2006L0025 — ES — 01.01.2014 — 003.003
Este documento es un instrumento de documentación y no compromete la responsabilidad de las instituciones
|
DIRECTIVA 2006/25/CE DEL PARLAMENTO EUROPEO Y DEL CONSEJO de 5 de abril de 2006 (DO L 114 de 27.4.2006, p. 38) |
Modificado por:
|
|
|
Diario Oficial |
||
|
No |
page |
date |
||
|
L 165 |
21 |
27.6.2007 |
||
|
REGLAMENTO (CE) No 1137/2008 DEL PARLAMENTO EUROPEO Y DEL CONSEJO de 22 de octubre de 2008 |
L 311 |
1 |
21.11.2008 |
|
|
L 353 |
8 |
28.12.2013 |
||
Rectificado por:
DIRECTIVA 2006/25/CE DEL PARLAMENTO EUROPEO Y DEL CONSEJO
de 5 de abril de 2006
sobre las disposiciones mínimas de seguridad y de salud relativas a la exposición de los trabajadores a riesgos derivados de los agentes físicos (radiaciones ópticas artificiales) (decimonovena Directiva específica con arreglo al artículo 16, apartado 1, de la Directiva 89/391/CEE)
EL PARLAMENTO EUROPEO Y EL CONSEJO DE LA UNIÓN EUROPEA,
Visto el Tratado constitutivo de la Comunidad Europea y, en particular, su artículo 137, apartado 2,
Vista la propuesta de la Comisión ( 1 ), presentada previa consulta al Comité consultivo para la seguridad y la salud en el trabajo,
Visto el dictamen del Comité Económico y Social Europeo ( 2 ),
Previa consulta al Comité de las Regiones,
De conformidad con el procedimiento establecido en el artículo 251 del Tratado ( 3 ), a la vista del texto conjunto aprobado el 31 de enero de 2006 por el Comité de conciliación,
Considerando lo siguiente:|
(1) |
De conformidad con el Tratado, el Consejo puede adoptar, mediante directivas, disposiciones mínimas destinadas a fomentar la mejora, en concreto, del entorno de trabajo, para garantizar un mayor nivel de protección de la salud y la seguridad de los trabajadores. Tales directivas deben evitar el establecimiento de trabas de carácter administrativo, financiero y jurídico que obstaculicen la creación y el desarrollo de pequeñas y medianas empresas (PYME). |
|
(2) |
La Comunicación de la Comisión sobre su programa de acción para la aplicación de la Carta Comunitaria de los Derechos Sociales Fundamentales de los Trabajadores prevé el establecimiento de disposiciones mínimas de salud y de seguridad relativas a la exposición de los trabajadores a los riesgos derivados de los agentes físicos. En septiembre de 1990, el Parlamento Europeo adoptó una Resolución sobre este programa de acción ( 4 ) en la que se invita a la Comisión, entre otras cosas, a elaborar una directiva específica en el ámbito de los riesgos relacionados con el ruido y las vibraciones y con cualquier otro agente físico en el lugar de trabajo. |
|
(3) |
En una primera fase, el Parlamento Europeo y el Consejo adoptaron la Directiva 2002/44/CE, de 25 de junio de 2002, sobre las disposiciones mínimas de seguridad y de salud relativas a la exposición de los trabajadores a los riesgos derivados de los agentes físicos (vibraciones) (decimosexta Directiva específica con arreglo al apartado 1 del artículo 16 de la Directiva 89/391/CEE) ( 5 ). Más adelante, el 6 de febrero de 2003, el Parlamento Europeo y el Consejo adoptaron la Directiva 2003/10/CE, sobre las disposiciones mínimas de seguridad y de salud relativas a la exposición de los trabajadores a los riesgos derivados de los agentes físicos (ruido) (decimoséptima Directiva específica con arreglo al apartado 1 del artículo 16 de la Directiva 89/391/CEE) ( 6 ). Posteriormente, el 29 de abril de 2004, el Parlamento Europeo y el Consejo adoptaron la Directiva 2004/40/CE, sobre las disposiciones mínimas de seguridad y de salud relativas a la exposición de los trabajadores a los riesgos derivados de los agentes físicos (campos electromagnéticos) (decimoctava Directiva específica con arreglo al apartado 1 del artículo 16 de la Directiva 89/391/CEE) ( 7 ). |
|
(4) |
Actualmente, se considera necesario establecer medidas que protejan a los trabajadores de los riesgos asociados a las radiaciones ópticas, debido a sus efectos en la salud y la seguridad de los trabajadores, en particular las lesiones en los ojos y en la piel. Estas medidas tienen como finalidad no solo garantizar la salud y la seguridad de cada trabajador por separado, sino también crear para el conjunto de los trabajadores de la Comunidad una base mínima de protección que evite posibles distorsiones de la competencia. |
|
(5) |
Uno de los objetivos de la presente Directiva es la detección precoz de efectos nocivos para la salud derivados de la exposición a las radiaciones ópticas. |
|
(6) |
La presente Directiva establece unas disposiciones mínimas, lo que permite a los Estados miembros la opción de mantener o adoptar disposiciones más estrictas para la protección de los trabajadores, en particular fijando valores inferiores de exposición. La aplicación de la presente Directiva no ha de servir para justificar deterioro alguno en la situación existente en cada Estado miembro. |
|
(7) |
Un sistema de protección contra los peligros derivados de la radiación óptica debe limitarse a definir, sin detalles inútiles, los objetivos que se deben alcanzar, los principios que han de respetarse y las magnitudes fundamentales que han de aplicarse para permitir a los Estados miembros aplicar las disposiciones mínimas de forma equivalente. |
|
(8) |
El nivel de la exposición a la radiación óptica se puede reducir de manera más eficaz mediante la aplicación de medidas preventivas en la concepción de los puestos de trabajo, así como concediendo prioridad, en la elección de los equipos, procedimientos y métodos de trabajo, a la reducción de los riesgos en su origen. Por lo tanto, las disposiciones relativas a los equipos y métodos de trabajo contribuyen a la protección de los trabajadores que los utilizan. Con arreglo a los principios generales de prevención que establece el artículo 6, apartado 2, de la Directiva 89/391/CEE del Consejo, de 12 de junio de 1989, relativa a la aplicación de medidas para promover la mejora de la seguridad y de la salud de los trabajadores en el trabajo ( 8 ), las medidas de protección colectivas tienen prioridad frente a las medidas de protección individuales. |
|
(9) |
Los empresarios deben adaptarse al progreso técnico y a los conocimientos científicos en materia de riesgos derivados de la exposición a la radiación óptica, a fin de mejorar la seguridad y la protección de la salud de los trabajadores. |
|
(10) |
Dado que la presente Directiva es una directiva específica con arreglo al artículo 16, apartado 1, de la Directiva 89/391/CEE, esta última se aplica a la exposición de los trabajadores a la radiación óptica, sin perjuicio de las disposiciones más rigurosas o específicas de la presente Directiva. |
|
(11) |
La presente Directiva constituye un elemento concreto en el marco de la realización de la dimensión social del mercado interior. |
|
(12) |
Para promover los principios de mejora de la actividad normativa y asegurar un nivel elevado de protección, un acercamiento complementario consiste en velar para que los productos elaborados por los fabricantes de fuentes de radiación óptica y equipos conexos sean conformes a las normas armonizadas elaboradas para proteger la seguridad y la salud de los usuarios contra los riesgos inherentes a dichos productos; por consiguiente, no es necesario que los empresarios repitan las mediciones o los cálculos ya realizados por el fabricante para determinar la conformidad con las disposiciones esenciales de seguridad de esos equipos que se especifican en las directivas comunitarias aplicables, siempre y cuando dichos equipos hayan sido objeto de un mantenimiento adecuado y periódico. |
|
(13) |
Las medidas necesarias para la ejecución de la presente Directiva deben aprobarse con arreglo a la Decisión 1999/468/CE del Consejo, de 28 de junio de 1999, por la que se establecen los procedimientos para el ejercicio de las competencias de ejecución atribuidas a la Comisión ( 9 ). |
|
(14) |
La observancia de los valores límite de exposición debe proporcionar un elevado nivel de protección contra los efectos para la salud que pueden derivarse de la exposición a la radiación óptica. |
|
(15) |
La Comisión debe elaborar una guía práctica que ayude a los empresarios, y especialmente a los directivos de las PYME, a comprender mejor las disposiciones técnicas de la presente Directiva. La Comisión debe intentar concluir lo antes posible dicha guía con el fin de facilitar la adopción por los Estados miembros de las medidas necesarias para la aplicación de la presente Directiva. |
|
(16) |
De conformidad con el punto 34 del Acuerdo interinstitucional «Legislar mejor» ( 10 ), se alienta a los Estados miembros a establecer, en su propio interés y en el de la Comunidad, sus propios cuadros, que muestren, en la medida de lo posible, la concordancia entre la presente Directiva y las medidas de incorporación al Derecho nacional, y a hacerlos públicos. |
HAN ADOPTADO L A PRESENTE DIRECTIVA:
SECCIÓN I
DISPOSICIONES GENERALES
Artículo 1
Objeto y ámbito de aplicación
1. La presente Directiva, que es la decimonovena Directiva específica con arreglo al artículo 16, apartado 1, de la Directiva 89/391/CEE, establece las disposiciones mínimas en materia de protección de los trabajadores contra los riesgos para su salud y su seguridad derivados o que puedan derivarse de la exposición a radiaciones ópticas artificiales durante su trabajo.
2. La presente Directiva se refiere al riesgo para la salud y la seguridad de los trabajadores debido a los efectos nocivos en los ojos y en la piel causados por la exposición a radiaciones ópticas artificiales.
3. La Directiva 89/391/CEE se aplicará plenamente al conjunto del ámbito a que se refiere el apartado 1, sin perjuicio de disposiciones más rigurosas o específicas contenidas en la presente Directiva.
Artículo 2
Definiciones
A efectos de la presente Directiva, se entenderá por:
a) «radiación óptica»: toda radiación electromagnética cuya longitud de onda esté comprendida entre 100 nm y 1 mm. El espectro de la radiación óptica se divide en radiación ultravioleta, radiación visible y radiación infrarroja:
i) «radiación ultravioleta»: la radiación óptica de longitud de onda comprendida entre 100 y 400 nm. La región ultravioleta se divide en UVA (315-400 nm), UVB (280-315 nm) y UVC (100-280 nm),
ii) «radiación visible»: la radiación óptica de longitud de onda comprendida entre 380 nm y 780 nm,
iii) «radiación infrarroja»: la radiación óptica de longitud de onda comprendida entre 780 nm y 1 mm. La región infrarroja se divide en IRA (780-1 400 nm), IRB ((1 400 -3 000 nm) e IRC ((3 000 nm-1 mm);
b) «láser» (light amplification by stimulated emission of radiation; amplificación de luz por emisión estimulada de radiación): todo dispositivo susceptible de producir o amplificar la radiación electromagnética en el intervalo de la longitud de onda de la radiación óptica, principalmente mediante el proceso de emisión estimulada controlada;
c) «radiación láser»: la radiación óptica procedente de un láser;
d) «radiación incoherente»: toda radiación óptica distinta de una radiación láser;
e) «valores límite de exposición»: los límites de la exposición a la radiación óptica basados directamente en los efectos sobre la salud comprobados y en consideraciones biológicas. El cumplimiento de estos límites garantizará que los trabajadores expuestos a fuentes artificiales de radiación óptica estén protegidos contra todos los efectos nocivos para la salud que se conocen;
f) «irradiancia (E) o densidad de potencia»: la potencia radiante que incide, por unidad de área, sobre una superficie, expresada en vatios por metro cuadrado (W m-2);
g) «exposición radiante (H)»: la irradiancia integrada con respecto al tiempo, expresada en julios por metro cuadrado (J m-2);
h) «radiancia (L)»: el flujo radiante o la potencia radiante emitida por unidad de ángulo sólido y por unidad de área, expresada en vatios por metro cuadrado por estereorradián (W m-2 sr-1);
i) «nivel»: la combinación de irradiancia, exposición radiante y radiancia a la que esté expuesto un trabajador.
Artículo 3
Valores límite de exposición
1. En el anexo I se fijan los valores límite de exposición para la radiación incoherente distinta de la emitida por las fuentes naturales de radiación óptica.
2. En el anexo II se fijan los valores límite de exposición para la radiación láser.
SECCIÓN II
OBLIGACIONES DE LOS EMPRESARIOS
Artículo 4
Determinación de la exposición y evaluación de los riesgos
1. En cumplimiento de las obligaciones establecidas en el artículo 6, apartado 3, y en el artículo 9, apartado 1, de la Directiva 89/391/CEE, en el caso de que los trabajadores estén expuestos a fuentes artificiales de radiación óptica, el empresario deberá evaluar y, en caso necesario, medir y/o calcular los niveles de exposición a la radiación óptica a que estén expuestos los trabajadores, de manera que puedan definirse y ponerse en práctica las medidas necesarias para reducir la exposición a los límites aplicables. La metodología aplicada en la evaluación, la medición y/o los cálculos se ajustará a las normas de la Comisión Electrotécnica Internacional (CEI) para la radiación láser y a las recomendaciones de la Comisión Internacional de Iluminación (CIE) y del Comité Europeo de Normalización (CEN) para la radiación incoherente. Cuando se presenten situaciones de exposición para las que esas normas y recomendaciones no son aplicables, y hasta que se disponga de normas y recomendaciones adecuadas de la UE, las evaluaciones, mediciones y/o cálculos se efectuarán según los criterios de orden científico establecidos a nivel nacional o internacional. En ambos tipos de situación de exposición, la evaluación podrá tener en cuenta los datos facilitados por los fabricantes de equipos, cuando éstos estén sujetos a las directivas comunitarias pertinentes.
2. La evaluación, la medición y/o el cálculo mencionados en el apartado 1 serán programados y efectuados por los servicios o personas competentes con la periodicidad adecuada, teniendo en cuenta, en especial, las disposiciones de los artículos 7 y 11 de la Directiva 89/391/CEE relativas a las competencias necesarias de personas o servicios y a la consulta y participación de los trabajadores. Los datos obtenidos de las evaluaciones, incluidos los obtenidos de la medición y/o el cálculo del nivel de exposición mencionados en el apartado 1, se conservarán en una forma adecuada que permita su consulta posterior.
3. En virtud de lo dispuesto en el artículo 6, apartado 3, de la Directiva 89/391/CEE, el empresario, al evaluar los riesgos, concederá particular atención a los siguientes aspectos:
a) el nivel, el intervalo de longitudes de onda y la duración de la exposición a fuentes artificiales de radiación óptica;
b) los valores límite de exposición mencionados en el artículo 3 de la presente Directiva;
c) los posibles efectos en la salud y la seguridad de los trabajadores pertenecientes a grupos de riesgo particularmente sensibles;
d) los posibles efectos en la salud y la seguridad de los trabajadores, resultantes de las interacciones, en el lugar de trabajo, entre la radiación óptica y las sustancias químicas fotosensibilizantes;
e) los posibles efectos indirectos, como el deslumbramiento temporal, la explosión o el incendio;
f) la existencia de equipos sustitutivos concebidos para reducir los niveles de exposición a radiaciones ópticas artificiales;
g) la información pertinente obtenida de la vigilancia de la salud, incluida la información publicada, en la medida en que sea posible;
h) las fuentes de exposición múltiples a radiaciones ópticas artificiales;
i) la clasificación de un láser con arreglo a la norma correspondiente de la CEI y, en lo que respecta a las fuentes artificiales susceptibles de ocasionar lesiones similares a las provocadas por un láser de clase 3B o 4, cualquier clasificación análoga;
j) la información facilitada por los fabricantes de fuentes de radiación óptica y equipos de trabajo relacionados de conformidad con las directivas comunitarias aplicables.
4. El empresario deberá disponer de una evaluación de los riesgos, de conformidad con el artículo 9, apartado 1, letra a), de la Directiva 89/391/CEE, y determinar las medidas que deban adoptarse de conformidad con los artículos 5 y 6 de la presente Directiva. La evaluación de riesgos deberá consignarse en el soporte apropiado, con arreglo a los usos y a la legislación nacionales, y podrá incluir una justificación del empresario de que la naturaleza y el alcance de los riesgos relacionados con la radiación óptica hacen innecesaria una evaluación más detallada de los mismos. La evaluación de riesgos se actualizará de forma periódica, en particular si se han producido cambios significativos que pudieran dejarla desfasada, o siempre que los resultados de la vigilancia de la salud pongan de manifiesto su necesidad.
Artículo 5
Disposiciones encaminadas a evitar o reducir riesgos
1. Teniendo en cuenta los avances técnicos y la disponibilidad de medidas de control del riesgo en su origen, los riesgos derivados de la exposición a radiaciones ópticas artificiales deberán eliminarse o reducirse al mínimo.
La reducción de los riesgos derivados de la exposición a radiaciones ópticas artificiales se basará en los principios generales de prevención que se establecen en la Directiva 89/391/CEE.
2. Cuando en la evaluación de riesgos para los trabajadores expuestos a fuentes artificiales de radiación óptica, realizada de conformidad con el artículo 4, apartado 1, se haya detectado cualquier posibilidad de que se superen los valores límite de exposición, el empresario elaborará y aplicará un plan de acción que incluirá medidas técnicas y/u organizativas destinadas a impedir que la exposición supere los valores límite de exposición, teniendo particularmente en cuenta:
a) otros métodos de trabajo que reduzcan el riesgo derivado de la radiación óptica;
b) la elección de equipos que generen menos radiación óptica, teniendo en cuenta el trabajo al que se destinan;
c) medidas técnicas para reducir la emisión de radiación óptica, incluido, cuando sea necesario, el uso de sistemas de cerramiento, el blindaje o mecanismos similares de protección de la salud;
d) programas adecuados de mantenimiento del equipo de trabajo, los lugares de trabajo y los puestos de trabajo;
e) la concepción y disposición de los lugares y puestos de trabajo;
f) la limitación de la duración y del nivel de la exposición;
g) la disponibilidad de equipo adecuado de protección personal;
h) las instrucciones del fabricante del equipo, cuando esté cubierto por una Directiva comunitaria pertinente.
3. A tenor de la evaluación del riesgo mencionada en el artículo 4, los lugares de trabajo en que los trabajadores puedan estar expuestos a niveles de radiación óptica de fuentes artificiales que superen los valores límite de exposición se señalizarán adecuadamente de conformidad con lo dispuesto en la Directiva 92/58/CEE del Consejo, de 24 de junio de 1992, relativa a las disposiciones mínimas en materia de señalización de seguridad y de salud en el trabajo (novena Directiva particular con arreglo a lo dispuesto en el apartado 1 del artículo 16 de la Directiva 89/391/CEE) ( 11 ). Asimismo, cuando sea posible desde el punto de vista técnico y exista el riesgo de que se superen los valores límite de exposición, se identificarán esos lugares y se limitará el acceso a los mismos.
4. La exposición de los trabajadores no deberá superar los valores límite de exposición. En cualquier caso, si, a pesar de las medidas adoptadas por el empresario para cumplir lo dispuesto en la presente Directiva con respecto a las fuentes artificiales de radiación óptica, se superasen los valores límite de exposición, el empresario actuará inmediatamente para reducir la exposición por debajo de dichos valores límite, determinará las causas por las que se han superado esos valores límite y adaptará en consecuencia las medidas de protección y prevención para impedir que se vuelvan a superar.
5. De conformidad con lo dispuesto en el artículo 15 de la Directiva 89/391/CEE, el empresario adaptará las medidas mencionadas en el presente artículo a las necesidades de los trabajadores pertenecientes a grupos de riesgo particularmente sensibles.
Artículo 6
Información y formación de los trabajadores
Sin perjuicio de lo dispuesto en los artículos 10 y 12 de la Directiva 89/391/CEE, el empresario velará por que los trabajadores que se vean expuestos en el lugar de trabajo a los riesgos derivados de las radiaciones ópticas artificiales y/o sus representantes reciban la información y formación necesarias sobre el resultado de la evaluación de riesgos prevista en el artículo 4 de la presente Directiva, en particular sobre:
a) las medidas adoptadas en aplicación de la presente Directiva;
b) los valores límite de exposición y los riesgos potenciales asociados;
c) los resultados de las evaluaciones, mediciones y/o cálculos de los niveles de exposición a radiaciones ópticas artificiales efectuados de conformidad con el artículo 4 de la presente Directiva, así como las explicaciones sobre su significado y sobre los riesgos potenciales;
d) la forma de detectar los efectos nocivos para la salud debidos a la exposición y la forma de informar sobre ellos;
e) las circunstancias en las que los trabajadores tienen derecho a una vigilancia de la salud;
f) las prácticas de trabajo seguras para reducir al mínimo los riesgos derivados de la exposición;
g) el uso correcto de los equipos adecuados de protección personal.
Artículo 7
Consulta y participación de los trabajadores
La consulta y la participación de los trabajadores y/o de sus representantes sobre las cuestiones contempladas en la presente Directiva se realizarán de conformidad con el artículo 11 de la Directiva 89/391/CEE.
SECCIÓN III
DISPOSICIONES VARIAS
Artículo 8
Vigilancia de la salud
1. A efectos de las prevención y detección precoz de cualquier efecto nocivo para la salud, así como de la prevención de cualquier riesgo a largo plazo para la salud y de cualquier riesgo de enfermedad crónica que se deriven de la exposición a las radiaciones ópticas, los Estados miembros adoptarán disposiciones para garantizar una adecuada vigilancia de la salud de los trabajadores de conformidad con el artículo 14 de la Directiva 89/391/CEE.
2. Los Estados miembros garantizarán que la vigilancia de la salud corra a cargo de un médico, un especialista de medicina del trabajo o una autoridad sanitaria competente en materia de vigilancia de la salud de conformidad con la legislación y la práctica nacionales.
3. Los Estados miembros adoptarán las medidas necesarias para que se establezcan y se mantengan al día historiales médicos individuales para cada trabajador sujeto a la vigilancia de la salud que contempla el apartado 1. Los historiales médicos contendrán el resumen de los resultados de la vigilancia de la salud realizada. Se mantendrán de forma adecuada para que puedan consultarse posteriormente teniendo en cuenta el respeto a la confidencialidad de los datos. A petición de la autoridad competente le serán facilitadas copias de los historiales pertinentes, teniendo en cuenta el respeto a la confidencialidad de los datos. En función de lo que consideren adecuado los Estados miembros, el empresario adoptará las medidas oportunas para garantizar al médico, al especialista de medicina del trabajo o a la autoridad sanitaria competente en materia de vigilancia de la salud el acceso a los resultados de la evaluación de los riesgos a que se refiere el artículo 4, cuando tales resultados puedan ser útiles para la vigilancia de la salud. Cada trabajador, previa petición, tendrá acceso a su historial médico personal.
4. En todo caso, cuando se detecte una exposición que supere los valores límite, el trabajador o los trabajadores afectados tendrán la posibilidad de someterse a un examen médico de acuerdo con la legislación y la práctica nacionales. Este examen médico se efectuará igualmente cuando, como resultado de la vigilancia de la salud, se establezca que un trabajador padece una enfermedad o efecto nocivo para la salud identificable, que a juicio de un médico o un especialista de medicina del trabajo sea consecuencia de la exposición a radiaciones ópticas artificiales en el trabajo. En ambos casos, si se superan los valores límite o se identifican efectos nocivos para la salud (incluidas enfermedades):
a) el médico o persona cualificada informarán al trabajador de los resultados que le afecten personalmente. En particular, será informado y asesorado con relación a cualquier medida de vigilancia de la salud a la que sea conveniente someterse tras el cese de la exposición;
b) se informará al empresario de cualquier resultado significativo de la vigilancia de la salud, teniendo en cuenta el respeto a la confidencialidad de los datos médicos;
c) el empresario:
— revisará la evaluación del riesgo efectuada con arreglo al artículo 4,
— revisará las medidas establecidas para eliminar o reducir los riesgos con arreglo al artículo 5,
— tendrá en cuenta las recomendaciones de los especialistas de medicina del trabajo, de otras personas cualificadas o de la autoridad competente al aplicar las medidas necesarias para eliminar o reducir el riesgo con arreglo al artículo 5, y
— dispondrá lo necesario para que se lleve a cabo una vigilancia continuada de la salud y el examen del estado de salud de todos los demás trabajadores que hayan sufrido una exposición similar. En estos casos, el médico o el especialista de medicina del trabajo competentes o la autoridad competente podrán proponer que las personas expuestas se sometan a un examen médico.
Artículo 9
Sanciones
Los Estados miembros establecerán sanciones adecuadas que se aplicarán en caso de infracción de la legislación nacional adoptada en virtud de la presente Directiva. Las sanciones deberán ser eficaces, proporcionadas y disuasorias.
Artículo 10
Modificaciones técnicas
1. El Consejo y el Parlamento Europeo adoptarán las modificaciones de los valores límite de exposición establecidos en los anexos, de conformidad con el procedimiento contemplado en el artículo 137, apartado 2, del Tratado.
2. La Comisión adoptará las modificaciones de los anexos de carácter estrictamente técnico en función:
a) de la adopción de directivas en materia de armonización técnica y de normalización relativas a la concepción, construcción, fabricación o realización de equipos y/o de lugares de trabajo;
b) del progreso técnico, de la evolución de las normas europeas armonizadas o de las especificaciones internacionales más apropiadas y de los nuevos conocimientos sobre la exposición a las radiaciones ópticas en el trabajo.
Dichas medidas, destinadas a modificar elementos no esenciales de la presente Directiva, se adoptarán con arreglo al procedimiento de reglamentación con control contemplado en el artículo 11, apartado 2. Por imperiosas razones de urgencia, la Comisión podrá recurrir al procedimiento de urgencia contemplado en el artículo 11, apartado 3.
Artículo 11
Comité
1. La Comisión estará asistida por el Comité a que se refiere el artículo 17 de la Directiva 89/391/CEE.
2. En los casos en que se haga referencia al presente apartado, serán de aplicación el artículo 5 bis, apartados 1 a 4, y el artículo 7 de la Decisión 1999/468/CE, observando lo dispuesto en su artículo 8.
3. En los casos en que se haga referencia al presente apartado, serán de aplicación el artículo 5 bis, apartados 1, 2, 4 y 6, y el artículo 7 de la Decisión 1999/468/CE, observando lo dispuesto en su artículo 8.
SECCIÓN IV
DISPOSICIONES FINALES
▼M1 —————
Artículo 13
Guía práctica
Para facilitar la aplicación de la presente Directiva, la Comisión elaborará una guía práctica sobre las disposiciones de los artículos 4 y 5 y de los anexos I y II.
Artículo 14
Incorporación al Derecho nacional
1. Los Estados miembros pondrán en vigor las disposiciones legales, reglamentarias y administrativas necesarias para dar cumplimiento a lo establecido en la presente Directiva a más tardar el 27 de mayo de 2010. Informarán de ello inmediatamente a la Comisión.
Cuando los Estados miembros adopten dichas disposiciones, éstas incluirán una referencia a la presente Directiva o irán acompañadas de dicha referencia en su publicación oficial. Los Estados miembros establecerán las modalidades de la mencionada referencia.
2. Los Estados miembros comunicarán a la Comisión el texto de las disposiciones de Derecho interno ya adoptadas o que adopten en el ámbito regulado por la presente Directiva.
Artículo 14 bis
1. Sin perjuicio de los principios generales de protección y prevención en el ámbito de la salud y la seguridad de los trabajadores, Francia podrá no aplicar en Mayotte, como región ultraperiférica en el sentido del artículo 349 del Tratado de Funcionamiento de la Unión Europea (en lo sucesivo «Mayotte») hasta el 31 de diciembre de 2017, las disposiciones necesarias para dar cumplimiento a lo establecido en la presente Directiva en los casos en que esta aplicación precise instalaciones técnicas específicas y Mayotte no disponga de las mismas.
El párrafo primero no se aplicará a las obligaciones establecidas en el artículo 5, apartado 1, de la presente Directiva, ni a las disposiciones de la presente Directiva que reflejen los principios generales establecidos en la Directiva 89/391/CEE.
2. Todas las excepciones de lo establecido en la presente Directiva que sean consecuencia de la aplicación de medidas vigentes el 1 de enero de 2014 o de la adopción de nuevas medidas irán precedidas de una consulta de los interlocutores sociales de conformidad con la legislación y las prácticas nacionales. Estas excepciones se aplicarán con unas condiciones que, teniendo en cuenta las circunstancias específicas imperantes en Mayotte, garanticen que los riesgos resultantes para los trabajadores se reduzcan al mínimo y que los trabajadores disfruten de una vigilancia reforzada de la salud.
3. Las medidas nacionales por las que se introduzcan excepciones se examinarán cada año, previa consulta de los interlocutores sociales, y se retirarán tan pronto como dejen de existir las circunstancias que las justifican.
Artículo 15
Entrada en vigor
La presente Directiva entrará en vigor el día de su publicación en el Diario Oficial de la Unión Europea.
Artículo 16
Destinatarios
Los destinatarios de la presente Directiva son los Estados miembros.
ANEXO I
Radiaciones ópticas incoherentes
Los valores de exposición a las radiaciones ópticas que son pertinentes desde un punto de vista biofísico pueden determinarse mediante las fórmulas recogidas a continuación. Las fórmulas que deben utilizarse dependen del intervalo de radiaciones que emite la fuente y los resultados deberán compararse con los correspondientes valores límite de exposición indicados en la tabla 1.1. A una determinada fuente de radiación óptica pueden corresponder varios valores de exposición con sus correspondientes límites de exposición.
Las letras a) a o) se refieren a las filas de la tabla 1.1.
|
a) |
|
(Heff es pertinente únicamente en el intervalo de la longitud de onda entre 180 y 400 nm) |
|
b) |
|
(HUVA es pertinente únicamente en el intervalo de la longitud de onda entre 315 y 400 nm) |
|
c, d) |
|
(LB es pertinente únicamente en el intervalo de la longitud de onda entre 300 y 700 nm) |
|
e, f) |
|
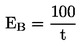
(EB es pertinente únicamente en el intervalo de la longitud de onda entre 300 y 700 nm) |
|
g a l) |
|
(véase la tabla 1.1 para los valores adecuados de λ1 y λ2) |
|
m, n) |
|
(EIR es pertinente únicamente en el intervalo de la longitud de onda entre 780 y 3 000 nm) |
|
o) |
|
(Hpiel es pertinente únicamente en el intervalo de la longitud de onda entre 380 y 3 000 nm) |
A efectos de la presente Directiva, las fórmulas mencionadas anteriormente pueden sustituirse por las siguientes expresiones y el uso de los valores discretos establecidos en las siguientes tablas:
|
a) |
|
y
|
|
b) |
|
y
|
|
c) d) |
|
|
|
e) f) |
|
|
|
g) a l) |
|
(véase la tabla 1.1 para los valores adecuados de λ1 y λ2) |
|
m) n) |
|
|
|
o) |
|
y
|
Notas:
|
Eλ (λ, t), Eλ |
«irradiancia espectral o densidad de potencia espectral»: la potencia radiante que incide, por unidad de área, sobre una superficie, expresada en vatios por metro cuadrado por nanómetro [W m-2 nm-1]; los valores Eλ (λ, t) y Eλ proceden de mediciones o puede facilitarlos el fabricante del equipo; |
|
Eeff |
«irradiancia efectiva (rango de las radiaciones UV)»: irradiancia calculada para el intervalo de las longitudes de onda UV entre 180 y 400 nm, ponderada espectralmente por S (λ), y expresada en vatios por metro cuadrado [W m-2]; |
|
H |
«exposición radiante»: la irradiancia integrada con respecto al tiempo, expresada en julios por metro cuadrado [J m-2]; |
|
Heff |
«exposición radiante efectiva»: exposición radiante ponderada espectralmente por S (λ), expresada en julios por metro cuadrado [J m-2]; |
|
EUVA |
«irradiancia total (UVA)»: irradiancia calculada para el intervalo de las longitudes de onda UVA entre 315 y 400 nm, expresada en vatios por metro cuadrado [W m-2]; |
|
HUVA |
«exposición radiante»: la integral o la suma de la irradiancia con respecto al tiempo y a la longitud de onda calculada para el intervalo de las longitudes de onda UVA comprendido entre 315 y 400 nm, expresada en julios por metro cuadrado [J m-2]; |
|
S (λ) |
«ponderación espectral» que tiene en cuenta la relación entre la longitud de onda y los efectos para la salud de la radiación UV sobre los ojos y la piel (tabla 1.2) [sin dimensiones]; |
|
t, Δt |
«tiempo»: duración de la exposición, expresado en segundos [s]; |
|
λ |
«longitud de onda»: expresada en nanómetros [nm]; |
|
Δ λ |
«ancho de banda»: expresado en nanómetros [nm], intervalos de cálculo o de medida; |
|
Lλ (λ), Lλ |
«radiancia espectral de la fuente»: expresada en vatios por metro cuadrado por estereorradián por nanómetro [W m-2 sr–1 nm-1]; |
|
R (λ) |
«ponderación espectral» que tiene en cuenta la relación entre la longitud de onda y las lesiones en los ojos por efecto térmico provocado por la radiación visible y IRA (tabla 1.3) [sin dimensiones]; |
|
LR |
«radiancia efectiva (lesión por efecto térmico)»: radiancia calculada y ponderada espectralmente por R (λ), expresada en vatios por metro cuadrado por estereorradián [W m-2 sr–1]; |
|
B (λ) |
«ponderación espectral» que tiene en cuenta la relación entre la longitud de onda y la lesión fotoquímica causada en los ojos por la radiación de luz azul (tabla 1.3) [sin dimensiones]; |
|
LB |
«radiancia efectiva (luz azul)»: radiancia calculada y ponderada espectralmente por B (λ), expresada en vatios por metro cuadrado por estereorradián [W m-2 sr–1]; |
|
EB |
«irradiancia efectiva (luz azul)»: irradiancia calculada y ponderada espectralmente por B (λ), expresada en vatios por metro cuadrado [W m-2]; |
|
EIR |
«irradiancia total (lesión por efecto térmico)»: irradiancia calculada para el intervalo de las longitudes de onda de infrarrojos entre 780 nm y 3 000 nm, expresada en vatios por metro cuadrado [W m-2]; |
|
Epiel |
«irradiancia total (visible, IRA e IRB)»: irradiancia calculada para el intervalo de las longitudes de onda visibles e infrarrojos entre 380 nm y 3 000 nm, expresada en vatios por metro cuadrado [W m-2]; |
|
Hpiel |
«exposición radiante», la integral o la suma de la irradiancia con respecto al tiempo y a la longitud de onda calculada para el intervalo de longitudes de onda visibles e infrarrojos entre 380 y 3 000 nm, expresada en julios por metro cuadrado [J m-2]; |
|
α |
«ángulo subtendido»: el ángulo subtendido por una fuente aparente, percibido en un punto del espacio, expresado en milirradianes (mrad). La fuente aparente es el objeto real o virtual que forma la imagen retiniana lo más pequeña posible. |
Tabla 1.1:
Valores límite de exposición para las radiaciones ópticas incoherentes
|
Orden |
Longitud de onda nm |
Valores límite de exposición |
Unidades |
Observación |
Partes del cuerpo |
Riesgo |
||
|
a. |
180 — 400 (UVA, UVB y UVC) |
Heff = 30 Valor diario: 8 horas |
[J m-2] |
|
piel |
fotoqueratitis conjuntivitis cataratas eritema elastosis cáncer de piel |
||
|
b. |
315 — 400 (UVA) |
HUVA = 104 Valor diario: 8 horas |
[J m-2] |
|
ojos cristalino |
cataractogénesis |
||
|
c. |
300 — 700 (luz azul) véase la nota 1 |
para t ≤ 10 000 s |
LB:[W m-2 sr-1] t: [segundos] |
para α ≥ 11 mrad |
ojos retina |
fotorretinitis |
||
|
d. |
300 — 700 (luz azul) véase la nota 1 |
LB = 100 para t > 10 000 s |
[W m-2 sr-1] |
|||||
|
e. |
300 — 700 (luz azul) véase la nota 1 |
para t ≤ 10 000 s |
EB: [W m-2] t: [segundos] |
para α < 11 mrad véase la nota 2 |
||||
|
f. |
300 — 700 (luz azul) véase la nota 1 |
EB = 0,01 t >10 000 s |
[W m-2] |
|||||
|
g. |
380 — 1 400 (visible e IRA) |
para t >10 s |
[W m-2 sr-1] |
Cα = 1,7 para α ≤ 1,7 mrad Cα = α para 1,7 ≤ α ≤ 100 mrad Cα = 100 para α > 100 mrad λ1= 380; λ2= 1 400 |
ojos retina |
quemadura de la retina |
||
|
h. |
380 — 1 400 (visible e IRA) |
para 10 μs ≤ t ≤ 10 s |
LR:[W m-2 sr-1] t: [segundos] |
|||||
|
i. |
380 — 1 400 (visible e IRA) |
para t <10 μs |
[W m-2 sr-1] |
|||||
|
j. |
780 — 1 400 (IRA) |
para t > 10 s |
[W m-2 sr-1] |
Cα = 11 para α ≤ 11 mrad Cα = α para 11≤ α ≤ 100 mrad Cα = 100 para α > 100 mrad (tamaño del campo visual: 11 mrad) λ1= 780; λ2= 1 400 |
ojos retina |
quemadura de la retina |
||
|
k. |
780 — 1 400 (IRA) |
para 10 μs ≤ t ≤ 10 s |
LR: [W m-2 sr-1] t: [segundos] |
|||||
|
l. |
780 — 1 400 (IRA) |
para t < 10 μs |
[W m-2 sr-1] |
|||||
|
m. |
780 — 3 000 (IRA e IRB) |
►C1 EIR = 18 000 t–0.75 ◄ para t ≤ 1 000 s |
E: [W m-2] t: [segundos] |
|
|
quemadura de la córnea cataratas |
||
|
n. |
780 — 3 000 (IRA e IRB) |
EIR = 100 para t > 1 000 s |
[W m-2] |
|||||
|
o. |
380 — 3 000 (Visible, IRA e IRB) |
Hpiel = 20 000 t 0.25 para t < 10 s |
H: [J m-2] t: [segundos] |
|
piel |
quemadura |
||
|
Nota 1: El intervalo de 300 a 700 nm comprende parte de los rayos UVB, todos los UVA y la mayor parte de las radiaciones visibles; no obstante al riesgo asociado se suele denominar riesgo «de luz azul». En sentido estricto, la luz azul corresponde únicamente al intervalo de 400 a 490 nm aproximadamente. Nota 2: Para fijar la mirada sobre fuentes muy pequeñas con un ángulo subtendido < 11 mrad, LB puede convertirse a EB. Por lo general, esto se aplica únicamente en el caso de instrumentos oftalmológicos o al ojo estabilizado durante la anestesia. El tiempo máximo de «mirada fija» se calcula mediante la formula: tmax = 100/EB con EB en W m-2. Debido a los movimientos oculares durante las funciones visuales normales este valor no es superior a 100 s. |
||||||||
Tabla 1.2:
S (λ) [sin dimensiones], 180 nm a 400 nm
|
λ en nm |
S (λ) |
λ en nm |
S (λ) |
λ en nm |
S (λ) |
λ en nm |
S (λ) |
λ en nm |
S (λ) |
|
180 |
0,0120 |
228 |
0,1737 |
276 |
0,9434 |
324 |
0,000520 |
372 |
0,000086 |
|
181 |
0,0126 |
229 |
0,1819 |
277 |
0,9272 |
325 |
0,000500 |
373 |
0,000083 |
|
182 |
0,0132 |
230 |
0,1900 |
278 |
0,9112 |
326 |
0,000479 |
374 |
0,000080 |
|
183 |
0,0138 |
231 |
0,1995 |
279 |
0,8954 |
327 |
0,000459 |
375 |
0,000077 |
|
184 |
0,0144 |
232 |
0,2089 |
280 |
0,8800 |
328 |
0,000440 |
376 |
0,000074 |
|
185 |
0,0151 |
233 |
0,2188 |
281 |
0,8568 |
329 |
0,000425 |
377 |
0,000072 |
|
186 |
0,0158 |
234 |
0,2292 |
282 |
0,8342 |
330 |
0,000410 |
378 |
0,000069 |
|
187 |
0,0166 |
235 |
0,2400 |
283 |
0,8122 |
331 |
0,000396 |
379 |
0,000066 |
|
188 |
0,0173 |
236 |
0,2510 |
284 |
0,7908 |
332 |
0,000383 |
380 |
0,000064 |
|
189 |
0,0181 |
237 |
0,2624 |
285 |
0,7700 |
333 |
0,000370 |
381 |
0,000062 |
|
190 |
0,0190 |
238 |
0,2744 |
286 |
0,7420 |
334 |
0,000355 |
382 |
0,000059 |
|
191 |
0,0199 |
239 |
0,2869 |
287 |
0,7151 |
335 |
0,000340 |
383 |
0,000057 |
|
192 |
0,0208 |
240 |
0,3000 |
288 |
0,6891 |
336 |
0,000327 |
384 |
0,000055 |
|
193 |
0,0218 |
241 |
0,3111 |
289 |
0,6641 |
337 |
0,000315 |
385 |
0,000053 |
|
194 |
0,0228 |
242 |
0,3227 |
290 |
0,6400 |
338 |
0,000303 |
386 |
0,000051 |
|
195 |
0,0239 |
243 |
0,3347 |
291 |
0,6186 |
339 |
0,000291 |
387 |
0,000049 |
|
196 |
0,0250 |
244 |
0,3471 |
292 |
0,5980 |
340 |
0,000280 |
388 |
0,000047 |
|
197 |
0,0262 |
245 |
0,3600 |
293 |
0,5780 |
341 |
0,000271 |
389 |
0,000046 |
|
198 |
0,0274 |
246 |
0,3730 |
294 |
0,5587 |
342 |
0,000263 |
390 |
0,000044 |
|
199 |
0,0287 |
247 |
0,3865 |
295 |
0,5400 |
343 |
0,000255 |
391 |
0,000042 |
|
200 |
0,0300 |
248 |
0,4005 |
296 |
0,4984 |
344 |
0,000248 |
392 |
0,000041 |
|
201 |
0,0334 |
249 |
0,4150 |
297 |
0,4600 |
345 |
0,000240 |
393 |
0,000039 |
|
202 |
0,0371 |
250 |
0,4300 |
298 |
0,3989 |
346 |
0,000231 |
394 |
0,000037 |
|
203 |
0,0412 |
251 |
0,4465 |
299 |
0,3459 |
347 |
0,000223 |
395 |
0,000036 |
|
204 |
0,0459 |
252 |
0,4637 |
300 |
0,3000 |
348 |
0,000215 |
396 |
0,000035 |
|
205 |
0,0510 |
253 |
0,4815 |
301 |
0,2210 |
349 |
0,000207 |
397 |
0,000033 |
|
206 |
0,0551 |
254 |
0,5000 |
302 |
0,1629 |
350 |
0,000200 |
398 |
0,000032 |
|
207 |
0,0595 |
255 |
0,5200 |
303 |
0,1200 |
351 |
0,000191 |
399 |
0,000031 |
|
208 |
0,0643 |
256 |
0,5437 |
304 |
0,0849 |
352 |
0,000183 |
400 |
0,000030 |
|
209 |
0,0694 |
257 |
0,5685 |
305 |
0,0600 |
353 |
0,000175 |
|
|
|
210 |
0,0750 |
258 |
0,5945 |
306 |
0,0454 |
354 |
0,000167 |
|
|
|
211 |
0,0786 |
259 |
0,6216 |
307 |
0,0344 |
355 |
0,000160 |
|
|
|
212 |
0,0824 |
260 |
0,6500 |
308 |
0,0260 |
356 |
0,000153 |
|
|
|
213 |
0,0864 |
261 |
0,6792 |
309 |
0,0197 |
357 |
0,000147 |
|
|
|
214 |
0,0906 |
262 |
0,7098 |
310 |
0,0150 |
358 |
0,000141 |
|
|
|
215 |
0,0950 |
263 |
0,7417 |
311 |
0,0111 |
359 |
0,000136 |
|
|
|
216 |
0,0995 |
264 |
0,7751 |
312 |
0,0081 |
360 |
0,000130 |
|
|
|
217 |
0,1043 |
265 |
0,8100 |
313 |
0,0060 |
361 |
0,000126 |
|
|
|
218 |
0,1093 |
266 |
0,8449 |
314 |
0,0042 |
362 |
0,000122 |
|
|
|
219 |
0,1145 |
267 |
0,8812 |
315 |
0,0030 |
363 |
0,000118 |
|
|
|
220 |
0,1200 |
268 |
0,9192 |
316 |
0,0024 |
364 |
0,000114 |
|
|
|
221 |
0,1257 |
269 |
0,9587 |
317 |
0,0020 |
365 |
0,000110 |
|
|
|
222 |
0,1316 |
270 |
1,0000 |
318 |
0,0016 |
366 |
0,000106 |
|
|
|
223 |
0,1378 |
271 |
0,9919 |
319 |
0,0012 |
367 |
0,000103 |
|
|
|
224 |
0,1444 |
272 |
0,9838 |
320 |
0,0010 |
368 |
0,000099 |
|
|
|
225 |
0,1500 |
273 |
0,9758 |
321 |
0,000819 |
369 |
0,000096 |
|
|
|
226 |
0,1583 |
274 |
0,9679 |
322 |
0,000670 |
370 |
0,000093 |
|
|
|
227 |
0,1658 |
275 |
0,9600 |
323 |
0,000540 |
371 |
0,000090 |
|
|
Tabla 1.3:
B (λ), R (λ) [sin dimensiones], 380 nm a 1 400 nm
|
λ en nm |
B (λ) |
R (λ) |
|
300 ≤ λ < 380 |
0,01 |
— |
|
380 |
0,01 |
0,1 |
|
385 |
0,013 |
0,13 |
|
390 |
0,025 |
0,25 |
|
395 |
0,05 |
0,5 |
|
400 |
0,1 |
1 |
|
405 |
0,2 |
2 |
|
410 |
0,4 |
4 |
|
415 |
0,8 |
8 |
|
420 |
0,9 |
9 |
|
425 |
0,95 |
9,5 |
|
430 |
0,98 |
9,8 |
|
435 |
1 |
10 |
|
440 |
1 |
10 |
|
445 |
0,97 |
9,7 |
|
450 |
0,94 |
9,4 |
|
455 |
0,9 |
9 |
|
460 |
0,8 |
8 |
|
465 |
0,7 |
7 |
|
470 |
0,62 |
6,2 |
|
475 |
0,55 |
5,5 |
|
480 |
0,45 |
4,5 |
|
485 |
0,32 |
3,2 |
|
490 |
0,22 |
2,2 |
|
495 |
0,16 |
1,6 |
|
500 |
0,1 |
1 |
|
500 < λ ≤ 600 |
100,0 2·(450-λ) |
1 |
|
600 < λ ≤ 700 |
0,001 |
1 |
|
700 < λ ≤ 1 050 |
— |
100,00 2·(700-λ) |
|
1 050 < λ ≤ 1 150 |
— |
0,2 |
|
1 150 < λ ≤ 1 200 |
— |
0,2 · 100,0 2·(1 150 -λ) |
|
1 200 < λ ≤ 1 400 |
— |
0,02 |
ANEXO II
Radiaciones ópticas láser
Los valores de exposición a las radiaciones ópticas que son pertinentes desde un punto de vista biofísico pueden determinarse mediante las fórmulas recogidas a continuación. Las fórmulas que deben utilizarse dependen de la longitud de onda y de la duración de la radiación emitida por la fuente, y los resultados deben compararse con los correspondientes valores límite de exposición indicados en las tablas 2.2 a 2.4. A una determinada fuente de radiación óptica láser pueden corresponder varios valores de exposición con sus correspondientes límites de exposición.
Los coeficientes empleados como herramientas de cálculo en las tablas 2.2 a 2.4 figuran en la lista de la tabla 2.5 y las correcciones aplicables para exposiciones repetidas en la tabla 2.6.
Notas:
|
dP |
«potencia» expresada en vatios [W]; |
|
dA |
«superficie» expresada en metros cuadrados [m2]; |
|
E (t), E |
«irradiancia o densidad de potencia»: la potencia radiante por unidad de área que incide sobre una superficie, expresada en general en vatios por metro cuadrado [W m-2]. Los valores E(t), E proceden de mediciones o puede facilitarlos el fabricante del equipo; |
|
H |
«exposición radiante»: la integral con respecto al tiempo de la irradiancia, expresada en julios por metro cuadrado [J m-2]; |
|
t |
«tiempo»: duración de la exposición, expresada en segundos [s]; |
|
λ |
«longitud de onda», expresada en nanómetros [nm]; |
|
γ |
«ángulo del cono límite del campo visual de medición», expresado en milirradianes [mrad]; |
|
γm |
«campo visual de medición», expresado en milirradianes [mrad]; |
|
α |
«ángulo subtendido» de una fuente, expresado en milirradianes [mrad]; |
|
«abertura límite»: la superficie circular sobre la que se calculan los promedios de la irradiancia y la exposición radiante; |
|
G |
«radiancia integrada»: la integral de la radiancia con respecto a un tiempo de exposición determinado, expresada como energía radiante por unidad de área de la superficie radiante y por unidad de ángulo sólido de emisión, en julios por metro cuadrado por estereorradián [J m-2 sr-1]. |
Tabla 2.1
Riesgos derivados de las radiaciones
|
Longitud de onda [nm] λ |
Intervalo de radiación |
Órgano afectado |
Riesgo |
Tabla indicativa de los valores límite de exposición |
|
180 — 400 |
UV |
ojos |
Lesiones fotoquímicas y lesiones térmicas |
2.2, 2.3 |
|
180 — 400 |
UV |
piel |
Eritema |
2.4 |
|
400 — 700 |
visible |
ojos |
Lesiones de la retina |
2.2 |
|
400 — 600 |
visible |
ojos |
Lesiones fotoquímicas |
2.3 |
|
400 — 700 |
visible |
piel |
Lesiones térmicas |
2.4 |
|
700 — 1 400 |
IRA |
ojos |
Lesiones térmicas |
2.2, 2.3 |
|
700 — 1 400 |
IRA |
piel |
Lesiones térmicas |
2.4 |
|
1 400 — 2 600 |
IRB |
ojos |
Lesiones térmicas |
2.2 |
|
2 600 — 106 |
IRC |
ojos |
Lesiones térmicas |
2.2 |
|
1 400 — 106 |
IRB, IRC |
ojos |
Lesiones térmicas |
2.3 |
|
1 400 — 106 |
IRB, IRC |
piel |
Lesiones térmicas |
2.4 |
Tabla 2.2
Valores límite de exposición de los ojos al láser — Exposiciones de corta duración < 10 s
Tabla 2.3
Valores límite de exposición de los ojos al láser — Exposiciones de mayor duración ≥ 10 s
Tabla 2.4:
Valores límite de exposición de la piel al láser
Tabla 2.5
Factores de corrección y otros parámetros de cálculo aplicados
|
Parámetro que utiliza la ICNIRP |
Intervalo espectral válido (nm) |
Valor |
|
CA |
λ < 700 |
CA = 1,0 |
|
700 — 1 050 |
CA = 10 0,002 (λ - 700) |
|
|
1 050 — 1 400 |
CA = 5,0 |
|
|
CB |
400 — 450 |
CB = 1,0 |
|
450 — 700 |
CB = 10 0,02 (λ - 450) |
|
|
CC |
700 — 1 150 |
CC = 1,0 |
|
1 150 — 1 200 |
CC = 10 0,018 (λ - 1 150 ) |
|
|
1 200 — 1 400 |
CC = 8,0 |
|
|
T1 |
λ < 450 |
T1 = 10 s |
|
450 — 500 |
T1 = 10 · [10 0,02 (λ - 450)] s |
|
|
λ > 500 |
T1 = 100 s |
|
Parámetro que utiliza la ICNIRP |
Válido para el efecto biológico |
Valor |
|
αmin |
Todos los efectos térmicos |
αmin = 1,5 mrad |
|
Parámetro que utiliza la ICNIRP |
Intervalo de ángulos válidos (mrad) |
Valor |
|
CE |
α < αmin |
CE = 1,0 |
|
αmin < α < 100 |
CE = α/αmin |
|
|
α > 100 |
CE = α2/(αmin · αmax) mrad with αmax = 100 mrad |
|
|
T2 |
α < 1,5 |
T2 = 10 s |
|
1,5 < α < 100 |
T2 = 10 · [10 (α - 1,5 ) / 98,5 ] s |
|
|
α > 100 |
T2 = 100 s |
|
Parámetro que utiliza la ICNIRP |
Intervalo de tiempos de exposición válidos (s) |
Valor |
|
γ |
t ≤ 100 |
γ = 11 [mrad] |
|
100 < t < 104 |
γ = 1,1 t 0,5 [mrad] |
|
|
t > 104 |
γ = 110 [mrad] |
Tabla 2.6
Corrección para las exposiciones reiteradas
Cada una de las tres reglas generales siguientes debería aplicarse a todas las exposiciones reiteradas que se produzcan por una utilización repetitiva de sistemas de láser de pulsos o de barrido:
1) la exposición a cualquier pulso único de un tren de pulsos no deberá superar el valor límite de exposición para un pulso único de esa duración;
2) la exposición a cualquier grupo de pulsos (o subgrupo de pulsos de un tren) durante un tiempo t no deberá superar el valor límite de exposición para el tiempo t;
3) la exposición de cualquier pulso único dentro de un grupo de pulsos no deberá superar el valor límite de exposición para un pulso único multiplicado por el factor de corrección térmico acumulativo Cp=N-0,25 , en el que N representa el número de pulsos. Esta regla solo se aplica a los límites de exposición con objeto de evitar las lesiones térmicas, cuando todos los pulsos producidos en menos de Tmin se consideran como un pulso único.
|
Parámetro |
Intervalo espectral válido (nm) |
Valor |
|
Tmin |
315 < λ ≤ 400 |
Tmin = 10 -9 s (= 1 ns) |
|
400 < λ ≤ 1 050 |
Tmin = 18· 10 -6 s (= 18 μs) |
|
|
1 050 < λ ≤ 1 400 |
Tmin = 50· 10 -6 s (= 50 μs) |
|
|
1 400 < λ ≤ 1 500 |
Tmin = 10 -3 s (= 1 ms) |
|
|
1 500 < λ ≤ 1 800 |
Tmin = 10 s |
|
|
1 800 < λ ≤ 2 600 |
Tmin = 10 -3 s (= 1 ms) |
|
|
2 600 < λ ≤ 10 6 |
Tmin = 10 -7 s (= 100 ns) |
( 1 ) DO C 77 de 18.3.1993, p. 12, y DO C 230 de 19.8.1994, p. 3.
( 2 ) DO C 249 de 13.9.1993, p. 28.
( 3 ) Dictamen del Parlamento Europeo de 20 de abril de 1994 (DO C 128 de 9.5.1994, p. 146), confirmado el 16 de septiembre de 1999 (DO C 54 de 25.2.2000, p. 75), Posición Común del Consejo de 18 de abril de 2005 (DO C 172 E de 12.7.2005, p. 26) y Posición del Parlamento Europeo de 16 de noviembre de 2005 (no publicada aún en el Diario Oficial). Resolución legislativa del Parlamento Europeo de 14 de febrero de 2006 (aún no publicada en el Diario Oficial) y Decisión del Consejo de 23 de febrero de 2006.
( 4 ) DO C 260 de 15.10.1990, p. 167.
( 5 ) DO L 177 de 6.7.2002, p. 13.
( 6 ) DO L 42 de 15.2.2003, p. 38.
( 7 ) DO L 159 de 30.4.2004, p. 1. Versión corregida en el DO L 184 de 24.5.2004, p. 1.
( 8 ) DO L 183 de 29.6.1989, p. 1. Directiva modificada por el Reglamento (CE) no 1882/2003 del Parlamento Europeo y del Consejo (DO L 284 de 31.10.2003, p. 1).
( 9 ) DO L 184 de 17.7.1999, p. 23.
( 10 ) DO C 321 de 31.12.2003, p. 1.
( 11 ) DO L 245 de 26.8.1992, p. 23.