIVOS |
|
|
|
|
|
|
|
|
|
|
|
|
|
|
|
SUJETAS AL MÉTODO ESTÁNDAR ALTERNATIVO: |
|
|
|
|
|
|
|
|
|
|
|
|
|
|
110 |
BANCA COMERCIAL |
|
|
|
|
|
|
|
|
|
|
|
|
|
|
120 |
BANCA MINORISTA |
|
|
|
|
|
|
|
|
|
|
|
|
|
|
130 |
3. ACTIVIDADES BANCARIAS SUJETAS A LOS MÉTODOS AVANZADOS DE CÁLCULO |
|
|
|
|
|
|
|
Celda con enlace a CA2 |
|
|
|
|
|
C 17.01 — RIESGO OPERATIVO: PÉRDIDAS Y RECUPERACIONES POR LÍNEAS DE NEGOCIO Y TIPOS DE EVENTOS EN EL ÚLTIMO AÑO (OPR DETAILS 1)
|
ASIGNACIÓN DE PÉRDIDAS A LAS LÍNEAS DE NEGOCIO |
TIPOS DE EVENTOS |
TOTAL DE LOS TIPOS DE EVENTOS |
PRO MEMORIA: UMBRAL APLICADO A LA RECOGIDA DE DATOS |
|||||||||
|
FRAUDE INTERNO |
FRAUDE EXTERNO |
PRÁCTICAS DE EMPLEO Y SEGURIDAD EN EL PUESTO DE TRABAJO |
CLIENTES, PRODUCTOS Y PRÁCTICAS EMPRESARIALES |
DAÑOS A ACTIVOS FÍSICOS |
INTERRUPCIÓN DE LA ACTIVIDAD Y FALLOS DE SISTEMA |
EJECUCIÓN, ENTREGA Y GESTIÓN DE PROCESOS |
MÍNIMO |
MÁXIMO |
||||
|
Filas |
|
010 |
020 |
030 |
040 |
050 |
060 |
070 |
080 |
090 |
100 |
|
|
010 |
FINANCIACIÓN EMPRESARIAL |
Número de eventos (nuevos eventos) |
|
|
|
|
|
|
|
|
|
|
|
020 |
Importe de pérdidas brutas (nuevos eventos) |
|
|
|
|
|
|
|
|
|
|
|
|
030 |
Número de eventos sujetos a ajustes de pérdidas |
|
|
|
|
|
|
|
|
|
|
|
|
040 |
Ajustes de pérdidas relativos a períodos de referencia anteriores |
|
|
|
|
|
|
|
|
|
|
|
|
050 |
Máxima pérdida unitaria |
|
|
|
|
|
|
|
|
|
|
|
|
060 |
Suma de las cinco mayores pérdidas |
|
|
|
|
|
|
|
|
|
|
|
|
070 |
Total de recuperaciones directas de pérdidas |
|
|
|
|
|
|
|
|
|
|
|
|
080 |
Total de recuperaciones procedentes de seguros y otros mecanismos de transferencia de riesgo |
|
|
|
|
|
|
|
|
|
|
|
|
110 |
NEGOCIACIÓN Y VENTAS |
Número de eventos (nuevos eventos) |
|
|
|
|
|
|
|
|
|
|
|
120 |
Importe de pérdidas brutas (nuevos eventos) |
|
|
|
|
|
|
|
|
|
|
|
|
130 |
Número de eventos sujetos a ajustes de pérdidas |
|
|
|
|
|
|
|
|
|
|
|
|
140 |
Ajustes de pérdidas relativos a períodos de referencia anteriores |
|
|
|
|
|
|
|
|
|
|
|
|
150 |
Máxima pérdida unitaria |
|
|
|
|
|
|
|
|
|
|
|
|
160 |
Suma de las cinco mayores pérdidas |
|
|
|
|
|
|
|
|
|
|
|
|
170 |
Total de recuperaciones directas de pérdidas |
|
|
|
|
|
|
|
|
|
|
|
|
180 |
Total de recuperaciones procedentes de seguros y otros mecanismos de transferencia de riesgo |
|
|
|
|
|
|
|
|
|
|
|
|
210 |
INTERMEDIACIÓN MINORISTA |
Número de eventos (nuevos eventos) |
|
|
|
|
|
|
|
|
|
|
|
220 |
Importe de pérdidas brutas (nuevos eventos) |
|
|
|
|
|
|
|
|
|
|
|
|
230 |
Número de eventos sujetos a ajustes de pérdidas |
|
|
|
|
|
|
|
|
|
|
|
|
240 |
Ajustes de pérdidas relativos a períodos de referencia anteriores |
|
|
|
|
|
|
|
|
|
|
|
|
250 |
Máxima pérdida unitaria |
|
|
|
|
|
|
|
|
|
|
|
|
260 |
Suma de las cinco mayores pérdidas |
|
|
|
|
|
|
|
|
|
|
|
|
270 |
Total de recuperaciones directas de pérdidas |
|
|
|
|
|
|
|
|
|
|
|
|
280 |
Total de recuperaciones procedentes de seguros y otros mecanismos de transferencia de riesgo |
|
|
|
|
|
|
|
|
|
|
|
|
310 |
BANCA COMERCIAL |
Número de eventos (nuevos eventos) |
|
|
|
|
|
|
|
|
|
|
|
320 |
Importe de pérdidas brutas (nuevos eventos) |
|
|
|
|
|
|
|
|
|
|
|
|
330 |
Número de eventos sujetos a ajustes de pérdidas |
|
|
|
|
|
|
|
|
|
|
|
|
340 |
Ajustes de pérdidas relativos a períodos de referencia anteriores |
|
|
|
|
|
|
|
|
|
|
|
|
350 |
Máxima pérdida unitaria |
|
|
|
|
|
|
|
|
|
|
|
|
360 |
Suma de las cinco mayores pérdidas |
|
|
|
|
|
|
|
|
|
|
|
|
370 |
Total de recuperaciones directas de pérdidas |
|
|
|
|
|
|
|
|
|
|
|
|
380 |
Total de recuperaciones procedentes de seguros y otros mecanismos de transferencia de riesgo |
|
|
|
|
|
|
|
|
|
|
|
|
410 |
BANCA MINORISTA |
Número de eventos (nuevos eventos) |
|
|
|
|
|
|
|
|
|
|
|
420 |
Importe de pérdidas brutas (nuevos eventos) |
|
|
|
|
|
|
|
|
|
|
|
|
430 |
Número de eventos sujetos a ajustes de pérdidas |
|
|
|
|
|
|
|
|
|
|
|
|
440 |
Ajustes de pérdidas relativos a períodos de referencia anteriores |
|
|
|
|
|
|
|
|
|
|
|
|
450 |
Máxima pérdida unitaria |
|
|
|
|
|
|
|
|
|
|
|
|
460 |
Suma de las cinco mayores pérdidas |
|
|
|
|
|
|
|
|
|
|
|
|
470 |
Total de recuperaciones directas de pérdidas |
|
|
|
|
|
|
|
|
|
|
|
|
480 |
Total de recuperaciones procedentes de seguros y otros mecanismos de transferencia de riesgo |
|
|
|
|
|
|
|
|
|
|
|
|
510 |
PAGO Y LIQUIDACIÓN |
Número de eventos (nuevos eventos) |
|
|
|
|
|
|
|
|
|
|
|
520 |
Importe de pérdidas brutas (nuevos eventos) |
|
|
|
|
|
|
|
|
|
|
|
|
530 |
Número de eventos sujetos a ajustes de pérdidas |
|
|
|
|
|
|
|
|
|
|
|
|
540 |
Ajustes de pérdidas relativos a períodos de referencia anteriores |
|
|
|
|
|
|
|
|
|
|
|
|
550 |
Máxima pérdida unitaria |
|
|
|
|
|
|
|
|
|
|
|
|
560 |
Suma de las cinco mayores pérdidas |
|
|
|
|
|
|
|
|
|
|
|
|
570 |
Total de recuperaciones directas de pérdidas |
|
|
|
|
|
|
|
|
|
|
|
|
580 |
Total de recuperaciones procedentes de seguros y otros mecanismos de transferencia de riesgo |
|
|
|
|
|
|
|
|
|
|
|
|
610 |
SERVICIOS DE AGENCIA |
Número de eventos (nuevos eventos) |
|
|
|
|
|
|
|
|
|
|
|
620 |
Importe de pérdidas brutas (nuevos eventos) |
|
|
|
|
|
|
|
|
|
|
|
|
630 |
Número de eventos sujetos a ajustes de pérdidas |
|
|
|
|
|
|
|
|
|
|
|
|
640 |
Ajustes de pérdidas relativos a períodos de referencia anteriores |
|
|
|
|
|
|
|
|
|
|
|
|
650 |
Máxima pérdida unitaria |
|
|
|
|
|
|
|
|
|
|
|
|
660 |
Suma de las cinco mayores pérdidas |
|
|
|
|
|
|
|
|
|
|
|
|
670 |
Total de recuperaciones directas de pérdidas |
|
|
|
|
|
|
|
|
|
|
|
|
680 |
Total de recuperaciones procedentes de seguros y otros mecanismos de transferencia de riesgo |
|
|
|
|
|
|
|
|
|
|
|
|
710 |
GESTIÓN DE ACTIVOS |
Número de eventos (nuevos eventos) |
|
|
|
|
|
|
|
|
|
|
|
720 |
Importe de pérdidas brutas (nuevos eventos) |
|
|
|
|
|
|
|
|
|
|
|
|
730 |
Número de eventos sujetos a ajustes de pérdidas |
|
|
|
|
|
|
|
|
|
|
|
|
740 |
Ajustes de pérdidas relativos a períodos de referencia anteriores |
|
|
|
|
|
|
|
|
|
|
|
|
750 |
Máxima pérdida unitaria |
|
|
|
|
|
|
|
|
|
|
|
|
760 |
Suma de las cinco mayores pérdidas |
|
|
|
|
|
|
|
|
|
|
|
|
770 |
Total de recuperaciones directas de pérdidas |
|
|
|
|
|
|
|
|
|
|
|
|
780 |
Total de recuperaciones procedentes de seguros y otros mecanismos de transferencia de riesgo |
|
|
|
|
|
|
|
|
|
|
|
|
810 |
ELEMENTOS CORPORATIVOS |
Número de eventos (nuevos eventos) |
|
|
|
|
|
|
|
|
|
|
|
820 |
Importe de pérdidas brutas (nuevos eventos) |
|
|
|
|
|
|
|
|
|
|
|
|
830 |
Número de eventos sujetos a ajustes de pérdidas |
|
|
|
|
|
|
|
|
|
|
|
|
840 |
Ajustes de pérdidas relativos a períodos de referencia anteriores |
|
|
|
|
|
|
|
|
|
|
|
|
850 |
Máxima pérdida unitaria |
|
|
|
|
|
|
|
|
|
|
|
|
860 |
Suma de las cinco mayores pérdidas |
|
|
|
|
|
|
|
|
|
|
|
|
870 |
Total de recuperaciones directas de pérdidas |
|
|
|
|
|
|
|
|
|
|
|
|
880 |
Total de recuperaciones procedentes de seguros y otros mecanismos de transferencia de riesgo |
|
|
|
|
|
|
|
|
|
|
|
|
910 |
TOTAL DE LAS LÍNEAS DE NEGOCIO |
Número de eventos (nuevos eventos). Del cual: |
|
|
|
|
|
|
|
|
|
|
|
911 |
relativo a pérdidas ≥ 10 000 e < 20 000 |
|
|
|
|
|
|
|
|
|
|
|
|
912 |
relativo a pérdidas ≥ 20 000 e < 100 000 |
|
|
|
|
|
|
|
|
|
|
|
|
913 |
relativo a pérdidas ≥ 100 000 e < 1 000 000 |
|
|
|
|
|
|
|
|
|
|
|
|
914 |
relativo a pérdidas ≥ 1 000 000 |
|
|
|
|
|
|
|
|
|
|
|
|
920 |
Importe de pérdidas brutas (nuevos eventos). Del cual: |
|
|
|
|
|
|
|
|
|
|
|
|
921 |
relativo a pérdidas ≥ 10 000 e < 20 000 |
|
|
|
|
|
|
|
|
|
|
|
|
922 |
relativo a pérdidas ≥ 20 000 e < 100 000 |
|
|
|
|
|
|
|
|
|
|
|
|
923 |
relativo a pérdidas ≥ 100 000 e < 1 000 000 |
|
|
|
|
|
|
|
|
|
|
|
|
924 |
relativo a pérdidas ≥ 1 000 000 |
|
|
|
|
|
|
|
|
|
|
|
|
930 |
Número de eventos sujetos a ajustes de pérdidas |
|
|
|
|
|
|
|
|
|
|
|
|
935 |
Del cual: número de eventos objeto de un ajuste de pérdidas positivo |
|
|
|
|
|
|
|
|
|
|
|
|
936 |
Del cual: número de eventos objeto de un ajuste de pérdidas negativo |
|
|
|
|
|
|
|
|
|
|
|
|
940 |
Ajustes de pérdidas relativos a períodos de referencia anteriores |
|
|
|
|
|
|
|
|
|
|
|
|
945 |
De los cuales: importe de los ajustes de pérdidas positivos (+) |
|
|
|
|
|
|
|
|
|
|
|
|
946 |
De los cuales: importe de los ajustes de pérdidas negativos (-) |
|
|
|
|
|
|
|
|
|
|
|
|
950 |
Máxima pérdida unitaria |
|
|
|
|
|
|
|
|
|
|
|
|
960 |
Suma de las cinco mayores pérdidas |
|
|
|
|
|
|
|
|
|
|
|
|
970 |
Total de recuperaciones directas de pérdidas |
|
|
|
|
|
|
|
|
|
|
|
|
980 |
Total de recuperaciones procedentes de seguros y otros mecanismos de transferencia de riesgo |
|
|
|
|
|
|
|
|
|
|
|
C 17.02 — RIESGO OPERATIVO: EVENTOS DE PÉRDIDA IMPORTANTES (OPR DETAILS 2)
|
|
Identificador del evento |
Fecha de contabilización |
Fecha de ocurrencia |
Fecha de detección |
Tipo de evento |
Pérdida bruta |
Pérdida bruta menos recuperaciones directas |
PÉRDIDA BRUTA POR LÍNEA DE NEGOCIO |
Nombre de la entidad jurídica |
Identificador de entidad jurídica |
Unidad de negocio |
Descripción |
||||||||
|
Financiación empresarial |
Negociación y ventas |
Intermediación minorista |
Banca comercial |
Banca minorista |
Pago y liquidación |
Servicios de agencia |
Gestión de activos |
Elementos corporativos |
||||||||||||
|
Filas |
010 |
020 |
030 |
040 |
050 |
060 |
070 |
080 |
090 |
100 |
110 |
120 |
130 |
140 |
150 |
160 |
170 |
180 |
190 |
200 |
|
… |
|
|
|
|
|
|
|
|
|
|
|
|
|
|
|
|
|
|
|
|
C 18.00 — RIESGO DE MERCADO: MÉTODO ESTÁNDAR PARA LOS RIESGOS DE POSICIÓN EN LOS INSTRUMENTOS DE DEUDA NEGOCIABLES (MKR SA TDI)
Divisa:
|
|
POSICIONES |
REQUISITOS DE FONDOS PROPIOS |
IMPORTE TOTAL DE LA EXPOSICIÓN AL RIESGO |
||||||
|
TODAS LAS POSICIONES |
POSICIONES NETAS |
POSICIONES SUJETAS A EXIGENCIA DE CAPITAL |
|||||||
|
LARGAS |
CORTAS |
LARGAS |
CORTAS |
||||||
|
010 |
020 |
030 |
040 |
050 |
060 |
070 |
|||
|
010 |
INSTRUMENTOS DE DEUDA NEGOCIABLES EN LA CARTERA DE NEGOCIACIÓN |
|
|
|
|
|
|
Celda con enlace a CA2 |
|
|
011 |
Riesgo general |
|
|
|
|
|
|
|
|
|
012 |
Derivados |
|
|
|
|
|
|
|
|
|
013 |
Otros activos y pasivos |
|
|
|
|
|
|
|
|
|
020 |
Método basado en el vencimiento |
|
|
|
|
|
|
|
|
|
030 |
Zona 1 |
|
|
|
|
|
|
|
|
|
040 |
0 ≤ 1 mes |
|
|
|
|
|
|
|
|
|
050 |
> 1 ≤ 3 meses |
|
|
|
|
|
|
|
|
|
060 |
> 3 ≤ 6 meses |
|
|
|
|
|
|
|
|
|
070 |
> 6 ≤ 12 meses |
|
|
|
|
|
|
|
|
|
080 |
Zona 2 |
|
|
|
|
|
|
|
|
|
090 |
> 1 ≤ 2 años (1,9 para cupón de menos del 3 %) |
|
|
|
|
|
|
|
|
|
100 |
> 2 ≤ 3 años (> 1,9 ≤ 2,8 para cupón de menos del 3 %) |
|
|
|
|
|
|
|
|
|
110 |
> 3 ≤ 4 años (> 2,8 ≤ 3,6 para cupón de menos del 3 %) |
|
|
|
|
|
|
|
|
|
120 |
Zona 3 |
|
|
|
|
|
|
|
|
|
130 |
> 4 ≤ 5 años (> 3,6 ≤ 4,3 para cupón de menos del 3 %) |
|
|
|
|
|
|
|
|
|
140 |
> 5 ≤ 7 años (> 4,3 ≤ 5,7 para cupón de menos del 3 %) |
|
|
|
|
|
|
|
|
|
150 |
> 7 ≤ 10 años (> 5,7 ≤ 7,3 para cupón de menos del 3 %) |
|
|
|
|
|
|
|
|
|
160 |
> 10 ≤ 15 años (> 7,3 ≤ 9,3 para cupón de menos del 3 %) |
|
|
|
|
|
|
|
|
|
170 |
> 15 ≤ 20 años (> 9,3 ≤ 10,6 para cupón de menos del 3 %) |
|
|
|
|
|
|
|
|
|
180 |
> 20 años (> 10,6 ≤ 12,0 para cupón de menos del 3 %) |
|
|
|
|
|
|
|
|
|
190 |
(> 12,0 ≤ 20,0 años para cupón de menos del 3 %) |
|
|
|
|
|
|
|
|
|
200 |
(> 20 años para cupón de menos del 3 %) |
|
|
|
|
|
|
|
|
|
210 |
Método basado en la duración |
|
|
|
|
|
|
|
|
|
220 |
Zona 1 |
|
|
|
|
|
|
|
|
|
230 |
Zona 2 |
|
|
|
|
|
|
|
|
|
240 |
Zona 3 |
|
|
|
|
|
|
|
|
|
250 |
Riesgo específico |
|
|
|
|
|
|
|
|
|
251 |
Requisito de fondos propios para instrumentos de deuda no consistentes en titulizaciones |
|
|
|
|
|
|
|
|
|
260 |
Instrumentos de deuda de la primera categoría del cuadro 1 |
|
|
|
|
|
|
|
|
|
270 |
Instrumentos de deuda de la segunda categoría del cuadro 1 |
|
|
|
|
|
|
|
|
|
280 |
Con plazo residual ≤ 6 meses |
|
|
|
|
|
|
|
|
|
290 |
Con plazo residual > 6 meses e ≤ 24 meses |
|
|
|
|
|
|
|
|
|
300 |
Con plazo residual > 24 meses |
|
|
|
|
|
|
|
|
|
310 |
Instrumentos de deuda de la tercera categoría del cuadro 1 |
|
|
|
|
|
|
|
|
|
320 |
Instrumentos de deuda de la cuarta categoría del cuadro 1 |
|
|
|
|
|
|
|
|
|
321 |
Derivados de crédito de n-ésimo impago calificados |
|
|
|
|
|
|
|
|
|
325 |
Requisito de fondos propios para instrumentos de titulización |
|
|
|
|
|
|
|
|
|
330 |
Requisito de fondos propios para la cartera de negociación de correlación |
|
|
|
|
|
|
|
|
|
350 |
Requisitos adicionales para opciones (riesgos distintos de delta) |
|
|
|
|
|
|
|
|
|
360 |
Método simplificado |
|
|
|
|
|
|
|
|
|
370 |
Método delta plus — requisitos adicionales para el riesgo gamma |
|
|
|
|
|
|
|
|
|
380 |
Método delta plus — requisitos adicionales para el riesgo vega |
|
|
|
|
|
|
|
|
|
390 |
Método matricial de escenarios |
|
|
|
|
|
|
|
|
C 19.00 — RIESGO DE MERCADO: MÉTODO ESTÁNDAR PARA EL RIESGO ESPECÍFICO EN TITULIZACIONES (MKR SA SEC)
|
|
TODAS LAS POSICIONES |
(-) POSICIONES DEDUCIDAS DE LOS FONDOS PROPIOS |
POSICIONES NETAS |
DESGLOSE DE LAS POSICIONES NETAS (LARGAS) CON ARREGLO A LAS PONDERACIONES DE RIESGO DE LOS MÉTODOS ESTÁNDAR E IRB |
DESGLOSE DE LAS POSICIONES NETAS (CORTAS) CON ARREGLO A LAS PONDERACIONES DE RIESGO DE LOS MÉTODOS ESTÁNDAR E IRB |
EFECTO GLOBAL (AJUSTE) DEBIDO A LA INFRACCIÓN DE LAS DISPOSICIONES SOBRE DILIGENCIA DEBIDA |
ANTES DE APLICAR EL LÍMITE MÁXIMO |
DESPUÉS DE APLICAR EL LÍMITE MÁXIMO |
REQUISITOS DE FONDOS PROPIOS TOTALES |
|||||||||||||||||||||||||||||||||||||||||||||||||||||
|
PONDERACIONES DE RIESGO < 1 250 % |
1 250 % |
MÉTODO BASADO EN LA FÓRMULA SUPERVISORA |
ENFOQUE DE TRANSPARENCIA |
MÉTODO DE EVALUACIÓN INTERNA |
PONDERACIONES DE RIESGO < 1 250 % |
1 250 % |
MÉTODO BASADO EN LA FÓRMULA SUPERVISORA |
ENFOQUE DE TRANSPARENCIA |
MÉTODO DE EVALUACIÓN INTERNA |
|||||||||||||||||||||||||||||||||||||||||||||||||||||
|
LARGAS |
CORTAS |
(-) LARGAS |
(-) CORTAS |
LARGAS |
CORTAS |
7 — 10 % |
12 — 18 % |
20 — 35 % |
40 — 75 % |
100 % |
150 % |
200 % |
225 % |
250 % |
300 % |
350 % |
425 % |
500 % |
650 % |
750 % |
850 % |
POSICIONES CALIFICADAS |
SIN CALIFICAR |
|
PONDERACIÓN MEDIA DEL RIESGO (%) |
|
PONDERACIÓN MEDIA DEL RIESGO (%) |
7 — 10 % |
12 — 18 % |
20 — 35 % |
40 — 75 % |
100 % |
150 % |
200 % |
225 % |
250 % |
300 % |
350 % |
425 % |
500 % |
650 % |
750 % |
850 % |
POSICIONES CALIFICADAS |
SIN CALIFICAR |
|
PONDERACIÓN MEDIA DEL RIESGO (%) |
|
PONDERACIÓN MEDIA DEL RIESGO (%) |
POSICIONES NETAS LARGAS PONDERADAS |
POSICIONES NETAS CORTAS PONDERADAS |
POSICIONES NETAS LARGAS PONDERADAS |
POSICIONES NETAS CORTAS PONDERADAS |
SUMA DE LAS POSICIONES NETAS LARGAS Y CORTAS PONDERADAS |
POSICIONES NETAS LARGAS PONDERADAS |
POSICIONES NETAS CORTAS PONDERADAS |
SUMA DE LAS POSICIONES NETAS LARGAS Y CORTAS PONDERADAS |
|||||
|
010 |
020 |
030 |
040 |
050 |
060 |
070 |
080 |
090 |
100 |
110 |
120 |
130 |
140 |
150 |
160 |
170 |
180 |
190 |
200 |
210 |
220 |
230 |
240 |
250 |
260 |
270 |
280 |
290 |
300 |
310 |
320 |
330 |
340 |
350 |
360 |
370 |
380 |
390 |
400 |
410 |
420 |
430 |
440 |
450 |
460 |
470 |
480 |
490 |
500 |
510 |
520 |
530 |
540 |
550 |
560 |
570 |
580 |
590 |
600 |
610 |
||
|
010 |
TOTAL EXPOSICIONES |
|
|
|
|
|
|
|
|
|
|
|
|
|
|
|
|
|
|
|
|
|
|
|
|
|
|
|
|
|
|
|
|
|
|
|
|
|
|
|
|
|
|
|
|
|
|
|
|
|
|
|
|
|
|
|
|
|
|
|
|
Celda con enlace a MKR SA TDI {325:060} |
|
020 |
De las cuales: RETITULIZACIONES |
|
|
|
|
|
|
|
|
|
|
|
|
|
|
|
|
|
|
|
|
|
|
|
|
|
|
|
|
|
|
|
|
|
|
|
|
|
|
|
|
|
|
|
|
|
|
|
|
|
|
|
|
|
|
|
|
|
|
|
|
|
|
030 |
ORIGINADORA: TOTAL EXPOSICIONES |
|
|
|
|
|
|
|
|
|
|
|
|
|
|
|
|
|
|
|
|
|
|
|
|
|
|
|
|
|
|
|
|
|
|
|
|
|
|
|
|
|
|
|
|
|
|
|
|
|
|
|
|
|
|
|
|
|
|
|
|
|
|
040 |
TITULIZACIONES |
|
|
|
|
|
|
|
|
|
|
|
|
|
|
|
|
|
|
|
|
|
|
|
|
|
|
|
|
|
|
|
|
|
|
|
|
|
|
|
|
|
|
|
|
|
|
|
|
|
|
|
|
|
|
|
|
|
|
|
|
|
|
050 |
RETITULIZACIONES |
|
|
|
|
|
|
|
|
|
|
|
|
|
|
|
|
|
|
|
|
|
|
|
|
|
|
|
|
|
|
|
|
|
|
|
|
|
|
|
|
|
|
|
|
|
|
|
|
|
|
|
|
|
|
|
|
|
|
|
|
|
|
060 |
INVERSORA: TOTAL EXPOSICIONES |
|
|
|
|
|
|
|
|
|
|
|
|
|
|
|
|
|
|
|
|
|
|
|
|
|
|
|
|
|
|
|
|
|
|
|
|
|
|
|
|
|
|
|
|
|
|
|
|
|
|
|
|
|
|
|
|
|
|
|
|
|
|
070 |
TITULIZACIONES |
|
|
|
|
|
|
|
|
|
|
|
|
|
|
|
|
|
|
|
|
|
|
|
|
|
|
|
|
|
|
|
|
|
|
|
|
|
|
|
|
|
|
|
|
|
|
|
|
|
|
|
|
|
|
|
|
|
|
|
|
|
|
080 |
RETITULIZACIONES |
|
|
|
|
|
|
|
|
|
|
|
|
|
|
|
|
|
|
|
|
|
|
|
|
|
|
|
|
|
|
|
|
|
|
|
|
|
|
|
|
|
|
|
|
|
|
|
|
|
|
|
|
|
|
|
|
|
|
|
|
|
|
090 |
PATROCINADORA: TOTAL EXPOSICIONES |
|
|
|
|
|
|
|
|
|
|
|
|
|
|
|
|
|
|
|
|
|
|
|
|
|
|
|
|
|
|
|
|
|
|
|
|
|
|
|
|
|
|
|
|
|
|
|
|
|
|
|
|
|
|
|
|
|
|
|
|
|
|
100 |
TITULIZACIONES |
|
|
|
|
|
|
|
|
|
|
|
|
|
|
|
|
|
|
|
|
|
|
|
|
|
|
|
|
|
|
|
|
|
|
|
|
|
|
|
|
|
|
|
|
|
|
|
|
|
|
|
|
|
|
|
|
|
|
|
|
|
|
110 |
RETITULIZACIONES |
|
|
|
|
|
|
|
|
|
|
|
|
|
|
|
|
|
|
|
|
|
|
|
|
|
|
|
|
|
|
|
|
|
|
|
|
|
|
|
|
|
|
|
|
|
|
|
|
|
|
|
|
|
|
|
|
|
|
|
|
|
|
|
DESGLOSE DE LA SUMA TOTAL DE LAS POSICIONES NETAS LARGAS Y CORTAS PONDERADAS POR TIPOS DE SUBYACENTES: |
|||||||||||||||||||||||||||||||||||||||||||||||||||||||||||||
|
120 |
1. Hipotecas residenciales |
|
|
|
|
|
|
|
|
|
|
|
|
|
|
|
|
|
|
|
|
|
|
|
|
|
|
|
|
|
|
|
|
|
|
|
|
|
|
|
|
|
|
|
|
|
|
|
|
|
|
|
|
|
|
|
|
|
|
|
|
|
|
130 |
2. Hipotecas comerciales |
|
|
|
|
|
|
|
|
|
|
|
|
|
|
|
|
|
|
|
|
|
|
|
|
|
|
|
|
|
|
|
|
|
|
|
|
|
|
|
|
|
|
|
|
|
|
|
|
|
|
|
|
|
|
|
|
|
|
|
|
|
|
140 |
3. Derechos de cobro por tarjetas de crédito |
|
|
|
|
|
|
|
|
|
|
|
|
|
|
|
|
|
|
|
|
|
|
|
|
|
|
|
|
|
|
|
|
|
|
|
|
|
|
|
|
|
|
|
|
|
|
|
|
|
|
|
|
|
|
|
|
|
|
|
|
|
|
150 |
4. Arrendamientos financieros |
|
|
|
|
|
|
|
|
|
|
|
|
|
|
|
|
|
|
|
|
|
|
|
|
|
|
|
|
|
|
|
|
|
|
|
|
|
|
|
|
|
|
|
|
|
|
|
|
|
|
|
|
|
|
|
|
|
|
|
|
|
|
160 |
5. Préstamos a empresas o PYME |
|
|
|
|
|
|
|
|
|
|
|
|
|
|
|
|
|
|
|
|
|
|
|
|
|
|
|
|
|
|
|
|
|
|
|
|
|
|
|
|
|
|
|
|
|
|
|
|
|
|
|
|
|
|
|
|
|
|
|
|
|
|
170 |
6. Créditos al consumo |
|
|
|
|
|
|
|
|
|
|
|
|
|
|
|
|
|
|
|
|
|
|
|
|
|
|
|
|
|
|
|
|
|
|
|
|
|
|
|
|
|
|
|
|
|
|
|
|
|
|
|
|
|
|
|
|
|
|
|
|
|
|
180 |
7. Cartera comercial |
|
|
|
|
|
|
|
|
|
|
|
|
|
|
|
|
|
|
|
|
|
|
|
|
|
|
|
|
|
|
|
|
|
|
|
|
|
|
|
|
|
|
|
|
|
|
|
|
|
|
|
|
|
|
|
|
|
|
|
|
|
|
190 |
8. Otros activos |
|
|
|
|
|
|
|
|
|
|
|
|
|
|
|
|
|
|
|
|
|
|
|
|
|
|
|
|
|
|
|
|
|
|
|
|
|
|
|
|
|
|
|
|
|
|
|
|
|
|
|
|
|
|
|
|
|
|
|
|
|
|
200 |
9. Bonos garantizados |
|
|
|
|
|
|
|
|
|
|
|
|
|
|
|
|
|
|
|
|
|
|
|
|
|
|
|
|
|
|
|
|
|
|
|
|
|
|
|
|
|
|
|
|
|
|
|
|
|
|
|
|
|
|
|
|
|
|
|
|
|
|
210 |
10. Otros pasivos |
|
|
|
|
|
|
|
|
|
|
|
|
|
|
|
|
|
|
|
|
|
|
|
|
|
|
|
|
|
|
|
|
|
|
|
|
|
|
|
|
|
|
|
|
|
|
|
|
|
|
|
|
|
|
|
|
|
|
|
|
|
C 20.00 — RIESGO DE MERCADO: MÉTODO ESTÁNDAR PARA EL RIESGO ESPECÍFICO EN LA CARTERA DE NEGOCIACIÓN DE CORRELACIÓN (MKR SA CTP)
|
|
TODAS LAS POSICIONES |
(-) POSICIONES DEDUCIDAS DE LOS FONDOS PROPIOS |
POSICIONES NETAS |
DESGLOSE DE LAS POSICIONES NETAS (LARGAS) CON ARREGLO A LAS PONDERACIONES DE RIESGO DE LOS MÉTODOS ESTÁNDAR E IRB |
DESGLOSE DE LAS POSICIONES NETAS (CORTAS) CON ARREGLO A LAS PONDERACIONES DE RIESGO DE LOS MÉTODOS ESTÁNDAR E IRB |
ANTES DE APLICAR EL LÍMITE MÁXIMO |
DESPUÉS DE APLICAR EL LÍMITE MÁXIMO |
REQUISITOS DE FONDOS PROPIOS TOTALES |
||||||||||||||||||||||||||||||||||||||
|
PONDERACIONES DE RIESGO < 1 250 % |
1 250 % |
MÉTODO BASADO EN LA FÓRMULA SUPERVISORA |
ENFOQUE DE TRANSPARENCIA |
MÉTODO DE EVALUACIÓN INTERNA |
PONDERACIONES DE RIESGO < 1 250 % |
1 250 % |
MÉTODO BASADO EN LA FÓRMULA SUPERVISORA |
ENFOQUE DE TRANSPARENCIA |
MÉTODO DE EVALUACIÓN INTERNA |
|||||||||||||||||||||||||||||||||||||
|
LARGAS |
CORTAS |
(-) LARGAS |
(-) CORTAS |
LARGAS |
CORTAS |
7 — 10 % |
12 — 18 % |
20 — 35 % |
40 — 75 % |
100 % |
250 % |
350 % |
425 % |
650 % |
Otras |
POSICIONES CALIFICADAS |
SIN CALIFICAR |
|
PONDERACIÓN MEDIA DEL RIESGO (%) |
|
PONDERACIÓN MEDIA DEL RIESGO (%) |
7 — 10 % |
12 — 18 % |
20 — 35 % |
40 — 75 % |
100 % |
250 % |
350 % |
425 % |
650 % |
Otras |
POSICIONES CALIFICADAS |
SIN CALIFICAR |
|
PONDERACIÓN MEDIA DEL RIESGO (%) |
|
PONDERACIÓN MEDIA DEL RIESGO (%) |
POSICIONES NETAS LARGAS PONDERADAS |
POSICIONES NETAS CORTAS PONDERADAS |
POSICIONES NETAS LARGAS PONDERADAS |
POSICIONES NETAS CORTAS PONDERADAS |
|||||
|
010 |
020 |
030 |
040 |
050 |
060 |
070 |
080 |
090 |
100 |
110 |
120 |
130 |
140 |
150 |
160 |
170 |
180 |
190 |
200 |
210 |
220 |
230 |
240 |
250 |
260 |
270 |
280 |
290 |
300 |
310 |
320 |
330 |
340 |
350 |
360 |
370 |
380 |
390 |
400 |
410 |
420 |
430 |
440 |
450 |
||
|
010 |
TOTAL EXPOSICIONES |
|
|
|
|
|
|
|
|
|
|
|
|
|
|
|
|
|
|
|
|
|
|
|
|
|
|
|
|
|
|
|
|
|
|
|
|
|
|
|
|
|
|
|
|
Celda con enlace a MKR SA TDI {330:060} |
|
|
POSICIONES DE TITULIZACIÓN: |
|||||||||||||||||||||||||||||||||||||||||||||
|
020 |
ORIGINADORA: TOTAL EXPOSICIONES |
|
|
|
|
|
|
|
|
|
|
|
|
|
|
|
|
|
|
|
|
|
|
|
|
|
|
|
|
|
|
|
|
|
|
|
|
|
|
|
|
|
|
|
|
|
|
030 |
TITULIZACIONES |
|
|
|
|
|
|
|
|
|
|
|
|
|
|
|
|
|
|
|
|
|
|
|
|
|
|
|
|
|
|
|
|
|
|
|
|
|
|
|
|
|
|
|
|
|
|
040 |
OTRAS POSICIONES DE LA CARTERA DE NEGOCIACIÓN DE CORRELACIÓN |
|
|
|
|
|
|
|
|
|
|
|
|
|
|
|
|
|
|
|
|
|
|
|
|
|
|
|
|
|
|
|
|
|
|
|
|
|
|
|
|
|
|
|
|
|
|
050 |
INVERSORA: TOTAL EXPOSICIONES |
|
|
|
|
|
|
|
|
|
|
|
|
|
|
|
|
|
|
|
|
|
|
|
|
|
|
|
|
|
|
|
|
|
|
|
|
|
|
|
|
|
|
|
|
|
|
060 |
TITULIZACIONES |
|
|
|
|
|
|
|
|
|
|
|
|
|
|
|
|
|
|
|
|
|
|
|
|
|
|
|
|
|
|
|
|
|
|
|
|
|
|
|
|
|
|
|
|
|
|
070 |
OTRAS POSICIONES DE LA CARTERA DE NEGOCIACIÓN DE CORRELACIÓN |
|
|
|
|
|
|
|
|
|
|
|
|
|
|
|
|
|
|
|
|
|
|
|
|
|
|
|
|
|
|
|
|
|
|
|
|
|
|
|
|
|
|
|
|
|
|
080 |
PATROCINADORA: TOTAL EXPOSICIONES |
|
|
|
|
|
|
|
|
|
|
|
|
|
|
|
|
|
|
|
|
|
|
|
|
|
|
|
|
|
|
|
|
|
|
|
|
|
|
|
|
|
|
|
|
|
|
090 |
TITULIZACIONES |
|
|
|
|
|
|
|
|
|
|
|
|
|
|
|
|
|
|
|
|
|
|
|
|
|
|
|
|
|
|
|
|
|
|
|
|
|
|
|
|
|
|
|
|
|
|
100 |
OTRAS POSICIONES DE LA CARTERA DE NEGOCIACIÓN DE CORRELACIÓN |
|
|
|
|
|
|
|
|
|
|
|
|
|
|
|
|
|
|
|
|
|
|
|
|
|
|
|
|
|
|
|
|
|
|
|
|
|
|
|
|
|
|
|
|
|
|
|
DERIVADOS DE CRÉDITO DE N-ÉSIMO IMPAGO: |
|||||||||||||||||||||||||||||||||||||||||||||
|
110 |
DERIVADOS DE CRÉDITO DE N-ÉSIMO IMPAGO |
|
|
|
|
|
|
|
|
|
|
|
|
|
|
|
|
|
|
|
|
|
|
|
|
|
|
|
|
|
|
|
|
|
|
|
|
|
|
|
|
|
|
|
|
|
|
120 |
OTRAS POSICIONES DE LA CARTERA DE NEGOCIACIÓN DE CORRELACIÓN |
|
|
|
|
|
|
|
|
|
|
|
|
|
|
|
|
|
|
|
|
|
|
|
|
|
|
|
|
|
|
|
|
|
|
|
|
|
|
|
|
|
|
|
|
|
C 21.00 — RIESGO DE MERCADO: MÉTODO ESTÁNDAR PARA EL RIESGO DE POSICIÓN EN INSTRUMENTOS DE PATRIMONIO (MKR SA EQU)
Mercado nacional:
|
|
POSICIONES |
REQUISITOS DE FONDOS PROPIOS |
IMPORTE TOTAL DE LA EXPOSICIÓN AL RIESGO |
||||||
|
TODAS LAS POSICIONES |
POSICIONES NETAS |
POSICIONES SUJETAS A EXIGENCIA DE CAPITAL |
|||||||
|
LARGAS |
CORTAS |
LARGAS |
CORTAS |
||||||
|
010 |
020 |
030 |
040 |
050 |
060 |
070 |
|||
|
010 |
INSTRUMENTOS DE PATRIMONIO EN LA CARTERA DE NEGOCIACIÓN |
|
|
|
|
|
|
Celda con enlace a CA |
|
|
020 |
Riesgo general |
|
|
|
|
|
|
|
|
|
021 |
Derivados |
|
|
|
|
|
|
|
|
|
022 |
Otros activos y pasivos |
|
|
|
|
|
|
|
|
|
030 |
Futuros sobre índices bursátiles negociados en mercados organizados, ampliamente diversificados y sujetos a un método particular |
|
|
|
|
|
|
|
|
|
040 |
Otros instrumentos de patrimonio distintos de los futuros sobre índices bursátiles negociados en mercados organizados y ampliamente diversificados |
|
|
|
|
|
|
|
|
|
050 |
Riesgo específico |
|
|
|
|
|
|
|
|
|
090 |
Requisitos adicionales para opciones (riesgos distintos de delta) |
|
|
|
|
|
|
|
|
|
100 |
Método simplificado |
|
|
|
|
|
|
|
|
|
110 |
Método delta plus — requisitos adicionales para el riesgo gamma |
|
|
|
|
|
|
|
|
|
120 |
Método delta plus — requisitos adicionales para el riesgo vega |
|
|
|
|
|
|
|
|
|
130 |
Método matricial de escenarios |
|
|
|
|
|
|
|
|
C 22.00 — RIESGO DE MERCADO: MÉTODOS ESTÁNDAR PARA EL RIESGO DE TIPO DE CAMBIO (MKR SA FX)
|
|
TODAS LAS POSICIONES |
POSICIONES NETAS |
POSICIONES SUJETAS A EXIGENCIA DE CAPITAL (incluida la redistribución de las posiciones no compensadas en las divisas distintas de la de referencia sujetas a un tratamiento especial para las posiciones compensadas) |
REQUISITOS DE FONDOS PROPIOS |
IMPORTE TOTAL DE LA EXPOSICIÓN AL RIESGO |
|||||
|
LARGAS |
CORTAS |
LARGAS |
CORTAS |
LARGAS |
CORTAS |
COMPENSADAS |
||||
|
020 |
030 |
040 |
050 |
060 |
070 |
080 |
090 |
100 |
||
|
010 |
POSICIONES TOTALES |
|
|
|
|
|
|
|
|
Celda con enlace a CA |
|
020 |
Divisas estrechamente correlacionadas |
|
|
|
|
|
|
|
|
|
|
025 |
De las cuales: divisa de referencia |
|
|
|
|
|
|
|
|
|
|
030 |
Otras divisas (incluidas las participaciones y acciones en OIC tratadas como divisas diferentes) |
|
|
|
|
|
|
|
|
|
|
040 |
Oro |
|
|
|
|
|
|
|
|
|
|
050 |
Requisitos adicionales para opciones (riesgos distintos de delta) |
|
|
|
|
|
|
|
|
|
|
060 |
Método simplificado |
|
|
|
|
|
|
|
|
|
|
070 |
Método delta plus — requisitos adicionales para el riesgo gamma |
|
|
|
|
|
|
|
|
|
|
080 |
Método delta plus — requisitos adicionales para el riesgo vega |
|
|
|
|
|
|
|
|
|
|
090 |
Método matricial de escenarios |
|
|
|
|
|
|
|
|
|
|
DESGLOSE DE LAS POSICIONES TOTALES (INCLUIDA LA DIVISA DE REFERENCIA) POR TIPOS DE EXPOSICIÓN |
||||||||||
|
100 |
Otros activos y pasivos distintos de los derivados y las partidas fuera de balance |
|
|
|
|
|
|
|
|
|
|
110 |
Partidas fuera de balance |
|
|
|
|
|
|
|
|
|
|
120 |
Derivados |
|
|
|
|
|
|
|
|
|
|
Pro memoria: POSICIONES EN DIVISAS |
||||||||||
|
130 |
Euro |
|
|
|
|
|
|
|
|
|
|
140 |
Lek |
|
|
|
|
|
|
|
|
|
|
150 |
Peso argentino |
|
|
|
|
|
|
|
|
|
|
160 |
Dólar australiano |
|
|
|
|
|
|
|
|
|
|
170 |
Real brasileño |
|
|
|
|
|
|
|
|
|
|
180 |
Lev búlgaro |
|
|
|
|
|
|
|
|
|
|
190 |
Dólar canadiense |
|
|
|
|
|
|
|
|
|
|
200 |
Corona checa |
|
|
|
|
|
|
|
|
|
|
210 |
Corona danesa |
|
|
|
|
|
|
|
|
|
|
220 |
Libra egipcia |
|
|
|
|
|
|
|
|
|
|
230 |
Libra esterlina |
|
|
|
|
|
|
|
|
|
|
240 |
Forint |
|
|
|
|
|
|
|
|
|
|
250 |
Yen |
|
|
|
|
|
|
|
|
|
|
270 |
Litas lituano |
|
|
|
|
|
|
|
|
|
|
280 |
Denar |
|
|
|
|
|
|
|
|
|
|
290 |
Peso mexicano |
|
|
|
|
|
|
|
|
|
|
300 |
Zloty |
|
|
|
|
|
|
|
|
|
|
310 |
Leu rumano |
|
|
|
|
|
|
|
|
|
|
320 |
Rublo ruso |
|
|
|
|
|
|
|
|
|
|
330 |
Dinar serbio |
|
|
|
|
|
|
|
|
|
|
340 |
Corona sueca |
|
|
|
|
|
|
|
|
|
|
350 |
Franco suizo |
|
|
|
|
|
|
|
|
|
|
360 |
Lira turca |
|
|
|
|
|
|
|
|
|
|
370 |
Hryvnia |
|
|
|
|
|
|
|
|
|
|
380 |
Dólar estadounidense |
|
|
|
|
|
|
|
|
|
|
390 |
Corona islandesa |
|
|
|
|
|
|
|
|
|
|
400 |
Corona noruega |
|
|
|
|
|
|
|
|
|
|
410 |
Dólar hongkonés |
|
|
|
|
|
|
|
|
|
|
420 |
Nuevo dólar taiwanés |
|
|
|
|
|
|
|
|
|
|
430 |
Dólar neozelandés |
|
|
|
|
|
|
|
|
|
|
440 |
Dólar singapurense |
|
|
|
|
|
|
|
|
|
|
450 |
Won |
|
|
|
|
|
|
|
|
|
|
460 |
Yuan renminbi |
|
|
|
|
|
|
|
|
|
|
470 |
Otras |
|
|
|
|
|
|
|
|
|
|
480 |
Kuna croata |
|
|
|
|
|
|
|
|
|
C 23.00 — RIESGO DE MERCADO: MÉTODOS ESTÁNDAR PARA MATERIAS PRIMAS (MKR SA COM)
|
|
TODAS LAS POSICIONES |
POSICIONES NETAS |
POSICIONES SUJETAS A EXIGENCIA DE CAPITAL |
REQUISITOS DE FONDOS PROPIOS |
IMPORTE TOTAL DE LA EXPOSICIÓN AL RIESGO |
|||
|
LARGAS |
CORTAS |
LARGAS |
CORTAS |
|||||
|
010 |
020 |
030 |
040 |
050 |
060 |
070 |
||
|
010 |
POSICIONES TOTALES EN MATERIAS PRIMAS |
|
|
|
|
|
|
Celda con enlace a CA |
|
020 |
Metales preciosos, excepto oro |
|
|
|
|
|
|
|
|
030 |
Metales básicos |
|
|
|
|
|
|
|
|
040 |
Productos agrícolas |
|
|
|
|
|
|
|
|
050 |
Otras |
|
|
|
|
|
|
|
|
060 |
De las cuales: productos energéticos (petróleo, gas) |
|
|
|
|
|
|
|
|
070 |
Sistema de escala de vencimientos |
|
|
|
|
|
|
|
|
080 |
Sistema de escala de vencimientos ampliado |
|
|
|
|
|
|
|
|
090 |
Método simplificado: todas las posiciones |
|
|
|
|
|
|
|
|
100 |
Requisitos adicionales para opciones (riesgos distintos de delta) |
|
|
|
|
|
|
|
|
110 |
Método simplificado |
|
|
|
|
|
|
|
|
120 |
Método delta plus — requisitos adicionales para el riesgo gamma |
|
|
|
|
|
|
|
|
130 |
Método delta plus — requisitos adicionales para el riesgo vega |
|
|
|
|
|
|
|
|
140 |
Método matricial de escenarios |
|
|
|
|
|
|
|
C 24.00 — MODELOS INTERNOS DE RIESGO DE MERCADO (MKR IM)
|
|
Valor en riesgo (VaR) |
VaR EN SITUACIÓN DE TENSIÓN |
EXIGENCIA DE CAPITAL POR RIESGOS DE IMPAGO Y DE MIGRACIÓN INCREMENTALES |
EXIGENCIA DE CAPITAL POR TODOS LOS RIESGOS DE PRECIO PARA LA CARTERA DE NEGOCIACIÓN DE CORRELACIÓN |
REQUISITOS DE FONDOS PROPIOS |
IMPORTE TOTAL DE LA EXPOSICIÓN AL RIESGO |
Número de excesos durante los 250 días hábiles previos |
Factor de multiplicación del VaR (mc) |
Factor de multiplicación del VaR en situación de tensión (ms) |
EXIGENCIA ESTIMADA PARA LÍMITE MÍNIMO DE LA CARTERA DE NEGOCIACIÓN DE CORRELACIÓN — POSICIONES LARGAS NETAS PONDERADAS DESPUÉS DEL LÍMITE MÁXIMO |
EXIGENCIA ESTIMADA PARA LÍMITE MÍNIMO DE LA CARTERA DE NEGOCIACIÓN DE CORRELACIÓN — POSICIONES CORTAS NETAS PONDERADAS DESPUÉS DEL LÍMITE MÁXIMO |
||||||
|
FACTOR DE MULTIPLICACIÓN (mc) x MEDIA DE LOS 60 DÍAS HÁBILES ANTERIORES (VaRavg) |
DÍA ANTERIOR (VaRt – 1) |
FACTOR DE MULTIPLICACIÓN (mS) x MEDIA DE LOS 60 DÍAS HÁBILES ANTERIORES (SVaRavg) |
ÚLTIMO DISPONIBLE (SVaRt – 1) |
MEDIDA DE LA MEDIA DE 12 SEMANAS |
ÚLTIMA MEDIDA |
LÍMITE MÍNIMO |
MEDIDA DE LA MEDIA DE 12 SEMANAS |
ÚLTIMA MEDIDA |
|||||||||
|
030 |
040 |
050 |
060 |
070 |
080 |
090 |
100 |
110 |
120 |
130 |
140 |
150 |
160 |
170 |
180 |
||
|
010 |
POSICIONES TOTALES |
|
|
|
|
|
|
|
|
|
|
Celda con enlace a CA |
|
|
|
|
|
|
|
Pro memoria: DESGLOSE DEL RIESGO DE MERCADO |
||||||||||||||||
|
020 |
Instrumentos de deuda negociables |
|
|
|
|
|
|
|
|
|
|
|
|
|
|
|
|
|
030 |
- Riesgo general |
|
|
|
|
|
|
|
|
|
|
|
|
|
|
|
|
|
040 |
- Riesgo específico |
|
|
|
|
|
|
|
|
|
|
|
|
|
|
|
|
|
050 |
Instrumentos de patrimonio |
|
|
|
|
|
|
|
|
|
|
|
|
|
|
|
|
|
060 |
- Riesgo general |
|
|
|
|
|
|
|
|
|
|
|
|
|
|
|
|
|
070 |
- Riesgo específico |
|
|
|
|
|
|
|
|
|
|
|
|
|
|
|
|
|
080 |
Riesgo de tipo de cambio |
|
|
|
|
|
|
|
|
|
|
|
|
|
|
|
|
|
090 |
Riesgo de materias primas |
|
|
|
|
|
|
|
|
|
|
|
|
|
|
|
|
|
100 |
Importe total riesgo general |
|
|
|
|
|
|
|
|
|
|
|
|
|
|
|
|
|
110 |
Importe total riesgo específico |
|
|
|
|
|
|
|
|
|
|
|
|
|
|
|
|
C 25.00 — RIESGO DE AJUSTE DE VALORACIÓN DEL CRÉDITO (CVA)
|
|
VALOR DE LA EXPOSICIÓN |
VALOR EN RIESGO (VaR) |
VaR EN SITUACIÓN DE TENSIÓN |
REQUISITOS DE FONDOS PROPIOS |
IMPORTE TOTAL DE LA EXPOSICIÓN AL RIESGO |
PRO MEMORIA |
COBERTURA DEL RIESGO AVC: IMPORTES NOCIONALES |
||||||||
|
|
Del cual: derivados OTC |
Del cual: operaciones de financiación de valores |
FACTOR DE MULTIPLICACIÓN (mc) x MEDIA DE LOS 60 DÍAS HÁBILES ANTERIORES (VaRavg) |
DÍA ANTERIOR (VaRt-1) |
FACTOR DE MULTIPLICACIÓN (mS) x MEDIA DE LOS 60 DÍAS HÁBILES ANTERIORES (SVaRavg) |
ÚLTIMO DISPONIBLE (SVaRt-1) |
Número de contrapartes |
Del cual: se emplea una aproximación para determinar el diferencial de crédito |
AJUSTE DE VALORACIÓN DEL CRÉDITO (AVC) ASUMIDO |
PERMUTAS DE COBERTURA POR IMPAGO UNINOMINALES |
PERMUTAS DE COBERTURA POR IMPAGO VINCULADAS A UN ÍNDICE |
||||
|
010 |
020 |
030 |
040 |
050 |
060 |
070 |
080 |
090 |
100 |
110 |
120 |
130 |
140 |
||
|
010 |
Total riesgo AVC |
|
|
|
|
|
|
|
|
Enlace a {CA2;r640;c010} |
|
|
|
|
|
|
020 |
Según el método avanzado |
|
|
|
|
|
|
|
|
Enlace a {CA2;r650;c010} |
|
|
|
|
|
|
030 |
Según el método estándar |
|
|
|
|
|
|
|
|
Enlace a {CA2;r660;c010} |
|
|
|
|
|
|
040 |
Basado en el método de la exposición original |
|
|
|
|
|
|
|
|
Enlace a {CA2;r670;c010} |
|
|
|
|
|
C 33.00 — EXPOSICIONES FRENTE A ADMINISTRACIONES PÚBLICAS POR PAÍS DE LA CONTRAPARTE (GOV)
País:
|
|
Exposiciones directas |
Pro memoria: derivados de crédito vendidos sobre exposiciones frente a administraciones públicas |
Valor de la exposición |
Importe de la exposición ponderada por riesgo |
|||||||||||||||||||||||||||
|
Exposiciones en balance |
Deterioro de valor acumulado |
|
Cambios acumulados negativos en el valor razonable debidos al riesgo de crédito |
|
Derivados |
Exposiciones fuera de balance |
|||||||||||||||||||||||||
|
Importe en libros bruto total de activos financieros no derivados |
Importe en libros total de activos financieros no derivados (neto de posiciones cortas) |
Activos financieros no derivados por carteras contables |
Posiciones cortas |
|
Derivados con valor razonable positivo |
Derivados con valor razonable negativo |
Importe nominal |
Provisiones |
Cambios acumulados negativos en el valor razonable debidos al riesgo de crédito |
Derivados con valor razonable positivo: importe en libros |
Derivados con valor razonable negativo: importe en libros |
||||||||||||||||||||
|
Activos financieros mantenidos para negociar |
Activos financieros destinados a negociación |
Activos financieros no destinados a negociación valorados obligatoriamente a valor razonable con cambios en resultados |
Activos financieros designados a valor razonable con cambios en resultados |
Activos financieros no derivados y no destinados a negociación, a valor razonable con cambios en resultados |
Activos financieros a valor razonable con cambios en otro resultado global |
Activos financieros no derivados y no destinados a negociación, contabilizados a valor razonable en el patrimonio neto |
Activos financieros a coste amortizado |
Activos financieros no derivados y no destinados a negociación, valorados por un método basado en el coste |
Otros activos financieros no derivados y no destinados a negociación |
De las cuales: posiciones cortas procedentes de préstamos de recompra inversa clasificadas como activos financieros mantenidos para negociar o destinados a negociación |
Del cual: de activos financieros a valor razonable con cambios en otro resultado global o de activos financieros no derivados y no destinados a negociación contabilizados a valor razonable en el patrimonio neto |
De los cuales: de activos financieros no destinados a negociación valorados obligatoriamente a valor razonable con cambios en resultados, de activos financieros designados a valor razonable con cambios en resultados o de activos financieros no destinados a negociación a valor razonable con cambios en resultados |
De los cuales: de activos financieros a valor razonable con cambios en otro resultado global o de activos financieros no derivados y no destinados a negociación contabilizados a valor razonable en el patrimonio neto |
Importe en libros |
Importe nocional |
Importe en libros |
Importe nocional |
||||||||||||||
|
|
010 |
020 |
030 |
040 |
050 |
060 |
070 |
080 |
090 |
100 |
110 |
120 |
130 |
140 |
150 |
160 |
170 |
180 |
190 |
200 |
210 |
220 |
230 |
240 |
250 |
260 |
270 |
280 |
290 |
300 |
|
|
010 |
Total de exposiciones |
|
|
|
|
|
|
|
|
|
|
|
|
|
|
|
|
|
|
|
|
|
|
|
|
|
|
|
|
|
|
|
DESGLOSE DEL TOTAL DE EXPOSICIONES POR RIESGO, MÉTODO REGLAMENTARIO Y CATEGORÍA DE EXPOSICIÓN |
|||||||||||||||||||||||||||||||
|
020 |
Exposiciones sujetas al marco relativo al riesgo de crédito |
|
|
|
|
|
|
|
|
|
|
|
|
|
|
|
|
|
|
|
|
|
|
|
|
|
|
|
|
|
|
|
030 |
Método estándar |
|
|
|
|
|
|
|
|
|
|
|
|
|
|
|
|
|
|
|
|
|
|
|
|
|
|
|
|
|
|
|
040 |
Administraciones centrales |
|
|
|
|
|
|
|
|
|
|
|
|
|
|
|
|
|
|
|
|
|
|
|
|
|
|
|
|
|
|
|
050 |
Administraciones regionales o autoridades locales |
|
|
|
|
|
|
|
|
|
|
|
|
|
|
|
|
|
|
|
|
|
|
|
|
|
|
|
|
|
|
|
060 |
Entes del sector público |
|
|
|
|
|
|
|
|
|
|
|
|
|
|
|
|
|
|
|
|
|
|
|
|
|
|
|
|
|
|
|
070 |
Organizaciones internacionales |
|
|
|
|
|
|
|
|
|
|
|
|
|
|
|
|
|
|
|
|
|
|
|
|
|
|
|
|
|
|
|
080 |
Método IRB |
|
|
|
|
|
|
|
|
|
|
|
|
|
|
|
|
|
|
|
|
|
|
|
|
|
|
|
|
|
|
|
090 |
Administraciones centrales |
|
|
|
|
|
|
|
|
|
|
|
|
|
|
|
|
|
|
|
|
|
|
|
|
|
|
|
|
|
|
|
100 |
Administraciones regionales o autoridades locales [administraciones centrales] |
|
|
|
|
|
|
|
|
|
|
|
|
|
|
|
|
|
|
|
|
|
|
|
|
|
|
|
|
|
|
|
110 |
Administraciones regionales o autoridades locales [entidades] |
|
|
|
|
|
|
|
|
|
|
|
|
|
|
|
|
|
|
|
|
|
|
|
|
|
|
|
|
|
|
|
120 |
Entes del sector público [administraciones centrales] |
|
|
|
|
|
|
|
|
|
|
|
|
|
|
|
|
|
|
|
|
|
|
|
|
|
|
|
|
|
|
|
130 |
Entes del sector público [entidades] |
|
|
|
|
|
|
|
|
|
|
|
|
|
|
|
|
|
|
|
|
|
|
|
|
|
|
|
|
|
|
|
140 |
Organizaciones internacionales [administraciones centrales] |
|
|
|
|
|
|
|
|
|
|
|
|
|
|
|
|
|
|
|
|
|
|
|
|
|
|
|
|
|
|
|
150 |
Organizaciones internacionales [entidades] |
|
|
|
|
|
|
|
|
|
|
|
|
|
|
|
|
|
|
|
|
|
|
|
|
|
|
|
|
|
|
|
160 |
Exposiciones sujetas al marco relativo al riesgo de mercado |
|
|
|
|
|
|
|
|
|
|
|
|
|
|
|
|
|
|
|
|
|
|
|
|
|
|
|
|
|
|
|
DESGLOSE DEL TOTAL DE EXPOSICIONES POR VENCIMIENTO RESIDUAL |
|||||||||||||||||||||||||||||||
|
170 |
[ 0 — 3M [ |
|
|
|
|
|
|
|
|
|
|
|
|
|
|
|
|
|
|
|
|
|
|
|
|
|
|
|
|
|
|
|
180 |
[ 3M — 1A [ |
|
|
|
|
|
|
|
|
|
|
|
|
|
|
|
|
|
|
|
|
|
|
|
|
|
|
|
|
|
|
|
190 |
[ 1A — 2A [ |
|
|
|
|
|
|
|
|
|
|
|
|
|
|
|
|
|
|
|
|
|
|
|
|
|
|
|
|
|
|
|
200 |
[ 2A — 3A [ |
|
|
|
|
|
|
|
|
|
|
|
|
|
|
|
|
|
|
|
|
|
|
|
|
|
|
|
|
|
|
|
210 |
[ 3A — 5A [ |
|
|
|
|
|
|
|
|
|
|
|
|
|
|
|
|
|
|
|
|
|
|
|
|
|
|
|
|
|
|
|
220 |
[ 5A — 10A [ |
|
|
|
|
|
|
|
|
|
|
|
|
|
|
|
|
|
|
|
|
|
|
|
|
|
|
|
|
|
|
|
230 |
[ 10A — más |
|
|
|
|
|
|
|
|
|
|
|
|
|
|
|
|
|
|
|
|
|
|
|
|
|
|
|
|
|
|
ANEXO II
COMUNICACIÓN DE INFORMACIÓN SOBRE LOS FONDOS PROPIOS Y LOS REQUISITOS DE FONDOS PROPIOS
|
Índice |
|
|
PARTE I: INSTRUCCIONES GENERALES |
|
|
1. |
ESTRUCTURA Y CONVENCIONES |
|
1.1. |
ESTRUCTURA |
|
1.2. |
CONVENCIÓN SOBRE LA NUMERACIÓN |
|
1.3. |
CONVENCIÓN SOBRE LOS SIGNOS |
|
PARTE II: INSTRUCCIONES RELATIVAS A LAS PLANTILLAS |
|
|
1. |
VISIÓN GENERAL DE LA ADECUACIÓN DEL CAPITAL (CA) |
|
1.1. |
OBSERVACIONES GENERALES |
|
1.2. |
C 01.00 — FONDOS PROPIOS (CA1) |
|
1.2.1 |
INSTRUCCIONES RELATIVAS A POSICIONES CONCRETAS |
|
1.3. |
C 02.00 — REQUISITOS DE FONDOS PROPIOS (CA2) |
|
1.3.1 |
INSTRUCCIONES RELATIVAS A POSICIONES CONCRETAS |
|
1.4 |
C 03.00 — RATIOS DE CAPITAL Y NIVELES DE CAPITAL (CA3) |
|
1.4.1 |
INSTRUCCIONES RELATIVAS A POSICIONES CONCRETAS |
|
1.5. |
C 04.00 — PRO MEMORIA (CA4) |
|
1.5.1 |
INSTRUCCIONES RELATIVAS A POSICIONES CONCRETAS |
|
1.6 |
DISPOSICIONES TRANSITORIAS E INSTRUMENTOS EN RÉGIMEN DE ANTERIORIDAD: INSTRUMENTOS QUE NO CONSTITUYEN AYUDAS ESTATALES (CA5) |
|
1.6.1 |
OBSERVACIONES GENERALES |
|
1.6.2 |
C 05.01 — DISPOSICIONES TRANSITORIAS (CA5.1) |
|
1.6.2.1. |
INSTRUCCIONES RELATIVAS A POSICIONES CONCRETAS |
|
1.6.3 |
C 05.02 — INSTRUMENTOS EN RÉGIMEN DE ANTERIORIDAD: INSTRUMENTOS QUE NO CONSTITUYEN AYUDAS ESTATALES (CA5.2) |
|
1.6.3.1. |
INSTRUCCIONES RELATIVAS A POSICIONES CONCRETAS |
|
2. |
SOLVENCIA DEL GRUPO: INFORMACIÓN SOBRE FILIALES (GS) |
|
2.1. |
OBSERVACIONES GENERALES |
|
2.2. |
INFORMACIÓN DETALLADA SOBRE LA SOLVENCIA DEL GRUPO |
|
2.3. |
INFORMACIÓN SOBRE LA CONTRIBUCIÓN DE CADA ENTE A LA SOLVENCIA DEL GRUPO |
|
2.4. |
C 06.01 — SOLVENCIA DEL GRUPO: INFORMACIÓN SOBRE FILIALES — TOTAL (GS TOTAL) |
|
2.5. |
C 06.02 — SOLVENCIA DEL GRUPO: INFORMACIÓN SOBRE FILIALES (GS) |
|
3. |
PLANTILLAS RELATIVAS AL RIESGO DE CRÉDITO |
|
3.1. |
OBSERVACIONES GENERALES |
|
3.1.1 |
INFORMACIÓN SOBRE LAS TÉCNICAS DE REDUCCIÓN DEL RIESGO DE CRÉDITO CON EFECTO DE SUSTITUCIÓN SOBRE LA EXPOSICIÓN |
|
3.1.2 |
INFORMACIÓN SOBRE EL RIESGO DE CONTRAPARTE |
|
3.2. |
C 07.00 — RIESGO DE CRÉDITO Y DE CONTRAPARTE Y OPERACIONES INCOMPLETAS: MÉTODO ESTÁNDAR PARA LOS REQUISITOS DE CAPITAL (CR SA) |
|
3.2.1 |
OBSERVACIONES GENERALES |
|
3.2.2 |
ÁMBITO DE LA PLANTILLA CR SA |
|
3.2.3 |
ASIGNACIÓN DE EXPOSICIONES A CATEGORÍAS DE EXPOSICIÓN CON ARREGLO AL MÉTODO ESTÁNDAR |
|
3.2.4 |
ACLARACIONES SOBRE EL ÁMBITO DE ALGUNAS CATEGORÍAS DE EXPOSICIÓN CONCRETAS ESTABLECIDAS EN EL ARTÍCULO 112 DEL RRC |
|
3.2.4.1. |
CATEGORÍA DE EXPOSICIÓN «ENTIDADES» |
|
3.2.4.2. |
CATEGORÍA DE EXPOSICIÓN «BONOS GARANTIZADOS» |
|
3.2.4.3. |
CATEGORÍA DE EXPOSICIÓN «ORGANISMOS DE INVERSIÓN COLECTIVA (OIC)» |
|
3.2.5 |
INSTRUCCIONES RELATIVAS A POSICIONES CONCRETAS |
|
3.3. |
RIESGO DE CRÉDITO Y DE CONTRAPARTE Y OPERACIONES INCOMPLETAS: MÉTODO IRB PARA LOS REQUISITOS DE FONDOS PROPIOS (CR IRB) |
|
3.3.1 |
ÁMBITO DE LA PLANTILLA CR IRB |
|
3.3.2 |
DESGLOSE DE LA PLANTILLA CR IRB |
|
3.3.3 |
C 08.01 — RIESGO DE CRÉDITO Y DE CONTRAPARTE Y OPERACIONES INCOMPLETAS: MÉTODO IRB PARA LOS REQUISITOS DE CAPITAL (CR IRB 1) |
|
3.3.3.1 |
INSTRUCCIONES RELATIVAS A POSICIONES CONCRETAS |
|
3.3.4 |
C 08.02 — RIESGO DE CRÉDITO Y DE CONTRAPARTE Y OPERACIONES INCOMPLETAS: MÉTODO IRB PARA LOS REQUISITOS DE CAPITAL (DESGLOSE POR GRADOS DE DEUDORES O CONJUNTOS DE EXPOSICIONES) (PLANTILLA CR IRB 2). |
|
3.4. |
RIESGO DE CRÉDITO Y DE CONTRAPARTE Y OPERACIONES INCOMPLETAS: INFORMACIÓN CON DESGLOSE GEOGRÁFICO |
|
3.4.1 |
C 09.01 — DESGLOSE GEOGRÁFICO DE LAS EXPOSICIONES POR RESIDENCIA DEL DEUDOR: EXPOSICIONES SEGÚN EL MÉTODO ESTÁNDAR (CR GB 1) |
|
3.4.1.1. |
INSTRUCCIONES RELATIVAS A POSICIONES CONCRETAS |
|
3.4.2 |
C 09.02 — DESGLOSE GEOGRÁFICO DE LAS EXPOSICIONES POR RESIDENCIA DEL DEUDOR: EXPOSICIONES SEGÚN EL MÉTODO IRB (CR GB 2) |
|
3.4.2.1. |
INSTRUCCIONES RELATIVAS A POSICIONES CONCRETAS |
|
3.4.3 |
C 09.04 — DESGLOSE DE LAS EXPOSICIONES CREDITICIAS PERTINENTES PARA EL CÁLCULO DEL COLCHÓN ANTICÍCLICO POR PAÍS Y EL PORCENTAJE DEL COLCHÓN ANTICÍCLICO ESPECÍFICO DE CADA ENTIDAD |
|
3.4.3.1. |
OBSERVACIONES GENERALES |
|
3.4.3.2. |
INSTRUCCIONES RELATIVAS A POSICIONES CONCRETAS |
|
3.5. |
C 10.01 Y C 10.02 — EXPOSICIONES DE RENTA VARIABLE CON ARREGLO AL MÉTODO BASADO EN CALIFICACIONES INTERNAS (CR EQU IRB 1 Y CR EQU IRB 2) |
|
3.5.1 |
OBSERVACIONES GENERALES |
|
3.5.2 |
INSTRUCCIONES RELATIVAS A POSICIONES CONCRETAS (APLICABLES TANTO A CR EQU IRB 1 COMO A CR EQU IRB 2) |
|
3.6. |
C 11.00 — RIESGO DE LIQUIDACIÓN/ENTREGA (CR SETT) |
|
3.6.1 |
OBSERVACIONES GENERALES |
|
3.6.2 |
INSTRUCCIONES RELATIVAS A POSICIONES CONCRETAS |
|
3.7. |
C 12.00 — RIESGO DE CRÉDITO: TITULIZACIONES — MÉTODO ESTÁNDAR PARA LOS REQUISITOS DE FONDOS PROPIOS (CR SEC SA) |
|
3.7.1 |
OBSERVACIONES GENERALES |
|
3.7.2 |
INSTRUCCIONES RELATIVAS A POSICIONES CONCRETAS |
|
3.8. |
C 13.00 — RIESGO DE CRÉDITO: TITULIZACIONES — MÉTODO BASADO EN CALIFICACIONES INTERNAS PARA LOS REQUISITOS DE FONDOS PROPIOS (CR SEC IRB) |
|
3.8.1. |
OBSERVACIONES GENERALES |
|
3.8.2. |
INSTRUCCIONES RELATIVAS A POSICIONES CONCRETAS |
|
3.9. |
C 14.00 — INFORMACIÓN DETALLADA SOBRE TITULIZACIONES (SEC DETAILS) |
|
3.9.1. |
OBSERVACIONES GENERALES |
|
3.9.2. |
INSTRUCCIONES RELATIVAS A POSICIONES CONCRETAS |
|
4. |
PLANTILLAS RELATIVAS AL RIESGO OPERATIVO |
|
4.1 |
C 16.00 — RIESGO OPERATIVO (OPR) |
|
4.1.1 |
OBSERVACIONES GENERALES |
|
4.1.2. |
INSTRUCCIONES RELATIVAS A POSICIONES CONCRETAS |
|
4.2. |
RIESGO OPERATIVO: INFORMACIÓN DETALLADA SOBRE LAS PÉRDIDAS EN EL ÚLTIMO AÑO (OPR DETAILS) |
|
4.2.1. |
OBSERVACIONES GENERALES |
|
4.2.2. |
C 17.01 — RIESGO OPERATIVO: PÉRDIDAS Y RECUPERACIONES POR LÍNEAS DE NEGOCIO Y TIPOS DE EVENTOS EN EL ÚLTIMO AÑO (OPR DETAILS 1) |
|
4.2.2.1. |
OBSERVACIONES GENERALES |
|
4.2.2.2. |
INSTRUCCIONES RELATIVAS A POSICIONES CONCRETAS |
|
4.2.3. |
C 17.02 — RIESGO OPERATIVO: INFORMACIÓN DETALLADA SOBRE LOS EVENTOS DE MAYORES PÉRDIDAS EN EL ÚLTIMO AÑO (OPR DETAILS 2) |
|
4.2.3.1. |
OBSERVACIONES GENERALES |
|
4.2.3.2. |
INSTRUCCIONES RELATIVAS A POSICIONES CONCRETAS |
|
5. |
PLANTILLAS REFERENTES AL RIESGO DE MERCADO |
|
5.1. |
C 18.00 — RIESGO DE MERCADO: MÉTODO ESTÁNDAR PARA LOS RIESGOS DE POSICIÓN EN LOS INSTRUMENTOS DE DEUDA NEGOCIABLES (MKR SA TDI) |
|
5.1.1. |
OBSERVACIONES GENERALES |
|
5.1.2. |
INSTRUCCIONES RELATIVAS A POSICIONES CONCRETAS |
|
5.2. |
C 19.00 — RIESGO DE MERCADO: MÉTODO ESTÁNDAR PARA EL RIESGO ESPECÍFICO EN TITULIZACIONES (MKR SA SEC) |
|
5.2.1. |
OBSERVACIONES GENERALES |
|
5.2.2. |
INSTRUCCIONES RELATIVAS A POSICIONES CONCRETAS |
|
5.3. |
C 20.00 — RIESGO DE MERCADO: MÉTODO ESTÁNDAR PARA EL RIESGO ESPECÍFICO DE POSICIONES ASIGNADAS A LA CARTERA DE NEGOCIACIÓN DE CORRELACIÓN (MKR SA CTP) |
|
5.3.1. |
OBSERVACIONES GENERALES |
|
5.3.2. |
INSTRUCCIONES RELATIVAS A POSICIONES CONCRETAS |
|
5.4. |
C 21.00 — RIESGO DE MERCADO: MÉTODO ESTÁNDAR PARA EL RIESGO DE POSICIÓN EN INSTRUMENTOS DE PATRIMONIO (MKR SA EQU) |
|
5.4.1. |
OBSERVACIONES GENERALES |
|
5.4.2. |
INSTRUCCIONES RELATIVAS A POSICIONES CONCRETAS |
|
5.5. |
C 22.00 — RIESGO DE MERCADO: MÉTODOS ESTÁNDAR PARA EL RIESGO DE TIPO DE CAMBIO (MKR SA FX) |
|
5.5.1. |
OBSERVACIONES GENERALES |
|
5.5.2. |
INSTRUCCIONES RELATIVAS A POSICIONES CONCRETAS |
|
5.6. |
C 23.00 — RIESGO DE MERCADO: MÉTODOS ESTÁNDAR PARA MATERIAS PRIMAS (MKR SA COM) |
|
5.6.1. |
OBSERVACIONES GENERALES |
|
5.6.2. |
INSTRUCCIONES RELATIVAS A POSICIONES CONCRETAS |
|
5.7. |
C 24.00 — MODELO INTERNO DE RIESGO DE MERCADO (MKR IM) |
|
5.7.1. |
OBSERVACIONES GENERALES |
|
5.7.2. |
INSTRUCCIONES RELATIVAS A POSICIONES CONCRETAS |
|
5.8. |
C 25.00 — RIESGO DE AJUSTE DE VALORACIÓN DEL CRÉDITO (CVA) |
|
5.8.1. |
INSTRUCCIONES RELATIVAS A POSICIONES CONCRETAS |
|
6. |
C 33.00 — EXPOSICIONES FRENTE A ADMINISTRACIONES PÚBLICAS (GOV) |
|
6.1. |
OBSERVACIONES GENERALES |
|
6.2. |
ALCANCE DE LA PLANTILLA SOBRE LAS EXPOSICIONES FRENTE A «ADMINISTRACIONES PÚBLICAS» |
|
6.3. |
INSTRUCCIONES RELATIVAS A POSICIONES CONCRETAS |
PARTE I: INSTRUCCIONES GENERALES
1. ESTRUCTURA Y CONVENCIONES
1.1. ESTRUCTURA
1. La información a remitir se agrupa en cinco bloques de plantillas:
a) adecuación del capital, que muestra una visión global del capital reglamentario y el importe total de la exposición al riesgo;
b) solvencia del grupo, que muestra una visión global del cumplimiento de los requisitos de solvencia por parte de todas las entidades individuales incluidas en el ámbito de consolidación de la entidad declarante;
c) riesgo de crédito (incluidos los riesgos de contraparte, de dilución y de liquidación);
d) riesgo de mercado (incluido el riesgo de posición en la cartera de negociación, el riesgo de tipo de cambio, el riesgo de materias primas y el riesgo de ajuste de valoración del crédito (AVC);
e) riesgo operativo.
2. Se facilitan referencias legales para cada plantilla. En esta parte de la norma técnica de ejecución, se ofrecen otros datos pormenorizados sobre aspectos más generales de la información de cada bloque de plantillas, instrucciones sobre determinadas posiciones, así como normas de validación.
3. Las entidades cumplimentarán únicamente las plantillas que resulten pertinentes en función del método utilizado para determinar los requisitos de fondos propios.
1.2. CONVENCIÓN SOBRE LA NUMERACIÓN
4. El documento sigue la convención sobre designación que se detalla en los apartados siguientes en lo que se refiere a las columnas, filas y celdas de las plantillas. Estos códigos numéricos se utilizan ampliamente en las normas de validación.
5. En las instrucciones se utiliza la notación general que sigue: {plantilla;fila;columna}.
6. En el caso de validaciones dentro de una plantilla en la que solo se utilicen puntos de datos de esa plantilla, las notaciones no hacen referencia a la plantilla: {fila;columna}.
7. En el caso de plantillas con una única columna, solo se hace referencia a las filas. {plantilla;fila}.
8. Se utiliza un asterisco para expresar que la validación se efectúa para las filas o las columnas especificadas.
1.3. CONVENCIÓN SOBRE LOS SIGNOS
9. Todo importe que eleve los fondos propios o los requisitos de capital debe expresarse como cifra positiva. Por el contrario, todo importe que reduzca el total de fondos propios o los requisitos de capital se expresará como cifra negativa. Cuando un signo negativo (-) preceda a la designación de una partida, no se comunicará ninguna cifra positiva para esa partida.
PARTE II: INSTRUCCIONES RELATIVAS A LAS PLANTILLAS
1. VISIÓN GENERAL DE LA ADECUACIÓN DEL CAPITAL (CA)
1.1. OBSERVACIONES GENERALES
10. Las plantillas CA contienen información sobre los numeradores del pilar I (fondos propios, capital de nivel 1, capital de nivel 1 ordinario), el denominador (requisitos de fondos propios) y las disposiciones transitorias, y se estructuran en cinco tipos:
a) La plantilla CA1 contiene el importe de los fondos propios de las entidades, desglosado en los elementos necesarios para alcanzar tal importe. El importe de los fondos propios obtenido comprende el efecto agregado de las disposiciones transitorias por tipo de capital.
b) En la plantilla CA2 se resumen los importes totales de las exposiciones al riesgo, según se especifican en el artículo 92, apartado 3, del Reglamento (UE) n.o 575/2013 («RRC»).
c) La plantilla CA3 contiene las ratios para las que el RRC establece un nivel mínimo, así como otros datos relacionados.
d) La plantilla CA4 contiene las partidas pro memoria necesarias para calcular las partidas de CA1, así como información relativa a los colchones de capital previstos en la DRC.
e) La plantilla CA5 contiene los datos necesarios para calcular el efecto de las disposiciones transitorias en los fondos propios. La plantilla CA5 dejará de existir cuando expiren las disposiciones transitorias.
11. Las plantillas se aplicarán a todas las entidades declarantes, con independencia de las normas contables que se apliquen, aunque algunas partidas del numerador son específicas de las entidades que aplican normas de valoración de tipo NIC/NIIF. En general, la información del denominador está vinculada a los resultados finales comunicados en las plantillas correspondientes para el cálculo del importe total de la exposición al riesgo.
12. Los fondos propios totales comprenden varios tipos de capital: capital de nivel 1, que consiste en la suma del capital de nivel 1 ordinario y el capital de nivel 1 adicional, y capital de nivel 2.
13. Las disposiciones transitorias se tratan como sigue en las plantillas CA:
a) Las partidas de CA1 se consignan generalmente sin considerar los ajustes transitorios. Esto significa que las cifras de las partidas de CA1 se calculan con arreglo a las disposiciones finales (es decir, como si no existiesen disposiciones transitorias), con la excepción de las partidas que resumen el efecto de las disposiciones transitorias. Por cada tipo de capital (es decir, capital de nivel 1 ordinario; capital de nivel 1 adicional y capital de nivel 2), existen tres partidas diferentes en las que se incluyen todos los ajustes debidos a las disposiciones transitorias.
b) Las disposiciones transitorias pueden afectar asimismo al déficit de capital de nivel 1 adicional y de capital de nivel 2 (es decir, el exceso de los elementos deducidos del capital de nivel 1 adicional o del capital de nivel 2, a que se refieren el artículo 36, apartado 1, letra j), y el artículo 56, letra e), del RRC, respectivamente) y, en este sentido, las partidas que expresan tales déficits pueden reflejar indirectamente el efecto de las disposiciones transitorias.
c) La plantilla CA5 se utiliza exclusivamente para la comunicación de información relativa a las disposiciones transitorias.
14. El tratamiento de los requisitos del pilar II puede diferir en el seno de la UE (el artículo 104, apartado 2, de la DRC IV ha de transponerse a la normativa nacional). Solo se incluirá en la información de solvencia prevista en el RRC la repercusión de los requisitos del pilar II en la ratio de solvencia o el objetivo de ratio. Una información pormenorizada de los requisitos del pilar II no forma parte del mandato del artículo 99 del RRC.
a) Las plantillas CA1, CA2 y CA5 únicamente contienen datos en relación con el pilar I.
b) La plantilla CA3 refleja el efecto de los requisitos del pilar II adicionales sobre la ratio de solvencia de manera agregada. Uno de los bloques se centra en la repercusión de los importes en las ratios, mientras que el otro se centra en la ratio en sí. Ninguno de los dos bloques relativos a las ratios presenta enlaces adicionales a las plantillas CA1, CA2 o CA5.
c) La plantilla CA4 contiene una celda relativa a los requisitos de fondos propios adicionales correspondientes al pilar II. Dicha celda carece de enlaces a las ratios de capital de la plantilla CA3 a través de las normas de validación, y refleja lo dispuesto en el artículo 104, apartado 2, de la DRC, en el que se mencionan explícitamente los requisitos de fondos propios adicionales como una posibilidad para las decisiones del pilar II.
1.2. C 01.00 — FONDOS PROPIOS (CA1)
1.2.1 Instrucciones relativas a posiciones concretas
|
Fila |
Referencias legales e instrucciones |
|
010 |
1. Fondos propios Artículo 4, apartado 1, punto 118, y artículo 72 del RRC. Los fondos propios de una entidad serán iguales a la suma de su capital de nivel 1 y su capital de nivel 2. |
|
015 |
1.1 Capital de nivel 1 Artículo 25 del RRC. El capital de nivel 1 es igual a la suma del capital de nivel 1 ordinario y el capital de nivel 1 adicional. |
|
020 |
1.1.1 Capital de nivel 1 ordinario Artículo 50 del RRC. |
|
030 |
1.1.1.1 Instrumentos de capital admisibles como capital de nivel 1 ordinario Artículo 26, apartado 1, letras a) y b), artículos 27 a 30, artículo 36, apartado 1, letra f), y artículo 42 del RRC. |
|
040 |
1.1.1.1.1 Instrumentos de capital desembolsados Artículo 26, apartado 1, letra a), y artículos 27 a 31 del RRC. Comprenderá los instrumentos de capital de sociedades mutuas, sociedades cooperativas o entidades similares (artículos 27 y 29 del RRC). No incluirá la prima de emisión conexa a los instrumentos. Incluirá los instrumentos de capital suscritos por autoridades públicas en situaciones de urgencia, siempre que se cumplan todas las condiciones previstas en el artículo 31 del RRC. |
|
045 |
1.1.1.1.1* De los cuales: instrumentos de capital suscritos por autoridades públicas en situaciones de urgencia Artículo 31 del RRC. Los instrumentos de capital suscritos por autoridades públicas en situaciones de urgencia se integrarán en el capital de nivel 1 ordinario si se cumplen todas las condiciones del artículo 31 del RRC. |
|
050 |
1.1.1.1.2* Pro memoria: instrumentos de capital no admisibles Artículo 28, apartado 1, letras b), l) y m), del RRC. Las condiciones consideradas en tales letras reflejan diversas situaciones del capital que no son irreversibles y, por tanto, el importe comunicado aquí puede ser admisible en períodos posteriores. El importe que debe comunicarse no incluirá la prima de emisión relacionada con los instrumentos. |
|
060 |
1.1.1.1.3 Prima de emisión Artículo 4, apartado 1, punto 124, artículo 26, apartado 1, letra b), del RRC. Prima de emisión tendrá el significado atribuido en el marco contable aplicable. El importe que debe consignarse en esta partida será la parte relacionada con los «Instrumentos de capital desembolsados». |
|
070 |
1.1.1.1.4 (-) Instrumentos propios de capital de nivel 1 ordinario Artículo 36, apartado 1, letra f), y artículo 42 del RRC. Capital de nivel 1 ordinario propio en manos de la entidad o el grupo declarantes en la fecha de información. Sin perjuicio de las excepciones previstas en el artículo 42 del RRC. Las tenencias de acciones incluidas como «Instrumentos de capital no admisibles» no se consignarán en esta fila. El importe que debe comunicarse incluirá la prima de emisión relacionada con las acciones propias. Las partidas 1.1.1.1.4 a 1.1.1.1.4.3 no incluyen obligaciones reales o contingentes de adquirir instrumentos propios de capital de nivel 1 ordinario. Las obligaciones reales o contingentes de adquirir instrumentos propios de capital de nivel 1 ordinario se comunican por separado en la partida 1.1.1.1.5. |
|
080 |
1.1.1.1.4.1 (-) Tenencias directas de instrumentos de capital de nivel 1 ordinario Artículo 36, apartado 1, letra f), y artículo 42 del RRC. Instrumentos de capital de nivel 1 ordinario incluidos en la partida 1.1.1.1 en manos de entidades del grupo consolidado. El importe que debe comunicarse incluirá las tenencias de la cartera de negociación calculadas sobre la base de la posición larga neta, según se establece en el artículo 42, letra a), del RRC. |
|
090 |
1.1.1.1.4.2 (-) Tenencias indirectas de instrumentos de capital de nivel 1 ordinario Artículo 4, apartado 1, punto 114, artículo 36, apartado 1, letra f), y artículo 42 del RRC. |
|
091 |
1.1.1.1.4.3 (-) Tenencias sintéticas de instrumentos de capital de nivel 1 ordinario Artículo 4, apartado 1, punto 126, artículo 36, apartado 1, letra f), y artículo 42 del RRC. |
|
092 |
1.1.1.1.5 (-) Obligaciones reales o contingentes de adquirir instrumentos propios de capital de nivel 1 ordinario Artículo 36, apartado 1, letra f), y artículo 42 del RRC. De conformidad con el artículo 36, apartado 1, letra f), del RRC, «los instrumentos propios de capital de nivel 1 ordinario que la entidad tenga la obligación real o contingente de adquirir en virtud de un compromiso contractual vigente» se deducirán. |
|
130 |
1.1.1.2 Ganancias acumuladas Artículo 26, apartado 1, letra c), y apartado 2, del RRC. Comprenden las ganancias acumuladas del ejercicio anterior, y los beneficios provisionales o de cierre de ejercicio admisibles. |
|
140 |
1.1.1.2.1 Ganancias acumuladas de ejercicios anteriores Artículo 4, apartado 1, punto 123, y artículo 26, apartado 1, letra c), del RRC. En el artículo 4, apartado 1, punto 123, del RRC se definen las ganancias acumuladas como los «resultados transferidos a ejercicios posteriores como consecuencia de la aplicación final de las pérdidas o ganancias con arreglo al marco contable aplicable». |
|
150 |
1.1.1.2.2 Resultados admisibles Artículo 4, apartado 1, punto 121, artículo 26, apartado 2, y artículo 36, apartado 1, letra a), del RRC. El artículo 26, apartado 2, del RRC permite la inclusión como ganancias acumuladas de los beneficios provisionales o de cierre de ejercicio, con el consentimiento previo de las autoridades competentes, si se cumplen ciertas condiciones. Por otro lado, las pérdidas se deducirán del capital de nivel 1 ordinario, como se dispone en el artículo 36, apartado 1, letra a), del RRC. |
|
160 |
1.1.1.2.2.1 Resultados atribuibles a los propietarios de la sociedad matriz Artículo 26, apartado 2, y artículo 36, apartado 1, letra a), del RRC. El importe que debe comunicarse será el resultado consignado en el estado contable de ingresos. |
|
170 |
1.1.1.2.2.2 (-) Parte del beneficio provisional o de cierre de ejercicio no admisible Artículo 26, apartado 2, del RRC. En esta fila no figurará ninguna cifra si, para el período de referencia, la entidad ha comunicado pérdidas, ya que estas se deducirán completamente del capital de nivel 1 ordinario. Si la entidad comunica beneficios, se informará de la parte que no es admisible con arreglo al artículo 26, apartado 2, del RRC (es decir, los beneficios no auditados y los gastos o dividendos previsibles). Nótese que, en el caso de los beneficios, el importe que debe deducirse consistirá, al menos, en los dividendos a cuenta. |
|
180 |
1.1.1.3 Otro resultado global acumulado Artículo 4, apartado 1, punto 100, y artículo 26, apartado 1, letra d), del RRC. El importe que debe comunicarse excluirá todo impuesto previsible en el momento del cálculo, y será previo a la aplicación de filtros prudenciales. El importe que debe comunicarse se determinará de acuerdo con el artículo 13, apartado 4, del Reglamento Delegado (UE) n.o 241/2014 de la Comisión. |
|
200 |
1.1.1.4 Otras reservas Artículo 4, apartado 1, punto 117, y artículo 26, apartado 1, letra e), del RRC. Otras reservas se define en el RRC como sigue: «reservas a tenor del marco contable aplicable que, con arreglo a esa norma contable aplicable, han de ser reveladas, con exclusión de todo posible importe ya incluido en otro resultado integral acumulado o en ganancias acumuladas». Del importe que se comunique se deducirá todo impuesto previsible en el momento en que se calcule. |
|
210 |
1.1.1.5 Fondos para riesgos bancarios generales Artículo 4, apartado 1, punto 112, y artículo 26, apartado 1, letra f), del RRC. Los fondos para riesgos bancarios generales se definen en el artículo 38 de la Directiva 86/635/CEE como los «importes que la entidad de crédito decida asignar a la cobertura de tales riesgos, cuando motivos de prudencia lo exijan, habida cuenta de los riesgos particulares inherentes a las operaciones bancarias». Del importe que se comunique se deducirá todo impuesto previsible en el momento en que se calcule. |
|
220 |
1.1.1.6 Ajustes transitorios debidos a instrumentos de capital de nivel 1 ordinario en régimen de anterioridad Artículo 483, apartados 1 a 3, y artículos 484 a 487 del RRC. Cuantía de los instrumentos de capital incluidos de manera transitoria, en virtud de disposiciones de anterioridad, en el capital de nivel 1 ordinario. El importe que debe comunicarse se obtiene directamente de CA5. |
|
230 |
1.1.1.7 Intereses minoritarios reconocidos en el capital de nivel 1 ordinario Artículo 4, apartado 1, punto 120, y artículo 84 del RRC. Suma de todos los importes de los intereses minoritarios de filiales que se incluye en el capital de nivel 1 ordinario consolidado. |
|
240 |
1.1.1.8 Ajustes transitorios debidos a intereses minoritarios adicionales Artículos 479 y 480 del RRC. Ajustes de los intereses minoritarios debidos a disposiciones transitorias. Esta partida se obtiene directamente de CA5. |
|
250 |
1.1.1.9 Ajustes del capital de nivel 1 ordinario debidos a filtros prudenciales Artículos 32 a 35 del RRC. |
|
260 |
1.1.1.9.1 (-) Incrementos del patrimonio neto derivados de activos titulizados Artículo 32, apartado 1, del RRC. El importe que debe comunicarse es el incremento del patrimonio neto de la entidad derivado de los activos titulizados, con arreglo al marco contable aplicable. Por ejemplo, esta partida comprende los ingresos por márgenes futuros que den lugar a una plusvalía para la entidad, o, para las entidades originadoras, las ganancias netas derivadas de la capitalización de futuros ingresos procedentes de los activos titulizados que proporcionen una mejora crediticia a las posiciones de titulización. |
|
270 |
1.1.1.9.2 Reserva de cobertura de flujos de efectivo Artículo 33, apartado 1, letra a), del RRC. El importe que debe comunicarse puede ser positivo o negativo. Será positivo si las coberturas de flujos de efectivo dan lugar a una pérdida (es decir, si reducen el patrimonio neto contable), y viceversa. En este sentido, el signo será contrario al utilizado en los estados contables. Del importe se deducirá todo impuesto previsible en el momento en que se calcule. |
|
280 |
1.1.1.9.3 Pérdidas y ganancias acumuladas debidas a cambios en el riesgo de crédito propio relacionado con pasivos valorados a valor razonable Artículo 33, apartado 1, letra b), del RRC. El importe que debe comunicarse puede ser positivo o negativo. Será positivo si existe una pérdida debida a cambios en el riesgo de crédito propio (es decir, si se reduce el patrimonio neto contable), y viceversa. En este sentido, el signo será contrario al utilizado en los estados contables. Los beneficios no auditados no se incluirán en esta partida. |
|
285 |
1.1.1.9.4 Pérdidas y ganancias a valor razonable derivadas del propio riesgo de crédito de la entidad relacionado con los pasivos por derivados Artículo 33, apartado 1, letra c), y apartado 2, del RRC. El importe que debe comunicarse puede ser positivo o negativo. Será positivo si existe una pérdida debida a cambios en el riesgo de crédito propio, y viceversa. En este sentido, el signo será contrario al utilizado en los estados contables. Los beneficios no auditados no se incluirán en esta partida. |
|
290 |
1.1.1.9.5 (-) Ajustes por valoración debidos a los requisitos por valoración prudente Artículos 34 y 105 del RRC. Ajustes del valor razonable de exposiciones incluidas en la cartera de negociación o en la cartera de inversión a causa de las normas más rigurosas de valoración prudente establecidas en el artículo 105 del RRC. |
|
300 |
1.1.1.10 (-) Fondo de comercio Artículo 4, apartado 1, punto 113, artículo 36, apartado 1, letra b), y artículo 37 del RRC. |
|
310 |
1.1.1.10.1 (-) Fondo de comercio contabilizado como activo intangible Artículo 4, apartado 1, punto 113, y artículo 36, apartado 1, letra b), del RRC. Fondo de comercio tendrá el significado atribuido en el marco contable aplicable. El importe que debe consignarse aquí será el mismo que figure en el balance. |
|
320 |
1.1.1.10.2 (-) Fondo de comercio incluido en la valoración de inversiones significativas Artículo 37, letra b), y artículo 43 del RRC. |
|
330 |
1.1.1.10.3 Pasivos por impuestos diferidos asociados al fondo de comercio Artículo 37, letra a), del RRC. Importe de los pasivos por impuestos diferidos que se extinguirían si el fondo de comercio perdiera valor por deterioro o se diese de baja en cuentas con arreglo al marco contable pertinente. |
|
340 |
1.1.1.11 (-) Otros activos intangibles Artículo 4, apartado 1, punto 115, artículo 36, apartado 1, letra b), y artículo 37, letra a), del RRC. Otros activos intangibles comprenden los activos intangibles con arreglo al marco contable aplicable, menos el fondo de comercio, también conforme a dicho marco. |
|
350 |
1.1.1.11.1 (-) Otros activos intangibles antes de deducir los pasivos por impuestos diferidos Artículo 4, apartado 1, punto 115, y artículo 36, apartado 1, letra b), del RRC. Otros activos intangibles comprenden los activos intangibles con arreglo al marco contable aplicable, menos el fondo de comercio, también conforme a dicho marco. El importe que debe consignarse aquí corresponderá al que figure en el balance de activos intangibles distintos del fondo de comercio. |
|
360 |
1.1.1.11.2 Pasivos por impuestos diferidos asociados a otros activos intangibles Artículo 37, letra a), del RRC. Importe de los pasivos por impuestos diferidos que se extinguirían si los activos intangibles ajenos al fondo de comercio perdieran valor por deterioro o se diesen de baja en cuentas con arreglo al marco contable aplicable. |
|
370 |
1.1.1.12 (-) Activos por impuestos diferidos que dependan de rendimientos futuros y no se deriven de diferencias temporales, deducidos los pasivos por impuestos conexos Artículo 36, apartado 1, letra c), y artículo 38 del RRC. |
|
380 |
1.1.1.13 (-) Insuficiencia de los ajustes por riesgo de crédito según el método IRB respecto a las pérdidas esperadas Artículo 36, apartado 1, letra d), y artículos 40, 158 y 159 del RRC. El importe que debe comunicarse no se verá minorado por el aumento del nivel de activos por impuestos diferidos que dependan de rendimientos futuros, u otros efectos fiscales adicionales, que podría producirse si las provisiones se elevaran en la misma medida que las pérdidas esperadas (artículo 40 del RRC). |
|
390 |
1.1.1.14 (-) Activos de fondos de pensiones de prestaciones definidas Artículo 4, apartado 1, punto 109, artículo 36, apartado 1, letra e), y artículo 41 del RRC. |
|
400 |
1.1.1.14.1 (-) Activos de fondos de pensiones de prestaciones definidas Artículo 4, apartado 1, punto 109, y artículo 36, apartado 1, letra e), del RRC. Los activos de fondos de pensiones de prestaciones definidas se definen como «los activos de un fondo de pensiones o de un plan de prestaciones definidas, según proceda, calculados tras haberles sido descontado el importe de las obligaciones que se derivan de ese mismo fondo o plan». El importe que debe consignarse aquí corresponderá al que figure en el balance (si se comunica por separado). |
|
410 |
1.1.1.14.2 Pasivos por impuestos diferidos asociados a activos de fondos de pensiones de prestaciones definidas Artículo 4, apartado 1, puntos 108 y 109, y artículo 41, apartado 1, letra a), del RRC. Importe de los pasivos por impuestos diferidos que se extinguirían si los activos de fondos de pensiones de prestaciones definidas perdieran valor por deterioro o se diesen de baja en cuentas con arreglo al marco contable aplicable. |
|
420 |
1.1.1.14.3 Activos de fondos de pensiones de prestaciones definidas que la entidad puede utilizar sin restricciones Artículo 4, apartado 1, punto 109, y artículo 41, apartado 1, letra b), del RRC. En esta partida solo figurarán importes si existe un consentimiento previo de la autoridad competente para reducir la cuantía de los activos de fondos de pensiones de prestaciones definidas que ha de deducirse. Los activos incluidos en esta fila recibirán una ponderación de riesgo por requisitos de riesgo de crédito. |
|
430 |
1.1.1.15 (-) Tenencias recíprocas en el capital de nivel 1 ordinario Artículo 4, apartado 1, punto 122, artículo 36, apartado 1, letra g), y artículo 44 del RRC. Tenencias de instrumentos de capital de nivel 1 ordinario de entes del sector financiero (según se definen en el artículo 4, punto 27, del RRC), en los casos en que existe una tenencia recíproca que, a juicio de la autoridad competente, esté destinada a incrementar artificialmente los fondos propios de la entidad. El importe que debe comunicarse se calculará basándose en las posiciones largas brutas e incluirá los elementos de los fondos propios de nivel 1 de seguros. |
|
440 |
1.1.1.16 (-) Exceso de los elementos deducidos del capital de nivel 1 adicional con respecto al capital de nivel 1 adicional Artículo 36, apartado 1, letra j), del RRC. El importe que se debe comunicar se obtiene directamente de la partida CA1 «Exceso de los elementos deducidos del capital de nivel 1 adicional con respecto al capital de nivel 1 adicional». El importe ha de deducirse del capital de nivel 1 ordinario. |
|
450 |
1.1.1.17 (-) Participaciones cualificadas fuera del sector financiero que pueden someterse alternativamente a una ponderación de riesgo del 1 250 % Artículo 4, apartado 1, punto 36, artículo 36, apartado 1, letra k), inciso i), y artículos 89 a 91 del RRC. Una participación cualificada se define como una «participación directa o indirecta en una empresa que represente el 10 % o más del capital o de los derechos de voto o que permita ejercer una influencia notable en la gestión de dicha empresa». De conformidad con el artículo 36, apartado 1, letra k), inciso i), del RRC, las participaciones pueden deducirse, alternativamente, del capital de nivel 1 ordinario (utilizando esta partida), o someterse a una ponderación de riesgo del 1 250 %. |
|
460 |
1.1.1.18 (-) Posiciones de titulización que pueden someterse alternativamente a una ponderación de riesgo del 1 250 % Artículo 36, apartado 1, letra k), inciso ii), artículo 243, apartado 1, letra b), artículo 244, apartado 1, letra b), artículo 258 y artículo 266, apartado 3, del RRC. Posiciones de titulización que se someten a una ponderación de riesgo del 1 250 %, pero que, alternativamente, se permite que sean deducidas del capital de nivel 1 ordinario (artículo 36, apartado 1, letra k), inciso ii), del RRC). En este último caso, se consignarán en esta partida. |
|
470 |
1.1.1.19 (-) Operaciones incompletas que pueden someterse alternativamente a una ponderación de riesgo del 1 250 % Artículo 36, apartado 1, letra k), inciso iii), y artículo 379, apartado 3, del RRC. Las operaciones incompletas se someten a una ponderación de riesgo del 1 250 % transcurridos cinco días desde el segundo componente contractual de pago o entrega hasta la extinción de la transacción, con arreglo a los requisitos de fondos propios por riesgo de liquidación. Como alternativa, se permite su deducción del capital de nivel 1 ordinario (artículo 36, apartado 1, letra k), inciso iii), del RRC). En este último caso, se consignarán en esta partida. |
|
471 |
1.1.1.20 (-) Posiciones en una cesta respecto a las que una entidad no puede determinar la ponderación de riesgo según el método IRB, y que, alternativamente, pueden someterse a una ponderación de riesgo del 1 250 % Artículo 36, apartado 1, letra k), inciso iv), y artículo 153, apartado 8, del RRC. De conformidad con el artículo 36, apartado 1, letra k), inciso iv), del RRC, las posiciones pueden deducirse, alternativamente, del capital de nivel 1 ordinario (utilizando esta partida), o someterse a una ponderación de riesgo del 1 250 %. |
|
472 |
1.1.1.21 (-) Exposiciones de renta variable con arreglo a un método de modelos internos que pueden someterse alternativamente a una ponderación de riesgo del 1 250 % Artículo 36, apartado 1, letra k), inciso v), y artículo 155, apartado 4, del RRC. De conformidad con el artículo 36, apartado 1, letra k), inciso v), del RRC, las exposiciones pueden deducirse, alternativamente, del capital de nivel 1 ordinario (utilizando esta partida), o someterse a una ponderación de riesgo del 1 250 %. |
|
480 |
1.1.1.22 (-) Instrumentos de capital de nivel 1 ordinario de entes del sector financiero en los que la entidad no tiene una inversión significativa Artículo 4, apartado 1, punto 27, artículo 36, apartado 1, letra h), artículos 43 a 46, artículo 49, apartados 2 y 3, y artículo 79 del RRC. Parte de las tenencias de la entidad de instrumentos de entes del sector financiero (según se definen en el artículo 4, apartado 1, punto 27, del RRC) en los que la entidad no tenga una inversión significativa que deba deducirse del capital de nivel 1 ordinario. Véanse alternativas a la deducción cuando se aplica la consolidación (artículo 49, apartados 2 y 3). |
|
490 |
1.1.1.23 (-) Activos por impuestos diferidos deducibles que dependan de rendimientos futuros y se originen por diferencias temporales Artículo 36, apartado 1, letra c), artículo 38 y artículo 48, apartado 1, letra a), del RRC. Parte de los activos por impuestos diferidos que dependan de rendimientos futuros y se originen por diferencias temporales (deducida la parte de los pasivos por impuestos diferidos conexos asignada a los activos por impuestos diferidos que se originen por diferencias temporales, con arreglo al artículo 38, apartado 5, letra b), del RRC) que ha de deducirse, aplicando el umbral del 10 % previsto en el artículo 48, apartado 1, letra a), del RRC. |
|
500 |
1.1.1.24 (-) Instrumentos de capital de nivel 1 ordinario de entes del sector financiero en los que la entidad tiene una inversión significativa Artículo 4, apartado 1, punto 27, artículo 36, apartado 1, letra i), artículos 43, 45 y 47, artículo 48, apartado 1, letra b), artículo 49, apartados 1 a 3, y artículo 79 del RRC. Parte de las tenencias de la entidad de instrumentos de capital de nivel 1 ordinario de entes del sector financiero (según se definen en el artículo 4, apartado 1, punto 27, del RRC) en los que la entidad tenga una inversión significativa que deba deducirse, aplicando el umbral del 10 % previsto en el artículo 48, apartado 1, letra b), del RRC. Véanse alternativas a la deducción cuando se aplica la consolidación (artículo 49, apartados 1, 2 y 3). |
|
510 |
1.1.1.25 (-) Importe superior al umbral del 17,65 % Artículo 48, apartado 1, del RRC. Parte de los activos por impuestos diferidos que dependan de rendimientos futuros y originados por diferencias temporales, y las tenencias directas e indirectas de la entidad de instrumentos de capital de nivel 1 ordinario de entes del sector financiero (según se definen en el artículo 4, apartado 1, punto 27, del RRC) en los que la entidad tenga una inversión significativa que deba deducirse, aplicando el umbral del 17,65 % previsto en el artículo 48, apartado 1, del RRC. |
|
520 |
1.1.1.26 Otros ajustes transitorios del capital de nivel 1 ordinario Artículos 469 a 472, 478 y 481 del RRC. Ajustes de las deducciones debidos a disposiciones transitorias. El importe que debe comunicarse se obtiene directamente de CA5. |
|
524 |
1.1.1.27 (-) Deducciones adicionales del capital de nivel 1 ordinario debidas al artículo 3 del RRC Artículo 3 del RRC. |
|
529 |
1.1.1.28 Elementos o deducciones del capital de nivel 1 ordinario — otros Esta fila se ha creado para proporcionar flexibilidad únicamente a efectos de información. Solo se cumplimentará en los casos infrecuentes en los que no se haya adoptado una decisión final sobre la comunicación de determinados elementos o deducciones del capital en la actual plantilla CA1. Como consecuencia, esta fila solo se cumplimentará si un elemento del capital de nivel 1 ordinario, o una deducción de un elemento del capital de nivel 1 ordinario, no puede asignarse a una de las filas 020 a 524. Esta celda no se utilizará para incluir elementos o deducciones del capital que no cubra el RRC en el cálculo de ratios de solvencia (p. ej., una asignación de elementos o deducciones del capital nacionales que queden fuera del ámbito de aplicación del RRC). |
|
530 |
1.1.2 CAPITAL DE NIVEL 1 ADICIONAL Artículo 61 del RRC. |
|
540 |
1.1.2.1 Instrumentos de capital admisibles como capital de nivel 1 adicional Artículo 51, letra a), artículos 52 a 54, artículo 56, letra a), y artículo 57 del RRC. |
|
550 |
1.1.2.1.1 Instrumentos de capital desembolsados Artículo 51, letra a), y artículos 52 a 54 del RRC. El importe que debe comunicarse no incluirá la prima de emisión relacionada con los instrumentos. |
|
560 |
1.1.2.1.2 (*) Pro memoria: instrumentos de capital no admisibles Artículo 52, apartado 1, letras c), e) y f), del RRC. Las condiciones consideradas en tales letras reflejan diversas situaciones del capital que no son irreversibles y, por tanto, el importe comunicado aquí puede ser admisible en períodos posteriores. El importe que debe comunicarse no incluirá la prima de emisión relacionada con los instrumentos. |
|
570 |
1.1.2.1.3 Prima de emisión Artículo 51, letra b), del RRC. Prima de emisión tendrá el significado atribuido en el marco contable aplicable. El importe que debe consignarse en esta partida será la parte relacionada con los «Instrumentos de capital desembolsados». |
|
580 |
1.1.2.1.4 (-) Instrumentos propios de capital de nivel 1 adicional Artículo 52, apartado 1, letra b), artículo 56, letra a), y artículo 57 del RRC. Instrumentos propios de capital de nivel 1 adicional en manos de la entidad o el grupo declarantes en la fecha de información. Sin perjuicio de las excepciones previstas en el artículo 57 del RRC. Las tenencias de acciones incluidas como «Instrumentos de capital no admisibles» no se consignarán en esta fila. El importe que debe comunicarse incluirá la prima de emisión relacionada con las acciones propias. Las partidas 1.1.2.1.4 a 1.1.2.1.4.3 no incluyen obligaciones reales o contingentes de adquirir instrumentos propios de capital de nivel 1 ordinario. Las obligaciones reales o contingentes de adquirir instrumentos propios de capital de nivel 1 adicional se comunican por separado en la partida 1.1.2.1.5. |
|
590 |
1.1.2.1.4.1 (-) Tenencias directas de instrumentos de capital de nivel 1 adicional Artículo 4, apartado 1, punto 114, artículo 52, apartado 1, letra b), artículo 56, letra a), y artículo 57 del RRC. Instrumentos de capital de nivel 1 adicional incluidos en la partida 1.1.2.1.1 en manos de entidades del grupo consolidado. |
|
620 |
1.1.2.1.4.2 (-) Tenencias indirectas de instrumentos de capital de nivel 1 adicional Artículo 52, apartado 1, letra b), inciso ii), artículo 56, letra a), y artículo 57 del RRC. |
|
621 |
1.1.2.1.4.3 (-) Tenencias sintéticas de instrumentos de capital de nivel 1 adicional Artículo 4, apartado 1, punto 126, artículo 52, apartado 1, letra b), artículo 56, letra a), y artículo 57 del RRC. |
|
622 |
1.1.2.1.5 (-) Obligaciones reales o contingentes de adquirir instrumentos propios de capital de nivel 1 adicional Artículo 56, letra a), y artículo 57 del RRC. De conformidad con el artículo 56, letra a), del RRC, se deducirán «los instrumentos propios de capital de nivel 1 adicional que la entidad pueda estar obligada a adquirir como consecuencia de compromisos contractuales vigentes». |
|
660 |
1.1.2.2 Ajustes transitorios debidos a instrumentos de capital de nivel 1 adicional en régimen de anterioridad Artículo 483, apartados 4 y 5, artículos 484 a 487, 489 y 491 del RRC. Cuantía de los instrumentos de capital incluidos de manera transitoria, en virtud de disposiciones de anterioridad, como capital de nivel 1 adicional. El importe que debe comunicarse se obtiene directamente de CA5. |
|
670 |
1.1.2.3 Instrumentos emitidos por filiales reconocidos en el capital de nivel 1 adicional Artículos 83, 85 y 86 del RRC. Suma de todos los importes de capital de nivel 1 admisible de filiales que se incluye en el capital de nivel 1 adicional consolidado. Se incluirá el capital de nivel 1 adicional admisible emitido por una entidad de cometido especial (artículo 83 del RRC). |
|
680 |
1.1.2.4 Ajustes transitorios debidos al reconocimiento adicional en el capital de nivel 1 adicional de instrumentos emitidos por filiales Artículo 480 del RRC. Ajustes del capital de nivel 1 admisible incluido en el capital de nivel 1 adicional consolidado debido a disposiciones transitorias. Esta partida se obtiene directamente de CA5. |
|
690 |
1.1.2.5 (-) Tenencias recíprocas en el capital de nivel 1 adicional Artículo 4, apartado 1, punto 122, artículo 56, letra b), y artículo 58 del RRC. Tenencias de instrumentos de capital de nivel 1 adicional de entes del sector financiero (según se definen en el artículo 4, apartado 1, punto 27, del RRC), en los casos en que existe una tenencia recíproca que, a juicio de la autoridad competente, esté destinada a incrementar artificialmente los fondos propios de la entidad. El importe que debe comunicarse se calculará basándose en las posiciones largas brutas, e incluirá los elementos de los fondos propios adicionales de nivel 1 de seguros. |
|
700 |
1.1.2.6 (-) Instrumentos de capital de nivel 1 adicional de entes del sector financiero en los que la entidad no tiene una inversión significativa Artículo 4, apartado 1, punto 27, artículo 56, letra c), y artículos 59, 60 y 79 del RRC. Parte de las tenencias de la entidad de instrumentos de entes del sector financiero (según se definen en el artículo 4, apartado 1, punto 27, del RRC) en los que la entidad no tenga una inversión significativa que deba deducirse del capital de nivel 1 adicional. |
|
710 |
1.1.2.7 (-) Instrumentos de capital de nivel 1 adicional de entes del sector financiero en los que la entidad tiene una inversión significativa Artículo 4, apartado 1, punto 27, artículo 56, letra d), y artículos 59 y 79 del RRC. Las tenencias por la entidad de instrumentos de capital de nivel 1 adicional de entes del sector financiero (según se definen en el artículo 4, apartado 1, punto 27, del RRC) en los que la entidad tenga una inversión significativa se deducen en su totalidad. |
|
720 |
1.1.2.8 (-) Exceso de los elementos deducidos del capital de nivel 2 con respecto al capital de nivel 2 Artículo 56, letra e), del RRC. El importe que debe comunicarse se obtiene directamente de la partida CA1 «Exceso de los elementos deducidos del capital de nivel 2 con respecto al capital de nivel 2 (deducido en el capital de nivel 1 adicional)». |
|
730 |
1.1.2.9 Otros ajustes transitorios del capital de nivel 1 adicional Artículos 474, 475, 478 y 481 del RRC. Ajustes debidos a disposiciones transitorias. El importe que debe comunicarse se obtiene directamente de CA5. |
|
740 |
1.1.2.10 (-) Exceso de los elementos deducidos del capital de nivel 1 adicional con respecto al capital de nivel 1 adicional (deducido en el capital de nivel 1 ordinario) Artículo 36, apartado 1, letra j), del RRC. El capital de nivel 1 adicional no puede ser negativo, pero es posible que las deducciones en ese capital superen en cuantía al capital de nivel 1 adicional más la prima de emisión asociada. Cuando se dé tal circunstancia, el capital de nivel 1 adicional ha de equivaler a cero, y el exceso de las deducciones en el capital de nivel 1 adicional ha de deducirse del capital de nivel 1 ordinario. Con esta partida, se consigue que la suma de las partidas 1.1.2.1 a 1.1.2.12 nunca sea inferior a cero. Así, si esta partida presenta una cifra positiva, el importe de la partida 1.1.1.16 será el inverso de tal cifra. |
|
744 |
1.1.2.11 (-) Deducciones adicionales del capital de nivel 1 adicional debidas al artículo 3 del RRC Artículo 3 del RRC. |
|
748 |
1.1.2.12 Elementos o deducciones del capital de nivel 1 adicional — otros Esta fila se ha creado para proporcionar flexibilidad únicamente a efectos de información. Solo se cumplimentará en los casos infrecuentes en los que no se haya adoptado una decisión final sobre la comunicación de determinados elementos o deducciones del capital en la actual plantilla CA1. Como consecuencia, esta fila solo se cumplimentará si un elemento del capital de nivel 1 adicional, o una deducción de un elemento del capital de nivel 1 adicional, no puede asignarse a una de las filas 530 a 744. Esta celda no se utilizará para incluir elementos o deducciones del capital que no cubra el RRC en el cálculo de ratios de solvencia (p. ej., una asignación de elementos o deducciones del capital nacionales que queden fuera del ámbito de aplicación del RRC). |
|
750 |
1.2 CAPITAL DE NIVEL 2 Artículo 71 del RRC. |
|
760 |
1.2.1 Instrumentos de capital y préstamos subordinados admisibles como capital de nivel 2 Artículo 62, letra a), artículos 63 a 65, artículo 66, letra a), y artículo 67 del RRC. |
|
770 |
1.2.1.1 Instrumentos de capital desembolsados y préstamos subordinados Artículo 62, letra a), y artículos 63 y 65 del RRC. El importe que debe comunicarse no incluirá la prima de emisión relacionada con los instrumentos. |
|
780 |
1.2.1.2 (*) Pro memoria: Instrumentos de capital y préstamos subordinados no admisibles Artículo 63, letras c), e) y f), y artículo 64 del RRC. Las condiciones consideradas en tales letras reflejan diversas situaciones del capital que no son irreversibles y, por tanto, el importe comunicado aquí puede ser admisible en períodos posteriores. El importe que debe comunicarse no incluirá la prima de emisión relacionada con los instrumentos. |
|
790 |
1.2.1.3 Prima de emisión Artículo 62, letra b), y artículo 65 del RRC. Prima de emisión tendrá el significado atribuido en el marco contable aplicable. El importe que debe consignarse en esta partida será la parte relacionada con los «Instrumentos de capital desembolsados». |
|
800 |
1.2.1.4 (-) Instrumentos propios de capital de nivel 2 Artículo 63, letra b), inciso i), artículo 66, letra a), y artículo 67 del RRC. Instrumentos propios de capital de nivel 2 en manos de la entidad o el grupo declarantes en la fecha de información. Sin perjuicio de las excepciones previstas en el artículo 67 del RRC. Las tenencias de acciones incluidas como «Instrumentos de capital no admisibles» no se consignarán en esta fila. El importe que debe comunicarse incluirá la prima de emisión relacionada con las acciones propias. Las partidas 1.2.1.4 a 1.2.1.4.3 no incluyen obligaciones reales o contingentes de adquirir instrumentos propios de capital de nivel 2. Las obligaciones reales o contingentes de adquirir instrumentos propios de capital de nivel 2 se comunican por separado en la partida 1.2.1.5. |
|
810 |
1.2.1.4.1 (-) Tenencias directas de instrumentos de capital de nivel 2 Artículo 63, letra b), artículo 66, letra a), y artículo 67 del RRC. Instrumentos de capital de nivel 2 incluidos en la partida 1.2.1.1 en manos de las entidades del grupo consolidado. |
|
840 |
1.2.1.4.2 (-) Tenencias indirectas de instrumentos de capital de nivel 2 Artículo 4, apartado 1, punto 114, artículo 63, letra b), artículo 66, letra a), y artículo 67 del RRC. |
|
841 |
1.2.1.4.3 (-) Tenencias sintéticas de instrumentos de capital de nivel 2 Artículo 4, apartado 1, punto 126, artículo 63, letra b), artículo 66, letra a), y artículo 67 del RRC. |
|
842 |
1.2.1.5 (-) Obligaciones reales o contingentes de adquirir instrumentos propios de capital de nivel 2 Artículo 66, letra a), y artículo 67 del RRC. De conformidad con el artículo 66, letra a), del RRC, se deducirán «los instrumentos propios de capital de nivel 2 que la entidad pueda estar obligada a adquirir como consecuencia de compromisos contractuales vigentes». |
|
880 |
1.2.2 Ajustes transitorios debidos a instrumentos de capital de nivel 2 y préstamos subordinados en régimen de anterioridad Artículo 483, apartados 6 y 7, y artículos 484, 486, 488, 490 y 491 del RRC. Cuantía de los instrumentos de capital acogidos de manera transitoria a disposiciones de anterioridad incluidos en el capital de nivel 2. El importe que debe comunicarse se obtiene directamente de CA5. |
|
890 |
1.2.3 Instrumentos emitidos por filiales reconocidos en el capital de nivel 2 Artículos 83, 87 y 88 del RRC. Suma de todos los importes de fondos propios admisibles de filiales que se incluye en el capital de nivel 2 consolidado. Se incluirá el capital de nivel 2 admisible emitido por una entidad de cometido especial (artículo 83 del RRC). |
|
900 |
1.2.4 Ajustes transitorios debidos al reconocimiento adicional en el capital de nivel 2 de instrumentos emitidos por filiales Artículo 480 del RRC. Ajustes de los fondos propios admisibles incluidos en el capital consolidado de nivel 2 debido a disposiciones transitorias. Esta partida se obtiene directamente de CA5. |
|
910 |
1.2.5 Exceso de provisiones según el método IRB sobre las pérdidas esperadas admisibles Artículo 62, letra d), del RRC. Para las entidades que calculan los importes de las exposiciones ponderadas por riesgo de conformidad con el método IRB, esta partida contiene los importes positivos resultantes de comparar las provisiones y las pérdidas esperadas que son admisibles como capital de nivel 2. |
|
920 |
1.2.6 Ajustes por riesgo de crédito general por el método estándar Artículo 62, letra c), del RRC. Para las entidades que calculan los importes de las exposiciones ponderadas por riesgo de conformidad con el método estándar, esta partida contiene los ajustes por riesgo de crédito general admisibles como capital de nivel 2. |
|
930 |
1.2.7 (-) Tenencias recíprocas en el capital de nivel 2 Artículo 4, apartado 1, punto 122, artículo 66, letra b), y artículo 68 del RRC. Tenencias de instrumentos de capital de nivel 2 de entes del sector financiero (según se definen en el artículo 4, apartado 1, punto 27, del RRC), en los casos en que existe una tenencia recíproca que, a juicio de la autoridad competente, esté destinada a incrementar artificialmente los fondos propios de la entidad. El importe que debe comunicarse se calculará basándose en las posiciones largas brutas, e incluirá los elementos de los fondos propios de niveles 2 y 3 de seguros. |
|
940 |
1.2.8 (-) Instrumentos de capital de nivel 2 de entes del sector financiero en los que la entidad no tiene una inversión significativa Artículo 4, apartado 1, punto 27, artículo 66, letra c), artículos 68 a 70 y artículo 79 del RRC. Parte de las tenencias de la entidad de instrumentos de entes del sector financiero (según se definen en el artículo 4, apartado 1, punto 27, del RRC) en los que la entidad no tenga una inversión significativa que deba deducirse del capital de nivel 2. |
|
950 |
1.2.9 (-) Instrumentos de capital de nivel 2 de entes del sector financiero en los que la entidad tiene una inversión significativa Artículo 4, apartado 1, punto 27, artículo 66, letra d), y artículos 68, 69 y 79 del RRC. Las tenencias por la entidad de instrumentos de capital de nivel 2 de entes del sector financiero (según se definen en el artículo 4, apartado 1, punto 27, del RRC) en los que la entidad tenga una inversión significativas, se deducirán en su totalidad. |
|
960 |
1.2.10 Otros ajustes transitorios del capital de nivel 2 Artículos 476 a 478 y artículo 481 del RRC. Ajustes debidos a disposiciones transitorias. El importe que debe comunicarse se obtendrá directamente de CA5. |
|
970 |
1.2.11 Exceso de los elementos deducidos del capital de nivel 2 con respecto al capital de nivel 2 (deducido en el capital de nivel 1 adicional) Artículo 56, letra e), del RRC. El capital de nivel 2 no puede ser negativo, pero es posible que las deducciones en ese capital superen en cuantía al capital de nivel 2 más la prima de emisión asociada. Cuando se dé tal circunstancia, el capital de nivel 2 equivaldrá a cero, y el exceso de las deducciones en el capital de nivel 2 se deducirá del capital de nivel 1 adicional. Con esta partida, la suma de las partidas 1.2.1 a 1.2.13 nunca es inferior a cero. Si esta partida presenta una cifra positiva, el importe de la partida 1.1.2.8 será el inverso de tal cifra. |
|
974 |
1.2.12 (-) Deducciones adicionales del capital de nivel 2 debidas al artículo 3 del RRC Artículo 3 del RRC. |
|
978 |
1.2.13 Elementos o deducciones del capital de nivel 2 — otros Esta fila se ha creado para proporcionar flexibilidad únicamente a efectos de información. Solo se cumplimentará en los casos infrecuentes en los que no se haya adoptado una decisión final sobre la comunicación de determinados elementos o deducciones del capital en la actual plantilla CA1. Como consecuencia, esta fila solo se cumplimentará si un elemento del capital de nivel 2 o una deducción de un elemento del capital de nivel 2 no puede asignarse a una de las filas 750 a 974. Esta celda no se utilizará para incluir elementos o deducciones del capital que no cubra el RRC en el cálculo de ratios de solvencia (p. ej., una asignación de elementos o deducciones del capital nacionales que queden fuera del ámbito de aplicación del RRC). |
1.3. C 02.00 — REQUISITOS DE FONDOS PROPIOS (CA2)
1.3.1 Instrucciones relativas a posiciones concretas
|
Fila |
Referencias legales e instrucciones |
|
010 |
1. TOTAL DE LA EXPOSICIÓN AL RIESGO Artículo 92, apartado 3, y artículos 95, 96 y 98 del RRC. |
|
020 |
1* Del cual: empresas de inversión con arreglo al artículo 95, apartado 2, y al artículo 98 del RRC Para empresas de inversión con arreglo al artículo 95, apartado 2, y al artículo 98 del RRC. |
|
030 |
1** Del cual: empresas de inversión con arreglo al artículo 96, apartado 2, y al artículo 97 del RRC Para empresas de inversión con arreglo al artículo 96, apartado 2, y al artículo 97 del RRC. |
|
040 |
1.1 IMPORTE DE LAS EXPOSICIONES PONDERADAS POR RIESGO DE CRÉDITO, CONTRAPARTE Y DILUCIÓN Y OPERACIONES INCOMPLETAS Artículo 92, apartado 3, letras a) y f), del RRC. |
|
050 |
1.1.1 Método estándar Plantillas CR SA y SEC SA con respecto a la totalidad de exposiciones. |
|
060 |
1.1.1.1 Categorías de exposición del método estándar excluidas las posiciones de titulización Plantilla CR SA con respecto a la totalidad de exposiciones. Las categorías de exposición del método estándar son las mencionadas en el artículo 112 del RRC, con exclusión de las posiciones de titulización. |
|
070 |
1.1.1.1.01 Administraciones centrales o bancos centrales Véase la plantilla CR SA |
|
080 |
1.1.1.1.02 Administraciones regionales o autoridades locales Véase la plantilla CR SA |
|
090 |
1.1.1.1.03 Entes del sector público Véase la plantilla CR SA |
|
100 |
1.1.1.1.04 Bancos multilaterales de desarrollo Véase la plantilla CR SA |
|
110 |
1.1.1.1.05 Organizaciones internacionales Véase la plantilla CR SA |
|
120 |
1.1.1.1.06 Entidades Véase la plantilla CR SA |
|
130 |
1.1.1.1.07 Empresas Véase la plantilla CR SA |
|
140 |
1.1.1.1.08 Exposiciones minoristas Véase la plantilla CR SA |
|
150 |
1.1.1.1.09 Exposiciones garantizadas por hipotecas sobre bienes inmuebles Véase la plantilla CR SA |
|
160 |
1.1.1.1.10 Exposiciones en situación de impago Véase la plantilla CR SA |
|
170 |
1.1.1.1.11 Partidas asociadas a riesgos especialmente elevados Véase la plantilla CR SA |
|
180 |
1.1.1.1.12 Bonos garantizados Véase la plantilla CR SA |
|
190 |
1.1.1.1.13 Exposiciones frente a entidades y empresas con evaluación crediticia a corto plazo Véase la plantilla CR SA |
|
200 |
1.1.1.1.14 Participaciones o acciones en organismos de inversión colectiva (OIC) Véase la plantilla CR SA |
|
210 |
1.1.1.1.15 Exposiciones de renta variable Véase la plantilla CR SA |
|
211 |
1.1.1.1.16 Otras Véase la plantilla CR SA |
|
220 |
1.1.1.2 Posiciones de titulización según el método estándar Plantilla CR SEC SA con respecto a la totalidad de tipos de titulización. |
|
230 |
1.1.1.2.* De las cuales: retitulización Plantilla CR SEC SA con respecto a la totalidad de tipos de titulización. |
|
240 |
1.1.2 Método basado en calificaciones internas (IRB) |
|
250 |
1.1.2.1 Métodos IRB cuando no se utilizan ni estimaciones propias de LGD ni factores de conversión Plantilla CR IRB con respecto a la totalidad de exposiciones (cuando no se utilizan ni estimaciones propias de LGD ni factores de conversión). |
|
260 |
1.1.2.1.01 Administraciones centrales y bancos centrales Véase la plantilla CR IRB |
|
270 |
1.1.2.1.02 Entidades Véase la plantilla CR IRB |
|
280 |
1.1.2.1.03 Empresas — PYME Véase la plantilla CR IRB |
|
290 |
1.1.2.1.04 Empresas — financiación especializada Véase la plantilla CR IRB |
|
300 |
1.1.2.1.05 Empresas — otros Véase la plantilla CR IRB |
|
310 |
1.1.2.2 Métodos IRB cuando se utilizan estimaciones propias de LGD y/o factores de conversión Plantilla CR IRB con respecto a la totalidad de exposiciones (cuando se utilizan estimaciones propias de LGD y/o factores de conversión). |
|
320 |
1.1.2.2.01 Administraciones centrales y bancos centrales Véase la plantilla CR IRB |
|
330 |
1.1.2.2.02 Entidades Véase la plantilla CR IRB |
|
340 |
1.1.2.2.03 Empresas — PYME Véase la plantilla CR IRB |
|
350 |
1.1.2.2.04 Empresas — financiación especializada Véase la plantilla CR IRB |
|
360 |
1.1.2.2.05 Empresas — otros Véase la plantilla CR IRB |
|
370 |
1.1.2.2.06 Exposiciones minoristas — garantizadas por bienes inmuebles, PYME Véase la plantilla CR IRB |
|
380 |
1.1.2.2.07 Exposiciones minoristas — garantizadas por bienes inmuebles, no PYME Véase la plantilla CR IRB |
|
390 |
1.1.2.2.08 Exposiciones minoristas renovables admisibles Véase la plantilla CR IRB |
|
400 |
1.1.2.2.09 Exposiciones minoristas — otras, PYME Véase la plantilla CR IRB |
|
410 |
1.1.2.2.10 Exposiciones minoristas — otras, no PYME Véase la plantilla CR IRB |
|
420 |
1.1.2.3 Exposiciones de renta variable según el método IRB Véase la plantilla CR EQU IRB |
|
430 |
1.1.2.4 Posiciones de titulización según el método IRB Plantilla CR SEC IRB con respecto a la totalidad de tipos de titulización. |
|
440 |
1.1.2.4.* De las cuales: retitulización Plantilla CR SEC IRB con respecto a la totalidad de tipos de titulización. |
|
450 |
1.1.2.5 Otros activos que no sean obligaciones crediticias El importe que debe consignarse es el de la exposición ponderada por riesgo calculado con arreglo al artículo 156 del RRC. |
|
460 |
1.1.3 Importe de la exposición al riesgo por contribución al fondo de garantía para impagos de una ECC Artículos 307 a 309 del RRC. |
|
490 |
1.2 TOTAL DE LA EXPOSICIÓN AL RIESGO DE LIQUIDACIÓN/ENTREGA Artículo 92, apartado 3, letra c), inciso ii), y artículo 92, apartado 4, letra b), del RRC. |
|
500 |
1.2.1 Riesgo de liquidación/entrega en la cartera de inversión Véase la plantilla CR SETT |
|
510 |
1.2.2 Riesgo de liquidación/entrega en la cartera de negociación Véase la plantilla CR SETT |
|
520 |
1.3 TOTAL DE LA EXPOSICIÓN A LOS RIESGOS DE POSICIÓN, TIPO DE CAMBIO Y MATERIAS PRIMAS Artículo 92, apartado 3, letra b), inciso i), y letra c), incisos i) y iii), y artículo 92, apartado 4, letra b), del RRC. |
|
530 |
1.3.1 Importe de la exposición a los riesgos de posición, tipo de cambio y materias primas con arreglo a métodos estándar |
|
540 |
1.3.1.1 Instrumentos de deuda negociables Plantilla MKR SA TDI con respecto a la totalidad de divisas. |
|
550 |
1.3.1.2 Instrumentos de patrimonio Plantilla MKR SA EQU con respecto a la totalidad de mercados nacionales. |
|
555 |
1.3.1.3 Método particular para el riesgo de posición en OIC Artículo 348, apartado 1, artículo 350, apartado 3, letra c), y artículo 364, apartado 2, letra a), del RRC. Importe total de exposición al riesgo de las posiciones en OIC, si los requisitos de capital se calculan con arreglo al artículo 348, apartado 1, del RRC, ya sea de forma inmediata o por aplicación del nivel máximo definido en el artículo 350, apartado 3, letra c), del RRC. El RRC no asigna explícitamente esas posiciones ni al riesgo de tipo de interés ni al riesgo de renta variable. Si se aplica el método particular contemplado en el artículo 348, apartado 1, primera frase, del RRC, el importe a comunicar será igual al 32 % de la posición neta de la exposición a OIC de que se trate, multiplicado por 12,5. Si se aplica el método particular contemplado en el artículo 348, apartado 1, segunda frase, del RRC, el importe a comunicar será el menor entre el 32 % de la posición neta de la pertinente exposición a OIC y la diferencia entre el 40 % de esta posición neta y los requisitos de fondos propios derivados del riesgo de tipo de cambio asociado a dicha exposición a OIC, multiplicado en ambos casos por 12,5. |
|
556 |
1.3.1.3.* Pro memoria: OIC invertidos exclusivamente en instrumentos de deuda negociables Importe total de exposición al riesgo de las posiciones en OIC, si el OIC se invierte exclusivamente en instrumentos expuestos al riesgo de tipo de interés. |
|
557 |
1.3.1.3.** OIC invertidos exclusivamente en instrumentos de patrimonio o en una combinación de instrumentos Importe total de exposición al riesgo de las posiciones en OIC, si el OIC se invierte, bien exclusivamente en instrumentos expuestos al riesgo de renta variable, bien en una combinación de instrumentos, o si se desconocen los elementos constitutivos del OIC. |
|
560 |
1.3.1.4 Divisas Véase la plantilla MKR SA FX |
|
570 |
1.3.1.5 Materias primas Véase la plantilla MKR SA COM |
|
580 |
1.3.2 Importe de la exposición a los riesgos de posición, tipo de cambio y materias primas con arreglo a modelos internos Véase la plantilla MKR IM |
|
590 |
1.4 TOTAL DE LA EXPOSICIÓN AL RIESGO OPERATIVO Artículo 92, apartado 3, letra e), y apartado 4, letra b), del RRC. En el caso de las empresas de inversión consideradas en el artículos 95, apartado 2, el artículo 96, apartado 2, y el artículo 98 del RRC, esta partida será cero. |
|
600 |
1.4.1 Riesgo operativo — método del indicador básico Véase la plantilla OPR |
|
610 |
1.4.2 Riesgo operativo — métodos estándar/estándar alternativo Véase la plantilla OPR |
|
620 |
1.4.3 Riesgo operativo — métodos avanzados de cálculo Véase la plantilla OPR |
|
630 |
1.5 IMPORTE ADICIONAL DE LA EXPOSICIÓN AL RIESGO DEBIDO A GASTOS FIJOS GENERALES Artículo 95, apartado 2, artículo 96, apartado 2, artículo 97 y artículo 98, apartado 1, letra a), del RRC. Únicamente para empresas de inversión con arreglo al artículo 95, apartado 2, al artículo 96, apartado 2, y al artículo 98 del RRC. Véase asimismo el artículo 97 del RRC. Las empresas de inversión consideradas en el artículo 96 del RRC comunicarán el importe al que se alude en el artículo 97 multiplicado por 12,5. Las empresas de inversión consideradas en el artículo 95 del RRC procederán como sigue: — si el importe al que se alude en el artículo 95, apartado 2, letra a), del RRC es superior al resultante de lo indicado en el artículo 95, apartado 2, letra b), del RRC, el importe que debe comunicarse es cero; — si el importe al que se alude en el artículo 95, apartado 2, letra b), del RRC es superior al resultante de lo indicado en el artículo 95, apartado 2, letra a), del RRC, el importe que debe comunicarse es el resultado de detraer el segundo importe del primero. |
|
640 |
1.6 TOTAL DE LA EXPOSICIÓN AL RIESGO POR AJUSTE DE VALORACIÓN DEL CRÉDITO Artículo 92, apartado 3, letra d), del RRC. Véase la plantilla CVA. |
|
650 |
1.6.1 Método avanzado Requisitos de fondos propios para el riesgo de ajuste de valoración del crédito con arreglo al artículo 383 del RRC. Véase la plantilla CVA. |
|
660 |
1.6.2 Método estándar Requisitos de fondos propios para el riesgo de ajuste de valoración del crédito con arreglo al artículo 384 del RRC. Véase la plantilla CVA. |
|
670 |
1.6.3 Método de la exposición original Requisitos de fondos propios para el riesgo de ajuste de valoración del crédito con arreglo al artículo 385 del RRC. Véase la plantilla CVA. |
|
680 |
1.7 IMPORTE DE LA EXPOSICIÓN TOTAL AL RIESGO ASOCIADA A GRANDES EXPOSICIONES EN LA CARTERA DE NEGOCIACIÓN Artículo 92, apartado 3, letra b), inciso ii), y artículos 395 a 401 del RRC. |
|
690 |
1.8 OTROS IMPORTES DE EXPOSICIÓN AL RIESGO Artículos 3, 458 y 459 del RRC e importes de exposición al riesgo que no pueden asignarse a ninguna de las partidas de 1.1 a 1.7. Las entidades comunicarán los importes necesarios para cumplir con lo que sigue: Los requisitos prudenciales más rigurosos impuestos por la Comisión, de conformidad con los artículos 458 y 459 del RRC. Importes adicionales de exposición al riesgo debidos al artículo 3 del RRC. Esta partida no contiene enlace a una plantilla de datos pormenorizados. |
|
710 |
1.8.2 De los cuales: requisitos prudenciales adicionales más rigurosos con arreglo al artículo 458 Artículo 458 del RRC. |
|
720 |
1.8.2* De los cuales: requisitos para grandes exposiciones Artículo 458 del RRC. |
|
730 |
1.8.2** De los cuales: debidos a ponderaciones de riesgo modificadas para hacer frente a burbujas de activos en el sector inmobiliario residencial o comercial Artículo 458 del RRC. |
|
740 |
1.8.2*** De los cuales: debidos a exposiciones dentro del sector financiero Artículo 458 del RRC. |
|
750 |
1.8.3 De los cuales: requisitos prudenciales adicionales más rigurosos con arreglo al artículo 459 Artículo 459 del RRC. |
|
760 |
1.8.4 De los cuales: importe adicional de la exposición al riesgo debido al artículo 3 del RRC Artículo 3 del RRC. El importe adicional de exposición al riesgo que debe comunicarse incluirá únicamente los importes adicionales (p. ej., si una exposición de 100 tiene una ponderación de riesgo del 20 %, y la entidad aplica una ponderación de riesgo del 50 % con arreglo al artículo 3 del RRC, el importe que deberá comunicarse será 30). |
1.4 C 03.00 — RATIOS DE CAPITAL Y NIVELES DE CAPITAL (CA3)
1.4.1 Instrucciones relativas a posiciones concretas
|
Filas |
|
|
010 |
1 Ratio de capital de nivel 1 ordinario Artículo 92, apartado 2, letra a), del RRC. La ratio de capital de nivel 1 ordinario será igual al capital de nivel 1 ordinario de la entidad expresado en porcentaje sobre el importe total de la exposición al riesgo. |
|
020 |
2 Superávit (+) / déficit (-) de capital de nivel 1 ordinario En esta partida se presenta, en cifras absolutas, el importe del superávit o el déficit de capital de nivel 1 ordinario relativo al requisito establecido en el artículo 92, apartado 1, letra a), del RRC (4,5 %); es decir, sin tener en cuenta los colchones de capital ni las disposiciones transitorias sobre la ratio. |
|
030 |
3 Ratio de capital de nivel 1 Artículo 92, apartado 2, letra b), del RRC. La ratio de capital de nivel 1 será igual al capital de nivel 1 de la entidad expresado en porcentaje sobre el importe total de la exposición al riesgo. |
|
040 |
4 Superávit (+) / déficit (-) de capital de nivel 1 En esta partida se presenta, en cifras absolutas, el importe del superávit o el déficit de capital de nivel 1 relativo al requisito establecido en el artículo 92, apartado 1, letra b), del RRC (6 %); es decir, sin tener en cuenta los colchones de capital ni las disposiciones transitorias sobre la ratio. |
|
050 |
5 Ratio de capital total Artículo 92, apartado 2, letra c), del RRC. La ratio total de capital será igual a los fondos propios de la entidad expresados en porcentaje sobre el importe total de la exposición al riesgo. |
|
060 |
6 Superávit (+) / déficit (-) de capital total En esta partida se presenta, en cifras absolutas, el importe del superávit o el déficit de fondos propios relativo al requisito establecido en el artículo 92, apartado 1, letra c), del RRC (8 %); es decir, sin tener en cuenta los colchones de capital ni las disposiciones transitorias sobre la ratio. |
|
070 |
Ratio de capital de nivel 1 ordinario, incluidos los ajustes de pilar II Artículo 92, apartado 2, letra a), del RRC, y artículo 104, apartado 2, de la DRC IV. Esta celda solo se cumplimentará si una decisión de una autoridad competente repercute en la ratio de capital de nivel 1 ordinario. |
|
080 |
Objetivo de ratio de capital de nivel 1 ordinario debido a los ajustes de pilar II Artículo 104, apartado 2, de la DRC IV. Esta celda solo debe cumplimentarse si una autoridad competente decide que una entidad ha de alcanzar un objetivo de ratio de capital de nivel 1 ordinario superior. El objetivo de ratio de capital de nivel 1 ordinario refleja el requisito mínimo del artículo 92, apartado 1, letra a), del RRC y el requisito impuesto conforme al artículo 104, apartado 2, de la DRC, excluyendo, no obstante, otros requisitos (por ejemplo, los relativos a los colchones de capital). |
|
090 |
Ratio de capital de nivel 1, incluidos los ajustes de pilar II Artículo 92, apartado 2, letra b), del RRC, y artículo 104, apartado 2, de la DRC IV. Esta celda solo se cumplimentará si una decisión de una autoridad competente repercute en la ratio de capital de nivel 1. |
|
100 |
Objetivo de ratio de capital de nivel 1 debido a los ajustes de pilar II Artículo 104, apartado 2, de la DRC IV. Esta celda solo debe cumplimentarse si una autoridad competente decide que una entidad ha de alcanzar un objetivo de ratio de capital de nivel 1 superior. El objetivo de ratio de capital de nivel 1 refleja el requisito mínimo del artículo 92, apartado 1, letra b), del RRC y el requisito impuesto conforme al artículo 104, apartado 2, de la DRC, excluyendo, no obstante, otros requisitos (por ejemplo, los relativos a los colchones de capital). |
|
110 |
Ratio de capital total, incluidos los ajustes de pilar II Artículo 92, apartado 2, letra c), del RRC, y artículo 104, apartado 2, de la DRC IV. Esta celda solo se cumplimentará si una decisión de una autoridad competente repercute en la ratio de capital total. |
|
120 |
Objetivo de ratio de capital total debido a los ajustes de pilar II Artículo 104, apartado 2, de la DRC IV. Esta celda solo debe cumplimentarse si una autoridad competente decide que una entidad ha de alcanzar un objetivo de ratio de capital total superior. El objetivo de ratio de capital total refleja el requisito mínimo del artículo 92, apartado 1, letra c), del RRC y el requisito impuesto conforme al artículo 104, apartado 2, de la DRC, excluyendo, no obstante, otros requisitos (por ejemplo, los relativos a los colchones de capital). |
1.5. C 04.00 — PRO MEMORIA (CA4)
1.5.1 Instrucciones relativas a posiciones concretas
|
Filas |
|
|
010 |
1. Total de activos por impuestos diferidos El importe consignado en esta partida será igual al consignado en el último balance contable verificado/auditado. |
|
020 |
1.1 Activos por impuestos diferidos que no dependan de rendimientos futuros Artículo 39, apartado 2, del RRC. Activos por impuestos diferidos que no dependen de rendimientos futuros y, por tanto, están sujetos a la aplicación de una ponderación de riesgo. |
|
030 |
1.2 Activos por impuestos diferidos que dependan de rendimientos futuros y no se originen por diferencias temporales Artículo 36, apartado 1, letra c), y artículo 38 del RRC. Activos por impuestos diferidos que dependan de rendimientos futuros, pero no se originen por diferencias temporales y, por tanto, no se sometan a ningún umbral (es decir, se deducen completamente del capital de nivel 1 ordinario). |
|
040 |
1.3 Activos por impuestos diferidos que dependan de rendimientos futuros y se originen por diferencias temporales Artículo 36, apartado 1, letra c), artículo 38 y artículo 48, apartado 1, letra a), del RRC. Activos por impuestos diferidos que dependan de rendimientos futuros y se originen por diferencias temporales y cuya deducción del capital de nivel 1 ordinario está sujeta, por tanto, a los umbrales del 10 % y el 17,65 % previstos en el artículo 48 del RRC. |
|
050 |
2 Total de pasivos por impuestos diferidos El importe consignado en esta partida será igual al consignado en el último balance contable verificado/auditado. |
|
060 |
2.1 Pasivos por impuestos diferidos no deducibles de activos por impuestos diferidos que dependan de rendimientos futuros Artículo 38, apartados 3 y 4, del RRC. Pasivos por impuestos diferidos para los que las condiciones previstas en el artículo 38, apartados 3 y 4, del RRC no se cumplen. Por tanto, esta partida incluirá los pasivos por impuestos diferidos que reduzcan la cuantía del fondo de comercio, otros activos intangibles y activos de fondos de pensiones de prestaciones definidas que deban ser deducidos, que se consignan, respectivamente en las partidas de CA1 1.1.1.10.3, 1.1.1.11.2 y 1.1.1.14.2. |
|
070 |
2.2 Pasivos por impuestos diferidos deducibles de activos por impuestos diferidos que dependan de rendimientos futuros Artículo 38 del RRC. |
|
080 |
2.2.1 Pasivos por impuestos diferidos deducibles asociados a activos por impuestos diferidos que dependan de rendimientos futuros y no se originen por diferencias temporales Artículo 38, apartados 3, 4 y 5, del RRC. Pasivos por impuestos diferidos que pueden reducir el importe de los activos por impuestos diferidos que dependan de rendimientos futuros, de conformidad con el artículo 38, apartados 3 y 4, del RRC, y no se asignan a los activos por impuestos diferidos que dependan de rendimientos futuros y se originen por diferencias temporales, con arreglo al artículo 38, apartado 5, del RRC. |
|
090 |
2.2.2 Pasivos por impuestos diferidos deducibles asociados a activos por impuestos diferidos que dependan de rendimientos futuros y se originen por diferencias temporales Artículo 38, apartados 3, 4 y 5, del RRC. Pasivos por impuestos diferidos que pueden reducir el importe de los activos por impuestos diferidos que dependan de rendimientos futuros, de conformidad con el artículo 38, apartados 3 y 4, del RRC, y se asignan a los activos por impuestos diferidos que dependan de rendimientos futuros y se originen por diferencias temporales, con arreglo al artículo 38, apartado 5, del RRC. |
|
093 |
2A Impuestos abonados por exceso y pérdidas fiscales retrotraídas Artículo 39, apartado 1, del RRC. Importe de los impuestos abonados por exceso y las pérdidas fiscales retrotraídas que no se deduzca de los fondos propios de conformidad con el artículo 39, apartado 1, del RRC; se consignará el importe antes de la aplicación de las ponderaciones de riesgo. |
|
096 |
2B Activos por impuestos diferidos con una ponderación de riesgo del 250 % Artículo 48, apartado 4, del RRC. Importe de los activos por impuestos diferidos que dependan de rendimientos futuros y se originen por diferencias temporales y que no se deduzcan con arreglo al artículo 48, apartado 1, del RRC, pero que estén sujetos a una ponderación de riesgo del 250 % con arreglo al apartado 4 del mismo artículo, teniendo en cuenta el efecto del artículo 470 del RRC. Se consignará el importe de los activos por impuestos diferidos antes de la aplicación de la ponderación de riesgo. |
|
097 |
2C Activos por impuestos diferidos con una ponderación de riesgo del 0 % Artículo 469, apartado 1, letra d), artículo 470, artículo 472, apartado 5, y artículo 478 del RRC. Importe de los activos por impuestos diferidos que dependan de rendimientos futuros y se originen por diferencias temporales y que no se deduzcan con arreglo al artículo 469, apartado 1, letra d), y al artículo 470 del RRC, pero que estén sujetos a una ponderación de riesgo del 0 % con arreglo al artículo 472, apartado 5, del RRC. Se consignará el importe de los activos por impuestos diferidos antes de la aplicación de la ponderación de riesgo. |
|
100 |
3 Exceso (+) o insuficiencia (-) de los ajustes por riesgo de crédito, los ajustes de valoración adicionales y otras reducciones de los fondos propios según el método IRB respecto a las pérdidas esperadas por exposiciones no impagadas Artículo 36, apartado 1, letra d), artículo 62, letra d), y artículos 158 y 159 del RRC. Esta partida solo la comunicarán las entidades que aplican el método IRB. |
|
110 |
3.1 Total de ajustes por riesgo de crédito, ajustes de valoración adicionales y otras reducciones de los fondos propios admisibles para su inclusión en el cálculo del importe de las pérdidas esperadas Artículo 159 del RRC. Esta partida solo la comunicarán las entidades que aplican el método IRB. |
|
120 |
3.1.1 Ajustes por riesgo de crédito general Artículo 159 del RRC. Esta partida solo la comunicarán las entidades que aplican el método IRB. |
|
130 |
3.1.2 Ajustes por riesgo de crédito específico Artículo 159 del RRC. Esta partida solo la comunicarán las entidades que aplican el método IRB. |
|
131 |
3.1.3 Ajustes de valoración adicionales y otras reducciones de los fondos propios Artículos 34, 110 y 159 del RRC. Esta partida solo la comunicarán las entidades que aplican el método IRB. |
|
140 |
3.2 Total de pérdidas esperadas admisibles Artículo 158, apartados 5, 6 y 10, y artículo 159 del RRC. Esta partida solo la comunicarán las entidades que aplican el método IRB. Solo se comunicarán las pérdidas esperadas relacionadas con exposiciones no impagadas. |
|
145 |
4 Exceso (+) o insuficiencia (-) de los ajustes por riesgo de crédito específico según el método IRB con respecto a las pérdidas esperadas por exposiciones impagadas Artículo 36, apartado 1, letra d), artículo 62, letra d), y artículos 158 y 159 del RRC. Esta partida solo la comunicarán las entidades que aplican el método IRB. |
|
150 |
4.1 Ajustes por riesgo de crédito específico y posiciones tratadas de manera similar Artículo 159 del RRC. Esta partida solo la comunicarán las entidades que aplican el método IRB. |
|
155 |
4.2 Total de pérdidas esperadas admisibles Artículo 158, apartados 5, 6 y 10, y artículo 159 del RRC. Esta partida solo la comunicarán las entidades que aplican el método IRB. Solo se comunicarán las pérdidas esperadas relacionadas con exposiciones con impago. |
|
160 |
5 Importe de las exposiciones ponderadas por riesgo para calcular el exceso máximo de provisión admisible como capital de nivel 2 Artículo 62, letra d), del RRC. En el caso de las entidades que aplican el método IRB, con arreglo al artículo 62, letra d), del RRC, el exceso del importe de las provisiones (respecto a las pérdidas esperadas) admisible para su inclusión en el capital de nivel 2 será, como máximo, de un 0,6 % del importe de las exposiciones ponderadas por riesgo calculadas conforme a dicho método. El importe que debe consignarse en esta partida es el de las exposiciones ponderadas por riesgo (es decir, no multiplicado por 0,6 %), que constituye la base para el cálculo del máximo. |
|
170 |
6 Provisiones brutas totales admisibles para su inclusión en el capital de nivel 2 Artículo 62, letra c), del RRC. Esta partida incluye los ajustes por riesgo de crédito general admisibles para su inclusión en el capital de nivel 2, antes de aplicar el máximo. El importe que debe consignarse no tendrá en cuenta los efectos fiscales. |
|
180 |
7 Importe de las exposiciones ponderadas por riesgo para calcular la provisión máxima admisible como capital de nivel 2 Artículo 62, letra c), del RRC. De acuerdo con el artículo 62, letra c), del RRC, el máximo de los ajustes por riesgo de crédito admisibles para su inclusión en el capital de nivel 2 se establece en el 1,25 % del importe de las exposiciones ponderadas por riesgo. El importe que debe consignarse en esta partida es el de las exposiciones ponderadas por riesgo (es decir, no multiplicado por 1,25 %), que constituye la base para el cálculo del máximo. |
|
190 |
8 Umbral no deducible de tenencias en entes del sector financiero en los que la entidad no tiene una inversión significativa Artículo 46, apartado 1, letra a), del RRC. En esta partida figura el umbral hasta el cual las tenencias en un ente del sector financiero en el que la entidad no tenga una inversión significativa no se deducen. El importe es el resultado de sumar todas las partidas que constituyen la base del umbral y de multiplicar la suma así obtenida por el 10 %. |
|
200 |
9 Umbral del 10 % del capital de nivel 1 ordinario Artículo 48, apartado 1, letras a) y b), del RRC. Esta partida contiene el umbral del 10 % de las tenencias en entes del sector financiero en los que la entidad tenga una inversión significativa, y de los activos por impuestos diferidos que dependan de rendimientos futuros y se originen por diferencias temporales. El importe es el resultado de sumar todas las partidas que constituyen la base del umbral y de multiplicar la suma así obtenida por el 10 %. |
|
210 |
10 Umbral del 17,65 % del capital de nivel 1 ordinario Artículo 48, apartado 1, del RRC. Esta partida contiene el umbral del 17,65 % de las tenencias en entes del sector financiero en los que la entidad tenga una inversión significativa, y de los activos por impuestos diferidos que dependan de rendimientos futuros y se originen por diferencias temporales, que debe aplicarse tras el umbral del 10 %. El umbral se calcula de modo que el importe de los dos elementos que se reconoce no debe exceder del 15 % del capital de nivel 1 ordinario final, es decir, el capital de nivel 1 ordinario calculado después de todas las deducciones, y sin incluir ningún ajuste debido a disposiciones transitorias. |
|
225 |
11.1 Capital admisible a efectos de las participaciones cualificadas fuera del sector financiero Artículo 4, apartado 1, punto 71, letra a). |
|
226 |
11.2 Capital admisible a efectos de las grandes exposiciones Artículo 4, apartado 1, punto 71, letra b). |
|
230 |
12 Tenencias de capital de nivel 1 ordinario de entes del sector financiero en los que la entidad no tiene una inversión significativa, deducidas las posiciones cortas Artículos 44 a 46 y artículo 49 del RRC. |
|
240 |
12.1 Tenencias directas de capital de nivel 1 ordinario de entes del sector financiero en los que la entidad no tiene una inversión significativa Artículos 44, 45, 46 y 49 del RRC. |
|
250 |
12.1.1 Tenencias directas brutas de capital de nivel 1 ordinario de entes del sector financiero en los que la entidad no tiene una inversión significativa Artículos 44, 46 y 49 del RRC. Tenencias directas de capital de nivel 1 ordinario de entes del sector financiero en los que la entidad no tenga una inversión significativa, con exclusión de: a) las posiciones de aseguramiento mantenidas durante cinco o menos días hábiles; b) los importes relativos a las inversiones respecto a las que se aplica alguna de las alternativas consideradas en el artículo 49; y c) las tenencias que se tratan como tenencias recíprocas con arreglo al artículo 36, apartado 1, letra g), del RRC. |
|
260 |
12.1.2 (-) Compensación permitida de posiciones cortas en relación con las tenencias directas brutas incluidas arriba Artículo 45 del RRC. El artículo 45 del RRC permite la compensación de posiciones cortas en la misma exposición subyacente siempre que la posición corta tenga igual vencimiento que la posición larga o un vencimiento residual de al menos un año. |
|
270 |
12.2 Tenencias indirectas de capital de nivel 1 ordinario de entes del sector financiero en los que la entidad no tiene una inversión significativa Artículo 4, apartado 1, punto 114, y artículos 44 y 45 del RRC. |
|
280 |
12.2.1 Tenencias indirectas brutas de capital de nivel 1 ordinario de entes del sector financiero en los que la entidad no tiene una inversión significativa Artículo 4, apartado 1, punto 114, y artículos 44 y 45 del RRC. El importe que debe comunicarse consiste en las tenencias indirectas de la cartera de negociación de instrumentos de capital de entes del sector financiero que adoptan la forma de tenencias de valores indexados. Se obtiene mediante el cálculo de la exposición subyacente a los instrumentos de capital de los entes del sector financiero incluidos en los índices. No se incluirán las tenencias que se tratan como tenencias recíprocas con arreglo al artículo 36, apartado 1, letra g), del RRC. |
|
290 |
12.2.2 (-) Compensación permitida de posiciones cortas en relación con las tenencias indirectas brutas incluidas arriba Artículo 4, apartado 1, punto 114, y artículo 45 del RRC. El artículo 45, letra a), del RRC permite la compensación de posiciones cortas en la misma exposición subyacente siempre que la posición corta tenga igual vencimiento que la posición larga o un vencimiento residual de al menos un año. |
|
291 |
12.3.1 Tenencias sintéticas de capital de nivel 1 ordinario de entes del sector financiero en los que la entidad no tiene una inversión significativa Artículo 4, apartado 1, punto 126, y artículos 44 y 45 del RRC. |
|
292 |
12.3.2 Tenencias sintéticas brutas de capital de nivel 1 ordinario de entes del sector financiero en los que la entidad no tiene una inversión significativa Artículo 4, apartado 1, punto 126, y artículos 44 y 45 del RRC. |
|
293 |
12.3.3 (-) Compensación permitida de posiciones cortas en relación con las tenencias sintéticas brutas incluidas arriba Artículo 4, apartado 1, punto 126, y artículo 45 del RRC. |
|
300 |
13 Tenencias de capital de nivel 1 adicional de entes del sector financiero en los que la entidad no tiene una inversión significativa, deducidas las posiciones cortas Artículos 58 a 60 del RRC. |
|
310 |
13.1 Tenencias directas de capital de nivel 1 adicional de entes del sector financiero en los que la entidad no tiene una inversión significativa Artículos 58 y 59 y artículo 60, apartado 2, del RRC. |
|
320 |
13.1.1 Tenencias directas brutas de capital de nivel 1 adicional de entes del sector financiero en los que la entidad no tiene una inversión significativa Artículo 58 y artículo 60, apartado 2, del RRC. Tenencias directas de capital de nivel 1 adicional de entes del sector financiero en los que la entidad no tenga una inversión significativa, con exclusión de: a) las posiciones de aseguramiento mantenidas durante cinco o menos días hábiles; y b) las tenencias que se tratan como tenencias recíprocas con arreglo al artículo 56, letra b), del RRC. |
|
330 |
13.1.2 (-) Compensación permitida de posiciones cortas en relación con las tenencias directas brutas incluidas arriba Artículo 59 del RRC. El artículo 59, letra a), del RRC permite la compensación de posiciones cortas en la misma exposición subyacente siempre que la posición corta tenga igual vencimiento que la posición larga o un vencimiento residual de al menos un año. |
|
340 |
13.2 Tenencias indirectas de capital de nivel 1 adicional de entes del sector financiero en los que la entidad no tiene una inversión significativa Artículo 4, apartado 1, punto 114, y artículos 58 y 59 del RRC. |
|
350 |
13.2.1 Tenencias indirectas brutas de capital de nivel 1 adicional de entes del sector financiero en los que la entidad no tiene una inversión significativa Artículo 4, apartado 1, punto 114, y artículos 58 y 59 del RRC. El importe que debe comunicarse consiste en las tenencias indirectas de la cartera de negociación de instrumentos de capital de entes del sector financiero que adoptan la forma de tenencias de valores indexados. Se obtiene mediante el cálculo de la exposición subyacente a los instrumentos de capital de los entes del sector financiero incluidos en los índices. No se incluirán las tenencias que se tratan como tenencias recíprocas con arreglo al artículo 56, letra b), del RRC. |
|
360 |
13.2.2 (-) Compensación permitida de posiciones cortas en relación con las tenencias indirectas brutas incluidas arriba Artículo 4, apartado 1, punto 114, y artículo 59 del RRC. El artículo 59, letra a), del RRC permite la compensación de posiciones cortas en la misma exposición subyacente siempre que la posición corta tenga igual vencimiento que la posición larga o un vencimiento residual de al menos un año. |
|
361 |
13.3 Tenencias sintéticas de capital de nivel 1 adicional de entes del sector financiero en los que la entidad no tiene una inversión significativa Artículo 4, apartado 1, punto 126, y artículos 58 y 59 del RRC. |
|
362 |
13.3.1 Tenencias sintéticas brutas de capital de nivel 1 adicional de entes del sector financiero en los que la entidad no tiene una inversión significativa Artículo 4, apartado 1, punto 126, y artículos 58 y 59 del RRC. |
|
363 |
13.3.2 (-) Compensación permitida de posiciones cortas en relación con las tenencias sintéticas brutas incluidas arriba Artículo 4, apartado 1, punto 126, y artículo 59 del RRC. |
|
370 |
14. Tenencias de capital de nivel 2 de entes del sector financiero en los que la entidad no tiene una inversión significativa, deducidas las posiciones cortas Artículos 68 a 70 del RRC. |
|
380 |
14.1 Tenencias directas de capital de nivel 2 de entes del sector financiero en los que la entidad no tiene una inversión significativa Artículos 68 y 69 y artículo 70, apartado 2, del RRC. |
|
390 |
14.1.1 Tenencias directas brutas de capital de nivel 2 de entes del sector financiero en los que la entidad no tiene una inversión significativa Artículo 68 y artículo 70, apartado 2, del RRC. Tenencias directas de capital de nivel 2 de entes del sector financiero en los que la entidad no tenga una inversión significativa, con exclusión de: a) las posiciones de aseguramiento mantenidas durante cinco o menos días hábiles; y b) las tenencias que se tratan como tenencias recíprocas con arreglo al artículo 66, letra b), del RRC. |
|
400 |
14.1.2 (-) Compensación permitida de posiciones cortas en relación con las tenencias directas brutas incluidas arriba Artículo 69 del RRC. El artículo 69, letra a), del RRC permite la compensación de posiciones cortas en la misma exposición subyacente siempre que la posición corta tenga igual vencimiento que la posición larga o un vencimiento residual de al menos un año. |
|
410 |
14.2 Tenencias indirectas de capital de nivel 2 de entes del sector financiero en los que la entidad no tiene una inversión significativa Artículo 4, apartado 1, punto 114, y artículos 68 y 69 del RRC. |
|
420 |
14.2.1 Tenencias indirectas brutas de capital de nivel 2 de entes del sector financiero en los que la entidad no tiene una inversión significativa Artículo 4, apartado 1, punto 114, y artículos 68 y 69 del RRC. El importe que debe comunicarse consiste en las tenencias indirectas de la cartera de negociación de instrumentos de capital de entes del sector financiero que adoptan la forma de tenencias de valores indexados. Se obtiene mediante el cálculo de la exposición subyacente a los instrumentos de capital de los entes del sector financiero incluidos en los índices. No se incluirán las tenencias que se tratan como tenencias recíprocas con arreglo al artículo 66, letra b), del RRC. |
|
430 |
14.2.2 (-) Compensación permitida de posiciones cortas en relación con las tenencias indirectas brutas incluidas arriba Artículo 4, apartado 1, punto 114, y artículo 69 del RRC. El artículo 69, letra a), del RRC permite la compensación de posiciones cortas en la misma exposición subyacente siempre que la posición corta tenga igual vencimiento que la posición larga o un vencimiento residual de al menos un año. |
|
431 |
14.3 Tenencias sintéticas de capital de nivel 2 de entes del sector financiero en los que la entidad no tiene una inversión significativa Artículo 4, apartado 1, punto 126, y artículos 68 y 69 del RRC. |
|
432 |
14.3.1 Tenencias sintéticas brutas de capital de nivel 2 de entes del sector financiero en los que la entidad no tiene una inversión significativa Artículo 4, apartado 1, punto 126, y artículos 68 y 69 del RRC. |
|
433 |
14.3.2 (-) Compensación permitida de posiciones cortas en relación con las tenencias sintéticas brutas incluidas arriba Artículo 4, apartado 1, punto 126, y artículo 69 del RRC. |
|
440 |
15 Tenencias de capital de nivel 1 ordinario de entes del sector financiero en los que la entidad tiene una inversión significativa, deducidas las posiciones cortas Artículos 44, 45, 47 y 49 del RRC. |
|
450 |
15.1 Tenencias directas de capital de nivel 1 ordinario de entes del sector financiero en los que la entidad tiene una inversión significativa Artículos 44, 45, 47 y 49 del RRC. |
|
460 |
15.1.1 Tenencias directas brutas de capital de nivel 1 ordinario de entes del sector financiero en los que la entidad tiene una inversión significativa Artículos 44, 45, 47 y 49 del RRC. Tenencias directas de capital de nivel 1 ordinario de entes del sector financiero en los que la entidad tenga una inversión significativa, con exclusión de: a) las posiciones de aseguramiento mantenidas durante cinco o menos días hábiles; b) los importes relativos a las inversiones respecto a las que se aplica alguna de las alternativas consideradas en el artículo 49; y c) las tenencias que se tratan como tenencias recíprocas con arreglo al artículo 36, apartado 1, letra g), del RRC. |
|
470 |
15.1.2 (-) Compensación permitida de posiciones cortas en relación con las tenencias directas brutas incluidas arriba Artículo 45 del RRC. El artículo 45, letra a), del RRC permite la compensación de posiciones cortas en la misma exposición subyacente siempre que la posición corta tenga igual vencimiento que la posición larga o un vencimiento residual de al menos un año. |
|
480 |
15.2 Tenencias indirectas de capital de nivel 1 ordinario de entes del sector financiero en los que la entidad tiene una inversión significativa Artículo 4, apartado 1, punto 114, y artículos 44 y 45 del RRC. |
|
490 |
15.2.1 Tenencias indirectas brutas de capital de nivel 1 ordinario de entes del sector financiero en los que la entidad tiene una inversión significativa Artículo 4, apartado 1, punto 114, y artículos 44 y 45 del RRC. El importe que debe comunicarse consiste en las tenencias indirectas de la cartera de negociación de instrumentos de capital de entes del sector financiero que adoptan la forma de tenencias de valores indexados. Se obtendrá mediante el cálculo de la exposición subyacente a los instrumentos de capital de los entes del sector financiero incluidos en los índices. No se incluirán las tenencias que se tratan como tenencias recíprocas con arreglo al artículo 36, apartado 1, letra g), del RRC. |
|
500 |
15.2.2 (-) Compensación permitida de posiciones cortas en relación con las tenencias indirectas brutas incluidas arriba Artículo 4, apartado 1, punto 114, y artículo 45 del RRC. El artículo 45, letra a), del RRC permite la compensación de posiciones cortas en la misma exposición subyacente siempre que la posición corta tenga igual vencimiento que la posición larga o un vencimiento residual de al menos un año. |
|
501 |
15.3 Tenencias sintéticas de capital de nivel 1 ordinario de entes del sector financiero en los que la entidad tiene una inversión significativa Artículo 4, apartado 1, punto 126, y artículos 44 y 45 del RRC. |
|
502 |
15.3.1 Tenencias sintéticas brutas de capital de nivel 1 ordinario de entes del sector financiero en los que la entidad tiene una inversión significativa Artículo 4, apartado 1, punto 126, y artículos 44 y 45 del RRC. |
|
503 |
15.3.2 (-) Compensación permitida de posiciones cortas en relación con las tenencias sintéticas brutas incluidas arriba Artículo 4, apartado 1, punto 126, y artículo 45 del RRC. |
|
510 |
16 Tenencias de capital de nivel 1 adicional de entes del sector financiero en los que la entidad tiene una inversión significativa, deducidas las posiciones cortas Artículos 58 y 59 del RRC. |
|
520 |
16.1 Tenencias directas de capital de nivel 1 adicional de entes del sector financiero en los que la entidad tiene una inversión significativa Artículos 58 y 59 del RRC. |
|
530 |
16.1.1 Tenencias directas brutas de capital de nivel 1 adicional de entes del sector financiero en los que la entidad tiene una inversión significativa Artículo 58 del RRC. Tenencias directas de capital de nivel 1 adicional de entes del sector financiero en los que la entidad tiene una inversión significativa, con exclusión de: a) las posiciones de aseguramiento mantenidas durante cinco o menos días hábiles (artículo 56, letra d)); y b) las tenencias que se tratan como tenencias recíprocas con arreglo al artículo 56, letra b), del RRC. |
|
540 |
16.1.2 (-) Compensación permitida de posiciones cortas en relación con las tenencias directas brutas incluidas arriba Artículo 59 del RRC. El artículo 59, letra a), del RRC permite la compensación de posiciones cortas en la misma exposición subyacente siempre que la posición corta tenga igual vencimiento que la posición larga o un vencimiento residual de al menos un año. |
|
550 |
16.2 Tenencias indirectas de capital de nivel 1 adicional de entes del sector financiero en los que la entidad tiene una inversión significativa Artículo 4, apartado 1, punto 114, y artículos 58 y 59 del RRC. |
|
560 |
16.2.1 Tenencias indirectas brutas de capital de nivel 1 adicional de entes del sector financiero en los que la entidad tiene una inversión significativa Artículo 4, apartado 1, punto 114, y artículos 58 y 59 del RRC. El importe que debe comunicarse consiste en las tenencias indirectas de la cartera de negociación de instrumentos de capital de entes del sector financiero que adoptan la forma de tenencias de valores indexados. Se obtendrá mediante el cálculo de la exposición subyacente a los instrumentos de capital de los entes del sector financiero incluidos en los índices. No se incluirán las tenencias que se tratan como tenencias recíprocas con arreglo al artículo 56, letra b), del RRC. |
|
570 |
16.2.2 (-) Compensación permitida de posiciones cortas en relación con las tenencias indirectas brutas incluidas arriba Artículo 4, apartado 1, punto 114, y artículo 59 del RRC. El artículo 59, letra a), del RRC permite la compensación de posiciones cortas en la misma exposición subyacente siempre que la posición corta tenga igual vencimiento que la posición larga o un vencimiento residual de al menos un año. |
|
571 |
16.3 Tenencias sintéticas de capital de nivel 1 adicional de entes del sector financiero en los que la entidad tiene una inversión significativa Artículo 4, apartado 1, punto 126, y artículos 58 y 59 del RRC. |
|
572 |
16.3.1 Tenencias sintéticas brutas de capital de nivel 1 adicional de entes del sector financiero en los que la entidad tiene una inversión significativa Artículo 4, apartado 1, punto 126, y artículos 58 y 59 del RRC. |
|
573 |
16.3.2 (-) Compensación permitida de posiciones cortas en relación con las tenencias sintéticas brutas incluidas arriba Artículo 4, apartado 1, punto 126, y artículo 59 del RRC. |
|
580 |
17 Tenencias de capital de nivel 2 de entes del sector financiero en los que la entidad tiene una inversión significativa, deducidas las posiciones cortas Artículos 68 y 69 del RRC. |
|
590 |
17.1 Tenencias directas de capital de nivel 2 de entes del sector financiero en los que la entidad tiene una inversión significativa Artículos 68 y 69 del RRC. |
|
600 |
17.1.1 Tenencias directas brutas de capital de nivel 2 de entes del sector financiero en los que la entidad tiene una inversión significativa Artículo 68 del RRC. Tenencias directas de capital de nivel 2 de entes del sector financiero en los que la entidad tiene una inversión significativa, con exclusión de: a) las posiciones de aseguramiento mantenidas durante cinco o menos días hábiles (artículo 66, letra d)); y b) las tenencias que se tratan como tenencias recíprocas con arreglo al artículo 66, letra b), del RRC. |
|
610 |
17.1.2 (-) Compensación permitida de posiciones cortas en relación con las tenencias directas brutas incluidas arriba Artículo 69 del RRC. El artículo 69, letra a), del RRC permite la compensación de posiciones cortas en la misma exposición subyacente siempre que la posición corta tenga igual vencimiento que la posición larga o un vencimiento residual de al menos un año. |
|
620 |
17.2 Tenencias indirectas de capital de nivel 2 de entes del sector financiero en los que la entidad tiene una inversión significativa Artículo 4, apartado 1, punto 114, y artículos 68 y 69 del RRC. |
|
630 |
17.2.1 Tenencias indirectas brutas de capital de nivel 2 de entes del sector financiero en los que la entidad tiene una inversión significativa Artículo 4, apartado 1, punto 114, y artículos 68 y 69 del RRC. El importe que debe comunicarse consiste en las tenencias indirectas de la cartera de negociación de instrumentos de capital de entes del sector financiero que adoptan la forma de tenencias de valores indexados. Se obtendrá mediante el cálculo de la exposición subyacente a los instrumentos de capital de los entes del sector financiero incluidos en los índices. No se incluirán las tenencias que se tratan como tenencias recíprocas con arreglo al artículo 66, letra b), del RRC. |
|
640 |
17.2.2 (-) Compensación permitida de posiciones cortas en relación con las tenencias indirectas brutas incluidas arriba Artículo 4, apartado 1, punto 114, y artículo 69 del RRC. El artículo 69, letra a), del RRC permite la compensación de posiciones cortas en la misma exposición subyacente siempre que la posición corta tenga igual vencimiento que la posición larga o un vencimiento residual de al menos un año. |
|
641 |
17.3 Tenencias sintéticas de capital de nivel 2 de entes del sector financiero en los que la entidad tiene una inversión significativa Artículo 4, apartado 1, punto 126, y artículos 68 y 69 del RRC. |
|
642 |
17.3.1 Tenencias sintéticas brutas de capital de nivel 2 de entes del sector financiero en los que la entidad tiene una inversión significativa Artículo 4, apartado 1, punto 126, y artículos 68 y 69 del RRC. |
|
643 |
17.3.2 (-) Compensación permitida de posiciones cortas en relación con las tenencias sintéticas brutas incluidas arriba Artículo 4, apartado 1, punto 126, y artículo 69 del RRC. |
|
650 |
18 Exposiciones ponderadas por riesgo de tenencias de capital de nivel 1 ordinario en entes del sector financiero que no se deducen del capital de nivel 1 ordinario de la entidad Artículo 46, apartado 4, artículo 48, apartado 4, y artículo 49, apartado 4, del RRC |
|
660 |
19 Exposiciones ponderadas por riesgo de tenencias de capital de nivel 1 adicional en entes del sector financiero que no se deducen del capital de nivel 1 adicional de la entidad Artículo 60, apartado 4, del RRC. |
|
670 |
20 Exposiciones ponderadas por riesgo de tenencias de capital de nivel 2 en entes del sector financiero que no se deducen del capital de nivel 2 de la entidad Artículo 70, apartado 4, del RRC. |
|
680 |
21 Tenencias de instrumentos de capital de nivel 1 ordinario de entes del sector financiero en los que la entidad no tiene una inversión significativa con dispensa temporal Artículo 79 del RRC. Una autoridad competente podrá renunciar temporalmente a aplicar las disposiciones en materia de deducción del capital de nivel 1 ordinario aplicables a tenencias de instrumentos de un ente del sector financiero específico, cuando considere que tales tenencias responden a los fines de una operación de asistencia financiera de reestructuración y salvamento de tal ente. Nótese que dichos instrumentos se consignarán asimismo en la partida 12.1. |
|
690 |
22 Tenencias de instrumentos de capital de nivel 1 ordinario de entes del sector financiero en los que la entidad tiene una inversión significativa con dispensa temporal Artículo 79 del RRC. Una autoridad competente podrá renunciar temporalmente a aplicar las disposiciones en materia de deducción del capital de nivel 1 ordinario aplicables a tenencias de instrumentos de un ente del sector financiero específico, cuando considere que tales tenencias responden a los fines de una operación de asistencia financiera de reestructuración y salvamento de tal ente. Nótese que dichos instrumentos se consignarán asimismo en la partida 15.1. |
|
700 |
23 Tenencias de instrumentos de capital de nivel 1 adicional de entes del sector financiero en los que la entidad no tiene una inversión significativa con dispensa temporal Artículo 79 del RRC. Una autoridad competente podrá renunciar temporalmente a aplicar las disposiciones en materia de deducción del capital de nivel 1 adicional aplicables a tenencias de instrumentos de un ente del sector financiero específico, cuando considere que tales tenencias responden a los fines de una operación de asistencia financiera de reestructuración y salvamento de tal ente. Nótese que dichos instrumentos se consignarán asimismo en la partida 13.1. |
|
710 |
24 Tenencias de instrumentos de capital de nivel 1 adicional de entes del sector financiero en los que la entidad tiene una inversión significativa con dispensa temporal Artículo 79 del RRC. Una autoridad competente podrá renunciar temporalmente a aplicar las disposiciones en materia de deducción del capital de nivel 1 adicional aplicables a tenencias de instrumentos de un ente del sector financiero específico, cuando considere que tales tenencias responden a los fines de una operación de asistencia financiera de reestructuración y salvamento de tal ente. Nótese que dichos instrumentos se consignarán asimismo en la partida 16.1. |
|
720 |
25 Tenencias de instrumentos de capital de nivel 2 de entes del sector financiero en los que la entidad no tiene una inversión significativa con dispensa temporal Artículo 79 del RRC. Una autoridad competente podrá renunciar temporalmente a aplicar las disposiciones en materia de deducción del capital de nivel 2 aplicables a tenencias de instrumentos de un ente del sector financiero específico, cuando considere que tales tenencias responden a los fines de una operación de asistencia financiera de reestructuración y salvamento de tal ente. Nótese que dichos instrumentos se consignarán asimismo en la partida 14.1. |
|
730 |
26 Tenencias de instrumentos de capital de nivel 2 de entes del sector financiero en los que la entidad tiene una inversión significativa con dispensa temporal Artículo 79 del RRC. Una autoridad competente podrá renunciar temporalmente a aplicar las disposiciones en materia de deducción del capital de nivel 2 aplicables a tenencias de instrumentos de un ente del sector financiero específico, cuando considere que tales tenencias responden a los fines de una operación de asistencia financiera de reestructuración y salvamento de tal ente. Nótese que dichos instrumentos se consignarán asimismo en la partida 17.1. |
|
740 |
27 Requisitos combinados de colchón Artículo 128, apartado 6, de la DRC. |
|
750 |
Colchón de conservación de capital Artículo 128, apartado 1, y artículo 129 de la DRC. Con arreglo al artículo 129, apartado 1, el colchón de conservación de capital es un importe adicional del capital de nivel 1 ordinario. Dado que el porcentaje del colchón de conservación de capital del 2,5 % es estable, se consignará un importe en esta celda. |
|
760 |
Colchón de conservación debido al riesgo macroprudencial o sistémico observado en un Estado miembro Artículo 458, apartado 2, letra d), inciso iv), del RRC. En esta celda se consignará el importe del colchón de conservación debido al riesgo macroprudencial o sistémico observado en un Estado miembro, que puede exigirse con arreglo al artículo 458 del RRC adicionalmente al colchón de conservación de capital. El importe comunicado será el de los fondos propios necesarios para cumplir el correspondiente requisito en materia de colchón de capital en la fecha de información. |
|
770 |
Colchón de capital anticíclico específico de la entidad Artículo 128, apartado 2, artículo 130 y artículos 135 a 140 de la DRC. El importe comunicado será el de los fondos propios necesarios para cumplir el correspondiente requisito en materia de colchón de capital en la fecha de información. |
|
780 |
Colchón de riesgo sistémico Artículo 128, apartado 5, y artículos 133 y 134 de la DRC. El importe comunicado será el de los fondos propios necesarios para cumplir el correspondiente requisito en materia de colchón de capital en la fecha de información. |
|
800 |
Colchón de entidades de importancia sistémica mundial Artículo 128, apartado 3, y artículo 131 de la DRC. El importe comunicado será el de los fondos propios necesarios para cumplir el correspondiente requisito en materia de colchón de capital en la fecha de información. |
|
810 |
Colchón de otras entidades de importancia sistémica Artículo 128, apartado 4, y artículo 131 de la DRC. El importe comunicado será el de los fondos propios necesarios para cumplir el correspondiente requisito en materia de colchón de capital en la fecha de información. |
|
820 |
28 Requisitos de fondos propios relacionados con los ajustes de pilar II Artículo 104, apartado 2, de la DRC. Si una autoridad competente determina que una entidad ha de calcular requisitos de fondos propios adicionales por motivos del pilar II, tales requisitos se consignarán en esta celda. |
|
830 |
29 Capital inicial Artículos 12, 28 a 31 de la DRC y artículo 93 del RRC. |
|
840 |
30 Fondos propios basados en los gastos fijos generales Artículo 96, apartado 2, letra b), artículo 97 y artículo 98, apartado 1, letra a), del RRC. |
|
850 |
31 Exposiciones originales no nacionales Información necesaria para calcular el umbral para la cumplimentación de la plantilla CR GB con arreglo al artículo 5, letra a), punto 4, del presente Reglamento. El cálculo del umbral se efectuará sobre la base de la exposición original previa al factor de conversión. Se considerarán nacionales las exposiciones frente a contrapartes localizadas en el Estado miembro en el que esté localizada la entidad. |
|
860 |
32 Exposiciones originales totales Información necesaria para calcular el umbral para la cumplimentación de la plantilla CR GB con arreglo al artículo 5, letra a), punto 4, del presente Reglamento. El cálculo del umbral se efectuará sobre la base de la exposición original previa al factor de conversión. Se considerarán nacionales las exposiciones frente a contrapartes localizadas en el Estado miembro en el que esté localizada la entidad. |
|
870 |
Ajustes de los fondos propios totales Artículo 500, apartado 4, del RRC. Deberá comunicarse en esta fila la diferencia entre el importe consignado en la fila 880 y el total de fondos propios con arreglo al RRC. Si se aplica el método estándar alternativo (artículo 500, apartado 2, del RRC), esta fila se dejará en blanco. |
|
880 |
Fondos propios plenamente ajustados por límite mínimo de Basilea I Artículo 500, apartado 4, del RRC. Deberá comunicarse en esta fila el total de fondos propios con arreglo al RRC ajustados de conformidad con lo dispuesto en su artículo 500, apartado 4 (es decir, plenamente ajustados para reflejar las diferencias entre el cálculo de los fondos propios conforme a la Directiva 93/6/CEE y a la Directiva 2000/12/CE, en la versión de dichas Directivas anterior al 1 de enero de 2007, y el cálculo de los fondos propios conforme al RRC, diferencias derivadas del tratamiento por separado de las pérdidas esperadas y de las pérdidas no esperadas con arreglo a la parte tercera, título II, capítulo 3, del RRC). Si se aplica el método estándar alternativo (artículo 500, apartado 2, del RRC), esta fila se dejará en blanco. |
|
890 |
Requisitos de fondos propios por límite mínimo de Basilea I Artículo 500, apartado 1, letra b), del RRC. Deberá comunicarse en esta fila el importe de fondos propios que el artículo 500, apartado 1, letra b), del RRC obliga a mantener (es decir, el 80 % del importe total mínimo de fondos propios de los que la entidad tendría que disponer con arreglo al artículo 4 de la Directiva 93/6/CEE, según las versiones de dicha Directiva y de la Directiva 2000/12/CE del Parlamento Europeo y del Consejo, de 20 de marzo de 2000, relativa al acceso a la actividad de las entidades de crédito y a su ejercicio, anteriores a enero de 2007). |
|
900 |
Requisitos de fondos propios por límite mínimo de Basilea I — Método estándar alternativo Artículo 500, apartados 2 y 3, del RRC. Deberá comunicarse en esta fila el importe de fondos propios que el artículo 500, apartado 2, del RRC obliga a mantener (es decir, el 80 % de los fondos propios que, con arreglo al artículo 92, se exigirían a la entidad si esta calculara las exposiciones ponderadas por riesgo de conformidad con la parte tercera, título II, capítulo 2, y con la parte tercera, título III, capítulos 2 o 3, según proceda, del RRC, y no de conformidad con la parte tercera, título II, capítulo 3, o con la parte tercera, título III, capítulo 4, según proceda, del RRC). |
|
910 |
Déficit de capital total con relación a los requisitos de fondos propios por límite mínimo de Basilea I o método estándar alternativo Artículo 500, apartado 1, letra b), y apartado 2, del RRC. Se consignará en esta fila: — si se aplica el artículo 500, apartado 1, letra b), del RRC y la fila 880 es inferior a la fila 890, la diferencia entre la fila 890 y la fila 880; o — si se aplica el artículo 500, apartado 2, del RRC, y la fila 010 de C 01.00 es inferior a la fila 900 de C 04.00, la diferencia entre la fila 900 de C 04.00 y la fila 010 de C 01.00. |
1.6 DISPOSICIONES TRANSITORIAS E INSTRUMENTOS EN RÉGIMEN DE ANTERIORIDAD: INSTRUMENTOS QUE NO CONSTITUYEN AYUDAS ESTATALES (CA5)
1.6.1 Observaciones generales
15. En la plantilla CA5 se resume la estimación de los elementos y las deducciones de fondos propios sujetos a las disposiciones transitorias establecidas en los artículos 465 a 491 del RRC.
16. La plantilla CA5 se estructura como sigue:
a) En la plantilla 5.1 se resumen los ajustes totales que deben efectuarse en los diversos componentes de los fondos propios (consignados en CA1 con arreglo a las disposiciones finales) como consecuencia de la aplicación de las disposiciones transitorias; las partidas de este cuadro se presentan como «ajustes» de los diferentes componentes del capital de la plantilla CA1, con el fin de reflejar en tales componentes los efectos de las disposiciones transitorias.
b) En la plantilla 5.2 se ofrece información adicional sobre el cálculo de los instrumentos en régimen de anterioridad que no constituyen ayudas estatales.
17. Las entidades consignarán en las cuatro primeras columnas los ajustes del capital de nivel 1 ordinario, el capital de nivel 1 adicional y el capital de nivel 2, así como los importes que deben tratarse como activos ponderados por riesgo. Las entidades están obligadas además a consignar el porcentaje aplicable en la columna 050, y el importe admisible sin reconocimiento de las disposiciones transitorias en la columna 060.
18. Las entidades solo consignarán elementos en la plantilla CA5 durante el período en que se apliquen las disposiciones transitorias de conformidad con la parte décima del RRC.
19. Algunas de las disposiciones transitorias requieren una deducción del capital de nivel 1. Si tal es el caso, el importe residual de la deducción o deducciones se aplica al capital de nivel 1, y si no existe capital de nivel 1 adicional suficiente para absorber tal importe, el exceso se deducirá del capital de nivel 1 ordinario.
1.6.2 C 05.01 — DISPOSICIONES TRANSITORIAS (CA5.1)
20. Las entidades consignarán en el cuadro 5.1 las disposiciones transitorias relativas a los componentes de los fondos propios, conforme se establece en los artículos 465 a 491 del RRC, frente a la aplicación de las disposiciones finales previstas en el título II de la parte segunda del RRC.
21. Las entidades consignarán en las columnas 020 a 060 la información sobre las disposiciones transitorias relativas a los instrumentos en régimen de anterioridad. Las cifras que deben consignarse en las columnas 010 a 030 de la fila 060 de CA 5.1 pueden derivarse de las respectivas secciones de CA 5.2.
22. Las entidades consignarán en las filas 070 a 092 la información sobre las disposiciones transitorias relativas a los intereses minoritarios e instrumentos de capital de nivel 1 adicional y de nivel 2 emitidos por filiales (de conformidad con los artículos 479 y 480 del RRC).
23. En las filas de la 100 en adelante, las entidades consignarán información sobre las disposiciones transitorias relativas a las ganancias y pérdidas no realizadas, las deducciones, y otros filtros y deducciones adicionales.
24. Puede haber casos en los que las deducciones transitorias del capital de nivel 1 ordinario, el capital de nivel 1 adicional o el capital de nivel 2 excedan del capital de nivel 1 ordinario, el capital de nivel 1 adicional o el capital de nivel 2 de una entidad. Tal efecto (si se deriva de las disposiciones transitorias) se reflejará en la plantilla CA1 utilizando las celdas respectivas. Como consecuencia, los ajustes en las columnas de la plantilla CA5 no incluyen las repercusiones en caso de insuficiencia del capital disponible.
1.6.2.1. Instrucciones relativas a posiciones concretas
|
Columnas |
|
|
010 |
Ajustes del capital de nivel 1 ordinario |
|
020 |
Ajustes del capital de nivel 1 adicional |
|
030 |
Ajustes del capital de nivel 2 |
|
040 |
Ajustes incluidos en activos ponderados por riesgo En la columna 040 se incluyen los importes pertinentes por los que se ajusta el importe total de la exposición al riesgo del artículo 92, apartado 3, del RRC, debido a disposiciones transitorias. Los importes consignados tendrán en cuenta la aplicación de las disposiciones de la parte tercera, título II, capítulos 2 o 3, o de la parte tercera, título IV, de conformidad con el artículo 92, apartado 4, del RRC, lo que significa que los importes transitorios sujetos a lo dispuesto en la parte tercera, título II, capítulos 2 o 3, se comunicarán como importes de exposiciones ponderadas por riesgo, mientras que los importes transitorios sujetos a lo dispuesto en la parte tercera, título IV, representarán los requisitos de fondos propios multiplicados por 12,5. Mientras que las columnas 010 a 030 tienen un enlace directo a la plantilla CA1, los ajustes del importe total de la exposición al riesgo carecen de enlace directo a las plantillas pertinentes para el riesgo de crédito. Si las disposiciones transitorias implican ajustes del importe total de la exposición al riesgo, dichos ajustes se incluirán directamente en CR SA, CR IRB, CR EQU IRB, MKR SA TDI, MKR SA EQU o MKR IM. Asimismo, tales efectos se consignarán en la columna 040 de CA5.1. En consecuencia, dichos importes son únicamente partidas pro memoria. |
|
050 |
Porcentaje aplicable |
|
060 |
Importe admisible sin disposiciones transitorias En la columna 060 figura el importe de cada instrumento previamente a la aplicación de las disposiciones transitorias; es decir, el importe de base pertinente para calcular los ajustes. |
|
Filas |
|
|
010 |
1. Ajustes totales Esta fila refleja el efecto global de los ajustes transitorios en los diversos tipos de capital, más los importes ponderados por riesgo derivados de tales ajustes. |
|
020 |
1.1 Instrumentos en régimen de anterioridad Artículos 483 a 491 del RRC. Esta fila refleja el efecto global de los instrumentos transitoriamente en régimen de anterioridad en los diversos tipos de capital. |
|
030 |
1.1.1 Instrumentos en régimen de anterioridad: instrumentos que constituyen ayudas estatales Artículo 483 del RRC. |
|
040 |
1.1.1.1 Instrumentos que se consideraban fondos propios de acuerdo con 2006/48/CE Artículo 483, apartados 1, 2, 4 y 6, del RRC. |
|
050 |
1.1.1.2 Instrumentos emitidos por entidades constituidas en un Estado miembro que está sujeto a un programa de ajuste económico Artículo 483, apartados 1, 3, 5, 7 y 8, del RRC. |
|
060 |
1.1.2 Instrumentos que no constituyen ayudas estatales Los importes que deben consignarse se obtendrán de la columna 060 de la plantilla CA 5.2. |
|
070 |
1.2 Intereses minoritarios y equivalentes Artículos 479 y 480 del RRC. Esta fila refleja los efectos de las disposiciones transitorias en los intereses minoritarios admisibles como capital de nivel 1 ordinario; los instrumentos de capital de nivel 1 admisibles que puedan considerarse capital de nivel 1 adicional consolidado; y los fondos propios admisibles que puedan considerarse capital de nivel 2 consolidado. |
|
080 |
1.2.1 Instrumentos de capital y elementos que no se consideran intereses minoritarios Artículo 479 del RRC. El importe que debe consignarse en la columna 060 de esta fila será aquel que pueda contabilizarse como reservas consolidadas de conformidad con reglamentación anterior. |
|
090 |
1.2.2 Reconocimiento transitorio en los fondos propios consolidados de intereses minoritarios Artículos 84 y 480 del RRC. El importe que debe consignarse en la columna 060 de esta fila será el importe admisible sin las disposiciones transitorias. |
|
091 |
1.2.3 Reconocimiento transitorio en los fondos propios consolidados del capital de nivel 1 adicional admisible Artículos 85 y 480 del RRC. El importe que debe consignarse en la columna 060 de esta fila será el importe admisible sin las disposiciones transitorias. |
|
092 |
1.2.4 Reconocimiento transitorio en los fondos propios consolidados del capital de nivel 2 admisible Artículos 87 y 480 del RRC. El importe que debe consignarse en la columna 060 de esta fila será el importe admisible sin las disposiciones transitorias. |
|
100 |
1.3 Otros ajustes transitorios Artículos 467 a 478 y 481 del RRC. Esta fila refleja el efecto global de los ajustes transitorios en la deducción en diversos tipos de capital, ganancias y pérdidas no realizadas, filtros y deducciones adicionales, más los importes ponderados por riesgo derivados de tales ajustes. |
|
110 |
1.3.1 Ganancias y pérdidas no realizadas Artículos 467 y 468 del RRC. Esta fila refleja el efecto global de las disposiciones transitorias en las ganancias y pérdidas no realizadas valoradas a valor razonable. |
|
120 |
1.3.1.1 Ganancias no realizadas Artículo 468, apartado 1, del RRC. |
|
130 |
1.3.1.2 Pérdidas no realizadas Artículo 467, apartado 1, del RRC. |
|
133 |
1.3.1.3 Ganancias no realizadas en exposiciones frente a administraciones centrales clasificadas en la categoría «Disponible para la venta» de la norma NIC 39 refrendada por la UE Artículo 468 del RRC. |
|
136 |
1.3.1.4 Pérdidas no realizadas en exposiciones frente a administraciones centrales clasificadas en la categoría «Disponible para la venta» de la norma NIC 39 refrendada por la UE Artículo 467 del RRC. |
|
138 |
1.3.1.5 Pérdidas y ganancias a valor razonable derivadas del propio riesgo de crédito de la entidad relacionado con los pasivos por derivados Artículo 468 del RRC. |
|
140 |
1.3.2 Deducciones Artículo 36, apartado 1, y artículos 469 a 478 del RRC. Esta fila refleja el efecto global de las disposiciones transitorias en las deducciones. |
|
150 |
1.3.2.1. Pérdidas del ejercicio en curso Artículo 36, apartado 1, letra a), artículo 469, apartado 1, artículo 472, apartado 3, y artículo 478 del RRC. El importe que debe consignarse en la columna 060 de esta fila será el de la deducción original con arreglo al artículo 36, apartado 1, letra a), del RRC. En el caso de que a las empresas solo se les haya exigido deducir pérdidas significativas: — cuando la pérdida neta provisional total sea «significativa», se deducirá el importe residual completo del capital de nivel 1; y — cuando la pérdida neta provisional total no sea «significativa», no se efectuará deducción alguna del importe residual. |
|
160 |
1.3.2.2. Activos intangibles Artículo 36, apartado 1, letra b), artículo 469, apartado 1, artículo 472, apartado 4, y artículo 478 del RRC. Al determinar el importe de los activos intangibles que deben deducirse, las entidades tendrán en cuenta lo dispuesto en el artículo 37 del RRC. El importe que debe consignarse en la columna 060 de esta fila será el de la deducción original con arreglo al artículo 36, apartado 1, letra b), del RRC. |
|
170 |
1.3.2.3. Activos por impuestos diferidos que dependan de rendimientos futuros y no se originen por diferencias temporales Artículo 36, apartado 1, letra c), artículo 469, apartado 1, artículo 472, apartado 5, y artículo 478 del RRC. Al determinar el importe de los activos por impuestos diferidos arriba mencionados que debe deducirse, las entidades tendrán en cuenta lo dispuesto en el artículo 38 del RRC respecto a la reducción de dichos activos por los pasivos por impuestos diferidos. El importe que debe consignarse en la columna 060 de esta fila será el importe total con arreglo al artículo 469, apartado 1, del RRC. |
|
180 |
1.3.2.4. Insuficiencia de las provisiones para pérdidas esperadas según el método IRB Artículo 36, apartado 1, letra d), artículo 469, apartado 1, artículo 472, apartado 6, y artículo 478 del RRC. Al determinar el importe de la insuficiencia de las provisiones para pérdidas esperadas según el método IRB que debe deducirse, las entidades tendrán en cuenta lo dispuesto en el artículo 40 del RRC. El importe que debe consignarse en la columna 060 de esta fila será la deducción original con arreglo al artículo 36, apartado 1, letra d), del RRC. |
|
190 |
1.3.2.5. Activos de fondos de pensiones de prestaciones definidas Artículo 33, apartado 1, letra e), artículo 469, apartado 1, artículo 472, apartado 7, y artículos 473 y 478 del RRC. Al determinar el importe de los activos de fondos de pensiones de prestaciones definidas que debe deducirse, las entidades tendrán en cuenta lo dispuesto en el artículo 41 del RRC. El importe que debe consignarse en la columna 060 de esta fila será el de la deducción original con arreglo al artículo 36, apartado 1, letra e), del RRC. |
|
194 |
1.3.2.5.* De los cuales: introducción de modificaciones en la norma NIC 19 –elemento positivo Artículo 473 del RRC. |
|
198 |
1.3.2.5.** De los cuales: introducción de modificaciones en la norma NIC 19 –elemento negativo Artículo 473 del RRC. |
|
200 |
1.3.2.6. Instrumentos propios Artículo 36, apartado 1, letra f), artículo 469, apartado 1, artículo 472, apartado 8, y artículo 478 del RRC. El importe que debe consignarse en la columna 060 de esta fila será el de la deducción original con arreglo al artículo 36, apartado 1, letra f), del RRC. |
|
210 |
1.3.2.6.1 Instrumentos propios de capital de nivel 1 ordinario Artículo 36, apartado 1, letra f), artículo 469, apartado 1, artículo 472, apartado 8, y artículo 478 del RRC. Al determinar el importe de los instrumentos propios de capital de nivel 1 ordinario que debe deducirse, las entidades tendrán en cuenta lo dispuesto en el artículo 42 del RRC. Dado que el tratamiento del «importe residual» difiere dependiendo de la naturaleza del instrumento, las entidades desglosarán las tenencias de instrumentos propios de capital ordinario en «directas» e «indirectas». El importe que debe consignarse en la columna 060 de esta fila será el de la deducción original con arreglo al artículo 36, apartado 1, letra f), del RRC. |
|
211 |
1.3.2.6.1** De los cuales: tenencias directas Artículo 469, apartado 1, letra b), y artículo 472, apartado 8, letra a), del RRC. El importe que debe consignarse en la columna 060 de esta fila será el importe total de las tenencias directas, incluidos los instrumentos que una entidad pueda estar obligada a adquirir en virtud de un compromiso contractual real o contingente. |
|
212 |
1.3.2.6.1* De los cuales: tenencias indirectas Artículo 469, apartado 1, letra b), y artículo 472, apartado 8, letra b), del RRC. El importe que debe consignarse en la columna 060 de esta fila será el importe total de las tenencias indirectas, incluidos los instrumentos que una entidad pueda estar obligada a adquirir en virtud de un compromiso contractual real o contingente. |
|
220 |
1.3.2.6.2 Instrumentos propios de capital de nivel 1 adicional Artículo 56, letra a), artículo 474, artículo 475, apartado 2, y artículo 478 del RRC. Al determinar el importe de las tenencias antes mencionadas que debe deducirse, las entidades tendrán en cuenta lo dispuesto en el artículo 57 del RRC. Dado que el tratamiento del «importe residual» difiere dependiendo de la naturaleza del instrumento (artículo 475, apartado 2, del RRC), las entidades desglosarán las tenencias antes mencionadas en tenencias de capital de nivel 1 adicional propio «directas» e «indirectas». El importe que debe consignarse en la columna 060 de esta fila será el de la deducción original con arreglo al artículo 56, letra a), del RRC. |
|
221 |
1.3.2.6.2** De los cuales: tenencias directas El importe que debe consignarse en la columna 060 de esta fila será el importe total de las tenencias directas, incluidos los instrumentos que una entidad pueda estar obligada a adquirir en virtud de un compromiso contractual real o contingente (artículo 474, letra b), y artículo 475, apartado 2, letra a), del RRC). |
|
222 |
1.3.2.6.2* De los cuales: tenencias indirectas El importe que debe consignarse en la columna 060 de esta fila será el importe total de las tenencias indirectas, incluidos los instrumentos que una entidad pueda estar obligada a adquirir en virtud de un compromiso contractual real o contingente (artículo 474, letra b), y artículo 475, apartado 2, letra b), del RRC). |
|
230 |
1.3.2.6.3 Instrumentos propios de capital de nivel 2 Artículo 66, letra a), artículo 476, artículo 477, apartado 2, y artículo 478 del RRC. Al determinar el importe de las tenencias que debe deducirse, las entidades tendrán en cuenta lo dispuesto en el artículo 67 del RRC. Dado que el tratamiento del «importe residual» difiere dependiendo de la naturaleza del instrumento (artículo 477, apartado 2, del RRC), las entidades desglosarán las tenencias antes mencionadas en tenencias de capital de nivel 2 propio «directas» e «indirectas». El importe que debe consignarse en la columna 060 de esta fila será el de la deducción original con arreglo al artículo 66, letra a), del RRC. |
|
231 |
De los cuales: tenencias directas El importe que debe consignarse en la columna 060 de esta fila será el importe total de las tenencias directas, incluidos los instrumentos que una entidad pueda estar obligada a adquirir en virtud de un compromiso contractual real o contingente (artículo 476, letra b), y artículo 477, apartado 2, letra a), del RRC). |
|
232 |
De los cuales: tenencias indirectas El importe que debe consignarse en la columna 060 de esta fila será el importe total de las tenencias indirectas, incluidos los instrumentos que una entidad pueda estar obligada a adquirir en virtud de un compromiso contractual real o contingente (artículo 476, letra b), y artículo 477, apartado 2, letra b), del RRC). |
|
240 |
1.3.2.7. Tenencias recíprocas Dado que el tratamiento del «importe residual» difiere dependiendo de si la tenencia de capital de nivel 1 ordinario, capital de nivel 1 adicional o capital de nivel 2 en el ente del sector financiero debe considerarse significativa o no (artículo 472, apartado 9, artículo 475, apartado 3, y artículo 477, apartado 3, del RRC), las entidades desglosarán las tenencias recíprocas con arreglo a las inversiones significativas y no significativas. |
|
250 |
1.3.2.7.1 Tenencias recíprocas en el capital de nivel 1 ordinario Artículo 36, apartado 1, letra g), artículo 469, apartado 1, artículo 472, apartado 9, y artículo 478 del RRC. El importe que debe consignarse en la columna 060 de esta fila será el de la deducción original con arreglo al artículo 36, apartado 1, letra g), del RRC. |
|
260 |
1.3.2.7.1.1 Tenencias recíprocas en el capital de nivel 1 ordinario de entes del sector financiero en los que la entidad no tiene una inversión significativa Artículo 36, apartado 1, letra g), artículo 469, apartado 1, artículo 472, apartado 9, letra a), y artículo 478 del RRC. El importe que debe consignarse en la columna 060 de esta fila será el importe residual con arreglo al artículo 469, apartado 1, letra b), del RRC. |
|
270 |
1.3.2.7.1.2 Tenencias recíprocas en el capital de nivel 1 ordinario de entes del sector financiero en los que la entidad tiene una inversión significativa Artículo 36, apartado 1, letra g), artículo 469, apartado 1, artículo 472, apartado 9, letra b), y artículo 478 del RRC. El importe que debe consignarse en la columna 060 de esta fila será el importe residual con arreglo al artículo 469, apartado 1, letra b), del RRC. |
|
280 |
1.3.2.7.2 Tenencias recíprocas en el capital de nivel 1 adicional Artículo 56, letra b), artículo 474, artículo 475, apartado 3, y artículo 478 del RRC. El importe que debe consignarse en la columna 060 de esta fila será el de la deducción original con arreglo al artículo 56, letra b), del RRC. |
|
290 |
1.3.2.7.2.1 Tenencias recíprocas en el capital de nivel 1 adicional de entes del sector financiero en los que la entidad no tiene una inversión significativa Artículo 56, letra b), artículo 474, artículo 475, apartado 3, letra a), y artículo 478 del RRC. El importe que debe consignarse en la columna 060 de esta fila será el importe residual con arreglo al artículo 475, apartado 3, del RRC. |
|
300 |
1.3.2.7.2.2 Tenencias recíprocas en el capital de nivel 1 adicional de entes del sector financiero en los que la entidad tiene una inversión significativa Artículo 56, letra b), artículo 474, artículo 475, apartado 3, letra b), y artículo 478 del RRC. El importe que debe consignarse en la columna 060 de esta fila será el importe residual con arreglo al artículo 475, apartado 3, del RRC. |
|
310 |
1.3.2.7.3 Tenencias recíprocas en el capital de nivel 2 Artículo 66, letra b), artículo 476, artículo 477, apartado 3, y artículo 478 del RRC. El importe que debe consignarse en la columna 060 de esta fila será el de la deducción original con arreglo al artículo 66, letra b), del RRC. |
|
320 |
1.3.2.7.3.1 Tenencias recíprocas en el capital de nivel 2 de entes del sector financiero en los que la entidad no tiene una inversión significativa Artículo 66, letra b), artículo 476, artículo 477, apartado 3, letra a), y artículo 478 del RRC. El importe que debe consignarse en la columna 060 de esta fila será el importe residual con arreglo al artículo 477, apartado 3, del RRC. |
|
330 |
1.3.2.7.3.2 Tenencias recíprocas en el capital de nivel 2 de entes del sector financiero en los que la entidad tiene una inversión significativa Artículo 66, letra b), artículo 476, artículo 477, apartado 3, letra b), y artículo 478 del RRC. El importe que debe consignarse en la columna 060 de esta fila será el importe residual con arreglo al artículo 477, apartado 3, del RRC. |
|
340 |
1.3.2.8. Instrumentos de fondos propios de entes del sector financiero en los que la entidad no tiene una inversión significativa |
|
350 |
1.3.2.8.1 Instrumentos de capital de nivel 1 ordinario de entes del sector financiero en los que la entidad no tiene una inversión significativa Artículo 36, apartado 1, letra h), artículo 469, apartado 1, artículo 472, apartado 10, y artículo 478 del RRC. El importe que debe consignarse en la columna 060 de esta fila será el de la deducción original con arreglo al artículo 36, apartado 1, letra h), del RRC. |
|
360 |
1.3.2.8.2 Instrumentos de capital de nivel 1 adicional de entes del sector financiero en los que la entidad no tiene una inversión significativa Artículo 56, letra c), artículo 474, artículo 475, apartado 4, y artículo 478 del RRC. El importe que debe consignarse en la columna 060 de esta fila será el de la deducción original con arreglo al artículo 56, letra c), del RRC. |
|
370 |
1.3.2.8.3 Instrumentos de capital de nivel 2 de entes del sector financiero en los que la entidad no tiene una inversión significativa Artículo 66, letra c), artículo 476, artículo 477, apartado 4, y artículo 478 del RRC. El importe que debe consignarse en la columna 060 de esta fila será el de la deducción original con arreglo al artículo 66, letra c), del RRC. |
|
380 |
1.3.2.9 Activos por impuestos diferidos que dependan de rendimientos futuros y se originen por diferencias temporales, e instrumentos de capital de nivel 1 ordinario de entes del sector financiero en los que la entidad tiene una inversión significativa Artículo 470, apartados 2 y 3, del RRC. Importe que debe consignarse en la columna 060 de esta fila: artículo 470, apartado 1, del RRC. |
|
385 |
Activos por impuestos diferidos que dependan de rendimientos futuros y se originen por diferencias temporales Artículo 469, apartado 1, letra c), artículo 472, apartado 5, y artículo 478 del RRC. Parte de los activos por impuestos diferidos que dependan de rendimientos futuros y se originen por diferencias temporales que exceda del umbral del 10 % establecido en el artículo 470, apartado 2, letra a), del RRC. |
|
390 |
1.3.2.10 Instrumentos de fondos propios de entes del sector financiero en los que la entidad tiene una inversión significativa |
|
400 |
1.3.2.10.1 Instrumentos de capital de nivel 1 ordinario de entes del sector financiero en los que la entidad tiene una inversión significativa Artículo 36, apartado 1, letra i), artículo 469, apartado 1, artículo 472, apartado 11, y artículo 478 del RRC. El importe que debe consignarse en la columna 060 de esta fila será el de la deducción original con arreglo al artículo 36, apartado 1, letra i), del RRC. |
|
410 |
1.3.2.10.2 Instrumentos de capital de nivel 1 adicional de entes del sector financiero en los que la entidad tiene una inversión significativa Artículo 56, letra d), artículo 474, artículo 475, apartado 4, y artículo 478 del RRC. El importe que debe consignarse en la columna 060 de esta fila será el de la deducción original con arreglo al artículo 56, letra d), del RRC. |
|
420 |
1.3.2.10.2 Instrumentos de capital de nivel 2 de entes del sector financiero en los que la entidad tiene una inversión significativa Artículo 66, letra d), artículo 476, artículo 477, apartado 4, y artículo 478 del RRC. El importe que debe consignarse en la columna 060 de esta fila será el de la deducción original con arreglo al artículo 66, letra d), del RRC. |
|
425 |
1.3.2.11 Exención de la obligación de deducir las participaciones en el capital de empresas de seguros de los elementos del capital de nivel 1 ordinario Artículo 471 del RRC. |
|
430 |
1.3.3 Deducciones y filtros adicionales Artículo 481 del RRC. Esta fila refleja el efecto global de las disposiciones transitorias en los filtros y deducciones adicionales. De conformidad con el artículo 481 del RRC, las entidades consignarán en la partida 1.3.3 la información relativa a los filtros y las deducciones exigidos con arreglo a las medidas nacionales de transposición de los artículos 57 y 66 de la Directiva 2006/48/CE, y de los artículos 13 y 16 de la Directiva 2006/49/CE, y que no se exigen de conformidad con la parte segunda. |
|
440 |
1.3.4 Ajustes debidos a las disposiciones transitorias derivadas de la NIIF 9 Las entidades comunicarán información sobre las disposiciones transitorias debidas a la NIIF 9, de conformidad con las normas legales aplicables. |
1.6.3 C 05.02 — INSTRUMENTOS EN RÉGIMEN DE ANTERIORIDAD: INSTRUMENTOS QUE NO CONSTITUYEN AYUDAS ESTATALES (CA5.2)
25. Las entidades proporcionarán información sobre las disposiciones transitorias relativas a los instrumentos en régimen de anterioridad que no constituyen ayudas estatales (artículos 484 a 491 del RRC).
1.6.3.1. Instrucciones relativas a posiciones concretas
|
Columnas |
|
|
010 |
Importe de los instrumentos más las primas de emisión conexas Artículo 484, apartados 3 a 5, del RRC. Instrumentos admisibles en cada fila respectiva, incluidas sus primas de emisión conexas. |
|
020 |
Base para el cálculo del límite Artículo 486, apartados 2 a 4, del RRC. |
|
030 |
Porcentaje aplicable Artículo 486, apartado 5, del RRC. |
|
040 |
Límite Artículo 486, apartados 2 a 5, del RRC. |
|
050 |
(-) Importe que excede de los límites para la aplicación de las disposiciones de anterioridad Artículo 486, apartados 2 a 5, del RRC. |
|
060 |
Total del importe en régimen de anterioridad El importe que debe consignarse equivaldrá a los importes que figuren en las respectivas columnas de la fila 060 de CA 5.1. |
|
Filas |
|
|
010 |
1. Instrumentos que entran en el artículo 57, letra a), de 2006/48/CE Artículo 484, apartado 3, del RRC. El importe que debe consignarse incluirá las cuentas de primas de emisión conexas. |
|
020 |
2. Instrumentos que entran en el artículo 57, letra c bis), y el artículo 154, apartados 8 y 9, de 2006/48/CE, con sujeción al límite del artículo 489 Artículo 484, apartado 4, del RRC. |
|
030 |
2.1 Total de instrumentos sin opción ni incentivos de amortización Artículo 484, apartado 4, y artículo 489 del RRC. El importe que debe consignarse incluirá las cuentas de primas de emisión conexas. |
|
040 |
2.2 Instrumentos en régimen de anterioridad con opción e incentivos de amortización Artículo 489 del RRC. |
|
050 |
2.2.1 Instrumentos con una opción ejercitable tras la fecha de información, y que cumplen las condiciones del artículo 52 del RRC después de la fecha de vencimiento efectivo Artículo 489, apartado 3, y artículo 491, letra a), del RRC. El importe que debe consignarse incluirá las cuentas de primas de emisión conexas. |
|
060 |
2.2.2 Instrumentos con una opción ejercitable tras la fecha de información, y que no cumplen las condiciones del artículo 52 del RRC después de la fecha de vencimiento efectivo Artículo 489, apartado 5, y artículo 491, letra a), del RRC. El importe que debe consignarse incluirá las cuentas de primas de emisión conexas. |
|
070 |
2.2.3 Instrumentos con una opción ejercitable, a más tardar, el 20 de julio de 2011, y que no cumplen las condiciones del artículo 52 del RRC después de la fecha de vencimiento efectivo Artículo 489, apartado 6, y artículo 491, letra c), del RRC. El importe que debe consignarse incluirá las cuentas de primas de emisión conexas. |
|
080 |
2.3 Exceso respecto al límite de los instrumentos de capital de nivel 1 ordinario en régimen de anterioridad Artículo 487, apartado 1, del RRC. El exceso respecto al límite de los instrumentos de capital de nivel 1 ordinario en régimen de anterioridad puede tratarse como los instrumentos que pueden acogerse a tal régimen como instrumentos de capital de nivel 1 adicional. |
|
090 |
3. Elementos que entran en el artículo 57, letras e), f), g) o h), de 2006/48/CE, con sujeción al límite del artículo 490 Artículo 484, apartado 5, del RRC. |
|
100 |
3.1 Total de elementos sin incentivos de amortización Artículo 490 del RRC. |
|
110 |
3.2 Elementos en régimen de anterioridad con incentivos de amortización Artículo 490 del RRC. |
|
120 |
3.2.1 Elementos con una opción ejercitable tras la fecha de información, y que cumplen las condiciones del artículo 63 del RRC después de la fecha de vencimiento efectivo Artículo 490, apartado 3, y artículo 491, letra a), del RRC. El importe que debe consignarse incluirá las cuentas de primas de emisión conexas. |
|
130 |
3.2.2 Elementos con una opción ejercitable tras la fecha de información, y que no cumplen las condiciones del artículo 63 del RRC después de la fecha de vencimiento efectivo Artículo 490, apartado 5, y artículo 491, letra a), del RRC. El importe que debe consignarse incluirá las cuentas de primas de emisión conexas. |
|
140 |
3.2.3 Elementos con una opción ejercitable, a más tardar, el 20 de julio de 2011, y que no cumplen las condiciones del artículo 63 del RRC después de la fecha de vencimiento efectivo Artículo 490, apartado 6, y artículo 491, letra c), del RRC. El importe que debe consignarse incluirá las cuentas de primas de emisión conexas. |
|
150 |
3.3 Exceso respecto al límite de los instrumentos de capital de nivel 1 adicional en régimen de anterioridad Artículo 487, apartado 2, del RRC. El exceso respecto al límite de los instrumentos de capital de nivel 1 adicional en régimen de anterioridad puede tratarse como los instrumentos que pueden acogerse a tal régimen como instrumentos de capital de nivel 2. |
2. SOLVENCIA DEL GRUPO: INFORMACIÓN SOBRE FILIALES (GS)
2.1. OBSERVACIONES GENERALES
26. Las plantillas C 06.01 y C 06.02 se cumplimentarán si los requisitos de fondos propios se calculan en base consolidada. Esta plantilla consta de cuatro partes, con el fin de recabar diversa información de todos los entes individuales (incluida la entidad declarante) incluidos en el ámbito de consolidación.
a) Entes incluidos en el ámbito de consolidación.
b) Información detallada sobre la solvencia del grupo.
c) Información sobre la contribución de cada ente a la solvencia del grupo.
d) Información sobre los colchones de capital.
27. Las entidades exentas con arreglo al artículo 7 del RRC solo cumplimentarán las columnas 010 a 060 y 250 a 400.
28. La cifras comunicadas deberán tener en cuenta todas las disposiciones transitorias del Reglamento (UE) n.o 575/2013 que sean aplicables en la correspondiente fecha de información.
2.2. INFORMACIÓN DETALLADA SOBRE LA SOLVENCIA DEL GRUPO
29. La segunda parte de esta plantilla (información detallada sobre la solvencia del grupo), en las columnas 070 a 210, se ha diseñado para recabar información sobre entidades de crédito y otras entidades financieras reguladas sometidas a determinados requisitos en materia de solvencia a título individual. En la plantilla se prevén, por cada uno de tales entes incluidos en el ámbito de la provisión de información, los requisitos sobre fondos propios para cada categoría de riesgo y los fondos propios con fines de solvencia.
30. En el caso de la consolidación proporcional de participaciones, las cifras relativas a los requisitos de fondos propios y a los fondos propios en sí reflejarán los importes proporcionales respectivos.
2.3. INFORMACIÓN SOBRE LA CONTRIBUCIÓN DE CADA ENTE A LA SOLVENCIA DEL GRUPO
31. El objetivo de la tercera parte de esta plantilla (información sobre la contribución a la solvencia del grupo de todos los entes incluidos en el ámbito de consolidación según el RRC, incluidos aquellos que no están sujetos a requisitos de solvencia específicos a título individual), en las columnas 250 a 400, consiste en identificar qué entes del grupo generan los riesgos y obtienen del mercado los fondos propios, con arreglo a datos de los que ya se dispone o que pueden volver a procesarse con facilidad, sin tener que reconstruir la ratio de capital en base individual o subconsolidada. A escala de cada ente, las cifras tanto de riesgo, como de fondos propios, constituyen aportaciones a las cifras del grupo, y no elementos de una ratio de solvencia individual, y como tales, no deben compararse entre sí.
32. La tercera parte incluye además los importes de los intereses minoritarios, el capital de nivel 1 adicional admisible y el capital de nivel 2 admisible que pueden incluirse en los fondos propios consolidados.
33. Dado que esta tercera parte de la plantilla alude a las «contribuciones», las cifras que deberán consignarse en la misma diferirán, en su caso, de las indicadas en las columnas relativas a la información detallada de la solvencia del grupo.
34. El principio consiste en suprimir las exposiciones recíprocas en los mismos grupos de un modo homogéneo, tanto en lo que se refiere a los riesgos, como a los fondos propios, con el fin de cubrir los importes consignados en la plantilla CA consolidada del grupo mediante la agregación de los importes consignados para cada ente en la plantilla de «Solvencia del grupo». En los casos en los que el umbral del 1 % no se supere, no es posible establecer un vínculo directo con la plantilla CA.
35. Las entidades definirán el método de desglose más apropiado entre los entes, para tener en cuenta los posibles efectos de diversificación sobre los riesgos de mercado y operativo.
36. Es posible que un grupo consolidado esté incluido en otro grupo consolidado. En este caso, la información sobre los entes que formen parte de un subgrupo se consignará ente por ente dentro de la plantilla GS del grupo completo, y ello aun cuando el propio subgrupo esté sujeto a requisitos de información. Si el subgrupo está sujeto a requisitos de información, cumplimentará también la plantilla GS ente por ente, incluso aunque la información comunicada figure en la plantilla GS de un grupo mayor consolidado.
37. Una entidad informará sobre la contribución de un ente cuando tal contribución al importe total de la exposición al riesgo exceda del 1 % del importe total de la exposición al riesgo del grupo, o cuando su contribución a los fondos propios totales supere el 1 % de los fondos propios totales del grupo. Este umbral no se aplicará en el caso de las filiales o subgrupos que proporcionen al grupo fondos propios (en forma de intereses minoritarios o instrumentos admisibles de capital de nivel 1 adicional o de nivel 2 incluidos en los fondos propios).
2.4. C 06.01 — SOLVENCIA DEL GRUPO: INFORMACIÓN SOBRE FILIALES — Total (GS Total)
|
Columnas |
Instrucciones |
|
250-400 |
ENTES INCLUIDOS EN EL ÁMBITO DE CONSOLIDACIÓN Véanse las instrucciones de la plantilla C 06.02. |
|
410-480 |
COLCHONES DE CAPITAL Véanse las instrucciones de la plantilla C 06.02. |
|
Filas |
Instrucciones |
|
010 |
TOTAL El total será igual a la suma de los valores consignados en todas las filas de la plantilla C 06.02. |
2.5. C 06.02 — SOLVENCIA DEL GRUPO: INFORMACIÓN SOBRE FILIALES (GS)
|
Columnas |
Instrucciones |
|
010-060 |
ENTES INCLUIDOS EN EL ÁMBITO DE CONSOLIDACIÓN Esta plantilla se ha diseñado para recabar información de manera individualizada de todos los entes incluidos en el ámbito de consolidación, con arreglo a la parte primera, título II, capítulo 2, del RRC. |
|
010 |
NOMBRE Denominación del ente incluido en el ámbito de consolidación. |
|
020 |
CÓDIGO Se trata de un identificador de la fila y debe ser único para cada fila del cuadro. Código asignado al ente incluido en el ámbito de consolidación. La composición efectiva del código depende del sistema nacional de suministro de información. |
|
025 |
CÓDIGO LEI Código LEI significa código de Identificación de Entidad Jurídica; se trata de un código de referencia, propuesto por el Consejo de Estabilidad Financiera y aprobado por el G20, cuya finalidad es poder identificar con carácter inequívoco y mundial a cada una de las partes que intervienen en las operaciones financieras. Hasta tanto el sistema LEI mundial no esté plenamente operativo, las contrapartes reciben códigos pre-LEI de una Unidad Operativa Local aprobada por el Comité de Vigilancia Reglamentaria (ROC, para más información puede consultarse el siguiente sitio web: www.leiroc.org). Cuando ya exista un código de Identificación de Entidad Jurídica (código LEI) para una determinada contraparte, dicho código se utilizará para identificar a esa contraparte. |
|
030 |
ENTIDAD O EQUIVALENTE (SÍ / NO) Se consignará «SÍ» en el caso de que el ente se encuentre sujeto a requisitos de fondos propios con arreglo al RRC y la DRC o a disposiciones, al menos, equivalentes a las de Basilea. Se consignará «NO» en cualquier otro caso.
Artículo 81, apartado 1, letra a), inciso ii), y artículo 82, apartado 1, letra a), inciso ii), del RRC. En lo que atañe a los intereses minoritarios y los instrumentos de capital de nivel 1 adicional y de nivel 2 emitidos por filiales, las filiales cuyos instrumentos puedan considerarse admisibles serán entidades o empresas sometidas, con arreglo a la legislación nacional aplicable, a los requisitos del RRC. |
|
040 |
ÁMBITO DE LOS DATOS: INDIVIDUAL PLENAMENTE CONSOLIDADO (SF) O INDIVIDUAL PARCIALMENTE CONSOLIDADO (SP) Se consignará «SF» en el caso de las filiales individuales plenamente consolidadas. Se consignará «SP» en el caso de las filiales individuales parcialmente consolidadas. |
|
050 |
CÓDIGO DE PAÍS Las entidades consignarán el código de país de dos letras con arreglo a la ISO 3166-2. |
|
060 |
PARTICIPACIÓN (%) Este porcentaje se refiere a la participación real de capital que la matriz ostente en las filiales. En caso de plena consolidación de una filial directa, la participación real será, p.ej., del 70 %. De acuerdo con el artículo 4, punto 16, del RRC, la participación en una filial de una filial que debe notificarse será el resultado de multiplicar las participaciones entre las filiales consideradas. |
|
070-240 |
INFORMACIÓN SOBRE ENTES SUJETOS A REQUISITOS DE FONDOS PROPIOS En la sección de información detallada (es decir, las columnas 070 a 240), se consignarán datos únicamente sobre los entes y subgrupos que, estando incluidos en el ámbito de consolidación (parte primera, título II, capítulo 2, del RRC), se encuentran sujetos a los requisitos de solvencia con arreglo al RRC o a disposiciones, al menos, equivalentes a las de Basilea (es decir, marcados con un «sí» en la columna 030). Se incluirá información sobre todas las entidades de un grupo consolidado que estén sujetas a los requisitos de fondos propios, con independencia de su radicación. La información consignada en esta parte se atendrá a las normas locales sobre solvencia aplicables en el lugar en el que opere la entidad (por tanto, para esta plantilla, no es necesario efectuar un doble cálculo en base individual con arreglo a las normas de la entidad matriz). Cuando las normas locales sobre solvencia difieran del RRC y no se facilite un desglose comparable, la información se cumplimentará en la medida en que se disponga de datos con el correspondiente nivel de detalle. Por tanto, esta parte es una plantilla factual en la que se resumen los cálculos que efectuarán las distintas entidades de un grupo, teniendo en cuenta que algunas de tales entidades pueden estar sujetas a normas de solvencia diferentes. Información de los gastos fijos generales de las empresas de inversión: Las empresas de inversión incluirán los requisitos de fondos propios relacionados con los gastos fijos generales en su cálculo de la ratio de capital con arreglo a los artículos 95, 96, 97 y 98 del RRC. La parte del importe total de la exposición al riesgo relacionada con los gastos fijos generales se comunicará en la columna 100 de la parte 2 de esta plantilla. |
|
070 |
TOTAL DE LA EXPOSICIÓN AL RIESGO Se comunicará la suma de las columnas 080 a 110. |
|
080 |
RIESGOS DE CRÉDITO, CONTRAPARTE Y DILUCIÓN, OPERACIONES INCOMPLETAS Y RIESGO DE LIQUIDACIÓN/ENTREGA El importe que debe comunicarse en esta columna corresponde a la suma de importes de exposiciones ponderadas por riesgo iguales o equivalentes a los que deben consignarse en la fila 040 «IMPORTE DE LAS EXPOSICIONES PONDERADAS POR RIESGO DE CRÉDITO, CONTRAPARTE Y DILUCIÓN Y OPERACIONES INCOMPLETAS», e importes de requisitos de fondos propios iguales o equivalentes a aquellos que deben comunicarse en la fila 490 «TOTAL DE LA EXPOSICIÓN AL RIESGO DE LIQUIDACIÓN/ENTREGA» de la plantilla CA2. |
|
090 |
RIESGOS DE POSICIÓN, TIPO DE CAMBIO Y MATERIAS PRIMAS El importe que debe comunicarse en esta columna corresponde a un importe de requisitos de fondos propios iguales o equivalentes a los que deben consignarse en la fila 520 «TOTAL DE LA EXPOSICIÓN A LOS RIESGOS DE POSICIÓN, TIPO DE CAMBIO Y MATERIAS PRIMAS» de la plantilla CA2. |
|
100 |
RIESGO OPERATIVO El importe que debe comunicarse en esta columna corresponde a un importe de exposición al riesgo igual o equivalente al que se consignará en la fila 590 «TOTAL DE LA EXPOSICIÓN AL RIESGO OPERATIVO» de la plantilla CA2. Los gastos fijos generales se incluirán en esta columna, incluida la fila 630, «IMPORTE ADICIONAL DE LA EXPOSICIÓN AL RIESGO DEBIDO A GASTOS FIJOS GENERALES» de la plantilla CA2. |
|
110 |
IMPORTES DE LAS EXPOSICIONES A OTROS RIESGOS El importe que debe comunicarse en esta columna corresponde al importe de la exposición al riesgo no contemplada de manera específica anteriormente. Se trata de la suma de los importes de las filas 640, 680 y 690 de la plantilla CA2. |
|
120-240 |
INFORMACIÓN DETALLADA SOBRE LOS FONDOS PROPIOS A EFECTOS DE SOLVENCIA DEL GRUPO La información de las siguientes columnas se consignará con arreglo a las normas locales de solvencia aplicables en el territorio en el que opere el ente o el subgrupo. |
|
120 |
FONDOS PROPIOS El importe que debe comunicarse en esta columna corresponde a un importe de fondos propios igual o equivalente a aquellos que deben consignarse en la fila 010 «FONDOS PROPIOS» de la plantilla CA1. |
|
130 |
DE LOS CUALES: FONDOS PROPIOS ADMISIBLES Artículo 82 del RRC. Esta columna solo se cumplimentará en el caso de las filiales de las que se informe de manera individual, que se encuentren plenamente consolidadas y sean entidades. Las tenencias admisibles son, en el caso de las filiales antes especificadas, los instrumentos (más las correspondientes ganancias acumuladas y cuentas de primas de emisión) propiedad de personas ajenas a las empresas incluidas en la consolidación con arreglo al RRC. El importe que debe comunicarse incluirá los efectos de las disposiciones transitorias. Será el importe admisible en la fecha de información. |
|
140 |
INSTRUMENTOS DE FONDOS PROPIOS CONEXOS, GANANCIAS ACUMULADAS CONEXAS, CUENTAS DE PRIMAS DE EMISIÓN Y OTRAS RESERVAS Artículo 87, apartado 1, letra b), del RRC. |
|
150 |
CAPITAL DE NIVEL 1 TOTAL Artículo 25 del RRC. |
|
160 |
DEL CUAL: CAPITAL DE NIVEL 1 ADMISIBLE Artículo 82 del RRC. Esta columna solo se cumplimentará en el caso de las filiales de las que se informe de manera individual, que se encuentren plenamente consolidadas y sean entidades. Las tenencias admisibles son, en el caso de las filiales antes especificadas, los instrumentos (más las correspondientes ganancias acumuladas y las cuentas de primas de emisión) propiedad de personas ajenas a las empresas incluidas en la consolidación con arreglo al RRC. El importe que debe comunicarse incluirá los efectos de las disposiciones transitorias. Será el importe admisible en la fecha de información. |
|
170 |
INSTRUMENTOS DE CAPITAL DE NIVEL 1 CONEXOS, GANANCIAS ACUMULADAS CONEXAS Y CUENTAS DE PRIMAS DE EMISIÓN Artículo 85, apartado 1, letra b), del RRC. |
|
180 |
CAPITAL DE NIVEL 1 ORDINARIO Artículo 50 del RRC. |
|
190 |
DEL CUAL: INTERESES MINORITARIOS Artículo 81 del RRC. Esta columna solo se cumplimentará en el caso de las filiales plenamente consolidadas que sean entidades, con la excepción de las filiales a las que se alude en el artículo 84, apartado 3, del RRC. Cada filial será considerada en base subconsolidada a efectos de todos los cálculos requeridos en el artículo 84 del RRC, cuando proceda, de conformidad con el apartado 2 del mismo, y en los demás casos de manera individual. A efectos del RRC y esta plantilla, los intereses minoritarios son, en el caso de las filiales antes especificadas, los instrumentos de capital de nivel 1 ordinario (más las correspondientes ganancias acumuladas y las cuentas de primas de emisión) propiedad de personas ajenas a las empresas incluidas en la consolidación con arreglo al RRC. El importe que debe comunicarse incluirá los efectos de las disposiciones transitorias. Será el importe admisible en la fecha de información. |
|
200 |
INSTRUMENTOS DE FONDOS PROPIOS CONEXOS, GANANCIAS ACUMULADAS CONEXAS, CUENTAS DE PRIMAS DE EMISIÓN Y OTRAS RESERVAS Artículo 84, apartado 1, letra b), del RRC. |
|
210 |
CAPITAL DE NIVEL 1 ADICIONAL Artículo 61 del RRC. |
|
220 |
DEL CUAL: CAPITAL DE NIVEL 1 ADICIONAL ADMISIBLE Artículos 82 y 83 del RRC. Esta columna solo se cumplimentará en el caso de las filiales de las que se informe de manera individual, que se encuentren plenamente consolidadas y sean entidades, con la excepción de las filiales a las que se alude en el artículo 85, apartado 2, del RRC. Cada filial será considerada en base subconsolidada a efectos de todos los cálculos requeridos en el artículo 85 del RRC, cuando proceda, de conformidad con el apartado 2 del mismo, y en los demás casos de manera individual. A efectos del RRC y esta plantilla, los intereses minoritarios son, en el caso de las filiales antes especificadas, los instrumentos de capital de nivel 1 adicional (más las correspondientes ganancias acumuladas y las cuentas de primas de emisión) propiedad de personas ajenas a las empresas incluidas en la consolidación con arreglo al RRC. El importe que debe comunicarse incluirá los efectos de las disposiciones transitorias. Será el importe admisible en la fecha de información. |
|
230 |
CAPITAL DE NIVEL 2 Artículo 71 del RRC. |
|
240 |
DEL CUAL: CAPITAL DE NIVEL 2 ADMISIBLE Artículos 82 y 83 del RRC. Esta columna solo se cumplimentará en el caso de las filiales de las que se informe de manera individual, que se encuentren plenamente consolidadas y sean entidades, con la excepción de las filiales a las que se alude en el artículo 87, apartado 2, del RRC. Cada filial será considerada en base subconsolidada a efectos de todos los cálculos requeridos en el artículo 87 del RRC, cuando proceda, de conformidad con el apartado 2 del mismo, y en los demás casos de manera individual. A efectos del RRC y esta plantilla, los intereses minoritarios son, en el caso de las filiales antes especificadas, los instrumentos de capital de nivel 2 (más las correspondientes ganancias acumuladas y las cuentas de primas de emisión) propiedad de personas ajenas a las empresas incluidas en la consolidación con arreglo al RRC. El importe que debe comunicarse incluirá los efectos de las disposiciones transitorias; es decir, será el importe admisible en la fecha de información. |
|
250-400 |
INFORMACIÓN SOBRE LA CONTRIBUCIÓN DE LOS ENTES A LA SOLVENCIA DEL GRUPO |
|
250-290 |
CONTRIBUCIÓN A LOS RIESGOS La información consignada en las siguientes columnas se ajustará a las normas de solvencia aplicables a la entidad declarante. |
|
250 |
TOTAL DE LA EXPOSICIÓN AL RIESGO Se comunicará la suma de las columnas 260 a 290. |
|
260 |
RIESGOS DE CRÉDITO, CONTRAPARTE, Y DILUCIÓN, OPERACIONES INCOMPLETAS Y RIESGO DE LIQUIDACIÓN/ENTREGA El importe que debe comunicarse será el de las exposiciones ponderadas por riesgo de crédito y los requisitos de fondos propios para el riesgo de liquidación/entrega con arreglo al RRC, con exclusión de todo importe relativo a las operaciones con otros entes incluidos en el cálculo de la ratio de solvencia consolidada del grupo. |
|
270 |
RIESGOS DE POSICIÓN, TIPO DE CAMBIO Y MATERIAS PRIMAS Los importes de exposición a los riesgos de mercado han de computarse al nivel de cada ente con arreglo al RRC. Los entes notificarán la contribución a los importes totales de exposición a los riesgos de posición, tipo de cambio y materias primas del grupo. La suma de los importes consignados aquí corresponde al importe consignado en la fila 520 «TOTAL DE LA EXPOSICIÓN A LOS RIESGOS DE POSICIÓN, TIPO DE CAMBIO Y MATERIAS PRIMAS» de la declaración del grupo consolidado. |
|
280 |
RIESGO OPERATIVO En el caso de los métodos avanzados de cálculo, los importes de exposición al riesgo operativo consignados incluyen el efecto de la diversificación. Los gastos fijos generales se incluirán en esta columna. |
|
290 |
IMPORTES DE LAS EXPOSICIONES A OTROS RIESGOS El importe que debe comunicarse en esta columna corresponde al importe de la exposición al riesgo no contemplada de manera específica anteriormente. |
|
300-400 |
CONTRIBUCIÓN A LOS FONDOS PROPIOS Con esta parte de la plantilla no se pretende imponer que las entidades efectúen un cálculo completo de la ratio de capital total a escala de cada ente. Las columnas 300 a 350 se cumplimentarán en el caso de los entes consolidados que contribuyan a los fondos propios a través de intereses minoritarios, capital de nivel 1 admisible o fondos propios admisibles. Con sujeción al umbral definido en el capítulo 2.3, párrafo último, de la presente parte II, las columnas 360 a 400 se cumplimentarán respecto de todos los entes consolidados que contribuyan a los fondos propios consolidados. Los fondos propios aportados a un ente por el resto de entes incluidos en el ámbito del ente declarante no se tendrán en cuenta; únicamente se consignará en esta columna la contribución neta a los fondos propios del grupo, es decir, principalmente, los fondos propios obtenidos de terceros y las reservas acumuladas. La información consignada en las siguientes columnas se ajustará a las normas de solvencia aplicables a la entidad declarante. |
|
300-350 |
FONDOS PROPIOS ADMISIBLES INCLUIDOS EN LOS FONDOS PROPIOS CONSOLIDADOS El importe que deberá comunicarse como «FONDOS PROPIOS ADMISIBLES INCLUIDOS EN LOS FONDOS PROPIOS CONSOLIDADOS» será aquel que se derive de lo dispuesto en la parte segunda, título II, del RRC, con exclusión de cualesquiera fondos aportados por otros entes del grupo. |
|
300 |
FONDOS PROPIOS ADMISIBLES INCLUIDOS EN LOS FONDOS PROPIOS CONSOLIDADOS Artículo 87 del RRC. |
|
310 |
INSTRUMENTOS DE CAPITAL DE NIVEL 1 ADMISIBLES INCLUIDOS EN EL CAPITAL DE NIVEL 1 CONSOLIDADO Artículo 85 del RRC. |
|
320 |
INTERESES MINORITARIOS INCLUIDOS EN EL CAPITAL DE NIVEL 1 ORDINARIO CONSOLIDADO Artículo 84 del RRC. Deberá comunicarse el importe de los intereses minoritarios de toda filial que se incluya en el capital de nivel 1 ordinario consolidado con arreglo al RRC. |
|
330 |
INSTRUMENTOS DE CAPITAL DE NIVEL 1 ADMISIBLES INCLUIDOS EN EL CAPITAL DE NIVEL 1 ADICIONAL CONSOLIDADO Artículo 86 del RRC. Deberá comunicarse el importe del capital de nivel 1 admisible de toda filial que se incluya en el capital de nivel 1 adicional consolidado con arreglo al RRC. |
|
340 |
INSTRUMENTOS DE FONDOS PROPIOS ADMISIBLES INCLUIDOS EN EL CAPITAL DE NIVEL 2 CONSOLIDADO Artículo 88 del RRC. Deberá comunicarse el importe de los fondos propios admisibles de toda filial que se incluya en el capital de nivel 2 consolidado con arreglo al RRC. |
|
350 |
PRO MEMORIA: FONDO DE COMERCIO (-) / FONDO DE COMERCIO NEGATIVO (+) |
|
360-400 |
FONDOS PROPIOS CONSOLIDADOS Artículo 18 del RRC. El importe que deberá comunicarse como «FONDOS PROPIOS CONSOLIDADOS» será el que se derive del balance, con exclusión de cualesquiera fondos aportados por otros entes del grupo. |
|
360 |
FONDOS PROPIOS CONSOLIDADOS |
|
370 |
DE LOS CUALES: CAPITAL DE NIVEL 1 ORDINARIO |
|
380 |
DE LOS CUALES: CAPITAL DE NIVEL 1 ADICIONAL |
|
390 |
DE LOS CUALES: CONTRIBUCIONES AL RESULTADO CONSOLIDADO Se consignará la contribución de cada ente al resultado consolidado (pérdida (-) o ganancia), incluyendo los resultados atribuibles a intereses minoritarios. |
|
400 |
DE LOS CUALES: FONDO DE COMERCIO (-) / FONDO DE COMERCIO NEGATIVO (+) Se consignará aquí el fondo de comercio o fondo de comercio negativo del ente declarante respecto a la filial. |
|
410-480 |
COLCHONES DE CAPITAL La estructura de la información sobre los colchones de capital en la plantilla GS sigue la estructura general de la plantilla CA4, utilizando los mismos conceptos para el suministro de información. Al informar sobre los colchones de capital en la plantilla GS, los importes pertinentes se consignarán de conformidad con las disposiciones aplicables para determinar el requisito de colchón relativo a la situación consolidada de un grupo. Por tanto, los importes indicados de los colchones de capital representan la contribución de cada ente a los colchones de capital del grupo. Los importes indicados se basarán en las medidas nacionales de transposición de la Directiva 2013/36/UE (DRC) y en el Reglamento (UE) n.o 575/2013 (RRC), incluidas, en su caso, las disposiciones transitorias previstas en dichas normas. |
|
410 |
REQUISITOS COMBINADOS DE COLCHÓN Artículo 128, apartado 6, de la DRC. |
|
420 |
COLCHÓN DE CONSERVACIÓN DE CAPITAL Artículo 128, apartado 1, y artículo 129 de la DRC. Con arreglo al artículo 129, apartado 1, el colchón de conservación de capital es un importe adicional del capital de nivel 1 ordinario. Dado que el porcentaje del colchón de conservación de capital del 2,5 % es estable, se consignará un importe en esta celda. |
|
430 |
COLCHÓN DE CAPITAL ANTICÍCLICO ESPECÍFICO DE LA ENTIDAD Artículo 128, apartado 2, y artículos 130 y 135 a 140 de la DRC. En esta celda se comunicará el importe concreto del colchón anticíclico. |
|
440 |
COLCHÓN DE CONSERVACIÓN DEBIDO AL RIESGO MACROPRUDENCIAL O SISTÉMICO OBSERVADO EN UN ESTADO MIEMBRO Artículo 458, apartado 2, letra d), inciso iv), del RRC. En esta celda se comunicará el importe del colchón de conservación debido al riesgo macroprudencial o sistémico observado en un Estado miembro, que puede exigirse con arreglo al artículo 458 del RRC adicionalmente al colchón de conservación de capital. |
|
450 |
COLCHÓN DE RIESGO SISTÉMICO Artículo 128, apartado 5, y artículos 133 y 134 de la DRC. En esta celda se comunicará el importe del colchón de riesgo sistémico. |
|
470 |
COLCHÓN DE ENTIDADES DE IMPORTANCIA SISTÉMICA MUNDIAL Artículo 128, apartado 3, y artículo 131 de la DRC. En esta celda se comunicará el importe del colchón de entidades de importancia sistémica mundial. |
|
480 |
COLCHÓN DE OTRAS ENTIDADES DE IMPORTANCIA SISTÉMICA Artículo 128, apartado 4, y artículo 131 de la DRC. En esta celda se comunicará el importe del colchón de otras entidades de importancia sistémica. |
3. PLANTILLAS RELATIVAS AL RIESGO DE CRÉDITO
3.1. OBSERVACIONES GENERALES
38. Están previstos diversos conjuntos de plantillas para el método estándar y el método IRB respecto al riesgo de crédito. Además, se cumplimentarán plantillas específicas en relación con el desglose geográfico de posiciones sujetas al riesgo de crédito si se rebasa el umbral pertinente a que se refiere el artículo 5, letra a), punto 4.
3.1.1 Información sobre las técnicas de reducción del riesgo de crédito con efecto de sustitución sobre la exposición
39. En el artículo 235 del RRC se describe el procedimiento de cálculo de las exposiciones plenamente cubiertas con garantías personales.
40. En el artículo 236 del RRC se describe el procedimiento de cálculo de las exposiciones plenamente cubiertas con garantías personales en caso de protección plena/protección parcial — igual prelación.
41. Los artículos 196, 197 y 200 del RRC regulan la cobertura del riesgo de crédito con garantías reales o instrumentos similares.
42. La información sobre exposiciones frente a deudores (contrapartes inmediatas) y proveedores de cobertura asignados a la misma categoría de exposición se consignará como una entrada y una salida en la misma categoría de exposición.
43. El tipo de exposición no cambia a causa de la cobertura del riesgo de crédito con garantías personales.
44. Si una exposición se asegura mediante una cobertura del riesgo de crédito con garantías personales, la parte cubierta se asigna como salida, por ejemplo, en la categoría de exposición del deudor, y como entrada en la categoría de exposición del proveedor de cobertura. No obstante, el tipo de exposición no cambia debido a la modificación de la categoría de exposición.
45. El efecto de sustitución en el marco de información COREP reflejará el régimen de ponderación del riesgo aplicable en la práctica a la parte cubierta de la exposición. La parte cubierta de la exposición en sí se pondera por riesgo con arreglo al método estándar, y se consignará en la plantilla CR SA.
3.1.2 Información sobre el riesgo de contraparte
46. Las exposiciones derivadas de las posiciones de riesgo de contraparte se comunicarán en las plantillas CR SA o CR IRB con independencia de que sean partidas de la cartera bancaria o de la cartera de negociación.
3.2. C 07.00 — RIESGO DE CRÉDITO Y DE CONTRAPARTE Y OPERACIONES INCOMPLETAS: MÉTODO ESTÁNDAR PARA LOS REQUISITOS DE CAPITAL (CR SA)
3.2.1 Observaciones generales
47. Las plantillas CR SA proporcionan la información necesaria sobre el cálculo de los requisitos de fondos propios para el riesgo de crédito con arreglo al método estándar. En particular, suministran información detallada acerca de:
a) la distribución de los valores de las exposiciones con arreglo a los diferentes tipos de exposición, ponderaciones de riesgo y categorías de exposición;
b) el importe y el tipo de técnicas de reducción del riesgo de crédito utilizadas para atenuar los riesgos.
3.2.2 Ámbito de la plantilla CR SA
48. De conformidad con el artículo 112 del RRC, cada exposición según el método estándar se asignará a una de las 16 categorías de exposición según dicho método, con el fin de calcular los requisitos de fondos propios.
49. La información solicitada en CR SA se refiere al total de las categorías de exposición y a cada una de las categorías de exposición por separado definidas para el método estándar. Las cifras totales, así como la información de cada categoría de exposición, se comunicarán por separado.
50. No obstante, las siguientes posiciones quedan excluidas del ámbito de la CR SA:
a) exposiciones asignadas a la categoría de exposición «elementos correspondientes a posiciones de titulización», con arreglo al artículo 112, letra m), del RRC, que se comunicarán en las plantillas CR SEC;
b) exposiciones deducidas de los fondos propios.
51. El ámbito de la plantilla CR SA engloba los siguientes requisitos de fondos propios:
a) riesgo de crédito de la cartera bancaria, de conformidad con la parte tercera, título II, capítulo 2 (método estándar), del RRC, incluyendo el riesgo de contraparte de la cartera bancaria, con arreglo a la parte tercera, título II, capítulo 6 (riesgo de contraparte), del RRC;
b) riesgo de contraparte de la cartera de negociación, de conformidad con la parte tercera, título II, capítulo 6 (riesgo de contraparte), del RRC;
c) riesgo de liquidación derivado de las operaciones incompletas, conforme al artículo 379 del RRC, respecto a la totalidad de actividades empresariales.
52. La plantilla abarca todas las exposiciones respecto a las que los requisitos de fondos propios se calculan con arreglo a la parte tercera, título II, capítulo 2, del RRC, en conjunción con la parte tercera, título II, capítulos 4 y 6, del RRC. Las entidades que apliquen el artículo 94, apartado 1, del RRC también han de comunicar las posiciones de su cartera de negociación en esta plantilla, cuando apliquen la parte tercera, título II, capítulo 2, del RRC para calcular los requisitos de fondos propios de las mismas (parte tercera, título II, capítulos 2 y 6, y título V, del RRC). Por tanto, la plantilla proporciona no solo información detallada del tipo de exposición (p. ej., partidas en balance o fuera de balance), sino también datos relativos a la asignación de ponderaciones de riesgo dentro de la correspondiente categoría de exposición.
53. Asimismo, la CR SA incluye partidas pro memoria en las filas 290 a 320, con el fin de recabar información adicional sobre las exposiciones garantizadas mediante hipotecas sobre inmuebles y las exposiciones en situación de impago.
54. Estas partidas pro memoria solo se comunicarán para las siguientes categorías de exposición:
a) administraciones centrales o bancos centrales (artículo 112, letra a), del RRC);
b) administraciones regionales o autoridades locales (artículo 112, letra b), del RRC);
c) entes del sector público (artículo 112, letra c), del RRC);
d) entidades (artículo 112, letra f), del RRC);
e) empresas (artículo 112, letra g), del RRC);
f) minoristas (artículo 112, letra h), del RRC).
55. El suministro de información sobre estas partidas pro memoria no afecta al cálculo de los importes de las exposiciones ponderadas por riesgo ni en lo que respecta a las categorías de exposición contempladas en el artículo 112, letras a) a c) y f) a h), del RRC, ni en lo que respecta a las categorías previstas en el artículo 112, letras i) y j), del RRC consignadas en CR SA.
56. Las filas pro memoria proporcionan información adicional sobre la estructura de deudores de las categorías de exposición «en situación de impago» o «garantizadas por bienes inmuebles». Las exposiciones se consignarán en estas filas cuando los correspondientes deudores se hayan consignado en las categorías de exposición «administraciones centrales o bancos centrales», «administraciones regionales o autoridades locales», «entes del sector público», «entidades», «empresas» y «minoristas» de la CR SA, si tales exposiciones no se han asignado a las categorías de exposición «en situación de impago» o «garantizadas por bienes inmuebles». No obstante, las cifras comunicadas serán las mismas que las utilizadas para calcular los importes de las exposiciones ponderadas por riesgo en las categorías de exposición «en situación de impago» o «garantizadas por bienes inmuebles».
57. Por ejemplo, en el caso de una exposición cuyo importe de exposición al riesgo se calcule con arreglo al artículo 127 del RRC y en relación con la cual los ajustes de valor sean inferiores al 20 %, esta información se consignará en CR SA, en la fila 320, en el total y en la categoría de exposición «en situación de impago». Si, antes de estar en situación de impago, esa exposición era una exposición frente a una entidad, la información se comunicará asimismo en la fila 320 en la categoría de exposición «entidades».
3.2.3 Asignación de exposiciones a categorías de exposición con arreglo al método estándar
58. Con el fin de garantizar una clasificación coherente de las exposiciones en las distintas categorías, conforme se definen en el artículo 112 del RRC, se aplicará el siguiente método secuencial:
a) En una primera etapa, la exposición original, antes de aplicar los factores de conversión, se clasifica en la correspondiente categoría de exposición (original), según lo indicado en el artículo 112 del RRC, sin perjuicio del tratamiento específico (ponderación por riesgo) que cada exposición reciba en la categoría de exposición a la que se asigne.
b) En una segunda etapa, las exposiciones podrán redistribuirse a otras categorías de exposición, debido a la aplicación de técnicas de reducción del riesgo de crédito con efectos de sustitución en la exposición (p. ej., garantías personales, derivados de crédito, método simple para las garantías reales de naturaleza financiera), a través de las entradas y salidas.
59. Los criterios siguientes se aplican a la clasificación de la exposición original, antes de aplicar los factores de conversión, en las distintas categorías (primera etapa), sin perjuicio de la posterior redistribución causada por la utilización de técnicas de reducción del riesgo de crédito con efectos de sustitución en la exposición o el tratamiento (ponderación por riesgo) que reciba cada exposición concreta en la categoría de exposición a la que se asigne.
60. A efectos de la clasificación de la exposición original, antes de aplicar los factores de conversión, en el marco de la primera etapa, las técnicas de reducción del riesgo de crédito asociadas a la exposición no se tendrán en cuenta (nótese que se considerarán explícitamente en la segunda fase), salvo que un efecto de protección forme intrínsecamente parte de la definición de una categoría de exposición, como sucede en la categoría mencionada en el artículo 112, letra i), del RRC (exposiciones garantizadas por hipotecas sobre bienes inmuebles).
61. El artículo 112 del RRC no proporciona criterios para la disociación de las categorías de exposición. Esta circunstancia podría implicar que una exposición pueda clasificarse en categorías diferentes si no se establece una priorización en los criterios de evaluación con vistas a la clasificación. El caso más obvio se plantea entre exposiciones frente a entidades y empresas con evaluación crediticia a corto plazo (artículo 112, letra n), del RRC) y las exposiciones frente a entidades (artículo 112, letra f), del RRC) o exposiciones frente a empresas (artículo 112, letra g), del RRC). En este caso, está claro que existe una priorización implícita en el RRC, dado que se evaluará en primer lugar si es adecuado asignar una cierta exposición a la categoría de exposiciones a corto plazo frente a entidades y empresas, y solo posteriormente se efectuará el mismo proceso con referencia a las exposiciones frente a entidades y las exposiciones frente a empresas. De no ser así, resulta obvio que nunca se asignará una exposición a la categoría mencionada en el artículo 112, letra n), del RRC. El ejemplo mencionado es uno de los más evidentes, pero no el único. Cabe señalar que los criterios utilizados para establecer las categorías de exposición con arreglo al método estándar son diferentes (categorización institucional, plazo de la exposición, situación de mora, etc.), lo que constituye la razón subyacente para no disociar agrupaciones.
62. A fin de procurar una información homogénea y comparable, es necesario priorizar los criterios de evaluación para la asignación de la exposición original, antes de aplicar el factor de conversión, a las distintas categorías de exposición, sin perjuicio del tratamiento específico (ponderación por riesgo) que reciba cada exposición concreta en la categoría a la que se asigne. Los criterios de priorización que se presentan más adelante mediante un diagrama de árbol de decisiones se basan en la evaluación de las condiciones establecidas explícitamente en el RRC para que una exposición tenga cabida en una determinada categoría y, si tal es el caso, en las decisiones de las entidades declarantes o del supervisor respecto a la aplicabilidad de ciertas categorías de exposición. En este sentido, el resultado del proceso de asignación de las exposiciones a efectos del suministro de información sería acorde con lo dispuesto en el RRC. Esto no impide que las entidades apliquen otros procedimientos de asignación internos que también resulten coherentes con todas las disposiciones pertinentes del RRC y las interpretaciones del mismo formuladas por los foros apropiados.
63. A una categoría de exposición se le otorgará prioridad respecto a otras en el orden de evaluación del árbol de decisión (es decir, se evaluará en primer lugar si puede asignarse a la misma una exposición, sin perjuicio del resultado de tal evaluación) si, de lo contrario, pudiera no asignarse ninguna exposición a dicha categoría. Así ocurriría si, en ausencia de criterios de priorización, una categoría de exposición fuese un subconjunto de otras. En este sentido, los criterios descritos gráficamente en el árbol de decisión que figura a continuación funcionarían con arreglo a un proceso secuencial.
64. En este contexto, el orden de evaluación en el árbol de decisión sería el siguiente:
1. Posiciones de titulización
2. Partidas asociadas a riesgos especialmente elevados
3. Exposiciones de renta variable
4. Exposiciones en situación de impago
5. Exposiciones en forma de acciones o participaciones en organismos de inversión colectiva (OIC)/exposiciones en forma de bonos garantizados (categorías de exposición disociadas)
6. Exposiciones garantizadas por hipotecas sobre bienes inmuebles
7. Otros elementos
8. Exposiciones frente a entidades y empresas con evaluación crediticia a corto plazo
9. Todas las demás categorías de exposición (categorías de exposición disociadas), entre las que figuran las exposiciones frente a administraciones centrales o bancos centrales; las exposiciones frente a administraciones regionales o autoridades locales; las exposiciones frente a entes del sector público; las exposiciones frente a bancos multilaterales de desarrollo; las exposiciones frente a organizaciones internacionales; las exposiciones frente a entidades; las exposiciones frente a empresas, y las exposiciones minoristas.
65. En el caso de las exposiciones en forma de acciones o participaciones en organismos de inversión colectiva, y cuando se utiliza el enfoque de transparencia (artículo 132, apartados 3 a 5, del RRC), las exposiciones individuales subyacentes se considerarán y clasificarán en la línea de ponderación del riesgo correspondiente con arreglo a su tratamiento, pero todas las exposiciones individuales se clasificarán en la categoría de exposiciones en forma de acciones o participaciones en organismos de inversión colectiva (OIC).
66. En el caso de los derivados de crédito de n-ésimo impago especificados en el artículo 134, apartado 6, del RRC, si son objeto de una calificación crediticia, se clasificarán directamente como posiciones de titulización. Si no se califican, se integrarán en la categoría de exposición «Otros elementos». En este último caso, el importe nominal del contrato se comunicará como exposición original, antes de aplicar los factores de conversión, en la línea de «Otras ponderaciones de riesgo» (la ponderación de riesgo utilizada será la especificada por la suma indicada en el artículo 134, apartado 6, del RRC).
67. En un segundo paso, como consecuencia de las técnicas de reducción del riesgo de crédito con efectos de sustitución, las exposiciones se reasignarán a la categoría de exposición del proveedor de cobertura.
|
Exposición original antes de aplicar los factores de conversión |
|
|
|
¿Es apta para ser asignada a la categoría de exposición del art. 112, letra m)? |
SÍ |
Posiciones de titulización |
|
NO |
|
|
|
¿Es apta para ser asignada a la categoría de exposición del art. 112, letra k)? |
SÍ |
Partidas asociadas a riesgos especialmente elevados (véase también el art. 128) |
|
NO |
|
|
|
¿Es apta para ser asignada a la categoría de exposición del art. 112, letra p)? |
SÍ |
Exposiciones de renta variable (véase también el art. 133) |
|
NO |
|
|
|
¿Es apta para ser asignada a la categoría de exposición del art. 112, letra j)? |
SÍ |
Exposiciones en situación de impago |
|
NO |
|
|
|
¿Es apta para ser asignada a la categoría de exposición del art. 112, letras l) y o)? |
SÍ |
Exposiciones en forma de acciones o participaciones en organismos de inversión colectiva (OIC) Exposiciones en forma de bonos garantizados (véase también el art. 129) Estas dos categorías de exposición están disociadas (véanse los comentarios sobre el enfoque de transparencia en la respuesta anterior). Por consiguiente, la asignación a una de ellas es directa. |
|
NO |
|
|
|
¿Es apta para ser asignada a la categoría de exposición del art. 112, letra i)? |
SÍ |
Exposiciones garantizadas por hipotecas sobre bienes inmuebles (véase también el art. 124) |
|
NO |
|
|
|
¿Es apta para ser asignada a la categoría de exposición del art. 112, letra q)? |
SÍ |
Otros elementos |
|
NO |
|
|
|
¿Es apta para ser asignada a la categoría de exposición del art. 112, letra n)? |
SÍ |
Exposiciones frente a entidades y empresas con evaluación crediticia a corto plazo |
|
NO |
|
|
|
Las categorías de exposición que siguen están disociadas entre sí. Por consiguiente, la asignación a una de ellas es directa. Exposiciones frente a administraciones centrales o bancos centrales Exposiciones frente a administraciones regionales o autoridades locales Exposiciones frente a entes del sector público Exposiciones frente a bancos multilaterales de desarrollo Exposiciones frente a organizaciones internacionales Exposiciones frente a entidades Exposiciones frente a empresas Exposiciones minoristas |
||
3.2.4 Aclaraciones sobre el ámbito de algunas categorías de exposición concretas establecidas en el artículo 112 del RRC
3.2.4.1. Categoría de exposición «Entidades»
68. La información sobre las exposiciones intragrupo con arreglo al artículo 113, apartados 6 y 7, del RRC se efectuará como sigue:
69. Las exposiciones que cumplan los requisitos del artículo 113, apartado 7, del RRC se comunicarán en las respectivas categorías de exposición en las que se habrían consignado si no fuesen exposiciones intragrupo.
70. De conformidad con el artículo 113, apartados 6 y 7, del RRC, «las entidades podrán, previa autorización de las autoridades competentes, optar por no aplicar los requisitos del apartado 1 del presente artículo a sus exposiciones frente a una contraparte que sea su empresa matriz, su filial, una filial de su empresa matriz, o bien una empresa que esté vinculada por una relación a tenor del artículo 12, apartado 1, de la Directiva 83/349/CEE». Esto significa que las contrapartes pertenecientes al mismo grupo no son necesariamente entidades, sino también empresas que se clasifican en otras categorías de exposición; por ejemplo, empresas de servicios auxiliares, o empresas a tenor del artículo 12, apartado 1, de la Directiva 83/349/CEE. Por tanto, las exposiciones intragrupo se comunicarán en la categoría de exposición correspondiente.
3.2.4.2. Categoría de exposición «Bonos garantizados»
71. La asignación de exposiciones con arreglo al método estándar a la categoría «bonos garantizados» se efectuará como sigue:
72. Los bonos especificados en el artículo 52, apartado 4, de la Directiva 2009/65/CE deberán cumplir los requisitos del artículo 129, apartados 1 y 2, del RRC para ser clasificados en la categoría de exposición «Bonos garantizados». El cumplimiento de tales requisitos ha de comprobarse en cada caso. No obstante, los bonos especificados en el artículo 52, apartado 4, de la Directiva 2009/65/CE y emitidos antes del 31 de diciembre de 2007 se asignan asimismo a la categoría de exposición «Bonos garantizados» en razón de lo dispuesto en el artículo 129, apartado 6, del RRC.
3.2.4.3. Categoría de exposición «Organismos de inversión colectiva (OIC)»
73. Cuando se haga uso de la posibilidad contemplada en el artículo 132, apartado 5, del RRC, las exposiciones en forma de acciones o participaciones en OIC se comunicarán como partidas del balance, con arreglo al artículo 111, apartado 1, primera frase, del RRC.
3.2.5 Instrucciones relativas a posiciones concretas
|
Columnas |
|
|
010 |
EXPOSICIÓN ORIGINAL ANTES DE APLICAR LOS FACTORES DE CONVERSIÓN Valor de la exposición, con arreglo al artículo 111 del RRC, sin tener en cuenta los ajustes de valor y las provisiones, los factores de conversión ni el efecto de las técnicas de reducción del riesgo de crédito, con las siguientes especificaciones derivadas del artículo 111, apartado 2, del RRC: Cuando se trate de instrumentos derivados, operaciones de recompra, operaciones de préstamo o de toma en préstamo de valores o materias primas, operaciones con liquidación diferida y operaciones de préstamo con reposición del margen sujetos a la parte tercera, título II, capítulo 6, del RRC, o al artículo 92, apartado 3, letra f), del RRC, la exposición original corresponderá al valor de exposición a efectos del riesgo de contraparte calculado con arreglo a los métodos previstos en la parte tercera, título II, capítulo 6, del RRC. Los valores de exposición de los arrendamientos financieros están sujetos a lo dispuesto en el artículo 134, apartado 7, del RRC. En el caso de la compensación en el balance prevista en el artículo 219 del RRC, los valores de exposición se comunicarán en función de las garantías en efectivo recibidas. En el caso de los acuerdos marco de compensación que cubren operaciones de recompra, operaciones de préstamo o toma en préstamo de valores o materias primas y/u otras operaciones orientadas al mercado de capitales sujetas a la parte tercera, título II, capítulo 6, del RRC, el efecto de la cobertura del riesgo de crédito con garantías reales o instrumentos similares en forma de acuerdos marco de compensación con arreglo al artículo 220, apartado 4, del RRC se incluirá en la columna 010. Por tanto, en el caso de los acuerdos marco de compensación que cubran operaciones de recompra sujetas a lo dispuesto en la parte tercera, título II, capítulo 6, del RRC, en la columna 010 de la plantilla CR SA se comunicará E*, calculado conforme a los artículos 220 y 221 del RRC. |
|
030 |
(-) Ajustes de valor y provisiones asociados a la exposición original Artículos 24 y 111 del RRC. Ajustes de valor y provisiones para pérdidas crediticias realizados con arreglo al marco contable al que esté sujeto el ente declarante. |
|
040 |
Exposición neta de ajustes de valor y provisiones Suma de las columnas 010 y 030. |
|
050 — 100 |
TÉCNICAS DE REDUCCIÓN DEL RIESGO DE CRÉDITO CON EFECTOS DE SUSTITUCIÓN SOBRE LA EXPOSICIÓN Técnicas de reducción del riesgo de crédito definidas en el artículo 4, punto 57, del RRC que atenúan el riesgo de crédito de una o varias exposiciones mediante la sustitución de exposiciones conforme a lo indicado más adelante en «Sustitución de la exposición debido a la reducción del riesgo de crédito». Si las garantías reales influyen en el valor de exposición (p. ej., si se utilizan en el marco de técnicas de reducción del riesgo de crédito con efectos de sustitución sobre la exposición), se limitarán como máximo al valor de exposición. Elementos que deben comunicarse aquí: — garantías reales incorporadas con arreglo al método simple para las garantías reales de naturaleza financiera; — cobertura del riesgo de crédito con garantías personales admisibles. Véanse asimismo las instrucciones del punto 4.1.1. |
|
050 — 060 |
Cobertura del riesgo de crédito con garantías personales: valores ajustados (Ga) Artículo 235 del RRC. En el artículo 239, apartado 3, del RRC se define el valor ajustado Ga de una cobertura del riesgo de crédito con garantías personales. |
|
050 |
Garantías personales Artículo 203 del RRC. Cobertura del riesgo de crédito con garantías personales, definida en el artículo 4, punto 59, del RRC y distinta de los derivados de crédito. |
|
060 |
Derivados de crédito Artículo 204 del RRC. |
|
070 — 080 |
Cobertura del riesgo de crédito con garantías reales o instrumentos similares Estas columnas se refieren a la cobertura del riesgo de crédito mediante garantías reales o instrumentos similares, con arreglo al artículo 4, punto 58, y a los artículos 196, 197 y 200 del RRC. Los importes no incluirán los acuerdos marco de compensación (incluidos ya en «Exposición original antes de aplicar los factores de conversión»). Los bonos vinculados a crédito y las posiciones de compensación en balance que se deriven de acuerdos de compensación de operaciones de balance con arreglo a los artículos 218 y 219 del RRC se tratarán como garantía en efectivo. |
|
070 |
Garantías reales de naturaleza financiera: método simple Artículo 222, apartados 1 a 2, del RRC. |
|
080 |
Otra cobertura del riesgo de crédito mediante garantías reales o instrumentos similares Artículo 232 del RRC. |
|
090 — 100 |
SUSTITUCIÓN DE LA EXPOSICIÓN DEBIDA A LA REDUCCIÓN DEL RIESGO DE CRÉDITO Artículo 222, apartado 3, artículo 235, apartados 1 y 2, y artículo 236 del RRC. Las salidas corresponden a la parte cubierta de la exposición original, antes de aplicar los factores de conversión, que se detrae de la categoría de exposición del deudor y, posteriormente, se asigna a la categoría de exposición del proveedor de cobertura. Este importe se considerará una entrada en la categoría de exposición del proveedor de cobertura. Las entradas y salidas dentro de las mismas categorías de exposición también se comunicarán. Se tendrán en cuenta las exposiciones derivadas de posibles entradas y salidas de otras plantillas. |
|
110 |
EXPOSICIÓN NETA DESPUÉS DE LOS EFECTOS DE SUSTITUCIÓN DE LA REDUCCIÓN DEL RIESGO DE CRÉDITO Y ANTES DE LOS FACTORES DE CONVERSIÓN Importe de la exposición tras los ajustes de valor y después de tener en cuenta las salidas y entradas debidas a las técnicas de reducción del riesgo de crédito con efectos de sustitución sobre la exposición. |
|
120 — 140 |
TÉCNICAS DE REDUCCIÓN DEL RIESGO DE CRÉDITO QUE AFECTAN AL IMPORTE DE LA EXPOSICIÓN. COBERTURA DEL RIESGO DE CRÉDITO CON GARANTÍAS REALES O INSTRUMENTOS SIMILARES, MÉTODO AMPLIO PARA LAS GARANTÍAS REALES DE NATURALEZA FINANCIERA Artículos 223, 224, 225, 226, 227 y 228 del RRC. Se incluyen asimismo los bonos vinculados a crédito (artículo 218 del RRC). Los bonos vinculados a crédito y las posiciones de compensación en balance que se deriven de acuerdos de compensación de operaciones de balance con arreglo a los artículos 218 y 219 del RRC se tratan como garantía en efectivo. El efecto de cobertura según el método amplio para las garantías reales de naturaleza financiera aplicado a una exposición, que se asegure mediante garantías reales financieras admisibles, se calcula con arreglo a los artículos 223, 224, 225, 226, 227 y 228 del RRC. |
|
120 |
Ajuste de la exposición por volatilidad Artículo 223, apartados 2 y 3, del RRC. El importe que debe comunicarse viene determinado por el impacto del ajuste por volatilidad de la exposición (Eva-E) = E*He. |
|
130 |
(-) Garantía real de naturaleza financiera: valor ajustado (Cvam) Artículo 239, apartado 2, del RRC. En el caso de las operaciones de la cartera de negociación, incluye las garantías reales financieras y las materias primas admisibles a efectos de las exposiciones de la cartera de negociación con arreglo al artículo 299, apartado 2, letras c) a f), del RRC. El importe que debe comunicarse corresponde a Cvam= C*(1-Hc-Hfx)*(t-t*)/(T-t*). Para consultar la definición de C, Hc, Hfx, t, T y t*, véase la parte tercera, título II, capítulo 4, secciones 4 y 5, del RRC. |
|
140 |
(-) Del cual: ajustes por volatilidad y vencimiento Artículo 223, apartado 1, y artículo 239, apartado 2, del RRC. El importe que debe comunicarse es el efecto conjunto de los ajustes por volatilidad y vencimiento (Cvam-C) = C*[(1-Hc-Hfx)*(t-t*)/(T-t*)-1], donde el efecto del ajuste por volatilidad es (Cva-C) = C*[(1-Hc-Hfx)-1] y el efecto de los ajustes por vencimiento es (Cvam-Cva) = C*(1-Hc-Hfx)*[(t-t*)/(T-t*)-1]. |
|
150 |
Valor de exposición plenamente ajustado (E*) Artículo 220, apartado 4, artículo 223, apartados 2 a 5, y artículo 228, apartado 1, del RRC. |
|
160 — 190 |
Desglose del valor de exposición plenamente ajustado de las partidas fuera de balance, por factores de conversión Artículo 111, apartado 1, y artículo 4, punto 56, del RRC. Véanse asimismo el artículo 222, apartado 3, y el artículo 228, apartado 1, del RRC. Las cifras consignadas deben corresponder a los valores de exposición plenamente ajustados antes de la aplicación del factor de conversión. |
|
200 |
Valor de la exposición Artículo 111 y parte tercera, título II, capítulo 4, sección 4, del RRC. Valor de exposición después de tener en cuenta los ajustes de valor, todas las medidas de reducción del riesgo de crédito y los factores de conversión de crédito al que deben asignarse las ponderaciones de riesgo con arreglo al artículo 113 y a la parte tercera, título II, capítulo 2, sección 2, del RRC. |
|
210 |
Del cual: resultante del riesgo de contraparte Valor de exposición a efectos del riesgo de contraparte calculado con arreglo a los métodos previstos en la parte tercera, título II, capítulo 6, secciones 2, 3, 4 y 5, del RRC, cuando se trate de instrumentos derivados, operaciones de recompra, operaciones de préstamo o de toma en préstamo de valores o materias primas, operaciones con liquidación diferida y operaciones de préstamo con reposición del margen sujetos a la parte tercera, título II, capítulo 6, del RRC. |
|
215 |
Importe de la exposición ponderada por riesgo antes de aplicar el factor de apoyo a PYME Artículo 113, apartados 1 a 5, del RRC, sin tener en cuenta el factor de apoyo a las PYME con arreglo al artículo 501 del RRC. |
|
220 |
Importe de la exposición ponderada por riesgo después de aplicar el factor de apoyo a PYME Artículo 113, apartados 1 a 5, del RRC, teniendo en cuenta el factor de apoyo a las PYME con arreglo al artículo 500 del RRC. |
|
230 |
Del cual: con evaluación crediticia efectuada por una ECAI designada Artículo 112, letras a) a d), f), g), l), n), o) y q), del RRC. |
|
240 |
Del cual: con evaluación crediticia procedente de una administración central Artículo 112, letras b) a d), f), g), l) y o), del RRC. |
|
Filas |
Instrucciones |
|
010 |
Total exposiciones |
|
015 |
De las cuales: exposiciones en situación de impago Artículo 127 del RRC. Esta fila solo se cumplimentará en relación con las categorías de exposiciones «partidas asociadas a riesgos especialmente elevados» o «exposiciones de renta variable». Si una exposición figura entre las enumeradas en el artículo 128, apartado 2, del RRC o se ajusta a los criterios fijados en el artículo 128, apartado 3, o el artículo 133 del RRC, se asignará a la categoría de exposición «partidas asociadas a riesgos especialmente elevados» o «exposiciones de renta variable». En consecuencia, no debe haber ninguna otra asignación, aun cuando la exposición se encuentre en situación de impago con arreglo al artículo 127 del RRC. |
|
020 |
De las cuales: PYME Todas las exposiciones frente a PYME se comunicarán aquí. |
|
030 |
De las cuales: exposiciones sujetas al factor de apoyo a PYME Únicamente se comunicarán aquí las exposiciones que cumplan los requisitos del artículo 501 del RRC. |
|
040 |
De las cuales: garantizadas por hipotecas sobre bienes inmuebles residenciales Artículo 125 del RRC. Únicamente consignadas en la categoría de exposiciones «garantizadas con hipotecas sobre bienes inmuebles». |
|
050 |
De las cuales: exposiciones sujetas a uso parcial permanente del método estándar Exposiciones tratadas con arreglo al artículo 150, apartado 1, del RRC. |
|
060 |
De las cuales: exposiciones sujetas al método estándar con autorización supervisora previa para realizar una instrumentación progresiva del método IRB Exposiciones tratadas con arreglo al artículo 148, apartado 1, del RRC. |
|
070 — 130 |
DESGLOSE DEL TOTAL DE EXPOSICIONES POR TIPOS DE EXPOSICIÓN Las posiciones de la «cartera bancaria» de la entidad declarante se desglosarán, con arreglo a los criterios facilitados más adelante, en exposiciones en balance sujetas a riesgo de crédito, exposiciones fuera de balance sujetas a riesgo de crédito y exposiciones sujetas al riesgo de contraparte. Las posiciones de la «cartera de negociación» de la entidad declarante expuestas al riesgo de contraparte con arreglo al artículo 92, apartado 3, letra f), y el artículo 299, apartado 2, del RRC se asignarán a las exposiciones sujetas al riesgo de contraparte. Las entidades que aplican el artículo 94, apartado 1, del RRC también desglosarán las posiciones de su «cartera de negociación» con arreglo a los criterios que figuran más adelante, en exposiciones en balance sujetas a riesgo de crédito, exposiciones fuera del balance sujetas a riesgo de crédito, y exposiciones sujetas al riesgo de contraparte. |
|
070 |
Exposiciones en balance sujetas a riesgo de crédito Activos a los que se alude en el artículo 24 del RRC no incluidos en ninguna otra categoría. Las exposiciones contabilizadas en balance y que se incluyan como operaciones de financiación de valores, derivados y operaciones con liquidación diferida, o que se deriven de la compensación contractual entre productos, se comunicarán en las filas 090, 110 y 130 y, por tanto, no se consignarán en esta fila. Las operaciones incompletas con arreglo al artículo 379, apartado 1, del RRC (si no se deducen) no constituyen elementos en balance, pero se comunicarán, no obstante, en esta fila. Las exposiciones derivadas de activos entregados a una ECC con arreglo al artículo 4, punto 90, del RRC, y las exposiciones frente al fondo para impagos con arreglo al artículo 4, punto 89, del RRC, se incluirán si no se han consignado en la fila 030. |
|
080 |
Exposiciones fuera de balance sujetas a riesgo de crédito Las posiciones fuera del balance comprenden los elementos enumerados en el anexo I del RRC. Las exposiciones que consistan en partidas fuera de balance y que se incluyan como operaciones de financiación de valores, derivados y operaciones con liquidación diferida, o que se deriven de la compensación contractual entre productos, se comunicarán en las filas 040 y 060 y, por tanto, no se consignarán en esta fila. Las exposiciones derivadas de activos entregados a una ECC con arreglo al artículo 4, punto 90, del RRC, y las exposiciones frente al fondo para impagos con arreglo al artículo 4, punto 89, del RRC, se incluirán si se consideran partidas fuera de balance. |
|
090 — 130 |
Exposiciones / operaciones sujetas a riesgo de contraparte |
|
090 |
Operaciones de financiación de valores Las operaciones de financiación de valores, conforme se definen en el párrafo 17 del documento del Comité de Basilea titulado «The Application of Basel II to Trading Activities and the Treatment of Double Default Effects» [aplicación de Basilea II a las actividades de negociación y el tratamiento de los efectos de doble impago], comprenden: i) los pactos de recompra o de recompra inversa definidos en el artículo 4, punto 82, del RRC, así como las operaciones de préstamo o toma en préstamo de valores o materias primas; ii) las operaciones de préstamo con reposición del margen, definidas en el artículo 272, apartado 3, del RRC. |
|
100 |
De las cuales: compensadas centralmente a través de ECC cualificadas Artículo 306 del RRC para las ECC cualificadas con arreglo al artículo 4, punto 88, en conjunción con el artículo 301, apartado 2, del RRC. Exposiciones de negociación frente a una ECC con arreglo al artículo 4, punto 91, del RRC. |
|
110 |
Derivados y operaciones con liquidación diferida Los derivados comprenden los contratos enumerados en el anexo II del RRC. Operaciones con liquidación diferida definidas en el artículo 272, apartado 2, del RRC. Los derivados y operaciones con liquidación diferida que se incluyan en la compensación entre productos y, por tanto, se consignen en la fila 130, no se comunicarán en esta fila. |
|
120 |
De los cuales: compensados centralmente a través de ECC cualificadas Artículo 306 del RRC para las ECC cualificadas con arreglo al artículo 4, punto 88, en conjunción con el artículo 301, apartado 2, del RRC. Exposiciones de negociación frente a una ECC con arreglo al artículo 4, punto 91, del RRC. |
|
130 |
Procedentes de la compensación contractual entre productos Las exposiciones que, debido a la existencia de una compensación contractual entre productos (según se define en el artículo 272, apartado 11, del RRC) no puedan asignarse ni a «Derivados y operaciones con liquidación diferida», ni a «Operaciones de financiación de valores», se incluirán en esta fila. |
|
140 — 280 |
DESGLOSE DEL TOTAL DE EXPOSICIONES POR PONDERACIONES DE RIESGO |
|
140 |
0 % |
|
150 |
2 % Artículo 306, apartado 1, del RRC. |
|
160 |
4 % Artículo 305, apartado 3, del RRC. |
|
170 |
10 % |
|
180 |
20 % |
|
190 |
35 % |
|
200 |
50 % |
|
210 |
70 % Artículo 232, apartado 3, letra c), del RRC. |
|
220 |
75 % |
|
230 |
100 % |
|
240 |
150 % |
|
250 |
250 % Artículo 133, apartado 2, del RRC. |
|
260 |
370 % Artículo 471 del RRC. |
|
270 |
1 250 % Artículo 133, apartado 2, del RRC. |
|
280 |
Otras ponderaciones de riesgo Esta fila no puede utilizarse para las categorías de exposiciones frente a la administración, empresas, entidades y minoristas. Para la comunicación de las exposiciones no sujetas a las ponderaciones de riesgo enumeradas en la plantilla. Artículo 113, apartados 1 y 5, del RRC. Los derivados de crédito de n-ésimo impago no calificados con arreglo al método estándar (artículo 134, apartado 6, del RRC) se comunicarán en esta fila en la categoría de exposición «Otros elementos». Véanse asimismo el artículo 124, apartado 2, y el artículo 152, apartado 2, letra b), del RRC. |
|
290 — 320 |
Pro memoria Véase asimismo la explicación de la finalidad de las partidas pro memoria en la sección general de la CR SA. |
|
290 |
Exposiciones garantizadas por hipotecas sobre bienes inmuebles comerciales Artículo 112, letra i), del RRC. Se trata únicamente de una partida pro memoria. Independientemente del cálculo de los importes de las exposiciones garantizadas por bienes inmuebles comerciales con arreglo a los artículos 124 y 126 del RRC, las exposiciones se desglosarán y comunicarán en esta fila en función de que estén o no garantizadas por bienes inmuebles comerciales. |
|
300 |
Exposiciones en situación de impago con una ponderación de riesgo del 100 % Artículo 112, letra j), del RRC. Exposiciones incluidas en la categoría «exposiciones en situación de impago», que se incluirían en esta categoría si no se encontraran en situación de impago. |
|
310 |
Exposiciones garantizadas por hipotecas sobre bienes inmuebles residenciales Artículo 112, letra i), del RRC. Se trata únicamente de una partida pro memoria. Independientemente del cálculo de los importes de las exposiciones garantizadas por hipotecas sobre bienes inmuebles residenciales con arreglo a los artículos 124 y 125 del RRC, las exposiciones se desglosarán y comunicarán en esta fila en función de que estén o no garantizadas por bienes inmuebles. |
|
320 |
Exposiciones en situación de impago con una ponderación de riesgo del 150 % Artículo 112, letra j), del RRC. Exposiciones incluidas en la categoría «exposiciones en situación de impago», que se incluirían en esta categoría si no se encontraran en situación de impago. |
3.3. RIESGO DE CRÉDITO Y DE CONTRAPARTE Y OPERACIONES INCOMPLETAS: MÉTODO IRB PARA LOS REQUISITOS DE FONDOS PROPIOS (CR IRB)
3.3.1 Ámbito de la plantilla CR IRB
74. La plantilla CR IRB engloba los requisitos de fondos propios en relación con:
i. los riesgos de crédito en la cartera bancaria, entre los que figuran:
— el riesgo de contraparte en la cartera bancaria;
— el riesgo de dilución de los derechos de cobro adquiridos;
ii. el riesgo de contraparte en la cartera de negociación;
iii. las operaciones incompletas derivadas de todas las actividades empresariales.
75. El ámbito de la plantilla comprende las exposiciones cuyos importes ponderados por riesgo se calculan con arreglo a los artículos 151 a 157 de la parte tercera, título II, capítulo 3, del RRC (método IRB).
76. La plantilla CR IRB no abarca los siguientes datos:
i. las exposiciones de renta variable, que se consignan en la plantilla CR EQU IRB;
ii. las posiciones de titulización, que se consignan en las plantillas CR SEC SA, CR SEC IRB y/o CR SEC Details;
iii. «Otros activos que no sean obligaciones crediticias», con arreglo al artículo 147, apartado 2, letra g), del RRC; la ponderación por riesgo de esta categoría de exposición ha de establecerse en el 100 % en todo momento, salvo en el caso del efectivo en caja y activos líquidos equivalentes y las exposiciones que sean valores residuales de activos arrendados, con arreglo al artículo 156 del RRC; los importes de las exposiciones ponderadas por riesgo de esta categoría se consignan directamente en la plantilla CA;
iv. el riesgo de ajuste de valoración del crédito, que se consigna en la plantilla CVA Risk.
La plantilla CR IRB no requiere un desglose geográfico de las exposiciones según el método IRB por lugar de residencia de la contraparte. Tal desglose se consigna en la plantilla CR GB.
77. Con el fin de aclarar si la entidad utiliza sus propias estimaciones de LGD y/o factores de conversión de crédito, se suministrará la siguiente información por cada categoría de exposición consignada:
«NO» = en el caso de que se utilicen las estimaciones de LGD y los factores de conversión de crédito impuestas a efectos de supervisión (IRB básico, F-IRB).
«SÍ» = en el caso de que se utilicen estimaciones propias de LGD y los factores de conversión de crédito (IRB avanzado, A-IRB).
En cualquier caso, para el suministro de información sobre las carteras minoristas, deberá indicarse «SÍ».
En el caso de que una entidad utilice estimaciones propias de LGD para calcular los importes de las exposiciones ponderadas por riesgo de una parte de sus exposiciones conforme al método IRB, y que emplee asimismo estimaciones de LGD impuestas a efectos de supervisión para calcular los importes de las exposiciones ponderadas por riesgo de la otra parte conforme al método IRB, deberá cumplimentarse una CR IRB Total para las posiciones F-IRB, y una CR IRB Total para las posiciones A-IRB.
3.3.2 Desglose de la plantilla CR IRB
78. La CR IRB consta de dos plantillas. CR IRB 1 proporciona una visión general de las exposiciones conforme al método IRB y de los distintos métodos para calcular los importes totales de exposición al riesgo, así como un desglose del total de exposiciones por tipo de exposición. CR IRB 2 presenta un desglose del total de exposiciones asignadas a grados de deudores o conjuntos de exposiciones. Las plantillas CR IRB 1 y CR IRB 2 se cumplimentarán por separado respecto a las siguientes categorías y subcategorías de exposición:
1) Total
(La plantilla Total debe cumplimentarse por separado a efectos del método F-IRB y A-IRB.)
2) Administraciones centrales o bancos centrales
Artículo 147, apartado 2, letra a), del RRC.
3) Entidades
Artículo 147, apartado 2, letra b), del RRC.
4.1) Empresas — PYME
Artículo 147, apartado 2, letra c), del RRC.
4.2) Empresas — Financiación especializada
(Artículo 147, apartado 8, del RRC)
4.3) Empresas — Otros
(Todas las empresas con arreglo al artículo 147, apartado 2, letra c), no consignadas en 4.1 ni 4.2)
5.1) Minoristas — Garantizadas por bienes inmuebles de PYME
(Exposiciones que reflejan el artículo 147, apartado 2, letra d), conjuntamente con el artículo 154, apartado 3, del RRC y están garantizadas por bienes inmuebles)
5.2) Minoristas — Garantizadas por bienes inmuebles no de PYME
(Exposiciones que reflejan el artículo 147, apartado 2, letra d), del RRC, están garantizadas por bienes inmuebles y no se incluyen en 5.1)
5.3) Exposiciones minoristas renovables admisibles
(Artículo 147, apartado 2, letra d), en conjunción con el artículo 154, apartado 4, del RRC)
5.4) Exposiciones minoristas — Otras, PYME
(Artículo 147, apartado 2, letra d), no incluidas en 5.1 ni 5.3)
5.5) Exposiciones minoristas — Otras, no PYME
(Artículo 147, apartado 2, letra d), del RRC, no incluidas en 5.2 ni 5.3)
3.3.3 C 08.01 — RIESGO DE CRÉDITO Y DE CONTRAPARTE Y OPERACIONES INCOMPLETAS: MÉTODO IRB PARA LOS REQUISITOS DE CAPITAL (CR IRB 1)
3.3.3.1 Instrucciones relativas a posiciones concretas
|
Columnas |
Instrucciones |
|
010 |
SISTEMA DE CALIFICACIÓN INTERNA / PD ASIGNADA AL GRADO DE DEUDORES O EL CONJUNTO DE EXPOSICIONES (%) La PD asignada al grado de deudores o al conjunto de exposiciones que deberá consignarse se basará en lo dispuesto en el artículo 180 del RRC. Por cada grado o conjunto individual, se indicará la PD asignada al grado de deudores o conjunto de exposiciones específico. Cuando las cifras correspondan a una agregación de grados de deudores o conjuntos de exposiciones (p. ej., total exposiciones), se consignará la media ponderada por exposición de las PD asignadas a los grados de deudores o los conjuntos de exposiciones incluidos en la agregación. El valor de la exposición (columna 110) se utilizará para la estimación de la PD media ponderada por exposición. Por cada grado o conjunto individual, se indicará la PD asignada al grado de deudores o conjunto de exposiciones específico. Todos los parámetros de riesgo comunicados se derivarán de los utilizados en el sistema de calificación interna aprobado por la respectiva autoridad competente. No se pretende ni resulta deseable imponer una escala maestra a efectos de supervisión. Si la entidad declarante aplica un sistema de calificación particular o puede suministrar información con arreglo a una escala maestra interna, se utilizará esta. De lo contrario, los diferentes sistemas de calificación se fusionarán y ordenarán con arreglo a los siguientes criterios: los grados de deudores de los distintos sistemas de calificación se agruparán y se ordenarán de menor a mayor PD asignada a cada grado de deudores. Cuando la entidad utilice un gran número de grados o conjuntos, podrá convenirse con las autoridades competentes el suministro de información sobre un número reducido de tales grados o conjuntos. Las entidades se pondrán en contacto con su autoridad competente con antelación si desean presentar información sobre un número de grados diferente del utilizado a nivel interno. A efectos de la ponderación de la PD media, se utiliza el valor de exposición consignado en la columna 110. Todas las exposiciones, incluidas aquellas con impago, deberán considerarse a efectos del cálculo de la PD media ponderada por exposición (p. ej., para el «total exposición»). Las exposiciones con impago son las asignadas a los últimos grados de calificación, con una PD del 100 %. |
|
020 |
EXPOSICIÓN ORIGINAL ANTES DE APLICAR LOS FACTORES DE CONVERSIÓN Las entidades consignarán el valor de la exposición antes de tener en cuenta los ajustes de valor, provisiones, efectos debidos a las técnicas de reducción del riesgo de crédito o los factores de conversión de crédito. El valor de la exposición original se consignará de conformidad con el artículo 24 del RRC y el artículo 166, apartados 1, 2, y 4 a 7 del RRC. El efecto derivado del artículo 166, apartado 3, del RRC (efecto de la compensación en el balance de préstamos y depósitos) se comunicará por separado como cobertura del riesgo de crédito con garantías reales o instrumentos similares y, por tanto, no reducirá la exposición original. |
|
030 |
DE LA CUAL: GRANDES ENTES DEL SECTOR FINANCIERO Y ENTES FINANCIEROS NO REGULADOS Desglose de la exposición original antes de aplicar los factores de conversión referido a todas las exposiciones definidas con arreglo al artículo 142, apartados 4 y 5, del RRC, y con sujeción a la correlación más elevada prevista en el artículo 153, apartado 2, del RRC. |
|
040 — 080 |
TÉCNICAS DE REDUCCIÓN DEL RIESGO DE CRÉDITO CON EFECTOS DE SUSTITUCIÓN SOBRE LA EXPOSICIÓN Técnicas de reducción del riesgo de crédito definidas en el artículo 4, punto 57, del RRC que atenúan el riesgo de crédito de una o varias exposiciones mediante la sustitución de exposiciones conforme a lo indicado más adelante en «Sustitución de la exposición debido a la reducción del riesgo de crédito». |
|
040 — 050 |
COBERTURA DEL RIESGO DE CRÉDITO CON GARANTÍAS PERSONALES Cobertura del riesgo de crédito con garantías personales: valores que se definen en el artículo 4, punto 59, del RRC. Si la garantía ejerce un efecto en la exposición (p. ej., si se utiliza para técnicas de reducción del riesgo de crédito con efectos de sustitución sobre la exposición), se le aplicará un límite máximo equivalente al valor de la exposición. |
|
040 |
GARANTÍAS Cuando no se utilicen estimaciones propias de LGD, se facilitará el valor ajustado (Ga) definido en el artículo 236 del RRC. Cuando se utilicen estimaciones propias de LGD (artículo 183 del RRC, excepto el apartado 3), se consignará el valor pertinente utilizado en el modelo interno. Las garantías se comunicarán en la columna 040 cuando no se efectúe el ajuste en la LGD. Cuando se efectúe el ajuste en la LGD, el importe de la garantía se consignará en la columna 150. En cuanto a las exposiciones sujetas al tratamiento de doble impago, el valor de la cobertura del riesgo de crédito con garantías personales se consignará en la columna 220. |
|
050 |
DERIVADOS DE CRÉDITO Cuando no se utilicen estimaciones propias de LGD, se facilitará el valor ajustado (Ga) definido en el artículo 216 del RRC. Cuando se utilicen estimaciones propias de LGD (artículo 183 del RRC), se consignará el valor pertinente utilizado en el modelo interno. Cuando se efectúe el ajuste en la LGD, el importe de los derivados de crédito se consignará en la columna 160. En cuanto a las exposiciones sujetas al tratamiento de doble impago, el valor de la cobertura del riesgo de crédito con garantías personales se consignará en la columna 220. |
|
060 |
OTRA COBERTURA DEL RIESGO DE CRÉDITO CON GARANTÍAS REALES O INSTRUMENTOS SIMILARES Si la garantía real tiene una incidencia en la exposición (p.ej., si se emplea en técnicas de reducción del riesgo de crédito con efectos de sustitución sobre la exposición), se limitará como máximo al valor de la exposición. Cuando no se utilicen estimaciones propias de LGD, se aplicará lo previsto en el artículo 232 del RRC. Cuando se utilicen estimaciones propias de LGD, se indicarán las medidas de reducción del riesgo de crédito que cumplan los criterios del artículo 212 del RRC. Se consignará el valor pertinente utilizado en el modelo interno. Se indicará en la columna 060 cuando no se efectúe el ajuste en la LGD. Cuando se efectúe un ajuste en la LGD, el importe se consignará en la columna 170. |
|
070 — 080 |
SUSTITUCIÓN DE LA EXPOSICIÓN DEBIDA A LA REDUCCIÓN DEL RIESGO DE CRÉDITO Las salidas corresponden a la parte cubierta de la exposición original antes de aplicar los factores de conversión, que se detrae de la categoría de exposición del deudor y, en su caso, del grado de deudores o del conjunto de exposiciones y, posteriormente, se asigna a la categoría de exposición del proveedor de cobertura y, en su caso, al grado de deudores o conjunto de exposiciones. Este importe se considerará una entrada en la categoría de exposición del proveedor de cobertura y, en su caso, de los grados de deudores o conjuntos de exposiciones. Se incluirán también las entradas y salidas en las mismas categorías de exposición y, en su caso, en los mismos grados de deudores o conjuntos de exposiciones. Se tendrán en cuenta las exposiciones derivadas de posibles entradas y salidas de otras plantillas. |
|
090 |
EXPOSICIÓN DESPUÉS DE LOS EFECTOS DE SUSTITUCIÓN DE LA REDUCCIÓN DEL RIESGO DE CRÉDITO Y ANTES DE LOS FACTORES DE CONVERSIÓN Exposición asignada al grado de deudores o conjunto de exposiciones y a la categoría de exposición correspondientes después de tener en cuenta las salidas y entradas debidas a las técnicas de reducción del riesgo de crédito con efectos de sustitución sobre la exposición. |
|
100, 120 |
De la cual: partidas fuera de balance Véanse las instrucciones de CR SA. |
|
110 |
VALOR DE LA EXPOSICIÓN Se consignará el valor de conformidad con los artículos 166 y 230, apartado 1, segunda frase, del RRC. En el caso de los instrumentos definidos en el anexo I, se aplicarán los factores de conversión de crédito (artículo 166, apartados 8 a 10, del RRC), con independencia del método elegido por la entidad. En las filas 040-060 (operaciones de financiación de valores, derivados y operaciones con liquidación diferida y exposiciones derivadas de la compensación contractual entre productos), sujetas a lo dispuesto en la parte tercera, título II, capítulo 6, del RRC, el valor de exposición será el mismo que el valor a efectos del riesgo de contraparte calculado con arreglo a los métodos previstos en la parte tercera, título II, capítulo 6, secciones 3, 4, 5, 6 y 7, del RRC. Estos valores se consignarán en esta columna, y no en la columna 130 «Del cual: resultante del riesgo de contraparte». |
|
130 |
Del cual: resultante del riesgo de contraparte Véanse las instrucciones de CR SA. |
|
140 |
DEL CUAL: GRANDES ENTES DEL SECTOR FINANCIERO Y ENTES FINANCIEROS NO REGULADOS Desglose del valor en relación con todas las exposiciones definidas con arreglo al artículo 142, apartados 4 y 5, del RRC, y con sujeción a la correlación más elevada prevista en el artículo 153, apartado 2, del RRC. |
|
150 — 210 |
TÉCNICAS DE REDUCCIÓN DEL RIESGO DE CRÉDITO CON EFECTO EN LAS ESTIMACIONES DE LGD EXCLUYENDO EL TRATAMIENTO DE DOBLE IMPAGO Las técnicas de reducción del riesgo de crédito que influyen en las LGD debido a la aplicación del efecto de sustitución de tales técnicas no se incluirán en estas columnas. Cuando no se utilicen estimaciones propias de la LGD: artículo 228, apartado 2; artículo 230, apartados 1 y 2; artículo 231 del RRC. Cuando se utilicen estimaciones propias de la LGD: — En lo que respecta a la cobertura del riesgo de crédito con garantías personales, para las exposiciones frente a administraciones centrales y bancos centrales, entidades y empresas: artículo 161, apartado 3, del RRC. Para las exposiciones minoristas, artículo 164, apartado 2, del RRC. — En lo que respecta a la cobertura del riesgo de crédito con garantías reales o instrumentos similares, la garantía tenida en cuenta en las estimaciones de la LGD con arreglo al artículo 181, apartado 1, letras e) y f), del RRC. |
|
150 |
GARANTÍAS Véanse las instrucciones de la columna 040. |
|
160 |
DERIVADOS DE CRÉDITO Véanse las instrucciones de la columna 050. |
|
170 |
USO DE ESTIMACIONES PROPIAS DE LGD: OTRA COBERTURA DEL RIESGO DE CRÉDITO CON GARANTÍAS REALES O INSTRUMENTOS SIMILARES El valor utilizado en el modelo interno de la entidad. Las medidas de reducción del riesgo de crédito que cumplan los criterios del artículo 212 del RRC. |
|
180 |
GARANTÍAS REALES DE NATURALEZA FINANCIERA ADMISIBLES En el caso de las operaciones de la cartera de negociación, incluyen los instrumentos financieros y las materias primas admisibles en relación con las exposiciones de dicha cartera con arreglo al artículo 299, apartado 2, letras c) a f), del RRC. Los bonos vinculados a crédito y las posiciones de compensación en balance con arreglo a la parte tercera, título II, capítulo 4, sección 4, del RRC se tratan como garantía en efectivo. Cuando no se utilicen estimaciones propias de LGD: valores conformes al artículo 193, apartados 1 a 4, y al artículo 194, apartado 1, del RRC. Se consignará el valor ajustado (Cvam) previsto en el artículo 223, apartado 2, del RRC. Cuando se utilicen estimaciones propias de la LGD: la garantía real financiera tenida en cuenta en las estimaciones de la LGD con arreglo al artículo 181, apartado 1, letras e) y f), del RRC. El importe que deberá consignarse será el valor de mercado estimado de la garantía. |
|
190 — 210 |
OTRAS GARANTÍAS REALES ADMISIBLES Cuando no se utilicen estimaciones propias de la LGD: artículo 199, apartados 1 a 8, y artículo 229 del RRC. Cuando se utilicen estimaciones propias de la LGD: otras garantías reales tenidas en cuenta en las estimaciones de la LGD con arreglo al artículo 181, apartado 1, letras e) y f), del RRC. |
|
190 |
BIENES INMUEBLES Cuando no se utilicen estimaciones propias de la LGD, se consignarán los valores de conformidad con el artículo 199, apartados 2 a 4, del RRC. También se incluye el arrendamiento financiero de bienes inmuebles (véase el artículo 199, apartado 7, del RRC). Véase asimismo el artículo 229 del RRC. Cuando se utilicen estimaciones propias de la LGD, el importe que deberá consignarse será el valor de mercado estimado. |
|
200 |
OTRAS GARANTÍAS REALES FÍSICAS Cuando no se utilicen estimaciones propias de la LGD, se consignarán los valores de conformidad con el artículo 199, apartados 6 a 8, del RRC. También se incluye el arrendamiento financiero de bienes distintos de bienes inmuebles (véase el artículo 199, apartado 7, del RRC). Véase asimismo el artículo 229, apartado 3, del RRC. Cuando se utilicen estimaciones propias de la LGD, el importe que deberá consignarse será el valor de mercado estimado de la garantía real. |
|
210 |
DERECHOS DE COBRO Cuando no se utilicen estimaciones propias de la LGD, se consignarán los valores de conformidad con el artículo 199, apartado 5, y el artículo 229, apartado 2, del RRC. Cuando se utilicen estimaciones propias de la LGD, el importe que deberá consignarse será el valor de mercado estimado de la garantía real. |
|
220 |
SUJETO A TRATAMIENTO DE DOBLE IMPAGO: COBERTURA DEL RIESGO DE CRÉDITO CON GARANTÍAS PERSONALES Garantías y derivados de crédito que cubran las exposiciones sujetas al tratamiento de doble impago con arreglo a los artículos 202 y 217, apartado 1, del RRC. Véanse asimismo las columnas 040 «Garantías» y 050 «Derivados de crédito». |
|
230 |
LGD MEDIA PONDERADA POR EXPOSICIÓN (%) Se considerará el efecto íntegro de las técnicas de reducción del riesgo de crédito en los valores de la LGD, conforme se especifica en la parte tercera, título II, capítulos 3 y 4, del RRC. En el caso de las exposiciones sujetas al tratamiento de doble impago, la LGD que deberá consignarse corresponderá a la seleccionada con arreglo al artículo 161, apartado 4, del RRC. En el caso de las exposiciones con impago, se tendrá en cuenta lo dispuesto en el artículo 181, apartado 1, letra h), del RRC. Para el cálculo de las medias ponderadas por exposición se utilizará la definición del valor de la exposición de la columna 110. Se considerarán todos los efectos (por lo que el límite mínimo aplicable a las hipotecas se incluirá en la información). En el caso de las entidades que aplican el método IRB, pero no utilizan estimaciones propias de la LGD, los efectos de reducción del riesgo de las garantías financieras se reflejan en E*, el valor plenamente ajustado de la exposición, y a continuación en la LGD* con arreglo al artículo 228, apartado 2, del RRC. La LGD media ponderada por exposición asociada a cada «grado de deudores o conjunto de exposiciones» correspondiente a una determinada PD se derivará de la media de LGD prudenciales, asignadas a las exposiciones del grado o conjunto de esa PD, ponderada por el correspondiente valor de exposición de la columna 110. Si se aplican estimaciones propias de la LGD, se tendrán en cuenta los artículos 175 y 181, apartados 1 y 2, del RRC. En el caso de las exposiciones sujetas al tratamiento de doble impago, la LGD que deberá consignarse corresponderá a la seleccionada con arreglo al artículo 161, apartado 4, del RRC. El cálculo de la LGD media ponderada por exposición se derivará de los parámetros de riesgo efectivamente utilizados en el sistema de calificación interna aprobado por la correspondiente autoridad competente. No deberán comunicarse datos para las exposiciones de financiación especializada que se mencionan en el artículo 153, apartado 5. La exposición y la LGD respectiva relativas a grandes entes regulados del sector financiero y entes financieros no regulados no se incluirán en el cálculo de la columna 230, sino únicamente en el de la columna 240. |
|
240 |
LGD MEDIA PONDERADA POR EXPOSICIÓN (%) PARA GRANDES ENTES DEL SECTOR FINANCIERO Y ENTES FINANCIEROS NO REGULADOS LGD media ponderada por exposición (en %) de todas las exposiciones definidas con arreglo al artículo 142, apartados 4 y 5, del RRC, con sujeción a la correlación más elevada prevista en el artículo 153, apartado 2, del RRC. |
|
250 |
VENCIMIENTO MEDIO PONDERADO POR EXPOSICIÓN (DÍAS) El valor consignado se basará en lo dispuesto en el artículo 162 del RRC. El valor de la exposición (columna 110) se utilizará para el cálculo de la media ponderada por exposición. El vencimiento medio se indicará en días. Estos datos no se consignarán en el caso de los valores de exposición para los que el vencimiento no entre en el cálculo de los importes de las exposiciones ponderadas por riesgo. Esto significa que esta columna no se cumplimentará para la categoría de exposiciones «minoristas». |
|
255 |
IMPORTE DE LA EXPOSICIÓN PONDERADA POR RIESGO ANTES DE APLICAR EL FACTOR DE APOYO A PYME Por lo que se refiere a las administraciones centrales y los bancos centrales, las empresas y las entidades, véase el artículo 153, apartados 1 y 3, del RRC. En cuanto a las exposiciones minoristas, véase el artículo 154, apartado 1, del RRC. El factor de apoyo a PYME conforme al artículo 501 del RRC no se tendrá en cuenta. |
|
260 |
IMPORTE DE LA EXPOSICIÓN PONDERADA POR RIESGO DESPUÉS DE APLICAR EL FACTOR DE APOYO A PYME Por lo que se refiere a las administraciones centrales y los bancos centrales, las empresas y las entidades, véase el artículo 153, apartados 1 y 3, del RRC. En cuanto a las exposiciones minoristas, véase el artículo 154, apartado 1, del RRC. Se tendrá en cuenta el factor de apoyo a PYME conforme al artículo 501 del RRC. |
|
270 |
DEL CUAL: GRANDES ENTES DEL SECTOR FINANCIERO Y ENTES FINANCIEROS NO REGULADOS Desglose del importe de la exposición ponderada por riesgo después de aplicar el factor de apoyo a PYME referido a todas las exposiciones definidas con arreglo al artículo 142, apartados 4 y 5, del RRC, y con sujeción a la correlación más elevada prevista en el artículo 153, apartado 2, del RRC. |
|
280 |
PÉRDIDAS ESPERADAS Para consultar la definición de pérdida esperada, véase el artículo 5, apartado 3, del RRC y, para el cálculo, véase el artículo 158 del RRC. El importe de las pérdidas esperadas que deberá consignarse se basará en los parámetros de riesgo utilizados efectivamente en el sistema de calificación interna aprobado por la correspondiente autoridad competente. |
|
290 |
(-) AJUSTES DE VALOR Y PROVISIONES Se consignarán los ajustes de valor, así como las provisiones específicas y generales con arreglo al artículo 159 del RRC. Las provisiones generales se consignarán por prorrateo del importe, en función de la pérdida esperada de los diferentes grados de deudores. |
|
300 |
NÚMERO DE DEUDORES Artículo 172, apartados 1 y 2, del RRC. Para todas las categorías de exposición, con la excepción de las exposiciones minoristas y los casos mencionados en el artículo 172, apartado 1, letra e), segunda frase, del RRC, la entidad indicará el número de entes jurídicos / deudores que se hayan calificado por separado, con independencia del número de préstamos o exposiciones diferentes otorgados. En la categoría de exposiciones minoristas o en el supuesto de que, en otras categorías de exposición, exposiciones independientes frente a un mismo deudor se asignen a diferentes grados de deudores, de conformidad con el artículo 172, apartado 1, letra e), segunda frase, del RRC, la entidad consignará el número de exposiciones que se hayan asignado por separado a un determinado grado o conjunto de calificación. En el caso de que el artículo 172, apartado 2, del RRC sea de aplicación, un deudor podrá tenerse en cuenta en varios grados. Puesto que esta columna se ocupa de un elemento de la estructura de los sistemas de calificación, se refiere a las exposiciones originales, antes de aplicar los factores de conversión, asignadas a cada grado de deudores o conjunto de exposiciones, sin tener en cuenta el efecto de las técnicas de reducción del riesgo de crédito (en particular, los efectos de redistribución). |
|
Filas |
Instrucciones |
|
010 |
TOTAL EXPOSICIONES |
|
015 |
De las cuales: exposiciones sujetas al factor de apoyo a PYME Únicamente se comunicarán aquí las exposiciones que cumplan los requisitos del artículo 501 del RRC. |
|
020 — 060 |
DESGLOSE DEL TOTAL DE EXPOSICIONES POR TIPOS DE EXPOSICIÓN: |
|
020 |
Partidas del balance sujetas a riesgo de crédito Activos a los que se alude en el artículo 24 del RRC no incluidos en ninguna otra categoría. Las exposiciones contabilizadas en el balance y que se incluyan como operaciones de financiación de valores, derivados y operaciones con liquidación diferida, o que se deriven de la compensación contractual entre productos, se comunicarán en las filas 040 a 060 y, por tanto, no se consignarán en esta fila. Las operaciones incompletas con arreglo al artículo 379, apartado 1, del RRC (si no se deducen) no constituyen elementos en balance, pero se comunicarán, no obstante, en esta fila. Las exposiciones derivadas de activos entregados a una ECC con arreglo al artículo 4, punto 91, del RRC, y las exposiciones frente al fondo para impagos con arreglo al artículo 4, punto 89, del RRC, se incluirán si no se han consignado en la fila 030. |
|
030 |
Partidas fuera de balance sujetas a riesgo de crédito Las posiciones fuera de balance comprenden los elementos enumerados en el anexo I del RRC. Las exposiciones que consistan en partidas fuera del balance y que se incluyan como operaciones de financiación de valores, derivados y operaciones con liquidación diferida, o que se deriven de la compensación contractual entre productos, se comunicarán en las filas 040 a 060 y, por tanto, no se consignarán en esta fila. Las exposiciones derivadas de activos entregados a una ECC con arreglo al artículo 4, punto 91, del RRC, y las exposiciones frente al fondo para impagos con arreglo al artículo 4, punto 89, del RRC, se incluirán si se consideran partidas fuera de balance. |
|
040 — 060 |
Exposiciones / operaciones sujetas a riesgo de contraparte |
|
040 |
Operaciones de financiación de valores Las operaciones de financiación de valores, conforme se definen en el párrafo 17 del documento del Comité de Basilea titulado «The Application of Basel II to Trading Activities and the Treatment of Double Default Effects» [aplicación de Basilea II a las actividades de negociación y el tratamiento de los efectos de doble impago], comprenden: i) los pactos de recompra o de recompra inversa definidos en el artículo 4, punto 82, del RRC, así como las operaciones de préstamo o toma en préstamo de valores o materias primas; y ii) las operaciones de préstamo con reposición del margen, definidas en el artículo 272, apartado 3, del RRC. Las operaciones de financiación de valores que sean objeto de compensación entre productos y, por tanto, se consignen en la fila 060, no se consignarán en esta fila. |
|
050 |
Derivados y operaciones con liquidación diferida Los derivados comprenden los contratos enumerados en el anexo II del RRC. Los derivados y operaciones con liquidación diferida que sean objeto de compensación entre productos y, por tanto, se consignen en la fila 060, no se consignarán en esta fila. |
|
060 |
Procedentes de la compensación contractual entre productos Véanse las instrucciones de CR SA. |
|
070 |
EXPOSICIONES ASIGNADAS A GRADOS DE DEUDORES O CONJUNTOS DE EXPOSICIONES: TOTAL En lo que respecta a las exposiciones frente a empresas, entidades y administraciones centrales y bancos centrales, véanse el artículo 142, apartado 1, punto 6, y el artículo 170, apartado 1, letra c), del RRC. En relación con las exposiciones minoristas, véase el artículo 170, apartado 3, letra b), del RRC. En el caso de las exposiciones derivadas de derechos de cobro adquiridos, véase el artículo 166, apartado 6, del RRC. Las exposiciones por el riesgo de dilución de los derechos de cobro adquiridos no se comunicarán por grados de deudores o conjuntos de exposiciones, y se consignarán en la fila 180. Cuando la entidad utilice un gran número de grados o conjuntos, podrá convenirse con las autoridades competentes el suministro de información sobre un número reducido de tales grados o conjuntos. No se utiliza una escala maestra. En su lugar, las entidades determinarán por sí mismas la escala que vayan a emplear. |
|
080 |
CRITERIOS DE ASIGNACIÓN DE LA FINANCIACIÓN ESPECIALIZADA: TOTAL Artículo 153, apartado 5, del RRC. Solo se aplica a las categorías de exposiciones frente a empresas, entidades y administraciones centrales y bancos centrales. |
|
090 — 150 |
DESGLOSE POR PONDERACIONES DE RIESGO DEL TOTAL DE EXPOSICIONES A LAS QUE SE APLICAN CRITERIOS DE ASIGNACIÓN DE LA FINANCIACIÓN ESPECIALIZADA |
|
120 |
De las cuales: en la categoría 1 Artículo 153, apartado 5, cuadro 1, del RRC. |
|
160 |
TRATAMIENTO ALTERNATIVO: GARANTIZADAS POR BIENES INMUEBLES Artículo 193, apartados 1 y 2, artículo 194, apartados 1 a 7, y artículo 230, apartado 3, del RRC. |
|
170 |
EXPOSICIONES DE OPERACIONES INCOMPLETAS APLICANDO PONDERACIONES DE RIESGO SEGÚN EL TRATAMIENTO ALTERNATIVO O EL 100 % Y OTRAS EXPOSICIONES SUJETAS A PONDERACIONES DE RIESGO Exposiciones derivadas de operaciones incompletas respecto a las que se utiliza el tratamiento alternativo a que se refiere el artículo 379, apartado 2, párrafo primero, última frase, del RRC, o a las que se aplica una ponderación de riesgo del 100 % con arreglo al artículo 379, apartado 2, último párrafo, del RRC. Los derivados de crédito de n-ésimo impago no calificados con arreglo al artículo 153, apartado 8, del RRC, y cualquier otra exposición sujeta a ponderaciones de riesgo no incluida en ninguna otra fila, se consignarán en esta fila. |
|
180 |
RIESGO DE DILUCIÓN: TOTAL DE DERECHOS DE COBRO ADQUIRIDOS Para consultar la definición del riesgo de dilución, véase el artículo 4, punto 53, del RRC. Para el cálculo de la ponderación por riesgo de dilución, véase el artículo 157, apartado 1, del RRC. De conformidad con el artículo 166, apartado 6, del RRC, el valor de exposición de los derechos de cobro adquiridos será el importe pendiente, menos el importe de la exposición ponderada por riesgo de dilución antes de la reducción del riesgo de crédito. |
3.3.4 C 08.02 — Riesgo de crédito y de contraparte y operaciones incompletas: método IRB para los requisitos de capital (desglose por grados de deudores o conjuntos de exposiciones) (plantilla CR IRB 2).
|
Columna |
Instrucciones |
|
005 |
Grado de deudores (identificador de fila) El grado de deudores es un identificador de la fila y debe ser único para cada fila de una determinada hoja del cuadro. Seguirá el orden numérico 1, 2, 3, etc. |
|
010 — 300 |
Las instrucciones para cada una de estas columnas son las mismas que las formuladas para las columnas del mismo número que figuran en el cuadro CR IRB 1. |
|
Fila |
Instrucciones |
|
010-001 — 010-NNN |
Los valores consignados en estas filas deberán figurar ordenados de menor a mayor, según la PD asignada al grado de deudores o conjunto de exposiciones. La PD de deudores morosos será del 100 %. Las exposiciones sujetas al tratamiento alternativo de las garantías con bienes inmuebles (al que únicamente se puede recurrir cuando no se utilicen estimaciones propias de la LGD) no se asignarán con arreglo a la PD del deudor, ni se consignarán en esta plantilla. |
3.4. RIESGO DE CRÉDITO Y DE CONTRAPARTE Y OPERACIONES INCOMPLETAS: INFORMACIÓN CON DESGLOSE GEOGRÁFICO
79. Las entidades que satisfagan el umbral previsto en el artículo 5, letra a), punto 4, del presente Reglamento suministrarán información relativa al país propio, así como a cualquier otro país. El umbral es aplicable únicamente a los cuadros 1 y 2. Las exposiciones frente a organizaciones supranacionales se asignarán a la zona geográfica «Otros países».
80. El término «residencia del deudor» alude al país en el que se haya constituido el deudor. Este concepto puede aplicarse con arreglo a un criterio de deudor inmediato o de riesgo último. Por tanto, las técnicas de reducción del riesgo de crédito con efectos de sustitución pueden modificar la asignación de una exposición a un país. Las exposiciones frente a organizaciones supranacionales no se asignarán al país de residencia de la entidad sino a la zona geográfica «Otros países», sea cual sea la categoría de exposición a la que se asigne la exposición frente a organizaciones supranacionales.
81. Los datos relativos a la «exposición original antes de aplicar los factores de conversión» se comunicarán por referencia al país de residencia del deudor inmediato. Los datos relativos al «valor de exposición» y a los «importes de las exposiciones ponderadas por riesgo» se comunicarán por referencia al país de residencia del deudor último.
3.4.1 C 09.01 — Desglose geográfico de las exposiciones por residencia del deudor: exposiciones según el método estándar (CR GB 1)
3.4.1.1. Instrucciones relativas a posiciones concretas
|
Columnas |
|
|
010 |
EXPOSICIÓN ORIGINAL ANTES DE APLICAR LOS FACTORES DE CONVERSIÓN Igual definición que para la columna 010 de la plantilla CR SA. |
|
020 |
Exposiciones impagadas Exposición original antes de aplicar los factores de conversión en relación con aquellas exposiciones que se hayan clasificado como «en situación de impago» y con las exposiciones impagadas asignadas a las categorías de «exposiciones asociadas a riesgos especialmente elevados» o «exposiciones de renta variable». Esta «partida pro memoria» proporciona información adicional sobre la estructura de deudores de las exposiciones impagadas. Las exposiciones clasificadas como «exposiciones en situación de impago» de conformidad con el artículo 112, letra j), del RRC se consignarán donde se hubieran consignado los deudores si dichas exposiciones no se hubieran clasificado en esa categoría. Esta información es una «partida pro memoria», por lo que no afecta al cálculo de los importes de las exposiciones ponderadas por riesgo en las categorías «exposiciones en situación de impago», «exposiciones asociadas a riesgos especialmente elevados» o «exposiciones de renta variable» con arreglo al artículo 112, letras j), k) y p), respectivamente, del RRC. |
|
040 |
Nuevos impagos observados en el período El importe de las exposiciones originales que se hayan transferido a la categoría «exposiciones en situación de impago» en el trimestre transcurrido desde la última fecha de referencia se consignará en función de la categoría de exposición a la que pertenecía originalmente el deudor. |
|
050 |
Ajustes por riesgo de crédito general Ajustes por riesgo de crédito con arreglo al artículo 110 del RRC. |
|
055 |
Ajustes por riesgo de crédito específico Ajustes por riesgo de crédito con arreglo al artículo 110 del RRC. |
|
060 |
Bajas en cuentas Las bajas en cuentas incluyen tanto las reducciones del importe en libros de los activos financieros cuyo valor se ha deteriorado que se reconocen directamente en los resultados [NIIF 7.B5.d).i)], como las reducciones de los importes cargados en las cuentas correctoras en relación con los activos financieros deteriorados [NIIF 7.B5.d).ii)]. |
|
070 |
Ajustes por riesgo de crédito/bajas en cuentas correspondientes a nuevos impagos observados Suma de los ajustes por riesgo de crédito y las bajas en cuentas por las exposiciones clasificadas «en situación de impago» en el trimestre transcurrido desde la última presentación de datos. |
|
075 |
Valor de la exposición Igual definición que para la columna 200 de la plantilla CR SA. |
|
080 |
IMPORTE DE LA EXPOSICIÓN PONDERADA POR RIESGO ANTES DE APLICAR EL FACTOR DE APOYO A PYME Igual definición que para la columna 215 de la plantilla CR SA. |
|
090 |
IMPORTE DE LA EXPOSICIÓN PONDERADA POR RIESGO DESPUÉS DE APLICAR EL FACTOR DE APOYO A PYME Igual definición que para la columna 220 de la plantilla CR SA. |
|
Filas |
|
|
010 |
Administraciones centrales o bancos centrales Artículo 112, letra a), del RRC. |
|
020 |
Administraciones regionales o autoridades locales Artículo 112, letra b), del RRC. |
|
030 |
Entes del sector público Artículo 112, letra c), del RRC. |
|
040 |
Bancos multilaterales de desarrollo Artículo 112, letra d), del RRC. |
|
050 |
Organizaciones internacionales Artículo 112, letra e), del RRC. |
|
060 |
Entidades Artículo 112, letra f), del RRC. |
|
070 |
Empresas Artículo 112, letra g), del RRC. |
|
075 |
De las cuales: PYME Igual definición que para la fila 020 de la plantilla CR SA. |
|
080 |
Exposiciones minoristas Artículo 112, letra h), del RRC. |
|
085 |
De las cuales: PYME Igual definición que para la fila 020 de la plantilla CR SA. |
|
090 |
Exposiciones garantizadas por hipotecas sobre bienes inmuebles Artículo 112, letra i), del RRC. |
|
095 |
De las cuales: PYME Igual definición que para la fila 020 de la plantilla CR SA. |
|
100 |
Exposiciones en situación de impago Artículo 112, letra j), del RRC. |
|
110 |
Partidas asociadas a riesgos especialmente elevados Artículo 112, letra k), del RRC. |
|
120 |
Bonos garantizados Artículo 112, letra l), del RRC. |
|
130 |
Exposiciones frente a entidades y empresas con evaluación crediticia a corto plazo Artículo 112, letra n), del RRC. |
|
140 |
Organismos de inversión colectiva (OIC) Artículo 112, letra o), del RRC. |
|
150 |
Exposiciones de renta variable Artículo 112, letra p), del RRC. |
|
160 |
Otras exposiciones Artículo 112, letra q), del RRC. |
|
170 |
Total de exposiciones |
3.4.2 C 09.02 — Desglose geográfico de las exposiciones por residencia del deudor: exposiciones según el método IRB (CR GB 2)
3.4.2.1. Instrucciones relativas a posiciones concretas
|
Columnas |
|
|
010 |
EXPOSICIÓN ORIGINAL ANTES DE APLICAR LOS FACTORES DE CONVERSIÓN Igual definición que para la columna 020 de la plantilla CR IRB. |
|
030 |
De la cual: impagada Valor de la exposición original referido a aquellas exposiciones clasificadas como «en situación de impago» con arreglo al artículo 178 del RRC. |
|
040 |
Nuevos impagos observados en el período El importe de las exposiciones originales que se hayan transferido a la categoría «exposiciones en situación de impago» en el trimestre transcurrido desde la última fecha de referencia se consignará en función de la categoría de exposición a la que pertenecía originalmente el deudor. |
|
050 |
Ajustes por riesgo de crédito general Ajustes por riesgo de crédito con arreglo al artículo 110 del RRC. |
|
055 |
Ajustes por riesgo de crédito específico Ajustes por riesgo de crédito con arreglo al artículo 110 del RRC. |
|
060 |
Bajas en cuentas Las bajas en cuentas incluyen tanto las reducciones del importe en libros de los activos financieros cuyo valor se ha deteriorado que se reconocen directamente en los resultados [NIIF 7.B5.d).i)], como las reducciones de los importes cargados en las cuentas correctoras en relación con los activos financieros deteriorados [NIIF 7.B5.d).ii)]. |
|
070 |
Ajustes por riesgo de crédito/bajas en cuentas correspondientes a nuevos impagos observados Suma de los ajustes por riesgo de crédito y las bajas en cuentas por las exposiciones clasificadas «en situación de impago» en el trimestre transcurrido desde la última presentación de datos. |
|
080 |
SISTEMA DE CALIFICACIÓN INTERNA / PD ASIGNADA AL GRADO DE DEUDORES O EL CONJUNTO DE EXPOSICIONES (%) Igual definición que para la columna 010 de la plantilla CR IRB. |
|
090 |
LGD MEDIA PONDERADA POR EXPOSICIÓN (%) Igual definición que para la columna 230 de la plantilla CR IRB. Se aplicará lo dispuesto en el artículo 181, apartado 1, letra h), del RRC. No deberán comunicarse datos para las exposiciones de financiación especializada que se mencionan en el artículo 153, apartado 5. |
|
100 |
De la cual: impagada LGD ponderada por exposición referida a aquellas exposiciones clasificadas como «en situación de impago» con arreglo al artículo 178 del RRC. |
|
105 |
Valor de la exposición Igual definición que para la columna 110 de la plantilla CR IRB. |
|
110 |
IMPORTE DE LA EXPOSICIÓN PONDERADA POR RIESGO ANTES DE APLICAR EL FACTOR DE APOYO A PYME Igual definición que para la columna 255 de la plantilla CR IRB. |
|
120 |
Del cual: impagado Importe de la exposición ponderada por riesgo referido a aquellas exposiciones clasificadas como «en situación de impago» con arreglo al artículo 178 del RRC. |
|
125 |
IMPORTE DE LA EXPOSICIÓN PONDERADA POR RIESGO DESPUÉS DE APLICAR EL FACTOR DE APOYO A PYME Igual definición que para la columna 260 de la plantilla CR IRB. |
|
130 |
PÉRDIDAS ESPERADAS Igual definición que para la columna 280 de la plantilla CR IRB. |
|
Filas |
|
|
010 |
Administraciones centrales o bancos centrales Artículo 147, apartado 2, letra a), del RRC. |
|
020 |
Entidades Artículo 147, apartado 2, letra b), del RRC. |
|
030 |
Empresas Todas las empresas con arreglo al artículo 147, apartado 2, letra c). |
|
042 |
De las cuales: financiación especializada (excepto la sujeta a los criterios de asignación) Artículo 147, apartado 8, letra a), del RRC. No deberán comunicarse datos para las exposiciones de financiación especializada que se mencionan en el artículo 153, apartado 5. |
|
045 |
De las cuales: financiación especializada sujeta a los criterios de asignación Artículo 147, apartado 8, letra a), y artículo 153, apartado 5, del RRC. |
|
050 |
De las cuales: PYME Artículo 147, apartado 2, letra c), del RRC. |
|
060 |
Exposiciones minoristas Todas las exposiciones minoristas con arreglo al artículo 147, apartado 2, letra d). |
|
070 |
Exposiciones minoristas garantizadas por bienes inmuebles Exposiciones a tenor del artículo 147, apartado 2, letra d), del RRC que estén garantizadas por bienes inmuebles. |
|
080 |
PYME Exposiciones minoristas a tenor del artículo 147, apartado 2, letra d), en conjunción con el artículo 153, apartado 3, del RRC, que estén garantizadas por bienes inmuebles. |
|
090 |
No PYME Exposiciones minoristas a tenor del artículo 147, apartado 2, letra d), del RRC que estén garantizadas por bienes inmuebles. |
|
100 |
Exposiciones minoristas renovables admisibles Artículo 147, apartado 2, letra d), en conjunción con el artículo 154, apartado 4, del RRC. |
|
110 |
Otras exposiciones minoristas Otras exposiciones minoristas con arreglo al artículo 147, apartado 2, letra d), no consignadas en las filas 070 a 100. |
|
120 |
PYME Otras exposiciones minoristas a tenor del artículo 147, apartado 2, letra d), en conjunción con el artículo 153, apartado 3, del RRC. |
|
130 |
No PYME Otras exposiciones minoristas a tenor del artículo 147, apartado 2, letra d), del RRC. |
|
140 |
Exposiciones de renta variable Exposiciones de renta variable a tenor del artículo 147, apartado 2, letra e), del RRC. |
|
150 |
Total de exposiciones |
3.4.3 C 09.04 — Desglose de las exposiciones crediticias pertinentes para el cálculo del colchón anticíclico por país y el porcentaje del colchón anticíclico específico de cada entidad
3.4.3.1. Observaciones generales
82. La finalidad de este cuadro es recabar más información sobre los elementos del colchón de capital anticíclico específico de la entidad. La información solicitada se refiere a los requisitos de fondos propios, determinados de conformidad con la parte tercera, títulos II y IV, del RRC, y la ubicación geográfica correspondientes a las exposiciones crediticias, de titulizaciones y de la cartera de negociación que resultan pertinentes para calcular el colchón de capital anticíclico específico de la entidad, de conformidad con el artículo 140 de la DRC (exposiciones crediticias pertinentes).
83. La información de la plantilla C 09.04 se solicita respecto del «total» de las exposiciones crediticias pertinentes en todos los países o territorios en los que estén ubicadas e, individualmente, respecto de cada uno de tales países o territorios en los que dichas exposiciones estén ubicadas. Las cifras totales, así como la información de cada país o territorio se comunicarán por separado.
84. El umbral establecido en el artículo 5, letra a), punto 4, del presente Reglamento no es pertinente a efectos de la comunicación de este desglose.
85. Con vistas a determinar la ubicación geográfica, las exposiciones se distribuirán en función del deudor inmediato, según lo previsto en el Reglamento Delegado (UE) n.o 1152/2014 de la Comisión, de 4 de junio de 2014, sobre las normas técnicas de regulación relativas a la determinación de la ubicación geográfica de las exposiciones crediticias pertinentes para el cálculo del porcentaje de colchón de capital anticíclico específico de cada entidad. Por tanto, las técnicas de reducción del riesgo de crédito no alteran la asignación de una exposición a su ubicación geográfica a efectos de la comunicación de la información contemplada en esta plantilla.
3.4.3.2. Instrucciones relativas a posiciones concretas
|
Columnas |
|
|
010 |
Importe El valor de las exposiciones crediticias pertinentes y sus correspondientes requisitos de fondos propios determinado con arreglo a las instrucciones de su respectiva fila. |
|
020 |
Porcentaje |
|
030 |
Información cualitativa Esta información se comunicará únicamente respecto del país de residencia de la entidad (el territorio correspondiente a su Estado miembro de origen) y el «total» de todos los países. Las entidades indicarán {y} o {n} conforme a las instrucciones de la fila pertinente. |
|
Filas |
|
|
010 — 020 |
Exposiciones crediticias pertinentes — Riesgo de crédito Exposiciones crediticias pertinentes definidas de conformidad con el artículo 140, apartado 4, letra a), de la DRC. |
|
010 |
Valor de exposición según el método estándar Valor de exposición, determinado con arreglo al artículo 111 del RRC, de las exposiciones crediticias pertinentes definidas de conformidad con el artículo 140, apartado 4, letra a), de la DRC. El valor de exposición de las posiciones de titulización de la cartera bancaria según el método estándar no se incluirá en esta fila sino que se consignará en la fila 050. |
|
020 |
Valor de exposición según el método IRB Valor de exposición, determinado con arreglo al artículo 166 del RRC, de las exposiciones crediticias pertinentes definidas de conformidad con el artículo 140, apartado 4, letra a), de la DRC. El valor de exposición de las posiciones de titulización de la cartera bancaria según el método IRB no se incluirá en esta fila sino que se consignará en la fila 060. |
|
030 — 040 |
Exposiciones crediticias pertinentes — Riesgo de mercado Exposiciones crediticias pertinentes definidas de conformidad con el artículo 140, apartado 4, letra b), de la DRC. |
|
030 |
Suma de las posiciones largas y cortas de las exposiciones de la cartera de negociación para los métodos estándar Suma de las posiciones largas netas y cortas netas, con arreglo al artículo 327 del RRC, de las exposiciones crediticias pertinentes definidas de conformidad con el artículo 140, apartado 4, letra b), de la DRC, según lo previsto en la parte tercera, título IV, capítulo 2, del RRC: — exposiciones a instrumentos de deuda, salvo titulizaciones, — exposiciones a posiciones de titulización de la cartera de negociación, — exposiciones a carteras de negociación de correlación, — exposiciones a valores de patrimonio, y — exposiciones a OIC si los requisitos de capital se calculan con arreglo al artículo 348 del RRC. |
|
040 |
Valor de las exposiciones de la cartera de negociación según los métodos de modelos internos En relación con las exposiciones crediticias pertinentes definidas de conformidad con el artículo 140, apartado 4, letra b), de la DRC, y según lo previsto en la parte tercera, título IV, capítulos 2 y 5, del RRC, se comunicará la suma de lo siguiente: — valor razonable de las posiciones en instrumentos no derivados que representen exposiciones crediticias pertinentes tal como se definen en el artículo 140, apartado 4, letra b), de la DRC, determinadas de conformidad con el artículo 104 del RRC; — valor nocional de los derivados que representen exposiciones crediticias pertinentes tal como se definen en el artículo 140, apartado 4, letra b), de la DRC. |
|
050 — 060 |
Exposiciones crediticias pertinentes — Posiciones de titulización de la cartera bancaria Exposiciones crediticias pertinentes definidas de conformidad con el artículo 140, apartado 4, letra c), de la DRC. |
|
050 |
Valor de exposición de las posiciones de titulización de la cartera bancaria según el método estándar Valor de exposición, determinado con arreglo al artículo 246 del RRC, de las exposiciones crediticias pertinentes definidas de conformidad con el artículo 140, apartado 4, letra c), de la DRC. |
|
060 |
Valor de exposición de las posiciones de titulización de la cartera bancaria según el método IRB Valor de exposición, determinado con arreglo al artículo 246 del RRC, de las exposiciones crediticias pertinentes definidas de conformidad con el artículo 140, apartado 4, letra c), de la DRC. |
|
070 — 110 |
Requisitos de fondos propios y ponderaciones |
|
070 |
Requisitos de fondos propios totales para el colchón anticíclico Suma de las filas 080, 090 y 100. |
|
080 |
Requisitos de fondos propios para las exposiciones crediticias pertinentes — Riesgo de crédito Requisitos de fondos propios, determinados con arreglo a la parte tercera, título II, capítulos 1 a 4 y 6, del RRC, para las exposiciones crediticias pertinentes, definidas de conformidad con el artículo 140, apartado 4, letra a), de la DRC, en el país en cuestión. Los requisitos de fondos propios respecto de las posiciones de titulización de la cartera bancaria no se incluirán en esta fila sino que se consignarán en la fila 100. Los requisitos de fondos propios equivalen al 8 % del importe de la exposición ponderada por riesgo, determinado con arreglo a lo dispuesto en la parte tercera, título II, capítulos 1 a 4 y 6, del RRC. |
|
090 |
Requisitos de fondos propios para las exposiciones crediticias pertinentes — Riesgo de mercado Requisitos de fondos propios, determinados con arreglo a la parte tercera, título IV, capítulo 2, del RRC en lo que respecta al riesgo específico, o con arreglo a la parte tercera, título IV, capítulo 5, del RRC en lo que respecta a los riesgos de impago y migración incrementales, para las exposiciones crediticias pertinentes, definidas de conformidad con el artículo 140, apartado 4, letra b), de la DRC, en el país en cuestión. Los requisitos de fondos propios para las exposiciones crediticias pertinentes en el marco del riesgo de mercado incluyen, entre otros, los requisitos de fondos propios frente a las posiciones de titulización conforme a la parte tercera, título IV, capítulo 2, del RRC y los requisitos de fondos propios frente a las exposiciones a organismos de inversión colectiva determinadas con arreglo al artículo 348 del RRC. |
|
100 |
Requisitos de fondos propios para las exposiciones crediticias pertinentes — Posiciones de titulización de la cartera bancaria Requisitos de fondos propios, determinados con arreglo a la parte tercera, título II, capítulo 5, del RRC, para las exposiciones crediticias pertinentes, definidas de conformidad con el artículo 140, apartado 4, letra c), de la DRC, en el país en cuestión. Los requisitos de fondos propios equivalen al 8 % del importe de la exposición ponderada por riesgo, determinado con arreglo a lo dispuesto en la parte tercera, título II, capítulo 5, del RRC. |
|
110 |
Ponderaciones de los requisitos de fondos propios La ponderación aplicada al porcentaje del colchón de capital anticíclico de cada país se calcula como una ratio de los requisitos de fondos propios, determinada como sigue: 1. Numerador: total de los requisitos de fondos propios conexos a las exposiciones crediticias pertinentes en el país en cuestión [r070; c010; hoja del país]. 2. Denominador: total de los requisitos de fondos propios conexos a todas las exposiciones crediticias pertinentes para el cálculo del colchón de capital anticíclico de conformidad con el artículo 140, apartado 4, de la DRC [r070; c010; «total»]. No deberá comunicarse información sobre las ponderaciones de los requisitos de fondos propios en relación con el «total» de todos los países. |
|
120 — 140 |
Porcentajes del colchón de capital anticíclico |
|
120 |
Porcentaje del colchón de capital anticíclico fijado por la autoridad designada Porcentaje del colchón de capital anticíclico fijado respecto del país en cuestión por la autoridad designada de ese país, de conformidad con los artículos 136, 137, 138 y 139 de la DRC. Esta fila se dejará en blanco cuando la autoridad designada del país en cuestión no haya fijado ningún porcentaje de colchón de capital anticíclico para ese país. No se comunicarán los porcentajes de colchón de capital anticíclico que, en la fecha de referencia de la información, hayan sido ya fijados por la autoridad designada pero no sean aún aplicables en el país en cuestión. No deberá comunicarse información sobre el porcentaje del colchón de capital anticíclico fijado por la autoridad designada en relación con el «total» de todos los países. |
|
130 |
Porcentaje del colchón de capital anticíclico aplicable al país de la entidad Porcentaje del colchón de capital anticíclico aplicable al país de la entidad que haya sido fijado por la autoridad designada del país de residencia de la entidad, de conformidad con los artículos 137, 138 y 139 y el artículo 140, apartados 1, 2 y 3, de la DRC. No deberán comunicarse los porcentajes de colchón de capital anticíclico que aún no sean aplicables en la fecha de referencia de la información. No deberá comunicarse información sobre el porcentaje del colchón de capital anticíclico aplicable al país de la entidad en relación con el «total» de todos los países. |
|
140 |
Porcentaje del colchón de capital anticíclico específico de la entidad Porcentaje del colchón de capital anticíclico específico de la entidad, determinado de conformidad con el artículo 140, apartado 1, de la DRC. El porcentaje del colchón de capital anticíclico específico de la entidad equivale a la media ponderada de los porcentajes de colchón de capital anticíclico que se apliquen en los territorios en los que estén ubicadas las exposiciones crediticias pertinentes de la entidad, o que se apliquen a efectos del artículo 140 en virtud de lo dispuesto en el artículo 139, apartados 2 o 3, de la DRC. El pertinente porcentaje del colchón de capital anticíclico se comunicará en [r120; c020; hoja del país] o [r130; c020; hoja del país], según proceda. La ponderación aplicada al porcentaje del colchón de capital anticíclico en cada país es igual a la proporción de los requisitos de fondos propios respecto del total de los requisitos de fondos propios y se comunicará en [r110; c020; hoja del país]. Únicamente deberá comunicarse información sobre el porcentaje del colchón de capital anticíclico específico de la entidad en relación con el «total» de todos los países y no con cada país por separado. |
|
150 — 160 |
Uso del umbral del 2 % |
|
150 |
Uso del umbral del 2 % a efectos de las exposiciones crediticias generales De conformidad con el artículo 2, apartado 5, letra b), del Reglamento Delegado (UE) n.o 1152/2014 de la Comisión, las exposiciones crediticias generales en el extranjero cuyo valor agregado no rebase el 2 % del importe agregado de las exposiciones crediticias generales, las exposiciones de la cartera de negociación y las exposiciones de titulización de la entidad pueden asignarse al Estado miembro de origen de esta. El importe agregado de las exposiciones crediticias generales, las exposiciones de la cartera de negociación y las exposiciones de titulización se calcula excluyendo las exposiciones crediticias generales ubicadas de conformidad con el artículo 2, apartado 4 y apartado 5, letra a), de dicho Reglamento Delegado. Si la entidad hace uso de esta excepción, deberá indicar «y» en el cuadro del territorio correspondiente a su Estado miembro de origen y en el del «total» de todos los países. Si la entidad no hace uso de esta excepción, deberá indicar «n» en la correspondiente celda. |
|
160 |
Uso del umbral del 2 % a efectos de las exposiciones de la cartera de negociación De conformidad con el artículo 3, apartado 3, del Reglamento Delegado (UE) n.o 1152/2014 de la Comisión, las entidades pueden asignar las exposiciones de su cartera de negociación a su Estado miembro de origen si el total de dichas exposiciones no rebasa el 2 % de la suma de sus exposiciones crediticias generales, las exposiciones de su cartera de negociación y sus exposiciones de titulización. Si la entidad hace uso de esta excepción, deberá indicar «y» en el cuadro del territorio correspondiente a su Estado miembro de origen y en el del «total» de todos los países. Si la entidad no hace uso de esta excepción, deberá indicar «n» en la correspondiente celda. |
3.5. C 10.01 y C 10.02 — EXPOSICIONES DE RENTA VARIABLE CON ARREGLO AL MÉTODO BASADO EN CALIFICACIONES INTERNAS (CR EQU IRB 1 Y CR EQU IRB 2)
3.5.1 Observaciones generales
86. La plantilla CR EQU IRB se divide a su vez en dos plantillas. La plantilla CR EQU IRB 1 presenta una visión global de las exposiciones IRB correspondientes a la categoría de exposiciones de renta variable y de los diferentes métodos utilizados para calcular los importes totales de la exposición al riesgo. La plantilla CR EQU IRB 2 ofrece un desglose de las exposiciones totales asignadas a los grados de deudores en el contexto del método PD/LGD. En las instrucciones que siguen, «CR EQU IRB» hace referencia a la plantilla «CR EQU IRB 1» o la plantilla «CR EQU IRB 2», según proceda.
87. La plantilla CR EQU IRB contiene información relativa al cálculo de los importes ponderados por riesgo de crédito (artículo 92, apartado 3, letra a), del RRC), según el método IRB (parte tercera, título II, capítulo 3), relativos a las exposiciones de renta variable mencionadas en el artículo 147, apartado 2, letra e), del RRC.
88. De conformidad con el artículo 147, apartado 6, del RRC, las siguientes exposiciones deberán asignarse a la categoría de exposiciones de renta variable:
a) instrumentos de capital que otorguen un derecho residual y subordinado sobre los activos o las rentas del emisor; o
b) exposiciones de deuda y otros valores, participaciones en sociedades personalistas, derivados u otros vehículos cuyo contenido económico sea similar al de las exposiciones especificadas en la letra a).
89. Los organismos de inversión colectiva tratados con arreglo al método simple de ponderación de riesgo mencionado en el artículo 152 del RRC se reflejarán también en la plantilla CR EQU IRB.
90. De conformidad con el artículo 151, apartado 1, del RRC, las entidades deberán cumplimentar la plantilla CR EQU IRB siempre que apliquen cualquiera de los tres métodos mencionados en el artículo 155 del RRC:
— el método simple de ponderación de riesgo,
— el método PD/LGD o
— el método de modelos internos.
Por otra parte, las entidades que apliquen el método IRB deberán comunicar igualmente en la plantilla CR EQU IRB los importes de las exposiciones ponderadas por riesgo correspondientes a las exposiciones de renta variable a las que se aplique una ponderación de riesgo fija, aunque no se traten expresamente con arreglo al método simple de ponderación de riesgo, o bien utilizando parcialmente (de forma temporal o permanente) el método estándar para el riesgo de crédito (p.ej., las exposiciones de renta variable con una ponderación de riesgo del 250 % de acuerdo con el artículo 48, apartado 4, del RRC, o con una ponderación de riesgo del 370 % de acuerdo con el artículo 471, apartado 2, del RRC).
91. Los siguientes instrumentos de patrimonio no se comunicarán en la plantilla CR EQU IRB:
— Las exposiciones de renta variable de la cartera de negociación (en el caso de que las entidades no estén exentas de calcular los requisitos de fondos propios para las posiciones de la cartera de negociación con arreglo al artículo 94 del RRC).
— Las exposiciones de renta variable sujetas a la utilización parcial del método estándar (artículo 150 del RRC), en particular:
— Las exposiciones de renta variable en régimen de anterioridad en virtud del artículo 495, apartado 1, del RRC.
— Las exposiciones de renta variable frente a entes cuyas obligaciones de crédito reciban una ponderación de riesgo del 0 % con arreglo al método estándar, incluidos los entes con respaldo del sector público a los que pueda aplicarse una ponderación de riesgo del 0 % (artículo 150, apartado 1, letra g), del RRC).
— Las exposiciones de renta variable derivadas de programas legislativos destinados a promover determinados sectores de la economía, que ofrezcan a la entidad importantes subvenciones para inversión e impliquen algún tipo de supervisión pública de las inversiones accionariales, así como restricciones a las mismas (artículo 150, apartado 1, letra h), del RRC).
— Las exposiciones de renta variable frente a empresas de servicios auxiliares cuyos importes de exposición ponderada por riesgo se puedan calcular con arreglo al tratamiento establecido para «otros activos distintos de las obligaciones crediticias» (de acuerdo con el artículo 155, apartado 1, del RRC).
— Los instrumentos de patrimonio deducidos de los fondos propios de conformidad con los artículos 46 y 48 del RRC.
3.5.2 Instrucciones relativas a posiciones concretas (aplicables tanto a CR EQU IRB 1 como a CR EQU IRB 2)
|
Columnas |
|
|
005 |
GRADO DE DEUDORES (IDENTIFICADOR DE FILA) El grado de deudores es un identificador de la fila y debe ser único para cada fila del cuadro. Seguirá el orden numérico 1, 2, 3, etc. |
|
010 |
SISTEMA DE CALIFICACIÓN INTERNA PD ASIGNADA AL GRADO DE DEUDORES (%) Las entidades que apliquen el método PD/LGD deberán indicar en la columna 010 la probabilidad de impago (PD) calculada con arreglo a lo dispuesto en el artículo 165, apartado 1, del RRC. La PD asignada al grado de deudores o conjunto de exposiciones que se indicará deberá atenerse a los requisitos mínimos establecidos en la parte tercera, título II, capítulo 3, sección 6, del RRC. Para cada grado o conjunto individual se indicará la PD que se le asigna. Todos los parámetros de riesgo comunicados se derivarán de los utilizados en el sistema de calificación interna aprobado por la respectiva autoridad competente. Cuando las cifras correspondan a una agregación de grados de deudores o conjuntos de exposiciones (p. ej., «total de exposiciones»), se consignará la media ponderada por exposición de las PD asignadas a los grados de deudores o los conjuntos de exposiciones incluidos en la agregación. Para calcular la PD media ponderada por exposición se tendrán en cuenta todas las exposiciones, incluidas las que estén en situación de impago y, a efectos de la ponderación, se utilizará el valor de exposición teniendo en cuenta las coberturas del riesgo de crédito con garantías personales (columna 060). |
|
020 |
EXPOSICIÓN ORIGINAL ANTES DE APLICAR LOS FACTORES DE CONVERSIÓN Las entidades comunicarán en la columna 020 el valor de la exposición original (antes de aplicar los factores de conversión). Con arreglo a lo dispuesto en el artículo 167 del RRC, el valor de las exposiciones de renta variable será el valor contable restante después de aplicar los ajustes por riesgo de crédito específico. El valor de las exposiciones de renta variable fuera de balance será su valor nominal una vez aplicados los ajustes por riesgo de crédito específico. Las entidades incluirán asimismo en la columna 020 las partidas fuera de balance mencionadas en el anexo I del RRC que se hayan asignado a la categoría de exposiciones de renta variable (p. ej. la «parte pendiente de desembolso de acciones parcialmente desembolsadas»). Las entidades que apliquen el método simple de ponderación de riesgo o el método PD/LGD tal como se indica en el artículo 165, apartado 1, del RRC, deberán tener en cuenta asimismo las disposiciones relativas a la compensación mencionadas en el artículo 155, apartado 2, del RRC. |
|
030 — 040 |
TÉCNICAS DE REDUCCIÓN DEL RIESGO DE CRÉDITO CON EFECTOS DE SUSTITUCIÓN SOBRE LA EXPOSICIÓN COBERTURA DEL RIESGO DE CRÉDITO CON GARANTÍAS PERSONALES GARANTÍAS DERIVADOS DE CRÉDITO Independientemente del método adoptado para el cálculo de los importes ponderados por riesgo de las exposiciones de renta variable, las entidades podrán reconocer las coberturas del riesgo de crédito con garantías personales correspondientes a dichas exposiciones de renta variable (artículo 155, apartados 2, 3 y 4, del RRC). Las entidades que apliquen el método simple de ponderación de riesgo o el método PD/LGD indicarán en las columnas 030 y 040 el importe de la cobertura del riesgo de crédito con garantías personales consistente en garantías (columna 030) o derivados de créditos (columna 040) reconocido de conformidad con los métodos definidos en la parte tercera, título II, capítulo 4, del RRC. |
|
050 |
TÉCNICAS DE REDUCCIÓN DEL RIESGO DE CRÉDITO CON EFECTOS DE SUSTITUCIÓN SOBRE LA EXPOSICIÓN SUSTITUCIÓN DE LA EXPOSICIÓN DEBIDA A LA REDUCCIÓN DEL RIESGO DE CRÉDITO (-) SALIDAS TOTALES Las entidades comunicarán en la columna 050 la parte de la exposición original, antes de aplicar los factores de conversión, que está protegida mediante cobertura del riesgo de crédito con garantías personales reconocida de acuerdo con los métodos definidos en la parte tercera, título II, capítulo 4, del RRC. |
|
060 |
VALOR DE LA EXPOSICIÓN Las entidades que apliquen el método simple de ponderación de riesgo o el método PD/LGD indicarán en la columna 060 el valor de la exposición teniendo en cuenta los efectos de sustitución resultantes de la cobertura del riesgo de crédito con garantías personales (artículo 155, apartados 2 y 3, y artículo 167 del RRC). Cabe recordar que, en el caso de las exposiciones de renta variable fuera de balance, el valor de la exposición será el valor nominal tras la aplicación de los ajustes por riesgo de crédito específico (artículo 167 del RRC). |
|
070 |
LGD MEDIA PONDERADA POR EXPOSICIÓN (%) Las entidades que apliquen el método PD/LGD indicarán en la columna 070 de la plantilla CR EQU IRB 2 la media ponderada por exposición de las LGD asignadas a los grados de deudores o conjuntos de exposiciones incluidos en la agregación; lo mismo se aplicará a la fila 020 de la plantilla CR EQU IRB. Para el cálculo de la LGD media ponderada por exposición se utilizará el valor de la exposición teniendo en cuenta las coberturas del riesgo de crédito con garantías personales (columna 060). Las entidades deberán tener en cuenta lo dispuesto en el artículo 165, apartado 2, del RRC. |
|
080 |
IMPORTE DE LA EXPOSICIÓN PONDERADA POR RIESGO Las entidades comunicarán en la columna 080 los importes ponderados por riesgo de las exposiciones de renta variable, calculados con arreglo a lo dispuesto en el artículo 155 del RRC. En caso de que las entidades que apliquen el método PD/LGD no dispongan de información suficiente para utilizar la definición de impago establecida en el artículo 178 del RRC, se asignará a las ponderaciones de riesgo un factor de escala del 1,5 al calcular los importes de las exposiciones ponderadas por riesgo (artículo 155, apartado 3, del RRC). Respecto al parámetro de entrada M (vencimiento) de la función de ponderación de riesgos, el vencimiento asignado a las exposiciones de renta variable será de cinco años (artículo 165, apartado 3, del RRC). |
|
090 |
PRO MEMORIA: PÉRDIDAS ESPERADAS Las entidades comunicarán en la columna 090 el importe de las pérdidas esperadas en relación con las exposiciones de renta variable, calculado de conformidad con el artículo 158, apartados 4, 7, 8 y 9, del RRC. |
92. Según establece el artículo 155 del RRC, las entidades podrán aplicar a las diferentes carteras métodos distintos (método simple de ponderación de riesgo, método PD/LGD o método de modelos internos), en caso de que utilicen internamente esos distintos métodos. Las entidades deberán comunicar igualmente en la plantilla CR EQU IRB 1 los importes de las exposiciones ponderadas por riesgo correspondientes a las exposiciones de renta variable a las que se aplique una ponderación de riesgo fija, aunque no se traten expresamente con arreglo al método simple de ponderación de riesgo, o bien utilizando parcialmente (de forma temporal o permanente) el método estándar para el riesgo de crédito.
|
Filas |
|
|
CR EQU IRB 1 — fila 020 |
MÉTODO PD/LGD: TOTAL Las entidades que apliquen el método PD/LGD (artículo 155, apartado 3, del RRC) comunicarán la información requerida en la fila 020 de la plantilla CR EQU IRB 1. |
|
CR EQU IRB 1 — filas 050 — 090 |
MÉTODO SIMPLE DE PONDERACIÓN DE RIESGO: TOTAL DESGLOSE, POR PONDERACIONES DE RIESGO, DEL TOTAL DE EXPOSICIONES SEGÚN EL MÉTODO SIMPLE DE PONDERACIÓN DE RIESGO Las entidades que apliquen el método simple de ponderación de riesgo (artículo 155, apartado 2, del RRC) comunicarán la información requerida en función de las características de las exposiciones subyacentes en las filas 050 a 090. |
|
CR EQU IRB 1 — fila 100 |
MÉTODO DE MODELOS INTERNOS Las entidades que apliquen el método de modelos internos (artículo 155, apartado 4, del RRC) comunicarán en la fila 100 la información requerida. |
|
CR EQU IRB 1 — fila 110 |
EXPOSICIONES DE RENTA VARIABLE SUJETAS A PONDERACIONES DE RIESGO Las entidades que apliquen el método IRB deberán comunicar los importes de las exposiciones ponderadas por riesgo correspondientes a las exposiciones de renta variable a las que se aplique una ponderación de riesgo fija (aunque no se traten expresamente con arreglo al método simple de ponderación de riesgo, o bien utilizando parcialmente [de forma temporal o permanente] el método estándar para el riesgo de crédito). — Por ejemplo, se comunicará en la fila 110: — el importe de la exposición ponderada por riesgo de las posiciones en renta fija de entes del sector financiero sujetos al tratamiento previsto en el artículo 48, apartado 4, del RRC, así como las posiciones en renta fija a las que corresponda una ponderación de riesgo del 370 %, de acuerdo con el artículo 471, apartado 2, del RRC. |
|
CR EQU IRB 2 |
DESGLOSE POR GRADOS DE DEUDORES DEL TOTAL DE EXPOSICIONES CON ARREGLO AL MÉTODO PD/LGD Las entidades que apliquen el método PD/LGD (artículo 155, apartado 3, del RRC) comunicarán la información requerida en la plantilla CR EQU IRB 2. Cuando las entidades que apliquen el método PD/LGD utilicen un sistema de calificación único o estén en condiciones de informar con arreglo a una escala maestra interna, comunicarán en la plantilla CR EQU IRB 2 los grados o conjuntos de calificación asociados a este sistema de calificación único o escala maestra. En los demás casos, los diversos sistemas de calificación se fusionarán y ordenarán de acuerdo con los criterios siguientes: los grados de deudores o conjuntos de exposiciones de los diversos sistemas de calificación se agruparán y ordenarán de menor a mayor PD asignada a cada grado de deudores o conjunto. |
3.6. C 11.00 — RIESGO DE LIQUIDACIÓN/ENTREGA (CR SETT)
3.6.1 Observaciones generales
93. Esta plantilla recoge información relativa a las operaciones tanto de la cartera de negociación como de la cartera de inversión pendientes de liquidar después de la fecha de entrega estipulada, y a los correspondientes requisitos de fondos propios para hacer frente al riesgo de liquidación, de conformidad con el artículo 92, apartado 3, letra c), inciso ii), y con el artículo 378 del RRC.
94. Las entidades comunicarán en la plantilla CR SETT la información relativa al riesgo de liquidación/entrega asociado con los instrumentos de deuda, instrumentos de patrimonio, divisas y materias primas de su cartera de negociación o su cartera de inversión.
95. Conforme al artículo 378 del RRC, las operaciones de recompra, de préstamo y toma en préstamo de valores o de materias primas, que tengan relación con instrumentos de deuda, instrumentos de patrimonio, divisas y materias primas, no estarán sujetas al riesgo de liquidación/entrega. Nótese, sin embargo, que los derivados y operaciones con liquidación diferida pendientes de liquidación después de la fecha de entrega estipulada estarán sujetos, no obstante, a los requisitos de fondos propios para el riesgo de liquidación/entrega con arreglo al artículo 378 del RRC.
96. En el caso de las operaciones no liquidadas después de la fecha de entrega estipulada, las entidades deberán calcular la diferencia de precio a que se hallen expuestas. La diferencia de precio se calculará como la diferencia entre el precio de liquidación acordado para los instrumentos de deuda, instrumentos de patrimonio, divisas o materias primas de que se trate y su valor actual de mercado, en caso de que dicha diferencia pueda entrañar pérdidas para la entidad de crédito.
97. Las entidades multiplicarán dicha diferencia por el factor apropiado del cuadro 1 del artículo 378 del RRC, al objeto de determinar los correspondientes requisitos de fondos propios.
98. En virtud del artículo 92, apartado 4, letra b), los requisitos de fondos propios para el riesgo de liquidación/entrega se multiplicarán por 12,5 para calcular el importe de la exposición al riesgo.
99. Nótese que los requisitos de fondos propios para las operaciones incompletas según lo especificado en el artículo 379 del RRC no entran en la plantilla CR SETT, debiéndose comunicar en las plantillas correspondientes al riesgo de crédito (CR SA, CR IRB).
3.6.2 Instrucciones relativas a posiciones concretas
|
Columnas |
|
|
010 |
OPERACIONES NO LIQUIDADAS, AL PRECIO DE LIQUIDACIÓN De acuerdo con el artículo 378 del RRC, las entidades comunicarán en esta columna 010 las operaciones no liquidadas después de su fecha de liquidación estipulada, a los respectivos precios de liquidación acordados. En esta columna 010 se incluirán todas las operaciones no liquidadas, con independencia de que generen ganancias o pérdidas después de la fecha de liquidación estipulada. |
|
020 |
EXPOSICIÓN A LA DIFERENCIA DE PRECIO DEBIDA A LAS OPERACIONES NO LIQUIDADAS De acuerdo con el artículo 378 del RRC, las entidades comunicarán en la columna 020 la diferencia entre el precio de liquidación acordado para los instrumentos de deuda, instrumentos de patrimonio, divisas o materias primas de que se trate y su valor actual de mercado, en caso de que dicha diferencia pueda entrañar pérdidas para la entidad. En la columna 020 se comunicarán únicamente las operaciones no liquidadas que generen pérdidas después de la fecha de liquidación acordada. |
|
030 |
REQUISITOS DE FONDOS PROPIOS Las entidades comunicarán en la columna 030 los requisitos de fondos propios calculados con arreglo al artículo 378 del RRC. |
|
040 |
TOTAL DE LA EXPOSICIÓN AL RIESGO DE LIQUIDACIÓN De acuerdo con el artículo 92, apartado 4, letra b), del RRC, para calcular el importe de la exposición al riesgo de liquidación, las entidades multiplicarán por 12,5 sus requisitos de fondos propios comunicados en la columna 030. |
|
Filas |
|
|
010 |
Total de operaciones no liquidadas de la cartera de inversión Las entidades comunicarán en la fila 010 la información agregada relativa al riesgo de liquidación/entrega correspondiente a las posiciones de su cartera de inversión (de acuerdo con el artículo 92, apartado 3, letra c), inciso ii), y con el artículo 378 del RRC). Las entidades comunicarán en 010/010 el importe agregado de las operaciones no liquidadas después de sus fechas de entrega estipuladas, a los respectivos precios de liquidación acordados. Las entidades comunicarán en 010/020 la información agregada relativa a la exposición a la diferencia de precio debida a las operaciones no liquidadas que generen pérdidas. Las entidades comunicarán en 010/030 los requisitos agregados de fondos propios resultantes de sumar los requisitos de fondos propios para las operaciones no liquidadas y de multiplicar la «diferencia de precio» comunicada en la columna 020 por el factor apropiado, basado en el número de días hábiles transcurridos desde la fecha de liquidación estipulada (las categorías enumeradas en el cuadro 1 del artículo 378 del RRC). |
|
020 a 060 |
Operaciones sin liquidar hasta 4 días (factor 0 %) Operaciones sin liquidar entre 5 y 15 días (factor 8 %) Operaciones sin liquidar entre 16 y 30 días (factor 50 %) Operaciones sin liquidar entre 31 y 45 días (factor 75 %) Operaciones sin liquidar durante 46 días o más (factor 100 %) Las entidades comunicarán en las filas 020 a 060 la información relativa al riesgo de liquidación/entrega correspondiente a las posiciones de la cartera de inversión con arreglo a las categorías enumeradas en el cuadro 1 del artículo 378 del RRC. No se exigirán requisitos de fondos propios para el riesgo de liquidación/entrega correspondiente a las operaciones sin liquidar durante menos de cinco días hábiles después de la fecha de liquidación estipulada. |
|
070 |
Total de operaciones no liquidadas de la cartera de negociación Las entidades comunicarán en la fila 070 información agregada relativa al riesgo de liquidación/entrega correspondiente a las posiciones de su cartera de negociación (de acuerdo con el artículo 92, apartado 3, letra c), inciso ii), y con el artículo 378 del RRC). Las entidades comunicarán en 070/010 el importe agregado de las operaciones no liquidadas después de sus fechas de entrega estipuladas, a los respectivos precios de liquidación acordados. Las entidades comunicarán en 070/020 la información agregada relativa a la exposición a la diferencia de precio debida a las operaciones no liquidadas que generen pérdidas. Las entidades comunicarán en 070/030 los requisitos agregados de fondos propios resultantes de sumar los requisitos de fondos propios para las operaciones no liquidadas y de multiplicar la «diferencia de precio» comunicada en la columna 020 por el factor apropiado, basado en el número de días hábiles transcurridos desde la fecha de liquidación estipulada (las categorías enumeradas en el cuadro 1 del artículo 378 del RRC). |
|
080 a 120 |
Operaciones sin liquidar hasta 4 días (factor 0 %) Operaciones sin liquidar entre 5 y 15 días (factor 8 %) Operaciones sin liquidar entre 16 y 30 días (factor 50 %) Operaciones sin liquidar entre 31 y 45 días (factor 75 %) Operaciones sin liquidar durante 46 días o más (factor 100 %) Las entidades comunicarán en las filas 080 a 120 la información relativa al riesgo de liquidación/entrega correspondiente a las posiciones de la cartera de negociación con arreglo a las categorías enumeradas en el cuadro 1 del artículo 378 del RRC. No se exigirán requisitos de fondos propios para el riesgo de liquidación/entrega correspondiente a las operaciones sin liquidar durante menos de cinco días hábiles después de la fecha de liquidación estipulada. |
3.7. C 12.00 — RIESGO DE CRÉDITO: TITULIZACIONES — MÉTODO ESTÁNDAR PARA LOS REQUISITOS DE FONDOS PROPIOS (CR SEC SA)
3.7.1 Observaciones generales
100. Se deberán comunicar en esta plantilla todas las titulizaciones en relación con las cuales se reconozca una transferencia de riesgo significativa y en las que la entidad declarante participe en titulizaciones tratadas con arreglo al método estándar. La información que se deberá presentar dependerá de la función de la entidad en relación con la titulización. Por ese motivo se incluyen apartados de datos específicos para las entidades originadoras, patrocinadoras e inversoras.
101. En la plantilla CR SEC SA se consignará la información relativa a las titulizaciones tradicionales y sintéticas mantenidas en la cartera bancaria de la entidad, tal como se definen, respectivamente, en los puntos 10 y 11 del artículo 242 del RRC.
3.7.2 Instrucciones relativas a posiciones concretas
|
Columnas |
|
|
010 |
TOTAL DE LAS EXPOSICIONES DE TITULIZACIÓN ORIGINADAS Las entidades originadoras deberán comunicar el importe vivo en la fecha de información de todas las exposiciones de titulización corrientes derivadas de una operación de titulización, cualquiera que sea el tenedor de la posición. Por lo tanto, se deberán comunicar las exposiciones de titulización incluidas en el balance (p. ej. bonos, préstamos subordinados), así como las exposiciones y los derivados fuera de balance (p. ej. líneas de crédito subordinadas, líneas de liquidez, permutas de tipos de interés, permutas de cobertura por impago, etc.) que tengan su origen en la titulización. En el caso de las titulizaciones tradicionales en las que la entidad originadora no mantenga ninguna posición, dicha entidad no deberá incluir estas titulizaciones en la información de las plantillas CR SEC SA o CR SEC IRB. A estos efectos, las posiciones de titulización mantenidas por la entidad originadora incluirán cláusulas de amortización anticipada cuando se trate de titulizaciones de exposiciones renovables, tal como se definen en el artículo 242, punto 12, del RRC. |
|
020 — 040 |
TITULIZACIONES SINTÉTICAS: COBERTURA DEL RIESGO DE CRÉDITO DE LAS EXPOSICIONES TITULIZADAS Con arreglo a lo dispuesto en los artículos 249 y 250 del RRC, la cobertura del riesgo de crédito de las exposiciones titulizadas se efectuará como si no existiera desfase de vencimiento. |
|
020 |
(-) COBERTURA DEL RIESGO DE CRÉDITO CON GARANTÍAS REALES O INSTRUMENTOS SIMILARES (CVA) El procedimiento detallado para el cálculo del valor de la garantía real ajustado por la volatilidad (CVA) que deberá comunicarse en esta columna será el definido en el artículo 223, apartado 2, del RRC. |
|
030 |
(-) SALIDAS TOTALES: VALORES AJUSTADOS DE LA COBERTURA DEL RIESGO DE CRÉDITO CON GARANTÍAS PERSONALES (G*) Con arreglo al principio general relativo a las «entradas» y «salidas», los importes consignados en esta columna aparecerán como «entradas» en la correspondiente plantilla sobre el riesgo de crédito (CR SA o CR IRB) y categoría de exposición aplicable al proveedor de la cobertura (es decir, al tercero al que se transfiere el tramo mediante la cobertura del riesgo de crédito con garantías personales). El procedimiento para calcular el importe nominal de la cobertura del riesgo de crédito ajustado por el riesgo de tipo de cambio (G*), será el establecido en el artículo 233, apartado 3, del RRC. |
|
040 |
IMPORTE NOCIONAL DE LA COBERTURA DEL RIESGO DE CRÉDITO RETENIDO O RECOMPRADO Todos los tramos que hayan sido conservados o recomprados, es decir, las posiciones de primera pérdida conservadas, se comunicarán por su importe nominal. Al calcular el importe de la cobertura del riesgo de crédito conservada o recomprada no se tendrán en cuenta los efectos de los descuentos a efectos de supervisión. |
|
050 |
POSICIONES DE TITULIZACIÓN: EXPOSICIÓN ORIGINAL ANTES DE APLICAR LOS FACTORES DE CONVERSIÓN Posiciones de titulización mantenidas por la entidad declarante, calculadas conforme al artículo 246, apartado 1, letras a), c) y e), y apartado 2, del RRC, sin aplicar los factores de conversión de crédito ni cualquier otro ajuste o provisión por riesgo de crédito. La compensación solo será pertinente en relación con múltiples contratos de derivados correspondientes a un mismo SSPE y respaldados por un acuerdo de compensación admisible. Los ajustes de valor o las provisiones comunicados en esta columna se refieren exclusivamente a las posiciones de titulización. No se tendrán en cuenta los ajustes de valor de las posiciones titulizadas. Cuando existan cláusulas de amortización anticipada, las entidades deberán especificar el importe de la «porción originadora», tal como se define en el artículo 256, apartado 2, del RRC. En las titulizaciones sintéticas, las posiciones mantenidas por la entidad originadora en forma de partidas en balance y/o porciones inversoras (amortización anticipada) serán el resultado de sumar las columnas 010 a 040. |
|
060 |
(-) AJUSTES DE VALOR Y PROVISIONES Ajustes de valor y provisiones (artículo 159 del RRC) por pérdidas crediticias, calculados con arreglo al marco contable aplicable a la entidad declarante. Los ajustes de valor incluirán cualquier importe reconocido en los resultados por pérdidas crediticias de activos financieros desde su reconocimiento inicial en el balance (incluidas las pérdidas debidas al riesgo de crédito de activos financieros valorados a valor razonable que no deban deducirse del valor de exposición), más los descuentos sobre exposiciones adquiridas en situación de impago con arreglo al artículo 166, apartado 1, del RRC. Las provisiones incluirán los importes acumulados de las pérdidas crediticias correspondientes a las partidas fuera de balance. |
|
070 |
EXPOSICIÓN NETA DE AJUSTES DE VALOR Y PROVISIONES Posiciones de titulización con arreglo a lo dispuesto en el artículo 246, apartados 1 y 2, del RRC, sin aplicar los factores de conversión. Esta información está relacionada con la columna 040 de la plantilla CR SA Total. |
|
080 — 110 |
TÉCNICAS DE REDUCCIÓN DEL RIESGO DE CRÉDITO CON EFECTOS DE SUSTITUCIÓN SOBRE LA EXPOSICIÓN Artículo 4, punto 57, y parte tercera, título II, capítulo 4, del RRC. En este bloque de columnas se recopila la información sobre las técnicas de reducción del riesgo de crédito que disminuyen el riesgo de crédito de una o varias exposiciones mediante la sustitución de las mismas (como se explica seguidamente en relación con las entradas y salidas). Véanse las instrucciones de la plantilla CR SA (Técnicas de reducción del riesgo de crédito con efectos de sustitución). |
|
080 |
(-) VALORES AJUSTADOS DE LA COBERTURA DEL RIESGO DE CRÉDITO CON GARANTÍAS PERSONALES (GA) La cobertura del riesgo de crédito con garantías personales se define en el artículo 4, punto 59, del RRC, y se regula en el artículo 235 del mismo Reglamento. Véanse las instrucciones de la plantilla CR SA (Técnicas de reducción del riesgo de crédito con efectos de sustitución). |
|
090 |
(-) COBERTURA DEL RIESGO DE CRÉDITO CON GARANTÍAS REALES O INSTRUMENTOS SIMILARES La cobertura del riesgo de crédito con garantías reales o instrumentos similares se define en el artículo 4, punto 58, del RRC, y se regula en los artículos 195, 197 y 200 del mismo Reglamento. Los bonos vinculados a crédito y las compensaciones dentro del balance mencionadas en los artículos 218-236 del RRC se considerarán garantías reales en efectivo. Véanse las instrucciones de la plantilla CR SA (Técnicas de reducción del riesgo de crédito con efectos de sustitución). |
|
100 — 110 |
SUSTITUCIÓN DE LA EXPOSICIÓN DEBIDA A LA REDUCCIÓN DEL RIESGO DE CRÉDITO Se comunicarán igualmente las entradas y salidas dentro de las mismas categorías de exposición, y, cuando proceda, las ponderaciones de riesgo o los grados de deudores. |
|
100 |
(-) SALIDAS TOTALES Artículo 222, apartado 3, y artículo 235, apartados 1 y 2, del RRC. Las salidas corresponden a la parte cubierta de la «Exposición tras tener en cuenta los ajustes de valor y las provisiones» que se debe detraer de la categoría de exposición del deudor y, cuando proceda, de la ponderación de riesgo o el grado de deudores, asignándola posteriormente a la categoría de exposición del proveedor de la cobertura y, cuando proceda, a la ponderación de riesgo o el grado de deudores. Este importe se considerará como una entrada en la categoría de exposición del proveedor de la cobertura y, cuando proceda, en la ponderación de riesgo o el grado de deudores. Esta información está relacionada con la columna 090 [(-) Salidas totales] de la plantilla CR SA Total. |
|
110 |
ENTRADAS TOTALES Se comunicarán como entradas en esta columna las posiciones de titulización que consistan en valores representativos de deuda y que se consideren garantías reales admisibles con arreglo al artículo 197, apartado 1, del RRC, siempre que se aplique el método simple para las garantías reales de naturaleza financiera. Esta información está relacionada con la columna 100 [Entradas totales] de la plantilla CR SA Total. |
|
120 |
EXPOSICIÓN NETA DESPUÉS DE LOS EFECTOS DE SUSTITUCIÓN DE LA REDUCCIÓN DEL RIESGO DE CRÉDITO Y ANTES DE LOS FACTORES DE CONVERSIÓN Exposición asignada a la correspondiente ponderación de riesgo y categoría de exposición una vez tenidas en cuenta las salidas y entradas correspondientes a las «Técnicas de reducción del riesgo de crédito con efectos de sustitución sobre la exposición». Esta información está relacionada con la columna 110 de la plantilla CR SA Total. |
|
130 |
(-) TÉCNICAS DE REDUCCIÓN DEL RIESGO DE CRÉDITO QUE INFLUYEN SOBRE EL IMPORTE DE LA EXPOSICION: VALOR AJUSTADO DE LA COBERTURA DEL RIESGO DE CRÉDITO MEDIANTE GARANTÍAS REALES O INSTRUMENTOS SIMILARES DE NATURALEZA FINANCIERA CON ARREGLO AL MÉTODO AMPLIO (CVAM) Esta partida incluye asimismo los bonos vinculados a crédito (artículo 218 del RRC). Esta información está relacionada con las columnas 120 y 130 de la plantilla CR SA Total. |
|
140 |
VALOR DE EXPOSICIÓN PLENAMENTE AJUSTADO (E*) Posiciones de titulización según el artículo 246 del RRC, es decir, sin aplicar los factores de conversión estipulados en el artículo 246, apartado 1, letra c), del Reglamento. Esta información está relacionada con la columna 150 de la plantilla CR SA Total. |
|
150 — 180 |
DESGLOSE DEL VALOR DE EXPOSICIÓN PLENAMENTE AJUSTADO (E*) DE LAS PARTIDAS FUERA DE BALANCE POR FACTORES DE CONVERSIÓN El artículo 246, apartado 1, letra c), del RRC establece que el valor de exposición de una posición de titulización fuera de balance será su valor nominal multiplicado por un factor de conversión. Este factor de conversión será del 100 %, salvo que el RRC especifique otro distinto. Véanse las columnas 160 a 190 de la plantilla CR SA Total. A efectos de la comunicación de información, los valores de exposición plenamente ajustados (E*) se comunicarán aplicando los cuatro siguientes intervalos de factores de conversión mutuamente excluyentes: 0 %, >0 % y ≤20 %, >20 % y ≤ 50 % y >50 % y ≤ 100 %. |
|
190 |
VALOR DE LA EXPOSICIÓN Posiciones de titulización con arreglo al artículo 246 del RRC. Esta información está relacionada con la columna 200 de la plantilla CR SA Total. |
|
200 |
(-) VALOR DE LA EXPOSICIÓN DEDUCIDO DE LOS FONDOS PROPIOS El artículo 258 del RRC, establece que, en el caso de una posición de titulización con respecto a la cual sea aplicable una ponderación de riesgo de 1 250 %, las entidades podrán, como alternativa a la inclusión de la posición en su cálculo de las exposiciones ponderadas por riesgo, deducir de los fondos propios el valor de exposición de la posición. |
|
210 |
VALOR DE LA EXPOSICIÓN CON SUJECIÓN A PONDERACIONES DE RIESGO Valor de la exposición después de restar el deducido de los fondos propios. |
|
220 — 320 |
DESGLOSE DEL VALOR DE LA EXPOSICIÓN SUJETO A PONDERACIONES DE RIESGO |
|
220-260 |
CON CALIFICACIÓN El artículo 242, punto 8, del RRC define las posiciones calificadas. Los valores de las exposiciones sujetos a ponderaciones de riesgo se desglosarán con arreglo a los niveles de calidad crediticia indicados para el método estándar en el artículo 246 y en el cuadro 1 del artículo 251 del RRC. |
|
270 |
1 250 % SIN CALIFICACIÓN El artículo 242, punto 7, del RRC define las posiciones no calificadas. |
|
280 |
ENFOQUE DE TRANSPARENCIA Artículos 253 y 254, y artículo 256, apartado 5, del RRC. Las columnas correspondientes al enfoque de transparencia comprenden todos los casos de exposiciones no calificadas en las que la ponderación de riesgo se obtiene de la cartera subyacente de exposiciones (ponderación de riesgo media del conjunto de exposiciones, ponderación de riesgo más elevada del conjunto de exposiciones o uso de una ratio de concentración). |
|
290 |
ENFOQUE DE TRANSPARENCIA — DEL CUAL: SEGUNDA PÉRDIDA EN UN PROGRAMA ABCP Valor de exposición sujeto al tratamiento de las posiciones de titulización en un tramo de segunda pérdida o mejor de un programa ABCP, con arreglo al artículo 254 del RRC. En el artículo 242, punto 9, del RRC se define el programa de pagarés de titulización (programa «ABCP»). |
|
300 |
ENFOQUE DE TRANSPARENCIA: PONDERACIÓN MEDIA DEL RIESGO (%) Se deberá indicar la ponderación media del riesgo ponderada por el valor de exposición. |
|
310 |
MÉTODO DE EVALUACIÓN INTERNA Artículo 109, apartado 1, y artículo 259, apartado 3, del RRC. Valor de exposición de las posiciones de titulización según el método de evaluación interna. |
|
320 |
MÉTODO DE EVALUACIÓN INTERNA: PONDERACIÓN MEDIA DEL RIESGO (%) Se deberá indicar la ponderación media del riesgo ponderada por el valor de exposición. |
|
330 |
IMPORTE DE LA EXPOSICIÓN PONDERADA POR RIESGO Importe total de la exposición ponderada por riesgo, calculado de acuerdo con la parte tercera, título II, capítulo 5, sección 3, del RRC, antes de los ajustes por desfases de vencimiento o infracción de las disposiciones en materia de diligencia debida, y excluyendo cualquier importe de exposiciones ponderadas por riesgo que corresponda a exposiciones redistribuidas a otra plantilla a través de las salidas. |
|
340 |
DEL CUAL: TITULIZACIONES SINTÉTICAS En el caso de las titulizaciones sintéticas, el importe consignado en esta columna deberá excluir cualquier desfase de vencimiento. |
|
350 |
EFECTO GLOBAL (AJUSTE) DEBIDO A LA INFRACCIÓN DE LAS DISPOSICIONES SOBRE DILIGENCIA DEBIDA El artículo 14, apartado 2, el artículo 406, apartado 2, y el artículo 407 del RRC estipulan que cuando la entidad no cumpla determinados requisitos establecidos en los artículos 405, 406 o 409 del RRC, los Estados miembros deberán velar por que las autoridades competentes impongan una ponderación de riesgo adicional proporcional no inferior al 250 % de la ponderación de riesgo (con un máximo de 1 250 %) que se aplicaría a las posiciones de titulización en cuestión con arreglo a la parte tercera, título II, capítulo 5, sección 3, del RRC. Esta ponderación de riesgo adicional podrá imponerse no solo a las entidades inversoras, sino también a las originadoras, las patrocinadoras y las acreedoras originales. |
|
360 |
AJUSTE DEL IMPORTE DE LA EXPOSICIÓN PONDERADA POR RIESGO CORRESPONDIENTE A DESFASES DE VENCIMIENTO En el caso de desfases de vencimiento en las titulizaciones sintéticas, se incluirán las variables RW*-RW(SP) definidas en el artículo 250 del RRC, excepto cuando se trate de tramos sujetos a una ponderación de riesgo del 1 250 % y el importe a comunicar sea cero. Nótese que RW(SP) incluye no solo el importe de las exposiciones ponderadas por riesgo comunicado en la columna 330, sino también el importe de las exposiciones ponderadas por riesgo reasignado a otra plantilla mediante las correspondientes salidas. |
|
370 — 380 |
TOTAL DE LA EXPOSICIÓN PONDERADA POR RIESGO: ANTES DE APLICAR EL LÍMITE MÁXIMO/ DESPUÉS DE APLICAR EL LÍMITE MÁXIMO Se indicará el importe total de la exposición ponderada por riesgo, calculada con arreglo a la parte tercera, título II, capítulo 5, sección 3, del RRC, antes (columna 370) y después (columna 380) de aplicar los límites especificados en el artículo 252 (titulización de elementos que se encuentren actualmente en situación de impago o asociados a riesgos especialmente elevados), o en el artículo 256, apartado 4 (requisitos de fondos propios adicionales para las titulizaciones de exposiciones renovables con cláusulas de amortización anticipada) del RRC. |
|
390 |
PRO MEMORIA: IMPORTE DE LA EXPOSICIÓN PONDERADA POR RIESGO CORRESPONDIENTE A LAS SALIDAS DE LA CATEGORÍA TITULIZACIÓN SEGÚN EL MÉTODO ESTÁNDAR HACIA OTRAS CATEGORÍAS DE EXPOSICIÓN Importe de la exposición ponderada por riesgo resultante de exposiciones redistribuidas a los proveedores de medidas de reducción del riesgo, consignadas por tanto en la plantilla correspondiente e incluidas en el cálculo del límite máximo para las posiciones de titulización. |
102. La plantilla CR SEC SA se divide en tres bloques principales de filas que recopilan los datos correspondientes a las exposiciones originadas, patrocinadas, conservadas o adquiridas, clasificados por entidades originadoras, patrocinadoras e inversoras. Para cada una de ellas, los datos se desglosan en partidas en balance y derivados y partidas fuera de balance, así como en titulizaciones y retitulizaciones.
103. Las posiciones a las que se aplica el método basado en calificaciones y las posiciones no calificadas (exposiciones en la fecha de información) se desglosan a su vez en función de los niveles de calidad crediticia aplicados al inicio (último bloque de filas). Deberán comunicar estos datos las entidades originadoras, patrocinadoras e inversoras.
|
Filas |
|
|
010 |
TOTAL EXPOSICIONES El total de exposiciones se refiere al importe total de las titulizaciones en circulación. Esta fila resume toda la información comunicada por las entidades originadoras, patrocinadoras e inversoras en las filas siguientes. |
|
020 |
DE LAS CUALES: RETITULIZACIONES Importe total de las retitulizaciones en circulación con arreglo a las definiciones del artículo 4, apartado 1, puntos 63 y 64, del RRC. |
|
030 |
ORIGINADORA: TOTAL EXPOSICIONES Esta fila resume la información sobre los derivados y partidas en balance y fuera de balance, junto con la amortización anticipada de las posiciones de titulización en las que la entidad desempeñe la función de originadora, tal como se define en el artículo 4, apartado 1, punto 13, del RRC. |
|
040 — 060 |
PARTIDAS EN BALANCE El artículo 246, apartado 1, letra a), del RRC estipula que para las entidades que calculen las exposiciones ponderadas por riesgo mediante el método estándar, el valor de exposición de una posición de titulización incluida en el balance será su valor contable una vez efectuados los ajustes por riesgo de crédito específico. Las partidas en balance se desglosarán en titulizaciones (fila 050) y retitulizaciones (fila 060). |
|
070 — 090 |
DERIVADOS Y PARTIDAS FUERA DE BALANCE Estas filas resumen la información sobre los derivados y partidas fuera de balance correspondientes a las posiciones de titulización sujetas a un factor de conversión con arreglo al marco de titulización. El valor de exposición de una posición de titulización fuera de balance será su valor nominal, menos cualquier ajuste por riesgo de crédito específico, multiplicado por un factor de conversión del 100 %, salvo indicación en contrario. El valor de exposición por riesgo de contraparte de un instrumento derivado de los enumerados en el anexo II del RRC se determinará de conformidad con la parte tercera, título II, capítulo 6, del mismo. En las líneas de liquidez y de crédito y los anticipos de efectivo de los servicios de administración, las entidades indicarán el importe no dispuesto. En el caso de las permutas de tipos de interés o de tipos de interés interdivisas deberán indicar el valor de la exposición (con arreglo al artículo 246, apartado 1, del RRC) especificado en la plantilla CR SA Total. Los derivados y partidas fuera de balance se desglosarán en titulizaciones (fila 080) y retitulizaciones (fila 090), tal como se indica en el cuadro 1 del artículo 251 del RRC. |
|
100 |
AMORTIZACIÓN ANTICIPADA Esta fila se aplica únicamente a las entidades originadoras con exposiciones de titulización renovables que incluyan una cláusula de amortización anticipada, tal como se indica en el artículo 242, puntos 13 y 14, del RRC. |
|
110 |
INVERSORA: TOTAL EXPOSICIONES Esta fila resume la información sobre los derivados y partidas en balance y fuera de balance de las posiciones de titulización en las que la entidad desempeñe la función de inversora. El RRC no proporciona una definición explícita de entidad inversora. Por consiguiente, en el presente contexto se entenderá como aquella entidad que mantiene una posición en una operación de titulización en la que no desempeña la función de originadora ni de patrocinadora. |
|
120 — 140 |
PARTIDAS EN BALANCE Se aplicarán aquí idénticos criterios de clasificación en titulizaciones y retitulizaciones a los utilizados para las partidas en balance en relación con las entidades originadoras. |
|
150 — 170 |
DERIVADOS Y PARTIDAS FUERA DE BALANCE Se aplicarán aquí idénticos criterios de clasificación en titulizaciones y retitulizaciones a los utilizados para los derivados y las partidas fuera de balance en relación con las entidades originadoras. |
|
180 |
PATROCINADORA: TOTAL EXPOSICIONES Esta fila resume la información sobre las partidas en balance y los derivados y partidas fuera de balance de las posiciones de titulización en las que la entidad desempeñe la función de patrocinadora, tal como se define en el artículo 4, punto 14, del RRC. Si la entidad patrocinadora tituliza también sus propios activos, deberá indicar en las filas correspondientes a la entidad originadora los datos correspondientes a sus propios activos titulizados. |
|
190 — 210 |
PARTIDAS EN BALANCE Se aplicarán aquí idénticos criterios de clasificación en titulizaciones y retitulizaciones a los utilizados para las partidas en balance en relación con las entidades originadoras. |
|
220 — 240 |
DERIVADOS Y PARTIDAS FUERA DE BALANCE Se aplicarán aquí idénticos criterios de clasificación en titulizaciones y retitulizaciones a los utilizados para los derivados y las partidas fuera de balance en relación con las entidades originadoras. |
|
250 — 290 |
DESGLOSE DE LAS POSICIONES VIVAS POR NIVEL DE CALIDAD CREDITICIA EN LA FECHA DE ORIGINACIÓN En estas filas se consignará la información correspondiente a las posiciones vivas a las que se aplique el método basado en calificaciones y las posiciones no calificadas (en la fecha de información), desglosadas con arreglo a los niveles de calidad crediticia (los indicados para el método estándar en el cuadro 1 del artículo 251 del RRC) asignados en la fecha de originación (inicio). A falta de esta información, se indicarán los datos más antiguos equivalentes a los niveles de calidad crediticia de que se disponga. Estas filas únicamente se rellenarán para las columnas 190, 210 a 270 y 330 a 340. |
3.8. C 13.00 — RIESGO DE CRÉDITO: TITULIZACIONES — MÉTODO BASADO EN CALIFICACIONES INTERNAS PARA LOS REQUISITOS DE FONDOS PROPIOS (CR SEC IRB)
3.8.1. Observaciones generales
104. Se deberán comunicar en esta plantilla todas las titulizaciones en relación con las cuales se reconozca una transferencia de riesgo significativa y en las que la entidad declarante participe en titulizaciones tratadas con arreglo al método basado en calificaciones internas.
105. La información que se deberá presentar dependerá de la función de la entidad en relación con la titulización. Por ese motivo se incluyen apartados de datos específicos para las entidades originadoras, patrocinadoras e inversoras.
106. La plantilla CR SEC IRB tiene un contenido análogo al de la plantilla CR SEC SA, y recoge información común a las titulizaciones, tanto tradicionales como sintéticas, mantenidas en la cartera bancaria de la entidad.
3.8.2. Instrucciones relativas a posiciones concretas
|
Columnas |
|
|
010 |
TOTAL DE LAS EXPOSICIONES DE TITULIZACIÓN ORIGINADAS Para el total de la partida de balance correspondiente a cada fila, el importe comunicado en esta columna corresponderá al importe pendiente de las exposiciones titulizadas en la fecha de información. Véase la columna 010 de la plantilla CR SEC SA. |
|
020 — 040 |
TITULIZACIONES SINTÉTICAS: COBERTURA DEL RIESGO DE CRÉDITO DE LAS EXPOSICIONES TITULIZADAS Artículos 249 y 250 del RRC. En el valor ajustado de las técnicas de reducción del riesgo aplicadas en la estructura de titulización no se tendrán en cuenta los desfases de vencimiento. |
|
020 |
(-) COBERTURA DEL RIESGO DE CRÉDITO CON GARANTÍAS REALES O INSTRUMENTOS SIMILARES (CVA) El procedimiento detallado para el cálculo del valor de la garantía real ajustado por la volatilidad (CVA) que deberá comunicarse en esta columna será el definido en el artículo 223, apartado 2, del RRC. |
|
030 |
(-) SALIDAS TOTALES: VALORES AJUSTADOS DE LA COBERTURA DEL RIESGO DE CRÉDITO CON GARANTÍAS PERSONALES (G*) Con arreglo al principio general aplicable a las «entradas» y «salidas», los importes consignados en la columna 030 de la plantilla CR SEC IRB aparecerán como «entradas» en la plantilla correspondiente al riesgo de crédito (CR SA o CR IRB) y categoría de exposición aplicable al proveedor de la cobertura (es decir, al tercero al que se transfiere el tramo a través de la cobertura del riesgo de crédito con garantías personales). El procedimiento para calcular el importe nominal de la cobertura del riesgo de crédito ajustado por el riesgo de tipo de cambio (G*), será el establecido en el artículo 233, apartado 3, del RRC. |
|
040 |
IMPORTE NOCIONAL DE LA COBERTURA DEL RIESGO DE CRÉDITO RETENIDO O RECOMPRADO Todos los tramos que hayan sido conservados o recomprados, es decir, las posiciones de primera pérdida conservadas, se comunicarán por su importe nominal. Al calcular el importe de la cobertura del riesgo de crédito conservada o recomprada no se tendrán en cuenta los efectos de los descuentos a efectos de supervisión. |
|
050 |
POSICIONES DE TITULIZACIÓN: EXPOSICIÓN ORIGINAL ANTES DE APLICAR LOS FACTORES DE CONVERSIÓN Posiciones de titulización mantenidas por la entidad declarante, calculadas conforme al artículo 246, apartado 1, letras b), d) y e), y apartado 2, del RRC, sin aplicar los factores de conversión de crédito ni ajustes de valor o provisiones. La compensación solo será pertinente en relación con múltiples contratos de derivados correspondientes a un mismo SSPE y respaldados por un acuerdo de compensación admisible. Los ajustes de valor o las provisiones comunicados en esta columna se refieren exclusivamente a las posiciones de titulización. No se tendrán en cuenta los ajustes de valor de las posiciones titulizadas. Cuando existan cláusulas de amortización anticipada, las entidades deberán especificar el importe de la «porción originadora», tal como se define en el artículo 256, apartado 2, del RRC. En las titulizaciones sintéticas, las posiciones mantenidas por la entidad originadora en forma de partidas en balance y/o porciones inversoras (amortización anticipada) serán el resultado de sumar las columnas 010 a 040. |
|
060 — 090 |
TÉCNICAS DE REDUCCIÓN DEL RIESGO DE CRÉDITO CON EFECTOS DE SUSTITUCIÓN SOBRE LA EXPOSICIÓN Véase el artículo 4, apartado 1, punto 57, y la parte tercera, título II, capítulo 4, del RRC. En este bloque de columnas se recopila la información sobre las técnicas de reducción del riesgo de crédito que disminuyen el riesgo de crédito de una o varias exposiciones mediante la sustitución de las mismas (como se explica seguidamente en relación con las entradas y salidas). |
|
060 |
(-) VALORES AJUSTADOS DE LA COBERTURA DEL RIESGO DE CRÉDITO CON GARANTÍAS PERSONALES (GA) La cobertura del riesgo de crédito con garantías personales se define en el artículo 4, apartado 1, punto 59, del RRC. El artículo 236 del RRC describe el procedimiento para calcular GA en los casos de cobertura total, cobertura parcial e igual prelación. Esta información está relacionada con las columnas 040 y 050 de la plantilla CR IRB. |
|
070 |
(-) COBERTURA DEL RIESGO DE CRÉDITO CON GARANTÍAS REALES O INSTRUMENTOS SIMILARES La cobertura del riesgo de crédito con garantías reales o instrumentos similares se define en el artículo 4, apartado 1, punto 58, del RRC. Dado que no es aplicable el método simple para las garantías de naturaleza financiera, en esta columna solamente se consignará la cobertura del riesgo de crédito con garantías reales e instrumentos similares con arreglo al artículo 200 del RRC. Esta información está relacionada con la columna 060 de la plantilla CR IRB. |
|
080 — 090 |
SUSTITUCIÓN DE LA EXPOSICIÓN DEBIDA A LA REDUCCIÓN DEL RIESGO DE CRÉDITO Se comunicarán igualmente las entradas y salidas dentro de las mismas categorías de exposición, y, cuando proceda, las ponderaciones de riesgo o los grados de deudores. |
|
080 |
(-) SALIDAS TOTALES Artículo 236 del RRC. Las salidas corresponden a la parte cubierta de la «Exposición tras tener en cuenta los ajustes de valor y las provisiones» que se debe detraer de la categoría de exposición del deudor y, cuando proceda, de la ponderación de riesgo o el grado de deudores, asignándola posteriormente a la categoría de exposición del proveedor de la cobertura y, cuando proceda, a la ponderación de riesgo o el grado de deudores. Este importe se considerará como una entrada en la categoría de exposición del proveedor de la cobertura y, cuando proceda, en la ponderación de riesgo o el grado de deudores. Esta información está relacionada con la columna 070 de la plantilla CR IRB. |
|
090 |
ENTRADAS TOTALES Esta información está relacionada con la columna 080 de la plantilla CR IRB. |
|
100 |
EXPOSICIÓN DESPUÉS DE LOS EFECTOS DE SUSTITUCIÓN DE LA REDUCCIÓN DEL RIESGO DE CRÉDITO Y ANTES DE LOS FACTORES DE CONVERSIÓN Exposición asignada a la correspondiente ponderación de riesgo y categoría de exposición una vez tenidas en cuenta las salidas y entradas correspondientes a las «Técnicas de reducción del riesgo de crédito con efectos de sustitución sobre la exposición». Esta información está relacionada con la columna 090 de la plantilla CR IRB. |
|
110 |
(-) TÉCNICAS DE REDUCCIÓN DEL RIESGO DE CRÉDITO QUE INFLUYEN SOBRE EL IMPORTE DE LA EXPOSICION: VALOR AJUSTADO DE LA COBERTURA DEL RIESGO DE CRÉDITO MEDIANTE GARANTÍAS REALES O INSTRUMENTOS SIMILARES DE NATURALEZA FINANCIERA CON ARREGLO AL MÉTODO AMPLIO (CVAM) Artículos 218 a 222 del RRC. Esta partida incluye asimismo los bonos vinculados a crédito (artículo 218 del RRC). |
|
120 |
VALOR DE EXPOSICIÓN PLENAMENTE AJUSTADO (E*) Posiciones de titulización según el artículo 246 del RRC, es decir, sin aplicar los factores de conversión estipulados en el artículo 246, apartado 1, letra c), del Reglamento. |
|
130 — 160 |
DESGLOSE DEL VALOR DE EXPOSICIÓN PLENAMENTE AJUSTADO (E*) DE LAS PARTIDAS FUERA DE BALANCE POR FACTORES DE CONVERSIÓN El artículo 246, apartado 1, letra c), del RRC establece que el valor de exposición de una posición de titulización fuera de balance será su valor nominal multiplicado por un factor de conversión. El factor de conversión será del 100 %, salvo que se especifique otro distinto. A estos efectos, el artículo 4, apartado 1, punto 56, del RRC define el factor de conversión. A efectos de la comunicación de información, los valores de exposición plenamente ajustados (E*) se comunicarán aplicando los cuatro siguientes intervalos de factores de conversión mutuamente excluyentes: 0 %, >0 % y ≤20 %, >20 % y ≤ 50 % y >50 % y ≤ 100 %. |
|
170 |
VALOR DE LA EXPOSICIÓN Posiciones de titulización con arreglo al artículo 246 del RRC. Esta información está relacionada con la columna 110 de la plantilla CR IRB. |
|
180 |
(-) VALOR DE LA EXPOSICIÓN DEDUCIDO DE LOS FONDOS PROPIOS El artículo 266, apartado 3, del RRC establece que, en el caso de una posición de titulización con respecto a la cual sea aplicable una ponderación de riesgo de 1 250 %, las entidades podrán, como alternativa a la inclusión de la posición en su cálculo de las exposiciones ponderadas por riesgo, deducir de los fondos propios el valor de exposición de la posición. |
|
190 |
VALOR DE LA EXPOSICIÓN CON SUJECIÓN A PONDERACIONES DE RIESGO |
|
200 — 320 |
MÉTODO BASADO EN CALIFICACIONES (NIVELES DE CALIDAD CREDITICIA) Artículo 261 del RRC. Las posiciones de titulización IRB con una calificación inferida con arreglo al artículo 259, apartado 2, del RRC, se comunicarán como posiciones con calificación. Los valores de las exposiciones sujetos a ponderaciones de riesgo se desglosarán con arreglo a los niveles de calidad crediticia indicados para el método IRB en el artículo 261, apartado 1, cuadro 4, del RRC. |
|
330 |
MÉTODO BASADO EN LA FÓRMULA SUPERVISORA Para el método basado en la fórmula supervisora, artículo 262 del RRC. La ponderación de riesgo correspondiente a una posición de titulización será el 7 % o la ponderación de riesgo calculada de acuerdo con las fórmulas indicadas, si esta última fuera mayor. |
|
340 |
MÉTODO BASADO EN LA FÓRMULA SUPERVISORA: PONDERACIÓN MEDIA DEL RIESGO Se podrá reconocer la reducción del riesgo de crédito en las posiciones de titulización con arreglo al artículo 264 del RRC. En tal caso, la entidad deberá indicar la «ponderación de riesgo efectiva» de la posición que tenga una cobertura total, con arreglo a lo establecido en el artículo 264, apartado 2, del RRC (la ponderación de riesgo efectiva es igual a la exposición ponderada por riesgo de la posición, dividida por el valor de exposición de la posición y multiplicada por 100). Cando la cobertura de la posición sea parcial, la entidad deberá aplicar el método basado en la fórmula supervisora, utilizando el valor de «T» ajustado con arreglo a lo establecido en el artículo 264, apartado 3, del RRC. En esta columna se comunicarán las medias ponderadas de las ponderaciones de riesgo. |
|
350 |
ENFOQUE DE TRANSPARENCIA Las columnas del enfoque de transparencia abarcan todos los casos de exposiciones no calificadas en las que la ponderación de riesgo se calcula a partir del conjunto de exposiciones subyacente (ponderación del riesgo más alta del conjunto). En el artículo 263, apartados 2 y 3, del RRC se contempla un tratamiento excepcional cuando no sea posible calcular Kirb. El importe no dispuesto de las líneas de liquidez se comunicará en «Derivados y partidas fuera de balance». En tanto la entidad originadora aplique el tratamiento excepcional debido a la imposibilidad de calcular Kirb, se comunicará en la columna 350 el tratamiento en términos de ponderación de riesgo otorgado al valor de exposición de las líneas de liquidez sujetas al tratamiento definido en el artículo 263 del RRC. Para las amortizaciones anticipadas, véanse el artículo 256, apartado 5, y el artículo 265 del RRC. |
|
360 |
ENFOQUE DE TRANSPARENCIA: PONDERACIÓN MEDIA DEL RIESGO Se deberá indicar la ponderación media del riesgo ponderada por el valor de exposición. |
|
370 |
MÉTODO DE EVALUACIÓN INTERNA El artículo 259, apartados 3 y 4, del RRC describe el «método de evaluación interna» para las posiciones en programas de pagarés de titulización (ABCP). |
|
380 |
MÉTODO DE EVALUACIÓN INTERNA: PONDERACIÓN MEDIA DEL RIESGO En esta columna se comunicarán las medias ponderadas de las ponderaciones de riesgo. |
|
390 |
(-) REDUCCIÓN DEL IMPORTE DE LA EXPOSICIÓN PONDERADA POR RIESGO DEBIDA A LOS AJUSTES DE VALOR Y PROVISIONES Las entidades que utilicen el método IRB deberán observar lo dispuesto en el artículo 266, apartados 1 (aplicable únicamente a las entidades originadoras que no hayan deducido la exposición de sus fondos propios) y 2, del RRC. Ajustes de valor y provisiones (artículo 159 del RRC) por pérdidas crediticias, calculados con arreglo al marco contable aplicable a la entidad declarante. Los ajustes de valor incluirán cualquier importe reconocido en los resultados por pérdidas crediticias de activos financieros desde su reconocimiento inicial en el balance (incluidas las pérdidas debidas al riesgo de crédito de activos financieros valorados a valor razonable que no deban deducirse del valor de exposición), más los descuentos sobre exposiciones adquiridas en situación de impago con arreglo al artículo 166, apartado 1, del RRC. Las provisiones incluirán los importes acumulados de las pérdidas crediticias correspondientes a las partidas fuera de balance. |
|
400 |
IMPORTE DE LA EXPOSICIÓN PONDERADA POR RIESGO Importe total de la exposición ponderada por riesgo, calculado de acuerdo con la parte tercera, título II, capítulo 5, sección 3, del RRC, antes de los ajustes por desfases de vencimiento o infracción de las disposiciones en materia de diligencia debida, y excluyendo cualquier importe de exposiciones ponderadas por riesgo que corresponda a exposiciones redistribuidas a otra plantilla a través de las salidas. |
|
410 |
IMPORTE DE LA EXPOSICIÓN PONDERADA POR RIESGO, DEL CUAL: TITULIZACIONES SINTÉTICAS En el caso de las titulizaciones sintéticas con desfases de vencimiento, el importe consignado en esta columna deberá excluir cualquier desfase de vencimiento. |
|
420 |
EFECTO GLOBAL (AJUSTE) DEBIDO A LA INFRACCIÓN DE LAS DISPOSICIONES SOBRE DILIGENCIA DEBIDA El artículo 14, apartado 2, el artículo 406, apartado 2, y el artículo 407 del RRC estipulan que cuando la entidad no cumpla determinados requisitos, los Estados miembros deberán velar por que las autoridades competentes impongan una ponderación de riesgo adicional proporcional no inferior al 250 % de la ponderación de riesgo (con un máximo de 1 250 %) que se aplicaría a las posiciones de titulización en cuestión con arreglo a la parte tercera, título II, capítulo 5, sección 3, del RRC. |
|
430 |
AJUSTE DEL IMPORTE DE LA EXPOSICIÓN PONDERADA POR RIESGO CORRESPONDIENTE A DESFASES DE VENCIMIENTO En el caso de desfases de vencimiento en las titulizaciones sintéticas, se incluirán las variables RW*-RW(SP) definidas en el artículo 250 del RRC, excepto cuando se trate de tramos sujetos a una ponderación de riesgo del 1 250 % y el importe a comunicar sea cero. Nótese que RW(SP) incluye no solo el importe de las exposiciones ponderadas por riesgo comunicado en la columna 400, sino también el importe de las exposiciones ponderadas por riesgo reasignado a otra plantilla mediante las correspondientes salidas. En esta columna se comunicarán valores negativos. |
|
440 — 450 |
TOTAL DE LA EXPOSICIÓN PONDERADA POR RIESGO: ANTES DE APLICAR EL LÍMITE MÁXIMO/ DESPUÉS DE APLICAR EL LÍMITE MÁXIMO Importe total de la exposición ponderada por riesgo, calculada con arreglo a la parte tercera, título II, capítulo 5, sección 3, del RRC, antes (columna 440) y después (columna 450) de aplicar los límites especificados en el artículo 260 del RRC. Se tendrá en cuenta, además, el artículo 265 del RRC (requisitos de fondos propios adicionales para las titulizaciones de exposiciones renovables con cláusulas de amortización anticipada). |
|
460 |
PRO MEMORIA: IMPORTE DE LA EXPOSICIÓN PONDERADA POR RIESGO CORRESPONDIENTE A LAS SALIDAS DE LA CATEGORÍA TITULIZACIÓN SEGÚN EL MÉTODO IRB HACIA OTRAS CATEGORÍAS DE EXPOSICIÓN Importe de la exposición ponderada por riesgo resultante de exposiciones redistribuidas a los proveedores de medidas de reducción del riesgo, consignadas por tanto en la plantilla correspondiente e incluidas en el cálculo del límite máximo para las posiciones de titulización. |
107. La plantilla CR SEC SA se divide en tres bloques principales de filas que recopilan los datos correspondientes a las exposiciones originadas, patrocinadas, conservadas o adquiridas, clasificados por entidades originadoras, patrocinadoras e inversoras. Para cada una de ellas, los datos se desglosan en partidas en balance y derivados y partidas fuera de balance, así como en titulizaciones y retitulizaciones por grupos por ponderación de riesgo.
108. Las posiciones a las que se aplica el método basado en calificaciones y las posiciones no calificadas (exposiciones en la fecha de información) se desglosan a su vez en función de los niveles de calidad crediticia aplicados al inicio (último bloque de filas). Deberán comunicar estos datos las entidades originadoras, patrocinadoras e inversoras.
|
Filas |
|
|
010 |
TOTAL EXPOSICIONES El total de exposiciones se refiere al importe total de las titulizaciones en circulación. Esta fila resume toda la información comunicada por las entidades originadoras, patrocinadoras e inversoras en las filas siguientes. |
|
020 |
DE LAS CUALES: RETITULIZACIONES Importe total de las retitulizaciones en circulación con arreglo a las definiciones del artículo 4, apartado 1, puntos 63 y 64, del RRC. |
|
030 |
ORIGINADORA: TOTAL EXPOSICIONES Esta fila resume la información sobre los derivados y partidas en balance y fuera de balance, junto con la amortización anticipada de las posiciones de titulización en las que la entidad desempeñe la función de originadora, tal como se define en el artículo 4, apartado 1, punto 13, del RRC. |
|
040 — 090 |
PARTIDAS EN BALANCE El artículo 246, apartado 1, letra b), del RRC estipula que para las entidades que calculen las exposiciones ponderadas por riesgo mediante el método IRB, el valor de exposición de una posición de titulización en balance será su valor contable, sin tener en cuenta ningún ajuste por riesgo de crédito que se haya efectuado. Las partidas en balance se desglosarán por grupos de ponderación de riesgo de las titulizaciones (A-B-C) en las filas 050-070, y de las retitulizaciones (D-E) en las filas 080-090, tal como se indica en el artículo 261, apartado 1, cuadro 4, del RRC. |
|
100 — 150 |
DERIVADOS Y PARTIDAS FUERA DE BALANCE Estas filas resumen la información sobre los derivados y partidas fuera de balance correspondientes a las posiciones de titulización sujetas a un factor de conversión con arreglo al marco de titulización. El valor de exposición de una posición de titulización fuera de balance será su valor nominal, menos cualquier ajuste por riesgo de crédito específico de dicha posición de titulización, multiplicado por un factor de conversión del 100 %, salvo que se indique otro distinto. Las posiciones de titulización fuera de balance correspondientes a cualquiera de los instrumentos derivados enumerados en el anexo II del RRC se determinarán de conformidad con la parte tercera, título II, capítulo 6, del RRC. El valor de exposición por riesgo de contraparte de un instrumento derivado de los enumerados en el anexo II del RRC se determinará de conformidad con la parte tercera, título II, capítulo 6, del mismo. En las líneas de liquidez y de crédito y los anticipos de efectivo de los servicios de administración, las entidades indicarán el importe no dispuesto. En el caso de las permutas de tipos de interés o de tipos de interés interdivisas deberán indicar el valor de la exposición (con arreglo al artículo 246, apartado 1, del RRC) especificado en la plantilla CR SA Total. Las partidas fuera de balance se desglosarán por grupos de ponderación de riesgo de las titulizaciones (A-B-C) en las filas 110-130, y de las retitulizaciones (D-E) en las filas 140-150, tal como se indica en el artículo 261, apartado 1, cuadro 4, del RRC. |
|
160 |
AMORTIZACIÓN ANTICIPADA Esta fila se aplica únicamente a las entidades originadoras con exposiciones de titulización renovables que incluyan una cláusula de amortización anticipada, tal como se indica en el artículo 242, puntos 13 y 14, del RRC. |
|
170 |
INVERSORA: TOTAL EXPOSICIONES Esta fila resume la información sobre los derivados y partidas en balance y fuera de balance de las posiciones de titulización en las que la entidad desempeñe la función de inversora. El RRC no proporciona una definición explícita de entidad inversora. Por consiguiente, en el presente contexto se entenderá como aquella entidad que mantiene una posición en una operación de titulización en la que no desempeña la función de originadora ni de patrocinadora. |
|
180 — 230 |
PARTIDAS EN BALANCE Se aplicarán aquí idénticos criterios de clasificación en titulizaciones (A-B-C) y retitulizaciones (D-E) a los utilizados para las partidas en balance en relación con las entidades originadoras. |
|
240 — 290 |
DERIVADOS Y PARTIDAS FUERA DE BALANCE Se aplicarán aquí idénticos criterios de clasificación en titulizaciones (A-B-C) y retitulizaciones (D-E) a los utilizados para los derivados y las partidas fuera de balance en relación con las entidades originadoras. |
|
300 |
PATROCINADORA: TOTAL EXPOSICIONES Esta fila resume la información sobre los derivados y partidas en balance y fuera de balance de las posiciones de titulización en las que la entidad desempeñe la función de patrocinadora, tal como se define en el artículo 4, apartado 1, punto 14, del RRC. Si la entidad patrocinadora tituliza también sus propios activos, deberá indicar en las filas correspondientes a la entidad originadora los datos relativos a sus propios activos titulizados. |
|
310 — 360 |
PARTIDAS EN BALANCE Se aplicarán aquí idénticos criterios de clasificación en titulizaciones (A-B-C) y retitulizaciones (D-E) a los utilizados para las partidas en balance en relación con las entidades originadoras. |
|
370 — 420 |
DERIVADOS Y PARTIDAS FUERA DE BALANCE Se aplicarán aquí idénticos criterios de clasificación en titulizaciones (A-B-C) y retitulizaciones (D-E) a los utilizados para los derivados y las partidas fuera de balance en relación con las entidades originadoras. |
|
430 — 540 |
DESGLOSE DE LAS POSICIONES VIVAS POR NIVEL DE CALIDAD CREDITICIA EN LA FECHA DE ORIGINACIÓN En estas filas se consignará la información correspondiente a las posiciones vivas a las que se aplique el método basado en calificaciones y las posiciones no calificadas (en la fecha de información), desglosadas con arreglo a los niveles de calidad crediticia (los indicados para el método IRB en el cuadro 4 del artículo 261 del RRC) asignados en la fecha de originación (inicio). A falta de esta información, se indicarán los datos más antiguos equivalentes a los niveles de calidad crediticia de que se disponga. Estas filas únicamente se rellenarán para las columnas 170, 190 a 320 y 400 a 410. |
3.9. C 14.00 — INFORMACIÓN DETALLADA SOBRE TITULIZACIONES (SEC DETAILS)
3.9.1. Observaciones generales
109. Esta plantilla recoge la información relativa a las operaciones individuales (a diferencia de la información agregada comunicada en las plantillas CR SEC SA, CR SEC IRB, MKR SA SEC y MKR SA CTP) de todas las titulizaciones en las que participe la entidad declarante. Deberá recoger los datos correspondientes a las principales características de cada titulización, como la naturaleza del conjunto de exposiciones subyacentes y los requisitos de fondos propios.
110. Esta plantilla se cumplimentará para:
a. Las titulizaciones originadas o patrocinadas por la entidad declarante, siempre que esta mantenga al menos una posición en la titulización. Esto significa que, con independencia de que se haya producido o no una transferencia de riesgo importante, las entidades deberán aportar datos sobre todas las posiciones que mantengan (tanto en la cartera bancaria como en la de negociación). Las posiciones mantenidas incluyen las retenidas con arreglo al artículo 405 del RRC.
b. Las titulizaciones originadas o patrocinadas por la entidad declarante durante el ejercicio de declaración ( 3 ), en caso de que no mantenga ninguna posición.
c. Las titulizaciones cuyo último subyacente sean pasivos financieros originalmente emitidos por la entidad declarante y (en parte) adquiridos por un vehículo de titulizaciones. Ese subyacente puede incluir bonos garantizados u otros pasivos y se consignará como tal en la columna 160.
d. Las posiciones mantenidas en titulizaciones en las que la entidad declarante no sea originadora ni patrocinadora (es decir, cuando sea inversora o acreedora original).
111. La plantilla la cumplimentarán los grupos consolidados y las entidades independientes ( 4 ) situadas en el mismo país en el que estén sujetas a los requisitos de fondos propios. En el caso de titulizaciones en las que participe más de un ente del mismo grupo consolidado, se presentará un desglose detallado por cada uno de los entes.
112. Teniendo en cuenta el artículo 406, apartado 1, del RRC, que establece que las entidades que inviertan en posiciones de titulización deberán conocer estas últimas en todos sus pormenores para cumplir con el requisito de diligencia debida, los datos comunicados en esta plantilla se exigen también a las entidades inversoras, aunque con un alcance más limitado. En particular, deberán cumplimentar las columnas 010-040; 070-110; 160; 190; 290-400; 420-470.
113. Las entidades que desempeñen la función de acreedoras originales (sin desempeñar al mismo tiempo la de originadoras o patrocinadoras en una misma titulización) deberán cumplimentar en general los mismos apartados de la plantilla que las entidades inversoras.
3.9.2. Instrucciones relativas a posiciones concretas
|
Columnas |
|
|
005 |
NÚMERO DE FILA El número de fila es un identificador de la fila y debe ser único para cada fila del cuadro. Seguirá el orden numérico 1, 2, 3, etc. |
|
010 |
CÓDIGO INTERNO Código interno (alfanumérico) utilizado por la entidad para identificar la titulización. El código interno deberá ir asociado al identificador de la titulización. |
|
020 |
IDENTIFICADOR DE LA TITULIZACIÓN (Código/Nombre) Código utilizado para el registro oficial de la titulización o, si no se dispone del mismo, número por el que se conoce la titulización en el mercado. Cuando se disponga del número internacional de identificación de valores (código ISIN) (es decir, en el caso de las operaciones públicas), se comunicarán en esta columna los caracteres comunes a todos los tramos de la titulización. |
|
030 |
IDENTIFICADOR DE LA ENTIDAD ORIGINADORA (Código/Nombre) Se comunicará en esta columna el código asignado por la autoridad de supervisión a las entidades originadoras o, si no se dispone del mismo, el nombre de la propia entidad. En el caso de las titulizaciones con más de un vendedor, la entidad declarante indicará el identificador de todos los entes pertenecientes a su grupo consolidado que intervienen en la operación (como originador, patrocinador o acreedor original). Cuando el código no se encuentre disponible o no sea conocido por la entidad declarante, se indicará el nombre de la correspondiente entidad. |
|
040 |
TIPO DE TITULIZACIÓN: (TRADICIONAL / SINTÉTICA) Se indicarán las abreviaturas siguientes: — «T» para tradicional; — «S» para sintética. Las definiciones de «titulización tradicional» y de «titulización sintética» son las indicadas en el artículo 242, puntos 10 y 11, respectivamente, del RRC. |
|
050 |
TRATAMIENTO CONTABLE: LAS EXPOSICIONES TITULIZADAS ¿SE MANTIENEN EN BALANCE O SE HAN DADO DE BAJA EN EL MISMO? Las entidades originadoras, patrocinadoras o acreedoras originales indicarán una de las abreviaturas siguientes: — «K» si se mantienen en su totalidad; — «P» si se han dado de baja en parte; — «R» si se han dado de baja en su totalidad; — «N» si no procede. Esta columna resume el tratamiento contable de la operación. En las titulizaciones sintéticas, las entidades originadoras deberán indicar que las exposiciones titulizadas han sido dadas de baja del balance. Las entidades originadoras no utilizarán esta columna en el caso de la titulización de pasivos. Se indicará la opción «P» (dadas de baja en parte) cuando los activos titulizados se reconozcan en el balance en la medida de la implicación continuada de la entidad declarante, tal como se estipula en la NIC 39.30-35. |
|
060 |
TRATAMIENTO DE LA SOLVENCIA: LAS POSICIONES DE TITULIZACIÓN ¿ESTÁN SUJETAS A REQUISITOS DE FONDOS PROPIOS? Únicamente lo comunicarán las entidades originadoras, utilizando las abreviaturas siguientes: — «N» si no están sujetas a requisitos de fondos propios; — «B» si se incluyen en la cartera bancaria; — «T» si se incluyen en la cartera de negociación; — «A» si se incluyen parcialmente en ambas carteras. Artículos 109, 243 y 244 del RRC. Esta columna resume el tratamiento de la solvencia del esquema de titulización aplicado por la entidad originadora. Indica si los requisitos de fondos propios se computan en función de las exposiciones titulizadas o de las posiciones de titulización (cartera bancaria/cartera de negociación). Si los requisitos de fondos propios se basan en las exposiciones titulizadas (por no haberse producido ninguna transferencia de riesgo significativa), el cálculo de los requisitos de fondos propios por riesgo de crédito se comunicará en la plantilla CR SA cuando la entidad aplique el método estándar, y en la plantilla CR IRB cuando aplique el método basado en las calificaciones internas. En cambio, si los requisitos de fondos propios se basan en las posiciones de titulización mantenidas en la cartera bancaria (por haberse producido una transferencia de riesgo significativa), el cálculo de los requisitos de fondos propios por riesgo de crédito se comunicará en la plantilla CR SEC SA o en la plantilla CR SEC IRB. En el caso de las posiciones de titulización mantenidas en la cartera de negociación, el cálculo de los requisitos de fondos propios por riesgo de crédito se comunicará en la plantilla MKR SA TDI (riesgo de posición general según el método estándar), en la plantilla MKR SA SEC o MKR SA CTP (riesgo de posición específico según el método estándar) o en la plantilla MKR IM (modelos internos). Las entidades originadoras no utilizarán esta columna en el caso de la titulización de pasivos. |
|
070 |
¿TITULIZACIÓN O RETITULIZACIÓN? Se comunicarán los tipos de riesgo subyacente con arreglo a las definiciones de «titulización» y de «retitulización» establecidas en el artículo 4, apartado 1, puntos 61y 62 a 64, del RRC, utilizando las abreviaturas siguientes: — «S» para la titulización; — «R» para la retitulización. |
|
080 — 100 |
RETENCIÓN DE UN INTERÉS ECONÓMICO Artículos 404 a 410 del RRC. |
|
080 |
TIPO DE RETENCIÓN APLICADO Para cada esquema de titulización originado se indicará el tipo pertinente de retención de un interés económico neto, con arreglo a lo dispuesto en el artículo 405 del RRC: A — Tramo vertical (posiciones de titulización): «la retención de un 5 % como mínimo del valor nominal de cada uno de los tramos vendidos o transferidos a los inversores». V — Tramo vertical (exposiciones titulizadas): la retención de un 5 % como mínimo del riesgo de crédito de cada una de las exposiciones titulizadas, cuando el riesgo de crédito así retenido con respecto a dichas exposiciones titulizadas sea de rango similar o subordinado al riesgo de crédito titulizado con respecto a esas mismas exposiciones. B-Exposiciones renovables: «en el caso de las titulizaciones de exposiciones renovables, la retención del interés de la entidad originadora del 5 % como mínimo del valor nominal de las exposiciones titulizadas». C — Partidas en balance: «la retención de exposiciones elegidas al azar, equivalente al 5 % como mínimo del valor nominal de las exposiciones titulizadas, cuando estas exposiciones se hubieran titulizado de otro modo en la titulización, siempre y cuando el número de exposiciones potencialmente titulizadas no sea inferior a 100 en origen». D — Primera pérdida: «la retención del tramo de primera pérdida y, en caso necesario, de otros tramos que tengan un perfil de riesgo similar o superior a los transferidos o vendidos a los inversores y que no venzan en modo alguno antes que los transferidos o vendidos a los inversores, de modo que la retención equivalga en total al 5 % como mínimo del valor nominal de las exposiciones titulizadas». E — Exenta. Se comunicarán con este código las titulizaciones afectadas por las disposiciones del artículo 405, apartado 3, del RRC. N — No procede. Se comunicarán con este código las titulizaciones afectadas por las disposiciones del artículo 404 del RRC. U — situación de infracción o desconocida. Se comunicarán con este código los casos en que no se sepa con certeza el tipo de retención aplicada, así como los casos de incumplimiento. |
|
090 |
% DE RETENCIÓN EN LA FECHA DE INFORMACIÓN La retención de un interés económico neto significativo por la entidad originadora, patrocinadora o acreedora original de la titulización no podrá ser inferior al 5 % (en la fecha de originación). Sin perjuicio de lo dispuesto en el artículo 405, apartado 1, del RRC, como fecha de originación para calcular la retención se utilizará normalmente aquella en que las exposiciones se titulizaron por vez primera, y no cuando se crearon (no se utilizará, por ejemplo, la fecha en que se concedieron los préstamos subyacentes). El cálculo de la retención en origen significa que el 5 % era el porcentaje exigido en el momento en que se midió el nivel de retención y se cumplieron los requisitos correspondientes (por ejemplo, cuando las exposiciones se titulizaron por vez primera), no debiéndose obligatoriamente volver a medir y a ajustar el porcentaje de retención a lo largo del período de vigencia de la operación. Esta columna no se cumplimentará en caso de que en la columna 080 (Tipo de retención aplicado) se hubieran introducido los códigos «E» (Exenta) o «N» (No procede). |
|
100 |
¿SE CUMPLE EL REQUISITO DE RETENCIÓN? Artículo 405, apartado 1, del RRC. Se indicarán las abreviaturas siguientes: Y — Sí; N — No. Esta columna no se cumplimentará en caso de que en la columna 080 (Tipo de retención aplicado) se hubieran introducido los códigos «E» (Exenta) o «N» (No procede). |
|
110 |
FUNCIÓN DE LA ENTIDAD: (ORIGINADORA / PATROCINADORA / ACREEDORA ORIGINAL / INVERSORA) Se indicarán las abreviaturas siguientes: — «O» para las entidades originadoras; — «S» para las entidades patrocinadoras; — «L» para las entidades acreedoras originales; — «I» para las entidades inversoras. Véanse las definiciones en el artículo 4, apartado 1, punto 13 (originadora), y en el artículo 4, apartado 1, punto 14 (patrocinadora), del RRC. Se considerarán entidades inversoras aquellas a las que se apliquen las disposiciones de los artículos 406 y 407 del RRC. |
|
120 — 130 |
PROGRAMAS QUE NO SEAN ABCP Debido a su carácter especial en razón del hecho de que abarcan varias posiciones de titulización individuales, los programas ABCP (definidos en el artículo 242, punto 9, del RRC) no deben consignarse en las columnas 120 y 130. |
|
120 |
FECHA DE ORIGINACIÓN (mm/aaaa) Se comunicarán el mes y el año de la fecha de originación (es decir, la fecha de corte o de cierre del conjunto de exposiciones), con arreglo al siguiente formato: «mm/aaaa». La fecha de originación de cada esquema de titulización se mantendrá sin cambios entre las fechas de información. En el caso particular de los programas de titulización respaldados por conjuntos de exposiciones abiertos, la fecha de originación será la correspondiente a la primera emisión de valores. Este dato se comunicará incluso aunque la entidad declarante no mantenga ninguna posición en la titulización. |
|
130 |
TOTAL DE LAS EXPOSICIONES TITULIZADAS EN LA FECHA DE ORIGINACIÓN En esta columna se incluirá la información sobre el importe de la cartera titulizada en la fecha de originación, calculado sobre la base de las exposiciones originales antes de aplicar los factores de conversión. En el caso de los programas de titulización respaldados por conjuntos de exposiciones abiertos, se comunicará el importe correspondiente a la fecha de originación de la primera emisión de valores. En el caso de titulizaciones tradicionales no se incluirán otros activos del conjunto de exposiciones de la titulización. En el caso de programas de titulización con más de un vendedor (es decir, con más de una entidad originadora), solamente se comunicará el importe correspondiente a la contribución de la entidad declarante a la cartera titulizada. En el caso de titulización de pasivos, solamente se comunicarán los importes emitidos por la entidad declarante. Este dato se comunicará incluso aunque la entidad declarante no mantenga ninguna posición en la titulización. |
|
140 — 220 |
EXPOSICIONES TITULIZADAS En las columnas 140 a 220 la entidad declarante deberá comunicar diversas características de la cartera titulizada. |
|
140 |
IMPORTE TOTAL Las entidades deberán comunicar el valor de la cartera titulizada, es decir, el importe pendiente de las exposiciones titulizadas en la fecha de información. En el caso de titulizaciones tradicionales no se incluirán otros activos del conjunto de exposiciones de la titulización. En el caso de programas de titulización con más de un vendedor (es decir, con más de una entidad originadora), solamente se comunicará el importe correspondiente a la contribución de la entidad declarante a la cartera titulizada. En el caso de programas de titulización respaldados por conjuntos de exposiciones cerrados (es decir, en los que la cartera de activos titulizados no se puede ampliar después de la fecha de originación), el importe se irá reduciendo progresivamente. Este dato se comunicará incluso aunque la entidad declarante no mantenga ninguna posición en la titulización. |
|
150 |
PARTICIPACIÓN DE LA ENTIDAD (%) Se comunicará la participación de la entidad en la cartera titulizada (en porcentaje, con dos cifras decimales), en la fecha de información. El porcentaje indicado en esta columna será el 100 % por defecto, excepto en los programas de titulización con más de un vendedor. En este último caso, la entidad declarante deberá comunicar su contribución corriente a la cartera titulizada (equivalente a la columna 140, pero en términos relativos). Este dato se comunicará incluso aunque la entidad declarante no mantenga ninguna posición en la titulización. |
|
160 |
TIPO Esta columna recopila información sobre el tipo de activos («1» a «8») o pasivos («9» y «10») que componen la cartera titulizada. La entidad deberá indicar uno de los siguientes códigos numéricos: 1 — Hipotecas residenciales 2 — Hipotecas comerciales 3 — Derechos de cobro por tarjetas de crédito 4 — Arrendamientos financieros 5 — Préstamos a empresas y PYME (consideradas empresas) 6 — Créditos al consumo 7 — Cartera comercial 8 — Otros activos 9 — Bonos garantizados 10 — Otros pasivos En caso de que el conjunto de exposiciones titulizadas sea una combinación de los tipos anteriores, la entidad deberá indicar el tipo más importante. Si se trata de retitulizaciones, la entidad hará referencia al último conjunto de activos subyacente. El tipo «10» (Otros pasivos) incluirá los bonos del Tesoro y los bonos vinculados a crédito. En los programas de titulización respaldados por conjuntos de exposiciones cerrados, el tipo no podrá variar entre las fechas de información. |
|
170 |
MÉTODO APLICADO (ESTÁNDAR/IRB/MIXTO) En esta columna se indicará el método aplicado por la entidad en la fecha de información. Se indicarán las abreviaturas siguientes: — «S» para el método estándar; — «I» para el método basado en calificaciones internas; — «M» para la combinación de ambos métodos (estándar/IRB). Cuando el método aplicado sea el estándar, se anotará «P» en la columna 050 y se comunicará el cálculo de los requisitos de fondos propios en la plantilla CR SEC SA. Cuando el método aplicado sea el IRB, se anotará «P» en la columna 050 y se comunicará el cálculo de los requisitos de fondos propios en la plantilla CR SEC IRB. Cuando el método aplicado sea una combinación del método estándar y el IRB, se anotará «P» en la columna 050 y se comunicará el cálculo de los requisitos de fondos propios en las dos plantillas CE SEC SA y CR SEC IRB. Este dato se comunicará incluso aunque la entidad declarante no mantenga ninguna posición en la titulización. No obstante, esta columna no se aplicará a las titulizaciones de pasivos. Las entidades patrocinadoras no cumplimentarán esta columna. |
|
180 |
NÚMERO DE EXPOSICIONES Artículo 261, apartado 1, del RRC. Esta columna solamente será obligatoria para las entidades que apliquen el método IRB a las posiciones de titulización (y que indiquen por lo tanto «I» en la columna 170). La entidad comunicará el número efectivo de exposiciones. Esta columna no se cumplimentará para la titulización de pasivos, ni cuando los requisitos de fondos propios se basen en las exposiciones titulizadas (en caso de titulización de activos). Tampoco se cumplimentará cuando la entidad declarante no mantenga ninguna posición en la titulización. Las entidades inversoras no cumplimentarán esta columna. |
|
190 |
PAÍS Se comunicará el código (ISO 3166-1 alpha-2) del país de origen del último conjunto de exposiciones subyacente, es decir, el país del deudor inmediato de las exposiciones originales titulizadas (enfoque de transparencia). En caso de que el conjunto titulizado corresponda a varios países, las entidades indicarán el más importante de ellos. Se indicará «OT» (otros) cuando ningún país supere el 20 % del importe de los activos o pasivos. |
|
200 |
ELGD (%) Únicamente las entidades que apliquen el método basado en la fórmula supervisora (y que hayan indicado por lo tanto «I» en la columna 170) comunicarán la pérdida media en caso de impago, ponderada por la exposición (ELGD). La ELGD se calculará con arreglo al artículo 262, apartado 1, del RRC. Esta columna no se cumplimentará para la titulización de pasivos, ni cuando los requisitos de fondos propios se basen en las exposiciones titulizadas (en caso de titulización de activos). Tampoco se cumplimentará cuando la entidad declarante no mantenga ninguna posición en la titulización. Las entidades patrocinadoras no cumplimentarán esta columna. |
|
210 |
(-) AJUSTES DE VALOR Y PROVISIONES Ajustes de valor y provisiones (artículo 159 del RRC) para pérdidas crediticias que se realicen con arreglo al marco contable al que la entidad declarante esté sujeta. Los ajustes de valor incluirán cualquier importe reconocido en los resultados por pérdidas crediticias de activos financieros desde su reconocimiento inicial en el balance (incluidas las pérdidas debidas al riesgo de crédito de activos financieros valorados a valor razonable que no deban deducirse del valor de exposición), más los descuentos sobre exposiciones adquiridas en situación de impago con arreglo al artículo 166, apartado 1, del RRC. Las provisiones incluirán los importes acumulados de las pérdidas crediticias correspondientes a las partidas fuera de balance. Esta columna recoge información sobre los ajustes de valor y las provisiones aplicados a las exposiciones titulizadas. No se cumplimentará en el caso de la titulización de pasivos. Este dato se comunicará incluso aunque la entidad declarante no mantenga ninguna posición en la titulización. Las entidades patrocinadoras no cumplimentarán esta columna. |
|
220 |
REQUISITOS DE FONDOS PROPIOS ANTES DE LA TITULIZACIÓN (%) En esta columna se comunicará la información relativa a los requisitos de fondos propios de la cartera titulizada en el supuesto de que no se hubiera producido la titulización, así como las pérdidas esperadas correspondientes a tales riesgos (Kirb), en forma de porcentaje (con dos decimales) del total de las exposiciones titulizadas en la fecha de originación. La definición de Kirb figura en el artículo 242, punto 4, del RRC. No se cumplimentará en el caso de la titulización de pasivos. En el caso de la titulización de activos, este dato se comunicará incluso aunque la entidad declarante no mantenga ninguna posición en la titulización. Las entidades patrocinadoras no cumplimentarán esta columna. |
|
230 — 300 |
ESTRUCTURA DE LA TITULIZACIÓN En este bloque de seis columnas se recoge información sobre la estructura de la titulización desglosada por posiciones en balance y fuera de balance, tramos (preferente/intermedio/primera pérdida) y vencimientos. En el caso de titulizaciones con más de un vendedor, para el tramo de primera pérdida solamente se comunicará el importe que corresponda o que se atribuya a la entidad declarante. |
|
230 — 250 |
PARTIDAS EN BALANCE En este bloque de columnas se recoge información sobre las partidas en balance, desglosadas por tramos (preferente/intermedio/primera pérdida). |
|
230 |
PREFERENTE Se incluirán en esta categoría todos los tramos que no puedan considerarse intermedios o de primera pérdida. |
|
240 |
INTERMEDIO Artículo 243, apartado 3 (titulizaciones tradicionales), y artículo 244, apartado 3 (titulizaciones sintéticas), del RRC. |
|
250 |
PRIMERA PÉRDIDA El tramo de primera pérdida se define en el artículo 242, punto 15, del RRC. |
|
260 — 280 |
DERIVADOS Y PARTIDAS FUERA DE BALANCE En este bloque de columnas se recoge información sobre los derivados y partidas fuera de balance, desglosados por tramos (preferente/intermedio/primera pérdida). Se aplicarán aquí idénticos criterios de clasificación en tramos que los utilizados para las partidas en balance. |
|
290 |
PRIMERA FECHA PREVISIBLE DE TERMINACIÓN Fecha probable de terminación de toda la titulización, teniendo en cuenta sus cláusulas contractuales y la evolución del mercado financiero prevista en el momento presente. Normalmente será la primera de las dos fechas siguientes: i) la fecha en que pueda ejercerse por vez primera una opción de extinción (definida en el artículo 242, punto 2, del RRC), teniendo en cuenta los vencimientos de la exposición o exposiciones subyacentes, así como las tasas de amortización anticipada y las posibles operaciones de renegociación; ii) la fecha en que la entidad originadora pueda ejercer por primera vez cualquier otra opción de compra incluida en las cláusulas contractuales de la titulización, que tuviese como resultado el reembolso total de la misma. Se indicarán el día, el mes y el año de la primera fecha previsible de terminación. Se comunicará el día exacto si se dispone de este dato; de lo contrario se indicará el primer día del mes. |
|
300 |
FECHA FINAL LEGAL DE VENCIMIENTO Fecha en la que, según lo legalmente establecido, se debe reembolsar todo el principal e intereses de la titulización (con arreglo a la documentación de la operación). Se indicarán el día, el mes y el año de la fecha final legal de vencimiento. Se comunicará el día exacto si se dispone de este dato; de lo contrario se indicará el primer día del mes. |
|
310 — 400 |
POSICIONES DE TITULIZACIÓN: EXPOSICIÓN ORIGINAL ANTES DE APLICAR LOS FACTORES DE CONVERSIÓN En este bloque de columnas se recoge información sobre las posiciones de la titulización, desglosadas por posiciones en balance y fuera de balance y por tramos (preferente/intermedio/primera pérdida) en la fecha de información. |
|
310 — 330 |
PARTIDAS EN BALANCE Se aplicarán aquí idénticos criterios de clasificación en tramos que los utilizados para las partidas en balance. |
|
340 — 360 |
DERIVADOS Y PARTIDAS FUERA DE BALANCE Se aplicarán aquí idénticos criterios de clasificación en tramos que los utilizados para las partidas fuera de balance. |
|
370 — 400 |
PRO MEMORIA: DERIVADOS Y PARTIDAS FUERA DE BALANCE En este bloque de columnas se recoge información adicional sobre el total de los derivados y partidas fuera de balance (ya consignados, con un desglose distinto, en las columnas 340-360). |
|
370 |
SUSTITUTIVOS DIRECTOS DE CRÉDITO Esta columna se utiliza para las posiciones de titulización mantenidas por la entidad originadora y garantizadas mediante sustitutivos directos de crédito. De conformidad con el anexo I del RRC, se considerarán sustitutivos directos de crédito las siguientes partidas de alto riesgo fuera de balance: — las garantías que sean sustitutivas de crédito; — las cartas de crédito irrevocables que sean sustitutivas de crédito. |
|
380 |
PTI / PTC PTI significa permutas de tipo de interés, mientras que PTC significa permutas de tipo de cambio. Estos derivados se mencionan en el anexo II del RRC. |
|
390 |
LÍNEAS DE LIQUIDEZ ADMISIBLES Para que puedan considerarse admisibles, las líneas de liquidez, definidas en el artículo 242, punto 3, del RRC, deben cumplir las seis condiciones establecidas en el artículo 255, apartado 1, del RRC (independientemente de que el método aplicado por la entidad sea el método estándar o el IRB). |
|
400 |
OTROS (INCLUIDAS LAS LÍNEAS DE LIQUIDEZ NO ADMISIBLES) Esta columna se destina a las restantes partidas fuera de balance, como las líneas de liquidez no admisibles (es decir, las líneas de liquidez que no satisfacen las condiciones establecidas en el artículo 255, apartado 1, del RRC). |
|
410 |
AMORTIZACIÓN ANTICIPADA: FACTOR DE CONVERSIÓN APLICADO El artículo 242, punto 12, el artículo 256, apartado 5 (método estándar) y el artículo 265, apartado 1 (IRB), del RRC prevén una serie de factores de conversión que deben aplicarse al importe de la porción inversora (para calcular el importe de las exposiciones ponderadas por riesgo). Esta columna se aplica a los programas de titulización con cláusulas de amortización anticipada (es decir, a las titulizaciones renovables). Con arreglo al artículo 256, apartado 6, del RRC, el factor de conversión aplicado dependerá del nivel correspondiente a la media real de tres meses del exceso de margen. No se cumplimentará esta columna en el caso de titulizaciones de pasivos. Este dato está relacionado con la fila 100 de la plantilla CR SEC SA y con la fila 160 de la plantilla CR SEC IRB. |
|
420 |
(-) VALOR DE LA EXPOSICIÓN DEDUCIDO DE LOS FONDOS PROPIOS Este dato guarda una estrecha relación con la columna 200 de la plantilla CR SEC SA y con la columna 180 de la plantilla CR SEC IRB. En esta columna se comunicará una cifra negativa. |
|
430 |
TOTAL DE LA EXPOSICIÓN PONDERADA POR RIESGO ANTES DE APLICAR EL LÍMITE MÁXIMO En esta columna se recoge información sobre el importe de la exposición ponderada por riesgo antes de aplicar el límite máximo correspondiente a las posiciones de titulización (es decir, en el caso de los esquemas de titulización con una transferencia de riesgo significativa). No se introducirá ningún dato en esta columna en el caso de los esquemas de titulización sin una transferencia de riesgo significativa (es decir, cuando el importe de la exposición ponderada por riesgo se haya calculado en función de las exposiciones titulizadas). No se cumplimentará esta columna en el caso de titulizaciones de pasivos. |
|
440 |
TOTAL DE LA EXPOSICIÓN PONDERADA POR RIESGO DESPUÉS DE APLICAR EL LÍMITE MÁXIMO En esta columna se recoge información sobre el importe de la exposición ponderada por riesgo después de aplicar el límite máximo correspondiente a las posiciones de titulización (es decir, en el caso de los programas de titulización con una transferencia de riesgo significativa). No se introducirá ningún dato en esta columna en el caso de los programas de titulización sin una transferencia de riesgo significativa (es decir, cuando los requisitos de fondos propios se hayan calculado en función de las exposiciones titulizadas). Tampoco se cumplimentará esta columna en el caso de titulizaciones de pasivos. |
|
450 — 510 |
POSICIONES DE TITULIZACIÓN — CARTERA DE NEGOCIACIÓN |
|
450 |
¿CARTERA DE NEGOCIACIÓN DE CORRELACIÓN (CNC) O NO CNC? Se indicarán las abreviaturas siguientes: C — Cartera de negociación de correlación; N — No perteneciente a la cartera de negociación de correlación. |
|
460 — 470 |
POSICIONES NETAS — LARGAS/CORTAS Véanse, respectivamente, las columnas 050 / 060 de la plantilla MKR SA SEC o MKR SA CTP. |
|
480 |
REQUISITOS DE FONDOS PROPIOS TOTALES (MÉTODO ESTÁNDAR) — RIESGO ESPECÍFICO Véanse, respectivamente, la columna 610 de la plantilla MKR SA SEC o la columna 450 de la plantilla MKR SA CTP. |
4. PLANTILLAS RELATIVAS AL RIESGO OPERATIVO
4.1 C 16.00 — RIESGO OPERATIVO (OPR)
4.1.1 Observaciones generales
114. Esta plantilla incluye información sobre el cálculo de los requisitos de fondos propios de conformidad con los artículos 312 a 324 del RRC, correspondientes al riesgo operativo, según el método del indicador básico, el método estándar, el método estándar alternativo y los métodos avanzados de cálculo. Una misma entidad no podrá aplicar al mismo tiempo, a nivel individual, el método estándar y el método estándar alternativo a las líneas de negocio de banca minorista y de banca comercial.
115. Las entidades que apliquen el método del indicador básico, el método estándar y/o el método estándar alternativo deben calcular sus requisitos de fondos propios basándose en la información al cierre del ejercicio financiero. Cuando no se disponga de cifras auditadas, las entidades podrán utilizar estimaciones tomadas de su plan de negocio. Si se utilizan cifras auditadas, las entidades consignarán las cifras auditadas, que deberán mantenerse sin modificación. Se pueden contemplar excepciones a este principio de «mantenimiento sin modificación», por ejemplo cuando se hayan producido, en fecha reciente, circunstancias excepcionales, como adquisiciones o cesiones de entes o de actividades.
116. Cuando una entidad pueda probar a su autoridad competente que –debido a que se han producido circunstancias excepcionales, como una fusión o una cesión de entes o de actividades– la utilización de la media de tres años para calcular el indicador relevante daría lugar a una estimación sesgada de los requisitos de fondos propios por riesgo operativo, la autoridad competente podrá permitir que la entidad modifique el cálculo para tener en cuenta estos hechos. La autoridad competente podrá también, por propia iniciativa, exigir a una entidad que modifique su cálculo. Cuando una entidad haya estado operativa durante menos de tres años, podrá utilizar estimaciones prospectivas de negocio al calcular el indicador relevante, siempre que empiece a utilizar los datos históricos tan pronto como estén disponibles.
117. Esta plantilla refleja en sus columnas la información de los tres últimos años relativa a la cuantía del indicador relevante de las actividades bancarias sujetas al riesgo operativo y al importe de los préstamos y anticipos (esto último se aplica únicamente en el caso del método estándar alternativo). También se comunicarán los datos correspondientes al importe de los requisitos de fondos propios por riesgo operativo. Cuando proceda, deberá especificarse qué parte de dicho importe se debe a un mecanismo de asignación. Respecto a los métodos avanzados de cálculo, se añaden varias partidas pro memoria a fin de presentar con detalle los efectos de las pérdidas esperadas y de las técnicas de diversificación y reducción del riesgo sobre los requisitos de fondos propios por riesgo operativo.
118. La información comunicada en las filas se refiere al método de cálculo de los requisitos de fondos propios por riesgo operativo, especificando las líneas de negocio a las que se aplica el método estándar y el método estándar alternativo.
119. Deben presentar esta plantilla todas las entidades sujetas a los requisitos de fondos propios por riesgo operativo.
4.1.2. Instrucciones relativas a posiciones concretas
|
Columnas |
|
|
010 — 030 |
INDICADOR RELEVANTE Las entidades que utilicen el indicador relevante para calcular los requisitos de fondos propios por riesgo operativo (método del indicador básico, método estándar y método estándar alternativo), comunicarán en las columnas 010 a 030 el indicador relevante correspondiente a cada año. Por otro lado, en el caso de que utilicen una combinación de métodos distintos, tal como se indica en el artículo 314 del RRC, las entidades comunicarán asimismo, a título informativo, el indicador relevante para las actividades sujetas a los métodos avanzados de cálculo. Lo mismo es válido en lo que respecta a todos los demás bancos que apliquen los métodos avanzados de cálculo. En lo sucesivo, el término «indicador relevante» hará referencia a la «suma de los elementos» al cierre del ejercicio financiero, tal como se define en el cuadro 1 del artículo 316, apartado 1, del RRC. Cuando la entidad no disponga de datos sobre el «indicador relevante» correspondientes a al menos tres años, se asignarán, en primer lugar, los datos históricos disponibles (cifras auditadas) a las correspondientes columnas del cuadro. Si solo se dispone, por ejemplo, de los datos históricos de un año, estos se comunicarán en la columna 030. Si lo considera razonable, podrá incluir entonces estimaciones prospectivas en la columna 020 (estimación del año siguiente) y en la columna 010 (estimación del año +2). Por otra parte, siempre que no existan datos históricos referentes al «indicador relevante», la entidad podrá utilizar estimaciones prospectivas de negocio. |
|
040 — 060 |
PRÉSTAMOS Y ANTICIPOS (EN CASO DE APLICACIÓN DEL MÉTODO ESTÁNDAR ALTERNATIVO) Deben utilizarse estas columnas para comunicar los importes de los préstamos y anticipos correspondientes a las líneas de negocio «banca comercial» y «banca minorista», tal como se indica en el artículo 319, apartado 1, letra b), del RRC. Dichos importes se utilizarán para calcular el indicador relevante alternativo que permita determinar los requisitos de fondos propios correspondientes a las actividades a las que se aplique el método estándar alternativo (artículo 319, apartado 1, letra a), del RRC). Para la línea de negocio «banca comercial» se incluirán asimismo los valores mantenidos en la cartera de inversión de la entidad. |
|
070 |
REQUISITOS DE FONDOS PROPIOS Los requisitos de fondos propios se calcularán en función del método utilizado, de conformidad con los artículos 312 a 324 del RRC. El importe resultante se comunicará en la columna 070. |
|
071 |
TOTAL DE LA EXPOSICIÓN AL RIESGO OPERATIVO Artículo 92, apartado 4, del RRC. Requisitos de fondos propios de la columna 070, multiplicados por 12,5. |
|
080 |
DE LAS CUALES: DEBIDO A UN MECANISMO DE ASIGNACIÓN Artículo 18, apartado 1, del RRC, relativo a la inclusión, en la solicitud mencionada en el artículo 312, apartado 2, del RRC, de la metodología utilizada para asignar los requisitos de fondos propios por riesgo operativo entre los distintos entes del grupo, así como una indicación sobre si se han tenido en cuenta, y de qué forma, los efectos de diversificación en el sistema de medición de riesgos utilizado por una entidad de crédito matriz de la UE y por sus filiales, o bien conjuntamente por las filiales de una sociedad financiera de cartera matriz de la UE o de una sociedad financiera mixta de cartera matriz de la UE. |
|
090 — 120 |
MÉTODO AVANZADO DE CÁLCULO: PARTIDAS PRO MEMORIA QUE DEBEN COMUNICARSE CUANDO PROCEDA |
|
090 |
REQUISITO DE FONDOS PROPIOS ANTES DE LA MINORACIÓN POR PÉRDIDAS ESPERADAS, DIVERSIFICACIÓN Y TÉCNICAS DE REDUCCIÓN DEL RIESGO Los requisitos de fondos propios comunicados en la columna 090 serán los mismos de la columna 070, pero calculados sin tener en cuenta los efectos de la minoración por pérdidas esperadas, la diversificación y las técnicas de reducción del riesgo (véase a continuación). |
|
100 |
(-) MINORACIÓN DEL REQUISITO DE FONDOS PROPIOS DEBIDA A LAS PÉRDIDAS ESPERADAS RECOGIDAS EN LAS PRÁCTICAS EMPRESARIALES Se comunicará en la columna 100 la minoración de los requisitos de fondos propios debida a las pérdidas esperadas recogidas en las prácticas empresariales internas (tal como se indica en el artículo 322, apartado 2, letra a), del RRC). |
|
110 |
(-) MINORACIÓN DEL REQUISITO DE FONDOS PROPIOS DEBIDA A LA DIVERSIFICACIÓN El efecto de diversificación correspondiente a la columna 110 es la diferencia entre la suma de los requisitos de fondos propios calculados separadamente para cada categoría de riesgo operativo (es decir, en una situación de «dependencia perfecta») y los requisitos de fondos propios diversificados calculados teniendo en cuenta las correlaciones y dependencias (es decir, suponiendo que entre las categorías de riesgo no existe una «dependencia perfecta»). Esta situación de «dependencia perfecta» se produce en el «caso por defecto», es decir, cuando la entidad no utiliza una estructura de correlaciones explícitas entre las categorías de riesgo, por lo que los fondos propios con arreglo a los métodos avanzados de cálculo se calculan sumando las valoraciones individuales del riesgo operativo de las categorías de riesgo elegidas. En este caso, se presupondrá que la correlación entre las categorías de riesgo es del 100 %, por lo que el valor de esta columna será igual a cero. Por el contrario, cuando la entidad utilice una estructura de correlaciones explícitas entre las categorías de riesgo, deberá incluir en esta columna la diferencia entre los fondos propios calculados con arreglo a los métodos avanzados de cálculo según se contemplan en el «caso por defecto» y los resultantes de aplicar la estructura de correlaciones entre las categorías de riesgo. El valor indicado refleja el «potencial de diversificación» del modelo de métodos avanzados de cálculo, es decir, su capacidad para captar la presencia no simultánea de eventos que pudieran generar pérdidas importantes por riesgos operativos. En la columna 110 se comunicará el importe en el que la estructura de correlación adoptada reduce los fondos propios calculados según los métodos avanzados de cálculo, frente a la hipótesis de una correlación del 100 %. |
|
120 |
(-) MINORACIÓN DEL REQUISITO DE FONDOS PROPIOS DEBIDA A LAS TÉCNICAS DE REDUCCIÓN DEL RIESGO (SEGUROS Y OTROS MECANISMOS DE TRANSFERENCIA DE RIESGO) En la columna 120 se reflejarán los efectos de los seguros y otros mecanismos de trasferencia de riesgo, de acuerdo con el artículo 323, apartados 1 a 5, del RRC. |
|
Filas |
|
|
010 |
ACTIVIDADES BANCARIAS SUJETAS AL MÉTODO DEL INDICADOR BÁSICO En esta columna se anotarán los importes correspondientes a las actividades sujetas al método del indicador básico para el cálculo de los requisitos de fondos propios por riesgo operativo (artículos 315 y 316 del RRC). |
|
020 |
ACTIVIDADES BANCARIAS SUJETAS AL MÉTODO ESTÁNDAR O AL MÉTODO ESTÁNDAR ALTERNATIVO Se comunicarán los requisitos de fondos propios calculados con arreglo al método estándar y al método estándar alternativo (artículos 317 a 319 del RRC). |
|
030 — 100 |
SUJETAS AL MÉTODO ESTÁNDAR Cuando se utilice el método estándar, en las filas 030 a 100 se repartirá el indicador relevante de cada año entre las líneas de negocio definidas en el cuadro 2 del artículo 317 del RRC. La asignación de actividades a las líneas de negocio debe atenerse a los principios definidos en el artículo 318 del RRC. |
|
110 — 120 |
SUJETAS AL MÉTODO ESTÁNDAR ALTERNATIVO Las entidades que utilicen el método estándar alternativo (artículo 319 del RRC) comunicarán en las filas 030 a 050 y 080 a 100 el indicador relevante correspondiente a cada año, desglosado por líneas de negocio, y en las filas 110 y 120, desglosado entre las líneas de negocio «banca comercial» y «banca minorista». Las filas 110 y 120 reflejarán el importe del indicador relevante de las actividades sujetas al método estándar alternativo, debiéndose distinguir entre las pertenecientes a la línea de negocio «banca comercial» y a la línea de negocio «banca minorista» (artículo 319 del RRC). Pueden figurar importes relativos, respectivamente, a la «banca comercial» y a la «banca minorista» en las filas correspondientes a la aplicación del método estándar (filas 060 y 070) y en las filas 110 y 120, relativas al método estándar alternativo (p.ej., cuando una filial está sujeta al método estándar mientras que la entidad matriz lo está al método estándar alternativo). |
|
130 |
ACTIVIDADES BANCARIAS SUJETAS A LOS MÉTODOS AVANZADOS DE CÁLCULO Se comunicarán los datos correspondientes a las entidades que apliquen los métodos avanzados de cálculo (artículo 312, apartado 2, y artículos 321 a 323 del RRC). En caso de que se utilice una combinación de métodos distintos, como se indica en el artículo 314 del RRC, se comunicará la información sobre el indicador relevante para las actividades sujetas a los métodos avanzados de cálculo. Lo mismo es válido en lo que respecta a todos los demás bancos que apliquen los métodos avanzados de cálculo. |
4.2. RIESGO OPERATIVO: INFORMACIÓN DETALLADA SOBRE LAS PÉRDIDAS EN EL ÚLTIMO AÑO (OPR DETAILS)
4.2.1. Observaciones generales
120. En la plantilla C 17.01 (OPR DETAILS 1) se resume la información sobre las pérdidas brutas y las recuperaciones de pérdidas registradas por la entidad durante el último año, desglosadas por tipos de eventos y líneas de negocio. La plantilla C 17.02 (OPR DETAILS 2) ofrece información detallada sobre los eventos de mayores pérdidas en el último año.
121. Las pérdidas por riesgo operativo que estén relacionadas con el riesgo de crédito y sujetas a requisitos de fondos propios frente al riesgo de crédito (eventos de riesgo operativo adyacentes al riesgo de crédito) no se tienen en cuenta ni en la plantilla C 17.01 ni en la plantilla C 17.02.
122. En caso de que se utilice una combinación de métodos distintos para el cálculo de los requisitos de fondos propios por riesgo operativo con arreglo al artículo 314 del RRC, las pérdidas y las recuperaciones registradas por la entidad se consignarán en C 17.01 y C 17.02 con independencia del método aplicado para calcular los requisitos de fondos propios.
123. Por «pérdida bruta» se entiende una pérdida derivada de un evento o tipo de evento de riesgo operativo, según se contempla en el artículo 322, apartado 3, letra b), del RRC, antes de cualquier tipo de recuperación, sin perjuicio de los «eventos de pérdida de rápida recuperación» definidos a continuación.
124. Por «recuperación» se entiende un hecho independiente relacionado con la pérdida inicial por riesgo operativo y separado en el tiempo por el que se reciben fondos o entradas de recursos económicos de los propios interesados o de terceros, tales como aseguradoras u otras partes. Las recuperaciones se desglosan en recuperaciones procedentes de seguros y otros mecanismos de transferencia del riesgo y recuperaciones directas.
125. Por «eventos de pérdida de rápida recuperación» se entienden eventos de riesgo operativo que dan lugar a pérdidas que se recuperan, total o parcialmente, en un plazo de cinco días hábiles. En caso de evento de pérdida de rápida recuperación, la definición de «pérdida bruta» únicamente abarcará aquella parte de la pérdida que no se recupere por completo (es decir, la pérdida menos la recuperación rápida parcial). Por consiguiente, los eventos que den lugar a pérdidas que se recuperen por completo en el plazo de cinco días hábiles no estarán comprendidos en la definición de «pérdida bruta», ni tampoco se incluirán en la plantilla OPR DETAILS.
126. Por «fecha de contabilización» se entiende la fecha en que una pérdida o una reserva/provisión en relación con una pérdida por riesgo operativo se hayan reconocido por primera vez en el estado de resultados. Esta fecha es lógicamente posterior a la «fecha de ocurrencia» (es decir, la fecha en que se haya producido o se haya iniciado el evento de riesgo operativo) y a la «fecha de detección» (es decir, la fecha en que la entidad haya pasado a tener conocimiento del evento de riesgo operativo).
127. Se agruparán las pérdidas causadas por un evento común de riesgo operativo o causadas por eventos múltiples ligados a un evento inicial de riesgo operativo que genere eventos o pérdidas («evento raíz»). Los eventos agrupados se considerarán y comunicarán como si fueran uno solo y, por tanto, se sumarán los correspondientes importes de pérdidas brutas o los correspondientes importes de los ajustes de pérdidas, según proceda.
128. Las cifras comunicadas en junio serán cifras provisionales, en tanto que las comunicadas en diciembre serán cifras finales. Por consiguiente, las cifras de junio tendrán un período de referencia de seis meses (es decir, del 1 de enero al 30 de junio), en tanto que las de diciembre tendrán un período de referencia de doce meses (es decir, del 1 de enero al 31 de diciembre). Tanto en el caso de los datos notificados en junio como en el de los notificados en diciembre, se entenderá por «períodos de referencia anteriores» todos los períodos de referencia hasta el que finaliza al término del año natural anterior, este inclusive.
129. A fin de verificar las condiciones contempladas en el artículo 5, letra b), punto 2, letra b), inciso i), del presente Reglamento, las entidades utilizarán las últimas estadísticas que estén disponibles en la página web de la ABE «Supervisory Disclosure» para obtener «la suma de los totales de los balances individuales de todas las entidades del mismo Estado miembro». Con el fin de verificar las condiciones contempladas en el artículo 5, letra b), punto 2, letra b), inciso iii), se utilizará el producto interior bruto a precios de mercado, tal como se define en el punto 8.89 del anexo A del Reglamento (UE) n.o 549/2013 del Parlamento Europeo y del Consejo (SEC 2010) y que haya sido publicado por Eurostat para el año natural anterior.
4.2.2. C 17.01 — RIESGO OPERATIVO: PÉRDIDAS Y RECUPERACIONES POR LÍNEAS DE NEGOCIO Y TIPOS DE EVENTOS EN EL ÚLTIMO AÑO (OPR DETAILS 1)
4.2.2.1. Observaciones generales
130. En la plantilla C 17.01, la información se presenta repartiendo las pérdidas y recuperaciones que excedan de los umbrales internos entre las líneas de negocio (las enumeradas en el cuadro 2 del artículo 317 del RRC, además de la línea de negocio adicional «elementos corporativos» mencionada en el artículo 322, apartado 3, letra b), del RRC) y entre los tipos de evento (tal como se definen en el artículo 324 del RRC), de forma que las pérdidas correspondientes a un único evento pueden hallarse repartidas entre varias líneas de negocio.
131. En las columnas se reflejan los distintos tipos de eventos y los totales correspondientes a cada línea de negocio, junto con una partida pro memoria que contiene el umbral interno aplicado a la recogida de los datos sobre pérdidas, mostrando para cada línea de negocio los umbrales mínimo y máximo, cuando haya más de uno.
132. En las filas figuran las líneas de negocio y, dentro de cada una de dichas líneas, información sobre el número de eventos (nuevos eventos), el importe de pérdidas brutas (nuevos eventos), el número de eventos sujetos a ajustes de pérdidas, los ajustes de pérdidas relativos a periodos de referencia anteriores, la máxima pérdida unitaria, la suma de las cinco mayores pérdidas y el total de recuperación de pérdidas (recuperaciones directas y recuperaciones procedentes de los seguros y otros mecanismos de transferencia de riesgo).
133. En lo que respecta al total de las líneas de negocio, se solicitan también los datos correspondientes al número de eventos y al importe de pérdidas brutas dentro de determinados intervalos basados en una serie de umbrales, a saber: 10 000 , 20 000 , 100 000 y 1 000 000 ). Los umbrales se fijan como importes en euros y se incluyen con fines de comparabilidad entre entidades de las pérdidas comunicadas; en consecuencia, no están necesariamente vinculados con los umbrales mínimos utilizados para la recogida de datos sobre pérdidas a nivel interno, los cuales deben indicarse en otra sección de la plantilla.
4.2.2.2. Instrucciones relativas a posiciones concretas
|
Columnas |
|
|
010 — 070 |
TIPOS DE EVENTOS Las entidades comunicarán las pérdidas en las columnas que correspondan, de la 010 a la 070, en función de los tipos de eventos definidos en el artículo 324 del RRC. Las entidades que calculen sus requisitos de fondos propios aplicando el método del indicador básico solo podrán comunicar las pérdidas cuyo tipo de evento no se haya identificado en la columna 080. |
|
080 |
TOTAL DE LOS TIPOS DE EVENTOS En la columna 080, por cada línea de negocio, las entidades comunicarán los totales correspondientes al número de eventos (nuevos eventos), al importe de pérdidas brutas (nuevos eventos), al número de eventos sujetos a ajustes de pérdidas y a los ajustes de pérdidas relativos a periodos de referencia anteriores, la máxima pérdida unitaria, la suma de las cinco mayores pérdidas, la suma de los totales de recuperaciones directas de pérdidas y la suma de los totales de recuperaciones procedentes de los seguros y otros mecanismos de transferencia de riesgo. Siempre y cuando la entidad haya identificado los tipos de evento en relación con todas las pérdidas, la columna 080 muestra la simple agregación del número de eventos de pérdida, los importes totales de pérdidas brutas, los importes totales de recuperación de pérdidas y los ajustes de pérdidas relativos a períodos de referencia anteriores comunicados en las columnas 010 a 070. La «Máxima pérdida unitaria» de la columna 080 será la mayor pérdida unitaria dentro de una línea de negocio y será igual a la mayor de las máximas pérdidas unitarias comunicadas en las columnas 010 a 070, siempre que la entidad haya identificado los tipos de evento en relación con todas las pérdidas. En cuanto a la suma de las cinco mayores pérdidas, en la columna 080 se comunicará la suma correspondiente a cada línea de negocio. |
|
090 — 100 |
PRO MEMORIA: UMBRAL APLICADO A LA RECOGIDA DE DATOS Las entidades comunicarán en las columnas 090 y 100 los umbrales de pérdidas mínimos que utilicen para la recopilación de datos internos de pérdidas, de conformidad con el artículo 322, apartado 3, letra c), última frase, del RRC. Si la entidad aplica únicamente un umbral por cada línea de negocio, rellenará solo la columna 090. En caso de que aplique distintos umbrales dentro de la misma línea de negocio a efectos reglamentarios, se comunicará también el mayor de los umbrales aplicados (columna 100). |
|
Filas |
|
|
010 — 880 |
LÍNEAS DE NEGOCIO: FINANCIACIÓN EMPRESARIAL, NEGOCIACIÓN Y VENTAS, INTERMEDIACIÓN MINORISTA, BANCA COMERCIAL, BANCA MINORISTA, PAGO Y LIQUIDACIÓN, SERVICIOS DE AGENCIA, GESTIÓN DE ACTIVOS, ELEMENTOS CORPORATIVOS La entidad deberá comunicar, por cada una de las líneas de negocio definidas en el cuadro 2 del artículo 317, apartado 4, del RRC, así como la línea «Elementos corporativos» mencionada en el artículo 322, apartado 3, letra b), del RRC, y por cada tipo de evento, la siguiente información en función de los diferentes umbrales internos: número de eventos (nuevos eventos), importe de pérdidas brutas (nuevos eventos), número de eventos sujetos a ajustes de pérdidas, ajustes de pérdidas relativos a periodos de referencia anteriores, máxima pérdida unitaria, suma de las cinco mayores pérdidas, total de recuperaciones directas de pérdidas y total de recuperaciones procedentes de seguros y otros mecanismos de transferencia de riesgo. Cuando un evento de pérdida afecte a más de una línea de negocio, el «Importe de pérdidas brutas» se repartirá entre todas las líneas de negocio afectadas. Las entidades que calculen sus requisitos de fondos propios aplicando el método del indicador básico solo podrán comunicar las pérdidas con respecto a las cuales no se haya identificado la línea de negocio en las filas 910-980. |
|
010, 110, 210, 310, 410, 510, 610, 710, 810 |
Número de eventos (nuevos eventos) Se trata del número de eventos de riesgo operativo en relación con los cuales se hayan contabilizado pérdidas brutas en el período de referencia. El número de eventos se referirá a «nuevos eventos», es decir, los eventos de riesgo operativo i) «contabilizados por primera vez» dentro del período de referencia, o ii) «contabilizados por primera vez» dentro de un período de referencia anterior, si no se habían incluido en ningún informe de supervisión anterior; por ejemplo, porque se han identificado como eventos de riesgo operativo únicamente en el período de referencia corriente o porque la pérdida acumulada atribuible a ese evento (es decir, la pérdida inicial más/menos todos los ajustes de pérdidas realizados en los períodos de referencia anteriores) solo ha superado el umbral para la recopilación de datos internos en el período de referencia corriente. No se incluirán en los «nuevos eventos» los eventos de riesgo operativo «contabilizados por primera vez» en un período de referencia anterior que ya se hayan integrado en informes de supervisión previos. |
|
020, 120, 220, 320, 420, 520, 620, 720, 820 |
Importe de pérdidas brutas (nuevos eventos) Se trata del importe de pérdidas brutas pertinente en lo que respecta a los eventos de riesgo operativo (por ejemplo, gastos directos, provisiones, liquidaciones). Todas las pérdidas relacionadas con un único evento que se contabilicen en el período de referencia se agregarán y considerarán la pérdida bruta de ese evento en el período de referencia en cuestión. El importe de pérdidas brutas comunicado se referirá a los nuevos eventos tal como se definen en la fila anterior. Por lo que respecta a los eventos «contabilizados por primera vez» dentro de un período de referencia anterior que no se hayan incluido en ningún informe de supervisión previo, la pérdida total acumulada hasta la fecha de referencia de la información (es decir, la pérdida inicial más/menos todos los ajustes de pérdidas realizados en anteriores períodos de referencia) se consignará como pérdida bruta en la fecha de referencia de la información. Los importes que deben indicarse no tendrán en cuenta las recuperaciones obtenidas. |
|
030, 130, 230, 330, 430, 530, 630, 730, 830 |
Número de eventos de pérdida sujetos a ajustes de pérdidas El número de eventos de pérdida sujetos a ajustes de pérdidas es el número de eventos de riesgo operativo «contabilizados por primera vez» en períodos de referencia anteriores y ya incluidos en informes anteriores, en relación con los cuales se hayan realizado ajustes de pérdidas en el período de referencia corriente. Si se han realizado varios ajustes en relación con un mismo evento dentro del período de referencia, la suma de tales ajustes de pérdidas se contabilizará como un solo ajuste en el período. |
|
040, 140, 240, 340, 440, 540, 640, 740, 840 |
Ajustes de pérdidas relativos a períodos de referencia anteriores Los ajustes de pérdidas relativos a períodos de referencia anteriores serán iguales a la suma de los siguientes elementos (positivos o negativos): i) El importe de pérdidas brutas pertinente en lo que respecta a los ajustes de pérdidas positivos efectuados en el período de referencia (por ejemplo, aumento de provisiones, eventos de pérdida vinculados, liquidaciones adicionales) en eventos de riesgo operativo «contabilizados por primera vez» y comunicados en anteriores períodos de referencia. ii) El importe de pérdidas brutas pertinente en lo que respecta a los ajustes de pérdidas negativos efectuados en el período de referencia (por ejemplo, a raíz de la disminución de provisiones) en eventos de riesgo operativo «contabilizados por primera vez» y comunicados en anteriores períodos de referencia. Si se han realizado varios ajustes en relación con un mismo evento dentro del período de referencia, se sumarán los importes de todos esos ajustes de pérdidas, teniendo en cuenta su signo (positivo o negativo). Esta suma se contabilizará como el ajuste de pérdidas de ese evento en dicho período de referencia. Si, debido a un ajuste de pérdidas negativo, el importe ajustado de pérdidas atribuible a un evento pasa a situarse por debajo del umbral para la recopilación de datos internos de la entidad, esta comunicará el importe total de pérdidas correspondiente a ese evento acumulado hasta la última vez que se notificara el evento en una fecha de referencia de diciembre (es decir, la pérdida inicial más/menos todos los ajustes de pérdidas realizados en períodos de referencia anteriores) con un signo negativo, en lugar del importe del ajuste negativo en sí mismo. Los importes que deben indicarse no tendrán en cuenta las recuperaciones obtenidas. |
|
050, 150, 250, 350, 450, 550, 650, 750, 850 |
Máxima pérdida unitaria La máxima pérdida unitaria será el más elevado de los dos importes siguientes: i) el mayor importe de pérdidas brutas ligado a un evento que se comunique por primera vez en el período de referencia, o ii) el ajuste de pérdidas positivo más elevado ligado a un evento que se haya comunicado por primera vez en un período de referencia anterior. Los importes que deben indicarse no tendrán en cuenta las recuperaciones obtenidas. |
|
060, 160, 260, 360, 460, 560, 660, 760, 860 |
Suma de las cinco mayores pérdidas La suma de las cinco mayores pérdidas será la suma de los cinco importes más elevados de entre: i) los importes de pérdidas brutas ligados a eventos que se comuniquen por primera vez en el período de referencia, o ii) los importes de los ajustes de pérdidas positivos (tal como se definen más arriba en relación con las filas 040, 140, 240, 340, etc.) ligados a eventos que se hayan comunicado por primera vez en un período de referencia anterior. Solo podrá considerarse uno de los cinco mayores el importe del ajuste de pérdidas en sí mismo, y no la pérdida total asociada al correspondiente evento antes o después del ajuste de pérdidas. Los importes que deben indicarse no tendrán en cuenta las recuperaciones obtenidas. |
|
070, 170, 270, 370, 470, 570, 670, 770, 870 |
Total de recuperaciones directas de pérdidas Son recuperaciones directas todas las recuperaciones obtenidas, excepto las que están sujetas al artículo 323 del RRC, que se recogen en la fila siguiente. El total de recuperaciones directas de pérdidas será la suma de todas las recuperaciones directas y los ajustes de recuperaciones directas contabilizados en el período de referencia y que resulten pertinentes en lo que respecta a los eventos de riesgo operativo contabilizados por primera vez durante el período de referencia o en períodos de referencia anteriores. |
|
080, 180, 280, 380, 480, 580, 680, 780, 880 |
Total de recuperaciones procedentes de seguros y otros mecanismos de transferencia de riesgo Las recuperaciones procedentes de seguros y otros mecanismos de transferencia de riesgo son las recuperaciones que están sujetas a lo dispuesto en el artículo 323 del RRC. El total de recuperaciones procedentes de seguros y otros mecanismos de transferencia de riesgo será la suma de todas las recuperaciones procedentes de seguros y otros mecanismos de transferencia de riesgo y de los ajustes de dichas recuperaciones contabilizados en el período de referencia y que resulten pertinentes en lo que respecta a los eventos de riesgo operativo contabilizados por primera vez durante el período de referencia o en períodos de referencia anteriores. |
|
910 — 980 |
TOTAL DE LAS LÍNEAS DE NEGOCIO Por cada tipo de evento (columnas 010 a 080) se deberá comunicar la información relativa al total de las líneas de negocio, con arreglo al artículo 322, apartado 3, letras b), c) y e), del RRC. |
|
910 — 914 |
Número de eventos En la fila 910 se indicará el número de eventos que superan el umbral interno, por tipos de evento, para el total de las líneas de negocio. Esta cifra podrá ser inferior a la suma del número de eventos por línea de negocio, puesto que los eventos con efectos múltiples (con efectos sobre diferentes líneas de negocio) deben considerarse un único evento. Podrá ser más elevada, si una entidad que calcule sus requisitos de fondos propios con arreglo al método del indicador básico no puede determinar la línea o líneas de negocio afectadas por la pérdida en todos los casos. En las filas 911-914 se indicará el número de eventos con un importe de pérdidas brutas comprendido en los intervalos definidos en las pertinentes filas. Siempre que la entidad haya asignado la totalidad de sus pérdidas a una línea de negocio de las enumeradas en el cuadro 2 del artículo 317, apartado 4, del RRC o a la línea de negocio «elementos corporativos» mencionada en el artículo 322, apartado 3, letra b), del RRC, y/o haya determinado los tipos de eventos en relación con todas las pérdidas, se aplicará lo siguiente en la columna 080: — El número total de eventos consignado en las filas 910 a 914 será igual a la suma horizontal del número de eventos de la fila correspondiente, dado que en estas cifras ya se han tenido en cuenta, como si fueran uno solo, los eventos que afectan a diferentes líneas de negocio. — La cifra indicada en la columna 080, fila 910, no tendrá que coincidir necesariamente con la suma vertical del número de eventos de la columna 080, dado que un único evento puede afectar al mismo tiempo a diferentes líneas de negocio. |
|
920 — 924 |
Importe de pérdidas brutas (nuevos eventos) Siempre que la entidad haya asignado la totalidad de sus pérdidas a una línea de negocio de las enumeradas en el cuadro 2 del artículo 317, apartado 4, del RRC o a la línea de negocio «elementos corporativos» mencionada en el artículo 322, apartado 3, letra b), del RRC, el importe de pérdidas brutas (nuevos eventos) consignado en la fila 920 corresponderá a la agregación simple de los importes de pérdidas brutas de nuevos eventos en cada línea de negocio. En las filas 921-914 se indicará el importe de pérdidas brutas en relación con los eventos cuyo importe de pérdidas brutas esté comprendido en los intervalos definidos en las pertinentes filas. |
|
930, 935, 936 |
Número de eventos de pérdida sujetos a ajustes de pérdidas En la línea 930, se consignará el número total de eventos sujetos a ajustes de pérdidas, tal como se definen en las filas 030, 130, …, 830. Esta cifra podrá ser inferior a la suma del número de eventos sujetos a ajustes de pérdidas por línea de negocio, puesto que los eventos con efectos múltiples (con efectos sobre diferentes líneas de negocio) deben considerarse un único evento. Podrá ser más elevada, si una entidad que calcule sus requisitos de fondos propios con arreglo al método del indicador básico no puede determinar la línea o líneas de negocio afectadas por la pérdida en todos los casos. El número de eventos de pérdida sujetos a ajustes de pérdidas se desglosará en el número de eventos en relación con los cuales se haya realizado un ajuste de pérdidas positivo en el período de referencia y el número de eventos en relación con los cuales se haya realizado un ajuste de pérdidas negativo en el período de referencia (comunicados todos con signo positivo). |
|
940, 945, 946 |
Ajustes de pérdidas relativos a períodos de referencia anteriores En la línea 940, se consignará el importe total de los ajustes de pérdidas relativos a períodos de referencia anteriores por líneas de negocio, tal como se definen en las filas 040, 140, …, 840. Siempre que la entidad haya asignado la totalidad de sus pérdidas a una línea de negocio de las enumeradas en el cuadro 2 del artículo 317, apartado 4, del RRC o a la línea de negocio «elementos corporativos» mencionada en el artículo 322, apartado 3, letra b), del RRC, el importe consignado en la fila 940 corresponderá a la agregación simple de los ajustes de pérdidas relativos a períodos de referencia anteriores comunicados en relación con las distintas líneas de negocio. El importe de los ajustes de pérdidas se desglosará en el importe correspondiente a los eventos en relación con los cuales se haya realizado un ajuste de pérdidas positivo en el período de referencia (fila 945, comunicado como cifra positiva) y el importe correspondiente a los eventos en relación con los cuales se haya realizado un ajuste de pérdidas negativo en el período de referencia (fila 946, comunicado como cifra negativa). Si, debido a un ajuste de pérdidas negativo, el importe ajustado de pérdidas atribuible a un evento pasa a situarse por debajo del umbral para la recopilación de datos internos de la entidad, esta comunicará el importe total de pérdidas correspondiente a ese evento acumulado hasta la última vez que se notificara el evento en una fecha de referencia de diciembre (es decir, la pérdida inicial más/menos todos los ajustes de pérdidas realizados en períodos de referencia anteriores) con signo negativo en la fila 946, en lugar del importe del ajuste negativo en sí mismo. |
|
950 |
Máxima pérdida unitaria Siempre que la entidad haya asignado la totalidad de sus pérdidas a una línea de negocio de las enumeradas en el cuadro 2 del artículo 317, apartado 4, del RRC o a la línea de negocio «elementos corporativos» mencionada en el artículo 322, apartado 3, letra b), del RRC, la máxima pérdida unitaria corresponderá a la pérdida máxima por encima del umbral interno en cada tipo de evento y entre todas las líneas de negocio. Estas cifras podrán ser superiores a la pérdida unitaria máxima registrada por cada línea de negocio, en caso de que un evento afecte a varias líneas de negocio. Siempre que la entidad haya asignado la totalidad de sus pérdidas a una línea de negocio de las enumeradas en el cuadro 2 del artículo 317, apartado 4, del RRC o a la línea de negocio «elementos corporativos» mencionada en el artículo 322, apartado 3, letra b), del RRC, y/o haya determinado los tipos de eventos en relación con todas las pérdidas, se aplicará lo siguiente en la columna 080: — La máxima pérdida unitaria comunicada será igual al mayor de los valores consignados en las columnas 010 a 070 de la fila. — Si hay eventos que inciden en diferentes líneas de negocio, el importe comunicado en {r950, c080} podrá ser superior a los importes de la «máxima pérdida unitaria» por línea de negocio consignados en otras filas de la columna 080. |
|
960 |
Suma de las cinco mayores pérdidas Se comunicará aquí la suma de las cinco mayores pérdidas brutas por cada tipo de evento y entre todas las líneas de negocio. Esta suma podrá ser superior a la suma más elevada de las cinco mayores pérdidas registradas por cada línea de negocio. Esta suma debe comunicarse sea cual fuere el número de pérdidas. Siempre que la entidad haya asignado la totalidad de sus pérdidas a una línea de negocio de las enumeradas en el cuadro 2 del artículo 317, apartado 4, del RRC o a la línea de negocio «elementos corporativos» mencionada en el artículo 322, apartado 3, letra b), del RRC, o haya determinado los tipos de eventos en relación con todas las pérdidas, en la columna 080, la suma de las cinco mayores pérdidas será la suma de las cinco mayores pérdidas de toda la matriz, lo que significa que no necesariamente será igual ni al valor máximo de la «suma de las cinco mayores pérdidas» de la fila 960, ni al valor máximo de la «suma de las cinco mayores pérdidas» de la columna 080. |
|
970 |
Total de recuperaciones directas de pérdidas Siempre que la entidad haya asignado la totalidad de sus pérdidas a una línea de negocio de las enumeradas en el cuadro 2 del artículo 317, apartado 4, del RRC o a la línea de negocio «elementos corporativos» mencionada en el artículo 322, apartado 3, letra b), del RRC, el total de recuperaciones directas de pérdidas corresponderá a la agregación simple del total de recuperaciones directas de pérdidas en cada línea de negocio. |
|
980 |
Total de recuperaciones procedentes de seguros y otros mecanismos de transferencia de riesgo Siempre que la entidad haya asignado la totalidad de sus pérdidas a una línea de negocio de las enumeradas en el cuadro 2 del artículo 317, apartado 4, del RRC o a la línea de negocio «elementos corporativos» mencionada en el artículo 322, apartado 3, letra b), del RRC, el total de recuperaciones procedentes de seguros y otros mecanismos de transferencia de riesgo corresponderá a la agregación simple del total de recuperaciones de pérdidas procedentes de seguros y otros mecanismos de transferencia de riesgo en cada línea de negocio. |
4.2.3. C 17.02 — Riesgo operativo: Información detallada sobre los eventos de mayores pérdidas en el último año (OPR DETAILS 2)
4.2.3.1. Observaciones generales
134. En la plantilla C 17.02, se ofrecerá información sobre los eventos de pérdida concretos (una fila por evento).
135. La información presentada en esta plantilla se referirá a «nuevos eventos», es decir, los eventos de riesgo operativo
a) «contabilizados por primera vez» dentro del período de referencia, o
b) «contabilizados por primera vez» dentro de un período de referencia anterior, si no se habían incluido en ningún informe de supervisión anterior; por ejemplo, porque se han identificado como eventos de riesgo operativo únicamente en el período de referencia corriente o porque la pérdida acumulada atribuible a ese evento (es decir, la pérdida inicial más/menos todos los ajustes de pérdidas realizados en los períodos de referencia anteriores) solo ha superado el umbral para la recopilación de datos internos en el período de referencia corriente.
136. Se comunicarán únicamente los eventos que impliquen una pérdida bruta de 100 000 EUR o más.
Con sujeción a dicho umbral, se incluirán en la plantilla:
a) el mayor evento por cada tipo de evento, siempre que la entidad haya identificado los tipos de eventos en relación con las pérdidas, y
b) al menos los diez mayores de los restantes eventos con o sin tipo de evento identificado por importe de pérdida bruta.
c) Los eventos se ordenarán en función de la pérdida bruta que se les atribuye.
d) Un evento solo se tendrá en cuenta una vez.
4.2.3.2. Instrucciones relativas a posiciones concretas
|
Columnas |
|
|
010 |
Identificador del evento El identificador del evento es un identificador de la fila y debe ser único para cada fila del cuadro. Cuando las entidades dispongan de un identificador interno, será ese el que indicarán. En los demás casos, el identificador consignado seguirá el orden numérico 1, 2, 3, etc. |
|
020 |
Fecha de contabilización Por «fecha de contabilización» se entiende la fecha en que una pérdida o una reserva/provisión en relación con una pérdida por riesgo operativo se hayan reconocido por primera vez en el estado de resultados. |
|
030 |
Fecha de ocurrencia Se trata de la fecha en que haya ocurrido o se haya iniciado por primera vez el evento de riesgo operativo. |
|
040 |
Fecha de detección Se trata de la fecha en que la entidad haya tenido conocimiento del evento de riesgo operativo. |
|
050 |
Tipo de evento Tipos de eventos definidos en el artículo 324 del RRC. |
|
060 |
Pérdida bruta Pérdida bruta relacionada con el evento tal como se define a efectos de las filas 020, 120, etc. de la anterior plantilla C 17.01. |
|
070 |
Pérdida bruta menos recuperaciones directas Pérdida bruta relacionada con el evento, tal como se define a efectos de las filas 020, 120, etc. de la anterior plantilla C 17.01, menos las recuperaciones directas pertinentes para tal pérdida. |
|
080 — 160 |
Pérdida bruta por línea de negocio La pérdida bruta consignada en la columna 060 se asignará a las líneas de negocio pertinentes tal como se definen en el artículo 317 y el artículo 322, apartado 3, letra b), del RRC. |
|
170 |
Nombre de la entidad jurídica Nombre de la entidad jurídica, tal como se haya indicado en la columna 010 de la plantilla C 06.02, en la que se haya producido la pérdida, o la mayor parte de ella, en caso de que se hayan visto afectadas varias entidades. |
|
180 |
Identificador de entidad jurídica Código LEI de la entidad jurídica, tal como se haya indicado en la columna 025 de la plantilla C 06.02, en la que se haya producido la pérdida, o la mayor parte de ella, en caso de que se hayan visto afectadas varias entidades. |
|
190 |
Unidad de negocio Unidad de negocio o división empresarial de la entidad en la que se haya producido la pérdida, o la mayor parte de ella, en caso de que se hayan visto afectadas varias unidades de negocio o divisiones empresariales. |
|
200 |
Descripción Reseña descriptiva del evento, en caso necesario de forma genérica o anonimizada, que debe incluir, al menos, información sobre el propio evento e información sobre las causas o los factores desencadenantes del mismo, si se conocen. |
5. PLANTILLAS REFERENTES AL RIESGO DE MERCADO
137. Estas instrucciones corresponden a las plantillas para la comunicación del cálculo de los requisitos de fondos propios con arreglo al método estándar para el riesgo de tipo de cambio (MKR SA FX), el riesgo de materias primas (MKR SA COM), el riesgo de tipo de interés (MKR SA TDI, MKR SA SEC, MKR SA CTP) y el riesgo de renta variable (MKR SA EQU). Se incluyen también en esta sección instrucciones para la plantilla en la que se comunica el cálculo de los requisitos de fondos propios con arreglo al método de modelos internos (MKR IM).
138. El riesgo de posición inherente a un instrumento de deuda negociable o a un instrumento de patrimonio (o instrumentos derivados de estos) se dividirá en dos componentes para calcular el requisito de capital al respecto. El primero de dichos componentes será el riesgo específico, que es el riesgo de que se produzca una variación del precio del instrumento de que se trate por causas relacionadas bien con su emisor, bien con el emisor de su instrumento subyacente, si se trata de un instrumento derivado. El segundo componente cubrirá el riesgo general, que es el que se deriva de toda modificación del precio del instrumento debida (en el caso de instrumentos de deuda negociables o de derivados de estos) a una variación del nivel de los tipos de interés o (cuando se trata de instrumentos de patrimonio o de instrumentos derivados de estos) a un movimiento más amplio registrado en el mercado de valores y no imputable a determinadas características específicas de los valores de que se trate. El tratamiento general de los instrumentos concretos y los procedimientos de compensación están recogidos en los artículos 326 a 333 del RRC.
5.1. C 18.00 — RIESGO DE MERCADO: MÉTODO ESTÁNDAR PARA LOS RIESGOS DE POSICIÓN EN LOS INSTRUMENTOS DE DEUDA NEGOCIABLES (MKR SA TDI)
5.1.1. Observaciones generales
139. Esta plantilla recoge las posiciones y los correspondientes requisitos de fondos propios para los riesgos de posición en instrumentos de deuda negociables con arreglo al método estándar (artículo 102 y artículo 105, apartado 1, del RRC). Los distintos riesgos y métodos disponibles con arreglo al RRC se analizan por filas. El riesgo específico asociado a las exposiciones incluidas en MKR SA SEC y MKR SA CTP únicamente deberá comunicarse en la plantilla Total MKR SA TDI. Los requisitos de fondos propios comunicados en estas plantillas se transferirán a las celdas {325;060} (titulizaciones) y {330;060} (cartera de negociación de correlación), respectivamente.
140. La plantilla deberá cumplimentarse por separado para el «Total», más una lista predefinida de las siguientes monedas: EUR, ALL, BGN, CZK, DKK, EGP, GBP, HRK, HUF, ISK, JPY, MKD, NOK, PLN, RON, RUB, RSD, SEK, CHF, TRY, UAH, USD, cumplimentándose una plantilla residual para todas las demás divisas.
5.1.2. Instrucciones relativas a posiciones concretas
|
Columnas |
|
|
010 — 020 |
TODAS LAS POSICIONES (LARGAS Y CORTAS) Artículo 102 y artículo 105, apartado 1, del RRC. Son posiciones brutas no compensadas por instrumentos pero deducidas las posiciones de aseguramiento ya suscritas o reaseguradas por terceros (segunda frase del artículo 345 del RRC). En cuanto a la distinción entre las posiciones largas y cortas, también aplicable a estas posiciones brutas, véase el artículo 328, apartado 2, del RRC. |
|
030 — 040 |
POSICIONES NETAS (LARGAS Y CORTAS) Artículos 327 a 329 y 334 del RRC. En cuanto a la distinción entre las posiciones largas y cortas, véase el artículo 328, apartado 2, del RRC. |
|
050 |
POSICIONES SUJETAS A EXIGENCIA DE CAPITAL Posiciones netas que, en función de los distintos métodos considerados en la parte tercera, título IV, capítulo 2, del RRC, tienen una exigencia de capital. |
|
060 |
REQUISITOS DE FONDOS PROPIOS Exigencia de capital para cualquier posición pertinente con arreglo a la parte tercera, título IV, capítulo 2, del RRC. |
|
070 |
TOTAL DE LA EXPOSICIÓN AL RIESGO Artículo 92, apartado 4, letra b), del RRC. Resultado de la multiplicación de los requisitos de fondos propios por 12,5. |
|
Filas |
|
|
010 — 350 |
INSTRUMENTOS DE DEUDA NEGOCIABLES EN LA CARTERA DE NEGOCIACIÓN Las posiciones en instrumentos de deuda negociables en la cartera de negociación y sus correspondientes requisitos de fondos propios por riesgo de posición con arreglo al artículo 92, apartado 3, letra b), inciso i), del RRC y a la parte tercera, título IV, capítulo 2, del RRC se comunicarán dependiendo de la categoría de riesgo, el vencimiento y el método empleado. |
|
011 |
RIESGO GENERAL |
|
012 |
Derivados Derivados incluidos en el cálculo del riesgo de tipo de interés de las posiciones de la cartera de negociación, teniendo en cuenta los artículos 328 a 331, si procede. |
|
013 |
Otros activos y pasivos Instrumentos distintos de los derivados incluidos en el cálculo del riesgo de tipo de interés de las posiciones de la cartera de negociación. |
|
020 — 200 |
MÉTODO BASADO EN EL VENCIMIENTO Posiciones en instrumentos de deuda negociables a las que se aplique el método basado en el vencimiento, con arreglo al artículo 339, apartados 1 a 8, del RRC, y los correspondientes requisitos de fondos propios establecidos en el artículo 339, apartado 9, del RRC. La posición se dividirá por zonas, 1, 2 y 3, y estas, a su vez, en función del vencimiento de los instrumentos. |
|
210 — 240 |
RIESGO GENERAL. MÉTODO BASADO EN LA DURACIÓN Posiciones en instrumentos de deuda negociables a las que se aplique el método basado en la duración, con arreglo al artículo 340, apartados 1 a 6, del RRC, y los correspondientes requisitos de fondos propios establecidos en el artículo 340, apartado 7. La posición se dividirá por zonas: 1, 2 y 3. |
|
250 |
RIESGO ESPECÍFICO Suma de los importes comunicados en las filas 251, 325 y 330. Posiciones en instrumentos de deuda negociables sujetas a la exigencia de capital por riesgo específico, y su correspondiente exigencia de capital conforme al artículo 92, apartado 3, letra b), el artículo 335, el artículo 336, apartados 1 a 3, y los artículos 337 y 338 del RRC. Téngase también en cuenta la última frase del artículo 327, apartado 1, del RRC. |
|
251 — 321 |
Requisito de fondos propios para instrumentos de deuda no consistentes en titulizaciones Suma de los importes comunicados en las filas 260 a 321. El requisito de fondos propios de los derivados de crédito de n-ésimo impago no calificados externamente debe computarse sumando las ponderaciones de riesgo de los entes de referencia (artículo 332, apartado 1, letra e), párrafos primero y segundo, del RRC: «método de transparencia»). Los derivados de crédito de n-ésimo impago calificados externamente (artículo 332, apartado 1, letra e), párrafo tercero, del RRC) se comunicarán por separado en la línea 321. Comunicación de las posiciones sujetas al artículo 336, apartado 3, del RRC: Hay un tratamiento especial para los bonos que puedan recibir una ponderación de riesgo del 10 % en la cartera bancaria con arreglo al artículo 129, apartado 3, del RRC (bonos garantizados). Los requisitos específicos de fondos propios equivalen a la mitad del porcentaje de la segunda categoría del cuadro 1 del artículo 336 del RRC. Esas posiciones deben asignarse a las filas 280 a 300, de acuerdo con el plazo residual hasta el vencimiento final. Si el riesgo general de las posiciones en tipos de interés está cubierto mediante un derivado de crédito, se aplicarán los artículos 346 y 347. |
|
325 |
Requisito de fondos propios para instrumentos de titulización Requisitos de fondos propios totales comunicados en la columna 610 de la plantilla MKR SA SEC. Sólo se comunicarán en el Total de MKR SA TDI. |
|
330 |
Requisito de fondos propios para la cartera de negociación de correlación Requisitos de fondos propios totales comunicados en la columna 450 de la plantilla MKR SA CTP. Sólo se comunicarán en el Total de MKR SA TDI. |
|
350 — 390 |
REQUISITOS ADICIONALES PARA OPCIONES (RIESGOS DISTINTOS DE DELTA) Artículo 329, apartado 3, del RRC. Los requisitos adicionales para las opciones correspondientes a riesgos distintos de delta se comunicarán con arreglo al método empleado para su cálculo. |
5.2. C 19.00 — RIESGO DE MERCADO: MÉTODO ESTÁNDAR PARA EL RIESGO ESPECÍFICO EN TITULIZACIONES (MKR SA SEC)
5.2.1. Observaciones generales
141. Esta plantilla recoge información sobre las posiciones (todas/netas y largas/cortas) y los correspondientes requisitos de fondos propios para el componente de riesgo específico del riesgo de posición en titulizaciones y retitulizaciones en la cartera de negociación (no admisibles para la cartera de negociación de correlación) con arreglo al método estándar.
142. La plantilla MKR SA SEC determina el requisito de fondos propios solo para el riesgo específico de las posiciones de titulización con arreglo al artículo 335 en relación con el artículo 337 del RRC. Si las posiciones de titulización de la cartera de negociación están cubiertas mediante derivados de crédito, se aplicarán los artículos 346 y 347. Solo hay una plantilla para todas las posiciones de la cartera de negociación, con independencia de que la entidad emplee el método estándar o el método basado en calificaciones internas (IRB) para determinar la ponderación de riesgo de cada posición con arreglo a la parte tercera, título II, capítulo 5, del RRC. La comunicación de los requisitos de fondos propios para el riesgo general de estas posiciones se realizará mediante las plantillas MKR SA TDI o MKR IM.
143. Alternativamente, las posiciones que reciban una ponderación de riesgo del 1 250 % podrán deducirse del capital ordinario de nivel 1 (véanse el artículo 243, apartado 1, letra b), el artículo 244, apartado 1, letra b), y el artículo 258 del RRC). En tal caso, esas posiciones deberán consignarse en la fila 460 de la plantilla CA1.
5.2.2. Instrucciones relativas a posiciones concretas
|
Columnas |
|
|
010 — 020 |
TODAS LAS POSICIONES (LARGAS Y CORTAS) Artículo 102 y artículo 105, apartado 1, en conexión con el artículo 337 del RRC (posiciones de titulización). En cuanto a la distinción entre las posiciones largas y cortas, también aplicable a estas posiciones brutas, véase el artículo 328, apartado 2, del RRC. |
|
030 — 040 |
(-) POSICIONES DEDUCIDAS DE LOS FONDOS PROPIOS (LARGAS Y CORTAS) Artículo 258 del RRC. |
|
050 — 060 |
POSICIONES NETAS (LARGAS Y CORTAS) Artículos 327 a 329 y 334 del RRC. En cuanto a la distinción entre las posiciones largas y cortas, véase el artículo 328, apartado 2, del RRC. |
|
070 — 520 |
DESGLOSE DE LAS POSICIONES NETAS CON ARREGLO A LAS PONDERACIONES DE RIESGO Artículo 251 (cuadro 1) y artículo 261, apartado 1 (cuadro 4), del RRC. El desglose debe realizarse de forma separada para las posiciones largas y cortas. |
|
230 — 240 y 460 — 470 |
1 250 % Artículo 251 (cuadro 1) y artículo 261, apartado 1 (cuadro 4), del RRC. |
|
250 — 260 y 480 — 490 |
MÉTODO BASADO EN LA FÓRMULA SUPERVISORA Artículo 337, apartado 2, en conexión con el artículo 262 del RRC. Estas columnas se cumplimentarán cuando la entidad utilice el método alternativo basado en la fórmula supervisora, que determina los requisitos de fondos propios en función de las características del conjunto de garantías reales y las propiedades contractuales del tramo. |
|
270 y 500 |
ENFOQUE DE TRANSPARENCIA Método estándar: artículos 253 y 254 y artículo 256, apartado 5, del RRC. Las columnas correspondientes al enfoque de transparencia comprenden todos los casos de exposiciones no calificadas en las que la ponderación de riesgo se obtiene de la cartera subyacente de exposiciones (ponderación de riesgo media del conjunto de exposiciones, ponderación de riesgo más elevada del conjunto de exposiciones o uso de una ratio de concentración). Método IRB: artículo 263, apartados 2 y 3, del RRC. Para las amortizaciones anticipadas, véanse el artículo 265, apartado 1, y el artículo 256, apartado 5, del RRC. |
|
280 — 290 / 510 — 520 |
MÉTODO DE EVALUACIÓN INTERNA Artículo 109, apartado 1, segunda frase, y artículo 259, apartados 3 y 4, del RRC. Estas columnas se cumplimentarán cuando la entidad utilice el método de evaluación interna para determinar las exigencias de capital para las líneas de liquidez y las mejoras crediticias que los bancos (incluidos bancos terceros) concedan a sociedades vehiculares de pagarés de titulización (ABCP conduit). El método de evaluación interna, basado en las metodologías de ECAI, solo es aplicable a exposiciones a estas sociedades vehiculares que tengan una calificación interna equivalente a grado de inversión en su origen. |
|
530 — 540 |
EFECTO GLOBAL (AJUSTE) DEBIDO A LA INFRACCIÓN DE LAS DISPOSICIONES SOBRE DILIGENCIA DEBIDA Artículo 337, apartado 3, en conexión con el artículo 407 del RRC. Artículo 14, apartado 2, del RRC. |
|
550 — 570 |
ANTES DE APLICAR EL LÍMITE MÁXIMO — POSICIONES NETAS LARGAS / CORTAS PONDERADAS Y SUMA DE LAS POSICIONES NETAS LARGAS Y CORTAS PONDERADAS Artículo 337 del RRC, sin tener en cuenta la discrecionalidad establecida en el artículo 335 del RRC, que permite a una entidad limitar el producto de la ponderación y la posición neta a la pérdida máxima posible derivada del riesgo de impago. |
|
580 — 600 |
DESPUÉS DE APLICAR EL LÍMITE MÁXIMO — POSICIONES NETAS LARGAS / CORTAS PONDERADAS Y SUMA DE LAS POSICIONES NETAS LARGAS Y CORTAS PONDERADAS Artículo 337 del RRC, teniendo en cuenta la discrecionalidad establecida en el artículo 335 del RRC. |
|
610 |
REQUISITOS DE FONDOS PROPIOS TOTALES Conforme al artículo 337, apartado 4, del RRC, durante un período transitorio que concluirá el 31 de diciembre de 2014, la entidad sumará por separado sus posiciones netas largas ponderadas (columna 580) y sus posiciones netas cortas ponderadas (columna 590). El requisito de fondos propios será la mayor de estas sumas (después de aplicar el límite máximo). A partir de 2015, conforme al artículo 337, apartado 4, del RRC, la entidad calculará sus requisitos de fondos propios sumando sus posiciones netas ponderadas, con independencia de que estas sean largas o cortas (columna 600). |
|
Filas |
|
|
010 |
TOTAL EXPOSICIONES Importe total de las titulizaciones vivas (en la cartera de negociación) comunicadas por la entidad en su función de originadora y/o inversora y/o patrocinadora. |
|
040, 070 y 100 |
TITULIZACIONES Artículo 4, puntos 61 y 62, del RRC. |
|
020, 050, 080 y 110 |
RETITULIZACIONES Artículo 4, punto 63, del RRC. |
|
030 — 050 |
ORIGINADORA Artículo 4, punto 13, del RRC. |
|
060 — 080 |
INVERSORA Entidad de crédito que mantiene posiciones de titulización en una operación de titulización en la que no actúa como originadora ni patrocinadora. |
|
090 — 110 |
PATROCINADORA Artículo 4, punto 14, del RRC. Si la entidad patrocinadora tituliza también sus propios activos, deberá indicar en las filas correspondientes a la entidad originadora los datos relativos a sus propios activos titulizados. |
|
120 — 210 |
DESGLOSE DE LA SUMA TOTAL DE LAS POSICIONES NETAS LARGAS Y CORTAS PONDERADAS POR TIPOS DE SUBYACENTES Artículo 337, apartado 4, última frase, del RRC. El desglose de los activos subyacentes sigue la clasificación empleada en la plantilla de Información detallada sobre titulizaciones (SEC Details) (columna «Tipo»): — 1 — hipotecas residenciales; — 2 — hipotecas comerciales; — 3 — derechos de cobro por tarjetas de crédito; — 4 — arrendamientos financieros; — 5 — préstamos a empresas o PYME (asimiladas a empresas); — 6 — créditos al consumo; — 7 — cartera comercial; — 8 — otros activos; — 9 — bonos garantizados; — 10 — otros pasivos. Si el conjunto incluye distintos tipos de activos, la entidad debe considerar el tipo más importante en cada titulización. |
5.3. C 20.00 — RIESGO DE MERCADO: MÉTODO ESTÁNDAR PARA EL RIESGO ESPECÍFICO DE POSICIONES ASIGNADAS A LA CARTERA DE NEGOCIACIÓN DE CORRELACIÓN (MKR SA CTP)
5.3.1. Observaciones generales
144. Esta plantilla recoge información sobre las posiciones de la cartera de negociación de correlación (titulizaciones, derivados de crédito de n-ésimo impago y otras posiciones de la cartera de negociación de correlación incluidas con arreglo al artículo 338, apartado 3) y los correspondientes requisitos de fondos propios con arreglo al método estándar.
145. La plantilla MKR SA CTP determina el requisito de fondos propios solo para el riesgo específico de las posiciones asignadas a la cartera de negociación de correlación con arreglo al artículo 335, en relación con el artículo 338, apartados 2 y 3, del RRC. Si las posiciones de la cartera de negociación de correlación dentro de la cartera de negociación están cubiertas mediante derivados de crédito, se aplicarán los artículos 346 y 347 del RRC. Solo hay una plantilla para todas las posiciones de la cartera de negociación de correlación dentro de la cartera de negociación, con independencia de que la entidad emplee el método estándar o el método basado en calificaciones internas (IRB) para determinar la ponderación de riesgo de cada posición con arreglo a la parte tercera, título II, capítulo 5, del RRC. La comunicación de los requisitos de fondos propios para el riesgo general de estas posiciones se realizará mediante las plantillas MKR SA TDI o MKR IM.
146. Esta estructura de la plantilla separa las posiciones de titulización, los derivados de crédito de n-ésimo impago y otras posiciones de la cartera de negociación de correlación. Por lo tanto, las posiciones de titulización deben comunicarse siempre en las filas 030, 060 o 090 (dependiendo del papel de la entidad en la titulización). Los derivados de crédito de n-ésimo impago se comunicarán siempre en la línea 110. Las «otras posiciones de la cartera de negociación de correlación» no son posiciones de titulización ni derivados de crédito de n-ésimo impago (véase la definición del artículo 338, apartado 3, del RRC), pero están explícitamente «vinculadas» (debido a la finalidad de cobertura) a una de estas dos posiciones. Este es el motivo por el que se asignan al subapartado de «titulización» o de «derivados de crédito de n-ésimo impago».
147. Alternativamente, las posiciones que reciban una ponderación de riesgo del 1 250 % podrán deducirse del capital ordinario de nivel 1 (véanse el artículo 243, apartado 1, letra b), el artículo 244, apartado 1, letra b), y el artículo 258 del RRC). En tal caso, esas posiciones deberán consignarse en la fila 460 de la plantilla CA1.
5.3.2. Instrucciones relativas a posiciones concretas
|
Columnas |
|
|
010 — 020 |
TODAS LAS POSICIONES (LARGAS Y CORTAS) Artículo 102 y artículo 105, apartado 1, del RRC, en relación con las posiciones asignadas a la cartera de negociación de correlación conforme al artículo 338, apartados 2 y 3, del RRC. En cuanto a la distinción entre las posiciones largas y cortas, también aplicable a estas posiciones brutas, véase el artículo 328, apartado 2, del RRC. |
|
030 — 040 |
(-) POSICIONES DEDUCIDAS DE LOS FONDOS PROPIOS (LARGAS Y CORTAS) Artículo 258 del RRC. |
|
050 — 060 |
POSICIONES NETAS (LARGAS Y CORTAS) Artículos 327 a 329 y 334 del RRC. En cuanto a la distinción entre las posiciones largas y cortas, véase el artículo 328, apartado 2, del RRC. |
|
070 — 400 |
DESGLOSE DE LAS POSICIONES NETAS CON ARREGLO A LAS PONDERACIONES DE RIESGO (MÉTODO ESTÁNDAR Y MÉTODO IRB) Artículo 251 (cuadro 1) y artículo 261, apartado 1 (cuadro 4), del RRC. |
|
160 y 330 |
OTRAS Otras ponderaciones de riesgo no mencionadas explícitamente en las columnas anteriores. En el caso de los derivados de crédito de n-ésimo impago, únicamente los que no tengan calificación externa. Los derivados de crédito de n-ésimo impago con calificación externa deben comunicarse en la plantilla MKR SA TDI (fila 321) o (si están incluidos en la cartera de negociación de correlación) se asignarán a la columna de la correspondiente ponderación de riesgo. |
|
170 — 180 y 360 — 370 |
1 250 % Artículo 251 (cuadro 1) y artículo 261, apartado 1 (cuadro 4), del RRC. |
|
190 — 200 y 340 — 350 |
MÉTODO BASADO EN LA FÓRMULA SUPERVISORA Artículo 337, apartado 2, en conexión con el artículo 262 del RRC. |
|
210 / 380 |
ENFOQUE DE TRANSPARENCIA Método estándar: artículos 253 y 254 y artículo 256, apartado 5, del RRC. Las columnas correspondientes al enfoque de transparencia comprenden todos los casos de exposiciones no calificadas en las que la ponderación de riesgo se obtiene de la cartera subyacente de exposiciones (ponderación de riesgo media del conjunto de exposiciones, ponderación de riesgo más elevada del conjunto de exposiciones o uso de una ratio de concentración). Método IRB: artículo 263, apartados 2 y 3, del RRC. Para las amortizaciones anticipadas, véanse el artículo 265, apartado 1, y el artículo 256, apartado 5, del RRC. |
|
220 — 230 y 390 — 400 |
MÉTODO DE EVALUACIÓN INTERNA Artículo 259, apartados 3 y 4, del RRC. |
|
410 — 420 |
ANTES DE APLICAR EL LÍMITE MÁXIMO — POSICIONES NETAS LARGAS / CORTAS PONDERADAS Artículo 338 del RRC, sin tener en cuenta la discrecionalidad establecida en el artículo 335 del RRC. |
|
430 — 440 |
DESPUÉS DE APLICAR EL LÍMITE MÁXIMO — POSICIONES NETAS LARGAS / CORTAS PONDERADAS Artículo 338 del RRC, teniendo en cuenta la discrecionalidad establecida en el artículo 335 del RRC. |
|
450 |
REQUISITOS DE FONDOS PROPIOS TOTALES Los requisitos de fondos propios se determinan como la mayor entre i) la exigencia por riesgo específico que se aplicaría únicamente a las posiciones netas largas (columna 430) y ii) la exigencia por riesgo específico que se aplicaría únicamente a las posiciones netas cortas (columna 440). |
|
Filas |
|
|
010 |
TOTAL EXPOSICIONES Importe total de las posiciones vivas (en la cartera de negociación de correlación) declaradas por la entidad en su función de originadora, inversora o patrocinadora. |
|
020 — 040 |
ORIGINADORA Artículo 4, punto 13, del RRC. |
|
050 — 070 |
INVERSORA Entidad de crédito que mantiene posiciones de titulización en una operación de titulización en la que no actúa como originadora ni patrocinadora. |
|
080 — 100 |
PATROCINADORA Artículo 4, punto 14, del RRC. Si la entidad patrocinadora tituliza también sus propios activos, deberá indicar en las filas correspondientes a la entidad originadora los datos relativos a sus propios activos titulizados. |
|
030, 060 y 090 |
TITULIZACIONES La cartera de negociación de correlación comprende titulizaciones y derivados de crédito de n-ésimo impago y posiblemente otras posiciones de cobertura que cumplan los criterios establecidos en el artículo 338, apartados 2 y 3, del RRC. Los derivados de exposiciones de titulización que ofrezcan una participación proporcional y las posiciones que cubran posiciones de la cartera de negociación de correlación se incluirán en la fila de «Otras posiciones de la cartera de negociación de correlación». |
|
110 |
DERIVADOS DE CRÉDITO DE N-ÉSIMO IMPAGO Se comunicarán aquí los derivados de crédito de n-ésimo impago cubiertos mediante derivados de crédito de n-ésimo impago con arreglo al artículo 347 del RRC. Las posiciones originadora, inversora y patrocinadora no proceden en el caso de los derivados de crédito de n-ésimo impago. Por este motivo, el desglose correspondiente a las posiciones de titulización no puede aplicarse para los derivados de crédito de n-ésimo impago. |
|
040, 070, 100 y 120 |
OTRAS POSICIONES DE LA CARTERA DE NEGOCIACIÓN DE CORRELACIÓN Se incluyen las posiciones en: — Los derivados de exposiciones de titulización que ofrezcan una participación proporcional y las posiciones que cubran posiciones de la cartera de negociación de correlación. — Las posiciones de la cartera de negociación de correlación cubiertas mediante derivados de crédito conforme al artículo 346 del RRC. — Otras posiciones que cumplan lo establecido en el artículo 338, apartado 3, del RRC. |
5.4. C 21.00 — RIESGO DE MERCADO: MÉTODO ESTÁNDAR PARA EL RIESGO DE POSICIÓN EN INSTRUMENTOS DE PATRIMONIO (MKR SA EQU)
5.4.1. Observaciones generales
148. Esta plantilla recoge información sobre las posiciones y los correspondientes requisitos de fondos propios por riesgo de posición en instrumentos de patrimonio de la cartera de negociación con arreglo al método estándar.
149. La plantilla debe cumplimentarse por separado para el «Total», más una lista estática predefinida de los siguientes mercados: Bulgaria, Croacia, Chequia, Dinamarca, Egipto, Hungría, Islandia, Liechtenstein, Noruega, Polonia, Rumanía, Suecia, Reino Unido, Albania, Japón, Antigua República Yugoslava de Macedonia, Federación Rusa, Serbia, Suiza, Turquía, Ucrania, EE.UU., zona del euro, más una plantilla residual para todos los mercados restantes. A efectos de este requisito de comunicación, el término «mercado» se entenderá equivalente a «país» (salvo para los países pertenecientes a la zona del euro; véase el Reglamento Delegado (UE) n.o 525/2014 de la Comisión).
5.4.2. Instrucciones relativas a posiciones concretas
|
Columnas |
|
|
010 — 020 |
TODAS LAS POSICIONES (LARGAS Y CORTAS) Artículo 102 y artículo 105, apartado 1, del RRC. Son posiciones brutas no compensadas por instrumentos pero deducidas las posiciones de aseguramiento ya suscritas o reaseguradas por terceros (segunda frase del artículo 345 del RRC). |
|
030 — 040 |
POSICIONES NETAS (LARGAS Y CORTAS) Artículos 327, 329, 332, 341 y 345 del RRC. |
|
050 |
POSICIONES SUJETAS A EXIGENCIA DE CAPITAL Posiciones netas que, en función de los distintos métodos considerados en la parte tercera, título IV, capítulo 2, del RRC, tienen una exigencia de capital. La exigencia de capital debe calcularse de forma separada para cada mercado nacional. No se incluirán en esta columna las posiciones en futuros sobre índices bursátiles a que se refiere el artículo 344, apartado 4, segunda frase, del RRC. |
|
060 |
REQUISITOS DE FONDOS PROPIOS Exigencia de capital para cualquier posición pertinente con arreglo a la parte tercera, título IV, capítulo 2, del RRC. |
|
070 |
TOTAL DE LA EXPOSICIÓN AL RIESGO Artículo 92, apartado 4, letra b), del RRC. Resultado de la multiplicación de los requisitos de fondos propios por 12,5. |
|
Filas |
|
|
010 — 130 |
INSTRUMENTOS DE PATRIMONIO EN LA CARTERA DE NEGOCIACIÓN Requisitos de fondos propios por riesgo de posición con arreglo al artículo 92, apartado 3, letra b), inciso i), y la parte tercera, título IV, capítulo 2, sección 3, del RRC. |
|
020 — 040 |
RIESGO GENERAL Posiciones en instrumentos de patrimonio sujetas al riesgo general (artículo 343 del RRC) y su correspondiente requisito de fondos propios con arreglo a la parte tercera, título IV, capítulo 2, sección 3, del RRC. Ambos desgloses (021/022 y 030/040) corresponden a todas las posiciones sujetas al riesgo general. Las filas 021 y 022 recogen información sobre el desglose según los instrumentos. Para el cálculo de los requisitos de fondos propios solo se utiliza el desglose de las filas 030 y 040. |
|
021 |
Derivados Derivados incluidos en el cálculo del riesgo de renta variable de las posiciones de la cartera de negociación teniendo en cuenta los artículos 329 y 332, si procede. |
|
022 |
Otros activos y pasivos Instrumentos distintos de los derivados incluidos en el cálculo del riesgo de renta variable de las posiciones de la cartera de negociación. |
|
030 |
Futuros sobre índices bursátiles negociados en mercados organizados, ampliamente diversificados y sujetos a un método particular Futuros sobre índices bursátiles negociados en mercados organizados ampliamente diversificados y sujetos a un método particular con arreglo al artículo 344, apartados 1 y 4, del RRC. Estas posiciones están sujetas únicamente al riesgo general y, por tanto, no deben comunicarse en la fila (050). |
|
040 |
Otros instrumentos de patrimonio distintos de los futuros sobre índices bursátiles negociados en mercados organizados y ampliamente diversificados Otras posiciones en instrumentos de patrimonio sujetas a riesgo específico, y sus correspondientes requisitos de fondos propios, con arreglo al artículo 343 y al artículo 344, apartado 3, del RRC. |
|
050 |
RIESGO ESPECÍFICO Posiciones en instrumentos de patrimonio sujetas a riesgo específico, y sus correspondientes requisitos de fondos propios, con arreglo al artículo 342 y al artículo 344, apartado 4, del RRC. |
|
090 — 130 |
REQUISITOS ADICIONALES PARA OPCIONES (RIESGOS DISTINTOS DE DELTA) Artículo 329, apartados 2 y 3, del RRC. Los requisitos adicionales para las opciones correspondientes a riesgos distintos de delta se comunicarán con arreglo al método empleado para su cálculo. |
5.5. C 22.00 — RIESGO DE MERCADO: MÉTODOS ESTÁNDAR PARA EL RIESGO DE TIPO DE CAMBIO (MKR SA FX)
5.5.1. Observaciones generales
150. Las entidades comunicarán información sobre las posiciones en cada divisa (incluida la divisa de referencia) y los correspondientes requisitos de fondos propios para el riesgo de tipo de cambio, con arreglo al método estándar. Esta posición se calcula para todas las divisas (incluido el euro), el oro y las posiciones en OIC.
151. Las filas 100 a 480 de esta plantilla se cumplimentarán incluso aunque las entidades no estén obligadas a calcular los requisitos de fondos propios por riesgo de tipo de cambio conforme al artículo 351 del RRC. En estas partidas pro memoria se incluyen todas las posiciones en la divisa de referencia, con independencia del grado en que se tengan en cuenta a efectos del artículo 354 del RRC. Las filas 130 a 480 de las partidas pro memoria de la plantilla deben rellenarse por separado para todas las monedas de los Estados miembros de la Unión Europea y las siguientes divisas: USD, CHF, JPY, RUB, TRY, AUD, CAD, RSD, ALL, UAH, MKD, EGP, ARS, BRL, MXN, HKD, ICK, TWD, NZD, NOK, SGD, KRW, CNY y todas las demás divisas.
5.5.2. Instrucciones relativas a posiciones concretas
|
Columnas |
|
|
020 — 030 |
TODAS LAS POSICIONES (LARGAS Y CORTAS) Posiciones brutas por activos, importes pendientes de cobro y elementos similares a que se hace referencia en el artículo 352, apartado 1, del RRC. Conforme al artículo 352, apartado 2, y con supeditación a la autorización de las autoridades competentes, las posiciones adoptadas como cobertura frente a los efectos adversos del tipo de cambio sobre las ratios, de acuerdo con el artículo 92, apartado 1, y las posiciones relacionadas con elementos ya deducidos en el cálculo de los fondos propios no se comunicarán. |
|
040 — 050 |
POSICIONES NETAS (LARGAS Y CORTAS) Artículo 352, apartados 3 y 4, primera y segunda frases, y artículo 353 del RRC. Las posiciones netas se calculan para cada divisa, por lo que puede haber posiciones largas y cortas simultáneas. |
|
060 — 080 |
POSICIONES SUJETAS A EXIGENCIA DE CAPITAL Artículo 352, apartado 4, tercera frase, y artículos 353 y 354 del RRC. |
|
060 — 070 |
POSICIONES SUJETAS A EXIGENCIA DE CAPITAL (LARGAS Y CORTAS) Las posiciones netas largas y cortas en cada divisa se calculan deduciendo el total de las posiciones cortas del total de las posiciones largas. Las posiciones netas largas de cada operación en una divisa se suman para obtener la posición neta larga en dicha divisa. Las posiciones netas cortas de cada operación en una divisa se suman para obtener la posición neta corta en dicha divisa. Las posiciones no compensadas en divisas distintas de las de referencia se añaden a las posiciones sujetas a exigencias de capital para otras divisas (fila 030) en la columna (060) o (070), según se trate de posiciones cortas o largas. |
|
080 |
POSICIONES SUJETAS A EXIGENCIA DE CAPITAL (COMPENSADAS) Posiciones compensadas para divisas estrechamente correlacionadas. |
|
|
EXIGENCIA DE CAPITAL POR RIESGO (%) Exigencias de capital por riesgo en porcentaje establecidas en los artículos 351 y 354. |
|
090 |
REQUISITOS DE FONDOS PROPIOS Exigencia de capital para cualquier posición pertinente con arreglo a la parte tercera, título IV, capítulo 3, del RRC. |
|
100 |
IMPORTE TOTAL DE LA EXPOSICIÓN AL RIESGO Artículo 92, apartado 4, letra b), del RRC. Resultado de la multiplicación de los requisitos de fondos propios por 12,5. |
|
Filas |
|
|
010 |
POSICIONES TOTALES Todas las posiciones en divisas distintas de la de referencia y las posiciones en la divisa de referencia que se tienen en cuenta a efectos del artículo 354 del RRC, así como sus correspondientes requisitos de fondos propios, con arreglo al artículo 92, apartado 3, letra c), inciso i), y al artículo 352, apartados 2 y 4, del RRC (para su conversión en la divisa de referencia). |
|
020 |
DIVISAS ESTRECHAMENTE CORRELACIONADAS Posiciones, y sus correspondientes requisitos de fondos propios, para las divisas señaladas en el artículo 354 del RRC. |
|
025 |
Divisas estrechamente correlacionadas: De las cuales: divisa de referencia Posiciones en la divisa de referencia que contribuyen al cálculo de los requisitos de capital con arreglo al artículo 354 del RRC. |
|
030 |
OTRAS DIVISAS (incluidas las participaciones y acciones en OIC tratadas como divisas diferentes) Posiciones, y sus correspondientes requisitos de fondos propios, para las divisas sujetas al procedimiento general señalado en el artículo 351 y en el artículo 352, apartados 2 y 4, del RRC. Comunicación de los OIC tratados como divisas diferentes con arreglo al artículo 353 del RRC: Hay dos tratamientos diferentes para los OIC tratados como divisas diferentes para el cálculo de los requisitos de capital: 1. El método del oro modificado, si no se conoce la dirección de la inversión del OIC (estos OIC se añadirán a la posición global neta de tipo de cambio de la entidad). 2. Si se conoce la dirección de la inversión del OIC, los OIC se añadirán a la posición abierta total de tipo de cambio (larga o corta, dependiendo de la dirección del OIC). La comunicación de estos OIC se efectuará conforme al correspondiente cálculo de los requisitos de capital. |
|
040 |
ORO Posiciones, y sus correspondientes requisitos de fondos propios, para las divisas sujetas al procedimiento general señalado en el artículo 351 y en el artículo 352, apartados 2 y 4, del RRC. |
|
050 — 090 |
REQUISITOS ADICIONALES PARA OPCIONES (RIESGOS DISTINTOS DE DELTA) Artículo 352, apartados 5 y 6, del RRC. Los requisitos adicionales para las opciones correspondientes a riesgos distintos de delta se comunicarán con arreglo al método empleado para su cálculo. |
|
100 — 120 |
Desglose de las posiciones totales (incluida la divisa de referencia) por tipos de exposición Las posiciones totales se desglosarán en derivados, otros activos y pasivos y partidas fuera de balance. |
|
100 |
Otros activos y pasivos distintos de los derivados y las partidas fuera de balance Se incluirán aquí las posiciones no incluidas en las filas 110 o 120. |
|
110 |
Partidas fuera de balance Partidas incluidas en el anexo I del RRC, excepto las incluidas como operaciones de financiación de valores y operaciones con liquidación diferida o que se deriven de un acuerdo de compensación contractual entre productos. |
|
120 |
Derivados Posiciones valoradas con arreglo al artículo 352 del RRC. |
|
130 — 480 |
PRO MEMORIA: POSICIONES EN DIVISAS Las partidas pro memoria de la plantilla deben rellenarse por separado para todas las divisas de los Estados miembros de la Unión Europea y las siguientes divisas: USD, CHF, JPY, RUB, TRY, AUD, CAD, RSD, ALL, UAH, MKD, EGP, ARS, BRL, MXN, HKD, ICK, TWD, NZD, NOK, SGD, KRW, CNY y todas las demás divisas. |
5.6. C 23.00 — RIESGO DE MERCADO: MÉTODOS ESTÁNDAR PARA MATERIAS PRIMAS (MKR SA COM)
5.6.1. Observaciones generales
152. Esta plantilla recoge información sobre las posiciones en materias primas y los correspondientes requisitos de fondos propios con arreglo al método estándar.
5.6.2. Instrucciones relativas a posiciones concretas
|
Columnas |
|
|
010 — 020 |
TODAS LAS POSICIONES (LARGAS Y CORTAS) Posiciones brutas largas/cortas que sean consideradas posiciones en la misma materia prima con arreglo al artículo 357, apartados 1 y 4, del RRC (véase también el artículo 359, apartado 1, del RRC). |
|
030 — 040 |
POSICIONES NETAS (LARGAS Y CORTAS) Conforme a la definición del artículo 357, apartado 3, del RRC. |
|
050 |
POSICIONES SUJETAS A EXIGENCIA DE CAPITAL Posiciones netas que, en función de los distintos métodos considerados en la parte tercera, título IV, capítulo 4, del RRC, tienen una exigencia de capital. |
|
060 |
REQUISITOS DE FONDOS PROPIOS Exigencia de capital para cualquier posición pertinente con arreglo a la parte tercera, título IV, capítulo 4, del RRC. |
|
070 |
TOTAL DE LA EXPOSICIÓN AL RIESGO Artículo 92, apartado 4, letra b), del RRC. Resultado de la multiplicación de los requisitos de fondos propios por 12,5. |
|
Filas |
|
|
010 |
POSICIONES TOTALES EN MATERIAS PRIMAS Posiciones en materias primas, y sus correspondientes requisitos de fondos propios para el riesgo de mercado, con arreglo al artículo 92, apartado 3, letra c), inciso iii), y a la parte tercera, título IV, capítulo 4, del RRC. |
|
020 — 060 |
POSICIONES POR CATEGORÍA DE MATERIAS PRIMAS A efectos de comunicación, las materias primas, se agrupan en las cuatro categorías principales señaladas en el cuadro 2 del artículo 361 del RRC. |
|
070 |
SISTEMA DE ESCALA DE VENCIMIENTOS Posiciones en materias primas sujetas al sistema de escala de vencimientos previsto en el artículo 359 del RRC. |
|
080 |
SISTEMA DE ESCALA DE VENCIMIENTOS AMPLIADO Posiciones en materias primas sujetas al sistema de escala de vencimientos ampliado previsto en el artículo 361 del RRC. |
|
090 |
MÉTODO SIMPLIFICADO Posiciones en materias primas sujetas al método simplificado previsto en el artículo 360 del RRC. |
|
100 — 140 |
REQUISITOS ADICIONALES PARA OPCIONES (RIESGOS DISTINTOS DE DELTA) Artículo 358, apartado 4, del RRC. Los requisitos adicionales para las opciones correspondientes a riesgos distintos de delta se comunicarán con arreglo al método empleado para su cálculo. |
5.7. C 24.00 — MODELO INTERNO DE RIESGO DE MERCADO (MKR IM)
5.7.1. Observaciones generales
153. Esta plantilla establece un desglose de los datos del valor en riesgo (VaR) y del valor en riesgo en situación de tensión (sVaR) en función de los distintos riesgos de mercado (deuda, renta variable, tipo de cambio, materias primas) y otra información relevante para el cálculo de los requisitos de fondos propios.
154. Normalmente, la comunicación depende de la estructura del modelo de las entidades, según comuniquen conjuntamente o por separado los valores correspondientes al riesgo general y específico. Esto mismo ocurre con la descomposición del VaR/sVaR en las categorías de riesgo (tipo de interés, renta variable, materias primas y tipo de cambio). La entidad puede no comunicar estos desgloses si acredita que ello representaría una carga injustificada.
5.7.2. Instrucciones relativas a posiciones concretas
|
Columnas |
|
|
030 — 040 |
Valor en riesgo (VaR) Se trata de la máxima perdida potencial derivada de una variación del precio con una determinada probabilidad en un determinado horizonte temporal. |
|
030 |
Factor de multiplicación (mc) x media del VaR de los 60 días hábiles anteriores (VaRavg) Artículo 364, apartado 1, letra a), inciso ii), y artículo 365, apartado 1, del RRC. |
|
040 |
VaR del día anterior (VaRt-1) Artículo 364, apartado 1, letra a), inciso i), y artículo 365, apartado 1, del RRC. |
|
050 — 060 |
VaR en situación de tensión Se trata de la máxima perdida potencial derivada de una variación del precio con una determinada probabilidad en un determinado horizonte temporal que se obtiene empleando datos calibrados con datos históricos de un período continuo de 12 meses de dificultades financieras significativas para la cartera de la entidad. |
|
050 |
Factor de multiplicación (ms) x media de los 60 días hábiles anteriores (SVaRavg) Artículo 364, apartado 1, letra b), inciso ii), y artículo 365, apartado 1, del RRC. |
|
060 |
Último disponible (SVaRt-1) Artículo 364, apartado 1, letra b), inciso i), y artículo 365, apartado 1, del RRC. |
|
070 — 080 |
EXIGENCIA DE CAPITAL POR RIESGOS DE IMPAGO Y DE MIGRACIÓN INCREMENTALES Se trata de la máxima pérdida potencial derivada de una variación de precio vinculada a los riesgos de impago y migración calculada con arreglo al artículo 364, apartado 2, letra b), en relación con la parte tercera, título IV, capítulo 5, sección 4, del RRC. |
|
070 |
Medida de la media de 12 semanas Artículo 364, apartado 2, letra b), inciso ii), en relación con la parte tercera, título IV, capítulo 5, sección 4, del RRC. |
|
080 |
Última medida Artículo 364, apartado 2, letra b), inciso i), en relación con la parte tercera, título IV, capítulo 5, sección 4, del RRC. |
|
090 — 110 |
EXIGENCIA DE CAPITAL POR TODOS LOS RIESGOS DE PRECIO PARA LA CARTERA DE NEGOCIACIÓN DE CORRELACIÓN |
|
090 |
LÍMITE MÍNIMO Artículo 364, apartado 3, letra c), del RRC. Es igual al 8 % de la exigencia de capital que se calcularía con arreglo al artículo 338, apartado 1, del RRC para todas las posiciones consideradas en la exigencia de capital relativa a «todos los riesgos de precio». |
|
100 — 110 |
MEDIDA DE LA MEDIA DE 12 SEMANAS Y ÚLTIMA MEDIDA Artículo 364, apartado 3, letra b). |
|
110 |
ÚLTIMA MEDIDA Artículo 364, apartado 3, letra a). |
|
120 |
REQUISITOS DE FONDOS PROPIOS Requisitos señalados en el artículo 364 del RRC para todos los factores de riesgo, teniendo en cuenta los efectos de correlación, en su caso, más los riesgos de impago y migración incrementales y todos los riesgos de precio para la cartera de negociación de correlación, pero excluidas las exigencias de capital para las posiciones de titulización y los derivados de crédito de n-ésimo impago con arreglo al artículo 364, apartado 2, del RRC. |
|
130 |
TOTAL DE LA EXPOSICIÓN AL RIESGO Artículo 92, apartado 4, letra b), del RRC. Resultado de la multiplicación de los requisitos de fondos propios por 12,5. |
|
140 |
Número de excesos (durante los 250 días hábiles previos) Conforme al artículo 366 del RRC. |
|
150 — 160 |
Factor de multiplicación del VaR (mc) y factor de multiplicación del VaR en situación de tensión (ms) Conforme al artículo 366 del RRC. |
|
170 — 180 |
EXIGENCIA ESTIMADA PARA LÍMITE MÍNIMO DE LA CARTERA DE NEGOCIACIÓN DE CORRELACIÓN — POSICIONES NETAS LARGAS Y CORTAS PONDERADAS DESPUÉS DEL LÍMITE MÁXIMO Los importes comunicados y que sirven de base para el cálculo de la exigencia de capital mínima para todos los riesgos de precio conforme al artículo 364, apartado 3, letra c), del RRC tienen en cuenta la discrecionalidad establecida en el artículo 335 del RRC, que permite a una entidad limitar el producto de la ponderación y la posición neta a la pérdida máxima posible derivada del riesgo de impago. |
|
Filas |
|
|
010 |
POSICIONES TOTALES Corresponde a la parte de los riesgos de posición, de tipo de cambio y de materias primas a que se hace referencia en el artículo 363, apartado 1, del RRC, vinculada a los factores de riesgo especificados en el artículo 367, apartado 2, del RRC. En relación con las columnas 030 a 060 (VAR y sVAR), las cifras de la fila del total no son iguales al desglose de las cifras de VAR/sVAR de los componentes de riesgo correspondientes. Por tanto, los elementos del desglose son partidas pro memoria. |
|
020 |
INSTRUMENTOS DE DEUDA NEGOCIABLES Corresponde a la parte del riesgo de posición a que se refiere el artículo 363, apartado 1, del RRC, vinculada a los factores de riesgo de tipo de interés especificados el artículo 367, apartado 2, del RRC. |
|
030 |
INSTRUMENTOS DE DEUDA NEGOCIABLES — RIESGO GENERAL Riesgo general definido en el artículo 362 del RRC. |
|
040 |
INSTRUMENTOS DE DEUDA NEGOCIABLES — RIESGO ESPECÍFICO Riesgo específico definido en el artículo 362 del RRC. |
|
050 |
INSTRUMENTOS DE PATRIMONIO Corresponde a la parte del riesgo de posición a que se refiere el artículo 363, apartado 1, del RRC, vinculada a los factores de riesgo de renta variable especificados en el artículo 367, apartado 2. |
|
060 |
INSTRUMENTOS DE PATRIMONIO — RIESGO GENERAL Riesgo general definido en el artículo 362 del RRC. |
|
070 |
INSTRUMENTOS DE PATRIMONIO — RIESGO ESPECÍFICO Riesgo específico definido en el artículo 362 del RRC. |
|
080 |
RIESGO DE TIPO DE CAMBIO Artículo 363, apartado 1, y artículo 367, apartado 2, del RRC. |
|
090 |
RIESGO DE MATERIAS PRIMAS Artículo 363, apartado 1, y artículo 367, apartado 2, del RRC. |
|
100 |
IMPORTE TOTAL RIESGO GENERAL Riesgo de mercado causado por movimientos generales de los mercados de instrumentos de deuda negociables, instrumentos de patrimonio, divisas y materias primas. VaR del riesgo general de todos los factores de riesgo (teniendo en cuenta los efectos de correlación, en su caso). |
|
110 |
IMPORTE TOTAL RIESGO ESPECÍFICO Componente de riesgo específico de los instrumentos de deuda negociables e instrumentos de patrimonio. VaR del riesgo específico de los instrumentos de patrimonio e instrumentos de deuda negociables de la cartera de negociación (teniendo en cuenta los efectos de correlación, en su caso). |
5.8. C 25.00 — RIESGO DE AJUSTE DE VALORACIÓN DEL CRÉDITO (CVA)
5.8.1. Instrucciones relativas a posiciones concretas
|
Columnas |
|
|
010 |
Valor de la exposición Artículo 271, en conexión con el artículo 382 del RRC. La exposición total en el momento del impago (EAD) de todas las operaciones sujetas a exigencia por ajuste de valoración del crédito (AVC). |
|
020 |
Del cual: derivados OTC Artículo 271, en relación con el artículo 382, apartado 1, del RRC. La parte de la exposición total al riesgo de contraparte exclusivamente debida a derivados OTC. No se requiere esta información de las entidades que aplican el método de los modelos internos y mantienen derivados OTC y operaciones de financiación de valores en el mismo conjunto de operaciones compensables. |
|
030 |
Del cual: operaciones de financiación de valores Artículo 271, en relación con el artículo 382, apartado 2, del RRC. La parte de la exposición total al riesgo de contraparte exclusivamente debida a derivados de operaciones de financiación de valores. No se requiere esta información de las entidades que aplican el método de los modelos internos y mantienen derivados OTC y operaciones de financiación de valores en el mismo conjunto de operaciones compensables. |
|
040 |
FACTOR DE MULTIPLICACIÓN (mc) × MEDIA DE LOS 60 DÍAS HÁBILES ANTERIORES (VaRavg) Artículo 383, en relación con el artículo 363, apartado 1, letra d), del RRC. Cálculo del VaR basado en modelos internos para el riesgo de mercado. |
|
050 |
DÍA ANTERIOR (VaRt-1) Véanse las instrucciones correspondientes a la columna 040. |
|
060 |
FACTOR DE MULTIPLICACIÓN (ms) × MEDIA DE LOS 60 DÍAS HÁBILES ANTERIORES (SVaRavg) Véanse las instrucciones correspondientes a la columna 040. |
|
070 |
ÚLTIMO DISPONIBLE (SVaRt-1) Véanse las instrucciones correspondientes a la columna 040. |
|
080 |
REQUISITOS DE FONDOS PROPIOS Artículo 92, apartado 3, letra d), del RRC. Requisitos de fondos propios por riesgo de ajuste de valoración del crédito calculados empleando el método elegido. |
|
090 |
TOTAL DE LA EXPOSICIÓN AL RIESGO Artículo 92, apartado 4, letra b), del RRC. Requisitos de fondos propios multiplicados por 12,5. |
|
|
Pro memoria |
|
100 |
Número de contrapartes Artículo 382 del RRC. Número de contrapartes incluidas en el cálculo de los fondos propios por riesgo de ajuste de valoración del crédito. Las contrapartes son un subgrupo de los deudores. Solo existen en caso de operaciones de derivados o de financiación de valores, en las que constituyen simplemente la otra parte contratante. |
|
110 |
Del cual: se emplea una aproximación para determinar el diferencial de crédito Número de contrapartes respecto de las que el diferencial de crédito se ha determinado empleando una aproximación, en lugar de datos de mercado directamente observados. |
|
120 |
AJUSTE DE VALORACIÓN DEL CRÉDITO (AVC) ASUMIDO Provisiones contables por reducción de la solvencia crediticia de las contrapartes de los derivados. |
|
130 |
PERMUTAS DE COBERTURA POR IMPAGO UNINOMINALES Artículo 386, apartado 1, letra a), del RRC. Importes nocionales totales de las permutas de cobertura por impago uninominales empleadas como cobertura del riesgo de ajuste de valoración del crédito. |
|
140 |
PERMUTAS DE COBERTURA POR IMPAGO VINCULADAS A UN ÍNDICE Artículo 386, apartado 1, letra b), del RRC. Importes nocionales totales de las permutas de cobertura por impago vinculadas a un índice empleadas como cobertura del riesgo de ajuste de valoración del crédito. |
|
Filas |
|
|
010 |
Total riesgo AVC Suma de las filas 020-040, según proceda. |
|
020 |
Según el método avanzado Método avanzado de cálculo del riesgo de ajuste de valoración del crédito establecido en el artículo 383 del RRC. |
|
030 |
Según el método estándar Método estándar de cálculo del riesgo de ajuste de valoración del crédito establecido en el artículo 384 del RRC. |
|
040 |
Basado en el método de la exposición original Importes sujetos a la aplicación del artículo 385 del RRC. |
6. C 33.00 — EXPOSICIONES FRENTE A ADMINISTRACIONES PÚBLICAS (GOV)
6.1. OBSERVACIONES GENERALES
155. La información de la plantilla C 33.00 abarcará todas las exposiciones frente a administraciones públicas, tal como se definen en el anexo V, punto 42, letra b).
156. Las exposiciones frente a administraciones públicas se incluyen en diferentes categorías de exposición de conformidad con los artículos 112 y 147 del RRC, según lo especificado en las instrucciones para la cumplimentación de las plantillas C 07.00, C 08.01 y C 08.02.
157. Se atenderá a lo indicado en el cuadro 2 (método estándar) y el cuadro 3 (método IRB), que figuran en el anexo V, parte 3, a la hora de asignar las categorías de exposición utilizadas para calcular los requisitos de capital de conformidad con el RRC al sector de la contraparte «administraciones públicas».
158. La información se comunicará respecto de las exposiciones agregadas totales (es decir, la suma de todos los países en los que el banco tiene exposiciones soberanas) y respecto de cada país en función de la residencia de la contraparte sobre la base del prestatario inmediato.
159. La asignación de exposiciones a categorías de exposición o países se realizará sin tener en cuenta las técnicas de reducción del riesgo de crédito y, en particular, los efectos de sustitución. No obstante, el cálculo de los valores de exposición y de las exposiciones ponderadas por riesgo en cada categoría de exposición y cada país integrará la incidencia de las técnicas de reducción del riesgo de crédito, incluidos los efectos de sustitución.
160. La comunicación de información sobre las exposiciones frente a «administraciones públicas» por país de residencia de la contraparte inmediata cuando no coincida con el país propio de la entidad declarante estará sujeta a los umbrales contemplados en el artículo 5, letra b), punto 3, del presente Reglamento.
6.2. ALCANCE DE LA PLANTILLA SOBRE LAS EXPOSICIONES FRENTE A «ADMINISTRACIONES PÚBLICAS»
161. La plantilla GOV abarca las exposiciones directas frente a «administraciones públicas» en forma de partidas en balance y fuera de balance y derivados que se mantengan en la cartera bancaria y de negociación. Además, debe consignarse una partida pro memoria relativa a las exposiciones indirectas en forma de derivados de crédito vendidos sobre exposiciones frente a administraciones públicas.
162. Una exposición constituye una exposición directa cuando la contraparte inmediata es un ente que queda englobado en la definición de «administraciones públicas».
163. La plantilla se divide en dos secciones. La primera de ellas se basa en el desglose de las exposiciones por riesgo, método reglamentario y categoría de exposición, mientras que la segunda se basa en el desglose por vencimiento residual.
6.3. INSTRUCCIONES RELATIVAS A POSICIONES CONCRETAS
|
Columnas |
Instrucciones |
|
010 — 260 |
EXPOSICIONES DIRECTAS |
|
010 — 140 |
EXPOSICIONES EN BALANCE |
|
010 |
Importe en libros bruto total de activos financieros no derivados Suma del importe en libros bruto, determinado de conformidad con el anexo V, parte 1, punto 34, de los activos financieros no derivados frente a administraciones públicas, en relación con todas las carteras contables de acuerdo con las NIIF o los PCGA nacionales basados en la Directiva 86/635/CEE (Directiva sobre contabilidad bancaria, «DCB») que se definen en el anexo V, parte 1, puntos 15 a 22, y se enumeran en las columnas 030 a 120. Los ajustes por valoración prudente no reducirán el importe en libros bruto de las exposiciones, destinadas o no a negociación, valoradas a valor razonable. |
|
020 |
Importe en libros total de los activos financieros no derivados (neto de posiciones cortas) Suma del importe en libros, de conformidad con el anexo V, parte 1, punto 27, de los activos financieros no derivados frente a administraciones públicas, en relación con todas las carteras contables de acuerdo con las NIIF o los PCGA nacionales basados en la DCB que se definen en el anexo V, parte 1, puntos 15 a 22, y se enumeran en las columnas 030 a 120. Si la entidad tiene una posición corta, cuando el vencimiento residual sea el mismo y la contraparte inmediata también, el importe en libros de la posición corta se compensará con el importe en libros de la posición directa. Este importe neto se considerará igual a cero cuando sea negativo. Se comunicará la suma de las columnas 030 a 120, menos la columna 130. Si este importe es inferior a cero, el importe que deberá consignarse será cero. |
|
030 — 120 |
ACTIVOS FINANCIEROS NO DERIVADOS POR CARTERAS CONTABLES Suma del importe en libros de los activos financieros no derivados, según lo definido anteriormente, frente a administraciones públicas, por carteras contables con arreglo al marco contable aplicable. |
|
030 |
Activos financieros mantenidos para negociar NIIF 7.8.a).ii); NIIF 9, apéndice A. |
|
040 |
Activos financieros destinados a negociación DCB, artículos 32-33; anexo V, parte 1.16; Directiva contable, artículo 8.1.a). Solo deberán indicarlo las entidades sujetas a principios contables generalmente aceptados (PCGA) nacionales. |
|
050 |
Activos financieros no destinados a negociación valorados obligatoriamente a valor razonable con cambios en resultados NIIF 7.8.a).ii); NIIF 9.4.1.4. |
|
060 |
Activos financieros designados a valor razonable con cambios en resultados NIIF 7.8.a).i); NIIF 9.4.1.5 y Directiva contable, artículo 8.1.a) y 8.6. |
|
070 |
Activos financieros no derivados y no destinados a negociación, a valor razonable con cambios en resultados DCB, artículo 36.2; Directiva contable, artículo 8.1.a). Solo deberán indicarlo las entidades sujetas a principios contables generalmente aceptados (PCGA) nacionales. |
|
080 |
Activos financieros a valor razonable con cambios en otro resultado global NIIF 7.8.d); NIIF 9.4.1.2A. |
|
090 |
Activos financieros no derivados y no destinados a negociación, contabilizados a valor razonable en el patrimonio neto Directiva contable, artículo 8.1.a) y 8.8. Solo deberán indicarlo las entidades sujetas a principios contables generalmente aceptados (PCGA) nacionales. |
|
100 |
Activos financieros a coste amortizado NIIF 7.8.f); NIIF 9.4.1.2; anexo V, parte 1.15. |
|
110 |
Activos financieros no derivados y no destinados a negociación, valorados por un método basado en el coste DCB, artículo 35; Directiva contable, artículo 6.1.i) y artículo 8.2; anexo V, parte 1.16. Solo deberán indicarlo las entidades sujetas a principios contables generalmente aceptados (PCGA) nacionales. |
|
120 |
Otros activos financieros no derivados y no destinados a negociación DCB, artículo 37; Directiva contable, artículo 12.7; anexo V, parte 1.16. Solo deberán indicarlo las entidades sujetas a principios contables generalmente aceptados (PCGA) nacionales. |
|
130 |
Posiciones cortas Importe en libros de las posiciones cortas, según lo definido en la NIIF 9.BA7.b), cuando la contraparte directa es una administración pública, tal como se define en el apartado 1. Las posiciones cortas se originan cuando la entidad vende valores adquiridos en un préstamo de recompra inversa, o tomados en préstamo en una operación de préstamo de valores, siendo la contraparte directa una administración pública. El importe en libros será el valor razonable de las posiciones cortas. Las posiciones cortas se indicarán por períodos de vencimiento residual, tal como se definen en las filas 170 a 230, y por contraparte inmediata. A continuación las posiciones cortas se compensarán con las posiciones con el mismo vencimiento residual y la misma contraparte inmediata a efectos del cómputo de las columnas 030 a 120. |
|
140 |
De las cuales: posiciones cortas procedentes de préstamos de recompra inversa clasificadas como activos financieros mantenidos para negociar o destinados a negociación Importe en libros de las posiciones cortas, según lo definido en la NIIF 9.BA7.b), que se originan cuando la entidad vende valores adquiridos en préstamos de recompra inversa, cuya contraparte directa es una administración pública, y que se incluyen en las carteras contables de «activos financieros mantenidos para negociar» o «activos financieros destinados a negociación» (columnas 030 o 040). No se incluirán en esta columna las posiciones cortas que se originen cuando los valores vendidos hayan sido tomados en préstamo en una operación de préstamo de valores. |
|
150 |
Deterioro de valor acumulado Suma del deterioro de valor acumulado de los activos financieros no derivados incluidos en las columnas 080 a 120. [Anexo V, parte 2, puntos 70 y 71] |
|
160 |
Deterioro de valor acumulado — del cual: de activos financieros a valor razonable con cambios en otro resultado global o de activos financieros no derivados y no destinados a negociación contabilizados a valor razonable en el patrimonio neto Suma del deterioro de valor acumulado de los activos financieros no derivados incluidos en las columnas 080 y 090. |
|
170 |
Cambios acumulados negativos en el valor razonable debidos al riesgo de crédito Suma de los cambios acumulados negativos en el valor razonable debidos al riesgo de crédito en relación con las posiciones consignadas en las columnas 050, 060, 070, 080 y 090. [Anexo V, parte 2, punto 69] |
|
180 |
Cambios acumulados negativos en el valor razonable debidos al riesgo de crédito — de los cuales: de activos financieros no destinados a negociación valorados obligatoriamente a valor razonable con cambios en resultados, de activos financieros designados a valor razonable con cambios en resultados o de activos financieros no destinados a negociación a valor razonable con cambios en resultados Suma de los cambios acumulados negativos en el valor razonable debidos al riesgo de crédito en relación con las posiciones consignadas en las columnas 050, 060 y 070. |
|
190 |
Cambios acumulados negativos en el valor razonable debidos al riesgo de crédito — de los cuales: de activos financieros a valor razonable con cambios en otro resultado global o de activos financieros no derivados y no destinados a negociación contabilizados a valor razonable en el patrimonio neto Suma de los cambios acumulados negativos en el valor razonable debidos al riesgo de crédito en relación con las posiciones consignadas en las columnas 080 y 090. |
|
200 — 230 |
DERIVADOS Las posiciones directas en derivados deben consignarse en las columnas 200 a 230. Para la notificación de los derivados sujetos a exigencias de capital tanto por riesgo de contraparte como por riesgo de mercado, véanse las instrucciones para el desglose de la fila. |
|
200 — 210 |
Derivados con valor razonable positivo Todos los instrumentos derivados respecto de los cuales la contraparte sea una administración pública y con un valor razonable positivo para la entidad en la fecha de información, independientemente de que se utilicen en una relación de cobertura que cumpla los oportunos requisitos, sean mantenidos para negociar o estén incluidos en la cartera de «destinados a negociación» según las NIIF y los PCGA nacionales basados en la DCB. Los derivados utilizados a efectos de cobertura económica se comunicarán aquí cuando estén incluidos en las carteras contables de «destinados a negociación» o «mantenidos para negociar» (anexo V, parte 2, puntos 120, 124, 125 y 137 a 140). |
|
200 |
Derivados con valor razonable positivo: importe en libros Importe en libros de los derivados contabilizados como activos financieros en la fecha de referencia de la información. Con arreglo a los PCGA basados en la DCB, los derivados que se comunicarán en estas columnas comprenden los instrumentos derivados valorados al coste o por el menor entre el coste y el valor de mercado incluidos en la cartera de «destinados a negociación» o designados como instrumentos de cobertura. |
|
210 |
Derivados con valor razonable positivo: importe nocional Con arreglo a las NIIF y los PCGA nacionales basados en la DCB, importe nocional, según se define en el anexo V, parte 2, puntos 133 a 135, de todos los contratos de derivados celebrados y aún no liquidados en la fecha de referencia de la información cuya contraparte sea una administración pública, tal como se define en el apartado 1, cuando su valor razonable sea positivo para la entidad en la fecha de referencia de la información. |
|
220 — 230 |
Derivados con valor razonable negativo Todos los instrumentos derivados respecto de los cuales la contraparte sea una administración pública y con un valor razonable negativo para la entidad en la fecha de referencia de la información, independientemente de que se utilicen en una relación de cobertura que cumpla los oportunos requisitos, sean mantenidos para negociar o estén incluidos en la cartera de «destinados a negociación» según las NIIF y los PCGA nacionales basados en la DCB. Los derivados utilizados a efectos de cobertura económica se comunicarán aquí cuando estén incluidos en las carteras contables de «destinados a negociación» o «mantenidos para negociar» (anexo V, parte 2, puntos 120, 124, 125 y 137 a 140). |
|
220 |
Derivados con valor razonable negativo: importe en libros Importe en libros de los derivados contabilizados como pasivos financieros en la fecha de referencia de la información. Con arreglo a los PCGA basados en la DCB, los derivados que se comunicarán en estas columnas comprenden los instrumentos derivados valorados al coste o por el menor entre el coste y el valor de mercado incluidos en la cartera de «destinados a negociación» o designados como instrumentos de cobertura. |
|
230 |
Derivados con valor razonable negativo: importe nocional Con arreglo a las NIIF y los PCGA nacionales basados en la DCB, importe nocional, según se define en el anexo V, parte 2, puntos 133 a 135, de todos los contratos de derivados celebrados y aún no liquidados en la fecha de referencia cuya contraparte sea una administración pública, tal como se define en el apartado 1, cuando su valor razonable sea negativo para la entidad. |
|
240 — 260 |
EXPOSICIONES FUERA DE BALANCE |
|
240 |
Importe nominal Cuando la contraparte directa de la partida fuera de balance sea una administración pública según lo definido en el apartado 1 anterior, importe nominal de los compromisos y garantías financieras que no se consideren derivados de conformidad con las NIIF o los PCGA nacionales basados en la DCB (anexo V, parte 2, puntos 102 a 119). De conformidad con el anexo V, parte 1, puntos 43 y 44, la administración pública es la contraparte directa: a) en una garantía financiera concedida, cuando sea la contraparte directa del instrumento de deuda garantizado, y b) en un compromiso de préstamo y otros compromisos concedidos, cuando sea la contraparte cuyo riesgo de crédito es asumido por la entidad declarante. |
|
250 |
Provisiones DCB, artículo 4, Pasivo.6.c), cuentas de orden, artículo 27.11, artículo 28.8 y artículo 33; NIIF 9.4.2.1.c).ii) y d).ii), 9.5.5.20; NIC 37, NIIF 4, anexo V, parte 2.11. Provisiones para todas las exposiciones fuera de balance, con independencia de cómo se valoren, excepto las valoradas a valor razonable con cambios en resultados, de conformidad con la NIIF 9. Con arreglo a las NIIF, el deterioro de valor de un compromiso de préstamo concedido se comunicará en la columna 150 cuando la entidad no pueda determinar por separado las pérdidas crediticias esperadas relacionadas con el importe utilizado y no utilizado del instrumento de deuda. En caso de que el conjunto de las pérdidas crediticias esperadas para ese instrumento financiero exceda del importe en libros bruto del componente de préstamo del instrumento, el saldo restante de las pérdidas crediticias esperadas se comunicará como provisión en la columna 250. |
|
260 |
Cambios acumulados negativos en el valor razonable debidos al riesgo de crédito En relación con las partidas fuera de balance valoradas a valor razonable con cambios en resultados de acuerdo con la NIIF 9, cambios acumulados negativos en el valor razonable debidos al riesgo de crédito (anexo V, parte 2, punto 110). |
|
270 — 280 |
Pro memoria: derivados de crédito vendidos sobre exposiciones frente a administraciones públicas Deben notificarse los derivados de crédito que no se atienen a la definición de garantías financieras, que la entidad declarante ha suscrito con contrapartes distintas de administraciones públicas y cuya exposición de referencia es una administración pública. Estas columnas no se cumplimentarán en lo que respecta a las exposiciones desglosadas por riesgo, método reglamentario y categoría de exposición (filas 020 a 160). Las exposiciones indicadas en esta sección no deben tenerse en cuenta en el cálculo del valor de exposición y del importe ponderado por riesgo (columnas 290 y 300), que se basa únicamente en las exposiciones directas. |
|
270 |
Derivados con valor razonable positivo: importe en libros Importe en libros agregado de aquellos de los derivados de crédito vendidos sobre exposiciones frente a administraciones públicas comunicados que tienen un valor razonable positivo para la entidad en la fecha de referencia de la información, sin tener en cuenta los ajustes por valoración prudente. En el caso de los derivados a los que se apliquen las NIIF, el importe que deberá consignarse en esta columna es el importe en libros de los derivados que sean activos financieros en la fecha de información. En el caso de los derivados a los que se apliquen los PCGA basados en la DCB, el importe que deberá consignarse en esta columna es el valor razonable de los derivados con un valor razonable positivo en la fecha de referencia de la información, independientemente de cómo se contabilizan. |
|
280 |
Derivados con valor razonable negativo: importe en libros Importe en libros agregado de aquellos de los derivados de crédito vendidos sobre exposiciones frente a administraciones públicas comunicados que tienen un valor razonable negativo para la entidad en la fecha de referencia de la información, sin tener en cuenta los ajustes por valoración prudente. En el caso de los derivados a los que se apliquen las NIIF, el importe que deberá consignarse en esta columna es el importe en libros de los derivados que sean pasivos financieros en la fecha de información. En el caso de los derivados a los que se apliquen los PCGA basados en la DCB, el importe que deberá consignarse en esta columna es el valor razonable de los derivados con un valor razonable negativo en la fecha de referencia de la información, independientemente de cómo se contabilizan. |
|
290 |
Valor de la exposición Valor de exposición de las exposiciones sujetas al marco relativo al riesgo de crédito. En lo que respecta a las exposiciones a las que se aplique el método estándar: véase el artículo 111 del RRC. En lo que respecta a las exposiciones a las que se aplique el método IRB: véanse el artículo 166 y el artículo 230, apartado 1, segunda frase, del RRC. Para la notificación de los derivados sujetos a exigencias de capital tanto por riesgo de contraparte como por riesgo de mercado, véanse las instrucciones para el desglose de la fila. |
|
300 |
Importe de la exposición ponderada por riesgo Importe ponderado por riesgo de las exposiciones sujetas al marco relativo al riesgo de crédito. En lo que respecta a las exposiciones a las que se aplique el método estándar: véase el artículo 113, apartados 1 a 5, del RRC. En lo que respecta a las exposiciones a las que se aplique el método IRB: véase el artículo 153, apartados 1 y 3, del RRC. Para la notificación de los derivados sujetos a exigencias de capital tanto por riesgo de contraparte como por riesgo de mercado, véanse las instrucciones para el desglose de la fila. |
|
Filas |
Instrucciones |
|
DESGLOSE DE LAS EXPOSICIONES POR MÉTODO REGLAMENTARIO |
|
|
010 |
Total de exposiciones Suma de las exposiciones frente a administraciones públicas, tal como se definen en el apartado 1. |
|
020 — 150 |
Exposiciones sujetas al marco relativo al riesgo de crédito Suma de las exposiciones frente a administraciones públicas que se ponderarán por riesgo con arreglo a la parte tercera, título II, del RRC. Las exposiciones sujetas al marco relativo al riesgo de crédito incluyen las exposiciones de la cartera de inversión a las que se aplica una exigencia de capital por riesgo de contraparte. Las exposiciones de la cartera de negociación sujetas a una exigencia de capital por riesgo de contraparte se comunicarán en las filas 160 a 260, según proceda. Las exposiciones directas frente a derivados sujetos a exigencias de capital tanto por riesgo de contraparte como por riesgo de mercado se notificarán tanto en las filas correspondientes al riesgo de crédito (020 a 150) como en la correspondiente al riesgo de mercado (160). No obstante, las exposiciones ponderadas por riesgo debidas al riesgo de contraparte se comunicarán en las filas correspondientes al riesgo de crédito, en tanto que las exposiciones ponderadas por riesgo debidas al riesgo de mercado de dichos derivados se comunicarán en la fila correspondiente al riesgo de mercado. |
|
030 |
Método estándar Exposiciones frente a administraciones públicas que se ponderarán por riesgo con arreglo a la parte tercera, título II, capítulo 2, del RRC, incluidas las exposiciones de la cartera de inversión para las que la ponderación por riesgo de conformidad con dicho capítulo tiene en cuenta el riesgo de contraparte. |
|
040 |
Administraciones centrales Exposiciones frente a administraciones públicas consistentes en administraciones centrales. Estas exposiciones se asignarán a la categoría de «Exposiciones frente a administraciones centrales o bancos centrales» con arreglo a los artículos 112 y 114 del RRC, según lo especificado en las instrucciones de la plantilla C 07.00, excepto lo señalado con respecto a la redistribución de las exposiciones frente a administraciones públicas a otras categorías de exposición debido a la aplicación de técnicas de reducción del riesgo de crédito con efectos de sustitución sobre la exposición, que no será aplicable. |
|
050 |
Administraciones regionales o autoridades locales Exposiciones frente a administraciones públicas consistentes en administraciones regionales o autoridades locales. Estas exposiciones se asignarán a la categoría de «Exposiciones frente a administraciones regionales o autoridades locales» con arreglo a los artículos 112 y 115 del RRC, según lo especificado en las instrucciones de la plantilla C 07.00, excepto lo señalado con respecto a la redistribución de las exposiciones frente a administraciones públicas a otras categorías de exposición debido a la aplicación de técnicas de reducción del riesgo de crédito con efectos de sustitución sobre la exposición, que no será aplicable. |
|
060 |
Entes del sector público Exposiciones frente a administraciones públicas consistentes en entes del sector público. Estas exposiciones se asignarán a la categoría de «Exposiciones frente a entes del sector público» con arreglo a los artículos 112 y 116 del RRC, según lo especificado en las instrucciones de la plantilla C 07.00, excepto lo señalado con respecto a la redistribución de las exposiciones frente a administraciones públicas a otras categorías de exposición debido a la aplicación de técnicas de reducción del riesgo de crédito con efectos de sustitución sobre la exposición, que no será aplicable. |
|
070 |
Organizaciones internacionales Exposiciones agregadas frente a administraciones públicas consistentes en organizaciones internacionales. Estas exposiciones se asignarán a la categoría de «Exposiciones frente a organizaciones internacionales» con arreglo a los artículos 112 y 118 del RRC, según lo especificado en las instrucciones de la plantilla C 07.00, excepto lo señalado con respecto a la redistribución de las exposiciones frente a administraciones públicas a otras categorías de exposición debido a la aplicación de técnicas de reducción del riesgo de crédito con efectos de sustitución sobre la exposición, que no será aplicable. |
|
080 |
Método IRB Exposiciones frente a administraciones públicas que se ponderarán por riesgo con arreglo a la parte tercera, título II, capítulo 3, del RRC, incluidas las exposiciones de la cartera de inversión para las que la ponderación por riesgo de conformidad con dicho capítulo tiene en cuenta el riesgo de contraparte. |
|
090 |
Administraciones centrales Exposiciones frente a administraciones públicas consistentes en administraciones centrales y que se asignan a la categoría de «Exposiciones frente a administraciones centrales o bancos centrales» con arreglo al artículo 147, apartado 3, letra a), del RRC, según lo especificado en las instrucciones de las plantillas C 08.01 y C 08.02, excepto lo señalado con respecto a la redistribución de las exposiciones frente a administraciones públicas a otras categorías de exposición debido a la aplicación de técnicas de reducción del riesgo de crédito con efectos de sustitución sobre la exposición, que no será aplicable. |
|
100 |
Administraciones regionales o autoridades locales [administraciones centrales y bancos centrales] Exposiciones frente a administraciones públicas consistentes en administraciones regionales o autoridades locales y que se asignan a la categoría de «Exposiciones frente a administraciones centrales o bancos centrales» con arreglo al artículo 147, apartado 3, letra a), del RRC, según lo especificado en las instrucciones de las plantillas C 08.01 y C 08.02, excepto lo señalado con respecto a la redistribución de las exposiciones frente a administraciones públicas a otras categorías de exposición debido a la aplicación de técnicas de reducción del riesgo de crédito con efectos de sustitución sobre la exposición, que no será aplicable. |
|
110 |
Administraciones regionales o autoridades locales [entidades] Exposiciones frente a administraciones públicas consistentes en administraciones regionales o autoridades locales y que se asignan a la categoría de «Exposiciones frente a entidades» con arreglo al artículo 147, apartado 4, letra a), del RRC, según lo especificado en las instrucciones de las plantillas C 08.01 y C 08.02, excepto lo señalado con respecto a la redistribución de las exposiciones frente a administraciones públicas a otras categorías de exposición debido a la aplicación de técnicas de reducción del riesgo de crédito con efectos de sustitución sobre la exposición, que no será aplicable. |
|
120 |
Entes del sector público [administraciones centrales y bancos centrales] Exposiciones frente a administraciones públicas consistentes en entes del sector público conforme al artículo 4, punto 8, del RRC y que se asignan a la categoría de «Exposiciones frente a administraciones centrales o bancos centrales» con arreglo al artículo 147, apartado 3, letra a), del RRC, según lo especificado en las instrucciones de las plantillas C 08.01 y C 08.02, excepto lo señalado con respecto a la redistribución de las exposiciones frente a administraciones públicas a otras categorías de exposición debido a la aplicación de técnicas de reducción del riesgo de crédito con efectos de sustitución sobre la exposición, que no será aplicable. |
|
130 |
Entes del sector público [entidades] Exposiciones frente a administraciones públicas consistentes en entes del sector público conforme al artículo 4, punto 8, del RRC y que se asignan a la categoría de «Exposiciones frente a entidades» con arreglo al artículo 147, apartado 4, letra b), del RRC, según lo especificado en las instrucciones de las plantillas C 08.01 y C 08.02, excepto lo señalado con respecto a la redistribución de las exposiciones frente a administraciones públicas a otras categorías de exposición debido a la aplicación de técnicas de reducción del riesgo de crédito con efectos de sustitución sobre la exposición, que no será aplicable. |
|
140 |
Organizaciones internacionales [administraciones centrales y bancos centrales] Exposiciones frente a administraciones públicas consistentes en organizaciones internacionales y que se asignan a la categoría de «Exposiciones frente a administraciones centrales o bancos centrales» con arreglo al artículo 147, apartado 3, letra a), del RRC, según lo especificado en las instrucciones de las plantillas C 08.01 y C 08.02, excepto lo señalado con respecto a la redistribución de las exposiciones frente a administraciones públicas a otras categorías de exposición debido a la aplicación de técnicas de reducción del riesgo de crédito con efectos de sustitución sobre la exposición, que no será aplicable. |
|
150 |
Organizaciones internacionales [entidades] Exposiciones frente a administraciones públicas consistentes en organizaciones internacionales y que se asignan a la categoría de «Exposiciones frente a entidades» con arreglo al artículo 147, apartado 4, letra a), del RRC, según lo especificado en las instrucciones de las plantillas C 08.01 y C 08.02, excepto lo señalado con respecto a la redistribución de las exposiciones frente a administraciones públicas a otras categorías de exposición debido a la aplicación de técnicas de reducción del riesgo de crédito con efectos de sustitución sobre la exposición, que no será aplicable. |
|
160 |
Exposiciones al riesgo de mercado Las exposiciones al riesgo de mercado abarcan las posiciones para las que se calculan requisitos de fondos propios con arreglo a la parte tercera, título IV, del RRC. Las exposiciones directas frente a derivados sujetos a exigencias de capital tanto por riesgo de contraparte como por riesgo de mercado se notificarán tanto en las filas correspondientes al riesgo de crédito (020 a 150) como en la correspondiente al riesgo de mercado (160). No obstante, las exposiciones ponderadas por riesgo debidas al riesgo de contraparte se comunicarán en las filas correspondientes al riesgo de crédito, en tanto que las exposiciones ponderadas por riesgo debidas al riesgo de mercado de dichos derivados se comunicarán en la fila correspondiente al riesgo de mercado. |
|
170 — 230 |
DESGLOSE DE LAS EXPOSICIONES POR VENCIMIENTO RESIDUAL El vencimiento residual se calculará en días entre la fecha contractual de vencimiento y la fecha de referencia de la información para todas las posiciones. Las exposiciones frente a administraciones públicas se desglosarán por vencimiento residual y asignarán a los siguientes intervalos: — [ 0 — 3M [: Menos de 90 días — [ 3M — 1A [: 90 días o más, pero menos de 365 días — [ 1A — 2A [: 365 días o más, pero menos de 730 días — [ 2A — 3A [: 730 días o más, pero menos de 1 095 días — [ 3A — 5A [: 1 095 días o más, pero menos de 1 825 días — [ 5A — 10A [: 1 825 días o más, pero menos de 3 650 días — [ 10A — más: 3 650 días o más |
ANEXO III
SUMINISTRO DE INFORMACIÓN FINANCIERA DE ACUERDO CON LAS NIIF
|
PLANTILLAS FINREP PARA LAS NIIF |
||
|
NÚMERO DE PLANTILLA |
CÓDIGO DE PLANTILLA |
NOMBRE DE LA PLANTILLA O GRUPO DE PLANTILLAS |
|
|
|
PARTE 1 [FRECUENCIA TRIMESTRAL] |
|
Balance [estado de situación financiera] |
||
|
1.1 |
F 01.01 |
Balance: activo |
|
1.2 |
F 01.02 |
Balance: pasivo |
|
1.3 |
F 01.03 |
Balance: patrimonio neto |
|
2 |
F 02.00 |
Estado de resultados |
|
3 |
F 03.00 |
Estado de resultado global |
|
Desglose de los activos financieros por instrumentos y por sectores de las contrapartes |
||
|
4.1 |
F 04.01 |
Desglose de los activos financieros por instrumentos y por sectores de las contrapartes: activos financieros mantenidos para negociar |
|
4.2.1 |
F 04.02.1 |
Desglose de los activos financieros por instrumentos y por sectores de las contrapartes: activos financieros no destinados a negociación valorados obligatoriamente a valor razonable con cambios en resultados |
|
4.2.2 |
F 04.02.2 |
Desglose de los activos financieros por instrumentos y por sectores de las contrapartes: activos financieros designados a valor razonable con cambios en resultados |
|
4.3.1 |
F 04.03.1 |
Desglose de los activos financieros por instrumentos y por sectores de las contrapartes: activos financieros a valor razonable con cambios en otro resultado global |
|
4.4.1 |
F 04.04.1 |
Desglose de los activos financieros por instrumentos y por sectores de las contrapartes: activos financieros a coste amortizado |
|
4.5 |
F 04.05 |
Activos financieros subordinados |
|
5.1 |
F 05.01 |
Desglose de los préstamos y anticipos no destinados a negociación por productos |
|
6.1 |
F 06.01 |
Desglose de los préstamos y anticipos, distintos de los mantenidos para negociar, a sociedades no financieras por códigos NACE |
|
|
F 07.00 |
Activos financieros susceptibles de deterioro vencidos |
|
7.1 |
F 07.01 |
Activos financieros susceptibles de deterioro vencidos |
|
Desglose de los pasivos financieros |
||
|
8.1 |
F 08.01 |
Desglose de los pasivos financieros por productos y por sectores de las contrapartes |
|
8.2 |
F 08.02 |
Pasivos financieros subordinados |
|
Compromisos de préstamo, garantías financieras y otros compromisos |
||
|
9.1.1 |
F 09.01.1 |
Exposiciones fuera de balance: compromisos de préstamo, garantías financieras y otros compromisos concedidos |
|
9.2 |
F 09.02 |
Compromisos de préstamo, garantías financieras y otros compromisos recibidos |
|
10 |
F 10.00 |
Derivados - negociación y coberturas económicas |
|
Contabilidad de coberturas |
||
|
11.1 |
F 11.01 |
Derivados - Contabilidad de coberturas: desglose por tipos de riesgo y tipos de cobertura |
|
11.3 |
F 11.03 |
Instrumentos de cobertura no derivados: desglose por cartera contable y tipo de cobertura |
|
11.4 |
F 11.04 |
Elementos cubiertos mediante coberturas del valor razonable |
|
Movimientos en las correcciones de valor y provisiones por pérdidas crediticias |
||
|
12.1 |
F 12.01 |
Movimientos en las correcciones de valor y provisiones por pérdidas crediticias |
|
12.2 |
F 12.02 |
Transferencias entre fases de deterioro de valor (presentación en términos brutos) |
|
Garantías reales y personales recibidas |
||
|
13.1 |
F 13.01 |
Desglose de las garantías reales y personales en función de los préstamos y anticipos distintos de los mantenidos para negociar |
|
13.2 |
F 13.02 |
Garantías reales obtenidas mediante toma de posesión durante el período [mantenidas en la fecha de información] |
|
13.3 |
F 13.03 |
Garantías reales obtenidas mediante toma de posesión [activos tangibles] acumuladas |
|
14 |
F 14.00 |
Jerarquía del valor razonable: instrumentos financieros a valor razonable |
|
15 |
F 15.00 |
Baja en cuentas y pasivos financieros asociados a activos financieros transferidos |
|
Desglose de partidas seleccionadas del estado de resultados |
||
|
16.1 |
F 16.01 |
Ingresos y gastos en concepto de intereses, por instrumentos y sectores de las contrapartes |
|
16.2 |
F 16.02 |
Ganancias o pérdidas al dar de baja en cuentas activos y pasivos financieros no valorados a valor razonable con cambios en resultados, por instrumentos |
|
16.3 |
F 16.03 |
Ganancias o pérdidas por activos y pasivos financieros mantenidos para negociar y activos y pasivos financieros destinados a negociación, por instrumentos |
|
16.4 |
F 16.04 |
Ganancias o pérdidas por activos y pasivos financieros mantenidos para negociar y activos y pasivos financieros destinados a negociación, por riesgos |
|
16.4.1 |
F 16.04.1 |
Ganancias o pérdidas por activos financieros no destinados a negociación valorados obligatoriamente a valor razonable con cambios en resultados, por instrumentos |
|
16.5 |
F 16.05 |
Ganancias o pérdidas por activos y pasivos financieros designados a valor razonable con cambios en resultados, por instrumentos |
|
16.6 |
F 16.06 |
Ganancias o pérdidas resultantes de la contabilidad de coberturas |
|
16.7 |
F 16.07 |
Deterioro del valor de activos no financieros |
|
Conciliación entre el ámbito de consolidación contable y el ámbito de consolidación según el RRC: balance |
||
|
17.1 |
F 17.01 |
Conciliación entre el ámbito de consolidación contable y el ámbito de consolidación según el RRC: activo |
|
17.2 |
F 17.02 |
Conciliación entre el ámbito de consolidación contable y el ámbito de consolidación según el RRC: exposiciones fuera de balance - compromisos de préstamo, garantías financieras y otros compromisos concedidos |
|
17.3 |
F 17.03 |
Conciliación entre el ámbito de consolidación contable y el ámbito de consolidación según el RRC: pasivo |
|
18 |
F 18.00 |
Exposiciones no dudosas y dudosas |
|
19 |
F 19.00 |
Exposiciones reestructuradas o refinanciadas |
|
|
|
PARTE 2 [FRECUENCIA TRIMESTRAL CON UMBRAL: FRECUENCIA TRIMESTRAL O NO SUMINISTRO DE INFORMACIÓN] |
|
Desglose geográfico |
||
|
20.1 |
F 20.01 |
Desglose geográfico de los activos por localización de las actividades |
|
20.2 |
F 20.02 |
Desglose geográfico de los pasivos por localización de las actividades |
|
20.3 |
F 20.03 |
Desglose geográfico de las principales partidas del estado de resultados por localización de las actividades |
|
20.4 |
F 20.04 |
Desglose geográfico de los activos por residencia de las contrapartes |
|
20.5 |
F 20.05 |
Desglose geográfico de las exposiciones fuera de balance por residencia de las contrapartes |
|
20.6 |
F 20.06 |
Desglose geográfico de los pasivos por residencia de las contrapartes |
|
20.7.1 |
F 20.07.1 |
Desglose geográfico, por residencia de las contrapartes, de los préstamos y anticipos, distintos de los mantenidos para negociar, a sociedades no financieras, por códigos NACE |
|
21 |
F 21.00 |
Activos tangibles e intangibles: activos objeto de arrendamiento operativo |
|
Funciones de gestión de activos, custodia y otros servicios |
||
|
22.1 |
F 22.01 |
Ingresos y gastos por comisiones, desglosados por actividades |
|
22.2 |
F 22.02 |
Activos implicados en los servicios prestados |
|
|
|
PARTE 3 [SEMESTRAL] |
|
Actividades fuera de balance: intereses en entes estructurados no consolidados |
||
|
30.1 |
F 30.01 |
Intereses en entes estructurados no consolidados |
|
30.2 |
F 30.02 |
Desglose de los intereses en entes estructurados no consolidados, por naturaleza de las actividades |
|
Partes vinculadas |
||
|
31.1 |
F 31.01 |
Partes vinculadas: importes a pagar y a cobrar |
|
31.2 |
F 31.02 |
Gastos e ingresos generados por operaciones con partes vinculadas |
|
|
|
PARTE 4 [ANUAL] |
|
Estructura del grupo |
||
|
40.1 |
F 40.1 |
Estructura del grupo: «ente por ente» |
|
40.2 |
F 40.02 |
Estructura del grupo: «instrumento por instrumento» |
|
Valor razonable |
||
|
41.1 |
F 41.01 |
Jerarquía del valor razonable: instrumentos financieros a coste amortizado |
|
41.2 |
F 41.02 |
Uso de la opción del valor razonable |
|
42 |
F 42.00 |
Activos tangibles e intangibles: importe en libros según el método de medición |
|
43 |
F 43.00 |
Provisiones |
|
Planes de prestaciones definidas y retribuciones a los empleados |
||
|
44.1 |
F 44.01 |
Componentes de los activos y pasivos netos de los planes de prestaciones definidas |
|
44.2 |
F 44.02 |
Movimientos en las obligaciones de los planes de prestaciones definidas |
|
44.3 |
F 44.03 |
Partidas pro memoria [relativas a los gastos de personal] |
|
Desglose de partidas seleccionadas del estado de resultados |
||
|
45.1 |
F 45.01 |
Ganancias o pérdidas por activos y pasivos financieros designados a valor razonable con cambios en resultados, por carteras contables |
|
45.2 |
F 45.02 |
Ganancias o pérdidas al dar de baja en cuentas activos no financieros distintos de los mantenidos para la venta e inversiones en dependientes, negocios conjuntos y asociadas |
|
45.3 |
F 45.03 |
Otros ingresos y gastos de explotación |
|
46 |
F 46.00 |
Estado de cambios en el patrimonio neto |
1. Balance [estado de situación financiera]
1.1 Activo
|
|
Referencias |
Desglose en el cuadro |
Importe en libros |
|
|
Anexo V, parte 1.27 |
||||
|
010 |
||||
|
010 |
Efectivo, saldos en efectivo en bancos centrales y otros depósitos a la vista |
NIC 1.54.i) |
|
|
|
020 |
Efectivo |
Anexo V, parte 2.1 |
|
|
|
030 |
Saldos en efectivo en bancos centrales |
Anexo V, parte 2.2 |
|
|
|
040 |
Otros depósitos a la vista |
Anexo V, parte 2.3 |
5 |
|
|
050 |
Activos financieros mantenidos para negociar |
NIIF 9, apéndice A |
|
|
|
060 |
Derivados |
NIIF 9, apéndice A |
10 |
|
|
070 |
Instrumentos de patrimonio |
NIC 32.11 |
4 |
|
|
080 |
Valores representativos de deuda |
Anexo V, parte 1.31 |
4 |
|
|
090 |
Préstamos y anticipos |
Anexo V, parte 1.32 |
4 |
|
|
096 |
Activos financieros no destinados a negociación valorados obligatoriamente a valor razonable con cambios en resultados |
NIIF 7.8.a).ii); NIIF 9.4.1.4. |
4 |
|
|
097 |
Instrumentos de patrimonio |
NIC 32.11 |
4 |
|
|
098 |
Valores representativos de deuda |
Anexo V, parte 1.31 |
4 |
|
|
099 |
Préstamos y anticipos |
Anexo V, parte 1.32 |
4 |
|
|
100 |
Activos financieros designados a valor razonable con cambios en resultados |
NIIF 7.8.a).i); NIIF 9.4.1.5. |
4 |
|
|
120 |
Valores representativos de deuda |
Anexo V, parte 1.31 |
4 |
|
|
130 |
Préstamos y anticipos |
Anexo V, parte 1.32 |
4 |
|
|
141 |
Activos financieros a valor razonable con cambios en otro resultado global |
NIIF 7.8.h); NIIF 9.4.1.2A |
4 |
|
|
142 |
Instrumentos de patrimonio |
NIC 32.11 |
4 |
|
|
143 |
Valores representativos de deuda |
Anexo V, parte 1.31 |
4 |
|
|
144 |
Préstamos y anticipos |
Anexo V, parte 1.32 |
4 |
|
|
181 |
Activos financieros a coste amortizado |
NIIF 7.8.f); NIIF 9.4.1.2 |
4 |
|
|
182 |
Valores representativos de deuda |
Anexo V, parte 1.31 |
4 |
|
|
183 |
Préstamos y anticipos |
Anexo V, parte 1.32 |
4 |
|
|
240 |
Derivados — Contabilidad de coberturas |
NIIF 9.6.2.1; Anexo V, parte 1.22 |
11 |
|
|
250 |
Cambios del valor razonable de los elementos cubiertos de una cartera con cobertura del riesgo de tipo de interés |
NIC 39.89A.a); NIIF 9.6.5.8 |
|
|
|
260 |
Inversiones en dependientes, negocios conjuntos y asociadas |
NIC 1.54.e); Anexo V, parte 1.21, parte 2.4 |
40 |
|
|
270 |
Activos tangibles |
|
|
|
|
280 |
Inmovilizado material |
NIC 16.6; NIC 1.54.a) |
21, 42 |
|
|
290 |
Inversiones inmobiliarias |
NIC 40.5; NIC 1.54.b) |
21, 42 |
|
|
300 |
Activos intangibles |
NIC 1.54.c); RRC art. 4.1.115 |
|
|
|
310 |
Fondo de comercio |
NIIF 3.B67.d); RRC art. 4.1.113 |
|
|
|
320 |
Otros activos intangibles |
NIC 38.8,118 |
21, 42 |
|
|
330 |
Activos por impuestos |
NIC 1.54(n-o) |
|
|
|
340 |
Activos por impuestos corrientes |
NIC 1.54.n); NIC 12.5 |
|
|
|
350 |
Activos por impuestos diferidos |
NIC 1.54.o); NIC 12.5; RRC art. 4.1.106 |
|
|
|
360 |
Otros activos |
Anexo V, parte 2.5 |
|
|
|
370 |
Activos no corrientes y grupos enajenables de elementos que se han clasificado como mantenidos para la venta |
NIC 1.54.j); NIIF 5.38; Anexo V, parte 2.7 |
|
|
|
380 |
TOTAL ACTIVO |
NIC 1.9.a), GI 6 |
|
|
1.2 Pasivo
|
|
Referencias |
Desglose en el cuadro |
Importe en libros |
|
|
Anexo V, parte 1.27 |
||||
|
010 |
||||
|
010 |
Pasivos financieros mantenidos para negociar |
NIIF 7.8.e).ii); NIIF 9.BA.6 |
8 |
|
|
020 |
Derivados |
NIIF 9, apéndice A; NIIF 9.4.2.1.a); NIIF 9.BA.7.a) |
10 |
|
|
030 |
Posiciones cortas |
NIIF 9.BA7.b) |
8 |
|
|
040 |
Depósitos |
BCE/2013/33, anexo 2, parte 2.9; Anexo V, parte 1.36 |
8 |
|
|
050 |
Valores representativos de deuda emitidos |
Anexo V, parte 1.37 |
8 |
|
|
060 |
Otros pasivos financieros |
Anexo V, parte 1.38-41 |
8 |
|
|
070 |
Pasivos financieros designados a valor razonable con cambios en resultados |
NIIF 7.8.e).i); NIIF 9.4.2.2 |
8 |
|
|
080 |
Depósitos |
BCE/2013/33, anexo 2, parte 2.9; Anexo V, parte 1.36 |
8 |
|
|
090 |
Valores representativos de deuda emitidos |
Anexo V, parte 1.37 |
8 |
|
|
100 |
Otros pasivos financieros |
Anexo V, parte 1.38-41 |
8 |
|
|
110 |
Pasivos financieros a coste amortizado |
NIIF 7.8.g); NIIF 9.4.2.1 |
8 |
|
|
120 |
Depósitos |
BCE/2013/33, anexo 2, parte 2.9; Anexo V, parte 1.36 |
8 |
|
|
130 |
Valores representativos de deuda emitidos |
Anexo V, parte 1.37 |
8 |
|
|
140 |
Otros pasivos financieros |
Anexo V, parte 1.38-41 |
8 |
|
|
150 |
Derivados — Contabilidad de coberturas |
NIIF 9.6.2.1; Anexo V, parte 1.26 |
11 |
|
|
160 |
Cambios del valor razonable de los elementos cubiertos de una cartera con cobertura del riesgo de tipo de interés |
NIC 39.89A.b); NIIF 9.6.5.8 |
|
|
|
170 |
Provisiones |
NIC 37.10; NIC 1.54.l) |
43 |
|
|
180 |
Pensiones y otras obligaciones de prestaciones definidas post-empleo |
NIC 19.63; NIC 1.78.d); Anexo V, parte 2.9 |
43 |
|
|
190 |
Otras retribuciones a los empleados a largo plazo |
NIC 19.153; NIC 1.78.d); Anexo V, parte 2.10 |
43 |
|
|
200 |
Reestructuración |
NIC 37.71, 84.a) |
43 |
|
|
210 |
Cuestiones procesales y litigios por impuestos pendientes |
NIC 37, apéndice C, ejemplos 6 y 10 |
43 |
|
|
220 |
Compromisos y garantías concedidos |
NIIF 9.4.2.1.c) y d), 9.5.5, 9.B2.5; NIC 37, NIIF 4, Anexo V, parte 2.11 |
9 12 43 |
|
|
230 |
Otras provisiones |
NIC 37.14 |
43 |
|
|
240 |
Pasivos por impuestos |
NIC 1.54(n-o) |
|
|
|
250 |
Pasivos por impuestos corrientes |
NIC 1.54.n); NIC 12.5 |
|
|
|
260 |
Pasivos por impuestos diferidos |
NIC 1.54.o); NIC 12.5; RRC art. 4.1.108 |
|
|
|
270 |
Capital social reembolsable a la vista |
NIC 32 IE 33; CINIIF 2; Anexo V, parte 2.12 |
|
|
|
280 |
Otros pasivos |
Anexo V, parte 2.13 |
|
|
|
290 |
Pasivos incluidos en grupos enajenables de elementos que se han clasificado como mantenidos para la venta |
NIC 1.54.p); NIIF 5.38; Anexo V, parte 2.14 |
|
|
|
300 |
TOTAL PASIVO |
NIC 1.9.b), GI 6 |
|
|
1.3 Patrimonio neto
|
|
Referencias |
Desglose en el cuadro |
Importe en libros |
|
|
010 |
||||
|
010 |
Capital |
NIC 1.54.r), DAC art. 22 |
46 |
|
|
020 |
Capital desembolsado |
NIC 1.78.e) |
|
|
|
030 |
Capital no desembolsado exigido |
Anexo V, parte 2.14 |
|
|
|
040 |
Prima de emisión |
NIC 1.78.e); RRC art. 4.1.124 |
46 |
|
|
050 |
Instrumentos de patrimonio emitidos distintos del capital |
Anexo V, parte 2.18-19 |
46 |
|
|
060 |
Componente de patrimonio neto de los instrumentos financieros compuestos |
NIC 32.28-29; Anexo V, parte 2.18 |
|
|
|
070 |
Otros instrumentos de patrimonio emitidos |
Anexo V, parte 2.19 |
|
|
|
080 |
Otros elementos de patrimonio neto |
NIIF 2.10; Anexo V, parte 2.20 |
|
|
|
090 |
Otro resultado global acumulado |
RRC art. 4.1.100 |
46 |
|
|
095 |
Elementos que no se reclasificarán en resultados |
NIC 1.82A.a) |
|
|
|
100 |
Activos tangibles |
NIC 16.39-41 |
|
|
|
110 |
Activos intangibles |
NIC 38.85-87 |
|
|
|
120 |
Ganancias o (-) pérdidas actuariales en planes de pensiones de prestaciones definidas |
NIC 1.7, GI 6; NIC 19.120.c) |
|
|
|
122 |
Activos no corrientes y grupos enajenables de elementos que se han clasificado como mantenidos para la venta |
NIIF 5.38, GI ejemplo 12 |
|
|
|
124 |
Participación en otros ingresos y gastos reconocidos de inversiones en dependientes, negocios conjuntos y asociadas |
NIC 1, GI 6; NIC 28.10 |
|
|
|
320 |
Cambios del valor razonable de los instrumentos de patrimonio valorados a valor razonable con cambios en otro resultado global |
NIC 1.7.d); NIC 9.5.7.5, B5.7.1; Anexo V, parte 2.21 |
|
|
|
330 |
Ineficacia de las coberturas de valor razonable de los instrumentos de patrimonio valorados a valor razonable con cambios en otro resultado global |
NIC 1.7.e); NIIF 9.5.7.5;.6.5.3; NIIF 7.24C; Anexo V, parte 2.22 |
|
|
|
340 |
Cambios del valor razonable de los instrumentos de patrimonio valorados a valor razonable con cambios en otro resultado global [elemento cubierto] |
NIIF 9.5.7.5;.6.5.8.b); Anexo V, parte 2.22 |
|
|
|
350 |
Cambios del valor razonable de los instrumentos de patrimonio valorados a valor razonable con cambios en otro resultado global [instrumento de cobertura] |
NIC 1.7.e); NIIF 9.5.7.5;.6.5.8.a);Anexo V, parte 2.57 |
|
|
|
360 |
Cambios del valor razonable de los pasivos financieros a valor razonable con cambios en resultados atribuibles a cambios en el riesgo de crédito |
NIC 1.7.f); NIIF 9.5.7.7;Anexo V, parte 2.23 |
|
|
|
128 |
Elementos que pueden reclasificarse en resultados |
NIC 1.82A.a).ii) |
|
|
|
130 |
Cobertura de inversiones netas en negocios en el extranjero [parte eficaz] |
NIIF 9.6.5.13.a); NIIF 7.24B.b).ii) y iii); NIIF 7.24C.b).i) y iv),.24E.a); Anexo V, parte 2.24 |
|
|
|
140 |
Conversión de divisas |
NIC 21.52.b); NIC 21.32, 38-49 |
|
|
|
150 |
Derivados de cobertura. Reserva de cobertura de flujos de efectivo [parte eficaz] |
NIC 1.7.e); NIIF 7.24B.b).ii) y iii); NIIF 7.24C.b).i);.24E; NIIF 9.6.5.11.b); Anexo V, parte 2.25 |
|
|
|
155 |
Cambios del valor razonable de los instrumentos de deuda valorados a valor razonable con cambios en otro resultado global |
NIC 1.7.da); NIIF 9.4.1.2A; 5.7.10; Anexo V, parte 2.26 |
|
|
|
165 |
Instrumentos de cobertura [elementos no designados] |
NIC 1.7.g) y h); NIIF 9.6.5.15,.6.5.16; NIIF 7.24E.b) y c); Anexo V, parte 2.60 |
|
|
|
170 |
Activos no corrientes y grupos enajenables de elementos que se han clasificado como mantenidos para la venta |
NIIF 5.38, GI ejemplo 12 |
|
|
|
180 |
Participación en otros ingresos y gastos reconocidos de las inversiones en dependientes, negocios conjuntos y asociadas |
NIC 1, GI 6; NIC 28.10 |
|
|
|
190 |
Ganancias acumuladas |
RRC art. 4.1.123 |
|
|
|
200 |
Reservas de revalorización |
NIIF 1.30, D5-D8; Anexo V, parte 2.28 |
|
|
|
210 |
Otras reservas |
NIC 1.54; NIC 1.78.e) |
|
|
|
220 |
Reservas o pérdidas acumuladas de inversiones en dependientes, negocios conjuntos y asociadas contabilizadas mediante el método de la participación |
NIC 28.11; Anexo V, parte 2.29 |
|
|
|
230 |
Otras |
Anexo V, parte 2.29 |
|
|
|
240 |
(-) Acciones propias |
NIC 1.79.a).vi); NIC 32.33-34, GA 14, GA 36; Anexo V, parte 2.30 |
46 |
|
|
250 |
Resultados atribuibles a los propietarios de la dominante |
NIC 1.81B .b).ii) |
2 |
|
|
260 |
(-) Dividendos a cuenta |
NIC 32.35 |
|
|
|
270 |
Intereses minoritarios [participaciones no dominantes] |
NIC 1.54.q) |
|
|
|
280 |
Otro resultado global acumulado |
RRC art. 4.1.100 |
46 |
|
|
290 |
Otras partidas |
|
46 |
|
|
300 |
TOTAL PATRIMONIO NETO |
NIC 1.9.c), GI 6 |
46 |
|
|
310 |
TOTAL PATRIMONIO NETO Y PASIVO |
NIC 1, GI 6 |
|
|
2. Estado de resultados
|
|
Referencias |
Desglose en el cuadro |
Período corriente |
|
|
010 |
||||
|
010 |
Ingresos por intereses |
NIC 1.97; Anexo V, parte 2.31 |
16 |
|
|
020 |
Activos financieros mantenidos para negociar |
NIIF 7.20.a).i), B5.e); Anexo V, parte 2.33, 34 |
|
|
|
025 |
Activos financieros no destinados a negociación valorados obligatoriamente a valor razonable con cambios en resultados |
NIIF 7.20.a).i), B5.e), NIIF 9.5.7.1 |
|
|
|
030 |
Activos financieros designados a valor razonable con cambios en resultados |
NIIF 7.20.a).i), B5.e) |
|
|
|
041 |
Activos financieros a valor razonable con cambios en otro resultado global |
NIIF 7.20.b); NIIF 9.5.7.10-11; NIIF 9.4.1.2A |
|
|
|
051 |
Activos financieros a coste amortizado |
NIIF 7.20.b); NIIF 9.4.1.2; NIIF 9.5.7.2 |
|
|
|
070 |
Derivados - contabilidad de coberturas, riesgo de tipo de interés |
NIIF 9, apéndice A; .B6.6.16; Anexo V, parte 2.35 |
|
|
|
080 |
Otros activos |
Anexo V, parte 2.36 |
|
|
|
085 |
Ingresos por intereses de pasivos |
NIIF 9.5.7.1; Anexo V, parte 2.37 |
|
|
|
090 |
(Gastos por intereses) |
NIC 1.97; Anexo V, parte 2.31 |
16 |
|
|
100 |
(Pasivos financieros mantenidos para negociar) |
NIIF 7.20.a).i), B5.e); Anexo V, parte 2.33, 34 |
|
|
|
110 |
(Pasivos financieros designados a valor razonable con cambios en resultados) |
NIIF 7.20.a).i), B5.e) |
|
|
|
120 |
(Pasivos financieros a coste amortizado) |
NIIF 7.20.b); NIIF 9.5.7.2 |
|
|
|
130 |
(Derivados - contabilidad de coberturas, riesgo de tipo de interés) |
NIC 39.9; Anexo V, parte 2.35 |
|
|
|
140 |
(Otros pasivos) |
Anexo V, parte 2.38 |
|
|
|
145 |
(Gastos por intereses de activos) |
NIIF 9.5.7.1; Anexo V, parte 2.39 |
|
|
|
150 |
(Gastos por capital social reembolsable a la vista) |
CINIIF 2.11 |
|
|
|
160 |
Ingresos por dividendos |
Anexo V, parte 2.40 |
31 |
|
|
170 |
Activos financieros mantenidos para negociar |
NIIF 7.20.a).i), B5.e); Anexo V, parte 2.40 |
|
|
|
175 |
Activos financieros no destinados a negociación valorados obligatoriamente a valor razonable con cambios en resultados |
NIIF 7.20.a).i), B5.e), NIIF 9.5.7.1A; Anexo V, parte 2.40 |
|
|
|
191 |
Activos financieros a valor razonable con cambios en otro resultado global |
NIIF 7.20.a).ii); NIIF 9.4.1.2A; NIIF 9.5.7.1A; Anexo V, parte 2.41 |
|
|
|
192 |
Inversiones en dependientes, negocios conjuntos y asociadas contabilizadas mediante el método de la participación |
Anexo V, parte 2.42 |
|
|
|
200 |
Ingresos por comisiones |
NIIF 7.20.c) |
22 |
|
|
210 |
(Gastos por comisiones) |
NIIF 7.20.c) |
22 |
|
|
220 |
Ganancias o (-) pérdidas al dar de baja en cuentas activos y pasivos financieros no valorados a valor razonable con cambios en resultados, netas |
Anexo V, parte 2.45 |
16 |
|
|
231 |
Activos financieros a valor razonable con cambios en otro resultado global |
NIIF 9.4.12A; NIIF 9.5.7.10-11 |
|
|
|
241 |
Activos financieros a coste amortizado |
NIIF 7.20.a).v); NIIF 9.4.1.2; NIIF 9.5.7.2 |
|
|
|
260 |
Pasivos financieros a coste amortizado |
NIIF 7.20.a).v); NIIF 9.5.7.2 |
|
|
|
270 |
Otros |
|
|
|
|
280 |
Ganancias o (-) pérdidas por activos y pasivos financieros mantenidos para negociar, netas |
NIIF 7.20.a).i); NIIF 9.5.7.1; Anexo V, parte 2.43, 46 |
16 |
|
|
287 |
Ganancias o (-) pérdidas por activos financieros no destinados a negociación valorados obligatoriamente a valor razonable con cambios en resultados, netas |
NIIF 7.20.a).i); NIIF 9.5.7.1; Anexo V, parte 2.46 |
|
|
|
290 |
Ganancias o (-) pérdidas por activos y pasivos financieros designados a valor razonable con cambios en resultados, netas |
NIIF 7.20.a).i); NIIF 9.5.7.1; Anexo V, parte 2.44 |
16, 45 |
|
|
300 |
Ganancias o (-) pérdidas resultantes de la contabilidad de coberturas, netas |
Anexo V, parte 2.47 |
16 |
|
|
310 |
Diferencias de cambio [ganancia o (-) pérdida], netas |
NIC 21.28, 52.a) |
|
|
|
330 |
Ganancias o (-) pérdidas al dar de baja en cuentas activos no financieros, netas |
NIC 1.34; Anexo V, parte 2.48 |
45 |
|
|
340 |
Otros ingresos de explotación |
Anexo V, parte 2.314-316 |
45 |
|
|
350 |
(Otros gastos de explotación) |
Anexo V, parte 2.314-316 |
45 |
|
|
355 |
TOTAL RESULTADO DE EXPLOTACIÓN, NETO |
|
|
|
|
360 |
(Gastos de administración) |
|
|
|
|
370 |
(Gastos de personal) |
NIC 19.7; NIC 1.102, GI 6 |
44 |
|
|
380 |
(Otros gastos de administración) |
|
|
|
|
390 |
(Amortización) |
NIC 1.102, 104 |
|
|
|
400 |
(Inmovilizado material) |
NIC 1.104; NIC 16.73.e).vii) |
|
|
|
410 |
(Inversiones inmobiliarias) |
NIC 1.104; NIC 40.79.d).iv) |
|
|
|
420 |
(Otros activos intangibles) |
NIC 1.104; NIC 38.118.e).vi) |
|
|
|
425 |
Ganancias o (-) pérdidas por modificación, netas |
NIIF 9.5.4.3; NIIF 9, apéndice A; Anexo V, parte 2.49 |
|
|
|
426 |
Activos financieros a valor razonable con cambios en otro resultado global |
NIIF 7.35J |
|
|
|
427 |
Activos financieros a coste amortizado |
NIIF 7.35J |
|
|
|
430 |
(Provisiones o (-) reversión de provisiones) |
NIC 37.59, 84; NIC 1.98.b), f) y g) |
9 12 43 |
|
|
440 |
(Compromisos y garantías concedidos) |
NIIF 9.4.2.1.c) y d), 9.B2.5; NIC 37, NIIF 4, Anexo V, parte 2.50 |
|
|
|
450 |
(Otras provisiones) |
|
|
|
|
460 |
(Deterioro del valor o (-) reversión del deterioro del valor de activos financieros no valorados a valor razonable con cambios en resultados) |
NIIF 7.20.a).viii); NIIF 9.5.4.4; Anexo V, parte 2.51, 53 |
12 |
|
|
481 |
(Activos financieros a valor razonable con cambios en otro resultado global) |
NIIF 9.5.4.4, 9.5.5.1, 9.5.5.2, 9.5.5.8 |
12 |
|
|
491 |
Activos financieros a coste amortizado |
NIIF 9.5.4.4, 9.5.5.1, 9.5.5.8 |
12 |
|
|
510 |
(Deterioro del valor o (-) reversión del deterioro del valor de inversiones en dependientes, negocios conjuntos o asociadas) |
NIC 28.40-43 |
16 |
|
|
520 |
(Deterioro del valor o (-) reversión del deterioro del valor de activos no financieros) |
NIC 36.126.a) y b) |
16 |
|
|
530 |
(Inmovilizado material) |
NIC 16.73.e).v-vi) |
|
|
|
540 |
(Inversiones inmobiliarias) |
NIC 40.79.d).v) |
|
|
|
550 |
(Fondo de comercio) |
NIIF 3, apéndice B67.d).v); NIC 36.124 |
|
|
|
560 |
(Otros activos intangibles) |
NIC 38.118.e).iv) y v) |
|
|
|
570 |
(Otros) |
NIC 36.126.a) y b) |
|
|
|
580 |
Fondo de comercio negativo reconocido en resultados |
NIIF 3, apéndice B64.n).i) |
|
|
|
590 |
Participación en las ganancias o (-) pérdidas de las inversiones en dependientes, negocios conjuntos y asociadas contabilizadas mediante el método de la participación |
Anexo V, parte 2.54 |
|
|
|
600 |
Ganancias o (-) pérdidas procedentes de activos no corrientes y grupos enajenables de elementos clasificados como mantenidos para la venta no admisibles como actividades interrumpidas |
NIIF 5.37; Anexo V, parte 2.55 |
|
|
|
610 |
GANANCIAS O (-) PÉRDIDAS ANTES DE IMPUESTOS PROCEDENTES DE LAS ACTIVIDADES CONTINUADAS |
NIC 1.102, GI 6 NIIF 5.33A |
|
|
|
620 |
(Gastos o (-) ingresos por impuestos sobre los resultados de las actividades continuadas) |
NIC 1.82.d); NIC 12.77 |
|
|
|
630 |
GANANCIAS O (-) PÉRDIDAS DESPUÉS DE IMPUESTOS PROCEDENTES DE LAS ACTIVIDADES CONTINUADAS |
NIC 1, GI 6 |
|
|
|
640 |
Ganancias o (-) pérdidas después de impuestos procedentes de actividades interrumpidas |
NIC 1.82(ea); NIIF 5.33.a), 5.33 A; Anexo V, parte 2.56 |
|
|
|
650 |
Ganancias o (-) pérdidas antes de impuestos procedentes de actividades interrumpidas |
NIIF 5.33.b).i) |
|
|
|
660 |
(Gastos o (-) ingresos por impuestos relativos a actividades interrumpidas) |
NIIF 5.33 .b).ii) y iv) |
|
|
|
670 |
GANANCIAS O (-) PÉRDIDAS DEL EJERCICIO |
NIC 1.81A.a) |
|
|
|
680 |
Atribuibles a intereses minoritarios [participaciones no dominantes] |
NIC 1.81B .b).i) |
|
|
|
690 |
Atribuibles a los propietarios de la dominante |
NIC 1.81B .b).ii) |
|
|
3. Estado de resultado global
|
|
Referencias |
Período corriente |
|
|
010 |
|||
|
010 |
Ganancias o (-) pérdidas del ejercicio |
NIC 1.7, GI 6 |
|
|
020 |
Otro resultado global |
NIC 1.7, GI 6 |
|
|
030 |
Elementos que no se reclasificarán en resultados |
NIC 1.82A.a).i) |
|
|
040 |
Activos tangibles |
NIC 1.7, GI 6; NIC 16.39-40 |
|
|
050 |
Activos intangibles |
NIC 1.7; NIC 38.85-86 |
|
|
060 |
Ganancias o (-) pérdidas actuariales en planes de pensiones de prestaciones definidas |
NIC 1.7, GI 6; NIC 19.120.c) |
|
|
070 |
Activos no corrientes y grupos enajenables de elementos mantenidos para la venta |
NIIF 5.38 |
|
|
080 |
Participación en otros ingresos y gastos reconocidos de las entidades contabilizadas utilizando el método de la participación |
NIC 1, GI 6; NIC 28.10 |
|
|
081 |
Cambios del valor razonable de los instrumentos de patrimonio valorados a valor razonable con cambios en otro resultado global |
NIC 1.7.d) |
|
|
083 |
Ganancias o (-) pérdidas resultantes de la contabilidad de coberturas de instrumentos de patrimonio valorados a valor razonable con cambios en otro resultado global, netas |
NIIF 9.5.7.5;.6.5.3; NIIF 7.24C; Anexo V, parte 2.57 |
|
|
084 |
Cambios del valor razonable de los instrumentos de patrimonio valorados a valor razonable con cambios en otro resultado global [elemento cubierto] |
NIIF 9.5.7.5;.6.5.8.b); Anexo V, parte 2.57 |
|
|
085 |
Cambios del valor razonable de los instrumentos de patrimonio valorados a valor razonable con cambios en otro resultado global [instrumento de cobertura] |
NIIF 9.5.7.5;.6.5.8.a); Anexo V, parte 2.57 |
|
|
086 |
Cambios del valor razonable de los pasivos financieros a valor razonable con cambios en resultados atribuibles a cambios en el riesgo de crédito |
NIC 1.7.f) |
|
|
090 |
Impuesto sobre las ganancias relativo a los elementos que no se reclasificarán |
NIC 1.91.b); Anexo V, parte 2.66 |
|
|
100 |
Elementos que pueden reclasificarse en resultados |
NIC 1.82A.a).ii) |
|
|
110 |
Cobertura de inversiones netas en negocios en el extranjero [parte eficaz] |
NIIF 9.6.5.13.a); NIIF 7.24C.b).i) y iv),.24E.a); Anexo V, parte 2.58 |
|
|
120 |
Ganancias o (-) pérdidas de valor contabilizadas en el patrimonio neto |
NIC 1, GI 6; NIIF 9.6.5.13.a); NIIF 7.24C.b).i), .24E.a); Anexo V, parte 2.58 |
|
|
130 |
Transferido a resultados |
NIC 1.7, 92-95; NIC 21.48-49; NIIF 9.6.5.14; Anexo V, parte 2.59 |
|
|
140 |
Otras reclasificaciones |
Anexo V, parte 2.65 |
|
|
150 |
Conversión de divisas |
NIC 1.7, GI 6; NIC 21.52.b) |
|
|
160 |
Ganancias o (-) pérdidas por cambio de divisas contabilizadas en el patrimonio neto |
NIC 21.32, 38-47 |
|
|
170 |
Transferido a resultados |
NIC 1.7, 92-95; NIC 21.48-49 |
|
|
180 |
Otras reclasificaciones |
Anexo V, parte 2.65 |
|
|
190 |
Coberturas de flujos de efectivo [parte eficaz] |
NIC 1.7, GI 6; NIC 39.95.a)-96; NIIF 9.6.5.11.b); NIIF 7.24C.b).i), .24E.a); |
|
|
200 |
Ganancias o (-) pérdidas de valor contabilizadas en el patrimonio neto |
NIC 1.7.e), GI 6; NIIF 9.6.5.11.a), b) y d); NIIF 7.24C.b).i), .24E.a) |
|
|
210 |
Transferido a resultados |
NIC 1.7, 92-95, GI 6; NIIF 9.6.5.11.d).ii) y iii); NIIF 7.24C.b).iv), .24E.a); Anexo V, parte 2.59 |
|
|
220 |
Transferido al importe en libros inicial de los elementos cubiertos |
NIC 1, GI 6; NIIF 9.6.5.11.d).i) |
|
|
230 |
Otras reclasificaciones |
Anexo V, parte 2.65 |
|
|
231 |
Instrumentos de cobertura [elementos no designados] |
NIC 1.7.g) y h); NIIF 9.6.5.15,.6.5.16; NIIF 7.24C.b) y c); Anexo V, parte 2.60 |
|
|
232 |
Ganancias o (-) pérdidas de valor contabilizadas en el patrimonio neto |
NIC 1.7.g) y h); NIIF 9.6.5.15,.6.5.16; NIIF 7.24E .b) y c) |
|
|
233 |
Transferido a resultados |
NIC 1.7.g) y h); NIIF 9.6.5.15,.6.5.16; NIIF 7.24E.b) y c); Anexo V, parte 2.61 |
|
|
234 |
Otras reclasificaciones |
Anexo V, parte 2.65 |
|
|
241 |
Instrumentos de deuda a valor razonable con cambios en otro resultado global |
NIC 1.7(da), GI 6; NIC 1, GI 6; NIIF 9.5.6.4; Anexo V, parte 2.62-63 |
|
|
251 |
Ganancias o (-) pérdidas de valor contabilizadas en el patrimonio neto |
NIIF 7.20.a).ii); NIC 1, GI 6; NIIF 9.5.6.4 |
|
|
261 |
Transferido a resultados |
NIC 1.7, NIC 1.92-95, NIC 1, GI 6; NIIF 9.5.6.7; Anexo V, parte 2.64 |
|
|
270 |
Otras reclasificaciones |
NIIF 5, GI ejemplo 12; NIIF 9.5.6.5; Anexo V, parte 2.64-65 |
|
|
280 |
Activos no corrientes y grupos enajenables de elementos mantenidos para la venta |
NIIF 5.38 |
|
|
290 |
Ganancias o (-) pérdidas de valor contabilizadas en el patrimonio neto |
NIIF 5.38 |
|
|
300 |
Transferido a resultados |
NIC 1.7, 92-95; NIIF 5.38 |
|
|
310 |
Otras reclasificaciones |
NIIF 5, GI ejemplo 12 |
|
|
320 |
Participación en otros ingresos y gastos reconocidos de las inversiones en dependientes, negocios conjuntos y asociadas |
NIC 1, GI 6; NIC 28.10 |
|
|
330 |
Impuesto sobre las ganancias relativo a los elementos que pueden reclasificarse en ganancias o (-) pérdidas |
NIC 1.91.b), GI 6; Anexo V, parte 2.66 |
|
|
340 |
Resultado global total del ejercicio |
NIC 1.7, 81A.a), GI 6 |
|
|
350 |
Atribuible a intereses minoritarios [participaciones no dominantes] |
NIC 1.83.b).i), GI 6 |
|
|
360 |
Atribuibles a los propietarios de la dominante |
NIC 1.83.b).ii), GI 6 |
|
4. Desglose de los activos financieros por instrumentos y por sectores de las contrapartes
4.1 Activos financieros mantenidos para negociar
|
|
Referencias |
Importe en libros |
|
|
Anexo V, parte 1.27 |
|||
|
010 |
|||
|
005 |
Derivados |
|
|
|
010 |
Instrumentos de patrimonio |
NIC 32.11; Anexo V, parte 1.44.b) |
|
|
030 |
De los cuales: entidades de crédito |
Anexo V, parte 1.42.c) |
|
|
040 |
De los cuales: otras sociedades financieras |
Anexo V, parte 1.42.d) |
|
|
050 |
De los cuales: sociedades no financieras |
Anexo V, parte 1.42.e) |
|
|
060 |
Valores representativos de deuda |
Anexo V, parte 1.31, 44.b) |
|
|
070 |
Bancos centrales |
Anexo V, parte 1.42.a) |
|
|
080 |
Administraciones públicas |
Anexo V, parte 1.42.b) |
|
|
090 |
Entidades de crédito |
Anexo V, parte 1.42.c) |
|
|
100 |
Otras sociedades financieras |
Anexo V, parte 1.42.d) |
|
|
110 |
Sociedades no financieras |
Anexo V, parte 1.42.e) |
|
|
120 |
Préstamos y anticipos |
Anexo V, parte 1.32, 44.a) |
|
|
130 |
Bancos centrales |
Anexo V, parte 1.42.a) |
|
|
140 |
Administraciones públicas |
Anexo V, parte 1.42.b) |
|
|
150 |
Entidades de crédito |
Anexo V, parte 1.42.c) |
|
|
160 |
Otras sociedades financieras |
Anexo V, parte 1.42.d) |
|
|
170 |
Sociedades no financieras |
Anexo V, parte 1.42.e) |
|
|
180 |
Hogares |
Anexo V, parte 1.42.f) |
|
|
190 |
ACTIVOS FINANCIEROS MANTENIDOS PARA NEGOCIAR |
NIIF 9, apéndice A |
|
4.2.1 Activos financieros no destinados a negociación valorados obligatoriamente a valor razonable con cambios en resultados
|
|
Referencias |
Importe en libros |
Cambios acumulados negativos en el valor razonable debidos al riesgo de crédito por exposiciones dudosas |
|
|
Anexo V, parte 1.27 |
Anexo V, parte 2.69 |
|||
|
010 |
020 |
|||
|
010 |
Instrumentos de patrimonio |
NIC 32.11; Anexo V, parte 1.44.b) |
|
|
|
020 |
De los cuales: entidades de crédito |
Anexo V, parte 1.42.c) |
|
|
|
030 |
De los cuales: otras sociedades financieras |
Anexo V, parte 1.42.d) |
|
|
|
040 |
De los cuales: sociedades no financieras |
Anexo V, parte 1.42.e) |
|
|
|
050 |
Valores representativos de deuda |
Anexo V, parte 1.31, 44.b) |
|
|
|
060 |
Bancos centrales |
Anexo V, parte 1.42.a) |
|
|
|
070 |
Administraciones públicas |
Anexo V, parte 1.42.b) |
|
|
|
080 |
Entidades de crédito |
Anexo V, parte 1.42.c) |
|
|
|
090 |
Otras sociedades financieras |
Anexo V, parte 1.42.d) |
|
|
|
100 |
Sociedades no financieras |
Anexo V, parte 1.42.e) |
|
|
|
110 |
Préstamos y anticipos |
Anexo V, parte 1.32, 44.a) |
|
|
|
120 |
Bancos centrales |
Anexo V, parte 1.42.a) |
|
|
|
130 |
Administraciones públicas |
Anexo V, parte 1.42.b) |
|
|
|
140 |
Entidades de crédito |
Anexo V, parte 1.42.c) |
|
|
|
150 |
Otras sociedades financieras |
Anexo V, parte 1.42.d) |
|
|
|
160 |
Sociedades no financieras |
Anexo V, parte 1.42.e) |
|
|
|
170 |
Hogares |
Anexo V, parte 1.42.f) |
|
|
|
180 |
ACTIVOS FINANCIEROS NO DESTINADOS A NEGOCIACIÓN VALORADOS OBLIGATORIAMENTE A VALOR RAZONABLE CON CAMBIOS EN RESULTADOS |
NIIF 7.8.a).ii); NIIF 9.4.1.4 |
|
|
4.2.2 Activos financieros designados a valor razonable con cambios en resultados
|
|
Referencias |
Importe en libros |
Cambios acumulados negativos en el valor razonable debidos al riesgo de crédito por exposiciones dudosas |
|
|
Anexo V, parte 1.27 |
Anexo V, parte 2.69 |
|||
|
010 |
020 |
|||
|
060 |
Valores representativos de deuda |
Anexo V, parte 1.31, 44.b) |
|
|
|
070 |
Bancos centrales |
Anexo V, parte 1.42.a) |
|
|
|
080 |
Administraciones públicas |
Anexo V, parte 1.42.b) |
|
|
|
090 |
Entidades de crédito |
Anexo V, parte 1.42.c) |
|
|
|
100 |
Otras sociedades financieras |
Anexo V, parte 1.42.d) |
|
|
|
110 |
Sociedades no financieras |
Anexo V, parte 1.42.e) |
|
|
|
120 |
Préstamos y anticipos |
Anexo V, parte 1.32, 44.a) |
|
|
|
130 |
Bancos centrales |
Anexo V, parte 1.42.a) |
|
|
|
140 |
Administraciones públicas |
Anexo V, parte 1.42.b) |
|
|
|
150 |
Entidades de crédito |
Anexo V, parte 1.42.c) |
|
|
|
160 |
Otras sociedades financieras |
Anexo V, parte 1.42.d) |
|
|
|
170 |
Sociedades no financieras |
Anexo V, parte 1.42.e) |
|
|
|
180 |
Hogares |
Anexo V, parte 1.42.f) |
|
|
|
190 |
ACTIVOS FINANCIEROS DESIGNADOS A VALOR RAZONABLE CON CAMBIOS EN RESULTADOS |
NIIF 7.8.a).i); NIIF 9.4.1.5 |
|
|
4.3.1 Activos financieros a valor razonable con cambios en otro resultado global
|
|
Referencias |
Importe en libros |
Importe en libros bruto Anexo V, parte 1.34.b) |
Deterioro de valor acumulado Anexo V, parte 2.70.b), 71 |
Fallidos parciales acumulados |
Fallidos totales acumulados |
||||||
|
|
Activos con un aumento significativo del riesgo de crédito desde el reconocimiento inicial, pero sin deterioro crediticio (fase 2) |
Activos con deterioro crediticio (fase 3) |
Activos sin un aumento significativo del riesgo de crédito desde el reconocimiento inicial (fase 1) |
Activos con un aumento significativo del riesgo de crédito desde el reconocimiento inicial, pero sin deterioro crediticio (fase 2) |
Activos con deterioro crediticio (fase 3) |
|||||||
|
Activos sin un aumento significativo del riesgo de crédito desde el reconocimiento inicial (fase 1) |
De los cuales: instrumentos con bajo riesgo de crédito |
|||||||||||
|
Anexo V, parte 1.27 |
NIIF 9.5.5.5; NIIF 7.35M.a) |
NIIF 9.B5.5.22-24; Anexo V, parte 2.75 |
NIIF 9.5.5.3; NIIF 7.35M.b).i) |
NIIF 9.5.5.1; NIIF 9.5.5.15; NIIF 7.35H.b).ii), IFRS 7.16A |
NIIF 9.5.5.5; NIIF 7.35H.a); NIIF 7.16A |
NIIF 9.5.5.3; NIIF 9.5.5.15; NIIF 7.35H.b).i); NIIF 7.16A |
NIIF 9.5.5.1; NIIF 9.5.5.15; NIIF 7.35H.b).ii); NIIF 7.16A |
NIIF 9.5.4.4 y B5.4.9 ; Anexo V, parte 2.72-74 |
NIIF 9.5.4.4 y B5.4.9; Anexo V, parte 2.72-74 |
|||
|
010 |
015 |
020 |
030 |
040 |
050 |
060 |
070 |
080 |
090 |
|||
|
010 |
Instrumentos de patrimonio |
NIC 32.11; Anexo V, parte 1.44.b) |
|
|
|
|
|
|
|
|
|
|
|
020 |
De los cuales: entidades de crédito |
Anexo V, parte 1.42.c) |
|
|
|
|
|
|
|
|
|
|
|
030 |
De los cuales: otras sociedades financieras |
Anexo V, parte 1.42.d) |
|
|
|
|
|
|
|
|
|
|
|
040 |
De los cuales: sociedades no financieras |
Anexo V, parte 1.42.e) |
|
|
|
|
|
|
|
|
|
|
|
050 |
Valores representativos de deuda |
Anexo V, parte 1.31, 44.b) |
|
|
|
|
|
|
|
|
|
|
|
060 |
Bancos centrales |
Anexo V, parte 1.42.a) |
|
|
|
|
|
|
|
|
|
|
|
070 |
Administraciones públicas |
Anexo V, parte 1.42.b) |
|
|
|
|
|
|
|
|
|
|
|
080 |
Entidades de crédito |
Anexo V, parte 1.42.c) |
|
|
|
|
|
|
|
|
|
|
|
090 |
Otras sociedades financieras |
Anexo V, parte 1.42.d) |
|
|
|
|
|
|
|
|
|
|
|
100 |
Sociedades no financieras |
Anexo V, parte 1.42.e) |
|
|
|
|
|
|
|
|
|
|
|
110 |
Préstamos y anticipos |
Anexo V, parte 1.32, 44.a) |
|
|
|
|
|
|
|
|
|
|
|
120 |
Bancos centrales |
Anexo V, parte 1.42.a) |
|
|
|
|
|
|
|
|
|
|
|
130 |
Administraciones públicas |
Anexo V, parte 1.42.b) |
|
|
|
|
|
|
|
|
|
|
|
140 |
Entidades de crédito |
Anexo V, parte 1.42.c) |
|
|
|
|
|
|
|
|
|
|
|
150 |
Otras sociedades financieras |
Anexo V, parte 1.42.d) |
|
|
|
|
|
|
|
|
|
|
|
160 |
Sociedades no financieras |
Anexo V, parte 1.42.e) |
|
|
|
|
|
|
|
|
|
|
|
170 |
Hogares |
Anexo V, parte 1.42.f) |
|
|
|
|
|
|
|
|
|
|
|
180 |
ACTIVOS FINANCIEROS A VALOR RAZONABLE CON CAMBIOS EN OTRO RESULTADO GLOBAL |
NIIF 7.8.h); NIIF 9.4.1.2A |
|
|
|
|
|
|
|
|
|
|
|
190 |
De los cuales: activos financieros con deterioro crediticio adquiridos |
NIIF 9.5.5.13; NIIF 7.35M.c); Anexo V, parte 2.77 |
|
|
|
|
|
|
|
|
|
|
4.4.1 Activos financieros a coste amortizado
|
|
Referencias |
Importe en libros |
Importe en libros bruto Anexo V, parte 1.34.b) |
Deterioro de valor acumulado Anexo V, parte 2.70.a), 71 |
Fallidos parciales acumulados |
Fallidos totales acumulados |
||||||
|
|
Activos con un aumento significativo del riesgo de crédito desde el reconocimiento inicial, pero sin deterioro crediticio (fase 2) |
Activos con deterioro crediticio (fase 3) |
Activos sin un aumento significativo del riesgo de crédito desde el reconocimiento inicial (fase 1) |
Activos con un aumento significativo del riesgo de crédito desde el reconocimiento inicial, pero sin deterioro crediticio (fase 2) |
Activos con deterioro crediticio (fase 3) |
|||||||
|
Activos sin un aumento significativo del riesgo de crédito desde el reconocimiento inicial (fase 1) |
De los cuales: instrumentos con bajo riesgo de crédito |
|||||||||||
|
Anexo V, parte 1.27 |
NIIF 9.5.5.5; NIIF 7.35M.a) |
NIIF 9.B5.5.22-24; Anexo V, parte 2.75 |
NIIF 9.5.5.3; NIIF 7.35M.b).i) |
NIIF 9.5.5.1, 7.35M.b).ii) |
NIIF 9.5.5.5; NIIF 7.35H.a) |
NIIF 9.5.5.3; NIIF 9.5.5.15; NIIF 7.35H.b).i) |
NIIF 5.5.1; NIIF 9.5.5.15; NIIF 7.35H.b).ii) |
NIIF 9.5.4.4 y B5.4.9; Anexo V, parte 2.72-74 |
NIIF 9.5.4.4 y B5.4.9; Anexo V, parte 2.72-74 |
|||
|
010 |
015 |
020 |
030 |
040 |
050 |
060 |
070 |
080 |
090 |
|||
|
010 |
Valores representativos de deuda |
Anexo V, parte 1.31, 44.b) |
|
|
|
|
|
|
|
|
|
|
|
020 |
Bancos centrales |
Anexo V, parte 1.42.a) |
|
|
|
|
|
|
|
|
|
|
|
030 |
Administraciones públicas |
Anexo V, parte 1.42.b) |
|
|
|
|
|
|
|
|
|
|
|
040 |
Entidades de crédito |
Anexo V, parte 1.42.c) |
|
|
|
|
|
|
|
|
|
|
|
050 |
Otras sociedades financieras |
Anexo V, parte 1.42.d) |
|
|
|
|
|
|
|
|
|
|
|
060 |
Sociedades no financieras |
Anexo V, parte 1.42.e) |
|
|
|
|
|
|
|
|
|
|
|
070 |
Préstamos y anticipos |
Anexo V, parte 1.32, 44.a) |
|
|
|
|
|
|
|
|
|
|
|
080 |
Bancos centrales |
Anexo V, parte 1.42.a) |
|
|
|
|
|
|
|
|
|
|
|
090 |
Administraciones públicas |
Anexo V, parte 1.42.b) |
|
|
|
|
|
|
|
|
|
|
|
100 |
Entidades de crédito |
Anexo V, parte 1.42.c) |
|
|
|
|
|
|
|
|
|
|
|
110 |
Otras sociedades financieras |
Anexo V, parte 1.42.d) |
|
|
|
|
|
|
|
|
|
|
|
120 |
Sociedades no financieras |
Anexo V, parte 1.42.e) |
|
|
|
|
|
|
|
|
|
|
|
130 |
Hogares |
Anexo V, parte 1.42.f) |
|
|
|
|
|
|
|
|
|
|
|
140 |
ACTIVOS FINANCIEROS A COSTE AMORTIZADO |
NIIF 7.8.f); NIIF 9.4.1.2 |
|
|
|
|
|
|
|
|
|
|
|
150 |
De los cuales: activos financieros con deterioro crediticio adquiridos |
NIIF 9.5.13 y NIIF 7.35M.c); Anexo V, parte 2.77 |
|
|
|
|
|
|
|
|
|
|
4.5 Activos financieros subordinados
|
|
Referencias |
Importe en libros |
|
|
Anexo V, parte 1.27 |
|||
|
010 |
|||
|
010 |
Préstamos y anticipos |
Anexo V, parte 1.32 |
|
|
020 |
Valores representativos de deuda |
Anexo V, parte 1.31 |
|
|
030 |
ACTIVOS FINANCIEROS SUBORDINADOS [PARA EL EMISOR] |
Anexo V, parte 2.78, 100 |
|
5. Desglose de los préstamos y anticipos no destinados a negociación por productos
5.1 Préstamos y anticipos distintos de los mantenidos para negociar y activos destinados a negociación, por productos
|
|
|
Referencias |
Importe en libros bruto |
Importe en libros Anexo V, parte 1.27 |
||||||
|
Bancos centrales |
Administraciones públicas |
Entidades de crédito |
Otras sociedades financieras |
Sociedades no financieras |
Hogares |
|||||
|
Anexo V, parte 1.34 |
Anexo V, parte 1.42.a) |
Anexo V, parte 1.42.b) |
Anexo V, parte 1.42.c) |
Anexo V, parte 1.42.d) |
Anexo V, parte 1.42.e) |
Anexo V, parte 1.42.f) |
||||
|
005 |
010 |
020 |
030 |
040 |
050 |
060 |
||||
|
Por productos |
010 |
A la vista y con breve plazo de preaviso [cuenta corriente] |
Anexo V, parte 2.85.a) |
|
|
|
|
|
|
|
|
020 |
Deuda por tarjetas de crédito |
Anexo V, parte 2.85.b) |
|
|
|
|
|
|
|
|
|
030 |
Deudores comerciales |
Anexo V, parte 2.85.c) |
|
|
|
|
|
|
|
|
|
040 |
Arrendamientos financieros |
Anexo V, parte 2.85.d) |
|
|
|
|
|
|
|
|
|
050 |
Préstamos de recompra inversa |
Anexo V, parte 2.85.e) |
|
|
|
|
|
|
|
|
|
060 |
Otros préstamos a plazo |
Anexo V, parte 2.85.f) |
|
|
|
|
|
|
|
|
|
070 |
Anticipos distintos de préstamos |
Anexo V, parte 2.85.g) |
|
|
|
|
|
|
|
|
|
080 |
PRÉSTAMOS Y ANTICIPOS |
Anexo V, parte 1.32, 44.a) |
|
|
|
|
|
|
|
|
|
Por garantías reales |
090 |
De los cuales: préstamos garantizados por bienes inmuebles |
Anexo V, parte 2.86.a), 87 |
|
|
|
|
|
|
|
|
100 |
De los cuales: otros préstamos con garantías reales |
Anexo V, parte 2.86.b), 87 |
|
|
|
|
|
|
|
|
|
Por finalidad |
110 |
De los cuales: crédito al consumo |
Anexo V, parte 2.88.a) |
|
|
|
|
|
|
|
|
120 |
De los cuales: préstamos para compra de vivienda |
Anexo V, parte 2.88.b) |
|
|
|
|
|
|
|
|
|
Por subordinación |
130 |
De los cuales: préstamos para financiación de proyectos |
Anexo V, parte 2.89; RRC art. 147.8 |
|
|
|
|
|
|
|
6. Desglose de los préstamos y anticipos no destinados a negociación a sociedades no financieras por códigos NACE
6.1 Desglose de los préstamos y anticipos, distintos de los mantenidos para negociar, a sociedades no financieras por códigos NACE
|
|
Referencias |
Sociedades no financieras Anexo V, parte 1.42.e), parte 2.91 |
|||||
|
|
Deterioro de valor acumulado |
Cambios acumulados negativos en el valor razonable debidos al riesgo de crédito por exposiciones dudosas |
|||||
|
Importe en libros bruto |
De los cuales: préstamos y anticipos susceptibles de deterioro |
De los cuales: dudosos |
|||||
|
Anexo V, parte 1.34 |
Anexo V, parte 2.93 |
Anexo V, parte 2. 213-232 |
Anexo V, parte 2.70-71 |
Anexo V, parte 2.69 |
|||
|
010 |
011 |
012 |
021 |
022 |
|||
|
010 |
A Agricultura, ganadería, silvicultura y pesca |
Reglamento NACE |
|
|
|
|
|
|
020 |
B Industrias extractivas |
Reglamento NACE |
|
|
|
|
|
|
030 |
C Industria manufacturera |
Reglamento NACE |
|
|
|
|
|
|
040 |
D Suministro de energía eléctrica, gas, vapor y aire acondicionado |
Reglamento NACE |
|
|
|
|
|
|
050 |
E Suministro de agua |
Reglamento NACE |
|
|
|
|
|
|
060 |
F Construcción |
Reglamento NACE |
|
|
|
|
|
|
070 |
G Comercio al por mayor y al por menor |
Reglamento NACE |
|
|
|
|
|
|
080 |
H Transporte y almacenamiento |
Reglamento NACE |
|
|
|
|
|
|
090 |
I Hostelería |
Reglamento NACE |
|
|
|
|
|
|
100 |
J Información y comunicaciones |
Reglamento NACE |
|
|
|
|
|
|
105 |
K Actividades financieras y de seguros |
Reglamento NACE; Anexo V, parte 2.92 |
|
|
|
|
|
|
110 |
L Actividades inmobiliarias |
Reglamento NACE |
|
|
|
|
|
|
120 |
M Actividades profesionales, científicas y técnicas |
Reglamento NACE |
|
|
|
|
|
|
130 |
N Actividades administrativas y servicios auxiliares |
Reglamento NACE |
|
|
|
|
|
|
140 |
O Administración pública y defensa; seguridad social obligatoria |
Reglamento NACE |
|
|
|
|
|
|
150 |
P Educación |
Reglamento NACE |
|
|
|
|
|
|
160 |
Q Actividades sanitarias y de servicios sociales |
Reglamento NACE |
|
|
|
|
|
|
170 |
R Actividades artísticas, recreativas y de entretenimiento |
Reglamento NACE |
|
|
|
|
|
|
180 |
S Otros servicios |
Reglamento NACE |
|
|
|
|
|
|
190 |
PRÉSTAMOS Y ANTICIPOS |
Anexo V, parte 1.32, parte 2.4 |
|
|
|
|
|
7. Activos financieros susceptibles de deterioro vencidos
7.1 Activos financieros susceptibles de deterioro vencidos
|
|
Referencias |
Importe en libros Anexo V, parte 1.27 |
|||||||||
|
Activos sin un aumento significativo del riesgo de crédito desde el reconocimiento inicial (fase 1) |
Activos con un aumento significativo del riesgo de crédito desde el reconocimiento inicial, pero sin deterioro crediticio (fase 2) |
Activos con deterioro crediticio (fase 3) |
|||||||||
|
≤ 30 días |
> 30 días ≤ 90 días |
> 90 días |
≤ 30 días |
> 30 días ≤ 90 días |
> 90 días |
≤ 30 días |
> 30 días ≤ 90 días |
> 90 días |
|||
|
NIIF 9.5.5.11;B5.5.37; NIIF 7.B8I; Anexo V, parte 2.96 |
|||||||||||
|
010 |
020 |
030 |
040 |
050 |
060 |
070 |
080 |
090 |
|||
|
060 |
Valores representativos de deuda |
Anexo V, parte 1.31, 44.b) |
|
|
|
|
|
|
|
|
|
|
070 |
Bancos centrales |
Anexo V, parte 1.42.a) |
|
|
|
|
|
|
|
|
|
|
080 |
Administraciones públicas |
Anexo V, parte 1.42.b) |
|
|
|
|
|
|
|
|
|
|
090 |
Entidades de crédito |
Anexo V, parte 1.42.c) |
|
|
|
|
|
|
|
|
|
|
100 |
Otras sociedades financieras |
Anexo V, parte 1.42.d) |
|
|
|
|
|
|
|
|
|
|
110 |
Sociedades no financieras |
Anexo V, parte 1.42.e) |
|
|
|
|
|
|
|
|
|
|
120 |
Préstamos y anticipos |
Anexo V, parte 1.32, 44.a) |
|
|
|
|
|
|
|
|
|
|
130 |
Bancos centrales |
Anexo V, parte 1.42.a) |
|
|
|
|
|
|
|
|
|
|
140 |
Administraciones públicas |
Anexo V, parte 1.42.b) |
|
|
|
|
|
|
|
|
|
|
150 |
Entidades de crédito |
Anexo V, parte 1.42.c) |
|
|
|
|
|
|
|
|
|
|
160 |
Otras sociedades financieras |
Anexo V, parte 1.42.d) |
|
|
|
|
|
|
|
|
|
|
170 |
Sociedades no financieras |
Anexo V, parte 1.42.e) |
|
|
|
|
|
|
|
|
|
|
180 |
Hogares |
Anexo V, parte 1.42.f) |
|
|
|
|
|
|
|
|
|
|
190 |
TOTAL INSTRUMENTOS DE DEUDA |
Anexo V, parte 2.94-95 |
|
|
|
|
|
|
|
|
|
|
|
Préstamos y anticipos por productos, por garantías reales y por subordinación |
|
|||||||||
|
200 |
A la vista y con breve plazo de preaviso [cuenta corriente] |
Anexo V, parte 2.85.a) |
|
|
|
|
|
|
|
|
|
|
210 |
Deuda por tarjetas de crédito |
Anexo V, parte 2.85.b) |
|
|
|
|
|
|
|
|
|
|
220 |
Deudores comerciales |
Anexo V, parte 2.85.c) |
|
|
|
|
|
|
|
|
|
|
230 |
Arrendamientos financieros |
Anexo V, parte 2.85.d) |
|
|
|
|
|
|
|
|
|
|
240 |
Préstamos de recompra inversa |
Anexo V, parte 2.85.e) |
|
|
|
|
|
|
|
|
|
|
250 |
Otros préstamos a plazo |
Anexo V, parte 2.85.f) |
|
|
|
|
|
|
|
|
|
|
260 |
Anticipos distintos de préstamos |
Anexo V, parte 2.85.g) |
|
|
|
|
|
|
|
|
|
|
270 |
De los cuales: préstamos garantizados por bienes inmuebles |
Anexo V, parte 2.86.a), 87 |
|
|
|
|
|
|
|
|
|
|
280 |
De los cuales: otros préstamos con garantías reales |
Anexo V, parte 2.86.b), 87 |
|
|
|
|
|
|
|
|
|
|
290 |
De los cuales: crédito al consumo |
Anexo V, parte 2.88.a) |
|
|
|
|
|
|
|
|
|
|
300 |
De los cuales: préstamos para compra de vivienda |
Anexo V, parte 2.88.b) |
|
|
|
|
|
|
|
|
|
|
310 |
De los cuales: préstamos para financiación de proyectos |
Anexo V, parte 2.89; RRC art. 147.8 |
|
|
|
|
|
|
|
|
|
8. Desglose de los pasivos financieros
8.1 Desglose de los pasivos financieros por productos y por sectores de las contrapartes
|
|
Referencias a los PCGA nacionales compatibles con las NIIF |
Importe en libros Anexo V, parte 1.27 |
Cambios acumulados en el valor razonable debidos al riesgo de crédito |
||||
|
Mantenidos para negociar |
Designados a valor razonable con cambios en resultados |
Coste amortizado |
Contabilidad de coberturas |
||||
|
NIIF 7.8.e).ii); NIIF 9 apéndice A, NIIF 9.BA.6-BA.7, NIIF 9.6.7 |
NIIF 7.8.e).i); NIIF 9.4.2.2, NIIF 9.4.3.5 |
NIIF 7.8.g); NIIF 9.4.2.1 |
NIIF 7.24A.a); NIIF 9.6 |
RRC art. 33.1. b) y c) Anexo V, parte 2.101 |
|||
|
010 |
020 |
030 |
037 |
040 |
|||
|
010 |
Derivados |
NIIF 9.BA.7.a) |
|
|
|
|
|
|
020 |
Posiciones cortas |
NIIF 9.BA.7.b) |
|
|
|
|
|
|
030 |
Instrumentos de patrimonio |
NIC 32.11 |
|
|
|
|
|
|
040 |
Valores representativos de deuda |
Anexo V, parte 1.31 |
|
|
|
|
|
|
050 |
Depósitos |
BCE/2013/33, anexo 2, parte 2.9; Anexo V, parte 1.36 |
|
|
|
|
|
|
060 |
Bancos centrales |
Anexo V, parte 1.42.a), 44.c) |
|
|
|
|
|
|
070 |
Cuentas corrientes / depósitos intradía |
BCE/2013/33, anexo 2, parte 2.9.1 |
|
|
|
|
|
|
080 |
Depósitos a plazo |
BCE/2013/33, anexo 2, parte 2.9.2 |
|
|
|
|
|
|
090 |
Depósitos disponibles con preaviso |
BCE/2013/33, anexo 2, parte 2.9.3; Anexo V, parte 2.97 |
|
|
|
|
|
|
100 |
Pactos de recompra |
BCE/2013/33, anexo 2, parte 2.9.4 |
|
|
|
|
|
|
110 |
Administraciones públicas |
Anexo V, parte 1.42.b), 44.c) |
|
|
|
|
|
|
120 |
Cuentas corrientes / depósitos intradía |
BCE/2013/33, anexo 2, parte 2.9.1 |
|
|
|
|
|
|
130 |
Depósitos a plazo |
BCE/2013/33, anexo 2, parte 2.9.2 |
|
|
|
|
|
|
140 |
Depósitos disponibles con preaviso |
BCE/2013/33, anexo 2, parte 2.9.3; Anexo V, parte 2.97 |
|
|
|
|
|
|
150 |
Pactos de recompra |
BCE/2013/33, anexo 2, parte 2.9.4 |
|
|
|
|
|
|
160 |
Entidades de crédito |
Anexo V, parte 1.42.c), 44.c) |
|
|
|
|
|
|
170 |
Cuentas corrientes / depósitos intradía |
BCE/2013/33, anexo 2, parte 2.9.1 |
|
|
|
|
|
|
180 |
Depósitos a plazo |
BCE/2013/33, anexo 2, parte 2.9.2 |
|
|
|
|
|
|
190 |
Depósitos disponibles con preaviso |
BCE/2013/33, anexo 2, parte 2.9.3; Anexo V, parte 2.97 |
|
|
|
|
|
|
200 |
Pactos de recompra |
BCE/2013/33, anexo 2, parte 2.9.4 |
|
|
|
|
|
|
210 |
Otras sociedades financieras |
Anexo V, parte 1.42.d), 44.c) |
|
|
|
|
|
|
220 |
Cuentas corrientes / depósitos intradía |
BCE/2013/33, anexo 2, parte 2.9.1 |
|
|
|
|
|
|
230 |
Depósitos a plazo |
BCE/2013/33, anexo 2, parte 2.9.2 |
|
|
|
|
|
|
240 |
Depósitos disponibles con preaviso |
BCE/2013/33, anexo 2, parte 2.9.3; Anexo V, parte 2.97 |
|
|
|
|
|
|
250 |
Pactos de recompra |
BCE/2013/33, anexo 2, parte 2.9.4 |
|
|
|
|
|
|
260 |
Sociedades no financieras |
Anexo V, parte 1.42.e), 44.c) |
|
|
|
|
|
|
270 |
Cuentas corrientes / depósitos intradía |
BCE/2013/33, anexo 2, parte 2.9.1 |
|
|
|
|
|
|
280 |
Depósitos a plazo |
BCE/2013/33, anexo 2, parte 2.9.2 |
|
|
|
|
|
|
290 |
Depósitos disponibles con preaviso |
BCE/2013/33, anexo 2, parte 2.9.3; Anexo V, parte 2.97 |
|
|
|
|
|
|
300 |
Pactos de recompra |
BCE/2013/33, anexo 2, parte 2.9.4 |
|
|
|
|
|
|
310 |
Hogares |
Anexo V, parte 1.42.f), 44.c) |
|
|
|
|
|
|
320 |
Cuentas corrientes / depósitos intradía |
BCE/2013/33, anexo 2, parte 2.9.1 |
|
|
|
|
|
|
330 |
Depósitos a plazo |
BCE/2013/33, anexo 2, parte 2.9.2 |
|
|
|
|
|
|
340 |
Depósitos disponibles con preaviso |
BCE/2013/33, anexo 2, parte 2.9.3; Anexo V, parte 2.97 |
|
|
|
|
|
|
350 |
Pactos de recompra |
BCE/2013/33, anexo 2, parte 2.9.4 |
|
|
|
|
|
|
360 |
Valores representativos de deuda emitidos |
Anexo V, parte 1.37, parte 2.98 |
|
|
|
|
|
|
370 |
Certificados de depósito |
Anexo V, parte 2.98.a) |
|
|
|
|
|
|
380 |
Bonos de titulización de activos |
RRC art. 4.1.61 |
|
|
|
|
|
|
390 |
Bonos garantizados |
RRC art 129 |
|
|
|
|
|
|
400 |
Contratos híbridos |
Anexo V, parte 2.98.d) |
|
|
|
|
|
|
410 |
Otros valores representativos de deuda emitidos |
Anexo V, parte 2.98.e) |
|
|
|
|
|
|
420 |
Instrumentos financieros compuestos convertibles |
NIC 32.GA 31 |
|
|
|
|
|
|
430 |
No convertibles |
|
|
|
|
|
|
|
440 |
Otros pasivos financieros |
Anexo V, parte 1.38-41 |
|
|
|
|
|
|
450 |
PASIVOS FINANCIEROS |
|
|
|
|
|
|
8.2 Pasivos financieros subordinados
|
|
Referencias |
Importe en libros |
||
|
Designados a valor razonable con cambios en resultados |
A coste amortizado |
|||
|
NIIF 7.8.e).i); NIIF 9.4.2.2, NIIF 9.4.3.5 |
NIIF 7.8.g); NIIF 9.4.2.1 |
|||
|
010 |
020 |
|||
|
010 |
Depósitos |
BCE/2013/33, anexo 2, parte 2.9; Anexo V, parte 1.36 |
|
|
|
020 |
Valores representativos de deuda emitidos |
Anexo V, parte 1.37 |
|
|
|
030 |
PASIVOS FINANCIEROS SUBORDINADOS |
Anexo V, parte 2.99-100 |
|
|
9. Compromisos de préstamo, garantías financieras y otros compromisos
9.1.1 Exposiciones fuera de balance: compromisos de préstamo, garantías financieras y otros compromisos concedidos
|
|
Referencias a los PCGA nacionales compatibles con las NIIF |
Importe nominal de los compromisos y garantías financieras fuera de balance sujetos a deterioro de valor conforme a la NIIF 9 Anexo V, parte 2.107-108, 118 |
Provisiones por compromisos y garantías financieras fuera de balance sujetos a deterioro de valor conforme a la NIIF 9 Anexo V, parte 2.106-109 |
Otros compromisos valorados conforme a la NIC 37 y garantías financieras valoradas conforme a la NIIF 4 |
Compromisos y garantías financieras valorados a valor razonable |
|||||||
|
Instrumentos sin un aumento significativo del riesgo de crédito desde el reconocimiento inicial (fase 1) |
Instrumentos con un aumento significativo del riesgo de crédito desde el reconocimiento inicial, pero sin deterioro crediticio (fase 2) |
Instrumentos con deterioro crediticio (fase 3) |
Instrumentos sin un aumento significativo del riesgo de crédito desde el reconocimiento inicial (fase 1) |
Instrumentos con un aumento significativo del riesgo de crédito desde el reconocimiento inicial, pero sin deterioro crediticio (fase 2) |
Instrumentos con deterioro crediticio (fase 3) |
Importe nominal |
Provisión |
Importe nominal |
Cambios acumulados negativos en el valor razonable debidos al riesgo de crédito por compromisos dudosos |
|||
|
NIIF 9.2.1.e) y g), NIIF 9.4.2.c), NIIF 9.5.5, NIIF 9.B2.5; NIIF 7.35M |
NIIF 9.2.1.e) y g), NIIF 9.4.2.c), NIIF 9.5.5, NIIF 9.B2.5; NIIF 7.35M |
NIIF 9.2.1.e) y g), NIIF 9.4.2.c), NIIF 9.5.5, NIIF 9.B2.5; NIIF 7.35M |
NIIF 9.2.1.e) y g), NIIF 9.4.2.c), NIIF 9.5.5, NIIF 9.B2.5; NIIF 7.35H.a) |
NIIF 9.2.1.e) y g), NIIF 9.4.2.c), NIIF 9.5.5, NIIF 9.B2.5; NIIF 7.35H.b).i) |
NIIF 9.2.1.e) y g), NIIF 9.4.2.c), NIIF 9.5.5, NIIF 9.B2.5; NIIF 7.35H.b).ii) |
NIC 37, NIIF 9.2.1.e), NIIF 9.B2.5; NIIF 4; Anexo V, parte 2.111, 118 |
NIC 37, NIIF 9.2.1.e), NIIF 9.B2.5; NIIF 4; Anexo V, parte 2.106, 111 |
NIIF 9.2.3.a), 9.B2.5; Anexo V, parte 2.110, 118 |
Anexo V, parte 2.69 |
|||
|
010 |
020 |
030 |
040 |
050 |
060 |
100 |
110 |
120 |
130 |
|||
|
010 |
Compromisos de préstamo concedidos |
RRC anexo I; Anexo V, partes 1.44.g), 2.102-105, 113, 116 |
|
|
|
|
|
|
|
|
|
|
|
021 |
De los cuales: dudosos |
Anexo V, parte 2.117 |
|
|
|
|
|
|
|
|
|
|
|
030 |
Bancos centrales |
Anexo V, parte 1.42.a) |
|
|
|
|
|
|
|
|
|
|
|
040 |
Administraciones públicas |
Anexo V, parte 1.42.b) |
|
|
|
|
|
|
|
|
|
|
|
050 |
Entidades de crédito |
Anexo V, parte 1.42.c) |
|
|
|
|
|
|
|
|
|
|
|
060 |
Otras sociedades financieras |
Anexo V, parte 1.42.d) |
|
|
|
|
|
|
|
|
|
|
|
070 |
Sociedades no financieras |
Anexo V, parte 1.42.e) |
|
|
|
|
|
|
|
|
|
|
|
080 |
Hogares |
Anexo V, parte 1.42.f) |
|
|
|
|
|
|
|
|
|
|
|
090 |
Garantías financieras concedidas |
NIIF 4 anexo A; RRC anexo I; Anexo V, partes 1.44.f), 2.102-105, 114, 116 |
|
|
|
|
|
|
|
|
|
|
|
101 |
De las cuales: dudosas |
Anexo V, parte 2.117 |
|
|
|
|
|
|
|
|
|
|
|
110 |
Bancos centrales |
Anexo V, parte 1.42.a) |
|
|
|
|
|
|
|
|
|
|
|
120 |
Administraciones públicas |
Anexo V, parte 1.42.b) |
|
|
|
|
|
|
|
|
|
|
|
130 |
Entidades de crédito |
Anexo V, parte 1.42.c) |
|
|
|
|
|
|
|
|
|
|
|
140 |
Otras sociedades financieras |
Anexo V, parte 1.42.d) |
|
|
|
|
|
|
|
|
|
|
|
150 |
Sociedades no financieras |
Anexo V, parte 1.42.e) |
|
|
|
|
|
|
|
|
|
|
|
160 |
Hogares |
Anexo V, parte 1.42.f) |
|
|
|
|
|
|
|
|
|
|
|
170 |
Otros compromisos concedidos |
RRC anexo I; Anexo V, partes 1.44.g), 2.102-105, 115, 116 |
|
|
|
|
|
|
|
|
|
|
|
181 |
De los cuales: dudosos |
Anexo V, parte 2.117 |
|
|
|
|
|
|
|
|
|
|
|
190 |
Bancos centrales |
Anexo V, parte 1.42.a) |
|
|
|
|
|
|
|
|
|
|
|
200 |
Administraciones públicas |
Anexo V, parte 1.42.b) |
|
|
|
|
|
|
|
|
|
|
|
210 |
Entidades de crédito |
Anexo V, parte 1.42.c) |
|
|
|
|
|
|
|
|
|
|
|
220 |
Otras sociedades financieras |
Anexo V, parte 1.42.d) |
|
|
|
|
|
|
|
|
|
|
|
230 |
Sociedades no financieras |
Anexo V, parte 1.42.e) |
|
|
|
|
|
|
|
|
|
|
|
240 |
Hogares |
Anexo V, parte 1.42.f) |
|
|
|
|
|
|
|
|
|
|
9.2 Compromisos de préstamo, garantías financieras y otros compromisos recibidos
|
|
Referencias |
Importe máximo de la garantía que puede considerarse |
Importe nominal |
|
|
NIIF 7.36.b); Anexo V, parte 2.119 |
Anexo V, parte 2.119 |
|||
|
010 |
020 |
|||
|
010 |
Compromisos de préstamo recibidos |
NIIF 9.2.1.g), BCZ2.2; Anexo V, partes 1.44.h), 2.102-103, 113 |
|
|
|
020 |
Bancos centrales |
Anexo V, parte 1.42.a) |
|
|
|
030 |
Administraciones públicas |
Anexo V, parte 1.42.b) |
|
|
|
040 |
Entidades de crédito |
Anexo V, parte 1.42.c) |
|
|
|
050 |
Otras sociedades financieras |
Anexo V, parte 1.42.d) |
|
|
|
060 |
Sociedades no financieras |
Anexo V, parte 1.42.e) |
|
|
|
070 |
Hogares |
Anexo V, parte 1.42.f) |
|
|
|
080 |
Garantías financieras recibidas |
NIIF 9.2.1.e), .B2.5, .BC2.17; NIIF 8, apéndice A; NIIF 4 anexo A; Anexo V, partes 1.44.h), 2.102-103, 114 |
|
|
|
090 |
Bancos centrales |
Anexo V, parte 1.42.a) |
|
|
|
100 |
Administraciones públicas |
Anexo V, parte 1.42.b) |
|
|
|
110 |
Entidades de crédito |
Anexo V, parte 1.42.c) |
|
|
|
120 |
Otras sociedades financieras |
Anexo V, parte 1.42.d) |
|
|
|
130 |
Sociedades no financieras |
Anexo V, parte 1.42.e) |
|
|
|
140 |
Hogares |
Anexo V, parte 1.42.f) |
|
|
|
150 |
Otros compromisos recibidos |
Anexo V, partes 1.44.h), 2.102-103, 115 |
|
|
|
160 |
Bancos centrales |
Anexo V, parte 1.42.a) |
|
|
|
170 |
Administraciones públicas |
Anexo V, parte 1.42.b) |
|
|
|
180 |
Entidades de crédito |
Anexo V, parte 1.42.c) |
|
|
|
190 |
Otras sociedades financieras |
Anexo V, parte 1.42.d) |
|
|
|
200 |
Sociedades no financieras |
Anexo V, parte 1.42.e) |
|
|
|
210 |
Hogares |
Anexo V, parte 1.42.f) |
|
|
10. Derivados - negociación y coberturas económicas
|
Por tipos de riesgo / Por productos o por tipos de mercado |
Referencias |
Importe en libros |
Importe nocional |
|||
|
Activos financieros mantenidos para negociar y destinados a negociación |
Pasivos financieros mantenidos para negociar y destinados a negociación |
Total negociación |
Del cual: vendido |
|||
|
Anexo V, parte 2.120, 131 |
NIIF 9.BA.7.a); Anexo V, parte 2.120, 131 |
Anexo V, parte 2.133-135 |
Anexo V, parte 2.133-135 |
|||
|
010 |
020 |
030 |
040 |
|||
|
010 |
Tipo de interés |
Anexo V, parte 2.129.a) |
|
|
|
|
|
020 |
De los cuales: coberturas económicas |
Anexo V, parte 2.137-139 |
|
|
|
|
|
030 |
Opciones OTC |
Anexo V, parte 2.136 |
|
|
|
|
|
040 |
Otros OTC |
Anexo V, parte 2.136 |
|
|
|
|
|
050 |
Opciones en mercados organizados |
Anexo V, parte 2.136 |
|
|
|
|
|
060 |
Otros en mercados organizados |
Anexo V, parte 2.136 |
|
|
|
|
|
070 |
Instrumentos de patrimonio |
Anexo V, parte 2.129.b) |
|
|
|
|
|
080 |
De los cuales: coberturas económicas |
Anexo V, parte 2.137-139 |
|
|
|
|
|
090 |
Opciones OTC |
Anexo V, parte 2.136 |
|
|
|
|
|
100 |
Otros OTC |
Anexo V, parte 2.136 |
|
|
|
|
|
110 |
Opciones en mercados organizados |
Anexo V, parte 2.136 |
|
|
|
|
|
120 |
Otros en mercados organizados |
Anexo V, parte 2.136 |
|
|
|
|
|
130 |
Divisas y oro |
Anexo V, parte 2.129.c) |
|
|
|
|
|
140 |
De los cuales: coberturas económicas |
Anexo V, parte 2.137-139 |
|
|
|
|
|
150 |
Opciones OTC |
Anexo V, parte 2.136 |
|
|
|
|
|
160 |
Otros OTC |
Anexo V, parte 2.136 |
|
|
|
|
|
170 |
Opciones en mercados organizados |
Anexo V, parte 2.136 |
|
|
|
|
|
180 |
Otros en mercados organizados |
Anexo V, parte 2.136 |
|
|
|
|
|
190 |
Crédito |
Anexo V, parte 2.129.d) |
|
|
|
|
|
195 |
De los cuales: coberturas económicas con uso de la opción del valor razonable |
NIIF 9.6.7.1; Anexo V, parte 2.140 |
|
|
|
|
|
201 |
De los cuales: otras coberturas económicas |
Anexo V, parte 2.137-140 |
|
|
|
|
|
210 |
Permutas de cobertura por impago |
|
|
|
|
|
|
220 |
Opciones sobre el diferencial de crédito |
|
|
|
|
|
|
230 |
Permutas de rendimiento total |
|
|
|
|
|
|
240 |
Otros |
|
|
|
|
|
|
250 |
Materias primas |
Anexo V, parte 2.129.e) |
|
|
|
|
|
260 |
De los cuales: coberturas económicas |
Anexo V, parte 2.137-139 |
|
|
|
|
|
270 |
Otros |
Anexo V, parte 2.129.f) |
|
|
|
|
|
280 |
De los cuales: coberturas económicas |
Anexo V, parte 2.137-139 |
|
|
|
|
|
290 |
DERIVADOS |
NIIF 9, apéndice A |
|
|
|
|
|
300 |
De los cuales: OTC - entidades de crédito |
Anexo V, parte 1.42.c), 44.e), parte 2.141.a), 142 |
|
|
|
|
|
310 |
De los cuales: OTC - otras sociedades financieras |
Anexo V, parte 1.42.d), 44.e), parte 2.141.b) |
|
|
|
|
|
320 |
De los cuales: OTC - resto |
Anexo V, parte 1.44.e), parte 2.141.c) |
|
|
|
|
11. Contabilidad de coberturas
11.1 Derivados - Contabilidad de coberturas: desglose por tipos de riesgo y tipos de cobertura
|
Por productos o por tipos de mercado |
Referencias |
Importe en libros |
Importe nocional |
|||
|
Activo |
Pasivo |
Total coberturas |
Del cual: vendido |
|||
|
NIIF 7.24 A; Anexo V, parte 2.120, 131 |
NIIF 7.24 A; Anexo V, parte 2.120, 131 |
Anexo V, parte 2.133-135 |
Anexo V, parte 2.133-135 |
|||
|
010 |
020 |
030 |
040 |
|||
|
010 |
Tipo de interés |
Anexo V, parte 2.129.a) |
|
|
|
|
|
020 |
Opciones OTC |
Anexo V, parte 2.136 |
|
|
|
|
|
030 |
Otros OTC |
Anexo V, parte 2.136 |
|
|
|
|
|
040 |
Opciones en mercados organizados |
Anexo V, parte 2.136 |
|
|
|
|
|
050 |
Otros en mercados organizados |
Anexo V, parte 2.136 |
|
|
|
|
|
060 |
Instrumentos de patrimonio |
Anexo V, parte 2.129.b) |
|
|
|
|
|
070 |
Opciones OTC |
Anexo V, parte 2.136 |
|
|
|
|
|
080 |
Otros OTC |
Anexo V, parte 2.136 |
|
|
|
|
|
090 |
Opciones en mercados organizados |
Anexo V, parte 2.136 |
|
|
|
|
|
100 |
Otros en mercados organizados |
Anexo V, parte 2.136 |
|
|
|
|
|
110 |
Divisas y oro |
Anexo V, parte 2.129.c) |
|
|
|
|
|
120 |
Opciones OTC |
Anexo V, parte 2.136 |
|
|
|
|
|
130 |
Otros OTC |
Anexo V, parte 2.136 |
|
|
|
|
|
140 |
Opciones en mercados organizados |
Anexo V, parte 2.136 |
|
|
|
|
|
150 |
Otros en mercados organizados |
Anexo V, parte 2.136 |
|
|
|
|
|
160 |
Crédito |
Anexo V, parte 2.129.d) |
|
|
|
|
|
170 |
Permutas de cobertura por impago |
Anexo V, parte 2.136 |
|
|
|
|
|
180 |
Opciones sobre el diferencial de crédito |
Anexo V, parte 2.136 |
|
|
|
|
|
190 |
Permutas de rendimiento total |
Anexo V, parte 2.136 |
|
|
|
|
|
200 |
Otros |
Anexo V, parte 2.136 |
|
|
|
|
|
210 |
Materias primas |
Anexo V, parte 2.129.e) |
|
|
|
|
|
220 |
Otros |
Anexo V, parte 2.129.f) |
|
|
|
|
|
230 |
COBERTURAS DEL VALOR RAZONABLE |
NIIF 7.24 A; NIC 39.86.a); NIIF 9.6.5.2.a); |
|
|
|
|
|
240 |
Tipo de interés |
Anexo V, parte 2.129.a) |
|
|
|
|
|
250 |
Opciones OTC |
Anexo V, parte 2.136 |
|
|
|
|
|
260 |
Otros OTC |
Anexo V, parte 2.136 |
|
|
|
|
|
270 |
Opciones en mercados organizados |
Anexo V, parte 2.136 |
|
|
|
|
|
280 |
Otros en mercados organizados |
Anexo V, parte 2.136 |
|
|
|
|
|
290 |
Instrumentos de patrimonio |
Anexo V, parte 2.129.b) |
|
|
|
|
|
300 |
Opciones OTC |
Anexo V, parte 2.136 |
|
|
|
|
|
310 |
Otros OTC |
Anexo V, parte 2.136 |
|
|
|
|
|
320 |
Opciones en mercados organizados |
Anexo V, parte 2.136 |
|
|
|
|
|
330 |
Otros en mercados organizados |
Anexo V, parte 2.136 |
|
|
|
|
|
340 |
Divisas y oro |
Anexo V, parte 2.129.c) |
|
|
|
|
|
350 |
Opciones OTC |
Anexo V, parte 2.136 |
|
|
|
|
|
360 |
Otros OTC |
Anexo V, parte 2.136 |
|
|
|
|
|
370 |
Opciones en mercados organizados |
Anexo V, parte 2.136 |
|
|
|
|
|
380 |
Otros en mercados organizados |
Anexo V, parte 2.136 |
|
|
|
|
|
390 |
Crédito |
Anexo V, parte 2.129.d) |
|
|
|
|
|
400 |
Permutas de cobertura por impago |
Anexo V, parte 2.136 |
|
|
|
|
|
410 |
Opciones sobre el diferencial de crédito |
Anexo V, parte 2.136 |
|
|
|
|
|
420 |
Permutas de rendimiento total |
Anexo V, parte 2.136 |
|
|
|
|
|
430 |
Otros |
Anexo V, parte 2.136 |
|
|
|
|
|
440 |
Materias primas |
Anexo V, parte 2.129.e) |
|
|
|
|
|
450 |
Otros |
Anexo V, parte 2.129.f) |
|
|
|
|
|
460 |
COBERTURAS DE FLUJOS DE EFECTIVO |
NIIF 7.24A; NIC 39.86.b); NIIF 9.6.5.2.b) |
|
|
|
|
|
470 |
COBERTURA DE LAS INVERSIONES NETAS EN NEGOCIOS EN EL EXTRANJERO |
NIIF 7.24A; NIC 39.86.c); NIIF 9.6.5.2.c) |
|
|
|
|
|
480 |
COBERTURAS DE VALOR RAZONABLE DEL RIESGO DE TIPO DE INTERÉS DE LA CARTERA |
NIC 39.71, 81A, 89A, GA 114-132 |
|
|
|
|
|
490 |
COBERTURAS DE FLUJOS DE EFECTIVO DEL RIESGO DE TIPO DE INTERÉS DE LA CARTERA |
NIC 39.71 |
|
|
|
|
|
500 |
DERIVADOS - CONTABILIDAD DE COBERTURAS |
NIIF 7.24A; NIC 39.9; NIIF 9.6.1 |
|
|
|
|
|
510 |
De los cuales: OTC - entidades de crédito |
Anexo V, parte 1.42.c), 44.e), parte 2.141.a), 142 |
|
|
|
|
|
520 |
De los cuales: OTC - otras sociedades financieras |
Anexo V, parte 1.42.d), 44.e), parte 2.141.b) |
|
|
|
|
|
530 |
De los cuales: OTC - resto |
Anexo V, parte 1.44.e), parte 2.141.c) |
|
|
|
|
11.3 Instrumentos de cobertura no derivados: desglose por cartera contable y tipo de cobertura
|
|
Referencias |
Importe en libros |
|||
|
Coberturas del valor razonable |
Coberturas de flujos de efectivo |
Cobertura de las inversiones netas en negocios en el extranjero |
|||
|
Anexo V, parte 2.145 |
Anexo V, parte 2.145 |
Anexo V, parte 2.145 |
|||
|
010 |
020 |
030 |
|||
|
010 |
Activos financieros no derivados |
NIIF 7.24A; NIIF 9.6.1; NIIF 9.6.2.2 |
|
|
|
|
020 |
De los cuales: Activos financieros mantenidos para negociar |
NIIF 9, apéndice A |
|
|
|
|
030 |
De los cuales: Activos financieros no destinados a negociación valorados obligatoriamente a valor razonable con cambios en resultados |
NIIF 9.4.1.4; NIIF 7.8.a).ii) |
|
|
|
|
040 |
De los cuales: Activos financieros designados a valor razonable con cambios en resultados |
NIIF 9.4.1.5; NIIF 7.8.a).i) |
|
|
|
|
050 |
Pasivos financieros no derivados |
NIIF 7.24A; NIIF 9.6.1; NIIF 9.6.2.2 |
|
|
|
|
060 |
Pasivos financieros mantenidos para negociar |
NIIF 9, apéndice A |
|
|
|
|
070 |
Pasivos financieros designados a valor razonable con cambios en resultados |
NIIF 9.4.2.1; NIIF 9.6.2.2 |
|
|
|
|
080 |
Activos financieros a coste amortizado |
NIIF 9.4.2.1; NIIF 9.6.2.2 |
|
|
|
F11.4 Elementos cubiertos mediante coberturas del valor razonable
|
|
Referencias |
Microcoberturas |
Microcoberturas - Cobertura de posición neta |
Ajustes de las microcoberturas |
Macrocoberturas |
||
|
Importe en libros |
Activos o pasivos incluidos en la cobertura de una posición neta (antes de compensación) |
Ajustes de cobertura incluidos en el importe en libros de activos/pasivos |
Resto de ajustes por microcoberturas interrumpidas incluidas las coberturas de posiciones netas |
Elementos cubiertos de una cartera con cobertura del riesgo de tipo de interés |
|||
|
NIIF 7.24B.a), Anexo V, parte 2.146, 147 |
NIIF 9.6.6.1; NIIF 9.6.6.6; Anexo V, parte 2.147, 151 |
NIIF 7.24B.a).ii); Anexo V, parte 2.148, 149 |
NIIF 7.24B.a).v); Anexo V, parte 2.148, 150 |
NIIF 9.6.1.3; NIIF 9.6.6.1; Anexo V, parte 2.152 |
|||
|
010 |
020 |
030 |
040 |
050 |
|||
|
|
ACTIVO |
|
|
|
|
|
|
|
010 |
Activos financieros valorados a valor razonable con cambios en otro resultado global |
NIIF 9.4.1.2A; NIIF 7.8.h); Anexo V, parte 2.146, 151 |
|
|
|
|
|
|
020 |
Tipo de interés |
Anexo V, parte 2.129.a) |
|
|
|
|
|
|
030 |
Instrumentos de patrimonio |
Anexo V, parte 2.129.b) |
|
|
|
|
|
|
040 |
Divisas y oro |
Anexo V, parte 2.129.c) |
|
|
|
|
|
|
050 |
Crédito |
Anexo V, parte 2.129.d) |
|
|
|
|
|
|
060 |
Materias primas |
Anexo V, parte 2.129.e) |
|
|
|
|
|
|
070 |
Otros |
Anexo V, parte 2.129.f) |
|
|
|
|
|
|
080 |
Activos financieros valorados a coste amortizado |
NIIF 9.4.1.2A; NIIF 7.8.f); Anexo V, parte 2.146, 151 |
|
|
|
|
|
|
090 |
Tipo de interés |
Anexo V, parte 2.129.a) |
|
|
|
|
|
|
100 |
Instrumentos de patrimonio |
Anexo V, parte 2.129.b) |
|
|
|
|
|
|
110 |
Divisas y oro |
Anexo V, parte 2.129.c) |
|
|
|
|
|
|
120 |
Crédito |
Anexo V, parte 2.129.d) |
|
|
|
|
|
|
130 |
Materias primas |
Anexo V, parte 2.129.e) |
|
|
|
|
|
|
140 |
Otros |
Anexo V, parte 2.129.f) |
|
|
|
|
|
|
|
PASIVO |
|
|
|
|
|
|
|
150 |
Pasivos financieros valorados a coste amortizado |
NIIF 9.4.2.1; NIIF 7.8.g); Anexo V, parte 2.146, 151 |
|
|
|
|
|
|
160 |
Tipo de interés |
Anexo V, parte 2.129.a) |
|
|
|
|
|
|
170 |
Instrumentos de patrimonio |
Anexo V, parte 2.129.b) |
|
|
|
|
|
|
180 |
Divisas y oro |
Anexo V, parte 2.129.c) |
|
|
|
|
|
|
190 |
Crédito |
Anexo V, parte 2.129.d) |
|
|
|
|
|
|
200 |
Materias primas |
Anexo V, parte 2.129.e) |
|
|
|
|
|
|
210 |
Otros |
Anexo V, parte 2.129.f) |
|
|
|
|
|
12. Movimientos en las correcciones de valor y provisiones por pérdidas crediticias
12.1 Movimientos en las correcciones de valor y provisiones por pérdidas crediticias
|
|
Referencias |
Saldo de apertura |
Aumentos por originación y adquisición |
Disminuciones por baja en cuentas |
Cambios por variación del riesgo de crédito (neto) |
Cambios por modificaciones sin baja en cuentas (neto) |
Cambios por actualización del método de estimación de la entidad (neto) |
Disminución en la cuenta correctora de valor por fallidos dados de baja |
Otros ajustes |
Saldo de cierre |
Recuperaciones de importes de fallidos previamente dados de baja registradas directamente en el estado de resultados |
Importes de los fallidos dados de baja directamente en el estado de resultados |
|
|
|
NIIF 7.35I; Anexo V, parte 2.159, 164.b) |
NIIF 7.35I; Anexo V, parte 2.160, 164.b) |
NIIF 7.35I; NIIF 7.35B.b); Anexo V, parte 2.161-162 |
NIIF 7.35I; NIIF 7.35J; NIIF 9.5.5.12, B5.5.25, B5.5.27; Anexo V, parte 2.164.c) |
NIIF 7.35I; NIIF 7.35B.b); Anexo V, parte 2.163 |
NIIF 7.35I; NIIF 9.5.4.4; NIIF 7.35L; Anexo V, parte 2.72, 74, 164.a), 165 |
NIIF 7.35I; NIIF 7.35B.b); Anexo V, parte 2.166 |
|
|
NIIF 9.5.4.4; Anexo V, parte 2.165 |
|||
|
010 |
020 |
030 |
040 |
050 |
070 |
080 |
090 |
100 |
110 |
120 |
|||
|
010 |
Correcciones por activos financieros sin aumento del riesgo de crédito desde el reconocimiento inicial (fase 1) |
NIIF 9.5.5.5 |
|
|
|
|
|
|
|
|
|
|
|
|
020 |
Valores representativos de deuda |
Anexo V, parte 1.31, 44.b) |
|
|
|
|
|
|
|
|
|
|
|
|
030 |
Bancos centrales |
Anexo V, parte 1.42.a) |
|
|
|
|
|
|
|
|
|
|
|
|
040 |
Administraciones públicas |
Anexo V, parte 1.42.b) |
|
|
|
|
|
|
|
|
|
|
|
|
050 |
Entidades de crédito |
Anexo V, parte 1.42.c) |
|
|
|
|
|
|
|
|
|
|
|
|
060 |
Otras sociedades financieras |
Anexo V, parte 1.42.d) |
|
|
|
|
|
|
|
|
|
|
|
|
070 |
Sociedades no financieras |
Anexo V, parte 1.42.e) |
|
|
|
|
|
|
|
|
|
|
|
|
080 |
Préstamos y anticipos |
Anexo V, parte 1.32, 44.a) |
|
|
|
|
|
|
|
|
|
|
|
|
090 |
Bancos centrales |
Anexo V, parte 1.42.a) |
|
|
|
|
|
|
|
|
|
|
|
|
100 |
Administraciones públicas |
Anexo V, parte 1.42.b) |
|
|
|
|
|
|
|
|
|
|
|
|
110 |
Entidades de crédito |
Anexo V, parte 1.42.c) |
|
|
|
|
|
|
|
|
|
|
|
|
120 |
Otras sociedades financieras |
Anexo V, parte 1.42.d) |
|
|
|
|
|
|
|
|
|
|
|
|
130 |
Sociedades no financieras |
Anexo V, parte 1.42.e) |
|
|
|
|
|
|
|
|
|
|
|
|
140 |
Hogares |
Anexo V, parte 1.42.f) |
|
|
|
|
|
|
|
|
|
|
|
|
160 |
De las cuales: correcciones de valor valoradas colectivamente |
NIIF 9.B5.5.1 - B5.5.6; Anexo V, parte 2.158 |
|
|
|
|
|
|
|
|
|
|
|
|
170 |
De las cuales: correcciones de valor valoradas individualmente |
NIIF 9.B5.5.1 - B5.5.6; Anexo V, parte 2.158 |
|
|
|
|
|
|
|
|
|
|
|
|
180 |
Correcciones por instrumentos de deuda con un aumento significativo del riesgo de crédito desde el reconocimiento inicial, pero sin deterioro crediticio (fase 2) |
NIIF 9.5.5.3 |
|
|
|
|
|
|
|
|
|
|
|
|
190 |
Valores representativos de deuda |
Anexo V, parte 1.31, 44.b) |
|
|
|
|
|
|
|
|
|
|
|
|
200 |
Bancos centrales |
Anexo V, parte 1.42.a) |
|
|
|
|
|
|
|
|
|
|
|
|
210 |
Administraciones públicas |
Anexo V, parte 1.42.b) |
|
|
|
|
|
|
|
|
|
|
|
|
220 |
Entidades de crédito |
Anexo V, parte 1.42.c) |
|
|
|
|
|
|
|
|
|
|
|
|
230 |
Otras sociedades financieras |
Anexo V, parte 1.42.d) |
|
|
|
|
|
|
|
|
|
|
|
|
240 |
Sociedades no financieras |
Anexo V, parte 1.42.e) |
|
|
|
|
|
|
|
|
|
|
|
|
250 |
Préstamos y anticipos |
Anexo V, parte 1.32, 44.a) |
|
|
|
|
|
|
|
|
|
|
|
|
260 |
Bancos centrales |
Anexo V, parte 1.42.a) |
|
|
|
|
|
|
|
|
|
|
|
|
270 |
Administraciones públicas |
Anexo V, parte 1.42.b) |
|
|
|
|
|
|
|
|
|
|
|
|
280 |
Entidades de crédito |
Anexo V, parte 1.42.c) |
|
|
|
|
|
|
|
|
|
|
|
|
290 |
Otras sociedades financieras |
Anexo V, parte 1.42.d) |
|
|
|
|
|
|
|
|
|
|
|
|
300 |
Sociedades no financieras |
Anexo V, parte 1.42.e) |
|
|
|
|
|
|
|
|
|
|
|
|
310 |
Hogares |
Anexo V, parte 1.42.f) |
|
|
|
|
|
|
|
|
|
|
|
|
330 |
De las cuales: correcciones de valor valoradas colectivamente |
NIIF 9.B5.5.1 - B5.5.6; Anexo V, parte 2.158 |
|
|
|
|
|
|
|
|
|
|
|
|
340 |
De las cuales: correcciones de valor valoradas individualmente |
NIIF 9.B5.5.1 - B5.5.6; Anexo V, parte 2.158 |
|
|
|
|
|
|
|
|
|
|
|
|
350 |
De las cuales: dudosas |
Anexo V, parte 2.213-232 |
|
|
|
|
|
|
|
|
|
|
|
|
360 |
Correcciones por instrumentos de deuda con deterioro crediticio (fase 3) |
NIIF 9.5.5.1, 9 apéndice A |
|
|
|
|
|
|
|
|
|
|
|
|
370 |
Valores representativos de deuda |
Anexo V, parte 1.31, 44.b) |
|
|
|
|
|
|
|
|
|
|
|
|
380 |
Bancos centrales |
Anexo V, parte 1.42.a) |
|
|
|
|
|
|
|
|
|
|
|
|
390 |
Administraciones públicas |
Anexo V, parte 1.42.b) |
|
|
|
|
|
|
|
|
|
|
|
|
400 |
Entidades de crédito |
Anexo V, parte 1.42.c) |
|
|
|
|
|
|
|
|
|
|
|
|
410 |
Otras sociedades financieras |
Anexo V, parte 1.42.d) |
|
|
|
|
|
|
|
|
|
|
|
|
420 |
Sociedades no financieras |
Anexo V, parte 1.42.e) |
|
|
|
|
|
|
|
|
|
|
|
|
430 |
Préstamos y anticipos |
Anexo V, parte 1.32, 44.a) |
|
|
|
|
|
|
|
|
|
|
|
|
440 |
Bancos centrales |
Anexo V, parte 1.42.a) |
|
|
|
|
|
|
|
|
|
|
|
|
450 |
Administraciones públicas |
Anexo V, parte 1.42.b) |
|
|
|
|
|
|
|
|
|
|
|
|
460 |
Entidades de crédito |
Anexo V, parte 1.42.c) |
|
|
|
|
|
|
|
|
|
|
|
|
470 |
Otras sociedades financieras |
Anexo V, parte 1.42.d) |
|
|
|
|
|
|
|
|
|
|
|
|
480 |
Sociedades no financieras |
Anexo V, parte 1.42.e) |
|
|
|
|
|
|
|
|
|
|
|
|
490 |
Hogares |
Anexo V, parte 1.42.f) |
|
|
|
|
|
|
|
|
|
|
|
|
500 |
De las cuales: correcciones de valor valoradas colectivamente |
NIIF 9.B5.5.1 - B5.5.6; Anexo V, parte 2.158 |
|
|
|
|
|
|
|
|
|
|
|
|
510 |
De las cuales: correcciones de valor valoradas individualmente |
NIIF 9.B5.5.1 - B5.5.6; Anexo V, parte 2.158 |
|
|
|
|
|
|
|
|
|
|
|
|
520 |
Corrección total por instrumentos de deuda |
NIIF 7.B8E |
|
|
|
|
|
|
|
|
|
|
|
|
530 |
Compromisos y garantías financieras concedidos (fase 1) |
NIIF 9.2.1.g); 2.3.c); 5.5, B2.5; Anexo V, parte 2.157 |
|
|
|
|
|
|
|
|
|
|
|
|
540 |
Compromisos y garantías financieras concedidos (fase 2) |
NIIF 9.2.1.g); 2.3.c); 5.5.3, B2.5; Anexo V, parte 2.157 |
|
|
|
|
|
|
|
|
|
|
|
|
550 |
De los cuales: dudosos |
Anexo V, parte 2.117 |
|
|
|
|
|
|
|
|
|
|
|
|
560 |
Compromisos y garantías financieras concedidos (fase 3) |
NIIF 9.2.1.g); 2.3.c); 5.5.1, B2.5; Anexo V, parte 2.157 |
|
|
|
|
|
|
|
|
|
|
|
|
570 |
Total provisiones por compromisos y garantías financieras concedidos |
NIIF 7.B8E; Anexo V, parte 2.157 |
|
|
|
|
|
|
|
|
|
|
|
12.2 Transferencias entre fases de deterioro de valor (presentación en términos brutos)
|
|
Referencias |
Importe en libros bruto / importe nominal Anexo V, partes 1.34, 2.118, 167, 170 |
||||||
|
Transferencias entre la fase 1 y la fase 2 |
Transferencias entre la fase 2 y la fase 3 |
Transferencias entre la fase 1 y la fase 3 |
||||||
|
A la fase 2 desde la fase 1 |
A la fase 1 desde la fase 2 |
A la fase 3 desde la fase 2 |
A la fase 2 desde la fase 3 |
A la fase 3 desde la fase 1 |
A la fase 1 desde la fase 3 |
|||
|
Anexo V, parte 2.168-169 |
||||||||
|
010 |
020 |
030 |
040 |
050 |
060 |
|||
|
010 |
Valores representativos de deuda |
Anexo V, parte 1.31, 44.b) |
|
|
|
|
|
|
|
020 |
Bancos centrales |
Anexo V, parte 1.42.a) |
|
|
|
|
|
|
|
030 |
Administraciones públicas |
Anexo V, parte 1.42.b) |
|
|
|
|
|
|
|
040 |
Entidades de crédito |
Anexo V, parte 1.42.c) |
|
|
|
|
|
|
|
050 |
Otras sociedades financieras |
Anexo V, parte 1.42.d) |
|
|
|
|
|
|
|
060 |
Sociedades no financieras |
Anexo V, parte 1.42.e) |
|
|
|
|
|
|
|
070 |
Préstamos y anticipos |
Anexo V, parte 1.32, 44.a) |
|
|
|
|
|
|
|
080 |
Bancos centrales |
Anexo V, parte 1.42.a) |
|
|
|
|
|
|
|
090 |
Administraciones públicas |
Anexo V, parte 1.42.b) |
|
|
|
|
|
|
|
100 |
Entidades de crédito |
Anexo V, parte 1.42.c) |
|
|
|
|
|
|
|
110 |
Otras sociedades financieras |
Anexo V, parte 1.42.d) |
|
|
|
|
|
|
|
120 |
Sociedades no financieras |
Anexo V, parte 1.42.e) |
|
|
|
|
|
|
|
130 |
Hogares |
Anexo V, parte 1.42.f) |
|
|
|
|
|
|
|
140 |
Total instrumentos de deuda |
|
|
|
|
|
|
|
|
150 |
Compromisos y garantías financieras concedidos |
NIIF 9.2.1.g); 2.3.c); 5.5.1, 5.5.3, 5.5.5 |
|
|
|
|
|
|
13. Garantías reales y personales recibidas
13.1 Desglose de las garantías reales y personales por préstamos y anticipos distintos de los mantenidos para negociar
|
Garantías personales y reales |
Referencias |
Importe máximo de la garantía real o personal que puede considerarse Anexo V, parte 2.171-172, 174 |
|||||
|
Préstamos garantizados por bienes inmuebles |
Otros préstamos con garantías reales |
Garantías financieras recibidas |
|||||
|
Inmuebles residenciales |
Inmuebles comerciales |
Efectivo [instrumentos de deuda emitidos] |
Resto |
||||
|
NIIF 7.36.b) |
Anexo V, parte 2.173.a) |
Anexo V, parte 2.173.a) |
Anexo V, parte 2.173.b) |
Anexo V, parte 2.173.b) |
Anexo V, parte 2.173.c) |
||
|
010 |
020 |
030 |
040 |
050 |
|||
|
010 |
Préstamos y anticipos |
Anexo V, parte 1.32, 44.a) |
|
|
|
|
|
|
020 |
De los cuales: Otras sociedades financieras |
Anexo V, parte 1.42.d) |
|
|
|
|
|
|
030 |
De los cuales: Sociedades no financieras |
Anexo V, parte 1.42.e) |
|
|
|
|
|
|
040 |
De los cuales: Hogares |
Anexo V, parte 1.42.f) |
|
|
|
|
|
|
050 |
De los cuales: Préstamos para compra de vivienda |
Anexo V, parte 2.88.b) |
|
|
|
|
|
13.2 Garantías reales obtenidas mediante toma de posesión durante el período [mantenidas en la fecha de información]
|
|
Referencias |
Importe en libros |
|
|
Anexo V, parte 2.175 |
|||
|
010 |
|||
|
010 |
Activos no corrientes mantenidos para la venta |
NIIF 7.38.a) |
|
|
020 |
Inmovilizado material |
NIIF 7.38.a) |
|
|
030 |
Inversiones inmobiliarias |
NIIF 7.38.a) |
|
|
040 |
Instrumentos de patrimonio y de deuda |
NIIF 7.38.a) |
|
|
050 |
Otros |
NIIF 7.38.a) |
|
|
060 |
Total |
|
|
13.3 Garantías reales obtenidas mediante toma de posesión [activos tangibles] acumuladas
|
|
Referencias |
Importe en libros |
|
|
010 |
|||
|
010 |
Adjudicados [activos tangibles] |
NIIF 7.38.a); Anexo V, parte 2.176 |
|
14. Jerarquía del valor razonable: instrumentos financieros a valor razonable
|
|
Referencias |
Jerarquía del valor razonable: NIIF 13.93.b); |
Cambio en el valor razonable para el período Anexo V, parte 2.178 |
Cambio acumulado en el valor razonable antes de impuestos Anexo V, parte 2.179 |
||||||
|
Nivel 1 |
Nivel 2 |
Nivel 3 |
Nivel 2 |
Nivel 3 |
Nivel 1 |
Nivel 2 |
Nivel 3 |
|||
|
NIIF 13.76 |
NIIF 13.81 |
NIIF 13.86 |
NIIF 13.81 |
NIIF 13.86, 93.f) |
NIIF 13.76 |
NIIF 13.81 |
NIIF 13.86 |
|||
|
010 |
020 |
030 |
040 |
050 |
060 |
070 |
080 |
|||
|
ACTIVO |
|
|
|
|
|
|
|
|
|
|
|
010 |
Activos financieros mantenidos para negociar |
NIIF 7.8.a).ii); NIIF 9, apéndice A |
|
|
|
|
|
|
|
|
|
020 |
Derivados |
NIIF 9, apéndice A |
|
|
|
|
|
|
|
|
|
030 |
Instrumentos de patrimonio |
NIC 32.11, |
|
|
|
|
|
|
|
|
|
040 |
Valores representativos de deuda |
Anexo V, parte 1.31 |
|
|
|
|
|
|
|
|
|
050 |
Préstamos y anticipos |
Anexo V, parte 1.32 |
|
|
|
|
|
|
|
|
|
056 |
Activos financieros no destinados a negociación valorados obligatoriamente a valor razonable con cambios en resultados |
NIIF 9.4.1.4; NIIF 7.8.a).ii) |
|
|
|
|
|
|
|
|
|
057 |
Instrumentos de patrimonio |
NIC 32.11 |
|
|
|
|
|
|
|
|
|
058 |
Valores representativos de deuda |
Anexo V, parte 1.31 |
|
|
|
|
|
|
|
|
|
059 |
Préstamos y anticipos |
Anexo V, parte 1.32 |
|
|
|
|
|
|
|
|
|
060 |
Activos financieros designados a valor razonable con cambios en resultados |
NIIF 7.8.a).i); NIIF 9.4.1.5 |
|
|
|
|
|
|
|
|
|
080 |
Valores representativos de deuda |
Anexo V, parte 1.31 |
|
|
|
|
|
|
|
|
|
090 |
Préstamos y anticipos |
Anexo V, parte 1.32 |
|
|
|
|
|
|
|
|
|
101 |
Activos financieros a valor razonable con cambios en otro resultado global |
NIIF 7.8.h); NIIF 9.4.1.2A |
|
|
|
|
|
|
|
|
|
102 |
Instrumentos de patrimonio |
NIC 32.11 |
|
|
|
|
|
|
|
|
|
103 |
Valores representativos de deuda |
Anexo V, parte 1.31 |
|
|
|
|
|
|
|
|
|
104 |
Préstamos y anticipos |
Anexo V, parte 1.32 |
|
|
|
|
|
|
|
|
|
140 |
Derivados — Contabilidad de coberturas |
NIIF 9.6.2.1; Anexo V, parte 1.22 |
|
|
|
|
|
|
|
|
|
PASIVO |
|
|
|
|
|
|
|
|
|
|
|
150 |
Pasivos financieros mantenidos para negociar |
NIIF 7.8.e).ii); NIIF 9.BA.6 |
|
|
|
|
|
|
|
|
|
160 |
Derivados |
NIIF 9.BA.7.a) |
|
|
|
|
|
|
|
|
|
170 |
Posiciones cortas |
NIIF 9.BA.7.b) |
|
|
|
|
|
|
|
|
|
180 |
Depósitos |
BCE/2013/33, anexo 2, parte 2.9; Anexo V, parte 1.36 |
|
|
|
|
|
|
|
|
|
190 |
Valores representativos de deuda emitidos |
Anexo V, parte 1.37 |
|
|
|
|
|
|
|
|
|
200 |
Otros pasivos financieros |
Anexo V, parte 1.38-41 |
|
|
|
|
|
|
|
|
|
210 |
Pasivos financieros designados a valor razonable con cambios en resultados |
NIIF 7.8.e).i); NIIF 9.4.1.5 |
|
|
|
|
|
|
|
|
|
220 |
Depósitos |
BCE/2013/33, anexo 2, parte 2.9; Anexo V, parte 1.36 |
|
|
|
|
|
|
|
|
|
230 |
Valores representativos de deuda emitidos |
Anexo V, parte 1.37 |
|
|
|
|
|
|
|
|
|
240 |
Otros pasivos financieros |
Anexo V, parte 1.38-41 |
|
|
|
|
|
|
|
|
|
250 |
Derivados — Contabilidad de coberturas |
NIIF 9.6.2.1; Anexo V, parte 1.26 |
|
|
|
|
|
|
|
|
15. Baja en cuentas y pasivos financieros asociados a activos financieros transferidos
|
|
Referencias |
Activos financieros transferidos reconocidos en su totalidad |
Activos financieros transferidos reconocidos en función de la implicación continuada de la entidad |
Importe vivo del principal de los activos financieros transferidos y dados de baja en cuentas en su totalidad respecto de los cuales la entidad mantiene derechos de servicios de administración |
Importe dado de baja en cuentas a efectos de capital |
||||||||
|
Activos transferidos |
Pasivos asociados NTE V, parte 2.181 |
Importe vivo del principal de los activos originales |
Importe en libros de los activos aún reconocidos [implicación continuada] |
Importe en libros de los pasivos asociados |
|||||||||
|
Importe en libros |
De los cuales: titulizaciones |
De los cuales: pactos de recompra |
Importe en libros |
De los cuales: titulizaciones |
De los cuales: pactos de recompra |
||||||||
|
NIIF 7.42D.e); Anexo V, parte 1.27 |
NIIF 7.42D.e); RRC art. 4.1.61 |
NIIF 7.42D.e); Anexo V, parte 2.183-184 |
NIIF 7.42D.e) |
NIIF 7.42D.e) |
NIIF 7.42D.e); Anexo V, parte 2.183-184 |
|
NIIF 7.42D.f) |
NIIF 7.42D.f); Anexo V, parte 1.27, parte 2.181 |
|
RRC art 109; Anexo V, parte 2.182 |
|||
|
010 |
020 |
030 |
040 |
050 |
060 |
070 |
080 |
090 |
100 |
110 |
|||
|
010 |
Activos financieros mantenidos para negociar |
NIIF 7.8.a).ii); NIIF 9, apéndice A |
|
|
|
|
|
|
|
|
|
|
|
|
020 |
Instrumentos de patrimonio |
NIC 32.11 |
|
|
|
|
|
|
|
|
|
|
|
|
030 |
Valores representativos de deuda |
Anexo V, parte 1.31 |
|
|
|
|
|
|
|
|
|
|
|
|
040 |
Préstamos y anticipos |
Anexo V, parte 1.32 |
|
|
|
|
|
|
|
|
|
|
|
|
045 |
Activos financieros no destinados a negociación valorados obligatoriamente a valor razonable con cambios en resultados |
NIIF 9.4.1.4 |
|
|
|
|
|
|
|
|
|
|
|
|
046 |
Instrumentos de patrimonio |
NIC 32.11 |
|
|
|
|
|
|
|
|
|
|
|
|
047 |
Valores representativos de deuda |
Anexo V, parte 1.31 |
|
|
|
|
|
|
|
|
|
|
|
|
048 |
Préstamos y anticipos |
Anexo V, parte 1.32 |
|
|
|
|
|
|
|
|
|
|
|
|
050 |
Activos financieros designados a valor razonable con cambios en resultados |
NIIF 7.8.a).i); NIIF 9.4.1.5 |
|
|
|
|
|
|
|
|
|
|
|
|
070 |
Valores representativos de deuda |
Anexo V, parte 1.31 |
|
|
|
|
|
|
|
|
|
|
|
|
080 |
Préstamos y anticipos |
Anexo V, parte 1.32 |
|
|
|
|
|
|
|
|
|
|
|
|
091 |
Activos financieros a valor razonable con cambios en otro resultado global |
NIIF 7.8.h); NIIF 9.4.1.2A |
|
|
|
|
|
|
|
|
|
|
|
|
092 |
Instrumentos de patrimonio |
NIC 32.11 |
|
|
|
|
|
|
|
|
|
|
|
|
093 |
Valores representativos de deuda |
Anexo V, parte 1.31 |
|
|
|
|
|
|
|
|
|
|
|
|
094 |
Préstamos y anticipos |
Anexo V, parte 1.32 |
|
|
|
|
|
|
|
|
|
|
|
|
131 |
Activos financieros a coste amortizado |
NIIF 7.8.f); NIIF 9.4.1.2 |
|
|
|
|
|
|
|
|
|
|
|
|
132 |
Valores representativos de deuda |
Anexo V, parte 1.31 |
|
|
|
|
|
|
|
|
|
|
|
|
133 |
Préstamos y anticipos |
Anexo V, parte 1.32 |
|
|
|
|
|
|
|
|
|
|
|
|
190 |
Total |
|
|
|
|
|
|
|
|
|
|
|
|
16. Desglose de partidas seleccionadas del estado de resultados
16.1 Ingresos y gastos en concepto de intereses, por instrumentos y sectores de las contrapartes
|
|
Referencias |
Período corriente |
||
|
Ingresos |
Gastos |
|||
|
Anexo V, parte 2.187, 189 |
Anexo V, parte 2.188, 190 |
|||
|
010 |
020 |
|||
|
010 |
Derivados — negociación |
NIIF 9, apéndice A, .BA.1, .BA.6; Anexo V, parte 2.193 |
|
|
|
015 |
De los cuales: ingresos por intereses de derivados en coberturas económicas |
Anexo V, parte 2.193 |
|
|
|
020 |
Valores representativos de deuda |
Anexo V, parte 1.31, 44.b) |
|
|
|
030 |
Bancos centrales |
Anexo V, parte 1.42.a) |
|
|
|
040 |
Administraciones públicas |
Anexo V, parte 1.42.b) |
|
|
|
050 |
Entidades de crédito |
Anexo V, parte 1.42.c) |
|
|
|
060 |
Otras sociedades financieras |
Anexo V, parte 1.42.d) |
|
|
|
070 |
Sociedades no financieras |
Anexo V, parte 1.42.e) |
|
|
|
080 |
Préstamos y anticipos |
Anexo V, parte 1.32, 44.a) |
|
|
|
090 |
Bancos centrales |
Anexo V, parte 1.42.a) |
|
|
|
100 |
Administraciones públicas |
Anexo V, parte 1.42.b) |
|
|
|
110 |
Entidades de crédito |
Anexo V, parte 1.42.c) |
|
|
|
120 |
Otras sociedades financieras |
Anexo V, parte 1.42.d) |
|
|
|
130 |
Sociedades no financieras |
Anexo V, parte 1.42.e) |
|
|
|
140 |
Hogares |
Anexo V, parte 1.42.f) |
|
|
|
150 |
Otros activos |
Anexo V, parte 2.5 |
|
|
|
160 |
Depósitos |
BCE/2013/33, anexo 2, parte 2.9; Anexo V, parte 1.36 |
|
|
|
170 |
Bancos centrales |
Anexo V, parte 1.42.a) |
|
|
|
180 |
Administraciones públicas |
Anexo V, parte 1.42.b) |
|
|
|
190 |
Entidades de crédito |
Anexo V, parte 1.42.c) |
|
|
|
200 |
Otras sociedades financieras |
Anexo V, parte 1.42.d) |
|
|
|
210 |
Sociedades no financieras |
Anexo V, parte 1.42.e) |
|
|
|
220 |
Hogares |
Anexo V, parte 1.42.f) |
|
|
|
230 |
Valores representativos de deuda emitidos |
Anexo V, parte 1.37 |
|
|
|
240 |
Otros pasivos financieros |
Anexo V, parte 1.32-34, parte 2.191 |
|
|
|
250 |
Derivados - contabilidad de coberturas, riesgo de tipo de interés |
Anexo V, parte 2.192 |
|
|
|
260 |
Otros pasivos |
Anexo V, parte 1.38-41 |
|
|
|
270 |
INTERESES |
NIC 1.97 |
|
|
|
280 |
De los cuales: ingresos por intereses de activos financieros con deterioro crediticio |
NIIF 9.5.4.1; .B5.4.7; Anexo V, parte 2.194 |
|
|
16.2 Ganancias o pérdidas al dar de baja en cuentas activos y pasivos financieros no valorados a valor razonable con cambios en resultados, por instrumentos
|
|
Referencias |
Período corriente |
|
|
Anexo V, parte 2.195-196 |
|||
|
010 |
|||
|
020 |
Valores representativos de deuda |
Anexo V, parte 1.31 |
|
|
030 |
Préstamos y anticipos |
Anexo V, parte 1.32 |
|
|
040 |
Depósitos |
BCE/2013/33, anexo 2, parte 2.9; Anexo V, parte 1.36 |
|
|
050 |
Valores representativos de deuda emitidos |
Anexo V, parte 1.37 |
|
|
060 |
Otros pasivos financieros |
Anexo V, parte 1.38-41 |
|
|
070 |
GANANCIAS O (-) PÉRDIDAS AL DAR DE BAJA EN CUENTAS ACTIVOS Y PASIVOS FINANCIEROS NO VALORADOS A VALOR RAZONABLE CON CAMBIOS EN RESULTADOS, NETAS |
Anexo V, parte 2.45 |
|
16.3 Ganancias o pérdidas de activos y pasivos financieros mantenidos para negociar y activos y pasivos financieros destinados a negociación, por instrumentos
|
|
Referencias |
Período corriente |
|
|
Anexo V, parte 2.197-198 |
|||
|
010 |
|||
|
010 |
Derivados |
NIIF 9, apéndice A, .BA.1, .BA.7.a); |
|
|
015 |
De los cuales: coberturas económicas con uso de la opción del valor razonable |
NIIF 9.6.7.1; NIIF 7.9.d); Anexo V, parte 2.199 |
|
|
020 |
Instrumentos de patrimonio |
NIC 32.11 |
|
|
030 |
Valores representativos de deuda |
Anexo V, parte 1.31 |
|
|
040 |
Préstamos y anticipos |
Anexo V, parte 1.32 |
|
|
050 |
Posiciones cortas |
NIIF 9.BA.7.b) |
|
|
060 |
Depósitos |
BCE/2013/33, anexo 2, parte 2.9; Anexo V, parte 1.36 |
|
|
070 |
Valores representativos de deuda emitidos |
Anexo V, parte 1.37 |
|
|
080 |
Otros pasivos financieros |
Anexo V, parte 1.38-41 |
|
|
090 |
GANANCIAS O (-) PÉRDIDAS POR ACTIVOS Y PASIVOS FINANCIEROS MANTENIDOS PARA NEGOCIAR, NETAS |
NIIF 9, apéndice A, .BA.6; NIIF 7.20.a).i) |
|
|
095 |
De las cuales: Ganancias y pérdidas por reclasificación de activos a coste amortizado |
NIIF 9.5.6.2; Anexo V, parte 2.199 |
|
16.4 Ganancias o pérdidas de activos y pasivos financieros mantenidos para negociar y activos y pasivos financieros destinados a negociación, por riesgos
|
|
Referencias |
Período corriente |
|
|
010 |
|||
|
010 |
Instrumentos de tipo de interés y derivados relacionados |
Anexo V, parte 2.200.a) |
|
|
020 |
Instrumentos de patrimonio y derivados relacionados |
Anexo V, parte 2.200.b) |
|
|
030 |
Negociación de divisas y derivados relacionados con divisas y con oro |
Anexo V, parte 2.200.c) |
|
|
040 |
Instrumentos de riesgo de crédito y derivados relacionados |
Anexo V, parte 2.200.d) |
|
|
050 |
Materias primas y derivados relacionados |
Anexo V, parte 2.200.e) |
|
|
060 |
Otros |
Anexo V, parte 2.200.f) |
|
|
070 |
GANANCIAS O (-) PÉRDIDAS POR ACTIVOS Y PASIVOS FINANCIEROS MANTENIDOS PARA NEGOCIAR, NETAS |
NIIF 7.20.a).i) |
|
16.4.1 Ganancias o pérdidas por activos financieros no destinados a negociación valorados obligatoriamente a valor razonable con cambios en resultados, por instrumentos
|
|
Referencias |
Período corriente |
|
|
Anexo V, parte 2.201 |
|||
|
010 |
|||
|
020 |
Instrumentos de patrimonio |
NIC 32.11 |
|
|
030 |
Valores representativos de deuda |
Anexo V, parte 1.31 |
|
|
040 |
Préstamos y anticipos |
Anexo V, parte 1.32 |
|
|
090 |
GANANCIAS O (-) PÉRDIDAS POR ACTIVOS FINANCIEROS NO DESTINADOS A NEGOCIACIÓN VALORADOS OBLIGATORIAMENTE A VALOR RAZONABLE CON CAMBIOS EN RESULTADOS, NETAS |
NIIF 7.20.a).i) |
|
|
100 |
De las cuales: ganancias y pérdidas por reclasificación de activos a coste amortizado |
NIIF 9.6.5.2; Anexo V, parte 2.202 |
|
16.5 Ganancias o pérdidas por activos y pasivos financieros designados a valor razonable con cambios en resultados, por instrumentos
|
|
Referencias |
Período corriente |
Cambios en el valor razonable debido al riesgo de crédito |
|
|
Anexo V, parte 2.203 |
Anexo V, parte 2.203 |
|||
|
010 |
020 |
|||
|
020 |
Valores representativos de deuda |
Anexo V, parte 1.31 |
|
|
|
030 |
Préstamos y anticipos |
Anexo V, parte 1.32 |
|
|
|
040 |
Depósitos |
BCE/2013/33, anexo 2, parte 2.9; Anexo V, parte 1.36 |
|
|
|
050 |
Valores representativos de deuda emitidos |
Anexo V, parte 1.37 |
|
|
|
060 |
Otros pasivos financieros |
Anexo V, parte 1.38-41 |
|
|
|
070 |
GANANCIAS O (-) PÉRDIDAS POR ACTIVOS Y PASIVOS FINANCIEROS DESIGNADOS A VALOR RAZONABLE CON CAMBIOS EN RESULTADOS, NETAS |
NIIF 7.20.a).i) |
|
|
|
071 |
De las cuales: ganancias o (-) pérdidas en la designación de activos y pasivos financieros designados a valor razonable con cambios en resultados para fines de cobertura, netas |
NIIF 9.6.7; NIIF 7.24G.b); Anexo V, parte 2.204 |
|
|
|
072 |
De las cuales: ganancias o (-) pérdidas tras la designación de activos y pasivos financieros designados a valor razonable con cambios en resultados para fines de cobertura, netas |
NIIF 9.6.7; NIIF 7.20.a).i); Anexo V, parte 2.204 |
|
|
16.6 Ganancias o pérdidas resultantes de la contabilidad de coberturas
|
|
Referencias |
Período corriente |
|
|
Anexo V, parte 2.205 |
|||
|
010 |
|||
|
010 |
Cambios del valor razonable del instrumento de cobertura [incluidas actividades interrumpidas] |
NIIF 7.24A.c); NIIF 7.24C.b).vi) |
|
|
020 |
Cambios del valor razonable del elemento cubierto atribuibles al riesgo cubierto |
NIIF 9.6.3.7; .6.5.8; .B6.4.1; NIIF 7.24B.a).iv); NIIF 7.24C.b).vi); Anexo V, parte 2.206 |
|
|
030 |
Ineficacia en resultados de las coberturas de flujos de efectivo |
NIIF 7.24C.b).ii); NIIF 7.24C.b).vi); |
|
|
040 |
Ineficacia en resultados de las coberturas de inversiones netas en negocios en el extranjero |
NIIF 7.24C.cb).ii); NIIF 7.24C.b).vi) |
|
|
050 |
GANANCIAS O (-) PÉRDIDAS RESULTANTES DE LA CONTABILIDAD DE COBERTURAS, NETAS |
|
|
16.7 Deterioro del valor de activos no financieros
|
|
Referencias |
Período corriente |
|||
|
Adiciones |
Reversiones |
Deterioro de valor acumulado |
|||
|
Anexo V, parte 2.208 |
Anexo V, parte 2.208 |
|
|||
|
010 |
020 |
040 |
|||
|
060 |
Deterioro del valor o (-) reversión del deterioro del valor de inversiones en dependientes, negocios conjuntos o asociadas |
NIC 28.40-43 |
|
|
|
|
070 |
Dependientes |
NIIF 10, apéndice A |
|
|
|
|
080 |
Negocios conjuntos |
NIC 28.3 |
|
|
|
|
090 |
Asociadas |
NIC 28.3 |
|
|
|
|
100 |
Deterioro del valor o (-) reversión del deterioro del valor de activos no financieros |
NIC 36.126.a) y b) |
|
|
|
|
110 |
Inmovilizado material |
NIC 16.73.e).v-vi) |
|
|
|
|
120 |
Inversiones inmobiliarias |
NIC 40.79.d).v) |
|
|
|
|
130 |
Fondo de comercio |
NIC 36.10b; NIC 36.88-99, 124; NIIF 3, apéndice B67.d).v) |
|
|
|
|
140 |
Otros activos intangibles |
NIC 38.118.e).iv) y v) |
|
|
|
|
145 |
Otros |
NIC 36.126.a) y b) |
|
|
|
|
150 |
TOTAL |
|
|
|
|
17. Conciliación entre el ámbito de consolidación contable y el ámbito de consolidación según el RRC: balance
17.1 Activo
|
|
Referencias |
Ámbito de consolidación contable [importe en libros] |
|
|
Anexo V, parte 1.27, parte 2.209 |
|||
|
010 |
|||
|
010 |
Efectivo, saldos en efectivo en bancos centrales y otros depósitos a la vista |
NIC 1.54.i) |
|
|
020 |
Efectivo |
Anexo V, parte 2.1 |
|
|
030 |
Saldos en efectivo en bancos centrales |
Anexo V, parte 2.2 |
|
|
040 |
Otros depósitos a la vista |
Anexo V, parte 2.3 |
|
|
050 |
Activos financieros mantenidos para negociar |
NIIF 7.8.a).ii); NIIF 9, apéndice A |
|
|
060 |
Derivados |
NIIF 9, apéndice A |
|
|
070 |
Instrumentos de patrimonio |
NIC 32.11 |
|
|
080 |
Valores representativos de deuda |
Anexo V, parte 1.31 |
|
|
090 |
Préstamos y anticipos |
Anexo V, parte 1.32 |
|
|
096 |
Activos financieros no destinados a negociación valorados obligatoriamente a valor razonable con cambios en resultados |
NIIF 9.4.1.4 |
|
|
097 |
Instrumentos de patrimonio |
NIC 32.11 |
|
|
098 |
Valores representativos de deuda |
Anexo V, parte 1.31 |
|
|
099 |
Préstamos y anticipos |
Anexo V, parte 1.32 |
|
|
100 |
Activos financieros designados a valor razonable con cambios en resultados |
NIIF 7.8.a).i); NIIF 9.4.1.5 |
|
|
120 |
Valores representativos de deuda |
Anexo V, parte 1.31 |
|
|
130 |
Préstamos y anticipos |
Anexo V, parte 1.32 |
|
|
141 |
Activos financieros a valor razonable con cambios en otro resultado global |
NIIF 7.8.h); NIIF 9.4.1.2A |
|
|
142 |
Instrumentos de patrimonio |
NIC 32.11 |
|
|
143 |
Valores representativos de deuda |
Anexo V, parte 1.31 |
|
|
144 |
Préstamos y anticipos |
Anexo V, parte 1.32 |
|
|
181 |
Activos financieros a coste amortizado |
NIIF 7.8.f); NIIF 9.4.1.2 |
|
|
182 |
Valores representativos de deuda |
Anexo V, parte 1.31 |
|
|
183 |
Préstamos y anticipos |
Anexo V, parte 1.32 |
|
|
240 |
Derivados — Contabilidad de coberturas |
NIIF 9.6.2.1; Anexo V, parte 1.22 |
|
|
250 |
Cambios del valor razonable de los elementos cubiertos de una cartera con cobertura del riesgo de tipo de interés |
NIC 39.89A.a); NIIF 9.6.5.8 |
|
|
260 |
Inversiones en dependientes, negocios conjuntos y asociadas |
NIC 1.54.e); Anexo V, parte 1.21, parte 2.4, 210 |
|
|
270 |
Activos creados por contratos de seguro o de reaseguro |
NIIF 4, GI 20.b)-c); Anexo V, parte 2.211 |
|
|
280 |
Activos tangibles |
|
|
|
290 |
Activos intangibles |
NIC 1.54.c); RRC art. 4.1.115 |
|
|
300 |
Fondo de comercio |
NIIF 3.B67.d); RRC art. 4.1.113 |
|
|
310 |
Otros activos intangibles |
NIC 38.8, 118 |
|
|
320 |
Activos por impuestos |
NIC 1.54(n-o) |
|
|
330 |
Activos por impuestos corrientes |
NIC 1.54.n); NIC 12.5 |
|
|
340 |
Activos por impuestos diferidos |
NIC 1.54.o); NIC 12.5; RRC art. 4.1.106 |
|
|
350 |
Otros activos |
Anexo V, parte 2.5 |
|
|
360 |
Activos no corrientes y grupos enajenables de elementos que se han clasificado como mantenidos para la venta |
NIC 1.54.j); NIIF 5.38; Anexo V, parte 2.6 |
|
|
370 |
TOTAL ACTIVO |
NIC 1.9.a), GI 6 |
|
17.2 Exposiciones fuera de balance: compromisos de préstamo, garantías financieras y otros compromisos concedidos
|
|
Referencias |
Ámbito de consolidación contable [importe nominal] |
|
|
Anexo V, parte 2.118, 209 |
|||
|
010 |
|||
|
010 |
Compromisos de préstamo concedidos |
RRC anexo I; Anexo V, partes 1.44.g), 2.102-105, 113, 116 |
|
|
020 |
Garantías financieras concedidas |
NIIF 4 anexo A; RRC anexo I; Anexo V, partes 1.44.f), 2.102-105, 114, 116 |
|
|
030 |
Otros compromisos concedidos |
RRC anexo I; Anexo V, partes 1.44.g), 2.102-105, 115, 116 |
|
|
040 |
EXPOSICIONES FUERA DE BALANCE |
|
|
17.3. Pasivo y patrimonio neto
|
|
Referencias |
Ámbito de consolidación contable [importe en libros] |
|
|
Anexo V, parte 1.27, parte 2.209 |
|||
|
010 |
|||
|
010 |
Pasivos financieros mantenidos para negociar |
NIIF 7.8.e).ii); NIIF 9.BA.6 |
|
|
020 |
Derivados |
NIIF 9, apéndice A; NIIF 9.4.2.1.a); NIIF 9.BA.7.a) |
|
|
030 |
Posiciones cortas |
NIIF 9.BA7.b) |
|
|
040 |
Depósitos |
BCE/2013/33, anexo 2, parte 2.9; Anexo V, parte 1.36 |
|
|
050 |
Valores representativos de deuda emitidos |
Anexo V, parte 1.37 |
|
|
060 |
Otros pasivos financieros |
Anexo V, parte 1.38-41 |
|
|
070 |
Pasivos financieros designados a valor razonable con cambios en resultados |
NIIF 7.8.e).i); NIIF 9.4.2.2 |
|
|
080 |
Depósitos |
BCE/2013/33, anexo 2, parte 2.9; Anexo V, parte 1.36 |
|
|
090 |
Valores representativos de deuda emitidos |
Anexo V, parte 1.37 |
|
|
100 |
Otros pasivos financieros |
Anexo V, parte 1.38-41 |
|
|
110 |
Pasivos financieros a coste amortizado |
NIIF 7.8.g); NIIF 9.4.2.1 |
|
|
120 |
Depósitos |
BCE/2013/33, anexo 2, parte 2.9; Anexo V, parte 1.36 |
|
|
130 |
Valores representativos de deuda emitidos |
Anexo V, parte 1.37 |
|
|
140 |
Otros pasivos financieros |
Anexo V, parte 1.38-41 |
|
|
150 |
Derivados — Contabilidad de coberturas |
NIIF 9.6.2.1; Anexo V, parte 1.26 |
|
|
160 |
Cambios del valor razonable de los elementos cubiertos de una cartera con cobertura del riesgo de tipo de interés |
NIC 39.89A.b); NIIF 9.6.5.8 |
|
|
170 |
Pasivos creados por contratos de seguro o de reaseguro |
NIIF 4, GI 20.a); Anexo V, parte 2.212 |
|
|
180 |
Provisiones |
NIC 37.10; NIC 1.54.l) |
|
|
190 |
Pasivos por impuestos |
NIC 1.54(n-o) |
|
|
200 |
Pasivos por impuestos corrientes |
NIC 1.54.n); NIC 12.5 |
|
|
210 |
Pasivos por impuestos diferidos |
NIC 1.54.o); NIC 12.5; RRC art. 4.1.108 |
|
|
220 |
Capital social reembolsable a la vista |
NIC 32 IE 33; CINIIF 2; Anexo V, parte 2.12 |
|
|
230 |
Otros pasivos |
Anexo V, parte 2.13 |
|
|
240 |
Pasivos incluidos en grupos enajenables de elementos que se han clasificado como mantenidos para la venta |
NIC 1.54.p); NIIF 5.38; Anexo V, parte 2.14 |
|
|
250 |
PASIVO |
NIC 1.9.b), GI 6 |
|
|
260 |
Capital |
NIC 1.54.r), DAC art. 22 |
|
|
270 |
Prima de emisión |
NIC 1.78.e); RRC art. 4.1.124 |
|
|
280 |
Instrumentos de patrimonio emitidos distintos del capital |
Anexo V, parte 2.18-19 |
|
|
290 |
Otros elementos de patrimonio neto |
NIIF 2,10; Anexo V, parte 2.20 |
|
|
300 |
Otro resultado global acumulado |
RRC art. 4.1.100 |
|
|
310 |
Ganancias acumuladas |
RRC art. 4.1.123 |
|
|
320 |
Reservas de revalorización |
NIIF 1.33, D5-D8 |
|
|
330 |
Otras reservas |
NIC 1.54; NIC 1.78.e) |
|
|
340 |
(-) Acciones propias |
NIC 1.79.a).vi); NIC 32.33-34, GA14, GA36; Anexo V, parte 2.28 |
|
|
350 |
Resultados atribuibles a los propietarios de la dominante |
NIIF 10.B94 |
|
|
360 |
(-) Dividendos a cuenta |
NIC 32.35 |
|
|
370 |
Intereses minoritarios [participaciones no dominantes] |
NIC 1.54.q); NIIF 10.22, .B94 |
|
|
380 |
TOTAL PATRIMONIO NETO |
NIC 1.9.c), GI 6 |
|
|
390 |
TOTAL PATRIMONIO NETO Y PASIVO |
NIC 1, GI 6 |
|
18. Información sobre las exposiciones no dudosas y dudosas
|
|
Referencias |
Importe en libros bruto / importe nominal |
Deterioro de valor acumulado, cambios acumulados negativos en el valor razonable debidos al riesgo de crédito y provisiones |
Importe máximo de la garantía real o personal que puede considerarse Anexo V, parte 2.119 |
||||||||||||||||||||
|
|
No dudosas |
Dudosas |
|
Exposiciones no dudosas - Deterioro del valor acumulado y provisiones |
Exposiciones dudosas - Deterioro de valor acumulado, cambios acumulados negativos en el valor razonable debidos al riesgo de crédito y provisiones |
Garantías reales recibidas y garantías financieras recibidas |
||||||||||||||||||
|
|
No vencidas o vencidas ≤ 30 días |
Vencidas > 30 días ≤ 90 días |
|
Pago improbable no vencidas o vencidas ≤ 90 días |
Vencidas > 90 días ≤ 180 días |
Vencidas > 180 días ≤ 1 año |
Vencidas > 1 año ≤ 5 años |
Vencidas > 5 años |
De las cuales: impagadas |
De las cuales: con deterioro de valor |
|
Pago improbable no vencidas o vencidas ≤ 90 días |
Vencidas > 90 días ≤ 180 días |
Vencidas > 180 días ≤ 1 año |
Vencidas > 1 año ≤ 5 años |
Vencidas > 5 años |
Garantías reales recibidas sobre exposiciones dudosas |
Garantías financieras recibidas sobre exposiciones dudosas |
||||||
|
010 |
020 |
030 |
055 |
060 |
070 |
080 |
090 |
100 |
105 |
110 |
120 |
130 |
140 |
150 |
160 |
170 |
180 |
190 |
195 |
200 |
210 |
|||
|
Anexo V, parte 1.34, parte 2.118, 221 |
Anexo V, parte 2. 213-216, 223-239 |
Anexo V, parte 2. 222, 235 |
Anexo V, parte 2. 222, 235 |
Anexo V, parte 2. 213-216, 223-239 |
Anexo V, parte 2. 222, 235-236 |
Anexo V, parte 2. 222, 235-236 |
Anexo V, parte 2. 222, 235-236 |
Anexo V, parte 2. 222, 235-236 |
Anexo V, parte 2. 222, 235-236 |
RRC art 178; Anexo V, parte 2.238.b) |
NIIF 9.5.5.1; NIIF 9, apéndice A; Anexo V, parte 2.238.a) |
Anexo V, parte 2. 238 |
Anexo V, parte 2. 238 |
Anexo V, parte 2. 238 |
Anexo V, parte 2. 236, 238 |
Anexo V, parte 2. 236, 238 |
Anexo V, parte 2. 236, 238 |
Anexo V, parte 2. 236, 238 |
Anexo V, parte 2. 236, 238 |
Anexo V, parte 2. 239 |
Anexo V, parte 2. 239 |
|||
|
010 |
Valores representativos de deuda |
Anexo V, parte 1.31, 44.b) |
|
|
|
|
|
|
|
|
|
|
|
|
|
|
|
|
|
|
|
|
|
|
|
020 |
Bancos centrales |
Anexo V, parte 1.42.a) |
|
|
|
|
|
|
|
|
|
|
|
|
|
|
|
|
|
|
|
|
|
|
|
030 |
Administraciones públicas |
Anexo V, parte 1.42.b) |
|
|
|
|
|
|
|
|
|
|
|
|
|
|
|
|
|
|
|
|
|
|
|
040 |
Entidades de crédito |
Anexo V, parte 1.42.c) |
|
|
|
|
|
|
|
|
|
|
|
|
|
|
|
|
|
|
|
|
|
|
|
050 |
Otras sociedades financieras |
Anexo V, parte 1.42.d) |
|
|
|
|
|
|
|
|
|
|
|
|
|
|
|
|
|
|
|
|
|
|
|
060 |
Sociedades no financieras |
Anexo V, parte 1.42.e) |
|
|
|
|
|
|
|
|
|
|
|
|
|
|
|
|
|
|
|
|
|
|
|
070 |
Préstamos y anticipos |
Anexo V, parte 1.32, 44.a) |
|
|
|
|
|
|
|
|
|
|
|
|
|
|
|
|
|
|
|
|
|
|
|
080 |
Bancos centrales |
Anexo V, parte 1.42.a) |
|
|
|
|
|
|
|
|
|
|
|
|
|
|
|
|
|
|
|
|
|
|
|
090 |
Administraciones públicas |
Anexo V, parte 1.42.b) |
|
|
|
|
|
|
|
|
|
|
|
|
|
|
|
|
|
|
|
|
|
|
|
100 |
Entidades de crédito |
Anexo V, parte 1.42.c) |
|
|
|
|
|
|
|
|
|
|
|
|
|
|
|
|
|
|
|
|
|
|
|
110 |
Otras sociedades financieras |
Anexo V, parte 1.42.d) |
|
|
|
|
|
|
|
|
|
|
|
|
|
|
|
|
|
|
|
|
|
|
|
120 |
Sociedades no financieras |
Anexo V, parte 1.42.e) |
|
|
|
|
|
|
|
|
|
|
|
|
|
|
|
|
|
|
|
|
|
|
|
130 |
De las cuales: pequeñas y medianas empresas |
PYME art. 1 2.a) |
|
|
|
|
|
|
|
|
|
|
|
|
|
|
|
|
|
|
|
|
|
|
|
140 |
De las cuales: préstamos garantizados por bienes inmuebles comerciales |
Anexo V, parte 2.86.a), 87 |
|
|
|
|
|
|
|
|
|
|
|
|
|
|
|
|
|
|
|
|
|
|
|
150 |
Hogares |
Anexo V, parte 1.42.f) |
|
|
|
|
|
|
|
|
|
|
|
|
|
|
|
|
|
|
|
|
|
|
|
160 |
De las cuales: préstamos garantizados por bienes inmuebles residenciales |
Anexo V, parte 2.86.a), 87 |
|
|
|
|
|
|
|
|
|
|
|
|
|
|
|
|
|
|
|
|
|
|
|
170 |
De las cuales: crédito al consumo |
Anexo V, parte 2.88.a) |
|
|
|
|
|
|
|
|
|
|
|
|
|
|
|
|
|
|
|
|
|
|
|
180 |
INSTRUMENTOS DE DEUDA AL COSTE O A COSTE AMORTIZADO |
Anexo V, parte 2.233.a) |
|
|
|
|
|
|
|
|
|
|
|
|
|
|
|
|
|
|
|
|
|
|
|
181 |
Valores representativos de deuda |
Anexo V, parte 1.31, 44.b) |
|
|
|
|
|
|
|
|
|
|
|
|
|
|
|
|
|
|
|
|
|
|
|
182 |
Bancos centrales |
Anexo V, parte 1.42.a) |
|
|
|
|
|
|
|
|
|
|
|
|
|
|
|
|
|
|
|
|
|
|
|
183 |
Administraciones públicas |
Anexo V, parte 1.42.b) |
|
|
|
|
|
|
|
|
|
|
|
|
|
|
|
|
|
|
|
|
|
|
|
184 |
Entidades de crédito |
Anexo V, parte 1.42.c) |
|
|
|
|
|
|
|
|
|
|
|
|
|
|
|
|
|
|
|
|
|
|
|
185 |
Otras sociedades financieras |
Anexo V, parte 1.42.d) |
|
|
|
|
|
|
|
|
|
|
|
|
|
|
|
|
|
|
|
|
|
|
|
186 |
Sociedades no financieras |
Anexo V, parte 1.42.e) |
|
|
|
|
|
|
|
|
|
|
|
|
|
|
|
|
|
|
|
|
|
|
|
191 |
Préstamos y anticipos |
Anexo V, parte 1.32, 44.a) |
|
|
|
|
|
|
|
|
|
|
|
|
|
|
|
|
|
|
|
|
|
|
|
192 |
Bancos centrales |
Anexo V, parte 1.42.a) |
|
|
|
|
|
|
|
|
|
|
|
|
|
|
|
|
|
|
|
|
|
|
|
193 |
Administraciones públicas |
Anexo V, parte 1.42.b) |
|
|
|
|
|
|
|
|
|
|
|
|
|
|
|
|
|
|
|
|
|
|
|
194 |
Entidades de crédito |
Anexo V, parte 1.42.c) |
|
|
|
|
|
|
|
|
|
|
|
|
|
|
|
|
|
|
|
|
|
|
|
195 |
Otras sociedades financieras |
Anexo V, parte 1.42.d) |
|
|
|
|
|
|
|
|
|
|
|
|
|
|
|
|
|
|
|
|
|
|
|
196 |
Sociedades no financieras |
Anexo V, parte 1.42.e) |
|
|
|
|
|
|
|
|
|
|
|
|
|
|
|
|
|
|
|
|
|
|
|
197 |
Hogares |
Anexo V, parte 1.42.f) |
|
|
|
|
|
|
|
|
|
|
|
|
|
|
|
|
|
|
|
|
|
|
|
201 |
INSTRUMENTOS DE DEUDA A VALOR RAZONABLE CON CAMBIOS EN OTRO RESULTADO GLOBAL O CON CAMBIOS EN EL PATRIMONIO NETO SUSCEPTIBLES DE DETERIORO |
Anexo V, parte 2.233.b) |
|
|
|
|
|
|
|
|
|
|
|
|
|
|
|
|
|
|
|
|
|
|
|
211 |
Valores representativos de deuda |
Anexo V, parte 1.31, 44.b) |
|
|
|
|
|
|
|
|
|
|
|
|
|
|
|
|
|
|
|
|
|
|
|
212 |
Bancos centrales |
Anexo V, parte 1.42.a) |
|
|
|
|
|
|
|
|
|
|
|
|
|
|
|
|
|
|
|
|
|
|
|
213 |
Administraciones públicas |
Anexo V, parte 1.42.b) |
|
|
|
|
|
|
|
|
|
|
|
|
|
|
|
|
|
|
|
|
|
|
|
214 |
Entidades de crédito |
Anexo V, parte 1.42.c) |
|
|
|
|
|
|
|
|
|
|
|
|
|
|
|
|
|
|
|
|
|
|
|
215 |
Otras sociedades financieras |
Anexo V, parte 1.42.d) |
|
|
|
|
|
|
|
|
|
|
|
|
|
|
|
|
|
|
|
|
|
|
|
216 |
Sociedades no financieras |
Anexo V, parte 1.42.e) |
|
|
|
|
|
|
|
|
|
|
|
|
|
|
|
|
|
|
|
|
|
|
|
221 |
Préstamos y anticipos |
Anexo V, parte 1.32, 44.a) |
|
|
|
|
|
|
|
|
|
|
|
|
|
|
|
|
|
|
|
|
|
|
|
222 |
Bancos centrales |
Anexo V, parte 1.42.a) |
|
|
|
|
|
|
|
|
|
|
|
|
|
|
|
|
|
|
|
|
|
|
|
223 |
Administraciones públicas |
Anexo V, parte 1.42.b) |
|
|
|
|
|
|
|
|
|
|
|
|
|
|
|
|
|
|
|
|
|
|
|
224 |
Entidades de crédito |
Anexo V, parte 1.42.c) |
|
|
|
|
|
|
|
|
|
|
|
|
|
|
|
|
|
|
|
|
|
|
|
225 |
Otras sociedades financieras |
Anexo V, parte 1.42.d) |
|
|
|
|
|
|
|
|
|
|
|
|
|
|
|
|
|
|
|
|
|
|
|
226 |
Sociedades no financieras |
Anexo V, parte 1.42.e) |
|
|
|
|
|
|
|
|
|
|
|
|
|
|
|
|
|
|
|
|
|
|
|
227 |
Hogares |
Anexo V, parte 1.42.f) |
|
|
|
|
|
|
|
|
|
|
|
|
|
|
|
|
|
|
|
|
|
|
|
231 |
INSTRUMENTOS DE DEUDA AL LOCOM ESTRICTO O A VALOR RAZONABLE CON CAMBIOS EN OTRO RESULTADO GLOBAL O CON CAMBIOS EN EL PATRIMONIO NETO NO SUSCEPTIBLES DE DETERIORO |
Anexo V, parte 2.233.c), 234 |
|
|
|
|
|
|
|
|
|
|
|
|
|
|
|
|
|
|
|
|
|
|
|
330 |
INSTRUMENTOS DE DEUDA DISTINTOS DE LOS MANTENIDOS PARA NEGOCIAR O DESTINADOS A NEGOCIACIÓN |
Anexo V, parte 2.217 |
|
|
|
|
|
|
|
|
|
|
|
|
|
|
|
|
|
|
|
|
|
|
|
335 |
INSTRUMENTOS DE DEUDA MANTENIDOS PARA LA VENTA |
Anexo V, parte 2.220 |
|
|
|
|
|
|
|
|
|
|
|
|
|
|
|
|
|
|
|
|
|
|
|
340 |
Compromisos de préstamo concedidos |
RRC anexo I; Anexo V, partes 1.44.g), 2.102-105, 113, 116, 224 |
|
|
|
|
|
|
|
|
|
|
|
|
|
|
|
|
|
|
|
|
|
|
|
350 |
Bancos centrales |
Anexo V, parte 1.42.a) |
|
|
|
|
|
|
|
|
|
|
|
|
|
|
|
|
|
|
|
|
|
|
|
360 |
Administraciones públicas |
Anexo V, parte 1.42.b) |
|
|
|
|
|
|
|
|
|
|
|
|
|
|
|
|
|
|
|
|
|
|
|
370 |
Entidades de crédito |
Anexo V, parte 1.42.c) |
|
|
|
|
|
|
|
|
|
|
|
|
|
|
|
|
|
|
|
|
|
|
|
380 |
Otras sociedades financieras |
Anexo V, parte 1.42.d) |
|
|
|
|
|
|
|
|
|
|
|
|
|
|
|
|
|
|
|
|
|
|
|
390 |
Sociedades no financieras |
Anexo V, parte 1.42.e) |
|
|
|
|
|
|
|
|
|
|
|
|
|
|
|
|
|
|
|
|
|
|
|
400 |
Hogares |
Anexo V, parte 1.42.f) |
|
|
|
|
|
|
|
|
|
|
|
|
|
|
|
|
|
|
|
|
|
|
|
410 |
Garantías financieras concedidas |
NIIF 4 anexo A; RRC anexo I; Anexo V, partes 1.44.f), 2.102-105, 114, 116, 225 |
|
|
|
|
|
|
|
|
|
|
|
|
|
|
|
|
|
|
|
|
|
|
|
420 |
Bancos centrales |
Anexo V, parte 1.42.a) |
|
|
|
|
|
|
|
|
|
|
|
|
|
|
|
|
|
|
|
|
|
|
|
430 |
Administraciones públicas |
Anexo V, parte 1.42.b) |
|
|
|
|
|
|
|
|
|
|
|
|
|
|
|
|
|
|
|
|
|
|
|
440 |
Entidades de crédito |
Anexo V, parte 1.42.c) |
|
|
|
|
|
|
|
|
|
|
|
|
|
|
|
|
|
|
|
|
|
|
|
450 |
Otras sociedades financieras |
Anexo V, parte 1.42.d) |
|
|
|
|
|
|
|
|
|
|
|
|
|
|
|
|
|
|
|
|
|
|
|
460 |
Sociedades no financieras |
Anexo V, parte 1.42.e) |
|
|
|
|
|
|
|
|
|
|
|
|
|
|
|
|
|
|
|
|
|
|
|
470 |
Hogares |
Anexo V, parte 1.42.f) |
|
|
|
|
|
|
|
|
|
|
|
|
|
|
|
|
|
|
|
|
|
|
|
480 |
Otros compromisos concedidos |
RRC anexo I; Anexo V, partes 1.44.g), 2.102-105, 115, 116, 224 |
|
|
|
|
|
|
|
|
|
|
|
|
|
|
|
|
|
|
|
|
|
|
|
490 |
Bancos centrales |
Anexo V, parte 1.42.a) |
|
|
|
|
|
|
|
|
|
|
|
|
|
|
|
|
|
|
|
|
|
|
|
500 |
Administraciones públicas |
Anexo V, parte 1.42.b) |
|
|
|
|
|
|
|
|
|
|
|
|
|
|
|
|
|
|
|
|
|
|
|
510 |
Entidades de crédito |
Anexo V, parte 1.42.c) |
|
|
|
|
|
|
|
|
|
|
|
|
|
|
|
|
|
|
|
|
|
|
|
520 |
Otras sociedades financieras |
Anexo V, parte 1.42.d) |
|
|
|
|
|
|
|
|
|
|
|
|
|
|
|
|
|
|
|
|
|
|
|
530 |
Sociedades no financieras |
Anexo V, parte 1.42.e) |
|
|
|
|
|
|
|
|
|
|
|
|
|
|
|
|
|
|
|
|
|
|
|
540 |
Hogares |
Anexo V, parte 1.42.f) |
|
|
|
|
|
|
|
|
|
|
|
|
|
|
|
|
|
|
|
|
|
|
|
550 |
EXPOSICIONES FUERA DE BALANCE |
Anexo V, parte 2.217 |
|
|
|
|
|
|
|
|
|
|
|
|
|
|
|
|
|
|
|
|
|
|
19. Información sobre las exposiciones reestructuradas o refinanciadas
|
|
Referencias |
Importe en libros bruto / importe nominal de las exposiciones reestructuradas o refinanciadas |
Deterioro de valor acumulado, cambios acumulados negativos en el valor razonable debidos al riesgo de crédito y provisiones |
Importe máximo de la garantía real o personal que puede considerarse Anexo V, parte 2.119 |
||||||||||||||||
|
|
Exposiciones no dudosas reestructuradas o refinanciadas |
Exposiciones dudosas reestructuradas o refinanciadas |
|
Exposiciones no dudosas reestructuradas o refinanciadas - Deterioro del valor acumulado y provisiones |
Exposiciones dudosas reestructuradas o refinanciadas - Deterioro de valor acumulado, cambios acumulados negativos del valor razonable debidos al riesgo de crédito y provisiones |
Garantías reales recibidas y garantías financieras recibidas |
||||||||||||||
|
|
Instrumentos reestructurados |
Refinanciaciones |
De las cuales: exposiciones no dudosas reestructuradas o refinanciadas en período de prueba reclasificadas a partir de la categoría de exposiciones dudosas |
|
Instrumentos reestructurados |
Refinanciaciones |
De las cuales: con impago |
De las cuales: con deterioro de valor |
De las cuales: reestructuración o refinanciación de exposiciones dudosas antes de dicha reestructuración o refinanciación |
|
Instrumentos reestructurados |
Refinanciaciones |
Garantías reales recibidas sobre exposiciones reestructuradas o refinanciadas |
Garantías financieras recibidas sobre exposiciones reestructuradas o refinanciadas |
||||||
|
010 |
020 |
030 |
040 |
050 |
060 |
070 |
080 |
090 |
100 |
110 |
120 |
130 |
140 |
150 |
160 |
170 |
180 |
|||
|
Anexo V, parte 1.34, parte 2. 118, 240-245, 251-258 |
Anexo V, parte 2. 256, 259-262 |
Anexo V, parte 2.241.a), 266 |
Anexo V, parte 2. 241.b), 265-266 |
Anexo V, parte 2. 256.b), 261 |
Anexo V, parte 2. 259-263 |
Anexo V, parte 2.241.a), 266 |
Anexo V, parte 2. 241.b), 265-266 |
RRC art 178; Anexo V, parte 2.264.b) |
NIIF 9.5.5.1; NIIF 9, apéndice A; Anexo V, parte 2.264.a) |
Anexo V, parte 2. 231, 252.a), 263 |
Anexo V, parte 2. 267 |
Anexo V, parte 2. 207 |
Anexo V, parte 2. 207 |
Anexo V, parte 2. 241.a), 267 |
Anexo V, parte 2. 241.b), 267 |
Anexo V, parte 2. 268 |
Anexo V, parte 2. 268 |
|||
|
010 |
Valores representativos de deuda |
Anexo V, parte 1.31, 44.b) |
|
|
|
|
|
|
|
|
|
|
|
|
|
|
|
|
|
|
|
020 |
Bancos centrales |
Anexo V, parte 1.42.a) |
|
|
|
|
|
|
|
|
|
|
|
|
|
|
|
|
|
|
|
030 |
Administraciones públicas |
Anexo V, parte 1.42.b) |
|
|
|
|
|
|
|
|
|
|
|
|
|
|
|
|
|
|
|
040 |
Entidades de crédito |
Anexo V, parte 1.42.c) |
|
|
|
|
|
|
|
|
|
|
|
|
|
|
|
|
|
|
|
050 |
Otras sociedades financieras |
Anexo V, parte 1.42.d) |
|
|
|
|
|
|
|
|
|
|
|
|
|
|
|
|
|
|
|
060 |
Sociedades no financieras |
Anexo V, parte 1.42.e) |
|
|
|
|
|
|
|
|
|
|
|
|
|
|
|
|
|
|
|
070 |
Préstamos y anticipos |
Anexo V, parte 1.32, 44.a) |
|
|
|
|
|
|
|
|
|
|
|
|
|
|
|
|
|
|
|
080 |
Bancos centrales |
Anexo V, parte 1.42.a) |
|
|
|
|
|
|
|
|
|
|
|
|
|
|
|
|
|
|
|
090 |
Administraciones públicas |
Anexo V, parte 1.42.b) |
|
|
|
|
|
|
|
|
|
|
|
|
|
|
|
|
|
|
|
100 |
Entidades de crédito |
Anexo V, parte 1.42.c) |
|
|
|
|
|
|
|
|
|
|
|
|
|
|
|
|
|
|
|
110 |
Otras sociedades financieras |
Anexo V, parte 1.42.d) |
|
|
|
|
|
|
|
|
|
|
|
|
|
|
|
|
|
|
|
120 |
Sociedades no financieras |
Anexo V, parte 1.42.e) |
|
|
|
|
|
|
|
|
|
|
|
|
|
|
|
|
|
|
|
130 |
De las cuales: pequeñas y medianas empresas |
PYME art. 1 2.a) |
|
|
|
|
|
|
|
|
|
|
|
|
|
|
|
|
|
|
|
140 |
De las cuales: préstamos garantizados por bienes inmuebles comerciales |
Anexo V, parte 2.86.a), 87 |
|
|
|
|
|
|
|
|
|
|
|
|
|
|
|
|
|
|
|
150 |
Hogares |
Anexo V, parte 1.42.f) |
|
|
|
|
|
|
|
|
|
|
|
|
|
|
|
|
|
|
|
160 |
De las cuales: préstamos garantizados por bienes inmuebles residenciales |
Anexo V, parte 2.86.a), 87 |
|
|
|
|
|
|
|
|
|
|
|
|
|
|
|
|
|
|
|
170 |
De las cuales: crédito al consumo |
Anexo V, parte 2.88.a) |
|
|
|
|
|
|
|
|
|
|
|
|
|
|
|
|
|
|
|
180 |
INSTRUMENTOS DE DEUDA AL COSTE O A COSTE AMORTIZADO |
Anexo V, parte 2.249.a) |
|
|
|
|
|
|
|
|
|
|
|
|
|
|
|
|
|
|
|
181 |
Valores representativos de deuda |
Anexo V, parte 1.31, 44.b) |
|
|
|
|
|
|
|
|
|
|
|
|
|
|
|
|
|
|
|
182 |
Bancos centrales |
Anexo V, parte 1.42.a) |
|
|
|
|
|
|
|
|
|
|
|
|
|
|
|
|
|
|
|
183 |
Administraciones públicas |
Anexo V, parte 1.42.b) |
|
|
|
|
|
|
|
|
|
|
|
|
|
|
|
|
|
|
|
184 |
Entidades de crédito |
Anexo V, parte 1.42.c) |
|
|
|
|
|
|
|
|
|
|
|
|
|
|
|
|
|
|
|
185 |
Otras sociedades financieras |
Anexo V, parte 1.42.d) |
|
|
|
|
|
|
|
|
|
|
|
|
|
|
|
|
|
|
|
186 |
Sociedades no financieras |
Anexo V, parte 1.42.e) |
|
|
|
|
|
|
|
|
|
|
|
|
|
|
|
|
|
|
|
191 |
Préstamos y anticipos |
Anexo V, parte 1.32, 44.a) |
|
|
|
|
|
|
|
|
|
|
|
|
|
|
|
|
|
|
|
192 |
Bancos centrales |
Anexo V, parte 1.42.a) |
|
|
|
|
|
|
|
|
|
|
|
|
|
|
|
|
|
|
|
193 |
Administraciones públicas |
Anexo V, parte 1.42.b) |
|
|
|
|
|
|
|
|
|
|
|
|
|
|
|
|
|
|
|
194 |
Entidades de crédito |
Anexo V, parte 1.42.c) |
|
|
|
|
|
|
|
|
|
|
|
|
|
|
|
|
|
|
|
195 |
Otras sociedades financieras |
Anexo V, parte 1.42.d) |
|
|
|
|
|
|
|
|
|
|
|
|
|
|
|
|
|
|
|
196 |
Sociedades no financieras |
Anexo V, parte 1.42.e) |
|
|
|
|
|
|
|
|
|
|
|
|
|
|
|
|
|
|
|
197 |
Hogares |
Anexo V, parte 1.42.f) |
|
|
|
|
|
|
|
|
|
|
|
|
|
|
|
|
|
|
|
201 |
INSTRUMENTOS DE DEUDA A VALOR RAZONABLE CON CAMBIOS EN OTRO RESULTADO GLOBAL O CON CAMBIOS EN EL PATRIMONIO NETO SUSCEPTIBLES DE DETERIORO |
Anexo V, parte 2.249.b) |
|
|
|
|
|
|
|
|
|
|
|
|
|
|
|
|
|
|
|
211 |
Valores representativos de deuda |
Anexo V, parte 1.31, 44.b) |
|
|
|
|
|
|
|
|
|
|
|
|
|
|
|
|
|
|
|
212 |
Bancos centrales |
Anexo V, parte 1.42.a) |
|
|
|
|
|
|
|
|
|
|
|
|
|
|
|
|
|
|
|
213 |
Administraciones públicas |
Anexo V, parte 1.42.b) |
|
|
|
|
|
|
|
|
|
|
|
|
|
|
|
|
|
|
|
214 |
Entidades de crédito |
Anexo V, parte 1.42.c) |
|
|
|
|
|
|
|
|
|
|
|
|
|
|
|
|
|
|
|
215 |
Otras sociedades financieras |
Anexo V, parte 1.42.d) |
|
|
|
|
|
|
|
|
|
|
|
|
|
|
|
|
|
|
|
216 |
Sociedades no financieras |
Anexo V, parte 1.42.e) |
|
|
|
|
|
|
|
|
|
|
|
|
|
|
|
|
|
|
|
221 |
Préstamos y anticipos |
Anexo V, parte 1.32, 44.a) |
|
|
|
|
|
|
|
|
|
|
|
|
|
|
|
|
|
|
|
222 |
Bancos centrales |
Anexo V, parte 1.42.a) |
|
|
|
|
|
|
|
|
|
|
|
|
|
|
|
|
|
|
|
223 |
Administraciones públicas |
Anexo V, parte 1.42.b) |
|
|
|
|
|
|
|
|
|
|
|
|
|
|
|
|
|
|
|
224 |
Entidades de crédito |
Anexo V, parte 1.42.c) |
|
|
|
|
|
|
|
|
|
|
|
|
|
|
|
|
|
|
|
225 |
Otras sociedades financieras |
Anexo V, parte 1.42.d) |
|
|
|
|
|
|
|
|
|
|
|
|
|
|
|
|
|
|
|
226 |
Sociedades no financieras |
Anexo V, parte 1.42.e) |
|
|
|
|
|
|
|
|
|
|
|
|
|
|
|
|
|
|
|
227 |
Hogares |
Anexo V, parte 1.42.f) |
|
|
|
|
|
|
|
|
|
|
|
|
|
|
|
|
|
|
|
231 |
INSTRUMENTOS DE DEUDA AL LOCOM ESTRICTO O A VALOR RAZONABLE CON CAMBIOS EN OTRO RESULTADO GLOBAL O CON CAMBIOS EN EL PATRIMONIO NETO NO SUSCEPTIBLES DE DETERIORO |
Anexo V, parte 2.249.c) |
|
|
|
|
|
|
|
|
|
|
|
|
|
|
|
|
|
|
|
330 |
INSTRUMENTOS DE DEUDA DISTINTOS DE LOS MANTENIDOS PARA NEGOCIAR O DESTINADOS A NEGOCIACIÓN |
Anexo V, parte 2.246 |
|
|
|
|
|
|
|
|
|
|
|
|
|
|
|
|
|
|
|
335 |
INSTRUMENTOS DE DEUDA MANTENIDOS PARA LA VENTA |
Anexo V, parte 2.247 |
|
|
|
|
|
|
|
|
|
|
|
|
|
|
|
|
|
|
|
340 |
Compromisos de préstamo concedidos |
RRC anexo I; Anexo V, partes 1.44.g), 2.102-105, 113, 116, 246 |
|
|
|
|
|
|
|
|
|
|
|
|
|
|
|
|
|
|
20. Desglose geográfico
20.1 Desglose geográfico de los activos por localización de las actividades
|
|
Referencias |
Importe en libros Anexo V, parte 1.27 |
||
|
Actividades locales |
Actividades no locales |
|||
|
Anexo V, parte 2.270 |
Anexo V, parte 2.270 |
|||
|
010 |
020 |
|||
|
010 |
Efectivo, saldos en efectivo en bancos centrales y otros depósitos a la vista |
NIC 1.54.i) |
|
|
|
020 |
Efectivo |
Anexo V, parte 2.1 |
|
|
|
030 |
Saldos en efectivo en bancos centrales |
Anexo V, parte 2.2 |
|
|
|
040 |
Otros depósitos a la vista |
Anexo V, parte 2.3 |
|
|
|
050 |
Activos financieros mantenidos para negociar |
NIIF 9, apéndice A |
|
|
|
060 |
Derivados |
NIIF 9, apéndice A |
|
|
|
070 |
Instrumentos de patrimonio |
NIC 32.11 |
|
|
|
080 |
Valores representativos de deuda |
Anexo V, parte 1.31 |
|
|
|
090 |
Préstamos y anticipos |
Anexo V, parte 1.32 |
|
|
|
096 |
Activos financieros no destinados a negociación valorados obligatoriamente a valor razonable con cambios en resultados |
NIIF 7.8.a).ii); NIIF 9.4.1.4 |
|
|
|
097 |
Instrumentos de patrimonio |
NIC 32.11 |
|
|
|
098 |
Valores representativos de deuda |
Anexo V, parte 1.31 |
|
|
|
099 |
Préstamos y anticipos |
Anexo V, parte 1.32 |
|
|
|
100 |
Activos financieros designados a valor razonable con cambios en resultados |
NIIF 7.8.a).i); NIIF 9.4.1.5 |
|
|
|
120 |
Valores representativos de deuda |
Anexo V, parte 1.31 |
|
|
|
130 |
Préstamos y anticipos |
Anexo V, parte 1.32 |
|
|
|
141 |
Activos financieros a valor razonable con cambios en otro resultado global |
NIIF 7.8.h); NIIF 9.4.1.2A |
|
|
|
142 |
Instrumentos de patrimonio |
NIC 32.11 |
|
|
|
143 |
Valores representativos de deuda |
Anexo V, parte 1.31 |
|
|
|
144 |
Préstamos y anticipos |
Anexo V, parte 1.32 |
|
|
|
181 |
Activos financieros a coste amortizado |
NIIF 7.8.f); NIIF 9.4.1.2 |
|
|
|
182 |
Valores representativos de deuda |
Anexo V, parte 1.31 |
|
|
|
183 |
Préstamos y anticipos |
Anexo V, parte 1.32 |
|
|
|
240 |
Derivados — Contabilidad de coberturas |
NIIF 9.6.2.1; Anexo V, parte 1.22 |
|
|
|
250 |
Cambios del valor razonable de los elementos cubiertos de una cartera con cobertura del riesgo de tipo de interés |
NIC 39.89A.a); NIIF 9.6.5.8 |
|
|
|
260 |
Activos tangibles |
|
|
|
|
270 |
Activos intangibles |
NIC 1.54.c); RRC art. 4.1.115 |
|
|
|
280 |
Inversiones en dependientes, negocios conjuntos y asociadas |
NIC 1.54.e); Anexo V, parte 1.21, parte 2.4 |
|
|
|
290 |
Activos por impuestos |
NIC 1.54(n-o) |
|
|
|
300 |
Otros activos |
Anexo V, parte 2.5 |
|
|
|
310 |
Activos no corrientes y grupos enajenables de elementos que se han clasificado como mantenidos para la venta |
NIC 1.54.j); NIIF 5.38; Anexo V, parte 2.7 |
|
|
|
320 |
ACTIVO |
NIC 1.9.a), GI 6 |
|
|
20.2 Desglose geográfico de los pasivos por localización de las actividades
|
|
Referencias |
Importe en libros Anexo V, parte 1.27 |
||
|
Actividades locales |
Actividades no locales |
|||
|
Anexo V, parte 2.270 |
Anexo V, parte 2.270 |
|||
|
010 |
020 |
|||
|
010 |
Pasivos financieros mantenidos para negociar |
NIIF 7.8.e).ii); NIIF 9.BA.6 |
|
|
|
020 |
Derivados |
NIIF 9, apéndice A; NIIF 9.4.2.1.a); NIIF 9.BA.7.a) |
|
|
|
030 |
Posiciones cortas |
NIIF 9.BA7.b) |
|
|
|
040 |
Depósitos |
BCE/2013/33, anexo 2, parte 2.9; Anexo V, parte 1.36 |
|
|
|
050 |
Valores representativos de deuda emitidos |
Anexo V, parte 1.37 |
|
|
|
060 |
Otros pasivos financieros |
Anexo V, parte 1.38-41 |
|
|
|
070 |
Pasivos financieros designados a valor razonable con cambios en resultados |
NIIF 7.8.e).i); NIIF 9.4.2.2 |
|
|
|
080 |
Depósitos |
BCE/2013/33, anexo 2, parte 2.9; Anexo V, parte 1.36 |
|
|
|
090 |
Valores representativos de deuda emitidos |
Anexo V, parte 1.37 |
|
|
|
100 |
Otros pasivos financieros |
Anexo V, parte 1.38-41 |
|
|
|
110 |
Pasivos financieros a coste amortizado |
NIIF 7.8.g); NIIF 9.4.2.1 |
|
|
|
120 |
Depósitos |
BCE/2013/33, anexo 2, parte 2.9; Anexo V, parte 1.36 |
|
|
|
130 |
Valores representativos de deuda emitidos |
Anexo V, parte 1.37 |
|
|
|
140 |
Otros pasivos financieros |
Anexo V, parte 1.38-41 |
|
|
|
150 |
Derivados — Contabilidad de coberturas |
NIIF 9.6.2.1; Anexo V, parte 1.26 |
|
|
|
160 |
Cambios del valor razonable de los elementos cubiertos de una cartera con cobertura del riesgo de tipo de interés |
NIC 39.89A.b); NIIF 9.6.5.8 |
|
|
|
170 |
Provisiones |
NIC 37.10; NIC 1.54.l) |
|
|
|
180 |
Pasivos por impuestos |
NIC 1.54(n-o) |
|
|
|
190 |
Capital social reembolsable a la vista |
NIC 32 IE 33; CINIIF 2; Anexo V, parte 2.12 |
|
|
|
200 |
Otros pasivos |
Anexo V, parte 2.13 |
|
|
|
210 |
Pasivos incluidos en grupos enajenables de elementos que se han clasificado como mantenidos para la venta |
NIC 1.54.p); NIIF 5.38; Anexo V, parte 2.14 |
|
|
|
220 |
PASIVO |
NIC 1.9.b), GI 6 |
|
|
20.3 Desglose geográfico de las partidas del estado de resultados por localización de las actividades
|
|
Referencias |
Período corriente |
||
|
Actividades locales |
Actividades no locales |
|||
|
Anexo V, parte 2.270 |
Anexo V, parte 2.270 |
|||
|
010 |
020 |
|||
|
010 |
Ingresos por intereses |
NIC 1.97; Anexo V, parte 2.31 |
|
|
|
020 |
(Gastos por intereses) |
NIC 1.97; Anexo V, parte 2.31 |
|
|
|
030 |
(Gastos por capital social reembolsable a la vista) |
CINIIF 2.11 |
|
|
|
040 |
Ingresos por dividendos |
Anexo V, parte 2.40 |
|
|
|
050 |
Ingresos por comisiones |
NIIF 7.20.c) |
|
|
|
060 |
(Gastos por comisiones) |
NIIF 7.20.c) |
|
|
|
070 |
Ganancias o (-) pérdidas al dar de baja en cuentas activos y pasivos financieros no valorados a valor razonable con cambios en resultados, netas |
Anexo V, parte 2.45 |
|
|
|
080 |
Ganancias o (-) pérdidas por activos y pasivos financieros mantenidos para negociar, netas |
NIIF 7.20.a).i); NIIF 9.5.7.1; Anexo V, parte 2.43, 46 |
|
|
|
083 |
Ganancias o (-) pérdidas por activos financieros no destinados a negociación valorados obligatoriamente a valor razonable con cambios en resultados |
NIIF 9.5.7.1 |
|
|
|
090 |
Ganancias o (-) pérdidas por activos y pasivos financieros designados a valor razonable con cambios en resultados, netas |
NIIF 7.20.a).i); NIIF 9.5.7.1; Anexo V, parte 2.44 |
|
|
|
100 |
Ganancias o (-) pérdidas resultantes de la contabilidad de coberturas, netas |
Anexo V, parte 2.47-48 |
|
|
|
110 |
Diferencias de cambio [ganancia o (-) pérdida], netas |
NIC 21.28, 52.a) |
|
|
|
130 |
Ganancias o (-) pérdidas al dar de baja en cuentas activos no financieros, netas |
NIC 1.34 |
|
|
|
140 |
Otros ingresos de explotación |
Anexo V, parte 2.314-316 |
|
|
|
150 |
(Otros gastos de explotación) |
Anexo V, parte 2.314-316 |
|
|
|
155 |
TOTAL RESULTADO DE EXPLOTACIÓN, NETO |
|
|
|
|
160 |
(Gastos de administración) |
|
|
|
|
170 |
(Amortización) |
NIC 1.102, 104 |
|
|
|
171 |
Ganancias o (-) pérdidas por modificación, netas |
NIIF 9.5.4.3; NIIF 9, apéndice A; Anexo V, parte 2.49 |
|
|
|
180 |
(Provisiones o (-) reversión de provisiones) |
NIC 37.59, 84; NIC 1.98.b), f) y g) |
|
|
|
190 |
(Deterioro del valor o (-) reversión del deterioro del valor de activos financieros no valorados a valor razonable con cambios en resultados) |
NIIF 7.20.a).viii); Anexo V, parte 2.51, 53 |
|
|
|
200 |
(Deterioro del valor o (-) reversión del deterioro del valor de inversiones en dependientes, negocios conjuntos o asociadas) |
NIC 28.40-43 |
|
|
|
210 |
(Deterioro del valor o (-) reversión del deterioro del valor de activos no financieros) |
NIC 36.126.a) y b) |
|
|
|
220 |
Fondo de comercio negativo reconocido en el resultado |
NIIF 3, apéndice B64.n).i) |
|
|
|
230 |
Participación en las ganancias o (-) pérdidas de las inversiones en dependientes, negocios conjuntos y asociadas |
Anexo V, parte 2.54 |
|
|
|
240 |
Ganancias o (-) pérdidas procedentes de activos no corrientes y grupos enajenables de elementos clasificados como mantenidos para la venta no admisibles como actividades interrumpidas |
NIIF 5,37; Anexo V, parte 2.55 |
|
|
|
250 |
GANANCIAS O (-) PÉRDIDAS ANTES DE IMPUESTOS PROCEDENTES DE LAS ACTIVIDADES CONTINUADAS |
NIC 1.102, GI 6; NIIF 5.33A |
|
|
|
260 |
(Gastos o (-) ingresos por impuestos sobre los resultados de las actividades continuadas) |
NIC 1.82.d); NIC 12.77 |
|
|
|
270 |
GANANCIAS O (-) PÉRDIDAS DESPUÉS DE IMPUESTOS PROCEDENTES DE LAS ACTIVIDADES CONTINUADAS |
NIC 1, GI 6 |
|
|
|
280 |
Ganancias o (-) pérdidas después de impuestos procedentes de actividades interrumpidas |
NIC 1.82.ea); NIIF 5.33.a), 5.33 A; Anexo V, parte 2.56 |
|
|
|
290 |
GANANCIAS O (-) PÉRDIDAS DEL EJERCICIO |
NIC 1.81A.a) |
|
|
20.4 Desglose geográfico de los activos por residencia de las contrapartes
|
Eje z |
País de residencia de la contraparte |
|
|||||||
|
|
|||||||||
|
|
Referencias |
Importe en libros bruto |
Deterioro de valor acumulado |
Cambios acumulados negativos en el valor razonable debidos al riesgo de crédito por exposiciones dudosas |
|||||
|
|
De los cuales: mantenidos para negociar o destinados a negociación |
De los cuales: activos financieros susceptibles de deterioro de valor |
De los cuales: deuda reestructurada o refinanciada |
De los cuales: dudosos |
|||||
|
Anexo V, parte 1.34, parte 2.271, 275 |
Anexo V, parte 1.15.a), parte 2.273 |
Anexo V, parte 2.273 |
Anexo V, parte 2.275 |
Anexo V, parte 2.275 |
Anexo V, parte 2.274 |
Anexo V, parte 2.274 |
|||
|
010 |
011 |
012 |
022 |
025 |
031 |
040 |
|||
|
010 |
Derivados |
NIIF 9, apéndice A; Anexo V, parte 2.272 |
|
|
|
|
|
|
|
|
020 |
De los cuales: entidades de crédito |
Anexo V, parte 1.42.c) |
|
|
|
|
|
|
|
|
030 |
De los cuales: otras sociedades financieras |
Anexo V, parte 1.42.d) |
|
|
|
|
|
|
|
|
040 |
Instrumentos de patrimonio |
NIC 32.11 |
|
|
|
|
|
|
|
|
050 |
De los cuales: entidades de crédito |
Anexo V, parte 1.42.c) |
|
|
|
|
|
|
|
|
060 |
De los cuales: otras sociedades financieras |
Anexo V, parte 1.42.d) |
|
|
|
|
|
|
|
|
070 |
De los cuales: sociedades no financieras |
Anexo V, parte 1.42.e) |
|
|
|
|
|
|
|
|
080 |
Valores representativos de deuda |
Anexo V, parte 1.31, 44.b) |
|
|
|
|
|
|
|
|
090 |
Bancos centrales |
Anexo V, parte 1.42.a) |
|
|
|
|
|
|
|
|
100 |
Administraciones públicas |
Anexo V, parte 1.42.b) |
|
|
|
|
|
|
|
|
110 |
Entidades de crédito |
Anexo V, parte 1.42.c) |
|
|
|
|
|
|
|
|
120 |
Otras sociedades financieras |
Anexo V, parte 1.42.d) |
|
|
|
|
|
|
|
|
130 |
Sociedades no financieras |
Anexo V, parte 1.42.e) |
|
|
|
|
|
|
|
|
140 |
Préstamos y anticipos |
Anexo V, parte 1.32, 44.a) |
|
|
|
|
|
|
|
|
150 |
Bancos centrales |
Anexo V, parte 1.42.a) |
|
|
|
|
|
|
|
|
160 |
Administraciones públicas |
Anexo V, parte 1.42.b) |
|
|
|
|
|
|
|
|
170 |
Entidades de crédito |
Anexo V, parte 1.42.c) |
|
|
|
|
|
|
|
|
180 |
Otras sociedades financieras |
Anexo V, parte 1.42.d) |
|
|
|
|
|
|
|
|
190 |
Sociedades no financieras |
Anexo V, parte 1.42.e) |
|
|
|
|
|
|
|
|
200 |
De las cuales: pequeñas y medianas empresas |
PYME art. 1 2.a) |
|
|
|
|
|
|
|
|
210 |
De los cuales: préstamos garantizados por bienes inmuebles comerciales |
Anexo V, parte 2.86.a), 87 |
|
|
|
|
|
|
|
|
220 |
Hogares |
Anexo V, parte 1.42.f) |
|
|
|
|
|
|
|
|
230 |
De los cuales: préstamos garantizados por bienes inmuebles residenciales |
Anexo V, parte 2.86.a), 87 |
|
|
|
|
|
|
|
|
240 |
De los cuales: crédito al consumo |
Anexo V, parte 2.88.a) |
|
|
|
|
|
|
|
20.5 Desglose geográfico de las exposiciones fuera de balance por residencia de las contrapartes
|
Eje z |
País de residencia de la contraparte |
|
||||
|
|
||||||
|
|
Referencias |
Importe nominal |
Provisiones para compromisos y garantías concedidos |
|||
|
|
Del cual: deuda reestructurada o refinanciada |
Del cual: dudoso |
||||
|
Anexo V, parte 2.118, 271 |
Anexo V, parte 2.240-258 |
Anexo V, parte 2.275 |
Anexo V, parte 2.276 |
|||
|
010 |
022 |
025 |
030 |
|||
|
010 |
Compromisos de préstamo concedidos |
RRC anexo I; Anexo V, partes 1.44.g), 2.102-105, 113, 116 |
|
|
|
|
|
020 |
Garantías financieras concedidas |
NIIF 4 anexo A; RRC anexo I; Anexo V, partes 1.44.f), 2.102-105, 114, 116 |
|
|
|
|
|
030 |
Otros compromisos concedidos |
RRC anexo I; Anexo V, partes 1.44.g), 2.102-105, 115, 116 |
|
|
|
|
20.6 Desglose geográfico de los pasivos por residencia de las contrapartes
|
Eje z |
País de residencia de la contraparte |
|
|
|
|
|||
|
|
Referencias |
Importe en libros |
|
|
Anexo V, parte 1.27, 2,271 |
|||
|
010 |
|||
|
010 |
Derivados |
NIIF 9, apéndice A; Anexo V, parte 1.44.e), parte 2.272 |
|
|
020 |
De los cuales: entidades de crédito |
Anexo V, parte 1.42.c) |
|
|
030 |
De los cuales: otras sociedades financieras |
Anexo V, parte 1.42.d) |
|
|
040 |
Posiciones cortas |
NIIF 9.BA7.b); Anexo V, parte 1.44.d) |
|
|
050 |
De las cuales: entidades de crédito |
Anexo V, parte 1.42.c) |
|
|
060 |
De las cuales: otras sociedades financieras |
Anexo V, parte 1.42.d) |
|
|
070 |
Depósitos |
BCE/2013/33, anexo 2, parte 2.9; Anexo V, parte 1.36 |
|
|
080 |
Bancos centrales |
Anexo V, parte 1.42.a) |
|
|
090 |
Administraciones públicas |
Anexo V, parte 1.42.b) |
|
|
100 |
Entidades de crédito |
Anexo V, parte 1.42.c) |
|
|
110 |
Otras sociedades financieras |
Anexo V, parte 1.42.d) |
|
|
120 |
Sociedades no financieras |
Anexo V, parte 1.42.e) |
|
|
130 |
Hogares |
Anexo V, parte 1.42.f) |
|
20.7.1 Desglose geográfico, por residencia de las contrapartes, de los préstamos y anticipos, distintos de los mantenidos para negociar, a sociedades no financieras, por códigos NACE
|
Eje z |
País de residencia de la contraparte |
|
|||||
|
|
|||||||
|
|
Referencias |
Sociedades no financieras Anexo V, parte 2.271, 277 |
|||||
|
Importe en libros bruto |
Deterioro de valor acumulado |
Cambios acumulados negativos en el valor razonable debidos al riesgo de crédito por exposiciones dudosas |
|||||
|
|
De los cuales: préstamos y anticipos susceptibles de deterioro |
De los cuales: dudosos |
|||||
|
Anexo V, parte 1.34, parte 2.275 |
Anexo V, parte 2.273 |
Anexo V, parte 2.275 |
Anexo V, parte 2.274 |
Anexo V, parte 2.274 |
|||
|
010 |
011 |
012 |
021 |
022 |
|||
|
010 |
A Agricultura, ganadería, silvicultura y pesca |
Reglamento NACE |
|
|
|
|
|
|
020 |
B Industrias extractivas |
Reglamento NACE |
|
|
|
|
|
|
030 |
C Industria manufacturera |
Reglamento NACE |
|
|
|
|
|
|
040 |
D Suministro de energía eléctrica, gas, vapor y aire acondicionado |
Reglamento NACE |
|
|
|
|
|
|
050 |
E Suministro de agua |
Reglamento NACE |
|
|
|
|
|
|
060 |
F Construcción |
Reglamento NACE |
|
|
|
|
|
|
070 |
G Comercio al por mayor y al por menor |
Reglamento NACE |
|
|
|
|
|
|
080 |
H Transporte y almacenamiento |
Reglamento NACE |
|
|
|
|
|
|
090 |
I Hostelería |
Reglamento NACE |
|
|
|
|
|
|
100 |
J Información y comunicaciones |
Reglamento NACE |
|
|
|
|
|
|
105 |
K Actividades financieras y de seguros |
Reglamento NACE |
|
|
|
|
|
|
110 |
L Actividades inmobiliarias |
Reglamento NACE |
|
|
|
|
|
|
120 |
M Actividades profesionales, científicas y técnicas |
Reglamento NACE |
|
|
|
|
|
|
130 |
N Actividades administrativas y servicios auxiliares |
Reglamento NACE |
|
|
|
|
|
|
140 |
O Administración pública y defensa; seguridad social obligatoria |
Reglamento NACE |
|
|
|
|
|
|
150 |
P Educación |
Reglamento NACE |
|
|
|
|
|
|
160 |
Q Actividades sanitarias y de servicios sociales |
Reglamento NACE |
|
|
|
|
|
|
170 |
R Actividades artísticas, recreativas y de entretenimiento |
Reglamento NACE |
|
|
|
|
|
|
180 |
S Otros servicios |
Reglamento NACE |
|
|
|
|
|
|
190 |
PRÉSTAMOS Y ANTICIPOS |
Anexo V, parte 1.32 |
|
|
|
|
|
21. Activos tangibles e intangibles: activos objeto de arrendamiento operativo
|
|
Referencias |
Importe en libros |
|
|
Anexo V, parte 2.278-279 |
|||
|
010 |
|||
|
010 |
Inmovilizado material |
NIC 16.6; NIC 1.54.a) |
|
|
020 |
Modelo de revalorización |
NIC 17.49; NIC 16.31, 73.a).d) |
|
|
030 |
Modelo del coste |
NIC 17.49; NIC 16.30, 73.a).d) |
|
|
040 |
Inversiones inmobiliarias |
NIC 40.IN5; NIC 1.54.b) |
|
|
050 |
Modelo del valor razonable |
NIC 17.49; NIC 40.33-55, 76 |
|
|
060 |
Modelo del coste |
NIC 17.49; NIC 40.56, 79.c) |
|
|
070 |
Otros activos intangibles |
NIC 38.8, 118 |
|
|
080 |
Modelo de revalorización |
NIC 17.49; NIC 38.75-87, 124.a).ii) |
|
|
090 |
Modelo del coste |
NIC 17.49; NIC 38.74 |
|
22. Funciones de gestión de activos, custodia y otros servicios
22.1 Ingresos y gastos por comisiones, desglosados por actividades
|
|
Referencias |
Período corriente |
|
|
Anexo V, parte 2.280 |
|||
|
NIIF 7.20.c) |
010 |
||
|
010 |
Ingresos por comisiones |
Anexo V, parte 2.281-283 |
|
|
020 |
Valores |
|
|
|
030 |
Emisiones |
Anexo V, parte 2.284.a) |
|
|
040 |
Órdenes de transferencia |
Anexo V, parte 2.284.b) |
|
|
050 |
Otros |
Anexo V, parte 2.284.c) |
|
|
060 |
Compensación y liquidación |
Anexo V, parte 2.284.d) |
|
|
070 |
Gestión de activos |
Anexo V, parte 2.284.e); 285.a) |
|
|
080 |
Custodia [por tipos de clientes] |
Anexo V, parte 2.284.e); 285.b) |
|
|
090 |
Inversión colectiva |
|
|
|
100 |
Otros |
|
|
|
110 |
Servicios administrativos centrales de inversión colectiva |
Anexo V, parte 2.284.e); 285.c) |
|
|
120 |
Operaciones fiduciarias |
Anexo V, parte 2.284.e); 285.d) |
|
|
130 |
Servicios de pago |
Anexo V, parte 2.284.e), 285.e) |
|
|
140 |
Recursos de clientes distribuidos pero no gestionados [por tipos de productos] |
Anexo V, parte 2.285.f) |
|
|
150 |
Inversión colectiva |
|
|
|
160 |
Productos de seguro |
|
|
|
170 |
Otros |
|
|
|
180 |
Financiación estructurada |
Anexo V, parte 2.284.f) |
|
|
190 |
Actividades de administración de préstamos |
Anexo V, parte 2.284.g) |
|
|
200 |
Compromisos de préstamo concedidos |
NIIF 9.4.2.1.c).ii); Anexo V, parte 2.284.h) |
|
|
210 |
Garantías financieras concedidas |
NIIF 9.4.2.1.c).ii); Anexo V, parte 2.284.h) |
|
|
220 |
Otros |
Anexo V, parte 2.284.j) |
|
|
230 |
(Gastos por comisiones) |
Anexo V, parte 2.113-115 |
|
|
240 |
(Compensación y liquidación) |
Anexo V, parte 2.284.d) |
|
|
250 |
(Custodia) |
Anexo V, parte 2.285.b) |
|
|
260 |
(Actividades de administración de préstamos) |
Anexo V, parte 2.284.g) |
|
|
270 |
(Compromisos de préstamo recibidos) |
Anexo V, parte 2.284.i) |
|
|
280 |
(Garantías financieras recibidas) |
Anexo V, parte 2.284.i) |
|
|
290 |
(Otros) |
Anexo V, parte 2.284.j) |
|
22.2 Activos implicados en los servicios prestados
|
|
Referencias |
Importe de los activos implicados en los servicios prestados |
|
|
Anexo V, parte 2.285.g) |
|||
|
010 |
|||
|
010 |
Gestión de activos [por tipos de clientes] |
Anexo V, parte 2.285.a) |
|
|
020 |
Inversión colectiva |
|
|
|
030 |
Fondos de pensiones |
|
|
|
040 |
Carteras de clientes gestionadas de forma discrecional |
|
|
|
050 |
Otros vehículos de inversión |
|
|
|
060 |
Activos en custodia [por tipos de clientes] |
Anexo V, parte 2.285.b) |
|
|
070 |
Inversión colectiva |
|
|
|
080 |
Otros |
|
|
|
090 |
De las cuales: encomendados a otros entes |
|
|
|
100 |
Servicios administrativos centrales de inversión colectiva |
Anexo V, parte 2.285.c) |
|
|
110 |
Operaciones fiduciarias |
Anexo V, parte 2.285.d) |
|
|
120 |
Servicios de pago |
Anexo V, parte 2.285.e) |
|
|
130 |
Recursos de clientes distribuidos pero no gestionados [por tipos de productos] |
Anexo V, parte 2.285.f) |
|
|
140 |
Inversión colectiva |
|
|
|
150 |
Productos de seguro |
|
|
|
160 |
Otros |
|
|
30. Actividades fuera de balance: Intereses en entes estructurados no consolidados
30.1 Intereses en entes estructurados no consolidados
|
|
Referencias |
Importe en libros de los activos financieros reconocidos en el balance |
Del cual: apoyo de liquidez utilizado |
Valor razonable del apoyo de liquidez utilizado |
Importe en libros de los pasivos financieros reconocidos en el balance |
Importe nominal de las exposiciones fuera de balance concedidas por la entidad declarante |
Del cual: importe nominal de los compromisos de préstamo concedidos |
Pérdidas incurridas por la entidad declarante en el período corriente |
|
|
NIIF 12.29.a) |
NIIF 12.29.a); Anexo V, parte 2.286 |
|
NIIF 12.29.a) |
NIIF 12.B26.e) |
|
NIIF 12 B26.b); Anexo V, parte 2.287 |
|||
|
010 |
020 |
030 |
040 |
050 |
060 |
080 |
|||
|
010 |
Total |
|
|
|
|
|
|
|
|
30.2 Desglose de los intereses en entes estructurados no consolidados, por naturaleza de las actividades
|
Por naturaleza de las actividades |
Referencias |
Importe en libros |
|||
|
Vehículos especializados en titulizaciones |
Gestión de activos |
Otras actividades |
|||
|
RRC art. 4.1.66 |
Anexo V, parte 2.285.a) |
|
|||
|
NIIF 12.24, B6.a) |
010 |
020 |
030 |
||
|
010 |
Selección de activos financieros reconocidos en el balance de la entidad declarante |
NIIF 12.29.a) y b) |
|
|
|
|
021 |
De los cuales: dudosos |
Anexo V, parte 2.213-239 |
|
|
|
|
030 |
Derivados |
NIIF 9, apéndice A; Anexo V, parte 2.272 |
|
|
|
|
040 |
Instrumentos de patrimonio |
NIC 32.11 |
|
|
|
|
050 |
Valores representativos de deuda |
Anexo V, parte 1.31 |
|
|
|
|
060 |
Préstamos y anticipos |
Anexo V, parte 1.32 |
|
|
|
|
070 |
Selección de partidas del patrimonio neto y pasivos financieros reconocidos en el balance de la entidad declarante |
NIIF 12.29.a) y b) |
|
|
|
|
080 |
Instrumentos de patrimonio emitidos |
NIC 32.11 |
|
|
|
|
090 |
Derivados |
NIIF 9, apéndice A; Anexo V, parte 2.272 |
|
|
|
|
100 |
Depósitos |
BCE/2013/33, anexo 2, parte 2.9; Anexo V, parte 1.36 |
|
|
|
|
110 |
Valores representativos de deuda emitidos |
Anexo V, parte 1.37 |
|
|
|
|
|
Importe nominal |
||||
|
120 |
Exposiciones fuera de balance concedidas por la entidad declarante |
NIIF 12.B26.e); RRC Anexo I; Anexo V, parte 2.102-105, 113-115, 118 |
|
|
|
|
131 |
De las cuales: dudosas |
Anexo V, parte 2.117 |
|
|
|
31. Partes vinculadas
31.1 Partes vinculadas: importes a pagar y a cobrar
|
|
Referencias Anexo V, parte 2.288-291 |
Saldos vivos |
|||||
|
Dominante y entes con control conjunto o influencia significativa |
Dependientes y otros entes del mismo grupo |
Asociadas y negocios conjuntos |
Personal clave de la dirección de la entidad o de su dominante |
Otras partes vinculadas |
|||
|
NIC 24.19.a) y b) |
NIC 24.19.c); Anexo V, parte 2.289 |
NIC 24.19.d) y e); Anexo V, parte 2.289 |
NIC 24.19.f) |
NIC 24.19.g) |
|||
|
010 |
020 |
030 |
040 |
050 |
|||
|
010 |
Selección de activos financieros |
NIC 24.18.b) |
|
|
|
|
|
|
020 |
Instrumentos de patrimonio |
NIC 32.11 |
|
|
|
|
|
|
030 |
Valores representativos de deuda |
Anexo V, parte 1.31 |
|
|
|
|
|
|
040 |
Préstamos y anticipos |
Anexo V, parte 1.32 |
|
|
|
|
|
|
050 |
De los cuales: dudosos |
Anexo V, parte 2.213-239 |
|
|
|
|
|
|
060 |
Selección de pasivos financieros |
NIC 24.18.b) |
|
|
|
|
|
|
070 |
Depósitos |
BCE/2013/33, anexo 2, parte 2.9; Anexo V, parte 1.36 |
|
|
|
|
|
|
080 |
Valores representativos de deuda emitidos |
Anexo V, parte 1.37 |
|
|
|
|
|
|
090 |
Importe nominal de los compromisos de préstamo, garantías financieras y otros compromisos concedidos |
NIC 24.18.b); RRC anexo I; Anexo V, parte 2.102-105, 113-115, 118 |
|
|
|
|
|
|
100 |
De los cuales: dudosos |
NIC 24.18.b); Anexo V, parte 2.117 |
|
|
|
|
|
|
110 |
Compromisos de préstamo, garantías financieras y otros compromisos recibidos |
NIC 24.18.b); Anexo V, parte 2.290 |
|
|
|
|
|
|
120 |
Importe nocional de los derivados |
Anexo V, parte 2.133-135 |
|
|
|
|
|
|
131 |
Deterioro de valor acumulado y cambios acumulados negativos en el valor razonable debidos al riesgo de crédito por exposiciones dudosas |
NIC 24.1.c); Anexo V, parte 2.69-71, 291 |
|
|
|
|
|
|
132 |
Provisiones por exposiciones fuera de balance dudosas |
Anexo V, parte 2.11, 106, 291 |
|
|
|
|
|
31.2 Gastos e ingresos generados por operaciones con partes vinculadas
|
|
Referencias Anexo V, parte 2.288-289, 292-293 |
Período corriente |
|||||
|
Dominante y entes con control conjunto o influencia significativa |
Dependientes y otros entes del mismo grupo |
Asociadas y negocios conjuntos |
Personal clave de la dirección de la entidad o de su dominante |
Otras partes vinculadas |
|||
|
NIC 24.19.a) y b) |
NIC 24.19.c) |
NIC 24.19.d) y e) |
NIC 24.19.f) |
NIC 24.19.g) |
|||
|
010 |
020 |
030 |
040 |
050 |
|||
|
010 |
Ingresos por intereses |
NIC 24.18.a); Anexo V, parte 2.31 |
|
|
|
|
|
|
020 |
Gastos por intereses |
NIC 24.18.a); NIC 1.97; Anexo V, parte 2.31 |
|
|
|
|
|
|
030 |
Ingresos por dividendos |
NIC 24.18.a); Anexo V, parte 2.40 |
|
|
|
|
|
|
040 |
Ingresos por comisiones |
NIC 24.18.a); NIIF 7.20.c) |
|
|
|
|
|
|
050 |
Gastos por comisiones |
NIC 24.18.a); NIIF 7.20.c) |
|
|
|
|
|
|
060 |
Ganancias o (-) pérdidas al dar de baja en cuentas activos y pasivos financieros no valorados a valor razonable con cambios en resultados |
NIC 24.18.a) |
|
|
|
|
|
|
070 |
Ganancias o (-) pérdidas al dar de baja en cuentas activos no financieros |
NIC 24.18.a); Anexo V, parte 2.292 |
|
|
|
|
|
|
080 |
Deterioro del valor o (-) reversión del deterioro del valor de las exposiciones dudosas |
NIC 24.18.d); Anexo V, parte 2.293 |
|
|
|
|
|
|
090 |
Provisiones o (-) reversión de las provisiones por las exposiciones dudosas |
Anexo V, parte 2.50, 293 |
|
|
|
|
|
40. Estructura del grupo
40.1 Estructura del grupo: «ente por ente»
|
Código LEI |
Código del ente |
Nombre del ente |
Fecha de entrada |
Capital social de la participada |
Patrimonio neto de la participada |
Total activo de la participada |
Ganancias o (-) pérdidas de la participada |
Lugar de residencia de la participada |
Sector de la participada |
Código NACE |
Participación en el patrimonio neto acumulada [%] |
Derechos de voto [%] |
Estructura del grupo [vínculo] |
Tratamiento contable [grupo a efectos contables] |
Tratamiento contable [grupo a efectos del RRC] |
Importe en libros |
Coste de adquisición |
Fondo de comercio vinculado con la participada |
Valor razonable de las inversiones para las que se han publicado cotizaciones |
|
Anexo V, parte 2.294-295, 296.a) |
Anexo V, parte 2.294-295, 296.b) |
NIIF 12.12.a), 21.a).i); Anexo V, parte 2.294-295, 296.c) |
Anexo V, parte 2.294-295, 296.d) |
Anexo V, parte 2.294-295, 296.e) |
NIIF 12.B12.b); Anexo V, parte 2.294-295, 296.f) |
NIIF 12.B12.b); Anexo V, parte 2.294-295, 296.f) |
NIIF 12.B12.b); Anexo V, parte 2.294-295, 296.f) |
NIIF 12.12.b), 21.a).iii); Anexo V, parte 2.294-295, 296.g) |
Anexo V, parte 2.294-295, 296.h) |
Anexo V, parte 2.294-295, 296.i) |
NIIF 12.21.a).iv); Anexo V, parte 2.294-295, 296.j) |
NIIF 12.21.a).iv); Anexo V, parte 2.294-295, 296.k) |
NIIF 12.10.a).i); Anexo V, parte 2.294-295, 296.l) |
NIIF 12.21.b); Anexo V, parte 2.294-295, 296.m) |
RRC art 18; Anexo V, parte 2.294-295, 296.n) |
Anexo V, parte 2.294-295, 296.o) |
Anexo V, parte 2.294-295, 296.p) |
Anexo V, parte 2.294-295, 296.q) |
NIIF 12.21.b).iii); Anexo V, parte 2.294-295, 296.r) |
|
010 |
020 |
030 |
040 |
050 |
060 |
070 |
080 |
090 |
095 |
100 |
110 |
120 |
130 |
140 |
150 |
160 |
170 |
180 |
190 |
|
|
|
|
|
|
|
|
|
|
|
|
|
|
|
|
|
|
|
|
|
40.2. Estructura del grupo: «instrumento por instrumento»
|
Código del valor |
Código del ente |
Código LEI de la sociedad tenedora |
Código de la sociedad tenedora |
Nombre de la sociedad tenedora |
Participación en el patrimonio neto acumulada (%) |
Importe en libros |
Coste de adquisición |
|
Anexo V, parte 2.297.a) |
Anexo V, parte 2.296.b), 297.c) |
Anexo V, parte 2.297.b) |
Anexo V, parte 2.297.b) |
|
Anexo V, parte 2.296.j), 297.c) |
Anexo V, parte 2.296.o), 297.c) |
Anexo V, parte 2.296.p), 297.c) |
|
010 |
020 |
030 |
040 |
050 |
060 |
070 |
080 |
|
|
|
|
|
|
|
|
|
41. Valor razonable
41.1. Jerarquía del valor razonable: instrumentos financieros a coste amortizado
|
|
Referencias Anexo V, parte 2.298 |
Valor razonable NIIF 7.25-26 |
Jerarquía del valor razonable: NIIF 13.97,93.b) |
|||
|
Nivel 1 NIIF 13.76 |
Nivel 2 NIIF 13.81 |
Nivel 3 NIIF 13.86 |
||||
|
ACTIVO |
010 |
020 |
030 |
040 |
||
|
015 |
Activos financieros a coste amortizado |
NIIF 7.8.f); NIIF 9.4.1.2 |
|
|
|
|
|
016 |
Valores representativos de deuda |
Anexo V, parte 1.31 |
|
|
|
|
|
017 |
Préstamos y anticipos |
Anexo V, parte 1.32 |
|
|
|
|
|
PASIVO |
|
|
|
|
|
|
|
070 |
Pasivos financieros a coste amortizado |
NIIF 7.8.g); NIIF 9.4.2.1 |
|
|
|
|
|
080 |
Depósitos |
BCE/2013/33, anexo 2, parte 2.9; Anexo V, parte 1.36 |
|
|
|
|
|
090 |
Valores representativos de deuda emitidos |
Anexo V, parte 1.37 |
|
|
|
|
|
100 |
Otros pasivos financieros |
Anexo V, parte 1.38-41 |
|
|
|
|
41.2 Uso de la opción del valor razonable
|
|
Referencias |
Importe en libros Anexo V, parte 1.27 |
||||
|
Asimetría contable |
Gestión a valor razonable |
Contratos híbridos |
Gestión del riesgo de crédito |
|||
|
NIIF 9.B4.1.29 |
NIIF 9.B4.1.33 |
NIIF 9.4.3.6; NIIF 9.4.3.7; Anexo V, parte 2.300 |
NIIF 9.6.7; NIIF 7.8.a).e); Anexo V, parte 2.301 |
|||
|
ACTIVO |
010 |
020 |
030 |
040 |
||
|
010 |
Activos financieros designados a valor razonable con cambios en resultados |
NIIF 7.8.a).i); NIIF 9.4.1.5 |
|
|
|
|
|
030 |
Valores representativos de deuda |
Anexo V, parte 1.31 |
|
|
|
|
|
040 |
Préstamos y anticipos |
Anexo V, parte 1.32 |
|
|
|
|
|
PASIVO |
|
|
|
|
|
|
|
050 |
Pasivos financieros designados a valor razonable con cambios en resultados |
NIIF 7.8.e).i); NIIF 9.4.2.2 |
|
|
|
|
|
060 |
Depósitos |
BCE/2013/33, anexo 2, parte 2.9; Anexo V, parte 1.36 |
|
|
|
|
|
070 |
Valores representativos de deuda emitidos |
Anexo V, parte 1.37 |
|
|
|
|
|
080 |
Otros pasivos financieros |
Anexo V, parte 1.38-41 |
|
|
|
|
42. Activos tangibles e intangibles: importe en libros según el método de medición
|
|
Referencias Anexo V, parte 2.302 |
Importe en libros |
|
|
010 |
|||
|
010 |
Inmovilizado material |
NIC 16.6; NIC 16.29; NIC 1.54.a) |
|
|
020 |
Modelo de revalorización |
NIC 16.31, 73.a) y d) |
|
|
030 |
Modelo del coste |
NIC 16.30, 73.a) y d) |
|
|
040 |
Inversiones inmobiliarias |
NIC 40.5, 30; NIC 1.54.b) |
|
|
050 |
Modelo del valor razonable |
NIC 40.33-55, 76 |
|
|
060 |
Modelo del coste |
NIC 40.56, 79(c) |
|
|
070 |
Otros activos intangibles |
NIC 38.8, 118, 122; Anexo V, parte 2.303 |
|
|
080 |
Modelo de revalorización |
NIC 38.75-87, 124.a).ii) |
|
|
090 |
Modelo del coste |
NIC 38.74 |
|
43. Provisiones
|
|
Referencias a los PCGA nacionales compatibles con las NIIF |
Importe en libros Anexo V, parte 1.27 |
||||||
|
Pensiones y otras obligaciones de prestaciones definidas post-empleo |
Otras retribuciones a los empleados a largo plazo |
Reestructuración |
Cuestiones procesales y litigios por impuestos pendientes |
Otros compromisos y garantías concedidos valorados conforme a la NIC 37 y garantías concedidas valoradas conforme a la NIIF 4 |
Otras provisiones |
|||
|
NIC 19.63; NIC 1.78.d); Anexo V, parte 2.9 |
NIC 19.153; NIC 1.78.d); Anexo V, parte 2.10 |
NIC 37.70-83 |
NIC 37.14 |
NIC 37; NIIF 4; Anexo V, parte 2.304-305 |
NIC 37.14 |
|||
|
010 |
020 |
030 |
040 |
055 |
060 |
|||
|
010 |
Saldo de apertura [importe en libros al principio del período] |
NIC 37.84.a) |
|
|
|
|
|
|
|
020 |
Adiciones, incluidos los aumentos de las provisiones existentes |
NIC 37.84.b) |
|
|
|
|
|
|
|
030 |
(-) Importes utilizados |
NIC 37.84.c) |
|
|
|
|
|
|
|
040 |
(-) Importes no utilizados revertidos durante el período |
NIC 37.84.d) |
|
|
|
|
|
|
|
050 |
Aumento del importe descontado [por el paso del tiempo] y efecto de las variaciones del tipo de descuento |
NIC 37.84.e) |
|
|
|
|
|
|
|
060 |
Otros movimientos |
|
|
|
|
|
|
|
|
070 |
Saldo de cierre [importe en libros al final del período] |
NIC 37.84.a) |
|
|
|
|
|
|
44. Planes de prestaciones definidas y retribuciones a los empleados
44.1 Componentes de los activos y pasivos netos del plan de prestaciones definidas
|
|
Referencias |
Importe |
|
|
Anexo V, parte 2.306-307 |
|||
|
010 |
|||
|
010 |
Valor razonable de los activos del plan de prestaciones definidas |
NIC 19.140.a).i), 142 |
|
|
020 |
De los cuales: instrumentos financieros emitidos por la entidad |
NIC 19.143 |
|
|
030 |
Instrumentos de patrimonio |
NIC 19.142.b) |
|
|
040 |
Instrumentos de deuda |
NIC 19.142.c) |
|
|
050 |
Bienes inmuebles |
NIC 19.142.d) |
|
|
060 |
Otros activos del plan de prestaciones definidas |
|
|
|
070 |
Valor actual de las obligaciones por prestaciones definidas |
NIC 19.140.a).ii) |
|
|
080 |
Efecto del límite máximo aplicable a los activos |
NIC 19.140.a).iii) |
|
|
090 |
Activos netos por prestaciones definidas [importe en libros] |
NIC 19.63; Anexo V, parte 2.308 |
|
|
100 |
Provisiones para pensiones y otras obligaciones de prestaciones definidas post-empleo [importe en libros] |
NIC 19.63; NIC 1.78.d); Anexo V, parte 2.9 |
|
|
110 |
Pro memoria: valor razonable de los derechos de reembolso reconocidos como activos |
NIC 19.140.b) |
|
44.2 Movimientos en las obligaciones por prestaciones definidas
|
|
Referencias |
Obligaciones por prestaciones definidas |
|
|
Anexo V, parte 2.306, 309 |
|||
|
010 |
|||
|
010 |
Saldo de apertura [valor actual] |
NIC 19.140.a).ii) |
|
|
020 |
Coste de los servicios corrientes |
NIC 19.141.a) |
|
|
030 |
Coste de los intereses |
NIC 19.141.b) |
|
|
040 |
Aportaciones pagadas |
NIC 19.141.f) |
|
|
050 |
(-) Ganancias o pérdidas actuariales derivadas de cambios en las hipótesis demográficas |
NIC 19.141.c).ii) |
|
|
060 |
(-) Ganancias o pérdidas actuariales derivadas de cambios en las hipótesis financieras |
NIC 19.141.c).iii) |
|
|
070 |
Aumento o (-) disminución por cambio de divisas |
NIC 19.141.e) |
|
|
080 |
Prestaciones pagadas |
NIC 19.141.g) |
|
|
090 |
Coste de los servicios pasados, incluidas las ganancias y pérdidas derivadas de liquidaciones |
NIC 19.141.d) |
|
|
100 |
Aumento o (-) disminución procedente de combinaciones de negocios y enajenaciones |
NIC 19.141.h) |
|
|
110 |
Otros aumentos o (-) disminuciones |
|
|
|
120 |
Saldo de cierre [valor actual] |
NIC 19.140.a).ii); Anexo V, parte 2.310 |
|
44.3 Partidas pro memoria [relativas a los gastos de personal]
|
|
Referencias |
Período corriente |
|
|
010 |
|||
|
010 |
Pensiones y gastos similares |
Anexo V, parte 2.311.a) |
|
|
020 |
Pagos basados en acciones |
NIIF 2.44; Anexo V, parte 2.311.b) |
|
45. Desglose de partidas seleccionadas del estado de resultados
45.1 Ganancias o pérdidas por activos y pasivos financieros designados a valor razonable con cambios en resultados, por carteras contables
|
|
Referencias |
Período corriente |
Cambios en el valor razonable debidos al riesgo de crédito |
|
|
|
Anexo V, parte 2.312 |
|||
|
010 |
020 |
|||
|
010 |
Activos financieros designados a valor razonable con cambios en resultados |
NIIF 7.20.a).i); NIIF 9.4.1.5 |
|
|
|
020 |
Pasivos financieros designados a valor razonable con cambios en resultados |
NIIF 7.20.a).i); NIIF 9.4.2.2 |
|
|
|
030 |
GANANCIAS O (-) PÉRDIDAS POR ACTIVOS Y PASIVOS FINANCIEROS DESIGNADOS A VALOR RAZONABLE CON CAMBIOS EN RESULTADOS |
NIIF 7.20.a).i) |
|
|
45.2 Ganancias o (-) pérdidas al dar de baja en cuentas activos no financieros
|
|
Referencias |
Período corriente |
|
|
Anexo V, parte 2.313 |
|||
|
010 |
|||
|
020 |
Inversiones inmobiliarias |
NIC 40.69; NIC 1.34.a), 98.d) |
|
|
030 |
Activos intangibles |
NIC 38.113-115A; NIC 1.34.a) |
|
|
040 |
Otros activos |
NIC 1.34.a) |
|
|
050 |
GANANCIAS O (-) PÉRDIDAS AL DAR DE BAJA EN CUENTAS ACTIVOS NO FINANCIEROS |
NIC 1.34 |
|
45.3 Otros ingresos y gastos de explotación
|
|
Referencias |
Ingresos |
Gastos |
|
|
010 |
020 |
|||
|
010 |
Cambios en el valor razonable de activos tangibles valorados según el modelo del valor razonable |
NIC 40.76.d); Anexo V, parte 2.314 |
|
|
|
020 |
Inversiones inmobiliarias |
NIC 40.75.f); Anexo V, parte 2.314 |
|
|
|
030 |
Arrendamientos operativos distintos de inversiones inmobiliarias |
NIC 17.50, 51, 56.b); Anexo V, parte 2.315 |
|
|
|
040 |
Otros |
Anexo V, parte 2.316 |
|
|
|
050 |
OTROS INGRESOS Y GASTOS DE EXPLOTACIÓN |
Anexo V, parte 2.314-316 |
|
|
46. Estado de cambios en el patrimonio neto
|
Fuentes de los cambios en el patrimonio neto |
Referencias |
Capital |
Prima de emisión |
Instrumentos de patrimonio emitidos distintos del capital |
Otros elementos de patrimonio neto |
Otro resultado global acumulado |
Ganancias acumuladas |
Reservas de revalorización |
Otras reservas |
Acciones propias (-) |
Ganancias o (-) pérdidas atribuibles a los propietarios de la dominante |
Dividendos a cuenta (-) |
Intereses minoritarios |
Total |
||
|
Otro resultado global acumulado |
Otras partidas |
|||||||||||||||
|
NIC 1.106, 54.r) |
NIC 1.106, 78.e) |
NIC 1.106; Anexo V, parte 2.18-19 |
NIC 1.106; Anexo V, parte 2.20 |
NIC 1.106 |
RRC art. 4.1.123 |
NIIF 1.30, D5-D8 |
NIC 1.106, 54.c) |
NIC 1.106; NIC 32.34, 33; Anexo V, parte 2.30 |
NIC 1.106.a) |
NIC 1.106; NIC 32.35 |
NIC 1.54.q), 106.a) |
NIC 1.54.q), 106.a) |
NIC 1.9.c), GI 6 |
|||
|
010 |
020 |
030 |
040 |
050 |
060 |
070 |
080 |
090 |
100 |
110 |
120 |
130 |
140 |
|||
|
010 |
Saldo de apertura [antes de la reexpresión] |
|
|
|
|
|
|
|
|
|
|
|
|
|
|
|
|
020 |
Efectos de la corrección de errores |
NIC 1.106.b); NIC 8.42 |
|
|
|
|
|
|
|
|
|
|
|
|
|
|
|
030 |
Efectos de los cambios en las políticas contables |
NIC 1.106.b); NIC 1, GI 6; NIC 8.22 |
|
|
|
|
|
|
|
|
|
|
|
|
|
|
|
040 |
Saldo de apertura [período corriente] |
|
|
|
|
|
|
|
|
|
|
|
|
|
|
|
|
050 |
Emisión de acciones ordinarias |
NIC 1.106.d).iii) |
|
|
|
|
|
|
|
|
|
|
|
|
|
|
|
060 |
Emisión de acciones preferentes |
NIC 1.106.d).iii) |
|
|
|
|
|
|
|
|
|
|
|
|
|
|
|
070 |
Emisión de otros instrumentos de patrimonio |
NIC 1.106.d).iii) |
|
|
|
|
|
|
|
|
|
|
|
|
|
|
|
080 |
Ejercicio o vencimiento de otros instrumentos de patrimonio emitidos |
NIC 1.106.d).iii) |
|
|
|
|
|
|
|
|
|
|
|
|
|
|
|
090 |
Conversión de deuda en patrimonio neto |
NIC 1.106.d).iii) |
|
|
|
|
|
|
|
|
|
|
|
|
|
|
|
100 |
Reducción del capital |
NIC 1.106.d).iii) |
|
|
|
|
|
|
|
|
|
|
|
|
|
|
|
110 |
Dividendos |
NIC 1.106.d).iii); NIC 32.35; NIC 1, GI 6 |
|
|
|
|
|
|
|
|
|
|
|
|
|
|
|
120 |
Compra de acciones propias |
NIC 1.106.d).iii); NIC 32.33 |
|
|
|
|
|
|
|
|
|
|
|
|
|
|
|
130 |
Venta o cancelación de acciones propias |
NIC 1.106.d).iii); NIC 32.33 |
|
|
|
|
|
|
|
|
|
|
|
|
|
|
|
140 |
Reclasificación de instrumentos financieros del patrimonio neto al pasivo |
NIC 1.106.d).iii) |
|
|
|
|
|
|
|
|
|
|
|
|
|
|
|
150 |
Reclasificación de instrumentos financieros del pasivo al patrimonio neto |
NIC 1.106.d).iii) |
|
|
|
|
|
|
|
|
|
|
|
|
|
|
|
160 |
Transferencias entre componentes del patrimonio neto |
NIC 1.106.d).iii); Anexo V, parte 2.318 |
|
|
|
|
|
|
|
|
|
|
|
|
|
|
|
170 |
Aumento o (-) disminución del patrimonio neto resultante de combinaciones de negocios |
NIC 1.106.d).iii) |
|
|
|
|
|
|
|
|
|
|
|
|
|
|
|
180 |
Pagos basados en acciones |
NIC 1.106.d).iii); NIIF 2.10 |
|
|
|
|
|
|
|
|
|
|
|
|
|
|
|
190 |
Otros aumentos o (-) disminuciones del patrimonio neto |
NIC 1.106.d) |
|
|
|
|
|
|
|
|
|
|
|
|
|
|
|
200 |
Resultado global total del ejercicio |
NIC 1.106.d).i)-ii); NIC 1.81A.c); NIC 1, GI 6 |
|
|
|
|
|
|
|
|
|
|
|
|
|
|
|
210 |
Saldo de cierre [período corriente] |
|
|
|
|
|
|
|
|
|
|
|
|
|
|
|
ANEXO IV
SUMINISTRO DE INFORMACIÓN FINANCIERA DE ACUERDO CON LOS MARCOS CONTABLES NACIONALES
|
PLANTILLAS FINREP PARA LOS PCGA |
||||||
|
NÚMERO DE PLANTILLA |
CÓDIGO DE PLANTILLA |
NOMBRE DE LA PLANTILLA O GRUPO DE PLANTILLAS |
||||
|
|
|
PARTE 1 [FRECUENCIA TRIMESTRAL] |
||||
|
|
|
Balance [estado de situación financiera] |
||||
|
1.1 |
F 01.01 |
Balance: activo |
||||
|
1.2 |
F 01.02 |
Balance: pasivo |
||||
|
1.3 |
F 01.03 |
Balance: patrimonio neto |
||||
|
2 |
F 02.00 |
Estado de resultados |
||||
|
3 |
F 03.00 |
Estado de resultado global |
||||
|
|
|
Desglose de los activos financieros por instrumentos y por sectores de las contrapartes |
||||
|
4.1 |
F 04.01 |
Desglose de los activos financieros por instrumentos y por sectores de las contrapartes: activos financieros mantenidos para negociar |
||||
|
4.2.1 |
F 04.02.1 |
Desglose de los activos financieros por instrumentos y por sectores de las contrapartes: activos financieros no destinados a negociación valorados obligatoriamente a valor razonable con cambios en resultados |
||||
|
4.2.2 |
F 04.02.2 |
Desglose de los activos financieros por instrumentos y por sectores de las contrapartes: activos financieros designados a valor razonable con cambios en resultados |
||||
|
4.3.1 |
F 04.03.1 |
Desglose de los activos financieros por instrumentos y por sectores de las contrapartes: activos financieros a valor razonable con cambios en otro resultado global |
||||
|
4.4.1 |
F 04.04.1 |
Desglose de los activos financieros por instrumentos y por sectores de las contrapartes: activos financieros a coste amortizado |
||||
|
4.5 |
F 04.05 |
Activos financieros subordinados |
||||
|
4.6 |
F 04.06 |
Desglose de los activos financieros por instrumentos y por sectores de las contrapartes: activos financieros destinados a negociación |
||||
|
4.7 |
F 04.07 |
Desglose de los activos financieros por instrumentos y por sectores de las contrapartes: activos financieros no derivados y no destinados a negociación, a valor razonable con cambios en resultados |
||||
|
4.8 |
F 04.08 |
Desglose de los activos financieros por instrumentos y por sectores de las contrapartes: activos financieros no derivados y no destinados a negociación, contabilizados a valor razonable en el patrimonio neto |
||||
|
4.9 |
F 04.09 |
Desglose de los activos financieros por instrumentos y por sectores de las contrapartes: activos financieros no derivados y no destinados a negociación, valorados por un método basado en el coste |
||||
|
4.10 |
F 04.10 |
Desglose de los activos financieros por instrumentos y por sectores de las contrapartes: otros activos financieros no derivados y no destinados a negociación |
||||
|
5.1 |
F 05.01 |
Desglose de los préstamos y anticipos no destinados a negociación por productos |
||||
|
6.1 |
F 06.01 |
Desglose de los préstamos y anticipos, distintos de los mantenidos para negociar, a sociedades no financieras por códigos NACE |
||||
|
|
F 07.00 |
Activos financieros susceptibles de deterioro vencidos |
||||
|
7.1 |
F 07.01 |
Activos financieros susceptibles de deterioro vencidos |
||||
|
7.2 |
F 07.02 |
Activos financieros susceptibles de deterioro vencidos según los PCGA nacionales |
||||
|
|
|
Desglose de los pasivos financieros |
||||
|
8.1 |
F 08.01 |
Desglose de los pasivos financieros por productos y por sectores de las contrapartes |
||||
|
8.2 |
F 08.02 |
Pasivos financieros subordinados |
||||
|
|
|
Compromisos de préstamo, garantías financieras y otros compromisos |
||||
|
9.1 |
F 09.01 |
Exposiciones fuera de balance según los PCGA nacionales: compromisos de préstamo, garantías financieras y otros compromisos concedidos |
||||
|
9.1.1 |
F 09.01.1 |
Exposiciones fuera de balance: compromisos de préstamo, garantías financieras y otros compromisos concedidos |
||||
|
9.2 |
F 09.02 |
Compromisos de préstamo, garantías financieras y otros compromisos recibidos |
||||
|
10 |
F 10.00 |
Derivados - negociación y coberturas económicas |
||||
|
|
|
Contabilidad de coberturas |
||||
|
11.1 |
F 11.01 |
Derivados - Contabilidad de coberturas: desglose por tipos de riesgo y tipos de cobertura |
||||
|
11.2 |
F 11.02 |
Derivados - contabilidad de coberturas según los PCGA nacionales: desglose por tipos de riesgo |
||||
|
11.3 |
F 11.03 |
Instrumentos de cobertura no derivados: desglose por cartera contable y tipo de cobertura |
||||
|
11.3.1 |
F 11.03.1 |
Instrumentos de cobertura no derivados según los PCGA nacionales: desglose por cartera contable |
||||
|
11.4 |
F 11.04 |
Elementos cubiertos mediante coberturas del valor razonable |
||||
|
|
|
Movimientos en las correcciones de valor y provisiones por pérdidas crediticias |
||||
|
12 |
F 12.00 |
Movimientos en las correcciones de valor por pérdidas crediticias y deterioro del valor de los instrumentos de patrimonio conforme a los PCGA nacionales |
||||
|
12.1 |
F 12.01 |
Movimientos en las correcciones de valor y provisiones por pérdidas crediticias |
||||
|
12.2 |
F 12.02 |
Transferencias entre fases de deterioro de valor (presentación en términos brutos) |
||||
|
|
|
Garantías reales y personales recibidas |
||||
|
13.1 |
F 13.01 |
Desglose de las garantías reales y personales en función de los préstamos y anticipos distintos de los mantenidos para negociar |
||||
|
13.2 |
F 13.02 |
Garantías reales obtenidas mediante toma de posesión durante el período [mantenidas en la fecha de información] |
||||
|
13.3 |
F 13.03 |
Garantías reales obtenidas mediante toma de posesión [activos tangibles] acumuladas |
||||
|
14 |
F 14.00 |
Jerarquía del valor razonable: instrumentos financieros a valor razonable |
||||
|
15 |
F 15.00 |
Baja en cuentas y pasivos financieros asociados a activos financieros transferidos |
||||
|
|
|
Desglose de partidas seleccionadas del estado de resultados |
||||
|
16.1 |
F 16.01 |
Ingresos y gastos en concepto de intereses, por instrumentos y sectores de las contrapartes |
||||
|
16.2 |
F 16.02 |
Ganancias o pérdidas al dar de baja en cuentas activos y pasivos financieros no valorados a valor razonable con cambios en resultados, por instrumentos |
||||
|
16.3 |
F 16.03 |
Ganancias o pérdidas por activos y pasivos financieros mantenidos para negociar y activos y pasivos financieros destinados a negociación, por instrumentos |
||||
|
16.4 |
F 16.04 |
Ganancias o pérdidas por activos y pasivos financieros mantenidos para negociar y activos y pasivos financieros destinados a negociación, por riesgos |
||||
|
16.4.1 |
F 16.04.1 |
Ganancias o pérdidas por activos financieros no destinados a negociación valorados obligatoriamente a valor razonable con cambios en resultados, por instrumentos |
||||
|
16.5 |
F 16.05 |
Ganancias o pérdidas por activos y pasivos financieros designados a valor razonable con cambios en resultados, por instrumentos |
||||
|
16.6 |
F 16.06 |
Ganancias o pérdidas resultantes de la contabilidad de coberturas |
||||
|
16.7 |
F 16.07 |
Deterioro del valor de activos no financieros |
||||
|
|
|
Conciliación entre el ámbito de consolidación contable y el ámbito de consolidación según el RRC: balance |
||||
|
17.1 |
F 17.01 |
Conciliación entre el ámbito de consolidación contable y el ámbito de consolidación según el RRC: activo |
||||
|
17.2 |
F 17.02 |
Conciliación entre el ámbito de consolidación contable y el ámbito de consolidación según el RRC: exposiciones fuera de balance - compromisos de préstamo, garantías financieras y otros compromisos concedidos |
||||
|
17.3 |
F 17.03 |
Conciliación entre el ámbito de consolidación contable y el ámbito de consolidación según el RRC: pasivo |
||||
|
18 |
F 18.00 |
Exposiciones no dudosas y dudosas |
||||
|
19 |
F 19.00 |
Exposiciones reestructuradas o refinanciadas |
||||
|
|
|
PARTE 2 [FRECUENCIA TRIMESTRAL CON UMBRAL: FRECUENCIA TRIMESTRAL O NO SUMINISTRO DE INFORMACIÓN] |
||||
|
|
|
Desglose geográfico |
||||
|
20.1 |
F 20.01 |
Desglose geográfico de los activos por localización de las actividades |
||||
|
20.2 |
F 20.02 |
Desglose geográfico de los pasivos por localización de las actividades |
||||
|
20.3 |
F 20.03 |
Desglose geográfico de las principales partidas del estado de resultados por localización de las actividades |
||||
|
20.4 |
F 20.04 |
Desglose geográfico de los activos por residencia de las contrapartes |
||||
|
20.5 |
F 20.05 |
Desglose geográfico de las exposiciones fuera de balance por residencia de las contrapartes |
||||
|
20.6 |
F 20.06 |
Desglose geográfico de los pasivos por residencia de las contrapartes |
||||
|
20.7.1 |
F 20.07.1 |
Desglose geográfico, por residencia de las contrapartes, de los préstamos y anticipos, distintos de los mantenidos para negociar, a sociedades no financieras, por códigos NACE |
||||
|
21 |
F 21.00 |
Activos tangibles e intangibles: activos objeto de arrendamiento operativo |
||||
|
|
|
Funciones de gestión de activos, custodia y otros servicios |
||||
|
22.1 |
F 22.01 |
Ingresos y gastos por comisiones, desglosados por actividades |
||||
|
22.2 |
F 22.02 |
Activos implicados en los servicios prestados |
||||
|
|
|
PARTE 3 [SEMESTRAL] |
||||
|
|
|
Actividades fuera de balance: intereses en entes estructurados no consolidados |
||||
|
30.1 |
F 30.01 |
Intereses en entes estructurados no consolidados |
||||
|
30.2 |
F 30.02 |
Desglose de los intereses en entes estructurados no consolidados, por naturaleza de las actividades |
||||
|
|
|
Partes vinculadas |
||||
|
31.1 |
F 31.01 |
Partes vinculadas: importes a pagar y a cobrar |
||||
|
31.2 |
F 31.02 |
Gastos e ingresos generados por operaciones con partes vinculadas |
||||
|
|
|
PARTE 4 [ANUAL] |
||||
|
|
|
Estructura del grupo |
||||
|
40.1 |
F 40.1 |
Estructura del grupo: «ente por ente» |
||||
|
40.2 |
F 40.02 |
Estructura del grupo: «instrumento por instrumento» |
||||
|
|
|
Valor razonable |
||||
|
41.1 |
F 41.01 |
Jerarquía del valor razonable: instrumentos financieros a coste amortizado |
||||
|
41.2 |
F 41.02 |
Uso de la opción del valor razonable |
||||
|
42 |
F 42.00 |
Activos tangibles e intangibles: importe en libros según el método de medición |
||||
|
43 |
F 43.00 |
Provisiones |
||||
|
|
|
Planes de prestaciones definidas y retribuciones a los empleados |
||||
|
44.1 |
F 44.01 |
Componentes de los activos y pasivos netos de los planes de prestaciones definidas |
||||
|
44.2 |
F 44.02 |
Movimientos en las obligaciones de los planes de prestaciones definidas |
||||
|
44.3 |
F 44.03 |
Partidas pro memoria [relativas a los gastos de personal] |
||||
|
|
|
Desglose de partidas seleccionadas del estado de resultados |
||||
|
45.1 |
F 45.01 |
Ganancias o pérdidas por activos y pasivos financieros designados a valor razonable con cambios en resultados, por carteras contables |
||||
|
45.2 |
F 45.02 |
Ganancias o pérdidas al dar de baja en cuentas activos no financieros distintos de los mantenidos para la venta e inversiones en filiales, negocios conjuntos y asociadas |
||||
|
45.3 |
F 45.03 |
Otros ingresos y gastos de explotación |
||||
|
46 |
F 46.00 |
Estado de cambios en el patrimonio neto |
||||
|
CÓDIGOS DE COLOR DE LAS PLANTILLAS:
|
||||||
1. Balance [estado de situación financiera]
1.1 Activo
|
|
Referencias a los PCGA nacionales basadas en la DCB |
Referencias a los PCGA nacionales compatibles con las NIIF |
Desglose en el cuadro |
Importe en libros |
|
|
Anexo V, parte 1.27-28 |
|||||
|
010 |
|||||
|
010 |
Efectivo, saldos en efectivo en bancos centrales y otros depósitos a la vista |
DCB art. 4, Activo.1 |
NIC 1.54.i) |
|
|
|
020 |
Efectivo |
Anexo V, parte 2.1 |
Anexo V, parte 2.1 |
|
|
|
030 |
Saldos en efectivo en bancos centrales |
DCB art. 13.2; Anexo V, parte 2.2 |
Anexo V, parte 2.2 |
|
|
|
040 |
Otros depósitos a la vista |
Anexo V, parte 2.3 |
Anexo V, parte 2.3 |
5 |
|
|
050 |
Activos financieros mantenidos para negociar |
Directiva contable art. 8.1.a) y 8.5 NIC 39.9 |
NIIF 9, apéndice A |
|
|
|
060 |
Derivados |
RRC Anexo II |
NIIF 9, apéndice A |
10 |
|
|
070 |
Instrumentos de patrimonio |
BCE/2013/33, anexo 2, parte 2.4-5 |
NIC 32.11 |
4 |
|
|
080 |
Valores representativos de deuda |
Anexo V, parte 1.24, 26 |
Anexo V, parte 1.31 |
4 |
|
|
090 |
Préstamos y anticipos |
Anexo V, parte 1.24, 27 |
Anexo V, parte 1.32 |
4 |
|
|
091 |
Activos financieros destinados a negociación |
DCB artículos 32-33; Anexo V, parte 1.17 |
|
|
|
|
092 |
Derivados |
RRC Anexo II; Anexo V, parte 1.17, 27 |
|
10 |
|
|
093 |
Instrumentos de patrimonio |
BCE/2013/33, anexo 2, parte 2.4-5 |
|
4 |
|
|
094 |
Valores representativos de deuda |
Anexo V, parte 1.31 |
|
4 |
|
|
095 |
Préstamos y anticipos |
Anexo V, parte 1.32 |
|
4 |
|
|
096 |
Activos financieros no destinados a negociación valorados obligatoriamente a valor razonable con cambios en resultados |
|
NIIF 7.8.a).ii); NIIF 9.4.1.4. |
4 |
|
|
097 |
Instrumentos de patrimonio |
|
NIC 32.11 |
4 |
|
|
098 |
Valores representativos de deuda |
|
Anexo V, parte 1.31 |
4 |
|
|
099 |
Préstamos y anticipos |
|
Anexo V, parte 1.32 |
4 |
|
|
100 |
Activos financieros designados a valor razonable con cambios en resultados |
Directiva contable art. 8.1.a) y 8.6 |
NIIF 7.8.a).i); NIIF 9.4.1.5 |
4 |
|
|
110 |
Instrumentos de patrimonio |
|
NIC 32.11; BCE/2013/33, anexo 2, parte 2.4-5 |
4 |
|
|
120 |
Valores representativos de deuda |
Anexo V, parte 1.31 |
Anexo V, parte 1.31 |
4 |
|
|
130 |
Préstamos y anticipos |
Anexo V, parte 1.32 |
Anexo V, parte 1.32 |
4 |
|
|
141 |
Activos financieros a valor razonable con cambios en otro resultado global |
|
NIIF 7.8.h); NIIF 9.4.1.2A |
4 |
|
|
142 |
Instrumentos de patrimonio |
|
NIC 32.11 |
4 |
|
|
143 |
Valores representativos de deuda |
|
Anexo V, parte 1.31 |
4 |
|
|
144 |
Préstamos y anticipos |
|
Anexo V, parte 1.32 |
4 |
|
|
171 |
Activos financieros no derivados y no destinados a negociación, a valor razonable con cambios en resultados |
DCB art. 36.2 |
|
4 |
|
|
172 |
Instrumentos de patrimonio |
BCE/2013/33, anexo 2, parte 2.4-5 |
|
4 |
|
|
173 |
Valores representativos de deuda |
Anexo V, parte 1.31 |
|
4 |
|
|
174 |
Préstamos y anticipos |
Directiva contable art. 8.1.a) y 8.4.b); Anexo V, parte 1.32 |
|
4 |
|
|
175 |
Activos financieros no derivados y no destinados a negociación, contabilizados a valor razonable en el patrimonio neto |
Directiva contable art. 8.1.a) y 8.8 |
|
4 |
|
|
176 |
Instrumentos de patrimonio |
BCE/2013/33, anexo 2, parte 2.4-5 |
|
4 |
|
|
177 |
Valores representativos de deuda |
Anexo V, parte 1.31 |
|
4 |
|
|
178 |
Préstamos y anticipos |
Directiva contable art. 8.1.a) y 8.4.b); Anexo V, parte 1.32 |
|
4 |
|
|
181 |
Activos financieros a coste amortizado |
|
NIIF 7.8.f); NIIF 9.4.1.2 |
4 |
|
|
182 |
Valores representativos de deuda |
|
Anexo V, parte 1.31 |
4 |
|
|
183 |
Préstamos y anticipos |
|
Anexo V, parte 1.32 |
4 |
|
|
231 |
Activos financieros no derivados y no destinados a negociación, valorados por un método basado en el coste |
DCB art. 35; Directiva contable arts. 6.1.i) y 8.2; Anexo V, parte 1.18, 19 |
|
4 |
|
|
390 |
Instrumentos de patrimonio |
BCE/2013/33, anexo 2, parte 2.4-5 |
|
4 |
|
|
232 |
Valores representativos de deuda |
Anexo V, parte 1.31 |
|
4 |
|
|
233 |
Préstamos y anticipos |
Anexo V, parte 1.32 |
|
4 |
|
|
234 |
Otros activos financieros no derivados y no destinados a negociación |
DCB art. 37; Directiva contable art. 12.7; Anexo V, parte 1.20 |
|
4 |
|
|
235 |
Instrumentos de patrimonio |
BCE/2013/33, anexo 2, parte 2.4-5 |
|
4 |
|
|
236 |
Valores representativos de deuda |
Anexo V, parte 1.31 |
|
4 |
|
|
237 |
Préstamos y anticipos |
Anexo V, parte 1.32 |
|
4 |
|
|
240 |
Derivados — Contabilidad de coberturas |
Directiva contable art. 8.1.a), 8.6, 8.8 NIC 39.9; Anexo V, parte 1.22 |
NIIF 9.6.2.1; Anexo V, parte 1.22 |
11 |
|
|
250 |
Cambios del valor razonable de los elementos cubiertos de una cartera con cobertura del riesgo de tipo de interés |
Directiva contable art. 8.5 y 8.6; NIC 39.89A.a) |
NIC 39.89A.a); NIIF 9.6.5.8 |
|
|
|
260 |
Inversiones en filiales, negocios conjuntos y asociadas |
DCB art. 4, Activo.7-8 Directiva contable art. 2.2; Anexo V, parte 1.21, parte 2.4 |
NIC 1.54.e); Anexo V, parte 1.21, parte 2.4 |
40 |
|
|
270 |
Activos tangibles |
DCB art. 4, Activo.10 |
|
|
|
|
280 |
Inmovilizado material |
|
NIC 16.6; NIC 1.54.a) |
21, 42 |
|
|
290 |
Inversiones inmobiliarias |
|
NIC 40.5; NIC 1.54.b) |
21, 42 |
|
|
300 |
Activos intangibles |
DCB art. 4, Activo.9; RRC art. 4.1.115 |
NIC 1.54.c); RRC art. 4.1.115 |
|
|
|
310 |
Fondo de comercio |
DCB art. 4, Activo.9; RRC art. 4.1.113 |
NIIF 3.B67.d); RRC art. 4.1.113 |
|
|
|
320 |
Otros activos intangibles |
DCB art. 4, Activo.9 |
NIC 38.8, 118 |
21, 42 |
|
|
330 |
Activos por impuestos |
|
NIC 1.54.n)-o) |
|
|
|
340 |
Activos por impuestos corrientes |
|
NIC 1.54.n); NIC 12.5 |
|
|
|
350 |
Activos por impuestos diferidos |
Directiva contable art. 17.1.f); RRC art. 4.1.106 |
NIC 1.54.o); NIC 12.5; RRC art. 4.1.106 |
|
|
|
360 |
Otros activos |
Anexo V, parte 2.5, 6 |
Anexo V, parte 2.5 |
|
|
|
370 |
Activos no corrientes y grupos enajenables de elementos que se han clasificado como mantenidos para la venta |
|
NIC 1.54.j); NIIF 5.38; Anexo V, parte 2.7 |
|
|
|
375 |
(-) Recortes de valoración de los activos destinados a negociación a valor razonable |
Anexo V, parte 1.29 |
|
|
|
|
380 |
TOTAL ACTIVO |
DCB art. 4, Activo |
NIC 1.9.a), GI 6 |
|
|
1.2 Pasivo
|
|
Referencias a los PCGA nacionales basadas en la DCB |
Referencias a los PCGA nacionales compatibles con las NIIF |
Desglose en el cuadro |
Importe en libros |
|
|
Anexo V, parte 1.27-28 |
|||||
|
010 |
|||||
|
010 |
Pasivos financieros mantenidos para negociar |
|
NIIF 7.8.e).ii); NIIF 9.BA.6 |
8 |
|
|
020 |
Derivados |
|
NIIF 9, apéndice A; NIIF 9.4.2.1.a); NIIF 9.BA.7.a) |
10 |
|
|
030 |
Posiciones cortas |
|
NIIF 9.BA7.b) |
8 |
|
|
040 |
Depósitos |
|
BCE/2013/33, anexo 2, parte 2.9; Anexo V, parte 1.36 |
8 |
|
|
050 |
Valores representativos de deuda emitidos |
|
Anexo V, parte 1.37 |
8 |
|
|
060 |
Otros pasivos financieros |
|
Anexo V, parte 1.38-41 |
8 |
|
|
061 |
Pasivos financieros destinados a negociación |
Directiva contable art. 8.1.a), 8.3, 8.6 |
|
8 |
|
|
062 |
Derivados |
RRC Anexo II; Anexo V, parte 1.25 |
|
10 |
|
|
063 |
Posiciones cortas |
|
|
8 |
|
|
064 |
Depósitos |
BCE/2013/33, anexo 2, parte 2.9; Anexo V, parte 1.36 |
|
8 |
|
|
065 |
Valores representativos de deuda emitidos |
Anexo V, parte 1.37 |
|
8 |
|
|
066 |
Otros pasivos financieros |
Anexo V, parte 1.38-41 |
|
8 |
|
|
070 |
Pasivos financieros designados a valor razonable con cambios en resultados |
Directiva contable art. 8.1.a), 8.6; NIC 39.9 |
NIIF 7.8.e).i); NIIF 9.4.2.2 |
8 |
|
|
080 |
Depósitos |
BCE/2013/33, anexo 2, parte 2.9; Anexo V, parte 1.36 |
BCE/2013/33, anexo 2, parte 2.9; Anexo V, parte 1.36 |
8 |
|
|
090 |
Valores representativos de deuda emitidos |
Anexo V, parte 1.37 |
Anexo V, parte 1.37 |
8 |
|
|
100 |
Otros pasivos financieros |
Anexo V, parte 1.38-41 |
Anexo V, parte 1.38-41 |
8 |
|
|
110 |
Pasivos financieros valorados a coste amortizado |
Directiva contable art. 8.3, 8.6; NIC 39.47 |
NIIF 7.8.g); NIIF 9.4.2.1 |
8 |
|
|
120 |
Depósitos |
BCE/2013/33, anexo 2, parte 2.9; Anexo V, parte 1.30 |
BCE/2013/33, anexo 2, parte 2.9; Anexo V, parte 1.36 |
8 |
|
|
130 |
Valores representativos de deuda emitidos |
Anexo V, parte 1.31 |
Anexo V, parte 1.37 |
8 |
|
|
140 |
Otros pasivos financieros |
Anexo V, parte 1.32-34 |
Anexo V, parte 1.38-41 |
8 |
|
|
141 |
Pasivos financieros no derivados y no destinados a negociación, valorados por un método basado en el coste |
Directiva contable art. 8.3; |
|
8 |
|
|
142 |
Depósitos |
BCE/2013/33, anexo 2, parte 2.9; Anexo V, parte 1.36 |
|
8 |
|
|
143 |
Valores representativos de deuda emitidos |
Anexo V, parte 1.37 |
|
8 |
|
|
144 |
Otros pasivos financieros |
Anexo V, parte 1.38-41 |
|
8 |
|
|
150 |
Derivados — Contabilidad de coberturas |
Directiva contable art. 8.1.a), 8.6, 8.8.a); Anexo V, parte 1.26 |
NIIF 9.6.2.1; Anexo V, parte 1.26 |
11 |
|
|
160 |
Cambios del valor razonable de los elementos cubiertos de una cartera con cobertura del riesgo de tipo de interés |
Directiva contable art. 8.5 y 8.6; Anexo V, parte 2.8; NIC 39.89A.b) |
NIC 39.89A.b); NIIF 9.6.5.8 |
|
|
|
170 |
Provisiones |
DCB art.4, Pasivo.6 |
NIC 37.10; NIC 1.54.l) |
43 |
|
|
175 |
Fondo para riesgos bancarios generales [si se consigna en el pasivo] |
DCB art. 38,1; RRC art. 4.1.112; Anexo V, parte 2.15 |
|
|
|
|
180 |
Pensiones y otras obligaciones de prestaciones definidas post-empleo |
Anexo V, parte 2.9 |
NIC 19.63; NIC 1.78.d); Anexo V, parte 2.9 |
43 |
|
|
190 |
Otras retribuciones a los empleados a largo plazo |
Anexo V, parte 2.10 |
NIC 19.153; NIC 1.78.d); Anexo V, parte 2.10 |
43 |
|
|
200 |
Reestructuración |
|
NIC 37.71, 84.a) |
43 |
|
|
210 |
Cuestiones procesales y litigios por impuestos pendientes |
|
NIC 37, apéndice C. Ejemplos 6 y 10 |
43 |
|
|
220 |
Compromisos y garantías concedidos |
DCB art. 4, Pasivo.6.c), cuentas de orden, art. 27.11, art. 28.8, art. 33 |
NIIF 9.4.2.1.c) y d), 9.5.5, 9.B2.5; NIC 37, NIIF 4, Anexo V, parte 2.11 |
9 12 43 |
|
|
230 |
Otras provisiones |
DCB art. 4, Pasivo.6.c), cuentas de orden |
NIC 37.14 |
43 |
|
|
240 |
Pasivos por impuestos |
|
NIC 1.54.n)-o) |
|
|
|
250 |
Pasivos por impuestos corrientes |
|
NIC 1.54.n); NIC 12.5 |
|
|
|
260 |
Pasivos por impuestos diferidos |
Directiva contable art. 17.1.f); RRC art. 4.1.108 |
NIC 1.54.o); NIC 12.5; RRC art. 4.1.108 |
|
|
|
270 |
Capital social reembolsable a la vista |
|
NIC 32 IE 33; CINIIF 2; Anexo V, parte 2.12 |
|
|
|
280 |
Otros pasivos |
Anexo V, parte 2.13 |
Anexo V, parte 2.13 |
|
|
|
290 |
Pasivos incluidos en grupos enajenables de elementos que se han clasificado como mantenidos para la venta |
|
NIC 1.54.p); NIIF 5.38; Anexo V, parte 2.14 |
|
|
|
295 |
Recortes de valoración de los pasivos destinados a negociación a valor razonable |
Anexo V, parte 1.29 |
|
|
|
|
300 |
TOTAL PASIVO |
|
NIC 1.9.b), GI 6 |
|
|
1.3 Patrimonio neto
|
|
Referencias a los PCGA nacionales basadas en la DCB |
Referencias a los PCGA nacionales compatibles con las NIIF |
Desglose en el cuadro |
Importe en libros |
|
|
010 |
|||||
|
010 |
Capital |
DCB art. 4, Pasivo.9, DCB art. 22 |
NIC 1.54.r), DAC art. 22 |
46 |
|
|
020 |
Capital desembolsado |
DCB art. 4, Pasivo.9 |
NIC 1.78.e) |
|
|
|
030 |
Capital no desembolsado exigido |
DCB art. 4, Pasivo.9; Anexo V, parte 2.17 |
Anexo V, parte 2.14 |
|
|
|
040 |
Prima de emisión |
DCB art. 4, Pasivo.10; RRC art. 4.1.124 |
NIC 1.78.e); RRC art. 4.1.124 |
46 |
|
|
050 |
Instrumentos de patrimonio emitidos distintos del capital |
Anexo V, parte 2.18-19 |
Anexo V, parte 2.18-19 |
46 |
|
|
060 |
Componente de patrimonio neto de los instrumentos financieros compuestos |
Directiva contable art. 8.6; Anexo V, parte 2.18 |
NIC 32.28-29; Anexo V, parte 2.18 |
|
|
|
070 |
Otros instrumentos de patrimonio emitidos |
Anexo V, parte 2.19 |
Anexo V, parte 2.19 |
|
|
|
080 |
Otros elementos de patrimonio neto |
Anexo V, parte 2.20 |
NIIF 2.10; Anexo V, parte 2.20 |
|
|
|
090 |
Otro resultado global acumulado |
RRC art. 4.1.100 |
RRC art. 4.1.100 |
46 |
|
|
095 |
Elementos que no se reclasificarán en resultados |
|
NIC 1.82A.a) |
|
|
|
100 |
Activos tangibles |
|
NIC 16.39-41 |
|
|
|
110 |
Activos intangibles |
|
NIC 38.85-87 |
|
|
|
120 |
Ganancias o (-) pérdidas actuariales en planes de pensiones de prestaciones definidas |
|
NIC 1.7, GI 6; NIC 19.120.c) |
|
|
|
122 |
Activos no corrientes y grupos enajenables de elementos que se han clasificado como mantenidos para la venta |
|
NIIF 5.38, GI ejemplo 12 |
|
|
|
124 |
Participación en otros ingresos y gastos reconocidos de inversiones en filiales, negocios conjuntos y asociadas |
|
NIC 1, GI 6; NIC 28.10 |
|
|
|
320 |
Cambios del valor razonable de los instrumentos de patrimonio valorados a valor razonable con cambios en otro resultado global |
|
NIC 1.7.d); NIC 9.5.7.5, B5.7.1; Anexo V, parte 2.21 |
|
|
|
330 |
Ineficacia de las coberturas de valor razonable de los instrumentos de patrimonio valorados a valor razonable con cambios en otro resultado global |
|
NIC 1.7.e); NIIF 9.5.7.5;.6.5.3; NIIF 7.24C; Anexo V, parte 2.22 |
|
|
|
340 |
Cambios del valor razonable de los instrumentos de patrimonio valorados a valor razonable con cambios en otro resultado global [elemento cubierto] |
|
NIIF 9.5.7.5;.6.5.8.b); Anexo V, parte 2.22 |
|
|
|
350 |
Cambios del valor razonable de los instrumentos de patrimonio valorados a valor razonable con cambios en otro resultado global [instrumento de cobertura] |
|
NIC 1.7.e); NIIF 9.5.7.5;.6.5.8.a);Anexo V, parte 2.57 |
|
|
|
360 |
Cambios del valor razonable de los pasivos financieros a valor razonable con cambios en resultados atribuibles a cambios en el riesgo de crédito |
|
NIC 1.7.f); Anexo V; NIIF 9.5.7.7;Anexo V, parte 2.23 |
|
|
|
128 |
Elementos que pueden reclasificarse en resultados |
|
NIC 1.82A.a).ii) |
|
|
|
130 |
Cobertura de inversiones netas en negocios en el extranjero [parte eficaz] |
Directiva contable art. 8.1.a), 8.6, 8.8 |
NIIF 9.6.5.13.a); NIIF 7.24B.b).ii) y iii); NIIF 7.24C.b).i) y iv),.24E.a); Anexo V, parte 2.24 |
|
|
|
140 |
Conversión de divisas |
DCB art. 39.6 |
NIC 21.52.b); NIC 21.32, 38-49 |
|
|
|
150 |
Derivados de cobertura. Reserva de cobertura de flujos de efectivo [parte eficaz] |
Directiva contable art. 8.1.a), 8.6, 8.8 |
NIC 1.7.e); NIIF 7.24B.b).ii) y iii); NIIF 7.24C.b).i);.24E; NIIF 9.6.5.11.b); Anexo V, parte 2.25 |
|
|
|
155 |
Cambios del valor razonable de los instrumentos de deuda valorados a valor razonable con cambios en otro resultado global |
|
NIC 1.7.da); NIIF 9.4.1.2A; 5.7.10; Anexo V, parte 2.26 |
|
|
|
165 |
Instrumentos de cobertura [elementos no designados] |
|
NIC 1.7.g) y h); NIIF 9.6.5.15,.6.5.16; NIIF 7.24E.b) y c); Anexo V, parte 2.60 |
|
|
|
170 |
Activos no corrientes y grupos enajenables de elementos que se han clasificado como mantenidos para la venta |
|
NIIF 5.38, GI ejemplo 12 |
|
|
|
180 |
Participación en otros ingresos y gastos reconocidos de inversiones en filiales, negocios conjuntos y asociadas |
|
NIC 1, GI 6; NIC 28.10 |
|
|
|
190 |
Ganancias acumuladas |
DCB art. 4, Pasivo.13; RRC art. 4.1.123 |
RRC art. 4.1.123 |
|
|
|
200 |
Reservas de revalorización |
DCB art. 4, Pasivo.12 |
NIIF 1.30, D5-D8; Anexo V, parte 2.28 |
|
|
|
201 |
Activos tangibles |
Directiva contable art. 7.1 |
|
|
|
|
202 |
Instrumentos de patrimonio |
Directiva contable art. 7.1 |
|
|
|
|
203 |
Valores representativos de deuda |
Directiva contable art. 7.1 |
|
|
|
|
204 |
Otros |
Directiva contable art. 7.1 |
|
|
|
|
205 |
Reservas al valor razonable |
Directiva contable art. 8.1.a) |
|
|
|
|
206 |
Cobertura de inversiones netas en negocios en el extranjero |
Directiva contable art. 8.1.a) y 8.8.b) |
|
|
|
|
207 |
Derivados de cobertura. Coberturas de flujos de efectivo |
Directiva contable art. 8.1.a) y 8.8.a); RRC art. 30.a) |
|
|
|
|
208 |
Derivados de cobertura. Otras coberturas |
Directiva contable art. 8.1.a) y 8.8.a) |
|
|
|
|
209 |
Activos financieros no derivados y no destinados a negociación, contabilizados a valor razonable en el patrimonio neto |
Directiva contable art. 8.1.a) y 8.2 |
|
|
|
|
210 |
Otras reservas |
DCB art. 4, Pasivo.11-13 |
NIC 1.54; NIC 1.78.e) |
|
|
|
215 |
Fondo para riesgos bancarios generales [si se consignan en el patrimonio neto] |
DCB art. 38.1; RRC art. 4.1.112; Anexo V, parte 2.15 |
|
|
|
|
220 |
Reservas o pérdidas acumuladas de inversiones en filiales, negocios conjuntos y asociadas contabilizadas mediante el método de la participación |
Directiva contable art. 9.7.a); art. 27; Anexo V, parte 2.29 |
NIC 28.11; Anexo V, parte 2.29 |
|
|
|
230 |
Otros |
Anexo V, parte 2.29 |
Anexo V, parte 2.29 |
|
|
|
235 |
Diferencias de primera consolidación |
Directiva contable art. 24.3.c) |
|
|
|
|
240 |
(-) Acciones propias |
Directiva contable Anexo III, Activo.D.III.2 DCB art. 4, Activo.12; Anexo V, parte 2.30 |
NIC 1.79.a).vi); NIC 32.33-34, GA14, GA36; Anexo V, parte 2.30 |
46 |
|
|
250 |
Resultados atribuibles a los propietarios de la matriz |
DCB art. 4, Pasivo.14 |
NIC 1.81B.b).ii) |
2 |
|
|
260 |
(-) Dividendos a cuenta |
RRC art. 26.2.b) |
NIC 32.35 |
|
|
|
270 |
Intereses minoritarios [participaciones no dominantes] |
Directiva contable art. 24.4 |
NIC 1.54.q) |
|
|
|
280 |
Otro resultado global acumulado |
RRC art. 4.1.100 |
RRC art. 4.1.100 |
46 |
|
|
290 |
Otras partidas |
|
|
46 |
|
|
300 |
TOTAL PATRIMONIO NETO |
|
NIC 1.9.c), GI 6 |
46 |
|
|
310 |
TOTAL PATRIMONIO NETO Y PASIVO |
DCB art. 4, Pasivo |
NIC 1, GI 6 |
|
|
2. Estado de resultados
|
|
Referencias a los PCGA nacionales basadas en la DCB |
Referencias a los PCGA nacionales compatibles con las NIIF |
Desglose en el cuadro |
Período corriente |
|
|
010 |
|||||
|
010 |
Ingresos por intereses |
DCB art. 27, Presentación vertical.1; Anexo V, parte 2.31 |
NIC 1.97; Anexo V, parte 2.31 |
16 |
|
|
020 |
Activos financieros mantenidos para negociar |
|
NIIF 7.20.a).i), B5.e); Anexo V, parte 2.33, 34 |
|
|
|
025 |
Activos financieros no destinados a negociación valorados obligatoriamente a valor razonable con cambios en resultados |
|
NIIF 7.20.a).i), B5.e), NIIF 9.5.7.1 |
|
|
|
030 |
Activos financieros designados a valor razonable con cambios en resultados |
|
NIIF 7.20.a).i), B5.e) |
|
|
|
041 |
Activos financieros a valor razonable con cambios en otro resultado global |
|
NIIF 7.20.b); NIIF 9.5.7.10-11; NIIF 9.4.1.2A |
|
|
|
051 |
Activos financieros a coste amortizado |
|
NIIF 7.20.b); NIIF 9.4.1.2; NIIF 9.5.7.2 |
|
|
|
070 |
Derivados - contabilidad de coberturas, riesgo de tipo de interés |
|
NIIF 9, apéndice A; .B6.6.16; Anexo V, parte 2.35 |
|
|
|
080 |
Otros activos |
|
Anexo V, parte 2.36 |
|
|
|
085 |
Ingresos por intereses de pasivos |
Anexo V, parte 2.37 |
NIIF 9.5.7.1; Anexo V, parte 2.37 |
|
|
|
090 |
(Gastos por intereses) |
DCB art. 27, Presentación vertical.2; Anexo V, parte 2.31 |
NIC 1.97; Anexo V, parte 2.31 |
16 |
|
|
100 |
(Pasivos financieros mantenidos para negociar) |
|
NIIF 7.20.a).i), B5.e); Anexo V, parte 2.33, 34 |
|
|
|
110 |
(Pasivos financieros designados a valor razonable con cambios en resultados) |
|
NIIF 7.20.a).i), B5.e) |
|
|
|
120 |
(Pasivos financieros a coste amortizado) |
|
NIIF 7.20.b); NIIF 9.5.7.2 |
|
|
|
130 |
(Derivados - contabilidad de coberturas, riesgo de tipo de interés) |
|
NIC 39.9; Anexo V, parte 2.35 |
|
|
|
140 |
(Otros pasivos) |
|
Anexo V, parte 2.38 |
|
|
|
145 |
(Gastos por intereses de activos) |
Anexo V, parte 2.39 |
NIIF 9.5.7.1; Anexo V, parte 2.39 |
|
|
|
150 |
(Gastos por capital social reembolsable a la vista) |
|
CINIIF 2.11 |
|
|
|
160 |
Ingresos por dividendos |
DCB art. 27, Presentación vertical.3; Anexo V, parte 2.40 |
Anexo V, parte 2.40 |
31 |
|
|
170 |
Activos financieros mantenidos para negociar |
|
NIIF 7.20.a).i), B5.e); Anexo V, parte 2.40 |
|
|
|
175 |
Activos financieros no destinados a negociación valorados obligatoriamente a valor razonable con cambios en resultados |
|
NIIF 7.20.a).i), B5.e), NIIF 9.5.7.1A; Anexo V, parte 2.40 |
|
|
|
191 |
Activos financieros a valor razonable con cambios en otro resultado global |
|
NIIF 7.20.a).ii); NIIF 9.4.1.2A; NIIF 9.5.7.1A; Anexo V, parte 2.41 |
|
|
|
192 |
Inversiones en filiales, negocios conjuntos y asociadas contabilizadas mediante el método de la participación |
Anexo V, parte 2.42 |
Anexo V, parte 2.42 |
|
|
|
200 |
Ingresos por comisiones |
DCB art. 27, Presentación vertical.4 |
NIIF 7.20.c) |
22 |
|
|
210 |
(Gastos por comisiones) |
DCB art. 27, Presentación vertical.5 |
NIIF 7.20.c) |
22 |
|
|
220 |
Ganancias o (-) pérdidas al dar de baja en cuentas activos y pasivos financieros no valorados a valor razonable con cambios en resultados, netas |
DCB art. 27, Presentación vertical.6 |
Anexo V, parte 2.45 |
16 |
|
|
231 |
Activos financieros a valor razonable con cambios en otro resultado global |
|
NIIF 9.4.12A; NIIF 9.5.7.10-11 |
|
|
|
241 |
Activos financieros a coste amortizado |
|
NIIF 7.20.a).v); NIIF 9.4.1.2; NIIF 9.5.7.2 |
|
|
|
260 |
Pasivos financieros valorados a coste amortizado |
|
NIIF 7.20.a).v); NIIF 9.5.7.2 |
|
|
|
270 |
Otros |
|
|
|
|
|
280 |
Ganancias o (-) pérdidas por activos y pasivos financieros mantenidos para negociar, netas |
DCB art. 27, Presentación vertical.6 |
NIIF 7.20.a).i); NIIF 9.5.7.1; Anexo V, parte 2.43, 46 |
16 |
|
|
285 |
Ganancias o (-) pérdidas por activos y pasivos financieros destinados a negociación, netas |
DCB art. 27, Presentación vertical.6 |
|
16 |
|
|
287 |
Ganancias o (-) pérdidas por activos financieros no destinados a negociación valorados obligatoriamente a valor razonable con cambios en resultados, netas |
|
NIIF 7.20.a).i); NIIF 9.5.7.1; Anexo V, parte 2.46 |
|
|
|
290 |
Ganancias o (-) pérdidas por activos y pasivos financieros designados a valor razonable con cambios en resultados, netas |
|
NIIF 7.20.a).i); NIIF 9.5.7.1; Anexo V, parte 2.44 |
16, 45 |
|
|
295 |
Ganancias o (-) pérdidas por activos y pasivos financieros no destinados a negociación, netas |
DCB art. 27, Presentación vertical.6 |
|
16 |
|
|
300 |
Ganancias o (-) pérdidas resultantes de la contabilidad de coberturas, netas |
Directiva contable art. 8.1.a), 8.6 y 8.8 |
Anexo V, parte 2.47 |
16 |
|
|
310 |
Diferencias de cambio [ganancia o (-) pérdida], netas |
DCB art. 39 |
NIC 21.28, 52.a) |
|
|
|
320 |
Ganancias o (-) pérdidas al dar de baja en cuentas inversiones en filiales, negocios conjuntos y asociadas, netas |
DCB art. 27, Presentación vertical.13-14; Anexo V, parte 2.56 |
|
|
|
|
330 |
Ganancias o (-) pérdidas al dar de baja en cuentas activos no financieros, netas |
Anexo V, parte 2.48 |
NIC 1.34; Anexo V, parte 2.48 |
45 |
|
|
340 |
Otros ingresos de explotación |
DCB art. 27, Presentación vertical.7; Anexo V, parte 2.314-316 |
Anexo V, parte 2.314-316 |
45 |
|
|
350 |
(Otros gastos de explotación) |
DCB art. 27, Presentación vertical.10; Anexo V, parte 2.314-316 |
Anexo V, parte 2.314-316 |
45 |
|
|
355 |
TOTAL RESULTADO DE EXPLOTACIÓN, NETO |
|
|
|
|
|
360 |
(Gastos de administración) |
DCB art. 27, Presentación vertical.8 |
|
|
|
|
370 |
(Gastos de personal) |
DCB art. 27, Presentación vertical.8.a) |
NIC 19.7; NIC 1.102, GI 6 |
44 |
|
|
380 |
(Otros gastos de administración) |
DCB art. 27, Presentación vertical.8.b); |
|
|
|
|
390 |
(Amortización) |
|
NIC 1.102, 104 |
|
|
|
400 |
(Inmovilizado material) |
DCB art. 27, Presentación vertical.9 |
NIC 1.104; NIC 16.73.e).vii) |
|
|
|
410 |
(Inversiones inmobiliarias) |
DCB art. 27, Presentación vertical.9 |
NIC 1.104; NIC 40.79.d).iv) |
|
|
|
415 |
(Fondo de comercio) |
DCB art. 27, Presentación vertical.9 |
|
|
|
|
420 |
(Otros activos intangibles) |
DCB art. 27, Presentación vertical.9 |
NIC 1.104; NIC 38.118.e).vi) |
|
|
|
425 |
Ganancias o (-) pérdidas por modificación, netas |
|
NIIF 9.5.4.3; NIIF 9, apéndice A Anexo V, parte 2.49 |
|
|
|
426 |
Activos financieros a valor razonable con cambios en otro resultado global |
|
NIIF 7.35J |
|
|
|
427 |
Activos financieros a coste amortizado |
|
NIIF 7.35J |
|
|
|
430 |
(Provisiones o (-) reversión de provisiones) |
|
NIC 37.59, 84; NIC 1.98.b),f),g) |
9 12 43 |
|
|
440 |
(Compromisos y garantías concedidos) |
DCB art. 27, Presentación vertical.11-12 |
NIIF 9.4.2.1.c) y d), 9.B2.5; NIC 37, NIIF 4, Anexo V, parte 2.50 |
|
|
|
450 |
(Otras provisiones) |
|
|
|
|
|
455 |
(Aumentos o (-) disminuciones del fondo para riesgos bancarios generales, netos) |
DCB art. 38,2 |
|
|
|
|
460 |
(Deterioro del valor o (-) reversión del deterioro del valor de activos financieros no valorados a valor razonable con cambios en resultados) |
DCB arts. 35-37; Anexo V, parte 2.52, 53 |
NIIF 7.20.a).viii); NIIF 9.5.4.4; Anexo V, parte 2.51, 53 |
12 |
|
|
481 |
(Activos financieros a valor razonable con cambios en otro resultado global) |
|
NIIF 9.5.4.4, 9.5.5.1, 9.5.5.2, 9.5.5.8 |
12 |
|
|
491 |
Activos financieros a coste amortizado |
|
NIIF 9.5.4.4, 9.5.5.1, 9.5.5.8 |
12 |
|
|
510 |
(Deterioro del valor o (-) reversión del deterioro del valor de inversiones en filiales, negocios conjuntos o asociadas) |
DCB art. 27, Presentación vertical.13-14 |
NIC 28.40-43 |
16 |
|
|
520 |
(Deterioro del valor o (-) reversión del deterioro del valor de activos no financieros) |
|
NIC 36.126.a) y b) |
16 |
|
|
530 |
(Inmovilizado material) |
DCB art. 27, Presentación vertical.9 |
NIC 16.73.e).v)-vi) |
|
|
|
540 |
(Inversiones inmobiliarias) |
DCB art. 27, Presentación vertical.9 |
NIC 40.79.d).v) |
|
|
|
550 |
(Fondo de comercio) |
DCB art. 27, Presentación vertical.9 |
NIIF 3, apéndice B67.d).v); NIC 36.124 |
|
|
|
560 |
(Otros activos intangibles) |
DCB art. 27, Presentación vertical.9 |
NIC 38.118.e).iv) y v) |
|
|
|
570 |
(Otros) |
|
NIC 36.126.a) y b) |
|
|
|
580 |
Fondo de comercio negativo reconocido en resultados |
Directiva contable art. 24.3.f) |
NIIF 3, apéndice B64.n).i) |
|
|
|
590 |
Participación en las ganancias o (-) pérdidas de las inversiones en filiales, negocios conjuntos y asociadas contabilizadas mediante el método de la participación |
DCB art. 27, Presentación vertical.13-14 |
Anexo V, parte 2.54 |
|
|
|
600 |
Ganancias o (-) pérdidas procedentes de activos no corrientes y grupos enajenables de elementos clasificados como mantenidos para la venta no admisibles como actividades interrumpidas |
|
NIIF 5.37; Anexo V, parte 2.55 |
|
|
|
610 |
GANANCIAS O (-) PÉRDIDAS ANTES DE IMPUESTOS PROCEDENTES DE LAS ACTIVIDADES CONTINUADAS |
|
NIC 1.102, GI 6; NIIF 5.33A |
|
|
|
620 |
(Gastos o (-) ingresos por impuestos sobre los resultados de las actividades continuadas) |
DCB art. 27, Presentación vertical.15 |
NIC 1.82.d); NIC 12.77 |
|
|
|
630 |
GANANCIAS O (-) PÉRDIDAS DESPUÉS DE IMPUESTOS PROCEDENTES DE LAS ACTIVIDADES CONTINUADAS |
DCB art. 27, Presentación vertical.16 |
NIC 1, GI 6 |
|
|
|
632 |
Resultados extraordinarios, después de impuestos |
DCB art. 27, Presentación vertical.21; |
|
|
|
|
633 |
Resultados extraordinarios, antes de impuestos |
DCB art. 27, Presentación vertical.19 |
|
|
|
|
634 |
(Gastos o (-) ingresos por impuestos sobre las ganancias o pérdidas extraordinarias) |
DCB art. 27, Presentación vertical.20 |
|
|
|
|
640 |
Ganancias o (-) pérdidas después de impuestos procedentes de actividades interrumpidas |
|
NIC 1.82.ea); NIIF 5.33.a), 5.33 A; Anexo V, parte 2.56 |
|
|
|
650 |
Ganancias o (-) pérdidas antes de impuestos procedentes de actividades interrumpidas |
|
NIIF 5.33.b).i) |
|
|
|
660 |
(Gastos o (-) ingresos por impuestos relativos a actividades interrumpidas) |
|
NIIF 5.33.b).ii) y iv) |
|
|
|
670 |
GANANCIAS O (-) PÉRDIDAS DEL EJERCICIO |
DCB art. 27, Presentación vertical.23 |
NIC 1.81A.a) |
|
|
|
680 |
Atribuibles a intereses minoritarios [participaciones no dominantes] |
|
NIC 1.81B.b).i) |
|
|
|
690 |
Atribuibles a los propietarios de la matriz |
|
NIC 1.81B.b).ii) |
|
|
3. Estado de resultado global
|
|
Referencias a los PCGA nacionales compatibles con las NIIF |
Período corriente |
|
|
010 |
|||
|
010 |
Ganancias o (-) pérdidas del ejercicio |
NIC 1.7, GI 6 |
|
|
020 |
Otro resultado global |
NIC 1.7, GI 6 |
|
|
030 |
Elementos que no se reclasificarán en resultados |
NIC 1.82A.a).i) |
|
|
040 |
Activos tangibles |
NIC 1.7, GI 6; NIC 16.39-40 |
|
|
050 |
Activos intangibles |
NIC 1.7; NIC 38.85-86 |
|
|
060 |
Ganancias o (-) pérdidas actuariales en planes de pensiones de prestaciones definidas |
NIC 1.7, GI 6; NIC 19.120.c) |
|
|
070 |
Activos no corrientes y grupos enajenables de elementos mantenidos para la venta |
NIIF 5.38 |
|
|
080 |
Participación en otros ingresos y gastos reconocidos de las entidades contabilizadas utilizando el método de la participación |
NIC 1, GI 6; NIC 28.10 |
|
|
081 |
Cambios del valor razonable de los instrumentos de patrimonio valorados a valor razonable con cambios en otro resultado global |
NIC 1.7.d) |
|
|
083 |
Ganancias o (-) pérdidas resultantes de la contabilidad de coberturas de instrumentos de patrimonio valorados a valor razonable con cambios en otro resultado global, netas |
NIIF 9.5.7.5;.6.5.3; NIIF 7.24C; Anexo V, parte 2.57 |
|
|
084 |
Cambios del valor razonable de los instrumentos de patrimonio valorados a valor razonable con cambios en otro resultado global [elemento cubierto] |
NIIF 9.5.7.5;.6.5.8.b); Anexo V, parte 2.57 |
|
|
085 |
Cambios del valor razonable de los instrumentos de patrimonio valorados a valor razonable con cambios en otro resultado global [instrumento de cobertura] |
NIIF 9.5.7.5;.6.5.8.a); Anexo V, parte 2.57 |
|
|
086 |
Cambios del valor razonable de los pasivos financieros a valor razonable con cambios en resultados atribuibles a cambios en el riesgo de crédito |
NIC 1.7.f) |
|
|
090 |
Impuesto sobre las ganancias relativo a los elementos que no se reclasificarán |
NIC 1.91.b); Anexo V, parte 2.66 |
|
|
100 |
Elementos que pueden reclasificarse en resultados |
NIC 1.82A.a).ii) |
|
|
110 |
Cobertura de inversiones netas en negocios en el extranjero [parte eficaz] |
NIIF 9.6.5.13.a); NIIF 7.24C.b).i) y iv),.24E.a); Anexo V, parte 2.58 |
|
|
120 |
Ganancias o (-) pérdidas de valor contabilizadas en el patrimonio neto |
NIC 1, GI 6; NIIF 9.6.5.13.a); NIIF 7.24C.b).i), .24E.a); Anexo V, parte 2.58 |
|
|
130 |
Transferido a resultados |
NIC 1.7, 92-95; NIC 21.48-49; NIIF 9.6.5.14; Anexo V, parte 2.59 |
|
|
140 |
Otras reclasificaciones |
Anexo V, parte 2.65 |
|
|
150 |
Conversión de divisas |
NIC 1.7, GI 6; NIC 21.52.b) |
|
|
160 |
Ganancias o (-) pérdidas por cambio de divisas contabilizadas en el patrimonio neto |
NIC 21.32, 38-47 |
|
|
170 |
Transferido a resultados |
NIC 1.7, 92-95; NIC 21.48-49 |
|
|
180 |
Otras reclasificaciones |
Anexo V, parte 2.65 |
|
|
190 |
Coberturas de flujos de efectivo [parte eficaz] |
NIC 1.7, GI 6; NIC 39.95.a)-96; NIIF 9.6.5.11.b); NIIF 7.24C.b).i), .24E.a); |
|
|
200 |
Ganancias o (-) pérdidas de valor contabilizadas en el patrimonio neto |
NIC 1.7.e), GI 6; NIIF 9.6.5.11.a), b) y d); NIIF 7.24C.b).i), .24E.a) |
|
|
210 |
Transferido a resultados |
NIC 1.7, 92-95, GI 6; NIIF 9.6.5.11.d).ii) y iii); NIIF 7.24C.b).iv), .24E.a); Anexo V, parte 2.59 |
|
|
220 |
Transferido al importe en libros inicial de los elementos cubiertos |
NIC 1, GI 6; NIIF 9.6.5.11.d).i) |
|
|
230 |
Otras reclasificaciones |
Anexo V, parte 2.65 |
|
|
231 |
Instrumentos de cobertura [elementos no designados] |
NIC 1.7.g) y h); NIIF 9.6.5.15,.6.5.16; NIIF 7.24E.b) y c); Anexo V, parte 2.60 |
|
|
232 |
Ganancias o (-) pérdidas de valor contabilizadas en el patrimonio neto |
NIC 1.7.g) y h); NIIF 9.6.5.15,.6.5.16; NIIF 7.24E.b) y c) |
|
|
233 |
Transferido a resultados |
NIC 1.7.g) y h); NIIF 9.6.5.15,.6.5.16; NIIF 7.24E.b) y c); Anexo V, parte 2.61 |
|
|
234 |
Otras reclasificaciones |
Anexo V, parte 2.65 |
|
|
241 |
Instrumentos de deuda a valor razonable con cambios en otro resultado global |
NIC 1.7(da), GI 6; NIC 1, GI 6; NIIF 9.5.6.4; Anexo V, parte 2.62-63 |
|
|
251 |
Ganancias o (-) pérdidas de valor contabilizadas en el patrimonio neto |
NIIF 7.20.a).ii); NIC 1, GI 6; NIIF 9.5.6.4 |
|
|
261 |
Transferido a resultados |
NIC 1.7, NIC 1.92-95, NIC 1, GI 6; NIIF 9.5.6.7; Anexo V, parte 2.64 |
|
|
270 |
Otras reclasificaciones |
NIIF 5, GI ejemplo 12; NIIF 9.5.6.5; Anexo V, parte 2.64-65 |
|
|
280 |
Activos no corrientes y grupos enajenables de elementos mantenidos para la venta |
NIIF 5.38 |
|
|
290 |
Ganancias o (-) pérdidas de valor contabilizadas en el patrimonio neto |
NIIF 5.38 |
|
|
300 |
Transferido a resultados |
NIC 1.7, 92-95; NIIF 5.38 |
|
|
310 |
Otras reclasificaciones |
NIIF 5, GI ejemplo 12 |
|
|
320 |
Participación en otros ingresos y gastos reconocidos de las inversiones en filiales, negocios conjuntos y asociadas |
NIC 1, GI 6; NIC 28.10 |
|
|
330 |
Impuesto sobre las ganancias relativo a los elementos que pueden reclasificarse en ganancias o (-) pérdidas |
NIC 1.91.b), GI 6; Anexo V, parte 2.66 |
|
|
340 |
Resultado global total del ejercicio |
NIC 1.7, 81A.a), GI 6 |
|
|
350 |
Atribuible a intereses minoritarios [participaciones no dominantes] |
NIC 1.83.b).i), GI 6 |
|
|
360 |
Atribuibles a los propietarios de la matriz |
NIC 1.83.b).ii), GI 6 |
|
4. Desglose de los activos financieros por instrumentos y por sectores de las contrapartes
4.1 Activos financieros mantenidos para negociar
|
|
Referencias a los PCGA nacionales basadas en la DCB |
Referencias a los PCGA nacionales compatibles con las NIIF |
Importe en libros |
|
|
Anexo V, parte 1.27 |
||||
|
010 |
||||
|
005 |
Derivados |
|
|
|
|
010 |
Instrumentos de patrimonio |
BCE/2013/33, anexo 2, parte 2.4-5 |
NIC 32.11; Anexo V, parte 1.44.b) |
|
|
030 |
De los cuales: entidades de crédito |
Anexo V, parte 1.42.c) |
Anexo V, parte 1.42.c) |
|
|
040 |
De los cuales: otras sociedades financieras |
Anexo V, parte 1.42.d) |
Anexo V, parte 1.42.d) |
|
|
050 |
De los cuales: sociedades no financieras |
Anexo V, parte 1.42.e) |
Anexo V, parte 1.42.e) |
|
|
060 |
Valores representativos de deuda |
Anexo V, parte 1.31 |
Anexo V, parte 1.31, 44.b) |
|
|
070 |
Bancos centrales |
Anexo V, parte 1.42.a) |
Anexo V, parte 1.42.a) |
|
|
080 |
Administraciones públicas |
Anexo V, parte 1.42.b) |
Anexo V, parte 1.42.b) |
|
|
090 |
Entidades de crédito |
Anexo V, parte 1.42.c) |
Anexo V, parte 1.42.c) |
|
|
100 |
Otras sociedades financieras |
Anexo V, parte 1.42.d) |
Anexo V, parte 1.42.d) |
|
|
110 |
Sociedades no financieras |
Anexo V, parte 1.42.e) |
Anexo V, parte 1.42.e) |
|
|
120 |
Préstamos y anticipos |
Anexo V, parte 1.32 |
Anexo V, parte 1.32, 44.a) |
|
|
130 |
Bancos centrales |
Anexo V, parte 1.42.a) |
Anexo V, parte 1.42.a) |
|
|
140 |
Administraciones públicas |
Anexo V, parte 1.42.b) |
Anexo V, parte 1.42.b) |
|
|
150 |
Entidades de crédito |
Anexo V, parte 1.42.c) |
Anexo V, parte 1.42.c) |
|
|
160 |
Otras sociedades financieras |
Anexo V, parte 1.42.d) |
Anexo V, parte 1.42.d) |
|
|
170 |
Sociedades no financieras |
Anexo V, parte 1.42.e) |
Anexo V, parte 1.42.e) |
|
|
180 |
Hogares |
Anexo V, parte 1.42.f) |
Anexo V, parte 1.42.f) |
|
|
190 |
ACTIVOS FINANCIEROS MANTENIDOS PARA NEGOCIAR |
Anexo V, parte 1.15.a) |
NIIF 9, apéndice A |
|
4.2.1 Activos financieros no destinados a negociación valorados obligatoriamente a valor razonable con cambios en resultados
|
|
Referencias a los PCGA nacionales basadas en la DCB |
Referencias a los PCGA nacionales compatibles con las NIIF |
Importe en libros |
Cambios acumulados negativos en el valor razonable debidos al riesgo de crédito por exposiciones dudosas |
|
|
Anexo V, parte 1.27 |
Anexo V, parte 2.69 |
||||
|
010 |
020 |
||||
|
010 |
Instrumentos de patrimonio |
|
NIC 32.11; Anexo V, parte 1.44.b) |
|
|
|
020 |
De los cuales: entidades de crédito |
|
Anexo V, parte 1.42.c) |
|
|
|
030 |
De los cuales: otras sociedades financieras |
|
Anexo V, parte 1.42.d) |
|
|
|
040 |
De los cuales: sociedades no financieras |
|
Anexo V, parte 1.42.e) |
|
|
|
050 |
Valores representativos de deuda |
|
Anexo V, parte 1.31, 44.b) |
|
|
|
060 |
Bancos centrales |
|
Anexo V, parte 1.42.a) |
|
|
|
070 |
Administraciones públicas |
|
Anexo V, parte 1.42.b) |
|
|
|
080 |
Entidades de crédito |
|
Anexo V, parte 1.42.c) |
|
|
|
090 |
Otras sociedades financieras |
|
Anexo V, parte 1.42.d) |
|
|
|
100 |
Sociedades no financieras |
|
Anexo V, parte 1.42.e) |
|
|
|
110 |
Préstamos y anticipos |
|
Anexo V, parte 1.32, 44.a) |
|
|
|
120 |
Bancos centrales |
|
Anexo V, parte 1.42.a) |
|
|
|
130 |
Administraciones públicas |
|
Anexo V, parte 1.42.b) |
|
|
|
140 |
Entidades de crédito |
|
Anexo V, parte 1.42.c) |
|
|
|
150 |
Otras sociedades financieras |
|
Anexo V, parte 1.42.d) |
|
|
|
160 |
Sociedades no financieras |
|
Anexo V, parte 1.42.e) |
|
|
|
170 |
Hogares |
|
Anexo V, parte 1.42.f) |
|
|
|
180 |
ACTIVOS FINANCIEROS NO DESTINADOS A NEGOCIACIÓN VALORADOS OBLIGATORIAMENTE A VALOR RAZONABLE CON CAMBIOS EN RESULTADOS |
|
NIIF 7.8.a).ii); NIIF 9.4.1.4. |
|
|
4.2.2 Activos financieros designados a valor razonable con cambios en resultados
|
|
Referencias a los PCGA nacionales basadas en la DCB |
Referencias a los PCGA nacionales compatibles con las NIIF |
Importe en libros |
Cambios acumulados negativos en el valor razonable debidos al riesgo de crédito por exposiciones dudosas |
|
|
Anexo V, parte 1.27 |
Anexo V, parte 2.69 |
||||
|
010 |
020 |
||||
|
010 |
Instrumentos de patrimonio |
BCE/2013/33, anexo 2, parte 2.4-5 |
NIC 32.11 |
|
|
|
020 |
De los cuales: al coste |
|
NIC 39.46.c) |
|
|
|
030 |
De los cuales: entidades de crédito |
Anexo V, parte 1.42.c) |
Anexo V, parte 1.38.c) |
|
|
|
040 |
De los cuales: otras sociedades financieras |
Anexo V, parte 1.42.d) |
Anexo V, parte 1.38.d) |
|
|
|
050 |
De los cuales: sociedades no financieras |
Anexo V, parte 1.42.e) |
Anexo V, parte 1.38.e) |
|
|
|
060 |
Valores representativos de deuda |
Anexo V, parte 1.31, 44.b) |
Anexo V, parte 1.31, 44.b) |
|
|
|
070 |
Bancos centrales |
Anexo V, parte 1.42.a) |
Anexo V, parte 1.42.a) |
|
|
|
080 |
Administraciones públicas |
Anexo V, parte 1.42.b) |
Anexo V, parte 1.42.b) |
|
|
|
090 |
Entidades de crédito |
Anexo V, parte 1.42.c) |
Anexo V, parte 1.42.c) |
|
|
|
100 |
Otras sociedades financieras |
Anexo V, parte 1.42.d) |
Anexo V, parte 1.42.d) |
|
|
|
110 |
Sociedades no financieras |
Anexo V, parte 1.42.e) |
Anexo V, parte 1.42.e) |
|
|
|
120 |
Préstamos y anticipos |
Anexo V, parte 1.32, 44.a) |
Anexo V, parte 1.32, 44.a) |
|
|
|
130 |
Bancos centrales |
Anexo V, parte 1.42.a) |
Anexo V, parte 1.42.a) |
|
|
|
140 |
Administraciones públicas |
Anexo V, parte 1.42.b) |
Anexo V, parte 1.42.b) |
|
|
|
150 |
Entidades de crédito |
Anexo V, parte 1.42.c) |
Anexo V, parte 1.42.c) |
|
|
|
160 |
Otras sociedades financieras |
Anexo V, parte 1.42.d) |
Anexo V, parte 1.42.d) |
|
|
|
170 |
Sociedades no financieras |
Anexo V, parte 1.42.e) |
Anexo V, parte 1.42.e) |
|
|
|
180 |
Hogares |
Anexo V, parte 1.42.f) |
Anexo V, parte 1.42.f) |
|
|
|
190 |
ACTIVOS FINANCIEROS DESIGNADOS A VALOR RAZONABLE CON CAMBIOS EN RESULTADOS |
Directiva contable art. 8.1.a) y 8.6 |
NIIF 7.8.a).i); NIIF 9.4.1.5 |
|
|
4.3.1 Activos financieros a valor razonable con cambios en otro resultado global
|
|
Referencias a los PCGA nacionales basadas en la DCB |
Referencias a los PCGA nacionales compatibles con las NIIF |
Importe en libros |
Importe en libros bruto Anexo V, parte 1.34.b) |
Deterioro de valor acumulado Anexo V, parte 2.70.b), 71 |
Fallidos parciales acumulados |
Fallidos totales acumulados |
||||||
|
|
Activos con un aumento significativo del riesgo de crédito desde el reconocimiento inicial, pero sin deterioro crediticio (fase 2) |
Activos con deterioro crediticio (fase 3) |
Activos sin un aumento significativo del riesgo de crédito desde el reconocimiento inicial (fase 1) |
Activos con un aumento significativo del riesgo de crédito desde el reconocimiento inicial, pero sin deterioro crediticio (fase 2) |
Activos con deterioro crediticio (fase 3) |
||||||||
|
Activos sin un aumento significativo del riesgo de crédito desde el reconocimiento inicial (fase 1) |
De los cuales: instrumentos con bajo riesgo de crédito |
||||||||||||
|
Anexo V, parte 1.27 |
NIIF 9.5.5.5; NIIF 7.35M.a) |
NIIF 9.B5.5.22-24; Anexo V, parte 2.75 |
NIIF 9.5.5.3; NIIF 7.35M.b).i) |
NIIF 9.5.5.1, 7.35M.b).ii) |
NIIF 9.5.5.5; NIIF 7.35H.a); NIIF 7.16A |
NIIF 9.5.5.3; NIIF 9.5.5.15; NIIF 7.35H.b).i); NIIF 7.16A |
NIIF 9.5.5.1; NIIF 9.5.5.15; NIIF 7.35H.b).ii); NIIF 7.16A |
NIIF 9.5.4.4 y B5.4.9 ; Anexo V, parte 2.72-74 |
NIIF 9.5.4.4 y B5.4.9; Anexo V, parte 2.72-74 |
||||
|
010 |
015 |
020 |
030 |
040 |
050 |
060 |
070 |
080 |
090 |
||||
|
010 |
Instrumentos de patrimonio |
|
NIC 32.11; Anexo V, parte 1.44.b) |
|
|
|
|
|
|
|
|
|
|
|
020 |
De los cuales: entidades de crédito |
|
Anexo V, parte 1.42.c) |
|
|
|
|
|
|
|
|
|
|
|
030 |
De los cuales: otras sociedades financieras |
|
Anexo V, parte 1.42.d) |
|
|
|
|
|
|
|
|
|
|
|
040 |
De los cuales: sociedades no financieras |
|
Anexo V, parte 1.42.e) |
|
|
|
|
|
|
|
|
|
|
|
050 |
Valores representativos de deuda |
|
Anexo V, parte 1.31, 44.b) |
|
|
|
|
|
|
|
|
|
|
|
060 |
Bancos centrales |
|
Anexo V, parte 1.42.a) |
|
|
|
|
|
|
|
|
|
|
|
070 |
Administraciones públicas |
|
Anexo V, parte 1.42.b) |
|
|
|
|
|
|
|
|
|
|
|
080 |
Entidades de crédito |
|
Anexo V, parte 1.42.c) |
|
|
|
|
|
|
|
|
|
|
|
090 |
Otras sociedades financieras |
|
Anexo V, parte 1.42.d) |
|
|
|
|
|
|
|
|
|
|
|
100 |
Sociedades no financieras |
|
Anexo V, parte 1.42.e) |
|
|
|
|
|
|
|
|
|
|
|
110 |
Préstamos y anticipos |
|
Anexo V, parte 1.32, 44.a) |
|
|
|
|
|
|
|
|
|
|
|
120 |
Bancos centrales |
|
Anexo V, parte 1.42.a) |
|
|
|
|
|
|
|
|
|
|
|
130 |
Administraciones públicas |
|
Anexo V, parte 1.42.b) |
|
|
|
|
|
|
|
|
|
|
|
140 |
Entidades de crédito |
|
Anexo V, parte 1.42.c) |
|
|
|
|
|
|
|
|
|
|
|
150 |
Otras sociedades financieras |
|
Anexo V, parte 1.42.d) |
|
|
|
|
|
|
|
|
|
|
|
160 |
Sociedades no financieras |
|
Anexo V, parte 1.42.e) |
|
|
|
|
|
|
|
|
|
|
|
170 |
Hogares |
|
Anexo V, parte 1.42.f) |
|
|
|
|
|
|
|
|
|
|
|
180 |
ACTIVOS FINANCIEROS A VALOR RAZONABLE CON CAMBIOS EN OTRO RESULTADO GLOBAL |
|
NIIF 7.8.h); NIIF 9.4.1.2A |
|
|
|
|
|
|
|
|
|
|
|
190 |
De los cuales: activos financieros con deterioro crediticio adquiridos |
|
NIIF 9.5.5.13; NIIF 7.35M.c); Anexo V, parte 2.77 |
|
|
|
|
|
|
|
|
|
|
4.4.1 Activos financieros a coste amortizado
|
|
Referencias a los PCGA nacionales basadas en la DCB |
Referencias a los PCGA nacionales compatibles con las NIIF |
Importe en libros |
Importe en libros bruto Anexo V, parte 1.34.b) |
Deterioro de valor acumulado Anexo V, parte 2.70.a), 71 |
Fallidos parciales acumulados |
Fallidos totales acumulados |
||||||
|
|
Activos con un aumento significativo del riesgo de crédito desde el reconocimiento inicial, pero sin deterioro crediticio (fase 2) |
Activos con deterioro crediticio (fase 3) |
Activos sin un aumento significativo del riesgo de crédito desde el reconocimiento inicial (fase 1) |
Activos con un aumento significativo del riesgo de crédito desde el reconocimiento inicial, pero sin deterioro crediticio (fase 2) |
Activos con deterioro crediticio (fase 3) |
||||||||
|
Activos sin un aumento significativo del riesgo de crédito desde el reconocimiento inicial (fase 1) |
De los cuales: instrumentos con bajo riesgo de crédito |
||||||||||||
|
Anexo V, parte 1.27 |
NIIF 9.5.5.5; NIIF 7.35M.a) |
NIIF 9.B5.5.22-24; Anexo V, parte 2.75 |
NIIF 9.5.5.3; NIIF 7.35M.b).i) |
NIIF 9.5.5.1, 7.35M.b).ii) |
NIIF 9.5.5.5; NIIF 7.35H.a) |
NIIF 9.5.5.3; NIIF 9.5.5.15; NIIF 7.35H.b).i) |
NIIF 5.5.1; NIIF 9.5.5.15; NIIF 7.35H.b).ii) |
NIIF 9.5.4.4 y B5.4.9; Anexo V, parte 2.72-74 |
NIIF 9.5.4.4 y B5.4.9; Anexo V, parte 2.72-74 |
||||
|
010 |
015 |
020 |
030 |
040 |
050 |
060 |
070 |
080 |
090 |
||||
|
010 |
Valores representativos de deuda |
|
Anexo V, parte 1.31, 44.b) |
|
|
|
|
|
|
|
|
|
|
|
020 |
Bancos centrales |
|
Anexo V, parte 1.42.a) |
|
|
|
|
|
|
|
|
|
|
|
030 |
Administraciones públicas |
|
Anexo V, parte 1.42.b) |
|
|
|
|
|
|
|
|
|
|
|
040 |
Entidades de crédito |
|
Anexo V, parte 1.42.c) |
|
|
|
|
|
|
|
|
|
|
|
050 |
Otras sociedades financieras |
|
Anexo V, parte 1.42.d) |
|
|
|
|
|
|
|
|
|
|
|
060 |
Sociedades no financieras |
|
Anexo V, parte 1.42.e) |
|
|
|
|
|
|
|
|
|
|
|
070 |
Préstamos y anticipos |
|
Anexo V, parte 1.32, 44.a) |
|
|
|
|
|
|
|
|
|
|
|
080 |
Bancos centrales |
|
Anexo V, parte 1.42.a) |
|
|
|
|
|
|
|
|
|
|
|
090 |
Administraciones públicas |
|
Anexo V, parte 1.42.b) |
|
|
|
|
|
|
|
|
|
|
|
100 |
Entidades de crédito |
|
Anexo V, parte 1.42.c) |
|
|
|
|
|
|
|
|
|
|
|
110 |
Otras sociedades financieras |
|
Anexo V, parte 1.42.d) |
|
|
|
|
|
|
|
|
|
|
|
120 |
Sociedades no financieras |
|
Anexo V, parte 1.42.e) |
|
|
|
|
|
|
|
|
|
|
|
130 |
Hogares |
|
Anexo V, parte 1.42.f) |
|
|
|
|
|
|
|
|
|
|
|
140 |
ACTIVOS FINANCIEROS A COSTE AMORTIZADO |
|
NIIF 7.8.f); NIIF 9.4.1.2 |
|
|
|
|
|
|
|
|
|
|
|
150 |
De los cuales: activos financieros con deterioro crediticio adquiridos |
|
NIIF 9.5.13 y NIIF 7.35M.f); Anexo V, parte 2.77 |
|
|
|
|
|
|
|
|
|
|
4.5 Activos financieros subordinados
|
|
Referencias a los PCGA nacionales basadas en la DCB |
Referencias a los PCGA nacionales compatibles con las NIIF |
Importe en libros |
|
|
Anexo V, parte 1.27-28 |
||||
|
010 |
||||
|
010 |
Préstamos y anticipos |
Anexo V, parte 1.32 |
Anexo V, parte 1.32 |
|
|
020 |
Valores representativos de deuda |
Anexo V, parte 1.31 |
Anexo V, parte 1.31 |
|
|
030 |
ACTIVOS FINANCIEROS SUBORDINADOS [PARA EL EMISOR] |
Directiva contable art. 8.1.a); Anexo V, parte 2.78, 100 |
Anexo V, parte 2.78, 100 |
|
4.6 Activos financieros destinados a negociación
|
|
Referencias a los PCGA nacionales basadas en la DCB |
Importe en libros |
|
|
Anexo V, parte 1.27-28 |
|||
|
010 |
|||
|
005 |
Derivados |
RRC Anexo II; Anexo V, parte 1.17, parte 2.68 |
|
|
010 |
Instrumentos de patrimonio |
BCE/2013/33, anexo 2, parte 2.4-5; Anexo V, parte 1.44.b) |
|
|
020 |
De los cuales: no cotizados |
|
|
|
030 |
De los cuales: entidades de crédito |
Anexo V, parte 1.42.c) |
|
|
040 |
De los cuales: otras sociedades financieras |
Anexo V, parte 1.42.d) |
|
|
050 |
De los cuales: sociedades no financieras |
Anexo V, parte 1.42.e) |
|
|
060 |
Valores representativos de deuda |
Anexo V, parte 1.31, 44.b) |
|
|
070 |
Bancos centrales |
Anexo V, parte 1.42.a) |
|
|
080 |
Administraciones públicas |
Anexo V, parte 1.42.b) |
|
|
090 |
Entidades de crédito |
Anexo V, parte 1.42.c) |
|
|
100 |
Otras sociedades financieras |
Anexo V, parte 1.42.d) |
|
|
110 |
Sociedades no financieras |
Anexo V, parte 1.42.e) |
|
|
120 |
Préstamos y anticipos |
Anexo V, parte 1.32, 44.a) |
|
|
130 |
Bancos centrales |
Anexo V, parte 1.42.a) |
|
|
140 |
Administraciones públicas |
Anexo V, parte 1.42.b) |
|
|
150 |
Entidades de crédito |
Anexo V, parte 1.42.c) |
|
|
160 |
Otras sociedades financieras |
Anexo V, parte 1.42.d) |
|
|
170 |
Sociedades no financieras |
Anexo V, parte 1.42.e) |
|
|
180 |
Hogares |
Anexo V, parte 1.42.f) |
|
|
190 |
ACTIVOS FINANCIEROS DESTINADOS A NEGOCIACIÓN |
DCB artículos 32-33; Anexo V, parte 1.17 |
|
4.7 Activos financieros no derivados y no destinados a negociación, a valor razonable con cambios en resultados
|
|
Referencias a los PCGA nacionales basadas en la DCB |
Importe en libros |
Cambios acumulados negativos en el valor razonable debidos al riesgo de crédito por exposiciones dudosas |
|
|
Anexo V, parte 1.27-28 |
Anexo V, parte 2.69 |
|||
|
010 |
021 |
|||
|
010 |
Instrumentos de patrimonio |
BCE/2013/33, anexo 2, parte 2.4-5; Anexo V, parte 1.44.b) |
|
|
|
020 |
De los cuales: no cotizados |
|
|
|
|
030 |
De los cuales: entidades de crédito |
Anexo V, parte 1.42.c) |
|
|
|
040 |
De los cuales: otras sociedades financieras |
Anexo V, parte 1.42.d) |
|
|
|
050 |
De los cuales: sociedades no financieras |
Anexo V, parte 1.42.e) |
|
|
|
060 |
Valores representativos de deuda |
Anexo V, parte 1.31, 44.b) |
|
|
|
070 |
Bancos centrales |
Anexo V, parte 1.42.a) |
|
|
|
080 |
Administraciones públicas |
Anexo V, parte 1.42.b) |
|
|
|
090 |
Entidades de crédito |
Anexo V, parte 1.42.c) |
|
|
|
100 |
Otras sociedades financieras |
Anexo V, parte 1.42.d) |
|
|
|
110 |
Sociedades no financieras |
Anexo V, parte 1.42.e) |
|
|
|
120 |
Préstamos y anticipos |
Anexo V, parte 1.32, 44.a) |
|
|
|
130 |
Bancos centrales |
Anexo V, parte 1.42.a) |
|
|
|
140 |
Administraciones públicas |
Anexo V, parte 1.42.b) |
|
|
|
150 |
Entidades de crédito |
Anexo V, parte 1.42.c) |
|
|
|
160 |
Otras sociedades financieras |
Anexo V, parte 1.42.d) |
|
|
|
170 |
Sociedades no financieras |
Anexo V, parte 1.42.e) |
|
|
|
180 |
Hogares |
Anexo V, parte 1.42.f) |
|
|
|
190 |
ACTIVOS FINANCIEROS NO DERIVADOS Y NO DESTINADOS A NEGOCIACIÓN, A VALOR RAZONABLE CON CAMBIOS EN RESULTADOS |
DCB art. 36.2 |
|
|
4.8 Activos financieros no derivados y no destinados a negociación, contabilizados a valor razonable en el patrimonio neto
|
|
Referencias a los PCGA nacionales basadas en la DCB |
Activos financieros no susceptibles de deterioro de valor Anexo V, parte 1.34.d), parte 2.79 |
Activos financieros susceptibles de deterioro de valor Anexo V, parte 2.79 |
|||||||||
|
Importe en libros |
Cambios acumulados negativos en el valor razonable debidos al riesgo de crédito por exposiciones dudosas |
Importe en libros |
Importe en libros bruto Anexo V, parte 1.34.d) |
Correcciones de valor específicas por riesgo de crédito |
Correcciones de valor genéricas por riesgo de crédito con incidencia en el importe en libros |
Correcciones de valor genéricas por riesgo bancario con incidencia en el importe en libros |
Fallidos parciales acumulados |
Fallidos totales acumulados |
||||
|
Activos cuyo valor no se ha deteriorado |
Activos cuyo valor se ha deteriorado |
|||||||||||
|
Anexo V, parte 1.27-28 |
Anexo V, parte 2.69 |
Anexo V, parte 1.27-28 |
|
RRC art. 4.1.95 |
RRC art. 4.1.95; Anexo V, parte 2.70.c), 71 |
RRC art. 4.1.95; Anexo V, parte 2.70.c), 2.71 |
RRC art. 4.1.95; Anexo V, parte 2.70.c), 71, 82 |
RRC art. 4.1.95; Anexo V, parte 2.72-74 |
RRC art. 4.1.95; Anexo V, parte 2.72-74 |
|||
|
010 |
030 |
035 |
040 |
050 |
060 |
070 |
080 |
090 |
100 |
|||
|
010 |
Instrumentos de patrimonio |
BCE/2013/33, anexo 2, parte 2.4-5; Anexo V, parte 1.44.b) |
|
|
|
|
|
|
|
|
|
|
|
020 |
De los cuales: no cotizados |
|
|
|
|
|
|
|
|
|
|
|
|
030 |
De los cuales: entidades de crédito |
Anexo V, parte 1.42.c) |
|
|
|
|
|
|
|
|
|
|
|
040 |
De los cuales: otras sociedades financieras |
Anexo V, parte 1.42.d) |
|
|
|
|
|
|
|
|
|
|
|
050 |
De los cuales: sociedades no financieras |
Anexo V, parte 1.42.e) |
|
|
|
|
|
|
|
|
|
|
|
060 |
Valores representativos de deuda |
Anexo V, parte 1.31, 44.b) |
|
|
|
|
|
|
|
|
|
|
|
070 |
Bancos centrales |
Anexo V, parte 1.42.a) |
|
|
|
|
|
|
|
|
|
|
|
080 |
Administraciones públicas |
Anexo V, parte 1.42.b) |
|
|
|
|
|
|
|
|
|
|
|
090 |
Entidades de crédito |
Anexo V, parte 1.42.c) |
|
|
|
|
|
|
|
|
|
|
|
100 |
Otras sociedades financieras |
Anexo V, parte 1.42.d) |
|
|
|
|
|
|
|
|
|
|
|
110 |
Sociedades no financieras |
Anexo V, parte 1.42.e) |
|
|
|
|
|
|
|
|
|
|
|
120 |
Préstamos y anticipos |
Anexo V, parte 1.32, 44.a) |
|
|
|
|
|
|
|
|
|
|
|
130 |
Bancos centrales |
Anexo V, parte 1.42.a) |
|
|
|
|
|
|
|
|
|
|
|
140 |
Administraciones públicas |
Anexo V, parte 1.42.b) |
|
|
|
|
|
|
|
|
|
|
|
150 |
Entidades de crédito |
Anexo V, parte 1.42.c) |
|
|
|
|
|
|
|
|
|
|
|
160 |
Otras sociedades financieras |
Anexo V, parte 1.42.d) |
|
|
|
|
|
|
|
|
|
|
|
170 |
Sociedades no financieras |
Anexo V, parte 1.42.e) |
|
|
|
|
|
|
|
|
|
|
|
180 |
Hogares |
Anexo V, parte 1.42.f) |
|
|
|
|
|
|
|
|
|
|
|
190 |
ACTIVOS FINANCIEROS NO DERIVADOS Y NO DESTINADOS A NEGOCIACIÓN, CONTABILIZADOS A VALOR RAZONABLE EN EL PATRIMONIO NETO |
Directiva contable art. 8.1.a) y 8.2 |
|
|
|
|
|
|
|
|
|
|
4.9 Activos financieros no derivados y no destinados a negociación, valorados por un método basado en el coste
|
|
Referencias a los PCGA nacionales basadas en la DCB |
Importe en libros bruto Anexo V, parte 1.34.c), 34.e) |
Correcciones de valor específicas por riesgo de crédito |
Correcciones de valor genéricas por riesgo de crédito con incidencia en el importe en libros |
Correcciones de valor genéricas por riesgo bancario con incidencia en el importe en libros |
|
Ajustes de valor acumulados negativos de activos valorados al LOCOM - motivados por el riesgo de mercado |
Ajustes de valor acumulados negativos de activos valorados al LOCOM - motivados por el riesgo de crédito |
Fallidos parciales acumulados |
Fallidos totales acumulados |
|||||
|
|
|
Importe en libros |
De los cuales: activos valorados al LOCOM |
||||||||||||
|
Activos cuyo valor no se ha deteriorado |
De los cuales: activos valorados al LOCOM |
Activos cuyo valor se ha deteriorado |
De los cuales: activos valorados al LOCOM |
||||||||||||
|
Anexo V, parte 2.80 |
Anexo V, parte 1.19 |
RRC art. 4.1.95; Anexo V, parte 2.80 |
Anexo V, parte 1.19 |
RRC art. 4.1.95; Anexo V, parte 2.70.c), 2.71 |
RRC art. 4.1.95; Anexo V, parte 2.70.c), 2.71 |
RRC art. 4.1.95; Anexo V, parte 2.70.c), 71, 82 |
Anexo V, parte 1.27-28 |
Anexo V, parte 1.19 |
Anexo V, parte 2.80 |
Anexo V, parte 2.80 |
RRC art. 4.1.95; Anexo V, parte 2.72-74 |
RRC art. 4.1.95; Anexo V, parte 2.72-74 |
|||
|
010 |
015 |
020 |
025 |
030 |
041 |
045 |
050 |
060 |
070 |
080 |
090 |
100 |
|||
|
005 |
Instrumentos de patrimonio |
BCE/2013/33, anexo 2, parte 2.4-5; Anexo V, parte 1.44.b) |
|
|
|
|
|
|
|
|
|
|
|
|
|
|
006 |
De los cuales: no cotizados |
|
|
|
|
|
|
|
|
|
|
|
|
|
|
|
007 |
De los cuales: entidades de crédito |
Anexo V, parte 1.42.c) |
|
|
|
|
|
|
|
|
|
|
|
|
|
|
008 |
De los cuales: otras sociedades financieras |
Anexo V, parte 1.42.d) |
|
|
|
|
|
|
|
|
|
|
|
|
|
|
009 |
De los cuales: sociedades no financieras |
Anexo V, parte 1.42.e) |
|
|
|
|
|
|
|
|
|
|
|
|
|
|
010 |
Valores representativos de deuda |
Anexo V, parte 1.31, 44.b) |
|
|
|
|
|
|
|
|
|
|
|
|
|
|
020 |
Bancos centrales |
Anexo V, parte 1.42.a) |
|
|
|
|
|
|
|
|
|
|
|
|
|
|
030 |
Administraciones públicas |
Anexo V, parte 1.42.b) |
|
|
|
|
|
|
|
|
|
|
|
|
|
|
040 |
Entidades de crédito |
Anexo V, parte 1.42.c) |
|
|
|
|
|
|
|
|
|
|
|
|
|
|
050 |
Otras sociedades financieras |
Anexo V, parte 1.42.d) |
|
|
|
|
|
|
|
|
|
|
|
|
|
|
060 |
Sociedades no financieras |
Anexo V, parte 1.42.e) |
|
|
|
|
|
|
|
|
|
|
|
|
|
|
070 |
Préstamos y anticipos |
Anexo V, parte 1.32, 44.a) |
|
|
|
|
|
|
|
|
|
|
|
|
|
|
080 |
Bancos centrales |
Anexo V, parte 1.42.a) |
|
|
|
|
|
|
|
|
|
|
|
|
|
|
090 |
Administraciones públicas |
Anexo V, parte 1.42.b) |
|
|
|
|
|
|
|
|
|
|
|
|
|
|
100 |
Entidades de crédito |
Anexo V, parte 1.42.c) |
|
|
|
|
|
|
|
|
|
|
|
|
|
|
110 |
Otras sociedades financieras |
Anexo V, parte 1.42.d) |
|
|
|
|
|
|
|
|
|
|
|
|
|
|
120 |
Sociedades no financieras |
Anexo V, parte 1.42.e) |
|
|
|
|
|
|
|
|
|
|
|
|
|
|
130 |
Hogares |
Anexo V, parte 1.42.f) |
|
|
|
|
|
|
|
|
|
|
|
|
|
|
140 |
ACTIVOS FINANCIEROS NO DESTINADOS A NEGOCIACIÓN, VALORADOS POR UN MÉTODO BASADO EN EL COSTE |
DCB art. 37.1; art. 42 bis.4.b); Anexo V, parte 1.19 |
|
|
|
|
|
|
|
|
|
|
|
|
|
4.10 Otros activos financieros no derivados y no destinados a negociación
|
|
Referencias a los PCGA nacionales basadas en la DCB |
Importe en libros bruto Anexo V, parte 1.34.e), 34.f) |
Correcciones de valor específicas por riesgo de crédito |
Correcciones de valor genéricas por riesgo de crédito con incidencia en el importe en libros |
Correcciones de valor genéricas por riesgo bancario con incidencia en el importe en libros |
|
Ajustes de valor acumulados negativos de activos valorados al LOCOM - motivados por el riesgo de mercado |
Ajustes de valor acumulados negativos de activos valorados al LOCOM - motivados por el riesgo de crédito |
Fallidos parciales acumulados |
Fallidos totales acumulados |
|||||
|
|
|
Importe en libros |
De los cuales: activos valorados al LOCOM |
||||||||||||
|
Activos cuyo valor no se ha deteriorado |
De los cuales: activos valorados al LOCOM |
Activos cuyo valor se ha deteriorado |
De los cuales: activos valorados al LOCOM |
||||||||||||
|
Anexo V, parte 2.81 |
Anexo V, parte 1.20 |
Anexo V, parte 2.81 |
RRC art. 4.1.95; Anexo V, parte 1.20 |
RRC art. 4.1.95; Anexo V, parte 2.70.c), 2.71 |
RRC art. 4.1.95; Anexo V, parte 2.70.c), 2.71 |
RRC art. 4.1.95; Anexo V, parte 2.70.c), 71, 82 |
Anexo V, parte 1.27-28 |
Anexo V, parte 1.20 |
Anexo V, parte 2.81 |
Anexo V, parte 2.81 |
RRC art. 4.1.95; Anexo V, parte 2.72-74 |
RRC art. 4.1.95; Anexo V, parte 2.72-74 |
|||
|
015 |
016 |
020 |
025 |
030 |
040 |
050 |
010 |
070 |
080 |
090 |
100 |
110 |
|||
|
010 |
Instrumentos de patrimonio |
BCE/2013/33, anexo 2, parte 2.4-5; Anexo V, parte 1.44.b) |
|
|
|
|
|
|
|
|
|
|
|
|
|
|
020 |
De los cuales: no cotizados |
|
|
|
|
|
|
|
|
|
|
|
|
|
|
|
030 |
De los cuales: entidades de crédito |
Anexo V, parte 1.42.c) |
|
|
|
|
|
|
|
|
|
|
|
|
|
|
040 |
De los cuales: otras sociedades financieras |
Anexo V, parte 1.42.d) |
|
|
|
|
|
|
|
|
|
|
|
|
|
|
050 |
De los cuales: sociedades no financieras |
Anexo V, parte 1.42.e) |
|
|
|
|
|
|
|
|
|
|
|
|
|
|
060 |
Valores representativos de deuda |
Anexo V, parte 1.31, 44.b) |
|
|
|
|
|
|
|
|
|
|
|
|
|
|
070 |
Bancos centrales |
Anexo V, parte 1.42.a) |
|
|
|
|
|
|
|
|
|
|
|
|
|
|
080 |
Administraciones públicas |
Anexo V, parte 1.42.b) |
|
|
|
|
|
|
|
|
|
|
|
|
|
|
090 |
Entidades de crédito |
Anexo V, parte 1.42.c) |
|
|
|
|
|
|
|
|
|
|
|
|
|
|
100 |
Otras sociedades financieras |
Anexo V, parte 1.42.d) |
|
|
|
|
|
|
|
|
|
|
|
|
|
|
110 |
Sociedades no financieras |
Anexo V, parte 1.42.e) |
|
|
|
|
|
|
|
|
|
|
|
|
|
|
120 |
Préstamos y anticipos |
Anexo V, parte 1.32, 44.a) |
|
|
|
|
|
|
|
|
|
|
|
|
|
|
130 |
Bancos centrales |
Anexo V, parte 1.42.a) |
|
|
|
|
|
|
|
|
|
|
|
|
|
|
140 |
Administraciones públicas |
Anexo V, parte 1.42.b) |
|
|
|
|
|
|
|
|
|
|
|
|
|
|
150 |
Entidades de crédito |
Anexo V, parte 1.42.c) |
|
|
|
|
|
|
|
|
|
|
|
|
|
|
160 |
Otras sociedades financieras |
Anexo V, parte 1.42.d) |
|
|
|
|
|
|
|
|
|
|
|
|
|
|
170 |
Sociedades no financieras |
Anexo V, parte 1.42.e) |
|
|
|
|
|
|
|
|
|
|
|
|
|
|
180 |
Hogares |
Anexo V, parte 1.42.f) |
|
|
|
|
|
|
|
|
|
|
|
|
|
|
190 |
OTROS ACTIVOS FINANCIEROS NO DERIVADOS Y NO DESTINADOS A NEGOCIACIÓN |
Directiva contable art. 8.1.a) y 8.8.2 Anexo V, parte 1.20 |
|
|
|
|
|
|
|
|
|
|
|
|
|
5. Desglose de los préstamos y anticipos no destinados a negociación por productos
5.1 Préstamos y anticipos distintos de los mantenidos para negociar y activos destinados a negociación, por productos
|
|
|
Referencias |
Importe en libros bruto |
Importe en libros Anexo V, parte 1.27-28 |
||||||
|
Bancos centrales |
Administraciones públicas |
Entidades de crédito |
Otras sociedades financieras |
Sociedades no financieras |
Hogares |
|||||
|
Anexo V, parte 1.34 |
Anexo V, parte 1.42.a) |
Anexo V, parte 1.42.b) |
Anexo V, parte 1.42.c) |
Anexo V, parte 1.42.d) |
Anexo V, parte 1.42.e) |
Anexo V, parte 1.42.f) |
||||
|
005 |
010 |
020 |
030 |
040 |
050 |
060 |
||||
|
Por productos |
010 |
A la vista y con breve plazo de preaviso [cuenta corriente] |
Anexo V, parte 2.85.a) |
|
|
|
|
|
|
|
|
020 |
Deuda por tarjetas de crédito |
Anexo V, parte 2.85.b) |
|
|
|
|
|
|
|
|
|
030 |
Cartera comercial |
Anexo V, parte 2.85.c) |
|
|
|
|
|
|
|
|
|
040 |
Arrendamientos financieros |
Anexo V, parte 2.85.d) |
|
|
|
|
|
|
|
|
|
050 |
Préstamos de recompra inversa |
Anexo V, parte 2.85.e) |
|
|
|
|
|
|
|
|
|
060 |
Otros préstamos a plazo |
Anexo V, parte 2.85.f) |
|
|
|
|
|
|
|
|
|
070 |
Anticipos distintos de préstamos |
Anexo V, parte 2.85.g) |
|
|
|
|
|
|
|
|
|
080 |
PRÉSTAMOS Y ANTICIPOS |
Anexo V, parte 1.32, 44.a) |
|
|
|
|
|
|
|
|
|
Por garantías reales |
090 |
De los cuales: préstamos garantizados por bienes inmuebles |
Anexo V, parte 2.86.a), 87 |
|
|
|
|
|
|
|
|
100 |
De los cuales: otros préstamos con garantías reales |
Anexo V, parte 2.86.b), 87 |
|
|
|
|
|
|
|
|
|
Por finalidad |
110 |
De los cuales: crédito al consumo |
Anexo V, parte 2.88.a) |
|
|
|
|
|
|
|
|
120 |
De los cuales: préstamos para compra de vivienda |
Anexo V, parte 2.88.b) |
|
|
|
|
|
|
|
|
|
Por subordinación |
130 |
De los cuales: préstamos para financiación de proyectos |
Anexo V, parte 2.89; RRC art. 147.8 |
|
|
|
|
|
|
|
6. Desglose de los préstamos y anticipos no destinados a negociación a sociedades no financieras por códigos NACE
6.1 Desglose de los préstamos y anticipos, distintos de los mantenidos para negociar, a sociedades no financieras por códigos NACE
|
|
Referencias |
Sociedades no financieras Anexo V, parte 1.42.e), parte 2.91 |
|||||
|
|
Deterioro de valor acumulado |
Cambios acumulados negativos en el valor razonable debidos al riesgo de crédito por exposiciones dudosas |
|||||
|
Importe en libros bruto |
De los cuales: préstamos y anticipos susceptibles de deterioro |
De los cuales: dudosos |
|||||
|
Anexo V, parte 1.34 |
Anexo V, parte 2.93 |
Anexo V, parte 2. 213-232 |
Anexo V, parte 2.70-71 |
Anexo V, parte 2.69 |
|||
|
010 |
011 |
012 |
021 |
022 |
|||
|
010 |
A Agricultura, ganadería, silvicultura y pesca |
Reglamento NACE |
|
|
|
|
|
|
020 |
B Industrias extractivas |
Reglamento NACE |
|
|
|
|
|
|
030 |
C Industria manufacturera |
Reglamento NACE |
|
|
|
|
|
|
040 |
D Suministro de energía eléctrica, gas, vapor y aire acondicionado |
Reglamento NACE |
|
|
|
|
|
|
050 |
E Suministro de agua |
Reglamento NACE |
|
|
|
|
|
|
060 |
F Construcción |
Reglamento NACE |
|
|
|
|
|
|
070 |
G Comercio al por mayor y al por menor |
Reglamento NACE |
|
|
|
|
|
|
080 |
H Transporte y almacenamiento |
Reglamento NACE |
|
|
|
|
|
|
090 |
I Hostelería |
Reglamento NACE |
|
|
|
|
|
|
100 |
J Información y comunicaciones |
Reglamento NACE |
|
|
|
|
|
|
105 |
K Actividades financieras y de seguros |
Reglamento NACE; Anexo V, parte 2.92 |
|
|
|
|
|
|
110 |
L Actividades inmobiliarias |
Reglamento NACE |
|
|
|
|
|
|
120 |
M Actividades profesionales, científicas y técnicas |
Reglamento NACE |
|
|
|
|
|
|
130 |
N Actividades administrativas y servicios auxiliares |
Reglamento NACE |
|
|
|
|
|
|
140 |
O Administración pública y defensa; seguridad social obligatoria |
Reglamento NACE |
|
|
|
|
|
|
150 |
P Educación |
Reglamento NACE |
|
|
|
|
|
|
160 |
Q Actividades sanitarias y de servicios sociales |
Reglamento NACE |
|
|
|
|
|
|
170 |
R Actividades artísticas, recreativas y de entretenimiento |
Reglamento NACE |
|
|
|
|
|
|
180 |
S Otros servicios |
Reglamento NACE |
|
|
|
|
|
|
190 |
PRÉSTAMOS Y ANTICIPOS |
Anexo V, parte 1.32, parte 2.4 |
|
|
|
|
|
7. Activos financieros susceptibles de deterioro vencidos
7.1 Activos financieros susceptibles de deterioro vencidos
|
|
Referencias a los PCGA nacionales compatibles con las NIIF |
Importe en libros Anexo V, parte 1.27 |
|||||||||
|
Activos sin un aumento significativo del riesgo de crédito desde el reconocimiento inicial (fase 1) |
Activos con un aumento significativo del riesgo de crédito desde el reconocimiento inicial, pero sin deterioro crediticio (fase 2) |
Activos con deterioro crediticio (fase 3) |
|||||||||
|
≤ 30 días |
> 30 días ≤ 90 días |
> 90 días |
≤ 30 días |
> 30 días ≤ 90 días |
> 90 días |
≤ 30 días |
> 30 días ≤ 90 días |
> 90 días |
|||
|
NIIF 9.5.5.11;B5.5.37; NIIF 7.B8I; Anexo V, parte 2.96 |
|||||||||||
|
010 |
020 |
030 |
040 |
050 |
060 |
070 |
080 |
090 |
|||
|
060 |
Valores representativos de deuda |
Anexo V, parte 1.31, 44.b) |
|
|
|
|
|
|
|
|
|
|
070 |
Bancos centrales |
Anexo V, parte 1.42.a) |
|
|
|
|
|
|
|
|
|
|
080 |
Administraciones públicas |
Anexo V, parte 1.42.b) |
|
|
|
|
|
|
|
|
|
|
090 |
Entidades de crédito |
Anexo V, parte 1.42.c) |
|
|
|
|
|
|
|
|
|
|
100 |
Otras sociedades financieras |
Anexo V, parte 1.42.d) |
|
|
|
|
|
|
|
|
|
|
110 |
Sociedades no financieras |
Anexo V, parte 1.42.e) |
|
|
|
|
|
|
|
|
|
|
120 |
Préstamos y anticipos |
Anexo V, parte 1.32, 44.a) |
|
|
|
|
|
|
|
|
|
|
130 |
Bancos centrales |
Anexo V, parte 1.42.a) |
|
|
|
|
|
|
|
|
|
|
140 |
Administraciones públicas |
Anexo V, parte 1.42.b) |
|
|
|
|
|
|
|
|
|
|
150 |
Entidades de crédito |
Anexo V, parte 1.42.c) |
|
|
|
|
|
|
|
|
|
|
160 |
Otras sociedades financieras |
Anexo V, parte 1.42.d) |
|
|
|
|
|
|
|
|
|
|
170 |
Sociedades no financieras |
Anexo V, parte 1.42.e) |
|
|
|
|
|
|
|
|
|
|
180 |
Hogares |
Anexo V, parte 1.42.f) |
|
|
|
|
|
|
|
|
|
|
190 |
TOTAL INSTRUMENTOS DE DEUDA |
Anexo V, parte 2.94-95 |
|
|
|
|
|
|
|
|
|
|
|
Préstamos y anticipos por productos, por garantías reales y por subordinación |
|
|||||||||
|
200 |
A la vista y con breve plazo de preaviso [cuenta corriente] |
Anexo V, parte 2.85.a) |
|
|
|
|
|
|
|
|
|
|
210 |
Deuda por tarjetas de crédito |
Anexo V, parte 2.85.b) |
|
|
|
|
|
|
|
|
|
|
220 |
Cartera comercial |
Anexo V, parte 2.85.c) |
|
|
|
|
|
|
|
|
|
|
230 |
Arrendamientos financieros |
Anexo V, parte 2.85.d) |
|
|
|
|
|
|
|
|
|
|
240 |
Préstamos de recompra inversa |
Anexo V, parte 2.85.e) |
|
|
|
|
|
|
|
|
|
|
250 |
Otros préstamos a plazo |
Anexo V, parte 2.85.f) |
|
|
|
|
|
|
|
|
|
|
260 |
Anticipos distintos de préstamos |
Anexo V, parte 2.85.g) |
|
|
|
|
|
|
|
|
|
|
270 |
De los cuales: préstamos garantizados por bienes inmuebles |
Anexo V, parte 2.86.a), 87 |
|
|
|
|
|
|
|
|
|
|
280 |
De los cuales: otros préstamos con garantías reales |
Anexo V, parte 2.86.b), 87 |
|
|
|
|
|
|
|
|
|
|
290 |
De los cuales: crédito al consumo |
Anexo V, parte 2.88.a) |
|
|
|
|
|
|
|
|
|
|
300 |
De los cuales: préstamos para compra de vivienda |
Anexo V, parte 2.88.b) |
|
|
|
|
|
|
|
|
|
|
310 |
De los cuales: préstamos para financiación de proyectos |
Anexo V, parte 2.89; RRC art. 147.8 |
|
|
|
|
|
|
|
|
|
7.2 Activos financieros susceptibles de deterioro vencidos según los PCGA nacionales
|
|
Referencias a los PCGA nacionales basadas en la DCB |
Importe en libros Anexo V, parte 1.27-28 |
||||||
|
Vencidos pero cuyo valor no se ha deteriorado |
Vencidos cuyo valor se ha deteriorado |
|||||||
|
≤ 30 días |
> 30 días ≤ 90 días |
> 90 días |
≤ 30 días |
> 30 días ≤ 90 días |
> 90 días |
|||
|
RRC art. 4.1.95; Anexo V, parte 2.96 |
||||||||
|
010 |
020 |
030 |
040 |
050 |
060 |
|||
|
060 |
Valores representativos de deuda |
Anexo V, parte 1.31, 44.b) |
|
|
|
|
|
|
|
070 |
Bancos centrales |
Anexo V, parte 1.42.a) |
|
|
|
|
|
|
|
080 |
Administraciones públicas |
Anexo V, parte 1.42.b) |
|
|
|
|
|
|
|
090 |
Entidades de crédito |
Anexo V, parte 1.42.c) |
|
|
|
|
|
|
|
100 |
Otras sociedades financieras |
Anexo V, parte 1.42.d) |
|
|
|
|
|
|
|
110 |
Sociedades no financieras |
Anexo V, parte 1.42.e) |
|
|
|
|
|
|
|
120 |
Préstamos y anticipos |
Anexo V, parte 1.32, 44.a) |
|
|
|
|
|
|
|
130 |
Bancos centrales |
Anexo V, parte 1.42.a) |
|
|
|
|
|
|
|
140 |
Administraciones públicas |
Anexo V, parte 1.42.b) |
|
|
|
|
|
|
|
150 |
Entidades de crédito |
Anexo V, parte 1.42.c) |
|
|
|
|
|
|
|
160 |
Otras sociedades financieras |
Anexo V, parte 1.42.d) |
|
|
|
|
|
|
|
170 |
Sociedades no financieras |
Anexo V, parte 1.42.e) |
|
|
|
|
|
|
|
180 |
Hogares |
Anexo V, parte 1.42.f) |
|
|
|
|
|
|
|
190 |
TOTAL INSTRUMENTOS DE DEUDA |
Anexo V, parte 2.94-95 |
|
|
|
|
|
|
|
|
Préstamos y anticipos por productos, por garantías reales y por subordinación |
|
||||||
|
200 |
A la vista y con breve plazo de preaviso [cuenta corriente] |
Anexo V, parte 2.85.a) |
|
|
|
|
|
|
|
210 |
Deuda por tarjetas de crédito |
Anexo V, parte 2.85.b) |
|
|
|
|
|
|
|
220 |
Cartera comercial |
Anexo V, parte 2.85.c) |
|
|
|
|
|
|
|
230 |
Arrendamientos financieros |
Anexo V, parte 2.85.d) |
|
|
|
|
|
|
|
240 |
Préstamos de recompra inversa |
Anexo V, parte 2.85.e) |
|
|
|
|
|
|
|
250 |
Otros préstamos a plazo |
Anexo V, parte 2.85.f) |
|
|
|
|
|
|
|
260 |
Anticipos distintos de préstamos |
Anexo V, parte 2.85.g) |
|
|
|
|
|
|
|
270 |
De los cuales: préstamos garantizados por bienes inmuebles |
Anexo V, parte 2.86.a), 87 |
|
|
|
|
|
|
|
280 |
De los cuales: otros préstamos con garantías reales |
Anexo V, parte 2.86.b), 87 |
|
|
|
|
|
|
|
290 |
De los cuales: crédito al consumo |
Anexo V, parte 2.88.a) |
|
|
|
|
|
|
|
300 |
De los cuales: préstamos para compra de vivienda |
Anexo V, parte 2.88.b) |
|
|
|
|
|
|
|
310 |
De los cuales: préstamos para financiación de proyectos |
Anexo V, parte 2.89; RRC art. 147.8 |
|
|
|
|
|
|
8. Desglose de los pasivos financieros
8.1 Desglose de los pasivos financieros por productos y por sectores de las contrapartes
|
|
|
|
Importe en libros Anexo V, parte 1.27-28 |
Cambios acumulados en el valor razonable debidos al riesgo de crédito |
||||||
|
Mantenidos para negociar |
Designados a valor razonable con cambios en resultados |
Coste amortizado |
Negociación |
Método basado en el coste |
Contabilidad de coberturas |
|||||
|
Referencias a los PCGA nacionales compatibles con las NIIF |
NIIF 7.8.e).ii); NIIF 9 apéndice A, NIIF 9.BA.6-BA.7, NIIF 9.6.7 |
NIIF 7.8.e).i); NIIF 9.4.2.2, NIIF 9.4.3.5 |
NIIF 7.8.g); NIIF 9.4.2.1 |
|
|
NIIF 7.24A.a); NIIF 9.6 |
RRC art. 33.1. b) y c) Anexo V, parte 2.101 |
|||
|
Referencias a los PCGA nacionales basadas en la DCB |
Directiva contable art. 8.1.a), 8.6; NIC 39.9, GA 14-15 |
Directiva contable art. 8.1.a), 8.6; NIC 39.9 |
Directiva contable art. 8.3, 8.6; NIC 39.47 |
Directiva contable art. 8.3; Anexo V, parte 1.25 |
Directiva contable art. 8.3; |
Directiva contable art. 8.1.a), 8.6 y 8.8.1.a) |
RRC art. 33.1. b) y c) Anexo V, parte 2.102 |
|||
|
010 |
020 |
030 |
034 |
035 |
037 |
040 |
||||
|
010 |
Derivados |
RRC Anexo II |
NIIF 9.BA.7.a) |
|
|
|
|
|
|
|
|
020 |
Posiciones cortas |
|
NIIF 9.BA.7.b) |
|
|
|
|
|
|
|
|
030 |
Instrumentos de patrimonio |
BCE/2013/33, anexo 2, parte 2.4-5 |
NIC 32.11 |
|
|
|
|
|
|
|
|
040 |
Valores representativos de deuda |
Anexo V, parte 1.31 |
Anexo V, parte 1.31 |
|
|
|
|
|
|
|
|
050 |
Depósitos |
BCE/2013/33, anexo 2, parte 2.9; Anexo V, parte 1.36 |
BCE/2013/33, anexo 2, parte 2.9; Anexo V, parte 1.36 |
|
|
|
|
|
|
|
|
060 |
Bancos centrales |
Anexo V, parte 1.42.a), 44.c) |
Anexo V, parte 1.42.a), 44.c) |
|
|
|
|
|
|
|
|
070 |
Cuentas corrientes / depósitos intradía |
BCE/2013/33, anexo 2, parte 2.9.1 |
BCE/2013/33, anexo 2, parte 2.9.1 |
|
|
|
|
|
|
|
|
080 |
Depósitos a plazo |
BCE/2013/33, anexo 2, parte 2.9.2 |
BCE/2013/33, anexo 2, parte 2.9.2 |
|
|
|
|
|
|
|
|
090 |
Depósitos disponibles con preaviso |
BCE/2013/33, anexo 2, parte 2.9.3; Anexo V, parte 2.97 |
BCE/2013/33, anexo 2, parte 2.9.3; Anexo V, parte 2.97 |
|
|
|
|
|
|
|
|
100 |
Pactos de recompra |
BCE/2013/33, anexo 2, parte 2.9.4 |
BCE/2013/33, anexo 2, parte 2.9.4 |
|
|
|
|
|
|
|
|
110 |
Administraciones públicas |
Anexo V, parte 1.42.b), 44.c) |
Anexo V, parte 1.42.b), 44.c) |
|
|
|
|
|
|
|
|
120 |
Cuentas corrientes / depósitos intradía |
BCE/2013/33, anexo 2, parte 2.9.1 |
BCE/2013/33, anexo 2, parte 2.9.1 |
|
|
|
|
|
|
|
|
130 |
Depósitos a plazo |
BCE/2013/33, anexo 2, parte 2.9.2 |
BCE/2013/33, anexo 2, parte 2.9.2 |
|
|
|
|
|
|
|
|
140 |
Depósitos disponibles con preaviso |
BCE/2013/33, anexo 2, parte 2.9.3; Anexo V, parte 2.97 |
BCE/2013/33, anexo 2, parte 2.9.3; Anexo V, parte 2.97 |
|
|
|
|
|
|
|
|
150 |
Pactos de recompra |
BCE/2013/33, anexo 2, parte 2.9.4 |
BCE/2013/33, anexo 2, parte 2.9.4 |
|
|
|
|
|
|
|
|
160 |
Entidades de crédito |
Anexo V, parte 1.42.c), 44.c) |
Anexo V, parte 1.42.c), 44.c) |
|
|
|
|
|
|
|
|
170 |
Cuentas corrientes / depósitos intradía |
BCE/2013/33, anexo 2, parte 2.9.1 |
BCE/2013/33, anexo 2, parte 2.9.1 |
|
|
|
|
|
|
|
|
180 |
Depósitos a plazo |
BCE/2013/33, anexo 2, parte 2.9.2 |
BCE/2013/33, anexo 2, parte 2.9.2 |
|
|
|
|
|
|
|
|
190 |
Depósitos disponibles con preaviso |
BCE/2013/33, anexo 2, parte 2.9.3; Anexo V, parte 2.97 |
BCE/2013/33, anexo 2, parte 2.9.3; Anexo V, parte 2.97 |
|
|
|
|
|
|
|
|
200 |
Pactos de recompra |
BCE/2013/33, anexo 2, parte 2.9.4 |
BCE/2013/33, anexo 2, parte 2.9.4 |
|
|
|
|
|
|
|
|
210 |
Otras sociedades financieras |
Anexo V, parte 1.42.d), 44.c) |
Anexo V, parte 1.42.d), 44.c) |
|
|
|
|
|
|
|
|
220 |
Cuentas corrientes / depósitos intradía |
BCE/2013/33, anexo 2, parte 2.9.1 |
BCE/2013/33, anexo 2, parte 2.9.1 |
|
|
|
|
|
|
|
|
230 |
Depósitos a plazo |
BCE/2013/33, anexo 2, parte 2.9.2 |
BCE/2013/33, anexo 2, parte 2.9.2 |
|
|
|
|
|
|
|
|
240 |
Depósitos disponibles con preaviso |
BCE/2013/33, anexo 2, parte 2.9.3; Anexo V, parte 2.97 |
BCE/2013/33, anexo 2, parte 2.9.3; Anexo V, parte 2.97 |
|
|
|
|
|
|
|
|
250 |
Pactos de recompra |
BCE/2013/33, anexo 2, parte 2.9.4 |
BCE/2013/33, anexo 2, parte 2.9.4 |
|
|
|
|
|
|
|
|
260 |
Sociedades no financieras |
Anexo V, parte 1.42.e), 44.c) |
Anexo V, parte 1.42.e), 44.c) |
|
|
|
|
|
|
|
|
270 |
Cuentas corrientes / depósitos intradía |
BCE/2013/33, anexo 2, parte 2.9.1 |
BCE/2013/33, anexo 2, parte 2.9.1 |
|
|
|
|
|
|
|
|
280 |
Depósitos a plazo |
BCE/2013/33, anexo 2, parte 2.9.2 |
BCE/2013/33, anexo 2, parte 2.9.2 |
|
|
|
|
|
|
|
|
290 |
Depósitos disponibles con preaviso |
BCE/2013/33, anexo 2, parte 2.9.3; Anexo V, parte 2.97 |
BCE/2013/33, anexo 2, parte 2.9.3; Anexo V, parte 2.97 |
|
|
|
|
|
|
|
|
300 |
Pactos de recompra |
BCE/2013/33, anexo 2, parte 2.9.4 |
BCE/2013/33, anexo 2, parte 2.9.4 |
|
|
|
|
|
|
|
|
310 |
Hogares |
Anexo V, parte 1.42.f), 44.c) |
Anexo V, parte 1.42.f), 44.c) |
|
|
|
|
|
|
|
|
320 |
Cuentas corrientes / depósitos intradía |
BCE/2013/33, anexo 2, parte 2.9.1 |
BCE/2013/33, anexo 2, parte 2.9.1 |
|
|
|
|
|
|
|
|
330 |
Depósitos a plazo |
BCE/2013/33, anexo 2, parte 2.9.2 |
BCE/2013/33, anexo 2, parte 2.9.2 |
|
|
|
|
|
|
|
|
340 |
Depósitos disponibles con preaviso |
BCE/2013/33, anexo 2, parte 2.9.3; Anexo V, parte 2.97 |
BCE/2013/33, anexo 2, parte 2.9.3; Anexo V, parte 2.97 |
|
|
|
|
|
|
|
|
350 |
Pactos de recompra |
BCE/2013/33, anexo 2, parte 2.9.4 |
BCE/2013/33, anexo 2, parte 2.9.4 |
|
|
|
|
|
|
|
|
360 |
Valores representativos de deuda emitidos |
Anexo V, parte 1.37, parte 2.98 |
Anexo V, parte 1.37, parte 2.98 |
|
|
|
|
|
|
|
|
370 |
Certificados de depósito |
Anexo V, parte 2.98.a) |
Anexo V, parte 2.98.a) |
|
|
|
|
|
|
|
|
380 |
Bonos de titulización de activos |
RRC art. 4.1.61 |
RRC art. 4.1.61 |
|
|
|
|
|
|
|
|
390 |
Bonos garantizados |
RRC art. 129 |
RRC art. 129 |
|
|
|
|
|
|
|
|
400 |
Contratos híbridos |
Anexo V, parte 2.98.d) |
Anexo V, parte 2.98.d) |
|
|
|
|
|
|
|
|
410 |
Otros valores representativos de deuda emitidos |
Anexo V, parte 2.98.e) |
Anexo V, parte 2.98.e) |
|
|
|
|
|
|
|
|
420 |
Instrumentos financieros compuestos convertibles |
|
NIC 32.GA 31 |
|
|
|
|
|
|
|
|
430 |
No convertibles |
|
|
|
|
|
|
|
|
|
|
440 |
Otros pasivos financieros |
Anexo V, parte 1.38-41 |
Anexo V, parte 1.38-41 |
|
|
|
|
|
|
|
|
450 |
PASIVOS FINANCIEROS |
|
|
|
|
|
|
|
|
|
8.2 Pasivos financieros subordinados
|
|
|
|
Importe en libros |
|||
|
Designados a valor razonable con cambios en resultados |
A coste amortizado |
Método basado en el coste |
||||
|
Referencias a los PCGA nacionales compatibles con las NIIF |
NIIF 7.8.e).i); NIIF 9.4.2.2, NIIF 9.4.3.5 |
NIIF 7.8.g); NIIF 9.4.2.1 |
|
|||
|
Referencias a los PCGA nacionales |
Directiva contable art. 8.1.a), 8.6; NIC 39.9 |
Directiva contable art. 8.3, 8.6; NIC 39.47 |
Directiva contable art. 8.3; |
|||
|
010 |
020 |
030 |
||||
|
010 |
Depósitos |
BCE/2013/33, anexo 2, parte 2.9; Anexo V, parte 1.36 |
BCE/2013/33, anexo 2, parte 2.9; Anexo V, parte 1.36 |
|
|
|
|
020 |
Valores representativos de deuda emitidos |
Anexo V, parte 1.37 |
Anexo V, parte 1.37 |
|
|
|
|
030 |
PASIVOS FINANCIEROS SUBORDINADOS |
Anexo V, parte 2.99-100 |
Anexo V, parte 2.99-100 |
|
|
|
9. Compromisos de préstamo, garantías financieras y otros compromisos
9.1.1 Exposiciones fuera de balance: compromisos de préstamo, garantías financieras y otros compromisos concedidos
|
|
|
Importe nominal de los compromisos y garantías financieras fuera de balance sujetos a deterioro de valor conforme a la NIIF 9 Anexo V, parte 2.107-108, 118 |
Provisiones por compromisos y garantías financieras fuera de balance sujetos a deterioro de valor conforme a la NIIF 9 Anexo V, parte 2.106-109 |
Otros compromisos valorados conforme a la NIC 37 y garantías financieras valoradas conforme a la NIIF 4 |
Compromisos y garantías financieras valorados a valor razonable |
|||||||
|
Referencias a los PCGA nacionales compatibles con las NIIF |
Instrumentos sin un aumento significativo del riesgo de crédito desde el reconocimiento inicial (fase 1) |
Instrumentos con un aumento significativo del riesgo de crédito desde el reconocimiento inicial, pero sin deterioro crediticio (fase 2) |
Instrumentos con deterioro crediticio (fase 3) |
Instrumentos sin un aumento significativo del riesgo de crédito desde el reconocimiento inicial (fase 1) |
Instrumentos con un aumento significativo del riesgo de crédito desde el reconocimiento inicial, pero sin deterioro crediticio (fase 2) |
Instrumentos con deterioro crediticio (fase 3) |
Importe nominal |
Provisión |
Importe nominal |
Cambios acumulados negativos en el valor razonable debidos al riesgo de crédito por compromisos dudosos |
||
|
NIIF 9.2.1.e) y g), NIIF 9.4.2.c), NIIF 9.5.5, NIIF 9.B2.5; NIIF 7.35M |
NIIF 9.2.1.e) y g), NIIF 9.4.2.c), NIIF 9.5.5, NIIF 9.B2.5; NIIF 7.35M |
NIIF 9.2.1.e) y g), NIIF 9.4.2.c), NIIF 9.5.5, NIIF 9.B2.5; NIIF 7.35M |
NIIF 9.2.1.e) y g), NIIF 9.4.2.c), NIIF 9.5.5, NIIF 9.B2.5; NIIF 7.35H.a) |
NIIF 9.2.1.e) y g), NIIF 9.4.2.c), NIIF 9.5.5, NIIF 9.B2.5; NIIF 7.35H.b).i) |
NIIF 9.2.1.e) y g), NIIF 9.4.2.c), NIIF 9.5.5, NIIF 9.B2.5; NIIF 7.35H.b).ii) |
NIC 37, NIIF 9.2.1.e), NIIF 9.B2.5; NIIF 4; Anexo V, parte 2.111, 118 |
NIC 37, NIIF 9.2.1.e), NIIF 9.B2.5; NIIF 4; Anexo V, parte 2.106, 111 |
NIIF 9.2.3.a), 9.B2.5; Anexo V, parte 2.110, 118 |
Anexo V, parte 2.69 |
|||
|
010 |
020 |
030 |
040 |
050 |
060 |
100 |
110 |
120 |
130 |
|||
|
010 |
Compromisos de préstamo concedidos |
RRC Anexo I; Anexo V, partes 1.44.g), 2.102-105, 113, 116 |
|
|
|
|
|
|
|
|
|
|
|
021 |
De los cuales: dudosos |
Anexo V, parte 2.117 |
|
|
|
|
|
|
|
|
|
|
|
030 |
Bancos centrales |
Anexo V, parte 1.42.a) |
|
|
|
|
|
|
|
|
|
|
|
040 |
Administraciones públicas |
Anexo V, parte 1.42.b) |
|
|
|
|
|
|
|
|
|
|
|
050 |
Entidades de crédito |
Anexo V, parte 1.42.c) |
|
|
|
|
|
|
|
|
|
|
|
060 |
Otras sociedades financieras |
Anexo V, parte 1.42.d) |
|
|
|
|
|
|
|
|
|
|
|
070 |
Sociedades no financieras |
Anexo V, parte 1.42.e) |
|
|
|
|
|
|
|
|
|
|
|
080 |
Hogares |
Anexo V, parte 1.42.f) |
|
|
|
|
|
|
|
|
|
|
|
090 |
Garantías financieras concedidas |
NIIF 4 Anexo A; RRC Anexo I; Anexo V, partes 1.44.f), 2.102-105, 114, 116 |
|
|
|
|
|
|
|
|
|
|
|
101 |
De las cuales: dudosas |
Anexo V, parte 2.117 |
|
|
|
|
|
|
|
|
|
|
|
110 |
Bancos centrales |
Anexo V, parte 1.42.a) |
|
|
|
|
|
|
|
|
|
|
|
120 |
Administraciones públicas |
Anexo V, parte 1.42.b) |
|
|
|
|
|
|
|
|
|
|
|
130 |
Entidades de crédito |
Anexo V, parte 1.42.c) |
|
|
|
|
|
|
|
|
|
|
|
140 |
Otras sociedades financieras |
Anexo V, parte 1.42.d) |
|
|
|
|
|
|
|
|
|
|
|
150 |
Sociedades no financieras |
Anexo V, parte 1.42.e) |
|
|
|
|
|
|
|
|
|
|
|
160 |
Hogares |
Anexo V, parte 1.42.f) |
|
|
|
|
|
|
|
|
|
|
|
170 |
Otros compromisos concedidos |
RRC Anexo I; Anexo V, partes 1.44.g), 2.102-105, 115, 116 |
|
|
|
|
|
|
|
|
|
|
|
181 |
De los cuales: dudosos |
Anexo V, parte 2.117 |
|
|
|
|
|
|
|
|
|
|
|
190 |
Bancos centrales |
Anexo V, parte 1.42.a) |
|
|
|
|
|
|
|
|
|
|
|
200 |
Administraciones públicas |
Anexo V, parte 1.42.b) |
|
|
|
|
|
|
|
|
|
|
|
210 |
Entidades de crédito |
Anexo V, parte 1.42.c) |
|
|
|
|
|
|
|
|
|
|
|
220 |
Otras sociedades financieras |
Anexo V, parte 1.42.d) |
|
|
|
|
|
|
|
|
|
|
|
230 |
Sociedades no financieras |
Anexo V, parte 1.42.e) |
|
|
|
|
|
|
|
|
|
|
|
240 |
Hogares |
Anexo V, parte 1.42.f) |
|
|
|
|
|
|
|
|
|
|
9.1 Exposiciones fuera de balance según los PCGA nacionales: compromisos de préstamo, garantías financieras y otros compromisos concedidos
|
|
|
Importe nominal |
Provisiones |
|
|
Referencias a los PCGA nacionales |
RRC Anexo I; Anexo V, parte 2.118 |
RRC Anexo I; Anexo V, parte 2.11 |
||
|
010 |
020 |
|||
|
010 |
Compromisos de préstamo concedidos |
RRC Anexo I; Anexo V, parte 1.44.g), parte 2.112, 113 |
|
|
|
021 |
De los cuales: dudosos |
Anexo V, parte 2.117 |
|
|
|
030 |
Bancos centrales |
Anexo V, parte 1.42.a) |
|
|
|
040 |
Administraciones públicas |
Anexo V, parte 1.42.b) |
|
|
|
050 |
Entidades de crédito |
Anexo V, parte 1.42.c) |
|
|
|
060 |
Otras sociedades financieras |
Anexo V, parte 1.42.d) |
|
|
|
070 |
Sociedades no financieras |
Anexo V, parte 1.42.e) |
|
|
|
080 |
Hogares |
Anexo V, parte 1.42.f) |
|
|
|
090 |
Garantías financieras concedidas |
RRC Anexo I; Anexo V, parte 1.44.f), parte 2.112, 114 |
|
|
|
101 |
De las cuales: dudosas |
Anexo V, parte 2.117 |
|
|
|
110 |
Bancos centrales |
Anexo V, parte 1.42.a) |
|
|
|
120 |
Administraciones públicas |
Anexo V, parte 1.42.b) |
|
|
|
130 |
Entidades de crédito |
Anexo V, parte 1.42.c) |
|
|
|
140 |
Otras sociedades financieras |
Anexo V, parte 1.42.d) |
|
|
|
150 |
Sociedades no financieras |
Anexo V, parte 1.42.e) |
|
|
|
160 |
Hogares |
Anexo V, parte 1.42.f) |
|
|
|
170 |
Otros compromisos concedidos |
RRC Anexo I; Anexo V, parte 1.44.g), parte 2.112, 115 |
|
|
|
181 |
De los cuales: dudosos |
Anexo V, parte 2.117 |
|
|
|
190 |
Bancos centrales |
Anexo V, parte 1.42.a) |
|
|
|
200 |
Administraciones públicas |
Anexo V, parte 1.42.b) |
|
|
|
210 |
Entidades de crédito |
Anexo V, parte 1.42.c) |
|
|
|
220 |
Otras sociedades financieras |
Anexo V, parte 1.42.d) |
|
|
|
230 |
Sociedades no financieras |
Anexo V, parte 1.42.e) |
|
|
|
240 |
Hogares |
Anexo V, parte 1.42.f) |
|
|
9.2 Compromisos de préstamo, garantías financieras y otros compromisos recibidos
|
|
|
|
Importe máximo de la garantía que puede considerarse |
Importe nominal |
|
|
Referencias a los PCGA nacionales compatibles con las NIIF |
NIIF 7.36.b); Anexo V, parte 2.119 |
Anexo V, parte 2.119 |
|||
|
Referencias a los PCGA nacionales |
Anexo V, parte 2.119 |
Anexo V, parte 2.119 |
|||
|
010 |
020 |
||||
|
010 |
Compromisos de préstamo recibidos |
Anexo V, partes 1.44.h), 2.102-103, 113 |
NIIF 9.2.1.g), BCZ2.2; Anexo V, partes 1.44.h), 2.102-103, 113 |
|
|
|
020 |
Bancos centrales |
Anexo V, parte 1.42.a) |
Anexo V, parte 1.42.a) |
|
|
|
030 |
Administraciones públicas |
Anexo V, parte 1.42.b) |
Anexo V, parte 1.42.b) |
|
|
|
040 |
Entidades de crédito |
Anexo V, parte 1.42.c) |
Anexo V, parte 1.42.c) |
|
|
|
050 |
Otras sociedades financieras |
Anexo V, parte 1.42.d) |
Anexo V, parte 1.42.d) |
|
|
|
060 |
Sociedades no financieras |
Anexo V, parte 1.42.e) |
Anexo V, parte 1.42.e) |
|
|
|
070 |
Hogares |
Anexo V, parte 1.42.f) |
Anexo V, parte 1.42.f) |
|
|
|
080 |
Garantías financieras recibidas |
Anexo V, partes 1.44.h), 2.102-103, 114 |
NIIF 9.2.1.e), .B2.5, .BC2.17, NIIF 8, apéndice A; NIIF 4 Anexo A; Anexo V, partes 1.44.h), 2.102-103, 114 |
|
|
|
090 |
Bancos centrales |
Anexo V, parte 1.42.a) |
Anexo V, parte 1.42.a) |
|
|
|
100 |
Administraciones públicas |
Anexo V, parte 1.42.b) |
Anexo V, parte 1.42.b) |
|
|
|
110 |
Entidades de crédito |
Anexo V, parte 1.42.c) |
Anexo V, parte 1.42.c) |
|
|
|
120 |
Otras sociedades financieras |
Anexo V, parte 1.42.d) |
Anexo V, parte 1.42.d) |
|
|
|
130 |
Sociedades no financieras |
Anexo V, parte 1.42.e) |
Anexo V, parte 1.42.e) |
|
|
|
140 |
Hogares |
Anexo V, parte 1.42.f) |
Anexo V, parte 1.42.f) |
|
|
|
150 |
Otros compromisos recibidos |
Anexo V, partes 1.44.h), 2.102-103, 115 |
Anexo V, partes 1.44.h), 2.102-103, 115 |
|
|
|
160 |
Bancos centrales |
Anexo V, parte 1.42.a) |
Anexo V, parte 1.42.a) |
|
|
|
170 |
Administraciones públicas |
Anexo V, parte 1.42.b) |
Anexo V, parte 1.42.b) |
|
|
|
180 |
Entidades de crédito |
Anexo V, parte 1.42.c) |
Anexo V, parte 1.42.c) |
|
|
|
190 |
Otras sociedades financieras |
Anexo V, parte 1.42.d) |
Anexo V, parte 1.42.d) |
|
|
|
200 |
Sociedades no financieras |
Anexo V, parte 1.42.e) |
Anexo V, parte 1.42.e) |
|
|
|
210 |
Hogares |
Anexo V, parte 1.42.f) |
Anexo V, parte 1.42.f) |
|
|
10. Derivados - negociación y coberturas económicas
|
Por tipos de riesgo / Por productos o por tipos de mercado |
|
|
Importe en libros |
Valor razonable |
Importe nocional |
||||||
|
|
|
Valor positivo |
Valor negativo |
Total negociación |
Del cual: vendido |
||||||
|
Activos financieros mantenidos para negociar y destinados a negociación |
De los cuales: Activos financieros valorados por un método basado en el coste / al LOCOM |
Pasivos financieros mantenidos para negociar y destinados a negociación |
De los cuales: Pasivos financieros valorados por un método basado en el coste / al LOCOM |
||||||||
|
Referencias a los PCGA nacionales compatibles con las NIIF |
Anexo V, parte 2.120, 131 |
|
NIIF 9.BA.7.a); Anexo V, parte 2.120, 131 |
|
|
|
Anexo V, parte 2.133-135 |
Anexo V, parte 2.133-135 |
|||
|
Referencias a los PCGA nacionales basadas en la DCB |
Anexo V, parte 1.17, parte 2.120 |
Anexo V, parte 2.124 |
Anexo V, parte 1.25, parte 2.120 |
Anexo V, parte 2.124 |
Anexo V, parte 2.132 |
Anexo V, parte 2.132 |
Anexo V, parte 2.133-135 |
Anexo V, parte 2.133-135 |
|||
|
010 |
011 |
020 |
016 |
022 |
025 |
030 |
040 |
||||
|
010 |
Tipo de interés |
Anexo V, parte 2.129.a) |
Anexo V, parte 2.129.a) |
|
|
|
|
|
|
|
|
|
020 |
De los cuales: coberturas económicas |
Anexo V, parte 2.137-139 |
Anexo V, parte 2.137-139 |
|
|
|
|
|
|
|
|
|
030 |
Opciones OTC |
Anexo V, parte 2.136 |
Anexo V, parte 2.136 |
|
|
|
|
|
|
|
|
|
040 |
Otros OTC |
Anexo V, parte 2.136 |
Anexo V, parte 2.136 |
|
|
|
|
|
|
|
|
|
050 |
Opciones en mercados organizados |
Anexo V, parte 2.136 |
Anexo V, parte 2.136 |
|
|
|
|
|
|
|
|
|
060 |
Otros en mercados organizados |
Anexo V, parte 2.136 |
Anexo V, parte 2.136 |
|
|
|
|
|
|
|
|
|
070 |
Instrumentos de patrimonio |
Anexo V, parte 2.129.b) |
Anexo V, parte 2.129.b) |
|
|
|
|
|
|
|
|
|
080 |
De los cuales: coberturas económicas |
Anexo V, parte 2.137-139 |
Anexo V, parte 2.137-139 |
|
|
|
|
|
|
|
|
|
090 |
Opciones OTC |
Anexo V, parte 2.136 |
Anexo V, parte 2.136 |
|
|
|
|
|
|
|
|
|
100 |
Otros OTC |
Anexo V, parte 2.136 |
Anexo V, parte 2.136 |
|
|
|
|
|
|
|
|
|
110 |
Opciones en mercados organizados |
Anexo V, parte 2.136 |
Anexo V, parte 2.136 |
|
|
|
|
|
|
|
|
|
120 |
Otros en mercados organizados |
Anexo V, parte 2.136 |
Anexo V, parte 2.136 |
|
|
|
|
|
|
|
|
|
130 |
Divisas y oro |
Anexo V, parte 2.129.c) |
Anexo V, parte 2.129.c) |
|
|
|
|
|
|
|
|
|
140 |
De los cuales: coberturas económicas |
Anexo V, parte 2.137-139 |
Anexo V, parte 2.137-139 |
|
|
|
|
|
|
|
|
|
150 |
Opciones OTC |
Anexo V, parte 2.136 |
Anexo V, parte 2.136 |
|
|
|
|
|
|
|
|
|
160 |
Otros OTC |
Anexo V, parte 2.136 |
Anexo V, parte 2.136 |
|
|
|
|
|
|
|
|
|
170 |
Opciones en mercados organizados |
Anexo V, parte 2.136 |
Anexo V, parte 2.136 |
|
|
|
|
|
|
|
|
|
180 |
Otros en mercados organizados |
Anexo V, parte 2.136 |
Anexo V, parte 2.136 |
|
|
|
|
|
|
|
|
|
190 |
Crédito |
Anexo V, parte 2.129.d) |
Anexo V, parte 2.129.d) |
|
|
|
|
|
|
|
|
|
195 |
De los cuales: coberturas económicas con uso de la opción del valor razonable |
Anexo V, parte 2.140 |
NIIF 9.6.7.1; Anexo V, parte 2.140 |
|
|
|
|
|
|
|
|
|
201 |
De los cuales: otras coberturas económicas |
Anexo V, parte 2.137-140 |
Anexo V, parte 2.137-140 |
|
|
|
|
|
|
|
|
|
210 |
Permutas de cobertura por impago |
|
|
|
|
|
|
|
|
|
|
|
220 |
Opciones sobre el diferencial de crédito |
|
|
|
|
|
|
|
|
|
|
|
230 |
Permutas de rendimiento total |
|
|
|
|
|
|
|
|
|
|
|
240 |
Otros |
|
|
|
|
|
|
|
|
|
|
|
250 |
Materias primas |
Anexo V, parte 2.129.e) |
Anexo V, parte 2.129.e) |
|
|
|
|
|
|
|
|
|
260 |
De los cuales: coberturas económicas |
Anexo V, parte 2.137-139 |
Anexo V, parte 2.137-139 |
|
|
|
|
|
|
|
|
|
270 |
Otros |
Anexo V, parte 2.129.f) |
Anexo V, parte 2.129.f) |
|
|
|
|
|
|
|
|
|
280 |
De los cuales: coberturas económicas |
Anexo V, parte 2.137-139 |
Anexo V, parte 2.137-139 |
|
|
|
|
|
|
|
|
|
290 |
DERIVADOS |
RRC Anexo II; Anexo V, parte 1.16.a) |
NIIF 9, apéndice A |
|
|
|
|
|
|
|
|
|
300 |
De los cuales: OTC - entidades de crédito |
Anexo V, parte 1.42.c), 44.e), parte 2.141.a), 142 |
Anexo V, parte 1.42.c), 44.e), parte 2.141.a), 142 |
|
|
|
|
|
|
|
|
|
310 |
De los cuales: OTC - otras sociedades financieras |
Anexo V, parte 1.42.d), 44.e), parte 2.141.b) |
Anexo V, parte 1.42.d), 44.e), parte 2.141.b) |
|
|
|
|
|
|
|
|
|
320 |
De los cuales: OTC - resto |
Anexo V, parte 1.44.e), parte 2.141.c) |
Anexo V, parte 1.44.e), parte 2.141.c) |
|
|
|
|
|
|
|
|
11. Contabilidad de coberturas
11.1 Derivados - Contabilidad de coberturas: desglose por tipos de riesgo y tipos de cobertura
|
Por productos o por tipos de mercado |
|
Importe en libros |
Importe nocional |
|||
|
Activo |
Pasivo |
Total coberturas |
Del cual: vendido |
|||
|
Referencias a los PCGA nacionales compatibles con las NIIF |
NIIF 7.24A; Anexo V, parte 2.120, 131 |
NIIF 7.24A; Anexo V, parte 2.120, 131 |
Anexo V, parte 2.133-135 |
Anexo V, parte 2.133-135 |
||
|
|
010 |
020 |
030 |
040 |
||
|
010 |
Tipo de interés |
Anexo V, parte 2.129.a) |
|
|
|
|
|
020 |
Opciones OTC |
Anexo V, parte 2.136 |
|
|
|
|
|
030 |
Otros OTC |
Anexo V, parte 2.136 |
|
|
|
|
|
040 |
Opciones en mercados organizados |
Anexo V, parte 2.136 |
|
|
|
|
|
050 |
Otros en mercados organizados |
Anexo V, parte 2.136 |
|
|
|
|
|
060 |
Instrumentos de patrimonio |
Anexo V, parte 2.129.b) |
|
|
|
|
|
070 |
Opciones OTC |
Anexo V, parte 2.136 |
|
|
|
|
|
080 |
Otros OTC |
Anexo V, parte 2.136 |
|
|
|
|
|
090 |
Opciones en mercados organizados |
Anexo V, parte 2.136 |
|
|
|
|
|
100 |
Otros en mercados organizados |
Anexo V, parte 2.136 |
|
|
|
|
|
110 |
Divisas y oro |
Anexo V, parte 2.129.c) |
|
|
|
|
|
120 |
Opciones OTC |
Anexo V, parte 2.136 |
|
|
|
|
|
130 |
Otros OTC |
Anexo V, parte 2.136 |
|
|
|
|
|
140 |
Opciones en mercados organizados |
Anexo V, parte 2.136 |
|
|
|
|
|
150 |
Otros en mercados organizados |
Anexo V, parte 2.136 |
|
|
|
|
|
160 |
Crédito |
Anexo V, parte 2.129.d) |
|
|
|
|
|
170 |
Permutas de cobertura por impago |
Anexo V, parte 2.136 |
|
|
|
|
|
180 |
Opciones sobre el diferencial de crédito |
Anexo V, parte 2.136 |
|
|
|
|
|
190 |
Permutas de rendimiento total |
Anexo V, parte 2.136 |
|
|
|
|
|
200 |
Otros |
Anexo V, parte 2.136 |
|
|
|
|
|
210 |
Materias primas |
Anexo V, parte 2.129.e) |
|
|
|
|
|
220 |
Otros |
Anexo V, parte 2.129.f) |
|
|
|
|
|
230 |
COBERTURAS DEL VALOR RAZONABLE |
NIIF 7.24A; NIC 39.86.a); NIIF 9.6.5.2.a); |
|
|
|
|
|
240 |
Tipo de interés |
Anexo V, parte 2.129.a) |
|
|
|
|
|
250 |
Opciones OTC |
Anexo V, parte 2.136 |
|
|
|
|
|
260 |
Otros OTC |
Anexo V, parte 2.136 |
|
|
|
|
|
270 |
Opciones en mercados organizados |
Anexo V, parte 2.136 |
|
|
|
|
|
280 |
Otros en mercados organizados |
Anexo V, parte 2.136 |
|
|
|
|
|
290 |
Instrumentos de patrimonio |
Anexo V, parte 2.129.b) |
|
|
|
|
|
300 |
Opciones OTC |
Anexo V, parte 2.136 |
|
|
|
|
|
310 |
Otros OTC |
Anexo V, parte 2.136 |
|
|
|
|
|
320 |
Opciones en mercados organizados |
Anexo V, parte 2.136 |
|
|
|
|
|
330 |
Otros en mercados organizados |
Anexo V, parte 2.136 |
|
|
|
|
|
340 |
Divisas y oro |
Anexo V, parte 2.129.c) |
|
|
|
|
|
350 |
Opciones OTC |
Anexo V, parte 2.136 |
|
|
|
|
|
360 |
Otros OTC |
Anexo V, parte 2.136 |
|
|
|
|
|
370 |
Opciones en mercados organizados |
Anexo V, parte 2.136 |
|
|
|
|
|
380 |
Otros en mercados organizados |
Anexo V, parte 2.136 |
|
|
|
|
|
390 |
Crédito |
Anexo V, parte 2.129.d) |
|
|
|
|
|
400 |
Permutas de cobertura por impago |
Anexo V, parte 2.136 |
|
|
|
|
|
410 |
Opciones sobre el diferencial de crédito |
Anexo V, parte 2.136 |
|
|
|
|
|
420 |
Permutas de rendimiento total |
Anexo V, parte 2.136 |
|
|
|
|
|
430 |
Otros |
Anexo V, parte 2.136 |
|
|
|
|
|
440 |
Materias primas |
Anexo V, parte 2.129.e) |
|
|
|
|
|
450 |
Otros |
Anexo V, parte 2.129.f) |
|
|
|
|
|
460 |
COBERTURAS DE FLUJOS DE EFECTIVO |
NIIF 7.24A; NIC 39.86.b); NIIF 9.6.5.2.b) |
|
|
|
|
|
470 |
COBERTURA DE LAS INVERSIONES NETAS EN NEGOCIOS EN EL EXTRANJERO |
NIIF 7.24A; NIC 39.86.c); NIIF 9.6.5.2.c) |
|
|
|
|
|
480 |
COBERTURAS DE VALOR RAZONABLE DEL RIESGO DE TIPO DE INTERÉS DE LA CARTERA |
NIC 39.71, 81A, 89A, GA 114-132 |
|
|
|
|
|
490 |
COBERTURAS DE FLUJOS DE EFECTIVO DEL RIESGO DE TIPO DE INTERÉS DE LA CARTERA |
NIC 39.71 |
|
|
|
|
|
500 |
DERIVADOS - CONTABILIDAD DE COBERTURAS |
NIIF 7.24A; NIC 39.9; NIIF 9.6.1 |
|
|
|
|
|
510 |
De los cuales: OTC - entidades de crédito |
Anexo V, parte 1.42.c), 44.e), parte 2.141.a), 142 |
|
|
|
|
|
520 |
De los cuales: OTC - otras sociedades financieras |
Anexo V, parte 1.42.d), 44.e), parte 2.141.b) |
|
|
|
|
|
530 |
De los cuales: OTC - resto |
Anexo V, parte 1.44.e), parte 2.141.c) |
|
|
|
|
11.2 Derivados - Contabilidad de coberturas según los PCGA nacionales: desglose por tipos de riesgo
|
Por productos o por tipos de mercado |
Referencias a los PCGA nacionales basadas en la DCB |
Importe en libros |
Importe nocional |
Valor razonable |
||||||||
|
|
|
|
|
Valor positivo |
Valor negativo |
|||||||
|
Activo |
De los cuales: activos contabilizados a coste amortizado / LOCOM |
Pasivo |
De los cuales: pasivos contabilizados a coste amortizado / LOCOM |
Total coberturas |
De los cuales: derivados contabilizados a coste amortizado / LOCOM |
Del cual: vendido |
De los cuales: derivados contabilizados a coste amortizado / LOCOM |
|||||
|
Anexo V, parte 1.17, parte 2.120 |
Anexo V, parte 2.124 |
Anexo V, parte 1.25, parte 2.120 |
Anexo V, parte 2.124 |
Anexo V, parte 2.133-135 |
Anexo V, parte 2.124 |
Anexo V, parte 2.133-135 |
Anexo V, parte 2.124 |
Anexo V, parte 2.132 |
Anexo V, parte 2.132 |
|||
|
005 |
006 |
007 |
008 |
010 |
011 |
020 |
021 |
030 |
040 |
|||
|
010 |
Tipo de interés |
Anexo V, parte 2.129.a) |
|
|
|
|
|
|
|
|
|
|
|
020 |
Opciones OTC |
Anexo V, parte 2.136 |
|
|
|
|
|
|
|
|
|
|
|
030 |
Otros OTC |
Anexo V, parte 2.136 |
|
|
|
|
|
|
|
|
|
|
|
040 |
Opciones en mercados organizados |
Anexo V, parte 2.136 |
|
|
|
|
|
|
|
|
|
|
|
050 |
Otros en mercados organizados |
Anexo V, parte 2.136 |
|
|
|
|
|
|
|
|
|
|
|
060 |
Instrumentos de patrimonio |
Anexo V, parte 2.129.b) |
|
|
|
|
|
|
|
|
|
|
|
070 |
Opciones OTC |
Anexo V, parte 2.136 |
|
|
|
|
|
|
|
|
|
|
|
080 |
Otros OTC |
Anexo V, parte 2.136 |
|
|
|
|
|
|
|
|
|
|
|
090 |
Opciones en mercados organizados |
Anexo V, parte 2.136 |
|
|
|
|
|
|
|
|
|
|
|
100 |
Otros en mercados organizados |
Anexo V, parte 2.136 |
|
|
|
|
|
|
|
|
|
|
|
110 |
Divisas y oro |
Anexo V, parte 2.129.c) |
|
|
|
|
|
|
|
|
|
|
|
120 |
Opciones OTC |
Anexo V, parte 2.136 |
|
|
|
|
|
|
|
|
|
|
|
130 |
Otros OTC |
Anexo V, parte 2.136 |
|
|
|
|
|
|
|
|
|
|
|
140 |
Opciones en mercados organizados |
Anexo V, parte 2.136 |
|
|
|
|
|
|
|
|
|
|
|
150 |
Otros en mercados organizados |
Anexo V, parte 2.136 |
|
|
|
|
|
|
|
|
|
|
|
160 |
Crédito |
Anexo V, parte 2.129.d) |
|
|
|
|
|
|
|
|
|
|
|
170 |
Permutas de cobertura por impago |
Anexo V, parte 2.136 |
|
|
|
|
|
|
|
|
|
|
|
180 |
Opciones sobre el diferencial de crédito |
Anexo V, parte 2.136 |
|
|
|
|
|
|
|
|
|
|
|
190 |
Permutas de rendimiento total |
Anexo V, parte 2.136 |
|
|
|
|
|
|
|
|
|
|
|
200 |
Otros |
Anexo V, parte 2.136 |
|
|
|
|
|
|
|
|
|
|
|
210 |
Materias primas |
Anexo V, parte 2.129.e) |
|
|
|
|
|
|
|
|
|
|
|
220 |
Otros |
Anexo V, parte 2.129.f) |
|
|
|
|
|
|
|
|
|
|
|
230 |
DERIVADOS - CONTABILIDAD DE COBERTURAS |
Anexo V, parte 1.22, 26 |
|
|
|
|
|
|
|
|
|
|
|
231 |
De los cuales: coberturas del valor razonable |
Anexo V, parte 2.143 |
|
|
|
|
|
|
|
|
|
|
|
232 |
De los cuales: coberturas de flujos de efectivo |
Anexo V, parte 2.143 |
|
|
|
|
|
|
|
|
|
|
|
233 |
De los cuales: coberturas a precio de coste |
Anexo V, parte 2.143, 144 |
|
|
|
|
|
|
|
|
|
|
|
234 |
De los cuales: cobertura de las inversiones netas en negocios en el extranjero |
Anexo V, parte 2.143 |
|
|
|
|
|
|
|
|
|
|
|
235 |
De los cuales: coberturas de valor razonable del riesgo de tipo de interés de la cartera |
Anexo V, parte 2.143 |
|
|
|
|
|
|
|
|
|
|
|
236 |
De los cuales: coberturas de flujos de efectivo del riesgo de tipo de interés de la cartera |
Anexo V, parte 2.143 |
|
|
|
|
|
|
|
|
|
|
|
240 |
De los cuales: OTC - entidades de crédito |
Anexo V, parte 1.42.c), 44.e), parte 2.141.a), 142 |
|
|
|
|
|
|
|
|
|
|
|
250 |
De los cuales: OTC - otras sociedades financieras |
Anexo V, parte 1.42.d), 44.e), parte 2.141.b) |
|
|
|
|
|
|
|
|
|
|
|
260 |
De los cuales: OTC - resto |
Anexo V, parte 1.44.e), parte 2.141.c) |
|
|
|
|
|
|
|
|
|
|
11.3 Instrumentos de cobertura no derivados: desglose por cartera contable y tipo de cobertura
|
|
Referencias a los PCGA nacionales compatibles con las NIIF |
Importe en libros |
|||
|
Coberturas del valor razonable |
Coberturas de flujos de efectivo |
Cobertura de las inversiones netas en negocios en el extranjero |
|||
|
Anexo V, parte 2.145 |
Anexo V, parte 2.145 |
Anexo V, parte 2.145 |
|||
|
010 |
020 |
030 |
|||
|
010 |
Activos financieros no derivados |
NIIF 7.24A; NIIF 9.6.1; NIIF 9.6.2.2 |
|
|
|
|
020 |
De los cuales: Activos financieros mantenidos para negociar |
NIIF 9, apéndice A |
|
|
|
|
030 |
De los cuales: Activos financieros no destinados a negociación valorados obligatoriamente a valor razonable con cambios en resultados |
NIIF 9.4.1.4; NIIF 7.8.a).ii) |
|
|
|
|
040 |
De los cuales: Activos financieros designados a valor razonable con cambios en resultados |
NIIF 9.4.1.5; NIIF 7.8.a).i) |
|
|
|
|
050 |
Pasivos financieros no derivados |
NIIF 7.24A; NIIF 9.6.1; NIIF 9.6.2.2 |
|
|
|
|
060 |
Pasivos financieros mantenidos para negociar |
NIIF 9, apéndice A |
|
|
|
|
070 |
Pasivos financieros designados a valor razonable con cambios en resultados |
NIIF 9.4.2.1; NIIF 9.6.2.2 |
|
|
|
|
080 |
Activos financieros a coste amortizado |
NIIF 9.4.2.1; NIIF 9.6.2.2 |
|
|
|
F11.3.1 Instrumentos de cobertura no derivados según los PCGA nacionales: desglose por cartera contable
|
|
Referencias a los PCGA nacionales basadas en la DCB |
Importe en libros |
|
|
Anexo V, parte 2.145 |
|||
|
010 |
Activos financieros no derivados |
|
|
|
020 |
De los cuales: Activos financieros destinados a negociación |
DCB artículos 32-33; Anexo V, parte 1.17 |
|
|
030 |
De los cuales: Activos financieros no derivados y no destinados a negociación, a valor razonable con cambios en resultados |
DCB art. 36.2 |
|
|
040 |
De los cuales: Activos financieros no derivados y no destinados a negociación, contabilizados a valor razonable en el patrimonio neto |
Directiva contable art. 8.1.a) y 8.8 |
|
|
050 |
De los cuales: Otros activos financieros no derivados y no destinados a negociación |
DCB art. 37; Directiva contable art. 12.7; Anexo V, parte 1.20 |
|
|
060 |
Pasivos financieros no derivados |
|
|
|
070 |
De los cuales: Pasivos financieros destinados a negociación |
Directiva contable art. 8.1.a), 8.3, 8.6 |
|
|
080 |
De los cuales: Pasivos financieros no derivados y no destinados a negociación, valorados por un método basado en el coste |
Directiva contable art. 8.3; |
|
F11.4 Elementos cubiertos mediante coberturas del valor razonable
|
|
Referencias a los PCGA nacionales compatibles con las NIIF |
Microcoberturas |
Microcoberturas - Cobertura de posición neta |
Ajustes de las microcoberturas |
Macrocoberturas |
||
|
Importe en libros |
Activos o pasivos incluidos en la cobertura de una posición neta (antes de compensación) |
Ajustes de cobertura incluidos en el importe en libros de activos/pasivos |
Resto de ajustes por microcoberturas interrumpidas incluidas las coberturas de posiciones netas |
Elementos cubiertos de una cartera con cobertura del riesgo de tipo de interés |
|||
|
NIIF 7.24B.a), Anexo V, parte 2.146, 147 |
NIIF 9.6.6.1; NIIF 9.6.6.6; Anexo V, parte 2.147, 151 |
NIIF 7.24B.a).ii); Anexo V, parte 2.148, 149 |
NIIF 7.24B.a).v); Anexo V, parte 2.148, 150 |
NIIF 9.6.1.3; NIIF 9.6.6.1; Anexo V, parte 2.152 |
|||
|
010 |
020 |
030 |
040 |
050 |
|||
|
|
ACTIVO |
|
|
|
|
|
|
|
010 |
Activos financieros valorados a valor razonable con cambios en otro resultado global |
NIIF 9.4.1.2A; NIIF 7.8.h); Anexo V, parte 2.146, 151 |
|
|
|
|
|
|
020 |
Tipo de interés |
Anexo V, parte 2.129.a) |
|
|
|
|
|
|
030 |
Instrumentos de patrimonio |
Anexo V, parte 2.129.b) |
|
|
|
|
|
|
040 |
Divisas y oro |
Anexo V, parte 2.129.c) |
|
|
|
|
|
|
050 |
Crédito |
Anexo V, parte 2.129.d) |
|
|
|
|
|
|
060 |
Materias primas |
Anexo V, parte 2.129.e) |
|
|
|
|
|
|
070 |
Otros |
Anexo V, parte 2.129.f) |
|
|
|
|
|
|
080 |
Activos financieros valorados a coste amortizado |
NIIF 9.4.1.2A; NIIF 7.8.f); Anexo V, parte 2.146, 151 |
|
|
|
|
|
|
090 |
Tipo de interés |
Anexo V, parte 2.129.a) |
|
|
|
|
|
|
100 |
Instrumentos de patrimonio |
Anexo V, parte 2.129.b) |
|
|
|
|
|
|
110 |
Divisas y oro |
Anexo V, parte 2.129.c) |
|
|
|
|
|
|
120 |
Crédito |
Anexo V, parte 2.129.d) |
|
|
|
|
|
|
130 |
Materias primas |
Anexo V, parte 2.129.e) |
|
|
|
|
|
|
140 |
Otros |
Anexo V, parte 2.129.f) |
|
|
|
|
|
|
|
PASIVO |
|
|
|
|
|
|
|
150 |
Pasivos financieros valorados a coste amortizado |
NIIF 9.4.2.1; NIIF 7.8.g); Anexo V, parte 2.146, 151 |
|
|
|
|
|
|
160 |
Tipo de interés |
Anexo V, parte 2.129.a) |
|
|
|
|
|
|
170 |
Instrumentos de patrimonio |
Anexo V, parte 2.129.b) |
|
|
|
|
|
|
180 |
Divisas y oro |
Anexo V, parte 2.129.c) |
|
|
|
|
|
|
190 |
Crédito |
Anexo V, parte 2.129.d) |
|
|
|
|
|
|
200 |
Materias primas |
Anexo V, parte 2.129.e) |
|
|
|
|
|
|
210 |
Otros |
Anexo V, parte 2.129.f) |
|
|
|
|
|
12. Movimientos en las correcciones de valor y provisiones por pérdidas crediticias
12.0 Movimientos en las correcciones de valor por pérdidas crediticias y deterioro del valor de los instrumentos de patrimonio conforme a los PCGA nacionales
|
|
Referencias a los PCGA nacionales basadas en la DCB RRC art. 442.i); Anexo V, parte 2.153 |
Saldo de apertura |
Aumentos debidos a dotaciones para pérdidas crediticias estimadas durante el período |
Disminuciones debidas a importes para pérdidas crediticias estimadas durante el período revertidos |
Disminución en la cuenta correctora de valor por fallidos dados de baja |
Transferencias entre correcciones de valor |
Otros ajustes |
Saldo de cierre |
Recuperaciones registradas directamente en el estado de resultados |
Ajustes de valor registrados directamente en el estado de resultados |
Importes de los fallidos dados de baja directamente en el estado de resultados |
|
|
|
Anexo V, parte 2.154 |
Anexo V, parte 2.154 |
|
|
Anexo V, parte 2.155 |
|
|
Anexo V, parte 2.78 |
|
|||
|
010 |
020 |
030 |
040 |
050 |
060 |
070 |
080 |
090 |
100 |
|||
|
010 |
Instrumentos de patrimonio |
BCE/2013/33, anexo 2, parte 2.4-5 |
|
|
|
|
|
|
|
|
|
|
|
330 |
Correcciones de valor específicas por riesgo de crédito |
RRC art. 428.g).ii) |
|
|
|
|
|
|
|
|
|
|
|
340 |
Valores representativos de deuda |
Anexo V, parte 1.31, 44.b) |
|
|
|
|
|
|
|
|
|
|
|
350 |
Bancos centrales |
Anexo V, parte 1.42.a) |
|
|
|
|
|
|
|
|
|
|
|
360 |
Administraciones públicas |
Anexo V, parte 1.42.b) |
|
|
|
|
|
|
|
|
|
|
|
370 |
Entidades de crédito |
Anexo V, parte 1.42.c) |
|
|
|
|
|
|
|
|
|
|
|
380 |
Otras sociedades financieras |
Anexo V, parte 1.42.d) |
|
|
|
|
|
|
|
|
|
|
|
390 |
Sociedades no financieras |
Anexo V, parte 1.42.e) |
|
|
|
|
|
|
|
|
|
|
|
400 |
Préstamos y anticipos |
Anexo V, parte 1.32, 44.a) |
|
|
|
|
|
|
|
|
|
|
|
410 |
Bancos centrales |
Anexo V, parte 1.42.a) |
|
|
|
|
|
|
|
|
|
|
|
420 |
Administraciones públicas |
Anexo V, parte 1.42.b) |
|
|
|
|
|
|
|
|
|
|
|
430 |
Entidades de crédito |
Anexo V, parte 1.42.c) |
|
|
|
|
|
|
|
|
|
|
|
440 |
Otras sociedades financieras |
Anexo V, parte 1.42.d) |
|
|
|
|
|
|
|
|
|
|
|
450 |
Sociedades no financieras |
Anexo V, parte 1.42.e) |
|
|
|
|
|
|
|
|
|
|
|
460 |
Hogares |
Anexo V, parte 1.42.f) |
|
|
|
|
|
|
|
|
|
|
|
470 |
Correcciones de valor genéricas por riesgo de crédito |
RRC art. 4.1.95 |
|
|
|
|
|
|
|
|
|
|
|
480 |
Valores representativos de deuda |
Anexo V, parte 1.31 |
|
|
|
|
|
|
|
|
|
|
|
490 |
Préstamos y anticipos |
Anexo V, parte 1.32 |
|
|
|
|
|
|
|
|
|
|
|
500 |
Corrección de valor genérica por riesgos bancarios |
DCB art. 37.2; RRC art. 4.1.95 |
|
|
|
|
|
|
|
|
|
|
|
510 |
Valores representativos de deuda |
Anexo V, parte 1.31 |
|
|
|
|
|
|
|
|
|
|
|
520 |
Préstamos y anticipos |
Anexo V, parte 1.32 |
|
|
|
|
|
|
|
|
|
|
|
530 |
Total |
|
|
|
|
|
|
|
|
|
|
|
12.1 Movimientos en las correcciones de valor y provisiones por pérdidas crediticias
|
|
Referencias a los PCGA nacionales compatibles con las NIIF |
Saldo de apertura |
Aumentos por originación y adquisición |
Disminuciones por baja en cuentas |
Cambios por variación del riesgo de crédito (neto) |
Cambios por modificaciones sin baja en cuentas (neto) |
Cambios por actualización del método de estimación de la entidad (neto) |
Disminución en la cuenta correctora de valor por fallidos dados de baja |
Otros ajustes |
Saldo de cierre |
Recuperaciones de importes de fallidos previamente dados de baja registradas directamente en el estado de resultados |
Importes de fallidos dados de baja directamente en el estado de resultados |
|
|
|
NIIF 7.35I; Anexo V, parte 2.159, 164.b) |
NIIF 7.35I; Anexo V, parte 2.160, 164.b) |
NIIF 7.35I; NIIF 7.35B.b); Anexo V, parte 2.161-162 |
NIIF 7.35I; NIIF 7.35J; NIIF 9.5.5.12, B5.5.25, B5.5.27; Anexo V, parte 2.164.c) |
NIIF 7.35I; NIIF 7.35B.b); Anexo V, parte 2.163 |
NIIF 7.35I; NIIF 9.5.4.4; NIIF 7.35L; Anexo V, parte 2.72, 74, 164.a), 165 |
NIIF 7.35I; NIIF 7.35B.b); Anexo V, parte 2.166 |
|
|
NIIF 9.5.4.4; Anexo V, parte 2.165 |
|||
|
010 |
020 |
030 |
040 |
050 |
070 |
080 |
090 |
100 |
110 |
120 |
|||
|
010 |
Correcciones por activos financieros sin aumento del riesgo de crédito desde el reconocimiento inicial (fase 1) |
NIIF 9.5.5.5 |
|
|
|
|
|
|
|
|
|
|
|
|
020 |
Valores representativos de deuda |
Anexo V, parte 1.31, 44.b) |
|
|
|
|
|
|
|
|
|
|
|
|
030 |
Bancos centrales |
Anexo V, parte 1.42.a) |
|
|
|
|
|
|
|
|
|
|
|
|
040 |
Administraciones públicas |
Anexo V, parte 1.42.b) |
|
|
|
|
|
|
|
|
|
|
|
|
050 |
Entidades de crédito |
Anexo V, parte 1.42.c) |
|
|
|
|
|
|
|
|
|
|
|
|
060 |
Otras sociedades financieras |
Anexo V, parte 1.42.d) |
|
|
|
|
|
|
|
|
|
|
|
|
070 |
Sociedades no financieras |
Anexo V, parte 1.42.e) |
|
|
|
|
|
|
|
|
|
|
|
|
080 |
Préstamos y anticipos |
Anexo V, parte 1.32, 44.a) |
|
|
|
|
|
|
|
|
|
|
|
|
090 |
Bancos centrales |
Anexo V, parte 1.42.a) |
|
|
|
|
|
|
|
|
|
|
|
|
100 |
Administraciones públicas |
Anexo V, parte 1.42.b) |
|
|
|
|
|
|
|
|
|
|
|
|
110 |
Entidades de crédito |
Anexo V, parte 1.42.c) |
|
|
|
|
|
|
|
|
|
|
|
|
120 |
Otras sociedades financieras |
Anexo V, parte 1.42.d) |
|
|
|
|
|
|
|
|
|
|
|
|
130 |
Sociedades no financieras |
Anexo V, parte 1.42.e) |
|
|
|
|
|
|
|
|
|
|
|
|
140 |
Hogares |
Anexo V, parte 1.42.f) |
|
|
|
|
|
|
|
|
|
|
|
|
160 |
De los cuales: correcciones de valor valoradas colectivamente |
NIIF 9.B5.5.1 - B5.5.6; Anexo V, parte 2.158 |
|
|
|
|
|
|
|
|
|
|
|
|
170 |
De los cuales: correcciones de valor valoradas individualmente |
NIIF 9.B5.5.1 - B5.5.6; Anexo V, parte 2.158 |
|
|
|
|
|
|
|
|
|
|
|
|
180 |
Correcciones por instrumentos de deuda con un aumento significativo del riesgo de crédito desde el reconocimiento inicial, pero sin deterioro crediticio (fase 2) |
NIIF 9.5.5.3 |
|
|
|
|
|
|
|
|
|
|
|
|
190 |
Valores representativos de deuda |
Anexo V, parte 1.31, 44.b) |
|
|
|
|
|
|
|
|
|
|
|
|
200 |
Bancos centrales |
Anexo V, parte 1.42.a) |
|
|
|
|
|
|
|
|
|
|
|
|
210 |
Administraciones públicas |
Anexo V, parte 1.42.b) |
|
|
|
|
|
|
|
|
|
|
|
|
220 |
Entidades de crédito |
Anexo V, parte 1.42.c) |
|
|
|
|
|
|
|
|
|
|
|
|
230 |
Otras sociedades financieras |
Anexo V, parte 1.42.d) |
|
|
|
|
|
|
|
|
|
|
|
|
240 |
Sociedades no financieras |
Anexo V, parte 1.42.e) |
|
|
|
|
|
|
|
|
|
|
|
|
250 |
Préstamos y anticipos |
Anexo V, parte 1.32, 44.a) |
|
|
|
|
|
|
|
|
|
|
|
|
260 |
Bancos centrales |
Anexo V, parte 1.42.a) |
|
|
|
|
|
|
|
|
|
|
|
|
270 |
Administraciones públicas |
Anexo V, parte 1.42.b) |
|
|
|
|
|
|
|
|
|
|
|
|
280 |
Entidades de crédito |
Anexo V, parte 1.42.c) |
|
|
|
|
|
|
|
|
|
|
|
|
290 |
Otras sociedades financieras |
Anexo V, parte 1.42.d) |
|
|
|
|
|
|
|
|
|
|
|
|
300 |
Sociedades no financieras |
Anexo V, parte 1.42.e) |
|
|
|
|
|
|
|
|
|
|
|
|
310 |
Hogares |
Anexo V, parte 1.42.f) |
|
|
|
|
|
|
|
|
|
|
|
|
330 |
De los cuales: correcciones de valor valoradas colectivamente |
NIIF 9.B5.5.1 - B5.5.6; Anexo V, parte 2.158 |
|
|
|
|
|
|
|
|
|
|
|
|
340 |
De los cuales: correcciones de valor valoradas individualmente |
NIIF 9.B5.5.1 - B5.5.6; Anexo V, parte 2.158 |
|
|
|
|
|
|
|
|
|
|
|
|
350 |
De los cuales: dudosos |
Anexo V, parte 2.213-232 |
|
|
|
|
|
|
|
|
|
|
|
|
360 |
Correcciones por instrumentos de deuda con deterioro crediticio (fase 3) |
NIIF 9.5.5.1, 9. Apéndice A |
|
|
|
|
|
|
|
|
|
|
|
|
370 |
Valores representativos de deuda |
Anexo V, parte 1.31, 44.b) |
|
|
|
|
|
|
|
|
|
|
|
|
380 |
Bancos centrales |
Anexo V, parte 1.42.a) |
|
|
|
|
|
|
|
|
|
|
|
|
390 |
Administraciones públicas |
Anexo V, parte 1.42.b) |
|
|
|
|
|
|
|
|
|
|
|
|
400 |
Entidades de crédito |
Anexo V, parte 1.42.c) |
|
|
|
|
|
|
|
|
|
|
|
|
410 |
Otras sociedades financieras |
Anexo V, parte 1.42.d) |
|
|
|
|
|
|
|
|
|
|
|
|
420 |
Sociedades no financieras |
Anexo V, parte 1.42.e) |
|
|
|
|
|
|
|
|
|
|
|
|
430 |
Préstamos y anticipos |
Anexo V, parte 1.32, 44.a) |
|
|
|
|
|
|
|
|
|
|
|
|
440 |
Bancos centrales |
Anexo V, parte 1.42.a) |
|
|
|
|
|
|
|
|
|
|
|
|
450 |
Administraciones públicas |
Anexo V, parte 1.42.b) |
|
|
|
|
|
|
|
|
|
|
|
|
460 |
Entidades de crédito |
Anexo V, parte 1.42.c) |
|
|
|
|
|
|
|
|
|
|
|
|
470 |
Otras sociedades financieras |
Anexo V, parte 1.42.d) |
|
|
|
|
|
|
|
|
|
|
|
|
480 |
Sociedades no financieras |
Anexo V, parte 1.42.e) |
|
|
|
|
|
|
|
|
|
|
|
|
490 |
Hogares |
Anexo V, parte 1.42.f) |
|
|
|
|
|
|
|
|
|
|
|
|
500 |
De los cuales: correcciones de valor valoradas colectivamente |
NIIF 9.B5.5.1 - B5.5.6; Anexo V, parte 2.158 |
|
|
|
|
|
|
|
|
|
|
|
|
510 |
De los cuales: correcciones de valor valoradas individualmente |
NIIF 9.B5.5.1 - B5.5.6; Anexo V, parte 2.158 |
|
|
|
|
|
|
|
|
|
|
|
|
520 |
Corrección total por instrumentos de deuda |
NIIF 7.B8E |
|
|
|
|
|
|
|
|
|
|
|
|
530 |
Compromisos y garantías financieras concedidos (fase 1) |
NIIF 9.2.1.g); 2.3.c); 5.5, B2.5; Anexo V, parte 2.157 |
|
|
|
|
|
|
|
|
|
|
|
|
540 |
Compromisos y garantías financieras concedidos (fase 2) |
NIIF 9.2.1.g); 2.3.c); 5.5.3, B2.5; Anexo V, parte 2.157 |
|
|
|
|
|
|
|
|
|
|
|
|
550 |
De los cuales: dudosos |
Anexo V, parte 2.117 |
|
|
|
|
|
|
|
|
|
|
|
|
560 |
Compromisos y garantías financieras concedidos (fase 3) |
NIIF 9.2.1.g); 2.3.c); 5.5.1, B2.5; Anexo V, parte 2.157 |
|
|
|
|
|
|
|
|
|
|
|
|
570 |
Total provisiones por compromisos y garantías financieras concedidos |
NIIF 7.B8E; Anexo V, parte 2.157 |
|
|
|
|
|
|
|
|
|
|
|
12.2 Transferencias entre fases de deterioro de valor (presentación en términos brutos)
|
|
Referencias a los PCGA nacionales compatibles con las NIIF |
Importe en libros bruto / importe nominal Anexo V, partes 1.34, 2.118, 167, 170 |
||||||
|
Transferencias entre la fase 1 y la fase 2 |
Transferencias entre la fase 2 y la fase 3 |
Transferencias entre la fase 1 y la fase 3 |
||||||
|
A la fase 2 desde la fase 1 |
A la fase 1 desde la fase 2 |
A la fase 3 desde la fase 2 |
A la fase 2 desde la fase 3 |
A la fase 3 desde la fase 1 |
A la fase 1 desde la fase 3 |
|||
|
Anexo V, parte 2.168-169 |
||||||||
|
010 |
020 |
030 |
040 |
050 |
060 |
|||
|
010 |
Valores representativos de deuda |
Anexo V, parte 1.31, 44.b) |
|
|
|
|
|
|
|
020 |
Bancos centrales |
Anexo V, parte 1.42.a) |
|
|
|
|
|
|
|
030 |
Administraciones públicas |
Anexo V, parte 1.42.b) |
|
|
|
|
|
|
|
040 |
Entidades de crédito |
Anexo V, parte 1.42.c) |
|
|
|
|
|
|
|
050 |
Otras sociedades financieras |
Anexo V, parte 1.42.d) |
|
|
|
|
|
|
|
060 |
Sociedades no financieras |
Anexo V, parte 1.42.e) |
|
|
|
|
|
|
|
070 |
Préstamos y anticipos |
Anexo V, parte 1.32, 44.a) |
|
|
|
|
|
|
|
080 |
Bancos centrales |
Anexo V, parte 1.42.a) |
|
|
|
|
|
|
|
090 |
Administraciones públicas |
Anexo V, parte 1.42.b) |
|
|
|
|
|
|
|
100 |
Entidades de crédito |
Anexo V, parte 1.42.c) |
|
|
|
|
|
|
|
110 |
Otras sociedades financieras |
Anexo V, parte 1.42.d) |
|
|
|
|
|
|
|
120 |
Sociedades no financieras |
Anexo V, parte 1.42.e) |
|
|
|
|
|
|
|
130 |
Hogares |
Anexo V, parte 1.42.f) |
|
|
|
|
|
|
|
140 |
Total instrumentos de deuda |
|
|
|
|
|
|
|
|
150 |
Compromisos y garantías financieras concedidos |
NIIF 9.2.1.g); 2.3.c); 5.5.1, 5.5.3, 5.5.5 |
|
|
|
|
|
|
13. Garantías reales y personales recibidas
13.1 Desglose de las garantías reales y personales por préstamos y anticipos distintos de los mantenidos para negociar
|
Garantías personales y reales |
|
|
Importe máximo de la garantía real o personal que puede considerarse Anexo V, parte 2.171-172, 174 |
|||||
|
Referencias a los PCGA nacionales basadas en la DCB |
Referencias a los PCGA nacionales compatibles con las NIIF |
Préstamos garantizados por bienes inmuebles |
Otros préstamos con garantías reales |
Garantías financieras recibidas |
||||
|
|
|
Inmuebles residenciales |
Inmuebles comerciales |
Efectivo [instrumentos de deuda emitidos] |
Resto |
|||
|
|
NIIF 7.36.b) |
Anexo V, parte 2.173.a) |
Anexo V, parte 2.173.a) |
Anexo V, parte 2.173.b) |
Anexo V, parte 2.173.b) |
Anexo V, parte 2.173.c) |
||
|
|
|
010 |
020 |
030 |
040 |
050 |
||
|
010 |
Préstamos y anticipos |
Anexo V, parte 1.32, 44.a) |
Anexo V, parte 1.32, 44.a) |
|
|
|
|
|
|
020 |
De los cuales: Otras sociedades financieras |
Anexo V, parte 1.42.d) |
Anexo V, parte 1.42.d) |
|
|
|
|
|
|
030 |
De los cuales: Sociedades no financieras |
Anexo V, parte 1.42.e) |
Anexo V, parte 1.42.e) |
|
|
|
|
|
|
040 |
De los cuales: Hogares |
Anexo V, parte 1.42.f) |
Anexo V, parte 1.42.f) |
|
|
|
|
|
|
050 |
De los cuales: Préstamos para compra de vivienda |
Anexo V, parte 2.88.b) |
Anexo V, parte 2.88.b) |
|
|
|
|
|
13.2 Garantías reales obtenidas mediante toma de posesión durante el período [mantenidas en la fecha de información]
|
|
Referencias a los PCGA nacionales basadas en la DCB |
Referencias a los PCGA nacionales compatibles con las NIIF |
Importe en libros |
|
|
Anexo V, parte 2.175 |
||||
|
010 |
||||
|
010 |
Activos no corrientes mantenidos para la venta |
|
NIIF 7.38.a) |
|
|
020 |
Inmovilizado material |
|
NIIF 7.38.a) |
|
|
030 |
Inversiones inmobiliarias |
|
NIIF 7.38.a) |
|
|
040 |
Instrumentos de patrimonio y de deuda |
|
NIIF 7.38.a) |
|
|
050 |
Otros |
|
NIIF 7.38.a) |
|
|
060 |
Total |
|
|
|
13.3 Garantías reales obtenidas mediante toma de posesión [activos tangibles] acumuladas
|
|
Referencias a los PCGA nacionales basadas en la DCB |
Referencias a los PCGA nacionales compatibles con las NIIF |
Importe en libros |
|
|
010 |
||||
|
010 |
Adjudicados [activos tangibles] |
Anexo V, parte 2.176 |
NIIF 7.38.a); Anexo V, parte 2.176 |
|
14. Jerarquía del valor razonable: instrumentos financieros a valor razonable
|
|
|
|
Jerarquía del valor razonable: NIIF 13.93.b); |
Cambio en el valor razonable para el período Anexo V, parte 2.178 |
Cambio acumulado en el valor razonable antes de impuestos Anexo V, parte 2.179 |
||||||
|
Referencias a los PCGA nacionales basadas en la DCB |
Referencias a los PCGA nacionales compatibles con las NIIF |
Nivel 1 |
Nivel 2 |
Nivel 3 |
Nivel 2 |
Nivel 3 |
Nivel 1 |
Nivel 2 |
Nivel 3 |
||
|
|
|
NIIF 13.76 |
NIIF 13.81 |
NIIF 13.86 |
NIIF 13.81 |
NIIF 13.86, 93.f) |
NIIF 13.76 |
NIIF 13.81 |
NIIF 13.86 |
||
|
|
|
010 |
020 |
030 |
040 |
050 |
060 |
070 |
080 |
||
|
ACTIVO |
|
|
|
|
|
|
|
|
|
|
|
|
010 |
Activos financieros mantenidos para negociar |
|
NIIF 7.8.a).ii); NIIF 9, apéndice A |
|
|
|
|
|
|
|
|
|
020 |
Derivados |
|
NIIF 9, apéndice A |
|
|
|
|
|
|
|
|
|
030 |
Instrumentos de patrimonio |
|
NIC 32.11, |
|
|
|
|
|
|
|
|
|
040 |
Valores representativos de deuda |
|
Anexo V, parte 1.31 |
|
|
|
|
|
|
|
|
|
050 |
Préstamos y anticipos |
|
Anexo V, parte 1.32 |
|
|
|
|
|
|
|
|
|
051 |
Activos financieros destinados a negociación |
DCB artículos 32-33; Anexo V, parte 1.17 |
|
|
|
|
|
|
|
|
|
|
052 |
Derivados |
RRC Anexo II; Anexo V, parte 1.17 |
|
|
|
|
|
|
|
|
|
|
053 |
Instrumentos de patrimonio |
BCE/2013/33; Anexo 2, parte 2.4-5 |
|
|
|
|
|
|
|
|
|
|
054 |
Valores representativos de deuda |
Anexo V, parte 1.31 |
|
|
|
|
|
|
|
|
|
|
055 |
Préstamos y anticipos |
Anexo V, parte 1.32 |
|
|
|
|
|
|
|
|
|
|
056 |
Activos financieros no destinados a negociación valorados obligatoriamente a valor razonable con cambios en resultados |
|
NIIF 9.4.1.4; NIIF 7.8.a).ii) |
|
|
|
|
|
|
|
|
|
057 |
Instrumentos de patrimonio |
|
NIC 32.11 |
|
|
|
|
|
|
|
|
|
058 |
Valores representativos de deuda |
|
Anexo V, parte 1.31 |
|
|
|
|
|
|
|
|
|
059 |
Préstamos y anticipos |
|
Anexo V, parte 1.32 |
|
|
|
|
|
|
|
|
|
060 |
Activos financieros designados a valor razonable con cambios en resultados |
Directiva contable art. 8.1.a), 8.6; NIC 39.9 |
NIIF 7.8.a).i); NIIF 9.4.1.5 |
|
|
|
|
|
|
|
|
|
070 |
Instrumentos de patrimonio |
BCE/2013/33, anexo 2, parte 2.4-5 |
NIC 32.11 |
|
|
|
|
|
|
|
|
|
080 |
Valores representativos de deuda |
Anexo V, parte 1.31 |
Anexo V, parte 1.31 |
|
|
|
|
|
|
|
|
|
090 |
Préstamos y anticipos |
Anexo V, parte 1.32 |
Anexo V, parte 1.32 |
|
|
|
|
|
|
|
|
|
101 |
Activos financieros a valor razonable con cambios en otro resultado global |
|
NIIF 7.8.h); NIIF 9.4.1.2A |
|
|
|
|
|
|
|
|
|
102 |
Instrumentos de patrimonio |
|
NIC 32.11 |
|
|
|
|
|
|
|
|
|
103 |
Valores representativos de deuda |
|
Anexo V, parte 1.31 |
|
|
|
|
|
|
|
|
|
104 |
Préstamos y anticipos |
|
Anexo V, parte 1.32 |
|
|
|
|
|
|
|
|
|
121 |
Activos financieros no derivados y no destinados a negociación, a valor razonable con cambios en resultados |
Directiva contable art. 8.1.a) y 8.4 |
|
|
|
|
|
|
|
|
|
|
122 |
Instrumentos de patrimonio |
BCE/2013/33, anexo 2, parte 2.4-5 |
|
|
|
|
|
|
|
|
|
|
123 |
Valores representativos de deuda |
Anexo V, parte 1.31 |
|
|
|
|
|
|
|
|
|
|
124 |
Préstamos y anticipos |
Directiva contable art. 8.1.a) y 8.4.b); Anexo V, parte 1.32 |
|
|
|
|
|
|
|
|
|
|
125 |
Activos financieros no derivados y no destinados a negociación, contabilizados a valor razonable en el patrimonio neto |
Directiva contable art. 8.1.a), 8.6, 8.8 |
|
|
|
|
|
|
|
|
|
|
126 |
Instrumentos de patrimonio |
BCE/2013/33, anexo 2, parte 2.4-5 |
|
|
|
|
|
|
|
|
|
|
127 |
Valores representativos de deuda |
Anexo V, parte 1.31 |
|
|
|
|
|
|
|
|
|
|
128 |
Préstamos y anticipos |
Directiva contable art. 8.1.a) y 8.4.b); Anexo V, parte 1.32 |
|
|
|
|
|
|
|
|
|
|
140 |
Derivados — Contabilidad de coberturas |
Directiva contable art. 8.1.a), 8.6, 8.8 NIC 39.9; Anexo V, parte 1.22 |
NIIF 9.6.2.1; Anexo V, parte 1.22 |
|
|
|
|
|
|
|
|
|
PASIVO |
|
|
|
|
|
|
|
|
|
|
|
|
150 |
Pasivos financieros mantenidos para negociar |
Directiva contable art. 8.1.a) y 8.6; NIC 39.9, GA 14-15 |
NIIF 7.8.e).ii); NIIF 9.BA.6 |
|
|
|
|
|
|
|
|
|
160 |
Derivados |
RRC Anexo II |
NIIF 9.BA.7.a) |
|
|
|
|
|
|
|
|
|
170 |
Posiciones cortas |
|
NIIF 9.BA.7.b) |
|
|
|
|
|
|
|
|
|
180 |
Depósitos |
BCE/2013/33, anexo 2, parte 2.9; Anexo V, parte 1.30 |
BCE/2013/33, anexo 2, parte 2.9; Anexo V, parte 1.36 |
|
|
|
|
|
|
|
|
|
190 |
Valores representativos de deuda emitidos |
Anexo V, parte 1.31 |
Anexo V, parte 1.37 |
|
|
|
|
|
|
|
|
|
200 |
Otros pasivos financieros |
Anexo V, parte 1.32-34 |
Anexo V, parte 1.38-41 |
|
|
|
|
|
|
|
|
|
201 |
Pasivos financieros destinados a negociación |
Directiva contable art. 8.1.a), 8.3, 8.6 |
|
|
|
|
|
|
|
|
|
|
202 |
Derivados |
RRC Anexo II; Anexo V, parte 1.25, 27 |
|
|
|
|
|
|
|
|
|
|
203 |
Posiciones cortas |
|
|
|
|
|
|
|
|
|
|
|
204 |
Depósitos |
BCE/2013/33, anexo 2, parte 2.9; Anexo V, parte 1.36 |
|
|
|
|
|
|
|
|
|
|
205 |
Valores representativos de deuda emitidos |
Anexo V, parte 1.37 |
|
|
|
|
|
|
|
|
|
|
206 |
Otros pasivos financieros |
Anexo V, parte 1.38-41 |
|
|
|
|
|
|
|
|
|
|
210 |
Pasivos financieros designados a valor razonable con cambios en resultados |
Directiva contable art. 8.1.a), 8.6; NIC 39.9 |
NIIF 7.8.e).i); NIIF 9.4.1.5 |
|
|
|
|
|
|
|
|
|
220 |
Depósitos |
BCE/2013/33, anexo 2, parte 2.9; Anexo V, parte 1.36 |
BCE/2013/33, anexo 2, parte 2.9; Anexo V, parte 1.36 |
|
|
|
|
|
|
|
|
|
230 |
Valores representativos de deuda emitidos |
Anexo V, parte 1.37 |
Anexo V, parte 1.37 |
|
|
|
|
|
|
|
|
|
240 |
Otros pasivos financieros |
Anexo V, parte 1.38-41 |
Anexo V, parte 1.38-41 |
|
|
|
|
|
|
|
|
|
250 |
Derivados — Contabilidad de coberturas |
Directiva contable art. 8.1.a), 8.6 y 8.8.1.a); NIC 39.9; Anexo V, parte 1.26 |
NIIF 9.6.2.1; Anexo V, parte 1.26 |
|
|
|
|
|
|
|
|
15. Baja en cuentas y pasivos financieros asociados a activos financieros transferidos
|
|
|
|
Activos financieros transferidos reconocidos en su totalidad |
Activos financieros transferidos reconocidos en función de la implicación continuada de la entidad |
Importe vivo del principal de los activos financieros transferidos y dados de baja en cuentas en su totalidad respecto de los cuales la entidad mantiene derechos de servicios de administración |
Importe dado de baja en cuentas a efectos de capital |
||||||||
|
Activos transferidos |
Pasivos asociados NTE V, parte 2.181 |
Importe vivo del principal de los activos originales |
Importe en libros de los activos aún reconocidos [implicación continuada] |
Importe en libros de los pasivos asociados |
||||||||||
|
Importe en libros |
De los cuales: titulizaciones |
De los cuales: pactos de recompra |
Importe en libros |
De los cuales: titulizaciones |
De los cuales: pactos de recompra |
|||||||||
|
Referencias a los PCGA nacionales compatibles con las NIIF |
NIIF 7.42D.e); Anexo V, parte 1.27 |
NIIF 7.42D.e); RRC art. 4.1.61 |
NIIF 7.42D.e); Anexo V, parte 2.183-184 |
NIIF 7.42D.e) |
NIIF 7.42D.e) |
NIIF 7.42D.e); Anexo V, parte 2.183-184 |
|
NIIF 7.42D.f) |
NIIF 7.42D.f); Anexo V, parte 1.27, parte 2.181 |
|
RRC art. 109; Anexo V, parte 2.182 |
|||
|
Referencias a los PCGA nacionales basadas en la DCB |
|
Anexo V, parte 1.27-28 |
RRC art. 4.1.61 |
Anexo V, parte 2.183-184 |
|
RRC art. 4.1.61 |
Anexo V, parte 2.183-184 |
|
|
|
|
RRC art. 109; Anexo V, parte 2.182 |
||
|
|
010 |
020 |
030 |
040 |
050 |
060 |
070 |
080 |
090 |
100 |
110 |
|||
|
010 |
Activos financieros mantenidos para negociar |
|
NIIF 7.8.a).ii); NIIF 9, apéndice A |
|
|
|
|
|
|
|
|
|
|
|
|
020 |
Instrumentos de patrimonio |
|
NIC 32.11 |
|
|
|
|
|
|
|
|
|
|
|
|
030 |
Valores representativos de deuda |
|
Anexo V, parte 1.31 |
|
|
|
|
|
|
|
|
|
|
|
|
040 |
Préstamos y anticipos |
|
Anexo V, parte 1.32 |
|
|
|
|
|
|
|
|
|
|
|
|
041 |
Activos financieros destinados a negociación |
Directiva contable art. 8.1.a), 8.6; Anexo V, parte 1.15 |
|
|
|
|
|
|
|
|
|
|
|
|
|
042 |
Instrumentos de patrimonio |
BCE/2013/33, anexo 2, parte 2.4-5 |
|
|
|
|
|
|
|
|
|
|
|
|
|
043 |
Valores representativos de deuda |
Anexo V, parte 1.31 |
|
|
|
|
|
|
|
|
|
|
|
|
|
044 |
Préstamos y anticipos |
Anexo V, parte 1.32 |
|
|
|
|
|
|
|
|
|
|
|
|
|
045 |
Activos financieros no destinados a negociación valorados obligatoriamente a valor razonable con cambios en resultados |
|
NIIF 9.4.1.4 |
|
|
|
|
|
|
|
|
|
|
|
|
046 |
Instrumentos de patrimonio |
|
NIC 32.11 |
|
|
|
|
|
|
|
|
|
|
|
|
047 |
Valores representativos de deuda |
|
Anexo V, parte 1.31 |
|
|
|
|
|
|
|
|
|
|
|
|
048 |
Préstamos y anticipos |
|
Anexo V, parte 1.32 |
|
|
|
|
|
|
|
|
|
|
|
|
050 |
Activos financieros designados a valor razonable con cambios en resultados |
Directiva contable art. 8.1.a), 8.6; NIC 39.9 |
NIIF 7.8.a).i); NIIF 9.4.1.5 |
|
|
|
|
|
|
|
|
|
|
|
|
060 |
Instrumentos de patrimonio |
BCE/2013/33, anexo 2, parte 2.4-5 |
NIC 32.11 |
|
|
|
|
|
|
|
|
|
|
|
|
070 |
Valores representativos de deuda |
Anexo V, parte 1.31 |
Anexo V, parte 1.31 |
|
|
|
|
|
|
|
|
|
|
|
|
080 |
Préstamos y anticipos |
Anexo V, parte 1.32 |
Anexo V, parte 1.32 |
|
|
|
|
|
|
|
|
|
|
|
|
091 |
Activos financieros a valor razonable con cambios en otro resultado global |
|
NIIF 7.8.h); NIIF 9.4.1.2A |
|
|
|
|
|
|
|
|
|
|
|
|
092 |
Instrumentos de patrimonio |
|
NIC 32.11 |
|
|
|
|
|
|
|
|
|
|
|
|
093 |
Valores representativos de deuda |
|
Anexo V, parte 1.31 |
|
|
|
|
|
|
|
|
|
|
|
|
094 |
Préstamos y anticipos |
|
Anexo V, parte 1.32 |
|
|
|
|
|
|
|
|
|
|
|
|
121 |
Activos financieros no derivados y no destinados a negociación, a valor razonable con cambios en resultados |
Directiva contable art. 8.1.a) y 8.4 |
|
|
|
|
|
|
|
|
|
|
|
|
|
122 |
Instrumentos de patrimonio |
BCE/2013/33, anexo 2, parte 2.4-5 |
|
|
|
|
|
|
|
|
|
|
|
|
|
123 |
Valores representativos de deuda |
Anexo V, parte 1.31 |
|
|
|
|
|
|
|
|
|
|
|
|
|
124 |
Préstamos y anticipos |
Directiva contable art. 8.1.a) y 8.4.b); parte 1.14, 3.35 |
|
|
|
|
|
|
|
|
|
|
|
|
|
125 |
Activos financieros no derivados y no destinados a negociación, contabilizados a valor razonable en el patrimonio neto |
Directiva contable art. 8.1.a) y 8.2 |
|
|
|
|
|
|
|
|
|
|
|
|
|
126 |
Instrumentos de patrimonio |
BCE/2013/33, anexo 2, parte 2.4-5 |
|
|
|
|
|
|
|
|
|
|
|
|
|
127 |
Valores representativos de deuda |
Anexo V, parte 1.31 |
|
|
|
|
|
|
|
|
|
|
|
|
|
128 |
Préstamos y anticipos |
Directiva contable art. 8.1.a) y 8.4.b); parte 1.14, 3.35 |
|
|
|
|
|
|
|
|
|
|
|
|
|
131 |
Activos financieros a coste amortizado |
Directiva contable art. 42 bis.4.b) y art. 42 bis.5 bis; NIC 39.9 |
NIIF 7.8.f); NIIF 9.4.1.2 |
|
|
|
|
|
|
|
|
|
|
|
|
132 |
Valores representativos de deuda |
Anexo V, parte 1.24, 26 |
Anexo V, parte 1.31 |
|
|
|
|
|
|
|
|
|
|
|
|
133 |
Préstamos y anticipos |
Anexo V, parte 1.24, 27 |
Anexo V, parte 1.32 |
|
|
|
|
|
|
|
|
|
|
|
|
181 |
Activos financieros no derivados y no destinados a negociación, valorados por un método basado en el coste |
DCB art. 37.1; art. 42 bis.4.b); Anexo V, parte 1.16 |
|
|
|
|
|
|
|
|
|
|
|
|
|
200 |
Instrumentos de patrimonio |
BCE/2013/33, anexo 2, parte 2.4-5 |
|
|
|
|
|
|
|
|
|
|
|
|
|
182 |
Valores representativos de deuda |
Anexo V, parte 1.31 |
|
|
|
|
|
|
|
|
|
|
|
|
|
183 |
Préstamos y anticipos |
Anexo V, parte 1.32 |
|
|
|
|
|
|
|
|
|
|
|
|
|
184 |
Otros activos financieros no derivados y no destinados a negociación |
DCB art. 35-37 |
|
|
|
|
|
|
|
|
|
|
|
|
|
185 |
Instrumentos de patrimonio |
BCE/2013/33, anexo 2, parte 2.4-5 |
|
|
|
|
|
|
|
|
|
|
|
|
|
186 |
Valores representativos de deuda |
Anexo V, parte 1.31 |
|
|
|
|
|
|
|
|
|
|
|
|
|
187 |
Préstamos y anticipos |
Anexo V, parte 1.32 |
|
|
|
|
|
|
|
|
|
|
|
|
|
190 |
Total |
|
|
|
|
|
|
|
|
|
|
|
|
|
16. Desglose de partidas seleccionadas del estado de resultados
16.1 Ingresos y gastos en concepto de intereses, por instrumentos y sectores de las contrapartes
|
|
Referencias a los PCGA nacionales basadas en la DCB |
Referencias a los PCGA nacionales compatibles con las NIIF |
Período corriente |
||
|
Ingresos |
Gastos |
||||
|
Anexo V, parte 2.187, 189 |
Anexo V, parte 2.188, 190 |
||||
|
010 |
020 |
||||
|
010 |
Derivados — negociación |
RRC Anexo II; Anexo V, parte 2.193 |
NIIF 9, apéndice A, .BA.1, .BA.6; Anexo V, parte 2.193 |
|
|
|
015 |
De los cuales: ingresos por intereses de derivados en coberturas económicas |
Anexo V, parte 2.193 |
Anexo V, parte 2.193 |
|
|
|
020 |
Valores representativos de deuda |
Anexo V, parte 1.31, 44.b) |
Anexo V, parte 1.31, 44.b) |
|
|
|
030 |
Bancos centrales |
Anexo V, parte 1.42.a) |
Anexo V, parte 1.42.a) |
|
|
|
040 |
Administraciones públicas |
Anexo V, parte 1.42.b) |
Anexo V, parte 1.42.b) |
|
|
|
050 |
Entidades de crédito |
Anexo V, parte 1.42.c) |
Anexo V, parte 1.42.c) |
|
|
|
060 |
Otras sociedades financieras |
Anexo V, parte 1.42.d) |
Anexo V, parte 1.42.d) |
|
|
|
070 |
Sociedades no financieras |
Anexo V, parte 1.42.e) |
Anexo V, parte 1.42.e) |
|
|
|
080 |
Préstamos y anticipos |
Anexo V, parte 1.32, 44.a) |
Anexo V, parte 1.32, 44.a) |
|
|
|
090 |
Bancos centrales |
Anexo V, parte 1.42.a) |
Anexo V, parte 1.42.a) |
|
|
|
100 |
Administraciones públicas |
Anexo V, parte 1.42.b) |
Anexo V, parte 1.42.b) |
|
|
|
110 |
Entidades de crédito |
Anexo V, parte 1.42.c) |
Anexo V, parte 1.42.c) |
|
|
|
120 |
Otras sociedades financieras |
Anexo V, parte 1.42.d) |
Anexo V, parte 1.42.d) |
|
|
|
130 |
Sociedades no financieras |
Anexo V, parte 1.42.e) |
Anexo V, parte 1.42.e) |
|
|
|
140 |
Hogares |
Anexo V, parte 1.42.f) |
Anexo V, parte 1.42.f) |
|
|
|
150 |
Otros activos |
Anexo V, parte 1.51 |
Anexo V, parte 2.5 |
|
|
|
160 |
Depósitos |
BCE/2013/33, anexo 2, parte 2.9; Anexo V, parte 1.36 |
BCE/2013/33, anexo 2, parte 2.9; Anexo V, parte 1.36 |
|
|
|
170 |
Bancos centrales |
Anexo V, parte 1.42.a) |
Anexo V, parte 1.42.a) |
|
|
|
180 |
Administraciones públicas |
Anexo V, parte 1.42.b) |
Anexo V, parte 1.42.b) |
|
|
|
190 |
Entidades de crédito |
Anexo V, parte 1.42.c) |
Anexo V, parte 1.42.c) |
|
|
|
200 |
Otras sociedades financieras |
Anexo V, parte 1.42.d) |
Anexo V, parte 1.42.d) |
|
|
|
210 |
Sociedades no financieras |
Anexo V, parte 1.42.e) |
Anexo V, parte 1.42.e) |
|
|
|
220 |
Hogares |
Anexo V, parte 1.42.f) |
Anexo V, parte 1.42.f) |
|
|
|
230 |
Valores representativos de deuda emitidos |
Anexo V.1.37 |
Anexo V, parte 1.37 |
|
|
|
240 |
Otros pasivos financieros |
Anexo V, parte 1.32-34, parte 2.191 |
Anexo V, parte 1.32-34, parte 2.191 |
|
|
|
250 |
Derivados - contabilidad de coberturas, riesgo de tipo de interés |
Anexo V, parte 2.192 |
Anexo V, parte 2.192 |
|
|
|
260 |
Otros pasivos |
Anexo V, parte 1.38-41 |
Anexo V, parte 1.38-41 |
|
|
|
270 |
INTERESES |
DCB art. 27, Presentación vertical.1-2 |
NIC 1.97 |
|
|
|
280 |
De los cuales: ingresos por intereses de activos financieros con deterioro crediticio |
|
NIIF 9.5.4.1; .B5.4.7; Anexo V, parte 2.194 |
|
|
16.2 Ganancias o pérdidas al dar de baja en cuentas activos y pasivos financieros no valorados a valor razonable con cambios en resultados, por instrumentos
|
|
Referencias a los PCGA nacionales basadas en la DCB |
Referencias a los PCGA nacionales compatibles con las NIIF |
Período corriente |
|
|
Anexo V, parte 2.195-196 |
||||
|
010 |
||||
|
010 |
Instrumentos de patrimonio |
BCE/2013/33, anexo 2, parte 2.4-5 |
Anexo V, parte 1.28 |
|
|
020 |
Valores representativos de deuda |
Anexo V, parte 1.31 |
Anexo V, parte 1.31 |
|
|
030 |
Préstamos y anticipos |
Anexo V, parte 1.32 |
Anexo V, parte 1.32 |
|
|
040 |
Depósitos |
BCE/2013/33, anexo 2, parte 2.9; Anexo V, parte 1.36 |
BCE/2013/33, anexo 2, parte 2.9; Anexo V, parte 1.36 |
|
|
050 |
Valores representativos de deuda emitidos |
Anexo V, parte 1.37 |
Anexo V, parte 1.37 |
|
|
060 |
Otros pasivos financieros |
Anexo V, parte 1.38-41 |
Anexo V, parte 1.38-41 |
|
|
070 |
GANANCIAS O (-) PÉRDIDAS AL DAR DE BAJA EN CUENTAS ACTIVOS Y PASIVOS FINANCIEROS NO VALORADOS A VALOR RAZONABLE CON CAMBIOS EN RESULTADOS, NETAS |
DCB art. 27, Presentación vertical.6; Anexo V, parte 2.45 |
Anexo V, parte 2.45 |
|
16.3 Ganancias o pérdidas de activos y pasivos financieros mantenidos para negociar y activos y pasivos financieros destinados a negociación, por instrumentos
|
|
Referencias a los PCGA nacionales basadas en la DCB |
Referencias a los PCGA nacionales compatibles con las NIIF |
Período corriente |
|
|
Anexo V, parte 2.197-198 |
||||
|
010 |
||||
|
010 |
Derivados |
|
NIIF 9, apéndice A, .BA.1, .BA.7.a); |
|
|
015 |
De los cuales: coberturas económicas con uso de la opción del valor razonable |
|
NIIF 9.6.7.1; NIIF 7.9.d); Anexo V, parte 2.199 |
|
|
020 |
Instrumentos de patrimonio |
|
NIC 32.11 |
|
|
030 |
Valores representativos de deuda |
|
Anexo V, parte 1.31 |
|
|
040 |
Préstamos y anticipos |
|
Anexo V, parte 1.32 |
|
|
050 |
Posiciones cortas |
|
NIIF 9.BA.7.b) |
|
|
060 |
Depósitos |
|
BCE/2013/33, anexo 2, parte 2.9; Anexo V, parte 1.36 |
|
|
070 |
Valores representativos de deuda emitidos |
|
Anexo V, parte 1.37 |
|
|
080 |
Otros pasivos financieros |
|
Anexo V, parte 1.38-41 |
|
|
090 |
GANANCIAS O (-) PÉRDIDAS POR ACTIVOS Y PASIVOS FINANCIEROS MANTENIDOS PARA NEGOCIAR, NETAS |
|
NIIF 9, apéndice A, .BA.6; NIIF 7.20.a).i) |
|
|
095 |
De las cuales: ganancias y pérdidas por reclasificación de activos a coste amortizado |
|
NIIF 9.5.6.2; Anexo V, parte 2.199 |
|
|
100 |
Derivados |
RRC Anexo II |
|
|
|
110 |
Instrumentos de patrimonio |
BCE/2013/33, anexo 2, parte 2.4-5 |
|
|
|
120 |
Valores representativos de deuda |
Anexo V, parte 1.31 |
|
|
|
130 |
Préstamos y anticipos |
Anexo V, parte 1.32 |
|
|
|
140 |
Posiciones cortas |
|
|
|
|
150 |
Depósitos |
BCE/2013/33, anexo 2, parte 2.9; Anexo V, parte 1.36 |
|
|
|
160 |
Valores representativos de deuda emitidos |
Anexo V, parte 1.37 |
|
|
|
170 |
Otros pasivos financieros |
Anexo V, parte 1.38-41 |
|
|
|
180 |
GANANCIAS O (-) PÉRDIDAS POR ACTIVOS Y PASIVOS FINANCIEROS DESTINADOS A NEGOCIACIÓN, NETAS |
DCB art. 27, Presentación vertical.6; Anexo V, parte 1.17 |
|
|
16.4 Ganancias o pérdidas de activos y pasivos financieros mantenidos para negociar y activos y pasivos financieros destinados a negociación, por riesgos
|
|
Referencias a los PCGA nacionales basadas en la DCB |
Referencias a los PCGA nacionales compatibles con las NIIF |
Período corriente |
|
|
010 |
||||
|
010 |
Instrumentos de tipo de interés y derivados relacionados |
|
Anexo V, parte 2.200.a) |
|
|
020 |
Instrumentos de patrimonio y derivados relacionados |
|
Anexo V, parte 2.200.b) |
|
|
030 |
Negociación de divisas y derivados relacionados con divisas y con oro |
|
Anexo V, parte 2.200.c) |
|
|
040 |
Instrumentos de riesgo de crédito y derivados relacionados |
|
Anexo V, parte 2.200.d) |
|
|
050 |
Materias primas y derivados relacionados |
|
Anexo V, parte 2.200.e) |
|
|
060 |
Otros |
|
Anexo V, parte 2.200.f) |
|
|
070 |
GANANCIAS O (-) PÉRDIDAS POR ACTIVOS Y PASIVOS FINANCIEROS MANTENIDOS PARA NEGOCIAR, NETAS |
DCB art. 27, Presentación vertical.6 |
NIIF 7.20.a).i) |
|
|
080 |
Instrumentos de tipo de interés y derivados relacionados |
Anexo V, parte 2.200.a) |
|
|
|
090 |
Instrumentos de patrimonio y derivados relacionados |
Anexo V, parte 2.200.b) |
|
|
|
100 |
Negociación de divisas y derivados relacionados con divisas y con oro |
Anexo V, parte 2.200.c) |
|
|
|
110 |
Instrumentos de riesgo de crédito y derivados relacionados |
Anexo V, parte 2.200.d) |
|
|
|
120 |
Materias primas y derivados relacionados |
Anexo V, parte 2.200.e) |
|
|
|
130 |
Otros |
Anexo V, parte 2.200.f) |
|
|
|
140 |
GANANCIAS O (-) PÉRDIDAS POR ACTIVOS Y PASIVOS FINANCIEROS DESTINADOS A NEGOCIACIÓN, NETAS |
DCB art. 27, Presentación vertical.6 |
|
|
16.4.1 Ganancias o pérdidas por activos financieros no destinados a negociación valorados obligatoriamente a valor razonable con cambios en resultados, por instrumentos
|
|
Referencias a los PCGA nacionales basadas en la DCB |
Referencias a los PCGA nacionales compatibles con las NIIF |
Período corriente |
|
|
Anexo V, parte 2.201 |
||||
|
010 |
||||
|
020 |
Instrumentos de patrimonio |
|
NIC 32.11 |
|
|
030 |
Valores representativos de deuda |
|
Anexo V, parte 1.31 |
|
|
040 |
Préstamos y anticipos |
|
Anexo V, parte 1.32 |
|
|
090 |
GANANCIAS O (-) PÉRDIDAS POR ACTIVOS FINANCIEROS NO DESTINADOS A NEGOCIACIÓN VALORADOS OBLIGATORIAMENTE A VALOR RAZONABLE CON CAMBIOS EN RESULTADOS, NETAS |
|
NIIF 7.20.a).i) |
|
|
100 |
De las cuales: ganancias y pérdidas por reclasificación de activos a coste amortizado |
|
NIIF 9.6.5.2; Anexo V, parte 2.202 |
|
16.5 Ganancias o pérdidas por activos y pasivos financieros designados a valor razonable con cambios en resultados, por instrumentos
|
|
Referencias a los PCGA nacionales basadas en la DCB |
Referencias a los PCGA nacionales compatibles con las NIIF |
Período corriente |
Cambios en el valor razonable debido al riesgo de crédito |
|
|
Anexo V, parte 2.203 |
Anexo V, parte 2.203 |
||||
|
010 |
020 |
||||
|
010 |
Instrumentos de patrimonio |
BCE/2013/33, anexo 2, parte 2.4-5 |
NIC 32.11 |
|
|
|
020 |
Valores representativos de deuda |
Anexo V, parte 1.31 |
Anexo V, parte 1.31 |
|
|
|
030 |
Préstamos y anticipos |
Anexo V, parte 1.32 |
Anexo V, parte 1.32 |
|
|
|
040 |
Depósitos |
BCE/2013/33, anexo 2, parte 2.9; Anexo V, parte 1.36 |
BCE/2013/33, anexo 2, parte 2.9; Anexo V, parte 1.36 |
|
|
|
050 |
Valores representativos de deuda emitidos |
Anexo V, parte 1.37 |
Anexo V, parte 1.37 |
|
|
|
060 |
Otros pasivos financieros |
Anexo V, parte 1.38-41 |
Anexo V, parte 1.38-41 |
|
|
|
070 |
GANANCIAS O (-) PÉRDIDAS POR ACTIVOS Y PASIVOS FINANCIEROS DESIGNADOS A VALOR RAZONABLE CON CAMBIOS EN RESULTADOS, NETAS |
DCB art. 27, Presentación vertical.6 |
NIIF 7.20.a).i) |
|
|
|
071 |
De las cuales: ganancias o (-) pérdidas en la designación de activos y pasivos financieros designados a valor razonable con cambios en resultados para fines de cobertura, netas |
|
NIIF 9.6.7; NIIF 7.24G.b); Anexo V, parte 2.204 |
|
|
|
072 |
De las cuales: ganancias o (-) pérdidas tras la designación de activos y pasivos financieros designados a valor razonable con cambios en resultados para fines de cobertura, netas |
|
NIIF 9.6.7; NIIF 7.20.a).i); Anexo V, parte 2.204 |
|
|
|
080 |
Instrumentos de patrimonio |
BCE/2013/33, anexo 2, parte 2.4-5 |
|
|
|
|
090 |
Valores representativos de deuda |
Anexo V, parte 1.31 |
|
|
|
|
100 |
Préstamos y anticipos |
Anexo V, parte 1.32 |
|
|
|
|
110 |
Depósitos |
BCE/2013/33, anexo 2, parte 2.9; Anexo V, parte 1.36 |
|
|
|
|
120 |
Valores representativos de deuda emitidos |
Anexo V, parte 1.37 |
|
|
|
|
130 |
Otros pasivos financieros |
Anexo V, parte 1.38-41 |
|
|
|
|
140 |
GANANCIAS O (-) PÉRDIDAS POR ACTIVOS Y PASIVOS FINANCIEROS NO DESTINADOS A NEGOCIACIÓN, NETAS |
DCB art. 27, Presentación vertical.6 |
|
|
|
16.6 Ganancias o pérdidas resultantes de la contabilidad de coberturas
|
|
Referencias a los PCGA nacionales basadas en la DCB Anexo V, parte 2.207 |
Referencias a los PCGA nacionales compatibles con las NIIF |
Período corriente |
|
|
Anexo V, parte 2.205 |
||||
|
010 |
||||
|
010 |
Cambios del valor razonable del instrumento de cobertura [incluidas actividades interrumpidas] |
Directiva contable art. 8.1.a), 8.6 y 8.8.a) |
NIIF 7.24A.c); NIIF 7.24C.b).vi) |
|
|
020 |
Cambios del valor razonable del elemento cubierto atribuibles al riesgo cubierto |
Directiva contable art. 8.1.a), 8.6 y 8.8.a) |
NIIF 9.6.3.7; .6.5.8; .B6.4.1; NIIF 7.24B.a).iv); NIIF 7.24C.b).vi); Anexo V, parte 2.206 |
|
|
030 |
Ineficacia en resultados de las coberturas de flujos de efectivo |
Directiva contable art. 8.1.a), 8.6 y 8.8.a) |
NIIF 7.24C.b).ii); NIIF 7.24C.b).vi); |
|
|
040 |
Ineficacia en resultados de las coberturas de inversiones netas en negocios en el extranjero |
Directiva contable art. 8.1.a) |
NIIF 7.24C.b).ii); NIIF 7.24C.b).vi) |
|
|
050 |
GANANCIAS O (-) PÉRDIDAS RESULTANTES DE LA CONTABILIDAD DE COBERTURAS, NETAS |
Directiva contable art. 8.1.a), 8.6 y 8.8.a) |
|
|
16.7 Deterioro del valor de activos no financieros
|
|
|
|
Período corriente |
|||
|
Referencias a los PCGA nacionales basadas en la DCB |
Referencias a los PCGA nacionales compatibles con las NIIF |
Adiciones |
Reversiones |
Deterioro de valor acumulado |
||
|
|
|
Anexo V, parte 2.208 |
Anexo V, parte 2.208 |
|
||
|
010 |
020 |
040 |
||||
|
060 |
Deterioro del valor o (-) reversión del deterioro del valor de inversiones en filiales, negocios conjuntos o asociadas |
DCB art. 27, Presentación vertical.13-14 |
NIC 28.40-43 |
|
|
|
|
070 |
Filiales |
|
NIIF 10 apéndice A |
|
|
|
|
080 |
Negocios conjuntos |
|
NIC 28.3 |
|
|
|
|
090 |
Asociadas |
|
NIC 28.3 |
|
|
|
|
100 |
Deterioro del valor o (-) reversión del deterioro del valor de activos no financieros |
|
NIC 36.126.a) y b) |
|
|
|
|
110 |
Inmovilizado material |
DCB art. 27, Presentación vertical.9 |
NIC 16.73.e).v)-vi) |
|
|
|
|
120 |
Inversiones inmobiliarias |
DCB art. 27, Presentación vertical.9 |
NIC 40.79.d).v) |
|
|
|
|
130 |
Fondo de comercio |
DCB art. 27, Presentación vertical.9 |
NIC 36.10b; NIC 36.88-99, 124; NIIF 3 apéndice B67.d).v) |
|
|
|
|
140 |
Otros activos intangibles |
DCB art. 27, Presentación vertical.9 |
NIC 38.118.e).iv)-v) |
|
|
|
|
145 |
Otros |
|
NIC 36.126.a) y b) |
|
|
|
|
150 |
TOTAL |
|
|
|
|
|
17. Conciliación entre el ámbito de consolidación contable y el ámbito de consolidación según el RRC: balance
17.1 Activo
|
|
Referencias a los PCGA nacionales basadas en la DCB |
Referencias a los PCGA nacionales compatibles con las NIIF |
Ámbito de consolidación contable [importe en libros] |
|
|
Anexo V, parte 1.27-28, parte 2.209 |
||||
|
010 |
||||
|
010 |
Efectivo, saldos en efectivo en bancos centrales y otros depósitos a la vista |
DCB art. 4, Activo.1 |
NIC 1.54.i) |
|
|
020 |
Efectivo |
Anexo V, parte 2.1 |
Anexo V, parte 2.1 |
|
|
030 |
Saldos en efectivo en bancos centrales |
DCB art. 13.2; Anexo V, parte 2.2 |
Anexo V, parte 2.2 |
|
|
040 |
Otros depósitos a la vista |
Anexo V, parte 2.3 |
Anexo V, parte 2.3 |
|
|
050 |
Activos financieros mantenidos para negociar |
Directiva contable art. 8.1.a) y 8.5 NIC 39.9 |
NIIF 7.8.a).ii); NIIF 9, apéndice A |
|
|
060 |
Derivados |
RRC Anexo II |
NIIF 9, apéndice A |
|
|
070 |
Instrumentos de patrimonio |
BCE/2013/33, anexo 2, parte 2.4-5 |
NIC 32.11 |
|
|
080 |
Valores representativos de deuda |
Anexo V, parte 1.24, 26 |
Anexo V, parte 1.31 |
|
|
090 |
Préstamos y anticipos |
Anexo V, parte 1.24, 27 |
Anexo V, parte 1.32 |
|
|
091 |
Activos financieros destinados a negociación |
DCB artículos 32-33; Anexo V, parte 1.17 |
|
|
|
092 |
Derivados |
RRC Anexo II; Anexo V, parte 1.17 |
|
|
|
093 |
Instrumentos de patrimonio |
BCE/2013/33, anexo 2, parte 2.4-5 |
|
|
|
094 |
Valores representativos de deuda |
Anexo V, parte 1.31 |
|
|
|
095 |
Préstamos y anticipos |
Anexo V, parte 1.32 |
|
|
|
096 |
Activos financieros no destinados a negociación valorados obligatoriamente a valor razonable con cambios en resultados |
|
NIIF 9.4.1.4 |
|
|
097 |
Instrumentos de patrimonio |
|
NIC 32.11 |
|
|
098 |
Valores representativos de deuda |
|
Anexo V, parte 1.31 |
|
|
099 |
Préstamos y anticipos |
|
Anexo V, parte 1.32 |
|
|
100 |
Activos financieros designados a valor razonable con cambios en resultados |
Directiva contable art. 8.1.a) y 8.6 |
NIIF 7.8.a).i); NIIF 9.4.1.5 |
|
|
110 |
Instrumentos de patrimonio |
|
NIC 32.11; BCE/2013/33, anexo 2, parte 2.4-5 |
|
|
120 |
Valores representativos de deuda |
Anexo V, parte 1.31 |
Anexo V, parte 1.31 |
|
|
130 |
Préstamos y anticipos |
Anexo V, parte 1.32 |
Anexo V, parte 1.32 |
|
|
141 |
Activos financieros a valor razonable con cambios en otro resultado global |
|
NIIF 7.8.h); NIIF 9.4.1.2A |
|
|
142 |
Instrumentos de patrimonio |
|
NIC 32.11 |
|
|
143 |
Valores representativos de deuda |
|
Anexo V, parte 1.31 |
|
|
144 |
Préstamos y anticipos |
|
Anexo V, parte 1.32 |
|
|
171 |
Activos financieros no derivados y no destinados a negociación, a valor razonable con cambios en resultados |
DCB art. 36.2 |
|
|
|
172 |
Instrumentos de patrimonio |
BCE/2013/33, anexo 2, parte 2.4-5 |
|
|
|
173 |
Valores representativos de deuda |
Anexo V, parte 1.31 |
|
|
|
174 |
Préstamos y anticipos |
Directiva contable art. 8.1.a) y 8.4.b); Anexo V, parte 1.32 |
|
|
|
175 |
Activos financieros no derivados y no destinados a negociación, contabilizados a valor razonable en el patrimonio neto |
Directiva contable art. 8.1.a) y 8.8 |
|
|
|
176 |
Instrumentos de patrimonio |
BCE/2013/33, anexo 2, parte 2.4-5 |
|
|
|
177 |
Valores representativos de deuda |
Anexo V, parte 1.31 |
|
|
|
178 |
Préstamos y anticipos |
Directiva contable art. 8.1.a) y 8.4.b); Anexo V, parte 1.32 |
|
|
|
181 |
Activos financieros a coste amortizado |
|
NIIF 7.8.f); NIIF 9.4.1.2 |
|
|
182 |
Valores representativos de deuda |
|
Anexo V, parte 1.31 |
|
|
183 |
Préstamos y anticipos |
|
Anexo V, parte 1.32 |
|
|
231 |
Activos financieros no derivados y no destinados a negociación, valorados por un método basado en el coste |
DCB art. 35; Directiva contable arts. 6.1.i) y 8.2; Anexo V, parte 1.18, 19 |
|
|
|
380 |
Instrumentos de patrimonio |
BCE/2013/33, anexo 2, parte 2.4-5 |
|
|
|
232 |
Valores representativos de deuda |
Anexo V, parte 1.31 |
|
|
|
233 |
Préstamos y anticipos |
Anexo V, parte 1.32 |
|
|
|
234 |
Otros activos financieros no derivados y no destinados a negociación |
DCB art. 37; Directiva contable art. 12.7; Anexo V, parte 1.20 |
|
|
|
235 |
Instrumentos de patrimonio |
BCE/2013/33, anexo 2, parte 2.4-5 |
|
|
|
236 |
Valores representativos de deuda |
Anexo V, parte 1.31 |
|
|
|
237 |
Préstamos y anticipos |
Anexo V, parte 1.32 |
|
|
|
240 |
Derivados — Contabilidad de coberturas |
Directiva contable art. 8.1.a), 8.6, 8.8 NIC 39.9; Anexo V, parte 1.22 |
NIIF 9.6.2.1; Anexo V, parte 1.22 |
|
|
250 |
Cambios del valor razonable de los elementos cubiertos de una cartera con cobertura del riesgo de tipo de interés |
Directiva contable art. 8.5 y 8.6; NIC 39.89A.a) |
NIC 39.89A.a); NIIF 9.6.5.8 |
|
|
260 |
Inversiones en filiales, negocios conjuntos y asociadas |
DCB art. 4, Activo.7-8 Directiva contable art. 2.2; Anexo V, parte 1.21, parte 2.4, 210 |
NIC 1.54.e); Anexo V, parte 1.21, parte 2.4, 210 |
|
|
270 |
Activos creados por contratos de seguro o de reaseguro |
Anexo V, parte 2.211 |
NIIF 4. GI20.b) y c); Anexo V, parte 2.211 |
|
|
280 |
Activos tangibles |
DCB art. 4, Activo.10 |
|
|
|
290 |
Activos intangibles |
DCB art. 4, Activo.9; RRC art. 4.1.115 |
NIC 1.54.c); RRC art. 4.1.115 |
|
|
300 |
Fondo de comercio |
DCB art. 4, Activo.9; RRC art. 4.1.113 |
NIIF 3.B67.d); RRC art. 4.1.113 |
|
|
310 |
Otros activos intangibles |
DCB art. 4, Activo.9 |
NIC 38.8, 118 |
|
|
320 |
Activos por impuestos |
|
NIC 1.54.n)-o) |
|
|
330 |
Activos por impuestos corrientes |
|
NIC 1.54.n); NIC 12.5 |
|
|
340 |
Activos por impuestos diferidos |
Directiva contable art. 17.1.f); RRC art. 4.1.106 |
NIC 1.54.o); NIC 12.5; RRC art. 4.1.106 |
|
|
350 |
Otros activos |
Anexo V, parte 2.5, 6 |
Anexo V, parte 2.5 |
|
|
360 |
Activos no corrientes y grupos enajenables de elementos que se han clasificado como mantenidos para la venta |
|
NIC 1.54.j); NIIF 5.38; Anexo V, parte 2.6 |
|
|
365 |
(-) Recortes de valoración de los activos destinados a negociación valorados a valor razonable |
Anexo V, parte 1.29 |
|
|
|
370 |
TOTAL ACTIVO |
DCB art. 4, Activo |
NIC 1.9.a), GI 6 |
|
17.2 Exposiciones fuera de balance: compromisos de préstamo, garantías financieras y otros compromisos concedidos
|
|
Referencias a los PCGA nacionales basadas en la DCB |
Referencias a los PCGA nacionales compatibles con las NIIF |
Ámbito de consolidación contable [importe nominal] |
|
|
Anexo V, parte 2.118, 209 |
||||
|
010 |
||||
|
010 |
Compromisos de préstamo concedidos |
RRC Anexo I; Anexo V, parte 1.44.g), parte 2.112, 113 |
RRC Anexo I; Anexo V, partes 1.44.g), 2.102-105, 113, 116 |
|
|
020 |
Garantías financieras concedidas |
RRC Anexo I; Anexo V, parte 1.44.f), parte 2.112, 114 |
NIIF 4 Anexo A; RRC Anexo I; Anexo V, partes 1.44.f), 2.102-105, 114, 116 |
|
|
030 |
Otros compromisos concedidos |
RRC Anexo I; Anexo V, parte 1.44.g), parte 2.112, 115 |
RRC Anexo I; Anexo V, partes 1.44.g), 2.102-105, 115, 116 |
|
|
040 |
EXPOSICIONES FUERA DE BALANCE |
|
|
|
17.3. Pasivo y patrimonio neto
|
|
Referencias a los PCGA nacionales basadas en la DCB |
Referencias a los PCGA nacionales compatibles con las NIIF |
Ámbito de consolidación contable [importe en libros] |
|
|
Anexo V, parte 1.27-28, parte 2.209 |
||||
|
010 |
||||
|
010 |
Pasivos financieros mantenidos para negociar |
|
NIIF 7.8.e).ii); NIIF 9.BA.6 |
|
|
020 |
Derivados |
|
NIIF 9, apéndice A; NIIF 9.4.2.1.a); NIIF 9.BA.7.a) |
|
|
030 |
Posiciones cortas |
|
NIIF 9.BA7.b) |
|
|
040 |
Depósitos |
|
BCE/2013/33, anexo 2, parte 2.9; Anexo V, parte 1.36 |
|
|
050 |
Valores representativos de deuda emitidos |
|
Anexo V, parte 1.37 |
|
|
060 |
Otros pasivos financieros |
|
Anexo V, parte 1.38-41 |
|
|
061 |
Pasivos financieros destinados a negociación |
Directiva contable art. 8.1.a), 8.3, 8.6 |
|
|
|
062 |
Derivados |
RRC Anexo II; Anexo V, parte 1.25, 27 |
|
|
|
063 |
Posiciones cortas |
|
|
|
|
064 |
Depósitos |
BCE/2013/33, anexo 2, parte 2.9; Anexo V, parte 1.36 |
|
|
|
065 |
Valores representativos de deuda emitidos |
Anexo V, parte 1.37 |
|
|
|
066 |
Otros pasivos financieros |
Anexo V, parte 1.38-41 |
|
|
|
070 |
Pasivos financieros designados a valor razonable con cambios en resultados |
Directiva contable art. 8.1.a), 8.6; NIC 39.9 |
NIIF 7.8.e).i); NIIF 9.4.2.2 |
|
|
080 |
Depósitos |
BCE/2013/33, anexo 2, parte 2.9; Anexo V, parte 1.36 |
BCE/2013/33, anexo 2, parte 2.9; Anexo V, parte 1.36 |
|
|
090 |
Valores representativos de deuda emitidos |
Anexo V, parte 1.37 |
Anexo V, parte 1.37 |
|
|
100 |
Otros pasivos financieros |
Anexo V, parte 1.38-41 |
Anexo V, parte 1.38-41 |
|
|
110 |
Pasivos financieros valorados a coste amortizado |
Directiva contable art. 8.3, 8.6; NIC 39.47 |
NIIF 7.8.g); NIIF 9.4.2.1 |
|
|
120 |
Depósitos |
BCE/2013/33, anexo 2, parte 2.9; Anexo V, parte 1.30 |
BCE/2013/33, anexo 2, parte 2.9; Anexo V, parte 1.36 |
|
|
130 |
Valores representativos de deuda emitidos |
Anexo V, parte 1.31 |
Anexo V, parte 1.37 |
|
|
140 |
Otros pasivos financieros |
Anexo V, parte 1.32-34 |
Anexo V, parte 1.38-41 |
|
|
141 |
Pasivos financieros no derivados y no destinados a negociación, valorados por un método basado en el coste |
Directiva contable art. 8.3; |
|
|
|
142 |
Depósitos |
BCE/2013/33, anexo 2, parte 2.9; Anexo V, parte 1.36 |
|
|
|
143 |
Valores representativos de deuda emitidos |
Anexo V, parte 1.37 |
|
|
|
144 |
Otros pasivos financieros |
Anexo V, parte 1.38-41 |
|
|
|
150 |
Derivados — Contabilidad de coberturas |
Directiva contable art. 8.1.a), 8.6, 8.8.a); Anexo V, parte 1.26 |
NIIF 9.6.2.1; Anexo V, parte 1.26 |
|
|
160 |
Cambios del valor razonable de los elementos cubiertos de una cartera con cobertura del riesgo de tipo de interés |
Directiva contable art. 8.5 y 8.6; Anexo V, parte 2.8; NIC 39.89A.b) |
NIC 39.89A.b); NIIF 9.6.5.8 |
|
|
170 |
Pasivos creados por contratos de seguro o de reaseguro |
Anexo V, parte 2.212 |
NIIF 4, GI 20.a); Anexo V, parte 2.212 |
|
|
180 |
Provisiones |
DCB art.4, Pasivo.6 |
NIC 37.10; NIC 1.54.l) |
|
|
190 |
Pasivos por impuestos |
|
NIC 1.54.n)-o) |
|
|
200 |
Pasivos por impuestos corrientes |
|
NIC 1.54.n); NIC 12.5 |
|
|
210 |
Pasivos por impuestos diferidos |
Directiva contable art. 17.1.f); RRC art. 4.1.108 |
NIC 1.54.o); NIC 12.5; RRC art. 4.1.108 |
|
|
220 |
Capital social reembolsable a la vista |
|
NIC 32 IE 33; CINIIF 2; Anexo V, parte 2.12 |
|
|
230 |
Otros pasivos |
Anexo V, parte 2.13 |
Anexo V, parte 2.13 |
|
|
240 |
Pasivos incluidos en grupos enajenables de elementos que se han clasificado como mantenidos para la venta |
|
NIC 1.54.p); NIIF 5.38; Anexo V, parte 2.14 |
|
|
245 |
Recortes de valoración de los pasivos destinados a negociación valorados a valor razonable |
Anexo V, parte 1.29 |
|
|
|
250 |
PASIVO |
|
NIC 1.9.b), GI 6 |
|
|
260 |
Capital |
DCB art. 4, Pasivo.9, DCB art. 22 |
NIC 1.54.r), DAC art. 22 |
|
|
270 |
Prima de emisión |
DCB art. 4, Pasivo.10; RRC art. 4.1.124 |
NIC 1.78.e); RRC art. 4.1.124 |
|
|
280 |
Instrumentos de patrimonio emitidos distintos del capital |
Anexo V, parte 2.18-19 |
Anexo V, parte 2.18-19 |
|
|
290 |
Otros elementos de patrimonio neto |
Anexo V, parte 2.20 |
NIIF 2.10; Anexo V, parte 2.20 |
|
|
300 |
Otro resultado global acumulado |
RRC art. 4.1.100 |
RRC art. 4.1.100 |
|
|
310 |
Ganancias acumuladas |
RRC art. 4.1.123 |
RRC art. 4.1.123 |
|
|
320 |
Reservas de revalorización |
DCB art. 4, Pasivo.12 |
NIIF 1.33, D5-D8 |
|
|
325 |
Reservas a valor razonable |
Directiva contable art. 8.1.a) |
|
|
|
330 |
Otras reservas |
DCB art. 4, Pasivo.11-13 |
NIC 1.54; NIC 1.78.e) |
|
|
335 |
Diferencias de primera consolidación |
Directiva contable art. 24.3.c) |
|
|
|
340 |
(-) Acciones propias |
Directiva contable anexoIII.Activo.D.III.2; DCB art. 4, Activo.12; Anexo V, parte 2.20 |
NIC 1.79.a).vi); NIC 32.33-34, GA14, GA36; Anexo V, parte 2.28 |
|
|
350 |
Resultados atribuibles a los propietarios de la matriz |
DCB art. 4, Pasivo.14 |
NIIF 10.B94 |
|
|
360 |
(-) Dividendos a cuenta |
RRC art. 26.2 |
NIC 32.35 |
|
|
370 |
Intereses minoritarios [participaciones no dominantes] |
Directiva contable art. 24.4 |
NIC 1.54.q); NIIF 10.22, .B94 |
|
|
380 |
TOTAL PATRIMONIO NETO |
|
NIC 1.9.c), GI 6 |
|
|
390 |
TOTAL PATRIMONIO NETO Y PASIVO |
DCB art. 4, Pasivo |
NIC 1, GI 6 |
|
18. Información sobre las exposiciones no dudosas y dudosas
|
|
|
|
Importe en libros bruto / importe nominal |
Deterioro de valor acumulado, cambios acumulados negativos en el valor razonable debidos al riesgo de crédito y provisiones |
Importe máximo de la garantía real o personal que puede considerarse Anexo V, parte 2.119 |
||||||||||||||||||||
|
|
No dudosas |
Dudosas |
|
Exposiciones no dudosas - Deterioro del valor acumulado y provisiones |
Exposiciones dudosas - Deterioro de valor acumulado, cambios acumulados negativos en el valor razonable debidos al riesgo de crédito y provisiones |
Garantías reales recibidas y garantías financieras recibidas |
|||||||||||||||||||
|
|
No vencidas o vencidas ≤ 30 días |
Vencidas > 30 días ≤ 90 días |
|
Pago improbable no vencidas o vencidas ≤ 90 días |
Vencidas > 90 días ≤ 180 días |
Vencidas > 180 días ≤ 1 año |
Vencidas > 1 año ≤ 5 años |
Vencidas > 5 años |
De las cuales: impagadas |
De las cuales: con deterioro de valor |
|
Pago improbable no vencidas o vencidas ≤ 90 días |
Vencidas > 90 días ≤ 180 días |
Vencidas > 180 días ≤ 1 año |
Vencidas > 1 año ≤ 5 años |
Vencidas > 5 años |
Garantías reales recibidas sobre exposiciones dudosas |
Garantías financieras recibidas sobre exposiciones dudosas |
|||||||
|
010 |
020 |
030 |
055 |
060 |
070 |
080 |
090 |
100 |
105 |
110 |
120 |
130 |
140 |
150 |
160 |
170 |
180 |
190 |
195 |
200 |
210 |
||||
|
Referencias a los PCGA nacionales compatibles con las NIIF |
Anexo V, parte 1.34, parte 2.118, 221 |
Anexo V, parte 2. 213-216, 223-239 |
Anexo V, parte 2. 222, 235 |
Anexo V, parte 2. 222, 235 |
Anexo V, parte 2. 213-216, 223-239 |
Anexo V, parte 2. 222, 235-236 |
Anexo V, parte 2. 222, 235-236 |
Anexo V, parte 2. 222, 235-236 |
Anexo V, parte 2. 222, 235-236 |
Anexo V, parte 2. 222, 235-236 |
RRC art. 178; Anexo V, parte 2.238.b) |
NIIF 9.5.5.1; NIIF 9, apéndice A; Anexo V, parte 2.237.a) |
Anexo V, parte 2. 238 |
Anexo V, parte 2. 238 |
Anexo V, parte 2. 238 |
Anexo V, parte 2. 236, 238 |
Anexo V, parte 2. 236, 238 |
Anexo V, parte 2. 236, 238 |
Anexo V, parte 2. 236, 238 |
Anexo V, parte 2. 236, 238 |
Anexo V, parte 2. 239 |
Anexo V, parte 2. 239 |
|||
|
Referencias a los PCGA nacionales basadas en la DCB |
|
Anexo V, parte 1.34, parte 2.118, 221 |
Anexo V, parte 2. 213-216, 223-239 |
Anexo V, parte 2. 222, 235 |
Anexo V, parte 2. 222, 235 |
Anexo V, parte 2. 213-216, 223-239 |
Anexo V, parte 2. 222, 235-236 |
Anexo V, parte 2. 222, 235-236 |
Anexo V, parte 2. 222, 235-236 |
Anexo V, parte 2. 222, 235-236 |
Anexo V, parte 2. 222, 235-236 |
RRC art. 178; Anexo V, parte 2.238.b) |
RRC art. 4.1.95; Anexo V, parte 2.237.a) |
Anexo V, parte 2. 238 |
Anexo V, parte 2. 238 |
Anexo V, parte 2. 238 |
Anexo V, parte 2. 236, 238 |
Anexo V, parte 2. 236, 238 |
Anexo V, parte 2. 236, 238 |
Anexo V, parte 2. 236, 238 |
Anexo V, parte 2. 236, 238 |
Anexo V, parte 2. 239 |
Anexo V, parte 2. 239 |
||
|
010 |
Valores representativos de deuda |
Anexo V, parte 1.31, 44.b) |
Anexo V, parte 1.31, 44.b) |
|
|
|
|
|
|
|
|
|
|
|
|
|
|
|
|
|
|
|
|
|
|
|
020 |
Bancos centrales |
Anexo V, parte 1.42.a) |
Anexo V, parte 1.42.a) |
|
|
|
|
|
|
|
|
|
|
|
|
|
|
|
|
|
|
|
|
|
|
|
030 |
Administraciones públicas |
Anexo V, parte 1.42.b) |
Anexo V, parte 1.42.b) |
|
|
|
|
|
|
|
|
|
|
|
|
|
|
|
|
|
|
|
|
|
|
|
040 |
Entidades de crédito |
Anexo V, parte 1.42.c) |
Anexo V, parte 1.42.c) |
|
|
|
|
|
|
|
|
|
|
|
|
|
|
|
|
|
|
|
|
|
|
|
050 |
Otras sociedades financieras |
Anexo V, parte 1.42.d) |
Anexo V, parte 1.42.d) |
|
|
|
|
|
|
|
|
|
|
|
|
|
|
|
|
|
|
|
|
|
|
|
060 |
Sociedades no financieras |
Anexo V, parte 1.42.e) |
Anexo V, parte 1.42.e) |
|
|
|
|
|
|
|
|
|
|
|
|
|
|
|
|
|
|
|
|
|
|
|
070 |
Préstamos y anticipos |
Anexo V, parte 1.32, 44.a) |
Anexo V, parte 1.32, 44.a) |
|
|
|
|
|
|
|
|
|
|
|
|
|
|
|
|
|
|
|
|
|
|
|
080 |
Bancos centrales |
Anexo V, parte 1.42.a) |
Anexo V, parte 1.42.a) |
|
|
|
|
|
|
|
|
|
|
|
|
|
|
|
|
|
|
|
|
|
|
|
090 |
Administraciones públicas |
Anexo V, parte 1.42.b) |
Anexo V, parte 1.42.b) |
|
|
|
|
|
|
|
|
|
|
|
|
|
|
|
|
|
|
|
|
|
|
|
100 |
Entidades de crédito |
Anexo V, parte 1.42.c) |
Anexo V, parte 1.42.c) |
|
|
|
|
|
|
|
|
|
|
|
|
|
|
|
|
|
|
|
|
|
|
|
110 |
Otras sociedades financieras |
Anexo V, parte 1.42.d) |
Anexo V, parte 1.42.d) |
|
|
|
|
|
|
|
|
|
|
|
|
|
|
|
|
|
|
|
|
|
|
|
120 |
Sociedades no financieras |
Anexo V, parte 1.42.e) |
Anexo V, parte 1.42.e) |
|
|
|
|
|
|
|
|
|
|
|
|
|
|
|
|
|
|
|
|
|
|
|
130 |
De los cuales: pequeñas y medianas empresas |
PYME art. 1.2 |
PYME art. 1.2 |
|
|
|
|
|
|
|
|
|
|
|
|
|
|
|
|
|
|
|
|
|
|
|
140 |
De los cuales: préstamos garantizados por bienes inmuebles comerciales |
Anexo V, parte 2.86.a), 87 |
Anexo V, parte 2.86.a), 87 |
|
|
|
|
|
|
|
|
|
|
|
|
|
|
|
|
|
|
|
|
|
|
|
150 |
Hogares |
Anexo V, parte 1.42.f) |
Anexo V, parte 1.42.f) |
|
|
|
|
|
|
|
|
|
|
|
|
|
|
|
|
|
|
|
|
|
|
|
160 |
De los cuales: préstamos garantizados por bienes inmuebles residenciales |
Anexo V, parte 2.86.a), 87 |
Anexo V, parte 2.86.a), 87 |
|
|
|
|
|
|
|
|
|
|
|
|
|
|
|
|
|
|
|
|
|
|
|
170 |
De los cuales: crédito al consumo |
Anexo V, parte 2.88.a) |
Anexo V, parte 2.88.a) |
|
|
|
|
|
|
|
|
|
|
|
|
|
|
|
|
|
|
|
|
|
|
|
180 |
INSTRUMENTOS DE DEUDA AL COSTE O A COSTE AMORTIZADO |
Anexo V, parte 2.233.a) |
Anexo V, parte 2.233.a) |
|
|
|
|
|
|
|
|
|
|
|
|
|
|
|
|
|
|
|
|
|
|
|
181 |
Valores representativos de deuda |
Anexo V, parte 1.31, 44.b) |
Anexo V, parte 1.31, 44.b) |
|
|
|
|
|
|
|
|
|
|
|
|
|
|
|
|
|
|
|
|
|
|
|
182 |
Bancos centrales |
Anexo V, parte 1.42.a) |
Anexo V, parte 1.42.a) |
|
|
|
|
|
|
|
|
|
|
|
|
|
|
|
|
|
|
|
|
|
|
|
183 |
Administraciones públicas |
Anexo V, parte 1.42.b) |
Anexo V, parte 1.42.b) |
|
|
|
|
|
|
|
|
|
|
|
|
|
|
|
|
|
|
|
|
|
|
|
184 |
Entidades de crédito |
Anexo V, parte 1.42.c) |
Anexo V, parte 1.42.c) |
|
|
|
|
|
|
|
|
|
|
|
|
|
|
|
|
|
|
|
|
|
|
|
185 |
Otras sociedades financieras |
Anexo V, parte 1.42.d) |
Anexo V, parte 1.42.d) |
|
|
|
|
|
|
|
|
|
|
|
|
|
|
|
|
|
|
|
|
|
|
|
186 |
Sociedades no financieras |
Anexo V, parte 1.42.e) |
Anexo V, parte 1.42.e) |
|
|
|
|
|
|
|
|
|
|
|
|
|
|
|
|
|
|
|
|
|
|
|
191 |
Préstamos y anticipos |
Anexo V, parte 1.32, 44.a) |
Anexo V, parte 1.32, 44.a) |
|
|
|
|
|
|
|
|
|
|
|
|
|
|
|
|
|
|
|
|
|
|
|
192 |
Bancos centrales |
Anexo V, parte 1.42.a) |
Anexo V, parte 1.42.a) |
|
|
|
|
|
|
|
|
|
|
|
|
|
|
|
|
|
|
|
|
|
|
|
193 |
Administraciones públicas |
Anexo V, parte 1.42.b) |
Anexo V, parte 1.42.b) |
|
|
|
|
|
|
|
|
|
|
|
|
|
|
|
|
|
|
|
|
|
|
|
194 |
Entidades de crédito |
Anexo V, parte 1.42.c) |
Anexo V, parte 1.42.c) |
|
|
|
|
|
|
|
|
|
|
|
|
|
|
|
|
|
|
|
|
|
|
|
195 |
Otras sociedades financieras |
Anexo V, parte 1.42.d) |
Anexo V, parte 1.42.d) |
|
|
|
|
|
|
|
|
|
|
|
|
|
|
|
|
|
|
|
|
|
|
|
196 |
Sociedades no financieras |
Anexo V, parte 1.42.e) |
Anexo V, parte 1.42.e) |
|
|
|
|
|
|
|
|
|
|
|
|
|
|
|
|
|
|
|
|
|
|
|
197 |
Hogares |
Anexo V, parte 1.42.f) |
Anexo V, parte 1.42.f) |
|
|
|
|
|
|
|
|
|
|
|
|
|
|
|
|
|
|
|
|
|
|
|
201 |
INSTRUMENTOS DE DEUDA A VALOR RAZONABLE CON CAMBIOS EN OTRO RESULTADO GLOBAL O CON CAMBIOS EN EL PATRIMONIO NETO SUSCEPTIBLES DE DETERIORO |
Anexo V, parte 2.233.b) |
Anexo V, parte 2.233.b) |
|
|
|
|
|
|
|
|
|
|
|
|
|
|
|
|
|
|
|
|
|
|
|
211 |
Valores representativos de deuda |
Anexo V, parte 1.31, 44.b) |
Anexo V, parte 1.31, 44.b) |
|
|
|
|
|
|
|
|
|
|
|
|
|
|
|
|
|
|
|
|
|
|
|
212 |
Bancos centrales |
Anexo V, parte 1.42.a) |
Anexo V, parte 1.42.a) |
|
|
|
|
|
|
|
|
|
|
|
|
|
|
|
|
|
|
|
|
|
|
|
213 |
Administraciones públicas |
Anexo V, parte 1.42.b) |
Anexo V, parte 1.42.b) |
|
|
|
|
|
|
|
|
|
|
|
|
|
|
|
|
|
|
|
|
|
|
|
214 |
Entidades de crédito |
Anexo V, parte 1.42.c) |
Anexo V, parte 1.42.c) |
|
|
|
|
|
|
|
|
|
|
|
|
|
|
|
|
|
|
|
|
|
|
|
215 |
Otras sociedades financieras |
Anexo V, parte 1.42.d) |
Anexo V, parte 1.42.d) |
|
|
|
|
|
|
|
|
|
|
|
|
|
|
|
|
|
|
|
|
|
|
|
216 |
Sociedades no financieras |
Anexo V, parte 1.42.e) |
Anexo V, parte 1.42.e) |
|
|
|
|
|
|
|
|
|
|
|
|
|
|
|
|
|
|
|
|
|
|
|
221 |
Préstamos y anticipos |
Anexo V, parte 1.32, 44.a) |
Anexo V, parte 1.32, 44.a) |
|
|
|
|
|
|
|
|
|
|
|
|
|
|
|
|
|
|
|
|
|
|
|
222 |
Bancos centrales |
Anexo V, parte 1.42.a) |
Anexo V, parte 1.42.a) |
|
|
|
|
|
|
|
|
|
|
|
|
|
|
|
|
|
|
|
|
|
|
|
223 |
Administraciones públicas |
Anexo V, parte 1.42.b) |
Anexo V, parte 1.42.b) |
|
|
|
|
|
|
|
|
|
|
|
|
|
|
|
|
|
|
|
|
|
|
|
224 |
Entidades de crédito |
Anexo V, parte 1.42.c) |
Anexo V, parte 1.42.c) |
|
|
|
|
|
|
|
|
|
|
|
|
|
|
|
|
|
|
|
|
|
|
|
225 |
Otras sociedades financieras |
Anexo V, parte 1.42.d) |
Anexo V, parte 1.42.d) |
|
|
|
|
|
|
|
|
|
|
|
|
|
|
|
|
|
|
|
|
|
|
|
226 |
Sociedades no financieras |
Anexo V, parte 1.42.e) |
Anexo V, parte 1.42.e) |
|
|
|
|
|
|
|
|
|
|
|
|
|
|
|
|
|
|
|
|
|
|
|
227 |
Hogares |
Anexo V, parte 1.42.f) |
Anexo V, parte 1.42.f) |
|
|
|
|
|
|
|
|
|
|
|
|
|
|
|
|
|
|
|
|
|
|
|
231 |
INSTRUMENTOS DE DEUDA AL LOCOM ESTRICTO O A VALOR RAZONABLE CON CAMBIOS EN OTRO RESULTADO GLOBAL O CON CAMBIOS EN EL PATRIMONIO NETO NO SUSCEPTIBLES DE DETERIORO |
Anexo V, parte 2.233.c), 234 |
Anexo V, parte 2.233.c), 234 |
|
|
|
|
|
|
|
|
|
|
|
|
|
|
|
|
|
|
|
|
|
|
|
330 |
INSTRUMENTOS DE DEUDA DISTINTOS DE LOS MANTENIDOS PARA NEGOCIAR O DESTINADOS A NEGOCIACIÓN |
Anexo V, parte 2.217 |
Anexo V, parte 2.217 |
|
|
|
|
|
|
|
|
|
|
|
|
|
|
|
|
|
|
|
|
|
|
|
335 |
INSTRUMENTOS DE DEUDA MANTENIDOS PARA LA VENTA |
|
Anexo V, parte 2.220 |
|
|
|
|
|
|
|
|
|
|
|
|
|
|
|
|
|
|
|
|
|
|
|
340 |
Compromisos de préstamo concedidos |
RRC Anexo I; Anexo V, partes 1.44.g), 2.112, 113, 224 |
RRC Anexo I; Anexo V, partes 1.44.g), 2.102-105, 113, 116, 224 |
|
|
|
|
|
|
|
|
|
|
|
|
|
|
|
|
|
|
|
|
|
|
|
350 |
Bancos centrales |
Anexo V, parte 1.42.a) |
Anexo V, parte 1.42.a) |
|
|
|
|
|
|
|
|
|
|
|
|
|
|
|
|
|
|
|
|
|
|
|
360 |
Administraciones públicas |
Anexo V, parte 1.42.b) |
Anexo V, parte 1.42.b) |
|
|
|
|
|
|
|
|
|
|
|
|
|
|
|
|
|
|
|
|
|
|
|
370 |
Entidades de crédito |
Anexo V, parte 1.42.c) |
Anexo V, parte 1.42.c) |
|
|
|
|
|
|
|
|
|
|
|
|
|
|
|
|
|
|
|
|
|
|
|
380 |
Otras sociedades financieras |
Anexo V, parte 1.42.d) |
Anexo V, parte 1.42.d) |
|
|
|
|
|
|
|
|
|
|
|
|
|
|
|
|
|
|
|
|
|
|
|
390 |
Sociedades no financieras |
Anexo V, parte 1.42.e) |
Anexo V, parte 1.42.e) |
|
|
|
|
|
|
|
|
|
|
|
|
|
|
|
|
|
|
|
|
|
|
|
400 |
Hogares |
Anexo V, parte 1.42.f) |
Anexo V, parte 1.42.f) |
|
|
|
|
|
|
|
|
|
|
|
|
|
|
|
|
|
|
|
|
|
|
|
410 |
Garantías financieras concedidas |
RRC Anexo I; Anexo V, parte 1.44.f), parte 2.112, 114, 225 |
NIIF 4 Anexo A; RRC Anexo I; Anexo V, partes 1.44.f), 2.102-105, 114, 116, 225 |
|
|
|
|
|
|
|
|
|
|
|
|
|
|
|
|
|
|
|
|
|
|
|
420 |
Bancos centrales |
Anexo V, parte 1.42.a) |
Anexo V, parte 1.42.a) |
|
|
|
|
|
|
|
|
|
|
|
|
|
|
|
|
|
|
|
|
|
|
|
430 |
Administraciones públicas |
Anexo V, parte 1.42.b) |
Anexo V, parte 1.42.b) |
|
|
|
|
|
|
|
|
|
|
|
|
|
|
|
|
|
|
|
|
|
|
|
440 |
Entidades de crédito |
Anexo V, parte 1.42.c) |
Anexo V, parte 1.42.c) |
|
|
|
|
|
|
|
|
|
|
|
|
|
|
|
|
|
|
|
|
|
|
|
450 |
Otras sociedades financieras |
Anexo V, parte 1.42.d) |
Anexo V, parte 1.42.d) |
|
|
|
|
|
|
|
|
|
|
|
|
|
|
|
|
|
|
|
|
|
|
|
460 |
Sociedades no financieras |
Anexo V, parte 1.42.e) |
Anexo V, parte 1.42.e) |
|
|
|
|
|
|
|
|
|
|
|
|
|
|
|
|
|
|
|
|
|
|
|
470 |
Hogares |
Anexo V, parte 1.42.f) |
Anexo V, parte 1.42.f) |
|
|
|
|
|
|
|
|
|
|
|
|
|
|
|
|
|
|
|
|
|
|
|
480 |
Otros compromisos concedidos |
RRC Anexo I; Anexo V, parte 1.44.g), parte 2.112, 115, 224 |
RRC Anexo I; Anexo V, partes 1.44.g), 2.102-105, 115, 116, 224 |
|
|
|
|
|
|
|
|
|
|
|
|
|
|
|
|
|
|
|
|
|
|
|
490 |
Bancos centrales |
Anexo V, parte 1.42.a) |
Anexo V, parte 1.42.a) |
|
|
|
|
|
|
|
|
|
|
|
|
|
|
|
|
|
|
|
|
|
|
|
500 |
Administraciones públicas |
Anexo V, parte 1.42.b) |
Anexo V, parte 1.42.b) |
|
|
|
|
|
|
|
|
|
|
|
|
|
|
|
|
|
|
|
|
|
|
|
510 |
Entidades de crédito |
Anexo V, parte 1.42.c) |
Anexo V, parte 1.42.c) |
|
|
|
|
|
|
|
|
|
|
|
|
|
|
|
|
|
|
|
|
|
|
|
520 |
Otras sociedades financieras |
Anexo V, parte 1.42.d) |
Anexo V, parte 1.42.d) |
|
|
|
|
|
|
|
|
|
|
|
|
|
|
|
|
|
|
|
|
|
|
|
530 |
Sociedades no financieras |
Anexo V, parte 1.42.e) |
Anexo V, parte 1.42.e) |
|
|
|
|
|
|
|
|
|
|
|
|
|
|
|
|
|
|
|
|
|
|
|
540 |
Hogares |
Anexo V, parte 1.42.f) |
Anexo V, parte 1.42.f) |
|
|
|
|
|
|
|
|
|
|
|
|
|
|
|
|
|
|
|
|
|
|
|
550 |
EXPOSICIONES FUERA DE BALANCE |
Anexo V, parte 2.217 |
Anexo V, parte 2.217 |
|
|
|
|
|
|
|
|
|
|
|
|
|
|
|
|
|
|
|
|
|
|
19. Información sobre las exposiciones reestructuradas o refinanciadas
|
|
Referencias a los PCGA nacionales basadas en la DCB |
Referencias a los PCGA nacionales compatibles con las NIIF |
Importe en libros bruto / importe nominal de las exposiciones reestructuradas o refinanciadas |
Deterioro de valor acumulado, cambios acumulados negativos en el valor razonable debidos al riesgo de crédito y provisiones |
Importe máximo de la garantía real o personal que puede considerarse Anexo V, parte 2.119 |
||||||||||||||||
|
|
Exposiciones no dudosas reestructuradas o refinanciadas |
Exposiciones dudosas reestructuradas o refinanciadas |
|
Exposiciones no dudosas reestructuradas o refinanciadas - Deterioro del valor acumulado y provisiones |
Exposiciones dudosas reestructuradas o refinanciadas - Deterioro de valor acumulado, cambios acumulados negativos en el valor razonable debidos al riesgo de crédito y provisiones |
Garantías reales recibidas y garantías financieras recibidas |
|||||||||||||||
|
|
Instrumentos reestructurados |
Refinanciaciones |
De las cuales: exposiciones no dudosas reestructuradas o refinanciadas en período de prueba reclasificadas a partir de la categoría de exposiciones dudosas |
|
Instrumentos reestructurados |
Refinanciaciones |
De las cuales: con impago |
De las cuales: con deterioro de valor |
De las cuales: reestructuración o refinanciación de exposiciones dudosas antes de dicha reestructuración o refinanciación |
|
Instrumentos reestructurados |
Refinanciaciones |
Garantías reales recibidas sobre exposiciones reestructuradas o refinanciadas |
Garantías financieras recibidas sobre exposiciones reestructuradas o refinanciadas |
|||||||
|
010 |
020 |
030 |
040 |
050 |
060 |
070 |
080 |
090 |
100 |
110 |
120 |
130 |
140 |
150 |
160 |
170 |
180 |
||||
|
Anexo V, parte 1.34, parte 2. 118, 240-245, 251-258 |
Anexo V, parte 2. 256, 259-262 |
Anexo V, parte 2.241.a), 266 |
Anexo V, parte 2. 241.b), 265-266 |
Anexo V, parte 2. 256.b), 261 |
Anexo V, parte 2. 259-263 |
Anexo V, parte 2.241.a), 266 |
Anexo V, parte 2. 241.b), 265-266 |
RRC art. 178; Anexo V, parte 2.264.b) |
NIIF 9.5.5.1; NIIF 9, apéndice A; Anexo V, parte 2.264.a) |
Anexo V, parte 2. 231, 252.a), 263 |
Anexo V, parte 2. 267 |
Anexo V, parte 2. 207 |
Anexo V, parte 2. 207 |
Anexo V, parte 2. 241.a), 267 |
Anexo V, parte 2. 241.b), 267 |
Anexo V, parte 2. 268 |
Anexo V, parte 2. 268 |
||||
|
Anexo V, parte 1.34, parte 2. 118, 240-245, 251-255 |
Anexo V, parte 2. 256, 259-262 |
Anexo V, parte 2.241.a), 266 |
Anexo V, parte 2. 241.b), 265-266 |
Anexo V, parte 2. 256.b), 261 |
Anexo V, parte 2. 259-263 |
Anexo V, parte 2.241.a), 266 |
Anexo V, parte 2. 241.b), 265-266 |
RRC art. 178; Anexo V, parte 2.264.b) |
RRC art. 4.1.95; Anexo V, parte 2.264.a) |
Anexo V, parte 2. 231, 252.a), 263 |
Anexo V, parte 2. 267 |
Anexo V, parte 2. 207 |
Anexo V, parte 2. 207 |
Anexo V, parte 2. 241.a), 267 |
Anexo V, parte 2. 241.b), 267 |
Anexo V, parte 2. 268 |
Anexo V, parte 2. 268 |
||||
|
010 |
Valores representativos de deuda |
Anexo V, parte 1.31, 44.b) |
Anexo V, parte 1.31, 44.b) |
|
|
|
|
|
|
|
|
|
|
|
|
|
|
|
|
|
|
|
020 |
Bancos centrales |
Anexo V, parte 1.42.a) |
Anexo V, parte 1.42.a) |
|
|
|
|
|
|
|
|
|
|
|
|
|
|
|
|
|
|
|
030 |
Administraciones públicas |
Anexo V, parte 1.42.b) |
Anexo V, parte 1.42.b) |
|
|
|
|
|
|
|
|
|
|
|
|
|
|
|
|
|
|
|
040 |
Entidades de crédito |
Anexo V, parte 1.42.c) |
Anexo V, parte 1.42.c) |
|
|
|
|
|
|
|
|
|
|
|
|
|
|
|
|
|
|
|
050 |
Otras sociedades financieras |
Anexo V, parte 1.42.d) |
Anexo V, parte 1.42.d) |
|
|
|
|
|
|
|
|
|
|
|
|
|
|
|
|
|
|
|
060 |
Sociedades no financieras |
Anexo V, parte 1.42.e) |
Anexo V, parte 1.42.e) |
|
|
|
|
|
|
|
|
|
|
|
|
|
|
|
|
|
|
|
070 |
Préstamos y anticipos |
Anexo V, parte 1.32, 44.a) |
Anexo V, parte 1.32, 44.a) |
|
|
|
|
|
|
|
|
|
|
|
|
|
|
|
|
|
|
|
080 |
Bancos centrales |
Anexo V, parte 1.42.a) |
Anexo V, parte 1.42.a) |
|
|
|
|
|
|
|
|
|
|
|
|
|
|
|
|
|
|
|
090 |
Administraciones públicas |
Anexo V, parte 1.42.b) |
Anexo V, parte 1.42.b) |
|
|
|
|
|
|
|
|
|
|
|
|
|
|
|
|
|
|
|
100 |
Entidades de crédito |
Anexo V, parte 1.42.c) |
Anexo V, parte 1.42.c) |
|
|
|
|
|
|
|
|
|
|
|
|
|
|
|
|
|
|
|
110 |
Otras sociedades financieras |
Anexo V, parte 1.42.d) |
Anexo V, parte 1.42.d) |
|
|
|
|
|
|
|
|
|
|
|
|
|
|
|
|
|
|
|
120 |
Sociedades no financieras |
Anexo V, parte 1.42.e) |
Anexo V, parte 1.42.e) |
|
|
|
|
|
|
|
|
|
|
|
|
|
|
|
|
|
|
|
130 |
De los cuales: pequeñas y medianas empresas |
PYME art. 1.2 |
PYME art. 1.2 |
|
|
|
|
|
|
|
|
|
|
|
|
|
|
|
|
|
|
|
140 |
De los cuales: préstamos garantizados por bienes inmuebles comerciales |
Anexo V, parte 2.86.a), 87 |
Anexo V, parte 2.86.a), 87 |
|
|
|
|
|
|
|
|
|
|
|
|
|
|
|
|
|
|
|
150 |
Hogares |
Anexo V, parte 1.42.f) |
Anexo V, parte 1.42.f) |
|
|
|
|
|
|
|
|
|
|
|
|
|
|
|
|
|
|
|
160 |
De los cuales: préstamos garantizados por bienes inmuebles residenciales |
Anexo V, parte 2.86.a), 87 |
Anexo V, parte 2.86.a), 87 |
|
|
|
|
|
|
|
|
|
|
|
|
|
|
|
|
|
|
|
170 |
De los cuales: crédito al consumo |
Anexo V, parte 2.88.a) |
Anexo V, parte 2.88.a) |
|
|
|
|
|
|
|
|
|
|
|
|
|
|
|
|
|
|
|
180 |
INSTRUMENTOS DE DEUDA AL COSTE O A COSTE AMORTIZADO |
Anexo V, parte 2.249.a) |
Anexo V, parte 2.249.a) |
|
|
|
|
|
|
|
|
|
|
|
|
|
|
|
|
|
|
|
181 |
Valores representativos de deuda |
Anexo V, parte 1.31, 44.b) |
Anexo V, parte 1.31, 44.b) |
|
|
|
|
|
|
|
|
|
|
|
|
|
|
|
|
|
|
|
182 |
Bancos centrales |
Anexo V, parte 1.42.a) |
Anexo V, parte 1.42.a) |
|
|
|
|
|
|
|
|
|
|
|
|
|
|
|
|
|
|
|
183 |
Administraciones públicas |
Anexo V, parte 1.42.b) |
Anexo V, parte 1.42.b) |
|
|
|
|
|
|
|
|
|
|
|
|
|
|
|
|
|
|
|
184 |
Entidades de crédito |
Anexo V, parte 1.42.c) |
Anexo V, parte 1.42.c) |
|
|
|
|
|
|
|
|
|
|
|
|
|
|
|
|
|
|
|
185 |
Otras sociedades financieras |
Anexo V, parte 1.42.d) |
Anexo V, parte 1.42.d) |
|
|
|
|
|
|
|
|
|
|
|
|
|
|
|
|
|
|
|
186 |
Sociedades no financieras |
Anexo V, parte 1.42.e) |
Anexo V, parte 1.42.e) |
|
|
|
|
|
|
|
|
|
|
|
|
|
|
|
|
|
|
|
191 |
Préstamos y anticipos |
Anexo V, parte 1.32, 44.a) |
Anexo V, parte 1.32, 44.a) |
|
|
|
|
|
|
|
|
|
|
|
|
|
|
|
|
|
|
|
192 |
Bancos centrales |
Anexo V, parte 1.42.a) |
Anexo V, parte 1.42.a) |
|
|
|
|
|
|
|
|
|
|
|
|
|
|
|
|
|
|
|
193 |
Administraciones públicas |
Anexo V, parte 1.42.b) |
Anexo V, parte 1.42.b) |
|
|
|
|
|
|
|
|
|
|
|
|
|
|
|
|
|
|
|
194 |
Entidades de crédito |
Anexo V, parte 1.42.c) |
Anexo V, parte 1.42.c) |
|
|
|
|
|
|
|
|
|
|
|
|
|
|
|
|
|
|
|
195 |
Otras sociedades financieras |
Anexo V, parte 1.42.d) |
Anexo V, parte 1.42.d) |
|
|
|
|
|
|
|
|
|
|
|
|
|
|
|
|
|
|
|
196 |
Sociedades no financieras |
Anexo V, parte 1.42.e) |
Anexo V, parte 1.42.e) |
|
|
|
|
|
|
|
|
|
|
|
|
|
|
|
|
|
|
|
197 |
Hogares |
Anexo V, parte 1.42.f) |
Anexo V, parte 1.42.f) |
|
|
|
|
|
|
|
|
|
|
|
|
|
|
|
|
|
|
|
201 |
INSTRUMENTOS DE DEUDA A VALOR RAZONABLE CON CAMBIOS EN OTRO RESULTADO GLOBAL O CON CAMBIOS EN EL PATRIMONIO NETO SUSCEPTIBLES DE DETERIORO |
Anexo V, parte 2.249.b) |
Anexo V, parte 2.249.b) |
|
|
|
|
|
|
|
|
|
|
|
|
|
|
|
|
|
|
|
211 |
Valores representativos de deuda |
Anexo V, parte 1.31, 44.b) |
Anexo V, parte 1.31, 44.b) |
|
|
|
|
|
|
|
|
|
|
|
|
|
|
|
|
|
|
|
212 |
Bancos centrales |
Anexo V, parte 1.42.a) |
Anexo V, parte 1.42.a) |
|
|
|
|
|
|
|
|
|
|
|
|
|
|
|
|
|
|
|
213 |
Administraciones públicas |
Anexo V, parte 1.42.b) |
Anexo V, parte 1.42.b) |
|
|
|
|
|
|
|
|
|
|
|
|
|
|
|
|
|
|
|
214 |
Entidades de crédito |
Anexo V, parte 1.42.c) |
Anexo V, parte 1.42.c) |
|
|
|
|
|
|
|
|
|
|
|
|
|
|
|
|
|
|
|
215 |
Otras sociedades financieras |
Anexo V, parte 1.42.d) |
Anexo V, parte 1.42.d) |
|
|
|
|
|
|
|
|
|
|
|
|
|
|
|
|
|
|
|
216 |
Sociedades no financieras |
Anexo V, parte 1.42.e) |
Anexo V, parte 1.42.e) |
|
|
|
|
|
|
|
|
|
|
|
|
|
|
|
|
|
|
|
221 |
Préstamos y anticipos |
Anexo V, parte 1.32, 44.a) |
Anexo V, parte 1.32, 44.a) |
|
|
|
|
|
|
|
|
|
|
|
|
|
|
|
|
|
|
|
222 |
Bancos centrales |
Anexo V, parte 1.42.a) |
Anexo V, parte 1.42.a) |
|
|
|
|
|
|
|
|
|
|
|
|
|
|
|
|
|
|
|
223 |
Administraciones públicas |
Anexo V, parte 1.42.b) |
Anexo V, parte 1.42.b) |
|
|
|
|
|
|
|
|
|
|
|
|
|
|
|
|
|
|
|
224 |
Entidades de crédito |
Anexo V, parte 1.42.c) |
Anexo V, parte 1.42.c) |
|
|
|
|
|
|
|
|
|
|
|
|
|
|
|
|
|
|
|
225 |
Otras sociedades financieras |
Anexo V, parte 1.42.d) |
Anexo V, parte 1.42.d) |
|
|
|
|
|
|
|
|
|
|
|
|
|
|
|
|
|
|
|
226 |
Sociedades no financieras |
Anexo V, parte 1.42.e) |
Anexo V, parte 1.42.e) |
|
|
|
|
|
|
|
|
|
|
|
|
|
|
|
|
|
|
|
227 |
Hogares |
Anexo V, parte 1.42.f) |
Anexo V, parte 1.42.f) |
|
|
|
|
|
|
|
|
|
|
|
|
|
|
|
|
|
|
|
231 |
INSTRUMENTOS DE DEUDA AL LOCOM ESTRICTO O A VALOR RAZONABLE CON CAMBIOS EN OTRO RESULTADO GLOBAL O CON CAMBIOS EN EL PATRIMONIO NETO NO SUSCEPTIBLES DE DETERIORO |
Anexo V, parte 2.249.c) |
Anexo V, parte 2.249.c) |
|
|
|
|
|
|
|
|
|
|
|
|
|
|
|
|
|
|
|
330 |
INSTRUMENTOS DE DEUDA DISTINTOS DE LOS MANTENIDOS PARA NEGOCIAR O DESTINADOS A NEGOCIACIÓN |
Anexo V, parte 2.246 |
Anexo V, parte 2.246 |
|
|
|
|
|
|
|
|
|
|
|
|
|
|
|
|
|
|
|
335 |
INSTRUMENTOS DE DEUDA MANTENIDOS PARA LA VENTA |
|
Anexo V, parte 2.247 |
|
|
|
|
|
|
|
|
|
|
|
|
|
|
|
|
|
|
|
340 |
Compromisos de préstamo concedidos |
RRC Anexo I; Anexo V, parte 1.44.g), parte 2.112, 113, 246 |
RRC Anexo I; Anexo V, partes 1.44.g), 2.102-105, 113, 116, 246 |
|
|
|
|
|
|
|
|
|
|
|
|
|
|
|
|
|
|
20. Desglose geográfico
20.1 Desglose geográfico de los activos por localización de las actividades
|
|
Referencias a los PCGA nacionales basadas en la DCB |
Referencias a los PCGA nacionales compatibles con las NIIF |
Importe en libros Anexo V, parte 1.27-28 |
||
|
Actividades locales |
Actividades no locales |
||||
|
Anexo V, parte 2.270 |
Anexo V, parte 2.270 |
||||
|
010 |
020 |
||||
|
010 |
Efectivo, saldos en efectivo en bancos centrales y otros depósitos a la vista |
DCB art. 4, Activo.1 |
NIC 1.54.i) |
|
|
|
020 |
Efectivo |
Anexo V, parte 2.1 |
Anexo V, parte 2.1 |
|
|
|
030 |
Saldos en efectivo en bancos centrales |
DCB art. 13.2; Anexo V, parte 2.2 |
Anexo V, parte 2.2 |
|
|
|
040 |
Otros depósitos a la vista |
Anexo V, parte 2.3 |
Anexo V, parte 2.3 |
|
|
|
050 |
Activos financieros mantenidos para negociar |
Directiva contable art. 8.1.a) y 8.5 NIC 39.9 |
NIIF 9, Apéndice A |
|
|
|
060 |
Derivados |
RRC Anexo II |
NIIF 9, Apéndice A |
|
|
|
070 |
Instrumentos de patrimonio |
BCE/2013/33, anexo 2, parte 2.4-5 |
NIC 32.11 |
|
|
|
080 |
Valores representativos de deuda |
Anexo V, parte 1.24, 26 |
Anexo V, parte 1.31 |
|
|
|
090 |
Préstamos y anticipos |
Anexo V, parte 1.24, 27 |
Anexo V, parte 1.32 |
|
|
|
091 |
Activos financieros destinados a negociación |
DCB artículos 32-33; Anexo V, parte 1.17 |
|
|
|
|
092 |
Derivados |
RRC Anexo II; Anexo V, parte 1.17, 27 |
|
|
|
|
093 |
Instrumentos de patrimonio |
BCE/2013/33, anexo 2, parte 2.4-5 |
|
|
|
|
094 |
Valores representativos de deuda |
Anexo V, parte 1.31 |
|
|
|
|
095 |
Préstamos y anticipos |
Anexo V, parte 1.32 |
|
|
|
|
096 |
Activos financieros no destinados a negociación valorados obligatoriamente a valor razonable con cambios en resultados |
|
NIIF 7.8.a).ii); NIIF 9.4.1.4. |
|
|
|
097 |
Instrumentos de patrimonio |
|
NIC 32.11 |
|
|
|
098 |
Valores representativos de deuda |
|
Anexo V, parte 1.31 |
|
|
|
099 |
Préstamos y anticipos |
|
Anexo V, parte 1.32 |
|
|
|
100 |
Activos financieros designados a valor razonable con cambios en resultados |
Directiva contable art. 8.1.a) y 8.6 |
NIIF 7.8.a).i); NIIF 9.4.1.5 |
|
|
|
110 |
Instrumentos de patrimonio |
|
NIC 32.11; BCE/2013/33, anexo 2, parte 2.4-5 |
|
|
|
120 |
Valores representativos de deuda |
Anexo V, parte 1.31 |
Anexo V, parte 1.31 |
|
|
|
130 |
Préstamos y anticipos |
Anexo V, parte 1.32 |
Anexo V, parte 1.32 |
|
|
|
141 |
Activos financieros a valor razonable con cambios en otro resultado global |
|
NIIF 7.8.h); NIIF 9.4.1.2A |
|
|
|
142 |
Instrumentos de patrimonio |
|
NIC 32.11 |
|
|
|
143 |
Valores representativos de deuda |
|
Anexo V, parte 1.31 |
|
|
|
144 |
Préstamos y anticipos |
|
Anexo V, parte 1.32 |
|
|
|
171 |
Activos financieros no derivados y no destinados a negociación, a valor razonable con cambios en resultados |
DCB art. 36.2 |
|
|
|
|
172 |
Instrumentos de patrimonio |
BCE/2013/33, anexo 2, parte 2.4-5 |
|
|
|
|
173 |
Valores representativos de deuda |
Anexo V, parte 1.31 |
|
|
|
|
174 |
Préstamos y anticipos |
Directiva contable art. 8.1.a) y 8.4.b); Anexo V, parte 1.32 |
|
|
|
|
175 |
Activos financieros no derivados y no destinados a negociación, contabilizados a valor razonable en el patrimonio neto |
Directiva contable art. 8.1.a) y 8.8 |
|
|
|
|
176 |
Instrumentos de patrimonio |
BCE/2013/33, anexo 2, parte 2.4-5 |
|
|
|
|
177 |
Valores representativos de deuda |
Anexo V, parte 1.31 |
|
|
|
|
178 |
Préstamos y anticipos |
Directiva contable art. 8.1.a) y 8.4.b); Anexo V, parte 1.32 |
|
|
|
|
181 |
Activos financieros a coste amortizado |
|
NIIF 7.8.f); NIIF 9.4.1.2 |
|
|
|
182 |
Valores representativos de deuda |
|
Anexo V, parte 1.31 |
|
|
|
183 |
Préstamos y anticipos |
|
Anexo V, parte 1.32 |
|
|
|
231 |
Activos financieros no derivados y no destinados a negociación, valorados por un método basado en el coste |
DCB art. 35; Directiva contable arts. 6.1.i) y 8.2; Anexo V, parte 1.18, 19 |
|
|
|
|
330 |
Instrumentos de patrimonio |
BCE/2013/33, anexo 2, parte 2.4-5 |
|
|
|
|
232 |
Valores representativos de deuda |
Anexo V, parte 1.31 |
|
|
|
|
233 |
Préstamos y anticipos |
Anexo V, parte 1.32 |
|
|
|
|
234 |
Otros activos financieros no derivados y no destinados a negociación |
DCB art. 37; Directiva contable art. 12.7; Anexo V, parte 1.20 |
|
|
|
|
235 |
Instrumentos de patrimonio |
BCE/2013/33, anexo 2, parte 2.4-5 |
|
|
|
|
236 |
Valores representativos de deuda |
Anexo V, parte 1.31 |
|
|
|
|
237 |
Préstamos y anticipos |
Anexo V, parte 1.32 |
|
|
|
|
240 |
Derivados — Contabilidad de coberturas |
Directiva contable art. 8.1.a), 8.6, 8.8; NIC 39.9; Anexo V, parte 1.22 |
NIIF 9.6.2.1; Anexo V, parte 1.22 |
|
|
|
250 |
Cambios del valor razonable de los elementos cubiertos de una cartera con cobertura del riesgo de tipo de interés |
Directiva contable art. 8.5 y 8.6; NIC 39.89A.a) |
NIC 39.89A.a); NIIF 9.6.5.8 |
|
|
|
260 |
Activos tangibles |
DCB art. 4, Activo.10 |
|
|
|
|
270 |
Activos intangibles |
DCB art. 4, Activo.9; RRC art. 4.1.115 |
NIC 1.54.c); RRC art. 4.1.115 |
|
|
|
280 |
Inversiones en filiales, negocios conjuntos y asociadas |
DCB art. 4, Activo.7-8; Directiva contable art. 2.2; Anexo V, parte 1.21, parte 2.4 |
NIC 1.54.e); Anexo V, parte 1.21, parte 2.4 |
|
|
|
290 |
Activos por impuestos |
|
NIC 1.54.n)-o) |
|
|
|
300 |
Otros activos |
Anexo V, parte 2.5, 6 |
Anexo V, parte 2.5 |
|
|
|
310 |
Activos no corrientes y grupos enajenables de elementos que se han clasificado como mantenidos para la venta |
|
NIC 1.54.j); NIIF 5.38; Anexo V, parte 2.7 |
|
|
|
315 |
(-) Recortes de valoración de los activos destinados a negociación valorados a valor razonable |
Anexo V, parte 1.29 |
|
|
|
|
320 |
ACTIVO |
DCB art. 4, Activo |
NIC 1.9.a), GI 6 |
|
|
20.2 Desglose geográfico de los pasivos por localización de las actividades
|
|
Referencias a los PCGA nacionales basadas en la DCB |
Referencias a los PCGA nacionales compatibles con las NIIF |
Importe en libros Anexo V, parte 1.27-28 |
||
|
Actividades locales |
Actividades no locales |
||||
|
Anexo V, parte 2.270 |
Anexo V, parte 2.270 |
||||
|
010 |
020 |
||||
|
010 |
Pasivos financieros mantenidos para negociar |
|
NIIF 7.8.e).ii); NIIF 9.BA.6 |
|
|
|
020 |
Derivados |
|
NIIF 9, apéndice A; NIIF 9.4.2.1.a); NIIF 9.BA.7.a) |
|
|
|
030 |
Posiciones cortas |
|
NIIF 9.BA7.b) |
|
|
|
040 |
Depósitos |
|
BCE/2013/33, anexo 2, parte 2.9; Anexo V, parte 1.36 |
|
|
|
050 |
Valores representativos de deuda emitidos |
|
Anexo V, parte 1.37 |
|
|
|
060 |
Otros pasivos financieros |
|
Anexo V, parte 1.38-41 |
|
|
|
061 |
Pasivos financieros destinados a negociación |
Directiva contable art. 8.1.a), 8.3, 8.6 |
|
|
|
|
062 |
Derivados |
RRC Anexo II; Anexo V, parte 1.25 |
|
|
|
|
063 |
Posiciones cortas |
|
|
|
|
|
064 |
Depósitos |
BCE/2013/33, anexo 2, parte 2.9; Anexo V, parte 1.36 |
|
|
|
|
065 |
Valores representativos de deuda emitidos |
Anexo V, parte 1.37 |
|
|
|
|
066 |
Otros pasivos financieros |
Anexo V, parte 1.38-41 |
|
|
|
|
070 |
Pasivos financieros designados a valor razonable con cambios en resultados |
Directiva contable art. 8.1.a), 8.6; NIC 39.9 |
NIIF 7.8.e).i); NIIF 9.4.2.2 |
|
|
|
080 |
Depósitos |
BCE/2013/33, anexo 2, parte 2.9; Anexo V, parte 1.36 |
BCE/2013/33, anexo 2, parte 2.9; Anexo V, parte 1.36 |
|
|
|
090 |
Valores representativos de deuda emitidos |
Anexo V, parte 1.37 |
Anexo V, parte 1.37 |
|
|
|
100 |
Otros pasivos financieros |
Anexo V, parte 1.38-41 |
Anexo V, parte 1.38-41 |
|
|
|
110 |
Pasivos financieros valorados a coste amortizado |
Directiva contable art. 8.3, 8.6; NIC 39.47 |
NIIF 7.8.g); NIIF 9.4.2.1 |
|
|
|
120 |
Depósitos |
BCE/2013/33, anexo 2, parte 2.9; Anexo V, parte 1.30 |
BCE/2013/33, anexo 2, parte 2.9; Anexo V, parte 1.36 |
|
|
|
130 |
Valores representativos de deuda emitidos |
Anexo V, parte 1.31 |
Anexo V, parte 1.37 |
|
|
|
140 |
Otros pasivos financieros |
Anexo V, parte 1.32-34 |
Anexo V, parte 1.38-41 |
|
|
|
141 |
Pasivos financieros no derivados y no destinados a negociación, valorados por un método basado en el coste |
Directiva contable art. 8.3; |
|
|
|
|
142 |
Depósitos |
BCE/2013/33, anexo 2, parte 2.9; Anexo V, parte 1.36 |
|
|
|
|
143 |
Valores representativos de deuda emitidos |
Anexo V, parte 1.37 |
|
|
|
|
144 |
Otros pasivos financieros |
Anexo V, parte 1.38-41 |
|
|
|
|
150 |
Derivados — Contabilidad de coberturas |
Directiva contable art. 8.1.a), 8.6, 8.8.a); Anexo V, parte 1.26 |
NIIF 9.6.2.1; Anexo V, parte 1.26 |
|
|
|
160 |
Cambios del valor razonable de los elementos cubiertos de una cartera con cobertura del riesgo de tipo de interés |
Directiva contable art. 8.5 y 8.6; Anexo V, parte 2.8; NIC 39.89A.b) |
NIC 39.89A.b); NIIF 9.6.5.8 |
|
|
|
170 |
Provisiones |
DCB art.4, Pasivo.6 |
NIC 37.10; NIC 1.54.l) |
|
|
|
180 |
Pasivos por impuestos |
|
NIC 1.54.n)-o) |
|
|
|
190 |
Capital social reembolsable a la vista |
|
NIC 32 IE 33; CINIIF 2; Anexo V, parte 2.12 |
|
|
|
200 |
Otros pasivos |
Anexo V, parte 2.13 |
Anexo V, parte 2.13 |
|
|
|
210 |
Pasivos incluidos en grupos enajenables de elementos que se han clasificado como mantenidos para la venta |
|
NIC 1.54.p); NIIF 5.38; Anexo V, parte 2.14 |
|
|
|
215 |
Recortes de valoración de los pasivos destinados a negociación valorados a valor razonable |
Anexo V, parte 1.29 |
|
|
|
|
220 |
PASIVO |
|
NIC 1.9.b), GI 6 |
|
|
20.3 Desglose geográfico de las partidas del estado de resultados por localización de las actividades
|
|
Referencias a los PCGA nacionales basadas en la DCB |
Referencias a los PCGA nacionales compatibles con las NIIF |
Período corriente |
||
|
Actividades locales |
Actividades no locales |
||||
|
Anexo V, parte 2.270 |
Anexo V, parte 2.270 |
||||
|
010 |
020 |
||||
|
010 |
Ingresos por intereses |
DCB art. 27, Presentación vertical.1; Anexo V, parte 2.31 |
NIC 1.97; Anexo V, parte 2.31 |
|
|
|
020 |
(Gastos por intereses) |
DCB art. 27, Presentación vertical.2; Anexo V, parte 2.31 |
NIC 1.97; Anexo V, parte 2.31 |
|
|
|
030 |
(Gastos por capital social reembolsable a la vista) |
|
CINIIF 2.11 |
|
|
|
040 |
Ingresos por dividendos |
DCB art. 27, Presentación vertical.3; Anexo V, parte 2.40 |
Anexo V, parte 2.40 |
|
|
|
050 |
Ingresos por comisiones |
DCB art. 27, Presentación vertical.4 |
NIIF 7.20.c) |
|
|
|
060 |
(Gastos por comisiones) |
DCB art. 27, Presentación vertical.5 |
NIIF 7.20.c) |
|
|
|
070 |
Ganancias o (-) pérdidas al dar de baja en cuentas activos y pasivos financieros no valorados a valor razonable con cambios en resultados, netas |
DCB art. 27, Presentación vertical.6 |
Anexo V, parte 2.45 |
|
|
|
080 |
Ganancias o (-) pérdidas por activos y pasivos financieros mantenidos para negociar, netas |
DCB art. 27, Presentación vertical.6 |
NIIF 7.20.a).i); NIIF 9.5.7.1; Anexo V, parte 2.43, 46 |
|
|
|
083 |
Ganancias o (-) pérdidas por activos financieros no destinados a negociación valorados obligatoriamente a valor razonable con cambios en resultados |
|
NIIF 9.5.7.1 |
|
|
|
085 |
Ganancias o (-) pérdidas por activos y pasivos financieros destinados a negociación, netas |
DCB art. 27, Presentación vertical.6 |
|
|
|
|
090 |
Ganancias o (-) pérdidas por activos y pasivos financieros designados a valor razonable con cambios en resultados, netas |
|
NIIF 7.20.a).i); NIIF 9.5.7.1; Anexo V, parte 2.44 |
|
|
|
095 |
Ganancias o (-) pérdidas por activos y pasivos financieros no destinados a negociación, netas |
DCB art. 27, Presentación vertical.6 |
|
|
|
|
100 |
Ganancias o (-) pérdidas resultantes de la contabilidad de coberturas, netas |
Directiva contable art. 8.1.a), 8.6 y 8.8 |
Anexo V, parte 2.47-48 |
|
|
|
110 |
Diferencias de cambio [ganancia o (-) pérdida], netas |
DCB art. 39 |
NIC 21.28, 52.a) |
|
|
|
120 |
Ganancias o (-) pérdidas al dar de baja en cuentas inversiones en filiales, negocios conjuntos y asociadas, netas |
DCB art. 27, Presentación vertical.13-14; Anexo V, parte 2.56 |
|
|
|
|
130 |
Ganancias o (-) pérdidas al dar de baja en cuentas activos no financieros, netas |
|
NIC 1.34 |
|
|
|
140 |
Otros ingresos de explotación |
DCB art. 27, Presentación vertical.7; Anexo V, parte 2.314-316 |
Anexo V, parte 2.314-316 |
|
|
|
150 |
(Otros gastos de explotación) |
DCB art. 27, Presentación vertical.10; Anexo V, parte 2.314-316 |
Anexo V, parte 2.314-316 |
|
|
|
155 |
TOTAL RESULTADO DE EXPLOTACIÓN, NETO |
|
|
|
|
|
160 |
(Gastos de administración) |
DCB art. 27, Presentación vertical.8 |
|
|
|
|
170 |
(Amortización) |
|
NIC 1.102, 104 |
|
|
|
171 |
Ganancias o (-) pérdidas por modificación, netas |
|
NIIF 9.5.4.3; NIIF 9, apéndice A Anexo V, parte 2.49 |
|
|
|
175 |
(Aumentos o (-) disminuciones del fondo para riesgos bancarios generales, netos) |
DCB art. 38,2 |
|
|
|
|
180 |
(Provisiones o (-) reversión de provisiones) |
|
NIC 37.59, 84; NIC 1.98.b),f),g) |
|
|
|
190 |
(Deterioro del valor o (-) reversión del deterioro del valor de activos financieros no valorados a valor razonable con cambios en resultados) |
DCB arts. 35-37; Anexo V, parte 2.52, 53 |
NIIF 7.20.a).viii); Anexo V, parte 2.51, 53 |
|
|
|
200 |
(Deterioro del valor o (-) reversión del deterioro del valor de inversiones en filiales, negocios conjuntos o asociadas) |
DCB art. 27, Presentación vertical.13-14 |
NIC 28.40-43 |
|
|
|
210 |
(Deterioro del valor o (-) reversión del deterioro del valor de activos no financieros) |
|
NIC 36.126.a) y b) |
|
|
|
220 |
Fondo de comercio negativo reconocido en resultados |
Directiva contable art. 24.3.f) |
NIIF 3, apéndice B64.n).i) |
|
|
|
230 |
Participación en las ganancias o (-) pérdidas de las inversiones en filiales, negocios conjuntos y asociadas |
DCB art. 27, Presentación vertical.13-14 |
Anexo V, parte 2.54 |
|
|
|
240 |
Ganancias o (-) pérdidas procedentes de activos no corrientes y grupos enajenables de elementos clasificados como mantenidos para la venta no admisibles como actividades interrumpidas |
|
NIIF 5.37; Anexo V, parte 2.55 |
|
|
|
250 |
GANANCIAS O (-) PÉRDIDAS ANTES DE IMPUESTOS PROCEDENTES DE LAS ACTIVIDADES CONTINUADAS |
|
NIC 1.102, GI 6; NIIF 5.33A |
|
|
|
260 |
(Gastos o (-) ingresos por impuestos sobre los resultados de las actividades continuadas) |
DCB art. 27, Presentación vertical.15 |
NIC 1.82.d); NIC 12.77 |
|
|
|
270 |
GANANCIAS O (-) PÉRDIDAS DESPUÉS DE IMPUESTOS PROCEDENTES DE LAS ACTIVIDADES CONTINUADAS |
DCB art. 27, Presentación vertical.16 |
NIC 1, GI 6 |
|
|
|
275 |
Resultados extraordinarios, después de impuestos |
DCB art. 27, Presentación vertical.21; |
|
|
|
|
280 |
Ganancias o (-) pérdidas después de impuestos procedentes de actividades interrumpidas |
|
NIC 1.82.ea); NIIF 5.33.a), 5.33 A; Anexo V, parte 2.56 |
|
|
|
290 |
GANANCIAS O (-) PÉRDIDAS DEL EJERCICIO |
DCB art. 27, Presentación vertical.23 |
NIC 1.81A.a) |
|
|
20.4 Desglose geográfico de los activos por residencia de las contrapartes
|
Eje z |
País de residencia de la contraparte |
|
||||||||
|
|
||||||||||
|
|
|
|
|
Deterioro de valor acumulado |
Cambios acumulados negativos en el valor razonable debidos al riesgo de crédito por exposiciones dudosas |
|||||
|
Importe en libros bruto |
Del cual: mantenidos para negociar o destinados a negociación |
Del cual: activos financieros susceptibles de deterioro de valor |
Del cual: deuda reestructurada o refinanciada |
Del cual: dudoso |
||||||
|
Referencias a los PCGA nacionales basadas en la DCB |
Referencias a los PCGA nacionales compatibles con las NIIF |
Anexo V, parte 1.34, parte 2.271, 275 |
Anexo V, parte 1.15.a), 16.a), 17, parte 2.273 |
Anexo V, parte 2.273 |
Anexo V, parte 2.275 |
Anexo V, parte 2.275 |
Anexo V, parte 2.274 |
Anexo V, parte 2.274 |
||
|
|
|
010 |
011 |
012 |
022 |
025 |
031 |
040 |
||
|
010 |
Derivados |
RRC Anexo II; Anexo V, parte 2.272 |
NIIF 9, apéndice A; Anexo V, parte 2.272 |
|
|
|
|
|
|
|
|
020 |
De los cuales: entidades de crédito |
Anexo V, parte 1.42.c) |
Anexo V, parte 1.42.c) |
|
|
|
|
|
|
|
|
030 |
De los cuales: otras sociedades financieras |
Anexo V, parte 1.42.d) |
Anexo V, parte 1.42.d) |
|
|
|
|
|
|
|
|
040 |
Instrumentos de patrimonio |
BCE/2013/33, anexo 2, parte 2.4-5; Anexo V, parte 1.44.b) |
NIC 32.11 |
|
|
|
|
|
|
|
|
050 |
De los cuales: entidades de crédito |
Anexo V, parte 1.42.c) |
Anexo V, parte 1.42.c) |
|
|
|
|
|
|
|
|
060 |
De los cuales: otras sociedades financieras |
Anexo V, parte 1.42.d) |
Anexo V, parte 1.42.d) |
|
|
|
|
|
|
|
|
070 |
De los cuales: sociedades no financieras |
Anexo V, parte 1.42.e) |
Anexo V, parte 1.42.e) |
|
|
|
|
|
|
|
|
080 |
Valores representativos de deuda |
Anexo V, parte 1.31, 44.b) |
Anexo V, parte 1.31, 44.b) |
|
|
|
|
|
|
|
|
090 |
Bancos centrales |
Anexo V, parte 1.42.a) |
Anexo V, parte 1.42.a) |
|
|
|
|
|
|
|
|
100 |
Administraciones públicas |
Anexo V, parte 1.42.b) |
Anexo V, parte 1.42.b) |
|
|
|
|
|
|
|
|
110 |
Entidades de crédito |
Anexo V, parte 1.42.c) |
Anexo V, parte 1.42.c) |
|
|
|
|
|
|
|
|
120 |
Otras sociedades financieras |
Anexo V, parte 1.42.d) |
Anexo V, parte 1.42.d) |
|
|
|
|
|
|
|
|
130 |
Sociedades no financieras |
Anexo V, parte 1.42.e) |
Anexo V, parte 1.42.e) |
|
|
|
|
|
|
|
|
140 |
Préstamos y anticipos |
Anexo V, parte 1.32, 44.a) |
Anexo V, parte 1.32, 44.a) |
|
|
|
|
|
|
|
|
150 |
Bancos centrales |
Anexo V, parte 1.42.a) |
Anexo V, parte 1.42.a) |
|
|
|
|
|
|
|
|
160 |
Administraciones públicas |
Anexo V, parte 1.42.b) |
Anexo V, parte 1.42.b) |
|
|
|
|
|
|
|
|
170 |
Entidades de crédito |
Anexo V, parte 1.42.c) |
Anexo V, parte 1.42.c) |
|
|
|
|
|
|
|
|
180 |
Otras sociedades financieras |
Anexo V, parte 1.42.d) |
Anexo V, parte 1.42.d) |
|
|
|
|
|
|
|
|
190 |
Sociedades no financieras |
Anexo V, parte 1.42.e) |
Anexo V, parte 1.42.e) |
|
|
|
|
|
|
|
|
200 |
De los cuales: pequeñas y medianas empresas |
PYME art. 1.2 |
PYME art. 1.2 |
|
|
|
|
|
|
|
|
210 |
De los cuales: préstamos garantizados por bienes inmuebles comerciales |
Anexo V, parte 2.86.a), 87 |
Anexo V, parte 2.86.a), 87 |
|
|
|
|
|
|
|
|
220 |
Hogares |
Anexo V, parte 1.42.f) |
Anexo V, parte 1.42.f) |
|
|
|
|
|
|
|
|
230 |
De los cuales: préstamos garantizados por bienes inmuebles residenciales |
Anexo V, parte 2.86.a), 87 |
Anexo V, parte 2.86.a), 87 |
|
|
|
|
|
|
|
|
240 |
De los cuales: crédito al consumo |
Anexo V, parte 2.88.a) |
Anexo V, parte 2.88.a) |
|
|
|
|
|
|
|
20.5 Desglose geográfico de las exposiciones fuera de balance por residencia de las contrapartes
|
Eje z |
País de residencia de la contraparte |
|
|||||
|
|
|||||||
|
|
|
|
|
Provisiones para compromisos y garantías concedidos |
|||
|
Importe nominal |
Del cual: deuda reestructurada o refinanciada |
Del cual: dudoso |
|||||
|
Referencias a los PCGA nacionales basadas en la DCB |
Referencias a los PCGA nacionales compatibles con las NIIF |
Anexo V, parte 2.118, 271 |
Anexo V, parte 2.240-258 |
Anexo V, parte 2.275 |
Anexo V, parte 2.276 |
||
|
|
|
010 |
022 |
025 |
030 |
||
|
010 |
Compromisos de préstamo concedidos |
RRC Anexo I; Anexo V, parte 1.44.g), parte 2.112, 113 |
RRC Anexo I; Anexo V, partes 1.44.g), 2.102-105, 113, 116 |
|
|
|
|
|
020 |
Garantías financieras concedidas |
RRC Anexo I; Anexo V, parte 1.44.f), parte 2.112, 114 |
NIIF 4 Anexo A; RRC Anexo I; Anexo V, partes 1.44.f), 2.102-105, 114, 116 |
|
|
|
|
|
030 |
Otros compromisos concedidos |
RRC Anexo I; Anexo V, parte 1.44.g), parte 2.112, 115 |
RRC Anexo I; Anexo V, partes 1.44.g), 2.102-105, 115, 116 |
|
|
|
|
20.6 Desglose geográfico de los pasivos por residencia de las contrapartes
|
Eje z |
País de residencia de la contraparte |
|
||
|
|
||||
|
|
Referencias a los PCGA nacionales basadas en la DCB |
Referencias a los PCGA nacionales compatibles con las NIIF |
Importe en libros |
|
|
Anexo V, parte 1.27-28, 2,271 |
||||
|
010 |
||||
|
010 |
Derivados |
RRC Anexo II; Anexo V, parte 1.24.a), 25, 26, 44.e), parte 2.272 |
NIIF 9, apéndice A; Anexo V, parte 1.44.e), parte 2.272 |
|
|
020 |
De los cuales: entidades de crédito |
Anexo V, parte 1.42.c) |
Anexo V, parte 1.42.c) |
|
|
030 |
De los cuales: otras sociedades financieras |
Anexo V, parte 1.42.d) |
Anexo V, parte 1.42.d) |
|
|
040 |
Posiciones cortas |
Anexo V, parte 1.44.d) |
NIIF 9.BA7.b); Anexo V, parte 1.44.d) |
|
|
050 |
De las cuales: entidades de crédito |
Anexo V, parte 1.42.c) |
Anexo V, parte 1.42.c) |
|
|
060 |
De las cuales: otras sociedades financieras |
Anexo V, parte 1.42.d) |
Anexo V, parte 1.42.d) |
|
|
070 |
Depósitos |
BCE/2013/33, anexo 2, parte 2.9; Anexo V, parte 1.36 |
BCE/2013/33, anexo 2, parte 2.9; Anexo V, parte 1.36 |
|
|
080 |
Bancos centrales |
Anexo V, parte 1.42.a) |
Anexo V, parte 1.42.a) |
|
|
090 |
Administraciones públicas |
Anexo V, parte 1.42.b) |
Anexo V, parte 1.42.b) |
|
|
100 |
Entidades de crédito |
Anexo V, parte 1.42.c) |
Anexo V, parte 1.42.c) |
|
|
110 |
Otras sociedades financieras |
Anexo V, parte 1.42.d) |
Anexo V, parte 1.42.d) |
|
|
120 |
Sociedades no financieras |
Anexo V, parte 1.42.e) |
Anexo V, parte 1.42.e) |
|
|
130 |
Hogares |
Anexo V, parte 1.42.f) |
Anexo V, parte 1.42.f) |
|
20.7.1 Desglose geográfico, por residencia de las contrapartes, de los préstamos y anticipos, distintos de los mantenidos para negociar, a sociedades no financieras, por códigos NACE
|
Eje z |
País de residencia de la contraparte |
|
|||||
|
|
|||||||
|
|
|
Sociedades no financieras Anexo V, parte 2.271, 277 |
|||||
|
Referencias |
|
Deterioro de valor acumulado |
Cambios acumulados negativos en el valor razonable debidos al riesgo de crédito por exposiciones dudosas |
||||
|
Importe en libros bruto |
De los cuales: préstamos y anticipos susceptibles de deterioro |
De los cuales: dudosos |
|||||
|
Anexo V, parte 1.34, parte 2.275 |
Anexo V, parte 2.273 |
Anexo V, parte 2.275 |
Anexo V, parte 2.274 |
Anexo V, parte 2.274 |
|||
|
010 |
011 |
012 |
021 |
022 |
|||
|
010 |
A Agricultura, ganadería, silvicultura y pesca |
Reglamento NACE |
|
|
|
|
|
|
020 |
B Industrias extractivas |
Reglamento NACE |
|
|
|
|
|
|
030 |
C Industria manufacturera |
Reglamento NACE |
|
|
|
|
|
|
040 |
D Suministro de energía eléctrica, gas, vapor y aire acondicionado |
Reglamento NACE |
|
|
|
|
|
|
050 |
E Suministro de agua |
Reglamento NACE |
|
|
|
|
|
|
060 |
F Construcción |
Reglamento NACE |
|
|
|
|
|
|
070 |
G Comercio al por mayor y al por menor |
Reglamento NACE |
|
|
|
|
|
|
080 |
H Transporte y almacenamiento |
Reglamento NACE |
|
|
|
|
|
|
090 |
I Hostelería |
Reglamento NACE |
|
|
|
|
|
|
100 |
J Información y comunicaciones |
Reglamento NACE |
|
|
|
|
|
|
105 |
K Actividades financieras y de seguros |
Reglamento NACE |
|
|
|
|
|
|
110 |
L Actividades inmobiliarias |
Reglamento NACE |
|
|
|
|
|
|
120 |
M Actividades profesionales, científicas y técnicas |
Reglamento NACE |
|
|
|
|
|
|
130 |
N Actividades administrativas y servicios auxiliares |
Reglamento NACE |
|
|
|
|
|
|
140 |
O Administración pública y defensa; seguridad social obligatoria |
Reglamento NACE |
|
|
|
|
|
|
150 |
P Educación |
Reglamento NACE |
|
|
|
|
|
|
160 |
Q Actividades sanitarias y de servicios sociales |
Reglamento NACE |
|
|
|
|
|
|
170 |
R Actividades artísticas, recreativas y de entretenimiento |
Reglamento NACE |
|
|
|
|
|
|
180 |
S Otros servicios |
Reglamento NACE |
|
|
|
|
|
|
190 |
PRÉSTAMOS Y ANTICIPOS |
Anexo V, parte 1.32 |
|
|
|
|
|
21. Activos tangibles e intangibles: activos objeto de arrendamiento operativo
|
|
Referencias a los PCGA nacionales basadas en la DCB |
Referencias a los PCGA nacionales compatibles con las NIIF |
Importe en libros |
|
|
Anexo V, parte 2.278-279 |
||||
|
010 |
||||
|
010 |
Inmovilizado material |
|
NIC 16.6; NIC 1.54.a) |
|
|
020 |
Modelo de revalorización |
|
NIC 17.49; NIC 16.31, 73.a) y d) |
|
|
030 |
Modelo del coste |
|
NIC 17.49; NIC 16.30, 73.a) y d) |
|
|
040 |
Inversiones inmobiliarias |
|
NIC 40.IN5; NIC 1.54.b) |
|
|
050 |
Modelo del valor razonable |
|
NIC 17.49; NIC 40.33-55, 76 |
|
|
060 |
Modelo del coste |
|
NIC 17.49; NIC 40.56,79.c) |
|
|
070 |
Otros activos intangibles |
DCB art. 4, Activo.9 |
NIC 38.8, 118 |
|
|
080 |
Modelo de revalorización |
|
NIC 17.49; NIC 38.75-87, 124.a).ii) |
|
|
090 |
Modelo del coste |
|
NIC 17.49; NIC 38.74 |
|
22. Funciones de gestión de activos, custodia y otros servicios
22.1 Ingresos y gastos por comisiones, desglosados por actividades
|
|
Referencias a los PCGA nacionales basadas en la DCB |
Referencias a los PCGA nacionales compatibles con las NIIF |
Período corriente |
|
|
Anexo V, parte 2.280 |
||||
|
DCB art. 27, Presentación vertical.4 y 5 |
NIIF 7.20.c) |
010 |
||
|
010 |
Ingresos por comisiones |
|
Anexo V, parte 2.281-283 |
|
|
020 |
Valores |
|
|
|
|
030 |
Emisiones |
Anexo V, parte 2.284.a) |
Anexo V, parte 2.284.a) |
|
|
040 |
Órdenes de transferencia |
Anexo V, parte 2.284.b) |
Anexo V, parte 2.284.b) |
|
|
050 |
Otros |
Anexo V, parte 2.284.c) |
Anexo V, parte 2.284.c) |
|
|
060 |
Compensación y liquidación |
Anexo V, parte 2.284.d) |
Anexo V, parte 2.284.d) |
|
|
070 |
Gestión de activos |
Anexo V, parte 2.284.e); 285.a) |
Anexo V, parte 2.284.e); 285.a) |
|
|
080 |
Custodia [por tipos de clientes] |
Anexo V, parte 2.284.e); 285.b) |
Anexo V, parte 2.284.e); 285.b) |
|
|
090 |
Inversión colectiva |
|
|
|
|
100 |
Otros |
|
|
|
|
110 |
Servicios administrativos centrales de inversión colectiva |
Anexo V, parte 2.284.e); 285.c) |
Anexo V, parte 2.284.e); 285.c) |
|
|
120 |
Operaciones fiduciarias |
Anexo V, parte 2.284.e); 285.d) |
Anexo V, parte 2.284.e); 285.d) |
|
|
130 |
Servicios de pago |
Anexo V, parte 2.284.e), 285.e) |
Anexo V, parte 2.284.e), 285.e) |
|
|
140 |
Recursos de clientes distribuidos pero no gestionados [por tipos de productos] |
Anexo V, parte 2.285.f) |
Anexo V, parte 2.285.f) |
|
|
150 |
Inversión colectiva |
|
|
|
|
160 |
Productos de seguro |
|
|
|
|
170 |
Otros |
|
|
|
|
180 |
Financiación estructurada |
Anexo V, parte 2.284.f) |
Anexo V, parte 2.284.f) |
|
|
190 |
Actividades de administración de préstamos |
Anexo V, parte 2.284.g) |
Anexo V, parte 2.284.g) |
|
|
200 |
Compromisos de préstamo concedidos |
Anexo V, parte 2.284.h) |
NIIF 9.4.2.1.c).ii); Anexo V, parte 2.284.h) |
|
|
210 |
Garantías financieras concedidas |
Anexo V, parte 2.284.h) |
NIIF 9.4.2.1.c).ii); Anexo V, parte 2.284.h) |
|
|
220 |
Otros |
Anexo V, parte 2.284.j) |
Anexo V, parte 2.284.j) |
|
|
230 |
(Gastos por comisiones) |
|
Anexo V, parte 2.113-115 |
|
|
240 |
(Compensación y liquidación) |
Anexo V, parte 2.284.d) |
Anexo V, parte 2.284.d) |
|
|
250 |
(Custodia) |
Anexo V, parte 2.285.b) |
Anexo V, parte 2.285.b) |
|
|
260 |
(Actividades de administración de préstamos) |
Anexo V, parte 2.284.g) |
Anexo V, parte 2.284.g) |
|
|
270 |
(Compromisos de préstamo recibidos) |
Anexo V, parte 2.284.i) |
Anexo V, parte 2.284.i) |
|
|
280 |
(Garantías financieras recibidas) |
Anexo V, parte 2.284.i) |
Anexo V, parte 2.284.i) |
|
|
290 |
(Otros) |
Anexo V, parte 2.284.j) |
Anexo V, parte 2.284.j) |
|
22.2 Activos implicados en los servicios prestados
|
|
Referencias a los PCGA nacionales basadas en la DCB |
Referencias a los PCGA nacionales compatibles con las NIIF |
Importe de los activos implicados en los servicios prestados |
|
|
Anexo V, parte 2.285.g) |
||||
|
010 |
||||
|
010 |
Gestión de activos [por tipos de clientes] |
Anexo V, parte 2.285.a) |
Anexo V, parte 2.285.a) |
|
|
020 |
Inversión colectiva |
|
|
|
|
030 |
Fondos de pensiones |
|
|
|
|
040 |
Carteras de clientes gestionadas de forma discrecional |
|
|
|
|
050 |
Otros vehículos de inversión |
|
|
|
|
060 |
Activos en custodia [por tipos de clientes] |
Anexo V, parte 2.285.b) |
Anexo V, parte 2.285.b) |
|
|
070 |
Inversión colectiva |
|
|
|
|
080 |
Otros |
|
|
|
|
090 |
De los cuales: encomendados a otros entes |
|
|
|
|
100 |
Servicios administrativos centrales de inversión colectiva |
Anexo V, parte 2.285.c) |
Anexo V, parte 2.285.c) |
|
|
110 |
Operaciones fiduciarias |
Anexo V, parte 2.285.d) |
Anexo V, parte 2.285.d) |
|
|
120 |
Servicios de pago |
Anexo V, parte 2.285.e) |
Anexo V, parte 2.285.e) |
|
|
130 |
Recursos de clientes distribuidos pero no gestionados [por tipos de productos] |
Anexo V, parte 2.285.f) |
Anexo V, parte 2.285.f) |
|
|
140 |
Inversión colectiva |
|
|
|
|
150 |
Productos de seguro |
|
|
|
|
160 |
Otros |
|
|
|
30. Actividades fuera de balance: Intereses en entes estructurados no consolidados
30.1 Intereses en entes estructurados no consolidados
|
|
Referencias a los PCGA nacionales basadas en la DCB |
Referencias a los PCGA nacionales compatibles con las NIIF |
Importe en libros de los activos financieros reconocidos en el balance |
Del cual: apoyo de liquidez utilizado |
Valor razonable del apoyo de liquidez utilizado |
Importe en libros de los pasivos financieros reconocidos en el balance |
Importe nominal de las exposiciones fuera de balance concedidas por la entidad declarante |
Del cual: importe nominal de los compromisos de préstamo concedidos |
Pérdidas incurridas por la entidad declarante en el período corriente |
|
|
NIIF 12.29.a) |
NIIF 12.29.a); Anexo V, parte 2.286 |
|
NIIF 12.29.a) |
NIIF 12.B26.e) |
|
NIIF 12 B26.b); Anexo V, parte 2.287 |
||||
|
010 |
020 |
030 |
040 |
050 |
060 |
080 |
||||
|
010 |
Total |
|
|
|
|
|
|
|
|
|
30.2 Desglose de los intereses en entes estructurados no consolidados, por naturaleza de las actividades
|
Por naturaleza de las actividades |
Referencias a los PCGA nacionales basadas en la DCB |
Referencias a los PCGA nacionales compatibles con las NIIF |
Importe en libros |
|||
|
Vehículos especializados en titulizaciones |
Gestión de activos |
Otras actividades |
||||
|
RRC art. 4.1.66 |
Anexo V, parte 2.285.a) |
|
||||
|
|
NIIF 12.24, B6.a) |
010 |
020 |
030 |
||
|
010 |
Selección de activos financieros reconocidos en el balance de la entidad declarante |
|
NIIF 12.29.a) y b) |
|
|
|
|
021 |
De los cuales: dudosos |
Anexo V, parte 2.213-239 |
Anexo V, parte 2.213-239 |
|
|
|
|
030 |
Derivados |
RRC Anexo II; Anexo V, parte 2.272 |
NIIF 9 apéndice A; Anexo V, parte 2.272 |
|
|
|
|
040 |
Instrumentos de patrimonio |
BCE/2013/33, anexo 2, parte 2.4-5 |
NIC 32.11 |
|
|
|
|
050 |
Valores representativos de deuda |
Anexo V, parte 1.31 |
Anexo V, parte 1.31 |
|
|
|
|
060 |
Préstamos y anticipos |
Anexo V, parte 1.32 |
Anexo V, parte 1.32 |
|
|
|
|
070 |
Selección de partidas del patrimonio neto y pasivos financieros reconocidos en el balance de la entidad declarante |
|
NIIF 12.29.a) y b) |
|
|
|
|
080 |
Instrumentos de patrimonio emitidos |
|
NIC 32.11 |
|
|
|
|
090 |
Derivados |
RRC Anexo II; Anexo V, parte 1.24.a), 25, 26, parte 2.272 |
NIIF 9 apéndice A; Anexo V, parte 2.272 |
|
|
|
|
100 |
Depósitos |
BCE/2013/33, anexo 2, parte 2.9; Anexo V, parte 1.36 |
BCE/2013/33, anexo 2, parte 2.9; Anexo V, parte 1.36 |
|
|
|
|
110 |
Valores representativos de deuda emitidos |
Anexo V, parte 1.37 |
Anexo V, parte 1.37 |
|
|
|
|
|
Importe nominal |
|||||
|
120 |
Exposiciones fuera de balance concedidas por la entidad declarante |
RRC Anexo I; Anexo V, parte 2.112, 113-115, 118 |
NIIF 12.B26.e); RRC Anexo I; Anexo V, parte 2.102-105, 113-115, 118 |
|
|
|
|
131 |
De las cuales: dudosas |
Anexo V, parte 2.117 |
Anexo V, parte 2.117 |
|
|
|
31. Partes vinculadas
31.1 Partes vinculadas: importes a pagar y a cobrar
|
|
Referencias a los PCGA nacionales basadas en la DCB |
Referencias a los PCGA nacionales compatibles con las NIIF |
Saldos vivos |
|||||
|
Matriz y entes con control conjunto o influencia significativa |
Filiales y otros entes del mismo grupo |
Asociadas y negocios conjuntos |
Personal clave de la dirección de la entidad o de su matriz |
Otras partes vinculadas |
||||
|
NIC 24.19.a) y b) |
NIC 24.19.c); Anexo V, parte 2.289 |
NIC 24.19.d) y e); Anexo V, parte 2.289 |
NIC 24.19.f) |
NIC 24.19.g) |
||||
|
Directiva contable art. 17.1.p) |
Directiva contable art. 17.1.p); Anexo V, parte 2.289 |
Directiva contable art. 17.1.p); Anexo V, parte 2.289 |
Directiva contable art. 17.1.p) |
Directiva contable art. 17.1.p) |
||||
|
|
Anexo V, parte 2.288-291 |
Anexo V, parte 2.288-291 |
010 |
020 |
030 |
040 |
050 |
|
|
010 |
Selección de activos financieros |
|
NIC 24.18.b) |
|
|
|
|
|
|
020 |
Instrumentos de patrimonio |
BCE/2013/33, anexo 2, parte 2.4-5 |
NIC 32.11 |
|
|
|
|
|
|
030 |
Valores representativos de deuda |
Anexo V, parte 1.31 |
Anexo V, parte 1.31 |
|
|
|
|
|
|
040 |
Préstamos y anticipos |
Anexo V, parte 1.32 |
Anexo V, parte 1.32 |
|
|
|
|
|
|
050 |
De los cuales: dudosos |
Anexo V, parte 2.213-239 |
Anexo V, parte 2.213-239 |
|
|
|
|
|
|
060 |
Selección de pasivos financieros |
|
NIC 24.18.b) |
|
|
|
|
|
|
070 |
Depósitos |
BCE/2013/33, anexo 2, parte 2.9; Anexo V, parte 1.36 |
BCE/2013/33, anexo 2, parte 2.9; Anexo V, parte 1.36 |
|
|
|
|
|
|
080 |
Valores representativos de deuda emitidos |
Anexo V, parte 1.37 |
Anexo V, parte 1.37 |
|
|
|
|
|
|
090 |
Importe nominal de los compromisos de préstamo, garantías financieras y otros compromisos concedidos |
RRC Anexo I; Anexo V, parte 2.112, 113-115, 118 |
NIC 24.18.b); RRC Anexo I; Anexo V, parte 2.102-105, 113-115, 118 |
|
|
|
|
|
|
100 |
De los cuales: dudosos |
Anexo V, parte 2.117 |
NIC 24.18.b); Anexo V, parte 2.117 |
|
|
|
|
|
|
110 |
Compromisos de préstamo, garantías financieras y otros compromisos recibidos |
Anexo V, parte 2.102-103, 113-115, 290 |
NIC 24.18.b); Anexo V, parte 2.290 |
|
|
|
|
|
|
120 |
Importe nocional de los derivados |
Anexo V, parte 2.133-135 |
Anexo V, parte 2.133-135 |
|
|
|
|
|
|
131 |
Deterioro de valor acumulado y cambios acumulados negativos en el valor razonable debidos al riesgo de crédito por exposiciones dudosas |
Anexo V, parte 2.69-71, 291 |
NIC 24.1.c); Anexo V, parte 2.69-71, 291 |
|
|
|
|
|
|
132 |
Provisiones por exposiciones fuera de balance dudosas |
Anexo V, parte 2.11, 106, 291 |
Anexo V, parte 2.11, 106, 291 |
|
|
|
|
|
31.2 Gastos e ingresos generados por operaciones con partes vinculadas
|
|
Referencias a los PCGA nacionales basadas en la DCB |
Referencias a los PCGA nacionales compatibles con las NIIF |
Período corriente |
|||||
|
Matriz y entes con control conjunto o influencia significativa |
Filiales y otros entes del mismo grupo |
Asociadas y negocios conjuntos |
Personal clave de la dirección de la entidad o de su matriz |
Otras partes vinculadas |
||||
|
NIC 24.19.a) y b) |
NIC 24.19.c) |
NIC 24.19.d) y e) |
NIC 24.19.f) |
NIC 24.19.g) |
||||
|
|
|
|
|
|
||||
|
|
Anexo V, parte 2.288-289, 292-293 |
Anexo V, parte 2.288-289, 292-293 |
010 |
020 |
030 |
040 |
050 |
|
|
010 |
Ingresos por intereses |
DCB art. 27, Presentación vertical.1; Anexo V, parte 2.31 |
NIC 24.18.a); Anexo V, parte 2.31 |
|
|
|
|
|
|
020 |
Gastos por intereses |
DCB art. 27, Presentación vertical.2; Anexo V, parte 2.31 |
NIC 24.18.a); NIC 1.97; Anexo V, parte 2.31 |
|
|
|
|
|
|
030 |
Ingresos por dividendos |
DCB art. 27, Presentación vertical.3; Anexo V, parte 2.40 |
NIC 24.18.a); Anexo V, parte 2.40 |
|
|
|
|
|
|
040 |
Ingresos por comisiones |
DCB art. 27, Presentación vertical.4 |
NIC 24.18.a); NIIF 7.20.c) |
|
|
|
|
|
|
050 |
Gastos por comisiones |
DCB art. 27, Presentación vertical.5 |
NIC 24.18.a); NIIF 7.20.c) |
|
|
|
|
|
|
060 |
Ganancias o (-) pérdidas al dar de baja en cuentas activos y pasivos financieros no valorados a valor razonable con cambios en resultados |
DCB art. 27, Presentación vertical.6 |
NIC 24.18.a) |
|
|
|
|
|
|
070 |
Ganancias o (-) pérdidas al dar de baja en cuentas activos no financieros |
Anexo V, parte 2.292 |
NIC 24.18.a); Anexo V, parte 2.292 |
|
|
|
|
|
|
080 |
Deterioro del valor o (-) reversión del deterioro del valor de las exposiciones dudosas |
Anexo V, parte 2.293 |
NIC 24.18.d); Anexo V, parte 2.293 |
|
|
|
|
|
|
090 |
Provisiones o (-) reversión de las provisiones por las exposiciones dudosas |
Anexo V, parte 2.50, 293 |
Anexo V, parte 2.50, 293 |
|
|
|
|
|
40. Estructura del grupo
40.1 Estructura del grupo: «ente por ente»
|
Código LEI |
Código del ente |
Nombre del ente |
Fecha de entrada |
Capital social de la participada |
Patrimonio neto de la participada |
Total activo de la participada |
Ganancias o (-) pérdidas de la participada |
Lugar de residencia de la participada |
Sector de la participada |
Código NACE |
Participación en el patrimonio neto acumulada [%] |
Derechos de voto [%] |
Estructura del grupo [vínculo] |
Tratamiento contable [grupo a efectos contables] |
Tratamiento contable [grupo a efectos del RRC] |
Importe en libros |
Coste de adquisición |
Fondo de comercio vinculado con la participada |
Valor razonable de las inversiones para las que se han publicado cotizaciones |
|
Anexo V, parte 2.294-295, 296.a) |
Anexo V, parte 2.294-295, 296.b) |
NIIF 12.12.a), 21.a).i); Anexo V, parte 2.294-295, 296.c) |
Anexo V, parte 2.294-295, 296.d) |
Anexo V, parte 2.294-295, 296.e) |
NIIF 12.B12.b); Anexo V, parte 2.294-295, 296.f) |
NIIF 12.B12.b); Anexo V, parte 2.294-295, 296.f) |
NIIF 12.B12.b); Anexo V, parte 2.294-295, 296.f) |
NIIF 12.12.b), 21.a).iii); Anexo V, parte 2.294-295, 296.g) |
Anexo V, parte 2.294-295, 296.h) |
Anexo V, parte 2.294-295, 296.i) |
NIIF 12.21.a).iv); Anexo V, parte 2.294-295, 296.j) |
NIIF 12.21.a).iv); Anexo V, parte 2.294-295, 296.k) |
NIIF 12.10.a).i); Anexo V, parte 2.294-295, 296.l) |
NIIF 12.21.b); Anexo V, parte 2.294-295, 296.m) |
RRC art. 18; Anexo V, parte 2.294-295, 296.n) |
Anexo V, parte 2.294-295, 296.o) |
Anexo V, parte 2.294-295, 296.p) |
Anexo V, parte 2.294-295, 296.q) |
NIIF 12.21.b).iii); Anexo V, parte 2.294-295, 296.r) |
|
Anexo V, parte 2.294-295, 296.a) |
Anexo V, parte 2.294-295, 296.b) |
Anexo V, parte 2.294-295, 296.c) |
Anexo V, parte 2.294-295, 296.d) |
Anexo V, parte 2.294-295, 296.e) |
Anexo V, parte 2.294-295, 296.f) |
Anexo V, parte 2.294-295, 296.f) |
Anexo V, parte 2.294-295, 296.f) |
Anexo V, parte 2.294-295, 296.q) |
Anexo V, parte 2.294-295, 296.h) |
Anexo V, parte 2.294-295, 296.i) |
Anexo V, parte 2.294-295, 296.j) |
Anexo V, parte 2.294-295, 296.k) |
Anexo V, parte 2.294-295, 296.l) |
Anexo V, parte 2.294-295, 296.m) |
RRC art. 423.b); Anexo V, parte 2.294-295, 296.n) |
Anexo V, parte 2.294-295, 296.o) |
Anexo V, parte 2.294-295, 296.p) |
Anexo V, parte 2.294-295, 296.q) |
Anexo V, parte 2.294-295, 296.r) |
|
010 |
020 |
030 |
040 |
050 |
060 |
070 |
080 |
090 |
095 |
100 |
110 |
120 |
130 |
140 |
150 |
160 |
170 |
180 |
190 |
|
|
|
|
|
|
|
|
|
|
|
|
|
|
|
|
|
|
|
|
|
40.2. Estructura del grupo: «instrumento por instrumento»
|
Código del valor |
Código del ente |
Código LEI de la sociedad tenedora |
Código de la sociedad tenedora |
Nombre de la sociedad tenedora |
Participación en el patrimonio neto acumulada (%) |
Importe en libros |
Coste de adquisición |
|
Anexo V, parte 2.297.a) |
Anexo V, parte 2.296.b), 297.c) |
Anexo V, parte 2.297.b) |
Anexo V, parte 2.297.b) |
|
Anexo V, parte 2.296.j), 297.c) |
Anexo V, parte 2.296.o), 297.c) |
Anexo V, parte 2.296.p), 297.c) |
|
Anexo V, parte 2.297.a) |
Anexo V, parte 2.296.b), 297.c) |
Anexo V, parte 2.297.b) |
Anexo V, parte 2.297.b) |
|
Anexo V, parte 2.296.j), 297.c) |
Anexo V, parte 2.296.o), 297.c) |
Anexo V, parte 2.296.p), 297.c) |
|
010 |
020 |
030 |
040 |
050 |
060 |
070 |
080 |
|
|
|
|
|
|
|
|
|
41. Valor razonable
41.1. Jerarquía del valor razonable: instrumentos financieros a coste amortizado
|
|
Referencias a los PCGA nacionales basadas en la DCB Anexo V, parte 2.298 |
Referencias a los PCGA nacionales compatibles con las NIIF Anexo V, parte 2.298 |
Valor razonable NIIF 7.25-26 |
Jerarquía del valor razonable: NIIF 13.97,93.b) |
|||
|
Nivel 1 NIIF 13.76 |
Nivel 2 NIIF 13.81 |
Nivel 3 NIIF 13.86 |
|||||
|
ACTIVO |
010 |
020 |
030 |
040 |
|||
|
015 |
Activos financieros a coste amortizado |
Directiva contable art. 8.4.b) y 8.6; NIC 39.9 |
NIIF 7.8.f); NIIF 9.4.1.2 |
|
|
|
|
|
016 |
Valores representativos de deuda |
Anexo V, parte 1.24, 26 |
Anexo V, parte 1.31 |
|
|
|
|
|
017 |
Préstamos y anticipos |
Anexo V, parte 1.24, 27 |
Anexo V, parte 1.32 |
|
|
|
|
|
021 |
Activos financieros no derivados y no destinados a negociación, valorados por un método basado en el coste |
DCB art. 35; Directiva contable arts. 6.1.i) y 8.2; Anexo V, parte 1.18, 19 |
|
|
|
|
|
|
022 |
Instrumentos de patrimonio |
BCE/2013/33, anexo 2, parte 2.4-5 |
|
|
|
|
|
|
023 |
Valores representativos de deuda |
Anexo V, parte 1.31 |
|
|
|
|
|
|
024 |
Préstamos y anticipos |
Anexo V, parte 1.32 |
|
|
|
|
|
|
031 |
Otros activos financieros no derivados y no destinados a negociación |
DCB art. 37; Directiva contable art. 12.7; Anexo V, parte 1.20 |
|
|
|
|
|
|
032 |
Instrumentos de patrimonio |
BCE/2013/33, anexo 2, parte 2.4-5 |
|
|
|
|
|
|
033 |
Valores representativos de deuda |
Anexo V, parte 1.31 |
|
|
|
|
|
|
034 |
Préstamos y anticipos |
Anexo V, parte 1.32 |
|
|
|
|
|
|
PASIVO |
|
|
|
|
|
|
|
|
070 |
Pasivos financieros valorados a coste amortizado |
Directiva contable art. 8.3, 8.6; NIC 39.47 |
NIIF 7.8.g); NIIF 9.4.2.1 |
|
|
|
|
|
080 |
Depósitos |
BCE/2013/33, anexo 2, parte 2.9; Anexo V, parte 1.30 |
BCE/2013/33, anexo 2, parte 2.9; Anexo V, parte 1.36 |
|
|
|
|
|
090 |
Valores representativos de deuda emitidos |
Anexo V, parte 1.31 |
Anexo V, parte 1.37 |
|
|
|
|
|
100 |
Otros pasivos financieros |
Anexo V, parte 1.32-34 |
Anexo V, parte 1.38-41 |
|
|
|
|
|
101 |
Pasivos financieros no derivados y no destinados a negociación, valorados por un método basado en el coste |
Directiva contable art. 8.3; |
|
|
|
|
|
|
102 |
Depósitos |
BCE/2013/33, anexo 2, parte 2.9; Anexo V, parte 1.36 |
|
|
|
|
|
|
103 |
Valores representativos de deuda emitidos |
Anexo V, parte 1.37 |
|
|
|
|
|
|
104 |
Otros pasivos financieros |
Anexo V, parte 1.38-41 |
|
|
|
|
|
41.2 Uso de la opción del valor razonable
|
|
Referencias a los PCGA nacionales basadas en la DCB |
Referencias a los PCGA nacionales compatibles con las NIIF |
Importe en libros Anexo V, parte 1.27-28 |
||||
|
Asimetría contable |
Gestión a valor razonable |
Contratos híbridos |
Gestión del riesgo de crédito |
||||
|
NIIF 9.B4.1.29 |
NIIF 9.B4.1.33 |
NIIF 9.4.3.6; NIIF 9.4.3.7; Anexo V, parte 2.300 |
NIIF 9.6.7; NIIF 7.8.a).e); Anexo V, parte 2.301 |
||||
|
ACTIVO |
010 |
020 |
030 |
040 |
|||
|
010 |
Activos financieros designados a valor razonable con cambios en resultados |
Directiva contable art. 8.1.a) y 8.6 |
NIIF 7.8.a).i); NIIF 9.4.1.5 |
|
|
|
|
|
030 |
Valores representativos de deuda |
Anexo V, parte 1.31 |
Anexo V, parte 1.31 |
|
|
|
|
|
040 |
Préstamos y anticipos |
Anexo V, parte 1.32 |
Anexo V, parte 1.32 |
|
|
|
|
|
PASIVO |
|
|
|
|
|
|
|
|
050 |
Pasivos financieros designados a valor razonable con cambios en resultados |
Directiva contable art. 8.1.a), 8.6; NIC 39.9 |
NIIF 7.8.e).i); NIIF 9.4.2.2 |
|
|
|
|
|
060 |
Depósitos |
BCE/2013/33, anexo 2, parte 2.9; Anexo V, parte 1.36 |
BCE/2013/33, anexo 2, parte 2.9; Anexo V, parte 1.36 |
|
|
|
|
|
070 |
Valores representativos de deuda emitidos |
Anexo V, parte 1.37 |
Anexo V, parte 1.37 |
|
|
|
|
|
080 |
Otros pasivos financieros |
Anexo V, parte 1.38-41 |
Anexo V, parte 1.38-41 |
|
|
|
|
42. Activos tangibles e intangibles: importe en libros según el método de medición
|
|
Referencias a los PCGA nacionales compatibles con las NIIF Anexo V, parte 2.302 |
Importe en libros |
|
|
010 |
|||
|
010 |
Inmovilizado material |
NIC 16.6; NIC 16.29; NIC 1.54.a) |
|
|
020 |
Modelo de revalorización |
NIC 16.31, 73.a) y d) |
|
|
030 |
Modelo del coste |
NIC 16.30, 73.a) y d) |
|
|
040 |
Inversiones inmobiliarias |
NIC 40.5, 30; NIC 1.54.b) |
|
|
050 |
Modelo del valor razonable |
NIC 40.33-55, 76 |
|
|
060 |
Modelo del coste |
NIC 40.56, 79.c) |
|
|
070 |
Otros activos intangibles |
NIC 38.8, 118, 122; Anexo V, parte 2.303 |
|
|
080 |
Modelo de revalorización |
NIC 38.75-87, 124.a).ii) |
|
|
090 |
Modelo del coste |
NIC 38.74 |
|
43. Provisiones
|
|
Referencias a los PCGA nacionales basadas en la DCB |
Referencias a los PCGA nacionales compatibles con las NIIF |
Importe en libros Anexo V, parte 1.27-28 |
|||||||
|
Pensiones y otras obligaciones de prestaciones definidas post-empleo |
Otras retribuciones a los empleados a largo plazo |
Reestructuración |
Cuestiones procesales y litigios por impuestos pendientes |
Compromisos y garantías concedidos conforme a los PCGA nacionales |
Otros compromisos y garantías concedidos valorados conforme a la NIC 37 y garantías concedidas valoradas conforme a la NIIF 4 |
Otras provisiones |
||||
|
NIC 19.63; NIC 1.78.d); Anexo V, parte 2.9 |
NIC 19.153; NIC 1.78.d); Anexo V, parte 2.10 |
NIC 37.70-83 |
NIC 37.14 |
|
NIC 37; NIIF 4; Anexo V, parte 2.304-305 |
NIC 37.14 |
||||
|
Anexo V, parte 2.9 |
Anexo V, parte 2.10 |
|
|
DCB arts. 24-25, 33.1 |
|
|
||||
|
010 |
020 |
030 |
040 |
050 |
055 |
060 |
||||
|
010 |
Saldo de apertura [importe en libros al principio del período] |
|
NIC 37.84.a) |
|
|
|
|
|
|
|
|
020 |
Adiciones, incluidos los aumentos de las provisiones existentes |
|
NIC 37.84.b) |
|
|
|
|
|
|
|
|
030 |
(-) Importes utilizados |
|
NIC 37.84.c) |
|
|
|
|
|
|
|
|
040 |
(-) Importes no utilizados revertidos durante el período |
|
NIC 37.84.d) |
|
|
|
|
|
|
|
|
050 |
Aumento del importe descontado [por el paso del tiempo] y efecto de las variaciones del tipo de descuento |
|
NIC 37.84.e) |
|
|
|
|
|
|
|
|
060 |
Otros movimientos |
|
|
|
|
|
|
|
|
|
|
070 |
Saldo de cierre [importe en libros al final del período] |
|
NIC 37.84.a) |
|
|
|
|
|
|
|
44. Planes de prestaciones definidas y retribuciones a los empleados
44.1 Componentes de los activos y pasivos netos de los planes de prestaciones definidas
|
|
Referencias a los PCGA nacionales compatibles con las NIIF |
Importe |
|
|
Anexo V, parte 2.306-307 |
|||
|
010 |
|||
|
010 |
Valor razonable de los activos de los planes de prestaciones definidas |
NIC 19.140.a).i), 142 |
|
|
020 |
De los cuales: instrumentos financieros emitidos por la entidad |
NIC 19.143 |
|
|
030 |
Instrumentos de patrimonio |
NIC 19.142.b) |
|
|
040 |
Instrumentos de deuda |
NIC 19.142.c) |
|
|
050 |
Bienes inmuebles |
NIC 19.142.d) |
|
|
060 |
Otros activos de los planes de prestaciones definidas |
|
|
|
070 |
Valor actual de las obligaciones por prestaciones definidas |
NIC 19.140.a).ii) |
|
|
080 |
Efecto del límite máximo aplicable a los activos |
NIC 19.140.a).iii) |
|
|
090 |
Activos netos por prestaciones definidas [importe en libros] |
NIC 19.63; Anexo V, parte 2.308 |
|
|
100 |
Provisiones para pensiones y otras obligaciones de prestaciones definidas post-empleo [importe en libros] |
NIC 19.63; NIC 1.78.d); Anexo V, parte 2.9 |
|
|
110 |
Pro memoria: valor razonable de los derechos de reembolso reconocidos como activos |
NIC 19.140.b) |
|
44.2 Movimientos en las obligaciones por prestaciones definidas
|
|
Referencias a los PCGA nacionales compatibles con las NIIF |
Obligaciones por prestaciones definidas |
|
|
Anexo V, parte 2.306, 309 |
|||
|
010 |
|||
|
010 |
Saldo de apertura [valor actual] |
NIC 19.140.a).ii) |
|
|
020 |
Coste de los servicios corrientes |
NIC 19.141.a) |
|
|
030 |
Coste de los intereses |
NIC 19.141.b) |
|
|
040 |
Aportaciones pagadas |
NIC 19.141.f) |
|
|
050 |
(-) Ganancias o pérdidas actuariales derivadas de cambios en las hipótesis demográficas |
NIC 19.141.c).ii) |
|
|
060 |
(-) Ganancias o pérdidas actuariales derivadas de cambios en las hipótesis financieras |
NIC 19.141.c).iii) |
|
|
070 |
Aumento o (-) disminución por cambio de divisas |
NIC 19.141.e) |
|
|
080 |
Prestaciones pagadas |
NIC 19.141.g) |
|
|
090 |
Coste de los servicios pasados, incluidas las ganancias y pérdidas derivadas de liquidaciones |
NIC 19.141.d) |
|
|
100 |
Aumento o (-) disminución procedente de combinaciones de negocios y enajenaciones |
NIC 19.141.h) |
|
|
110 |
Otros aumentos o (-) disminuciones |
|
|
|
120 |
Saldo de cierre [valor actual] |
NIC 19.140.a).ii); Anexo V, parte 2.310 |
|
44.3 Partidas pro memoria [relativas a los gastos de personal]
|
|
Referencias a los PCGA nacionales basadas en la DCB |
Referencias a los PCGA nacionales compatibles con las NIIF |
Período corriente |
|
|
010 |
||||
|
010 |
Pensiones y gastos similares |
Anexo V, parte 2.311.a) |
Anexo V, parte 2.311.a) |
|
|
020 |
Pagos basados en acciones |
Anexo V, parte 2.311b) |
NIIF 2.44; Anexo V, parte 2.311.b) |
|
45. Desglose de partidas seleccionadas del estado de resultados
45.1 Ganancias o pérdidas por activos y pasivos financieros designados a valor razonable con cambios en resultados, por carteras contables
|
|
Referencias a los PCGA nacionales basadas en la DCB |
Referencias a los PCGA nacionales compatibles con las NIIF |
Período corriente |
Cambios en el valor razonable debidos al riesgo de crédito |
|
|
|
Anexo V, parte 2.312 |
||||
|
010 |
020 |
||||
|
010 |
Activos financieros designados a valor razonable con cambios en resultados |
|
NIIF 7.20.a).i); NIIF 9.4.1.5 |
|
|
|
020 |
Pasivos financieros designados a valor razonable con cambios en resultados |
|
NIIF 7.20.a).i); NIIF 9.4.2.2 |
|
|
|
030 |
GANANCIAS O (-) PÉRDIDAS POR ACTIVOS Y PASIVOS FINANCIEROS DESIGNADOS A VALOR RAZONABLE CON CAMBIOS EN RESULTADOS |
DCB art. 27, Presentación vertical.6 |
NIIF 7.20.a).i) |
|
|
45.2 Ganancias o (-) pérdidas al dar de baja en cuentas activos no financieros
|
|
Referencias a los PCGA nacionales basadas en la DCB |
Referencias a los PCGA nacionales compatibles con las NIIF |
Período corriente |
|
|
Anexo V, parte 2.313 |
||||
|
010 |
||||
|
020 |
Inversiones inmobiliarias |
|
NIC 40.69; NIC 1.34.a), 98.d) |
|
|
030 |
Activos intangibles |
|
NIC 38.113-115A; NIC 1.34.a) |
|
|
040 |
Otros activos |
|
NIC 1.34.a) |
|
|
050 |
GANANCIAS O (-) PÉRDIDAS AL DAR DE BAJA EN CUENTAS ACTIVOS NO FINANCIEROS |
|
NIC 1.34 |
|
45.3 Otros ingresos y gastos de explotación
|
|
Referencias a los PCGA nacionales basadas en la DCB |
Referencias a los PCGA nacionales compatibles con las NIIF |
Ingresos |
Gastos |
|
|
010 |
020 |
||||
|
010 |
Cambios en el valor razonable de activos tangibles valorados según el modelo del valor razonable |
Anexo V, parte 2.314 |
NIC 40.76.d); Anexo V, parte 2.314 |
|
|
|
020 |
Inversiones inmobiliarias |
Anexo V, parte 2.314 |
NIC 40.75.f); Anexo V, parte 2.314 |
|
|
|
030 |
Arrendamientos operativos distintos de inversiones inmobiliarias |
Anexo V, parte 2.315 |
NIC 17.50, 51, 56.b); Anexo V, parte 2.315 |
|
|
|
040 |
Otros |
Anexo V, parte 2.316 |
Anexo V, parte 2.316 |
|
|
|
050 |
OTROS INGRESOS Y GASTOS DE EXPLOTACIÓN |
Anexo V, parte 2.314-316 |
Anexo V, parte 2.314-316 |
|
|
46. Estado de cambios en el patrimonio neto
|
Fuentes de los cambios en el patrimonio neto |
Referencias a los PCGA nacionales basadas en la DCB |
Referencias a los PCGA nacionales compatibles con las NIIF |
Capital |
Prima de emisión |
Instrumentos de patrimonio emitidos distintos del capital |
Otros elementos de patrimonio neto |
Otro resultado global acumulado |
Ganancias acumuladas |
Reservas de revalorización |
Reservas al valor razonable |
Otras reservas |
Diferencias de primera consolidación |
Acciones propias (-) |
Ganancias o (-) pérdidas atribuibles a los propietarios de la matriz |
Dividendos a cuenta (-) |
Intereses minoritarios |
Total |
||
|
Otro resultado global acumulado |
Otras partidas |
||||||||||||||||||
|
NIC 1.106, 54.r) |
NIC 1.106, 78.e) |
NIC 1.106; Anexo V, parte 2.18-19 |
NIC 1.106; Anexo V, parte 2.20 |
NIC 1.106 |
RRC art. 4.1.123 |
NIIF 1.30, D5-D8 |
|
NIC 1.106, 54.c) |
|
NIC 1.106; NIC 32.34, 33; Anexo V, parte 2.30 |
NIC 1.106.a) |
NIC 1.106; NIC 32.35 |
NIC 1.54.q), 106.a) |
NIC 1.54.q), 106.a) |
NIC 1.9.c), GI 6 |
||||
|
|
DCB art. 4, Pasivo.9, DCB art. 22 |
DCB art. 4, Pasivo.10; RRC art. 4.1.124 |
Anexo V, parte 2.18-19 |
Anexo V, parte 2.20 |
Directiva contable art. 8.1.a) y 8.6 |
DCB art. 4, Pasivo.13; RRC art. 4.1.123 |
|
DCB art. 4, Pasivo.12 |
|
Directiva contable art. 24.3.c) |
Directiva contable Anexo III.Activo.D.III.2 DCB art. 4, Activo.12; Anexo V, parte 2.30 |
DCB art. 4, Pasivo.14 |
RRC art. 26.2.b) |
Directiva contable art. 24.4 |
Directiva contable art. 24.4 |
|
|||
|
010 |
020 |
030 |
040 |
050 |
060 |
070 |
075 |
080 |
085 |
090 |
100 |
110 |
120 |
130 |
140 |
||||
|
010 |
Saldo de apertura [antes de la reexpresión] |
|
|
|
|
|
|
|
|
|
|
|
|
|
|
|
|
|
|
|
020 |
Efectos de la corrección de errores |
|
NIC 1.106.b); NIC 8.42 |
|
|
|
|
|
|
|
|
|
|
|
|
|
|
|
|
|
030 |
Efectos de los cambios en las políticas contables |
|
NIC 1.106.b); NIC 1, GI 6; NIC 8.22 |
|
|
|
|
|
|
|
|
|
|
|
|
|
|
|
|
|
040 |
Saldo de apertura [período corriente] |
|
|
|
|
|
|
|
|
|
|
|
|
|
|
|
|
|
|
|
050 |
Emisión de acciones ordinarias |
|
NIC 1.106.d).iii) |
|
|
|
|
|
|
|
|
|
|
|
|
|
|
|
|
|
060 |
Emisión de acciones preferentes |
|
NIC 1.106.d).iii) |
|
|
|
|
|
|
|
|
|
|
|
|
|
|
|
|
|
070 |
Emisión de otros instrumentos de patrimonio |
|
NIC 1.106.d).iii) |
|
|
|
|
|
|
|
|
|
|
|
|
|
|
|
|
|
080 |
Ejercicio o vencimiento de otros instrumentos de patrimonio emitidos |
|
NIC 1.106.d).iii) |
|
|
|
|
|
|
|
|
|
|
|
|
|
|
|
|
|
090 |
Conversión de deuda en patrimonio neto |
|
NIC 1.106.d).iii) |
|
|
|
|
|
|
|
|
|
|
|
|
|
|
|
|
|
100 |
Reducción del capital |
|
NIC 1.106.d).iii) |
|
|
|
|
|
|
|
|
|
|
|
|
|
|
|
|
|
110 |
Dividendos |
|
NIC 1.106.d).iii); NIC 32.35; NIC 1, GI 6 |
|
|
|
|
|
|
|
|
|
|
|
|
|
|
|
|
|
120 |
Compra de acciones propias |
|
NIC 1.106.d).iii); NIC 32.33 |
|
|
|
|
|
|
|
|
|
|
|
|
|
|
|
|
|
130 |
Venta o cancelación de acciones propias |
|
NIC 1.106.d).iii); NIC 32.33 |
|
|
|
|
|
|
|
|
|
|
|
|
|
|
|
|
|
140 |
Reclasificación de instrumentos financieros del patrimonio neto al pasivo |
|
NIC 1.106.d).iii) |
|
|
|
|
|
|
|
|
|
|
|
|
|
|
|
|
|
150 |
Reclasificación de instrumentos financieros del pasivo al patrimonio neto |
|
NIC 1.106.d).iii) |
|
|
|
|
|
|
|
|
|
|
|
|
|
|
|
|
|
160 |
Transferencias entre componentes del patrimonio neto |
|
NIC 1.106.d).iii); Anexo V, parte 2.318 |
|
|
|
|
|
|
|
|
|
|
|
|
|
|
|
|
|
170 |
Aumento o (-) disminución del patrimonio neto resultante de combinaciones de negocios |
|
NIC 1.106.d).iii) |
|
|
|
|
|
|
|
|
|
|
|
|
|
|
|
|
|
180 |
Pagos basados en acciones |
|
NIC 1.106.d).iii); NIIF 2.10 |
|
|
|
|
|
|
|
|
|
|
|
|
|
|
|
|
|
190 |
Otros aumentos o (-) disminuciones del patrimonio neto |
|
NIC 1.106.d) |
|
|
|
|
|
|
|
|
|
|
|
|
|
|
|
|
|
200 |
Resultado global total del ejercicio |
|
NIC 1.106.d).i)-ii); NIC 1.81A.c); NIC 1, GI 6 |
|
|
|
|
|
|
|
|
|
|
|
|
|
|
|
|
|
210 |
Saldo de cierre [período corriente] |
|
|
|
|
|
|
|
|
|
|
|
|
|
|
|
|
|
|
ANEXO V
COMUNICACIÓN DE INFORMACIÓN FINANCIERA
|
Índice |
|
|
Instrucciones generales |
|
|
1. |
Referencias |
|
2. |
Convenciones |
|
3. |
Consolidación |
|
4. |
Carteras contables de instrumentos financieros |
|
4.1. |
Activos financieros |
|
4.2. |
Pasivos financieros |
|
5. |
Instrumentos financieros |
|
5.1. |
Activos financieros |
|
5.2. |
Importe en libros bruto |
|
5.3. |
Pasivos financieros |
|
6. |
Desglose por contrapartes |
|
Instrucciones relativas a las plantillas |
|
|
1. |
Balance |
|
1.1. |
Activo (1.1) |
|
1.2. |
Pasivo (1.2) |
|
1.3. |
Patrimonio neto (1.3) |
|
2. |
Estado de resultados (2) |
|
3. |
Estado de resultado global (3) |
|
4. |
Desglose de los activos financieros por instrumentos y por sectores de las contrapartes (4) |
|
5. |
Desglose de los préstamos y anticipos no destinados a negociación por productos (5) |
|
6. |
Desglose de los préstamos y anticipos no destinados a negociación a sociedades no financieras por códigos NACE (6) |
|
7. |
Activos financieros susceptibles de deterioro vencidos (7) |
|
8. |
Desglose de los pasivos financieros (8) |
|
9. |
Compromisos de préstamo, garantías financieras y otros compromisos (9) |
|
10. |
Derivados y contabilidad de coberturas (10 y 11) |
|
10.1. |
Clasificación de los derivados por tipos de riesgo |
|
10.2. |
Importes que deben comunicarse en el caso de los derivados |
|
10.3. |
Derivados clasificados como «coberturas económicas» |
|
10.4. |
Desglose de los derivados por sectores de las contrapartes |
|
10.5. |
Contabilidad de coberturas según los PCGA nacionales (11.2) |
|
10.6. |
Importes que deben comunicarse en el caso de los instrumentos de cobertura distintos de los derivados (11.3 y 11.3.1) |
|
10.7. |
Elementos cubiertos mediante coberturas del valor razonable |
|
11. |
Movimientos en las correcciones de valor y provisiones por pérdidas crediticias (12) |
|
11.1. |
Movimientos en las correcciones de valor por pérdidas crediticias y deterioro del valor de los instrumentos de patrimonio conforme a los PCGA nacionales basados en la DCB (12.0) |
|
11.2. |
Movimientos en las correcciones de valor y provisiones por pérdidas crediticias según las NIIF (12.1) |
|
11.3. |
Transferencias entre fases de deterioro de valor (presentación en términos brutos) (12.2) |
|
12. |
Garantías reales y personales recibidas (13) |
|
12.1. |
Desglose de las garantías reales y personales por préstamos y anticipos distintos de los mantenidos para negociar (13.1) |
|
12.2. |
Garantías reales obtenidas mediante toma de posesión durante el período [mantenidas en la fecha de información] (13.2) |
|
12.3. |
Garantías reales obtenidas mediante toma de posesión [activos tangibles] acumuladas (13.3) |
|
13. |
Jerarquía del valor razonable: instrumentos financieros al valor razonable (14) |
|
14. |
Baja en cuentas y pasivos financieros asociados a activos financieros transferidos (15) |
|
15. |
Desglose de partidas seleccionadas del estado de resultados (16) |
|
15.1. |
Desglose de los ingresos y gastos en concepto de intereses, por instrumentos y sectores de las contrapartes (16.1) |
|
15.2. |
Ganancias o pérdidas al dar de baja en cuentas activos y pasivos financieros no valorados a valor razonable con cambios en resultados, por instrumentos (16.2) |
|
15.3. |
Ganancias o pérdidas de activos y pasivos financieros mantenidos para negociar, por instrumentos (16.3) |
|
15.4. |
Ganancias o pérdidas por activos y pasivos financieros mantenidos para negociar, por riesgos (16.4) |
|
15.5. |
Ganancias o pérdidas por activos financieros no destinados a negociación valorados obligatoriamente a valor razonable con cambios en resultados, por instrumentos (16.4.1) |
|
15.6. |
Ganancias o pérdidas por activos y pasivos financieros designados a valor razonable con cambios en resultados, por instrumentos (16.5) |
|
15.7. |
Ganancias o pérdidas resultantes de la contabilidad de coberturas (16.6) |
|
15.8. |
Deterioro del valor de activos no financieros (16.7) |
|
16. |
Conciliación entre el ámbito de consolidación contable y el ámbito de consolidación según el rrc (17) |
|
17. |
Exposiciones dudosas (18) |
|
18. |
Exposiciones reestructuradas o refinanciadas (19) |
|
19. |
Desglose geográfico (20) |
|
19.1. |
Desglose geográfico por localización de las actividades (20.1-20.3) |
|
19.2. |
Desglose geográfico por residencia de las contrapartes (20.4-20.7) |
|
20. |
Activos tangibles e intangibles: activos objeto de arrendamiento operativo (21) |
|
21. |
Funciones de gestión de activos, custodia y otros servicios (22) |
|
21.1. |
Ingresos y gastos por comisiones, desglosados por actividades (22.1) |
|
21.2. |
Activos implicados en los servicios prestados (22.2) |
|
22. |
Intereses en entes estructurados no consolidados (30) |
|
23. |
Partes vinculadas (31) |
|
23.1. |
Partes vinculadas: importes a pagar y a cobrar (31.1) |
|
23.2. |
Gastos e ingresos generados por operaciones con partes vinculadas (31.2) |
|
24. |
Estructura del grupo (40) |
|
24.1. |
Estructura del grupo: «ente por ente» (40.1) |
|
24.2. |
Estructura del grupo: «instrumento por instrumento» (40.2) |
|
25. |
Valor razonable (41) |
|
25.1. |
Jerarquía del valor razonable: instrumentos financieros a coste amortizado (41.1) |
|
25.2. |
Uso de la opción del valor razonable (41.2) |
|
26. |
Activos tangibles e intangibles: importe en libros según el método de medición (42) |
|
27. |
Provisiones (43) |
|
28. |
Planes de prestaciones definidas y retribuciones a los empleados (44) |
|
28.1. |
Componentes de los activos y pasivos netos de los planes de prestaciones definidas (44.1) |
|
28.2. |
Movimientos en las obligaciones por prestaciones definidas (44.2) |
|
28.3. |
Partidas pro memoria [relativas a los gastos de personal] (44.3) |
|
29. |
Desglose de partidas seleccionadas del estado de resultados (45) |
|
29.1. |
Ganancias o pérdidas por activos y pasivos financieros designados a valor razonable con cambios en resultados, por carteras contables (45.1) |
|
29.2. |
Ganancias o pérdidas al dar de baja en cuentas activos no financieros (45.2) |
|
29.3. |
Otros ingresos y gastos de explotación (45.3) |
|
30. |
Estado de cambios en el patrimonio neto (46) |
|
Correspondencia entre las categorías de exposición y los sectores de las contrapartes |
|
PARTE 1
INSTRUCCIONES GENERALES
1. REFERENCIAS
1. El presente anexo contiene instrucciones adicionales para las plantillas de información financiera («FINREP») que figuran en los anexos III y IV del presente Reglamento, y complementa las instrucciones incluidas en forma de referencias en las plantillas de los citados anexos III y IV.
2. Las entidades que utilicen normas contables nacionales compatibles con las NIIF («PCGA nacionales compatibles») seguirán las instrucciones comunes y las relativas a las NIIF contenidas en el presente anexo, salvo que se prevea lo contrario. Ello se entenderá sin perjuicio de que los requisitos de los PCGA nacionales compatibles se atengan a los requisitos de la DCB. Las entidades que apliquen PCGA nacionales no compatibles con las NIIF o que aún no se hayan compatibilizado con los requisitos de la NIIF 9 seguirán las instrucciones comunes y las relativas a la DCB contenidas en el presente anexo, salvo que se prevea lo contrario.
3. Los puntos de datos identificados en las plantillas se establecerán de conformidad con las normas sobre reconocimiento, compensación y valoración del correspondiente marco contable, tal como se define en el artículo 4, apartado 1, punto 77, del Reglamento (UE) n.o 575/2013.
4. Las entidades solo presentarán las partes de las plantillas relativas a:
(a) los activos, pasivos, patrimonio neto, ingresos y gastos que hayan sido reconocidos por ellas;
(b) las actividades y exposiciones fuera de balance en las que hayan estado implicadas;
(c) las operaciones que hayan realizado;
(d) las normas de valoración, incluidos los métodos de estimación de las correcciones de valor por riesgo de crédito, que apliquen.
5. A los efectos de los anexos III y IV, así como del presente anexo, se emplearán las siguientes abreviaturas:
(a) «RRC»: Reglamento (UE) n.o 575/2013.
(b) «NIC» o «NIIF»: las «normas internacionales de contabilidad», tal como se definen en el artículo 2 del Reglamento n.o 1606/2002, relativo a las NIC ( 5 ), que hayan sido adoptadas por la Comisión.
(c) «Reglamento del BCE sobre el balance» o «BCE/2013/33»: Reglamento (UE) n.o 1071/2013 del Banco Central Europeo ( 6 ).
(d) «Reglamento NACE»: Reglamento (CE) n.o 1893/2006 del Parlamento Europeo y del Consejo ( 7 ).
(e) «Códigos NACE»: códigos del Reglamento NACE.
(f) «DCB»: Directiva 86/635/CEE del Consejo ( 8 ).
(g) «Directiva contable»: Directiva 2013/34/UE ( 9 ).
(h) «PCGA nacionales»: principios contables generalmente aceptados nacionales elaborados de acuerdo con la DCB.
(i) «PYME»: microempresas, pequeñas y medianas empresas según lo definido en la Recomendación de la Comisión C(2003) 1422 ( 10 ).
(j) «Código ISIN»: número internacional de identificación de valores asignado a los valores, compuesto por 12 caracteres alfanuméricos, que identifica específicamente cada emisión de valores.
(k) «Código LEI»: identificador de personas jurídicas a escala mundial asignado a las entidades, que identifica inequívocamente a cada parte de una operación financiera.
(l) «Fases de deterioro del valor»: categorías de deterioro del valor definidas en la NIIF 9.5.5. «Fase 1» se refiere al deterioro del valor medido con arreglo a la NIIF 9.5.5.5. «Fase 2» se refiere al deterioro del valor medido con arreglo a la NIIF 9.5.5.3. «Fase 3» se refiere al deterioro del valor de los activos con deterioro crediticio definidos en el apéndice A de la NIIF 9.
2. CONVENCIONES
6. A efectos de los anexos III y IV, un punto de datos sombreado en gris significará que no se solicita o no es posible remitir información sobre él. En el anexo IV, una fila o una columna con las referencias sombreadas en negro significa que las entidades que sigan esas referencias no han de presentar los puntos de datos correspondientes.
7. Las plantillas de los anexos III y IV comprenden normas de validación implícitas que se establecen en las propias plantillas mediante la aplicación de convenciones.
8. El uso de paréntesis en la denominación de una partida de una plantilla significa que esa partida ha de restarse para obtener un total, pero no que se deba comunicar como negativa.
9. Las partidas que se deben comunicar como negativas se identifican en las plantillas de resumen añadiendo «(–)» al comienzo de su denominación, como en el caso «(–) Acciones propias».
10. En el «Modelo de puntos de datos» para las plantillas de suministro de información financiera de los anexos III y IV, cada punto de datos (casilla) comprende un «elemento de base» al que se asigna el atributo «abono/cargo». Esta asignación garantiza que todas las entidades que comuniquen puntos de datos sigan la «convención sobre el signo» y permite conocer el atributo «abono/cargo» que corresponde a cada punto de datos.
11. El funcionamiento de esta convención se ilustra esquemáticamente en el cuadro 1.
Cuadro 1
Convenio de cargo y abono y sobre el signo en cantidades positivas y negativas
|
Elemento |
Abono/ cargo |
Saldo/ movimiento |
Cifra comunicada |
|
Activos |
Cargo |
Saldo de activos |
Positiva («normal», no se necesita ningún signo) |
|
Aumento de activos |
Positiva («normal», no se necesita ningún signo) |
||
|
Saldo de activos negativo |
Negativa (signo menos «–» necesario) |
||
|
Disminución de activos |
Negativa (signo menos «–» necesario) |
||
|
Gastos |
Saldo de gastos |
Positiva («normal», no se necesita ningún signo) |
|
|
Aumento de gastos |
Positiva («normal», no se necesita ningún signo) |
||
|
Saldo de gastos negativo (incluidas las reversiones) |
Negativa (signo menos «–» necesario) |
||
|
Disminución de gastos |
Negativa (signo menos «–» necesario) |
||
|
Pasivos |
Abono |
Saldo de pasivos |
Positiva («normal», no se necesita ningún signo) |
|
Aumento de pasivos |
Positiva («normal», no se necesita ningún signo) |
||
|
Saldo de pasivos negativo |
Negativa (signo menos «–» necesario) |
||
|
Disminución de pasivos |
Negativa (signo menos «–» necesario) |
||
|
Patrimonio neto |
Saldo de patrimonio neto |
Positiva («normal», no se necesita ningún signo) |
|
|
Aumento de patrimonio neto |
Positiva («normal», no se necesita ningún signo) |
||
|
Saldo de patrimonio neto negativo |
Negativa (signo menos «–» necesario) |
||
|
Disminución de patrimonio neto |
Negativa (signo menos «–» necesario) |
||
|
Ingresos |
Saldo de ingresos |
Positiva («normal», no se necesita ningún signo) |
|
|
Aumento de ingresos |
Positiva («normal», no se necesita ningún signo) |
||
|
Saldo de ingresos negativo (incluidas las reversiones) |
Negativa (signo menos «–» necesario) |
||
|
Disminución de ingresos |
Negativa (signo menos «–» necesario) |
3. CONSOLIDACIÓN
12. A menos que se indique lo contrario en el presente anexo, las plantillas FINREP se prepararán utilizando el ámbito de consolidación prudencial de conformidad con la parte primera, título II, capítulo 2, sección 2, del RRC. Las entidades contabilizarán sus inversiones en dependientes, negocios conjuntos y asociadas utilizando los mismos métodos que en la consolidación prudencial:
(a) Podrá autorizarse o exigirse a las entidades la utilización del método de la participación para sus inversiones en dependientes de seguros y no financieras, de conformidad con el artículo 18, apartado 5, del RRC.
(b) Podrá autorizarse a las entidades la utilización del método de consolidación proporcional para sus inversiones en dependientes financieras, de conformidad con el artículo 18, apartado 2, del RRC.
(c) Podrá exigirse a las entidades la utilización del método de consolidación proporcional para sus inversiones en negocios conjuntos, de conformidad con el artículo 18, apartado 4, del RRC.
4. CARTERAS CONTABLES DE INSTRUMENTOS FINANCIEROS
13. A efectos de los anexos III y IV, así como del presente anexo, se entienden por «carteras contables» los instrumentos financieros agregados clasificados según normas de valoración. Estas agregaciones no comprenderán las inversiones en dependientes, negocios conjuntos y asociadas, los saldos a cobrar a la vista clasificados como «Efectivo, saldos en efectivo en bancos centrales y otros depósitos a la vista» ni los instrumentos financieros clasificados como «Mantenidos para la venta» presentados en las partidas «Activos no corrientes y grupos enajenables de elementos que se han clasificado como mantenidos para la venta» y «Pasivos incluidos en grupos enajenables de elementos que se han clasificado como mantenidos para la venta».
14. Conforme a los PCGA nacionales, las entidades a las que se autorice o exija la aplicación de determinadas normas de valoración de los instrumentos financieros con arreglo a las NIIF indicarán, en la medida en que sean aplicables, las correspondientes carteras contables según las NIIF. Cuando las normas de valoración de los instrumentos financieros que las entidades estén autorizadas u obligadas a emplear conforme a los PCGA nacionales basados en la DCB remitan a las normas de valoración de la NIC 39, las entidades presentarán las carteras contables sobre la base de la DCB en relación con todos sus instrumentos financieros hasta que las normas de valoración que apliquen remitan a las contenidas en la NIIF 9.
4.1. Activos financieros
15. Para los activos financieros se usarán las siguientes carteras contables basadas en las NIIF:
(a) «Activos financieros mantenidos para negociar»;
(b) «Activos financieros no destinados a negociación valorados obligatoriamente a valor razonable con cambios en resultados»;
(c) «Activos financieros designados a valor razonable con cambios en resultados»;
(d) «Activos financieros a valor razonable con cambios en otro resultado global»;
(e) «Activos financieros a coste amortizado».
16. Para los activos financieros se utilizarán las siguientes carteras contables basadas en los PCGA nacionales:
(a) «Activos financieros destinados a negociación»;
(b) «Activos financieros no derivados y no destinados a negociación, a valor razonable con cambios en resultados»;
(c) «Activos financieros no derivados y no destinados a negociación, contabilizados a valor razonable en el patrimonio neto»;
(d) «Activos financieros no derivados y no destinados a negociación, valorados por un método basado en el coste»; y
(e) «Otros activos financieros no derivados y no destinados a negociación».
17. «Activos financieros destinados a negociación» incluye todos los activos financieros que se clasifiquen como destinados a negociación con arreglo a los pertinentes PCGA nacionales basados en la DCB. Con independencia del método de valoración empleado de acuerdo con los pertinentes PCGA nacionales basados en la DCB, todos los derivados con un saldo positivo para la entidad declarante que no se clasifiquen como mantenidos para contabilidad de coberturas conforme al punto 22 de la presente parte se declararán como activos financieros destinados a negociación. Esta clasificación se aplicará también a los derivados que, con arreglo a los PCGA nacionales basados en la DCB, no se reconozcan en el balance, o en relación con los cuales únicamente se reconozcan en el balance las variaciones en su valor razonable, o que se utilicen como coberturas económicas, tal como se definen en la parte 2, punto 137, del presente anexo.
18. Conforme a los PCGA nacionales basados en la DCB, en el caso de los activos financieros, los «métodos basados en el coste» incluirán aquellas normas de valoración en virtud de las cuales el instrumento de deuda se valore al coste, más el interés devengado, menos las pérdidas por deterioro del valor.
19. Conforme a los PCGA nacionales basados en la DCB, «Activos financieros no derivados y no destinados a negociación, valorados por un método basado en el coste» comprende los instrumentos financieros valorados por métodos basados en el coste, así como los instrumentos valorados por el menor entre el coste y el valor de mercado (LOCOM por su acrónimo en inglés) de manera no continua (LOCOM moderado), con independencia de su valoración real en la fecha de referencia de la información. Los activos valorados al LOCOM moderado son aquellos a los que el LOCOM solo se aplica en circunstancias específicas. El marco contable aplicable establece esas circunstancias, que pueden ser un deterioro del valor, una disminución prolongada del valor razonable en relación con el coste o un cambio en las intenciones de la dirección.
20. Según los PCGA nacionales basados en la DCB, «Otros activos financieros no derivados y no destinados a negociación» comprenderá los activos financieros que no cumplan las condiciones para ser incluidos en otras carteras contables. Esta cartera contable incluye, entre otros, los activos financieros que se valoran al LOCOM de forma continua («LOCOM estricto»). Los activos valorados al LOCOM estricto son aquellos con respecto a los cuales el marco contable aplicable prevé, bien la valoración inicial y ulterior al LOCOM, bien la valoración inicial al coste y la valoración ulterior al LOCOM.
21. Con independencia de su método de valoración, las inversiones en dependientes, negocios conjuntos y asociadas que no se consoliden mediante integración global o mediante consolidación proporcional dentro del ámbito reglamentario de consolidación se presentarán en «Inversiones en dependientes (filiales), negocios conjuntos y asociadas», salvo que se clasifiquen como mantenidas para la venta de conformidad con la NIIF 5.
22. «Derivados - Contabilidad de coberturas» comprenderá los derivados con un saldo positivo para la entidad declarante mantenidos para contabilidad de coberturas conforme a las NIIF. Según los PCGA nacionales basados en la DCB, los derivados de la cartera bancaria únicamente se clasificarán como derivados mantenidos para contabilidad de coberturas si se aplican a tales derivados normas contables específicas, en virtud de los pertinentes PCGA nacionales basados en la DCB, y los derivados reducen el riesgo de otra posición en la cartera bancaria.
4.2. Pasivos financieros
23. Para los pasivos financieros se utilizarán las siguientes carteras contables basadas en las NIIF:
(a) «Pasivos financieros mantenidos para negociar»;
(b) «Pasivos financieros designados a valor razonable con cambios en resultados»;
(c) «Pasivos financieros valorados a coste amortizado».
24. Para los pasivos financieros se utilizarán las siguientes carteras contables basadas en los PCGA nacionales:
(a) «Pasivos financieros destinados a negociación»;
(b) «Pasivos financieros no derivados y no destinados a negociación, valorados por un método basado en el coste».
25. «Pasivos financieros destinados a negociación» incluye todos los pasivos financieros que se clasifiquen como destinados a negociación con arreglo a los pertinentes PCGA nacionales basados en la DCB. Con independencia del método de valoración empleado de acuerdo con los pertinentes PCGA nacionales basados en la DCB, todos los derivados con un saldo negativo para la entidad declarante que no se clasifiquen como mantenidos para contabilidad de coberturas conforme al punto 26 de la presente parte se clasificarán como pasivos financieros destinados a negociación. Esta clasificación se aplicará también a los derivados que, con arreglo a los PCGA nacionales basados en la DCB, no se reconozcan en el balance, o en relación con los cuales únicamente se reconozcan en el balance las variaciones en su valor razonable, o que se utilicen como coberturas económicas, tal como se definen en la parte 2, punto 137, del presente anexo.
26. «Derivados - Contabilidad de coberturas» comprenderá los derivados con un saldo negativo para la entidad declarante mantenidos para contabilidad de coberturas conforme a las NIIF. Según los PCGA nacionales basados en la DCB, los derivados de la cartera bancaria únicamente se clasificarán como mantenidos para contabilidad de coberturas si se aplican a tales derivados normas contables específicas, en virtud de los pertinentes PCGA nacionales basados en la DCB, y los derivados reducen el riesgo de otra posición en la cartera bancaria.
5. INSTRUMENTOS FINANCIEROS
27. A efectos de los anexos III y IV, así como del presente anexo, se entiende por «importe en libros» el importe que debe comunicarse en el balance. El importe en libros de los instrumentos financieros incluirá los intereses devengados. Con arreglo a los pertinentes PCGA nacionales basados en la DCB, el importe en libros de los derivados será el importe en libros según los PCGA nacionales, incluidos devengos acumulados, valores de las primas y provisiones, si procede, o bien será igual a cero cuando los derivados no se reconozcan en el balance.
28. Si se reconocen con arreglo a los pertinentes PCGA nacionales basados en la DCB, los ajustes por periodificación de los instrumentos financieros, incluidos intereses devengados, primas y descuentos o costes de transacción, se consignarán conjuntamente con el instrumento y no como activos o pasivos independientes.
29. Cuando proceda con arreglo a los PCGA nacionales basados en la DCB, se comunicarán los «Recortes de valoración de las posiciones destinadas a negociación valoradas a valor razonable». Los recortes disminuyen el valor de los activos destinados a negociación y aumentan el de los pasivos destinados a negociación.
5.1. Activos financieros
30. Los activos financieros se distribuirán entre las siguientes clases de instrumentos: «Efectivo», «Derivados», «Instrumentos de patrimonio», «Valores representativos de deuda» y «Préstamos y anticipos».
31. Los «valores representativos de deuda» son instrumentos de deuda mantenidos por la entidad, emitidos como valores y que no son préstamos de acuerdo con el Reglamento del BCE sobre el balance.
32. Los «préstamos y anticipos» son instrumentos de deuda mantenidos por la entidad que no son valores; esta partida comprende tanto «préstamos» con arreglo al Reglamento del BCE sobre el balance como anticipos que no puedan clasificarse como «préstamos» con arreglo a ese Reglamento. Los «anticipos distintos de préstamos» se describen con más detalle en la parte 2, punto 85, letra g), del presente anexo.
33. En las plantillas FINREP, «instrumentos de deuda» comprenderá los «préstamos y anticipos» y los «valores representativos de deuda».
5.2. Importe en libros bruto
34. El importe en libros bruto de los instrumentos de deuda se definirá del siguiente modo:
(a) Según las NIIF y los PCGA nacionales basados en la DCB, en lo que respecta a los instrumentos de deuda valorados a valor razonable con cambios en resultados, sin ser incluidos en la cartera de instrumentos mantenidos para negociar o destinados a negociación, el importe en libros bruto dependerá de que se clasifiquen como no dudosos o dudosos. En lo que se refiere a los instrumentos de deuda no dudosos, el importe en libros bruto será su valor razonable. En lo que se refiere a los instrumentos de deuda dudosos, el importe en libros bruto será su valor razonable, tras agregar al mismo los posibles ajustes acumulados negativos del valor razonable debidos al riesgo de crédito, según lo definido en la parte 2, punto 69, del presente anexo. A efectos de determinar el importe en libros bruto, la valoración de los instrumentos de deuda se efectuará al nivel de cada instrumento financiero.
(b) Según las NIIF, en lo que respecta a los instrumentos de deuda valorados a coste amortizado o a valor razonable con cambios en otro resultado global, el importe en libros bruto será el importe en libros antes de todo ajuste por correcciones de valor por pérdidas.
(c) Según los PCGA nacionales basados en la DCB, en lo que respecta a los instrumentos de deuda clasificados como «Activos financieros no derivados y no destinados a negociación, valorados por un método basado en el coste», el importe en libros bruto de los activos cuyo valor se haya deteriorado será igual al importe en libros antes de todo ajuste por correcciones de valor específicas por riesgo de crédito. El importe en libros bruto de los activos cuyo valor no se haya deteriorado será el importe en libros antes de todo ajuste por correcciones de valor genéricas por riesgo de crédito y correcciones de valor genéricas por riesgo bancario, cuando afecten al importe en libros.
(d) Según los PCGA nacionales basados en la DCB, el importe en libros bruto de los instrumentos de deuda clasificados como «Activos financieros no derivados y no destinados a negociación, contabilizados a valor razonable en el patrimonio neto» dependerá de que esos activos financieros estén o no sujetos a requisitos sobre deterioro del valor. Si están sujetos a tales requisitos, el importe en libros bruto será el importe en libros antes de cualquier ajuste por el posible deterioro de valor acumulado, atendiendo a los requisitos de la anterior letra c) para los activos con y sin deterioro de valor, o cualquier ajuste acumulado del valor razonable que se considere una pérdida por deterioro del valor. Si los referidos activos financieros no están sujetos a requisitos sobre deterioro del valor, su importe en libros bruto será el valor razonable en el caso de las exposiciones no dudosas y, en el caso de las exposiciones dudosas, el valor razonable tras agregar al mismo los posibles ajustes acumulados negativos del valor razonable debidos al riesgo de crédito.
(e) Según los PCGA nacionales basados en la DCB, el importe en libros bruto de los instrumentos de deuda valorados al LOCOM estricto o moderado será el coste, cuando se hayan valorado al coste durante el período de referencia. Cuando dichos instrumentos de deuda se valoren a valor de mercado, el importe en libros bruto será el valor de mercado antes de los ajustes de valor debidos al riesgo de crédito.
(f) Según los PCGA nacionales basados en la DCB, en lo que respecta a los instrumentos de deuda consignados en «Otros activos financieros no derivados y no destinados a negociación» a los que se apliquen métodos de valoración distintos del LOCOM, el importe en libros bruto será el importe en libros antes de tener en cuenta cualquier ajuste de valoración que pueda considerarse un deterioro del valor.
(g) En lo que se refiere a los activos financieros destinados a negociación en el marco de los PCGA basados en la DCB, o a los activos financieros mantenidos para negociar en el marco de las NIIF, el importe en libros bruto será el valor razonable. Cuando los PCGA basados en la DCB obliguen a realizar recortes de valoración sobre los instrumentos destinados a negociación y valorados a valor razonable, el importe en libros bruto de los instrumentos financieros será el valor razonable antes de tales recortes.
5.3. Pasivos financieros
35. Los pasivos financieros se distribuirán entre las siguientes clases de instrumentos: «Derivados», «Posiciones cortas», «Depósitos», «Valores representativos de deuda emitidos» y «Otros pasivos financieros».
36. A efectos de los anexos III y IV, así como del presente anexo, se aplicará la definición de «depósitos» contenida en la parte 2 del anexo 2 del Reglamento del BCE sobre el balance.
37. Los «valores representativos de deuda emitidos» son instrumentos de deuda emitidos como valores por la entidad y que no son depósitos con arreglo al Reglamento del BCE sobre el balance.
38. «Otros pasivos financieros» comprenderá todos los pasivos financieros distintos de derivados, posiciones cortas, depósitos y valores representativos de deuda emitidos.
39. Según las NIIF, «Otros pasivos financieros» comprenderá las garantías financieras concedidas cuando se valoren a valor razonable con cambios en resultados [NIIF 9.4.2.1.a)] o por el importe inicialmente reconocido menos la amortización acumulada [NIIF 9.4.2.1.c).ii)]. Los compromisos de préstamo concedidos se clasificarán como «Otros pasivos financieros» cuando se designen como pasivos financieros a valor razonable con cambios en resultados [NIIF 9.4.2.1.a)] o sean compromisos de concesión de un préstamo a un tipo de interés inferior al de mercado [NIIF 9.2.3.c), NIIF 9.4.2.1.d)].
40. Cuando los compromisos de préstamo, las garantías financieras y otros compromisos concedidos se valoren a valor razonable con cambios en resultados, cualquier cambio del valor razonable, incluidos los cambios debidos al riesgo de crédito, se consignará como «Otros pasivos financieros» y no como provisiones por «Compromisos y garantías concedidos».
41. «Otros pasivos financieros» comprenderá también dividendos a pagar, importes a pagar por partidas en suspenso o en tránsito, e importes a pagar por liquidaciones futuras de operaciones con valores o en moneda extranjera, cuando los importes a pagar por las operaciones se reconozcan antes de la fecha de pago.
6. DESGLOSE POR CONTRAPARTES
|
42. |
Cuando se exija un desglose por contrapartes, se utilizarán los siguientes sectores de las contrapartes: (a) bancos centrales; (b) administraciones públicas: administraciones centrales, administraciones estatales o regionales y corporaciones locales, incluidos los organismos administrativos y las empresas no mercantiles, pero excluidas las empresas públicas y privadas mantenidas por dichas administraciones que desarrollen una actividad mercantil (que se clasificarán como «entidades de crédito», «otras sociedades financieras» o «sociedades no financieras», dependiendo de su actividad); las administraciones de la Seguridad Social; y las organizaciones internacionales, tales como las instituciones de la Unión Europea, el Fondo Monetario Internacional y el Banco de Pagos Internacionales; (c) entidades de crédito: las entidades comprendidas en lo definido en el artículo 4, apartado 1, punto 1, del RRC («una empresa cuya actividad consista en recibir del público depósitos u otros fondos reembolsables y en conceder créditos por cuenta propia») y los bancos multilaterales de desarrollo; (d) otras sociedades financieras: todas las sociedades y cuasi sociedades financieras distintas de las entidades de crédito, como empresas de inversión, fondos de inversión, compañías de seguros, fondos de pensiones, organismos de inversión colectiva y cámaras de compensación, así como los restantes intermediarios financieros, auxiliares financieros, entidades financieras de ámbito limitado y prestamistas de dinero; (e) sociedades no financieras: sociedades y cuasi sociedades que no participan en la intermediación financiera, sino principalmente en la producción de bienes y la prestación de servicios no financieros para el mercado con arreglo al Reglamento del BCE sobre el balance; (f) hogares: personas o grupos de personas, en calidad de consumidores y productores de productos y prestadores de servicios no financieros exclusivamente para su propio consumo final, o en su calidad de productores de productos y prestadores de servicios no financieros y financieros para el mercado, siempre que sus actividades no sean las propias de cuasi sociedades; se incluyen las entidades sin fines de lucro al servicio de los hogares que se dediquen principalmente a la producción de bienes y la prestación de servicios no destinados al mercado dirigidos a determinados grupos de hogares. |
|
43. |
La asignación a un sector de la contraparte se basará exclusivamente en la naturaleza de la contraparte inmediata. La clasificación de las exposiciones conjuntas de más de un deudor se hará atendiendo a las características del deudor que sea más relevante, o determinante, para la asunción de la exposición por la entidad. Entre otras clasificaciones, la distribución de las exposiciones conjuntas por sectores de las contrapartes, países de residencia y códigos NACE se hará basándose en las características del deudor más relevante o determinante. |
|
44. |
En las operaciones que a continuación se indican, se considerarán contrapartes inmediatas: (a) En lo que respecta a los préstamos y anticipos, el prestatario inmediato. En la cartera comercial, el prestatario inmediato será la contraparte obligada al pago de las partidas a cobrar, salvo en las cesiones con derecho de recurso a favor del comprador, en las que el prestatario inmediato será el cedente de las partidas a cobrar en el supuesto de que la entidad declarante no asuma, en esencia, todos los riesgos y beneficios derivados de la titularidad de las partidas a cobrar cedidas. (b) En lo que respecta a los valores representativos de deuda y los instrumentos de patrimonio, el emisor de los valores. (c) En lo que respecta a los depósitos, el depositante. (d) En lo que respecta a las posiciones cortas, la contraparte de la operación de toma en préstamo de valores o pacto de recompra inversa. (e) En lo que respecta a los derivados, la contraparte directa del contrato de derivados. Para los derivados OTC compensados de forma centralizada, la contraparte directa será la cámara de compensación que actúe como entidad de contrapartida central. En el caso de los derivados de riesgo de crédito, el desglose se hará según el sector al que pertenezca la contraparte del contrato (comprador o vendedor de la protección). (f) En lo que respecta a las garantías financieras concedidas, la contraparte será la contraparte directa del instrumento de deuda garantizado. (g) En lo que respecta a los compromisos de préstamo y otros compromisos concedidos, la contraparte cuyo riesgo de crédito asuma la entidad declarante. (h) En lo que respecta a los compromisos de préstamo, las garantías financieras y otros compromisos recibidos, el garante o la contraparte que haya otorgado el compromiso a la entidad declarante. |
PARTE 2
INSTRUCCIONES RELATIVAS A LAS PLANTILLAS
1. BALANCE
1.1. Activo (1.1)
1. «Efectivo» comprenderá las tenencias de billetes y monedas nacionales y extranjeros en circulación utilizados habitualmente para efectuar pagos.
2. «Saldos en efectivo en bancos centrales» comprenderá los saldos a la vista en bancos centrales.
3. «Otros depósitos a la vista» comprenderá los saldos a la vista en entidades de crédito.
4. «Inversiones en dependientes (filiales), negocios conjuntos y asociadas» comprenderá las inversiones en asociadas, negocios conjuntos y dependientes que no se consoliden mediante integración global o mediante consolidación proporcional dentro del ámbito reglamentario de consolidación, salvo que deban clasificarse como mantenidas para la venta de conformidad con la NIIF 5, con independencia de la forma en que se valoren, incluso si las normas contables permiten incluirlas en las diferentes carteras contables utilizadas para los instrumentos financieros. El importe en libros de las inversiones contabilizadas usando el método de la participación incluirá el fondo de comercio correspondiente.
5. Los activos que no sean activos financieros y que, debido a su naturaleza, no puedan clasificarse en partidas específicas del balance se considerarán «Otros activos». Esta partida incluirá, entre otras cosas, el oro, la plata y otras materias primas, incluso cuando se mantengan con intención de negociar.
6. Con arreglo a los pertinentes PCGA nacionales basados en la DCB, el importe en libros de las acciones propias recompradas se consignará en «Otros activos» cuando los correspondientes PCGA nacionales permitan su presentación como activo.
7. «Activos no corrientes y grupos enajenables de elementos que se han clasificado como mantenidos para la venta» tendrá el mismo significado que en la NIIF 5.
1.2. Pasivo (1.2)
8. Con arreglo a los PCGA nacionales basados en la DCB, las provisiones por pérdidas contingentes resultantes de la parte ineficaz de la relación de cobertura de la cartera se consignarán en la fila «Derivados – contabilidad de coberturas» cuando la pérdida resulte de la valoración del derivado de cobertura, o en la fila «Cambios del valor razonable de los elementos cubiertos de una cartera con cobertura del riesgo de tipo de interés» cuando la pérdida resulte de la valoración de la posición cubierta. En el supuesto de que la distinción entre las pérdidas resultantes de la valoración del derivado de cobertura y las pérdidas resultantes de la valoración de la posición cubierta sea imposible, todas las provisiones por pérdidas contingentes resultantes de la parte ineficaz de la relación de cobertura de la cartera se consignarán en la fila «Derivados – contabilidad de coberturas».
9. Las provisiones por «Pensiones y otras obligaciones por prestaciones definidas post-empleo» comprenderán el importe neto del pasivo por prestaciones definidas.
10. Según las NIIF, las provisiones por «Otras retribuciones a los empleados a largo plazo» comprenderán el importe de los déficits de los planes de retribuciones a los empleados a largo plazo recogidos en la NIC 19.153. Se incluirán en «Otros pasivos» los gastos acumulados de las retribuciones a los empleados a corto plazo [NIC 19.11.a)], de los planes de aportaciones definidas [NIC 19.51.a)] y de las prestaciones por cese [NIC 19.169.a)].
11. Según las NIIF, las provisiones por «Compromisos y garantías concedidos» incluirán las provisiones relativas a todos los compromisos y garantías, con independencia de que el deterioro de su valor se determine conforme a la NIIF 9, de que la constitución de provisiones se atenga a la NIC 37 o de que se traten como contratos de seguros con arreglo a la NIIF 4. Los pasivos resultantes de compromisos y garantías financieras valorados a valor razonable con cambios en resultados no se consignarán como provisiones, aunque se deban al riesgo de crédito, sino como «Otros pasivos financieros» de acuerdo con la parte 1, punto 40, del presente anexo. Según los PCGA nacionales basados en la DCB, las provisiones por «Compromisos y garantías concedidos» incluirán las provisiones relativas a todos los compromisos y garantías.
12. «Capital social reembolsable a la vista» comprenderá los instrumentos de capital emitidos por la entidad que no cumplan los requisitos para ser incluidos en el patrimonio neto. Las entidades incluirán en esta partida las acciones cooperativas que no cumplan los requisitos para ser incluidas en el patrimonio neto.
13. Los pasivos que no sean pasivos financieros y que debido a su naturaleza no puedan clasificarse en partidas específicas del balance se comunicarán en «Otros pasivos».
14. «Pasivos incluidos en grupos enajenables de elementos que se han clasificado como mantenidos para la venta» tendrá el mismo significado que en la NIIF 5.
15. Según los PCGA nacionales basados en la DCB, el «Fondo para riesgos bancarios generales» comprenderá los importes asignados de acuerdo con el artículo 38 de la DCB. Cuando se reconozca, se deberá consignar por separado en el pasivo como «provisiones» o en el patrimonio neto como «otras reservas», de conformidad con los pertinentes PCGA nacionales.
1.3. Patrimonio neto (1.3)
16. Según las NIIF, en los instrumentos de patrimonio neto que sean instrumentos financieros se incluirán los contratos comprendidos en el ámbito de aplicación de la NIC 32.
17. Con arreglo a los pertinentes PCGA nacionales basados en la DCB, «Capital no desembolsado exigido» comprenderá el importe en libros del capital emitido por la entidad que se ha exigido a los suscriptores pero que no se ha desembolsado en la fecha de referencia. Si el aumento de capital aún no desembolsado se contabiliza como aumento del capital social, el capital no desembolsado exigido se consignará en «Capital no desembolsado exigido» en la plantilla 1.3, así como en «Otros activos» en la plantilla 1.1. Con arreglo a los pertinentes PCGA nacionales basados en la DCB, cuando el aumento de capital solo pueda registrarse tras haber recibido de los accionistas el pago, el capital no desembolsado no se consignará en la plantilla 1.3.
18. «Componente de patrimonio neto de los instrumentos financieros compuestos» comprenderá el componente de patrimonio neto de los instrumentos financieros compuestos (es decir, de los instrumentos financieros que contienen tanto un componente de pasivo como un componente de patrimonio neto) que hayan sido emitidos por la entidad, cuando se segregue de conformidad con el correspondiente marco contable (incluidos los instrumentos financieros compuestos con varios derivados implícitos cuyos valores sean interdependientes).
19. «Otros instrumentos de patrimonio emitidos» comprenderá los instrumentos de patrimonio neto que sean instrumentos financieros distintos del «Capital» y del «Componente de patrimonio neto de los instrumentos financieros compuestos».
20. «Otros elementos de patrimonio neto» comprenderá todos los instrumentos de patrimonio neto que no sean instrumentos financieros, incluidas, entre otras, las transacciones con pagos basados en acciones liquidadas mediante instrumentos de patrimonio [NIIF 2.10].
21. «Cambios del valor razonable de los instrumentos de patrimonio valorados a valor razonable con cambios en otro resultado global» comprenderá las pérdidas y ganancias acumuladas debidas a los cambios del valor razonable de las inversiones en instrumentos de patrimonio en relación con las cuales la entidad declarante haya optado irrevocablemente por presentar los cambios de valor razonable en otro resultado global.
22. «Ineficacia de las coberturas de valor razonable de los instrumentos de patrimonio valorados a valor razonable con cambios en otro resultado global» recogerá la ineficacia de cobertura acumulada registrada en las coberturas del valor razonable en las que el elemento cubierto sea un instrumento de patrimonio valorado a valor razonable con cambios en otro resultado global. La ineficacia de cobertura consignada en esta fila será la diferencia entre la variación acumulada del valor razonable del instrumento de patrimonio consignada en «Cambios del valor razonable de los instrumentos de patrimonio valorados a valor razonable con cambios en otro resultado global [elemento cubierto]» y la variación acumulada del valor razonable del derivado de cobertura consignada en «Cambios del valor razonable de los instrumentos de patrimonio valorados a valor razonable con cambios en otro resultado global [instrumento de cobertura]» [NIIF 9.6.5.3 y NIIF 9.6.5.8].
23. «Cambios del valor razonable de los pasivos financieros a valor razonable con cambios en resultados atribuibles a cambios en el riesgo de crédito» incluirá las pérdidas y ganancias acumuladas reconocidas en otro resultado global y relacionadas con el riesgo de crédito propio respecto de los pasivos designados a valor razonable con cambios en resultados, con independencia de que la designación tenga lugar en el momento del reconocimiento inicial o con posterioridad.
24. «Cobertura de inversiones netas en negocios en el extranjero [parte eficaz]» incluirá la reserva de conversión de divisas respecto de la parte eficaz de las coberturas en curso de inversiones netas en negocios en el extranjero y de las coberturas de inversiones netas en negocios en el extranjero que ya no se apliquen mientras los negocios en el extranjero sigan estando reconocidos en el balance.
25. «Derivados de cobertura. Reserva de cobertura de flujos de efectivo [parte eficaz]» comprenderá la reserva de cobertura de flujos de efectivo para la parte eficaz de la variación del valor razonable de los derivados de cobertura en una cobertura de flujos de efectivo, tanto para las coberturas de flujos de efectivo en curso como para las que ya no se apliquen.
26. «Cambios del valor razonable de los instrumentos de deuda valorados a valor razonable con cambios en otro resultado global» comprenderá las pérdidas o ganancias acumuladas sobre los instrumentos de deuda valorados a valor razonable con cambios en otro resultado global, tras deducir la corrección de valor por pérdidas que se determine en la fecha de información con arreglo a la NIIF 9.5.5.
27. «Instrumentos de cobertura [elementos no designados]» comprenderá los cambios acumulados en el valor razonable de todos los elementos siguientes:
(a) el valor temporal de una opción, cuando se separen los cambios en el valor temporal y en el valor intrínseco de la opción y solo se designe como instrumento de cobertura el cambio en el valor intrínseco [NIIF 9.6.5.15];
(b) el elemento a plazo de un contrato a plazo, cuando se separen el elemento a plazo y el elemento al contado del contrato a plazo y solo se designe como instrumento de cobertura el cambio en el elemento al contado;
(c) el diferencial de base del tipo de cambio de un instrumento financiero, cuando dicho diferencial se excluya de la designación de ese instrumento financiero como instrumento de cobertura [NIIF 9.6.5.15, NIIF 9.6.5.16].
28. Según las NIIF, «Reservas de revalorización» comprenderá el importe de las reservas resultantes de la aplicación por primera vez de las NIC que no hayan sido traspasadas a otros tipos de reservas.
29. «Otras reservas» se dividirá entre «Reservas o pérdidas acumuladas de inversiones en dependientes (filiales), negocios conjuntos y asociadas contabilizadas mediante el método de la participación» y «Otras». «Reservas o pérdidas acumuladas de inversiones en dependientes (filiales), negocios conjuntos y asociadas contabilizadas mediante el método de la participación» comprenderá el importe acumulado de los ingresos y gastos generados por las mencionadas inversiones con cambios en resultados en los últimos años, cuando se contabilicen usando el método de la participación. «Otras» comprenderá las reservas no recogidas separadamente en otras partidas y puede incluir la reserva legal y la reserva estatutaria.
30. «Acciones propias» comprenderá todos los instrumentos financieros que presenten las características de instrumentos de patrimonio propios readquiridos por la entidad, mientras no se vendan o amorticen, salvo que los pertinentes PCGA nacionales basados en la DCB obliguen a consignarlas en «Otros activos».
2. ESTADO DE RESULTADOS (2)
31. Los ingresos por intereses y los gastos por intereses de los instrumentos financieros valorados a valor razonable con cambios en resultados y de los derivados de cobertura clasificados en la categoría «contabilidad de coberturas» se presentarán por separado de otras pérdidas y ganancias en las partidas «ingresos por intereses» y «gastos por intereses» («precio limpio») o como parte de las pérdidas o ganancias de esas categorías de instrumentos («precio sucio»). La opción entre el precio limpio o el precio sucio se aplicará uniformemente a todos los instrumentos financieros valorados a valor razonable con cambios en resultados y a los derivados de cobertura clasificados en la categoría «contabilidad de coberturas».
32. Las entidades comunicarán las siguientes partidas, que comprenden gastos e ingresos en relación con partes vinculadas que no sean objeto de integración global o consolidación proporcional dentro del ámbito reglamentario de consolidación, desglosadas por carteras contables:
(a) «Ingresos por intereses»;
(b) «Gastos por intereses»;
(c) «Ingresos por dividendos»;
(d) «Ganancias o pérdidas al dar de baja en cuentas activos y pasivos financieros no valorados a valor razonable con cambios en resultados, netas»;
(e) «Ganancias o pérdidas por modificación, netas»;
(f) «Deterioro del valor o (-) reversión del deterioro del valor de activos financieros no valorados a valor razonable con cambios en resultados».
33. «Ingresos por intereses. Activos financieros mantenidos para negociar» y «Gastos por intereses. Pasivos financieros mantenidos para negociar» comprenderán, cuando se utilice el precio limpio, los importes correspondientes a aquellos derivados clasificados en la categoría de mantenidos para negociar que sean instrumentos de cobertura desde un punto de vista económico pero no desde un punto de vista contable, a fin de presentar los ingresos y gastos por intereses correctos de los instrumentos financieros cubiertos.
34. Cuando se utilice el precio limpio, «Ingresos por intereses. Activos financieros mantenidos para negociar» y «Gastos por intereses. Pasivos financieros mantenidos para negociar» incluirán también el importe prorrata temporis de las comisiones y los pagos compensatorios en relación con los derivados de crédito valorados a valor razonable y utilizados para gestionar el riesgo de crédito de la totalidad o parte de un instrumento financiero designado a valor razonable en ese momento [NIIF 9.6.7].
35. «Ingresos por intereses»; «Ingresos por intereses. Derivados – Contabilidad de coberturas, riesgo de tipo de interés» y «Gastos por intereses. Derivados – Contabilidad de coberturas, riesgo de tipo de interés» comprenderán, cuando se utilice el precio limpio, los importes relativos a los derivados clasificados en la categoría «contabilidad de coberturas» que cubran el riesgo de tipo de interés, incluyendo las coberturas de un grupo de elementos con posiciones de riesgo que se compensen (coberturas de una posición neta) y cuyo riesgo cubierto afecte a diferentes partidas del estado de resultados. Cuando se utilice el precio limpio, estos importes se comunicarán como ingresos por intereses y gastos por intereses en términos brutos a fin de presentar el valor correcto de los ingresos y gastos por intereses de los elementos cubiertos a los que estén vinculados. En el supuesto de que se aplique el precio limpio, cuando el elemento cubierto genere ingresos (gastos) por intereses, dichos importes se consignarán como ingresos (gastos) por intereses aun cuando sean importes negativos (positivos).
36. «Ingresos por intereses - Otros activos» comprenderá los ingresos por intereses no incluidos en las demás partidas, como los ingresos por intereses relacionados con el efectivo, los saldos en efectivo en bancos centrales y otros depósitos a la vista, y con los activos no corrientes y grupos enajenables de elementos que se han clasificado como mantenidos para la venta, así como los ingresos por intereses netos de los activos netos por prestaciones definidas.
37. Con arreglo a las NIIF y siempre que los PCGA nacionales no dispongan lo contrario, los intereses en relación con pasivos financieros con un tipo de interés efectivo negativo se consignarán en «Ingresos por intereses de pasivos». Estos pasivos y los intereses de los mismos suponen un rendimiento positivo para una entidad.
38. «Gastos por intereses - Otros pasivos» comprenderá los gastos por intereses no incluidos en las demás partidas, como los gastos por intereses relacionados con pasivos incluidos en grupos enajenables de elementos que se han clasificado como mantenidos para la venta, gastos derivados del aumento del importe en libros de una provisión que refleje el paso del tiempo o gastos por intereses netos de pasivos netos por prestaciones definidas.
39. Con arreglo a las NIIF y siempre que los PCGA nacionales no dispongan lo contrario, los intereses en relación con activos financieros con un tipo de interés efectivo negativo se consignarán en «Gastos por intereses de activos». Estos activos y los intereses de los mismos suponen un rendimiento negativo para una entidad.
40. Los ingresos por dividendos de instrumentos de patrimonio valorados a valor razonable con cambios en resultados se presentarán como «ingresos por dividendos», por separado de otras pérdidas o ganancias de esas clases de instrumentos, cuando se utilice el precio limpio, o dentro de las pérdidas o ganancias de esas clases de instrumentos, cuando se utilice el precio sucio.
41. Los ingresos por dividendos de instrumentos de patrimonio designados a valor razonable con cambios en otro resultado global englobarán los dividendos correspondientes a instrumentos que se hayan dado de baja en cuentas durante el período y los dividendos correspondientes a instrumentos que aún se mantengan al término del período de referencia.
42. Los ingresos por dividendos de inversiones en dependientes, negocios conjuntos y asociadas incluirán los dividendos de tales inversiones cuando se contabilicen por métodos distintos del método de la participación.
43. «Ganancias o (-) pérdidas por activos y pasivos financieros mantenidos para negociar, netas» comprenderá las ganancias y pérdidas registradas al volver a valorar y dar de baja en cuentas instrumentos financieros clasificados como mantenidos para negociar. Esta partida incluirá también las ganancias y pérdidas por derivados de crédito valorados a valor razonable con cambios en resultados y que se utilicen para gestionar el riesgo de crédito de la totalidad o una parte de un instrumento financiero que se haya designado como valorado a valor razonable con cambios en resultados, así como los ingresos y gastos por intereses y dividendos de activos y pasivos financieros mantenidos para negociar, cuando se emplee el precio sucio.
44. «Ganancias o pérdidas por activos y pasivos financieros designados a valor razonable con cambios en resultados» incluirá también el importe reconocido en el estado de resultados por el riesgo de crédito propio de los pasivos designados a valor razonable cuando el reconocimiento de los cambios en el riesgo de crédito propio en otro resultado global cree una asimetría contable o la amplíe [NIIF 9.5.7.8]. Esta partida englobará asimismo las ganancias y pérdidas por los instrumentos cubiertos que se hayan designado como valorados a valor razonable con cambios en resultados cuando la designación se utilice para gestionar el riesgo de crédito, así como los ingresos y gastos por intereses de activos y pasivos financieros designados a valor razonable con cambios en resultados, cuando se emplee el precio sucio.
45. «Ganancias o (-) pérdidas al dar de baja en cuentas activos y pasivos financieros no valorados a valor razonable con cambios en resultados» no incluirá las ganancias de instrumentos de patrimonio que la entidad declarante haya optado por valorar a valor razonable con cambios en otro resultado global [NIIF 9.5.7.1.b)].
46. Cuando un cambio en el modelo de negocio lleve a reclasificar un activo financiero en una cartera contable diferente, las ganancias o pérdidas de la reclasificación se consignarán en las líneas pertinentes de la cartera contable en la que se reclasifique el activo financiero, conforme a lo siguiente:
(a) Cuando un activo financiero se reclasifique pasando de la categoría de valoración a coste amortizado a la cartera contable de valoración a valor razonable con cambios en resultados [NIIF 9.5.6.2], las ganancias o pérdidas debidas a la reclasificación se consignarán en «Ganancias o (-) pérdidas por activos y pasivos financieros mantenidos para negociar, netas» o «Ganancias o (-) pérdidas por activos financieros no destinados a negociación valorados obligatoriamente a valor razonable con cambios en resultados, netas», según proceda.
(b) Cuando un activo financiero se reclasifique pasando de la categoría de valoración a valor razonable con cambios en otros resultado global a la categoría de valoración a valor razonable con cambios en resultados [NIIF 9.5.6.7], las ganancias o pérdidas acumuladas reconocidas previamente en otro resultado global y reclasificadas en resultados se consignarán en «Ganancias o (-) pérdidas por activos y pasivos financieros mantenidos para negociar, netas» o «Ganancias o (-) pérdidas por activos financieros no destinados a negociación valorados obligatoriamente a valor razonable con cambios en resultados, netas», según proceda.
47. «Ganancias o (-) pérdidas resultantes de la contabilidad de coberturas, netas» comprenderá las ganancias y pérdidas por los instrumentos de cobertura y los elementos cubiertos, incluidas las correspondientes a elementos cubiertos valorados a valor razonable con cambios en otro resultado global distintos de instrumentos de patrimonio, en una cobertura de valor razonable con arreglo a la NIIF 9.6.5.8. Asimismo incluirá la parte ineficaz de la variación del valor razonable de los instrumentos de cobertura en una cobertura de flujos de efectivo. Las reclasificaciones de la reserva de cobertura de flujos de efectivo o de la reserva para cobertura de la inversión neta en un negocio en el extranjero se reconocerán en las mismas líneas del estado de resultados en las que incidan los flujos de efectivo de los elementos cubiertos. «Ganancias o (-) pérdidas resultantes de la contabilidad de coberturas, netas» incluirá también las ganancias y pérdidas resultantes de las coberturas de inversiones netas en negocios en el extranjero. Esta partida recogerá igualmente las ganancias de las coberturas de posiciones netas.
48. «Ganancias o pérdidas al dar de baja en cuentas activos no financieros» comprenderá las ganancias y pérdidas al dar de baja en cuentas activos no financieros, salvo que se clasifiquen como mantenidos para la venta o como inversiones en dependientes, negocios conjuntos y asociadas.
49. «Ganancias o (-) pérdidas por modificación, netas» comprenderá los importes resultantes del ajuste del importe en libros bruto de los activos financieros para reflejar los flujos de efectivo contractuales renegociados o modificados [NIIF 9.5.4.3 y apéndice A]. Las ganancias o pérdidas por modificación no tendrán en cuenta la repercusión de las modificaciones sobre el importe de las pérdidas crediticias esperadas, que se consignará en «Deterioro del valor o (-) reversión del deterioro del valor de activos financieros no valorados a valor razonable con cambios en resultados».
50. «Provisiones o (-) reversión de provisiones. Compromisos y garantías concedidos» comprenderá todos los cargos netos en el estado de resultados por las provisiones relativas a la totalidad de compromisos y garantías dentro del ámbito de aplicación de la NIIF 9, la NIC 37 o la NIIF 4, de conformidad con el punto 11 de la presente parte, o según los PCGA nacionales basados en la DCB. Conforme a las NIIF, cualquier cambio en el valor razonable de los compromisos y garantías financieras valorados a valor razonable se consignará en «Ganancias o (-) pérdidas por activos y pasivos financieros designados a valor razonable con cambios en resultados, netas». Por tanto, las provisiones incluyen el importe del deterioro de valor de los compromisos y garantías cuando dicho deterioro se determine conforme a la NIIF 9, la constitución de las provisiones se atenga a la NIC 37 o los compromisos y garantías se traten como contratos de seguros con arreglo a la NIIF 4.
51. Según las NIIF, «Deterioro del valor o (-) reversión del deterioro del valor de activos financieros no valorados a valor razonable con cambios en resultados» comprenderá todas las ganancias o pérdidas por deterioro de valor de instrumentos de deuda que resulten de la aplicación de las normas sobre deterioro de valor contenidas en la NIIF 9.5.5, con independencia de que la estimación de las pérdidas crediticias esperadas con arreglo a la NIIF 9.5.5 se realice para un período de doce meses o para toda la vida del activo, e incluirá asimismo las ganancias o pérdidas por deterioro de valor de la cartera comercial, los activos por contratos y las partidas a cobrar por arrendamientos [NIIF 9.5.5.15].
52. Según los PCGA nacionales basados en la DCB, «Deterioro del valor o (-) reversión del deterioro del valor de activos financieros no valorados a valor razonable con cambios en resultados» comprenderá todas las correcciones de valor y reversiones de correcciones de valor de instrumentos financieros valorados por métodos basados en el coste que se deban a la variación de la solvencia del deudor o emisor, así como, dependiendo de las especificaciones de los PCGA nacionales, las correcciones de valor debidas al deterioro de los instrumentos financieros valorados a valor razonable en el patrimonio neto y otros métodos de valoración, incluido el LOCOM.
53. «Deterioro del valor o (-) reversión del deterioro del valor de activos financieros no valorados a valor razonable con cambios en resultados» comprenderá igualmente los importes de los fallidos dados de baja –tal como se definen en los puntos 72, 74 y 165, letra b), de la presente parte– que excedan del importe de la corrección de valor por pérdidas en la fecha de baja en cuentas y se reconozcan, por tanto, directamente como pérdida en los resultados, así como las recuperaciones de fallidos previamente dados de baja que se registren directamente en el estado de resultados.
54. La participación en las ganancias o pérdidas de dependientes, negocios conjuntos y asociadas que se contabilicen mediante el método de la participación dentro del ámbito reglamentario de consolidación se consignará en «Participación en las ganancias o (-) pérdidas de las inversiones en dependientes (filiales), negocios conjuntos y asociadas contabilizadas mediante el método de la participación». Con arreglo a la NIC 28.10, del importe en libros de la inversión se deducirá el importe de los dividendos pagados por dichas empresas. El deterioro del valor de esas inversiones se consignará en «(Deterioro del valor o (-) reversión del deterioro del valor de inversiones en dependientes [filiales], negocios conjuntos o asociadas)». Las ganancias o pérdidas por la baja en cuentas de dichas inversiones se comunicarán con arreglo a los puntos 55 y 56 de la presente parte.
55. «Ganancias o pérdidas procedentes de activos no corrientes y grupos enajenables de elementos clasificados como mantenidos para la venta no admisibles como actividades interrumpidas» comprenderá las pérdidas o ganancias generadas por los activos no corrientes y grupos enajenables de elementos clasificados como mantenidos para la venta no admisibles como actividades interrumpidas.
56. Según las NIIF, las ganancias o pérdidas por baja en cuentas de inversiones en dependientes, negocios conjuntos y asociadas se consignarán en «Ganancias o (-) pérdidas antes de impuestos procedentes de actividades interrumpidas» cuando se consideren actividades interrumpidas conforme a la NIIF 5. Según los PCGA nacionales basados en la DCB, dichas ganancias o pérdidas se consignarán en «Ganancias o (-) pérdidas al dar de baja en cuentas inversiones en filiales, negocios conjuntos y asociadas, netas».
3. ESTADO DE RESULTADO GLOBAL (3)
57. «Ganancias o (-) pérdidas resultantes de la contabilidad de coberturas de instrumentos de patrimonio valorados a valor razonable con cambios en otro resultado global» comprenderá el cambio en la ineficacia acumulada de las coberturas del valor razonable en las que el elemento cubierto sea un instrumento de patrimonio valorado a valor razonable con cambios en otro resultado global. El cambio en la ineficacia acumulada de cobertura consignado en esta fila será la diferencia entre los cambios en la variación del valor razonable del instrumento de patrimonio consignada en «Cambios del valor razonable de los instrumentos de patrimonio valorados a valor razonable con cambios en otro resultado global [elemento cubierto]» y los cambios en la variación del valor razonable del derivado de cobertura consignados en «Cambios del valor razonable de los instrumentos de patrimonio valorados a valor razonable con cambios en otro resultado global [instrumento de cobertura]».
58. «Cobertura de inversiones netas en negocios en el extranjero [parte eficaz]» incluirá el cambio en la reserva acumulada de conversión de divisas respecto de la parte eficaz de las coberturas en curso e interrumpidas de las inversiones netas en negocios en el extranjero.
59. Para las coberturas de inversiones netas en negocios en el extranjero y las coberturas de flujos de efectivo, los correspondientes importes consignados en «Transferido a resultados» comprenderán los importes transferidos porque los flujos cubiertos ya se hayan producido y no se espere ya que vayan a producirse.
60. «Instrumentos de cobertura [elementos no designados]» comprenderá los cambios en los cambios acumulados del valor razonable de todos los elementos siguientes, cuando no se designen como componente de cobertura:
(a) valor temporal de las opciones;
(b) elementos a plazo de los contratos a plazo;
(c) diferencial de base del tipo de cambio de los instrumentos financieros.
61. En el caso de las opciones, los importes reclasificados en resultados y consignados en «Transferido a resultados» incluirán las reclasificaciones debidas a opciones que cubran un elemento referido a una operación y opciones que cubran un elemento referido a un período de tiempo.
62. «Instrumentos de deuda a valor razonable con cambios en otro resultado global» comprenderá las ganancias o pérdidas sobre los instrumentos de deuda valorados a valor razonable con cambios en otro resultado global distintas de las ganancias o pérdidas por deterioro del valor y por cambio de divisas, que se consignarán respectivamente en «(Deterioro del valor o (-) reversión del deterioro del valor de activos financieros no valorados a valor razonable con cambios en resultados)» y en «Diferencias de cambio [ganancia o (-) pérdida], netas» en la plantilla 2. «Transferido a resultados», en particular, recogerá los importes transferidos a resultados como consecuencia de la baja en cuentas o la reclasificación en la categoría de valoración a valor razonable con cambios en resultados.
63. Cuando un activo financiero se reclasifique pasando de la categoría de valoración a coste amortizado a la de valoración a valor razonable con cambios en otro resultado global [NIIF 9.5.6.4], las ganancias o pérdidas debidas a la reclasificación se consignarán en «Instrumentos de deuda a valor razonable con cambios en otro resultado global».
64. Cuando un activo financiero se reclasifique pasando de la categoría de valoración a valor razonable con cambios en otro resultado global a la categoría de valoración a valor razonable con cambios en resultados [NIIF 9.5.6.7], o a la de valoración a coste amortizado [NIIF 9.5.6.5], las ganancias o pérdidas acumuladas reclasificadas que estuvieran previamente reconocidas en otro resultado global se consignarán respectivamente en «Transferido a resultados» y «Otras reclasificaciones», ajustándose en este último caso el importe en libros del activo financiero.
65. Respecto de todos los componentes del otro resultado global, «Otras reclasificaciones» comprenderá las transferencias distintas de las reclasificaciones de otro resultado global a resultados o al importe en libros inicial de los elementos cubiertos en el caso de las coberturas de flujos de efectivo.
66. Según las NIIF, se detallarán en líneas separadas las partidas «Impuesto sobre las ganancias relativo a los elementos que no se reclasificarán» e «Impuesto sobre las ganancias relativo a los elementos que pueden reclasificarse en ganancias o (-) pérdidas» [NIC 1.91.b), GI 6].
4. DESGLOSE DE LOS ACTIVOS FINANCIEROS POR INSTRUMENTOS Y POR SECTORES DE LAS CONTRAPARTES (4)
67. Los activos financieros se desglosarán por carteras contables e instrumentos y –cuando se requiera– por contrapartes. En el caso de los instrumentos de deuda valorados a valor razonable con cambios en otro resultado global y a coste amortizado, el importe en libros bruto de los activos y el deterioro de valor acumulado se desglosarán por fases de deterioro de valor.
68. Los derivados presentados como activos financieros destinados a negociación conforme a los PCGA basados en la DCB incluyen instrumentos valorados a valor razonable, así como instrumentos valorados por métodos basados en el coste o al LOCOM.
69. A efectos de los anexos III y IV, así como del presente anexo, se entenderá por «cambios acumulados negativos en el valor razonable debidos al riesgo de crédito», en relación con las exposiciones dudosas, los cambios en el valor razonable debidos al riesgo de crédito cuyo valor acumulado neto sea negativo. El cambio acumulado neto en el valor razonable debido al riesgo de crédito se calculará añadiendo todos los cambios positivos y negativos en el valor razonable debidos al riesgo de crédito que se hayan producido desde el reconocimiento del instrumento de deuda. Este importe solo deberá comunicarse si la adición de los cambios positivos y negativos en el valor razonable debidos al riesgo de crédito arroja una cifra negativa. La valoración de los instrumentos de deuda se efectuará al nivel de cada instrumento financiero. En relación con cada instrumento de deuda, se comunicarán los «Cambios acumulados negativos en el valor razonable debidos al riesgo de crédito» hasta que se dé de baja en cuentas el instrumento.
70. A los efectos de los anexos III y IV, así como del presente anexo, se entenderá por «deterioro de valor acumulado» lo siguiente:
(a) En lo que respecta a los instrumentos de deuda valorados a coste amortizado o por un método basado en el coste, el deterioro de valor acumulado será el importe acumulado de las pérdidas por deterioro del valor, menos la utilización y las reversiones, que se haya reconocido, en su caso, en cada una de las fases de deterioro. El deterioro de valor acumulado reducirá el importe en libros del instrumento de deuda mediante el recurso a una cuenta de corrección de valor, con arreglo a las NIIF y los PCGA nacionales basados en la DCB, o a través de reducciones directas que no constituirán un caso de baja en cuentas, con arreglo a los PCGA nacionales basados en la DCB.
(b) En lo que respecta a los instrumentos de deuda valorados a valor razonable con cambios en otro resultado global de acuerdo con las NIIF, el deterioro de valor acumulado será la suma de las pérdidas crediticias esperadas y sus variaciones reconocidas como reducción del valor razonable en relación con un determinado instrumento desde el reconocimiento inicial.
(c) En lo que respecta a los instrumentos de deuda valorados a valor razonable en el patrimonio neto de acuerdo con los PCGA nacionales basados en la DCB y que sean susceptibles de deterioro del valor, el deterioro de valor acumulado será el importe acumulado de las pérdidas por deterioro del valor, menos la utilización y las reversiones, que se haya reconocido. La reducción del importe en libros se llevará a cabo mediante el recurso a una cuenta de corrección de valor o a través de reducciones directas que no constituirán un caso de baja en cuentas.
71. Según las NIIF, el deterioro de valor acumulado incluirá la corrección de valor por pérdidas crediticias esperadas de los activos financieros en cada una de las fases de deterioro de valor que se especifican en la NIIF 9. Según los PCGA nacionales basados en la DCB, incluirá la corrección de valor específica y genérica por riesgo de crédito, así como la corrección de valor genérica por riesgo bancario cuando reduzca el importe en libros de los instrumentos de deuda. El deterioro de valor acumulado comprenderá también los ajustes de valor debidos al riesgo de crédito de los activos financieros valorados al LOCOM.
72. «Fallidos parciales acumulados» y «Fallidos totales acumulados» comprenderán, respectivamente, el importe parcial y total acumulado, en la fecha de referencia, del principal y los intereses y comisiones vencidos de cualquier instrumento de deuda que se haya dado de baja en cuentas hasta esa fecha utilizando alguno de los métodos que se describe en el punto 74, porque la entidad no tenga ninguna expectativa razonable de recuperar los flujos de efectivo contractuales. Estos importes se comunicarán hasta la extinción de todos los derechos de la entidad declarante, por transcurso del plazo de prescripción, condonación u otras causas, o hasta su recuperación. Por tanto, cuando los importes de los fallidos no se recuperen, deberán comunicarse mientras esté en curso el procedimiento de apremio.
73. Cuando un instrumento de deuda se dé finalmente de baja en cuentas en su totalidad por considerarse fallido, tras sucesivas bajas parciales, el importe acumulado que se haya dado de baja en cuentas se reclasificará pasando de la columna «Fallidos parciales acumulados» a la de «Fallidos totales acumulados».
74. Los fallidos constituirán un caso de baja en cuentas y se referirán a la totalidad de un activo financiero o una parte del mismo, incluso cuando la modificación de un activo lleve a la entidad a renunciar a su derecho a cobrar los flujos de efectivo respecto de una parte o la totalidad de ese activo, tal como se explica con más detalle en el punto 72. Los fallidos comprenderán tanto los importes que se deban a reducciones del importe en libros de activos financieros reconocidas directamente en resultados, como los que se deban a reducciones del importe de las cuentas de corrección de valor por pérdidas crediticias con respecto al importe en libros de los activos financieros.
75. La columna «De los cuales: instrumentos con bajo riesgo de crédito» incluirá los instrumentos que se determine que están expuestos a un bajo riesgo de crédito en la fecha de información y en relación con los cuales la entidad considere que el riesgo de crédito no ha aumentado de forma significativa desde su reconocimiento inicial con arreglo a la NIIF 9.5.5.10.
76. La cartera comercial a tenor de la NIC 1.54.h), los activos por contratos y las partidas a cobrar por arrendamiento a los que se aplique el enfoque simplificado de la NIIF 9.5.5.15 para la estimación de las correcciones de valor por pérdidas se consignarán dentro de los préstamos y anticipos en la plantilla 4.4.1. La corrección de valor por pérdidas correspondiente a dichos activos se consignará en «Deterioro de valor acumulado de activos con un aumento significativo del riesgo de crédito desde el reconocimiento inicial, pero sin deterioro crediticio (fase 2)» o en «Deterioro de valor acumulado de activos con deterioro crediticio (fase 3)», dependiendo de que la cartera comercial, los activos por contratos o las partidas a cobrar por arrendamiento a los que se aplique el enfoque simplificado se consideren o no activos con deterioro crediticio.
77. Los activos financieros adquiridos u originados con deterioro crediticio en el momento del reconocimiento inicial se presentarán por separado en las plantillas 4.3.1 y 4.4.1. En lo que respecta a estos préstamos, el deterioro de valor acumulado solo incluirá los cambios acumulados en las pérdidas crediticias esperadas durante toda la vida del activo desde el reconocimiento inicial [NIIF 9.5.5.13].
78. En la plantilla 4.5 las entidades comunicarán el importe en libros de «Préstamos y anticipos» y «Valores representativos de deuda» que entren en la definición de «deuda subordinada» del punto 100 de la presente parte.
79. En la plantilla 4.8, la información a comunicar dependerá de que los «Activos financieros no derivados y no destinados a negociación, contabilizados a valor razonable en el patrimonio neto» estén o no sujetos a requisitos sobre deterioro del valor en aplicación de los PCGA nacionales basados en la DCB. Si están sujetos a tales requisitos, las entidades comunicarán en esta plantilla información referida al importe en libros, el importe en libros bruto de los activos cuyo valor no se ha deteriorado y de aquellos cuyo valor se ha deteriorado, el deterioro de valor acumulado y los fallidos acumulados. Si no están sujetos a tales requisitos, las entidades comunicarán los cambios acumulados negativos en el valor razonable debidos al riesgo de crédito en relación con las exposiciones dudosas.
80. En la plantilla 4.9, los activos financieros valorados al LOCOM moderado y sus correspondientes ajustes de valor se identificarán por separado de los demás activos financieros valorados por un método basado en el coste y su correspondiente deterioro de valor. Los activos financieros valorados por un método basado en el coste, incluidos los valorados al LOCOM moderado, se presentarán como activos cuyo valor no se ha deteriorado cuando no lleven aparejado ningún ajuste o deterioro de valor, y como activos cuyo valor se ha deteriorado cuando lleven aparejado algún deterioro de valor o ajustes de valor que puedan considerarse un deterioro. Serán ajustes de valor que puedan tener la consideración de deterioro los motivados por el riesgo de crédito que reflejen la disminución de la solvencia de la contraparte. Los activos financieros valorados al LOCOM moderado que sean objeto de ajustes de valor motivados por el riesgo de mercado que reflejen la incidencia de la evolución de las condiciones del mercado en el valor del activo no se considerarán activos cuyo valor se ha deteriorado. Los ajustes de valor acumulados debidos al riesgo de crédito se comunicarán por separado de los debidos al riesgo de mercado.
81. En la plantilla 4.10, los activos valorados al LOCOM estricto y sus correspondientes ajustes de valor se presentarán por separado de los activos valorados por otros métodos. Los activos financieros valorados al LOCOM estricto y los activos financieros valorados por otros métodos se presentarán como activos cuyo valor se ha deteriorado cuando lleven aparejados ajustes de valor debidos al riesgo de crédito, según se definen en el punto 80, o un deterioro de valor. Los activos financieros valorados al LOCOM estricto que sean objeto de ajustes de valor motivados por el riesgo de mercado, según se definen en el punto 80, no se considerarán activos cuyo valor se ha deteriorado. Los ajustes de valor acumulados debidos al riesgo de crédito se comunicarán por separado de los debidos al riesgo de mercado.
82. Con arreglo a los PCGA nacionales basados en la DCB, el importe de las correcciones de valor genéricas por riesgo bancario a comunicar en las plantillas pertinentes será únicamente la parte que afecte al importe en libros de los instrumentos de deuda [artículo 37, apartado 2, de la DCB].
5. DESGLOSE DE LOS PRÉSTAMOS Y ANTICIPOS NO DESTINADOS A NEGOCIACIÓN POR PRODUCTOS (5)
83. Los préstamos y anticipos distintos de los mantenidos para negociar o activos destinados a negociación se desglosarán por tipos de productos y sectores de las contrapartes en lo que respecta al importe en libros y por tipos de productos únicamente en lo que respecta al importe en libros bruto.
84. Los saldos a cobrar a la vista clasificados como «Efectivo, saldos en efectivo en bancos centrales y otros depósitos a la vista» se comunicarán también en esta plantilla, independientemente de la forma en que se valoren.
85. Los préstamos y anticipos se asignarán a los productos siguientes:
(a) «A la vista y con breve plazo de preaviso (cuenta corriente)» comprenderá los saldos exigibles a la vista y con breve plazo de preaviso (al cierre de la jornada siguiente a aquella en que se realiza la solicitud), los saldos en cuentas corrientes y los saldos similares, incluidos los préstamos que sean depósitos a un día para el prestatario (préstamos a reembolsar al cierre de la jornada siguiente a aquella en que se conceden), independientemente de su forma jurídica. También comprenderá los «descubiertos» que supongan saldos deudores en cuentas corrientes.
(b) «Deuda por tarjetas de crédito» comprenderá los créditos concedidos mediante tarjetas de débito diferido o mediante tarjetas de crédito [Reglamento del BCE sobre el balance].
(c) «Cartera comercial» comprenderá los préstamos a otros deudores concedidos a partir de facturas u otros documentos que den derecho a recibir los ingresos derivados de operaciones de venta de productos y prestación de servicios. Esta partida incluirá todas las operaciones de factoring y similares, como aceptaciones, adquisición directa de derechos de cobro sobre deudores comerciales, forfaiting, descuento de facturas, letras de cambio, pagarés y otros casos en que la entidad declarante compra los derechos de cobro sobre deudores comerciales (con o sin derecho de recurso).
(d) «Arrendamientos financieros» comprenderá el importe en libros de las partidas a cobrar por arrendamiento financiero. Según las NIIF, las «partidas a cobrar por arrendamiento financiero» serán las definidas en la NIC 17.
(e) «Préstamos de recompra inversa» comprenderá la financiación concedida a cambio de valores u oro adquiridos mediante pactos de recompra o tomados en préstamo mediante contratos de préstamo de valores, tal como se definen en los puntos 183 y 184 de la presente parte.
(f) «Otros préstamos a plazo» comprenderá los saldos deudores con vencimientos o condiciones fijados contractualmente y no incluidos en otras partidas.
(g) «Anticipos distintos de préstamos» comprenderá los anticipos que no pueden clasificarse como «préstamos» con arreglo al Reglamento del BCE sobre el balance. Se trata, entre otros, de los importes brutos a cobrar en relación con partidas en suspenso (por ejemplo, fondos pendientes de inversión, de transferencia o de liquidación) y con partidas en tránsito (por ejemplo, cheques y otros medios de pago enviados para cobro).
86. Los préstamos y anticipos se clasificarán en función de la garantía real recibida como sigue:
(a) «Préstamos garantizados por bienes inmuebles» comprenderá los préstamos y anticipos garantizados formalmente por bienes inmuebles residenciales o comerciales, independientemente de la ratio préstamo/garantía real (loan-to-value) y de la forma jurídica de la garantía real.
(b) «Otros préstamos con garantías reales» comprenderá los préstamos y anticipos cubiertos formalmente por una garantía real, independientemente de la ratio préstamo/garantía real (loan-to-value) y de la forma jurídica de la garantía real, distintos de los «Préstamos garantizados por bienes inmuebles». Esta garantía real incluirá las prendas de valores, efectivo y otras garantías reales independientemente de su forma jurídica.
87. Los préstamos y anticipos se clasificarán en función de la garantía real y con independencia de la finalidad del préstamo. El importe en libros de los préstamos y anticipos cubiertos por varios tipos de garantías reales se clasificará y notificará como garantizado por bienes inmuebles cuando así lo esté, con independencia de que también esté respaldado por garantías reales de otro tipo.
88. Los préstamos y anticipos se clasificarán en función de su finalidad como sigue:
(a) «Crédito al consumo» comprenderá los créditos concedidos principalmente para consumo personal de bienes y servicios [Reglamento del BCE sobre el balance].
(b) «Préstamos para compra de vivienda» comprenderá los préstamos concedidos a los hogares para invertir en vivienda para uso propio o alquiler, incluida su construcción y reformas [Reglamento del BCE sobre el balance].
89. Los préstamos se clasificarán en función de la forma en que puedan recuperarse. «Préstamos para financiación de proyectos» comprenderá los préstamos que reúnan las características de las exposiciones de financiación especializada definidas en el artículo 147, apartado 8, del RRC.
6. DESGLOSE DE LOS PRÉSTAMOS Y ANTICIPOS NO DESTINADOS A NEGOCIACIÓN A SOCIEDADES NO FINANCIERAS POR CÓDIGOS NACE (6)
90. El importe en libros bruto de los préstamos y anticipos a sociedades no financieras distintos de los incluidos en las carteras de activos mantenidos para negociar o destinados a negociación se clasificará con arreglo al sector de actividad económica utilizando los códigos NACE correspondientes a la actividad principal de la contraparte.
91. La clasificación de las exposiciones conjuntas de varios deudores se realizará de conformidad con la parte 1, punto 43, del presente anexo.
92. Los códigos NACE se indicarán al primer nivel de desagregación («sección»). Las entidades consignarán los préstamos y anticipos a sociedades no financieras que realicen actividades financieras o de seguros en «K – Actividades financieras y de seguros».
93. Según las NIIF, los activos financieros susceptibles de deterioro de valor incluirán: i) activos financieros a coste amortizado, y ii) activos financieros a valor razonable con cambios en otro resultado global. Según los PCGA nacionales basados en la DCB, los activos financieros susceptibles de deterioro de valor incluirán los activos financieros valorados por un método basado en el coste, incluido el LOCOM. Dependiendo de las especificaciones de los diferentes PCGA nacionales, podrán incluir: i) activos financieros valorados a valor razonable en el patrimonio neto, y ii) activos financieros valorados por otros métodos.
7. ACTIVOS FINANCIEROS SUSCEPTIBLES DE DETERIORO VENCIDOS (7)
94. El importe en libros de los instrumentos de deuda que estén incluidos en las carteras contables susceptibles de deterioro de valor se consignará en la plantilla 7.1 únicamente si dichos instrumentos están vencidos. Los instrumentos vencidos se asignarán a los correspondientes intervalos de tiempo transcurrido desde el vencimiento en función de su situación particular.
95. Las carteras contables susceptibles de deterioro de valor se definirán con arreglo a lo indicado en el punto 93 de la presente parte.
96. Se considerará que un activo financiero está vencido cuando algún importe del principal, de los intereses o de las comisiones no haya sido abonado en la fecha de vencimiento. Las exposiciones vencidas se comunicarán por su importe en libros íntegro. El importe en libros de dichos activos se comunicará por fases de deterioro de valor o situación de deterioro del valor de conformidad con las normas contables aplicables y se desglosará en función del número de días del importe vencido más antiguo que no se haya pagado en la fecha de referencia.
8. DESGLOSE DE LOS PASIVOS FINANCIEROS (8)
97. Los «Depósitos» y el desglose por productos se definirán del mismo modo que en el Reglamento del BCE sobre el balance y, por tanto, los depósitos de ahorro regulados se clasificarán con arreglo a dicho Reglamento y se distribuirán en función de las contrapartes. En particular, se clasificarán como depósitos reembolsables con preaviso los depósitos de ahorro a la vista no transferibles, que, aun siendo legalmente reembolsables a la vista, están sujetos a penalizaciones y restricciones importantes y presentan características que los aproximan en gran medida a los depósitos a un día.
98. «Valores representativos de deuda emitidos» se desagregará en los siguientes tipos de productos:
(a) «Certificados de depósito», que serán valores que permiten a los titulares retirar fondos de una cuenta.
(b) «Bonos de titulización de activos» de conformidad con el artículo 4, apartado 1, punto 61, del RRC.
(c) «Bonos garantizados» de conformidad con el artículo 129, apartado 1, del RRC.
(d) «Contratos híbridos», que serán contratos con derivados implícitos.
(e) «Otros valores representativos de deuda emitidos», que comprenderán los valores representativos de deuda no registrados en las líneas anteriores y que se dividirán en instrumentos financieros compuestos convertibles e instrumentos no convertibles.
99. Los «Pasivos financieros subordinados» emitidos se tratarán igual que los restantes pasivos financieros. Los pasivos subordinados emitidos en forma de valores se clasificarán como «Valores representativos de deuda emitidos», mientras que los pasivos subordinados en forma de depósitos se clasificarán como «Depósitos».
100. La plantilla 8.2 recogerá el importe en libros de los «Depósitos» y «Valores representativos de deuda emitidos» que cumplan la definición de deuda subordinada, clasificado por carteras contables. Los instrumentos de «deuda subordinada» ofrecen un derecho subsidiario frente a la entidad emisora que solo puede ejercerse una vez que se hayan satisfecho todos los derechos preferentes [Reglamento del BCE sobre el balance].
101. «Cambios acumulados en el valor razonable debidos a cambios en el riesgo de crédito propio» comprenderá todos los cambios acumulados mencionados en el valor razonable, con independencia de que se reconozcan en los resultados o en otro resultado global.
9. COMPROMISOS DE PRÉSTAMO, GARANTÍAS FINANCIERAS Y OTROS COMPROMISOS (9)
102. Las exposiciones fuera de balance comprenderán las partidas fuera de balance enumeradas en el anexo I del RRC. En las plantillas 9.1, 9.1.1 y 9.2, todas las exposiciones fuera de balance enumeradas en el anexo I del RRC se desglosarán en compromisos de préstamo, garantías financieras y otros compromisos.
103. La información sobre los compromisos de préstamo, las garantías financieras y los otros compromisos concedidos y recibidos abarcará tanto los compromisos revocables como los irrevocables.
104. Los compromisos de préstamo, las garantías financieras y los demás compromisos concedidos enumerados en el anexo I del RRC pueden ser instrumentos que estén dentro del ámbito de aplicación de la NIIF 9, cuando se valoren a valor razonable con cambios en resultados, o cuando estén sujetos a los requisitos sobre deterioro del valor contenidos en la NIIF 9, así como instrumentos que estén comprendidos en el ámbito de aplicación de la NIC 37 o de la NIIF 4.
105. Según las NIIF, los compromisos de préstamo, las garantías financieras y los otros compromisos concedidos se comunicarán en la plantilla 9.1.1, cuando se cumpla cualquiera de las siguientes condiciones:
(a) que estén sujetos a los requisitos sobre deterioro de valor de la NIIF 9;
(b) que se hayan designado a valor razonable con cambios en resultados con arreglo a la NIIF 9;
(c) que entren en el ámbito de aplicación de la NIC 37 o la NIIF 4.
106. Los pasivos que deban reconocerse como pérdidas crediticias por las garantías financieras y los compromisos concedidos a que se refiere el punto 105, letras a) y c), de la presente parte se presentarán como provisiones, con independencia de los criterios de valoración aplicados.
107. Las entidades que se atengan a las NIIF comunicarán el importe nominal y las provisiones de los instrumentos que estén sujetos a los requisitos sobre deterioro de valor de la NIIF 9, incluidos los que se valoren al coste inicial menos los ingresos acumulados reconocidos, desglosados por fases de deterioro de valor.
108. Únicamente se consignará en la plantilla 9.1.1 el importe nominal del compromiso en el supuesto de que un instrumento de deuda conste al mismo tiempo de un instrumento incluido en el balance y de un componente fuera de balance. Cuando la entidad declarante no pueda determinar por separado las pérdidas crediticias esperadas correspondientes al componente dentro de balance y al componente fuera de balance, las pérdidas crediticias esperadas por el compromiso se comunicarán conjuntamente con el deterioro de valor acumulado del componente dentro de balance. Si las pérdidas crediticias esperadas combinadas exceden del importe en libros bruto del instrumento de deuda, el saldo restante de dichas pérdidas se presentará como provisión en la oportuna fase de deterioro de valor en la plantilla 9.1.1 [NIIF 9.5.5.20 y NIIF 7.B8E].
109. Cuando una garantía financiera o un compromiso de concesión de un préstamo a un tipo de interés inferior al de mercado se valore de conformidad con la NIIF 9.4.2.1.d) y la correspondiente corrección de valor por pérdidas se determine con arreglo a la NIIF 9.5.5, se consignará en la oportuna fase de deterioro de valor.
110. Cuando los compromisos de préstamo, garantías financieras y otros compromisos se valoren a valor razonable con arreglo a la NIIF 9, las entidades consignarán en la plantilla 9.1.1, en las correspondientes columnas, el importe nominal y los cambios acumulados negativos en el valor razonable de dichos compromisos y garantías financieras debidos al riesgo de crédito. Los «Cambios acumulados negativos en el valor razonable debidos al riesgo de crédito» se comunicarán aplicando los criterios del punto 69 de la presente parte.
111. El importe nominal y las provisiones de otros compromisos o garantías que entren en el ámbito de aplicación de la NIC 37 o la NIIF 4 se consignarán en las columnas específicas.
112. Las entidades que se atengan a los PCGA nacionales basados en la DCB comunicarán en la plantilla 9.1 el importe nominal de los compromisos y garantías financieras a que se refieren los puntos 102 y 103, así como el importe de las provisiones que deben mantener frente a dichas exposiciones fuera de balance.
113. Los «compromisos de préstamo» deberán ser compromisos firmes de concesión de crédito en condiciones especificadas previamente, a excepción de los derivados, por poderse liquidar estos por el importe neto en efectivo o mediante la entrega o emisión de otro instrumento financiero. Se clasificarán como «compromisos de préstamo» las siguientes partidas del anexo I del RRC:
(a) depósitos a futuro;
(b) líneas de crédito no utilizadas consistentes en compromisos de préstamo o concesión de créditos mediante aceptaciones en condiciones especificadas previamente.
114. Las «garantías financieras» deberán ser contratos que obligan al emisor a realizar pagos especificados para reembolsar al titular las pérdidas en que incurra por impago de un determinado deudor dentro del plazo establecido de acuerdo con las condiciones originales o modificadas de un instrumento de deuda, e incluirán las garantías concedidas respecto de otras garantías financieras. Según las NIIF, estos contratos habrán de atenerse a la definición de los contratos de garantía financiera de la NIIF 9.2.1.e) y la NIIF 4.A. Se clasificarán como «garantías financieras» las siguientes partidas del anexo I del RRC:
(a) garantías que sean sustitutivas de créditos;
(b) derivados de crédito que se ajusten a la definición de garantía financiera;
(c) cartas de crédito contingente irrevocables que sean sustitutivas de crédito.
115. «Otros compromisos» incluirá las siguientes partidas del anexo I del RRC:
(a) parte pendiente de desembolso de acciones y valores parcialmente desembolsados;
(b) créditos documentarios emitidos o confirmados;
(c) partidas fuera de balance de financiación comercial;
(d) créditos documentarios en los que la remesa de mercancía sirva de garantía real y otras operaciones autoliquidables;
(e) fianzas e indemnizaciones (incluidas las garantías de licitación y de buen fin) y garantías que no sean sustitutivas de crédito;
(f) garantías sobre transporte y garantías aduaneras y fiscales;
(g) líneas de emisión de pagarés (NIF) y líneas renovables de colocación de emisiones (RUF);
(h) líneas de crédito no utilizadas consistentes en compromisos de préstamo o concesión de créditos mediante aceptaciones en condiciones no especificadas previamente;
(i) líneas de crédito no utilizadas consistentes en compromisos de compra de valores o de prestación de garantías personales;
(j) líneas de crédito no utilizadas para garantías de licitación y de buen fin;
(k) otras partidas fuera de balance del anexo I del RRC.
116. Según las NIIF, se reconocen en el balance y, por tanto, no deberán comunicarse como exposiciones fuera de balance las partidas que se indican seguidamente:
(a) Los «derivados de crédito» que no se ajusten a la definición de garantía financiera son «derivados» según la NIIF 9.
(b) Las «aceptaciones» son obligaciones de una entidad de pagar a su vencimiento el valor nominal de una letra de cambio que cubre normalmente la venta de mercancías. En consecuencia, se clasifican como «Cartera comercial» en el balance.
(c) Los «efectos endosados» que no cumplen los criterios para ser dados de baja en cuentas según la NIIF 9.
(d) Las «cesiones con derecho de recurso a favor del comprador» que no cumplen los criterios para ser dadas de baja en cuentas según la NIIF 9.
(e) Los «compromisos de compra a plazo» son «derivados» según la NIIF 9.
(f) Los «acuerdos de venta con compromiso de recompra tal como se definen en el artículo 12, apartados 3 y 5, de la Directiva 86/635/CEE». En estos contratos, el cesionario tiene la opción, pero no la obligación, de devolver los elementos de activo a un precio convenido con antelación en una fecha determinada (o por determinar). Por lo tanto, estos contratos se ajustan a la definición de derivados según el apéndice A de la NIIF 9.
117. La partida «De los cuales: dudosos» reflejará el importe nominal de los citados compromisos de préstamo, garantías financieras y otros compromisos concedidos que se consideren dudosos de conformidad con los puntos 213 a 239 de la presente parte.
118. En el caso de los compromisos de préstamo, garantías financieras y otros compromisos concedidos, el «importe nominal» será el importe que mejor represente la exposición máxima de la entidad al riesgo de crédito sin tener en cuenta las garantías reales mantenidas ni cualesquiera otras mejoras del crédito. En particular, en las garantías financieras concedidas, el importe nominal será el importe máximo que la entidad podría tener que pagar si se ejecutase la garantía. En lo que se refiere a los compromisos de préstamo, el importe nominal será el importe no utilizado que la entidad se haya comprometido a prestar. Los importes nominales serán los valores de exposición antes de aplicar factores de conversión y técnicas de reducción del riesgo de crédito.
119. En la plantilla 9.2, en el caso de los compromisos de préstamo recibidos el importe nominal será el importe total no utilizado que la contraparte se ha comprometido a prestar a la entidad. En los otros compromisos recibidos, el importe nominal será el importe total comprometido por la otra parte de la transacción. En cuanto a las garantías financieras recibidas, el «importe máximo de la garantía que puede considerarse» será el importe máximo que podría tener que pagar la contraparte si se ejecutase la garantía. Cuando una garantía financiera recibida haya sido concedida por varios garantes, el importe garantizado deberá comunicarse solo una vez en esta plantilla; el importe garantizado se asignará al garante que sea más relevante para la reducción del riesgo de crédito.
10. DERIVADOS Y CONTABILIDAD DE COBERTURAS (10 Y 11)
120. A efectos de las plantillas 10 y 11, los derivados se considerarán derivados de cobertura, cuando se utilicen en una relación de cobertura que cumpla los requisitos de acuerdo con las NIIF o con los pertinentes PCGA nacionales basados en la DCB, o derivados mantenidos para negociar, en los demás casos.
121. El importe en libros y el importe nocional de los derivados mantenidos para negociar, incluidas las coberturas económicas, y de los mantenidos para contabilidad de coberturas se desglosarán por tipos de riesgo subyacente, tipos de mercados y tipos de productos en las plantillas 10 y 11. Las entidades desglosarán también los derivados mantenidos para contabilidad de coberturas por tipos de cobertura. La información sobre los instrumentos de cobertura no derivados se comunicará por separado y desglosada por tipos de cobertura.
122. Con arreglo a los pertinentes PCGA nacionales basados en la DCB, deben consignarse en estas plantillas todos los derivados, con independencia de que se reconozcan o no en el balance en virtud de los pertinentes PCGA nacionales.
123. A la hora de realizar el desglose del importe en libros, del valor razonable y del importe nocional de los derivados destinados a negociación y de cobertura por carteras contables y tipos de cobertura, se tendrán en cuenta las carteras contables y los tipos de cobertura que sean aplicables según las NIIF o los PCGA nacionales basados en la DCB, en función del marco al que esté sujeta la entidad declarante.
124. Los derivados destinados a negociación y los derivados de cobertura que, con arreglo a los PCGA nacionales basados en la DCB, se valoren al coste o al LOCOM deberán identificarse por separado.
125. La plantilla 11 reflejará los instrumentos de cobertura y los elementos cubiertos, independientemente de la norma contable utilizada para reconocer una relación de cobertura que cumpla los oportunos requisitos, incluso en el caso de que esta relación de cobertura se refiera a una posición neta. Cuando una entidad haya optado por seguir aplicando la NIC 39 a efectos de la contabilidad de coberturas [NIIF 9.7.2.21], las referencias y nombres correspondientes a los tipos de cobertura y las carteras contables se entenderán como las referencias y nombres pertinentes de la NIC 39.9: «Activos financieros valorados a valor razonable con cambios en otro resultado global» se referirá a «Activos disponibles para la venta», y «Activos a coste amortizado» englobará las partidas «Mantenidos hasta el vencimiento» y «Préstamos y partidas a cobrar».
126. Los derivados integrados en instrumentos híbridos que se hayan separado del contrato principal se consignarán en las plantillas 10 y 11 de acuerdo con su naturaleza. En estas plantillas no se incluye el importe del contrato principal. No obstante, si el instrumento híbrido se valora a valor razonable con cambios en resultados, se informará sobre el contrato en su conjunto y los derivados implícitos no se consignarán en las plantillas 10 y 11.
127. Los compromisos que se consideren derivados [NIIF 9.2.3.b)] y los derivados de crédito que no se ajusten a la definición de garantía financiera contenida en el punto 114 de la presente parte se consignarán en las plantillas 10 y 11 desglosados del mismo modo que los demás instrumentos derivados, pero no se incluirán en la plantilla 9.
128. El importe en libros de los activos financieros no derivados o los pasivos financieros no derivados que se reconozcan como instrumentos de cobertura en aplicación de las NIIF o los PCGA nacionales pertinentes basados en la DCB se comunicará por separado en la plantilla 11.3.
10.1. Clasificación de los derivados por tipos de riesgo
129. Todos los derivados se clasificarán en una de las siguientes categorías de riesgo:
(a) Tipo de interés: Los derivados de tipo de interés son contratos relativos a un instrumento financiero que devenga intereses en los que los flujos de efectivo se determinan con arreglo a tipos de interés de referencia u otro contrato de tipo de interés, como una opción sobre un contrato de futuros para comprar una letra del Tesoro. Esta categoría se restringe a aquellos contratos en los que todos los componentes están expuestos a tipos de interés en una sola moneda. Se excluyen, pues, los contratos que impliquen el cambio de una o varias divisas, como las permutas y las opciones sobre divisas, y los demás contratos en los que el riesgo predominante sea el de tipo de cambio, que han de comunicarse como contratos sobre divisas. Se exceptúan solo las permutas sobre divisas utilizadas como parte de la cobertura del riesgo de tipo de interés de una cartera, que se consignarán en las filas específicas para estos tipos de coberturas. Los contratos de tipos de interés comprenderán los contratos a plazo sobre tipos de interés, las permutas de tipos de interés en una sola moneda, los contratos de futuros sobre tipos de interés, las opciones sobre tipos de interés (incluidas las opciones cap, floor, collar y corridor), las opciones sobre permutas de tipos de interés y los certificados de opción warrants) sobre tipos de interés.
(b) Instrumentos de patrimonio: Los derivados sobre instrumentos de patrimonio son contratos en los que el rendimiento, o parte del rendimiento, está vinculado al precio de un determinado instrumento de patrimonio o a un índice de precios de instrumentos de patrimonio.
(c) Divisas y oro: Se incluyen aquí los contratos que implican un cambio de monedas en el mercado a plazo o una exposición al valor del oro. En concreto, se trata de los contratos a plazo sobre divisas, las permutas de divisas (incluidas las permutas de tipos de interés sobre divisas, los contratos de futuros sobre divisas, las opciones sobre divisas, las opciones sobre permutas de divisas y los certificados de opción sobre divisas. Los derivados sobre divisas comprenden las operaciones de todo tipo que impliquen la exposición a más de una moneda, ya sea en cuanto al tipo de interés o al tipo de cambio, salvo cuando se utilicen permutas sobre divisas como parte de la cobertura del riesgo de tipo de interés de una cartera. Los derivados sobre el oro comprenden las operaciones de todo tipo que implican una exposición al valor de este producto.
(d) Crédito: Los derivados de crédito son contratos en los que el pago está vinculado principalmente a cierta medida de la solvencia de un crédito de referencia concreto y que no cumplen la definición de garantías financieras [NIIF 9]. Especifican un intercambio de pagos en el que al menos uno de los dos componentes está determinado por el rendimiento del crédito de referencia. Los pagos pueden activarse por factores tales como un impago, una reducción de la calificación o un cambio estipulado en el diferencial de crédito del activo de referencia. Los derivados de crédito que cumplan la definición de garantía financiera del punto 114 de la presente parte del presente anexo se consignarán solo en la plantilla 9.
(e) Materias primas: Estos derivados son contratos en los que el rendimiento, o una parte del mismo, depende del precio de una materia prima o de un índice de precios de materias primas, como los metales preciosos (distintos del oro), el petróleo o productos madereros o agrícolas.
(f) Otros derivados: Se incluyen aquí los derivados que no implican una exposición al riesgo en relación con el tipo de cambio, el tipo de interés, los instrumentos de patrimonio, las materias primas o el crédito, tales como los derivados sobre el clima o los vinculados a seguros.
130. Cuando un derivado esté expuesto a varios tipos de riesgo subyacente, el instrumento deberá asignarse al tipo más sensible. En cuanto a los derivados con varias exposiciones, en caso de duda, las operaciones se asignarán con arreglo al siguiente orden de prelación:
(a) Materias primas: Se incluyen en esta categoría todas las operaciones con derivados que impliquen la exposición a una materia prima o a un índice de materias primas, independientemente de que impliquen además una exposición a cualquier otra categoría de riesgo (de tipo de cambio, de tipo de interés o sobre instrumentos de patrimonio).
(b) Instrumentos de patrimonio: Se comunicarán en esta categoría todas las operaciones con derivados que estén vinculadas al rendimiento de instrumentos de patrimonio o de índices de tales instrumentos, con la excepción de los que impliquen una exposición conjunta a materias primas y a instrumentos de patrimonio, que se comunicarán en el apartado de materias primas. Se incluyen en esta categoría las operaciones con instrumentos de patrimonio que impliquen una exposición al riesgo de tipo de cambio o de tipo de interés.
(c) Divisas y oro: Esta categoría comprende todas las operaciones con derivados (a excepción de las que se incluyan en los apartados de materias primas o de instrumentos de patrimonio) que impliquen una exposición a más de una moneda, ya se refieran a instrumentos financieros que devenguen intereses o a tipos de cambio, salvo cuando se utilicen permutas de divisas como parte de la cobertura del riesgo de tipo de interés de una cartera.
10.2. Importes que deben comunicarse en el caso de los derivados
131. Con arreglo a las NIIF, el «importe en libros» de todos los derivados (mantenidos como cobertura o para negociar) es el valor razonable. Los derivados con un valor razonable positivo (superior a cero) son «activos financieros» y los que tienen un valor razonable negativo (inferior a cero) son «pasivos financieros». Se comunicará por separado el «importe en libros» de los derivados con un valor razonable positivo («activos financieros») y de los que tengan un valor razonable negativo («pasivos financieros»). En la fecha del reconocimiento inicial, cada derivado se clasificará como «activo financiero» o como«pasivo financiero» en función de su valor razonable inicial. Después del reconocimiento inicial, a medida que el valor razonable aumente o disminuya, las condiciones del intercambio resultarán favorables para la entidad (y el derivado se clasificará como «activo financiero») o desfavorable para ella (y el derivado se clasificará como «pasivo financiero»). El importe en libros de los derivados de cobertura será igual a la totalidad de su valor razonable, incluidos, en su caso, los componentes de ese valor razonable que no estén designados como instrumentos de cobertura.
132. Además de los importes en libros según se definen en la parte 1, punto 27, del presente anexo, las entidades declarantes indicarán los valores razonables con arreglo a los PCGA nacionales basados en la DCB por lo que atañe a todos los instrumentos derivados, ya deban consignarse en el balance o fuera de balance conforme a dichos PCGA nacionales basados en la DCB.
133. El «importe nocional» es el nominal bruto de todas las operaciones celebradas y aún no liquidadas en la fecha de referencia, con independencia de que las exposiciones frente a derivados a que den lugar esas operaciones se consignen o no en el balance. En particular, para determinar el importe nocional se debe tener en cuenta lo siguiente:
(a) En los contratos en los que el importe nominal o nocional del principal sea variable, la base para el suministro de información será el importe nominal o nocional del principal en la fecha de referencia.
(b) El importe nocional que se comunicará en los contratos de derivados con un componente multiplicador será el importe nocional efectivo del contrato o el valor nominal.
(c) Permutas financieras: El importe nocional de una permuta financiera es el importe del principal subyacente en que se basa el intercambio de intereses, de divisas o de otros ingresos o gastos.
(d) Contratos vinculados a instrumentos de patrimonio y a materias primas: El importe nocional que se comunicará en los contratos vinculados a instrumentos de patrimonio o a materias primas será la cantidad de instrumentos de patrimonio o de materias primas cuya compra o venta se contrate, multiplicada por el precio unitario previsto en el contrato. El importe nocional que se comunicará en los contratos vinculados a materias primas con varios intercambios de principal será el importe del contrato, multiplicado por el número de intercambios que resten.
(e) Derivados de crédito: El importe del contrato que se comunicará en el caso de los derivados de crédito será el valor nominal del crédito de referencia correspondiente.
(f) Las opciones digitales tienen un pago predefinido que puede ser un importe monetario o un determinado número de contratos sobre un subyacente. El importe nocional de las opciones digitales se define como el importe monetario predefinido o el valor razonable del subyacente en la fecha de referencia.
134. La columna «Importe nocional» de los derivados comprende, para cada partida, la suma de los importes nocionales de todos los contratos en los que la entidad sea contraparte, independientemente de que los derivados se consideren activos o pasivos en el balance o no se consignen en el balance. Se comunicarán todos los importes nocionales, independientemente de que el valor razonable de los derivados sea positivo, negativo o igual a cero. No se permite la compensación entre importes nocionales.
135. El «Importe nocional» se comunicará desglosado en «Total» y «Del cual: vendido» en relación con las partidas: «Opciones OTC», «Opciones en mercados organizados», «Crédito», «Materias primas» y «Otros». «Del cual: vendido» comprende los importes nocionales (precio de ejercicio) de los contratos en los que las contrapartes (titulares de la opción) de la entidad (emisor de la opción) tengan derecho a ejercer la opción y, en el caso de las partidas relativas a derivados de riesgo de crédito, los importes nocionales de los contratos en los que la entidad (vendedor de la protección) haya vendido (concedido) protección a sus contrapartes (compradores de la protección).
136. La asignación de una operación a «OTC» o «Mercados organizados» se basará en la naturaleza del mercado en que tenga lugar dicha operación y no en si tal operación está obligatoriamente sujeta a compensación. Se entenderá por «mercado organizado» un mercado regulado a tenor del artículo 4, punto 92, del RRC. Así, si una entidad declarante celebra un contrato de derivados en un mercado OTC en el que la compensación central es obligatoria, dicha entidad clasificará ese derivado en «OTC» y no en «Mercados organizados».
10.3. Derivados clasificados como «coberturas económicas»
137. Los derivados mantenidos para fines de cobertura que no cumplan los requisitos para ser considerados instrumentos de cobertura eficaces de acuerdo con la NIIF9, con la NIC 39 cuando esta se aplique a efectos de la contabilidad de coberturas, o con el marco contable aplicable en virtud de los PCGA nacionales basados en la DCB se consignarán en la plantilla 10 como «coberturas económicas». Esto será válido también en todos los siguientes casos:
(a) Derivados de cobertura de instrumentos de patrimonio no cotizados cuyo coste pueda ser una estimación adecuada del valor razonable.
(b) Derivados de crédito valorados a valor razonable con cambios en resultados utilizados para gestionar el riesgo de crédito de la totalidad o parte de un instrumento financiero valorado a valor razonable con cambios en resultados en el momento del reconocimiento inicial o posteriormente, o mientras no esté reconocido de acuerdo con la NIIF 9.6.7.
(c) Derivados clasificados como «mantenidos para negociar» conforme a la NIIF 9, apéndice A, o activos destinados a negociación con arreglo a los PCGA nacionales basados en la DCB, pero que no formen parte de la cartera de negociación tal como se define en el artículo 4, apartado 1, punto 86 del RRC.
138. «Coberturas económicas» no comprenderá los derivados para negociar por cuenta propia.
139. Los derivados que cumplan la definición de «coberturas económicas» se desglosarán por tipos de riesgo en la plantilla 10.
140. Los derivados de crédito utilizados para gestionar el riesgo de crédito de la totalidad o parte de un instrumento financiero valorado a valor razonable con cambios en resultados en el momento del reconocimiento inicial o posteriormente, o mientras no esté reconocido de acuerdo con la NIIF 9.6.7, se notificarán en un fila específica de la plantilla 10 en riesgo de crédito. Las demás coberturas económicas del riesgo de crédito en relación con las cuales la entidad declarante no aplique la NIIF 9.6.7 se notificarán por separado.
10.4. Desglose de los derivados por sectores de las contrapartes
141. El importe en libros y el importe nocional total de los derivados mantenidos para negociar, así como de los derivados mantenidos a efectos de la contabilidad de coberturas, que se negocien en el mercado no organizado, se desglosarán por contrapartes según las categorías siguientes:
(a) «entidades de crédito»;
(b) «otras sociedades financieras»;
(c) «resto», que comprende las demás contrapartes.
142. Todos los derivados OTC, independientemente del tipo de riesgo que impliquen, se desglosarán distinguiendo entre esas mismas contrapartes.
10.5. Contabilidad de coberturas según los PCGA nacionales (11.2)
143. Cuando los PCGA nacionales basados en la DCB exijan que los derivados de cobertura se asignen por categoría de coberturas, dichos derivados se notificarán por separado por cada una de las categorías aplicables: «coberturas del valor razonable», «coberturas de flujos de efectivo», «coberturas a precio de coste», «cobertura de las inversiones netas en negocios en el extranjero», «coberturas de valor razonable del riesgo de tipo de interés de la cartera» y «coberturas de flujos de efectivo del riesgo de tipo de interés de la cartera».
144. Cuando proceda en virtud de los PCGA nacionales basados en la DCB, las «coberturas a precio de coste» se referirán a una categoría de cobertura en la que el derivado de cobertura se valore generalmente al coste.
10.6. Importes que deben comunicarse en el caso de los instrumentos de cobertura distintos de los derivados (11.3 y 11.3.1)
145. En el caso de los instrumentos de cobertura distintos de los derivados, el importe que debe comunicarse es el importe en libros según las normas de valoración aplicables a las carteras contables a las que pertenezcan, de acuerdo con las NIIF o los PCGA basados en la DCB. No se comunicará ningún «importe nocional» para los instrumentos de cobertura distintos de los derivados.
10.7. Elementos cubiertos mediante coberturas del valor razonable
146. El importe en libros de los elementos cubiertos mediante coberturas del valor razonable reconocidos en el estado de situación financiera se desglosará por carteras contables y por tipo de riesgo cubierto en lo que respecta a los activos financieros cubiertos y los pasivos financieros cubiertos. Si un instrumento financiero está cubierto en relación con más de un riesgo, se comunicará dentro del tipo de riesgo según en el cual el instrumento de cobertura deba comunicarse conforme al punto 129.
147. Por «microcoberturas» se entenderán las coberturas distintas de las coberturas del riesgo de tipo de interés de la cartera conforme a la NIC 39.89A. Las microcoberturas incluirán las coberturas de posiciones netas conforme a la NIIF 9.6.6.
148. «Ajustes de las microcoberturas» comprenderá todos los ajustes de cobertura de todas las microcoberturas según se definen en el punto 147.
149. «Ajustes de cobertura incluidos en el importe en libros de activos/pasivos» será igual al importe acumulado de las pérdidas y ganancias sobre los elementos cubiertos por las que se haya ajustado el importe en libros de esos elementos y que hayan sido reconocidas en resultados. Los ajustes de cobertura de los elementos cubiertos que constituyan instrumentos de patrimonio valorados a valor razonable con cambios en otro resultado global se consignarán en la plantilla 1.3. No se comunicarán los ajustes de cobertura por compromisos en firme no reconocidos o un componente de estos.
150. «Resto de ajustes por microcoberturas interrumpidas incluidas las coberturas de posiciones netas» comprenderá los ajustes de cobertura que, tras la interrupción de la relación de cobertura y el final del ajuste de los elementos cubiertos por pérdidas y ganancias de la cobertura, deban aún amortizarse en resultados mediante un tipo de interés efectivo recalculado para los elementos cubiertos valorados a coste amortizado, o al importe que represente las pérdidas y ganancias acumuladas de la cobertura previamente reconocidas en relación con los activos cubiertos valorados a valor razonable con cambios en otro resultado global.
151. Cuando un grupo de activos financieros o pasivos financieros, incluido un grupo de activos financieros o pasivos financieros que constituyan una posición neta, pueda considerarse un elemento cubierto, los activos y pasivos financieros que conforman este grupo se comunicarán por su importe en libros en términos brutos, antes de la compensación entre instrumentos dentro del grupo, en «Activos o pasivos incluidos en la cobertura de una posición neta (antes de compensación)».
152. «Elementos cubiertos de una cartera con cobertura del riesgo de tipo de interés» comprenderá los activos financieros y los pasivos financieros incluidos en una cobertura del valor razonable de la exposición al tipo de interés de una cartera de activos financieros o pasivos financieros. Estos instrumentos financieros se comunicarán por su importe en libros en términos brutos, antes de la compensación entre instrumentos dentro de la cartera.
11. MOVIMIENTOS EN LAS CORRECCIONES DE VALOR Y PROVISIONES POR PÉRDIDAS CREDITICIAS (12)
11.1. Movimientos en las correcciones de valor por pérdidas crediticias y deterioro del valor de los instrumentos de patrimonio conforme a los PCGA nacionales basados en la DCB (12.0)
153. La plantilla 12.0 contiene una conciliación de los saldos de apertura y cierre de la cuenta correctora de valor de activos financieros valorados según métodos basados en el coste, así como activos financieros valorados según otros métodos de valoración o a valor razonable con cambios en el patrimonio neto si los PCGA nacionales basados en la DCB exigen que esos activos sean susceptibles de deterioro. Los ajustes de valor de activos valorados por el menor entre el coste y el valor de mercado no se consignarán en la plantilla 12.0.
154. Se comunicarán «aumentos debidos a dotaciones para pérdidas crediticias estimadas durante el período» cuando, en relación con la categoría principal de los activos o la contraparte, la estimación del deterioro de valor durante el período se traduzca en el reconocimiento de gastos netos; es decir, cuando, en relación con la categoría o la contraparte determinadas, los aumentos del deterioro de valor durante el período superen las disminuciones. Se comunicarán «disminuciones debidas a importes para pérdidas crediticias estimadas durante el período revertidos» cuando, en relación con la categoría principal de los activos o la contraparte, la estimación del deterioro de valor durante el período se traduzca en el reconocimiento de ingresos netos; es decir, cuando, en relación con la categoría o la contraparte determinadas, las disminuciones del deterioro de valor durante el período superen los aumentos.
155. Los cambios en los importes de las correcciones de valor por reembolsos y enajenaciones de activos financieros se comunicarán en «Otros ajustes». Los fallidos dados de baja se comunicarán con arreglo a los párrafos 72 a 74.
11.2. Movimientos en las correcciones de valor y provisiones por pérdidas crediticias según las NIIF (12.1)
156. La plantilla 12.1 contiene una conciliación de los saldos de apertura y de cierre de la cuenta correctora de valor de los activos financieros valorados a coste amortizado y a valor razonable con cambios en otro resultado global desglosada por fases de deterioro de valor, por instrumento y por contraparte.
157. Las provisiones por exposiciones fuera de balance sujetas a los requisitos de deterioro de valor de la NIIF 9 se comunicarán por fases de deterioro. El deterioro de valor por compromisos de préstamo se comunicará en provisiones solo si no se toman conjuntamente con el deterioro del valor de los activos del balance de acuerdo con la NIIF 9.7.B8E y el punto 108 de la presente parte. Los movimientos en las provisiones por compromisos y garantías financieras valorados conforme a la NIC 37, así como garantías financieras tratadas como contratos de seguro conforme a la NIIF 4, no se consignarán en la presente plantilla sino en la plantilla 43. Las variaciones en el valor razonable por riesgo de crédito de los compromisos y las garantías financieras valorados a valor razonable con cambios en resultados de acuerdo con la NIIF 9 no se comunicarán en la presente plantilla, sino en la partida «Ganancias o (-) pérdidas por activos y pasivos financieros designados a valor razonable con cambios en resultados, netas», conforme al punto 50 de la presente parte.
158. «De las cuales: correcciones de valor valoradas colectivamente» y «De las cuales: correcciones de valor valoradas individualmente» incluirán los movimientos en el importe acumulado del deterioro de valor conexo a activos financieros que hayan sido valorados, respectivamente, de forma colectiva o individual.
159. «Aumentos por originación y adquisición» comprenderá el importe de los aumentos de las pérdidas esperadas contabilizadas en el reconocimiento inicial de los activos financieros originados o adquiridos. Este aumento de la corrección de valor se comunicará en la primera fecha de referencia de la información tras la originación o adquisición de los activos financieros. Los aumentos o disminuciones de las pérdidas esperadas en relación con esos activos financieros después de su reconocimiento inicial se comunicarán en otras columnas, según proceda. Los activos originados o adquiridos comprenderán los activos resultantes del uso de compromisos del balance concedidos.
160. «Disminuciones por baja en cuentas» comprenderá el importe de los cambios en las pérdidas esperadas por activos financieros dados de baja en cuentas totalmente durante el período de referencia por razones distintas de la baja en cuentas de fallidos, e incluirá las transferencias a terceros o la extinción de los derechos contractuales por pleno reembolso, enajenación de esos activos financieros o su transferencia a otra cartera contable. La variación en la corrección de valor se reconocerá en esta columna en la primera fecha de referencia de la información tras el reembolso, la enajenación o la transferencia. En las exposiciones fuera de balance, esta partida comprenderá también las disminuciones en el deterioro de valor debidas a que la partida fuera de balance pase a formar parte del balance.
161. «Cambios por variación del riesgo de crédito (neto)» comprenderá el importe neto de los cambios en las pérdidas esperadas al final del período de referencia por aumento o disminución del riesgo de crédito desde el reconocimiento inicial, hayan dado lugar o no a la transferencia del activo financiero a otra fase. La incidencia sobre la corrección de valor del aumento o la disminución del importe de los activos financieros como consecuencia de los ingresos por intereses devengados y pagados se comunicará en esta columna. Esta partida también incluirá el efecto del paso del tiempo sobre las pérdidas esperadas de acuerdo con la NIIF 9.5.4.1.a) y b). Los cambios en las estimaciones por actualizaciones o revisión de los parámetros de riesgo y los cambios en los datos económicos prospectivos se comunicarán también en esta columna. Los cambios en las pérdidas esperadas por reembolso parcial de las exposiciones por tramos se comunicarán en esta columna, excepto el último tramo, que se comunicará en la columna «Disminuciones por baja en cuentas».
162. Todos los cambios en las pérdidas crediticias esperadas relacionadas con exposiciones renovables se comunicarán en «Cambios por variación del riesgo de crédito (neto)», excepto cuando se trate de cambios relacionados con fallidos y actualizaciones del método utilizado por la entidad para estimar las pérdidas crediticias. Serán exposiciones renovables aquellas con respecto a las cuales se permita que los saldos vivos de los clientes fluctúen en función de sus decisiones de tomar en préstamo y reembolsar hasta un límite establecido por la entidad.
163. «Cambios por actualización del método de estimación de la entidad (neto)» comprenderá los cambios por actualizaciones del método utilizado por la entidad para estimar las pérdidas esperadas debido a cambios en los modelos ya existentes utilizados para estimar el deterioro de valor o al establecimiento de nuevos modelos. Las actualizaciones metodológicas incluirán también la incidencia de la adopción de nuevas normas. Los cambios metodológicos por los que un activo cambie de fase de deterioro se considerarán un cambio íntegro de modelo. Los cambios en las estimaciones por actualizaciones o revisión de los parámetros de riesgo y los cambios en los datos económicos prospectivos no se comunicarán en esta columna.
164. La comunicación de los cambios en las pérdidas esperadas en relación con activos modificados [NIIF 9.5.4.3 y apéndice A] dependerá de las características de la modificación, de acuerdo con lo siguiente:
(a) Si la modificación da lugar a la baja en cuentas total o parcial de un activo como consecuencia de un fallido a tenor del punto 74, la incidencia sobre las pérdidas esperadas de la baja en cuentas se comunicará en «Disminución de la cuenta correctora de valor por fallidos dados de baja» y cualquier otro efecto de la modificación sobre las pérdidas crediticias esperadas en otras columnas adecuadas.
(b) Si la modificación da lugar a la baja en cuentas completa de un activo por razones distintas de un fallido a tenor del punto 74 y su sustitución por un nuevo activo, la incidencia de la modificación sobre las pérdidas crediticias esperadas se comunicará en «Cambios por baja en cuentas» por los cambios debidos a la baja en cuentas del activo, y en «Aumentos por originación y adquisición» por los cambios debidos al activo modificado recién reconocido. La baja en cuentas por razones distintas de la baja en cuentas de fallidos comprenderá la baja en cuentas cuando las condiciones de los activos modificados hayan sufrido cambios sustanciales.
(c) Si la modificación no da lugar a la baja en cuentas de la totalidad o una parte del activo modificado, su incidencia en las pérdidas esperadas se comunicará en «Cambios por modificaciones sin baja en cuentas».
165. Los fallidos se comunicarán de acuerdo con los puntos 72 a 74 de la presente parte del presente anexo y de acuerdo con lo siguiente:
(a) Si el instrumento de deuda ha sido dado de baja en cuentas en su totalidad o en parte al no existir expectativas razonables de recuperación, la disminución en la corrección de valor por pérdidas comunicada debida a los importes de los fallidos dados de baja se comunicará en: «Disminución en la cuenta correctora de valor por fallidos dados de baja».
(b) «Importes de los fallidos dados de baja directamente en el estado de resultados» comprenderá los importes de los activos financieros dados de baja como fallidos durante el período de referencia que excedan de cualquier posible cuenta correctora del valor de los correspondientes activos financieros en la fecha de baja en cuentas. Incluirá los importes de todos los fallidos dados de baja durante el período de referencia y no solo aquellos que estén aún sujetos a procedimiento de apremio.
166. «Otros ajustes» comprenderá todo importe no comunicado en las columnas precedentes, incluidos, entre otros, los importes de los ajustes por pérdidas esperadas debido a diferencias de cambio cuando ello resulte coherente con la consignación de la incidencia del tipo de cambio en la plantilla 2.
11.3. Transferencias entre fases de deterioro de valor (presentación en términos brutos) (12.2)
167. El importe en libros bruto de los activos financieros y el importe nominal transferido entre fases de deterioro durante el periodo de referencia correspondientes a las exposiciones fuera de balance sujetas a los requisitos sobre deterioro de valor de la NIIF 9 se consignarán en la plantilla 12.2.
168. Solo se comunicará el importe en libros bruto o el importe nominal de los activos financieros o las exposiciones fuera de balance que se hallen en la fecha de referencia de la información en una fase de deterioro de valor diferente a aquella en la que se hallaban al principio del ejercicio o en el momento de su reconocimiento inicial. En las exposiciones del balance en relación con las cuales el deterioro de valor consignado en la plantilla 12.1 incluya un componente fuera de balance [NIIF 9.5.5.20 y NIIF 7.B8E], se considerará el cambio de fase del componente del balance y el componente fuera de balance.
169. En la comunicación de las transferencias que hayan tenido lugar durante el ejercicio, los activos financieros o las exposiciones fuera de balance que hayan cambiado múltiples veces de fase de deterioro desde el principio del ejercicio o desde su reconocimiento inicial se comunicarán como transferidas desde su fase de deterioro en la apertura del ejercicio o en el reconocimiento inicial a la fase de deterioro en que se incluyan en la fecha de referencia de la información.
170. El importe en libros bruto o el importe nominal que se consignará en la plantilla 12.2 será el importe en libros bruto o el valor nominal en la fecha de información, ya fuera o no más elevado ese importe en la fecha de transferencia.
12. GARANTÍAS REALES Y PERSONALES RECIBIDAS (13)
12.1. Desglose de las garantías reales y personales por préstamos y anticipos distintos de los mantenidos para negociar (13.1)
171. Las garantías reales y personales de los préstamos y anticipos se comunicarán, independientemente de su forma jurídica, por tipo de garantía: préstamos garantizados por bienes inmuebles y otros préstamos con garantía real, y por garantías financieras recibidas. Los préstamos y anticipos se desglosarán en función de las contrapartes y de la finalidad.
172. En la plantilla 13.1, se consignará el «importe máximo de la garantía real o personal que puede considerarse». La suma de los importes de las garantías reales y/o financieras que aparezcan en las columnas correspondientes de la plantilla 13.1 no podrá superar el importe en libros del préstamo de que se trate.
173. Para comunicar los préstamos y anticipos clasificados en función del tipo de garantía se utilizarán las definiciones siguientes:
(a) Dentro de «Préstamos garantizados por bienes inmuebles», «Inmuebles residenciales» comprenderá los préstamos garantizados por bienes inmuebles residenciales e «Inmuebles comerciales» comprenderá los préstamos garantizados por bienes inmuebles no residenciales, incluidos oficinas y locales comerciales y otro tipo de bienes inmuebles comerciales. Se determinará si los bienes inmuebles de garantía son residenciales o comerciales a la luz del RRC.
(b) Dentro de «Otros préstamos con garantías reales», «Efectivo [instrumentos de deuda emitidos]» comprenderá: a) los depósitos en la entidad declarante que se hayan pignorado en garantía de un préstamo; y b) los valores representativos de deuda emitidos por la entidad declarante que se hayan pignorado en garantía de un préstamo. En «Resto» se incluirán las garantías sobre otros valores emitidos por terceros o las garantías sobre otros activos.
(c) «Garantías financieras recibidas» comprenderá los contratos que, de acuerdo con el punto 114 de la presente parte del presente anexo, obliguen al emisor a realizar pagos especificados para reembolsar a la entidad las pérdidas en que incurra por impago de un deudor determinado al vencimiento según las condiciones originales o modificadas de un instrumento de deuda.
174. Para los préstamos y anticipos que tengan simultáneamente más de un tipo de garantía real o personal, el «importe máximo de la garantía real o personal que puede considerarse» se asignará en función de su calidad, empezando por la de calidad mejor. Para los préstamos garantizados por bienes inmuebles, estos se comunicarán siempre primero, sea cual sea su calidad frente a otras garantías. Cuando el «Importe máximo de la garantía real o personal que puede considerarse» sea superior al valor del inmueble de garantía, el remanente de valor se asignará a otros tipos de garantías reales y a garantías personales en función de su calidad, empezando por la de más calidad.
12.2. Garantías reales obtenidas mediante toma de posesión durante el período [mantenidas en la fecha de información] (13.2)
175. Esta plantilla comprenderá el importe en libros de las garantías reales que se hayan obtenido entre el inicio y el final del período de referencia y que sigan reconocidas en el balance en la fecha de referencia.
12.3. Garantías reales obtenidas mediante toma de posesión [activos tangibles] acumuladas (13.3)
176. «Adjudicados [activos tangibles]» se corresponderá con el importe en libros acumulado de los bienes tangibles obtenidos mediante toma de posesión de garantías reales que sigan reconocidas en el balance en la fecha de referencia, excluyendo los clasificados como «Inmovilizado material».
13. JERARQUÍA DEL VALOR RAZONABLE: INSTRUMENTOS FINANCIEROS AL VALOR RAZONABLE (14)
177. Las entidades comunicarán los instrumentos financieros valorados a valor razonable según la jerarquía establecida en la NIIF 13.72. Cuando los PCGA nacionales basados en la DCB exijan también que los activos valorados a valor razonable se asignen a distintos niveles de valor razonable, las entidades que apliquen los PCGA nacionales cumplimentarán también esta plantilla.
178. «Cambio en el valor razonable para el período» comprenderá las pérdidas o ganancias resultantes de nuevas valoraciones conforme a la NIIF 9, la NIIF 13 o los PCGA nacionales, en su caso, durante el período, de los instrumentos que sigan vigentes en la fecha de información. Estas pérdidas y ganancias se comunicarán tal como deban incluirse en el estado de resultados o, en su caso, en el estado de otro resultado global; por tanto, los importes comunicados serán antes de impuestos.
179. «Cambio acumulado en el valor razonable antes de impuestos» comprenderá el importe de las pérdidas o ganancias resultantes de nuevas valoraciones de los instrumentos acumuladas desde el reconocimiento inicial hasta la fecha de referencia.
14. BAJA EN CUENTAS Y PASIVOS FINANCIEROS ASOCIADOS A ACTIVOS FINANCIEROS TRANSFERIDOS (15)
180. La plantilla 15 comprenderá información sobre los activos financieros transferidos que en parte o en su totalidad no reúnan las condiciones para darlos de baja en cuentas, y los activos financieros dados de baja plenamente sobre los que la entidad mantenga derechos de administración.
181. Los pasivos correspondientes se comunicarán con arreglo a la cartera en la que los activos financieros transferidos se hayan incluido en el lado del activo y no con arreglo a la cartera en que se hayan incluido en el lado del pasivo.
182. La columna «Importe dado de baja en cuentas a efectos de capital» comprenderá el importe en libros de los activos financieros reconocidos a efectos contables, pero dados de baja a efectos prudenciales debido a que la entidad los trata como posiciones de titulización a efectos de capital de conformidad con los artículos 109, 243 y 244 del RRC.
183. Los «pactos de recompra» son operaciones en las que la entidad recibe efectivo a cambio de activos financieros vendidos a un precio determinado con el compromiso de recomprar esos mismos activos (u otros idénticos) a un precio fijo en una fecha futura especificada. Se considerarán también «pactos de recompra» las operaciones que conlleven la trasferencia temporal de oro contra garantía real en efectivo. Los importes recibidos por la entidad a cambio de los activos financieros transferidos a un tercero («adquirente temporal») se clasificarán en «pactos de recompra» cuando exista el compromiso de revertir la operación y no solo la opción de hacerlo. Los pactos de recompra incluirán también las operaciones asimilables, que pueden incluir lo siguiente:
(a) importes recibidos a cambio de valores temporalmente transferidos a un tercero mediante préstamo de valores contra garantía real en efectivo;
(b) importes recibidos a cambio de valores temporalmente transferidos a un tercero mediante venta/venta con acuerdo de recompra.
184. Los «pactos de recompra» y los «préstamos de recompra inversa» comprenden el efectivo recibido o prestado por la entidad.
185. En una operación de titulización, cuando los activos financieros transferidos se den de baja en cuentas, las entidades declararán las ganancias (pérdidas) generadas por el elemento en el estado de resultados correspondiente a las «carteras contables» en las que estuvieran incluidos los activos financieros antes de su baja.
15. DESGLOSE DE PARTIDAS SELECCIONADAS DEL ESTADO DE RESULTADOS (16)
186. En partidas seleccionadas del estado de resultados se realizarán desgloses adicionales de las ganancias (o ingresos) y las pérdidas (o gastos).
15.1. Desglose de los ingresos y gastos en concepto de intereses, por instrumentos y sectores de las contrapartes (16.1)
187. Los ingresos por intereses se desglosarán de acuerdo con lo siguiente:
(a) ingresos por intereses de activos financieros y de otro tipo;
(b) ingresos por intereses de pasivos financieros con tipo de interés efectivo negativo.
188. Los gastos por intereses se desglosarán de acuerdo con lo siguiente:
(a) gastos por intereses de pasivos financieros y de otro tipo;
(b) gastos por intereses de activos financieros con tipo de interés efectivo negativo.
189. Los ingresos por intereses de activos financieros y pasivos financieros con tipo de interés efectivo negativo comprenderán los ingresos por intereses de los derivados mantenidos para negociar, de los valores representativos de deuda y de los préstamos y anticipos, así como de los depósitos, los valores representativos de deuda emitidos y otros pasivos financieros con tipo de interés efectivo negativo.
190. Los gastos por intereses de pasivos financieros y activos financieros con tipo de interés efectivo negativo comprenderán los gastos por intereses de los derivados mantenidos para negociar, de los depósitos, de los valores representativos de deuda emitidos y de otros pasivos financieros, así como de los valores representativos de deuda y los préstamos y anticipos con tipo de interés efectivo negativo.
191. A efectos de la plantilla 16.1, las posiciones cortas se incluirán en otros pasivos financieros. Se tendrán en cuenta todos los instrumentos de las diversas carteras, excepto los incluidos en «Derivados - Contabilidad de coberturas» no utilizados para cubrir el riesgo de tipo de interés.
192. «Derivados - Contabilidad de coberturas, riesgo de tipo de interés» comprenderá los ingresos por intereses y los gastos por instrumentos de cobertura cuando los elementos cubiertos generen intereses.
193. Cuando se utilice el precio limpio, los intereses de los derivados mantenidos para negociar comprenderán los importes correspondientes a aquellos de esos derivados que cumplan los requisitos para considerarse «coberturas económicas» y que se incluyan como ingresos por intereses o gastos por intereses para corregir los ingresos y los gastos de los instrumentos financieros cubiertos desde un punto de vista económico, pero no desde un punto de vista contable. En tal caso, los ingresos por intereses de derivados de cobertura económica se comunicarán por separado dentro de los ingresos por intereses de derivados destinados a negociación. El importe prorrata temporis de las comisiones y los pagos compensatorios en relación con los derivados de crédito valorados a valor razonable y utilizados para gestionar el riesgo de crédito de la totalidad o parte de un instrumento financiero designado a valor razonable en ese momento se comunicará también dentro de los intereses de derivados mantenidos para negociar.
194. Según las NIIF, «de los cuales: ingresos por intereses de activos financieros con deterioro» comprenderá los ingresos por intereses de activos financieros con deterioro crediticio, incluidos los activos financieros con deterioro crediticio adquiridos u originados. Según los PCGA nacionales basados en la DCB, incluirá los ingresos por intereses de activos con deterioro con una corrección de valor por deterioro específica y genérica por riesgo de crédito.
15.2. Ganancias o pérdidas al dar de baja en cuentas activos y pasivos financieros no valorados a valor razonable con cambios en resultados, por instrumentos (16.2)
195. Las pérdidas y ganancias al dar de baja en cuentas activos y pasivos financieros no valorados a valor razonable con cambios en resultados se desglosarán por tipos de instrumentos financieros y por carteras contables. Para cada partida se comunicará la pérdida o ganancia neta realizada resultante de la operación dada de baja en cuentas. El importe neto representa la diferencia entre las ganancias y las pérdidas realizadas.
196. La plantilla 16.2 se aplicará con arreglo a las NIIF a los activos y pasivos financieros a coste amortizado, y los instrumentos de deuda valorados a valor razonable con cambios en otro resultado global. Según los PCGA nacionales basados en la DCB, la plantilla 16.2 se aplicará a los activos financieros valorados por un método basado en el coste, a valor razonable con cambios en el patrimonio neto, y por otros métodos de valoración como el menor entre el coste y el valor de mercado. Las pérdidas y ganancias de instrumentos financieros clasificados como destinados a negociación con arreglo a los pertinentes PCGA nacionales basados en la DCB no se consignarán en esta plantilla, con independencia de las normas de valoración aplicables a dichos instrumentos.
15.3. Ganancias o pérdidas de activos y pasivos financieros mantenidos para negociar, por instrumentos (16.3)
197. Las pérdidas y ganancias de activos y pasivos financieros mantenidos para negociar se desglosarán por tipos de instrumentos; cada partida del desglose será el importe neto realizado y no realizado (ganancias menos pérdidas) del instrumento financiero.
198. Las pérdidas y ganancias procedentes de la negociación de divisas en el mercado al contado, con exclusión del cambio de monedas y billetes extranjeros, deben incluirse como pérdidas y ganancias de negociación. Las pérdidas y ganancias procedentes de la negociación de metales preciosos o la baja en cuentas y nueva valoración no se incluirán en pérdidas y ganancias de negociación sino en «Otros ingresos de explotación» u «Otros gastos de explotación» de acuerdo con el punto 316 de la presente parte.
199. La partida «de los cuales: coberturas económicas con uso de la opción del valor razonable» comprenderá solo las pérdidas y ganancias por derivados de crédito valorados a valor razonable con cambios en resultados y utilizados para gestionar el riesgo de crédito de la totalidad o parte de un instrumento financiero designado a valor razonable con cambios en resultados en ese momento conforme a la NIIF 9.6.7. Las pérdidas y ganancias por reclasificación de activos financieros que pasen de la cartera contable a coste amortizado a la cartera contable a valor razonable con cambios en resultados o a la cartera mantenida para negociar [NIIF 9.5.6.2] se comunicarán en «De las cuales: ganancias y pérdidas por reclasificación de activos a coste amortizado».
15.4. Ganancias o pérdidas por activos y pasivos financieros mantenidos para negociar, por riesgos (16.4)
200. Las pérdidas y ganancias de activos y pasivos financieros mantenidos para negociar se desglosarán también por tipos de riesgo; cada partida del desglose será el importe neto realizado y no realizado (ganancias menos pérdidas) del riesgo subyacente (de tipo de interés, de patrimonio, de tipo de cambio, de crédito, de materias primas y otros) asociado a la exposición, incluidos los derivados relacionados. Las pérdidas y ganancias por diferencias de cambio se incluirán en la partida en la que se incluya el resto de las pérdidas y ganancias resultantes del instrumento convertido. Las pérdidas y ganancias de activos financieros y pasivos financieros distintos de los derivados se incluirán en las siguientes categorías de riesgo:
(a) Tipo de interés: que incluirá la negociación de préstamos y anticipos, depósitos y valores representativos de deuda (mantenidos o emitidos);
(b) Instrumentos de patrimonio: que incluirá la negociación de acciones, participaciones en OICVM y otros instrumentos de patrimonio.
(c) Negociación de divisas: que incluirá exclusivamente la negociación de divisas.
(d) Riesgo de crédito: que incluirá la negociación de los bonos con vinculación crediticia.
(e) Materias primas: que incluirá solo derivados, pues las pérdidas y ganancias procedentes de materias primas mantenidas con intención de negociar se comunicarán en «Otros ingresos de explotación» u «Otros gastos de explotación» conforme al punto 316 de la presente parte.
(f) Otros: que incluirá la negociación de instrumentos financieros que no puedan clasificarse en otros desgloses.
15.5. Ganancias o pérdidas por activos financieros no destinados a negociación valorados obligatoriamente a valor razonable con cambios en resultados, por instrumentos (16.4.1)
201. Las pérdidas y ganancias por activos financieros no destinados a negociación valorados obligatoriamente a valor razonable con cambios en resultados se desglosarán por tipo de instrumento; cada partida del desglose será el importe neto realizado y no realizado (ganancias menos pérdidas) del instrumento financiero.
202. Las pérdidas y ganancias por reclasificación de activos financieros que pasen de la cartera contable a coste amortizado a la cartera contable de activos financieros no destinados a negociación obligatoriamente valorados a valor razonable con cambios en resultados [NIIF 9.5.6.2] se comunicarán en «De las cuales: ganancias y pérdidas por reclasificación de activos a coste amortizado».
15.6. Ganancias o pérdidas por activos y pasivos financieros designados a valor razonable con cambios en resultados, por instrumentos (16.5)
203. Las pérdidas y ganancias por activos y pasivos financieros designados a valor razonable con cambios en resultados se desglosarán por tipos de instrumentos. Las entidades comunicarán los importes netos realizados y no realizados de las pérdidas y ganancias y el importe de los cambios en el valor razonable de los pasivos financieros en el período debidos a cambios en el riesgo de crédito (riesgo de crédito propio del prestatario o del emisor) cuando el riesgo de crédito propio no se comunique en otros ingresos de explotación.
204. Cuando un derivado de crédito valorado a valor razonable se utilice para gestionar el riesgo de crédito de la totalidad o parte de un instrumento financiero designado a valor razonable con cambios en resultados en ese momento, las pérdidas o ganancias del instrumento financiero por tal designación se comunicarán en «De las cuales: ganancias o (-) pérdidas en la designación de activos y pasivos financieros designados a valor razonable con cambios en resultados para fines de cobertura, netas». Las posteriores pérdidas y ganancias a valor razonable por estos instrumentos financieros se comunicarán en «De las cuales: ganancias o (-) pérdidas tras la designación de activos y pasivos financieros designados a valor razonable con cambios en resultados para fines de cobertura, netas»
15.7. Ganancias o pérdidas resultantes de la contabilidad de coberturas (16.6)
205. Todas las pérdidas y ganancias resultantes de la contabilidad de coberturas, excepto los ingresos o gastos por intereses cuando se utilice el precio limpio, se desglosarán por tipo de contabilidad de coberturas: cobertura del valor razonable, cobertura de flujos de efectivo y cobertura de inversiones netas en negocios en el extranjero. Las pérdidas y ganancias correspondientes a la cobertura del valor razonable se desglosarán entre el instrumento de cobertura y el elemento cubierto. Las pérdidas y ganancias procedentes de instrumentos de cobertura no comprenderán las pérdidas y ganancias correspondientes a elementos de dichos instrumentos que no estén designados como instrumentos de cobertura de acuerdo con la NIIF 9.6.2.4. Estos instrumentos de cobertura no designados se comunicarán conforme al punto 60 de la presente parte. Las pérdidas y ganancias resultantes de la contabilidad de coberturas comprenderán también las pérdidas y ganancias por las coberturas de un grupo de elementos con posiciones de riesgo que se compensen (coberturas de una posición neta).
206. «Cambios del valor razonable del elemento cubierto atribuibles al riesgo cubierto» comprenderá también las pérdidas y ganancias resultantes de los elementos cubiertos cuando estos sean instrumentos de deuda valorados a valor razonable con cambios en otro resultado global de acuerdo con la NIIF 9.4.1.2A [NIIF 9.6.5.8].
207. Según los PCGA nacionales basados en la DCB, el desglose por tipo de coberturas que contempla esta plantilla se comunicará en la medida en que dicho desglose sea compatible con los requisitos contables aplicables.
15.8. Deterioro del valor de activos no financieros (16.7)
208. Se comunicarán «adiciones» cuando, en relación con la cartera contable o la categoría principal de activos, la estimación del deterioro del valor durante el período se traduzca en el reconocimiento de gastos netos. Se comunicarán «reversiones» cuando, en relación con la cartera contable o la categoría principal de activos, la estimación del deterioro del valor durante el período se traduzca en el reconocimiento de ingresos netos.
16. CONCILIACIÓN ENTRE EL ÁMBITO DE CONSOLIDACIÓN CONTABLE Y EL ÁMBITO DE CONSOLIDACIÓN SEGÚN EL RRC (17)
209. «Ámbito de consolidación contable» comprenderá el importe en libros de los activos, los pasivos y el patrimonio neto, así como los importes nominales de las exposiciones fuera de balance preparados utilizando el ámbito de consolidación contable; es decir, incluyendo en la consolidación a las dependientes que sean empresas de seguros y sociedades no financieras. Las entidades contabilizarán sus inversiones en dependientes, negocios conjuntos y asociadas utilizando el mismo método que en sus estados financieros.
210. En esta plantilla, la partida «Inversiones en dependientes (filiales), negocios conjuntos y asociadas» no comprenderá las dependientes, ya que con el ámbito de consolidación contable todas las dependientes se consolidan por el método de integración global.
211. «Activos creados por contratos de seguro o de reaseguro» comprenderá los activos en virtud de reaseguro cedido, así como, en su caso, los activos relativos a los contratos de seguro y de reaseguro emitidos.
212. «Pasivos creados por contratos de seguro o de reaseguro» comprenderá los pasivos en virtud de contratos de seguro y de reaseguro emitidos.
17. EXPOSICIONES DUDOSAS (18)
213. A efectos de la plantilla 18, se considerarán exposiciones dudosas aquellas exposiciones que reúnan cualquiera de los siguientes criterios:
(a) que sean exposiciones significativas vencidas hace más de 90 días;
(b) que se considere improbable que el deudor cumpla íntegramente sus obligaciones crediticias sin la ejecución de la garantía real, con independencia de que existan o no importes vencidos o del número de días transcurridos desde el vencimiento de los importes.
214. La categorización como exposiciones dudosas será procedente aun cuando una exposición esté clasificada como exposición con impago a efectos reglamentarios, de acuerdo con el artículo 178 del RRC, o como exposición con deterioro de valor a efectos contables con arreglo al marco contable aplicable.
215. Las exposiciones con respecto a las cuales se considere que se ha producido impago de acuerdo con el artículo 178 del RRC y las exposiciones cuyo valor se considere deteriorado con arreglo al marco contable aplicable se considerarán siempre exposiciones dudosas. Con arreglo a las NIIF, a efectos de la plantilla 18, serán exposiciones con deterioro de valor aquellas que se consideren con deterioro crediticio (fase 3), incluidos los activos con deterioro crediticio adquiridos u originados. Las exposiciones comprendidas en fases de deterioro distintas de la fase 3 se considerarán dudosas si reúnen los criterios necesarios para ello.
216. Las exposiciones se categorizarán por su importe íntegro y sin tener en cuenta la existencia de garantías reales. Su importancia relativa se evaluará de acuerdo con el artículo 178 del RRC.
217. A efectos de la plantilla 18, «exposiciones» incluirá todos los instrumentos de deuda (valores representativos de deuda, y préstamos y anticipos, que comprenderán también los saldos en efectivo en bancos centrales y otros depósitos a la vista) y las exposiciones fuera de balance, salvo las mantenidas para negociar.
218. Los instrumentos de deuda se incluirán en las siguientes carteras contables: a) instrumentos de deuda al coste o a coste amortizado, b) instrumentos de deuda a valor razonable con cambios en otro resultado global o con cambios en el patrimonio neto susceptibles de deterioro, y c) instrumentos de deuda al LOCOM estricto o a valor razonable con cambios en resultados o con cambios en el patrimonio neto no susceptibles de deterioro, conforme a los criterios del punto 233 de la presente parte. Esta categoría se desglosará por instrumentos y contrapartes.
219. Con arreglo a las NIIF y a los PCGA nacionales basados en la DCB, las exposiciones fuera de balance comprenderán las siguientes partidas revocables e irrevocables:
(a) compromisos de préstamo concedidos;
(b) garantías financieras concedidas;
(c) otros compromisos concedidos.
220. Los instrumentos de deuda clasificados como mantenidos para la venta de conformidad con la NIIF 5 se comunicarán por separado.
221. En la plantilla 18 y en lo que respecta a los instrumentos de deuda, el «importe en libros bruto» se comunicará según se define en la parte 1, punto 34, del presente anexo. En las exposiciones fuera de balance, se comunicará el importe nominal según se define en el punto 118 de la presente parte del presente anexo.
222. A efectos de la plantilla 18, se considerará que una exposición está «vencida» si reúne los criterios del punto 96 de la presente parte.
223. A efectos de la plantilla 18, por «deudor» se entenderá «deudor» a tenor del artículo 178 del RRC.
224. Se considerará que un compromiso constituye una exposición dudosa por su importe nominal cuando su disposición o cualquier otro uso que se haga de él dé lugar a exposiciones que presenten riesgo de no ser reembolsadas íntegramente sin la ejecución de la garantía real.
225. Se considerará que las garantías financieras concedidas constituyen exposiciones dudosas por su importe nominal cuando exista el riesgo de que el «titular de la garantía» recurra a la garantía financiera, en particular cuando la exposición garantizada subyacente reúna los criterios que se especifican en el punto 213 para ser considerada exposición dudosa. Cuando el importe a pagar por el titular de la garantía en virtud del contrato de garantía financiera esté vencido, la entidad declarante evaluará si las partidas a cobrar resultantes reúnen los criterios relativos a las exposiciones dudosas.
226. Las exposiciones clasificadas como dudosas de acuerdo con el punto 213 se categorizarán como dudosas de forma individual («sobre la base de la operación») o como dudosas para el conjunto de la exposición frente a un determinado deudor («sobre la base del deudor». Para la categorización de las exposiciones dudosas de forma individual o frente a un determinado deudor, se utilizarán las siguientes reglas de categorización para los diferentes tipos de exposiciones dudosas:
(a) cuando se trate de exposiciones dudosas clasificadas como con impago de acuerdo con el artículo 178 del RRC, se aplicará la regla de categorización de ese artículo;
(b) cuando se trate de exposiciones clasificadas como dudosas por deterioro de valor con arreglo al marco contable aplicable, se aplicarán los criterios de reconocimiento del deterioro de valor previstos en el marco contable aplicable;
(c) cuando se trate de otras exposiciones dudosas que no estén clasificadas ni como con impago ni como con deterioro de valor, se aplicará lo dispuesto en el artículo 178 del RRC con respecto a las exposiciones con impago.
227. Cuando una entidad tenga frente a un deudor exposiciones en balance vencidas desde hace más de 90 días y el importe en libros bruto de las exposiciones vencidas represente más del 20 % del importe en libros bruto de todas las exposiciones en balance frente a ese deudor, todas las exposiciones, tanto en balance como fuera de balance, frente a ese deudor se considerarán exposiciones dudosas. Cuando un deudor pertenezca a un grupo, se evaluará si es necesario también tratar las exposiciones frente a otros entes del grupo como exposiciones dudosas, en el caso de que no se consideren ya con deterioro de valor o con impago de acuerdo con el artículo 178 del RRC, salvo cuando se trate de exposiciones afectadas por litigios aislados que no afecten a la solvencia de la contraparte.
228. Se considerará que las exposiciones dejan de ser exposiciones dudosas cuando concurran todas las siguientes condiciones:
(a) que la exposición reúna los criterios de salida que la entidad declarante aplique para poner fin a la clasificación como con deterioro de valor o con impago conforme al marco contable aplicable y al artículo 178 del RRC, respectivamente;
(b) que la situación del deudor haya mejorado de tal modo que resulte probable que se efectúe el pago íntegro con arreglo a las condiciones originales o, en su caso, modificadas;
(c) que el deudor no tenga ningún importe que lleve vencido más de 90 días.
229. Las exposiciones seguirán clasificadas como dudosas hasta tanto no concurran las condiciones que establece el punto 228, letras a), b) y c), de la presente parte del presente anexo, aun cuando la exposición ya reúna los criterios de salida aplicados por la entidad declarante a la clasificación como con deterioro de valor o con impago con arreglo al marco contable aplicable y al artículo 178 del RRC, respectivamente.
230. La clasificación de una exposición dudosa como activo no corriente mantenido para la venta conforme a la NIIF 5 no implicará que deje de clasificarse como exposición dudosa.
231. La aplicación de medidas de reestructuración o refinanciación a una exposición dudosa no pondrá fin a la condición de dudosa de esa exposición. Las exposiciones dudosas que sean objeto de medidas de reestructuración o refinanciación, conforme al punto 262, se considerará que dejan de ser exposiciones dudosas cuando concurran todas las siguientes condiciones:
(a) que las exposiciones no se consideren con deterioro de valor o con impago por la entidad declarante conforme al marco contable aplicable y al artículo 178 del RRC, respectivamente;
(b) que haya transcurrido un año desde el momento en que se aplicaron medidas de reestructuración y refinanciación o aquel en el que las exposiciones hayan sido clasificadas como dudosas, si este último fuese posterior;
(c) que, tras las medidas de reestructuración o refinanciación, no queden importes vencidos ni reservas en cuanto al pago íntegro de la exposición de acuerdo con las condiciones posteriores a dicha reestructuración o refinanciación. La ausencia de tales reservas se determinará tras un análisis de la situación financiera del deudor efectuado por la entidad. Podrá considerarse que no existen ya esas reservas cuando el deudor haya abonado, a través de los pagos regulares previstos en las condiciones posteriores a la reestructuración o refinanciación, un importe total igual al importe anteriormente vencido (en caso de existir importes vencidos) o al importe dado de baja en cuentas (en caso de no existir importes vencidos) con arreglo a las medidas de reestructuración o refinanciación, o cuando el deudor haya demostrado de otro modo su capacidad para cumplir las condiciones posteriores a la reestructuración o refinanciación.
Las condiciones específicas de salida contempladas en las letras a), b) y c) se aplicarán junto con los criterios aplicados por las entidades declarantes en lo que respecta a las exposiciones con deterioro de valor y con impago con arreglo al marco contable aplicable y al artículo 178 del RRC, respectivamente.
232. Cuando las condiciones contempladas en el punto 231 de la presente parte del presente anexo no se cumplan al final del periodo de un año a que se refiere la letra b) de ese mismo punto, la exposición seguirá considerándose una exposición dudosa reestructurada o refinanciada hasta que concurran todas las condiciones. Las condiciones se evaluarán al menos trimestralmente.
233. Las carteras contables que se rigen por las NIIF enumeradas en el punto 15 de la parte 1 del presente anexo, y aquellas que se rigen por los pertinentes PCGA nacionales basados en la DCB enumeradas en el punto 16 de la parte 1 del presente anexo, se consignarán en la plantilla 18 tal y como sigue:
a) «Instrumentos de deuda al coste o a coste amortizado» comprenderá los instrumentos de deuda incluidos en una de las siguientes categorías:
i) «Activos financieros a coste amortizado» (NIIF);
ii) «Activos financieros no derivados y no destinados a negociación, valorados por un método basado en el coste», incluidos los instrumentos de deuda valorados al LOCOM moderado (PCGA nacionales basados en la DCB);
iii) «Otros activos financieros no derivados y no destinados a negociación», salvo los instrumentos de deuda valorados al LOCOM estricto (PCGA nacionales basados en la DCB);
b) «Instrumentos de deuda a valor razonable con cambios en otro resultado global o con cambios en el patrimonio neto susceptibles de deterioro» comprenderá los instrumentos de deuda incluidos en una de las siguientes categorías:
i) «Activos financieros a valor razonable con cambios en otro resultado global» (NIIF);
ii) «Activos financieros no derivados y no destinados a negociación, contabilizados a valor razonable en el patrimonio neto», cuando los instrumentos de esa categoría de valoración sean susceptibles de deterioro con arreglo al marco contable aplicable en virtud de los PCGA nacionales basados en la DCB;
c) «Instrumentos de deuda al LOCOM estricto o a valor razonable con cambios en resultados o con cambios en el patrimonio neto no susceptibles de deterioro» comprenderá los instrumentos de deuda incluidos en una de las siguientes categorías:
i) «Activos financieros no destinados a negociación valorados obligatoriamente a valor razonable con cambios en resultados» (NIIF);
ii) «Activos financieros designados a valor razonable con cambios en resultados» (NIIF);
iii) «Activos financieros no derivados y no destinados a negociación, a valor razonable con cambios en resultados» (PCGA nacionales basados en la DCB);
iv) «Otros activos financieros no derivados y no destinados a negociación», cuando los instrumentos de deuda estén valorados al LOCOM estricto (PCGA nacionales basados en la DCB);
v) «Activos financieros no derivados y no destinados a negociación, contabilizados a valor razonable en el patrimonio neto», cuando los instrumentos de deuda de esa categoría de valoración no sean susceptibles de deterioro con arreglo al marco contable aplicable en virtud de los PCGA nacionales basados en la DCB.
234. Cuando las NIIF o los pertinentes PCGA nacionales basados en la DCB prevean la designación de compromisos a valor razonable con cambios en resultados, el importe en libros de cualquier activo resultante de esa designación y contabilización a valor razonable se comunicará en «Activos financieros designados a valor razonable con cambios en resultados» (NIIF) o «Activos financieros no derivados y no destinados a negociación, a valor razonable con cambios en resultados» (PCGA nacionales basados en la DCB). El importe en libros de cualquier pasivo resultante de esa designación no se incluirá en la plantilla F18. El importe nocional de todos los compromisos designados a valor razonable con cambios en resultados se consignará en la plantilla 9.
235. Las exposiciones vencidas se comunicarán por separado dentro de las categorías de exposiciones no dudosas y dudosas por su importe íntegro a tenor del punto 96 de la presente parte. Las exposiciones que lleven vencidas más de 90 días que no sean significativas de acuerdo con el artículo 178 del RCC se comunicarán como exposiciones no dudosas en «Vencidas > 30 días ≤ 90 días».
236. Las exposiciones dudosas se presentarán desglosadas por períodos de tiempo transcurrido desde el vencimiento. Las exposiciones no vencidas o que lleven vencidas más de 90 días o menos pero que, no obstante, se consideren dudosas debido a la probabilidad de que el pago no sea íntegro se comunicarán en una columna específica. Las exposiciones cuyo reembolso íntegro sea improbable y que presenten, además, importes vencidos se distribuirán por períodos en función del número de días transcurridos desde su vencimiento.
237. Las siguientes exposiciones se consignarán en columnas separadas:
(a) aquellas cuyo valor se considere deteriorado con arreglo al marco contable aplicable; conforme a las NIIF, el importe de los activos con deterioro crediticio (fase 3), incluidos los activos con deterioro crediticio adquiridos u originados, se consignará en esta columna;
(b) aquellas con respecto a las cuales se considere que se ha producido impago de acuerdo con el artículo 178 del RRC.
238. Los importes correspondientes a «Deterioro de valor acumulado, cambios acumulados negativos en el valor razonable debidos al riesgo de crédito y provisiones» se comunicarán de acuerdo con los puntos 11, 69 a 71, 106 y 110 de la presente parte.
239. La información sobre las garantías reales mantenidas y las garantías personales recibidas sobre exposiciones dudosas se comunicará por separado. Los importes comunicados en relación con las garantías reales recibidas y las garantías personales recibidas se calcularán conforme a los puntos 172 a 174 de la presente parte. La suma de los importes comunicados relativos tanto a las garantías reales como a las garantías personales será como máximo igual al importe en libros o al importe nominal de la exposición correspondiente.
18. EXPOSICIONES REESTRUCTURADAS O REFINANCIADAS (19)
240. A efectos de la plantilla 19, por exposiciones reestructuradas o refinanciadas se entenderá aquellos contratos de deuda con respecto a los cuales se hayan aplicado medidas de reestructuración o refinanciación. Dichas medidas consisten en concesiones a un deudor que experimente o vaya a experimentar en breve dificultades para cumplir sus compromisos financieros («dificultades financieras»).
241. A efectos de la plantilla 19, las concesiones pueden comportar pérdidas para el prestamista y se entenderá que comprenden cualquiera de las siguientes acciones:
(a) la modificación de las condiciones anteriormente vigentes de un contrato que se considere que el deudor no podrá cumplir por dificultades financieras («deuda problemática») que hagan que su capacidad de pago de la deuda resulte insuficiente, y que no se habría concedido si el deudor no experimentara dificultades financieras;
(b) la refinanciación total o parcial de un contrato de deuda problemática, que no se habría concedido si el deudor no experimentara dificultades financieras.
242. Existirá evidencia de concesión cuando concurra al menos una de las siguientes circunstancias:
(a) que entre las condiciones modificadas del contrato y las condiciones anteriores del contrato exista una diferencia a favor del deudor;
(b) que un contrato modificado incluya condiciones más favorables que las que otros deudores con un perfil de riesgo similar podrían haber obtenido de la misma entidad en ese mismo momento.
243. El ejercicio de cláusulas que, utilizadas de forma discrecional por el deudor, permitan a este modificar las condiciones del contrato («cláusulas implícitas de reestructuración o refinanciación») se considerará que es una concesión cuando la entidad apruebe la ejecución de esas cláusulas y llegue a la conclusión de que el deudor experimenta dificultades financieras.
244. A efectos de los anexos III y IV y del presente anexo, por «refinanciación» se entenderá el uso de contratos de deuda para facilitar el pago total o parcial de otros contratos de deuda cuyas condiciones actuales el deudor no puede cumplir.
245. A efectos de la plantilla 19, por «deudor» se entenderá toda persona jurídica que forme parte del grupo del deudor y que esté comprendido en el ámbito de consolidación contable, así como las personas físicas que controlen ese grupo.
246. A efectos de la plantilla 19, se entenderá que «deuda» incluye los préstamos y anticipos (que comprenden también los saldos en efectivo en bancos centrales y otros depósitos a la vista), los valores representativos de deuda y los compromisos de préstamo revocables e irrevocables concedidos, incluidos los compromisos de préstamo designados a valor razonable con cambios en resultados que constituyan activos en la fecha de información. «Deuda» no comprenderá las exposiciones mantenidas para negociar.
247. «Deuda» incluirá también los préstamos y anticipos y los valores representativos de deuda clasificados como activos no corrientes y grupos enajenables de elementos clasificados como mantenidos para la venta de conformidad con la NIIF 5.
248. A efectos de la plantilla 19, por «exposición» se entenderá lo especificado en relación con el término «deuda» en el punto 247 de la presente parte.
249. Las carteras contables que se rigen por las NIIF enumeradas en el punto 15 de la parte 1 del presente anexo, y aquellas que se rigen por los pertinentes PCGA nacionales basados en la DCB enumeradas en el punto 16 de la parte 1 del presente anexo, se consignarán en la plantilla 19 conforme a lo definido en el punto 233 de la presente parte.
250. A efectos de la plantilla 19, por «entidad» se entenderá la entidad que haya aplicado las medidas de reestructuración o refinanciación.
251. En la plantilla 19 y en lo que respecta a «deuda», el «importe en libros bruto» se comunicará según se define en la parte 1, punto 34, del presente anexo. En los compromisos de préstamo concedidos que estén fuera de balance, se comunicará el importe nominal según se define en el punto 118 de la presente parte del presente anexo.
252. Se considerará que una exposición ha sido reestructurada o refinanciada cuando se haya hecho una concesión, con independencia de que existan o no importes vencidos o de que las exposiciones se clasifiquen como con deterioro de valor, con arreglo al marco contable aplicable, o como con impago de acuerdo con el artículo 178 del RRC. Las exposiciones no se considerarán reestructuradas o refinanciadas si el deudor no experimenta dificultades financieras. Con arreglo a las NIIF, los activos financieros modificados [NIIF 9.5.4.3 y apéndice A] se considerarán reestructurados o refinanciados siempre que se haya hecho una concesión según lo definido en los puntos 240 y 241 de la presente parte del presente anexo, con independencia de la incidencia de la modificación en la variación del riesgo de crédito del activo financiero desde el reconocimiento inicial. Se considerará que se aplican medidas de reestructuración o refinanciación cuando:
(a) un contrato modificado haya sido clasificado como dudoso antes de dicha modificación o se clasificaría como dudoso de no existir tal modificación;
(b) la modificación de un contrato comporte la cancelación total o parcial de la deuda mediante su baja en cuentas;
(c) la entidad apruebe el uso de cláusulas implícitas de reestructuración o refinanciación en relación con un deudor dudoso o que, sin tales cláusulas, se consideraría como dudoso;
(d) simultáneamente a la concesión de deuda adicional por la entidad, o en un momento próximo a tal concesión, el deudor haya realizado pagos de principal o de intereses de otro contrato con la entidad clasificado como dudoso o que, de no existir la refinanciación, se clasificaría como dudoso.
253. Toda modificación que comporte reembolsos efectuados mediante la toma de posesión de garantías reales se considerará una medida de reestructuración o refinanciación si tal modificación constituye una concesión.
254. Se presumirá iuris tantum que existe reestructuración o refinanciación en las siguientes circunstancias:
(a) cuando el contrato modificado lleve vencido total o parcialmente más de 30 días (sin clasificarse como dudoso) al menos una vez en los tres meses anteriores a la modificación del mismo, o llevarían vencidos, en parte o en su totalidad, más de 30 días sin dicha modificación;
(b) cuando, simultáneamente a la concesión de deuda adicional por la entidad, o en un momento próximo a tal concesión, el deudor haya realizado pagos de principal o de intereses de otro contrato con la entidad, la totalidad o parte de cuyos pagos lleven vencidos más de 30 días al menos una vez en los tres meses anteriores a su refinanciación;
(c) cuando la entidad apruebe el uso de cláusulas implícitas de reestructuración o refinanciación en relación con deudores que tengan importes a pagar que lleven vencidos 30 días o que llevarían vencidos 30 días si no se ejercieran esas cláusulas.
255. Las dificultades financieras se evaluarán a escala del deudor conforme al punto 245. Solo se considerarán exposiciones reestructuradas o refinanciadas aquellas que hayan sido objeto de medidas de reestructuración o refinanciación.
256. Las exposiciones reestructuradas o refinanciadas se incluirán en la categoría de exposiciones dudosas o en la de exposiciones no dudosas con arreglo a lo indicado en los puntos 213 a 224 y 260 de la presente parte. Se pondrá fin a la clasificación como exposiciones reestructuradas o refinanciadas cuando concurran todas las siguientes condiciones:
(a) que la exposición reestructurada o refinanciada se considere no dudosa, incluso aunque haya sido reclasificada desde la categoría de exposiciones dudosas al indicar el análisis de la situación financiera del deudor que ya no reúne las condiciones para clasificarse como dudosa;
(b) que haya transcurrido un período mínimo de dos años desde la fecha en que la exposición reestructurada o refinanciada haya sido clasificada como no dudosas («período de prueba»);
(c) que, durante al menos la mitad del período de prueba, se hayan efectuado regularmente pagos que no se limiten a un importe agregado insignificante de principal o de intereses;
(d) que, al final del período de prueba, ninguna de las exposiciones frente al deudor lleve vencida más de 30 días.
257. Si, al final del período de prueba, no se cumplen las condiciones mencionadas en el punto 256, la exposición seguirá clasificada como reestructurada o refinanciada no dudosa en período de prueba hasta tanto no se cumplan todas las condiciones. Estas se evaluarán con frecuencia mínima trimestral.
258. Las exposiciones reestructuradas o refinanciadas que estén clasificadas como activos no corrientes mantenidos para la venta de conformidad con la NIIF 5 seguirán clasificándose como exposiciones reestructuradas o refinanciadas.
259. Una exposición reestructurada o refinanciada podrá clasificarse como no dudosa desde la fecha de aplicación de las medidas de reestructuración o refinanciación si se cumplen las siguientes dos condiciones:
(a) que esa aplicación no haya comportado la clasificación de la exposición como dudosa;
(b) que la exposición no estuviera clasificada como dudosa en la fecha de aplicación de las medidas de reestructuración o refinanciación.
260. Cuando se apliquen medidas de reestructuración o refinanciación adicionales a una exposición reestructurada o refinanciada no dudosa en período de prueba que se haya reclasificado a partir de la categoría de exposiciones dudosas o aquella pase a llevar vencida más de 30 días, la exposición se clasificará como dudosa.
261. Las «Exposiciones no dudosas reestructuradas o refinanciadas» comprenderán las exposiciones reestructuradas o refinanciadas que no cumplan los criterios para ser consideradas exposiciones dudosas y estén incluidas en la categoría de exposiciones no dudosas. Las exposiciones no dudosas reestructuradas o refinanciadas se hallarán en período de prueba con arreglo a lo indicado en el punto 256, incluso cuando se aplique el punto 259. Las exposiciones no dudosas reestructuradas o refinanciadas en período de prueba que hayan sido reclasificadas desde la categoría de exposiciones dudosas se comunicarán por separado dentro de las exposiciones no dudosas reestructuradas o refinanciadas, en la columna «De las cuales: exposiciones reestructuradas o refinanciadas no dudosas en periodo de prueba reclasificadas a partir de la categoría de exposiciones dudosas».
262. Las «exposiciones dudosas reestructuradas o refinanciadas» comprenderán las exposiciones reestructuradas o refinanciadas que cumplan los criterios para ser consideradas exposiciones dudosas y estén incluidas en esta misma categoría. Estas exposiciones dudosas reestructuradas o refinanciadas incluirán las siguientes:
(a) las exposiciones que hayan pasado a clasificarse como dudosas por la aplicación de medidas de reestructuración o refinanciación;
(b) las exposiciones clasificadas como dudosas antes de la aplicación de las medidas de reestructuración o refinanciación;
(c) las exposiciones reestructuradas o refinanciadas que hayan sido reclasificadas desde la categoría de exposiciones no dudosas, incluidas aquellas que se hayan reclasificado en aplicación del punto 260.
263. Cuando se apliquen medidas de reestructuración o refinanciación a exposiciones clasificadas como dudosas antes de tal aplicación, el importe de esas exposiciones reestructuradas o refinanciadas se consignará por separado en la columna «De las cuales: reestructuración o refinanciación de exposiciones dudosas antes de dicha reestructuración o financiación».
264. Las siguientes exposiciones dudosas reestructuradas o refinanciadas se consignarán en columnas separadas:
(a) aquellas cuyo valor se considere deteriorado con arreglo al marco contable aplicable. Conforme a las NIIF, el importe de los activos con deterioro crediticio (fase 3), incluidos los activos con deterioro crediticio adquiridos u originados, se consignará en esta columna;
(b) aquellas con respecto a las cuales se considere que se ha producido impago de acuerdo con el artículo 178 del RRC.
265. La columna «Refinanciaciones» incluirá el importe en libros bruto del nuevo contrato («deuda de refinanciación») otorgado como parte de una operación de refinanciación que se considere una medida de reestructuración o refinanciación, así como el importe en libros bruto aún pendiente del antiguo contrato reembolsado.
266. Las exposiciones que sean objeto tanto de reestructuración como de refinanciación se asignarán a la columna «Instrumentos reestructurados» o la columna «Refinanciaciones», en función de la medida que más afecte a los flujos de efectivo. Las refinanciaciones realizadas por un conjunto de bancos se consignarán en la columna «Refinanciaciones» por el importe total de la deuda de refinanciación otorgada por la entidad declarante o la deuda refinanciada aún pendiente en la entidad declarante. El reempaquetado de varias deudas en una nueva deuda se comunicará como una reestructuración salvo si existe también una operación de refinanciación que tenga un efecto mayor sobre los flujos de efectivo. Cuando la reestructuración mediante la modificación de las condiciones de una exposición problemática dé lugar a su baja en cuentas y al reconocimiento de una nueva exposición, esta última se considerará deuda reestructurada.
267. Los importes correspondientes a «Deterioro de valor acumulado, cambios acumulados negativos en el valor razonable debidos al riesgo de crédito y provisiones» se comunicarán de acuerdo con los puntos 11, 69 a 71, 106 y 110 de la presente parte.
268. Se comunicarán las garantías reales y personales recibidas sobre las exposiciones reestructuradas o refinanciadas, ya se clasifiquen estas como no dudosas o dudosas. Los importes comunicados en relación con las garantías reales recibidas y las garantías personales recibidas se calcularán conforme a los puntos 172 a 174 de la presente parte. La suma de los importes comunicados relativos tanto a las garantías reales como a las garantías personales será igual como máximo al importe en libros de la exposición correspondiente.
19. DESGLOSE GEOGRÁFICO (20)
269. La plantilla 20 se cumplimentará cuando la entidad supere el umbral previsto en el artículo 5, apartado 1, letra a), inciso iv), del presente Reglamento.
19.1. Desglose geográfico por localización de las actividades (20.1-20.3)
270. El desglose geográfico por localización de las actividades en las plantillas 20.1 a 20.3 distingue entre «actividades locales» y «actividades no locales». A efectos de la presente parte, la «localización» corresponde al país o territorio de constitución de la entidad jurídica que haya reconocido el activo o pasivo correspondiente; en las sucursales, corresponde al país o territorio de residencia. A estos efectos, el término «local» englobará las actividades reconocidas en el Estado miembro en el que la entidad esté localizada.
19.2. Desglose geográfico por residencia de las contrapartes (20.4-20.7)
271. Las plantillas 20.4 a 20.7 contienen información «país por país» basada en la residencia de la contraparte inmediata, tal como se define en la parte 1, punto 43, del presente anexo. El desglose incluirá las exposiciones o pasivos frente a residentes en cada país extranjero en el que la entidad tenga exposiciones. Las exposiciones o pasivos frente a organizaciones internacionales y bancos multilaterales de desarrollo no se asignarán al país de residencia de la entidad sino a la zona geográfica «Otros países».
272. «Derivados» comprenderá los derivados destinados a negociación, incluidas las coberturas económicas, y los derivados de cobertura con arreglo a las NIIF y los PCGA, consignados en las plantillas 10 y 11.
273. Los activos mantenidos para negociar según las NIIF y los activos destinados a negociación según los PCGA se identificarán por separado. Los activos financieros susceptibles de deterioro de valor serán los mismos que los definidos en el punto 93 de la presente parte. Se considerará que los activos valorados al LOCOM que sean objeto de ajustes de valor debidos al riesgo de crédito han sufrido deterioro.
274. En las plantillas 20.4 y 20.7, «Deterioro de valor acumulado» y «Cambios acumulados negativos en el valor razonable debidos al riesgo de crédito por exposiciones dudosas» se cumplimentarán según lo definido en los puntos 69 a 71 de la presente parte.
275. En la plantilla 20.4 y en lo que respecta a los instrumentos de deuda, el «importe bruto en libros» se comunicará como se define en la parte 1, punto 34, del presente anexo. En el caso de los derivados y los instrumentos de patrimonio, el importe que deberá comunicarse es el importe en libros. En la columna «Del cual: dudoso», los instrumentos de deuda se comunicarán según lo definido en los puntos 213 a 232 de la presente parte. La deuda reestructurada o refinanciada comprenderá todos los contratos de «deuda» a efectos de la plantilla 19 a los que se apliquen medidas de reestructuración o refinanciación, según se definen en los puntos 240 a 255 de la presente parte.
276. En la plantilla 20.5, «Provisiones para compromisos y garantías concedidos» comprenderá las provisiones valoradas según la NIC 37, las pérdidas crediticias de las garantías financieras tratadas como contratos de seguro según la NIIF 4, así como las provisiones para compromisos de préstamo y garantías financieras sujetas a los requisitos sobre deterioro de valor de la NIIF 9 y las provisiones para compromisos y garantías según los PCGA nacionales basados en la DCB, de conformidad con el punto 11 de la presente parte.
277. En la plantilla 20.7, los préstamos y anticipos no mantenidos para negociar se clasificarán según los códigos NACE «país por país». Los códigos NACE se comunicarán al primer nivel de desagregación («sección»). Los préstamos y anticipos susceptibles de deterioro de valor se referirán a las mismas carteras que las contempladas en el punto 93 de la presente parte.
20. ACTIVOS TANGIBLES E INTANGIBLES: ACTIVOS OBJETO DE ARRENDAMIENTO OPERATIVO (21)
278. A efectos del cálculo del umbral del artículo 9, letra e), del presente Reglamento, los activos tangibles que hayan sido entregados por la entidad (arrendador) a terceros mediante acuerdos que reúnan las condiciones para considerarlos arrendamientos operativos en el correspondiente marco contable se dividirán por el total de activos tangibles.
279. Según las NIIF, los activos que hayan sido entregados por la entidad (como arrendador) a terceros mediante contratos de arrendamiento operativo se desglosarán por método de valoración.
21. FUNCIONES DE GESTIÓN DE ACTIVOS, CUSTODIA Y OTROS SERVICIOS (22)
280. A efectos del cálculo del umbral del artículo 9, letra f), del presente Reglamento, el importe de «ingresos netos por comisiones» será el valor absoluto de la diferencia entre «ingresos por comisiones» y «gastos por comisiones». A los mismos efectos, el importe de «intereses netos» será el valor absoluto de la diferencia entre «ingresos por intereses» y «gastos por intereses».
21.1. Ingresos y gastos por comisiones, desglosados por actividades (22.1)
281. Los ingresos y gastos por comisiones se desglosarán por tipos de actividades. Según las NIIF, esta plantilla comprenderá los ingresos y gastos por comisiones distintos de los dos elementos siguientes:
(a) los importes que se tengan en cuenta en el cálculo del interés efectivo de los instrumentos financieros [NIIF 7.20.c)] y
(b) los importes resultantes de instrumentos financieros que se valoren a valor razonable con cambios en resultados [NIIF 7.20.c).i)].
282. No se incluirán los costes de transacción directamente atribuibles a la adquisición o emisión de instrumentos financieros no valorados a valor razonable con cambios en resultados; dichos costes formarán parte del valor inicial de adquisición/emisión de estos instrumentos y se amortizarán con cargo a los resultados durante su vida residual utilizando el tipo de interés efectivo [véase la NIIF 9.5.1.1].
283. Con arreglo a las NIIF, los costes de transacción directamente atribuibles a la adquisición o emisión de instrumentos financieros valorados a valor razonable con cambios en resultados se incluirán en «Ganancias o pérdidas por activos y pasivos financieros mantenidos para negociar, netas», «Ganancias o pérdidas por activos financieros no destinados a negociación valorados obligatoriamente a valor razonable con cambios en resultados, netas» o «Ganancias o pérdidas por activos y pasivos financieros designados a valor razonable con cambios en resultados, netas», dependiendo de la cartera contable en la que se clasifiquen. Estos costes no formarán parte del valor inicial de adquisición o emisión de estos instrumentos y se reconocerán inmediatamente en los resultados.
284. Las entidades comunicarán los ingresos y gastos por comisiones con arreglo a los criterios siguientes:
(a) «Valores. Emisiones» comprenderá las comisiones percibidas por la participación en la originación o emisión de valores no originados o emitidos por la entidad.
(b) «Valores. Órdenes de transferencia» comprenderá las comisiones generadas por la recepción, transmisión y ejecución en nombre de clientes de órdenes de compra o venta de valores.
(c) «Valores. Otros» comprenderá las comisiones percibidas por la entidad por la prestación de otros servicios relacionados con valores no originados o emitidos por ella.
(d) «Compensación y liquidación» comprenderá los ingresos (gastos) por comisiones percibidos (a pagar) por la entidad por su participación en mecanismos de contraparte, compensación y liquidación.
(e) «Gestión de activos», «Custodia», «Servicios administrativos centrales a organismos de inversión colectiva», «Operaciones fiduciarias» y «Servicios de pago» comprenderán los ingresos (gastos) por comisiones percibidos (a pagar) por la entidad por la prestación de estos servicios.
(f) «Financiación estructurada» comprenderá las comisiones percibidas por la participación en la originación o emisión de instrumentos financieros distintos de los valores originados o emitidos por la entidad.
(g) Las comisiones por «Actividades de administración de préstamos» comprenderá, en el lado de los ingresos, las comisiones percibidas por la entidad por la prestación de servicios de administración de préstamos y, en el lado de los gastos, las comisiones cobradas a la entidad por los prestadores de servicios de administración de préstamos.
(h) «Compromisos de préstamo concedidos» y «Garantías financieras concedidas» comprenderán el importe, reconocido como ingresos durante el período, de la amortización de las comisiones por estas actividades inicialmente reconocidas como «otros pasivos».
(i) «Compromisos de préstamo recibidos» y «Garantías financieras recibidas» comprenderán las comisiones reconocidas como gasto por la entidad durante el período como consecuencia del cargo hecho a la contraparte que ha concedido el compromiso de préstamo o la garantía financiera que se reconoce inicialmente como «otros activos».
(j) «Otros» comprenderá el resto de ingresos (gastos) por comisiones percibidas (a pagar) por la entidad, como los resultantes de «otros compromisos», de servicios de cambio (como el cambio de billetes o monedas en divisas) o de la prestación (recepción) de otros servicios de asesoramiento y demás servicios de pago.
21.2. Activos implicados en los servicios prestados (22.2)
285. Las actividades de gestión de activos, funciones de custodia y otros servicios prestados por la entidad se comunicarán usando las definiciones siguientes:
(a) «Gestión de activos» hace referencia a los activos pertenecientes directamente a clientes cuya gestión realiza la entidad. Se desglosará por tipos de clientes: organismos de inversión colectiva, fondos de pensiones, carteras de clientes administradas con carácter discrecional y otros vehículos de inversión.
(b) «Activos en custodia» hace referencia a los servicios de custodia y administración de instrumentos financieros por cuenta de clientes prestados por la entidad y a los servicios relacionados, como los de gestión de efectivo y de garantías reales. Se desglosará por tipos de clientes para los que la entidad mantiene los activos, distinguiendo entre organismos de inversión colectiva y otros. «De los cuales: encomendados a otros entes» hace referencia al importe de los activos que están comprendidos en los «activos en custodia» y cuya custodia efectiva ha sido confiada por la entidad a otros entes.
(c) «Servicios administrativos centrales de inversión colectiva» hace referencia a los servicios administrativos prestados por la entidad a organismos de inversión colectiva. Comprenderá, entre otros, los servicios de agente de transferencias, de compilación de documentos contables, de preparación del folleto, informes financieros y otros documentos destinados a inversores, de mantenimiento de la correspondencia mediante la distribución de informes financieros y de otros documentos destinados a inversores, de realización de emisiones y amortizaciones y mantenimiento del registro de inversores, y de cálculo del valor neto de los activos.
(d) «Operaciones fiduciarias» hace referencia a las actividades realizadas por la entidad en nombre propio, pero por cuenta y riesgo de sus clientes. Con frecuencia, en estas operaciones la entidad presta servicios, como los de gestión de activos en custodia para un ente estructurado o los de gestión de cartera con carácter discrecional. Todas las operaciones fiduciarias deben comunicarse exclusivamente en esta partida, al margen de que la entidad preste además otros servicios.
(e) «Servicios de pago» hace referencia al cobro, en nombre de los clientes, de pagos derivados de instrumentos de deuda que no se reconozcan en el balance de la entidad ni hayan sido originados por ella.
(f) «Recursos de clientes distribuidos pero no gestionados» hace referencia a productos emitidos por entes no pertenecientes al grupo prudencial que la entidad ha distribuido a sus clientes actuales. Se desglosará por tipos de productos.
(g) «Importe de los activos implicados en los servicios prestados» comprenderá el importe de los activos en relación con los cuales actúa la entidad, valorados al valor razonable. Si no se dispone del valor razonable, podrán utilizarse otras bases de valoración, entre ellas el valor nominal. En los casos en que la entidad preste servicios a entes como organismos de inversión colectiva o fondos de pensiones, los activos afectados podrán consignarse por el valor que estos entes les atribuyan en sus balances respectivos. Los importes comunicados incluirán los intereses devengados, si procede.
22. INTERESES EN ENTES ESTRUCTURADOS NO CONSOLIDADOS (30)
286. A efectos de los anexos III y IV, así como del presente anexo, «Apoyo de liquidez utilizado» será la suma del importe en libros de los préstamos y anticipos concedidos a entes estructurados no consolidados y del importe en libros de los valores representativos de deuda mantenidos que hayan sido emitidos por entes estructurados no consolidados.
287. «Pérdidas incurridas por la entidad declarante en el período corriente» comprenderá las pérdidas por deterioro del valor y cualesquiera otras pérdidas en que la entidad declarante incurra durante el período de referencia en relación con sus intereses en entes estructurados no consolidados.
23. PARTES VINCULADAS (31)
288. Las entidades comunicarán los importes y/u operaciones en relación con las exposiciones de balance y fuera de balance en que la contraparte sea una parte vinculada con arreglo a la NIC 24.
289. Se eliminarán las operaciones que se efectúen dentro del grupo prudencial y los saldos vivos dentro del mismo. En «Dependientes [Filiales] y otros entes del mismo grupo», las entidades incluirán los saldos y operaciones con dependientes que no hayan sido eliminados, bien porque las dependientes no se consoliden por el método de integración global en el ámbito de consolidación prudencial, bien porque, de conformidad con el artículo 19 del RRC, estén excluidas de ese ámbito por no ser importantes o porque, en el caso de las entidades que formen parte de un grupo mayor, sean dependientes de la dominante última, y no de la entidad. En «Asociadas y negocios conjuntos», las entidades incluirán la parte de los saldos y operaciones con negocios conjuntos y asociadas del grupo al que pertenece el ente que no se haya eliminado cuando se aplique la consolidación proporcional.
23.1. Partes vinculadas: importes a pagar y a cobrar (31.1)
290. En «Compromisos de préstamo, garantías financieras y otros compromisos recibidos», el importe que se comunicará será la suma del «nominal» de los préstamos y otros compromisos recibidos y del «importe máximo de la garantía que puede considerarse» respecto de las garantías financieras recibidas, tal como se definen en el punto 119 de la presente parte.
291. «Deterioro de valor acumulado y cambios acumulados negativos en el valor razonable debidos al riesgo de crédito por exposiciones dudosas» se cumplimentará según lo definido en los puntos 69 a 71 de la presente parte exclusivamente en lo que respecta a las exposiciones dudosas. «Provisiones por exposiciones fuera de balance dudosas» comprenderá las provisiones definidas en los puntos 11, 106 y 111 de la presente parte respecto de las exposiciones que se clasifiquen como dudosas con arreglo a los puntos 213 a 239 de la presente parte.
23.2. Gastos e ingresos generados por operaciones con partes vinculadas (31.2)
292. «Ganancias o pérdidas al dar de baja en cuentas activos no financieros» comprenderá todas las ganancias y pérdidas al dar de baja en cuentas activos no financieros generadas por operaciones con partes vinculadas. Reflejará las pérdidas y ganancias al dar de baja en cuentas activos no financieros que hayan generado las operaciones con partes vinculadas y que formen parte de las siguientes partidas del estado de resultados:
(a) «Ganancias o pérdidas al dar de baja en cuentas inversiones en filiales, negocios conjuntos y asociadas», cuando se presente información con arreglo a los PCGA nacionales basados en la DCB.
(b) «Ganancias o pérdidas al dar de baja en cuentas activos no financieros».
(c) «Ganancias o pérdidas procedentes de activos no corrientes y grupos enajenables de elementos clasificados como mantenidos para la venta no admisibles como actividades interrumpidas».
(d) «Ganancias o pérdidas después de impuestos procedentes de actividades interrumpidas».
293. «Deterioro del valor o (-) reversión del deterioro del valor de las exposiciones dudosas» comprenderá las pérdidas por deterioro del valor definidas en los puntos 51 a 53 de la presente parte respecto de las exposiciones que se clasifiquen como dudosas con arreglo a los puntos 213 a 239 de la presente parte. «Provisiones o (-) reversión de las provisiones por las exposiciones dudosas» comprenderá las provisiones definidas en el punto 50 de la presente parte respecto de las exposiciones fuera de balance que se clasifiquen como dudosas con arreglo a los puntos 213 a 239 de la presente parte.
24. ESTRUCTURA DEL GRUPO (40)
294. Las entidades facilitarán información detallada, al día de la fecha de información, sobre las dependientes, negocios conjuntos y asociadas que sean objeto de integración global o consolidación proporcional dentro del ámbito de consolidación contable, así como sobre los entes comprendidos en «Inversiones en dependientes [filiales], negocios conjuntos y asociadas» de conformidad con el punto 4 de la presente parte, incluyendo también aquellos entes en los que se mantengan inversiones para su venta con arreglo a la NIIF 5. Se considerarán todos los entes, sea cual sea la actividad que realicen.
295. Los instrumentos de patrimonio que no cumplan los criterios para ser clasificados como inversiones en dependientes, negocios conjuntos y asociadas y las acciones propias de la entidad declarante que esta posea («Acciones propias») quedarán excluidos de esta plantilla.
24.1. Estructura del grupo: «ente por ente» (40.1)
296. Se facilitará la siguiente información «ente por ente», aplicándose, a efectos de los anexos III y IV, así como del presente anexo, las definiciones que a continuación se indican:
(a) «Código LEI»: código LEI de la participada. Si la participada cuenta con un código LEI, este deberá indicarse.
(b) «Código del ente»: código de identificación de la participada. El código del ente es un identificador de la fila y debe ser único para cada fila de la plantilla 40.1.
(c) «Nombre del ente»: nombre de la participada.
(d) «Fecha de entrada»: fecha en la que la participada se incluyó en el «ámbito de consolidación del grupo».
(e) «Capital social de la participada»: importe total del capital emitido por la participada en la fecha de referencia.
(f) «Patrimonio neto de la participada», «Total activo de la participada» y «Ganancias (o pérdidas) de la participada»: importes de estas partidas en los últimos estados financieros de la participada.
(g) «Lugar de residencia de la participada»: país de residencia de la participada.
(h) «Sector de la participada»: sector de la contraparte según se define en la parte 1, punto 42, del presente anexo.
(i) «Código NACE»: el correspondiente a la actividad principal de la participada. En las sociedades no financieras, los códigos NACE se comunicarán al primer nivel de desagregación («sección»); en las sociedades financieras, se comunicarán con dos niveles de desagregación («división»).
(j) «Participación en el patrimonio neto acumulada (%)»: porcentaje de los instrumentos de propiedad mantenidos por la entidad en la fecha de referencia.
(k) «Derechos de voto (%)»: porcentaje de los derechos de voto asociados a los instrumentos de propiedad mantenidos por la entidad en la fecha de referencia.
(l) «Estructura del grupo [vínculo]»: relación entre la dominante última y la participada (dominante o ente con control conjunto de la entidad declarante, dependiente, negocio conjunto o asociada).
(m) «Tratamiento contable [grupo a efectos contables]»: relación entre el tratamiento contable y el ámbito de consolidación contable (integración global, consolidación proporcional, método de la participación u otro).
(n) «Tratamiento contable [grupo a efectos del RRC]»: relación entre el tratamiento contable y el ámbito de consolidación en virtud del RRC (integración global, consolidación proporcional, método de la participación u otro).
(o) «Importe en libros»: importe comunicado en el balance de la entidad para las participadas que no se hayan consolidado ni mediante integración global ni mediante consolidación proporcional.
(p) «Coste de adquisición»: importe pagado por los inversores.
(q) «Fondo de comercio vinculado con la participada»: importe del fondo de comercio consignado en el balance consolidado de la entidad declarante en relación con la participada en las partidas «fondo de comercio» o «inversiones en dependientes, negocios conjuntos y asociadas».
(r) «Valor razonable de las inversiones para las que se han publicado cotizaciones»: precio en la fecha de referencia; se comunicará solo si los instrumentos cotizan.
24.2. Estructura del grupo: «instrumento por instrumento» (40.2)
297. Se facilitará la siguiente información «instrumento por instrumento»:
(a) «Código del valor»: código ISIN del valor. En el caso de los valores sin código ISIN asignado, se indicará otro código que los identifique inequívocamente. El «Código del valor» y el «Código de la sociedad tenedora» constituirán un identificador compuesto de la fila, cuya combinación será única para cada fila de la plantilla 40.2.
(b) «Código de la sociedad tenedora»: código de identificación del ente dentro del grupo que mantenga la inversión. «Código LEI de la sociedad tenedora»: código LEI de la sociedad que posee el valor. Si la sociedad tenedora cuenta con un código LEI, este deberá indicarse.
(c) «Código del ente», «Participación en el patrimonio neto acumulada (%)», «Importe en libros» y «Coste de adquisición» tienen los significados indicados anteriormente. Los importes corresponderán al valor mantenido por la sociedad tenedora.
25. VALOR RAZONABLE (41)
25.1. Jerarquía del valor razonable: instrumentos financieros a coste amortizado (41.1)
298. En esta plantilla se facilitará información sobre el valor razonable de los instrumentos financieros valorados a coste amortizado, utilizando la jerarquía de la NIIF 13.72, 76, 81 y 86. Cuando los PCGA nacionales basados en la DCB exijan también que los activos valorados a valor razonable se asignen a distintos niveles de valor razonable, las entidades que apliquen los PCGA nacionales cumplimentarán también esta plantilla.
25.2. Uso de la opción del valor razonable (41.2)
299. En esta plantilla se facilitará información sobre el uso de la opción del valor razonable para los activos y pasivos financieros designados a valor razonable con cambios en resultados.
300. «Contratos híbridos» comprenderá respecto de los pasivos el importe en libros de los instrumentos financieros híbridos clasificados, en su conjunto, en estas carteras contables; es decir, comprenderá los instrumentos híbridos no separados en su totalidad.
301. «Gestión del riesgo de crédito» comprenderá el importe en libros de los instrumentos designados a valor razonable con cambios en resultados cuando sean objeto de cobertura contra el riesgo de crédito mediante derivados de crédito valorados a valor razonable con cambios en resultados con arreglo a la NIIF 9.6.7.
26. ACTIVOS TANGIBLES E INTANGIBLES: IMPORTE EN LIBROS SEGÚN EL MÉTODO DE MEDICIÓN (42)
302. «Inmovilizado material», «Inversiones inmobiliarias» y «Otros activos intangibles» se comunicarán desglosados por los criterios utilizados en su valoración.
303. «Otros activos intangibles» comprenderá los restantes activos intangibles distintos del fondo de comercio.
27. PROVISIONES (43)
304. Esta plantilla comprenderá la conciliación entre el importe en libros de la partida «Provisiones» al principio y al final del período, según la naturaleza de los movimientos, con la salvedad de las provisiones valoradas con arreglo a la NIIF 9, que se consignarán, por su parte, en la plantilla 12.
305. «Otros compromisos y garantías concedidos valorados conforme a la NIC 37 y garantías concedidas valoradas conforme a la NIIF 4» comprenderá las provisiones valoradas con arreglo a la NIC 37 y las pérdidas crediticias de garantías financieras que se hayan tratado como contratos de seguro conforme a la NIIF 4.
28. PLANES DE PRESTACIONES DEFINIDAS Y RETRIBUCIONES A LOS EMPLEADOS (44)
306. Estas plantillas comprenderán información acumulada sobre todos los planes de prestaciones definidas de la entidad. Cuando haya más de un plan de prestaciones definidas, se comunicará el importe agregado de todos ellos.
28.1. Componentes de los activos y pasivos netos de los planes de prestaciones definidas (44.1)
307. La plantilla sobre los componentes de los activos y pasivos netos de los planes de prestaciones definidas deberá mostrar la conciliación del valor actual acumulado de los pasivos (activos) netos por prestaciones definidas, así como los derechos de reembolso [NIC 19.140.a) y b)].
308. «Activos netos por prestaciones definidas» comprenderá, en caso de superávit, el excedente que se reconocerá en el balance, al no verse afectado por los límites establecidos en la NIC 19.63. El importe de esta partida y el consignado en la partida pro memoria «Valor razonable de los derechos de reembolso reconocidos como activos» se incluirán en la partida «Otros activos» del balance.
28.2. Movimientos en las obligaciones por prestaciones definidas (44.2)
309. La plantilla sobre los movimientos en las obligaciones por prestaciones definidas deberá mostrar la conciliación de los saldos de apertura y de cierre del valor actual acumulado de todas las obligaciones por prestaciones definidas de la entidad. Se presentarán por separado los efectos de los distintos elementos enumerados en la NIC 19.141 durante el período.
310. El importe del «Saldo de cierre [valor actual]» en la plantilla correspondiente a los movimientos en las obligaciones por prestaciones definidas deberá ser igual al «Valor actual de las obligaciones por prestaciones definidas».
28.3. Partidas pro memoria [relativas a los gastos de personal] (44.3)
311. Para comunicar las partidas pro memoria relativas a los gastos de personal se utilizarán las definiciones siguientes:
(a) «Pensiones y gastos similares» comprenderá el importe reconocido en el período como gastos de personal por prestaciones post-empleo (planes de aportaciones definidas y planes de prestaciones definidas) y cotizaciones de seguridad social.
(b) «Pagos basados en acciones» comprenderá el importe reconocido en el período como gastos de personal por pagos basados en acciones.
29. DESGLOSE DE PARTIDAS SELECCIONADAS DEL ESTADO DE RESULTADOS (45)
29.1. Ganancias o pérdidas por activos y pasivos financieros designados a valor razonable con cambios en resultados, por carteras contables (45.1)
312. «Pasivos financieros designados a valor razonable con cambios en resultados» comprenderá exclusivamente las ganancias y pérdidas debidas al cambio en el riesgo de crédito propio de los emisores de los pasivos designados a valor razonable con cambios en resultados cuando la entidad declarante haya optado por reconocerlas en los resultados porque su reconocimiento en otro resultado global crearía una asimetría contable o la ampliaría.
29.2. Ganancias o pérdidas al dar de baja en cuentas activos no financieros (45.2)
313. Las ganancias o pérdidas al dar de baja en cuentas activos no financieros se desglosarán por tipos de activos; cada partida incluirá las ganancias o pérdidas en el activo que haya sido dado de baja. «Otros activos» comprenderá los demás activos tangibles e intangibles e inversiones no comunicados en otro lugar.
29.3. Otros ingresos y gastos de explotación (45.3)
314. Los otros ingresos y gastos de explotación se desglosarán en función de lo siguiente: ajustes del valor razonable de los activos tangibles valorados según el modelo del valor razonable; ingresos por rentas y gastos de explotación directos de inversiones inmobiliarias; ingresos y gastos por arrendamientos operativos distintos de inversiones inmobiliarias, y otros ingresos y gastos de explotación.
315. «Arrendamientos operativos distintos de inversiones inmobiliarias» comprenderá, en la columna «ingresos», los rendimientos obtenidos y en la columna «gastos» los costes en que haya incurrido la entidad como arrendador en sus actividades de arrendamiento operativo distintas de las relativas a activos clasificados como inversiones inmobiliarias. Los costes para la entidad como arrendatario se incluirán en la partida «Otros gastos de administración».
316. Las ganancias o pérdidas resultantes de la baja en cuentas o la nueva valoración de las tenencias de oro y otros metales preciosos y de otras materias primas valorados a valor razonable, menos el coste de la venta, se consignarán en las partidas «Otros ingresos de explotación. Otros» u «Otros gastos de explotación. Otros».
30. ESTADO DE CAMBIOS EN EL PATRIMONIO NETO (46)
317. El estado de cambios en el patrimonio neto muestra la conciliación entre el importe en libros al principio del período (saldo de apertura) y al final del período (saldo de cierre) de cada uno de los componentes del patrimonio neto.
318. «Transferencias entre componentes del patrimonio neto» comprenderá todos los importes que se hayan transferido dentro del patrimonio neto, incluidas las ganancias o pérdidas debidas al riesgo de crédito propio de los pasivos designados a valor razonable con cambios en resultados, así como los cambios acumulados en el valor razonable de los instrumentos de patrimonio valorados a valor razonable con cambios en otro resultado global que se transfieran a otros componentes del patrimonio neto en el momento en que se den de baja en cuentas.
PARTE 3
CORRESPONDENCIA ENTRE LAS CATEGORÍAS DE EXPOSICIÓN Y LOS SECTORES DE LAS CONTRAPARTES
1. En los cuadros 2 y 3 se asocian las categorías de exposición utilizadas para calcular los requisitos de capital de conformidad con el RRC a los sectores de las contrapartes utilizados en los cuadros FINREP.
Cuadro 2
Método estándar
|
Categorías de exposición según el método estándar (artículo 112 del RRC) |
Sectores de las contrapartes según FINREP |
Observaciones |
|
a) Administraciones centrales o bancos centrales |
1) Bancos centrales 2) Administraciones públicas |
Estas exposiciones se asignarán a los sectores de las contrapartes según FINREP atendiendo a la naturaleza de la contraparte inmediata. |
|
b) Administraciones regionales o autoridades locales |
2) Administraciones públicas |
Estas exposiciones se asignarán a los sectores de las contrapartes según FINREP atendiendo a la naturaleza de la contraparte inmediata. |
|
c) Entes del sector público |
2) Administraciones públicas 3) Entidades de crédito 4) Otras sociedades financieras 5) Sociedades no financieras |
Estas exposiciones se asignarán a los sectores de las contrapartes según FINREP atendiendo a la naturaleza de la contraparte inmediata. |
|
d) Bancos multilaterales de desarrollo |
3) Entidades de crédito |
Estas exposiciones se asignarán a los sectores de las contrapartes según FINREP atendiendo a la naturaleza de la contraparte inmediata. |
|
e) Organizaciones internacionales |
2) Administraciones públicas |
Estas exposiciones se asignarán a los sectores de las contrapartes según FINREP atendiendo a la naturaleza de la contraparte inmediata. |
|
f) Entidades (es decir, entidades de crédito y empresas de inversión) |
3) Entidades de crédito 4) Otras sociedades financieras |
Estas exposiciones se asignarán a los sectores de las contrapartes según FINREP atendiendo a la naturaleza de la contraparte inmediata. |
|
g) Empresas |
4) Otras sociedades financieras 5) Sociedades no financieras 6) Hogares |
Estas exposiciones se asignarán a los sectores de las contrapartes según FINREP atendiendo a la naturaleza de la contraparte inmediata. |
|
h) Minoristas |
4) Otras sociedades financieras 5) Sociedades no financieras 6) Hogares |
Estas exposiciones se asignarán a los sectores de las contrapartes según FINREP atendiendo a la naturaleza de la contraparte inmediata. |
|
i) Garantizadas con hipotecas sobre bienes inmuebles |
2) Administraciones públicas 3) Entidades de crédito 4) Otras sociedades financieras 5) Sociedades no financieras 6) Hogares |
Estas exposiciones se asignarán a los sectores de las contrapartes según FINREP atendiendo a la naturaleza de la contraparte inmediata. |
|
j) En situación de impago |
1) Bancos centrales 2) Administraciones públicas 3) Entidades de crédito 4) Otras sociedades financieras 5) Sociedades no financieras 6) Hogares |
Estas exposiciones se asignarán a los sectores de las contrapartes según FINREP atendiendo a la naturaleza de la contraparte inmediata. |
|
j bis) Asociadas a riesgos especialmente elevados |
1) Bancos centrales 2) Administraciones públicas 3) Entidades de crédito 4) Otras sociedades financieras 5) Sociedades no financieras 6) Hogares |
Estas exposiciones se asignarán a los sectores de las contrapartes según FINREP atendiendo a la naturaleza de la contraparte inmediata. |
|
k) Bonos garantizados |
3) Entidades de crédito 4) Otras sociedades financieras 5) Sociedades no financieras |
Estas exposiciones se asignarán a los sectores de las contrapartes según FINREP atendiendo a la naturaleza de la contraparte inmediata. |
|
l) Posiciones de titulización |
2) Administraciones públicas 3) Entidades de crédito 4) Otras sociedades financieras 5) Sociedades no financieras 6) Hogares |
Estas exposiciones se asignarán a los sectores de las contrapartes según FINREP atendiendo al riesgo subyacente de la titulización. En FINREP, cuando sigan reconociéndose en el balance las posiciones titulizadas, los sectores de las contrapartes serán los sectores de las contrapartes inmediatas de esas posiciones. |
|
m) Entidades y empresas con evaluación crediticia a corto plazo |
3) Entidades de crédito 4) Otras sociedades financieras 5) Sociedades no financieras |
Estas exposiciones se asignarán a los sectores de las contrapartes según FINREP atendiendo a la naturaleza de la contraparte inmediata. |
|
n) Organismos de inversión colectiva |
Instrumentos de patrimonio |
Las inversiones en OIC se clasificarán como instrumentos de patrimonio en FINREP, independientemente de que el RRC permita aplicar el enfoque de transparencia. |
|
o) De renta variable |
Instrumentos de patrimonio |
En FINREP, los instrumentos de patrimonio se separarán en diferentes categorías de activos financieros. |
|
p) Otros elementos |
Diversas partidas del balance |
En FINREP, las otras partidas pueden incluirse en diferentes categorías de activos. |
Cuadro 3
Método basado en calificaciones internas (IRB)
|
Categorías de exposición según el método IRB (Artículo 147 del RRC) |
Sectores de las contrapartes según FINREP |
Observaciones |
|
a) Administraciones centrales y bancos centrales |
1) Bancos centrales 2) Administraciones públicas 3) Entidades de crédito |
Estas exposiciones se asignarán a los sectores de las contrapartes según FINREP atendiendo a la naturaleza de la contraparte inmediata. |
|
b) Entidades (es decir, entidades de crédito y empresas de inversión, así como algunas administraciones públicas y bancos multilaterales) |
2) Administraciones públicas 3) Entidades de crédito 4) Otras sociedades financieras |
Estas exposiciones se asignarán a los sectores de las contrapartes según FINREP atendiendo a la naturaleza de la contraparte inmediata. |
|
c) Empresas |
4) Otras sociedades financieras 5) Sociedades no financieras 6) Hogares |
Estas exposiciones se asignarán a los sectores de las contrapartes según FINREP atendiendo a la naturaleza de la contraparte inmediata. |
|
d) Minoristas |
4) Otras sociedades financieras 5) Sociedades no financieras 6) Hogares |
Estas exposiciones se asignarán a los sectores de las contrapartes según FINREP atendiendo a la naturaleza de la contraparte inmediata. |
|
e) De renta variable |
Instrumentos de patrimonio |
En FINREP, los instrumentos de patrimonio se separarán en diferentes categorías de activos financieros. |
|
f) Posiciones de titulización |
2) Administraciones públicas 3) Entidades de crédito 4) Otras sociedades financieras 5) Sociedades no financieras 6) Hogares |
Estas exposiciones se asignarán a los sectores de las contrapartes según FINREP atendiendo al riesgo subyacente de las posiciones de titulización. En FINREP, cuando sigan reconociéndose en el balance las posiciones titulizadas, los sectores de las contrapartes serán los sectores de las contrapartes inmediatas de esas posiciones. |
|
g) Otras obligaciones no crediticias |
Diversas partidas del balance |
En FINREP, las otras partidas pueden incluirse en diferentes categorías de activos. |
ANEXO VI
COMUNICACIÓN DE PÉRDIDAS RESULTANTES DE PRÉSTAMOS GARANTIZADOS MEDIANTE BIENES INMUEBLES
|
PLANTILLAS DE PÉRDIDAS RESULTANTES DE PRÉSTAMOS GARANTIZADOS MEDIANTE BIENES INMUEBLES |
|||
|
Número de plantilla |
Código de plantilla |
Nombre de la plantilla/grupo de plantillas |
Nombre abreviado |
|
|
|
IP LOSSES |
LE |
|
15 |
C 15.00 |
Exposiciones y pérdidas resultantes de préstamos garantizados mediante bienes inmuebles |
CR IP LOSSES |
C 15.00 — EXPOSICIONES Y PÉRDIDAS RESULTANTES DE PRÉSTAMOS GARANTIZADOS MEDIANTE BIENES INMUEBLES (CR IP LOSSES)
País
|
|
Pérdidas |
Exposiciones |
||||
|
Suma de las pérdidas resultantes de los préstamos, hasta los porcentajes de referencia |
Suma de las pérdidas globales |
Suma de las exposiciones |
||||
|
|
de las cuales: bienes inmuebles valorados al valor del préstamo hipotecario |
|
de las cuales: bienes inmuebles valorados al valor del préstamo hipotecario |
|||
|
Fila |
columna |
010 |
020 |
030 |
040 |
050 |
|
Garantizados mediante: |
|
|
|
|
|
|
|
010 |
Bienes inmuebles residenciales |
|
|
|
|
|
|
020 |
Bienes inmuebles comerciales |
|
|
|
|
|
ANEXO VII
INSTRUCCIONES PARA LA COMUNICACIÓN DE LAS PÉRDIDAS RESULTANTES DE PRÉSTAMOS GARANTIZADOS MEDIANTE BIENES INMUEBLES
1. El presente anexo contiene instrucciones adicionales relativas a los cuadros incluidos en el anexo VI del presente Reglamento. Complementa las instrucciones en forma de referencias incluidas en los cuadros de ese anexo VI.
2. Son aplicables asimismo todas las instrucciones generales incluidas en la parte I del anexo II del presente Reglamento.
1. Alcance de la información
3. Deberán comunicar los datos especificados en el artículo 101, apartado 1, del RRC todas las entidades que utilicen bienes inmuebles a efectos de lo previsto en la parte tercera, título II, del RRC.
4. La plantilla abarca todos los mercados nacionales a los que está expuesta una entidad o un grupo de entidades (véase el artículo 101, apartado 1, del RRC). Con arreglo al apartado 2, tercera frase, de ese artículo, los datos se comunicarán separadamente para cada mercado inmobiliario de la Unión.
2. Definiciones
5. Definición de «pérdida»: «pérdida» significa «pérdida económica», tal como se define en el artículo 5, punto 2, del RRC, incluidas las pérdidas resultantes de bienes inmuebles arrendados. Al calcular las pérdidas resultantes de los bienes inmuebles, no se contabilizarán los flujos de recuperación procedentes de otras fuentes (por ejemplo, avales bancarios, seguros de vida, etc.). Las pérdidas de una posición no podrán compensarse con el beneficio de la recuperación conseguida de otra posición.
6. Conforme a la definición del artículo 5, punto 2, del RRC, en las exposiciones garantizadas mediante bienes inmuebles residenciales y bienes inmuebles comerciales, el cálculo de la pérdida económica debe tomar como base el valor de la exposición pendiente en la fecha de información e incluir al menos lo siguiente: i) el producto de la ejecución de la garantía real; ii) los costes directos (incluido el pago de intereses y los costes de reestructuración vinculados a la liquidación de la garantía real); y iii) los costes indirectos (incluidos los costes de explotación de la unidad de reestructuración). Todos los componentes deben actualizarse a la fecha de referencia de la información.
7. Valor de la exposición: el valor de la exposición sigue las reglas establecidas en la parte tercera, título II, del RRC (véase el capítulo 2 para las entidades que utilizan el método estándar y el capítulo 3 para las que utilizan el método IRB).
8. Valor del bien inmueble: el valor del bien inmueble sigue las reglas establecidas en la parte tercera, título II, del RRC.
9. Efecto del tipo de cambio: el tipo de cambio de la divisa de referencia será el de la fecha de información. Además, en la estimación de las pérdidas económicas debe tenerse en cuenta el efecto del tipo de cambio si la exposición o la garantía real se denomina en una moneda diferente.
3. Desglose geográfico
10. Atendiendo al alcance de la información, las plantillas CR IP Losses constarán de las siguientes:
a) una plantilla total;
b) una plantilla por cada uno de los mercados nacionales de la Unión a los que esté expuesta la entidad; y
c) una plantilla en la que se agreguen los datos de todos los mercados nacionales fuera de la Unión a los que esté expuesta la entidad.
4. Comunicación de las exposiciones y las pérdidas
11. Exposiciones: se comunicarán en las plantillas CR IP Losses todas las exposiciones tratadas con arreglo a la parte tercera, título II, del RRC y en las que las garantías reales se utilicen para reducir el importe de la exposición ponderada por riesgo. Esto significa, por otra parte, que no deberán comunicarse las exposiciones ni las pérdidas cuando el efecto de reducción del riesgo de los bienes inmuebles se utilice únicamente con fines internos (es decir, en el ámbito del pilar 2) o para grandes exposiciones (véase la parte cuarta del RRC).
12. Pérdidas: las pérdidas deberán ser comunicadas por la entidad que esté expuesta al final del período de referencia. Las pérdidas se comunicarán tan pronto como las reglas contables exijan la contabilización de provisiones. Deben comunicarse también las pérdidas estimadas. Los datos sobre pérdidas se recogerán préstamo por préstamo, es decir, agregando los datos de las pérdidas correspondientes a las distintas exposiciones garantizadas mediante bienes inmuebles.
13. Fecha de referencia: para comunicar las pérdidas debe considerarse el valor de exposición en la fecha del impago.
a) Deben comunicarse pérdidas por todos los impagos de préstamos garantizados mediante bienes inmuebles durante el correspondiente período de referencia, independientemente de que se complete o no la reestructuración durante el período. Los datos sobre pérdidas comunicados a 30 de junio se referirán al período comprendido entre el 1 de enero y el 30 de junio, y los datos sobre pérdidas comunicados a 31 de diciembre se referirán a todo el año natural. Puesto que puede haber un gran desfase temporal entre el impago y la realización de la pérdida, deberán comunicarse las pérdidas estimadas (incluido el proceso de reestructuración en curso) en los casos en que no se haya completado ese proceso dentro del período de referencia.
b) En relación con los impagos observados dentro del período de referencia, caben tres supuestos: i) es posible reestructurar el préstamo impagado de forma que desaparezca el impago (no hay pérdida observada); ii) se ha completado la ejecución de todas las garantías reales (reestructuración finalizada, se conoce la pérdida real); o iii) la reestructuración no ha finalizado (se han de comunicar las pérdidas estimadas). La comunicación de las pérdidas solo debe referirse a las resultantes del supuesto ii), es decir, se ha completado la ejecución de todas las garantías reales (pérdidas observadas), y del supuesto iii), la reestructuración no ha finalizado (pérdidas estimadas).
c) Puesto que solo deben comunicarse las pérdidas por exposiciones con impago registrado durante el período de referencia, no habrá que comunicar los cambios en las pérdidas por exposiciones cuyo impago se haya registrado en períodos anteriores. Así pues, no se comunicará el producto procedente de la ejecución de la garantía real en cualquier período de referencia posterior, ni el hecho de que los costes hayan sido inferiores a lo estimado previamente.
14. Función de la valoración del bien inmueble: para comunicar la parte de la exposición garantizada por hipotecas sobre bienes inmuebles se necesita como fecha de referencia la última valoración del bien inmueble antes de la fecha de impago de la exposición. Tras el impago, es posible que el bien vuelva a valorarse. Ahora bien, este nuevo valor no será pertinente para determinar la parte de la exposición plenamente (e íntegramente) garantizada en un principio por hipotecas sobre bienes inmuebles. En cambio, deberá tenerse en cuenta al comunicar la pérdida económica (la disminución del valor del inmueble forma parte de los costes económicos). En otras palabras, para determinar la parte de la pérdida que ha de consignarse en la celda 010 (determinación del valor de la exposición plena e íntegramente garantizada) deberá utilizarse la última valoración del bien inmueble antes de la fecha del impago, mientras que para cumplimentar las celdas 010 y 030 (estimación de una eventual reestructuración de la garantía real) deberá utilizarse el nuevo valor del inmueble.
15. Tratamiento de las ventas de préstamos durante el período de referencia: la entidad que esté expuesta al final del período de referencia es la que deberá comunicar las pérdidas, pero solo si se ha determinado la existencia de un impago en relación con esa exposición.
5. Instrucciones relativas a posiciones concretas
|
Columnas |
|
|
010 |
Suma de las pérdidas resultantes de los préstamos, hasta los porcentajes de referencia Artículo 101, apartado 1, letras a) y d), respectivamente, del RRC. Valor de mercado y valor del préstamo hipotecario de conformidad con el artículo 4, puntos 74 y 76, del RRC. Esta columna recoge todas las pérdidas resultantes de los préstamos garantizados mediante bienes inmuebles residenciales o comerciales, hasta la parte de la exposición considerada plena e íntegramente garantizada con arreglo al artículo 124, apartado 1, del RRC. |
|
020 |
De las cuales: bienes inmuebles valorados al valor del préstamo hipotecario Comunicación de esas pérdidas cuando el valor de la garantía se ha calculado como el valor del préstamo hipotecario. |
|
030 |
Suma de las pérdidas globales Artículo 101, apartado 1, letras b) y e), respectivamente, del RRC. Valor de mercado y valor del préstamo hipotecario de conformidad con el artículo 4, puntos 74 y 76, del RRC. Esta columna recoge todas las pérdidas resultantes de los préstamos garantizados mediante bienes inmuebles residenciales o comerciales, hasta la parte de la exposición considerada plenamente garantizada con arreglo al artículo 124, apartado 1, del RRC. |
|
040 |
De las cuales: bienes inmuebles valorados al valor del préstamo hipotecario Comunicación de esas pérdidas cuando el valor de la garantía se ha calculado como el valor del préstamo hipotecario. |
|
050 |
Suma de las exposiciones Artículo 101, apartado 1, letras c) y f), respectivamente, del RRC. El valor que ha de comunicarse es únicamente aquella parte del valor de la exposición considerada plenamente garantizada mediante bienes inmuebles; así pues, la parte que se considere no garantizada no es pertinente para la comunicación de las pérdidas. En caso de impago, el valor de la exposición comunicado equivale al valor de la exposición directamente antes del impago. |
|
Filas |
|
|
010 |
Bienes inmuebles residenciales |
|
020 |
Bienes inmuebles comerciales |
ANEXO VIII
PLANTILLAS DE INFORMACIÓN SOBRE GRANDES EXPOSICIONES Y RIESGO DE CONCENTRACIÓN
PLANTILLAS DE GRANDES EXPOSICIONES
|
Número de plantilla |
Código de plantilla |
Nombre de la plantilla/grupo de plantillas |
Nombre abreviado |
|
|
|
GRANDES EXPOSICIONES |
LE |
|
26 |
C 26.00 |
Límites de las grandes exposiciones |
LE LIMITS |
|
27 |
C 27.00 |
Identificación de la contraparte |
LE 1 |
|
28 |
C 28.00 |
Exposiciones de la cartera de negociación y de la cartera de inversión |
LE 2 |
|
29 |
C 29.00 |
Detalle de las exposiciones frente a clientes individuales dentro de grupos de clientes vinculados entre sí |
LE 3 |
|
30 |
C 30.00 |
Períodos de vencimiento de las exposiciones de la cartera de negociación y de la cartera de inversión |
LE 4 |
|
31 |
C 31.00 |
Períodos de vencimiento de las exposiciones frente a clientes individuales dentro de grupos de clientes vinculados entre sí |
LE 5 |
C 26.00 - Límites de las grandes exposiciones (LE Limits)
|
|
Límite aplicable |
|
|
columna |
||
|
10 |
||
|
fila |
|
|
|
010 |
No entidades |
|
|
020 |
Entidades |
|
|
030 |
Entidades en % |
|
C 27.00 - Identificación de la contraparte (LE 1)
|
IDENTIFICACIÓN DE LA CONTRAPARTE |
||||||
|
Código |
Nombre |
Código LEI |
Residencia de la contraparte |
Sector de la contraparte |
Código NACE |
Tipo de contraparte |
|
010 |
020 |
030 |
040 |
050 |
060 |
070 |
|
|
|
|
|
|
|
|
C 28.00 - Exposiciones de la cartera de negociación y de la cartera de inversión (LE 2)
|
CONTRAPARTE |
EXPOSICIONES ORIGINALES |
(-) Ajustes de valor y provisiones |
(-) Exposiciones deducidas de los fondos propios |
Valor de la exposición antes de aplicar las exenciones y de la reducción del riesgo de crédito |
TÉCNICAS ADMISIBLES DE REDUCCIÓN DEL RIESGO DE CRÉDITO |
(-) Importes exentos |
Valor de la exposición después de aplicar las exenciones y de la reducción del riesgo de crédito |
|||||||||||||||||||||||||||
|
Código |
Grupo o cliente individual |
Operaciones en las que existe una exposición frente a activos subyacentes |
|
(-) Efecto de sustitución de las técnicas admisibles de reducción del riesgo de crédito |
(-) Cobertura del riesgo de crédito con garantías reales o instrumentos similares distinta del efecto de sustitución |
(-) Bienes inmuebles |
||||||||||||||||||||||||||||
|
|
Exposiciones directas |
Exposiciones indirectas |
Exposiciones adicionales resultantes de operaciones en las que existe una exposición frente a activos subyacentes |
|||||||||||||||||||||||||||||||
|
Exposición original total |
De la cual: con impago |
Instrumentos de deuda |
Instrumentos de patrimonio |
Derivados |
Exposiciones fuera de balance |
Instrumentos de deuda |
Instrumentos de patrimonio |
Derivados |
Exposiciones fuera de balance |
Total |
Del cual: cartera de inversión |
% del capital admisible |
(-) Instrumentos de deuda |
(-) Instrumentos de patrimonio |
(-) Derivados |
(-) Exposiciones fuera de balance: |
Total |
Del cual: Cartera de inversión |
% del capital admisible |
|||||||||||||||
|
Compromisos de préstamo |
Garantías financieras |
Otros compromisos |
Compromisos de préstamo |
Garantías financieras |
Otros compromisos |
(-) Compromisos de préstamo |
(-) Garantías financieras |
(-) Otros compromisos |
||||||||||||||||||||||||||
|
010 |
020 |
030 |
040 |
050 |
060 |
070 |
080 |
090 |
100 |
110 |
120 |
130 |
140 |
150 |
160 |
170 |
180 |
190 |
200 |
210 |
220 |
230 |
240 |
250 |
260 |
270 |
280 |
290 |
300 |
310 |
320 |
330 |
340 |
350 |
|
|
|
|
|
|
|
|
|
|
|
|
|
|
|
|
|
|
|
|
|
|
|
|
|
|
|
|
|
|
|
|
|
|
|
|
C 29.00 - Detalle de las exposiciones frente a clientes individuales dentro de grupos de clientes vinculados entre sí (LE 3)
|
CONTRAPARTE |
EXPOSICIONES ORIGINALES |
(-) Ajustes de valor y provisiones |
(-) Exposiciones deducidas de los fondos propios |
Valor de la exposición antes de aplicar las exenciones y de la reducción del riesgo de crédito |
TÉCNICAS ADMISIBLES DE REDUCCIÓN DEL RIESGO DE CRÉDITO |
(-) Importes exentos |
Valor de la exposición después de aplicar las exenciones y de la reducción del riesgo de crédito |
||||||||||||||||||||||||||||
|
Código |
Código del grupo |
Operaciones en las que existe una exposición frente a activos subyacentes |
Tipo de vinculación |
|
(-) Efecto de sustitución de las técnicas admisibles de reducción del riesgo de crédito |
(-) Cobertura del riesgo de crédito con garantías reales o instrumentos similares distinta del efecto de sustitución |
(-) Bienes inmuebles |
||||||||||||||||||||||||||||
|
|
Exposiciones directas |
Exposiciones indirectas |
Exposiciones adicionales resultantes de operaciones en las que existe una exposición frente a activos subyacentes |
||||||||||||||||||||||||||||||||
|
Exposición original total |
De la cual: con impago |
Instrumentos de deuda |
Instrumentos de patrimonio |
Derivados |
Exposiciones fuera de balance |
Instrumentos de deuda |
Instrumentos de patrimonio |
Derivados |
Exposiciones fuera de balance |
Total |
Del cual: cartera de inversión |
% del capital admisible |
(-) Instrumentos de deuda |
(-) Instrumentos de patrimonio |
(-) Derivados |
(-) Exposiciones fuera de balance |
Total |
Del cual: cartera de inversión |
% del capital admisible |
||||||||||||||||
|
Compromisos de préstamo |
Garantías financieras |
Otros compromisos |
Compromisos de préstamo |
Garantías financieras |
Otros compromisos |
(-) Compromisos de préstamo |
(-) Garantías financieras |
(-) Otros compromisos |
|||||||||||||||||||||||||||
|
010 |
020 |
030 |
040 |
050 |
060 |
070 |
080 |
090 |
100 |
110 |
120 |
130 |
140 |
150 |
160 |
170 |
180 |
190 |
200 |
210 |
220 |
230 |
240 |
250 |
260 |
270 |
280 |
290 |
300 |
310 |
320 |
330 |
340 |
350 |
360 |
|
|
|
|
|
|
|
|
|
|
|
|
|
|
|
|
|
|
|
|
|
|
|
|
|
|
|
|
|
|
|
|
|
|
|
|
|
C 30.00 - Períodos de vencimiento de las exposiciones de la cartera de negociación y la cartera de inversión (LE 4)
|
CONTRAPARTE |
PERÍODOS DE VENCIMIENTO DE LAS EXPOSICIONES |
PERÍODOS DE VENCIMIENTO DE LAS EXPOSICIONES |
||||||||||||||||||||||
|
Código |
Hasta 1 mes |
Más de 1 y hasta 2 meses |
Más de 2 y hasta 3 meses |
Más de 3 y hasta 4 meses |
Más de 4 y hasta 5 meses |
Más de 5 y hasta 6 meses |
Más de 6 y hasta 7 meses |
Más de 7 y hasta 8 meses |
Más de 8 y hasta 9 meses |
Más de 9 y hasta 10 meses |
Más de 10 y hasta 11 meses |
Más de 11 y hasta 12 meses |
Más de 12 y hasta 13 meses |
Más de 15 y hasta 18 meses |
Más de 18 y hasta 21 meses |
Más de 21 y hasta 24 meses |
Más de 24 y hasta 27 meses |
Más de 27 y hasta 30 meses |
Más de 30 y hasta 33 meses |
Más de 33 y hasta 36 meses |
Más de 3 y hasta 5 años |
Más de 5 y hasta 10 años |
Más de 10 años |
Vencimiento indefinido |
|
010 |
020 |
030 |
040 |
050 |
060 |
070 |
080 |
090 |
100 |
110 |
120 |
130 |
140 |
150 |
160 |
170 |
180 |
190 |
200 |
210 |
220 |
230 |
240 |
250 |
|
|
|
|
|
|
|
|
|
|
|
|
|
|
|
|
|
|
|
|
|
|
|
|
|
|
C 31.00 Períodos de vencimiento de las exposiciones frente a clientes individuales dentro de grupos de clientes vinculados entre sí (LE 5)
|
CONTRAPARTE |
PERÍODOS DE VENCIMIENTO DE LAS EXPOSICIONES |
PERÍODOS DE VENCIMIENTO DE LAS EXPOSICIONES |
|||||||||||||||||||||||
|
Código |
Código del grupo |
Hasta 1 mes |
Más de 1 y hasta 2 meses |
Más de 2 y hasta 3 meses |
Más de 3 y hasta 4 meses |
Más de 4 y hasta 5 meses |
Más de 5 y hasta 6 meses |
Más de 6 y hasta 7 meses |
Más de 7 y hasta 8 meses |
Más de 8 y hasta 9 meses |
Más de 9 y hasta 10 meses |
Más de 10 y hasta 11 meses |
Más de 11 y hasta 12 meses |
Más de 12 y hasta 13 meses |
Más de 15 y hasta 18 meses |
Más de 18 y hasta 21 meses |
Más de 21 y hasta 24 meses |
Más de 24 y hasta 27 meses |
Más de 27 y hasta 30 meses |
Más de 30 y hasta 33 meses |
Más de 33 y hasta 36 meses |
Más de 3 y hasta 5 años |
Más de 5 y hasta 10 años |
Más de 10 años |
Vencimiento indefinido |
|
010 |
020 |
030 |
040 |
050 |
060 |
070 |
080 |
090 |
100 |
110 |
120 |
130 |
140 |
150 |
160 |
170 |
180 |
190 |
200 |
210 |
220 |
230 |
240 |
250 |
260 |
|
|
|
|
|
|
|
|
|
|
|
|
|
|
|
|
|
|
|
|
|
|
|
|
|
|
|
ANEXO IX
INSTRUCCIONES PARA LA NOTIFICACIÓN DE LAS GRANDES EXPOSICIONES Y DEL RIESGO DE CONCENTRACIÓN
|
Índice |
|
|
PARTE I: |
INSTRUCCIONES GENERALES |
|
1. |
Estructura y convenciones |
|
PARTE II: |
INSTRUCCIONES RELATIVAS A LAS PLANTILLAS |
|
1. |
Alcance y nivel de la información sobre grandes exposiciones |
|
2. |
Estructura de las plantillas de grandes exposiciones |
|
3. |
Definiciones e instrucciones generales a efectos de la información sobre grandes exposiciones |
|
4. |
C 26.00-Límites de las grandes exposiciones (LE Limits) |
|
4.1. |
Instrucciones relativas a filas concretas |
|
5. |
C 27.00-Identificación de la contraparte (LE1) |
|
5.1. |
Instrucciones relativas a columnas concretas |
|
6. |
C 28.00-Exposiciones de la cartera de negociación y de la cartera de inversión (LE2) |
|
6.1. |
Instrucciones relativas a columnas concretas |
|
7. |
C 29.00-Detalle de las exposiciones frente a clientes individuales dentro de grupos de clientes vinculados entre sí (LE3) |
|
7.1. |
Instrucciones relativas a columnas concretas |
|
8. |
C 30.00-Períodos de vencimiento de las diez mayores exposiciones frente a entidades y las diez mayores exposiciones frente a entes del sector financiero no regulados (plantilla LE4) |
|
8.1. |
Instrucciones relativas a columnas concretas |
|
9. |
C 31.00-Períodos de vencimiento de las diez mayores exposiciones frente a entidades y las diez mayores exposiciones frente a entes del sector financiero no regulados: detalle de las exposiciones frente a clientes individuales dentro de grupos de clientes vinculados entre sí (plantilla LE5) |
|
9.1. |
Instrucciones relativas a columnas concretas |
PARTE I: INSTRUCCIONES GENERALES
1. Estructura y convenciones
1. El marco de información sobre grandes exposiciones (large exposures, «LE») está formado por seis plantillas que incluyen la información siguiente:
a) límites de las grandes exposiciones;
b) identificación de la contraparte (plantilla LE1);
c) exposiciones de la cartera de negociación y de la cartera de inversión (plantilla LE2);
d) detalle de las exposiciones frente a clientes individuales dentro de grupos de clientes vinculados entre sí (plantilla LE3);
e) períodos de vencimiento de las diez mayores exposiciones frente a entidades y las diez mayores exposiciones frente a entes del sector financiero no regulados (plantilla LE4);
f) períodos de vencimiento de las diez mayores exposiciones frente a entidades y las diez mayores exposiciones frente a entes del sector financiero no regulados: detalle de las exposiciones frente a clientes individuales dentro de grupos de clientes vinculados entre sí (plantilla LE5).
2. Las instrucciones incluyen referencias legales e información detallada sobre los datos que deben comunicarse en cada plantilla.
3. En relación con las columnas, las filas y las celdas de las plantillas, las instrucciones y las normas de validación siguen la convención de designación establecida en los apartados siguientes.
4. En las instrucciones y las normas de validación se utiliza generalmente la convención siguiente: {plantilla; fila; columna}. Se utilizará un asterisco para indicar que la validación se hace para todas las filas comunicadas.
5. En el caso de las validaciones dentro de una plantilla en la que solo se utilicen puntos de datos de esa plantilla, las notaciones no se refieren a una plantilla: {fila; columna}.
6. ABS(Valor) significa el valor absoluto, sin signo. Cualquier importe que aumente las exposiciones se comunicará como cifra positiva. Por el contrario, cualquier importe que reduzca las exposiciones se comunicará como cifra negativa. Cuando un signo negativo (-) preceda a la designación de un elemento, no se comunicará ninguna cifra positiva para ese elemento.
PARTE II: INSTRUCCIONES RELATIVAS A LAS PLANTILLAS
En el presente anexo, las instrucciones relativas a la notificación de las grandes exposiciones se aplicarán igualmente a la notificación de las exposiciones significativas exigida por los artículos 9 y 11, de conformidad con el ámbito definido en los mismos.
1. Alcance y nivel de la información sobre grandes exposiciones
1. Para comunicar información sobre grandes exposiciones frente a clientes o grupos de clientes vinculados entre sí, de conformidad con el artículo 394, apartado 1, del Reglamento (UE) n.o 575/2013 («RRC»), en base individual, las entidades utilizarán las plantillas LE1, LE2 y LE3.
2. Para comunicar información sobre grandes exposiciones frente a clientes o grupos de clientes vinculados entre sí, de conformidad con el artículo 394, apartado 1, del RRC, en base consolidada, las entidades matrices de un Estado miembro utilizarán las plantillas LE1, LE2 y LE3.
3. Se considerará cada gran exposición definida de conformidad con el artículo 392 del RRC, incluidas las grandes exposiciones que no se tendrán en cuenta para el cumplimiento de la limitación de las grandes exposiciones establecida en el artículo 395 del RRC.
4. Para comunicar información sobre las veinte mayores exposiciones frente a clientes o grupos de clientes vinculados entre sí, de conformidad con el artículo 394, apartado 1, última frase, del RRC, en base consolidada, las entidades matrices de un Estado miembro sujetas a la parte tercera, título II, capítulo 3, del RRC utilizarán las plantillas LE1, LE2 y LE3. El importe que se utilizará para determinar esas veinte mayores exposiciones será el valor de exposición resultante de restar el importe de la columna 320 («Importes exentos») de la plantilla LE2 del importe de la columna 210 («Total») de esa misma plantilla.
5. Para comunicar información en base consolidada sobre las diez mayores exposiciones frente a entidades y las diez mayores exposiciones frente a entes del sector financiero no regulados, de conformidad con el artículo 394, apartado 2, letras a) a d), del RRC, las entidades matrices de un Estado miembro utilizarán las plantillas LE1, LE2 y LE3. Para comunicar la estructura de vencimientos de esas exposiciones, de conformidad con el artículo 394, apartado 2, letra e), del RRC, las entidades matrices de un Estado miembro utilizarán las plantillas LE4 y LE5. El importe que se utilizará para determinar esas veinte mayores exposiciones será el valor de exposición calculado en la columna 210 («Total») de la plantilla LE2.
6. Los datos sobre las grandes exposiciones y las pertinentes mayores exposiciones frente a grupos de clientes vinculados entre sí y frente a clientes individuales no pertenecientes a un grupo de clientes vinculados entre sí se suministrarán en la plantilla LE2 (en la que un grupo de clientes vinculados entre sí se comunicará como una única exposición).
7. Las entidades suministrarán en la plantilla LE3 los datos relativos a las exposiciones frente a clientes individuales pertenecientes a los grupos de clientes vinculados entre sí que se consignen en la plantilla LE2. La comunicación de una exposición frente a un cliente individual en la plantilla LE2 no se repetirá en la plantilla LE3.
2. Estructura de las plantillas de grandes exposiciones
8. Las columnas de la plantilla LE1 presentarán la información relativa a la identificación de los clientes individuales, o de grupos de clientes vinculados entre sí, a los que esté expuesta una entidad.
9. Las columnas de las plantillas LE2 y LE3 contendrán los siguientes bloques de información:
a) el valor de la exposición antes de aplicar las exenciones y de tener en cuenta el efecto de la reducción del riesgo de crédito, incluidas la exposición directa e indirecta y las exposiciones adicionales que se deriven de operaciones en las que exista una exposición frente a activos subyacentes;
b) el efecto de las exenciones y de las técnicas de reducción del riesgo de crédito;
c) el valor de la exposición después de aplicar las exenciones y de tener en cuenta el efecto de la reducción del riesgo de crédito, calculado a efectos de lo previsto en el artículo 395, apartado 1, del RRC.
10. Las columnas de las plantillas LE4 y LE5 presentarán la información relativa a los períodos de vencimiento a los que se asignarán los importes previstos de vencimiento próximo de las diez mayores exposiciones frente a entidades y de las diez mayores exposiciones frente a entes del sector financiero no regulados.
3. Definiciones e instrucciones generales a efectos de la información sobre grandes exposiciones
11. «Grupo de clientes vinculados entre sí» se define en el artículo 4, apartado 1, punto 39, del RRC.
12. «Entes del sector financiero no regulados» se define en el artículo 142, apartado 1, punto 5, del RRC.
13. «Entidades» se define en el artículo 4, apartado 1, punto 3, del RRC.
14. Se comunicarán las exposiciones frente a «asociaciones de Derecho civil». Además, las entidades añadirán los importes de los créditos de la asociación de Derecho civil a la deuda de cada uno de sus miembros. Las exposiciones frente a asociaciones de Derecho civil que incluyan cuotas se dividirán o se asignarán a sus miembros en función de sus cuotas respectivas. Se comunicarán del mismo modo las exposiciones frente a determinadas figuras (por ejemplo, cuentas conjuntas, comunidades de herederos, préstamos por persona interpuesta) que actúen de hecho como asociaciones de Derecho civil.
15. Los activos y las exposiciones fuera de balance se utilizarán sin aplicación de ponderaciones de riesgo ni grados de riesgo, de conformidad con el artículo 389 del RRC. En concreto, no se aplicarán factores de conversión de crédito a las exposiciones fuera de balance.
16. «Exposiciones» se define en el artículo 389 del RRC.
a) Comprende los activos o partidas fuera de balance pertenecientes a la cartera de negociación y a la cartera de inversión, incluyendo las partidas previstas en el artículo 400 del RRC, pero excluyendo las sujetas a lo previsto en el artículo 390, apartado 6, letras a) a d), del RRC.
b) «Exposiciones indirectas» son las asignadas al garante o al emisor de la garantía, en lugar de al prestatario inmediato, de acuerdo con el artículo 403 del RRC.
Las exposiciones frente a grupos de clientes vinculados entre sí se calcularán de conformidad con el artículo 390, apartado 5.
17. Para la determinación del valor de exposición de las grandes exposiciones podrán tenerse en cuenta los «acuerdos de compensación», según lo establecido en el artículo 390, apartados 1 a 3, del RRC. El valor de exposición de un instrumento derivado incluido en el anexo II del RRC se determinará con arreglo a lo dispuesto en su parte tercera, título II, capítulo 6, teniendo en cuenta los efectos de los contratos de novación y de otros acuerdos de compensación a los efectos de dichos métodos, de conformidad con lo dispuesto en la parte tercera, título II, capítulo 6, del RRC. El valor de exposición de las operaciones de recompra, de las operaciones de préstamo o de toma en préstamo de valores o materias primas, de las operaciones de liquidación diferida y de las operaciones de préstamo con reposición del margen podrá determinarse de acuerdo con lo dispuesto en la parte tercera, título II, capítulo 4 o capítulo 6, del RRC. Según el artículo 296 del RRC, el valor de exposición de una única obligación jurídica surgida de un acuerdo de compensación contractual entre productos con una contraparte de la entidad declarante se comunicará como «otros compromisos» en las plantillas de grandes exposiciones.
18. El «valor de exposición» se calculará de conformidad con el artículo 390 del RRC.
19. El efecto de la aplicación total o parcial de exenciones y de técnicas admisibles de reducción del riesgo de crédito para el cálculo de las exposiciones a los efectos del artículo 395, apartado 1, del RRC se describe en los artículos 399 a 403 del mismo.
20. Los pactos de recompra inversa que deban incluirse en la declaración de grandes exposiciones se comunicarán de conformidad con el artículo 402, apartado 3, del RRC. Siempre que se cumplan los criterios del artículo 402, apartado 3, del RRC, la entidad comunicará las grandes exposiciones frente a cada uno de los terceros por el importe del crédito que la contraparte de la operación tenga sobre el tercero y no por el importe de la exposición frente a la contraparte.
4. C 26.00-Límites de las grandes exposiciones (LE Limits)
4.1. Instrucciones relativas a filas concretas
|
Filas |
Referencias legales e instrucciones |
|
010 |
No entidades Artículo 395, apartado 1, artículo 458, apartado 2, letra d), inciso ii), artículo 458, apartado 10, y artículo 459, letra b), del RRC. Se comunicará el importe del límite aplicable a las contrapartes que no sean entidades. Este importe es el 25 % del capital admisible, que se comunica en la fila 226 de la plantilla 4 del anexo I, a menos que proceda un porcentaje más restrictivo por aplicación de medidas nacionales, de conformidad con el artículo 458 del RRC, o de los actos delegados adoptados de conformidad con el artículo 459, letra b), del RRC. |
|
020 |
Entidades Artículo 395, apartado 1, artículo 458, apartado 2, letra d), inciso ii), artículo 458, apartado 10, y artículo 459, letra b), del RRC. Se comunicará el importe del límite aplicable a las contrapartes que sean entidades. Según el artículo 395, apartado 1, del RRC, este importe será el siguiente: — Si el 25 % del capital admisible es superior a 150 millones EUR (o un límite inferior a 150 millones EUR establecido por la autoridad competente de conformidad con el artículo 395, apartado 1, párrafo tercero, del RRC), se comunicará el 25 % del capital admisible. — Si la cifra de 150 millones EUR (o un límite inferior establecido por la autoridad competente de conformidad con el artículo 395, apartado 1, párrafo tercero, del RRC) supera el 25 % del capital admisible de la entidad, se comunicarán 150 millones EUR (o el límite inferior que, en su caso, la autoridad competente haya establecido). Si la entidad ha determinado un límite inferior en relación con su capital admisible, de conformidad con el artículo 395, apartado 1, párrafo segundo, del RRC, se comunicará ese límite. Estos límites podrán ser más estrictos en caso de aplicación de medidas nacionales de conformidad con el artículo 395, apartado 6, o con el artículo 458 del RRC o de los actos delegados adoptados de conformidad con el artículo 459, letra b), del RRC. |
|
030 |
Entidades en % Artículo 395, apartado 1, y artículo 459, letra a), del RRC. El importe que se comunicará será el límite absoluto (consignado en la fila 020) expresado como porcentaje del capital admisible. |
5. C 27.00-Identificación de la contraparte (LE1)
5.1. Instrucciones relativas a columnas concretas
|
Columna |
Referencias legales e instrucciones |
|
010-070 |
Identificación de la contraparte: Las entidades comunicarán la identidad de toda contraparte sobre la que se presente información en cualquiera de las plantillas C 28.00 a C 31.00. No se comunicará la identidad del grupo de clientes vinculados entre sí a menos que el sistema nacional de información proporcione un código único con respecto a dicho grupo. De conformidad con el artículo 394, apartado 1, letra a), del RRC, las entidades comunicarán la identidad de la contraparte frente a la cual hayan asumido una gran exposición, tal como se define esta en el artículo 392 del RRC. De conformidad con el artículo 394, apartado 2, letra a), del RRC, las entidades comunicarán la identidad de la contraparte frente a la cual hayan asumido las mayores exposiciones (en los casos en que la contraparte sea una entidad o un ente del sector financiero no regulado). |
|
010 |
Código El código es un identificador de la fila y debe ser único para cada fila del cuadro. El código se utilizará para identificar a la contraparte individual. No obstante, el propósito de esta columna es vincular los datos de la contraparte incluidos en C 27.00 con las exposiciones comunicadas en C 28.00 a C 31.00. No se indicará el código del grupo de clientes vinculados entre sí a menos que el sistema nacional de información proporcione un código único con respecto a dicho grupo. Los códigos se utilizarán de manera uniforme a lo largo del tiempo. La composición del código dependerá del sistema nacional de información, salvo que se disponga en la Unión de una codificación uniforme. |
|
020 |
Nombre El nombre será el del grupo cuando se notifique un grupo de clientes vinculados entre sí. En los demás casos, el nombre será el de la contraparte individual. Para un grupo de clientes vinculados entre sí, el nombre que se comunicará será el de la sociedad matriz o, cuando el grupo de clientes vinculados entre sí no tenga una sociedad matriz, el nombre comercial del grupo. |
|
030 |
Código LEI Código de identificación de entidades jurídicas de la contraparte. |
|
040 |
Residencia de la contraparte Se usará el código ISO 3166-1-alfa-2 del país de constitución de la contraparte (incluidos los pseudocódigos ISO para las organizaciones internacionales, disponibles en la última edición del «Vademécum de la balanza de pagos» de Eurostat). Para los grupos de clientes vinculados entre sí no se comunicará la residencia. |
|
050 |
Sector de la contraparte Se asignará un sector a cada contraparte sobre la base de las clases de sectores económicos de FINREP: i) bancos centrales; ii) administraciones públicas; iii) entidades de crédito; iv) otras sociedades financieras; v) sociedades no financieras; vi) hogares. Para los grupos de clientes vinculados entre sí no se comunicará el sector. |
|
060 |
Código NACE Para el sector económico, se utilizarán los códigos NACE (Nomenclatura estadística de las actividades económicas de la Unión Europea). Esta columna solo se aplicará a las contrapartes «Otras sociedades financieras» y «Sociedades no financieras». Los códigos NACE se utilizarán para las «Sociedades no financieras» con un solo nivel de detalle (por ejemplo, «F – Construcción») y para las «Otras sociedades financieras», con dos niveles de detalle, que ofrecen información separada sobre las actividades de seguro (por ejemplo, «K65-Seguros, reaseguros y planes de pensiones, excepto la seguridad social obligatoria»). Los sectores económicos «Otras sociedades financieras» y «Sociedades no financieras» se clasificarán sobre la base del desglose de las contrapartes según FINREP. Para los grupos de clientes vinculados entre sí no se comunicará el código NACE. |
|
070 |
Tipo de contraparte Artículo 394, apartado 2, del RRC. El tipo de contraparte de las diez mayores exposiciones frente a entidades y las diez mayores exposiciones frente a entes del sector financiero no regulados se especificará utilizando «I» para las entidades y «U» para los entes del sector financiero no regulados. |
6. C 28.00-Exposiciones de la cartera de negociación y de la cartera de inversión (LE2)
6.1. Instrucciones relativas a columnas concretas
|
Columna |
Referencias legales e instrucciones |
|
010 |
Código Cuando se trate de un grupo de clientes vinculados entre sí, y en el supuesto de que se disponga de un código único a nivel nacional, se indicará este código como código de dicho grupo. Si no existe un código único a nivel nacional, el código a indicar será el de la sociedad matriz que figure en C 27.00. Cuando el grupo de clientes vinculados entre sí no tenga una sociedad matriz, el código que se comunicará será el del ente individual que sea considerado por la entidad el más significativo dentro del grupo. En todos los demás casos, el código corresponderá a la contraparte individual. Los códigos se utilizarán de manera uniforme a lo largo del tiempo. La composición del código dependerá del sistema nacional de información, salvo que se disponga en la UE de una codificación uniforme. |
|
020 |
Grupo o cliente individual La entidad indicará «1» para comunicar las exposiciones frente a clientes individuales y «2» para comunicar las exposiciones frente a grupos de clientes vinculados entre sí. |
|
030 |
Operaciones en las que existe una exposición frente a activos subyacentes Artículo 390, apartado 7, del RRC. De conformidad con las especificaciones técnicas adicionales de las autoridades nacionales competentes, cuando la entidad esté expuesta a la contraparte comunicada en el marco de una operación en la que exista una exposición frente a activos subyacentes, se indicará «Sí»; de otro modo, se indicará «No». |
|
040-180 |
Exposiciones originales Artículos 24, 389, 390 y 392 del RRC. La entidad comunicará en este bloque de columnas las exposiciones originales, tanto las directas como las indirectas y las adicionales que se deriven de operaciones en las que exista una exposición frente a activos subyacentes. De conformidad con el artículo 389 del RRC, los activos y exposiciones fuera de balance se utilizarán sin aplicación de ponderaciones de riesgo ni grados de riesgo. En concreto, no se aplicarán factores de conversión de crédito a las exposiciones fuera de balance. Estas columnas contendrán la exposición original, es decir, el valor de exposición sin tener en cuenta los ajustes de valor y provisiones, que se deducirán en la columna 210. La definición y el cálculo del valor de exposición se establecen en los artículos 389 y 390 del RRC. La valoración de los activos y de las exposiciones fuera de balance se efectuará de conformidad con el marco contable aplicable a la entidad, con arreglo al artículo 24 del RRC. Se incluirán en estas columnas las exposiciones deducidas de los fondos propios que no sean exposiciones con arreglo al artículo 390, apartado 6, letra e). Tales exposiciones se deducirán en la columna 200. No se incluirán en estas columnas las exposiciones a que se refiere el artículo 390, apartado 6, letras a) a d), del RRC. Las exposiciones originales incluirán los activos y exposiciones fuera de balance con arreglo al artículo 400 del RRC. Las exenciones se deducirán, a efectos de lo dispuesto en el artículo 395, apartado 1, del RRC, en la columna 320. Se incluirán tanto las exposiciones de la cartera de negociación como las de la cartera de inversión. Para el desglose de las exposiciones entre instrumentos financieros, en el caso de diferentes exposiciones que por aplicación de acuerdos de compensación constituyan una sola exposición, se asignará esta última al instrumento financiero correspondiente al activo principal incluido en el acuerdo de compensación (véase además la introducción). |
|
040 |
Exposición original total La entidad comunicará la suma de las exposiciones directas e indirectas, así como de las exposiciones adicionales derivadas de la exposición a operaciones en las que exista una exposición frente a activos subyacentes. |
|
050 |
De la cual: con impago Artículo 178 del RRC. La entidad comunicará la parte de la exposición original total correspondiente a exposiciones con impago. |
|
060-110 |
Exposiciones directas Se entenderá por exposiciones directas las exposiciones referidas al «prestatario inmediato». |
|
060 |
Instrumentos de deuda Reglamento (CE) n.o 25/2009 («BCE/2008/32»), anexo II, parte 2, cuadro, categorías 2 y 3. Los instrumentos de deuda incluirán los valores representativos de deuda y los préstamos y anticipos. Los instrumentos incluidos en esta columna serán los calificados como «Préstamos con un vencimiento inicial de hasta un año/de más de un año y de hasta cinco años/de más de cinco años» o como «Valores distintos de acciones», según el Reglamento BCE/2008/32. Se incluirán en esta columna las operaciones de recompra, las operaciones de préstamo o de toma en préstamo de valores o de materias primas (operaciones de financiación de valores) y las operaciones de préstamo con reposición del margen. |
|
070 |
Instrumentos de patrimonio Reglamento BCE/2008/32, anexo II, parte 2, cuadro, categorías 4 y 5. Los instrumentos incluidos en esta columna serán los calificados como «Acciones y otras participaciones» o como «Participaciones en FMM» en el Reglamento BCE/2008/32. |
|
080 |
Derivados Artículo 272, apartado 2, y anexo II del RRC. Se comunicarán en esta columna los derivados enumerados en el anexo II del RRC y las operaciones con liquidación diferida definidas en el artículo 272, apartado 2, del RRC. Se incluirán en esta columna los derivados de crédito que estén sujetos a riesgo de contraparte. |
|
090-110 |
Exposiciones fuera de balance Anexo I del RRC. El valor que se comunicará en estas columnas será el valor nominal antes de cualquier reducción de los ajustes por riesgo de crédito específico y sin aplicación de factores de conversión. |
|
090 |
Compromisos de préstamo Anexo I, punto 1, letras c) y h), punto 2, letra b), inciso ii), punto 3, letra b), inciso i), y punto 4, letra a), del RRC. Los compromisos de préstamo son compromisos firmes de concesión de un crédito en condiciones predeterminadas, salvo los que sean derivados, porque estos pueden liquidarse en efectivo o mediante la entrega o la emisión de otro instrumento financiero. |
|
100 |
Garantías financieras Anexo I, punto 1, letras a), b) y f), del RRC. Las garantías financieras son contratos que obligan al emisor a efectuar determinados pagos para reembolsar al titular las pérdidas que sufra a causa del impago por un determinado deudor dentro del plazo establecido en las condiciones originales o modificadas de un instrumento de deuda. Se comunicarán en esta columna los derivados de crédito que no se incluyan en la columna «Derivados». |
|
110 |
Otros compromisos Son otros compromisos las partidas del anexo I del RRC no incluidas en las categorías anteriores. Se comunicará en esta columna el valor de exposición de una única obligación jurídica surgida de un acuerdo de compensación contractual entre productos con una contraparte de la entidad declarante. |
|
120-180 |
Exposiciones indirectas Artículo 403 del RRC. De conformidad con el artículo 403 del RRC, una entidad de crédito podrá utilizar el enfoque alternativo cuando una exposición frente a un cliente esté garantizada por un tercero o por garantías reales emitidas por un tercero. La entidad comunicará en este bloque de columnas los importes de las exposiciones directas que se reasignen al garante o al emisor de las garantías siempre que al último se le asigne una ponderación del riesgo igual o inferior a la que se aplicaría al tercero en virtud de la parte tercera, título II, capítulo 2, del RRC. La exposición original de referencia protegida (exposición directa) se deducirá de la exposición frente al prestatario original en las columnas de «Técnicas admisibles de reducción del riesgo de crédito». La exposición indirecta aumentará la exposición frente al garante o al emisor de las garantías por el efecto de sustitución. Esto mismo se aplicará a las garantías concedidas dentro de un grupo de clientes vinculados entre sí. La entidad comunicará el importe original de las exposiciones indirectas en la columna correspondiente al tipo de exposición directa garantizada, de forma que, cuando la exposición directa garantizada sea un instrumento de deuda, el importe de la «Exposición indirecta» asignado al garante se comunicará en la columna «Instrumentos de deuda». También se comunicarán en este bloque de columnas las exposiciones resultantes de bonos vinculados a crédito, de conformidad con el artículo 399 del RRC. |
|
120 |
Instrumentos de deuda Véase la columna 060. |
|
130 |
Instrumentos de patrimonio Véase la columna 070. |
|
140 |
Derivados Véase la columna 080. |
|
150-170 |
Exposiciones fuera de balance El valor de estas columnas será el valor nominal antes de cualquier reducción de los ajustes por riesgo de crédito específico y sin aplicación de factores de conversión. |
|
150 |
Compromisos de préstamo Véase la columna 090. |
|
160 |
Garantías financieras Véase la columna 100. |
|
170 |
Otros compromisos Véase la columna 110. |
|
180 |
Exposiciones adicionales resultantes de operaciones en las que existe una exposición frente a activos subyacentes Artículo 390, apartado 7, del RRC. Exposiciones adicionales resultantes de operaciones en las que exista una exposición frente a activos subyacentes. |
|
190 |
Ajustes de valor y provisiones Artículos 24, 34, 110 y 111 del RRC. Ajustes de valor y provisiones previstos en el marco contable correspondiente (Directiva 86/635/CEE o Reglamento (CE) n.o 1606/2002) que afecten a la valoración de las exposiciones de conformidad con los artículos 24 y 110 del RRC. Se comunicarán en esta columna los ajustes de valor y provisiones contra la exposición bruta de la columna 040. |
|
200 |
Exposiciones deducidas de los fondos propios Artículo 390, apartado 6, letra e), del RRC. Se comunicarán las exposiciones deducidas de los fondos propios, que se incluirán en las diferentes columnas de la «Exposición original total». |
|
210-230 |
Valor de exposición antes de aplicar las exenciones y de la reducción del riesgo de crédito Artículo 394, apartado 1, letra b), del RRC. En su caso, las entidades comunicarán el valor de exposición antes de tener en cuenta el efecto de la reducción del riesgo de crédito. |
|
210 |
Total El valor de exposición que se comunicará en esta columna será el importe empleado para determinar si una exposición se considera gran exposición a tenor del artículo 392 del RRC. Ese importe incluirá la exposición original después de sustraer los ajustes de valor y provisiones y el importe de las exposiciones deducido de los fondos propios. |
|
220 |
Del cual: cartera de inversión Importe de la cartera de inversión en la exposición total antes de aplicar las exenciones y de la reducción del riesgo de crédito. |
|
230 |
% del capital admisible Artículo 4, apartado 1, punto 71, letra b), y artículo 395 del RRC. El importe que se comunicará será el porcentaje del valor de exposición antes de aplicar las exenciones y de la reducción del riesgo de crédito, en relación con el capital admisible de la entidad, tal como se define este en el artículo 4, apartado 1, punto 71, letra b), del RRC. |
|
240-310 |
Técnicas admisibles de reducción del riesgo de crédito Artículos 399 y 401 a 403 del RRC. Técnicas de reducción del riesgo de crédito, tal como se define en el artículo 4, apartado 1, punto 57, del RRC. A efectos de esta comunicación, se utilizarán las técnicas de reducción del riesgo de crédito reconocidas en la parte tercera, título II, capítulos 3 y 4, del RRC, de conformidad con sus artículos 401 a 403. Las técnicas de reducción del riesgo de crédito pueden tener tres efectos diferentes en el régimen de grandes exposiciones: efecto de sustitución, cobertura del riesgo de crédito con garantías reales o instrumentos similares distinta del efecto de sustitución, y tratamiento de los bienes inmuebles. |
|
240-290 |
Efecto de sustitución de las técnicas admisibles de reducción del riesgo de crédito Artículo 403 del RRC. El importe de la cobertura del riesgo de crédito con garantías reales o instrumentos similares o con garantías personales que se comunicará en estas columnas corresponderá a las exposiciones garantizadas por un tercero, o por garantías reales emitidas por un tercero, siempre que la entidad decida considerar que la exposición se ha asumido frente al garante o al emisor de la garantía. |
|
240 |
Instrumentos de deuda Véase la columna 060. |
|
250 |
Instrumentos de patrimonio Véase la columna 070. |
|
260 |
Derivados Véase la columna 080. |
|
270-290 |
Exposiciones fuera de balance El valor de estas columnas se entenderá sin aplicación de factores de conversión. |
|
270 |
Compromisos de préstamo Véase la columna 090. |
|
280 |
Garantías financieras Véase la columna 100. |
|
290 |
Otros compromisos Véase la columna 110. |
|
300 |
Cobertura del riesgo de crédito con garantías reales o instrumentos similares distinta del efecto de sustitución Artículo 401 del RRC. La entidad comunicará los importes de la cobertura del riesgo de crédito con garantías reales o instrumentos similares, definida en el artículo 4, apartado 1, punto 58, del RRC, que se deduzcan del valor de exposición en aplicación del artículo 401 del RRC. |
|
310 |
Bienes inmuebles Artículo 402 del RRC. La entidad comunicará los importes que se deduzcan del valor de exposición en aplicación del artículo 402 del RRC. |
|
320 |
Importes exentos Artículo 400 del RRC. La entidad comunicará los importes exentos del régimen de grandes exposiciones. |
|
330-350 |
Valor de la exposición después de aplicar las exenciones y de la reducción del riesgo de crédito Artículo 394, apartado 1, letra d), del RRC. La entidad comunicará el valor de exposición después de tener en cuenta el efecto de las exenciones y de la reducción del riesgo de crédito, calculado a efectos de lo previsto en el artículo 395, apartado 1 del RRC. |
|
330 |
Total Esta columna incluirá el importe que se tendrá en cuenta para cumplir con el límite de las grandes exposiciones establecido en el artículo 395 del RRC. |
|
340 |
Del cual: cartera de inversión La entidad comunicará la exposición total, después de aplicar las exenciones y de tener en cuenta el efecto de la reducción del riesgo de crédito, en relación con la cartera de inversión. |
|
350 |
% del capital admisible La entidad comunicará el porcentaje del valor de exposición, después de aplicar las exenciones y de la reducción del riesgo de crédito, en relación con su capital admisible, tal como se define este en el artículo 4, apartado 1, punto 71, letra b), del RRC. |
7. C 29.00-Detalle de las exposiciones frente a clientes individuales dentro de grupos de clientes vinculados entre sí (LE3)
7.1. Instrucciones relativas a columnas concretas
|
Columna |
Referencias legales e instrucciones |
|
010-360 |
La entidad comunicará en la plantilla LE3 los datos de los clientes individuales pertenecientes a los grupos de clientes vinculados entre sí incluidos en las filas de la plantilla LE2. |
|
010 |
Código Las columnas 010 y 020 constituyen un identificador compuesto de la fila, cuya combinación será única para cada fila del cuadro. Deberá indicarse el código de la contraparte individual perteneciente al grupo de clientes vinculados entre sí. |
|
020 |
Código del grupo Las columnas 010 y 020 constituyen un identificador compuesto de la fila, cuya combinación será única para cada fila del cuadro. Si se dispone a nivel nacional de un código único para cada grupo de clientes vinculados entre sí, se indicará ese código. Cuando no exista un código único a nivel nacional, el código que se indicará será el utilizado para comunicar las exposiciones frente al grupo de clientes vinculados entre sí en C 28.00 (LE2). Cuando un cliente pertenezca a varios grupos de clientes vinculados entre sí, se comunicará como miembro de todos los grupos. |
|
030 |
Operaciones en las que existe una exposición frente a activos subyacentes Véase la columna 030 de la plantilla LE2. |
|
040 |
Tipo de vinculación El tipo de vinculación entre el ente individual y el grupo de clientes vinculados entre sí se indicará utilizando: «a» en el sentido del artículo 4, apartado 1, punto 39, letra a), del RRC (control); o «b» en el sentido del artículo 4, apartado 1, punto 39, letra b), del RRC (vinculación). |
|
050-360 |
Cuando los instrumentos financieros que figuran en la plantilla LE2 se proporcionen al conjunto del grupo de clientes vinculados entre sí, estos instrumentos se asignarán a las diferentes contrapartes en la plantilla LE3 en función de los criterios de actividad de la entidad. Las restantes instrucciones son las mismas que para la plantilla LE2. |
8. C 30.00-Períodos de vencimiento de las diez mayores exposiciones frente a entidades y las diez mayores exposiciones frente a entes del sector financiero no regulados (plantilla LE4)
8.1. Instrucciones relativas a columnas concretas
|
Columna |
Referencias legales e instrucciones |
|
010 |
Código El código es un identificador de la fila y debe ser único para cada fila del cuadro. Véase la columna 010 de la plantilla LE1. |
|
020-250 |
Períodos de vencimiento de las exposiciones Artículo 394, apartado 2, letra e), del RRC. La entidad comunicará esta información para las diez mayores exposiciones frente a entidades y las diez mayores exposiciones frente a entes del sector financiero no regulados. Los períodos de vencimiento se definen mediante intervalos mensuales hasta un año, intervalos trimestrales a partir de uno y hasta tres años e intervalos mayores a partir de tres años. Cada valor de exposición antes de aplicar las exenciones y la reducción del riesgo de crédito (columna 210 de la plantilla LE2) se comunicará por su importe íntegro pendiente en el período de vencimiento correspondiente a su vencimiento residual esperado. En el caso de que varias relaciones separadas constituyan una exposición frente a un cliente, cada una de esas partes de la exposición se comunicará por su importe íntegro pendiente en el período de vencimiento correspondiente a su vencimiento residual esperado. Los instrumentos que no tengan un vencimiento fijo, como los de patrimonio, se incluirán en la columna «Vencimiento indefinido». Se comunicará el vencimiento esperado de la exposición tanto para las exposiciones directas como para las indirectas. En las exposiciones directas, al asignar los importes esperados de instrumentos de patrimonio, instrumentos de deuda y derivados a los diferentes períodos de vencimiento de esta plantilla, se seguirán las instrucciones de la plantilla de la escala de vencimientos de las medidas adicionales de la liquidez (véase el documento de consulta CP18 publicado el 23.5.2013). En el caso de las exposiciones fuera de balance, se utilizará el vencimiento del riesgo subyacente para asignar los importes esperados a los diferentes períodos de vencimiento. Más concretamente, para los depósitos a futuro eso significa la estructura de vencimientos del depósito; para las garantías financieras, la estructura de vencimientos del activo financiero subyacente; para las líneas no utilizadas de los compromisos de préstamo, la estructura de vencimientos del préstamo; y para los demás compromisos, la estructura de vencimientos del compromiso. En el caso de las exposiciones indirectas, la asignación a los períodos de vencimiento se basará en el vencimiento de las operaciones garantizadas que generen la exposición directa. En el supuesto de que una exposición o parte de una exposición deba considerarse en situación de impago y, como tal, se consigne en las plantillas C 28.00 (LE 2, columna 050) y C 29.00 (LE 3, columna 060), la liquidación (run-off) prevista de la exposición impagada deberá asignarse a los correspondientes períodos de vencimiento como sigue: — Cuando, a pesar del impago, la entidad declarante disponga de un calendario claro previsto de pagos de reembolso de la exposición, los asignará oportunamente a los correspondientes períodos de vencimiento. — Cuando la entidad declarante no tenga una idea fundamentada de cuándo se reembolsarán, en su caso, los importes impagados, los asignará a la categoría «vencimiento indefinido. |
9. C 31.00-Períodos de vencimiento de las diez mayores exposiciones frente a entidades y las diez mayores exposiciones frente a entes del sector financiero no regulados: detalle de las exposiciones frente a clientes individuales dentro de grupos de clientes vinculados entre sí (plantilla LE5)
9.1. Instrucciones relativas a columnas concretas
|
Columna |
Referencias legales e instrucciones |
|
010-260 |
La entidad comunicará en la plantilla LE5 los datos relativos a cada una de las contrapartes pertenecientes a los grupos de clientes vinculados entre sí incluidos en las filas de la plantilla LE4. |
|
010 |
Código Las columnas 010 y 020 constituyen un identificador compuesto de la fila, cuya combinación será única para cada fila del cuadro. Véase la columna 010 de la plantilla LE3. |
|
020 |
Código del grupo Las columnas 010 y 020 constituyen un identificador compuesto de la fila, cuya combinación será única para cada fila del cuadro. Véase la columna 020 de la plantilla LE3. |
|
030-260 |
Períodos de vencimiento de las exposiciones Véanse las columnas 020-250 de la plantilla LE4. |
ANEXO X
INFORMACIÓN SOBRE APALANCAMIENTO
|
PLANTILLAS DE INFORMACIÓN DE LA RATIO DE APALANCAMIENTO |
|||
|
Código de plantilla |
Código de plantilla |
Nombre de la plantilla |
Nombre abreviado |
|
47 |
C 47.00 |
Cálculo de la ratio de apalancamiento |
LRCalc |
|
40 |
C 40.00 |
Tratamiento alternativo de la medida de la exposición |
LR1 |
|
41 |
C 41.00 |
Partidas incluidas en el balance y fuera de balance — Desglose adicional de las exposiciones |
LR2 |
|
42 |
C 42.00 |
Definición alternativa de capital |
LR3 |
|
43 |
C 43.00 |
Desglose alternativo de los componentes de la medida de la exposición correspondiente a la ratio de apalancamiento |
LR4 |
|
44 |
C 44.00 |
Información general |
LR5 |
C 40.00 — TRATAMIENTO ALTERNATIVO DE LA MEDIDA DE LA EXPOSICIÓN (LR1)
|
Fila |
|
Columna |
|||||||
|
010 |
020 |
040 |
050 |
070 |
075 |
085 |
120 |
||
|
Valor contable según balance |
Valor contable suponiendo que no hay compensación ni otra reducción del riesgo de crédito |
Adición en relación con las operaciones de financiación de valores (SFT) |
Adición con arreglo al método de valoración a precios de mercado (suponiendo que no hay compensación ni otra reducción del riesgo de crédito) |
Importe nocional/valor nominal |
Importe nocional una vez aplicado el límite máximo |
Importe nocional una vez aplicado el límite máximo (mismo nombre de referencia) |
Importe de la exposición correspondiente a la ratio de apalancamiento hipotéticamente excluido |
||
|
010 |
Derivados |
|
|
|
|
|
|
|
|
|
020 |
Derivados de crédito (protección vendida) |
|
|
|
|
|
|
|
|
|
030 |
Derivados de crédito (protección vendida), con sujeción a una cláusula de liquidación |
|
|
|
|
|
|
|
|
|
040 |
Derivados de crédito (protección vendida), sin sujeción a una cláusula de liquidación |
|
|
|
|
|
|
|
|
|
050 |
Derivados de crédito (protección comprada) |
|
|
|
|
|
|
|
|
|
060 |
Derivados financieros |
|
|
|
|
|
|
|
|
|
070 |
Operaciones de financiación de valores amparadas por un acuerdo marco de compensación |
|
|
|
|
|
|
|
|
|
080 |
Operaciones de financiación de valores no amparadas por un acuerdo marco de compensación |
|
|
|
|
|
|
|
|
|
090 |
Otros activos |
|
|
|
|
|
|
|
|
|
100 |
Partidas fuera de balance de bajo riesgo según el método estándar; de las cuales: |
|
|
|
|
|
|
|
|
|
110 |
Exposiciones minoristas renovables; de las cuales: |
|
|
|
|
|
|
|
|
|
120 |
Compromisos por tarjetas de crédito que puedan cancelarse incondicionalmente |
|
|
|
|
|
|
|
|
|
130 |
Compromisos que puedan cancelarse incondicionalmente no renovables |
|
|
|
|
|
|
|
|
|
140 |
Partidas fuera de balance de riesgo medio/bajo según el método estándar |
|
|
|
|
|
|
|
|
|
150 |
Partidas fuera de balance de riesgo medio según el método estándar |
|
|
|
|
|
|
|
|
|
160 |
Partidas fuera de balance de alto riesgo según el método estándar |
|
|
|
|
|
|
|
|
|
170 |
(Pro memoria) Importes utilizados en exposiciones minoristas renovables |
|
|
|
|
|
|
|
|
|
180 |
(Pro memoria) Importes utilizados en compromisos por tarjetas de crédito que puedan cancelarse incondicionalmente |
|
|
|
|
|
|
|
|
|
190 |
(Pro memoria) Importes utilizados en compromisos que puedan cancelarse incondicionalmente no renovables |
|
|
|
|
|
|
|
|
|
210 |
Garantías reales en efectivo recibidas en operaciones con derivados |
|
|
|
|
|
|
|
|
|
220 |
Derechos de cobro por garantías reales en efectivo aportadas en operaciones con derivados |
|
|
|
|
|
|
|
|
|
230 |
Valores recibidos en una operación de financiación de valores que se reconocen como activos |
|
|
|
|
|
|
|
|
|
240 |
Intermediación (cash conduit lending, CCL) en operaciones de financiación de valores (derechos de cobro en efectivo) |
|
|
|
|
|
|
|
|
|
250 |
Exposiciones que puedan ser objeto del tratamiento enunciado en el artículo 113, apartado 6, del RRC |
|
|
|
|
|
|
|
|
|
260 |
Exposiciones que cumplan las condiciones establecidas en el artículo 429, apartado 14, letras a) a c), del RRC |
|
|
|
|
|
|
|
|
C 41.00 — PARTIDAS INCLUIDAS EN EL BALANCE Y FUERA DE BALANCE — DESGLOSE ADICIONAL DE LAS EXPOSICIONES (LR2)
|
Fila |
|
Columna |
||
|
010 |
020 |
030 |
||
|
Exposiciones incluidas en el balance y fuera de balance (según método estándar) |
Exposiciones incluidas en el balance y fuera de balance (según método IRB) |
Valor nominal |
||
|
010 |
Total de las exposiciones incluidas en el balance y fuera de balance pertenecientes a la cartera de inversión y las exposiciones de la cartera de negociación sujetas a riesgo de contraparte (desglose según la ponderación de riesgo): |
|
|
|
|
020 |
= 0 % |
|
|
|
|
030 |
> 0 % e ≤ 12 % |
|
|
|
|
040 |
> 12 % e ≤ 20 % |
|
|
|
|
050 |
> 20 % e ≤ 50 % |
|
|
|
|
060 |
> 50 % e ≤ 75 % |
|
|
|
|
070 |
> 75 % e ≤ 100 % |
|
|
|
|
080 |
> 100 % e ≤ 425 % |
|
|
|
|
090 |
> 425 % e ≤ 1 250 % |
|
|
|
|
100 |
Exposiciones en situación de impago |
|
|
|
|
110 |
(Pro memoria) Partidas fuera de balance de bajo riesgo y partidas fuera de balance a las que corresponda un factor de conversión del 0 % en virtud de la ratio de solvencia |
|
|
|
C 42.00 — DEFINICIÓN ALTERNATIVA DE CAPITAL (LR3)
|
Fila |
|
Columna |
|
010 |
||
|
010 |
Capital de nivel 1 ordinario (según la definición que se aplicará al completarse el proceso de introducción gradual) |
|
|
020 |
Capital de nivel 1 ordinario (según la definición transitoria) |
|
|
030 |
Total de los fondos propios (según la definición que se aplicará al completarse el proceso de introducción gradual) |
|
|
040 |
Total de los fondos propios (según la definición transitoria) |
|
|
055 |
Importe de los activos deducidos de los elementos del capital de nivel 1 ordinario (según la definición que se aplicará al completarse el proceso de introducción gradual) |
|
|
065 |
Importe de los activos deducidos de los elementos del capital de nivel 1 ordinario (según la definición transitoria) |
|
|
075 |
Importe de los activos deducidos de los elementos de los fondos propios (según la definición que se aplicará al completarse el proceso de introducción gradual) |
|
|
085 |
Importe de los activos deducidos de los elementos de los fondos propios (según la definición transitoria) |
|
C 43.00 — DESGLOSE ALTERNATIVO DE LOS COMPONENTES DE LA MEDIDA DE LA EXPOSICIÓN CORRESPONDIENTE A LA RATIO DE APALANCAMIENTO (LR4)
|
Fila |
Partidas fuera de balance, derivados, operaciones de financiación de valores y cartera de negociación |
Columna |
|
||
|
010 |
020 |
||||
|
Valor de exposición correspondiente a la ratio de apalancamiento |
Activos ponderados por riesgo |
||||
|
010 |
Partidas fuera de balance; de las cuales: |
|
|
|
|
|
020 |
Financiación comercial; de la cual: |
|
|
||
|
030 |
En el marco de un sistema oficial de seguro de crédito a la exportación |
|
|
||
|
040 |
Derivados y operaciones de financiación de valores sujetos a un acuerdo de compensación entre productos |
|
|
||
|
050 |
Derivados no sujetos a un acuerdo de compensación entre productos |
|
|
||
|
060 |
Operaciones de financiación de valores no sujetas a un acuerdo de compensación entre productos |
|
|
||
|
065 |
Importes de las exposiciones resultantes del tratamiento adicional de los derivados de crédito |
|
|
||
|
070 |
Otros activos pertenecientes a la cartera de negociación |
|
|
||
|
Fila |
Otras exposiciones de la cartera de inversión |
Columna |
|||
|
010 |
020 |
030 |
040 |
||
|
Valor de exposición correspondiente a la ratio de apalancamiento |
Activos ponderados por riesgo |
||||
|
Exposiciones según el método estándar |
Exposiciones según el método IRB |
Exposiciones según el método estándar |
Exposiciones según el método IRB |
||
|
080 |
Bonos garantizados |
|
|
|
|
|
90 |
Exposiciones asimiladas a exposiciones frente a emisores soberanos |
|
|
|
|
|
100 |
Administraciones centrales y bancos centrales |
|
|
|
|
|
110 |
Administraciones regionales y autoridades locales asimiladas a emisores soberanos |
|
|
|
|
|
120 |
Bancos multilaterales de desarrollo y organizaciones internacionales asimilados a emisores soberanos |
|
|
|
|
|
130 |
Entes del sector público asimilados a emisores soberanos |
|
|
|
|
|
140 |
Exposiciones frente a administraciones regionales, bancos multilaterales de desarrollo, organizaciones internacionales y entes del sector público no asimiladas a exposiciones frente a emisores soberanos |
|
|
|
|
|
150 |
Administraciones regionales y autoridades locales no asimiladas a emisores soberanos |
|
|
|
|
|
160 |
Bancos multilaterales de desarrollo no asimilados a emisores soberanos |
|
|
|
|
|
170 |
Entes del sector público no asimilados a emisores soberanos |
|
|
|
|
|
180 |
Entidades |
|
|
|
|
|
190 |
Garantizadas con hipotecas sobre bienes inmuebles; de las cuales: |
|
|
|
|
|
200 |
Garantizadas por hipotecas sobre bienes inmuebles residenciales |
|
|
|
|
|
210 |
Exposiciones minoristas; de las cuales: |
|
|
|
|
|
220 |
Exposiciones minoristas frente a PYME |
|
|
|
|
|
230 |
Empresas; de las cuales: |
|
|
|
|
|
240 |
Financieras |
|
|
|
|
|
250 |
No financieras; de las cuales: |
|
|
|
|
|
260 |
Exposiciones frente a PYME |
|
|
|
|
|
270 |
Exposiciones frente a empresas que no sean PYME |
|
|
|
|
|
280 |
Exposiciones en situación de impago |
|
|
|
|
|
290 |
Otras exposiciones; de las cuales: |
|
|
|
|
|
300 |
Exposiciones de titulización |
|
|
|
|
|
310 |
Financiación comercial (pro memoria); de las cuales: |
|
|
|
|
|
320 |
En el marco de un sistema oficial de seguro de crédito a la exportación |
|
|
|
|
C 44.00 — INFORMACIÓN GENERAL (LR5)
|
Fila |
|
Columna |
|
010 |
||
|
010 |
Estructura societaria de la entidad |
|
|
020 |
Tratamiento de los derivados |
|
|
040 |
Tipo de entidad |
|
C 47.00 — CÁLCULO DE LA RATIO DE APALANCAMIENTO (LRCalc)
|
|
Columna |
|
|
Exposición correspondiente a la ratio de apalancamiento: fecha de referencia de la información |
||
|
Fila |
Valores de exposición |
010 |
|
010 |
Operaciones de financiación de valores: exposición según el artículo 429, apartados 5 y 8, del RRC |
|
|
020 |
Operaciones de financiación de valores: adición por riesgo de contraparte |
|
|
030 |
Excepción en las operaciones de financiación de valores: adición según el artículo 429 ter, apartado 4, y el artículo 222 del RRC |
|
|
040 |
Riesgo de contraparte de las operaciones de financiación de valores realizadas en calidad de agente, según el artículo 429 ter, apartado 6, del RRC |
|
|
050 |
(-) Componente ECC excluido de exposiciones por operaciones de financiación de valores compensadas por el cliente |
|
|
060 |
Derivados: coste actual de reposición |
|
|
070 |
(-) Margen de variación en efectivo admisible recibido compensado con el valor de mercado de los derivados |
|
|
080 |
(-) Componente ECC excluido de exposiciones de negociación compensadas por el cliente (coste de reposición) |
|
|
090 |
Derivados: adición según el método de valoración a precios de mercado |
|
|
100 |
(-) Componente ECC excluido de exposiciones de negociación compensadas por el cliente (exposición futura potencial) |
|
|
110 |
Excepción aplicable a los derivados: método de la exposición original |
|
|
120 |
(-) Componente ECC excluido de exposiciones de negociación compensadas por el cliente (método de la exposición original) |
|
|
130 |
Importe nocional una vez aplicado el límite máximo de los derivados de crédito suscritos |
|
|
140 |
(-) Derivados de crédito adquiridos admisibles compensados con derivados de crédito suscritos |
|
|
150 |
Partidas fuera de balance con un factor de conversión del 10 %, de conformidad con el artículo 429, apartado 10, del RRC |
|
|
160 |
Partidas fuera de balance con un factor de conversión del 20 %, de conformidad con el artículo 429, apartado 10, del RRC |
|
|
170 |
Partidas fuera de balance con un factor de conversión del 50 %, de conformidad con el artículo 429, apartado 10, del RRC |
|
|
180 |
Partidas fuera de balance con un factor de conversión del 100 %, de conformidad con el artículo 429, apartado 10, del RRC |
|
|
190 |
Otros activos |
|
|
200 |
Garantías reales aportadas en conexión con derivados |
|
|
210 |
(-) Derechos de cobro por el margen de variación en efectivo aportado en operaciones con derivados |
|
|
220 |
(-) Componente ECC excluido de exposiciones de negociación compensadas por el cliente (margen inicial) |
|
|
230 |
Ajustes por operaciones de financiación de valores contabilizadas como ventas |
|
|
240 |
(-) Activos fiduciarios |
|
|
250 |
(-) Exposiciones intragrupo (base individual) excluidas conforme al artículo 429, apartado 7, del RRC |
|
|
260 |
(-) Exposiciones excluidas conforme al artículo 429, apartado 14, del RRC |
|
|
270 |
►C3 (-) Importe de los activos deducidos del capital de nivel 1 (según la definición que se aplicará al completarse el proceso de introducción gradual) ◄ |
|
|
280 |
►C3 (-) Importe de los activos deducidos del capital de nivel 1 (según la definición transitoria) ◄ |
|
|
290 |
Total de la exposición correspondiente a la ratio de apalancamiento (según la definición de capital de nivel 1 que se aplicará al completarse el proceso de introducción gradual) |
|
|
300 |
Total de la exposición correspondiente a la ratio de apalancamiento (según la definición de capital de nivel 1 transitoria ) |
|
|
Fila |
Capital |
|
|
310 |
Capital de nivel 1 (según la definición que se aplicará al completarse el proceso de introducción gradual) |
|
|
320 |
Capital de nivel 1 (según la definición transitoria) |
|
|
Fila |
Ratio de apalancamiento |
|
|
330 |
Ratio de apalancamiento (según la definición de capital de nivel 1 que se aplicará al completarse el proceso de introducción gradual) |
|
|
340 |
Ratio de apalancamiento (según la definición de capital de nivel 1 transitoria) |
|
ANEXO XI
INFORMACIÓN SOBRE APALANCAMIENTO
|
PARTE I: INSTRUCCIONES GENERALES |
|
|
1. |
DESIGNACIÓN DE LAS PLANTILLAS Y OTRAS CONVENCIONES |
|
1.1. |
DESIGNACIÓN DE LAS PLANTILLAS |
|
1.2. |
CONVENCIÓN SOBRE LA NUMERACIÓN |
|
1.3. |
ABREVIATURAS |
|
1.4. |
CONVENCIÓN SOBRE LOS SIGNOS |
|
PARTE II: INSTRUCCIONES RELATIVAS A LAS PLANTILLAS |
|
|
1. |
ESTRUCTURA Y FRECUENCIA |
|
2. |
FÓRMULAS PARA EL CÁLCULO DE LA RATIO DE APALANCAMIENTO |
|
3. |
UMBRALES DE IMPORTANCIA RELATIVA PARA LOS DERIVADOS |
|
4. |
C 47.00 — CÁLCULO DE LA RATIO DE APALANCAMIENTO (LRCalc) |
|
5. |
C 40.00 — TRATAMIENTO ALTERNATIVO DE LA MEDIDA DE LA EXPOSICIÓN (LR1) |
|
6. |
C 41.00 — PARTIDAS INCLUIDAS EN EL BALANCE Y FUERA DE BALANCE — DESGLOSE ADICIONAL DE LAS EXPOSICIONES (LR2) |
|
7. |
C 42.00 — DEFINICIÓN ALTERNATIVA DE CAPITAL (LR3) |
|
8. |
C 43.00 — DESGLOSE ALTERNATIVO DE LOS COMPONENTES DE LA MEDIDA DE LA EXPOSICIÓN CORRESPONDIENTE A LA RATIO DE APALANCAMIENTO (LR4) |
|
9. |
C 44.00 — INFORMACIÓN GENERAL (LR 5) |
PARTE I: INSTRUCCIONES GENERALES
1. Designación de las plantillas y otras convenciones
1.1. Designación de las plantillas
1. El presente anexo contiene instrucciones adicionales para las plantillas de la ratio de apalancamiento (Leverage Ratio, en lo sucesivo «LR») incluidas en el anexo X del presente Reglamento.
2. En total, el marco consta de seis plantillas:
— C 47.00: Cálculo de la ratio de apalancamiento (LRCalc): Cálculo de la ratio de apalancamiento
— C 40.00: Plantilla de la ratio de apalancamiento 1 (LR1): Tratamiento alternativo de la medida de la exposición
— C 41.00: Plantilla de la ratio de apalancamiento 2 (LR2): Partidas incluidas en el balance y fuera de balance — Desglose adicional de las exposiciones
— C 42.00: Plantilla de la ratio de apalancamiento 3 (LR3): Definición alternativa de capital
— C 43.00: Plantilla de la ratio de apalancamiento 4 (LR4): Desglose de los componentes de la medida de la exposición correspondiente a la ratio de apalancamiento
— C 44.00: Plantilla de la ratio de apalancamiento 5 (LR5): Información general
3. Para cada plantilla se facilitan las referencias legales, así como información detallada adicional sobre los aspectos más generales del suministro de información.
1.2. Convención sobre la numeración
4. El documento sigue la convención sobre designación que se detalla en los puntos siguientes en lo que se refiere a las columnas, las filas y las celdas de las plantillas. Estos códigos numéricos se utilizan ampliamente en las normas de validación.
5. En las instrucciones se utiliza la notación general que sigue: {plantilla;fila;columna}. Se utiliza un asterisco para hacer referencia a toda la fila o columna.
6. En las validaciones dentro de una plantilla en la que solo se utilizan puntos de datos de esa plantilla, las notaciones no hacen referencia a la plantilla: {fila;columna}.
7. A los efectos del suministro de información sobre el apalancamiento, «de la cual/de las cuales» hace referencia a una partida que constituye un subconjunto de una categoría de exposición de nivel superior, mientras que «pro memoria» hace referencia a una partida independiente que no constituye un subconjunto de una categoría de exposición. La cumplimentación de ambos tipos de celdas es obligatoria salvo indicación en contrario.
1.3. Abreviaturas
8. A efectos del presente anexo y las plantillas correspondientes se utilizan las abreviaturas siguientes:
a. RRC, que es la abreviatura del Reglamento sobre requisitos de capital, es decir, el Reglamento (UE) n.o 575/2013.
b. SFT, que es la abreviatura de securities financing transactions, esto es, operaciones de financiación de valores, por lo que se entiende «operaciones con compromiso de recompra, operaciones de préstamo o toma en préstamo de valores o materias primas, y operaciones de préstamo con reposición del margen» según el Reglamento (UE) n.o 575/2013.
c. CRM, que es la abreviatura de credit risk mitigation, esto es, reducción del riesgo de crédito.
1.4. Convención sobre los signos
9. Todos los importes se expresarán en cifras positivas. Se exceptúan los importes comunicados en {LRCalc;050;010}, {LRCalc;070;010}, {LRCalc;080;010}, {LRCalc;100;010}, {LRCalc;120;010}, {LRCalc;140;010}, {LRCalc;210;010}, {LRCalc;220;010}, {LRCalc;240;010}, {LRCalc;250;010}, {LRCalc;260;010}, {LRCalc;310;010}, {LRCalc;320;010}, {LRCalc;270;010}, {LRCalc;280;010}, {LRCalc;330;010}, {LRCalc;340;010}, {LR3;010;010}, {LR3;020;010}, {LR3;030;010}, {LR3;040;010}, {LR3;055;010}, {LR3;065;010}, {LR3;075;010} y {LR3;085;010}. Obsérvese que {LRCalc;050;010}, {LRCalc;070;010}, {LRCalc;080;010}, {LRCalc;100;010}, {LRCalc;120;010}, {LRCalc;140;010}, {LRCalc;210;010}, {LRCalc;220;010}, {LRCalc;240;010}, {LRCalc;250;010}, {LRCalc;260;010}, {LRCalc;270;010}, {LRCalc;280;010}, {LR3;055;010}, {LR3;065;010}, {LR3;075;010} y {LR3;085;010} solo tendrán valores negativos. Obsérvese también que, salvo casos extremos, {LRCalc;310;010}, {LRCalc;320;010}, {LRCalc;330;010}, {LRCalc;340;010}, {LR3;010;010}, {LR3;020;010}, {LR3;030;010} y {LR3;040;010} solo tendrán valores positivos.
PARTE II: INSTRUCCIONES RELATIVAS A LAS PLANTILLAS
1. Estructura y frecuencia
1. Las plantillas de la ratio de apalancamiento se dividen en dos partes. La parte A comprende todos los datos que entran en el cálculo de la ratio de apalancamiento que las entidades deben presentar a las autoridades competentes de conformidad con el artículo 430, apartado 1, párrafo primero, del RRC, mientras que la parte B comprende todos los datos que las entidades deben presentar de conformidad con el artículo 430, apartado 1, párrafo segundo, del RRC (es decir, a los efectos de elaboración del informe mencionado en el artículo 511 del RRC).
2. Al compilar los datos a los efectos de esta norma técnica de ejecución, las entidades tendrán en cuenta el tratamiento de los activos fiduciarios, de conformidad con el artículo 429, apartado 13, del RRC.
2. Fórmulas para el cálculo de la ratio de apalancamiento
3. La ratio de apalancamiento se basa en una medida del capital y una medida de la exposición total, que pueden calcularse a partir de las celdas de la parte A.
4. Ratio de apalancamiento — definición una vez completado el proceso de introducción gradual = {LRCalc;310;010}/{LRCalc;290;010}
5. Ratio de apalancamiento — definición transitoria = {LRCalc;320;010}/{LRCalc;300;010}
3. Umbrales de importancia relativa para los derivados
6. A fin de reducir la carga de información de las entidades que tengan exposiciones limitadas frente a derivados, se utilizarán las medidas que se indican a continuación para medir la importancia relativa de esas exposiciones respecto a la exposición total correspondiente a la ratio de apalancamiento. Las entidades efectuarán el cálculo de las medidas como sigue:
7.
.
8. Donde la medida de la exposición total es igual a: {LRCalc;290;010}.
9. Valor nocional total referenciado por los derivados = {LR1;010;070}. Las entidades deben cumplimentar siempre esta celda.
10. Volumen de derivados de crédito = {LR1;020;070} + {LR1;050;070}. Las entidades deben cumplimentar siempre estas celdas.
11. Las entidades deben cumplimentar las celdas mencionadas en el punto 14 en el siguiente período de información si se cumple una de las condiciones que a continuación se indican:
— que la cuota de derivados mencionada en el apartado 7 sea superior al 1,5 % en dos fechas de referencia consecutivas;
— que la cuota de derivados mencionada en el apartado 7 sea superior al 2,0 %.
12. Las entidades en las que el valor nocional total referenciado por los derivados, tal como se define en el punto 9, supere los 10 000 millones EUR deben cumplimentar las celdas mencionadas en el punto 14, aunque la cuota de derivados no cumpla las condiciones indicadas en el punto 11.
13. Las entidades deben cumplimentar las celdas mencionadas en el punto 15 si se cumple una de las condiciones siguientes:
— que el volumen de los derivados de crédito mencionado en el punto 10 sea superior a 300 millones EUR en dos fechas de referencia consecutivas;
— que el volumen de los derivados de crédito mencionado en el punto 10 sea superior a 500 millones EUR.
14. Las celdas que deben cumplimentar las entidades de acuerdo con el punto 11 son las siguientes: {LR1;010;010}, {LR1;010;020}, {LR1;010;050}, {LR1;020;010}, {LR1;020;020}, {LR1;020;050}, {LR1;030;050}, {LR1;030;070}, {LR1;040;050}, {LR1;040;070}, {LR1;050;010}, {LR1;050;020}, {LR1;050;050}, {LR1;060;010}, {LR1;060;020}, {LR1;060;050} y {LR1;060;070}.
15. Las celdas que deben cumplimentar las entidades de acuerdo con el punto 13 son las siguientes: {LR1;020;075}, {LR1;050;075} y {LR1;050;085}.
4. C 47.00 — Cálculo de la ratio de apalancamiento (LRCalc)
16. Esta parte de la plantilla recoge los datos necesarios para calcular la ratio de apalancamiento tal como se define en los artículos 429, 429 bis y 429 ter del RRC.
17. Las entidades comunicarán la ratio de apalancamiento trimestralmente. En cada trimestre, el valor «fecha de referencia» será el valor del último día natural del tercer mes del trimestre correspondiente.
18. Las entidades comunicarán {010;010} a{030;010}, {060;010}, {090;010}, {110;010}, y {150;010} a {190;010} como si las exclusiones previstas en {050;010}, {080;010}, {100;010}, {120;010} y {220;010} no se aplicaran.
19. Las entidades comunicarán {010;010} a {240;010} como si las exclusiones previstas en {250;010} y {260;010} no se aplicaran.
20. Todo importe que eleve los fondos propios o la exposición correspondiente a la ratio de apalancamiento debe expresarse como cifra positiva. Por el contrario, todo importe que reduzca el total de los fondos propios o la exposición correspondiente a la ratio de apalancamiento se expresará como cifra negativa. Cuando un signo negativo (-) preceda a la designación de una partida, no se comunicará ninguna cifra positiva para esa partida.
|
|
Referencias legales e instrucciones |
|
Fila y columna |
Valores de exposición |
|
{010;010} |
Operaciones de financiación de valores (SFT): exposición según el artículo 429, apartados 5 y 8, del RRC Artículo 429, apartado 5, letra d), y apartado 8, del RRC Valor de la exposición en las operaciones de financiación de valores, calculado de conformidad con el artículo 429, apartado 5, letra d), y apartado 8, del RRC Las entidades considerarán en esta celda las operaciones contempladas en el artículo 429 ter, apartado 6, letra c). Las entidades no incluirán en esta celda ni el efectivo recibido ni los valores que hayan entregado a una contraparte mediante las operaciones antes mencionadas y que mantengan en el balance (es decir, respecto de los cuales no se cumplan los criterios contables para darlos de baja). Las entidades incluirán esas partidas en {190;010}. Las entidades no incluirán en esta celda las operaciones de financiación de valores realizadas en calidad de agente, cuando la entidad ofrezca una garantía o aval a un cliente o una contraparte solamente por la diferencia entre el valor de los valores o el efectivo que el cliente haya prestado y el valor de los activos de garantía que el prestatario haya entregado de conformidad con el artículo 429 ter, apartado 6, letra a), del RRC. |
|
{020;010} |
Operaciones de financiación de valores: adición por riesgo de contraparte Artículo 429 ter, apartado 1, del RRC Adición por riesgo de contraparte en las operaciones de financiación de valores, incluidas las fuera de balance, determinado con arreglo al artículo 429 ter, apartados 2 o 3, del RRC, según proceda Las entidades considerarán en esta celda las operaciones contempladas en el artículo 429 ter, apartado 6, letra c). Las entidades no incluirán en esta celda las operaciones de financiación de valores realizadas en calidad de agente, cuando la entidad ofrezca una garantía o aval a un cliente o una contraparte solamente por la diferencia entre el valor de los valores o el efectivo que el cliente haya prestado y el valor de los activos de garantía que el prestatario haya entregado de conformidad con el artículo 429 ter, apartado 6, letra a), del RRC. Las entidades incluirán esas partidas en {040;010}. |
|
{030;010} |
Excepción en las operaciones de financiación de valores: adición según el artículo 429 ter, apartado 4, y el artículo 222 del RRC Artículo 429 ter, apartado 4, y artículo 222 del RRC El valor de exposición de las operaciones de financiación de valores, incluidas las fuera de balance, calculado conforme al artículo 222 del RRC, con sujeción a un límite mínimo del 20 % para la ponderación de riesgo aplicable. Las entidades considerarán en esta celda las operaciones contempladas en el artículo 429 ter, apartado 6, letra c), del RRC. Las entidades no considerarán en esta celda las operaciones en las que la parte que la adición representa en la exposición correspondiente a la ratio de apalancamiento se haya determinado por el método previsto en el artículo 429 ter, apartado 1, del RRC. |
|
{040;010} |
Riesgo de contraparte de las operaciones de financiación de valores realizadas en calidad de agente, según el artículo 429 ter, apartado 6, del RRC Artículo 429 ter, apartado 6, letra a), y apartados 2 y 3, del RRC El valor de exposición de las operaciones de financiación de valores realizadas en calidad de agente, cuando la entidad ofrezca una garantía o aval a un cliente o una contraparte solamente por la diferencia entre el valor de los valores o el efectivo que el cliente haya prestado y el valor de los activos de garantía que el prestatario haya entregado conforme al artículo 429 ter, apartado 6, letra a), del RRC, será igual solo a la adición determinada con arreglo al artículo 429, apartados 2 o 3, según proceda, del RRC. Las entidades no considerarán en esta celda las operaciones contempladas en el artículo 429 ter, apartado 6, letra c). Las entidades incluirán estas partidas en {010;010} y {020;010} o {010;010} y {030;010}, según proceda. |
|
{050;010} |
(-) Componente ECC excluido de exposiciones por operaciones de financiación de valores compensadas por el cliente Artículo 429, apartado 11, y artículo 306, apartado 1, letra c), del RRC El componente ECC excluido de exposiciones de negociación por operaciones de financiación de valores compensadas por el cliente, siempre que dichas partidas cumplan las condiciones establecidas en el artículo 306, apartado 1, letra c), del RRC. Cuando el componente ECC excluido sea un valor no deberá incluirse en esta celda, a menos que se trate de un valor que se haya vuelto a pignorar y que, con arreglo al marco contable aplicable (es decir, de conformidad con la primera frase del artículo 111, apartado 1, del RRC), se incluya por su valor total. Las entidades deben incluir el importe comunicado en esta celda también en {010;010}, {020;010} y {030;010}, como si no se aplicara ninguna exclusión, y si se cumple lo especificado en la segunda parte de la frase anterior, en {190;010}. Cuando la entidad haya proporcionado un margen inicial en relación con el componente excluido de una operación de financiación de valores consignada en {190;010} y no consignada en {020;010} o {030;010}, la entidad podrá comunicar dicho margen en esta celda. |
|
{060;010} |
Derivados: coste actual de reposición Artículos 429 bis, 274, 295, 296, 297 y 298 del RRC Coste actual de reposición, de conformidad con lo especificado en el artículo 274, apartado 1, del RRC de los contratos enumerados en el anexo II del RRC y de los derivados de crédito, incluidos los que estén fuera de balance comunicado sin deducción del margen de variación recibido. Según se determina en el artículo 429 bis, apartado 1, del RRC, las entidades podrán tener en cuenta las repercusiones de los contratos de novación y otros acuerdos de compensación de conformidad con el artículo 295 del RRC. No se aplicará la compensación entre productos distintos. No obstante, las entidades podrán compensar dentro de la categoría de productos mencionada en el artículo 272, punto 25, letra c), del RRC y los derivados de crédito cuando estén sujetos a un acuerdo de compensación contractual entre productos según lo indicado en el artículo 295, letra c), del RRC. Las entidades no incluirán en esta celda contratos valorados por el método de la exposición original de conformidad con el artículo 429 bis, apartado 8, y el artículo 275 del RRC. |
|
{070;010} |
(-) Margen de variación en efectivo admisible recibido compensado con el valor de mercado de los derivados Artículo 429 bis, apartado 3, del RRC Margen de variación recibido en efectivo de la contraparte admisible para ser compensado con la parte de la exposición frente a derivados correspondiente al coste de reposición de conformidad con el artículo 429 bis, apartado 3, del RRC. No se comunicará ningún margen de variación en efectivo recibido en relación con un componente ECC excluido de conformidad con el artículo 429, apartado 11, del RRC. |
|
{080;010} |
(-) Componente ECC excluido de exposiciones de negociación compensadas por el cliente (coste de reposición) Artículo 429, apartado 11, del RRC La parte correspondiente al coste de reposición en las exposiciones de negociación frente a una ECC cualificada (ECCC) excluidas procedentes de las operaciones con derivados compensadas por el cliente, siempre que dichas partidas cumplan las condiciones establecidas en el artículo 306, apartado 1, letra c), del RRC. Este importe se consignará sin deducción del margen de variación en efectivo recibido en relación con este componente. Las entidades incluirán el importe comunicado en esta celda también en {060;010}, como si no se aplicara la exclusión. |
|
{090;010} |
Derivados: adición según el método de valoración a precios de mercado Artículos 429 bis, 274, 295, 296, 297, 298 y 299, apartado 2, del RRC Esta celda recoge la adición correspondiente a la exposición futura potencial de los contratos enumerados en el anexo II del RRC y de los derivados de crédito, incluidos los que están fuera de balance, calculada por el método de valoración a precios de mercado (artículo 274 del RRC para los contratos enumerados en el anexo II del RRC y artículo 299, apartado 2, del RRC para los derivados de crédito) y aplicando las normas de compensación según el artículo 429 bis, apartado 1, del RRC. Al determinar el valor de exposición de estos contratos, las entidades pueden tener en cuenta los efectos de los contratos de novación y otros acuerdos de compensación de conformidad con el artículo 295 del RRC. No se aplicará la compensación entre productos distintos. No obstante, las entidades podrán compensar dentro de la categoría de productos mencionada en el artículo 272, punto 25, letra c), del RRC y los derivados de crédito cuando estén sujetos a un acuerdo de compensación contractual entre productos según lo indicado en el artículo 295, letra c), del RRC. De conformidad con el artículo 429 bis, apartado 1, párrafo segundo, del RRC, a la hora de determinar la exposición crediticia potencial futura de los derivados de crédito, las entidades aplicarán los principios establecidos en el artículo 299, apartado 2, letra a), del RRC a todos sus derivados de crédito, no únicamente a los que estén asignados a la cartera de negociación. Las entidades no incluirán en esta celda contratos valorados por el método de la exposición original de conformidad con el artículo 429 bis, apartado 8, y el artículo 275 del RRC. |
|
{100;010} |
(-) Componente ECC excluido de exposiciones de negociación compensadas por el cliente (exposición futura potencial) Artículo 429, apartado 11, del RRC La exposición futura potencial de exposiciones de negociación frente a una ECCC excluidas procedentes de operaciones con derivados compensadas por el cliente, siempre que dichas partidas cumplan las condiciones establecidas en el artículo 306, apartado 1, letra c), del RRC. Las entidades incluirán el importe comunicado en esta celda también en {090;010}, como si no se aplicara la exclusión. |
|
{110;010} |
Excepción aplicable a los derivados: método de la exposición original Artículo 429 bis, apartado 8, y artículo 275 del RRC Esta celda recoge la medida de la exposición de los contratos enumerados en el anexo II, puntos 1 y 2, del RRC, calculada de conformidad con el método de la exposición original previsto en el artículo 275 del RRC. Las entidades que apliquen el método de la exposición original no deducirán de la medida de la exposición el importe del margen de variación recibido en efectivo de conformidad con el artículo 429 bis, apartado 8, del RRC. Las entidades que no utilicen el método de la exposición original no cumplimentarán esta celda. Las entidades no considerarán en esta celda los contratos valorados por el método de valoración a precios de mercado de conformidad con el artículo 429 bis, apartado 1, y el artículo 274 del RRC. |
|
{120;010} |
(-) Componente ECC excluido de exposiciones de negociación compensadas por el cliente (método de la exposición original) Artículo 429, apartado 11, del RRC Componente ECC excluido de las exposiciones de negociación compensadas por el cliente cuando se aplica el método de la exposición original, según lo establecido en el artículo 275 del RRC, siempre que dichas partidas cumplan las condiciones establecidas en el artículo 306, apartado 1, letra c), del RRC. Las entidades incluirán el importe comunicado en esta celda también en {110;010}, como si no se aplicara la exclusión. |
|
{130;010} |
Importe nocional, una vez aplicado el límite máximo, de los derivados de crédito suscritos Artículo 429 bis, apartados 5 a 7, del RRC Valor nocional, una vez aplicado el límite máximo, de los derivados de crédito suscritos (es decir, cuando la entidad proporciona protección crediticia a una contraparte) de conformidad con el artículo 429 bis, apartados 5 a 7, del RRC. |
|
{140;010} |
(-) Derivados de crédito adquiridos admisibles compensados con derivados de crédito suscritos Artículo 429 bis, apartados 5 a 7, del RRC Importe nocional, una vez aplicado el límite máximo, de los derivados de crédito adquiridos (es decir, cuando la entidad compra protección crediticia a una contraparte) sobre los mismos nombres de referencia que los derivados de crédito suscritos por la entidad, cuando el vencimiento residual de la protección adquirida sea mayor o igual que el vencimiento residual de la protección vendida. Por lo tanto, el valor no deberá ser mayor que el consignado en {130;010} para cada nombre de referencia. |
|
{150;010} |
Partidas fuera de balance con un factor de conversión del 10 %, de conformidad con el artículo 429, apartado 10, del RRC Artículo 429, apartado 10, artículo 111, apartado 1, letra d), y artículo 166, apartado 9, del RRC Valor de exposición, con arreglo al artículo 429, apartado 10, y al artículo 111, apartado 1, letra d), del RRC, de las partidas fuera de balance de bajo riesgo a las que correspondería asignar un factor de conversión del 0 % contempladas en el anexo I, punto 4, letras a) a c), del RRC (cabe recordar que el valor de exposición aquí será igual al 10 % del valor nominal). Esto es, compromisos que la entidad pueda cancelar sin condiciones en cualquier momento y sin previo aviso, o que prevean efectivamente su cancelación automática en caso de deterioro de la solvencia del prestatario. Asimismo, cabe recordar que el valor nominal no se reducirá mediante ajustes por riesgo de crédito específico. Cuando un compromiso se refiera a la ampliación de otro compromiso, se utilizará el factor de conversión más reducido de los dos correspondientes a ese compromiso, conforme al artículo 166, apartado 9, del RRC. Las entidades no considerarán en esta celda los contratos enumerados en el anexo II del RRC, los derivados de crédito y las operaciones de financiación de valores de conformidad con el artículo 429, apartado 10, del RRC. |
|
{160;010} |
Partidas fuera de balance con un factor de conversión del 20 %, de conformidad con el artículo 429, apartado 10, del RRC Artículo 429, apartado 10, artículo 111, apartado 1, letra c), y artículo 166, apartado 9, del RRC Valor de exposición, con arreglo al artículo 429, apartado 10, y al artículo 111, apartado 1, letra c), del RRC, de las partidas fuera de balance de riesgo medio/bajo a las que correspondería asignar un factor de conversión del 20 % contempladas en el anexo I, punto 3, letras a) y b), del RRC (cabe recordar que el valor de exposición aquí será igual al 20 % del valor nominal). Asimismo, cabe recordar que el valor nominal no se reducirá mediante ajustes por riesgo de crédito específico. Cuando un compromiso se refiera a la ampliación de otro compromiso, se utilizará el factor de conversión más reducido de los dos correspondientes a ese compromiso, conforme al artículo 166, apartado 9, del RRC. Las entidades no considerarán en esta celda los contratos enumerados en el anexo II del RRC, los derivados de crédito y las operaciones de financiación de valores de conformidad con el artículo 429, apartado 10, del RRC. |
|
{170;010} |
Partidas fuera de balance con un factor de conversión del 50 %, de conformidad con el artículo 429, apartado 10, del RRC Artículo 429, apartado 10, artículo 111, apartado 1, letra b), y artículo 166, apartado 9, del RRC Valor de exposición, con arreglo al artículo 429, apartado 10, y al artículo 111, apartado 1, letra b), del RRC, de las partidas fuera de balance de riesgo medio a las que correspondería asignar un factor de conversión del 50 % según lo definido en el método estándar aplicable al riesgo de crédito, contempladas en el anexo I, punto 2, letras a) y b), del RRC (cabe recordar que el valor de exposición aquí será igual al 50 % del valor nominal). Asimismo, cabe recordar que el valor nominal no se reducirá mediante ajustes por riesgo de crédito específico. Esta celda incluye líneas de liquidez y otros compromisos respecto de titulizaciones. Dicho de otro modo, el factor de conversión para todas las líneas de liquidez de conformidad con el artículo 255 del RRC es del 50 % con independencia del vencimiento. Cuando un compromiso se refiera a la ampliación de otro compromiso, se utilizará el factor de conversión más reducido de los dos correspondientes a ese compromiso, conforme al artículo 166, apartado 9, del RRC. Las entidades no considerarán en esta celda los contratos enumerados en el anexo II del RRC, los derivados de crédito y las operaciones de financiación de valores de conformidad con el artículo 429, apartado 10, del RRC. |
|
{180;010} |
Partidas fuera de balance con un factor de conversión del 100 %, de conformidad con el artículo 429, apartado 10, del RRC Artículo 429, apartado 10, artículo 111, apartado 1, letra a), y artículo 166, apartado 9, del RRC Valor de exposición, con arreglo al artículo 429, apartado 10, y al artículo 111, apartado 1, letra a), del RRC, de las partidas fuera de balance de alto riesgo a las que correspondería asignar un factor de conversión del 100 % contempladas en el anexo I, punto 1, letras a) a k), del RRC (cabe recordar que el valor de exposición aquí será igual al 100 % del valor nominal). Asimismo, cabe recordar que el valor nominal no se reducirá mediante ajustes por riesgo de crédito específico. Esta celda incluye líneas de liquidez y otros compromisos respecto de titulizaciones. Cuando un compromiso se refiera a la ampliación de otro compromiso, se utilizará el factor de conversión más reducido de los dos correspondientes a ese compromiso, conforme al artículo 166, apartado 9, del RRC. Las entidades no considerarán en esta celda los contratos enumerados en el anexo II del RRC, los derivados de crédito y las operaciones de financiación de valores de conformidad con el artículo 429, apartado 10, del RRC. |
|
{190;010} |
Otros activos Artículo 429, apartado 5, del RRC Todos los activos distintos de los contratos enumerados en el anexo II del RRC, los derivados de crédito y las operaciones de financiación de valores (por ejemplo, entre otros activos, se consignarán en esta celda los derechos de cobro contables por el margen de variación en efectivo entregado, siempre que estén reconocidos en el marco contable operativo, así como los activos líquidos según lo definido en la ratio de cobertura de liquidez, las operaciones fallidas y las operaciones no liquidadas). Las entidades basarán la valoración en los principios enunciados en el artículo 429, apartado 5, del RRC. Las entidades incluirán en esta celda el efectivo recibido o los valores que hayan entregado a una contraparte mediante operaciones de financiación de valores y que mantengan en el balance (es decir, respecto de los cuales no se cumplan los criterios contables para darlos de baja). Además, las entidades deben reconocer aquí las partidas que se deduzcan del capital de nivel 1 ordinario y del capital de nivel 1 adicional (por ejemplo, activos intangibles, activos por impuestos diferidos, etc.). |
|
{200;010} |
Garantías reales aportadas en conexión con derivados Artículo 429 bis, apartado 2, del RRC Importe de cualquier garantía real aportada en conexión con derivados siempre que la aportación de dicha garantía reduzca el importe de los activos con arreglo al marco contable aplicable, según lo establecido en el artículo 429 bis, apartado 2, del RRC. Las entidades no incluirán en esta celda el margen inicial relativo a las operaciones con derivados con una ECCC compensadas por el cliente o el margen de variación en efectivo admisible, según se define en el artículo 429 bis, apartado 3, del RRC. |
|
{210;010} |
(-) Derechos de cobro por el margen de variación en efectivo aportado en operaciones con derivados Artículo 429 bis, apartado 3, párrafo tercero, del RRC Derechos de cobro por el margen de variación pagado en efectivo a la contraparte en operaciones con derivados si la entidad está obligada, en virtud del marco contable aplicable, a reconocer esos derechos de cobro en el activo, siempre que se cumplan las condiciones establecidas en el artículo 429 bis, apartado 3, letras a) a e), del RRC. El importe comunicado también deberá incluirse en los otros activos consignados en {190, 010}. |
|
{220;010} |
(-) Componente ECC excluido de exposiciones de negociación compensadas por el cliente (margen inicial) Artículo 429, apartado 11, del RRC La parte del margen inicial (aportado) de las exposiciones de negociación frente a una ECCC excluidas procedentes de las operaciones con derivados compensadas por el cliente, siempre que dichas partidas cumplan las condiciones establecidas en el artículo 306, apartado 1, letra c), del RRC. El importe comunicado también deberá incluirse en los otros activos consignados en {190, 010}. |
|
{230;010} |
Ajustes por operaciones de financiación de valores contabilizadas como ventas Artículo 429 ter, apartado 5, del RRC Valor de los valores prestados en una operación de recompra dados de baja en cuentas debido a una operación contable de venta en virtud del marco contable aplicable. |
|
{240;010} |
(-) Activos fiduciarios Artículo 429, apartado 13, del RRC Valor de los activos fiduciarios que cumplen los criterios que la NIC 39 establece en materia de baja en cuentas y, en su caso, la NIIF 10 en materia de no consolidación, con arreglo al artículo 429, apartado 13, del RRC, suponiendo que no hay efectos de compensación contable ni otros efectos de reducción del riesgo de crédito [CRM] (es decir, se revertirá toda compensación contable o reducción del riesgo de crédito que haya afectado al valor contable). El importe comunicado también deberá incluirse en los otros activos consignados en {190, 010}. |
|
{250;010} |
(-) Exposiciones intragrupo (base individual) excluidas conforme al artículo 429, apartado 7, del RRC Artículo 429, apartado 7, y artículo 113, apartado 6, del RRC Exposiciones que no hayan sido consolidadas al nivel de consolidación aplicable, que puedan ser objeto del tratamiento enunciado en el artículo 113, apartado 6, del RRC, siempre que se cumplan todas las condiciones que figuran en las letras a) a e) de esa disposición y las autoridades competentes hayan dado su aprobación. El importe comunicado deberá incluirse también en las celdas anteriores pertinentes como si no se aplicara la exclusión. |
|
{260;010} |
(-) Exposiciones excluidas conforme al artículo 429, apartado 14, del RRC Artículo 429, apartado 14, del RRC Exposiciones excluidas de conformidad con el artículo 429, apartado 14, del RRC, siempre que se cumplan las condiciones establecidas en esa disposición y las autoridades competentes hayan dado su aprobación. El importe comunicado deberá incluirse también en las celdas anteriores pertinentes como si no se aplicara la exclusión. |
|
{270;010} |
(-) Importe de los activos deducidos del capital de nivel 1 (según la definición que se aplicará al completarse el proceso de introducción gradual) Artículo 429, apartado 4, letra a), y artículo 499, apartado 1, letra a), del RRC Incluye todos los ajustes aplicados al valor de un activo y que sean necesarios conforme a: — los artículos 32 a 35 del RRC, o — los artículos 36 a 47 del RRC, o — los artículos 56 a 60 del RRC, según proceda. Las entidades deberán tener en cuenta las exenciones, alternativas y dispensas de tales deducciones establecidas en los artículos 48, 49 y 79 del RRC, sin tener en cuenta la excepción prevista en su parte décima, título I, capítulos 1 y 2. Para evitar la doble contabilización, las entidades no comunicarán los ajustes ya aplicados de conformidad con el artículo 111 del RRC a la hora de calcular el valor de la exposición en {010;010} a {260;010}, ni notificarán ningún ajuste que no deduzca el valor de un activo concreto. Dado que estos importes ya están deducidos de la medida del capital, reducen la exposición correspondiente a la ratio de apalancamiento y se expresarán en cifras negativas. |
|
{280;010} |
(-) Importe de los activos deducidos del capital de nivel 1 (según la definición transitoria) Artículo 429, apartado 4, letra a), y artículo 499, apartado 1, letra b), del RRC Incluye todos los ajustes aplicados al valor de un activo y que sean necesarios conforme a: — los artículos 32 a 35 del RRC, o — los artículos 36 a 47 del RRC, o — los artículos 56 a 60 del RRC, según proceda. Las entidades deberán tener en cuenta las exenciones, alternativas y dispensas de tales deducciones establecidas en los artículos 48, 49 y 79 del RRC, además de tener en cuenta la excepción prevista en su parte décima, título I, capítulos 1 y 2. Para evitar la doble contabilización, las entidades no comunicarán los ajustes ya aplicados de conformidad con el artículo 111 del RRC a la hora de calcular el valor de la exposición en {010;010} a {260;010}, ni notificarán ningún ajuste que no deduzca el valor de un activo concreto. Dado que estos importes ya están deducidos de la medida del capital, reducen la exposición correspondiente a la ratio de apalancamiento y se expresarán en cifras negativas. |
|
{290;010} |
Total de la exposición correspondiente a la ratio de apalancamiento (según la definición de capital de nivel 1 que se aplicará al completarse el proceso de introducción gradual) Las entidades comunicarán el siguiente importe: {LRCalc;010;010} + {LRCalc;020;010} + {LRCalc;030;010} + {LRCalc;040;010} + {LRCalc;050;010} + {LRCalc;060;010} + {LRCalc;070;010} + {LRCalc;080;010} + {LRCalc;090;010} + {LRCalc;100;010} + {LRCalc;110;010} + {LRCalc;120;010} + {LRCalc;130;010} + {LRCalc;140;010} + {LRCalc;150;010} + {LRCalc;160;010} + {LRCalc;170;010} + {LRCalc;180;010} + {LRCalc;190;010} + {LRCalc;200;010} + {LRCalc;210;010} + {LRCalc;220;010} + {LRCalc;230;010} + {LRCalc;240;010} + {LRCalc;250;010} + {LRCalc;260;010} + {LRCalc;270;010}. |
|
{300;010} |
Total de la exposición correspondiente a la ratio de apalancamiento (según la definición de capital de nivel 1 transitoria) Las entidades comunicarán el siguiente importe: {LRCalc;010;010} + {LRCalc;020;010} + {LRCalc;030;010} + {LRCalc;040;010} + {LRCalc;050;010} + {LRCalc;060;010} + {LRCalc;070;010} + {LRCalc;080;010} + {LRCalc;090;010} + {LRCalc;100;010} + {LRCalc;110;010} + {LRCalc;120;010} + {LRCalc;130;010}-{LRCalc;140;010} + {LRCalc;150;010} + {LRCalc;160;010} + {LRCalc;170;010} + {LRCalc;180;010} + {LRCalc;190;010} + {LRCalc;200;010} + {LRCalc;210;010} + {LRCalc;220;010} + {LRCalc;230;010} + {LRCalc;240;010} + {LRCalc;250;010} + {LRCalc;260;010} + {LRCalc;280;010}. |
|
Fila y columna |
Capital |
|
{310;010} |
Capital de nivel 1 (según la definición que se aplicará al completarse el proceso de introducción gradual) Artículo 429, apartado 3, y artículo 499, apartado 1, del RRC Importe del capital de nivel 1 calculado con arreglo al artículo 25 del RRC, sin tener en cuenta la excepción prevista en su parte décima, título I, capítulos 1 y 2. |
|
{320;010} |
Capital de nivel 1 (según la definición transitoria) Artículo 429, apartado 3, y artículo 499, apartado 1, del RRC Importe del capital de nivel 1 calculado con arreglo al artículo 25 del RRC, sin tener en cuenta la excepción prevista en su parte décima, título I, capítulos 1 y 2. |
|
Fila y columna |
Ratio de apalancamiento |
|
{330;010} |
Ratio de apalancamiento (según la definición de capital de nivel 1 que se aplicará al completarse el proceso de introducción gradual) Artículo 429, apartado 2, y artículo 499, apartado 1, del RRC Ratio de apalancamiento calculada de acuerdo con el punto 4 de la parte II del presente anexo. |
|
{340;010} |
Ratio de apalancamiento (según la definición de capital de nivel 1 transitoria) Artículo 429, apartado 2, y artículo 499, apartado 1, del RRC Ratio de apalancamiento calculada de acuerdo con el punto 5 de la parte II del presente anexo. |
5. C 40.00 — Tratamiento alternativo de la medida de la exposición (LR1)
21. Esta plantilla recoge datos sobre el tratamiento alternativo de los derivados, las operaciones de financiación de valores y las partidas fuera de balance
22. Las entidades determinarán los «valores contables según balance» en LR1 basándose en el marco contable aplicable de conformidad con el artículo 4, apartado 1, punto 77, del RRC. El «valor contable suponiendo que no hay compensación ni otra reducción del riesgo de crédito» es el valor contable según balance sin tener en cuenta ningún efecto de la compensación u otra reducción del riesgo de crédito.
23. Salvo {250;120} y {260;120}, las entidades cumplimentarán LR1 como si las exclusiones previstas en LRCalc, celdas {050;010}, {080;010}, {100;010}, {120;010}, {220;010}, {250;010} y{260;010}, no se aplicaran.
|
Fila y columna |
Referencias legales e instrucciones |
|
{010;010} |
Derivados — Valor contable según balance Es la suma de {020;010}, {050;010} y {060;010}. |
|
{010;020} |
Derivados — Valor contable suponiendo que no hay compensación ni otra reducción del riesgo de crédito Es la suma de {020;020}, {050;020} y {060;020}. |
|
{010;050} |
Derivados — Adición con arreglo al método de valoración a precios de mercado (suponiendo que no hay compensación ni otra reducción del riesgo de crédito) Es la suma de {020;050}, {050;050} y {060;050}. |
|
{010;070} |
Derivados — Importe nocional Es la suma de {020;070}, {050;070} y {060;070}. |
|
{020;010} |
Derivados de crédito (protección vendida) — Valor contable según balance Artículo 4, apartado 1, punto 77, del RRC Valor contable según balance, con arreglo al marco contable aplicable, de los derivados de crédito cuando la entidad vende protección crediticia a una contraparte y el contrato se ha reconocido como activo en el balance. |
|
{020;020} |
Derivados de crédito (protección vendida) — Valor contable suponiendo que no hay compensación ni otra reducción del riesgo de crédito Artículo 4, apartado 1, punto 77, del RRC Valor contable según balance, con arreglo al marco contable aplicable, de los derivados de crédito cuando la entidad vende protección crediticia a una contraparte y el contrato se ha reconocido como activo en el balance, suponiendo que no hay efectos de compensación prudencial o contable ni otros efectos de reducción del riesgo de crédito (es decir, se anularán los efectos de toda compensación contable o reducción del riesgo de crédito que haya afectado al valor contable). |
|
{020;050} |
Derivados de crédito (protección vendida) — Adición según el método de valoración a precios de mercado (suponiendo que no hay compensación ni otra reducción del riesgo de crédito) Es la suma de {030;050} y {040;050}. |
|
{020;070} |
Derivados de crédito (protección vendida) — Importe nocional Es la suma de {030;070} y {040;070}. |
|
{020;075} |
Derivados de crédito (protección vendida) — Importe nocional una vez aplicado el límite máximo Esta celda recoge el importe nocional referenciado por los derivados de crédito (protección vendida) como en {020;070} tras la reducción por toda posible variación negativa del valor razonable incorporada al capital de nivel 1 en relación con los derivados de crédito suscritos |
|
{030;050} |
Derivados de crédito (protección vendida) sujetos a una cláusula de liquidación — Adición según el método de valoración a precios de mercado (suponiendo que no hay compensación ni otra reducción del riesgo de crédito) Artículo 299, apartado 2, del RRC Esta celda recoge la exposición futura potencial de los derivados de crédito cuando la entidad vende protección crediticia a una contraparte con sujeción a una cláusula de liquidación, suponiendo que no hay compensación ni otra reducción del riesgo de crédito. Las entidades no incluirán en esta celda la adición por los derivados de crédito cuando vendan protección crediticia a una contraparte sin sujeción a una cláusula de liquidación. Las entidades incluirán esto en {LR1;040;050}. Se define como cláusula de liquidación la que concede a la parte que no incurra en impago el derecho a cancelar y liquidar oportunamente, en caso de impago, cualquier operación recogida en el acuerdo, incluso en el supuesto de quiebra o insolvencia de la contraparte. Las entidades considerarán todos los derivados de crédito, no solo los asignados a la cartera de negociación. |
|
{030;070} |
Derivados de crédito (protección vendida) sujetos a una cláusula de liquidación — Importe nocional Esta celda recoge el importe nocional referenciado por los derivados de crédito cuando la entidad vende protección crediticia a una contraparte con sujeción a una cláusula de liquidación. Se define como cláusula de liquidación la que concede a la parte que no incurra en impago el derecho a cancelar y liquidar oportunamente, en caso de impago, cualquier operación recogida en el acuerdo, incluso en el supuesto de quiebra o insolvencia de la contraparte. Las entidades considerarán todos los derivados de crédito, no solo los asignados a la cartera de negociación. |
|
{040;050} |
Derivados de crédito (protección vendida) no sujetos a una cláusula de liquidación — Adición según el método de valoración a precios de mercado (suponiendo que no hay compensación ni otra reducción del riesgo de crédito) Artículo 299, apartado 2, del RRC Esta celda recoge la exposición futura potencial de los derivados de crédito cuando la entidad vende protección crediticia a una contraparte sin sujeción a una cláusula de liquidación, suponiendo que no hay compensación ni otra reducción del riesgo de crédito. Se define como cláusula de liquidación la que concede a la parte que no incurra en impago el derecho a cancelar y liquidar oportunamente, en caso de impago, cualquier operación recogida en el acuerdo, incluso en el supuesto de quiebra o insolvencia de la contraparte. Las entidades considerarán todos los derivados de crédito, no solo los asignados a la cartera de negociación. |
|
{040;070} |
Derivados de crédito (protección vendida) no sujetos a una cláusula de liquidación — Importe nocional Esta celda recoge el importe nocional referenciado por los derivados de crédito cuando la entidad vende protección crediticia a una contraparte sin sujeción a una cláusula de liquidación. Se define como cláusula de liquidación la que concede a la parte que no incurra en impago el derecho a cancelar y liquidar oportunamente, en caso de impago, cualquier operación recogida en el acuerdo, incluso en el supuesto de quiebra o insolvencia de la contraparte. Las entidades considerarán todos los derivados de crédito, no solo los asignados a la cartera de negociación |
|
{050;010} |
Derivados de crédito (protección comprada) — Valor contable según balance Artículo 4, apartado 1, punto 77, del RRC Valor contable según balance, con arreglo al marco contable aplicable, de los derivados de crédito cuando la entidad compra protección crediticia a una contraparte y el contrato se ha reconocido como activo en el balance. Las entidades considerarán todos los derivados de crédito, no solo los asignados a la cartera de negociación. |
|
{050;020} |
Derivados de crédito (protección comprada) — Valor contable suponiendo que no hay compensación ni otra reducción del riesgo de crédito Artículo 4, apartado 1, punto 77, del RRC Valor contable según balance, con arreglo al marco contable aplicable, de los derivados de crédito cuando la entidad compra protección crediticia a una contraparte y el contrato se ha reconocido como activo en el balance, suponiendo que no hay efectos de compensación prudencial o contable ni de reducción del riesgo de crédito (es decir, se anularán los efectos de toda compensación contable o reducción del riesgo de crédito que haya afectado al valor contable). Las entidades considerarán todos los derivados de crédito, no solo los asignados a la cartera de negociación. |
|
{050;050} |
Derivados de crédito (protección comprada) — Adición según el método de valoración a precios de mercado (suponiendo que no hay compensación ni otra reducción del riesgo de crédito) Artículo 299, apartado 2, del RRC Esta celda recoge la exposición futura potencial de los derivados de crédito cuando la entidad compra protección crediticia a una contraparte, suponiendo que no hay compensación ni otra reducción del riesgo de crédito. Las entidades considerarán todos los derivados de crédito, no solo los asignados a la cartera de negociación |
|
{050;070} |
Derivados de crédito (protección comprada) — Importe nocional Esta celda recoge el importe nocional referenciado por los derivados de crédito cuando la entidad compra protección crediticia a una contraparte. Las entidades considerarán todos los derivados de crédito, no solo los asignados a la cartera de negociación |
|
{050;075} |
Derivados de crédito (protección comprada) — Importe nocional una vez aplicado el límite máximo Esta celda recoge el importe nocional referenciado por los derivados de crédito (protección comprada) como en {050;050} tras la reducción por toda posible variación positiva del valor razonable incorporada al capital de nivel 1 en relación con los derivados de crédito comprados. |
|
{050;085} |
Derivados de crédito (protección comprada) — Importe nocional una vez aplicado el límite máximo (mismo nombre de referencia) Importe nocional referenciado por los derivados de crédito cuando la entidad compra protección crediticia con el mismo nombre de referencia subyacente que los derivados de crédito suscritos por la entidad. A los efectos de la comunicación del valor de esta celda, se considera que los nombres de referencia del subyacente son los mismos si se refieren a la misma entidad jurídica y a un mismo rango de prelación. Se considera que la protección crediticia comprada sobre un conjunto de empresas de referencia es la misma si es económicamente equivalente a comprar protección por separado sobre cada uno de los nombres del conjunto. Si una entidad compra protección crediticia sobre un conjunto de nombres de referencia, solo se considera que esa protección es la misma si abarca la totalidad de los subconjuntos del conjunto en relación con el cual la protección se haya vendido. En otras palabras, solo puede reconocerse la compensación cuando el conjunto de empresas de referencia y el nivel de subordinación son idénticos en ambas operaciones. Para cada nombre de referencia, los importes nocionales de la protección crediticia comprada que se consideran en esta celda no deben superar los importes mencionados en {020;075} y {050;075}. |
|
{060;010} |
Derivados financieros — Valor contable según balance Artículo 4, apartado 1, punto 77, del RRC Valor contable según balance, con arreglo al marco contable aplicable, de los contratos enumerados en el anexo II del RRC cuando estos contratos se reconocen como activos en el balance. |
|
{060;020} |
Derivados financieros — Valor contable suponiendo que no hay compensación ni otra reducción del riesgo de crédito Artículo 4, apartado 1, punto 77, del RRC Valor contable según balance, con arreglo al marco contable aplicable, de los contratos enumerados en el anexo II del RRC cuando los contratos se reconocen como activos en el balance, suponiendo que no hay efectos de compensación prudencial o contable ni otros efectos de reducción del riesgo de crédito (es decir, se anularán los efectos de toda compensación contable o reducción del riesgo de crédito que haya afectado al valor contable). |
|
{060;050} |
Derivados financieros — Adición según el método de valoración a precios de mercado (suponiendo que no hay compensación ni otra reducción del riesgo de crédito) Artículo 274 del RRC Esta celda recoge la exposición futura potencial reglamentaria de los contratos enumerados en el anexo II del RRC suponiendo que no hay compensación ni otra reducción del riesgo de crédito. |
|
{060;070} |
Derivados financieros — Importe nocional Esta celda recoge el importe nocional referenciado por los contratos enumerados en el anexo II del RRC. |
|
{070;010} |
Operaciones de financiación de valores amparadas por un acuerdo marco de compensación — Valor contable según balance Artículo 4, apartado 1, punto 77, y artículo 206 del RRC Valor contable según balance de las operaciones de financiación de valores, con arreglo al marco contable aplicable, que estén amparadas por un acuerdo marco de compensación que cumpla los requisitos del artículo 206 del RRC. Las entidades no incluirán en esta celda ni el efectivo recibido ni los valores que hayan entregado a una contraparte mediante las operaciones antes mencionadas y que mantengan en el balance (es decir, respecto de los cuales no se cumplan los criterios contables para darlos de baja). Las entidades los incluirán en la celda {090;010}. |
|
{070;020} |
Operaciones de financiación de valores amparadas por un acuerdo marco de compensación — Valor contable suponiendo que no hay compensación ni otra reducción del riesgo de crédito Artículo 4, apartado 1, punto 77, y artículo 206 del RRC Valor contable según balance, con arreglo al marco contable aplicable, de las operaciones de financiación de valores que estén amparadas por un acuerdo marco de compensación que cumpla los requisitos del artículo 206 del RRC, cuando los contratos se hayan reconocido como activos en el balance, suponiendo que no hay efectos de compensación prudencial o contable ni otros efectos de reducción del riesgo de crédito (es decir, se anularán los efectos de toda compensación contable o reducción del riesgo de crédito que haya afectado al valor contable). Además, cuando se contabilice como venta una operación de financiación de valores con arreglo al marco contable aplicable, las entidades revertirán todos los asientos contables relativos a la venta. Las entidades no incluirán en esta celda ni el efectivo recibido ni los valores que hayan entregado a una contraparte mediante las operaciones antes mencionadas y que mantengan en el balance (es decir, respecto de los cuales no se cumplan los criterios contables para darlos de baja). Las entidades los incluirán en {090,020}. |
|
{070;040} |
Operaciones de financiación de valores amparadas por un acuerdo marco de compensación — Adición por operaciones de financiación de valores Artículo 206 del RRC Para las operaciones de financiación de valores, incluidas las que estén fuera de balance, que estén amparadas por un acuerdo de compensación que cumpla los requisitos del artículo 206 del RRC, las entidades formarán conjuntos de compensación. Para cada conjunto de compensación, las entidades calcularán la adición correspondiente a la exposición actual de contraparte (current counterparty exposure, CCE) de acuerdo con la fórmula CCE = max{(Σ i E i – Σ i C i ); 0} Donde: i = cada operación incluida en el conjunto de compensación. Ei = para la operación i, el valor Ei tal como se define en el artículo 220, apartado 3, del RRC. Ci = para la operación i, el valor Ci tal como se define en el artículo 220, apartado 3, del RRC. Las entidades agregarán el resultado de esta fórmula para todos los conjuntos de compensación y lo comunicarán en esta celda. |
|
{080;010} |
Operaciones de financiación de valores no amparadas por un acuerdo marco de compensación — Valor contable según balance Artículo 4, apartado 1, punto 77, del RRC Valor contable según balance, con arreglo al marco contable aplicable, de las operaciones de financiación de valores que no estén amparadas por un acuerdo marco de compensación que cumpla los requisitos del artículo 206 del RRC, cuando los contratos se hayan reconocido como activos en el balance. Las entidades no incluirán en esta celda ni el efectivo recibido ni los valores que hayan entregado a una contraparte mediante las operaciones antes mencionadas y que mantengan en el balance (es decir, respecto de los cuales no se cumplan los criterios contables para darlos de baja). Las entidades los incluirán en la celda {090;010}. |
|
{080;020} |
Operaciones de financiación de valores no amparadas por un acuerdo marco de compensación — Valor contable suponiendo que no hay compensación ni otra reducción del riesgo de crédito Artículo 4, apartado 1, punto 77, del RRC Valor contable según balance, con arreglo al marco contable aplicable, de las operaciones de financiación de valores que no estén amparadas por un acuerdo marco de compensación que cumpla los requisitos del artículo 206 del RRC, cuando los contratos se hayan reconocido como activos en el balance, suponiendo que no hay efectos de compensación contable ni otros efectos de reducción del riesgo de crédito (es decir, se anularán los efectos de toda compensación contable o reducción del riesgo de crédito que haya afectado al valor contable). Además, cuando se contabilice como venta una operación de financiación de valores con arreglo al marco contable aplicable, las entidades revertirán todos los asientos contables relativos a la venta. Las entidades no incluirán en esta celda ni el efectivo recibido ni los valores que hayan entregado a una contraparte mediante las operaciones antes mencionadas y que mantengan en el balance (es decir, respecto de los cuales no se cumplan los criterios contables para darlos de baja). Las entidades los incluirán en {090,020}. |
|
{080;040} |
Operaciones de financiación de valores no amparadas por un acuerdo marco de compensación — Adición por operaciones de financiación de valores Artículo 206 del RRC Para las operaciones de financiación de valores, incluidas las que estén fuera de balance, que no estén amparadas por un acuerdo marco de compensación que cumpla los requisitos del artículo 206 del RRC, las entidades formarán conjuntos que comprendan todos los activos incluidos en la operación (es decir, se considerará que cada operación de financiación de valores constituye su propio conjunto) y determinarán para cada conjunto la adición correspondiente a la exposición actual de contraparte (CCE) de acuerdo con la fórmula CCE = max {(E — C); 0} Donde: E = el valor Ei tal como se define en el artículo 220, apartado 3, del RRC. C = el valor Ci tal como se define en el artículo 220, apartado 3, del RRC. Las entidades agregarán el resultado de esta fórmula para todos los conjuntos antes mencionados y lo comunicarán en esta celda. |
|
{090;010} |
Otros activos — Valor contable según balance Artículo 4, apartado 1, punto 77, del RRC Valor contable según balance, con arreglo al marco contable aplicable, de todos los activos distintos de los contratos enumerados en el anexo II del RRC, los derivados de crédito y las operaciones de financiación de valores. |
|
{090;020} |
Otros activos — Valor contable suponiendo que no hay compensación ni otra reducción del riesgo de crédito Artículo 4, apartado 1, punto 77, del RRC Valor contable según balance, con arreglo al marco contable aplicable, de todos los activos distintos de los contratos enumerados en el anexo II del RRC, los derivados de crédito y las operaciones de financiación de valores, suponiendo que no hay efectos de compensación contable ni otros efectos de reducción del riesgo de crédito (es decir, se anularán los efectos de toda compensación contable o reducción del riesgo de crédito que haya afectado al valor contable). |
|
{100;070} |
Partidas fuera de balance de bajo riesgo según el método estándar; de las cuales — Valor nominal Artículo 111 del RRC Esta celda recoge el valor nominal de las partidas fuera de balance a las que correspondería asignar un factor de conversión del 0 % según el método estándar de valoración del riesgo de crédito. Este valor no se reducirá mediante ajustes por riesgo de crédito específico. Las entidades no considerarán en esta celda los contratos enumerados en el anexo II del RRC, los derivados de crédito y las operaciones de financiación de valores de conformidad con el artículo 429, apartado 10, del RRC. |
|
{110;070} |
Exposiciones minoristas renovables; de las cuales — Valor nominal Artículo 111 y artículo 154, apartado 4, del RRC Esta celda recoge el valor nominal de las exposiciones minoristas renovables admisibles fuera de balance que cumplan las condiciones del artículo 154, apartado 4, letras a) a c), del RRC. Este valor no se reducirá mediante ajustes por riesgo de crédito específico. Se incluyen todas las exposiciones que sean frente a personas físicas, sean renovables y puedan cancelarse incondicionalmente, tal como se describe en el artículo 149, letra b), del RRC, con un total limitado a 100 000 EUR por deudor. Las entidades no considerarán en esta celda los contratos enumerados en el anexo II del RRC, los derivados de crédito y las operaciones de financiación de valores de conformidad con el artículo 429, apartado 10, del RRC. |
|
{120;070} |
Compromisos por tarjetas de crédito que puedan cancelarse incondicionalmente — Valor nominal Artículo 111 y artículo 154, apartado 4, del RRC Esta celda recoge el valor nominal de los compromisos por tarjetas de crédito que la entidad pueda cancelar incondicionalmente en cualquier momento sin previo aviso y que reciban un factor de conversión del 0 % según el método estándar de valoración del riesgo de crédito. Este valor no se reducirá mediante ajustes por riesgo de crédito específico. Las entidades no incluirán en esta celda compromisos de crédito que prevean de hecho la cancelación automática por deterioro de la solvencia del prestatario pero que no puedan cancelarse incondicionalmente. Las entidades no considerarán en esta celda los contratos enumerados en el anexo II del RRC, los derivados de crédito y las operaciones de financiación de valores de conformidad con el artículo 429, apartado 10, del RRC. |
|
{130;070} |
Compromisos que puedan cancelarse incondicionalmente no renovables — Valor nominal Artículo 111 y artículo 154, apartado 4, del RRC Recoge el valor nominal de otros compromisos que la entidad pueda cancelar incondicionalmente en cualquier momento sin previo aviso y que reciban un factor de conversión del 0 % según el método estándar de valoración del riesgo. Este valor no se reducirá mediante ajustes por riesgo de crédito específico. Las entidades no incluirán en esta celda compromisos de crédito que prevean de hecho la cancelación automática por deterioro de la solvencia del prestatario pero que no puedan cancelarse incondicionalmente. Las entidades no considerarán en esta celda los contratos enumerados en el anexo II del RRC, los derivados de crédito y las operaciones de financiación de valores de conformidad con el artículo 429, apartado 10, del RRC. |
|
{140;070} |
Partidas fuera de balance de riesgo medio/bajo según el método estándar — Valor nominal Artículo 111 del RRC Esta celda recoge el valor nominal de las partidas fuera de balance a las que correspondería asignar un factor de conversión del 20 % según el método estándar de valoración del riesgo de crédito. Este valor no se reducirá mediante ajustes por riesgo de crédito específico. Las entidades no considerarán en esta celda los contratos enumerados en el anexo II del RRC, los derivados de crédito y las operaciones de financiación de valores de conformidad con el artículo 429, apartado 10, del RRC. |
|
{150;070} |
Partidas fuera de balance de riesgo medio según el método estándar — Valor nominal Artículo 111 del RRC Esta celda recoge el valor nominal de las partidas fuera de balance a las que correspondería asignar un factor de conversión del 50 % según el método estándar de valoración del riesgo de crédito. Este valor no se reducirá mediante ajustes por riesgo de crédito específico. Las entidades no considerarán en esta celda los contratos enumerados en el anexo II del RRC, los derivados de crédito y las operaciones de financiación de valores de conformidad con el artículo 429, apartado 10, del RRC. |
|
{160;070} |
Partidas fuera de balance de alto riesgo según el método estándar — Valor nominal Artículo 111 del RRC Esta celda recoge el valor nominal de las partidas fuera de balance a las que correspondería asignar un factor de conversión del 100 % según el método estándar de valoración del riesgo de crédito. Este valor no se reducirá mediante ajustes por riesgo de crédito específico. Las entidades no considerarán en esta celda los contratos enumerados en el anexo II del RRC, los derivados de crédito y las operaciones de financiación de valores de conformidad con el artículo 429, apartado 10, del RRC. |
|
{170;070} |
(Pro memoria) Importes utilizados en exposiciones minoristas renovables — Valor nominal Artículo 154, apartado 4, del RRC Esta celda recoge el valor nominal de los importes utilizados en exposiciones minoristas renovables fuera de balance. Este valor no se reducirá mediante ajustes por riesgo de crédito específico. |
|
{180;070} |
(Pro memoria) Importes utilizados en compromisos por tarjetas de crédito que puedan cancelarse incondicionalmente — Valor nominal Artículo 111 y artículo 154, apartado 4, del RRC Esta celda recoge el valor nominal de los importes utilizados en compromisos por tarjetas de crédito que puedan cancelarse incondicionalmente. Este valor no se reducirá mediante ajustes por riesgo de crédito específico. |
|
{190;070} |
(Pro memoria) Importes utilizados en compromisos que puedan cancelarse incondicionalmente no renovables — Valor nominal Artículo 111 y artículo 154, apartado 4, del RRC Esta celda recoge el valor nominal de los importes utilizados en compromisos que puedan cancelarse incondicionalmente no renovables. Este valor no se reducirá mediante ajustes por riesgo de crédito específico. |
|
{210;020} |
Garantías reales en efectivo recibidas en operaciones con derivados — Valor contable suponiendo que no hay compensación ni otra reducción del riesgo de crédito Valor contable según balance, con arreglo al marco contable aplicable, de las garantías reales en efectivo recibidas en operaciones con derivados, suponiendo que no hay efectos de compensación contable ni otros efectos de reducción del riesgo de crédito (es decir, se anularán los efectos de toda compensación contable o reducción del riesgo de crédito que haya afectado al valor contable). A los efectos de esta celda, se define efectivo como el importe total del efectivo, incluidas las monedas y los billetes. Se incluye el importe total de los depósitos mantenidos en bancos centrales en la medida en que estos depósitos puedan ser retirados en momentos de tensión. Las entidades no comunicarán en esta celda el efectivo en depósito que mantengan en otras entidades. |
|
{220;020} |
Derechos de cobro por garantías reales en efectivo aportadas en operaciones con derivados — Valor contable suponiendo que no hay compensación ni otra reducción del riesgo de crédito Valor contable según balance, con arreglo al marco contable aplicable, de los derechos de cobro por garantías reales en efectivo aportadas en operaciones con derivados, suponiendo que no hay efectos de compensación contable ni otros efectos de reducción del riesgo de crédito (es decir, se anularán los efectos de toda compensación contable o reducción del riesgo de crédito que haya afectado al valor contable). Las entidades que están autorizadas con arreglo al marco contable a compensar los derechos de cobro por garantías reales en efectivo aportadas con los pasivos correspondientes de los derivados (valor razonable negativo) y que elijan hacerlo deberán anular la compensación y comunicar los derechos de cobro en efectivo netos. |
|
{230;020} |
Valores recibidos en una operación de financiación de valores que se reconocen como activos — Valor contable suponiendo que no hay compensación ni otra reducción del riesgo de crédito Valor contable según balance, con arreglo al marco contable aplicable, de los valores recibidos en una operación de financiación de valores, suponiendo que no hay efectos de compensación contable ni otros efectos de reducción del riesgo de crédito (es decir, se anularán los efectos de toda compensación contable o reducción del riesgo de crédito que haya afectado al valor contable). |
|
{240;020} |
Intermediación (cash conduit lending, CCL) en operaciones de financiación de valores (derechos de cobro en efectivo) — Valor contable suponiendo que no hay compensación ni otra reducción del riesgo de crédito Valor contable según balance, con arreglo al marco contable aplicable, de los derechos de cobro en efectivo por el préstamo en efectivo concedido al titular de los valores en el marco de una operación CCL admisible, suponiendo que no hay efectos de compensación contable ni otros efectos de reducción del riesgo de crédito (es decir, se anularán los efectos de toda compensación contable o reducción del riesgo de crédito que haya afectado al valor contable). A los efectos de esta celda, se define efectivo como el importe total del efectivo, incluidas las monedas y los billetes. Se incluye el importe total de los depósitos mantenidos en bancos centrales en la medida en que estos depósitos puedan ser retirados en momentos de tensión. Las entidades no comunicarán en esta celda el efectivo en depósito que mantengan en otras entidades. Por operación CCL se entenderá una combinación de dos operaciones: una entidad toma en préstamo valores de su titular y los cede en préstamo a un prestatario; simultáneamente, la entidad recibe garantías reales en efectivo del prestatario y cede en préstamo ese efectivo al titular de los valores. Toda operación CCL admisible deberá cumplir las siguientes condiciones: a) las dos operaciones que la componen deben realizarse en la misma fecha o, en el caso de operaciones internacionales, en días laborables consecutivos; b) en caso de que las operaciones que la componen no especifiquen un vencimiento, la entidad tendrá derecho legal a cancelar ambas partes de la operación CCL, en cualquier momento y sin previo aviso; c) en caso de que las operaciones que la componen especifiquen un vencimiento, la operación CCL no debe dar lugar a un desfase de vencimientos para la entidad; esta tendrá derecho legal a cancelar ambas partes de la operación CCL, en cualquier momento y sin previo aviso; d) la operación no debe dar lugar a ninguna exposición adicional. |
|
{250;120} |
Exposiciones que puedan ser objeto del tratamiento enunciado en el artículo 113, apartado 6, del RRC — Importe de la exposición correspondiente a la ratio de apalancamiento hipotéticamente excluido El importe total de la exposición correspondiente a la ratio de apalancamiento que quedaría excluido si las autoridades competentes concedieran autorización plena para excluir las exposiciones que reúnan todas las condiciones establecidas en el artículo 113, apartado 6, letras a) a e), del RRC y en relación con las cuales se haya concedido la autorización prevista en dicho artículo 113, apartado 6, del RRC. Si la autoridad competente ya concede autorización plena el valor en esta celda será el mismo que en {LRCalc;250;010}. |
|
{260;120} |
Exposiciones que cumplan las condiciones establecidas en el artículo 429, apartado 14, letras a) a c), del RRC — Importe de la exposición correspondiente a la ratio de apalancamiento hipotéticamente excluido El importe total de la exposición correspondiente a la ratio de apalancamiento que quedaría excluido si las autoridades competentes concedieran autorización plena para excluir las exposiciones que reúnan todas las condiciones establecidas en el artículo 429, apartado 14, letras a) a c), del RRC. Si la autoridad competente ya concede autorización plena el valor en esta celda será el mismo que en {LRCalc;260;010}. |
6. C 41.00 — Partidas incluidas en el balance y fuera de balance — Desglose adicional de las exposiciones (LR2)
24. La plantilla LR2 recoge información sobre el desglose adicional de todas las exposiciones incluidas en el balance y fuera de balance ( 11 ) pertenecientes a la cartera de inversión y de todas las exposiciones de la cartera de negociación sujetas al riesgo de contraparte. El desglose se efectúa con arreglo a las ponderaciones de riesgo previstas en la sección sobre riesgo de crédito del RRC. La información varía en función de que las exposiciones se valoren por el método estándar o por el método IRB.
25. Respecto a las exposiciones basadas en técnicas de reducción del riesgo de crédito y que implican la sustitución de la ponderación de riesgo de la contraparte por la ponderación de riesgo de la garantía, las entidades se atendrán a la ponderación de riesgo después de considerar el efecto de sustitución. En el método IRB, las entidades procederán al cálculo siguiente: para las exposiciones (distintas de aquellas para las que se prevean ponderaciones de riesgo reglamentarias específicas) pertenecientes a cada grado de deudor, la ponderación de riesgo se obtendrá dividiendo la exposición ponderada por riesgo resultante de la aplicación de la fórmula de ponderación de riesgo o la fórmula supervisora (para las exposiciones al riesgo de crédito y de titulización, respectivamente) por el valor de exposición después de tener en cuenta las entradas y las salidas debido a las técnicas de reducción del riesgo de crédito con efecto de sustitución sobre la exposición. En el método IRB, las exposiciones en situación de impago se excluirán de {020;010} a {090;010} y se incluirán en {100;010}. En el método estándar, las exposiciones mencionadas en el artículo 112, letra j), del RRC se excluirán de {020;020} a {090;020} y se incluirán en {100;020}.
26. En ambos métodos, las entidades considerarán una ponderación de riesgo del 1 250 % para las exposiciones deducidas del capital reglamentario.
|
Fila |
Referencias legales e instrucciones |
|
010 |
Total de las exposiciones incluidas en el balance y fuera de balance pertenecientes a la cartera de inversión y las exposiciones de la cartera de negociación sujetas a riesgo de contraparte (desglose según la ponderación de riesgo) Es igual a la suma de {020;*} a {100;*}. |
|
020 |
= 0 % Exposiciones con una ponderación de riesgo del 0 %. |
|
030 |
> 0 % e ≤ 12 % Exposiciones con una ponderación de riesgo estrictamente superior al 0 % e inferior o igual al 12 %. |
|
040 |
> 12 % e ≤ 20 % Exposiciones con una ponderación de riesgo estrictamente superior al 12 % e inferior o igual al 20 %. |
|
050 |
> 20 % e ≤ 50 % Exposiciones con una ponderación de riesgo estrictamente superior al 20 % e inferior o igual al 50 %. |
|
060 |
> 50 % e ≤ 75 % Exposiciones con una ponderación de riesgo estrictamente superior al 50 % e inferior o igual al 75 %. |
|
070 |
> 75 % e ≤ 100 % Exposiciones con una ponderación de riesgo estrictamente superior al 75 % e inferior o igual al 100 %. |
|
080 |
> 100 % e ≤ 425 % Exposiciones con una ponderación de riesgo estrictamente superior al 100 % e inferior o igual al 425 %. |
|
090 |
> 425 % e ≤ 1 250 % Exposiciones con una ponderación de riesgo estrictamente superior al 425 % e inferior o igual al 1 250 %. |
|
100 |
Exposiciones en situación de impago En el método estándar, exposiciones mencionadas en el artículo 112, letra j), del RRC. En el método IRB, exposiciones con una probabilidad de impago del 100 %. |
|
110 |
(Pro memoria) Partidas fuera de balance de bajo riesgo y partidas fuera de balance a las que corresponda un factor de conversión del 0 % en virtud de la ratio de solvencia Partidas fuera de balance de bajo riesgo con arreglo al artículo 111 del RRC y partidas fuera de balance a las que corresponda un factor de conversión del 0 % con arreglo al artículo 166 del RRC. |
|
Columna |
Referencias legales e instrucciones |
|
010 |
Exposiciones incluidas en el balance y fuera de balance (según método estándar) Valores de exposición de las partidas incluidas en el balance y fuera de balance después de tener en cuenta los ajustes de valor, las reducciones del riesgo de crédito y los factores de conversión, calculados de acuerdo con la parte tercera, título II, capítulo 2, del RRC. |
|
020 |
Exposiciones incluidas en el balance y fuera de balance (según método IRB) Valores de exposición de las partidas incluidas en el balance y fuera de balance de conformidad con el artículo 166 y el artículo 230, apartado 1, párrafo segundo, primera frase, del RRC, después de tener en cuenta las entradas y las salidas debido a las técnicas de reducción del riesgo de crédito con efectos de sustitución sobre la exposición. En las partidas fuera de balance, las entidades aplicarán los factores de conversión que se definen en el artículo 166, apartados 8 a 10, del RRC. |
|
030 |
Valor nominal Valores de exposición de las partidas fuera de balance, tal como se definen en los artículos 111 y 166 del RRC sin la aplicación de factores de conversión. |
7. C 42.00 — Definición alternativa de capital (LR3)
27. La plantilla LR3 recoge información sobre las medidas de capital necesarias para elaborar el informe previsto en el artículo 511 del RRC.
|
Fila y columna |
Referencias legales e instrucciones |
|
{010;010} |
Capital de nivel 1 ordinario (según la definición que se aplicará al completarse el proceso de introducción gradual) Artículo 50 del RRC Es el importe del capital de nivel 1 ordinario según lo definido en el artículo 50 del RRC, sin tener en cuenta la excepción prevista en la parte décima, capítulos 1 y 2, del RRC. |
|
{020;010} |
Capital de nivel 1 ordinario (según la definición transitoria) Artículo 50 del RRC Es el importe del capital de nivel 1 ordinario según lo definido en el artículo 50 del RRC, después de tener en cuenta la excepción prevista en la parte décima, capítulos 1 y 2, del RRC. |
|
{030;010} |
Total de los fondos propios (según la definición que se aplicará al completarse el proceso de introducción gradual) Artículo 72 del RRC Es el importe de los fondos propios según lo definido en el artículo 72 del RRC, sin tener en cuenta la excepción prevista en la parte décima, capítulos 1 y 2, del RRC. |
|
{040;010} |
Total de los fondos propios (según la definición transitoria) Artículo 72 del RRC Es el importe de los fondos propios según lo definido en el artículo 72 del RRC, después de tener en cuenta la excepción prevista en la parte décima, capítulos 1 y 2, del RRC. |
|
{055;010} |
Importe de los activos deducidos de los elementos del capital de nivel 1 ordinario (según la definición que se aplicará al completarse el proceso de introducción gradual) Incluye el importe de los ajustes reglamentarios aplicados a los elementos del capital de nivel 1 ordinario a fin de ajustar el valor de un activo, que sean necesarios conforme a: — los artículos 32 a 35 del RRC, o — los artículos 36 a 47 del RRC, según proceda. Las entidades deberán tener en cuenta las exenciones, alternativas y dispensas de tales deducciones establecidas en los artículos 48, 49 y 79 del RRC, sin tener en cuenta las excepciones previstas en su parte décima, título I, capítulos 1 y 2. Para evitar la doble contabilización, las entidades no comunicarán los ajustes ya aplicados de conformidad con el artículo 111 del RRC a la hora de calcular el valor de la exposición en {LRCalc;10;10} a {LRCalc;260;10}, ni notificarán ningún ajuste que no deduzca el valor de un activo concreto. Estos ajustes reducen el total de fondos propios, por lo que se consignarán como cifra negativa. |
|
{065;010} |
Importe de los activos deducidos de los elementos del capital de nivel 1 ordinario (según la definición transitoria) Incluye el importe de los ajustes reglamentarios aplicados a los elementos del capital de nivel 1 ordinario a fin de ajustar el valor de un activo, que sean necesarios conforme a: — los artículos 32 a 35 del RRC, o — los artículos 36 a 47 del RRC, según proceda. Las entidades deberán tener en cuenta las exenciones, alternativas y dispensas de tales deducciones establecidas en los artículos 48, 49 y 79 del RRC, así como las excepciones previstas en su parte décima, título I, capítulos 1 y 2. Para evitar la doble contabilización, las entidades no comunicarán los ajustes ya aplicados de conformidad con el artículo 111 del RRC a la hora de calcular el valor de la exposición en {LRCalc;10;10} a {LRCalc;260;10}, ni notificarán ningún ajuste que no deduzca el valor de un activo concreto. Estos ajustes reducen el total de fondos propios, por lo que se consignarán como cifra negativa. |
|
{075;010} |
Importe de los activos deducidos de los elementos de los fondos propios (según la definición que se aplicará al completarse el proceso de introducción gradual) Incluirá el importe de los ajustes reglamentarios aplicados a los elementos de los fondos propios a fin de ajustar el valor de un activo, que sean necesarios conforme a: — los artículos 32 a 35 del RRC, o — los artículos 36 a 47 del RRC, o — los artículos 56 a 60 del RRC, o — los artículos 66 a 70 del RRC, según proceda. Las entidades deberán tener en cuenta las exenciones, alternativas y dispensas de tales deducciones establecidas en los artículos 48, 49 y 79 del RRC, sin tener en cuenta las excepciones previstas en su parte décima, título I, capítulos 1 y 2. Para evitar la doble contabilización, las entidades no comunicarán los ajustes ya aplicados de conformidad con el artículo 111 del RRC a la hora de calcular el valor de la exposición en {LRCalc;10;10} a {LRCalc;260;10}, ni notificarán ningún ajuste que no deduzca el valor de un activo concreto. Estos ajustes reducen el total de fondos propios, por lo que se consignarán como cifra negativa. |
|
{085;010} |
Importe de los activos deducidos de los elementos de los fondos propios (según la definición transitoria) Incluirá el importe de los ajustes reglamentarios aplicados a los elementos de los fondos propios a fin de ajustar el valor de un activo, que sean necesarios conforme a: — los artículos 32 a 35 del RRC, o — los artículos 36 a 47 del RRC, o — los artículos 56 a 60 del RRC, o — los artículos 66 a 70 del RRC, según proceda. Las entidades deberán tener en cuenta las exenciones, alternativas y dispensas de tales deducciones establecidas en los artículos 48, 49 y 79 del RRC, así como las excepciones previstas en su parte décima, título I, capítulos 1 y 2. Para evitar la doble contabilización, las entidades no comunicarán los ajustes ya aplicados de conformidad con el artículo 111 del RRC a la hora de calcular el valor de la exposición en {LRCalc;10;10} a {LRCalc;260;10}, ni notificarán ningún ajuste que no deduzca el valor de un activo concreto. Estos ajustes reducen el total de fondos propios, por lo que se consignarán como cifra negativa. |
8. C 43.00 — Desglose alternativo de los componentes de la medida de la exposición correspondiente a la ratio de apalancamiento (LR4)
28. Las entidades comunicarán en LR4 los valores de la exposición correspondiente a la ratio de apalancamiento después de aplicar las exclusiones contempladas en las siguientes celdas LRCalc, según proceda: {050;010}, {080;010}, {100;010}, {120;010}, {220; 010}, {250;010} y {260;010}.
29. Para evitar la doble contabilización, las entidades mantendrán la ecuación que se indica en el siguiente apartado:
30. La ecuación que las entidades deberán mantener de acuerdo con el apartado 29 es la siguiente: [{LRCalc;010;010} + {LRCalc;020;010} + {LRCalc;030;010} + {LRCalc;040;010} + {LRCalc;050;010} + {LRCalc;060;010} + {LRCalc;070;010} + {LRCalc;080;010} + {LRCalc;090;010} + {LRCalc;100;010} + {LRCalc;110;010} + {LRCalc;120;010} + {LRCalc;130;010} + {LRCalc;140;010} + {LRCalc;150;010} + {LRCalc;160;010} + {LRCalc;170;010} + {LRCalc;180;010} + {LRCalc;190;010} + {LRCalc;200;010} + {LRCalc;210;010} + {LRCalc;220;010} + {LRCalc;230;010} + {LRCalc;240;010} + {LRCalc;250;010} + {LRCalc;260;010}] = [{LR4;010;010} + {LR4;040;010} + {LR4;050;010} + {LR4;060;010} + {LR4;065;010} + {LR4;070;010} + {LR4;080;010} + {LR4;080;020} + {LR4;090;010} + {LR4;090;020} + {LR4;140;010} + {LR4;140;020} + {LR4;180;010} + {LR4;180;020} + {LR4;190;010} + {LR4;190;020} + {LR4;210;010} + {LR4;210;020} + {LR4;230;010} + {LR4;230;020} + {LR4;280;010} + {LR4;280;020} + {LR4;290;010} + {LR4;290;020}].
|
Fila y columna |
Referencias legales e instrucciones |
|
{010;010} |
Partidas fuera de balance; de las cuales — Valor de exposición correspondiente a la ratio de apalancamiento Valor de exposición correspondiente a la ratio de apalancamiento, calculado como la suma de {LRCalc;150;010}, {LRCalc;160;010}, {LRCalc;170;010} y {LRCalc;180;010}, con exclusión de las respectivas exposiciones intragrupo (en base individual) excluidas conforme al artículo 429, apartado 7, del RRC. |
|
{010;020} |
Partidas fuera de balance; de las cuales — Activos ponderados por riesgo Importe de la exposición ponderada por riesgo de las partidas fuera de balance –excluyendo las operaciones de financiación de valores y los derivados– calculado de conformidad con el método estándar y el método IRB. En las exposiciones valoradas por el método estándar, las entidades determinarán el importe de la exposición ponderada por riesgo con arreglo a lo dispuesto en la parte tercera, título II, capítulo 2, del RRC. En las exposiciones valoradas por el método IRB, las entidades determinarán el importe de la exposición ponderada por riesgo con arreglo a lo dispuesto en la parte tercera, título II, capítulo 3, del RRC. |
|
{020;010} |
Financiación comercial; de la cual — Valor de exposición correspondiente a la ratio de apalancamiento Valor de exposición correspondiente a la ratio de apalancamiento de las partidas fuera de balance relacionadas con la financiación comercial. A efectos de la comunicación en LR4, se considerarán partidas fuera de balance relacionadas con la financiación comercial las referidas a cartas de crédito de importación y exportación emitidas y confirmadas, que sean a corto plazo y autoliquidables, y las operaciones similares. |
|
{020;020} |
Financiación comercial; de la cual — Activos ponderados por riesgo Importe de la exposición ponderada por riesgo de las partidas fuera de balance –excluyendo las operaciones de financiación de valores y los derivados– relacionadas con la financiación comercial. A efectos de la comunicación en LR4, se considerarán partidas fuera de balance relacionadas con la financiación comercial las referidas a cartas de crédito de importación y exportación emitidas y confirmadas, que sean a corto plazo y autoliquidables, y las operaciones similares. |
|
{030;010} |
En el marco de un seguro oficial de crédito a la exportación — Valor de exposición correspondiente a la ratio de apalancamiento Valor de exposición correspondiente a la ratio de apalancamiento de las partidas fuera de balance relacionadas con la financiación comercial en el marco de un sistema oficial de seguro de crédito a la exportación. A efectos de la comunicación en LR4, se considerará sistema oficial de seguro de crédito a la exportación el apoyo oficial prestado por la administración o por otros entes, como una agencia de crédito a la exportación, en forma, por ejemplo, de créditos o financiación directos, refinanciación, ayudas a los tipos de interés (cuando se garantiza un tipo de interés fijo durante la vida del crédito), financiación de ayuda (créditos y subvenciones), seguro o garantía del crédito a la exportación. |
|
{030;020} |
En el marco de un sistema oficial de seguro de crédito a la exportación — Activos ponderados por riesgo Importe de la exposición ponderada por riesgo de las partidas fuera de balance –excluyendo las operaciones de financiación de valores y los derivados– relacionadas con la financiación comercial en el marco de un sistema oficial de seguro de crédito a la exportación. A efectos de la comunicación en LR4, se considerará sistema oficial de seguro de crédito a la exportación el apoyo oficial prestado por la administración o por otros entes, como una agencia de crédito a la exportación, en forma, por ejemplo, de créditos o financiación directos, refinanciación, ayudas a los tipos de interés (cuando se garantiza un tipo de interés fijo durante la vida del crédito), financiación de ayuda (créditos y subvenciones), seguro o garantía del crédito a la exportación. |
|
{040;010} |
Derivados y operaciones de financiación de valores sujetos a un acuerdo de compensación entre productos — Valor de exposición correspondiente a la ratio de apalancamiento Valor de exposición correspondiente a la ratio de apalancamiento de los derivados y las operaciones de financiación de valores si están sujetos a un acuerdo de compensación entre productos, tal como se define en el artículo 272, punto 25, del RRC. |
|
{040;020} |
Derivados y operaciones de financiación de valores sujetos a un acuerdo de compensación entre productos — Activos ponderados por riesgo Importe de la exposición ponderada por riesgo frente al riesgo de crédito y de contraparte de los derivados y las operaciones de financiación de valores, calculado de conformidad con la parte tercera, título II, del RRC, incluidas las partidas fuera de balance, si están sujetos a un acuerdo de compensación entre productos, tal como se define en el artículo 272, punto 25, del RRC. |
|
{050;010} |
Derivados no sujetos a un acuerdo de compensación entre productos — Valor de exposición correspondiente a la ratio de apalancamiento Valor de exposición correspondiente a la ratio de apalancamiento de los derivados si no están sujetos a un acuerdo de compensación entre productos, tal como se define en el artículo 272, punto 25, del RRC. |
|
{050;020} |
Derivados no sujetos a un acuerdo de compensación entre productos — Activos ponderados por riesgo Importe de la exposición ponderada por riesgo frente al riesgo de crédito y de contraparte de los derivados, calculado de conformidad con la parte tercera, título II, del RRC, incluidas las partidas fuera de balance, si no están sujetos a un acuerdo de compensación entre productos, tal como se define en el artículo 272, punto 25, del RRC. |
|
{060;010} |
Operaciones de financiación de valores no sujetas a un acuerdo de compensación entre productos — Valor de exposición correspondiente a la ratio de apalancamiento Valor de exposición correspondiente a la ratio de apalancamiento de las operaciones de financiación de valores, si no están sujetas a un acuerdo de compensación entre productos, tal como se define en el artículo 272, punto 25, del RRC. |
|
{060;020} |
Operaciones de financiación de valores no sujetas a un acuerdo de compensación entre productos — Activos ponderados por riesgo Importe de la exposición ponderada por riesgo frente al riesgo de crédito y de contraparte de las operaciones de financiación de valores, calculado de conformidad con la parte tercera, título II, del RRC, incluidas las partidas fuera de balance, si no están sujetas a un acuerdo de compensación entre productos, tal como se define en el artículo 272, punto 25, del RRC. |
|
{065;010} |
Importes de las exposiciones resultantes del tratamiento adicional de los derivados de crédito — Valor de exposición correspondiente a la ratio de apalancamiento Esta celda será igual a la diferencia entre {LRCalc;130;010} y {LRCalc;140;010}, con exclusión de las respectivas exposiciones intragrupo (en base individual) excluidas conforme al artículo 429, apartado 7, del RRC. |
|
{070;010} |
Otros activos pertenecientes a la cartera de negociación — Valor de exposición correspondiente a la ratio de apalancamiento Valor de exposición correspondiente a la ratio de apalancamiento de las partidas comunicadas en {LRCalc;190;010}, excluyendo las de la cartera de inversión. |
|
{070;020} |
Otros activos pertenecientes a la cartera de negociación — Activos ponderados por riesgo Requisitos de fondos propios multiplicados por 12,5 de las partidas sujetas a la parte tercera, título IV, del RRC. |
|
{080;010} |
Bonos garantizados — Valor de exposición correspondiente a la ratio de apalancamiento — Exposiciones según el método estándar Valor de exposición correspondiente a la ratio de apalancamiento de los activos que representen exposiciones en forma de bonos garantizados, tal como se definen en el artículo 129 del RRC. Las entidades excluirán en su comunicación las exposiciones en situación de impago. |
|
{080;020} |
Bonos garantizados — Valor de exposición correspondiente a la ratio de apalancamiento — Exposiciones según el método IRB Valor de exposición correspondiente a la ratio de apalancamiento de los activos que representen exposiciones en forma de bonos garantizados, tal como se definen en el artículo 161, apartado 1, letra d), del RRC. Las entidades excluirán en su comunicación las exposiciones en situación de impago. |
|
{080;030} |
Bonos garantizados — Activos ponderados por riesgo — Exposiciones según el método estándar Importe de la exposición ponderada por riesgo de los activos que representen exposiciones en forma de bonos garantizados, tal como se definen en el artículo 129 del RRC. Las entidades excluirán en su comunicación las exposiciones en situación de impago. |
|
{080;040} |
Bonos garantizados — Activos ponderados por riesgo — Exposiciones según el método IRB Importe de la exposición ponderada por riesgo de los activos que representen exposiciones en forma de bonos garantizados, tal como se definen en el artículo 161, apartado 1, letra d), del RRC. Las entidades excluirán en su comunicación las exposiciones en situación de impago. |
|
{090;010} |
Exposiciones asimiladas a exposiciones frente a emisores soberanos — Valor de exposición correspondiente a la ratio de apalancamiento — Exposiciones según el método estándar Es la suma de las celdas {100;010} a {130;010}. Las entidades excluirán en su comunicación las exposiciones en situación de impago. |
|
{090;020} |
Exposiciones asimiladas a exposiciones frente a emisores soberanos — Valor de exposición correspondiente a la ratio de apalancamiento — Exposiciones según el método IRB Es la suma de las celdas {100;020} a {130;020}. Las entidades excluirán en su comunicación las exposiciones en situación de impago. |
|
{090;030} |
Exposiciones asimiladas a exposiciones frente a emisores soberanos — Activos ponderados por riesgo — Exposiciones según el método estándar Es la suma de las celdas {100;030} a {130;030}. Las entidades excluirán en su comunicación las exposiciones en situación de impago. |
|
{090;040} |
Exposiciones asimiladas a exposiciones frente a emisores soberanos — Activos ponderados por riesgo — Exposiciones según el método estándar Es la suma de las celdas {100;040} a {130;040}. Las entidades excluirán en su comunicación las exposiciones en situación de impago. |
|
{100;010} |
Administraciones centrales y bancos centrales — Valor de exposición correspondiente a la ratio de apalancamiento — Exposiciones según el método estándar Valor de exposición correspondiente a la ratio de apalancamiento de los activos que representen exposiciones frente a administraciones centrales o bancos centrales, tal como se definen en el artículo 114 del RRC. Las entidades excluirán en su comunicación las exposiciones en situación de impago. |
|
{100;020} |
Administraciones centrales y bancos centrales — Valor de exposición correspondiente a la ratio de apalancamiento — Exposiciones según el método IRB Valor de exposición correspondiente a la ratio de apalancamiento de los activos que representen exposiciones frente a administraciones centrales o bancos centrales, tal como se definen en el artículo 147, apartado 2, letra a), del RRC. Las entidades excluirán en su comunicación las exposiciones en situación de impago. |
|
{100;030} |
Administraciones centrales y bancos centrales — Activos ponderados por riesgo — Exposiciones según el método estándar Importe de la exposición ponderada por riesgo de los activos que representen exposiciones frente a administraciones centrales o bancos centrales, tal como se definen en el artículo 114 del RRC. Las entidades excluirán en su comunicación las exposiciones en situación de impago. |
|
{100;040} |
Administraciones centrales y bancos centrales — Activos ponderados por riesgo — Exposiciones según el método IRB Importe de la exposición ponderada por riesgo de los activos que representen exposiciones frente a administraciones centrales o bancos centrales, tal como se definen en el artículo 147, apartado 2, letra a), del RRC. Las entidades excluirán en su comunicación las exposiciones en situación de impago. |
|
{110;010} |
Administraciones regionales y autoridades locales asimiladas a emisores soberanos — Valor de exposición correspondiente a la ratio de apalancamiento — Exposiciones según el método estándar Valor de exposición correspondiente a la ratio de apalancamiento de los activos que representen exposiciones frente a administraciones regionales o autoridades locales asimiladas a emisores soberanos, comprendidas en el artículo 115, apartados 2 y 4, del RRC. Las entidades excluirán en su comunicación las exposiciones en situación de impago. |
|
{110;020} |
Administraciones regionales y autoridades locales asimiladas a emisores soberanos — Valor de exposición correspondiente a la ratio de apalancamiento — Exposiciones según el método IRB Valor de exposición correspondiente a la ratio de apalancamiento de los activos que representen exposiciones frente a administraciones regionales o autoridades locales, comprendidas en el artículo 147, apartado 3, letra a), del RRC. Las entidades excluirán en su comunicación las exposiciones en situación de impago. |
|
{110;030} |
Administraciones regionales y autoridades locales asimiladas a emisores soberanos — Activos ponderados por riesgo — Exposiciones según el método estándar Importe de la exposición ponderada por riesgo de los activos que representen exposiciones frente a administraciones regionales o autoridades locales asimiladas a emisores soberanos, comprendidas en el artículo 115, apartados 2 y 4, del RRC. Las entidades excluirán en su comunicación las exposiciones en situación de impago. |
|
{110;040} |
Administraciones regionales y autoridades locales asimiladas a emisores soberanos — Activos ponderados por riesgo — Exposiciones según el método IRB Importe de la exposición ponderada por riesgo de los activos que representen exposiciones frente a administraciones regionales o autoridades locales, comprendidas en el artículo 147, apartado 3, letra a), del RRC. Las entidades excluirán en su comunicación las exposiciones en situación de impago. |
|
{120;010} |
Bancos multilaterales de desarrollo y organizaciones internacionales asimilados a emisores soberanos — Valor de exposición correspondiente a la ratio de apalancamiento — Exposiciones según el método estándar Valor de exposición correspondiente a la ratio de apalancamiento de los activos que representen exposiciones frente a bancos multilaterales de desarrollo y organizaciones internacionales, comprendidas en el artículo 117, apartado 2, y en el artículo 118 del RRC. Las entidades excluirán en su comunicación las exposiciones en situación de impago. |
|
{120;020} |
Bancos multilaterales de desarrollo y organizaciones internacionales asimilados a emisores soberanos — Valor de exposición correspondiente a la ratio de apalancamiento — Exposiciones según el método IRB Valor de exposición correspondiente a la ratio de apalancamiento de los activos que representen exposiciones frente a bancos multilaterales de desarrollo y organizaciones internacionales, comprendidas en el artículo 147, apartado 3, letras b) y c), del RRC. Las entidades excluirán en su comunicación las exposiciones en situación de impago. |
|
{120;030} |
Bancos multilaterales de desarrollo y organizaciones internacionales asimilados a emisores soberanos — Activos ponderados por riesgo — Exposiciones según el método estándar Importe de la exposición ponderada por riesgo de los activos que representen exposiciones frente a bancos multilaterales de desarrollo y organizaciones internacionales, comprendidas en el artículo 117, apartado 2, y en el artículo 118 del RRC. Las entidades excluirán en su comunicación las exposiciones en situación de impago. |
|
{120;040} |
Bancos multilaterales de desarrollo y organizaciones internacionales asimilados a emisores soberanos — Activos ponderados por riesgo — Exposiciones según el método IRB Importe de la exposición ponderada por riesgo de los activos que representen exposiciones frente a bancos multilaterales de desarrollo y organizaciones internacionales, comprendidas en el artículo 147, apartado 3, letras b) y c), del RRC. Las entidades excluirán en su comunicación las exposiciones en situación de impago. |
|
{130;010} |
Entes del sector público asimilados a emisores soberanos — Valor de exposición correspondiente a la ratio de apalancamiento — Exposiciones según el método estándar Valor de exposición correspondiente a la ratio de apalancamiento de los activos que representen exposiciones frente a entes del sector público, comprendidas en el artículo 116, apartado 4, del RRC. Las entidades excluirán en su comunicación las exposiciones en situación de impago. |
|
{130;020} |
Entes del sector público asimilados a emisores soberanos — Valor de exposición correspondiente a la ratio de apalancamiento — Exposiciones según el método IRB Valor de exposición correspondiente a la ratio de apalancamiento de los activos que representen exposiciones frente a entes del sector público, comprendidas en el artículo 147, apartado 3, letra a), del RRC. Las entidades excluirán en su comunicación las exposiciones en situación de impago. |
|
{130;030} |
Entes del sector público asimilados a emisores soberanos — Activos ponderados por riesgo — Exposiciones según el método estándar Importe de la exposición ponderada por riesgo de los activos que representen exposiciones frente a entes del sector público, comprendidas en el artículo 116, apartado 4, del RRC. Las entidades excluirán en su comunicación las exposiciones en situación de impago. |
|
{130;040} |
Entes del sector público asimilados a emisores soberanos — Activos ponderados por riesgo — Exposiciones según el método IRB Importe de la exposición ponderada por riesgo de los activos que representen exposiciones frente a entes del sector público, comprendidas en el artículo 147, apartado 3, letra a), del RRC. Las entidades excluirán en su comunicación las exposiciones en situación de impago. |
|
{140;010} |
Exposiciones frente a administraciones regionales, bancos multilaterales de desarrollo, organizaciones internacionales y entes del sector público no asimiladas a exposiciones frente a emisores soberanos — Valor de exposición correspondiente a la ratio de apalancamiento — Exposiciones según el método estándar Es la suma de las celdas {150;010} a {170;010}. Las entidades excluirán en su comunicación las exposiciones en situación de impago. |
|
{140;020} |
Exposiciones frente a administraciones regionales, bancos multilaterales de desarrollo, organizaciones internacionales y entes del sector público no asimiladas a exposiciones frente a emisores soberanos — Valor de exposición correspondiente a la ratio de apalancamiento — Exposiciones según el método IRB Es la suma de las celdas {150;020} a {170;020}. Las entidades excluirán en su comunicación las exposiciones en situación de impago. |
|
{140;030} |
Exposiciones frente a administraciones regionales, bancos multilaterales de desarrollo, organizaciones internacionales y entes del sector público no asimiladas a exposiciones frente a emisores soberanos — Activos ponderados por riesgo — Exposiciones según el método estándar Es la suma de las celdas {150;030} a {170;030}. Las entidades excluirán en su comunicación las exposiciones en situación de impago. |
|
{140;040} |
Exposiciones frente a administraciones regionales, bancos multilaterales de desarrollo, organizaciones internacionales y entes del sector público no asimiladas a exposiciones frente a emisores soberanos — Activos ponderados por riesgo — Exposiciones según el método IRB Es la suma de las celdas {150;040} a {170;040}. Las entidades excluirán en su comunicación las exposiciones en situación de impago. |
|
{150;010} |
Administraciones regionales y autoridades locales no asimiladas a emisores soberanos — Valor de exposición correspondiente a la ratio de apalancamiento — Exposiciones según el método estándar Valor de exposición correspondiente a la ratio de apalancamiento de los activos que representen exposiciones frente a administraciones regionales o autoridades locales no asimiladas a emisores soberanos, comprendidas en el artículo 115, apartados 1, 3 y 5, del RRC. Las entidades excluirán en su comunicación las exposiciones en situación de impago. |
|
{150;020} |
Administraciones regionales y autoridades locales no asimiladas a emisores soberanos — Valor de exposición correspondiente a la ratio de apalancamiento — Exposiciones según el método IRB Valor de exposición correspondiente a la ratio de apalancamiento de los activos que representen exposiciones frente a administraciones regionales o autoridades locales no asimiladas a emisores soberanos, comprendidas en el artículo 147, apartado 4, letra a), del RRC Las entidades excluirán en su comunicación las exposiciones en situación de impago. |
|
{150;030} |
Administraciones regionales y autoridades locales no asimiladas a emisores soberanos — Activos ponderados por riesgo — Exposiciones según el método estándar Importe de la exposición ponderada por riesgo de los activos que representen exposiciones frente a administraciones regionales o autoridades locales no asimiladas a emisores soberanos, comprendidas en el artículo 115, apartados 1, 3 y 5, del RRC. Las entidades excluirán en su comunicación las exposiciones en situación de impago. |
|
{150;040} |
Administraciones regionales y autoridades locales no asimiladas a emisores soberanos — Activos ponderados por riesgo — Exposiciones según el método IRB Importe de la exposición ponderada por riesgo de los activos que representen exposiciones frente a administraciones regionales o autoridades locales no asimiladas a emisores soberanos, comprendidas en el artículo 147, apartado 4, letra a), del RRC. Las entidades excluirán en su comunicación las exposiciones en situación de impago. |
|
{160;010} |
Bancos multilaterales de desarrollo no asimilados a emisores soberanos — Valor de exposición correspondiente a la ratio de apalancamiento — Exposiciones según el método estándar Valor de exposición correspondiente a la ratio de apalancamiento de los activos que representen exposiciones frente a bancos multilaterales de desarrollo, comprendidas en el artículo 117, apartados 1 y 3, del RRC. Las entidades excluirán en su comunicación las exposiciones en situación de impago. |
|
{160;020} |
Bancos multilaterales de desarrollo no asimilados a emisores soberanos — Valor de exposición correspondiente a la ratio de apalancamiento — Exposiciones según el método IRB Valor de exposición correspondiente a la ratio de apalancamiento de los activos que representen exposiciones frente a bancos multilaterales de desarrollo no asimilados a emisores soberanos, comprendidas en el artículo 147, apartado 4, letra c), del RRC. Las entidades excluirán en su comunicación las exposiciones en situación de impago. |
|
{160;030} |
Bancos multilaterales de desarrollo no asimilados a emisores soberanos — Activos ponderados por riesgo — Exposiciones según el método estándar Importe de la exposición ponderada por riesgo de los activos que representen exposiciones frente a bancos multilaterales de desarrollo, comprendidas en el artículo 117, apartados 1 y 3, del RRC. Las entidades excluirán en su comunicación las exposiciones en situación de impago. |
|
{160;040} |
Bancos multilaterales de desarrollo no asimilados a emisores soberanos — Activos ponderados por riesgo — Exposiciones según el método IRB Importe de la exposición ponderada por riesgo de los activos que representen exposiciones frente a bancos multilaterales de desarrollo no asimilados a emisores soberanos, comprendidas en el artículo 147, apartado 4, letra c), del RRC. Las entidades excluirán en su comunicación las exposiciones en situación de impago. |
|
{170;010} |
Entes del sector público no asimilados a emisores soberanos — Valor de exposición correspondiente a la ratio de apalancamiento — Exposiciones según el método estándar Valor de exposición correspondiente a la ratio de apalancamiento de los activos que representen exposiciones frente a entes del sector público, comprendidas en el artículo 116, apartados 1, 2, 3 y 5, del RRC. Las entidades excluirán en su comunicación las exposiciones en situación de impago. |
|
{170;020} |
Entes del sector público no asimilados a emisores soberanos — Valor de exposición correspondiente a la ratio de apalancamiento — Exposiciones según el método IRB Valor de exposición correspondiente a la ratio de apalancamiento de los activos que representen exposiciones frente a entes del sector público no asimilados a emisores soberanos, comprendidas en el artículo 147, apartado 4, letra b), del RRC. Las entidades excluirán en su comunicación las exposiciones en situación de impago. |
|
{170;030} |
Entes del sector público no asimilados a emisores soberanos — Activos ponderados por riesgo — Exposiciones según el método estándar Importe de la exposición ponderada por riesgo de los activos que representen exposiciones frente a entes del sector público, comprendidas en el artículo 116, apartados 1, 2, 3 y 5, del RRC. Las entidades excluirán en su comunicación las exposiciones en situación de impago. |
|
{170;040} |
Entes del sector público no asimilados a emisores soberanos — Activos ponderados por riesgo — Exposiciones según el método IRB Importe de la exposición ponderada por riesgo de los activos que representen exposiciones frente a entes del sector público no asimilados a emisores soberanos, comprendidas en el artículo 147, apartado 4, letra b), del RRC. Las entidades excluirán en su comunicación las exposiciones en situación de impago. |
|
{180;010} |
Entidades — Valor de exposición correspondiente a la ratio de apalancamiento — Exposiciones según el método estándar Valor de exposición correspondiente a la ratio de apalancamiento de los activos que representen exposiciones frente a entidades, comprendidas en los artículos 119 a 121 del RRC. Las entidades excluirán en su comunicación las exposiciones en situación de impago. |
|
{180;020} |
Entidades — Valor de exposición correspondiente a la ratio de apalancamiento — Exposiciones según el método IRB Valor de exposición correspondiente a la ratio de apalancamiento de los activos que representen exposiciones frente a entidades comprendidas en el artículo 147, apartado 2, letra b), del RRC y no sean exposiciones en forma de bonos garantizados con arreglo al artículo 161, apartado 1, letra d), del RRC ni estén comprendidas en el artículo 147, apartado 4, letras a) a c), del RRC. Las entidades excluirán en su comunicación las exposiciones en situación de impago. |
|
{180;030} |
Entidades — Activos ponderados por riesgo — Exposiciones según el método estándar Importe de la exposición ponderada por riesgo de los activos que representen exposiciones frente a entidades, comprendidas en los artículos 119 a 121 del RRC. Las entidades excluirán en su comunicación las exposiciones en situación de impago. |
|
{180;040} |
Entidades — Activos ponderados por riesgo — Exposiciones según el método IRB Valor de exposición correspondiente a la ratio de apalancamiento de los activos que representen exposiciones frente a entidades comprendidas en el artículo 147, apartado 2, letra b), del RRC y no sean exposiciones en forma de bonos garantizados con arreglo al artículo 161, apartado 1, letra d), del RRC ni estén comprendidas en el artículo 147, apartado 4, letras a) a c), del RRC. Las entidades excluirán en su comunicación las exposiciones en situación de impago. |
|
{190;010} |
Garantizadas por hipotecas sobre bienes inmuebles; de las cuales — Valor de exposición correspondiente a la ratio de apalancamiento — Exposiciones según el método estándar Valor de exposición correspondiente a la ratio de apalancamiento de los activos que representen exposiciones garantizadas por hipotecas sobre bienes inmuebles, comprendidas en el artículo 124 del RRC. Las entidades excluirán en su comunicación las exposiciones en situación de impago. |
|
{190;020} |
Garantizadas por hipotecas sobre bienes inmuebles; de las cuales — Valor de exposición correspondiente a la ratio de apalancamiento — Exposiciones según el método IRB Valor de exposición correspondiente a la ratio de apalancamiento de los activos que representen exposiciones frente a empresas con arreglo al artículo 147, apartado 2, letra c), o exposiciones minoristas con arreglo al artículo 147, apartado 2, letra d), del RRC, si esas exposiciones están garantizadas por hipotecas sobre bienes inmuebles de conformidad con el artículo 199, apartado 1, letra a), del RRC. Las entidades excluirán en su comunicación las exposiciones en situación de impago. |
|
{190;030} |
Garantizadas por hipotecas sobre bienes inmuebles; de las cuales — Activos ponderados por riesgo — Exposiciones según el método estándar Importe de la exposición ponderada por riesgo de los activos que representen exposiciones garantizadas por hipotecas sobre bienes inmuebles, comprendidas en el artículo 124 del RRC. Las entidades excluirán en su comunicación las exposiciones en situación de impago. |
|
{190;040} |
Garantizadas por hipotecas sobre bienes inmuebles; de las cuales — Activos ponderados por riesgo — Exposiciones según el método IRB Importe de la exposición ponderada por riesgo de los activos que representen exposiciones frente a empresas con arreglo al artículo 147, apartado 2, letra c), o exposiciones minoristas con arreglo al artículo 147, apartado 2, letra d), del RRC, si esas exposiciones están garantizadas por hipotecas sobre bienes inmuebles de conformidad con el artículo 199, apartado 1, letra a), del RRC. Las entidades excluirán en su comunicación las exposiciones en situación de impago. |
|
{200;010} |
Garantizadas por hipotecas sobre bienes inmuebles residenciales — Valor de exposición correspondiente a la ratio de apalancamiento — Exposiciones según el método estándar Valor de exposición correspondiente a la ratio de apalancamiento de los activos que representen exposiciones plena y completamente garantizadas por hipotecas sobre bienes inmuebles residenciales, comprendidas en el artículo 125 del RRC. Las entidades excluirán en su comunicación las exposiciones en situación de impago. |
|
{200;020} |
Garantizadas por hipotecas sobre bienes inmuebles residenciales — Valor de exposición correspondiente a la ratio de apalancamiento — Exposiciones según el método IRB Valor de exposición correspondiente a la ratio de apalancamiento de los activos que representen exposiciones frente a empresas con arreglo al artículo 147, apartado 2, letra c), o exposiciones minoristas con arreglo al artículo 147, apartado 2, letra d), del RRC, si esas exposiciones están garantizadas por hipotecas sobre bienes inmuebles de conformidad con el artículo 199, apartado 1, letra a), del RRC. Las entidades excluirán en su comunicación las exposiciones en situación de impago. |
|
{200;030} |
Garantizadas por hipotecas sobre bienes inmuebles residenciales — Activos ponderados por riesgo — Exposiciones según el método estándar Importe de la exposición ponderada por riesgo de los activos que representen exposiciones plena y completamente garantizadas por hipotecas sobre bienes inmuebles residenciales, comprendidas en el artículo 125 del RRC. Las entidades excluirán en su comunicación las exposiciones en situación de impago. |
|
{200;040} |
Garantizadas por hipotecas sobre bienes inmuebles residenciales — Activos ponderados por riesgo — Exposiciones según el método IRB Importe de la exposición ponderada por riesgo de los activos que representen exposiciones frente a empresas con arreglo al artículo 147, apartado 2, letra c), o exposiciones minoristas con arreglo al artículo 147, apartado 2, letra d), del RRC, si esas exposiciones están garantizadas por hipotecas sobre bienes inmuebles residenciales de conformidad con el artículo 199, apartado 1, letra a), del RRC. Las entidades excluirán en su comunicación las exposiciones en situación de impago. |
|
{210;010} |
Exposiciones minoristas; de las cuales — Valor de exposición correspondiente a la ratio de apalancamiento — Exposiciones según el método estándar Valor de exposición correspondiente a la ratio de apalancamiento de los activos que representen exposiciones minoristas comprendidas en el artículo 123 del RRC. Las entidades excluirán en su comunicación las exposiciones en situación de impago. |
|
{210;020} |
Exposiciones minoristas; de las cuales — Valor de exposición correspondiente a la ratio de apalancamiento — Exposiciones según el método IRB Valor de exposición correspondiente a la ratio de apalancamiento de los activos que representen exposiciones minoristas con arreglo al artículo 147, apartado 2, letra d), del RRC si tales exposiciones no están garantizadas por hipotecas sobre bienes inmuebles de conformidad con el artículo 199, apartado 1, letra a), del RRC. Las entidades excluirán en su comunicación las exposiciones en situación de impago. |
|
{210;030} |
Exposiciones minoristas; de las cuales — Activos ponderados por riesgo — Exposiciones según el método estándar Importe de la exposición ponderada por riesgo de los activos que representen exposiciones minoristas comprendidas en el artículo 123 del RRC. Las entidades excluirán en su comunicación las exposiciones en situación de impago. |
|
{210;040} |
Exposiciones minoristas; de las cuales — Activos ponderados por riesgo — Exposiciones según el método IRB Importe de la exposición ponderada por riesgo de los activos que representen exposiciones minoristas con arreglo al artículo 147, apartado 2, letra d), del RRC si tales exposiciones no están garantizadas por hipotecas sobre bienes inmuebles de conformidad con el artículo 199, apartado 1, letra a), del RRC. Las entidades excluirán en su comunicación las exposiciones en situación de impago. |
|
{220;010} |
Exposiciones minoristas frente a PYME — Valor de exposición correspondiente a la ratio de apalancamiento — Exposiciones según el método estándar Valor de exposición correspondiente a la ratio de apalancamiento de los activos que representen exposiciones minoristas frente a pequeñas y medianas empresas, comprendidas en el artículo 123 del RRC. A los efectos de esta celda, se aplicará la definición de pequeña y mediana empresa contenida en el artículo 501, apartado 2, letra b), del RRC. Las entidades excluirán en su comunicación las exposiciones en situación de impago. |
|
{220;020} |
Exposiciones minoristas frente a PYME — Valor de exposición correspondiente a la ratio de apalancamiento — Exposiciones según el método IRB Valor de exposición correspondiente a la ratio de apalancamiento de los activos que representen exposiciones minoristas con arreglo al artículo 147, apartado 2, letra d), del RRC si tales exposiciones son exposiciones frente a pequeñas y medianas empresas y no están garantizadas por hipotecas sobre bienes inmuebles de conformidad con el artículo 199, apartado 1, letra a), del RRC. A los efectos de esta celda, se aplicará la definición de pequeña y mediana empresa contenida en el artículo 501, apartado 2, letra b), del RRC. Las entidades excluirán en su comunicación las exposiciones en situación de impago. |
|
{220;030} |
Exposiciones minoristas frente a PYME — Activos ponderados por riesgo — Exposiciones según el método estándar Importe de la exposición ponderada por riesgo de los activos que representen exposiciones minoristas frente a pequeñas y medianas empresas, comprendidas en el artículo 123 del RRC. A los efectos de esta celda, se aplicará la definición de pequeña y mediana empresa contenida en el artículo 501, apartado 2, letra b), del RRC. Las entidades excluirán en su comunicación las exposiciones en situación de impago. |
|
{220;040} |
Exposiciones minoristas frente a PYME — Activos ponderados por riesgo — Exposiciones según el método IRB Importe de la exposición ponderada por riesgo de los activos que representen exposiciones minoristas con arreglo al artículo 147, apartado 2, letra d), del RRC si tales exposiciones son exposiciones frente a pequeñas y medianas empresas y no están garantizadas por hipotecas sobre bienes inmuebles de conformidad con el artículo 199, apartado 1, letra a), del RRC. A los efectos de esta celda, se aplicará la definición de pequeña y mediana empresa contenida en el artículo 501, apartado 2, letra b), del RRC. Las entidades excluirán en su comunicación las exposiciones en situación de impago. |
|
{230;010} |
Empresas; de las cuales — Valor de exposición correspondiente a la ratio de apalancamiento — Exposiciones según el método estándar Es la suma de {240;010} y {250;010}. Las entidades excluirán en su comunicación las exposiciones en situación de impago. |
|
{230;020} |
Empresas; de las cuales — Valor de exposición correspondiente a la ratio de apalancamiento — Exposiciones según el método IRB Es la suma de {240;020} y {250;020}. Las entidades excluirán en su comunicación las exposiciones en situación de impago. |
|
{230;030} |
Empresas; de las cuales — Activos ponderados por riesgo — Exposiciones según el método estándar Es la suma de {240;030} y {250;030}. Las entidades excluirán en su comunicación las exposiciones en situación de impago. |
|
{230;040} |
Empresas; de las cuales — Activos ponderados por riesgo — Exposiciones según el método IRB Es la suma de {240;040} y {250;040}. Las entidades excluirán en su comunicación las exposiciones en situación de impago. |
|
{240;010} |
Financieras — Valor de exposición correspondiente a la ratio de apalancamiento — Exposiciones según el método estándar Valor de exposición correspondiente a la ratio de apalancamiento de los activos que representen exposiciones frente a empresas financieras, comprendidas en el artículo 122 del RRC. A efectos de la comunicación en LR4, se entenderá por empresas financieras las empresas reguladas y no reguladas, distintas de las entidades mencionadas en {180;10}, cuya actividad principal sea la adquisición de participaciones o la realización de una o varias de las actividades enumeradas en el anexo I de la Directiva 2013/36/UE, así como las empresas definidas en el artículo 4, apartado 1, punto 27, del RRC distintas de las entidades mencionadas en {180;10}. Las entidades excluirán en su comunicación las exposiciones en situación de impago. |
|
{240;020} |
Financieras — Valor de exposición correspondiente a la ratio de apalancamiento — Exposiciones según el método IRB Valor de exposición correspondiente a la ratio de apalancamiento de los activos que representen exposiciones frente a empresas financieras con arreglo al artículo 147, apartado 2, letra c), del RRC, si esas exposiciones no están garantizadas por hipotecas sobre bienes inmuebles de conformidad con el artículo 199, apartado 1, letra a), del RRC. A efectos de la comunicación en LR4, se entenderá por empresas financieras las empresas reguladas y no reguladas, distintas de las entidades mencionadas en {180;10}, cuya actividad principal sea la adquisición de participaciones o la realización de una o varias de las actividades enumeradas en el anexo I de la Directiva 2013/36/UE, así como las empresas definidas en el artículo 4, apartado 1, punto 27, del RRC distintas de las entidades mencionadas en {180;10}. Las entidades excluirán en su comunicación las exposiciones en situación de impago. |
|
{240;030} |
Financieras — Activos ponderados por riesgo — Exposiciones según el método estándar Importe de la exposición ponderada por riesgo de los activos que representen exposiciones frente a empresas financieras, comprendidas en el artículo 122 del RRC. A efectos de la comunicación en LR4, se entenderá por empresas financieras las empresas reguladas y no reguladas, distintas de las entidades mencionadas en {180;10}, cuya actividad principal sea la adquisición de participaciones o la realización de una o varias de las actividades enumeradas en el anexo I de la Directiva 2013/36/UE, así como las empresas definidas en el artículo 4, apartado 1, punto 27, del RRC distintas de las entidades mencionadas en {180;10}. Las entidades excluirán en su comunicación las exposiciones en situación de impago. |
|
{240;040} |
Financieras — Activos ponderados por riesgo — Exposiciones según el método IRB Importe de la exposición ponderada por riesgo de los activos que representen exposiciones frente a empresas financieras con arreglo al artículo 147, apartado 2, letra c), del RRC si tales exposiciones no están garantizadas por hipotecas sobre bienes inmuebles de conformidad con el artículo 199, apartado 1, letra a), del RRC. A efectos de la comunicación en LR4, se entenderá por empresas financieras las empresas reguladas y no reguladas, distintas de las entidades mencionadas en {180;10}, cuya actividad principal sea la adquisición de participaciones o la realización de una o varias de las actividades enumeradas en el anexo I de la Directiva 2013/36/UE, así como las empresas definidas en el artículo 4, apartado 1, punto 27, del RRC distintas de las entidades mencionadas en {180;10}. Las entidades excluirán en su comunicación las exposiciones en situación de impago. |
|
{250;010} |
No financieras; de las cuales — Valor de exposición correspondiente a la ratio de apalancamiento — Exposiciones según el método estándar Valor de exposición correspondiente a la ratio de apalancamiento de los activos que representen exposiciones frente a empresas no financieras, comprendidas en el artículo 122 del RRC. Es la suma de {260;010} y {270;010}. Las entidades excluirán en su comunicación las exposiciones en situación de impago. |
|
{250;020} |
No financieras; de las cuales — Valor de exposición correspondiente a la ratio de apalancamiento — Exposiciones según el método IRB Valor de exposición correspondiente a la ratio de apalancamiento de los activos que representen exposiciones frente a empresas no financieras con arreglo al artículo 147, apartado 2, letra c), del RRC, si esas exposiciones no están garantizadas por hipotecas sobre bienes inmuebles de conformidad con el artículo 199, apartado 1, letra a), del RRC. Es la suma de {260;020} y {270;020}. Las entidades excluirán en su comunicación las exposiciones en situación de impago. |
|
{250;030} |
No financieras; de las cuales — Activos ponderados por riesgo — Exposiciones según el método estándar Importe de la exposición ponderada por riesgo de los activos que representen exposiciones frente a empresas no financieras, comprendidas en el artículo 122 del RRC. Es la suma de {260;030} y {270;030}. Las entidades excluirán en su comunicación las exposiciones en situación de impago. |
|
{250;040} |
No financieras; de las cuales — Activos ponderados por riesgo — Exposiciones según el método IRB Importe de la exposición ponderada por riesgo de los activos que representen exposiciones frente a empresas no financieras con arreglo al artículo 147, apartado 2, letra c), del RRC si tales exposiciones no están garantizadas por hipotecas sobre bienes inmuebles de conformidad con el artículo 199, apartado 1, letra a), del RRC. Es la suma de {260;040} y {270;040}. Las entidades excluirán en su comunicación las exposiciones en situación de impago. |
|
{260;010} |
Exposiciones frente a PYME — Valor de exposición correspondiente a la ratio de apalancamiento — Exposiciones según el método estándar Valor de exposición correspondiente a la ratio de apalancamiento de los activos que representen exposiciones frente a empresas que sean pequeñas y medianas empresas, comprendidas en el artículo 122 del RRC. A los efectos de esta celda, se aplicará la definición de pequeña y mediana empresa contenida en el artículo 501, apartado 2, letra b), del RRC. Las entidades excluirán en su comunicación las exposiciones en situación de impago. |
|
{260;020} |
Exposiciones frente a PYME — Valor de exposición correspondiente a la ratio de apalancamiento — Exposiciones según el método IRB Valor de exposición correspondiente a la ratio de apalancamiento de los activos que representen exposiciones frente a empresas con arreglo al artículo 147, apartado 2, letra c), del RRC, si tales exposiciones son exposiciones frente a pequeñas y medianas empresas y no están garantizadas por hipotecas sobre bienes inmuebles de conformidad con el artículo 199, apartado 1, letra a), del RRC. A los efectos de esta celda, se aplicará la definición de pequeña y mediana empresa contenida en el artículo 501, apartado 2, letra b), del RRC. Las entidades excluirán en su comunicación las exposiciones en situación de impago. |
|
{260;030} |
Exposiciones frente a PYME — Activos ponderados por riesgo — Exposiciones según el método estándar Importe de la exposición ponderada por riesgo de los activos que representen exposiciones frente a empresas que sean pequeñas y medianas empresas, comprendidas en el artículo 122 del RRC. A los efectos de esta celda, se aplicará la definición de pequeña y mediana empresa contenida en el artículo 501, apartado 2, letra b), del RRC. Las entidades excluirán en su comunicación las exposiciones en situación de impago. |
|
{260;040} |
Exposiciones frente a PYME — Activos ponderados por riesgo — Exposiciones según el método IRB Importe de la exposición ponderada por riesgo de los activos que representen exposiciones frente a empresas con arreglo al artículo 147, apartado 2, letra c), del RRC si tales exposiciones son exposiciones frente a pequeñas y medianas empresas y no están garantizadas por hipotecas sobre bienes inmuebles de conformidad con el artículo 199, apartado 1, letra a), del RRC. A los efectos de esta celda, se aplicará la definición de pequeña y mediana empresa contenida en el artículo 501, apartado 2, letra b), del RRC. Las entidades excluirán en su comunicación las exposiciones en situación de impago. |
|
{270;010} |
Exposiciones frente a empresas que no sean PYME — Valor de exposición correspondiente a la ratio de apalancamiento — Exposiciones según el método estándar Valor de exposición correspondiente a la ratio de apalancamiento de los activos que representen exposiciones frente a empresas, comprendidas en el artículo 122 del RRC y que no se comuniquen en{230;040} y {250;040}. Las entidades excluirán en su comunicación las exposiciones en situación de impago. |
|
{270;020} |
Exposiciones frente a empresas que no sean PYME — Valor de exposición correspondiente a la ratio de apalancamiento — Exposiciones según el método IRB Valor de exposición correspondiente a la ratio de apalancamiento de los activos que representen exposiciones frente a empresas con arreglo al artículo 147, apartado 2, letra c), del RRC, si tales exposiciones no están garantizadas por hipotecas sobre bienes inmuebles de conformidad con el artículo 199, apartado 1, letra a), del RRC y no se han comunicado en {230;040} y {250;040}. Las entidades excluirán en su comunicación las exposiciones en situación de impago. |
|
{270;030} |
Exposiciones frente a empresas que no sean PYME — Activos ponderados por riesgo — Exposiciones según el método estándar Importe de la exposición ponderada por riesgo de los activos que representen exposiciones frente a empresas, comprendidas en el artículo 122 del RRC y que no se comuniquen en {230;040} y {250;040}. Las entidades excluirán en su comunicación las exposiciones en situación de impago. |
|
{270;040} |
Exposiciones frente a empresas que no sean PYME — Activos ponderados por riesgo — Exposiciones según el método IRB Importe de la exposición ponderada por riesgo de los activos que representen exposiciones frente a empresas con arreglo al artículo 147, apartado 2, letra c), del RRC, si tales exposiciones no están garantizadas por hipotecas sobre bienes inmuebles de conformidad con el artículo 199, apartado 1, letra a), del RRC y no se han comunicado en {230;040} y {250;040}. Las entidades excluirán en su comunicación las exposiciones en situación de impago. |
|
{280;010} |
Exposiciones en situación de impago — Valor de exposición correspondiente a la ratio de apalancamiento — Exposiciones según el método estándar Valor de exposición correspondiente a la ratio de apalancamiento de los activos que representen exposiciones en situación de impago, comprendidas en el artículo 127 del RRC. |
|
{280;020} |
Exposiciones en situación de impago — Valor de exposición correspondiente a la ratio de apalancamiento — Exposiciones según el método IRB Valor de exposición correspondiente a la ratio de apalancamiento de los activos clasificados en las categorías de exposición enumeradas en el artículo 147, apartado 2, del RRC, si se ha producido un impago de conformidad con el artículo 178 del RRC. |
|
{280;030} |
Exposiciones en situación de impago — Activos ponderados por riesgo — Exposiciones según el método estándar Importe de la exposición ponderada por riesgo de los activos que representen exposiciones en situación de impago, comprendidas en el artículo 127 del RRC. |
|
{280;040} |
Exposiciones en situación de impago — Activos ponderados por riesgo — Exposiciones según el método IRB Importe de la exposición ponderada por riesgo de los activos clasificados en las categorías de exposición enumeradas en el artículo 147, apartado 2, del RRC, si se ha producido un impago de conformidad con el artículo 178 del RRC. |
|
{290;010} |
Otras exposiciones; de las cuales — Valor de exposición correspondiente a la ratio de apalancamiento — Exposiciones según el método estándar Valor de exposición correspondiente a la ratio de apalancamiento de los activos clasificados en las categorías de exposición enumeradas en el artículo 112, letras k), m), n), o), p) y q), del RRC. Las entidades comunicarán aquí los activos que se deducen de los fondos propios (por ejemplo, activos intangibles) pero que no entran en ninguna otra clasificación, aunque tal clasificación no sea necesaria para determinar los requisitos de fondos propios basados en el riesgo en las columnas {*; 030} y {*; 040}. Las entidades excluirán en su comunicación las exposiciones en situación de impago. |
|
{290;020} |
Otras exposiciones; de las cuales — Valor de exposición correspondiente a la ratio de apalancamiento — Exposiciones según el método IRB Valor de exposición correspondiente a la ratio de apalancamiento de los activos clasificados en las categorías de exposición enumeradas en el artículo 147, apartado 2, letras e), f) y g), del RRC. Las entidades comunicarán aquí los activos que se deducen de los fondos propios (por ejemplo, activos intangibles) pero que no entran en ninguna otra clasificación, aunque tal clasificación no sea necesaria para determinar los requisitos de fondos propios basados en el riesgo en las columnas {*; 030} y {*; 040}. Las entidades excluirán en su comunicación las exposiciones en situación de impago. |
|
{290;030} |
Otras exposiciones; de las cuales — Activos ponderados por riesgo — Exposiciones según el método estándar Importe de la exposición ponderada por riesgo de los activos clasificados en las categorías de exposición enumeradas en el artículo 112, letras k), m), n), o), p) y q), del RRC. Las entidades excluirán en su comunicación las exposiciones en situación de impago. |
|
{290;040} |
Otras exposiciones; de las cuales — Activos ponderados por riesgo — Exposiciones según el método IRB Importe de la exposición ponderada por riesgo de los activos clasificados en las categorías de exposición enumeradas en el artículo 147, apartado 2, letras e), f) y g), del RRC. Las entidades excluirán en su comunicación las exposiciones en situación de impago. |
|
{300;010} |
Exposiciones de titulización — Valor de exposición correspondiente a la ratio de apalancamiento — Exposiciones según el método estándar Valor de exposición correspondiente a la ratio de apalancamiento de los activos que representen exposiciones correspondientes a posiciones de titulización, comprendidas en el artículo 112, letra m), del RRC. Las entidades excluirán en su comunicación las exposiciones en situación de impago. |
|
{300;020} |
Exposiciones de titulización — Valor de exposición correspondiente a la ratio de apalancamiento — Exposiciones según el método IRB Valor de exposición correspondiente a la ratio de apalancamiento de los activos que representen exposiciones correspondientes a posiciones de titulización, comprendidas en el artículo 147, apartado 2, letra f), del RRC. Las entidades excluirán en su comunicación las exposiciones en situación de impago. |
|
{300;030} |
Exposiciones de titulización — Activos ponderados por riesgo — Exposiciones según el método estándar Importe de la exposición ponderada por riesgo de los activos que representen exposiciones correspondientes a posiciones de titulización, comprendidas en el artículo 112, letra m), del RRC. Las entidades excluirán en su comunicación las exposiciones en situación de impago. |
|
{300;040} |
Exposiciones de titulización — Activos ponderados por riesgo — Exposiciones según el método IRB Importe de la exposición ponderada por riesgo de los activos que representen exposiciones correspondientes a posiciones de titulización, comprendidas en el artículo 147, apartado 2, letra f), del RRC. Las entidades excluirán en su comunicación las exposiciones en situación de impago. |
|
{310;010} |
Financiación comercial (pro memoria); de la cual — Valor de exposición correspondiente a la ratio de apalancamiento — Exposiciones según el método estándar Valor de exposición correspondiente a la ratio de apalancamiento de las partidas incluidas en el balance relacionadas con préstamos a un exportador o importador de productos o servicios mediante créditos a la exportación o importación y operaciones similares. Las entidades excluirán en su comunicación las exposiciones en situación de impago. |
|
{310;020} |
Financiación comercial (pro memoria); de la cual — Valor de exposición correspondiente a la ratio de apalancamiento — Exposiciones según el método IRB Valor de exposición correspondiente a la ratio de apalancamiento de las partidas incluidas en el balance relacionadas con préstamos a un exportador o importador de productos o servicios mediante créditos a la exportación o importación y operaciones similares. Las entidades excluirán en su comunicación las exposiciones en situación de impago. |
|
{310;030} |
Financiación comercial (pro memoria); de la cual — Activos ponderados por riesgo — Exposiciones según el método estándar Importe de la exposición ponderada por riesgo de las partidas incluidas en el balance relacionadas con préstamos a un exportador o importador de productos o servicios mediante créditos a la exportación o importación y operaciones similares. Las entidades excluirán en su comunicación las exposiciones en situación de impago. |
|
{310;040} |
Financiación comercial (pro memoria); de la cual — Activos ponderados por riesgo — Exposiciones según el método IRB Importe de la exposición ponderada por riesgo de las partidas incluidas en el balance relacionadas con préstamos a un exportador o importador de productos o servicios mediante créditos a la exportación o importación y operaciones similares. Las entidades excluirán en su comunicación las exposiciones en situación de impago. |
|
{320;010} |
En el marco de un sistema oficial de seguro de crédito a la exportación — Valor de exposición correspondiente a la ratio de apalancamiento — Exposiciones según el método estándar Valor de exposición correspondiente a la ratio de apalancamiento de las partidas incluidas en el balance relacionadas con la financiación comercial en el marco de un sistema oficial de seguro de crédito a la exportación. A efectos de la comunicación en LR4, se considerará sistema oficial de seguro de crédito a la exportación el apoyo oficial prestado por la administración o por otros entes, como una agencia de crédito a la exportación, en forma, por ejemplo, de créditos o financiación directos, refinanciación, ayudas a los tipos de interés (cuando se garantiza un tipo de interés fijo durante la vida del crédito), financiación de ayuda (créditos y subvenciones), seguro o garantía del crédito a la exportación. Las entidades excluirán en su comunicación las exposiciones en situación de impago. |
|
{320;020} |
En el marco de un sistema oficial de seguro de crédito a la exportación — Valor de exposición correspondiente a la ratio de apalancamiento — Exposiciones según el método IRB Valor de exposición correspondiente a la ratio de apalancamiento de las partidas incluidas en el balance relacionadas con la financiación comercial en el marco de un sistema oficial de seguro de crédito a la exportación. A efectos de la comunicación en LR4, se considerará sistema oficial de seguro de crédito a la exportación el apoyo oficial prestado por la administración o por otros entes, como una agencia de crédito a la exportación, en forma, por ejemplo, de créditos o financiación directos, refinanciación, ayudas a los tipos de interés (cuando se garantiza un tipo de interés fijo durante la vida del crédito), financiación de ayuda (créditos y subvenciones), seguro o garantía del crédito a la exportación. Las entidades excluirán en su comunicación las exposiciones en situación de impago. |
|
{320;030} |
En el marco de un sistema oficial de seguro de crédito a la exportación — Activos ponderados por riesgo — Exposiciones según el método estándar Importe de la exposición ponderada por riesgo de las partidas incluidas en el balance relacionadas con la financiación comercial en el marco de un sistema oficial de seguro de crédito a la exportación. A efectos de la comunicación en LR4, se considerará sistema oficial de seguro de crédito a la exportación el apoyo oficial prestado por la administración o por otros entes, como una agencia de crédito a la exportación, en forma, por ejemplo, de créditos o financiación directos, refinanciación, ayudas a los tipos de interés (cuando se garantiza un tipo de interés fijo durante la vida del crédito), financiación de ayuda (créditos y subvenciones), seguro o garantía del crédito a la exportación. Las entidades excluirán en su comunicación las exposiciones en situación de impago. |
|
{320;040} |
En el marco de un sistema oficial de seguro de crédito a la exportación — Activos ponderados por riesgo — Exposiciones según el método IRB Importe de la exposición ponderada por riesgo de las partidas incluidas en el balance relacionadas con la financiación comercial en el marco de un sistema oficial de seguro de crédito a la exportación. A efectos de la comunicación en LR4, se considerará sistema oficial de seguro de crédito a la exportación el apoyo oficial prestado por la administración o por otros entes, como una agencia de crédito a la exportación, en forma, por ejemplo, de créditos o financiación directos, refinanciación, ayudas a los tipos de interés (cuando se garantiza un tipo de interés fijo durante la vida del crédito), financiación de ayuda (créditos y subvenciones), seguro o garantía del crédito a la exportación. Las entidades excluirán en su comunicación las exposiciones en situación de impago. |
9. C 44.00 — Información general (LR 5)
31. Se recoge aquí información adicional para clasificar las actividades de la entidad y las opciones reglamentarias que haya elegido.
|
Fila y columna |
Instrucciones |
|
{010;010} |
Estructura societaria de la entidad La entidad clasificará su estructura societaria con arreglo a las categorías siguientes: — Sociedad anónima — Mutualidad/cooperativa — Otra sociedad no anónima |
|
{020;010} |
Tratamiento de los derivados La entidad especificará el tratamiento reglamentario de los derivados con arreglo a las categorías siguientes: — Método de la exposición original — Método de valoración a precios de mercado |
|
{040;010} |
Tipo de entidad La entidad clasificará el tipo de entidad al que pertenece con arreglo a las categorías siguientes: — Banca universal (banca minorista/comercial y de inversión) — Banca minorista/comercial — Banca de inversión — Prestamista especializado |
ANEXO XII
INFORMACIÓN SOBRE LIQUIDEZ
|
PLANTILLAS DE LIQUIDEZ |
||
|
Número de plantilla |
Código de plantilla |
Nombre de la plantilla/grupo de plantillas |
|
PLANTILLAS DE COBERTURA DE LA LIQUIDEZ |
||
|
|
|
PARTE I - ACTIVOS LÍQUIDOS |
|
51 |
C 51.00 |
COBERTURA DE LA LIQUIDEZ - ACTIVOS LÍQUIDOS |
|
|
|
PARTE II - SALIDAS |
|
52 |
C 52.00 |
COBERTURA DE LA LIQUIDEZ - SALIDAS |
|
|
|
PARTE III - ENTRADAS |
|
53 |
C 53.00 |
COBERTURA DE LA LIQUIDEZ - ENTRADAS |
|
|
|
PARTE IV - PERMUTAS DE GARANTÍAS REALES |
|
54 |
C 54.00 |
COBERTURA DE LA LIQUIDEZ - PERMUTAS DE GARANTÍAS REALES |
|
PLANTILLAS DE FINANCIACIÓN ESTABLE |
||
|
|
|
PARTE V - FINANCIACIÓN ESTABLE |
|
60 |
C 60.00 |
FINANCIACIÓN ESTABLE - ELEMENTOS QUE REQUIEREN FINANCIACIÓN ESTABLE |
|
61 |
C 61.00 |
FINANCIACIÓN ESTABLE - ELEMENTOS QUE PROPORCIONAN FINANCIACIÓN ESTABLE |
C 51.00 - COBERTURA DE LA LIQUIDEZ - ACTIVOS LÍQUIDOS
|
|
Valor de mercado |
Valor con arreglo al artículo 418 del RRC |
Importe |
Cantidad no utilizada de la línea |
|||
|
Fila |
ID |
Partida |
Referencias legales |
010 |
020 |
030 |
040 |
|
010-390 |
1 |
ACTIVOS QUE CUMPLAN LOS REQUISITOS DE LOS ARTÍCULOS 416 Y 417 DEL RRC |
Artículos 416 y 417 del RRC |
|
|
|
|
|
010 |
1.1 |
Efectivo |
Artículo 416, apartado 1, letra a), del RRC |
|
|
|
|
|
020 |
1.2 |
Exposiciones frente al banco central |
Artículo 416, apartado 1, letra a), del RRC |
|
|
|
|
|
030 |
1.2.1 |
de las cuales: exposiciones que puedan retirarse en momentos de tensión |
Artículo 416, apartado 1, letra a), del RRC |
|
|
|
|
|
040-110 |
1.3 |
Otros activos transferibles que constituyan créditos frente a o estén garantizados por |
Artículo 416, apartado 1, letra c), del RRC |
|
|
|
|
|
040-050 |
1.3.1 |
activos transferibles que constituyan créditos frente a o estén garantizados por la administración central de un Estado miembro, de una región con autonomía fiscal para imponer y recaudar impuestos o de un tercer país en la moneda nacional de la administración central o regional, en caso de que la entidad contraiga un riesgo de liquidez en ese Estado miembro o tercer país que cubra con la tenencia de esos activos líquidos |
Artículo 416, apartado 1, letra c), inciso i), del RRC |
|
|
|
|
|
040 |
1.3.1.1 |
que constituyan créditos frente a |
Artículo 416, apartado 1, letra c), inciso i), del RRC |
|
|
|
|
|
050 |
1.3.1.2 |
estén garantizados por |
Artículo 416, apartado 1, letra c), inciso i), del RRC |
|
|
|
|
|
060-070 |
1.3.2 |
activos transferibles que constituyan créditos frente a o estén garantizadas por los bancos centrales y entes del sector público que no dependan de la administración central en la moneda nacional del banco central y de los entes del sector público |
Artículo 416, apartado 1, letra c), inciso ii), del RRC |
|
|
|
|
|
060 |
1.3.2.1 |
que constituyan créditos frente a |
Artículo 416, apartado 1, letra c), inciso ii), del RRC |
|
|
|
|
|
070 |
1.3.2.2 |
estén garantizados por |
Artículo 416, apartado 1, letra c), inciso ii), del RRC |
|
|
|
|
|
080-090 |
1.3.3 |
activos transferibles que constituyan créditos frente a o estén garantizados por el Banco de Pagos Internacionales, el Fondo Monetario Internacional, la Comisión Europea o bancos multilaterales de desarrollo |
Artículo 416, apartado 1, letra c), inciso iii), del RRC |
|
|
|
|
|
080 |
1.3.3.1 |
que constituyan créditos frente a |
Artículo 416, apartado 1, letra c), inciso iii), del RRC |
|
|
|
|
|
090 |
1.3.3.2 |
estén garantizados por |
Artículo 416, apartado 1, letra c), inciso iii), del RRC |
|
|
|
|
|
100-110 |
1.3.4 |
activos transferibles que constituyan créditos frente a o estén garantizadas por la Facilidad Europea de Estabilidad Financiera y el Mecanismo Europeo de Estabilidad |
Artículo 416, apartado 1, letra c), inciso iv), del RRC |
|
|
|
|
|
100 |
1.3.4.1 |
que constituyan créditos frente a |
Artículo 416, apartado 1, letra c), inciso iv), del RRC |
|
|
|
|
|
110 |
1.3.4.2 |
estén garantizados por |
Artículo 416, apartado 1, letra c), inciso iv), del RRC |
|
|
|
|
|
120-140 |
1.4 |
Total de acciones o participaciones en OIC con activos subyacentes especificados en el artículo 416 |
Artículos 416, apartado 6, y 418, apartado 2, del RRC |
|
|
|
|
|
120 |
1.4.1 |
activos subyacentes del artículo 416, apartado 1, letra a) |
Artículo 418, apartado 2, letra a), del RRC |
|
|
|
|
|
130 |
1.4.2 |
activos subyacentes del artículo 416, apartado 1, letras b) y c) |
Artículo 418, apartado 2, letra b), del RRC |
|
|
|
|
|
140 |
1.4.3 |
activos subyacentes del artículo 416, apartado 1, letra d) |
Artículo 418, apartado 2, letra c), del RRC |
|
|
|
|
|
150 |
1.5 |
Facilidades de crédito contingente concedidas por bancos centrales en el marco de la política monetaria, en la medida en que dichas facilidades no resulten garantizadas por activos líquidos y excluyendo la provisión urgente de liquidez |
Artículo 416, apartado 1, letra e), del RRC |
|
|
|
|
|
160-170 |
1.6 |
Depósitos en entidades centrales de crédito y otros fondos líquidos estatutarios o contractuales disponibles de la entidad o las entidades centrales de crédito que sean miembros de la red a que se refiere el artículo 113, apartado 7, o que puedan acogerse a la exención prevista en el artículo 10 del RRC, en la medida en que dichos fondos no estén garantizados por activos líquidos |
Artículo 416, apartado 1, letra f), del RRC |
|
|
|
|
|
160 |
1.6.1 |
depósitos |
Artículo 416, apartado 1, letra f), del RRC |
|
|
|
|
|
170 |
1.6.2 |
fondos líquidos contractuales disponibles |
Artículo 416, apartado 1, letra f), del RRC |
|
|
|
|
|
Fila |
ID |
Partida |
Referencias legales |
Activos de liquidez y calidad crediticia sumamente elevadas |
Activos de liquidez y calidad crediticia elevadas |
||
|
Valor de mercado |
Valor con arreglo al artículo 418 del RRC |
Valor de mercado |
Valor con arreglo al artículo 418 del RRC |
||||
|
180 |
1.7 |
Activos emitidos por una entidad de crédito que haya sido establecida por una administración central o regional de un Estado miembro cuando se cumpla al menos una de las condiciones del artículo 416, apartado 2, letra a), inciso iii) |
Artículo 416, apartado 2, letra a), inciso iii), del RRC |
|
|
|
|
|
190-210 |
1.8 |
Obligaciones de empresas no financieras |
Artículo 416, apartado 1, letras b) o d), del RRC |
|
|
|
|
|
190 |
1.8.1 |
nivel 1 de calidad crediticia |
Artículo 122 del RRC |
|
|
|
|
|
200 |
1.8.2 |
nivel 2 de calidad crediticia |
Artículo 122 del RRC |
|
|
|
|
|
210 |
1.8.3 |
nivel 3 de calidad crediticia |
Artículo 122 del RRC |
|
|
|
|
|
220-240 |
1.9 |
Obligaciones emitidas por una entidad de crédito que puedan acogerse al tratamiento establecido en el artículo 129, apartados 4 o 5 |
Artículo 416, apartado 2, letra a), inciso i), del RRC |
|
|
|
|
|
220 |
1.9.1 |
nivel 1 de calidad crediticia |
Artículo 129, apartados 4 o 5, del RRC |
|
|
|
|
|
230 |
1.9.2 |
nivel 2 de calidad crediticia |
Artículo 129, apartados 4 o 5, del RRC |
|
|
|
|
|
240 |
1.9.3 |
nivel 3 de calidad crediticia |
Artículo 129, apartados 4 o 5, del RRC |
|
|
|
|
|
250-270 |
1.10 |
Instrumentos emitidos por una entidad de crédito garantizados por hipotecas no residenciales si se demuestra que responden a la mayor calidad crediticia, según lo establecido por la ABE con arreglo a los criterios previstos en el artículo 509, apartados 3, 4 y 5, del RRC |
Artículo 416, apartado 2, letra a), inciso i), del RRC |
|
|
|
|
|
250 |
1.10.1 |
nivel 1 de calidad crediticia |
Título II, capítulo 5, y artículos 123, 124, 125 y 126 del RRC |
|
|
|
|
|
260 |
1.10.2 |
nivel 2 de calidad crediticia |
Título II, capítulo 5, y artículos 123, 124, 125 y 126 del RRC |
|
|
|
|
|
270 |
1.10.3 |
nivel 3 de calidad crediticia |
Título II, capítulo 5, y artículos 123, 124, 125 y 126 del RRC |
|
|
|
|
|
280-300 |
1.11 |
Instrumentos emitidos por una entidad de crédito garantizados por hipotecas residenciales si se demuestra que responden a la mayor calidad crediticia, según lo establecido por la ABE con arreglo a los criterios previstos en el artículo 509, apartados 3, 4 y 5, del RRC |
Artículo 416, apartado 2, letra a), inciso i), del RRC |
|
|
|
|
|
280 |
1.11.1 |
nivel 1 de calidad crediticia |
Parte V, título II, capítulo 5, y artículo 125 del RRC |
|
|
|
|
|
290 |
1.11.2 |
nivel 2 de calidad crediticia |
Parte V, título II, capítulo 5, y artículo 125 del RRC |
|
|
|
|
|
300 |
1.11.3 |
nivel 3 de calidad crediticia |
Título II, capítulo 5, y artículo 125 del RRC |
|
|
|
|
|
310-330 |
1.12 |
Obligaciones emitidas por una entidad de crédito a que se refiere el artículo 52, apartado 4, de la Directiva 2009/65/CE, distintas de las contempladas en 1.9 |
Artículo 416, apartado 2, letra a), inciso ii), del RRC |
|
|
|
|
|
310 |
1.12.1 |
nivel 1 de calidad crediticia |
Artículo 129, apartados 4 o 5, del RRC |
|
|
|
|
|
320 |
1.12.2 |
nivel 2 de calidad crediticia |
Artículo 129, apartados 4 o 5, del RRC |
|
|
|
|
|
330 |
1.12.3 |
nivel 3 de calidad crediticia |
Artículo 129, apartados 4 o 5, del RRC |
|
|
|
|
|
340-360 |
1.13 |
Otros activos transferibles de liquidez y calidad crediticia sumamente elevadas |
Artículo 416, apartado 1, letra b), del RRC |
|
|
|
|
|
340 |
1.13.1 |
nivel 1 de calidad crediticia |
Parte III, título II, capítulo 2, del RRC |
|
|
|
|
|
350 |
1.13.2 |
nivel 2 de calidad crediticia |
Parte III, título II, capítulo 2, del RRC |
|
|
|
|
|
360 |
1.13.3 |
nivel 3 de calidad crediticia |
Parte III, título II, capítulo 2, del RRC |
|
|
|
|
|
370-390 |
1.14 |
Otros activos transferibles de liquidez y calidad crediticia elevadas |
Artículo 416, apartado 1, letra d) del RRC |
|
|
|
|
|
370 |
1.14.1 |
nivel 1 de calidad crediticia |
Parte III, título II, capítulo 2, del RRC |
|
|
|
|
|
380 |
1.14.2 |
nivel 2 de calidad crediticia |
Parte III, título II, capítulo 2, del RRC |
|
|
|
|
|
390 |
1.14.3 |
nivel 3 de calidad crediticia |
Parte III, título II, capítulo 2, del RRC |
|
|
|
|
|
400-410 |
2 |
ACTIVOS QUE CUMPLAN LOS REQUISITOS DEL ARTÍCULO 416, APARTADO 1, LETRAS b) Y d), PERO NO LOS REQUISITOS DEL ARTÍCULO 417, LETRAS b) Y c), del RRC |
|
|
|
|
|
|
400 |
2.1 |
Activos no controlados por una función de gestión de la liquidez |
Artículo 417, letra c), del RRC |
|
|
|
|
|
410 |
2.2 |
Activos que no estén disponibles, en términos jurídicos y prácticos, en cualquier momento durante los 30 días siguientes para su liquidación mediante venta directa o mediante un simple pacto de recompra en mercados aprobados de recompra |
Artículo 417, letra b), del RRC |
|
|
|
|
|
420-610 |
3 |
ELEMENTOS SUJETOS A COMUNICACIÓN SUPLEMENTARIA DE ACTIVOS LÍQUIDOS |
|
|
|
|
|
|
420 |
3.1 |
Efectivo |
Anexo III, punto 1, del RRC |
|
|
|
|
|
430 |
3.2 |
Exposiciones en bancos centrales, en la medida en que pueda recurrirse a dichas exposiciones en momentos de tensión |
Anexo III, punto 2, del RRC |
|
|
|
|
|
440-480 |
3.3 |
Valores mobiliarios con una ponderación asignada de riesgo del 0 % y que no sean obligaciones de una entidad o de cualquiera de sus filiales |
Anexo III, punto 3, del RRC |
|
|
|
|
|
440 |
3.3.1 |
que constituyan créditos frente a emisores soberanos |
Anexo III, punto 3, del RRC |
|
|
|
|
|
450 |
3.3.2 |
que estén garantizados por emisores soberanos |
Anexo III, punto 3, del RRC |
|
|
|
|
|
460 |
3.3.3 |
que constituyan créditos frente a o estén garantizados por bancos centrales |
Anexo III, punto 3, del RRC |
|
|
|
|
|
470 |
3.3.4 |
que constituyan créditos frente a o estén garantizados por entes del sector público no pertenecientes a la administración central, regiones con autonomía fiscal para imponer y recaudar tributos y autoridades locales |
Anexo III, punto 3, del RRC |
|
|
|
|
|
480 |
3.3.5 |
que constituyan créditos frente a o estén garantizados por el Banco de Pagos Internacionales, el Fondo Monetario Internacional, la Unión Europea, la Facilidad Europea de Estabilidad Financiera, el Mecanismo Europeo de Estabilidad o bancos multilaterales de desarrollo |
Anexo III, punto 3, del RRC |
|
|
|
|
|
490 |
3.4 |
Valores mobiliarios distintos de los contemplados en el punto 3.3 que representan créditos frente a, o garantizados por, emisores soberanos o bancos centrales, emitidos en las monedas nacionales del emisor soberano o del banco central en la moneda y en el país en el que se asuma el riesgo de liquidez o emitidos en otras divisas, en la medida en que la tenencia de dicha deuda se corresponda con las necesidades de liquidez de las operaciones del banco en el tercer país de que se trate |
Anexo III, punto 4, del RRC |
|
|
|
|
|
500-550 |
3.5 |
Valores mobiliarios con una ponderación asignada de riesgo del 20 % y que no sean obligaciones de una entidad o de cualquiera de sus entes asociados |
Anexo III, punto 5, del RRC |
|
|
|
|
|
500 |
3.5.1 |
que constituyan créditos frente a emisores soberanos |
Anexo III, punto 5, del RRC |
|
|
|
|
|
510 |
3.5.2 |
que estén garantizados por emisores soberanos |
Anexo III, punto 5, del RRC |
|
|
|
|
|
520 |
3.5.3 |
que constituyan créditos frente a o estén garantizados por bancos centrales |
Anexo III, punto 5, del RRC |
|
|
|
|
|
530 |
3.5.4 |
que constituyan créditos frente a o estén garantizados por entes del sector público no pertenecientes a la administración central, regiones con autonomía fiscal para imponer y recaudar tributos y autoridades locales |
Anexo III, punto 5, del RRC |
|
|
|
|
|
540 |
3.5.5 |
que constituyan créditos frente a o estén garantizados por bancos multilaterales de desarrollo |
Anexo III, punto 5, del RRC |
|
|
|
|
|
550 |
3.6 |
Valores mobiliarios distintos de los contemplados en los puntos 3.3 a 3.5 de la plantilla de activos líquidos (LCR-Assets) que cumplan las condiciones especificadas en el punto 5 del anexo III del RRC |
Anexo III, punto 6, del RRC |
|
|
|
|
|
560 |
3.7 |
Valores mobiliarios distintos de los contemplados en 3.3 a 3.6 con una ponderación asignada de riesgo del 50 % o más favorable con arreglo a la parte tercera, título II, capítulo 2, o que, según una calificación interna, posean una calidad crediticia equivalente, y que no representen un crédito frente a una SSPE, una entidad o cualquiera de sus entes asociados |
Anexo III, punto 7, del RRC |
|
|
|
|
|
570 |
3.8 |
Valores mobiliarios distintos de los contemplados en 3.3 a 3.7 garantizados por activos a los que pueda aplicarse una ponderación de riesgo del 35 % o más favorable con arreglo a la parte tercera, título II, capítulo 2, o que, según una calificación interna, posean una calidad crediticia equivalente, y que estén totalmente garantizados por hipotecas constituidas sobre bienes inmuebles residenciales de conformidad con el artículo 125 |
Anexo III, punto 8, del RRC |
|
|
|
|
|
580 |
3.9 |
Facilidades de crédito contingente concedidas por bancos centrales en el marco de la política monetaria, en la medida en que dichas facilidades no resulten garantizadas por activos líquidos y excluyendo la provisión urgente de liquidez |
Anexo III, punto 9, del RRC |
|
|
|
|
|
590 |
3.10 |
Depósitos mínimos legales o estatutarios en entidades centrales de crédito y otros fondos líquidos estatutarios o contractuales disponibles de la entidad o las entidades centrales de crédito que sean miembros de la red a que se refiere el artículo 113, apartado 7, o que puedan acogerse a la exención prevista en el artículo 10, en la medida en que dichos fondos no estén garantizados por activos líquidos, si la entidad de crédito pertenece a una red en virtud de disposiciones legales o estatutarias |
Anexo III, punto 10, del RRC |
|
|
|
|
|
600 |
3.11 |
Participaciones en capital ordinario negociadas en mercados organizados y compensadas de forma centralizada, que forman parte de un importante índice bursátil, denominadas en la moneda nacional del Estado miembro y que no hayan sido emitidas por una entidad ni por ninguna de sus asociadas |
Anexo III, punto 11, del RRC |
|
|
|
|
|
610 |
3.12 |
Oro registrado en un mercado regulado, mantenido en custodia |
Anexo III, punto 12, del RRC |
|
|
|
|
|
Fila |
ID |
Partida |
Referencias legales |
Valor de mercado |
Valor con arreglo al artículo 418 del RRC |
Importe |
Cantidad no utilizada de la línea |
|
620-850 |
4 |
ACTIVOS QUE NO CUMPLAN LOS REQUISITOS DEL ARTÍCULO 416 PERO SÍ LOS DEL ARTÍCULO 417, LETRAS b) Y c), DEL RRC |
|
|
|
|
|
|
620-640 |
4.1 |
Obligaciones de empresas financieras |
Artículo 416, apartado 2, del RRC |
|
|
|
|
|
620 |
4.1.1 |
nivel 1 de calidad crediticia |
Artículo 120, apartado 1, del RRC |
|
|
|
|
|
630 |
4.1.2 |
nivel 2 de calidad crediticia |
Artículo 120, apartado 1, del RRC |
|
|
|
|
|
640 |
4.1.3 |
nivel 3 de calidad crediticia |
Artículo 120, apartado 1, del RRC |
|
|
|
|
|
650-670 |
4.2 |
Emisiones propias |
Artículo 416.3, letra b), del RRC |
|
|
|
|
|
650 |
4.2.1 |
nivel 1 de calidad crediticia |
Artículo 120, apartado 1, del RRC |
|
|
|
|
|
660 |
4.2.2 |
nivel 2 de calidad crediticia |
Artículo 120, apartado 1, del RRC |
|
|
|
|
|
670 |
4.2.3 |
nivel 3 de calidad crediticia |
Artículo 120, apartado 1, del RRC |
|
|
|
|
|
680-700 |
4.3 |
Emisiones de entidades de crédito no garantizadas |
Artículo 416 del RRC |
|
|
|
|
|
680 |
4.3.1 |
nivel 1 de calidad crediticia |
Artículo 120, apartado 1, del RRC |
|
|
|
|
|
690 |
4.3.2 |
nivel 2 de calidad crediticia |
Artículo 120, apartado 1, del RRC |
|
|
|
|
|
700 |
4.3.3 |
nivel 3 de calidad crediticia |
Artículo 120, apartado 1, del RRC |
|
|
|
|
|
710-730 |
4.4 |
Instrumentos garantizados por hipotecas constituidas sobre bienes inmuebles no residenciales no consignados en 1.10 |
Artículo 416, apartado 4, letra b), del RRC |
|
|
|
|
|
710 |
4.4.1 |
nivel 1 de calidad crediticia |
Título II, capítulo 5, y artículos 123, 124, 125 y 126 del RRC |
|
|
|
|
|
720 |
4.4.2 |
nivel 2 de calidad crediticia |
Título II, capítulo 5, y artículos 123, 124, 125 y 126 del RRC |
|
|
|
|
|
730 |
4.4.3 |
nivel 3 de calidad crediticia |
Título II, capítulo 5, y artículos 123, 124, 125 y 126 del RRC |
|
|
|
|
|
740-760 |
4.5 |
Instrumentos garantizados por hipotecas constituidas sobre bienes inmuebles residenciales no consignados en 1.11 |
Artículo 509, apartado 3, letra a), del RRC |
|
|
|
|
|
740 |
4.5.1 |
nivel 1 de calidad crediticia |
Parte III, Título II, capítulo 5, y artículo 125 del RRC |
|
|
|
|
|
750 |
4.5.2 |
nivel 2 de calidad crediticia |
Parte III, Título II, capítulo 5, y artículo 125 del RRC |
|
|
|
|
|
760 |
4.5.3 |
nivel 3 de calidad crediticia |
Parte III, Título II, capítulo 5, y artículo 125 del RRC |
|
|
|
|
|
770 |
4.6 |
Acciones registradas en un mercado regulado e instrumentos de capital vinculados a importantes índices bursátiles, no emitidos por la propia entidad o por entidades financieras |
Artículo 509, apartado 3, letra c), y artículo 416, apartado 4, letra a), del RRC |
|
|
|
|
|
780 |
4.7 |
Oro |
Artículo 509, apartado 3, letra c), y artículo 416, apartado 4, letra a), del RRC |
|
|
|
|
|
790 |
4.8 |
Bonos con garantía personal no consignados más arriba |
Artículo 509, apartado 3, letra c), del RRC |
|
|
|
|
|
800 |
4.9 |
Bonos con garantía real no consignados más arriba |
Artículo 509, apartado 3, letra c), del RRC |
|
|
|
|
|
810 |
4.10 |
Obligaciones de empresas no consignados más arriba |
Artículo 509, apartado 3, letra c), del RRC |
|
|
|
|
|
820 |
4.11 |
Fondos basados en los activos consignados en 4.5-4.10 |
Artículo 509, apartado 3, letra c), del RRC |
|
|
|
|
|
830-850 |
4.12 |
Otras categorías de valores o préstamos admisibles por los bancos centrales |
Artículo 509, apartado 3, letra b), del RRC |
|
|
|
|
|
830 |
4.12.1 |
bonos de las administraciones locales |
Artículo 509, apartado 3, letra b), del RRC |
|
|
|
|
|
840 |
4.12.2 |
pagarés |
Artículo 509, apartado 3, letra b), del RRC |
|
|
|
|
|
850 |
4.12.3 |
derechos de crédito |
Artículo 416, apartado 4, letra c), del RRC |
|
|
|
|
|
860-870 |
5 |
TRATAMIENTO DE LOS TERRITORIOS CON INSUFICIENTES ACTIVOS LÍQUIDOS DE ALTA CALIDAD |
Artículo 419, apartado 2, letra a), del RRC |
|
|
|
|
|
860 |
5.1 |
Utilización de la excepción A (divisas) |
Artículo 419, apartado 2, letra a), del RRC |
|
|
|
|
|
870 |
5.2 |
Utilización de la excepción B (línea de crédito del banco central) |
Artículo 419, apartado 2, letra b), del RRC |
|
|
|
|
|
880-900 |
6 |
COMUNICACIÓN DE ACTIVOS QUE CUMPLEN LA SHARIA COMO ACTIVOS ALTERNATIVOS EN VIRTUD DEL ARTÍCULO 509, APARTADO 2, LETRA i) - Productos financieros que cumplen la sharia como alternativa a los activos que serían reconocidos como activos líquidos a efectos del artículo 416, para uso de los bancos que cumplen la sharia |
Artículo 509, apartado 2, letra i), del RRC |
|
|
|
|
|
880 |
6.1 |
Nivel 1 de calidad crediticia |
|
|
|
|
|
|
890 |
6.2 |
Nivel 2 de calidad crediticia |
|
|
|
|
|
|
900 |
6.3 |
Nivel 3 de calidad crediticia |
|
|
|
|
|
C 52.00 - COBERTURA DE LA LIQUIDEZ - SALIDAS
|
|
Importe |
Salida |
|
||||||||||||
|
Fila |
ID |
Partida |
Referencias legales |
010 |
020 |
030 |
040 |
050 |
060 |
070 |
080 |
090 |
100 |
110 |
120 |
|
020-1370 |
1 |
SALIDAS |
|
|
|
|
|
|
|
|
|
|
|
|
|
|
020-100 |
1.1 |
Depósitos minoristas |
Artículo 421 del RRC |
|
|
|
|
|
|
|
|
|
|
|
|
|
020-040 |
1.1.1 |
amparados por un sistema de garantía de depósitos con arreglo a la Directiva 94/19/CE o un sistema de garantía de depósitos equivalente de un tercer país |
Artículo 421, apartado 1, del RRC |
|
|
|
|
|
|
|
|
|
|
|
|
|
020 |
1.1.1.1 |
que son parte de una relación establecida que hace muy improbable una retirada de los mismos |
Artículo 421, apartado 1, letra a), del RRC |
|
|
|
|
|
|
|
|
|
|
|
|
|
030 |
1.1.1.2 |
que se realizan en cuentas corrientes, por ejemplo, las cuentas donde se ingresan automáticamente los salarios. |
Artículo 421, apartado 1, letra b), del RRC |
|
|
|
|
|
|
|
|
|
|
|
|
|
040 |
1.1.2 |
amparados por un sistema de garantía de depósitos con arreglo a la Directiva 94/19/CE o un sistema de garantía de depósitos equivalente de un tercer país y que no cumplen las condiciones para ser consignados en 1.1.1.1 o 1.1.1.2 |
Artículo 421, apartado 2, del RRC |
|
|
|
|
|
|
|
|
|
|
|
|
|
050 |
1.1.3 |
depósitos minoristas no cubiertos por un sistema de garantía de depósitos |
Artículo 421, apartado 2, del RRC |
|
|
|
|
|
|
|
|
|
|
|
|
|
060-080 |
1.1.4 |
depósitos sujetos a un porcentaje de salidas diferente a lo previsto en el artículo 421, apartados 1 o 2, |
Artículo 421, apartado 3, del RRC |
|
|
|
|
|
|
|
|
|
|
|
|
|
060 |
1.1.4.1 |
categoría 1 |
|
|
|
|
|
|
|
|
|
|
|
|
|
|
070 |
1.1.4.2 |
categoría 2 |
|
|
|
|
|
|
|
|
|
|
|
|
|
|
080 |
1.1.4.3 |
categoría 3 |
|
|
|
|
|
|
|
|
|
|
|
|
|
|
090 |
1.1.5 |
depósitos en terceros países donde se aplique un porcentaje de salidas superior |
Artículo 421, apartado 4, del RRC |
|
|
|
|
|
|
|
|
|
|
|
|
|
100 |
1.1.6 |
depósitos exentos del cálculo de salidas cuando se cumplen las condiciones del artículo 421, apartado 5, letras a) y b) |
Artículo 421, apartado 5, del RRC |
|
|
|
|
|
|
|
|
|
|
|
|
|
110-1130 |
1.2 |
Salidas sobre otros pasivos |
|
|
|
|
|
|
|
|
|
|
|
|
|
|
110 |
1.2.1 |
pasivos resultantes de los gastos de explotación de la entidad |
Artículo 422, apartado 1, del RRC |
|
|
|
|
|
|
|
|
|
|
|
|
|
Fila |
ID |
Partida |
Referencias legales |
Valor de mercado |
Cuando la contraparte no sea un banco central |
Cuando la contraparte sea un banco central |
Cuando la contraparte sea la administración central, un ente del sector público del Estado miembro en el que la entidad de crédito haya sido autorizada o haya establecido una sucursal, o un banco multilateral de desarrollo (art. 422, apdo. 2, letra d)) |
||||||||
|
Liquidez y calidad crediticia sumamente elevadas |
Liquidez y calidad crediticia elevadas |
Liquidez y calidad crediticia de otro tipo |
Liquidez y calidad crediticia sumamente elevadas |
Liquidez y calidad crediticia elevadas |
Liquidez y calidad crediticia de otro tipo |
Activos que no puedan considerarse activos líquidos de conformidad con el artículo 416 |
|||||||||
|
Importe adeudado |
Valor con arreglo al artículo 418 del RRC |
Importe adeudado |
Valor con arreglo al artículo 418 del RRC |
Importe adeudado |
Importe adeudado |
Valor con arreglo al artículo 418 del RRC |
Importe adeudado |
Valor con arreglo al artículo 418 del RRC |
Importe adeudado |
Importe adeudado |
|||||
|
120-950 |
1.2.2 |
pasivos resultantes de operaciones de préstamo garantizadas y de operaciones vinculadas al mercado de capitales tal como se definen en el artículo 192 |
Artículo 422, apartado 2, del RRC |
|
|
|
|
|
|
|
|
|
|
|
|
|
120-190 |
1.2.2.1 |
otros activos transferibles que constituyan créditos frente a o estén garantizados por |
Artículo 416, apartado 1, letra c), del RRC |
|
|
|
|
|
|
|
|
|
|
|
|
|
120-130 |
1.2.2.1.1 |
activos transferibles que constituyan créditos frente a o estén garantizados por la administración central de un Estado miembro, de una región con autonomía fiscal para imponer y recaudar tributos, o de un tercer país en la moneda nacional de la administración central o regional, en caso de que la entidad contraiga un riesgo de liquidez en ese Estado miembro o tercer país que cubra con la tenencia de esos activos líquidos |
Artículo 416, apartado 1, letra c), inciso i), del RRC |
|
|
|
|
|
|
|
|
|
|
|
|
|
120 |
1.2.2.1.1.1 |
que constituyan créditos frente a |
Artículo 416, apartado 1, letra c), inciso i), del RRC |
|
|
|
|
|
|
|
|
|
|
|
|
|
130 |
1.2.2.1.1.2 |
estén garantizados por |
Artículo 416, apartado 1, letra c), inciso i), del RRC |
|
|
|
|
|
|
|
|
|
|
|
|
|
140-150 |
1.2.2.1.2 |
activos transferibles que constituyan créditos frente a o estén garantizados por los bancos centrales y entes del sector público que no dependan de la administración central en la moneda nacional del banco central y de los entes del sector público |
Artículo 416, apartado 1, letra c), inciso ii), del RRC |
|
|
|
|
|
|
|
|
|
|
|
|
|
140 |
1.2.2.1.2.1 |
que constituyan créditos frente a |
Artículo 416, apartado 1, letra c), inciso ii), del RRC |
|
|
|
|
|
|
|
|
|
|
|
|
|
150 |
1.2.2.1.2.2 |
estén garantizados por |
Artículo 416, apartado 1, letra c), inciso ii), del RRC |
|
|
|
|
|
|
|
|
|
|
|
|
|
160-170 |
1.2.2.1.3 |
activos transferibles que constituyan créditos frente a o estén garantizados por el Banco de Pagos Internacionales, el Fondo Monetario Internacional, la Comisión Europea o bancos multilaterales de desarrollo, |
Artículo 416, apartado 1, letra c), inciso iii), del RRC |
|
|
|
|
|
|
|
|
|
|
|
|
|
160 |
1.2.2.1.3.1 |
que constituyan créditos frente a |
Artículo 416, apartado 1, letra c), inciso iii), del RRC |
|
|
|
|
|
|
|
|
|
|
|
|
|
170 |
1.2.2.1.3.2 |
estén garantizados por |
Artículo 416, apartado 1, letra c), inciso iii), del RRC |
|
|
|
|
|
|
|
|
|
|
|
|
|
180-190 |
1.2.2.1.4 |
activos transferibles que constituyan créditos frente a o estén garantizados por la Facilidad Europea de Estabilidad Financiera y el Mecanismo Europeo de Estabilidad |
Artículo 416, apartado 1, letra c), inciso iv), del RRC |
|
|
|
|
|
|
|
|
|
|
|
|
|
180 |
1.2.2.1.4.1 |
que constituyan créditos frente a |
Artículo 416, apartado 1, letra c), inciso iv), del RRC |
|
|
|
|
|
|
|
|
|
|
|
|
|
190 |
1.2.2.1.4.2 |
estén garantizados por |
Artículo 416, apartado 1, letra c), inciso iv), del RRC |
|
|
|
|
|
|
|
|
|
|
|
|
|
200-220 |
1.2.2.2 |
total de acciones o participaciones en OIC con activos subyacentes especificados en el artículo 416 |
Artículos 416, apartado 6, y 418, apartado 2, del RRC |
|
|
|
|
|
|
|
|
|
|
|
|
|
200 |
1.2.2.2.1 |
activos subyacentes del artículo 416, apartado 1, letra a) |
Artículo 418, apartado 2, letra a), del RRC |
|
|
|
|
|
|
|
|
|
|
|
|
|
210 |
1.2.2.2.2 |
activos subyacentes del artículo 416, apartado 1, letras b) y c) |
Artículo 418, apartado 2, letra b), del RRC |
|
|
|
|
|
|
|
|
|
|
|
|
|
220 |
1.2.2.2.3 |
activos subyacentes del artículo 416, apartado 1, letra d) |
Artículo 418, apartado 2, letra c), del RRC |
|
|
|
|
|
|
|
|
|
|
|
|
|
230 |
1.2.2.3 |
activos emitidos por una entidad de crédito que haya sido establecida por una administración central o regional de un Estado miembro cuando se cumpla al menos una de las condiciones del artículo 416, apartado 2, letra a), inciso iii) |
Artículo 416, apartado 2, letra a), inciso iii), del RRC |
|
|
|
|
|
|
|
|
|
|
|
|
|
240-260 |
1.2.2.4 |
obligaciones de empresas no financieras |
Artículo 416, apartado 1, letras b) o d), del RRC |
|
|
|
|
|
|
|
|
|
|
|
|
|
240 |
1.2.2.4.1 |
nivel 1 de calidad crediticia |
Artículo 122 del RRC |
|
|
|
|
|
|
|
|
|
|
|
|
|
250 |
1.2.2.4.2 |
nivel 2 de calidad crediticia |
Artículo 122 del RRC |
|
|
|
|
|
|
|
|
|
|
|
|
|
260 |
1.2.2.4.3 |
nivel 3 de calidad crediticia |
Artículo 122 del RRC |
|
|
|
|
|
|
|
|
|
|
|
|
|
270-290 |
1.2.2.5 |
obligaciones emitidas por una entidad de crédito que puedan acogerse al tratamiento establecido en el artículo 129, apartados 4 o 5 |
Artículo 416, apartado 2, letra a), inciso i), del RRC |
|
|
|
|
|
|
|
|
|
|
|
|
|
270 |
1.2.2.5.1 |
nivel 1 de calidad crediticia |
Artículo 129, apartados 4 o 5, del RRC |
|
|
|
|
|
|
|
|
|
|
|
|
|
280 |
1.2.2.5.2 |
nivel 2 de calidad crediticia |
Artículo 129, apartados 4 o 5, del RRC |
|
|
|
|
|
|
|
|
|
|
|
|
|
290 |
1.2.2.5.3 |
nivel 3 de calidad crediticia |
Artículo 129, apartados 4 o 5, del RRC |
|
|
|
|
|
|
|
|
|
|
|
|
|
300-320 |
1.2.2.6 |
instrumentos emitidos por una entidad de crédito garantizados por hipotecas no residenciales si se demuestra que responden a la mayor calidad crediticia, tal como establece la ABE ateniéndose a los criterios previstos en el artículo 509, apartados 3, 4 y 5 del RRC |
Artículo 416, apartado 2, letra a), inciso i), del RRC |
|
|
|
|
|
|
|
|
|
|
|
|
|
300 |
1.2.2.6.1 |
nivel 1 de calidad crediticia |
Capítulo 5, Título II, y artículos 123, 124, 125 y 126 del RRC |
|
|
|
|
|
|
|
|
|
|
|
|
|
310 |
1.2.2.6.2 |
nivel 2 de calidad crediticia |
Capítulo 5, Título II, y artículos 123, 124, 125 y 126 del RRC |
|
|
|
|
|
|
|
|
|
|
|
|
|
320 |
1.2.2.6.3 |
nivel 3 de calidad crediticia |
Capítulo 5, Título II, y artículos 123, 124, 125 y 126 del RRC |
|
|
|
|
|
|
|
|
|
|
|
|
|
330-350 |
1.2.2.7 |
instrumentos emitidos por una entidad de crédito garantizados por hipotecas residenciales si se demuestra que responden a la mayor calidad crediticia, tal como establece la ABE ateniéndose a los criterios previstos en el artículo 509, apartados 3, 4 y 5 del RRC |
Artículo 416, apartado 2, letra a), inciso i), del RRC |
|
|
|
|
|
|
|
|
|
|
|
|
|
330 |
1.2.2.7.1 |
nivel 1 de calidad crediticia |
Capítulo 5, Título II de la parte V, y artículo 125 del RRC |
|
|
|
|
|
|
|
|
|
|
|
|
|
340 |
1.2.2.7.2 |
nivel 2 de calidad crediticia |
Capítulo 5, Título II de la parte V, y artículo 125 del RRC |
|
|
|
|
|
|
|
|
|
|
|
|
|
350 |
1.2.2.7.3 |
nivel 3 de calidad crediticia |
Capítulo 5, Título II, y artículo 125 del RRC |
|
|
|
|
|
|
|
|
|
|
|
|
|
360-380 |
1.2.2.8 |
obligaciones emitidas por una entidad de crédito a que se refiere el artículo 52, apartado 4, de la Directiva 2009/65/CE, distintas de las contempladas en el punto 1.9 de la plantilla LCR-Assets |
Artículo 416, apartado 2, letra a), inciso ii), del RRC |
|
|
|
|
|
|
|
|
|
|
|
|
|
360 |
1.2.2.8.1 |
nivel 1 de calidad crediticia |
Artículo 129, apartados 4 o 5, del RRC |
|
|
|
|
|
|
|
|
|
|
|
|
|
370 |
1.2.2.8.2 |
nivel 2 de calidad crediticia |
Artículo 129, apartados 4 o 5, del RRC |
|
|
|
|
|
|
|
|
|
|
|
|
|
380 |
1.2.2.8.3 |
nivel 3 de calidad crediticia |
Artículo 129, apartados 4 o 5, del RRC |
|
|
|
|
|
|
|
|
|
|
|
|
|
390-410 |
1.2.2.9 |
otros activos transferibles de liquidez y calidad crediticia sumamente elevadas |
Artículo 416, apartado 1, letra b), del RRC |
|
|
|
|
|
|
|
|
|
|
|
|
|
390 |
1.2.2.9.1 |
nivel 1 de calidad crediticia |
Capítulo 2, Título II, Parte III del RRC |
|
|
|
|
|
|
|
|
|
|
|
|
|
400 |
1.2.2.9.2 |
nivel 2 de calidad crediticia |
Capítulo 2, Título II, Parte III del RRC |
|
|
|
|
|
|
|
|
|
|
|
|
|
410 |
1.2.2.9.3 |
nivel 3 de calidad crediticia |
Capítulo 2, Título II, Parte III del RRC |
|
|
|
|
|
|
|
|
|
|
|
|
|
420-440 |
1.2.2.10 |
otros activos transferibles de liquidez y calidad crediticia elevadas |
Artículo 416, apartado 1, letra d) del RRC |
|
|
|
|
|
|
|
|
|
|
|
|
|
420 |
1.2.2.10.1 |
nivel 1 de calidad crediticia |
Capítulo 2, Título II, Parte III del RRC |
|
|
|
|
|
|
|
|
|
|
|
|
|
430 |
1.2.2.10.2 |
nivel 2 de calidad crediticia |
Capítulo 2, Título II, Parte III del RRC |
|
|
|
|
|
|
|
|
|
|
|
|
|
440 |
1.2.2.10.3 |
nivel 3 de calidad crediticia |
Capítulo 2, Título II, Parte III del RRC |
|
|
|
|
|
|
|
|
|
|
|
|
|
450-460 |
1.2.2.11 |
activos que cumplan los requisitos del artículo 416, apartado 1, letras b) y d), pero no los del artículo 417, letras b) y c), del RRC |
|
|
|
|
|
|
|
|
|
|
|
|
|
|
450 |
1.2.2.11.1 |
activos no controlados por una función de gestión de la liquidez |
Artículo 417, letra c), del RRC |
|
|
|
|
|
|
|
|
|
|
|
|
|
460 |
1.2.2.11.2 |
activos que no estén disponibles, en términos jurídicos y prácticos, en cualquier momento durante los 30 días siguientes a su liquidación mediante venta directa o mediante un simple pacto de recompra en mercados aprobados de recompra |
Artículo 417, letra b), del RRC |
|
|
|
|
|
|
|
|
|
|
|
|
|
480-680 |
1.2.2.12 |
partidas sujetas a comunicación suplementaria de activos líquidos |
|
|
|
|
|
|
|
|
|
|
|
|
|
|
480 |
1.2.2.12.1 |
efectivo |
Anexo III, punto 1, del RRC |
|
|
|
|
|
|
|
|
|
|
|
|
|
490 |
1.2.2.12.2 |
exposiciones en bancos centrales, en la medida en que pueda recurrirse a dichas exposiciones en momentos de tensión |
Anexo III, punto 2, del RRC |
|
|
|
|
|
|
|
|
|
|
|
|
|
500-540 |
1.2.2.12.3 |
valores mobiliarios con una ponderación asignada de riesgo del 0% y que no sean obligaciones de una entidad o de cualquiera de sus filiales |
Anexo III, punto 3, del RRC |
|
|
|
|
|
|
|
|
|
|
|
|
|
500 |
1.2.2.12.3.1 |
que constituyan créditos frente a emisores soberanos |
Anexo III, punto 3, del RRC |
|
|
|
|
|
|
|
|
|
|
|
|
|
510 |
1.2.2.12.3.2 |
estén garantizados por emisores soberanos |
Anexo III, punto 3, del RRC |
|
|
|
|
|
|
|
|
|
|
|
|
|
520 |
1.2.2.12.3.3 |
que constituyan créditos frente a o estén garantizados por los bancos centrales |
Anexo III, punto 3, del RRC |
|
|
|
|
|
|
|
|
|
|
|
|
|
530 |
1.2.2.12.3.4 |
que constituyan créditos frente a o estén garantizados por entes del sector público no pertenecientes a la administración central, regiones con autonomía fiscal para imponer y recaudar tributos y autoridades locales |
Anexo III, punto 3, del RRC |
|
|
|
|
|
|
|
|
|
|
|
|
|
540 |
1.2.2.12.3.5 |
que constituyan créditos frente a o estén garantizados por el Banco de Pagos Internacionales, el Fondo Monetario Internacional, la Unión Europea, la Facilidad Europea de Estabilidad Financiera, el Mecanismo Europeo de Estabilidad o bancos multilaterales de desarrollo |
Anexo III, punto 3, del RRC |
|
|
|
|
|
|
|
|
|
|
|
|
|
550 |
1.2.2.12.4 |
valores mobiliarios distintos de los contemplados en el punto 3.3 de la plantilla LCR-Assets que representan créditos frente a, o garantizados por, emisores soberanos o bancos centrales, emitidos en las monedas nacionales del emisor soberano o del banco central en la moneda y en el país en el que se asuma el riesgo de liquidez o emitidos en otras divisas, en la medida en que la tenencia de dicha deuda se corresponda con las necesidades de liquidez de las operaciones del banco en el tercer país de que se trate. |
Anexo III, punto 4, del RRC |
|
|
|
|
|
|
|
|
|
|
|
|
|
570-610 |
1.2.2.12.5 |
valores mobiliarios con una ponderación asignada de riesgo del 20% y que no sean obligaciones de una entidad o de cualquiera de sus filiales |
Anexo III, punto 5, del RRC |
|
|
|
|
|
|
|
|
|
|
|
|
|
570 |
1.2.2.12.5.1 |
que constituyan créditos frente a emisores soberanos |
Anexo III, punto 5, del RRC |
|
|
|
|
|
|
|
|
|
|
|
|
|
580 |
1.2.2.12.5.2 |
estén garantizados por emisores soberanos |
Anexo III, punto 5, del RRC |
|
|
|
|
|
|
|
|
|
|
|
|
|
590 |
1.2.2.12.5.3 |
que constituyan créditos frente a o estén garantizados por los bancos centrales |
Anexo III, punto 5, del RRC |
|
|
|
|
|
|
|
|
|
|
|
|
|
600 |
1.2.2.12.5.4 |
que constituyan créditos frente a o estén garantizados por entes del sector público no pertenecientes a la administración central, regiones con autonomía fiscal para imponer y recaudar tributos y autoridades locales |
Anexo III, punto 5, del RRC |
|
|
|
|
|
|
|
|
|
|
|
|
|
610 |
1.2.2.12.5.5 |
que constituyan créditos frente a o estén garantizados por los bancos multilaterales de desarrollo |
Anexo III, punto 5, del RRC |
|
|
|
|
|
|
|
|
|
|
|
|
|
620 |
1.2.2.12.6 |
valores mobiliarios distintos de los contemplados en los puntos 3.3 a 3.5 de la plantilla LCR-Assets que cumplan las condiciones especificadas en el punto 6 del Anexo III del RRC |
Anexo III, punto 6, del RRC |
|
|
|
|
|
|
|
|
|
|
|
|
|
630 |
1.2.2.12.7 |
valores mobiliarios distintos de los contemplados en los puntos 3.3 a 3.6 de la plantilla LCR-Assets con una ponderación asignada de riesgo del 50 % o más favorable con arreglo a la parte tercera, título II, capítulo 2, o que, según una calificación interna, posean una calidad crediticia equivalente, y que no representen un crédito frente a una SSPE, una entidad o cualquiera de sus entes asociados |
Anexo III, punto 7, del RRC |
|
|
|
|
|
|
|
|
|
|
|
|
|
640 |
1.2.2.12.8 |
valores mobiliarios distintos de los contemplados en los puntos 3.3 a 3.7 de la plantilla LCR-Assets garantizados por activos con una ponderación asignada de riesgo del 35 % o más favorable con arreglo a la parte tercera, título II, capítulo 2, o que, según una calificación interna, posean una calidad crediticia equivalente, y que estén totalmente garantizados por hipotecas constituidas sobre bienes inmuebles residenciales de conformidad con el artículo 125 del RRC |
Anexo III, punto 8, del RRC |
|
|
|
|
|
|
|
|
|
|
|
|
|
650 |
1.2.2.12.9 |
facilidades de crédito contingente concedidas por bancos centrales en el marco de la política monetaria, en la medida en que dichas facilidades no resulten garantizadas por activos líquidos y excluyendo la provisión urgente de liquidez |
Anexo III, punto 9, del RRC |
|
|
|
|
|
|
|
|
|
|
|
|
|
660 |
1.2.2.12.10 |
depósitos mínimos legales o estatutarios en entidades centrales de crédito y otros fondos líquidos estatutarios o contractuales disponibles de la entidad o las entidades centrales de crédito que sean miembros de la red a que se refiere el artículo 113, apartado 7, o que puedan acogerse a la exención prevista en el artículo 10, en la medida en que dichos fondos no estén garantizados por activos líquidos, si la entidad de crédito pertenece a una red en virtud de disposiciones legales o estatutarias |
Anexo III, punto 10, del RRC |
|
|
|
|
|
|
|
|
|
|
|
|
|
670 |
1.2.2.12.11 |
participaciones en capital ordinario negociadas en mercados organizados y compensadas de forma centralizada, que formen parte de un importante índice bursátil, denominadas en la moneda nacional del Estado miembro y que no hayan sido emitidas por una entidad ni por ninguna de sus asociadas |
Anexo III, punto 11, del RRC |
|
|
|
|
|
|
|
|
|
|
|
|
|
680 |
1.2.2.12.12 |
oro registrado en un mercado regulado, mantenido en custodia |
Anexo III, punto 12, del RRC |
|
|
|
|
|
|
|
|
|
|
|
|
|
690-920 |
1.2.2.13 |
activos que no cumplan los requisitos del artículo 416 pero sí los del artículo 417, letras b) y c), del RRC |
|
|
|
|
|
|
|
|
|
|
|
|
|
|
690-710 |
1.2.2.13.1 |
obligaciones de empresas financieras |
Artículo 416, apartado 2, del RRC |
|
|
|
|
|
|
|
|
|
|
|
|
|
690 |
1.2.2.13.1.1 |
nivel 1 de calidad crediticia |
Artículo 120, apartado 1, del RRC |
|
|
|
|
|
|
|
|
|
|
|
|
|
700 |
1.2.2.13.1.2 |
nivel 2 de calidad crediticia |
Artículo 120, apartado 1, del RRC |
|
|
|
|
|
|
|
|
|
|
|
|
|
710 |
1.2.2.13.1.3 |
nivel 3 de calidad crediticia |
Artículo 120, apartado 1, del RRC |
|
|
|
|
|
|
|
|
|
|
|
|
|
720-740 |
1.2.2.13.2 |
emisiones propias |
Artículo 416.3, letra b), del RRC |
|
|
|
|
|
|
|
|
|
|
|
|
|
720 |
1.2.2.13.2.1 |
nivel 1 de calidad crediticia |
Artículo 120, apartado 1, del RRC |
|
|
|
|
|
|
|
|
|
|
|
|
|
730 |
1.2.2.13.2.2 |
nivel 2 de calidad crediticia |
Artículo 120, apartado 1, del RRC |
|
|
|
|
|
|
|
|
|
|
|
|
|
740 |
1.2.2.13.2.3 |
nivel 3 de calidad crediticia |
Artículo 120, apartado 1, del RRC |
|
|
|
|
|
|
|
|
|
|
|
|
|
750-770 |
1.2.2.13.3 |
emisiones de entidades de crédito no garantizadas |
Artículo 416 del RRC |
|
|
|
|
|
|
|
|
|
|
|
|
|
750 |
1.2.2.13.3.1 |
nivel 1 de calidad crediticia |
Artículo 120, apartado 1, del RRC |
|
|
|
|
|
|
|
|
|
|
|
|
|
760 |
1.2.2.13.3.2 |
nivel 2 de calidad crediticia |
Artículo 120, apartado 1, del RRC |
|
|
|
|
|
|
|
|
|
|
|
|
|
770 |
1.2.2.13.3.3 |
nivel 3 de calidad crediticia |
Artículo 120, apartado 1, del RRC |
|
|
|
|
|
|
|
|
|
|
|
|
|
780-800 |
1.2.2.13.4 |
valores garantizados por activos no comunicados en 1.10 a 1.11.3 |
Artículo 416, apartado 4, letra b), del RRC |
|
|
|
|
|
|
|
|
|
|
|
|
|
780 |
1.2.2.13.4.1 |
nivel 1 de calidad crediticia |
Capítulo 5, Título II, y artículos 123, 124, 125 y 126 del RRC |
|
|
|
|
|
|
|
|
|
|
|
|
|
790 |
1.2.2.13.4.2 |
nivel 2 de calidad crediticia |
Capítulo 5, Título II, y artículos 123, 124, 125 y 126 del RRC |
|
|
|
|
|
|
|
|
|
|
|
|
|
800 |
1.2.2.13.4.3 |
nivel 3 de calidad crediticia |
Capítulo 5, Título II, y artículos 123, 124, 125 y 126 del RRC |
|
|
|
|
|
|
|
|
|
|
|
|
|
810-830 |
1.2.2.13.5 |
valores garantizados por hipotecas constituidas sobre bienes inmuebles residenciales no comunicados en 1.10 a 1.11.3 |
Artículo 509, apartado 3, letra a), del RRC |
|
|
|
|
|
|
|
|
|
|
|
|
|
810 |
1.2.2.13.5.1 |
nivel 1 de calidad crediticia |
Capítulo 5, Título II de la parte III, y artículo 125 del RRC |
|
|
|
|
|
|
|
|
|
|
|
|
|
820 |
1.2.2.13.5.2 |
nivel 2 de calidad crediticia |
Capítulo 5, Título II de la parte III, y artículo 125 del RRC |
|
|
|
|
|
|
|
|
|
|
|
|
|
830 |
1.2.2.13.5.3 |
nivel 3 de calidad crediticia |
Capítulo 5, Título II de la parte III, y artículo 125 del RRC |
|
|
|
|
|
|
|
|
|
|
|
|
|
840 |
1.2.2.13.6 |
acciones registradas en un mercado regulado e instrumentos de capital vinculados a importantes mercados bursátiles, no emitidos por la propia entidad o por entidades financieras |
Artículo 509, apartado 3, letra c), y artículo 416, apartado 4, letra a), del RRC |
|
|
|
|
|
|
|
|
|
|
|
|
|
850 |
1.2.2.13.7 |
oro |
Artículo 509, apartado 3, letra c), y artículo 416, apartado 4, letra a), del RRC |
|
|
|
|
|
|
|
|
|
|
|
|
|
860 |
1.2.2.13.8 |
bonos con garantía personal no comunicados más arriba |
Artículo 509, apartado 3, letra c), del RRC |
|
|
|
|
|
|
|
|
|
|
|
|
|
870 |
1.2.2.13.9 |
bonos con garantía real no comunicados más arriba |
Artículo 509, apartado 3, letra c), del RRC |
|
|
|
|
|
|
|
|
|
|
|
|
|
880 |
1.2.2.13.10 |
obligaciones de empresas no comunicadas más arriba |
Artículo 509, apartado 3, letra c), del RRC |
|
|
|
|
|
|
|
|
|
|
|
|
|
890 |
1.2.2.13.11 |
fondos basados en los activos comunicados en 4.5-4.9 |
Artículo 509, apartado 3, letra c), del RRC |
|
|
|
|
|
|
|
|
|
|
|
|
|
900-920 |
1.2.2.13.12 |
otras categorías de valores o préstamos admisibles por los bancos centrales |
Artículo 509, apartado 3, letra b), del RRC |
|
|
|
|
|
|
|
|
|
|
|
|
|
900 |
1.2.2.13.12.1 |
bonos de las administraciones locales |
Artículo 509, apartado 3, letra b), del RRC |
|
|
|
|
|
|
|
|
|
|
|
|
|
910 |
1.2.2.13.12.2 |
pagarés |
Artículo 509, apartado 3, letra b), del RRC |
|
|
|
|
|
|
|
|
|
|
|
|
|
920 |
1.2.2.13.12.3 |
derechos de crédito |
Artículo 416, apartado 4, letra c), del RRC |
|
|
|
|
|
|
|
|
|
|
|
|
|
930-950 |
1.2.2.14 |
activos que cumplen la sharia como alternativa en virtud del artículo 509, apartado 2, letra i) |
|
|
|
|
|
|
|
|
|
|
|
|
|
|
930-950 |
1.2.2.14.1 |
productos financieros que cumplen la sharia como alternativa a los activos que serían reconocidos como activos líquidos a efectos del artículo 416, para uso de los bancos que cumplen la sharia |
Artículo 509, apartado 2, letra i), del RRC |
|
|
|
|
|
|
|
|
|
|
|
|
|
930 |
1.2.2.14.1.1 |
nivel 1 de calidad crediticia |
|
|
|
|
|
|
|
|
|
|
|
|
|
|
940 |
1.2.2.14.1.2 |
nivel 2 de calidad crediticia |
|
|
|
|
|
|
|
|
|
|
|
|
|
|
950 |
1.2.2.14.1.3 |
nivel 3 de calidad crediticia |
|
|
|
|
|
|
|
|
|
|
|
|
|
|
Fila |
ID |
Partida |
Referencias legales |
Importe depositado por clientes que son clientes financieros |
Salida |
Importe depositado por clientes que no son clientes financieros |
Salida |
Importe |
|
|
|
|
|
|
|
|
960-1030 |
1.2.3 |
depósitos que debe mantener el depositante |
Artículo 422, apartado 3 del RRC |
|
|
|
|
|
|
|
|
|
|
|
|
|
960-990 |
1.2.3.1. |
a fin de obtener de la entidad servicios de compensación, custodia o gestión de efectivo u otro servicio equivalente (excluidos los de corresponsalía bancaria y corretaje preferencial) |
Artículo 422, apartado 422, letra a), del RRC |
|
|
|
|
|
|
|
|
|
|
|
|
|
960-970 |
1.2.3.1.1 |
amparados por un sistema de garantía de depósitos con arreglo a la Directiva 94/19/CE o un sistema de garantía de depósitos equivalente de un tercer país |
|
|
|
|
|
|
|
|
|
|
|
|
|
|
960 |
1.2.3.1.1.1 |
respecto de los cuales haya pruebas de que el cliente no puede retirar los importes debidos legalmente en un horizonte temporal de 30 días sin comprometer su funcionamiento operativo |
|
|
|
|
|
|
|
|
|
|
|
|
|
|
970 |
1.2.3.1.1.2 |
respecto de los cuales no haya pruebas de que el cliente no puede retirar los importes debidos legalmente en un horizonte temporal de 30 días sin comprometer su funcionamiento operativo |
|
|
|
|
|
|
|
|
|
|
|
|
|
|
980-990 |
1.2.3.1.2 |
no amparados por un sistema de garantía de depósitos con arreglo a la Directiva 94/19/CE o un sistema de garantía de depósitos equivalente de un tercer país |
|
|
|
|
|
|
|
|
|
|
|
|
|
|
980 |
1.2.3.1.2.1 |
respecto de los cuales haya pruebas de que el cliente no puede retirar los importes debidos legalmente en un horizonte temporal de 30 días sin comprometer su funcionamiento operativo |
|
|
|
|
|
|
|
|
|
|
|
|
|
|
990 |
1.2.3.1.2.2 |
respecto de los cuales no haya pruebas de que el cliente no puede retirar los importes debidos legalmente en un horizonte temporal de 30 días sin comprometer su funcionamiento operativo |
|
|
|
|
|
|
|
|
|
|
|
|
|
|
1000 |
1.2.3.2 |
en el contexto de una relación operativa asentada, distinta de la mencionada en 1.2.3.1.1 y 1.2.3.1.2 |
Artículo 422, apartado 3, letra c), del RRC |
|
|
|
|
|
|
|
|
|
|
|
|
|
1010 |
1.2.3.2.1 |
que se refieran a servicios de corresponsalía bancaria o de corretaje preferencial |
Artículo 422, apartado 3, letra c), y apartado 4, del RRC |
|
|
|
|
|
|
|
|
|
|
|
|
|
1020 |
1.2.3.3 |
en el contexto del reparto de tareas comunes en el marco de un sistema institucional de protección que cumpla los requisitos del artículo 113, apartado 7, o como depósito mínimo legal, otra entidad que sea miembro del mismo sistema institucional de protección |
Artículo 422, apartado 3, letra b), del RRC |
|
|
|
|
|
|
|
|
|
|
|
|
|
1030 |
1.2.3.4 |
a fin de obtener servicios de compensación de efectivo y de entidad de crédito central y si la entidad de crédito pertenece a una red en cumplimiento de disposiciones legales o estatutarias |
Artículo 422.3, letra d), del RRC |
|
|
|
|
|
|
|
|
|
|
|
|
|
1040 |
1.2.4 |
depósitos de entidades de crédito colocados en entidades de crédito centrales que sean considerados activos líquidos de conformidad con el artículo 416, apartado 1, letra f) |
Artículo 422, apartado 3, del RRC |
|
|
|
|
|
|
|
|
|
|
|
|
|
1050 |
1.2.5 |
líneas de liquidez de los activos especificados en el artículo 416, apartado 1, letra f) |
Artículo 416, apartado 1, letra f) |
|
|
|
|
|
|
|
|
|
|
|
|
|
Fila |
ID |
Partida |
Referencias legales |
Importe |
Salida |
|
|
|
|
|
|
|
|
|
|
|
1060-1070 |
1.2.6 |
pasivos no comunicados en 1.2.2 o 1.2.5 resultantes de depósitos de clientes que no sean clientes financieros |
Artículo 422, apartado 5, del RRC |
|
|
|
|
|
|
|
|
|
|
|
|
|
1060 |
1.2.6.1 |
amparados por un sistema de garantía de depósitos con arreglo a la Directiva 94/19/CE o un sistema de garantía de depósitos equivalente de un tercer país |
Artículo 422, apartado 5, del RRC |
|
|
|
|
|
|
|
|
|
|
|
|
|
1070 |
1.2.6.2 |
no amparados por un sistema de garantía de depósitos con arreglo a la Directiva 94/19/CE o un sistema de garantía de depósitos equivalente de un tercer país |
Artículo 422, apartado 5, del RRC |
|
|
|
|
|
|
|
|
|
|
|
|
|
1080 |
1.2.7 |
importe neto a pagar de los contratos enumerados en el anexo II (neto de las garantías reales que se reciban y que puedan calificarse de activos líquidos con arreglo al artículo 416) |
Artículo 422, apartado 6, del RRC |
|
|
|
|
|
|
|
|
|
|
|
|
|
1090-1100 |
1.2.8 |
pasivos para los que las autoridades competentes hayan autorizado la aplicación de un porcentaje inferior de salidas con arreglo al artículo 422, apartado 8 |
Artículo 422, apartado 8, del RRC |
|
|
|
|
|
|
|
|
|
|
|
|
|
1090 |
1.2.8.1 |
cuando se cumplan todas las condiciones del artículo 422, apartado 8, letras a), b), c) y d) |
Artículo 422, apartado 8, del RRC |
|
|
|
|
|
|
|
|
|
|
|
|
|
1100 |
1.2.8.2 |
cuando las autoridades competentes eximan de lo dispuesto en el artículo 422, apartado 8, letra d), y se cumplan todas las condiciones del artículo 422, apartado 8, letras a), b) y c), a los efectos de la aplicación del tratamiento intragrupo del artículo 19, apartado 1, letra b), en relación con las entidades que no estén sometidas a la excepción del artículo 8, pasivos para los que las autoridades competentes hayan autorizado la aplicación de un porcentaje inferior de salidas con arreglo al artículo 422, apartado 9 |
Artículo 422, apartado 9, del RRC |
|
|
|
|
|
|
|
|
|
|
|
|
|
1110-1120 |
1.2.9 |
salidas que no se han tenido en cuenta más arriba |
Artículo 420, apartado 1, letra e), del RRC |
|
|
|
|
|
|
|
|
|
|
|
|
|
1110 |
1.2.9.1 |
pasivos, incluidas cualesquiera disposiciones contractuales, como otras obligaciones fuera de balance y las obligaciones contingentes en materia de financiación, incluidas no exclusivamente las líneas comprometidas de financiación, los préstamos y anticipos no utilizados a contrapartes mayoristas, las hipotecas acordadas pero pendientes de detracción, las tarjetas de crédito, los descubiertos, las salidas previstas en relación con la renovación o ampliación de nuevos préstamos minoristas y no minoristas, efectos pagaderos derivados planificados |
Artículo 420, apartado 2, del RRC |
|
|
|
|
|
|
|
|
|
|
|
|
|
1120 |
1.2.9.2 |
productos relacionados con las partidas fuera de balance de financiación comercial, con arreglo al artículo 429 y al anexo I |
Artículo 420, apartado 2, del RRC |
|
|
|
|
|
|
|
|
|
|
|
|
|
1130 |
1.2.10 |
todos los demás pasivos |
Artículo 422, apartado 7, del RRC |
|
|
|
|
|
|
|
|
|
|
|
|
|
Fila |
ID |
Partida |
Referencias legales |
Importe |
Salida |
Valor de mercado |
Valor con arreglo al artículo 418 del RRC |
|
|
|
|
|
|
|
|
|
1140-1210 |
1.3 |
Salidas adicionales |
|
|
|
|
|
|
|
|
|
|
|
|
|
|
1140 |
1.3.1 |
por garantías reales que no sean activos de los mencionados en el artículo 416, apartado 1, letras a) a c), y que aporte la entidad por los contratos que se enumeran en el anexo II y derivados de crédito |
Artículo 423, apartado 1, del RRC |
|
|
|
|
|
|
|
|
|
|
|
|
|
1150 |
1.3.2 |
correspondientes a necesidades adicionales de garantías reales resultantes de un deterioro significativo de la calidad crediticia de la entidad |
Artículo 423, apartado 2, del RRC |
|
|
|
|
|
|
|
|
|
|
|
|
|
1160 |
1.3.3 |
correspondientes a necesidades de garantías reales que sean consecuencia de los efectos de condiciones adversas del mercado en las operaciones con derivados, las operaciones de financiación u otros contratos de la entidad que sean significativos |
Artículo 423, apartado 3, del RRC |
|
|
|
|
|
|
|
|
|
|
|
|
|
1170 |
1.3.4 |
correspondientes al valor de mercado de los valores u otros activos vendidos en corto y que deban entregarse en un horizonte de 30 días, a no ser que la entidad posea los valores que deben entregarse o los haya tomado prestados en condiciones que obliguen a su devolución únicamente tras el plazo de 30 días y dichos valores no formen parte de los activos líquidos de la entidad |
Artículo 423, apartado 4, del RRC |
|
|
|
|
|
|
|
|
|
|
|
|
|
1180 |
1.3.5 |
correspondientes al exceso de garantías reales que la entidad mantenga y que pueda ser exigido por la contraparte en todo momento con arreglo a contrato |
Artículo 423, apartado 5, letra a), del RRC |
|
|
|
|
|
|
|
|
|
|
|
|
|
1190 |
1.3.6 |
correspondientes a las garantías reales que deban devolverse a la contraparte |
Artículo 423, apartado 5, letra b), del RRC |
|
|
|
|
|
|
|
|
|
|
|
|
|
1200 |
1.3.7 |
correspondientes a garantías reales que correspondan a activos que puedan calificarse de activos líquidos a efectos del artículo 416 y puedan ser sustituidas por activos correspondientes a activos que no serían calificados de activos líquidos a efectos del artículo 416, sin la aprobación de la entidad. |
Artículo 423, apartado 5, letra c), del RRC |
|
|
|
|
|
|
|
|
|
|
|
|
|
1210 |
1.3.8 |
depósitos recibidos como garantía |
Artículo 423, apartado 6, del RRC |
|
|
|
|
|
|
|
|
|
|
|
|
|
Fila |
ID |
Partida |
Referencias legales |
Importe |
Salida |
|
|
|
|
|
|
|
|
|
|
|
1220-1370 |
1.4 |
Salidas de líneas de liquidez y de crédito |
|
|
|
|
|
|
|
|
|
|
|
|
|
|
1220 |
1.4.1 |
importe máximo que podrá retirarse de las líneas comprometidas no utilizadas de liquidez y de las líneas comprometidas no utilizadas de crédito concedidas a clientes minoristas |
Artículo 424, apartado 2, del RRC |
|
|
|
|
|
|
|
|
|
|
|
|
|
1230-1240 |
1.4.2 |
importe máximo que podrá retirarse de las líneas comprometidas no utilizadas de liquidez y de las líneas comprometidas no utilizadas de crédito concedidas a clientes que no sean clientes minoristas ni clientes financieros |
Artículo 424, apartado 3, del RRC |
|
|
|
|
|
|
|
|
|
|
|
|
|
1230 |
1.4.2.1 |
líneas de crédito comprometidas no utilizadas |
|
|
|
|
|
|
|
|
|
|
|
|
|
|
1240 |
1.4.2.2 |
líneas de liquidez comprometidas no utilizadas |
|
|
|
|
|
|
|
|
|
|
|
|
|
|
1250 |
1.4.3 |
importe máximo que podrá retirarse de líneas no utilizadas de liquidez que se hayan ofrecido a una SSPE con objeto de permitir que una SSPE adquiera activos distintos de valores a clientes que no sean clientes financieros en la medida en que dicho importe supere el importe de los activos que estén siendo adquiridos en ese momento a los clientes y en los casos en que el importe máximo que pueda retirarse esté limitado contractualmente al importe de los activos que estén siendo adquiridos |
Artículo 424, apartado 4, del RRC |
|
|
|
|
|
|
|
|
|
|
|
|
|
1260-1270 |
1.4.4 |
importe máximo que podrá retirarse de las demás líneas comprometidas no utilizadas de crédito y otras líneas comprometidas no utilizadas de liquidez no comunicado en 1.4.1, 1.4.2 o 1.4.3 |
Artículo 424, apartado 5, del RRC |
|
|
|
|
|
|
|
|
|
|
|
|
|
1260 |
1.4.4.1 |
concedidas a SSPE en casos distintos de los recogidos en |
Artículo 424, apartado 5, letra a), del RRC |
|
|
|
|
|
|
|
|
|
|
|
|
|
1270 |
1.4.4.2 |
las disposiciones con arreglo a las cuales la entidad debe comprar o intercambiar activos de una SSPE |
Artículo 424, apartado 5, letra b), del RRC |
|
|
|
|
|
|
|
|
|
|
|
|
|
1280-1290 |
1.4.4.3 |
otorgadas a las entidades de crédito |
Artículo 424, apartado 5, letra c), del RRC |
|
|
|
|
|
|
|
|
|
|
|
|
|
1280 |
1.4.4.3.1 |
líneas de crédito comprometidas no utilizadas |
|
|
|
|
|
|
|
|
|
|
|
|
|
|
1290 |
1.4.4.3.2 |
líneas de liquidez comprometidas no utilizadas |
|
|
|
|
|
|
|
|
|
|
|
|
|
|
1300-1310 |
1.4.4.4 |
otorgadas a entidades financieras y a empresas de inversión |
Artículo 424, apartado 5, letra d), del RRC |
|
|
|
|
|
|
|
|
|
|
|
|
|
1300 |
1.4.4.4.1 |
líneas comprometidas no utilizadas de crédito |
|
|
|
|
|
|
|
|
|
|
|
|
|
|
1310 |
1.4.4.4.2 |
líneas comprometidas no utilizadas de liquidez |
|
|
|
|
|
|
|
|
|
|
|
|
|
|
1320 |
1.4.4.5 |
otorgadas a otros clientes |
|
|
|
|
|
|
|
|
|
|
|
|
|
|
1330 |
1.4.4.6 |
otorgadas a un ente del mismo grupo de conformidad con el artículo 424, apartado 5 |
Artículo 424, apartado 5, letra d), del RRC |
|
|
|
|
|
|
|
|
|
|
|
|
|
1340 |
1.4.5 |
importe máximo que puede retirarse de líneas comprometidas no utilizadas de crédito y de liquidez concedidas para financiar préstamos promocionales |
Artículo 424, apartado 6, del RRC |
|
|
|
|
|
|
|
|
|
|
|
|
|
1350 |
1.4.6 |
importe máximo que puede retirarse de todos los demás pasivos contingentes |
|
|
|
|
|
|
|
|
|
|
|
|
|
|
1360 |
1.4.6.1 |
del cual: otorgados a un ente del mismo grupo de conformidad con el artículo 424, apartado 5 |
Artículo 424, apartado 5, del RRC |
|
|
|
|
|
|
|
|
|
|
|
|
|
1370 |
1.4.7 |
Salidas con arreglo al artículo 105 de la DRC |
Artículo 105 de la DRC |
|
|
|
|
|
|
|
|
|
|
|
|
C 53.00 - COBERTURA DE LA LIQUIDEZ - ENTRADAS
|
|
Importe |
Entrada |
|
||||||
|
Fila |
ID |
Partida |
Referencias legales |
010 |
020 |
030 |
040 |
050 |
060 |
|
010-1030 |
|
ENTRADAS |
Artículo 425 del RRC |
|
|
|
|
|
|
|
010-980 |
1 |
ENTRADAS (UNA VEZ APLICADO EL LÍMITE MÁXIMO) |
Artículo 425, apartado 1, del RRC |
|
|
|
|
|
|
|
010-060 |
1.1. |
Cobros pendientes de clientes que no sean clientes financieros |
Artículo 425 del RRC |
|
|
|
|
|
|
|
010 |
1.1.1. |
cobros pendientes de clientes minoristas |
Artículo 425 del RRC |
|
|
|
|
|
|
|
020 |
1.1.2 |
cobros pendientes de clientes que no sean empresas financieras |
Artículo 425 del RRC |
|
|
|
|
|
|
|
030 |
1.1.2.1 |
de los cuales: aquellos que la entidad deudora trate con arreglo al artículo 422, apartado 2, letra e) |
Artículo 425, apartado 2, letra e) |
|
|
|
|
|
|
|
040 |
1.1.3 |
cobros pendientes de bancos centrales |
Artículo 425, apartado 2, letra a), del RRC |
|
|
|
|
|
|
|
050 |
1.1.1.3.1 |
de los cuales: aquellos que la entidad deudora trate con arreglo al artículo 422, apartados 3 y 4 |
Artículo 425, apartado 2, letra e) del RRC |
|
|
|
|
|
|
|
060 |
1.1.4 |
cobros pendientes de otros entes |
Artículo 425, apartado 2, letra a), del RRC |
|
|
|
|
|
|
|
070-080 |
1.2 |
Cobros pendientes de clientes financieros |
Artículo 425, apartado 2, del RRC |
|
|
|
|
|
|
|
070 |
1.2.1 |
que la entidad deudora trate con arreglo al artículo 422, apartados 3 y 4 |
Artículo 425, apartado 2, letra e) del RRC |
|
|
|
|
|
|
|
080 |
1.2.2 |
para los que la autoridad competente haya autorizado la aplicación de un porcentaje inferior de salidas de acuerdo con el artículo 422, apartado 8 |
Artículo 422, apartado 8, del RRC |
|
|
|
|
|
|
|
090 |
1.3 |
Cobros pendientes de operaciones de financiación comercial con arreglo al artículo 425, apartado 2, letra b) |
Artículo 425, apartado 2, letra b), del RRC |
|
|
|
|
|
|
|
100 |
1.4 |
Activos con una fecha de vencimiento contractual indefinida que son exigibles en un plazo de 30 días |
Artículo 425, apartado 2, letra c), del RRC |
|
|
|
|
|
|
|
110 |
1.5 |
Cobros pendientes procedentes de posiciones en instrumentos de patrimonio vinculados a un índice importante, siempre que no haya un doble cómputo con activos líquidos |
Artículo 425, apartado 2, letra f), del RRC |
|
|
|
|
|
|
|
Fila |
ID |
Partida |
Referencias legales |
Liquidez y calidad crediticia sumamente elevadas |
Liquidez y calidad crediticia elevadas |
Liquidez y calidad crediticia de otro tipo |
|||
|
Importe adeudado |
Valor de mercado del activo que garantice la operación |
Importe adeudado |
Valor de mercado del activo que garantice la operación |
Importe adeudado |
Valor de mercado del activo que garantice la operación |
||||
|
120-930 |
1.6 |
Cobros pendientes procedentes de operaciones de préstamo garantizadas y de operaciones vinculadas al mercado de capitales tal como se definen en el artículo 192 |
Artículo 425.2, letra d) del RRC |
|
|
|
|
|
|
|
120-190 |
1.6.1. |
otros activos transferibles que constituyan créditos frente a o estén garantizados por |
Artículo 416, apartado 1, letra c), del RRC |
|
|
|
|
|
|
|
120-130 |
1.6.1.1 |
activos transferibles que constituyan créditos frente a o estén garantizados por la administración central de un Estado miembro, de una región con autonomía fiscal para imponer y recaudar tributos, o de un tercer país en la moneda nacional de la administración central o regional, en caso de que la entidad contraiga un riesgo de liquidez en ese Estado miembro o tercer país que cubra con la tenencia de esos activos líquidos |
Artículo 416, apartado 1, letra c), inciso i), del RRC |
|
|
|
|
|
|
|
120 |
1.6.1.1.1 |
que constituyan créditos frente a |
Artículo 416, apartado 1, letra c), inciso i), del RRC |
|
|
|
|
|
|
|
130 |
1.6.1.1.2 |
estén garantizados por |
Artículo 416, apartado 1, letra c), inciso i), del RRC |
|
|
|
|
|
|
|
140-150 |
1.6.1.2 |
activos transferibles que constituyan créditos frente a o estén garantizados por los bancos centrales y entes del sector público que no dependan de la administración central en la moneda nacional del banco central y de los entes del sector público |
Artículo 416, apartado 1, letra c), inciso ii), del RRC |
|
|
|
|
|
|
|
140 |
1.6.1.2.1 |
que constituyan créditos frente a |
Artículo 416, apartado 1, letra c), inciso ii), del RRC |
|
|
|
|
|
|
|
150 |
1.6.1.2.2 |
estén garantizados por |
Artículo 416, apartado 1, letra c), inciso ii), del RRC |
|
|
|
|
|
|
|
160-170 |
1.6.1.3 |
activos transferibles que constituyan créditos frente a o estén garantizados por el Banco de Pagos Internacionales, el Fondo Monetario Internacional, la Comisión Europea o bancos multilaterales de desarrollo |
Artículo 416, apartado 1, letra c), inciso iii), del RRC |
|
|
|
|
|
|
|
160 |
1.6.1.3.1 |
que constituyan créditos frente a |
Artículo 416, apartado 1, letra c), inciso iii), del RRC |
|
|
|
|
|
|
|
170 |
1.6.1.3.2 |
estén garantizados por |
Artículo 416, apartado 1, letra c), inciso iii), del RRC |
|
|
|
|
|
|
|
180-190 |
1.6.1.4 |
activos transferibles que constituyan créditos frente a o estén garantizadas por la Facilidad Europea de Estabilidad Financiera y el Mecanismo Europeo de Estabilidad |
Artículo 416, apartado 1, letra c), inciso iv), del RRC |
|
|
|
|
|
|
|
180 |
1.6.1.4.1 |
que constituyan créditos frente a |
Artículo 416, apartado 1, letra c), inciso iv), del RRC |
|
|
|
|
|
|
|
190 |
1.6.1.4.2 |
estén garantizados por |
Artículo 416, apartado 1, letra c), inciso iv), del RRC |
|
|
|
|
|
|
|
200-220 |
1.6.2 |
total de acciones o participaciones en OIC con activos subyacentes especificados en el artículo 416 |
Artículos 416, apartado 6, y 418, apartado 2, del RRC |
|
|
|
|
|
|
|
200 |
1.6.2.1 |
activos subyacentes del artículo 416, apartado 1, letra a) |
Artículo 418, apartado 2, letra a), del RRC |
|
|
|
|
|
|
|
210 |
1.6.2.2 |
activos subyacentes del artículo 416, apartado 1, letras b) y c) |
Artículo 418, apartado 2, letra b), del RRC |
|
|
|
|
|
|
|
220 |
1.6.2.3 |
activos subyacentes del artículo 416, apartado 1, letra d) |
Artículo 418, apartado 2, letra c), del RRC |
|
|
|
|
|
|
|
230 |
1.6.3 |
activos emitidos por una entidad de crédito que haya sido establecida por una administración central o regional de un Estado miembro cuando se cumpla al menos una de las condiciones del artículo 416, apartado 2, letra a), inciso iii) |
Artículo 416, apartado 2, letra a), inciso iii), del RRC |
|
|
|
|
|
|
|
240-260 |
1.6.4 |
obligaciones de empresas no financieras |
Artículo 416, apartado 1, letras b) o d), del RRC |
|
|
|
|
|
|
|
240 |
1.6.4.1 |
nivel 1 de calidad crediticia |
Artículo 122 del RRC |
|
|
|
|
|
|
|
250 |
1.6.4.2 |
nivel 2 de calidad crediticia |
Artículo 122 del RRC |
|
|
|
|
|
|
|
260 |
1.6.4.3 |
nivel 3 de calidad crediticia |
Artículo 122 del RRC |
|
|
|
|
|
|
|
270-290 |
1.6.5 |
obligaciones emitidas por una entidad de crédito que puedan acogerse al tratamiento establecido en el artículo 129, apartados 4 o 5 |
Artículo 416, apartado 2, letra a), inciso i), del RRC |
|
|
|
|
|
|
|
270 |
1.6.5.1 |
nivel 1 de calidad crediticia |
Artículo 129, apartados 4 o 5, del RRC |
|
|
|
|
|
|
|
280 |
1.6.5.2 |
nivel 2 de calidad crediticia |
Artículo 129, apartados 4 o 5, del RRC |
|
|
|
|
|
|
|
290 |
1.6.5.3 |
nivel 3 de calidad crediticia |
Artículo 129, apartados 4 o 5, del RRC |
|
|
|
|
|
|
|
300-320 |
1.6.6 |
instrumentos emitidos por una entidad de crédito garantizados por hipotecas no residenciales si se demuestra que responden a la mayor calidad crediticia, tal como establece la ABE ateniéndose a los criterios previstos en el artículo 509, apartados 3, 4 y 5 del RRC |
Artículo 416, apartado 2, letra a), inciso i), del RRC |
|
|
|
|
|
|
|
300 |
1.6.6.1 |
nivel 1 de calidad crediticia |
Capítulo 5, Título II, y artículos 123, 124, 125 y 126 del RRC |
|
|
|
|
|
|
|
310 |
1.6.6.2 |
nivel 2 de calidad crediticia |
Capítulo 5, Título II, y artículos 123, 124, 125 y 126 del RRC |
|
|
|
|
|
|
|
320 |
1.6.6.3 |
nivel 3 de calidad crediticia |
Capítulo 5, Título II, y artículos 123, 124, 125 y 126 del RRC |
|
|
|
|
|
|
|
330-350 |
1.6.7 |
instrumentos emitidos por una entidad de crédito garantizados por hipotecas residenciales si se demuestra que responden a la mayor calidad crediticia, tal como establece la ABE ateniéndose a los criterios previstos en el artículo 509, apartados 3, 4 y 5 del RRC |
Artículo 416, apartado 2, letra a), inciso i), del RRC |
|
|
|
|
|
|
|
330 |
1.6.7.1 |
nivel 1 de calidad crediticia |
Capítulo 5, Título II de la parte V, y artículo 125 del RRC |
|
|
|
|
|
|
|
340 |
1.6.7.2 |
nivel 2 de calidad crediticia |
Capítulo 5, Título II de la parte V, y artículo 125 del RRC |
|
|
|
|
|
|
|
350 |
1.6.7.3 |
nivel 3 de calidad crediticia |
Capítulo 5, Título II, y artículo 125 del RRC |
|
|
|
|
|
|
|
360-380 |
1.6.8 |
obligaciones emitidas por una entidad de crédito a que se refiere el artículo 52, apartado 4, de la Directiva 2009/65/CE, distintas de las contempladas en 1.9 |
Artículo 416, apartado 2, letra a), inciso ii), del RRC |
|
|
|
|
|
|
|
360 |
1.6.8.1 |
nivel 1 de calidad crediticia |
Artículo 129, apartados 4 o 5, del RRC |
|
|
|
|
|
|
|
370 |
1.6.8.2 |
nivel 2 de calidad crediticia |
Artículo 129, apartados 4 o 5, del RRC |
|
|
|
|
|
|
|
380 |
1.6.8.3 |
nivel 3 de calidad crediticia |
Artículo 129, apartados 4 o 5, del RRC |
|
|
|
|
|
|
|
390-410 |
1.6.9 |
otros activos transferibles de liquidez y calidad crediticia sumamente elevadas |
Artículo 416, apartado 1, letra b), del RRC |
|
|
|
|
|
|
|
390 |
1.6.9.1 |
nivel 1 de calidad crediticia |
Capítulo 2, Título II, Parte III del RRC |
|
|
|
|
|
|
|
400 |
1.6.9.2 |
nivel 2 de calidad crediticia |
Capítulo 2, Título II, Parte III del RRC |
|
|
|
|
|
|
|
410 |
1.6.9.3 |
nivel 3 de calidad crediticia |
Capítulo 2, Título II, Parte III del RRC |
|
|
|
|
|
|
|
420-440 |
1.6.10 |
otros activos transferibles de liquidez y calidad crediticia elevadas |
Artículo 416, apartado 1, letra d) del RRC |
|
|
|
|
|
|
|
420 |
1.6.10.1 |
nivel 1 de calidad crediticia |
Capítulo 2, Título II, Parte III del RRC |
|
|
|
|
|
|
|
430 |
1.6.10.2 |
nivel 2 de calidad crediticia |
Capítulo 2, Título II, Parte III del RRC |
|
|
|
|
|
|
|
440 |
1.6.10.3 |
nivel 3 de calidad crediticia |
Capítulo 2, Título II, Parte III del RRC |
|
|
|
|
|
|
|
450-460 |
1.6.11 |
activos que cumplan los requisitos del artículo 416, apartado 1, letras b) y d), pero no los del artículo 417, letras b) y c), del RRC |
|
|
|
|
|
|
|
|
450 |
1.6.11.1 |
activos no controlados por una función de gestión de la liquidez |
Artículo 417, letra c), del RRC |
|
|
|
|
|
|
|
460 |
1.6.11.2 |
activos que no estén disponibles, en términos jurídicos y prácticos, en cualquier momento durante los 30 días siguientes a su liquidación mediante venta directa o mediante un simple pacto de recompra en mercados aprobados de recompra |
Artículo 417, letra b), del RRC |
|
|
|
|
|
|
|
470-660 |
1.6.12 |
partidas sujetas a comunicación suplementaria de activos líquidos |
|
|
|
|
|
|
|
|
470 |
1.6.12.1 |
efectivo |
Anexo III, punto 1, del RRC |
|
|
|
|
|
|
|
480 |
1.6.12.2 |
exposiciones de bancos centrales, en la medida en que pueda recurrirse a dichas exposiciones en momentos de tensión |
Anexo III, punto 2, del RRC |
|
|
|
|
|
|
|
490-530 |
1.6.12.3 |
valores mobiliarios a los que se les haya asignado una ponderación de riesgo del 0% y que no sean obligaciones de una entidad o de entidades filiales |
Anexo III, punto 3, del RRC |
|
|
|
|
|
|
|
490 |
1.6.12.3.1 |
que constituyan créditos frente a emisores soberanos |
Anexo III, punto 3, del RRC |
|
|
|
|
|
|
|
500 |
1.6.12.3.2 |
estén garantizados por emisores soberanos |
Anexo III, punto 3, del RRC |
|
|
|
|
|
|
|
510 |
1.6.12.3.3 |
que constituyan créditos frente a o estén garantizados por los bancos centrales |
Anexo III, punto 3, del RRC |
|
|
|
|
|
|
|
520 |
1.6.12.3.4 |
que constituyan créditos frente a o estén garantizados por entes del sector público no pertenecientes a la administración central, regiones con autonomía fiscal para imponer y recaudar tributos y autoridades locales |
Anexo III, punto 3, del RRC |
|
|
|
|
|
|
|
530 |
1.6.12.3.5 |
que constituyan créditos frente a o estén garantizados por el Banco de Pagos Internacionales, el Fondo Monetario Internacional, la Unión Europea, la Facilidad Europea de Estabilidad Financiera, el Mecanismo Europeo de Estabilidad o bancos multilaterales de desarrollo |
Anexo III, punto 3, del RRC |
|
|
|
|
|
|
|
540 |
1.6.12.4 |
valores mobiliarios distintos de los contemplados en el punto 3.3 que representen créditos frente a, o garantizados por, emisores soberanos o bancos centrales, emitidos en las monedas nacionales del emisor soberano o del banco central en la moneda y en el país en el que se asuma el riesgo de liquidez o emitidos en otras divisas, en la medida en que la tenencia de dicha deuda se corresponda con las necesidades de liquidez de las operaciones del banco en el tercer país de que se trate |
Anexo III, punto 4, del RRC |
|
|
|
|
|
|
|
550-590 |
1.6.12.5 |
valores mobiliarios a los que se les haya asignado una ponderación de riesgo del 20% y que no sean obligaciones de una entidad o de entidades filiales |
Anexo III, punto 5, del RRC |
|
|
|
|
|
|
|
550 |
1.6.12.5.1 |
que constituyan créditos frente a emisores soberanos |
Anexo III, punto 5, del RRC |
|
|
|
|
|
|
|
560 |
1.6.12.5.2 |
estén garantizados por emisores soberanos |
Anexo III, punto 5, del RRC |
|
|
|
|
|
|
|
570 |
1.6.12.5.3 |
que constituyan créditos frente a o estén garantizados por los bancos centrales |
Anexo III, punto 5, del RRC |
|
|
|
|
|
|
|
580 |
1.6.12.5.4 |
que constituyan créditos frente a o estén garantizados por entes del sector público no pertenecientes a la administración central, regiones con autonomía fiscal para imponer y recaudar tributos y autoridades locales |
Anexo III, punto 5, del RRC |
|
|
|
|
|
|
|
590 |
1.6.12.5.5 |
que constituyan créditos frente a o estén garantizados por los bancos multilaterales de desarrollo |
Anexo III, punto 5, del RRC |
|
|
|
|
|
|
|
600 |
1.6.12.6 |
valores mobiliarios distintos de los contemplados en los puntos 3.3 a 3.5 de la plantilla LCR-Assets que cumplan las condiciones especificadas en el punto 5 del Anexo III del RRC |
Anexo III, punto 6, del RRC |
|
|
|
|
|
|
|
610 |
1.6.12.7 |
valores mobiliarios distintos de los contemplados en 3.3 a 3.6 a los que pueda aplicarse una ponderación de riesgo del 50 % o más favorable con arreglo a la parte tercera, título II, capítulo 2, o que, según una calificación interna, posean una calidad crediticia equivalente, y que no representen un crédito frente a una SSPE, una entidad o una de sus empresas asociadas |
Anexo III, punto 7, del RRC |
|
|
|
|
|
|
|
620 |
1.6.12.8 |
valores mobiliarios distintos de los contemplados en 3.3 a 3.7 garantizados por activos a los que pueda aplicarse una ponderación de riesgo del 35 % o más favorable con arreglo a la parte tercera, título II, capítulo 2, o que, según una calificación interna, posean una calidad crediticia equivalente, y que estén totalmente garantizados por hipotecas constituidas sobre bienes inmuebles residenciales de conformidad con el artículo 125 |
Anexo III, punto 8, del RRC |
|
|
|
|
|
|
|
630 |
1.6.12.9 |
facilidades de crédito contingente concedidas por bancos centrales en el marco de la política monetaria, en la medida en que dichas facilidades no resulten garantizadas por activos líquidos y excluyendo la provisión urgente de liquidez |
Anexo III, punto 9, del RRC |
|
|
|
|
|
|
|
640 |
1.6.12.10 |
depósitos mínimos legales o estatutarios en entidades centrales de crédito y otros fondos líquidos estatutarios o contractuales disponibles de la entidad o las entidades centrales de crédito que sean miembros de la red a que se refiere el artículo 113, apartado 7, o que puedan acogerse a la exención prevista en el artículo 10, en la medida en que dichos fondos no estén garantizados por activos líquidos, si la entidad de crédito pertenece a una red en virtud de disposiciones legales o estatutarias. |
Anexo III, punto 10, del RRC |
|
|
|
|
|
|
|
650 |
1.6.12.11 |
participaciones en capital ordinario negociadas en mercados organizados y compensadas de forma centralizada, que forman parte de un importante índice bursátil, denominadas en la moneda nacional del Estado miembro y que no hayan sido emitidas por una entidad ni por ninguna de sus filiales |
Anexo III, punto 11, del RRC |
|
|
|
|
|
|
|
660 |
1.6.12.12 |
oro registrado en un mercado regulado, mantenido en custodia |
Anexo III, punto 12, del RRC |
|
|
|
|
|
|
|
670-920 |
1.6.13 |
activos que no cumplan los requisitos del artículo 416 pero sí los del artículo 417, letras b) y c), del RRC |
|
|
|
|
|
|
|
|
670-690 |
1.6.13.1 |
obligaciones de empresas financieras |
Artículo 416, apartado 2, del RRC |
|
|
|
|
|
|
|
670 |
1.6.13.1.1 |
nivel 1 de calidad crediticia |
Artículo 120, apartado 1, del RRC |
|
|
|
|
|
|
|
680 |
1.6.13.1.2 |
nivel 2 de calidad crediticia |
Artículo 120, apartado 1, del RRC |
|
|
|
|
|
|
|
690 |
1.6.13.1.3 |
nivel 3 de calidad crediticia |
Artículo 120, apartado 1, del RRC |
|
|
|
|
|
|
|
700-720 |
1.6.13.2 |
emisiones propias |
Artículo 416.3, letra b), del RRC |
|
|
|
|
|
|
|
700 |
1.6.13.2.1 |
nivel 1 de calidad crediticia |
Artículo 120, apartado 1, del RRC |
|
|
|
|
|
|
|
710 |
1.6.13.2.2 |
nivel 2 de calidad crediticia |
Artículo 120, apartado 1, del RRC |
|
|
|
|
|
|
|
720 |
1.6.13.2.3 |
nivel 3 de calidad crediticia |
Artículo 120, apartado 1, del RRC |
|
|
|
|
|
|
|
730-750 |
1.6.13.3 |
emisiones de entidades de crédito no garantizadas |
Artículo 416 del RRC |
|
|
|
|
|
|
|
730 |
1.6.13.3.1 |
nivel 1 de calidad crediticia |
Artículo 120, apartado 1, del RRC |
|
|
|
|
|
|
|
740 |
1.6.13.3.2 |
nivel 2 de calidad crediticia |
Artículo 120, apartado 1, del RRC |
|
|
|
|
|
|
|
750 |
1.6.13.3.3 |
nivel 3 de calidad crediticia |
Artículo 120, apartado 1, del RRC |
|
|
|
|
|
|
|
760-780 |
1.6.13.4 |
instrumentos garantizados por hipotecas constituidas sobre bienes inmuebles no residenciales no comunicados en el punto 1.10 de la plantilla LCR-Assets |
Artículo 416, apartado 4, letra b), del RRC |
|
|
|
|
|
|
|
760 |
1.6.13.4.1 |
nivel 1 de calidad crediticia |
Capítulo 5, Título II, y artículos 123, 124, 125 y 126 del RRC |
|
|
|
|
|
|
|
770 |
1.6.13.4.2 |
nivel 2 de calidad crediticia |
Capítulo 5, Título II, y artículos 123, 124, 125 y 126 del RRC |
|
|
|
|
|
|
|
780 |
1.6.13.4.3 |
nivel 3 de calidad crediticia |
Capítulo 5, Título II, y artículos 123, 124, 125 y 126 del RRC |
|
|
|
|
|
|
|
790-810 |
1.6.13.5 |
instrumentos garantizados por hipotecas constituidas sobre bienes inmuebles residenciales no comunicados en el punto 1.11 de la plantilla LCR-Assets |
Artículo 509, apartado 3, letra a), del RRC |
|
|
|
|
|
|
|
790 |
1.6.13.5.1 |
nivel 1 de calidad crediticia |
Capítulo 5, Título II de la parte III, y artículo 125 del RRC |
|
|
|
|
|
|
|
800 |
1.6.13.5.2 |
nivel 2 de calidad crediticia |
Capítulo 5, Título II de la parte III, y artículo 125 del RRC |
|
|
|
|
|
|
|
810 |
1.6.13.5.3 |
categoría 3 de calidad crediticia |
Chapter 5,Title 2 of Part III and Article 125 of CRR |
|
|
|
|
|
|
|
820 |
1.6.13.6 |
Acciones cotizadas en un Mercado bursátil reconocido e instrumentos de capital ligados a alguno de los principales índices bursátiles, no auto-emitidos o emitidos por instituciones financieras |
Article 509(3)(c) and 416(4)(a) of CRR |
|
|
|
|
|
|
|
830 |
1.6.13.7 |
oro |
Artículo 509, apartado 3, letra c), y artículo 416, apartado 4, letra a), del RRC |
|
|
|
|
|
|
|
840 |
1.6.13.8 |
bonos con garantía personal no comunicados más arriba |
Artículo 509, apartado 3, letra c), del RRC |
|
|
|
|
|
|
|
850 |
1.6.13.9 |
bonos con garantía real no comunicados más arriba |
Artículo 509, apartado 3, letra c), del RRC |
|
|
|
|
|
|
|
860 |
1.6.13.10 |
obligaciones de empresas no comunicadas más arriba |
Artículo 509, apartado 3, letra c), del RRC |
|
|
|
|
|
|
|
870 |
1.6.13.11 |
fondos basados en los activos comunicados en 4.5 - 4.9 |
Artículo 509, apartado 3, letra c), del RRC |
|
|
|
|
|
|
|
880-900 |
1.6.13.12 |
otras categorías de valores o préstamos admisibles por los bancos centrales |
Artículo 509, apartado 3, letra c), del RRC |
|
|
|
|
|
|
|
880 |
1.6.13.12.1 |
bonos de las administraciones locales |
Artículo 509, apartado 3, letra c), del RRC |
|
|
|
|
|
|
|
890 |
1.6.13.12.2 |
pagarés |
Artículo 509, apartado 3, letra c), del RRC |
|
|
|
|
|
|
|
900 |
1.6.13.12.3 |
derechos de crédito |
Artículo 416, apartado 4, letra c), del RRC |
|
|
|
|
|
|
|
910-930 |
1.6.13.13 |
productos financieros que cumplen la sharia como alternativa a los activos que serían reconocidos como activos líquidos a efectos del artículo 416, para uso de los bancos que cumplen la sharia |
Artículo 509, apartado 2, letra i), del RRC |
|
|
|
|
|
|
|
910 |
1.6.13.13.1 |
nivel 1 de calidad crediticia |
|
|
|
|
|
|
|
|
920 |
1.6.13.13.2 |
nivel 2 de calidad crediticia |
|
|
|
|
|
|
|
|
930 |
1.6.13.13.3 |
nivel 3 de calidad crediticia |
|
|
|
|
|
|
|
|
Fila |
ID |
Partida |
Referencias legales |
Importe |
Entrada |
|
|
||
|
940-960 |
1.7 |
Líneas de crédito y de liquidez no utilizadas y otros compromisos recibidos de un ente del mismo grupo de conformidad con el artículo 425, apartado 4, del RRC |
Artículo 425, apartado 4, del RRC |
|
|
|
|
|
|
|
940 |
1.7.1 |
cuando se cumplan todas las condiciones del artículo 425, apartado 4, letras a), b) y c) |
|
|
|
|
|
|
|
|
950 |
1.7.2 |
cuando las autoridades competentes eximan de lo dispuesto en la letra d) del artículo 425, apartado 4, y se cumplan todas las condiciones del artículo 425, apartado 4, letras a), b) y c), a los efectos de la aplicación del tratamiento intragrupo del artículo 19, apartado 1, letra b), por lo que se refiere a las entidades que no estén sujetas a la excepción+D63 del artículo 7, líneas de crédito y de liquidez no utilizadas y otros compromisos recibidos de entes del mismo grupo de conformidad con el artículo 425, apartado 5 |
Artículo 425, apartado 4, letras a), b) y c) del RRC |
|
|
|
|
|
|
|
960 |
1.7.3 |
derechos de cobro netos correspondientes a los contratos enumerados en el anexo II (netos de las garantías reales que se reciban y que puedan calificarse de activos líquidos con arreglo al artículo 416) |
Artículo 425, apartado 3, del RRC |
|
|
|
|
|
|
|
970 |
1.8 |
Cobros pendientes por activos líquidos que no se reflejen en el valor de mercado del activo |
Artículo 425, apartado 7, del RRC |
|
|
|
|
|
|
|
980 |
1.9 |
Otras entradas |
|
|
|
|
|
|
|
|
990 |
2 |
ENTRADAS TOTALES DE EFECTIVO EXCLUIDAS POR APLICACIÓN DEL LÍMITE MÁXIMO |
Artículo 425 del RRC |
|
|
|
|
|
|
|
1000-1030 |
3 |
ENTRADAS EXENTAS DEL LÍMITE MÁXIMO |
Artículo 425, apartado 1, del RRC |
|
|
|
|
|
|
|
1000 |
3.1 |
Cobros pendientes de prestatarios y obligacionistas relativos a préstamos hipotecarios financiados con bonos que puedan acogerse al tratamiento establecido en el artículo 129, apartados 4, 5 o 6, o definidos en el artículo 52, apartado 4, de la Directiva 2009/65/CE |
Artículo 425, apartado 1, del RRC |
|
|
|
|
|
|
|
1010 |
3.2 |
Entradas de préstamos promocionales que las entidades hayan transferido |
Artículo 425, apartado 1, del RRC |
|
|
|
|
|
|
|
1020 |
3.3 |
Entradas a las que puede aplicarse el tratamiento previsto en el artículo 113, apartados 6 o 7 |
Artículo 425, apartado 1, del RRC |
|
|
|
|
|
|
|
1030 |
3.4 |
Entradas de un ente del mismo grupo aprobadas por la autoridad competente |
Artículo 425, apartado 1, del RRC |
|
|
|
|
|
|
C 54.00 - COBERTURA DE LA LIQUIDEZ - PERMUTAS DE GARANTÍAS REALES
|
|
Otros activos |
||||||
|
En un plazo de 30 días |
Más de 30 días |
||||||
|
Nocional |
Valor de mercado |
Nocional |
Valor de mercado |
||||
|
Fila |
ID |
Partida |
Referencias legales |
010 |
020 |
030 |
040 |
|
010-060 |
1 |
ACTIVOS |
|
|
|
|
|
|
010 |
1.1 |
Efectivo y exposiciones frente a bancos centrales |
Artículo 416, apartado 1, letra a), del RRC |
|
|
|
|
|
020 |
1.2 |
Otros activos transferibles con arreglo al artículo 416, apartado 1, letra b) |
Artículo 416, apartado 1, letra b), del RRC |
|
|
|
|
|
030-060 |
1.3 |
Otros activos transferibles que constituyan créditos frente a, o estén garantizados por |
Artículo 416, apartado 1, letra c), del RRC |
|
|
|
|
|
030 |
1.3.1 |
activos transferibles que constituyan créditos frente a o estén garantizados por la administración central de un Estado miembro, de una región con autonomía fiscal para imponer y recaudar tributos, o de un tercer país en la moneda nacional de la administración central o regional, en caso de que la entidad contraiga un riesgo de liquidez en ese Estado miembro o tercer país que cubra con la tenencia de esos activos líquidos |
Artículo 416, apartado 1, letra c), inciso i), del RRC |
|
|
|
|
|
040 |
1.3.2 |
activos transferibles que constituyan créditos frente a o estén garantizadas por los bancos centrales y entes del sector público que no dependan de la administración central en la moneda nacional del banco central y de los entes del sector público |
Artículo 416, apartado 1, letra c), inciso ii), del RRC |
|
|
|
|
|
050 |
1.3.3 |
activos transferibles que constituyan créditos frente a o estén garantizados por el Banco de Pagos Internacionales, el Fondo Monetario Internacional, la Comisión Europea o bancos multilaterales de desarrollo |
Artículo 416, apartado 1, letra c), inciso iii), del RRC |
|
|
|
|
|
060 |
1.3.4 |
activos transferibles que constituyan créditos frente a o estén garantizadas por la Facilidad Europea de Estabilidad Financiera y el Mecanismo Europeo de Estabilidad |
Artículo 416, apartado 1, letra c), inciso iv), del RRC |
|
|
|
|
C 60.00 - FINANCIACIÓN ESTABLE - ELEMENTOS QUE REQUIEREN FINANCIACIÓN ESTABLE
|
|
Importe liquidez y calidad crediticia sumamente elevadas |
Importe liquidez y calidad crediticia elevadas |
Importe de otros activos |
|||||||||||||||
|
3 meses o menos |
de 3 a 6 meses |
de 6 a 9 meses |
de 9 a 12 meses |
más de 12 meses |
3 meses o menos |
de 3 a 6 meses |
de 6 a 9 meses |
de 9 a 12 meses |
más de 12 meses |
3 meses o menos |
de 3 a 6 meses |
de 6 a 9 meses |
de 9 a 12 meses |
más de 12 meses |
||||
|
Fila |
ID |
Partida |
Referencias legales |
010 |
020 |
030 |
040 |
050 |
060 |
070 |
080 |
090 |
100 |
110 |
120 |
130 |
140 |
150 |
|
010-1330 |
1 |
ELEMENTOS QUE REQUIEREN FINANCIACIÓN ESTABLE |
|
|
|
|
|
|
|
|
|
|
|
|
|
|
|
|
|
010-470 |
1.1 |
Activos contemplados en el artículo 416 |
Artículo 428, apartado 1, letra a), del RRC |
|
|
|
|
|
|
|
|
|
|
|
|
|
|
|
|
010 |
1.1.1 |
efectivo |
Artículo 416, apartado 1, letra a), del RRC |
|
|
|
|
|
|
|
|
|
|
|
|
|
|
|
|
020 |
1.1.2 |
exposiciones frente a bancos centrales |
|
|
|
|
|
|
|
|
|
|
|
|
|
|
|
|
|
030 |
1.1.2.1 |
de las cuales: exposiciones que puedan retirarse en momentos de tensión |
Artículo 416, apartado 1, letra a), del RRC |
|
|
|
|
|
|
|
|
|
|
|
|
|
|
|
|
040-050 |
1.1.3 |
activos transferibles que constituyan créditos frente a o estén garantizados por la administración central de un Estado miembro, de una región con autonomía fiscal para imponer y recaudar impuestos o de un tercer país en la moneda nacional de la administración central o regional, en caso de que la entidad contraiga un riesgo de liquidez en ese Estado miembro o tercer país que cubra con la tenencia de esos activos líquidos |
Artículo 416, apartado 1, letra c), inciso i), del RRC |
|
|
|
|
|
|
|
|
|
|
|
|
|
|
|
|
040 |
1.1.3.1 |
que constituyan créditos frente a |
Artículo 416, apartado 1, letra c), inciso i) |
|
|
|
|
|
|
|
|
|
|
|
|
|
|
|
|
050 |
1.1.3.2 |
que estén garantizados por |
Artículo 416, apartado 1, letra c), inciso i) |
|
|
|
|
|
|
|
|
|
|
|
|
|
|
|
|
060-070 |
1.1.4 |
activos transferibles que constituyan créditos frente a o estén garantizados por los bancos centrales y entes del sector público que no dependan de la administración central en la moneda nacional del banco central y de los entes del sector público |
Artículo 416, letra c), inciso ii), del RRC |
|
|
|
|
|
|
|
|
|
|
|
|
|
|
|
|
060 |
1.1.4.1 |
que constituyan créditos frente a |
Artículo 416, letra c), inciso ii) |
|
|
|
|
|
|
|
|
|
|
|
|
|
|
|
|
070 |
1.1.4.2 |
que estén garantizados por |
Artículo 416, letra c), inciso ii) |
|
|
|
|
|
|
|
|
|
|
|
|
|
|
|
|
080-150 |
1.1.5 |
activos transferibles que constituyan créditos frente a o estén garantizados por el Banco de Pagos Internacionales, el Fondo Monetario Internacional, la Comisión Europea o bancos multilaterales de desarrollo |
Artículo 416, letra c), inciso iii), del RRC |
|
|
|
|
|
|
|
|
|
|
|
|
|
|
|
|
080 |
1.1.5.1.a) |
que constituyan créditos frente a |
Artículo 416, letra c), inciso iii) |
|
|
|
|
|
|
|
|
|
|
|
|
|
|
|
|
090 |
1.1.5.2.a) |
que estén garantizados por |
Artículo 416, letra c), inciso iii) |
|
|
|
|
|
|
|
|
|
|
|
|
|
|
|
|
100 |
1.1.5.1.b) |
importe libre de cargas |
|
|
|
|
|
|
|
|
|
|
|
|
|
|
|
|
|
110 |
1.1.5.2.b) |
importe con cargas durante un plazo de hasta tres meses |
|
|
|
|
|
|
|
|
|
|
|
|
|
|
|
|
|
120 |
1.1.5.3.b) |
importe con cargas durante un plazo de tres a seis meses |
|
|
|
|
|
|
|
|
|
|
|
|
|
|
|
|
|
130 |
1.1.5.4.b) |
importe con cargas durante un plazo de seis a nueve meses |
|
|
|
|
|
|
|
|
|
|
|
|
|
|
|
|
|
140 |
1.1.5.5.b) |
importe con cargas durante un plazo de nueve a doce meses |
|
|
|
|
|
|
|
|
|
|
|
|
|
|
|
|
|
150 |
1.1.5.6.b) |
importe con cargas durante un plazo de más de doce meses |
|
|
|
|
|
|
|
|
|
|
|
|
|
|
|
|
|
152-153 |
1.1.6 |
activos transferibles que constituyan créditos frente a o estén garantizados por la Facilidad Europea de Estabilidad Financiera y el Mecanismo Europeo de Estabilidad |
Artículo 416, apartado 1, letra c), inciso iv), del RRC |
|
|
|
|
|
|
|
|
|
|
|
|
|
|
|
|
152 |
1.1.6.1 |
que constituyan créditos frente a |
|
|
|
|
|
|
|
|
|
|
|
|
|
|
|
|
|
153 |
1.1.6.2 |
que estén garantizados por |
|
|
|
|
|
|
|
|
|
|
|
|
|
|
|
|
|
160-230 |
1.1.7 |
total de acciones o participaciones en OIC con activos subyacentes especificados en el artículo 416 |
Artículo 418, apartado 2, del RRC |
|
|
|
|
|
|
|
|
|
|
|
|
|
|
|
|
160 |
1.1.7.1.a |
activos subyacentes del artículo 416, apartado 1, letra a) |
Artículo 418, apartado 2, letra a), del RRC |
|
|
|
|
|
|
|
|
|
|
|
|
|
|
|
|
170 |
1.1.7.2.a |
activos subyacentes del artículo 416, apartado 1, letras b) y c) |
Artículo 418, apartado 2, letras b) y c), del RRC |
|
|
|
|
|
|
|
|
|
|
|
|
|
|
|
|
175 |
1.1.7.3.a |
activos subyacentes del artículo 416, apartado 1, letra d) |
Artículo 418, apartado 2, letra c), del RRC |
|
|
|
|
|
|
|
|
|
|
|
|
|
|
|
|
180 |
1.1.7.1.b |
importe libre de cargas |
|
|
|
|
|
|
|
|
|
|
|
|
|
|
|
|
|
190 |
1.1.7.2.b |
importe con cargas durante un plazo de hasta tres meses |
|
|
|
|
|
|
|
|
|
|
|
|
|
|
|
|
|
200 |
1.1.7.3.b |
importe con cargas durante un plazo de tres a seis meses |
|
|
|
|
|
|
|
|
|
|
|
|
|
|
|
|
|
210 |
1.1.7.4.b |
importe con cargas durante un plazo de seis a nueve meses |
|
|
|
|
|
|
|
|
|
|
|
|
|
|
|
|
|
220 |
1.1.7.5.b |
importe con cargas durante un plazo de nueve a doce meses |
|
|
|
|
|
|
|
|
|
|
|
|
|
|
|
|
|
230 |
1.1.7.6.b |
importe con cargas durante un plazo de más de doce meses |
|
|
|
|
|
|
|
|
|
|
|
|
|
|
|
|
|
232-233 |
1.1.8 |
depósitos en entidades centrales de crédito y otros fondos líquidos estatutarios o contractuales disponibles de la entidad o las entidades centrales de crédito que sean miembros de la red a que se refiere el artículo 113, apartado 7, o que puedan acogerse a la exención prevista en el artículo 10 del RRC, en la medida en que dichos fondos no estén garantizados por activos líquidos |
Artículo 416, apartado 1, letra f), del RRC |
|
|
|
|
|
|
|
|
|
|
|
|
|
|
|
|
232 |
1.1.8.1 |
depósitos |
|
|
|
|
|
|
|
|
|
|
|
|
|
|
|
|
|
233 |
1.1.8.2 |
fondos líquidos contractuales disponibles |
|
|
|
|
|
|
|
|
|
|
|
|
|
|
|
|
|
234 |
1.1.9 |
activos emitidos por una entidad de crédito que haya sido establecida por una administración central o regional de un Estado miembro cuando se cumpla al menos una de las condiciones del artículo 416, apartado 2, letra a), inciso iii) |
Artículo 416, apartado 2, letra a), inciso iii), del RRC |
|
|
|
|
|
|
|
|
|
|
|
|
|
|
|
|
240-290 |
1.1.10 |
otros activos transferibles que no estén especificados en otro lugar |
|
|
|
|
|
|
|
|
|
|
|
|
|
|
|
|
|
240 |
1.1.10.1 |
importe libre de cargas |
|
|
|
|
|
|
|
|
|
|
|
|
|
|
|
|
|
250 |
1.1.10.2 |
importe con cargas durante un plazo de hasta tres meses |
|
|
|
|
|
|
|
|
|
|
|
|
|
|
|
|
|
260 |
1.1.10.3 |
importe con cargas durante un plazo de tres a seis meses |
|
|
|
|
|
|
|
|
|
|
|
|
|
|
|
|
|
270 |
1.1.10.4 |
importe con cargas durante un plazo de seis a nueve meses |
|
|
|
|
|
|
|
|
|
|
|
|
|
|
|
|
|
280 |
1.1.10.5 |
importe con cargas durante un plazo de nueve a doce meses |
|
|
|
|
|
|
|
|
|
|
|
|
|
|
|
|
|
290 |
1.1.10.6 |
importe con cargas durante un plazo de más de doce meses |
|
|
|
|
|
|
|
|
|
|
|
|
|
|
|
|
|
300-350 |
1.1.11 |
obligaciones de empresas no financieras |
Artículo 416, apartado 1, letras b) o d), del RRC |
|
|
|
|
|
|
|
|
|
|
|
|
|
|
|
|
300 |
1.1.11.1 |
importe libre de cargas |
|
|
|
|
|
|
|
|
|
|
|
|
|
|
|
|
|
310 |
1.1.11.2 |
importe con cargas durante un plazo de hasta tres meses |
|
|
|
|
|
|
|
|
|
|
|
|
|
|
|
|
|
320 |
1.1.11.3 |
importe con cargas durante un plazo de tres a seis meses |
|
|
|
|
|
|
|
|
|
|
|
|
|
|
|
|
|
330 |
1.1.11.4 |
importe con cargas durante un plazo de seis a nueve meses |
|
|
|
|
|
|
|
|
|
|
|
|
|
|
|
|
|
340 |
1.1.11.5 |
importe con cargas durante un plazo de nueve a doce meses |
|
|
|
|
|
|
|
|
|
|
|
|
|
|
|
|
|
350 |
1.1.11.6 |
importe con cargas durante un plazo de más de doce meses |
|
|
|
|
|
|
|
|
|
|
|
|
|
|
|
|
|
352-357 |
1.1.12 |
instrumentos emitidos por una entidad de crédito garantizados por hipotecas no residenciales si se demuestra que responden a la mayor calidad crediticia, tal como establece la ABE ateniéndose a los criterios previstos en el artículo 509, apartados 3, 4 y 5 del RRC |
Artículo 416, apartado 2, letra a), inciso i), del RRC |
|
|
|
|
|
|
|
|
|
|
|
|
|
|
|
|
352 |
1.1.12.1 |
importe libre de cargas |
|
|
|
|
|
|
|
|
|
|
|
|
|
|
|
|
|
353 |
1.1.12.2 |
importe con cargas durante un plazo de hasta tres meses |
|
|
|
|
|
|
|
|
|
|
|
|
|
|
|
|
|
354 |
1.1.12.3 |
importe con cargas durante un plazo de tres a seis meses |
|
|
|
|
|
|
|
|
|
|
|
|
|
|
|
|
|
355 |
1.1.12.4 |
importe con cargas durante un plazo de seis a nueve meses |
|
|
|
|
|
|
|
|
|
|
|
|
|
|
|
|
|
356 |
1.1.12.5 |
importe con cargas durante un plazo de nueve a doce meses |
|
|
|
|
|
|
|
|
|
|
|
|
|
|
|
|
|
357 |
1.1.12.6 |
importe con cargas durante un plazo de más de doce meses |
|
|
|
|
|
|
|
|
|
|
|
|
|
|
|
|
|
359-364 |
1.1.13 |
instrumentos emitidos por una entidad de crédito garantizados por hipotecas residenciales si se demuestra que responden a la mayor calidad crediticia, tal como establece la ABE ateniéndose a los criterios previstos en el artículo 509, apartados 3, 4 y 5 del RRC |
Artículo 416, apartado 2, letra a), inciso i), del RRC |
|
|
|
|
|
|
|
|
|
|
|
|
|
|
|
|
359 |
1.1.13.1 |
importe libre de cargas |
|
|
|
|
|
|
|
|
|
|
|
|
|
|
|
|
|
360 |
1.1.13.2 |
importe con cargas durante un plazo de hasta tres meses |
|
|
|
|
|
|
|
|
|
|
|
|
|
|
|
|
|
361 |
1.1.13.3 |
importe con cargas durante un plazo de tres a seis meses |
|
|
|
|
|
|
|
|
|
|
|
|
|
|
|
|
|
362 |
1.1.13.4 |
importe con cargas durante un plazo de seis a nueve meses |
|
|
|
|
|
|
|
|
|
|
|
|
|
|
|
|
|
363 |
1.1.13.5 |
importe con cargas durante un plazo de nueve a doce meses |
|
|
|
|
|
|
|
|
|
|
|
|
|
|
|
|
|
364 |
1.1.13.6 |
importe con cargas durante un plazo de más de doce meses |
|
|
|
|
|
|
|
|
|
|
|
|
|
|
|
|
|
366-410 |
1.1.14 |
obligaciones que puedan acogerse al tratamiento establecido en el artículo 129, apartados 4 o 5, que cumplan los criterios establecidos en el artículo 416, apartado 2, letra a), del RRC |
|
|
|
|
|
|
|
|
|
|
|
|
|
|
|
|
|
366 |
1.1.14.1 |
importe libre de cargas |
|
|
|
|
|
|
|
|
|
|
|
|
|
|
|
|
|
370 |
1.1.14.2 |
importe con cargas durante un plazo de hasta tres meses |
|
|
|
|
|
|
|
|
|
|
|
|
|
|
|
|
|
380 |
1.1.14.3 |
importe con cargas durante un plazo de tres a seis meses |
|
|
|
|
|
|
|
|
|
|
|
|
|
|
|
|
|
390 |
1.1.14.4 |
importe con cargas durante un plazo de seis a nueve meses |
|
|
|
|
|
|
|
|
|
|
|
|
|
|
|
|
|
400 |
1.1.14.5 |
importe con cargas durante un plazo de nueve a doce meses |
|
|
|
|
|
|
|
|
|
|
|
|
|
|
|
|
|
410 |
1.1.14.6 |
importe con cargas durante un plazo de más de doce meses |
|
|
|
|
|
|
|
|
|
|
|
|
|
|
|
|
|
420-470 |
1.1.15 |
obligaciones que se definen en el artículo 52, apartado 4, de la Directiva 2009/65/CE, distintas de las contempladas en 1.1.9 |
Artículo 416, apartado 2, letra a), inciso ii), del RRC |
|
|
|
|
|
|
|
|
|
|
|
|
|
|
|
|
420 |
1.1.15.1 |
importe libre de cargas |
|
|
|
|
|
|
|
|
|
|
|
|
|
|
|
|
|
430 |
1.1.15.2 |
importe con cargas durante un plazo de hasta tres meses |
|
|
|
|
|
|
|
|
|
|
|
|
|
|
|
|
|
440 |
1.1.15.3 |
importe con cargas durante un plazo de tres a seis meses |
|
|
|
|
|
|
|
|
|
|
|
|
|
|
|
|
|
450 |
1.1.15.4 |
importe con cargas durante un plazo de seis a nueve meses |
|
|
|
|
|
|
|
|
|
|
|
|
|
|
|
|
|
460 |
1.1.15.5 |
importe con cargas durante un plazo de nueve a doce meses |
|
|
|
|
|
|
|
|
|
|
|
|
|
|
|
|
|
470 |
1.1.15.6 |
importe con cargas durante un plazo de más de doce meses |
|
|
|
|
|
|
|
|
|
|
|
|
|
|
|
|
|
480-530 |
1.2 |
Valores e instrumentos del mercado monetario no comunicados en 1.1 a los que sea atribuible el nivel 1 de calidad crediticia con arreglo al artículo 122 |
Artículo 428, apartado 1, letra b), inciso i), del RRC |
|
|
|
|
|
|
|
|
|
|
|
|
|
|
|
|
480 |
1.2.1 |
importe libre de cargas |
|
|
|
|
|
|
|
|
|
|
|
|
|
|
|
|
|
490 |
1.2.2 |
importe con cargas durante un plazo de hasta tres meses |
|
|
|
|
|
|
|
|
|
|
|
|
|
|
|
|
|
500 |
1.2.3 |
importe con cargas durante un plazo de tres a seis meses |
|
|
|
|
|
|
|
|
|
|
|
|
|
|
|
|
|
510 |
1.2.4 |
importe con cargas durante un plazo de seis a nueve meses |
|
|
|
|
|
|
|
|
|
|
|
|
|
|
|
|
|
520 |
1.2.5 |
importe con cargas durante un plazo de nueve a doce meses |
|
|
|
|
|
|
|
|
|
|
|
|
|
|
|
|
|
530 |
1.2.6 |
importe con cargas durante un plazo de más de doce meses |
|
|
|
|
|
|
|
|
|
|
|
|
|
|
|
|
|
540-590 |
1.3 |
Valores e instrumentos del mercado monetario no comunicados en 1.1 a los que sea atribuible el nivel 2 de calidad crediticia con arreglo al artículo 122 |
Artículo 428, apartado 1, letra b), inciso ii), del RRC |
|
|
|
|
|
|
|
|
|
|
|
|
|
|
|
|
540 |
1.3.1 |
importe libre de cargas |
|
|
|
|
|
|
|
|
|
|
|
|
|
|
|
|
|
550 |
1.3.2 |
importe con cargas durante un plazo de hasta tres meses |
|
|
|
|
|
|
|
|
|
|
|
|
|
|
|
|
|
560 |
1.3.3 |
importe con cargas durante un plazo de tres a seis meses |
|
|
|
|
|
|
|
|
|
|
|
|
|
|
|
|
|
570 |
1.3.4 |
importe con cargas durante un plazo de seis a nueve meses |
|
|
|
|
|
|
|
|
|
|
|
|
|
|
|
|
|
580 |
1.3.5 |
importe con cargas durante un plazo de nueve a doce meses |
|
|
|
|
|
|
|
|
|
|
|
|
|
|
|
|
|
590 |
1.3.6 |
importe con cargas durante un plazo de más de doce meses |
|
|
|
|
|
|
|
|
|
|
|
|
|
|
|
|
|
600-650 |
1.4 |
Otros valores e instrumentos del mercado monetario no comunicados en otro lugar |
Artículo 415, apartado 1, letra b), inciso iii), del RRC |
|
|
|
|
|
|
|
|
|
|
|
|
|
|
|
|
600 |
1.4.1 |
importe libre de cargas |
|
|
|
|
|
|
|
|
|
|
|
|
|
|
|
|
|
610 |
1.4.2 |
importe con cargas durante un plazo de hasta tres meses |
|
|
|
|
|
|
|
|
|
|
|
|
|
|
|
|
|
620 |
1.4.3 |
importe con cargas durante un plazo de tres a seis meses |
|
|
|
|
|
|
|
|
|
|
|
|
|
|
|
|
|
630 |
1.4.4 |
importe con cargas durante un plazo de seis a nueve meses |
|
|
|
|
|
|
|
|
|
|
|
|
|
|
|
|
|
640 |
1.4.5 |
importe con cargas durante un plazo de nueve a doce meses |
|
|
|
|
|
|
|
|
|
|
|
|
|
|
|
|
|
650 |
1.4.6 |
importe con cargas durante un plazo de más de doce meses |
|
|
|
|
|
|
|
|
|
|
|
|
|
|
|
|
|
660-710 |
1.5 |
Valores de renta variable de entes no financieros cotizados en un índice importante en un mercado organizado reconocido |
Artículo 428, apartado 1, letra c), del RRC |
|
|
|
|
|
|
|
|
|
|
|
|
|
|
|
|
660 |
1.5.1 |
importe libre de cargas |
|
|
|
|
|
|
|
|
|
|
|
|
|
|
|
|
|
670 |
1.5.2 |
importe con cargas durante un plazo de hasta tres meses |
|
|
|
|
|
|
|
|
|
|
|
|
|
|
|
|
|
680 |
1.5.3 |
importe con cargas durante un plazo de tres a seis meses |
|
|
|
|
|
|
|
|
|
|
|
|
|
|
|
|
|
690 |
1.5.4 |
importe con cargas durante un plazo de seis a nueve meses |
|
|
|
|
|
|
|
|
|
|
|
|
|
|
|
|
|
700 |
1.5.5 |
importe con cargas durante un plazo de nueve a doce meses |
|
|
|
|
|
|
|
|
|
|
|
|
|
|
|
|
|
710 |
1.5.6 |
importe con cargas durante un plazo de más de doce meses |
|
|
|
|
|
|
|
|
|
|
|
|
|
|
|
|
|
720-770 |
1.6 |
Otros valores de renta variable |
Artículo 428, apartado 1, letra d), del RRC |
|
|
|
|
|
|
|
|
|
|
|
|
|
|
|
|
720 |
1.6.1 |
importe libre de cargas |
|
|
|
|
|
|
|
|
|
|
|
|
|
|
|
|
|
730 |
1.6.2 |
importe con cargas durante un plazo de hasta tres meses |
|
|
|
|
|
|
|
|
|
|
|
|
|
|
|
|
|
740 |
1.6.3 |
importe con cargas durante un plazo de tres a seis meses |
|
|
|
|
|
|
|
|
|
|
|
|
|
|
|
|
|
750 |
1.6.4 |
importe con cargas durante un plazo de seis a nueve meses |
|
|
|
|
|
|
|
|
|
|
|
|
|
|
|
|
|
760 |
1.6.5 |
importe con cargas durante un plazo de nueve a doce meses |
|
|
|
|
|
|
|
|
|
|
|
|
|
|
|
|
|
770 |
1.6.6 |
importe con cargas durante un plazo de más de doce meses |
|
|
|
|
|
|
|
|
|
|
|
|
|
|
|
|
|
780-830 |
1.7 |
Oro |
Artículo 428, apartado 1, letra e), del RRC |
|
|
|
|
|
|
|
|
|
|
|
|
|
|
|
|
780 |
1.7.1 |
importe libre de cargas |
|
|
|
|
|
|
|
|
|
|
|
|
|
|
|
|
|
790 |
1.7.2 |
importe con cargas durante un plazo de hasta tres meses |
|
|
|
|
|
|
|
|
|
|
|
|
|
|
|
|
|
800 |
1.7.3 |
importe con cargas durante un plazo de tres a seis meses |
|
|
|
|
|
|
|
|
|
|
|
|
|
|
|
|
|
810 |
1.7.4 |
importe con cargas durante un plazo de seis a nueve meses |
|
|
|
|
|
|
|
|
|
|
|
|
|
|
|
|
|
820 |
1.7.5 |
importe con cargas durante un plazo de nueve a doce meses |
|
|
|
|
|
|
|
|
|
|
|
|
|
|
|
|
|
830 |
1.7.6 |
importe con cargas durante un plazo de más de doce meses |
|
|
|
|
|
|
|
|
|
|
|
|
|
|
|
|
|
840-890 |
1.8 |
Otros metales preciosos |
Artículo 428, apartado 1, letra f), del RRC |
|
|
|
|
|
|
|
|
|
|
|
|
|
|
|
|
840 |
1.8.1 |
importe libre de cargas |
|
|
|
|
|
|
|
|
|
|
|
|
|
|
|
|
|
850 |
1.8.2 |
importe con cargas durante un plazo de hasta tres meses |
|
|
|
|
|
|
|
|
|
|
|
|
|
|
|
|
|
860 |
1.8.3 |
importe con cargas durante un plazo de tres a seis meses |
|
|
|
|
|
|
|
|
|
|
|
|
|
|
|
|
|
870 |
1.8.4 |
importe con cargas durante un plazo de seis a nueve meses |
|
|
|
|
|
|
|
|
|
|
|
|
|
|
|
|
|
880 |
1.8.5 |
importe con cargas durante un plazo de nueve a doce meses |
|
|
|
|
|
|
|
|
|
|
|
|
|
|
|
|
|
890 |
1.8.6 |
importe con cargas durante un plazo de más de doce meses |
|
|
|
|
|
|
|
|
|
|
|
|
|
|
|
|
|
|
Importe total |
|
|
|
|
|
|
|
|
|
|
|||||||
|
900-1250 |
1.9 |
Préstamos y derechos de cobro no renovables |
Artículo 428, apartado 1, letra g), del RRC |
|
|
|
|
|
|
|
|
|
|
|
|
|
|
|
|
900-950 |
1.9.1 |
cuyos prestatarios sean personas físicas, a excepción de empresarios individuales y sociedades |
Artículo 428, apartado 1, letra g), inciso i), del RRC |
|
|
|
|
|
|
|
|
|
|
|
|
|
|
|
|
900 |
1.9.1.1 |
importe libre de cargas |
|
|
|
|
|
|
|
|
|
|
|
|
|
|
|
|
|
910 |
1.9.1.2 |
importe con cargas durante un plazo de hasta tres meses |
|
|
|
|
|
|
|
|
|
|
|
|
|
|
|
|
|
920 |
1.9.1.3 |
importe con cargas durante un plazo de tres a seis meses |
|
|
|
|
|
|
|
|
|
|
|
|
|
|
|
|
|
930 |
1.9.1.4 |
importe con cargas durante un plazo de seis a nueve meses |
|
|
|
|
|
|
|
|
|
|
|
|
|
|
|
|
|
940 |
1.9.1.5 |
importe con cargas durante un plazo de nueve a doce meses |
|
|
|
|
|
|
|
|
|
|
|
|
|
|
|
|
|
950 |
1.9.1.6 |
importe con cargas durante un plazo de más de doce meses |
|
|
|
|
|
|
|
|
|
|
|
|
|
|
|
|
|
960-1010 |
1.9.2 |
cuyos prestatarios sean PYME que puedan incluirse en la clase de exposiciones minoristas con arreglo a los métodos estándar o IRB para el riesgo de crédito o una empresa que pueda acogerse al tratamiento establecido en el artículo 153, apartado 4, y cuando el depósito agregado que mantenga el cliente o grupo de clientes vinculados entre sí sea inferior a 1 millón EUR |
Artículo 428, apartado 1, letra g), inciso ii) del RRC |
|
|
|
|
|
|
|
|
|
|
|
|
|
|
|
|
960 |
1.9.2.1 |
importe libre de cargas |
|
|
|
|
|
|
|
|
|
|
|
|
|
|
|
|
|
970 |
1.9.2.2 |
importe con cargas durante un plazo de hasta tres meses |
|
|
|
|
|
|
|
|
|
|
|
|
|
|
|
|
|
980 |
1.9.2.3 |
importe con cargas durante un plazo de tres a seis meses |
|
|
|
|
|
|
|
|
|
|
|
|
|
|
|
|
|
990 |
1.9.2.4 |
importe con cargas durante un plazo de seis a nueve meses |
|
|
|
|
|
|
|
|
|
|
|
|
|
|
|
|
|
1000 |
1.9.2.5 |
importe con cargas durante un plazo de nueve a doce meses |
|
|
|
|
|
|
|
|
|
|
|
|
|
|
|
|
|
1010 |
1.9.2.6 |
importe con cargas durante un plazo de más de doce meses |
|
|
|
|
|
|
|
|
|
|
|
|
|
|
|
|
|
1020-1070 |
1.9.3 |
cuyos prestatarios sean emisores soberanos, bancos centrales y entes del sector público |
Artículo 428, apartado 1, letra g), inciso iii), del RRC |
|
|
|
|
|
|
|
|
|
|
|
|
|
|
|
|
1020 |
1.9.3.1 |
importe libre de cargas |
|
|
|
|
|
|
|
|
|
|
|
|
|
|
|
|
|
1030 |
1.9.3.2 |
importe con cargas durante un plazo de hasta tres meses |
|
|
|
|
|
|
|
|
|
|
|
|
|
|
|
|
|
1040 |
1.9.3.3 |
importe con cargas durante un plazo de tres a seis meses |
|
|
|
|
|
|
|
|
|
|
|
|
|
|
|
|
|
1050 |
1.9.3.4 |
importe con cargas durante un plazo de seis a nueve meses |
|
|
|
|
|
|
|
|
|
|
|
|
|
|
|
|
|
1060 |
1.9.3.5 |
importe con cargas durante un plazo de nueve a doce meses |
|
|
|
|
|
|
|
|
|
|
|
|
|
|
|
|
|
1070 |
1.9.3.6 |
importe con cargas durante un plazo de más de doce meses |
|
|
|
|
|
|
|
|
|
|
|
|
|
|
|
|
|
1080-1130 |
1.9.4 |
cuyos prestatarios no se comuniquen en 1.9.1, 1.9.2 o 1.9.3, excluyendo a los clientes financieros |
Artículo 428, apartado 1, letra g), inciso iv), del RRC |
|
|
|
|
|
|
|
|
|
|
|
|
|
|
|
|
1080 |
1.9.4.1 |
importe libre de cargas |
|
|
|
|
|
|
|
|
|
|
|
|
|
|
|
|
|
1090 |
1.9.4.2 |
importe con cargas durante un plazo de hasta tres meses |
|
|
|
|
|
|
|
|
|
|
|
|
|
|
|
|
|
1100 |
1.9.4.3 |
importe con cargas durante un plazo de tres a seis meses |
|
|
|
|
|
|
|
|
|
|
|
|
|
|
|
|
|
1110 |
1.9.4.4 |
importe con cargas durante un plazo de seis a nueve meses |
|
|
|
|
|
|
|
|
|
|
|
|
|
|
|
|
|
1120 |
1.9.4.5 |
importe con cargas durante un plazo de nueve a doce meses |
|
|
|
|
|
|
|
|
|
|
|
|
|
|
|
|
|
1130 |
1.9.4.6 |
importe con cargas durante un plazo de más de doce meses |
|
|
|
|
|
|
|
|
|
|
|
|
|
|
|
|
|
1140-1190 |
1.9.5 |
cuyos prestatarios sean entidades de crédito |
Artículo 428, apartado 1, letra g), inciso vi), del RRC |
|
|
|
|
|
|
|
|
|
|
|
|
|
|
|
|
1140 |
1.9.5.1 |
importe libre de cargas |
|
|
|
|
|
|
|
|
|
|
|
|
|
|
|
|
|
1150 |
1.9.5.2 |
importe con cargas durante un plazo de hasta tres meses |
|
|
|
|
|
|
|
|
|
|
|
|
|
|
|
|
|
1160 |
1.9.5.3 |
importe con cargas durante un plazo de tres a seis meses |
|
|
|
|
|
|
|
|
|
|
|
|
|
|
|
|
|
1170 |
1.9.5.4 |
importe con cargas durante un plazo de seis a nueve meses |
|
|
|
|
|
|
|
|
|
|
|
|
|
|
|
|
|
1180 |
1.9.5.5 |
importe con cargas durante un plazo de nueve a doce meses |
|
|
|
|
|
|
|
|
|
|
|
|
|
|
|
|
|
1190 |
1.9.5.61.9.5.6 |
importe con cargas durante un plazo de más de doce meses |
|
|
|
|
|
|
|
|
|
|
|
|
|
|
|
|
|
1200-1250 |
1.9.6 |
cuyos prestatarios sean clientes financieros (no contemplados en 1.9.1, 1.9.2) distintos de entidades de crédito |
Artículo 428, apartado 1, letra g), inciso vi), del RRC |
|
|
|
|
|
|
|
|
|
|
|
|
|
|
|
|
1200 |
1.9.6.1 |
importe libre de cargas |
|
|
|
|
|
|
|
|
|
|
|
|
|
|
|
|
|
1210 |
1.9.6.2 |
importe con cargas durante un plazo de hasta tres meses |
|
|
|
|
|
|
|
|
|
|
|
|
|
|
|
|
|
1220 |
1.9.6.3 |
importe con cargas durante un plazo de tres a seis meses |
|
|
|
|
|
|
|
|
|
|
|
|
|
|
|
|
|
1230 |
1.9.6.4 |
importe con cargas durante un plazo de seis a nueve meses |
|
|
|
|
|
|
|
|
|
|
|
|
|
|
|
|
|
1240 |
1.9.6.5 |
importe con cargas durante un plazo de nueve a doce meses |
|
|
|
|
|
|
|
|
|
|
|
|
|
|
|
|
|
1250 |
1.9.6.6 |
importe con cargas durante un plazo de más de doce meses |
|
|
|
|
|
|
|
|
|
|
|
|
|
|
|
|
|
1260-1280 |
1.10 |
Préstamos y derechos de cobro no renovables comunicados en 1.9 garantizados por bienes inmuebles |
Artículo 428, apartado 1, letra h), del RRC |
|
|
|
|
|
|
|
|
|
|
|
|
|
|
|
|
1260 |
1.10.1 |
garantizados por bienes inmuebles comerciales |
Artículo 428, apartado 1, letra h), inciso i), del RRC |
|
|
|
|
|
|
|
|
|
|
|
|
|
|
|
|
1270 |
1.10.2 |
garantizados por bienes inmuebles residenciales |
Artículo 428, apartado 1, letra h), inciso ii), del RRC |
|
|
|
|
|
|
|
|
|
|
|
|
|
|
|
|
1280 |
1.10.3 |
cofinanciados (subrogación) mediante bonos que pueden acogerse al tratamiento establecido en el artículo 129, apartados 4 o 5, u obligaciones de las mencionadas en el artículo 52, apartado 4, de la Directiva 2009/65/CE |
Artículo 428, apartado 1, letra h), inciso iii), del RRC |
|
|
|
|
|
|
|
|
|
|
|
|
|
|
|
|
1290 |
1.11 |
Derechos de cobro sobre derivados |
Artículo 428, apartado 1, letra i), del RRC |
|
|
|
|
|
|
|
|
|
|
|
|
|
|
|
|
1300 |
1.12 |
Otros activos |
Artículo 428, apartado 1, letra j), del RRC |
|
|
|
|
|
|
|
|
|
|
|
|
|
|
|
|
1310 |
1.13 |
Activos deducidos de los fondos propios que no requieren financiación estable |
Artículo 428, apartado 1, del RRC |
|
|
|
|
|
|
|
|
|
|
|
|
|
|
|
|
1320 |
1.14 |
Líneas de crédito comprometidas no utilizadas que se clasifiquen como de «riesgo medio» o «riesgo medio/bajo» con arreglo al anexo I |
Artículo 428, apartado 1, letra k), del RRC |
|
|
|
|
|
|
|
|
|
|
|
|
|
|
|
C 61.00 - FINANCIACIÓN ESTABLE - ELEMENTOS QUE PROPORCIONAN FINANCIACIÓN ESTABLE
|
|
Importe |
|||||||
|
3 meses o menos |
de 3 a 6 meses |
de 6 a 9 meses |
de 9 a 12 meses |
más de 12 meses |
||||
|
Fila |
ID |
Partida |
Referencias legales |
010 |
020 |
030 |
040 |
050 |
|
010-260 |
1 |
ELEMENTOS QUE PROPORCIONAN FINANCIACIÓN ESTABLE |
|
|
|
|
|
|
|
010-030 |
1.1 |
Fondos propios tras aplicación de la deducción en los casos pertinentes |
Artículo 427, apartado 1, letra a), del RRC |
|
|
|
|
|
|
010 |
1.1.1 |
instrumentos de capital de nivel 1 |
Artículo 427, apartado 1, letra a), inciso i) |
|
|
|
|
|
|
020 |
1.1.2 |
instrumentos de capital de nivel 2 |
Artículo 427, apartado 1, letra a), inciso ii) |
|
|
|
|
|
|
030 |
1.1.3* |
partida pro memoria: instrumentos de capital y préstamos subordinados no admisibles con un vencimiento efectivo de como mínimo un año |
Artículo 427, apartado 1, letra a), inciso iii) |
|
|
|
|
|
|
040-260 |
1.2 |
Pasivos con exclusión de los fondos propios |
Artículo 427, apartado 1, letra b), del RRC |
|
|
|
|
|
|
040-060 |
1.2.1 |
depósitos minoristas |
Artículo 427, apartado 1, letra b), incisos i-ii), del RRC |
|
|
|
|
|
|
040 |
1.2.1.1 |
tal y como se definen en el artículo 411, apartado 2, a los que pueda aplicarse el tratamiento previsto en el artículo 421, apartado 1 |
Artículo 427, apartado 1, letra b), inciso i), del RRC |
|
|
|
|
|
|
050 |
1.2.1.2 |
tal y como se definen en el artículo 411, apartado 2, a los que pueda aplicarse el tratamiento previsto en el artículo 421, apartado 2 |
Artículo 427, apartado 1, letra b), inciso ii), del RRC |
|
|
|
|
|
|
060 |
1.2.1.3 |
sujetos a un porcentaje de salidas superior a lo previsto en el artículo 421, apartados 1 o 2 |
|
|
|
|
|
|
|
070-130 |
1.2.2 |
pasivos de clientes que no sean clientes financieros |
Artículo 427, apartado 1, letra b), inciso vii), del RRC |
|
|
|
|
|
|
070-090 |
1.2.2.1 |
pasivos de operaciones de préstamo garantizadas y de operaciones vinculadas al mercado de capitales |
Artículo 427, apartado 1, letra b), inciso ix), del RRC |
|
|
|
|
|
|
070 |
1.2.2.1.1 |
garantizados por activos de liquidez y calidad crediticia sumamente elevadas |
Artículo 427, apartado 1, letra b), inciso ix), del RRC |
|
|
|
|
|
|
080 |
1.2.2.1.2 |
garantizados por activos de liquidez y calidad crediticia elevadas |
Artículo 427, apartado 1, letra b), inciso ix), del RRC |
|
|
|
|
|
|
090 |
1.2.2.1.3 |
garantizados por otros activos |
Artículo 427, apartado 1, letra b), inciso ix), del RRC |
|
|
|
|
|
|
100 |
1.2.2.2 |
pasivos de operaciones de préstamo no garantizadas |
Artículo 427, apartado 1, letra b), inciso vii), del RRC |
|
|
|
|
|
|
110-130 |
1.2.2.3 |
pasivos a los que pueda aplicarse el tratamiento previsto en el artículo 422, apartados 3 y 4, |
Artículo 427, apartado 1, letra b), inciso iii), del RRC |
|
|
|
|
|
|
110 |
1.2.2.3.1 |
pasivos comunicados en 1.2.2.3 que estén amparados por un sistema de garantía de depósitos con arreglo a la Directiva 94/19/CE o un sistema de garantía de depósitos equivalente de un tercer país |
Artículo 427, apartado 1, letra b), inciso iv), del RRC |
|
|
|
|
|
|
120 |
1.2.2.3.2 |
pasivos comunicados en 1.2.2.3 que entren dentro del ámbito de aplicación de la letra b) del artículo 422, apartado 3 |
Artículo 427, apartado 1, letra b), inciso v), del RRC |
|
|
|
|
|
|
130 |
1.2.2.3.3 |
pasivos comunicados en 1.2.2.3 que entren dentro del ámbito de aplicación de la letra d) del artículo 422, apartado 3 |
Artículo 427, apartado 1, letra b), inciso vi), del RRC |
|
|
|
|
|
|
140-200 |
1.2.3 |
pasivos de clientes que sean clientes financieros |
Artículo 427, apartado 1, letra b), inciso vii), del RRC |
|
|
|
|
|
|
140-160 |
1.2.3.1 |
pasivos de operaciones de préstamo garantizadas y de operaciones vinculadas al mercado de capitales |
Artículo 414, apartado 1, letra b), inciso viii), del RRC |
|
|
|
|
|
|
140 |
1.2.3.1.1 |
garantizados por activos de liquidez y calidad crediticia sumamente elevadas |
Artículo 414, apartado 1, letra b), inciso viii), del RRC |
|
|
|
|
|
|
150 |
1.2.3.1.2 |
garantizados por activos de liquidez y calidad crediticia elevadas |
Artículo 414, apartado 1, letra b), inciso viii), del RRC |
|
|
|
|
|
|
160 |
1.2.3.1.3 |
garantizados por otros activos |
Artículo 414, apartado 1, letra b), inciso viii), del RRC |
|
|
|
|
|
|
170 |
1.2.3.2 |
pasivos de operaciones de préstamo no garantizadas |
Artículo 414, apartado 1, letra b), inciso vi), del RRC |
|
|
|
|
|
|
180-200 |
1.2.3.3 |
pasivos a los que pueda aplicarse el tratamiento previsto en el artículo 422, apartados 3 y 4 |
Artículo 414, apartado 1, letra b), inciso iii), del RRC |
|
|
|
|
|
|
180 |
1.2.3.3.1 |
pasivos comunicados en 1.2.3.3 que estén amparados por un sistema de garantía de depósitos con arreglo a la Directiva 94/19/CE o un sistema de garantía de depósitos equivalente de un tercer país |
Artículo 414, apartado 1, letra b), inciso iv), del RRC |
|
|
|
|
|
|
190 |
1.2.3.3.2 |
pasivos comunicados en 1.2.3.3 que entren dentro del ámbito de aplicación de la letra b) del artículo 422, apartado 3 |
Artículo 427, apartado 1, letra b), inciso v), del RRC |
|
|
|
|
|
|
200 |
1.2.3.3.3 |
pasivos comunicados en 1.2.3.3 que entren dentro del ámbito de aplicación de la letra d) del artículo 422, apartado 3 |
Artículo 427, apartado 1, letra b), inciso vi), del RRC |
|
|
|
|
|
|
210 |
1.2.4 |
pasivos resultantes de valores emitidos que puedan acogerse al tratamiento previsto en el artículo 129, apartados 4 o 5 |
Artículo 427, apartado 1, letra b), inciso x), del RRC |
|
|
|
|
|
|
220 |
1.2.5 |
pasivos resultantes de los valores definidos en el artículo 52, apartado 4, de la Directiva 2009/65/CE |
Artículo 427, apartado 1, letra b), inciso x), del RRC |
|
|
|
|
|
|
230 |
1.2.6 |
otros pasivos resultantes de valores emitidos |
Artículo 427, apartado 1, letra b), inciso xi), del RRC |
|
|
|
|
|
|
240 |
1.2.7 |
pasivos por partidas a pagar sobre derivados |
|
|
|
|
|
|
|
250 |
1.2.8 |
otros pasivos |
Artículo 427, apartado 1, letra b), inciso xii), del RRC |
|
|
|
|
|
ANEXO XIII
INFORMACIÓN SOBRE LIQUIDEZ (PARTE 1 de 5: ACTIVOS LÍQUIDOS)
1. Activos líquidos
1.1. Observaciones generales
1. Se trata de una plantilla resumen que recoge información sobre activos a efectos de la supervisión del requisito de cobertura de la liquidez que se especifica en el artículo 412 del Reglamento (UE) no 575/2013. Las partidas que no deben ser cumplimentadas por las entidades están coloreadas en gris.
2. Los activos se comunicarán en una de las seis secciones de la plantilla:
3. Activos que cumplen los requisitos de los artículos 416 y 417: activos considerados líquidos a efectos del suministro de información establecido en el Reglamento (UE) no 575/2013, que cumplen los requisitos operativos de las tenencias de activos líquidos.
4. Activos que cumplen los requisitos del artículo 416, apartado 1, letras b) y d), pero no los del artículo 417, letras b) y c), del Reglamento (UE) no 575/2013.
5. Partidas sujetas a comunicación complementaria de activos líquidos con arreglo al anexo III del Reglamento (UE) no 575/2013.
6. Activos que no cumplen los requisitos del artículo 416 del Reglamento (UE) no 575/2013 pero sí los del artículo 417, letras b) y c), del Reglamento (UE) no 575/2013.
7. Tratamiento de los territorios con activos líquidos insuficientes.
8. Comunicación de los activos que cumplen la sharia como alternativa, con arreglo al artículo 509, apartado 2, letra i).
1.2. Observaciones específicas
9. Respecto a las secciones 1.1 a 1.2, las entidades comunicarán los importes relevantes en la columna 030.
10. En cuanto a las secciones 1.3 a 1.4, las entidades comunicarán el valor de mercado de los activos en la columna 010 y el valor calculado según lo dispuesto en el artículo 418 en la columna 020 para cada categoría de activos.
11. Respecto a la sección 1.5, las entidades comunicarán el importe relevante en la columna 040.
12. En lo que se refiere a la sección 1.6.1/1.6.2, las entidades comunicarán los importes relevantes en la columna 030/040.
13. Respecto a las secciones 1.7 a 2.2, con arreglo a lo dispuesto en el artículo 416, apartado 1, último párrafo, del Reglamento (UE) no 575/2013 y a la espera de una definición uniforme de liquidez y calidad crediticia sumamente elevadas, de conformidad con el artículo 460, las entidades identificarán activos transferibles en una moneda dada que sean de liquidez y calidad crediticia sumamente elevadas y elevadas y comunicarán su valor de mercado en las columnas 010 y 030 y el valor conforme al artículo 418 en las columnas 020 y 040.
14. En cuanto a las secciones 1.3 a 1.4, y 1.7 a 1.14, las entidades únicamente comunicarán los activos que cumplan todos los requisitos operativos mencionados en el artículo 417 del Reglamento (UE) no 575/2013.
15. Respecto de las secciones 2.1 a 2.2, las entidades comunicarán los activos que en otro caso cumplirían los requisitos para ser comunicados en las secciones 1.1 a 1.14 pero que no cumplen los requisitos operativos mencionados en el artículo 417, letras b) y c), del Reglamento (UE) no 575/2013.
16. En lo que se refiere a las secciones 1.1 a 2.2, exceptuada la sección 1.5, las entidades únicamente comunicarán los activos que cumplan todas las condiciones previstas en el artículo 416, apartado 3, del Reglamento (UE) no 575/2013.
17. Respecto a las secciones 3.1 a 3.12, las entidades únicamente comunicarán los activos que estén sujetos a comunicación suplementaria de activos líquidos de conformidad con el anexo III del Reglamento (UE) no 575/2013. Todas las partidas, con excepción de las mencionadas en 3.1, 3.2 y 3.9, deberán cumplir las condiciones que se definen en el último párrafo de dicho anexo.
18. En cuanto a las secciones 4.1 a 4.12.3, las entidades únicamente comunicarán los activos que no cumplan los requisitos del artículo 416 del Reglamento (UE) no 575/2013 pero sí los del artículo 417, letras b) y c), de dicho Reglamento.
19. Respecto de las secciones 5.1 a 5,2, las entidades únicamente comunicarán las partidas relativas a las excepciones contempladas en el artículo 419, apartado 2, del Reglamento (UE) no 575/2013 para divisas con limitaciones de disponibilidad de activos líquidos.
20. Respecto a las secciones 6.1 a 6.1.3, únicamente los bancos que cumplan la sharia comunicarán los productos financieros que cumplan la sharia como alternativa a los activos que serían reconocidos como activos líquidos a efectos del artículo 416 del Reglamento (UE) no 575/2013.
21. El valor de los activos líquidos de todas las partidas de la plantilla, a excepción de las secciones 1.1 a 1.2.1, 1.5 a 1.6.2, 3.1 a 3.2, 3.9 a 3.10 y 5.2, será el valor de mercado y el valor calculado tras la aplicación de los descuentos pertinentes. Respecto a las secciones 1.1 a 1.2.1, 1.6 a 1.6.2, 3.1 a 3.2, 3.10 y 5.2, se comunicará el importe de la partida. Respecto a las secciones 1.5 y 3.9, se comunicará el importe no retirado.
Subplantilla de activos líquidos
1.2.1. Instrucciones relativas a filas concretas
|
Fila |
Referencias legales e instrucciones |
|
010-390 |
1. ACTIVOS QUE CUMPLAN LOS REQUISITOS DE LOS ARTÍCULOS 416 Y 417 DEL RRC Los activos comunicados en esta sección se han identificado de forma explícita como activos potencialmente de liquidez y calidad crediticia notablemente elevada o elevada. Reglamento (UE) no 575/2013. |
|
010 |
1.1 Efectivo Artículo 416, apartado 1, letra a), del Reglamento (UE) no 575/2013 Importe total del efectivo, incluidas las monedas y billetes/divisas. Obsérvese que el efectivo en depósito en otras entidades no se comunicará aquí, sino en la categoría de garantías reales de la plantilla 1.3 «Entradas», si cumple las condiciones para ser considerado un pago pendiente durante los 30 días siguientes. |
|
020 |
1.2 Exposiciones en bancos centrales Artículo 416, apartado 1, letra a), del Reglamento (UE) no 575/2013 Importe total de las exposiciones en bancos centrales. |
|
030 |
1.2.1 de los cuales: exposiciones que puedan retirarse en momentos de tensión Artículo 416, apartado 1, letra a), del Reglamento (UE) no 575/2013 |
|
040-110 |
1.3 Otros activos transferibles que constituyan créditos frente a o estén garantizados por Artículo 416.1, letra c), del Reglamento (UE) no 575/2013 |
|
040-050 |
1.3.1 Activos transferibles que constituyan créditos frente a o estén garantizados por la administración central de un Estado miembro, de una región con autonomía fiscal para imponer y recaudar impuestos, o de un tercer país en la moneda nacional de la administración central o regional, en caso de que la entidad contraiga un riesgo de liquidez en ese Estado miembro o tercer país que cubra con la tenencia de esos activos líquidos Artículo 416, apartado 1, letra c), inciso i), del Reglamento (UE) no 575/2013 |
|
040 |
1.3.1.1 que constituyan créditos frente a Activos especificados en 1.3.1 que constituyan créditos frente a las contrapartes anteriores, de conformidad con el artículo 416, apartado 1, letra c), inciso i). |
|
050 |
1.3.1.2 estén garantizados por Activos especificados en 1.3.1 que estén garantizados por las contrapartes anteriores, de conformidad con el artículo 416, apartado 1, letra c), inciso i) |
|
060-070 |
1.3.2 activos transferibles que constituyan créditos frente a o estén garantizadas por los bancos centrales y entes del sector público que no dependan de la administración central en la moneda nacional del banco central y de los entes del sector público Artículo 416, apartado 1, letra c), inciso ii), del Reglamento (UE) no 575/2013 |
|
060 |
1.3.2.1 que constituyan créditos frente a Activos especificados en 1.3.2 que constituyan créditos frente a las contrapartes mencionadas, de conformidad con el artículo 416, apartado 1, letra c), inciso ii). |
|
070 |
1.3.2.2 estén garantizados por Activos especificados en 1.3.2 que estén garantizados por las contrapartes mencionadas, de conformidad con el artículo 416, apartado 1, letra c), inciso ii). |
|
080-090 |
1.3.3 activos transferibles que constituyan créditos frente a o estén garantizados por el Banco de Pagos Internacionales, el Fondo Monetario Internacional, la Comisión Europea o bancos multilaterales de desarrollo Artículo 416, apartado 1, letra c), inciso iii), del Reglamento (UE) no 575/2013 |
|
080 |
1.3.3.1 que constituyan créditos frente a Activos especificados en 1.3.3 que constituyan créditos frente a las contrapartes mencionadas, de conformidad con el artículo 416, apartado 1, letra c), inciso iii). |
|
090 |
1.3.3.2 estén garantizados por Activos especificados en 1.3.3 que estén garantizados por las contrapartes mencionadas, de conformidad con el artículo 416, apartado 1, letra c), inciso iii). |
|
100-110 |
1.3.4 activos transferibles que constituyan créditos frente a o estén garantizados por la Facilidad Europea de Estabilidad Financiera y el Mecanismo Europeo de Estabilidad Artículo 416, apartado 1, letra c), inciso iv), del Reglamento (UE) no 575/2013 |
|
100 |
1.3.4.1 que constituyan créditos frente a Activos especificados en 1.3.4 que constituyan créditos frente a las contrapartes anteriores, de conformidad con el artículo 416, apartado 1, letra c), inciso iv). |
|
110 |
1.3.4.2 estén garantizados por Activos especificados en 1.3.4 que estén garantizados por las contrapartes anteriores, de conformidad con el artículo 416, apartado 1, letra c), inciso iv). |
|
120-140 |
1.4 Total de acciones o participaciones en OIC con activos subyacentes especificados en el artículo 416, apartado 1 Artículo 416, apartado 6, del Reglamento (UE) no 575/2013 |
|
120 |
1.4.1 activos subyacentes del artículo 416, apartado 1, letra a) |
|
130 |
1.4.2 activos subyacentes del artículo 416, apartado 1, letras b) y c) |
|
140 |
1.4.3 activos subyacentes del artículo 416, apartado 1, letra d) |
|
150 |
1.5 Facilidades de crédito contingente concedidas por bancos centrales en el marco de la política monetaria, en la medida en que dichas facilidades no resulten garantizadas por activos líquidos y excluyendo la provisión urgente de liquidez Artículo 416, apartado 1, letra e), del Reglamento (UE) no 575/2013 |
|
160-170 |
1.6 Depósitos en entidades centrales de crédito y otros fondos líquidos estatutarios o contractuales disponibles de la entidad o las entidades centrales de crédito que sean miembros de la red a que se refiere el artículo 113, apartado 7, o que puedan acogerse a la exención prevista en el artículo 10 del RRC, en la medida en que dichos fondos no estén garantizados por activos líquidos Artículo 416, apartado 1, letra f), del Reglamento (UE) no 575/2013 Si la entidad de crédito pertenece a una red en virtud de disposiciones legales o estatutarias, los depósitos mínimos legales o estatutarios en la entidad central de crédito y otros fondos líquidos estatutarios o contractuales disponibles en la entidad central de crédito. |
|
160 |
1.6.1 depósitos |
|
170 |
1.6.2 fondos líquidos contractualmente disponibles |
|
180 |
1.7 Activos emitidos por una entidad de crédito que haya sido establecida por una administración central o regional de un Estado miembro cuando se cumpla al menos una de las condiciones del artículo 416, apartado 2, letra a), inciso iii) Artículo 416, apartado 2, letra a), inciso iii) del Reglamento (UE) no 575/2013 |
|
190-210 |
1.8 Obligaciones de empresas no financieras Artículo 416, apartado 1, letras b) o d), del Reglamento (UE) no 575/2013 Las obligaciones de sociedades no financieras se comunicarán de acuerdo con su calidad crediticia según el artículo 122 del Reglamento (UE) no 575/2013. |
|
190 |
1.8.1 nivel 1 de calidad crediticia |
|
200 |
1.8.2 nivel 2 de calidad crediticia |
|
210 |
1.8.3 nivel 3 de calidad crediticia |
|
220-240 |
1.9 Obligaciones emitidas por una entidad de crédito que puedan acogerse al tratamiento establecido en el artículo 129, apartados 4 o 5 Artículo 416, apartado 2, letra a), inciso i), del Reglamento (UE) no 575/2013 Las obligaciones que puedan acogerse al tratamiento establecido en el artículo 129, apartados 4 o 5, se comunicarán de acuerdo con su calidad crediticia según el artículo 129, apartados 4 o 5, del Reglamento (UE) no 575/2013. |
|
220 |
1.9.1 nivel 1 de calidad crediticia |
|
230 |
1.9.2 nivel 2 de calidad crediticia |
|
240 |
1.9.3 nivel 3 de calidad crediticia |
|
250-270 |
1.10 Instrumentos emitidos por una entidad de crédito garantizados por hipotecas no residenciales si se demuestra que responden a la mayor calidad crediticia, según lo establecido por la ABE con arreglo a los criterios previstos en el artículo 509, apartados 3, 4 y 5, del RRC Artículo 416, apartado 2, letra a), inciso i), del Reglamento (UE) no 575/2013 Estas partidas se comunicarán de acuerdo con su calidad crediticia según el título II, capítulo 5, y los artículos 123, 124, 125 y 126 del Reglamento (UE) no 575/2013. |
|
250 |
1.10.1 nivel 1 de calidad crediticia |
|
260 |
1.10.2 nivel 2 de calidad crediticia |
|
270 |
1.10.3 nivel 3 de calidad crediticia |
|
280-300 |
1.11 Instrumentos emitidos por una entidad de crédito garantizados por hipotecas residenciales si se demuestra que responden a la mayor calidad crediticia, según lo establecido por la ABE con arreglo a los criterios previstos en el artículo 509, apartados 3, 4 y 5, del RRC Artículo 416, apartado 2, letra a), inciso i), del Reglamento (UE) no 575/2013 Estas partidas se comunicarán de acuerdo con su calidad crediticia según el título II, capítulo 5, y los artículos 123, 124, 125 y 126 del Reglamento (UE) no 575/2013. |
|
280 |
1.11.1 nivel 1 de calidad crediticia |
|
290 |
1.11.2 nivel 2 de calidad crediticia |
|
300 |
1.11.3 nivel 3 de calidad crediticia |
|
310-330 |
1.12 Obligaciones emitidas por una entidad de crédito a que se refiere el artículo 52, apartado 4, de la Directiva 2009/65/CE, distintas de las contempladas en 1.9 Artículo 416, apartado 2, letra a), inciso ii) del Reglamento (UE) no 575/2013 Estas partidas se comunicarán de acuerdo con su calidad crediticia según el artículo 129, apartados 4 o 5, del Reglamento (UE) no 575/2013. |
|
310 |
1.12.1 nivel 1 de calidad crediticia |
|
320 |
1.12.2 nivel 2 de calidad crediticia |
|
330 |
1.12.3 nivel 3 de calidad crediticia |
|
340-360 |
1.13 otros activos transferibles de liquidez y calidad crediticia sumamente elevadas Artículo 416, apartado 1, letra b), del Reglamento (UE) no 575/2013 Estas partidas se comunicarán de acuerdo con su calidad crediticia según el título II, capítulo 2, de la parte tercera del Reglamento (UE) no 575/2013. Solo se comunicarán aquí las partidas que no estén especificadas en las filas anteriores. |
|
340 |
1.13.1 nivel 1 de calidad crediticia |
|
350 |
1.13.2 nivel 2 de calidad crediticia |
|
360 |
1.13.3 nivel 3 de calidad crediticia |
|
|
1.14 Otros activos transferibles de liquidez y calidad crediticia elevadas Artículo 416, apartado 1, letra d), del Reglamento (UE) no 575/2013 Estas partidas se comunicarán de acuerdo con su calidad crediticia según el título II, capítulo 2, de la parte tercera del Reglamento (UE) no 575/2013. Sólo se comunicarán aquí las partidas que no estén especificadas en las filas anteriores. |
|
370 |
1.14.1 nivel 1 de calidad crediticia |
|
380 |
1.14.2 nivel 2 de calidad crediticia |
|
390 |
1.14.3 nivel 3 de calidad crediticia |
|
400-410 |
2. ACTIVOS QUE CUMPLAN LOS REQUISITOS DEL ARTÍCULO 416, APARTADO 1, LETRAS b) Y d), PERO NO LOS REQUISITOS DEL ARTÍCULO 417, LETRAS b) Y c), del RRC Sólo se comunicarán las partidas de una de las siguientes subcategorías, también si no se cumple ninguna de las dos disposiciones. |
|
400 |
2.1 Activos no controlados por una función de gestión de la liquidez Artículo 417, letra c), del Reglamento (UE) no 575/2013 |
|
410 |
2.2 Activos que no estén disponibles, en términos jurídicos y prácticos, en cualquier momento durante los 30 días siguientes a su liquidación mediante venta directa o mediante un simple pacto de recompra en mercados aprobados de recompra Artículo 417, letra b), del Reglamento (UE) no 575/2013 |
|
420-610 |
3. PARTIDAS SUJETAS A COMUNICACIÓN SUPLEMENTARIA DE ACTIVOS LÍQUIDOS Las entidades únicamente comunicarán los activos sujetos a comunicación suplementaria de activos líquidos de conformidad con el anexo III del Reglamento (UE) no 575/2013. Todas las partidas, con excepción de las mencionadas en 3.1, 3.2 y 3.9, deberán cumplir las condiciones que se definen en el último apartado de dicho anexo. |
|
420 |
3.1 Efectivo Anexo III, punto 1, del Reglamento (UE) no 575/2013 Importe total del efectivo, incluidas las monedas y billetes de banco. Solo se comunicará el efectivo que no cumpla al menos una de las condiciones establecidas en el artículo 416, apartado 3, letras c), d) y e), y que, por lo tanto, no pueda comunicarse en 1.1. Obsérvese que el efectivo en depósito en otras entidades no se comunicará aquí, sino en la categoría de garantías reales de la plantilla 1.3 «Entradas», si cumple las condiciones para ser considerado un pago pendiente durante los 30 días siguientes. |
|
430 |
3.2 Exposiciones en bancos centrales, en la medida en que pueda recurrirse a dichas exposiciones en momentos de tensión Anexo III, punto 2 del Reglamento (UE) no 575/2013 Total de exposiciones en bancos centrales, en la medida en que pueda recurrirse a dichas exposiciones en momentos de tensión. Sólo se comunicarán las exposiciones que no cumplan al menos una de las condiciones establecidas en las letras c), d) y e), y que, por lo tanto, no puedan comunicarse en 1.3. |
|
440-480 |
3.3 Valores mobiliarios a los que se les haya asignado una ponderación de riesgo del 0 % y que no sean obligaciones de una entidad o de entidades filiales Anexo III, punto 3 del Reglamento (UE) no 575/2013 Valores mobiliarios a los que se les haya asignado una ponderación de riesgo del 0 % que constituyan créditos frente a, o garantizados por, la administración central de un Estado miembro o de un tercer país contemplado en el punto 5 del anexo III. De los cuales: |
|
440 |
3.3.1 que constituyan créditos frente a emisores soberanos Anexo III, punto 3, del Reglamento (UE) no 575/2013 |
|
450 |
3.3.2 estén garantizados por emisores soberanos Anexo III, punto 3, del Reglamento (UE) no 575/2013 |
|
460 |
3.3.3 que constituyan créditos frente a o estén garantizados por bancos centrales Anexo III, punto 3 del Reglamento (UE) no 575/2013 |
|
470 |
3.3.4 que constituyan créditos frente a o estén garantizados por entes del sector público no pertenecientes a la administración central, regiones con autonomía fiscal para imponer y recaudar tributos y autoridades locales Anexo III, punto 3, del Reglamento (UE) no 575/2013 |
|
480 |
3.3.5 que constituyan créditos frente a o estén garantizados por el Banco de Pagos Internacionales, el Fondo Monetario Internacional, la Unión Europea, la Facilidad Europea de Estabilidad Financiera, el Mecanismo Europeo de Estabilidad o bancos multilaterales de desarrollo Anexo III, punto 3, del Reglamento (UE) no 575/2013 |
|
490 |
3.4 Valores mobiliarios distintos de los contemplados en el punto 3.3 que representen créditos frente a, o garantizados por, emisores soberanos o bancos centrales, emitidos en las monedas nacionales del emisor soberano o del banco central en la moneda y en el país en el que se asuma el riesgo de liquidez o emitidos en otras divisas, en la medida en que la tenencia de dicha deuda se corresponda con las necesidades de liquidez de las operaciones del banco en el tercer país de que se trate Anexo III, punto 4, del Reglamento (UE) no 575/2013 |
|
500-550 |
3.5 Valores mobiliarios a los que se les haya asignado una ponderación de riesgo del 20 % y que no sean obligaciones de una entidad o de alguna de sus filiales Anexo III, punto 5, del Reglamento (UE) no 575/2013 Valores mobiliarios a los que se les haya asignado una ponderación de riesgo del 20 % que constituyan créditos frente a, o garantizados por, la administración central de un Estado miembro o de un tercer país contemplado en el punto 5 del anexo III. De los cuales: |
|
500 |
3.5.1 que constituyan créditos frente a emisores soberanos Anexo III, punto 5, del Reglamento (UE) no 575/2013. |
|
510 |
3.5.2 estén garantizados por emisores soberanos Anexo III, punto 5 del Reglamento (UE) no 575/2013 |
|
520 |
3.5.3 que constituyan créditos frente a o estén garantizados por los bancos centrales Anexo III, punto 5, del Reglamento (UE) no 575/2013 |
|
530 |
3.5.4 que constituyan créditos frente a o estén garantizados por entes del sector público no pertenecientes a la administración central, regiones con autonomía fiscal para imponer y recaudar tributos y autoridades locales Anexo III, punto 5 del Reglamento (UE) no 575/2013 |
|
540 |
3.5.5 que constituyan créditos frente a o estén garantizados por bancos multilaterales de desarrollo Anexo III, punto 5, del Reglamento (UE) no 575/2013 |
|
550 |
3.6 Valores negociables distintos de los contemplados en los puntos 3.3 a 3.5 de la plantilla LCR-Assets que cumplan las condiciones especificadas en el punto 5 del anexo III del RRC Anexo III, punto 6, del Reglamento (UE) no 575/2013 |
|
560 |
3.7 Valores mobiliarios distintos de los contemplados en 3.3 a 3.6 a los que pueda aplicarse una ponderación de riesgo del 50 % o más favorable con arreglo a la parte tercera, título II, capítulo 2, o que, según una calificación interna, posean una calidad crediticia equivalente, y que no representen un crédito frente a una SSPE, una entidad o una de sus filiales Anexo III, punto 7, del Reglamento (UE) no 575/2013 |
|
570 |
3.8 Valores mobiliarios distintos de los contemplados en 3.3 a 3.7 garantizados por activos a los que pueda aplicarse una ponderación de riesgo del 35 % o más favorable con arreglo a la parte tercera, título II, capítulo 2, o que, según una calificación interna, posean una calidad crediticia equivalente, y que estén totalmente garantizados por hipotecas constituidas sobre bienes inmuebles residenciales de conformidad con el artículo 125 Anexo III, punto 8, del Reglamento (UE) no 575/2013 |
|
580 |
3.9 Facilidades de crédito contingente concedidas por bancos centrales en el marco de la política monetaria, en la medida en que dichas facilidades no resulten garantizadas por activos líquidos y excluyendo la provisión urgente de liquidez Anexo III, punto 9, del Reglamento (UE) no 575/2013 Solo en la medida en que no se haya notificado con arreglo al punto 1.5. |
|
590 |
3.10 Depósitos mínimos legales o estatutarios en entidades centrales de crédito y otros fondos líquidos estatutarios o contractuales disponibles de la entidad o las entidades centrales de crédito que sean miembros de la red a que se refiere el artículo 113, apartado 7, o que puedan acogerse a la exención prevista en el artículo 10, en la medida en que dichos fondos no estén garantizados por activos líquidos, si la entidad de crédito pertenece a una red en virtud de disposiciones legales o estatutarias Anexo III, punto 10, del Reglamento (UE) no 575/2013 Este punto se incluye sólo en la medida en que no se comunica con arreglo al punto 1.6. |
|
600 |
3.11 Participaciones en capital ordinario negociadas en mercados organizados y compensadas de forma centralizada, que formen parte de un importante índice bursátil, denominadas en la moneda nacional del Estado miembro y que no hayan sido emitidas por una entidad ni por ninguna de sus filiales. Anexo III, punto 11, del Reglamento (UE) no 575/2013 |
|
610 |
3.12 Oro registrado en un mercado regulado, mantenido en custodia Anexo III, punto 12, del Reglamento (UE) no 575/2013 |
|
620-850 |
4. ACTIVOS QUE NO CUMPLAN LOS REQUISITOS DEL ARTÍCULO 416 PERO SÍ LOS DEL ARTÍCULO 417, LETRAS b) Y c), DEL REGLAMENTO No 575/2013 |
|
620-640 |
4.1 Obligaciones de sociedades financieras Artículo 416, apartado 2, del Reglamento (UE) no 575/2013 Obligaciones emitidas por una empresa de inversión, una empresa de seguros, una sociedad financiera de cartera, una sociedad financiera mixta de cartera o cualquier otro ente que realice una o varias de las actividades recogidas en el anexo I de la Directiva 2013/36/UE. Estas partidas se comunicarán de acuerdo con su calidad crediticia según el artículo 120, apartado 1, del Reglamento (UE) no 575/2013 |
|
620 |
4.1.1 nivel 1 de calidad crediticia |
|
630 |
4.1.2 nivel 2 de calidad crediticia |
|
640 |
4.1.3 nivel 3 de calidad crediticia |
|
650-670 |
4.2 Emisiones propias Artículo 416, apartado 3, letra b), del Reglamento (UE) no 575/2013 Estas partidas se comunicarán de acuerdo con su calidad crediticia según el artículo 120, apartado 1, del Reglamento (UE) no 575/2013. |
|
650 |
4.2.1 nivel 1 de calidad crediticia |
|
660 |
4.2.2 nivel 2 de calidad crediticia |
|
670 |
4.2.3 nivel 3 de calidad crediticia |
|
680-700 |
4.3 Emisiones de entidades de crédito no garantizadas Reglamento no (UE) no 575/2013 Estas partidas se comunicarán de acuerdo con su calidad crediticia según el artículo 120, apartado 1, del Reglamento (UE) no 575/2013. |
|
680 |
4.3.1 nivel 1 de calidad crediticia |
|
690 |
4.3.2 nivel 2 de calidad crediticia |
|
700 |
4.3.3 nivel 3 de calidad crediticia |
|
710-730 |
4.4 Instrumentos garantizados por hipotecas constituidas sobre bienes inmuebles no residenciales no consignados en 1.10 Artículo 416, apartado 4, letra b), del Reglamento (UE) no 575/2013 Estas partidas se comunicarán de acuerdo con su calidad crediticia según el título II, capítulo 5, de la parte tercera y el artículo 125 del Reglamento (UE) no 575/2013. |
|
710 |
4.4.1 nivel 1 de calidad crediticia |
|
720 |
4.4.2 nivel 2 de calidad crediticia |
|
730 |
4.4.3 nivel 3 de calidad crediticia |
|
740-760 |
4.5 Instrumentos garantizados por hipotecas constituidas sobre bienes inmuebles residenciales no consignados en 1.11 Artículo 509, apartado 3, letra a), del Reglamento (UE) no 575/2013 Estas partidas se comunicarán de acuerdo con su calidad crediticia según el título II, capítulo 5, de la parte tercera y el artículo 125 del Reglamento (UE) no 575/2013. |
|
740 |
4.5.1 nivel 1 de calidad crediticia |
|
750 |
4.5.2 nivel 2 de calidad crediticia |
|
760 |
4.5.3 nivel 3 de calidad crediticia |
|
770 |
4.6 Acciones registradas en un mercado regulado e instrumentos de capital vinculados a importantes mercados bursátiles, no emitidos por la propia entidad o por entidades financieras Artículo 416, apartado 4, letra a) y artículo 509, apartado 3, letra c) del Reglamento (UE) no 575/2013 |
|
780 |
4.7 Oro Artículo 416, apartado 4, letra a), y artículo 509, apartado 3, letra c), del Reglamento (UE) no 575/2013 |
|
790 |
4.8 Bonos con garantía personal no comunicados anteriormente Artículo 509, apartado 3, letra c), del Reglamento (UE) no 575/2013 |
|
800 |
4.9 Bonos con garantía real no comunicados anteriormente Artículo 509, apartado 3, letra c), del Reglamento (UE) no 575/2013 |
|
810 |
4.10 Obligaciones de empresas no comunicadas anteriormente Artículo 509, apartado 3, letra c), del Reglamento (UE) no 575/2013 |
|
820 |
4.11 Fondos basados en los activos comunicados en 4.6-4.10 Artículo 509, apartado 3, letra c), del Reglamento (UE) no 575/2013 |
|
830-850 |
4.12 Otras categorías de valores o préstamos admisibles por los bancos centrales Artículo 509, apartado 3, letra b), del Reglamento (UE) no 575/2013 |
|
830 |
4.12.1 bonos de las administraciones locales Artículo 509, apartado 3, letra b), del Reglamento (UE) no 575/2013 |
|
840 |
4.12.2 pagarés Artículo 509, apartado 3, letra b), del Reglamento (UE) no 575/2013 |
|
850 |
4.12.3 derechos de crédito Artículo 416, apartado 4, letra c), del Reglamento (UE) no 575/2013 |
|
860-870 |
5. TRATAMIENTO DE LOS TERRITORIOS CON INSUFICIENTES ACTIVOS LÍQUIDOS DE ALTA CALIDAD Artículo 419, apartado 2, del Reglamento (UE) no 575/2013 |
|
860 |
5.1 Utilización de la excepción A (divisas) Artículo 419, apartado 2, letra a), del Reglamento (UE) no 575/2013. Importe total de los activos mantenidos de conformidad con la excepción A. |
|
870 |
5.2 Utilización de la excepción B (línea de crédito del banco central) Artículo 419, apartado 2, letra b), del Reglamento (UE) no 575/2013 Importe total de la línea de crédito no utilizada mantenida de conformidad con la excepción B. |
|
880-900 |
6. COMUNICACIÓN DE ACTIVOS QUE CUMPLEN LA SHARIA COMO ACTIVOS ALTERNATIVOS EN VIRTUD DEL ARTÍCULO 509, APARTADO 2, LETRA i) Artículo 509, apartado 2, letra i), del Reglamento (UE) no 575/2013 |
|
880 |
6.1 nivel 1 de calidad crediticia |
|
890 |
6.1 nivel 2 de calidad crediticia |
|
900 |
6.1 nivel 3 de calidad crediticia |
INFORMACIÓN SOBRE LIQUIDEZ (PARTE 2 DE 5: SALIDAS)
1. Salidas
1.1. Observaciones generales
1. Se trata de una plantilla resumen que ofrece información sobre las salidas de liquidez durante los 30 días siguientes, a efectos de la supervisión del requisito de cobertura de la liquidez que se especifica en el artículo 412 del Reglamento (UE) no 575/2013. Las partidas que no deben ser cumplimentadas por las entidades están coloreadas en gris.
2. De conformidad con el artículo 420 del Reglamento (UE) no 575/2013, esta sección abarca los requisitos de comunicación sobre depósitos minoristas (artículo 421), otros depósitos y pasivos (artículo 422), salidas adicionales (artículo 423) y salidas de líneas de liquidez y de crédito (artículo 424).
3. De conformidad con el artículo 421, apartado 5, del Reglamento (UE) no 575/2013, las entidades podrán excluir del cálculo de las salidas algunas categorías de depósitos minoristas claramente delimitadas. Por razones de exhaustividad, se exige la comunicación de tales depósitos en la partida 1.1.6 de la plantilla.
1.2. Subplantilla de salidas
1.2.1. Instrucciones relativas a filas concretas.
|
Fila |
Referencias legales e instrucciones |
|
020-137 |
1. SALIDAS Artículos 421 a 424 del Reglamento (UE) no 575/2013 Los pasivos comunicados en esta sección se han identificado de forma explícita como una fuente potencial de salidas de liquidez, durante los 30 días siguientes, a efectos de información. |
|
020-100 |
1.1 Depósitos minoristas El artículo 421 del Reglamento (UE) no 575/2013 El pasivo total por depósitos minoristas, tal como se definen en el artículo 411, apartado 2, del Reglamento (UE) no 575/2013, incluidos los depósitos a la vista y a plazo fijo, se comunicará en la columna 020. La salida resultante tras la aplicación del porcentaje de salidas correspondiente se comunicará en la columna 030. Se comunicarán las siguientes subcategorías: |
|
020-040 |
1.1.1 amparados por un sistema de garantía de depósitos con arreglo a la Directiva 94/19/CE o un sistema de garantía de depósitos equivalente de un tercer país Artículo 421, apartado 1, del Reglamento (UE) no 575/2013 |
|
020 |
1.1.1.1 que son parte de una relación establecida que hace muy improbable la retirada de los mismos Artículo 421, apartado 1, letra a), del Reglamento (UE) no 575/2013. Depósitos minoristas amparados por un sistema de garantía de depósitos con arreglo a la Directiva 94/19/CE o un sistema de garantía de depósitos equivalente de un tercer país descrito consignados en 1.1.1, que sean parte de una relación establecida que haga muy improbable la retirada. Los depósitos minoristas que sean parte de una relación establecida que haga muy improbable la retirada y que se realicen en cuentas corrientes, por ejemplo las cuentas donde se ingresan automáticamente los salarios, se comunicarán en 1.1.1.2. |
|
030 |
1.1.1.2 que se realizan en cuentas corrientes, por ejemplo, las cuentas donde se ingresan automáticamente los salarios Artículo 421, apartado 1, letra b), del Reglamento (UE) no 575/2013 Depósitos minoristas amparados por un sistema de garantía de depósitos con arreglo a la Directiva 94/19/CE o un sistema de garantía de depósitos equivalente de un tercer país consignados en 1.1.1, que sean parte de una relación establecida que haga muy improbable la retirada. |
|
040 |
1.1.2 amparados por un sistema de garantía de depósitos con arreglo a la Directiva 94/19/CE o un sistema de garantía de depósitos equivalente de un tercer país y que no cumplen las condiciones para ser consignados en 1.1.1.1 o 1.1.1.2 Artículo 421, apartado 2, del Reglamento (UE) no 575/2013 De entre los depósitos minoristas amparados por un sistema de garantía de depósitos con arreglo a la Directiva 94/19/CE o un sistema de garantía de depósitos equivalente de un tercer país, aquellos que no cumplen las condiciones para ser comunicados en 1.1.1.1 o 1.1.1.2. |
|
050 |
1.1.3 depósitos minoristas no cubiertos por un sistema de garantía de depósitos Artículo 421, apartado 2, del Reglamento (UE) no 575/2013 Depósitos minoristas no amparados por un sistema de garantía de depósitos con arreglo a la Directiva 94/19/CE o un sistema de garantía de depósitos equivalente de un tercer país. |
|
060-080 |
1.1.4 depósitos sujetos a un porcentaje de salidas superior a lo previsto en el artículo 421, apartados 1 o 2 Artículo 421, apartado 3, del Reglamento (UE) no 575/2013 Los depósitos minoristas sujetos a un porcentaje de salidas superior a los indicados en el artículo 421, apartados 1 o 2, del Reglamento (UE) no 575/2013 se comunicarán en las siguientes subcategorías: |
|
060 |
1.1.4.1 depósitos sujetos a un porcentaje de salidas superior a lo previsto — categoría 1 — riesgo de salida medio Artículo 421, apartado 3, del Reglamento (UE) no 575/2013 Depósitos minoristas que según las entidades deban clasificarse en la categoría 1. |
|
070 |
1.1.4.2 depósitos sujetos a un porcentaje de salidas superior a lo previsto — categoría 2 — riesgo de salida alto Artículo 421, apartado 3, del Reglamento (UE) no 575/2013 Depósitos minoristas que según las entidades deban clasificarse en la categoría 2. |
|
080 |
1.1.4.3 depósitos sujetos a un porcentaje de salidas superior a lo previsto — categoría 3 — riesgo de salida muy alto Artículo 421, apartado 3, del Reglamento (UE) no 575/2013 Depósitos minoristas que según las entidades deban clasificarse en la categoría 3. |
|
090 |
1.1.5 depósitos en terceros países donde se aplique un porcentaje de salidas superior Artículo 421, apartado 4, del Reglamento (UE) no 575/2013 Depósitos minoristas en terceros países sujetos a porcentajes de salidas superiores a los previstos en los artículos 421, apartados 1 o 2, del Reglamento (UE) no 575/2013. |
|
100 |
1.1.6 depósitos exentos del cálculo de las salidas cuando se cumplen las condiciones del artículo 421, apartado 5, letras a) y b) Artículo 421, apartado 5, del Reglamento (UE) no 575/2013 Depósitos minoristas exentos del cálculo de las salidas, de conformidad con el artículo 421, apartado 5 del Reglamento (UE) no 575/2013. |
|
110-1130 |
1.2 Salidas sobre otros pasivos Artículo 422 del REGLAMENTO (UE) no 575/2013 El total de salidas sobre otros pasivos que venzan durante los 30 días siguientes se comunicará en las subcategorías siguientes: Los pasivos comunicados en esta sección estarán constituidos por obligaciones generales distintas de las derivadas de los depósitos minoristas tal como se definen en el artículo 411, apartado 2 (que deben comunicarse en la partida 1.1. antes mencionada). Los pasivos comunicados aquí deben tener vencimiento durante los 30 días siguientes, una primera fecha posible de vencimiento contractual dentro de los 30 días siguientes o una fecha de vencimiento indefinida. Se incluyen i) los pasivos con opciones ejercitables a criterio del inversor y ii) los pasivos con opciones ejercitables a criterio de la entidad cuando la capacidad de esta para no ejercitarlas esté limitada por motivos de reputación. En particular, cuando el mercado espere que ciertos pasivos se rescaten dentro de los 30 días siguientes, antes de su fecha final de vencimiento legal, esos pasivos se incluirán en la subcategoría adecuada. |
|
110 |
1.2.1 pasivos resultantes de los gastos de explotación de la entidad Artículo 422, apartado 1, del Reglamento (UE) no 575/2013 Importe total de los pasivos que venzan durante los 30 días siguientes resultantes de los propios gastos de explotación de la entidad. Son ejemplos los gastos de oficina y de suministro de agua y electricidad, los gastos de contabilidad, los sueldos y salarios y los demás gastos generados por la explotación de la entidad. |
|
120-950 |
1.2.2 pasivos resultantes de operaciones de préstamo garantizadas y de operaciones vinculadas al mercado de capitales según se definen en el artículo 192 Artículo 422, apartado 2, del Reglamento (UE) no 575/2013 En las siguientes subcategorías, las entidades determinarán el importe de las salidas relacionadas con operaciones de préstamo garantizadas y operaciones vinculadas al mercado de capitales durante los 30 días siguientes, el valor de mercado de los activos correspondientes empleados como garantía de las operaciones y el valor de estos activos con arreglo al artículo 418 del Reglamento (UE) no 575/2013. De conformidad con el artículo 192: 1. «Operación de préstamo garantizada» es toda operación que dé lugar a una exposición garantizada mediante garantías reales que no incluya una disposición que confiera a la entidad el derecho a recibir márgenes como mínimo diariamente. 2. «Operación vinculada al mercado de capitales» es toda operación que dé lugar a una exposición garantizada mediante garantías reales que incluya una disposición que confiera a la entidad el derecho a recibir márgenes como mínimo diariamente. Por consiguiente, se comunicará en esta sección cualquier operación en la que la entidad haya recibido un préstamo en efectivo con garantía real, tales como las operaciones de recompra según lo definido en el artículo 4, punto 83, del Reglamento (UE) no 575/2013, y que venza en el plazo de 30 días. Las entidades comunicarán el valor de mercado de los activos que garanticen las operaciones de préstamo garantizadas y las operaciones vinculadas al mercado de capitales en la columna 010. Comunicarán esas operaciones en una de las siete categorías siguientes: Categoría uno: cuando la contraparte no sea un banco central y los activos que garanticen la operación sean de liquidez y calidad crediticia sumamente elevadas, el importe adeudado se comunicará en la columna 020 y el valor según el artículo 418 del Reglamento (UE) no 575/2013 del activo que garantice la operación se comunicará en la columna 030. Categoría dos: cuando la contraparte no sea un banco central y los activos que garanticen la operación sean de liquidez y calidad crediticia elevadas, el importe adeudado se comunicará en la columna 040 y el valor según el artículo 418 del Reglamento (UE) no 575/2013 del activo que garantice la operación se comunicará en la columna 050. Categoría tres: cuando la contraparte no sea un banco central y los activos que garanticen la operación sean de liquidez y calidad crediticia de otro tipo, el importe adeudado se comunicará en la columna 060. Categoría cuatro: cuando la contraparte sea un banco central y los activos que garanticen la operación sean de liquidez y calidad crediticia sumamente elevadas, el importe adeudado se comunicará en la columna 070 y el valor según el artículo 418 del Reglamento (UE) no 575/2013 del activo que garantice la operación se comunicará en la columna 080. Categoría cinco: cuando la contraparte sea un banco central y los activos que garanticen la operación sean de liquidez y calidad crediticia elevadas, el importe adeudado se comunicará en la columna 090 y el valor según el artículo 418 del Reglamento (UE) no 575/2013 del activo que garantice la operación se comunicará en la columna 100. Categoría seis: cuando la contraparte sea un banco central y los activos que garanticen la operación sean de liquidez y calidad crediticia de otro tipo, el importe adeudado se comunicará en la columna 110. Categoría siete: cuando la contraparte sea la administración central, un ente del sector público del Estado miembro en el que la entidad de crédito haya sido autorizada o haya establecido una sucursal, o un banco multilateral de desarrollo, el importe adeudado se comunicará en la columna 120. A la hora de clasificar las operaciones, las entidades identificarán la liquidez y calidad crediticia de los activos que las garanticen aplicando los mismos criterios que para consignar los activos en la plantilla 1.1 «Activos». Es decir, de conformidad con el artículo 416, apartado 1, del Reglamento (UE) no 575/2013, a la espera de una definición uniforme de la liquidez y calidad crediticia elevadas y sumamente elevadas, de acuerdo con el artículo 460 de dicho Reglamento, las entidades determinarán por sí mismas en una divisa dada los activos transferibles que sean de liquidez y calidad crediticia elevadas o sumamente elevadas. Si la entidad ha depositado dentro de un conjunto de garantías tanto activos de liquidez y calidad crediticia «sumamente elevadas», «elevadas» y de «otro tipo» y ninguno de ellos se ha asignado específicamente como garantía de la operación de préstamo garantizada o la operación vinculada al mercado de capitales, la entidad supondrá que se asignan primero los activos de menor liquidez y calidad crediticia, es decir, los activos de «liquidez y calidad crediticia de otro tipo». Una vez que se hayan asignado estos por completo, se asignarán los de «liquidez y calidad crediticia elevadas». Solo una vez que se hayan asignado también esos activos, se asignarán los de «liquidez y calidad crediticia sumamente elevadas». Las permutas financieras con garantías reales en las que la entidad simultáneamente preste y tome prestadas garantías (en forma de activos distintos del efectivo) se comunicarán del modo siguiente: El valor de los activo tomados en préstamo será su valor de mercado, columna 010, y su valor con arreglo al artículo 418 del Reglamento (UE) no 575/2013 se consignará en la columna correspondiente. Las permutas financieras con garantías reales solo se refieren a garantías y, por tanto, no hay ningún «Importe adeudado» que deba comunicarse. El valor de mercado de los activos otorgados en préstamo se comunicará en la columna «Valor de mercado del activo que garantice la operación», en la subcategoría adecuada de la parte III de la plantilla «Entradas». Las permutas financieras con garantías reales solo se refieren a la garantía y, por tanto, no hay ningún «Importe adeudado» que deba comunicarse. |
|
120-190 |
1.2.2.1 otros activos transferibles que constituyan créditos frente a o estén garantizados por: Artículo 416, apartado 1, letra c), del Reglamento (UE) no 575/2013 Las operaciones amparadas por activos transferibles se comunicarán aquí con arreglo a lo dispuesto en la partida 1.2.2 anterior, en la subcategoría adecuada. Los activos comunicados en esta sección se han identificado de forma explícita como activos potencialmente pertenecientes a las categorías de liquidez y calidad crediticia sumamente elevadas o elevadas. Los activos consignados en esta sección deben cumplir todos los requisitos aplicables de los artículos 416 y 417 del Reglamento (UE) no 575/2013. |
|
120-130 |
1.2.2.1.1 activos transferibles que constituyan créditos frente a o estén garantizados por la administración central de un Estado miembro, de una región con autonomía fiscal para imponer y recaudar tributos, o de un tercer país en la moneda nacional de la administración central o regional, en caso de que la entidad contraiga un riesgo de liquidez en ese Estado miembro o tercer país que cubra con la tenencia de esos activos líquidos Artículo 416, apartado 1, letra c), inciso i) del Reglamento (UE) no 575/2013 |
|
120 |
1.2.2.1.1.1 que constituyan créditos frente a Activos especificados en la partida 1.3.1 de la plantilla de activos líquidos y que constituyan créditos frente a las contrapartes anteriores, de conformidad con el artículo 416, apartado 1, letra c), inciso i). |
|
130 |
1.2.2.1.1.2 estén garantizados por Activos especificados en la partida 1.3.1 de la plantilla de activos líquidos y que estén garantizados por las contrapartes anteriores, de conformidad con el artículo 416, apartado 1, letra c), inciso i). |
|
140-150 |
1.2.2.1.2 activos transferibles que constituyan créditos frente a o estén garantizados por los bancos centrales y entes del sector público que no dependan de la administración central en la moneda nacional del banco central y de los entes del sector público Artículo 416, apartado 1, letra c), inciso ii) del Reglamento (UE) no 575/2013 |
|
140 |
1.2.2.1.2.1 que constituyan créditos frente a Activos especificados en la partida 1.3.2 de la plantilla de activos líquidos y que constituyan créditos frente a las contrapartes anteriores, de conformidad con el artículo 416, apartado 1, letra c), inciso ii). |
|
150 |
1.2.2.1.2.2 estén garantizados por Activos especificados en la partida 1.3.2 de la plantilla de activos líquidos y que estén garantizados por las contrapartes anteriores, de conformidad con el artículo 416, apartado 1, letra c), inciso ii). |
|
160-170 |
1.2.2.1.3 activos transferibles que constituyan créditos fuente a o estén garantizados por el Banco de Pagos Internacionales, el Fondo Monetario Internacional, la Comisión Europea o bancos multilaterales de desarrollo Artículo 416, apartado 1, letra c), inciso iii) del Reglamento (UE) no 575/2013 |
|
160 |
1.2.2.1.3.1 que constituyan créditos frente a Activos especificados en la partida 1.3.3 de la plantilla de activos líquidos que constituyan créditos frente a las contrapartes anteriores, de conformidad con el artículo 416, apartado 1, letra c), inciso iii). |
|
170 |
1.2.2.1.3.2 estén garantizados por Activos especificados en 1.3.3 de la plantilla de activos líquidos y que estén garantizados por las contrapartes anteriores, de conformidad con el artículo 416, apartado 1, letra c), inciso iii) |
|
180-190 |
1.2.2.1.4 activos transferibles que constituyan créditos frente a o estén garantizadas por la Facilidad Europea de Estabilidad Financiera y el Mecanismo Europeo de Estabilidad Artículo 416, apartado 1, letra c), inciso iv) del Reglamento (UE) no 575/2013 |
|
180 |
1.2.2.1.4.1 que constituyan créditos Activos especificados en la partida 1.3.4 de la plantilla de activos líquidos y que constituyan créditos frente a las contrapartes anteriores, de conformidad con el artículo 416, apartado 1, letra c), inciso iv). |
|
190 |
1.2.2.1.4.2 estén garantizados por Activos especificados en la partida 1.3.4 de la plantilla de activos líquidos y que estén garantizados por las contrapartes anteriores, de conformidad con el artículo 416, apartado 1, letra c), inciso iv). |
|
200-220 |
1.2.2.2 total de acciones o participaciones en OIC con activos subyacentes especificados en el artículo 416, apartado 1 Artículo 416, apartado 6, del Reglamento (UE) no 575/2013 El total de acciones o participaciones en OIC con activos subyacentes especificados en el artículo 416, apartado 1, del Reglamento (UE) no 575/2013 se comunicarán aquí de conformidad con lo indicado en 1.2.2 más arriba, dentro de la subcategoría adecuada. |
|
200 |
1.2.2.2.1 activos subyacentes del artículo 416, apartado 1, letra a) |
|
210 |
1.2.2.2.2 activos subyacentes del artículo 416, apartado 1, letras b) y c) |
|
220 |
1.2.2.2.3 activos subyacentes del artículo 416, apartado 1, letra d) |
|
230 |
1.2.2.3 activos emitidos por una entidad de crédito que haya sido establecida por la administración central o regional de un Estado miembro Artículo 416, apartado 2, letra a), inciso iii) del Reglamento (UE) no 575/2013 |
|
240-260 |
1.2.2.4 obligaciones de empresas no financieras Artículo 416, apartado 1, letras b) o d), del Reglamento (UE) no 575/2013 Las obligaciones de empresas no financieras se comunicarán de acuerdo con su calidad crediticia según el artículo 122 del Reglamento (UE) no 575/2013 y de conformidad con lo indicado en 1.2.2 más arriba, dentro de la subcategoría adecuada. |
|
240 |
1.2.2.4.1 nivel 1 de calidad crediticia |
|
250 |
1.2.2.4.2 nivel 2 de calidad crediticia |
|
260 |
1.2.2.4.3 nivel 3 de calidad crediticia |
|
270-290 |
1.2.2.5 obligaciones emitidas por una entidad de crédito que puedan acogerse al tratamiento establecido en el artículo 129, apartados 4 o 5 Artículo 416, apartado 2, letra a), inciso i), del Reglamento (UE) no 575/2013 Las obligaciones que puedan acogerse al tratamiento establecido en el artículo 129, apartados 4 o 5, se comunicarán de acuerdo con su calidad crediticia según el artículo 129, apartados 4 o 5, del Reglamento (UE) no 575/2013 y de conformidad con lo indicado en 1.2.2 más arriba, dentro de la subcategoría adecuada. |
|
270 |
1.2.2.5.1 nivel 1 de calidad crediticia |
|
280 |
1.2.2.5.2 nivel 2 de calidad crediticia |
|
290 |
1.2.2.5.3 nivel 3 de calidad crediticia |
|
300-320 |
1.2.2.6 instrumentos emitidos por una entidad de crédito garantizados por activos si se demuestra que responden a la mayor calidad crediticia, tal como establece la ABE ateniéndose a los criterios previstos en el artículo 509, apartados 3, 4 y 5 Artículo 416, apartado 2, letra a), inciso i), del Reglamento (UE) no 575/2013 Estos elementos se comunicarán de acuerdo con su calidad crediticia según el título II, capítulo 5, y los artículos 123, 124, 125 y 126 del Reglamento (UE) no 575/2013 y de conformidad con lo indicado en la sección 1.2.2 anterior, dentro de la subcategoría adecuada. |
|
300 |
1.2.2.6.1 nivel 1 de calidad crediticia |
|
310 |
1.2.2.6.2 nivel 2 de calidad crediticia |
|
320 |
1.2.2.6.3 nivel 3 de calidad crediticia |
|
330-350 |
1.2.2.7 instrumentos garantizados por hipotecas constituidas sobre bienes inmuebles residenciales, de los instrumentos comunicados en las líneas 1.10.1, 1.10.2, 1.10.3 de la plantilla de activos líquidos Artículo 416, apartado 2, letra a), inciso i), del Reglamento (UE) no 575/2013 Estos elementos se comunicarán de acuerdo con su calidad crediticia según el título II, capítulo 5, y los artículos 123, 124, 125 y 126 del Reglamento (UE) no 575/2013 y de conformidad con lo indicado en 1.2.2 anterior, dentro de la subcategoría adecuada. |
|
330 |
1.2.2.7.1 nivel 1 de calidad crediticia |
|
340 |
1.2.2.7.2 nivel 2 de calidad crediticia |
|
350 |
1.2.2.7.3 nivel 3 de calidad crediticia |
|
360-380 |
1.2.2.8 obligaciones a que se refiere el artículo 52, apartado 4, de la Directiva 2009/65/CE, distintas de las contempladas en 1.9 Artículo 416, apartado 2, letra a), inciso ii) del Reglamento (UE) no 575/2013 Estos elementos se comunicarán de acuerdo con su calidad crediticia según el artículo 129, apartados 4 o 5, del Reglamento (UE) no 575/2013 y de conformidad con lo indicado en 1.2.2 más arriba, dentro de la subcategoría adecuada. |
|
360 |
1.2.2.8.1 nivel 1 de calidad crediticia |
|
370 |
1.2.2.8.2 nivel 2 de calidad crediticia |
|
380 |
1.2.2.8.3 nivel 3 de calidad crediticia |
|
390-410 |
1.2.29 otros activos transferibles de liquidez y calidad crediticia sumamente elevadas Artículo 416.1, letra b), del Reglamento (UE) no 575/2013 Estas partidas se comunicarán de acuerdo con su calidad crediticia según el título II, capítulo 2, de la parte tercera del Reglamento (UE) no 575/2013 y de conformidad con lo indicado en 1.2.2 más arriba, dentro de la subcategoría adecuada. Solo se comunicarán aquí las partidas que no estén especificadas en las filas anteriores. |
|
390 |
1.2.2.9.1 nivel 1 de calidad crediticia |
|
400 |
1.2.2.9.2 nivel 2 de calidad crediticia |
|
410 |
1.2.2.9.3 nivel 3 de calidad crediticia |
|
420-440 |
1.2.2.10 otros activos transferibles de liquidez y calidad crediticia elevadas Artículo 416.1, letra d), del Reglamento (UE) no 575/2013 Estas partidas se comunicarán de acuerdo con su calidad crediticia según la parte tercera, título II, capítulo 2, del Reglamento (UE) no 575/2013 y de conformidad con lo indicado en 1.2.2 más arriba, dentro de la subcategoría adecuada. Solo se comunicarán aquí los elementos que no estén especificadas en las filas anteriores. |
|
420 |
1.2.2.10.1 nivel 1 de calidad crediticia |
|
430 |
1.2.2.10.2 nivel 2 de calidad crediticia |
|
440 |
1.2.2.10.3 nivel 3 de calidad crediticia |
|
450-460 |
1.2.2.11 activos que cumplan los requisitos del artículo 416, apartado 1, letras b) y d), pero no los del artículo 417, letras b) y c), del Reglamento (UE) no 575/2013 Estas partidas se comunicarán aquí de conformidad con lo indicado en 1.2.2 más arriba, dentro de la subcategoría adecuada. |
|
450 |
1.2.2.11.1 activos no controlados por una función de gestión de la liquidez Artículo 417, letra c), del Reglamento (UE) no 575/2013 |
|
460 |
1.2.2.11.2 activos que no estén disponibles, en términos jurídicos y prácticos, en cualquier momento durante los 30 días siguientes a su liquidación mediante venta directa o mediante un simple pacto de recompra en mercados aprobados de recompra Artículo 417, letra b), del Reglamento (UE) no 575/2013 |
|
480-680 |
1.2.2.12 partidas sujetas a comunicación suplementaria de activos líquidos Las entidades únicamente comunicarán los activos sujetos a comunicación suplementaria de activos líquidos de conformidad con el anexo III del Reglamento (UE) no 575/2013. Todas las partidas, con excepción de las mencionadas en 3.1, 3.2 y 3.9, deberán cumplir las condiciones que se definen en el último párrafo de dicho anexo. Estos elementos se consignarán aquí de conformidad con lo indicado en 1.2.2 más arriba, dentro de la subcategoría adecuada. Solo se comunicarán aquí elementos que no estén indicados en ningún otro lugar de la plantilla. |
|
480 |
1.2.2.12.1 efectivo Anexo III, punto 1, del Reglamento (UE) no 575/2013 Importe total de efectivo, incluidas las monedas y billetes. Solo se comunicará el efectivo que no cumpla al menos una de las condiciones establecidas en las letras c), d) y e) y, por lo tanto, no pueda consignarse en 1.1. Obsérvese que el efectivo en depósito en otras entidades no se comunicará aquí, sino en la categoría correspondiente a las garantías reales de la plantilla «Entradas», si puede considerarse un pago pendiente en los 30 días siguientes. |
|
490 |
1.2.2.12.2 exposiciones en bancos centrales, en la medida en que pueda recurrirse a dichas exposiciones en momentos de tensión. Anexo III, punto 2, del Reglamento (UE) no 575/2013 Total de las exposiciones frente a bancos centrales, en la medida en que pueda recurrirse a dichas exposiciones en momentos de tensión. Solo se comunicarán las exposiciones que no cumplan al menos una de las condiciones establecidas en las letras c), d) y e) y, por lo tanto, no puedan consignarse en 1.3. |
|
500-540 |
1.2.2.12.3 valores mobiliarios con una ponderación asignada de riesgo del 0 % y que no sean obligaciones de una entidad o de cualquiera de sus filiales Anexo III, punto 3, del Reglamento (UE) no 575/2013 Valores mobiliarios con una ponderación asignada de riesgo del 0 % y que constituyan créditos frente a o estén garantizados por la administración central de un Estado miembro o de un tercer país conforme al punto 5 del anexo III. De los cuales: |
|
500 |
1.2.2.12.3.1 que constituyan créditos frente a emisores soberanos Anexo III, punto 3, del Reglamento (UE) no 575/2013 |
|
510 |
1.2.2.12.3.2 estén garantizados por emisores soberanos Anexo III, punto 3, del Reglamento (UE) no 575/2013 |
|
520 |
1.2.2.12.3.3 que constituyan créditos frente a o estén garantizado por los bancos centrales Anexo III, punto 3, del Reglamento (UE) no 575/2013 |
|
530 |
1.2.2.12.3.4 que constituyan créditos frente a o estén garantizados por entes del sector público no pertenecientes a la administración central, regiones con autonomía fiscal para imponer y recaudar tributos y autoridades locales Anexo III, punto 3, del Reglamento (UE) no 575/2013 |
|
540 |
1.2.2.12.3.5 que constituyan créditos frente a o estén garantizados por el Banco de Pagos Internacionales, el Fondo Monetario Internacional, la Unión Europea, la Facilidad Europea de Estabilidad Financiera, el Mecanismo Europeo de Estabilidad o bancos multilaterales de desarrollo Anexo III, punto 3, del Reglamento (UE) no 575/2013 |
|
550 |
1.2.2.12.4 valores mobiliarios distintos de los contemplados en 3.3 que constituyan créditos frente a, o garantizados por, emisores soberanos o bancos centrales, emitidos en las monedas nacionales del emisor soberano o del banco central en la moneda y en el país en el que se asuma el riesgo de liquidez o emitidos en otras divisas, en la medida en que la tenencia de dicha deuda se corresponda con las necesidades de liquidez de las operaciones del banco en el tercer país de que se trate Anexo III, punto 4, del Reglamento (UE) no 575/2013 |
|
570-610 |
1.2.2.12.5 valores mobiliarios con una ponderación asignada de riesgo del 20 % y que no sean obligaciones de una entidad o de cualquiera de sus filiales Anexo III, punto 5, del Reglamento (UE) no 575/2013 Valores mobiliarios con una ponderación asignada de riesgo del 20 % y que constituyan créditos frente a o estén garantizados por la administración central de un Estado miembro o de un tercer país contemplado en el punto 5 del anexo III. De los cuales: |
|
570 |
1.2.2.12.5.1 que constituyan créditos frente a emisores soberanos Anexo III, punto 5, del Reglamento (UE) no 575/2013 |
|
580 |
1.2.2.12.5.2 estén garantizados por emisores soberanos Anexo III, punto 5, del Reglamento (UE) no 575/2013 |
|
590 |
1.2.2.12.5.3 que constituyan créditos frente a o estén garantizado por los bancos centrales Anexo III, punto 5, del Reglamento (UE) no 575/2013 |
|
600 |
1.2.2.12.5.4 que constituyan créditos frente a o estén garantizados por entes del sector público no pertenecientes a la administración central, regiones con autonomía fiscal para imponer y recaudar tributos y autoridades locales Anexo III, punto 5 del Reglamento (UE) no 575/2013 |
|
610 |
1.2.2.12.5.5 que constituyan créditos frente a o estén garantizados por el Banco de Pagos Internacionales, el Fondo Monetario Internacional, la Unión Europea, la Facilidad Europea de Estabilidad Financiera, el Mecanismo Europeo de Estabilidad o bancos multilaterales de desarrollo Anexo III, punto 5, del Reglamento (UE) no 575/2013 |
|
620 |
1.2.2.12.6 valores mobiliarios distintos de los contemplados en los puntos 3.3 a 3.5.6 con una ponderación asignada de riesgo del 20 % o más favorable con arreglo a la parte tercera, título II, capítulo 2, o que, según una calificación interna, posean una calidad crediticia equivalente, y que cumplan alguna de las condiciones especificadas en el punto 6 del anexo III del Reglamento (UE) no 575/2013 Anexo III, punto 6, del Reglamento (UE) no 575/2013 |
|
630 |
1.2.2.12.7 valores mobiliarios distintos de los contemplados en los puntos 3.3 a 3.6 con una ponderación asignada de riesgo del 50 % o más favorable con arreglo a la parte tercera, título II, capítulo 2, o que, según una calificación interna, posean una calidad crediticia equivalente, y que no representen un crédito frente a una SSPE, una entidad o una de sus empresas asociadas Anexo III, punto 7, del Reglamento (UE) no 575/2013 |
|
640 |
1.2.2.12.8 valores mobiliarios distintos de los contemplados en los puntos 3.3 a 3.7 garantizados por activos con una ponderación asignada de riesgo del 35 % o más favorable con arreglo a la parte tercera, título II, capítulo 2, o que, según una calificación interna, posean una calidad crediticia equivalente, y que estén totalmente garantizados por hipotecas constituidas sobre bienes inmuebles residenciales de conformidad con el artículo 125 Anexo III, punto 8, del Reglamento (UE) no 575/2013 |
|
650 |
1.2.2.12.9 facilidades de crédito contingente concedidas por bancos centrales en el marco de la política monetaria, en la medida en que dichas facilidades no resulten garantizadas por activos líquidos y excluyendo la provisión urgente de liquidez Anexo III, punto 9, del Reglamento (UE) no 575/2013 Importe total de las facilidades de crédito contingente concedidas por bancos centrales en el marco de la política monetaria, en la medida en que dichas facilidades no resulten garantizadas por activos líquidos y excluyendo la provisión urgente de liquidez. |
|
660 |
1.2.2.12.10 depósitos mínimos legales o estatutarios en entidades centrales de crédito y otros fondos líquidos estatutarios o contractuales disponibles de la entidad o las entidades centrales de crédito que sean miembros de la red a que se refiere el artículo 113, apartado 7, o que puedan acogerse a la exención prevista en el artículo 10, en la medida en que dichos fondos no estén garantizados por activos líquidos, si la entidad de crédito pertenece a una red en virtud de disposiciones legales o estatutarias Anexo III, punto 10, del Reglamento (UE) no 575/2013 |
|
670 |
1.2.2.12.11 participaciones en capital ordinario negociadas en mercados organizados y compensadas de forma centralizada, que formen parte de un importante índice bursátil, denominadas en la moneda nacional del Estado miembro y que no hayan sido emitidas por una entidad ni por ninguna de sus filiales Anexo III, punto 11, del Reglamento (UE) no 575/2013 |
|
680 |
1.2.2.12.12 oro registrado en un mercado regulado, mantenido en custodia Anexo III, punto 12 del Reglamento (UE) no 575/2013 |
|
690-920 |
1.2.2.13 activos que no cumplan los requisitos del artículo 416 pero sí los del artículo 417, letras b) y c) del Reglamento (UE) no 575/2013 Estos elementos se consignarán aquí de conformidad con lo indicado en 1.2.2 más arriba, dentro de la subcategoría adecuada. |
|
690-710 |
1.2.2.13.1 obligaciones de empresas financieras Artículo 416, apartado 2, del Reglamento (UE) no 575/2013 Estos elementos se comunicarán de acuerdo con su calidad crediticia según el artículo 120, apartado 1, del Reglamento (UE) no 575/2013. |
|
690 |
1.2.2.13.1.1 nivel 1 de calidad crediticia |
|
700 |
1.2.2.13.1.2 nivel 2 de calidad crediticia |
|
710 |
1.2.2.3.1.3 nivel 3 de calidad crediticia |
|
720-740 |
1.2.2.13.2 emisiones propias Artículo 416, apartado 3, letra b), del Reglamento (UE) no 575/2013 Estos elementos se comunicarán de acuerdo con su calidad crediticia según el artículo 120, apartado 1, del Reglamento (UE) no 575/2013 |
|
720 |
1.2.2.13.2.1 nivel 1 de calidad crediticia |
|
730 |
1.2.2.13.2.2 nivel 2 de calidad crediticia |
|
740 |
1.2.2.13.2.3 nivel 3 de calidad crediticia |
|
750-770 |
1.2.2.13.3 emisiones de entidades de crédito no garantizadas Artículo 416 del Reglamento (UE) no 575/2013 Estos elementos se comunicarán de acuerdo con su calidad crediticia según el artículo 120, apartado 1, del Reglamento (UE) no 575/2013. |
|
750 |
1.2.2.13.3.1 nivel 1 de calidad crediticia |
|
760 |
1.2.2.13.3.2 nivel 2 de calidad crediticia |
|
770 |
1.2.2.4.13.3 nivel 3 de calidad crediticia |
|
780-800 |
1.2.2.13.4 valores garantizados por activos no comunicados en 1.0 a 1.11.3 Artículo 416, apartado 4, letra b), del Reglamento (UE) no 575/2013 Estos elementos se comunicarán de acuerdo con su calidad crediticia según la parte tercera, título II, capítulo 5, y el artículo 125 del Reglamento (UE) no 575/2013. |
|
780 |
1.2.2.13.4.1 nivel 1 de calidad crediticia |
|
790 |
1.2.2.13.4.2 nivel 2 de calidad crediticia |
|
800 |
1.2.2.12.4.3 nivel 3 de calidad crediticia |
|
810-830 |
1.2.2.13.5 valores garantizados por hipotecas constituidas sobre bienes inmuebles residenciales no comunicados en 1.10 a 1.11.3 Artículo 509, apartado 3, del Reglamento (UE) no 575/2013 Estos elementos se comunicarán de acuerdo con su calidad crediticia según la parte tercera, título II, capítulo 5, y el artículo 125 del Reglamento (UE) no 575/2013. |
|
810 |
1.2.2.13.5.1 nivel 1 de calidad crediticia |
|
820 |
1.2.2.13.5.2 nivel 2 de calidad crediticia |
|
830 |
1.2.2.13.5.3 nivel 3 de calidad crediticia |
|
840 |
1.2.2.13.6 acciones registradas en un mercado regulado e instrumentos de capital vinculados a importantes mercados bursátiles, no emitidos por la propia entidad o por entidades financieras Artículo 509, apartado 3, letra c), del Reglamento (UE) no 575/2013 |
|
850 |
1.2.2.13.7 oro Artículo 509, apartado 3, letra c), del Reglamento (UE) no 575/2013 |
|
860 |
1.2.2.13.8 bonos con garantía personal no comunicados anteriormente Artículo 509, apartado 3, letra c), del Reglamento (UE) no 575/2013 |
|
870 |
1.2.2.13.9 bonos con garantía real no comunicados anteriormente Artículo 509, apartado 3, letra c), del Reglamento (UE) no 575/2013 |
|
880 |
1.2.2.13.10 obligaciones de empresas no comunicadas anteriormente Artículo 509, apartado 3, letra c), del Reglamento (UE) no 575/2013 |
|
890 |
1.2.2.13.11 fondos basados en los activos comunicados en 4.5-4.10 Artículo 509, apartado 3, letra c), del Reglamento (UE) no 575/2013 |
|
900-920 |
1.2.2.13.12 otras categorías de valores o préstamos admisibles por los bancos centrales Artículo 509, apartado 3, letra b), del Reglamento (UE) no 575/2013 |
|
900 |
1.2.2.13.12.1 bonos de las administraciones locales Artículo 509, apartado 3, letra b), del Reglamento (UE) no 575/2013 |
|
910 |
1.2.2.13.12.2 pagarés Artículo 509, apartado 3, letra b), del Reglamento (UE) no 575/2013 |
|
920 |
1.2.2.13.12.3 derechos de crédito Artículo 416, apartado 4, letra c), del Reglamento (UE) no 575/2013 |
|
930-950 |
1.2.2.14 activos que cumplen la sharia como alternativa a los activos del artículo 509, apartado 2, letra i) Artículo 419, apartado 2, letra a), del Reglamento (UE) no 575/2013 y artículo 509, apartado 2, letra i) Estos elementos se comunicarán aquí de conformidad con lo indicado en 1.2.2 más arriba, dentro de la subcategoría adecuada. |
|
930 |
1.2.2.14.1 nivel 1 de calidad crediticia |
|
940 |
1.2.2.14.2 nivel 2 de calidad crediticia |
|
950 |
1.2.2.14.3 nivel 3 de calidad crediticia |
|
960-1030 |
1.2.3 depósitos que debe mantener el depositante Artículo 422, apartado 3, del Reglamento (UE) no 575/2013 El importe total de los depósitos, incluidos los depósitos a la vista y a plazo fijo, que debe mantener el depositante se comunicará en la columna 010 «Importe depositado por clientes que son clientes financieros» y en la columna 030 «Importe depositado por clientes que no son clientes financieros», en las subcategorías siguientes: |
|
960-990 |
1.2.3.1 a fin de obtener de la entidad servicios de compensación, custodia o gestión de efectivo (excluidos los de corresponsalía bancaria y corretaje preferencial) Artículo 422, apartado 3, letra a), del Reglamento (UE) no 575/2013 El importe total de los depósitos que debe mantener el depositante a fin de obtener de la entidad servicios de compensación, custodia o gestión de efectivo (excluidos los de corresponsalía bancaria y corretaje preferencial) se comunicará en las subcategorías siguientes: [Nota: En este contexto, una relación de compensación indica un servicio que permite al cliente transferir fondos (o valores) indirectamente a los beneficiarios finales por medio de participantes directos en sistemas nacionales de liquidación. Estos servicios se limitan a las siguientes actividades: transmisión, conciliación y confirmación de órdenes de pago; descubiertos intradía, financiación a un día y mantenimiento de balances después de la liquidación; así como determinación de las posiciones de liquidación intradía y final. Los servicios de compensación y afines deben prestarse en el marco de un contrato legalmente vinculante a clientes institucionales (normas de liquidez, Basilea III, apartado 75). En este contexto, una relación de custodia indica la prestación de servicios de custodia, información, tramitación de activos y/o facilitación de los aspectos operativos y administrativos de actividades relacionadas en nombre de clientes en el proceso de compraventa y conservación de activos financieros. Los servicios de custodia deben prestarse en el marco de un contrato de servicios de custodia legalmente vinculante u otro acuerdo similar a clientes institucionales. Tales servicios se limitarán a la liquidación de operaciones de valores, la transferencia de pagos contractuales, la tramitación de garantías reales, la ejecución de operaciones en moneda extranjera, la retención de saldos en efectivo relacionados y la prestación de servicios auxiliares de gestión de efectivo. También se incluye la percepción de dividendos y otros ingresos, las suscripciones y rescates de clientes, las distribuciones programadas de fondos de clientes y el pago de comisiones, impuestos y otros gastos. Los servicios de custodia pueden además comprender los de administración de activos y fideicomiso, tesorería, depósito fiduciario, transferencia de fondos, traspaso de acciones y servicios de agencia, incluidos los servicios de pago y liquidación (excluidos los servicios de corresponsalía bancaria), financiación comercial y recibos de depósito (normas de liquidez, Basilea III, apartado 76). En este contexto, una relación de gestión de efectivo hace referencia a la prestación de servicios de gestión de efectivo y otros servicios relacionados. Gestión de efectivo y servicios relacionados] |
|
960-970 |
1.2.3.1.1 amparados por un sistema de garantía de depósitos con arreglo a la Directiva 94/19/CE o un sistema de garantía de depósitos equivalente de un tercer país El importe total de los depósitos que debe mantener el depositante a fin de obtener de la entidad servicios de compensación, custodia o gestión de efectivo (excluidos los de corresponsalía bancaria y corretaje preferencial) amparados por un sistema de garantía de depósitos con arreglo a la Directiva 94/19/CE o un sistema de garantía de depósitos equivalente de un tercer país se comunicará en las subcategorías siguientes: |
|
960 |
1.2.3.1.1.1 respecto de los cuales haya pruebas de que el cliente no puede retirar los importes debidos legalmente en un horizonte temporal de 30 días sin comprometer su funcionamiento operativo Importe total de los depósitos que debe mantener el depositante a fin de obtener de la entidad servicios de compensación, custodia o gestión de efectivo (excluidos los de corresponsalía bancaria y corretaje preferencial) amparados por un sistema de garantía de depósitos con arreglo a la Directiva 94/19/CE o un sistema de garantía de depósitos equivalente de un tercer país y respecto de los cuales haya pruebas de que el cliente no puede retirar los importes debidos legalmente en un horizonte temporal de 30 días sin comprometer su funcionamiento operativo. |
|
970 |
1.2.3.1.1.2 respecto de los cuales no haya pruebas de que el cliente no puede retirar los importes debidos legalmente en un horizonte temporal de 30 días sin comprometer su funcionamiento operativo El importe total de los depósitos que debe mantener el depositante a fin de obtener de la entidad servicios de compensación, custodia o gestión de efectivo (excluidos los de corresponsalía bancaria y corretaje preferencial) amparados por un sistema de garantía de depósitos con arreglo a la Directiva 94/19/CE o un sistema de garantía de depósitos equivalente de un tercer país y respecto de los cuales no haya pruebas de que el cliente no puede retirar los importes debidos legalmente en un horizonte temporal de 30 días sin comprometer su funcionamiento operativo se comunicará en las subcategorías siguientes: |
|
980-990 |
1.2.3.1.2 no amparados por un sistema de garantía de depósitos con arreglo a la Directiva 94/19/CE o un sistema de garantía de depósitos equivalente de un tercer país El importe total de los depósitos que debe mantener el depositante a fin de obtener de la entidad servicios de compensación, custodia o gestión de efectivo (excluidos los de corresponsalía bancaria y corretaje preferencial) no amparados por un sistema de garantía de depósitos con arreglo a la Directiva 94/19/CE o un sistema de garantía de depósitos equivalente de un tercer país se comunicará en las subcategorías siguientes: |
|
980 |
1.2.3.1.2.1 respecto de los cuales haya pruebas de que el cliente no puede retirar los importes debidos legalmente en un horizonte temporal de 30 días sin comprometer su funcionamiento operativo Importe total de los depósitos que debe mantener el depositante a fin de obtener de la entidad servicios de compensación, custodia o gestión de efectivo (excluidos los de corresponsalía bancaria y corretaje preferencial) no amparados por un sistema de garantía de depósitos con arreglo a la Directiva 94/19/CE o un sistema de garantía de depósitos equivalente de un tercer país y respecto de los cuales haya pruebas de que el cliente no puede retirar los importes debidos legalmente en un horizonte temporal de 30 días sin comprometer su funcionamiento operativo. |
|
990 |
1.2.3.1.2.2 respecto de los cuales no haya pruebas de que el cliente no puede retirar los importes debidos legalmente en un horizonte temporal de 30 días sin comprometer su funcionamiento operativo El importe total de los depósitos que debe mantener el depositante a fin de obtener de la entidad servicios de compensación, custodia o gestión de efectivo (excluidos los de corresponsalía bancaria y corretaje preferencial) no amparados por un sistema de garantía de depósitos con arreglo a la Directiva 94/19/CE o un sistema de garantía de depósitos equivalente de un tercer país y respecto de los cuales no haya pruebas de que el cliente no puede retirar los importes debidos legalmente en un horizonte temporal de 30 días sin comprometer su funcionamiento operativo se comunicarán en las subcategorías siguientes: |
|
1000 |
1.2.3.2 en el contexto de una relación operativa asentada, distinta de la mencionada en 1.2.3.1.1 y 1.2.3.1.2 Artículo 422, apartado 3, letra c) Importe total de los depósitos que debe mantener el depositante en el contexto de una relación operativa asentada, distinta de la mencionada en 1.2.3.1.1 y 1.2.3.1.2. |
|
1010 |
1.2.3.2.1 que se refieran a servicios de corresponsalía bancaria o de corretaje preferencial Importe total de los depósitos que debe mantener el depositante en el contexto de una relación operativa asentada, distinta de la mencionada en 1.2.3.1.1 y 1.2.3.1.2, y que se refieran a servicios de corresponsalía bancaria o de corretaje preferencial. |
|
1020 |
1.2.3.3 en el contexto del reparto de tareas comunes en el marco de un sistema institucional de protección o, como depósito mínimo legal, otra entidad que sea miembro del mismo sistema institucional de protección Artículo 422, apartado 3, letra b), del Reglamento (UE) no 575/2013 Importe total de los depósitos que debe mantener el depositante en el contexto del reparto de tareas comunes en el marco de un sistema institucional de protección o, como depósito mínimo legal, otra entidad que sea miembro del mismo sistema institucional de protección. |
|
1030 |
1.2.3.4 a fin de obtener servicios de compensación de efectivo y de entidad de crédito central y si la entidad de crédito pertenece a una red en cumplimiento de disposiciones legales o estatutarias Artículo 422, apartado 3, letra d), del Reglamento (UE) no 575/2013 Importe total de los depósitos que debe mantener el depositante a fin de obtener servicios de compensación de efectivo y de entidad de crédito central y si la entidad de crédito pertenece a una red en cumplimiento de disposiciones legales o estatutarias. |
|
1040 |
1.2.4 depósitos de entidades de crédito colocados en entidades de crédito centrales que sean considerados activos líquidos de conformidad con el artículo 416, apartado 1, letra f) Artículo 422, apartado 3, último párrafo, del Reglamento (UE) no 575/2013 Importe total de los depósitos de entidades de crédito colocados en entidades de crédito centrales que sean considerados activos líquidos de conformidad con el artículo 416, apartado 1, letra f). |
|
1050 |
1.2.5 líneas de liquidez de los activos especificados en el artículo 416, apartado 1, letra f) Artículo 416, apartado 1, letra f) Importe total de las líneas de liquidez de los activos especificados en el artículo 416, apartado 1, letra f). |
|
1060-1070 |
1.2.6 pasivos no comunicados en 1.2.2 o 1.2.5 resultantes de depósitos de clientes que no sean clientes financieros Artículo 422, apartado 5, del Reglamento (UE) no 575/2013 Importe total de los pasivos no comunicados en 1.2.2 o 1.2.5 resultantes de depósitos de clientes que no sean clientes financieros. |
|
1060 |
1.2.6.1 amparados por un sistema de garantía de depósitos con arreglo a la Directiva 94/19/CE o un sistema de garantía de depósitos equivalente de un tercer país |
|
1070 |
1.2.6.2 no amparados por un sistema de garantía de depósitos con arreglo a la Directiva 94/19/CE o un sistema de garantía de depósitos equivalente de un tercer país |
|
1060 |
1.2.7 importe neto a pagar de los contratos enumerados en el anexo II (neto de las garantías reales que se reciban y que puedan calificarse de activos líquidos con arreglo al artículo 416) Artículo 422, apartado 6, del Reglamento (UE) no 575/2013 Importe neto a pagar previsto en el horizonte de 30 días de los contratos enumerados en el anexo II. Los importes: — serán netos respecto a todas las contrapartes — serán netos de las garantías reales que se reciban y que puedan calificarse de activos líquidos con arreglo al artículo 416 — no estarán valorados a precios de mercado, puesto que el valor de mercado incluye también estimaciones de entradas y salidas contingentes y puede incluir flujos de efectivo que se produzcan más allá del horizonte de 30 días Obsérvese que el importe neto de los derechos de cobro debe comunicarse en 1.3 «Entradas», partida 1.1.6 (importe neto a cobrar de los contratos enumerados en el anexo II, neto de las garantías reales que se reciban y que puedan calificarse de activos líquidos con arreglo al artículo 416). |
|
1090-1100 |
1.2.8 pasivos para los que las autoridades competentes hayan autorizado la aplicación de un porcentaje inferior de salidas Artículo 422, apartado 8, del Reglamento (UE) no 575/2013 El importe total de los pasivos para los que las autoridades competentes hayan autorizado la aplicación de un porcentaje inferior de salidas, caso por caso, se comunicarán en las subcategorías siguientes: |
|
1090 |
1.2.8.1 cuando se cumplan todas las condiciones del artículo 422, apartado 8, letras a), b), c) y d) Importe total de los pasivos para los que las autoridades competentes hayan autorizado la aplicación de un porcentaje inferior de salidas, caso por caso, cuando se cumplan todas las condiciones del artículo 422, apartado 8, letras a), b), c) y d). |
|
1100 |
1.2.8.2 cuando se cumplan todas las condiciones del artículo 422, apartado 8, letras a), b) y c), a los efectos de la aplicación del tratamiento intragrupo del artículo 20, apartado 1, letra b), en relación con las entidades que no estén sometidas a la excepción del artículo 8 Importe total de los pasivos para los que las autoridades competentes hayan autorizado la aplicación de un porcentaje inferior de salidas, caso por caso, cuando se cumplan todas las condiciones del artículo 422, apartado 8, letras a), b) y c), a los efectos de la aplicación del tratamiento intragrupo del artículo 20, apartado 1, letra b), en relación con las entidades que no estén sometidas a la excepción del artículo 8. |
|
1110-1120 |
1.2.9 pasivos, incluidas las obligaciones fuera de balance y las obligaciones contingentes en materia de financiación, para los que las autoridades competentes hayan determinado la aplicación de un porcentaje superior de salidas tras la evaluación mencionada en el artículo 420, apartado 2, del Reglamento (UE) no 575/2013 Artículo 420, apartado 1, letra e) y apartado 2), del Reglamento (UE) no 575/2013 Pasivos, incluidas las obligaciones fuera de balance y las obligaciones contingentes en materia de financiación, para los que las autoridades competentes hayan determinado la aplicación de un porcentaje superior de salidas tras la evaluación mencionada en el artículo 420, apartado 2, del Reglamento (UE) no 575/2013. |
|
1110 |
1.2.9 pasivos, incluidas las obligaciones fuera de balance y las obligaciones contingentes en materia de financiación, para los que las autoridades competentes hayan determinado la aplicación de un porcentaje superior de salidas tras la evaluación mencionada en el artículo 420, apartado 2, del Reglamento (UE) no 575/2013 |
|
1120 |
1.2.9 pasivos, incluidas las obligaciones fuera de balance y las obligaciones contingentes en materia de financiación, para los que las autoridades competentes hayan determinado la aplicación de un porcentaje superior de salidas tras la evaluación mencionada en el artículo 420, apartado 2, del Reglamento (UE) no 575/2013 |
|
1130 |
1.2.10 todos los demás pasivos Artículo 422, apartado 7, del Reglamento (UE) no 575/2013 Importe total de todos los demás pasivos. |
|
1140-1210 |
1.3 Salidas adicionales El importe total de todas las salidas adicionales se comunicará en las subcategorías siguientes: |
|
1140 |
1.3.1 por garantías reales que no sean activos de los mencionados en el artículo 416, apartado 1, letras a) a c), y que aporte la entidad por los contratos que se enumeran en el anexo II Artículo 423, apartado 1, del Reglamento (UE) no 575/2013 El importe total de todas las salidas adicionales por garantías reales que no sean activos de los mencionados en el artículo 416, apartado 1, letras a) a c), y que aporte la entidad por los contratos que se enumeran en el anexo II se comunicará en las subcategorías siguientes: |
|
1150 |
1.3.2 correspondientes a necesidades adicionales de garantías reales resultantes de un deterioro significativo de la calidad crediticia de la entidad Artículo 423, apartado 2, del Reglamento (UE) no 575/2013 Importe total de las salidas correspondientes a necesidades adicionales de garantías reales resultantes de un deterioro significativo de la calidad crediticia de la entidad. |
|
1160 |
1.3.3 correspondientes a necesidades de garantías reales que sean consecuencia de los efectos de condiciones adversas del mercado en las operaciones con derivados, las operaciones de financiación u otros contratos de la entidad que sean significativos Artículo 423, apartado 3, del Reglamento (UE) no 575/2013 Importe total de las salidas correspondientes a necesidades de garantías reales que sean consecuencia de los efectos de condiciones adversas del mercado. |
|
1170 |
1.3.4 correspondientes al valor de mercado de los valores u otros activos vendidos en corto y que deban entregarse en un horizonte de 30 días, a no ser que la entidad posea los valores que deben entregarse o los haya tomado prestados en condiciones que obliguen a su devolución únicamente tras el plazo de 30 días y dichos valores no formen parte de los activos líquidos de la entidad Artículo 423, apartado 4, del Reglamento (UE) no 575/2013 Importe total de las salidas correspondientes al valor de mercado de los valores u otros activos vendidos en corto y que deban entregarse en un horizonte de 30 días, a no ser que la entidad posea los valores que deben entregarse o los haya tomado prestados en condiciones que obliguen a su devolución únicamente tras el plazo de 30 días y dichos valores no formen parte de los activos líquidos de la entidad. |
|
1180 |
1.3.5 correspondientes al exceso de garantías reales que la entidad mantenga y que pueda ser exigido por la contraparte en todo momento con arreglo a contrato Artículo 423, apartado 5, letra a), del Reglamento (UE) no 575/2013 Importe total de las salidas correspondientes al exceso de garantías reales que la entidad mantenga y que pueda ser exigido por la contraparte en todo momento con arreglo a contrato. |
|
1190 |
1.3.6 correspondientes a las garantías reales que deban devolverse a la contraparte Artículo 423, apartado 5, letra b), del Reglamento (UE) no 575/2013 Importe total de salidas correspondientes a las garantías reales que deban devolverse a la contraparte. |
|
1200 |
1.3.7 correspondientes a garantías reales que correspondan a activos que puedan calificarse de activos líquidos a efectos del artículo 416 y puedan ser sustituidas por activos correspondientes a activos que no serían calificados de activos líquidos a efectos del artículo 416, sin la aprobación de la entidad. Artículo 423, apartado 5, letra c), del Reglamento (UE) no 575/2013 Importe total de las salidas correspondientes a las garantías reales que correspondan a activos que puedan calificarse de activos líquidos a efectos del artículo 416 y puedan ser sustituidas por activos correspondientes a activos que no serían calificados de activos líquidos a efectos del artículo 416, sin la aprobación de la entidad. |
|
1210 |
1.3.8 depósitos recibidos como garantía Artículo 423, apartado 6, del Reglamento (UE) no 575/2013 Importe total de las salidas correspondientes a depósitos recibidos como garantía. |
|
1220-1370 |
1.4 Salidas de líneas de liquidez y de crédito El importe total máximo que puede retirarse de líneas de liquidez y de crédito se comunicará en las subcategorías siguientes: [Nota: Este importe máximo retirable puede evaluarse neto del valor según el artículo 418 de las garantías reales que hayan de prestarse si la entidad puede reutilizar dichas garantías y éstas adoptan la forma de activos líquidos según el artículo 416. Las garantías no pueden estar constituidas por activos emitidos por la contraparte o por uno de sus entes asociados. Si la entidad dispone de la información necesaria, el importe máximo que podrá retirarse de las líneas de crédito y liquidez otorgadas a una SSPE será el importe máximo que podría retirarse teniendo en cuenta las propias obligaciones de la SSPE que venzan en los 30 días siguientes.] |
|
1220 |
1.4.1 importe máximo que podrá retirarse de las líneas comprometidas no utilizadas de liquidez y de las líneas comprometidas no utilizadas de crédito ofrecidas a clientes minoristas Artículo 424, apartado 2, del Reglamento (UE) no 575/2013 Importe total máximo que podrá retirarse de las líneas comprometidas no utilizadas de liquidez y de las líneas comprometidas no utilizadas de crédito ofrecidas a clientes minoristas si cumplen los criterios para ser consideradas exposiciones minoristas con arreglo a los métodos estándar o IRB aplicables al riesgo de crédito. |
|
1230-1240 |
1.4.2 importe máximo que podrá retirarse de las líneas comprometidas no utilizadas de liquidez y de las líneas comprometidas no utilizadas de crédito ofrecidas a clientes que no sean clientes minoristas ni clientes financieros Artículo 424, apartado 3, del Reglamento (UE) no 575/2013 Importe total máximo que podrá retirarse de las líneas comprometidas no utilizadas de liquidez y de las líneas comprometidas no utilizadas de crédito ofrecidas a clientes que no sean clientes minoristas ni clientes financieros, cuando cumplan las siguientes condiciones: (a) que no pertenezcan a la categoría de exposiciones minoristas con arreglo a los métodos estándar o IRB aplicables al riesgo de crédito; (b) que se hayan ofrecido a clientes que no sean clientes financieros; (c) que no se hayan ofrecido para sustituir la financiación del cliente en situaciones en las que sea incapaz de cubrir sus necesidades de financiación en los mercados financieros. |
|
1230 |
1.4.2.1 — líneas comprometidas no utilizadas de crédito Importe total de 1.4.2 correspondiente a líneas comprometidas no utilizadas de crédito. |
|
1240 |
1.4.2.2 — líneas comprometidas no utilizadas de liquidez Importe total de 1.4.2 correspondiente a líneas comprometidas no utilizadas de liquidez. |
|
1250 |
1.4.3 importe máximo que podrá retirarse de líneas no retiradas de liquidez que se hayan ofrecido a una SSPE con objeto de permitir que una SSPE adquiera activos distintos de valores a clientes que no sean clientes financieros en la medida en que dicho importe supere el importe de los activos que estén siendo adquiridos en ese momento a los clientes y en los casos en que el importe máximo que pueda retirarse esté limitado contractualmente al importe de los activos que estén siendo adquiridos Artículo 424, apartado 4, del Reglamento (UE) no 575/2013 Importe máximo que podrá retirarse de líneas no utilizadas de liquidez que se hayan otorgado a una SSPE con objeto de permitir que esta adquiera activos distintos de valores a clientes que no sean clientes financieros. |
|
1260-1270 |
1.4.4 importe máximo que podrá retirarse de las demás líneas comprometidas no utilizadas de liquidez y las demás líneas comprometidas no utilizadas de crédito no comunicado en 1.4.1, 1.4.2 o 1.4.3 Artículo 424, apartado 5, del Reglamento (UE) no 575/2013 Importe total máximo que podrá retirarse de líneas de liquidez y de crédito no utilizadas otorgadas a clientes y no comunicado en 1.4.1, 1.4.2 o 1.4.3. Comprende: (a) las líneas de liquidez que la entidad haya concedido a SSPE; (b) las disposiciones con arreglo a las cuales la entidad deba comprar o intercambiar activos de una SSPE. |
|
1260 |
1.4.4.1 concedidas a SSPE distintas de las contempladas en 1.4.3 Artículo 424, apartado 5, letra a), del Reglamento (UE) no 575/2013 Importe total de 1.4.4 relativo a las líneas concedidas a SSPE distintas de las contempladas en 1.4.3. |
|
1270 |
1.4.4.2 disposiciones con arreglo a las cuales la entidad debe comprar o intercambiar activos de una SSPE Artículo 424.5, letra b), del Reglamento (UE) no 575/2013 Importe total de 1.4.4 relativo a las disposiciones con arreglo a las cuales la entidad debe comprar o intercambiar activos de una SSPE. |
|
1280-1290 |
1.4.4.3 otorgadas a las entidades de crédito Artículo 424.5, letra c), del Reglamento (UE) no 575/2013 Importe total de 1.4.4 relativo a las líneas otorgadas a entidades de crédito. |
|
1280 |
1.4.4.3.1 líneas comprometidas no utilizadas de crédito Importe total de 1.4.4.3 relativo a las líneas comprometidas no utilizadas de crédito. |
|
1290 |
1.4.4.3.2 — líneas comprometidas no utilizadas de liquidez Importe total de 1.4.4.3 relativo a las líneas comprometidas no utilizadas de liquidez. |
|
1300-1310 |
1.4.4.4 otorgadas a entidades financieras y a empresas de inversión Artículo 424, apartado 5, letra d), del Reglamento (UE) no 575/2013 Importe total de 1.4.4 relativo a las líneas otorgadas a entidades financieras y a empresas de inversión. |
|
1300 |
1.4.4.4.1 líneas comprometidas no utilizadas de crédito Importe total de 1.4.4.4 relativo a las líneas comprometidas no utilizadas de crédito. |
|
1310 |
1.4.4.4.2 — líneas comprometidas no utilizadas de liquidez Importe total de 1.4.4.4 relativo a las líneas comprometidas no utilizadas de liquidez. |
|
1320 |
1.4.4.5 otorgadas a otros clientes Importe total de 1.4.4 relativo a las líneas comprometidas no utilizadas de crédito otorgadas a otros clientes. |
|
1330 |
1.4.4.6 otorgadas a un ente del mismo grupo Importe total de 1.4.4 relativo a las líneas otorgadas a un ente del mismo grupo de conformidad con el Reglamento (UE) no 575/2013. |
|
1340 |
1.4.5 importe máximo que puede retirarse de líneas comprometidas no utilizadas de crédito concedidas para financiar préstamos promocionales Artículo 424, apartado 6, del Reglamento (UE) no 575/2013 Importe total máximo que puede retirarse de líneas comprometidas no utilizadas de crédito y de liquidez concedidas con el único fin de financiar directa o indirectamente préstamos promocionales pertenecientes a las categorías de exposiciones contempladas en los apartados 2 y 3. Esos préstamos promocionales se pondrán exclusivamente a disposición de las personas que no sean clientes financieros sobre una base no competitiva y no lucrativa, a fin de fomentar los objetivos públicos de la administración regional o central del Estado miembro. Solo será posible recurrir a dichas líneas de liquidez y crédito tras presentar la solicitud de un préstamo promocional y por el importe máximo de dicha solicitud. |
|
1350 |
1.4.6 importe máximo que puede retirarse de todos los demás pasivos contingentes Importe total máximo que puede retirarse de otros pasivos contingentes. Estas obligaciones contingentes en materia de financiación pueden ser contractuales o no contractuales y no implican compromisos de préstamo. Las obligaciones no contractuales incluyen la asociación o el patrocinio en relación con productos vendidos o servicios prestados siempre que puedan requerir el apoyo o la concesión de fondos en el futuro en condiciones de tensión. Puede haber obligaciones no contractuales implícitas en productos financieros e instrumentos vendidos, patrocinados u creados por la entidad que pueden dar lugar a un crecimiento del balance inesperado resultante del apoyo prestado por razones ligadas al riesgo de reputación. |
|
1360 |
1.4.6.1 otorgados a un ente del mismo grupo Importe de 1.4.6 otorgado a un ente del mismo grupo de conformidad con el Reglamento (UE) no 575/2013. |
|
1370 |
1.4.7 salidas con arreglo al artículo 105 de la DRC Salidas totales derivadas de los factores de riesgo mencionados en las letras a) y d) del artículo 105 del Reglamento (UE) no 575/2013 en la medida en que se espera que se produzcan en 30 días. |
INFORMACIÓN SOBRE LIQUIDEZ (PARTE 3: ENTRADAS)
1. Entradas
1.1. Observaciones generales
1. Se trata de una plantilla resumen que ofrece información sobre las entradas de liquidez durante los 30 días siguientes, a efectos de la supervisión del requisito de cobertura de la liquidez que se especifica en el artículo 412 del Reglamento (UE) no 575/2013. Las partidas que no deben ser cumplimentadas por las entidades están coloreadas en gris.
2. De conformidad con el artículo 425, apartado 2, del Reglamento (UE) no 575/2013, las entradas de liquidez:
i) comprenderán solo las entradas contractuales derivadas de exposiciones que no estén en situación de mora y respecto de las cuales la entidad no tenga motivos para esperar un incumplimiento en un horizonte de 30 días;
ii) se comunicarán íntegramente.
3. De acuerdo con el artículo 425, apartado 7, del Reglamento (UE) no 575/2013, las entidades no comunicarán las entradas derivadas de los activos líquidos notificados de conformidad con el artículo 416 que no sean cobros pendientes por los activos que no se reflejen en el valor de mercado del activo.
4. En conformidad con el artículo 425, apartado 8, del Reglamento (UE) no 575/2013, las entidades no deberán comunicar las entradas derivadas de nuevas obligaciones adquiridas.
1.2. Subplantilla de entradas
1.2.1. Instrucciones relativas a filas concretas
|
Fila |
Referencias legales e instrucciones |
|
010-030 |
ENTRADAS Artículo 425 del Reglamento (UE) no 575/2013 Entradas totales. Los cobros pendientes que se comunican en esta sección se identifican de forma explícita como fuente potencial de entradas de liquidez durante los 30 días siguientes, a efectos de información, en el artículo 425 del Reglamento (UE) no 575/2013. Los importes reflejados en la columna correspondiente al importe de cada subcategoría deben ser cantidades totales, es decir, sin reducción por aplicación de los porcentajes previstos en el Reglamento (UE) no 575/2013. |
|
010-980 |
1 Entradas Artículo 425 del Reglamento (UE) no 575/2013 La columna 010 se refiere al importe total de los cobros pendientes, mientras que la columna 020 se refiere a las entradas pertinentes, después de la aplicación del porcentaje de entrada, en su caso. |
|
010-060 |
1.1 Cobros pendientes de clientes que no sean clientes financieros Artículo 425, apartado 2, letra a), del Reglamento (UE) no 575/2013 Los cobros pendientes durante los 30 días siguientes (incluidos los cobros de intereses) de clientes que no sean clientes financieros deberán comunicarse en las siguientes subcategorías: [Nota: comprenden los préstamos vencidos cuya renovación se haya ya acordado. Se considera que los préstamos no vencidos no representan una entrada de liquidez, por lo que no deberán ser comunicados aquí]. |
|
010 |
1.1.1 cobros pendientes de clientes minoristas Artículo 425, apartado 2, letra a), del Reglamento (UE) no 575/2013 Cobros pendientes, durante los 30 días siguientes, de clientes minoristas, que no estén en situación de mora y respecto a los cuales el banco no tenga motivos para esperar un incumplimiento en un horizonte de 30 días (incluidos los cobros de intereses). |
|
020 |
1.1.2 cobros pendientes de clientes que no sean empresas financieras Artículo 425, apartado 2, letra a), del Reglamento (UE) no 575/2013. Cobros pendientes, durante los 30 días siguientes, de clientes que no sean empresas financieras, que no estén en situación de mora y respecto a los cuales el banco no tenga motivos para esperar un incumplimiento en un horizonte de 30 días (incluidos los cobros de intereses). |
|
030 |
1.1.2.1 aquellos que la entidad deudora trate con arreglo al artículo 422, apartados 3 y 4 Artículo 425, apartado 2, letra e), del Reglamento (UE) no 575/2013 Del importe comunicado en 1.1.2, el importe total adeudado por la entidad para obtener servicios de compensación, custodia o gestión de efectivo, de conformidad con el artículo 422, apartados 3 y 4. |
|
040 |
1.1.3 cobros pendientes de bancos centrales Artículo 425, apartado 2, letra a), del Reglamento (UE) no 575/2013 Cobros pendientes, durante los 30 días siguientes, de bancos centrales, que no estén en situación de mora y respecto a los cuales el banco no tenga motivos para esperar un incumplimiento en el horizonte de 30 días (incluidos los cobros de intereses). |
|
050 |
1.1.3.1 aquellos que la entidad deudora trate con arreglo al artículo 422, apartados 3 y 4 Artículo 425, apartado 2, letra e), del Reglamento (UE) no 575/2013 Del importe comunicado en 1.1.3, el importe total adeudado por la entidad para obtener servicios de compensación, custodia o gestión de efectivo, de conformidad con el artículo 422, apartados 3 y 4. |
|
060 |
1.1.4 cobros pendientes de otros clientes que no sean clientes financieros Artículo 425, apartado 2, letra a), del Reglamento (UE) no 575/2013 Importe total de los cobros pendientes, durante los 30 días siguientes, de clientes que no sean clientes financieros, que no estén en situación de mora y respecto a los cuales el banco no tenga motivos para esperar un incumplimiento en el horizonte de 30 días (incluidos los cobros de intereses), no incluidos en las filas 1.1.1 a 1.1.3. |
|
070-080 |
1.2 Cobros pendientes de clientes financieros Artículo 425, apartado 2, del Reglamento (UE) no 575/2013 Importe total de los cobros pendientes, durante los 30 días siguientes, de clientes financieros, que no estén en situación de mora y respecto a los cuales el banco no tenga motivos para esperar un incumplimiento en el horizonte de 30 días (incluidos los cobros de intereses). Las operaciones de préstamo garantizadas y las vinculadas al mercado de capitales deben comunicarse en la sección 1.2. |
|
070 |
1.2.1 que la entidad deudora trate con arreglo al artículo 422, apartados 3 y 4 Artículo 425, apartado 2, letra e), del Reglamento (UE) no 575/2013 Del importe comunicado en 1.2, el importe total adeudado por la entidad para obtener servicios de compensación, custodia o gestión de efectivo, de conformidad con el artículo 422, apartados 3 y 4. |
|
080 |
1.2.2 para los que la autoridad competente haya autorizado la aplicación de un porcentaje inferior de salidas de acuerdo con el artículo 422, apartado 8 Artículo 422, apartado 8, del Reglamento (UE) no 575/2013 Del importe comunicado en 1.2, los cobros pendientes para los que la autoridad competente haya autorizado la aplicación de un porcentaje inferior de salidas de acuerdo con el artículo 422, apartado 8. |
|
090 |
1.3 Cobros pendientes de operaciones de financiación comercial con arreglo al artículo 425, apartado 2, letra b) Artículo 425, apartado 2, letra b), del Reglamento (UE) no 575/2013 Pagos procedentes de operaciones de financiación comercial con arreglo al artículo 425, apartado 2, letra b). |
|
100 |
1.4 Activos con una fecha de vencimiento contractual indefinida con arreglo al artículo 425, apartado 2, letra c) Artículo 425, apartado 2, letra c), del Reglamento (UE) no 575/2013 Activos con una fecha de vencimiento contractual indefinida con arreglo al artículo 425, apartado 2, letra c). |
|
110 |
1.5 Cobros pendientes procedentes de posiciones en instrumentos de patrimonio vinculados a un índice importante, siempre que no haya un doble cómputo con activos líquidos Artículo 425, apartado 2, letra f), del Reglamento (UE) no 575/2013 Cobros pendientes procedentes de posiciones en instrumentos de patrimonio vinculados a un índice importante, siempre que no haya un doble cómputo con activos líquidos. |
|
120-930 |
1.6 Cobros pendientes procedentes de operaciones de préstamo garantizadas y de operaciones vinculadas al mercado de capitales tal como se definen en el artículo 192 Artículo 425, apartado 2, letra d), del Reglamento (UE) no 575/2013 En las siguientes subcategorías, las entidades determinarán el importe de las entradas relacionadas con operaciones de préstamo garantizadas y operaciones vinculadas al mercado de capitales durante los 30 días siguientes, y el valor de mercado de los activos correspondientes que sirvan de garantía. De conformidad con el artículo 192: 1. «Operación de préstamo garantizada» es toda operación que dé lugar a una exposición garantizada mediante garantías reales que no incluya una disposición que confiera a la entidad el derecho a recibir márgenes como mínimo diariamente. 2. «Operación vinculada al mercado de capitales» es toda operación que dé lugar a una exposición garantizada mediante garantías reales que incluya una disposición que confiera a la entidad el derecho a recibir márgenes como mínimo diariamente. Por consiguiente, se comunicará en esta sección cualquier operación en la que la entidad haya proporcionado un préstamo en efectivo con garantía real, tales como las operaciones de recompra inversa definidas en el artículo 4, punto 83, del Reglamento (UE) no 575/2013, y que venza en el plazo de 30 días. Las entidades comunicarán el importe adeudado en el plazo de 30 días en las columnas 010, 030 y 050, y el valor de mercado de los activos que garanticen las operaciones de préstamo garantizadas y las operaciones vinculadas al mercado de capitales en las columnas 020, 040 y 060, según la categoría de calidad en la que se hayan clasificado los activos (liquidez y calidad crediticia sumamente elevadas, elevadas u otras). A la hora de clasificar las operaciones, las entidades identificarán la liquidez y calidad crediticia de los activos que las garanticen aplicando los mismos criterios que para consignar los activos en la plantilla 1.1 «Activos». Es decir, de conformidad con el artículo 416, apartado 1, del Reglamento (UE) no 575/2013, y a la espera de una definición uniforme de la liquidez y calidad crediticia elevadas y sumamente elevadas, con arreglo al artículo 460 de dicho Reglamento, las entidades determinarán por sí mismas en una divisa dada los activos transferibles que sean de liquidez y calidad crediticia elevadas o sumamente elevadas. Si la entidad ha recibido dentro de un conjunto de garantías tanto activos de liquidez y calidad crediticia «sumamente elevadas», como de liquidez y calidad crediticia «elevadas» y de «otro tipo» y ninguno de ellos se ha asignado específicamente como garantía de la operación de préstamo garantizada o a la operación vinculada al mercado de capitales, la entidad supondrá que se asignan primero los activos de menor liquidez y calidad crediticia, es decir, los activos de «liquidez y calidad crediticia de otro tipo». Una vez que se hayan asignado estos por completo, se asignarán los de «liquidez y calidad crediticia elevadas». Solo una vez que se hayan asignado también todos esos activos, se asignarán los de «liquidez y calidad crediticia sumamente elevadas». |
|
120-190 |
1.6.1 otros activos transferibles que constituyan créditos frente a o estén garantizados por Artículo 416, apartado 1, letra c), del Reglamento (UE) no 575/2013 Se comunicarán aquí, en las subcategorías pertinentes, las operaciones garantizadas por activos transferibles. Los activos comunicados en esta sección se han identificado de forma explícita como activos potencialmente pertenecientes a las categorías de liquidez y calidad crediticia sumamente elevadas o elevadas. Los activos consignados en esta sección deben cumplir todos los requisitos aplicables de los artículos 416 y 417 del Reglamento (UE) no 575/2013. |
|
120-130 |
1.6.1.1 activos transferibles que constituyan créditos frente a o estén garantizados por la administración central de un Estado miembro, de una región con autonomía fiscal para imponer y recaudar tributos, o de un tercer país en la moneda nacional de la administración central o regional, en caso de que la entidad contraiga un riesgo de liquidez en ese Estado miembro o tercer país que cubra con la tenencia de esos activos líquidos Artículo 416, apartado 1, letra c), inciso i), del Reglamento (UE) no 575/2013 |
|
120 |
1.6.1.1.1 que constituyan créditos frente a Activos especificados en la partida 1.3.1 de la plantilla de activos líquidos y que constituyan créditos frente a las contrapartes anteriores, de conformidad con el artículo 416, apartado 1, letra c), inciso i). |
|
130 |
1.6.1.1.2 estén garantizados por Activos especificados en la partida 1.3.1 de la plantilla de activos líquidos y que estén garantizados por las contrapartes anteriores, de conformidad con el artículo 416, apartado 1, letra c), inciso i). |
|
140-150 |
1.6.1.2 activos transferibles que constituyan créditos frente a o estén garantizados por los bancos centrales y entes del sector público que no dependan de la administración central en la moneda nacional del banco central y de los entes del sector público Artículo 416, apartado 1, letra c), inciso ii), del Reglamento (UE) no 575/2013 |
|
140 |
1.6.1.2.1 que constituyan créditos frente a Activos especificados en la partida 1.3.2 de la plantilla de activos líquidos y que constituyan créditos frente a las contrapartes anteriores, de conformidad con el artículo 416, apartado 1, letra c), inciso ii). |
|
150 |
1.6.1.2.2 estén garantizados por Activos especificados en la partida 1.3.2 de la plantilla de activos líquidos y que estén garantizados por las contrapartes anteriores, de conformidad con el artículo 416, apartado 1, letra c), inciso ii). |
|
160-170 |
1.6.1.3 activos transferibles que constituyan créditos frente a o estén garantizados por el Banco de Pagos Internacionales, el Fondo Monetario Internacional, la Comisión Europea o bancos multilaterales de desarrollo Artículo 416, apartado 1, letra c), inciso iii), del Reglamento (UE) no 575/2013 |
|
160 |
1.6.1.3.1 que constituyan créditos frente a Activos especificados en la partida 1.3.3 de la plantilla de activos líquidos y que constituyan créditos frente a las contrapartes anteriores, de conformidad con el artículo 416, apartado 1, letra c), inciso iii). |
|
170 |
1.6.1.3.2 estén garantizados por Activos especificados en la partida 1.3.3 de la plantilla de activos líquidos y que estén garantizados por las contrapartes anteriores, de conformidad con el artículo 416, apartado 1, letra c), inciso iii). |
|
180-190 |
1.6.1.4 activos transferibles que constituyan créditos frente a o estén garantizadas por la Facilidad Europea de Estabilidad Financiera y el Mecanismo Europeo de Estabilidad Artículo 416, apartado 1, letra c), inciso iv), del Reglamento (UE) no 575/2013 |
|
180 |
1.6.1.4.1 que constituyan créditos frente a Activos especificados en la partida 1.3.4 de la plantilla de activos líquidos y que constituyan créditos frente a las contrapartes anteriores, de conformidad con el artículo 416, apartado 1, letra c), inciso iv). |
|
190 |
1.6.1.4.2 estén garantizados por Activos especificados en la partida 1.3.4 de la plantilla de activos líquidos y que estén garantizados por las contrapartes anteriores, de conformidad con el artículo 416, apartado 1, letra c), inciso iv). |
|
200-220 |
1.6.2 total de acciones o participaciones en OIC con activos subyacentes especificados en el artículo 416, apartado 1 Artículo 416, apartado 6, del Reglamento (UE) no 575/2013 El total de acciones o participaciones en OIC con activos subyacentes especificados en el artículo 416, apartado 1, del Reglamento (UE) no 575/2013 se comunicará aquí, utilizando la subcategoría adecuada de acuerdo con la plantilla LCR de activos líquidos. |
|
200 |
1.6.2.1 activos subyacentes del artículo 416, apartado 1, letra a) |
|
210 |
1.6.2.2 activos subyacentes del artículo 416, apartado 1, letras b) y c) |
|
220 |
1.6.2.3 activos subyacentes del artículo 416, apartado 1, letra d) |
|
230 |
1.6.3 activos emitidos por una entidad de crédito que haya sido establecida por una administración central o regional de un Estado miembro Activos emitidos por una entidad de crédito que haya sido establecida por una administración central o regional de un Estado miembro cuando se cumpla al menos una de las condiciones del artículo 416, apartado 2, letra a), inciso iii). |
|
240-260 |
1.6.4 obligaciones de empresas no financieras Artículo 416, apartado 1, letras b) o d), del Reglamento (UE) no 575/2013 Las obligaciones de empresas no financieras se comunicarán de acuerdo con su calidad crediticia según el artículo 122 del Reglamento (UE) no 575/2013, dentro de la subcategoría adecuada. |
|
240 |
1.6.4.1 nivel 1 de calidad crediticia |
|
250 |
1.6.4.2 nivel 2 de calidad crediticia |
|
260 |
1.6.4.3 nivel 3 de calidad crediticia |
|
270-290 |
1.6.5 obligaciones emitidas por una entidad de crédito que puedan acogerse al tratamiento establecido en el artículo 129, apartados 4 o 5 Artículo 416, apartado 2, letra a), inciso i), del Reglamento (UE) no 575/2013 Las obligaciones que puedan acogerse al tratamiento establecido en el artículo 129, apartados 4 o 5, se comunicarán de acuerdo con su calidad crediticia según el artículo 129, apartados 4 o 5, del Reglamento (UE) no 575/2013, dentro de la subcategoría adecuada. |
|
270 |
1.6.5.1 nivel 1 de calidad crediticia |
|
280 |
1.6.5.2 nivel 2 de calidad crediticia |
|
290 |
1.6.5.3 nivel 3 de calidad crediticia |
|
300-320 |
1.6.6 instrumentos emitidos por una entidad de crédito garantizados por activos si se demuestra que responden a la mayor calidad crediticia, tal como establece la ABE ateniéndose a los criterios previstos en el artículo 509, apartados 3, 4 y 5 Artículo 416, apartado 2, letra a), inciso i), del Reglamento (UE) no 575/2013 Estos elementos se comunicarán de acuerdo con su calidad crediticia según el título II, capítulo 5, y los artículos 123, 124, 125 y 126 del Reglamento (UE) no 575/2013, dentro de la subcategoría adecuada. |
|
300 |
1.6.6.1 nivel 1 de calidad crediticia |
|
310 |
1.6.6.2 nivel 2 de calidad crediticia |
|
320 |
1.6.6.3 nivel 3 de calidad crediticia |
|
330-350 |
1.6.7 instrumentos garantizados por hipotecas constituidas sobre bienes inmuebles residenciales, de los instrumentos comunicados en 1.6.6 Artículo 416, apartado 2, letra a), inciso i), del Reglamento (UE) no 575/2013 Estos elementos se comunicarán de acuerdo con su calidad crediticia según el título II, capítulo 5, y los artículos 123, 124, 125 y 126 del Reglamento (UE) no 575/2013, dentro de la subcategoría adecuada. |
|
330 |
1.6.7.1 nivel 1 de calidad crediticia |
|
340 |
1.6.7.2 nivel 2 de calidad crediticia |
|
350 |
1.6.7.3 nivel 3 de calidad crediticia |
|
360-380 |
1.6.8 obligaciones a que se refiere el artículo 52, apartado 4, de la Directiva 2009/65/CE, distintas de las contempladas en la línea 1.9 de la plantilla de activos líquidos Artículo 416, apartado 2, letra a), inciso ii), del Reglamento (UE) no 575/2013 Estos elementos se comunicarán de acuerdo con su calidad crediticia según el artículo 129, apartados 4 o 5, del Reglamento (UE) no 575/2013, dentro de la subcategoría adecuada. |
|
360 |
1.6.8.1 nivel 1 de calidad crediticia |
|
370 |
1.6.8.2 nivel 2 de calidad crediticia |
|
380 |
1.6.8.3 nivel 3 de calidad crediticia |
|
390-410 |
1.6.9 otros activos transferibles de liquidez y calidad crediticia sumamente elevadas Artículo 416, apartado 1, letra b), del Reglamento (UE) no 575/2013 Estos elementos se comunicarán de acuerdo con su calidad crediticia según la parte tercera, título II, capítulo 2, del Reglamento (UE) no 575/2013, dentro de la subcategoría adecuada. Solo se comunicarán aquí los elementos que no estén especificados en las filas anteriores. |
|
390 |
1.6.9.1 nivel 1 de calidad crediticia |
|
400 |
1.6.9.2 nivel 2 de calidad crediticia |
|
410 |
1.6.9.3 nivel 3 de calidad crediticia |
|
420-440 |
1.6.10 otros activos transferibles de liquidez y calidad crediticia elevadas Artículo 416, apartado 1, letra d), del Reglamento (UE) no 575/2013 Estos elementos se comunicarán de acuerdo con su calidad crediticia según la parte tercera, título II, capítulo 2, del Reglamento (UE) no 575/2013, dentro de la subcategoría adecuada. Solo se comunicarán aquí los elementos que no estén especificados en las filas anteriores. |
|
420 |
1.6.10.1 nivel 1 de calidad crediticia |
|
430 |
1.6.10.2 nivel 2 de calidad crediticia |
|
440 |
1.6.10.3 nivel 3 de calidad crediticia |
|
450-460 |
1.6.11 activos que cumplan los requisitos del artículo 416, apartado 1, letras b) y d), pero no los del artículo 417, letras b) o c), del Reglamento (UE) no 575/2013 Los elementos se consignarán solo en una de las siguientes subcategorías, incluso si no se cumple ninguna de las dos disposiciones. |
|
450 |
1.6.11.1 activos no controlados por una función de gestión de la liquidez Artículo 417, letra c), del Reglamento (UE) no 575/2013 |
|
460 |
1.6.11.2 activos que no estén disponibles, en términos jurídicos y prácticos, en cualquier momento durante los 30 días siguientes a su liquidación mediante venta directa o mediante un simple pacto de recompra en mercados aprobados de recompra Artículo 417, letra b), del Reglamento (UE) no 575/2013 |
|
470-660 |
1.6.12 partidas sujetas a notificación suplementaria de activos líquidos Las entidades únicamente comunicarán los activos sujetos a comunicación suplementaria de activos líquidos de conformidad con el anexo III del Reglamento (UE) no 575/2013. Todos los elementos, con excepción de los mencionados en 3.1, 3.2 y 3.9, deberán cumplir las condiciones que se definen en el último párrafo de dicho anexo. Estos elementos se consignarán aquí en la subcategoría apropiada. Solo se comunicarán aquí elementos que no estén indicados en ningún otro lugar de la plantilla. |
|
470 |
1.6.12.1 efectivo Anexo III, punto 1, del Reglamento (UE) no 575/2013 Importe total de efectivo, incluidas las monedas y billetes. Solo se comunicará el efectivo que no cumpla al menos una de las condiciones establecidas en el artículo 416, apartado 3, letras c), d) y e) y, por lo tanto, no pueda consignarse en 1.1. Obsérvese que el efectivo depositado en otras entidades no se comunicará aquí, sino en la categoría correspondiente a las garantías reales de la plantilla 1.3 «Entradas», si puede considerarse un pago pendiente en los 30 días siguientes. |
|
480 |
1.6.12.2 exposiciones de bancos centrales, en la medida en que pueda recurrirse a dichas exposiciones en momentos de tensión Anexo III, punto 2, del Reglamento (UE) no 575/2013 Importe total de las exposiciones frente a bancos centrales, en la medida en que pueda recurrirse a dichas exposiciones en momentos de tensión. Solo se comunicarán las exposiciones que no cumplan al menos una de las condiciones establecidas en el artículo 416, apartado 3, letras c), d) y e), y, por lo tanto, no puedan consignarse en 1.3. |
|
490-530 |
1.6.12.3 valores mobiliarios a los que se haya asignado una ponderación de riesgo del 0 % y que no sean obligaciones de una entidad o de entidades filiales Anexo III, punto 3, del Reglamento (UE) no 575/2013 Valores mobiliarios a los que se les haya asignado una ponderación de riesgo del 0 % y que constituyan créditos frente a o estén garantizados por la administración central de un Estado miembro o de un tercer país con arreglo a lo indicado en el punto 3 del anexo III. De los cuales: |
|
490 |
1.6.12.3.1 que constituyan créditos frente a emisores soberanos Anexo III, punto 3, del Reglamento (UE) no 575/2013 |
|
500 |
1.6.12.3.2 estén garantizados por emisores soberanos Anexo III, punto 3, del Reglamento (UE) no 575/2013 |
|
510 |
1.6.12.3.3 que constituyan créditos frente a o estén garantizados por los bancos centrales Anexo III, punto 3, del Reglamento (UE) no 575/2013 |
|
520 |
1.6.12.3.4 que constituyan créditos frente a o estén garantizados por entes del sector público no pertenecientes a la administración central, regiones con autonomía fiscal para imponer y recaudar tributos y autoridades locales Anexo III, punto 3, del Reglamento (UE) no 575/2013 |
|
530 |
1.6.12.3.5 que constituyan créditos frente a o estén garantizados por el Banco de Pagos Internacionales, el Fondo Monetario Internacional, la Unión Europea, la Facilidad Europea de Estabilidad Financiera, el Mecanismo Europeo de Estabilidad o bancos multilaterales de desarrollo Anexo III, punto 3, del Reglamento (UE) no 575/2013 |
|
540 |
1.6.12.4 valores mobiliarios distintos de los contemplados en el punto 3.3 que representen créditos frente a, o garantizados por, emisores soberanos o bancos centrales, emitidos en las monedas nacionales del emisor soberano o del banco central en la moneda y en el país en el que se asuma el riesgo de liquidez o emitidos en otras divisas, en la medida en que la tenencia de dicha deuda se corresponda con las necesidades de liquidez de las operaciones del banco en el tercer país de que se trate Anexo III, punto 4, del Reglamento (UE) no 575/2013 |
|
550-590 |
1.6.12.5 valores mobiliarios a los que se les haya asignado una ponderación de riesgo del 20 % y que no sean obligaciones de una entidad o de entidades filiales Anexo III, punto 5, del Reglamento (UE) no 575/2013 Valores mobiliarios a los que se les haya asignado una ponderación de riesgo del 20 % y que constituyan créditos frente a o estén garantizados por la administración central de un Estado miembro o de un tercer país contemplado en el punto 5 del anexo III. De los cuales: |
|
550 |
1.6.12.5.1 que constituyan créditos frente a emisores soberanos Anexo III, punto 5, del Reglamento (UE) no 575/2013 |
|
560 |
1.6.12.5.2 estén garantizados por emisores soberanos Anexo III, punto 5, del Reglamento (UE) no 575/2013 |
|
570 |
1.6.12.5.3 que constituyan créditos frente a o estén garantizados por los bancos centrales Anexo III, punto 5, del Reglamento (UE) no 575/2013 |
|
580 |
1.6.12.5.4 que constituyan créditos frente a o estén garantizados por entes del sector público no pertenecientes a la administración central, regiones con autonomía fiscal para imponer y recaudar tributos y autoridades locales Anexo III, punto 5, del Reglamento (UE) no 575/2013 |
|
590 |
1.6.12.5.5 que constituyan créditos frente a o estén garantizados por el Banco de Pagos Internacionales, el Fondo Monetario Internacional, la Unión Europea, la Facilidad Europea de Estabilidad Financiera, el Mecanismo Europeo de Estabilidad o bancos multilaterales de desarrollo Anexo III, punto 5, del Reglamento (UE) no 575/2013 |
|
600 |
1.6.12.6 valores mobiliarios distintos de los contemplados en 3.3 a 3.5.6 a los que pueda aplicarse una ponderación de riesgo del 20 % o más favorable con arreglo a la parte tercera, título II, capítulo 2, o que, según una calificación interna, posean una calidad crediticia equivalente, y que cumplan alguna de las condiciones especificadas en el punto 6 del anexo III del Reglamento (UE) no 575/2013 Anexo III, punto 6, del Reglamento (UE) no 575/2013 |
|
610 |
1.6.12.7 valores mobiliarios distintos de los contemplados en 3.3 a 3.6 a los que pueda aplicarse una ponderación de riesgo del 50 % o más favorable con arreglo a la parte tercera, título II, capítulo 2, o que, según una calificación interna, posean una calidad crediticia equivalente, y que no representen un crédito frente a una SSPE, una entidad o una de sus empresas asociadas Anexo III, punto 7, del Reglamento (UE) no 575/2013 |
|
620 |
1.6.12.8 valores mobiliarios distintos de los contemplados en 3.3 a 3.7 garantizados por activos a los que pueda aplicarse una ponderación de riesgo del 35 % o más favorable con arreglo a la parte tercera, título II, capítulo 2, o que, según una calificación interna, posean una calidad crediticia equivalente, y que estén totalmente garantizados por hipotecas constituidas sobre bienes inmuebles residenciales de conformidad con el artículo 125 Anexo III, punto 8, del Reglamento (UE) no 575/2013 |
|
630 |
1.6.12.9 facilidades de crédito contingente concedidas por bancos centrales en el marco de la política monetaria, en la medida en que dichas facilidades no resulten garantizadas por activos líquidos y excluyendo la provisión urgente de liquidez Anexo III, punto 9, del Reglamento (UE) no 575/2013 Importe total de las facilidades de crédito contingente concedidas por bancos centrales en el marco de la política monetaria, en la medida en que dichas facilidades no resulten garantizadas por activos líquidos y excluyendo la provisión urgente de liquidez. |
|
640 |
1.6.12.10 depósitos mínimos legales o estatutarios en entidades centrales de crédito y otros fondos líquidos estatutarios o contractuales disponibles de la entidad o las entidades centrales de crédito que sean miembros de la red a que se refiere el artículo 113, apartado 7, o que puedan acogerse a la exención prevista en el artículo 10, en la medida en que dichos fondos no estén garantizados por activos líquidos, si la entidad de crédito pertenece a una red en virtud de disposiciones legales o estatutarias. Anexo III, punto 10, del Reglamento (UE) no 575/2013 |
|
650 |
1.6.12.11 participaciones en capital ordinario negociadas en mercados organizados y compensadas de forma centralizada, que formen parte de un importante índice bursátil, denominadas en la moneda nacional del Estado miembro y que no hayan sido emitidas por una entidad ni por ninguna de sus filiales Anexo III, punto 11, del Reglamento (UE) no 575/2013 |
|
660 |
1.6.12.12 oro registrado en un mercado regulado, mantenido en custodia Anexo III, punto 12, del Reglamento (UE) no 575/2013 |
|
670-920 |
1.6.13 activos que no cumplan los requisitos del artículo 416 del Reglamento (UE) no 575/2013 pero sí los del artículo 417, letras b) y c), del Reglamento (UE) no 575/2013 Estos elementos se consignarán aquí en la subcategoría apropiada de la plantilla de activos líquidos. |
|
670-690 |
1.6.13.1 obligaciones de empresas financieras Artículo 416, apartado 2, del Reglamento (UE) no 575/2013 Estos elementos se comunicarán de acuerdo con su calidad crediticia según el artículo 120, apartado 1, del Reglamento (UE) no 575/2013. |
|
670 |
1.6.13.1.1 nivel 1 de calidad crediticia |
|
680 |
1.6.13.1.2 nivel 2 de calidad crediticia |
|
690 |
1.6.13.1.3 nivel 3 de calidad crediticia |
|
700-720 |
1.6.13.2 emisiones propias Artículo 416, apartado 3, letra b), del Reglamento (UE) no 575/2013 Estos elementos se comunicarán de acuerdo con su calidad crediticia según el artículo 120, apartado 1, del Reglamento (UE) no 575/2013. |
|
700 |
1.6.13.2.1 nivel 1 de calidad crediticia |
|
710 |
1.6.13.2.2 nivel 2 de calidad crediticia |
|
720 |
1.6.13.2.3 nivel 3 de calidad crediticia |
|
730-750 |
1.6.13.3 emisiones de entidades de crédito no garantizadas Artículo 416 del REGLAMENTO (UE) no 575/2013 Estos elementos se comunicarán de acuerdo con su calidad crediticia según el artículo 120, apartado 1, del Reglamento (UE) no 575/2013. |
|
730 |
1.6.13.3.1 nivel 1 de calidad crediticia |
|
740 |
1.6.13.3.2 nivel 2 de calidad crediticia |
|
750 |
1.6.13.3.3 nivel 3 de calidad crediticia |
|
760-780 |
1.6.13.4 valores garantizados por activos no comunicados en 1.6.6 Artículo 416, apartado 4, letra b), del Reglamento (UE) no 575/2013 Estos elementos se comunicarán de acuerdo con su calidad crediticia según la parte tercera, título II, capítulo 5, y el artículo 125 del Reglamento (UE) no 575/2013. |
|
760 |
1.6.13.4.1 nivel 1 de calidad crediticia |
|
770 |
1.6.13.4.2 nivel 2 de calidad crediticia |
|
780 |
1.6.13.4.3 nivel 3 de calidad crediticia |
|
790-810 |
1.6.13.5 valores garantizados por hipotecas constituidas sobre bienes inmuebles residenciales no comunicados en 1.6.7 Artículo 509, apartado 3, del Reglamento (UE) no 575/2013 Estos elementos se comunicarán de acuerdo con su calidad crediticia según la parte tercera, título II, capítulo 5, y el artículo 125 del Reglamento (UE) no 575/2013. |
|
790 |
1.6.13.5.1 nivel 1 de calidad crediticia |
|
800 |
1.6.13.5.2 nivel 2 de calidad crediticia |
|
810 |
1.6.13.5.3 nivel 3 de calidad crediticia |
|
820 |
1.6.13.6 acciones registradas en un mercado regulado e instrumentos de capital vinculados a importantes índices bursátiles, no emitidos por la propia entidad o por entidades financieras Artículo 416, apartado 4, letra a), y artículo 509, apartado 3, letra c), del Reglamento (UE) no 575/2013 |
|
830 |
1.6.13.7 oro Artículo 416, apartado 4, letra a), y artículo 509, apartado 3, letra c), del Reglamento (UE) no 575/2013 |
|
840 |
1.6.13.8 bonos con garantía personal no comunicados anteriormente Artículo 509, apartado 3, letra c), del Reglamento (UE) no 575/2013 |
|
850 |
1.6.13.9 bonos con garantía real no comunicados anteriormente Artículo 509, apartado 3, letra c), del Reglamento (UE) no 575/2013 |
|
860 |
1.6.13.10 obligaciones de empresas no comunicadas anteriormente Artículo 509, apartado 3, letra c), del Reglamento (UE) no 575/2013 |
|
870 |
1.6.13.11 fondos basados en los activos comunicados en 1.6.13.6 — 1.6.13.10 Artículo 509, apartado 3, letra c), del Reglamento (UE) no 575/2013 |
|
880-900 |
1.6.13.12 otras categorías de valores o préstamos admisibles por los bancos centrales Artículo 509, apartado 3, letra b), del Reglamento (UE) no 575/2013 |
|
880 |
1.6.13.12.1 bonos de las administraciones locales Artículo 509, apartado 3, letra b), del Reglamento (UE) no 575/2013 |
|
890 |
1.6.13.12.2 pagarés Artículo 509, apartado 3, letra b), del Reglamento (UE) no 575/2013 |
|
900 |
1.6.13.12.3 derechos de crédito Artículo 416, apartado 4, letra c), del Reglamento (UE) no 575/2013 |
|
910-930 |
1.6.13.13 productos financieros que cumplen la sharia como alternativa a los activos que serían reconocidos como activos líquidos a efectos del artículo 416, para uso de los bancos que cumplen la sharia Artículo 509, apartado 2, letra i), del Reglamento (UE) no 575/2013 |
|
910 |
1.6.13.13.1 nivel 1 de calidad crediticia |
|
920 |
1.6.13.13.2 nivel 2 de calidad crediticia |
|
930 |
1.6.13.13.3 nivel 3 de calidad crediticia |
|
940-960 |
1.7 Líneas de crédito y de liquidez no utilizadas y otros compromisos recibidos de un ente del mismo grupo de conformidad con el artículo 425, apartado 4 Artículo 425, apartado 4, del Reglamento (UE) no 575/2013 En las subcategorías siguientes se comunicará el importe total de las líneas de crédito y de liquidez no utilizadas y de otros compromisos recibidos de entes del mismo grupo en relación con los cuales las autoridades competentes hayan autorizado, caso por caso, la aplicación de un flujo de entrada superior, según lo indicado a continuación: |
|
940 |
1.7.1 cuando se cumplan todas las condiciones del artículo 425, apartado 4, letras a), b) y c) Artículo 425, apartado 4, letras a), b) y c), del Reglamento (UE) no 575/2013 Importe total de los cobros pendientes para los que las autoridades competentes hayan autorizado, caso por caso, la aplicación de un flujo de entrada superior y en los que se cumplan todas las condiciones del artículo 425, apartado 4, letras a), b) y c). |
|
950 |
1.7.2 cuando las autoridades competentes eximan de lo dispuesto en la letra d) del artículo 425, apartado 4, y se cumplan todas las condiciones del artículo 425, apartado 4, letras a), b) y c), a los efectos de la aplicación del tratamiento intragrupo del artículo 20, apartado 1, letra b), por lo que se refiere a las entidades que no estén sujetas a la exención del artículo 8, líneas de crédito y de liquidez no utilizadas y otros compromisos recibidos de entes del mismo grupo de conformidad con el artículo 425, apartado 5 Artículo 425, apartado 4, letras a), b), c) y d), del Reglamento (UE) no 575/2013 Importe total de los cobros pendientes para los que las autoridades competentes hayan autorizado la aplicación de un flujo de entrada superior, caso por caso, y en relación con los cuales se cumplan todas las condiciones del artículo 425, apartado 4, letras a), b) y c), a los efectos de la aplicación del tratamiento intragrupo del artículo 20, apartado 1, letra b), por lo que se refiere a las entidades que no estén sujetas a la exención del artículo 8, y no se aplique la condición del artículo 425, apartado 4, letra d). |
|
960 |
1.7.3 derechos de cobro netos correspondientes a los contratos enumerados en el anexo II (netos de las garantías reales que se reciban y que puedan calificarse de activos líquidos con arreglo al artículo 416) Artículo 425, apartado 3, del Reglamento (UE) no 575/2013 Importe neto de los derechos de cobro previstos en el horizonte de 30 días y correspondientes a los contratos enumerados en el anexo II. Los importes: — serán netos respecto a todas las contrapartes; — serán netos de las garantías reales que se reciban y que puedan calificarse de activos líquidos con arreglo al artículo 416; — no estarán valorados a precios de mercado, puesto que la valoración a precios de mercado incluye también estimaciones de entradas y salidas contingentes y puede comprender flujos de efectivo que se produzcan más allá del horizonte de 30 días. Obsérvese que el importe neto a pagar deberá comunicarse en 1.2 «Salidas», partida 1.2.7 (importe neto a pagar de los contratos enumerados en el anexo II, neto de las garantías reales que se reciban y que puedan calificarse de activos líquidos con arreglo al artículo 416). |
|
970 |
1.8 Cobros pendientes por activos líquidos que no se reflejen en el valor de mercado del activo Artículo 425, apartado 7, del Reglamento (UE) no 575/2013 Importe total de los cobros pendientes por activos que puedan considerarse activos líquidos conforme al artículo 416 y que no se reflejen en el valor de mercado del activo en cuestión. |
|
980 |
1.9 Otras entradas Importe total de todas las demás entradas pendientes no comunicadas en 1.1 a 1.8. |
|
990 |
2. ENTRADAS TOTALES EXCLUIDAS POR APLICACIÓN DEL LÍMITE MÁXIMO Total de cobros pendientes que se excluyen por la aplicación del límite máximo de entradas, fijado en el 75 % de las salidas de liquidez, de conformidad con el artículo 425, apartado 1, del Reglamento (UE) no 575/2013. Este dato deberá verificarse por referencia a las salidas totales calculadas en la plantilla de salidas. |
|
1000-1030 |
3. ENTRADAS EXENTAS DEL LÍMITE MÁXIMO |
|
1000 |
3.1 Cobros pendientes de prestatarios y obligacionistas relativos a préstamos hipotecarios Artículo 425, apartado 1, del Reglamento (UE) no 575/2013 Préstamos hipotecarios financiados con bonos que puedan acogerse al tratamiento establecido en el artículo 129, apartados 4, 5 o 6, o con los bonos mencionados en el artículo 52, apartado 4, de la Directiva 2009/65/CE. |
|
1010 |
3.2 Entradas de préstamos promocionales que las entidades hayan transferido Artículo 425, apartado 1, del Reglamento (UE) no 575/2013 |
|
1020 |
3.3 Entradas a las que puede aplicarse el tratamiento previsto en el artículo 113, apartados 6 o 7 Importe total de las entradas que sean depósitos en otras entidades, a las que puedan aplicarse los tratamientos que se establecen en el artículo 113, apartados 6 y 7, y que, por tanto, estén exentas del límite máximo. Artículo 425, apartado 1, del Reglamento (UE) no 575/2013 |
|
1030 |
3.4 Entradas de un ente del mismo grupo aprobadas por la autoridad competente Artículo 425, apartado 1, del Reglamento (UE) no 575/2013 |
INFORMACIÓN SOBRE LIQUIDEZ (PARTE 4 de 5: PERMUTAS DE GARANTÍAS REALES)
Observaciones generales
1. Esta es una plantilla recapitulativa que contiene información que permitirá a la ABE evaluar si se han contrarrestado debidamente las operaciones de préstamo garantizado y de permuta de garantías reales, cuando los activos líquidos a que se refieren las letras a), b) y c) del artículo 416, apartado 1, hayan sido obtenidos a cambio de garantías reales que no obedezcan a lo previsto en las letras a), b) y c) del artículo 416, apartado 1.
a) Subplantilla Permutas de garantías reales
i. Instrucciones relativas a filas concretas
|
Fila |
Referencias legales e instrucciones |
|
1. Permutas de garantías reales Artículo 415, apartado 1, párrafo segundo, del REGLAMENTO (UE) no 575/2013. Las entidades comunicarán las operaciones de permuta de garantías reales cuando los activos líquidos a que se refieren las letras a), b) y c) del artículo 416, apartado 1, hayan sido obtenidos a cambio de garantías reales que no obedezcan a lo previsto en las letras a), b) y c) del artículo 416, apartado 1. Los activos que no obedezcan a lo previsto en las letras a), b) y c) del artículo 416, apartado 1, del REGLAMENTO (UE) No 575/2013 se denominan en esta plantilla «Otros activos». Las permutas de garantías reales que venzan en 30 días o menos se comunicarán en las columnas 010 y 020. En la columna 010 se comunicará el importe nocional. En la columna 020 se comunicará el valor de mercado. Las permutas de garantías reales que venzan en más de 30 días se comunicarán en las columnas 030 y 040. En la columna 030 se comunicará el importe nocional. En la columna 040 se comunicará el valor de mercado. |
|
|
010-060 |
1.0 Activos |
|
010 |
1.1 Efectivo y exposiciones en bancos centrales Artículo 416, apartado 1, letra a), del REGLAMENTO (UE) no 575/2013 |
|
020 |
1.2 Otros activos transferibles con arreglo al artículo 416, apartado 1, letra b), Artículo 416, apartado 1, letra b), del REGLAMENTO (UE) no 575/2013 |
|
030-060 |
1.3 Otros activos transferibles que constituyan créditos frente a o estén garantizados por Artículo 416, apartado 1, letra c), del Reglamento (UE) no 575/2013 Se comunicarán las siguientes subcategorías: |
|
030 |
1.3.1 activos transferibles que constituyan créditos frente a o estén garantizados por la administración central de un Estado miembro, de una región con autonomía fiscal para imponer y recaudar impuestos, o de un tercer país en la moneda nacional de la administración central o regional, en caso de que la entidad contraiga un riesgo de liquidez en ese Estado miembro o tercer país que cubra con la tenencia de esos activos líquidos Artículo 416, apartado 1, letra c), inciso i), del REGLAMENTO (UE) no 575/2013 |
|
040 |
1.3.2 activos transferibles que constituyan créditos frente a o estén garantizados por los bancos centrales y entes del sector público que no dependan de la administración central en la moneda nacional del banco central y de los entes del sector público Artículo 416, apartado 1, letra c), inciso ii), del REGLAMENTO (UE) no 575/2013 |
|
050 |
1.3.3 activos transferibles que constituyan créditos frente a o estén garantizados por el Banco de Pagos Internacionales, el Fondo Monetario Internacional, la Comisión Europea o bancos multilaterales de desarrollo Artículo 416, apartado 1, letra c), inciso iii), del REGLAMENTO (UE) no 575/2013 |
|
060 |
1.3.4 activos transferibles que constituyan créditos frente a o estén garantizados por la Facilidad Europea de Estabilidad Financiera y el Mecanismo Europeo de Estabilidad Artículo 416, apartado 1, letra c), inciso iv), del REGLAMENTO (UE) no 575/2013 |
INFORMACIÓN SOBRE LIQUIDEZ (PARTE 5 de 5: FINANCIACIÓN ESTABLE)
1. Elementos que proporcionan financiación estable
1.1. Observaciones generales
1. Se trata de una plantilla recapitulativa que recoge información sobre los elementos que proporcionan financiación estable. Los elementos que no deben ser cumplimentados por las entidades están coloreados en gris.
2. Deberán comunicarse aquí todos los fondos propios y pasivos consignados en el balance de las entidades. El importe total de estas dos categorías reflejará, por tanto, el activo total de la entidad.
3. De conformidad con el artículo 427, apartado 2, del REGLAMENTO (UE) no 575/2013, los pasivos se comunicarán en las cinco categorías siguientes:
a) Los pasivos en los que la fecha de vencimiento o, si es más próxima, la primera fecha posible en la que pueda exigirse su pago con arreglo al contrato esté comprendida dentro de los tres meses siguientes a la fecha de información se comunicarán en la columna F de la categoría pertinente. Se comunicarán aquí todos los depósitos a la vista.
b) Los pasivos en los que la fecha de vencimiento o, si es más próxima, la primera fecha posible en la que pueda exigirse su pago con arreglo al contrato esté comprendida entre los tres y los seis meses siguientes a la fecha de información se comunicarán en la columna G de la categoría pertinente.
c) Los pasivos en los que la fecha de vencimiento o, si es más próxima, la primera fecha posible en la que pueda exigirse su pago con arreglo al contrato esté comprendida entre los seis y los nueve meses siguientes a la fecha de información se comunicarán en la columna H de la categoría pertinente.
d) Los pasivos en los que la fecha de vencimiento o, si es más próxima, la primera fecha posible en la que pueda exigirse su pago con arreglo al contrato esté comprendida entre los nueve y los doce meses siguientes a la fecha de información se comunicarán en la columna I de la categoría pertinente.
e) Los pasivos en los que la fecha de vencimiento o, si es más próxima, la primera fecha posible en la que pueda exigirse su pago con arreglo al contrato sea más de un año posterior a la fecha de información se comunicarán en la columna J de la categoría pertinente.
4. Las entidades deben suponer que los inversores ejercitarán una opción de compra en la fecha más temprana posible. Respecto a la financiación con opciones ejercitables a criterio de la entidad, deberán tenerse en cuenta los factores de reputación que puedan limitar la capacidad de la entidad para ejercitar las opciones. En particular, cuando el mercado prevea el reembolso de determinados pasivos antes de su fecha de vencimiento legal definitiva, las entidades deberán suponer tal conducta.
5. Respecto a los depósitos minoristas comunicados en la sección 1.2, deberán aplicarse en la plantilla Financiación estable disponible los mismos criterios sobre vencimiento utilizados en la plantilla Cobertura de la liquidez.
1.2. Elementos que proporcionan financiación estable
1.2.1. Instrucciones relativas a filas concretas
|
Fila |
Referencias legales e instrucciones |
|
010-250 |
1 ELEMENTOS QUE PROPORCIONAN FINANCIACIÓN ESTABLE Artículo 427 del REGLAMENTO (UE) No 575/2013 El importe total de los fondos propios se comunicará en la columna J de las subcategorías siguientes: [Nota: excepto 1.1.3, los instrumentos que en otro caso serían admisibles como «fondos propios» pero que ya no se ajustan a esta definición, debido, por ejemplo, a su vencimiento, se comunicarán en la subcategoría aplicable de la sección 1.2 «Pasivos con exclusión de los fondos propios»] |
|
010-030 |
1.1 Fondos propios Artículo 427, apartado 1, letra a), del Reglamento (UE) No 575/2013 Subcomponentes de los fondos propios, una vez practicadas las deducciones, constituidos por la suma del capital de nivel 1 y el capital de nivel 2, especificados en los artículos 25 y 71 del REGLAMENTO (UE) No 575/2013, y los elementos conexos |
|
010 |
1.1.1 Instrumentos de capital de nivel 1 Artículo 427, apartado 1, letra a), inciso i), del Reglamento (UE) No 575/2013 Importe total del capital de nivel 1 especificado en el artículo 25 del REGLAMENTO (UE) No 575/2013. |
|
020 |
1.1.2 Instrumentos de capital de nivel 2 Artículo 427, apartado 1, letra a), inciso ii), del REGLAMENTO (UE) No 575/2013 Importe total del capital de nivel 2 especificado en el artículo 71 del REGLAMENTO (UE) No 575/2013. |
|
030 |
1.1.3 Otras acciones preferentes e instrumentos de capital superiores al importe permitido para el nivel 2 con un vencimiento efectivo de como mínimo un año Artículo 427, apartado 1, letra a), inciso iii), del REGLAMENTO (UE) No 575/2013 Otras acciones preferentes e instrumentos de capital superiores al importe autorizado para el nivel 2 con un vencimiento efectivo de como mínimo un año. |
|
040-260 |
1.2 Pasivos con exclusión de los fondos propios Artículo 427, apartado 1, letra b), del REGLAMENTO (UE) No 575/2013 El importe total de los pasivos con exclusión de los fondos propios se comunicará en las columnas 010 a 050, en función de su fecha de vencimiento o, si es más próxima, la primera fecha posible en la que pueda exigirse su pago con arreglo al contrato, en la subcategoría pertinente, como sigue: |
|
040-060 |
1.2.1 Depósitos minoristas Artículo 427, apartado 1, letra b), incisos i y ii), del REGLAMENTO (UE) No 575/2013 El importe total de los depósitos minoristas se comunicará en las columnas 010 a 050, en función de su fecha de vencimiento o, si es más próxima, la primera fecha posible en la que pueda exigirse su pago con arreglo al contrato, en la subcategoría pertinente, como sigue: |
|
040 |
1.2.1.1 tal y como se definen en el artículo 421, apartado 1 Artículo 427, apartado 1, letra b), inciso i), del REGLAMENTO (UE) No 575/2013 Importe total de los depósitos minoristas previstos en el artículo 421, apartado 1, del REGLAMENTO (UE) No 575/2013, comunicados en 1.1.1 «Salidas» de la plantilla Cobertura de la liquidez, para los depósitos con un plazo de vencimiento inferior a 30 días, en 1.2 «Salidas» de la plantilla Cobertura de la liquidez. |
|
050 |
1.2.1.2 tal y como se definen en el artículo 421, apartado 2, Artículo 427, apartado 1, letra b), inciso ii), del REGLAMENTO (UE) No 575/2013 Importe total de los depósitos minoristas previstos en el artículo 421, apartado 2, del REGLAMENTO (UE) No 575/2013, comunicados en los puntos 1.1.2-1.1.3 «Salidas» de la plantilla Cobertura de la liquidez, para los depósitos con un plazo de vencimiento inferior a 30 días, en 1.2 «Salidas» de la plantilla Cobertura de la liquidez. |
|
060 |
1.2.1.3 objeto de un porcentaje de salidas superior a lo previsto en el artículo 421, apartados 1 o 2 Importe total de los depósitos minoristas objeto de un porcentaje de salidas superior a lo previsto en el artículo 421, apartados 1 y 2, comunicado en 1.1.4 «Salidas» de la plantilla Cobertura de la liquidez. |
|
070-130 |
1.2.2 pasivos de clientes que no sean clientes financieros Artículo 427, apartado 1, letra b), inciso vii), del REGLAMENTO (UE) No 575/2013 Importe total de los pasivos de clientes que no sean clientes financieros. |
|
070-090 |
1.2.2.1 pasivos de operaciones de préstamo garantizadas y de operaciones vinculadas al mercado de capitales Artículo 427, apartado 1, letra b), inciso ix), del REGLAMENTO (UE) No 575/2013 Importe total de los pasivos de operaciones de préstamo garantizadas y de operaciones vinculadas al mercado de capitales, según se definen en el artículo 192, de clientes que no sean clientes financieros |
|
070 |
1.2.2.1.1 garantizados por activos de liquidez y calidad crediticia sumamente elevadas Artículo 427, apartado 1, letra b), inciso ix), del REGLAMENTO (UE) No 575/2013 Importe total garantizado por activos de liquidez y calidad crediticia sumamente elevadas, comunicado en 1.1 Activos, sección 1, «Activos de liquidez y calidad crediticias sumamente elevadas». |
|
080 |
1.2.2.1.2 garantizados por activos de liquidez y calidad crediticia elevadas Artículo 427, apartado 1, letra b), inciso ix), del REGLAMENTO (UE) No 575/2013 Importe total garantizado por activos de liquidez y calidad crediticia elevadas, comunicado en 1.1 Activos, sección 1, «Activos de liquidez y calidad crediticias elevadas». |
|
090 |
1.2.2.1.3 garantizados por otros activos Artículo 427, apartado 1, letra b), inciso ix), del REGLAMENTO (UE) No 575/2013 Importe total garantizado por otros activos no comunicados en 1.2.2.1.1 o 1.2.2.1.2. |
|
100 |
1.2.2.2 pasivos de operaciones de préstamo no garantizadas Artículo 427, apartado 1, letra b), inciso vii), del REGLAMENTO (UE) No 575/2013 Importe total de los pasivos de operaciones de préstamo no garantizadas de clientes que no sean clientes financieros. |
|
110-130 |
1.2.2.3 pasivos a los que pueda aplicarse el tratamiento previsto en el artículo 422, apartados 3 y 4 Artículo 427, apartado 1, letra b), inciso iii), del REGLAMENTO (UE) No 575/2013 Importe total de pasivos a los que pueda aplicarse el tratamiento previsto en el artículo 422, apartados 3 y 4. |
|
110 |
1.2.2.3.1 pasivos comunicados en 1.2.2.3 que estén amparados por un sistema de garantía de depósitos con arreglo a la Directiva 94/19/CE o un sistema de garantía de depósitos equivalente de un tercer país Artículo 427, apartado 1, letra b), inciso iv), del REGLAMENTO (UE) No 575/2013 De los pasivos comunicados en 1.2.2.3, importe total que esté amparado por un sistema de garantía de depósitos con arreglo a la Directiva 94/19/CE o un sistema de garantía de depósitos equivalente de un tercer país. |
|
120 |
1.2.2.3.2 pasivos comunicados en 1.2.2.3 que entren dentro del ámbito de aplicación de la letra b) del artículo 422, apartado 3 Artículo 427, apartado 1, letra b), inciso v), del REGLAMENTO (UE) No 575/2013 De los pasivos comunicados en 1.2.2.3, importe total de los depósitos que entren dentro del ámbito de aplicación del artículo 422, apartado 3, letra b). |
|
130 |
1.2.2.3.3 pasivos comunicados en 1.2.2.3 que entren dentro del ámbito de aplicación de la letra d) del artículo 422, apartado 3 Artículo 427, apartado 1, letra b), inciso vi), del REGLAMENTO (UE) No 575/2013 De los pasivos comunicados en 1.2.2.2.1, importe total de los depósitos que entren dentro del ámbito de aplicación del artículo 422, apartado 3, letra d). |
|
140-200 |
1.2.3 pasivos de clientes que sean clientes financieros Artículo 427, apartado 1, letra b), inciso viii), del REGLAMENTO (UE) No 575/2013 Importe total de los pasivos de clientes que sean clientes financieros. |
|
140-160 |
1.2.3.1 pasivos de operaciones de préstamo garantizadas y de operaciones vinculadas al mercado de capitales Artículo 427, apartado 1, letra b), inciso ix), del REGLAMENTO (UE) No 575/2013 Importe total de los pasivos de operaciones de préstamo garantizadas y de operaciones vinculadas al mercado de capitales, según se definen en el artículo 192, de clientes que sean clientes financieros |
|
140 |
1.2.3.1.1 garantizados por activos de liquidez y calidad crediticia sumamente elevadas Artículo 427, apartado 1, letra b), inciso ix), del REGLAMENTO (UE) No 575/2013 Importe total garantizado por activos de liquidez y calidad crediticia sumamente elevadas, comunicado en 1.1 Activos, sección 1, «Activos de liquidez y calidad crediticias sumamente elevadas». |
|
150 |
1.2.3.1.2 garantizados por activos de liquidez y calidad crediticia elevadas Artículo 427, apartado 1, letra b), inciso ix), del REGLAMENTO (UE) No 575/2013 Importe total garantizado por activos de liquidez y calidad crediticia elevadas, comunicado en 1.1 Activos, sección 1, «Activos de liquidez y calidad crediticias elevadas». |
|
160 |
1.2.3.1.3 garantizados por otros activos Artículo 427, apartado 1, letra b), inciso ix), del REGLAMENTO (UE) No 575/2013 Importe total garantizado por otros activos no comunicados en 1.2.2.1.1 o 1.2.2.1.2. |
|
170 |
1.2.3.2 pasivos de operaciones de préstamo no garantizadas Artículo 427, apartado 1, letra b), inciso viii), del REGLAMENTO (UE) No 575/2013 Importe total de los pasivos de operaciones de préstamo no garantizadas de clientes que sean clientes financieros. |
|
180-200 |
1.2.3.3 pasivos a los que pueda aplicarse el tratamiento previsto en el artículo 422, apartados 3 y 4 Artículo 427, apartado 1, letra b), inciso iii), del REGLAMENTO (UE) No 575/2013 Importe total de pasivos a los que pueda aplicarse el tratamiento previsto en el artículo 422, apartados 3 y 4. |
|
180 |
1.2.3.3.1 pasivos comunicados en 1.2.3.3 que estén amparados por un sistema de garantía de depósitos con arreglo a la Directiva 94/19/CE o un sistema de garantía de depósitos equivalente de un tercer país Artículo 427, apartado 1, letra b), inciso iv), del REGLAMENTO (UE) No 575/2013 De los pasivos comunicados en 1.2.3.3, importe total que esté amparado por un sistema de garantía de depósitos con arreglo a la Directiva 94/19/CE o un sistema de garantía de depósitos equivalente de un tercer país. |
|
190 |
1.2.3.3.2 pasivos comunicados en 1.2.3.3 que entren dentro del ámbito de aplicación de la letra b) del artículo 422, apartado 3 Artículo 427, apartado 1, letra b), inciso v), del REGLAMENTO (UE) No 575/2013 De los pasivos comunicados en 1.2.3.3, importe total de los que entren dentro del ámbito de aplicación del artículo 422, apartado 3, letra b). |
|
200 |
1.2.3.3.3 pasivos comunicados en 1.2.3.3 que entren dentro del ámbito de aplicación de la letra d) del artículo 422, apartado 3 Artículo 427, apartado 1, letra b), inciso vi), del REGLAMENTO (UE) No 575/2013 De los pasivos comunicados en 1.2.2.2.1, el importe total de los que entren dentro del ámbito de aplicación del artículo 422, apartado 3, letra b). |
|
210 |
1.2.4 pasivos resultantes de valores emitidos que puedan acogerse al tratamiento previsto en el artículo 129, apartados 4 o 5 Artículo 427, apartado 1, letra b), inciso x), del REGLAMENTO (UE) No 575/2013 Importe total de los pasivos resultantes de valores emitidos que puedan acogerse al tratamiento previsto en el artículo 129 (bonos garantizados). |
|
220 |
1.2.5 pasivos resultantes de los valores definidos en el artículo 52, apartado 4, de la Directiva 2009/65/CE Artículo 427, apartado 1, letra b), inciso x), del REGLAMENTO (UE) No 575/2013 Importe total de los pasivos resultantes de valores emitidos que puedan acogerse al tratamiento previsto en el artículo 52, apartado 4 de la Directiva 2009/65/CE (bonos garantizados). |
|
230 |
1.2.6 otros pasivos resultantes de valores emitidos Artículo 427, apartado 1, letra b), inciso xi), del REGLAMENTO (UE) No 575/2013 Importe total de los pasivos resultantes de valores emitidos, distintos de los comunicados en 1.1. |
|
240 |
1.2.7 pasivos por cuentas a pagar sobre derivados Importe total de los pasivos por cuentas a pagar sobre derivados. |
|
250 |
1.2.8 otros pasivos Artículo 427, apartado 1, letra b), inciso xii), del REGLAMENTO (UE) No 575/2013 Importe total de otros pasivos. |
2. Elementos que requieren financiación estable
2.1. Observaciones generales
1. Se trata de una plantilla recapitulativa que recoge información sobre los elementos que requieren financiación estable. Los elementos que no deben ser cumplimentados por las entidades están coloreados en gris.
2. Deberán comunicarse aquí todos los activos consignados en el balance. El importe total comunicado reflejará, por tanto, la suma de los fondos propios y el pasivo.
3. Tratamiento del vencimiento:
i) De conformidad con el artículo 428, apartado 2, del REGLAMENTO (UE) no 575/2013, los elementos se presentarán en las cinco categorías siguientes:
a) Los activos en los que la fecha de vencimiento o, si es más próxima, la primera fecha posible en la que pueda exigirse su pago con arreglo al contrato esté comprendida dentro de los tres meses siguientes a la fecha de suministro de información se comunicarán en la columna 010, 060 o 110, dependiendo de la categoría pertinente.
b) Los activos en los que la fecha de vencimiento o, si es más próxima, la primera fecha posible en la que pueda exigirse su pago con arreglo al contrato esté comprendida entre los tres y los seis meses siguientes a la fecha de suministro de información se comunicarán en la columna 020, 070 o 120, dependiendo de la categoría pertinente.
c) Los activos en los que la fecha de vencimiento o, si es más próxima, la primera fecha posible en la que pueda exigirse su pago con arreglo al contrato esté comprendida entre los seis y los nueve meses siguientes a la fecha de suministro de información se comunicarán en la columna 030, 080 o 130, dependiendo de la categoría pertinente.
d) Los activos en los que la fecha de vencimiento o, si es más próxima, la primera fecha posible en la que pueda exigirse su pago con arreglo al contrato esté comprendida entre los nueve y los doce meses siguientes a la fecha de suministro de información se comunicarán en la columna 040, 090 o 140, dependiendo de la categoría pertinente.
e) Los activos en los que la fecha de vencimiento o, si es más próxima, la primera fecha posible en la que pueda exigirse su pago con arreglo al contrato sea más de un año posterior a la fecha de suministro de información se comunicarán en la columna 050, 100 o 150, dependiendo de la categoría pertinente.
ii) Respecto a las opciones ejercitables a criterio de la entidad, esta deberá tener en cuenta los factores de reputación que puedan limitar su capacidad de no ejercitarlas. En particular, si terceros prevén que no se ejercitará una opción, la entidad deberá asumir tal conducta a efectos de la comunicación de los activos en esta plantilla.
iii) Los activos se comunicarán atendiendo a su vencimiento contractual residual y no a supuestos conductuales.
4. De conformidad con el artículo 510 del REGLAMENTO (UE) no 575/2013, a efectos de seguimiento de la financiación estable, para cada categoría de activos comunicados en la plantilla Financiación estable las entidades deberán proporcionar un desglose de las cargas sobre los activos de la forma siguiente:
i) El importe de los activos libres de cargas se comunicará en la primera subcategoría.
ii) El importe de los activos con cargas se comunicará en la sublínea pertinente, según el plazo de la carga:
i. plazo de hasta tres meses
ii. plazo de tres a seis meses
iii. plazo de seis a nueve meses
iv. plazo de nueve a doce meses
v. plazo de más de doce meses
5. Tratamiento de los activos tomados o entregados en préstamo en operaciones de préstamo garantizadas y en operaciones vinculadas al mercado de capitales, de conformidad con el artículo 192 del REGLAMENTO (UE) no 575/2013:
i) Las entidades excluirán los activos que hayan tomado en préstamo en operaciones de préstamo garantizadas y en operaciones vinculadas al mercado de capitales, de conformidad con el artículo 192 del REGLAMENTO (UE) no 575/2013 (como las operaciones de recompra inversa y las permutas de garantías reales) de los que no sean propietarias efectivas.
ii) Las entidades comunicarán los activos que hayan entregado en préstamo en operaciones de préstamo garantizadas y en operaciones vinculadas al mercado de capitales, de conformidad con el artículo 192 del REGLAMENTO (UE) no 575/2013 (como las operaciones de recompra inversa y las permutas de garantías reales) de los que sean propietarias efectivas.
iii) Cuando una entidad disponga de valores con cargas en operaciones de préstamo garantizadas y en operaciones vinculadas al mercado de capitales, de conformidad con el artículo 192 del REGLAMENTO (UE) no 575/2013, pero conserve la propiedad efectiva y los mantenga en el balance, asignará esos valores a la categoría adecuada de financiación estable requerida.
6. Tratamiento de los pasivos y activos sobre derivados:
i) Una entidad generalmente tendrá en su balance tanto pasivos netos (es decir, importes a pagar) sobre derivados como activos netos (es decir, importes a cobrar) sobre derivados. Las entidades calcularán los importes correspondientes aplicando normas de compensación legales y no reglas contables, y los comunicarán en consecuencia en la plantilla 1.1. «Financiación requerida» y en la plantilla 1.2 «Financiación estable».
2.2. Elementos que requieren financiación estable
2.2.1. Instrucciones relativas a filas concretas
|
Fila |
Referencias legales e instrucciones |
|
010-1320 |
1 ELEMENTOS QUE REQUIEREN FINANCIACIÓN ESTABLE Los activos totales se comunicarán como sigue: 1. En las columnas P-T, los activos que no se comuniquen como activos líquidos a los efectos de la plantilla Cobertura de la liquidez. 2. En las columnas F-J, los activos que se consideren de liquidez y calidad crediticia sumamente elevadas a efectos de la plantilla Cobertura de la liquidez 3. En las columnas K-O, los activos que se consideren de liquidez y calidad crediticia elevadas a efectos de la plantilla Cobertura de la liquidez. Los activos se comunicarán en función de su fecha de vencimiento o, si es más próxima, la primera fecha posible en la que pueda exigirse su pago con arreglo al contrato. |
|
010-470 |
1.1 Activos contemplados en el artículo 416 Artículo 428, apartado 1, letra a), del Reglamento (UE) No 575/2013 El total de los activos contemplados en el artículo 416 se comunicarán en la(s) línea(s) y columna(s) pertinente(s) |
|
010 |
1.1.1 Efectivo Artículo 416, apartado 1, letra a) Importe total del efectivo, incluidas las monedas y billetes de banco. |
|
020 |
1.1.2 Exposiciones frente a bancos centrales Artículo 416, apartado 1, letra a) Importe total de los depósitos mantenidos en bancos centrales. |
|
030 |
1.1.2.1 de las cuales: exposiciones que puedan retirarse en momentos de tensión Artículo 416, apartado 1, letra a) Importe total de los depósitos mantenidos en bancos centrales en la medida en que estos depósitos puedan ser retirados en momentos de tensión. |
|
040-050 |
1.1.3 activos transferibles que constituyan créditos frente a o estén garantizados por la administración central de un Estado miembro, de una región con autonomía fiscal para imponer y recaudar impuestos o de un tercer país en la moneda nacional de la administración central o regional, en caso de que la entidad contraiga un riesgo de liquidez en ese Estado miembro o tercer país que cubra con la tenencia de esos activos líquidos Artículo 416, apartado 1, letra c), inciso i), del REGLAMENTO (UE) No 575/2013 Importe total de los activos transferibles mencionados en el artículo 416, apartado 1, letra c), inciso i), del REGLAMENTO (UE) No 575/2013 |
|
040 |
1.1.3.1 que constituyan créditos frente a |
|
050 |
1.1.3.2 estén garantizados por |
|
060-070 |
1.1.4 activos transferibles que constituyan créditos frente a o estén garantizadas por los bancos centrales y entes del sector público que no dependan de la administración central en la moneda nacional del banco central y de los entes del sector público Artículo 416, apartado 1, letra c), inciso ii) del REGLAMENTO (UE) No 575/2013 |
|
060 |
1.1.4.1 que constituyan créditos frente a |
|
070 |
1.1.4.2 estén garantizados por |
|
080-150 |
1.1.5 activos transferibles que constituyan créditos frente a o estén garantizados por el Banco de Pagos Internacionales, el Fondo Monetario Internacional, la Comisión Europea o bancos multilaterales de desarrollo Artículo 416, apartado 1, letra c), inciso iii) del REGLAMENTO (UE) No 575/2013 |
|
080 |
1.1.5.1 a) que constituyan créditos frente a |
|
090 |
1.1.5.2 a) estén garantizados por |
|
100 |
1.1.5.1 b) importe libre de cargas |
|
110 |
1.1.5.2 b) importe con cargas durante un plazo de hasta tres meses |
|
120 |
1.1.5.3 b) importe con cargas durante un plazo de tres a seis meses |
|
130 |
1.1.5.4 b) importe con cargas durante un plazo de seis a nueve meses |
|
140 |
1.1.5.5 b) importe con cargas durante un plazo de nueve a doce meses |
|
150 |
1.1.5.6 b) importe con cargas durante un plazo de más de doce meses |
|
152-153 |
1.1.6 activos transferibles que constituyan créditos frente a o estén garantizados por la Facilidad Europea de Estabilidad Financiera y el Mecanismo Europeo de Estabilidad Artículo 416, apartado 1, letra c), inciso iii) del REGLAMENTO (UE) No 575/2013 |
|
152 |
1.1.6.1 que constituyan créditos frente a |
|
153 |
1.1.6.2 estén garantizados por |
|
160-230 |
1.1.7 total de acciones o participaciones en OIC con activos subyacentes especificados en el artículo 416 Artículo 416, apartado 6, del REGLAMENTO (UE) No 575/2013 Valor de mercado total de las acciones o participaciones en OIC mencionadas en el artículo 416, apartado 6, del REGLAMENTO (UE) No 575/2013 |
|
160 |
1.1.7.1 a) activos subyacentes del artículo 416, apartado 1, letra a) |
|
170 |
1.1.7.2 a) activos subyacentes del artículo 416, apartado 1, letras b) y c) |
|
175 |
1.1.7.3 a) activos subyacentes del artículo 416, apartado 1, letra d) |
|
180 |
1.1.7.1 b) importe libre de cargas |
|
190 |
1.1.7.2 b) importe con cargas durante un plazo de hasta tres meses |
|
200 |
1.1.7.3 b) importe con cargas durante un plazo de tres a seis meses |
|
210 |
1.1.7.4 b) importe con cargas durante un plazo de seis a nueve meses |
|
220 |
1.1.7.5 b) importe con cargas durante un plazo de nueve a doce meses |
|
230 |
1.1.7.6 b) importe con cargas durante un plazo de más de doce meses |
|
232-233 |
1.1.8 depósitos en entidades centrales de crédito y otros fondos líquidos estatutarios o contractuales disponibles de la entidad o las entidades centrales de crédito que sean miembros de la red a que se refiere el artículo 113, apartado 7, o que puedan acogerse a la exención prevista en el artículo 10 del REGLAMENTO (UE) No 575/2013, en la medida en que dichos fondos no estén garantizados por activos líquidos |
|
232 |
1.1.8.1 depósitos |
|
233 |
1.1.8.2 fondos líquidos contractualmente disponibles |
|
234 |
1.1.9 Activos emitidos por una entidad de crédito que haya sido establecida por una administración central o regional de un Estado miembro cuando se cumpla al menos una de las condiciones del artículo 416, apartado 2, letra a), inciso iii) |
|
240-290 |
1.1.10 Otros activos transferibles que no estén especificados en otro lugar |
|
240 |
1.1.10.1 importe libre de cargas |
|
250 |
1.1.10.2 importe con cargas durante un plazo de hasta tres meses |
|
260 |
1.1.10.3 importe con cargas durante un plazo de tres a seis meses |
|
270 |
1.1.10.4 importe con cargas durante un plazo de seis a nueve meses |
|
280 |
1.1.10.5 importe con cargas durante un plazo de nueve a doce meses |
|
290 |
1.1.10.6 importe con cargas durante un plazo de más de doce meses |
|
300-350 |
1.1.11 Obligaciones de empresas no financieras Artículo 416, apartado 1, letras b) o d), del Reglamento (UE) No 575/2013 |
|
300 |
1.1.11.1 importe libre de cargas |
|
310 |
1.1.11.2 importe con cargas durante un plazo de hasta tres meses |
|
320 |
1.1.11.3 importe con cargas durante un plazo de tres a seis meses |
|
330 |
1.1.11.4 importe con cargas durante un plazo de seis a nueve meses |
|
340 |
1.1.11.5 importe con cargas durante un plazo de nueve a doce meses |
|
350 |
1.1.11.6 importe con cargas durante un plazo de más de doce meses |
|
351 |
1.1.12 instrumentos emitidos por una entidad de crédito garantizados por hipotecas no residenciales si se demuestra que responden a la mayor calidad crediticia, tal como establece la ABE ateniéndose a los criterios previstos en el artículo 509, apartados 3, 4 y 5, del REGLAMENTO (UE) No 575/2013 |
|
352 |
1.1.12.1 importe libre de cargas |
|
353 |
1.1.12.2 importe con cargas durante un plazo de hasta tres meses |
|
354 |
1.1.12.3 importe con cargas durante un plazo de tres a seis meses |
|
355 |
1.1.12.4 importe con cargas durante un plazo de seis a nueve meses |
|
356 |
1.1.12.5 importe con cargas durante un plazo de nueve a doce meses |
|
357 |
1.1.12.6 importe con cargas durante un plazo de más de doce meses |
|
358 |
1.1.13 instrumentos emitidos por una entidad de crédito garantizados por hipotecas residenciales si se demuestra que responden a la mayor calidad crediticia, tal como establece la ABE ateniéndose a los criterios previstos en el artículo 509, apartados 3, 4 y 5 del REGLAMENTO (UE) No 575/2013 |
|
359 |
1.1.13.1 importe libre de cargas |
|
360 |
1.1.13.2 importe con cargas durante un plazo de hasta tres meses |
|
361 |
1.1.13.3 importe con cargas durante un plazo de tres a seis meses |
|
362 |
1.1.13.4 importe con cargas durante un plazo de seis a nueve meses |
|
363 |
1.1.13.5 importe con cargas durante un plazo de nueve a doce meses |
|
364 |
1.1.13.6 importe con cargas durante un plazo de más de doce meses |
|
365 |
1.1.14 obligaciones que puedan acogerse al tratamiento establecido en el artículo 129, apartados 4 o 5, que cumplan los criterios establecidos en el artículo 416, apartado 2, letra a), del REGLAMENTO (UE) No 575/2013 |
|
366 |
1.1.14.1 importe libre de cargas |
|
370 |
1.1.14.2 importe con cargas durante un plazo de hasta tres meses |
|
380 |
1.1.14.3 importe con cargas durante un plazo de tres a seis meses |
|
390 |
1.1.14.4 importe con cargas durante un plazo de seis a nueve meses |
|
400 |
1.1.14.5 importe con cargas durante un plazo de nueve a doce meses |
|
410 |
1.1.14.6 importe con cargas durante un plazo de más de doce meses |
|
420-470 |
1.1.15 obligaciones que se definen en el artículo 52, apartado 4, de la Directiva 2009/65/CE, distintas de las contempladas en 1.1.9 |
|
420 |
1.1.15.1 importe libre de cargas |
|
430 |
1.1.15.2 importe con cargas durante un plazo de hasta tres meses |
|
440 |
1.1.15.3 importe con cargas durante un plazo de tres a seis meses |
|
450 |
1.1.15.4 importe con cargas durante un plazo de seis a nueve meses |
|
460 |
1.1.15.5 importe con cargas durante un plazo de nueve a doce meses |
|
470 |
1.1.15.6 importe con cargas durante un plazo de más de doce meses |
|
480-530 |
1.2 Valores e instrumentos del mercado monetario no comunicados en 1.1 a los que sea atribuible el nivel 1 de calidad crediticia con arreglo al artículo 122 Artículo 428, apartado 1, letra b), inciso i), del REGLAMENTO (UE) No 575/2013 Total de los valores e instrumentos del mercado monetario no comunicados en 1.1 Valor de mercado total de las obligaciones que se definen en el artículo 428, apartado 1, letra b), inciso i), del REGLAMENTO (UE) No 575/2013 |
|
480 |
1.2.1 importe libre de cargas |
|
490 |
1.2.2 importe con cargas durante un plazo de hasta tres meses |
|
500 |
1.2.3 importe con cargas durante un plazo de tres a seis meses |
|
510 |
1.2.4 importe con cargas durante un plazo de seis a nueve meses |
|
520 |
1.2.5 importe con cargas durante un plazo de nueve a doce meses |
|
530 |
1.2.6 importe con cargas durante un plazo de más de doce meses |
|
540-590 |
1.3 Valores e instrumentos del mercado monetario no comunicados en 1.1 a los que sea atribuible el nivel 2 de calidad crediticia con arreglo al artículo 122 Valor de mercado total de las obligaciones que se definen en el artículo 428, apartado 1, letra b), inciso ii), del REGLAMENTO (UE) No 575/2013 |
|
540 |
1.3.1 importe libre de cargas |
|
550 |
1.3.2 importe con cargas durante un plazo de hasta tres meses |
|
560 |
1.3.3 importe con cargas durante un plazo de tres a seis meses |
|
570 |
1.3.4 importe con cargas durante un plazo de seis a nueve meses |
|
580 |
1.3.5 importe con cargas durante un plazo de nueve a doce meses |
|
580 |
1.3.6 importe con cargas durante un plazo de más de doce meses |
|
600-650 |
1.4 Otros valores e instrumentos del mercado monetario no comunicados en otro lugar Valor de mercado total de las obligaciones que se definen en el artículo 428, apartado 1, letra b), inciso iii), del REGLAMENTO (UE) No 575/2013 |
|
600 |
importe libre de cargas |
|
610 |
importe con cargas durante un plazo de hasta tres meses |
|
620 |
importe con cargas durante un plazo de tres a seis meses |
|
630 |
importe con cargas durante un plazo de seis a nueve meses |
|
640 |
importe con cargas durante un plazo de nueve a doce meses |
|
650 |
importe con cargas durante un plazo de más de doce meses |
|
660-710 |
1.5 Valores de renta variable de entes no financieros cotizados en un índice importante en un mercado organizado reconocido Artículo 428, apartado 1, letra c), del Reglamento (UE) No 575/2013 Total de los valores de renta variable de entidades no financieras cotizadas en un índice importante en un mercado organizado reconocido |
|
660 |
1.5.1 importe libre de cargas |
|
670 |
1.5.2 importe con cargas durante un plazo de hasta tres meses |
|
680 |
1.5.2 importe con cargas durante un plazo de tres a seis meses |
|
690 |
1.5.3 importe con cargas durante un plazo de seis a nueve meses |
|
700 |
1.5. 3 importe con cargas durante un plazo de nueve a doce meses |
|
710 |
1.5.4 importe con cargas durante un plazo de más de doce meses |
|
720-770 |
1.6 Otros valores de renta variable Artículo 428, apartado 1, letra d), del Reglamento (UE) No 575/2013 Total de los valores de renta variable no comunicados en 1.3 |
|
720 |
1.6.1 importe libre de cargas |
|
730 |
1.6.2 importe con cargas durante un plazo de hasta tres meses |
|
740 |
1.6.3 importe con cargas durante un plazo de tres a seis meses |
|
750 |
1.6.4 importe con cargas durante un plazo de seis a nueve meses |
|
760 |
1.6.5 importe con cargas durante un plazo de nueve a doce meses |
|
770 |
1.6.6 importe con cargas durante un plazo de más de doce meses |
|
780-830 |
1.7 Oro Artículo 428, apartado 1, letra e), del REGLAMENTO (UE) No 575/2013 |
|
780 |
1.7.1 importe libre de cargas |
|
790 |
1.7.2 importe con cargas durante un plazo de hasta tres meses |
|
800 |
1.7.3 importe con cargas durante un plazo de tres a seis meses |
|
810 |
1.7.4 importe con cargas durante un plazo de seis a nueve meses |
|
820 |
1.7.5 importe con cargas durante un plazo de nueve a doce meses |
|
830 |
1.7.6 importe con cargas durante un plazo de más de doce meses |
|
840-890 |
1.8 Otros metales preciosos Artículo 428, apartado 1, letra f), del REGLAMENTO (UE) No 575/2013 Total de tenencias de metales preciosos distintos del oro [Nota: por ejemplo, plata o platino. Por el contrario, el oro se comunicará en 1.5.] |
|
840 |
1.8.1 importe libre de cargas |
|
850 |
1.8.2 importe con cargas durante un plazo de hasta tres meses |
|
860 |
1.8.3 importe con cargas durante un plazo de tres a seis meses |
|
870 |
1.8.4 importe con cargas durante un plazo de seis a nueve meses |
|
880 |
1.8.5 importe con cargas durante un plazo de nueve a doce meses |
|
890 |
1.8.6 importe con cargas durante un plazo de más de doce meses |
|
900-1250 |
1.9 Préstamos y derechos de cobro no renovables Artículo 428, apartado 1, letra g), del REGLAMENTO (UE) No 575/2013 El total de los préstamos y derechos de cobro no renovables mencionados en el artículo 428, apartado 1, letra g), del REGLAMENTO (UE) No 575/2013 se comunicará en la(s) sublínea(s) y columna(s) pertinente(s) |
|
900-950 |
1.9.1 cuyos prestatarios sean personas físicas, a excepción de empresarios individuales y sociedades Artículo 428, apartado 1, letra g), inciso i), del REGLAMENTO (UE) No 575/2013 Total de los préstamos y derechos de cobro no renovables cuyos prestatarios sean personas físicas y cuando el depósito agregado que mantenga dicho cliente o grupo de clientes conectados sea inferior a 1 millón EUR. |
|
900 |
1.9.1.1 importe libre de cargas |
|
910 |
1.9.1.2 importe con cargas durante un plazo de hasta tres meses |
|
920 |
1.9.1.3 importe con cargas durante un plazo de tres a seis meses |
|
930 |
1.9.1.4 importe con cargas durante un plazo de seis a nueve meses |
|
940 |
1.9.1.5 importe con cargas durante un plazo de nueve a doce meses |
|
960 |
1.9.1.6 importe con cargas durante un plazo de más de doce meses |
|
960-1010 |
1.9.2 cuyos prestatarios sean PYME que puedan incluirse en la clase de exposiciones minoristas con arreglo a los métodos estándar o IRB para el riesgo de crédito o una empresa que pueda acogerse al tratamiento establecido en el artículo 153, apartado 4, y cuando el depósito agregado que mantenga el cliente o grupo de clientes conectados sea inferior a 1 millón EUR Artículo 428, apartado 1, letra g), inciso ii), del REGLAMENTO (UE) No 575/2013 Total de préstamos y derechos de cobro no renovables cuyos prestatarios sean PYME que puedan incluirse en la clase de exposiciones minoristas con arreglo a los métodos estándar o IRB para el riesgo de crédito o una empresa que pueda acogerse al tratamiento establecido en el artículo 153, apartado 4, y cuando el depósito agregado que mantenga dicho cliente o grupo de clientes conectados sea inferior a 1 millón EUR. |
|
960 |
1.9.2.1 importe libre de cargas |
|
970 |
1.9.2.2 importe con cargas durante un plazo de hasta tres meses |
|
980 |
1.9.2.3 importe con cargas durante un plazo de tres a seis meses |
|
990 |
1.9.2.4 importe con cargas durante un plazo de seis a nueve meses |
|
1000 |
1.9.2.5 importe con cargas durante un plazo de nueve a doce meses |
|
1010 |
1.9.2.6 importe con cargas durante un plazo de más de doce meses |
|
1020-1070 |
1.9.3 cuyos prestatarios sean emisores soberanos, bancos centrales y entes del sector público Artículo 428, apartado 1, letra g), inciso iii), del REGLAMENTO (UE) No 575/2013 Total de los préstamos y derechos de cobro no renovables cuyos prestatarios sean emisores soberanos, bancos centrales y entes del sector público |
|
1020 |
1.9.3.1 importe libre de cargas |
|
1030 |
1.9.3.2 importe con cargas durante un plazo de hasta tres meses |
|
1040 |
1.9.3.3 importe con cargas durante un plazo de tres a seis meses |
|
1050 |
1.9.3.4 importe con cargas durante un plazo de seis a nueve meses |
|
1060 |
1.9.3.5 importe con cargas durante un plazo de nueve a doce meses |
|
1070 |
1.9.3.6 importe con cargas durante un plazo de más de doce meses |
|
1080-1130 |
1.9.4 cuyos prestatarios no se comuniquen en 1.9.1, 1.9.2 o 1.9.3, excluyendo a los clientes financieros Artículo 428, apartado 1, letra g), inciso iv), del REGLAMENTO (UE) No 575/2013 Total de los préstamos y derechos de cobro no renovables cuyos prestatarios no se comuniquen en 1.7.1, 1.7.2 o 1.7.3, excluyendo a los clientes financieros. |
|
1080 |
1.9.4.1 importe libre de cargas |
|
1090 |
1.9.4.2 importe con cargas durante un plazo de hasta tres meses |
|
1100 |
1.9.4.3 importe con cargas durante un plazo de tres a seis meses |
|
1110 |
1.9.4.4 importe con cargas durante un plazo de seis a nueve meses |
|
1120 |
1.9.4.5 importe con cargas durante un plazo de nueve a doce meses |
|
1130 |
1.9.4.6 importe con cargas durante un plazo de más de doce meses |
|
1140-1190 |
1.9.5 cuyos prestatarios sean entidades de crédito Artículo 428, apartado 1, letra g), inciso v), del REGLAMENTO (UE) No 575/2013 Total de los préstamos y derechos de cobro no renovables cuyos prestatarios sean entidades de crédito. |
|
1140 |
1.9.5.1 importe libre de cargas |
|
1150 |
1.9.5.2 importe con cargas durante un plazo de hasta tres meses |
|
1160 |
1.9.5.3 importe con cargas durante un plazo de tres a seis meses |
|
1170 |
1.9.5.4 importe con cargas durante un plazo de seis a nueve meses |
|
1180 |
1.9.5.5 importe con cargas durante un plazo de nueve a doce meses |
|
1190 |
1.9.5.6 importe con cargas durante un plazo de más de doce meses |
|
1200-1250 |
1.9.6 cuyos prestatarios sean clientes financieros (no contemplados en 1.9.1, 1.9.2 o 1.9.3) distintos de entidades de crédito Artículo 428, apartado 1, letra g), inciso v), del REGLAMENTO (UE) No 575/2013 Total de los préstamos y derechos de crédito no renovables cuyos prestatarios sean clientes financieros. |
|
1200 |
1.9.6.1 importe libre de cargas |
|
1210 |
1.9.6.2 importe con cargas durante un plazo de hasta tres meses |
|
1220 |
1.9.6.3 importe con cargas durante un plazo de tres a seis meses |
|
1230 |
1.9.6.4 importe con cargas durante un plazo de seis a nueve meses |
|
1240 |
1.9.6.5 importe con cargas durante un plazo de nueve a doce meses |
|
1250 |
1.9.6.6 importe con cargas durante un plazo de más de doce meses |
|
1260-1280 |
1.10 Préstamos y derechos de cobro no renovables comunicados en 1.9 que se consideren bienes inmuebles Artículo 428, apartado 1, letra h), del REGLAMENTO (UE) No 575/2013 |
|
1260 |
1.10.1 garantizados por bienes inmuebles comerciales Artículo 428, apartado 1, letra h), inciso i), del REGLAMENTO (UE) No 575/2013 |
|
1270 |
1.10.2 garantizados por bienes inmuebles residenciales Artículo 428, apartado 1, letra h), inciso ii), del REGLAMENTO (UE) No 575/2013 |
|
1280 |
1.10.3 cofinanciados (subrogación) mediante bonos que pueden acogerse al tratamiento establecido en el artículo 129, apartados 4 o 5, u obligaciones de las mencionadas en el artículo 52, apartado 4, de la Directiva 2009/65/CE Artículo 428, apartado 1, letra h), inciso iii), del REGLAMENTO (UE) No 575/2013 |
|
1290 |
1.11 Derechos de cobro sobre derivados Artículo 428, apartado 1, letra i), del REGLAMENTO (UE) No 575/2013 Total de derechos de cobro sobre derivados, neto |
|
1300 |
1.12 Otros activos Artículo 428, apartado 1, letra j), del REGLAMENTO (UE) No 575/2013 Otros activos no comunicados en 1.1.1-1.8 Nota: los activos deducidos de los fondos propios se comunicarán en 1.10. |
|
1310 |
1.13 Activos deducidos de los fondos propios que no requieren financiación estable Artículo 428, apartado 1, del REGLAMENTO (UE) No 575/2013 Todos los activos deducidos de los fondos propios a efectos del cumplimiento de las normas sobre capital del REGLAMENTO (UE) No 575/2013 |
|
1320 |
1.14 Líneas comprometidas no utilizadas de crédito Artículo 428, apartado 1, letra k), del Reglamento (UE) No 575/2013 Líneas de crédito a que se hace referencia en el artículo 428, apartado 1, letra k), del Reglamento (UE) No 575/2013 |
ANEXO XIV
Modelo de puntos de datos único
Todos los datos contenidos en los anexos del presente Reglamento se transformarán en un modelo de puntos de datos único, que será la base de los sistemas informáticos uniformes de las entidades y las autoridades competentes.
El modelo de puntos de datos único reunirá las siguientes características:
a) ofrecerá una representación estructurada de todos los datos contenidos en los anexos I, III, IV, VI, VIII, X, XII y XVI;
b) identificará todos los conceptos de negocio especificados en los anexos I a XIII, XVI y XVII;
c) facilitará un diccionario de datos que especifique los nombres de los cuadros, los nombres del eje vertical, los nombres del eje horizontal, los nombres de dominio, los nombres de dimensión y los nombres de miembro;
d) ofrecerá unidades de medida que definan la propiedad o el importe de los puntos de datos;
e) facilitarán definiciones de puntos de datos que se expresen como una composición de características que identifiquen inequívocamente el concepto financiero;
f) contendrán todas las especificaciones técnicas pertinentes necesarias para el desarrollo de soluciones de notificación informática que arrojen datos de supervisión uniformes.
ANEXO XV
Normas de validación
Los datos contenidos en los anexos del presente Reglamento estarán sujetos a normas de validación que garanticen la calidad y coherencia de los datos.
Las normas de validación reunirán las siguientes características:
a) definirán las relaciones lógicas entre los puntos de datos pertinentes;
b) incluirán filtros y condiciones previas que definan un conjunto de datos al que se aplique una norma de validación;
c) verificarán la coherencia de los datos notificados;
d) verificarán la exactitud de los datos notificados;
e) fijarán valores por defecto que se aplicarán cuando la información pertinente no se haya notificado.
ANEXO XVI
PLANTILLAS DE COMUNICACIÓN DE INFORMACIÓN SOBRE LAS CARGAS DE LOS ACTIVOS
PLANTILLAS SOBRE LAS CARGAS DE LOS ACTIVOS
|
Número de plantilla |
Código de plantilla |
Nombre de la plantilla/grupo de plantillas |
Nombre abreviado |
|
PARTE A — PANORÁMICA DE LAS CARGAS |
|||
|
32.1 |
F 32.01 |
ACTIVOS DE LA ENTIDAD DECLARANTE |
AE-ASS |
|
32.2 |
F 32.02 |
GARANTÍAS REALES RECIBIDAS |
AE-COL |
|
32.3 |
F 32.03 |
BONOS GARANTIZADOS Y BONOS DE TITULIZACIÓN DE ACTIVOS PROPIOS EMITIDOS Y AÚN NO PIGNORADOS |
AE-NPL |
|
32.4 |
F 32.04 |
FUENTES DE CARGAS |
AE-SOU |
|
PARTE B — DATOS SOBRE VENCIMIENTOS |
|||
|
33 |
F 33.00 |
DATOS SOBRE VENCIMIENTOS |
AE-MAT |
|
PARTE C — CARGAS CONTINGENTES |
|||
|
34 |
F 34.00 |
CARGAS CONTINGENTES |
AE-CONT |
|
PARTE D — BONOS GARANTIZADOS |
|||
|
35 |
F 35.00 |
EMISIÓN DE BONOS GARANTIZADOS |
AE-CB |
|
PARTE E — DATOS AVANZADOS |
|||
|
36.1 |
F 36.01 |
DATOS AVANZADOS. PARTE I |
AE-ADV1 |
|
36.2 |
F 36.02 |
DATOS AVANZADOS. PARTE II |
AE-ADV2 |
F 32.01 - ACTIVOS DE LA ENTIDAD DECLARANTE (AE-ASS)
|
|
Importe en libros de los activos con cargas |
Valor razonable de los activos con cargas |
Importe en libros de los activos sin cargas |
Valor razonable de los activos sin cargas |
|||||||
|
|
de los cuales: emitidos por otros entes del grupo |
de los cuales: admisibles por bancos centrales |
|
de los cuales: admisibles por bancos centrales |
|
de los cuales: emitidos por otros entes del grupo |
de los cuales: admisibles por bancos centrales |
|
de los cuales: admisibles por bancos centrales |
||
|
010 |
020 |
030 |
040 |
050 |
060 |
070 |
080 |
090 |
100 |
||
|
010 |
Activos de la entidad declarante |
|
|
|
|
|
|
|
|
|
|
|
020 |
Préstamos a la vista |
|
|
|
|
|
|
|
|
|
|
|
030 |
Instrumentos de patrimonio |
|
|
|
|
|
|
|
|
|
|
|
040 |
Valores representativos de deuda |
|
|
|
|
|
|
|
|
|
|
|
050 |
de los cuales: bonos garantizados |
|
|
|
|
|
|
|
|
|
|
|
060 |
de los cuales: bonos de titulización de activos |
|
|
|
|
|
|
|
|
|
|
|
070 |
de los cuales: emitidos por administraciones públicas |
|
|
|
|
|
|
|
|
|
|
|
080 |
de los cuales: emitidos por sociedades financieras |
|
|
|
|
|
|
|
|
|
|
|
090 |
de los cuales: emitidos por sociedades no financieras |
|
|
|
|
|
|
|
|
|
|
|
100 |
Préstamos y anticipos distintos de préstamos a la vista |
|
|
|
|
|
|
|
|
|
|
|
110 |
de los cuales: préstamos hipotecarios |
|
|
|
|
|
|
|
|
|
|
|
120 |
Otros activos |
|
|
|
|
|
|
|
|
|
|
F 32.02 — GARANTÍAS REALES RECIBIDAS POR LA ENTIDAD DECLARANTE (AE-COL)
|
|
Valor razonable de las garantías reales recibidas o los valores representativos de deuda propios emitidos con cargas |
Sin cargas |
||||||
|
Valor razonable de las garantías reales recibidas o los valores representativos de deuda propios emitidos disponibles para cargas |
Valor nominal de las garantías reales recibidas o los valores representativos de deuda propios emitidos no disponibles para cargas |
|||||||
|
|
de los cuales: emitidos por otros entes del grupo |
de los cuales: admisibles por bancos centrales |
|
de los cuales: emitidos por otros entes del grupo |
de los cuales: admisibles por bancos centrales |
|||
|
010 |
020 |
030 |
040 |
050 |
060 |
070 |
||
|
130 |
Garantías reales recibidas por la entidad declarante |
|
|
|
|
|
|
|
|
140 |
Préstamos a la vista |
|
|
|
|
|
|
|
|
150 |
Instrumentos de patrimonio |
|
|
|
|
|
|
|
|
160 |
Valores representativos de deuda |
|
|
|
|
|
|
|
|
170 |
de los cuales: bonos garantizados |
|
|
|
|
|
|
|
|
180 |
de los cuales: bonos de titulización de activos |
|
|
|
|
|
|
|
|
190 |
de los cuales: emitidos por administraciones públicas |
|
|
|
|
|
|
|
|
200 |
de los cuales: emitidos por sociedades financieras |
|
|
|
|
|
|
|
|
210 |
de los cuales: emitidos por sociedades no financieras |
|
|
|
|
|
|
|
|
220 |
Préstamos y anticipos distintos de préstamos a la vista |
|
|
|
|
|
|
|
|
230 |
Otras garantías reales recibidas |
|
|
|
|
|
|
|
|
240 |
Valores representativos de deuda propios emitidos distintos de bonos garantizados o bonos de titulización de activos propios |
|
|
|
|
|
|
|
|
250 |
TOTAL DE ACTIVOS, GARANTÍAS REALES RECIBIDAS Y VALORES REPRESENTATIVOS DE DEUDA PROPIOS EMITIDOS |
|
|
|
|
|
|
|
F 32.03 — BONOS GARANTIZADOS Y BONOS DE TITULIZACIÓN DE ACTIVOS PROPIOS EMITIDOS Y AÚN NO PIGNORADOS (AE-NPL)
|
|
Sin cargas |
||||
|
Importe en libros del conjunto de activos subyacente |
Valor razonable de los valores representativos de deuda emitidos disponibles para cargas |
Valor nominal de los valores representativos de deuda propios emitidos no disponibles para cargas |
|||
|
|
de los cuales: admisibles por bancos centrales |
||||
|
010 |
020 |
030 |
040 |
||
|
010 |
Bonos garantizados y bonos de titulización de activos propios emitidos y aún no pignorados |
|
|
|
|
|
020 |
Bonos garantizados emitidos retenidos |
|
|
|
|
|
030 |
Bonos de titulización de activos emitidos retenidos |
|
|
|
|
|
040 |
Tramo preferente |
|
|
|
|
|
050 |
Tramo intermedio |
|
|
|
|
|
060 |
Tramo de primera pérdida |
|
|
|
|
F 32.04 — FUENTES DE CARGAS (AE-SOU)
|
|
Pasivos correspondientes, pasivos contingentes o valores prestados |
Activos, garantías reales recibidas y valores representativos de deuda propios emitidos distintos de bonos garantizados y bonos de titulización de activos con cargas |
||||
|
|
de los cuales: de otros entes del grupo |
|
de los cuales: garantías reales recibidas reutilizadas |
de los cuales: valores representativos de deuda propios con cargas |
||
|
010 |
020 |
030 |
040 |
050 |
||
|
010 |
Importe en libros de pasivos financieros seleccionados |
|
|
|
|
|
|
020 |
Derivados |
|
|
|
|
|
|
030 |
de los cuales: OTC |
|
|
|
|
|
|
040 |
Depósitos |
|
|
|
|
|
|
050 |
Pactos de recompra |
|
|
|
|
|
|
060 |
de los cuales: bancos centrales |
|
|
|
|
|
|
070 |
Depósitos con garantía real distintos de pactos de recompra |
|
|
|
|
|
|
080 |
de los cuales: bancos centrales |
|
|
|
|
|
|
090 |
Valores representativos de deuda emitidos |
|
|
|
|
|
|
100 |
de los cuales: bonos garantizados emitidos |
|
|
|
|
|
|
110 |
de los cuales: bonos de titulización de activos emitidos |
|
|
|
|
|
|
120 |
Otras fuentes de cargas |
|
|
|
|
|
|
130 |
Valor nominal de los compromisos de préstamo recibidos |
|
|
|
|
|
|
140 |
Valor nominal de las garantías personales financieras recibidas |
|
|
|
|
|
|
150 |
Valor razonable de los valores tomados en préstamo con garantía real distinta de efectivo |
|
|
|
|
|
|
160 |
Otras |
|
|
|
|
|
|
170 |
TOTAL DE FUENTES DE CARGAS |
|
|
|
|
|
|
|
||||||
|
|
|
No cumplimentar en base consolidada |
||||
|
|
No cumplimentar en ningún caso |
|||||
F 33.00 — DATOS SOBRE VENCIMIENTOS (AE-MAT)
|
|
Vencimiento abierto |
Intradía |
> 1 día ≤ 1 semana |
> 1 semana ≤ 2 semanas |
> 2 semanas ≤ 1 mes |
> 1 mes ≤ 3 meses |
> 3 meses ≤ 6 meses |
> 6 meses ≤ 1 año |
> 1 año ≤ 2 años |
> 2 años ≤ 3 años |
3 años ≤ 5 años |
5 años ≤ 10 años |
> 10 años |
|
|
|
Vencimiento residual de los pasivos |
010 |
020 |
030 |
040 |
050 |
060 |
070 |
080 |
090 |
100 |
110 |
120 |
130 |
|
010 |
Activos con cargas |
|
|
|
|
|
|
|
|
|
|
|
|
|
|
020 |
Garantías reales recibidas reutilizadas (componente de recepción) |
|
|
|
|
|
|
|
|
|
|
|
|
|
|
030 |
Garantías reales recibidas reutilizadas (componente de reutilización) |
|
|
|
|
|
|
|
|
|
|
|
|
|
F 34.00 — CARGAS CONTINGENTES (AE-CONT)
|
|
Pasivos correspondientes, pasivos contingentes o valores prestados |
Cargas contingentes |
|||||
|
A. Disminución en un 30 % del valor razonable de los activos con cargas |
B. Efecto neto de una depreciación del 10 % de las monedas significativas |
||||||
|
Importe adicional de activos con cargas |
|||||||
|
Importe adicional de activos con cargas |
Moneda significativa 1 |
Moneda significativa 2 |
… |
Moneda significativa n |
|||
|
010 |
020 |
030 |
040 |
050 |
|
||
|
010 |
Importe en libros de pasivos financieros seleccionados |
|
|
|
|
|
|
|
020 |
Derivados |
|
|
|
|
|
|
|
030 |
de los cuales: OTC |
|
|
|
|
|
|
|
040 |
Depósitos |
|
|
|
|
|
|
|
050 |
Pactos de recompra |
|
|
|
|
|
|
|
060 |
de los cuales: bancos centrales |
|
|
|
|
|
|
|
070 |
Depósitos con garantía real distintos de pactos de recompra |
|
|
|
|
|
|
|
080 |
de los cuales: bancos centrales |
|
|
|
|
|
|
|
090 |
Valores representativos de deuda emitidos |
|
|
|
|
|
|
|
100 |
de los cuales: bonos garantizados emitidos |
|
|
|
|
|
|
|
110 |
de los cuales: bonos de titulización de activos emitidos |
|
|
|
|
|
|
|
120 |
Otras fuentes de cargas |
|
|
|
|
|
|
|
170 |
TOTAL DE FUENTES DE CARGAS |
|
|
|
|
|
|
F 35.00 — EMISIÓN DE BONOS GARANTIZADOS (AE-CB)
Eje de las z Identificador del conjunto de activos de cobertura (abierto)
|
|
¿Se cumple el artículo 129 del RRC? |
Pasivos por bonos garantizados |
Conjunto de activos de cobertura |
||||||||||||||||||||||||
|
Fecha de información |
+ 6 meses |
+ 12 meses |
+ 2 años |
+ 5 años |
+ 10 años |
Posiciones en derivados del conjunto de activos de cobertura con valor de mercado neto negativo |
Calificación crediticia externa de los bonos garantizados |
Fecha de información |
+ 6 meses |
+ 12 meses |
+ 2 años |
+ 5 años |
+ 10 años |
Posiciones en derivados del conjunto de activos de cobertura con valor de mercado neto positivo |
Exceso del importe del conjunto de activos de cobertura con respecto a los requisitos mínimos de cobertura |
||||||||||||
|
[SÍ/NO] |
En caso afirmativo, indicar la clase principal de activos del conjunto de cobertura |
Según el régimen legal pertinente de los bonos garantizados |
Según la metodología de las agencias de calificación crediticia para mantener la actual calificación crediticia externa de los bonos garantizados |
||||||||||||||||||||||||
|
Fecha de información |
Agencia de calificación crediticia 1 |
Calificación crediticia 1 |
Agencia de calificación crediticia 2 |
Calificación crediticia 2 |
Agencia de calificación crediticia 3 |
Calificación crediticia 3 |
Fecha de información |
Agencia de calificación crediticia 1 |
Agencia de calificación crediticia 2 |
Agencia de calificación crediticia 3 |
|||||||||||||||||
|
010 |
012 |
020 |
030 |
040 |
050 |
060 |
070 |
080 |
090 |
100 |
110 |
120 |
130 |
140 |
150 |
160 |
170 |
180 |
190 |
200 |
210 |
220 |
230 |
240 |
250 |
||
|
010 |
Valor nominal |
|
|
|
|
|
|
|
|
|
|
|
|
|
|
|
|
|
|
|
|
|
|
|
|
|
|
|
020 |
Valor actual (permuta)/valor de mercado |
|
|
|
|
|
|
|
|
|
|
|
|
|
|
|
|
|
|
|
|
|
|
|
|
|
|
|
030 |
Valor específico del activo |
|
|
|
|
|
|
|
|
|
|
|
|
|
|
|
|
|
|
|
|
|
|
|
|
|
|
|
040 |
Importe en libros |
|
|
|
|
|
|
|
|
|
|
|
|
|
|
|
|
|
|
|
|
|
|
|
|
|
|
F 36.01 — DATOS AVANZADOS. PARTE I (AE-ADV-1)
|
|
Fuentes de cargas |
Activos/Pasivos |
Tipo de garantía real — Clasificación por tipo de activo |
Total |
||||||||||||||||
|
Préstamos a la vista |
Instrumentos de patrimonio |
Valores representativos de deuda |
Préstamos y anticipos distintos de préstamos a la vista |
Otros activos |
||||||||||||||||
|
Total |
de los cuales: bonos garantizados |
de los cuales: bonos de titulización de activos |
de los cuales: emitidos por administraciones públicas |
de los cuales: emitidos por sociedades financieras |
de los cuales: emitidos por sociedades no financieras |
Bancos centrales y administraciones públicas |
Sociedades financieras |
Sociedades no financieras |
Hogares |
|||||||||||
|
|
de los cuales: emitidos por otros entes del grupo |
|
de los cuales: emitidos por otros entes del grupo |
|
de los cuales: préstamos hipotecarios |
|
de los cuales: préstamos hipotecarios |
|||||||||||||
|
010 |
020 |
030 |
040 |
050 |
060 |
070 |
080 |
090 |
100 |
110 |
120 |
130 |
140 |
150 |
160 |
170 |
180 |
|||
|
010 |
Financiación de bancos centrales (de todo tipo, incluidos, por ejemplo, repos) |
Activos con cargas |
|
|
|
|
|
|
|
|
|
|
|
|
|
|
|
|
|
|
|
020 |
Pasivos correspondientes |
|
|
|
|
|
|
|
|
|
|
|
|
|
|
|
|
|
|
|
|
030 |
Derivados negociados en mercados organizados |
Activos con cargas |
|
|
|
|
|
|
|
|
|
|
|
|
|
|
|
|
|
|
|
040 |
Pasivos correspondientes |
|
|
|
|
|
|
|
|
|
|
|
|
|
|
|
|
|
|
|
|
050 |
Derivados OTC |
Activos con cargas |
|
|
|
|
|
|
|
|
|
|
|
|
|
|
|
|
|
|
|
060 |
Pasivos correspondientes |
|
|
|
|
|
|
|
|
|
|
|
|
|
|
|
|
|
|
|
|
070 |
Pactos de recompra |
Activos con cargas |
|
|
|
|
|
|
|
|
|
|
|
|
|
|
|
|
|
|
|
080 |
Pasivos correspondientes |
|
|
|
|
|
|
|
|
|
|
|
|
|
|
|
|
|
|
|
|
090 |
Depósitos con garantía real distintos de pactos de recompra |
Activos con cargas |
|
|
|
|
|
|
|
|
|
|
|
|
|
|
|
|
|
|
|
100 |
Pasivos correspondientes |
|
|
|
|
|
|
|
|
|
|
|
|
|
|
|
|
|
|
|
|
110 |
Bonos garantizados emitidos |
Activos con cargas |
|
|
|
|
|
|
|
|
|
|
|
|
|
|
|
|
|
|
|
120 |
Pasivos correspondientes |
|
|
|
|
|
|
|
|
|
|
|
|
|
|
|
|
|
|
|
|
130 |
Bonos de titulización de activos emitidos |
Activos con cargas |
|
|
|
|
|
|
|
|
|
|
|
|
|
|
|
|
|
|
|
140 |
Pasivos correspondientes |
|
|
|
|
|
|
|
|
|
|
|
|
|
|
|
|
|
|
|
|
150 |
Valores representativos de deuda emitidos distintos de bonos garantizados y bonos de titulización de activos |
Activos con cargas |
|
|
|
|
|
|
|
|
|
|
|
|
|
|
|
|
|
|
|
160 |
Pasivos correspondientes |
|
|
|
|
|
|
|
|
|
|
|
|
|
|
|
|
|
|
|
|
170 |
Otras fuentes de cargas |
Activos con cargas |
|
|
|
|
|
|
|
|
|
|
|
|
|
|
|
|
|
|
|
180 |
Pasivos contingentes o valores prestados |
|
|
|
|
|
|
|
|
|
|
|
|
|
|
|
|
|
|
|
|
190 |
Total de activos con cargas |
|
|
|
|
|
|
|
|
|
|
|
|
|
|
|
|
|
|
|
|
200 |
|
de los cuales: admisibles por bancos centrales |
|
|
|
|
|
|
|
|
|
|
|
|
|
|
|
|
|
|
|
210 |
Total de activos sin cargas |
|
|
|
|
|
|
|
|
|
|
|
|
|
|
|
|
|
|
|
|
220 |
|
de los cuales: admisibles por bancos centrales |
|
|
|
|
|
|
|
|
|
|
|
|
|
|
|
|
|
|
|
230 |
Activos con y sin cargas |
|
|
|
|
|
|
|
|
|
|
|
|
|
|
|
|
|
|
|
F 36.02 — DATOS AVANZADOS. PARTE II (AE-ADV-2)
|
|
Fuentes de cargas |
Activos/Pasivos |
Tipo de garantía real — Clasificación por tipo de activo |
Total |
|||||||||||||||||
|
Préstamos a la vista |
Instrumentos de patrimonio |
Valores representativos de deuda |
Préstamos y anticipos distintos de préstamos a la vista |
Otras garantías reales recibidas |
Valores representativos de deuda propios emitidos distintos de bonos garantizados o bonos de titulización de activos propios |
||||||||||||||||
|
Total |
de los cuales: bonos garantizados |
de los cuales: bonos de titulización de activos |
de los cuales: emitidos por administraciones públicas |
de los cuales: emitidos por sociedades financieras |
de los cuales: emitidos por sociedades no financieras |
Bancos centrales y administraciones públicas |
Sociedades financieras |
Sociedades no financieras |
Hogares |
||||||||||||
|
|
de los cuales: emitidos por otros entes del grupo |
|
de los cuales: emitidos por otros entes del grupo |
|
de los cuales: préstamos hipotecarios |
|
de los cuales: préstamos hipotecarios |
||||||||||||||
|
010 |
020 |
030 |
040 |
050 |
060 |
070 |
080 |
090 |
100 |
110 |
120 |
130 |
140 |
150 |
160 |
170 |
180 |
190 |
|||
|
010 |
Financiación de bancos centrales (de todo tipo, incluidos, por ejemplo, repos) |
Garantías reales recibidas con cargas |
|
|
|
|
|
|
|
|
|
|
|
|
|
|
|
|
|
|
|
|
020 |
Pasivos correspondientes |
|
|
|
|
|
|
|
|
|
|
|
|
|
|
|
|
|
|
|
|
|
030 |
Derivados negociados en mercados organizados |
Garantías reales recibidas con cargas |
|
|
|
|
|
|
|
|
|
|
|
|
|
|
|
|
|
|
|
|
040 |
Pasivos correspondientes |
|
|
|
|
|
|
|
|
|
|
|
|
|
|
|
|
|
|
|
|
|
050 |
Derivados OTC |
Garantías reales recibidas con cargas |
|
|
|
|
|
|
|
|
|
|
|
|
|
|
|
|
|
|
|
|
060 |
Pasivos correspondientes |
|
|
|
|
|
|
|
|
|
|
|
|
|
|
|
|
|
|
|
|
|
070 |
Pactos de recompra |
Garantías reales recibidas con cargas |
|
|
|
|
|
|
|
|
|
|
|
|
|
|
|
|
|
|
|
|
080 |
Pasivos correspondientes |
|
|
|
|
|
|
|
|
|
|
|
|
|
|
|
|
|
|
|
|
|
090 |
Depósitos con garantía real distintos de pactos de recompra |
Garantías reales recibidas con cargas |
|
|
|
|
|
|
|
|
|
|
|
|
|
|
|
|
|
|
|
|
100 |
Pasivos correspondientes |
|
|
|
|
|
|
|
|
|
|
|
|
|
|
|
|
|
|
|
|
|
110 |
Bonos garantizados emitidos |
Garantías reales recibidas con cargas |
|
|
|
|
|
|
|
|
|
|
|
|
|
|
|
|
|
|
|
|
120 |
Pasivos correspondientes |
|
|
|
|
|
|
|
|
|
|
|
|
|
|
|
|
|
|
|
|
|
130 |
Bonos de titulización de activos emitidos |
Garantías reales recibidas con cargas |
|
|
|
|
|
|
|
|
|
|
|
|
|
|
|
|
|
|
|
|
140 |
Pasivos correspondientes |
|
|
|
|
|
|
|
|
|
|
|
|
|
|
|
|
|
|
|
|
|
150 |
Valores representativos de deuda emitidos distintos de bonos garantizados y bonos de titulización de activos |
Garantías reales recibidas con cargas |
|
|
|
|
|
|
|
|
|
|
|
|
|
|
|
|
|
|
|
|
160 |
Pasivos correspondientes |
|
|
|
|
|
|
|
|
|
|
|
|
|
|
|
|
|
|
|
|
|
170 |
Otras fuentes de cargas |
Garantías reales recibidas con cargas |
|
|
|
|
|
|
|
|
|
|
|
|
|
|
|
|
|
|
|
|
180 |
Pasivos contingentes o valores prestados |
|
|
|
|
|
|
|
|
|
|
|
|
|
|
|
|
|
|
|
|
|
190 |
Total de garantías reales recibidas con cargas |
|
|
|
|
|
|
|
|
|
|
|
|
|
|
|
|
|
|
|
|
|
200 |
|
de las cuales: admisibles por bancos centrales |
|
|
|
|
|
|
|
|
|
|
|
|
|
|
|
|
|
|
|
|
210 |
Total de garantías reales recibidas sin cargas |
|
|
|
|
|
|
|
|
|
|
|
|
|
|
|
|
|
|
|
|
|
220 |
|
de las cuales: admisibles por bancos centrales |
|
|
|
|
|
|
|
|
|
|
|
|
|
|
|
|
|
|
|
|
230 |
Garantías reales recibidas con y sin cargas |
|
|
|
|
|
|
|
|
|
|
|
|
|
|
|
|
|
|
|
|
ANEXO XVII
COMUNICACIÓN DE INFORMACIÓN SOBRE LAS CARGAS DE LOS ACTIVOS
|
Índice |
|
|
INSTRUCCIONES GENERALES |
|
|
1. |
ESTRUCTURA Y CONVENCIONES |
|
1.1. |
ESTRUCTURA |
|
1.2. |
NORMA CONTABLE |
|
1.3. |
CONVENCIÓN SOBRE LA NUMERACIÓN |
|
1.4. |
CONVENCIONES DE SIGNOS |
|
1.5. |
NIVEL DE APLICACIÓN |
|
1.6. |
PROPORCIONALIDAD |
|
1.7. |
DEFINICIÓN DE CARGAS |
|
INSTRUCCIONES REFERENTES A LAS PLANTILLAS |
|
|
2. |
PARTE A: PANORÁMICA DE LAS CARGAS |
|
2.1. |
PLANTILLA: AE-ASS. ACTIVOS DE LA ENTIDAD DECLARANTE |
|
2.1.1. |
OBSERVACIONES GENERALES |
|
2.1.2. |
INSTRUCCIONES RELATIVAS A FILAS CONCRETAS |
|
2.1.3. |
INSTRUCCIONES RELATIVAS A COLUMNAS ESPECÍFICAS |
|
2.2. |
PLANTILLA: AE-COL. GARANTÍAS REALES RECIBIDAS POR LA ENTIDAD DECLARANTE |
|
2.2.1. |
OBSERVACIONES GENERALES |
|
2.2.2. |
INSTRUCCIONES RELATIVAS A FILAS CONCRETAS |
|
2.2.3. |
INSTRUCCIONES RELATIVAS A COLUMNAS ESPECÍFICAS |
|
2.3. |
PLANTILLA: AE-NPL. BONOS GARANTIZADOS Y BONOS DE TITULIZACIÓN DE ACTIVOS PROPIOS EMITIDOS Y AÚN NO PIGNORADOS |
|
2.3.1. |
OBSERVACIONES GENERALES |
|
2.3.2. |
INSTRUCCIONES RELATIVAS A FILAS CONCRETAS |
|
2.3.3. |
INSTRUCCIONES RELATIVAS A COLUMNAS ESPECÍFICAS |
|
2.4. |
PLANTILLA: AE-SOU. FUENTES DE CARGAS |
|
2.4.1. |
OBSERVACIONES GENERALES |
|
2.4.2. |
INSTRUCCIONES RELATIVAS A FILAS CONCRETAS |
|
2.4.3. |
INSTRUCCIONES RELATIVAS A COLUMNAS ESPECÍFICAS |
|
3. |
PARTE B: DATOS SOBRE VENCIMIENTOS |
|
3.1. |
OBSERVACIONES GENERALES |
|
3.2. |
PLANTILLA: AE-MAT. DATOS SOBRE VENCIMIENTOS |
|
3.2.1. |
INSTRUCCIONES RELATIVAS A FILAS CONCRETAS |
|
3.2.2. |
INSTRUCCIONES RELATIVAS A COLUMNAS ESPECÍFICAS |
|
4. |
PARTE C: CARGAS CONTINGENTES |
|
4.1. |
OBSERVACIONES GENERALES |
|
4.1.1. |
ESCENARIO A: DISMINUCIÓN EN UN 30 % DE LOS ACTIVOS CON CARGAS |
|
4.1.2. |
SUPUESTO B: DEPRECIACIÓN DEL 10 % DE LAS MONEDAS SIGNIFICATIVAS |
|
4.2. |
PLANTILLA: AE-CONT. CARGAS CONTINGENTES |
|
4.2.1. |
INSTRUCCIONES RELATIVAS A FILAS CONCRETAS |
|
4.2.2. |
INSTRUCCIONES RELATIVAS A COLUMNAS ESPECÍFICAS |
|
5. |
PARTE D: BONOS GARANTIZADOS |
|
5.1. |
OBSERVACIONES GENERALES |
|
5.2. |
PLANTILLA: AE-CB EMISIÓN DE BONOS GARANTIZADOS |
|
5.2.1. |
INSTRUCCIONES RELATIVAS AL EJE DE LAS Z |
|
5.2.2. |
INSTRUCCIONES RELATIVAS A FILAS CONCRETAS |
|
5.2.3. |
INSTRUCCIONES RELATIVAS A COLUMNAS ESPECÍFICAS |
|
6. |
PARTE E: DATOS AVANZADOS: |
|
6.1. |
OBSERVACIONES GENERALES |
|
6.2. |
PLANTILLA: AE-ADV1. PLANTILLA AVANZADA RELATIVA A LOS ACTIVOS DE LA ENTIDAD DECLARANTE |
|
6.2.1. |
INSTRUCCIONES RELATIVAS A FILAS CONCRETAS |
|
6.2.2. |
INSTRUCCIONES RELATIVAS A COLUMNAS ESPECÍFICAS |
|
6.3. |
PLANTILLA: AE-ADV2. PLANTILLA AVANZADA RELATIVA A LAS GARANTÍAS REALES RECIBIDAS POR LA ENTIDAD DECLARANTE |
|
6.3.1. |
INSTRUCCIONES RELATIVAS A FILAS CONCRETAS |
|
6.3.2. |
INSTRUCCIONES RELATIVAS A COLUMNAS ESPECÍFICAS |
INSTRUCCIONES GENERALES
1. ESTRUCTURA Y CONVENCIONES
1.1. Estructura
1. El marco consta de cinco conjuntos de plantillas que totalizan nueve plantillas de acuerdo con el siguiente esquema:
a) Parte A: Panorámica de las cargas:
— Plantilla AE-ASS. Activos de la entidad declarante
— Plantilla AE-COL. Garantías reales recibidas por la entidad declarante
— Plantilla AE-NPL. Bonos garantizados y bonos de titulización de activos propios emitidos y aún no pignorados
— Plantilla AE-SOU. Fuentes de cargas
b) Parte B: Datos sobre vencimientos:
— Plantilla AE-MAT. Datos sobre vencimientos
c) Parte C: Cargas contingentes
— Plantilla AE-CONT. Cargas contingentes
d) Parte D: Bonos garantizados
— Plantilla AE-CB. Emisión de bonos garantizados
e) Parte E: Datos avanzados:
— Plantilla AE-ADV-1. Plantilla avanzada relativa a los activos de la entidad declarante
— Plantilla AE-ADV-2. Plantilla avanzada relativa a las garantías reales recibidas por la entidad declarante
2. En relación con cada plantilla, se facilitan las referencias legales, así como otros detalles relativos a aspectos más generales de la comunicación de información.
1.2. Norma contable
3. Las entidades comunicarán los importes en libros con arreglo al marco contable que utilicen para la comunicación de información financiera de conformidad con los artículos 9 a 11. Las entidades que no estén obligadas a comunicar información financiera deberán aplicar su correspondiente marco contable.
4. A efectos del presente anexo, las siglas «NIC» y «NIIF» se refieren a las normas internacionales de contabilidad, según estas se definen en el artículo 2 del Reglamento (CE) no 1606/2002. Para aquellas entidades que informen con arreglo a las NIIF, se han introducido referencias a las NIIF pertinentes.
1.3. Convención sobre la numeración
5. Se utiliza en las presentes instrucciones la notación general que sigue para remitir a las columnas, filas y casillas de las plantillas: {Plantilla; Fila; Columna}. Se utiliza un asterisco para expresar que la validación se aplica a la fila o columna completas. Así, por ejemplo {AE-ASS; *; 2} se refiere al punto de datos de cualquier fila en la columna 2 de la plantilla AE-ASS.
6. Cuando se trate de validaciones dentro de una plantilla, se utilizará la notación que sigue para referirse a los puntos de datos de la plantilla: {Fila; Columna}.
1.4. Convenciones de signos
7. Las plantillas del anexo XVI seguirán las convenciones sobre los signos descritas en el anexo V, parte I, puntos 9 y 10.
1.5. Nivel de aplicación
8. El nivel de aplicación de los requisitos de información sobre cargas de los activos se ajusta al de los requisitos de información sobre fondos propios previsto en el artículo 99, apartado 1, párrafo primero, del Reglamento (UE) no 575/2013 (RRC). Por consiguiente, las entidades que no estén sujetas a requisitos prudenciales de conformidad con el artículo 7 del RRC no estarán obligadas a comunicar información sobre las cargas de los activos.
1.6. Proporcionalidad
9. A efectos del artículo 16 bis, apartado 2, letra b), el nivel de cargas de los activos se calculará como sigue:
— Importe en libros de los activos y las garantías reales con cargas = {AE-ASS;010;010} + {AE-COL;130;010}.
— Total de activos y garantías = {AE-ASS;010;010} + {AE-ASS;010;060} + {AE-COL;130;010} + {AE-COL;130;040}.
— Ratio de cargas de los activos = (importe en libros de los activos y las garantías reales con cargas)/(total de activos y garantías)
10. A efectos del artículo 16 bis, apartado 2, letra a), la suma del total de activos se calculará como sigue:
— Total de activos = {AE-ASS;010;010} + {AE-ASS;010;060}
1.7. Definición de cargas
11. A efectos del presente anexo y del anexo XVI, un activo se considerará con cargas si ha sido pignorado o si está sujeto a cualquier tipo de acuerdo, al que no pueda sustraerse libremente, en virtud del cual se destine a servir de garantía, personal o real, en cualquier operación, o a mejorar la calidad crediticia de la misma.
Cabe señalar que los activos pignorados cuya retirada esté sujeta a restricciones, tales como, por ejemplo, aquellos activos para cuya retirada o sustitución por otros activos se requiera autorización previa, deberán considerarse con cargas. La definición no se basa en una definición legal explícita, tal como la de transmisión de la propiedad, sino en principios económicos, dado que los marcos jurídicos pueden diferir de un país a otro a este respecto. No obstante, está estrechamente ligada a las condiciones contractuales. Los siguientes tipos de contratos están, a juicio de la ABE, adecuadamente cubiertos por la definición (enumeración no exhaustiva):
— operaciones de financiación garantizadas, incluidos los contratos y pactos de recompra, las operaciones de préstamo de valores y otras formas de préstamo garantizado;
— diversos tipos de contratos de garantía, por ejemplo, las garantías constituidas por el valor de mercado de las operaciones de derivados;
— las garantías personales financieras con garantía real; cabe señalar que, de no haber restricciones en lo que respecta a la retirada de las garantías reales correspondientes a la parte no utilizada de la garantía personal –por ejemplo, autorización previa–, solo deberá asignarse, de manera proporcional, el importe utilizado;
— las garantías reales constituidas en sistemas de compensación, entidades de contrapartida central y otras entidades de infraestructura como condición para tener acceso al servicio. Se incluyen aquí los fondos de garantía para impagos y los márgenes iniciales;
— las líneas de crédito de los bancos centrales; los activos preasignados no deben considerarse con cargas, salvo que el banco central no permita la retirada de ningún activo depositado sin autorización previa; por lo que se refiere a las garantías personales financieras no utilizadas, deberá asignarse la parte no utilizada, esto es, aquella que exceda del importe mínimo exigido por el banco central, de forma proporcional, a los activos depositados en el banco central;
— los activos subyacentes a las estructuras de titulización, cuando los activos financieros no se hayan detraído, en términos contables, de los activos financieros de la entidad; los activos que constituyan valores subyacentes retenidos no se considerarán con cargas, salvo que estos valores estén pignorados o constituidos en garantía de algún modo a fin de asegurar una operación;
— los activos que formen parte de conjuntos de cobertura de las emisiones de bonos garantizados; los activos subyacentes a bonos garantizados se considerarán con cargas, salvo en determinadas situaciones en las que los correspondientes bonos garantizados estén en poder de la entidad (bonos emitidos por la propia entidad);
— como principio general, los activos afectados a líneas de crédito no utilizadas y que puedan retirarse libremente no deberán considerarse con cargas.
INSTRUCCIONES REFERENTES A LAS PLANTILLAS
2. PARTE A: PANORÁMICA DE LAS CARGAS
12. Las plantillas panorámicas de las cargas diferencian los activos que se utilizan para respaldar las necesidades de financiación o de garantía en la fecha de balance («cargas puntuales») de aquellos que están disponibles para necesidades de financiación potenciales.
13. La plantilla panorámica muestra el importe de los activos con y sin cargas de la entidad declarante en forma de cuadro y por productos. Idéntico desglose se aplica asimismo a las garantías reales recibidas y a los valores representativos de deuda propios emitidos distintos de bonos garantizados y titulizaciones.
2.1. Plantilla: AE-ASS. Activos de la entidad declarante
2.1.1. Observaciones generales
14. En este apartado se establecen las instrucciones aplicables respecto de los principales tipos de operación pertinentes a la hora de completar las plantillas AE.
Todas las operaciones que comporten un aumento del nivel de cargas a que está sujeta una entidad presentan dos vertientes que deberán comunicarse de manera independiente en las plantillas AE. Dichas operaciones se consignarán como fuente de cargas y asimismo como activo o garantía real con cargas.
En los siguientes ejemplos se describe cómo debe notificarse un tipo de operación de la presente parte; las mismas normas se aplicarán en las demás plantillas AE.
a) Depósito con garantía real
Un depósito con garantía real se notificará como sigue:
(i) el importe en libros del depósito se registrará como fuente de cargas en {AE-SOU; r070; c010};
(ii) si la garantía real es un activo de la entidad declarante, su importe en libros se consignará en {AE-ASS; *; c010} y {AE-SOU; r070; c030}; su valor razonable se indicará en {AE-ASS; *; c040};
(iii) si la garantía real ha sido recibida por la entidad declarante, su importe en libros se consignará en {AE-COL; *; c010}, {AE-SOU; r070; c030} y {AE-SOU; r070; c040}.
b) Pactos de recompra/pactos de recompra inversa
Un pacto de recompra (en lo sucesivo, «repo») se consignará como sigue:
(i) el importe en libros del repo se consignará como fuente de cargas en {AE-SOU; r050; c010};
(ii) la garantía real del repo deberá mostrarse:
(iii) si la garantía real es un activo de la entidad declarante, su importe en libros se consignará en {AE-ASS; *; c010} y {AE-SOU; r050; c030}; su valor razonable se indicará en {AE-ASS; *; c040};
(iv) si la garantía real ha sido recibida por la entidad declarante mediante un pacto de recompra inversa anterior (repo correspondiente), su importe en libros se consignará en {AE-COL; *; c010}, {AE-SOU; r050; c030} y en {AE-SOU; r050; c040}.
c) Financiación de bancos centrales
Dado que la financiación de bancos centrales con garantía real no constituye sino un caso específico de depósito con garantía real u operación con pacto de recompra en el que la contraparte es un banco central, se aplicará lo dispuesto en los incisos i) y ii) anteriores.
En las operaciones en las que no sea posible identificar la garantía real específica de cada operación, debido a la agrupación de las garantías, el desglose de dichas garantías deberá efectuarse de manera proporcional, en función de la composición del conjunto de garantías reales.
Los activos preasignados en bancos centrales no deberán considerarse con cargas, salvo que el banco central no permita la retirada de ningún activo depositado sin autorización previa. Por lo que se refiere a las garantías personales financieras no utilizadas, deberá asignarse la parte no utilizada, esto es, aquella que exceda del importe mínimo exigido por el banco central, de forma proporcional a los activos depositados en el banco central.
d) Préstamo de valores
En las operaciones de préstamo de valores con garantía real en efectivo se aplicarán las normas relativas a los pactos de recompra y pactos de recompra inversa.
Las operaciones de préstamo de valores sin garantía real en efectivo se consignarán como sigue:
(i) el valor razonable de los valores tomados en préstamo se consignará como fuente de cargas en {AE-SOU; r150; c010}. Cuando el prestamista no reciba valores a cambio de los valores prestados, sino una comisión, AE-SOU; r150; c010} se considerará igual a cero;
(ii) si los valores prestados como garantía real constituyen un activo de la entidad declarante, su importe en libros se consignará en {AE-ASS; *; c010} y {AE-SOU; r150; c030}; su valor razonable se indicará en {AE-ASS; *; c040};
(iii) si es la entidad declarante la que recibe los valores prestados como garantía real, su importe en libros se consignará en {AE-COL; *; c010}, {AE-SOU; r150; c030} y {AE-SOU; r150; c040}.
e) Derivados (pasivos)
Los derivados con garantía real cuyo valor razonable sea negativo se consignarán como sigue:
(i) el importe en libros del derivado se consignará como fuente de cargas en {AE-SOU; r020; c010};
(ii) las garantías reales (márgenes iniciales necesarios para abrir la posición y toda garantía real constituida por el valor de mercado de las operaciones de derivados) se comunicarán como sigue:
(i) si se trata de un activo de la entidad declarante, su importe en libros se consignará en {AE-ASS; *; c010} y {AE-SOU; r020; c030}; su valor razonable se indicará en {AE-ASS; *; c040};
(ii) si se trata de garantías reales recibidas por la entidad declarante, su valor razonable se consignará en {AE-COL; *; c010}, {AE-SOU; r020; c030} y {AE-SOU; r020; c040}.
f) Bonos garantizados
A efectos de toda la información sobre las cargas de los activos que debe comunicarse, se entiende por bonos garantizados los instrumentos a que se refiere el artículo 52, apartado 4, párrafo primero, de la Directiva 2009/65/UE, con independencia de si estos instrumentos adoptan o no la forma jurídica de valores.
No se aplicarán normas específicas a los bonos garantizados cuando la entidad declarante no retenga parte alguna de los valores emitidos.
En caso de retención de una parte de la emisión, y a fin de evitar el doble cómputo, se aplicará el tratamiento que a continuación se indica:
(i) si los bonos garantizados propios aún no han sido pignorados, el importe del conjunto de activos de cobertura que respalde los valores retenidos y aún no pignorados se consignará en las plantillas AE-ASS como activos sin cargas. Toda información adicional sobre los bonos garantizados retenidos y aún no pignorados (activos subyacentes, valor razonable y admisibilidad de los disponibles a efectos de cargas, y valor nominal de los no disponibles a tal efecto) se notificará en la plantilla AE-NPL;
(ii) si los bonos garantizados propios están pignorados, el importe del conjunto de activos de cobertura que respalde los valores retenidos y pignorados se incluirá en la plantilla AE-ASS como activos con cargas.
En el cuadro siguiente se detalla cómo debe notificarse una emisión de bonos garantizados por importe de 100 EUR, de los cuales un 15 % esté retenido y no pignorado y un 10 % esté retenido y pignorado como garantía real en un pacto de recompra con el banco central por importe de 11 EUR, cuando el conjunto de activos de cobertura incluya préstamos no garantizados y el importe en libros de los préstamos sea de 150 EUR.
|
FUENTES DECARGAS |
||||
|
Tipo |
Importe |
Celdas |
Préstamos con cargas |
Celdas |
|
Bonos garantizados |
75% (100) = 75 |
{AE- Fuentes, r110, c010} |
75% (150) = 112,5 |
{AE-Activos, r100, c10} {AE-Fuentes, r110, c030} |
|
Financiación del banco central |
11 |
{AE- Fuentes, r060, c010} |
10% (150) = 15 |
{AE- Activos, r100, c10} {AE- Fuentes, r060, c030} |
|
AUSENCIA DE CARGAS |
||||
|
Tipo |
Importe |
Celdas |
Préstamos sin cargas |
Celdas |
|
Bonos garantizados propios retenidos |
15% 100 = 15 |
{AE- No pignorados, r010, c040} |
15% (150) = 22,5 |
{AE- Activos, r100, c60} {AE-No pignorados, r020, c010} |
g) Titulizaciones
Por titulizaciones se entienden los valores representativos de deuda en poder de la entidad declarante que se han originado en una operación de titulización, según estas se definen en el artículo 4, punto 61, del RRC.
En el caso de titulizaciones que se mantengan en el balance (no dadas de baja en cuentas), se aplicarán las disposiciones aplicables a los bonos garantizados.
Las titulizaciones dadas de baja en cuentas no constituirán cargas en caso de tenencia de algunos valores por parte de la entidad. Dichos valores figurarán en la cartera de negociación o en la cartera de inversión de las entidades declarantes como cualesquiera otros valores emitidos por un tercero.
2.1.2. Instrucciones relativas a filas concretas
|
Filas |
Referencias legales e instrucciones |
|
010 |
Activos de la entidad declarante NIC 1.9.a), Guía de Implementación (GI) 6 Total de activos de la entidad declarante registrado en su balance. |
|
020 |
Préstamos a la vista NIC 1.54.i) Incluye los saldos a cobrar a la vista en bancos centrales y otras entidades. El efectivo, esto es, las tenencias de billetes y monedas nacionales y extranjeros en circulación utilizados habitualmente para efectuar pagos se incluirá en la fila «Otros activos». |
|
030 |
Instrumentos de patrimonio Instrumentos de patrimonio en poder de la entidad declarante, tal como se definen en la NIC 32.1. |
|
040 |
Valores representativos de deuda Anexo V, parte 1, punto 26. Instrumentos de deuda en poder de la entidad declarante emitidos como valores y que no son préstamos de acuerdo con el Reglamento del BCE sobre el balance de las instituciones financieras monetarias. |
|
050 |
de los cuales: bonos garantizados Valores representativos de deuda en poder de la entidad declarante que constituyan obligaciones a tenor del artículo 52, apartado 4, párrafo primero, de la Directiva 2009/65/CE. |
|
060 |
de los cuales: titulizaciones Valores representativos de deuda en poder de la entidad declarante que constituyan titulizaciones según estas se definen en el artículo 4, punto 61, del RRC. |
|
070 |
de los cuales: emitidos por administraciones públicas Valores representativos de deuda en poder de la entidad declarante que emitan las administraciones públicas |
|
080 |
de los cuales: emitidos por sociedades financieras Valores representativos de deuda en poder de la entidad declarante que emitan las sociedades financieras, según se definen en el anexo V, parte I, punto 35, letras c) y d). |
|
090 |
de los cuales: emitidos por sociedades no financieras Valores representativos de deuda en poder de la entidad declarante que emitan sociedades no financieras, tal como se definen en el anexo V, parte I, punto 35, letra e). |
|
100 |
Préstamos y anticipos distintos de préstamos a la vista Préstamos y anticipos, es decir, los instrumentos de deuda en poder de las entidades declarantes que no sean valores, excluidos los saldos a cobrar a la vista. |
|
110 |
de los cuales: préstamos hipotecarios Préstamos y anticipos distintos de préstamos a la vista que constituyan préstamos hipotecarios con arreglo a la definición del anexo V, parte 2, punto 41, letra h). |
|
120 |
Otros activos Otros activos de la entidad declarante registrados en el balance y distintos de los mencionados en las filas anteriores y de los valores representativos de deuda propios y los instrumentos de patrimonio propios que las entidades no sujetas a las NIIF no puedan dar de baja en el balance. En este caso, los instrumentos de deuda propios se incluirán en la fila 240 de la plantilla AE-COL y los instrumentos de patrimonio propios se excluirán de la información relativa a las cargas de los activos. |
2.1.3. Instrucciones relativas a columnas específicas
|
Columnas |
Referencias legales e instrucciones |
|
010 |
Importe en libros de los activos con cargas Importe en libros de los activos en poder de la entidad declarante que tengan cargas con arreglo a la definición establecida de cargas de los activos. Por importe en libros se entenderá el importe consignado en el activo del balance. |
|
020 |
de los cuales: emitidos por otros entes del grupo Importe en libros de los activos con cargas en poder de la entidad declarante que hayan sido emitidos por cualquier ente incluido en el ámbito de consolidación prudencial. |
|
030 |
de los cuales: admisibles por bancos centrales Importe en libros de los activos con cargas en poder de la entidad declarante que sean admisibles en operaciones con los bancos centrales a los que la entidad declarante tenga acceso. Las entidades declarantes que no puedan establecer inequívocamente la admisibilidad de un elemento por un banco central –por ejemplo, en los países donde se opere sin una definición clara de activos admisibles en los pactos de recompra con el banco central–, o que no tengan acceso a un mercado de repos de un banco central de funcionamiento continuo, podrán abstenerse de notificar el importe correspondiente a dicho elemento, es decir, podrán dejar el campo en blanco. |
|
040 |
Valor razonable de los activos con cargas NIIF 13 y artículo 8 de la Directiva 2013/34/UE del Parlamento Europeo y del Consejo (1), en lo que respecta a entidades no sujetas a las NIIF. Valor razonable de los valores representativos de deuda en poder de la entidad declarante que tengan cargas con arreglo a la definición establecida de cargas de los activos. El valor razonable de un instrumento financiero es el precio que se recibiría por la venta de un activo o que se pagaría para transferir un pasivo en una operación ordenada entre participantes en el mercado en la fecha de valoración. (Véase la NIIF 13 Valoración del valor razonable.) |
|
050 |
de los cuales: admisibles por bancos centrales Valor razonable de los valores representativos de deuda con cargas en poder de la entidad declarante que sean admisibles en operaciones con los bancos centrales a los que la entidad declarante tenga acceso. as entidades declarantes que no puedan establecer inequívocamente la admisibilidad de un elemento por un banco central –por ejemplo, en los países donde se opere sin una definición clara de activos admisibles en los pactos de recompra con el banco central–, o que no tengan acceso a un mercado de repos de un banco central de funcionamiento continuo, podrán abstenerse de notificar el importe correspondiente a dicho elemento, es decir, podrán dejar el campo en blanco. |
|
060 |
Importe en libros de los activos sin cargas Importe en libros de los activos en poder de la entidad declarante que no tengan cargas con arreglo a la definición establecida de cargas de los activos. Por importe en libros se entenderá el importe consignado en el activo del balance. |
|
070 |
de los cuales: emitidos por otros entes del grupo Importe en libros de los activos sin cargas en poder de la entidad declarante que hayan sido emitidos por cualquier ente incluido en el ámbito de consolidación prudencial. |
|
080 |
de los cuales: admisibles por bancos centrales Importe en libros de los activos sin cargas en poder de la entidad declarante que sean admisibles en operaciones con los bancos centrales a los que la entidad declarante tenga acceso. Las entidades declarantes que no puedan establecer inequívocamente la admisibilidad de un elemento por un banco central –por ejemplo, en los países donde se opere sin una definición clara de activos admisibles en los pactos de recompra con el banco central–, o que no tengan acceso a un mercado de repos de un banco central de funcionamiento continuo, podrán abstenerse de notificar el importe correspondiente a dicho elemento, es decir, podrán dejar el campo en blanco. |
|
090 |
Valor razonable de los activos sin cargas NIIF 13 y artículo 8 de la Directiva 2013/34/UE en lo que respecta a entidades no sujetas a las NIIF. Valor razonable de los valores representativos de deuda en poder de la entidad declarante que no tengan cargas con arreglo a la definición establecida de cargas de los activos. El valor razonable de un instrumento financiero es el precio que se recibiría por la venta de un activo o que se pagaría para transferir un pasivo en una operación ordenada entre participantes en el mercado en la fecha de valoración. (Véase la NIIF 13 Valoración del valor razonable.) |
|
100 |
de los cuales: admisibles por bancos centrales Valor razonable de los valores representativos de deuda sin cargas en poder de la entidad declarante que sean admisibles en operaciones con los bancos centrales a los que la entidad declarante tenga acceso. Las entidades declarantes que no puedan establecer inequívocamente la admisibilidad de un elemento por un banco central –por ejemplo, en los países donde se opere sin una definición clara de activos admisibles en los pactos de recompra con el banco central–, o que no tengan acceso a un mercado de repos de un banco central de funcionamiento continuo, podrán abstenerse de notificar el importe correspondiente a dicho elemento, es decir, podrán dejar el campo en blanco. |
|
(1) Directiva 2013/34/UE del Parlamento Europeo y del Consejo, de 26 de junio de 2013, sobre los estados financieros anuales, los estados financieros consolidados y otros informes afines de ciertos tipos de empresas, por la que se modifica la Directiva 2006/43/CE del Parlamento Europeo y del Consejo y se derogan las Directivas 78/660/CEE y 83/349/CEE del Consejo (DO L 182 de 29.6.2013, p. 19). |
|
2.2. Plantilla: AE-COL. Garantías reales recibidas por la entidad declarante
2.2.1. Observaciones generales
15. En relación con las garantías reales recibidas por la entidad declarante y los valores representativos de deuda propios emitidos distintos de bonos garantizados o bonos de titulización de activos propios, la categoría de activos «sin cargas» se dividirá entre los activos «disponibles para cargas» o que puedan ser objeto de cargas y los activos «no disponibles para cargas».
16. Los activos no estarán disponibles para cargas cuando se hayan recibido como garantía real y la entidad declarante no esté autorizada a vender o repignorar dicha garantía, salvo en caso de impago por parte del propietario de la citada garantía. Los valores representativos de deuda propios emitidos distintos de bonos garantizados o titulizaciones propios no estarán disponibles para cargas cuando exista cualquier restricción en las condiciones de la emisión en cuanto a la venta o la repignoración de los valores cuya tenencia se ostente.
17. A efectos de la información sobre las cargas de los activos, los valores tomados en préstamo a cambio de una comisión, sin aportar garantías en efectivo ni otras garantías reales se consignarán como garantías reales recibidas.
2.2.2. Instrucciones relativas a filas concretas
|
Filas |
Referencias legales e instrucciones |
|
130 |
Garantías reales recibidas por la entidad declarante Todas las categorías de garantías reales recibidas por la entidad declarante |
|
140 |
Préstamos a la vista Garantías reales recibidas por la entidad declarante consistentes en préstamos a la vista. (Véanse las referencias jurídicas e instrucciones relativas a la fila 020 de la plantilla AE-ASS) |
|
150 |
Instrumentos de patrimonio Garantías reales recibidas por la entidad declarante consistentes en instrumentos de patrimonio. (Véanse las referencias jurídicas e instrucciones relativas a la fila 030 de la plantilla AE-ASS) |
|
160 |
Valores representativos de deuda Garantías reales recibidas por la entidad declarante consistentes en valores representativos de deuda. (Véanse las referencias jurídicas e instrucciones relativas a la fila 040 de la plantilla AE-ASS) |
|
170 |
de los cuales: bonos garantizados Garantías reales recibidas por la entidad declarante consistentes en bonos garantizados. (Véanse las referencias jurídicas e instrucciones relativas a la fila 050 de la plantilla AE-ASS) |
|
180 |
de los cuales: titulizaciones Garantías reales recibidas por la entidad declarante consistentes en titulizaciones. (Véanse las referencias jurídicas e instrucciones relativas a la fila 060 de la plantilla AE-ASS) |
|
190 |
de los cuales: emitidos por administraciones públicas Garantías reales recibidas por la entidad declarante consistentes en valores representativos de deuda emitidos por administraciones públicas. (Véanse las referencias jurídicas e instrucciones relativas a la fila 070 de la plantilla AE-ASS) |
|
200 |
de los cuales: emitidos por sociedades financieras Garantías reales recibidas por la entidad declarante consistentes en valores representativos de deuda emitidos por sociedades financieras. (Véanse las referencias jurídicas e instrucciones relativas a la fila 080 de la plantilla AE-ASS) |
|
210 |
de los cuales: emitidos por sociedades no financieras Garantías reales recibidas por la entidad declarante consistentes en valores representativos de deuda emitidos por sociedades no financieras. (Véanse las referencias jurídicas e instrucciones relativas a la fila 090 de la plantilla AE-ASS) |
|
220 |
Préstamos y anticipos distintos de préstamos a la vista Garantías reales recibidas por la entidad declarante consistentes en préstamos y anticipos distintos de préstamos a la vista. (Véanse las referencias jurídicas e instrucciones relativas a la fila 100 de la plantilla AE-ASS) |
|
230 |
Otras garantías reales recibidas Garantías reales recibidas por la entidad declarante consistentes en otros activos. (Véanse las referencias jurídicas e instrucciones relativas a la fila 120 de la plantilla AE-ASS) |
|
240 |
Valores representativos de deuda propios emitidos distintos de bonos garantizados o bonos de titulización de activos propios Los valores representativos de deuda propios emitidos y retenidos por la entidad declarante que no sean bonos garantizados propios emitidos ni titulizaciones propias emitidas. Como, de acuerdo con la NIC 39.42, los valores representativos de deuda propios emitidos y retenidos o recomprados reducen los correspondientes pasivos financieros, dichos valores no se incluirán en la categoría de activos de la entidad declarante (fila 010 de la plantilla AE-ASS). Los valores representativos de deuda propios que las entidades no sujetas a las NIIF no puedan dar de baja en el balance se incluirán en esta línea. Los bonos garantizados propios emitidos y las titulizaciones propias emitidas no se consignarán en esta categoría, dado que en estos casos se aplican otras normas a fin de evitar un doble cómputo: a) si los valores representativos de deuda propios están pignorados, el importe del conjunto de activos de cobertura/activos subyacentes que respalden esos valores retenidos y pignorados se consignará en la plantilla AE-ASS como activos con cargas; b) si los valores representativos de deuda propios no han sido aún pignorados, el importe del conjunto de activos de cobertura/activos subyacentes que respalden esos valores retenidos y aún no pignorados se consignará en la plantilla AE-ASS como activos sin cargas. Toda información adicional sobre este segundo tipo de valores representativos de deuda propios aún no pignorados (activos subyacentes, valor razonable y admisibilidad de los disponibles para cargas, y valor nominal de los no disponibles a tal efecto) se notificará en la plantilla AE-NPL. |
|
250 |
TOTAL DE ACTIVOS, GARANTÍAS REALES RECIBIDAS Y VALORES REPRESENTATIVOS DE DEUDA PROPIOS EMITIDOS Todos los activos de la entidad declarante consignados en su balance, todas las clases de garantías reales recibidas por la entidad declarante y los valores representativos de deuda propios emitidos y retenidos por la entidad declarante que no sean bonos garantizados propios emitidos o titulizaciones propias emitidas. |
2.2.3. Instrucciones relativas a columnas específicas
|
Columnas |
Referencias legales e instrucciones |
|
010 |
Valor razonable de las garantías reales recibidas o de los valores representativos de deuda propios emitidos con cargas Valor razonable de las garantías reales recibidas o los valores representativos de deuda propios emitidos en poder de la entidad declarante o retenidos por esta que tengan cargas con arreglo a la definición establecida de cargas de los activos. El valor razonable de un instrumento financiero es el precio que se recibiría por la venta de un activo o que se pagaría para transferir un pasivo en una operación ordenada entre participantes en el mercado en la fecha de valoración. (Véase la NIIF 13 Valoración del valor razonable.) |
|
020 |
de los cuales: emitidos por otros entes del grupo Valor razonable de las garantías reales recibidas o los valores representativos de deuda propios emitidos con cargas que estén en poder de la entidad declarante o retenidos por esta y que hayan sido emitidos por cualquier ente incluido en el ámbito de consolidación prudencial. |
|
030 |
de los cuales: admisibles por bancos centrales Valor razonable de las garantías reales recibidas o los valores representativos de deuda propios emitidos con cargas que estén en poder de la entidad declarante o retenidos por esta y que sean admisibles en operaciones con los bancos centrales a los que la entidad declarante tenga acceso. Las entidades declarantes que no puedan establecer inequívocamente la admisibilidad de un elemento por un banco central –por ejemplo, en los países donde se opere sin una definición clara de activos admisibles en los pactos de recompra con el banco central–, o que no tengan acceso a un mercado de repos de un banco central de funcionamiento continuo, podrán abstenerse de notificar el importe correspondiente a dicho elemento, es decir, podrán dejar el campo en blanco. |
|
040 |
Valor razonable de las garantías reales recibidas o de los valores representativos de deuda propios emitidos disponibles para cargas Valor razonable de las garantías reales recibidas por la entidad declarante que no tengan cargas pero que estén disponibles para cargas, al estar la entidad declarante autorizada a venderlas o repignorarlas en ausencia de impago por parte del propietario de la garantía real. Incluye asimismo el valor razonable de los de deuda propios emitidos, distintos de bonos garantizados o titulizaciones propios, que no tengan cargas pero que estén disponibles para cargas. |
|
050 |
de los cuales: emitidos por otros entes del grupo Valor razonable de las garantías reales recibidas o los valores representativos de deuda propios emitidos, distintos de bonos garantizados o bonos de titulización propios, disponibles para cargas, que hayan sido emitidos por cualquier ente incluido en el ámbito de consolidación prudencial. |
|
060 |
de los cuales: admisibles por bancos centrales Valor razonable de las garantías reales recibidas o los valores representativos de deuda propios emitidos, distintos de bonos garantizados o bonos de titulización propios, que estén disponibles para cargas y sean admisibles en operaciones con los bancos centrales a los que la entidad declarante tenga acceso. Las entidades declarantes que no puedan establecer inequívocamente la admisibilidad de un elemento por un banco central –por ejemplo, en los países donde se opere sin una definición clara de activos admisibles en los pactos de recompra con el banco central–, o que no tengan acceso a un mercado de repos de un banco central de funcionamiento continuo, podrán abstenerse de notificar el importe correspondiente a dicho elemento, es decir, podrán dejar el campo en blanco. |
|
070 |
Valor nominal de las garantías reales recibidas o de los valores representativos de deuda propios emitidos no disponibles para cargas Valor nominal de las garantías reales recibidas en poder de la entidad declarante sin cargas y que no estén disponibles para cargas. Incluye asimismo el valor nominal de los valores representativos de deuda propios emitidos, distintos de bonos garantizados o titulizaciones propios, retenidos por la entidad declarante y que no tengan cargas ni estén disponibles para cargas. |
2.3. Plantilla: AE-NPL. Bonos garantizados y bonos de titulización de activos propios emitidos y aún no pignorados
2.3.1. Observaciones generales
18. A fin de evitar un doble cómputo, se aplicará la norma siguiente en lo que respecta a los bonos garantizados y titulizaciones propios emitidos y retenidos por la entidad declarante:
a) Si los citados valores están pignorados, el importe del conjunto de activos de cobertura/activos subyacentes que los respalden se consignará en la plantilla AE-ASS como activos con cargas. La fuente de financiación en caso de pignoración de bonos garantizados y titulizaciones propios será la nueva operación en la que se pignoran los valores (financiación de un banco central u otro tipo de financiación garantizada) y no la emisión inicial de los bonos garantizados o las titulizaciones.
b) Si los mencionados valores aún no se han pignorado, el importe del conjunto de activos de cobertura/activos subyacentes que los respalden se consignará en la plantilla AE-ASS como activos sin cargas.
2.3.2. Instrucciones relativas a filas concretas
|
Filas |
Referencias legales e instrucciones |
|
010 |
Bonos garantizados y bonos de titulización de activos propios emitidos y aún no pignorados Bonos garantizados y titulizaciones propios emitidos retenidos por la entidad declarante y sin cargas. |
|
020 |
Bonos garantizados emitidos retenidos Bonos garantizados propios emitidos retenidos por la entidad declarante y sin cargas. |
|
030 |
Titulizaciones emitidas retenidas Titulizaciones propias emitidas retenidas por la entidad declarante y sin cargas. |
|
040 |
Tramo preferente Tramo preferente de las titulizaciones propias emitidas retenidas por la entidad declarante y sin cargas. Véase el artículo 4, punto 67, del RRC. |
|
050 |
Tramo de riesgo intermedio Tramo de riesgo intermedio de las titulizaciones propias emitidas retenidas por la entidad declarante y sin cargas. Se considerarán tramos de riesgo intermedio todos los tramos que no sean preferentes, es decir, el último que absorba las pérdidas, o tramo de primera pérdida. Véase el artículo 4, punto 67, del RRC. |
|
060 |
Tramo de primera pérdida Tramo de primera pérdida de las titulizaciones propias emitidas retenidas por la entidad declarante y sin cargas. Véase el artículo 4, punto 67, del RRC. |
2.3.3. Instrucciones relativas a columnas específicas
|
Columnas |
Referencias legales e instrucciones |
|
010 |
Importe en libros del conjunto de activos subyacente Importe en libros del conjunto de activos de cobertura/activos subyacentes que respalden los bonos garantizados y titulizaciones propios retenidos que aún no se hayan pignorado. |
|
020 |
Valor razonable de los valores representativos de deuda emitidos disponibles para cargas Valor razonable de los bonos garantizados y titulizaciones propios retenidos sin cargas pero que estén disponibles para cargas. |
|
030 |
de los cuales: admisibles por bancos centrales Valor razonable de los bonos garantizados y titulizaciones propios retenidos que satisfagan todas las condiciones siguientes: i) que no tengan cargas; ii) que estén disponibles para cargas; iii) que sean admisibles en operaciones con los bancos centrales a los que la entidad declarante tenga acceso. Las entidades declarantes que no puedan establecer inequívocamente la admisibilidad de un elemento por un banco central –por ejemplo, en los países donde se opere sin una definición clara de activos admisibles en los pactos de recompra con el banco central–, o que no tengan acceso a un mercado de repos de un banco central de funcionamiento continuo, podrán abstenerse de notificar el importe correspondiente a dicho elemento, es decir, podrán dejar el campo en blanco. |
|
040 |
Valor nominal de los valores representativos de deuda propios emitidos no disponibles para cargas Valor nominal de los bonos garantizados y titulizaciones propios retenidos sin cargas y que no estén disponibles para cargas. |
2.4. Plantilla: AE-SOU. Fuentes de cargas
2.4.1. Observaciones generales
19. Esta plantilla ofrece información sobre la importancia, para la entidad declarante, de las distintas fuentes de cargas, incluidas aquellas a las que no se vincula financiación, como los compromisos de préstamo o las garantías personales financieras recibidas y el préstamo de valores con garantías reales distintas de efectivo.
20. El importe total de los activos y las garantías reales recibidas en la plantillas AE-ASS y AE-COL deberán cumplir la siguiente norma de validación: {AE-SOU; r170; c030} = {AE-ASS; r010; c010} + {AE-COL; r130; c010} + {AE-COL; r240; c010}.
2.4.2. Instrucciones relativas a filas concretas
|
Filas |
Referencias legales e instrucciones |
|
010 |
Importe en libros de pasivos financieros seleccionados Importe en libros de pasivos financieros con garantía real seleccionados de la entidad declarante, en la medida en que dichos pasivos comporten para la entidad cargas de activos. |
|
020 |
Derivados Importe en libros de los derivados con garantía real de la entidad declarante que sean pasivos financieros, es decir, aquellos cuyo valor razonable sea negativo, en la medida en que dichos derivados comporten para la entidad cargas de activos. |
|
030 |
de los cuales: OTC Importe en libros de los derivados con garantía real de la entidad declarante que sean pasivos financieros no negociados en mercados organizados, en la medida en que dichos derivados comporten cargas de activos. |
|
040 |
Depósitos Importe en libros de los depósitos con garantía real de la entidad declarante, en la medida en que dichos depósitos comporten para la entidad cargas de activos. |
|
050 |
Pactos de recompra Importe en libros de los pactos de recompra de la entidad declarante, en la medida en que dichas operaciones comporten para la entidad cargas de activos. Los pactos de recompra (repos) son operaciones en las que la entidad declarante recibe efectivo a cambio de activos financieros vendidos a un precio determinado con el compromiso de recomprar esos mismos activos (u otros idénticos) a un precio fijo en una fecha futura especificada. Deberán consignarse como pactos de recompra las siguientes variantes de operaciones asimilables a pactos de recompra:-importes recibidos a cambio de valores transferidos temporalmente a terceros en forma de préstamos de valores contra garantía en efectivo, e-importes recibidos a cambio de valores transferidos temporalmente a terceros en forma de operación simultánea. |
|
060 |
de los cuales: bancos centrales Importe en libros de los pactos de recompra de la entidad declarante celebrados con bancos centrales, en la medida en que estas operaciones comporten cargas de activos. |
|
070 |
Depósitos con garantía real distintos de pactos de recompra Importe en libros de los depósitos con garantía real de la entidad declarante, excluidos los pactos de recompra, en la medida en que dichos depósitos comporten para la entidad cargas de activos. |
|
080 |
de los cuales: bancos centrales Importe en libros de los depósitos con garantía real de la entidad declarante en bancos centrales, excluidos los pactos de recompra, en la medida en que dichos depósitos comporten para la entidad cargas de activos. |
|
090 |
Valores representativos de deuda emitidos Importe en libros de los valores representativos de deuda emitidos por la entidad declarante, en la medida en que dichos valores emitidos comporten para la entidad cargas de activos. La parte retenida de cualquier emisión estará sujeta al tratamiento específico establecido en la parte A, punto 15, inciso vi), de modo que solo el porcentaje de los valores representativos de deuda colocado fuera de los entes del grupo deberá incluirse en esta categoría. |
|
100 |
de los cuales: bonos garantizados Importe en libros de los bonos garantizados de cuyos activos sea originadora la entidad declarante, en la medida en que dichos valores emitidos comporten para la entidad cargas de activos. |
|
110 |
de los cuales: titulizaciones emitidas Importe en libros de las titulizaciones emitidas por la entidad declarante, en la medida en que dichos valores emitidos comporten para la entidad cargas de activos. |
|
120 |
Otras fuentes de cargas Importe de las operaciones con garantía real de la entidad declarante, excluidos los pasivos financieros, en la medida en que dichas operaciones comporten para la entidad cargas de activos. |
|
130 |
Valor nominal de los compromisos de préstamo recibidos Valor nominal de los compromisos de préstamo recibidos por la entidad declarante, en la medida en que dichos compromisos recibidos comporten para la entidad cargas de activos. |
|
140 |
Valor nominal de las garantías personales financieras recibidas Valor nominal de las garantías personales financieras recibidas por la entidad declarante, en la medida en que dichas garantías recibidas comporten para la entidad cargas de activos. |
|
150 |
Valor razonable de los valores tomados en préstamo con garantía real distinta de efectivo Valor razonable de los valores tomados en préstamo por la entidad declarante sin garantía real en efectivo, en la medida en que dichas operaciones comporten para la entidad cargas de activos. |
|
160 |
Otros Importe de las operaciones con garantía real de la entidad declarante no incluidas en los anteriores epígrafes, excluidos los pasivos financieros, en la medida en que dichas operaciones comporten para la entidad cargas de activos. |
|
170 |
TOTAL FUENTES DE CARGAS Importe de todas las operaciones con garantía real de la entidad declarante, en la medida en que dichas operaciones comporten para la entidad cargas de activos. |
2.4.3. Instrucciones relativas a columnas específicas
|
Columnas |
Referencias legales e instrucciones |
|
010 |
Pasivos correspondientes, pasivos contingentes o valores prestados Importe de los pasivos financieros correspondientes, pasivos contingentes (compromisos de préstamo recibidos y garantías personales financieras recibidas) y valores prestados con garantía real distinta de efectivo, en la medida en que estas operaciones comporten para la entidad cargas de activos. Los pasivos financieros se consignarán por su importe en libros; los pasivos contingentes se consignarán por su valor nominal; y los valores prestados con garantía real distinta de efectivo se consignarán por su valor razonable. |
|
020 |
de los cuales: de otros entes del grupo Importe de los pasivos financieros correspondientes, pasivos contingentes (compromisos de préstamo recibidos y garantías personales financieras recibidas) y de los valores prestados con garantía distinta de efectivo, en la medida en que la contraparte sea cualquier otro ente dentro del ámbito de consolidación prudencial y la operación comporte para la entidad cargas de activos. Para las normas aplicables a los tipos de importe, véanse las instrucciones correspondientes a la columna 010. |
|
030 |
Activos, garantías reales recibidas y valores propios emitidos distintos de bonos garantizados y bonos de titulización de activos con cargas Importe de los activos, garantías reales recibidas y valores propios emitidos distintos de bonos garantizados y titulizaciones que tengan cargas como consecuencia de los diversos tipos de operaciones indicadas en las filas. A fin de garantizar la coherencia con los criterios de las plantillas AE-ASS y AE-COL, los activos de la entidad declarante registrados en el balance se consignarán por su importe en libros, las garantías reales recibidas reutilizadas y los valores propios emitidos con cargas distintos de bonos garantizados y titulizaciones se consignarán por su valor razonable. |
|
040 |
de los cuales: garantías reales recibidas reutilizadas Valor razonable de las garantías reales recibidas que sean reutilizadas/tengan cargas como consecuencia de los distintos tipos de operaciones indicadas en las filas. |
|
050 |
de los cuales: valores representativos de deuda propios con cargas Valor razonable de los valores propios emitidos distintos de bonos garantizados y titulizaciones que tengan cargas como consecuencia de los diversos tipos de operaciones indicadas en las filas. |
3. PARTE B: DATOS SOBRE VENCIMIENTOS
3.1. Observaciones generales
21. La plantilla incluida en la parte B muestra una panorámica del importe de los activos con cargas y las garantías reales recibidas reutilizadas que están comprendidos en los intervalos definidos de vencimiento residual de los pasivos correspondientes.
3.2. Plantilla: AE-MAT. Datos sobre vencimientos
3.2.1. Instrucciones relativas a filas concretas
|
Filas |
Referencias legales e instrucciones |
|
010 |
Activos con cargas A efectos de esta plantilla, los activos con cargas incluirán todo lo siguiente: a) los activos de la entidad declarante (véanse las instrucciones de la fila 010 de la plantilla AE-ASS), que se consignarán por su importe en libros; b) los valores representativos de deuda propios emitidos distintos de bonos garantizados o titulizaciones (véanse las instrucciones de la fila 240 de la plantilla AE-COL), que se consignarán por su valor razonable. Estos importes se distribuirán entre los distintos períodos de vencimiento residual especificados en las columnas, de acuerdo con el vencimiento residual de la fuente de cargas (pasivo correspondiente, pasivo contingente u operación de préstamo de valores). |
|
020 |
Garantías reales recibidas reutilizadas (componente de recepción) Véanse las instrucciones para la fila 130 de la plantilla AE-COL y la columna 040 de la plantilla AE-SOU. Los importes se consignarán por su valor razonable y se distribuirán entre los distintos períodos de vencimiento residual especificados en las columnas, en función del vencimiento residual de la operación que haya generado para la entidad la recepción de las garantías reales objeto de reutilización (componente de recepción). |
|
030 |
Garantías reales recibidas reutilizadas (componente de reutilización) Véanse las instrucciones para la fila 130 de la plantilla AE-COL y la columna 040 de la plantilla AE-SOU. Los importes se consignarán por su valor razonable y se distribuirán entre los distintos períodos de vencimiento residual especificados en las columnas, de acuerdo con el vencimiento residual de la fuente de cargas (componente de reutilización): pasivo correspondiente, pasivo contingente u operación de préstamo de valores. |
3.2.2. Instrucciones relativas a columnas específicas
|
Columnas |
Referencias legales e instrucciones |
|
010 |
Vencimiento abierto A la vista, sin fecha específica de vencimiento |
|
020 |
Intradía Plazo inferior o igual a 1 día |
|
030 |
> 1 día ≤ 1 semana Plazo superior a 1 día e inferior o igual a 1 semana |
|
040 |
> 1 semana ≤ 2 semanas Plazo superior a 1 semana e inferior o igual a 2 semanas |
|
050 |
> 2 semanas ≤ 1mes Plazo superior a 2 semanas e inferior o igual a 1 mes |
|
060 |
> 1 mes ≤ 3 meses Plazo superior a 1 mes e inferior o igual a 3 meses |
|
070 |
> 3 meses ≤ 6 meses Plazo superior a 3 meses e inferior o igual a 6 meses |
|
080 |
> 6 meses ≤ 1 año Plazo superior a 6 meses e inferior o igual a 1 año |
|
090 |
> 1 año ≤ 2 años Plazo superior a 1 año e inferior o igual a 2 años |
|
100 |
> 2 años ≤ 3 años Plazo superior a 2 años e inferior o igual a 3 años |
|
110 |
> 3 años ≤ 5 años Plazo superior a 3 años e inferior o igual a 5 años |
|
120 |
> 5 años ≤ 10 años Plazo superior a 5 años e inferior o igual a 10 años |
|
130 |
> 10 años Plazo superior a 10 años |
4. PARTE C: CARGAS CONTINGENTES
4.1. Observaciones generales
22. Esta plantilla exige a las entidades calcular el nivel de cargas de los activos en una serie de escenarios de tensión.
23. Por cargas contingentes se entienden los activos adicionales que podría resultar necesario cargar cuando la entidad declarante se enfrente a circunstancias adversas provocadas por un hecho externo sobre el que no ejerza control alguno (incluida una rebaja de la calificación crediticia, la disminución del valor razonable de los activos con cargas o una pérdida de confianza generalizada). En tales casos, la entidad declarante deberá dotar cargas adicionales como consecuencia de operaciones ya existentes. El importe adicional de activos con cargas se calculará deduciendo el impacto de las operaciones de cobertura de la entidad frente a las circunstancias contempladas en el marco de los referidos escenarios de tensión.
24. Esta plantilla de notificación de cargas contingentes contempla los dos escenarios siguientes, que se exponen con mayor detalle en las secciones 4.1.1 y 4.1.2. Los datos comunicados constituirán una estimación razonable efectuada por la entidad a partir de la mejor información disponible.
a) Disminución en un 30 % del valor razonable de los activos con cargas. Este escenario únicamente contempla una modificación del valor razonable subyacente de los activos, con exclusión de cualquier otra modificación que pueda afectar a su importe en libros, tal como pérdidas o ganancias por diferencias de cambio de divisas o posibles pérdidas por deterioro de valor. La entidad declarante podría entonces verse obligada a aumentar las garantías reales a fin de mantener constante el valor de las mismas.
b) Una depreciación del 10 % de cada una de las monedas en que la entidad tenga pasivos por un importe agregado igual o superior al 5 % del total de sus pasivos.
25. Deberán presentarse ambos escenarios de manera independiente, y las depreciaciones de monedas significativas deberán comunicarse asimismo de manera independiente unas de otras. En consecuencia, las entidades no tendrán en cuenta las correlaciones entre los escenarios.
4.1.1. Escenario A: Disminución en un 30 % de los activos con cargas
26. Se partirá del supuesto de una disminución en un 30 % del valor de todos los activos con cargas. La necesidad de garantías reales adicionales que se derive de dicha disminución tendrá en cuenta los niveles existentes de sobregarantía, de modo que solo se mantenga el nivel mínimo de cobertura con garantía real. Esa necesidad de garantías reales adicionales también tendrá en cuenta las condiciones establecidas en los contratos y acuerdos afectados, incluidos los umbrales de activación.
27. Únicamente se tomarán en consideración aquellos contratos y acuerdos que prevean la obligación legal de proporcionar garantías reales adicionales. Ello incluye las emisiones de bonos garantizados que comporten la obligación legal de mantener unos niveles mínimos de sobregarantía, pero no la de mantener los niveles previos de calificación crediticia del bono garantizado.
4.1.2. Supuesto B: Depreciación del 10 % de las monedas significativas
28. Una moneda será significativa si la entidad declarante tiene pasivos denominados en la misma por un importe agregado igual o superior al 5 % del total de sus pasivos.
29. El cálculo de una depreciación del 10 % tendrá en cuenta tanto las variaciones del activo como del pasivo, es decir, se centrará en los desfases entre activos y pasivos. Así, por ejemplo, las operaciones con pacto de recompra en dólares estadounidenses basadas en activos denominados en dicha moneda no generarán cargas adicionales, en tanto que si esas mismas operaciones se basan en activos denominados en euros sí generarán tales cargas.
30. Este cálculo englobará todas las operaciones que incorporen distintas monedas.
4.2. Plantilla: AE-CONT. Cargas contingentes
4.2.1. Instrucciones relativas a filas concretas
31. Véanse las instrucciones relativas a las columnas específicas de la plantilla AE-SOU en la sección 1.5.1. El contenido de las columnas de esta plantilla, AE-CONT, no difiere del de la plantilla AE-SOU.
4.2.2. Instrucciones relativas a columnas específicas
|
Columnas |
Referencias legales e instrucciones |
|
010 |
Pasivos correspondientes, pasivos contingentes o valores prestados Son válidas las mismas instrucciones y datos que para la columna 010 de la plantilla AE-SOU. Importe de los pasivos financieros correspondientes, pasivos contingentes (compromisos de préstamo recibidos y garantías personales financieras recibidas) y valores prestados con garantía real distinta de efectivo, en la medida en que estas operaciones comporten para la entidad cargas de activos. Tal como se indica para cada fila de la plantilla, los pasivos financieros se consignarán por su importe en libros, los pasivos contingentes, por su valor nominal, y los valores prestados con garantía distinta de efectivo, por su valor razonable. |
|
020 |
A. Importe adicional de activos con cargas Importe adicional de activos que quedarían con cargas como consecuencia de disposiciones legales, reglamentarias o contractuales que podrían ser de aplicación en caso de que se verificase el escenario A. Con arreglo a las instrucciones de la parte A del presente anexo, los citados importes se consignarán por su importe en libros cuando el importe esté vinculado a activos de la entidad declarante, o por su valor razonable, si está vinculado a la garantía recibida. Los importes que excedan de los activos y las garantías reales sin cargas de la entidad se consignarán por su valor razonable. |
|
030 |
B. Importe adicional de activos con cargas. Moneda significativa 1 Importe adicional de activos que quedarían con cargas como consecuencia de disposiciones legales, reglamentarias o contractuales que podrían ser de aplicación en caso de depreciación de la moneda significativa 1 en el escenario B. Véanse las normas sobre los tipos de importe en la fila 020. |
|
040 |
B. Importe adicional de activos con cargas. Moneda significativa 2 Importe adicional de activos que quedarían con cargas como consecuencia de disposiciones legales, reglamentarias o contractuales que podrían ser de aplicación en caso de depreciación de la moneda significativa 2 en el escenario B. Véanse las normas sobre los tipos de importe en la fila 020. |
5. PARTE D: BONOS GARANTIZADOS
5.1. Observaciones generales
32. La información contemplada en esta plantilla se notificará respecto de todos los bonos garantizados conformes con la Directiva OICVM emitidos por la entidad declarante. Por bonos garantizados conformes con la Directiva OICVM se entenderán las obligaciones a que se refiere el artículo 52, apartado 4, párrafo primero, de la Directiva 2009/65/CE. Se trata de bonos garantizados emitidos por la entidad declarante en relación con los cuales esta última habrá de estar legalmente sometida a una supervisión pública especial destinada a proteger a los titulares de los mismos, y en relación con los cuales esté prevista la obligación de invertir los importes resultantes de su emisión, conforme a la legislación, en activos que, durante todo el período de validez de los bonos puedan cubrir los compromisos que estos comporten, y que, en caso de quiebra del emisor, se utilicen de manera prioritaria para el reembolso del principal y el pago de los intereses devengados.
33. Los bonos garantizados emitidos por la entidad declarante, o por cuenta de esta, que no sean conformes con la Directiva OICVM no se notificarán en las plantillas AE-CB.
34. La notificación se efectuará de acuerdo con el régimen legal aplicable a los bonos garantizados, esto es, el marco jurídico que regule el programa de bonos garantizados.
5.2. Plantilla: AE-CB Emisión de bonos garantizados
5.2.1. Instrucciones relativas al eje de las z
|
Eje de las z |
Referencias legales e instrucciones |
|
010 |
Identificador del conjunto de activos de cobertura (abierto) El identificador del conjunto de activos de cobertura constará del nombre o la abreviatura inequívoca del ente emisor del mismo y la denominación del conjunto de activos de cobertura concreto que esté sujeto a las pertinentes medidas de protección de los bonos garantizados. |
5.2.2. Instrucciones relativas a filas concretas
|
Filas |
Referencias legales e instrucciones |
|
010 |
Valor nominal El valor nominal será la suma de los derechos al cobro del principal determinada con arreglo a las normas del régimen legal pertinente de los bonos garantizados que resulten aplicables para establecer la cobertura suficiente. |
|
020 |
Valor actual (permuta)/valor de mercado El valor actual (permuta) será la suma de los derechos al cobro del principal y los intereses, descontados por una curva de rendimientos sin riesgo específica por divisas, determinada con arreglo a las normas del régimen legal pertinente de los bonos garantizados que resulten aplicables para establecer la cobertura suficiente. En las columnas 080 y 210, referentes a las posiciones en derivados del conjunto de activos de cobertura, el importe que deberá consignarse es su valor de mercado. |
|
030 |
Valor específico del activo El valor específico del activo será el valor económico de los activos que integran el conjunto de cobertura, que podrá venir dado por un valor razonable con arreglo a la NIIF 13, un valor de mercado observable a partir de las operaciones ejecutadas en mercados líquidos, o un valor actual que descuente los futuros flujos de efectivo de un activo por una curva de tipos de interés específica de ese activo. |
|
040 |
Importe en libros El importe en libros de un pasivo por bonos garantizados o de un activo del conjunto de cobertura será el valor contable atribuido por el emisor del bono garantizado. |
5.2.3. Instrucciones relativas a columnas específicas
|
Columnas |
Referencias legales e instrucciones |
|
010 |
¿Se cumple lo dispuesto en el artículo 129 del RRC? [SÍ/NO] Las entidades deberán especificar si el conjunto de activos de cobertura cumple los requisitos establecidos en el artículo 129 del RRC para poderse acoger al trato preferente previsto en ese mismo artículo 129, apartados 4 y 5. |
|
012 |
En caso afirmativo, indíquese la principal clase de activos del conjunto de cobertura Si el conjunto de activos de cobertura puede acogerse al trato preferente previsto en el artículo 129, apartados 4 y 5, del RRC (respuesta «SÍ» en la columna 011), se indicará en esta casilla la principal clase de activos que lo integra. A tal efecto, se utilizará la clasificación del artículo 129, apartado 1, de dicho Reglamento y se indicarán, por tanto, los códigos «a», «b», «c», «d», «e», «f» y «g». Cuando la principal clase de activos del conjunto de cobertura no corresponda a ninguna de las categorías anteriores, se utilizará el código «h». |
|
020-140 |
Pasivos por bonos garantizados Los pasivos por bonos garantizados son los pasivos que contrae el ente emisor al emitir bonos garantizados y comprenden todas las posiciones definidas por el régimen legal pertinente de los bonos garantizados que estén sujetas a las correspondientes medidas de protección de los bonos garantizados (pueden incluir, entre otros, valores en circulación, así como las posiciones en derivados de las contrapartes del emisor del bono, a cuyo conjunto de activos de cobertura se atribuya un valor de mercado negativo, desde la perspectiva del emisor del bono garantizado, y que se asimilen a pasivos por bonos garantizados de conformidad con el régimen legal pertinente de los bonos garantizados). |
|
020 |
Fecha de información Importes de los pasivos por bonos garantizados, con exclusión de las posiciones en derivados del conjunto de activos de cobertura, con arreglo a los distintos intervalos de fechas futuras. |
|
030 |
+ 6 meses La fecha «+ 6 meses» denota el momento en el cual habrán transcurrido 6 meses desde la fecha de referencia a efectos de información. Los importes comunicados se basarán en el supuesto de que no haya habido variaciones en los pasivos por bonos garantizados con respecto a la fecha de referencia a efectos de información, salvedad hecha de las amortizaciones. En ausencia de un calendario de pagos preestablecido, para los importes pendientes en fechas futuras deberá atenderse de manera sistemática a los vencimientos previstos. |
|
040-070 |
+ 12 meses-+ 10 años Al igual que en el caso de «+ 6 meses» (columna 030), se remitirá al momento en el cual hayan transcurrido los plazos que se indican desde la fecha de referencia a efectos de información. |
|
080 |
Posiciones en derivados del conjunto de activos de cobertura con valor de mercado neto negativo Valor de mercado neto negativo de las posiciones en derivados del conjunto de activos de cobertura que, desde la perspectiva del emisor de los bonos garantizados, tengan un valor de mercado neto negativo. Las posiciones en derivados del conjunto de activos de cobertura serán posiciones netas en derivados que, de conformidad con el régimen legal pertinente de los bonos garantizados, se hayan incluido en el conjunto de activos de cobertura y estén sujetas a las correspondientes medidas de protección de los bonos garantizados, de modo que tales posiciones en derivados con valor de mercado negativo deberán estar cubiertas por activos admisibles del conjunto de cobertura. El valor de mercado neto negativo únicamente deberá notificarse en lo que respecta a la fecha de referencia a efectos de información. |
|
090-140 |
Calificación crediticia externa de los bonos garantizados Se deberá presentar, en lo que respecta a las calificaciones crediticias externas de los correspondientes bonos garantizados, la información disponible, en su caso, en la fecha de información. |
|
090 |
Agencia de calificación crediticia 1 Si en la fecha de información se dispone de una calificación crediticia de al menos una agencia de calificación, se indicará en esta casilla el nombre de una de las agencias de calificación. Si en la fecha de información se dispone de calificaciones crediticias de más de tres agencias de calificación, las tres agencias de calificación a las que se proporcione información se seleccionarán en función de su preeminencia en el mercado. |
|
100 |
Calificación crediticia 1 Calificación crediticia del bono garantizado en la fecha de referencia a efectos de información emitida por la agencia de calificación notificada en la columna 090. Si se dispone de calificaciones crediticias a largo y a corto plazo emitidas por una misma agencia de calificación, se notificará la calificación a largo plazo. La calificación crediticia que deberá notificarse incluirá todo posible modificador. |
|
110, 130 |
Agencia de calificación crediticia 2 y agencia de calificación crediticia 3 Cuando otras agencias de calificación hayan emitido calificaciones crediticias de los bonos garantizados en la fecha de referencia a efectos de información, se procederá del mismo modo que en el caso de la agencia de calificación crediticia 1 (columna 090). |
|
120, 140 |
Calificación crediticia 2 y calificación crediticia 3 En relación con otras calificaciones crediticias de los bonos garantizados en la fecha de referencia a efectos de información emitidas por las agencias de calificación 2 y 3, se procederá del mismo modo que en el caso de la calificación crediticia 1 (columna 100). |
|
150-250 |
Conjunto de activos de cobertura El conjunto de activos de cobertura abarcará todas las posiciones —incluidas las posiciones en derivados del conjunto de activos de cobertura, que, desde la perspectiva del emisor del bono garantizado, presenten un valor de mercado neto positivo—, que estén sujetas a las correspondientes medidas de protección de los bonos garantizados. |
|
150 |
Fecha de información Importes de los activos que integren el conjunto de cobertura, excluidas las posiciones en derivados de dicho conjunto de cobertura. Este importe incluirá los requisitos mínimos de sobregarantía más toda sobregarantía adicional que exceda de dicho mínimo, siempre que esté sujeta a las correspondientes medidas de protección de los bonos garantizados. |
|
160 |
+ 6 meses La fecha «+ 6 meses» denota el momento en el cual habrán transcurrido 6 meses desde la fecha de referencia a efectos de información. Los importes comunicados se basarán en el supuesto de que no haya habido variaciones en el conjunto de activos de cobertura con respecto a la fecha de información, salvedad hecha de las amortizaciones. En ausencia de un calendario de pagos preestablecido, para los importes pendientes en fechas futuras deberá atenderse de manera sistemática a los vencimientos previstos. |
|
170-200 |
+ 12 meses-+ 10 años Al igual que en el caso de «+ 6 meses» (columna 160), se remitirá al momento en el cual hayan transcurrido los plazos que se indican desde la fecha de referencia a efectos de información. |
|
210 |
Posiciones en derivados del conjunto de activos de cobertura con valor de mercado neto positivo Valor de mercado neto positivo de las posiciones en derivados del conjunto de activos de cobertura que, desde la perspectiva del emisor de los bonos garantizados, tengan un valor de mercado neto positivo. Las posiciones en derivados del conjunto de activos de cobertura serán posiciones netas en derivados que, de conformidad con el régimen legal pertinente de los bonos garantizados, se hayan incluido en el conjunto de activos de cobertura y estén sujetas a las correspondientes medidas de protección de los bonos garantizados, de modo que tales posiciones en derivados con valor de mercado positivo no formarán parte de la masa concursal del emisor de los bonos garantizados. El valor de mercado neto positivo únicamente deberá notificarse en lo que respecta a la fecha de información. |
|
220-250 |
Exceso del importe del conjunto de activos de cobertura con respecto a los requisitos mínimos de cobertura Importe del conjunto de activos de cobertura, incluidas las posiciones en derivados con valor de mercado neto positivo, que exceda de los requisitos mínimos de cobertura (sobregarantía). |
|
220 |
Según el régimen legal pertinente de los bonos garantizados Importe de la sobregarantía en relación con la cobertura mínima exigida con arreglo al régimen legal pertinente de los bonos garantizados. |
|
230-250 |
Según la metodología de las agencias de calificación crediticia destinada a mantener la actual calificación crediticia externa del bono garantizado Importe de la sobregarantía en relación con el nivel que, de acuerdo con la información de que disponga el emisor de los bonos garantizados sobre la metodología aplicada por la correspondiente agencia de calificación crediticia, se necesitaría como mínimo para respaldar la calificación crediticia vigente emitida por dicha agencia de calificación. |
|
230 |
Agencia de calificación crediticia 1 Importe de la sobregarantía en relación con el nivel que, de acuerdo con la información de que disponga el emisor de los bonos garantizados sobre la metodología aplicada por la agencia de calificación crediticia 1 (columna 090), se necesitaría como mínimo para respaldar la calificación crediticia 1 (columna 100). |
|
240-250 |
Agencia de calificación crediticia 2 y agencia de calificación crediticia 3 Las instrucciones relativas a la agencia de calificación crediticia 1 (columna 230) son válidas asimismo por lo que se refiere a la agencia de calificación crediticia 2 (columna 110) y a la agencia de calificación crediticia 3 (columna 130). |
6. PARTE E: DATOS AVANZADOS
6.1. Observaciones generales
35. La parte E reproduce la estructura de la plantilla panorámica de las cargas de la parte A, previendo plantillas diferenciadas para las cargas de los activos de la entidad declarante y las garantías reales recibidas: AE-ADV1 y AE-ADV2, respectivamente. En consecuencia, los pasivos correspondientes concordarán con los pasivos garantizados por los activos con cargas y no deberá existir una relación biunívoca.
6.2. Plantilla: AE-ADV1. Plantilla avanzada relativa a los activos de la entidad declarante
6.2.1. Instrucciones relativas a filas concretas
|
Filas |
Referencias legales e instrucciones |
|
010-020 |
Financiación de bancos centrales (de todo tipo, repos incluidos) Todos los tipos de pasivos de la entidad declarante en los que la contraparte en la operación sea un banco central. Los activos preasignados en bancos centrales no deberán considerarse con cargas, salvo que el banco central no permita la retirada de ningún activo depositado sin autorización previa. Por lo que se refiere a las garantías personales financieras no utilizadas, deberá asignarse la parte no utilizada, esto es, aquella que exceda del importe mínimo exigido por el banco central, de forma proporcional a los activos depositados en el banco central. |
|
030-040 |
Derivados negociados en mercados organizados Importe en libros de los derivados con garantía real de la entidad declarante que sean pasivos financieros, en la medida en que dichos derivados estén admitidos a cotización o se negocien en mercados de inversión reconocidos o designados y comporten para la entidad cargas de los activos. |
|
050-060 |
Derivados OTC Importe en libros de los derivados con garantía real de la entidad declarante que sean pasivos financieros, en la medida en que dichos derivados no se negocien en mercados organizados (OTC) y comporten para la entidad cargas de activos. (Mismas instrucciones en la fila 030 de la plantilla AE-SOU) |
|
070-080 |
Pactos de recompra Importe en libros de los pactos de recompra de la entidad declarante en los que la contraparte en la operación no sea un banco central, en la medida en que esas operaciones comporten para la entidad cargas de activos. Los pactos de recompra tripartitos tendrán la misma consideración que los demás pactos de recompra, en la medida en que esas operaciones comporten para la entidad cargas de activos. |
|
090-100 |
Depósitos con garantía real distintos de pactos de recompra Importe en libros de los depósitos con garantía real, excluidos los pactos de recompra de la entidad declarante en los que la contraparte en la operación no sea un banco central, en la medida en que esos depósitos comporten para la entidad las cargas de los activos. |
|
110-120 |
Bonos garantizados emitidos Véanse las instrucciones en la fila 100 de la plantilla AE-SOU. |
|
130-140 |
Titulizaciones emitidas Véanse las instrucciones en la fila 110 de la plantilla AE-SOU. |
|
150-160 |
Valores representativos de deuda emitidos distintos de bonos garantizados y bonos de titulización de activos Importe en libros de los valores representativos de deuda emitidos por la entidad declarante, excluidos los bonos garantizados y titulizaciones, en la medida en que dichos valores emitidos comporten para la entidad cargas de activos. En el supuesto de que la entidad declarante haya retenido algunos de los valores representativos de deuda emitidos, bien desde la fecha de emisión, bien posteriormente como consecuencia de una recompra, esos valores retenidos no deberán incluirse en esta partida. Por otra parte, las garantías reales asignadas a los mismos deberán clasificarse como sin cargas a efectos de esta plantilla. |
|
170-180 |
Otras fuentes de cargas Véanse las instrucciones en la fila 120 de la plantilla AE-SOU. |
|
190 |
Total de activos con cargas Por cada tipo de activo mencionado en las filas de la plantilla AE-ADV1, el importe en libros de los activos en poder de la entidad declarante que tengan cargas. |
|
200 |
de los cuales: admisibles por bancos centrales Por cada tipo de activo mencionado en las filas de la plantilla AE-ADV1, importe en libros de los activos en poder de la entidad declarante que tengan cargas y que sean admisibles en operaciones con los bancos centrales a los que la entidad declarante tenga acceso. Las entidades declarantes que no puedan establecer inequívocamente la admisibilidad de un elemento por un banco central –por ejemplo, en los países donde se opere sin una definición clara de activos admisibles en los pactos de recompra con el banco central–, o que no tengan acceso a un mercado de repos de un banco central de funcionamiento continuo, podrán abstenerse de notificar el importe correspondiente a dicho elemento, es decir, podrán dejar el campo en blanco. |
|
210 |
Total de activos sin cargas Por cada tipo de activo mencionado en las filas de la plantilla AE-ADV1, el importe en libros de los activos en poder de la entidad declarante que no tengan cargas. Por importe en libros se entenderá el importe consignado en el activo del balance. |
|
220 |
de los cuales: admisibles por bancos centrales Por cada tipo de activo mencionado en las filas de la plantilla AE-ADV1, importe en libros de los activos en poder de la entidad declarante que no tengan cargas y que sean admisibles en operaciones con los bancos centrales a los que la entidad declarante tenga acceso. Las entidades declarantes que no puedan establecer inequívocamente la admisibilidad de un elemento por un banco central –por ejemplo, en los países donde se opere sin una definición clara de activos admisibles en los pactos de recompra con el banco central–, o que no tengan acceso a un mercado de repos de un banco central de funcionamiento continuo, podrán abstenerse de notificar el importe correspondiente a dicho elemento, es decir, podrán dejar el campo en blanco. |
|
230 |
Activos con y sin cargas Por cada tipo de activo mencionado en las filas de la plantilla AE-ADV1, el importe en libros de los activos en poder de la entidad declarante. |
6.2.2. Instrucciones relativas a columnas específicas
|
Columnas |
Referencias legales e instrucciones |
|
010 |
Préstamos a la vista Véanse las instrucciones de la fila 020 de la plantilla AE-ASS. |
|
020 |
Instrumentos de patrimonio Véanse las instrucciones de la fila 030 de la plantilla AE-ASS. |
|
030 |
Total Véanse las instrucciones de la fila 040 de la plantilla AE-ASS. |
|
040 |
de los cuales: bonos garantizados Véanse las instrucciones de la fila 050 de la plantilla AE-ASS. |
|
050 |
de los cuales: emitidos por otros entes del grupo Bonos garantizados, según se describen en las instrucciones de la fila 050 de la plantilla AE-ASS, que hayan sido emitidos por cualquier ente incluido en el ámbito de consolidación prudencial. |
|
060 |
de los cuales: titulizaciones Véanse las instrucciones de la fila 060 de la plantilla AE-ASS. |
|
070 |
de los cuales: emitidos por otros entes del grupo Titulizaciones, según se describen en las instrucciones de la fila 060 de la plantilla AE-ASS, que hayan sido emitidas por cualquier ente incluido en el ámbito de consolidación prudencial. |
|
080 |
de los cuales: emitidos por administraciones públicas Véanse las instrucciones de la fila 070 de la plantilla AE-ASS. |
|
090 |
de los cuales: emitidos por sociedades financieras Véanse las instrucciones de la fila 080 de la plantilla AE-ASS. |
|
100 |
de los cuales: emitidos por sociedades no financieras Véanse las instrucciones de la fila 090 de la plantilla AE-ASS. |
|
110 |
Bancos centrales y administraciones públicas Préstamos y anticipos, excluidos los préstamos a la vista, concedidos a bancos centrales o a administraciones públicas. |
|
120 |
Sociedades financieras Préstamos y anticipos, excluidos los préstamos a la vista, concedidos a sociedades financieras |
|
130 |
Sociedades no financieras Préstamos y anticipos, excluidos los préstamos a la vista, concedidos a sociedades no financieras |
|
140 |
de los cuales: préstamos hipotecarios Préstamos y anticipos, excluidos los préstamos a la vista, garantizados con hipotecas y concedidos a sociedades no financieras |
|
150 |
Hogares Préstamos y anticipos, excluidos los préstamos a la vista, concedidos a los hogares. |
|
160 |
de los cuales: préstamos hipotecarios Préstamos y anticipos, excluidos los préstamos a la vista, garantizados con hipotecas y concedidos a los hogares. |
|
170 |
Otros activos Véanse las instrucciones de la fila 120 de la plantilla AE-ASS. |
|
180 |
Total Véanse las instrucciones de la fila 010 de la plantilla AE-ASS. |
6.3. Plantilla: AE-ADV2. Plantilla avanzada relativa a las garantías reales recibidas por la entidad declarante
6.3.1. Instrucciones relativas a filas concretas
36. Véase la sección 6.2.1; las instrucciones son similares en ambas plantillas.
6.3.2. Instrucciones relativas a columnas específicas
|
Columnas |
Referencias legales e instrucciones |
|
010 |
Préstamos a la vista Véanse las instrucciones de la fila 140 de la plantilla AE- COL. |
|
020 |
Instrumentos de patrimonio Véanse las instrucciones de la fila 150 de la plantilla AE- COL. |
|
030 |
Total Véanse las instrucciones de la fila 160 de la plantilla AE- COL. |
|
040 |
de los cuales: bonos garantizados Véanse las instrucciones de la fila 170 de la plantilla AE-COL. |
|
050 |
de los cuales: emitidos por otros entes del grupo Garantías reales recibidas por la entidad declarante y consistentes en bonos garantizados emitidos por cualquier ente incluido en el ámbito de consolidación prudencial. |
|
060 |
de los cuales: titulizaciones Véanse las instrucciones de la fila 180 de la plantilla AE- COL. |
|
070 |
de los cuales: emitidos por otros entes del grupo Garantías reales recibidas por la entidad declarante y consistentes en titulizaciones emitidas por cualquier ente incluido en el ámbito de consolidación prudencial. |
|
080 |
de los cuales: emitidos por administraciones públicas Véanse las instrucciones de la fila 190 de la plantilla AE- COL. |
|
090 |
de los cuales: emitidos por sociedades financieras Véanse las instrucciones de la fila 200 de la plantilla AE- COL. |
|
100 |
de los cuales: emitidos por sociedades no financieras Véanse las instrucciones de la fila 210 de la plantilla AE- COL. |
|
110 |
Bancos centrales y administraciones públicas Garantías reales recibidas por la entidad declarante y consistentes en préstamos y anticipos, excluidos los préstamos a la vista, concedidos a bancos centrales o a administraciones públicas. |
|
120 |
Sociedades financieras Garantías reales recibidas por la entidad declarante y consistentes en préstamos y anticipos, excluidos los préstamos a la vista, concedidos a sociedades financieras. |
|
130 |
Sociedades no financieras Garantías reales recibidas por la entidad declarante y consistentes en préstamos y anticipos, excluidos los préstamos a la vista, concedidos a sociedades no financieras. |
|
140 |
de los cuales: préstamos hipotecarios Garantías reales recibidas por la entidad declarante y consistentes en préstamos y anticipos, excluidos los préstamos a la vista, garantizados con hipotecas y concedidos a sociedades no financieras. |
|
150 |
Hogares Garantías reales recibidas por la entidad declarante y consistentes en préstamos y anticipos, excluidos los préstamos a la vista, concedidos a los hogares. |
|
160 |
de los cuales: préstamos hipotecarios Garantías reales recibidas por la entidad declarante y consistentes en préstamos y anticipos, excluidos los préstamos a la vista, garantizados con hipotecas y concedidos a los hogares. |
|
170 |
Otros activos Véanse las instrucciones de la fila 230 de la plantilla AE-COL. |
|
180 |
Valores representativos de deuda propios emitidos distintos de bonos garantizados o bonos de titulización de activos propios Véanse las instrucciones de la fila 240 de la plantilla AE-COL. |
|
190 |
Total Véanse las instrucciones de las filas 130 y 140 de la plantilla AE-COL. |
ANEXO XVIII
|
PLANTILLAS AMM |
||
|
Número de plantilla |
Código de plantilla |
Nombre de la plantilla/grupo de plantillas |
|
|
|
PLANTILLAS RELATIVAS A LAS HERRAMIENTAS DE CONTROL ADICIONALES |
|
67 |
C 67.00 |
CONCENTRACIÓN DE LA FINANCIACIÓN POR CONTRAPARTE |
|
68 |
C 68.00 |
CONCENTRACIÓN DE LA FINANCIACIÓN POR TIPO DE PRODUCTO |
|
69 |
C 69.00 |
PRECIOS SEGÚN DIVERSAS DURACIONES DE LA FINANCIACIÓN |
|
70 |
C 70.00 |
RENOVACIÓN DE LA FINANCIACIÓN |
C 67.00 — CONCENTRACIÓN DE LA FINANCIACIÓN POR CONTRAPARTE
Total y monedas significativas
|
|
Concentración de la financiación por contraparte |
||||||||
|
|
Nombre de la contraparte |
Código LEI |
Sector de la contraparte |
Lugar de residencia de la contraparte |
Tipo de producto |
Importe recibido |
Vencimiento original medio ponderado |
Vencimiento residual medio ponderado |
|
|
Fila |
ID |
010 |
020 |
030 |
040 |
050 |
060 |
070 |
080 |
|
010 |
1. LAS DIEZ CONTRAPARTES PRINCIPALES, CADA UNA DE LAS CUALES REPRESENTA MÁS DEL 1 % DEL TOTAL DE PASIVOS |
|
|
|
|
|
|
|
|
|
020 |
1,01 |
|
|
|
|
|
|
|
|
|
030 |
1,02 |
|
|
|
|
|
|
|
|
|
040 |
1,03 |
|
|
|
|
|
|
|
|
|
050 |
1,04 |
|
|
|
|
|
|
|
|
|
060 |
1,05 |
|
|
|
|
|
|
|
|
|
070 |
1,06 |
|
|
|
|
|
|
|
|
|
080 |
1,07 |
|
|
|
|
|
|
|
|
|
090 |
1,08 |
|
|
|
|
|
|
|
|
|
100 |
1,09 |
|
|
|
|
|
|
|
|
|
110 |
1,10 |
|
|
|
|
|
|
|
|
|
120 |
2. TODOS LOS DEMÁS PASIVOS |
|
|
|
|
|
|
|
|
C 68.00 — CONCENTRACIÓN DE LA FINANCIACIÓN POR TIPO DE PRODUCTO
Total y monedas significativas
|
Concentración de la financiación por tipo de producto |
|||||||
|
Fila |
ID |
Nombre del producto |
Importe en libros recibido |
Importe cubierto por un sistema de garantía de depósitos con arreglo a la Directiva 2014/49/UE o un sistema de garantía de depósitos equivalente de un tercer país |
Importe no cubierto por un sistema de garantía de depósitos con arreglo a la Directiva 2014/49/UE o un sistema de garantía de depósitos equivalente de un tercer país |
Vencimiento original medio ponderado |
Vencimiento residual medio ponderado |
|
|
|
|
010 |
020 |
030 |
040 |
050 |
|
PRODUCTOS QUE REPRESENTAN MÁS DEL 1 % DEL TOTAL DE PASIVOS |
|||||||
|
010 |
1 |
FINANCIACIÓN MINORISTA |
|
|
|
|
|
|
020 |
1,1 |
De la cual: depósitos a la vista |
|
|
|
|
|
|
031 |
1,2 |
De la cual: depósitos a plazo que no puedan retirarse en los siguientes 30 días |
|
|
|
|
|
|
041 |
1,3 |
De la cual: depósitos a plazo que puedan retirarse en los siguientes 30 días |
|
|
|
|
|
|
070 |
1,4 |
Cuentas de ahorro |
|
|
|
|
|
|
080 |
1.4.1 |
con plazo de preaviso para la retirada superior a 30 días |
|
|
|
|
|
|
090 |
1.4.2 |
sin plazo de preaviso para la retirada superior a 30 días |
|
|
|
|
|
|
100 |
2 |
FINANCIACIÓN MAYORISTA |
|
|
|
|
|
|
110 |
2,1 |
Financiación mayorista no garantizada |
|
|
|
|
|
|
120 |
2.1.1 |
De la cual: préstamos y depósitos de clientes financieros |
|
|
|
|
|
|
130 |
2.1.2 |
De la cual: préstamos y depósitos de clientes no financieros |
|
|
|
|
|
|
140 |
2.1.3 |
De la cual: préstamos y depósitos de entes del grupo |
|
|
|
|
|
|
150 |
2,2 |
Financiación mayorista garantizada |
|
|
|
|
|
|
160 |
2.2.1 |
De la cual: operaciones de financiación de valores |
|
|
|
|
|
|
170 |
2.2.2 |
De la cual: emisión de bonos garantizados |
|
|
|
|
|
|
180 |
2.2.3 |
De la cual: emisión de valores de titulización de activos |
|
|
|
|
|
|
190 |
2.2.4 |
De la cual: préstamos y depósitos de entes del grupo |
|
|
|
|
|
C 69.00 — PRECIOS SEGÚN DIVERSAS DURACIONES DE LA FINANCIACIÓN
Total y monedas significativas
|
|
Precios según diversas duraciones de la financiación |
|||||||||||||||||||
|
|
1 día |
1 semana |
1 mes |
3 meses |
6 meses |
1 año |
2 años |
5 años |
10 años |
|||||||||||
|
Diferencial |
Volumen |
Diferencial |
Volumen |
Diferencial |
Volumen |
Diferencial |
Volumen |
Diferencial |
Volumen |
Diferencial |
Volumen |
Diferencial |
Volumen |
Diferencial |
Volumen |
Diferencial |
Volumen |
|||
|
Fila |
ID |
Partida |
010 |
020 |
030 |
040 |
050 |
060 |
070 |
080 |
090 |
100 |
110 |
120 |
130 |
140 |
150 |
160 |
170 |
180 |
|
010 |
1 |
Total de la financiación |
|
|
|
|
|
|
|
|
|
|
|
|
|
|
|
|
|
|
|
020 |
1,1 |
De la cual: financiación minorista |
|
|
|
|
|
|
|
|
|
|
|
|
|
|
|
|
|
|
|
030 |
1,2 |
De la cual: financiación mayorista no garantizada |
|
|
|
|
|
|
|
|
|
|
|
|
|
|
|
|
|
|
|
040 |
1,3 |
De la cual: financiación garantizada |
|
|
|
|
|
|
|
|
|
|
|
|
|
|
|
|
|
|
|
050 |
1,4 |
De la cual: valores preferentes no garantizados |
|
|
|
|
|
|
|
|
|
|
|
|
|
|
|
|
|
|
|
060 |
1,5 |
De la cual: bonos garantizados |
|
|
|
|
|
|
|
|
|
|
|
|
|
|
|
|
|
|
|
070 |
1,6 |
De la cual: valores de titulización de activos, incluidos ABCP |
|
|
|
|
|
|
|
|
|
|
|
|
|
|
|
|
|
|
C 70.00 — RENOVACIÓN DE LA FINANCIACIÓN
Total y monedas significativas
|
|
Renovación de la financiación |
||||||||||||||||||||||||||||||||||
|
|
1 día |
> 1 día ≤ 7 días |
> 7 días ≤ 14 días |
> 14 días ≤ 1 mes |
> 1 mes ≤ 3 meses |
> 3 meses ≤ 6 meses |
> 6 meses |
Total flujos de efectivo netos |
Plazo medio (días) |
||||||||||||||||||||||||||
|
Al vencimiento |
Renovación |
Nuevos fondos |
Neto |
Al vencimiento |
Renovación |
Nuevos fondos |
Neto |
Al vencimiento |
Renovación |
Nuevos fondos |
Neto |
Al vencimiento |
Renovación |
Nuevos fondos |
Neto |
Al vencimiento |
Renovación |
Nuevos fondos |
Neto |
Al vencimiento |
Renovación |
Nuevos fondos |
Neto |
Al vencimiento |
Renovación |
Nuevos fondos |
Neto |
Plazo de los fondos que vencen |
Plazo de los fondos renovados |
Plazo de los nuevos fondos |
|||||
|
Fila |
ID |
Día |
Partida |
010 |
020 |
030 |
040 |
050 |
060 |
070 |
080 |
090 |
100 |
110 |
120 |
130 |
140 |
150 |
160 |
170 |
180 |
190 |
200 |
210 |
220 |
230 |
240 |
250 |
260 |
270 |
280 |
290 |
300 |
310 |
320 |
|
010 |
1.1 |
1 |
Total de la financiación |
|
|
|
|
|
|
|
|
|
|
|
|
|
|
|
|
|
|
|
|
|
|
|
|
|
|
|
|
|
|
|
|
|
020 |
1.1.1 |
Financiación minorista |
|
|
|
|
|
|
|
|
|
|
|
|
|
|
|
|
|
|
|
|
|
|
|
|
|
|
|
|
|
|
|
|
|
|
030 |
1.1.2 |
Financiación mayorista no garantizada |
|
|
|
|
|
|
|
|
|
|
|
|
|
|
|
|
|
|
|
|
|
|
|
|
|
|
|
|
|
|
|
|
|
|
040 |
1.1.3 |
Financiación garantizada |
|
|
|
|
|
|
|
|
|
|
|
|
|
|
|
|
|
|
|
|
|
|
|
|
|
|
|
|
|
|
|
|
|
|
050 |
1.2 |
2 |
Total de la financiación |
|
|
|
|
|
|
|
|
|
|
|
|
|
|
|
|
|
|
|
|
|
|
|
|
|
|
|
|
|
|
|
|
|
060 |
1.2.1 |
Financiación minorista |
|
|
|
|
|
|
|
|
|
|
|
|
|
|
|
|
|
|
|
|
|
|
|
|
|
|
|
|
|
|
|
|
|
|
070 |
1.2.2 |
Financiación mayorista no garantizada |
|
|
|
|
|
|
|
|
|
|
|
|
|
|
|
|
|
|
|
|
|
|
|
|
|
|
|
|
|
|
|
|
|
|
080 |
1.2.3 |
Financiación garantizada |
|
|
|
|
|
|
|
|
|
|
|
|
|
|
|
|
|
|
|
|
|
|
|
|
|
|
|
|
|
|
|
|
|
|
090 |
1.3 |
3 |
Total de la financiación |
|
|
|
|
|
|
|
|
|
|
|
|
|
|
|
|
|
|
|
|
|
|
|
|
|
|
|
|
|
|
|
|
|
100 |
1.3.1 |
Financiación minorista |
|
|
|
|
|
|
|
|
|
|
|
|
|
|
|
|
|
|
|
|
|
|
|
|
|
|
|
|
|
|
|
|
|
|
110 |
1.3.2 |
Financiación mayorista no garantizada |
|
|
|
|
|
|
|
|
|
|
|
|
|
|
|
|
|
|
|
|
|
|
|
|
|
|
|
|
|
|
|
|
|
|
120 |
1.3.3 |
Financiación garantizada |
|
|
|
|
|
|
|
|
|
|
|
|
|
|
|
|
|
|
|
|
|
|
|
|
|
|
|
|
|
|
|
|
|
|
130 |
1.4 |
4 |
Total de la financiación |
|
|
|
|
|
|
|
|
|
|
|
|
|
|
|
|
|
|
|
|
|
|
|
|
|
|
|
|
|
|
|
|
|
140 |
1.4.1 |
Financiación minorista |
|
|
|
|
|
|
|
|
|
|
|
|
|
|
|
|
|
|
|
|
|
|
|
|
|
|
|
|
|
|
|
|
|
|
150 |
1.4.2 |
Financiación mayorista no garantizada |
|
|
|
|
|
|
|
|
|
|
|
|
|
|
|
|
|
|
|
|
|
|
|
|
|
|
|
|
|
|
|
|
|
|
160 |
1.4.3 |
Financiación garantizada |
|
|
|
|
|
|
|
|
|
|
|
|
|
|
|
|
|
|
|
|
|
|
|
|
|
|
|
|
|
|
|
|
|
|
170 |
1.5 |
5 |
Total de la financiación |
|
|
|
|
|
|
|
|
|
|
|
|
|
|
|
|
|
|
|
|
|
|
|
|
|
|
|
|
|
|
|
|
|
180 |
1.5.1 |
Financiación minorista |
|
|
|
|
|
|
|
|
|
|
|
|
|
|
|
|
|
|
|
|
|
|
|
|
|
|
|
|
|
|
|
|
|
|
190 |
1.5.2 |
Financiación mayorista no garantizada |
|
|
|
|
|
|
|
|
|
|
|
|
|
|
|
|
|
|
|
|
|
|
|
|
|
|
|
|
|
|
|
|
|
|
200 |
1.5.3 |
Financiación garantizada |
|
|
|
|
|
|
|
|
|
|
|
|
|
|
|
|
|
|
|
|
|
|
|
|
|
|
|
|
|
|
|
|
|
|
210 |
1.6 |
6 |
Total de la financiación |
|
|
|
|
|
|
|
|
|
|
|
|
|
|
|
|
|
|
|
|
|
|
|
|
|
|
|
|
|
|
|
|
|
220 |
1.6.1 |
Financiación minorista |
|
|
|
|
|
|
|
|
|
|
|
|
|
|
|
|
|
|
|
|
|
|
|
|
|
|
|
|
|
|
|
|
|
|
230 |
1.6.2 |
Financiación mayorista no garantizada |
|
|
|
|
|
|
|
|
|
|
|
|
|
|
|
|
|
|
|
|
|
|
|
|
|
|
|
|
|
|
|
|
|
|
240 |
1.6.3 |
Financiación garantizada |
|
|
|
|
|
|
|
|
|
|
|
|
|
|
|
|
|
|
|
|
|
|
|
|
|
|
|
|
|
|
|
|
|
|
250 |
1.7 |
7 |
Total de la financiación |
|
|
|
|
|
|
|
|
|
|
|
|
|
|
|
|
|
|
|
|
|
|
|
|
|
|
|
|
|
|
|
|
|
260 |
1.7.1 |
Financiación minorista |
|
|
|
|
|
|
|
|
|
|
|
|
|
|
|
|
|
|
|
|
|
|
|
|
|
|
|
|
|
|
|
|
|
|
270 |
1.7.2 |
Financiación mayorista no garantizada |
|
|
|
|
|
|
|
|
|
|
|
|
|
|
|
|
|
|
|
|
|
|
|
|
|
|
|
|
|
|
|
|
|
|
280 |
1.7.3 |
Financiación garantizada |
|
|
|
|
|
|
|
|
|
|
|
|
|
|
|
|
|
|
|
|
|
|
|
|
|
|
|
|
|
|
|
|
|
|
290 |
1.8 |
8 |
Total de la financiación |
|
|
|
|
|
|
|
|
|
|
|
|
|
|
|
|
|
|
|
|
|
|
|
|
|
|
|
|
|
|
|
|
|
300 |
1.8.1 |
Financiación minorista |
|
|
|
|
|
|
|
|
|
|
|
|
|
|
|
|
|
|
|
|
|
|
|
|
|
|
|
|
|
|
|
|
|
|
310 |
1.8.2 |
Financiación mayorista no garantizada |
|
|
|
|
|
|
|
|
|
|
|
|
|
|
|
|
|
|
|
|
|
|
|
|
|
|
|
|
|
|
|
|
|
|
320 |
1.8.3 |
Financiación garantizada |
|
|
|
|
|
|
|
|
|
|
|
|
|
|
|
|
|
|
|
|
|
|
|
|
|
|
|
|
|
|
|
|
|
|
330 |
1.9 |
9 |
Total de la financiación |
|
|
|
|
|
|
|
|
|
|
|
|
|
|
|
|
|
|
|
|
|
|
|
|
|
|
|
|
|
|
|
|
|
340 |
1.9.1 |
Financiación minorista |
|
|
|
|
|
|
|
|
|
|
|
|
|
|
|
|
|
|
|
|
|
|
|
|
|
|
|
|
|
|
|
|
|
|
350 |
1.9.2 |
Financiación mayorista no garantizada |
|
|
|
|
|
|
|
|
|
|
|
|
|
|
|
|
|
|
|
|
|
|
|
|
|
|
|
|
|
|
|
|
|
|
360 |
1.9.3 |
Financiación garantizada |
|
|
|
|
|
|
|
|
|
|
|
|
|
|
|
|
|
|
|
|
|
|
|
|
|
|
|
|
|
|
|
|
|
|
370 |
1.10 |
10 |
Total de la financiación |
|
|
|
|
|
|
|
|
|
|
|
|
|
|
|
|
|
|
|
|
|
|
|
|
|
|
|
|
|
|
|
|
|
380 |
1.10.1 |
Financiación minorista |
|
|
|
|
|
|
|
|
|
|
|
|
|
|
|
|
|
|
|
|
|
|
|
|
|
|
|
|
|
|
|
|
|
|
390 |
1.10.2 |
Financiación mayorista no garantizada |
|
|
|
|
|
|
|
|
|
|
|
|
|
|
|
|
|
|
|
|
|
|
|
|
|
|
|
|
|
|
|
|
|
|
400 |
1.10.3 |
Financiación garantizada |
|
|
|
|
|
|
|
|
|
|
|
|
|
|
|
|
|
|
|
|
|
|
|
|
|
|
|
|
|
|
|
|
|
|
410 |
1,11 |
11 |
Total de la financiación |
|
|
|
|
|
|
|
|
|
|
|
|
|
|
|
|
|
|
|
|
|
|
|
|
|
|
|
|
|
|
|
|
|
420 |
1.11.1 |
Financiación minorista |
|
|
|
|
|
|
|
|
|
|
|
|
|
|
|
|
|
|
|
|
|
|
|
|
|
|
|
|
|
|
|
|
|
|
430 |
1.11.2 |
Financiación mayorista no garantizada |
|
|
|
|
|
|
|
|
|
|
|
|
|
|
|
|
|
|
|
|
|
|
|
|
|
|
|
|
|
|
|
|
|
|
440 |
1.11.3 |
Financiación garantizada |
|
|
|
|
|
|
|
|
|
|
|
|
|
|
|
|
|
|
|
|
|
|
|
|
|
|
|
|
|
|
|
|
|
|
450 |
1,12 |
12 |
Total de la financiación |
|
|
|
|
|
|
|
|
|
|
|
|
|
|
|
|
|
|
|
|
|
|
|
|
|
|
|
|
|
|
|
|
|
460 |
1.12.1 |
Financiación minorista |
|
|
|
|
|
|
|
|
|
|
|
|
|
|
|
|
|
|
|
|
|
|
|
|
|
|
|
|
|
|
|
|
|
|
470 |
1.12.2 |
Financiación mayorista no garantizada |
|
|
|
|
|
|
|
|
|
|
|
|
|
|
|
|
|
|
|
|
|
|
|
|
|
|
|
|
|
|
|
|
|
|
480 |
1.12.3 |
Financiación garantizada |
|
|
|
|
|
|
|
|
|
|
|
|
|
|
|
|
|
|
|
|
|
|
|
|
|
|
|
|
|
|
|
|
|
|
490 |
1,13 |
13 |
Total de la financiación |
|
|
|
|
|
|
|
|
|
|
|
|
|
|
|
|
|
|
|
|
|
|
|
|
|
|
|
|
|
|
|
|
|
500 |
1.13.1 |
Financiación minorista |
|
|
|
|
|
|
|
|
|
|
|
|
|
|
|
|
|
|
|
|
|
|
|
|
|
|
|
|
|
|
|
|
|
|
510 |
1.13.2 |
Financiación mayorista no garantizada |
|
|
|
|
|
|
|
|
|
|
|
|
|
|
|
|
|
|
|
|
|
|
|
|
|
|
|
|
|
|
|
|
|
|
520 |
1.13.3 |
Financiación garantizada |
|
|
|
|
|
|
|
|
|
|
|
|
|
|
|
|
|
|
|
|
|
|
|
|
|
|
|
|
|
|
|
|
|
|
530 |
1,14 |
14 |
Total de la financiación |
|
|
|
|
|
|
|
|
|
|
|
|
|
|
|
|
|
|
|
|
|
|
|
|
|
|
|
|
|
|
|
|
|
540 |
1.14.1 |
Financiación minorista |
|
|
|
|
|
|
|
|
|
|
|
|
|
|
|
|
|
|
|
|
|
|
|
|
|
|
|
|
|
|
|
|
|
|
550 |
1.14.2 |
Financiación mayorista no garantizada |
|
|
|
|
|
|
|
|
|
|
|
|
|
|
|
|
|
|
|
|
|
|
|
|
|
|
|
|
|
|
|
|
|
|
560 |
1.14.3 |
Financiación garantizada |
|
|
|
|
|
|
|
|
|
|
|
|
|
|
|
|
|
|
|
|
|
|
|
|
|
|
|
|
|
|
|
|
|
|
570 |
1,15 |
15 |
Total de la financiación |
|
|
|
|
|
|
|
|
|
|
|
|
|
|
|
|
|
|
|
|
|
|
|
|
|
|
|
|
|
|
|
|
|
580 |
1.15.1 |
Financiación minorista |
|
|
|
|
|
|
|
|
|
|
|
|
|
|
|
|
|
|
|
|
|
|
|
|
|
|
|
|
|
|
|
|
|
|
590 |
1.15.2 |
Financiación mayorista no garantizada |
|
|
|
|
|
|
|
|
|
|
|
|
|
|
|
|
|
|
|
|
|
|
|
|
|
|
|
|
|
|
|
|
|
|
600 |
1.15.3 |
Financiación garantizada |
|
|
|
|
|
|
|
|
|
|
|
|
|
|
|
|
|
|
|
|
|
|
|
|
|
|
|
|
|
|
|
|
|
|
610 |
1,16 |
16 |
Total de la financiación |
|
|
|
|
|
|
|
|
|
|
|
|
|
|
|
|
|
|
|
|
|
|
|
|
|
|
|
|
|
|
|
|
|
620 |
1.16.1 |
Financiación minorista |
|
|
|
|
|
|
|
|
|
|
|
|
|
|
|
|
|
|
|
|
|
|
|
|
|
|
|
|
|
|
|
|
|
|
630 |
1.16.2 |
Financiación mayorista no garantizada |
|
|
|
|
|
|
|
|
|
|
|
|
|
|
|
|
|
|
|
|
|
|
|
|
|
|
|
|
|
|
|
|
|
|
640 |
1.16.3 |
Financiación garantizada |
|
|
|
|
|
|
|
|
|
|
|
|
|
|
|
|
|
|
|
|
|
|
|
|
|
|
|
|
|
|
|
|
|
|
650 |
1,17 |
17 |
Total de la financiación |
|
|
|
|
|
|
|
|
|
|
|
|
|
|
|
|
|
|
|
|
|
|
|
|
|
|
|
|
|
|
|
|
|
660 |
1.17.1 |
Financiación minorista |
|
|
|
|
|
|
|
|
|
|
|
|
|
|
|
|
|
|
|
|
|
|
|
|
|
|
|
|
|
|
|
|
|
|
670 |
1.17.2 |
Financiación mayorista no garantizada |
|
|
|
|
|
|
|
|
|
|
|
|
|
|
|
|
|
|
|
|
|
|
|
|
|
|
|
|
|
|
|
|
|
|
680 |
1.17.3 |
Financiación garantizada |
|
|
|
|
|
|
|
|
|
|
|
|
|
|
|
|
|
|
|
|
|
|
|
|
|
|
|
|
|
|
|
|
|
|
690 |
1,18 |
18 |
Total de la financiación |
|
|
|
|
|
|
|
|
|
|
|
|
|
|
|
|
|
|
|
|
|
|
|
|
|
|
|
|
|
|
|
|
|
700 |
1.18.1 |
Financiación minorista |
|
|
|
|
|
|
|
|
|
|
|
|
|
|
|
|
|
|
|
|
|
|
|
|
|
|
|
|
|
|
|
|
|
|
710 |
1.18.2 |
Financiación mayorista no garantizada |
|
|
|
|
|
|
|
|
|
|
|
|
|
|
|
|
|
|
|
|
|
|
|
|
|
|
|
|
|
|
|
|
|
|
720 |
1.18.3 |
Financiación garantizada |
|
|
|
|
|
|
|
|
|
|
|
|
|
|
|
|
|
|
|
|
|
|
|
|
|
|
|
|
|
|
|
|
|
|
730 |
1,19 |
19 |
Total de la financiación |
|
|
|
|
|
|
|
|
|
|
|
|
|
|
|
|
|
|
|
|
|
|
|
|
|
|
|
|
|
|
|
|
|
740 |
1.19.1 |
Financiación minorista |
|
|
|
|
|
|
|
|
|
|
|
|
|
|
|
|
|
|
|
|
|
|
|
|
|
|
|
|
|
|
|
|
|
|
750 |
1.19.2 |
Financiación mayorista no garantizada |
|
|
|
|
|
|
|
|
|
|
|
|
|
|
|
|
|
|
|
|
|
|
|
|
|
|
|
|
|
|
|
|
|
|
760 |
1.19.3 |
Financiación garantizada |
|
|
|
|
|
|
|
|
|
|
|
|
|
|
|
|
|
|
|
|
|
|
|
|
|
|
|
|
|
|
|
|
|
|
770 |
1.20 |
20 |
Total de la financiación |
|
|
|
|
|
|
|
|
|
|
|
|
|
|
|
|
|
|
|
|
|
|
|
|
|
|
|
|
|
|
|
|
|
780 |
1.20.1 |
Financiación minorista |
|
|
|
|
|
|
|
|
|
|
|
|
|
|
|
|
|
|
|
|
|
|
|
|
|
|
|
|
|
|
|
|
|
|
790 |
1.20.2 |
Financiación mayorista no garantizada |
|
|
|
|
|
|
|
|
|
|
|
|
|
|
|
|
|
|
|
|
|
|
|
|
|
|
|
|
|
|
|
|
|
|
800 |
1.20.3 |
Financiación garantizada |
|
|
|
|
|
|
|
|
|
|
|
|
|
|
|
|
|
|
|
|
|
|
|
|
|
|
|
|
|
|
|
|
|
|
810 |
1,21 |
21 |
Total de la financiación |
|
|
|
|
|
|
|
|
|
|
|
|
|
|
|
|
|
|
|
|
|
|
|
|
|
|
|
|
|
|
|
|
|
820 |
1.21.1 |
Financiación minorista |
|
|
|
|
|
|
|
|
|
|
|
|
|
|
|
|
|
|
|
|
|
|
|
|
|
|
|
|
|
|
|
|
|
|
830 |
1.21.2 |
Financiación mayorista no garantizada |
|
|
|
|
|
|
|
|
|
|
|
|
|
|
|
|
|
|
|
|
|
|
|
|
|
|
|
|
|
|
|
|
|
|
840 |
1.21.3 |
Financiación garantizada |
|
|
|
|
|
|
|
|
|
|
|
|
|
|
|
|
|
|
|
|
|
|
|
|
|
|
|
|
|
|
|
|
|
|
850 |
1,22 |
22 |
Total de la financiación |
|
|
|
|
|
|
|
|
|
|
|
|
|
|
|
|
|
|
|
|
|
|
|
|
|
|
|
|
|
|
|
|
|
860 |
1.22.1 |
Financiación minorista |
|
|
|
|
|
|
|
|
|
|
|
|
|
|
|
|
|
|
|
|
|
|
|
|
|
|
|
|
|
|
|
|
|
|
870 |
1.22.2 |
Financiación mayorista no garantizada |
|
|
|
|
|
|
|
|
|
|
|
|
|
|
|
|
|
|
|
|
|
|
|
|
|
|
|
|
|
|
|
|
|
|
880 |
1.22.3 |
Financiación garantizada |
|
|
|
|
|
|
|
|
|
|
|
|
|
|
|
|
|
|
|
|
|
|
|
|
|
|
|
|
|
|
|
|
|
|
890 |
1,23 |
23 |
Total de la financiación |
|
|
|
|
|
|
|
|
|
|
|
|
|
|
|
|
|
|
|
|
|
|
|
|
|
|
|
|
|
|
|
|
|
900 |
1.23.1 |
Financiación minorista |
|
|
|
|
|
|
|
|
|
|
|
|
|
|
|
|
|
|
|
|
|
|
|
|
|
|
|
|
|
|
|
|
|
|
910 |
1.23.2 |
Financiación mayorista no garantizada |
|
|
|
|
|
|
|
|
|
|
|
|
|
|
|
|
|
|
|
|
|
|
|
|
|
|
|
|
|
|
|
|
|
|
920 |
1.23.3 |
Financiación garantizada |
|
|
|
|
|
|
|
|
|
|
|
|
|
|
|
|
|
|
|
|
|
|
|
|
|
|
|
|
|
|
|
|
|
|
930 |
1,24 |
24 |
Total de la financiación |
|
|
|
|
|
|
|
|
|
|
|
|
|
|
|
|
|
|
|
|
|
|
|
|
|
|
|
|
|
|
|
|
|
940 |
1.24.1 |
Financiación minorista |
|
|
|
|
|
|
|
|
|
|
|
|
|
|
|
|
|
|
|
|
|
|
|
|
|
|
|
|
|
|
|
|
|
|
950 |
1.24.2 |
Financiación mayorista no garantizada |
|
|
|
|
|
|
|
|
|
|
|
|
|
|
|
|
|
|
|
|
|
|
|
|
|
|
|
|
|
|
|
|
|
|
960 |
1.24.3 |
Financiación garantizada |
|
|
|
|
|
|
|
|
|
|
|
|
|
|
|
|
|
|
|
|
|
|
|
|
|
|
|
|
|
|
|
|
|
|
970 |
1,25 |
25 |
Total de la financiación |
|
|
|
|
|
|
|
|
|
|
|
|
|
|
|
|
|
|
|
|
|
|
|
|
|
|
|
|
|
|
|
|
|
980 |
1.25.1 |
Financiación minorista |
|
|
|
|
|
|
|
|
|
|
|
|
|
|
|
|
|
|
|
|
|
|
|
|
|
|
|
|
|
|
|
|
|
|
990 |
1.25.2 |
Financiación mayorista no garantizada |
|
|
|
|
|
|
|
|
|
|
|
|
|
|
|
|
|
|
|
|
|
|
|
|
|
|
|
|
|
|
|
|
|
|
1000 |
1.25.3 |
Financiación garantizada |
|
|
|
|
|
|
|
|
|
|
|
|
|
|
|
|
|
|
|
|
|
|
|
|
|
|
|
|
|
|
|
|
|
|
1010 |
1,26 |
26 |
Total de la financiación |
|
|
|
|
|
|
|
|
|
|
|
|
|
|
|
|
|
|
|
|
|
|
|
|
|
|
|
|
|
|
|
|
|
1020 |
1.26.1 |
Financiación minorista |
|
|
|
|
|
|
|
|
|
|
|
|
|
|
|
|
|
|
|
|
|
|
|
|
|
|
|
|
|
|
|
|
|
|
1030 |
1.26.2 |
Financiación mayorista no garantizada |
|
|
|
|
|
|
|
|
|
|
|
|
|
|
|
|
|
|
|
|
|
|
|
|
|
|
|
|
|
|
|
|
|
|
1040 |
1.26.3 |
Financiación garantizada |
|
|
|
|
|
|
|
|
|
|
|
|
|
|
|
|
|
|
|
|
|
|
|
|
|
|
|
|
|
|
|
|
|
|
1050 |
1,27 |
27 |
Total de la financiación |
|
|
|
|
|
|
|
|
|
|
|
|
|
|
|
|
|
|
|
|
|
|
|
|
|
|
|
|
|
|
|
|
|
1060 |
1.27.1 |
Financiación minorista |
|
|
|
|
|
|
|
|
|
|
|
|
|
|
|
|
|
|
|
|
|
|
|
|
|
|
|
|
|
|
|
|
|
|
1070 |
1.27.2 |
Financiación mayorista no garantizada |
|
|
|
|
|
|
|
|
|
|
|
|
|
|
|
|
|
|
|
|
|
|
|
|
|
|
|
|
|
|
|
|
|
|
1080 |
1.27.3 |
Financiación garantizada |
|
|
|
|
|
|
|
|
|
|
|
|
|
|
|
|
|
|
|
|
|
|
|
|
|
|
|
|
|
|
|
|
|
|
1090 |
1,28 |
28 |
Total de la financiación |
|
|
|
|
|
|
|
|
|
|
|
|
|
|
|
|
|
|
|
|
|
|
|
|
|
|
|
|
|
|
|
|
|
1100 |
1.28.1 |
Financiación minorista |
|
|
|
|
|
|
|
|
|
|
|
|
|
|
|
|
|
|
|
|
|
|
|
|
|
|
|
|
|
|
|
|
|
|
1110 |
1.28.2 |
Financiación mayorista no garantizada |
|
|
|
|
|
|
|
|
|
|
|
|
|
|
|
|
|
|
|
|
|
|
|
|
|
|
|
|
|
|
|
|
|
|
1120 |
1.28.3 |
Financiación garantizada |
|
|
|
|
|
|
|
|
|
|
|
|
|
|
|
|
|
|
|
|
|
|
|
|
|
|
|
|
|
|
|
|
|
|
1130 |
1,29 |
29 |
Total de la financiación |
|
|
|
|
|
|
|
|
|
|
|
|
|
|
|
|
|
|
|
|
|
|
|
|
|
|
|
|
|
|
|
|
|
1140 |
1.29.1 |
Financiación minorista |
|
|
|
|
|
|
|
|
|
|
|
|
|
|
|
|
|
|
|
|
|
|
|
|
|
|
|
|
|
|
|
|
|
|
1150 |
1.29.2 |
Financiación mayorista no garantizada |
|
|
|
|
|
|
|
|
|
|
|
|
|
|
|
|
|
|
|
|
|
|
|
|
|
|
|
|
|
|
|
|
|
|
1160 |
1.29.3 |
Financiación garantizada |
|
|
|
|
|
|
|
|
|
|
|
|
|
|
|
|
|
|
|
|
|
|
|
|
|
|
|
|
|
|
|
|
|
|
1170 |
1.30 |
30 |
Total de la financiación |
|
|
|
|
|
|
|
|
|
|
|
|
|
|
|
|
|
|
|
|
|
|
|
|
|
|
|
|
|
|
|
|
|
1180 |
1.30.1 |
Financiación minorista |
|
|
|
|
|
|
|
|
|
|
|
|
|
|
|
|
|
|
|
|
|
|
|
|
|
|
|
|
|
|
|
|
|
|
1190 |
1.30.2 |
Financiación mayorista no garantizada |
|
|
|
|
|
|
|
|
|
|
|
|
|
|
|
|
|
|
|
|
|
|
|
|
|
|
|
|
|
|
|
|
|
|
1200 |
1.30.3 |
Financiación garantizada |
|
|
|
|
|
|
|
|
|
|
|
|
|
|
|
|
|
|
|
|
|
|
|
|
|
|
|
|
|
|
|
|
|
|
1210 |
1,31 |
31 |
Total de la financiación |
|
|
|
|
|
|
|
|
|
|
|
|
|
|
|
|
|
|
|
|
|
|
|
|
|
|
|
|
|
|
|
|
|
1220 |
1.31.1 |
Financiación minorista |
|
|
|
|
|
|
|
|
|
|
|
|
|
|
|
|
|
|
|
|
|
|
|
|
|
|
|
|
|
|
|
|
|
|
1230 |
1.31.2 |
Financiación mayorista no garantizada |
|
|
|
|
|
|
|
|
|
|
|
|
|
|
|
|
|
|
|
|
|
|
|
|
|
|
|
|
|
|
|
|
|
|
1240 |
1.31.3 |
Financiación garantizada |
|
|
|
|
|
|
|
|
|
|
|
|
|
|
|
|
|
|
|
|
|
|
|
|
|
|
|
|
|
|
|
|
|
ANEXO XIX
INSTRUCCIONES PARA CUMPLIMENTAR LA PLANTILLA RELATIVA A LAS HERRAMIENTAS DE CONTROL ADICIONALES DEL ANEXO XVIII
1. Herramientas de control adicionales
1.1. Observaciones generales
1. Las entidades, a fin de controlar el riesgo de liquidez que quede fuera del ámbito de la información sobre la cobertura de la liquidez y la financiación estable, cumplimentarán la plantilla del anexo XVIII conforme a las instrucciones del presente anexo.
2. El total de financiación será igual a todos los pasivos financieros distintos de los derivados y las posiciones cortas.
3. La financiación con vencimiento abierto que incluya depósitos a la vista se considerará que tiene vencimiento a un día.
4. El vencimiento original representará el tiempo transcurrido entre la fecha de originación y la fecha de vencimiento de la financiación. La fecha de vencimiento de la financiación se determinará conforme al punto 12 del anexo XXIII. Ello implica que en caso de opcionalidad, según prevé el punto 12 del anexo XXIII, el vencimiento original de un elemento de financiación puede ser inferior al tiempo transcurrido desde su originación.
5. El vencimiento residual representará el tiempo comprendido entre el final del período de referencia y la fecha de vencimiento de la financiación. La fecha de vencimiento de la financiación se determinará conforme al punto 12 del anexo XXIII.
6. A efectos del cálculo del vencimiento medio ponderado original o residual, los depósitos que venzan intradía se considerará que tienen un vencimiento igual a un día.
7. A efectos del cálculo del vencimiento original y residual, cuando se trate de financiación que prevea un período de preaviso o una cláusula de cancelación o de retirada anticipada por la contraparte de la entidad, se presumirá que se produce una retirada en la primera fecha posible.
8. En el caso de los pasivos perpetuos, salvo en caso de opcionalidad conforme al punto 12 del anexo XXIII, se presumirá un vencimiento original y residual fijo de veinte años.
9. A efectos de calcular el umbral conforme a las plantillas de información C 67.00 y C 68.00 por moneda significativa, las entidades utilizarán un umbral de un 1 % del total de los pasivos en todas las monedas.
1.2. Concentración de la financiación por contraparte (C 67.00)
1. A fin de recopilar información, en la plantilla C 67.00, sobre la concentración de la financiación por contraparte de la entidad declarante, las entidades seguirán las instrucciones que figuran en la presente sección.
2. Las entidades comunicarán las diez principales contrapartes o grupos de clientes vinculados entre sí a tenor del artículo 4, punto 39, del Reglamento (UE) n.o 575/2013, cuando la financiación obtenida de cada contraparte o grupo de clientes vinculados entre sí sobrepase un umbral igual al 1 % del total de pasivos de las subpartidas de la sección 1 de la plantilla. La contraparte consignada en 1.01 representará el mayor importe de financiación obtenido de una contraparte o grupo de clientes vinculados entre sí que sobrepase el umbral del 1 % en la fecha de información; la consignada en 1.02 representará el segundo mayor importe que sobrepase el umbral del 1 %; y así sucesivamente en las restantes partidas.
3. Cuando una contraparte pertenezca a varios grupos de clientes vinculados entre sí, se comunicará una sola vez en el grupo con el mayor importe de financiación.
4. Las entidades consignarán el total de la demás financiación en la sección 2.
5. El total de la sección 1 más el total de la sección 2 será igual al total de la financiación de una entidad de acuerdo con el balance comunicado en el contexto del marco de información financiera (FINREP).
6. En relación con cada contraparte, las entidades cumplimentarán en su totalidad las columnas 010 a 080.
7. Si la financiación obtenida consiste en más de un tipo de producto, se consignará el producto en el que se haya obtenido la mayor cuota de financiación. Se identificará al tenedor subyacente de los valores en toda la medida de lo posible. Si una entidad posee información sobre el tenedor de los valores, merced a su función de banco custodio, debe tener en cuenta ese importe para informar sobre la concentración de contrapartes. Si no se dispone de información sobre el tenedor de los valores, el correspondiente importe no debe comunicarse.
8. Instrucciones sobre columnas específicas:
|
Columna |
Referencias legales e instrucciones |
|
010 |
Nombre de la contraparte El nombre de cada contraparte en relación con la cual la financiación obtenida sobrepase el 1 % del total de los pasivos se consignará en la columna 010 por orden decreciente, esto es, de mayor a menor volumen de financiación obtenido. Como nombre de la contraparte se consignará la denominación completa de la persona jurídica de la que proceda la financiación, acompañada, en su caso, de la mención del tipo de sociedad de conformidad con el Derecho de sociedades nacional. |
|
020 |
Código LEI Código de identificación de la contraparte como persona jurídica. |
|
030 |
Sector de la contraparte Se asignará un sector a cada contraparte sobre la base de las clases de sectores económicos de FINREP: i) bancos centrales; ii) administraciones públicas; iii) entidades de crédito; iv) otras sociedades financieras; v) sociedades no financieras; vi) hogares. En el caso de grupos de clientes vinculados entre sí no se consignará ningún sector. |
|
040 |
Lugar de residencia de la contraparte Se usará el código ISO 3166-1-alfa-2 del país de constitución de la contraparte (incluidos los pseudocódigos ISO para las organizaciones internacionales, disponibles en la última edición del «Vademécum de la balanza de pagos» de Eurostat). En el caso de grupos de clientes vinculados entre sí no se indicará ningún país. |
|
050 |
Tipo de producto A las contrapartes consignadas en la columna 010 se les asignará un tipo de producto, que se corresponderá con el producto emitido en el que se haya recibido la financiación (o en el que se haya recibido la mayor proporción de financiación en el caso de productos de tipo mixto) utilizando los códigos que figuran a continuación en negrita: UWF (financiación mayorista no garantizada obtenida de clientes financieros, incluido el dinero interbancario) UWNF(financiación mayorista no garantizada obtenida de clientes no financieros) SFT (financiación obtenida de pactos de recompra según se definen en el artículo 4, apartado 1, punto 82, del RRC) CB (financiación obtenida de la emisión de bonos garantizados según se definen en el artículo 124, apartados 4 o 5, del RCC o el artículo 52, apartado 4, de la Directiva 2009/65/CE) ABS (financiación obtenida de la emisión de valores de titulización de activos, incluidos los pagarés de titulización) IGCP (financiación obtenida de contrapartes pertenecientes al grupo) OSWF (otra financiación mayorista garantizada) OFP (otros productos de financiación, por ejemplo, financiación minorista) |
|
060 |
Importe recibido El importe total de la financiación recibida de las contrapartes consignadas en la columna 010 se consignará en la columna 060, en la que las entidades consignarán el importe en libros. |
|
070 |
Vencimiento original medio ponderado Se consignará en la columna 070 el vencimiento original medio ponderado (en días) correspondiente al importe, consignado en la columna 060, de la financiación recibida de la contraparte consignada en la columna 010. El vencimiento original medio ponderado se calculará como igual al vencimiento original medio (en días) de la financiación recibida de esa contraparte. La media se ponderará por magnitud, basándose en la magnitud de los diferentes importes de financiación recibidos respecto al total de la financiación recibida de esa contraparte. |
|
080 |
Vencimiento residual medio ponderado Se consignará en la columna 080 el vencimiento residual medio ponderado (en días) correspondiente al importe, consignado en la columna 060, de la financiación recibida de la contraparte consignada en la columna 010. El vencimiento residual medio ponderado se calculará como igual al vencimiento medio (en días restantes) de la financiación recibida de esa contraparte. La media se ponderará por magnitud, basándose en la magnitud de los diferentes importes de financiación recibidos respecto al total de la financiación recibida de esa contraparte. |
1.3. Concentración de la financiación por tipo de producto (C 68.00)
1. Esta plantilla tiene por objeto recopilar información sobre la concentración de la financiación de las entidades declarantes por tipo de producto, desglosada por tipos de financiación según se especifica en las siguientes instrucciones sobre las filas:
|
Fila |
Referencias legales e instrucciones |
|
010 |
1. Financiación minorista Depósitos minoristas según se definen en el artículo 3, punto 8, del Reglamento Delegado 2015/61. |
|
020 |
1.1. De la cual: depósitos a la vista De la financiación minorista consignada en la fila 010, los depósitos que sean a la vista. |
|
031 |
1.2. De la cual: depósitos a plazo que no puedan retirarse en los siguientes 30 días De la financiación minorista consignada en la fila 010, los depósitos a plazo que no puedan retirarse en los siguientes 30 días. |
|
041 |
1.3. De la cual: depósitos a plazo que puedan retirarse en los siguientes 30 días De la financiación minorista consignada en la fila 010, los depósitos a plazo que puedan retirarse en los siguientes 30 días. |
|
070 |
1.4. De la cual: cuentas de ahorro que reúnan alguna de las siguientes características: De la financiación minorista consignada en la fila 010, las cuentas de ahorro que reúnan alguna de las siguientes características: — con plazo de preaviso para la retirada superior a 30 días — sin plazo de preaviso para la retirada superior a 30 días y cubiertas por un sistema de garantía de depósitos con arreglo a la Directiva 2014/49/UE o un sistema de garantía de depósitos equivalente de un tercer país Esta fila no se cumplimentará. |
|
080 |
1.4.1. con plazo de preaviso para la retirada superior a 30 días De la financiación minorista consignada en la fila 010, las cuentas de ahorro con un plazo de preaviso para la retirada superior a 30 días. |
|
090 |
1.4.2. sin plazo de preaviso para la retirada superior a 30 días De la financiación minorista consignada en la fila 010, las cuentas de ahorro sin plazo de preaviso para la retirada superior a 30 días y cubiertas por un sistema de garantía de depósitos con arreglo a la Directiva 2014/49/UE o un sistema de garantía de depósitos equivalente de un tercer país. |
|
100 |
2. Se considerará financiación mayorista la siguiente: La procedente de todas las contrapartes salvo las correspondientes a depósitos minoristas según se definen en el artículo 3, punto 8, del Reglamento Delegado 2015/61. Esta fila no se cumplimentará. |
|
110 |
2.1. Financiación mayorista no garantizada La procedente de todas las contrapartes que no consista en depósitos minoristas según se definen en el artículo 3, punto 8, del Reglamento Delegado 2015/61, cuando la financiación no esté garantizada. |
|
120 |
2.1.1. De la cual: préstamos y depósitos de clientes financieros De la financiación consignada en la fila 110, la consistente en préstamos y depósitos procedentes de clientes financieros. Se excluirá de esta fila la financiación procedente de bancos centrales. |
|
130 |
2.1.2. De la cual: préstamos y depósitos de clientes no financieros De la financiación consignada en la fila 110, la consistente en préstamos y depósitos procedentes de clientes no financieros. Se excluirá de esta fila la financiación procedente de bancos centrales. |
|
140 |
2.1.3. De la cual: préstamos y depósitos de entes del grupo De la financiación consignada en la fila 110, la consistente en préstamos y depósitos procedentes de entes del grupo. La financiación mayorista procedente de entes del grupo solo se notificará en base individual o subconsolidada. |
|
150 |
2.2. Financiación mayorista garantizada La procedente de todas las contrapartes que no consista en depósitos minoristas según se definen en el artículo 3, punto 8, del Reglamento Delegado 2015/61, cuando la financiación esté garantizada. |
|
160 |
2.2.1. De la cual: operaciones de financiación de valores De la financiación consignada en la fila 150, la obtenida de pactos de recompra según se definen en el artículo 4, apartado 1, punto 82, del RRC. |
|
170 |
2.2.2. De la cual: emisión de bonos garantizados De la financiación consignada en la fila 150, la obtenida de la emisión de bonos garantizados según se definen en el artículo 129, apartados 4 o 5, del RRC o el artículo 52, apartado 4, de la Directiva 2009/65/CE. |
|
180 |
2.2.3. De la cual: emisión de valores de titulización de activos De la financiación consignada en la fila 150, la obtenida de la emisión de valores de titulización de activos, incluidos los pagarés de titulización. |
|
190 |
2.2.4. De la cual: préstamos y depósitos de entes del grupo De la financiación consignada en la fila 150, la obtenida de entes del grupo. La financiación mayorista procedente de entes del grupo solo se notificará en base individual o subconsolidada. |
2. A efectos de cumplimentar esta plantilla las entidades comunicarán el importe total de la financiación recibida por cada categoría de producto y que sobrepase un umbral del 1 % del total de pasivos.
3. En relación con cada tipo de producto, las entidades cumplimentarán en su totalidad las columnas 010 a 050.
4. El umbral del 1 % del total de pasivos se utilizará para determinar los tipos de productos de los que se haya obtenido financiación conforme a lo siguiente:
a) El umbral del 1 % del total de pasivos se aplicará a los tipos de productos mencionados en todas las siguientes filas: 1.1 «Depósitos a la vista»; 1.2 «Depósitos a plazo que no puedan retirarse en los siguientes 30 días»; 1.3 «Depósitos a plazo que puedan retirarse en los siguientes 30 días»; 1.4 «Cuentas de ahorro»; 2.1 «Financiación mayorista no garantizada»; 2.2 «Financiación mayorista garantizada».
b) Para el cálculo del umbral del 1 % del total de pasivos en relación con la fila 1.4 «Cuentas de ahorro», dicho umbral se aplicará a la suma de 1.4.1 y 1.4.2.
c) En relación con las filas 1 «Financiación minorista» y 2 «Financiación mayorista», el umbral del 1 % del total de pasivos se aplicará solo en términos agregados.
5. Las cifras consignadas en las filas 1 «Financiación minorista», 2.1 «Financiación mayorista no garantizada» y 2.2 «Financiación mayorista garantizada» pueden incluir tipos de productos más amplios que los señalados en las correspondientes partidas «De la cual: …».
6. Instrucciones sobre columnas específicas:
|
Columna |
Referencias legales e instrucciones |
|
010 |
Importe en libros recibido El importe en libros de la financiación recibida por cada categoría de producto enumerada en la columna «Nombre del producto» debe consignarse en la columna 010 de la plantilla. |
|
020 |
Importe cubierto por un sistema de garantía de depósitos con arreglo a la Directiva 2014/49/UE o un sistema de garantía de depósitos equivalente de un tercer país Del importe total de la financiación recibida por cada categoría de producto enumerada en la columna «Nombre del producto» que se haya consignado en la columna 010, el importe cubierto por un sistema de garantía de depósitos con arreglo a la Directiva 2014/49/UE o un sistema de garantía de depósitos equivalente de un tercer país. Nota: los importes consignados en la columna 020 y la columna 030, por cada categoría de producto enumerada en la columna «Nombre del producto», serán iguales al importe total recibido consignado en la columna 010. |
|
030 |
Importe no cubierto por un sistema de garantía de depósitos con arreglo a la Directiva 2014/49/UE o un sistema de garantía de depósitos equivalente de un tercer país Del importe total de la financiación recibida por cada categoría de producto enumerada en la columna «Nombre del producto» que se haya consignado en la columna 010, el importe no cubierto por un sistema de garantía de depósitos con arreglo a la Directiva 2014/49/UE o un sistema de garantía de depósitos equivalente de un tercer país. Nota: los importes consignados en la columna 020 y la columna 030, por cada categoría de producto enumerada en la columna «Nombre del producto», serán iguales al importe total recibido consignado en la columna 010. |
|
040 |
Vencimiento original medio ponderado Se consignará en la columna 040 el vencimiento original medio ponderado (en días) correspondiente al importe de la financiación recibida consignada en la columna 010 y procedente de las categorías de productos enumeradas en la columna «Nombre del producto». El vencimiento original medio ponderado se calculará como igual al vencimiento original medio (en días) de la financiación recibida para ese tipo de producto. La media se ponderará por magnitud, basándose en la magnitud de los diferentes importes de financiación recibidos respecto al total de la financiación recibida procedente de todas las emisiones de ese tipo de producto. |
|
050 |
Vencimiento residual medio ponderado Se consignará en la columna 050 el vencimiento residual medio ponderado (en días) correspondiente al importe de la financiación recibida consignada en la columna 010 y procedente de las categorías de productos enumeradas en la columna «Nombre del producto». El vencimiento residual medio ponderado se calculará como igual al vencimiento medio restante (en días) de la financiación recibida para ese tipo de producto. La media se ponderará por magnitud, basándose en la magnitud de los diferentes importes de financiación recibidos respecto al total de la financiación recibida procedente de todas las emisiones de ese tipo de producto. |
1.4. Precios según diversas duraciones de la financiación (C 69.00)
1. Las entidades notificarán la información a que se refiere la plantilla C 69.00, sobre el volumen de las operaciones y los precios abonados por las entidades por financiación obtenida durante el período de referencia y aún viva al final del período de referencia, de acuerdo con los siguientes vencimientos originales:
a) Un día (columnas 010 y 020)
b) Superior a un día e inferior o igual a 1 semana (columnas 030 y 040)
c) Superior a 1 semana e inferior o igual a 1 mes (columnas 050 y 060)
d) Superior a 1 mes e inferior o igual a 3 meses (columnas 070 y 080)
e) Superior a 3 meses e inferior o igual a 6 meses (columnas 090 y 100)
f) Superior a 6 meses e inferior o igual a 1 año (columnas 110 y 120)
g) Superior a 1 año e inferior o igual a 2 años (columnas 130 y 140)
h) Superior a 2 años e inferior o igual a 5 años (columnas 150 y 160)
i) Superior a 5 años e inferior o igual a 10 años (columnas 170 y 180)
2. A efectos de la determinación del vencimiento de la financiación obtenida, las entidades ignorarán el período entre la fecha de ejecución de la operación y la fecha de liquidación, por ejemplo, un pasivo a tres meses que se liquide en dos semanas se incluirá en el vencimiento a tres meses (columnas 070 y 080).
3. El diferencial consignado en la columna de la izquierda de cada intervalo temporal será uno de los siguientes:
a) El diferencial abonable por la entidad por pasivos con vencimiento inferior o igual a un año, en caso de permuta por el índice de referencia a un día para la moneda apropiada a más tardar al cierre de la jornada en que tenga lugar la operación.
b) El diferencial abonable por la empresa en el momento de la emisión por pasivos con un vencimiento original superior a un año, en caso de permuta por el pertinente índice de referencia para la moneda apropiada, que es el EURIBOR a tres meses para el EUR o el LIBOR para la GBP y el USD, a más tardar al cierre de la jornada en que tenga lugar la operación.
Solo a efectos del cálculo del diferencial a que se refieren las anteriores letras a) y b), basándose en la experiencia histórica, podrá la entidad determinar el vencimiento original atendiendo o no a la opcionalidad, según proceda.
4. Los diferenciales se expresarán en puntos básicos con signo negativo en caso de que la nueva financiación sea más barata que con arreglo al tipo de referencia pertinente. Se calcularán sobre la base de una media ponderada.
5. A efectos del cálculo del diferencial medio abonable con respecto a múltiples emisiones/depósitos/préstamos, las entidades calcularán el coste total en la moneda de emisión, ignorando toda permuta de divisas, pero incluirán toda posible prima o descuento y las comisiones a pagar o cobrar, tomando como base el plazo de cualquier permuta de tipos de interés teóricos o reales que coincida con el plazo del pasivo. El diferencial será igual al tipo aplicable al pasivo menos el tipo de la permuta.
6. El importe de la financiación obtenida en las categorías de financiación enumeradas en la columna «Partida» se consignará en la columna «Volumen» del intervalo temporal pertinente.
7. En la columna «Volumen» las entidades consignarán los importes que representen el importe en libros de la nueva financiación obtenida en el intervalo temporal pertinente según el vencimiento original.
8. En relación con todas las partidas, incluidos los compromisos fuera de balance, las entidades solo notificarán las partidas en balance. Los compromisos fuera de balance concedidos a la entidad solo se consignarán en C 69.00 cuando se utilicen. En caso de utilización, el volumen y el diferencial a consignar serán el importe utilizado y el diferencial aplicable al final del período de referencia. Cuando el importe utilizado no pueda renovarse a discreción de la entidad, se consignará el vencimiento real del mismo. Cuando la entidad ya haya utilizado la línea al final del período de referencia anterior y posteriormente haya incrementado la utilización, se consignará solo el importe utilizado adicional.
9. Los depósitos constituidos por los clientes minoristas consistirán en depósitos según se definen en el artículo 3, punto 8, del Reglamento Delegado 2015/61.
10. En el caso de financiación que se haya renovado durante el período de referencia y esté aún viva al final de este, se consignará la media de los diferenciales aplicables en ese momento (esto es, al final del período de referencia). A efectos de la plantilla C 69.00, la financiación renovada y aún viva al final del período de referencia se considerará que representa nueva financiación.
11. Como excepción frente al resto de la sección 1.4, el volumen y el diferencial de los depósitos a la vista solo se consignarán cuando el depositante no tuviera un depósito a la vista en el período de referencia anterior o cuando se haya incrementado el importe depositado frente a la anterior fecha de referencia, en cuyo caso el incremento se tratará como nueva financiación. El diferencial será el correspondiente al final del período.
12. Cuando no deba comunicarse ninguna información, las celdas correspondientes a los diferenciales se dejarán vacías.
13. Instrucciones relativas a filas concretas
|
Fila |
Referencias legales e instrucciones |
|
010 |
1 Total de la financiación El volumen total y el diferencial medio ponderado de toda la financiación se obtendrá, para todas las duraciones que a continuación se especifican, como sigue: a) Un día (columnas 010 y 020) b) Superior a un día e inferior o igual a 1 semana (columnas 030 y 040) c) Superior a 1 semana e inferior o igual a 1 mes (columnas 050 y 060) d) Superior a 1 mes e inferior o igual a 3 meses (columnas 070 y 080) e) Superior a 3 meses e inferior o igual a 6 meses (columnas 090 y 100) f) Superior a 6 meses e inferior o igual a 1 año (columnas 110 y 120) g) Superior a 1 año e inferior o igual a 2 años (columnas 130 y 140) h) Superior a 2 años e inferior o igual a 5 años (columnas 150 y 160) i) Superior a 5 años e inferior o igual a 10 años (columnas 170 y 180) |
|
020 |
1.1 De la cual: financiación minorista Del total de la financiación consignada en la partida 1, el volumen total y el diferencial medio ponderado de la financiación minorista obtenida. |
|
030 |
1.2 De la cual: financiación mayorista no garantizada Del total de la financiación consignada en la partida 1, el volumen total y el diferencial medio ponderado de la financiación mayorista no garantizada obtenida. |
|
040 |
1.3 De la cual: financiación garantizada Del total de la financiación consignada en la partida 1, el volumen total y el diferencial medio ponderado de la financiación garantizada obtenida. |
|
050 |
1.4 De la cual: valores preferentes no garantizados Del total de la financiación consignada en la partida 1, el volumen total y el diferencial medio ponderado de los valores preferentes no garantizados obtenidos. |
|
060 |
1.5 De la cual: bonos garantizados Del total de la financiación consignada en la partida 1, el volumen total y el diferencial medio ponderado de toda emisión de bonos garantizados que representen una carga para los activos propios de la entidad. |
|
070 |
1.6 De la cual: valores de titulización de activos, incluidos ABCP Del total de la financiación consignada en la partida 1, el volumen total y el diferencial medio ponderado de los valores de titulización de activos emitidos, incluidos los pagarés de titulización. |
1.5. Renovación de la financiación (C 70.00)
1. Esta plantilla tiene por objeto recopilar información sobre el volumen de los fondos que venzan y la nueva financiación obtenida, esto es, la «renovación de la financiación» sobre una base diaria en el mes anterior a la fecha de información.
2. Las entidades notificarán, en días naturales, aquella de su financiación que venza en todos los siguientes intervalos temporales de acuerdo con el vencimiento original:
a) Un día (columnas 010 y 040)
b) Entre 1 día y 7 días (columnas 050 a 080)
c) Entre 7 días y 14 días (columnas 090 a 120)
d) Entre 14 días y 1 mes (columnas 130 a 160)
e) Entre 1 mes y 3 meses (columnas 170 a 200)
f) Entre 3 meses y 6 meses (columnas 210 a 240)
g) Más de 6 meses (columnas 250 a 280).
3. En relación con cada intervalo temporal mencionado más arriba en el punto 2, se indicará en la columna de la izquierda el importe que venza, en la columna «Renovación» el importe de los fondos renovados, en la columna «Nuevos fondos» los fondos nuevos obtenidos y en la columna de la derecha la diferencia neta entre los nuevos fondos, por un lado, y los fondos renovados menos los fondos que venzan, por otro.
4. El total de los flujos de efectivo netos se indicará en la columna 290 y será igual a la suma de todas las columnas «Neto» numeradas 040, 080, 120, 160, 200, 240 y 280.
5. El plazo medio de financiación (en días) de los fondos que venzan se consignará en la columna 300.
6. El plazo medio de financiación (en días) de los fondos renovados se consignará en la columna 310.
7. El plazo medio de financiación (en días) de los fondos con un nuevo plazo se consignará en la columna 320.
8. El importe al vencimiento comprenderá todos los pasivos que el proveedor de la financiación tuviera contractualmente derecho a retirar o que venzan en el día pertinente en el período de referencia. Se consignará siempre con signo positivo.
9. El importe en la columna «Renovación» comprenderá el importe al vencimiento según lo definido en los puntos 2 y 3 que siga en poder de la entidad el día pertinente del período de referencia. Se consignará siempre con un signo positivo. Cuando el vencimiento de la financiación haya variado debido a la renovación, el importe de esta se consignará en un intervalo temporal acorde con el nuevo vencimiento.
10. El importe de la columna «Nuevos fondos» comprenderá las entradas reales de financiación el día pertinente del período de referencia. Se consignará siempre con signo positivo.
11. El importe de la columna «Neto» será igual a la variación de la financiación dentro de una determinada banda temporal de vencimiento original el día pertinente del período de referencia, y se calculará agregando en dicha columna los nuevos fondos más los fondos renovados menos los fondos que venzan.
12. Instrucciones sobre columnas específicas:
|
Columna |
Referencias legales e instrucciones |
|
010 a 040 |
1 día El importe total de la financiación que venza el día pertinente del período de referencia con un vencimiento original de 1 día se consignará en la columna 010 en las partidas de las filas 1.1 a 1.31. Cuando se trate de meses que tengan menos de 31 días o de fines de semana, las filas que no resulten pertinentes se dejarán vacías. El importe total de la financiación renovada el día pertinente del período de referencia con un vencimiento original de 1 día se consignará en la columna 020 en las partidas de las filas 1.1 a 1.31. El importe total de la financiación nueva obtenida el día pertinente del período de referencia con un vencimiento original de 1 día se consignará en la columna 030 en las partidas de las filas 1.1 a 1.31. La diferencia neta entre, por un lado, la financiación diaria que venza y, por otro, la financiación renovada más la nueva financiación diaria obtenida se consignará en la columna 040 en las partidas de las filas 1.1 a 1.31. |
|
050 a 080 |
> 1 día ≤ 7 días El importe total de la financiación que venza el día pertinente del período de referencia con un vencimiento original de entre un día y una semana se consignará en la columna 050 en las partidas de las filas 1.1 a 1.31. Cuando se trate de meses que tengan menos de 31 días o de fines de semana, las filas que no resulten pertinentes se dejarán vacías. El importe total de la financiación renovada el día pertinente del período de referencia con un vencimiento original de entre un día y una semana se consignará en la columna 060 en las partidas de las filas 1.1 a 1.31. El importe total de la financiación nueva obtenida el día pertinente del período de referencia con un vencimiento original de entre un día y una semana se consignará en la columna 70 en las partidas de las filas 1.1 a 1.31. La diferencia neta entre, por un lado, la financiación que venza y, por otro, la financiación renovada más la nueva financiación obtenida se consignará en la columna 080 en las partidas de las filas 1.1 a 1.31. |
|
090 a 120 |
> 7 días ≤ 14 días El importe total de la financiación que venza el día pertinente del período de referencia con un vencimiento original de entre una semana y dos semanas se consignará en la columna 090 en las partidas de las filas 1.1 a 1.31. Cuando se trate de meses que tengan menos de 31 días o de fines de semana, las filas que no resulten pertinentes se dejarán vacías. El importe total de la financiación renovada el día pertinente del período de referencia con un vencimiento original de entre una semana y dos semanas se consignará en la columna 100 en las partidas de las filas 1.1 a 1.31. El importe total de la financiación nueva obtenida el día pertinente del período de referencia con un vencimiento original de entre una semana y dos semanas se consignará en la columna 110 en las partidas de las filas 1.1 a 1.31. La diferencia neta entre, por un lado, la financiación que venza y, por otro, la financiación renovada más la nueva financiación obtenida se consignará en la columna 120 en las partidas de las filas 1.1 a 1.31. |
|
130 a 160 |
> 14 días ≤ 1 mes El importe total de la financiación que venza el día pertinente del período de referencia con un vencimiento original de entre dos semanas y un mes se consignará en la columna 130 en las partidas de las filas 1.1 a 1.31. Cuando se trate de meses que tengan menos de 31 días o de fines de semana, las filas que no resulten pertinentes se dejarán vacías. El importe total de la financiación renovada el día pertinente del período de referencia con un vencimiento original de entre dos semanas y un mes se consignará en la columna 140 en las partidas de las filas 1.1 a 1.31. El importe total de la financiación nueva obtenida el día pertinente del período de referencia con un vencimiento original de entre dos semanas y un mes se consignará en la columna 150 en las partidas de las filas 1.1 a 1.31. La diferencia neta entre, por un lado, la financiación que venza y, por otro, la financiación renovada más la nueva financiación obtenida se consignará en la columna 160 en las partidas de las filas 1.1 a 1.31. |
|
170 a 200 |
> 1 mes ≤ 3 meses El importe total de la financiación que venza el día pertinente del período de referencia con un vencimiento original de entre un mes y tres meses se consignará en la columna 170 en las partidas de las filas 1.1 a 1.31. Cuando se trate de meses que tengan menos de 31 días o de fines de semana, las filas que no resulten pertinentes se dejarán vacías. El importe total de la financiación renovada el día pertinente del período de referencia con un vencimiento original de entre un mes y tres meses se consignará en la columna 180 en las partidas de las filas 1.1 a 1.31. El importe total de la financiación nueva obtenida el día pertinente del período de referencia con un vencimiento original de entre un mes y tres meses se consignará en la columna 190 en las partidas de las filas 1.1 a 1.31. La diferencia neta entre, por un lado, la financiación que venza y, por otro, la financiación renovada más la nueva financiación obtenida se consignará en la columna 200 en las partidas de las filas 1.1 a 1.31. |
|
210 a 240 |
> 3 meses ≤ 6 meses El importe total de la financiación que venza el día pertinente del período de referencia con un vencimiento original de entre tres meses y seis meses se consignará en la columna 210 en las partidas de las filas 1.1 a 1.31. Cuando se trate de meses que tengan menos de 31 días o de fines de semana, las filas que no resulten pertinentes se dejarán vacías. El importe total de la financiación renovada el día pertinente del período de referencia con un vencimiento original de entre tres meses y seis meses se consignará en la columna 220 en las partidas de las filas 1.1 a 1.31. El importe total de la financiación nueva obtenida el día pertinente del período de referencia con un vencimiento original de entre tres meses y seis meses se consignará en la columna 230 en las partidas de las filas 1.1 a 1.31. La diferencia neta entre, por un lado, la financiación que venza y, por otro, la financiación renovada más la nueva financiación obtenida se consignará en la columna 240 en las partidas de las filas 1.1 a 1.31. |
|
250 a 280 |
> 6 meses El importe total de la financiación que venza el día pertinente del período de referencia con un vencimiento original superior a seis meses se consignará en la columna 250 en las partidas de las filas 1.1 a 1.31. Cuando se trate de meses que tengan menos de 31 días o de fines de semana, las filas que no resulten pertinentes se dejarán vacías. El importe total de la financiación renovada el día pertinente del período de referencia con un vencimiento original superior a seis meses se consignará en la columna 260 en las partidas de las filas 1.1 a 1.31. El importe total de la financiación nueva obtenida el día pertinente del período de referencia con un vencimiento original superior a seis meses se consignará en la columna 270 en las partidas de las filas 1.1 a 1.31. La diferencia neta entre, por un lado, la financiación que venza y, por otro, la financiación renovada más la nueva financiación obtenida se consignará en la columna 280 en las partidas de las filas 1.1 a 1.31. |
|
290 |
Total de los flujos de efectivo netos El total de los flujos de efectivo netos, igual a la suma de todas las columnas «Neto» numeradas 040, 080, 120, 160, 200, 240 y 280, se consignará en la columna 290. |
|
300 a 320 |
Plazo medio (días) El plazo medio ponderado (en días) de todos los fondos que venzan se consignará en la columna 300. El plazo medio ponderado (en días) de todos los fondos renovados se consignará en la columna 310, y el plazo medio ponderado (en días) de todos los fondos nuevos se consignará en la columna 320. |
ANEXO XX
INFORMACIÓN SOBRE LA CAPACIDAD DE CONTRAPESO
|
PLANTILLAS AMM |
||
|
Número de plantilla |
Código de plantilla |
Nombre de la plantilla/grupo de plantillas |
|
|
|
PLANTILLAS RELATIVAS A LA CONCENTRACIÓN DE LA CAPACIDAD DE CONTRAPESO |
|
71 |
C 71.00 |
CONCENTRACIÓN DE LA CAPACIDAD DE CONTRAPESO POR EMISOR |
C 71.00 — CONCENTRACIÓN DE LA CAPACIDAD DE CONTRAPESO POR EMISOR
Total y monedas significativas
|
|
Concentración de la capacidad de contrapeso por emisor |
|||||||||
|
|
Emisor |
Código LEI |
Sector del emisor |
Lugar de residencia del emisor |
Tipo de producto |
Moneda |
Nivel de calidad crediticia |
Valor a precios de mercado/nominal |
Valor de la garantía real admisible por bancos centrales |
|
|
Fila |
ID |
010 |
020 |
030 |
040 |
050 |
060 |
070 |
080 |
090 |
|
010 |
1. DIEZ PRINCIPALES EMISORES |
|
|
|
|
|
|
|
|
|
|
020 |
1,01 |
|
|
|
|
|
|
|
|
|
|
030 |
1,02 |
|
|
|
|
|
|
|
|
|
|
040 |
1,03 |
|
|
|
|
|
|
|
|
|
|
050 |
1,04 |
|
|
|
|
|
|
|
|
|
|
060 |
1,05 |
|
|
|
|
|
|
|
|
|
|
070 |
1,06 |
|
|
|
|
|
|
|
|
|
|
080 |
1,07 |
|
|
|
|
|
|
|
|
|
|
090 |
1,08 |
|
|
|
|
|
|
|
|
|
|
100 |
1,09 |
|
|
|
|
|
|
|
|
|
|
110 |
1,10 |
|
|
|
|
|
|
|
|
|
|
120 |
2. TODAS LAS DEMÁS PARTIDAS UTILIZADAS COMO CAPACIDAD DE CONTRAPESO |
|
|
|
|
|
|
|
|
|
ANEXO XXI
Instrucciones para cumplimentar la plantilla sobre concentración de la capacidad de contrapeso (C 71.00) del anexo XX
Concentración de la capacidad de contrapeso por emisor/contraparte (CCC) (C 71.00)
1. A fin de recopilar información, en la plantilla C 71.00, sobre la concentración de la capacidad de contrapeso de la entidad declarante según las diez mayores tenencias de activos o líneas de liquidez concedidas a la entidad a tal fin, las entidades seguirán las instrucciones que figuran en el presente anexo.
2. Cuando un emisor o contraparte se clasifique en más de un tipo de producto, moneda o nivel de calidad crediticia, se comunicará el importe total. El tipo de producto, la moneda o el nivel de calidad crediticia sobre los que deberá informarse serán los que sean pertinentes para la mayor parte de la concentración de la capacidad de contrapeso.
3. La capacidad de contrapeso en C71.00 será la misma que en C66.00, con la excepción de que los activos comunicados como capacidad de contrapeso a efectos de C71.00 estarán libres de cargas para que la entidad pueda convertirlos en efectivo en la fecha de referencia de la información.
4. Para calcular las concentraciones por monedas significativas a efectos de cumplimentar la plantilla C 71.00, las entidades utilizarán las concentraciones en todas las monedas.
5. Cuando un emisor o contraparte pertenezca a varios grupos de clientes vinculados entre sí, se comunicará una sola vez en el grupo con mayor concentración de la capacidad de contrapeso.
6. Excepto en la fila 120, las concentraciones de la capacidad de contrapeso en las que el emisor o contraparte sea un banco central no se comunicarán en esta plantilla.
|
Columna |
Referencias legales e instrucciones |
|
010 |
Nombre del emisor En la columna 010 figurará el nombre de los diez principales emisores de activos libres de cargas o contrapartes de líneas de liquidez comprometidas no utilizadas concedidas a la entidad, en orden decreciente. La partida de mayor magnitud se anotará en 1.01, la segunda en 1.02, y así sucesivamente. Los emisores y contrapartes que formen un grupo de clientes vinculados entre sí se comunicarán como una única concentración. El nombre del emisor o la contraparte indicado será la denominación completa de la persona jurídica que haya emitido los activos o concedido las líneas de liquidez, acompañada, en su caso, de la mención del tipo de sociedad de conformidad con el Derecho de sociedades nacional. |
|
020 |
Código LEI Código de identificación de entidades jurídicas de la contraparte. |
|
030 |
Sector del emisor Cada emisor o contraparte se clasificará en un sector partiendo de las categorías de sectores económicos de FINREP: i) administraciones públicas; ii) entidades de crédito; iii) otras sociedades financieras; iv) sociedades no financieras; v) hogares. En el caso de grupos de clientes vinculados entre sí, no se consignará ningún sector. |
|
040 |
Lugar de residencia del emisor Se usará el código ISO 3166-1-alfa-2 del país de constitución del emisor o la contraparte (incluidos los pseudocódigos ISO para las organizaciones internacionales, disponibles en la última edición del «Vademécum de la balanza de pagos» de Eurostat). En el caso de grupos de clientes vinculados entre sí, no se consignará ningún país. |
|
050 |
Tipo de producto A los emisores/las contrapartes consignados en la columna 010 se les asignará un tipo de producto que se corresponda con el producto en que se mantenga el activo o se haya recibido la línea de liquidez contingente, utilizando los códigos que figuran a continuación en negrita: SrB (bonos preferentes) SubB (bonos subordinados) CP (pagarés) CB (bonos garantizados) US (valores de OICVM, esto es, instrumentos financieros que representan una participación en organismos de inversión colectiva en valores mobiliarios, o que han sido emitidos por estos) ABS (valores de titulización de activos) CrCl (derechos de crédito) EQ (acciones) Oro (si se trata de oro físico, que puede equipararse a una única contraparte) LiqL (líneas de liquidez comprometidas no utilizadas concedidas a la entidad) OPT (otro tipo de producto) |
|
060 |
Moneda A los emisores o contrapartes consignados en la columna 010 se les asignará en la columna 060 el código ISO de la moneda que corresponda a la denominación del activo recibido o las líneas de liquidez comprometidas no utilizadas concedidas a la entidad. Se consignará el código de tres letras correspondiente a la unidad monetaria con arreglo a la norma ISO 4217. Cuando la concentración de la capacidad de contrapeso comprenda una línea multidivisas, esta se contabilizará en la moneda que predomine en el resto de la concentración. |
|
070 |
Nivel de calidad crediticia Se asignará el nivel de calidad crediticia adecuado conforme al Reglamento (UE) n.o 575/2013, que deberá coincidir con el de las partidas comunicadas en la escala de vencimientos. Cuando no exista ninguna calificación, se asignará el nivel «sin calificar». |
|
080 |
Valor a precios de mercado/nominal El valor de mercado o valor razonable de los activos o, en su caso, el valor nominal de la línea de liquidez no utilizada concedida a la entidad. |
|
090 |
Valor de la garantía real admisible por bancos centrales El valor de la garantía real, de acuerdo con las normas del banco central relativas a las líneas permanentes, en relación con los activos específicos. Cuando se trate de activos denominados en una moneda que figure, en el anexo del Reglamento (UE) 2015/233, entre las monedas de admisibilidad sumamente restringida por el banco central, las entidades dejarán este campo en blanco. |
ANEXO XXII
INFORMACIÓN SOBRE LA ESCALA DE VENCIMIENTOS AMM
|
PLANTILLAS AMM |
||
|
Número de plantilla |
Código de plantilla |
Nombre de la plantilla/grupo de plantillas |
|
|
|
PLANTILLA DE LA ESCALA DE VENCIMIENTOS |
|
66 |
C 66.00 |
PLANTILLA DE LA ESCALA DE VENCIMIENTOS |
C 66.00 — ESCALA DE VENCIMIENTOS
Total y monedas significativas
|
Código |
ID |
Partida |
Vencimiento de los flujos contractuales |
|||||||||||||||||||||
|
010 |
020 |
030 |
040 |
050 |
060 |
070 |
080 |
090 |
100 |
110 |
120 |
130 |
140 |
150 |
160 |
170 |
180 |
190 |
200 |
210 |
220 |
|||
|
010-380 |
1 |
SALIDAS |
|
1 día |
Más de 1 día y hasta 2 días |
Más de 2 días y hasta 3 días |
Más de 3 días y hasta 4 días |
Más de 4 días y hasta 5 días |
Más de 5 días y hasta 6 días |
Más de 6 días y hasta 7 días |
Más de 7 días y hasta 2 días |
Más de 2 semanas y hasta 3 semanas |
Más de 3 semanas y hasta 30 días |
Más de 30 días y hasta 5 semanas |
Más de 5 semanas y hasta 2 meses |
Más de 2 meses y hasta 3 meses |
Más de 3 meses y hasta 4 meses |
Más de 4 meses y hasta 5 meses |
Más de 5 meses y hasta 6 meses |
Más de 6 meses y hasta 9 meses |
Más de 9 meses y hasta 12 meses |
Más de 12 meses y hasta 2 años |
Más de 2 años y hasta 5 años |
Más de 5 años |
|
010 |
1.1 |
Pasivos resultantes de valores emitidos (si no se tratan como depósitos minoristas) |
|
|
|
|
|
|
|
|
|
|
|
|
|
|
|
|
|
|
|
|
|
|
|
020 |
1.1.1 |
Bonos no garantizados vencidos |
|
|
|
|
|
|
|
|
|
|
|
|
|
|
|
|
|
|
|
|
|
|
|
030 |
1.1.2 |
Bonos garantizados regulados |
|
|
|
|
|
|
|
|
|
|
|
|
|
|
|
|
|
|
|
|
|
|
|
040 |
1.1.3 |
Titulizaciones vencidas |
|
|
|
|
|
|
|
|
|
|
|
|
|
|
|
|
|
|
|
|
|
|
|
050 |
1.1.4 |
Otros |
|
|
|
|
|
|
|
|
|
|
|
|
|
|
|
|
|
|
|
|
|
|
|
060 |
1.2 |
Pasivos resultantes de operaciones de préstamo garantizadas y operaciones vinculadas al mercado de capitales garantizados por: |
|
|
|
|
|
|
|
|
|
|
|
|
|
|
|
|
|
|
|
|
|
|
|
070 |
1.2.1 |
Activos negociables de nivel 1 |
|
|
|
|
|
|
|
|
|
|
|
|
|
|
|
|
|
|
|
|
|
|
|
080 |
1.2.1.1 |
Nivel 1: excepto bonos garantizados |
|
|
|
|
|
|
|
|
|
|
|
|
|
|
|
|
|
|
|
|
|
|
|
090 |
1.2.1.1.1 |
Nivel 1: bancos centrales |
|
|
|
|
|
|
|
|
|
|
|
|
|
|
|
|
|
|
|
|
|
|
|
100 |
1.2.1.1.2 |
Nivel 1 (nivel 1 de calidad crediticia) |
|
|
|
|
|
|
|
|
|
|
|
|
|
|
|
|
|
|
|
|
|
|
|
110 |
1.2.1.1.3 |
Nivel 1 (niveles 2 y 3 de calidad crediticia) |
|
|
|
|
|
|
|
|
|
|
|
|
|
|
|
|
|
|
|
|
|
|
|
120 |
1.2.1.1.4 |
Nivel 1 (nivel 4+ de calidad crediticia) |
|
|
|
|
|
|
|
|
|
|
|
|
|
|
|
|
|
|
|
|
|
|
|
130 |
1.2.1.2 |
Nivel 1: bonos garantizados (nivel 1 de calidad crediticia) |
|
|
|
|
|
|
|
|
|
|
|
|
|
|
|
|
|
|
|
|
|
|
|
140 |
1.2.2 |
Activos negociables de nivel 2A |
|
|
|
|
|
|
|
|
|
|
|
|
|
|
|
|
|
|
|
|
|
|
|
150 |
1.2.2.1 |
Nivel 2A: bonos de empresas (nivel 1 de calidad crediticia) |
|
|
|
|
|
|
|
|
|
|
|
|
|
|
|
|
|
|
|
|
|
|
|
160 |
1.2.2.2 |
Nivel 2A: bonos garantizados (niveles 1 y 2 de calidad crediticia) |
|
|
|
|
|
|
|
|
|
|
|
|
|
|
|
|
|
|
|
|
|
|
|
170 |
1.2.2.3 |
Nivel 2A: sector público (niveles 1 y 2 de calidad crediticia) |
|
|
|
|
|
|
|
|
|
|
|
|
|
|
|
|
|
|
|
|
|
|
|
180 |
1.2.3 |
Activos negociables de nivel 2B |
|
|
|
|
|
|
|
|
|
|
|
|
|
|
|
|
|
|
|
|
|
|
|
190 |
1.2.3.1 |
Nivel 2B: bonos de titulización de activos (nivel 1 de calidad crediticia) |
|
|
|
|
|
|
|
|
|
|
|
|
|
|
|
|
|
|
|
|
|
|
|
200 |
1.2.3.2 |
Nivel 2B: bonos garantizados (niveles 1 a 6 de calidad crediticia) |
|
|
|
|
|
|
|
|
|
|
|
|
|
|
|
|
|
|
|
|
|
|
|
210 |
1.2.3.3 |
Nivel 2B: bonos de empresas (niveles 1 a 3 de calidad crediticia) |
|
|
|
|
|
|
|
|
|
|
|
|
|
|
|
|
|
|
|
|
|
|
|
220 |
1.2.3.4 |
Nivel 2B: acciones |
|
|
|
|
|
|
|
|
|
|
|
|
|
|
|
|
|
|
|
|
|
|
|
230 |
1.2.3.5 |
Nivel 2B: sector público (niveles 3 a 5 de calidad crediticia) |
|
|
|
|
|
|
|
|
|
|
|
|
|
|
|
|
|
|
|
|
|
|
|
240 |
1.2.4 |
Otros activos negociables |
|
|
|
|
|
|
|
|
|
|
|
|
|
|
|
|
|
|
|
|
|
|
|
250 |
1.2.5 |
Otros activos |
|
|
|
|
|
|
|
|
|
|
|
|
|
|
|
|
|
|
|
|
|
|
|
260 |
1.3 |
Pasivos no consignados en 1.2 resultantes de depósitos recibidos, excepto los depósitos recibidos como garantía |
|
|
|
|
|
|
|
|
|
|
|
|
|
|
|
|
|
|
|
|
|
|
|
270 |
1.3.1 |
Depósitos minoristas estables |
|
|
|
|
|
|
|
|
|
|
|
|
|
|
|
|
|
|
|
|
|
|
|
280 |
1.3.2 |
Otros depósitos minoristas |
|
|
|
|
|
|
|
|
|
|
|
|
|
|
|
|
|
|
|
|
|
|
|
290 |
1.3.3 |
Depósitos operativos |
|
|
|
|
|
|
|
|
|
|
|
|
|
|
|
|
|
|
|
|
|
|
|
300 |
1.3.4 |
Depósitos no operativos de entidades de crédito |
|
|
|
|
|
|
|
|
|
|
|
|
|
|
|
|
|
|
|
|
|
|
|
310 |
1.3.5 |
Depósitos no operativos de otros clientes financieros |
|
|
|
|
|
|
|
|
|
|
|
|
|
|
|
|
|
|
|
|
|
|
|
320 |
1.3.6 |
Depósitos no operativos de bancos centrales |
|
|
|
|
|
|
|
|
|
|
|
|
|
|
|
|
|
|
|
|
|
|
|
330 |
1.3.7 |
Depósitos no operativos de empresas no financieras |
|
|
|
|
|
|
|
|
|
|
|
|
|
|
|
|
|
|
|
|
|
|
|
340 |
1.3.8 |
Depósitos no operativos de otras contrapartes |
|
|
|
|
|
|
|
|
|
|
|
|
|
|
|
|
|
|
|
|
|
|
|
350 |
1.4 |
Permutas de divisas al vencimiento |
|
|
|
|
|
|
|
|
|
|
|
|
|
|
|
|
|
|
|
|
|
|
|
360 |
1.5 |
Importe a pagar por derivados distintos de los consignados en 1.4 |
|
|
|
|
|
|
|
|
|
|
|
|
|
|
|
|
|
|
|
|
|
|
|
370 |
1.6 |
Otras salidas |
|
|
|
|
|
|
|
|
|
|
|
|
|
|
|
|
|
|
|
|
|
|
|
380 |
1.7 |
Total salidas |
|
0 |
0 |
0 |
0 |
0 |
0 |
0 |
0 |
0 |
0 |
0 |
0 |
0 |
0 |
0 |
0 |
0 |
0 |
0 |
0 |
0 |
|
390-720 |
2 |
ENTRADAS |
|
1 día |
Más de 1 día y hasta 2 días |
Más de 2 días y hasta 3 días |
Más de 3 días y hasta 4 días |
Más de 4 días y hasta 5 días |
Más de 5 días y hasta 6 días |
Más de 6 días y hasta 7 días |
Más de 7 días y hasta 2 semanas |
Más de 2 semanas y hasta 3 semanas |
Más de 3 semanas y hasta 30 días |
Más de 30 días y hasta 5 semanas |
Más de 5 semanas y hasta 2 meses |
Más de 2 meses y hasta 3 meses |
Más de 3 meses y hasta 4 meses |
Más de 4 meses y hasta 5 meses |
Más de 5 meses y hasta 6 meses |
Más de 6 meses y hasta 9 meses |
Más de 9 meses y hasta 12 meses |
Más de 12 meses y hasta 2 años |
Más de 2 años y hasta 5 años |
Más de 5 años |
|
390 |
2.1 |
Importes vencidos resultantes de operaciones de préstamo garantizadas y operaciones vinculadas al mercado de capitales garantizados por: |
|
|
|
|
|
|
|
|
|
|
|
|
|
|
|
|
|
|
|
|
|
|
|
400 |
2.1.1 |
Activos negociables de nivel 1 |
|
|
|
|
|
|
|
|
|
|
|
|
|
|
|
|
|
|
|
|
|
|
|
410 |
2.1.1.1 |
Nivel 1: excepto bonos garantizados |
|
|
|
|
|
|
|
|
|
|
|
|
|
|
|
|
|
|
|
|
|
|
|
420 |
2.1.1.1.1 |
Nivel 1: bancos centrales |
|
|
|
|
|
|
|
|
|
|
|
|
|
|
|
|
|
|
|
|
|
|
|
430 |
2.1.1.1.2 |
Nivel 1 (nivel 1 de calidad crediticia) |
|
|
|
|
|
|
|
|
|
|
|
|
|
|
|
|
|
|
|
|
|
|
|
440 |
2.1.1.1.3 |
Nivel 1 (niveles 2 y 3 de calidad crediticia) |
|
|
|
|
|
|
|
|
|
|
|
|
|
|
|
|
|
|
|
|
|
|
|
450 |
2.1.1.1.4 |
Nivel 1 (nivel 4+ de calidad crediticia) |
|
|
|
|
|
|
|
|
|
|
|
|
|
|
|
|
|
|
|
|
|
|
|
460 |
2.1.1.2 |
Nivel 1: bonos garantizados (nivel 1 de calidad crediticia) |
|
|
|
|
|
|
|
|
|
|
|
|
|
|
|
|
|
|
|
|
|
|
|
470 |
2.1.2 |
Activos negociables de nivel 2A |
|
|
|
|
|
|
|
|
|
|
|
|
|
|
|
|
|
|
|
|
|
|
|
480 |
2.1.2.1 |
Nivel 2A: bonos de empresas (nivel 1 de calidad crediticia) |
|
|
|
|
|
|
|
|
|
|
|
|
|
|
|
|
|
|
|
|
|
|
|
490 |
2.1.2.2 |
Nivel 2A: bonos garantizados (niveles 1 y 2 de calidad crediticia) |
|
|
|
|
|
|
|
|
|
|
|
|
|
|
|
|
|
|
|
|
|
|
|
500 |
2.1.2.3 |
Nivel 2A: sector público (niveles 1 y 2 de calidad crediticia) |
|
|
|
|
|
|
|
|
|
|
|
|
|
|
|
|
|
|
|
|
|
|
|
510 |
2.1.3 |
Activos negociables de nivel 2B |
|
|
|
|
|
|
|
|
|
|
|
|
|
|
|
|
|
|
|
|
|
|
|
520 |
2.1.3.1 |
Nivel 2B: bonos de titulización de activos (nivel 1 de calidad crediticia) |
|
|
|
|
|
|
|
|
|
|
|
|
|
|
|
|
|
|
|
|
|
|
|
530 |
2.1.3.2 |
Nivel 2B: bonos garantizados (niveles 1 a 6 de calidad crediticia) |
|
|
|
|
|
|
|
|
|
|
|
|
|
|
|
|
|
|
|
|
|
|
|
540 |
2.1.3.3 |
Nivel 2B: bonos de empresas (niveles 1 a 3 de calidad crediticia) |
|
|
|
|
|
|
|
|
|
|
|
|
|
|
|
|
|
|
|
|
|
|
|
550 |
2.1.3.4 |
Nivel 2B: acciones |
|
|
|
|
|
|
|
|
|
|
|
|
|
|
|
|
|
|
|
|
|
|
|
560 |
2.1.3.5 |
Nivel 2B: sector público (niveles 3 a 5 de calidad crediticia) |
|
|
|
|
|
|
|
|
|
|
|
|
|
|
|
|
|
|
|
|
|
|
|
570 |
2.1.4 |
Otros activos negociables |
|
|
|
|
|
|
|
|
|
|
|
|
|
|
|
|
|
|
|
|
|
|
|
580 |
2.1.5 |
Otros activos |
|
|
|
|
|
|
|
|
|
|
|
|
|
|
|
|
|
|
|
|
|
|
|
590 |
2.2 |
Importes vencidos no consignados en 2.1 resultantes de los préstamos y anticipos concedidos a: |
|
|
|
|
|
|
|
|
|
|
|
|
|
|
|
|
|
|
|
|
|
|
|
600 |
2.2.1 |
Clientes minoristas |
|
|
|
|
|
|
|
|
|
|
|
|
|
|
|
|
|
|
|
|
|
|
|
610 |
2.2.2 |
Empresas no financieras |
|
|
|
|
|
|
|
|
|
|
|
|
|
|
|
|
|
|
|
|
|
|
|
620 |
2.2.3 |
Entidades de crédito |
|
|
|
|
|
|
|
|
|
|
|
|
|
|
|
|
|
|
|
|
|
|
|
630 |
2.2.4 |
Otros clientes financieros |
|
|
|
|
|
|
|
|
|
|
|
|
|
|
|
|
|
|
|
|
|
|
|
640 |
2.2.5 |
Bancos centrales |
|
|
|
|
|
|
|
|
|
|
|
|
|
|
|
|
|
|
|
|
|
|
|
650 |
2.2.6 |
Otras contrapartes |
|
|
|
|
|
|
|
|
|
|
|
|
|
|
|
|
|
|
|
|
|
|
|
660 |
2.3 |
Permutas de divisas al vencimiento |
|
|
|
|
|
|
|
|
|
|
|
|
|
|
|
|
|
|
|
|
|
|
|
670 |
2.4 |
Importe a cobrar por derivados distintos de los consignados en 2.3 |
|
|
|
|
|
|
|
|
|
|
|
|
|
|
|
|
|
|
|
|
|
|
|
680 |
2.5 |
Pagarés en la cartera propia al vencimiento |
|
|
|
|
|
|
|
|
|
|
|
|
|
|
|
|
|
|
|
|
|
|
|
690 |
2.6 |
Otras entradas |
|
|
|
|
|
|
|
|
|
|
|
|
|
|
|
|
|
|
|
|
|
|
|
700 |
2.7 |
Total entradas |
|
0 |
0 |
0 |
0 |
0 |
0 |
0 |
0 |
0 |
0 |
0 |
0 |
0 |
0 |
0 |
0 |
0 |
0 |
0 |
0 |
0 |
|
710 |
2.8 |
Déficit contractual neto |
|
0 |
0 |
0 |
0 |
0 |
0 |
0 |
0 |
0 |
0 |
0 |
0 |
0 |
0 |
0 |
0 |
0 |
0 |
0 |
0 |
0 |
|
720 |
2.9 |
Déficit contractual neto acumulado |
|
0 |
0 |
0 |
0 |
0 |
0 |
0 |
0 |
0 |
0 |
0 |
0 |
0 |
0 |
0 |
0 |
0 |
0 |
0 |
0 |
0 |
|
730-1080 |
3 |
CAPACIDAD DE CONTRAPESO |
Existencias iniciales |
1 día |
Más de 1 día y hasta 2 días |
Más de 2 días y hasta 3 días |
Más de 3 días y hasta 4 días |
Más de 4 días y hasta 5 días |
Más de 5 días y hasta 6 días |
Más de 6 días y hasta 7 días |
Más de 7 días y hasta 2 semanas |
Más de 2 semanas y hasta 3 semanas |
Más de 3 semanas y hasta 30 días |
Más de 30 días y hasta 5 semanas |
Más de 5 semanas y hasta 2 meses |
Más de 2 meses y hasta 3 meses |
Más de 3 meses y hasta 4 meses |
Más de 4 meses y hasta 5 meses |
Más de 5 meses y hasta 6 meses |
Más de 6 meses y hasta 9 meses |
Más de 9 meses y hasta 12 meses |
Más de 12 meses y hasta 2 años |
Más de 2 años y hasta 5 años |
Más de 5 años |
|
730 |
3.1 |
Monedas y billetes |
|
|
|
|
|
|
|
|
|
|
|
|
|
|
|
|
|
|
|
|
|
|
|
740 |
3.2 |
Reservas en bancos centrales que puedan ser retiradas |
|
|
|
|
|
|
|
|
|
|
|
|
|
|
|
|
|
|
|
|
|
|
|
750 |
3.3 |
Activos negociables de nivel 1 |
|
|
|
|
|
|
|
|
|
|
|
|
|
|
|
|
|
|
|
|
|
|
|
760 |
3.3.1 |
Nivel 1: excepto bonos garantizados |
|
|
|
|
|
|
|
|
|
|
|
|
|
|
|
|
|
|
|
|
|
|
|
770 |
3.3.1.1 |
Nivel 1: bancos centrales |
|
|
|
|
|
|
|
|
|
|
|
|
|
|
|
|
|
|
|
|
|
|
|
780 |
3.3.1.2 |
Nivel 1 (nivel 1 de calidad crediticia) |
|
|
|
|
|
|
|
|
|
|
|
|
|
|
|
|
|
|
|
|
|
|
|
790 |
3.3.1.3 |
Nivel 1 (niveles 2 y 3 de calidad crediticia) |
|
|
|
|
|
|
|
|
|
|
|
|
|
|
|
|
|
|
|
|
|
|
|
800 |
3.3.1.4 |
Nivel 1 (nivel 4+ de calidad crediticia) |
|
|
|
|
|
|
|
|
|
|
|
|
|
|
|
|
|
|
|
|
|
|
|
810 |
3.3.2. |
Nivel 1: bonos garantizados (nivel 1 de calidad crediticia) |
|
|
|
|
|
|
|
|
|
|
|
|
|
|
|
|
|
|
|
|
|
|
|
820 |
3.4 |
Activos negociables de nivel 2A |
|
|
|
|
|
|
|
|
|
|
|
|
|
|
|
|
|
|
|
|
|
|
|
830 |
3.4.1 |
Nivel 2A: bonos de empresas (nivel 1 de calidad crediticia) |
|
|
|
|
|
|
|
|
|
|
|
|
|
|
|
|
|
|
|
|
|
|
|
840 |
3.4.3 |
Nivel 2A: bonos garantizados (niveles 1 y 2 de calidad crediticia) |
|
|
|
|
|
|
|
|
|
|
|
|
|
|
|
|
|
|
|
|
|
|
|
850 |
3.4.4 |
Nivel 2A: sector público (niveles 1 y 2 de calidad crediticia) |
|
|
|
|
|
|
|
|
|
|
|
|
|
|
|
|
|
|
|
|
|
|
|
860 |
3.5 |
Activos negociables de nivel 2B |
|
|
|
|
|
|
|
|
|
|
|
|
|
|
|
|
|
|
|
|
|
|
|
870 |
3.5.1 |
Nivel 2B: bonos de titulización de activos (nivel 1 de calidad crediticia) |
|
|
|
|
|
|
|
|
|
|
|
|
|
|
|
|
|
|
|
|
|
|
|
880 |
3.5.2 |
Nivel 2B: bonos garantizados (niveles 1 a 6 de calidad crediticia) |
|
|
|
|
|
|
|
|
|
|
|
|
|
|
|
|
|
|
|
|
|
|
|
890 |
3.5.3 |
Nivel 2B: bonos de empresas (niveles 1 a 3 de calidad crediticia) |
|
|
|
|
|
|
|
|
|
|
|
|
|
|
|
|
|
|
|
|
|
|
|
900 |
3.5.4 |
Nivel 2B: acciones |
|
|
|
|
|
|
|
|
|
|
|
|
|
|
|
|
|
|
|
|
|
|
|
910 |
3.5.5 |
Nivel 2B: sector público (niveles 3 a 5 de calidad crediticia) |
|
|
|
|
|
|
|
|
|
|
|
|
|
|
|
|
|
|
|
|
|
|
|
920 |
3.6 |
Otros activos negociables |
|
|
|
|
|
|
|
|
|
|
|
|
|
|
|
|
|
|
|
|
|
|
|
930 |
3.6.1 |
Administraciones centrales (nivel 1 de calidad crediticia) |
|
|
|
|
|
|
|
|
|
|
|
|
|
|
|
|
|
|
|
|
|
|
|
940 |
3.6.2 |
Administraciones centrales (niveles 2 y 3 de calidad crediticia) |
|
|
|
|
|
|
|
|
|
|
|
|
|
|
|
|
|
|
|
|
|
|
|
950 |
3.6.3 |
Acciones |
|
|
|
|
|
|
|
|
|
|
|
|
|
|
|
|
|
|
|
|
|
|
|
960 |
3.6.4 |
Bonos garantizados |
|
|
|
|
|
|
|
|
|
|
|
|
|
|
|
|
|
|
|
|
|
|
|
970 |
3.6.5 |
Bonos de titulización de activos |
|
|
|
|
|
|
|
|
|
|
|
|
|
|
|
|
|
|
|
|
|
|
|
980 |
3.6.6 |
Otros activos negociables |
|
|
|
|
|
|
|
|
|
|
|
|
|
|
|
|
|
|
|
|
|
|
|
990 |
3.7 |
Activos no negociables admisibles por bancos centrales |
|
|
|
|
|
|
|
|
|
|
|
|
|
|
|
|
|
|
|
|
|
|
|
1000 |
3.8 |
Líneas comprometidas no utilizadas recibidas |
|
|
|
|
|
|
|
|
|
|
|
|
|
|
|
|
|
|
|
|
|
|
|
1010 |
3.8.1 |
Líneas de nivel 1 |
|
|
|
|
|
|
|
|
|
|
|
|
|
|
|
|
|
|
|
|
|
|
|
1020 |
3.8.2 |
Líneas de uso restringido de nivel 2B |
|
|
|
|
|
|
|
|
|
|
|
|
|
|
|
|
|
|
|
|
|
|
|
1030 |
3.8.3 |
Líneas en el marco de un sistema institucional de protección de nivel 2B |
|
|
|
|
|
|
|
|
|
|
|
|
|
|
|
|
|
|
|
|
|
|
|
1040 |
3.8.4 |
Otras líneas |
|
|
|
|
|
|
|
|
|
|
|
|
|
|
|
|
|
|
|
|
|
|
|
1050 |
3.8.4.1 |
De contrapartes intragrupo |
|
|
|
|
|
|
|
|
|
|
|
|
|
|
|
|
|
|
|
|
|
|
|
1060 |
3.8.4.2 |
De otras contrapartes |
|
|
|
|
|
|
|
|
|
|
|
|
|
|
|
|
|
|
|
|
|
|
|
1070 |
3.9 |
Variación neta de la capacidad de contrapeso |
|
0 |
0 |
0 |
0 |
0 |
0 |
0 |
0 |
0 |
0 |
0 |
0 |
0 |
0 |
0 |
0 |
0 |
0 |
0 |
0 |
0 |
|
1080 |
3.10 |
Capacidad de contrapeso acumulada |
0 |
0 |
0 |
0 |
0 |
0 |
0 |
0 |
0 |
0 |
0 |
0 |
0 |
0 |
0 |
0 |
0 |
0 |
0 |
0 |
0 |
0 |
|
1090-1130 |
4 |
CONTINGENCIAS |
|
1 día |
Más de 1 día y hasta 2 días |
Más de 2 días y hasta 3 días |
Más de 3 días y hasta 4 días |
Más de 4 días y hasta 5 días |
Más de 5 días y hasta 6 días |
Más de 6 días y hasta 7 días |
Más de 7 días y hasta 2 semanas |
Más de 2 semanas y hasta 3 semanas |
Más de 3 semanas y hasta 30 días |
Más de 30 días y hasta 5 semanas |
Más de 5 semanas y hasta 2 meses |
Más de 2 meses y hasta 3 meses |
Más de 3 meses y hasta 4 meses |
Más de 4 meses y hasta 5 meses |
Más de 5 meses y hasta 6 meses |
Más de 6 meses y hasta 9 meses |
Más de 9 meses y hasta 12 meses |
Más de 12 meses y hasta 2 años |
Más de 2 años y hasta 5 años |
Más de 5 años |
|
1090 |
4.1 |
Salidas resultantes de líneas comprometidas |
|
|
|
|
|
|
|
|
|
|
|
|
|
|
|
|
|
|
|
|
|
|
|
1100 |
4.1.1 |
Líneas de crédito comprometidas |
|
|
|
|
|
|
|
|
|
|
|
|
|
|
|
|
|
|
|
|
|
|
|
1110 |
4.1.1.1 |
Consideradas como de nivel 2B por el beneficiario |
|
|
|
|
|
|
|
|
|
|
|
|
|
|
|
|
|
|
|
|
|
|
|
1120 |
4.1.1.2 |
Otras |
|
|
|
|
|
|
|
|
|
|
|
|
|
|
|
|
|
|
|
|
|
|
|
1130 |
4.1.2. |
Líneas de liquidez |
|
|
|
|
|
|
|
|
|
|
|
|
|
|
|
|
|
|
|
|
|
|
|
1140 |
4.2 |
Salidas por rebaja de la calidad |
|
|
|
|
|
|
|
|
|
|
|
|
|
|
|
|
|
|
|
|
|
|
|
1150-1290 |
PRO MEMORIA |
Existencias iniciales |
1 día |
Más de 1 día y hasta 2 días |
Más de 2 días y hasta 3 días |
Más de 3 días y hasta 4 días |
Más de 4 días y hasta 5 días |
Más de 5 días y hasta 6 días |
Más de 6 días y hasta 7 días |
Más de 7 días y hasta 2 semanas |
Más de 2 semanas y hasta 3 semanas |
Más de 3 semanas y hasta 30 días |
Más de 30 días y hasta 5 semanas |
Más de 5 semanas y hasta 2 meses |
Más de 2 meses y hasta 3 meses |
Más de 3 meses y hasta 4 meses |
Más de 4 meses y hasta 5 meses |
Más de 5 meses y hasta 6 meses |
Más de 6 meses y hasta 9 meses |
Más de 9 meses y hasta 12 meses |
Más de 12 meses y hasta 2 años |
Más de 2 años y hasta 5 años |
Más de 5 años |
|
|
1200 |
10 |
Salidas intragrupo o en el marco de un sistema institucional de protección (excepto las salidas en divisas) |
|
|
|
|
|
|
|
|
|
|
|
|
|
|
|
|
|
|
|
|
|
|
|
1210 |
11 |
Entradas intragrupo o en el marco de un sistema institucional de protección (excepto las entradas en divisas y los valores al vencimiento) |
|
|
|
|
|
|
|
|
|
|
|
|
|
|
|
|
|
|
|
|
|
|
|
1220 |
12 |
Entradas intragrupo o en el marco de un sistema institucional de protección procedentes de valores al vencimiento) |
|
|
|
|
|
|
|
|
|
|
|
|
|
|
|
|
|
|
|
|
|
|
|
1230 |
13 |
Activos líquidos de elevada calidad admisibles por bancos centrales |
|
|
|
|
|
|
|
|
|
|
|
|
|
|
|
|
|
|
|
|
|
|
|
1240 |
14 |
Activos distintos de los activos líquidos de elevada calidad admisibles por bancos centrales |
|
|
|
|
|
|
|
|
|
|
|
|
|
|
|
|
|
|
|
|
|
|
|
1270 |
17 |
Salidas conductuales derivadas de depósitos |
|
|
|
|
|
|
|
|
|
|
|
|
|
|
|
|
|
|
|
|
|
|
|
1280 |
18 |
Entradas conductuales derivadas de préstamos y anticipos |
|
|
|
|
|
|
|
|
|
|
|
|
|
|
|
|
|
|
|
|
|
|
|
1290 |
19 |
Utilización conductual de líneas comprometidas |
|
|
|
|
|
|
|
|
|
|
|
|
|
|
|
|
|
|
|
|
|
|
ANEXO XXIII
INSTRUCCIONES PARA CUMPLIMENTAR LA PLANTILLA DE LA ESCALA DE VENCIMIENTOS DEL ANEXO XXII
|
PARTE I: INSTRUCCIONES GENERALES |
|
|
PARTE II: INSTRUCCIONES RELATIVAS A FILAS CONCRETAS |
PARTE I: INSTRUCCIONES GENERALES
1. A fin de reflejar el desfase de vencimientos del conjunto de las actividades de la entidad («escala de vencimientos») en la plantilla del anexo XXII, las entidades aplicarán las instrucciones que figuran en el presente anexo.
2. La herramienta de control que constituye la escala de vencimientos se extenderá a los flujos contractuales y las salidas contingentes. Los flujos contractuales resultantes de acuerdos jurídicamente vinculantes y el vencimiento residual a partir de la fecha de información se notificarán de acuerdo con las disposiciones de esos acuerdos.
3. Las entidades no contabilizarán por partida doble las entradas.
4. En la columna «existencias iniciales», se notificarán las existencias del correspondiente elemento en la fecha de información.
5. Solo se cumplimentarán las celdas con fondo blanco de la plantilla del anexo XXII.
6. Las secciones de la plantilla de la escala de vencimientos denominadas «Salidas» y «Entradas» englobarán los flujos de efectivo contractuales futuros correspondientes a todas las partidas en balance en balance o fuera de balance. Únicamente se indicarán las salidas y entradas derivadas de contratos vigentes en la fecha de información.
7. La sección de la plantilla de la escala de vencimientos denominada «Capacidad de contrapeso» representará las existencias de activos libres de cargas u otras fuentes de financiación de los que la entidad pueda disponer legal y materialmente en la fecha de información para cubrir posibles déficits contractuales. Únicamente se indicarán las salidas y entradas derivadas de contratos vigentes en la fecha de información.
8. Las salidas y entradas de efectivo se notificarán en las respectivas secciones «salidas» y «entradas» en términos brutos y con signo positivo. Los importes vencidos a pagar y a cobrar deberán consignarse, respectivamente, en las secciones «salidas» y «entradas».
9. En la sección «capacidad de contrapeso» de la plantilla de la escala de vencimientos, las salidas y entradas se consignarán en términos netos, con signo positivo si se trata de una entrada y con signo negativo si se trata de una salida. En relación con los flujos de efectivo, se notificarán los importes vencidos. Los flujos de valores se notificarán según su valor actual de mercado. Los flujos derivados de líneas de crédito y de liquidez se notificarán con arreglo a los importes contractuales disponibles.
10. Los flujos contractuales se asignarán a los veintidós intervalos temporales en función de su vencimiento residual; los días se entenderán como días naturales.
11. Deberán notificarse todos los flujos contractuales, incluidos todos los flujos de efectivo significativos que se deriven de actividades no financieras, tales como impuestos, primas, dividendos y alquileres.
12. Las entidades, a fin de seguir un enfoque prudente al determinar los vencimientos contractuales de los flujos, se atendrán a todo lo siguiente:
a) Cuando exista la opción de aplazar un pago o cobrar un anticipo, dicha opción se considerará ejercida cuando implique anticipar salidas de la entidad o aplazar entradas a la entidad.
b) Cuando la opción de anticipar salidas de la entidad quede solo al arbitrio de esta, dicha opción se considerará ejercida solo cuando exista la expectativa en el mercado de que la entidad la ejercerá. Se considerará que no ha sido ejercida cuando implique anticipar entradas a la entidad o aplazar salidas de la entidad. Toda salida de efectivo que dicha entrada genere contractualmente — como en el caso de la financiación subrogada — deberá notificarse en la misma fecha que la entrada.
c) Todos los depósitos a la vista y sin vencimiento se consignarán como depósitos a un día en la columna 020.
d) Los pactos de recompra abiertos o inversos y operaciones similares que puedan ser resueltos por cualquiera de las partes en cualquier momento se considerará que tienen un vencimiento intradía, salvo si el plazo de preaviso es superior a un día, en cuyo caso se consignarán en el intervalo temporal pertinente de acuerdo con dicho plazo.
e) Los depósitos a plazo minoristas con opción de retirada anticipada se considerará que vencen en el plazo durante el cual la retirada anticipada del depósito no conlleve una penalización conforme al artículo 25, apartado 4, letra b), del Reglamento (UE) 2015/61.
f) Cuando la entidad no pueda establecer un calendario de pagos contractual mínimo para la totalidad o parte de un determinado elemento siguiendo las normas establecidas en el presente apartado, consignará la totalidad o parte del elemento como con vencimiento superior a 5 años en la columna 220.
13. Las salidas y entradas correspondientes a intereses de todos los instrumentos en balance y fuera de balance se incluirán en todas las partidas pertinentes de las secciones «salidas» y «entradas».
14. La partida «permutas de divisas al vencimiento» reflejará el valor nocional al vencimiento de las permutas de tipos de interés interdivisas, las operaciones a plazo sobre divisas y los contratos al contado sobre divisas no liquidados en los intervalos temporales pertinentes de la plantilla.
15. Los flujos de efectivo derivados de operaciones no liquidadas se notificarán, en el breve período anterior a la liquidación, en las filas y los intervalos correspondientes.
16. Las celdas correspondientes a partidas ajenas a la entidad, por ejemplo, si carece de depósitos de una determinada categoría, se dejarán en blanco.
17. Las partidas en situación de mora y aquellas en relación con las cuales la entidad tenga motivos para considerar que vayan a ser dudosas no se consignarán.
18. Cuando la garantía real recibida sea rehipotecada en una operación que venza con posterioridad a la operación en la que la entidad recibió esa garantía, en la sección «capacidad de contrapeso», se consignará una salida de valores por un importe igual al valor razonable de la garantía real recibida, en el intervalo correspondiente en función del vencimiento de la operación que generó la recepción de la garantía.
19. Las partidas intragrupo no afectarán a la información en base consolidada.
PARTE II: INSTRUCCIONES RELATIVAS A FILAS CONCRETAS
|
Fila |
Referencias legales e instrucciones |
|
010 a 380 |
1 SALIDAS El importe total de las salidas de efectivo se notificará con arreglo a las subcategorías que a continuación se indican: |
|
010 |
1.1 Pasivos resultantes de valores emitidos Salidas de efectivo derivadas de valores representativos de deuda emitidos por la entidad declarante, es decir, emisiones propias. |
|
020 |
1.1.1 Bonos no garantizados vencidos Importe de las salidas de efectivo resultantes de los valores emitidos, incluidos en la fila 1.1, que representen deuda no garantizada emitida por la entidad declarante para terceros. |
|
030 |
1.1.2 Bonos garantizados regulados Importe de las salidas de efectivo resultantes de los valores emitidos, incluidos en la fila 1.1, que correspondan a bonos a los que pueda aplicarse el tratamiento establecido en el artículo 129, apartado 4 o 5, del Reglamento (UE) n.o 575/2013 o el artículo 52, apartado 4, de la Directiva 2009/65/CE. |
|
040 |
1.1.3 Titulizaciones vencidas Importe de las salidas de efectivo resultantes de los valores emitidos, incluidos en la fila 1.1, que correspondan a operaciones de titulización con terceros, de conformidad con el artículo 4, apartado 1, punto 61, del Reglamento (UE) n.o 575/2013. |
|
050 |
1.1.4 Otros Importe de las salidas de efectivo resultantes de valores emitidos, incluidos en la fila 1.1, distintos de los comunicados en las anteriores subcategorías. |
|
060 |
1.2 Pasivos resultantes de operaciones de préstamo garantizadas y operaciones vinculadas al mercado de capitales garantizados por: Importe total de todas las salidas de efectivo resultantes de operaciones de préstamo garantizadas y operaciones vinculadas al mercado de capitales, tal como se definen en el artículo 192 del Reglamento (UE) n.o 575/2013. Nota: Solo se incluirán aquí los flujos de efectivo; los flujos de valores relacionados con las operaciones de préstamo garantizadas y las operaciones vinculadas al mercado de capitales se indicarán en la sección «capacidad de contrapeso». |
|
070 |
1.2.1 Activos negociables de nivel 1 Importe de las salidas de efectivo incluidas en 1.2 garantizado por activos negociables que cumplirían los requisitos de los artículos 7, 8 y 10 del Reglamento (UE) 2015/61 si no estuvieran garantizando la operación concreta de que se trate. Las acciones o participaciones en OIC, de conformidad con el artículo 15 del Reglamento (UE) 2015/61, que sean admisibles como activos de nivel 1 se consignarán en las subcategorías siguientes correspondientes a sus activos subyacentes. |
|
080 |
1.2.1.1 Nivel 1: excepto bonos garantizados Importe de las salidas de efectivo incluidas en 1.2.1 que esté garantizado por activos que no sean bonos garantizados. |
|
090 |
1.2.1.1.1 Nivel 1: bancos centrales Importe de las salidas de efectivo incluidas en 1.2.1.1 que esté garantizado por activos que constituyan créditos frente a, o estén garantizados por, bancos centrales. |
|
100 |
1.2.1.1.2 Nivel 1 (nivel 1 de calidad crediticia) Importe de las salidas de efectivo incluidas en 1.2.1.1, distintas de las incluidas en 1.2.1.1.1, que esté garantizado por activos que constituyan créditos frente a, o estén garantizados por, un emisor o garante al que una ECAI designada otorgue un nivel 1 de calidad crediticia. |
|
110 |
1.2.1.1.3 Nivel 1 (niveles 2 y 3 de calidad crediticia) Importe de las salidas de efectivo incluidas en 1.2.1.1, distintas de las incluidas en 1.2.1.1.1, que esté garantizado por activos que constituyan créditos frente a, o estén garantizados por, un emisor o garante al que una ECAI designada otorgue un nivel 2 o 3 de calidad crediticia. |
|
120 |
1.2.1.1.4 Nivel 1 (nivel 4 de calidad crediticia) Importe de las salidas de efectivo incluidas en 1.2.1.1, distintas de las incluidas en 1.2.1.1.1, que esté garantizado por activos que constituyan créditos frente a, o estén garantizados por, un emisor o garante al que una ECAI designada otorgue un nivel de calidad crediticia igual a 4 o peor. |
|
130 |
1.2.1.2 Nivel 1: bonos garantizados (nivel 1 de calidad crediticia) Importe de las salidas de efectivo incluidas en 1.2.1 que esté garantizado por activos que sean bonos garantizados. De conformidad con el artículo 10, apartado 1, letra f), del Reglamento (UE) 2015/61, solo los bonos garantizados de nivel 1 de calidad crediticia son admisibles como activos de nivel 1. |
|
140 |
1.2.2 Activos negociables de nivel 2A Importe de las salidas de efectivo incluidas en 1.2 garantizado por activos negociables que cumplirían los requisitos de los artículos 7, 8 y 11 del Reglamento (UE) 2015/61 si no estuvieran garantizando la operación concreta de que se trate. Las acciones o participaciones en OIC, de conformidad con el artículo 15 del Reglamento (UE) 2015/61, que sean admisibles como activos de nivel 2A se consignarán en las subcategorías siguientes correspondientes a sus activos subyacentes. |
|
150 |
1.2.2.1 Nivel 2A: bonos de empresas (nivel 1 de calidad crediticia) Importe de las salidas de efectivo incluidas en 1.2.2 que esté garantizado por bonos de empresas a los que una ECAI designada haya asignado un nivel 1 de calidad crediticia. |
|
160 |
1.2.2.2 Nivel 2A: bonos garantizados (niveles 1 y 2 de calidad crediticia) Importe de las salidas de efectivo incluidas en 1.2.2 que esté garantizado por bonos garantizados a los que una ECAI designada haya asignado un nivel 1 o un nivel 2 de calidad crediticia. |
|
170 |
1.2.2.3 Nivel 2A: sector público (niveles 1 y 2 de calidad crediticia) Importe de las salidas de efectivo incluidas en 1.2.2 que esté garantizado por activos que constituyan créditos frente a, o estén garantizados por, administraciones centrales, bancos centrales, administraciones regionales, autoridades locales o entes del sector público. De conformidad con lo dispuesto en el artículo 11, apartado 1, letras a) y b), del Reglamento (UE) 2015/61, todos los activos del sector público admisibles como de nivel 2A deben tener asignado un nivel 1 o un nivel 2 de calidad crediticia. |
|
180 |
1.2.3 Activos negociables de nivel 2B Importe de las salidas de efectivo incluidas en 1.2 garantizado por activos negociables que cumplirían los requisitos de los artículos 7, 8 y 12 o 13 del Reglamento (UE) 2015/61 si no estuvieran garantizando la operación concreta de que se trate. Las acciones o participaciones en OIC, de conformidad con el artículo 15 del Reglamento (UE) 2015/61, que sean admisibles como activos de nivel 2B se consignarán en las subcategorías siguientes correspondientes a sus activos subyacentes. |
|
190 |
1.2.3.1 Nivel 2B: bonos de titulización de activos (nivel 1 de calidad crediticia) Importe de las salidas de efectivo incluidas en 1.2.3 que esté garantizado por bonos de titulización de activos, incluidos los bonos de titulización hipotecaria sobre inmuebles residenciales (RMBS). De conformidad con lo dispuesto en el artículo 13, apartado 2, letra a), del Reglamento (UE) 2015/61, todos los bonos de titulización de activos admisibles como de nivel 2B deben tener asignado un nivel 1 de calidad crediticia. |
|
200 |
1.2.3.2 Nivel 2B: bonos garantizados (niveles 1 a 6 de calidad crediticia) Importe de las salidas de efectivo incluidas en 1.2.3 que esté garantizado por bonos garantizados. |
|
210 |
1.2.3.3 Nivel 2B: bonos de empresas (niveles 1 a 3 de calidad crediticia) Importe de las salidas de efectivo incluidas en 1.2.3 que esté garantizado por valores representativos de deuda de empresas. |
|
220 |
1.2.3.4 Nivel 2B: acciones Importe de las salidas de efectivo incluidas en 1.2.3 que esté garantizado por acciones. |
|
230 |
1.2.3.5 Nivel 2B: sector público (niveles 3 a 5 de calidad crediticia) Importe de las salidas de efectivo incluidas en 1.2.3 que esté garantizado por activos de nivel 2B no incluidos en 1.2.3.1 a 1.2.3.4. |
|
240 |
1.2.4 Otros activos negociables Importe de las salidas de efectivo incluidas en 1.2 que esté garantizado por activos negociables no incluidos en 1.2.1, 1.2.2 o 1.2.3. |
|
250 |
1.2.5 Otros activos Importe de las salidas de efectivo incluidas en 1.2 que esté garantizado por activos no incluidos en 1.2.1, 1.2.2, 1.2.3 o 1.2.4. |
|
260 |
1.3 Pasivos no consignados en 1.2 resultantes de depósitos recibidos, excepto los depósitos recibidos como garantía Salidas de efectivo derivadas de todos los depósitos recibidos, con la excepción de las salidas consignadas en 1.2 y los depósitos recibidos como garantía. Las salidas de efectivo resultantes de operaciones con derivados se consignarán en 1.4 o 1.5. Los depósitos se consignarán en función de su fecha de vencimiento contractual más temprana posible. Los depósitos que puedan retirarse de inmediato sin preaviso («depósitos a la vista») o los depósitos sin vencimiento se consignarán en el intervalo «un día». |
|
270 |
1.3.1 Depósitos minoristas estables Importe de las salidas de efectivo incluidas en 1.3 que se deriven de depósitos minoristas, de conformidad con el artículo 3, apartado 8, y el artículo 24 del Reglamento (UE) 2015/61. |
|
280 |
1.3.2 Otros depósitos minoristas Importe de las salidas de efectivo incluidas en 1.3 que se deriven de depósitos minoristas de conformidad con el artículo 3, apartado 8, del Reglamento (UE) 2015/61 distintos de los incluidos en 1.3.1. |
|
290 |
1.3.3 Depósitos operativos Importe de las salidas de efectivo incluidas en 1.3 que se deriven de depósitos operativos, de conformidad con el artículo 27 del Reglamento (UE) 2015/61. |
|
300 |
1.3.4 Depósitos no operativos de entidades de crédito Importe de las salidas de efectivo incluidas en 1.3 que se deriven de depósitos de entidades de crédito distintos de los incluidos en 1.3.3. |
|
310 |
1.3.5 Depósitos no operativos de otros clientes financieros Importe de las salidas de efectivo incluidas en 1.3 que se deriven de depósitos de clientes financieros, de conformidad con el artículo 3, apartado 9, del Reglamento (UE) 2015/61 distintos de los incluidos en 1.3.3 y 1.3.4. |
|
320 |
1.3.6 Depósitos no operativos de bancos centrales Importe de las salidas de efectivo incluidas en 1.3 que se deriven de depósitos no operativos constituidos por bancos centrales. |
|
330 |
1.3.7 Depósitos no operativos de empresas no financieras Importe de las salidas de efectivo incluidas en 1.3 que se deriven de depósitos no operativos constituidos por empresas no financieras. |
|
340 |
1.3.8 Depósitos no operativos de otras contrapartes Importe de las salidas de efectivo incluidas en 1.3 que se deriven de depósitos no incluidos en 1.3.1 a 1.3.7. |
|
350 |
1.4 Permutas de divisas al vencimiento Importe total de las salidas de efectivo resultantes del vencimiento de operaciones de permuta de divisas, tales como el intercambio de los importes del principal al término del contrato. |
|
360 |
1.5 Importe a pagar por derivados distintos de los consignados en 1.4 Importe total de las salidas de efectivo resultantes de partidas a pagar sobre derivados en el marco de los contratos enumerados en el anexo II del Reglamento (UE) n.o 575/2013, con excepción de las salidas resultantes del vencimiento de permutas de divisas, que se consignarán en 1.4. El importe total reflejará los importes de liquidación, incluidas las peticiones de márgenes no liquidadas en la fecha de información. El importe total corresponderá a la suma de los puntos 1 y 2, como se indica a continuación, en los diversos intervalos temporales: 1. Los flujos de efectivo y valores relacionados con derivados para los que exista un acuerdo de garantía que exija una cobertura íntegra (o adecuada) mediante garantía real de las exposiciones frente a las contrapartes se excluirán de las plantillas relativas a la escala de vencimientos; todos los flujos de efectivo, valores, garantías en efectivo y garantías en valores que estén relacionados con dichos derivados se excluirán de las plantillas. Las existencias de garantías en efectivo y valores ya recibidas o proporcionadas en el contexto de los derivados cubiertos por garantías reales no se reflejarán en la columna «existencias» de la sección 3 de la plantilla de la escala de vencimientos correspondiente a la capacidad de contrapeso, a excepción de los flujos de efectivo y valores en el contexto de peticiones de márgenes («flujos de garantías en efectivo o valores») a pagar en su debido momento pero que aún no se hayan liquidado Estas últimas se reflejarán en las filas 1.5 («salidas de efectivo en relación con derivados») y 2.4 («entradas de efectivo en relación con derivados») cuando se trate de garantías en efectivo, y en la sección 3 («capacidad de contrapeso») cuando se trate de garantías en valores. 2. En lo que respecta a las entradas y salidas de efectivo y valores relacionadas con derivados para los cuales no exista ningún acuerdo de garantía real (o cuando solo se requiera una cobertura parcial), se hará una distinción entre los contratos que implican opcionalidad y los demás contratos: a) Los flujos relativos a derivados asimilados a opciones solo se incluirán cuando el precio de ejercicio sea inferior en caso de opción de compra, o superior, en caso de opción de venta, al precio de mercado (es decir, cuando sean «in the money»). Se obtendrá una aproximación de estos flujos aplicando lo siguiente:: i) Incluyendo el valor de mercado corriente o el valor actual neto del contrato como entrada en la fila 2.4 de la plantilla de la escala de vencimientos («entradas de efectivo en relación con derivados») en la última fecha de ejercicio de la opción si el banco tiene derecho a ejercerla. ii) Incluyendo el valor de mercado corriente o el valor actual neto del contrato como salida en la fila 1.5 de la plantilla de la escala de vencimientos («salidas de efectivo en relación con derivados») en la primera fecha de ejercicio de la opción si la contraparte del banco tiene derecho a ejercerla. b) Los flujos relativos a otros contratos distintos de los contemplados en la letra a) se incluirán asignando los flujos contractuales brutos de efectivo previstos a los respectivos intervalos temporales de las filas 1.5 («salidas de efectivo en relación con derivados») y 2.4 («entradas de efectivo en relación con derivados») y los flujos contractuales de valores líquidos previstos a la capacidad de contrapeso de la plantilla de la escala de vencimientos, utilizando los tipos a plazo corrientes implícitos en el mercado aplicables en la fecha de información si los importes aún no se han fijado. |
|
370 |
1.6 Otras salidas Importe total de todas las demás salidas de efectivo, no consignadas en 1.1, 1.2, 1.3, 1.4 o 1.5. No se consignarán aquí las salidas contingentes. |
|
380 |
1.7 Total salidas La suma de las salidas consignadas en 1.1, 1.2, 1.3, 1.4, 1.5 y 1.6. |
|
390 a 700 |
|
|
390 |
2.1 Importes vencidos resultantes de operaciones de préstamo garantizadas y operaciones vinculadas al mercado de capitales garantizados por: Importe total de las entradas de efectivo derivadas de operaciones de préstamo garantizadas y operaciones vinculadas al mercado de capitales, tal como se definen en el artículo 192 del Reglamento (UE) n.o 575/2013. Solo se incluirán aquí los flujos de efectivo; los flujos de valores relacionados con las operaciones de préstamo garantizadas y las operaciones vinculadas al mercado de capitales se indicarán en la sección «capacidad de contrapeso». |
|
400 |
2.1.1 Nivel 1: activos negociables Importe de las entradas de efectivo incluidas en 2.1 que esté garantizado por activos negociables, con arreglo a los artículos 7, 8 y 10 del Reglamento (UE) 2015/61. Las acciones o participaciones en OIC, de conformidad con el artículo 15 del Reglamento (UE) 2015/61, que sean admisibles como activos de nivel 1 se consignarán en las subcategorías siguientes correspondientes a sus activos subyacentes. |
|
410 |
2.1.1.1 Nivel 1: excepto bonos garantizados Importe de las entradas de efectivo incluidas en 2.1.1 que esté garantizado por activos que no sean bonos garantizados. |
|
420 |
2.1.1.1.1 Nivel 1: bancos centrales Importe de las entradas de efectivo incluidas en 2.1.1.1 que esté garantizado por activos que constituyan créditos frente a, o estén garantizados por, bancos centrales. |
|
430 |
2.1.1.1.2 Nivel 1 (nivel 1 de calidad crediticia) Importe de las entradas de efectivo incluidas en 2.1.1.1, distintas de las incluidas en 2.1.1.1.1, que esté garantizado por activos que constituyan créditos frente a, o estén garantizados por, un emisor o garante al que una ECAI designada otorgue un nivel 1 de calidad crediticia. |
|
440 |
2.1.1.1.3 Nivel 1 (niveles 2 y 3 de calidad crediticia) Importe de las entradas de efectivo incluidas en 2.1.1.1, distintas de las incluidas en 2.1.1.1.1, que esté garantizado por activos que constituyan créditos frente a, o estén garantizados por, un emisor o garante al que una ECAI designada otorgue un nivel 2 o un nivel 3 de calidad crediticia. |
|
450 |
2.1.1.1.4 Nivel 1 (nivel 4 de calidad crediticia) Importe de las entradas de efectivo incluidas en 2.1.1.1, distintas de las incluidas en 2.1.1.1.1, que esté garantizado por activos que constituyan créditos frente a, o estén garantizados por, un emisor o garante al que una ECAI designada otorgue un nivel de calidad crediticia igual a 4 o peor. |
|
460 |
2.1.1.2 Nivel 1: bonos garantizados (nivel 1 de calidad crediticia) Importe de las entradas de efectivo incluidas en 2.1.1 que esté garantizado por activos que sean bonos garantizados. De conformidad con el artículo 10, apartado 1, letra f), del Reglamento (UE) 2015/61, solo los bonos garantizados de nivel 1 de calidad crediticia son admisibles como activos de nivel 1. |
|
470 |
2.1.2 Activos negociables de nivel 2A Importe de las entradas de efectivo incluidas en 2.1 que esté garantizado por activos negociables, con arreglo a los artículos 7, 8 y 11 del Reglamento (UE) 2015/61. Las acciones o participaciones en OIC, de conformidad con el artículo 15 del Reglamento (UE) 2015/61, que sean admisibles como activos de nivel 2A se consignarán en las subcategorías siguientes correspondientes a sus activos subyacentes. |
|
480 |
2.1.2.1 Nivel 2A: bonos de empresas (nivel 1 de calidad crediticia) Importe de las entradas de efectivo incluidas en 2.1.2 que esté garantizado por bonos de empresas a los que una ECAI designada otorgue un nivel 1 de calidad crediticia. |
|
490 |
2.1.2.2 Nivel 2A: bonos garantizados (niveles 1 y 2 de calidad crediticia) Importe de las entradas de efectivo incluidas en 2.1.2 que esté garantizado por bonos de empresas a las que una ECAI designada otorgue un nivel 1 o un nivel 2 de calidad crediticia. |
|
500 |
2.1.2.3 Nivel 2A: sector público (niveles 1 y 2 de calidad crediticia) Importe de las entradas de efectivo incluidas en 2.1.2 que esté garantizado por activos que constituyan créditos frente a, o estén garantizados por, administraciones centrales, bancos centrales, administraciones regionales, autoridades locales o entes del sector público. De conformidad con lo dispuesto en el artículo 11, apartado 1, letras a) y b), del Reglamento (UE) 2015/61, todos los activos del sector público admisibles como de nivel 2A deberán tener asignado un nivel 1 o un nivel 2 de calidad crediticia. |
|
510 |
2.1.3 Activos negociables de nivel 2B Importe de las entradas de efectivo incluidas en 2.1 que esté garantizado por activos negociables, con arreglo a los artículos 7, 8 y 12 o 13 del Reglamento (UE) 2015/61. Las acciones o participaciones en OIC, de conformidad con el artículo 15 del Reglamento (UE) 2015/61, que sean admisibles como activos de nivel 2B se consignarán en las subcategorías siguientes correspondientes a sus activos subyacentes. |
|
520 |
2.1.3.1 Nivel 2B: bonos de titulización de activos (nivel 1 de calidad crediticia) Importe de las entradas de efectivo incluidas en 2.1.3 que esté garantizado por bonos de titulización de activos, incluidos los bonos de titulización hipotecaria sobre inmuebles residenciales. |
|
530 |
2.1.3.2 Nivel 2B: bonos garantizados (niveles 1 a 6 de calidad crediticia) Importe de las entradas de efectivo incluidas en 2.1.3 que esté garantizado por bonos garantizados. |
|
540 |
2.1.3.3 Nivel 2B: bonos de empresas (niveles 1 a 3 de calidad crediticia) Importe de las entradas de efectivo incluidas en 2.1.3 que esté garantizado por valores representativos de deuda de empresas. |
|
550 |
2.1.3.4 Nivel 2B: acciones Importe de las entradas de efectivo incluidas en 2.1.3 que corresponda a acciones. |
|
560 |
2.1.3.5 Nivel 2B: sector público (niveles 3 a 5 de calidad crediticia) Importe de las entradas de efectivo incluidas en 2.1.3 que corresponda a activos de nivel 2B no incluidos en 2.1.3.1 a 2.1.3.4. |
|
570 |
2.1.4 Otros activos negociables Importe de las entradas de efectivo incluidas en 2.1 que esté garantizado por activos negociables no incluidos en 2.1.1, 2.1.2 o 2.1.3. |
|
580 |
2.1.5 Otros activos Importe de las entradas de efectivo incluidas en 2.1 que esté garantizado por activos no incluidos en 2.1.1, 2.1.2, 2.1.3 o 2.1.4. |
|
590 |
2.2 Importes vencidos no consignados en 2.1 resultantes de los préstamos y anticipos concedidos a: Entradas de efectivo procedentes de préstamos y anticipos. Las entradas de efectivo se notificarán en la última fecha contractual de reembolso. En lo que respecta a las líneas renovables, se considerará que el préstamo existente se renueva y cualquier saldo residual se tratará como línea comprometida. |
|
600 |
2.2.1 Clientes minoristas Importe de las entradas de efectivo incluidas en 2.2 que proceda de personas físicas o PYME, de conformidad con el artículo 3, apartado 8, del Reglamento (UE) 2015/61. |
|
610 |
2.2.2 Empresas no financieras Importe de las entradas de efectivo incluidas en 2.2 que proceda de empresas no financieras. |
|
620 |
2.2.3 Entidades de crédito Importe de las entradas de efectivo incluidas en 2.2 que proceda de entidades de crédito. |
|
630 |
2.2.4 Otros clientes financieros Importe de las entradas de efectivo incluidas en 2.2 que proceda de clientes financieros, de conformidad con el artículo 3, apartado 9, del Reglamento (UE) 2015/61, distintas de las incluidas en 2.2.3. |
|
640 |
2.2.5 Bancos centrales Importe de las entradas de efectivo incluidas en 2.2 que proceda de bancos centrales. |
|
650 |
2.2.6 Otras contrapartes Importe de las entradas de efectivo incluidas en 2.2 que proceda de otras contrapartes no incluidas en las secciones 2.2.1 a 2.2.5. |
|
660 |
2.3 Permutas de divisas al vencimiento Importe total de las entradas contractuales de efectivo resultantes del vencimiento de operaciones de permuta de divisas, tales como el intercambio de los importes del principal al término del contrato. Refleja el valor nocional al vencimiento de las permutas de tipos de interés interdivisas y las operaciones al contado y a plazo sobre divisas en los intervalos temporales pertinentes de la plantilla. |
|
670 |
2.4 Importe a cobrar por derivados distintos de los consignados en 2.3 Importe total de las entradas contractuales de efectivo resultantes de partidas a cobrar sobre derivados en el marco de los contratos enumerados en el anexo II del Reglamento (UE) n.o 575/2013, con excepción de las entradas resultantes de permutas de divisas al vencimiento, que se consignarán en 2.3. El importe total incluirá los importes de liquidación, incluidas las peticiones de márgenes no liquidadas en la fecha de información. El importe total corresponderá a la suma de los puntos 1 y 2, como se indica a continuación, en los diversos intervalos temporales: 1. Los flujos de efectivo y valores relacionados con derivados para los que exista un acuerdo de garantía que exija una cobertura íntegra (o adecuada) mediante garantía real de las exposiciones frente a las contrapartes se excluirán de las dos plantillas relativas a la escala de vencimientos; todos los flujos de efectivo, valores, garantías en efectivo y garantías en valores que estén relacionados con dichos derivados se excluirán de las plantillas. Las existencias de garantías en efectivo y valores ya recibidas o proporcionadas en el contexto de los derivados cubiertos por garantías reales no se reflejarán en la columna «existencias» de la sección 3 de la plantilla de la escala de vencimientos, correspondiente a la capacidad de contrapeso, con excepción de los flujos de efectivo y valores en el contexto de peticiones de márgenes a pagar en su debido momento pero que aún no se hayan liquidado. Estas últimas se reflejarán en la plantilla de la escala de vencimientos en las filas 1.5 («salidas de efectivo en relación con derivados») y 2.4 («entradas de efectivo en relación con derivados») cuando se trate de garantías en efectivo, y en la sección 3 («capacidad de contrapeso») cuando se trate de garantías en valores. 2. En lo que respecta a las entradas y salidas de efectivo y valores relacionadas con derivados para los cuales no exista ningún acuerdo de garantía real (o cuando solo se requiera una cobertura parcial), se hará una distinción entre los contratos que implican opcionalidad y los demás contratos: a) Los flujos relativos a derivados asimilados a opciones solo se incluirán si son «in the money». Se obtendrá una aproximación de estos flujos aplicando lo siguiente: i) Incluyendo el valor de mercado corriente o el valor actual neto del contrato como entrada en la fila 2.4 de la plantilla de la escala de vencimientos («entradas de efectivo en relación con derivados») en la última fecha de ejercicio de la opción si el banco tiene derecho a ejercerla. ii) Incluyendo el valor de mercado corriente o el valor actual neto del contrato como salida en la fila 1.5 de la plantilla de la escala de vencimientos («salidas de efectivo en relación con derivados») en la primera fecha de ejercicio de la opción si la contraparte del banco tiene derecho a ejercerla. b) Los flujos relativos a otros contratos distintos de los contemplados en la letra a) se incluirán asignando los flujos contractuales brutos de efectivo previstos a los respectivos intervalos temporales de las filas 1.5 («salidas de efectivo en relación con derivados») y 2.4 («entradas de efectivo en relación con derivados») y los flujos contractuales de valores previstos a la capacidad de contrapeso de la plantilla de la escala de vencimientos, utilizando los tipos a plazo corrientes implícitos en el mercado aplicables en la fecha de información si los importes aún no se han fijado. |
|
680 |
2.5 Pagarés en la cartera propia al vencimiento El importe de las entradas que corresponda al reembolso del principal de inversiones propias en bonos vencidas, notificado con arreglo a su vencimiento contractual residual. Esta partida incluirá las entradas de efectivo procedentes de valores en vencimiento notificados en «capacidad de contrapeso». Por consiguiente, cuando un valor venza, se comunicará como salida de valores en «capacidad de contrapeso» y, por tanto, como entrada de efectivo aquí. |
|
690 |
2.6 Otras entradas Importe total de todas las demás entradas de efectivo, no consignadas en 2.1, 2.2, 2.3, 2.4 o 2.5. No se consignarán aquí las entradas contingentes. |
|
700 |
2.7 Total entradas La suma de las entradas consignadas en 2.1, 2.2, 2.3, 2.4, 2.5 y 2.6. |
|
710 |
2.8 Déficit contractual neto Total de entradas consignado en 2.7 menos el total de salidas consignado en 1.7. |
|
720 |
2.9 Déficit contractual neto acumulado Déficit contractual neto acumulado desde la fecha de información hasta el límite superior del pertinente intervalo temporal. |
|
730-1080 |
3 CAPACIDAD DE CONTRAPESO La «capacidad de contrapeso» de la plantilla de la escala de vencimientos contendrá información sobre la evolución de la tenencia por parte de las entidades de activos de diverso grado de liquidez, tales como activos negociables y activos admisibles por los bancos centrales, así como las líneas comprometidas contractualmente en favor de la entidad. La información en base consolidada sobre la admisibilidad por el banco central se basará en las normas de admisibilidad por los bancos centrales que se apliquen a cada entidad consolidada en el territorio en el que se hayan constituido. Si la capacidad de contrapeso se refiere a activos negociables, las entidades notificarán los activos negociados en mercados de contado o de repos amplios, profundos y activos, caracterizados por un bajo nivel de concentración. Los activos consignados en las columnas correspondientes a la capacidad de contrapeso incluirán solo los activos libres de cargas que estén disponibles para que la entidad pueda convertirlos en efectivo en todo momento, con vistas a colmar cualquier déficit entre las entradas y las salidas de efectivo durante el horizonte temporal. A estos efectos, será de aplicación la definición de activos sujetos a cargas que contempla el Reglamento Delegado (UE) 2015/61 de la Comisión. Los activos no deben utilizarse para proporcionar mejoras crediticias en operaciones estructuradas o destinarse a cubrir costes operativos (tales como alquileres o salarios), y deberán gestionarse con la única y clara finalidad de servir de fuente de financiación contingente. Los activos que la entidad haya recibido como garantía en repos inversos y operaciones de financiación de valores (SFT) pueden integrarse en la capacidad de contrapeso si se mantienen en la entidad, no han sido rehipotecados y están legal y contractualmente disponibles para su uso por la entidad. Para evitar una doble contabilización, si la entidad comunica ya activos reservados para las partidas 3.1 a 3.7, no indicará la capacidad correspondiente a esas líneas en 3.8. Las entidades consignarán los activos como existencias iniciales, en la columna 010, cuando se ajusten a la descripción de una fila y estén disponibles en la fecha de información. Las columnas 020 a 220 contendrán los flujos contractuales relativos a la capacidad de contrapeso. Si una entidad ha realizado una operación de repo, el activo que haya sido cedido deberá volver a consignarse como entrada de valores en el intervalo de vencimiento que corresponda a la operación. Paralelamente, la salida de efectivo que se deriva del vencimiento de la operación de repo se consignará en el pertinente intervalo de las salidas de efectivo, en la partida 1.2. Si una entidad ha realizado una operación de repo inverso, el activo que haya sido cedido deberá volver a consignarse como salida de valores en el intervalo de vencimiento que corresponda a la operación. Paralelamente, la entrada de efectivo que se deriva del vencimiento de la operación de repo se consignará en el pertinente intervalo de las salidas de efectivo, en la partida 2.1. Las permutas de garantías reales se consignarán como entradas y salidas contractuales de valores en la sección relativa a la capacidad de contrapeso con arreglo al pertinente intervalo de vencimiento que corresponda a las permutas. Una variación en el importe contractual disponible de líneas de crédito y de liquidez consignado en 3.8 se indicará como flujo en el pertinente intervalo temporal. Si una entidad tiene un depósito a un día en un banco central, su importe se declarará como existencias iniciales en 3.2 y como salida de efectivo en el intervalo de vencimiento a un día correspondiente a esa partida. Paralelamente, la entrada de efectivo resultante se indicará en 2.2.5. Los valores incluidos en la capacidad de contrapeso que lleguen a vencimiento deberán notificarse en función de su vencimiento contractual. Cuando un valor venza, será suprimido de la categoría de activos en la que se haya declarado inicialmente (es decir, se tratará como una salida de valores), y la entrada de efectivo resultante se indicará en 2.5. Todos los valores se indicarán en el intervalo pertinente por su valor de mercado corriente. En la partida 3.8 solo se indicarán los importes contractualmente disponibles. A fin de evitar una doble contabilización, las entradas de efectivo no se contabilizarán en la partida 3.1 o 3.2 de la capacidad de contrapeso. Los elementos de la capacidad de contrapeso se notificarán con arreglo a las subcategorías que a continuación se indican: |
|
730 |
3.1 Monedas y billetes Importe total del efectivo resultante de monedas y billetes. |
|
740 |
3.2 Reservas en bancos centrales que puedan ser retiradas Importe total de las reservas en bancos centrales de acuerdo con el artículo 10, apartado 1, letra b), inciso iii), del Reglamento (UE) 2015/61, que puedan ser retiradas en el plazo de un día a más tardar. No se indicarán aquí los valores que representen créditos frente a, o que estén garantizados por, bancos centrales. |
|
750 |
3.3 Activos negociables de nivel 1 El valor de mercado de los activos negociables de conformidad con los artículos 7, 8 y 10 del Reglamento (UE) 2015/61. Las acciones o participaciones en OIC, de conformidad con el artículo 15 del Reglamento (UE) 2015/61, que sean admisibles como activos de nivel 1 se consignarán en las subcategorías siguientes correspondientes a sus activos subyacentes. |
|
760 |
3.3.1 Nivel 1: excepto bonos garantizados Importe consignado en 3.3. que no corresponda a bonos garantizados. |
|
770 |
3.3.1.1 Nivel 1: bancos centrales Importe consignado en 3.3.1 que corresponda a activos que constituyan créditos frente a, o estén garantizados por, bancos centrales. |
|
780 |
3.3.1.2 Nivel 1 (nivel 1 de calidad crediticia) Importe consignado en 3.3.1 distinto del consignado en 3.3.1.1 y que corresponda a activos que constituyan créditos frente a, o estén garantizados por, un emisor o garante al que una ECAI designada otorgue un nivel 1 de calidad crediticia. |
|
790 |
3.3.1.3 Nivel 1 (niveles 2 y 3 de calidad crediticia) Importe consignado en 3.3.1 distinto del consignado en 3.3.1.1 y que corresponda a activos que constituyan créditos frente a, o estén garantizados por, un emisor o garante al que una ECAI designada otorgue un nivel 2 o un nivel 3 de calidad crediticia. |
|
800 |
3.3.1.4 Nivel 1 (nivel 4+ de calidad crediticia) Importe consignado en 3.3.1 distinto del consignado en 3.3.1.1 y que corresponda a activos que constituyan créditos frente a, o estén garantizados por, un emisor o garante al que una ECAI designada otorgue un nivel de calidad crediticia igual a 4 o peor. |
|
810 |
3.3.2 Nivel 1: bonos garantizados (nivel 1 de calidad crediticia) Importe consignado en 3.3 que corresponda a bonos garantizados. De conformidad con el artículo 10, apartado 1, letra f), del Reglamento (UE) 2015/61, solo los bonos garantizados de nivel 1 de calidad crediticia son admisibles como activos de nivel 1. |
|
820 |
3.4 Activos negociables de nivel 2A El valor de mercado de los activos negociables de conformidad con los artículos 7, 8 y 11 del Reglamento (UE) 2015/61. Las acciones o participaciones en OIC, de conformidad con el artículo 15 del Reglamento (UE) 2015/61, que sean admisibles como activos de nivel 2A se consignarán en las subcategorías siguientes correspondientes a sus activos subyacentes. |
|
830 |
3.4.1 Nivel 2A: bonos de empresas (nivel 1 de calidad crediticia) Importe consignado en 3.4 que corresponda a bonos de empresas a los que una ECAI designada otorgue un nivel 1 de calidad crediticia. |
|
840 |
3.4.2 Nivel 2A: bonos garantizados (niveles 1 y 2 de calidad crediticia) Importe consignado en 3.4 que corresponda a bonos garantizados a los que una ECAI designada otorgue un nivel 1 o un nivel 2 de calidad crediticia. |
|
850 |
3.4.3 Nivel 2A: sector público (niveles 1 y 2 de calidad crediticia) Importe consignado en 3.4 que corresponda a activos que constituyan créditos frente a, o estén garantizados por, administraciones centrales, bancos centrales, administraciones regionales, autoridades locales o entes del sector público. De conformidad con lo dispuesto en el artículo 11, apartado 1, letras a) y b), del Reglamento (UE) 2015/61, todos los activos del sector público admisibles como de nivel 2A deben tener asignado un nivel 1 o un nivel 2 de calidad crediticia. |
|
860 |
3.5 Activos negociables de nivel 2B El valor de mercado de los activos negociables de conformidad con los artículos 7, 8 y 12 o 13 del Reglamento (UE) 2015/61. Las acciones o participaciones en OIC, de conformidad con el artículo 15 del Reglamento (UE) 2015/61, que sean admisibles como activos de nivel 2B se consignarán en las subcategorías siguientes correspondientes a sus activos subyacentes. |
|
870 |
3.5.1 Nivel 2B: bonos de titulización de activos (nivel 1 de calidad crediticia) Importe consignado en 3.5 que corresponda a bonos de titulización de activos, incluidos los bonos de titulización hipotecaria sobre inmuebles residenciales. De conformidad con lo dispuesto en el artículo 13, apartado 2, letra a), del Reglamento (UE) 2015/61, todos los bonos de titulización de activos admisibles como de nivel 2B deben tener asignado un nivel 1 de calidad crediticia. |
|
880 |
3.5.2 Nivel 2B: bonos garantizados (niveles 1 a 6 de calidad crediticia) Importe consignado en 3.5 que corresponda a bonos garantizados. |
|
890 |
3.5.3 Nivel 2B: bonos de empresas (niveles 1 a 3 de calidad crediticia) Importe consignado en 3.5 que corresponda a valores representativos de deuda de empresas. |
|
900 |
3.5.4 Nivel 2B: acciones Importe consignado en 3.5 que corresponda a acciones. |
|
910 |
3.5.5 Nivel 2B: sector público (niveles 3 a 5 de calidad crediticia) Importe consignado en 3.5 que corresponda a activos de nivel 2B no consignados en 3.5.1 a 3.5.4. |
|
920 |
3.6 Otros activos negociables El valor de mercado de los activos negociables distintos de los consignados en 3.3, 3.4 y 3.5. Los valores y flujos de valores de otros activos negociables en forma de emisiones propias o intragrupo no se consignarán en la capacidad de contrapeso. No obstante, los flujos de efectivo de estos elementos se consignarán en la parte pertinente de las secciones 1 y 2 de la plantilla. |
|
930 |
3.6.1 Administraciones centrales (nivel 1 de calidad crediticia) Importe consignado en 3.6 que corresponda a activos que constituyan créditos frente a, o estén garantizados por, administraciones centrales a las que una ECAI designada otorgue un nivel 1 de calidad crediticia. |
|
940 |
3.6.2 Administraciones centrales (niveles 2 y 3 de calidad crediticia) Importe consignado en 3.6 que corresponda a activos que constituyan créditos frente a, o estén garantizados por, administraciones centrales a las que una ECAI designada otorgue un nivel 2 o un nivel 3 de calidad crediticia. |
|
950 |
3.6.3 Acciones Importe consignado en 3.6. que corresponda a acciones. |
|
960 |
3.6.4 Bonos garantizados Importe consignado en 3.6 que corresponda a bonos garantizados. |
|
970 |
3.6.5 Bonos de titulización de activos Importe consignado en 3.6 que corresponda a bonos de titulización de activos. |
|
980 |
3.6.6 Otros activos negociables Importe consignado en 3.6 que corresponda a otros activos negociables no consignados en 3.6.1 a 3.6.5. |
|
990 |
3.7 Activos no negociables admisibles por bancos centrales Importe en libros de los activos no negociables que constituyan garantías reales admisibles para las operaciones de liquidez normales de un banco central a los que la entidad tenga acceso directo en su nivel de consolidación. Cuando se trate de activos denominados en una moneda que figure, en el anexo del Reglamento de Ejecución (UE) 2015/233 (1) de la Comisión, entre las monedas de admisibilidad sumamente restringida por el banco central, las entidades dejarán este campo en blanco. Los valores y flujos de valores de otros activos negociables en forma de emisiones propias o intragrupo no se consignarán en la capacidad de contrapeso. No obstante, los flujos de efectivo de estos elementos se consignarán en la parte pertinente de las secciones 1 y 2 de la plantilla. |
|
1000 |
3.8 Líneas comprometidas no utilizadas recibidas Importe total de las líneas comprometidas no utilizadas otorgadas a la entidad declarante. Estas incluyen las líneas contractualmente irrevocables. Las entidades comunicarán un importe reducido en los casos en que las necesidades potenciales de garantías reales para la utilización de estas líneas sean superiores a la disponibilidad de tales garantías. Para evitar una doble contabilización, si la entidad declarante ha reservado ya activos como garantía para una línea de crédito no utilizada, y ha notificado ya los activos en 3.1 a 3.7, dicha línea no se notificará en 3.8. Esto mismo será válido en los casos en que la entidad declarante pueda necesitar reservar activos como garantía a fin de poder hacer uso de las líneas según lo indicado aquí. |
|
1010 |
3.8.1 Líneas de nivel 1 Importe consignado en 3.8 que corresponda a líneas del banco central, de conformidad con el artículo 19, apartado 1, letra b), del Reglamento (UE) 2015/61. |
|
1020 |
3.8.2 Líneas de uso restringido de nivel 2B Importe consignado en 3.8 que corresponda a financiación de liquidez, de conformidad con el artículo 14 del Reglamento (UE) 2015/61. |
|
1030 |
3.8.3 Líneas en el marco de un sistema institucional de protección de nivel 2B Importe consignado en 3.8 que corresponda a financiación de liquidez, de conformidad con el artículo 16, apartado 2, del Reglamento (UE) 2015/61. |
|
1040 |
3.8.4 Otras líneas Importe consignado en 3.8 distinto del importe consignado en 3.8.1 a 3.8.3. |
|
1050 |
3.8.4.1 De contrapartes intragrupo Importe consignado en 3.8.4, cuando la contraparte sea la empresa matriz o una filial de la entidad de crédito, u otra filial de la misma empresa matriz, esté vinculada a la entidad de crédito por una relación a tenor del artículo 12, apartado 1, de la Directiva 83/349/CEE, sea miembro del mismo sistema institucional de protección a que se refiere el artículo 113, apartado 7, del Reglamento (UE) n.o 575/2013, o sea la entidad central o un miembro de una red o grupo de cooperativas tal como se contempla en el artículo 10 del Reglamento (UE) n.o 575/2013. |
|
1060 |
3.8.4.2 De otras contrapartes Importe consignado en 3.8.4 distinto del importe consignado en 3.8.4.1. |
|
1070 |
3.9 Variación neta de la capacidad de contrapeso Se notificará la variación neta de las exposiciones respecto de las partidas 3.2, 3.3, 3.4 y 3.5, 3.6, 3.7 y 3.8 correspondientes, respectivamente, a bancos centrales, flujos de valores y líneas de crédito comprometidas en un determinado intervalo temporal. |
|
1080 |
3.10 Capacidad de contrapeso acumulada Importe acumulado de la capacidad de contrapeso desde la fecha de información hasta el límite superior del pertinente intervalo temporal . |
|
1090-1140 |
4 CONTINGENCIAS En la sección «contingencias» de la escala de vencimientos se notificará la información sobre las salidas contingentes. |
|
1090 |
4.1 Salidas resultantes de líneas comprometidas Salidas de efectivo derivadas de líneas comprometidas. Las entidades consignarán como salida el importe máximo que pueda utilizarse en un plazo determinado. En el caso de la líneas de crédito renovables, solo se consignará el importe que exceda del préstamo existente. |
|
1010 |
4.1.1 Líneas de crédito comprometidas Importe consignado en 4.1 que corresponda a líneas de crédito comprometidas, de conformidad con el artículo 31 del Reglamento (UE) 2015/61. |
|
1110 |
4.1.1.1 Consideradas como de nivel 2B por el beneficiario Importe consignado en 4.1.1 que se considere financiación de liquidez de conformidad con el artículo 16, apartado 2, del Reglamento (UE) 2015/61. |
|
1120 |
4.1.1.2 Otras Importe consignado en 4.1.1, distinto del importe consignado en 4.1.1.1. |
|
1130 |
4.1.2 Líneas de liquidez Importe consignado en 4.1 que corresponda a líneas de liquidez de conformidad con el artículo 31 del Reglamento (UE) 2015/61. |
|
1140 |
4.2 Salidas por retrogradación de la calidad Las entidades reflejarán aquí el efecto de un deterioro significativo de la calidad crediticia de la entidad que equivalga a una rebaja de su evaluación crediticia externa de al menos tres escalones. Los importes positivos representarán salidas contingentes y los importes negativos representarán una reducción del pasivo original. Cuando el efecto de la rebaja de la calificación sea el reembolso anticipado de pasivos vivos, los pasivos afectados se consignarán con signo negativo en la banda temporal en la que se consignen en la partida 1 y, simultáneamente, con signo positivo en la banda temporal en la que el pasivo venza, si los efectos de la rebaja son aplicables en la fecha de información. Cuando el efecto de la rebaja de la calificación sea la petición de márgenes, el valor de la garantía real que deba entregarse se consignará con signo positivo en la banda temporal en la que el requerimiento deba satisfacerse, si los efectos de la rebaja de calificación son aplicables en la fecha de información. Cuando el efecto de la rebaja de la calificación sea una variación de los derechos de rehipoteca de los valores recibidos en garantía de las contrapartes, el valor de mercado de los valores afectados se consignará con signo positivo en la banda temporal en la que los valores dejen de estar disponibles para la entidad declarante, si los efectos de la retrogradación son aplicables en la fecha de información. |
|
1150-1290 |
5 PARTIDAS PRO MEMORIA |
|
1200 |
10 Salidas intragrupo o en el marco de un sistema institucional de protección (excepto las salidas en divisas) Importe de la salidas consignadas en 1.1, 1.2, 1.3, 1.5 y 1.6 cuando la contraparte sea la empresa matriz o una filial de la entidad de crédito, u otra filial de la misma empresa matriz, esté vinculada a la entidad de crédito por una relación a tenor del artículo 12, apartado 1, de la Directiva 83/349/CEE, sea miembro del mismo sistema institucional de protección a que se refiere el artículo 113, apartado 7, del Reglamento (UE) n.o 575/2013, o sea la entidad central o un miembro de una red o grupo de cooperativas tal como se contempla en el artículo 10 del Reglamento (UE) n.o 575/2013. |
|
1210 |
11 Entradas intragrupo o en el marco de un sistema institucional de protección (excepto las entradas en divisas y los valores al vencimiento) Importe de la entradas consignadas en 2.1, 2.2, 2.4 y 2.6 cuando la contraparte sea la empresa matriz o una filial de la entidad de crédito, u otra filial de la misma empresa matriz, esté vinculada a la entidad de crédito por una relación a tenor del artículo 12, apartado 1, de la Directiva 83/349/CEE, sea miembro del mismo sistema institucional de protección a que se refiere el artículo 113, apartado 7, del Reglamento (UE) n.o 575/2013, o sea la entidad central o un miembro de una red o grupo de cooperativas tal como se contempla en el artículo 10 del Reglamento (UE) n.o 575/2013. |
|
1220 |
12 Entradas intragrupo o en el marco de un sistema institucional de protección procedentes de valores al vencimiento Importe de la entradas consignadas en 2.5 cuando la contraparte sea la empresa matriz o una filial de la entidad de crédito, u otra filial de la misma empresa matriz, esté vinculada a la entidad de crédito por una relación a tenor del artículo 12, apartado 1, de la Directiva 83/349/CEE, sea miembro del mismo sistema institucional de protección a que se refiere el artículo 113, apartado 7, del Reglamento (UE) n.o 575/2013, o sea la entidad central o un miembro de una red o grupo de cooperativas tal como se contempla en el artículo 10 del Reglamento (UE) n.o 575/2013. |
|
1230 |
13 Activos líquidos de calidad elevada admisibles por bancos centrales Importe consignado en 3.3, 3.4 y 3.5 que corresponda a garantías reales admisibles para las operaciones de liquidez normales de un banco central a las que la entidad tenga acceso directo en su nivel de consolidación. Cuando se trate de activos denominados en una moneda que figure, en el anexo del Reglamento de Ejecución (UE) 2015/233, entre las monedas de admisibilidad sumamente restringida por el banco central, las entidades dejarán este campo en blanco. |
|
1240 |
14 Activos negociables distintos de los activos líquidos de calidad elevada admisibles por bancos centrales La suma de: i) La suma de los importes consignados en 3.6 que correspondan a garantías reales admisibles para las operaciones de liquidez normales de un banco central a las que la entidad tenga acceso directo en su nivel de consolidación. ii) Las emisiones propias que constituyan garantías reales admisibles para las operaciones de liquidez normales de un banco central a las que la entidad tenga acceso directo en su nivel de consolidación. Cuando se trate de activos denominados en una moneda que figure, en el anexo del Reglamento (UE) 2015/233, entre las monedas de admisibilidad sumamente restringida por el banco central, las entidades dejarán este campo en blanco. |
|
1270 |
17 Salidas conductuales derivadas de depósitos El importe consignado en 1.3 redistribuido entre los intervalos temporales según el vencimiento conductual sobre la base de un «escenario de normalidad» utilizado a efectos de la gestión del riesgo de liquidez de la entidad declarante. A los efectos de este campo, por «escenario de normalidad» se entenderá «en la hipótesis de una situación sin tensiones de liquidez». La distribución reflejará la «rigidez» de los depósitos. La partida no refleja las hipótesis sobre el plan de negocios y, por lo tanto, no incluirá información relativa a nuevas actividades empresariales. La asignación entre los intervalos temporales se ajustará al nivel de detalle utilizado para fines internos. Por tanto, no es necesario cumplimentar todos los intervalos temporales. |
|
1280 |
18 Entradas conductuales derivadas de préstamos y anticipos El importe consignado en 2.2 redistribuido entre los intervalos temporales según el vencimiento conductual sobre la base de un «escenario de normalidad» utilizado a efectos de la gestión del riesgo de liquidez de la entidad declarante. A los efectos de este campo, por «escenario de normalidad» se entenderá «en la hipótesis de una situación sin tensiones de liquidez». La partida no refleja las hipótesis sobre el plan de negocios y, por lo tanto, no incluirá información relativa a nuevas actividades empresariales. La asignación entre los intervalos temporales se ajustará al nivel de detalle utilizado para fines internos. Por tanto, no es necesario cumplimentar todos los intervalos temporales. |
|
1290 |
19 Utilización conductual de líneas comprometidas Importe consignado en 4.1 redistribuido entre los intervalos temporales según el nivel de utilización conductual y las necesidades de liquidez resultantes sobre la base de un «escenario de normalidad» utilizado a efectos de la gestión del riesgo de liquidez de la entidad declarante. A los efectos de este campo, por «escenario de normalidad» se entenderá «en la hipótesis de una situación sin tensiones de liquidez». La partida no refleja las hipótesis sobre el plan de negocios y, por lo tanto, no incluirá información relativa a nuevas actividades empresariales. La asignación entre los intervalos temporales se ajustará al nivel de detalle utilizado para fines internos. Por tanto, no es necesario cumplimentar todos los intervalos temporales. |
|
(1) http://eur-lex.europa.eu/legal-content/EN/TXT/?uri=CELEX%3A32015R0233 |
|
ANEXO XXIV
INFORMACIÓN SOBRE LIQUIDEZ
|
PLANTILLAS DE LIQUIDEZ |
||
|
Número de plantilla |
Código de plantilla |
Nombre de la plantilla/grupo de plantillas |
|
PLANTILLAS DE COBERTURA DE LA LIQUIDEZ |
||
|
PARTE I — ACTIVOS LÍQUIDOS |
||
|
72 |
C 72.00 |
COBERTURA DE LA LIQUIDEZ — ACTIVOS LÍQUIDOS |
|
PARTE II — SALIDAS |
||
|
73 |
C 73.00 |
COBERTURA DE LA LIQUIDEZ — SALIDAS |
|
PARTE III — ENTRADAS |
||
|
74 |
C 74.00 |
COBERTURA DE LA LIQUIDEZ — ENTRADAS |
|
PARTE IV — PERMUTAS DE GARANTÍAS REALES |
||
|
75 |
C 75.00 |
COBERTURA DE LA LIQUIDEZ — PERMUTAS DE GARANTÍAS REALES |
|
PARTE V — CÁLCULOS |
||
|
76 |
C 76.00 |
COBERTURA DE LA LIQUIDEZ — CÁLCULOS |
C 72.00 — COBERTURA DE LA LIQUIDEZ — ACTIVOS LÍQUIDOS
Moneda
|
Fila |
ID |
Partida |
Importe/valor de mercado |
Ponderación estándar |
Ponderación aplicable |
Valor con arreglo al artículo 9 |
|
010 |
020 |
030 |
040 |
|||
|
010 |
1 |
TOTAL DE ACTIVOS LÍQUIDOS SIN AJUSTES |
|
|
|
|
|
020 |
1.1 |
Total de activos de nivel 1 sin ajustes |
|
|
|
|
|
030 |
1.1.1 |
Total de activos de nivel 1 sin ajustes, excepto bonos garantizados de calidad sumamente elevada |
|
|
|
|
|
040 |
1.1.1.1 |
Monedas y billetes |
|
1,00 |
|
|
|
050 |
1.1.1.2 |
Reservas en bancos centrales que puedan ser retiradas |
|
1,00 |
|
|
|
060 |
1.1.1.3 |
Activos de bancos centrales |
|
1,00 |
|
|
|
070 |
1.1.1.4 |
Activos de administraciones centrales |
|
1,00 |
|
|
|
080 |
1.1.1.5 |
Activos de administraciones regionales o autoridades locales |
|
1,00 |
|
|
|
090 |
1.1.1.6 |
Activos de entes del sector público |
|
1,00 |
|
|
|
100 |
1.1.1.7 |
Activos de administraciones centrales y bancos centrales reconocibles en moneda nacional y divisas |
|
1,00 |
|
|
|
110 |
1.1.1.8 |
Activos de entidades de crédito (protegidas por la administración de un Estado miembro, que concedan préstamos promocionales) |
|
1,00 |
|
|
|
120 |
1.1.1.9 |
Activos de bancos multilaterales de desarrollo y organizaciones internacionales |
|
1,00 |
|
|
|
130 |
1.1.1.10 |
Acciones/participaciones en OIC admisibles: el subyacente consiste en monedas/billetes o exposiciones frente a bancos centrales |
|
1,00 |
|
|
|
140 |
1.1.1.11 |
Acciones/participaciones en OIC admisibles: el subyacente consiste en activos de nivel 1, excepto bonos garantizados de calidad sumamente elevada |
|
0,95 |
|
|
|
150 |
1.1.1.12 |
Enfoques alternativos de tratamiento de la liquidez: línea de crédito de un banco central |
|
1,00 |
|
|
|
160 |
1.1.1.13 |
Entidades centrales: activos de nivel 1, excepto bonos garantizados de calidad sumamente elevada que se consideren activos líquidos de la entidad de crédito depositante |
|
|
|
|
|
170 |
1.1.1.14 |
Enfoques alternativos de tratamiento de la liquidez: inclusión de activos de nivel 2A reconocidos como de nivel 1 |
|
0,80 |
|
|
|
180 |
1.1.2 |
Total de bonos garantizados de calidad sumamente elevada de nivel 1 sin ajustes |
|
|
|
|
|
190 |
1.1.2.1 |
Bonos garantizados de calidad sumamente elevada |
|
0,93 |
|
|
|
200 |
1.1.2.2 |
Acciones/participaciones en OIC admisibles: el subyacente consiste en bonos garantizados de calidad sumamente elevada |
|
0,88 |
|
|
|
210 |
1.1.2.3 |
Entidades centrales: bonos garantizados de calidad sumamente elevada de nivel 1 que se consideren activos líquidos de la entidad de crédito depositante |
|
|
|
|
|
220 |
1.2 |
Total de activos de nivel 2 sin ajustes |
|
|
|
|
|
230 |
1.2.1 |
Total de activos de nivel 2A sin ajustes |
|
|
|
|
|
240 |
1.2.1.1 |
Activos de administraciones regionales/autoridades locales o entes del sector público (Estados miembros, ponderación de riesgo 20 %) |
|
0,85 |
|
|
|
250 |
1.2.1.2 |
Activos de bancos centrales, administraciones centrales/regionales, autoridades locales o entes del sector público (terceros países, ponderación de riesgo 20 %) |
|
0,85 |
|
|
|
260 |
1.2.1.3 |
Bonos garantizados de calidad elevada (nivel de calidad crediticia 2) |
|
0,85 |
|
|
|
270 |
1.2.1.4 |
Bonos garantizados de calidad elevada (terceros países, nivel de calidad crediticia 1) |
|
0,85 |
|
|
|
280 |
1.2.1.5 |
Valores representativos de deuda de empresas (nivel de calidad crediticia 1) |
|
0,85 |
|
|
|
290 |
1.2.1.6 |
Acciones/participaciones en OIC admisibles: el subyacente consiste en activos de nivel 2A |
|
0,80 |
|
|
|
300 |
1.2.1.7 |
Entidades centrales: activos de nivel 2A que se consideren activos líquidos de la entidad de crédito depositante |
|
|
|
|
|
310 |
1.2.2 |
Total de activos de nivel 2B sin ajustes |
|
|
|
|
|
320 |
1.2.2.1 |
Bonos de titulización de activos (residenciales, nivel de calidad crediticia 1) |
|
0,75 |
|
|
|
330 |
1.2.2.2 |
Bonos de titulización de activos (automóviles, nivel de calidad crediticia 1) |
|
0,75 |
|
|
|
340 |
1.2.2.3 |
Bonos garantizados de calidad elevada (ponderación de riesgo 35 %) |
|
0,70 |
|
|
|
350 |
1.2.2.4 |
Bonos de titulización de activos (comerciales o particulares, Estados miembros, nivel de calidad crediticia 1) |
|
0,65 |
|
|
|
360 |
1.2.2.5 |
Valores representativos de deuda de empresas (nivel de calidad crediticia 2/3) |
|
0,50 |
|
|
|
370 |
1.2.2.6 |
Valores representativos de deuda de empresas — activos no generadores de intereses (en poder de entidades de crédito por motivos religiosos) (nivel de calidad crediticia 1/2/3) |
|
0,50 |
|
|
|
380 |
1.2.2.7 |
Acciones (índice bursátil importante) |
|
0,50 |
|
|
|
390 |
1.2.2.8 |
Activos no generadores de intereses (en poder de entidades de crédito por motivos religiosos) (nivel de calidad crediticia 3-5) |
|
0,50 |
|
|
|
400 |
1.2.2.9 |
Líneas de liquidez comprometidas de uso restringido de bancos centrales |
|
1,00 |
|
|
|
410 |
1.2.2.10 |
Acciones/participaciones en OIC admisibles: el subyacente consiste en bonos de titulización de activos (residenciales o automóviles, nivel de calidad crediticia 1) |
|
0,70 |
|
|
|
420 |
1.2.2.11 |
Acciones/participaciones en OIC admisibles: el subyacente consiste en bonos garantizados de calidad elevada (ponderación de riesgo 35 %) |
|
0,65 |
|
|
|
430 |
1.2.2.12 |
Acciones/participaciones en OIC admisibles: el subyacente consiste en bonos de titulización de activos (comerciales o particulares, Estados miembros, nivel de calidad crediticia 1) |
|
0,60 |
|
|
|
440 |
1.2.2.13 |
Acciones/participaciones en OIC admisibles: el subyacente consiste en valores representativos de deuda de empresas (nivel de calidad crediticia 2/3), acciones (índice bursátil importante) o activos no generadores de intereses (en poder de entidades de crédito por motivos religiosos) (nivel de calidad crediticia 3-5) |
|
0,45 |
|
|
|
450 |
1.2.2.14 |
Depósitos por los miembros de la red en la entidad central (inversión no obligada) |
|
0,75 |
|
|
|
460 |
1.2.2.15 |
Financiación de liquidez de la entidad central a disposición de los miembros de la red (garantías reales no especificadas) |
|
0,75 |
|
|
|
470 |
1.2.2.16 |
Entidades centrales: activos de nivel 2B que se consideren activos líquidos de la entidad de crédito depositante |
|
|
|
|
|
PRO MEMORIA |
||||||
|
480 |
2 |
Enfoques alternativos de tratamiento de la liquidez: activos de nivel 1/2A/2B adicionales incluidos al no aplicarse la coherencia entre divisas por motivos relacionados con enfoques alternativos de tratamiento de la liquidez |
|
|
|
|
|
490 |
3 |
Depósitos por miembros de la red en la entidad central (inversión obligada en nivel 1, excepto bonos garantizados de calidad sumamente elevada) |
|
|
|
|
|
500 |
4 |
Depósitos por miembros de la red en la entidad central (inversión obligada en activos de nivel 1 consistentes en bonos garantizados de calidad sumamente elevada) |
|
|
|
|
|
510 |
5 |
Depósitos por miembros de la red en la entidad central (inversión obligada en activos de nivel 2A) |
|
|
|
|
|
520 |
6 |
Depósitos por miembros de la red en la entidad central (inversión obligada en activos de nivel 2B) |
|
|
|
|
|
530 |
7 |
Ajustes a los activos debidos a salidas netas de liquidez por liquidación temprana de coberturas |
|
|
|
|
|
540 |
8 |
Ajustes a los activos debidos a entradas netas de liquidez por liquidación temprana de coberturas |
|
|
|
|
|
550 |
9 |
Activos bancarios garantizados por Estados miembros sujetos a disposiciones de anterioridad |
|
|
|
|
|
560 |
10 |
Agencias de gestión de activos deteriorados patrocinadas por Estados miembros y sujetas a la disposición transitoria |
|
|
|
|
|
570 |
11 |
Titulizaciones respaldadas por préstamos sobre inmuebles residenciales y sujetas a la disposición transitoria |
|
|
|
|
|
580 |
12 |
Activos de nivel 1/2A/2B excluidos por razones monetarias |
|
|
|
|
|
590 |
13 |
Activos de nivel 1/2A/2B excluidos por razones operativas, excepto las monetarias |
|
|
|
|
|
600 |
14 |
Activos de nivel 1 no generadores de intereses (en poder de entidades de crédito por motivos religiosos) |
|
|
|
|
|
610 |
15 |
Activos de nivel 2A no generadores de intereses (en poder de entidades de crédito por motivos religiosos) |
|
|
|
|
C 73.00 — COBERTURA DE LA LIQUIDEZ — SALIDAS
Moneda
|
|
Importe |
Valor de mercado de las garantías reales concedidas |
Valor de las garantías reales concedidas con arreglo al artículo 9 |
Ponderación estándar |
Ponderación aplicable |
Salida |
||
|
Fila |
ID |
Partida |
010 |
020 |
030 |
040 |
050 |
060 |
|
010 |
1 |
Salidas |
|
|
|
|
|
|
|
020 |
1.1 |
Salidas derivadas de operaciones/depósitos no garantizados |
|
|
|
|
|
|
|
030 |
1.1.1 |
Depósitos minoristas |
|
|
|
|
|
|
|
040 |
1.1.1.1 |
Depósitos con un plazo de pago de 30 días |
|
|
|
1,00 |
|
|
|
050 |
1.1.1.2 |
Depósitos sujetos a un índice de salida superior |
|
|
|
|
|
|
|
060 |
1.1.1.2.1 |
Categoría 1 |
|
|
|
0,10-0,15 |
|
|
|
070 |
1.1.1.2.2 |
Categoría 2 |
|
|
|
0,15-0,20 |
|
|
|
080 |
1.1.1.3 |
Depósitos estables |
|
|
|
0,05 |
|
|
|
090 |
1.1.1.4 |
Depósitos estables objeto de una excepción |
|
|
|
0,03 |
|
|
|
100 |
1.1.1.5 |
Depósitos en terceros países en los que se aplica un índice de salida superior |
|
|
|
|
|
|
|
110 |
1.1.1.6 |
Otros depósitos minoristas |
|
|
|
0,10 |
|
|
|
120 |
1.1.2 |
Depósitos operativos |
|
|
|
|
|
|
|
130 |
1.1.2.1 |
Mantenidos con fines de compensación, custodia, gestión de efectivo u otros servicios comparables en el contexto de una relación operativa asentada |
|
|
|
|
|
|
|
140 |
1.1.2.1.1 |
Cubiertos por sistemas de garantía de depósitos |
|
|
|
0,05 |
|
|
|
150 |
1.1.2.1.2 |
No cubiertos por sistemas de garantía de depósitos |
|
|
|
0,25 |
|
|
|
160 |
1.1.2.2 |
Mantenidos en el marco de un sistema institucional de protección o de una red de cooperativas |
|
|
|
|
|
|
|
170 |
1.1.2.2.1 |
No tratados como activos líquidos de la entidad depositante |
|
|
|
0,25 |
|
|
|
180 |
1.1.2.2.2 |
Tratados como activos líquidos de la entidad de crédito depositante |
|
|
|
1,00 |
|
|
|
190 |
1.1.2.3 |
Mantenidos en el contexto de una relación operativa asentada (distinta) con clientes no financieros |
|
|
|
0,25 |
|
|
|
200 |
1.1.2.4 |
Mantenidos para obtener servicios de compensación de efectivo y de entidad de crédito central dentro de una red |
|
|
|
0,25 |
|
|
|
210 |
1.1.3 |
Depósitos no operativos |
|
|
|
|
|
|
|
220 |
1.1.3.1 |
Depósitos derivados de corresponsalías bancarias o prestaciones de servicios de corretaje preferencial |
|
|
|
1,00 |
|
|
|
230 |
1.1.3.2 |
Depósitos de clientes financieros |
|
|
|
1,00 |
|
|
|
240 |
1.1.3.3 |
Depósitos de otros clientes |
|
|
|
|
|
|
|
250 |
1.1.3.3.1 |
Cubiertos por sistemas de garantía de depósitos |
|
|
|
0,20 |
|
|
|
260 |
1.1.3.3.2 |
No cubiertos por sistemas de garantía de depósitos |
|
|
|
0,40 |
|
|
|
270 |
1.1.4 |
Salidas adicionales |
|
|
|
|
|
|
|
280 |
1.1.4.1 |
Garantías reales distintas de activos de nivel 1 aportadas en relación con derivados |
|
|
|
0,20 |
|
|
|
290 |
1.1.4.2 |
Garantías reales consistentes en activos de nivel 1 en forma de bonos garantizados de calidad sumamente elevada aportadas en relación con derivados |
|
|
|
0,10 |
|
|
|
300 |
1.1.4.3 |
Salidas significativas debidas al deterioro de la calidad crediticia propia |
|
|
|
1,00 |
|
|
|
310 |
1.1.4.4 |
Efectos de condiciones adversas del mercado en las operaciones con derivados, las operaciones de financiación u otros contratos |
|
|
|
|
|
|
|
320 |
1.1.4.4.1 |
Método de la perspectiva histórica |
|
|
|
1,00 |
|
|
|
330 |
1.1.4.4.2 |
Método avanzado relativo a las salidas adicionales |
|
|
|
1,00 |
|
|
|
340 |
1.1.4.5 |
Salidas correspondientes a derivados |
|
|
|
1,00 |
|
|
|
350 |
1.1.4.6 |
Posiciones cortas |
|
|
|
|
|
|
|
360 |
1.1.4.6.1 |
Cubiertas por operaciones de financiación de valores con garantías reales |
|
|
|
0,00 |
|
|
|
370 |
1.1.4.6.2 |
Otras |
|
|
|
1,00 |
|
|
|
380 |
1.1.4.7 |
Garantías reales excedentarias exigibles |
|
|
|
1,00 |
|
|
|
390 |
1.1.4.8 |
Garantías reales a prestar |
|
|
|
1,00 |
|
|
|
400 |
1.1.4.9 |
Garantías reales consistentes en activos líquidos sustituibles por garantías reales consistentes en activos no líquidos |
|
|
|
1,00 |
|
|
|
410 |
1.1.4.10 |
Pérdida de financiación en actividades de financiación estructurada |
|
|
|
|
|
|
|
420 |
1.1.4.10.1 |
Instrumentos de financiación estructurada |
|
|
|
1,00 |
|
|
|
430 |
1.1.4.10.2 |
Líneas de financiación |
|
|
|
1,00 |
|
|
|
440 |
1.1.4.11 |
Activos obtenidos mediante préstamo de forma no garantizada |
|
|
|
1,00 |
|
|
|
450 |
1.1.4.12 |
Compensación interna de posiciones de clientes |
|
|
|
0,50 |
|
|
|
460 |
1.1.5 |
Líneas comprometidas |
|
|
|
|
|
|
|
470 |
1.1.5.1 |
Líneas de crédito |
|
|
|
|
|
|
|
480 |
1.1.5.1.1 |
A clientes minoristas |
|
|
|
0,05 |
|
|
|
490 |
1.1.5.1.2 |
A clientes no financieros distintos de los clientes minoristas |
|
|
|
0,10 |
|
|
|
500 |
1.1.5.1.3 |
A entidades de crédito |
|
|
|
|
|
|
|
510 |
1.1.5.1.3.1 |
Para financiar préstamos promocionales de clientes minoristas |
|
|
|
0,05 |
|
|
|
520 |
1.1.5.1.3.2 |
Para financiar préstamos promocionales de clientes no financieros |
|
|
|
0,10 |
|
|
|
530 |
1.1.5.1.3.3 |
Otros |
|
|
|
0,40 |
|
|
|
540 |
1.1.5.1.4 |
A entidades financieras reguladas distintas de entidades de crédito |
|
|
|
0,40 |
|
|
|
550 |
1.1.5.1.5 |
Dentro de un grupo o un sistema institucional de protección si se aplica un trato preferencial |
|
|
|
|
|
|
|
560 |
1.1.5.1.6 |
Dentro de un sistema institucional de protección o una red de cooperativas si la entidad depositante las trata como activos líquidos |
|
|
|
0,75 |
|
|
|
570 |
1.1.5.1.7 |
A otros clientes financieros |
|
|
|
1,00 |
|
|
|
580 |
1.1.5.2 |
Líneas de liquidez |
|
|
|
|
|
|
|
590 |
1.1.5.2.1 |
A clientes minoristas |
|
|
|
0,05 |
|
|
|
600 |
1.1.5.2.2 |
A clientes no financieros distintos de los clientes minoristas |
|
|
|
0,30 |
|
|
|
610 |
1.1.5.2.3 |
A sociedades de inversión personales |
|
|
|
0,40 |
|
|
|
620 |
1.1.5.2.4 |
A SSPE |
|
|
|
|
|
|
|
630 |
1.1.5.2.4.1 |
Para adquirir de clientes que no sean clientes financieros activos distintos de valores |
|
|
|
0,10 |
|
|
|
640 |
1.1.5.2.4.2 |
Otros |
|
|
|
1,00 |
|
|
|
650 |
1.1.5.2.5 |
A entidades de crédito |
|
|
|
|
|
|
|
660 |
1.1.5.2.5.1 |
Para financiar préstamos promocionales de clientes minoristas |
|
|
|
0,05 |
|
|
|
670 |
1.1.5.2.5.2 |
Para financiar préstamos promocionales de clientes no financieros |
|
|
|
0,30 |
|
|
|
680 |
1.1.5.2.5.3 |
Otros |
|
|
|
0,40 |
|
|
|
690 |
1.1.5.2.6 |
Dentro de un grupo o un sistema institucional de protección si se aplica un trato preferencial |
|
|
|
|
|
|
|
700 |
1.1.5.2.7 |
Dentro de un sistema institucional de protección o una red de cooperativas si la entidad depositante las trata como activos líquidos |
|
|
|
0,75 |
|
|
|
710 |
1.1.5.2.8 |
A otros clientes financieros |
|
|
|
1,00 |
|
|
|
720 |
1.1.6 |
Otros productos y servicios |
|
|
|
|
|
|
|
730 |
1.1.6.1 |
Otras obligaciones fuera de balance y obligaciones contingentes en materia de financiación |
|
|
|
|
|
|
|
740 |
1.1.6.2 |
Préstamos y anticipos no utilizados a contrapartes mayoristas |
|
|
|
|
|
|
|
750 |
1.1.6.3 |
Hipotecas acordadas pero pendientes de detracción |
|
|
|
|
|
|
|
760 |
1.1.6.4 |
Tarjetas de crédito |
|
|
|
|
|
|
|
770 |
1.1.6.5 |
Descubiertos |
|
|
|
|
|
|
|
780 |
1.1.6.6 |
Salidas previstas en relación con la renovación o ampliación de nuevos préstamos minoristas y no minoristas |
|
|
|
|
|
|
|
790 |
1.1.6.6.1 |
Excedente de financiación a clientes no financieros |
|
|
|
|
|
|
|
800 |
1.1.6.6.1.1 |
Excedente de financiación a clientes minoristas |
|
|
|
|
|
|
|
810 |
1.1.6.6.1.2 |
Excedente de financiación a empresas no financieras |
|
|
|
|
|
|
|
820 |
1.1.6.6.1.3 |
Excedente de financiación a emisores soberanos, bancos multilaterales de desarrollo y entes del sector público |
|
|
|
|
|
|
|
830 |
1.1.6.6.1.4 |
Excedente de financiación a otras personas jurídicas |
|
|
|
|
|
|
|
840 |
1.1.6.6.2 |
Otros |
|
|
|
|
|
|
|
850 |
1.1.6.7 |
Efectos pagaderos derivados planificados |
|
|
|
|
|
|
|
860 |
1.1.6.8 |
Productos relacionados con las partidas fuera de balance de financiación comercial |
|
|
|
|
|
|
|
870 |
1.1.6.9 |
Otros |
|
|
|
|
|
|
|
880 |
1.1.7 |
Otros pasivos |
|
|
|
|
|
|
|
890 |
1.1.7.1 |
Pasivos resultantes de gastos de explotación |
|
|
|
0,00 |
|
|
|
900 |
1.1.7.2 |
En forma de valores representativos de deuda si no se tratan como depósitos minoristas |
|
|
|
1,00 |
|
|
|
910 |
1.1.7.3 |
Otros |
|
|
|
1,00 |
|
|
|
920 |
1.2 |
Salidas derivadas de operaciones de préstamo garantizadas y de operaciones vinculadas al mercado de capitales |
|
|
|
|
|
|
|
930 |
1.2.1 |
Cuya contraparte sea un banco central |
|
|
|
|
|
|
|
940 |
1.2.1.1 |
Garantías reales de nivel 1 excepto bonos garantizados de calidad sumamente elevada |
|
|
|
0,00 |
|
|
|
950 |
1.2.1.2 |
Garantías reales de nivel 1 consistentes en bonos garantizados de calidad sumamente elevada |
|
|
|
0,00 |
|
|
|
960 |
1.2.1.3 |
Garantías reales de nivel 2A |
|
|
|
0,00 |
|
|
|
970 |
1.2.1.4 |
Garantías reales de nivel 2B consistentes en bonos de titulización de activos (residenciales o automóviles, nivel de calidad crediticia 1) |
|
|
|
0,00 |
|
|
|
980 |
1.2.1.5 |
Bonos garantizados de nivel 2B |
|
|
|
0,00 |
|
|
|
990 |
1.2.1.6 |
Garantías reales de nivel 2B consistentes en bonos de titulización de activos (comerciales o particulares, Estados miembros, nivel de calidad crediticia 1) |
|
|
|
0,00 |
|
|
|
1000 |
1.2.1.7 |
Garantías reales de nivel 2B consistentes en otros activos |
|
|
|
0,00 |
|
|
|
1010 |
1.2.1.8 |
Garantías reales consistentes en activos no líquidos |
|
|
|
0,00 |
|
|
|
1020 |
1.2.2 |
Cuya contraparte no sea un banco central |
|
|
|
|
|
|
|
1030 |
1.2.2.1 |
Garantías reales de nivel 1 excepto bonos garantizados de calidad sumamente elevada |
|
|
|
0,00 |
|
|
|
1040 |
1.2.2.2 |
Garantías reales de nivel 1 consistentes en bonos garantizados de calidad sumamente elevada |
|
|
|
0,07 |
|
|
|
1050 |
1.2.2.3 |
Garantías reales de nivel 2A |
|
|
|
0,15 |
|
|
|
1060 |
1.2.2.4 |
Garantías reales de nivel 2B consistentes en bonos de titulización de activos (residenciales o automóviles, nivel de calidad crediticia 1) |
|
|
|
0,25 |
|
|
|
1070 |
1.2.2.5 |
Bonos garantizados de nivel 2B |
|
|
|
0,30 |
|
|
|
1080 |
1.2.2.6 |
Garantías reales de nivel 2B consistentes en bonos de titulización de activos (comerciales o particulares, Estados miembros, nivel de calidad crediticia 1) |
|
|
|
0,35 |
|
|
|
1090 |
1.2.2.7 |
Garantías reales de nivel 2B consistentes en otros activos |
|
|
|
0,50 |
|
|
|
1100 |
1.2.2.8 |
Garantías reales consistentes en activos no líquidos |
|
|
|
|
|
|
|
1110 |
1.2.2.8.1 |
Cuya contraparte sea una administración central, un ente del sector público con ponderación de riesgo ≤ 20 % o un banco multilateral de desarrollo |
|
|
|
0,25 |
|
|
|
1120 |
1.2.2.8.2 |
Otras contrapartes |
|
|
|
1,00 |
|
|
|
1130 |
1.3 |
Total de salidas derivadas de permutas de garantías reales |
|
|
|
|
|
|
|
PRO MEMORIA |
||||||||
|
1140 |
2 |
Bonos minoristas con un vencimiento residual inferior a 30 días |
|
|
|
|
|
|
|
1150 |
3 |
Depósitos minoristas exentos del cálculo de las salidas |
|
|
|
|
|
|
|
1160 |
4 |
Depósitos minoristas no evaluados |
|
|
|
|
|
|
|
1170 |
5 |
Salidas de liquidez a compensar con entradas interdependientes |
|
|
|
|
|
|
|
|
6 |
Depósitos operativos mantenidos con fines de compensación, custodia, gestión de efectivo u otros servicios comparables en el contexto de una relación operativa asentada |
|
|
|
|
|
|
|
1180 |
6.1 |
Constituidos por entidades de crédito |
|
|
|
|
|
|
|
1190 |
6.2 |
Constituidos por clientes financieros distintos de entidades de crédito |
|
|
|
|
|
|
|
1200 |
6.3 |
Constituidos por emisores soberanos, bancos centrales, bancos multilaterales de desarrollo y entes del sector público |
|
|
|
|
|
|
|
1210 |
6.4 |
Constituidos por otros clientes |
|
|
|
|
|
|
|
|
7 |
Depósitos no operativos mantenidos por clientes financieros y otros clientes |
|
|
|
|
|
|
|
1220 |
7.1 |
Constituidos por entidades de crédito |
|
|
|
|
|
|
|
1230 |
7.2 |
Constituidos por clientes financieros distintos de entidades de crédito |
|
|
|
|
|
|
|
1240 |
7.3 |
Constituidos por emisores soberanos, bancos centrales, bancos multilaterales de desarrollo y entes del sector público |
|
|
|
|
|
|
|
1250 |
7.4 |
Constituidos por otros clientes |
|
|
|
|
|
|
|
1260 |
8 |
Compromisos de financiación con clientes no financieros |
|
|
|
|
|
|
|
1270 |
9 |
Garantías reales de nivel 1, excepto bonos garantizados de calidad sumamente elevada, aportadas en relación con derivados |
|
|
|
|
|
|
|
1280 |
10 |
Seguimiento de las operaciones de financiación de valores |
|
|
|
|
|
|
|
|
11 |
Salidas intragrupo o dentro de un sistema institucional de protección |
|
|
|
|
|
|
|
1290 |
11.1 |
De las cuales: a clientes financieros |
|
|
|
|
|
|
|
1300 |
11.2 |
De las cuales: a clientes no financieros |
|
|
|
|
|
|
|
1310 |
11.3 |
De las cuales: garantizadas |
|
|
|
|
|
|
|
1320 |
11.4 |
De las cuales: líneas de crédito sin trato preferencial |
|
|
|
|
|
|
|
1330 |
11.5 |
De las cuales: líneas de liquidez sin trato preferencial |
|
|
|
|
|
|
|
1340 |
11.6 |
De las cuales: depósitos operativos |
|
|
|
|
|
|
|
1350 |
11.7 |
De las cuales: depósitos no operativos |
|
|
|
|
|
|
|
1360 |
11.8 |
De las cuales: pasivos en forma de valores representativos de deuda si no se tratan como depósitos minoristas |
|
|
|
|
|
|
|
1370 |
12 |
Salidas de divisas |
|
|
|
|
|
|
|
1380 |
13 |
Salidas de terceros países — restricciones de transferencia o divisas no convertibles |
|
|
|
|
|
|
|
1390 |
14 |
Saldos adicionales requeridos en las reservas en bancos centrales |
|
|
|
|
|
|
C 74.00 — COBERTURA DE LA LIQUIDEZ — ENTRADAS
Moneda
|
|
Importe |
Valor de mercado de las garantías reales recibidas |
|||||
|
Sujeción al límite máximo del 75 % sobre las entradas |
Sujeción al límite máximo del 90 % sobre las entradas |
Exención del límite máximo sobre las entradas |
Sujeción al límite máximo del 75 % sobre las entradas |
Sujeción al límite máximo del 90 % sobre las entradas |
|||
|
Fila |
ID |
Partida |
010 |
020 |
030 |
040 |
050 |
|
010 |
1 |
TOTAL DE ENTRADAS |
|
|
|
|
|
|
020 |
1.1 |
Entradas derivadas de operaciones/depósitos no garantizados |
|
|
|
|
|
|
030 |
1.1.1 |
Pagos pendientes de clientes no financieros (excepto bancos centrales) |
|
|
|
|
|
|
040 |
1.1.1.1 |
Pagos pendientes de clientes no financieros (excepto bancos centrales) que no correspondan al reembolso del principal |
|
|
|
|
|
|
050 |
1.1.1.2 |
Otros pagos pendientes de clientes no financieros (excepto bancos centrales) |
|
|
|
|
|
|
060 |
1.1.1.2.1 |
Pagos pendientes de clientes minoristas |
|
|
|
|
|
|
070 |
1.1.1.2.2 |
Pagos pendientes de empresas no financieras |
|
|
|
|
|
|
080 |
1.1.1.2.3 |
Pagos pendientes de emisores soberanos, bancos multilaterales de desarrollo y entes del sector público |
|
|
|
|
|
|
090 |
1.1.1.2.4 |
Pagos pendientes de otras personas jurídicas |
|
|
|
|
|
|
|
|
Ponderación estándar |
Ponderación aplicable |
||||
|
Exención del límite máximo sobre las entradas |
|||||||
|
Sujeción al límite máximo del 75 % sobre las entradas |
Sujeción al límite máximo del 90 % sobre las entradas |
Exención del límite máximo sobre las entradas |
|||||
|
Fila |
ID |
Partida |
060 |
070 |
080 |
090 |
100 |
|
010 |
1 |
TOTAL DE ENTRADAS |
|
|
|
|
|
|
020 |
1.1 |
Entradas derivadas de operaciones/depósitos no garantizados |
|
|
|
|
|
|
030 |
1.1.1 |
Pagos pendientes de clientes no financieros (excepto bancos centrales) |
|
|
|
|
|
|
040 |
1.1.1.1 |
Pagos pendientes de clientes no financieros (excepto bancos centrales) que no correspondan al reembolso del principal |
|
1,00 |
|
|
|
|
050 |
1.1.1.2 |
Otros pagos pendientes de clientes no financieros (excepto bancos centrales) |
|
|
|
|
|
|
060 |
1.1.1.2.1 |
Pagos pendientes de clientes minoristas |
|
0,50 |
|
|
|
|
070 |
1.1.1.2.2 |
Pagos pendientes de empresas no financieras |
|
0,50 |
|
|
|
|
080 |
1.1.1.2.3 |
Pagos pendientes de emisores soberanos, bancos multilaterales de desarrollo y entes del sector público |
|
0,50 |
|
|
|
|
090 |
1.1.1.2.4 |
Pagos pendientes de otras personas jurídicas |
|
0,50 |
|
|
|
|
|
Valor de las garantías reales recibidas con arreglo al artículo 9 |
Entrada |
||||||
|
Sujeción al límite máximo del 75 % sobre las entradas |
Sujeción al límite máximo del 90 % sobre las entradas |
Exención del límite máximo sobre las entradas |
Sujeción al límite máximo del 75 % sobre las entradas |
Sujeción al límite máximo del 90 % sobre las entradas |
Exención del límite máximo sobre las entradas |
|||
|
Fila |
ID |
Partida |
110 |
120 |
130 |
140 |
150 |
160 |
|
010 |
1 |
TOTAL DE ENTRADAS |
|
|
|
|
|
|
|
020 |
1.1 |
Entradas derivadas de operaciones/depósitos no garantizados |
|
|
|
|
|
|
|
030 |
1.1.1 |
Pagos pendientes de clientes no financieros (excepto bancos centrales) |
|
|
|
|
|
|
|
040 |
1.1.1.1 |
Pagos pendientes de clientes no financieros (excepto bancos centrales) que no correspondan al reembolso del principal |
|
|
|
|
|
|
|
050 |
1.1.1.2 |
Otros pagos pendientes de clientes no financieros (excepto bancos centrales) |
|
|
|
|
|
|
|
060 |
1.1.1.2.1 |
Pagos pendientes de clientes minoristas |
|
|
|
|
|
|
|
070 |
1.1.1.2.2 |
Pagos pendientes de empresas no financieras |
|
|
|
|
|
|
|
080 |
1.1.1.2.3 |
Pagos pendientes de emisores soberanos, bancos multilaterales de desarrollo y entes del sector público |
|
|
|
|
|
|
|
090 |
1.1.1.2.4 |
Pagos pendientes de otras personas jurídicas |
|
|
|
|
|
|
|
|
Importe |
Valor de mercado de las garantías reales recibidas |
|||||
|
Sujeción al límite máximo del 75 % sobre las entradas |
Sujeción al límite máximo del 90 % sobre las entradas |
Exención del límite máximo sobre las entradas |
Sujeción al límite máximo del 75 % sobre las entradas |
Sujeción al límite máximo del 90 % sobre las entradas |
|||
|
Fila |
ID |
Partida |
010 |
020 |
030 |
040 |
050 |
|
100 |
1.1.2 |
Pagos pendientes de bancos centrales y clientes financieros |
|
|
|
|
|
|
110 |
1.1.2.1 |
Pagos pendientes de clientes financieros clasificados como depósitos operativos |
|
|
|
|
|
|
120 |
1.1.2.1.1 |
Pagos pendientes de clientes financieros clasificados como depósitos operativos respecto de los cuales la entidad de crédito pueda establecer un índice de entrada simétrica correspondiente |
|
|
|
|
|
|
130 |
1.1.2.1.2 |
Pagos pendientes de clientes financieros clasificados como depósitos operativos respecto de los cuales la entidad de crédito no pueda establecer un índice de entrada simétrica correspondiente |
|
|
|
|
|
|
140 |
1.1.2.2 |
Pagos pendientes de bancos centrales y clientes financieros no clasificados como depósitos operativos |
|
|
|
|
|
|
150 |
1.1.2.2.1 |
Pagos pendientes de bancos centrales |
|
|
|
|
|
|
160 |
1.1.2.2.2 |
Pagos pendientes de clientes financieros |
|
|
|
|
|
|
170 |
1.1.3 |
Entradas correspondientes a salidas de conformidad con los compromisos de préstamos promocionales a que se refiere el artículo 31, apartado 9, del Reglamento Delegado (UE) 2015/61 |
|
|
|
|
|
|
|
|
Ponderación estándar |
Ponderación aplicable |
||||
|
Exención del límite máximo sobre las entradas |
|||||||
|
Sujeción al límite máximo del 75 % sobre las entradas |
Sujeción al límite máximo del 90 % sobre las entradas |
Exención del límite máximo sobre las entradas |
|||||
|
Fila |
ID |
Partida |
060 |
070 |
080 |
090 |
100 |
|
100 |
1.1.2 |
Pagos pendientes de bancos centrales y clientes financieros |
|
|
|
|
|
|
110 |
1.1.2.1 |
Pagos pendientes de clientes financieros clasificados como depósitos operativos |
|
|
|
|
|
|
120 |
1.1.2.1.1 |
Pagos pendientes de clientes financieros clasificados como depósitos operativos respecto de los cuales la entidad de crédito pueda establecer un índice de entrada simétrica correspondiente |
|
|
|
|
|
|
130 |
1.1.2.1.2 |
Pagos pendientes de clientes financieros clasificados como depósitos operativos respecto de los cuales la entidad de crédito no pueda establecer un índice de entrada simétrica correspondiente |
|
0,05 |
|
|
|
|
140 |
1.1.2.2 |
Pagos pendientes de bancos centrales y clientes financieros no clasificados como depósitos operativos |
|
|
|
|
|
|
150 |
1.1.2.2.1 |
Pagos pendientes de bancos centrales |
|
1,00 |
|
|
|
|
160 |
1.1.2.2.2 |
Pagos pendientes de clientes financieros |
|
1,00 |
|
|
|
|
170 |
1.1.3 |
Entradas correspondientes a salidas de conformidad con los compromisos de préstamos promocionales a que se refiere el artículo 31, apartado 9, del Reglamento Delegado (UE) 2015/61 |
|
1,00 |
|
|
|
|
|
Valor de las garantías reales recibidas con arreglo al artículo 9 |
Entrada |
||||||
|
Sujeción al límite máximo del 75 % sobre las entradas |
Sujeción al límite máximo del 90 % sobre las entradas |
Exención del límite máximo sobre las entradas |
Sujeción al límite máximo del 75 % sobre las entradas |
Sujeción al límite máximo del 90 % sobre las entradas |
Exención del límite máximo sobre las entradas |
|||
|
Fila |
ID |
Partida |
110 |
120 |
130 |
140 |
150 |
160 |
|
100 |
1.1.2 |
Pagos pendientes de bancos centrales y clientes financieros |
|
|
|
|
|
|
|
110 |
1.1.2.1 |
Pagos pendientes de clientes financieros clasificados como depósitos operativos |
|
|
|
|
|
|
|
120 |
1.1.2.1.1 |
Pagos pendientes de clientes financieros clasificados como depósitos operativos respecto de los cuales la entidad de crédito pueda establecer un índice de entrada simétrica correspondiente |
|
|
|
|
|
|
|
130 |
1.1.2.1.2 |
Pagos pendientes de clientes financieros clasificados como depósitos operativos respecto de los cuales la entidad de crédito no pueda establecer un índice de entrada simétrica correspondiente |
|
|
|
|
|
|
|
140 |
1.1.2.2 |
Pagos pendientes de bancos centrales y clientes financieros no clasificados como depósitos operativos |
|
|
|
|
|
|
|
150 |
1.1.2.2.1 |
Pagos pendientes de bancos centrales |
|
|
|
|
|
|
|
160 |
1.1.2.2.2 |
Pagos pendientes de clientes financieros |
|
|
|
|
|
|
|
170 |
1.1.3 |
Entradas correspondientes a salidas de conformidad con los compromisos de préstamos promocionales a que se refiere el artículo 31, apartado 9, del Reglamento Delegado (UE) 2015/61 |
|
|
|
|
|
|
|
|
Importe |
Valor de mercado de las garantías reales recibidas |
|||||
|
Sujeción al límite máximo del 75 % sobre las entradas |
Sujeción al límite máximo del 90 % sobre las entradas |
Exención del límite máximo sobre las entradas |
Sujeción al límite máximo del 75 % sobre las entradas |
Sujeción al límite máximo del 90 % sobre las entradas |
|||
|
Fila |
ID |
Partida |
010 |
020 |
030 |
040 |
050 |
|
180 |
1.1.4 |
Pagos pendientes procedentes de operaciones de financiación comercial |
|
|
|
|
|
|
190 |
1.1.5 |
Pagos pendientes procedentes de valores que venzan en el plazo de 30 días |
|
|
|
|
|
|
200 |
1.1.6 |
Activos con una fecha de vencimiento contractual no definida |
|
|
|
|
|
|
210 |
1.1.7 |
Pagos pendientes procedentes de posiciones en instrumentos de patrimonio vinculados a un índice importante, siempre que no haya un doble cómputo con activos líquidos |
|
|
|
|
|
|
220 |
1.1.8 |
Entradas derivadas de líneas de crédito o de liquidez no utilizadas y cualesquiera otros compromisos concedidos por bancos centrales, siempre que no haya un doble cómputo con activos líquidos |
|
|
|
|
|
|
230 |
1.1.9 |
Entradas procedentes de la liberación de saldos mantenidos en cuentas segregadas conforme a los requisitos normativos relativos a la protección de los activos comerciales de los clientes |
|
|
|
|
|
|
240 |
1.1.10 |
Entradas procedentes de derivados |
|
|
|
|
|
|
250 |
1.1.11 |
Entradas derivadas de líneas de crédito o de liquidez no utilizadas concedidas por miembros de un grupo o un sistema institucional de protección, cuando las autoridades competentes hayan autorizado la aplicación de un índice de entrada superior |
|
|
|
|
|
|
260 |
1.1.12 |
Otras entradas |
|
|
|
|
|
|
|
|
Ponderación estándar |
Ponderación aplicable |
||||
|
Exención del límite máximo sobre las entradas |
|||||||
|
Sujeción al límite máximo del 75 % sobre las entradas |
Sujeción al límite máximo del 90 % sobre las entradas |
Exención del límite máximo sobre las entradas |
|||||
|
Fila |
ID |
Partida |
060 |
070 |
080 |
090 |
100 |
|
180 |
1.1.4 |
Pagos pendientes procedentes de operaciones de financiación comercial |
|
1,00 |
|
|
|
|
190 |
1.1.5 |
Pagos pendientes procedentes de valores que venzan en el plazo de 30 días |
|
1,00 |
|
|
|
|
200 |
1.1.6 |
Activos con una fecha de vencimiento contractual no definida |
|
0,20 |
|
|
|
|
210 |
1.1.7 |
Pagos pendientes procedentes de posiciones en instrumentos de patrimonio vinculados a un índice importante, siempre que no haya un doble cómputo con activos líquidos |
|
1,00 |
|
|
|
|
220 |
1.1.8 |
Entradas derivadas de líneas de crédito o de liquidez no utilizadas y cualesquiera otros compromisos concedidos por bancos centrales, siempre que no haya un doble cómputo con activos líquidos |
|
1,00 |
|
|
|
|
230 |
1.1.9 |
Entradas procedentes de la liberación de saldos mantenidos en cuentas segregadas conforme a los requisitos normativos relativos a la protección de los activos comerciales de los clientes |
|
1,00 |
|
|
|
|
240 |
1.1.10 |
Entradas procedentes de derivados |
|
1,00 |
|
|
|
|
250 |
1.1.11 |
Entradas derivadas de líneas de crédito o de liquidez no utilizadas concedidas por miembros de un grupo o un sistema institucional de protección, cuando las autoridades competentes hayan autorizado la aplicación de un índice de entrada superior |
|
|
|
|
|
|
260 |
1.1.12 |
Otras entradas |
|
1,00 |
|
|
|
|
|
Valor de las garantías reales recibidas con arreglo al artículo 9 |
Entrada |
||||||
|
Sujeción al límite máximo del 75 % sobre las entradas |
Sujeción al límite máximo del 90 % sobre las entradas |
Exención del límite máximo sobre las entradas |
Sujeción al límite máximo del 75 % sobre las entradas |
Sujeción al límite máximo del 90 % sobre las entradas |
Exención del límite máximo sobre las entradas |
|||
|
Fila |
ID |
Partida |
110 |
120 |
130 |
140 |
150 |
160 |
|
180 |
1.1.4 |
Pagos pendientes procedentes de operaciones de financiación comercial |
|
|
|
|
|
|
|
190 |
1.1.5 |
Pagos pendientes procedentes de valores que venzan en el plazo de 30 días |
|
|
|
|
|
|
|
200 |
1.1.6 |
Activos con una fecha de vencimiento contractual no definida |
|
|
|
|
|
|
|
210 |
1.1.7 |
Pagos pendientes procedentes de posiciones en instrumentos de patrimonio vinculados a un índice importante, siempre que no haya un doble cómputo con activos líquidos |
|
|
|
|
|
|
|
220 |
1.1.8 |
Entradas derivadas de líneas de crédito o de liquidez no utilizadas y cualesquiera otros compromisos concedidos por bancos centrales, siempre que no haya un doble cómputo con activos líquidos |
|
|
|
|
|
|
|
230 |
1.1.9 |
Entradas procedentes de la liberación de saldos mantenidos en cuentas segregadas conforme a los requisitos normativos relativos a la protección de los activos comerciales de los clientes |
|
|
|
|
|
|
|
240 |
1.1.10 |
Entradas procedentes de derivados |
|
|
|
|
|
|
|
250 |
1.1.11 |
Entradas derivadas de líneas de crédito o de liquidez no utilizadas concedidas por miembros de un grupo o un sistema institucional de protección, cuando las autoridades competentes hayan autorizado la aplicación de un índice de entrada superior |
|
|
|
|
|
|
|
260 |
1.1.12 |
Otras entradas |
|
|
|
|
|
|
|
|
Importe |
Valor de mercado de las garantías reales recibidas |
|||||
|
Sujeción al límite máximo del 75 % sobre las entradas |
Sujeción al límite máximo del 90 % sobre las entradas |
Exención del límite máximo sobre las entradas |
Sujeción al límite máximo del 75 % sobre las entradas |
Sujeción al límite máximo del 90 % sobre las entradas |
|||
|
Fila |
ID |
Partida |
010 |
020 |
030 |
040 |
050 |
|
270 |
1.2 |
Entradas derivadas de operaciones de préstamo garantizadas y de operaciones vinculadas al mercado de capitales |
|
|
|
|
|
|
280 |
1.2.1 |
Garantías reales que pueden considerarse activos líquidos |
|
|
|
|
|
|
290 |
1.2.1.1 |
Garantías reales de nivel 1, excepto bonos garantizados de calidad sumamente elevada |
|
|
|
|
|
|
300 |
1.2.1.2 |
Garantías reales de nivel 1 consistentes en bonos garantizados de calidad sumamente elevada |
|
|
|
|
|
|
310 |
1.2.1.3 |
Garantías reales de nivel 2A |
|
|
|
|
|
|
320 |
1.2.1.4 |
Garantías reales de nivel 2B consistentes en bonos de titulización de activos (residenciales o automóviles) |
|
|
|
|
|
|
330 |
1.2.1.5 |
Garantías reales de nivel 2B consistentes en bonos garantizados de calidad elevada |
|
|
|
|
|
|
340 |
1.2.1.6 |
Garantías reales de nivel 2B consistentes en bonos de titulización de activos (comerciales o particulares) |
|
|
|
|
|
|
350 |
1.2.1.7 |
Garantías reales de nivel 2B no incluidas ya en 1.2.1.4, 1.2.1.5 o 1.2.1.6 |
|
|
|
|
|
|
360 |
1.2.2 |
Garantías reales utilizadas para cubrir una posición corta |
|
|
|
|
|
|
370 |
1.2.3 |
Garantías reales que no pueden considerarse activos líquidos |
|
|
|
|
|
|
|
|
Ponderación estándar |
Ponderación aplicable |
||||
|
Exención del límite máximo sobre las entradas |
|||||||
|
Sujeción al límite máximo del 75 % sobre las entradas |
Sujeción al límite máximo del 90 % sobre las entradas |
Exención del límite máximo sobre las entradas |
|||||
|
Fila |
ID |
Partida |
060 |
070 |
080 |
090 |
100 |
|
270 |
1.2 |
Entradas derivadas de operaciones de préstamo garantizadas y de operaciones vinculadas al mercado de capitales |
|
|
|
|
|
|
280 |
1.2.1 |
Garantías reales que pueden considerarse activos líquidos |
|
|
|
|
|
|
290 |
1.2.1.1 |
Garantías reales de nivel 1, excepto bonos garantizados de calidad sumamente elevada |
|
1,00 |
|
|
|
|
300 |
1.2.1.2 |
Garantías reales de nivel 1 consistentes en bonos garantizados de calidad sumamente elevada |
|
0,93 |
|
|
|
|
310 |
1.2.1.3 |
Garantías reales de nivel 2A |
|
0,85 |
|
|
|
|
320 |
1.2.1.4 |
Garantías reales de nivel 2B consistentes en bonos de titulización de activos (residenciales o automóviles) |
|
0,75 |
|
|
|
|
330 |
1.2.1.5 |
Garantías reales de nivel 2B consistentes en bonos garantizados de calidad elevada |
|
0,70 |
|
|
|
|
340 |
1.2.1.6 |
Garantías reales de nivel 2B consistentes en bonos de titulización de activos (comerciales o particulares) |
|
0,65 |
|
|
|
|
350 |
1.2.1.7 |
Garantías reales de nivel 2B no incluidas ya en 1.2.1.4, 1.2.1.5 o 1.2.1.6 |
|
0,50 |
|
|
|
|
360 |
1.2.2 |
Garantías reales utilizadas para cubrir una posición corta |
|
|
|
|
|
|
370 |
1.2.3 |
Garantías reales que no pueden considerarse activos líquidos |
|
|
|
|
|
|
|
Valor de las garantías reales recibidas con arreglo al artículo 9 |
Entrada |
||||||
|
Sujeción al límite máximo del 75 % sobre las entradas |
Sujeción al límite máximo del 90 % sobre las entradas |
Exención del límite máximo sobre las entradas |
Sujeción al límite máximo del 75 % sobre las entradas |
Sujeción al límite máximo del 90 % sobre las entradas |
Exención del límite máximo sobre las entradas |
|||
|
Fila |
ID |
Partida |
110 |
120 |
130 |
140 |
150 |
160 |
|
270 |
1.2 |
Entradas derivadas de operaciones de préstamo garantizadas y de operaciones vinculadas al mercado de capitales |
|
|
|
|
|
|
|
280 |
1.2.1 |
Garantías reales que pueden considerarse activos líquidos |
|
|
|
|
|
|
|
290 |
1.2.1.1 |
Garantías reales de nivel 1, excepto bonos garantizados de calidad sumamente elevada |
|
|
|
|
|
|
|
300 |
1.2.1.2 |
Garantías reales de nivel 1 consistentes en bonos garantizados de calidad sumamente elevada |
|
|
|
|
|
|
|
310 |
1.2.1.3 |
Garantías reales de nivel 2A |
|
|
|
|
|
|
|
320 |
1.2.1.4 |
Garantías reales de nivel 2B consistentes en bonos de titulización de activos (residenciales o automóviles) |
|
|
|
|
|
|
|
330 |
1.2.1.5 |
Garantías reales de nivel 2B consistentes en bonos garantizados de calidad elevada |
|
|
|
|
|
|
|
340 |
1.2.1.6 |
Garantías reales de nivel 2B consistentes en bonos de titulización de activos (comerciales o particulares) |
|
|
|
|
|
|
|
350 |
1.2.1.7 |
Garantías reales de nivel 2B no incluidas ya en 1.2.1.4, 1.2.1.5 o 1.2.1.6 |
|
|
|
|
|
|
|
360 |
1.2.2 |
Garantías reales utilizadas para cubrir una posición corta |
|
|
|
|
|
|
|
370 |
1.2.3 |
Garantías reales que no pueden considerarse activos líquidos |
|
|
|
|
|
|
|
|
Importe |
Valor de mercado de las garantías reales recibidas |
|||||
|
Sujeción al límite máximo del 75 % sobre las entradas |
Sujeción al límite máximo del 90 % sobre las entradas |
Exención del límite máximo sobre las entradas |
Sujeción al límite máximo del 75 % sobre las entradas |
Sujeción al límite máximo del 90 % sobre las entradas |
|||
|
Fila |
ID |
Partida |
010 |
020 |
030 |
040 |
050 |
|
380 |
1.2.3.1 |
Préstamos de margen: garantías reales no líquidas |
|
|
|
|
|
|
390 |
1.2.3.2 |
Garantías reales consistentes en instrumentos de patrimonio no líquidos |
|
|
|
|
|
|
400 |
1.2.3.3 |
Todas las demás garantías reales no líquidas |
|
|
|
|
|
|
410 |
1.3 |
Total de entradas derivadas de permutas de garantías reales |
|
|
|
|
|
|
420 |
1.4 |
(Diferencia entre el total de entradas ponderadas y el total de salidas ponderadas derivadas de operaciones en terceros países en los que existan restricciones de transferencia u operaciones denominadas en divisas no convertibles) |
|
|
|
|
|
|
430 |
1.5 |
(Entradas excedentarias procedentes de una entidad de crédito especializada vinculada) |
|
|
|
|
|
|
PRO MEMORIA |
|||||||
|
440 |
2 |
Entradas interdependientes |
|
|
|
|
|
|
450 |
3 |
Entradas de divisas |
|
|
|
|
|
|
460 |
4 |
Entradas en el marco de un grupo o un sistema institucional de protección |
|
|
|
|
|
|
470 |
4.1 |
Pagos pendientes de clientes no financieros (excepto bancos centrales) |
|
|
|
|
|
|
|
|
Ponderación estándar |
Ponderación aplicable |
||||
|
Exención del límite máximo sobre las entradas |
|||||||
|
Sujeción al límite máximo del 75 % sobre las entradas |
Sujeción al límite máximo del 90 % sobre las entradas |
Exención del límite máximo sobre las entradas |
|||||
|
Fila |
ID |
Partida |
060 |
070 |
080 |
090 |
100 |
|
380 |
1.2.3.1 |
Préstamos de margen: garantías reales no líquidas |
|
0,50 |
|
|
|
|
390 |
1.2.3.2 |
Garantías reales consistentes en instrumentos de patrimonio no líquidos |
|
1,00 |
|
|
|
|
400 |
1.2.3.3 |
Todas las demás garantías reales no líquidas |
|
1,00 |
|
|
|
|
410 |
1.3 |
Total de entradas derivadas de permutas de garantías reales |
|
|
|
|
|
|
420 |
1.4 |
(Diferencia entre el total de entradas ponderadas y el total de salidas ponderadas derivadas de operaciones en terceros países en los que existan restricciones de transferencia u operaciones denominadas en divisas no convertibles) |
|
|
|
|
|
|
430 |
1.5 |
(Entradas excedentarias procedentes de una entidad de crédito especializada vinculada) |
|
|
|
|
|
|
PRO MEMORIA |
|||||||
|
440 |
2 |
Entradas interdependientes |
|
|
|
|
|
|
450 |
3 |
Entradas de divisas |
|
|
|
|
|
|
460 |
4 |
Entradas en el marco de un grupo o un sistema institucional de protección |
|
|
|
|
|
|
470 |
4.1 |
Pagos pendientes de clientes no financieros (excepto bancos centrales) |
|
|
|
|
|
|
|
Valor de las garantías reales recibidas con arreglo al artículo 9 |
Entrada |
||||||
|
Sujeción al límite máximo del 75 % sobre las entradas |
Sujeción al límite máximo del 90 % sobre las entradas |
Exención del límite máximo sobre las entradas |
Sujeción al límite máximo del 75 % sobre las entradas |
Sujeción al límite máximo del 90 % sobre las entradas |
Exención del límite máximo sobre las entradas |
|||
|
Fila |
ID |
Partida |
110 |
120 |
130 |
140 |
150 |
160 |
|
380 |
1.2.3.1 |
Préstamos de margen: garantías reales no líquidas |
|
|
|
|
|
|
|
390 |
1.2.3.2 |
Garantías reales consistentes en instrumentos de patrimonio no líquidos |
|
|
|
|
|
|
|
400 |
1.2.3.3 |
Todas las demás garantías reales no líquidas |
|
|
|
|
|
|
|
410 |
1.3 |
Total de entradas derivadas de permutas de garantías reales |
|
|
|
|
|
|
|
420 |
1.4 |
(Diferencia entre el total de entradas ponderadas y el total de salidas ponderadas derivadas de operaciones en terceros países en los que existan restricciones de transferencia u operaciones denominadas en divisas no convertibles) |
|
|
|
|
|
|
|
430 |
1.5 |
(Entradas excedentarias procedentes de una entidad de crédito especializada vinculada) |
|
|
|
|
|
|
|
PRO MEMORIA |
||||||||
|
440 |
2 |
Entradas interdependientes |
|
|
|
|
|
|
|
450 |
3 |
Entradas de divisas |
|
|
|
|
|
|
|
460 |
4 |
Entradas en el marco de un grupo o un sistema institucional de protección |
|
|
|
|
|
|
|
470 |
4.1 |
Pagos pendientes de clientes no financieros (excepto bancos centrales) |
|
|
|
|
|
|
|
|
Importe |
Valor de mercado de las garantías reales recibidas |
|||||
|
Sujeción al límite máximo del 75 % sobre las entradas |
Sujeción al límite máximo del 90 % sobre las entradas |
Exención del límite máximo sobre las entradas |
Sujeción al límite máximo del 75 % sobre las entradas |
Sujeción al límite máximo del 90 % sobre las entradas |
|||
|
Fila |
ID |
Partida |
010 |
020 |
030 |
040 |
050 |
|
480 |
4.2 |
Pagos pendientes de clientes financieros |
|
|
|
|
|
|
490 |
4.3 |
Operaciones garantizadas |
|
|
|
|
|
|
500 |
4.4 |
Pagos pendientes procedentes de valores que venzan en el plazo de 30 días |
|
|
|
|
|
|
510 |
4.5 |
Otras entradas en el marco de un grupo o un sistema institucional de protección |
|
|
|
|
|
|
520 |
4.6 |
Entradas derivadas de líneas de crédito o de liquidez no utilizadas concedidas por miembros de un grupo o un sistema institucional de protección, cuando las autoridades competentes no hayan autorizado la aplicación de un índice de entrada superior |
|
|
|
|
|
|
|
|
Ponderación estándar |
Ponderación aplicable |
||||
|
Exención del límite máximo sobre las entradas |
|||||||
|
Sujeción al límite máximo del 75 % sobre las entradas |
Sujeción al límite máximo del 90 % sobre las entradas |
Exención del límite máximo sobre las entradas |
|||||
|
Fila |
ID |
Partida |
060 |
070 |
080 |
090 |
100 |
|
480 |
4.2 |
Pagos pendientes de clientes financieros |
|
|
|
|
|
|
490 |
4.3 |
Operaciones garantizadas |
|
|
|
|
|
|
500 |
4.4 |
Pagos pendientes procedentes de valores que venzan en el plazo de 30 días |
|
|
|
|
|
|
510 |
4.5 |
Otras entradas en el marco de un grupo o un sistema institucional de protección |
|
|
|
|
|
|
520 |
4.6 |
Entradas derivadas de líneas de crédito o de liquidez no utilizadas concedidas por miembros de un grupo o un sistema institucional de protección, cuando las autoridades competentes no hayan autorizado la aplicación de un índice de entrada superior |
|
|
|
|
|
|
|
Valor de las garantías reales recibidas con arreglo al artículo 9 |
Entrada |
||||||
|
Sujeción al límite máximo del 75 % sobre las entradas |
Sujeción al límite máximo del 90 % sobre las entradas |
Exención del límite máximo sobre las entradas |
Sujeción al límite máximo del 75 % sobre las entradas |
Sujeción al límite máximo del 90 % sobre las entradas |
Exención del límite máximo sobre las entradas |
|||
|
Fila |
ID |
Partida |
110 |
120 |
130 |
140 |
150 |
160 |
|
480 |
4.2 |
Pagos pendientes de clientes financieros |
|
|
|
|
|
|
|
490 |
4.3 |
Operaciones garantizadas |
|
|
|
|
|
|
|
500 |
4.4 |
Pagos pendientes procedentes de valores que venzan en el plazo de 30 días |
|
|
|
|
|
|
|
510 |
4.5 |
Otras entradas en el marco de un grupo o un sistema institucional de protección |
|
|
|
|
|
|
|
520 |
4.6 |
Entradas derivadas de líneas de crédito o de liquidez no utilizadas concedidas por miembros de un grupo o un sistema institucional de protección, cuando las autoridades competentes no hayan autorizado la aplicación de un índice de entrada superior |
|
|
|
|
|
|
C 75.00 — COBERTURA DE LA LIQUIDEZ — PERMUTAS DE GARANTÍAS REALES
Moneda
|
|
Valor de mercado de las garantías reales prestadas |
Valor de liquidez de las garantías reales prestadas |
Valor de mercado de las garantías reales tomadas en préstamo |
Valor de liquidez de las garantías reales tomadas en préstamo |
Salidas |
Entradas sujetas al límite máximo del 75 % |
||
|
Fila |
ID |
Partida |
010 |
020 |
030 |
040 |
050 |
060 |
|
010 |
1 |
TOTAL DE PERMUTAS DE GARANTÍAS REALES Y DERIVADOS CON GARANTÍA REAL |
|
|
|
|
|
|
|
020 |
1.1 |
Totales de las operaciones en las que se prestan activos de nivel 1 (excepto bonos garantizados de calidad sumamente elevada) y se toman en préstamo las siguientes garantías reales: |
|
|
|
|
|
|
|
030 |
1.1.1 |
Activos de nivel 1 (excepto bonos garantizados de calidad sumamente elevada) |
|
|
|
|
|
|
|
040 |
1.1.2 |
Nivel 1: bonos garantizados de calidad sumamente elevada |
|
|
|
|
|
|
|
050 |
1.1.3 |
Activos de nivel 2A |
|
|
|
|
|
|
|
060 |
1.1.4 |
Nivel 2B: bonos de titulización de activos (residenciales o automóviles, nivel de calidad crediticia 1) |
|
|
|
|
|
|
|
070 |
1.1.5 |
Nivel 2B: bonos garantizados de calidad elevada |
|
|
|
|
|
|
|
080 |
1.1.6 |
Nivel 2B: bonos de titulización de activos (comerciales o particulares, Estados miembros, nivel de calidad crediticia 1) |
|
|
|
|
|
|
|
090 |
1.1.7 |
Otros de nivel 2B |
|
|
|
|
|
|
|
100 |
1.1.8 |
Activos no líquidos |
|
|
|
|
|
|
|
|
Entradas sujetas al límite máximo del 90 % |
Entradas exentas del límite máximo |
Únicamente derivados con garantía real |
|||||
|
Valor de mercado de las garantías reales prestadas |
Valor de liquidez de las garantías reales prestadas |
Valor de mercado de las garantías reales tomadas en préstamo |
Valor de liquidez de las garantías reales tomadas en préstamo |
|||||
|
Fila |
ID |
Partida |
070 |
080 |
090 |
100 |
110 |
120 |
|
010 |
1 |
TOTAL DE PERMUTAS DE GARANTÍAS REALES Y DERIVADOS CON GARANTÍA REAL |
|
|
|
|
|
|
|
020 |
1.1 |
Totales de las operaciones en las que se prestan activos de nivel 1 (excepto bonos garantizados de calidad sumamente elevada) y se toman en préstamo las siguientes garantías reales: |
|
|
|
|
|
|
|
030 |
1.1.1 |
Activos de nivel 1 (excepto bonos garantizados de calidad sumamente elevada) |
|
|
|
|
|
|
|
040 |
1.1.2 |
Nivel 1: bonos garantizados de calidad sumamente elevada |
|
|
|
|
|
|
|
050 |
1.1.3 |
Activos de nivel 2A |
|
|
|
|
|
|
|
060 |
1.1.4 |
Nivel 2B: bonos de titulización de activos (residenciales o automóviles, nivel de calidad crediticia 1) |
|
|
|
|
|
|
|
070 |
1.1.5 |
Nivel 2B: bonos garantizados de calidad elevada |
|
|
|
|
|
|
|
080 |
1.1.6 |
Nivel 2B: bonos de titulización de activos (comerciales o particulares, Estados miembros, nivel de calidad crediticia 1) |
|
|
|
|
|
|
|
090 |
1.1.7 |
Otros de nivel 2B |
|
|
|
|
|
|
|
100 |
1.1.8 |
Activos no líquidos |
|
|
|
|
|
|
|
|
Valor de mercado de las garantías reales prestadas |
Valor de liquidez de las garantías reales prestadas |
Valor de mercado de las garantías reales tomadas en préstamo |
Valor de liquidez de las garantías reales tomadas en préstamo |
Salidas |
Entradas sujetas al límite máximo del 75 % |
||
|
Fila |
ID |
Partida |
010 |
020 |
030 |
040 |
050 |
060 |
|
110 |
1.2 |
Totales de las operaciones en las que se prestan bonos garantizados de calidad sumamente elevada de nivel 1 y se toman en préstamo las siguientes garantías reales: |
|
|
|
|
|
|
|
120 |
1.2.1 |
Activos de nivel 1 (excepto bonos garantizados de calidad sumamente elevada) |
|
|
|
|
|
|
|
130 |
1.2.2 |
Nivel 1: bonos garantizados de calidad sumamente elevada |
|
|
|
|
|
|
|
140 |
1.2.3 |
Activos de nivel 2A |
|
|
|
|
|
|
|
150 |
1.2.4 |
Nivel 2B: bonos de titulización de activos (residenciales o automóviles, nivel de calidad crediticia 1) |
|
|
|
|
|
|
|
160 |
1.2.5 |
Nivel 2B: bonos garantizados de calidad elevada |
|
|
|
|
|
|
|
170 |
1.2.6 |
Nivel 2B: bonos de titulización de activos (comerciales o particulares, Estados miembros, nivel de calidad crediticia 1) |
|
|
|
|
|
|
|
180 |
1.2.7 |
Otros de nivel 2B |
|
|
|
|
|
|
|
190 |
1.2.8 |
Activos no líquidos |
|
|
|
|
|
|
|
200 |
1.3 |
Totales de las operaciones en las que se prestan activos de nivel 2A y se toman en préstamo las siguientes garantías reales: |
|
|
|
|
|
|
|
210 |
1.3.1 |
Activos de nivel 1 (excepto bonos garantizados de calidad sumamente elevada) |
|
|
|
|
|
|
|
220 |
1.3.2 |
Nivel 1: bonos garantizados de calidad sumamente elevada |
|
|
|
|
|
|
|
|
Entradas sujetas al límite máximo del 90 % |
Entradas exentas del límite máximo |
Únicamente derivados con garantía real |
|||||
|
Valor de mercado de las garantías reales prestadas |
Valor de liquidez de las garantías reales prestadas |
Valor de mercado de las garantías reales tomadas en préstamo |
Valor de liquidez de las garantías reales tomadas en préstamo |
|||||
|
Fila |
ID |
Partida |
070 |
080 |
090 |
100 |
110 |
120 |
|
110 |
1.2 |
Totales de las operaciones en las que se prestan bonos garantizados de calidad sumamente elevada de nivel 1 y se toman en préstamo las siguientes garantías reales: |
|
|
|
|
|
|
|
120 |
1.2.1 |
Activos de nivel 1 (excepto bonos garantizados de calidad sumamente elevada) |
|
|
|
|
|
|
|
130 |
1.2.2 |
Nivel 1: bonos garantizados de calidad sumamente elevada |
|
|
|
|
|
|
|
140 |
1.2.3 |
Activos de nivel 2A |
|
|
|
|
|
|
|
150 |
1.2.4 |
Nivel 2B: bonos de titulización de activos (residenciales o automóviles, nivel de calidad crediticia 1) |
|
|
|
|
|
|
|
160 |
1.2.5 |
Nivel 2B: bonos garantizados de calidad elevada |
|
|
|
|
|
|
|
170 |
1.2.6 |
Nivel 2B: bonos de titulización de activos (comerciales o particulares, Estados miembros, nivel de calidad crediticia 1) |
|
|
|
|
|
|
|
180 |
1.2.7 |
Otros de nivel 2B |
|
|
|
|
|
|
|
190 |
1.2.8 |
Activos no líquidos |
|
|
|
|
|
|
|
200 |
1.3 |
Totales de las operaciones en las que se prestan activos de nivel 2A y se toman en préstamo las siguientes garantías reales: |
|
|
|
|
|
|
|
210 |
1.3.1 |
Activos de nivel 1 (excepto bonos garantizados de calidad sumamente elevada) |
|
|
|
|
|
|
|
220 |
1.3.2 |
Nivel 1: bonos garantizados de calidad sumamente elevada |
|
|
|
|
|
|
|
|
Valor de mercado de las garantías reales prestadas |
Valor de liquidez de las garantías reales prestadas |
Valor de mercado de las garantías reales tomadas en préstamo |
Valor de liquidez de las garantías reales tomadas en préstamo |
Salidas |
Entradas sujetas al límite máximo del 75 % |
||
|
Fila |
ID |
Partida |
010 |
020 |
030 |
040 |
050 |
060 |
|
230 |
1.3.3 |
Activos de nivel 2A |
|
|
|
|
|
|
|
240 |
1.3.4 |
Nivel 2B: bonos de titulización de activos (residenciales o automóviles, nivel de calidad crediticia 1) |
|
|
|
|
|
|
|
250 |
1.3.5 |
Nivel 2B: bonos garantizados de calidad elevada |
|
|
|
|
|
|
|
260 |
1.3.6 |
Nivel 2B: bonos de titulización de activos (comerciales o particulares, Estados miembros, nivel de calidad crediticia 1) |
|
|
|
|
|
|
|
270 |
1.3.7 |
Otros de nivel 2B |
|
|
|
|
|
|
|
280 |
1.3.8 |
Activos no líquidos |
|
|
|
|
|
|
|
290 |
1.4 |
Totales de las operaciones en las que se prestan bonos de titulización de activos (residenciales o automóviles, nivel de calidad crediticia 1) de nivel 2B y se toman en préstamo las siguientes garantías reales: |
|
|
|
|
|
|
|
300 |
1.4.1 |
Activos de nivel 1 (excepto bonos garantizados de calidad sumamente elevada) |
|
|
|
|
|
|
|
310 |
1.4.2 |
Nivel 1: bonos garantizados de calidad sumamente elevada |
|
|
|
|
|
|
|
320 |
1.4.3 |
Activos de nivel 2A |
|
|
|
|
|
|
|
330 |
1.4.4 |
Nivel 2B: bonos de titulización de activos (residenciales o automóviles, nivel de calidad crediticia 1) |
|
|
|
|
|
|
|
340 |
1.4.5 |
Nivel 2B: bonos garantizados de calidad elevada |
|
|
|
|
|
|
|
|
Entradas sujetas al límite máximo del 90 % |
Entradas exentas del límite máximo |
Únicamente derivados con garantía real |
|||||
|
Valor de mercado de las garantías reales prestadas |
Valor de liquidez de las garantías reales prestadas |
Valor de mercado de las garantías reales tomadas en préstamo |
Valor de liquidez de las garantías reales tomadas en préstamo |
|||||
|
Fila |
ID |
Partida |
070 |
080 |
090 |
100 |
110 |
120 |
|
230 |
1.3.3 |
Activos de nivel 2A |
|
|
|
|
|
|
|
240 |
1.3.4 |
Nivel 2B: bonos de titulización de activos (residenciales o automóviles, nivel de calidad crediticia 1) |
|
|
|
|
|
|
|
250 |
1.3.5 |
Nivel 2B: bonos garantizados de calidad elevada |
|
|
|
|
|
|
|
260 |
1.3.6 |
Nivel 2B: bonos de titulización de activos (comerciales o particulares, Estados miembros, nivel de calidad crediticia 1) |
|
|
|
|
|
|
|
270 |
1.3.7 |
Otros de nivel 2B |
|
|
|
|
|
|
|
280 |
1.3.8 |
Activos no líquidos |
|
|
|
|
|
|
|
290 |
1.4 |
Totales de las operaciones en las que se prestan bonos de titulización de activos (residenciales o automóviles, nivel de calidad crediticia 1) de nivel 2B y se toman en préstamo las siguientes garantías reales: |
|
|
|
|
|
|
|
300 |
1.4.1 |
Activos de nivel 1 (excepto bonos garantizados de calidad sumamente elevada) |
|
|
|
|
|
|
|
310 |
1.4.2 |
Nivel 1: bonos garantizados de calidad sumamente elevada |
|
|
|
|
|
|
|
320 |
1.4.3 |
Activos de nivel 2A |
|
|
|
|
|
|
|
330 |
1.4.4 |
Nivel 2B: bonos de titulización de activos (residenciales o automóviles, nivel de calidad crediticia 1) |
|
|
|
|
|
|
|
340 |
1.4.5 |
Nivel 2B: bonos garantizados de calidad elevada |
|
|
|
|
|
|
|
|
Valor de mercado de las garantías reales prestadas |
Valor de liquidez de las garantías reales prestadas |
Valor de mercado de las garantías reales tomadas en préstamo |
Valor de liquidez de las garantías reales tomadas en préstamo |
Salidas |
Entradas sujetas al límite máximo del 75 % |
||
|
Fila |
ID |
Partida |
010 |
020 |
030 |
040 |
050 |
060 |
|
350 |
1.4.6 |
Nivel 2B: bonos de titulización de activos (comerciales o particulares, Estados miembros, nivel de calidad crediticia 1) |
|
|
|
|
|
|
|
360 |
1.4.7 |
Otros de nivel 2B |
|
|
|
|
|
|
|
370 |
1.4.8 |
Activos no líquidos |
|
|
|
|
|
|
|
380 |
1.5 |
Totales de las operaciones en las que se prestan bonos garantizados de calidad elevada de nivel 2B y se toman en préstamo las siguientes garantías reales: |
|
|
|
|
|
|
|
390 |
1.5.1 |
Activos de nivel 1 (excepto bonos garantizados de calidad sumamente elevada) |
|
|
|
|
|
|
|
400 |
1.5.2 |
Nivel 1: bonos garantizados de calidad sumamente elevada |
|
|
|
|
|
|
|
410 |
1.5.3 |
Activos de nivel 2A |
|
|
|
|
|
|
|
420 |
1.5.4 |
Nivel 2B: bonos de titulización de activos (residenciales o automóviles, nivel de calidad crediticia 1) |
|
|
|
|
|
|
|
430 |
1.5.5 |
Nivel 2B: bonos garantizados de calidad elevada |
|
|
|
|
|
|
|
440 |
1.5.6 |
Nivel 2B: bonos de titulización de activos (comerciales o particulares, Estados miembros, nivel de calidad crediticia 1) |
|
|
|
|
|
|
|
450 |
1.5.7 |
Otros de nivel 2B |
|
|
|
|
|
|
|
460 |
1.5.8 |
Activos no líquidos |
|
|
|
|
|
|
|
|
Entradas sujetas al límite máximo del 90 % |
Entradas exentas del límite máximo |
Únicamente derivados con garantía real |
|||||
|
Valor de mercado de las garantías reales prestadas |
Valor de liquidez de las garantías reales prestadas |
Valor de mercado de las garantías reales tomadas en préstamo |
Valor de liquidez de las garantías reales tomadas en préstamo |
|||||
|
Fila |
ID |
Partida |
070 |
080 |
090 |
100 |
110 |
120 |
|
350 |
1.4.6 |
Nivel 2B: bonos de titulización de activos (comerciales o particulares, Estados miembros, nivel de calidad crediticia 1) |
|
|
|
|
|
|
|
360 |
1.4.7 |
Otros de nivel 2B |
|
|
|
|
|
|
|
370 |
1.4.8 |
Activos no líquidos |
|
|
|
|
|
|
|
380 |
1.5 |
Totales de las operaciones en las que se prestan bonos garantizados de calidad elevada de nivel 2B y se toman en préstamo las siguientes garantías reales: |
|
|
|
|
|
|
|
390 |
1.5.1 |
Activos de nivel 1 (excepto bonos garantizados de calidad sumamente elevada) |
|
|
|
|
|
|
|
400 |
1.5.2 |
Nivel 1: bonos garantizados de calidad sumamente elevada |
|
|
|
|
|
|
|
410 |
1.5.3 |
Activos de nivel 2A |
|
|
|
|
|
|
|
420 |
1.5.4 |
Nivel 2B: bonos de titulización de activos (residenciales o automóviles, nivel de calidad crediticia 1) |
|
|
|
|
|
|
|
430 |
1.5.5 |
Nivel 2B: bonos garantizados de calidad elevada |
|
|
|
|
|
|
|
440 |
1.5.6 |
Nivel 2B: bonos de titulización de activos (comerciales o particulares, Estados miembros, nivel de calidad crediticia 1) |
|
|
|
|
|
|
|
450 |
1.5.7 |
Otros de nivel 2B |
|
|
|
|
|
|
|
460 |
1.5.8 |
Activos no líquidos |
|
|
|
|
|
|
|
|
Valor de mercado de las garantías reales prestadas |
Valor de liquidez de las garantías reales prestadas |
Valor de mercado de las garantías reales tomadas en préstamo |
Valor de liquidez de las garantías reales tomadas en préstamo |
Salidas |
Entradas sujetas al límite máximo del 75 % |
||
|
Fila |
ID |
Partida |
010 |
020 |
030 |
040 |
050 |
060 |
|
470 |
1.6 |
Totales de las operaciones en las que se prestan bonos de titulización de activos (comerciales o particulares, Estados miembros, nivel de calidad crediticia 1) de nivel 2B y se toman en préstamo las siguientes garantías reales: |
|
|
|
|
|
|
|
480 |
1.6.1 |
Activos de nivel 1 (excepto bonos garantizados de calidad sumamente elevada) |
|
|
|
|
|
|
|
490 |
1.6.2 |
Nivel 1: bonos garantizados de calidad sumamente elevada |
|
|
|
|
|
|
|
500 |
1.6.3 |
Activos de nivel 2A |
|
|
|
|
|
|
|
510 |
1.6.4 |
Nivel 2B: bonos de titulización de activos (residenciales o automóviles, nivel de calidad crediticia 1) |
|
|
|
|
|
|
|
520 |
1.6.5 |
Nivel 2B: bonos garantizados de calidad elevada |
|
|
|
|
|
|
|
530 |
1.6.6 |
Nivel 2B: bonos de titulización de activos (comerciales o particulares, Estados miembros, nivel de calidad crediticia 1) |
|
|
|
|
|
|
|
540 |
1.6.7 |
Otros de nivel 2B |
|
|
|
|
|
|
|
550 |
1.6.8 |
Activos no líquidos |
|
|
|
|
|
|
|
560 |
1.7 |
Totales de las operaciones en las que se prestan otros activos de nivel 2B y se toman en préstamo las siguientes garantías reales: |
|
|
|
|
|
|
|
570 |
1.7.1 |
Activos de nivel 1 (excepto bonos garantizados de calidad sumamente elevada) |
|
|
|
|
|
|
|
|
Entradas sujetas al límite máximo del 90 % |
Entradas exentas del límite máximo |
Únicamente derivados con garantía real |
|||||
|
Valor de mercado de las garantías reales prestadas |
Valor de liquidez de las garantías reales prestadas |
Valor de mercado de las garantías reales tomadas en préstamo |
Valor de liquidez de las garantías reales tomadas en préstamo |
|||||
|
Fila |
ID |
Partida |
070 |
080 |
090 |
100 |
110 |
120 |
|
470 |
1.6 |
Totales de las operaciones en las que se prestan bonos de titulización de activos (comerciales o particulares, Estados miembros, nivel de calidad crediticia 1) de nivel 2B y se toman en préstamo las siguientes garantías reales: |
|
|
|
|
|
|
|
480 |
1.6.1 |
Activos de nivel 1 (excepto bonos garantizados de calidad sumamente elevada) |
|
|
|
|
|
|
|
490 |
1.6.2 |
Nivel 1: bonos garantizados de calidad sumamente elevada |
|
|
|
|
|
|
|
500 |
1.6.3 |
Activos de nivel 2A |
|
|
|
|
|
|
|
510 |
1.6.4 |
Nivel 2B: bonos de titulización de activos (residenciales o automóviles, nivel de calidad crediticia 1) |
|
|
|
|
|
|
|
520 |
1.6.5 |
Nivel 2B: bonos garantizados de calidad elevada |
|
|
|
|
|
|
|
530 |
1.6.6 |
Nivel 2B: bonos de titulización de activos (comerciales o particulares, Estados miembros, nivel de calidad crediticia 1) |
|
|
|
|
|
|
|
540 |
1.6.7 |
Otros de nivel 2B |
|
|
|
|
|
|
|
550 |
1.6.8 |
Activos no líquidos |
|
|
|
|
|
|
|
560 |
1.7 |
Totales de las operaciones en las que se prestan otros activos de nivel 2B y se toman en préstamo las siguientes garantías reales: |
|
|
|
|
|
|
|
570 |
1.7.1 |
Activos de nivel 1 (excepto bonos garantizados de calidad sumamente elevada) |
|
|
|
|
|
|
|
|
Valor de mercado de las garantías reales prestadas |
Valor de liquidez de las garantías reales prestadas |
Valor de mercado de las garantías reales tomadas en préstamo |
Valor de liquidez de las garantías reales tomadas en préstamo |
Salidas |
Entradas sujetas al límite máximo del 75 % |
||
|
Fila |
ID |
Partida |
010 |
020 |
030 |
040 |
050 |
060 |
|
580 |
1.7.2 |
Nivel 1: bonos garantizados de calidad sumamente elevada |
|
|
|
|
|
|
|
590 |
1.7.3 |
Activos de nivel 2A |
|
|
|
|
|
|
|
600 |
1.7.4 |
Nivel 2B: bonos de titulización de activos (residenciales o automóviles, nivel de calidad crediticia 1) |
|
|
|
|
|
|
|
610 |
1.7.5 |
Nivel 2B: bonos garantizados de calidad elevada |
|
|
|
|
|
|
|
620 |
1.7.6 |
Nivel 2B: bonos de titulización de activos (comerciales o particulares, Estados miembros, nivel de calidad crediticia 1) |
|
|
|
|
|
|
|
630 |
1.7.7 |
Otros de nivel 2B |
|
|
|
|
|
|
|
640 |
1.7.8 |
Activos no líquidos |
|
|
|
|
|
|
|
650 |
1.8 |
Totales de las operaciones en las que se prestan activos no líquidos y se toman en préstamo las siguientes garantías reales: |
|
|
|
|
|
|
|
660 |
1.8.1 |
Activos de nivel 1 (excepto bonos garantizados de calidad sumamente elevada) |
|
|
|
|
|
|
|
670 |
1.8.2 |
Nivel 1: bonos garantizados de calidad sumamente elevada |
|
|
|
|
|
|
|
680 |
1.8.3 |
Activos de nivel 2A |
|
|
|
|
|
|
|
|
Entradas sujetas al límite máximo del 90 % |
Entradas exentas del límite máximo |
Únicamente derivados con garantía real |
|||||
|
Valor de mercado de las garantías reales prestadas |
Valor de liquidez de las garantías reales prestadas |
Valor de mercado de las garantías reales tomadas en préstamo |
Valor de liquidez de las garantías reales tomadas en préstamo |
|||||
|
Fila |
ID |
Partida |
070 |
080 |
090 |
100 |
110 |
120 |
|
580 |
1.7.2 |
Nivel 1: bonos garantizados de calidad sumamente elevada |
|
|
|
|
|
|
|
590 |
1.7.3 |
Activos de nivel 2A |
|
|
|
|
|
|
|
600 |
1.7.4 |
Nivel 2B: bonos de titulización de activos (residenciales o automóviles, nivel de calidad crediticia 1) |
|
|
|
|
|
|
|
610 |
1.7.5 |
Nivel 2B: bonos garantizados de calidad elevada |
|
|
|
|
|
|
|
620 |
1.7.6 |
Nivel 2B: bonos de titulización de activos (comerciales o particulares, Estados miembros, nivel de calidad crediticia 1) |
|
|
|
|
|
|
|
630 |
1.7.7 |
Otros de nivel 2B |
|
|
|
|
|
|
|
640 |
1.7.8 |
Activos no líquidos |
|
|
|
|
|
|
|
650 |
1.8 |
Totales de las operaciones en las que se prestan activos no líquidos y se toman en préstamo las siguientes garantías reales: |
|
|
|
|
|
|
|
660 |
1.8.1 |
Activos de nivel 1 (excepto bonos garantizados de calidad sumamente elevada) |
|
|
|
|
|
|
|
670 |
1.8.2 |
Nivel 1: bonos garantizados de calidad sumamente elevada |
|
|
|
|
|
|
|
680 |
1.8.3 |
Activos de nivel 2A |
|
|
|
|
|
|
|
|
Valor de mercado de las garantías reales prestadas |
Valor de liquidez de las garantías reales prestadas |
Valor de mercado de las garantías reales tomadas en préstamo |
Valor de liquidez de las garantías reales tomadas en préstamo |
Salidas |
Entradas sujetas al límite máximo del 75 % |
||
|
Fila |
ID |
Partida |
010 |
020 |
030 |
040 |
050 |
060 |
|
690 |
1.8.4 |
Nivel 2B: bonos de titulización de activos (residenciales o automóviles, nivel de calidad crediticia 1) |
|
|
|
|
|
|
|
700 |
1.8.5 |
Nivel 2B: bonos garantizados de calidad elevada |
|
|
|
|
|
|
|
710 |
1.8.6 |
Nivel 2B: bonos de titulización de activos (comerciales o particulares, Estados miembros, nivel de calidad crediticia 1) |
|
|
|
|
|
|
|
720 |
1.8.7 |
Otros de nivel 2B |
|
|
|
|
|
|
|
730 |
1.8.8 |
Activos no líquidos |
|
|
|
|
|
|
|
PRO MEMORIA |
||||||||
|
740 |
2 |
Total de permutas de garantías reales (todas las contrapartes) en las que se han utilizado garantías reales tomadas en préstamo para cubrir posiciones cortas |
|
|
|
|
|
|
|
750 |
3 |
Total de permutas de garantías reales con contrapartes pertenecientes al grupo |
|
|
|
|
|
|
|
760 |
4 |
Total de permutas de garantías reales con bancos centrales como contrapartes |
|
|
|
|
|
|
|
|
Entradas sujetas al límite máximo del 90 % |
Entradas exentas del límite máximo |
Únicamente derivados con garantía real |
|||||
|
Valor de mercado de las garantías reales prestadas |
Valor de liquidez de las garantías reales prestadas |
Valor de mercado de las garantías reales tomadas en préstamo |
Valor de liquidez de las garantías reales tomadas en préstamo |
|||||
|
Fila |
ID |
Partida |
070 |
080 |
090 |
100 |
110 |
120 |
|
690 |
1.8.4 |
Nivel 2B: bonos de titulización de activos (residenciales o automóviles, nivel de calidad crediticia 1) |
|
|
|
|
|
|
|
700 |
1.8.5 |
Nivel 2B: bonos garantizados de calidad elevada |
|
|
|
|
|
|
|
710 |
1.8.6 |
Nivel 2B: bonos de titulización de activos (comerciales o particulares, Estados miembros, nivel de calidad crediticia 1) |
|
|
|
|
|
|
|
720 |
1.8.7 |
Otros de nivel 2B |
|
|
|
|
|
|
|
730 |
1.8.8 |
Activos no líquidos |
|
|
|
|
|
|
|
PRO MEMORIA |
||||||||
|
740 |
2 |
Total de permutas de garantías reales (todas las contrapartes) en las que se han utilizado garantías reales tomadas en préstamo para cubrir posiciones cortas |
|
|
|
|
|
|
|
750 |
3 |
Total de permutas de garantías reales con contrapartes pertenecientes al grupo |
|
|
|
|
|
|
|
760 |
4 |
Total de permutas de garantías reales con bancos centrales como contrapartes |
|
|
|
|
|
|
C 76.00 — COBERTURA DE LA LIQUIDEZ — CÁLCULOS
Moneda
|
|
Valor/porcentaje |
||
|
Fila |
ID |
Partida |
010 |
|
CÁLCULOS |
|||
|
Numerador, denominador, ratio |
|||
|
010 |
1 |
Colchón de liquidez |
|
|
020 |
2 |
Salida neta de liquidez |
|
|
030 |
3 |
Ratio de cobertura de liquidez (%) |
|
|
Cálculos del numerador |
|||
|
040 |
4 |
Colchón de liquidez de nivel 1 excepto bonos garantizados de calidad sumamente elevada (valor conforme al artículo 9): sin ajustar |
|
|
050 |
5 |
Salidas a 30 días de garantías reales de nivel 1 excepto bonos garantizados de calidad sumamente elevada |
|
|
060 |
6 |
Entradas a 30 días de garantías reales de nivel 1 excepto bonos garantizados de calidad sumamente elevada |
|
|
070 |
7 |
Salidas a 30 días de efectivo con garantía |
|
|
080 |
8 |
Entradas a 30 días de efectivo con garantía |
|
|
090 |
9 |
Importe ajustado de activos de nivel 1, excepto bonos garantizados de calidad sumamente elevada, antes de aplicar el límite máximo |
|
|
100 |
10 |
Valor de los bonos garantizados de calidad sumamente elevada de nivel 1 conforme al artículo 9: sin ajustar |
|
|
110 |
11 |
Salidas a 30 días de garantías reales de nivel 1 consistentes en bonos garantizados de calidad sumamente elevada |
|
|
120 |
12 |
Entradas a 30 días de garantías reales de nivel 1 consistentes en bonos garantizados de calidad sumamente elevada |
|
|
130 |
13 |
Importe ajustado de los bonos garantizados de calidad sumamente elevada de nivel 1 antes de aplicar el límite máximo |
|
|
140 |
14 |
Importe ajustado de los bonos garantizados de calidad sumamente elevada de nivel 1 después de aplicar el límite máximo |
|
|
150 |
15 |
«Importe excedentario de activos líquidos» constituidos por bonos garantizados de calidad sumamente elevada de nivel 1 |
|
|
160 |
16 |
Activos de nivel 2A conforme al artículo 9: sin ajustar |
|
|
170 |
17 |
Salidas a 30 días de garantías reales de nivel 2A |
|
|
180 |
18 |
Entradas a 30 días de garantías reales de nivel 2A |
|
|
190 |
19 |
Importe ajustado de los activos de nivel 2A antes de aplicar el límite máximo |
|
|
200 |
20 |
Importe ajustado de los activos de nivel 2A después de aplicar el límite máximo |
|
|
210 |
21 |
«Importe excedentario de activos líquidos» de nivel 2A |
|
|
220 |
22 |
Activos de nivel 2B conforme al artículo 9: sin ajustar |
|
|
230 |
23 |
Salidas a 30 días de garantías reales de nivel 2B |
|
|
240 |
24 |
Entradas a 30 días de garantías reales de nivel 2B |
|
|
250 |
25 |
Importe ajustado de los activos de nivel 2B antes de aplicar el límite máximo |
|
|
260 |
26 |
Importe ajustado de los activos de nivel 2B después de aplicar el límite máximo |
|
|
270 |
27 |
«Importe excedentario de activos líquidos» de nivel 2B |
|
|
280 |
28 |
«Importe excedentario de activos líquidos» |
|
|
290 |
29 |
Colchón de liquidez |
|
|
Cálculos del denominador |
|||
|
300 |
30 |
Total salidas |
|
|
310 |
31 |
Entradas totalmente exentas |
|
|
320 |
32 |
Entradas sujetas al límite máximo del 90 % |
|
|
330 |
33 |
Entradas sujetas al límite máximo del 75 % |
|
|
340 |
34 |
Reducción aplicable a las entradas totalmente exentas |
|
|
350 |
35 |
Reducción aplicable a las entradas sujetas al límite máximo del 90 % |
|
|
360 |
36 |
Reducción aplicable a las entradas sujetas al límite máximo del 75 % |
|
|
370 |
37 |
Salida neta de liquidez |
|
|
Pilar 2 |
|||
|
380 |
38 |
Requisitos del pilar 2 conforme al artículo 105 de la DRC |
|
ANEXO XXV
INFORMACIÓN SOBRE LIQUIDEZ (PARTE 1: ACTIVOS LÍQUIDOS)
1. Activos líquidos
1.1. Observaciones generales
1. Se trata de una plantilla resumen que contiene información sobre activos con vistas a dar cuenta del requisito de cobertura de la liquidez que se especifica en el Reglamento Delegado (UE) 2015/61 de la Comisión. Las partidas que no deben ser cumplimentadas por las entidades de crédito están coloreadas en gris.
2. Los activos comunicados deberán cumplir los requisitos establecidos en el título II del Reglamento Delegado (UE) 2015/61 de la Comisión.
3. No obstante lo dispuesto en el apartado 2, las entidades de crédito no aplicarán las limitaciones en materia de divisas contempladas en el artículo 8, apartado 6, el artículo 10, apartado 1, letra d), y el artículo 12, apartado 1, letra c), del Reglamento Delegado (UE) 2015/61 de la Comisión, al cumplimentar la plantilla sobre la base de una moneda significativa, según lo previsto en el artículo 415, apartado 2, del Reglamento (UE) no 575/2013. Las entidades de crédito aplicarán, sin embargo, restricciones por países.
4. Las entidades de crédito presentarán la plantilla en las correspondientes monedas con arreglo al artículo 4, apartado 5, del Reglamento Delegado (UE) 2015/61 de la Comisión.
5. En relación con el artículo 9 del Reglamento Delegado (UE) 2015/61 de la Comisión, las entidades de crédito comunicarán, en su caso, el importe/valor de mercado de los activos líquidos, teniendo en cuenta las salidas y entradas netas de liquidez resultantes de una liquidación temprana de la cobertura, según se contempla en el artículo 8, apartado 5, y con arreglo a los oportunos recortes de valoración establecidos en el capítulo 2.
6. El Reglamento Delegado (UE) 2015/61 de la Comisión solo hace referencia a índices y recortes de valoración. El término «ponderado» en las presentes instrucciones se entenderá como un término general que indica el importe obtenido tras aplicar los correspondientes recortes de valoración, índices y cualesquiera otras instrucciones adicionales pertinentes (por ejemplo, en el caso de operaciones de préstamo y financiación garantizadas). El término «ponderación» en el contexto de las presentes instrucciones se refiere a un número comprendido entre 0 y 1, que, multiplicado por el importe, arroja el importe o valor ponderado con arreglo al artículo 9 del Reglamento Delegado (UE) 2015/61 de la Comisión.
7. Las entidades de crédito no comunicarán partidas por duplicado, ya sea dentro de las secciones 1.1.1., 1.1.2., 1.2.1. y 1.2.2., o entre las mismas.
8. En la plantilla conexa a las presentes instrucciones se incluyen algunas partidas pro memoria. Si bien no son estrictamente necesarias para el cálculo de la ratio en sí, deben cumplimentarse, ya que proporcionan a la autoridad competente información sin la cual no podría llevar a cabo una evaluación adecuada del cumplimiento de los requisitos de liquidez por parte de las entidades de crédito. En algunos casos ofrecen un mayor desglose de las partidas incluidas en las secciones principales de las plantillas y, en otros, reflejan los recursos de liquidez adicionales a los que pueden tener acceso las entidades de crédito.
1.2. Observaciones específicas
1.2.1. Requisitos específicos relativos a los OIC
9. En las partidas 1.1.1.10., 1.1.1.11., 1.2.1.6., 1.1.2.2., 1.2.2.10., 1.2.2.11., 1.2.2.12., 1.2.2.13., las entidades de crédito comunicarán la proporción oportuna del valor de mercado de los OIC correspondiente a los activos líquidos subyacentes al OIC con arreglo a los principios definidos en el artículo 15, apartado 4, del Reglamento Delegado (UE) 2015/61 de la Comisión.
1.2.2. Requisitos específicos relativos a las disposiciones de anterioridad y disposiciones transitorias
10. Las entidades de crédito comunicarán las partidas a que se refieren el artículo 35, el artículo 36 y el artículo 37 del Reglamento Delegado (UE) 2015/61 de la Comisión en las oportunas filas de activos. El total de todos los importes de activos comunicados con arreglo a estos artículos se consignará asimismo en la sección «pro memoria» a efectos de referencia.
1.2.3. Requisitos específicos para la comunicación de información por parte de las entidades centrales
11. Al comunicar los activos líquidos correspondientes a los depósitos de entidades de crédito constituidos en la entidad central que tengan la consideración de activos líquidos de la entidad de crédito depositante, las entidades centrales velarán por que el importe comunicado de dichos activos tras el recorte de valoración no exceda de las salidas de los depósitos correspondientes (artículo 27, apartado 3, del Reglamento Delegado (UE) 2015/61 de la Comisión).
1.2.4. Requisitos específicos relativos a las operaciones de liquidación y con inicio diferido.
12. Todos los activos que cumplan lo dispuesto en los artículos 7, 8 y 9 del Reglamento Delegado (UE) 2015/61 de la Comisión y que figuren en las existencias de la entidad de crédito en la fecha de referencia se consignarán en la correspondiente fila de la plantilla C72, aun cuando se vendan o utilicen en operaciones a plazo garantizadas. Por razones de coherencia, en la plantilla C72.00 del anexo XXIV no se comunicarán activos líquidos derivados de operaciones con inicio diferido referentes a compras de activos líquidos acordadas contractualmente pero aún no liquidadas y compras a plazo de activos líquidos.
Subplantilla de activos líquidos
Instrucciones relativas a columnas específicas
|
Columna |
Referencias jurídicas e instrucciones |
|
010 |
Importe/valor de mercado Las entidades de crédito comunicarán en la columna 010 el valor de mercado o el importe, en su caso, de los activos líquidos definidos en el título II del Reglamento Delegado (UE) 2015/61 de la Comisión. El importe/valor de mercado indicado en la columna 010: — tendrá en cuenta las salidas netas y las entradas netas por liquidación temprana de coberturas según se contempla en el artículo 8, apartado 5, de ese mismo Reglamento; — no tendrá en cuenta los recortes de valoración contemplados en el título II de dicho Reglamento; — incluirá, en las correspondientes filas de activos, la proporción de los depósitos a que se refiere el artículo 16, apartado 1, letra a), del citado Reglamento que consistan en activos específicos diferentes; — se reducirá, en su caso, por el importe de los depósitos contemplados en el artículo 16, constituidos en la entidad central de crédito, conforme al artículo 27, apartado 3, del referido Reglamento. En relación con el artículo 8, apartado 5, del Reglamento Delegado (UE) 2015/61 de la Comisión, las entidades de crédito tendrán en cuenta el flujo de caja neto, ya sea de salida o de entrada, que pueda producirse si la cobertura se liquida en la fecha de referencia de la información. No se tienen en cuenta aquí las posibles variaciones futuras de valor del activo. |
|
020 |
Ponderación estándar En la columna 020 figurarán las ponderaciones que reflejen el importe obtenido tras la aplicación de los respectivos recortes de valoración contemplados en el título II del Reglamento Delegado (UE) 2015/61 de la Comisión. Las ponderaciones tienen por objeto reflejar la reducción del valor de los activos líquidos tras la aplicación de los oportunos recortes de valoración. |
|
030 |
Ponderación aplicable Las entidades de crédito comunicarán en la columna 030 la ponderación aplicable a los activos líquidos definidos en el título II del Reglamento Delegado (UE) 2015/61 de la Comisión. Las ponderaciones aplicables pueden arrojar valores medios ponderados y se consignarán en cifras decimales (es decir, 1,00 para una ponderación aplicable del 100 %, o 0,50 para una ponderación del 50 %). Las ponderaciones aplicables pueden reflejar, aunque no exclusivamente, decisiones adoptadas discrecionalmente por las empresas o las autoridades nacionales. La cifra comunicada en la columna 030 no podrá ser superior a la de la columna 020. |
|
040 |
Valor con arreglo al artículo 9 Las entidades de crédito comunicarán en la columna 040 el valor de los activos líquidos con arreglo a lo especificado en el artículo 9 del Reglamento Delegado 2015/61 de la Comisión. Este será igual al importe/valor de mercado, teniendo en cuenta las salidas y entradas netas de liquidez por liquidación temprana de coberturas, multiplicado por la ponderación aplicable. |
Instrucciones relativas a filas concretas
|
Fila |
Referencias jurídicas e instrucciones |
|
010 |
1. TOTAL DE ACTIVOS LÍQUIDOS SIN AJUSTES Título II del Reglamento Delegado (UE) 2015/61 de la Comisión Las entidades de crédito comunicarán en c010 el importe total/valor de mercado total de sus activos líquidos. Las entidades de crédito comunicarán en c040 el valor total de sus activos líquidos con arreglo al artículo 9. |
|
020 |
1.1. Total de activos de nivel 1 sin ajustes Artículos 10, 15, 16 y 19 del Reglamento Delegado (UE) 2015/61 de la Comisión Los activos comunicados en esta sección se habrán identificado explícitamente como activos de nivel 1 de conformidad con el Reglamento Delegado (UE) 2015/61 de la Comisión, o tratado como activos de nivel 1, cuando las instrucciones así lo dispongan de manera expresa. Las entidades de crédito comunicarán en c010 el importe total/valor de mercado total de sus activos líquidos de nivel 1. Las entidades de crédito comunicarán en c040 el valor total de sus activos líquidos de nivel 1 con arreglo al artículo 9. |
|
030 |
1.1.1. Total de activos de nivel 1 sin ajustes, excepto bonos garantizados de calidad sumamente elevada Artículos 10, 15, 16 y 19 del Reglamento Delegado (UE) 2015/61 de la Comisión Los activos comunicados en esta subsección se habrán identificado explícitamente como activos de nivel 1 de conformidad con el Reglamento Delegado (UE) 2015/61 de la Comisión, o tratado como activos de nivel 1, cuando las instrucciones así lo dispongan de manera expresa. Los activos y activos subyacentes que puedan ser considerados bonos garantizados de calidad sumamente elevada, tal como se definen en el artículo 10, apartado 1, letra f), del referido Reglamento no se comunicarán en esta subsección. Las entidades de crédito comunicarán en la columna 010 la suma del valor de mercado total de los activos de nivel 1, excepto bonos garantizados de calidad sumamente elevada, sin efectuar los ajustes previstos en el artículo 17 del Reglamento Delegado (UE) 2015/61 de la Comisión. Las entidades de crédito comunicarán en la columna 040 la suma del importe ponderado total de los activos de nivel 1, excepto bonos garantizados de calidad sumamente elevada, sin efectuar los ajustes previstos en el artículo 17 del Reglamento Delegado (UE) 2015/61 de la Comisión. |
|
040 |
1.1.1.1. Monedas y billetes Artículo 10, apartado 1, letra a), del Reglamento Delegado (UE) 2015/61 de la Comisión Importe total del efectivo, incluidas las monedas y los billetes de banco. |
|
050 |
1.1.1.2. Reservas en bancos centrales que puedan ser retiradas Artículo 10, apartado 1, letra b), inciso iii), del Reglamento Delegado (UE) 2015/61 de la Comisión Importe total de las reservas que puedan ser retiradas en cualquier momento durante períodos de tensión, mantenidas por la entidad de crédito en el BCE, en el banco central de un Estado miembro o en el banco central de un tercer país, siempre que una agencia externa de calificación crediticia (ECAI) designada asigne a las exposiciones frente al banco central o la administración central de ese tercer país una evaluación de crédito que corresponda, al menos, al nivel 1 de calidad crediticia, con arreglo al artículo 114, apartado 2, del Reglamento (UE) no 575/2013. El importe que se permitirá retirar vendrá especificado en un acuerdo entre la autoridad competente y el banco central pertinente, según lo previsto en el artículo 10, apartado 1, letra b), inciso iii), del Reglamento Delegado (UE) 2015/61 de la Comisión. |
|
060 |
1.1.1.3. Activos de bancos centrales Artículo 10, apartado 1, letra b), incisos i) y ii), del Reglamento Delegado (UE) 2015/61 de la Comisión Activos que constituyan créditos frente a, o garantizados por, el BCE, el banco central de un Estado miembro o el banco central de un tercer país, siempre que una agencia externa de calificación crediticia (ECAI) designada asigne a las exposiciones frente al banco central o la administración central de ese tercer país una evaluación de crédito que corresponda, al menos, al nivel 1 de calidad crediticia, con arreglo al artículo 114, apartado 2, del Reglamento (UE) no 575/2013. |
|
070 |
1.1.1.4. Activos de administraciones centrales Artículo 10, apartado 1, letra c), incisos i) y ii), del Reglamento Delegado (UE) 2015/61 de la Comisión Activos que constituyan créditos frente a, o garantizados por, la administración central de un Estado miembro o la administración central de un tercer país, a condición de que una ECAI designada le asigne una evaluación de crédito que corresponda, al menos, al nivel 1 de calidad crediticia, con arreglo al artículo 114, apartado 2, del Reglamento (UE) no 575/2013. Los activos emitidos por entidades de crédito que se beneficien de una garantía de la administración central de un Estado miembro, de conformidad con las disposiciones de anterioridad establecidas en el artículo 35 del Reglamento Delegado (UE) 2015/61 de la Comisión se comunicarán aquí. Se comunicarán aquí los activos emitidos por una de las agencias de gestión de activos deteriorados patrocinadas por Estados miembros a que se refiere el artículo 36 del Reglamento Delegado (UE) 2015/61 de la Comisión. |
|
080 |
1.1.1.5. Activos de administraciones regionales o autoridades locales Artículo 10, apartado 1, letra c), incisos iii) y iv), del Reglamento Delegado (UE) 2015/61 de la Comisión Activos que constituyan créditos frente a, o garantizados por, administraciones regionales o autoridades locales de un Estado miembro, a condición de que reciban el mismo tratamiento que las exposiciones frente a la administración central del Estado miembro, con arreglo al artículo 115, apartado 2, del Reglamento (UE) no 575/2013. Activos que constituyan créditos frente a, o garantizados por, las administraciones regionales o las autoridades locales de un tercer país a las que una ECAI designada haya asignado una evaluación de crédito que corresponda, al menos, al nivel 1 de calidad crediticia, con arreglo al artículo 114, apartado 2, del Reglamento (UE) no 575/2013, y que reciban el mismo tratamiento que las exposiciones frente a la administración central de ese tercer país, de conformidad con el artículo 115, apartado 4, del Reglamento (UE) no 575/2013. Se comunicarán aquí los activos emitidos por entidades de crédito que se beneficien de una garantía de una administración regional o una autoridad local de un Estado miembro, de conformidad con las disposiciones de anterioridad establecidas en el artículo 35 del Reglamento Delegado (UE) 2015/61 de la Comisión. |
|
090 |
1.1.1.6. Activos de entes del sector público Artículo 10, apartado 1, letra c), inciso v), del Reglamento Delegado (UE) 2015/61 de la Comisión Activos que constituyan créditos frente a, o estén garantizados por, entes del sector público de un Estado miembro o un tercer país, a condición de que reciban el mismo tratamiento que las exposiciones frente a la administración central, las administraciones regionales o las autoridades locales de ese Estado miembro o tercer país, con arreglo al artículo 116, apartados 4 y 5, del Reglamento (UE) no 575/2013. Toda administración central de un tercer país según se menciona más arriba deberá recibir de una ECAI designada una evaluación de crédito que corresponda, al menos, al nivel 1 de calidad crediticia, con arreglo al artículo 114, apartado 2, del Reglamento (UE) no 575/2013. Toda administración regional o autoridad local de un tercer país según se menciona más arriba deberá recibir el mismo tratamiento que las exposiciones frente a la administración central de ese tercer país, con arreglo al artículo 115, apartado 4, del Reglamento (UE) no 575/2013. |
|
100 |
1.1.1.7. Activos de administraciones centrales y bancos centrales reconocibles en moneda nacional y divisas Artículo 10, apartado 1, letra d), del Reglamento Delegado (UE) 2015/61 de la Comisión Activos que constituyan créditos frente a, o garantizados por, la administración central o el banco central de un tercer país que no haya recibido por parte de una ECAI designada una evaluación de crédito que corresponda al nivel 1 de calidad crediticia, a condición de que la entidad de crédito reconozca los activos como activos de nivel 1 para cubrir las salidas netas de liquidez registradas en condiciones de tensión en la misma divisa de denominación del activo. Activos que constituyan créditos frente a, o garantizados por, la administración central o el banco central de un tercer país que no haya recibido por parte de una ECAI designada una evaluación de crédito que corresponda al nivel 1 de calidad crediticia, cuando tales activos no estén denominados en la moneda nacional de ese tercer país, a condición de que la entidad de crédito reconozca los activos como activos de nivel 1 hasta el importe de sus salidas netas de liquidez en condiciones de tensión en tal divisa, correspondientes a sus operaciones en el país en que se asuma el riesgo de liquidez. |
|
110 |
1.1.1.8. Activos de entidades de crédito (protegidas por la administración de un Estado miembro, que concedan préstamos promocionales) Artículo 10, apartado 1, letra e), incisos i) y ii), del Reglamento Delegado (UE) 2015/61 de la Comisión Activos emitidos por entidades de crédito constituidas o establecidas por la administración central, una administración regional o una autoridad local de un Estado miembro que tenga la obligación legal de proteger la base económica de la entidad de crédito y de mantener su viabilidad financiera. Activos emitidos por una entidad que otorgue préstamos promocionales según se contemplan en el artículo 10, apartado 1, letra e), inciso ii), del Reglamento Delegado (UE) 2015/61 de la Comisión. Toda administración regional o autoridad local de las mencionadas más arriba deberá recibir el mismo tratamiento que las exposiciones frente a la administración central de ese Estado miembro, con arreglo al artículo 115, apartado 2, del Reglamento (UE) no 575/2013. |
|
120 |
1.1.1.9. Activos de bancos multilaterales de desarrollo y organizaciones internacionales Artículo 10, apartado 1, letra g), del Reglamento Delegado (UE) 2015/61 de la Comisión Activos que constituyan créditos frente a, o garantizados por, los bancos multilaterales de desarrollo y las organizaciones internacionales a que se refieren el artículo 117, apartado 2, y el artículo 118 del Reglamento (UE) no 575/2013. |
|
130 |
1.1.1.10. Acciones/participaciones en OIC admisibles: el subyacente consiste en monedas/billetes o exposiciones frente a bancos centrales Artículo 15, apartado 2, letra a), del Reglamento Delegado (UE) 2015/61 de la Comisión Acciones o participaciones en OIC cuyos activos subyacentes correspondan a monedas, billetes y exposiciones frente al BCE, el banco central de un Estado miembro o el banco central de un tercer país, siempre que una agencia externa de calificación crediticia (ECAI) designada asigne a las exposiciones frente al banco central o la administración central de ese tercer país una evaluación de crédito que corresponda, al menos, al nivel 1 de calidad crediticia, con arreglo al artículo 114, apartado 2, del Reglamento (UE) no 575/2013. |
|
140 |
1.1.1.11. Acciones/participaciones en OIC admisibles: el subyacente consiste en activos de nivel 1, excepto bonos garantizados de calidad sumamente elevada Artículo 15, apartado 2, letra b), del Reglamento Delegado (UE) 2015/61 de la Comisión Acciones o participaciones en OIC cuyos activos subyacentes correspondan a activos que puedan considerarse activos de nivel 1, a excepción de monedas, billetes, exposiciones frente al BCE y al banco central de un Estado miembro o el banco central de un tercer país, y los bonos garantizados de calidad sumamente elevada contemplados en el artículo 10, apartado 1, letra f), del Reglamento Delegado (UE) 2015/61 de la Comisión. |
|
150 |
1.1.1.12. Enfoques alternativos de tratamiento de la liquidez: línea de crédito de un banco central Artículo 19, apartado 1, letra b), del Reglamento Delegado (UE) 2015/61 de la Comisión Importe no utilizado de la líneas de crédito del BCE, el banco central de un Estado miembro o el banco central de un tercer país, siempre que la línea de crédito cumpla los requisitos establecidos en el artículo 19, apartado 1, letra b), incisos i) a iii), del Reglamento Delegado (UE) 2015/61 de la Comisión. |
|
160 |
1.1.1.13. Entidades de crédito centrales: activos de nivel 1, excepto bonos garantizados de calidad sumamente elevada que se consideren activos líquidos de la entidad de crédito depositante Artículo 27, apartado 3, del Reglamento Delegado (UE) 2015/61 de la Comisión De conformidad con el artículo 27, apartado 3, del Reglamento Delegado (UE) 2015/61 de la Comisión, es necesario indicar los activos líquidos que correspondan a los depósitos de entidades de crédito constituidos en la entidad central que sean considerados activos líquidos de la entidad de crédito depositante. Esos activos líquidos no se contabilizarán para cubrir salidas distintas de las procedentes de los correspondientes depósitos y no se tomarán en consideración para el cálculo de la composición del colchón de liquidez restante, con arreglo al artículo 17, para la entidad central a nivel individual. Al comunicar estos activos, las entidades centrales velarán por que el importe comunicado de estos activos líquidos tras el recorte de valoración no exceda de las salidas de los depósitos correspondientes. Estos activos se comunicarán en la sección oportuna de la plantilla C 72.00 del anexo XXIV y la cifra correspondiente se indicará aquí. Los activos contemplados en esta fila son activos de nivel 1, excepto bonos garantizados de calidad sumamente elevada. |
|
170 |
1.1.1.14. Enfoques alternativos de tratamiento de la liquidez: activos de nivel 2A reconocidos como de nivel 1 Artículo 19, apartado 1, letra c), del Reglamento Delegado (UE) 2015/61 de la Comisión Cuando exista un déficit de activos de nivel 1, las entidades de crédito comunicarán el importe de los activos de nivel 2A que reconozcan como activos de nivel 1 y que no comuniquen como de nivel 2A, con arreglo al artículo 19, apartado 1, letra c), del Reglamento Delegado (UE) 2015/61 de la Comisión. Estos activos no se consignarán en la sección correspondiente a los activos de nivel 2A. |
|
180 |
1.1.2. Total de bonos garantizados de calidad sumamente elevada de nivel 1 sin ajustes Artículos 10, 15 y 16 del Reglamento Delegado (UE) 2015/61 de la Comisión Los activos comunicados en esta subsección se habrán identificado explícitamente como activos de nivel 1 de conformidad con el Reglamento Delegado (UE) 2015/61 de la Comisión, o tratado como activos de nivel 1, cuando las instrucciones así lo dispongan de manera expresa, y, bien consistirán en bonos garantizados de calidad sumamente elevada, según se definen en el artículo 10, apartado 1, letra f), de ese mismo Reglamento, bien sus activos subyacentes podrán tener tal consideración. Las entidades de crédito comunicarán en la columna 010 la suma del valor de mercado total de los bonos garantizados de calidad sumamente elevada de nivel 1, sin efectuar los ajustes previstos en el artículo 17 del Reglamento Delegado (UE) 2015/61 de la Comisión. Las entidades de crédito comunicarán en la columna 040 la suma del importe ponderado total de los bonos garantizados de calidad sumamente elevada de nivel 1, sin efectuar los ajustes previstos en el artículo 17 del Reglamento Delegado (UE) 2015/61 de la Comisión. |
|
190 |
1.1.2.1. Bonos garantizados de calidad sumamente elevada Artículo 10, apartado 1, letra f), del Reglamento Delegado (UE) 2015/61 de la Comisión Activos que representen exposiciones en forma de bonos garantizados de calidad sumamente elevada y que cumplan lo dispuesto en el artículo 10, apartado 1, letra f), del Reglamento (UE) 2015/61 de la Comisión. |
|
200 |
1.1.2.2. Acciones/participaciones en OIC admisibles: el subyacente consiste en bonos garantizados de calidad sumamente elevada Artículo 15, apartado 2, letra c), del Reglamento Delegado (UE) 2015/61 de la Comisión Acciones o participaciones en OIC cuyos activos subyacentes correspondan a activos que puedan considerarse bonos garantizados de calidad sumamente elevada según se contemplan en el artículo 10, apartado 1, letra f), del Reglamento Delegado (UE) 2015/61 de la Comisión. |
|
210 |
1.1.2.3. Entidades de crédito centrales: bonos garantizados de calidad sumamente elevada de nivel 1 que se consideren activos líquidos de la entidad de crédito depositante Artículo 27, apartado 3, del Reglamento Delegado (UE) 2015/61 de la Comisión De conformidad con el artículo 27, apartado 3, del Reglamento Delegado (UE) 2015/61 de la Comisión, es necesario indicar los activos líquidos que correspondan a los depósitos de entidades de crédito constituidos en la entidad central que se consideren activos líquidos de la entidad de crédito depositante. Esos activos líquidos no se contabilizarán para cubrir salidas distintas de las procedentes de los correspondientes depósitos y no se tomarán en consideración para el cálculo de la composición del colchón de liquidez restante, con arreglo al artículo 17, para la entidad central a nivel individual. Al comunicar estos activos, las entidades centrales velarán por que el importe comunicado de estos activos líquidos tras el recorte de valoración no exceda de las salidas de los depósitos correspondientes. Estos activos se comunicarán en la sección oportuna de la plantilla C 72.00 del anexo XXIV y la cifra correspondiente se indicará aquí. Los activos contemplados en esta fila son bonos garantizados de calidad sumamente elevada de nivel 1. |
|
220 |
1.2. Total de activos de nivel 2 sin ajustes Artículos 11, 12, 13, 14, 15, 16 y 19 del Reglamento Delegado (UE) 2015/61 de la Comisión Los activos comunicados en esta sección se habrán identificado explícitamente como activos de nivel 2A o 2B de conformidad con el Reglamento Delegado (UE) 2015/61 de la Comisión, o tratado como tales. Las entidades de crédito comunicarán en c010 el importe total/valor de mercado total de sus activos líquidos de nivel 2. Las entidades de crédito comunicarán en c040 el valor total con arreglo al artículo 9 de sus activos líquidos de nivel 2. |
|
230 |
1.2.1. Total de activos de nivel 2A sin ajustes Artículos 11, 15 y 19 del Reglamento Delegado (UE) 2015/61 de la Comisión Los activos comunicados en esta subsección se habrán identificado explícitamente como activos de nivel 2A de conformidad con el Reglamento Delegado (UE) 2015/61 de la Comisión, o tratado como tales. Las entidades de crédito comunicarán en la columna 040 la suma del valor de mercado total de los activos de nivel 2A, sin efectuar los ajustes previstos en el artículo 17 del Reglamento Delegado (UE) 2015/61 de la Comisión. Las entidades de crédito comunicarán en la columna 040 la suma del importe ponderado total de los activos de nivel 2A, sin efectuar los ajustes previstos en el artículo 17 del Reglamento Delegado (UE) 2015/61 de la Comisión. |
|
240 |
1.2.1.1. Activos de administraciones regionales/autoridades locales o entes del sector público (Estados miembros, ponderación de riesgo 20 %) Artículo 11, apartado 1, letra a), del Reglamento Delegado (UE) 2015/61 de la Comisión Activos que constituyan créditos frente a, o garantizados por, administraciones regionales, autoridades locales o entes del sector público de un Estado miembro, cuando las exposiciones reciban una ponderación de riesgo del 20 %. |
|
250 |
1.2.1.2. Activos de bancos centrales, administraciones centrales/regionales, autoridades locales o entes del sector público (terceros países, ponderación de riesgo 20 %) Artículo 11, apartado 1, letra b), del Reglamento Delegado (UE) 2015/61 de la Comisión Activos que constituyan créditos frente a, o garantizados por, la administración central o el banco central de un tercer país, o una administración regional, una autoridad local o un ente del sector público de un tercer país, a condición de que se les asigne una ponderación de riesgo del 20 %. |
|
260 |
1.2.1.3. Bonos garantizados de calidad elevada (nivel de calidad crediticia 2)
|
|
270 |
1.2.1.4. Bonos garantizados de calidad elevada (terceros países, nivel de calidad crediticia 1) Artículo 11, apartado 1, letra d), del Reglamento Delegado (UE) 2015/61 de la Comisión Activos que representen exposiciones en forma de bonos garantizados emitidos por entidades de crédito de terceros países que cumplan lo dispuesto en el artículo 11, apartado 1, letra d), del Reglamento Delegado (UE) 2015/61 de la Comisión, a condición de que una ECAI designada les asigne una evaluación de crédito que corresponda al nivel 1 de calidad crediticia, con arreglo al artículo 129, apartado 4, del Reglamento (UE) no 575/2013. |
|
280 |
1.2.1.5. Valores representativos de deuda de empresas (nivel de calidad crediticia 1) Artículo 11, apartado 1, letra e), del Reglamento Delegado (UE) 2015/61 de la Comisión Valores representativos de deuda de empresas que cumplan lo dispuesto en el artículo 11, apartado 1, letra e), del Reglamento Delegado (UE) 2015/61 de la Comisión. |
|
290 |
1.2.1.6. Acciones/participaciones en OIC admisibles: el subyacente consiste en activos de nivel 2A Artículo 15, apartado 2, letra d), del Reglamento Delegado (UE) 2015/61 de la Comisión Acciones o participaciones en OIC cuyos activos subyacentes correspondan a activos que puedan considerarse activos de nivel 2A según se establece en el artículo 11 del Reglamento Delegado (UE) 2015/61 de la Comisión. |
|
300 |
1.2.1.7. Entidades de crédito centrales: activos de nivel 2A que se consideren activos líquidos de la entidad de crédito depositante Artículo 27, apartado 3, del Reglamento Delegado (UE) 2015/61 de la Comisión De conformidad con el artículo 27, apartado 3, del Reglamento Delegado (UE) 2015/61 de la Comisión, es necesario indicar los activos líquidos que correspondan a los depósitos de entidades de crédito constituidos en la entidad central y que se consideren activos líquidos de la entidad de crédito depositante. Esos activos líquidos no se contabilizarán para cubrir salidas distintas de las procedentes de los correspondientes depósitos y no se tomarán en consideración para el cálculo de la composición del colchón de liquidez restante, con arreglo al artículo 17, para la entidad central a nivel individual. Al comunicar estos activos, las entidades centrales velarán por que el importe comunicado de estos activos líquidos tras el recorte de valoración no exceda de las salidas de los depósitos correspondientes. Estos activos se comunicarán en la sección oportuna de la plantilla C 72.00 del anexo XXIV y la cifra correspondiente se indicará aquí. Los activos contemplados en esta fila son activos de nivel 2A. |
|
310 |
1.2.2. Total de activos de nivel 2 B sin ajustes Artículos 12, 13, 14, 15, 16 y 19 del Reglamento Delegado (UE) 2015/61 de la Comisión Los activos comunicados en esta subsección se habrán identificado explícitamente como activos de nivel 2B de conformidad con el Reglamento Delegado (UE) 2015/61 de la Comisión. Las entidades de crédito comunicarán en la columna 040 la suma del valor de mercado total de los activos de nivel 2B, sin efectuar los ajustes previstos en el artículo 17 del Reglamento Delegado (UE) 2015/61 de la Comisión. Las entidades de crédito comunicarán en la columna 040 la suma del importe ponderado total de los activos de nivel 2B, sin efectuar los ajustes previstos en el artículo 17 del Reglamento Delegado (UE) 2015/61 de la Comisión. |
|
320 |
1.2.2.1. Bonos de titulización de activos (residenciales, nivel de calidad crediticia 1) Artículo 12, apartado 1, letra a), y artículo 13, apartado 2, letra g), incisos i) y ii), del Reglamento Delegado (UE) 2015/61 de la Comisión Exposiciones en forma de bonos de titulización de activos que cumplan los requisitos establecidos en el artículo 13 del Reglamento Delegado (UE) 2015/61 de la Comisión, siempre que estén respaldados por préstamos sobre inmuebles residenciales con garantía de primera hipoteca o préstamos sobre inmuebles residenciales plenamente garantizados de conformidad con lo dispuesto en el artículo 13, apartado 2, letra g), incisos i) y ii), de dicho Reglamento. Los activos que sean objeto de la disposición transitoria prevista en el artículo 37 del Reglamento Delegado (UE) 2015/61 de la Comisión se comunicarán aquí. |
|
330 |
1.2.2.2. Bonos de titulización de activos (automóviles, nivel de calidad crediticia 1) Artículo 12, apartado 1, letra a), y artículo 13, apartado 2, letra g), inciso iv), del Reglamento Delegado (UE) 2015/61 de la Comisión Exposiciones en forma de bonos de titulización de activos que cumplan los requisitos establecidos en el artículo 13 del Reglamento Delegado (UE) 2015/61 de la Comisión, siempre que estén respaldados por préstamos para automóviles y arrendamientos de automóviles de conformidad con lo dispuesto en el artículo 13, apartado 2, letra g), inciso iv) de dicho Reglamento. |
|
340 |
1.2.2.3. Bonos garantizados de calidad elevada (ponderación de riesgo 35 %) Artículo 12, apartado 1, letra e), del Reglamento Delegado (UE) 2015/61 de la Comisión Activos que representen exposiciones en forma de bonos garantizados emitidos por entidades de crédito que cumplan lo dispuesto en el artículo 12, apartado 1, letra e), del Reglamento Delegado (UE) 2015/61 de la Comisión, a condición de que el conjunto de activos subyacentes consista exclusivamente en exposiciones que puedan optar a una ponderación de riesgo del 35 % o inferior con arreglo al artículo 125 del Reglamento (UE) no 575/2013. |
|
350 |
1.2.2.4. Bonos de titulización de activos (comerciales o particulares, Estados miembros, nivel de calidad crediticia 1) Artículo 12, apartado 1, letra a), y artículo 13, apartado 2, letra g), incisos iii) y v), del Reglamento Delegado (UE) 2015/61 de la Comisión Exposiciones en forma de bonos de titulización de activos que cumplan los requisitos establecidos en el artículo 13 del Reglamento Delegado (UE) 2015/61 de la Comisión, siempre que estén respaldados por los activos contemplados en el artículo 13, apartado 2, letra g), incisos iii) y v), de dicho Reglamento. Cabe señalar que a los efectos del artículo 13, apartado 2, letra g), inciso iii), al menos el 80 % de los prestatarios del conjunto habrán de ser pequeñas y medianas empresas en el momento de emitirse la titulización. |
|
360 |
1.2.2.5. Valores representativos de deuda de empresas (nivel de calidad crediticia 2/3) Artículo 12, apartado 1, letra b), del Reglamento Delegado (UE) 2015/61 de la Comisión Valores representativos de deuda de empresas que cumplan lo dispuesto en el artículo 12, apartado 1, letra b), del Reglamento Delegado (UE) 2015/61 de la Comisión. |
|
370 |
1.2.2.6. Valores representativos de deuda de empresas — activos no generadores de intereses (en poder de entidades de crédito por motivos religiosos) (nivel de calidad crediticia 1/2/3) Artículo 12, apartado 3, del Reglamento Delegado (UE) 2015/61 de la Comisión La autoridad competente podrá conceder a las entidades de crédito que, de conformidad con sus estatutos, no puedan, por razones de práctica religiosa, poseer activos que devenguen intereses, una excepción al artículo 12, apartado 1, letra b), incisos ii) y iii), a condición de que se acredite la insuficiente disponibilidad de activos no generadores de intereses que cumplan estos requisitos y que los activos no generadores de intereses en cuestión sean adecuadamente líquidos en los mercados privados. Las referidas entidades de crédito comunicarán los valores representativos de deuda de empresas que incorporen activos no generadores de intereses, según lo señalado anteriormente, siempre que cumplan los requisitos del artículo 12, apartado 1, letra b), inciso i), y que la autoridad competente haya autorizado la oportuna excepción. |
|
380 |
1.2.2.7. Acciones (índice bursátil importante) Artículo 12, apartado 1, letra c), del Reglamento Delegado (UE) 2015/61 de la Comisión Acciones que cumplan lo dispuesto en el artículo 12, apartado 1, letra c), del Reglamento Delegado (UE) 2015/61 de la Comisión y estén denominadas en la moneda del Estado miembro de origen de la entidad de crédito. Las entidades de crédito comunicarán también aquellas acciones que cumplan lo dispuesto en el artículo 12, apartado 1, letra c), y estén denominadas en una moneda diferente, siempre que se contabilicen como activos de nivel 2B únicamente hasta el importe necesario para cubrir las salidas de liquidez en dicha moneda o en el país en que se asuma el riesgo de liquidez. |
|
390 |
1.2.2.8. Activos no generadores de intereses (en poder de entidades de crédito por motivos religiosos) (nivel de calidad crediticia 3-5) Artículo 12, apartado 1, letra f), del Reglamento Delegado (UE) 2015/61 de la Comisión En el caso de las entidades de crédito que, de conformidad con sus estatutos, no puedan, por razones de práctica religiosa, poseer activos que devenguen intereses, activos no generadores de intereses que constituyan créditos frente a, o garantizados por, bancos centrales o la administración central o el banco central de un tercer país, o una administración regional, una autoridad local o un ente público de un tercer país, a condición de que estos activos hayan recibido una evaluación de crédito de una ECAI designada que corresponda, al menos, al nivel 5 de calidad crediticia, con arreglo al artículo 114 del Reglamento (UE) no 575/2013, o a un nivel de calidad crediticia equivalente, en el caso de una evaluación de crédito a corto plazo. |
|
400 |
1.2.2.9. Líneas de liquidez comprometidas de uso restringido de bancos centrales Artículo 12, apartado 1, letra d), y artículo 14 del Reglamento Delegado (UE) 2015/61 de la Comisión Importe no utilizado de las líneas de liquidez comprometidas de uso restringido otorgadas por bancos centrales que cumplan lo dispuesto en el artículo 14 del Reglamento Delegado (UE) 2015/61 de la Comisión. |
|
410 |
1.2.2.10. Acciones/participaciones en OIC admisibles: el subyacente consiste en bonos de titulización de activos (residenciales o automóviles, nivel de calidad crediticia 1) Artículo 15, apartado 2, letra e), del Reglamento Delegado (UE) 2015/61 de la Comisión Acciones o participaciones en OIC cuyos activos subyacentes correspondan a activos que puedan considerarse activos de nivel 2B con arreglo a lo previsto en el artículo 13, apartado 2, letra g), incisos i), ii) y iv), del Reglamento Delegado (UE) 2015/61 de la Comisión. |
|
420 |
1.2.2.11. Acciones/participaciones en OIC admisibles: el subyacente consiste en bonos garantizados de calidad elevada (ponderación de riesgo 35 %) Artículo 15, apartado 2, letra f), del Reglamento Delegado (UE) 2015/61 de la Comisión Acciones o participaciones en OIC cuyos activos subyacentes correspondan a activos que puedan considerarse activos de nivel 2B con arreglo a lo previsto en el artículo 12, apartado 1, letra e), del Reglamento Delegado (UE) 2015/61 de la Comisión. |
|
430 |
1.2.2.12. Acciones/participaciones en OIC admisibles: el subyacente consiste en bonos de titulización de activos (comerciales o particulares, Estados miembros, nivel de calidad crediticia 1) Artículo 15, apartado 2, letra g), del Reglamento Delegado (UE) 2015/61 de la Comisión Acciones o participaciones en OIC cuyos activos subyacentes correspondan a activos que puedan considerarse activos de nivel 2B con arreglo a lo previsto en el artículo 13, apartado 2, letra g), incisos iii) y v), del Reglamento Delegado (UE) 2015/61 de la Comisión. Cabe señalar que a los efectos del artículo 13, apartado 2, letra g), inciso iii), al menos el 80 % de los prestatarios del conjunto habrán de ser pequeñas y medianas empresas en el momento de emitirse la titulización. |
|
440 |
1.2.2.13. Acciones/participaciones en OIC admisibles: el subyacente consiste en valores representativos de deuda de empresas (nivel de calidad crediticia 2/3), acciones (índice bursátil importante) o activos no generadores de intereses (en poder de entidades de crédito por motivos religiosos) (nivel de calidad crediticia 3-5) Artículo 15, apartado 2, letra h), del Reglamento Delegado (UE) 2015/61 de la Comisión Acciones o participaciones en OIC cuyos activos subyacentes correspondan a valores representativos de deuda de empresas que cumplan lo dispuesto en el artículo 12, apartado 1, letra b), del Reglamento Delegado (UE) 2015/61 de la Comisión, acciones que cumplan lo dispuesto en el artículo 12, apartado 1, letra c), de dicho Reglamento o activos no generadores de intereses que cumplan lo dispuesto en el artículo 12, apartado 1, letra f), de ese mismo Reglamento. |
|
450 |
1.2.2.14. Depósitos por los miembros de la red en la entidad central (inversión no obligada) Artículo 16, apartado 1, letra b), del Reglamento Delegado (UE) 2015/61 de la Comisión Depósito mínimo que la entidad de crédito mantenga en la entidad de crédito central, a condición de que forme parte de un sistema institucional de protección según se contempla en el artículo 113, apartado 7, del Reglamento (UE) no 575/2013, una red que pueda acogerse a la exención prevista en el artículo 10 de dicho Reglamento o una red de cooperativas de crédito en un Estado miembro regulada por disposiciones legales o contractuales. Las entidades de crédito velarán por que la entidad central no esté obligada, en virtud de disposiciones legales o contractuales, a mantener los depósitos o a invertirlos en activos líquidos de un nivel o categoría especificados. |
|
460 |
1.2.2.15. Financiación de liquidez de la entidad central a disposición de los miembros de la red (garantías reales no especificadas) Artículo 16, apartado 2, del Reglamento Delegado (UE) 2015/61 de la Comisión Importe no utilizado de la financiación de liquidez limitada que cumpla lo dispuesto en el artículo 16, apartado 2, del Reglamento Delegado (UE) 2015/61 de la Comisión. |
|
470 |
1.2.2.16. Entidades de crédito centrales: activos de nivel 2B que se consideren activos líquidos de la entidad de crédito depositante Artículo 27, apartado 3, del Reglamento Delegado (UE) 2015/61 de la Comisión De conformidad con el artículo 27, apartado 3, del Reglamento Delegado (UE) 2015/61 de la Comisión, es necesario indicar los activos líquidos que correspondan a los depósitos de entidades de crédito constituidos en la entidad central y que se consideren activos líquidos de la entidad de crédito depositante. Esos activos líquidos no se contabilizarán para cubrir salidas distintas de las procedentes de los correspondientes depósitos y no se tomarán en consideración para el cálculo de la composición del colchón de liquidez restante, con arreglo al artículo 17, para la entidad central a nivel individual. Al comunicar estos activos, las entidades centrales velarán por que el importe comunicado de estos activos líquidos tras el recorte de valoración no exceda de las salidas de los depósitos correspondientes. Estos activos se comunicarán en la sección oportuna de la plantilla C 72.00 del anexo XXIV y la cifra correspondiente se indicará aquí. Los activos a que se refiere esta fila son activos de nivel 2B. |
|
PRO MEMORIA |
|
|
480 |
2. Enfoques alternativos de tratamiento de la liquidez: activos de nivel 1/2A/2B adicionales incluidos al no aplicarse la coherencia entre divisas por motivos relacionados con enfoques alternativos de tratamiento de la liquidez Artículo 19, apartado 1, letra a), del Reglamento Delegado (UE) 2015/61 de la Comisión Cuando no existan suficientes activos líquidos en una determinada divisa para que las entidades de crédito satisfagan la ratio de cobertura de liquidez, la entidad de crédito podrá cubrir el déficit de activos líquidos en una divisa ignorando los requisitos operativos relativos a la coherencia entre divisas establecidos en el artículo 8, apartado 6, del Reglamento Delegado (UE) 2015/61 de la Comisión. Los activos adicionales se comunicarán de la forma habitual en la sección oportuna de la plantilla C 72.00 del anexo XXIV, y el importe total de los activos incluidos al no aplicarse la coherencia entre divisas por motivos relacionados con este enfoque alternativo de tratamiento de la liquidez se indicará aquí. |
|
490 |
3. Depósitos por miembros de la red en la entidad central (inversión obligada en nivel 1, excepto bonos garantizados de calidad sumamente elevada) Artículo 16, apartado 1, letra a), del Reglamento Delegado (UE) 2015/61 de la Comisión Las entidades de crédito comunicarán el importe total de activos de nivel 1, excepto los bonos garantizados de calidad sumamente elevada comunicados en las secciones anteriores, con arreglo a lo dispuesto en el artículo 16, apartado 1, letra a), del Reglamento Delegado (UE) 2015/61 de la Comisión. |
|
500 |
4. Depósitos por miembros de la red en la entidad central (inversión obligada en activos de nivel 1 consistentes en bonos garantizados de calidad sumamente elevada) Artículo 16, apartado 1, letra a), del Reglamento Delegado (UE) 2015/61 de la Comisión Las entidades de crédito comunicarán el importe total de los activos de nivel 1 consistentes en bonos garantizados de calidad sumamente elevada comunicados en las secciones anteriores, con arreglo a lo dispuesto en el artículo 16, apartado 1, letra a), del Reglamento Delegado (UE) 2015/61 de la Comisión. |
|
510 |
5. Depósitos por miembros de la red en la entidad central (inversión obligada en activos de nivel 2A) Artículo 16, apartado 1, letra a), del Reglamento Delegado (UE) 2015/61 de la Comisión Las entidades de crédito comunicarán el importe total de los activos de nivel 2A comunicados en las secciones anteriores, con arreglo a lo dispuesto en el artículo 16, apartado 1, letra a), del Reglamento Delegado (UE) 2015/61 de la Comisión. |
|
520 |
6. Depósitos por miembros de la red en la entidad central (inversión obligada en activos de nivel 2B) Artículo 16, apartado 1, letra a), del Reglamento Delegado (UE) 2015/61 de la Comisión Las entidades de crédito comunicarán el importe total de los activos de nivel 2B comunicados en las secciones anteriores, con arreglo a lo dispuesto en el artículo 16, apartado 1, letra a), del Reglamento Delegado (UE) 2015/61 de la Comisión. |
|
530 |
7. Ajustes a los activos debidos a salidas netas de liquidez por liquidación temprana de coberturas Artículo 8, apartado 5, letra b), del Reglamento Delegado (UE) 2015/61 de la Comisión Las entidades de crédito comunicarán el importe total de los ajustes que hayan realizado a los activos líquidos comunicados en las secciones correspondientes a los niveles 1/2A/2B en relación con las salidas netas de efectivo por liquidación temprana de coberturas, de conformidad con el artículo 8, apartado 5, letra b), del Reglamento Delegado (UE) no 2015/61 de la Comisión. |
|
540 |
8. Ajustes a los activos debidos a entradas netas de liquidez por liquidación temprana de coberturas Artículo 8, apartado 5, letra b), del Reglamento Delegado (UE) 2015/61 de la Comisión Las entidades de crédito comunicarán el importe total de los ajustes que hayan realizado a los activos líquidos comunicados en las secciones correspondientes al nivel 1/2A/2B en relación con las entradas netas de efectivo por liquidación temprana de coberturas, de conformidad con el artículo 8, apartado 5, letra b), del Reglamento Delegado (UE) no 2015/61 de la Comisión. |
|
550 |
9. Activos bancarios garantizados por Estados miembros sujetos a disposiciones de anterioridad Artículo 35 del Reglamento Delegado (UE) 2015/61 de la Comisión Las entidades de crédito comunicarán el importe total de los activos emitidos por entidades de crédito que se beneficien de una garantía de la administración central de un Estado miembro, de conformidad con el artículo 35 del Reglamento Delegado (UE) 2015/61 de la Comisión, comunicados en las secciones anteriores. |
|
560 |
10. Agencias de gestión de activos deteriorados patrocinadas por Estados miembros y sujetas a la disposición transitoria Artículo 36 del Reglamento Delegado (UE) 2015/61 de la Comisión Las entidades de crédito comunicarán el importe total de los activos a que se refiere el artículo 36 del Reglamento Delegado (UE) 2015/61 de la Comisión comunicados en las secciones anteriores. |
|
570 |
11. Titulizaciones respaldadas por préstamos sobre inmuebles residenciales y sujetas a la disposición transitoria Artículo 37 del Reglamento Delegado (UE) 2015/61 de la Comisión Las entidades de crédito comunicarán el importe total de los activos a que se refiere el artículo 37 del Reglamento Delegado (UE) 2015/61 de la Comisión comunicados en las secciones anteriores. |
|
580 |
12. Activos de nivel 1/2A/2B excluidos por razones monetarias Artículo 8, apartado 6, artículo 10, apartado 1, letra d), y artículo 12, apartado 1, letra c), del Reglamento Delegado (UE) 2015/61 de la Comisión La entidad comunicará la parte de los activos que cumplan lo dispuesto en el artículo 8, apartado 6, el artículo 10, apartado 1, letra d), y el artículo 12, apartado 1, letra c), que no sea susceptible de reconocimiento por la misma, con arreglo a lo dispuesto en dichos artículos. |
|
590 |
13. Activos de nivel 1/2A/2B excluidos por razones operativas, excepto las monetarias Artículo 8 del Reglamento Delegado (UE) 2015/61 de la Comisión Las entidades de crédito comunicarán los activos que cumplan lo dispuesto en el artículo 7 del Reglamento Delegado (UE) 2015/61 de la Comisión, pero que no satisfagan los requisitos establecidos en el artículo 8 del citado Reglamento, siempre que no se hayan consignado en la fila 580 por razones monetarias |
|
600 |
14. Activos de nivel 1 no generadores de intereses (en poder de entidades de crédito por motivos religiosos) Las entidades de crédito comunicarán el importe total de los activos de nivel 1 no generadores de intereses (en poder de entidades de crédito por motivos religiosos). |
|
610 |
15. Activos de nivel 2A no generadores de intereses (en poder de entidades de crédito por motivos religiosos) Las entidades de crédito comunicarán el importe total de los activos de nivel 2A no generadores de intereses (en poder de entidades de crédito por motivos religiosos). |
INFORMACIÓN SOBRE LIQUIDEZ (PARTE 2: SALIDAS)
1. Salidas
1.1. Observaciones generales
1. Se trata de una plantilla resumen que contiene información sobre las salidas de liquidez durante los 30 días siguientes, con vistas a dar cuenta del requisito de cobertura de la liquidez que se especifica en el Reglamento Delegado (UE) 2015/61 de la Comisión. Las partidas que no deben ser cumplimentadas por las entidades de crédito están coloreadas en gris.
2. Las entidades de crédito presentarán la plantilla en las correspondientes monedas con arreglo al artículo 4, apartado 5, del Reglamento Delegado (UE) 2015/61 de la Comisión.
3. En la plantilla conexa a las presentes instrucciones se incluyen algunas partidas pro memoria. para el cálculo de la ratio en sí, deben cumplimentarse, ya que proporcionan a la autoridad competente información sin la cual no podría llevar a cabo una evaluación adecuada del cumplimiento de los requisitos de liquidez por parte de las entidades de crédito. En algunos casos ofrecen un mayor desglose de las partidas incluidas en las secciones principales de las plantillas y, en otros, reflejan recursos de liquidez adicionales a los que pueden tener acceso las entidades de crédito.
4. De conformidad con el artículo 22, apartado 1, del Reglamento (UE) 2015/61, las salidas de liquidez:
i. incluirán las categorías a que se refiere el artículo 22, apartado 2, del Reglamento Delegado (UE) 2015/61 de la Comisión;
ii. se calcularán multiplicando los saldos vivos de diversas categorías de pasivos y compromisos fuera de balance por los índices a los que se prevé que se retirarán o se utilizarán conforme se indica en el Reglamento Delegado (UE) 2015/61 de la Comisión.
5. El Reglamento Delegado (UE) 2015/61 de la Comisión solo hace referencia a los índices y recortes de valoración aplicables, y el término «ponderación» remite simplemente a ellos. En las presentes instrucciones, el término «ponderado» se entenderá como un término general que indica el importe obtenido tras aplicar los correspondientes recortes de valoración, índices y cualesquiera otras instrucciones adicionales pertinentes (por ejemplo, en el caso de operaciones de préstamo y financiación garantizadas).
6. Las salidas en el marco de un grupo o un sistema institucional de protección (salvo las salidas derivadas de líneas de crédito o liquidez no utilizadas otorgadas por los miembros de un grupo o un sistema institucional de protección en relación con las cuales la autoridad competente haya autorizado la aplicación de un índice de salida preferencial y las salidas de depósitos operativos mantenidos en el marco de un sistema institucional de protección o red de cooperativas) se asignarán a las categorías pertinentes. Estas salidas se comunicarán asimismo por separado como partidas pro memoria.
7. Las salidas de liquidez se comunicarán solo una vez en la plantilla, salvo que sean aplicables salidas adicionales conforme a lo dispuesto en el artículo 30 del Reglamento Delegado (UE) 2015/61 de la Comisión o cuando la partida sea también una partida pro memoria. La comunicación de las partidas pro memoria no afecta al cálculo de las salidas de liquidez.
8. Al comunicar la información en una moneda significativa, será siempre de aplicación lo siguiente:
— únicamente se comunicarán las partidas y los flujos denominados en esa moneda;
— en caso de desfase de monedas entre componentes de una operación, únicamente se comunicará la parte expresada en esa moneda;
— en los casos en que el Reglamento Delegado (UE) 2015/61 de la Comisión permita la compensación, esta solo podrá aplicarse a los flujos en esa moneda;
— Cuando un flujo pueda producirse en distintas monedas, la entidad de crédito determinará en qué moneda es probable que se produzca y comunicará la partida únicamente en esa moneda significativa.
9. Las ponderaciones estándar que se indican en la columna 040 de la plantilla C 73.00 del anexo XXIV son las especificadas por defecto en el Reglamento Delegado (UE) 2015/61 de la Comisión y se incluyen aquí con fines de información.
10. La plantilla contiene información sobre los flujos de liquidez con garantías reales, mencionados como «operaciones de préstamo garantizadas y operaciones vinculadas al mercado de capitales» en el Reglamento Delegado (UE) 2015/61 de la Comisión, a efectos del cálculo de la ratio de cobertura de liquidez, tal como se define en dicho Reglamento.
11. Se destina una plantilla específica a las permutas de garantías reales, la plantilla C 75.00 del anexo XXIV. Las permutas de garantías reales, que son operaciones de intercambio de unas garantías reales por otras, no se consignarán en la plantilla de salidas C 73.00 del anexo XXIV, que engloba únicamente las operaciones de intercambio de efectivo por garantías reales.
1.2. Observaciones específicas relativas a las operaciones de liquidación y con inicio diferido
12. Las entidades de crédito comunicarán las salidas derivadas de pactos de recompra, pactos de recompra inversa y permutas de garantías reales con inicio diferido que se inicien en el plazo de 30 días y venzan después de ese plazo cuando el componente inicial genere una salida. En el caso de los pactos de recompra inversa, el importe que vaya a prestarse a la contraparte se considerará una salida y se consignará en la partida 1.1.7.3, una vez deducido el valor de mercado del activo que vaya a recibirse como garantía real y tras aplicar el correspondiente recorte de valoración aplicable a efectos de la ratio de cobertura de liquidez si el activo puede considerarse líquido. Si el importe que vaya a prestarse es inferior al valor de mercado del activo (después del recorte de valoración aplicable a efectos de la ratio de cobertura de liquidez) que se vaya a recibir como garantía real, la diferencia se consignará como entrada. Si la garantía real que se vaya a recibir no puede considerarse un activo líquido, la salida se consignará íntegramente. En el caso de los pactos de recompra, cuando el valor de mercado del activo que se vaya a prestar como garantía real después de la aplicación del correspondiente recorte de valoración aplicable a efectos de la ratio de cobertura de liquidez (si el activo puede considerarse un activo líquido) sea mayor que el importe de efectivo que vaya a recibirse, la diferencia se consignará como salida en la fila antes mencionada. En el caso de las permutas de garantías reales, cuando el efecto neto de la permuta inicial de activos líquidos (teniendo en cuenta los recortes de valoración aplicables a efectos de la ratio de cobertura de liquidez) dé lugar a una salida, esta se consignará en la fila antes mencionada.
Los pactos de recompra o de recompra inversa y las permutas de garantías reales con inicio diferido que se inicien y venzan dentro del horizonte de 30 días pertinente para la ratio de cobertura de liquidez no tienen ninguna incidencia en dicha ratio para un banco, por lo que podrán ignorarse.
13. El árbol de decisiones de la sección 1 de C 73.00 del anexo XXIV se entiende sin perjuicio de la notificación de las partidas pro memoria. Forma parte de las instrucciones que especifican la priorización de los criterios de evaluación para la asignación de cada partida notificada, con vistas a asegurar la presentación de información homogénea y comparable. Recorrer el árbol de decisiones por sí solo no es suficiente: las entidades de crédito deberán atenerse en todo momento a las restantes instrucciones. En aras de la simplicidad, el árbol de decisiones ignora los totales y subtotales; sin embargo, esto no significa que no deban también comunicarse. Por «acto delegado» se entiende el Reglamento Delegado (UE) 2015/61 de la Comisión.
|
# |
Partida |
Decisión |
Presentación de información |
|
1 |
Operación con inicio diferido |
Sí |
# 2 |
|
No |
# 4 |
||
|
2 |
Operación a plazo iniciada con posterioridad a la fecha de información |
Sí |
No se presenta información |
|
No |
# 3 |
||
|
3 |
Operación a plazo que comienza antes de que transcurran 30 días y vence después |
Sí |
No se presenta información |
|
No |
ID1.1.7.3. |
||
|
4 |
¿Partida que requiere salidas adicionales, de conformidad con el artículo 30 del acto delegado? |
Sí |
# 5 y a continuación # 48 |
|
No |
# 5 |
||
|
5 |
Depósito minorista de conformidad con el artículo 3, punto 8, del acto delegado |
Sí |
# 6 |
|
No |
# 12 |
||
|
6 |
¿Depósito cancelado con un vencimiento residual inferior a 30 días naturales y en relación con el cual se haya convenido el pago a otra entidad de crédito? |
Sí |
ID 1.1.1.1. |
|
No |
# 7 |
||
|
7 |
¿Depósito de conformidad con el artículo 25, apartado 4, del acto delegado? |
Sí |
No se presenta información |
|
No |
# 8 |
||
|
8 |
¿Depósito de conformidad con el artículo 25, apartado 5, del acto delegado? |
Sí |
ID1.1.1.5. |
|
No |
# 9 |
||
|
9 |
¿Depósito de conformidad con el artículo 25, apartado 2, del acto delegado? |
Sí |
Asignar a una partida pertinente de ID 1.1.1.2. |
|
No |
# 10 |
||
|
10 |
¿Depósito de conformidad con el artículo 24, apartado 4, del acto delegado? |
Sí |
ID 1.1.1.4. |
|
No |
# 11 |
||
|
11 |
¿Depósito de conformidad con el artículo 24, apartado 1, del acto delegado? |
Sí |
ID 1.1.1.3. |
|
No |
ID 1.1.1.6 |
||
|
12 |
¿Pasivo que llegue a vencimiento, cuyo pago pueda ser exigido por el emisor o por el proveedor de la financiación o que conlleve una expectativa del proveedor de la financiación de que la entidad de crédito reembolsará el pasivo en el curso de los 30 días naturales siguientes? |
Sí |
# 13 |
|
No |
# 29 |
||
|
13 |
¿Pasivo resultante de los propios gastos de explotación de la entidad? |
Sí |
ID 1.1.7.1. |
|
No |
# 14 |
||
|
14 |
¿Pasivo consistente en un bono vendido exclusivamente en el mercado minorista y mantenido en una cuenta minorista de conformidad con el artículo 28, apartado 6, del acto delegado? |
Sí |
Seguir la misma pauta que con los depósitos minoristas (esto es, responder «sí» en # 5 y aplicar el tratamiento correspondiente) |
|
No |
# 15 |
||
|
15 |
¿Pasivo en forma de valor representativo de deuda? |
Sí |
ID 1.1.7.2. |
|
No |
# 16 |
||
|
16 |
¿Depósito recibido como garantía real? |
Sí |
Asignar entre los elementos pertinentes de ID 1.1.4. |
|
No |
# 17 |
||
|
17 |
¿Depósito derivado de una corresponsalía bancaria o de servicios de corretaje preferencial? |
Sí |
ID 1.1.3.1. |
|
No |
# 18 |
||
|
18 |
¿Depósito operativo de conformidad con el artículo 27 del acto delegado? |
Sí |
# 19 |
|
No |
# 24 |
||
|
19 |
¿Mantenido en el marco de un sistema institucional de protección o de una red de cooperativas? |
Sí |
# 20 |
|
No |
# 22 |
||
|
20 |
¿Tratado como activos líquidos de la entidad de crédito depositante? |
Sí |
ID1.1.2.2.2. |
|
No |
# 21 |
||
|
21 |
¿Mantenido para obtener servicios de compensación de efectivo y de entidad de crédito central dentro de una red? |
Sí |
ID 1.1.2.4. |
|
No |
ID 1.1.2.2.1. |
||
|
22 |
¿Mantenido con fines de compensación, custodia, gestión de efectivo u otros servicios comparables en el contexto de una relación operativa asentada? |
Sí |
Asignar a una partida pertinente de ID 1.1.2.1. |
|
No |
# 23 |
||
|
23 |
¿Mantenido en el contexto de una relación operativa asentada (distinta) con clientes no financieros? |
Sí |
ID 1.1.2.3. |
|
No |
# 24 |
||
|
24 |
¿Otros depósitos? |
Sí |
# 25 |
|
No |
# 26 |
||
|
25 |
¿Depósitos de clientes financieros? |
Sí |
ID 1.1.3.2. |
|
No |
Asignar a una partida pertinente de ID 1.1.3.3. |
||
|
26 |
¿Pasivo procedente de operaciones de préstamo garantizadas y de operaciones vinculadas al mercado de capitales, a excepción de los derivados y las permutas de garantías reales? |
Sí |
Asignar a una partida pertinente de ID 1.2. |
|
No |
# 27 |
||
|
27 |
¿Pasivo procedente de permutas de garantías reales? |
Sí |
Asignar a una partida pertinente de C75.00 e ID 1.3., en su caso. |
|
No |
# 28 |
||
|
28 |
¿Pasivo que da lugar a una salida procedente de derivados, de conformidad con el artículo 30, apartado 4, del acto delegado? |
Sí |
ID 1.1.4.5. |
|
No |
ID 1.1.7.3. |
||
|
29 |
¿Importe no utilizado que puede detraerse de líneas de crédito y de liquidez comprometidas, de conformidad con el artículo 31 del acto delegado? |
Sí |
# 30 |
|
No |
# 38 |
||
|
30 |
¿Línea de crédito comprometida? |
Sí |
# 31 |
|
No |
# 33 |
||
|
31 |
¿Dentro de un sistema institucional de protección o una red de cooperativas si la entidad depositante la trata como activo líquido? |
Sí |
ID 1.1.5.1.6. |
|
No |
# 32 |
||
|
32 |
¿Dentro de un grupo o un sistema institucional de protección si se aplica un trato preferencial? |
Sí |
ID 1.1.5.1.5. |
|
No |
Asignar a una partida pertinente restante de ID 1.1.5.1. |
||
|
33 |
¿Línea de liquidez comprometida? |
Sí |
# 34 |
|
n.p. |
n.p. |
||
|
34 |
¿Dentro de un sistema institucional de protección o una red de cooperativas si la entidad depositante la trata como activo líquido? |
Sí |
ID 1.1.5.2.7. |
|
No |
# 35 |
||
|
35 |
¿Dentro de un grupo o un sistema institucional de protección si se aplica un trato preferencial? |
Sí |
ID 1.1.5.2.6. |
|
No |
# 36 |
||
|
36 |
¿A SSPE? |
Sí |
Asignar a una partida pertinente de ID 1.1.5.2.4. |
|
No |
# 37 |
||
|
37 |
¿A sociedades de inversión personales? |
Sí |
ID 1.1.5.2.3. |
|
No |
Asignar a una partida pertinente restante de ID 1.1.5.2. |
||
|
38 |
¿Otro producto o servicio según se contemplan en el artículo 23 del acto delegado? |
Sí |
# 39 |
|
No |
No se presenta información |
||
|
39 |
¿Producto relacionado con las partidas fuera de balance de financiación comercial? |
Sí |
ID 1.1.6.8 |
|
No |
# 40 |
||
|
40 |
¿Compromisos contractuales de concesión de financiación adquiridos frente a clientes no financieros y que excedan de los pagos pendientes de esos clientes? |
Sí |
Una de las ID siguientes: 1.1.6.6.1.1 a 1.1.6.6.1.4. |
|
No |
# 41 |
||
|
41 |
¿Préstamos y anticipos no utilizados a contrapartes mayoristas? |
Sí |
ID 1.1.6.2. |
|
No |
# 42 |
||
|
42 |
Préstamos hipotecarios acordados pero pendientes de detracción |
Sí |
ID 1.1.6.3. |
|
No |
# 43 |
||
|
43 |
¿Se trata de otras salidas previstas en relación con la renovación o ampliación de nuevos préstamos? |
Sí |
ID 1.1.6.6.2. |
|
No |
# 44 |
||
|
44 |
¿Tarjetas de crédito? |
Sí |
ID 1.1.6.4. |
|
No |
# 45 |
||
|
45 |
¿Descubiertos? |
Sí |
ID 1.1.6.5. |
|
No |
# 46 |
||
|
46 |
¿Efectos pagaderos derivados planificados? |
Sí |
ID 1.1.6.7. |
|
No |
# 47 |
||
|
47 |
¿Otra obligación fuera de balance y obligación contingente en materia de financiación? |
Sí |
ID 1.1.6.1. |
|
No |
ID 1.1.6.9. |
||
|
48 |
¿Valor representativo de deuda ya consignado en la partida 1.1.7.2. de C 73.00? |
Sí |
No se presenta información |
|
No |
# 49 |
||
|
49 |
¿Requisito de liquidez respecto de los derivados de conformidad con el artículo 30, apartado 4, del acto delegado y ya mencionado en el punto # 28? |
Sí |
No se presenta información |
|
No |
Asignar entre los elementos pertinentes de ID 1.1.4. |
1.3. Instrucciones relativas a columnas específicas
|
Columna |
Referencias jurídicas e instrucciones |
|
010 |
Importe 1.1 . Instrucciones específicas relativas a las operaciones/depósitos no garantizados: Las entidades de crédito comunicarán aquí el saldo vivo de las diversas categorías de pasivos y compromisos fuera de balance especificadas en los artículos 22 a 31 del Reglamento Delegado (UE) 2015/61 de la Comisión. Con sujeción a la autorización previa de la autoridad competente, dentro de cada categoría de salidas, el importe de cada partida consignado en la columna 010 de la plantilla C 73.00 del anexo XXIV se compensará sustrayendo el importe correspondiente de la entrada interdependiente, de conformidad con el artículo 26. 1.2. Instrucciones específicas relativas a las operaciones de préstamo garantizadas y operaciones vinculadas al mercado de capitales: Las entidades de crédito comunicarán aquí del saldo vivo de los pasivos, de conformidad con el artículo 22, apartado 2, del Reglamento Delegado (UE) 2015/61 de la Comisión, que representen el componente de efectivo de la operación garantizada. |
|
020 |
Valor de mercado de las garantías reales concedidas Instrucciones específicas relativas a las operaciones de préstamo garantizadas y operaciones vinculadas al mercado de capitales: Las entidades de crédito comunicarán aquí el valor de mercado de las garantías reales concedidas, que se calculará como el valor actual de mercado sin deducción del recorte de valoración pero sí de los flujos resultantes de la reversión de las coberturas conexas (de conformidad con el artículo 8, apartado 5, del Reglamento Delegado (UE) 2015/61 de la Comisión y con sujeción a las siguientes condiciones: — Estas garantías reales que deben comunicarse se refieren únicamente a activos de nivel 1, 2A y 2B que puedan calificarse de activos líquidos a su vencimiento, de conformidad con el título II. Cuando las garantías reales sean de nivel 1, 2A o 2B pero no puedan calificarse de activos líquidos a su vencimiento, de conformidad con el título II del Reglamento Delegado (UE) 2015/61 de la Comisión, se consignarán como activos no líquidos. Del mismo modo, cuando entre sus activos líquidos de alta calidad una entidad de crédito solo pueda reconocer una parte de sus acciones en divisas, o de los activos de la administración central o del banco central en divisas, o de los activos de la administración central o del banco central en la moneda nacional, únicamente comunicará, en las filas correspondientes a los niveles 1, 2A y 2B, la parte susceptible de reconocimiento (de conformidad con el artículo 12, apartado 1, letra c), incisos i) a iii), y el artículo 10, apartado 1, letra d), del Reglamento Delegado (UE) 2015/61 de la Comisión). Cuando el activo considerado se utilice como garantía real, pero solo por el importe que exceda de la parte susceptible de reconocerse entre los activos líquidos, el importe excedentario deberá consignarse en la sección de activos no líquidos. — Los activos de nivel 2A se comunicarán en la correspondiente fila de activos de nivel 2A, incluso cuando se aplique el enfoque alternativo de tratamiento de la liquidez (es decir, en la información sobre operaciones garantizadas no deben trasladarse al nivel 1 las partidas del nivel 2A). |
|
030 |
Valor de las garantías reales concedidas con arreglo al artículo 9 Instrucciones específicas relativas a las operaciones de préstamo garantizadas y operaciones vinculadas al mercado de capitales: Las entidades de crédito comunicarán aquí el valor de las garantías reales concedidas de conformidad con el artículo 9 del Reglamento Delegado (UE) 2015/61 de la Comisión. Este valor se calculará multiplicando la columna 020 de la plantilla C 73.00 del anexo XXIV por la ponderación/el recorte de valoración aplicable de la plantilla C 72.00 del anexo XXIV correspondiente al tipo de activo. La columna 030 de la plantilla C 73.00 del anexo XXIV se utilizará en el cálculo del importe ajustado de los activos líquidos de la plantilla C 76.00 del anexo XXIV. |
|
040 |
Ponderación estándar Artículos 24 a 31 del Reglamento Delegado (UE) 2015/61 de la Comisión Las ponderaciones estándar que se indican en la columna 040 son las especificadas por defecto en el Reglamento Delegado (UE) 2015/61 de la Comisión y se incluyen exclusivamente con fines de información. |
|
050 |
Ponderación aplicable Con y sin garantías Las entidades de crédito comunicarán aquí las ponderaciones aplicables. Se trata de las ponderaciones especificadas en los artículos 22 a 31 del Reglamento Delegado (UE) 2015/61 de la Comisión. Las ponderaciones aplicables pueden arrojar valores medios ponderados y se consignarán en cifras decimales (es decir, 1,00 para una ponderación aplicable del 100 %, o 0,50 para una ponderación del 50 %). Las ponderaciones aplicables pueden reflejar, aunque no exclusivamente, decisiones adoptadas discrecionalmente por las empresas o las autoridades nacionales. |
|
060 |
Salida Con y sin garantías Las entidades de crédito comunicarán aquí las salidas. Estas se calcularán multiplicando la columna 010 de la plantilla C 73.00 del anexo XXIV por la columna 050 de la plantilla C 73.00 del anexo XXIV. |
1.4. Instrucciones relativas a filas concretas
|
Fila |
Referencias jurídicas e instrucciones |
|
010 |
1. SALIDAS Título III, capítulo 2, del Reglamento Delegado (UE) 2015/61 de la Comisión Las entidades de crédito comunicarán aquí las salidas con arreglo al título III, capítulo 2, del Reglamento Delegado (UE) 2015/61 de la Comisión. |
|
020 |
1.1. Salidas derivadas de operaciones/depósitos no garantizados Artículos 20 a 31 del Reglamento Delegado (UE) 2015/61 de la Comisión Las entidades de crédito comunicarán aquí las salidas con arreglo a los artículos 21 a 31, a excepción de las salidas conforme al artículo 28, apartados 3 y 4 del Reglamento Delegado (UE) 2015/61 de la Comisión. |
|
030 |
1.1.1. Depósitos minoristas Artículos 24 y 25 del Reglamento Delegado (UE) 2015/61 de la Comisión Las entidades de crédito comunicarán aquí los depósitos minoristas según se definen en el artículo 3 del Reglamento Delegado (UE) 2015/61 de la Comisión. De conformidad con el artículo 28, apartado 6, del Reglamento Delegado (UE) 2015/61 de la Comisión, las entidades de crédito comunicarán asimismo en la oportuna categoría de depósitos minoristas el importe de los pagarés, bonos y otros valores emitidos que se vendan exclusivamente en el mercado minorista y se mantengan en una cuenta minorista. Las entidades de crédito tendrán en cuenta, respecto de esta categoría de pasivo, los índices de salida aplicables previstos en el Reglamento Delegado (UE) 2015/61 de la Comisión para las distintas categorías de depósitos minoristas. En consecuencia, las entidades de crédito comunicarán como ponderación aplicable la media de las ponderaciones pertinentes aplicables a todos estos depósitos. |
|
040 |
1.1.1.1. Depósitos respecto de los cuales se haya fijado el pago en los siguientes 30 días Artículo 25, apartado 4, del Reglamento Delegado (UE) 2015/61 de la Comisión Las entidades de crédito comunicarán aquí los depósitos con un vencimiento residual inferior a 30 días cuando se haya convenido el pago. |
|
050 |
1.1.1.2. Depósitos sujetos a un índice de salida superior Artículo 25, apartados 2 y 3, del Reglamento Delegado (UE) 2015/61 de la Comisión Las entidades de crédito comunicarán aquí el saldo total de los depósitos sujetos a un índice de salida más elevado de conformidad con el artículo 25, apartados 2 y 3, del Reglamento Delegado (UE) 2015/61 de la Comisión. Se comunicarán aquí también aquellos depósitos minoristas respecto de los cuales no se haya realizado o finalizado la evaluación de categorización a que se refiere el artículo 25, apartado 2. |
|
060 |
1.1.1.2.1. Categoría 1 Artículo 25, apartado 3, del Reglamento Delegado (UE) 2015/61 de la Comisión Las entidades de crédito comunicarán el importe del saldo vivo total de cada uno de los depósitos minoristas que satisfaga los criterios del artículo 25, apartado 2, letra a), o dos de los criterios del artículo 25, apartado 2, letras b) a e), del Reglamento Delegado (UE) 2015/61 de la Comisión, salvo que estos depósitos se hayan obtenido en terceros países donde se aplique un índice de salida superior de conformidad con el artículo 25, apartado 5, en cuyo caso deberán comunicarse dentro de esta última categoría. Las entidades de crédito comunicarán como ponderación aplicable la media de índices, sean estos los índices estándar previstos por defecto en el artículo 25, apartado 3, letra a), del Reglamento Delegado (UE) 2015/61 de la Comisión o índices superiores, si han sido aplicados por una autoridad competente, siempre que hayan sido aplicados de manera efectiva sobre el importe íntegro de cada depósito de aquellos a que se refiere el apartado anterior, y hayan sido ponderados por los correspondientes importes antes citados. |
|
070 |
1.1.1.2.2. Categoría 2 Artículo 25, apartado 3, del Reglamento Delegado (UE) 2015/61 de la Comisión Las entidades de crédito comunicarán el importe del saldo vivo total de cada uno de los depósitos minoristas que satisfaga los criterios del artículo 25, apartado 2, letra a), del Reglamento Delegado (UE) 2015/61 de la Comisión y al menos otro de los criterios mencionados en dicho apartado 2, o tres o más criterios de ese mismo apartado, salvo que estos depósitos se hayan obtenido en terceros países donde se aplique un índice de salida superior de conformidad con el artículo 25, apartado 5, en cuyo caso deberán comunicarse dentro de esta última categoría. Se comunicarán aquí asimismo aquellos depósitos minoristas respecto de los cuales no se haya realizado o finalizado la evaluación de categorización a que se refiere el artículo 25, apartado 2. Las entidades de crédito comunicarán como ponderación aplicable la media de índices, sean estos los índices estándar previstos por defecto en el artículo 25, apartado 3, letra b), del Reglamento Delegado (UE) 2015/61 de la Comisión o índices superiores, si han sido aplicados por una autoridad competente, siempre que hayan sido aplicados de manera efectiva sobre el importe íntegro de cada depósito de aquellos a que se refiere el apartado anterior, y hayan sido ponderados por los correspondientes importes antes citados. |
|
080 |
1.1.1.3. Depósitos estables Artículo 24, del Reglamento Delegado (UE) 2015/61 de la Comisión Las entidades de crédito comunicarán la parte de los importes de los depósitos minoristas que esté cubierta por un sistema de garantía de depósitos de conformidad con la Directiva 94/19/CE o con la Directiva 2014/49/UE, o por un sistema de garantía de depósitos equivalente de un tercer país y que bien sea parte de una relación asentada que haga muy improbable la retirada, bien se mantenga en una cuenta corriente de conformidad con el artículo 24, apartados 2 y 3, del Reglamento Delegado (UE) 2015/61 de la Comisión, respectivamente, siempre que: — esos depósitos no cumplan los criterios relativos a un índice de salida superior conforme al artículo 25, apartados 2, 3 o 5, del Reglamento Delegado (UE) 2015/61 de la Comisión, ya que de lo contrario deberán consignarse como depósitos sujetos a un índice de salida superior; o bien — esos depósitos no se hayan obtenido en terceros países donde se aplique un índice de salida superior de conformidad con el artículo 25, apartado 5, ya que de lo contrario se incluirán en esa categoría; — la excepción prevista en el artículo 24, apartado 4, no sea aplicable. |
|
090 |
1.1.1.4. Depósitos estables objeto de una excepción Artículos 24, apartados 4 y 6, del Reglamento Delegado (UE) 2015/61 de la Comisión Las entidades de crédito comunicarán la parte de los importes de los depósitos minoristas que esté cubierta por un sistema de garantía de depósitos con arreglo a la Directiva 2014/49/UE, hasta un nivel máximo de 100 000 EUR, y que bien sea parte de una relación asentada que haga muy improbable la retirada, bien se mantenga en una cuenta corriente de conformidad con el artículo 24, apartados 2 y 3, del Reglamento Delegado (UE) 2015/61 de la Comisión, siempre que: estos depósitos no cumplan los criterios relativos a un índice de salida superior conforme al artículo 25, apartados 2, 3 o 5 del Reglamento Delegado (UE) 2015/61 de la Comisión, ya que de lo contrario deberán consignarse como depósitos sujetos a un índice de salida superior; o bien — estos depósitos no se hayan obtenido en terceros países en los que se aplique un índice de salida superior de conformidad con el artículo 25, apartado 5, ya que de lo contrario se incluirán en esa categoría; — la excepción prevista en el artículo 24, apartado 4, no sea aplicable |
|
100 |
1.1.1.5. Depósitos en terceros países en los que se aplica un índice de salida superior Artículo 25, apartado 5, del Reglamento Delegado (UE) 2015/61 de la Comisión Las entidades de crédito comunicarán el importe de los depósitos minoristas obtenidos en terceros países en los que se aplique un índice de salida superior de conformidad con la legislación nacional que establezca los requisitos de liquidez en el tercer país de que se trate. |
|
110 |
1.1.1.6. Otros depósitos minoristas Artículo 25, apartado 1, del Reglamento Delegado (UE) 2015/61 de la Comisión Las entidades de crédito comunicarán el importe de otros depósitos minoristas, distintos de los incluidos en las partidas precedentes. |
|
120 |
1.1.2. Depósitos operativos Artículo 27 del Reglamento Delegado (UE) 2015/61 de la Comisión Las entidades de crédito comunicarán aquí los depósitos operativos a que se refiere el artículo 27 del Reglamento Delegado (UE) 2015/61 de la Comisión, excepto los depósitos derivados de una corresponsalía bancaria o de la prestación de servicios de corretaje preferencial, que se consideran depósitos no operativos con arreglo al artículo 27, apartado 5, de dicho Reglamento. |
|
130 |
1.1.2.1. Mantenidos con fines de compensación, custodia, gestión de efectivo u otros servicios comparables en el contexto de una relación operativa asentada Artículo 27, apartado 1, letra a), y apartados 2 y 4, del Reglamento Delegado (UE) 2015/61 de la Comisión Las entidades de crédito comunicarán aquí los depósitos mantenidos por el depositante a fin de obtener servicios de compensación, custodia, gestión de efectivo u otros servicios comparables en el contexto de una relación asentada (de conformidad con el artículo 27, apartado 1, letra a), del Reglamento Delegado (UE) 2015/61 de la Comisión) de la que dependa sustancialmente el depositante (de conformidad con el artículo 27, apartado 4, de dicho Reglamento); los fondos en exceso de los requeridos para la prestación de servicios operativos se tratarán como depósitos no operativos (de conformidad con el artículo 27, apartado 4, del Reglamento Delegado (UE) 2015/61 de la Comisión). Solo se consignarán los depósitos que tengan limitaciones legales u operativas significativas que hagan improbable una retirada significativa en un plazo de 30 días naturales (de conformidad con el artículo 27, apartado 4). Las entidades de crédito deberán notificar por separado, de conformidad con el artículo 27, apartado 2, del Reglamento Delegado (UE) 2015/61 de la Comisión, el importe de estos depósitos cubierto y no cubierto por un sistema de garantía de depósitos o un sistema de garantía de depósitos equivalente de un tercer país, según lo especificado en las instrucciones de las siguientes partidas. |
|
140 |
1.1.2.1.1 Cubiertos por sistemas de garantía de depósitos Artículo 27, apartado 1, letra a), y apartados 2 y 4, del Reglamento Delegado (UE) 2015/61 de la Comisión Las entidades de crédito comunicarán la parte del saldo vivo de los depósitos operativos mantenidos en el contexto de una relación operativa asentada que cumpla los criterios establecidos en el artículo 27, apartado 1, letra a), y apartado 4, del Reglamento Delegado (UE) 2015/61 de la Comisión y que esté cubierta por un sistema de garantía de depósitos de conformidad con las Directivas 94/19/CE o 2014/49/UE, o por un sistema de garantía de depósitos equivalente de un tercer país. |
|
150 |
1.1.2.1.2 No cubiertos por sistemas de garantía de depósitos Artículo 27, apartado 1, letra a), y apartados 2 y 4, del Reglamento Delegado (UE) 2015/61 de la Comisión Las entidades de crédito comunicarán la parte del saldo vivo de los depósitos operativos mantenidos en el contexto de una relación operativa asentada que cumpla los criterios establecidos en el artículo 27, apartado 1, letra a), y apartado 4, del Reglamento Delegado (UE) 2015/61 de la Comisión y que no esté cubierta por un sistema de garantía de depósitos de conformidad con las Directivas 94/19/CE o 2014/49/UE, o por un sistema de garantía de depósitos equivalente de un tercer país. |
|
160 |
1.1.2.2. Mantenidos en el marco de un sistema institucional de protección o de una red de cooperativas Artículo 27, apartado 1, letra b), y apartado 3, del Reglamento Delegado (UE) 2015/61 de la Comisión Las entidades de crédito comunicarán aquí los depósitos mantenidos en el contexto del reparto de tareas comunes en el marco de un sistema institucional de protección que cumpla los requisitos del artículo 113, apartado 7, del Reglamento (UE) no 575/2013, o dentro de un grupo de entidades de crédito cooperativas afiliadas permanentemente a una entidad central que cumpla los requisitos del artículo 113, apartado 6, de dicho Reglamento, o como depósito mínimo legal o establecido contractualmente por otra entidad de crédito que sea miembro del mismo sistema institucional de protección o red de cooperativas, tal como se establece en el artículo 27, apartado 1, letra b), del Reglamento Delegado (UE) 2015/61 de la Comisión. Las entidades de crédito comunicarán esos depósitos en filas diferentes en función de que sean tratados o no como activos líquidos de la entidad de crédito depositante, de conformidad con el artículo 27, apartado 3, del Reglamento Delegado (UE) 2015/61 de la Comisión. |
|
170 |
1.1.2.2.1 No tratados como activos líquidos de la entidad depositante Artículo 27, apartado 1, letra b), del Reglamento Delegado (UE) 2015/61 de la Comisión Las entidades de crédito comunicarán el importe del saldo vivo de los depósitos mantenidos en el contexto de una red de cooperativas o un sistema institucional de protección de conformidad con los criterios establecidos en el artículo 27, apartado 1, letra b), del Reglamento Delegado (UE) 2015/61 de la Comisión, a condición de que tales depósitos no se reconozcan como activos líquidos de la entidad de crédito depositante. |
|
180 |
1.1.2.2.2 Tratados como activos líquidos de la entidad de crédito depositante Artículo 27, apartado 1, letra b), y apartado 3, del Reglamento Delegado (UE) 2015/61 de la Comisión Las entidades de crédito comunicarán los depósitos colocados en la entidad de crédito central que sean considerados activos líquidos de la entidad de crédito depositante de conformidad con el artículo 16 del Reglamento Delegado (UE) 2015/61 de la Comisión. Las entidades de crédito comunicarán el importe de estos depósitos hasta el importe de los activos líquidos correspondientes tras el recorte de valoración, de conformidad con el artículo 27, apartado 3, del Reglamento Delegado (UE) 2015/61 de la Comisión. |
|
190 |
1.1.2.3. Mantenidos en el contexto de una relación operativa asentada (distinta) con clientes no financieros Artículo 27, apartado 1, letra c), y apartados 4 y 6, del Reglamento Delegado (UE) 2015/61 de la Comisión Las entidades de crédito comunicarán el importe del saldo vivo de los depósitos mantenidos por clientes no financieros en el contexto de una relación operativa asentada distinta de la mencionada en el artículo 27, apartado 1, letra a), del Reglamento Delegado (UE) 2015/61 de la Comisión, con sujeción a lo establecido en el artículo 27, apartado 6. Solo se consignarán los depósitos que tengan limitaciones legales u operativas significativas que hagan improbable una retirada significativa en un plazo de 30 días naturales (de conformidad con el artículo 27, apartado 4, del Reglamento Delegado (UE) 2015/61 de la Comisión). |
|
200 |
1.1.2.4. Mantenidos para obtener servicios de compensación de efectivo y de entidad de crédito central dentro de una red Artículo 27, apartado 1, letra d), y apartado 4, del Reglamento Delegado (UE) 2015/61 de la Comisión Las entidades de crédito comunicarán el importe del saldo vivo de los depósitos mantenidos por el depositante a fin de obtener servicios de compensación de efectivo y de entidad central, si la entidad de crédito pertenece a una de las redes o sistemas contemplados en el artículo 16 del Reglamento Delegado (UE) 2015/61 de la Comisión, tal como se establece en el artículo 27, apartado 1, letra d), del citado Reglamento. Estos servicios de compensación de efectivo y de entidad de crédito central solo incluirán tales servicios en la medida en que se presten en el contexto de una relación asentada de la que dependa sustancialmente el depositante (de conformidad con el artículo 27, apartado 4, del Reglamento Delegado (UE) 2015/61 de la Comisión); los fondos en exceso de los requeridos para la prestación de servicios operativos se tratarán como depósitos no operativos (de conformidad con el artículo 27, apartado 4, del Reglamento Delegado (UE) 2015/61 de la Comisión). Solo se consignarán los depósitos que tengan limitaciones legales u operativas significativas que hagan improbable una retirada significativa en un plazo de 30 días naturales (de conformidad con el artículo 27, apartado 4, del Reglamento Delegado (UE) 2015/61 de la Comisión). |
|
210 |
1.1.3. Depósitos no operativos Artículo 27, apartado 5, artículo 28, apartado 1, y artículo 31, apartado 9, del Reglamento Delegado (UE) 2015/61 de la Comisión Las entidades de crédito comunicarán aquí los depósitos no garantizados a que se refiere el artículo 28, apartado 1, del Reglamento Delegado (UE) 2015/61 de la Comisión, y los derivados de una corresponsalía bancaria o de la prestación de servicios de corretaje preferencial, de conformidad con el artículo 27, apartado 5, del Reglamento Delegado (UE) 2015/61 de la Comisión. Las entidades de crédito deberán notificar por separado, exceptuados los pasivos que se deriven de una relación de corresponsalía bancaria o de la prestación de servicios de corretaje preferencial de conformidad con el artículo 27, apartado 5, del Reglamento Delegado (UE) 2015/61 de la Comisión, el importe de estos depósitos no operativos cubierto y no cubierto por un sistema de garantía de depósitos o un sistema de garantía de depósitos equivalente de un tercer país, según lo especificado en las instrucciones de las siguientes partidas. |
|
220 |
1.1.3.1. Depósitos derivados de corresponsalías bancarias o prestaciones de servicios de corretaje preferencial Artículo 27, apartado 5, del Reglamento Delegado (UE) 2015/61 de la Comisión Las entidades de crédito comunicarán el importe del saldo vivo de los pasivos derivados de corresponsalías bancarias o prestaciones de servicios de corretaje preferencial de conformidad con el artículo 27, apartado 5, del Reglamento Delegado (UE) 2015/61 de la Comisión. |
|
230 |
1.1.3.2. Depósitos de clientes financieros Artículo 31, apartado 10, del Reglamento Delegado (UE) 2015/61 de la Comisión Las entidades de crédito comunicarán el importe del saldo vivo de los depósitos mantenidos por clientes financieros siempre que no se consideren depósitos operativos de conformidad con el artículo 27 del Reglamento Delegado (UE) 2015/61 de la Comisión. Las entidades de crédito deberán incluir aquí también los fondos en exceso de los requeridos para la prestación de servicios operativos de conformidad con lo dispuesto en el artículo 27, apartado 4, del Reglamento Delegado (UE) 2015/61 de la Comisión. |
|
240 |
1.1.3.3. Depósitos de otros clientes Artículo 28, apartado 1, del Reglamento Delegado (UE) 2015/61 de la Comisión Las entidades de crédito comunicarán aquí los depósitos mantenidos por otros clientes (que no sean clientes financieros y clientes que puedan entrar en la categoría de depósitos minoristas) de conformidad con el artículo 28, apartado 1, del Reglamento Delegado (UE) 2015/61 de la Comisión, siempre que no se consideren depósitos operativos de conformidad con el artículo 27. Esta sección incluirá también: — los fondos en exceso de los requeridos para la prestación de servicios operativos de conformidad con el artículo 27, apartado 4, del Reglamento Delegado (UE) 2015/61 de la Comisión, a condición de que no procedan de clientes financieros; y — la parte excedentaria de los depósitos de conformidad con el artículo 27, apartado 6, del Reglamento Delegado (UE) 2015/61 de la Comisión. Estos depósitos deberán comunicarse en dos filas diferentes en función de la cuantía del depósito cubierta o no cubierta por un sistema de garantía de depósitos o un sistema de garantía de depósitos equivalente de un tercer país. |
|
250 |
1.1.3.3.1 Cubiertos por sistemas de garantía de depósitos Artículo 28, apartado 1, del Reglamento Delegado (UE) 2015/61 de la Comisión Las entidades de crédito comunicarán el importe del saldo vivo de estos depósitos mantenidos por otros clientes y cubiertos por un sistema de garantía de depósitos con arreglo a las Directivas 94/19/CE o 2014/48/CE, o por un sistema de garantía de depósitos equivalente de un tercer país, tal como se contempla en el artículo 28, apartado 1. |
|
260 |
1.1.3.3.2 No cubiertos por sistemas de garantía de depósitos Artículo 28, apartado 1, del Reglamento Delegado (UE) 2015/61 de la Comisión Las entidades de crédito comunicarán el importe del saldo vivo de estos depósitos mantenidos por otros clientes y no cubiertos por un sistema de garantía de depósitos con arreglo a las Directivas 94/19/CE o 2014/48/CE, o por un sistema de garantía de depósitos equivalente de un tercer país, tal como se contempla en el artículo 28, apartado 1. |
|
270 |
1.1.4. Salidas adicionales Artículo 30 del Reglamento Delegado (UE) 2015/61 de la Comisión Las entidades de crédito comunicarán aquí las salidas adicionales a tenor del artículo 30 del Reglamento Delegado (UE) 2015/61 de la Comisión. De conformidad con el artículo 30, apartado 7, del Reglamento Delegado (UE) 2015/61 de la Comisión, los depósitos recibidos en garantía no se considerarán pasivos a efectos de los artículos 27 o 29 de ese mismo Reglamento, pero estarán sujetos a lo dispuesto en el artículo 30, apartados 1 a 6, de dicho Reglamento, en su caso. |
|
280 |
1.1.4.1. Garantías reales distintas de activos de nivel 1 aportadas en relación con derivados Artículo 30, apartado 1, del Reglamento Delegado (UE) 2015/61 de la Comisión Las entidades de crédito comunicarán el valor de mercado de las garantías reales que no sean de nivel 1 que se hayan aportado en relación con contratos de los enumerados en el anexo II del Reglamento (UE) no 575/2013 y derivados de crédito. |
|
290 |
1.1.4.2. Garantías reales consistentes en activos de nivel 1 en forma de bonos garantizados de calidad sumamente elevada aportadas en relación con derivados Artículo 30, apartado 1, del Reglamento Delegado (UE) 2015/61 de la Comisión Las entidades de crédito comunicarán el valor de mercado de las garantías reales de nivel 1 consistentes en bonos garantizados de calidad sumamente elevada que se hayan aportado en relación con contratos de los enumerados en el anexo II del Reglamento (UE) no 575/2013 y derivados de crédito. |
|
300 |
1.1.4.3. Salidas significativas debidas al deterioro de la calidad crediticia propia Artículo 30, apartado 2, del Reglamento Delegado (UE) 2015/61 de la Comisión Las entidades de crédito comunicarán el importe total de las salidas adicionales que hayan calculado y notificado a las autoridades competentes con arreglo al artículo 30, apartado 2, del Reglamento Delegado (UE) 2015/61 de la Comisión. Si un importe objeto de salida por el deterioro de la calidad crediticia propia ha sido comunicado en otro lugar en una fila con una ponderación inferior al 100 %, se comunicará además, en la fila 300, un importe tal que la suma de las salidas resulte en un total de salidas igual al 100 % en la operación. |
|
310 |
1.1.4.4. Efectos de condiciones adversas del mercado en las operaciones con derivados, las operaciones de financiación u otros contratos Artículo 30, apartado 3, del Reglamento Delegado (UE) 2015/61 de la Comisión Las entidades de crédito comunicarán el importe de las salidas calculado con arreglo al acto delegado que adopte la Comisión de conformidad con el artículo 423, apartado 3, del Reglamento (UE) no 575/2013. |
|
320 |
1.1.4.4.1 Método de la perspectiva histórica Artículo 30, apartado 3, del Reglamento Delegado (UE) 2015/61 de la Comisión Las entidades de crédito comunicarán el importe que resulte de la aplicación del método de la perspectiva histórica con arreglo al acto delegado que adopte la Comisión de conformidad con el artículo 423, apartado 3, del Reglamento (UE) no 575/2013. |
|
330 |
1.1.4.4.2. Método avanzado relativo a las salidas adicionales Artículo 30, apartado 3, del Reglamento Delegado (UE) 2015/61 de la Comisión Las entidades de crédito comunicarán aquí el importe excedentario con respecto al indicado en la partida 1.1.4.4.1, resultante de la aplicación del método avanzado relativo a las salidas adicionales con arreglo al acto delegado que adopte la Comisión de conformidad con el artículo 423, apartado 3, del Reglamento (UE) no 575/2013. Solo comunicarán esa partida las entidades de crédito que hayan sido autorizadas por las autoridades competentes pertinentes para utilizar el método de los modelos internos establecido en el capítulo 6, sección 6, del Reglamento (UE) no 575/2013. |
|
340 |
1.1.4.5. Salidas correspondientes a derivados Artículo 30, apartado 4, del Reglamento Delegado (UE) 2015/61 de la Comisión Las entidades de crédito comunicarán el importe de las salidas previstas durante 30 días naturales respecto a los contratos enumerados en el anexo II del Reglamento (UE) no 575/2013, calculado de conformidad con el artículo 21 del Reglamento Delegado (UE) 2015/61 de la Comisión. A efectos únicamente de la información basada en las monedas significativas, las entidades de crédito comunicarán solo las salidas que se produzcan en la correspondiente moneda significativa. En relación con una misma contraparte, solo podrán compensarse los flujos en la moneda de que se trate; por ejemplo, Contraparte A: +10 EUR y Contraparte A: -20 EUR se consignarán como una salida de 10 EUR. No se efectuará compensación alguna entre contrapartes; por ejemplo, Contraparte A: -10 EUR y Contraparte B: +40 EUR se consignarán como salida de 10 EUR en C73.00 (y entrada de 40 EUR en C74.00). |
|
350 |
1.1.4.6. Posiciones cortas Artículo 30, apartados 5 y 11, del Reglamento Delegado (UE) 2015/61 de la Comisión La entidad de crédito añadirá una salida adicional correspondiente al 100 % del valor de mercado de los valores u otros activos vendidos en corto y que deban entregarse en un plazo de 30 días naturales, con objeto de reflejar la necesidad de la entidad de cubrir mediante garantías reales los activos tomados en préstamo para liquidar las posibles ventas en corto. Se considerará que no se produce una salida si la entidad de crédito posee los valores que deben entregarse, puesto que han sido pagados íntegramente, o los ha tomado en préstamo en condiciones que obliguen a su devolución únicamente tras el plazo de 30 días naturales, y los valores no forman parte de los activos líquidos de la entidad. Si la posición corta se cubre mediante una operación ya existente de financiación de valores con garantías reales, la entidad de crédito supondrá que tal posición se mantendrá a lo largo del período de 30 días naturales y recibirá un índice de salida del 0 %. |
|
360 |
1.1.4.6.1. Cubiertas por operaciones de financiación de valores con garantías reales Artículo 30, apartado 5, del Reglamento Delegado (UE) 2015/61 de la Comisión Las entidades de crédito comunicarán el valor de mercado de los valores u otros activos vendidos en corto que estén cubiertos por operaciones de financiación de valores con garantías reales y que deban entregarse en el plazo de 30 días naturales, a no ser que la entidad de crédito posea los valores que deben entregarse o los haya tomado en préstamo en condiciones que obliguen a su devolución únicamente tras el plazo de 30 días naturales, y que los valores no formen parte de los activos líquidos de la entidad. Si la posición corta se cubre mediante una operación de financiación de valores con garantías reales, la entidad de crédito supondrá que tal posición se mantendrá a lo largo del período de 30 días naturales y recibirá un índice de salida del 0 %. |
|
370 |
1.1.4.6.2. Otras Artículo 30, apartado 5, del Reglamento Delegado (UE) 2015/61 de la Comisión Las entidades de crédito comunicarán el valor de mercado de los valores u otros activos vendidos en corto distintos de aquellos que estén cubiertos por operaciones de financiación de valores con garantías reales y que deban entregarse en el plazo de 30 días naturales, a no ser que la entidad de crédito posea los valores que deben entregarse o los haya tomado en préstamo en condiciones que obliguen a su devolución únicamente tras el plazo de 30 días naturales, y que los valores no formen parte de los activos líquidos de la entidad. |
|
380 |
1.1.4.7. Garantías reales excedentarias exigibles Artículo 30, apartado 6, letra a), del Reglamento Delegado (UE) 2015/61 de la Comisión Las entidades de crédito comunicarán el valor de mercado de las garantías reales excedentarias que mantengan y que puedan ser exigidas por la contraparte en todo momento con arreglo al contrato. |
|
390 |
1.1.4.8. Garantías reales a prestar Artículo 30, apartado 6, letra b), del Reglamento Delegado (UE) 2015/61 de la Comisión Las entidades de crédito comunicarán el valor de mercado de las garantías reales que deban prestarse a la contraparte en el plazo de 30 días naturales. |
|
400 |
1.1.4.9. Garantías reales consistentes en activos líquidos sustituibles por activos no líquidos Artículo 30, apartado 6, letra c), del Reglamento Delegado (UE) 2015/61 de la Comisión Las entidades de crédito comunicarán el valor de mercado de las garantías reales admisibles como activos líquidos a efectos del título II que puedan sustituirse por activos correspondientes a activos no admisibles como activos líquidos a efectos del título II sin la aprobación de la entidad de crédito. |
|
410 |
1.1.4.10. Pérdida de financiación en actividades de financiación estructurada Artículo 30, apartados 8 a 10, del Reglamento Delegado (UE) 2015/61 de la Comisión Las entidades de crédito asumirán un índice de salida del 100 % para la pérdida de financiación en los bonos de titulización de activos, los bonos garantizados y otros instrumentos de financiación estructurada con vencimiento en el plazo de 30 días naturales que hayan sido emitidos por la entidad de crédito o por estructuras o entidades con cometido especial patrocinadas. Las entidades de crédito proveedoras de las líneas de liquidez asociadas a los programas de financiación comunicados aquí no necesitan computar doblemente el instrumento de financiación que vence y la línea de liquidez cuando se trate de programas consolidados. |
|
420 |
1.1.4.10.1. Instrumentos de financiación estructurada Artículo 30, apartado 8, del Reglamento Delegado (UE) 2015/61 de la Comisión Las entidades de crédito comunicarán el importe vivo actual de los pasivos propios o los pasivos de estructuras o entidades con cometido especial patrocinadas que se deriven de bonos de titulización de activos, bonos garantizados y otros instrumentos de financiación estructurada con vencimiento en el plazo de 30 días naturales. |
|
430 |
1.1.4.10.2. Líneas de financiación Artículo 30, apartado 9, del Reglamento Delegado (UE) 2015/61 de la Comisión Las entidades de crédito comunicarán el importe que llegue a vencimiento de los pasivos procedentes de pagarés de titulización, estructuras o vehículos de inversión en valores y otras líneas de financiación similares, en la medida en que no estén comprendidos entre los instrumentos definidos en la partida 1.1.4.10.1., o el importe de los activos que podrían devolverse o de la liquidez exigible en el ámbito de dichos instrumentos. Toda la financiación correspondiente a pagarés de titulización, estructuras o vehículos de inversión en valores y otras líneas de financiación similares que venza o pueda devolverse en un plazo de 30 días. Las entidades de crédito que cuenten con líneas de financiación estructurada que incluyan la emisión de instrumentos de deuda a corto plazo, como pagarés de titulización, comunicarán las salidas de liquidez potenciales de tales estructuras. Se incluye, entre otras cosas, lo siguiente: i) la incapacidad para refinanciar la deuda que venza, y ii) la existencia de derivados o componentes asimilables a derivados contractualmente estipulados en la documentación asociada a la estructura que permitirían la «devolución» de activos en un acuerdo de financiación, o que obliguen al cedente original del activo a proporcionar liquidez, poniendo fin en la práctica al acuerdo de financiación (liquidity puts) en el plazo de 30 días. Cuando la financiación estructurada se lleve a cabo a través de entidades con cometido especial (como vehículos con cometido especial, estructuras o vehículos de inversión estructurada), la entidad de crédito deberá, al determinar los requisitos en materia de activos líquidos de calidad elevada, examinar a través del enfoque de transparencia el vencimiento de los instrumentos de deuda emitidos por la entidad con cometido especial y las opciones, en su caso, incorporadas a los acuerdos de financiación que puedan dar lugar a la «devolución» de activos o la necesidad de liquidez, con independencia de que el vehículo con cometido especial esté o no consolidado. |
|
440 |
1.1.4.11. Activos obtenidos mediante préstamo de forma no garantizada Artículo 30, apartado 11, del Reglamento Delegado (UE) 2015/61 de la Comisión Las entidades de crédito comunicarán aquí los activos tomados en préstamo de forma no garantizada y que venzan en el plazo de 30 días. Se supondrá que estos activos se retiran íntegramente, dando lugar a un índice de salida del 100 %. El objeto de este tratamiento es reflejar el hecho probable de que, en condiciones de tensión, se exija la devolución de los valores prestados a cambio de una comisión o de que quienes presten los valores traten de obtener su cobertura íntegra con garantías reales. Las entidades de crédito comunicarán el valor de mercado de los activos tomados en préstamo de forma no garantizada y que venzan en el plazo de 30 días, siempre que la entidad no posea los valores ni estos formen parte de su colchón de liquidez. |
|
450 |
1.1.4.12. Compensación interna de posiciones de clientes Artículo 30, apartado 12, del Reglamento Delegado (UE) 2015/61 de la Comisión Las entidades de crédito comunicarán aquí el valor de mercado de los activos de clientes cuando, en relación con servicios de corretaje preferencial, la entidad de crédito haya financiado los activos de un cliente mediante su compensación, a nivel interno, con las ventas en corto de otro cliente. |
|
460 |
1.1.5. Líneas comprometidas Artículo 31 del Reglamento Delegado (UE) 2015/61 de la Comisión Las entidades de crédito comunicarán aquí las salidas definidas en el artículo 31 del Reglamento Delegado (UE) 2015/61 de la Comisión. Asimismo, las entidades de crédito comunicarán aquí las líneas comprometidas con arreglo al artículo 29 de dicho Reglamento. El importe máximo que podría utilizarse se evaluará de conformidad con el artículo 31, apartado 2, del mismo Reglamento. |
|
470 |
1.1.5.1. Líneas de crédito Las entidades de crédito informarán aquí sobre las líneas de crédito comprometidas definidas en el artículo 31, apartado 1, del Reglamento Delegado (UE) 2015/61 de la Comisión. |
|
480 |
1.1.5.1.1. A clientes minoristas Artículo 31, apartado 3, del Reglamento Delegado (UE) 2015/61 de la Comisión Las entidades de crédito comunicarán el importe máximo que pueda utilizarse de las líneas de crédito comprometidas y no utilizadas otorgadas a clientes minoristas, tal como se definen en el artículo 3, punto 8, del Reglamento Delegado (UE) 2015/61 de la Comisión. |
|
490 |
1.1.5.1.2. A clientes no financieros distintos de los clientes minoristas Artículo 31, apartado 4, del Reglamento Delegado (UE) 2015/61 de la Comisión Las entidades de crédito comunicarán el importe máximo que pueda utilizarse de las líneas de crédito comprometidas y no utilizadas otorgadas a clientes que no sean ni clientes financieros de conformidad con el artículo 3, punto 9, del Reglamento Delegado (UE) 2015/61 de la Comisión, ni clientes minoristas de conformidad con el artículo 3, punto 8, del mismo Reglamento, y que no se hayan concedido con el fin de sustituir la financiación del cliente en situaciones en las que este sea incapaz de cubrir sus necesidades de financiación en los mercados financieros. |
|
500 |
1.1.5.1.3. A entidades de crédito Las entidades de crédito comunicarán aquí las líneas de crédito comprometidas que hayan otorgado a entidades de crédito. |
|
510 |
1.1.5.1.3.1. Para financiar préstamos promocionales de clientes minoristas Artículo 31, apartado 9, del Reglamento Delegado (UE) 2015/61 de la Comisión Las entidades de crédito comunicarán el importe máximo que pueda utilizarse de las líneas de crédito comprometidas y no utilizadas otorgadas a entidades de crédito con el único fin de financiar, directa o indirectamente, préstamos promocionales que puedan considerarse exposiciones frente a clientes de conformidad con el artículo 3, punto 8, del Reglamento Delegado (UE) 2015/61 de la Comisión. Solo las entidades de crédito que hayan sido establecidas y estén patrocinadas por una administración central o regional de al menos un Estado miembro podrán comunicar esta partida. |
|
520 |
1.1.5.1.3.2. Para financiar préstamos promocionales de clientes no financieros Artículo 31, apartado 9, del Reglamento Delegado (UE) 2015/61 de la Comisión Las entidades de crédito comunicarán el importe máximo que pueda utilizarse de las líneas de crédito comprometidas y no utilizadas otorgadas a entidades de crédito con el único fin de financiar, directa o indirectamente, préstamos promocionales que puedan considerarse exposiciones frente a clientes que no sean ni clientes financieros de conformidad con el artículo 3, punto 9, del Reglamento Delegado (UE) 2015/61 de la Comisión, ni clientes minoristas de conformidad con el artículo 3, punto 8, del mismo Reglamento. Solo las entidades de crédito que hayan sido establecidas y estén patrocinadas por una administración central o regional de al menos un Estado miembro podrán comunicar esta partida. |
|
530 |
1.1.5.1.3.3. Otros Artículo 31, apartado 8, letra a), del Reglamento Delegado (UE) 2015/61 de la Comisión Las entidades de crédito comunicarán el importe máximo que pueda utilizarse de las líneas de crédito comprometidas y no utilizadas otorgadas a entidades de crédito distintas de las indicadas anteriormente. |
|
540 |
1.1.5.1.4. A entidades financieras reguladas distintas de entidades de crédito Artículo 31, apartado 8, letra a), del Reglamento Delegado (UE) 2015/61 de la Comisión Las entidades de crédito comunicarán el importe máximo que pueda utilizarse de las líneas de crédito comprometidas y no utilizadas otorgadas a entidades financieras reguladas distintas de entidades de crédito. |
|
550 |
1.1.5.1.5. Dentro de un grupo o un sistema institucional de protección si se aplica un trato preferencial Artículo 29 del Reglamento Delegado (UE) 2015/61 de la Comisión Las entidades de crédito comunicarán el importe máximo que pueda utilizarse de las líneas de crédito comprometidas y no utilizadas a las que estén autorizadas a aplicar un índice de salida inferior de conformidad con el artículo 29 del Reglamento Delegado (UE) 2015/61 de la Comisión. |
|
560 |
1.1.5.1.6. Dentro de un sistema institucional de protección o una red de cooperativas si la entidad depositante las trata como activos líquidos Artículo 31, apartado 7, del Reglamento Delegado (UE) 2015/61 de la Comisión Las entidades centrales de los sistemas o redes contemplados en el artículo 16 comunicarán el importe máximo que pueda utilizarse de las líneas de crédito comprometidas y no utilizadas otorgadas a las entidades de crédito miembros, cuando estas últimas traten tales líneas como activos líquidos con arreglo al artículo 16, apartado 2. |
|
570 |
1.1.5.1.7. A otros clientes financieros Artículo 31, apartado 8, letra c), del Reglamento Delegado (UE) 2015/61 de la Comisión Las entidades de crédito comunicarán el importe máximo que pueda utilizarse de las líneas de crédito comprometidas y no utilizadas distintas de las indicadas anteriormente que se hayan otorgado a otros clientes financieros. |
|
580 |
1.1.5.2. Líneas de liquidez Artículo 31, apartado 1, del Reglamento Delegado (UE) 2015/61 de la Comisión Las entidades de crédito informarán aquí sobre las líneas de liquidez comprometidas definidas en el artículo 31, apartado 1, del Reglamento Delegado (UE) 2015/61 de la Comisión. |
|
590 |
1.1.5.2.1. A clientes minoristas Artículo 31, apartado 3, del Reglamento Delegado (UE) 2015/61 de la Comisión Las entidades de crédito comunicarán el importe máximo que pueda utilizarse de las líneas de liquidez comprometidas y no utilizadas otorgadas a clientes minoristas, tal como se definen en el artículo 3, punto 8, del Reglamento Delegado (UE) 2015/61 de la Comisión. |
|
600 |
1.1.5.2.2. A clientes no financieros distintos de los clientes minoristas Artículo 31, apartado 5, del Reglamento Delegado (UE) 2015/61 de la Comisión Las entidades de crédito comunicarán el importe máximo que pueda utilizarse de las líneas de liquidez comprometidas y no utilizadas otorgadas a clientes que no sean ni clientes financieros de conformidad con el artículo 3, punto 9, del Reglamento Delegado (UE) 2015/61 de la Comisión, ni clientes minoristas de conformidad con el artículo 3, punto 8, del mismo Reglamento. |
|
610 |
1.1.5.2.3. A sociedades de inversión personales Artículo 31, apartado 5, del Reglamento Delegado (UE) 2015/61 de la Comisión Las entidades de crédito comunicarán el importe máximo que pueda utilizarse de las líneas de liquidez comprometidas y no utilizadas otorgadas a sociedades de inversión privadas. |
|
620 |
1.1.5.2.4. A SSPE (Vehículos especializados en titulizaciones) Las entidades de crédito comunicarán aquí las líneas de liquidez comprometidas que hayan otorgado a SSPE. |
|
630 |
1.1.5.2.4.1. Para adquirir de clientes que no sean clientes financieros activos distintos de valores Artículo 31, apartado 6, del Reglamento Delegado (UE) 2015/61 de la Comisión Las entidades de crédito comunicarán el importe máximo que pueda utilizarse de líneas de liquidez comprometidas no utilizadas otorgadas a una SSPE con objeto de permitir que esta adquiera activos distintos de valores de clientes que no sean clientes financieros, en la medida en que dicho importe supere el importe de los activos que estén siendo adquiridos en ese momento de los clientes y en los casos en que el importe máximo que pueda utilizarse esté limitado contractualmente al importe de los activos que estén siendo adquiridos. |
|
640 |
1.1.5.2.4.2. Otros Artículo 31, apartado 8, letra b), del Reglamento Delegado (UE) 2015/61 de la Comisión Las entidades de crédito comunicarán el importe máximo que pueda utilizarse de las líneas de liquidez comprometidas y no utilizadas otorgadas a SSPE por motivos distintos de los mencionados anteriormente. Se incluyen en esta categoría los acuerdos con arreglo a los cuales la entidad esté obligada a adquirir activos a una SSPE o a permutarlos con esta. |
|
650 |
1.1.5.2.5. A entidades de crédito Las entidades de crédito comunicarán aquí las líneas de liquidez comprometidas que hayan otorgado a entidades de crédito. |
|
660 |
1.1.5.2.5.1. Para financiar préstamos promocionales de clientes minoristas Artículo 31, apartado 9, del Reglamento Delegado (UE) 2015/61 de la Comisión Las entidades de crédito comunicarán el importe máximo que pueda utilizarse de las líneas de liquidez comprometidas y no utilizadas otorgadas a entidades de crédito con el único fin de financiar, directa o indirectamente, préstamos promocionales que puedan considerarse exposiciones frente a clientes de conformidad con el artículo 3, punto 8, del Reglamento Delegado (UE) 2015/61 de la Comisión. Solo las entidades de crédito que hayan sido establecidas y estén patrocinadas por una administración central o regional de al menos un Estado miembro podrán comunicar esta partida. |
|
670 |
1.1.5.2.5.2. Para financiar préstamos promocionales de clientes no financieros Artículo 31, apartado 9, del Reglamento Delegado (UE) 2015/61 de la Comisión Las entidades de crédito comunicarán el importe máximo que pueda utilizarse de las líneas de liquidez comprometidas y no utilizadas otorgadas a entidades de crédito con el único fin de financiar, directa o indirectamente, préstamos promocionales que puedan considerarse exposiciones frente a clientes que no sean ni clientes financieros de conformidad con el artículo 3, punto 9, del Reglamento Delegado (UE) 2015/61 de la Comisión, ni clientes minoristas de conformidad con el artículo 3, punto 8, del mismo Reglamento. Solo las entidades de crédito que hayan sido establecidas y estén patrocinadas por una administración central o regional de al menos un Estado miembro podrán comunicar esta partida. |
|
680 |
1.1.5.2.5.3. Otros Artículo 31, apartado 8, letra a), del Reglamento Delegado (UE) 2015/61 de la Comisión Las entidades de crédito comunicarán el importe máximo que pueda utilizarse de aquellas líneas de liquidez comprometidas y no utilizadas otorgadas a entidades de crédito que no se hayan mencionado anteriormente. |
|
690 |
1.1.5.2.6. Dentro de un grupo o un sistema institucional de protección si se aplica un trato preferencial Artículo 29 del Reglamento Delegado (UE) 2015/61 de la Comisión Las entidades de crédito comunicarán el importe máximo que pueda utilizarse de las líneas de liquidez comprometidas y no utilizadas a las que estén autorizadas a aplicar un índice de salida inferior de conformidad con el artículo 29 del Reglamento Delegado (UE) 2015/61 de la Comisión. |
|
700 |
1.1.5.2.7. Dentro de un sistema institucional de protección o una red de cooperativas si la entidad depositante las trata como activos líquidos Artículo 31, apartado 7, del Reglamento Delegado (UE) 2015/61 de la Comisión Las entidades centrales de los sistemas o redes contemplados en el artículo 16 comunicarán el importe máximo que pueda utilizarse de las líneas de liquidez comprometidas y no utilizadas otorgadas a las entidades de crédito miembros, cuando estas últimas traten tales líneas como activos líquidos con arreglo al artículo 16, apartado 2. |
|
710 |
1.1.5.2.8. A otros clientes financieros Artículo 31, apartado 8, letra c), del Reglamento Delegado (UE) 2015/61 de la Comisión Las entidades de crédito comunicarán el importe máximo que pueda utilizarse de las líneas de liquidez comprometidas y no utilizadas distintas de las indicadas anteriormente que se hayan otorgado a otros clientes financieros. |
|
720 |
1.1.6. Otros productos y servicios Artículo 23, apartado 2, del Reglamento Delegado (UE) 2015/61 de la Comisión Las entidades de crédito informarán aquí sobre los productos y servicios a que se refiere el artículo 23, apartado 1, del Reglamento Delegado (UE) 2015/61 de la Comisión. Deberá comunicarse el importe máximo que pueda utilizarse de los productos o servicios a que se refiere el artículo 23, apartado 1, del Reglamento Delegado (UE) 2015/61 de la Comisión. La ponderación aplicable que deberá consignarse será la determinada por las autoridades competentes de conformidad con el procedimiento establecido en el artículo 23, apartado 2, del Reglamento Delegado (UE) 2015/61 de la Comisión. |
|
730 |
1.1.6.1. Otras obligaciones fuera de balance y obligaciones contingentes en materia de financiación Artículo 23, apartado 2, del Reglamento Delegado (UE) 2015/61 de la Comisión Las entidades de crédito comunicarán el importe de las garantías personales y otras obligaciones fuera de balance y obligaciones contingentes en materia de financiación a que se refiere el artículo 23, apartado 1, del Reglamento Delegado (UE) 2015/61 de la Comisión. |
|
740 |
1.1.6.2. Préstamos y anticipos no utilizados a contrapartes mayoristas Artículo 23, apartado 2, del Reglamento Delegado (UE) 2015/61 de la Comisión Las entidades de crédito comunicarán el importe de los préstamos y anticipos no utilizados a contrapartes mayoristas a que se refiere el artículo 23, apartado 1, del Reglamento Delegado (UE) 2015/61 de la Comisión. |
|
750 |
1.1.6.3. Hipotecas acordadas pero pendientes de detracción Artículo 23, apartado 2, del Reglamento Delegado (UE) 2015/61 de la Comisión Las entidades de crédito comunicarán el importe de las hipotecas acordadas pero pendientes de detracción a que se refiere el artículo 23, apartado 1, del Reglamento Delegado (UE) 2015/61 de la Comisión. |
|
760 |
1.1.6.4. Tarjetas de crédito Artículo 23, apartado 2, del Reglamento Delegado (UE) 2015/61 de la Comisión Las entidades de crédito comunicarán el importe de las tarjetas de crédito a que se refiere el artículo 23, apartado 1, del Reglamento Delegado (UE) 2015/61 de la Comisión. |
|
770 |
1.1.6.5. Descubiertos Artículo 23, apartado 2, del Reglamento Delegado (UE) 2015/61 de la Comisión Las entidades de crédito comunicarán el importe de los descubiertos a que se refiere el artículo 23, apartado 1, del Reglamento Delegado (UE) 2015/61 de la Comisión. |
|
780 |
1.1.6.6. Salidas previstas en relación con la renovación o ampliación de nuevos préstamos minoristas y no minoristas Artículo 23, apartado 2, del Reglamento Delegado (UE) 2015/61 de la Comisión Las entidades de crédito comunicarán el importe de las salidas previstas en relación con la renovación o ampliación de nuevos préstamos minoristas y no minoristas a que se refiere el artículo 23, apartado 1, del Reglamento Delegado (UE) 2015/61 de la Comisión. |
|
790 |
1.1.6.6.1. Excedente de financiación a clientes no financieros Las entidades de crédito comunicarán aquí la diferencia entre los compromisos contractuales de concesión de financiación a clientes no financieros y los pagos pendientes de estos clientes a que se refiere el artículo 32, apartado 3, letra a), cuando los primeros sean superiores a los segundos. |
|
800 |
1.1.6.6.1.1. Excedente de financiación a clientes minoristas Las entidades de crédito comunicarán aquí la diferencia entre los compromisos contractuales de concesión de financiación a clientes minoristas y los pagos pendientes de estos clientes a que se refiere el artículo 32, apartado 3, letra a), cuando los primeros sean superiores a los segundos. |
|
810 |
1.1.6.6.1.2. Excedente de financiación a empresas no financieras Las entidades de crédito comunicarán aquí la diferencia entre los compromisos contractuales de concesión de financiación a empresas no financieras clientes y los pagos pendientes de estos clientes a que se refiere el artículo 32, apartado 3, letra a), cuando los primeros sean superiores a los segundos. |
|
820 |
1.1.6.6.1.3. Excedente de financiación a emisores soberanos, bancos multilaterales de desarrollo y entes del sector público Las entidades de crédito comunicarán aquí la diferencia entre los compromisos contractuales de concesión de financiación a emisores soberanos, bancos multilaterales de desarrollo y entes del sector público y los pagos pendientes de estos clientes a que se refiere el artículo 32, apartado 3, letra a), cuando los primeros sean superiores a los segundos. |
|
830 |
1.1.6.6.1.4. Excedente de financiación a otras personas jurídicas Las entidades de crédito comunicarán aquí la diferencia entre los compromisos contractuales de concesión de financiación a otras personas jurídicas y los pagos pendientes de estos clientes a que se refiere el artículo 32, apartado 3, letra a), cuando los primeros sean superiores a los segundos. |
|
840 |
1.1.6.6.2. Otros Las entidades de crédito comunicarán el importe de las salidas previstas, no consignadas anteriormente, en relación con la renovación o ampliación de nuevos préstamos minoristas y no minoristas a que se refiere el artículo 23, apartado 1, del Reglamento Delegado (UE) 2015/61 de la Comisión. |
|
850 |
1.1.6.7. Efectos pagaderos derivados planificados Artículo 23 del Reglamento Delegado (UE) 2015/61 de la Comisión Las entidades de crédito comunicarán el importe de los efectos pagaderos derivados planificados a que se refiere el artículo 23, apartado 1, del Reglamento Delegado (UE) 2015/61 de la Comisión. |
|
860 |
1.1.6.8. Productos relacionados con las partidas fuera de balance de financiación comercial Las entidades de crédito comunicarán el importe de los productos o servicios relacionados con la financiación comercial a que se refiere el artículo 23, apartado 1, del Reglamento Delegado (UE) 2015/61 de la Comisión. |
|
870 |
1.1.6.9. Otros Artículo 23, apartado 2, del Reglamento Delegado (UE) 2015/61 de la Comisión Las entidades de crédito comunicarán el importe de los productos o servicios distintos de los señalados anteriormente que estén contemplados en el artículo 23, apartado 1, del Reglamento Delegado (UE) 2015/61 de la Comisión. |
|
880 |
1.1.7. Otros pasivos Artículo 28, apartados 2 y 6, y artículo 31, apartado 10, del Reglamento Delegado (UE) 2015/61 de la Comisión Las entidades de crédito comunicarán las salidas derivadas de otros pasivos con arreglo al artículo 28, apartados 2 y 6, y al artículo 31, apartado 10, del Reglamento Delegado (UE) 2015/61 de la Comisión. Esta partida también incluirá, en su caso, los saldos adicionales que deban mantenerse en las reservas en bancos centrales cuando así lo acuerden la autoridad competente pertinente y el BCE o el banco central de conformidad con el artículo 10, apartado 1, letra b), inciso iii), del Reglamento Delegado (UE) 2015/61 de la Comisión. |
|
890 |
1.1.7.1. Pasivos resultantes de gastos de explotación Artículo 28, apartado 2, del Reglamento Delegado (UE) 2015/61 de la Comisión Las entidades de crédito comunicarán el importe del saldo vivo de los pasivos resultantes de sus propios gastos de explotación a que se refiere el artículo 28, apartado 2, del Reglamento Delegado (UE) 2015/61 de la Comisión. |
|
900 |
1.1.7.2. En forma de valores representativos de deuda si no se tratan como depósitos minoristas Artículo 28, apartado 6, del Reglamento Delegado (UE) 2015/61 de la Comisión Las entidades de crédito comunicarán el importe del saldo vivo de los pagarés, bonos y otros valores representativos de deuda que emitan, distintos de los declarados como depósitos minoristas, según se contemplan en el artículo 28, apartado 6, del Reglamento Delegado (UE) 2015/61 de la Comisión. Este importe incluirá asimismo los cupones que lleguen a vencimiento en los siguientes 30 días naturales en relación con el conjunto de dichos valores. |
|
910 |
1.1.7.3. Otros Artículo 31, apartado 10, del Reglamento Delegado (UE) 2015/61 de la Comisión Las entidades de crédito comunicarán el importe del saldo vivo de los pasivos que venzan en los siguientes 30 días naturales, distintos de los contemplados en los artículos 23 a 31 del Reglamento Delegado (UE) 2015/61 de la Comisión. |
|
920 |
1.2. Salidas derivadas de operaciones de préstamo garantizadas y de operaciones vinculadas al mercado de capitales Artículo 28, apartado 3, del Reglamento Delegado (UE) 2015/61 de la Comisión Las entidades de crédito comunicarán aquí las salidas resultantes de operaciones de préstamo garantizadas y operaciones vinculadas al mercado de capitales, tal como se definen en el artículo 192, puntos 2 y 3, del Reglamento (UE) no 575/2013. Las permutas de garantías reales (que engloban las operaciones de intercambio de unas garantías reales por otras) se comunicarán en la plantilla C 75.00 del anexo XXIV. |
|
930 |
1.2.1. Cuya contraparte sea un banco central Las entidades de crédito comunicarán aquí las salidas resultantes de operaciones de préstamo garantizadas y operaciones vinculadas al mercado de capitales, tal como se definen en el artículo 192, puntos 2 y 3, del Reglamento (UE) no 575/2013, en las que la contraparte sea un banco central. |
|
940 |
1.2.1.1. Garantías reales de nivel 1 excepto bonos garantizados de calidad sumamente elevada Artículo 28, apartado 3, letra a), del Reglamento Delegado (UE) 2015/61 de la Comisión Las entidades de crédito comunicarán aquí las salidas resultantes de operaciones de préstamo garantizadas y operaciones vinculadas al mercado de capitales, tal como se definen en el artículo 192, puntos 2 y 3, del Reglamento (UE) no 575/2013, en las que la contraparte sea un banco central y las garantías aportadas sean garantías reales de nivel 1, excepto bonos garantizados de calidad sumamente elevada. |
|
950 |
1.2.1.2. Garantías reales de nivel 1 consistentes en bonos garantizados de calidad sumamente elevada Artículo 28, apartado 3, letra a), del Reglamento Delegado (UE) 2015/61 de la Comisión Las entidades de crédito comunicarán aquí las salidas resultantes de operaciones de préstamo garantizadas y operaciones vinculadas al mercado de capitales, tal como se definen en el artículo 192, puntos 2 y 3, del Reglamento (UE) no 575/2013, en las que la contraparte sea un banco central y las garantías aportadas sean garantías reales de nivel 1 que consistan en bonos garantizados de calidad sumamente elevada. |
|
960 |
1.2.1.3. Garantías reales de nivel 2A Artículo 28, apartado 3, letra a), del Reglamento Delegado (UE) 2015/61 de la Comisión Las entidades de crédito comunicarán aquí las salidas resultantes de operaciones de préstamo garantizadas y operaciones vinculadas al mercado de capitales, tal como se definen en el artículo 192, puntos 2 y 3, del Reglamento (UE) no 575/2013, en las que la contraparte sea un banco central y las garantías aportadas sean garantías reales de nivel 2A de cualquier tipo. |
|
970 |
1.2.1.4. Garantías reales de nivel 2B consistentes en bonos de titulización de activos (residenciales o automóviles, nivel de calidad crediticia 1) Artículo 28, apartado 3, letra a), del Reglamento Delegado (UE) 2015/61 de la Comisión Las entidades de crédito comunicarán aquí las salidas resultantes de operaciones de préstamo garantizadas y operaciones vinculadas al mercado de capitales, tal como se definen en el artículo 192, puntos 2 y 3, del Reglamento (UE) no 575/2013, en las que la contraparte sea un banco central y las garantías aportadas sean bonos de titulización de activos de nivel 2B respaldados por inmuebles residenciales o automóviles, a los que se atribuya un nivel de calidad crediticia 1 y que cumplan las condiciones establecidas en el artículo 13, apartado 2, letra g), incisos i), ii) o iv). |
|
980 |
1.2.1.5. Bonos garantizados de nivel 2B Artículo 28, apartado 3, letra a), del Reglamento Delegado (UE) 2015/61 de la Comisión Las entidades de crédito comunicarán aquí las salidas resultantes de operaciones de préstamo garantizadas y operaciones vinculadas al mercado de capitales, tal como se definen en el artículo 192, puntos 2 y 3, del Reglamento (UE) no 575/2013, en las que la contraparte sea un banco central y las garantías aportadas sean bonos garantizados de calidad elevada de nivel 2B que cumplan las condiciones establecidas en el artículo 12, apartado 1, letra e). |
|
990 |
1.2.1.6. Garantías reales de nivel 2B consistentes en bonos de titulización de activos (comerciales o particulares, Estados miembros, nivel de calidad crediticia 1) Artículo 28, apartado 3, letra a), del Reglamento Delegado (UE) 2015/61 de la Comisión Las entidades de crédito comunicarán aquí las salidas resultantes de operaciones de préstamo garantizadas y operaciones vinculadas al mercado de capitales, tal como se definen en el artículo 192, puntos 2 y 3, del Reglamento (UE) no 575/2013, en las que la contraparte sea un banco central y las garantías aportadas sean bonos de titulización de activos de nivel 2B respaldados por préstamos comerciales o a particulares en un Estado miembro, a los que se atribuya un nivel de calidad crediticia 1 y que cumplan las condiciones establecidas en el artículo 13, apartado 2, letra g), incisos iii) o v). |
|
1000 |
1.2.1.7. Garantías reales de nivel 2B consistentes en otros activos Artículo 28, apartado 3, letra a), del Reglamento Delegado (UE) 2015/61 de la Comisión Las entidades de crédito comunicarán aquí las salidas resultantes de operaciones de préstamo garantizadas y operaciones vinculadas al mercado de capitales, tal como se definen en el artículo 192, puntos 2 y 3, del Reglamento (UE) no 575/2013, en las que la contraparte sea un banco central y las garantías aportadas sean garantías reales de nivel 2B no indicadas anteriormente. |
|
1010 |
1.2.1.8. Garantías reales consistentes en activos no líquidos Artículo 28, apartado 3, letra g), del Reglamento Delegado (UE) 2015/61 de la Comisión Las entidades de crédito comunicarán aquí las salidas resultantes de operaciones de préstamo garantizadas y operaciones vinculadas al mercado de capitales, tal como se definen en el artículo 192, puntos 2 y 3, del Reglamento (UE) no 575/2013, en las que la contraparte sea un banco central y las garantías aportadas sean garantías reales consistentes en activos no líquidos. |
|
1020 |
1.2.2. Cuya contraparte no sea un banco central Las entidades de crédito comunicarán aquí las salidas resultantes de operaciones de préstamo garantizadas y operaciones vinculadas al mercado de capitales, tal como se definen en el artículo 192, puntos 2 y 3, del Reglamento (UE) no 575/2013, en las que la contraparte no sea un banco central. |
|
1030 |
1.2.2.1. Garantías reales de nivel 1 excepto bonos garantizados de calidad sumamente elevada Artículo 28, apartado 3, letra a), del Reglamento Delegado (UE) 2015/61 de la Comisión Las entidades de crédito comunicarán aquí las salidas resultantes de operaciones de préstamo garantizadas y operaciones vinculadas al mercado de capitales, tal como se definen en el artículo 192, puntos 2 y 3, del Reglamento (UE) no 575/2013, en las que la contraparte no sea un banco central y las garantías aportadas sean garantías reales de nivel 1, excepto bonos garantizados de calidad sumamente elevada. |
|
1040 |
1.2.2.2. Garantías reales de nivel 1 consistentes en bonos garantizados de calidad sumamente elevada Artículo 28, apartado 3, letra b), del Reglamento Delegado (UE) 2015/61 de la Comisión Las entidades de crédito comunicarán aquí las salidas resultantes de operaciones de préstamo garantizadas y operaciones vinculadas al mercado de capitales, tal como se definen en el artículo 192, puntos 2 y 3, del Reglamento (UE) no 575/2013, en las que la contraparte no sea un banco central y las garantías aportadas sean garantías reales de nivel 1 que consistan en bonos garantizados de calidad sumamente elevada. |
|
1050 |
1.2.2.3. Garantías reales de nivel 2A Artículo 28, apartado 3, letra c), del Reglamento Delegado (UE) 2015/61 de la Comisión Las entidades de crédito comunicarán aquí las salidas resultantes de operaciones de préstamo garantizadas y operaciones vinculadas al mercado de capitales, tal como se definen en el artículo 192, puntos 2 y 3, del Reglamento (UE) no 575/2013, en las que la contraparte no sea un banco central y las garantías aportadas sean garantías reales de nivel 2A. |
|
1060 |
1.2.2.4. Garantías reales de nivel 2B consistentes en bonos de titulización de activos (residenciales o automóviles, nivel de calidad crediticia 1) Artículo 28, apartado 3, letra d), inciso i), del Reglamento Delegado (UE) 2015/61 de la Comisión Las entidades de crédito comunicarán aquí las salidas resultantes de operaciones de préstamo garantizadas y operaciones vinculadas al mercado de capitales, tal como se definen en el artículo 192, puntos 2 y 3, del Reglamento (UE) no 575/2013, en las que la contraparte no sea un banco central y las garantías aportadas sean bonos de titulización de activos de nivel 2B respaldados por inmuebles residenciales o automóviles, a los que se atribuya un nivel de calidad crediticia 1 y que cumplan las condiciones establecidas en el artículo 13, apartado 2, letra g), incisos i), ii) o iv). |
|
1070 |
1.2.2.5. Bonos garantizados de nivel 2B Las entidades de crédito comunicarán aquí las salidas resultantes de operaciones de préstamo garantizadas y operaciones vinculadas al mercado de capitales, tal como se definen en el artículo 192, puntos 2 y 3, del Reglamento (UE) no 575/2013, en las que la contraparte no sea un banco central y las garantías aportadas sean bonos garantizados de calidad elevada de nivel 2B que cumplan las condiciones establecidas en el artículo 12, apartado 1, letra e). |
|
1080 |
1.2.2.6. Garantías reales de nivel 2B consistentes en bonos de titulización de activos (comerciales o particulares, Estados miembros, nivel de calidad crediticia 1) Artículo 28, apartado 3, letra e), del Reglamento Delegado (UE) 2015/61 de la Comisión Las entidades de crédito comunicarán aquí las salidas resultantes de operaciones de préstamo garantizadas y operaciones vinculadas al mercado de capitales, tal como se definen en el artículo 192, puntos 2 y 3, del Reglamento (UE) no 575/2013, en las que la contraparte no sea un banco central y las garantías aportadas sean bonos de titulización de activos de nivel 2B respaldados por préstamos comerciales o a particulares en un Estado miembro, a los que se atribuya un nivel de calidad crediticia 1 y que cumplan las condiciones establecidas en el artículo 13, apartado 2, letra g), incisos iii) o v). |
|
1090 |
1.2.2.7. Garantías reales de nivel 2B consistentes en otros activos Artículo 28, apartado 3, letra f), del Reglamento Delegado (UE) 2015/61 de la Comisión Las entidades de crédito comunicarán aquí las salidas resultantes de operaciones de préstamo garantizadas y operaciones vinculadas al mercado de capitales, tal como se definen en el artículo 192, puntos 2 y 3, del Reglamento (UE) no 575/2013, en las que la contraparte no sea un banco central y las garantías aportadas sean garantías reales de nivel 2B no indicadas anteriormente. |
|
1100 |
1.2.2.8. Garantías reales consistentes en activos no líquidos Artículo 28, apartado 3, letra g), del Reglamento Delegado (UE) 2015/61 de la Comisión Las entidades de crédito comunicarán aquí las salidas resultantes de operaciones de préstamo garantizadas y operaciones vinculadas al mercado de capitales, tal como se definen en el artículo 192, puntos 2 y 3, del Reglamento (UE) no 575/2013, en las que la contraparte no sea un banco central y las garantías aportadas sean garantías reales consistentes en activos no líquidos. |
|
1110 |
1.2.2.8.1. Cuya contraparte sea una administración central, un ente del sector público con ponderación de riesgo ≤ 20 % o un banco multilateral de desarrollo Artículo 28, apartado 3, letra d), inciso ii), del Reglamento Delegado (UE) 2015/61 de la Comisión Las entidades de crédito comunicarán aquí las salidas resultantes de operaciones de préstamo garantizadas y operaciones vinculadas al mercado de capitales, tal como se definen en el artículo 192, puntos 2 y 3, del Reglamento (UE) no 575/2013, en las que las garantías reales consistan en activos no líquidos y la contraparte sea una administración central, un ente del sector público con una ponderación de riesgo inferior o igual al 20 % o un banco multilateral de desarrollo. |
|
1120 |
1.2.2.8.2. Otras contrapartes Artículo 28, apartado 3, letra g), inciso ii), del Reglamento Delegado (UE) 2015/61 de la Comisión Las entidades de crédito comunicarán aquí las salidas resultantes de operaciones de préstamo garantizadas y operaciones vinculadas al mercado de capitales, tal como se definen en el artículo 192, puntos 2 y 3, del Reglamento (UE) no 575/2013, en las que la contraparte no sea un banco central, una administración central, un ente del sector público con una ponderación de riesgo inferior al 20 % o un banco multilateral de desarrollo, y las garantías reales aportadas consistan en activos no líquidos. |
|
1130 |
1.3. Total de salidas derivadas de permutas de garantías reales En la columna 060 se consignará la suma de las salidas de la columna 050 recogida en la plantilla C75.00 del anexo XXIV. |
|
PRO MEMORIA |
|
|
1140 |
2. Bonos minoristas con un vencimiento residual inferior a 30 días Artículo 28, apartado 6, del Reglamento Delegado (UE) 2015/61 de la Comisión Las entidades de crédito comunicarán aquí el importe de los pagarés, bonos y otros valores emitidos que se vendan exclusivamente en el mercado minorista y se mantengan en una cuenta minorista. Estos bonos minoristas deberán haberse consignado también dentro de la correspondiente categoría de los depósitos minoristas, tal como se indica en la descripción de los depósitos minoristas (instrucciones de las filas 030-110). |
|
1150 |
3. Depósitos minoristas exentos del cálculo de las salidas Artículo 25, apartado 4, del Reglamento Delegado (UE) 2015/61 de la Comisión Las entidades de crédito comunicarán aquí aquellas categorías de depósitos que estén exentas del cálculo de las salidas cuando se cumplan las condiciones del artículo 25, apartado 4, letras a) o b) (es decir, cuando no se permita al depositante retirar su depósito en un plazo de 30 días naturales o la retirada anticipada en el plazo de 30 días naturales dé lugar a una penalización específica). |
|
1160 |
4. Depósitos minoristas no evaluados Artículo 25, apartado 3, del Reglamento Delegado (UE) 2015/61 de la Comisión Las entidades de crédito comunicarán aquí aquellos depósitos minoristas en relación con los cuales no se haya efectuado o finalizado la evaluación prevista en el artículo 25, apartado 2, del Reglamento Delegado (UE) 2015/61 de la Comisión. Estos depósitos deberán haberse consignado también dentro de la categoría 2 de depósitos sujetos a índices de salida más elevados, tal como se indica en las instrucciones de la fila 070. |
|
1170 |
5. Salidas de liquidez a compensar con entradas interdependientes Las entidades de crédito comunicarán el saldo vivo de todos los pasivos y compromisos fuera de balance cuyas salidas de liquidez se hayan compensado con las entradas interdependientes, de conformidad con el artículo 26 del Reglamento Delegado (UE) 2015/61 de la Comisión. |
|
|
6. Depósitos operativos mantenidos con fines de compensación, custodia, gestión de efectivo u otros servicios comparables en el contexto de una relación operativa asentada Las entidades de crédito informarán aquí sobre los depósitos operativos recogidos en la partida 1.1.2.1, desglosados en función de las siguientes contrapartes: — entidades de crédito; — clientes financieros distintos de entidades de crédito; — emisores soberanos, bancos centrales, bancos multilaterales de desarrollo y entes del sector público; — otros clientes. |
|
1180 |
6.1. Constituidos por entidades de crédito Las entidades de crédito comunicarán el importe del saldo vivo de los depósitos operativos recogidos en la partida 1.1.2.1 que hayan sido constituidos por entidades de crédito. |
|
1190 |
6.2. Constituidos por clientes financieros distintos de entidades de crédito Las entidades de crédito comunicarán el importe del saldo vivo de los depósitos operativos recogidos en la partida 1.1.2.1 que hayan sido constituidos por clientes financieros distintos de entidades de crédito. |
|
1200 |
6.3 Constituidos por emisores soberanos, bancos centrales, bancos multilaterales de desarrollo y entes del sector público Las entidades de crédito comunicarán el importe del saldo vivo de los depósitos operativos recogidos en la partida 1.1.2.1 que hayan sido constituidos por emisores soberanos, bancos centrales, bancos multilaterales de desarrollo y entes del sector público. |
|
1210 |
6.4. Constituidos por otros clientes Las entidades de crédito comunicarán el importe del saldo vivo de los depósitos operativos recogidos en la partida 1.1.2.1 que hayan sido constituidos por otros clientes (distintos de los mencionados anteriormente y los clientes considerados a efectos de los depósitos minoristas). |
|
|
7. Depósitos no operativos mantenidos por clientes financieros y otros clientes Las entidades de crédito comunicarán aquí los depósitos no operativos recogidos en las partidas 1.1.3.2. y 1.1.3.3., desglosados en función de las siguientes contrapartes: — entidades de crédito; — clientes financieros distintos de entidades de crédito; — emisores soberanos, bancos centrales, bancos multilaterales de desarrollo y entes del sector público; — otros clientes. |
|
1220 |
7.1. Constituidos por entidades de crédito Las entidades de crédito comunicarán el importe del saldo vivo de los depósitos no operativos recogidos en la partida 1.1.3.2. que hayan sido constituidos por entidades de crédito. |
|
1230 |
7.2. Constituidos por clientes financieros distintos de entidades de crédito Las entidades de crédito comunicarán el importe del saldo vivo de los depósitos no operativos recogidos en la partida 1.1.3.2. que hayan sido constituidos por clientes financieros distintos de entidades de crédito. |
|
1240 |
7.3. Constituidos por emisores soberanos, bancos centrales, bancos multilaterales de desarrollo y entes del sector público Las entidades de crédito comunicarán el importe del saldo vivo de los depósitos no operativos recogidos en la partida 1.1.3.3. que hayan sido constituidos por emisores soberanos, bancos centrales, bancos multilaterales de desarrollo y entes del sector público. |
|
1250 |
7.4. Constituidos por otros clientes Las entidades de crédito comunicarán el importe del saldo vivo de los depósitos no operativos recogidos en la partida 1.1.3.3. que hayan sido constituidos por otros clientes (distintos de los mencionados anteriormente y los clientes considerados a efectos de los depósitos minoristas). |
|
1260 |
8. Compromisos de financiación con clientes no financieros Artículo 32, apartado 3, letra a), del Reglamento Delegado (UE) 2015/61 de la Comisión Las entidades de crédito comunicarán el importe vivo de los compromisos contractuales de concesión de financiación en el plazo de 30 días adquiridos con clientes no financieros. A efectos de esta partida, los compromisos contractuales incluirán únicamente aquellos que no se reconozcan como salidas de liquidez. |
|
1270 |
9. Garantías reales de nivel 1, excepto bonos garantizados de calidad sumamente elevada, aportadas en relación con derivados Las entidades de crédito comunicarán el valor de mercado de las garantías reales de nivel 1 no consistentes en bonos garantizados de calidad sumamente elevada que se hayan aportado en relación con contratos de los enumerados en el anexo II del Reglamento (UE) no 575/2013 y derivados de crédito. |
|
1280 |
10. Seguimiento de las operaciones de financiación de valores Las entidades de crédito comunicarán, de conformidad con el acto delegado que adopte la Comisión con arreglo al artículo 423, apartado 3, del Reglamento (UE) no 575/2013, el importe total de las garantías reales aportadas a efectos de las operaciones de financiación de valores en las cuales una variación del tipo de cambio pertinente pueda generar a la entidad salidas de garantías reales por estar uno de los componentes de la operación de financiación de valores denominado de forma distinta del otro. |
|
|
11. Salidas intragrupo o dentro de un sistema institucional de protección Las entidades de crédito comunicarán aquí todas las operaciones comunicadas en la partida 1 en las que la contraparte sea la empresa matriz o una filial de la entidad de crédito, u otra filial de la misma empresa matriz, esté vinculada a la entidad de crédito por una relación a tenor del artículo 12, apartado 1, de la Directiva 83/349/CEE, sea miembro del mismo sistema institucional de protección a que se refiere el artículo 113, apartado 7, del Reglamento (UE) no 575/2013, o sea la entidad central o un miembro de una red o grupo de cooperativas tal como se contempla en el artículo 10 del Reglamento (UE) no 575/2013. |
|
1290 |
11.1. De las cuales: a clientes financieros Las entidades de crédito comunicarán el importe total consignado en 1.1. que se destine a clientes financieros en el ámbito de la partida 11. |
|
1300 |
11.2. De las cuales: a clientes no financieros Las entidades de crédito comunicarán el importe total consignado en 1.1. que se destine a clientes no financieros en el ámbito de la partida 11. |
|
1310 |
11.3. De las cuales: garantizadas Las entidades de crédito comunicarán el importe total de las operaciones garantizadas consignadas en 1.2. que entre en el ámbito de la partida 11. |
|
1320 |
11.4. De las cuales: líneas de crédito sin trato preferencial Las entidades de crédito comunicarán el importe máximo que pueda utilizarse de las líneas de crédito comprometidas y no utilizadas comunicadas en la partida 1.1.5.1., que se hayan otorgado a empresas en el ámbito de la partida 11 y a las que no estén autorizadas a aplicar un índice de salida inferior de conformidad con el artículo 29 del Reglamento Delegado (UE) 2015/61 de la Comisión. |
|
1330 |
11.5. De las cuales: líneas de liquidez sin trato preferencial Las entidades de crédito comunicarán el importe máximo que pueda utilizarse de las líneas de liquidez comprometidas y no utilizadas comunicadas en la partida 1.1.5.2., que se hayan otorgado a empresas en el ámbito de la partida 11 y a las que no estén autorizadas a aplicar un índice de salida inferior de conformidad con el artículo 29 del Reglamento Delegado (UE) 2015/61 de la Comisión. |
|
1340 |
11.6. De las cuales: depósitos operativos Las entidades de crédito comunicarán el importe de los depósitos consignados en la partida 1.1.2 realizados en empresas en el ámbito de la partida 11. |
|
1350 |
11.7. De las cuales: depósitos no operativos Las entidades de crédito comunicarán el importe del saldo vivo de los depósitos consignados en la partida 1.1.3. realizados por empresas en el ámbito de la partida 11. |
|
1360 |
11.8. e las cuales: pasivos en forma de valores representativos de deuda si no se tratan como depósitos minoristas Las entidades de crédito comunicarán el importe del saldo vivo de los valores representativos de deuda consignados en la partida 1.1.7.2. que mantengan empresas en el ámbito de la partida 11. |
|
1370 |
12. Salidas de divisas Esta partida solo se comunicará en caso de que se presente información en divisas en las que deba informarse por separado. A efectos únicamente de la información basada en las monedas significativas, las entidades de crédito comunicarán la parte de las salidas relacionadas con derivados (consignadas en 1.1.4.5.) que se refiera a los flujos del principal en divisas en la correspondiente moneda significativa de las permutas de tipos de interés interdivisas y las operaciones en divisas al contado y a plazo con vencimiento en el plazo de 30 días. En relación con una misma contraparte, solo podrán compensarse los flujos en la moneda de que se trate; por ejemplo, Contraparte A: + 10 EUR y Contraparte A: – 20 EUR se consignarán como una salida de 10 EUR. No se efectuará compensación alguna entre contrapartes; por ejemplo, Contraparte A: – 10 EUR y Contraparte B: + 40 EUR se consignarán como salida de 10 EUR en C73.00 (y entrada de 40 EUR en C74.00). |
|
1380 |
13. Salidas de terceros países — restricciones de transferencia o divisas no convertibles Las entidades de crédito comunicarán aquí las salidas de liquidez de terceros países en los que existan restricciones de transferencia o que estén denominadas en divisas no convertibles. |
|
1390 |
14. Saldos adicionales requeridos en las reservas en bancos centrales Las entidades de crédito comunicarán, en su caso, el importe de los saldos adicionales que deban mantenerse en las reservas en bancos centrales cuando así lo acuerden la autoridad competente pertinente y el BCE o el banco central de conformidad con el artículo 10, apartado 1, letra b), inciso iii), del Reglamento Delegado (UE) 2015/61 de la Comisión. |
INFORMACIÓN SOBRE LIQUIDEZ (PARTE 3: ENTRADAS)
2. Entradas
2.1. Observaciones generales
1. Se trata de una plantilla resumen que contiene información sobre las entradas de liquidez durante los 30 días siguientes, con vistas a dar cuenta del requisito de cobertura de la liquidez que se especifica en el Reglamento Delegado (UE) 2015/61 de la Comisión. Las partidas que no deben ser cumplimentadas por las entidades están coloreadas en gris.
2. Las entidades de crédito presentarán la plantilla en las monedas especificadas en el artículo 4, apartado 5, del Reglamento Delegado (UE) 2015/61 de la Comisión.
3. De conformidad con el artículo 32 del Reglamento Delegado (UE) 2015/61 de la Comisión, las entradas de liquidez:
i. comprenderán solo las entradas contractuales derivadas de exposiciones que no estén en situación de mora y respecto de las cuales la entidad no tenga motivos para esperar un incumplimiento en un horizonte de 30 días;
ii. se calcularán multiplicando los saldos vivos de diversas categorías de partidas contractuales a cobrar por los índices que figuran en el citado Reglamento.
4. Las entradas en el marco de un grupo o un sistema institucional de protección (salvo las entradas derivadas de líneas de crédito o de liquidez no utilizadas otorgadas por los miembros de un grupo o un sistema institucional de protección en relación con las cuales la autoridad competente haya autorizado la aplicación de un índice de entrada preferencial) se asignarán a las categorías pertinentes. Asimismo, los importes no ponderados se comunicarán como partidas pro memoria en la sección 4 de la plantilla (líneas 460-480).
5. De acuerdo con el artículo 32, apartado 6, del Reglamento Delegado (UE) 2015/61, las entidades de crédito no comunicarán las entradas derivadas de ninguno de los activos líquidos notificados de conformidad con el título II de dicho Reglamento que no sean pagos adeudados sobre los activos que no se reflejen en el valor de mercado del activo.
6. Las entradas que deban recibirse en terceros países en los que existan restricciones de transferencia o que estén denominadas en divisas no convertibles se comunicarán en las filas pertinentes de las secciones 1.1., 1.2. o 1.3. Las entradas se comunicarán en su totalidad, independientemente del importe de las salidas en el tercer país o de la divisa.
7. Los pagos pendientes procedentes de valores emitidos por la propia entidad de crédito o por un ente vinculado se tendrán en cuenta en términos netos, aplicando un índice de entrada basado en el índice de entrada aplicable al activo subyacente conforme al artículo 32, apartado 3, letra h), del Reglamento Delegado (UE) 2015/61 de la Comisión.
8. De conformidad con el artículo 32, apartado 7, del Reglamento Delegado (UE) 2015/61 de la Comisión, las entidades de crédito no deberán comunicar las entradas derivadas de nuevas obligaciones adquiridas.
9. En el caso de una moneda significativa determinada de conformidad con el artículo 4, apartado 5, del Reglamento Delegado (UE) 2015/61 de la Comisión, los saldos comunicados comprenderán únicamente los que estén denominados en la moneda significativa, a fin de garantizar que los desfases entre monedas se reflejen correctamente. Esto puede significar que solo se consigne en la plantilla de la moneda significativa un lado de la operación. Por ejemplo, en el caso de los derivados sobre divisas, las entidades de crédito únicamente podrán calcular las entradas y salidas netas de conformidad con el artículo 21 del Reglamento Delegado (UE) 2015/61 de la Comisión cuando estén denominadas en la misma moneda.
10. La estructura en columnas de esta plantilla está concebida para dar cabida a los diferentes límites máximos aplicables a las entradas de conformidad con el artículo 33 del Reglamento Delegado (UE) 2015/61 de la Comisión. Así, la plantilla se divide en tres series de columnas, una por cada régimen en materia de límite máximo (límite del 75 %, límite del 90 % y exención de límite máximo). Las entidades de crédito que presenten información en base consolidada podrán utilizar más de una serie de columnas si distintos entes en el marco de la misma consolidación están sujetos a diferentes regímenes en materia de límite máximo.
11. De conformidad con lo dispuesto en el artículo 2, apartado 3, letra c), del Reglamento Delegado (UE) 2015/61 de la Comisión en relación con la consolidación, las entradas de liquidez de una empresa filial de un tercer país que se encuentren sujetas, con arreglo a la legislación nacional de ese país, a índices inferiores a los especificados en el título III de dicho Reglamento serán objeto de consolidación con arreglo a estos índices inferiores especificados en la legislación nacional del tercer país.
12. El Reglamento Delegado (UE) 2015/61 de la Comisión solo hace referencia a índices y recortes de valoración, y el término «ponderación» empleado en la plantilla remite simplemente a ellos en el contexto pertinente. El término «ponderado» en este anexo se entenderá como un término general que indica el importe calculado tras aplicar los correspondientes recortes de valoración, índices y cualesquiera otras instrucciones adicionales pertinentes (por ejemplo, en el caso de operaciones de préstamo y financiación garantizadas).
13. En las plantillas conexas a las presentes instrucciones se incluyen algunas partidas pro memoria. Si bien no son estrictamente necesarias para el cálculo de la ratio en sí, deben cumplimentarse, ya que proporcionan a la autoridad competente información sin la cual no podría llevar a cabo una evaluación adecuada del cumplimiento de los requisitos de liquidez por parte de las entidades de crédito. En algunos casos ofrecen un mayor desglose de las partidas incluidas en las secciones principales de las plantillas y, en otros, reflejan recursos de liquidez adicionales a los que pueden tener acceso las entidades de crédito.
2.2. Observaciones específicas sobre las operaciones de préstamo garantizadas y las operaciones vinculadas al mercado de capitales
1. La plantilla clasifica los flujos con garantías reales según la calidad del activo subyacente o la admisibilidad como activos líquidos de alta calidad. Se prevé una plantilla separada para las permutas de garantías reales (C 75.00 en el anexo XXIV). Las permutas de garantías reales, que son operaciones de intercambio de unas garantías reales por otras, no se consignarán en la plantilla de entradas (C 74.00 del anexo XXIV), que solo abarca las operaciones de intercambio de efectivo por garantías reales.
2. En el caso de una declaración en una moneda significativa, los saldos comunicados comprenderán únicamente los que estén denominados en la moneda significativa, a fin de garantizar que los desfases entre monedas se reflejen correctamente. Esto puede significar que solo se consigne en la plantilla de la moneda significativa un lado de la operación. Así, una operación de recompra inversa puede dar lugar a una entrada negativa. Las operaciones de recompra inversa comunicadas en la misma partida se sumarán (positivas y negativas). Si el total es positivo, se consignará en la plantilla de entradas. Si es negativo, se consignará en la plantilla de salidas. Se seguirá este mismo planteamiento a la inversa para los pactos de recompra.
3. Las entidades de crédito comunicarán exclusivamente los activos de nivel 1, 2A y 2B que puedan considerarse activos líquidos de conformidad con el título II del Reglamento Delegado (UE) 2015/61 de la Comisión. Cuando la garantía real sea de nivel 1, 2A o 2B, pero no pueda considerarse un activo líquido de conformidad con el título II del Reglamento Delegado (UE) 2015/61 de la Comisión, se consignará como activo no líquido. Del mismo modo, cuando una entidad de crédito solo pueda reconocer dentro de sus activos líquidos de calidad elevada una parte de sus acciones en divisas, o activos de administraciones centrales o bancos centrales en divisas, o activos de administraciones centrales o bancos centrales en la moneda nacional, únicamente la parte reconocible se consignará en las filas relativas a los activos de nivel 1, 2A y 2B (véanse el artículo 12, apartado 1, letra c), incisos i) a iii), y el artículo 10, apartado 1, letra d), del Reglamento Delegado (UE) 2015/61 de la Comisión). Cuando el activo de que se trate se utilice como garantía real por un importe que exceda de la parte que pueda reconocerse como activo líquido, el importe excedentario deberá consignarse en la sección no líquida. Los activos de nivel 2A se consignarán en la correspondiente fila de activos de nivel 2A, aun cuando se aplique un enfoque alternativo de tratamiento de la liquidez con arreglo al artículo 19 del Reglamento Delegado (UE) 2015/61 de la Comisión.
2.3. Observaciones específicas relativas a las operaciones de liquidación y con inicio diferido.
Las entidades de crédito comunicarán las entradas derivadas de pactos de recompra con inicio diferido que se inicien en el plazo de 30 días y venzan después de ese plazo. La entrada que vaya a recibirse se comunicará en {C 74.00; r260} («otras entradas»), una vez deducido el valor de mercado del activo que se vaya a entregar a la contraparte tras aplicar el correspondiente recorte de valoración aplicable a efectos de la ratio de cobertura de liquidez. Si el activo no es un activo líquido, la entrada que vaya a recibirse se comunicará íntegramente. El activo que se pignorará en garantía se comunicará en C 72.00 si la entidad lo mantiene en su cartera en la fecha de referencia y cumple las oportunas condiciones.
Las entidades de crédito comunicarán las entradas derivadas de pactos de recompra, pactos de recompra inversa y permutas de garantías reales con inicio diferido que se inicien en el plazo de 30 días y venzan después de ese plazo cuando el componente inicial genere una entrada. En el caso de un pacto de recompra, la entrada que vaya a recibirse se comunicará en {C 74.00; r260} («otras entradas»), una vez deducido el valor de mercado del activo que se vaya a entregar a la contraparte tras aplicar el correspondiente recorte de valoración aplicable a efectos de la ratio de cobertura de liquidez. Si el importe por recibir es inferior al valor de mercado del activo (después del recorte de valoración aplicable a efectos de la ratio de cobertura de liquidez) que se prestará como garantía real, la diferencia se comunicará como salida en C.73.00. Si el activo no es un activo líquido, la entrada que vaya a recibirse se comunicará íntegramente. El activo que se pignorará en garantía se comunicará en C 72.00 cuando la entidad lo mantenga en su cartera en la fecha de referencia y cumpla las oportunas condiciones. En el caso de un pacto de recompra inversa, cuando el valor de mercado del activo por recibir como garantía real después de la aplicación del recorte de valoración aplicable a efectos de la ratio de cobertura de liquidez (si el activo puede considerarse un activo líquido) sea mayor que el importe de efectivo que vaya a prestarse, la diferencia se consignará como entrada en {C 74.00; r260} («otras entradas»). En el caso de las permutas de garantías reales, cuando el efecto neto de la permuta inicial de activos (teniendo en cuenta los recortes de valoración aplicables a efectos de la ratio de cobertura de liquidez) dé lugar a una entrada, esta se consignará en {C 74.00; r260} («otras entradas»).
Los pactos de recompra o de recompra inversa y las permutas de garantías reales con inicio diferido que se inicien y venzan dentro del horizonte de 30 días pertinente para la ratio de cobertura de liquidez no tienen ninguna incidencia en dicha ratio para un banco, por lo que podrán ignorarse.
2.4. Árbol de decisiones sobre las entradas pertinentes para la ratio de cobertura de liquidez de conformidad con los artículos 32, 33 y 34 del Reglamento Delegado (UE) 2015/61 de la Comisión
1. El árbol de decisiones se entiende sin perjuicio de la notificación de las partidas pro memoria. Forma parte de las instrucciones que especifican la priorización de los criterios de evaluación para la asignación de cada partida notificada, con vistas a asegurar la presentación de información homogénea y comparable. Recorrer el árbol de decisiones por sí solo no es suficiente: las entidades de crédito deberán atenerse en todo momento a las restantes instrucciones.
2. En aras de la simplicidad, el árbol de decisiones ignora los totales y subtotales; sin embargo, esto no implica necesariamente que no deban también comunicarse.
2.4.1. Árbol de decisiones sobre las filas de la plantilla C 74.00 del anexo XXIV
|
# |
Partida |
Decisión |
Presentación de información |
||
|
1 |
Entrada que cumple los criterios operativos especificados en el artículo 32, tales como: — La exposición no está en situación de mora (art. 32, apdo. 1). — La entidad de crédito no tiene motivos para esperar un incumplimiento en un horizonte de 30 días naturales (art. 32, apdo. 1). — Las entidades de crédito no deben tener en cuenta las entradas derivadas de nuevas obligaciones adquiridas (art. 32, apdo. 7). — No deben notificarse entradas si estas ya se han compensado con las salidas (art. 26). — Las entidades de crédito no deben tener en cuenta las entradas derivadas de cualquiera de los activos líquidos contemplados en el título II que no sean pagos adeudados sobre los activos que no se reflejen en el valor de mercado del activo (art. 32, apdo. 6). |
No |
No se presenta información |
||
|
Sí |
# 2 |
||||
|
2 |
Operación con inicio diferido |
Sí |
# 3 |
||
|
No |
# 5 |
||||
|
3 |
Operación a plazo iniciada con posterioridad a la fecha de información |
Sí |
No se presenta información |
||
|
No |
# 4 |
||||
|
4 |
Operación a plazo que comienza antes de que transcurran los 30 días y vence después |
Sí |
No se presenta información |
||
|
No |
Fila 260, ID 1.1.12. |
||||
|
5 |
Entradas en el marco de un grupo o un sistema institucional de protección |
Sí |
# 6 |
||
|
No |
# 7 |
||||
|
6 |
Entradas derivadas de líneas de crédito o de liquidez no utilizadas concedidas por miembros de un grupo o un sistema institucional de protección, cuando las autoridades competentes hayan autorizado la aplicación de un índice de entrada superior (art. 34) |
Sí |
Fila 250, ID 1.1.11. |
||
|
No |
# 7 |
||||
|
7 |
Entradas procedentes de operaciones de préstamo garantizadas y de operaciones vinculadas al mercado de capitales con excepción de los derivados (art. 32, apdo. 3, letras b), c), e) y f)) |
Sí |
# 23 |
||
|
No |
# 8 |
||||
|
8 |
Pagos pendientes procedentes de valores que venzan en el plazo de 30 días (art. 32, apdo. 2, letra a), inciso i)) |
Sí |
Fila 190, ID 1.1.5. |
||
|
No |
# 9 |
||||
|
9 |
Entradas procedentes de operaciones de financiación comercial (art. 32, apdo. 2, letra a), inciso ii)) |
Sí |
Fila 180, ID 1.1.4. |
||
|
No |
# 10 |
||||
|
10 |
Activos con una fecha de vencimiento contractual no definida (art. 32, apdo. 3, letra i)) |
Sí |
# 11 |
||
|
No |
# 12 |
||||
|
11 |
Intereses y pagos mínimos derivados de activos con una fecha de vencimiento contractual no definida que se adeuden con arreglo a contrato y originen una entrada real de efectivo en los siguientes 30 días |
Sí |
# 12 |
||
|
No |
Fila 200, ID 1.1.6. |
||||
|
12 |
Pagos pendientes procedentes de posiciones en instrumentos de patrimonio vinculados a un índice importante, siempre que no haya un doble cómputo con activos líquidos (art. 32, apdo. 2, letra b)) |
Sí |
Fila 210, ID 1.1.7. |
||
|
No |
# 13 |
||||
|
13 |
Entradas derivadas de líneas de crédito o de liquidez no utilizadas y cualesquiera otros compromisos concedidos por bancos centrales, siempre que no haya un doble cómputo con activos líquidos (art. 32, apdo. 3, letra g)) |
Sí |
Fila 220, ID 1.1.8. |
||
|
No |
# 14 |
||||
|
14 |
Entradas procedentes de la liberación de saldos mantenidos en cuentas segregadas conforme a los requisitos normativos relativos a la protección de los activos comerciales de los clientes (art. 32, apdo. 4) |
Sí |
Fila 230, ID 1.1.9. |
||
|
No |
# 15 |
||||
|
15 |
Entradas de efectivo procedentes de derivados netas por contrapartes y garantías reales (art. 32, apdo. 5) |
Sí |
Fila 240, ID 1.1.10. |
||
|
No |
# 16 |
||||
|
16 |
Entradas relacionadas con salidas con arreglo a los compromisos de préstamos promocionales a que se refiere el artículo 31, apartado 9 (art. 32, apdo. 3, letra a)) |
Sí |
Fila 170, ID 1.1.3. |
||
|
No |
# 17 |
||||
|
17 |
Pagos pendientes de bancos centrales y clientes financieros (art. 32, apdo. 2, letra a)) |
Sí |
# 21 |
||
|
No |
# 18 |
||||
|
18 |
Pagos pendientes de clientes no financieros (excepto bancos centrales) que no correspondan al reembolso del principal (art. 32, apdo. 2) |
Sí |
Fila 040, ID 1.1.1.1. |
||
|
No |
# 19 |
||||
|
19 |
Otros pagos pendientes de clientes no financieros (excepto bancos centrales) (art. 32, apdo. 3, letra a)) |
Sí |
# 20 |
||
|
No |
Fila 260, ID 1.1.12. |
||||
|
20 |
Otros pagos pendientes de clientes no financieros (excepto bancos centrales) (art. 32, apdo. 3, letra a)) |
# 20.1 |
Clientes minoristas |
20 |
Otros pagos pendientes de clientes no financieros (excepto bancos centrales) (art. 32, apdo. 3, letra a)) |
|
No |
# 20.2 |
||||
|
# 20.2 |
Empresas no financieras |
Sí |
Fila 070, ID 1.1.1.2.2. |
||
|
No |
# 20.3 |
||||
|
# 20.3 |
Emisores soberanos, bancos multilaterales de desarrollo y entes del sector público |
Sí |
Fila 080, ID 1.1.1.2.3. |
||
|
No |
Fila 090, ID 1.1.1.2.4. |
||||
|
21 |
Entradas procedentes de clientes financieros clasificadas como depósitos operativos (art. 32, apdo. 3, letra d)) |
Sí |
# 22 |
||
|
No |
# 23 |
||||
|
22 |
La entidad de crédito puede establecer un índice de entrada simétrica correspondiente (art. 32, apdo. 3, letra d)) |
Sí |
Fila 120, ID 1.1.2.1.1. |
||
|
No |
Fila 130, ID 1.1.2.1.2. |
||||
|
23 |
Pagos pendientes de bancos centrales (art. 32, apdo. 2, letra a)) |
Sí |
Fila 150, ID 1.1.2.2.1. |
||
|
No |
Fila 160, ID 1.1.2.2.2. |
||||
|
24 |
Operación de permuta de garantías reales (art. 32, apdo. 3, letra e)) |
Sí |
Fila 410, ID 1.3 (1) |
||
|
No |
# 25 |
||||
|
25 |
Garantía real que puede considerarse un activo líquido (art. 32, apdo. 3, letra b)) |
Sí |
# 26 |
||
|
No |
# 27 |
||||
|
26 |
Operación de financiación garantizada mediante (art. 32, apdo. 3, letra b)) |
# 26.1 |
Garantías reales utilizadas para cubrir posiciones cortas |
26 |
Operación de financiación garantizada mediante (art. 32, apdo. 3, letra b)) |
|
No |
# 26.2 |
||||
|
# 26.2 |
Garantías reales de nivel 1, excepto bonos garantizados de calidad sumamente elevada |
Sí |
Fila 290, ID 1.2.1.1. |
||
|
No |
# 26.3 |
||||
|
# 26.3 |
Garantías reales de nivel 1 consistentes en bonos garantizados de calidad sumamente elevada |
Sí |
Fila 300, ID 1.2.1.2. |
||
|
No |
# 26.4 |
||||
|
# 26.4 |
Garantías reales de nivel 2A |
Sí |
Fila 310, ID 1.2.1.3. |
||
|
No |
# 26.5 |
||||
|
# 26.5 |
Garantías reales de nivel 2B consistentes en bonos de titulización de activos (residenciales o automóviles) |
Sí |
Fila 320, ID 1.2.1.4. |
||
|
No |
# 26.6 |
||||
|
# 26.6 |
Garantías reales de nivel 2B consistentes en bonos garantizados de calidad elevada |
Sí |
Fila 330, ID 1.2.1.5. |
||
|
No |
# 26.7 |
||||
|
# 26.7 |
Garantías reales de nivel 2B consistentes en bonos de titulización de activos (comerciales o particulares) |
Sí |
Fila 340, ID 1.2.1.6. |
||
|
No |
Fila 350, ID 1.2.1.7. |
||||
|
27 |
Garantía real que no puede considerarse un activo líquido (art. 32, apdo. 3, letra b)) |
# 27.1 |
Préstamos de margen: garantías reales no líquidas |
27 |
Garantía real que no puede considerarse un activo líquido (art. 32, apdo. 3, letra b)) |
|
No |
# 27.2 |
||||
|
# 27.2 |
Garantías reales consistentes en instrumentos de patrimonio no líquidos |
Sí |
Fila 390, ID 1.2.3.2. |
||
|
No |
Fila 400, ID 1.2.3.3. |
||||
|
(1) Las operaciones de permuta de garantías reales deben comunicarse además en la plantilla C 75.00 del anexo XXIV. |
|||||
2.4.2. Árbol de decisiones sobre las columnas de la plantilla C 74.00 del anexo XXIV
|
# |
Partida |
Decisión |
Presentación de información |
||
|
1 |
Entrada que debe comunicarse en las filas 010 a 430 de la plantilla C 74.00 del anexo XXVI con arreglo a los artículos 32, 33 y 34 y de conformidad con la clasificación especificada en la sección 1 («Árbol de decisiones sobre las filas de la plantilla C 74.00») |
No |
No se presenta información |
||
|
Sí |
# 2 |
||||
|
2 |
Entradas procedentes de operaciones de préstamo garantizadas y de operaciones vinculadas al mercado de capitales con excepción de los derivados (art. 32, apdo. 3, letras b), c), e) y f)) |
Sí |
# 11 |
||
|
No |
# 3 |
||||
|
3 |
Exención parcial del límite máximo sobre las entradas (art. 33, apdos. 2 a 5) |
Sí |
# 4 |
||
|
No |
# 6 |
||||
|
4 |
Exención parcial del límite máximo sobre las entradas (art. 33, apdos. 2 a 5) |
# 4.1 |
Parte de las entradas exenta del límite máximo |
4 |
Exención parcial del límite máximo sobre las entradas (art. 33, apdos. 2 a 5) |
|
# 4.2 |
Parte de las entradas no exenta del límite máximo |
— |
# 7 |
||
|
5 |
Parte de las entradas exenta del límite del 75 % y sujeta al límite del 90 % (art. 33, apdos. 4 y 5) |
Sí |
# 9 |
||
|
No |
# 10 |
||||
|
6 |
Entrada sujeta al límite máximo del 75 % (art. 33, apdo. 1) |
Sí |
# 7 |
||
|
No |
# 8 |
||||
|
7 |
Entrada sujeta al límite máximo del 75 % (art. 33, apdo. 1) |
# 7.1 |
Pagos pendientes/importe máximo que puede utilizarse |
7 |
Entrada sujeta al límite máximo del 75 % (art. 33, apdo. 1) |
|
# 7.2 |
Ponderación aplicable |
— |
Columna 080 |
||
|
# 7.3 |
Entrada |
— |
Columna 140 |
||
|
8 |
Entrada sujeta al límite máximo del 90 % (art. 33, apdos. 4 y 5) |
Sí |
# 9 |
||
|
No |
# 10 |
||||
|
9 |
Entrada sujeta al límite máximo del 90 % (art. 33, apdos. 4 y 5) |
# 9.1 |
Pagos pendientes/importe máximo que puede utilizarse |
9 |
Entrada sujeta al límite máximo del 90 % (art. 33, apdos. 4 y 5) |
|
# 9.2 |
Ponderación aplicable |
— |
Columna 090 |
||
|
# 9.3 |
Entrada |
— |
Columna 150 |
||
|
10 |
Entradas totalmente exentas del límite máximo (art. 33, apdos. 2 y 3) |
# 10.1 |
Pagos pendientes/importe máximo que puede utilizarse |
10 |
Entradas totalmente exentas del límite máximo (art. 33, apdos. 2 y 3) |
|
# 10.2 |
Ponderación aplicable |
— |
Columna 100 |
||
|
# 10.3 |
Entrada |
— |
Columna 160 |
||
|
11 |
Operación de financiación garantizada en la que la garantía real puede considerarse un activo líquido |
Sí |
# 12 |
||
|
No |
# 3 |
||||
|
12 |
Exención parcial del límite máximo sobre las entradas (art. 33, apdos. 2 a 5) |
Sí |
# 13 |
||
|
No |
# 15 |
||||
|
13 |
Exención parcial del límite máximo sobre las entradas (art. 33, apdos. 2 a 5) |
# 13.1 |
Parte de las entradas exenta del límite máximo |
13 |
Exención parcial del límite máximo sobre las entradas (art. 33, apdos. 2 a 5) |
|
# 13.2 |
Parte de las entradas no exenta del límite máximo |
— |
# 16 |
||
|
14 |
Parte de las entradas exenta del límite del 75 % y sujeta al límite del 90 % (art. 33, apdos. 4 y 5) |
Sí |
# 18 |
||
|
No |
# 19 |
||||
|
15 |
Entrada sujeta al límite máximo del 75 % (art. 33, apdo. 1) |
Sí |
# 16 |
||
|
No |
# 17 |
||||
|
16 |
Entrada sujeta al límite máximo del 75 % (art. 33, apdo. 1) |
# 16.1 |
Pagos pendientes |
16 |
Entrada sujeta al límite máximo del 75 % (art. 33, apdo. 1) |
|
# 16.2 |
Valor de mercado de las garantías reales recibidas |
— |
Columna 040 |
||
|
# 16.3 |
Ponderación aplicable |
— |
Columna 080 |
||
|
# 16.4 |
Valor de las garantías reales recibidas con arreglo al artículo 9 |
— |
Columna 110 |
||
|
# 16.5 |
Entrada |
— |
Columna 140 |
||
|
17 |
Entrada sujeta al límite máximo del 90 % (art. 33, apdos. 4 y 5) |
Sí |
# 18 |
||
|
No |
# 19 |
||||
|
18 |
Entrada sujeta al límite máximo del 90 % (art. 33, apdos. 4 y 5) |
# 18.1 |
Pagos pendientes |
18 |
Entrada sujeta al límite máximo del 90 % (art. 33, apdos. 4 y 5) |
|
# 18.2 |
Valor de mercado de las garantías reales recibidas |
— |
Columna 050 |
||
|
# 18.3 |
Ponderación aplicable |
— |
Columna 090 |
||
|
# 18.4 |
Valor de las garantías reales recibidas con arreglo al artículo 9 |
— |
Columna 120 |
||
|
# 18.5 |
Entrada |
— |
Columna 150 |
||
|
19 |
Entradas totalmente exentas del límite máximo (art. 33, apdos. 2 y 3) |
# 19.1 |
Pagos pendientes |
19 |
Entradas totalmente exentas del límite máximo (art. 33, apdos. 2 y 3) |
|
# 19.2 |
Valor de mercado de las garantías reales recibidas |
— |
Columna 060 |
||
|
# 19.3 |
Ponderación aplicable |
— |
Columna 100 |
||
|
# 19.4 |
Valor de las garantías reales recibidas con arreglo al artículo 9 |
— |
Columna 130 |
||
|
# 19.5 |
Entrada |
— |
Columna 160 |
||
2.5. Subplantilla de entradas
2.5.1. Instrucciones relativas a columnas específicas
|
Columna |
Referencias jurídicas e instrucciones |
|
010 |
Importe — Sujeción al límite máximo del 75 % sobre las entradas Artículos 32, 33 y 34 del Reglamento Delegado (UE) 2015/61 de la Comisión En relación con las filas {040},{060}-{090},{120}-{130},{150}-{260},{290}-{360},{380}-{400},{440}-{450} y {470}-{520}, las entidades de crédito comunicarán en la columna 010 el importe total de los activos/pagos pendientes/importes máximos que puedan utilizarse que estén sujetos al límite máximo del 75 % sobre las entradas, según se especifica en el artículo 33, apartado 1, del Reglamento Delegado (UE) 2015/61 de la Comisión, siguiendo las instrucciones pertinentes que aquí figuran. Cuando una autoridad competente haya autorizado una exención parcial del límite máximo sobre las entradas, de conformidad con el artículo 33, apartado 2, del Reglamento Delegado (UE) 2015/61 de la Comisión, la parte del importe que sea objeto de exención se comunicará en la columna 020 o 030 y la parte del importe que no sea objeto de exención se comunicará en la columna 010. |
|
020 |
Importe — Sujeción al límite máximo del 90 % sobre las entradas Artículos 32, 33 y 34 del Reglamento Delegado (UE) 2015/61 de la Comisión En relación con las filas {040},{060}-{090},{120}-{130},{150}-{260},{290}-{360},{380}-{400},{440}-{450} y {470}-{520}, las entidades de crédito comunicarán en la columna 020 el importe total de los activos/pagos pendientes/importes máximos que puedan utilizarse que estén sujetos al límite máximo del 90 % sobre las entradas, según se especifica en el artículo 33, apartados 4 y 5, del Reglamento Delegado (UE) 2015/61 de la Comisión, siguiendo las instrucciones pertinentes que aquí figuran. Cuando una autoridad competente haya autorizado una exención parcial del límite máximo sobre las entradas, de conformidad con el artículo 33, apartado 2, del Reglamento Delegado (UE) 2015/61 de la Comisión, la parte del importe que sea objeto de exención se comunicará en la columna 020 o 030 y la parte del importe que no sea objeto de exención se comunicará en la columna 010. |
|
030 |
Importe — Exención del límite máximo sobre las entradas Artículos 32, 33 y 34 del Reglamento Delegado (UE) 2015/61 de la Comisión En relación con las filas {040},{060}-{090},{120}-{130},{150}-{260},{290}-{360},{380}-{400},{440}-{450} y {470}-{520}, las entidades de crédito comunicarán en la columna 030 el importe total de los activos/pagos pendientes/importes máximos que puedan utilizarse que estén plenamente exentos del límite máximo sobre las entradas, según se especifica en el artículo 33, apartados 2, 3 y 5, del Reglamento Delegado (UE) 2015/61 de la Comisión, siguiendo las instrucciones pertinentes que aquí figuran. Cuando una autoridad competente haya autorizado una exención parcial del límite máximo sobre las entradas, de conformidad con el artículo 33, apartado 2, del Reglamento Delegado (UE) 2015/61 de la Comisión, la parte del importe que sea objeto de exención se comunicará en la columna 020 o 030 y la parte del importe que no sea objeto de exención se comunicará en la columna 010. |
|
040 |
Valor de mercado de las garantías reales recibidas — Sujeción al límite máximo del 75 % sobre las entradas Artículos 32, 33 y 34 del Reglamento Delegado (UE) 2015/61 de la Comisión En relación con las filas {290}-{350} y {490}, las entidades de crédito comunicarán en la columna 040 el valor de mercado de las garantías reales recibidas en operaciones de préstamo garantizadas y operaciones vinculadas al mercado de capitales sujetas al límite máximo del 75 % sobre las entradas, tal como se especifica en el artículo 33, apartado 1, del Reglamento Delegado (UE) 2015/61 de la Comisión. Cuando una autoridad competente haya autorizado una exención parcial del límite máximo sobre las entradas, de conformidad con el artículo 33, apartado 2, del Reglamento Delegado (UE) 2015/61 de la Comisión, el valor de mercado de las garantías reales recibidas en operaciones de préstamo garantizadas y operaciones vinculadas al mercado de capitales que sean objeto de exención se comunicará en la columna 050 o 060, y el valor de mercado de las garantías reales recibidas en operaciones de préstamo garantizadas y operaciones vinculadas al mercado de capitales que no sean objeto de exención se comunicará en la columna 040. |
|
050 |
Valor de mercado de las garantías reales recibidas — Sujeción al límite máximo del 90 % sobre las entradas Artículos 32, 33 y 34 del Reglamento Delegado (UE) 2015/61 de la Comisión En relación con las filas {290}-{350} y {490}, las entidades de crédito comunicarán en la columna 050 el valor de mercado de las garantías reales recibidas en operaciones de préstamo garantizadas y operaciones vinculadas al mercado de capitales sujetas al límite máximo del 90 % sobre las entradas, tal como se especifica en el artículo 33, apartados 4 y 5, del Reglamento Delegado (UE) 2015/61 de la Comisión. Cuando una autoridad competente haya autorizado una exención parcial del límite máximo sobre las entradas, de conformidad con el artículo 33, apartado 2, del Reglamento Delegado (UE) 2015/61 de la Comisión, el valor de mercado de las garantías reales recibidas en operaciones de préstamo garantizadas y operaciones vinculadas al mercado de capitales que sean objeto de exención se comunicará en la columna 050 o 060, y el valor de mercado de las garantías reales recibidas en operaciones de préstamo garantizadas y operaciones vinculadas al mercado de capitales que no sean objeto de exención se comunicará en la columna 040. |
|
060 |
Valor de mercado de las garantías reales recibidas — Exención del límite máximo sobre las entradas Artículos 32, 33 y 34 del Reglamento Delegado (UE) 2015/61 de la Comisión En relación con las filas {290}-{350} y {490}, las entidades de crédito comunicarán en la columna 060 el valor de mercado de las garantías reales recibidas en operaciones de préstamo garantizadas y operaciones vinculadas al mercado de capitales que estén plenamente exentas del límite máximo sobre las entradas, tal como se especifica en el artículo 33, apartados 2, 3 y 5, del Reglamento Delegado (UE) 2015/61 de la Comisión. Cuando una autoridad competente haya autorizado una exención parcial del límite máximo sobre las entradas, de conformidad con el artículo 33, apartado 2, del Reglamento Delegado (UE) 2015/61 de la Comisión, el valor de mercado de las garantías reales recibidas en operaciones de préstamo garantizadas y operaciones vinculadas al mercado de capitales que sean objeto de exención se comunicará en la columna 050 o 060, y el valor de mercado de las garantías reales recibidas en operaciones de préstamo garantizadas y operaciones vinculadas al mercado de capitales que no sean objeto de exención se comunicará en la columna 040. |
|
070 |
Ponderación estándar Artículos 32, 33 y 34 del Reglamento Delegado (UE) 2015/61 de la Comisión Las ponderaciones estándar que se indican en la columna 070 son las especificadas en el Reglamento Delegado (UE) 2015/61 de la Comisión por defecto y se facilitan solo a título informativo. |
|
080 |
Ponderación aplicable — Sujeción al límite máximo del 75 % sobre las entradas Artículos 32, 33 y 34 del Reglamento Delegado (UE) 2015/61 de la Comisión Las ponderaciones aplicables son las especificadas en los artículos 32 a 34 del Reglamento Delegado (UE) 2015/61 de la Comisión. Las ponderaciones aplicables pueden arrojar valores medios ponderados y se consignarán en cifras decimales (es decir, 1,00 para una ponderación aplicable del 100 por cien, o 0,50 para una ponderación aplicable del 50 por ciento). Las ponderaciones aplicables pueden reflejar, aunque no exclusivamente, decisiones adoptadas discrecionalmente por las empresas o las autoridades nacionales. En relación con las filas {040},{060}-{090},{120}-{130},{150}-{260},{450},{470}-{480} y {500}-{510}, las entidades de crédito comunicarán en la columna 080 la ponderación media aplicada a los activos/pagos pendientes/importes máximos que puedan utilizarse que estén sujetos al límite máximo del 75 % sobre las entradas, según se especifica en el artículo 33, apartado 1, del Reglamento Delegado (UE) 2015/61 de la Comisión. En relación con las filas {060}-{090} y {170}, la ponderación aplicable a consignar en la columna 080 será la ratio entre la columna 140 y la columna 010. En relación con las filas {290}-{350}, {380}–{400} y {490}, las entidades de crédito comunicarán en la columna 080 la ponderación media aplicada al valor de mercado de las garantías reales recibidas en operaciones de préstamo garantizadas y operaciones vinculadas al mercado de capitales cuando la operación de préstamo garantizada esté sujeta al límite máximo del 75 % sobre las entradas, tal como se especifica en el artículo 33, apartado 1, del Reglamento Delegado (UE) 2015/61 de la Comisión. |
|
090 |
Ponderación aplicable — Sujeción al límite máximo del 90 % sobre las entradas Artículos 32, 33 y 34 del Reglamento Delegado (UE) 2015/61 de la Comisión Las ponderaciones aplicables son las especificadas en los artículos 32 a 34 del Reglamento Delegado (UE) 2015/61 de la Comisión. Las ponderaciones aplicables pueden arrojar valores medios ponderados y se consignarán en cifras decimales (es decir, 1,00 para una ponderación aplicable del 100 por cien, o 0,50 para una ponderación aplicable del 50 por ciento). Las ponderaciones aplicables pueden reflejar, aunque no exclusivamente, decisiones adoptadas discrecionalmente por las empresas o las autoridades nacionales. En relación con las filas {040},{060}-{090},{120}-{130},{150}-{260},{450},{470}-{480} y {500}-{510}, las entidades de crédito comunicarán en la columna 090 la ponderación media aplicada a los activos/pagos pendientes/importes máximos que puedan utilizarse que estén sujetos al límite máximo del 90 % sobre las entradas, según se especifica en el artículo 33, apartados 4 y 5, del Reglamento Delegado (UE) 2015/61 de la Comisión. En relación con las filas {060}-{090} y {170}, la ponderación aplicable a consignar en la columna 090 será la ratio entre la columna 150 y la columna 020. En relación con las filas {290}-{350}, {380}-{400} y {490}, las entidades de crédito comunicarán en la columna 090 la ponderación media aplicada al valor de mercado de las garantías reales recibidas en operaciones de préstamo garantizadas y operaciones vinculadas al mercado de capitales cuando la operación de préstamo garantizada esté sujeta al límite máximo del 90 % sobre las entradas, tal como se especifica en el artículo 33, apartados 4 y 5, del Reglamento Delegado (UE) 2015/61 de la Comisión. |
|
100 |
Ponderación aplicable — Exención del límite máximo sobre las entradas Artículos 32, 33 y 34 del Reglamento Delegado (UE) 2015/61 de la Comisión Las ponderaciones aplicables son las especificadas en los artículos 32 a 34 del Reglamento Delegado (UE) 2015/61 de la Comisión. Las ponderaciones aplicables pueden arrojar valores medios ponderados y se consignarán en cifras decimales (es decir, 1,00 para una ponderación aplicable del 100 por cien, o 0,50 para una ponderación aplicable del 50 por ciento). Las ponderaciones aplicables pueden reflejar, aunque no exclusivamente, decisiones adoptadas discrecionalmente por las empresas o las autoridades nacionales. En relación con las filas {040},{060}-{090},{120}-{130},{150}-{260},{450},{470}-{480} y {500}-{510}, las entidades de crédito comunicarán en la columna 100 la ponderación media aplicada a los activos/pagos pendientes/importes máximos que puedan utilizarse que estén exentos del límite máximo sobre las entradas, según se especifica en el artículo 33, apartados 2, 3 y 5, del Reglamento Delegado (UE) 2015/61 de la Comisión. En relación con las filas {060}-{090} y {170}, la ponderación aplicable a consignar en la columna 100 será la ratio entre la columna 160 y la columna 030. En relación con las filas {290}-{350}, {380}-{400} y {490}, las entidades de crédito comunicarán en la columna 100 la ponderación media aplicada al valor de mercado de las garantías reales recibidas en operaciones de préstamo garantizadas y operaciones vinculadas al mercado de capitales cuando la operación de préstamo garantizada esté exenta del límite máximo sobre las entradas, tal como se especifica en el artículo 33, apartados 2, 3 y 5, del Reglamento Delegado (UE) 2015/61 de la Comisión. |
|
110 |
Valor de las garantías reales recibidas con arreglo al artículo 9 — Sujeción al límite máximo del 75 % sobre las entradas Artículos 32, 33 y 34 del Reglamento Delegado (UE) 2015/61 de la Comisión En relación con las filas {290}-{350} y {490}, las entidades de crédito comunicarán en la columna 110 el valor de las garantías reales recibidas, con arreglo al artículo 9 del Reglamento Delegado (UE) 2015/61 de la Comisión, en operaciones de préstamo garantizadas y operaciones vinculadas al mercado de capitales sujetas al límite máximo del 75 % sobre las entradas, tal como se especifica en el artículo 33, apartado 1, del Reglamento Delegado (UE) 2015/61 de la Comisión. Cuando una autoridad competente haya autorizado una exención parcial del límite máximo sobre las entradas, de conformidad con el artículo 33, apartado 2, del Reglamento Delegado (UE) 2015/61 de la Comisión, el valor de las garantías reales recibidas, con arreglo al artículo 9 de ese mismo Reglamento, en operaciones de préstamo garantizadas y operaciones vinculadas al mercado de capitales que sean objeto de exención se comunicará en la columna 120 o 130, y el valor de las garantías reales recibidas, con arreglo a dicho artículo 9, en operaciones de préstamo garantizadas y operaciones vinculadas al mercado de capitales que no sean objeto de exención se comunicará en la columna 110. |
|
120 |
Valor de las garantías reales recibidas con arreglo al artículo 9 — Sujeción al límite máximo del 90 % sobre las entradas Artículos 32, 33 y 34 del Reglamento Delegado (UE) 2015/61 de la Comisión En relación con las filas {290}-{350} y {490}, las entidades de crédito comunicarán en la columna 120 el valor de las garantías reales recibidas, con arreglo al artículo 9 del Reglamento Delegado (UE) 2015/61 de la Comisión, en operaciones de préstamo garantizadas y operaciones vinculadas al mercado de capitales sujetas al límite máximo del 90 % sobre las entradas, tal como se especifica en el artículo 33, apartados 4 y 5, del Reglamento Delegado (UE) 2015/61 de la Comisión. Cuando una autoridad competente haya autorizado una exención parcial del límite máximo sobre las entradas, de conformidad con el artículo 33, apartado 2, del Reglamento Delegado (UE) 2015/61 de la Comisión, el valor de las garantías reales recibidas, con arreglo al artículo 9 de ese mismo Reglamento, en operaciones de préstamo garantizadas y operaciones vinculadas al mercado de capitales que sean objeto de exención se comunicará en la columna 120 o 130, y el valor de las garantías reales recibidas, con arreglo a dicho artículo 9, en operaciones de préstamo garantizadas y operaciones vinculadas al mercado de capitales que no sean objeto de exención se comunicará en la columna 110. |
|
130 |
Valor de las garantías reales recibidas con arreglo al artículo 9 — Exención del límite máximo sobre las entradas Artículos 32, 33 y 34 del Reglamento Delegado (UE) 2015/61 de la Comisión En relación con las filas {290}-{350} y {490}, las entidades de crédito comunicarán en la columna 130 el valor de las garantías reales recibidas, con arreglo al artículo 9 del Reglamento Delegado (UE) 2015/61 de la Comisión, en operaciones de préstamo garantizadas y operaciones vinculadas al mercado de capitales plenamente exentas del límite máximo sobre las entradas, tal como se especifica en el artículo 33, apartados 2, 3 y 5, del Reglamento Delegado (UE) 2015/61 de la Comisión. Cuando una autoridad competente haya autorizado una exención parcial del límite máximo sobre las entradas, de conformidad con el artículo 33, apartado 2, del Reglamento Delegado (UE) 2015/61 de la Comisión, el valor de las garantías reales recibidas, con arreglo al artículo 9 de ese mismo Reglamento, en operaciones de préstamo garantizadas y operaciones vinculadas al mercado de capitales que sean objeto de exención se comunicará en la columna 120 o 130, y el valor de mercado de las garantías reales recibidas, con arreglo a dicho artículo 9, en operaciones de préstamo garantizadas y operaciones vinculadas al mercado de capitales que no sean objeto de exención se comunicará en la columna 110. |
|
140 |
Entradas — Sujeción al límite máximo del 75 % sobre las entradas Artículos 32, 33 y 34 del Reglamento Delegado (UE) 2015/61 de la Comisión En relación con las filas {040},{120}-{130},{150}-{160},{180}-{260},{380}-{400},{450},{470}-{480} y {500}-{510}, las entidades de crédito comunicarán en la columna 140 el total de entradas sujetas al límite máximo del 75 %, según se especifica en el artículo 33, apartado 1, del Reglamento Delegado (UE) 2015/61 de la Comisión, que se calculará multiplicando el importe total/ importe máximo que pueda utilizarse de la columna 010 por la ponderación pertinente de la columna 080. En relación con las filas {060}-{090}, se seguirá el siguiente procedimiento: — Si no existen compromisos contractuales o los compromisos contractuales con este tipo de cliente son inferiores al 50 % de los pagos pendientes comunicados en la columna 010, los pagos pendientes se reducirán en un 50 % y el resultado se comunicará en la columna 140. En este caso, en la plantilla C 73.00 del anexo XXIV no se comunicará ningún pasivo. — Si los compromisos contractuales con el cliente son iguales o superiores al 50 %, pero no superiores al 100 % de los pagos pendientes que se comunican en la columna 010, de dichos pagos se deducirán los compromisos contractuales con el tipo de clientes pertinente, y el resultado se comunicará en la columna 140. En este caso, en la plantilla C 73.00 del anexo XXIV no se comunicará ningún pasivo. — Si los compromisos contractuales con el cliente son superiores al 100 % de los pagos pendientes que se comunican en la columna 010, en la columna 140 se consignará «0» y la diferencia entre los compromisos contractuales y los pagos pendientes que figuren en la columna 010 se comunicará como «obligaciones contingentes en materia de financiación» en las secciones 1.1.6.6.1.1, 1.1.6.6.1.2, 1.1.6.6.1.3 o 1.1.6.6.1.4 de la plantilla C 73.00 del anexo XXIV. — Las entidades de crédito velarán por que estas partidas no sean objeto de doble cómputo con la plantilla C 73.00 del anexo XXIV. En relación con la fila {170}, las entidades de crédito comunicarán en la columna 140 el total de entradas sujetas al límite máximo del 75 %, según se especifica en el artículo 33, apartado 1, del Reglamento Delegado (UE) 2015/61 de la Comisión, solo si la entidad de crédito ha recibido este compromiso a fin de entregar un préstamo promocional a un beneficiario final, o ha recibido un compromiso similar de un banco multilateral de desarrollo o de un ente del sector público. En relación con las filas {290}-{350} y {490}, las entidades de crédito comunicarán en la columna 140 el total de entradas sujetas al límite máximo del 75 %, según se especifica en el artículo 33, apartado 1, del Reglamento Delegado (UE) 2015/61 de la Comisión, que se calculará sustrayendo la columna 110 de la columna 010. Si el resultado es positivo, se comunicará en la columna 140; si es negativo, se consignará «0». |
|
150 |
Entradas — Sujeción al límite máximo del 90 % sobre las entradas Artículos 32, 33 y 34 del Reglamento Delegado (UE) 2015/61 de la Comisión En relación con las filas {040},{120}-{130},{150}-{160},{180}-{260}, {380}-{400},{450},{470}-{480} y {500}-{510}, las entidades de crédito comunicarán en la columna 150 el total de entradas sujetas al límite máximo del 90 %, según se especifica en el artículo 33, apartados 4 y 5, del Reglamento Delegado (UE) 2015/61 de la Comisión, que se calculará multiplicando el importe total/ importe máximo que pueda utilizarse de la columna 020 por la ponderación pertinente de la columna 090. En relación con las filas {060}-{090}, se seguirá el siguiente procedimiento: — Si no existen compromisos contractuales o los compromisos contractuales con este tipo de cliente son inferiores al 50 % de los pagos pendientes comunicados en la columna 020, los pagos pendientes se reducirán en un 50 % y el resultado se comunicará en la columna 150. En este caso, en la plantilla C 73.00 del anexo XXIV no se comunicará ningún pasivo. — Si los compromisos contractuales con el cliente son iguales o superiores al 50 %, pero no superiores al 100 % de los pagos pendientes que se comunican en la columna 020, de dichos pagos se deducirán los compromisos contractuales con el tipo de clientes pertinente, y el resultado se comunicará en la columna 150. En este caso, en la plantilla C 73.00 del anexo XXIV no se comunicará ningún pasivo. — Si los compromisos contractuales con el cliente son superiores al 100 % de los pagos pendientes que se comunican en la columna 020, en la columna 150 se consignará «0» y la diferencia entre los compromisos contractuales y los pagos pendientes que figuren en la columna 020 se comunicará como «obligaciones contingentes en materia de financiación» en las secciones 1.1.6.6.1.1, 1.1.6.6.1.2, 1.1.6.6.1.3 o 1.1.6.6.1.4 de la plantilla C 73.00 del anexo XXIV. — Las entidades de crédito velarán por que estas partidas no sean objeto de doble cómputo con la plantilla C 73.00 del anexo XXIV. En relación con la fila {170}, las entidades de crédito comunicarán en la columna 150 el total de entradas sujetas al límite máximo del 90 %, según se especifica en el artículo 33, apartados 4 y 5, del Reglamento Delegado (UE) 2015/61 de la Comisión, solo si la entidad de crédito ha recibido este compromiso a fin de entregar un préstamo promocional a un beneficiario final, o ha recibido un compromiso similar de un banco multilateral de desarrollo o de un ente del sector público. En relación con las filas {290}-{350} y {490}, las entidades de crédito comunicarán en la columna 150 el total de entradas sujetas al límite máximo del 90 %, según se especifica en el artículo 33, apartados 4 y 5, del Reglamento Delegado (UE) 2015/61 de la Comisión, que se calculará sustrayendo la columna 120 de la columna 020. Si el resultado es positivo, se comunicará en la columna 150; si es negativo, se consignará «0». |
|
160 |
Entradas — Exención del límite máximo sobre las entradas Artículos 32, 33 y 34 del Reglamento Delegado (UE) 2015/61 de la Comisión En relación con las filas {040},{120}-{130},{150}-{160},{180}-{260}, {380}-{400},{450},{470}-{480} y {500}-{510}, las entidades de crédito comunicarán en la columna 160 el total de entradas plenamente exentas del límite máximo sobre las entradas, según se especifica en el artículo 33, apartados 2, 3 y 5 del Reglamento Delegado (UE) 2015/61 de la Comisión, que se calculará multiplicando el importe total/importe máximo que pueda utilizarse de la columna 030 por la ponderación pertinente de la columna 100. En relación con las filas {060}-{090}, se seguirá el siguiente procedimiento: — Si no existen compromisos contractuales o los compromisos contractuales con este tipo de cliente son inferiores al 50 % de los pagos pendientes comunicados en la columna 030, los pagos pendientes se reducirán en un 50 % y el resultado se comunicará en la columna 160. En este caso, en la plantilla C 73.00 del anexo XXIV no se comunicará ningún pasivo. — Si los compromisos contractuales con el cliente son iguales o superiores al 50 %, pero no superiores al 100 % de los pagos pendientes que se comunican en la columna 030, de dichos pagos se deducirán los compromisos contractuales con el tipo de clientes pertinente, y el resultado se comunicará en la columna 160. En este caso, en la plantilla C 73.00 del anexo XXIV no se comunicará ningún pasivo. — Si los compromisos contractuales con el cliente son superiores al 100 % de los pagos pendientes que se comunican en la columna 030, en la columna 160 se consignará «0» y la diferencia entre los compromisos contractuales y los pagos pendientes que figuren en la columna 030 se comunicará como «obligaciones contingentes en materia de financiación» en las secciones 1.1.6.6.1.1, 1.1.6.6.1.2, 1.1.6.6.1.3 o 1.1.6.6.1.4 de la plantilla C 73.00 del anexo XXIV. — Las entidades de crédito velarán por que estas partidas no sean objeto de doble cómputo con la plantilla C 73.00 del anexo XXIV. En relación con la fila {170}, las entidades de crédito comunicarán en la columna 160 el total de entradas plenamente exentas del límite máximo sobre las entradas, según se especifica en el artículo 33, apartados 2, 3 y 5, del Reglamento Delegado (UE) 2015/61 de la Comisión, solo si la entidad de crédito ha recibido este compromiso a fin de entregar un préstamo promocional a un beneficiario final, o ha recibido un compromiso similar de un banco multilateral de desarrollo o de un ente del sector público. En relación con las filas {290}-{350} y {490}, las entidades de crédito comunicarán en la columna 160 el total de entradas plenamente exentas del límite máximo sobre las entradas, según se especifica en el artículo 33, apartados 2, 3 y 5, del Reglamento Delegado (UE) 2015/61 de la Comisión, que se calculará sustrayendo la columna 130 de la columna 030. Si el resultado es positivo, se comunicará en la columna 160; si es negativo, se consignará «0». |
2.5.2. Instrucciones relativas a filas concretas
|
Fila |
Referencias jurídicas e instrucciones |
|
010 |
1. TOTAL DE ENTRADAS Artículos 32, 33 y 34 del Reglamento Delegado (UE) 2015/61 de la Comisión Las entidades de crédito comunicarán en la fila 010 de la plantilla C 74.00 del anexo XXIV: — en relación con cada una de las columnas 010, 020 y 030, el importe total de los activos/pagos pendientes/importe máximo que pueda utilizarse, que será igual a la suma de los activos/pagos pendientes/importe máximo que pueda utilizarse de operaciones/depósitos no garantizados, operaciones de préstamo garantizadas y operaciones vinculadas al mercado de capitales; — en relación con la columna 140, el total de entradas, que será igual a la suma de las entradas derivadas de operaciones/depósitos no garantizados, operaciones de préstamo garantizadas, operaciones vinculadas al mercado de capitales y operaciones de permuta de garantías reales, menos la diferencia entre el total de entradas ponderadas y el total de salidas ponderadas derivadas de operaciones en terceros países en los que existan restricciones de trasferencia o que estén denominadas en divisas no convertibles; y — en relación con las columnas 150 y 160, el total de entradas, que será igual a la suma de las entradas derivadas de operaciones/depósitos no garantizados, operaciones de préstamo garantizadas, operaciones vinculadas al mercado de capitales y operaciones de permuta de garantías reales, menos la diferencia entre el total de entradas ponderadas y el total de salidas ponderadas derivadas de operaciones en terceros países en los que existan restricciones de transferencia o que estén denominadas en divisas no convertibles, y menos las entradas excedentarias procedentes de entidades de crédito especializadas vinculadas, contempladas en el artículo 2, apartado 3, letra e), y el artículo 33, apartado 6, del Reglamento Delegado (UE) 2015/61 de la Comisión. |
|
020 |
1.1. Entradas derivadas de operaciones/depósitos no garantizados Artículos 32, 33 y 34 del Reglamento Delegado (UE) 2015/61 de la Comisión Las entidades de crédito comunicarán en la fila 020 de la plantilla C 74.00 del anexo XXIV: — en relación con cada una de las columnas 010, 020 y 030, el importe total de los activos/pagos pendientes/importe máximo que pueda utilizarse de las operaciones/depósitos no garantizados; y — en relación con cada una de las columnas 140, 150 y 160, el total de entradas derivadas de operaciones/depósitos no garantizados. |
|
030 |
1.1.1. Pagos pendientes de clientes no financieros (excepto bancos centrales) Artículo 32, apartado 3, letra a), del Reglamento Delegado (UE) 2015/61 de la Comisión Las entidades de crédito comunicarán en la fila 030 de la plantilla C 74.00 del anexo XXIV: — en relación con cada una de las columnas 010, 020 y 030, el importe total de los pagos pendientes de clientes no financieros (excepto bancos centrales) (pagos pendientes de clientes no financieros que no correspondan a reembolsos del principal, así como cualesquiera otros pagos pendientes de clientes no financieros), y — en relación con cada una de las columnas 140, 150 y 160, el total de entradas de clientes no financieros (excepto bancos centrales) (entradas de clientes no financieros que no correspondan a reembolsos del principal, así como cualesquiera otras entradas de clientes no financieros). En lo que atañe a los pagos pendientes de operaciones de préstamo garantizadas y operaciones vinculadas al mercado de capitales con un cliente no financiero que estén garantizadas con activos líquidos conforme al título II del Reglamento Delegado (UE) 2015/61 de la Comisión, si tales operaciones se especifican en el artículo 192, puntos 2) y 3), del Reglamento (UE) no 575/2013, se comunicarán en la sección 1.2, y no se consignarán en la sección 1.1.1. Los pagos pendientes de aquellas de tales operaciones que estén garantizadas con valores negociables que no puedan considerarse activos líquidos, conforme al título II del Reglamento Delegado (UE) 2015/61, se comunicarán en la sección 1.2, y no se consignarán en la sección 1.1.1. Los pagos pendientes de aquellas de tales operaciones que se efectúen con clientes no financieros y estén garantizadas con valores no negociables que no puedan considerarse activos líquidos, conforme al título II del Reglamento Delegado (UE) 2015/61, se comunicarán en la fila pertinente de la sección 1.1.1. Los pagos pendientes de bancos centrales se comunicarán en la sección 1.1.2 y no se consignarán aquí. |
|
040 |
1.1.1.1. Pagos pendientes de clientes no financieros (excepto bancos centrales) que no correspondan al reembolso del principal Artículo 32, apartado 3, letra a), del Reglamento Delegado (UE) 2015/61 de la Comisión Pagos a percibir de clientes no financieros (excepto bancos centrales) que no correspondan al reembolso del principal. Estas entradas incluyen los intereses y las comisiones adeudadas por clientes no financieros (excepto bancos centrales). Los pagos pendientes de bancos centrales que no correspondan al reembolso del principal se comunicarán en la sección 1.1.2 y no se consignarán aquí. |
|
050 |
1.1.1.2. Otros pagos pendientes de clientes no financieros (excepto bancos centrales) Artículo 32, apartado 3, letra a), del Reglamento Delegado (UE) 2015/61 de la Comisión Las entidades de crédito comunicarán en la fila 050 de la plantilla C 74.00 del anexo XXIV: — en relación con cada una de las columnas 010, 020 y 030, el importe total de otros pagos pendientes de clientes no financieros (excepto bancos centrales), que será igual a la suma de los pagos pendientes de clientes no financieros por contraparte, y — en relación con cada una de las columnas 140, 150 y 160, el total de otras entradas de clientes no financieros (excepto bancos centrales), que será igual a la suma de otras entradas de clientes no financieros por contraparte. Los pagos pendientes de clientes no financieros (excepto bancos centrales) que no correspondan al reembolso del principal se comunicarán en la sección 1.1.1.1 y no se consignarán aquí. Otros pagos pendientes de bancos centrales se comunicarán en la sección 1.1.2 y no se consignarán aquí. Las entradas correspondientes a salidas de conformidad con los compromisos de préstamos promocionales contemplados en el artículo 31, apartado 9, del Reglamento Delegado (UE) 2015/61 de la Comisión, se comunicarán en la sección 1.1.3 y no se consignarán aquí. |
|
060 |
1.1.1.2.1. Pagos pendientes de clientes minoristas Artículo 32, apartado 3, letra a), del Reglamento Delegado (UE) 2015/61 de la Comisión Pagos pendientes de clientes minoristas |
|
070 |
1.1.1.2.2. Pagos pendientes de empresas no financieras Artículo 32, apartado 3, letra a), del Reglamento Delegado (UE) 2015/61 de la Comisión Pagos pendientes de empresas no financieras |
|
080 |
1.1.1.2.3. Pagos pendientes de emisores soberanos, bancos multilaterales de desarrollo y entes del sector público Artículo 32, apartado 3, letra a), del Reglamento Delegado (UE) 2015/61 de la Comisión Pagos pendientes de emisores soberanos, bancos multilaterales de desarrollo y entes del sector público |
|
090 |
1.1.1.2.4. Pagos pendientes de otras personas jurídicas Artículo 32, apartado 3, letra a), del Reglamento Delegado (UE) 2015/61 de la Comisión Pagos pendientes de otras personas jurídicas no incluidos en ninguna de las partidas anteriores. |
|
100 |
1.1.2. Pagos pendientes de bancos centrales y clientes financieros Artículo 32, apartado 2, letra a), del Reglamento Delegado (UE) 2015/61 de la Comisión Las entidades de crédito comunicarán en la fila 100 de la plantilla C 74.00 del anexo XXIV: — en relación con cada una de las columnas 010, 020 y 030, el importe total de los pagos pendientes de bancos centrales y clientes financieros (depósitos operativos y no operativos); y — en relación con cada una de las columnas 140, 150 y 160, el total de entradas de bancos centrales y clientes financieros (depósitos operativos y no operativos). Las entidades de crédito comunicarán aquí los pagos pendientes, en los 30 días siguientes, de bancos centrales y clientes financieros, que no estén en situación de mora y respecto de los cuales el banco no tenga motivos para esperar un incumplimiento en un horizonte de 30 días. Los pagos pendientes de bancos centrales y clientes financieros que no correspondan al reembolso del principal se comunicarán en la sección pertinente. Los depósitos en la entidad central contemplados en el artículo 27, apartado 3, del Reglamento Delegado (UE) 2015/61 de la Comisión no se consignarán como entradas. |
|
110 |
1.1.2.1. Pagos pendientes de clientes financieros clasificados como depósitos operativos Artículo 32, apartado 2, letra a), leído en relación con el artículo 27, del Reglamento Delegado (UE) 2015/61 de la Comisión Las entidades de crédito comunicarán en la fila 110 de la plantilla C 74.00 del anexo XXIV: — en relación con cada una de las columnas 010, 020 y 030, el importe total de los pagos pendientes de clientes financieros clasificados como depósitos operativos (sin tener en cuenta si la entidad de crédito puede establecer o no un índice de entrada simétrica correspondiente); y — en relación con cada una de las columnas 140, 150 y 160, el total de entradas de clientes financieros clasificadas como depósitos operativos (sin tener en cuenta si la entidad de crédito puede establecer o no un índice de entrada simétrica correspondiente). La entidad de crédito comunicará aquí los pagos pendientes de clientes financieros destinados a la obtención, por parte de la entidad, de servicios de compensación, custodia o gestión de efectivo, de conformidad con el artículo 27 del Reglamento Delegado (UE) 2015/61 de la Comisión. |
|
120 |
1.1.2.1.1. Pagos pendientes de clientes financieros clasificados como depósitos operativos respecto de los cuales la entidad de crédito pueda establecer un índice de entrada simétrica correspondiente Artículo 32, apartado 3, letra d), leído en relación con el artículo 27, del Reglamento Delegado (UE) 2015/61 de la Comisión Pagos pendientes de clientes financieros destinados a la obtención, por parte de la entidad de crédito, de servicios de compensación, custodia o gestión de efectivo, de conformidad con el artículo 27 del Reglamento Delegado (UE) 2015/61 de la Comisión, cuando la entidad de crédito pueda establecer un índice de entrada simétrica correspondiente. |
|
130 |
1.1.2.1.2. Pagos pendientes de clientes financieros clasificados como depósitos operativos respecto de los cuales la entidad de crédito no pueda establecer un índice de entrada simétrica correspondiente Artículo 32, apartado 3, letra d), leído en relación con el artículo 27, del Reglamento Delegado (UE) 2015/61 de la Comisión Pagos pendientes de clientes financieros destinados a la obtención, por parte de la entidad de crédito, de servicios de compensación, custodia o gestión de efectivo, de conformidad con el artículo 27 del Reglamento Delegado (UE) 2015/61 de la Comisión, cuando la entidad de crédito no pueda establecer un índice de entrada simétrica correspondiente. En relación con estas partidas, se aplicará un índice de entrada del 5 %. |
|
140 |
1.1.2.2. Pagos pendientes de bancos centrales y clientes financieros no clasificados como depósitos operativos Artículo 32, apartado 2, letra a), del Reglamento Delegado (UE) 2015/61 de la Comisión Las entidades de crédito comunicarán en la fila 140 de la plantilla C 74.00 del anexo XXIV: — en relación con cada una de las columnas 010, 020 y 030, el importe total de los pagos pendientes de bancos centrales y clientes financieros no clasificados como depósitos operativos, y — en relación con cada una de las columnas 140, 150 y 160, el total de entradas de bancos centrales y clientes financieros no clasificadas como depósitos operativos. Las entidades de crédito comunicarán aquí los pagos pendientes de bancos centrales y clientes financieros que no puedan tratarse como depósitos operativos, tal como se especifica en el artículo 32, apartado 3, letra d), leído en relación con el artículo 27, del Reglamento Delegado (UE) 2015/61 de la Comisión. |
|
150 |
1.1.2.2.1. Pagos pendientes de bancos centrales Artículo 32, apartado 2, letra a), del Reglamento Delegado (UE) 2015/61 de la Comisión Pagos pendientes de bancos centrales |
|
160 |
1.1.2.2.2. Pagos pendientes de clientes financieros Artículo 32, apartado 2, letra a), del Reglamento Delegado (UE) 2015/61 de la Comisión Pagos pendientes de clientes financieros que no puedan tratarse como depósitos operativos, tal como se especifica en el artículo 32, apartado 3, letra d), leído en relación con el artículo 27, del Reglamento Delegado (UE) 2015/61 de la Comisión. Las entradas correspondientes a salidas de conformidad con los compromisos de préstamos promocionales a que se refiere el artículo 31, apartado 9, del Reglamento Delegado (UE) 2015/61 de la Comisión, se comunicarán en la sección 1.1.3 y no se consignarán aquí. |
|
170 |
1.1.3. Entradas correspondientes a salidas de conformidad con los compromisos de préstamos promocionales a que se refiere el artículo 31, apartado 9, del Reglamento Delegado (UE) 2015/61 de la Comisión. Artículo 32, apartado 3, letra a), del Reglamento Delegado (UE) 2015/61 de la Comisión Entradas correspondientes a salidas de conformidad con los compromisos de préstamos promocionales a que se refiere el artículo 31, apartado 9, del Reglamento Delegado (UE) 2015/61 de la Comisión. |
|
180 |
1.1.4. Pagos pendientes procedentes de operaciones de financiación comercial Artículo 32, apartado 2, letra a), inciso ii), del Reglamento Delegado (UE) 2015/61 de la Comisión Pagos pendientes, en los 30 días siguientes, procedentes de operaciones de financiación comercial, con arreglo al artículo 32, apartado 2, letra a), inciso ii), del Reglamento Delegado (UE) 2015/61 de la Comisión. |
|
190 |
1.1.5. Pagos pendientes procedentes de valores que venzan en el plazo de 30 días Artículo 32, apartado 2, letra a), inciso i), del Reglamento Delegado (UE) 2015/61 de la Comisión Pagos pendientes de valores que venzan en el plazo de 30 días, con arreglo al artículo 32, apartado 2, letra a), inciso i), del Reglamento Delegado (UE) 2015/61 de la Comisión. |
|
200 |
1.1.6. Activos con una fecha de vencimiento contractual no definida Artículo 32, apartado 3, letra i), del Reglamento Delegado (UE) 2015/61 de la Comisión Activos con fecha de vencimiento contractual no definida, con arreglo al artículo 32, apartado 3, letra i), del Reglamento Delegado (UE) 2015/61 de la Comisión. Las entradas solo se tendrán en cuenta si el contrato permite a la entidad de crédito rescindirlo y solicitar el pago en un plazo de 30 días. Los intereses y pagos mínimos que deban adeudarse en la cuenta del cliente en ese plazo de 30 días se incluirán en el importe comunicado. Los intereses y pagos mínimos derivados de activos con una fecha de vencimiento contractual no definida que se adeuden con arreglo a contrato y originen una entrada real de efectivo en los siguientes 30 días se considerarán pagos pendientes y se consignarán en la fila pertinente, con arreglo al tratamiento que establece el artículo 32 para los pagos pendientes. Las entidades de crédito no comunicarán otros intereses devengados pero que ni se adeuden en la cuenta del cliente ni originen una entrada real de efectivo en esos 30 días. |
|
210 |
1.1.7. Pagos pendientes procedentes de posiciones en instrumentos de patrimonio vinculados a un índice importante, siempre que no haya un doble cómputo con activos líquidos Artículo 32, apartado 2, letra b), del Reglamento Delegado (UE) 2015/61 de la Comisión Pagos pendientes procedentes de posiciones en instrumentos de patrimonio vinculados a un índice importante, siempre que no haya un doble cómputo con activos líquidos, de conformidad con el artículo 32, apartado 2, letra b), del Reglamento Delegado (UE) 2015/61 de la Comisión. La posición incluirá los pagos que se adeuden con arreglo a contrato en los siguientes 30 días, tales como los dividendos en efectivo por instrumentos de patrimonio vinculados a un índice importante y el efectivo adeudado por aquellos de esos instrumentos que se hayan vendido pero estén aún pendientes de liquidación, si no se reconocen como activos líquidos de conformidad con el título II del Reglamento Delegado (UE) 2015/61 de la Comisión. |
|
220 |
1.1.8. Entradas derivadas de líneas de crédito o de liquidez no utilizadas y cualesquiera otros compromisos concedidos por bancos centrales, siempre que no haya un doble cómputo con activos líquidos Artículo 32, apartado 3, letra g), del Reglamento Delegado (UE) 2015/61 de la Comisión Las entradas derivadas de líneas de crédito o de liquidez no utilizadas y cualesquiera otros compromisos concedidos por bancos centrales de acuerdo con el artículo 32, apartado 3, letra g), del Reglamento Delegado (UE) 2015/61 de la Comisión, siempre que no haya un doble cómputo con activos líquidos. No obstante lo dispuesto en el artículo 34 del Reglamento Delegado (UE) 2015/61 de la Comisión, las líneas de crédito o de liquidez no utilizadas y cualesquiera otros compromisos recibidos de entes distintos de bancos centrales no se tendrán en cuenta. Las líneas de liquidez comprometidas no utilizadas y cualesquiera otros compromisos de bancos centrales reconocidos como activos líquidos de conformidad con el artículo 14 del Reglamento Delegado (UE) 2015/61 de la Comisión no se tendrán en cuenta. |
|
230 |
1.1.9. Entradas procedentes de la liberación de saldos mantenidos en cuentas segregadas conforme a los requisitos normativos relativos a la protección de los activos comerciales de los clientes Artículo 32, apartado 4, del Reglamento Delegado (UE) 2015/61 de la Comisión Entradas procedentes de la liberación de saldos mantenidos en cuentas segregadas conforme a los requisitos normativos relativos a la protección de los activos comerciales de los clientes, de conformidad con el artículo 32, apartado 4, del Reglamento Delegado (UE) 2015/61 de la Comisión. Las entradas solo se tendrán en cuenta si estos saldos se mantienen en activos líquidos, tal como se especifica en el título II del Reglamento Delegado (UE) 2015/61 de la Comisión. |
|
240 |
1.1.10. Entradas procedentes de derivados Artículo 32, apartado 5, del Reglamento Delegado (UE) 2015/61 de la Comisión Importe neto de los derechos de cobro previstos en un plazo de 30 días naturales respecto a los contratos enumerados en el anexo II del Reglamento (UE) no 575/2013. Las entidades de crédito calcularán las entradas previstas a lo largo de un período de 30 días naturales en términos netos y por contraparte, con sujeción a los acuerdos bilaterales de compensación celebrados con arreglo al artículo 295 del Reglamento (UE) no 575/2013. Por términos netos se entenderá también netos de las garantías reales que se recibirán, siempre que estas puedan calificarse de activos líquidos en virtud del título II del Reglamento Delegado (UE) 2015/61 de la Comisión. Las salidas y entradas de efectivo derivadas de las operaciones con derivados en moneda extranjera que impliquen un intercambio completo de cantidades del principal de forma simultánea (o en el mismo día) se calcularán sobre una base neta, incluso cuando dichas operaciones no estén cubiertas por un acuerdo de compensación bilateral. A efectos de la información basada en las monedas significativas, los flujos de operaciones en moneda extranjera se desglosarán en cada moneda. La compensación por contraparte solo puede aplicarse a los flujos en la moneda de que se trate. |
|
250 |
1.1.11. Entradas derivadas de líneas de crédito o de liquidez no utilizadas concedidas por miembros de un grupo o un sistema institucional de protección, cuando las autoridades competentes hayan autorizado la aplicación de un índice de entrada superior Artículo 34 del Reglamento Delegado (UE) 2015/61 de la Comisión Entradas derivadas de líneas de crédito o de liquidez no utilizadas concedidas por miembros de un grupo o un sistema institucional de protección, cuando las autoridades competentes hayan autorizado la aplicación de un índice de entrada superior con arreglo al artículo 34 del Reglamento Delegado (UE) 2015/61 de la Comisión. |
|
260 |
1.1.12. Otras entradas Artículo 32, apartado 2, del Reglamento Delegado (UE) 2015/61 de la Comisión Todas las demás entradas de conformidad con el artículo 32, apartado 2, del Reglamento Delegado (UE) 2015/61 de la Comisión no consignadas en ningún otro lugar de la plantilla. |
|
270 |
1.2. Entradas derivadas de operaciones de préstamo garantizadas y de operaciones vinculadas al mercado de capitales El artículo 32, apartado 3, letras b), c) y f), del Reglamento Delegado (UE) 2015/61 de la Comisión se refiere a las entradas procedentes de operaciones de préstamo garantizadas y operaciones vinculadas al mercado de capitales. Las entidades de crédito comunicarán en la fila 270 de la plantilla C 74.00 del anexo XXIV: — en relación con cada una de las columnas 010, 020 y 030, el importe total de los pagos pendientes procedentes de operaciones de préstamo garantizadas y operaciones vinculadas al mercado de capitales (con independencia de si las garantías reales pueden considerarse o no activos líquidos); y — en relación con cada una de las columnas 140, 150 y 160, el total de entradas procedentes de operaciones de préstamo garantizadas y operaciones vinculadas al mercado de capitales (con independencia de si las garantías reales pueden considerarse o no activos líquidos). |
|
280 |
1.2.1. Garantías reales que pueden considerarse activos líquidos Las entidades de crédito comunicarán en la fila 280 de la plantilla C 74.00 del anexo XXIV: — en relación con cada una de las columnas 010, 020 y 030, el importe total de los pagos pendientes procedentes de operaciones de préstamo garantizadas y operaciones vinculadas al mercado de capitales, cuando las garantías reales puedan considerarse activos líquidos, que será igual a la suma de los pagos pendientes procedentes de operaciones de préstamo garantizadas y operaciones vinculadas al mercado de capitales, por tipo de garantía real; — en relación con cada una de las columnas 040, 050 y 060, el valor de mercado total de las garantías reales recibidas en las operaciones de préstamo garantizadas y operaciones vinculadas al mercado de capitales, cuando las garantías reales puedan considerarse activos líquidos, que será igual a la suma de los valores de mercado de las garantías reales recibidas en operaciones de préstamo garantizadas y operaciones vinculadas al mercado de capitales, por tipo de garantía real; — en relación con cada una de las columnas 110, 120 y 130, el valor total de las garantías reales recibidas de conformidad con el artículo 9 del Reglamento Delegado (UE) 2015/61 de la Comisión en operaciones de préstamo garantizadas y operaciones vinculadas al mercado de capitales, cuando las garantías reales puedan considerarse activos líquidos, que será igual a la suma de los valores de las garantías reales recibidas de conformidad con el artículo 9 de dicho Reglamento en operaciones de préstamo garantizadas y operaciones vinculadas al mercado de capitales, por tipo de garantía real; y — en relación con cada una de las columnas 140, 150 y 160, el total de entradas procedentes de operaciones de préstamo garantizadas y operaciones vinculadas al mercado de capitales, cuando las garantías reales se consideren activos líquidos, que será igual a la suma de las entradas procedentes de operaciones de préstamo garantizadas y operaciones vinculadas al mercado de capitales, por tipo de garantía real. |
|
290 |
1.2.1.1. Garantías reales de nivel 1, excepto bonos garantizados de calidad sumamente elevada Artículo 32, apartado 3, letra b), del Reglamento Delegado (UE) 2015/61 de la Comisión Garantías reales de nivel 1, excepto bonos garantizados de calidad sumamente elevada. |
|
300 |
1.2.1.2. Garantías reales de nivel 1 consistentes en bonos garantizados de calidad sumamente elevada Artículo 32, apartado 3, letra b), del Reglamento Delegado (UE) 2015/61 de la Comisión Garantías reales de nivel 1 consistentes en bonos garantizados de calidad sumamente elevada. |
|
310 |
1.2.1.3. Garantías reales de nivel 2A Artículo 32, apartado 3, letra b), del Reglamento Delegado (UE) 2015/61 de la Comisión Garantías reales de nivel 2A, de cualquier tipo. |
|
320 |
1.2.1.4. Garantías reales de nivel 2B consistentes en bonos de titulización de activos (residenciales o automóviles) Artículo 32, apartado 3, letra b), del Reglamento Delegado (UE) 2015/61 de la Comisión Bonos de titulización de activos de nivel 2B cuyos activos subyacentes sean préstamos, según lo especificado en el artículo 13, apartado 2, letra g), incisos i)-iii), que reúnan todos los requisitos pertinentes establecidos en el artículo 13 del Reglamento Delegado (UE) 2015/61 de la Comisión. |
|
330 |
1.2.1.5. Garantías reales de nivel 2B consistentes en bonos garantizados de calidad elevada Artículo 32, apartado 3, letra b), del Reglamento Delegado (UE) 2015/61 de la Comisión Garantías reales de nivel 2B consistentes en bonos de calidad elevada. |
|
340 |
1.2.1.6. Garantías reales de nivel 2B consistentes en bonos de titulización de activos (comerciales o particulares) Artículo 32, apartado 3, letra b), del Reglamento Delegado (UE) 2015/61 de la Comisión Bonos de titulización de activos de nivel 2B cuyos activos subyacentes sean préstamos, según lo especificado en el artículo 13, apartado 2, letra g), incisos iv)-v), que reúnan todos los requisitos pertinentes establecidos en el artículo 13 del Reglamento Delegado (UE) 2015/61 de la Comisión. |
|
350 |
1.2.1.7. Garantías reales de nivel 2B no incluidas ya en 1.2.1.4, 1.2.1.5 o 1.2.1.6 Artículo 32, apartado 3, letra b), del Reglamento Delegado (UE) 2015/61 de la Comisión Garantías de nivel 2B no incluidas más arriba. |
|
360 |
1.2.2. Garantías reales utilizadas para cubrir una posición corta Artículo 32, apartado 3, letra b), del Reglamento Delegado (UE) 2015/61 de la Comisión Todas las garantías reales utilizadas para cubrir una posición corta. Siempre que se utilicen garantías reales de cualquier tipo para cubrir una posición corta, ello se reflejará aquí y no en alguna de las filas anteriores. No debe producirse un doble cómputo. |
|
370 |
1.2.3. Garantías reales que no pueden considerarse activos líquidos Las entidades de crédito comunicarán en la fila 370 de la plantilla C 74.00 del anexo XXIV: — en relación con cada una de las columnas 010, 020 y 030, el importe total de los pagos pendientes de operaciones de préstamo garantizadas y operaciones vinculadas al mercado de capitales, cuando las garantías reales no puedan considerarse activos líquidos, que será igual a la suma de los pagos pendientes de préstamos de margen cuando las garantías reales no sean líquidas, operaciones de préstamo garantizadas y operaciones vinculadas al mercado de capitales cuando las garantías reales sean instrumentos de patrimonio no líquidos, y operaciones de préstamo garantizadas y operaciones vinculadas al mercado de capitales respaldadas con cualquier otra garantía real no líquida; y, — en relación con cada una de las columnas 140, 150 y 160, el total de entradas derivadas de operaciones de préstamo garantizadas y operaciones vinculadas al mercado de capitales, cuando las garantías reales no puedan considerarse activos líquidos, que será igual a la suma de las entradas procedentes de préstamos de margen cuando las garantías reales no sean líquidas, operaciones de préstamo garantizadas y operaciones vinculadas al mercado de capitales cuando las garantías reales sean instrumentos de patrimonio no líquidos, y operaciones de préstamo garantizadas y operaciones vinculadas al mercado de capitales respaldadas con cualquier otra garantía real no líquida. |
|
380 |
1.2.3.1. Préstamos de margen: garantías reales no líquidas Artículo 32, apartado 3, letra c), del Reglamento Delegado (UE) 2015/61 de la Comisión Préstamos de margen otorgados contra activos no líquidos cuando los activos recibidos no se utilizan para cubrir posiciones cortas, según se indica en el artículo 32, apartado 3, letra c), del Reglamento Delegado (UE) 2015/61 de la Comisión. |
|
390 |
1.2.3.2. Garantías reales consistentes en instrumentos de patrimonio no líquidos Artículo 32, apartado 3, letra b), del Reglamento Delegado (UE) 2015/61 de la Comisión Garantías reales consistentes en instrumentos de patrimonio no líquidos. |
|
400 |
1.2.3.3. Todas las demás garantías reales no líquidas Artículo 32, apartado 3, letra b), del Reglamento Delegado (UE) 2015/61 de la Comisión Garantías reales no líquidas no incluidas más arriba. |
|
410 |
1.3. Total de entradas derivadas de permutas de garantías reales Las entidades de crédito comunicarán aquí la suma del total de entradas derivadas de permutas de garantías reales según el cálculo de la plantilla C 75.00 del anexo XXIV. |
|
420 |
1.4. (Diferencia entre el total de entradas ponderadas y el total de salidas ponderadas derivadas de operaciones en terceros países en los que existan restricciones de transferencia u operaciones denominadas en divisas no convertibles) Artículo 32, apartado 8, del Reglamento Delegado (UE) 2015/61 de la Comisión Las entidades comunicarán en la pertinente columna 140, 150 o 160 el total de entradas ponderadas derivadas de operaciones en terceros países en los que existan restricciones de transferencia u operaciones denominadas en divisas no convertibles, menos el total de salidas ponderadas indicadas en {C 73.00; r1380, c060}, derivadas de operaciones en terceros países en los que existan restricciones de transferencia u operaciones denominadas en divisas no convertibles. Si este importe es negativo, las entidades consignarán «0». |
|
430 |
1.5. (Entradas excedentarias procedentes de una entidad de crédito especializada vinculada) Artículo 2, apartado 3, letra e), y artículo 33, apartado 6, del Reglamento Delegado (UE) 2015/61 de la Comisión Las entidades de crédito que informen sobre una base consolidada comunicarán en la pertinente columna 140, 150 o 160 el importe de las entradas procedentes de entidades de crédito especializadas vinculadas, contempladas en el artículo 33, apartados 3 y 4, del Reglamento Delegado (UE) 2015/61 de la Comisión, que exceda de las salidas procedentes de esas mismas empresas. |
|
PRO MEMORIA |
|
|
440 |
2. Entradas interdependientes Las entidades de crédito comunicarán aquí como partida pro memoria las entradas interdependientes que no hayan sido incluidas en el cálculo de las entradas por haber sido compensadas con las salidas. Todas las entradas interdependientes que no hayan sido compensadas con las salidas (importe excedentario) se incluirán en la pertinente fila de la sección 1. Las entidades de crédito velarán por que estas partidas no sean objeto de doble cómputo con la plantilla de salidas. |
|
450 |
3. Entradas de divisas Esta partida pro memoria solo se consignará en caso de que se presente información expresada en divisas sujetas a información por separado. A efectos únicamente de la información basada en las monedas significativas, las entidades de crédito comunicarán la parte de las entradas relacionadas con derivados (consignadas en 1.1.10) que se refiera a los flujos del principal en divisas en la correspondiente moneda significativa de las permutas de tipos de interés interdivisas y las operaciones en divisas al contado y a plazo con vencimiento en el plazo de 30 días. En relación con una misma contraparte, solo podrán compensarse los flujos en la moneda de que se trate. |
|
460 |
4. Entradas en el marco de un grupo o un sistema institucional de protección Las entidades de crédito comunicarán aquí como partidas pro memoria todas las operaciones comunicadas en la sección 1 (excepto en 1.1.11) en las que la contraparte sea la empresa matriz o una filial de la entidad de crédito, u otra filial de la misma empresa matriz, esté vinculada a la entidad de crédito por una relación a tenor del artículo 12, apartado 1, de la Directiva 83/349/CEE, sea miembro del mismo sistema institucional de protección a que se refiere el artículo 113, apartado 7, del Reglamento (UE) no 575/2013, o sea la entidad central o un miembro de una red o grupo de cooperativas tal como se contempla en el artículo 10 del Reglamento (UE) no 575/2013. Las entidades de crédito comunicarán en la fila 460 de la plantilla C 74.00 del anexo XXIV: — en relación con cada una de las columnas 010, 020 y 030, el importe total de los pagos pendientes/importe máximo que pueda utilizarse en el marco de un grupo o un sistema institucional de protección, que será igual a la suma de los pagos pendientes/importe máximo que pueda utilizarse en el marco de un grupo o un sistema institucional de protección por tipo de operación y contraparte; y — en relación con cada una de las columnas 140, 150 y 160 el total de entradas en el marco de un grupo o un sistema institucional de protección, que será igual a la suma de entradas en el marco de un grupo o un sistema institucional de protección por tipo de operación y contraparte. |
|
470 |
4.1. Pagos pendientes de clientes no financieros (excepto bancos centrales) Las entidades de crédito comunicarán aquí todos los pagos pendientes de clientes no financieros comunicados en la sección 1.1.1 en los que la contraparte sea la empresa matriz o una filial de la entidad de crédito, u otra filial de la misma empresa matriz, esté vinculada a la entidad de crédito por una relación a tenor del artículo 12, apartado 1, de la Directiva 83/349/CEE, sea miembro del mismo sistema institucional de protección a que se refiere el artículo 113, apartado 7, del Reglamento (UE) no 575/2013, o sea la entidad de crédito central o un miembro de una red o grupo de cooperativas tal como se contempla en el artículo 10 del Reglamento (UE) no 575/2013. |
|
480 |
4.2. Pagos pendientes de clientes financieros Las entidades de crédito comunicarán aquí todos los pagos pendientes de clientes financieros comunicados en la sección 1.1.2 en los que la contraparte sea la empresa matriz o una filial de la entidad de crédito, u otra filial de la misma empresa matriz, esté vinculada a la entidad de crédito por una relación a tenor del artículo 12, apartado 1, de la Directiva 83/349/CEE, sea miembro del mismo sistema institucional de protección a que se refiere el artículo 113, apartado 7, del Reglamento (UE) no 575/2013, o sea la entidad central o un miembro de una red o grupo de cooperativas tal como se contempla en el artículo 10 del Reglamento (UE) no 575/2013. |
|
490 |
4.3. Operaciones garantizadas Las entidades de crédito comunicarán aquí todos los pagos pendientes de operaciones de préstamo garantizadas y de operaciones vinculadas al mercado de capitales, así como el valor total de mercado de las garantías reales recibidas y comunicadas en la sección 1.2 y el valor de las garantías reales conforme al artículo 9 del Reglamento Delegado (UE) 2015/61 de la Comisión (columnas 110-130), cuando la contraparte sea la empresa matriz o una filial, u otra filial de la misma empresa matriz, esté vinculada a la entidad de crédito por una relación a tenor del artículo 12, apartado 1, de la Directiva 83/349/CEE, sea miembro del mismo sistema institucional de protección a que se refiere el artículo 113, apartado 7, del Reglamento (UE) no 575/2013, o sea la entidad central o un miembro de una red o grupo de cooperativas tal como se contempla en el artículo 10 del Reglamento (UE) no 575/2013. |
|
500 |
4.4. Pagos pendientes procedentes de valores que venzan en el plazo de 30 días Las entidades de crédito comunicarán aquí todos los pagos pendientes procedentes de valores que venzan en el plazo de 30 días comunicados en la sección 1.1.5, en las que la contraparte sea la empresa matriz o una filial de la entidad de crédito, u otra filial de la misma empresa matriz, esté vinculada a la entidad de crédito por una relación a tenor del artículo 12, apartado 1, de la Directiva 83/349/CEE, sea miembro del mismo sistema institucional de protección a que se refiere el artículo 113, apartado 7, del Reglamento (UE) no 575/2013, o sea la entidad central o un miembro de una red o grupo de cooperativas tal como se contempla en el artículo 10 del Reglamento (UE) no 575/2013. |
|
510 |
4.5. Otras entradas en el marco de un grupo o un sistema institucional de protección Las entidades de crédito comunicarán aquí cualesquiera otras entradas en el marco de un grupo o un sistema institucional de protección comunicadas en las secciones 1.1.3. a 1.1.12. (excepto 1.1.5 y 1.1.11), cuando la contraparte sea la empresa matriz o una filial de la entidad de crédito, u otra filial de la misma empresa matriz, esté vinculada a la entidad de crédito por una relación a tenor del artículo 12, apartado 1, de la Directiva 83/349/CEE, sea miembro del mismo sistema institucional de protección a que se refiere el artículo 113, apartado 7, del Reglamento (UE) no 575/2013, o sea la entidad central o un miembro de una red o grupo de cooperativas tal como se contempla en el artículo 10 del Reglamento (UE) no 575/2013. |
|
520 |
4.6. Entradas derivadas de líneas de crédito o de liquidez no utilizadas concedidas por miembros de un grupo o un sistema institucional de protección, cuando las autoridades competentes no hayan autorizado la aplicación de un índice de entrada superior Entradas derivadas de líneas de crédito o de liquidez no utilizadas concedidas por miembros de un grupo o un sistema institucional de protección, cuando las autoridades competentes no hayan autorizado la aplicación de un índice de entrada superior con arreglo al artículo 34 del Reglamento Delegado (UE) 2015/61 de la Comisión. |
INFORMACIÓN SOBRE LIQUIDEZ (PARTE 4: PERMUTAS DE GARANTÍAS REALES)
3. Permutas de garantías reales.
3.1. Observaciones generales
1. En esta plantilla se comunicará toda operación que venza en un plazo de 30 días y en la que activos no líquidos sean objeto de permuta por otros activos no líquidos. Las partidas que no deben ser cumplimentadas por las entidades están coloreadas en gris.
2. Las permutas de garantías reales que venzan en el plazo de 30 días naturales siguientes darán lugar a una salida, correspondiente al valor de liquidez excedentario de los activos obtenidos en préstamo con respecto al valor de liquidez de los activos prestados, salvo que la contraparte sea un banco central, en cuyo caso se aplicará un índice de salida del 0 %.
3. Las permutas de garantías reales que venzan en el plazo de 30 días naturales siguientes darán lugar a una entrada, correspondiente al valor de liquidez excedentario de los activos prestados respecto al valor de liquidez de los activos obtenidos en préstamo, salvo que la garantía real obtenida vuelva a hipotecarse para cubrir posiciones cortas que puedan extenderse por un plazo superior a 30 días, en cuyo caso se aplicará un índice de entrada del 0 %.
4. En el caso de los activos líquidos, el valor de liquidez es el previsto en el artículo 9, en el caso de los activos no líquidos el valor de liquidez es igual a cero.
5. Cada operación de permuta de garantías reales se evaluará individualmente y el correspondiente flujo se comunicará como salida o entrada (por operación) en la fila pertinente. Si una operación contiene múltiples categorías de tipos de garantías reales (por ejemplo, una cesta de activos de garantía), se comunicará desglosada en partes, conforme a las filas de la plantilla, y se evaluará por partes.
6. En el caso de una declaración en una moneda significativa, los saldos comunicados comprenderán únicamente los que estén denominados en la moneda significativa, a fin de garantizar que los desfases entre monedas se reflejen correctamente. Esto puede significar que solo se consigne en la plantilla de la moneda significativa un lado de la operación, con los correspondientes efectos en el valor de liquidez excedentario.
7. Las entidades de crédito presentarán la plantilla en las correspondientes monedas con arreglo al artículo 4, apartado 5, del Reglamento Delegado (UE) 2015/61 de la Comisión.
8. Los flujos de derivados con garantías reales correspondientes a los siguientes 30 días se comunicarán en esta plantilla en las columnas 090-120, y no en las columnas 010-080.
1.2. Observaciones específicas
9. Las entidades comunicarán exclusivamente los activos de nivel 1, 2A y 2B que puedan considerarse activos líquidos de conformidad con el título II. En lo que atañe a las garantías reales prestadas, ello se refiere a activos que puedan considerarse activos líquidos a su vencimiento, de conformidad con el título II, incluidos los requisitos generales y operativos, tal como se definen en los artículos 7 y 8 del Reglamento Delegado (UE) 2015/61 de la Comisión.
10. Si las garantías reales cumplen los criterios de los niveles 1, 2A o 2B establecidos en los artículos 10 a 19 del Reglamento Delegado (UE) 2015/61 de la Comisión, pero no pueden considerarse activos líquidos de conformidad con el título II, incluidos los requisitos generales y operativos, tal como se definen en los artículos 7 y 8 del citado Reglamento, se consignarán como no líquidas. Del mismo modo, cuando una entidad de crédito solo pueda reconocer parte de sus acciones en divisas, o activos de administraciones centrales o bancos centrales en divisas, o activos de administraciones centrales o bancos centrales en la moneda nacional dentro de sus activos líquidos de calidad elevada, únicamente la parte que pueda reconocerse se consignará en las filas relativas a los niveles 1, 2A y 2B [véase el artículo 12, apartado 1, letra c), incisos i) a iii), y el artículo 10, apartado 1, letra d)]. Cuando el activo de que se trate se utilice como garantía real por un importe que exceda de la parte que pueda reconocerse como activo líquido, el importe excedentario deberá consignarse en la sección no líquida.
11. Las permutas de garantías reales que impliquen activos de nivel 2A se comunicarán en la correspondiente fila de activos de nivel 2A, incluso si se sigue un enfoque alternativo de tratamiento de la liquidez (es decir, en la comunicación de permutas de garantías reales no deben trasladarse al nivel 1 las partidas del nivel 2A).
Subplantilla de permutas de garantías reales
Instrucciones relativas a columnas específicas
|
Columna |
Referencias jurídicas e instrucciones |
|
010 |
Valor de mercado de las garantías reales prestadas El valor de mercado de las garantías reales prestadas se comunicará en la columna 010. El valor de mercado reflejará el valor actual de mercado, sin deducción de los recortes de valoración, pero sí de los flujos resultantes de la reversión de las coberturas correspondientes (artículo 8, apartado 5). |
|
020 |
Valor de liquidez de las garantías reales prestadas El valor de liquidez de las garantías reales prestadas se comunicará en la columna 020. En el caso de los activos líquidos, el valor de liquidez reflejará el valor del activo, neto de recortes de valoración. La ponderación utilizada guardará relación con la ponderación/el recorte de valoración aplicados al correspondiente tipo de activo en la plantilla C 72.00 del anexo XXIV. La ponderación utilizada la determinará la entidad, pero esta se guiará por las ponderaciones estándar mínimas contempladas en el título II para los correspondientes activos. |
|
030 |
Valor de mercado de las garantías reales tomadas en préstamo El valor de mercado de las garantías reales tomadas en préstamo se comunicará en la columna 030. El valor de mercado reflejará el valor actual de mercado, sin deducción de los recortes de valoración, pero sí de los flujos resultantes de la reversión de las coberturas correspondientes (artículo 8, apartado 5). |
|
040 |
Valor de liquidez de las garantías reales tomadas en préstamo El valor de liquidez de las garantías reales tomadas en préstamo se comunicará en la columna 040. En el caso de los activos líquidos, el valor de liquidez reflejará el valor del activo, neto de recortes de valoración. La ponderación utilizada guardará relación con la ponderación/el recorte de valoración aplicados al correspondiente tipo de activo en la plantilla C 72.00 del anexo XXIV. La ponderación utilizada la determinará la entidad, pero esta se guiará por las ponderaciones estándar mínimas contempladas en el título II para los correspondientes activos. |
|
050 |
Salidas Cuando la columna 040 sea superior a la columna 020 (por operación), la diferencia se consignará en la columna 050 (salidas), salvo si la contraparte es un banco central, en cuyo caso se consignará una salida igual a cero. |
|
060 |
Entradas sujetas al límite máximo del 75 % Cuando la columna 020 sea superior a la columna 040 (por operación), la diferencia se consignará en las columnas 060/070/080 (entradas), salvo si la garantía real obtenida vuelve a hipotecarse para cubrir posiciones cortas que puedan extenderse más allá de 30 días naturales, en cuyo caso se consignará una entrada igual a cero. Cuando la operación esté sujeta al límite máximo sobre las entradas del 75 %, se utilizará la columna 060. |
|
070 |
Entradas sujetas al límite máximo del 90 % Cuando la columna 020 sea superior a la columna 040 (por operación), la diferencia se consignará en las columnas 060/070/080 (entradas), salvo si la garantía real obtenida vuelve a hipotecarse para cubrir posiciones cortas que puedan extenderse más allá de 30 días naturales, en cuyo caso se consignará una entrada igual a cero. Cuando la operación esté sujeta al límite máximo sobre las entradas del 90 %, se utilizará la columna 070. |
|
080 |
Entradas exentas del límite máximo Cuando la columna 020 sea superior a la columna 040 (por operación), la diferencia se comunicará en las columnas 060/070/080 (entradas), salvo si la garantía real obtenida vuelve a hipotecarse para cubrir posiciones cortas que puedan extenderse más allá de 30 días naturales, en cuyo caso se comunicará una entrada igual a cero. Cuando la operación esté exenta del límite máximo sobre las entradas, se utilizará la columna 080. |
|
090 |
Únicamente derivados con garantía real: valor de mercado de las garantías reales prestadas El valor de mercado de las garantías reales prestadas se comunicará en la columna 090. El valor de mercado reflejará el valor actual de mercado, será bruto de recortes de valoración y neto de los flujos resultantes de la reversión de las coberturas correspondientes (artículo 8, apartado 5). |
|
100 |
Únicamente derivados con garantía real: valor de liquidez de las garantías reales prestadas El valor de liquidez de las garantías reales prestadas se comunicará en la columna 100. En el caso de los activos líquidos, el valor de liquidez reflejará el valor del activo, neto de recortes de valoración. La ponderación utilizada guardará relación con la ponderación/el recorte de valoración aplicados al correspondiente tipo de activo en la plantilla C 72.00 del anexo XXIV. La ponderación utilizada la determinará la entidad, pero esta se guiará por las ponderaciones estándar mínimas contempladas en el título II para los correspondientes activos. |
|
110 |
Únicamente derivados con garantía real: valor de mercado de las garantías reales tomadas en préstamo El valor de mercado de las garantías reales tomadas en préstamo se comunicará en la columna 110. El valor de mercado reflejará el valor actual de mercado, sin deducción de los recortes de valoración, pero sí de los flujos resultantes de la reversión de las coberturas correspondientes (artículo 8, apartado 5). |
|
120 |
Únicamente derivados con garantía real: valor de liquidez de las garantías reales tomadas en préstamo El valor de liquidez de las garantías reales tomadas en préstamo se comunicará en la columna 120. En el caso de los activos líquidos, el valor reflejará el valor del activo, neto de recortes de valoración. La ponderación utilizada guardará relación con la ponderación/el recorte de valoración aplicados al correspondiente tipo de activo en la plantilla C 72.00 del anexo XXIV. La ponderación utilizada la determinará la entidad, pero esta se guiará por las ponderaciones estándar mínimas contempladas en el título II para los correspondientes activos. |
Instrucciones relativas a filas concretas
|
Fila |
Referencias jurídicas e instrucciones |
|
010 |
1. TOTAL DE PERMUTAS DE GARANTÍAS REALES Y DERIVADOS CON GARANTÍA REAL Artículo 28, apartado 4, y artículo 32, apartado 3, del Reglamento Delegado (UE) 2015/61 de la Comisión Las entidades de crédito comunicarán aquí, para cada columna, los valores totales de las permutas de garantías reales y los derivados con garantía real. |
|
020 |
1.1. Totales de las operaciones en las que se prestan activos de nivel 1 (excepto bonos garantizados de calidad sumamente elevada) y se toman en préstamo las siguientes garantías reales: Artículo 28, apartado 4, y artículo 32, apartado 3, del Reglamento Delegado (UE) 2015/61 de la Comisión Las entidades de crédito comunicarán aquí, para cada columna, los valores totales de las permutas de garantías reales y los derivados con garantía real de las operaciones en las que se prestan activos de nivel 1 (excepto bonos garantizados de calidad sumamente elevada). |
|
030 |
1.1.1. Activos de nivel 1 (excepto bonos garantizados de calidad sumamente elevada) Operaciones en las que la entidad ha permutado activos de nivel 1, excepto bonos garantizados de calidad sumamente elevada (prestados), por activos de nivel 1, excepto bonos garantizados de calidad sumamente elevada (tomados en préstamo). |
|
040 |
1.1.2. Bonos garantizados de calidad sumamente elevada de nivel 1 Operaciones en las que la entidad ha permutado activos de nivel 1, excepto bonos garantizados de calidad sumamente elevada (prestados), por bonos garantizados de calidad sumamente elevada de nivel 1 (tomados en préstamo). |
|
050 |
1.1.3. Activos de nivel 2A Operaciones en las que la entidad ha permutado activos de nivel 1, excepto bonos garantizados de calidad sumamente elevada (prestados), por activos de nivel 2A (tomados en préstamo). |
|
060 |
1.1.4. Bonos de titulización de activos (residenciales o automóviles, nivel de calidad crediticia 1) de nivel 2B Operaciones en las que la entidad ha permutado activos de nivel 1, excepto bonos garantizados de calidad sumamente elevada (prestados), por bonos de titulización de activos (residenciales o automóviles, nivel de calidad crediticia 1) de nivel 2B (tomados en préstamo). |
|
070 |
1.1.5. Bonos garantizados de calidad elevada de nivel 2B Operaciones en las que la entidad ha permutado activos de nivel 1, excepto bonos garantizados de calidad sumamente elevada (prestados), por bonos garantizados de calidad elevada de nivel 2B (tomados en préstamo). |
|
080 |
1.1.6. Bonos de titulización de activos (comerciales o particulares, Estados miembros, nivel de calidad crediticia 1) de nivel 2B Operaciones en las que la entidad ha permutado activos de nivel 1, excepto bonos garantizados de calidad sumamente elevada (prestados), por bonos de titulización de activos (comerciales o particulares, Estados miembros, nivel de calidad crediticia 1) de nivel 2B (tomados en préstamo). |
|
090 |
1.1.7. Otros de nivel 2B Operaciones en las que la entidad ha permutado activos de nivel 1, excepto bonos garantizados de calidad sumamente elevada (prestados), por otros activos de nivel 2B (tomados en préstamo). |
|
100 |
1.1.8. Activos no líquidos Operaciones en las que la entidad ha permutado activos de nivel 1, excepto bonos garantizados de calidad sumamente elevada (prestados), por activos no líquidos (tomados en préstamo). |
|
110 |
1.2. Totales de las operaciones en las que se prestan bonos garantizados de calidad sumamente elevada de nivel 1 y se toman en préstamo las siguientes garantías reales: Artículo 28, apartado 4, y artículo 32, apartado 3, del Reglamento Delegado (UE) 2015/61 de la Comisión Las entidades de crédito comunicarán aquí, para cada columna, los valores totales de las permutas de garantías reales y los derivados con garantía real de las operaciones en las que se prestan bonos garantizados de calidad sumamente elevada de nivel 1. |
|
120 |
1.2.1. Activos de nivel 1 (excepto bonos garantizados de calidad sumamente elevada) Operaciones en las que la entidad ha permutado bonos garantizados de calidad sumamente elevada de nivel 1 (prestados) por activos de nivel 1, excepto bonos garantizados de calidad sumamente elevada (tomados en préstamo). |
|
130 |
1.2.2. Bonos garantizados de calidad sumamente elevada de nivel 1 Operaciones en las que la entidad ha permutado bonos garantizados de calidad sumamente elevada de nivel 1 (prestados) por bonos garantizados de calidad sumamente elevada de nivel 1 (tomados en préstamo). |
|
140 |
1.2.3. Activos de nivel 2A Operaciones en las que la entidad ha permutado bonos garantizados de calidad sumamente elevada de nivel 1 (prestados) por activos de nivel 2A (tomados en préstamo). |
|
150 |
1.2.4. Bonos de titulización de activos (residenciales o automóviles, nivel de calidad crediticia 1) de nivel 2B Operaciones en las que la entidad ha permutado bonos garantizados de calidad sumamente elevada de nivel 1 (prestados) por bonos de titulización de activos (residenciales o automóviles, nivel de calidad crediticia 1) de nivel 2B (tomados en préstamo). |
|
160 |
1.2.5. Bonos garantizados de calidad elevada de nivel 2B Operaciones en las que la entidad ha permutado bonos garantizados de calidad sumamente elevada de nivel 1 (prestados) por bonos garantizados de calidad elevada de nivel 2B (tomados en préstamo). |
|
170 |
1.2.6. Bonos de titulización de activos (comerciales o particulares, Estados miembros, nivel de calidad crediticia 1) de nivel 2B Operaciones en las que la entidad ha permutado bonos garantizados de calidad sumamente elevada de nivel 1 (prestados) por bonos de titulización de activos (comerciales o particulares, Estados miembros, nivel de calidad crediticia 1) de nivel 2B (tomados en préstamo). |
|
180 |
1.2.7. Otros de nivel 2B Operaciones en las que la entidad ha permutado bonos garantizados de calidad sumamente elevada de nivel 1 (prestados) por otros activos de nivel 2B (tomados en préstamo). |
|
190 |
1.2.8. Activos no líquidos Operaciones en las que la entidad ha permutado bonos garantizados de calidad sumamente elevada de nivel 1 (prestados) por activos no líquidos (tomados en préstamo). |
|
200 |
1.3. Totales de las operaciones en las que se prestan activos de nivel 2A y se toman en préstamo las siguientes garantías reales: Artículo 28, apartado 4, y artículo 32, apartado 3, del Reglamento Delegado (UE) 2015/61 de la Comisión Las entidades de crédito comunicarán aquí, para cada columna, los valores totales de las permutas de garantías reales y los derivados con garantía real de las operaciones en las que se prestan activos de nivel 2A. |
|
210 |
1.3.1. Activos de nivel 1 (excepto bonos garantizados de calidad sumamente elevada) Operaciones en las que la entidad ha permutado activos de nivel 2A (prestados) por activos de nivel 1, excepto bonos garantizados de calidad sumamente elevada (tomados en préstamo). |
|
220 |
1.3.2. Bonos garantizados de calidad sumamente elevada de nivel 1 Operaciones en las que la entidad ha permutado activos de nivel 2A (prestados) por bonos garantizados de calidad sumamente elevada de nivel 1 (tomados en préstamo). |
|
230 |
1.3.3. Activos de nivel 2A Operaciones en las que la entidad ha permutado activos de nivel 2A (prestados) por activos de nivel 2A (tomados en préstamo). |
|
240 |
1.3.4. Bonos de titulización de activos (residenciales o automóviles, nivel de calidad crediticia 1) de nivel 2B Operaciones en las que la entidad ha permutado activos de nivel 2A (prestados) por bonos de titulización de activos (residenciales o automóviles, nivel de calidad crediticia 1) de nivel 2B (tomados en préstamo). |
|
250 |
1.3.5. Bonos garantizados de calidad elevada de nivel 2B Operaciones en las que la entidad ha permutado activos de nivel 2A (prestados) por bonos garantizados de calidad elevada de nivel 2B (tomados en préstamo). |
|
260 |
1.3.6. Bonos de titulización de activos (comerciales o particulares, Estados miembros, nivel de calidad crediticia 1) de nivel 2B Operaciones en las que la entidad ha permutado activos de nivel 2A (prestados) por bonos de titulización de activos (comerciales o particulares, Estados miembros, nivel de calidad crediticia 1) de nivel 2B (tomados en préstamo). |
|
270 |
1.3.7. Otros de nivel 2B Operaciones en las que la entidad ha permutado activos de nivel 2A (prestados) por otros activos de nivel 2B (tomados en préstamo). |
|
280 |
1.3.8. Activos no líquidos Operaciones en las que la entidad ha permutado activos de nivel 2A (prestados) por activos no líquidos (tomados en préstamo). |
|
290 |
1.4. Totales de las operaciones en las que se prestan bonos de titulización de activos (residenciales o automóviles, nivel de calidad crediticia 1) de nivel 2B y se toman en préstamo las siguientes garantías reales: Artículo 28, apartado 4, y artículo 32, apartado 3, del Reglamento Delegado (UE) 2015/61 de la Comisión Las entidades de crédito comunicarán aquí, para cada columna, los valores totales de las permutas de garantías reales y los derivados con garantía real de las operaciones en las que se prestan bonos de titulización de activos (residenciales o automóviles, nivel de calidad crediticia 1) de nivel 2B. |
|
300 |
1.4.1. Activos de nivel 1 (excepto bonos garantizados de calidad sumamente elevada) Operaciones en las que la entidad ha permutado bonos de titulización de activos (residenciales o automóviles, nivel de calidad crediticia 1) de nivel 2B (prestados) por activos de nivel 1, excepto bonos garantizados de calidad sumamente elevada (tomados en préstamo). |
|
310 |
1.4.2. Bonos garantizados de calidad sumamente elevada de nivel 1 Operaciones en las que la entidad ha permutado bonos de titulización de activos (residenciales o automóviles, nivel de calidad crediticia 1) de nivel 2B (prestados) por bonos garantizados de calidad sumamente elevada de nivel 1 (tomados en préstamo). |
|
320 |
1.4.3. Activos de nivel 2A Operaciones en las que la entidad ha permutado bonos de titulización de activos (residenciales o automóviles, nivel de calidad crediticia 1) de nivel 2B (prestados) por activos de nivel 2A (tomados en préstamo). |
|
330 |
1.4.4. Bonos de titulización de activos (residenciales o automóviles, nivel de calidad crediticia 1) de nivel 2B Operaciones en las que la entidad ha permutado bonos de titulización de activos (residenciales o automóviles, nivel de calidad crediticia 1) de nivel 2B (prestados) por bonos de titulización de activos (residenciales o automóviles, nivel de calidad crediticia 1) de nivel 2B (tomados en préstamo). |
|
340 |
1.4.5. Bonos garantizados de calidad elevada de nivel 2B Operaciones en las que la entidad ha permutado bonos de titulización de activos (residenciales o automóviles, nivel de calidad crediticia 1) de nivel 2B (prestados) por bonos garantizados de calidad elevada de nivel 2B (tomados en préstamo). |
|
350 |
1.4.6. Bonos de titulización de activos (comerciales o particulares, Estados miembros, nivel de calidad crediticia 1) de nivel 2B Operaciones en las que la entidad ha permutado bonos de titulización de activos (residenciales o automóviles, nivel de calidad crediticia 1) de nivel 2B (prestados) por bonos de titulización de activos (comerciales o particulares, Estados miembros, nivel de calidad crediticia 1) de nivel 2B (tomados en préstamo). |
|
360 |
1.4.7. Otros de nivel 2B Operaciones en las que la entidad ha permutado bonos de titulización de activos (residenciales o automóviles, nivel de calidad crediticia 1) de nivel 2B (prestados) por otros activos de nivel 2B (tomados en préstamo). |
|
370 |
1.4.8. Activos no líquidos Operaciones en las que la entidad ha permutado bonos de titulización de activos (residenciales o automóviles, nivel de calidad crediticia 1) de nivel 2B (prestados) por activos no líquidos (tomados en préstamo). |
|
380 |
1.5. Totales de las operaciones en las que se prestan bonos garantizados de calidad elevada de nivel 2B y se toman en préstamo las siguientes garantías reales: Artículo 28, apartado 4, y artículo 32, apartado 3, del Reglamento Delegado (UE) 2015/61 de la Comisión Las entidades de crédito comunicarán aquí, para cada columna, los valores totales de las permutas de garantías reales y los derivados con garantía real de las operaciones en las que se prestan bonos garantizados de calidad elevada de nivel 2B. |
|
390 |
1.5.1. Activos de nivel 1 (excepto bonos garantizados de calidad sumamente elevada) Operaciones en las que la entidad ha permutado bonos garantizados de calidad elevada de nivel 2B (prestados) por activos de nivel 1, excepto bonos garantizados de calidad sumamente elevada (tomados en préstamo). |
|
400 |
1.5.2. Bonos garantizados de calidad sumamente elevada de nivel 1 Operaciones en las que la entidad ha permutado bonos garantizados de calidad elevada de nivel 2B (prestados) por bonos garantizados de calidad sumamente elevada de nivel 1 (tomados en préstamo). |
|
410 |
1.5.3. Activos de nivel 2A Operaciones en las que la entidad ha permutado bonos garantizados de calidad elevada de nivel 2B (prestados) por activos de nivel 2A (tomados en préstamo). |
|
420 |
1.5.4. Bonos de titulización de activos (residenciales o automóviles, nivel de calidad crediticia 1) de nivel 2B Operaciones en las que la entidad ha permutado bonos garantizados de calidad elevada de nivel 2B (prestados) por bonos de titulización de activos (residenciales o automóviles, nivel de calidad crediticia 1) de nivel 2B (tomados en préstamo). |
|
430 |
1.5.5. Bonos garantizados de calidad elevada de nivel 2B Operaciones en las que la entidad ha permutado bonos garantizados de calidad elevada de nivel 2B (prestados) por bonos garantizados de calidad elevada de nivel 2B (tomados en préstamo). |
|
440 |
1.5.6. Bonos de titulización de activos (comerciales o particulares, Estados miembros, nivel de calidad crediticia 1) de nivel 2B Operaciones en las que la entidad ha permutado bonos garantizados de calidad elevada de nivel 2B (prestados) por bonos de titulización de activos (comerciales o particulares, Estados miembros, nivel de calidad crediticia 1) de nivel 2B (tomados en préstamo). |
|
450 |
1.5.7. Otros de nivel 2B Operaciones en las que la entidad ha permutado bonos garantizados de calidad elevada de nivel 2B (prestados) por otros activos de nivel 2B (tomados en préstamo). |
|
460 |
1.5.8. Activos no líquidos Operaciones en las que la entidad ha permutado bonos garantizados de calidad elevada de nivel 2B (prestados) por activos no líquidos (tomados en préstamo). |
|
470 |
1.6. Totales de las operaciones en las que se prestan bonos de titulización de activos (comerciales o particulares, Estados miembros, nivel de calidad crediticia 1) de nivel 2B y se toman en préstamo las siguientes garantías reales: Artículo 28, apartado 4, y artículo 32, apartado 3, del Reglamento Delegado (UE) 2015/61 de la Comisión Las entidades de crédito comunicarán aquí, para cada columna, los valores totales de las permutas de garantías reales y los derivados con garantía real de las operaciones en las que se prestan bonos de titulización de activos (comerciales o particulares, Estados miembros, nivel de calidad crediticia 1) de nivel 2B. |
|
480 |
1.6.1. Activos de nivel 1 (excepto bonos garantizados de calidad sumamente elevada) Operaciones en las que la entidad ha permutado bonos de titulización de activos (comerciales o particulares, Estados miembros, nivel de calidad crediticia 1) de nivel 2B (prestados) por activos de nivel 1, excepto bonos garantizados de calidad sumamente elevada (tomados en préstamo). |
|
490 |
1.6.2. Bonos garantizados de calidad sumamente elevada de nivel 1 Operaciones en las que la entidad ha permutado bonos de titulización de activos (comerciales o particulares, Estados miembros, nivel de calidad crediticia 1) de nivel 2B (prestados) por bonos garantizados de calidad sumamente elevada de nivel 1 (tomados en préstamo). |
|
500 |
1.6.3. Activos de nivel 2A Operaciones en las que la entidad ha permutado bonos de titulización de activos (comerciales o particulares, Estados miembros, nivel de calidad crediticia 1) de nivel 2B (prestados) por activos de nivel 2A (tomados en préstamo). |
|
510 |
1.6.4. Bonos de titulización de activos (residenciales o automóviles, nivel de calidad crediticia 1) de nivel 2B Operaciones en las que la entidad ha permutado bonos de titulización de activos (comerciales o particulares, Estados miembros, nivel de calidad crediticia 1) de nivel 2B (prestados) por bonos de titulización de activos (residenciales o automóviles, nivel de calidad crediticia 1) de nivel 2B (tomados en préstamo). |
|
520 |
1.6.5. Bonos garantizados de calidad elevada de nivel 2B Operaciones en las que la entidad ha permutado bonos de titulización de activos (comerciales o particulares, Estados miembros, nivel de calidad crediticia 1) de nivel 2B (prestados) por bonos garantizados de calidad elevada de nivel 2B (tomados en préstamo). |
|
530 |
1.6.6. Bonos de titulización de activos (comerciales o particulares, Estados miembros, nivel de calidad crediticia 1) de nivel 2B Operaciones en las que la entidad ha permutado bonos de titulización de activos (comerciales o particulares, Estados miembros, nivel de calidad crediticia 1) de nivel 2B (prestados) por bonos de titulización de activos (comerciales o particulares, Estados miembros, nivel de calidad crediticia 1) de nivel 2B (tomados en préstamo). |
|
540 |
1.6.7. Otros de nivel 2B Operaciones en las que la entidad ha permutado bonos de titulización de activos (comerciales o particulares, Estados miembros, nivel de calidad crediticia 1) de nivel 2B (prestados) por otros activos de nivel 2B (tomados en préstamo). |
|
550 |
1.6.8. Activos no líquidos Operaciones en las que la entidad ha permutado bonos de titulización de activos (comerciales o particulares, Estados miembros, nivel de calidad crediticia 1) de nivel 2B (prestados) por activos no líquidos (tomados en préstamo). |
|
560 |
1.7. Totales de las operaciones en las que se prestan otros activos de nivel 2B y se toman en préstamo las siguientes garantías reales: Artículo 28, apartado 4, y artículo 32, apartado 3, del Reglamento Delegado (UE) 2015/61 de la Comisión Las entidades de crédito comunicarán aquí, para cada columna, los valores totales de las permutas de garantías reales y los derivados con garantía real de las operaciones en las que se prestan otros activos de nivel 2B. |
|
570 |
1.7.1. Activos de nivel 1 (excepto bonos garantizados de calidad sumamente elevada) Operaciones en las que la entidad ha permutado otros activos de nivel 2B (prestados) por activos de nivel 1, excepto bonos garantizados de calidad sumamente elevada (tomados en préstamo). |
|
580 |
1.7.2. Bonos garantizados de calidad sumamente elevada de nivel 1 Operaciones en las que la entidad ha permutado otros activos de nivel 2B (prestados) por bonos garantizados de calidad sumamente elevada de nivel 1 (tomados en préstamo). |
|
590 |
1.7.3. Activos de nivel 2A Operaciones en las que la entidad ha permutado otros activos de nivel 2B (prestados) por activos de nivel 2A (tomados en préstamo). |
|
600 |
1.7.4. Bonos de titulización de activos (residenciales o automóviles, nivel de calidad crediticia 1) de nivel 2B Operaciones en las que la entidad ha permutado otros activos de nivel 2B (prestados) por bonos de titulización de activos (residenciales o automóviles, nivel de calidad crediticia 1) de nivel 2B (tomados en préstamo). |
|
610 |
1.7.5. Bonos garantizados de calidad elevada de nivel 2B Operaciones en las que la entidad ha permutado otros activos de nivel 2B (prestados) por bonos garantizados de calidad elevada de nivel 2B (tomados en préstamo). |
|
620 |
1.7.6. Bonos de titulización de activos (comerciales o particulares, Estados miembros, nivel de calidad crediticia 1) de nivel 2B Operaciones en las que la entidad ha permutado otros activos de nivel 2B (prestados) por bonos de titulización de activos (comerciales o particulares, Estados miembros, nivel de calidad crediticia 1) de nivel 2B (tomados en préstamo). |
|
630 |
1.7.7. Otros de nivel 2B Operaciones en las que la entidad ha permutado otros activos de nivel 2B (prestados) por otros activos de nivel 2B (tomados en préstamo). |
|
640 |
1.7.8. Activos no líquidos Operaciones en las que la entidad ha permutado otros activos de nivel 2B (prestados) por activos no líquidos (tomados en préstamo). |
|
650 |
1.8. Totales de las operaciones en las que se prestan activos no líquidos y se toman en préstamo las siguientes garantías reales: Artículo 28, apartado 4, y artículo 32, apartado 3, del Reglamento Delegado (UE) 2015/61 de la Comisión Las entidades de crédito comunicarán aquí, para cada columna, los valores totales de las permutas de garantías reales y los derivados con garantía real de las operaciones en las que se prestan activos no líquidos. |
|
660 |
1.8.1. Activos de nivel 1 (excepto bonos garantizados de calidad sumamente elevada) Operaciones en las que la entidad ha permutado activos no líquidos (prestados) por activos de nivel 1, excepto bonos garantizados de calidad sumamente elevada (tomados en préstamo). |
|
670 |
1.8.2. Bonos garantizados de calidad sumamente elevada de nivel 1 Operaciones en las que la entidad ha permutado activos no líquidos (prestados) por bonos garantizados de calidad sumamente elevada de nivel 1 (tomados en préstamo). |
|
680 |
1.8.3. Activos de nivel 2A Operaciones en las que la entidad ha permutado activos no líquidos (prestados) por activos de nivel 2A (tomados en préstamo). |
|
690 |
1.8.4. Bonos de titulización de activos (residenciales o automóviles, nivel de calidad crediticia 1) de nivel 2B Operaciones en las que la entidad ha permutado activos no líquidos (prestados) por bonos de titulización de activos (residenciales o automóviles, nivel de calidad crediticia 1) de nivel 2B (tomados en préstamo). |
|
700 |
1.8.5. Bonos garantizados de calidad elevada de nivel 2B Operaciones en las que la entidad ha permutado activos no líquidos (prestados) por bonos garantizados de calidad elevada de nivel 2B (tomados en préstamo). |
|
710 |
1.8.6. Bonos de titulización de activos (comerciales o particulares, Estados miembros, nivel de calidad crediticia 1) de nivel 2B Operaciones en las que la entidad ha permutado activos no líquidos (prestados) por bonos de titulización de activos (comerciales o particulares, Estados miembros, nivel de calidad crediticia 1) de nivel 2B (tomados en préstamo). |
|
720 |
1.8.7. Otros de nivel 2B Operaciones en las que la entidad ha permutado activos no líquidos (prestados) por otros activos de nivel 2B (tomados en préstamo). |
|
730 |
1.8.8. Activos no líquidos Operaciones en las que la entidad ha permutado activos no líquidos (prestados) por activos no líquidos (tomados en préstamo). |
|
PRO MEMORIA |
|
|
740 |
2. Total de permutas de garantías reales (todas las contrapartes) en las que se han utilizado garantías reales tomadas en préstamo para cubrir posiciones cortas Las entidades comunicarán aquí el total de permutas de garantías reales (todas las contrapartes) consignadas en las filas anteriores en las que se han utilizado garantías reales tomadas en préstamo para cubrir posiciones cortas, cuando se haya aplicado un índice de salida del 0 %. |
|
750 |
3. Total de permutas de garantías reales con contrapartes pertenecientes al grupo Las entidades comunicarán aquí el total de permutas de garantías reales consignadas en las filas anteriores realizadas con contrapartes pertenecientes al grupo. |
|
760 |
4. Total de permutas de garantías reales con bancos centrales como contrapartes Las entidades comunicarán aquí el total de permutas de garantías reales con bancos centrales como contrapartes consignadas en las filas anteriores, cuando se haya aplicado un índice de salida del 0 %. |
INFORMACIÓN SOBRE LIQUIDEZ (PARTE 5: CÁLCULOS)
4. Cálculos
4.1. Observaciones generales
Se trata de una plantilla resumen que contiene información sobre los cálculos con vistas a dar cuenta del requisito de cobertura de la liquidez que se especifica en el Reglamento Delegado (UE) 2015/61 de la Comisión. Las partidas que no deben ser cumplimentadas por las entidades están coloreadas en gris.
4.2. Observaciones específicas
Las referencias de las celdas siguen el siguiente formato: plantilla; fila; columna. Por ejemplo, {C 72.00; r130; c040} remite a la plantilla sobre activos líquidos; fila 130; columna 040.
Subplantilla de cálculos
Instrucciones relativas a filas concretas
|
Fila |
Referencias jurídicas e instrucciones |
|
CÁLCULOS |
|
|
Numerador, denominador, ratio Artículo 4 del Reglamento Delegado (UE) 2015/61 de la Comisión Numerador, denominador y resultado de la ratio de cobertura de liquidez Introdúzcanse todos los datos que, a continuación, se indican en la columna 010 de la correspondiente fila. |
|
|
010 |
1. Colchón de liquidez Consígnese la cifra correspondiente a {C 76.00; r290; c010}. |
|
020 |
2. Salida neta de liquidez Consígnese la cifra correspondiente a {C 76.00; r370; c010}. |
|
030 |
3. Ratio de cobertura de liquidez (%) Consígnese la ratio de cobertura de liquidez calculada según lo especificado en el artículo 4, apartado 1, del Reglamento Delegado (UE) 2015/61 de la Comisión. La ratio de cobertura de liquidez será igual a la ratio entre el colchón de liquidez de una entidad de crédito y sus salidas netas de liquidez durante un período de tensión de 30 días naturales, y se expresará en porcentaje. Si {C76.00; r020; c010} es igual a cero (dando lugar a una ratio igual a infinito), consígnese el valor 999999. |
|
Cálculos del numerador Artículo 17 y anexo I del Reglamento Delegado (UE) 2015/61 de la Comisión Fórmula para el cálculo del colchón de liquidez Introdúzcanse todos los datos que, a continuación, se indican en la columna 010 de la correspondiente fila. |
|
|
040 |
4. Colchón de liquidez de nivel 1 excepto bonos garantizados de calidad sumamente elevada (valor conforme al artículo 9): sin ajustar Consígnese la cifra correspondiente a {C 72.00; r030; c040}. |
|
050 |
5. Salidas a 30 días de garantías reales de nivel 1 excepto bonos garantizados de calidad sumamente elevada Consígnense las salidas de valores líquidos (excepto bonos garantizados de calidad sumamente elevada) de nivel 1 al revertir cualquier operación de financiación garantizada, operación de préstamo garantizada, operación de intercambio de activos u operación de derivados con garantía real que venza en los 30 días naturales siguientes a la fecha de referencia. |
|
060 |
6. Entradas a 30 días de garantías reales de nivel 1 excepto bonos garantizados de calidad sumamente elevada Consígnense las entradas de valores líquidos (excepto bonos garantizados de calidad sumamente elevada) de nivel 1 al revertir cualquier operación de financiación garantizada, operación de préstamo garantizada, operación de intercambio de activos u operación de derivados con garantía real que venza en los 30 días naturales siguientes a la fecha de referencia. |
|
070 |
7. Salidas de efectivo con garantía Consígnense las salidas de efectivo (activo de nivel 1) al revertir cualquier operación de financiación garantizada, operación de préstamo garantizada, operación de intercambio de activos u operación de derivados con garantía real que venza en los 30 días naturales siguientes a la fecha de referencia. |
|
080 |
8. Entradas de efectivo con garantía Consígnense las entradas de efectivo (activo de nivel 1) al revertir cualquier operación de financiación garantizada, operación de préstamo garantizada, operación de intercambio de activos u operación de derivados con garantía real que venza en los 30 días naturales siguientes a la fecha de referencia. |
|
090 |
9. Importe ajustado de activos de nivel 1, excepto bonos garantizados de calidad sumamente elevada, antes de aplicar el límite máximo Esto se corresponde con a en el anexo I, punto 5. Consígnese el importe ajustado de los activos de nivel 1 no constituidos por bonos garantizados antes de aplicar el límite máximo. El importe ajustado tiene en cuenta la reversión de cualquier operación de financiación garantizada, operación de préstamo garantizada, operación de intercambio de activos u operación de derivados con garantía real que venza en los 30 días naturales siguientes a la fecha de referencia. |
|
100 |
10. Valor de los bonos garantizados de calidad sumamente elevada de nivel 1 conforme al artículo 9: sin ajustar Consígnese la cifra correspondiente a {C 72.00; r180; c040}. |
|
110 |
11. Salidas a 30 días de garantías reales de nivel 1 consistentes en bonos garantizados de calidad sumamente elevada Consígnense las salidas de bonos garantizados de calidad sumamente elevada de nivel 1 al revertir cualquier operación de financiación garantizada, operación de préstamo garantizada, operación de intercambio de activos u operación de derivados con garantía real que venza en los 30 días naturales siguientes a la fecha de referencia. |
|
120 |
12. Entradas a 30 días de garantías reales de nivel 1 consistentes en bonos garantizados de calidad sumamente elevada Consígnense las entradas de bonos garantizados de calidad sumamente elevada de nivel 1 al revertir cualquier operación de financiación garantizada, operación de préstamo garantizada, operación de intercambio de activos u operación de derivados con garantía real que venza en los 30 días naturales siguientes a la fecha de referencia. |
|
130 |
13. Importe ajustado de los bonos garantizados de calidad sumamente elevada de nivel 1 antes de aplicar el límite máximo Esto se corresponde con b en el anexo I, punto 5 Consígnese el importe ajustado de los activos de nivel 1 constituidos por bonos garantizados antes de aplicar el límite máximo. El importe ajustado tiene en cuenta la reversión de cualquier operación de financiación garantizada, operación de préstamo garantizada, operación de intercambio de activos u operación de derivados con garantía real que venza en los 30 días naturales siguientes a la fecha de referencia. |
|
140 |
14. Importe ajustado de los bonos garantizados de calidad sumamente elevada de nivel 1 después de aplicar el límite máximo Esto se corresponde con b′ en el anexo I, punto 5. Consígnese b′ (el importe ajustado de los activos de nivel 1 constituidos por bonos garantizados después de aplicar el límite máximo) = MIN (b, a70/30) siendo b = el importe ajustado de los activos de nivel 1 constituidos por bonos garantizados antes de aplicar el límite máximo |
|
150 |
15. «Importe excedentario de activos líquidos» constituidos por bonos garantizados de calidad sumamente elevada de nivel 1 Consígnese la diferencia entre b y b′, conforme al anexo I, punto 5. |
|
160 |
16. Valor de los activos de nivel 2A conforme al artículo 9: sin ajustar Consígnese la cifra correspondiente a {C 72.00; r230; c040}. |
|
170 |
17. Salidas a 30 días de garantías reales de nivel 2A Consígnense las salidas de valores líquidos de nivel 2A al revertir cualquier operación de financiación garantizada, operación de préstamo garantizada, operación de intercambio de activos u operación de derivados con garantía real que venza en los 30 días naturales siguientes a la fecha de cálculo. |
|
180 |
18. Entradas a 30 días de garantías reales de nivel 2A Consígnense las entradas de valores líquidos de nivel 2A al revertir cualquier operación de financiación garantizada, operación de préstamo garantizada, operación de intercambio de activos u operación de derivados con garantía real que venza en los 30 días naturales siguientes a la fecha de cálculo. |
|
190 |
19. Importe ajustado de los activos de nivel 2A antes de aplicar el límite máximo Esto se corresponde con c en el anexo I, punto 5 Consígnese el importe ajustado de los activos de nivel 2A antes de aplicar el límite máximo. El importe ajustado tiene en cuenta la reversión de cualquier operación de financiación garantizada, operación de préstamo garantizada, operación de intercambio de activos u operación de derivados con garantía real que venza en los 30 días naturales siguientes a la fecha de cálculo. |
|
200 |
20. Importe ajustado de los activos de nivel 2A después de aplicar el límite máximo Esto se corresponde con c′ en el anexo I, punto 5 Consígnese c′ (el importe ajustado de los activos de nivel 2A después de aplicar el límite máximo) = MIN(c, (a + b′)40/60, MAX(a70/30 – b′, 0)) siendo c = el importe ajustado de los activos de nivel 2A antes de aplicar el límite máximo |
|
210 |
21. «Importe excedentario de activos líquidos» de nivel 2A Consígnese la diferencia entre c y c′, conforme al anexo I, punto 5. |
|
220 |
22. Valor de los activos de nivel 2B conforme al artículo 9: sin ajustar Consígnese la cifra correspondiente a {C 72.00; r310; c040}. |
|
230 |
23. Salidas a 30 días de garantías reales de nivel 2B Consígnense las salidas de valores líquidos de nivel 2B al revertir cualquier operación de financiación garantizada, operación de préstamo garantizada, operación de intercambio de activos u operación de derivados con garantía real que venza en los 30 días naturales siguientes a la fecha de cálculo. |
|
240 |
24. Entradas a 30 días de garantías reales de nivel 2B Consígnense las entradas de valores líquidos de nivel 2B al revertir cualquier operación de financiación garantizada, operación de préstamo garantizada, operación de intercambio de activos u operación de derivados con garantía real que venza en los 30 días naturales siguientes a la fecha de cálculo. |
|
250 |
25. Importe ajustado de los activos de nivel 2B antes de aplicar el límite máximo Esto se corresponde con d en el anexo I, punto 5 Consígnese el importe ajustado de los activos de nivel 2B antes de aplicar el límite máximo. El importe ajustado tiene en cuenta la reversión de cualquier operación de financiación garantizada, operación de préstamo garantizada, operación de intercambio de activos u operación de derivados con garantía real que venza en los 30 días naturales siguientes a la fecha de cálculo. |
|
260 |
26. Importe ajustado de los activos de nivel 2B después de aplicar el límite máximo Esto se corresponde con d′ en el anexo I, punto 5 Consígnese d′ (el importe ajustado de los activos de nivel 2B después de aplicar el límite máximo) = MIN (d, (a + b′ + c′)15/85, MAX((a + b′)40/60 – c′,0), MAX(70/30a – b′ – c′,0)) siendo d = el importe ajustado de los activos de nivel 2B antes de aplicar el límite máximo. |
|
270 |
27. «Importe excedentario de activos líquidos» de nivel 2B Consígnese la diferencia entre d y d′, conforme al anexo I, punto 5. |
|
280 |
28. «Importe excedentario de activos líquidos» Anexo I, punto 4 Consígnese el «importe excedentario de activos líquidos», que será igual a: a) el importe ajustado de los activos de nivel 1 no constituidos por bonos garantizados; más b) el importe ajustado de los bonos garantizados de nivel 1; más c) el importe ajustado de los activos de nivel 2A; más d) el importe ajustado de los activos de nivel 2B; menos el menor de los siguientes importes: e) la suma de a), b), c) y d); f) 100/30 multiplicado por a); g) 100/60 multiplicado por la suma de a) y b); h) 100/85 multiplicado por la suma de a), b) y c). |
|
290 |
29. Colchón de liquidez Anexo I, punto 2 Consígnese el colchón de liquidez, que será igual a: a) el importe de los activos de nivel 1; más b) el importe de los activos de nivel 2A; más c) el importe de los activos de nivel 2B; menos el menor de los siguientes importes: d) la suma de a), b) y c); o e) el «importe excedentario de activos líquidos». |
|
Cálculos del denominador Anexo II del Reglamento Delegado (UE) 2015/61 de la Comisión Fórmula para calcular las salidas netas de liquidez donde: NLO = Salida neta de liquidez TO = Total salidas TI = Total entradas FEI = Entradas totalmente exentas IHC = Entradas sujetas a un límite máximo del 90 % de las salidas IC = Entradas sujetas a un límite máximo del 75 % de las salidas Introdúzcanse todos los datos que, a continuación, se indican en la columna 010 de la correspondiente fila. |
|
|
300 |
30. Total salidas TO = importe según la hoja de Salidas Consígnese la cifra correspondiente a {C 73.00; r010; c060}. |
|
310 |
31. Entradas totalmente exentas FEI = importe según la hoja de Entradas Consígnese la cifra correspondiente a {C 74.00; r010; c160}. |
|
320 |
32. Entradas sujetas al límite máximo del 90 % IHC = importe según la hoja de Entradas Consígnese la cifra correspondiente a {C 74.00; r010; c150}. |
|
330 |
33. Entradas sujetas al límite máximo del 75 % IC = importe según las hojas de Entradas y Permutas de garantías reales Consígnese la cifra correspondiente a {C 74.00; r010; c140}. |
|
340 |
34. Reducción aplicable a las entradas totalmente exentas Consígnese la siguiente parte del cálculo de NLO: = MIN (FEI, TO). |
|
350 |
35. Reducción aplicable a las entradas sujetas al límite máximo del 90 % Consígnese la siguiente parte del cálculo de NLO: = MIN (IHC, 0.9*MAX(TO-FEI, 0)). |
|
360 |
36. Reducción aplicable a las entradas sujetas al límite máximo del 75 % Consígnese la siguiente parte del cálculo de NLO: = MIN (IC, 0.75*MAX(TO-FEI-IHC/0.9, 0)). |
|
370 |
37. Salida neta de liquidez Consígnese la salida neta de liquidez, que será igual al total de las salidas menos la reducción aplicable a las entradas totalmente exentas, menos la reducción aplicable a las entradas sujetas al límite máximo del 90 %, menos la reducción aplicable a las entradas sujetas al límite máximo del 75 %. NLO= TO — MIN(FEI, TO) — MIN(IHC, 0.9*MAX(TO-FEI, 0)) — MIN(IC, 0.75*MAX(T0-FEI-IHC/0.9,0)) |
|
Pilar 2 |
|
|
380 |
38. Requisitos del pilar 2 Conforme al artículo 105 de la DRC Consígnense los requisitos del pilar 2. |
( 1 ) Directiva 2009/65/CE del Parlamento Europeo y del Consejo, de 13 de julio de 2009, por la que se coordinan las disposiciones legales, reglamentarias y administrativas sobre determinados organismos de inversión colectiva en valores mobiliarios (OICVM) (DO L 302 de 17.11.2009, p. 32).
( 2 ) Directiva 86/635/CEE del Consejo, de 8 de diciembre de 1986, relativa a las cuentas anuales y a las cuentas consolidadas de los bancos y otras entidades financieras (DO L 372 de 31.12.1986, p. 1).
( 3 ) Los datos exigidos a las entidades en esta plantilla se comunicarán de forma acumulada para el año natural de declaración (es decir, desde el 1 de enero del año corriente).
( 4 ) Son «entidades independientes» las que no forman parte de un grupo ni se consolidan en el mismo país en el que están sujetas a los requisitos de fondos propios.
( 5 ) Reglamento (CE) n.o 1606/2002 del Parlamento Europeo y del Consejo, de 19 de julio de 2002, relativo a la aplicación de normas internacionales de contabilidad (DO L 243 de 11.9.2002, p. 1).
( 6 ) Reglamento (UE) n.o 1071/2013 del Banco Central Europeo, de 24 de septiembre de 2013, relativo al balance del sector de las instituciones financieras monetarias (refundición) (BCE/2013/33) (DO L 297 de 7.11.2013, p. 1).
( 7 ) Reglamento (CE) n.o 1893/2006 del Parlamento Europeo y del Consejo, de 20 de diciembre de 2006, por el que se establece la nomenclatura estadística de actividades económicas NACE Revisión 2 y por el que se modifica el Reglamento (CEE) n.o 3037/90 del Consejo y determinados Reglamentos de la CE sobre aspectos estadísticos específicos (DO L 393 de 30.12.2006, p. 1).
( 8 ) Directiva 86/635/CEE del Consejo, de 8 de diciembre de 1986, relativa a las cuentas anuales y a las cuentas consolidadas de los bancos y otras entidades financieras (DO L 372 de 31.12.1986, p. 1).
( 9 ) Directiva 2013/34/UE del Parlamento Europeo y del Consejo, de 26 de junio de 2013, sobre los estados financieros anuales, los estados financieros consolidados y otros informes afines de ciertos tipos de empresas, por la que se modifica la Directiva 2006/43/CE del Parlamento Europeo y del Consejo y se derogan las Directivas 78/660/CEE y 83/349/CEE del Consejo (DO L 182 de 29.6.2013, p. 19).
( 10 ) Recomendación de la Comisión de 6 de mayo de 2003 sobre la definición de microempresas, pequeñas y medianas empresas (C(2003) 1422) (DO L 124 de 20.5.2003, p. 36).
( 11 ) Incluye las exposiciones de titulizaciones y de renta variable sujetas a riesgo de crédito.